WO2010011439A2 - Gip-based mixed agonists for treatment of metabolic disorders and obesity - Google Patents
Gip-based mixed agonists for treatment of metabolic disorders and obesity Download PDFInfo
- Publication number
- WO2010011439A2 WO2010011439A2 PCT/US2009/047447 US2009047447W WO2010011439A2 WO 2010011439 A2 WO2010011439 A2 WO 2010011439A2 US 2009047447 W US2009047447 W US 2009047447W WO 2010011439 A2 WO2010011439 A2 WO 2010011439A2
- Authority
- WO
- WIPO (PCT)
- Prior art keywords
- amino acid
- analog
- substituted
- glucagon
- alkyl
- Prior art date
- Legal status (The legal status is an assumption and is not a legal conclusion. Google has not performed a legal analysis and makes no representation as to the accuracy of the status listed.)
- Ceased
Links
- 0 C*(C)OCCC(C)(C)OCCCNC(CSC[C@@](C)I)=O Chemical compound C*(C)OCCC(C)(C)OCCCNC(CSC[C@@](C)I)=O 0.000 description 4
Classifications
-
- C—CHEMISTRY; METALLURGY
- C07—ORGANIC CHEMISTRY
- C07K—PEPTIDES
- C07K14/00—Peptides having more than 20 amino acids; Gastrins; Somatostatins; Melanotropins; Derivatives thereof
- C07K14/435—Peptides having more than 20 amino acids; Gastrins; Somatostatins; Melanotropins; Derivatives thereof from animals; from humans
- C07K14/575—Hormones
- C07K14/605—Glucagons
-
- A—HUMAN NECESSITIES
- A61—MEDICAL OR VETERINARY SCIENCE; HYGIENE
- A61K—PREPARATIONS FOR MEDICAL, DENTAL OR TOILETRY PURPOSES
- A61K38/00—Medicinal preparations containing peptides
- A61K38/16—Peptides having more than 20 amino acids; Gastrins; Somatostatins; Melanotropins; Derivatives thereof
- A61K38/17—Peptides having more than 20 amino acids; Gastrins; Somatostatins; Melanotropins; Derivatives thereof from animals; from humans
- A61K38/22—Hormones
- A61K38/26—Glucagons
-
- A—HUMAN NECESSITIES
- A61—MEDICAL OR VETERINARY SCIENCE; HYGIENE
- A61K—PREPARATIONS FOR MEDICAL, DENTAL OR TOILETRY PURPOSES
- A61K47/00—Medicinal preparations characterised by the non-active ingredients used, e.g. carriers or inert additives; Targeting or modifying agents chemically bound to the active ingredient
- A61K47/50—Medicinal preparations characterised by the non-active ingredients used, e.g. carriers or inert additives; Targeting or modifying agents chemically bound to the active ingredient the non-active ingredient being chemically bound to the active ingredient, e.g. polymer-drug conjugates
- A61K47/51—Medicinal preparations characterised by the non-active ingredients used, e.g. carriers or inert additives; Targeting or modifying agents chemically bound to the active ingredient the non-active ingredient being chemically bound to the active ingredient, e.g. polymer-drug conjugates the non-active ingredient being a modifying agent
- A61K47/56—Medicinal preparations characterised by the non-active ingredients used, e.g. carriers or inert additives; Targeting or modifying agents chemically bound to the active ingredient the non-active ingredient being chemically bound to the active ingredient, e.g. polymer-drug conjugates the non-active ingredient being a modifying agent the modifying agent being an organic macromolecular compound, e.g. an oligomeric, polymeric or dendrimeric molecule
- A61K47/59—Medicinal preparations characterised by the non-active ingredients used, e.g. carriers or inert additives; Targeting or modifying agents chemically bound to the active ingredient the non-active ingredient being chemically bound to the active ingredient, e.g. polymer-drug conjugates the non-active ingredient being a modifying agent the modifying agent being an organic macromolecular compound, e.g. an oligomeric, polymeric or dendrimeric molecule obtained otherwise than by reactions only involving carbon-to-carbon unsaturated bonds, e.g. polyureas or polyurethanes
- A61K47/60—Medicinal preparations characterised by the non-active ingredients used, e.g. carriers or inert additives; Targeting or modifying agents chemically bound to the active ingredient the non-active ingredient being chemically bound to the active ingredient, e.g. polymer-drug conjugates the non-active ingredient being a modifying agent the modifying agent being an organic macromolecular compound, e.g. an oligomeric, polymeric or dendrimeric molecule obtained otherwise than by reactions only involving carbon-to-carbon unsaturated bonds, e.g. polyureas or polyurethanes the organic macromolecular compound being a polyoxyalkylene oligomer, polymer or dendrimer, e.g. PEG, PPG, PEO or polyglycerol
-
- A—HUMAN NECESSITIES
- A61—MEDICAL OR VETERINARY SCIENCE; HYGIENE
- A61P—SPECIFIC THERAPEUTIC ACTIVITY OF CHEMICAL COMPOUNDS OR MEDICINAL PREPARATIONS
- A61P1/00—Drugs for disorders of the alimentary tract or the digestive system
-
- A—HUMAN NECESSITIES
- A61—MEDICAL OR VETERINARY SCIENCE; HYGIENE
- A61P—SPECIFIC THERAPEUTIC ACTIVITY OF CHEMICAL COMPOUNDS OR MEDICINAL PREPARATIONS
- A61P3/00—Drugs for disorders of the metabolism
-
- A—HUMAN NECESSITIES
- A61—MEDICAL OR VETERINARY SCIENCE; HYGIENE
- A61P—SPECIFIC THERAPEUTIC ACTIVITY OF CHEMICAL COMPOUNDS OR MEDICINAL PREPARATIONS
- A61P3/00—Drugs for disorders of the metabolism
- A61P3/04—Anorexiants; Antiobesity agents
-
- A—HUMAN NECESSITIES
- A61—MEDICAL OR VETERINARY SCIENCE; HYGIENE
- A61P—SPECIFIC THERAPEUTIC ACTIVITY OF CHEMICAL COMPOUNDS OR MEDICINAL PREPARATIONS
- A61P3/00—Drugs for disorders of the metabolism
- A61P3/08—Drugs for disorders of the metabolism for glucose homeostasis
- A61P3/10—Drugs for disorders of the metabolism for glucose homeostasis for hyperglycaemia, e.g. antidiabetics
-
- A—HUMAN NECESSITIES
- A61—MEDICAL OR VETERINARY SCIENCE; HYGIENE
- A61P—SPECIFIC THERAPEUTIC ACTIVITY OF CHEMICAL COMPOUNDS OR MEDICINAL PREPARATIONS
- A61P31/00—Antiinfectives, i.e. antibiotics, antiseptics, chemotherapeutics
-
- A—HUMAN NECESSITIES
- A61—MEDICAL OR VETERINARY SCIENCE; HYGIENE
- A61P—SPECIFIC THERAPEUTIC ACTIVITY OF CHEMICAL COMPOUNDS OR MEDICINAL PREPARATIONS
- A61P31/00—Antiinfectives, i.e. antibiotics, antiseptics, chemotherapeutics
- A61P31/10—Antimycotics
-
- A—HUMAN NECESSITIES
- A61—MEDICAL OR VETERINARY SCIENCE; HYGIENE
- A61P—SPECIFIC THERAPEUTIC ACTIVITY OF CHEMICAL COMPOUNDS OR MEDICINAL PREPARATIONS
- A61P43/00—Drugs for specific purposes, not provided for in groups A61P1/00-A61P41/00
-
- A—HUMAN NECESSITIES
- A61—MEDICAL OR VETERINARY SCIENCE; HYGIENE
- A61K—PREPARATIONS FOR MEDICAL, DENTAL OR TOILETRY PURPOSES
- A61K38/00—Medicinal preparations containing peptides
Definitions
- Pre-proglucagon is a 158 amino acid precursor polypeptide that is processed in different tissues to form a number of different proglucagon-derived peptides, including glucagon, glucagon-like peptide- 1 (GLP-I), glucagon-like peptide-2 (GLP-2) and oxyntomodulin (OXM), that are involved in a wide variety of physiological functions, including glucose homeostasis, insulin secretion, gastric emptying, and intestinal growth, as well as the regulation of food intake.
- GLP-I glucagon-like peptide- 1
- GLP-2 glucagon-like peptide-2
- OXM oxyntomodulin
- Glucagon is a 29-amino acid peptide that corresponds to amino acids 33 through 61 of pre-proglucagon, while GLP-I is produced as a 37-amino acid peptide that corresponds to amino acids 72 through 108 of pre- proglucagon.
- GLP-I Glucose-dependent insulinotropic peptide
- pancreatic beta a hormone produced by the pancreas
- GLP-I has different biological activities compared to glucagon. Its actions include stimulation of insulin synthesis and secretion, inhibition of glucagon secretion, and inhibition of food intake.
- GLP-I has been shown to reduce hyperglycemia (elevated glucose levels) in diabetics.
- Exendin-4 a peptide from lizard venom that shares about 50% amino acid identity with GLP-I , activates ' the GLP-I receptor and likewise has been shown to reduce hyperglycemia in diabetics.
- Glucose-dependent insulinotropic peptide is a 42-amino acid gastrointestinal regulatory peptide that stimulates insulin secretion from pancreatic beta
- glucose cells in the presence of glucose It is derived by proteolytic processing from a 133-amino acid precursor, preproGIP.
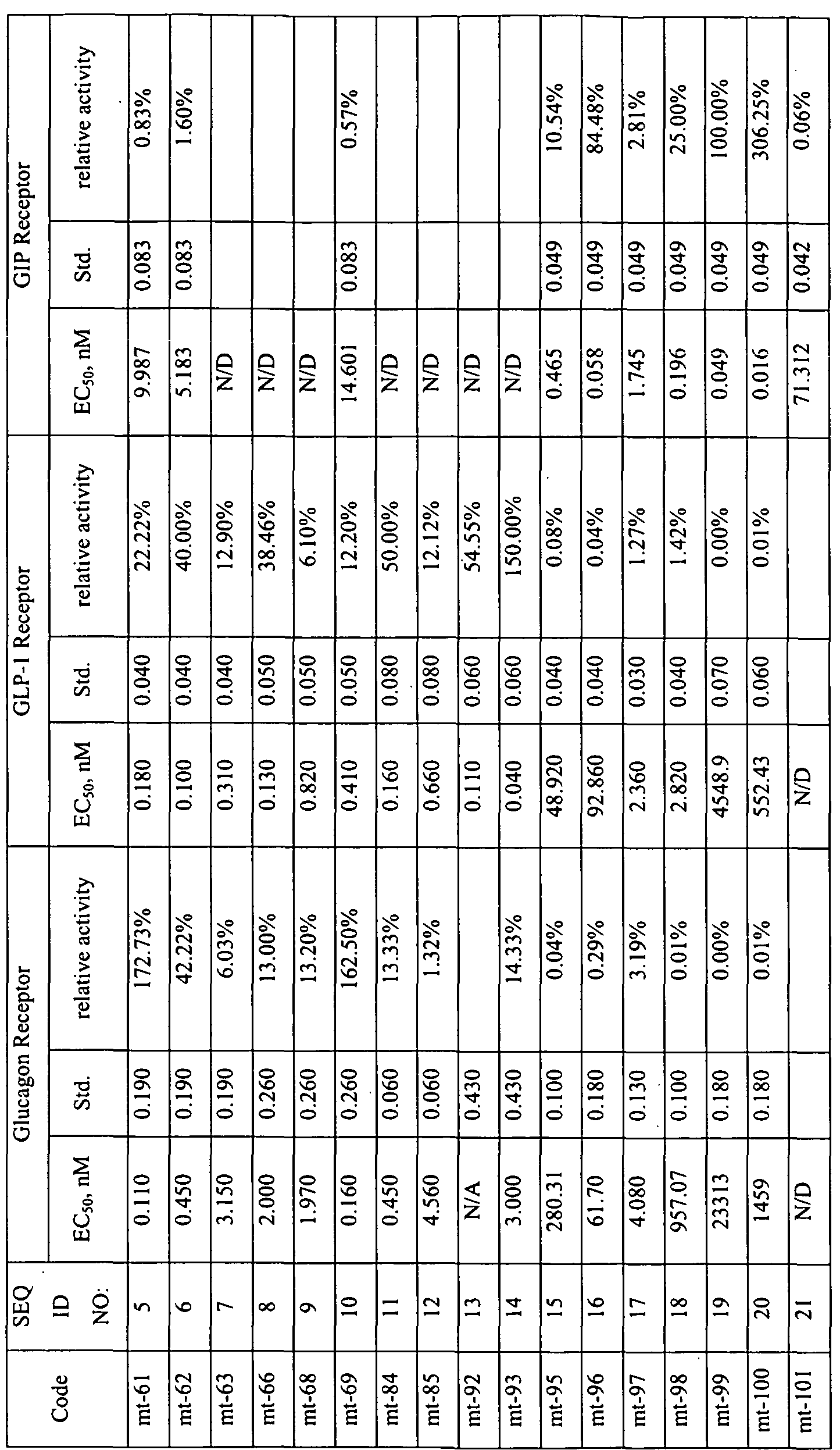
- glucagon peptides are provided that are analogs of native glucagon (SEQ ID NO: 1) and that exhibit GIP activity.
- the invention also provides methods of using such peptides.
- Native glucagon does not activate the GIP receptor, and normally has about 1% of the activity of native-GLP-1 at the GLP-I receptor. Modifications to the native glucagon sequence described herein produce glucagon peptides that can exhibit potent glucagon activity equivalent to or better than the activity of native glucagon (SEQ ID NO: 1), potent GIP activity equivalent to or better than the activity of native GIP (SEQ ID NO: 4), and/or potent GLP-I activity equivalent to or better than the activity of native GLP-I .
- GLP-I (7-36) amide (SEQ ID NO: 3) or GLP-I (7-37) (acid) (SEQ ID NO: 2) are biologically potent forms of GLP-I , that demonstrate essentially equivalent activity at the GLP-I receptor.
- the invention provides methods for inducing weight loss or preventing weight gain, which involve administering to a patient in need thereof an effective amount of a compound, e.g. a glucagon peptide, that exhibits activity at both the GIP receptor and the GLP-I receptor, and that optionally also exhibits activity at the glucagon receptor.
- a compound e.g. a glucagon peptide
- Such compounds include the GIP/GLP- 1 co-agonists and glucagon/GIP/GLP-1 tri-agonists described herein. 32993-208847
- Increased activity at the GIP receptor is provided by an amino acid modification at position 1.
- His at position 1 is substituted with a large, aromatic amino acid, optionally Tyr, Phe, Trp, amino-Phe, nitro-Phe, chloro-Phe, sulfo-Phe, 4-pyridyl- AIa, methyl-Tyr, or 3-amino Tyr.
- Increased activity at the GIP receptor is provided by modifications that stabilize the alpha helix structure of the C-terminal portion (amino acids 12-29) of the glucagon peptide or analog thereof.
- an intramolecular bridge can be formed by a covalent bond between the side chains of two amino acids at positions i and i+4 or between positions j and j+3, or between positions k and k+7.
- the bridge is between positions 12 and 16, 16 and 20, 20 and 24, 24 and 28, or 17 and 20.
- non-covalent interactions such as salt bridges can be formed between positively and negatively charged amino acids at these positions.
- stabilization of the alpha helix structure in the C-terminal portion of the glucagon peptide (around amino acids 12-29) is achieved through purposeful introduction of one or more ⁇ , ⁇ -disubstituted amino acids at positions that retain the desired activity.
- one, two, three, four or more of positions 16, 17, 18, 19, 20, 21, 24 or 29 of a glucagon peptide or analog thereof is substituted with an ⁇ , ⁇ -disubstituted amino acid.
- substitution of position 16 of a glucagon peptide or analog thereof with amino iso-butyric acid (AIB) provides a stabilized alpha helix in the absence of a salt bridge or lactam.
- Such peptides are considered herein as a peptide lacking an intramolecular bridge.
- stabilization of the alpha-helix is accomplished by introducing one or more ⁇ , ⁇ -disubstituted amino acids without introduction of a covalent intramolecular bridge, e.g., a lactam bridge, a disulfide bridge.
- a covalent intramolecular bridge e.g., a lactam bridge, a disulfide bridge.
- Such peptides are considered herein as a peptide lacking a covalent intramolecular bridge.
- one, two, three or more of positions 16, 20, 21 or 24 are substituted with AIB.
- Increased activity at the GIP receptor is provided by amino acid modifications at positions 27 and/or 28, and optionally at position 29.
- the Met at position 27 is substituted with a large aliphatic amino acid, optionally Leu
- the Asn at position 28 is substituted with a small aliphatic amino acid, optionally Ala
- the Thr at position 29 is substituted with a small aliphatic amino acid, optionally GIy. 32993-208847
- Increased activity at the GIP receptor is also provided by an amino acid modification at position 12.
- position 12 is substituted with a large, aliphatic, nonpolar amino acid, optionally He.
- Increased activity at the GIP receptor is also provided by an amino acid modification at positions 17 and/or 18.
- position 17 is substituted with a polar residue, optionally GIn
- position 18 is substituted with a small aliphatic amino acid, optionally Ala.
- Increased activity at the glucagon receptor is provided by an amino acid modification at position 16 of native glucagon (SEQ ID NO: 1) as described herein.
- Reduced, maintained, or increased activity at the glucagon receptor is provided, e.g., by an amino acid modification at position 3 as described herein.
- an intramolecular bridge can be formed by a covalent bond between the side chains of two amino acids at positions i and i+4 or between positions j and j+3, or between positions k and k+7.
- non-covalent interactions such as salt bridges can be formed between positively and negatively charged amino acids at these positions.
- one or more ⁇ , ⁇ -disubstituted amino acids are inserted or substituted into this C-terminal portion (amino acids 12-29) at positions that retain the desired activity.
- amino acids 12-29 amino acids 12-29
- one, two, three or all of positions 16, 20, 21 or 24 are substituted with an ⁇ , ⁇ -disubstituted amino acid, e.g., AIB.
- Increased activity at the GLP-I receptor is provided by replacing the carboxylic acid of the C-terminal amino acid with a charge-neutral group, such as an amide or ester. Increased activity at the GLP-I receptor is provided by modifications that stabilize alpha-helix structure in the C-terminal portion (around amino acids 12-29) of the glucagon peptide or analog thereof.
- an intramolecular bridge can be formed by a covalent bond between the side chains of two amino acids at positions i and i+4 or between positions j and j+3, or between positions k and k+7.
- non-covalent interactions such as salt bridges can be formed between positively and negatively charged amino acids at these positions.
- 32993-208847 32993-208847
- one or more ⁇ , ⁇ -disubstituted amino acids are inserted or substituted into this C-terminal portion (amino acids 12-29) at positions that retain the desired activity.
- amino acids 12-29 amino acids 12-29
- one, two, three or all of positions 16, 20, 21 or 24 are substituted with an ⁇ , ⁇ -disubstituted amino acid, e.g., AIB.
- Increased activity at the GLP-I receptor is provided by an amino acid modification at position 20 as described herein.
- Increased activity at the GLP-I receptor is provided by adding a C-terminal extension peptide such as GPSSGAPPPS (SEQ ID NO: 95) or XGPSSGAPPPS (SEQ ID NO: 96) to the C-terminus.
- GLP-I activity in such analogs can be further increased by modifying the amino acid at position 18, 28 or 29, or at position 18 and 29, as described herein.
- a further modest increase in GLP-I potency is provided by modifying the amino acid at position 10 to be a large, aromatic amino acid residue, optionally Trp.
- Reduced activity at the GLP-I receptor is provided, e.g., by an amino acid modification at position 7, a deletion of the amino acid(s) C-terminal to the amino acid at position 27 or 28, yielding a 27- or 28-amino acid peptide, or a combination thereof, as described herein.
- GPSSGAPPPS SEQ ID NO: 95
- GLP-I receptor GLP-I receptor
- GIP receptor GIP receptor
- Ri and R 2 is independently selected from the group consisting of H, Ci-Ci 8 alkyl, (Ci-Ci 8 32993-208847
- the activity at each of the glucagon receptor, GLP-I receptor, and GIP receptor of the analog comprising an amino acid of Formula IV at position 16 and an alpha, alpha di-substituted amino acid at position 20 can be further enhanced by extending the length of the peptide, e.g. by fusion to a C-terminal extension peptide, e.g. of about 1-21 , about 9 to 21 , about 6-18, about 9-12, or about 10 or 1 1 amino acids in length.
- the C-terminus is extended by fusion to GPSSGAPPPS (SEQ ID NO: 95) or XGPSSGAPPPS (SEQ ID NO: 96), wherein X is GIy or a small, aliphatic or non-polar or slightly polar amino acid.
- the C-terminus is extended by fusion to GPSSGAPPPS (SEQ ID NO: 95) and 1 -11 amino acids (e.g., 1-5, or 1, 2, 3, 4, 5, 6, 7, 8, 9, 10, 1 1 amino acids) are fused to the C-terminus of GPSSGAPPPS (SEQ ID NO: 95).
- the 1-1 1 amino acids at the C-terminus of GPSSGAPPPS can comprise, for example, one or more small aliphatic amino acids, such as Ala or GIy.
- the C-terminal extension can be, for example, GPSSGAPPPSX m , wherein m is 1 to 1 1 (e.g., 1 to 5) and X is Ala or GIy.
- the 1 to 1 1 (e.g., 1 to 5) amino acids fused to the C-terminus of SEQ ID NO: 95 may be a combination of different small aliphatic amino acids.
- the 1 to 1 1 (e.g., 1 to 5) amino acids may be a combination of Ala and GIy residues.
- Enhancement of activity at each of the glucagon, GLP-I , and GIP receptors of a GIP-active, glucagon-based analog including an analog comprising an amino acid of
- Formula IV at position 16 and an alpha, alpha disubstituted amino acid at position 20, can furthermore be achieved upon acylation or alkylation of an amino acid located within a C-terminal extension or at the C-terminal amino acid (e.g., an amino acid which is added to the C-terminus of the C-terminal extension).
- the acylation or alkylation can be of an amino acid located at, for example, any of positions 30, 31 , 32, 33, 34, 35, 36, 37, 38, 39, 40, 41, 42, 43, 44, 45, 46, 47, 48, 49, and 50.
- the amino acid 32993-208847 the amino acid 32993-208847
- the acylated or alkylated amino acid is a Lys which is attached to an acyl or alkyl group, e.g. C10-C22.
- the Lys is located C-terminal to a C-terminal extension consisting of the amino acid sequence of SEQ ID NO: 95, such that the Lys is located at position 40 of the analog.
- acylated, C-terminally extended peptides are also pegylated, e.g. at position 24.
- Enhancement of the activity at each of the glucagon, GLP-I, and GIP receptors of a GIP-active, glucagon-based analog can moreover be achieved by acylation or alkylation of an amino acid via a spacer (e.g., an amino acid, dipeptide, tripeptide, hydrophilic bifunctional spacer, hydrophobic bifunctional spacer).
- a spacer e.g., an amino acid, dipeptide, tripeptide, hydrophilic bifunctional spacer, hydrophobic bifunctional spacer.
- the GIP- active, glucagon-based analog comprises an acyl or alkyl group via a spacer, which spacer is attached to the side chain of the amino acid at position 10 or position 40 of the analog.
- the analog comprises a C-terminal extension of 1 to 21 amino acids C-terminal to the amino acid at position 29 and the spacer, which is covalently attached to an acyl or alkyl group, is attached to an amino acid of the extension at a position corresponding to one of positions 37-43 relative to SEQ ID NO: 1.
- the spacer is 3 to 10 atoms in length.
- the total length of the spacer and acyl or alkyl group is about 14 to about 28 atoms in length. Suitable spacers for purposes of increasing activity at one or more of the glucagon, GLP- 1 , and GIP receptors are further described herein.
- any of the modifications described above which increase or decrease GIP activity, which increase or decrease glucagon receptor activity, and which increase or decrease GLP-I receptor activity can be applied individually or in combination. Any of the modifications described above can also be combined with other modifications that confer other desirable properties, such as increased solubility and/or stability and/or duration of action. Alternatively, any of the modifications described above can be combined with other modifications that do not substantially affect solubility or stability or activity. Exemplary modifications include but are not limited to:
- (A) Improving solubility for example, by introducing one, two, three or more charged amino acid(s) to the C-terminal portion of native glucagon, preferably at a position C-terminal to position 27.
- a charged amino acid can be introduced by 32993-208847
- a native amino acid with a charged amino acid, e.g. at positions 28 or 29, or alternatively by adding a charged amino acid, e.g. after position 27, 28 or 29.
- one, two, three or all of the charged amino acids are negatively charged.
- one, two, three or all of the charged amino acids are positively charged.
- Such modifications increase solubility, e.g. provide at least 2-fold, 5- fold, 10-fold, 15-fold, 25-fold, 30-fold or greater solubility relative to native glucagon at a given pH between about 5.5 and 8, e.g., pH 7, when measured after 24 hours at 25 0 C.
- (C) Increasing solubility and/or duration of action or half-life in circulation and/or delaying the onset of action by acylation or alkylation of the glucagon peptide, as described herein;
- (D) Increasing duration of action or half-life in circulation through introducing resistance to dipeptidyl peptidase IV (DPP IV) cleavage by modification of the amino acid at position 1 or 2 as described herein.
- DPP IV dipeptidyl peptidase IV
- (E) Increasing stability by modification of the Asp at position 15, for example, by deletion or substitution with glutamic acid, homoglutamic acid, cysteic acid or homocysteic acid.
- Such modifications can reduce degradation or cleavage at a pH within the range of 5.5 to 8, for example, retaining at least 75%, 80%, 90%, 95%, 96%, 97%, 98% or 99%, up to 100% of the original peptide after 24 hours at 25°C.
- Such modifications reduce cleavage of the peptide bond between Aspl 5-Serl6.
- G Increasing stability by modification of the methionine at position 27, for example, by substitution with leucine or norleucine. Such modifications can reduce oxidative degradation. Stability can also be increased by modification of the GIn at position 20 or 24, e.g. by substitution with Ala, Ser, Thr, or AIB. Such modifications can reduce degradation that occurs through deamidation of GIn. Stability can be increased by 32993-208847
- Non-conservative or conservative substitutions, additions or deletions that do not substantially affect activity for example, conservative substitutions at one or more of positions 2, 5, 9, 10, 1 1, 12, 13, 14, 15, 16, 17, 18, 19, 20, 21 , 24, 27, 28 or 29; substitution of one or more of these positions with Ala; deletion of amino acids at one or more of positions 27, 28 or 29; or deletion of amino acid 29 optionally combined with a C-terminal amide or ester in place of the C-terminal carboxylic acid group; substitution of Lys at position 12 with Arg; substitution of Tyr at position 10 with VaI or Phe;
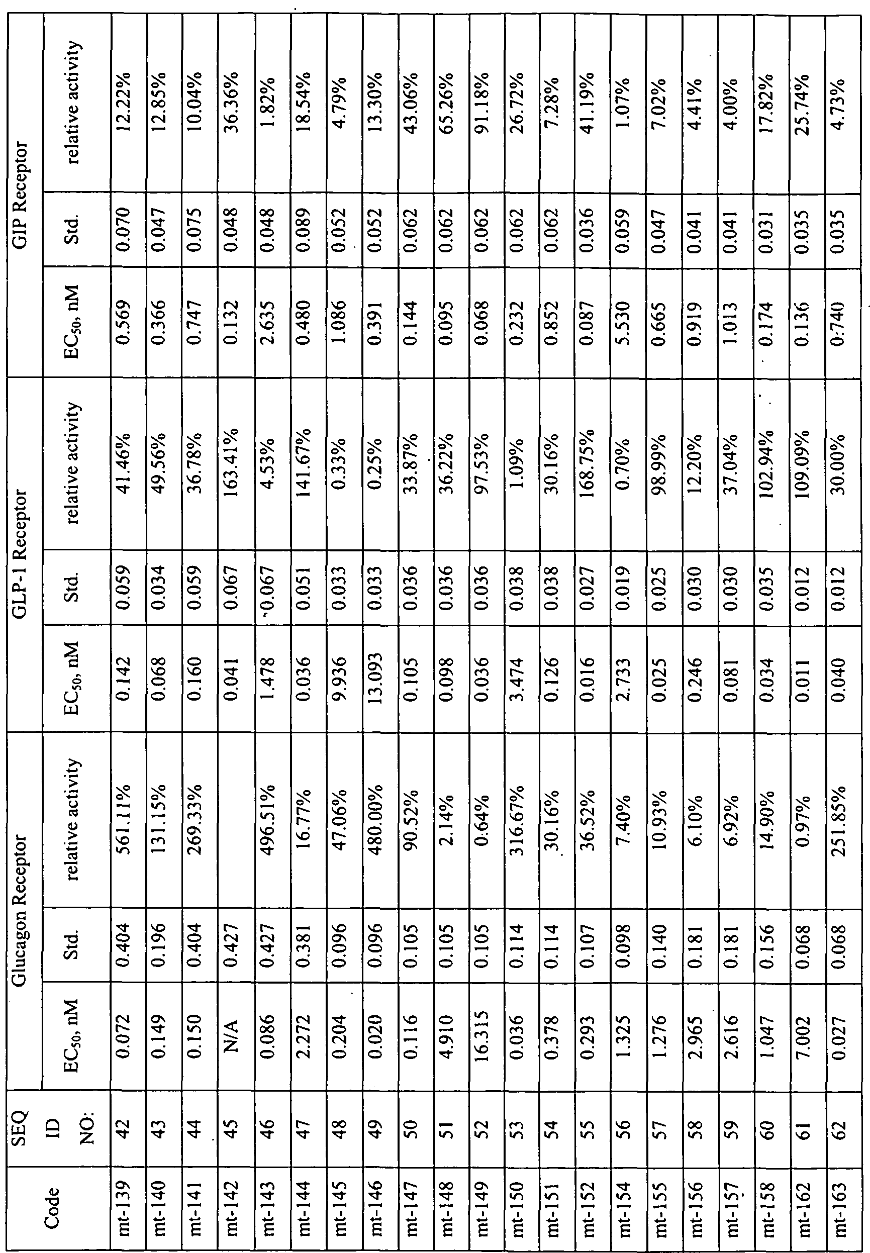
- the glucagon peptides described herein exhibit an EC50 for GIP receptor activation activity of about 10OnM or less, or about 75, 50, 25, 10, 8, 6, 5, 4, 3, 2 or 1 nM or less. In some embodiments, the glucagon peptides described herein exhibit an EC50 at the GIP receptor that is about 0.001 nM, 0.01 nM, or 0.1 nM.
- the glucagon peptides described herein exhibit an EC50 at the GIP receptor that is no more than about 1 nM, 2 nM, 3 nM, 4 nM, 5 nM, 6 nM, 8 nM, 10 nM, 15 nM, 20 nM, 25 nM, 30 nM, 40 nM, 50 nM, 75 nM, or 100 nM.
- the glucagon peptides exhibit an EC50 for glucagon receptor activation of about 10OnM or less, or about 75, 50, 25, 10, 8, 6, 5, 4, 3, 2 or 1 nM or less.
- the glucagon peptides described herein exhibit an EC50 at the glucagon receptor that is about 0.001 nM, 0.01 nM, or 0.1 nM. In some embodiments, the EC50 at the glucagon receptor is no more than about 1 nM, 2 nM, 3 nM, 4 nM, 5 nM, 6 nM, 8 nM, 10 nM, 15 nM, 20 nM, 25 nM, 30 nM, 40 nM, 50 nM, 75 nM, or 100 nM.
- the glucagon peptides exhibit an EC50 for GLP-I receptor activation of about 100 nM or less, or about 75, 50, 25, 10, 8, 6, 5, 4, 3, 2 or 1 nM or less. In some embodiments, the glucagon peptides described herein exhibit an EC50 at the GLP-I receptor that is about 0.001 nM, 0.01 nM, or 0.1 nM.
- the EC50 at the GLP-I receptor is no more than about 1 nM, 2 nM, 3 nM, 4 nM, 5 nM, 6 nM, 8 nM, 10 nM, 15 nM, 20 nM, 25 nM, 30 nM, 40 nM, 50 nM, 75 nM, or 100 nM.
- Receptor activation can be measured by in vitro assays measuring cAMP induction in HEK293 cells over-expressing the 32993-208847
- a receptor e.g. assaying HEK293 cells co-transfected with DNA encoding the receptor and a luciferase gene linked to cAMP responsive element as described in Example 16.
- glucagon peptides exhibit at least about 0.1%, 0.2%, 0.3%, 0.4%, 0.5%, 0.6%, 0.7%, 0.8%, 0.9%, 1%, 5%, 10%, 20%, 30%, 40%, 50%, 60%, 75%, 100%, 125%, 150%, 175% or 200% or higher activity at the GIP receptor relative to native GIP (GIP potency).
- the glucagon peptides described herein exhibit no more than 1000%, 10,000%, 100,000%, or 1,000,000% activity at the GIP receptor relative to native GIP.
- glucagon peptides exhibit at least about 1%, 5%, 10%, 20%, 30%, 40%, 50%, 60%, 75%, 100%, 125%, 150%, 175%, 200%, 250%, 300%, 350%, 400%, 450%, or 500% or higher activity at the glucagon receptor relative to native glucagon (glucagon potency).
- the glucagon peptides described herein exhibit no more than 1000%, 10,000%, 100,000%, or 1 ,000,000% activity at the glucagon receptor relative to native glucagon.
- glucagon peptides exhibit at least about 0.1%, 0.2%, 0.3%, 0.4%, 0.5%, 0.6%, 0.7%, 0.8%, 0.9%, 1%, 5%, 10%, 20%, 30%, 40%, 50%, 60%, 75%, 100%, 125%, 150%, 175% or 200% or higher activity at the GLP-I receptor relative to native GLP-I (GLP-I potency).
- the glucagon peptides described herein exhibit no more than 1000%, 10,000%, 100,000%, or 1 ,000,000% activity at the GLP-I receptor relative to native GLP-I .
- a glucagon peptide's activity at a receptor relative to a native ligand of the receptor is calculated as the inverse ratio of EC50s for the glucagon peptide vs. the native ligand.
- one aspect of the invention provides glucagon peptides that exhibit activity at both the glucagon receptor and the GIP receptor ("glucagon/GIP co-agonists"). These glucagon peptides have lost native glucagon's selectivity for glucagon receptor compared to GIP receptor.
- the EC50 of the glucagon peptide at the GIP receptor is less than about 50-fold, 40-fold, 30-fold or 20-fold different (higher or lower) from its EC50 at the glucagon receptor.
- the GIP potency of the glucagon peptide is less than about 500-, 450-, 400-, 350-, 300-, 250-, 200-, 150-, 100-, 75-, 50-, 25-, 20-, 15-, 10-, or 5-fold different (higher or lower) from its glucagon potency.
- the ratio of the EC50 of the glucagon peptide at the GIP receptor divided by the EC50 of the glucagon peptide at the glucagon receptor is less than 32993-208847
- the ratio of the EC50 at the GIP receptor divided by the EC50 at the glucagon receptor is about 1 or less than about 1 (e.g., about 0.01 , 0.013, 0.0167, 0.02, 0.025, 0.03, 0.05, 0.067, 0.1 , 0.2). In some embodiments, the ratio of the GIP potency of the glucagon peptide compared to the glucagon potency of the glucagon peptide is less than about 500, 450, 400, 350, 300, 250, 200, 150, 100, 75, 60, 50, 40, 30, 20, 15, 10, or 5.
- the ratio of the potency at the GIP receptor divided by the potency at the glucagon receptor is about 1 or less than about 1 (e.g., about 0.01 , 0.013, 0.0167, 0.02, 0.025, 0.03, 0.05, 0.067, 0.1 , 0.2).
- GLP-I activity has been significantly reduced or destroyed, e.g., by an amino acid modification at position 7, a deletion of the amino acid(s) C-terminal to the amino acid at position 27 or 28, yielding a 27- or 28-amino acid peptide, or a combination thereof.
- glucagon peptides that exhibit activity at the glucagon, GIP and GLP-I receptors ("glucagon/GIP/GLP-1 tri-agonists"). These glucagon peptides have lost native glucagon's selectivity for the glucagon receptor compared to both the GLP-I and GIP receptors.
- the EC50 of the glucagon peptide at the GIP receptor is less than about 50-fold, 40-fold, 30-fold or 20- fold different (higher or lower) from its respective EC50s at the glucagon and GLP-I receptors.
- the GIP potency of the glucagon peptide is less than about 500-, 450-, 400-, 350-, 300-, 250-, 200-, 150-, 100-, 75-, 50-, 25-, 20-, 15-, 10-, or 5 -fold different (higher or lower) from its glucagon and GLP-I potencies.
- the ratio of the EC50 of the tri-agonist at the GIP receptor divided by the EC50 of the tri-agonist at the GLP-I receptor is less than about 100, 75, 60, 50, 40, 30, 20, 15, 10, or 5.
- the ratio of the EC50 at the GIP receptor divided by the EC50 at the GLP-I receptor is about 1 or less than about 1 (e.g., about 0.01, 0.013, 0.0167, 0.02, 0.025, 0.03, 0.05, 0.067, 0.1, 0.2). In some embodiments, the ratio of the GIP potency of the tri-agonist compared to the GLP-I potency of the tri-agonist is less than about 100, 75, 60, 50, 40, 30, 20, 15, 10, or 5.
- the ratio of the potency at the GIP receptor divided by the potency at the GLP-I receptor is about 1 or less than about 1 (e.g., about 0.01 , 0.013, 0.0167, 0.02, 0.025, 0.03, 0.05, 0.067, 0.1 , 0.2). In related embodiments, the ratio of the EC50 of the tri-agonist at the GIP receptor 32993-208847
- the ratio of the EC50 at the GIP receptor divided by the EC50. at the glucagon receptor is about 1 or less than about 1 (e.g., about 0.01, 0.013, 0.0167, 0.02, 0.025, 0.03, 0.05, 0.067, 0.1, 0.2).
- the ratio of the GIP potency of the tri-agonist compared to the glucagon potency of the tri-agonist is less than about 500, 450, 400, 350, 300, 250, 200, 150, 100, 75, 60, 50, 40, 30, 20, 15, 10, or 5.
- the ratio of the potency at the GIP receptor divided by the potency at the glucagon receptor is about 1 or less than about 1 (e.g., about 0.01 , 0.013, 0.0167, 0.02, 0.025, 0.03, 0.05, 0.067, 0.1, 0.2). In some embodiments, the ratio of the EC50 of the tri-agonist at the GLP-I receptor divided by the EC50 of the tri-agonist at the glucagon receptor is less than about 100, 75, 60, 50, 40, 30, 20, 15, 10, or 5.
- the ratio of the EC50 at the GLP-I receptor divided by the EC50 at the glucagon receptor is about 1 or less than about 1 (e.g., about 0.01 , 0.013, 0.0167, 0.02, 0.025, 0.03, 0.05, 0.067, 0.1, 0.2). In some embodiments, the ratio of the GLP-I potency of the tri-agonist compared to the glucagon potency of the tri- agonist is less than about 100, 75, 60, 50, 40, 30, 20, 15, 10, or 5.
- the ratio of the potency at the GLP-I receptor divided by the potency at the glucagon receptor is about 1 or less than about 1 (e.g., about 0.01, 0.013, 0.0167, 0.02, 0.025, 0.03, 0.05, 0.067, 0.1 , 0.2).
- Yet another aspect of the invention provides glucagon peptides that exhibit activity at the GLP-I and GIP receptors, but in which the glucagon activity has been significantly reduced or destroyed (“GIP/GLP-1 co-agonists”), e.g., by an amino acid modification at position 3.
- substitution at this position with an acidic, basic, or a hydrophobic amino acid reduces glucagon activity.
- the EC50 of the glucagon peptide at the GIP receptor is less than about 50-fold, 40-fold, 30-fold or 20-fold different (higher or lower) from its EC50 at the GLP-I receptor.
- the GIP potency of the glucagon peptide is less than about 25-, 20-, 15-, 10-, or 5-fold different (higher or lower) from its GLP-I potency.
- these glucagon peptides have about 10% or less of the activity of native glucagon at the glucagon receptor, e.g. about 1-10%, or about
- the 32993-208847 is 0.1-10%, or greater than about 0.1% but less than about 10%. In some embodiments, the 32993-208847
- ratio of the EC50 of the glucagon peptide at the GIP receptor divided by the EC50 of the glucagon peptide at the GLP-I receptor is less than about 100, 75, 60, 50, 40, 30, 20, 15, 10, or 5, and no less than 1.
- the ratio of the GIP potency of the glucagon peptide compared to the GLP-I potency of the glucagon peptide is less than about 100, 75, 60, 50, 40, 30, 20, 15, 10, or 5, and no less than 1.
- a further aspect of the invention provides glucagon peptides that exhibit activity at the GIP receptor, in which the glucagon and GLP-I activity have been significantly reduced or destroyed ("GIP agonist glucagon peptides"), e.g., by amino acid modifications at positions 3 and 7.
- these glucagon peptides have about 10% or less of the activity of native glucagon at the glucagon receptor, e.g. about 1-10%, or about 0.1-10%, or greater than about 0.1%, 0.5%, or 1% but less than about 1%, 5%, or 10%.
- these glucagon peptides also have about 10% or less of the activity of native GLP-I at the GLP-I receptor, e.g. about 1-10%, or about 0.1- 10%, or greater than about 0.1%, 0.5%, or 1% but less than about 1%, 5%, or 10%.
- the analog of glucagon is e.g. about 1-10%, or about 0.1- 10%, or
- (SEQ ID NO: 1) having GIP agonist activity comprises SEQ ID NO: 1 with (a) an amino acid modification at position 1 that confers GIP agonist activity, (b) a modification which stabilizes the alpha helix structure of the C-terminal portion (amino acids 12-29) of the analog, and (c) optionally, 1 to 10 (e.g., 1 , 2, 3, 4, 5, 6, 7, 8, 9, 10) further amino acid modifications.
- the analog exhibits at least about 1% activity of native GIP at the GIP receptor or any other activity level at the GIP receptor described herein.
- the modification which stabilizes the alpha helix structure may be any of those known in the art, such as, for example, any of those described herein.
- the modification which stabilizes the alpha helix structure is a modification selected from the group consisting of: (i) a lactam bridge between the side chains of amino acids at positions i and i+4 or between the side chains of amino acids at positions j and j+3, wherein i is 12, 13, 16, 17, 20 or 24, and wherein j is 17, and (ii) one, two, three, or all of the amino acids at positions 16, 20, 21 , and 24 of the analog is substituted with an ⁇ , ⁇ - disubstituted amino acid.
- glucagon having GIP agonist activity are further described herein. 32993-208847
- the invention provides an analog of glucagon (SEQ ID NO: 1) having GIP agonist activity, with the following modifications:
- the amino acid modification at position 1 is a substitution of His at position 1 with a large, aromatic amino acid, optionally Tyr, Phe, Trp, amino-Phe, nitro-Phe, chloro-Phe, sulfo-Phe, 4-pyridyl-Ala, methyl-Tyr, or 3 -amino Tyr,
- the lactam bridge is between the amino acids at positions 16 and 20, wherein one of the amino acids at positions 16 and 20 is substituted with GIu, and the other of the amino acids at positions 16 and 20 is substituted with Lys, or (ii) the ⁇ , ⁇ -disubstituted amino acid is AIB,
- the Thr at position 29 is substituted with a small aliphatic amino acid, optionally GIy.
