US20060286129A1 - Oral GLP-1 formulations - Google Patents
Oral GLP-1 formulations Download PDFInfo
- Publication number
- US20060286129A1 US20060286129A1 US11/018,180 US1818004A US2006286129A1 US 20060286129 A1 US20060286129 A1 US 20060286129A1 US 1818004 A US1818004 A US 1818004A US 2006286129 A1 US2006286129 A1 US 2006286129A1
- Authority
- US
- United States
- Prior art keywords
- glp
- xaa
- glu
- gly
- val
- Prior art date
- Legal status (The legal status is an assumption and is not a legal conclusion. Google has not performed a legal analysis and makes no representation as to the accuracy of the status listed.)
- Abandoned
Links
- JJHBBCXBEKQVPR-UHFFFAOYSA-N CC1=CC=C(S(=O)(=O)N(C)CCCCCCCC(=O)O)C=C1.CCOC(=O)CCCCCCCN(C)S(=O)(=O)C1=CC=C(C)C=C1 Chemical compound CC1=CC=C(S(=O)(=O)N(C)CCCCCCCC(=O)O)C=C1.CCOC(=O)CCCCCCCN(C)S(=O)(=O)C1=CC=C(C)C=C1 JJHBBCXBEKQVPR-UHFFFAOYSA-N 0.000 description 2
- NOCOQTJHAGFIFZ-UHFFFAOYSA-N CCOC(=O)CCCCCCCBr.CCOC(=O)CCCCCCCN(C)S(=O)(=O)C1=CC=C(C)C=C1.[H]N(C)S(=O)(=O)C1=CC=C(C)C=C1.[NaH] Chemical compound CCOC(=O)CCCCCCCBr.CCOC(=O)CCCCCCCN(C)S(=O)(=O)C1=CC=C(C)C=C1.[H]N(C)S(=O)(=O)C1=CC=C(C)C=C1.[NaH] NOCOQTJHAGFIFZ-UHFFFAOYSA-N 0.000 description 2
- SJMVOWQAURNTOU-UHFFFAOYSA-N CC(=O)C1=C(OCC2=CC=CC(C(=O)O)=C2)C=CC=C1 Chemical compound CC(=O)C1=C(OCC2=CC=CC(C(=O)O)=C2)C=CC=C1 SJMVOWQAURNTOU-UHFFFAOYSA-N 0.000 description 1
- YKUMMVKKGLHCPO-UHFFFAOYSA-N CC(=O)C1=C(OCCCCCCCC(=O)O)C=CC=C1 Chemical compound CC(=O)C1=C(OCCCCCCCC(=O)O)C=CC=C1 YKUMMVKKGLHCPO-UHFFFAOYSA-N 0.000 description 1
- MBTGIDQBGQHZLB-UHFFFAOYSA-N CC(=O)C1=CC=C(OCCCCCCCC(=O)O)C=C1 Chemical compound CC(=O)C1=CC=C(OCCCCCCCC(=O)O)C=C1 MBTGIDQBGQHZLB-UHFFFAOYSA-N 0.000 description 1
- XKXQSEQIBVNYJY-UHFFFAOYSA-O CC(=O)OC1=C(C(=O)Cl)C=CC=C1.CN(CCCCCC(=O)O)C(=O)C1=C(O)C=CC=C1.C[NH2+]CCCCCCCC(=O)O.[Cl-] Chemical compound CC(=O)OC1=C(C(=O)Cl)C=CC=C1.CN(CCCCCC(=O)O)C(=O)C1=C(O)C=CC=C1.C[NH2+]CCCCCCCC(=O)O.[Cl-] XKXQSEQIBVNYJY-UHFFFAOYSA-O 0.000 description 1
- LHYWRGJLCVOIDY-UHFFFAOYSA-O CC(=O)OC1=C(C(=O)Cl)C=CC=C1.CN(CCCCCCCC(=O)O)C(=O)C1=C(O)C=CC=C1.C[NH2+]CCCCCCCC(=O)O.[Cl-] Chemical compound CC(=O)OC1=C(C(=O)Cl)C=CC=C1.CN(CCCCCCCC(=O)O)C(=O)C1=C(O)C=CC=C1.C[NH2+]CCCCCCCC(=O)O.[Cl-] LHYWRGJLCVOIDY-UHFFFAOYSA-O 0.000 description 1
- DSMVSSDPCOHBEU-UHFFFAOYSA-O CC1=CC=C(S(=O)(=O)N(C)CCCCCCCC(=O)O)C=C1.C[NH2+]CCCCCCCC(=O)O.[Cl-] Chemical compound CC1=CC=C(S(=O)(=O)N(C)CCCCCCCC(=O)O)C=C1.C[NH2+]CCCCCCCC(=O)O.[Cl-] DSMVSSDPCOHBEU-UHFFFAOYSA-O 0.000 description 1
- URHRVYJPOSNZHA-UHFFFAOYSA-N CCC(=O)C1=C(OCCCCCCCC(=O)O)C=CC=C1 Chemical compound CCC(=O)C1=C(OCCCCCCCC(=O)O)C=CC=C1 URHRVYJPOSNZHA-UHFFFAOYSA-N 0.000 description 1
- OFTCRENNASEFLD-UHFFFAOYSA-N COC1=CC(C(=O)NCCCCCCCC(=O)O)=C(O)C=C1 Chemical compound COC1=CC(C(=O)NCCCCCCCC(=O)O)=C(O)C=C1 OFTCRENNASEFLD-UHFFFAOYSA-N 0.000 description 1
- DAWCEGJFQZTWHC-UHFFFAOYSA-N COC1=CC=CC=C1C(=O)NC1=CC=C(CCC(=O)O)C=C1 Chemical compound COC1=CC=CC=C1C(=O)NC1=CC=C(CCC(=O)O)C=C1 DAWCEGJFQZTWHC-UHFFFAOYSA-N 0.000 description 1
- RPGCTYSHAIQANM-UHFFFAOYSA-N Cc1ccc(C(=O)NCCCCCCCC(=O)O)c(O)c1 Chemical compound Cc1ccc(C(=O)NCCCCCCCC(=O)O)c(O)c1 RPGCTYSHAIQANM-UHFFFAOYSA-N 0.000 description 1
- WXHLOJUREIBOHX-UHFFFAOYSA-N NC1=C(OCCCCC(=O)O)C=CC(Cl)=C1 Chemical compound NC1=C(OCCCCC(=O)O)C=CC(Cl)=C1 WXHLOJUREIBOHX-UHFFFAOYSA-N 0.000 description 1
- ILYRIYLUHFDIJM-UHFFFAOYSA-N O=C(O)CC1=CC=C(NC(=O)C2=CC=CC=C2O)C=C1 Chemical compound O=C(O)CC1=CC=C(NC(=O)C2=CC=CC=C2O)C=C1 ILYRIYLUHFDIJM-UHFFFAOYSA-N 0.000 description 1
- CTSNJCQIDJAIJL-UHFFFAOYSA-N O=C(O)CCCC1=CC=C(NC(=O)C2=CC=CC=C2O)C=C1 Chemical compound O=C(O)CCCC1=CC=C(NC(=O)C2=CC=CC=C2O)C=C1 CTSNJCQIDJAIJL-UHFFFAOYSA-N 0.000 description 1
- PQWFKHKNJOHGLD-UHFFFAOYSA-N O=C(O)CCCC1=CC=C(NC(=O)CCCC2=CC=CC=C2)C=C1 Chemical compound O=C(O)CCCC1=CC=C(NC(=O)CCCC2=CC=CC=C2)C=C1 PQWFKHKNJOHGLD-UHFFFAOYSA-N 0.000 description 1
- NJDJEYKWGPNPKP-UHFFFAOYSA-N O=C(O)CCCCCCCNC(=O)C1=C(O)C=CC(F)=C1 Chemical compound O=C(O)CCCCCCCNC(=O)C1=C(O)C=CC(F)=C1 NJDJEYKWGPNPKP-UHFFFAOYSA-N 0.000 description 1
- CQCXPRYYLFKYHJ-UHFFFAOYSA-N O=C(O)CCCCCCCNC(=O)C1=CC2=C(C=CC=C2)C=C1O Chemical compound O=C(O)CCCCCCCNC(=O)C1=CC2=C(C=CC=C2)C=C1O CQCXPRYYLFKYHJ-UHFFFAOYSA-N 0.000 description 1
- NJEKDCUDSORUJA-UHFFFAOYSA-N O=C(O)CCCCCCCNC(=O)C1=CC=CC=C1O Chemical compound O=C(O)CCCCCCCNC(=O)C1=CC=CC=C1O NJEKDCUDSORUJA-UHFFFAOYSA-N 0.000 description 1
- RTEFZRQBTWARRQ-UHFFFAOYSA-N O=C(O)CCCCCCCNC(=O)c1ccc(Cl)cc1O Chemical compound O=C(O)CCCCCCCNC(=O)c1ccc(Cl)cc1O RTEFZRQBTWARRQ-UHFFFAOYSA-N 0.000 description 1
- HZJLOOXLIJDQNY-UHFFFAOYSA-N O=C(O)CCCCCCCNC(=O)c1cccc(O)c1O Chemical compound O=C(O)CCCCCCCNC(=O)c1cccc(O)c1O HZJLOOXLIJDQNY-UHFFFAOYSA-N 0.000 description 1
- NJLNVKWPWHGEIM-UHFFFAOYSA-N O=C(O)CCCCCCCOC1=CC=C(O)C=C1 Chemical compound O=C(O)CCCCCCCOC1=CC=C(O)C=C1 NJLNVKWPWHGEIM-UHFFFAOYSA-N 0.000 description 1
- HUAQLDXCDFBEIK-UHFFFAOYSA-N O=C(O)CCCCCCCOC1=CC=CC(Cl)=C1 Chemical compound O=C(O)CCCCCCCOC1=CC=CC(Cl)=C1 HUAQLDXCDFBEIK-UHFFFAOYSA-N 0.000 description 1
- DVSQDXAJEKPSNV-UHFFFAOYSA-N O=C(O)CCCCNC(=O)C1=C(O)C=CC(F)=C1 Chemical compound O=C(O)CCCCNC(=O)C1=C(O)C=CC(F)=C1 DVSQDXAJEKPSNV-UHFFFAOYSA-N 0.000 description 1
- QFHIOEUDLWISBO-UHFFFAOYSA-N O=C(O)CCNC(=O)C1=C(O)C=CC=C1 Chemical compound O=C(O)CCNC(=O)C1=C(O)C=CC=C1 QFHIOEUDLWISBO-UHFFFAOYSA-N 0.000 description 1
- ACPRXZGQEAMLPP-UHFFFAOYSA-N OC1=C(OCCCCCCCN2CCOCC2)C=CC=C1 Chemical compound OC1=C(OCCCCCCCN2CCOCC2)C=CC=C1 ACPRXZGQEAMLPP-UHFFFAOYSA-N 0.000 description 1
- SZWUGRUMUPFLHH-UHFFFAOYSA-N OC1=CC=CC=C1OCCCCCCCCN1CCOCC1 Chemical compound OC1=CC=CC=C1OCCCCCCCCN1CCOCC1 SZWUGRUMUPFLHH-UHFFFAOYSA-N 0.000 description 1
- 0 [2*]C Chemical compound [2*]C 0.000 description 1
- RFIBGZVQUQSCEW-UHFFFAOYSA-N [H]N(C(=O)C1=CC=CC=C1O)C1=CC=C(C(C)C(=O)O)C=C1 Chemical compound [H]N(C(=O)C1=CC=CC=C1O)C1=CC=C(C(C)C(=O)O)C=C1 RFIBGZVQUQSCEW-UHFFFAOYSA-N 0.000 description 1
- STUTZVFDKINXJF-UHFFFAOYSA-N [H]N(CCCCC(=O)O)C(=O)C1=C(O)C=C(Cl)C=C1 Chemical compound [H]N(CCCCC(=O)O)C(=O)C1=C(O)C=C(Cl)C=C1 STUTZVFDKINXJF-UHFFFAOYSA-N 0.000 description 1
- POISOOGDIHABAG-UHFFFAOYSA-N [H]N(CCCCCCCC(=O)O)C(=O)c1cc(Br)ccc1O Chemical compound [H]N(CCCCCCCC(=O)O)C(=O)c1cc(Br)ccc1O POISOOGDIHABAG-UHFFFAOYSA-N 0.000 description 1
- COUZRWOAFCSIND-UHFFFAOYSA-N [H]N(CCCCCCCC(=O)O)C(=O)c1cc(Cl)cc(Cl)c1O Chemical compound [H]N(CCCCCCCC(=O)O)C(=O)c1cc(Cl)cc(Cl)c1O COUZRWOAFCSIND-UHFFFAOYSA-N 0.000 description 1
- XRTHAPZDZPADIL-UHFFFAOYSA-N [H]N(CCCCCCCC(=O)O)C(=O)c1cc(Cl)ccc1O Chemical compound [H]N(CCCCCCCC(=O)O)C(=O)c1cc(Cl)ccc1O XRTHAPZDZPADIL-UHFFFAOYSA-N 0.000 description 1
- QSEXGCYGWQFHIF-UHFFFAOYSA-N [H]N(CCCCCCCC(=O)O)C(=O)c1ccc(OC)cc1O Chemical compound [H]N(CCCCCCCC(=O)O)C(=O)c1ccc(OC)cc1O QSEXGCYGWQFHIF-UHFFFAOYSA-N 0.000 description 1
- JTEDVYBZBROSJT-UHFFFAOYSA-N [H]N1C=C(CCCC(=O)O)C2=CC=CC=C21 Chemical compound [H]N1C=C(CCCC(=O)O)C2=CC=CC=C21 JTEDVYBZBROSJT-UHFFFAOYSA-N 0.000 description 1
Classifications
-
- A—HUMAN NECESSITIES
- A61—MEDICAL OR VETERINARY SCIENCE; HYGIENE
- A61K—PREPARATIONS FOR MEDICAL, DENTAL OR TOILETRY PURPOSES
- A61K38/00—Medicinal preparations containing peptides
- A61K38/16—Peptides having more than 20 amino acids; Gastrins; Somatostatins; Melanotropins; Derivatives thereof
- A61K38/17—Peptides having more than 20 amino acids; Gastrins; Somatostatins; Melanotropins; Derivatives thereof from animals; from humans
- A61K38/22—Hormones
- A61K38/26—Glucagons
Definitions
- the present invention relates to a formulation comprising a delivery agent and a glucagon-like peptide 1 or a glucagon-like peptide 1 analog compound (collectively “GLP-1”). These formulations are useful as oral medicaments for the treatment of type 2 diabetes and obesity as well as other conditions known to be treated with GLP-1.
- GLP-1 glucagon-like peptide 1 or a glucagon-like peptide 1 analog compound
- Type 2 diabetes also known as non-insulin dependent diabetes mellitus (NIDDM)
- NIDDM non-insulin dependent diabetes mellitus
- GLP-1 Glucagon-like 1 peptides and glucagon-like 1 peptide analogs
- GLP-1 induces the secretion and production of insulin, effectively reducing blood glucose levels in diabetic patients.
- GLP-1 also inhibits glucagon secretion, inhibits gastric emptying, enhances glucose utilization, and induces weight loss.
- GLP-1 may also act to prevent the B cell deterioration that occurs as diabetes progresses.
- GLP-1 oral glycoprotein
- development of an oral GLP-1 therapeutic has been extremely difficult. This is primarily due to the in vivo instability of the peptide.
- the high acid content and ubiquitous digestive enzymes of the digestive tract will often degrade GLP-1 before reaching the desired site of absorption.
- GLP-1 may encounter difficulty in traversing the cells of the epithelial membrane in the small intestine to reach the bloodstream.
- GLP-1 only remains in solution under a narrow set of conditions.
- GLP-1 compounds are customarily delivered by subcutaneous injection or through continuous subcutaneous infusion or continuous intravenous administration. Because patients are generally adverse to injections and time consuming infusions, patient compliance with GLP-1 administration regimens will be low.
- the present invention provides pharmaceutical compositions comprising at least one delivery agent and GLP-1. These pharmaceutical compositions facilitate the oral delivery of GLP-1, providing an improved (e.g. increased) bioavailability of GLP-1 compared to administration of GLP-1 without a delivery agent.
- the delivery agent may be selected from the following, including salts thereof: TABLE 1 Deliv- ery Agent No. Compound 1 2 3 4 5 6 7 8 9 10 11 12 13 14 15 16 17 18 19 20 21 22 23 24 25 26 27 28 29
- the pharmaceutical composition includes an effective amount of a GLP-1 compound, for example, to treat NIDDM or obesity.
- the delivery agents enable the oral delivery of macromolecules, providing an increased or improved bioavailability of GLP-1 compared to administration of GLP-1 without a delivery agent.
- Another embodiment is an administration composition that includes at least one delivery agent, GLP-1, and, optionally, a dosing vehicle, an adjuvant, an excipient, or a mixture thereof.
- the dosage unit form may be a liquid or a solid, such as a tablet, capsule or particles, including a powder or sachet.
- Another embodiment is a method for administering GLP-1 to a subject in need thereof by orally administering the pharmaceutical composition of the present invention to the subject.
- Yet another embodiment is a method of treating type 2 diabetes or obesity in an animal in need thereof by administering an effective amount of the pharmaceutical composition or dosage unit form of the present invention.
- the present invention encompasses the development of novel formulations comprising GLP-1 compounds and delivery agents that can be administered orally.
- the present invention provides a formulation which can be administered orally comprising a GLP-1 compound and a specified delivery agent.
- the GLP-1 compound can be native GLP-1; GLP-1 fragments; GLP-1 analogs; GLP-1 derivatives of native, fragments, or analogs of GLP-1; and Exendin-3 and Exendin-4.
- the delivery agent is selected from delivery agents described in U.S. Pat. Nos.
- Preferred GLP-1 compounds are analogs or derivatives of analogs having modifications at one or more of the following positions: 8, 12, 16, 18, 19, 20, 22, 25, 27, 30, 33, and 37 and show increased potency compared with Val 8 -GLP-1 (7-37)OH.
- Preferred GLP-1 compounds are also described in SEQ ID NO.: 1, SEQ ID NO.: 2, SEQ ID NO.: 3, SEQ ID NO.: 4, SEQ ID NO.: 5, SEQ ID NO.: 6, SEQ ID NO.: 7, SEQ ID NO.: 8, SEQ ID NO.: 9, SEQ ID NO.: 10, SEQ ID NO.: 11, SEQ ID NO.: 12, SEQ ID NO.: 13, or SEQ ID NO.: 14. More preferred GLP-1 compounds are described in compounds of SEQ ID NO.: 2, SEQ ID NO.: 12, SEQ ID NO.: 13, and SEQ ID NO.: 14.
- the present invention also encompasses a method of stimulating the GLP-1 receptor in a subject in need of such stimulation, said method comprising the step of administering to the subject an effective amount of the oral formulation described herein.
- Subjects in need of GLP-1 receptor stimulation include those with type 2 diabetes and obesity.
- formulation refers to a GLP-1 compound and a delivery agent combined together which can be administered orally such that the GLP-1 compound passes through the gut into the systemic circulation and has the ability to bind to the GLP-1 receptor and initiate a signal transduction pathway resulting in insulinotropic activity.
- the formulation can optionally comprise other agents so long as the GLP-1 retains the ability to bind the GLP-1 receptor.
- oral refers to delivery of a compound by mouth such that the compound passes through the stomach, small intestine, or large intestine into the systemic circulation.
- GLP-1 compound refers to polypeptides that include naturally occurring GLP-1 polypeptides (GLP-1(7-37)OH and GLP-1(7-36)NH 2 ), GLP-1 fragments, GLP-1 analogs, GLP-1 derivatives of naturally occurring GLP-1 polypeptides, GLP-1 fragments of such derivatives, or GLP-1 analogs of such derivatives, Exendin-3 and Exendin-4, and derivatives thereof, that have the ability to bind to the GLP-1 receptor and initiate a signal transduction pathway resulting in insulinotropic activity.
- GLP-1 compound refers to polypeptides that include naturally occurring GLP-1 polypeptides (GLP-1(7-37)OH and GLP-1(7-36)NH 2 ), GLP-1 fragments, GLP-1 analogs, GLP-1 derivatives of naturally occurring GLP-1 polypeptides, GLP-1 fragments of such derivatives, or GLP-1 analogs of such derivatives, Exendin-3 and Exendin-4, and derivatives thereof, that have the ability to
- insulinotropic activity refers to the ability to stimulate insulin secretion in response to elevated glucose levels, thereby causing glucose uptake by cells and decreased plasma glucose levels.
- insulinotropic activity can be determined using the method described in Example 1 of International Publication No. WO 03/072195.
- a GLP-1 molecule has insulinotropic activity if islet cells secrete insulin levels in the presence of the GLP-1 molecule above background levels.
- DPP IV resistant refers to GLP-1 molecules that have extended metabolic stability and improved biological activity.
- DPP IV resistance can be determined using the method described in Example 2 of International Publication No. WO 03/072195.
- a GLP-1 molecule is DPP IV resistant if in the presence of DPP IV, the GLP-1 molecule has extended metabolic stability above that of native GLP-1.
- DPP IV resistant GLP-1 molecules can have an amino acid change at the DPP IV recognition site (position 8), or DPP IV resistant peptides can have an attached group that restricts the accessibility of the DPP IV to the recognition site, or both.
- GLP-1 fragment is a polypeptide obtained after truncation of one or more amino acids from the N-terminus and/or C-terminus of GLP-1 (7-37)OH or an analog or derivative thereof.
- the nomenclature used to describe GLP-1 (7-37)OH is also applicable to GLP-1 fragments.
- GLP-1 (9-36)OH denotes a GLP-1 fragment obtained by truncating two amino acids from the N-terminus and one amino acid from the C-terminus. The amino acids in the fragment are denoted by the same number as the corresponding amino acid in GLP-1 (7-37)OH.
- the N-terminal glutamic acid in GLP-1 (9-:36)OH is at position 9; position 12 is occupied by phenylalanine; and position 22 is occupied by glycine, as in GLP-1 (7-37)OH.
- GLP-1 (7-36)OH the glycine at position 37 of GLP-1 (7-37)OH is deleted.
- a “GLP-1 analog” has sufficient homology to GLP-1 (7-37)OH or a fragment of GLP-1 (7-37)OH such that the analog has insulinotropic activity.
- a GLP-1 analog has the amino acid sequence of GLP-1 (7-37)OH or a fragment thereof, modified so that from one, two, three, four or five amino acids differ from the amino acid in corresponding position of GLP-1 (7-37)OH or a fragment of GLP-1 (7-37)OH.
- the substituting amino acid and its position is indicated prior to the parent structure.
- Glu 22 -GLP-1 (7-37)OH designates a GLP-1 compound in which the glycine normally found at position 22 of GLP-1(7-37)OH has been replaced with glutamic acid
- Val 8 -Glu 22 -GLP-1 (7-37)OH designates a GLP-1 compound in which alanine normally found at position 8 and glycine normally found at position 22 of GLP-1(7-37)OH have been replaced with valine and glutamic acid, respectively.
- GLP-1 molecules also include polypeptides in which one or more amino acids have been added to the N-terminus and/or C-terminus of GLP-1 (7-37)OH, or fragments or analogs thereof. It is preferred that GLP-1 molecules of this type have up to about thirty-nine amino acids.
- the amino acids in the “extended” GLP-1 molecule are denoted by the same number as the corresponding amino acid in GLP-1 (7-37)OH.
- N-terminal amino acid is located at position 5; and for a GLP-1 molecule obtained by adding one amino acid to the C-terminus of GLP-1 (7-37)OH, the C-terminal amino acid is located at position 38.
- position 12 is occupied by phenylalanine and position 22 is occupied by glycine in both of these “extended” GLP-1 compounds, as in GLP-1 (7-37)OH.
- Amino acids 1-6 of an extended GLP-1 molecule are preferably the same as or a conservative substitution of the amino acid at the corresponding position of GLP-1 (1-37)OH.
- Amino acids 38-45 of an extended GLP-1 molecule are preferably the same as or a conservative substitution of the amino acid at the corresponding position of glucagon or Exendin-4.
- GLP-1 derivative refers to a molecule having the amino acid sequence of GLP-1, a GLP-1 fragment, or a GLP-1 analog, but additionally having chemical modification of one or more of its amino acid side groups, ⁇ -carbon atoms, terminal amino group, or terminal carboxylic acid group.
- a chemical modification includes, but is not limited to, adding chemical moieties, creating new bonds, and removing chemical moieties. Modifications at amino acid side groups include, without limitation, acylation of lysine ⁇ -amino groups, N-alkylation of arginine, histidine, or lysine, alkylation of glutamic or aspartic carboxylic acid groups, and deamidation of glutamine or asparagine.