- the analog may comprise further modifications, including without limitation: 32993-208847
- AIB AIB; and (1) a conservative substitution at any of positions 2, 5, 9, 10, 1 1 , 12,
- the EC50 of the analog for GIP receptor activation is about 4, 2, 1 nM or less, or the analog has at least about 1%, 2%, 3%, 4% or 5% of the activity of native GIP at the GIP receptor.
- the EC50 of the unpegylated analog for glucagon receptor activation is about 4, 2, 1 nM or less, or at least about 5%, 10%, 15% or 20% of the activity of native glucagon at the glucagon receptor. In some embodiments, the unpegylated analog has less than about 1% of the activity of native glucagon at the glucagon receptor. In other embodiments, the unpegylated analog has less than about 10%, 5% or 1% of the activity of native GLP-I at the GLP-I receptor.
- the glucagon peptide is covalently linked to a hydrophilic moiety at any of amino acid positions 16, 17, 20, 21 , 24, or 29, after position 29 at an added amino acid (e.g., position 30) within a C-terminal extension, or at the C-terminal amino acid.
- this hydrophilic moiety is covalently linked to a Lys, Cys, Om, homocysteine, or acetyl-phenylalanine residue at any of these positions.
- Exemplary hydrophilic moieties include polyethylene glycol (PEG), for example, of a molecular weight of about 1,000 Daltons to about 40,000 Daltons, or about 20,000 Daltons to about 40,000 Daltons.
- the relative EC50s at one or more receptors may be higher, e.g., about 10-fold higher, in comparison to the analog lacking the hydrophilic moiety.
- the EC50 of a pegylated analog for GIP receptor activation is about 10 nM or less, or the analog has at least about 0.1%, 0.2%, 0.3%, 0.4%, or 0.5% of the activity of native GIP at the GIP receptor.
- the EC50 of a pegylated analog for GLP-I receptor activation is about 10 nM or less or has at least about 0.1%, 0.2%, 0.3%, 0.4% or 0.5% of the activity of native GLP-I at the GLP-I receptor.
- the EC50 of a pegylated analog for glucagon receptor activation is about 10 nM or less, or at least about 0.5%, 1%, 1.5% or 2% of the activity of native glucagon at the glucagon receptor.
- the analog has less than about 1% of the activity of native glucagon at the glucagon receptor.
- the analog has less than about 10%, 5% or 1% of the activity of native GLP-I at the GLP-I receptor.
- the glucagon peptide may be part of a dimer, trimer or higher order multimer comprising at least two, three, or more peptides bound via a linker, wherein at least one or both peptides is a glucagon peptide.
- the dimer may be a homodimer or heterodimer. 32993-208847
- the linker is selected from the group consisting of a bifunctional thiol crosslinker and a bi-functional amine crosslinker.
- the linker is PEG, e.g., a 5 kDa PEG, 20 kDa PEG.
- the linker is a disulfide bond.
- each monomer of the dimer may comprise a Cys residue (e.g., a terminal or internally positioned Cys) and the sulfur atom of each Cys residue participates in the formation of the disulfide bond.
- the monomers are connected via terminal amino acids (e.g., N-terminal or C-terminal), via internal amino acids, or via a terminal amino acid of at least one monomer and an internal amino acid of at least one other monomer. In specific aspects, the monomers are not connected via an N-terminal amino acid.
- the monomers of the multimer are attached together in a "tail-to-tail" orientation in which the C-terminal amino acids of each monomer are attached together.
- a conjugate moiety may be covalently linked to any of the glucagon peptides described herein, including a dimer, trimer or higher order multimer.
- the glucagon peptides are soluble at a concentration of at least 1 mg/mL at a pH between 6 and 8, or between 6 and 9, or between 7 and 9 (e.g. pH 7), and optionally retain at least 95% of the original peptide (e.g. 5% or less of the original peptide is degraded or cleaved) after 24 hours at 25 ° C.
- Sterile pharmaceutical compositions comprising a pharmaceutically acceptable carrier or diluent and kits comprising devices are provided.
- Methods of reducing weight gain or inducing weight loss comprising administering to a patient in need thereof such pharmaceutical compositions in an amount effective to reduce weight gain or induce weight loss are provided.
- Methods of treating diabetes comprising administering to a patient in need thereof such pharmaceutical compositions in an amount effective to lower blood glucose levels are provided.
- co-agonists, tri-agonists, or analogs includes all pharmaceutically acceptable salts or esters thereof.
- the invention includes any one or all embodiments of the invention that are narrower in scope in any way than the variations defined by specific paragraphs herein.
- a genus it should be understood that every member of a genus is, individually, an embodiment of the invention, and that combinations of two or more members of the genus are embodiments of the invention.
- Figure 1 represents a graph of the % change in body weight in mice as a function of time (days) after administration of vehicle alone (open inverted triangles), chimera 2
- AIB2 Cys24 (4OK PEG) (closed squares), GIP antagonist Pro3 Cys24 GIP-NH 2 (1-42) 4OK PEG (open diamonds), GIP agonist AIB2 Cys24 GIP (1-42) 4OK PEG (open upright triangles with dotted line), or an unrelated peptide hormone (shaded inverted triangles).
- Figure 2 represents a graph of the food intake (in grams) by mice as a function in time after administration of vehicle alone (open inverted triangles), chimera 2 AIB2
- Cys24 4OK PEG (closed squares), GIP antagonist Pro3 Cys24 GIP-NH 2 (1-42) 4OK PEG (open diamonds), GIP agonist AIB2 Cys24 GIP (1 -42) 4OK PEG (open upright triangles with dotted line), or an unrelated peptide hormone (shaded inverted triangles).
- Figure 3 represents a graph of the change in blood glucose levels (mg/dL) in mice at Day 7 after administration of vehicle alone (black bar), chimera 2 AIB2 Cys24 (40K
- Figure 4 represents a graph of the % change in body weight in mice as a function of time (days) after administration of vehicle alone (closed inverted triangles), chimera 2 AIB2 (open diamonds), chimera 2 AIB2 lactam (open triangles), triagonist peptide MT- 170 (open squares), GIP/glucagon co-agonist peptide MT-182 (closed diamonds), GLP- 1/GIP co-agonist peptide MT- 178 (shaded triangles with dotted line), or GIP/glucagon co-agonist peptide MT-179 (closed squares). Note that PEGylated MT-179 acts as a triagonist.
- Figure 5 is a graph of the % change in body weight in mice as a function of time (days) after administration of vehicle alone (closed upright triangles), GLP-I E 16 agonist at 10 nmol/kg (closed inverted triangles) or 35 nmol/kg (open squares), triagonist peptide MT- 170 at 10 nmol/kg (open inverted triangles) or 35 nmol/kg (closed diamonds), or GLP-1/GIP co-agonist peptide MT-178 at 10 nmol/kg (grey inverted triangles) or at 35 nmol/kg (grey squares).
- Figure 6 is a graph of the change in blood glucose levels (mg/dL) in mice at Day 7 after administration of vehicle alone (black bar), GLP-I E 16 agonist at 10 nmol/kg (white bar) or 35 nmol/kg (grey bar), triagonist peptide MT-170 at 10 nmol/kg (horizontal lined bar) or 35 nmol/kg (vertical lined bar), or GLP-1/GIP co-agonist peptide MT-178 at 10 nmol/kg (right-left diagonal lined bar) or at 35 nmol/kg (left-right diagonal lined bar).
- Figure 7 represents a graph of the blood glucose levels (mg/dL) as a function of time before and after a glucose injection (administered at timepoint 0) of mice injected (at timepoint -60) with a vehicle control, a GLP-I agonist peptide control, a lactam- containing (cyclic), pegylated, GIP-active glucagon analog ("mt-178"), or a lactam- lacking (linear), pegylated, GIP-active glucagon analog (“mt-274”) at 1 , 3, or 10 nmol/kg/week.
- the data of this figure excludes the data of four mice, as these mice exhibited aggressive behavior and substantial weight loss.
- Figure 8 represents a graph of the blood glucose levels (mg/dL) as a function of time before and after a glucose injection (administered at timepoint 0) of mice injected (24 hours before the glucose injection) with a vehicle control, a GLP-I agonist peptide control, mt-178, or mt-274 at 1 , 3, or 10 nmol/kg/week.
- the data of this figure excludes 32993-208847
- mice exhibited aggressive behavior and substantial weight loss.
- Figure 9 represents a graph of the blood glucose levels (mg/dL) of mice 0 or 7 days after injection with a vehicle control, a GLP-I agonist peptide control, mt-178, or mt-274 at 1, 3, or 10 nmol/kg/week.
- the data of this figure excludes the data of four mice, as these mice exhibited aggressive behavior and substantial weight loss.
- Figure 10 represents a graph of the percent change in body weight of mice 0, 1, 3, 5, and 7 days after injection with a vehicle control, a GLP-I agonist peptide control, mt- 178, or mt-274 at 1, 3, or 10 nmol/kg/week.
- the data of this figure excludes the data of four mice, as these mice exhibited aggressive behavior and substantial weight loss.
- Figure 1 1 represents a graph of the blood glucose levels (mg/dL) of mice 0 or 7 days after injection with a vehicle control, a GLP-I agonist peptide control, mt-178, mt- 178(TE), mt-274, or mt-274(TE) at 10 or 35 nmol/kg/week.
- TE indicates a PEG group attached to the Cys at position 40.
- Figure 12 represents a graph of the change in blood glucose (mg/dL) of mice 7 days after injection with a vehicle control, a GLP-I agonist peptide control, mt-178, mt- 178(TE), mt-274, or mt-274(TE) at 10 or 35 nmol/kg/week.
- TE indicates a PEG group attached to the Cys at position 40.
- Figure 13 represents a graph of the percent change in body weight of mice 0, 1 , 3, 5, 7, and 10 days after injection with a vehicle control, a GLP-I agonist peptide control, mt-178, mt-178(TE), mt-274, or mt-274(TE) at 10 or 35 nmol/kg/week.
- TE indicates a PEG group attached to the Cys at position 40.
- Figure 14 represents a graph of the percent change in body weight of mice 7 days after injection with a vehicle control, a GLP-I agonist peptide control, mt-178, mt- 178(TE), mt-274, or mt-274(TE) at 10 or 35 nmol/kg/week.
- TE indicates a PEG group attached to the Cys at position 40.
- Figure 15 represents a graph of the blood glucose levels (mg/dL) of mice 0 or 7 days after injection with a vehicle control, a GLP-I agonist peptide control, mt-178, mt- 274, a linear, unpegylated, unacylated peptide ("mt-31 1"), a C14 fatty acylated linear peptide ("mt-309”), a C 16 fatty acylated linear peptide (“mt-298”), or a C 18 fatty acylated linear peptide ("mt-310”) at 10 nmol/kg. 32993-208847
- Figure 16 represents a graph of the percent change in body weight of mice 0, 1, 3, 5, and 7 days after injection with a vehicle control, a GLP-I agonist peptide control, mt- 178, mt-274, mt-31 1 , mt-309, mt-298, or mt-310 at 10 nmol/kg.
- Figure 17 represents a graph of the percent change in body weight of mice 7 days after injection with a vehicle control, a GLP-I agonist peptide control, mt-178, mt-274, mt-31 1 , mt-309, mt-298, or mt-310 at 10 nmol/kg.
- Figure 18 represents a graph of the change in blood glucose levels (mg/dL) of mice 0 and 7 days after QD injections for 7 days with a vehicle control, liraglutide (an acylated GLP-I analog), a C14 fatty acylated, unpegylated linear peptide ("mt-260"), a C 16 fatty acylated, unpegylated linear peptide ("mt-261 "), or a C 18 fatty acylated, unpegylated linear peptide ("mt-262”) at 25 or 125 nmol/kg.
- liraglutide an acylated GLP-I analog
- mt-260 C14 fatty acylated, unpegylated linear peptide
- mt-261 C 16 fatty acylated, unpegylated linear peptide
- mt-262 C 18 fatty acylated, unpegylated linear peptide
- Figure 19 represents a graph of the percent change in body weight of mice 0, 1 , 3, 5, and 7 days after injection with a vehicle control, liraglutide, mt-260, mt-261 , or mt-262 at 25 or 125 nmol/kg.
- Figure 20 represents a graph of the percent change in body weight of mice 7 days after injection with a vehicle control, liraglutide, mt-260, mt-261, or mt-262 at 25 or 125 nmol/kg.
- Figure 21 represents a graph of the change in body weight (g) of mice 0, 1, 3, 5, and 7 days after the first injection with a vehicle control, liraglutide (30 nmol/kg/day), or mt-261 (0.3, 1, 3, 10, or 30 nmol/kg/day).
- Figure 22 represents a graph of the fat mass of mice 7 days after the first injection with a vehicle control, liraglutide (30 nmol/kg/day), or mt-261 (0.3, 1 , 3, 10, or 30 nmol/kg/day).
- Figure 23 represents a graph of the blood glucose levels (mg/dL) of mice 0 and 7 days after the first injection with a vehicle control, liraglutide (30 nmol/kg/day), or mt- 261 (0.3, 1 , 3, 10, or 30 nmol/kg/day).
- Figure 24 represents a line graph of the change in body weight (% change) as a function of time of mice injected with mt-263, Exendin-4, or a vehicle control at the doses (nmol/kg/day) indicated in (). 32993-208847
- Figure 25 represents a bar graph of the total change in body weight (%) (as measured on Day 7 in comparison to Day 0) of mice injected with mt-263, Exendin-4, or a vehicle control at the doses (nmol/kg/day) indicated in ().
- Figure 26 represents a bar graph of the change in blood glucose levels (mg/dL) (as measured on Day 7 in comparison to Day 0) of mice injected with mt-263, Exendin-4, or a vehicle control at the doses (nmol/kg/day) indicated in ().
- Figure 27 represents a graph of the % change in body weight of mice 0, 1, 3, 5, and 7 days after the first injection with a vehicle control, liraglutide, mt-277, mt-278, or mt-279.
- Figure 28 represents a graph of the blood glucose levels (mg/dL) of mice 0 and 7 days after the first injection with a vehicle control, liraglutide, mt-277, mt-278, or mt-279.
- Figure 29 represents a graph of the total change in body weight (%) of mice as measured 7 days after administration of mt-331, mt-311, or a vehicle control. Doses (nmol/kg) are indicated in ()• Figure 30 represents a graph of the total food intake (g) by mice as measured 7 days after administration of mt-331, mt-311 , or a vehicle control. Doses (nmol/kg) are indicated in ().
- Figure 31 represents a graph of the total change in blood glucose levels of mice as measured 7 days after administration of mt-331 , mt-31 1 , or a vehicle control. Doses (nmol/kg) are indicated in ().
- Figure 32 represents a graph of the total change in body weight of mice as measured 7 days after administration of mt-331, mt-353, or a vehicle control at the indicated dose (nmol/kg) shown in ().
- Figure 33 represents a graph of the total food intake (g) by mice as measured 7 days after administration of mt-331, mt-353, or a vehicle control at the indicated dose (nmol/kg) shown in ().
- Figure 34 represents a graph of the change in blood glucose levels (mg/dL) of mice as measured 7 days after administration of mt-331 , mt-353, or a vehicle control at the indicated dose (nmol/kg) shown in (). 32993-208847
- Figure 35 represents a graph of the total change in body weight (%) of mice as measured 7 days after the first administration of mt-277, mt-278, mt-279, or a vehicle control.
- Figure 36 represents a graph of the total change in body weight (%) of mice as measured 6 days after the first administration of mt-261 , mt-309, or a vehicle control.
- Figure 37 represents a graph of the blood glucose levels (mg/dL) of mice as measured 6 days after the first administration of mt-261, mt-309, or a vehicle control.
- the first bar of each pair of bars of the same pattern is the blood glucose levels as measured on Day 0 and the second bar of each pair is the levels on Day 6.
- Figure 38 represents a bar graph of the total change in body weight (%)as measured 6 days after the first administration of mt-261 (in comparison to the body weight as measured on the first day of administration) of mice injected with a vehicle control or mt-261 as further described herein.
- the term "pharmaceutically acceptable carrier” includes any of the standard pharmaceutical carriers, such as a phosphate buffered saline solution, water, emulsions such as an oil/water or water/oil emulsion, and various types of wetting agents. The term also encompasses any of the agents approved by a regulatory agency of the US Federal government or listed in the US Pharmacopeia for use in animals, including humans.
- pharmaceutically acceptable salt refers to salts of compounds that retain the biological activity of the parent compound, and which are not 32993-208847
- Pharmaceutically acceptable base addition salts can be prepared from inorganic and organic bases.
- Salts derived from inorganic bases include by way of example only, sodium, potassium, lithium, ammonium, calcium and magnesium salts.
- Salts derived from organic bases include, but are not limited to, salts of primary, secondary and tertiary amines.
- Salts derived from inorganic acids include hydrochloric acid, hydrobromic acid, sulfuric acid, nitric acid, phosphoric acid, and the like.
- Salts derived from organic acids include acetic acid, propionic acid, glycolic acid, pyruvic acid, oxalic acid, malic acid, malonic acid, succinic acid, maleic acid, fumaric acid, tartaric acid, citric acid, benzoic acid, cinnamic acid, mandelic acid, methanesulfonic acid, ethanesulfonic acid, p-toluene-sulfonic acid, salicylic acid, and the like.
- treating includes prophylaxis of the specific disorder or condition, or alleviation of the symptoms associated with a specific disorder or condition and/or preventing or eliminating said symptoms.
- treating diabetes will refer in general to altering glucose blood levels in the direction of normal levels and may include increasing or decreasing blood glucose levels depending on a given situation.
- an "effective" amount or a "therapeutically effective amount” of a glucagon peptide refers to a nontoxic but sufficient amount of the peptide to provide the desired effect.
- one desired effect would be the prevention or treatment of hypoglycemia, as measured, for example, by an increase in blood glucose level.
- An alternative desired effect for the glucagon peptides of the present disclosure would include treating hyperglycemia, e.g., as measured by a change in blood glucose level closer to normal, or inducing weight loss/preventing weight gain, e.g., as measured by reduction in body weight, or preventing or reducing an increase in body weight, or normalizing body fat distribution.
- the amount that is "effective” will vary from subject to subject, depending on the age and general condition of the individual, mode of 32993-208847
- parenteral means not through the alimentary canal but by some other route such as subcutaneous, intramuscular, intraspinal, or intravenous.
- purified and like terms relate to the isolation of a molecule or compound in a form that is substantially free of contaminants normally associated with the molecule or compound in a native or natural environment. As used herein, the term “purified” does not require absolute purity; rather, it is intended as a relative definition.
- purified polypeptide is used herein to describe a polypeptide which has been separated from other compounds including, but not limited to nucleic acid molecules, lipids and carbohydrates.
- isolated requires that the referenced material be removed from its original environment (e.g., the natural environment if it is naturally occurring).
- a naturally-occurring polynucleotide present in a living animal is not isolated, but the same polynucleotide, separated from some or all of the coexisting materials in the natural system, is isolated.
- peptide encompasses a sequence of 3 or more amino acids and typically less than 50 amino acids, wherein the amino acids are naturally occurring or non-naturally occurring amino acids.
- Non-naturally occurring amino acids refer to amino acids that do not naturally occur in vivo but which, nevertheless, can be incorporated into the peptide structures described herein.
- polypeptide and “protein” are terms that are used interchangeably to refer to a polymer of amino acids, without regard to the length of the polymer. Typically, polypeptides and proteins have a polymer length that is greater than that of "peptides.”
- a "glucagon peptide” as used herein includes any peptide comprising, either the amino acid sequence of SEQ ID NO: 1, or any analog of the amino acid sequence of SEQ ID NO: 1 , including amino acid substitutions, additions, deletions or post translational modifications (e.g., methylation, acylation, alkylation, ubiquitination, intramolecular covalent bonding such as lactam bridge formation, PEGylation, and the like) of the 32993-208847
- peptide wherein the analog stimulates glucagon or GLP-I or GIP receptor activity, e.g., as measured by cAMP production using the assay described in Example 16.
- glucagon agonist refers to a complex comprising a glucagon peptide that stimulates glucagon receptor activity, e.g., as measured by cAMP production using the assay described in Example 16.
- an amino acid “modification” refers to a substitution, addition or deletion of an amino acid, and includes substitution with or addition of any of the 20 amino acids commonly found in human proteins, as well as atypical or non-narurally occurring amino acids.
- all references to a particular amino acid position by number refer to the amino acid at that position in native glucagon (SEQ ID NO: 1) or the corresponding amino acid position in any analogs thereof.
- position 28 would mean the corresponding position 27 for a glucagon analog in which the first amino acid of SEQ ID NO: 1 has been deleted.
- position 28 would mean the corresponding position 29 for a glucagon analog in which one amino acid has been added before the N-terminus of SEQ ID NO: 1.
- Commercial sources of atypical amino acids include Sigma-Aldrich (Milwaukee, WI), ChemPep Inc. (Miami, FL), and Genzyme Pharmaceuticals (Cambridge, MA).
- Atypical amino acids may be purchased from commercial suppliers, synthesized de novo, or chemically modified or derivatized from other amino acids.
- glucagon refers to a peptide consisting of the sequence of SEQ ID NO: 1
- native GIP refers to a peptide consisting of the sequence of SEQ ID NO: 4
- native GLP-I is a generic term that designates GLP-l(7-36) amide (consisting of the sequence of SEQ ID NO: 3), GLP-1(7- 37) acid (consisting of the sequence of SEQ ID NO: 2) or a mixture of those two compounds.
- GIP GLP-1(7- 37) acid
- substitution refers to the replacement of one amino acid residue by a different amino acid residue.
- polyethylene glycol chain refers to mixtures of condensation polymers of ethylene oxide and water, in a branched or straight chain, represented by the general formula H(OCH 2 CH 2 ) n OH, wherein n is at least 9. Absent any further characterization, the term is intended to include polymers of ethylene glycol with an average total molecular weight selected from the range of 500 to 40,000 Daltohs. "polyethylene glycol chain” or “PEG chain” is used in combination with a numeric suffix to indicate the approximate average molecular weight thereof. For example, PEG-5,000 refers to polyethylene glycol chain having a total molecular weight average of about 5,000.
- pegylated and like terms refers to a compound that has been modified from its native state by linking a polyethylene glycol chain to the compound.
- a “pegylated glucagon peptide” is a glucagon peptide that has a PEG chain covalently bound to the glucagon peptide.
- a general reference to a peptide is intended to encompass peptides that have modified amino and carboxy termini.
- an amino acid chain comprising an amide group in place of the terminal carboxylic acid is intended to be encompassed by an amino acid sequence designating the standard amino acids. 32993-208847
- Linker is a bond, molecule or group of molecules that binds two separate entities to one another. Linkers may provide for optimal spacing of the two entities or may further supply a labile linkage that allows the two entities to be separated from each other. Labile linkages include photocleavable groups, acid-labile moieties, base-labile moieties and enzyme-cleavable groups.
- a "dimer” is a complex comprising two subunits covalently bound to one another via a linker.
- dimer when used absent any qualifying language, encompasses both homodimers and heterodimers.
- a homodimer comprises two identical subunits, whereas a heterodimer comprises two subunits that differ, although the two subunits are substantially similar to one another.
- charged amino acid refers to an amino acid that comprises a side chain that is negatively charged (i.e., de-protonated) or positively charged (i.e., protonated) in aqueous solution at physiological pH.
- negatively charged amino acids include aspartic acid, glutamic acid, cysteic acid, homocysteic acid, and homoglutamic acid
- positively charged amino acids include arginine, lysine and histidine.
- Charged amino acids include the charged amino acids among the 20 amino acids commonly found in human proteins, as well as atypical or non-naturally occurring amino acids.
- acidic amino acid refers to an amino acid that comprises a second acidic moiety, including for example, a carboxylic acid or sulfonic acid group.
- the term "selectivity" of a molecule for a first receptor relative to a second receptor refers to the following ratio: EC50 of the molecule at the second receptor divided by the EC50 of the molecule at the first receptor. For example, a molecule that has an EC50 of 1 nM at a first receptor and an EC50 of 100 nM at a second receptor has 100-fold selectivity for the first receptor relative to the second receptor.
- glucagon potency of a molecule refers to the ratio of the EC50 of the molecule at glucagon receptor divided by the EC50 of native glucagon at glucagon receptor.
- GIP potency of a molecule refers to the ratio of the EC50 of the molecule at GIP receptor divided by the EC50 of native GIP at GIP receptor. 32993-208847
- GLP-I potency of a molecule refers to the ratio of the EC50 of the molecule at GLP-I receptor divided by the EC50 of native GLP-I at GLP-I receptor.
- alkyl refers to a linear or branched hydrocarbon containing the indicated number of carbon atoms.
- exemplary alkyls include methyl, ethyl, and linear propyl groups.
- heteroalkyl refers to a linear or branched hydrocarbon containing the indicated number of carbon atoms and at least one heteroatom in the backbone of the structure. Suitable heteroatoms for purposes herein include but are not limited to N, S, and O.
- cycloalkyl refers to a cyclic hydrocarbon group containing the indicated number of carbon atoms, e.g., cyclopropyl, cyclobutyl, cyclohexyl, and cyclopentyl.
- heterocyclic refers to a cyclic hydrocarbon group containing the indicated number of carbon atoms and one to three heteroatoms independently selected from the group consisting of oxygen, nitrogen, and sulfur.
- heterocycloalkyl groups include piperdine, tetrahydrofuran, tetrahydropyran, dihydrofuran, morpholine, thiophene, and the like.
- aryl refers to a monocyclic or polycyclic aromatic group, preferably a monocyclic or bicyclic aromatic group, e.g., phenyl or naphthyl, containing the indicated number of carbon atoms. Unless otherwise indicated, an aryl group can be unsubstituted or substituted.
- heteroaryl refers to a monocyclic or polycyclic aromatic group containing the indicated number of carbon atoms and at least one heteroatom selected from the group consisting of oxygen, nitrogen, and sulfur. Unless otherwise indicated, an aryl group can be unsubstituted or substituted.
- glucagon SEQ ID NO: 1
- Other modifications disclosed herein prolong the half-life, increase solubility, or increase stability of the resulting peptide.
- 32993-208847 SEQ ID NO: 1
- any of the combinations that serve the same purpose can be applied individually or in combination.
- Any of the single or sets of combinations that confer enhanced properties can be applied individually or in combination, e.g. increased GIP and/or GLP-I activity can be combined with increased half-life.
- the glucagon peptide may comprise a total of 1, up to 2, up to 3, up to 4, up to 5, up to 6, up to 7, up to 8, up to 9, or up to 10 amino acid modifications relative to the native glucagon sequence.
- such glucagon peptides retain at least 22, 23, 24, 25, 26, 27 or 28 of the naturally occurring amino acids at the corresponding positions in native glucagon (e.g. have 1 -7, 1 -5 or 1-3 modifications relative to naturally occurring glucagon).
- 1 , 2, 3, 4, 5, 6 or more of the amino acid modifications may be non-conservative substitutions, additions or deletions.
- 1 , 2, 3, 4, 5, 6 or more of the amino acid modifications may be conservative substitutions.
- 1, 2, 3, 4 or 5 non-conservative substitutions are carried out at any of positions 2, 5, 7, 10, 1 1 , 12, 13, 14, 17, 18, 19, 20, 21 , 24, 27, 28 or 29 and up to 5 further conservative substitutions are carried out at any of these positions.
- 1, 2, or 3 amino acid modifications are carried out within amino acids at positions 1-16, and 1 , 2 or 3 amino acid modifications are carried out within amino acids at positions 17-26.
- Enhanced activity at the GIP receptor is provided by an amino acid modification at position 1.
- His at position 1 is substituted with a large, aromatic amino acid, optionally Tyr, Phe, Trp, amino-Phe, nitro-Phe, chloro-Phe, sulfo-Phe, 4-pyridyl- AIa, methyl-Tyr, or 3-amino Tyr.
- the combination of Tyr at position 1 with stabilization of the alpha helix within the region corresponding to amino acids 12-29 provided a glucagon peptide that activates GIP receptor as well as GLP-I receptor and glucagon receptor.
- the alpha helix structure can be stabilized by, e.g., formation of a covalent or non-covalent intramolecular bridge, or substitution and/or insertion of amino 32993-208847
- an alpha helix-stabilizing amino acid e.g., an ⁇ , ⁇ - disubstituted amino acid
- Enhanced activity at the GlP receptor is also provided by amino acid modifications at positions 27 and/or 28, and optionally at position 29.
- the Met at position 27 is substituted with a large aliphatic amino acid, optionally Leu, the
- Asn at position 28 is substituted with a small aliphatic amino acid, optionally Ala, and the
- Thr at position 29 is substituted with a small aliphatic amino acid, optionally GIy.
- Substitution with LAG at positions 27-29 provides increased GIP activity relative to the native MNT sequence at those positions.
- Enhanced activity at the GIP receptor is also provided by an amino acid modification at position 12.
- position 12 is substituted with a large, aliphatic, nonpolar amino acid, optionally He.
- Enhanced activity at the GIP receptor is also provided by an amino acid modification at positions 17 and/or 18.
- position 17 is substituted with a polar residue, optionally GIn
- position 18 is substituted with a small aliphatic amino acid, optionally Ala.
- a substitution with QA at positions 17 and 18 provides increased
- analogs of glucagon are provided that have enhanced potency and optionally improved solubility and stability.
- enhanced glucagon potency is provided by an amino acid modification at position 16 of native glucagon (SEQ ID NO: 1).
- such enhanced potency can be provided by substituting the naturally occurring serine at position 16 with glutamic acid or with another negatively charged amino acid having a side chain with a length of 4 atoms, or alternatively with any one of glutamine, homoglutamic acid, or homocysteic acid, or a charged amino acid having a side chain containing at least one heteroatom, (e.g. 32993-208847
- the glucagon peptide retains its original selectivity for the glucagon receptor relative to the GLP-I receptors.
- Glucagon receptor activity can be reduced by an amino acid modification at position 3, e.g. substitution of the naturally occurring glutamine at position 3, with an acidic, basic, or a hydrophobic amino acid.
- substitution at position 3 with glutamic acid, ornithine, or norleucine substantially reduces or destroys glucagon receptor activity.
- Maintained or enhanced activity at the glucagon receptor may be achieved by modifying the GIn at position 3 with a glutamine analog.
- a glucagon peptide comprising a glutamine analog at position 3 may exhibit about 5%, about 10%, about 20%, about 50%, or about 85% or greater the activity of native glucagon (SEQ ID NO: 1) at the glucagon receptor.
- a glucagon peptide comprising a glutamine analog at position 3 may exhibit about 20%, about 50%, about 75%, about 100%, about 200% or about 500% or greater the activity of a corresponding glucagon peptide having the same amino acid sequence as the peptide comprising the glutamine analog, except for the modified amino acid at position 3 (e.g.
- a glucagon peptide comprising a glutamine analog at position 3 exhibits enhanced activity at the glucagon receptor, but the enhanced activity is no more than 1000%, 10,000%, 100,000%, or 1,000,000% of the activity of native glucagon or of a corresponding glucagon peptide having the same amino acid sequence as the peptide comprising the glutamine analog, except for the modified amino acid at position 3.
- the glutamine analog is a naturally occurring or a non- naturally occurring amino acid comprising a side chain of Structure I, II or III:
- R 1 is C 0 . 3 alkyl or C 0-3 heteroalkyl
- R 2 is NHR 4 or C 1 . 3 alkyl
- R 3 is C ) -3 alkyl
- R 4 is H or C, . 3 alkyl
- X is NH, O, or S
- Y is NHR 4 , SR 3 , or OR 3 .
- X is NH or Y is NHR 4 .
- R 1 is C 0 - 2 alkyl or Ci heteroalkyl.
- R 2 is NHR 4 or Ci alkyl.
- R 4 is H or C 1 alkyl.
- an amino acid comprising a side chain of Structure I where, R 1 is CH 2 -S, X is NH, and R 2 is CH 3 (acetamidomethyl- cysteine, C(Acm)); R 1 is CH 2 , X is NH, and R 2 is CH 3 (acetyldiaminobutanoic acid, Dab(Ac)); R 1 is C 0 alkyl, X is NH, R 2 is NHR 4 , and R 4 is H (carbamoyldiaminopropanoic acid, Dap(urea)); or R 1 is CH 2 -CH 2 , X is NH, and R 2 is CH 3 (acetylornithine, Om(Ac)).
- an amino acid comprising a side chain of Structure II where, R 1 is CH 2 , Y is NHR 4 , and R 4 is CH 3 (methylglutamine, Q(Me));
- an amino acid comprising a side chain of Structure III is provided where, R 1 is CH 2 and R 4 is H (methionine-sulfoxide, M(O));
- the amino acid at position 3 is substituted with Dab(Ac).
- glucagon agonists can comprise the amino acid sequence of any of SEQ ID NOs: 243- . 248, 250, 251, and 253-256.
- Enhanced activity at the GLP-I receptor is provided by replacing the carboxylic acid of the C-terminal amino acid with a charge-neutral group, such as an amide or ester.
- Enhanced activity at the GLP-I receptor is also provided by stabilizing the alpha- helix structure in the C-terminal portion of glucagon (around amino acids 12-29), e.g., through formation of an intramolecular bridge between the side chains of two amino acids, or substitution and/or insertion of amino acids around positions 12-29 with an alpha helix-stabilizing amino acid (e.g., an ⁇ , ⁇ -disubstituted amino acid).
- the side chains of these amino acids can be linked to one another through hydrogen-bonding or ionic interactions, such as the formation of salt bridges, or by covalent bonds.
- the bridge is formed between amino acids that are separated by three 32993-208847
- intervening amino acids i.e. an amino acid at position "i” and an amino acid at position "i+4", wherein i is any integer from 12 to 25 (e.g., 12, 13, 14, 15, 16, 17, 18, 19, 20, 21 , 22, 23, 24 or 25).
- i is any integer from 12 to 25 (e.g., 12, 13, 14, 15, 16, 17, 18, 19, 20, 21 , 22, 23, 24 or 25).
- the bridge is formed between amino acids that are separated by two intervening amino acids, i.e. an amino acid at position "j" and an amino acid at position "j+3", wherein j is any integer from 12 to 26 (e.g., 12, 13, 14, 15, 16, 17, 18, 19, 20, 21 , 22, 23, 24, 25 or 26). In exemplary embodiments, j is 17. In further embodiments, the bridge is formed between amino acids that are separated by six intervening amino acids, i.e. an amino acid at position "k” and an amino acid at position "k+7", wherein k is any integer from 12 to 22 (e.g., 12, 13, 14, 15, 16, 17, 18, 19, 20, 21 or 22). In one embodiment, k is 17.
- the bridge or linker is about 8 (or about 7-9) atoms in length, particularly when the bridge is between positions i and i+4. In some embodiments, the bridge or linker is about 6 (or about 5-7) atoms in length, particularly when the bridge is between positions j and j+3.
- intramolecular bridges are formed by (a) substituting the naturally occurring serine at position 16 with glutamic acid or with another negatively charged amino acid having a side chain with a length of 4 atoms, or alternatively with any one of glutamine, homoglutamic acid, or homocysteic acid, or a charged amino acid having a side chain containing at least one heteroatom, (e.g.
- the side chains of such amino acids at positions 16 and 20 can form a salt bridge or can be covalently linked.
- the two amino acids are bound to one another to form a lactam ring.
- the size of the lactam ring can vary depending on the length of the amino acid side chains, and in one embodiment the lactam is formed by linking the side chains 32993-208847
- a lactam ring can be formed between the side chains of a Lysl2 and a GIu 16 or alternatively between a GIu 12 and a Lysl ⁇
- stabilization of the alpha helix structure in the C-terminal portion of the glucagon peptide is achieved through the formation of an intramolecular bridge other than a lactam bridge.
- suitable covalent bonding methods include any one or more of olefin metathesis, lanthionine-based cyclization, disulfide bridge or modified sulfur-containing bridge formation, the use of ⁇ , ⁇ -diaminoalkane tethers, the formation of metal-atom bridges, and other means of peptide cyclization are used to stabilize the alpha helix.
- Potency at the GLP-I receptor can be further enhanced by an alanine substitution for the native arginine at position 18.
- the invention provides glucagon peptides that comprise modifications at position 16, at position 20, and at the C-terminal carboxylic acid group, optionally with a covalent bond between the amino acids at positions 16 and 20; glucagon peptides that comprise modifications at position 16 and at the C-terminal carboxylic acid group; glucagon peptides that comprise modifications at positions 16 and 20, optionally with a covalent bond between the amino acids at positions 16 and 20; and glucagon peptides that comprise modifications at position 20 and at the C- terminal carboxylic acid group.
- GLP-I activity may be reduced by comprising (i) a C-terminal alpha carboxylate group, (ii) a substitution of the Thr at position 7 with an amino acid lacking a hydroxyl group, e.g., Abu or He, (iii) a deletion of the amino acid(s) C-terminal to the amino acid at position 27 or 28 (e.g., deletion of the amino acid at position 28, deletion of the amino acid at positions 28 and 29) to yield a peptide 27 or 28 amino acids in length, or (iv) a combination thereof. 32993-208847
- Glucagon receptor GLP-I receptor
- GIP receptor GIP receptor Enhanced activity at each of the glucagon receptor, GLP-I receptor, and GIP receptor is provided by (i) an amino acid substitution of Ser at position 16 with an amino acid of Formula IV:
- Ri and R 2 is independently selected from the group consisting of H, Ci -C] 8 alkyl, (Ci-Ci 8 alkyl)OH, (Ci-Ci 8 alkyl)NH 2 , (Ci-Ci 8 alkyl)SH, (C 0 -C 4 alkyl)(C 3 -C 6 )cycloalkyl, (C 0 -C 4 alkyl)(C 2 -C 5 heterocyclic), (C 0 -C 4 alkyl)(C 6 -Cio aryl)R 7 , and (C r C 4 alkyl)(C 3 -C 9 heteroaryl), wherein R 7 is H or OH, and the side chain of the amino acid of Formula IV comprises a free amino group, and (ii) an amino acid substitution of the GIn at position 20 with an alpha, alpha-disub
- the activity at each of the glucagon receptor, GLP- 1 receptor, and glucagon receptor of the analog comprising an amino acid of Formula IV at position 16 and an alpha, alpha di-substituted amino acid at position 20 can be further enhanced by extending the length of the peptide, e.g. by fusion to a C-terminal extension peptide, e.g. of about 1-21 , about 9 to 21 , about 6-18, about 9-12, or about 10 or 1 1 amino acids in length.
- the C-terminus is extended by fusion to GPSSGAPPPS (SEQ ID NO: 95) or XGPSSGAPPPS (SEQ ID NO: 96), wherein X is GIy or a small, aliphatic or non-polar or slightly polar amino acid.
- the C- terminus is extended by fusion to GPSSGAPPPS (SEQ ID NO: 95) and 1 -1 1 amino acids are fused to the C-terminus of GPSSGAPPPS (SEQ ID NO: 95).
- GPSSGAPPPS SEQ ID NO: 95
- XGPSSGAPPPS SEQ ID NO: 96
- 1 -1 1 amino acids are fused to the C-terminus of GPSSGAPPPS (SEQ ID NO: 95).
- terminal extension of the analog can comprise GPSSGAPPPS (SEQ ID NO: 95) followed by 1, 2, 3, 4, 5, 6, 7, 8, 9, 10, or 1 1 additional amino acids at the C-terminus of SEQ ID NO: 95.
- the 1-1 1 additional amino acids can be, for example, a small aliphatic amino acid, such as Ala.
- the C-terminal extension can, for example, comprise the amino acid sequence of GPSSGAPPPSA 1n , wherein m is 1 to 1 1.
- Enhancement of activity at each of the glucagon, GLP-I , and GIP receptors of a GIP-active, glucagon-based analog can furthermore be achieved upon acylation or alkylation of an amino acid located within a C-terminal extension or at the C-terminal amino acid (e.g., an amino acid which is added to the C-terminus of the C-terminal extension).
- the acylation or alkylation can be of an amino acid located, for example, at any of positions 30, 31 , 32, 33, 34, 35, 36, 37, 38, 39, 40, 41 , 42, 43, 44, 45, 46, 47, 48, 49, and 50 of the C-terminally extended analog.
- the amino acid which is acylated or alkylated is located at position 37, 38, 39, 40, 41, 42, or 43 of the C-terminally extended analog.
- the acylated or alkylated amino acid is an amino acid of Formula I, II, or III, e.g., Lys, which is attached to an acyl or alkyl group, e.g. C10-C22.
- the Lys is located C-terminal to a C-terminal extension consisting of SEQ ID NO: 95, such that the Lys, Dab, Orn, or homoLys is located at position 40 of the analog.
- C-terminally extended peptides are also pegylated, e.g. at any of the positions described herein (e.g., position 24).
- Enhancement of the activity at each of the glucagon, GLP-I , and GIP receptors of a GIP-active, glucagon-based analog can moreover be achieved by acylation or alkylation of an amino acid via a spacer (e.g., an amino acid, dipeptide, tripeptide, hydrophilic bifunctional spacer, hydrophobic bifunctional spacer).
- a spacer e.g., an amino acid, dipeptide, tripeptide, hydrophilic bifunctional spacer, hydrophobic bifunctional spacer.
- the GIP- active, glucagon-based analog comprises an acyl or alkyl group via a spacer, which spacer is attached to the side chain of the amino acid at position 10 of the analog.
- the analog comprises a C-terminal extension of 1 to 21 amino acids (e.g., an extension comprising the amino acid sequence of SEQ ID NO: 95 or 96) C- terminal to the amino acid at position 29 and the spacer, which is covalently attached to an acyl or alkyl group, is attached to an amino acid of the extension at a position 32993-208847
- the spacer is attached to the amino acid at position 40 relative to SEQ ID NO: 1.
- the spacer is 3 to 10 atoms in length.
- the total length of the spacer and acyl or alkyl group is about 14 to about 28 atoms in length.
- the spacer can be an amino acid, including, but not limited to, any of those described herein.
- the spacer may be a dipeptide or tripeptide comprising amino acids described herein.
- the spacer in specific aspects is one of the following dipeptides: Ala-Ala, ⁇ Ala- ⁇ Ala, or ⁇ Glu- ⁇ Glu. Additional suitable spacers for purposes of increasing activity at one or more of the glucagon, GLP-I, and GIP receptors are further described herein.
- Modifications at position 1 and/or 2 can increase the peptide's resistance to dipeptidyl peptidase IV (DPP FV) cleavage.
- the amino acid at position 2 may be substituted with D-serine, D-alanine, valine, glycine, N-methyl serine, N-methyl alanine, or amino isobutyric acid.
- the amino acid at position 1 may be substituted with D-histidine, desaminohistidine, hydroxyl-histidine, acetyl- histidine, homo-histidine, N-methyl histidine, alpha-methyl histidine, imidazole acetic acid, or alpha, alpha-dimethyl imidiazole acetic acid (DMIA).
- modifications at position 2 may reduce glucagon activity, sometimes significantly; surprisingly, this reduction in glucagon activity can be restored by stabilizing the alpha-helix structure in the C-terminal portion of glucagon (around amino acids 12-29), e.g., through formation of a covalent bond between the side chains of two amino acids, as described herein.
- the covalent bond is between amino acids at positions "i" and "i+4", or positions "j" and "j+3", e.g., between positions 12 and 16, 16 and 20, 20 and 24, 24 and 28, or 17 and 20.
- this covalent bond is a lactam bridge between a glutamic acid at ⁇ position 16 and a lysine at position 20.
- this covalent bond is an intramolecular bridge other than a lactam bridge.
- suitable covalent bonding methods include any one or more of olefin metathesis, lanthionine-based cyclization, disulfide bridge or modified 32993-208847
- any of the glucagon peptides can be further modified to improve stability by modifying the amino acid at position 15 and/or 16 of SEQ ID NO: 1 to reduce degradation of the peptide over time, especially in acidic or alkaline buffers.
- Such modifications reduce cleavage of the Aspl 5-Serl 6 peptide bond
- the amino acid modification at position 15 is a deletion or substitution of Asp with glutamic acid, homoglutamic acid, cysteic acid or homocysteic acid.
- the amino acid modification at position 16 is a deletion or substitution of Ser with Thr or AIB.
- Ser at position 16 is substituted with glutamic acid or with another negatively charged amino acid having a side chain with a length of 4 atoms, or alternatively with any one of glutamine, homoglutamic acid, or homocysteic acid.
- the methionine residue present at position 27 of the native peptide is modified, e.g. by deletion or substitution. Such modifications may prevent oxidative degradation of the peptide.
- the Met at position 27 is substituted with leucine, isoleucine or norleucine. In some specific embodiments, Met at position 27 is substituted with leucine or norleucine.
- the GIn at position 20 and/or 24 is modified, e.g. by deletion or substitution. Such modifications can reduce degradation that occurs through deamidation of GIn.
- the GIn at position 20 and/or 24 is substituted with Ala or AIB.
- the GIn at position 20 and/or 24 is substituted with Lys, Arg, Orn, or Citrulline.
- the Asp at position 21 is modified, e.g. by deletion or substitution. Such modifications can reduce degradation that occurs through dehydration of Asp to form a cyclic succinimide intermediate followed by isomerization to iso- aspartate.
- position 21 is substituted with GIu, homoglutamic acid or homocysteic acid.
- position 21 is substituted with GIu.
- Some positions of the native glucagon peptide can be modified while retaining at least some of the activities of the parent peptide. Accordingly, applicants anticipate that one or more of the amino acids located at positions at positions 2, 5, 10, 1 1 , 12, 13, 14, 17, 18, 19, 20, 21 , 24, 27, 28 or 29 can be substituted with an amino acid different from that present in the native glucagon peptide, and still retain activity at the glucagon receptor.
- position 18 is substituted with an amino acid selected from the group consisting of Ala, Ser, or Thr.
- amino acid at position 20 is substituted with Ser, Thr, Lys, Arg, Orn, Citrulline or AIB.
- position 21 is substituted with GIu, homoglutamic acid or homocysteic acid, hi some embodiments, the glucagon peptide comprises 1 to 10 amino acid modifications selected from positions 16, 17, 18, 20, 21 , 23, 24, 27, 28 and 29.
- the modifications are one or more amino acid substitutions selected from the group consisting of Glnl7, Alal 8, Glu21 , Ile23, Ala24, Val27 and Gly29.
- 1 to 2 amino acids selected from positions 17-26 differ from the parent peptide. In other embodiments, 1 to 2 amino acids selected from positions 17-22 differ from the parent peptide. In yet other embodiments, the modifications are Glnl7, Alal 8, Glu21, Ile23 and Ala24.
- one or more amino acids is added to the carboxy terminus of the glucagon peptide.
- the amino acid is typically selected from one of the 20 common amino acids, and in some embodiments the amino acid has an amide group in place of the carboxylic acid of the native amino acid.
- the added amino acid is selected from the group consisting of glutamic acid and aspartic acid and glycine. Other modifications that do not destroy activity include WlO or R20.
- the glucagon peptides disclosed herein are modified by truncation of the C-terminus by one or two amino acid residues yet retain similar activity and potency at the glucagon, GLP-I and/or GIP receptors. In this regard, the amino acid at position 29 and/or 28 can be deleted.
- the alpha helix structure can be stabilized by, e.g., formation of a covalent or non-covalent intramolecular bridge, or substitution and/or insertion of amino acids around positions 12-29 with an alpha helix-stabilizing amino acid (e.g., an ⁇ , ⁇ - disubstituted amino acid).
- an alpha helix-stabilizing amino acid e.g., an ⁇ , ⁇ - disubstituted amino acid
- an intramolecular bridge is formed between two amino acid side chains to stabilize the three dimensional structure of the carboxy terminal portion (e.g., amino acids 12-29) of the glucagon peptide.
- the two amino acid side chains can be linked to one another through non-covalent bonds, e.g., hydrogen-bonding, ionic interactions, such as the formation of salt bridges, or by covalent bonds.
- the peptide may be considered herein as comprising a covlent intramolecular bridge.
- the peptide may be considered herein as comprising a non-covalent intramolecular bridge.
- the size of the linker is about 8 atoms, or about 7-9 atoms.
- the intramolecular bridge is formed between two amino acids that are two amino acids apart, e.g., amino acids at positions j and j+3, wherein j is any integer between 12 and 26 (e.g., 12, 13, 14, 15, 16, 17, 18, 19, 20, 21, 22, 23, 24, 25, and 26). In some specific embodiments, j is 17.
- the size of the linker is about 6 atoms, or about 5 to 7 atoms. 32993-208847
- the intramolecular bridge is formed between two amino acids that are 6 amino acids apart, e.g., amino acids at positions k and k+7, wherein k is any integer between 12 and 22 (e.g., 12, 13, 14, 15, 16, 17, 18, 19, 20, 21 , and 22). In some specific embodiments, k is 12, 13, or 17. In an exemplary embodiment, k is 17.
- amino acid pairings that are capable of covalently bonding to form a six-atom linking bridge include Om and Asp, GIu and an amino acid of Formula I, wherein n is 2, and homoglutamic acid and an amino acid of Formula I, wherein n is 1, wherein Formula I is:
- amino acid pairings that are capable of covalently bonding to form a seven-atom linking bridge include Orn-Glu (lactam ring); Lys-Asp (lactam); or Homoser- Homoglu (lactone).
- amino acid pairings that may form an eight-atom linker include Lys-Glu (lactam); Homolys-Asp (lactam); Orn-Homoglu (lactam); 4-aminoPhe- Asp (lactam); or Tyr-Asp (lactone).
- One of ordinary skill in the art can envision alternative pairings or alternative amino acid analogs, including chemically modified derivatives, that would create a stabilizing structure of similar size and desired effect.
- a homocysteine-homocysteine disulfide bridge is 6 atoms in length and may be further modified to provide the desired effect. Even without covalent linkage, the amino acid pairings described above or similar pairings that one of ordinary skill in the art can envision may also provide added stability to the alpha-helix through non- 32993-208847
- the size of a lactam ring can vary depending on the length of the amino acid side chains, and in one embodiment the lactam is formed by linking the side chains of a lysine amino acid to a glutamic acid side chain.
- Further exemplary embodiments include the following pairings, optionally with a lactam bridge: GIu at position 12 with Lys at position 16; native Lys at position 12 with GIu at position 16; GIu at position 16 with Lys at position 20; Lys at position 16 with GIu at position 20; GIu at position 20 with Lys at position 24; Lys at position 20 with GIu at position 24; GIu at position 24 with Lys at position 28; Lys at position 24 with GIu at position 28.
- a lactam ring can be formed between the side chains of a Lys 12 and a GIu 16 or alternatively between a GIu 12 and a Lys 16).
- Intramolecular bridges other than a lactam bridge can be used to stabilize the alpha helix of the glucagon analog peptides.
- the intramolecular bridge is a hydrophobic bridge.
- the intramolecular bridge optionally is between the side chains of two amino acids that are part of the hydrophobic face of the alpha helix of the glucagon analog peptide.
- one of the amino acids joined by the hydrophobic bridge can be the amino acid at position 10, 14, and 18.
- olefin metathesis is used to cross-link one or two turns of the alpha helix of the glucagon peptide using an all-hydrocarbon cross-linking system.
- the glucagon peptide in this instance can comprise ⁇ -methylated amino acids bearing olefinic side chains of varying length and configured with either R or S stereochemistry at the i and i+4 or i+7 positions.
- the olefinic side can can comprise (CH 2 )n, wherein n is any integer between 1 to 6. In one embodiment, n is 3 for a cross-link length of 8 atoms. Suitable methods of forming such intramolecular bridges are described in the art.
- the glucagon peptide can comprise 0-allyl Ser residues located on adjacent helical turns, which are bridged together via ruthenium-catalyzed ring closing metathesis.
- Such procedures of cross- linking are described in, for example, Blackwell et al., Angew, Chem., Int. Ed. 37: 3281- 3284 (1998). 32993-208847
- lanthionine which has been widely adopted as a peptidomimetic of cystine
- Suitable methods of lanthionine-based cyclization are known in the art. See, for instance, Matteucci et al., Tetrahedron Letters 45: 1399- 1401 (2004); Mayer et al., J. Peptide Res. 51 : 432-436 (1998); Polinsky et al., J. Med. Chem. 35: 4185-4194 (1992); Osapay et al., J. Med. Chem.
- ⁇ , ⁇ -diaminoalkane tethers e.g., 1 ,4-diaminopropane and
- a disulfide bridge is used to crosslink one or two turns of the alpha helix of the glucagon peptide.
- a modified disulfide bridge in which one or both sulfur atoms are replaced by a methylene group resulting in an isosteric macrocyclization is used to stabilize the alpha helix of the glucagon peptide.
- Suitable methods of modifying peptides with disulfide bridges or sulfur-based cyclization are described in, for example, Jackson et al., J. Am. Chem. Soc. 1 13: 9391 -9392 (1991) and Rudinger and Jost, Experientia 20: 570-571 (1964).
- the alpha helix of the glucagon peptide is stabilized via the binding of metal atom by two His residues or a His and Cys pair positioned at i and i+4.
- the metal atom can be, for example, Ru(III), Cu(II), Zn(II), or Cd(II).
- metal binding-based alpha helix stabilization are known in the art. See, for example, Andrews and Tabor, Tetrahedron 55: 1 1711-11743 (1999); Ghadiri et al., J. Am. Chem. Soc. 112: 1630-1632 (1990); and Ghadiri et al., J. Am. Chem. Soc.
- alpha helix of the glucagon peptide can alternatively be stabilized through other means of peptide cyclizing, which means are reviewed in Davies, J. Peptide. Sci. 9: 32993-208847
- the alpha helix can be stabilized via the formation of an amide bridge, thioether bridge, thioester bridge, urea bridge, carbamate bridge, sulfonamide bridge, and the like.
- a thioester bridge can be formed between the C-terminus and the side chain of a Cys residue.
- a thioester can be formed via side chains of amino acids having a thiol (Cys) and a carboxylic acid (e.g., Asp, GIu).
- a cross-linking agent such as a dicarboxylic acid, e.g. suberic acid (octanedioic acid), etc. can introduce a link between two functional groups of an amino acid side chain, such as a free amino, hydroxyl, thiol group, and combinations thereof.
- the alpha helix of the glucagon peptide is stabilized through the incorporation of hydrophobic amino acids at positions i and i+4.
- i can be Tyr and i+4 can be either VaI or Leu;
- i can be Phe and i+4 can be Cys or Met;
- I can be Cys and i+4 can be Met; or
- i can be Phe and i+4 can be He.
- the above amino acid pairings can be reversed, such that the indicated amino acid at position i could alternatively be located at i+4, while the i+4 amino acid can be located at the i position.
- the alpha helix is stabilized through incorporation (either by amino acid substitution or insertion) of one or more alpha helix-stabilizing amino acids at the C-terminal portion of the glucagon peptide (around amino acids 12-29).
- the alpha helix- stabilizing amino acid is an ⁇ , ⁇ -disubstituted amino acid, including, but not limited to any of amino iso-butyric acid (AIB), an amino acid disubstituted with the same or a different group selected from methyl, ethyl, propyl, and n-butyl, or with a cyclooctane or cycloheptane (e.g., 1 -aminocyclooctane-l -carboxylic acid).
- AIB amino iso-butyric acid
- an amino acid disubstituted with the same or a different group selected from methyl, ethyl, propyl, and n-butyl or with a cyclooctane or cycloheptane (e.g., 1 -aminocyclooctane-l -carboxylic acid).
- one, two, three, four or more of positions 16, 17, 18, 19, 20, 21 , 24 or 29 of the glucagon peptide is substituted with an ⁇ , ⁇ -disubstituted amino acid.
- one, two, three or all of positions 16, 20, 21 , and 24 are substituted with an ⁇ , ⁇ - disubstiruted amino acid, e.g., AIB.
- the glucagon peptide can comprise a substitution of position 16 with AIB in the absence of an intramolecular bridge, e.g., a non-covalent intramolecular bridge (e.g., a salt bridge) or a covalent intramolecular bridge (e.g., a lactam).
- Such peptides lacking an intramolecular bridge are advantageously easy to prepare. 32993-208847
- the glucagon peptide lacking an intramolecular bridge comprises one or more substitutions within amino acid positions 12-29 with an ⁇ , ⁇ -disubstituted amino acid and an acyl or alkyl group covalently attached to the side chain of an amino acid of the glucagon peptide, e.g., the amino acid at positions 10 or 40 of the glucagon peptide.
- the acyl or alkyl group is non-native to a naturally occurring amino acid.
- the acyl or alkyl group is non-native to the amino acid at position 10.
- Such acylated or alkylated glucagon peptides lacking an intramolecular bridge exhibit enhanced activity at the GLP- 1 and glucagon receptors as compared to the non-acylated counterpart peptides. Further enhancement in activity at the GLP-I and glucagon receptors can be achieved by the acylated glucagon peptides lacking an intramolecular bridge by incorporating a spacer between the acyl or alkyl group and the side chain of the amino acid at positions 10 or 40 of the peptide. Acylation and alkylation, with or without incorporating spacers, are further described herein.
- the acylated or alkylated glucagon peptide, or analog thereof further comprises a modification which selectively reduces activity at the GLP-I receptor.
- the acylated or alkylated glucagon peptide, or analog thereof comprises one or a combination of: a C-terminal alpha carboxylate, a deletion of the amino acids C-terminal to the amino acid at position 27 or 28 (e.g., deletion of the amino acid at position 29, deletion of the amino acids at positions 28 and 29), a substitution of the Thr at position 7 with a large, aliphatic, non-polar amino acid, e.g., He.
- position 16 or position 20 is substituted with an ⁇ , ⁇ -disubstituted amino acid, e.g., AIB. In some embodiments, position 20 is substituted with an ⁇ , ⁇ - disubstituted amino acid, e.g., AIB. In certain embodiments, position 20 is substituted with an ⁇ , ⁇ -disubstituted amino acid, e.g., AIB, and position 16 is substituted with an amino acid of Formula IV H 2 N OH
- each of Ri and R 2 is independently selected from the group consisting of H, Ci-Ci 8 alkyl, (Ci-Ci 8 alkyOOH, (C-C 18 alkyl)NH 2 , (C 1 -C 18 alkyl)SH, (C 0 -C 4 alkyl)(C 3 -C 6 )cycloalkyl, (C 0 -C 4 alkyl)(C 2 -C 5 heterocyclic), (C 0 -C 4 alkyl)(C 6 -C 10 aryl)R 7 , and (Ci-C 4 alkyl)(C 3 -C 9 heteroaryl), wherein R 7 is H or OH, and the side chain of the amino acid of Formula IV comprises a free amino group.
- the amino acid of Formula IV is 2,3 diamino propionic acid (DAP), 2,4-diaminobutyric acid (DAB), Om, Lys or homoLys.
- solubility of the glucagon peptides disclosed herein are enhanced by the covalent linkage of a hydrophilic moiety to the peptide.
- Hydrophilic moieties can be attached to the glucagon peptides under any suitable conditions used to react a protein with an activated polymer molecule.
- Any means known in the art can be used, including via acylation, reductive alkylation, Michael addition, thiol alkylation or other chemoselective conjugation/ligation methods through a reactive group on the PEG moiety (e.g., an aldehyde, amino, ester, thiol, ⁇ -haloacetyl, maleimido or hydrazino group) to a reactive group on the target compound (e.g., an aldehyde, amino, ester, thiol, ⁇ -haloacetyl, maleimido or hydrazino group).
- a reactive group on the PEG moiety e.g., an aldehyde, amino, ester, thiol, ⁇ -haloacetyl, maleimido or hydrazino group
- a reactive group on the target compound e.g., an aldehyde, amino, ester, thiol, ⁇ -haloacety
- Activating groups which can be used to link the water soluble polymer to one or more proteins include without limitation sulfone, maleimide, sulfhydryl, thiol, triflate, tresylate, azidirine, oxirane, 5-pyridyl, and alpha- halogenated acyl group (e.g., alpha-iodo acetic acid, alpha-bromoacetic acid, alpha- chloroacetic acid).
- alpha- halogenated acyl group e.g., alpha-iodo acetic acid, alpha-bromoacetic acid, alpha- chloroacetic acid.
- an amino acid residue on the glucagon peptide having a thiol is modified with a hydrophilic moiety such as PEG.
- the thiol is modified with maleimide-activated PEG in a Michael addition reaction to result in a PEGylated peptide comprising the thioether linkage shown below:
- the thiol is modified with a haloacetyl-activated PEG in a nucleophilic substitution reaction to result in a PEGylated peptide comprising the thioether linkage shown below:
- Peptide Suitable hydrophilic moieties include polyethylene glycol (PEG), polypropylene glycol, polyoxyethylated polyols (e.g., POG), polyoxyethylated sorbitol, polyoxyethylated glucose, polyoxyethylated glycerol (POG), polyoxyalkylenes, polyethylene glycol propionaldehyde, copolymers of ethylene glycol/propylene glycol, monomethoxy-polyethylene glycol, mono-(Cl-ClO) alkoxy- or aryloxy-polyethylene glycol, carboxymethylcellulose, polyacetals, polyvinyl alcohol (PVA), polyvinyl pyrrolidone, poly-1 , 3-dioxolane, poly-l ,3,6-trioxane, ethyl ene/maleic anhydride copolymer, poly (.beta.
- PEG polyethylene glycol
- POG polyoxyeth
- the hydrophilic moiety e.g., polyethylene glycol chain in accordance with some embodiments has a molecular weight selected from the range of about 500 to about 40,000 Daltons.
- the hydrophilic moiety e.g. PEG
- the hydrophilic moiety, e.g., PEG has a molecular weight of about 10,000 to about 20,000 Daltons.
- 32993-208847 exemplary 32993-208847
- the hydrophilic moiety e.g., PEG
- dextrans are used as the hydrophilic moiety.
- Dextrans are polysaccharide polymers of glucose subunits, predominantly linked by ⁇ 1-6 linkages.
- Dextran is available in many molecular weight ranges, e.g., about 1 kD to about 100 kD, or from about 5, 10, 15 or 20 kD to about 20, 30, 40, 50, 60, 70, 80 or 90 kD.
- Linear or branched polymers are contemplated. Resulting preparations of conjugates may be essentially monodisperse or polydisperse, and may have about 0.5, 0.7, 1 , 1.2, 1.5 or 2 polymer moieties per peptide.
- the hydrophilic moiety is a polyethylene glycol (PEG) chain, optionally linked to the peptide at one or more of positions 16, 17, 21 , 24, 29, a position within a C-terminal extension, e.g., 30, 31 , 32, 33, 34, 35, 36, 37, 38, 39, or at the C- terminal amino acid (e.g., 40).
- PEG polyethylene glycol
- the native amino acid at that position is substituted with an amino acid having a side chain suitable for crosslinking with hydrophilic moieties, to facilitate linkage of the hydrophilic moiety to the peptide.
- the native amino acid at that position is substituted with Lys, Cys, Orn, homocysteine, or acetyl-phenylalanine residue.
- an amino acid modified to comprise a hydrophilic group is added to the peptide at the C- terminus. .
- the solubility of any of the glucagon peptides can be improved by amino acid substitutions and/or additions that introduce a charged amino acid into the C-terminal portion of the peptide, preferably at a position C-terminal to position 27 of SEQ ID NO: 1.
- one, two or three charged amino acids may be introduced within the C-terminal portion, preferably C-terminal to position 27.
- the native amino acid(s) at positions 28 and/or 29 are substituted with one or two charged amino acids, and/or in a further embodiment one to three charged amino acids are also added to the C-terminus of the peptide.
- one, two or all of the charged amino acids are negatively charged.
- the negatively charged (acidic amino acid) is aspartic acid or glutamic acid. 32993-208847
- glucagon peptide may be made to the glucagon peptide that still allow it to retain GIP activity (and optionally GLP-I activity and/or glucagon activity).
- the present disclosure also encompasses other conjugates in which glucagon peptides of the invention are linked, optionally via covalent bonding and optionally via a linker, to a conjugate moiety.
- Linkage can be accomplished by covalent chemical bonds, physical forces such electrostatic, hydrogen, ionic, van der Waals, or hydrophobic or hydrophilic interactions.
- a variety of non-covalent coupling systems may be used, including biotin-avidin, ligand/receptor, enzyme/substrate, nucleic acid/nucleic acid binding protein, lipid/lipid binding protein, cellular adhesion molecule partners; or any binding partners or fragments thereof which have affinity for each other.
- the peptide can be linked to conjugate moieties via direct covalent linkage by reacting targeted amino acid residues of the peptide with an organic derivatizing agent that is capable of reacting with selected side chains or the N- or C-terminal residues of these targeted amino acids.
- Reactive groups on the peptide or conjugate include, e.g., an aldehyde, amino, ester, thiol, ⁇ -haloacetyl, maleimido or hydrazino group.
- Derivatizing agents include, for example, maleimidobenzoyl sulfosuccinimide ester (conjugation through cysteine residues), N-hydroxysuccinimide (through lysine residues), glutaraldehyde, succinic anhydride or other agents known in the art.
- the conjugate moieties can be linked to the peptide indirectly through intermediate carriers, such as polysaccharide or polypeptide carriers. Examples of polysaccharide carriers include aminodextran.
- suitable polypeptide carriers include polylysine, polyglutamic acid, polyaspartic acid, co-polymers thereof, and mixed polymers of these amino acids and others, e.g., serines, to confer desirable solubility properties on the resultant loaded carrier.
- Cysteinyl residues are most commonly are reacted with ⁇ -haloacetates (and corresponding amines), such as chloroacetic acid, chloroacetamide to give carboxymethyl or carboxyamidomethyl derivatives. Cysteinyl residues also are derivatized by reaction with bromotrifluoroacetone, alpha-bromo- ⁇ -(5-imidozoyl)propionic acid, chloroacetyl 32993-208847
- Histidyl residues are derivatized by reaction with diethylpyrocarbonate at pH 5.5- 7.0 because this agent is relatively specific for the histidyl side chain.
- Para- bromophenacyl bromide also is useful; the reaction is preferably performed in 0.1 M sodium cacodylate at pH 6.0.
- Lysinyl and amino-terminal residues are reacted with succinic or other carboxylic acid anhydrides. Derivatization with these agents has the effect of reversing the charge of the lysinyl residues.
- Other suitable reagents for derivatizing alpha-amino-containing residues include imidoesters such as methyl picolinimidate, pyridoxal phosphate, pyridoxal, chloroborohydride, trinitrobenzenesulfonic acid, O-methylisourea, 2,4- pentanedione, and transaminase-catalyzed reaction with glyoxylate.
- Arginyl residues are modified by reaction with one or several conventional reagents, among them phenylglyoxal, 2,3-butanedione, 1 ,2-cyclohexanedione, and ninhydrin. Derivatization of arginine residues requires that the reaction be performed in alkaline conditions because of the high pK * of the guanidine functional group. Furthermore, these reagents may react with the groups of lysine as well as the arginine epsilon-amino group.
- tyrosyl residues may be made, with particular interest in introducing spectral labels into tyrosyl residues by reaction with aromatic diazonium compounds or tetranitromethane.
- aromatic diazonium compounds or tetranitromethane Most commonly, N-acetylimidizole and tetranitromethane are used to form O-acetyl tyrosyl species and 3-nitro derivatives, respectively.
- Carboxyl side groups are selectively modified by reaction with carbodiimides (R-N.dbd.C.dbd.N-R 1 ), where R and R' are different alkyl groups, such as l-cyclohexyl-3-(2-morpholinyl-4-ethyl) carbodiimide or l-ethyl-3-(4-azonia-4,4- dimethylpentyl) carbodiimide.
- R and R' are different alkyl groups, such as l-cyclohexyl-3-(2-morpholinyl-4-ethyl) carbodiimide or l-ethyl-3-(4-azonia-4,4- dimethylpentyl) carbodiimide.
- aspartyl and glutamyl residues are converted to asparaginyl and glutaminyl residues by reaction with ammonium ions.
- Other modifications include hydroxylation of proline and lysine, phosphorylation of hydroxy
- Sugar(s) may be attached to (a) arginine and histidine, (b) free carboxyl groups, (c) free sulfhydryl groups such as those of cysteine, (d) free hydroxyl groups such as those of serine, threonine, or hydroxyproline, (e) aromatic residues such as those of tyrosine, or tryptophan, or (f) the amide group of glutamine.
- conjugate moieties that can be linked to any of the glucagon peptides described herein include but are not limited to a heterologous peptide or polypeptide (including for example, a plasma protein), a targeting agent, an immunoglobulin or portion thereof (e.g. variable region, CDR, or Fc region), a diagnostic label such as a radioisotope, fluorophore or enzymatic label, a polymer including water soluble polymers, or other therapeutic or diagnostic agents.
- a conjugate comprising a glucagon peptide of the present invention and a plasma protein, wherein the plasma protein is selected form the group consisting of albumin, transferin, fibrinogen and globulins.
- the linker comprises a chain of atoms from 1 to about 60, or 1 to 30 atoms or longer, 2 to 5 atoms, 2 to 10 atoms, 5 to 10 atoms, or 10 to 20 atoms long.
- the chain atoms are all carbon atoms.
- the chain atoms in the backbone of the linker are selected from the group consisting of C, O, N, and S. Chain atoms and linkers may be selected according to their expected solubility (hydrophilicity) so as to provide a more soluble conjugate.
- the linker provides a functional group that is subject to cleavage by an enzyme or other catalyst or hydrolytic conditions found in the target tissue or organ or cell.
- the length of the linker is long enough to reduce the potential for steric hindrance. If the linker is a covalent bond or a peptidyl bond and the conjugate is a polypeptide, the entire conjugate can be a fusion protein. Such peptidyl linkers may 32993-208847
- glucagon peptides are conjugated, e.g., fused to an immunoglobulin or portion thereof (e.g. variable region, CDR, or Fc region).
- immunoglobulins include IgG, IgA, IgE, IgD or IgM.
- the Fc region is a C-terminal region of an Ig heavy chain, which is responsible for binding to Fc receptors that carry out activities such as recycling (which results in prolonged half-life), antibody dependent cell-mediated cytotoxicity (ADCC), and complement dependent cytotoxicity (CDC).
- ADCC antibody dependent cell-mediated cytotoxicity
- CDC complement dependent cytotoxicity
- the human IgG heavy chain Fc region stretches from Cys226 to the C-terminus of the heavy chain.
- the "hinge region” generally extends from Glu216 to Pro230 of human IgGl (hinge regions of other IgG isotypes may be aligned with the IgGl sequence by aligning the cysteines involved in cysteine bonding).
- the Fc region of an IgG includes two constant domains, CH2 and CH3.
- the CH2 domain of a human IgG Fc region usually extends from amino acids 231 to amino acid 341.
- the CH3 domain of a human IgG Fc region usually extends from amino acids 342 to 447.
- the Fc region may comprise one or more native or modified constant regions from an immunoglobulin heavy chain, other than CHl , for example, the CH2 and CH3 regions of IgG and IgA, or the CH3 and CH4 regions of IgE.
- Suitable conjugate moieties include portions of immunoglobulin sequence that include the FcRn binding site. FcRn, a salvage receptor, is responsible for recycling immunoglobulins and returning them to circulation in blood.
- the region of the Fc portion of IgG that binds to the FcRn receptor has been described based on X-ray crystallography (Burmeister et al. 1994, Nature 372:379).
- the major contact area of the Fc with the FcRn is near the junction of the CH2 and CH3 domains. Fc-FcRn contacts are all within a single Ig heavy chain.
- the major contact sites include amino acid residues 32993-208847
- Fc ⁇ R are responsible for ADCC and CDC.
- positions within the Fc region that make a direct contact with Fc ⁇ R are amino acids 234-239 (lower hinge region), amino acids 265- 269 (B/C loop), amino acids 297-299 (CVE loop), and amino acids 327-332 (F/G) loop (Sondermann et al., Nature 406: 267-273, 2000).
- the lower hinge region of IgE has also been implicated in the FcRI binding (Henry, et al., Biochemistry 36, 15568-15578, 1997).
- Amino acid modifications may be made to the Fc region of an immunoglobulin.
- Such variant Fc regions comprise at least one amino acid modification in the CH3 domain of the Fc region (residues 342-447) and/or at least one amino acid modification in the CH2 domain of the Fc region (residues 231-341).
- Mutations believed to impart an increased affinity for FcRn include T256A, T307A, E380A, and N434A (Shields et al. 2001 , J. Biol. Chem. 276:6591).
- Fc ⁇ RI Fc ⁇ RIIA
- Fc ⁇ RIIB Fc ⁇ RIIB
- Fc ⁇ RIIIA Fc ⁇ RIIIA
- substitution of the Asn at position 297 of the Fc region with Ala or ⁇ another amino acid removes a highly conserved N-glycosylation site and may result in reduced immunogenicity with concomitant prolonged half-life of the Fc region, as well as reduced binding to Fc ⁇ Rs (Routledge et al. 1995, Transplantation 60:847; Friend et al. 1999, Transplantation 68: 1632; Shields et al. 1995, J. Biol. Chem. 276:6591).
- glucagon fusion peptides or proteins wherein a second peptide or polypeptide has been fused to a terminus, e.g., the carboxy terminus of the glucagon peptide.
- the second peptide added to the carboxy terminus of the glucagon peptide is SEQ ID NO: 95 (GPSSGAPPPS), SEQ ID 32993-208847
- the second peptide is XGPSSGAPPPS (SEQ ID NO: 96), wherein X is selected from one of the 20 common amino acids, e.g., glutamic acid, aspartic acid or glycine.
- X represents an amino acid, for example Cys, that further comprises a hydrophilic moiety covalently linked to the side chain of that amino acid.
- C-terminal extensions improve solubility and also can improve GIP or GLP-I activity.
- the carboxy terminal amino acid of the extension ends in an amide group or an ester group rather than a carboxylic acid.
- the threonine at position 29 of the native glucagon peptide is replaced with a glycine.
- a glucagon peptide having a glycine substitution for threonine at position 29 and comprising the C-terminal extension of GPSSGAPPPS is four times as potent at the GLP-I receptor as native glucagon modified to comprise the same C-terminal extension.
- T29G substitution can be used in conjunction with other modifications disclosed herein to enhance the affinity of the glucagon peptides for the GLP-I receptor.
- the T29G substitution can be combined with the S16E and N20K amino acid substitutions, optionally with a, lactam bridge between amino acids 16 and 20, and optionally with addition of a PEG chain as described herein.
- an amino acid is added to the C-terminus, and the additional amino acid is selected from the group consisting of glutamic acid, aspartic acid and glycine.
- the present disclosure also encompasses multimers of the modified glucagon peptides disclosed herein.
- Two or more of the modified glucagon peptides can be linked together using standard linking agents and procedures known to those skilled in the art.
- dimers can be formed between two modified glucagon peptides through the use of bifunctional thiol crosslinkers and bi-functional amine crosslinkers, particularly for the glucagon peptides that have been substituted with cysteine, lysine ornithine, homocysteine or acetyl phenylalanine residues.
- the glucagon peptides disclosed herein are modified to comprise an acyl group or an alkyl group, e.g., an acyl or alkyl group which is non-native to a naturally-occurring amino acid.
- Acylation or alkylation can increase the half-life of the glucagon peptides in circulation.
- Acylation or alkylation can advantageously delay the onset of action and/or extend the duration of action at the glucagon and/or GLP-I receptors and/or improve resistance to proteases such as DPP-IV and/or improve solubility.
- Activity at the glucagon and/or GLP-I and/or GIP receptors of the glucagon peptide may be maintained after acylation.
- the potency of the acylated glucagon peptides is comparable to the unacylated versions of the glucagon peptides.
- the potency of the acylated glucagon peptides is increased as compared to that of the unacylated version of the glucagon peptides.
- the invention provides a glucagon peptide modified to comprise an acyl group or alkyl group covalently linked to the amino acid at position 10 of the glucagon peptide.
- the glucagon peptide may further comprise a spacer between the amino acid at position 10 of the glucagon peptide and the acyl group or alkyl group.
- the acyl group is a fatty acid or bile acid, or salt thereof, e.g.
- the spacer is any moiety with suitable reactive groups for attaching acyl or alkyl groups.
- the spacer comprises an amino acid, a dipeptide, a tripeptide, a hydrophilic bifunctional, or a hydrophobic bifunctional spacer.
- the spacer is selected from the group consisting of: Trp, GIu, Asp, Cys and a spacer comprising NH 2 (CH 2 CH 2 ⁇ )n(CH 2 )mCOOH, wherein m is any integer from 1 to 6 and n is any integer from 2 to 12.
- acylated or alkylated glucagon peptides may'also further comprise a hydrophilic moiety, optionally a polyethylene glycol. Any of the foregoing glucagon peptides may comprise two acyl groups or two alkyl groups, or a combination thereof.
- Acylation can be carried out at any position within the glucagon peptide, including any of positions 1 -29, a position within a C-terminal extension, or the N- or C- terminal amino acid, provided that GIP activity (and optionally GLP-I and/or glucagon 32993-208847
- glucagon activity is retained, if not enhanced.
- Acylation may occur, for example, at any amino acid which is added to the glucagon sequence (SEQ ID NO: 1), e.g., at the N- or C- terminus.
- Nonlimiting examples include positions 1, 5, 10, 1 1 , 12, 13, 14, 16, 17, 18, 19, 20, 21 , 24, 27, 28, 29, 30, 31, 32, 33, 34, 35, 36, 37, 38, 39, 40, 41, 42, 43, 44, 45, 46, 47, 48, 49, or 50 of the glucagon peptide.
- the acyl group can be covalently linked directly to an amino acid of the glucagon peptide, or indirectly to an amino acid of the glucagon peptide via a spacer, wherein the spacer is positioned between the amino acid of the glucagon peptide and the acyl group.
- Glucagon peptides may be acylated at the same amino acid position where a hydrophilic moiety is linked, or at a different amino acid position.
- Nonlimiting examples include acylation at position 10 or position 40 and pegylation at one or more positions in the C-terminal portion of the glucagon peptide, e.g., position 24, 28 or 29, within a C-terminal extension, or at the C-terminus (e.g., through adding a C-terminal Cys).
- the glucagon peptide is modified to comprise an extension of about 1 to about 21 amino acids C-terminal to the glucagon peptide of SEQ ID NO: 1 or an analog thereof and at least one of the amino acids of the extension is acylated or alkylated.
- the modified glucagon peptide may comprise an extension of about 1 to about 21 amino acids C-terminal to the amino acid at position 29 of the glucagon peptide of SEQ ID NO: 1 or analog thereof.
- the extension of about 1 to about 21 amino acids may be C-terminal to the amino acid at position 27 or 28 of the glucagon peptide or analog thereof.
- the acylated or alkylated amino acid within the C-terminal extension can be, for example, any of the amino acids at position 28, 29, 30, 31, 32, 33, 34, 35, 36, 37, 38, 39, 40, 41, 42, 43, 44, 45, 46, 47, 48, 49, or 50 of the C-terminally extended glucagon peptide.
- the C-terminal extension in some embodiments comprises the amino acid sequence of SEQ ID NO: 95 or 96.
- the glucagon peptide comprises a C-terminal extension comprising the amino acid sequence of SEQ ID NO: 95 and 1 to 1 1 additional amino acids at the C- terminus of SEQ ID NO: 95, which additional amino acid(s) is/are acylated or alkylated, as described herein.
- the acylated or alkylated amino acid is a 32993-208847
- Dab, Orn, Lys, or homoLys residue is located at position 40 of the C-terminally extended glucagon peptide or analog thereof.
- the glucagon peptide is modified to comprise an acyl group which is attached to the glucagon peptide via an ester, thioester, or amide linkage for purposes of prolonging half-life in circulation and/or delaying the onset of and/or extending the duration of action and/or improving resistance to proteases such as DPP-IV.
- the glucagon peptide is modified to comprise an acyl group by direct acylation of an amine, hydroxyl, or thiol of a side chain of an amino acid of the glucagon peptide.
- the glucagon peptide is directly acylated through the side chain amine, hydroxyl, or thiol of an amino acid.
- acylation is at position 10, 20, 24, 29, or 40.
- the acylated glucagon peptide can comprise the amino acid sequence of SEQ ID NO : 1 , or a modified amino acid sequence thereof comprising one or more of the amino acid modifications described herein, with at least one of the amino acids at positions 10, 20, 24, 29, and 40 modified to any amino acid comprising a side chain amine, hydroxyl, or thiol.
- the direct acylation of the glucagon peptide occurs through the side chain amine, hydroxyl, or thiol of the amino acid at position 10 or 40.
- the amino acid comprising a side chain amine is an amino acid of Formula I:
- the amino acid of Formula I is the amino acid wherein n is 4 (Lys) or n is 3 (Orn). 32993-208847
- the amino acid comprising a side chain hydroxyl is an amino acid of Formula II:
- the amino acid of Formula II is the amino acid wherein n is 1 (Ser).
- the amino acid comprising a side chain thiol is an amino acid of Formula III:
- the amino acid of Formula II is the amino acid wherein n is 1 (Cys).
- the amino acid comprising a side chain amine, hydroxyl, or thiol is a disubstituted amino acid comprising the same structure of Formula I, Formula II, or Formula III, except that the hydrogen bonded to the alpha carbon of the amino acid of Formula I, Formula II, or Formula III is replaced with a second side chain.
- the acylated glucagon peptide comprises a spacer between the peptide and the acyl group.
- the glucagon peptide is covalently bound to the spacer, which is covalently bound to the acyl group.
- the amino acid to which the spacer is attached can be any amino acid (e.g., a singly or doubly ⁇ -substituted amino acid) comprising a moiety which permits linkage to the spacer.
- an amino acid comprising a side chain NH 2 , -OH, or -COOH e.g., Lys, Orn, Ser, Asp, or GIu
- Lys, Orn, Ser, Asp, or GIu is suitable.
- the acylated glucagon peptide can comprise the amino acid sequence of SEQ ID NO: 1 , or a modified amino acid sequence thereof comprising one or more of the amino acid modifications described herein, with at least one of the amino acids at positions 10, 20, 24, 29, and 40 modified to any amino acid comprising a side chain amine, hydroxyl, or carboxylate.
- the spacer is an amino acid comprising a side chain amine, hydroxyl, or thiol, or a dipeptide or tripeptide comprising an amino acid comprising a side chain amine, hydroxyl, or thiol.
- the spacer amino acid can be any amino acid.
- the spacer amino acid can be a hydrophobic amino acid, e.g., GIy, Ala, VaI, Leu, He, Trp, Met, Phe, Tyr, 6-amino hexanoic acid, 5 -amino valeric acid, 7-aminoheptanoic acid, and 8-aminooctanoic acid.
- the spacer amino acid can be an acidic residue, e.g., Asp and GIu.
- the spacer amino acid is an amino acid comprising a side chain amine, e.g., an amino acid of Formula I (e.g., Lys or Orn).
- an amino acid of Formula I e.g., Lys or Orn
- both the alpha amine and the side chain amine of the spacer amino acid to be acylated, such that the glucagon peptide is diacylated.
- Embodiments of the invention include such diacylated molecules.
- the amino acid or one of the amino acids of the dipeptide or tripeptide can be an amino acid of Formula II.
- the amino acid is Ser.
- the amino acid or one of the amino acids of the dipeptide or tripeptide can be an amino acid of Formula III.
- the amino acid is Cys.
- the spacer is a hydrophilic bifunctional spacer.
- the hydrophilic bifunctional spacer comprises two or more reactive groups, 32993-208847
- the hydrophilic bifunctional spacer comprises a hydroxyl group and a carboxylate.
- the hydrophilic bifunctional spacer comprises an amine group and a carboxylate.
- the hydrophilic bifunctional spacer comprises a thiol group and a carboxylate.
- the spacer comprises an amino poly(alkyloxy)carboxylate.
- the spacer can comprise, for example, NH 2 (CH 2 CH 2 O) n (CH 2 ) m COOH, wherein m is any integer from 1 to 6 and n is any integer from 2 to 12, such as, e.g., 8-amino-3,6-dioxaoctanoic acid, which is commercially available from Peptides International, Inc. (Louisville, KY).
- the spacer is a hydrophobic bifunctional spacer.
- Hydrophobic bifunctional spacers are known in the art. See, e.g., Bioconjugate Techniques, G. T. Hermanson (Academic Press, San Diego, CA, 1996), which is incorporated by reference in its entirety
- the hydrophobic bifunctional spacer comprises two or more reactive groups, e.g., an amine, a hydroxyl, a thiol, and a carboxyl group or any combinations thereof.
- the hydrophobic bifunctional spacer comprises a hydroxyl group and a carboxylate.
- the hydrophobic bifunctional spacer comprises an amine group and a carboxylate.
- the hydropholic bifunctional spacer comprises a thiol group and a carboxylate.
- Suitable hydrophobic bifunctional spacers comprising a carboxylate, and a hydroxyl group or a thiol group are known in the art and include, for example, 8-hydroxyoctanoic acid and 8-mercaptooctanoic acid.
- the bifunctional spacer is not a dicarboxylic acid comprising an unbranched, methylene of 1 -7 carbon atoms between the carboxylate groups. In some embodiments, the bifunctional spacer is a dicarboxylic acid comprising an unbranched, methylene of 1-7 carbon atoms between the carboxylate groups.
- the spacer e.g., amino acid, dipeptide, tripeptide, hydrophilic bifunctional, or hydrophobic bifunctional spacer
- the spacer in specific embodiments is 3 to 10 atoms (e.g., 6 to 10 atoms, (e.g., 6, 7, 8, 9, or 10 atoms) in length.
- the spacer is about 3 to 10 atoms (e.g., 6 to 10 atoms) in length and the acyl group is a Cl 2 to Cl 8 fatty acyl group, e.g., C14 fatty acyl group, C16 fatty acyl group, such that the total length of the spacer and acyl group is 14 to 28 atoms, e.g., about 14, 15, 16, 17, 18, 19, 32993-208847
- the length of the spacer and acyl group is 17 to 28 (e.g., 19 to 26, 19 to 21) atoms.
- the bifunctional spacer can be a synthetic or naturally occurring amino acid (including, but not limited to, any of those described herein) comprising an amino acid backbone that is 3 to 10 atoms in length (e.g., 6-amino hexanoic acid, 5-aminovaleric acid, 7-aminoheptanoic acid, and 8- aminooctanoic acid).