- Modifications of the terminal amino group include, without limitation, the des-amino, N-lower alkyl, N-di-lower alkyl, and N-acyl modifications.
- Modifications of the terminal carboxy group include, without limitation, the amide, lower alkyl amide, dialkyl amide, and lower alkyl ester modifications.
- Lower alkyl is C 1 -C 4 alkyl.
- one or more side groups, or terminal groups may be protected by protective groups known to the ordinarily-skilled protein chemist.
- the ⁇ -carbon of an amino acid may be mono-or dimethylated.
- an in vitro GLP-1 receptor-signaling assay is used to determine whether a particular extended GLP-1 peptide will exhibit insulinotropic activity in vivo.
- Extended GLP-1 peptides encompassed by the present invention have an in vitro potency that is not less than one-tenth the in vitro potency of the DPP IV resistant GLP-1 analog known as Val 8 -GLP-1 (7-37)OH. More preferably, the extended GLP-1 peptides of the present invention are as potent or more potent than Val 8 -GLP-1 (7-37)OH.
- In vitro potency is the measure of the ability of a peptide to activate the GLP-1 receptor in a cell-based assay. In vitro potency is expressed as the “EC 50 ” which is the effective concentration of compound that results in 50% activity in a single dose-response experiment. For the purposes of the present invention, in vitro potency is determined using a fluorescence assay that employs HEK-293 Aurora CRE-BLAM cells that stably express the human GLP-1 receptor. These HEK-293 cells have stably integrated a DNA vector having a cAMP response element (CRE) driving expression of the P-lactamase (BLAM) gene.
- CRE cAMP response element
- ⁇ -lactamase CCF2/AM substrate that emits fluorescence when it is cleaved by ⁇ -lactamase (Aurora Biosciences Corp. ) can then be added to cells that have been exposed to a specific amount of GLP-1 agonist to provide a measure of GLP-1 agonist potency.
- the assay is further described in Zlokarnik, et al. (1998) Science 279: 84-88. Relative in vitro potency values are established by running Val 8 -GLP-1(7-37)OH as a control and assigning the control a reference value of 1.
- delivery agent refers to molecules in U.S. Pat. Nos. 6,663,898, 6,663,887, 6,646,162, 6,642,411, 6,627,228, 6,623,731, 6,610,329, 6,558,706, 6,525,020, 6,461,643, 6,461,545, 6,440,929, 6,428,780, 6,413,550, 6,399,798, 6,395,774, 6,391,303, 6,384,278, 6,375,983, 6,358,504, 6,346,242, 6,344,213, 6,331,318, 6,313,088, 6,245,359, 6,242,495, 6,221,367, 6,180,140, 5,541,155, 5,693,338, 5,976,569, 5,643,957, 5,955,503, 6,100,298, 5,650,386, 5,866,536, 5,965,121, 5,989,539, 6,001,347, 6,071,510, and 5,820,881; U.S.
- the derived amino acids can also be in the form of poly amino acids, and peptides.
- An amino acid is any carboxylic acid having at least one free amine group and includes naturally occurring and synthetic amino acids.
- Poly amino acids are either peptides or two or more amino acids linked by a bond formed by other groups which can be linked, e.g., an ester, anhydride, or an anhydride linkage.
- Peptides are two or more amino acids joined by a peptide bond. Peptides can vary in length from dipeptides with two amino acids to polypeptides with several hundred amino acids.
- Preferred peptides include di-peptides, tri-peptides, tetra-peptides, and penta-peptides.
- the delivery agents of the present invention are optionally in a salt form.
- salts include sodium, hydrochloric acid, sulfuric acid, phosphoric acid, citric acid, acetic acid, sulfate, phosphate, chloride, bromide, iodide, acetate, propionate, hydrobromic acid, sodium hydroxide, potassium hydroxide, ammonium hydroxide, and potassium carbonate.
- a “Diabetic patient” is a subject having a form of diabetes.
- ITT impaired glucose tolerance
- Diabetes is deemed to encompasses type 1 and type 2 diabetes, unless specifically specified otherwise.
- an “effective amount of delivery agent” refers to an amount of the delivery agent that promotes the absorption of a therapeutically effective amount of the drug (i.e., a GLP-1 compound) from the gastrointestinal tract.
- Unit dose forms refer to physically discrete units suitable for human and animal subjects and packaged individually as is known in the art. It is contemplated for purposes of the present invention that dosage forms of the present invention comprising therapeutically effective amounts of a GLP-1 compound may include one or more unit doses (e.g., tablets, capsules) to achieve the therapeutic effect.
- AUC means area under the plasma concentration-time curve, as calculated by the trapezoidal rule over the complete dosing interval, e.g., 24-hour interval.
- C max is the highest plasma concentration of the drug attained within the dosing interval.
- t max is the time period which elapses after administration of the dosage form at which the plasma concentration of the drug attains the C max within the dosing interval.
- multiple dose means that the subject has received at least two doses of the drug composition in accordance with the dosing interval for that composition.
- single dose means that the subject has received a single dose of the drug composition or pharmaceutical composition and the drug plasma concentration has not achieved steady state.
- mean when preceding a pharmacokinetic value (e.g., mean t max ) represents the arithmetic mean value of the pharmacokinetic value unless otherwise specified.
- bioavailability means the degree or ratio (%) to which a drug or agent is absorbed or otherwise available to the treatment site in the body. This is calculated by the formula Rel .
- Bioavailability ⁇ ⁇ ( % ) Dose ⁇ ⁇ SC Dose ⁇ ⁇ ⁇ Oral ⁇ AUC GLP - 1 ⁇ Oral AUC GLP - 1 ⁇ SC ⁇ 100 where “SC” refers to subcutaneous.
- biopotency means the degree or ratio (%) to which a drug or agent is effective to the treatment site in the body. This is calculated by the formula Rel .
- ⁇ ⁇ Biopotency ⁇ ⁇ ( % ) Dose ⁇ ⁇ SC Dose ⁇ ⁇ Oral ⁇ AUC GIR ⁇ ⁇ Oral AUC GIR ⁇ SC ⁇ 100 where GIR is glucose infustion rate.
- t 1/2 as used herein means the terminal half-life calculated as ln(2)/K el .
- the GLP-1 compounds of the present invention can be made by methods known in the art, such as solid-phase synthetic chemistry, purification of GLP-1 molecules from natural sources, recombinant DNA technology, or a combination of these methods.
- methods for preparing GLP-1 peptides are described in U.S. Pat. Nos. 5,118,666; 5,120,712; 5,512,549; 5,977,071; and 6,191,102, all of which are hereby incorporated by reference.
- the amino terminus of GLP-1(7-37)OH has been assigned number residue 7, and the carboxy-terminus has been assigned number 37.
- the other amino acids in the polypeptide are numbered consecutively, as shown in SEQ ID NO.: 1.
- position 12 is phenylalanine and position 22 is glycine.
- the two naturally occurring truncated GLP-1 peptides are represented in SEQ ID NO: 1: His 7 -Ala-Glu-Gly 10 -Thr-Phe-Thr-Ser-Asp-Val-Ser-Ser-Tyr-Leu 20 -Glu-Gly-Gln-Ala-Ala 25 -Lys-Glu-Phe-Ile-Ala 30 -Trp-Leu-Val-Lys-Gly 35 -Arg-Xaa 37
- Xaa 37 is Gly, or —NH 2 .
- a GLP-1 compound has the amino acid sequence of SEQ ID NO.: 1 or is modified so that from one, two, three, four or five amino acids differ from SEQ ID NO.: 1.
- GLP-1 compounds is composed of GLP-1 analogs of SEQ ID NO.: 2: His-Xaa 8 -Xaa 9 -Gly-Xaa 11 -Phe-Thr-Xaa 14 -Asp-Xaa 16 -Xaa 17 -Xaa 18 -Xaa 19 -Xaa 20 -Xaa 21 -Xaa 22 -Xaa 23 -Xaa 24 -Xaa 25 -Xaa 26 -Xaa 27 -Phe-Ile-Xaa 30 -Xaa 31 -Xaa 32 -Xaa 33 -Xaa 34 -Xaa 35 -Xaa 36 -Xaa 37 -Xaa 38 -Xaa 39 -Xaa 40 -Xaa 41 -Xaa 42 -Xaa 43 -Xaa 44 -Xaa 45 -Xaa 45
- Xaa 8 is Ala, Gly, Ser, Thr, Leu, Ile, Val, Glu, Asp, or Lys
- Xaa 9 is Glu, Asp, or Lys
- Xaa 11 is Thr, Ala, Gly, Ser, Leu, Ile, Val, Glu, Asp, or Lys
- Xaa 14 is Ser, Ala, Gly, Thr, Leu, Ile, Val, Glu, Asp, or Lys
- Xaa 16 is Val, Ala, Gly, Ser, Thr, Leu, Ile, Tyr, Glu, Asp, Trp, or Lys
- Xaa 17 is Ser, Ala, Gly, Thr, Leu, Ile, Val, Glu, Asp, or Lys
- Xaa 18 is Ser, Ala, Gly, Thr, Leu, Ile, Val, Glu, Asp, or Lys
- Xaa 19 is Tyr, Phe, Trp, Glu
- the GLP-1 compound of SEQ ID NO: 2 contain less than six amino acids that differ from the corresponding amino acid in GLP-1 (7-37)OH or Exendin-4. It is more preferred that less than five amino acids differ from the corresponding amino acid in GLP-1 (7-37)OH or Exendin-4. It is even more preferred that less than four amino acids differ from the corresponding amino acid in GLP-1(7-37)OH or Exendin-4.
- GLP-1 compounds of the present invention include derivatives of SEQ ID NO.: 2 such as a C 1-6 -ester, or amide, or C 1-6 -alkylamide, or C 1-6 -dialkylamide thereof.
- WO 99/43706 describes derivatives of GLP-1 compounds of SEQ ID NO.: 2 and is incorporated by reference herein in its entirety.
- the compounds of SEQ ID NO.: 2 derivatized as described in WO 99/43706 and underivatized are encompassed by the present invention.
- GLP-1 compounds are composed of GLP-1 analogs of SEQ. ID NO.: 3: Xaa 7 -Xaa 8 -Xaa 9 -Gly-Xaa 11 -Xaa 12 -Thr-Ser-Asp-Xaa 16 -Ser-Xaa 18 -Xaa 19 -Leu-Glu-Gly-Xaa 23 -Xaa 24 -Ala-Xaa 26 -Xaa 27 -Phe-Ile-Xaa 30 -Xaa 31 -Leu-Xaa 33 -Xaa 34 -Xaa 35 -Xaa 36 -R 37
- Xaa 7 is: L-histidine, D-histidine, desamino-histidine, 2-amino-histidine, ⁇ -hydroxy-histidine, homohistidine, ⁇ -fluoromethyl-histidine or ⁇ -methyl-histidine;
- Xaa 8 is: Gly, Ala, Val, Leu, Ile, Ser, or Thr;
- Xaa 9 is: Thr, Ser, Arg, Lys, Trp, Phe, Tyr, Glu, or His;
- Xaa 11 is: Asp, Glu, Arg, Thr, Ala, Lys, or His;
- Xaa 12 is: His, Trp, Phe, or Tyr;
- Xaa 16 is: Leu, Ser, Thr, Trp, His, Phe, Asp, Val, Tyr, Glu, or Ala;
- Xaa 18 is: His, Pro, Asp, Glu, Arg, Ser, Ala, or Lys
- GLP-1 compounds is composed of GLP-1 analogs of SEQ ID NO: 4: Xaa 7 -Xaa 8 -Glu-Gly-Xaa 11 -Xaa 12 -Thr-Ser-Asp-Xaa 16 -Ser-Ser-Tyr-Leu-Glu-Xaa 22 -Xaa 23 -Xaa 24 -Xaa 25 -Lys-Xaa 27 -Phe-Ile-Xaa 30 -Trp-Leu-Xaa 33 -Xaa 34 -Xaa 35 -Xaa 36 -R 37
- Xaa 7 is: L-histidine, D-histidine, desamino-histidine, 2-amino-histidine, B-hydroxy-histidine, homohistidine, a-fluoromethylhistidine or a-methylhistidine;
- Xaa 8 is: Gly, Ala, Val, Leu, Ile, Ser, or Thr;
- Xaa 11 is: Asp, Glu, Arg, Thr, Ala, Lys, or His;
- Xaa 12 is: His, Trp, Phe, or Tyr;
- Xaa 16 is: Leu, Ser, Thr, Trp, His, Phe, Asp, Val, Glu, or Ala;
- Xaa 22 is: Gly, Asp, Glu;
- Xaa 23 is: His, Asp, Lys, Glu, or Gln;
- Xaa 24 is: Glu, His, Ala, or Lys;
- GLP-1 compounds is composed of GLP-1 analogs of SEQ ID NO: 5: Xaa 7 -Xaa 8 -Glu-Gly-Thr-Xaa 12 -Thr-Ser-Asp-Xaa 16 -Ser-Ser-Tyr-Leu-Glu-Xaa 22 -Xaa 23 -Ala-Ala-Xaa 26 -Glu-Phe-Ile-Xaa 30 -Trp-Leu-Val-Lys-Xaa 35 -Arg-R 37
- Xaa 7 is: L-histidine, D-histidine, desamino-histidine, 2-amino-histidine, B-hydroxy-histidine, homohistidine, a-fluoromethyl-histidine, or a-methyl-histidine;
- Xaa 8 is: Gly, Ala, Val, Leu, Ile, Ser, Met, or Thr;
- Xaa 12 is: His, Trp, Phe, or Tyr;
- Xaa 16 is: Leu, Ser, Thr, Trp, His, Phe, Asp, Val, Glu, or Ala;
- Xaa 22 is: Gly, Asp, Glu, Gln, Asn, Lys, Arg, or Cys;
- Xaa 23 is: His, Asp, Lys, Glu, or Gln;
- Xaa 26 is: Asp, Lys, Glu, or His;
- Xaa 30 is: Ala,
- GLP-1 compounds is composed of GLP-1 analogs of SEQ ID NO: 6: Xaa 7 -Xaa 8 -Glu-Gly-Thr-Phe-Thr-Ser-Asp-Val-Ser-Ser-Tyr-Leu-Glu-Xaa 22 -Xaa 23 -Xaa 24 -Ala-Lys-Glu-Phe-Ile-Xaa 30 -Trp-Leu-Val-Lys-Gly-Arg-R 37
- Xaa 7 is: L-histidine, D-histidine, desamino-histadine, 2-amino-histidine, ⁇ -hydroxy-histidine, homohistidine, ⁇ -fluoromethyl-histidine, or ⁇ -methyl-histidine
- Xaa 8 is: Gly, Ala, Val, Leu, Ile, Ser, or Thr;
- Xaa 22 is: Gly, Asp, Glu, Gln, Asn, Lys, Arg, or Cys;
- Xaa 23 is: His, Asp, Lys, Glu, or Gln;
- Xaa 24 is: Ala, Glu, Asp, Ser, or His;
- Xaa 30 is: Ala, Glu, Asp, Ser, or His;
- R 37 is: Lys, Arg, Thr, Ser, Glu, Asp, Trp, Tyr, Phe, His, Gly, Gly-Pro, or is deleted
- GLP-1 compounds of SEQ ID NOS.: 2, 3, 4, 5, and 6 comprise GLP-1 analogs or fragments of GLP-1 analogs wherein the analogs or fragments contain an amino acid other than alanine at position 8 (position 8 analogs).
- position 8 analogs may contain one or more additional changes at positions 9, 11, 12, 16, 18, 22, 23, 24, 26, 27, 30, 31, 33, 34, 35, 36, and 37 compared to the corresponding amino acid of native GLP-1 (7-37)OH.
- These analogs for example, may have 6 or fewer changes compared to the corresponding amino acids in native GLP-1(7-37)OH or GLP-1(7-36)OH.
- these analogs have 5 or fewer changes compared to the corresponding amino acids in native GLP-1(7-37)OH or GLP-1(7-36)OH or have 4 or fewer changes compared to the corresponding amino acids in native GLP-1 (7-37)OH or GLP-1 (7-36)OH. According to yet another embodiment, these analogs have 3 or fewer changes compared to the corresponding amino acids in native GLP-1 (7-37)OH or GLP-1 (7-36)OH. According to yet another embodiment, these analogs have 2 or fewer changes compared to the corresponding amino acids in native GLP-1(7-37)OH.
- GLP-1 compounds of SEQ ID NOS: 2, 3, 4, 5, and 6 comprise GLP-1 analogs or fragments of GLP-1 analogs in which glycine at position 22 and preferably alanine at position 8 have been replaced with another amino acid.
- position 8 When position 22 is aspartic acid, glutamic acid, arginine or lysine, position 8 is may be glycine, valine, leucine, isoleucine, serine, threonine or methionine. When position 22 is a sulfonic acid such as cysteic acid, position 8 may be glycine, valine, leucine, isoleucine, serine; threonine or methionine.
- GLP-1 compounds include GLP-1 analogs of SEQ ID NO: 5 wherein the analogs have the sequence of GLP-1 (7-3 7)OH except that the amino acid at position 8 is glycine, valine, leucine, isoleucine, serine, threonine, or methionine and position 30 is glutamic acid, aspartic acid, serine, or histidine.
- GLP-1 compounds include GLP-1 analogs of SEQ ID NO: 5 wherein the analogs have the sequence of GLP-1(7-37)OH except that the amino acid at position 8 is glycine, valine, leucine, isoleucine, serine, threonine, or methionine and position 37 is histidine, lysine, arginine, threonine, serine, glutamic acid, aspartic acid, tryptophan, tyrosine, phenylalanine.
- GLP-1 compounds include GLP-1 analogs of SEQ ID NO: 5 wherein the analogs have the sequence of GLP-1 (7-37)OH, except that the amino acid at position 8 is preferably glycine, valine, leucine, isoleucine, serine, threonine, or methionine and more preferably valine or glycine and position 22 is glutamic acid, lysine, aspartic acid, or arginine and more preferably glutamic acid or lysine and position 23 is lysine, arginine, glutamic acid, aspartic acid, and histidine and more preferably lysine or glutamic acid.
- GLP-1 compounds include GLP-1 analogs of SEQ ID NO: 6 wherein the analogs have the sequence of GLP-1 (7-37)OH except that the amino acid at position 8 is preferably glycine, valine, leucine, isoleucine, serine, threonine, or methionine and more preferably valine or glycine and position 22 is glutamic acid, lysine, aspartic acid, or arginine and more preferably glutamine acid or lysine and position 27 is alanine, lysine, arginine, tryptophan, tyrosine, phenylalanine, or histidine and more preferably alanine.
- GLP-1 compounds include GLP-1 analogs of SEQ ID NO: 3 wherein the analogs have the sequence of GLP-1 (7-37)OH except that the amino acid at position 8 and one, two, or three amino acids selected from position 9, position 11, position 12, position 16, position 18, position 22, position 23, position 24, position 26, position 27, position 30, position 31, position 33, position 34, position 35, position 36, and position 37, differ from the amino acid at the corresponding position of native GLP-1 (7-37)OH.
- GLP-1 compounds of SEQ ID No. 3 include:Val 8 -GLP-1(7-37) OH, Gly 8 -GLP-1 (7-37)OH, Glu 22 -GLP-1 (7-37)OH, Asp 22 -GLP-1 (7-37)OH, Arg 22 -GLP-1 (7-37)OH, Lys 22 -GLP-1 (7-37)OH, Cys 22 -GLP-1 (7-37)OH, Val 8 -Glu 22 -GLP-1 (7-37)OH, Val 8 -Asp 22 -GLP-1 (7-37)OH, Val 8 -Arg 22 -GLP-1 (7-37)OH, Val 8 -Lys 22 -GLP-1 (7-37)OH, Val 8 -Cys 22 -GLP-1 (7-37)OH, Gly 8 -Glu 22 -GLP-1 (7-37)OH, Gly 8 -Asp 22 -GLP-1 (7-37)OH, Gly 8 -Arg 22 -GLP-1 (7
- GLP-1 analogs and derivatives for use in the present invention is composed of molecules of SEQ. ID NO.: 7: R 1 -X-Glu-Gly 10 -Thr-Phe-Thr-Ser-Asp 15 -Val-Ser-Ser-Tyr-Leu 20 -Y-Gly-Gln-Ala-Ala 25 -Lys-Z-Phe-Ile-Ala 30 -Trp-Leu-Val-Lys-Gly 35 -Arg-R 2
- GLP-1 compounds for use in the present invention is disclosed in WO 91/11457, and consists essentially of GLP-1 (7-34), GLP-1 (7-35), GLP-1 (7-36), or GLP-1 (7-37), or the amide form thereof, and pharmaceutically-acceptable salts thereof, having at least one modification selected from the group consisting of:
- dipeptidyl-peptidase IV may be responsible for the observed rapid in vivo inactivation of administered GLP-1, [See, e. g., Mentlein, R., etal., Ear. J.
- GLP-1 analogs and derivatives that are protected from the activity of DPP IV in the context of a fusion protein are preferred, and fusion proteins wherein the GLP-1 compound is Gly 8 -GLP-1 (7-37)OH, Val 8 -GLP-1 (7-37)OH, ⁇ -methyl-Ala 8 -GLP-1 (7-37)OH, or Gly 8 -Gln 21 -GLP-1(7-37)OH are more preferred.
- Another preferred group of GLP-1 compounds for use in the present invention consists of the compounds of SEQ ID NO:8: wherein:
- Examples of compounds of SEQ ID NO.: 8 for use in the present invention are those in which Xaa is Arg and R 2 is C 6 -C 10 unbranched acyl, such as those in which Xaa is Arg, R 2 is C 6 -C 10 unbranched acyl, and R 3 is Gly-OH.
- ID NO: 8 for use in the present invention are those in which Xaa is Arg, R 2 is C 6 -C 10 unbranched acyl, R 3 is Gly-OH, and R 1 is 4-imidazopropionyl, such as the compound in which Xaa is Arg, R 2 is C 8 unbranched acyl, R 3 is Gly-OH, and R 1 is 4-imidazopropionyl.
- GLP-1 derivatives are described in U.S. Pat. No. 6,268,343 B1, such as Arg 34 -Lys 26 -(N- ⁇ -( ⁇ -Glu (N- ⁇ -hexadecanoyl)))-GLP-1(7-37).
- GLP-1 compounds comprise GLP-1 analogs wherein the backbone for such analogs or fragments contains an amino acid other than alanine at position 8 (position 8 analogs).
- the backbone may also include L-histidine, D-histidine, or modified forms of histidine such as desamino-histidine, 2-amino-histidine, B-hydroxy-histidine, homohistidine, a-fluoromethyl-histidine, or a-methyl-histidine at position 7.
- position 8 analogs may contain one or more additional changes at positions 12, 16, 18, 19, 20, 22, 25, 27, 30, 33, and 37 compared to the corresponding amino acid of native GLP-1(7-37)OH.
- These position 8 analogs may contain one or more additional changes at positions 16, 18, 22, 25 and 33 compared to the corresponding amino acid of native GLP-1(7-37)OH.
- the GLP-1 analog is GLP-1(7-37)OH wherein the amino acid at position 12 is selected from the group consisting of tryptophan or tyrosine.
- the amino acid at position 8 may be substituted with glycine, valine, leucine, isoleucine, serine, threonine, or methionine.
- the amino acid at position 22 may be substituted with glutamic acid.
- the GLP-1 analog is GLP-1 (7-37)OH wherein the amino acid at position 16 is selected from the group consisting of tryptophan, isoleucine, leucine, phenylalanine, or tyrosine.
- the amino acid at position 8 may be substituted with glycine, valine, leucine, isoleucine, serine, threonine, or methionine.
- the amino acid at position 22 may be substituted with glutamic acid.
- the amino acid at position 30 may be substituted with glutamic acid.
- the amino acid at position 37 may be substituted with histidine.
- the GLP-1 analog is GLP-1(7-37) OH wherein the amino acid at position 18 is tryptophan, tyrosine, phenylalanine, lysine, leucine, or isoleucine.
- the amino acid at position 8 may be substituted with glycine, valine, leucine, isoleucine, serine, threonine, or methionine.
- the amino acid at position 22 may be substituted with glutamic acid.
- the amino acid at position 30 may be substituted with glutamic acid.
- the amino acid at position 37 may be substituted with histidine.
- the GLP-1 analog is GLP-1 (7-37)OH wherein the amino acid at position 19 is tryptophan or phenylalanine.
- the amino acid at position 8 may be substituted with glycine, valine, leucine, isoleucine, serine, threonine, or methionine.
- the amino acid at position 22 may be substituted with glutamic acid.
- the amino acid at position 30 may be substituted with glutamic acid.