- the spacer can be a dipeptide or tripeptide spacer having a peptide backbone that is 3 to 10 atoms (e.g., 6 to 10 atoms) in length.
- Each amino acid of the dipeptide or tripeptide spacer can be the same as or different from the other amino acid(s) of the dipeptide or tripeptide and can be independently selected from the group consisting of: naturally-occurring and/or non-naturally occurring amino acids, including, for example, any of the D or L isomers of the naturally-occurring amino acids (Ala, Cys, Asp, GIu, Phe, GIy, His, He, Lys, Leu, Met, Asn, Pro, Arg, Ser, Thr, VaI, Trp, Tyr), or any D or L isomers of the non-naturally occurring amino acids selected from the group consisting of: ⁇ -alanine ( ⁇ -Ala), N- ⁇ -methyl-alanine (Me-AIa), aminobutyric acid (Abu), ⁇ -aminobutyric acid ( ⁇ -Abu), aminohexanoic acid ( ⁇ -Ahx), aminoisobutyric acid (Aib), aminomethylpyrrole carboxy
- selenocysteine (Sec), 0-Benzyl-phosphoserine, 4-amino-3-hydroxy-6-methylheptanoic acid (Sta), 4-amino-5-cyclohexyl-3-hydroxypentanoic acid (ACHPA), 4-amino-3- hydroxy-5-phenylpentanoic acid (AHPPA), l ,2,3,4,-tetrahydro-isoquinoline-3-carboxylic acid (Tic), tetrahydropyranglycine, thienylalanine (Thi) , O-benzyl-phosphotyrosine, O- Phosphotyrosine, methoxytyrosine, ethoxytyrosine, O-(bis-dimethylamino-phosphono)- tyrosine, tyrosine sulfate tetrabutylamine, methyl-valine (MeVaI), and alkylated 3- mercaptopropionic acid.
- the spacer comprises an overall negative charge, e.g., comprises one or two negatively charged amino acids.
- the dipeptide is not any of the dipeptides of general structure A-B, wherein A is selected from the group consisting of GIy, GIn, Ala, Arg, Asp, Asn, He, Leu, VaI, Phe, and Pro, wherein B is selected from the group consisting of Lys, His, Trp.
- the dipeptide spacer is selected from the group consisting of: Ala-Ala, ⁇ -Ala- ⁇ -Ala, Leu-Leu, Pro-Pro, ⁇ -aminobutyric acid- ⁇ -aminobutyric acid, and ⁇ -Glu- ⁇ -Glu.
- the glucagon peptide is modified to comprise an acyl group by acylation of an amine, hydroxyl, or thiol of a spacer, which spacer is attached to a side chain of an amino acid at position 10, 20, 24, 29, or 40, or at the C- terminal amino acid of the glucagon peptide.
- the acyl group is attached to the amino acid at position 10 or 40 of the glucagon peptide and, optionally, the length of the spacer and acyl group is 14 to 28 atoms.
- the amino acid at position 10 or 40 in some aspects, is an amino acid of Formula I, e.g., Lys, or a disubstituted amino acid related to Formula I.
- the glucagon peptide lacks an intramolecular bridge, e.g., a covalent intramolecular bridge.
- the glucagon peptide for example, can be a peptide comprising one or more alpha, alpha-disubstituted amino acids, e.g., AIB, for stabilizing the alpha helix of the peptide.
- AIB alpha, alpha-disubstituted amino acids
- such peptides comprising an acylated spacer covalently attached to the side chain of the amino acid at position 40 exhibit enhanced potency at the GIP, GLP-I , and glucagon receptors.
- Suitable methods of peptide acylation via amines, hydroxyls, and thiols are known in the art. See, for example, Example 19 (for methods of acylating through an amine), Miller, Biochem Biophys Res Commun 218: 377-382 (1996); Shimohigashi and 32993-208847
- the acyl group of the acylated glucagon peptide can be of any size, e.g., any length carbon chain, and can be linear or branched.
- the acyl group is a C4 to C30 fatty acid.
- the acyl group can be any of a C4 fatty acid, C6 fatty acid, C8 fatty acid, C 10 fatty acid, C 12 fatty acid, C 14 fatty acid, C16 fatty acid, Cl 8 fatty acid, C20 fatty acid, C22 fatty acid, C24 fatty acid, C26 fatty acid, C28 fatty acid, or a C30 fatty acid.
- the acyl group is a C8 to C20 fatty acid, e.g., a C14 fatty acid or a Cl 6 fatty acid.
- the acyl group is a bile acid.
- the bile acid can be any suitable bile acid, including, but not limited to, cholic acid, chenodeoxycholic acid, deoxycholic acid, lithocholic acid, taurocholic acid, glycocholic acid, and cholesterol acid.
- the glucagon peptide is modified to comprise an acyl group by acylation of a long chain alkane by the glucagon peptide.
- the long chain alkane comprises an amine, hydroxyl, or thiol group (e.g. octadecylamine, tetradecanol, and hexadecanethiol) which reacts with a carboxyl group, or activated form thereof, of the glucagon peptide.
- the carboxyl group, or activated form thereof, of the glucagon peptide can be part of a side chain of an amino acid (e.g., glutamic acid, aspartic acid) of the glucagon peptide or can be part of the peptide backbone.
- the glucagon peptide is modified to comprise an acyl group by acylation of the long chain alkane by a spacer which is attached to the glucagon peptide.
- the long chain alkane comprises an amine, hydroxyl, or thiol group which reacts with a carboxyl group, or activated form thereof, of the spacer.
- Suitable spacers comprising a carboxyl group, or activated form thereof, are described herein and include, for example, bifunctional spacers, e.g., amino acids, dipeptides, tripeptides, hydrophilic bifunctional spacers and hydrophobic bifunctional spacers. 32993-208847
- activated forms of a carboxyl groups may include, but are not limited to, acyl chlorides, anhydrides, and esters.
- the activated carboxyl group is an ester with a N-hydroxysuccinimide ester (NHS) leaving group.
- the long chain alkane in which a long chain alkane is acylated by the glucagon peptide or the spacer, the long chain alkane may be of any size and can comprise any length of carbon chain.
- the long chain alkane can be linear or branched.
- the long chain alkane is a C4 to C30 alkane.
- the long chain alkane can be any of a C4 alkane, C6 alkane, C8 alkane, ClO alkane, Cl 2 alkane, C 14 alkane, Cl 6 alkane, Cl 8 alkane, C20 alkane, C22 alkane, C24 alkane, C26 alkane, C28 alkane, or a C30 alkane.
- the long chain alkane comprises a C8 to C20 alkane, e.g., a C14 alkane, C16 alkane, or a C18 alkane.
- an amine, hydroxyl, or thiol group of the glucagon peptide is acylated with a cholesterol acid.
- the glucagon peptide is linked to the cholesterol acid through a modified Cys spacer.
- the acylated glucagon peptides described herein can be further modified to comprise a hydrophilic moiety.
- the hydrophilic moiety can comprise a polyethylene glycol (PEG) chain.
- PEG polyethylene glycol
- the acylated glucagon peptide can comprise SEQ ID NO: 1 , including any of the modifications described herein, in which at least one of the amino acids at position 10, 20, 24, 29, and 40 comprise an acyl group and at least one of the amino acids at position 16, 17, 21 , 24, 29, or 40, a position within a C-terminal extension, or the C-terminal amino acid are modified to a Cys, Lys, Orn, homo-Cys, or Ac-Phe, and the side chain of the amino acid is covalently bonded to a hydrophilic moiety (e.g., PEG).
- a hydrophilic moiety e.g., PEG
- the acyl group is attached to position 10 or 40, optionally via a spacer comprising Cys, Lys, Orn, homo-Cys, or Ac-Phe, and the hydrophilic moiety is incorporated at a Cys residue at position 24.
- the acylated glucagon peptide can comprise a spacer, wherein the 32993-208847
- spacer is both acylated and modified to comprise the hydrophilic moiety.
- suitable spacers include a spacer comprising one or more amino acids selected from the group consisting of Cys, Ac-Cys, Lys, Orn, homo-Cys, and Ac-Phe.
- the acylated glucagon peptide comprises the amino acid sequence of any of SEQ ID NOs: 101 -106, 1 13-1 15, 1 17-119, 123-125, 128- 130, 132-134, 136-138, 141-145, 148, 151 , 152, 154, 156, 158, 160, 162, 163, 165, 166, 231 , 234-239, 257, and 258.
- the glucagon peptide is modified to comprise an alkyl group, e.g., an alkyl group which is not naturally-occuring on an amino acid (e.g., an alkyl group which is non-native to a naturally-occurring amino acid).
- an alkyl group e.g., an alkyl group which is not naturally-occuring on an amino acid (e.g., an alkyl group which is non-native to a naturally-occurring amino acid).
- alkylation of glucagon peptides will achieve similar, if not the same, effects as acylation of the glucagon peptides, e.g., a prolonged half-life in circulation, a delayed onset of action, an extended duration of action, an improved resistance to proteases, such as DPP-IV, and increased potency at the GLP-I, GIP, and glucagon receptors.
- Alkylation can be carried out at any positions within the glucagon peptide, including any of positions 1-29, a position within a C-terminal extension, or the N- or C- terminal amino acid, provided that the GIP activity (and optionally GIP and/or glucagon activity) is retained, if not enhanced. Alkylation may occur, for example, at any amino acid which is added to the glucagon sequence (SEQ ID NO: 1), e.g., at the N- or C- terminus.
- Nonlimiting examples include positions 1, 5, 10, 1 1, 12, 13, 14, 16, 17, 18, 19, 20, 21 , 24, 27, 28, 29, 30, 31 , 32, 33, 34, 35, 36, 37, 38, 39, 40, 41 , 42, 43, 44, 45, 46, 47, 48, 49, or 50.
- the alkyl group can be covalently linked directly to an amino acid of the glucagon peptide, or indirectly to an amino acid of the glucagon peptide via a spacer, wherein the spacer is positioned between the amino acid of the glucagon peptide and the alkyl group.
- Glucagon peptides may be alkylated at the same amino acid position where a hydrophilic moiety is linked, or at a different amino acid position.
- Nonlimiting examples include alkylation at position 10 or 40 and pegylation at one or more positions in the C-terminal portion of the glucagon peptide, e.g., position 24, 28 29, or 40, within a C-terminal extension, or at the C-terminus (e.g., through adding a C-terminal Cys). 32993-208847
- the glucagon peptide is modified to comprise an alkyl group by direct alkylation of an amine, hydroxyl, or thiol of a side chain of an amino acid of the glucagon peptide.
- the glucagon peptide is directly alkylated through the side chain amine, hydroxyl, or thiol of an amino acid.
- alkylation is at position 10, 20, 24, 29, or 40.
- the alkylated glucagon peptide can comprise the amino acid sequence of SEQ ID NO : 1 , or a modified amino acid sequence thereof comprising one or more of the amino acid modifications described herein, with at least one of the amino acids at positions 10, 20, 24, 29, and 40 modified to any amino acid comprising a side chain amine, hydroxyl, or thiol.
- the direct alkylation of the glucagon peptide occurs through the side chain amine, hydroxyl, or thiol of the amino acid at position 10.
- the amino acid comprising a side chain amine is an amino acid of Formula I.
- the amino acid of Formula I is the amino acid wherein n is 4 (Lys) or n is 3 (Om).
- the amino acid comprising a side chain hydroxyl is an amino acid of Formula II. In some exemplary embodiments, the amino acid of Formula
- n 1 (Ser).
- the amino acid comprising a side chain thiol is an amino acid of Formula III.
- the amino acid of Formula III is an amino acid of Formula III.
- n 1 (Cys).
- the amino acid comprising a side chain amine, hydroxyl, or thiol is a disubstituted amino acid comprising the same structure of Formula I, Formula II, or Formula III, except that the hydrogen bonded to the alpha carbon of the amino acid of Formula I, Formula II, or Formula III is replaced with a second side chain.
- the alkylated glucagon peptide comprises a spacer between the peptide and the alkyl group. In some embodiments, the glucagon peptide is covalently bound to the spacer, which is covalently bound to the alkyl group.
- the glucagon peptide is modified to comprise an alkyl group by alkylation of an amine, hydroxyl, or thiol of a spacer, which spacer is attached to a side chain of an amino acid at position 10, 20, 24, 29, or 40 of the glucagon peptide. 32993-208847
- the amino acid to which the spacer is attached can be any amino acid (e.g., a singly ⁇ - substituted amino acid or an ⁇ , ⁇ -disubstituted amino acid) comprising a moiety which permits linkage to the spacer.
- an amino acid comprising a side chain NH 2 , -OH, or -COOH e.g., Lys, Orn, Ser, Asp, or GIu
- Lys, Orn, Ser, Asp, or GIu is suitable.
- the alkylated glucagon peptide can comprise the amino acid sequence of SEQ ID NO: 1 , or a modified amino acid sequence thereof comprising one or more of the amino acid modifications described herein, with at least one of the amino acids at positions 10, 20, 24, 29, and 40 modified to any amino acid comprising a side chain amine, hydroxyl, or carboxylate.
- the spacer is an amino acid comprising a side chain amine, hydroxyl, or thiol or a dipeptide or tripeptide comprising an amino acid comprising a side chain amine, hydroxyl, or thiol.
- the alkylation can occur through the alpha amine of the amino acid or a side chain amine.
- the spacer amino acid can be any amino acid.
- the spacer amino acid can be a hydrophobic amino acid, e.g., GIy, Ala, VaI, Leu, He, Trp, Met, Phe, Tyr, 6-amino hexanoic acid, 5-aminovaleric acid, 7-aminoheptanoic acid, and 8-aminooctanoic acid.
- the spacer amino acid can be an acidic residue, e.g., Asp and GIu, provided that the alkylation occurs on the alpha amine of the acidic residue.
- the spacer amino acid is an amino acid comprising a side chain amine, e.g., an amino acid of Formula I (e.g., Lys or Om).
- Embodiments of the invention include such dialkylated molecules.
- the amino acid or one of the amino acids of the dipeptide or tripeptide can be an amino acid of Formula II.
- the amino acid is Ser.
- the amino acid or one of the amino acids of the dipeptide or tripeptide can be an amino acid of Formula III.
- the amino acid is Cys. 32993-208847
- the spacer is a hydrophilic bifunctional spacer.
- the hydrophilic bifunctional spacer comprises two or more reactive groups, e.g., an amine, a hydroxyl, a thiol, and a carboxyl group or any combinations thereof.
- the hydrophilic bifunctional spacer comprises a hydroxyl group and a carboxylate.
- the hydrophilic bifunctional spacer comprises an amine group and a carboxylate.
- the hydrophilic bifunctional spacer comprises a thiol group and a carboxylate.
- the spacer comprises an amino poly(alkyloxy)carboxylate.
- the spacer can comprise, for example, NH 2 (CH 2 CH 2 ⁇ ) n (CH 2 ) m COOH, wherein m is any integer from 1 to 6 and n is any integer from 2 to 12, such as, e.g., 8-amino-3,6-dioxaoctanoic acid, which is commercially available from Peptides International, Inc. (Louisville, KY).
- the spacer is a hydrophobic bifunctional spacer.
- the hydrophobic bifunctional spacer comprises two or more reactive groups, e.g., an amine, a hydroxyl, a thiol, and a carboxyl group or any combinations thereof.
- the hydrophobic bifunctional spacer comprises a hydroxyl group and a carboxylate.
- the hydropholic bifunctional spacer comprises an amine group and a carboxylate.
- the hydropholic bifunctional spacer comprises a thiol group and a carboxylate.
- Suitable hydrophobic bifunctional spacers comprising a carboxylate, and a hydroxyl group or a thiol group are known in the art and include, for example, 8-hydroxyoctanoic acid and 8- mercaptooctanoic acid.
- the spacer e.g., amino acid, dipeptide, tripeptide, hydrophilic bifunctional, or hydrophobic bifunctional spacer
- the spacer in specific embodiments is 3 to 10 atoms (e.g., 6 to 10 atoms, (e.g., 6, 7, 8, 9, or 10 atoms)) in length.
- the spacer is about 3 to 10 atoms (e.g., 6 to 10 atoms) in length and the alkyl is a C12 to Cl 8 alkyl group, e.g., C14 alkyl group, Cl 6 alkyl group, such that the total length of the spacer and alkyl group is 14 to 28 atoms, e.g., about 14, 15, 16, 17, 18, 19, 20, 21 , 22, 23, 24, 25, 26, 27, or 28 atoms.
- the length of the spacer and alkyl is 17 to 28 (e.g., 19 to 26, 19 to 21) atoms.
- the bifunctional spacer can be a synthetic or non-naturally occurring amino acid comprising an amino acid backbone 32993-208847
- the spacer can be a dipeptide or tripeptide spacer having a peptide backbone that is 3 to 10 atoms (e.g., 6 to 10 atoms) in length.
- the dipeptide or tripeptide spacer can be composed of naturally- occurring and/or non-naturally occurring amino acids, including, for example, any of the amino acids taught herein.
- the spacer comprises an overall negative charge, e.g., comprises one or two negatively charged amino acids.
- the dipeptide spacer is selected from the group consisting of: Ala-Ala, ⁇ - AIa- ⁇ -Ala, Leu-Leu, Pro-Pro,, ⁇ -aminobutyric acid- ⁇ -aminobutyric acid, and ⁇ -Glu- ⁇ - GIu.
- Suitable methods of peptide alkylation via amines, hydroxyls, and thiols are known in the art.
- a Williamson ether synthesis can be used to form an ether linkage between a hydroxyl group of the glucagon peptide and the alkyl group.
- a nucleophilic substitution reaction of the peptide with an alkyl halide can result in any of an ether, thioether, or amino linkage.
- the alkyl group of the alkylated glucagon peptide can be of any size, e.g., any length carbon chain, and can be linear or branched.
- the alkyl group is a C4 to C30 alkyl.
- the alkyl group can be any of a C4 alkyl, C6 alkyl, C8 alkyl, ClO alkyl, Cl 2 alkyl, Cl 4 alkyl, Cl 6 alkyl, Cl 8 alkyl, C20 alkyl, C22 alkyl, C24 alkyl, C26 alkyl, C28 alkyl, or a C30 alkyl.
- the alkyl group is a C8 to C20 alkyl, e.g., a C14 alkyl or a Cl 6 alkyl.
- the alkyl group comprises a steroid moiety of a bile acid, e.g., cholic acid, chenodeoxycholic acid, deoxycholic acid, lithocholic acid, taurocholic acid, glycocholic acid, and cholesterol acid.
- the glucagon peptide is modified to comprise an alkyl group by reacting a nucleophilic, long chain alkane with the glucagon peptide, wherein the glucagon peptide comprises a leaving group suitable for nucleophilic substitution.
- the nucleophilic group of the long chain alkane comprises an amine, hydroxyl, or thiol group (e.g. octadecylamine, tetradecanol, and hexadecanethiol).
- the leaving group of the glucagon peptide can be part of a side chain 32993-208847
- Suitable leaving groups include, for example, N-hydroxysuccinimide, halogens, and sulfonate esters.
- the glucagon peptide is modified to comprise an alkyl group by reacting the nucleophilic, long chain alkane with a spacer which is attached to the glucagon peptide, wherein the spacer comprises the leaving group.
- the long chain alkane comprises an amine, hydroxyl, or thiol group.
- the spacer comprising the leaving group can be any spacer discussed herein, e.g., amino acids, dipeptides, tripeptides, hydrophilic bifunctional spacers and hydrophobic bifunctional spacers further comprising a suitable leaving group.
- the long chain alkane in which a long chain alkane is alkylated by the glucagon peptide or the spacer, the long chain alkane may be of any size and can comprise any length of carbon chain.
- the long chain alkane can be linear or branched.
- the long chain alkane is a C4 to C30 alkane.
- the long chain alkane can be any of a C4 alkane, C6 alkane, C8 alkane, ClO alkane, Cl 2 alkane, C 14 alkane, C 16 alkane, C 18 alkane, C20 alkane, C22 alkane, C24 alkane, C26 alkane, C28 alkane, or a C30 alkane.
- the long chain alkane comprises a C8 to C20 alkane, e.g., a C14 alkane, C16 alkane, or a C18 alkane.
- alkylation can occur between the glucagon peptide and a cholesterol moiety.
- the hydroxyl group of cholesterol can displace a leaving group on the long chain alkane to form a «cholesterol-glucagon peptide product.
- the alkylated glucagon peptides described herein can be further modified to comprise a hydrophilic moiety.
- the hydrophilic moiety can comprise a polyethylene glycol (PEG) chain.
- PEG polyethylene glycol
- the alkylated glucagon peptide can comprise SEQ ID NO: 1 , or a modified amino acid sequence thereof comprising one or more of the amino acid modifications described herein, in which at least one of the amino acids at position 10, 20, 24, 29, and 40 comprise an alkyl group and at least one of the amino acids at position 16, 17, 21 , 24, 29, and 40, a position within a C-terminal extension or the C- terminal amino acid are modified to a Cys, Lys, Orn, homo-Cys, or Ac-Phe, and the side chain of the amino acid is covalently bonded to a hydrophilic moiety (e.g., PEG).
- a hydrophilic moiety e.g., PEG
- the alkyl group is attached to position 10 or 40, optionally via a spacer comprising Cys, Lys, Om, homo-Cys, or Ac-Phe, and the hydrophilic moiety is incorporated at a Cys residue at position 24.
- the alkylated glucagon peptide can comprise a spacer, wherein the spacer is both alkylated and modified to comprise the hydrophilic moiety.
- suitable spacers include a spacer comprising one or more amino acids selected from the group consisting of Cys, Lys, Orn, homo-Cys, and Ac-Phe.
- (SEQ ID NO: 1) having GIP agonist activity comprises SEQ ID NO: 1 with (a) an amino acid modification at position 1 that confers GIP agonist activity, (b) a modification which stabilizes the alpha helix structure of the C-terminal portion (amino acids 12-29) of the analog, and (c) optionally, 1 to 10 (e.g., 1, 2, 3, 4, 5, 6, 7, 8, 9, 10) further amino acid modifications.
- the analog exhibits at least about 1% activity of native GIP at the GIP receptor or any other activity level at the GIP receptor described herein.
- the modification which stabilizes the alpha helix structure is one which provides or introduces an intramolecular bridge, including, for example, a covalent intramolecular bridge, such as any of those described herein.
- the covalent intramolecular bridge in some embodiments is a lactam bridge.
- the lactam bridge of the analog of these embodiments can be a lactam bridge as described herein.
- the lactam bridge may be one which is between the side chains of amino acids at positions i and i+4 or between the side chains of amino acids at positions j and j+3, wherein i is 12, 13, 16, 17, 20 or 24, and wherein j is 17.
- the lactam bridge can be between the amino acids at positions 16 and 20, wherein one of the amino acids at positions 16 and 20 is substituted with GIu and the other of the amino acids at positions 16 and 20 is substituted with Lys.
- the modification which stabilizes the alpha helix structure is the introduction of one, two, three, or four ⁇ , ⁇ -disubstituted amino acids at 32993-208847
- the ⁇ , ⁇ -disubstituted amino acid is AIB.
- the ⁇ , ⁇ -disubstituted amino acid (e.g., AIB) is at position 20 and the amino acid atposition 16 is substituted with a positive-charged amino acid, such as, for example, an amino acid of Formula IV, which is described herein.
- the amino acid of Formula IV may be homoLys, Lys, Orn, or 2,4-diaminobutyric acid (Dab).
- the amino acid modification at position 1 is a substitution of His with an amino acid lacking an imidazole side chain, e.g. a large, aromatic amino acid (e.g., Tyr).
- the analog of glucagon comprises amino acid modifications at one, two or all of positions 27, 28 and 29.
- the Met at position 27 can be substituted with a large aliphatic amino acid, optionally Leu
- the Asn at position 28 can be substituted with a small aliphatic amino acid, optionally Ala
- the Thr at position 29 can be substituted with a small aliphatic amino acid, optionally GIy, or a combination of two or three of the foregoing.
- the analog of glucagon comprises Leu at position 27, Ala at position 28, and GIy or Thr at position 29.
- the analog of glucagon comprises an extension of 1 to 21 amino acids C-terminal to the amino acid at position 29.
- the extension can comprise the amino acid sequence of SEQ ID NO: 95 or 96, for instance.
- the analog of glucagon can comprise an extension of which 1-6 amino acids of the extension are positive-charged amino acids.
- the positive-charged amino acids may be amino acids of Formula IV, including, but not limited to Lys, homoLys, Orn, and Dab.
- the analog of glucagon in some embodiments is acylated or alkylated as described herein.
- the acyl or alkyl group may be attached to the analog of glucagon, with or without a spacer, at position 10 or 40 of the analog, as further described herein.
- the analog may additionally or alternatively be modified to comprise a hydrophilic moiety as further described herein.
- the analog comprises any one or a combination of the following modifications:
- Citrulline, Arg, Orn, or AIB Citrulline, Arg, Orn, or AIB; (i) Asp at position 21 substituted with GIu, homoglutamic acid, homocysteic acid; (j) VaI at position 23 substituted with He;
- the analog of glucagon (SEQ ID NO: 1) having GIP agonist activity comprises the following modifications:
- amino acid modifications at position 27 and/or 28 29, e.g., amino acid modifications at position 27 and/or 28, and (d) 1 -9 or 1-6 further amino acid modifications, e.g. 1 , 2, 3, 4, 5, 6, 7,
- the EC50 of the analog for GIP receptor activation is about 10 nM or less.
- the lactam bridge of the analog of these embodiments can be a lactam bridge as described herein. See, e.g., the teachings of lactam bridges under the section "Stabilization of the Alpha Helix Structure.”
- the lactam bridge can be between the amino acids at positions 16 and 20, wherein one of the amino acids at positions 16 and 20 is substituted with GIu and the other of the amino acids at positions 16 and 20 is substituted with Lys.
- the analog can comprise, for example, the amino acid sequence of any of SEQ ID NOs: 5-94.
- the analog of glucagon (SEQ ID NO: 1) having GIP agonist activity comprises the following modifications:
- amino acid modifications at position 27 and/or 28 29, e.g., amino acid modifications at position 27 and/or 28, and (d) 1 -9 or 1-6 further amino acid modifications, e.g. 1 , 2, 3, 4, 5, 6, 7,
- the EC50 of the analog for GIP receptor activation is about 10 nM or less.
- the ⁇ , ⁇ -disubstituted amino acid of the analog of these embodiments can be any ⁇ , ⁇ -disubstituted amino acid, including, but not limited to, amino iso-butyric acid (AIB), an amino acid disubstituted with the same or a different group selected from methyl, ethyl, propyl, and n-butyl, or with a cyclooctane or cycloheptane (e.g., 1- aminocyclooctane-1-carboxylic acid).
- AIB amino iso-butyric acid
- an amino acid disubstituted with the same or a different group selected from methyl, ethyl, propyl, and n-butyl or with a cyclooctane or cycloheptane (e.g., 1- aminocyclooctane-1-carboxylic acid).
- the amino acid at position 20 is substituted with an ⁇ , ⁇ -disubstituted amino acid, e.g., AIB.
- the analog can comprise, for example, the amino acid sequence of any of SEQ ID NOs: 99-141 , 144-164, 166-169, and 173-178. 32993-208847
- the analog of glucagon (SEQ ID NO: 1) having GIP agonist activity comprises the following modifications:
- each of Ri and R 2 is independently selected from the group consisting of H, C 1 -C 18 alkyl, (C 1 -C 18 alkyl)OH, (C 1 -C 18 alkyl)NH 2 , (C 1 -C 18 alkyl)SH, (C 0 -C 4 alkyl)(C 3 -C 6 )cycloalkyl, (C 0 -C 4 alkyl)(C 2 -C 5 heterocyclic), (C 0 -C 4 alkyl)(C 6 -C 10 aryl)R 7 , and (C 1 -C 4 alkyl)(C 3 - C 9 heteroaryl), wherein R 7 is H or OH, and the side chain of the amino acid of Formula IV comprises a free amino group,
- the amino acid of Formula IV of the analog of these embodiments may be any amino acid, such as, for example, the amino acid of Formula IV, wherein n is 1 , 2, 3, 4, 5, 6, 7, 8, 9, 10, 1 1 , 12, 13, 14, 15, or 16. In certain embodiments, n is 2, 3, 4, or 5, in which case, the amino acid is Dab, Orn, Lys, or homoLys respectively. 32993-208847
- the alpha, alpha-disubstituted amino acid of the analog of these embodiments may be any alpha, alpha-disubstituted amino acid, including, but not limited to, amino iso-butyric acid (AIB), an amino acid disubstituted with the same or a different group selected from methyl, ethyl, propyl, and n-butyl, or with a cyclooctane or cycloheptane (e.g., 1-aminocyclooctane-l-carboxylic acid).
- AIB amino iso-butyric acid
- an amino acid disubstituted with the same or a different group selected from methyl, ethyl, propyl, and n-butyl or with a cyclooctane or cycloheptane (e.g., 1-aminocyclooctane-l-carboxylic acid).
- the analog can comprise, for example, the amino acid sequence of any of SEQ ID NOs: 99-165.
- the analog of glucagon (SEQ ID NO: 1) having GIP agonist activity comprises:
- the acylated or alkylated amino acid is an amino acid of Formula I, II, or III.
- the amino acid of Formula I is Dab, Orn, Lys, or homoLys.
- the extension of about 1 to about 21 amino acids comprises the amino acid sequence of GPSSGAPPPS (SEQ ID NO: 95) or XGPSSGAPPPS (SEQ ID NO: 96), wherein X is any amino acid, or GPSSGAPPPK (SEQ ID NO: 170) or XGPSSGAPPPK (SEQ ID NO: 171) or XGPSSGAPPPSK (SEQ ID NO: 172), wherein X is GIy or a small, aliphatic or non-polar or slightly polar amino acid.
- the about 1 to about 21 amino acids may comprise sequences containing one or more conservative substitutions relative to SEQ ID NO: 95, 96, 170, 171 or 172.
- the acylated or alkylated amino acid is located at position 37, 38, 39, 40, 41, 42, or 43 of the C-terminally-extended analog. In certain embodiments, the acylated or alkylated amino acid is located at position 40 of the C-terminally extended analog. 32993-208847
- the analog having GIP agonist activity further comprises amino acid modifications at one, two or all of positions 27, 28 and 29, e.g., amino acid modifications at position 27 and/or 28.
- the amino acid modification at position 1 that confers GIP agonist activity can be a substitution of His with an amino acid lacking an imidazole side chain.
- the amino acid modification at position 1 can, for example, be a substitution of His with a large, aromatic amino acid.
- the large, aromatic amino acid is any of those described herein, including, for example, Tyr.
- amino acid modifications at one, two, or all of positions 27, 28, and 29 can be any of the modifications at these positions described herein.
- the Met at position 27 can be substituted with a large aliphatic amino acid, optionally Leu
- the Asn at position 28 can be substituted with a small aliphatic amino acid, optionally Ala
- the Thr at position 29 can be substituted with a small aliphatic amino acid, optionally GIy.
- the analog can comprise such amino acid modifications at position 27 and/or 28.
- the analog of the above exemplary embodiments can further comprise 1-9 or 1-6 further, additional amino acid modifications, e.g. 1 , 2, 3, 4, 5, 6, 7, 8 or 9 further amino acid modifications, such as, for example, any of the modifications described herein which increase or decrease the activity at any of the GIP, GLP-I, and glucagon receptors, improve solubility, improve duration of action or half-life in circulation, delay the onset of action, or increase stability.
- the analog can further comprise, for example, an amino acid modification at position 12, optionally, a substitution with He, and/or amino acid modifications at positions 17 and 18, optionally substitution with Q at position 17 and A at position 18, and/or an addition of GPSSGAPPPS (SEQ ID NO: 95) or
- XGPSSGAPPPS (SEQ ID NO: 96), or sequences containing one or more conservative substitutions relative to SEQ ID NO: 95 or 96, to the C-terminus.
- the analog can comprise one or more of the following modifications:
- the analog in some embodiments comprise a combination of the modifications (i) through (xii).
- the analog can comprise an amino acid modification at position 3 (e.g., an amino acid substitution of GIn with GIu), wherein the analog has less than 1% of the activity of glucagon at the glucagon receptor.
- the analog can comprise an amino acid modification at position 7 (e.g., an amino acid substitution of Thr with an amino acid lacking a hydroxyl group, e.g., Abu or He), wherein the analog has less than about 10% of the activity of GLP-I at the GLP-I receptor.
- the analog can be covalently linked to a hydrophilic moiety.
- the analog is covalently linked to the hydrophilic moiety at any of amino acid positions 16, 17, 20, 21 , 24, 29, 40, or the C- terminus.
- the analog comprises a C-terminal extension (e.g., an amino acid sequence of SEQ ID NO: 95) and an addition of an amino acid comprising the hydrophilic moiety, such that the hydrophilic moiety is covalently linked to the analog at position 40.
- the hydrophilic moiety is covalently linked to a Lys, Cys,
- homocysteine, or acetyl-phenylalanine may be an amino acid that is native to the glucagon sequence (SEQ ID NO: 1) or it may be an amino acid which is replacing a native amino acid of SEQ ID NO: 1.
- the linkage to the hydrophilic moiety can comprise the structure
- the hydrophilic moiety may be any of those described herein. See, e.g., the teachings under the section "Linkage of hydrophilic moieties.”
- the hydrophilic moiety is a polyethylene glycol (PEG).
- PEG polyethylene glycol
- the PEG in certain embodiments has a molecular weight of about 1 ,000 Daltons to about 40,000 Daltons, e.g., about 20,000 Daltons to about 40,000 Daltons.
- the analog can comprise a modified amino acid in which the side chain is covalently linked to an acyl or alkyl group (e.g., an acyl or alkyl group which is non-native to a naturally-occurring amino acid).
- an acyl or alkyl group e.g., an acyl or alkyl group which is non-native to a naturally-occurring amino acid.
- the acylated or alkylated analog can be in accordance with acylated or alkylated peptides described in the section "Acylation and alkylation.”
- the acyl group is a C4 to a C30 fatty acyl group, such as, for example, a ClO fatty acyl or alkyl group, a C 12 fatty acyl or alkyl group, a C 14 fatty acyl or alkyl group, a Cl 6 fatty acyl or alkyl group, a C 18 fatty acyl or alkyl group, a C20 acyl or alkyl group, or a C22 acyl or alkyl group.
- the acyl or alkyl group may be covalently attached to any amino acid of the analog, including, but not limited to the amino acid at position 10 or 40, or the C-terminal amino acid.
- the analog comprises a C-terminal extension (e.g., an amino acid sequence of SEQ ID NO: 95) and an addition of an amino acid comprising the acyl or alkyl group, such that the acyl or alkyl group is covalently linked to the analog at position 40.
- the acyl or alkyl group is covalently linked to the 32993-208847
- the acyl or alkyl group may be covalently linked to an amino acid which is native to the glucagon sequence (SEQ ID NO: 1) or may be linked to an amino acid which is added to the sequence of SEQ ID NO: 1 or to the sequence of SEQ ID NO: 1 followed by SEQ ID NO: 95 (at the N- or C-terminus) or may be linked to an amino acid which replaces a native amino acid, e.g., the Tyr at position 10 of SEQ ID NO: 1.
- the analog may be attached to the acyl or alkyl group via a spacer, as described herein.
- the spacer may be 3 to 10 atoms in length and may be, for instance, an amino acid (e.g., 6-amino hexanoic acid, any amino acid described herein), a dipeptide (e.g., Ala-Ala, ⁇ Ala- ⁇ Ala, Leu-Leu, Pro-Pro, ⁇ Glu- ⁇ Glu), a tripeptide, or a hydrophilic or hydrophobic bifunctional spacer.
- the total length of " the spacer and the acyl or alkyl group is about 14 to about 28 atoms.
- the analog of glucagon having GIP agonist activity comprises the amino acid sequence according to any one of SEQ ID NOs: 227, 228, 229 or 230 that further comprises the following modifications:
- the acylated or alkylated amino acid is an amino acid of Formula I, II, or III.
- the amino acid of Formula I is Dab, Orn, Lys, or homoLys.
- the about 1 to about 21 amino acids comprises the amino acid sequence of GPSSGAPPPS (SEQ ID NO: 95) or XGPSSGAPPPS (SEQ ID NO: 96), wherein X is any amino acid, or GPSSGAPPPK (SEQ ID NO: 170) or XGPSSGAPPPK (SEQ ID NO: 171) or XGPSSGAPPPSK (SEQ ID NO: 172), wherein X is GIy or a small, aliphatic or non-polar or slightly polar amino acid.
- the about 1 to about 21 amino acids may comprise sequences containing 32993-208847
- the acylated or alkylated amino acid is located at position 37, 38, 39, 40, 41 , 42, or 43 of the C-terminally-extended analog. In certain embodiments, the acylated or alkylated amino acid is located at position 40 of the C-terminally extended analog.
- the amino acid at position 1 that confers GIP agonist activity can be an amino acid lacking an imidazole side chain.
- the amino acid at position 1 can, for example, be a large, aromatic amino acid.
- the large, aromatic amino acid is any of those described herein, including, for example, Tyr.
- the analog of the above exemplary embodiments can further comprise 1 -6 further amino acid modifications, such as, for example, any of the modifications described herein which increase or decrease the activity at any of the GIP, GLP-I , and glucagon receptors, improve solubility, improve duration of action or half-life in circulation, delay the onset of action, or increase stability.
- glucagon analogs described in the above exemplary embodiment comprise further amino acid modifications at one, two or all of positions 27, 28 and 29. Modifications at these positions can be any of the modifications described herein relative to these positions.
- position 27 can be substituted with a large aliphatic amino acid (e.g., Leu, He or norleucine) or Met
- position 28 can be substituted with another small aliphatic amino acid (e.g., GIy or Ala) or Asn
- position 29 can be substituted with another small aliphatic amino acid (e.g., Ala or GIy) or Thr.
- the analog can comprise such amino acid modifications at position 27 and/or 28.
- the analog can further comprise one or more of the following additional modifications:
- amino acid at position 2 is any one of D-Ser, Ala, D-AIa, GIy,
- the amino acid at position 12 is He, Lys or Arg
- the amino acid at position 16 is any one of Ser, GIu, GIn, homoglutamic acid, homocysteic acid, Thr, GIy, or AIB
- the amino acid at position 17 is GIn or Arg
- the amino acid at position 18 is any one of Ala, Arg, Ser, Thr, or
- amino acid at position 20 is any one of Ala, Ser, Thr, Lys,
- the amino acid at position 21 is any one of GIu, Asp, homoglutamic acid, homocysteic acid;
- the amino acid at position 23 is VaI or He;
- the amino acid at position 24 is any one of GIn, Asn, Ala, Ser, Thr, or AIB; and (xii) one or more conservative substitutions at any of positions 2, 5, 9,
- the analog in some embodiments comprise a combination of the modifications (i) through (xii).
- the analog can comprise an amino acid modification at position 3 (e.g., an amino acid substitution of GIn with GIu), wherein the analog has less than 1% of the activity of glucagon at the glucagon receptor.
- the analog can comprise an amino acid modification at position 7 (e.g., an amino acid substitution of Thr with an amino acid lacking a hydroxyl group, e.g., Abu or He), wherein the analog has less than about 10% of the activity of GLP-I at the GLP-I receptor.
- the analog can be covalently linked to a hydrophilic moiety.
- the analog is covalently linked to the hydrophilic moiety at any of amino acid positions 16, 17, 20, 21 , 24, 29, 40, or the C- terminus.
- the analog comprises a hydrophilic moiety covalently linked to the analog at position 24.
- the hydrophilic moiety is covalently linked to a Lys, Cys,
- homocysteine, or acetyl-phenylalanine may be an amino acid that is native to SEQ ID NO: 1 , 227, 228, 229 or 230 or it may be a substituted amino acid.
- the linkage may comprise the structure
- the hydrophilic moiety may be any of those described herein. See, e.g., the teachings under the section "Linkage of hydrophilic moieties.”
- the hydrophilic moiety is a polyethylene glycol (PEG).
- PEG polyethylene glycol
- the PEG in certain embodiments has a molecular weight of about 1,000 Daltons to about 40,000 Daltons, e.g., about 20,000 Daltons to about 40,000 Daltons.
- the analog can comprise a modified amino acid within the C-terminal extension in which the side chain is covalently linked to an acyl or alkyl group.
- the acylated or alkylated analog can be in accordance with acylated or alkylated peptides described in the section "Acylation and alkylation.”
- the acyl group is a C4 to a C30 fatty acyl group, such as, for example, a ClO fatty acyl or alkyl group, a Cl 2 fatty acyl or alkyl group, a C14 fatty acyl or alkyl group, a Cl 6 fatty acyl or alkyl group, a Cl 8 fatty acyl or alkyl group, a C20 acyl or alkyl group, or a C22 acyl or alkyl group.
- the acyl or alkyl group may be covalently attached to any amino acid of the analog, including, but not limited to the amino acid at position 10 or 40, or the C-terminal amino acid.
- the acyl or alkyl group is covalently linked to the side chain of an amino acid of Formula I, II, or III, e.g., a Lys residue.
- the acyl or alkyl group is covalently linked to an amino acid which is native to SEQ ID NO: 1 , 227, 228, 229 or 230 or it may be linked to a substituted amino acid.
- the acyl or alkyl group is covalently linked to an amino acid which is native to SEQ ID NO: 95, 96, 171 or 172, or it may be linked to a substituted amino acid. 32993-208847
- the analog may be attached to the acyl or alkyl group via a spacer, as described herein.
- the spacer may be 3 to 10 atoms in length and may be, for instance, an amino acid (e.g., 6-amino hexanoic acid, any amino acid described herein), a dipeptide (e.g., Ala-Ala, ⁇ Ala- ⁇ Ala, Leu-Leu, Pro-Pro, ⁇ Glu- ⁇ Glu), a tripeptide, or a hydrophilic or hydrophobic bifunctional spacer.
- the total length of the spacer and the acyl or alkyl group is about 14 to about 28 atoms.
- an analog of the invention comprises an amino acid sequence selected from the group consisting of SEQ ID NOs: 99-141 , 144- 164, 166, 192-207, 209-221 and 223 or selected from the group consisting of SEQ ID NOs: 167-169,173-178 and 225.
- the analog of glucagon having GIP agonist activity comprises an acyl or alkyl group (e.g., an acyl or alkyl group which is non-native to a naturally occurring amino acid), wherein the acyl or alkyl group is attached to a spacer, wherein (i) the spacer is attached to the side chain of the amino acid at position 10 of the analog; or (ii) the analog comprises an extension of 1 to 21 amino acids C-terminal to the amino acid at position 29 and the spacer is attached to the side chain of an amino acid corresponding to one of positions 37-43 relative to SEQ ID NO: 1 , wherein the EC50 of the analog for GIP receptor activation is about 10 nM or less.