- the amino acid at position 37 may be substituted with histidine.
- the GLP-1 analog is GLP-1(7-37)OH wherein the amino acid at position 20 is phenylalanine, tyrosine, or tryptophan.
- the amino acid at position 8 may be substituted with glycine, valine, leucine, isoleucine, serine, threonine, or methionine.
- the amino acid at position 22 may be substituted with glutamic acid.
- the amino acid at position 30 may be substituted with glutamic acid.
- the amino acid at position 37 may be substituted with histidine.
- the GLP-1 analog is GLP-1 (7-37)OH wherein the amino acid at position 25 is valine, isoleucine, or leucine.
- the amino acid at position 8 may be substituted with glycine, valine, leucine, isoleucine, serine, threonine, or methionine.
- the amino acid at position 22 may be substituted with glutamic acid.
- the amino acid at position 30 may be substituted with glutamic acid.
- the amino acid at position 37 may be substituted with histidine.
- the GLP-1 analog is GLP-1(7-37)OH wherein the amino acid at position 27 is isoleucine or alanine.
- the amino acid at position 8 may be substituted with glycine, valine, leucine, isoleucine, serine, threonine, or methionine.
- the amino acid at position 22 may be substituted with glutamic acid.
- the amino acid at position 30 may be substituted with glutamic acid.
- the amino acid at position 37 may be substituted with histidine.
- the GLP-1 analog is GLP-1(7-37) OH wherein the amino acid at position 33 is isoleucine.
- the amino acid at position 8 may be substituted with glycine, valine, leucine, isoleucine, serine, threonine, or methionine.
- the amino acid at position 22 may be substituted with glutamic acid.
- the amino acid at position 30 may be substituted with glutamic acid.
- the amino acid at position 37 may be substituted with histidine.
- the GLP-1 compounds have modifications at one or more of the following positions: 8, 12, 16, 18, 19, 20, 22, 25, 27, 30, 33, and 37. These GLP-1 compounds show increased potency compared with GLP-1 (7-37)OH and comprise the amino acid sequence of SEQ ID NO.: 9: Xaa 7 -Xaa 8 -Glu-Gly-Thr-Xaa 12 -Thr-Ser-Asp-Xaa 16 -Ser-Xaa 18 -Xaa 19 -Xaa 20 -Glu-Xaa 22 -Gln-Ala-Xaa 25 -Lys-Xaa 27 -Phe-Ile-Xaa 30 -Trp-Leu-Xaa 33 -Lys-Gly-Arg-Xaa 37
- Xaa 7 is: L-histidine, D-histidine, desamino-histidine, 2-amino-histidine, ⁇ -hydroxy-histidine, homohistidine, a-fluoromethyl-histidine, or ⁇ -methyl-histidine;
- Xaa 8 is: Ala, Gly, Val, Leu, Ile, Ser, or Thr;
- Xaa 12 is: Phe, Trp, or Tyr;
- Xaa 16 is: Val, Trp, Ile, Leu, Phe, or Tyr;
- Xaa 18 is: Ser, Trp, Tyr, Phe, Lys, Ile, Leu, Val;
- Xaa 19 is: Tyr, Trp, or Phe;
- Xaa 20 is: Leu, Phe, Tyr, or Trp;
- Xaa 22 is: Gly, Glu, Asp, or Lys;
- Xaa 25 is: Ala, Val, Ile,
- GLP-1 compounds of SEQ ID NO: 9 include GLP-1 (7-37)OH, GLP-1 (7-36)NH 2 , Gly 8 -GLP-1 (7-37)OH, Gly 8 -GLP-1 (7-36)NH 2 , Val 8 -GLP-1 (7-37)OH, Val 8 -GLP-1 (7-36)NH 2 , Leu 8 -GLP-1 (7-37)OH, Leu 8 -GLP-1 (7-36)NH 2 , Ile 8 -GLP-1 (7-37)OH, Ile 8 -GLP-1 (7-36)NH 2 , Ser 8 -GLP-1 (7-37)OH, Ser 8 -GLP-1 (7-36)NH 2 , Thr 8 -GLP-1 (7-37)OH, Thr 8 -GLP-1 (7-36)NH 2 , Val 8 -Tyr 12 -GLP-1 (7-37)Oh, Val 8 -Tyr 12 -GLP-1 (7-36)NH 2 , Val 8 -Ty
- GLP-1 compounds of SEQ ID NO.: 9 having multiple substitutions include GLP-1(7-37)OH wherein position 8 is valine or glycine, position 22 is glutamic acid, position 16 is tyrosine, leucine or tryptophan, position 18 is tyrosine, tryptophan, or isoleucine, position 25 is valine and position 33 is isoleucine.
- GLP-1 compounds include the following; Val 8 -Tyr 16 -GLP-1(7-37)OH, Val 8 -Tyr 12 -Glu 22 -GLP-1 (7-37)OH, Val 8 -Tyr 16 -Phe 19 -GLP-1 (7-37)OH, Val 8 -Tyr 16 -Glu 22 -GLP-1 (7-37)OH, Val 8 -Trp 16 -Glu 22 -GLP-1 (7-37)OH, Val 8 -Leu 16 -Glu 22 -GLP-1(7-37)OH, Val 8 -Ile 16 -Glu 22 -GLP-1(7-37)OH, Val 8 -Phe 16 -Glu 22 -GLP-1(7-37)OH, Val 8 -Trp 11 -Glu 22 -GLP-1(7-37)OH, Val 8 -Tyr 18 -Glu 22 -GLP-1(7-37)OH, Val 8 -Phe 18 -Glu 22 -GLP-1
- the GLP-1 compounds of the present invention also encompass Exendin compounds.
- Exendin-3 and Exendin-4 are biologically active peptides first isolated from Helodermatidae lizard venoms and have been shown to bind the GLP-1 receptor and stimulate cAMP-dependent H+ production in mammalian parietal cells.
- Exendin-3 and Exendin-4 are both 39 amino acid peptides which are approximately 53% homologous to GLP-1. They act as potent agonists of GLP-1 activity.
- an N-terminally truncated derivative of Exendin known as Exendin (9-39 amino acids), is an inhibitor of Exendin-3, Exendin-4 and GLP-1.
- Exendin compound typically comprises a polypeptide having the amino acid sequence of Exendin-3, Exendin-4, or an analog or fragment thereof.
- Exendin-3 and Exendin-4 are disclosed in U.S. Pat. No. 5,424,286, which is hereby incorporated by reference.
- Exendin-3 has the amino acid sequence of SEQ ID NO.: 10: His 7 -Ser-Asp-Gly 10 -Thr-Phe-Thr-Ser-Asp 15 -Leu-Ser-Lys-Gln-Met 20 -Glu-Glu-Glu-Ala-Val 25 -Arg-Leu-Phe-Ile-Glu 30 -Trp-Leu-Lys-Asn-Gly 35 -Gly-Pro-Ser-Ser-Gly 40 -Ala-Pro-Pro-Pro-Ser 45 -NH 2
- Exendin-4 has the amino acid sequence of SEQ ID NO.: 11: His 7 -Gly-Glu-Gly 10 -Thr-Phe-Thr-Ser-Asp 15 -Leu-Ser-Lys-Gln-Met 20 -Glu-Glu-Glu-Ala-Val 25 -Arg-Leu-Phe-Ile-Glu 30 -Trp-Leu-Lys-Asn-Gly 35 -Gly-Pro-Ser-Ser-Gly 40 -Ala-Pro-Pro-Pro-Ser 45 -NH 2 .
- GLP-1 compounds also include Exendin fragments which are polypeptides obtained after truncation of one or more amino acids from the N-terminus and/or C-terminus of Exendin or an Exendin analog. Furthermore, GLP-1 compounds include Exendin polypeptides in which one or more amino acids have been added to the N terminus and/or C-terminus of Exendin or fragments thereof. Exendin compounds of this type have up to about forty-five amino acids.
- GLP-1 compounds also include “Exendin analogs”.
- An Exendin analog has sufficient homology to Exendin-4, Exendin-3, or a fragment thereof such that the analog has insulinotropic activity.
- the activity of Exendin fragments and/or analogs can be assessed using in vitro assays.
- Exendin analog has the amino acid sequence of Exendin-4 or a fragment thereof, may be modified so that from one, two, three, four or five amino acids differ from the amino acid in corresponding position of Exendin-4 or the fragment of Exendin-4.
- the substituting amino acid and its position is indicated prior to the parent structure.
- Val 8 -Exendin-4 designates an Exendin compound in which the glycine normally found at position 8 of Exendin-4 has been replaced with valine.
- GLP-1 compounds is composed of GLP-1/Exendin-4 analogs of SEQ ID NO.: 12: Xaa 7 -Xaa 8 -Glu-Gly-Thr-Phe-Thr-Ser-Asp-Xaa 16 -Ser-Xaa 18 -Xaa 19 -Xaa 20 -Glu-Xaa 22 -Xaa 23 -Ala-Xaa 25 -Xaa 26 -Xaa 27 -Phe-Ile-Xaa 30 -Trp-Leu-Xaa 33 -Xaa 34 -Gly-Xaa 36 -R 37
- Xaa 7 is: L-histidine, D-histidine, desamino-histidine, 2-amino-histidine, 13-hydroxy-histidine, homohistidine, ⁇ -fluoromethyl-histidine or ⁇ -methyl-histidine;
- Xaa 8 is: Gly, Ala, or Val;
- Xaa 16 is: Leu or Val;
- Xaa 18 is: Lys or Ser;
- Xaa 19 is: Gln or Tyr;
- Xaa 20 is: Met or Leu;
- Xaa 22 is: Glu or Gln;
- Xaa 23 is: Glu or Gln;
- Xaa 25 is: Val or Ala;
- Xaa 26 is: Arg or Lys;
- Xaa 27 is: Leu or Glu;
- Xaa 30 is: Glu or Ala;
- Xaa 33 is: Val or Lys;
- GLP-1 compounds has the amino acid sequence of SEQ ID NO.: 13: Xaa 7 -Xaa 8 -Glu-Gly-Thr-Xaa 12 -Thr-Ser-Asp-Xaa 16 -Ser-Xaa 18 -Xaa 19 -Xaa 20 -Glu-Xaa 22 -Gln-Ala-Xaa 25 -Lys-Xaa 27 -Phe-Ile-Xaa 30 -Trp-Leu-Xaa 33 -Xaa 34 -Gly-Xaa 36 -Xaa 37 -Xaa 38 -Xaa 39 -Xaa 40 -Xaa 41 -Xaa 42 -Xaa 43 -Xaa 44 -Xaa 45 -Xaa 46 -Xaa 47
- Xaa 7 is: L-histidine, D-histidine, desamino-histidine, 2-amino-histidine, -hydroxy-histidine, homohistidine, ⁇ -fluoromethyl-histidine, or ⁇ -methyl-histidine;
- Xaa 8 is: Ala, Gly, Val, Leu, Ile, Ser, or Thr;
- Xaa 12 is: Phe, Trp, or Tyr;
- Xaa 16 is: Val, Trp, Ile, Leu, Phe, or Tyr;
- Xaa 18 is: Ser, Trp, Tyr, Phe, Lys, Ile, Leu, Val;
- Xaa 19 is: Tyr, Trp, or Phe;
- Xaa 20 is: Leu, Phe, Tyr, or Trp;
- Xaa 22 is: Gly, Glu, Asp, or Lys;
- Xaa 25 is: Ala, Val, Ile, or
- GLP-1 compounds has the amino acid sequence of SEQ ID NO: 14 Xaa 7 -Xaa 8 -Glu-Gly-Thr-Phe-Thr-Ser-Asp-Xaa 16 -Ser-Ser-Tyr-Lys-Glu-Xaa 22 -Gln-Ala-Xaa 25 -Lys-Glu-Phe-Ile-Ala-Trp-Leu-Xaa 33 -Xaa 34 -Gly-Xaa 36 -Xaa 37 -Xaa 38 -Xaa 39 -Xaa 40 -Xaa 41 -Xaa 42 -Xaa 43 -Xaa 44 -Xaa 45 -Xaa 46 -Xaa 47
- Xaa 7 is: L-histidine, D-histidine, desamino-histidine, 2-amino-histidine, B-hydroxy-histidine, homohistidine, a-fluoromethyl-histidine, or ⁇ -methyl-histidine;
- Xaa 8 is: Gly, Val, Leu, Ile, Ser, or Thr;
- Xaa 16 is: Val, Trp, Ile, Leu, Phe, or Tyr;
- Xaa 22 is: Gly, Glu, Asp, or Lys;
- Xaa 25 is: Ala, Val, Ile, or Leu;
- Xaa 33 is: Val or Ile;
- Xaa 34 is: Lys, Asp, Arg, or Glu;
- Xaa 36 is: Gly, Pro, or Arg;
- Xaa 37 is: Gly, Pro, or Ser;
- Xaa 38 is: Ser, Pro, or His;
- SEQ. ID NOS.: 13 and 14 include GLP-1 compounds that have valine or glycine at position 8 and glutamic acid at position 22.
- active compounds are suitable for use in formulations of the present invention. These include the agents disclosed in U.S. Pat. Nos. 6,660,716, 6,620,910, 6,608,038, 6,593,295, 6,589,549, 6,586,438, 6,583,111, 6,579,851, 6,576,653, 6,573,291, 6,569,832, 6,566,490, RE38112, U.S. Pat. Nos.
- the delivery agents of the present invention can be made by methods known in the art such as those as described in WO 90/36480; WO 96/30036; U.S. Pat. No. 5,643,957; U.S. Pat. No. 6,242,495; all of which are herein incorporated by reference.
- the delivery agents of the present invention include those disclosed in WO 96/21464, WO 96/30036, WO 00/06534, WO 98/34632, WO 00/07979, WO 01/44199, WO 1/32596, WO 02/18969, WO 03/045306, and WO 03/072195. Each of these prior applications are incorporated by reference.
- amino acids including, but not limited to, aminocaprylic acid, butyrylhydroxaminic acid, aminophenylbutyric acid, aminophenylhexanoic acid, aminophenylpropionic acid, aminosalicylic acid, aminophenylsuccinic acid, aminononanic acid, aminonicotinic acid, aminovalenic acid, aminophenylacetic acid, aminocaproic acid, aminoundecanoic acid, aminoheptanoic acid, aminohydroxybenzoic acid, and aminodecanoic acid.
- these delivery agents may be prepared by reacting the single acid with the appropriate agent which reacts with free amino moiety present in the amino acids to form amides.
- Protecting groups may be used to avoid unwanted side reactions as would be known to those skilled in the art.
- the delivery agent compounds may be in the form of the free base or salts thereof.
- Suitable salts include, but are not limited to, organic and inorganic salts, for example sodium, ammonium, acetate salt, citrate salt, halide (preferably hydrochloride), hydroxide, sulfate, nitrate, phosphate, alkoxy, perchlorate, tetrafluoroborate, carboxylate, mesylate, fumerate, malonate, succinate, tartrate, acetate, gluconate, and maleate.
- Preferred salts include, but are not limited to, citrate and mesylate salts.
- the salts may also be solvates, including ethanol solvates, and hydrates.
- Salts of the delivery agent compounds of the present invention may be prepared by methods known in the art.
- citrate salts and mesylate salts may be prepared in ethanol, toluene and citric acid.
- the delivery agents may be purified by recrystallization or by fractionation on solid column supports.
- Suitable recrystallization solvent systems include acetonitrile, methanol and tetrahydrofuran. Fractionation may be performed on a suitable solid column supports such as alumina, using methanol/n-propanol mixtures as the mobile phase; reverse phase column supports using trifluoroacetic acid/acetonitrile mixtures as the mobile phase; and ion exchange chromatography using water as the mobile phase.
- anion exchange chromatography preferably a subsequent 0-500 mM sodium chloride gradient is employed.
- the delivery agents disclosed in International Published Application No. 2003/045306 are excluded as possible delivery agents of the present invention.
- compound 1 from International Published Application No. 2003/045306 is excluded.
- compound 1 and salts of compound 1 are excluded.
- the delivery agents disclosed in International Published Application No. 2002/100338 are excluded.
- compound A from International Published Application No. 2002/100338 are excluded.
- compound A and salts of compound A is excluded.
- compounds 1-11 of International Published Application No. 2002/100338 are excluded.
- compounds 1-11 and salts of compounds 1-11 are excluded.
- the delivery agent may contain a polymer conjugated to it such as described in WO 03/045306.
- the delivery agent and polymer may be conjugated by a linkage group selected from the group consisting of —NHC(O)NH—, —C(O) NH—, —NHC(O),—OOC—,—COO—,—NHC(O)O—,—OC(O)NH—,—CH2NH—NHCH2-,—CH2NHC(O)O—,—OC(O)NHCH2-,—CH2NHCOCH2O—,—OCH2C(O)NHCH2-,—NHC(O)CH20-,—OCH2C(O)NH—, —NH—,—O—, and carbon-carbon bond, with the proviso that the polymeric delivery agent is not a polypeptide or polyamino acid.
- the polymer may be any polymer including, but not limited to, alternating copolymers, block copolymers and random copolymers, which are safe for
- Preferred polymers include, but are not limited to, polyethylene; polyacrylates; polymethacrylates; poly (oxyethylene); poly (propylene); polypropylene glycol; polyethylene glycol (PEG); and derivatives thereof and combinations thereof.
- the molecular weight of the polymer typically ranges from about 100 to about 200,000 daltons.
- the molecular weight of the polymer preferably ranges from about 200 to about 10,000 daltons. In one embodiment, the molecular weight of the polymer ranges from about 200 to about 600 daltons and more preferably ranges from about 300 to about 550 daltons.
- Delivery agents of the present invention are also described in U.S. Published Application Nos. 20030232085, 20030225300, 20030198658, 20030133953, 20030078302, 20030072740, 20030045579, 20030012817, 20030008900, 20020155993, 20020127202, 20020120009, 20020119910, 20020102286, 20020065255, 20020052422, 20020040061, 20020028250, 20020013497, 20020001591, 20010039258, 20010003001. Delivery agents of the present invention are also described in International Published Application Nos.
- the administration compositions of the present invention comprises one or more delivery agent compounds of the present invention, and GLP-1.
- one or more of the delivery agent compounds, or salts of these compounds, or poly amino acids or peptides of which these compounds or salts form one or more of the units thereof, may be used as a delivery agent by mixing with the GLP-1 compound prior to administration to form an administration composition.
- the administration compositions are preferably in the form of a solid, such as a tablet, capsule or particle, such as a powder or sachet.
- Solid dosage forms may be prepared by mixing the solid form of the compound with the solid form of the active agent.
- a solid may be obtained from a solution of compound and active agent by methods known in the art, such as freeze-drying (lyophilization), precipitation, crystallization and solid dispersion.
- the administration composition may also be in the form of a liquid.
- the solution medium may be water, 25% aqueous propylene glycol, and/or a phosphate buffer.
- Other dosing vehicles include polyethylene glycol.
- Dosing solutions may be prepared by mixing a solution of GLP-1 with a solution of the active agent, just prior to administration. Alternately, a solution of the delivery agent compound (or GLP-1) may be mixed with the solid form of the GLP-1 active agent (or delivery agent compound). The delivery agent compound and the GLP-1 may also be mixed as dry powders. The delivery agent compound and GLP-1 can also be admixed during the manufacturing process.
- the administration composition of the present invention may optionally encompass a pharmaceutically acceptable buffer.
- pharmaceutically acceptable buffers include phosphate buffers such as dibasic sodium phosphate, TRIS, glycylglycine, maleate, sodium acetate, sodium citrate, sodium tartrate, or an amino acid such as glycine, histidine, lysine or arginine.
- Other pharmaceutically acceptable buffers are known in the art.
- the buffer is selected from the group consisting of phosphate, TRIS, maleate, and glycine. Even more preferably the buffer is TRIS.
- the TRIS concentration is between about 1 mM and 100 mM. Even more preferably, the concentration is between about 10 mM and about 50 mM, most preferably the buffer is about 20 mM.
- the pH of the administration composition may be adjusted to provide stability and to be acceptable for oral administration.
- the pH may be adjusted to between about 7.0 and about 9.0. More particularly, the pH may be adjusted between about 7.4 and 8.4, or between 7.8 and 8.4, or between about 7.8 and 8.1.
- the various oral formulations of the present invention may optionally encompass a suspending agent.
- Some delivery agents require a suspending agent due to their solubility characteristics.
- An example of a suspending agent is hydroxypropylmethylcellulose.
- the final concentration of hydroxypropylmethylcellulose is between about 2% and about 10% (weight/volume). Even more preferably, the concentration is between about 2% and about 5% (w/v). Most preferably the concentration is about 3.9% (w/v).
- the administration composition of the present invention may optionally comprise a cosolvent. Some delivery agents require cosolvents due to their solubility characteristics.
- cosolvents examples include ethanol, N-methylpyrrolidone, N,N-dimethylacetamide,N,N-dimethylformamide, glycofurol, ethoxydiol, propylene glycol, polyethylene glycol 300 and polyvinylpyrrolidone.
- the final concentration of the cosolvents is between about 5% and about 30% (volume/volume). Even more preferably, the concentration is between about 10% and about 25% (v/v). Most preferably the concentration is about 20% (v/v).
- the administration composition may optionally contain additives such as phosphate buffer salts, citric acid, glycols, or other dispersing agents. Stabilizing additives may be incorporated into the solution, preferably at a concentration ranging between about 0.1 and 20% (w/v).
- the administration composition of the present invention may optionally comprise a preservative.
- Preservative refers to a compound that is added to the formulation to act as an antimicrobial agent.
- preservatives known in the art as being effective and acceptable in parenteral formulations are phenolic preservatives, alkylparabens, benzyl alcohol, chlorobutanol, resorcinol, and other similar preservatives, and various mixtures thereof.
- phenolic derivatives include cresols and phenol or a mixture of cresols and phenol.
- cresols include meta-cresol, ortho-cresol, para-cresol, chlorocresol, or mixtures thereof.
- Alkylparaben refers to a C1 to C4 alkylparaben, or mixtures thereof.
- alkylparabens include methylparaben, ethylparaben, propylparaben, or butylparaben.
- concentrations must be sufficient to maintain preservative effectiveness by retarding microbial growth.
- the preservative is a phenol derivative. More preferably the preservative is a cresol. Even more preferably the preservative is meta-cresol.
- a preferred concentration of a preservative in the final mixture is about 1.0 mg/mL to about 20.0 mg/mL. More preferred ranges of concentration of preservative in the final mixture are about 2.0 mg/mL to about 8.0 mg/mL, about 2.5 mg/mL to about 4.5 mg/mL and about 2.0 mg/mL to about 4.0 mg/mL. A most preferred concentration of preservative in the final mixture is about 3.0 mg/mL.
- the administration composition of the present invention may optionally comprise an isotonicity agent.
- Isotonicity agents refer to compounds that are tolerated physiologically and impart a suitable tonicity to the formulation to prevent the net flow of water across cell membranes. Examples of such compounds include glycerin, salts, e. g., NaCl, and sugars, e. g., dextrose, mannitol, and sucrose. These compounds are commonly used for such purposes at known concentrations.
- One or more isotonicity agents may be added to adjust the ionic strength or tonicity.
- the preferred isotonicity agent is NaCl.
- the concentration of the NaCl is preferably between about 10 mM and 200 mM, more preferred is between about 50 mM and 150 mM, and most preferred is about 100 mM.
- the administration composition of the present invention may also include one or more enzyme inhibitors.
- enzyme inhibitors include, but are not limited to, compounds such as actinonin or epiactinonin and derivatives thereof.
- Other enzyme inhibitors include, but are not limited to, aprotinin (Trasylol) and Bowman-Birk inhibitor.
- Amounts of delivery agents and GLP-1 used in formulations of the present invention will vary according to the severity of the subjects' indication, and the form of GLP-1 and active agent administered. Appropriate amounts for an individual subject can be determined by routine experimentation, in view of the subjects' pharamacokinetic properties, such as insuling levels or glucagon levels in the blood.
- Typical amounts of delivery agents and GLP-1 used in testing with male Sprague-Dawly rats range from 0 to 3000 ⁇ g/kg of GLP-1, and 0 to 200 ⁇ g/kg of delivery agent.
- compositions of the invention may deliver GLP-1 more efficiently than compositions containing GLP-1 alone, lower amounts of GLP-1 than those used in prior dosage unit forms or delivery systems can be administered to the subject, while still achieving the same blood levels and therapeutic effects.
- Administration compositions may further include additives.
- administration compositions may include nicotinamide, as disclosed in U.S. Pat. Nos. 6,573,237 and 6,440,930 and U.S. Published Application Nos. U.S. 2003/0221201 and US2003/0069182.
- the formulations comprising a GLP-1 compound and a delivery agent can be used to treat a wide variety of diseases and conditions.