- an acyl or alkyl group e.g., an acyl or alkyl group which is non-native to a naturally occurring amino acid
- the analog comprises an extension of 1 to 21 amino acids C-terminal to the amino acid at position 29 and the spacer is attached to the side chain of
- the analog may comprise an amino acid sequence of SEQ ID NO: 1 with (i) an amino acid modification at position 1 that confers GIP agonist activity, (ii) amino acid modifications at one, two, or all of positions 27, 28, and 29, (iii) at least one of:
- the analog comprises a lactam bridge between the side chains of amino acids at positions i and i+4 or between the side chains of amino acids at positions j and j+3, wherein i is 12, 13, 16, 17, 20 or 24, and wherein j is 17;
- the analog comprises (i) an amino acid substitution of Ser at position 16 with an amino acid of Formula IV:
- n is 1 to 7, wherein each of Rl and R2 is independently selected from the group consisting of H, C 1 -Ci 8 alkyl, (Ci-Ci 8 alkyl)OH, (C,-Ci 8 alkyl)NH 2, (Ci-Ci 8 alkyl)SH, (C 0 -C 4 alkyl)(C 3 -C 6 )cycloalkyl, (C 0 -C 4 alkyl)(C 2 -C 5 heterocyclic), (C 0 -C 4 alkyl)(C 6 -Cio 8IyI)R 7 ; and (Ci-C 4 alkyl)(C 3 -C 9 heteroaryl), wherein R 7 is H or OH, and the side chain of the amino acid of Formula IV comprises a free amino group; and (ii) an amino acid substitution of the GIn at position 20 with an alpha, alpha-disubstituted amino acid.
- the alpha, alpha-disubstituted amino acid of the analog of these embodiments may be any alpha, alpha-disubstituted amino acid, including, but not limited to, amino iso-butyric acid (AIB), an amino acid disubstituted with the same or a different group selected from methyl, ethyl, propyl, and n-butyl, or with a cyclooctane or cycloheptane (e.g., 1-aminocyclooctane-l-carboxylic acid).
- AIB amino iso-butyric acid
- an amino acid disubstituted with the same or a different group selected from methyl, ethyl, propyl, and n-butyl or with a cyclooctane or cycloheptane (e.g., 1-aminocyclooctane-l-carboxylic acid).
- the amino acid of Formula IV of the analog of these embodiments may be any amino acid, such as, for example, the amino acid of Formula IV, wherein n is 1 , 2, 3, 4, 5, 6, 7, 8, 9, 10, 1 1 , 12, 13, 14, 15, or 16. In certain embodiments, n is 2, 3, 4, or 5, in which case, the amino acid is Dab, Orn, Lys, or homoLys respectively.
- the amino acid modification at position 1 that confers GIP agonist activity can be a substitution of His with an amino 32993-208847
- the a ⁇ iino acid modification at position 1 can, for example, be a substitution of His with a large, aromatic amino acid.
- the large, aromatic amino acid is any of those described herein, including, for example, Tyr.
- amino acid modifications at one, two, or all of positions 27, 28, and 29 can be any of the modifications at these positions described herein.
- the Met at position 27 can be substituted with a large aliphatic amino acid, optionally Leu
- the Asn at position 28 can be substituted with a small aliphatic amino acid, optionally Ala
- the Thr at position 29 can be substituted with a small aliphatic amino acid, optionally GIy.
- the analog can comprise such amino acid modifications at position 27 and/or 28.
- the analog of the above exemplary embodiments can further comprise 1 -9 or 1-6 further, additional amino acid modifications, e.g. 1, 2, 3, 4, 5, 6, 7, 8 or 9 further amino acid modifications, such as, for example, any of the modifications described herein which increase or decrease the activity at any of the GIP, GLP-I, and glucagon receptors, improve solubility, improve duration of action or half-life in circulation, delay the onset of action, or increase stability.
- the analog can further comprise, for example, an amino acid modification at position 12, optionally, a substitution with He, and/or amino acid modifications at positions 17 and 18, optionally substitution with Q at position 17 and A at position 18, and/or an addition of GPSSGAPPPS (SEQ ID NO: 95) or
- XGPSSGAPPPS (SEQ ID NO: 96), or sequences containing one or more conservative substitutions relative to SEQ ID NO: 95 or 96, to the C-terminus.
- the analog can comprise one or more of the following modifications:
- the analog in some embodiments comprise a combination of the modifications (i) through (xii).
- the analog can comprise an amino acid modification at position 3 (e.g., an amino acid substitution of GIn with GIu), wherein the analog has less than 1% of the activity of glucagon at the glucagon receptor.
- the analog can comprise an amino acid modification at position 7 (e.g., an amino acid substitution of Thr with an amino acid lacking a hydroxyl group, e.g., Abu or He), a deletion of the amino acid(s) C-terminal to the amino acid at position 27 or 28, yielding a 27- or 28-amino acid peptide, or a combination thereof, wherein the analog has less than about 10% of the activity of GLP-I at the GLP-I receptor.
- the analog can be covalently linked to a hydrophilic moiety. In some embodiments, the analog is covalently linked to the hydrophilic moiety at any of amino acid positions 16, 17, 20, 21, 24, 29, 40, or the C- terminus.
- the analog comprises a C-terminal extension (e.g., an amino acid sequence of SEQ ID NO: 95) and an addition of an amino acid comprising the hydrophilic moiety, such that the hydrophilic moiety is covalently linked to the analog at position 40.
- a C-terminal extension e.g., an amino acid sequence of SEQ ID NO: 95
- an addition of an amino acid comprising the hydrophilic moiety such that the hydrophilic moiety is covalently linked to the analog at position 40.
- the hydrophilic moiety is covalently linked to a Lys, Cys, Orn, homocysteine, or acetyl -phenylalanine of the analog.
- the Lys, Cys, Orn, homocysteine, or acetyl-phenylalanine may be an amino acid that is native to the glucagon sequence (SEQ ID NO: 1) or it may be an amino acid which is replacing a native amino acid of SEQ ID NO: 1.
- SEQ ID NO: 1 glucagon sequence
- the linkage to the hydrophilic moiety can comprise the structure
- the hydrophilic moiety may be any of those described herein. See, e.g., the teachings under the section "Linkage of hydrophilic moieties.”
- the hydrophilic moiety is a polyethylene glycol (PEG).
- PEG polyethylene glycol
- the PEG in certain embodiments has a molecular weight of about 1,000 Daltons to about 40,000 Daltons, e.g., about 20,000 Daltons to about 40,000 Daltons.
- the spacer can be any spacer as described herein.
- the spacer may be 3 to 10 atoms in length and may be, for instance, an amino acid (e.g., 6-amino hexanoic acid, any amino acid described herein), a dipeptide (e.g., Ala-Ala, ⁇ Ala- ⁇ Ala, Leu-Leu, Pro-Pro, ⁇ Glu- ⁇ Glu), a tripeptide, or a hydrophilic or hydrophobic bifunctional spacer.
- the total length of the spacer and the acyl or alkyl group is about 14 to about 28 atoms.
- the acyl or alkyl group is any acyl or alkyl group as described herein, such as an acyl or alkyl group which is non-native to a naturally occurring amino acid.
- the acyl or alkyl group in some embodiments is a C4 to C30 fatty acyl group, such as, for example, a Cl O fatty acyl or alkyl group, a C12 fatty acyl or alkyl group, a C14 fatty acyl or alkyl group, a C16 fatty acyl or alkyl group, a C18 fatty acyl or alkyl group, a C20 acyl or alkyl group, or a C22 acyl or alkyl group, or a C4 to C30 alkyl group.
- the acyl group is a C12 to Cl 8 fatty acyl group (e.g., a C14 or C16 fatty acyl group).
- the extension of about 1 to about 21 amino acids C- terminal to the amino acid at position 29 of the analog comprises the amino acid sequence of GPSSGAPPPS (SEQ ID NO: 95) or XGPSSGAPPPS (SEQ ID NO: 96), 32993-208847
- X is any amino acid, or GPSSGAPPPK (SEQ ID NO: 170) or XGPSSGAPPPK (SEQ ID NO: 171) or XGPSSGAPPPSK (SEQ ID NO: 172), wherein X is GIy or a small, aliphatic or non-polar or slightly polar amino acid.
- the about 1 to about 21 amino acids may comprise sequences containing one or more conservative substitutions relative to SEQ ID NO: 95, 96, 170, 171 or 172.
- the acylated or alkylated amino acid is located at position 37, 38, 39, 40, 41, 42, or 43 of the C-terminally-extended analog. In certain embodiments, the acylated or alkylated amino acid is located at position 40 of the C-terminally extended analog.
- compositions and treatment methods are provided.
- the invention provides a pharmaceutical composition
- a pharmaceutical composition comprising any of the novel glucagon peptides disclosed herein, preferably sterile and preferably at a purity level of at least 90%, 91%, 92%, 93%, 94%, 95%, 96%, 97%, 98% or 99%, and a pharmaceutically acceptable diluent, carrier or excipient.
- compositions may contain a glucagon peptide at a concentration of at least A, wherein A is 0.001 mg/ml, 0.01 mg/ml, 0.1 mg/ml, 0.5 mg/ml, 1 mg/ml, 2 mg/ml, 3 mg/ml, 4 mg/ml, 5 mg/ml, 6 mg/ml, 7 mg/ml, 8 mg/ml, 9 mg/ml, 10 mg/ml, 1 1 mg/ml, 12 mg/ml, 13 mg/ml, 14 mg/ml, 15 mg/ml, 16 mg/ml, 17 mg/ml, 18 mg/ml, 19 mg/ml, 20 mg/ml, 21 mg/ml, 22 mg/ml, 23 mg/ml, 24 mg/ml, 25 mg/ml or higher.
- A is 0.001 mg/ml, 0.01 mg/ml, 0.1 mg/ml, 0.5 mg/ml, 1 mg/ml, 2 mg/ml, 3
- compositions may contain a glucagon peptide at a concentration of at most B, wherein B is 30 mg/ml, 25 mg/ml, 24 mg/ml, 23, mg/ml, 22 mg/ml, 21 mg/ml, 20 mg/ml, 19 mg/ml, 18 mg/ml, 17 mg/ml, 16 mg/ml, 15 mg/ml, 14 mg/ml, 13 mg/ml, 12 mg/ml, 1 1 mg/ml 10 mg/ml, 9 mg/ml, 8 mg/ml, 7 mg/ml, 6 mg/ml, 5 mg/ml, 4 mg/ml, 3 mg/ml, 2 mg/ml, 1 mg/ml, or 0.1 mg/ml.
- B is 30 mg/ml, 25 mg/ml, 24 mg/ml, 23, mg/ml, 22 mg/ml, 21 mg/ml, 20 mg/ml, 19 mg/ml, 18 mg/ml, 17 mg/ml,
- the compositions may contain a glucagon peptide at a concentration range of A to B mg/ml, for example, 0.001 to 30.0 mg/ml.
- the pharmaceutical compositions comprise aqueous solutions that are sterilized and optionally stored within various containers.
- the compounds of the present invention can be used in some embodiments to prepare pre-formulated solutions ready for injection.
- the pharmaceutical compositions comprise a lyophilized powder.
- the pharmaceutical compositions can be further packaged as part of a kit that includes a disposable device for administering the composition to a patient.
- the 32993-208847 is a sterilized and optionally stored within various containers.
- the compounds of the present invention can be used in some embodiments to prepare pre-formulated solutions ready for injection.
- the pharmaceutical compositions comprise a lyophilized powder.
- the pharmaceutical compositions can be further packaged as part of a kit that includes a disposable device for administering the composition to a patient. The 32993-208847
- containers or kits may be labeled for storage at ambient room temperature or at refrigerated temperature.
- the glucagon peptides can be administered to a patient using any standard route of administration, including parenterally, such as intravenously, intraperitoneally, subcutaneously or intramuscularly, intrathecally, transdermally, rectally, orally, nasally or by inhalation.
- parenterally such as intravenously, intraperitoneally, subcutaneously or intramuscularly, intrathecally, transdermally, rectally, orally, nasally or by inhalation.
- the composition is administered subcutaneously or intramuscularly.
- the kit is provided with a device for administering the glucagon composition to a patient, e.g. syringe needle, pen device, jet injector or other needle-free injector.
- the kit may alternatively or in addition include one or more containers, e.g., vials, tubes, bottles, single or multi-chambered pre-filled syringes, cartridges, infusion pumps (external or implantable), jet injectors, pre-filled pen devices and the like, optionally containing the glucagon peptide in a lyophilized form or in an aqueous solution.
- the kits will also include instructions for use.
- the device of the kit is an aerosol dispensing device, wherein the composition is prepackaged within the aerosol device.
- the kit comprises a syringe and a needle, and in one embodiment the sterile glucagon composition is prepackaged within the syringe.
- a pharmaceutical composition comprising a GIP active glucagon analog of the present disclosure, or pharmaceutically acceptable salt thereof, and a pharmaceutically acceptable carrier.
- the pharmaceutical composition can comprise any pharmaceutically acceptable ingredient, including, for example, acidifying agents, additives, adsorbents, aerosol propellants, air displacement agents, alkalizing agents, anticaking agents, anticoagulants, antimicrobial preservatives, antioxidants, antiseptics, bases, binders, buffering agents, chelating agents, coating agents, coloring agents, desiccants, detergents, diluents, disinfectants, disintegrants, dispersing agents, dissolution enhancing agents, dyes, emollients, emulsifying agents, emulsion stabilizers, fillers, film forming agents, flavor enhancers, flavoring agents, flow enhancers, gelling agents, granulating agents, humectants, lubricants, mucoadhesives, ointment bases,
- sequestering agents skin penetrants, solubilizing agents, solvents, stabilizing agents, suppository bases, surface active agents, surfactants, suspending agents, sweetening agents, therapeutic agents, thickening agents, tonicity agents, toxicity agents, viscosity- increasing agents, water-absorbing agents, water-miscible cosolvents, water softeners, or wetting agents.
- the pharmaceutical composition comprises any one or a combination of the following components: acacia, acesulfame potassium, acetyltributyl citrate, acetyltriethyl citrate, agar, albumin, alcohol, dehydrated alcohol, denatured alcohol, dilute alcohol, aleuritic acid, alginic acid, aliphatic polyesters, alumina, aluminum hydroxide, aluminum stearate, amylopectin, ⁇ -amylose, ascorbic acid, ascorbyl palmitate, aspartame, bacteriostatic water for injection, bentonite, bentonite magma, benzalkonium chloride, benzethonium chloride, benzoic acid, benzyl alcohol, benzyl benzoate, bronopol, butylated hydroxyanisole, butylated hydroxytoluene, butylparaben, butylparaben sodium, calcium alginate, calcium ascorbate, calcium
- phosphate docusate calcium, docusate potassium, docusate sodium, dodecyl gallate, dodecyltrimethylammonium bromide, edentate calcium disodium, edtic acid, eglumine, ethyl alcohol, ethylcellulose, ethyl gallate, ethyl laurate, ethyl maltol, ethyl oleate, ethylparaben, ethylparaben potassium, ethylparaben sodium, ethyl vanillin, fructose, fructose liquid, fructose milled, fructose pyrogen-free, powdered fructose, fumaric acid, gelatin, glucose, liquid glucose, glyceride mixtures of saturated vegetable fatty acids, glycerin, glyceryl behenate, glyceryl monooleate, glyceryl monostearate, self-emul
- esters polyoxyethylene stearates, polyvinyl alcohol, polyvinyl pyrrolidone, potassium alginate, potassium benzoate, potassium bicarbonate, potassium bisulfite, potassium chloride, postassium citrate, potassium citrate anhydrous, potassium hydrogen phosphate, potassium metabisulfite, monobasic potassium phosphate, potassium propionate, potassium sorbate, povidone, propanol, propionic acid, propylene carbonate, propylene glycol, propylene glycol alginate, propyl gallate, propylparaben, propylparaben potassium, propylparaben sodium, protamine sulfate, rapeseed oil, Ringer's solution, saccharin, saccharin ammonium, saccharin calcium, saccharin sodium, safflower oil, saponite, serum proteins, sesame oil, colloidal silica, colloidal silicon dioxide, sodium alginate, sodium ascorbate, sodium benzoate, sodium bicarbon
- the pharmaceutical formulations disclosed herein may be designed to be short- acting, fast-releasing, long-acting, or sustained-releasing as described below.
- the pharmaceutical formulations may also be formulated for immediate release, controlled release or for slow release.
- the instant compositions may further comprise, for example, micelles or liposomes, or some other encapsulated form, or may be administered in an extended release form to provide a prolonged storage and/or delivery effect.
- the disclosed pharmaceutical formulations may be administered according to any regime including, for example, daily (1 time per day, 2 times per day, 3 times per day, 4 times per day, 5 times per day, 6 times per day), every two days, every three days, every four days, every five days, every six days, weekly, bi-weekly, every three weeks, monthly, or bi-monthly.
- the foregoing component(s) may be present in the pharmaceutical composition at any concentration, such as, for example, at least A, wherein A is 0.0001% w/v, 0.001% w/v, 0.01% w/v, 0.1% w/v, 1% w/v, 2% w/v, 5% w/v, 10% w/v, 20% w/v, 30% w/v, 40% w/v, 50% w/v, 60% w/v, 70% w/v, 80% w/v, or 90% w/v.
- A is 0.0001% w/v, 0.001% w/v, 0.01% w/v, 0.1% w/v, 1% w/v, 2% w/v, 5% w/v, 10% w/v, 20% w/v, 30% w/v, 40% w/v, 50% w/v, 60% w/v, 70% w/v, 80% w/v, or 90% w/v.
- the foregoing component(s) may be present in the pharmaceutical composition at any concentration, such as, for example, at most B, wherein B is 90% w/v, 80% w/v, 70% w/v, 60% w/v, 50% w/v, 40% w/v, 30% w/v, 20% w/v, 10% w/v, 5% w/v, 2% w/v, 1% w/v, 0.1% w/v, 0.001% w/v, or 0.0001%.
- the foregoing component(s) may be present in the pharmaceutical composition at any concentration range, such as, for example from about A to about B. In some embodiments, A is 0.0001% and B is 90%. 32993-208847
- the pharmaceutical compositions may be formulated to achieve a physiologically compatible pH.
- the pH of the pharmaceutical composition may be at least 5, at least 5.5, at least 6, at least 6.5, at least 7, at least 7.5, at least 8, at least 8.5, at least 9, at least 9.5, at least 10, or at least 10.5 up to and including pH 11 , depending on the formulation and route of administration.
- the pharmaceutical compositions may comprise buffering agents to achieve a physiological compatible pH.
- the buffering agents may include any compounds capabale of buffering at the desired pH such as, for example, phosphate buffers (e.g.
- the strength of the buffer is at least 0.5 mM, at least 1 mM, at least 5 mM, at least 10 mM, at least 20 mM, at least 30 mM, at least 40 mM, at least 50 mM, at least 60 mM, at least 70 mM, at least 80 mM, at least 90 mM, at least 100 mM, at least 120 mM, at least 150 mM, or at least 200 mM.
- the strength of the buffer is no more than 300 mM (e.g. at most 200 mM, at most 100 mM, at most 90 mM, at most 80 mM, at most 70 mM, at most 60 mM, at most 50 mM, at most 40 mM, at most 30 mM, at most 20 mM, at most 10 mM, at most 5 mM, at most 1 mM).
- Glucagon peptides that are GIP/GLP-1 co-agonists, glucagon/GIP co-agonists and glucagon/GIP/GLP-1 tri-agonists may be used in any indication for which each of their activities has been previously described as useful.
- glucagon activity can increase glucose levels, for insulin buffering, or to decrease gut motility during radiological examination.
- GLP-I activity can lower glucose levels, an activity useful for treating hyperglycemia, e.g. diabetes.
- GLP-I activity can also induce weight loss or prevent weight gain, e.g. through decreasing appetite.
- GIP activity can also lower glucose levels, an activity useful for treating hyperglycemia, e.g. diabetes.
- GIP/GLP-1 co-agonists and glucagon/GIP/GLP-1 tri-agonists are particularly advantageous for inducing weight loss or preventing weight gain, as well as for treating hyperglycemia, including diabetes.
- In vivo data disclosed herein demonstrates that the combination of GIP agonist activity with GLP-I agonist activity produces a greater effect on weight reduction than GLP-I alone. This activity is particularly unexpected in view of teachings in the art that antagonizing GIP is desirable for reducing daily food intake and body weight, and increasing insulin sensitivity and energy expenditure. (Irwin et al., 32993-208847
- glucagon peptides described herein are expected to be used to reduce or maintain body weight, or to treat hyperglycemia, or to reduce blood glucose level, or to normalize and/or stabilize blood glucose level.
- a method of treating hyperglycemia, or a method of reducing weight gain or inducing weight loss involves administering an effective amount of an aqueous solution comprising a glucagon peptide of the invention.
- methods of treating diabetes involving coadministering a conventional dose or a reduced dose of insulin and a glucagon peptide of the invention are provided. Methods of treating diabetes with a glucagon peptide of the invention, without co-administering insulin are also provided.
- Such methods for treating hyperglycemia are expected to be useful for a variety of types of hyperglycemia, including diabetes, diabetes mellitus type I, diabetes mellitus type II, or gestational diabetes, either insulin-dependent or non-insulin-dependent, and reducing complications of diabetes including nephropathy, retinopathy and vascular disease.
- Methods for reducing appetite or promoting loss of body weight are expected to be useful in reducing body weight, preventing weight gain, or treating obesity of various causes, including drug-induced obesity, and reducing complications associated with obesity including vascular disease (coronary artery disease, stroke, peripheral vascular disease, ischemia reperfusion, etc.), hypertension, onset of diabetes type II, hyperlipidemia and musculoskeletal diseases.
- Metabolic Syndrome also known as metabolic syndrome X, insulin resistance syndrome or Reaven's syndrome, is a disorder that affects over 50 million Americans. Metabolic Syndrome is typically characterized by a clustering of at least three or more of the following risk factors: (1) abdominal obesity (excessive fat tissue in and around the abdomen), (2) atherogenic dyslipidemia (blood fat disorders including high triglycerides, low HDL cholesterol and high LDL cholesterol that enhance the accumulation of plaque 32993-208847
- prothrombotic state e.g. high fibrinogen or plasminogen activator inhibitor- 1 in blood
- pro-inflammatory state e.g. elevated C-reactive protein in blood.
- Other risk factors may include aging, hormonal imbalance and genetic predisposition.
- Metabolic Syndrome is associated with an increased the risk of coronary heart disease and other disorders related to the accumulation of vascular plaque, such as stroke and peripheral vascular disease, referred to as atherosclerotic cardiovascular disease (ASCVD).
- ASCVD atherosclerotic cardiovascular disease
- Patients with Metabolic Syndrome may progress from an insulin resistant state in its early stages to full blown type II diabetes with further increasing risk of ASCVD.
- the relationship between insulin resistance, Metabolic Syndrome and vascular disease may involve one or more concurrent pathogenic mechanisms including impaired insulin-stimulated vasodilation, insulin resistance-associated reduction in NO availability due to enhanced oxidative stress, and abnormalities in adipocyte-derived hormones such as adiponectin (Lteif and Mather, Can. J. Cardiol. 20 (suppl. B):66B-76B (2004)).
- any three of the following traits in the same individual meet the criteria for Metabolic Syndrome: (a) abdominal obesity (a waist circumference over 102 cm in men and over 88 cm in women); (b) serum triglycerides (150 mg/dl or above); (c) HDL cholesterol (40 mg/dl or lower in men and 50 mg/dl or lower in women); (d) blood pressure (130/85 or more); and (e) fasting blood glucose (1 10 mg/dl or above).
- abdominal obesity a waist circumference over 102 cm in men and over 88 cm in women
- serum triglycerides 150 mg/dl or above
- HDL cholesterol 40 mg/dl or lower in men and 50 mg/dl or lower in women
- blood pressure 130/85 or more
- fasting blood glucose (1 10 mg/dl or above).
- an individual having high insulin levels (an elevated fasting blood glucose or an elevated post meal glucose alone) with at least two of the following criteria meets the criteria for Metabolic Syndrome: (a) abdominal obesity (waist to hip ratio of greater than 0.9, a body mass index of at least 30 kg/m 2 , or a waist measurement over 37 inches); (b) cholesterol panel showing a triglyceride level of at least 150 mg/dl or an HDL cholesterol lower than 35 mg/dl; (c) blood pressure of 140/90 or more, or on treatment for high blood pressure). (Mathur, Ruchi, "Metabolic Syndrome," ed. Shiel, Jr., William C, MedicineNet.com, May 1 1 , 2009). 32993-208847
- glucagon peptides described herein are useful for treating Metabolic Syndrome. Accordingly, the invention provides a method of preventing or treating Metabolic Syndrome, or reducing one, two, three or more risk factors thereof, in a subject, comprising administering to the subject a glucagon peptide described herein in an amount effective to prevent or treat Metabolic Syndrome, or the risk factor thereof.
- NASH nonalcoholic fatty liver disease
- Nonalcoholic fatty liver disease refers to a wide spectrum of liver disease ranging from simple fatty liver (steatosis), to nonalcoholic steatohepatitis (NASH), to cirrhosis (irreversible, advanced scarring of the liver).
- hepatocytes All of the stages of NAFLD have in common the accumulation of fat (fatty infiltration) in the liver cells (hepatocytes).
- Simple fatty liver is the abnormal accumulation of a certain type of fat, triglyceride, in the liver cells with no inflammation or scarring.
- the fat accumulation is associated with varying degrees of inflammation (hepatitis) and scarring (fibrosis) of the liver.
- the inflammatory cells can destroy the liver cells (hepatocellular necrosis).
- steatohepatitis and "steatonecrosis”
- steato refers to fatty infiltration
- hepatitis refers to inflammation in the liver
- necrosis refers to destroyed liver cells.
- NASH can ultimately lead to scarring of the liver (fibrosis) and then irreversible, advanced scarring (cirrhosis).
- Cirrhosis that is caused by NASH is the last and most severe stage in the NAFLD spectrum.
- NAFLD Nonalcoholic Fatty Liver Disease
- NASH Nonalcoholic Steatohepatitis
- Alcoholic Liver Disease, or Alcohol-Induced Liver Disease encompasses three pathologically distinct liver diseases related to or caused by the excessive consumption of alcohol: fatty liver (steatosis), chronic or acute hepatitis, and cirrhosis.
- Alcoholic hepatitis can range from a mild hepatitis, with abnormal laboratory tests being the only indication of disease, to severe liver dysfunction with complications such as jaundice (yellow skin caused by bilirubin retention), hepatic encephalopathy (neurological dysfunction caused by liver failure), ascites (fluid accumulation in the abdomen), 32993-208847
- alcoholic hepatitis has a characteristic appearance with ballooning degeneration of hepatocytes, inflammation with neutrophils and sometimes Mallory bodies (abnormal aggregations of cellular intermediate filament proteins). Cirrhosis is characterized anatomically by widespread nodules in the liver combined with fibrosis. (Worman, Howard J., "Alcoholic Liver Disease", Columbia University Medical Center website).
- glucagon peptides described herein are useful for the treatment of Alcoholic Liver Disease, NAFLD, or any stage thereof, including, for example, steatosis, steatohepatitis, hepatitis, hepatic inflammation, NASH, cirrhosis, or complications thereof. Accordingly, the invention provides a method of preventing or treating Alcoholic Liver Disease, NAFLD, or any stage thereof, in a subject comprising administering to a subject a glucagon peptide described herein in an amount effective to prevent or treat Alcoholic Liver Disease, NAFLD, or the stage thereof.
- Such treatment methods include reduction in one, two, three or more of the following: liver fat content, incidence or progression of cirrhosis, incidence of hepatocellular carcinoma, signs of inflammation, e.g. abnormal hepatic enzyme levels (e.g., aspartate aminotransferase AST and/or alanine aminotransferase ALT, or LDH), elevated serum ferritin, elevated serum bilirubin, and/or signs of fibrosis, e.g. elevated TGF-beta levels.
- the glucagon peptides are used treat patients who have progressed beyond simple fatty liver (steatosis) and exhibit signs of inflammation or hepatitis. Such methods may result, for example, in reduction of AST and/or ALT levels.
- glucagon peptides of the invention may be administered alone or in combination with other anti-diabetic or anti-obesity agents.
- Anti-diabetic agents known in the art or under investigation include insulin, sulfonylureas, such as tolbutamide
- glitinides such as repaglinide (Prandin) or nateglinide (Starlix); biguanides such as metformin (Glucophage) or phenformin; thiazolidinediones such as rosiglitazone (Avandia), pioglitazone (Actos), or troglitazone (Rezulin), or other PPAR ⁇ inhibitors; alpha glucosidase inhibitors that inhibit carbohydrate digestion, such 32993-208847
- DPP-4 Dipeptidyl peptidase-4
- GKA glucokinase activators
- GAA glucagon receptor antagonists
- FBPase fructtose 1 ,6-bisphosphatase inhibitors.
- Anti-obesity agents known in the art or under investigation include, Leptin and
- Fibroblast Growth Factor 21 FGF-21
- appetite suppressants such as phenethylamine type stimulants, phentermine (optionally with fenfluramine or dexfenfluramine), diethylpropion (Tenuate®), phendimetrazine (Prelu-2®, Bontril®), benzphetamine (Didrex®), sibutramine (Meridia®, Reductil®); rimonabant (Acomplia®), other cannabinoid receptor antagonists; oxyntomodulin; fluoxetine hydrochloride (Prozac); Qnexa (topiramate and phentermine), Excalia (bupropion and zonisamide) or Contrave (bupropion and naltrexone); or lipase inhibitors, similar to xenical (Orlistat) or Cetilistat (also known as ATL-962), or GT 389-255.
- phenethylamine type stimulants such as phentermine (
- Glucagon peptides of the invention that retain the glucose-raising effects of glucagon in hypoglycemic patients may be used to treat hypoglycemia, e.g., preventing or treating acute, periodic or nocturnal hypoglycemia. Such glucagon peptides can also be administered in conjunction with insulin to buffer the actions of insulin and help to maintain stable blood glucose levels in diabetics. In such embodiments an improved method of regulating blood glucose levels in insulin dependent patients is provided.
- the glucagon peptides of the present disclosure can be co-administered with insulin as a single composition, simultaneously administered as separate solutions, or alternatively, the insulin and the glucagon peptide can be administered at different time relative to one another.
- the method comprises the steps of administering insulin in an amount therapeutically effective for the control of diabetes and administering a novel modified glucagon peptide of the present disclosure in an amount therapeutically effective for the prevention of hypoglycemia, wherein said administering steps are conducted within twelve hours of each other.
- the exact ratio of the modified glucagon peptide relative to the administered insulin will be dependent in part on determining the glucose levels of the patient and other clinical parameters.
- Normalizing means that the blood glucose level is returned to normal (e.g,, lowering blood glucose level if it is higher than normal, or raising blood glucose level if it is lower than normal).
- Stabilizing blood glucose level means reducing the maximal variation in blood glucose level over a period of time, e.g., 8 hours, 16 hours, 24 hours, 2 days, 3 days, 4 days, 5 days, 6 days or 1 week.
- administration of glucagon peptide causes the blood glucose level over time to be maintained closer to the normal range of glucose values than it would be in the absence of administration of glucagon peptide.
- Glucagon peptides of the invention that retain the desired activity can be used to induce temporary paralysis of the gut for radiological uses, or treat other metabolic diseases that result from low blood levels of glucagon.
- a method is provided for inducing the temporary paralysis of the intestinal tract. The method comprises the step of administering one or more of the glucagon peptides disclosed herein to a patient.
- the invention provides a method of reducing weight gain or inducing weight loss, or treating hyperglycemia, comprising co-administering to a patient in need thereof a GIP receptor agonist molecule and a GLP-I receptor agonist molecule in amounts effective to reduce weight gain or induce weight loss or decrease appetite.
- the two molecules can be together in the same composition.
- a molecule that activates both GIP and GLP-I receptors can be administered in such methods.
- the combination of various receptor agonist, i.e., activation, properties provides an unexpected additive or synergistic effect, or other unexpected clinical benefit(s).
- Administration with a conventional dose of insulin, a reduced dose of insulin, or without insulin is contemplated according to such methods.
- Exemplary GIP receptor agonist molecules include GIP or GIP analogs, e.g., that retain at least 50%, 60%, 70%, or 80% sequence identity upon visual inspection after alignment to maximize matches.
- Exemplary GLP-I receptor agonists molecules include GLP-I , GLP-I analogs, e.g., that retain at least 50%, 60%, 70%, or 80% sequence identity upon visual inspection after alignment to maximize matches, exendin-4 analogs, e.g., that retain at least 50%, 60%, 70%, or 80% sequence identity upon visual inspection after alignment to maximize matches or derivatives thereof.
- Exemplary molecules that exhibit both activities include glucagon peptides of the invention, GLP-I analogs that activate both GLP-I and GIP receptors, fusions of GIP and GLP-I, or fusions of GIP analogs and GLP-I analogs, or chemically modified derivatives thereof. 32993-208847
- the treatment methods in accordance with the present invention may comprise the steps of administering the presently disclosed glucagon peptides to a patient using any standard route of administration, including parenterally, such as intravenously, intraperitoneally, subcutaneously or intramuscularly, intrathecally, transdermally, rectally, orally, nasally or by inhalation.
- parenterally such as intravenously, intraperitoneally, subcutaneously or intramuscularly, intrathecally, transdermally, rectally, orally, nasally or by inhalation.
- glucagon analogs or GLP-I analogs in the prior art disclosed to be useful for treating that particular disease.
- peptides described in U.S. Patent No. 6,864,069 as acting as both a GLP-I agonist and a glucagon antagonist for treating diabetes may also be excluded.
- the invention may exclude the use of glucagon antagonists to treat diabetes, such as the antagonists described in Unson et al., J. Biol. Chem., 264:789-794 (1989), Ahn et al., J. Med.
- oxyntomodulin or a glucagon peptide that contains the 8 C-terminal amino acids of oxyntomodulin may be excluded.
- Oxyntomodulin a naturally occurring digestive hormone found in the small intestine, induces weight loss (see Diabetes 2005; 54:2390-2395).
- Oxyntomodulin is a 37 amino acid peptide that contains the 29 amino acid sequence of glucagon (i.e. SEQ ID NO: 1) followed by an 8 amino acid carboxy terminal extension of SEQ ID NO: 97 (KRNRNNIA). While the present invention contemplates that glucagon peptides described herein may optionally be joined to this 8 amino acid carboxy terminal extension (SEQ ID NO: 97), the invention in some embodiments also specifically contemplates glucagon peptides lacking the 8 contiguous carboxy amino acids of SEQ ID NO: 97.
- any one of the following peptides is excluded from the compounds of the invention, although further modifications thereto exhibiting the desired co-agonist pr tri- agonist activity, pharmaceutical compositions, kits, and treatment methods using such compounds may be included in the invention:
- the peptide of SEQ ID NO: 1 with an [Argl2] substitution and with a C-terminal amide The peptide of SEQ ID NO: 1 with [Argl2,Lys20] substitutions and with a C-terminal amide
- the compounds of the invention may be prepared by standard synthetic methods, recombinant DNA techniques, or any other methods of preparing peptides and fusion proteins. Although certain non-natural amino acids cannot be expressed by standard recombinant DNA techniques, techniques for their preparation are known in the art.
- Glucagon analogs were synthesized using HBTU-activated "Fast Boc" single coupling starting from 0.2mmole of Boc Thr(OBzl)Pam resin on a modified Applied Biosystem 430 A peptide synthesizer. Boc amino acids and HBTU were obtained from 32993-208847
- the glucagon Cys analog is dissolved in phosphate buffered saline (5- lOmg/ml) and 0.0 IM ethylenediamine tetraacetic acid is added (10-15% of total volume).
- the following side chain protecting groups were used: Arg(Tos), Asp(OcHex), Asn(Xan), Cys(pMeBzl), Glu(OcHex), His(Boc), Lys(2Cl-Z), Ser(Bzl), Thr(Bzl), Trp(CHO), and Tyr(Br-Z).
- the completed peptidyl resin was treated with 20% piperidine/dimethylformamide to remove the Trp formyl protection then transferred to an HF reaction vessel and dried in vacuo. 1.0ml p-cresol and 0.5 ml dimehyl sulfide were added along with a magnetic stir bar.
- the vessel was attached to the HF apparatus (Pennisula Labs), cooled in a dry ice/methanol bath, evacuated, and aprox. 10ml liquid hydrogen fluoride was condensed in.
- the reaction was stirred in an ice bath for lhr then the HF was removed in vacuo. The residue was suspended in ethyl ether; the solids were filtered, washed with ether, and the peptide extracted into 50 ml aqueous acetic acid.
- HSQGTFTSDYSKYLDSRRAQDFVQWLMNTGPSSGAPPPS The following side chain protecting groups were used: Arg(Tos), Asp(OcHex), Asn(Xan), Cys(pMeBzl), Glu(OcHex), His(Boc), Lys(2Cl-Z), Ser(Bzl), Thr(Bzl), Trp(CHO), and Tyr(Br-Z).
- the completed peptidyl resin was treated with 20% piperidine/dimethylformamide to remove the Trp formyl protection then transferred to HF reaction vessel and dried in vacuo. 1.0ml p-cresol and 0.5 ml dimehyl sulfide were added along with a magnetic stir bar.
- the vessel was attached to the HF apparatus (Pennisula Labs), cooled in a dry ice/methanol bath, evacuated, and aprox. 10ml liquid hydrogen fluoride was condensed in.
- the reaction was stirred in an ice bath for lhr then the HF was removed in vacuo. The residue was suspended in ethyl ether; the solids were filtered, washed with ether, and the peptide extracted into 50 ml aqueous acetic acid.
- Glucagon Cys 17 1 -29
- 27.3mg methoxy poly(ethyleneglycol) maleimide avg. M. W.5000 mPEG-Mal-5000, Nektar Therapeutics
- PBS phosphate buffered saline
- EDTA ethylenediamine tetraacetic acid
- a buffer 0.1%TFA
- B buffer 0.1%TFA/50%ACN
- flow 4ml/min
- 5 min fractions were collected while monitoring the UV at 214nm (2.0A).
- the fractions containing homogeneous product were combined, frozen and lyophilized to give 25.7 mg.
- Purity as determined by analytical HPLC was ⁇ 90%.
- a MALDI mass spectral analysis showed a broad peak from 23,000 to 27,000 which is approximately 20,000 a.m.u. more than starting Glucagon C 24 (3457.8).
- Lys(Cl-Z) was used at position 12 if lactams were constructed from 16-20, 20-24, or 24- 28.
- the completed peptidyl resin was treated with 20% piperidine/dimethylformamide for one hour with rotation to remove the Trp formyl group as well as the Fmoc and OFm protection from Lysl2 and GIu 16.
- dimethylformamide and diisopropylethylamine DIEA
- DIEA diisopropylethylamine
- the reaction proceeded for 8-10 hours and the cyclization was confirmed by a negative ninhydrin reaction.
- the resin was washed with dimethylformamide, followed by dichloromethane and subsequently treated with trifluoroacetic acid for 10 minutes. The removal of the Boc group was confirmed by a positive ninhydrin reaction.
- the resin was washed with dimethylformamide and dichloromethane and dried before being transferred to a hydrofluoric acid (HF) reaction vessel. 500 ⁇ L p-cresol was added along with a magnetic stir bar.
- HF hydrofluoric acid
- the vessel was attached to the HF apparatus (Peninsula Labs), cooled in a dry ice/methanol bath, evacuated, and approximately 10 mL of liquid hydrofluoric acid was condensed into the vessel.
- the reaction was stirred for 1 hour in an ice bath and the HF was subsequently removed in vacuo.
- the residue was suspended in ethyl ether; the solids were filtered, washed with ether, and the peptide was solubilized with 150 mL 20% acetonitrile/1% acetic acid.
- HPLC analysis of the purified peptide demonstrated greater than 95% purity and electrospray ionization mass spectral analysis confirmed a mass of 3506 Da for the 12-16 lactam. Lactams from 16-20, 20-24, and 24-28 were prepared similarly.
- a solution (lmg/ml or 3mg/ml) of glucagon (or an analog) is prepared in 0.01N HCl.
- lOOul of stock solution is diluted to ImI with 0.0 IN HCl and the UV absorbance (276nm) is determined.
- the pH of the remaining stock solution is adjusted to pH7 using 200-250ul 0.1 M Na 2 HPO 4 (pH 9.2).
- the solution is allowed to stand overnight at 4 0 C then centrifuged.
- lOOul of supernatant is then diluted to ImI with 0.01N HCl, and the UV absorbance is determined (in duplicate).
- Glucagon Receptor Binding Assay The affinity of peptides to the glucagon receptor was measured in a competition binding assay utilizing scintillation proximity assay technology. Serial 3-fold dilutions of the peptides made in scintillation proximity assay buffer (0.05 M Tris-HCl, pH 7.5, 0.15 M NaCl, 0.1% w/v bovine serum albumin) were mixed in 96 well white/clear bottom plate (Corning Inc., Acton, MA) with 0.05 nM (3-[ l25 I]-iodotyrosyl) TyrlO glucagon (Amersham Biosciences, Piscataway, NJ), 1-6 micrograms per well, plasma membrane fragments prepared from cells over-expressing human glucagon receptor, and 1 mg/well polyethyleneimine-treated wheat germ agglutinin type A scintillation proximity assay beads (Amersham Biosciences, Piscataway, NJ).
- % Specific Binding ((Bound-NSB)/(Total bound- 32993-208847
- glucagon analogs to induce cAMP was measured in a firefly luciferase-based reporter assay.
- HEK293 cells co-transfected with a receptor (glucagon receptor, GLP-I receptor or GIP receptor) and luciferase gene linked to cAMP responsive element were serum deprived by culturing 16h in DMEM (Invitrogen, Carlsbad, CA) supplemented with 0.25% Bovine Growth Serum (HyClone, Logan, UT) and then incubated with serial dilutions of either glucagon, GLP-I, GIP or novel glucagon analogs for 5 h at 37 0 C, 5% CO 2 in 96 well poly-D-Lysine-coated "Biocoat” plates (BD Biosciences, San Jose, CA).
- Each glucagon analog was dissolved in water or PBS and an initial HPLC analysis was conducted. After adjusting the pH ( 4, 5, 6, 7), the samples were incubated over a specified time period at 37 0 C and re-analyzed by HPLC to determine the integrity of the peptide. The concentration of the specific peptide of interest was determined and the percent remaining intact was calculated relative to the initial analysis.
- acylated and/or PEGylated peptides are prepared as follows. Peptides are synthesized on a solid support resin using either a CS Bio 4886 Peptide Synthesizer or 32993-208847
- FMOC/formyl groups Coupling to the free ⁇ -amino Lys residue is achieved by coupling a ten-fold molar excess of either an FMOC-protected spacer amino acid (ex. FMOC-(N- BOC)-Tryptophan-OH) or acyl chain (ex. C17-COOH) and PyBOP or DEPBT coupling reagent in DMF/DIEA. Subsequent removal of the spacer amino acid's FMOC group is followed by repetition of coupling with an acyl chain. Final treatment with 100% TFA results in removal of any side chain protecting groups and the N-terminal BOC group.
- Peptide resins are neutralized with 5% DIEA/DMF, are dried, and then are cleaved from the support using HF/p-cresol, 95:5, at 0 0 C for one hour. Following ether extraction, a 5% HOAc solution is used to solvate the crude peptide. A sample of the solution is then verified to contain the correct molecular weight peptide by ESI-MS. Correct peptides are purified by RP-HPLC using a linear gradient of 10% CH3CN/0.1% TFA to 0.1 % TFA in 100% CH3CN. A Vydac Cl 8 22 mm x 250 mm protein column is used for the purification. Acylated peptide analogs generally complete elution by a buffer ratio of 20:80. Portions are pooled together and checked for purity on an analytical RP-HPLC. Pure fractions are lyophilized yielding white, solid peptides.