- the GLP-1 compounds primarily exert their biological effects by acting at a GLP-1 receptor.
- Subjects with diseases and/or conditions that respond favorably to GLP-1 receptor stimulation or to the administration of GLP-1 compounds can therefore be treated with the oral formulations of the present invention.
- subjects are said to “be in need of treatment with GLP-1 compounds” or “in need of GLP-1 receptor stimulation”. Included are subjects with non-insulin dependent diabetes, insulin dependent diabetes, stroke (see WO 00/16797), myocardial infarction (see WO 98/08531), obesity (see WO98/19698), catabolic changes after surgery (see U.S. Pat. No. 6,006,753), functional dyspepsia and irritable bowel syndrome (see WO 99/64060). Also included are subjects requiring prophylactic treatment with a GLP-1 compound, e. g., subjects at risk for developing non-insulin dependent diabetes (see WO 00/07617).
- Subjects with impaired glucose tolerance or impaired fasting glucose subjects whose body weight is about 25% above normal body weight for the subject's height and body build, subjects with a partial pancreatectomy, subjects having one or more parents with non-insulin dependent diabetes, subjects who have had gestational diabetes and subjects who have had acute or chronic pancreatitis are at risk for developing non-insulin dependent diabetes.
- Another embodiment of the present invention is a method for the treatment or prevention of a disease or for achieving a desired physiological effect, such in an animal by administering the composition of the present invention.
- an effective amount of the composition for the treatment or prevention of the desired disease or for achieving the desired physiological effect is administered.
- Specific indications can be found in the Physicians' Desk Reference (54th Ed., 2000, Medical Economics Company, Inc., Montvale, N.J.), which is herein incorporated by reference.
- one embodiment of the present invention is a method for treating a patient suffering from or susceptible to diabetes, particularly non-insulin dependent diabetes mellitus (NIDDM) by administering GLP-1 and at least one of the delivery agent compounds of the present invention.
- NIDDM non-insulin dependent diabetes mellitus
- Another embodiment of the present invention is a method for treating a subject for obesity by administering GLP-1 and at least one of the delivery agent compounds of the present invention.
- Embodiments of the present invention also relate to the prophylactic treatment of subjects who are at risk for non-insulin dependent diabetes.
- Individuals at risk for non-insulin dependent diabetes are known to those or ordinary skill in the art, and include subjects with impaired glucose tolerance, impaired fasting glucose, overweight subjects, subjects with a partial panreatectomy, subjects having one or more parents with non-insulin dependent diabetes, subjects who have had gestational diabetes, and subjects who have had acute or chronic pancreatitis.
- Embodiments of the present invention further relate to the prophylactic treatment of subjects who are at risk for obesity.
- Individuals at risk for obesity are known to those or ordinary skill in the art, and include subjects who are already overweight, subjects who have parents or family members who are overweight, subjects who have undergone lifestyle changes such that they are now prone to weight gain (e.g. quitting smoking, the cessation of chronic alcohol or drug use), or subjects who have become incapacitated and/or unable to maintain previous levels of activity.
- the active agent present in the composition or dosage unit form is taken up into the circulation.
- the bioavailability of the agent can be readily assessed by measuring a known pharmacological activity in blood, e. g. an increase in insulin caused by the GLP-1 or GLP-1 analog. Alternately, the circulating levels of the GLP-1 or GLP-1 analog itself can be measured directly.
- GLP-1 was obtained from Bachem (Torrance, Calif.) as a bulk powder. To prepare stock solutions, GLP-1 was dissolved in deionized water (pH6.5) to obtain a concentration of 8 mg/ml. Stock solutions were kept frozen at ⁇ 20° C. in 0.5-ml aliquots until used. For dosing solutions, delivery agent was dissolved in deionized water to obtain a final concentration of 200 mg/ml (oral dosing) or 100 mg/ml (intracolonic dosing). The free acid form of delivery agent was converted to the sodium salt by adding one equivalent of sodium hydroxide.
- GLP-1 was administered to male, Sprague-Dawley rats either alone or in combination with an Emisphere delivery agent. Typically, rats were fasted for 18-24 hours prior to dosing. On the day of the experiment, rats were weighed and then anesthestized with a combination of ketamine (44 mg/kg) and thorazine (1.5 mg/kg). Anesthesia was administered by intramuscular (IM) injection (26-gauge needle) into the hindleg in a volume of 0.5 mls/kg body weight. A tail or toe pinch was used to determine the level of anesthesia. Once anesthetized, rats were administered GLP-1 alone or in combination with an Emisphere delivery agent. Routes of delivery were either oral (PO) or intracolonic (IC).
- PO oral
- IC intracolonic
- a Rusch 8 French catheter was cut to 11 cm in length and adapted to fit a 1-ml syringe.
- the syringe was filled with dosing solution and the catheter was wiped dry of excess solution.
- the catheter was inserted into the rat mouth and fed down the esophagus (10.0 cm).
- the dosing solution was delivered by pressing the syringe plunger while holding the rat in an upright position.
- the doses of delivery agent and GLP-1 were 200 mg/kg and 1 or 0.3 mg/kg, respectively.
- the dose volume was 1 ml/kg.
- the catheter was inserted into the rectum and fed into the colon (7.5 cm).
- the dosing solution was delivered by pressing the syringe plunger while holding the rat up by the tail.
- the doses of delivery agent and GLP-1 were 50 mg/kg and 0.3 mg/kg, respectively.
- the dose volume was 0.5 ml/kg.
- rats may have received additional injections of ketamine/thorazine in order to maintain anesthesia.
- ketamine/thorazine For blood sampling, a 22-gauge needle was inserted into the tail artery.
- blood samples were collected prior to dosing (time 0) and at 5, 15, 30, 45, and 60 minutes after dosing. Samples were collected into capiject tubes containing EDTA and a DDP-IV inhibitor, and placed on wet ice until centrifugation. After all samples were collected, tubes were centrifuged at 10,000 rpm for 4 minutes at 4° C. in order to separate the plasma. Plasma was collected into eppendorf tubes and frozen at ⁇ 20° C. until assayed.
- concentrations of GLP-1 were quantified in rat plasma using a radioimmunoassay (RIA).
- % B/B 0 % bound drug/unbound drug
- the sample concentrations were calculated by reading the % B/B 0 of the samples off the standard curve.
- data were expressed as mean plasma concentration of GLP-1 ( ⁇ SEM) versus time. The range of the assay was 0.1-12.8 ng/ml.
- Preparation of delivery agent 24 To a 1000 mL round bottomed flask was added chlorotrimethylsilane (15.48 mL, 2 eq) in methylene chloride (250 ml). 4-aminobutyric acid (10.0 g, 1 equivalent) was added and the mixture was heated to reflux for 1.5 hours. The resulting solution was cooled to 0° C. (ice bath) and triethylamine (27.21 mL, 3 equivalents) was added drop-wise. A solution of 4-dimethylamino-benzoyl chloride (11.12 g, 1 eq) in methylene chloride (50 mL) was added drop-wise to the resulting reaction mixture over 0.5 hours. The temperature was maintained at 0° C.
- Step 1 4,N-Dimethylbenzenesulphonamide was reacted with ethyl-8-bromooctanoate in DMF under the influence of sodium hydride to obtain 8-[Methyl-(toluene-4-sulfonyl)-amino]-octanoic acid ethyl ester
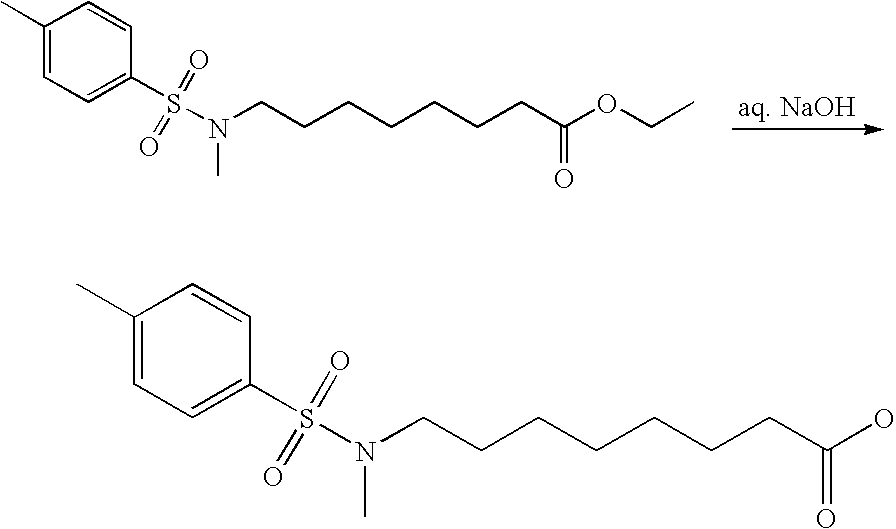
- Step 2 The ester of 8-[Methyl-(toluene-4-sulfonyl)-amino]-octanoic acid ethyl ester was hydrolyzed in aqueous sodium hydroxide to obtain 8-[Methyl-(toluene-4-sulfonyl)-amino]-octanoic acid
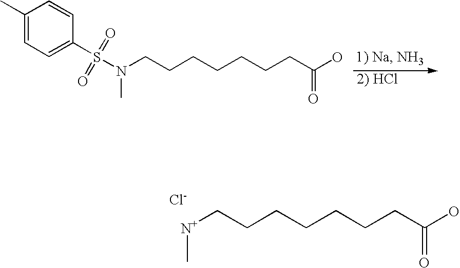
- Step 3 The sulphonamide of 8-[Methyl-(toluene-4-sulfonyl)-amino]-octanoic acid was removed under reductive conditions and the resulting amine reacted with hydrogen chloride to obtain (7-Carboxy-heptyl)-methylammonium hydrochloride.
- Step 4 The carboxylic acid of (7-Carboxy-heptyl)-methylammonium hydrochloride was protected in-situ with chlorotrimethylsilane. The resulting trimethylsilyl ester was reacted with 0-acetylsalicyloyl chloride. The protecting groups were removed with aqueous sodium hydroxide, and after extensive purification, 8-[(2-Hydroxy-benzoyl)-methyl-amino]-octanoic acid, was obtained.
- Oil was taken up in 2N NaOH. A cloudy mixture formed, which was acidified with 2NHCl to pH 5.4, 5.0 and 4.5. At each of these pHs, the aqueous mixture was extracted with 3 ⁇ 50 ml portions EtOAc. The 5.4 and 5.0 fractions were combined, dried with Na2SO4 and concentrated under vacuum. A brown oil was obtained.
- 180C was recrystallized from 70:30 hexane:EtOAc.
- Step 1 4,N-Dimethylbenzenesulphonamide was reacted with ethyl-8-bromooctanoate in DMF under the influence of sodium hydride to obtain 8-[Methyl-(toluene-4-sulfonyl)-amino]-octanoic acid ethyl ester
- the N-methyl-p-toluenesulphonamide solution was added to the sodium hydride mixture dropwise with stirring over the course of approximately 45 min. A water bath was used to maintain the reaction temperature between 23 and 40° C. The resulting reaction mixture was heated to 43° C. for approximately 30 min.
- ethyl-8-bromooctanoate 27.14 g, 0.1081 mol, 1.0 eq
- DMF 150 ml
- the solution of bromoester was added to the reaction mixture dropwise via addition funnel over the course of about 30 min.
- the reaction was maintained at approximately 58° C. during the addition.
- the reaction was cooled, and LC indicated completion by one predominant peak corresponding to product.
- the reaction mixture was poured into ice water (300 ml).
- the aqueous mixture was extracted with EtOAc (3 ⁇ 200 ml).
- the combined EtOAc layers were extracted with deionized water (3 ⁇ 200 ml), dried over Na 2 SO 4 , concentrated under reduced pressure, then placed under high vacuum overnight to yield 36.14 g of crude product.
- the crude product was chromatographed over silica gel in three portions. Each column was eluted with 80:20 hexane:EtOAc and 125 ml fractions collected. Appropriate product-containing fractions were combined, concentrated under reduced pressure, and further dried under high vacuum.
- Step 2 The ester of 8-[Methyl-(toluene-4-sulfonyl)-amino]-octanoic acid ethyl ester was hydrolyzed in aqueous sodium hydroxide to obtain 8-[Methyl-(toluene-4-sulfonyl)-amino]-octanoic acid
- reaction mixture was heated to reflux for approximately 6 h, when HPLC indicated reaction was complete, the heat was turned off, and the reaction allowed to cool to ambient temperature overnight.
- the hazy reaction mixture was acidified with 2N aq. HCl. A white oil separated.
- the reaction mixture was stirred vigorously in an ice bath and a solid white precipitate formed. The solid was isolated by filtration and dried under vacuum overnight.
- HPLC indicated a single peak, rt 6.44 min, and NMR was consistent with desired product, 8-[methyl-(toluene-4-sulfonyl)-amino]-octanoic acid: 9.29 g, 0.0284 mol, 98.6% yield.
- Step 3 The sulphonamide of 8-[Methyl-(toluene-4-sulfonyl)-amino]-octanoic acid was removed under reductive conditions and the resulting amine reacted with hydrogen chloride to obtain (7-Carboxy-heptyl)-methylammonium hydrochloride.
- product A is the starting material, 8-[methyl-(toluene-4-sulfonyl)-amino]-octanoic acid
- product B is the desired product, (7-carboxy-heptyl)-methylammonium hydrochloride.
- the amount of product obtained was greater than 100% of the theoretical mass. Based on the assumption that the product contains sodium chloride and mass balance of recovered starting material, it was assumed the crude product contained 3.72 g of the desired product and it was carried on without further purification.
- Step 4 The carboxylic acid of (7-Carboxy-heptyl)-methylammonium hydrochloride was protected in-situ with chlorotrimethylsilane. The resulting trimethylsilyl ester was reacted with O-acetylsalicyloyl chloride. The protecting groups were removed with aqueous sodium hydroxide, and after extensive purification, 8-[(2-Hydroxy-benzoyl)-methyl-amino]-octanoic acid, was obtained.
- the aqueous mixture was allowed to stir at ambient temperature for several hours and was then acidified with aqueous 2N HCl. The aqueous mixture became cloudy and a brown oil separated out. The aqueous mixture was extracted with EtOAc (3 ⁇ 100 ml). The combined EtOAc extracts were combined, dried over Na 2 SO 4 , and concentrated under reduced pressure. The resulting brown oil was further dried under high vacuum to yield a brown solid. HPLC at this point indicated the solid consisted of two components (rt 2.8 min, salicylic acid and rt 4.0 min, desired product). This mixture was stirred in warm water (40-50° C.) to dissolve the salicylic acid. The remaining solid was filtered off.
Landscapes
- Health & Medical Sciences (AREA)
- Life Sciences & Earth Sciences (AREA)
- Immunology (AREA)
- Medicinal Chemistry (AREA)
- Gastroenterology & Hepatology (AREA)
- Chemical & Material Sciences (AREA)
- Engineering & Computer Science (AREA)
- Bioinformatics & Cheminformatics (AREA)
- Endocrinology (AREA)
- Zoology (AREA)
- Pharmacology & Pharmacy (AREA)
- Proteomics, Peptides & Aminoacids (AREA)
- Epidemiology (AREA)
- Animal Behavior & Ethology (AREA)
- General Health & Medical Sciences (AREA)
- Public Health (AREA)
- Veterinary Medicine (AREA)
- Medicines That Contain Protein Lipid Enzymes And Other Medicines (AREA)
Abstract
Description
- This application claims the benefit of U.S. Provisional Application No. 60/552,116, filed Mar. 10, 2004, and U.S. Provisional Application No. 60/530,931, filed Dec. 19, 2003. Both of these applications are hereby incorporated by reference in their entirety.
- The present invention relates to a formulation comprising a delivery agent and a glucagon-like peptide 1 or a glucagon-like peptide 1 analog compound (collectively “GLP-1”). These formulations are useful as oral medicaments for the treatment of type 2 diabetes and obesity as well as other conditions known to be treated with GLP-1.
- Type 2 diabetes, also known as non-insulin dependent diabetes mellitus (NIDDM), is a condition in which patients generate insulin, but the insulin cannot be used effectively by the body's cells. This is primarily because the amount of insulin produced in response to rising blood sugar levels is not sufficient to allow cells to efficiently take up glucose and thus, reduce blood sugar levels.
- Glucagon-like 1 peptides and glucagon-like 1 peptide analogs (collectively GLP-1) are a potential treatment for type 2 diabetes and obesity. GLP-1 induces the secretion and production of insulin, effectively reducing blood glucose levels in diabetic patients. GLP-1 also inhibits glucagon secretion, inhibits gastric emptying, enhances glucose utilization, and induces weight loss. GLP-1 may also act to prevent the B cell deterioration that occurs as diabetes progresses.
- Development of an oral GLP-1 therapeutic has been extremely difficult. This is primarily due to the in vivo instability of the peptide. The high acid content and ubiquitous digestive enzymes of the digestive tract will often degrade GLP-1 before reaching the desired site of absorption. Further, GLP-1 may encounter difficulty in traversing the cells of the epithelial membrane in the small intestine to reach the bloodstream. Also, GLP-1 only remains in solution under a narrow set of conditions.
- In light of the above difficulties, oral administration of GLP-1 compounds has not been feasible. GLP-1 compounds are customarily delivered by subcutaneous injection or through continuous subcutaneous infusion or continuous intravenous administration. Because patients are generally adverse to injections and time consuming infusions, patient compliance with GLP-1 administration regimens will be low.
- Delivery agent molecules that interact with various active agents compounds in a non-covalent fashion to allow the compounds to cross gut membranes and yet remain therapeutically active have been disclosed in U.S. Pat. Nos. 6,663,898, 6,663,887, 6,646,162, 6,642,411, 6,627,228, 6,623,731, 6,610,329, 6,558,706, 6,525,020, 6,461,643, 6,461,545, 6,440,929, 6,428,780, 6,413,550, 6,399,798, 6,395,774, 6,391,303, 6,384,278, 6,375,983, 6,358,504, 6,346,242, 6,344,213, 6,331,318, 6,313,088, 6,245,359, 6,242,495, 6,221,367, 6,180,140, 5,541,155, 5,693,338, 5,976,569, 5,643,957, 5,955,503, 6,100,298, 5,650,386, 5,866,536, 5,965,121, 5,989,539, 6,001,347, 6,071,510, and 5,820,881; U.S. Published Application Nos. 20030232085, 20030225300, 20030198658, 20030133953, 20030078302, 20030072740, 20030045579, 20030012817, 20030008900, 20020155993, 20020127202, 20020120009, 20020119910, 20020102286, 20020065255, 20020052422, 20020040061, 20020028250, 20020013497, 20020001591, 20010039258, 20010003001; and International Published Application Nos. 2003/057650, 2003/057170, 2003/045331, 2003/045306, 2003/026582, 2002/100338, 2002/070438, 2002/069937, 02/20466, 02/19969, 02/16309, 02/15959, 02/02509, 01/92206, 01/70219, 01/51454, 01/44199, 01/34114, 01/32596, 01/32130, 00/07979, 00/59863, 00/50386, 00/47188, 00/40203, 96/30036.
- The present invention provides pharmaceutical compositions comprising at least one delivery agent and GLP-1. These pharmaceutical compositions facilitate the oral delivery of GLP-1, providing an improved (e.g. increased) bioavailability of GLP-1 compared to administration of GLP-1 without a delivery agent. The delivery agent may be selected from the following, including salts thereof:
TABLE 1 Deliv- ery Agent No. Compound 1 2 3 4 5 6 7 8 9 10 11 12 13 14 15 16 17 18 19 20 21 22 23 24 25 26 27 28 29
According to one embodiment, the pharmaceutical composition includes an effective amount of a GLP-1 compound, for example, to treat NIDDM or obesity. - The delivery agents enable the oral delivery of macromolecules, providing an increased or improved bioavailability of GLP-1 compared to administration of GLP-1 without a delivery agent.
- Another embodiment is an administration composition that includes at least one delivery agent, GLP-1, and, optionally, a dosing vehicle, an adjuvant, an excipient, or a mixture thereof. The dosage unit form may be a liquid or a solid, such as a tablet, capsule or particles, including a powder or sachet.
- Another embodiment is a method for administering GLP-1 to a subject in need thereof by orally administering the pharmaceutical composition of the present invention to the subject.
- Yet another embodiment is a method of treating type 2 diabetes or obesity in an animal in need thereof by administering an effective amount of the pharmaceutical composition or dosage unit form of the present invention.
- The present invention encompasses the development of novel formulations comprising GLP-1 compounds and delivery agents that can be administered orally. The present invention provides a formulation which can be administered orally comprising a GLP-1 compound and a specified delivery agent. The GLP-1 compound can be native GLP-1; GLP-1 fragments; GLP-1 analogs; GLP-1 derivatives of native, fragments, or analogs of GLP-1; and Exendin-3 and Exendin-4. The delivery agent is selected from delivery agents described in U.S. Pat. Nos. 5,541,155; 5,693,338; 5,976,569; 5,643,957; 5,955,503; 6,100,298; 5,650,386; 5,866,536; 5,965,121; 5,989,539, 6,001,347; 6,071,510; 5,820,881; and 6,242,495; and WO 02/02509; WO 01/51454; WO 01/44199; WO 01/32130; WO 00/59863; WO 00/50386; WO 00/47188; and WO 00/40203.
- Preferred GLP-1 compounds are analogs or derivatives of analogs having modifications at one or more of the following positions: 8, 12, 16, 18, 19, 20, 22, 25, 27, 30, 33, and 37 and show increased potency compared with Val8-GLP-1 (7-37)OH.
- Preferred GLP-1 compounds are also described in SEQ ID NO.: 1, SEQ ID NO.: 2, SEQ ID NO.: 3, SEQ ID NO.: 4, SEQ ID NO.: 5, SEQ ID NO.: 6, SEQ ID NO.: 7, SEQ ID NO.: 8, SEQ ID NO.: 9, SEQ ID NO.: 10, SEQ ID NO.: 11, SEQ ID NO.: 12, SEQ ID NO.: 13, or SEQ ID NO.: 14. More preferred GLP-1 compounds are described in compounds of SEQ ID NO.: 2, SEQ ID NO.: 12, SEQ ID NO.: 13, and SEQ ID NO.: 14.
- Delivery agents are described in Table 1.
- The present invention also encompasses a method of stimulating the GLP-1 receptor in a subject in need of such stimulation, said method comprising the step of administering to the subject an effective amount of the oral formulation described herein. Subjects in need of GLP-1 receptor stimulation include those with type 2 diabetes and obesity.
- The three-letter abbreviation code for amino acids used in this specification conforms with the list contained in Table 3 of Annex C, Appendix 2 of the PCT Administrative Instructions and with 37 C. F. R. 1.822(d)(1) (2000).
- For purposes of the present invention as disclosed and described herein, the following terms and abbreviations are defined as follows.
- The term “formulation” as used herein refers to a GLP-1 compound and a delivery agent combined together which can be administered orally such that the GLP-1 compound passes through the gut into the systemic circulation and has the ability to bind to the GLP-1 receptor and initiate a signal transduction pathway resulting in insulinotropic activity. The formulation can optionally comprise other agents so long as the GLP-1 retains the ability to bind the GLP-1 receptor.
- The term “oral” as used herein refers to delivery of a compound by mouth such that the compound passes through the stomach, small intestine, or large intestine into the systemic circulation.
- The term “GLP-1 compound” as used herein refers to polypeptides that include naturally occurring GLP-1 polypeptides (GLP-1(7-37)OH and GLP-1(7-36)NH2), GLP-1 fragments, GLP-1 analogs, GLP-1 derivatives of naturally occurring GLP-1 polypeptides, GLP-1 fragments of such derivatives, or GLP-1 analogs of such derivatives, Exendin-3 and Exendin-4, and derivatives thereof, that have the ability to bind to the GLP-1 receptor and initiate a signal transduction pathway resulting in insulinotropic activity.
- The term “insulinotropic activity” refers to the ability to stimulate insulin secretion in response to elevated glucose levels, thereby causing glucose uptake by cells and decreased plasma glucose levels. For example, insulinotropic activity can be determined using the method described in Example 1 of International Publication No. WO 03/072195. A GLP-1 molecule has insulinotropic activity if islet cells secrete insulin levels in the presence of the GLP-1 molecule above background levels.
- The term “DPP IV resistant” refers to GLP-1 molecules that have extended metabolic stability and improved biological activity. For example, DPP IV resistance can be determined using the method described in Example 2 of International Publication No. WO 03/072195. A GLP-1 molecule is DPP IV resistant if in the presence of DPP IV, the GLP-1 molecule has extended metabolic stability above that of native GLP-1. DPP IV resistant GLP-1 molecules can have an amino acid change at the DPP IV recognition site (position 8), or DPP IV resistant peptides can have an attached group that restricts the accessibility of the DPP IV to the recognition site, or both.