- acylation is carried out as described above upon addition of that amino acid to the peptide backbone.
- peptide pegylation 40 kDa methoxy poly(ethylene glycol) maleimido- propionamide (Chirotech Technology Ltd.) is reacted with a molar equivalent of peptide in 7M Urea, 5OmM Tris-HCl buffer using the minimal amount of solvent needed to dissolve both peptide and PEG into a clear solution (generally less than 2 mL for a reaction using 2-3 mg peptide). Vigorous stirring at room temperature commences for 4- 6 hours and the reaction is analyzed by analytical RP-HPLC. PEGylated products appear distinctly from the starting material with decreased retention times. Purification is performed on a Vydac C4 column with conditions similar to those used for the initial 32993-208847
- Peptides are assayed for biological activity as described above in Example 16.
- Acylated peptides may exhibit increased potency at the GLP-I receptor.
- Inclusion of a tryptophan spacer may provide better potency at the glucagon receptor.
- acylation can extend the half-life of a peptide to hours or more
- PEGylation with repeats in tens of kDa ranges can do even more.
- Peptides comprising both types of modifications are prepared. These peptides are expected to exhibit extended half-life in circulation, as well as resistance to DPP-IV and other proteases.
- a pegylated glucagon/GLP-1 co-agonist peptide (Chimera 2 AIB2 C24 4OK PEG, which is a Chimera 2 peptide (see Example 21) further modified with an AIB at position 2, a Cys at 24 which is attached to a 4OK PEG group);
- a pegylated GIP antagonist (Pro3 C24 GIP NH2 ( 1 -42) 40K PEG, which is amino acids 1-42 of GIP (the sequence of native GIP is SEQ ID NO: 4) modified with a Pro at position 3, a Cys at position 24, which is attached to a 4OK PEG group, and an amide in place of the C-terminal carboxylate);
- a GIP agonist (AIB2 C24 GIP (1-42) 4OK PEG, which is amino acids 1- 42 of GIP (the sequence of native GIP is SEQ ID NO: 4) modified with AIB at position 2 and a Cys at position 24, which is attached to a 4OK PEG group); and
- the peptides were tested in vivo by subcutaneously injecting diet-induced obese (DIO) mice with various peptides, or vehicle alone, QW (70 or 210 nmol/kg/week). Each group contained 8 mice, each with an initial average body weight of 50 g. Body weight, body composition, food intake, and blood glucose levels were determined periodically.
- DIO diet-induced obese mice
- Peptides of SEQ ID NOs: 5-94 (each of which comprised an amide in place of the C-terminal carboxylate) were synthesized as essentially described above and tested in vitro for activity at the GIP receptor, GLP-I receptor, and glucagon receptors by Example 16.
- the EC50 of each peptide are shown in Table 1.
- Relative activity is activity relative to the native hormone of the indicated receptor
- Peptides mt-140, mt-147, mt-151, mt- 152, mt-158, mt-164, mt-165, mt-166, mt-169, mt-170, mt-172, mt-175, and mt-179 were exemplary GLP-1/GIP/glucagon triagonist peptides
- Peptides mt-148, mt-149, mt- 162, mt-174, mt-178, mt-201, and mt-204 were exemplary GLP-1/GIP co-agonist peptides
- Peptides mt- 1 16, mt- 176, mt- 177, and mt- 182 were exemplary GIP/glucagon co-agonist peptides.
- a GLP-1/GIP/glucagon triagonist peptide (mt-170), GLP-1/GIP co-agonist peptide (mt-178), and two GIP/glucagon co-agonist peptides (mt-182 and mt-179) of Example 21 were tested in vivo by subcutaneously injecting diet-induced obese (DIO) mice with these peptides, a glucagon/GLP-1 co-agonist peptide (Chimera 2 AIB2 (native glucagon amino acid sequence (SEQ ID NO: 1) comprising the following modifications: GIn at position 17, Ala at position 18, Lys at position 20, GIu at position 21 , He at position 23, and Ala at position 24, and a C-terminal amide (“Chimera 2") with a further modification of AIB at position 2) or Chimera 2 AIB2 lactam (same as Chimera 2 AIB2 with further modifications of GIu at position 16 and Lys at position 20, wherein a lactam bridges the side chains
- the triagonist and GLP-1/GIP co-agonist were a little more effective at reducing body weight in the mice as Chimera 2 AIB2, but not as effective as Chimera 2 AIB2 lactam, which demonstrated the best ability to reduce body weight.
- both of the GIP/glucagon co-agonists, and especially mt-182 were less effective at reducing body weight.
- GLP-1/GIP/glucagon triagonist peptide mt-170
- GLP-1/GIP co-agonist peptide mt-178
- DIO diet-induced obese mice
- QW 10 nmol/kg/week for 4 weeks or 35 nmol/kg/week 32993-208847
- mice for 2 weeks.
- Each group contained 8 mice, each mouse with an initial average body weight of 49 g.
- Body weight and blood glucose levels were determined periodically.
- both the GLP-I /GIP co-agonist and triagonist were more effective at reducing body weight and blood glucose levels than the GLP-I agonist.
- the peptide comprising the sequence of mt-165 with an AIB at position 16 in lieu of the lactam was termed "mt-241" and had the amino acid sequence of SEQ ID NO: 167, while the peptide comprising the sequence of mt-170 with an AIB at position 16 in lieu of the lactam was termed "mt-248" and had the amino acid sequence of SEQ ID NO: 173. Additional linear peptides lacking a lactam bridge and comprising AIB at position
- 16 and/or 20 were also made as essentially described above. These peptides were termed “mt-242,” “mt-249,” “mt-250,” “mt-251 ,” “mt-252,” “mt-255,” “mt-258,” and “mt-259” and had the amino acid sequences of SEQ ID NOs: 168, 174-176, 107, 108, 177, and 258, respectively.
- the in vitro biological activity at the glucagon, GLP-I, and GIP receptors of each of these peptides were tested as essentially described in Example 16. The results are shown in Table 2.
- linear peptides which do not contain a lactam provided activity at the GIP receptor, as well as the glucagon and/or GLP-I receptors. More specifically, mt-242, mt-248, mt-249, mt-250, mt-252, mt-255, mt-258, and mt-259 exhibited activities of glucagon/GLP-1/GIP triagonists, whereas mt-251 exhibited activity of a GLP-I /GIP co-agonist. Peptide mt-252, which had a Lys at position 16 and an AIB at position 20, exhibited potency at the glucagon and GLP-I receptors and exhibited an enhanced activity at the GIP receptor.
- EXAMPLE 25 Linear peptides lacking a lactam ring and comprising a Lys or similar residue at position 16 and AIB at position 20 were made as essentially described above.
- the peptides had the amino acid sequences of SEQ ID NOs: 99-141 , 144-164, and 166.
- the peptides were tested in vitro for biological activity at the glucagon, GLP-I , and GIP receptors as essentially described in Example 16. The results are shown in Table 3.
- the linear peptides were active at the GIP receptor and, in many cases, the peptide was additionally active at the glucagon receptor and/or the GLP- 1 receptor. More specifically, all of mt-252, mt-255, mt-257, mt-260, mt-261 , mt-262, mt-265, mt-266, mt-267, mt-275, mt-276, mt-277, mt-278, mt-279, mt-280, mt-286, mt- 287, mt-288, mt-289, mt-290, mt-291, mt-292, mt-293, mt-295, mt-296, mt-297, mt-299, mt-306, mt-307, mt-310, mt-323, mt-324, and mt-345 exhibited activity at
- acylation with C 14, C 16, and Cl 8 fatty acids was evident from the data of mt-260 to mt-263 and mt-265 to mt-272. From these data, it was apparent that acylation with C16 and Cl 8 fatty acids provided increased activity at the GLP-I and GIP receptors. The acylation of these peptides even allowed for increased activity at the glucagon receptor even though the peptides comprised a Gln3Glu substitution. The increased activity at the glucagon receptor could also be seen from the data of the triagonists mt-277 to mt-280. 32993-208847
- mice were tested in DIO mice, and compared to the in vivo activity of a pure GLP-I agonist control having a GLP-I -based structure of SEQ ID NO: 179.
- Peptides or a vehicle control were intraperitoneally injected into the mice on Day 0 at 1 , 3, or 10 nmol/kg/week.
- a 1 -hour glucose tolerance test was performed on the mice by intraperitoneally injecting a 25% (w/v) glucose saline solution into the mice one hour after injection with one of the peptides or vehicle control.
- the glucose saline solution was administered to the mice at a dose of 1.5 g per kg of mouse body weight.
- Blood glucose levels were measured at the time of injection of peptide or vehicle control (-60 min), at the time of glucose saline solution injection (0 min), or at 15, 30, 60, or 120 min post injection with the glucose saline solution.
- the results of the 1-hour GTT are shown in Figure 7.
- GLP-agonist control peptide (at a 10 nmol/kg/week dose).
- mice injected with mt-178, mt-274, or the GLP-I agonist control exhibited decreased levels of blood glucose, as compared to mice injected with the vehicle control.
- the potency of mt-178 and mt-274 appeared to be greater than that of the GLP-I agonist control peptide, as mt-178 and mt-274 at 3 nmol/kg/week 32993-208847
- Example 26 The same peptides described in Example 26 were tested again in mice, except that higher doses (either 10 or 35 nmol/kg/week) of the peptides were subcutaneously injected into the mice. Two additional peptides were also tested at these doses: one peptide having the same structure as mt-178 but comprising a PEG group attached to the Cys at position 40 via a more stable thioether linkage (-SCH2CO-) formed by nucleophilic substitution as opposed to a traditional thioether linkage formed by malenimide PEG via Michael addition as found in mt-178) and a second peptide having the same structure as mt-274 but comprising a PEG group attached to the Cys at position 40 via the thioether linkage (-SCH2CO-) formed by nucleophilic substitution.
- These peptides are referred to herein as mt- 178(TE) and mt-274(TE), respectively.
- the total blood glucose levels of the mice were measured 0 and 7 days after injection with peptide or vehicle control and are shown in Figure 11.
- the total changes in blood glucose of the mice was measured 7 days after injection with peptide or vehicle control and are shown in Figure 12.
- the body weight of each mouse was measured at 0, 1, 3, 5, 7, and 10 days after injection with peptide or vehicle control.
- the % changes in body weight of the mice as a function of time are shown in Figure 13, while the total changes in body weight of the mice as measured 7 days after injection with peptide or vehicle control are shown in Figure 14.
- the total change in blood glucose decreased in all mice injected with any of the tested peptides, as compared to the mice injected with vehicle control.
- the most dramatic changes in blood glucose were seen in mice injected with 35 nmol/kg/week of mt-274 or mt-178(TE).
- EXAMPLE 28 The in vivo activities of the peptides described in Example 26 were compared to the in vivo activities of acylated versions of the linear mt-274 peptide. More specifically, three acylated versions of mt-274 in which the C-terminal amino acid (a Lys residue) was covalently attached to a Cl 6 fatty acyl group, a C 14 fatty acyl group, or a Cl 8 fatty acyl group were made and tested. These peptides are referred to herein as mt-298, mt-309, and mt-310, respectively. Like the parent peptide, mt-274, the acylated peptides also comprised a 40 kDa PEG group.
- mt-298, mt-309, and mt-310 are provided herein as SEQ ID NOs: 101-103, respectively.
- a non-acylated version of mt-298, mt-209, and mt-310 (hereinafter referred to as mt-31 1) was made and tested.
- Peptide mt-31 1 differed from mt-274 in that mt-31 1 was covalently attached to a PEG group through the side chain of a Cys residue at position 24 (as opposed to a Cys residue at the C-terminus as found in mt-274) and the C-terminal residue of mt-31 1 was a Lys residue, not a Cys residue, as found in mt-274.
- the peptides or a vehicle control were subcutaneously injected into DIO mice on
- the blood glucose levels of the mice were measured 0 and 7 days after injection with peptide or vehicle control and are shown in Figure 15.
- the body weight of each mouse was measured at 0, 1 , 3, 5, and 7 days after injection with peptide or vehicle control.
- the % changes in body weight of the mice as a function of time are shown in Figure 16, while the total changes in body weight of the mice as measured 7 days after injection with peptide or vehicle control are shown in Figure 17.
- mice injected with any of the peptides exhibited a decrease in body weight as compared to mice injected with vehicle control.
- Mice injected with the pegylated, cyclic, lactam-containing peptide (mt-178) demonstrated the greatest loss of body weight 7 days after injection. 32993-208847
- Linear glucagon-based peptides lacking a lactam that were acylated but not pegylated were made as essentially described above.
- mt-260 comprising a C 14 fatty acyl group on the C-terminal amino acid (SEQ ID NO: 104)
- mt-261 comprising a Cl 6 fatty acyl group on the C-terminal amino acid (SEQ ID NO: 105)
- mt-262 comprising a Cl 8 fatty acyl group on the C-terminal amino acid
- each of these peptides were similar to those of mt-298, mt-309, and mt-310, but differed in that mt-260, mt-261 , and mt-262 comprised an Asn residue in place of a pegylated Cys residue at position 24.
- the peptides, mt-260, mt-261 , or mt-262, a control peptide (Liraglutide, an acylated GLP-I analog), or a vehicle control were injected QD into mice at a dose of 25 or 125 nmol/kg for 7 days.
- the blood glucose levels of the mice were measured 0 and 7 days after injection with peptide or vehicle control and are shown in Figure 18.
- the body weight of each mouse was measured at 0, 1 , 3, 5, and 7 days after injection with peptide or vehicle control.
- the % changes in body weight of the mice as a function of time are shown in Figure 19, while the total changes in body weight of the mice as measured 7 days after injection with peptide or vehicle control are shown in Figure 20.
- Figure 18 the effects that the acylated, unpegylated, linear peptides
- Body weight continued to decrease over the course of the 7 days of the assay.
- acylated, unpegylated linear glucagon-based peptides that are active at the GlP and GLP-I receptors are able to dramatically decrease blood glucose levels and body weight, thereby indicating that these peptides can be used to treat metabolic disorders, including diabetes, and for treatment of obesity.
- mice The body weight of the mice was measured 0, 1, 3, 5, and 7 days after the first injection.
- injection with mt-261 or liraglutide caused weight loss in the mice.
- Peptide mt-261 exhibited a higher potency than liraglutide, as 3 nmol/kg mt- 261 achieved essentially the same effect as 30 nmol/kg liraglutide ( Figure 21).
- the fat mass of the mice were measured 7 days after the first injection by nuclear magnetic resonance imaging. As shown in Figure 22, increasing doses of mt-261 generally correlated with decreasing fat mass. The fat mass of mice injected with 3 nmol/kg mt-261 was about the same as the fat mass of mice injected with 30 nmol/kg liraglutide, demonstrating the high potency of mt-261 in comparison to liraglutide. Blood glucose levels of the mice were measured 0 and 7 days after the first injection. As shown in Figure 23, doses as low as 3 nmol/kg of mt-261 caused a significant decrease in blood glucose levels.
- mice were 32993-208847
- mice 1 1 months old and had been on a diabetogenic diet for 9 months at the time of the study.
- the average body weight of the mice were 57 g.
- the mice were subcutaneously injected daily with 3, 10, or 30 nmol/kg mt-263 for one week.
- the control groups received either a vehicle control or Exendin-4 at 10 or 30 nmol/kg/day.
- the body weight of the mice were measured on Day 0, 1, 3, 5, and 7, wherein Day 0 is the first day of injection.
- injection of mt-263 at any of the three doses caused a steady decrease in body weight over the 7 day test period.
- mice injected. with mt-263 were reduced as compared to vehicle control and Exendin-4. Further, the total changes in blood glucose levels (as measured on Day 7 compared to levels measured on Day 0) of mice injected with mt-263 were significantly reduced in comparison to mice injected with either vehicle control or Exendin-4 ( Figure 26).
- the peptide at a 10 nmol/kg dose appeared to be the optimal dose, achieving the greatest decrease in blood glucose levels (almost -80 mg/dL).
- mice The body weight of the mice was measured 0, 1, 3, 5, and 7 days after the first injection. As shown in Figure 27, injection with mt-277, mt-278, or mt-279 caused significant weight loss in the mice. All of these peptides further demonstrated a higher potency than liraglutide. Blood glucose levels of the mice were measured 0 and 7 days after the first injection. As shown in Figure 28, each of mt-277, mt-278, and mt-279 caused a significant decrease in blood glucose levels, which decrease was much greater than that seen in mice injected with liraglutide.
- a GLP-I receptor-active, glucagon-based analog was modified to comprise a C- terminal extension of the amino acid sequence of SEQ ID NO: 95 and further modified to comprise a Lys at the C-terminus of SEQ ID NO: 95.
- the Lys residue which was located at position 40 of the analog was acylated with a C 14 fatty acyl group.
- This acylated analog was tested for in vitro activity at the glucagon, GLP-I, and GIP receptors as essentially described in Example 16. The in vitro activity was compared to that of the parent GLP-I receptor-active, glucagon-based analog lacking the C-terminal extension and acylation at position 40.
- the C-terminally extended, acylated analog demonstrated an approximate 15% increase of activity at the GIP receptor and an approximate 52% increase at the glucagon receptor.
- Activity at the GLP-I receptor actually decreased when stimulated by the C-terminally extended, acylated analog. However, the activity was still greater than 100% of the activity achieved by native GLP-I at the GLP-I receptor. 32993-208847
- Acylated glucagon analog peptides (each of which comprised an amide in place of the C-terminal carboxylate) were synthesized as essentially described above.
- Peptides mt-358, mt-367, mt-368, and mt-369 were acylated monomers, whereas mt-354, mt-376, and mt-377 were acylated dimers, wherein each dimer comprised two monomers linked via C-terminal Cys residues.
- Peptides mt-367, mt-368, and mt-369 comprised a ⁇ Glu- ⁇ Glu dipeptide spacer for purposes of attaching the acyl group, whereas mt-358 was acylated in the absence of a spacer.
- Peptides mt-225, mt-227, and mt-294 were pegylated monomers that comprised a lactam bridge between the glutamic acid at position 16 and the lysine at position 20.
- Peptides mt-225 and mt-227 comprised a dipeptide spacer for purposes of attaching the PEG, whereas mt-294 was acylated via a thioether made by a reaction with a haloacetyl.
- Peptides mt-356 and mt-357 served as unacylated control peptides, of which mt-357 comprised an He at position 7, but mt-356 comprised a Thr. All were tested for in vitro activity at the GIP receptor, GLP-I receptor, and glucagon receptors as essentially described in Example 16.
- the EC50 (nM) and the activity relative to the native hormone of each peptide are shown in Table 4.
- ⁇ * indicates a PEG-linked dimer structure, in which each peptide monomer is attached via a PEG as shown in Structure B t each monomer of the dimer comprised acylation at position 40 of the monomer (wherein position 1 is the N-terminal amino acid).
- acylation of a glucagon peptide via a spacer can increase the activity at the GLP-I receptor, while maintaining robust activity at the GIP receptor.
- Acylation via a spacer at position 10 of the glucagon analog appeared to be as good a position as position 40 of the glucagon analog, since the relative activities at the GLP-I and GIP receptors were about the same for mt-367 and mt-369.
- mt-331 (SEQ ID NO: 153) comprised a linkage to PEG of structure:
- mt-31 1 (SEQ ID NO: 100) comprised a linkage to PEG of structure:
- the peptides were administered at a dose of either 10 or 35 nmol/kg.
- the body weights of the mice were measured 0, 1, 3, 5, and 7 days after administration of the peptides or the vehicle control.
- the body weight of the mice injected with the higher dose of either mt-31 1 or mt-331 steadily decreased over the course of the week.
- the total change in body weight (%) is shown in Figure 29. As shown in this figure, the total change in body weight was greatest for the mice injected with mt-31 1.
- the total food intake by each group of mice was also measured 0, 1 , 3, 5, and 7 days after administration of the peptides or the vehicle control. As shown in Figure 30, the total food intake by the groups of mice injected with either dose of mt-31 1 or mt-331 was decreased, as compared to the mice injected with a vehicle control. 32993-208847
- mice The blood glucose levels of each group of mice were measured 0 and 7 days after administration of the peptides or the vehicle control.
- the blood glucose levels of the mice decreased upon administration of the higher dose of either mt-31 1 or mt-331. As shown in Figure 31 , the decrease in blood glucose levels was greater in mice injected with 35 nmol/kg mt-331.
- mice were on a diabetogenic diet for 5 months and the average initial body weight was 53 g.
- the peptides or a vehicle control were administered to the mice by subcutaneous injection for one week at a dose of 0.1 , 0.3, 3, or 10 nmol/kg.
- Body weight was measured 0, 1 , 3, 5, and 7 days after administration of the peptide or vehicle control. As shown in Figure 32, the total change in body weight was most significant for mice injected with 10 nmol/kg of either mt-331 or mt-353.
- the peptides had the same amino acid sequence but differed in the size of the fatty acyl group to which it was attached. Liraglutide at a concentration of 10 nM/kg was used as a control. The peptides or a vehicle control were administered by subcutaneous injection daily for one week.
- the body weight of the mice was measured 0, 1 , 3, 5, and 7 days after administration of the peptides or the vehicle control. Over the course of the week, the body weight of the mice that were injected with one of the acylated triagonist peptides dramatically decreased, as compared to the vehicle control. As shown in Figure 35, the total change in body weight (%) of the mice injected with one of the acylated triagonist peptides was approximately -15%, whereas Liraglutide achieved less than a 5% decrease in body weight.
- mice The effect of dosing frequency on efficacy of a pegylated, acylated peptide (mt- 309; SEQ ID NO: 102) and a non-pegylated, acylated peptide (mt-261 ; SEQ ID NO: 105) was tested in 7 groups of DIO mice (8 mice per group) having an average body weight of 58 g.
- the peptides were subcutaneously injected into the mice QD at a dose of 5 nmol/kg, every 2 nd day at a dose of 10 nmol/kg, or QW at a dose of 30 nmol/kg.
- the study lasted for 6 days, such that each group of mice received 30 nmol/kg by the end of the study 32993-208847
- Body weight and blood glucose levels were measured 0 and 6 days after the first administration.
- the total change in body weight (%) of mice injected QW with mt-309 was approximately the same as the total change in body weight for mice injected QD with the same peptide. Also, as shown in Figure 36, the total change in body weight of mice injected QD with mt-261 was about the same as the total change in body weight of mice injected every 2 nd day with this peptide.
- mice The effect on dosing frequency on efficacy was tested for an acylated glucagon agonist peptide, mt-261 (SEQ ID NO: 105) by subcutaneously injecting 8 groups of DIO mice (8 mice per group) having an initial body weight of 56 g with 5 nmol/kg daily, 10 nmol/kg every 2 nd day, 15 nmol/kg every 3 rd day, or 30 nmol/kg for one day, such that each group received a total dose of 30 nmol/kg per week.
- the mice were 8 months old and had been on a diabetogenic diet for 6 months. Body weight, food intake, blood glucose levels and fat mass of each group were measured.
- the mice injected with the peptide every three days exhibited the greatest decrease in body weight.
- mice injected with the peptide daily and mice injected with the peptide every two days exhibited nearly the same decrease in body weight.
- glucagon analog peptides having appreciable agonist activity at only the glucagon receptor and not the GIP receptor and comprising a backbone of Peptide J
- Glucagon analog peptides having appreciable activity at the glucagon receptor and not the GIP receptor and comprising Dab(Ac) at position 3 on various glucagon analog backbones were made as essentially described herein and the in vitro activity at the glucagon receptor was tested.
- the structures and activities of each peptide are shown in Table 7.
- Peptides mt-367, mt-368, and mt-369 comprised the structures of SEQ ID NOs: 235, 236, and 237, resepectively.
- Peptide mt-384 comprised the amino acid of SEQ ID NO: 1 with the following amino acid modifications: Tyr at position 1 , an AIB at position 2, Lys at position 10, wherein the Lys was covalently bound to a Cl 6 fatty acyl group via a ⁇ -Glu- ⁇ -Glu dipeptide spacer, He at position 12, Lys at position 16, GIn at position 17, Ala at position 18, AIB at position 20, GIu at position 21, Asn at position 24, Leu at position 27, Ala at position 28, and GIy at position 29, followed by the amino acid of SEQ ID NO: 95 C-terminal to the amino acid at position 29.
- Peptide mt-385 comprised the same structure as Peptide mt-384 except that Thr at position 7 was changed to an He in mt-385.
- mice Nine groups of 8 DIO mice (strain: C57B16 WT) were subcutaneously injected daily for 7 days with 10 nmol/kg of one of the peptides of Table 8. The average initial body weight of the mice was 57.6 g. The mice were approximately 10 months old and had been on a high fat diet for about 8 months.
- mice injected with a peptide of Table 8 demonstrated a decrease in body weight as compared to vehicle control.
- Mice that were injected with mt-369 demonstrated the greatest amount of weight 32993-208847
- mice that were injected with mt-368 ⁇ 22% decrease
- mice that were injected with mt-384 ⁇ 21% decrease
- Mice that were injected with mt-367 or mt-385 exhibited a lower but still significant weight loss (mt-367: ⁇ 18% decrease and mt-385: -15% decrease).
Landscapes
- Health & Medical Sciences (AREA)
- Life Sciences & Earth Sciences (AREA)
- Chemical & Material Sciences (AREA)
- General Health & Medical Sciences (AREA)
- Medicinal Chemistry (AREA)
- Organic Chemistry (AREA)
- Veterinary Medicine (AREA)
- Public Health (AREA)
- Animal Behavior & Ethology (AREA)
- Pharmacology & Pharmacy (AREA)
- Engineering & Computer Science (AREA)
- Bioinformatics & Cheminformatics (AREA)
- Chemical Kinetics & Catalysis (AREA)
- Nuclear Medicine, Radiotherapy & Molecular Imaging (AREA)
- General Chemical & Material Sciences (AREA)
- Endocrinology (AREA)
- Proteomics, Peptides & Aminoacids (AREA)
- Gastroenterology & Hepatology (AREA)
- Zoology (AREA)
- Diabetes (AREA)
- Epidemiology (AREA)
- Genetics & Genomics (AREA)
- Toxicology (AREA)
- Molecular Biology (AREA)
- Biochemistry (AREA)
- Biophysics (AREA)
- Obesity (AREA)
- Hematology (AREA)
- Immunology (AREA)
- Oncology (AREA)
- Communicable Diseases (AREA)
- Emergency Medicine (AREA)
- Child & Adolescent Psychology (AREA)
- Medicines That Contain Protein Lipid Enzymes And Other Medicines (AREA)
- Peptides Or Proteins (AREA)
- Pharmaceuticals Containing Other Organic And Inorganic Compounds (AREA)
- Acyclic And Carbocyclic Compounds In Medicinal Compositions (AREA)
Abstract
Description
Claims
Priority Applications (19)
| Application Number | Priority Date | Filing Date | Title |
|---|---|---|---|
| JP2011514735A JP6108659B2 (en) | 2008-06-17 | 2009-06-16 | GIP-based mixed agonist for the treatment of metabolic diseases and obesity |
| DK09800752.9T DK2300035T3 (en) | 2008-06-17 | 2009-06-16 | Mixed GIP-based agonists for the treatment of metabolic diseases and obesity |
| EP09800752.9A EP2300035B1 (en) | 2008-06-17 | 2009-06-16 | Gip-based mixed agonists for treatment of metabolic disorders and obesity |
| AU2009274425A AU2009274425B2 (en) | 2008-06-17 | 2009-06-16 | GIP-based mixed agonists for treatment of metabolic disorders and obesity |
| MX2010013453A MX2010013453A (en) | 2008-06-17 | 2009-06-16 | Gip-based mixed agonists for treatment of metabolic disorders and obesity. |
| CN200980123349.1A CN102105159B (en) | 2008-06-17 | 2009-06-16 | GIP-based mixed agonists for the treatment of metabolic disorders and obesity |
| ES09800752.9T ES2558842T3 (en) | 2008-06-17 | 2009-06-16 | Mixed agonists based on GIP for the treatment of metabolic disorders and obesity |
| HK11108197.1A HK1153934B (en) | 2008-06-17 | 2009-06-16 | Gip-based mixed agonists for treatment of metabolic disorders and obesity |
| UAA201015130A UA104000C2 (en) | 2008-06-17 | 2009-06-16 | Glucagon/glp-1 receptor co-agonists for the treatment of metabolic disorder and obesity |
| EA201001801A EA020326B9 (en) | 2008-06-17 | 2009-06-16 | Gip-based mixed agonists for treatment of metabolic disorders and obesity |
| BRPI0915282A BRPI0915282A2 (en) | 2008-06-17 | 2009-06-16 | gip-based mixed agonists for the treatment of metabolic disorders and obesity |
| US12/999,285 US9062124B2 (en) | 2008-06-17 | 2009-06-16 | GIP-based mixed agonists for treatment of metabolic disorders and obesity |
| PL09800752T PL2300035T3 (en) | 2008-06-17 | 2009-06-16 | Gip-based mixed agonists for treatment of metabolic disorders and obesity |
| CA2729296A CA2729296A1 (en) | 2008-06-17 | 2009-06-16 | Gip-based mixed agonists for treatment of metabolic disorders and obesity |
| NZ589848A NZ589848A (en) | 2008-06-17 | 2009-06-16 | Gip-based mixed agonists for treatment of metabolic disorders and obesity |
| IL209666A IL209666A (en) | 2008-06-17 | 2010-11-30 | Gip-based mixed agonists for treatment of metabolic disorders and obesity |
| ZA2010/08807A ZA201008807B (en) | 2008-06-17 | 2010-12-07 | Gip-based mixed agonists for treatment of metabolic disorders and obesity |
| MA33430A MA32397B1 (en) | 2008-06-17 | 2010-12-15 | Gip-based mixed agonists for the treatment of metabolic disorders and obesity |
| US14/714,728 US20150322130A1 (en) | 2008-06-17 | 2015-05-18 | Gip-based mixed agonists for treatment of metabolic disorders and obesity |
Applications Claiming Priority (8)
| Application Number | Priority Date | Filing Date | Title |
|---|---|---|---|
| US7327408P | 2008-06-17 | 2008-06-17 | |
| US61/073,274 | 2008-06-17 | ||
| US7817108P | 2008-07-03 | 2008-07-03 | |
| US61/078,171 | 2008-07-03 | ||
| US9044808P | 2008-08-20 | 2008-08-20 | |
| US61/090,448 | 2008-08-20 | ||
| US15134909P | 2009-02-10 | 2009-02-10 | |
| US61/151,349 | 2009-02-10 |
Related Child Applications (2)
| Application Number | Title | Priority Date | Filing Date |
|---|---|---|---|
| US12/999,285 A-371-Of-International US9062124B2 (en) | 2008-06-17 | 2009-06-16 | GIP-based mixed agonists for treatment of metabolic disorders and obesity |
| US14/714,728 Division US20150322130A1 (en) | 2008-06-17 | 2015-05-18 | Gip-based mixed agonists for treatment of metabolic disorders and obesity |
Publications (2)
| Publication Number | Publication Date |
|---|---|
| WO2010011439A2 true WO2010011439A2 (en) | 2010-01-28 |
| WO2010011439A3 WO2010011439A3 (en) | 2010-05-14 |
Family
ID=41570802
Family Applications (1)
| Application Number | Title | Priority Date | Filing Date |
|---|---|---|---|
| PCT/US2009/047447 Ceased WO2010011439A2 (en) | 2008-06-17 | 2009-06-16 | Gip-based mixed agonists for treatment of metabolic disorders and obesity |
Country Status (27)
| Country | Link |
|---|---|
| US (2) | US9062124B2 (en) |
| EP (2) | EP2300035B1 (en) |
| JP (2) | JP6108659B2 (en) |
| KR (1) | KR20110040760A (en) |
| CN (2) | CN104945500B (en) |
| AR (1) | AR072159A1 (en) |
| AU (1) | AU2009274425B2 (en) |
| BR (1) | BRPI0915282A2 (en) |
| CA (1) | CA2729296A1 (en) |
| CL (1) | CL2009001425A1 (en) |
| CO (1) | CO6280539A2 (en) |
| CR (1) | CR11849A (en) |
| DK (1) | DK2300035T3 (en) |
| EA (1) | EA020326B9 (en) |
| EC (1) | ECSP10010684A (en) |
| ES (2) | ES2650038T3 (en) |
| HU (1) | HUE028072T2 (en) |
| IL (1) | IL209666A (en) |
| MA (1) | MA32397B1 (en) |
| MX (1) | MX2010013453A (en) |
| NZ (2) | NZ603445A (en) |
| PE (1) | PE20100056A1 (en) |
| PL (1) | PL2300035T3 (en) |
| SG (1) | SG192405A1 (en) |
| TW (1) | TWI474835B (en) |
| WO (1) | WO2010011439A2 (en) |
| ZA (1) | ZA201008807B (en) |
Cited By (116)
| Publication number | Priority date | Publication date | Assignee | Title |
|---|---|---|---|---|
| WO2010148089A1 (en) | 2009-06-16 | 2010-12-23 | Indiana University Research And Technology Corporation | Gip receptor-active glucagon compounds |
| WO2011119657A1 (en) | 2010-03-26 | 2011-09-29 | Eli Lilly And Company | Novel peptides and methods for their preparation and use |
| WO2011143209A1 (en) | 2010-05-13 | 2011-11-17 | Indiana University Research And Technology Corporation | Glucagon superfamily peptides exhibiting nuclear hormone receptor activity |
| WO2012059764A1 (en) | 2010-11-03 | 2012-05-10 | Arecor Limited | Novel composition comprising glucagon |
| WO2012088116A2 (en) | 2010-12-22 | 2012-06-28 | Indiana University Research And Technology Corporation | Glucagon analogs exhibiting gip receptor activity |
| WO2012130866A1 (en) | 2011-03-28 | 2012-10-04 | Novo Nordisk A/S | Novel glucagon analogues |
| WO2012138941A1 (en) | 2011-04-05 | 2012-10-11 | Longevity Biotech, Inc. | Compositions comprising glucagon analogs and methods of making and using the same |
| WO2012167744A1 (en) * | 2011-06-10 | 2012-12-13 | Beijing Hanmi Pharmaceutical Co., Ltd. | Glucose dependent insulinotropic polypeptide analogs, pharmaceutical compositions and use thereof |
| CN102834108A (en) * | 2010-01-27 | 2012-12-19 | 印第安纳大学研究及科技有限公司 | Glucagon antagonist-GIP agonist conjugates and compositions for treating metabolic disorders and obesity |
| US8338368B2 (en) | 2005-11-07 | 2012-12-25 | Indiana University Research And Technology Corporation | Glucagon analogs exhibiting physiological solubility and stability |
| WO2012177443A2 (en) | 2011-06-22 | 2012-12-27 | Indiana University Research And Technology Corporation | Glucagon/glp-1 receptor co-agonists |
| WO2013074910A1 (en) | 2011-11-17 | 2013-05-23 | Indiana University Research And Technology Corporation | Glucagon superfamily peptides exhibiting glucocorticoid receptor activity |
| US8450270B2 (en) | 2008-06-17 | 2013-05-28 | Indiana University Research And Technology Corporation | Glucagon analogs exhibiting enhanced solubility and stability in physiological pH buffers |
| US8454971B2 (en) | 2007-02-15 | 2013-06-04 | Indiana University Research And Technology Corporation | Glucagon/GLP-1 receptor co-agonists |
| US8546327B2 (en) | 2008-06-17 | 2013-10-01 | Indiana University Research And Technology Corporation | Glucagon/GLP-1 receptor co-agonists |
| CN103402536A (en) * | 2010-12-22 | 2013-11-20 | 马克迪亚生物科技公司 | Methods of treating metabolic disorders and obesity with glucagon-based peptides active on GIP and GLP-1 receptors |
| WO2013170636A1 (en) | 2012-05-18 | 2013-11-21 | 爱德迪安(北京)生物技术有限公司 | Protein and protein conjugate for diabetes treatment, and applications thereof |
| WO2013192131A1 (en) | 2012-06-21 | 2013-12-27 | Indiana University Research And Technology Corporation | Incretin receptor ligand polypeptide fc-region fusion polypeptides and conjugates with altered fc-effector function |
| WO2013192130A1 (en) | 2012-06-21 | 2013-12-27 | Indiana University Research And Technology Corporation | Analogs of glucagon exhibiting gip receptor activity |
| WO2013192129A1 (en) | 2012-06-21 | 2013-12-27 | Indiana University Research And Technology Corporation | Glucagon analogs exhibiting gip receptor activity |
| US8669228B2 (en) | 2007-01-05 | 2014-03-11 | Indiana University Research And Technology Corporation | Glucagon analogs exhibiting enhanced solubility in physiological pH buffers |
| WO2014049610A2 (en) | 2012-09-26 | 2014-04-03 | Cadila Healthcare Limited | Peptides as gip, glp-1 and glucagon receptors triple-agonist |
| US8703701B2 (en) | 2009-12-18 | 2014-04-22 | Indiana University Research And Technology Corporation | Glucagon/GLP-1 receptor co-agonists |