- A “GLP-1 fragment” is a polypeptide obtained after truncation of one or more amino acids from the N-terminus and/or C-terminus of GLP-1 (7-37)OH or an analog or derivative thereof. The nomenclature used to describe GLP-1 (7-37)OH is also applicable to GLP-1 fragments. For example, GLP-1 (9-36)OH denotes a GLP-1 fragment obtained by truncating two amino acids from the N-terminus and one amino acid from the C-terminus. The amino acids in the fragment are denoted by the same number as the corresponding amino acid in GLP-1 (7-37)OH. For example, the N-terminal glutamic acid in GLP-1 (9-:36)OH is at position 9; position 12 is occupied by phenylalanine; and position 22 is occupied by glycine, as in GLP-1 (7-37)OH. For GLP-1 (7-36)OH, the glycine at position 37 of GLP-1 (7-37)OH is deleted.
- A “GLP-1 analog” has sufficient homology to GLP-1 (7-37)OH or a fragment of GLP-1 (7-37)OH such that the analog has insulinotropic activity. Preferably, a GLP-1 analog has the amino acid sequence of GLP-1 (7-37)OH or a fragment thereof, modified so that from one, two, three, four or five amino acids differ from the amino acid in corresponding position of GLP-1 (7-37)OH or a fragment of GLP-1 (7-37)OH. In the nomenclature used herein to designate GLP-1 compounds, the substituting amino acid and its position is indicated prior to the parent structure. For example, Glu22-GLP-1 (7-37)OH designates a GLP-1 compound in which the glycine normally found at position 22 of GLP-1(7-37)OH has been replaced with glutamic acid; Val8-Glu22-GLP-1 (7-37)OH designates a GLP-1 compound in which alanine normally found at position 8 and glycine normally found at position 22 of GLP-1(7-37)OH have been replaced with valine and glutamic acid, respectively.
- GLP-1 molecules also include polypeptides in which one or more amino acids have been added to the N-terminus and/or C-terminus of GLP-1 (7-37)OH, or fragments or analogs thereof. It is preferred that GLP-1 molecules of this type have up to about thirty-nine amino acids. The amino acids in the “extended” GLP-1 molecule are denoted by the same number as the corresponding amino acid in GLP-1 (7-37)OH. For example, for a GLP-1 molecule obtained by adding two amino acids to the N-terminus of GLP-1(7-37)OH, the N-terminal amino acid is located at position 5; and for a GLP-1 molecule obtained by adding one amino acid to the C-terminus of GLP-1 (7-37)OH, the C-terminal amino acid is located at position 38. Thus, position 12 is occupied by phenylalanine and position 22 is occupied by glycine in both of these “extended” GLP-1 compounds, as in GLP-1 (7-37)OH. Amino acids 1-6 of an extended GLP-1 molecule are preferably the same as or a conservative substitution of the amino acid at the corresponding position of GLP-1 (1-37)OH. Amino acids 38-45 of an extended GLP-1 molecule are preferably the same as or a conservative substitution of the amino acid at the corresponding position of glucagon or Exendin-4.
- A “GLP-1 derivative” refers to a molecule having the amino acid sequence of GLP-1, a GLP-1 fragment, or a GLP-1 analog, but additionally having chemical modification of one or more of its amino acid side groups, α-carbon atoms, terminal amino group, or terminal carboxylic acid group. A chemical modification includes, but is not limited to, adding chemical moieties, creating new bonds, and removing chemical moieties. Modifications at amino acid side groups include, without limitation, acylation of lysine ε-amino groups, N-alkylation of arginine, histidine, or lysine, alkylation of glutamic or aspartic carboxylic acid groups, and deamidation of glutamine or asparagine.
- Modifications of the terminal amino group include, without limitation, the des-amino, N-lower alkyl, N-di-lower alkyl, and N-acyl modifications. Modifications of the terminal carboxy group include, without limitation, the amide, lower alkyl amide, dialkyl amide, and lower alkyl ester modifications. Lower alkyl is C1-C4 alkyl. Furthermore, one or more side groups, or terminal groups, may be protected by protective groups known to the ordinarily-skilled protein chemist. The α-carbon of an amino acid may be mono-or dimethylated.
- For the purposes of the present invention, an in vitro GLP-1 receptor-signaling assay is used to determine whether a particular extended GLP-1 peptide will exhibit insulinotropic activity in vivo. Extended GLP-1 peptides encompassed by the present invention have an in vitro potency that is not less than one-tenth the in vitro potency of the DPP IV resistant GLP-1 analog known as Val8-GLP-1 (7-37)OH. More preferably, the extended GLP-1 peptides of the present invention are as potent or more potent than Val8-GLP-1 (7-37)OH.
- “In vitro potency” as used herein is the measure of the ability of a peptide to activate the GLP-1 receptor in a cell-based assay. In vitro potency is expressed as the “EC50” which is the effective concentration of compound that results in 50% activity in a single dose-response experiment. For the purposes of the present invention, in vitro potency is determined using a fluorescence assay that employs HEK-293 Aurora CRE-BLAM cells that stably express the human GLP-1 receptor. These HEK-293 cells have stably integrated a DNA vector having a cAMP response element (CRE) driving expression of the P-lactamase (BLAM) gene. The interaction of a GLP-1 agonist with the receptor initiates a signal that results in activation of the cAMP response element and subsequent expression of β-lactamase. The β-lactamase CCF2/AM substrate that emits fluorescence when it is cleaved by β-lactamase (Aurora Biosciences Corp. ) can then be added to cells that have been exposed to a specific amount of GLP-1 agonist to provide a measure of GLP-1 agonist potency. The assay is further described in Zlokarnik, et al. (1998) Science 279: 84-88. Relative in vitro potency values are established by running Val8-GLP-1(7-37)OH as a control and assigning the control a reference value of 1.
- The term “delivery agent” refers to molecules in U.S. Pat. Nos. 6,663,898, 6,663,887, 6,646,162, 6,642,411, 6,627,228, 6,623,731, 6,610,329, 6,558,706, 6,525,020, 6,461,643, 6,461,545, 6,440,929, 6,428,780, 6,413,550, 6,399,798, 6,395,774, 6,391,303, 6,384,278, 6,375,983, 6,358,504, 6,346,242, 6,344,213, 6,331,318, 6,313,088, 6,245,359, 6,242,495, 6,221,367, 6,180,140, 5,541,155, 5,693,338, 5,976,569, 5,643,957, 5,955,503, 6,100,298, 5,650,386, 5,866,536, 5,965,121, 5,989,539, 6,001,347, 6,071,510, and 5,820,881; U.S. Published Application Nos. 20030232085, 20030225300, 20030198658, 20030133953, 20030078302, 20030072740, 20030045579, 20030012817, 20030008900, 20020155993, 20020127202, 20020120009, 20020119910, 20020102286, 20020065255, 20020052422, 20020040061, 20020028250, 20020013497, 20020001591, 20010039258, 20010003001; and International Published Application Nos. 2003/057650, 2003/057170, 2003/045331, 2003/045306, 2003/026582, 2002/100338, 2002/070438, 2002/069937, 02/20466, 02/19969, 02/16309, 02/15959, 02/02509, 01/92206, 01/70219, 01/51454, 01/44199, 01/34114, 01/32596, 01/32130, 00/07979, 00/59863, 00/50386, 00/47188, 00/40203, 96/30036, all of which are hereby incorporated by reference. The delivery agents useful in the oral formulations of the present invention. Many of these delivery agents are generally derived from amino acids.
- The derived amino acids can also be in the form of poly amino acids, and peptides. An amino acid is any carboxylic acid having at least one free amine group and includes naturally occurring and synthetic amino acids. Poly amino acids are either peptides or two or more amino acids linked by a bond formed by other groups which can be linked, e.g., an ester, anhydride, or an anhydride linkage. Peptides are two or more amino acids joined by a peptide bond. Peptides can vary in length from dipeptides with two amino acids to polypeptides with several hundred amino acids. Preferred peptides include di-peptides, tri-peptides, tetra-peptides, and penta-peptides.
- Furthermore, the delivery agents of the present invention are optionally in a salt form. Non-limiting examples of salts include sodium, hydrochloric acid, sulfuric acid, phosphoric acid, citric acid, acetic acid, sulfate, phosphate, chloride, bromide, iodide, acetate, propionate, hydrobromic acid, sodium hydroxide, potassium hydroxide, ammonium hydroxide, and potassium carbonate.
- A “Diabetic patient” is a subject having a form of diabetes.
- “IGT” refers to impaired glucose tolerance.
- “Diabetes” is deemed to encompasses type 1 and type 2 diabetes, unless specifically specified otherwise.
- An “effective amount of delivery agent” refers to an amount of the delivery agent that promotes the absorption of a therapeutically effective amount of the drug (i.e., a GLP-1 compound) from the gastrointestinal tract.
- “Unit-dose forms” refer to physically discrete units suitable for human and animal subjects and packaged individually as is known in the art. It is contemplated for purposes of the present invention that dosage forms of the present invention comprising therapeutically effective amounts of a GLP-1 compound may include one or more unit doses (e.g., tablets, capsules) to achieve the therapeutic effect.
- The term “AUC” as used herein, means area under the plasma concentration-time curve, as calculated by the trapezoidal rule over the complete dosing interval, e.g., 24-hour interval.
- The term “Cmax” as it is used herein is the highest plasma concentration of the drug attained within the dosing interval.
- The term “tmax” as it is used herein is the time period which elapses after administration of the dosage form at which the plasma concentration of the drug attains the Cmax within the dosing interval.
- The term “multiple dose” means that the subject has received at least two doses of the drug composition in accordance with the dosing interval for that composition.
- The term “single dose” means that the subject has received a single dose of the drug composition or pharmaceutical composition and the drug plasma concentration has not achieved steady state.
- Unless specifically designated as “single dose” or at “steady-state” the pharmacokinetic parameters disclosed and claimed herein encompass both single dose and steady-state conditions.
- The term “mean”, when preceding a pharmacokinetic value (e.g., mean tmax) represents the arithmetic mean value of the pharmacokinetic value unless otherwise specified.
- The term “bioavailability” as used herein means the degree or ratio (%) to which a drug or agent is absorbed or otherwise available to the treatment site in the body. This is calculated by the formula
where “SC” refers to subcutaneous. - The term “biopotency” as used herein means the degree or ratio (%) to which a drug or agent is effective to the treatment site in the body. This is calculated by the formula
where GIR is glucose infustion rate. - The term “t1/2” as used herein means the terminal half-life calculated as ln(2)/Kel.
- As used herein and in the appended claims, the singular forms “a,” “an,” and “the,” include plural referents unless the context clearly indicates otherwise. Thus, for example, reference to “a molecule” includes one or more of such molecules, “a reagent” includes one or more of such different reagents, reference to “an antibody” includes one or more of such different antibodies, and reference to “the method” includes reference to equivalent steps and methods known to those of ordinary skill in the art that could be modified or substituted for the methods described herein.
- GLP-1
- The GLP-1 compounds of the present invention can be made by methods known in the art, such as solid-phase synthetic chemistry, purification of GLP-1 molecules from natural sources, recombinant DNA technology, or a combination of these methods. For example, methods for preparing GLP-1 peptides are described in U.S. Pat. Nos. 5,118,666; 5,120,712; 5,512,549; 5,977,071; and 6,191,102, all of which are hereby incorporated by reference.
- By custom in the art, the amino terminus of GLP-1(7-37)OH has been assigned number residue 7, and the carboxy-terminus has been assigned number 37. The other amino acids in the polypeptide are numbered consecutively, as shown in SEQ ID NO.: 1. For example, position 12 is phenylalanine and position 22 is glycine.
- The two naturally occurring truncated GLP-1 peptides are represented in SEQ ID NO: 1: His7-Ala-Glu-Gly10-Thr-Phe-Thr-Ser-Asp-Val-Ser-Ser-Tyr-Leu20-Glu-Gly-Gln-Ala-Ala25-Lys-Glu-Phe-Ile-Ala30-Trp-Leu-Val-Lys-Gly35-Arg-Xaa37
- wherein Xaa37 is Gly, or —NH2.
- Preferably, a GLP-1 compound has the amino acid sequence of SEQ ID NO.: 1 or is modified so that from one, two, three, four or five amino acids differ from SEQ ID NO.: 1.
- A preferred group of GLP-1 compounds is composed of GLP-1 analogs of SEQ ID NO.: 2: His-Xaa8-Xaa9-Gly-Xaa11-Phe-Thr-Xaa14-Asp-Xaa16-Xaa17-Xaa18-Xaa19-Xaa20-Xaa21-Xaa22-Xaa23-Xaa24-Xaa25-Xaa26-Xaa27-Phe-Ile-Xaa30-Xaa31-Xaa32-Xaa33-Xaa34-Xaa35-Xaa36-Xaa37-Xaa38-Xaa39-Xaa40-Xaa41-Xaa42-Xaa43-Xaa44-Xaa45
- wherein:
Xaa8 is Ala, Gly, Ser, Thr, Leu, Ile, Val, Glu, Asp, or Lys; Xaa9 is Glu, Asp, or Lys; Xaa11 is Thr, Ala, Gly, Ser, Leu, Ile, Val, Glu, Asp, or Lys; Xaa14 is Ser, Ala, Gly, Thr, Leu, Ile, Val, Glu, Asp, or Lys; Xaa16 is Val, Ala, Gly, Ser, Thr, Leu, Ile, Tyr, Glu, Asp, Trp, or Lys; Xaa17 is Ser, Ala, Gly, Thr, Leu, Ile, Val, Glu, Asp, or Lys; Xaa18 is Ser, Ala, Gly, Thr, Leu, Ile, Val, Glu, Asp, Trp, Tyr, or Lys; Xaa19 is Tyr, Phe, Trp, Glu, Asp, Gln, or Lys; Xaa20 is Leu, Ala, Gly, Ser, Thr, Ile, Val, Glu, Asp, Met, Trp, Tyr, or Lys; Xaa21 is Glu, Asp, or Lys; Xaa22 is Gly, Ala, Ser, Thr, Leu, Ile, Val, Glu, Asp, or Lys; Xaa23 is Gln, Asn, Arg, Glu, Asp, or Lys; Xaa24 is Ala, Gly, Ser, Thr, Leu, Ile, Val, Arg, Glu, Asp, or Lys; Xaa25 is Ala, Gly, Ser, Thr, Leu, Ile, Val, Glu, Asp, or Lys; Xaa26 is Lys, Arg, Gln, Glu, Asp, or His; Xaa27 is Leu, Glu, Asp, or Lys; Xaa30 is Ala, Gly, Ser, Thr, Leu, Ile, Val, Glu, Asp, or Lys; Xaa31 is Trp, Phe, Tyr, Glu, Asp, or Lys; Xaa32 is Leu, Gly, Ala, Ser, Thr, Ile, Val, Glu, Asp, or Lys; Xaa33 is Val, Gly, Ala, Ser, Thr, Leu, Ile, Glu, Asp, or Lys; Xaa34 is Asn, Lys, Arg, Glu, Asp, or His; Xaa35 is Gly, Ala, Ser, Thr, Leu, Ile, Val, Glu, Asp, or Lys; Xaa36 is Gly, Arg, Lys, Glu, Asp, or His; Xaa37 is Pro, Gly, Ala, Ser, Thr, Leu, Ile, Val, Glu, Asp, or Lys, or is deleted; Xaa38 is Ser, Arg, Lys, Glu, Asp, or His, or is deleted; Xaa39 is Ser, Arg, Lys, Glu, Asp, or His, or is deleted; Xaa40 is Gly, Asp, Glu, or Lys, or is deleted; Xaa41 is Ala, Phe, Trp, Tyr, Glu, Asp, or Lys, or is deleted; Xaa42 is Ser, Pro, Lys, Glu, or Asp, or is deleted; Xaa43 is Ser, Pro, Glu, Asp, or Lys, or is deleted; Xaa44 is Gly, Pro, Glu, Asp, or Lys, or is deleted; and Xaa45 is Ala, Ser, Val, Glu, Asp, or Lys, Ala-NH2, Ser-NH2, Val-NH2, Glu-NH2, Asp-NH2, or Lys-NH2, or is deleted;
provided that when the amino acid at position 37, 38, 39, 40, 41, 42, 43, or 44 is deleted, then each amino acid downstream of that amino acid is also deleted. - The GLP-1 compound of SEQ ID NO: 2 contain less than six amino acids that differ from the corresponding amino acid in GLP-1 (7-37)OH or Exendin-4. It is more preferred that less than five amino acids differ from the corresponding amino acid in GLP-1 (7-37)OH or Exendin-4. It is even more preferred that less than four amino acids differ from the corresponding amino acid in GLP-1(7-37)OH or Exendin-4.
- GLP-1 compounds of the present invention include derivatives of SEQ ID NO.: 2 such as a C1-6-ester, or amide, or C1-6-alkylamide, or C1-6-dialkylamide thereof. WO 99/43706 describes derivatives of GLP-1 compounds of SEQ ID NO.: 2 and is incorporated by reference herein in its entirety. The compounds of SEQ ID NO.: 2 derivatized as described in WO 99/43706 and underivatized are encompassed by the present invention.
- Another preferred group of GLP-1 compounds is composed of GLP-1 analogs of SEQ. ID NO.: 3: Xaa7-Xaa8-Xaa9-Gly-Xaa11-Xaa12-Thr-Ser-Asp-Xaa16-Ser-Xaa18-Xaa19-Leu-Glu-Gly-Xaa23-Xaa24-Ala-Xaa26-Xaa27-Phe-Ile-Xaa30-Xaa31-Leu-Xaa33-Xaa34-Xaa35-Xaa36-R37
- wherein:
- Xaa7 is: L-histidine, D-histidine, desamino-histidine, 2-amino-histidine, β-hydroxy-histidine, homohistidine, α-fluoromethyl-histidine or α-methyl-histidine;
Xaa8 is: Gly, Ala, Val, Leu, Ile, Ser, or Thr; Xaa9 is: Thr, Ser, Arg, Lys, Trp, Phe, Tyr, Glu, or His; Xaa11 is: Asp, Glu, Arg, Thr, Ala, Lys, or His; Xaa12 is: His, Trp, Phe, or Tyr; Xaa16 is: Leu, Ser, Thr, Trp, His, Phe, Asp, Val, Tyr, Glu, or Ala; Xaa18 is: His, Pro, Asp, Glu, Arg, Ser, Ala, or Lys; Xaa19 is: Gly, Asp, Glu, Gln, Asn, Lys, Arg, or Cys; Xaa23 is: His, Asp, Lys, Glu, Gln, or Arg; Xaa24 is: Glu, Arg, Ala, or Lys; Xaa26 is: Trp, Tyr, Phe, Asp, Lys, Glu, or His; Xaa27 is: Ala, Glu, His, Phe, Tyr, Trp, Arg, or Lys; Xaa30 is: Ala, Glu, Asp, Ser, or His; Xaa31 is: Asp, Glu, Ser, Thr, Arg, Trp, or Lys; Xaa33 is: Asp, Arg, Val, Lys, Ala, Gly, or Glu; Xaa34 is: Glu, Lys, or Asp; Xaa35 is: Thr, Ser, Lys, Arg, Trp, Tyr, Phe, Asp, Gly, Pro, His, or Glu; Xaa36 is: Thr, Ser, Asp, Trp, Tyr, Phe, Arg, Glu, or His; R37 is: Lys, Arg, Thr, Ser, Glu, Asp, Trp, Tyr, Phe, His Gly, Gly-Pro, or is deleted. - Another group of GLP-1 compounds is composed of GLP-1 analogs of SEQ ID NO: 4: Xaa7-Xaa8-Glu-Gly-Xaa11-Xaa12-Thr-Ser-Asp-Xaa16-Ser-Ser-Tyr-Leu-Glu-Xaa22-Xaa23-Xaa24-Xaa25-Lys-Xaa27-Phe-Ile-Xaa30-Trp-Leu-Xaa33-Xaa34-Xaa35-Xaa36-R37
- wherein:
- Xaa7 is: L-histidine, D-histidine, desamino-histidine, 2-amino-histidine, B-hydroxy-histidine, homohistidine, a-fluoromethylhistidine or a-methylhistidine;
Xaa8 is: Gly, Ala, Val, Leu, Ile, Ser, or Thr; Xaa11 is: Asp, Glu, Arg, Thr, Ala, Lys, or His; Xaa12 is: His, Trp, Phe, or Tyr; Xaa16 is: Leu, Ser, Thr, Trp, His, Phe, Asp, Val, Glu, or Ala; Xaa22 is: Gly, Asp, Glu; Xaa23 is: His, Asp, Lys, Glu, or Gln; Xaa24 is: Glu, His, Ala, or Lys; Xaa25 is: Asp, Lys, Glu, or His; Xaa27 is: Ala, Glu, His, Phe, Tyr, Trp, Arg, or Lys; Xaa30 is: Ala, Glu, Asp, Ser, or His; Xaa33 is: Asp, Arg, Val, Lys, Ala, Gly, or Glu; Xaa34 is: Glu, Lys, or Asp; Xaa35 is: Thr, Ser, Lys, Arg, Trp, Tyr, Phe, Asp, Gly, Pro, His, or Glu; Xaa36 is: Arg, Glu, or His; R37 is: Lys, Arg, Thr, Ser, Glu, Asp, Trp, Tyr, Phe, His, Gly, Gly-Pro, or is deleted. - Another group of GLP-1 compounds is composed of GLP-1 analogs of SEQ ID NO: 5: Xaa7-Xaa8-Glu-Gly-Thr-Xaa12-Thr-Ser-Asp-Xaa16-Ser-Ser-Tyr-Leu-Glu-Xaa22-Xaa23-Ala-Ala-Xaa26-Glu-Phe-Ile-Xaa30-Trp-Leu-Val-Lys-Xaa35-Arg-R37
- wherein:
- Xaa7 is: L-histidine, D-histidine, desamino-histidine, 2-amino-histidine, B-hydroxy-histidine, homohistidine, a-fluoromethyl-histidine, or a-methyl-histidine;
Xaa8 is: Gly, Ala, Val, Leu, Ile, Ser, Met, or Thr; Xaa12 is: His, Trp, Phe, or Tyr; Xaa16 is: Leu, Ser, Thr, Trp, His, Phe, Asp, Val, Glu, or Ala; Xaa22 is: Gly, Asp, Glu, Gln, Asn, Lys, Arg, or Cys; Xaa23 is: His, Asp, Lys, Glu, or Gln; Xaa26 is: Asp, Lys, Glu, or His; Xaa30 is: Ala, Glu, Asp, Ser, or His; Xaa35 is: Thr, Ser, Lys, Arg, Trp, Tyr, Phe, Asp, Gly, Pro, His, or Glu; R37 is: Lys, Arg, Thr, Ser, Glu, Asp, Trp, Tyr, Phe, His, Gly, Gly-Pro, or is deleted. - Another group of GLP-1 compounds is composed of GLP-1 analogs of SEQ ID NO: 6: Xaa7-Xaa8-Glu-Gly-Thr-Phe-Thr-Ser-Asp-Val-Ser-Ser-Tyr-Leu-Glu-Xaa22-Xaa23-Xaa24-Ala-Lys-Glu-Phe-Ile-Xaa30-Trp-Leu-Val-Lys-Gly-Arg-R37
- wherein
- Xaa7 is: L-histidine, D-histidine, desamino-histadine, 2-amino-histidine, β-hydroxy-histidine, homohistidine, α-fluoromethyl-histidine, or α-methyl-histidine
Xaa8 is: Gly, Ala, Val, Leu, Ile, Ser, or Thr; Xaa22 is: Gly, Asp, Glu, Gln, Asn, Lys, Arg, or Cys; Xaa23 is: His, Asp, Lys, Glu, or Gln; Xaa24 is: Ala, Glu, Asp, Ser, or His; Xaa30 is: Ala, Glu, Asp, Ser, or His; R37 is: Lys, Arg, Thr, Ser, Glu, Asp, Trp, Tyr, Phe, His, Gly, Gly-Pro, or is deleted. - According to one embodiment, GLP-1 compounds of SEQ ID NOS.: 2, 3, 4, 5, and 6 comprise GLP-1 analogs or fragments of GLP-1 analogs wherein the analogs or fragments contain an amino acid other than alanine at position 8 (position 8 analogs). These position 8 analogs may contain one or more additional changes at positions 9, 11, 12, 16, 18, 22, 23, 24, 26, 27, 30, 31, 33, 34, 35, 36, and 37 compared to the corresponding amino acid of native GLP-1 (7-37)OH. These analogs, for example, may have 6 or fewer changes compared to the corresponding amino acids in native GLP-1(7-37)OH or GLP-1(7-36)OH. According to another embodiment, these analogs have 5 or fewer changes compared to the corresponding amino acids in native GLP-1(7-37)OH or GLP-1(7-36)OH or have 4 or fewer changes compared to the corresponding amino acids in native GLP-1 (7-37)OH or GLP-1 (7-36)OH. According to yet another embodiment, these analogs have 3 or fewer changes compared to the corresponding amino acids in native GLP-1 (7-37)OH or GLP-1 (7-36)OH. According to yet another embodiment, these analogs have 2 or fewer changes compared to the corresponding amino acids in native GLP-1(7-37)OH.
- According to another embodiment, GLP-1 compounds of SEQ ID NOS: 2, 3, 4, 5, and 6 comprise GLP-1 analogs or fragments of GLP-1 analogs in which glycine at position 22 and preferably alanine at position 8 have been replaced with another amino acid.
- When position 22 is aspartic acid, glutamic acid, arginine or lysine, position 8 is may be glycine, valine, leucine, isoleucine, serine, threonine or methionine. When position 22 is a sulfonic acid such as cysteic acid, position 8 may be glycine, valine, leucine, isoleucine, serine; threonine or methionine.
- Other GLP-1 compounds include GLP-1 analogs of SEQ ID NO: 5 wherein the analogs have the sequence of GLP-1 (7-3 7)OH except that the amino acid at position 8 is glycine, valine, leucine, isoleucine, serine, threonine, or methionine and position 30 is glutamic acid, aspartic acid, serine, or histidine.
- Other GLP-1 compounds include GLP-1 analogs of SEQ ID NO: 5 wherein the analogs have the sequence of GLP-1(7-37)OH except that the amino acid at position 8 is glycine, valine, leucine, isoleucine, serine, threonine, or methionine and position 37 is histidine, lysine, arginine, threonine, serine, glutamic acid, aspartic acid, tryptophan, tyrosine, phenylalanine.
- Other preferred GLP-1 compounds include GLP-1 analogs of SEQ ID NO: 5 wherein the analogs have the sequence of GLP-1 (7-37)OH, except that the amino acid at position 8 is preferably glycine, valine, leucine, isoleucine, serine, threonine, or methionine and more preferably valine or glycine and position 22 is glutamic acid, lysine, aspartic acid, or arginine and more preferably glutamic acid or lysine and position 23 is lysine, arginine, glutamic acid, aspartic acid, and histidine and more preferably lysine or glutamic acid.
- Other preferred GLP-1 compounds include GLP-1 analogs of SEQ ID NO: 6 wherein the analogs have the sequence of GLP-1 (7-37)OH except that the amino acid at position 8 is preferably glycine, valine, leucine, isoleucine, serine, threonine, or methionine and more preferably valine or glycine and position 22 is glutamic acid, lysine, aspartic acid, or arginine and more preferably glutamine acid or lysine and position 27 is alanine, lysine, arginine, tryptophan, tyrosine, phenylalanine, or histidine and more preferably alanine.
- Other preferred GLP-1 compounds include GLP-1 analogs of SEQ ID NO: 3 wherein the analogs have the sequence of GLP-1 (7-37)OH except that the amino acid at position 8 and one, two, or three amino acids selected from position 9, position 11, position 12, position 16, position 18, position 22, position 23, position 24, position 26, position 27, position 30, position 31, position 33, position 34, position 35, position 36, and position 37, differ from the amino acid at the corresponding position of native GLP-1 (7-37)OH.
- Other preferred GLP-1 compounds of SEQ ID No. 3 include:Val8-GLP-1(7-37) OH, Gly8-GLP-1 (7-37)OH, Glu22-GLP-1 (7-37)OH, Asp22-GLP-1 (7-37)OH, Arg22-GLP-1 (7-37)OH, Lys22-GLP-1 (7-37)OH, Cys22-GLP-1 (7-37)OH, Val8-Glu22-GLP-1 (7-37)OH, Val8-Asp22-GLP-1 (7-37)OH, Val8-Arg22-GLP-1 (7-37)OH, Val8-Lys22-GLP-1 (7-37)OH, Val8-Cys22-GLP-1 (7-37)OH, Gly8-Glu22-GLP-1 (7-37)OH, Gly8-Asp22-GLP-1 (7-37)OH, Gly8-Arg22-GLP-1(7-37)OH, Gly8-Lys22-GLP-1(7-37)OH, Gly8-Cys22-GLP-1(7-37)OH, Glu22-GLP-1(7-36)OH, Asp22-GLP-1(7-36)OH, Arg22-GLP-1(7-36)OH, Lys-GLP-1(7-36)OH, Cys22-GLP-1(7-36)OH, Val8-Glu22-GLP-1(7-36)OH, Val8-Asp22-GLP-1(7-36)OH, Val8-Arg22-GLP-1(7-36)OH, Val8-Lys22-GLP-1(7-36)OH, Val8-Cys22-GLP-1(7-36)OH, Gly8-Glu22-GLP-1(7-36)OH, Gly8-Asp22-GLP-1(7-36)OH, Gly8-Arg22-GLP-1(7-36)OH, Gly8-Lys22-GLP-1(7-36)OH, Gly8-Cys22-GLP-1(7-36)OH, Lys23-GLP-1(7-37)OH, Val8-Lys23-GLP-1(7-37)OH, Gly8-Lys23-GLP-1(7-37)OH, His24-GLP-1(7-37)OH, Val8-His24-GLP-1(7-37)OH, Gly8-His24-GLP-1(7-37)OH, Lys24-GLP-1(7-37)OH, Val8-Lys24-GLP-1(7-37)OH, Glu30-GLP-1(7-37)OH, Val8-Glu30-GLP-1(7-37)OH, Gly8-Glu10-GLP-1(7-37)OH, Asp30-GLP-1(7-37)OH, Val8-Asp30-GLP-1(7-37)OH, Gly8-Asp30-GLP-1(7-37)OH, Gln30-GLP-1(7-37)OH, Val8-Gln30-GLP-1(7-37)OH, Gly8-Gln30-GLP-1(7-37)OH, Tyr30-GLP-1(7-37)OH, Val8-Tyr30-GLP-1(7-37)OH, Gly8-Tyr30-GLP-1(7-37)OH, Ser30-GLP-1(7-37)OH, Val8-Ser30-GLP-1(7-37)OH, Gly8-Ser30-GLP-1(7-37)OH, His30-GLP-1(7-37)OH, Val8-His30-GLP-1(7-37)OH, Gly8-His30-GLP-1(7-37)OH, Glu34-GLP-1(7-37)OH, Val8-Glu34-GLP-1(7-37)OH, Gly8-Glu34-GLP-1(7-37)OH, Ala34-GLP-1(7-37)OH, Val8-Ala34-GLP-1(7-37)OH, Gly8-Ala34-GLP-1(7-37)OH, Gly34-GLP-1(7-37)OH, Val8-Gly34-GLP-1(7-37)OH, Gly8-Gly34-GLP-1(7-37)OH, Ala35-GLP-1(7-37)OH, Val8-Ala35-GLP-1(7-37)OH, Gly8-Ala35-GLP-1(7-37)OH, Lys35-GLP-1(7-37)OH, Val8-Lys35-GLP-1(7-37)OH, Gly8-Lys35-GLP-1(7-37)OH, His35-GLP-1(7-37)OH, Val8-His35-GLP-1(7-37)OH, Gly8-His35-GLP-1(7-37)OH, Pro35-GLP-1(7-37)OH, Val8-Pro35-GLP-1(7-37)OH, Gly8-Pro35-GLP-1(7-37)OH, Glu35-GLP-1(7-37)OH, Val8-Glu35-GLP-1(7-37)OH, Gly8-Glu35-GLP-1(7-37)OH, Val8-Ala27-GLP-1(7-37)OH, Val8-His37-GLP-1(7-37)OH, Val8-Glu22-Lys23-GLP-1(7-37)OH, Val8-Glu22-Glu23-GLP-1(7-37)OH, Val8-Glu22-Ala27-GLP-1(7-37)OH, Val8-Gly34-Lys35-GLP-1(7-37)OH, Gly8-His37-GLP-1(7-37)OH, Val8-Glu22-Ala27-GLP-1(7-37)OH, Gly8-Glu22-Ala27-GLP-1(7-37)OH, Val8-Lys22-Glu23-GLP-1(7-37)OH, and Gly8-Lys22-Glu23-GLP-1(7-37)OH.
- Another preferred group of GLP-1 analogs and derivatives for use in the present invention is composed of molecules of SEQ. ID NO.: 7: R1-X-Glu-Gly10-Thr-Phe-Thr-Ser-Asp15-Val-Ser-Ser-Tyr-Leu20-Y-Gly-Gln-Ala-Ala25-Lys-Z-Phe-Ile-Ala30-Trp-Leu-Val-Lys-Gly35-Arg-R2
- wherein:
-
- R1 is selected from the group consisting of L-histidine, D-histidine, desamino-histidine, 2-amino-histidine, β-hydroxy-histidine, homohistidine, α-fluoromethyl-histidine, and α-methylhistidine;
- X is selected from the group consisting of Ala, Gly, Val, Thr, Ile, and alpha-methyl-Ala;
- Y is selected from the group consisting of Glu, Gln, Ala, Thr, Ser, and Gly;
- Z is selected from the group consisting of Glu, Gln, Ala, Thr, Ser, and Gly; and R2 is Gly-OH.
- Another group of GLP-1 compounds for use in the present invention is disclosed in WO 91/11457, and consists essentially of GLP-1 (7-34), GLP-1 (7-35), GLP-1 (7-36), or GLP-1 (7-37), or the amide form thereof, and pharmaceutically-acceptable salts thereof, having at least one modification selected from the group consisting of:
- (a) substitution of glycine, serine, cysteine, threonine, asparagine, glutamine, tyrosine, alanine, valine, isoleucine, leucine, methionine, phenylalanine, arginine, or D-lysine for lysine at position 26 and/or position 34; or substitution of glycine, serine, cysteine, threonine, asparagine, glutamine, tyrosine, alanine, valine, isoleucine, leucine, methionine, phenylalanine, lysine, or a D-arginine for arginine at position 36;
- (b) substitution of an oxidation-resistant amino acid for tryptophan at position 31;
- (c) substitution of at least one of: tyrosine for valine at position 16; lysine for serine at position 18; aspartic acid for glutamic acid at position 21; serine for glycine at position 22; arginine for glutamine at position 23; arginine for alanine at position 24; and glutamine for lysine at position 26; and
- (d) substitution of at least one of: glycine, serine, or cysteine for alanine at position 8; aspartic acid, glycine, serine, cysteine, threonine, asparagine, glutamine, tyrosine, alanine, valine, isoleucine, leucine, methionine, or phenylalanine for glutamic acid at position 9; serine, cysteine, threonine, asparagine, glutamine, tyrosine, alanine, valine, isoleucine, leucine, methionine, or phenylalanine for glycine at position 10; and glutamic acid for aspartic acid at position 15; and
- (e) substitution of glycine, serine, cysteine, threonine, asparagine, glutamine, tyrosine, alanine, valine, isoleucine, leucine, methionine, or phenylalanine, or the D-or N-acylated or alkylated form of histidine for histidine at position 7; wherein, in the substitutions is (a), (b), (d), and (e), the substituted amino acids can optionally be in the D-form and the amino acids substituted at position 7 can optionally be in the N-acylated or N-alkylated form. Because the enzyme, dipeptidyl-peptidase IV (DPP IV), may be responsible for the observed rapid in vivo inactivation of administered GLP-1, [See, e. g., Mentlein, R., etal., Ear. J. Biochem., 214: 829-835 (1993) ], GLP-1 analogs and derivatives that are protected from the activity of DPP IV in the context of a fusion protein are preferred, and fusion proteins wherein the GLP-1 compound is Gly8-GLP-1 (7-37)OH, Val8-GLP-1 (7-37)OH, α-methyl-Ala8-GLP-1 (7-37)OH, or Gly8-Gln21-GLP-1(7-37)OH are more preferred. Another preferred group of GLP-1 compounds for use in the present invention consists of the compounds of SEQ ID NO:8:
wherein: - R1 is selected from 4-imidazopropionyl, 4-imidazoacetyl, or 4-imidazo-α, α-dimethyl-acetyl;
- R2 is selected from C6-C10 unbranched acyl, or is absent;
- R3 is selected from Gly-OH or NH2; and
- Xaa is Lys or Arg. SEQ ID NO. 8 is disclosed in U.S. Pat. No. 5,512,549, which is hereby incorporated herein by reference.
- Examples of compounds of SEQ ID NO.: 8 for use in the present invention are those in which Xaa is Arg and R2 is C6-C10 unbranched acyl, such as those in which Xaa is Arg, R2 is C6-C10 unbranched acyl, and R3 is Gly-OH. Other examples of compounds of SEQ. ID NO: 8 for use in the present invention are those in which Xaa is Arg, R2 is C6-C10 unbranched acyl, R3 is Gly-OH, and R1 is 4-imidazopropionyl, such as the compound in which Xaa is Arg, R2 is C8 unbranched acyl, R3 is Gly-OH, and R1 is 4-imidazopropionyl.
- Other GLP-1 derivatives are described in U.S. Pat. No. 6,268,343 B1, such as Arg34-Lys26-(N-ε-(γ-Glu (N-α-hexadecanoyl)))-GLP-1(7-37).
- GLP-1 compounds comprise GLP-1 analogs wherein the backbone for such analogs or fragments contains an amino acid other than alanine at position 8 (position 8 analogs). The backbone may also include L-histidine, D-histidine, or modified forms of histidine such as desamino-histidine, 2-amino-histidine, B-hydroxy-histidine, homohistidine, a-fluoromethyl-histidine, or a-methyl-histidine at position 7. These position 8 analogs may contain one or more additional changes at positions 12, 16, 18, 19, 20, 22, 25, 27, 30, 33, and 37 compared to the corresponding amino acid of native GLP-1(7-37)OH. These position 8 analogs may contain one or more additional changes at positions 16, 18, 22, 25 and 33 compared to the corresponding amino acid of native GLP-1(7-37)OH.
- In another embodiment, the GLP-1 analog is GLP-1(7-37)OH wherein the amino acid at position 12 is selected from the group consisting of tryptophan or tyrosine. In addition to the substitution at position 12, the amino acid at position 8 may be substituted with glycine, valine, leucine, isoleucine, serine, threonine, or methionine. In addition to the substitutions at position 12 and 8, the amino acid at position 22 may be substituted with glutamic acid.
- In another embodiment, the GLP-1 analog is GLP-1 (7-37)OH wherein the amino acid at position 16 is selected from the group consisting of tryptophan, isoleucine, leucine, phenylalanine, or tyrosine. In addition to the substitution at position 16, the amino acid at position 8 may be substituted with glycine, valine, leucine, isoleucine, serine, threonine, or methionine. In addition to the substitutions at position 16 and 8, the amino acid at position 22 may be substituted with glutamic acid. In addition to the substitutions at positions 16 and 8, the amino acid at position 30 may be substituted with glutamic acid. In addition to the substitutions at positions 16 and 8, the amino acid at position 37 may be substituted with histidine.
- In another embodiment, the GLP-1 analog is GLP-1(7-37) OH wherein the amino acid at position 18 is tryptophan, tyrosine, phenylalanine, lysine, leucine, or isoleucine. In addition to the substitution at position 18, the amino acid at position 8 may be substituted with glycine, valine, leucine, isoleucine, serine, threonine, or methionine. In addition to the substitutions at position 18 and 8, the amino acid at position 22 may be substituted with glutamic acid. In addition to the substitutions at positions 18 and 8, the amino acid at position 30 may be substituted with glutamic acid. In addition to the substitutions at positions 18 and 8, the amino acid at position 37 may be substituted with histidine.
- In another embodiment, the GLP-1 analog is GLP-1 (7-37)OH wherein the amino acid at position 19 is tryptophan or phenylalanine. In addition to the substitution at position 19, the amino acid at position 8 may be substituted with glycine, valine, leucine, isoleucine, serine, threonine, or methionine. In addition to the substitutions at position 19 and 8, the amino acid at position 22 may be substituted with glutamic acid. In addition to the substitutions at positions 19 and 8, the amino acid at position 30 may be substituted with glutamic acid. In addition to the substitutions at positions 19 and 8, the amino acid at position 37 may be substituted with histidine.
- In another embodiment, the GLP-1 analog is GLP-1(7-37)OH wherein the amino acid at position 20 is phenylalanine, tyrosine, or tryptophan. In addition to the substitution at position 20, the amino acid at position 8 may be substituted with glycine, valine, leucine, isoleucine, serine, threonine, or methionine. In addition to the substitutions at position 20 and 8, the amino acid at position 22 may be substituted with glutamic acid. In addition to the substitutions at positions 20 and 8, the amino acid at position 30 may be substituted with glutamic acid. In addition to the substitutions at positions 20 and 8, the amino acid at position 37 may be substituted with histidine.
- In another embodiment, the GLP-1 analog is GLP-1 (7-37)OH wherein the amino acid at position 25 is valine, isoleucine, or leucine. In addition to the substitution at position 25, the amino acid at position 8 may be substituted with glycine, valine, leucine, isoleucine, serine, threonine, or methionine. In addition to the substitutions at position 25 and 8, the amino acid at position 22 may be substituted with glutamic acid. In addition to the substitutions at positions 25 and 8, the amino acid at position 30 may be substituted with glutamic acid. In addition to the substitutions at positions 25 and 8, the amino acid at position 37 may be substituted with histidine.
- In another embodiment, the GLP-1 analog is GLP-1(7-37)OH wherein the amino acid at position 27 is isoleucine or alanine. In addition to the substitution at position 27, the amino acid at position 8 may be substituted with glycine, valine, leucine, isoleucine, serine, threonine, or methionine. In addition to the substitutions at position 27 and 8, the amino acid at position 22 may be substituted with glutamic acid. In addition to the substitutions at positions 27 and 8, the amino acid at position 30 may be substituted with glutamic acid. In addition to the substitutions at positions 27 and 8, the amino acid at position 37 may be substituted with histidine.
- In another embodiment, the GLP-1 analog is GLP-1(7-37) OH wherein the amino acid at position 33 is isoleucine. In addition to the substitution at position 33, the amino acid at position 8 may be substituted with glycine, valine, leucine, isoleucine, serine, threonine, or methionine. In addition to the substitutions at position 33 and 8, the amino acid at position 22 may be substituted with glutamic acid. In addition to the substitutions at positions 33 and 8, the amino acid at position 30 may be substituted with glutamic acid. In addition to the substitutions at positions 33 and 8, the amino acid at position 37 may be substituted with histidine.
- The GLP-1 compounds have modifications at one or more of the following positions: 8, 12, 16, 18, 19, 20, 22, 25, 27, 30, 33, and 37. These GLP-1 compounds show increased potency compared with GLP-1 (7-37)OH and comprise the amino acid sequence of SEQ ID NO.: 9: Xaa7-Xaa8-Glu-Gly-Thr-Xaa12-Thr-Ser-Asp-Xaa16-Ser-Xaa18-Xaa19-Xaa20-Glu-Xaa22-Gln-Ala-Xaa25-Lys-Xaa27-Phe-Ile-Xaa30-Trp-Leu-Xaa33-Lys-Gly-Arg-Xaa37
- wherein:
- Xaa7 is: L-histidine, D-histidine, desamino-histidine, 2-amino-histidine, β-hydroxy-histidine, homohistidine, a-fluoromethyl-histidine, or α-methyl-histidine;
Xaa8 is: Ala, Gly, Val, Leu, Ile, Ser, or Thr; Xaa12 is: Phe, Trp, or Tyr; Xaa16 is: Val, Trp, Ile, Leu, Phe, or Tyr; Xaa18 is: Ser, Trp, Tyr, Phe, Lys, Ile, Leu, Val; Xaa19 is: Tyr, Trp, or Phe; Xaa20 is: Leu, Phe, Tyr, or Trp; Xaa22 is: Gly, Glu, Asp, or Lys; Xaa25 is: Ala, Val, Ile, or Leu; Xaa27 is: Glu, Ile, or Ala; Xaa30 is: Ala or Glu; Xaa33 is: Val or Ile; and Xaa37 is: Gly, His, NH2, or is absent. - Examples of GLP-1 compounds of SEQ ID NO: 9 include GLP-1 (7-37)OH, GLP-1 (7-36)NH2, Gly8-GLP-1 (7-37)OH, Gly8-GLP-1 (7-36)NH2, Val8-GLP-1 (7-37)OH, Val8-GLP-1 (7-36)NH2, Leu8-GLP-1 (7-37)OH, Leu8-GLP-1 (7-36)NH2, Ile8-GLP-1 (7-37)OH, Ile8-GLP-1 (7-36)NH2, Ser8-GLP-1 (7-37)OH, Ser8-GLP-1 (7-36)NH2, Thr8-GLP-1 (7-37)OH, Thr8-GLP-1 (7-36)NH2, Val8-Tyr12-GLP-1 (7-37)Oh, Val8-Tyr12-GLP-1 (7-36)NH2, Val8-Tyr16-GLP-1 (7-37)OH, Val8-Tyr16-GLP-1 (7-36)NH2, Val8-Tyr16-Glu22-GLP-1 (7-37)OH, Val8-Trp16-Glu22-GLP-1 (7-37)OH, Val8-Leu16-Glu22-GLP-1 (7-37)OH, Val8-Ile16-Glu22-GLP-1 (7-37)OH, Val8-Phe16-Glu22-GLP-1 (7-37)OH, Val8-Trp18-Glu22-GLP-1 (7-37)OH, Val8-Tyr18-Glu22-GLP-1 (7-37)OH, Val8-Phe18-Glu22-GLP-1 (7-37)OH, and Val8-Ile18-Glu22-GLP-1 (7-37)OH, Glu22-GLP-1(7-36)NH2, Asp22-GLP-1(7-37)OH, Asp22-GLP-1(7-36)NH2, Lys22-GLP-1(7-37OH), Lys22-GLP-1(7-36NH2), Val8-Ala27-GLP-1(7-37)OH, Val8-Glu22-Ala27-GLP-1(7-37)OH, Val8-Glu30-GLP-1(7-37)OH, Val8-Glu30-GLP-1(7-36)NH2, Gly8-Glu30-GLP-1(7-37)OH, Gly8-Glu30-GLP-1 (7-36)NH2, Leu8-Glu30-GLP-1(7-37)OH, Leu8-Glu30-GLP-1 (7-36)NH2, Ile8-Glu30-GLP-1(7-37)OH, Ile8-Glu30-GLP-1(7-36)NH2, Ser8-Glu30-GLP-1(7-37)OH, Ser8-Glu30-GLP-1(7-36)NH2, Thr8-Glu30-GLP-1(7-37)OH, Thr8-Glu30-GLP-1(7-36)NH2, Val8-His37-GLP-1(7-37)OH, Val8-His37-GLP-1(7-36)NH2, Gly8-His37-GLP-1(7-37)OH, Gly8-His37-GLP-1(7-36)NH2, Leu8-His37-GLP-1(7-37)OH, Leu8-His37-GLP-1(7-36)NH2, Ile8-His37-GLP-1(7-37)OH, Ile8-His37-GLP-1(7-36)NH2, Ser8-His37-GLP-1(7-37)OH, Ser8-His37-GLP-1(7-36)NH2, Thr8-His37-GLP-1(7-37)OH, Thr8-His37-GLP-1(7-36)NH2.
- Examples of GLP-1 compounds of SEQ ID NO.: 9 having multiple substitutions include GLP-1(7-37)OH wherein position 8 is valine or glycine, position 22 is glutamic acid, position 16 is tyrosine, leucine or tryptophan, position 18 is tyrosine, tryptophan, or isoleucine, position 25 is valine and position 33 is isoleucine. Other such GLP-1 compounds include the following; Val8-Tyr16-GLP-1(7-37)OH, Val8-Tyr12-Glu22-GLP-1 (7-37)OH, Val8-Tyr16-Phe19-GLP-1 (7-37)OH, Val8-Tyr16-Glu22-GLP-1 (7-37)OH, Val8-Trp16-Glu22-GLP-1 (7-37)OH, Val8-Leu16-Glu22-GLP-1(7-37)OH, Val8-Ile16-Glu22-GLP-1(7-37)OH, Val8-Phe16-Glu22-GLP-1(7-37)OH, Val8-Trp11-Glu22-GLP-1(7-37)OH, Val8-Tyr18-Glu22-GLP-1(7-37)OH, Val8-Phe18-Glu22-GLP-1(7-37)OH, and Val8-Ile18-Glu22-GLP-1(7-37)OH.