| US8729017B2 (en) | 2011-06-22 | 2014-05-20 | Indiana University Research And Technology Corporation | Glucagon/GLP-1 receptor co-agonists |
| WO2014096145A1 (en) | 2012-12-21 | 2014-06-26 | Sanofi | Exendin-4 derivatives as dual glp1/gip or trigonal glp1/gip/glucagon agonists |
| US8778872B2 (en) | 2010-06-24 | 2014-07-15 | Indiana University Research And Technology Corporation | Amide based glucagon superfamily peptide prodrugs |
| WO2014147124A1 (en) | 2013-03-21 | 2014-09-25 | Sanofi-Aventis Deutschland Gmbh | Synthesis of hydantoin containing peptide products |
| WO2014147129A1 (en) | 2013-03-21 | 2014-09-25 | Sanofi-Aventis Deutschland Gmbh | Synthesis of cyclic imide containing peptide products |
| WO2014161835A1 (en) | 2013-04-03 | 2014-10-09 | Sanofi | Modified blood glucose regulating proteins with altered pharmacological activity profile and preparation thereof |
| WO2014192284A1 (en) * | 2013-05-28 | 2014-12-04 | Takeda Pharmaceutical Company Limited | Peptide compound |
| KR20150003910A (en) * | 2012-05-03 | 2015-01-09 | 질랜드 파마 에이/에스 | Gip-glp-1 dual agonist compounds and methods |
| WO2015022420A1 (en) * | 2013-08-16 | 2015-02-19 | Medimmune Limited | Gip and glp-1 receptor dual-agonists for the treatment of diabetes |
| WO2015035419A1 (en) * | 2013-09-09 | 2015-03-12 | Hoffmann-La Roche Inc. | Dosages of gip/glp-1 co-agonist peptides for human administration |
| US8980830B2 (en) | 2007-10-30 | 2015-03-17 | Indiana University Research And Technology Corporation | Peptide compounds exhibiting glucagon antagonist and GLP-1 agonist activity |
| US8981047B2 (en) | 2007-10-30 | 2015-03-17 | Indiana University Research And Technology Corporation | Glucagon antagonists |
| US9023986B2 (en) | 2010-10-25 | 2015-05-05 | Hoffmann-La Roche Inc. | Glucose-dependent insulinotropic peptide analogs |
| WO2015081891A1 (en) | 2013-12-06 | 2015-06-11 | Baikang (Suzhou) Co., Ltd | Bioreversable promoieties for nitrogen-containing and hydroxyl-containing drugs |
| WO2015086728A1 (en) | 2013-12-13 | 2015-06-18 | Sanofi | Exendin-4 peptide analogues as dual glp-1/gip receptor agonists |
| WO2015086732A1 (en) * | 2013-12-13 | 2015-06-18 | Sanofi | Exendin-4 peptide analogues |
| US9062124B2 (en) | 2008-06-17 | 2015-06-23 | Indiana University Research And Technology Corporation | GIP-based mixed agonists for treatment of metabolic disorders and obesity |
| WO2015095684A1 (en) | 2013-12-20 | 2015-06-25 | Indiana University Research And Technology Corporation | Lipidated incretin receptor ligand human immunoglobulin fc-region fusion polypeptides |
| US9145451B2 (en) | 2010-05-13 | 2015-09-29 | Indiana University Research And Technology Corporation | Glucagon superfamily peptides exhbiting G protein coupled receptor activity |
| WO2015067715A3 (en) * | 2013-11-06 | 2015-10-15 | Zealand Pharma A/S | Gip-glp-1 dual agonist compounds and methods |
| WO2016077220A1 (en) * | 2014-11-10 | 2016-05-19 | Mb2 Llc | Gip/glp-1 co-agonist peptides for human administration |
| US20160257729A1 (en) * | 2013-11-06 | 2016-09-08 | Zealand Pharma A/S | Glucagon-glp-1-gip triple agonist compounds |
| EP3075385A1 (en) | 2008-12-19 | 2016-10-05 | Indiana University Research and Technology Corporation | Amide based glucagon superfamily peptide prodrugs |
| US9474790B2 (en) | 2013-04-18 | 2016-10-25 | Novo Nordisk A/S | Stable, protracted GLP-1/glucagon receptor co-agonists for medical use |
| US9486505B2 (en) | 2011-09-23 | 2016-11-08 | Novo Nordisk A/S | Glucagon analogues |
| WO2016198624A1 (en) | 2015-06-12 | 2016-12-15 | Sanofi | Exendin-4 derivatives as trigonal glp-1/glucagon/gip receptor agonists |
| US9694053B2 (en) | 2013-12-13 | 2017-07-04 | Sanofi | Dual GLP-1/glucagon receptor agonists |
| US9751926B2 (en) | 2013-12-13 | 2017-09-05 | Sanofi | Dual GLP-1/GIP receptor agonists |
| US9750788B2 (en) | 2013-12-13 | 2017-09-05 | Sanofi | Non-acylated exendin-4 peptide analogues |
| US9758561B2 (en) | 2014-04-07 | 2017-09-12 | Sanofi | Dual GLP-1/glucagon receptor agonists derived from exendin-4 |
| US9771406B2 (en) | 2014-04-07 | 2017-09-26 | Sanofi | Peptidic dual GLP-1/glucagon receptor agonists derived from exendin-4 |
| US9775904B2 (en) | 2014-04-07 | 2017-10-03 | Sanofi | Exendin-4 derivatives as peptidic dual GLP-1/glucagon receptor agonists |
| WO2017221026A1 (en) | 2016-06-24 | 2017-12-28 | Arecor Limited | Novel composition |
| US9896495B2 (en) | 2013-10-17 | 2018-02-20 | Zealand Pharma A/S | Acylated glucagon analogues |
| US9932381B2 (en) | 2014-06-18 | 2018-04-03 | Sanofi | Exendin-4 derivatives as selective glucagon receptor agonists |
| US9944687B2 (en) | 2011-07-04 | 2018-04-17 | Imperial Innovations Limited | Compounds and their effects on feeding behaviour |
| US9963496B2 (en) | 2014-02-18 | 2018-05-08 | Novo Nordisk A/S | Stable glucagon analogues and use for treatment of hypoglycaemia |
| US9975939B2 (en) | 2012-09-17 | 2018-05-22 | Zealand Pharma A/S | Glucagon analogues |
| US9982029B2 (en) | 2015-07-10 | 2018-05-29 | Sanofi | Exendin-4 derivatives as selective peptidic dual GLP-1/glucagon receptor agonists |
| US9988429B2 (en) | 2013-10-17 | 2018-06-05 | Zealand Pharma A/S | Glucagon analogues |
| WO2018100134A1 (en) | 2016-12-02 | 2018-06-07 | Sanofi | New compounds as peptidic trigonal glp1/glucagon/gip receptor agonists |
| WO2018100135A1 (en) | 2016-12-02 | 2018-06-07 | Sanofi | New compounds as peptidic glp1/glucagon/gip receptor agonists |
| WO2018104263A1 (en) | 2016-12-06 | 2018-06-14 | INSERM (Institut National de la Santé et de la Recherche Médicale) | Methods of enhancing the potency of incretin-based drugs in subjects in need thereof |
| US10004786B2 (en) | 2009-07-13 | 2018-06-26 | Zealand Pharma A/S | Acylated glucagon analogues |
| WO2018181864A1 (en) | 2017-03-31 | 2018-10-04 | Takeda Pharmaceutical Company Limited | Gip receptor activating peptide |
| US10253078B2 (en) | 2014-10-29 | 2019-04-09 | Zealand Pharma A/S | GIP agonist compounds and methods |
| US10336802B2 (en) | 2015-04-16 | 2019-07-02 | Zealand Pharma A/S | Acylated glucagon analogue |
| US10370426B2 (en) | 2015-12-31 | 2019-08-06 | Hanmi Pharm. Co., Ltd | Triple glucagon/GLP-1/GIP receptor agonist |
| US10413593B2 (en) | 2014-10-24 | 2019-09-17 | Merck Sharp & Dohme Corp. | Co-agonists of the glucagon and GLP-1 receptors |
| US10442847B2 (en) | 2012-07-23 | 2019-10-15 | Zealand Pharma A/S | Glucagon analogues |
| WO2019229225A1 (en) | 2018-05-30 | 2019-12-05 | Sanofi | Conjugates comprising an glp-1/glucagon/gip triple receptor agonist, a linker and hyaluronic acid |
| AU2017289014B2 (en) * | 2016-06-29 | 2019-12-05 | Hanmi Pharm. Co., Ltd. | Glucagon derivative, conjugate thereof, composition comprising same and therapeutic use thereof |
| US10501516B2 (en) | 2016-05-24 | 2019-12-10 | Takeda Pharmaceutical Company Limited | Peptide compound |
| US10570184B2 (en) | 2014-06-04 | 2020-02-25 | Novo Nordisk A/S | GLP-1/glucagon receptor co-agonists for medical use |
| US10604555B2 (en) | 2018-05-04 | 2020-03-31 | Novo Nordisk A/S | GIP derivatives and uses thereof |
| WO2020067575A1 (en) | 2018-09-24 | 2020-04-02 | Takeda Pharmaceutical Company Limited | Gip receptor agonist peptide compounds and uses thereof |
| US10696725B2 (en) | 2015-06-30 | 2020-06-30 | Hanmi Pharm. Co., Ltd. | Glucagon derivative and a composition comprising a long acting conjugate of the same |
| US10758592B2 (en) | 2012-10-09 | 2020-09-01 | Sanofi | Exendin-4 derivatives as dual GLP1/glucagon agonists |
| US10806797B2 (en) | 2015-06-05 | 2020-10-20 | Sanofi | Prodrugs comprising an GLP-1/glucagon dual agonist linker hyaluronic acid conjugate |
| US11028123B2 (en) | 2018-04-10 | 2021-06-08 | Sanofi-Aventis Deutschland Gmbh | Capping of unprotected amino groups during peptide synthesis |
| US11135271B2 (en) | 2014-12-30 | 2021-10-05 | Hanmi Pharm. Co., Ltd. | Glucagon derivatives with improved stability |
| US11220534B2 (en) | 2016-12-05 | 2022-01-11 | Lancaster University Business Enterprises Limited | Treatment of neurological diseases |
| WO2022018185A1 (en) | 2020-07-22 | 2022-01-27 | Novo Nordisk A/S | Glp-1 and gip receptor co-agonists |
| WO2022018186A1 (en) | 2020-07-22 | 2022-01-27 | Novo Nordisk A/S | Co-agonists at glp-1 and gip receptors suitable for oral delivery |
| WO2022241287A2 (en) | 2021-05-13 | 2022-11-17 | Carmot Therapeutics, Inc. | Modulators of g-protein coupled receptors |
| US11535660B1 (en) | 2018-03-23 | 2022-12-27 | Cannot Therapeutics, Inc. | Modulators of G-protein coupled receptors |
| US11560402B2 (en) | 2018-04-10 | 2023-01-24 | Sanofi-Aventis Deutschland Gmbh | Method for cleavage of solid phase-bound peptides from the solid phase |
| WO2023139187A1 (en) | 2022-01-20 | 2023-07-27 | Novo Nordisk A/S | Glp-1/gip receptor co-agonist prodrugs and uses thereof |
| WO2023169456A1 (en) | 2022-03-09 | 2023-09-14 | Gasherbrum Bio , Inc. | Heterocyclic glp-1 agonists |
| WO2023179542A1 (en) | 2022-03-21 | 2023-09-28 | Gasherbrum Bio , Inc. | 5,8-dihydro-1,7-naphthyridine derivatives as glp-1 agonists for the treatment of diabetes |
| WO2023198140A1 (en) | 2022-04-14 | 2023-10-19 | Gasherbrum Bio, Inc. | Heterocyclic glp-1 agonists |
| WO2024125602A1 (en) | 2022-12-15 | 2024-06-20 | Gasherbrum Bio, Inc. | Salts and solid forms of a compound having glp-1 agonist activity |
| WO2024131869A1 (en) | 2022-12-22 | 2024-06-27 | Gasherbrum Bio, Inc. | Heterocyclic glp-1 agonists |
| WO2024138048A1 (en) | 2022-12-22 | 2024-06-27 | Gasherbrum Bio, Inc. | Heterocyclic glp-1 agonists |
| WO2024141127A1 (en) * | 2022-12-26 | 2024-07-04 | 杭州中美华东制药有限公司 | Gip receptor agonist and use thereof |
| WO2024165571A2 (en) | 2023-02-06 | 2024-08-15 | E-Therapeutics Plc | Inhibitors of expression and/or function |
| WO2024169952A1 (en) | 2023-02-16 | 2024-08-22 | Gasherbrum Bio, Inc. | Heterocyclic glp-1 agonists |
| EP4458834A2 (en) | 2020-02-07 | 2024-11-06 | Gasherbrum Bio, Inc. | Heterocyclic glp-1 agonists |
| WO2025006921A1 (en) | 2023-06-30 | 2025-01-02 | Gasherbrum Bio, Inc. | Heterocyclic glp-1 agonists |
| WO2025015268A1 (en) | 2023-07-13 | 2025-01-16 | Aconcagua Bio, Inc. | Modulators of calcitonin receptor and/or amylin receptor activity |
| WO2025015269A1 (en) | 2023-07-13 | 2025-01-16 | Aconcagua Bio, Inc. | Compounds, compositions, and methods |
| WO2025045208A1 (en) | 2023-08-31 | 2025-03-06 | Gasherbrum Bio, Inc. | Heteroaryl-heterocycloalkyl-based glp-1 agonists |
| WO2025114501A1 (en) | 2023-11-30 | 2025-06-05 | Novo Nordisk A/S | Tri-agonists of the glp-1, gip, and amylin receptors |
| US12329823B2 (en) | 2021-06-09 | 2025-06-17 | The Scripps Research Institute | Long-acting dual GIP/GLP-1 peptide conjugates and methods of use |
| WO2025125576A2 (en) | 2023-12-15 | 2025-06-19 | E-Therapeutics Plc | Inhibitors of expression and/or function |
| US12337028B2 (en) | 2013-12-18 | 2025-06-24 | The Scripps Research Institute | Modified therapeutic agents, stapled peptide lipid conjugates, and compositions thereof |
| WO2025137307A1 (en) | 2023-12-20 | 2025-06-26 | Gasherbrum Bio, Inc. | Heterocyclic glp-1 agonists |
| WO2025133348A1 (en) | 2023-12-22 | 2025-06-26 | E-Therapeutics Plc | Inhibitors of expression and/or function |
| WO2025171341A2 (en) | 2024-02-08 | 2025-08-14 | Aconcagua Bio, Inc. | Compounds and compositions for treating conditions associated with calcitonin receptor and/or amylin receptor activity |
| WO2025171340A1 (en) | 2024-02-08 | 2025-08-14 | Aconcagua Bio, Inc. | The treatment of calcitonin- and/or amylin-receptor associated conditions |
| WO2025189141A1 (en) | 2024-03-08 | 2025-09-12 | Annapurna Bio, Inc. | Methods for treating obesity and increasing weight loss |
| WO2025196502A1 (en) | 2024-03-20 | 2025-09-25 | North Carolina Agricultural & Technical State University | Choline kinase inhibitors as a therapeutic treatment for obesity |
| EP4686757A1 (en) | 2024-07-31 | 2026-02-04 | e-therapeutics PLC | Inhibitors of expression and/or function |
Families Citing this family (23)
| Publication number | Priority date | Publication date | Assignee | Title |
|---|---|---|---|---|
| AU2009210570B2 (en) * | 2008-01-30 | 2014-11-20 | Indiana University Research And Technology Corporation | Ester-based insulin prodrugs |
| AU2009230718B2 (en) | 2008-03-26 | 2013-07-11 | Oramed Ltd. | Methods and compositions for oral administration of proteins |
| RU2566063C2 (en) | 2008-05-05 | 2015-10-20 | ОРАМЕД Лтд. | Compositions and methods for oral administration of exenatide |
| US8992886B2 (en) * | 2009-04-06 | 2015-03-31 | Board Of Regents, The University Of Texas System | Cyclic peptide analogues for non-invasive imaging of pancreatic beta-cells |
| EP4082530B1 (en) | 2012-02-01 | 2024-04-10 | Oramed Ltd. | Protease inhibitor-containing compositions, compositions comprising same, and methods for producing and using same |
| CN104902921A (en) * | 2013-01-03 | 2015-09-09 | 奥拉姆德有限公司 | Methods and compositions for treating NAFLD, hepatic steatosis, and sequelae thereof |
| KR20150131213A (en) | 2013-03-14 | 2015-11-24 | 인디애나 유니버시티 리서치 앤드 테크놀로지 코퍼레이션 | Insulin-incretin conjugates |
| US20160058881A1 (en) * | 2013-03-15 | 2016-03-03 | Indiana University Research And Technology Corporation | Prodrugs with prolonged action |
| WO2015086731A1 (en) * | 2013-12-13 | 2015-06-18 | Sanofi | Exendin-4 peptide analogues as dual glp-1/glucagon receptor agonists |
| AR098614A1 (en) | 2013-12-18 | 2016-06-01 | Lilly Co Eli | COMPOUND FOR THE TREATMENT OF SEVERE HYPOGLYCEMIA |
| ES2822994T3 (en) * | 2014-09-24 | 2021-05-05 | Univ Indiana Res & Tech Corp | Incretin-insulin conjugates |
| JP2018012644A (en) * | 2014-11-26 | 2018-01-25 | 武田薬品工業株式会社 | Peptide compound |
| TWI622596B (en) | 2015-10-26 | 2018-05-01 | 美國禮來大藥廠 | Glucagon receptor agonist |
| CN109200273B (en) * | 2017-07-04 | 2021-02-19 | 中国药科大学 | Application of polypeptide in preparation of medicine for preventing or treating fatty liver disease |
| TWI744579B (en) * | 2017-12-21 | 2021-11-01 | 美商美國禮來大藥廠 | Incretin analogs and uses thereof |
| WO2021083306A1 (en) * | 2019-10-31 | 2021-05-06 | 东莞市东阳光生物药研发有限公司 | Glp-1/gcg dual-acceptor agonist polypeptide |
| JP2023550594A (en) * | 2020-10-30 | 2023-12-04 | ノヴォ ノルディスク アー/エス | GLP-1, GIP, and glucagon receptor triple agonist |
| CN114617956B (en) * | 2020-12-10 | 2023-10-03 | 江苏中新医药有限公司 | High-efficiency hypoglycemic protein medicine |
| EP4410827A1 (en) * | 2021-09-02 | 2024-08-07 | Sunshine Lake Pharma Co., Ltd. | Glp-1/gip dual-targeted polypeptide and fusion protein and applications thereof |
| CN115490760B (en) * | 2022-07-04 | 2023-04-14 | 北京惠之衡生物科技有限公司 | GLP-1 receptor and GCG receptor co-agonist polypeptide derivative |
| TW202502808A (en) * | 2023-07-14 | 2025-01-16 | 大陸商北京拓界生物醫藥科技有限公司 | Glp-1, gip and gcg receptor tri-agonists and uses thereof |
| CN117186206B (en) * | 2023-10-20 | 2024-07-23 | 广东药科大学 | Novel different GLP1 similar peptide covalent polymers and preparation methods and applications thereof |
| CN120349392A (en) * | 2023-11-06 | 2025-07-22 | 成都奥达生物科技有限公司 | GIP agonist compound |
Citations (8)
| Publication number | Priority date | Publication date | Assignee | Title |
|---|---|---|---|---|
| WO1987005330A1 (en) | 1986-03-07 | 1987-09-11 | Michel Louis Eugene Bergh | Method for enhancing glycoprotein stability |
| US6864069B2 (en) | 2001-10-05 | 2005-03-08 | Bayer Pharmaceuticals Corporation | Peptides acting as both GLP-1 receptor agonists and glucagon receptor antagonists and their pharmacological methods of use |
| US20060005020A1 (en) | 2004-06-16 | 2006-01-05 | Sxip Networks Srl | Graduated authentication in an identity management system |
| US20060017494A1 (en) | 2004-07-26 | 2006-01-26 | Masashi Horiguchi | Semiconductor integrated circuit device |
| US20070018415A1 (en) | 2005-07-20 | 2007-01-25 | Koch Hal D | Child transport air filtering system |
| US20080053857A1 (en) | 2006-08-31 | 2008-03-06 | Paul Vincent Enriquez Albano | Package having two different views for increased awareness in display |
| US7355008B2 (en) | 2003-01-09 | 2008-04-08 | Macrogenics, Inc. | Identification and engineering of antibodies with variant Fc regions and methods of using same |
| US7381408B2 (en) | 2003-05-06 | 2008-06-03 | Syntonix Pharmaceuticals, Inc. | Methods for chemically synthesizing immunoglobulin chimeric proteins |
Family Cites Families (124)
| Publication number | Priority date | Publication date | Assignee | Title |
|---|---|---|---|---|
| US4275152A (en) | 1977-02-03 | 1981-06-23 | Eastman Kodak Company | Hydrolysis of protein-bound cholesterol esters |
| PT83613B (en) | 1985-10-28 | 1988-11-21 | Lilly Co Eli | Process for the selective chemical removal of a protein amino-terminal residue |
| JPH04504416A (en) | 1989-02-17 | 1992-08-06 | コセルコ・ミモトープス・ピィ・ティ・ワイ.エル・ティ・ディ. | How to use and synthesize peptides |
| US5545618A (en) | 1990-01-24 | 1996-08-13 | Buckley; Douglas I. | GLP-1 analogs useful for diabetes treatment |
| ATE164852T1 (en) | 1990-01-24 | 1998-04-15 | Douglas I Buckley | GLP-1 ANALOGUE USABLE IN DIABETES TREATMENT |
| CA2024855C (en) | 1990-09-07 | 1997-12-09 | Boehringer Ingelheim (Canada) Ltd./ Boehringer Ingelheim (Canada) Ltee | Process and intermediates for producing glucagon |
| JPH04145099A (en) | 1990-10-05 | 1992-05-19 | Sanwa Kagaku Kenkyusho Co Ltd | Polypeptide derivative having gip-like activity and use thereof |
| ES2085004T3 (en) * | 1991-01-17 | 1996-05-16 | Zymogenetics Inc | METHODS TO DETECT GLUCAGON ANTAGONISTS. |
| US5510459A (en) | 1991-01-17 | 1996-04-23 | Zymogenetics, Inc. | Glucagon antagonists |
| US5359030A (en) | 1993-05-10 | 1994-10-25 | Protein Delivery, Inc. | Conjugation-stabilized polypeptide compositions, therapeutic delivery and diagnostic formulations comprising same, and method of making and using the same |
| US5480867A (en) | 1993-12-29 | 1996-01-02 | The Rockefeller University | Glucagon analogs with serine replacements |
| US5512549A (en) | 1994-10-18 | 1996-04-30 | Eli Lilly And Company | Glucagon-like insulinotropic peptide analogs, compositions, and methods of use |
| US5869602A (en) * | 1995-03-17 | 1999-02-09 | Novo Nordisk A/S | Peptide derivatives |
| JPH0940699A (en) * | 1995-07-28 | 1997-02-10 | Sanwa Kagaku Kenkyusho Co Ltd | Polypeptide and its use |
| DE19530865A1 (en) | 1995-08-22 | 1997-02-27 | Michael Dr Med Nauck | Active ingredient and agent for parenteral nutrition |
| JP2001503963A (en) | 1996-02-06 | 2001-03-27 | イーライ・リリー・アンド・カンパニー | Diabetes treatment |
| JP2000516912A (en) | 1996-06-05 | 2000-12-19 | ロシュ ダイアグノスティクス ゲゼルシャフト ミット ベシュレンクテル ハフツング | Exendin analogs, methods for their preparation and formulations containing them |
| AU724326B2 (en) | 1996-09-09 | 2000-09-14 | Zealand Pharmaceuticals A/S | Peptide prodrugs containing an alpha-hydroxyacid linker |
| UA65549C2 (en) | 1996-11-05 | 2004-04-15 | Елі Ліллі Енд Компані | Use of glucagon-like peptides such as glp-1, glp-1 analog, or glp-1 derivative in methods and compositions for reducing body weight |
| AU5518798A (en) | 1996-12-03 | 1998-06-29 | Trustees Of Boston University | Specific antagonists for glucose-dependent insulinotropic polypeptide (gip) |
| NZ506839A (en) | 1998-03-09 | 2003-05-30 | Zealand Pharma As | Pharmacologically active peptide conjugates having a reduced tendency towards enzymatic hydrolysis |
| DE19828113A1 (en) | 1998-06-24 | 2000-01-05 | Probiodrug Ges Fuer Arzneim | Prodrugs of Dipeptidyl Peptidase IV Inhibitors |
| US20030236190A1 (en) | 1998-09-02 | 2003-12-25 | Renuka Pillutla | Isulin and IGF-1 receptor agonists and antagonists |
| AU6294899A (en) | 1998-10-07 | 2000-04-26 | Medical College Of Georgia Research Institute, Inc. | Glucose-dependent insulinotropic peptide for use as an osteotropic hormone |
| CZ295890B6 (en) | 1998-12-07 | 2005-11-16 | Societe De Conseils De Recherches Et D'application | GLP-1 analogues having aminoisobutyric acid in position 8 and D-arginine in position 36, their use and pharmaceutical compositions in which the analogues are comprised |
| EP1147094A1 (en) | 1999-01-15 | 2001-10-24 | Novo Nordisk A/S | Non-peptide glp-1 agonists |
| WO2000058360A2 (en) | 1999-03-29 | 2000-10-05 | Uutech Limited | Analogs of gastric inhibitory peptide and their use for treatment of diabetes |
| GB0404124D0 (en) | 2004-02-25 | 2004-03-31 | Univ Ulster | Antagonists of GIP |
| SI1180121T1 (en) | 1999-05-17 | 2004-04-30 | Conjuchem, Inc. | Long lasting insulinotropic peptides |
| EP1076066A1 (en) * | 1999-07-12 | 2001-02-14 | Zealand Pharmaceuticals A/S | Peptides for lowering blood glucose levels |
| KR20020097236A (en) | 2000-04-27 | 2002-12-31 | 바이오네브라스카, 인코포레이티드 | Gastric inhibitory polypeptide diagnostic test for detecting susceptibility to type-2 diabetes, impaired glucose tolerance, or impaired fasting glucose |
| US6677136B2 (en) | 2000-05-03 | 2004-01-13 | Amgen Inc. | Glucagon antagonists |
| AU2001269833A1 (en) | 2000-06-14 | 2001-12-24 | Cytovax Biotechnologies, Inc. | Use of coiled-coil structural scaffold to generate structure-specific peptides |
| JP4716641B2 (en) | 2000-06-16 | 2011-07-06 | イーライ リリー アンド カンパニー | Glucagon-like peptide-1 analog |
| CN1454214A (en) | 2000-08-02 | 2003-11-05 | 赛莱技术公司 | Modified Biopeptides with Enhanced Efficacy |
| US6846831B2 (en) | 2000-08-15 | 2005-01-25 | Cpd, Llc | Method of treating the syndrome of lipodystrophy |
| US6528520B2 (en) | 2000-08-15 | 2003-03-04 | Cpd, Llc | Method of treating the syndrome of coronary heart disease risk factors in humans |
| US6262062B1 (en) | 2000-08-15 | 2001-07-17 | Cpd, Llc | Method of treating the syndrome of coronary heart disease risk factors in humans |
| US20020045572A1 (en) | 2000-08-15 | 2002-04-18 | Cpd, Llc | Method of treating the syndrome of type 2 diabetes in humans |
| EP1324779B1 (en) | 2000-09-29 | 2011-07-20 | Schering Corporation | Pegylated interleukin-10 |
| EP1351984A2 (en) | 2000-12-13 | 2003-10-15 | Eli Lilly And Company | Amidated glucagon-like peptide-1 |
| DE60228972D1 (en) | 2001-07-31 | 2008-10-30 | Us Gov Health & Human Serv | GLP 1 EXENDIN 4 PEPTIDE ANALOG AND THEIR USES |
| AU2002327430A1 (en) | 2001-08-08 | 2003-02-24 | Genzyme Corporation | Methods for treating diabetes and other blood sugar disorders |
| US7238663B2 (en) | 2001-08-28 | 2007-07-03 | Eli Lilly And Company | Pre-mixes of GLP-1 and basal insulin |
| GB0121709D0 (en) | 2001-09-07 | 2001-10-31 | Imp College Innovations Ltd | Food inhibition agent |
| US7041646B2 (en) * | 2001-10-05 | 2006-05-09 | Bayer Pharmaceuticals Corporation | Methods of treating type 2 diabetes with peptides acting as both GLP-1 receptor agonists and glucagon receptor antagonists |
| AR036711A1 (en) | 2001-10-05 | 2004-09-29 | Bayer Corp | PEPTIDES THAT ACT AS GLON-RECEPTOR AGONISTS AND AS GLUCAGON RECEPTOR ANTAGONISTS AND THEIR PHARMACOLOGICAL USE METHODS |
| HRP20040343A2 (en) | 2001-10-18 | 2005-08-31 | Bristol-Myers Squibb Company | Human glucagon-like-peptide-1 mimics and their use in the treatment of diabetes and related conditions |
| CN1571676A (en) | 2001-10-19 | 2005-01-26 | 伊莱利利公司 | Biphasic mixtures of GLP-1 and insulin |
| WO2003059378A2 (en) | 2001-12-29 | 2003-07-24 | Novo Nordisk A/S | Combined use of a glp-1 compound and another drug for treating dyslipidemia |
| JP4282485B2 (en) | 2002-01-08 | 2009-06-24 | イーライ リリー アンド カンパニー | Elongated glucagon-like peptide-1 analog |
| US20030232761A1 (en) * | 2002-03-28 | 2003-12-18 | Hinke Simon A. | Novel analogues of glucose-dependent insulinotropic polypeptide |
| AU2003239478A1 (en) | 2002-06-04 | 2003-12-22 | Eli Lilly And Company | Modified glucagon-like peptide-1 analogs |
| AU2003237933A1 (en) | 2002-06-11 | 2003-12-22 | Cellartis Ab | Use of compounds having gip activity for the treatment of disorders associated with abnormal loss of cells and/or for the treatment of obesity |
| AU2003248676A1 (en) | 2002-06-15 | 2003-12-31 | Enteromed, Inc. | Treatment of non-alcoholic fatty liver disease |
| CA2497794A1 (en) | 2002-09-06 | 2004-03-18 | Bayer Pharmaceuticals Corporation | Modified glp-1 receptor agonists and their pharmacological methods of use |
| US7192922B2 (en) | 2002-11-19 | 2007-03-20 | Allegheny-Singer Research Institute | Method of treating left ventricular dysfunction |
| US20050059605A1 (en) | 2003-01-31 | 2005-03-17 | Krishna Peri | Chemically modified metabolites of regulatory peptides and methods of producing and using same |
| JP2007524579A (en) * | 2003-02-19 | 2007-08-30 | ソシエテ・ドゥ・コンセイユ・ドゥ・ルシェルシュ・エ・ダプリカーション・シャンティフィック・エス・ア・エス | Analogs of GLP-1 |
| EP1626981A4 (en) | 2003-03-04 | 2006-11-22 | Biorexis Pharmaceutical Corp | Dipeptidyl-peptidase protected proteins |
| PT1605897E (en) | 2003-03-19 | 2012-09-10 | Lilly Co Eli | Polyethelene glycol link glp-1 compounds |
| WO2004089280A2 (en) | 2003-04-08 | 2004-10-21 | Yeda Research And Development Co. Ltd. | Reversible pegylated drugs |
| ATE549028T1 (en) | 2003-05-15 | 2012-03-15 | Tufts College | STABLE ANALOGUES OF GLP-1 |
| PL1633391T3 (en) | 2003-06-03 | 2012-03-30 | Novo Nordisk As | Stabilized pharmaceutical peptide compositions |
| WO2004105781A2 (en) | 2003-06-03 | 2004-12-09 | Novo Nordisk A/S | Stabilized pharmaceutical peptide compositions |
| ATE525395T1 (en) | 2003-06-12 | 2011-10-15 | Lilly Co Eli | FUSION PROTEINS OF GLP-1 ANALOGS |
| WO2004111078A2 (en) | 2003-06-18 | 2004-12-23 | Theratechnologies Inc. | Compounds that modulate the glucagon response and uses thereof |
| WO2005027978A2 (en) | 2003-09-19 | 2005-03-31 | Novo Nordisk A/S | Albumin-binding derivatives of therapeutic peptides |
| US7364875B2 (en) | 2003-10-30 | 2008-04-29 | Cresent Innovations, Inc. | Method for producing medical and commercial grade poly-gamma-glutamic acid of high molecular weight |
| EP1704165B1 (en) | 2003-12-18 | 2010-03-17 | Novo Nordisk A/S | Glp-1 compounds |
| US20060286129A1 (en) | 2003-12-19 | 2006-12-21 | Emisphere Technologies, Inc. | Oral GLP-1 formulations |
| US20080318837A1 (en) | 2003-12-26 | 2008-12-25 | Nastech Pharmaceutical Company Inc. | Pharmaceutical Formation For Increased Epithelial Permeability of Glucose-Regulating Peptide |
| EP1781699A1 (en) * | 2004-08-16 | 2007-05-09 | Novo Nordisk A/S | Multimers of peptides |
| US7442682B2 (en) * | 2004-10-19 | 2008-10-28 | Nitto Denko Corporation | Transepithelial delivery of peptides with incretin hormone activities |
| US8263545B2 (en) * | 2005-02-11 | 2012-09-11 | Amylin Pharmaceuticals, Inc. | GIP analog and hybrid polypeptides with selectable properties |
| CA2597649A1 (en) | 2005-02-11 | 2006-08-17 | Amylin Pharmaceuticals, Inc. | Gip analog and hybrid polypeptides with selectable properties |
| US20090062192A1 (en) | 2005-03-18 | 2009-03-05 | Novo Nordisk A/S | Dimeric Peptide Agonists of the Glp-1 Receptor |
| WO2006121904A1 (en) | 2005-05-06 | 2006-11-16 | Bayer Pharmaceuticals Corporation | Glucose-dependent insulinotropic polypeptide (gip) receptor agonists and their pharmacological methods of use |
| AU2006247734B2 (en) | 2005-05-13 | 2011-06-23 | Eli Lilly And Company | GLP-1 pegylated compounds |
| JP2008543816A (en) | 2005-06-13 | 2008-12-04 | インペリアル イノベーションズ リミテッド | Novel compounds and their effects on eating behavior |
| AU2006279680B2 (en) | 2005-08-11 | 2012-12-06 | Amylin Pharmaceuticals, Llc | Hybrid polypeptides with selectable properties |
| US20090286722A1 (en) | 2005-09-08 | 2009-11-19 | Utech Limited | Analogs of Gastric Inhibitory Polypeptide as a Treatment for Age Related Decreased Pancreatic Beta Cell Function |
| EP1943274A2 (en) | 2005-09-08 | 2008-07-16 | Uutech Limited | Treatment of diabetes related obesity |
| WO2007056362A2 (en) | 2005-11-07 | 2007-05-18 | Indiana University Research And Technology Corporation | Glucagon analogs exhibiting physiological solubility and stability |
| EP2471810A1 (en) | 2006-02-22 | 2012-07-04 | Merck Sharp & Dohme Corporation | Oxyntomodulin derivatives |
| JP5312054B2 (en) | 2006-03-15 | 2013-10-09 | ノボ・ノルデイスク・エー/エス | Mixture of amylin and insulin |
| JP5412273B2 (en) | 2006-03-21 | 2014-02-12 | アミリン・ファーマシューティカルズ,リミテッド・ライアビリティ・カンパニー | Peptide-peptidase inhibitors and uses thereof |
| MX2008013304A (en) | 2006-04-20 | 2008-10-27 | Amgen Inc | Glp-1 compounds. |
| WO2008022015A2 (en) | 2006-08-11 | 2008-02-21 | Trustees Of Tufts College | Retro-inverso incretin analogues, and methods of use thereof |
| CA2660835A1 (en) | 2006-08-17 | 2008-02-21 | Amylin Pharmaceuticals, Inc. | Dpp-iv resistant gip hybrid polypeptides with selectable propperties |
| US20090318353A1 (en) | 2006-08-25 | 2009-12-24 | Novo Nordisk A/S | Acylated Exendin-4 Compounds |
| CA2663083A1 (en) | 2006-09-08 | 2008-03-13 | Ambrx, Inc. | Modified human plasma polypeptide or fc scaffolds and their uses |
| US8617531B2 (en) | 2006-12-14 | 2013-12-31 | Bolder Biotechnology, Inc. | Methods of making proteins and peptides containing a single free cysteine |
| EP2124974B1 (en) | 2007-01-05 | 2017-03-15 | Indiana University Research and Technology Corporation | Glucagon analogs exhibiting enhanced solubility in physiological ph buffers |
| AU2008216265B2 (en) | 2007-02-15 | 2014-04-03 | Indiana University Research And Technology Corporation | Glucagon/GLP-1 receptor co-agonists |
| US7994122B2 (en) * | 2007-06-15 | 2011-08-09 | Zealand Pharma A/S | Glucagon analogues |
| US7859468B2 (en) * | 2007-08-30 | 2010-12-28 | Research In Motion Limited | Mobile wireless communications device including a folded monopole multi-band antenna and related methods |
| WO2009030738A1 (en) | 2007-09-05 | 2009-03-12 | Novo Nordisk A/S | Glucagon-like peptide-1 derivatives and their pharmaceutical use |
| JP2010538049A (en) | 2007-09-05 | 2010-12-09 | ノボ・ノルデイスク・エー/エス | Cleaved GLP-1 derivatives and therapeutic uses thereof |
| JP2010538069A (en) | 2007-09-07 | 2010-12-09 | イプセン ファルマ ソシエテ パール アクシオン サンプリフィエ | Exendin-4 and analogs of exendin-3 |
| EP2036923A1 (en) | 2007-09-11 | 2009-03-18 | Novo Nordisk A/S | Improved derivates of amylin |
| EP2200635A1 (en) | 2007-09-11 | 2010-06-30 | Novo Nordisk A/S | Mixture comprising an amylin peptide and a protracted insulin |
| EP2036539A1 (en) | 2007-09-11 | 2009-03-18 | Novo Nordisk A/S | Stable formulations of amylin and its analogues |
| JP5669582B2 (en) | 2007-10-30 | 2015-02-12 | インディアナ ユニバーシティー リサーチ アンド テクノロジー コーポレーションIndiana University Research And Technology Corporation | Glucagon antagonist |
| EP2214691B1 (en) | 2007-10-30 | 2015-09-30 | Indiana University Research and Technology Corporation | Compounds exhibiting glucagon antagonist and glp-1 agonist activity |
| US20090181037A1 (en) | 2007-11-02 | 2009-07-16 | George Heavner | Semi-Synthetic GLP-1 Peptide-FC Fusion Constructs, Methods and Uses |
| AU2009210570B2 (en) | 2008-01-30 | 2014-11-20 | Indiana University Research And Technology Corporation | Ester-based insulin prodrugs |
| HRP20191052T1 (en) | 2008-02-01 | 2019-11-01 | Ascendis Pharma As | A TREATMENT INCLUDING A SELF-CLEAVING LINK |
| MX337038B (en) | 2008-06-17 | 2016-02-10 | Univ Indiana Res & Tech Corp | Glucagon/glp-1 receptor co-agonists. |
| CN104447980A (en) | 2008-06-17 | 2015-03-25 | 印第安纳大学研究及科技有限公司 | Glucagon analogs exhibiting enhanced solubility and stability in physiological pH buffers |
| EP2300035B1 (en) | 2008-06-17 | 2015-08-12 | Indiana University Research and Technology Corporation | Gip-based mixed agonists for treatment of metabolic disorders and obesity |
| SG172291A1 (en) | 2008-12-19 | 2011-07-28 | Univ Indiana Res & Tech Corp | Amide based glucagon superfamily peptide prodrugs |
| US20110237493A1 (en) | 2008-12-19 | 2011-09-29 | Indiana University Research And Technology Corporation | Dipeptide linked medicinal agents |
| WO2010096052A1 (en) | 2009-02-19 | 2010-08-26 | Merck Sharp & Dohme Corp. | Oxyntomodulin analogs |
| MX2011013625A (en) | 2009-06-16 | 2012-01-20 | Univ Indiana Res & Tech Corp | Gip receptor-active glucagon compounds. |
| WO2011075393A2 (en) | 2009-12-18 | 2011-06-23 | Indiana University Research And Technology Corporation | Glucagon/glp-1 receptor co-agonists |
| AR079344A1 (en) | 2009-12-22 | 2012-01-18 | Lilly Co Eli | PEPTIDAL ANALOG OF OXINTOMODULIN, PHARMACEUTICAL COMPOSITION THAT UNDERSTANDS AND USES TO PREPARE A USEFUL MEDICINAL PRODUCT TO TREAT NON-INSULINED INDEPENDENT DIABETES AND / OR OBESITY |
| AR079345A1 (en) | 2009-12-22 | 2012-01-18 | Lilly Co Eli | OXINTOMODULINE PEPTIDAL ANALOG |
| JP2013518115A (en) | 2010-01-27 | 2013-05-20 | インディアナ ユニバーシティー リサーチ アンド テクノロジー コーポレーション | Glucagon antagonist-GIP agonist conjugates and compositions for the treatment of metabolic disorders and obesity |
| AR080592A1 (en) | 2010-03-26 | 2012-04-18 | Lilly Co Eli | PEPTIDE WITH ACTIVITY FOR GIP-R AND GLP-1-R, FAMILY FORMULATION THAT UNDERSTANDS IT, ITS USE TO PREPARE A USEFUL MEDICINAL PRODUCT FOR THE TREATMENT OF MELLITUS DIABETES AND TO INDICATE WEIGHT LOSS |
| ES2661228T3 (en) | 2010-05-13 | 2018-03-28 | Indiana University Research And Technology Corporation | Glucagon superfamily peptides that show nuclear hormone receptor activity |
| RU2012153753A (en) | 2010-05-13 | 2014-06-20 | Индиана Юниверсити Рисерч Энд Текнолоджи Корпорейшн | Glucagon superfamily peptides with activity in relation to G-protein-coupled receptors |
| CA2796894A1 (en) | 2010-06-24 | 2011-12-29 | Indiana University Research And Technology Corporation | Amide based glucagon superfamily peptide prodrugs |
| WO2011163473A1 (en) | 2010-06-25 | 2011-12-29 | Indiana University Research And Technology Corporation | Glucagon analogs exhibiting enhanced solubility and stability in physiological ph buffers |
-
2009
- 2009-06-16 EP EP09800752.9A patent/EP2300035B1/en active Active
- 2009-06-16 NZ NZ603445A patent/NZ603445A/en not_active IP Right Cessation
- 2009-06-16 BR BRPI0915282A patent/BRPI0915282A2/en not_active IP Right Cessation
- 2009-06-16 ES ES15175377.9T patent/ES2650038T3/en active Active
- 2009-06-16 JP JP2011514735A patent/JP6108659B2/en active Active
- 2009-06-16 MX MX2010013453A patent/MX2010013453A/en active IP Right Grant
- 2009-06-16 US US12/999,285 patent/US9062124B2/en active Active
- 2009-06-16 CL CL2009001425A patent/CL2009001425A1/en unknown
- 2009-06-16 PL PL09800752T patent/PL2300035T3/en unknown
- 2009-06-16 PE PE2009000874A patent/PE20100056A1/en not_active Application Discontinuation
- 2009-06-16 CA CA2729296A patent/CA2729296A1/en not_active Abandoned
- 2009-06-16 SG SG2013045547A patent/SG192405A1/en unknown
- 2009-06-16 CN CN201510309638.8A patent/CN104945500B/en active Active
- 2009-06-16 EP EP15175377.9A patent/EP2952202B1/en active Active
- 2009-06-16 NZ NZ589848A patent/NZ589848A/en not_active IP Right Cessation
- 2009-06-16 WO PCT/US2009/047447 patent/WO2010011439A2/en not_active Ceased
- 2009-06-16 TW TW098120096A patent/TWI474835B/en not_active IP Right Cessation
- 2009-06-16 AR ARP090102180A patent/AR072159A1/en not_active Application Discontinuation
- 2009-06-16 ES ES09800752.9T patent/ES2558842T3/en active Active
- 2009-06-16 AU AU2009274425A patent/AU2009274425B2/en not_active Ceased
- 2009-06-16 EA EA201001801A patent/EA020326B9/en not_active IP Right Cessation
- 2009-06-16 HU HUE09800752A patent/HUE028072T2/en unknown
- 2009-06-16 CN CN200980123349.1A patent/CN102105159B/en active Active
- 2009-06-16 DK DK09800752.9T patent/DK2300035T3/en active
- 2009-06-16 KR KR1020107028260A patent/KR20110040760A/en not_active Ceased
-
2010
- 2010-11-30 IL IL209666A patent/IL209666A/en not_active IP Right Cessation
- 2010-12-07 ZA ZA2010/08807A patent/ZA201008807B/en unknown
- 2010-12-15 MA MA33430A patent/MA32397B1/en unknown
- 2010-12-16 CR CR11849A patent/CR11849A/en not_active Application Discontinuation
- 2010-12-16 CO CO10158388A patent/CO6280539A2/en not_active Application Discontinuation
- 2010-12-16 EC EC2010010684A patent/ECSP10010684A/en unknown
-
2015
- 2015-04-02 JP JP2015076371A patent/JP6174071B2/en active Active
- 2015-05-18 US US14/714,728 patent/US20150322130A1/en not_active Abandoned
Patent Citations (8)
| Publication number | Priority date | Publication date | Assignee | Title |
|---|---|---|---|---|
| WO1987005330A1 (en) | 1986-03-07 | 1987-09-11 | Michel Louis Eugene Bergh | Method for enhancing glycoprotein stability |
| US6864069B2 (en) | 2001-10-05 | 2005-03-08 | Bayer Pharmaceuticals Corporation | Peptides acting as both GLP-1 receptor agonists and glucagon receptor antagonists and their pharmacological methods of use |
| US7355008B2 (en) | 2003-01-09 | 2008-04-08 | Macrogenics, Inc. | Identification and engineering of antibodies with variant Fc regions and methods of using same |