- The GLP-1 compounds of the present invention also encompass Exendin compounds. Exendin-3 and Exendin-4 are biologically active peptides first isolated from Helodermatidae lizard venoms and have been shown to bind the GLP-1 receptor and stimulate cAMP-dependent H+ production in mammalian parietal cells. Exendin-3 and Exendin-4 are both 39 amino acid peptides which are approximately 53% homologous to GLP-1. They act as potent agonists of GLP-1 activity. Notably, an N-terminally truncated derivative of Exendin, known as Exendin (9-39 amino acids), is an inhibitor of Exendin-3, Exendin-4 and GLP-1.
- An Exendin compound typically comprises a polypeptide having the amino acid sequence of Exendin-3, Exendin-4, or an analog or fragment thereof. Exendin-3 and Exendin-4 are disclosed in U.S. Pat. No. 5,424,286, which is hereby incorporated by reference.
- Exendin-3 has the amino acid sequence of SEQ ID NO.: 10: His7-Ser-Asp-Gly10-Thr-Phe-Thr-Ser-Asp15-Leu-Ser-Lys-Gln-Met20-Glu-Glu-Glu-Ala-Val25-Arg-Leu-Phe-Ile-Glu30-Trp-Leu-Lys-Asn-Gly35-Gly-Pro-Ser-Ser-Gly40-Ala-Pro-Pro-Pro-Ser45-NH2
- Exendin-4 has the amino acid sequence of SEQ ID NO.: 11: His7-Gly-Glu-Gly10-Thr-Phe-Thr-Ser-Asp15-Leu-Ser-Lys-Gln-Met20-Glu-Glu-Glu-Ala-Val25-Arg-Leu-Phe-Ile-Glu30-Trp-Leu-Lys-Asn-Gly35-Gly-Pro-Ser-Ser-Gly40-Ala-Pro-Pro-Pro-Ser45-NH2.
- GLP-1 compounds also include Exendin fragments which are polypeptides obtained after truncation of one or more amino acids from the N-terminus and/or C-terminus of Exendin or an Exendin analog. Furthermore, GLP-1 compounds include Exendin polypeptides in which one or more amino acids have been added to the N terminus and/or C-terminus of Exendin or fragments thereof. Exendin compounds of this type have up to about forty-five amino acids.
- GLP-1 compounds also include “Exendin analogs”. An Exendin analog has sufficient homology to Exendin-4, Exendin-3, or a fragment thereof such that the analog has insulinotropic activity. The activity of Exendin fragments and/or analogs can be assessed using in vitro assays.
- An Exendin analog has the amino acid sequence of Exendin-4 or a fragment thereof, may be modified so that from one, two, three, four or five amino acids differ from the amino acid in corresponding position of Exendin-4 or the fragment of Exendin-4. In the nomenclature used herein to designate Exendin compounds, the substituting amino acid and its position is indicated prior to the parent structure. For example, Val8-Exendin-4 designates an Exendin compound in which the glycine normally found at position 8 of Exendin-4 has been replaced with valine.
- Another group of GLP-1 compounds is composed of GLP-1/Exendin-4 analogs of SEQ ID NO.: 12: Xaa7-Xaa8-Glu-Gly-Thr-Phe-Thr-Ser-Asp-Xaa16-Ser-Xaa18-Xaa19-Xaa20-Glu-Xaa22-Xaa23-Ala-Xaa25-Xaa26-Xaa27-Phe-Ile-Xaa30-Trp-Leu-Xaa33-Xaa34-Gly-Xaa36-R37
- wherein:
- Xaa7 is: L-histidine, D-histidine, desamino-histidine, 2-amino-histidine, 13-hydroxy-histidine, homohistidine, α-fluoromethyl-histidine or α-methyl-histidine;
Xaa8 is: Gly, Ala, or Val; Xaa16 is: Leu or Val; Xaa18 is: Lys or Ser; Xaa19 is: Gln or Tyr; Xaa20 is: Met or Leu; Xaa22 is: Glu or Gln; Xaa23 is: Glu or Gln; Xaa25 is: Val or Ala; Xaa26 is: Arg or Lys; Xaa27 is: Leu or Glu; Xaa30 is: Glu or Ala; Xaa33 is: Val or Lys; Xaa34 is: Asn or Lys; Xaa36 is: Gly or Arg; and (SEQ ID NO 15) R37 is: Gly, Pro, Pro-Ser-Ser-Gly-Ala-Pro-Pro-Pro- Ser, or is absent. - Further Exendin-analogs that are useful for the present invention are described in PCT patent publications WO 99/25728 (Beeley, et al.); WO 99/25727 (Beeley, et al.); WO 98/05351 (Young, et al.); WO 99/40788 (Young, et al.); WO 99/07404 (Beeley, et al.); and WO 99/43708 (Knudsen, et al.), all of which are hereby incorporated by reference.
- Another preferred group of GLP-1 compounds has the amino acid sequence of SEQ ID NO.: 13: Xaa7-Xaa8-Glu-Gly-Thr-Xaa12-Thr-Ser-Asp-Xaa16-Ser-Xaa18-Xaa19-Xaa20-Glu-Xaa22-Gln-Ala-Xaa25-Lys-Xaa27-Phe-Ile-Xaa30-Trp-Leu-Xaa33-Xaa34-Gly-Xaa36-Xaa37-Xaa38-Xaa39-Xaa40-Xaa41-Xaa42-Xaa43-Xaa44-Xaa45-Xaa46-Xaa47
- wherein:
- Xaa7 is: L-histidine, D-histidine, desamino-histidine, 2-amino-histidine, -hydroxy-histidine, homohistidine, α-fluoromethyl-histidine, or α-methyl-histidine;
Xaa8 is: Ala, Gly, Val, Leu, Ile, Ser, or Thr; Xaa12 is: Phe, Trp, or Tyr; Xaa16 is: Val, Trp, Ile, Leu, Phe, or Tyr; Xaa18 is: Ser, Trp, Tyr, Phe, Lys, Ile, Leu, Val; Xaa19 is: Tyr, Trp, or Phe; Xaa20 is: Leu, Phe, Tyr, or Trp; Xaa22 is: Gly, Glu, Asp, or Lys; Xaa25 is: Ala, Val, Ile, or Leu; Xaa27 is: Glu, Ile, or Ala; Xaa30 is: Ala or Glu; Xaa33 is: Val or Ile; Xaa34 is: Lys, Asp, Arg, or Glu; Xaa36 is: Gly, Pro, or Arg; Xaa37 is: Gly, Pro, or Ser; Xaa38 is: Ser, Pro, or His; Xaa39 is: Ser, Arg, Thr, Trp, or Lys; Xaa40 is: Ser or Gly; Xaa41 is: Ala, Asp, Arg, Glu, Lys, or Gly; Xaa42 is: Pro, Ala, NH2, or is absent; Xaa43 is: Pro, Ala, NH2, or is absent; Xaa44 is: Pro, Ala, Arg, Lys, His, NH2, or is absent; Xaa45 is: Ser, His, Pro, Lys, Arg, NH2 or is absent;
Xaa46 is: His, Ser, Arg, Lys, NH2 or is absent; and - Xaa47 is: His, Ser, Arg, Lys, NH2 or is absent; provided that if Xaa42, Xaa43, Xaa44, Xaa45, Xaa46, or Xaa47 is absent each amino acid downstream is absent and further provided that the GLP-1 peptide does not have the following C-terminal amino acid extension beginning at Xaa36: Gly-Pro-Ser-Ser-Gly-Ala-Pro-Pro-Pro-Ser-NH2 (SEQ ID NO: 16).
- Another group of GLP-1 compounds has the amino acid sequence of SEQ ID NO: 14 Xaa7-Xaa8-Glu-Gly-Thr-Phe-Thr-Ser-Asp-Xaa16-Ser-Ser-Tyr-Lys-Glu-Xaa22-Gln-Ala-Xaa25-Lys-Glu-Phe-Ile-Ala-Trp-Leu-Xaa33-Xaa34-Gly-Xaa36-Xaa37-Xaa38-Xaa39-Xaa40-Xaa41-Xaa42-Xaa43-Xaa44-Xaa45-Xaa46-Xaa47
- wherein:
- Xaa7 is: L-histidine, D-histidine, desamino-histidine, 2-amino-histidine, B-hydroxy-histidine, homohistidine, a-fluoromethyl-histidine, or α-methyl-histidine;
Xaa8 is: Gly, Val, Leu, Ile, Ser, or Thr; Xaa16 is: Val, Trp, Ile, Leu, Phe, or Tyr; Xaa22 is: Gly, Glu, Asp, or Lys; Xaa25 is: Ala, Val, Ile, or Leu; Xaa33 is: Val or Ile; Xaa34 is: Lys, Asp, Arg, or Glu; Xaa36 is: Gly, Pro, or Arg; Xaa37 is: Gly, Pro, or Ser; Xaa38 is: Ser, Pro, or His; Xaa39 is: Ser, Arg, Thr, Trp, or Lys; Xaa40 is: Ser or Gly; Xaa41 is: Ala, Asp, Arg, Glu, Lys, or Gly; Xaa42 is: Pro or Ala; Xaa43 is: Pro or Ala; Xaa44 is: Pro, Ala, Arg, Lys, His, NH2 dor is absent; Xaa45 is: Ser, His, Pro, Lys, Arg, NH2 or is absent Xaa46 is: His, Ser, Arg, Lys, NH2 or is absent; and Xaa47 is: His, Ser, Arg, Lys, NH2 or is absent;
provided that if Xaa44, Xaa45, Xaa46, or Xaa47 is absent each amino acid downstream is absent and further provided that the GLP-1 peptide does not have the following C-terminal amino acid extension beginning at Xaa36: Gly-Pro-Ser-Ser-Gly-Ala-Pro-Pro-Pro-Ser-NH2 (SEQ ID NO: 16). - Other embodiments of SEQ. ID NOS.: 13 and 14 include GLP-1 compounds that have valine or glycine at position 8 and glutamic acid at position 22.
- Other active compounds are suitable for use in formulations of the present invention. These include the agents disclosed in U.S. Pat. Nos. 6,660,716, 6,620,910, 6,608,038, 6,593,295, 6,589,549, 6,586,438, 6,583,111, 6,579,851, 6,576,653, 6,573,291, 6,569,832, 6,566,490, RE38112, U.S. Pat. Nos. 6,555,521, 6,555,519, 6,551,578, 6,548,529, 6,5311,24, 6,528,486, 6,518,241, 6,515,117, 6,514,500, 6,500,804, 6,500,645, 6,489,295, 6,485,707, 6,348,447, 6,316,224, 6,303,661, 6,290,987, 6,287,806, 6,284,727, 6,284,725, 6,277,819, 6,271,241, 6,268,343, RE37302, U.S. Pat. Nos. 6,258,377, 6,214,547, 6,201,072, 6,191,102, 6,184,201, 6,180,131, 6,171,823, 6,162,907, 6,133,235, 6,117,949, 6,11,0703, 6,087,129, 6,077,949, 6,051,689, 6,048,724, 6,037,145, 6,031,004, 6,017,545, 6,006,753, 6,004,573, 5,994,500, 5,994,127, 5,990,077, 5,985,627, 5,981,488, 5,977,071, 5,958,909, 5,932,547, 5,925,549, 5,912,229, 5,846,937, 5,846,774, 5,846,747, 5,834,428, 5,795,746, 5,789,379, 5,705,483, 5,670,360, 5,639,642, 5,631,224, 5,614,492, 5,574,008, 5,552,520, 5,545,618, 5,512,549, 5,424,286, and 5,118,666. Other agents suitable for use in formulations of the present invention are disclosed in U.S. Published Application Nos. 20030232754, 20030228652, 20030225091, 20030224983, 20030224477, 20030221201, 20030220274, 20030220251, 20030220243, 20030216294, 20030216292, 20030212063, 20030211167, 20030207802, 20030204063, 20030203913, 20030199672, 20030199563, 20030199451, 20030198970 A1, 20030195361, 20030195157, 20030186858, 20030186436, 20030180371, 20030175239, 20030171411, 20030167477, 20030162703, 20030158232, 20030158101, 20030153509, 20030144471, 20030130306, 20030125334, 20030124669, 20030119736, 20030119734, 20030118610, 20030114681, 20030114390, 20030113300, 20030109449, 20030108568, 20030108567, 20030105106, 20030105005, 20030100563, 20030096846, 20030092736, 20030092697, 20030091507, 20030087935, 20030087843, 20030083259, 20030082671, 20030073728, 20030073626, 20030072822 20030069275, 20030069182, 20030064935, 20030060412, 20030050237, 20030045464, 20030041602, 20030040516, 20030040469, 20030027996, 20030022823, 20030022816, 20030008905, 20030004162, 20020198158, 20020187926, 20020183369, 20020183367, 20020177602, 20020165342, 20020165148, 20020155597, 20020155100, 20020151065 20020147131, 20020146779, 20020146405, 20020141979, 20020065239, 20020061901, 20020061838, 20020055460, 20020052392, 20020052326, 20020049153, 20020045582, 20020044976, 20020028826, 20020019411, 20020013268, 20020010129, 20010047084 20010046956, 20010021767, 20010016643, 20010014666, 20010012829, 20010011071, 20010006943, and 20010002394. Other agents suitable for use in formulations of the present invention are disclosed in International Published Application Nos. 2003102187, 2003101988, 2003100026 2003100022, 2003099991, 2003099853, 2003099852, 2003099848, 2003099847, 2003094845, 2003082841 2003082817, 2003090723, 2003087139, 2003086444, 2003084563, 2003080157, 2003080070, 2003080033, 2003078462, 2003077949, 2003074558, 2003074087, 2003072195, 2003058203, 2003057200, 2003043985, 2003043624, 2003040309, 2003040114, 2003035099, 2003033671, 2003032923, 2003028730, 2003028626, 2003027113, 2003027112, 2003026635, 2003020737, 2003020201, 2003018516, 2003016349, 2003011892, 2003010186, 2003002136, 2003000666, 2003000663, 2003000181, 2003000180, 2002100390 2002098348, 2002096358, 2002096357, 2002085406, U.S. Pat. Nos. 0,240,537, 0,240,448, 0,247,716, 0,247,715, 0,246,227, 0,243,767, 0,232,395, 0,198,331, 0,187,322, 0,157,084, 0,155,213, 0,154,694, 0,132,158, 0,037,098, 0,016,797, 0,015,224, 0,012,116, 9,947,160, 9,946,283, 9,930,731, 9,929,336, 9,843,658, 9,832,867, 9,820,895, 9,819,698, 9,808,873, 9,808,871, 9,808,531, 9,801,535, 9,739,031, 9,729,180, 9,632,414, 9,620,005, 9,606,628, 9,517,510, 9,504,752, 9,325,579, 9,318,785, 9,210,576, and 8,706,941. Each of the above listed U.S. Patents, U.S. Pulished Applications, and Published International Applications are herein incorporated by reference.
- Delivery Agents
- The delivery agents of the present invention can be made by methods known in the art such as those as described in WO 90/36480; WO 96/30036; U.S. Pat. No. 5,643,957; U.S. Pat. No. 6,242,495; all of which are herein incorporated by reference.
- The delivery agents of the present invention include those disclosed in WO 96/21464, WO 96/30036, WO 00/06534, WO 98/34632, WO 00/07979, WO 01/44199, WO 1/32596, WO 02/18969, WO 03/045306, and WO 03/072195. Each of these prior applications are incorporated by reference.
- Many of the delivery agents of the present invention can be readily prepared from amino acids including, but not limited to, aminocaprylic acid, butyrylhydroxaminic acid, aminophenylbutyric acid, aminophenylhexanoic acid, aminophenylpropionic acid, aminosalicylic acid, aminophenylsuccinic acid, aminononanic acid, aminonicotinic acid, aminovalenic acid, aminophenylacetic acid, aminocaproic acid, aminoundecanoic acid, aminoheptanoic acid, aminohydroxybenzoic acid, and aminodecanoic acid.
- For example, these delivery agents may be prepared by reacting the single acid with the appropriate agent which reacts with free amino moiety present in the amino acids to form amides. Protecting groups may be used to avoid unwanted side reactions as would be known to those skilled in the art.
- The delivery agent compounds may be in the form of the free base or salts thereof. Suitable salts include, but are not limited to, organic and inorganic salts, for example sodium, ammonium, acetate salt, citrate salt, halide (preferably hydrochloride), hydroxide, sulfate, nitrate, phosphate, alkoxy, perchlorate, tetrafluoroborate, carboxylate, mesylate, fumerate, malonate, succinate, tartrate, acetate, gluconate, and maleate. Preferred salts include, but are not limited to, citrate and mesylate salts. The salts may also be solvates, including ethanol solvates, and hydrates.
- Salts of the delivery agent compounds of the present invention may be prepared by methods known in the art. For example, citrate salts and mesylate salts may be prepared in ethanol, toluene and citric acid.
- The delivery agents may be purified by recrystallization or by fractionation on solid column supports. Suitable recrystallization solvent systems include acetonitrile, methanol and tetrahydrofuran. Fractionation may be performed on a suitable solid column supports such as alumina, using methanol/n-propanol mixtures as the mobile phase; reverse phase column supports using trifluoroacetic acid/acetonitrile mixtures as the mobile phase; and ion exchange chromatography using water as the mobile phase.
- When anion exchange chromatography is performed, preferably a subsequent 0-500 mM sodium chloride gradient is employed.
- According to one embodiment, the delivery agents disclosed in International Published Application No. 2003/045306 are excluded as possible delivery agents of the present invention. In one embodiment, compound 1 from International Published Application No. 2003/045306 is excluded. In alternative embodiments, compound 1 and salts of compound 1 are excluded.
- In another embodiment, the delivery agents disclosed in International Published Application No. 2002/100338 are excluded. In one embodiment, compound A from International Published Application No. 2002/100338 are excluded. In alternative embodiments, compound A and salts of compound A is excluded. In alternative embodiments, compounds 1-11 of International Published Application No. 2002/100338 are excluded. In alternative embodiments, compounds 1-11 and salts of compounds 1-11 are excluded.
- The delivery agent may contain a polymer conjugated to it such as described in WO 03/045306. For example, the delivery agent and polymer may be conjugated by a linkage group selected from the group consisting of —NHC(O)NH—, —C(O) NH—, —NHC(O),—OOC—,—COO—,—NHC(O)O—,—OC(O)NH—,—CH2NH—NHCH2-,—CH2NHC(O)O—,—OC(O)NHCH2-,—CH2NHCOCH2O—,—OCH2C(O)NHCH2-,—NHC(O)CH20-,—OCH2C(O)NH—, —NH—,—O—, and carbon-carbon bond, with the proviso that the polymeric delivery agent is not a polypeptide or polyamino acid. The polymer may be any polymer including, but not limited to, alternating copolymers, block copolymers and random copolymers, which are safe for use in mammals.
- Preferred polymers include, but are not limited to, polyethylene; polyacrylates; polymethacrylates; poly (oxyethylene); poly (propylene); polypropylene glycol; polyethylene glycol (PEG); and derivatives thereof and combinations thereof. The molecular weight of the polymer typically ranges from about 100 to about 200,000 daltons. The molecular weight of the polymer preferably ranges from about 200 to about 10,000 daltons. In one embodiment, the molecular weight of the polymer ranges from about 200 to about 600 daltons and more preferably ranges from about 300 to about 550 daltons.
- Delivery agents of the present invention are described in U.S. Pat. Nos. 6,663,898, 6,663,887, 6,646,162, 6,642,411, 6,627,228, 6,623,731, 6,610,329, 6,558,706, 6,525,020, 6,461,643, 6,461,545, 6,440,929, 6,428,780, 6,413,550, 6,399,798, 6,395,774, 6,391,303, 6,384,278, 6,375,983, 6,358,504, 6,346,242, 6,344,213, 6,331,318, 6,313,088, 6,245,359, 6,242,495, 6,221,367, 6,180,140, 5,541,155, 5,693,338, 5,976,569, 5,643,957, 5,955,503, 6,100,298, 5,650,386, 5,866,536, 5,965,121, 5,989,539, 6,001,347, 6,071,510, and 5,820,881. Delivery agents of the present invention are also described in U.S. Published Application Nos. 20030232085, 20030225300, 20030198658, 20030133953, 20030078302, 20030072740, 20030045579, 20030012817, 20030008900, 20020155993, 20020127202, 20020120009, 20020119910, 20020102286, 20020065255, 20020052422, 20020040061, 20020028250, 20020013497, 20020001591, 20010039258, 20010003001. Delivery agents of the present invention are also described in International Published Application Nos. 2003/057650, 2003/057170, 2003/045331, 2003/045306, 2003/026582, 2002/100338, 2002/070438, 2002/069937, 02/20466, 02/19969, 02/16309, 02/15959, 02/02509, 01/92206, 01/70219, 01/51454, 01/44199, 01/34114, 01/32596, 01/32130, 00/07979, 00/59863, 00/50386, 00/47188, 00/40203, 96/30036. Each of the above listed U.S. Patents, U.S. Pulished Applications, and Published International Applications are herein incorporated by reference.
- Administration Composition
- The administration compositions of the present invention comprises one or more delivery agent compounds of the present invention, and GLP-1. In one embodiment, one or more of the delivery agent compounds, or salts of these compounds, or poly amino acids or peptides of which these compounds or salts form one or more of the units thereof, may be used as a delivery agent by mixing with the GLP-1 compound prior to administration to form an administration composition.
- The administration compositions are preferably in the form of a solid, such as a tablet, capsule or particle, such as a powder or sachet. Solid dosage forms may be prepared by mixing the solid form of the compound with the solid form of the active agent. Alternately, a solid may be obtained from a solution of compound and active agent by methods known in the art, such as freeze-drying (lyophilization), precipitation, crystallization and solid dispersion.
- The administration composition may also be in the form of a liquid. The solution medium may be water, 25% aqueous propylene glycol, and/or a phosphate buffer. Other dosing vehicles include polyethylene glycol. Dosing solutions may be prepared by mixing a solution of GLP-1 with a solution of the active agent, just prior to administration. Alternately, a solution of the delivery agent compound (or GLP-1) may be mixed with the solid form of the GLP-1 active agent (or delivery agent compound). The delivery agent compound and the GLP-1 may also be mixed as dry powders. The delivery agent compound and GLP-1 can also be admixed during the manufacturing process.
- The administration composition of the present invention may optionally encompass a pharmaceutically acceptable buffer. Examples of pharmaceutically acceptable buffers include phosphate buffers such as dibasic sodium phosphate, TRIS, glycylglycine, maleate, sodium acetate, sodium citrate, sodium tartrate, or an amino acid such as glycine, histidine, lysine or arginine. Other pharmaceutically acceptable buffers are known in the art. Preferably, the buffer is selected from the group consisting of phosphate, TRIS, maleate, and glycine. Even more preferably the buffer is TRIS.
- Preferably, the TRIS concentration is between about 1 mM and 100 mM. Even more preferably, the concentration is between about 10 mM and about 50 mM, most preferably the buffer is about 20 mM.
- The pH of the administration composition may be adjusted to provide stability and to be acceptable for oral administration. The pH may be adjusted to between about 7.0 and about 9.0. More particularly, the pH may be adjusted between about 7.4 and 8.4, or between 7.8 and 8.4, or between about 7.8 and 8.1.
- The various oral formulations of the present invention may optionally encompass a suspending agent. Some delivery agents require a suspending agent due to their solubility characteristics. An example of a suspending agent is hydroxypropylmethylcellulose. Preferably, the final concentration of hydroxypropylmethylcellulose is between about 2% and about 10% (weight/volume). Even more preferably, the concentration is between about 2% and about 5% (w/v). Most preferably the concentration is about 3.9% (w/v). The administration composition of the present invention may optionally comprise a cosolvent. Some delivery agents require cosolvents due to their solubility characteristics.
- Examples of cosolvents include ethanol, N-methylpyrrolidone, N,N-dimethylacetamide,N,N-dimethylformamide, glycofurol, ethoxydiol, propylene glycol, polyethylene glycol 300 and polyvinylpyrrolidone. Preferably, the final concentration of the cosolvents is between about 5% and about 30% (volume/volume). Even more preferably, the concentration is between about 10% and about 25% (v/v). Most preferably the concentration is about 20% (v/v).
- The administration composition may optionally contain additives such as phosphate buffer salts, citric acid, glycols, or other dispersing agents. Stabilizing additives may be incorporated into the solution, preferably at a concentration ranging between about 0.1 and 20% (w/v).