| US7381408B2 (en) | 2003-05-06 | 2008-06-03 | Syntonix Pharmaceuticals, Inc. | Methods for chemically synthesizing immunoglobulin chimeric proteins |
| US20060005020A1 (en) | 2004-06-16 | 2006-01-05 | Sxip Networks Srl | Graduated authentication in an identity management system |
| US20060017494A1 (en) | 2004-07-26 | 2006-01-26 | Masashi Horiguchi | Semiconductor integrated circuit device |
| US20070018415A1 (en) | 2005-07-20 | 2007-01-25 | Koch Hal D | Child transport air filtering system |
| US20080053857A1 (en) | 2006-08-31 | 2008-03-06 | Paul Vincent Enriquez Albano | Package having two different views for increased awareness in display |
Non-Patent Citations (53)
| Title |
|---|
| "Chemical Modifications of Proteins: History and Applications", BIOCONJUGATE CHEM., 1990, pages 2 - 12 |
| A. H. KIBBE: "Handbook o/ Ph?rm?ceutic?/ Excipients", 2000, PHARMACEUTICAL PRESS |
| AHN ET AL., J. MED. CHEM., vol. 44, 2001, pages 3109 - 3116 |
| ALTHAGE ET AL., J BIOL CHEM, 17 April 2008 (2008-04-17) |
| ANDREWS; TABOR, TETRAHEDRON, vol. 55, 1999, pages 11711 - 11743 |
| APLIN; WRISTON, CRC CRIT. REV. BIOCHEM., 1981, pages 259 - 306 |
| ARMOUR ET AL., EUR. J. IMMUNOL., vol. 29, 1999, pages 2613 |
| BLACKWELL ET AL., ANGEW, CHEM., INT. ED., vol. 37, 1998, pages 3281 - 3284 |
| BURMEISTER ET AL., NATURE, vol. 372, 1994, pages 379 |
| DAVIES, J., PEPTIDE. SCI, vol. 9, 2003, pages 471 - 501 |
| DIABETES, vol. 54, 2005, pages 2390 - 2395 |
| E. W. MARTIN: "Remington's Pharmaceutical Sciences", 1980, MACK PUBLISHING CO. |
| FRIEND ET AL., TRANSPLANTATION, vol. 68, 1999, pages 1632 |
| FUKASE ET AL., BULL. CHEM. SOC. JPN., vol. 65, 1992, pages 2227 - 2240 |
| G. T. HERMANSON: "Bioconjugate Techniques", 1996, ACADEMIC PRESS |
| GHADIRI ET AL., J. AM. CHEM. SOC., vol. 112, 1990, pages 1630 - 1632 |
| GHADIRI ET AL., J. AM. CHEM. SOC., vol. 119, 1997, pages 9063 - 9064 |
| GOODMAN; SHAO, PURE APPL. CHEM., vol. 68, 1996, pages 1303 - 1308 |
| HARPP ET AL., J. ORG. CHEM., vol. 36, 1971, pages 73 - 80 |
| HASHIMOTO ET AL., PHARMACUETICAL RES. "SYNTHESIS OF PALMITOYL DERIVATIVES OF INSULIN AND THEIR BIOLOGICAL ACTIVITY, vol. 6, no. 2, 1989, pages 171 - 176 |
| HENRY ET AL., BIOCHEMISTRY, vol. 36, 1997, pages 15568 - 15578 |
| IRWIN ET AL., DIABETOLOGIA, vol. 50, 2007, pages 1532 - 1540 |
| JACKSON ET AL., J. AM. CHEM. SOC., vol. 113, 1991, pages 9391 - 9392 |
| KINSTLER ET AL., ADV. DRUG. DELIVERY REV., vol. 54, 2002, pages 477 - 485 |
| LEWIS ET AL., J IMMUNOL., vol. 175, 2005, pages 6694 - 701 |
| LTEIF; MATHER, CAN. J. CARDIOL., vol. 20, 2004, pages 66B - 76B |
| MATHUR, RUCHI: "Metabolic Syndrome", 11 May 2009, MEDICINENET.COM |
| MATTEUCCI ET AL., TETRAHEDRON LETTERS, vol. 45, 2004, pages 1399 - 1401 |
| MAYER ET AL., J. PEPTIDE RES., vol. 51, 1998, pages 432 - 436 |
| MENDLER, MICHEL: "Fatty Liver: Nonalcoholic Fatty Liver Disease (NAFLD) and Nonalcoholic Steatohepatitis (NASH)", 29 August 2005, MEDICINENET.COM |
| MILLER, BIOCHEM BIOPHYS RES COMMUN, vol. 218, 1996, pages 377 - 382 |
| OSAPAY ET AL., J. MED. CHEM., vol. 40, 1997, pages 2241 - 2251 |
| OSAPAY; GOODMAN, J. CHEM. SOC. CHEM. COMMUN., 1993, pages 1599 - 1600 |
| PHELAN ET AL., J. AM. CHEM. SOC., vol. 119, 1997, pages 455 - 460 |
| POLINSKY ET AL., J. MED. CHEM., vol. 35, 1992, pages 4185 - 4194 |
| PREVIERO ET AL., BIOCHIM BIOPHYS ACTA, vol. 263, 1972, pages 7 - 13 |
| ROBERTS ET AL., ADV. DRUG DELIVERY REV., vol. 54, 2002, pages 459 - 476 |
| ROUTLEDGE ET AL., TRANSPLANTATION, vol. 60, 1995, pages 847 |
| RUDINGER; JOST, EXPERIENTIA, vol. 20, 1964, pages 570 - 571 |
| SAN; SILVIUS, J, PEPT RES, vol. 66, 2005, pages 169 - 180 |
| SAPSE ET AL., MOL. MED., vol. 8, no. 5, 2002, pages 251 - 262 |
| SAYERS ET AL., J BIOL CHEM., vol. 279, no. 34, 2004, pages 35320 - 5 |
| SCHAFMEISTER ET AL., J. AM. CHEM. SOC., vol. 122, 2000, pages 5891 - 5892 |
| SCHNOLZER ET AL., INT. J. PEPTIDE PROTEIN RES., vol. 40, 1992, pages 180 - 193 |
| See also references of EP2300035A4 |
| SHIMOHIGASHI; STAMMER, INT J PEPT PROTEIN RES, vol. 19, 1982, pages 54 - 62 |
| SONDERMANN ET AL., NATURE, vol. 406, 2000, pages 267 - 273 |
| T. E. CREIGHTON: "Proteins: Structure and Molecular Properties", 1983, W.H. FREEMAN & CO., pages: 79 - 86 |
| UNSON ET AL., J. BIOL. CHEM., vol. 264, 1989, pages 789 - 794 |
| WALENSKY ET AL., SCIENCE, vol. 305, 2004, pages 1466 - 1470 |
| WARD; GHETIE, THERAPEUTIC IMMUNOLOGY, vol. 2, 1995, pages 77 |
| WORMAN, HOWARD J.: "Alcoholic Liver Disease", COLUMBIA UNIVERSITY MEDICAL CENTER WEBSITE |
| ZALIPSKY ET AL., ADV. DRUG DELIVERY REV., vol. 16, 1995, pages 157 - 182 |
Cited By (211)
| Publication number | Priority date | Publication date | Assignee | Title |
|---|---|---|---|---|
| US9018164B2 (en) | 2005-11-07 | 2015-04-28 | Indiana University Research And Technology Corporation | Glucagon analogs exhibiting physiological solubility and stability |
| US8338368B2 (en) | 2005-11-07 | 2012-12-25 | Indiana University Research And Technology Corporation | Glucagon analogs exhibiting physiological solubility and stability |
| US8669228B2 (en) | 2007-01-05 | 2014-03-11 | Indiana University Research And Technology Corporation | Glucagon analogs exhibiting enhanced solubility in physiological pH buffers |
| US8900593B2 (en) | 2007-02-15 | 2014-12-02 | Indiana University Research And Technology Corporation | Glucagon/GLP-1 receptor co-agonists |
| US9447162B2 (en) | 2007-02-15 | 2016-09-20 | Indiana University Research And Technology Corporation | Glucagon/GLP-1 receptor co-agonists |
| US8454971B2 (en) | 2007-02-15 | 2013-06-04 | Indiana University Research And Technology Corporation | Glucagon/GLP-1 receptor co-agonists |
| US8981047B2 (en) | 2007-10-30 | 2015-03-17 | Indiana University Research And Technology Corporation | Glucagon antagonists |
| US8980830B2 (en) | 2007-10-30 | 2015-03-17 | Indiana University Research And Technology Corporation | Peptide compounds exhibiting glucagon antagonist and GLP-1 agonist activity |
| US9062124B2 (en) | 2008-06-17 | 2015-06-23 | Indiana University Research And Technology Corporation | GIP-based mixed agonists for treatment of metabolic disorders and obesity |
| US8546327B2 (en) | 2008-06-17 | 2013-10-01 | Indiana University Research And Technology Corporation | Glucagon/GLP-1 receptor co-agonists |
| US8969294B2 (en) | 2008-06-17 | 2015-03-03 | Istituto Di Recerche Di Biologia Molecolare P. Angeletti S.R.L. | Glucagon/GLP-1 receptor co-agonists |
| US8450270B2 (en) | 2008-06-17 | 2013-05-28 | Indiana University Research And Technology Corporation | Glucagon analogs exhibiting enhanced solubility and stability in physiological pH buffers |
| EP3075385A1 (en) | 2008-12-19 | 2016-10-05 | Indiana University Research and Technology Corporation | Amide based glucagon superfamily peptide prodrugs |
| EP2443146A4 (en) * | 2009-06-16 | 2012-11-21 | Univ Indiana Res & Tech Corp | ACTIVE GLUCAGON COMPOUNDS ON THE GIP RECEIVER |
| AU2010260058B2 (en) * | 2009-06-16 | 2015-09-24 | Indiana University Research And Technology Corporation | GIP receptor-active glucagon compounds |
| US9150632B2 (en) | 2009-06-16 | 2015-10-06 | Indiana University Research And Technology Corporation | GIP receptor-active glucagon compounds |
| CN102459325B (en) * | 2009-06-16 | 2015-03-25 | 印第安纳大学科技研究有限公司 | Gastropin receptor activating glucagon compound |
| CN102459325A (en) * | 2009-06-16 | 2012-05-16 | 印第安纳大学科技研究有限公司 | Gastrostatin receptor activated glucagon compounds |
| US9790263B2 (en) | 2009-06-16 | 2017-10-17 | Indiana University Research And Technology Corporation | GIP receptor-active glucagon compounds |
| WO2010148089A1 (en) | 2009-06-16 | 2010-12-23 | Indiana University Research And Technology Corporation | Gip receptor-active glucagon compounds |
| US10004786B2 (en) | 2009-07-13 | 2018-06-26 | Zealand Pharma A/S | Acylated glucagon analogues |
| US8703701B2 (en) | 2009-12-18 | 2014-04-22 | Indiana University Research And Technology Corporation | Glucagon/GLP-1 receptor co-agonists |
| CN102834108A (en) * | 2010-01-27 | 2012-12-19 | 印第安纳大学研究及科技有限公司 | Glucagon antagonist-GIP agonist conjugates and compositions for treating metabolic disorders and obesity |
| EP2528618A4 (en) * | 2010-01-27 | 2015-05-27 | Univ Indiana Res & Tech Corp | CONJUGATES OF GLUCAGON ANTAGONIST AND GIP AGONIST AND COMPOSITIONS FOR THE TREATMENT OF METABOLIC DISORDERS AND OBESITY |
| US9487571B2 (en) | 2010-01-27 | 2016-11-08 | Indiana University Research And Technology Corporation | Glucagon antagonist-GIP agonist conjugates and compositions for the treatment of metabolic disorders and obesity |
| CN102821779B (en) * | 2010-03-26 | 2015-03-11 | 伊莱利利公司 | Novel peptide and its preparation method and application |
| US8815811B2 (en) | 2010-03-26 | 2014-08-26 | Eli Lilly And Company | Peptides and methods for their preparation and use |
| WO2011119657A1 (en) | 2010-03-26 | 2011-09-29 | Eli Lilly And Company | Novel peptides and methods for their preparation and use |
| EA022489B1 (en) * | 2010-03-26 | 2016-01-29 | Эли Лилли Энд Компани | NEW PEPTIDES AND METHODS FOR THEIR RECEPTION AND APPLICATION |
| KR101407775B1 (en) | 2010-03-26 | 2014-06-17 | 일라이 릴리 앤드 캄파니 | Novel peptides and methods for their preparation and use |
| CN102821779A (en) * | 2010-03-26 | 2012-12-12 | 伊莱利利公司 | Novel peptides and methods for their preparation and use |
| AU2011232597B2 (en) * | 2010-03-26 | 2015-01-29 | Eli Lilly And Company | Novel peptides and methods for their preparation and use |
| US9145451B2 (en) | 2010-05-13 | 2015-09-29 | Indiana University Research And Technology Corporation | Glucagon superfamily peptides exhbiting G protein coupled receptor activity |
| WO2011143209A1 (en) | 2010-05-13 | 2011-11-17 | Indiana University Research And Technology Corporation | Glucagon superfamily peptides exhibiting nuclear hormone receptor activity |
| US9127088B2 (en) | 2010-05-13 | 2015-09-08 | Indiana University Research And Technology Corporation | Glucagon superfamily peptides exhibiting nuclear hormone receptor activity |
| US9783592B2 (en) | 2010-05-13 | 2017-10-10 | Indiana University Research And Technology Corporation | Glucagon superfamily peptides exhibiting nuclear hormone receptor activity |
| US8778872B2 (en) | 2010-06-24 | 2014-07-15 | Indiana University Research And Technology Corporation | Amide based glucagon superfamily peptide prodrugs |
| US9023986B2 (en) | 2010-10-25 | 2015-05-05 | Hoffmann-La Roche Inc. | Glucose-dependent insulinotropic peptide analogs |
| WO2012059764A1 (en) | 2010-11-03 | 2012-05-10 | Arecor Limited | Novel composition comprising glucagon |
| WO2012059762A1 (en) | 2010-11-03 | 2012-05-10 | Arecor Limited | Novel composition comprising glucagon |
| US9249206B2 (en) | 2010-12-22 | 2016-02-02 | Indiana University Research And Technology Corporation | Glucagon analogs exhibiting GIP receptor activity |
| CN103402536A (en) * | 2010-12-22 | 2013-11-20 | 马克迪亚生物科技公司 | Methods of treating metabolic disorders and obesity with glucagon-based peptides active on GIP and GLP-1 receptors |
| US8507428B2 (en) | 2010-12-22 | 2013-08-13 | Indiana University Research And Technology Corporation | Glucagon analogs exhibiting GIP receptor activity |
| EP2654774A4 (en) * | 2010-12-22 | 2015-07-01 | Marcadia Biotech Inc | METHODS FOR TREATING METABOLIC DISEASES AND OBESITY USING GLUCAGON-RELATED PEPTIDES ACTIVE ON GIP AND GLP-1 RECEPTORS |
| JP2014507402A (en) * | 2010-12-22 | 2014-03-27 | インディアナ ユニヴァーシティ リサーチ アンド テクノロジー コーポレイション | Glucagon analog showing GIP receptor activity |
| JP2014501762A (en) * | 2010-12-22 | 2014-01-23 | マルケイディア バイオテック, インコーポレイテッド | Methods for treating metabolic disorders and obesity with GIP and GLP-1 receptor active glucagon peptides |
| US8975223B2 (en) | 2010-12-22 | 2015-03-10 | Marcadia Biotech, Inc. | Methods for treating metabolic disorders and obesity with a peptide comprising the amino acid sequence of SEQ ID No. 146 |
| WO2012088116A2 (en) | 2010-12-22 | 2012-06-28 | Indiana University Research And Technology Corporation | Glucagon analogs exhibiting gip receptor activity |
| WO2012130866A1 (en) | 2011-03-28 | 2012-10-04 | Novo Nordisk A/S | Novel glucagon analogues |
| US9790262B2 (en) | 2011-04-05 | 2017-10-17 | Longevity Biotech, Inc. | Compositions comprising glucagon analogs and methods of making and using the same |
| EP2694095B1 (en) | 2011-04-05 | 2018-03-07 | Longevity Biotech, Inc. | Compositions comprising glucagon analogs and methods of making and using the same |
| WO2012138941A1 (en) | 2011-04-05 | 2012-10-11 | Longevity Biotech, Inc. | Compositions comprising glucagon analogs and methods of making and using the same |
| US20140162945A1 (en) * | 2011-06-10 | 2014-06-12 | Beijing Hanmi Pharmaceutical Co., Ltd. | Glucose dependent insulinotropic polypeptide analogs, pharmaceutical compositions and use thereof |
| JP2014516994A (en) * | 2011-06-10 | 2014-07-17 | ベイジン・ハンミ・ファーマシューティカル・カンパニー・リミテッド | Glucose-dependent insulinotropic polypeptide analogs, pharmaceutical compositions and uses thereof |
| CN103764673A (en) * | 2011-06-10 | 2014-04-30 | 北京韩美药品有限公司 | Glucose dependent insulinotropic polypeptide analogs, pharmaceutical compositions and use thereof |
| EP2718317A4 (en) * | 2011-06-10 | 2015-04-08 | Beijing Hanmi Pharmaceutical Co Ltd | Glucose dependent insulinotropic polypeptide analogs, pharmaceutical compositions and use thereof |
| US9453062B2 (en) | 2011-06-10 | 2016-09-27 | Beijing Hanmi Pharmaceutical Co., Ltd. | Glucose dependent insulinotropic polypeptide analogs, pharmaceutical compositions and use thereof |
| WO2012167744A1 (en) * | 2011-06-10 | 2012-12-13 | Beijing Hanmi Pharmaceutical Co., Ltd. | Glucose dependent insulinotropic polypeptide analogs, pharmaceutical compositions and use thereof |
| WO2012177443A2 (en) | 2011-06-22 | 2012-12-27 | Indiana University Research And Technology Corporation | Glucagon/glp-1 receptor co-agonists |
| US10730923B2 (en) | 2011-06-22 | 2020-08-04 | Indiana University Research And Technology Corporation | Glucagon/GLP-1 receptor co-agonists |
| US8729017B2 (en) | 2011-06-22 | 2014-05-20 | Indiana University Research And Technology Corporation | Glucagon/GLP-1 receptor co-agonists |
| US10174093B2 (en) | 2011-06-22 | 2019-01-08 | Indiana University Research And Technology Corporation | Glucagon/GLP-1 receptor co-agonists |
| US9309301B2 (en) | 2011-06-22 | 2016-04-12 | Indiana University Research And Technology Corporation | Glucagon/GLP-1 receptor co-agonists |
| US9758562B2 (en) | 2011-06-22 | 2017-09-12 | Indiana University and Technology Corporation | Glucagon/GLP-1 receptor co-agonists |
| US9944687B2 (en) | 2011-07-04 | 2018-04-17 | Imperial Innovations Limited | Compounds and their effects on feeding behaviour |
| US9486506B2 (en) | 2011-09-23 | 2016-11-08 | Novo Nordisk A/S | Glucagon analogues |
| US9486505B2 (en) | 2011-09-23 | 2016-11-08 | Novo Nordisk A/S | Glucagon analogues |
| WO2013074910A1 (en) | 2011-11-17 | 2013-05-23 | Indiana University Research And Technology Corporation | Glucagon superfamily peptides exhibiting glucocorticoid receptor activity |
| US8859491B2 (en) | 2011-11-17 | 2014-10-14 | Indiana University Research And Technology Corporation | Glucagon superfamily peptides exhibiting glucocorticoid receptor activity |
| US10100097B2 (en) | 2012-05-03 | 2018-10-16 | Zealand Pharma A/S | GIP-GLP-1 dual agonist compounds and methods |
| KR20150003910A (en) * | 2012-05-03 | 2015-01-09 | 질랜드 파마 에이/에스 | Gip-glp-1 dual agonist compounds and methods |
| KR102184241B1 (en) * | 2012-05-03 | 2020-12-01 | 질랜드 파마 에이/에스 | Gip-glp-1 dual agonist compounds and methods |
| WO2013170636A1 (en) | 2012-05-18 | 2013-11-21 | 爱德迪安(北京)生物技术有限公司 | Protein and protein conjugate for diabetes treatment, and applications thereof |
| WO2013192129A1 (en) | 2012-06-21 | 2013-12-27 | Indiana University Research And Technology Corporation | Glucagon analogs exhibiting gip receptor activity |
| WO2013192131A1 (en) | 2012-06-21 | 2013-12-27 | Indiana University Research And Technology Corporation | Incretin receptor ligand polypeptide fc-region fusion polypeptides and conjugates with altered fc-effector function |
| WO2013192130A1 (en) | 2012-06-21 | 2013-12-27 | Indiana University Research And Technology Corporation | Analogs of glucagon exhibiting gip receptor activity |
| US9340600B2 (en) | 2012-06-21 | 2016-05-17 | Indiana University Research And Technology Corporation | Glucagon analogs exhibiting GIP receptor activity |
| US10442847B2 (en) | 2012-07-23 | 2019-10-15 | Zealand Pharma A/S | Glucagon analogues |
| US11795204B2 (en) | 2012-07-23 | 2023-10-24 | Zealand Pharma A/S | Glucagon analogues |
| US9975939B2 (en) | 2012-09-17 | 2018-05-22 | Zealand Pharma A/S | Glucagon analogues |
| US10253081B2 (en) | 2012-09-17 | 2019-04-09 | Zealand Pharma A/S | Glucagon analogues |
| WO2014049610A2 (en) | 2012-09-26 | 2014-04-03 | Cadila Healthcare Limited | Peptides as gip, glp-1 and glucagon receptors triple-agonist |
| US10758592B2 (en) | 2012-10-09 | 2020-09-01 | Sanofi | Exendin-4 derivatives as dual GLP1/glucagon agonists |
| US9670261B2 (en) | 2012-12-21 | 2017-06-06 | Sanofi | Functionalized exendin-4 derivatives |
| WO2014096150A1 (en) | 2012-12-21 | 2014-06-26 | Sanofi | Dual glp1/gip or trigonal glp1/gip/glucagon agonists |
| WO2014096145A1 (en) | 2012-12-21 | 2014-06-26 | Sanofi | Exendin-4 derivatives as dual glp1/gip or trigonal glp1/gip/glucagon agonists |
| US9745360B2 (en) | 2012-12-21 | 2017-08-29 | Sanofi | Dual GLP1/GIP or trigonal GLP1/GIP/glucagon agonists |
| US10253079B2 (en) | 2012-12-21 | 2019-04-09 | Sanofi | Functionalized Exendin-4 derivatives |
| EP3400957A1 (en) | 2012-12-21 | 2018-11-14 | Sanofi | Functionalized exendin-4 derivatives |
| WO2014147129A1 (en) | 2013-03-21 | 2014-09-25 | Sanofi-Aventis Deutschland Gmbh | Synthesis of cyclic imide containing peptide products |
| WO2014147124A1 (en) | 2013-03-21 | 2014-09-25 | Sanofi-Aventis Deutschland Gmbh | Synthesis of hydantoin containing peptide products |
| US10087221B2 (en) | 2013-03-21 | 2018-10-02 | Sanofi-Aventis Deutschland Gmbh | Synthesis of hydantoin containing peptide products |
| US10450343B2 (en) | 2013-03-21 | 2019-10-22 | Sanofi-Aventis Deutschland Gmbh | Synthesis of cyclic imide containing peptide products |
| WO2014161835A1 (en) | 2013-04-03 | 2014-10-09 | Sanofi | Modified blood glucose regulating proteins with altered pharmacological activity profile and preparation thereof |
| US9474790B2 (en) | 2013-04-18 | 2016-10-25 | Novo Nordisk A/S | Stable, protracted GLP-1/glucagon receptor co-agonists for medical use |
| US9751927B2 (en) | 2013-04-18 | 2017-09-05 | Novo Nordisk A/S | Stable, protracted GLP-1/glucagon receptor co-agonists for medical use |
| AU2014272500B2 (en) * | 2013-05-28 | 2018-03-08 | Scohia Pharma, Inc. | Peptide compound |
| EA035813B1 (en) * | 2013-05-28 | 2020-08-14 | Такеда Фармасьютикал Компани Лимитед | Peptide-glp-1 receptor and gip receptor coagonist and use thereof in the prophylaxis or treatment of obesity or diabetes in a mammal |
| KR20160010446A (en) * | 2013-05-28 | 2016-01-27 | 다케다 야쿠힌 고교 가부시키가이샤 | Peptide compound |
| CN105209485A (en) * | 2013-05-28 | 2015-12-30 | 武田药品工业株式会社 | Peptide compound |
| WO2014192284A1 (en) * | 2013-05-28 | 2014-12-04 | Takeda Pharmaceutical Company Limited | Peptide compound |
| US10087229B2 (en) | 2013-05-28 | 2018-10-02 | Takeda Pharmaceutical Company Limited | Peptide compound |
| US9200051B2 (en) | 2013-05-28 | 2015-12-01 | Takeda Pharmaceutical Company Limited | Peptide compound |
| CN105209485B (en) * | 2013-05-28 | 2019-12-10 | 武田药品工业株式会社 | Peptide compounds |
| KR102229051B1 (en) | 2013-05-28 | 2021-03-16 | 다케다 야쿠힌 고교 가부시키가이샤 | Peptide compound |
| WO2015022420A1 (en) * | 2013-08-16 | 2015-02-19 | Medimmune Limited | Gip and glp-1 receptor dual-agonists for the treatment of diabetes |
| WO2015035419A1 (en) * | 2013-09-09 | 2015-03-12 | Hoffmann-La Roche Inc. | Dosages of gip/glp-1 co-agonist peptides for human administration |
| US11091528B2 (en) | 2013-10-17 | 2021-08-17 | Zealand Pharma A/S | Acylated glucagon analogues |
| US9896495B2 (en) | 2013-10-17 | 2018-02-20 | Zealand Pharma A/S | Acylated glucagon analogues |
| US10457714B2 (en) | 2013-10-17 | 2019-10-29 | Zealand Pharma A/S | Acylated glucagon analogues |
| US11034747B2 (en) | 2013-10-17 | 2021-06-15 | Zealand Pharma A/S | Glucagon analogues and methods of use |
| US9988429B2 (en) | 2013-10-17 | 2018-06-05 | Zealand Pharma A/S | Glucagon analogues |
| US11884713B2 (en) | 2013-10-17 | 2024-01-30 | Zealand Pharma A/S | Acylated glucagon analogues |
| US12473339B2 (en) | 2013-10-17 | 2025-11-18 | Zealand Pharma A/S | Acylated glucagon analogues |
| WO2015067715A3 (en) * | 2013-11-06 | 2015-10-15 | Zealand Pharma A/S | Gip-glp-1 dual agonist compounds and methods |
| US20160257729A1 (en) * | 2013-11-06 | 2016-09-08 | Zealand Pharma A/S | Glucagon-glp-1-gip triple agonist compounds |
| US11111285B2 (en) | 2013-11-06 | 2021-09-07 | Zealand Pharma A/S | Glucagon-GLP-1-GIP triple agonist compounds |
| US11008375B2 (en) | 2013-11-06 | 2021-05-18 | Zealand Pharma A/S | GIP-GLP-1 dual agonist compounds and methods |
| KR20160079875A (en) * | 2013-11-06 | 2016-07-06 | 질랜드 파마 에이/에스 | Gip-glp-1 dual agonist compounds and methods |
| US10093713B2 (en) | 2013-11-06 | 2018-10-09 | Zealand Pharma A/S | GIP-GLP-1 dual agonist compounds and methods |
| TWI670281B (en) * | 2013-11-06 | 2019-09-01 | 西蘭製藥公司 | Gip-glp-1 dual agonist compounds and methods |
| KR102310389B1 (en) | 2013-11-06 | 2021-10-13 | 질랜드 파마 에이/에스 | Gip-glp-1 dual agonist compounds and methods |
| US10131702B2 (en) * | 2013-11-06 | 2018-11-20 | Zealand Pharma A/S | Glucagon-GLP-1-GIP triple agonist compounds |
| EA035466B1 (en) * | 2013-11-06 | 2020-06-22 | Зилэнд Фарма А/С | Gip-glp-1 dual agonist compounds and methods |
| EA035466B9 (en) * | 2013-11-06 | 2020-08-17 | Зилэнд Фарма А/С | Gip-glp-1 dual agonist compounds and methods |
| WO2015081891A1 (en) | 2013-12-06 | 2015-06-11 | Baikang (Suzhou) Co., Ltd | Bioreversable promoieties for nitrogen-containing and hydroxyl-containing drugs |
| US9789165B2 (en) | 2013-12-13 | 2017-10-17 | Sanofi | Exendin-4 peptide analogues as dual GLP-1/GIP receptor agonists |
| US9694053B2 (en) | 2013-12-13 | 2017-07-04 | Sanofi | Dual GLP-1/glucagon receptor agonists |
| US9751926B2 (en) | 2013-12-13 | 2017-09-05 | Sanofi | Dual GLP-1/GIP receptor agonists |
| US9750788B2 (en) | 2013-12-13 | 2017-09-05 | Sanofi | Non-acylated exendin-4 peptide analogues |
| WO2015086732A1 (en) * | 2013-12-13 | 2015-06-18 | Sanofi | Exendin-4 peptide analogues |
| WO2015086728A1 (en) | 2013-12-13 | 2015-06-18 | Sanofi | Exendin-4 peptide analogues as dual glp-1/gip receptor agonists |
| US12337028B2 (en) | 2013-12-18 | 2025-06-24 | The Scripps Research Institute | Modified therapeutic agents, stapled peptide lipid conjugates, and compositions thereof |
| WO2015095684A1 (en) | 2013-12-20 | 2015-06-25 | Indiana University Research And Technology Corporation | Lipidated incretin receptor ligand human immunoglobulin fc-region fusion polypeptides |
| US10137170B2 (en) | 2013-12-20 | 2018-11-27 | Indiana University Research And Technology Corporation | Lipidated incretin receptor ligand human immunoglobulin Fc-region fusion polypeptides |
| US9963496B2 (en) | 2014-02-18 | 2018-05-08 | Novo Nordisk A/S | Stable glucagon analogues and use for treatment of hypoglycaemia |
| US9775904B2 (en) | 2014-04-07 | 2017-10-03 | Sanofi | Exendin-4 derivatives as peptidic dual GLP-1/glucagon receptor agonists |
| US9771406B2 (en) | 2014-04-07 | 2017-09-26 | Sanofi | Peptidic dual GLP-1/glucagon receptor agonists derived from exendin-4 |
| US9758561B2 (en) | 2014-04-07 | 2017-09-12 | Sanofi | Dual GLP-1/glucagon receptor agonists derived from exendin-4 |
| US10570184B2 (en) | 2014-06-04 | 2020-02-25 | Novo Nordisk A/S | GLP-1/glucagon receptor co-agonists for medical use |
| US9932381B2 (en) | 2014-06-18 | 2018-04-03 | Sanofi | Exendin-4 derivatives as selective glucagon receptor agonists |
| US10413593B2 (en) | 2014-10-24 | 2019-09-17 | Merck Sharp & Dohme Corp. | Co-agonists of the glucagon and GLP-1 receptors |
| US11001619B2 (en) | 2014-10-29 | 2021-05-11 | Zealand Pharma A/S | GIP agonist compounds and methods |
| US11814417B2 (en) | 2014-10-29 | 2023-11-14 | Zealand Pharma A/S | GIP agonist compounds and methods |
| US10253078B2 (en) | 2014-10-29 | 2019-04-09 | Zealand Pharma A/S | GIP agonist compounds and methods |
| WO2016077220A1 (en) * | 2014-11-10 | 2016-05-19 | Mb2 Llc | Gip/glp-1 co-agonist peptides for human administration |
| US11135271B2 (en) | 2014-12-30 | 2021-10-05 | Hanmi Pharm. Co., Ltd. | Glucagon derivatives with improved stability |
| US11274136B2 (en) | 2015-04-16 | 2022-03-15 | Zealand Pharma A/S | Acylated glucagon analogue |
| US10336802B2 (en) | 2015-04-16 | 2019-07-02 | Zealand Pharma A/S | Acylated glucagon analogue |
| US10806797B2 (en) | 2015-06-05 | 2020-10-20 | Sanofi | Prodrugs comprising an GLP-1/glucagon dual agonist linker hyaluronic acid conjugate |
| WO2016198624A1 (en) | 2015-06-12 | 2016-12-15 | Sanofi | Exendin-4 derivatives as trigonal glp-1/glucagon/gip receptor agonists |
| US11261227B2 (en) | 2015-06-30 | 2022-03-01 | Hanmi Pharm. Co., Ltd. | Glucagon derivative and a composition comprising a long acting conjugate of the same |
| US10696725B2 (en) | 2015-06-30 | 2020-06-30 | Hanmi Pharm. Co., Ltd. | Glucagon derivative and a composition comprising a long acting conjugate of the same |
| US11667688B2 (en) | 2015-06-30 | 2023-06-06 | Hanmi Pharm. Co., Ltd. | Glucagon derivative and a composition comprising a long acting conjugate of the same |
| US9982029B2 (en) | 2015-07-10 | 2018-05-29 | Sanofi | Exendin-4 derivatives as selective peptidic dual GLP-1/glucagon receptor agonists |
| US10370426B2 (en) | 2015-12-31 | 2019-08-06 | Hanmi Pharm. Co., Ltd | Triple glucagon/GLP-1/GIP receptor agonist |
| US10981967B2 (en) | 2015-12-31 | 2021-04-20 | Hanmi Pharm. Co., Ltd. | Long-acting conjugate of triple glucagon/GLP-1/GIP receptor agonist |
| US10400020B2 (en) | 2015-12-31 | 2019-09-03 | Hanmi Pharm. Co., Ltd. | Long-acting conjugate of triple glucagon/GLP-1/GIP receptor agonist |
| US11332508B2 (en) | 2015-12-31 | 2022-05-17 | Hanmi Pharm. Co., Ltd. | Triple glucagon/GLP-1/GIP receptor agonist |
| US10501516B2 (en) | 2016-05-24 | 2019-12-10 | Takeda Pharmaceutical Company Limited | Peptide compound |
| WO2017221026A1 (en) | 2016-06-24 | 2017-12-28 | Arecor Limited | Novel composition |
| US11142559B2 (en) | 2016-06-29 | 2021-10-12 | Hanmi Pharm. Co., Ltd. | Glucagon derivative, conjugate thereof, composition comprising same, and therapeutic use thereof |
| AU2017289014B2 (en) * | 2016-06-29 | 2019-12-05 | Hanmi Pharm. Co., Ltd. | Glucagon derivative, conjugate thereof, composition comprising same and therapeutic use thereof |
| US10538567B2 (en) | 2016-12-02 | 2020-01-21 | Sanofi | Compounds as peptidic trigonal GLP1/glucagon/GIP receptor agonists |
| WO2018100135A1 (en) | 2016-12-02 | 2018-06-07 | Sanofi | New compounds as peptidic glp1/glucagon/gip receptor agonists |
| WO2018100134A1 (en) | 2016-12-02 | 2018-06-07 | Sanofi | New compounds as peptidic trigonal glp1/glucagon/gip receptor agonists |
| US10519211B2 (en) | 2016-12-02 | 2019-12-31 | Sanofi | Compounds as peptidic GLP1/glucagon/GIP receptor agonists |
| US11220534B2 (en) | 2016-12-05 | 2022-01-11 | Lancaster University Business Enterprises Limited | Treatment of neurological diseases |
| US11851468B2 (en) | 2016-12-05 | 2023-12-26 | University Of Lancaster | Treatment of neurological diseases |
| WO2018104263A1 (en) | 2016-12-06 | 2018-06-14 | INSERM (Institut National de la Santé et de la Recherche Médicale) | Methods of enhancing the potency of incretin-based drugs in subjects in need thereof |
| US11174301B2 (en) | 2017-03-31 | 2021-11-16 | Takeda Pharmaceutical Company Limited | Peptide compound |
| WO2018181864A1 (en) | 2017-03-31 | 2018-10-04 | Takeda Pharmaceutical Company Limited | Gip receptor activating peptide |
| US10435445B2 (en) | 2017-03-31 | 2019-10-08 | Takeda Pharmaceutical Company Limited | Peptide compound |
| US11535660B1 (en) | 2018-03-23 | 2022-12-27 | Cannot Therapeutics, Inc. | Modulators of G-protein coupled receptors |
| US11028123B2 (en) | 2018-04-10 | 2021-06-08 | Sanofi-Aventis Deutschland Gmbh | Capping of unprotected amino groups during peptide synthesis |
| US11560402B2 (en) | 2018-04-10 | 2023-01-24 | Sanofi-Aventis Deutschland Gmbh | Method for cleavage of solid phase-bound peptides from the solid phase |
| US11633459B2 (en) | 2018-05-04 | 2023-04-25 | Novo Nordisk A/S | GIP derivatives and uses thereof |
| US10604555B2 (en) | 2018-05-04 | 2020-03-31 | Novo Nordisk A/S | GIP derivatives and uses thereof |
| WO2019229225A1 (en) | 2018-05-30 | 2019-12-05 | Sanofi | Conjugates comprising an glp-1/glucagon/gip triple receptor agonist, a linker and hyaluronic acid |
| WO2020067575A1 (en) | 2018-09-24 | 2020-04-02 | Takeda Pharmaceutical Company Limited | Gip receptor agonist peptide compounds and uses thereof |
| EP4458834A2 (en) | 2020-02-07 | 2024-11-06 | Gasherbrum Bio, Inc. | Heterocyclic glp-1 agonists |
| WO2022018185A1 (en) | 2020-07-22 | 2022-01-27 | Novo Nordisk A/S | Glp-1 and gip receptor co-agonists |
| US11779648B2 (en) | 2020-07-22 | 2023-10-10 | Novo Nordisk A/S | Co-agonists at GLP-1 and GIP receptors suitable for oral delivery |
| WO2022018186A1 (en) | 2020-07-22 | 2022-01-27 | Novo Nordisk A/S | Co-agonists at glp-1 and gip receptors suitable for oral delivery |
| WO2022241287A2 (en) | 2021-05-13 | 2022-11-17 | Carmot Therapeutics, Inc. | Modulators of g-protein coupled receptors |
| US12281149B2 (en) | 2021-05-13 | 2025-04-22 | Carmot Therapeutics, Inc. | Modulators of G-protein coupled receptors |
| US12329823B2 (en) | 2021-06-09 | 2025-06-17 | The Scripps Research Institute | Long-acting dual GIP/GLP-1 peptide conjugates and methods of use |
| US11840560B2 (en) | 2022-01-20 | 2023-12-12 | Novo Nordisk A/S | Prodrugs and uses thereof |
| WO2023139187A1 (en) | 2022-01-20 | 2023-07-27 | Novo Nordisk A/S | Glp-1/gip receptor co-agonist prodrugs and uses thereof |
| WO2023169456A1 (en) | 2022-03-09 | 2023-09-14 | Gasherbrum Bio , Inc. | Heterocyclic glp-1 agonists |
| WO2023179542A1 (en) | 2022-03-21 | 2023-09-28 | Gasherbrum Bio , Inc. | 5,8-dihydro-1,7-naphthyridine derivatives as glp-1 agonists for the treatment of diabetes |
| WO2023198140A1 (en) | 2022-04-14 | 2023-10-19 | Gasherbrum Bio, Inc. | Heterocyclic glp-1 agonists |
| WO2024125602A1 (en) | 2022-12-15 | 2024-06-20 | Gasherbrum Bio, Inc. | Salts and solid forms of a compound having glp-1 agonist activity |
| WO2024138048A1 (en) | 2022-12-22 | 2024-06-27 | Gasherbrum Bio, Inc. | Heterocyclic glp-1 agonists |
| WO2024131869A1 (en) | 2022-12-22 | 2024-06-27 | Gasherbrum Bio, Inc. | Heterocyclic glp-1 agonists |
| WO2024141127A1 (en) * | 2022-12-26 | 2024-07-04 | 杭州中美华东制药有限公司 | Gip receptor agonist and use thereof |
| WO2024165571A2 (en) | 2023-02-06 | 2024-08-15 | E-Therapeutics Plc | Inhibitors of expression and/or function |
| WO2024169952A1 (en) | 2023-02-16 | 2024-08-22 | Gasherbrum Bio, Inc. | Heterocyclic glp-1 agonists |
| WO2025006921A1 (en) | 2023-06-30 | 2025-01-02 | Gasherbrum Bio, Inc. | Heterocyclic glp-1 agonists |
| WO2025015269A1 (en) | 2023-07-13 | 2025-01-16 | Aconcagua Bio, Inc. | Compounds, compositions, and methods |
| WO2025015268A1 (en) | 2023-07-13 | 2025-01-16 | Aconcagua Bio, Inc. | Modulators of calcitonin receptor and/or amylin receptor activity |
| WO2025045208A1 (en) | 2023-08-31 | 2025-03-06 | Gasherbrum Bio, Inc. | Heteroaryl-heterocycloalkyl-based glp-1 agonists |
| WO2025114501A1 (en) | 2023-11-30 | 2025-06-05 | Novo Nordisk A/S | Tri-agonists of the glp-1, gip, and amylin receptors |
| WO2025125576A2 (en) | 2023-12-15 | 2025-06-19 | E-Therapeutics Plc | Inhibitors of expression and/or function |
| WO2025137307A1 (en) | 2023-12-20 | 2025-06-26 | Gasherbrum Bio, Inc. | Heterocyclic glp-1 agonists |
| WO2025133348A1 (en) | 2023-12-22 | 2025-06-26 | E-Therapeutics Plc | Inhibitors of expression and/or function |
| WO2025171340A1 (en) | 2024-02-08 | 2025-08-14 | Aconcagua Bio, Inc. | The treatment of calcitonin- and/or amylin-receptor associated conditions |
| WO2025171341A2 (en) | 2024-02-08 | 2025-08-14 | Aconcagua Bio, Inc. | Compounds and compositions for treating conditions associated with calcitonin receptor and/or amylin receptor activity |
| WO2025189141A1 (en) | 2024-03-08 | 2025-09-12 | Annapurna Bio, Inc. | Methods for treating obesity and increasing weight loss |
| WO2025196502A1 (en) | 2024-03-20 | 2025-09-25 | North Carolina Agricultural & Technical State University | Choline kinase inhibitors as a therapeutic treatment for obesity |
| EP4686757A1 (en) | 2024-07-31 | 2026-02-04 | e-therapeutics PLC | Inhibitors of expression and/or function |
Also Published As
Similar Documents
| Publication | Publication Date | Title |
|---|---|---|
| EP2952202B1 (en) | Gip-based mixed agonists for treatment of metabolic disorders and obesity | |
| US9790263B2 (en) | GIP receptor-active glucagon compounds | |
| US8969294B2 (en) | Glucagon/GLP-1 receptor co-agonists | |
| US20110190200A1 (en) | GLUCAGON ANALOGS EXHIBITING ENHANCED SOLUBILITY AND STABILITY IN PHYSIOLOGICAL pH BUFFERS | |
| WO2011163473A1 (en) | Glucagon analogs exhibiting enhanced solubility and stability in physiological ph buffers | |
| AU2013205144B2 (en) | GIP-based mixed agonists for treatment of metabolic disorders and obesity | |
| HK1153934B (en) | Gip-based mixed agonists for treatment of metabolic disorders and obesity |
Legal Events
| Date | Code | Title | Description |
|---|---|---|---|
| WWE | Wipo information: entry into national phase |
Ref document number: 200980123349.1 Country of ref document: CN |
|
| 121 | Ep: the epo has been informed by wipo that ep was designated in this application |
Ref document number: 09800752 Country of ref document: EP Kind code of ref document: A2 |
|
| WWE | Wipo information: entry into national phase |
Ref document number: 2010111989 Country of ref document: EG |
|
| WWE | Wipo information: entry into national phase |
Ref document number: 2009274425 Country of ref document: AU |
|
| WWE | Wipo information: entry into national phase |
Ref document number: MX/A/2010/013453 Country of ref document: MX |
|
| WWE | Wipo information: entry into national phase |
Ref document number: 589848 Country of ref document: NZ |
|
| ENP | Entry into the national phase |
Ref document number: 2729296 Country of ref document: CA Ref document number: 2011514735 Country of ref document: JP Kind code of ref document: A Ref document number: 20107028260 Country of ref document: KR Kind code of ref document: A |
|
| WWE | Wipo information: entry into national phase |
Ref document number: 10158388 Country of ref document: CO Ref document number: 201011849 Country of ref document: CR Ref document number: 9001/DELNP/2010 Country of ref document: IN Ref document number: 12010502842 Country of ref document: PH Ref document number: 2009800752 Country of ref document: EP Ref document number: 201001801 Country of ref document: EA Ref document number: CR2010-011849 Country of ref document: CR |
|
| ENP | Entry into the national phase |
Ref document number: 2009274425 Country of ref document: AU Date of ref document: 20090616 Kind code of ref document: A |
|
| NENP | Non-entry into the national phase |
Ref country code: DE |
|
| WWE | Wipo information: entry into national phase |
Ref document number: 12999285 Country of ref document: US |
|
| REG | Reference to national code |
Ref country code: BR Ref legal event code: B01E Ref document number: PI0915282 Country of ref document: BR Free format text: APRESENTE DOCUMENTOS COMPROBATORIOS QUE EXPLIQUEM A DIVERGENCIA NO NOME DE UM DOS INVENTORES (RICHARD D. DIMARCHI) QUE CONSTA NA PUBLICACAO INTERNACIONAL WO 2010/011439 DE 28/01/2010 E O CONSTANTE DA PETICAO INICIAL NO 020100117541. |
|
| REG | Reference to national code |
Ref country code: BR Ref legal event code: B01E Ref document number: PI0915282 Country of ref document: BR Free format text: EM ADITAMENTO A EXIGENCIA PUBLICADA NA RPI 2370, SOLICITA-SE QUE A EXIGENCIA SEJA RESPONDIDA CORRETAMENTE, NUM PRAZO DE 60 DIAS, POR MEIO DA GRU CODIGO 207 ESPECIFICA PARA ESSE TIPO DE SERVICO. |
|
| ENP | Entry into the national phase |
Ref document number: PI0915282 Country of ref document: BR Kind code of ref document: A2 Effective date: 20101216 |