- The administration composition of the present invention may optionally comprise a preservative. Preservative refers to a compound that is added to the formulation to act as an antimicrobial agent. Among preservatives known in the art as being effective and acceptable in parenteral formulations are phenolic preservatives, alkylparabens, benzyl alcohol, chlorobutanol, resorcinol, and other similar preservatives, and various mixtures thereof. Examples of phenolic derivatives include cresols and phenol or a mixture of cresols and phenol. Examples of cresols include meta-cresol, ortho-cresol, para-cresol, chlorocresol, or mixtures thereof. Alkylparaben refers to a C1 to C4 alkylparaben, or mixtures thereof. Examples of alkylparabens include methylparaben, ethylparaben, propylparaben, or butylparaben. The concentrations must be sufficient to maintain preservative effectiveness by retarding microbial growth. Preferably, the preservative is a phenol derivative. More preferably the preservative is a cresol. Even more preferably the preservative is meta-cresol.
- A preferred concentration of a preservative in the final mixture is about 1.0 mg/mL to about 20.0 mg/mL. More preferred ranges of concentration of preservative in the final mixture are about 2.0 mg/mL to about 8.0 mg/mL, about 2.5 mg/mL to about 4.5 mg/mL and about 2.0 mg/mL to about 4.0 mg/mL. A most preferred concentration of preservative in the final mixture is about 3.0 mg/mL.
- The administration composition of the present invention may optionally comprise an isotonicity agent. Isotonicity agents refer to compounds that are tolerated physiologically and impart a suitable tonicity to the formulation to prevent the net flow of water across cell membranes. Examples of such compounds include glycerin, salts, e. g., NaCl, and sugars, e. g., dextrose, mannitol, and sucrose. These compounds are commonly used for such purposes at known concentrations. One or more isotonicity agents may be added to adjust the ionic strength or tonicity. The preferred isotonicity agent is NaCl. The concentration of the NaCl is preferably between about 10 mM and 200 mM, more preferred is between about 50 mM and 150 mM, and most preferred is about 100 mM.
- The administration composition of the present invention may also include one or more enzyme inhibitors. Such enzyme inhibitors include, but are not limited to, compounds such as actinonin or epiactinonin and derivatives thereof. Other enzyme inhibitors include, but are not limited to, aprotinin (Trasylol) and Bowman-Birk inhibitor.
- Amounts of delivery agents and GLP-1 used in formulations of the present invention will vary according to the severity of the subjects' indication, and the form of GLP-1 and active agent administered. Appropriate amounts for an individual subject can be determined by routine experimentation, in view of the subjects' pharamacokinetic properties, such as insuling levels or glucagon levels in the blood.
- Typical amounts of delivery agents and GLP-1 used in testing with male Sprague-Dawly rats range from 0 to 3000 μg/kg of GLP-1, and 0 to 200 μg/kg of delivery agent.
- However, because the compositions of the invention may deliver GLP-1 more efficiently than compositions containing GLP-1 alone, lower amounts of GLP-1 than those used in prior dosage unit forms or delivery systems can be administered to the subject, while still achieving the same blood levels and therapeutic effects.
- Administration compositions may further include additives. For example administration compositions may include nicotinamide, as disclosed in U.S. Pat. Nos. 6,573,237 and 6,440,930 and U.S. Published Application Nos. U.S. 2003/0221201 and US2003/0069182.
- Methods of Treatment
- The formulations comprising a GLP-1 compound and a delivery agent can be used to treat a wide variety of diseases and conditions. The GLP-1 compounds primarily exert their biological effects by acting at a GLP-1 receptor. Subjects with diseases and/or conditions that respond favorably to GLP-1 receptor stimulation or to the administration of GLP-1 compounds can therefore be treated with the oral formulations of the present invention.
- These subjects are said to “be in need of treatment with GLP-1 compounds” or “in need of GLP-1 receptor stimulation”. Included are subjects with non-insulin dependent diabetes, insulin dependent diabetes, stroke (see WO 00/16797), myocardial infarction (see WO 98/08531), obesity (see WO98/19698), catabolic changes after surgery (see U.S. Pat. No. 6,006,753), functional dyspepsia and irritable bowel syndrome (see WO 99/64060). Also included are subjects requiring prophylactic treatment with a GLP-1 compound, e. g., subjects at risk for developing non-insulin dependent diabetes (see WO 00/07617). Subjects with impaired glucose tolerance or impaired fasting glucose, subjects whose body weight is about 25% above normal body weight for the subject's height and body build, subjects with a partial pancreatectomy, subjects having one or more parents with non-insulin dependent diabetes, subjects who have had gestational diabetes and subjects who have had acute or chronic pancreatitis are at risk for developing non-insulin dependent diabetes.
- Another embodiment of the present invention is a method for the treatment or prevention of a disease or for achieving a desired physiological effect, such in an animal by administering the composition of the present invention. Preferably, an effective amount of the composition for the treatment or prevention of the desired disease or for achieving the desired physiological effect is administered. Specific indications can be found in the Physicians' Desk Reference (54th Ed., 2000, Medical Economics Company, Inc., Montvale, N.J.), which is herein incorporated by reference.
- For example, one embodiment of the present invention is a method for treating a patient suffering from or susceptible to diabetes, particularly non-insulin dependent diabetes mellitus (NIDDM) by administering GLP-1 and at least one of the delivery agent compounds of the present invention. Another embodiment of the present invention is a method for treating a subject for obesity by administering GLP-1 and at least one of the delivery agent compounds of the present invention.
- Embodiments of the present invention also relate to the prophylactic treatment of subjects who are at risk for non-insulin dependent diabetes. Individuals at risk for non-insulin dependent diabetes are known to those or ordinary skill in the art, and include subjects with impaired glucose tolerance, impaired fasting glucose, overweight subjects, subjects with a partial panreatectomy, subjects having one or more parents with non-insulin dependent diabetes, subjects who have had gestational diabetes, and subjects who have had acute or chronic pancreatitis.
- Embodiments of the present invention further relate to the prophylactic treatment of subjects who are at risk for obesity. Individuals at risk for obesity are known to those or ordinary skill in the art, and include subjects who are already overweight, subjects who have parents or family members who are overweight, subjects who have undergone lifestyle changes such that they are now prone to weight gain (e.g. quitting smoking, the cessation of chronic alcohol or drug use), or subjects who have become incapacitated and/or unable to maintain previous levels of activity.
- Following administration, the active agent present in the composition or dosage unit form is taken up into the circulation. The bioavailability of the agent can be readily assessed by measuring a known pharmacological activity in blood, e. g. an increase in insulin caused by the GLP-1 or GLP-1 analog. Alternately, the circulating levels of the GLP-1 or GLP-1 analog itself can be measured directly.
- The following non-limiting examples are provided to illustrate the invention. Modifications and variations of the methods and compounds disclosed herein will be apparent to those of ordinary skill in the art, and are intended to be within the scope of the invention.
- GLP-1 was obtained from Bachem (Torrance, Calif.) as a bulk powder. To prepare stock solutions, GLP-1 was dissolved in deionized water (pH6.5) to obtain a concentration of 8 mg/ml. Stock solutions were kept frozen at −20° C. in 0.5-ml aliquots until used. For dosing solutions, delivery agent was dissolved in deionized water to obtain a final concentration of 200 mg/ml (oral dosing) or 100 mg/ml (intracolonic dosing). The free acid form of delivery agent was converted to the sodium salt by adding one equivalent of sodium hydroxide. Solutions were vortexed, sonicated, and heated, and if necessary, additional sodium hydroxide was added in μl quantities to achieve uniform solubility. A specified quantity of GLP-1 stock was then added to the delivery agent solution to obtain a final concentration of 1 or 0.3 mg/ml (oral) or 0.6 mg/ml (intracolonic). After solubilization and drug addition, solutions were brought to final volume by the addition of deionized water.
- GLP-1 was administered to male, Sprague-Dawley rats either alone or in combination with an Emisphere delivery agent. Typically, rats were fasted for 18-24 hours prior to dosing. On the day of the experiment, rats were weighed and then anesthestized with a combination of ketamine (44 mg/kg) and thorazine (1.5 mg/kg). Anesthesia was administered by intramuscular (IM) injection (26-gauge needle) into the hindleg in a volume of 0.5 mls/kg body weight. A tail or toe pinch was used to determine the level of anesthesia. Once anesthetized, rats were administered GLP-1 alone or in combination with an Emisphere delivery agent. Routes of delivery were either oral (PO) or intracolonic (IC). For PO & IC dosing, a Rusch 8 French catheter was cut to 11 cm in length and adapted to fit a 1-ml syringe. The syringe was filled with dosing solution and the catheter was wiped dry of excess solution. For PO dosing, the catheter was inserted into the rat mouth and fed down the esophagus (10.0 cm). The dosing solution was delivered by pressing the syringe plunger while holding the rat in an upright position. The doses of delivery agent and GLP-1 were 200 mg/kg and 1 or 0.3 mg/kg, respectively. The dose volume was 1 ml/kg. For IC dosing, the catheter was inserted into the rectum and fed into the colon (7.5 cm). The dosing solution was delivered by pressing the syringe plunger while holding the rat up by the tail. The doses of delivery agent and GLP-1 were 50 mg/kg and 0.3 mg/kg, respectively. The dose volume was 0.5 ml/kg.
- During blood sample collection, rats may have received additional injections of ketamine/thorazine in order to maintain anesthesia. For blood sampling, a 22-gauge needle was inserted into the tail artery. Typically, blood samples were collected prior to dosing (time 0) and at 5, 15, 30, 45, and 60 minutes after dosing. Samples were collected into capiject tubes containing EDTA and a DDP-IV inhibitor, and placed on wet ice until centrifugation. After all samples were collected, tubes were centrifuged at 10,000 rpm for 4 minutes at 4° C. in order to separate the plasma. Plasma was collected into eppendorf tubes and frozen at −20° C. until assayed.
- Briefly, concentrations of GLP-1 were quantified in rat plasma using a radioimmunoassay (RIA). The % B/B0 (% bound drug/unbound drug) was derived for the assay standards and plotted on a log/log scale. A 4PL logistic fit was used to fit the standard curve. The sample concentrations were calculated by reading the % B/B0 of the samples off the standard curve. % B/B0 values from each time point were averaged (n=5) and plotted versus concentration. Finally, data were expressed as mean plasma concentration of GLP-1 (±SEM) versus time. The range of the assay was 0.1-12.8 ng/ml.
- The results are shown in Table 2.
TABLE 2 Compound Drug Dose Delivery Compound Dose Drug Dose Test Article Dose Volume Std. Agent Dose Unit Dose Unit Viscosity Volume Unit pH CMAX Dev. TMAX N/A 0 mg/kg 1 ng/kg Solution 0.5 mL/kg 8.15 31.44 17.5 60 N/A 0 mg/kg 2 ng/kg Solution 0.5 mL/kg 7.2 32.37 18.75 45 N/A 0 mg/kg 3 ng/kg Solution 0.5 mL/kg 7.41 17.47 22.85 45 N/A 0 mg/kg 30 ng/kg Solution 0.5 mL/kg 7.41 19.17 17.7 45 N/A 0 mg/kg 10 ng/kg Solution 0.5 mL/kg 7.41 17.06 8.41 45 N/A 0 mg/kg 50 ng/kg Solution 0.5 mL/kg 7.42 152.8 179.31 15 N/A 0 mg/kg 500 μg/kg Solution 1 mL/kg 7.42 106.03 74.33 15 N/A 0 ng/kg 30 ng/kg Solution 0.5 mL/kg 7 64.44 41.48 15 N/A 0 mg/kg 0 ng/kg Solution 0.5 mL/kg 7.21 11.68 2.04 30 N/A 0 mg/kg 300 μg/kg Solution 1 mL/kg 7.76 64.2 24 15 N/A 0 ng/kg 30 ng/kg Solution 0.5 mL/kg 7.3 6.4 6.46 15 N/A 0 mg/kg 0 ng/kg Solution 0.5 mL/kg 7.26 11.13 12.38 30 N/A 0 mg/kg 300 μg/kg Solution 1 mL/kg 7.28 26.54 20.9 15 N/A 0 mg/kg 0 ng/kg Solution 0.5 mL/kg 7.84 0.06 0.2 60 N/A 0 mg/kg 0 ng/kg Solution 1 mL/kg 7.54 5.87 3.01 5 N/A 0 mg/kg 0.3 mg/kg Solution 0.5 mL/kg 7.29 20016.87 1902.17 5 N/A 0 mg/kg 0.5 mg/kg Solution 0.5 mL/kg 7.29 27881.88 3169.1 5 N/A 0 mg/kg 0.3 mg/kg Solution 0.5 mL/kg 7.22 7296.44 0 30 N/A 200 mg/kg 1 mg/kg Solution 1 mL/kg 8.26 5263.6 3269.83 30 1 200 mg/kg 1 mg/kg Thick Suspension 1 mL/kg 8.59 6416.4 4602.7 5 2 200 mg/kg 100 μg/kg Solution 1 mL/kg 7.79 27.37 10.72 45 2 100 mg/kg 1 ng/kg Solution 0.5 mL/kg 7.82 251.05 10.44 45 2 200 mg/kg 300 μg/kg Solution 1 mL/kg 7.9 33.65 26.1 15 2 100 mg/kg 50 ng/kg Solution 0.5 mL/kg 7.8 172.3 120.36 15 2 200 mg/kg 500 μg/kg Solution 1 mL/kg 7.9 191.28 99.9 15 2 200 mg/kg 500 μg/kg Solution 1 mL/kg 8.02 202.37 131.63 5 2 200 mg/kg 300 μg/kg Solution 1 mL/kg 8.03 272.32 161.13 5 2 200 mg/kg 300 μg/kg Solution 1 mL/kg 7.93 142.47 83.57 5 2 200 mg/kg 300 μg/kg Solution 1 mL/kg 7.93 62.15 46.21 5 2 200 mg/kg 300 μg/kg Solution 1 mL/kg 7.96 116.87 64.73 5 2 200 mg/kg 300 μg/kg Solution 1 mL/kg 7.95 237.61 14.42 5 2 200 mg/kg 300 μg/kg Solution 1 mL/kg 0 184.53 150.25 5 2 200 mg/kg 0 ng/kg Solution 1 mL/kg 7.87 0.39 0.75 0 2 200 mg/kg 0 ng/kg Solution 1 mL/kg 7.85 4.19 3.45 0 2 200 mg/kg 0.3 mg/kg Solution 1 mL/kg 7.88 6255.93 2047.75 5 2 200 mg/kg 1 mg/kg Solution 1 mL/kg 7.98 16883.03 3547.16 5 2 200 mg/kg 0 mg/kg Solution 1 mL/kg 7.77 4449.6 164.81 60 2 50 mg/kg 0.3 mg/kg Solution 0.5 mL/kg 7.7 192683.8 52728.26 5 2 200 mg/kg 1 mg/kg Solution 1 mL/kg 8.05 63731.12 113564.6 5 2 200 mg/kg 1 mg/kg Solution 1 mL/kg 7.85 18120.01 2846.6 5 2 200 mg/kg 1 mg/kg Solution 1 mL/kg 8.23 10085.71 8026.96 5 2 200 mg/kg 1 mg/kg Solution 1 mL/kg 8 220007 9701.94 5 2 200 mg/kg 1 mg/kg Solution 1 mL/kg 7.99 21676.09 31312.22 5 2 200 mg/kg 1 mg/kg Solution 1 mL/kg 8.09 27297.38 32710.69 5 2 200 mg/kg 1 mg/kg Solution 1 mL/kg 7.93 8794.6 10125 5 2 200 mg/kg 1 mg/kg Solution 1 mL/kg 8.11 7944.47 656.06 30 2 200 mg/kg 1 mg/kg Solution 1 mL/kg 7.94 14636.04 9393.71 5 2 200 mg/kg 1 mg/kg 1 mL/kg 7.84 19262.84 11361.48 5 2 200 mg/kg 1 mg/kg 1 mL/kg 7.84 10927.55 9295.88 5 3 200 mg/kg 1 mg/kg Suspension 1 mL/kg 7.83 2918.87 3456.52 15 4 200 mg/kg 300 μg/kg Suspension 1 mL/kg 7.26 63.44 22 60 4 200 mg/kg 1 mg/kg Suspension 1 mL/kg 7.69 2897.81 935.84 60 5 200 mg/kg 300 μg/kg Solution 1 mL/kg 7.48 245.18 132.51 5 6 200 mg/kg 300 μg/kg Solution 1 mL/kg 7.29 79.06 94.86 15 6 200 mg/kg 1 mg/kg Suspension 1 mL/kg 7.05 8557 4877.95 5 7 200 mg/kg 1 mg/kg Precipitate 1 mL/kg 7.99 119647.6 97637.84 5 7 200 mg/kg 1 mg/kg Solution 1 mL/kg 8.06 8179.44 3662.2 5 7 200 mg/kg 1 mg/kg Solution 1 mL/kg 8.14 8876.04 2822.07 5 8 200 mg/kg 1 mg/kg 1 mL/kg 9.21 6034.29 6986.65 5 9 200 mg/kg 1 mg/kg Suspension 1 mL/kg 8.04 8623.09 4623.85 30 10 200 mg/kg 300 μg/kg Suspension 1 mL/kg 7.23 128.77 41.23 45 10 200 mg/kg 1 mg/kg 1 mL/kg 7.54 26149.3 16719.87 5 11 200 mg/kg 1 mg/kg Suspension 1 mL/kg 8.17 56735.66 74607.84 15 11 200 mg/kg 1 mg/kg Suspension 1 mL/kg 7.98 10708.08 9289.96 5 11 200 mg/kg 1 mg/kg Suspension 1 mL/kg 8.08 6282.66 2692.72 5 12 200 mg/kg 1 mg/kg Suspension 2 mL/kg 8.72 1614.27 1365.02 0 13 200 mg/kg 1 mg/kg 1 mL/kg 8.25 14251.93 4639.93 5 14 200 mg/kg 1 mg/kg 1 mL/kg 7.92 9698.55 11222.76 15 15 200 mg/kg 1 mg/kg 1 mL/kg 7.2 3490.73 226.73 60 16 200 mg/kg 500 μg/kg Solution 1 mL/kg 7.63 276.71 179.56 5 16 200 mg/kg 1 mg/kg Precipitate 1 mL/kg 7.46 25042.82 27608.88 5 16 200 mg/kg 1 mg/kg Suspension 1 mL/kg 7.54 10087.13 10062.1 5 16 200 mg/kg 1 mg/kg 1 mL/kg 7.55 9066.14 5339.88 5 17 200 mg/kg 1 mg/kg Solution 1 mL/kg 7.99 5579.88 5326.24 5 18 200 mg/kg 300 μg/kg Solution 1 mL/kg 7.25 187.05 125.1 5 18 200 mg/kg 1 mg/kg Solution 1 mL/kg 7.36 9178.62 11198.92 5 18 200 mg/kg 1 mg/kg Solution 1 mL/kg 6.83 15291.42 11361.22 5 19 200 mg/kg 500 μg/kg Suspension 1 mL/kg 7.62 265.16 97.36 5 19 200 mg/kg 1 mg/kg Precipitate 1 mL/kg 7.77 68658.34 139711.8 15 19 200 mg/kg 1 mg/kg Suspension 1 mL/kg 7.58 6302.52 7470.2 5 19 200 mg/kg 1 mg/kg Solution 1 mL/kg 6.95 9909.16 11124.83 5 19 200 mg/kg 1 mg/kg 1 mL/kg 7.49 36378.31 38377.66 5 20 200 mg/kg 1 mg/kg Solution 1 mL/kg 8.09 7960.59 4935.56 30 21 200 mg/kg 300 μg/kg Solution 1 mL/kg 0 54.86 72.09 15 22 200 mg/kg 1 mg/kg Solution 1 mL/kg 12.3 3307.93 4007.28 5 23 200 mg/kg 300 μg/kg Suspension 1 mL/kg 7.57 68.37 52.78 5 24 200 mg/kg 300 μg/kg Suspension 1 mL/kg 11.42 263.88 140.25 15 24 200 mg/kg 1 mg/kg Solution 1 mL/kg 11.64 54205.73 107148.1 15 24 200 mg/kg 1 mg/kg Suspension 1 mL/kg 11.46 11323.24 16079.29 5 24 200 mg/kg 1 mg/kg Solution 1 mL/kg 11.42 23859.27 13054.48 5 24 200 mg/kg 1 mg/kg 1 mL/kg 11.4 16166.59 7698.96 5 25 200 mg/kg 300 μg/kg Suspension 1 mL/kg 0 49.88 47.1 5 26 200 mg/kg 1 mg/kg Solution 1 mL/kg 10.96 1111.87 1744.86 5 27 200 mg/kg 300 μg/kg Solution 1 mL/kg 10.43 72.8 53.13 15 28 200 mg/kg 1 mg/kg Suspension 1 mL/kg 3.02 3234.77 1370.25 5 29 200 mg/kg 1 mg/kg Solution 1 mL/kg 3.34 2748.78 800.51 45 - To a 1000 mL round bottomed flask was added 4-dimethylamino-benzoic acid (50.0 g, 1.0 eq) and THF (600 mL). A solution of thionyl chloride (44.16 mL, 2.0 eq) in tetrahydrofuran was added and the resulting mixture heated to reflux for 4 hours. The excess thionyl chloride and solvent were removed under reduced pressure to yield 4-dimethylamino-benzoyl chloride as a solid, which was used without further purification in the preparation of compound 560.
- Preparation of delivery agent 24: To a 1000 mL round bottomed flask was added chlorotrimethylsilane (15.48 mL, 2 eq) in methylene chloride (250 ml). 4-aminobutyric acid (10.0 g, 1 equivalent) was added and the mixture was heated to reflux for 1.5 hours. The resulting solution was cooled to 0° C. (ice bath) and triethylamine (27.21 mL, 3 equivalents) was added drop-wise. A solution of 4-dimethylamino-benzoyl chloride (11.12 g, 1 eq) in methylene chloride (50 mL) was added drop-wise to the resulting reaction mixture over 0.5 hours. The temperature was maintained at 0° C. (ice bath) during the addition and for 0.5 hour after the addition was complete. The solution was allowed to warm to ambient temperature. Chloroform (25 mL) was added to improve the solubility of the reactants. The reaction was complete (as indicated by TLC) after 16.5 hours. The solvents were removed under reduced pressure. The resulting solid was dissolved in ethyl acetate (500 mL) and 2.5% aqueous sodium bicarbonate (500 mL) was added. The aqueous layer was acidified to pH 6.5 with aqueous sulfuric acid (2 M) and extracted with ethyl acetate (three times 500 mL), After each extraction, the pH of the aqueous layer was adjusted to pH 6.5. The combined ethyl acetate fractions were dried over sodium sulfate. The sodium sulfate was removed by filtration and the solvent removed under reduced pressure. The crude product was recrystallized from methanol/water and dried under reduced pressure to yield compound 560 (4.97 g, approximately 25% overall yield).
-
-
-
-
- Step 4. The carboxylic acid of (7-Carboxy-heptyl)-methylammonium hydrochloride was protected in-situ with chlorotrimethylsilane. The resulting trimethylsilyl ester was reacted with 0-acetylsalicyloyl chloride. The protecting groups were removed with aqueous sodium hydroxide, and after extensive purification, 8-[(2-Hydroxy-benzoyl)-methyl-amino]-octanoic acid, was obtained.
- One equivalent each reactants plus 2 equivalents TMSCl plus 2.5 equivalents TEA and MeCl were placed in a 250 ml round bottomed flask fitted with N2 purge, magnetic stir bar and condenser. TMSCl was added. Heating was begun The reaction mixture was reluxing in an oil bathe temperature of 50 C after about ½ hour. Heating was stopped after about 2 hours and the reaction mixture placed in an ice/H2O bath. TEA was added. ASCC was dissolved in 10 ml MeCl2. This was placed in a 60ml addition funnel atop flask. Dropwise addition was begun. Addition was completed after about ½ hour. The ice bath was removed. Methylene chloride was removed under vacuum. 2N NaOH was added. This was allowed to stir for several hours. Then 2N HCl was added. A yellow oil separated out.
- The mixture was extracted 3×100 ml EtOAc. EtOAc was dried with Na2SO4 and concentrated under vacuum. A yellow oil (A) is obtained. 2N NaOH was added to 250 ml round bottom flask containing the yellow oil, the mixture was allowed to stir over the weekend. The mixture was filtered. A tan solid (B) was collected above filter. Below a clear filtrate collected. The filtrate was acidified with 2N HCl. A yellow oil separated. The mixture was extracted 3× with EtOAc. EtOAc is dried with Na2SO4 and concentrated under vacuum. A yellow oil remained (C). The oil was stirred in 40-50 C water bath. The aqueous layer was extracted with MeCl2, the MeCl2 was concentrated. A light brown oil was recovered. Oil was taken up in 2N NaOH. A cloudy mixture formed, which was acidified with 2NHCl to pH 5.4, 5.0 and 4.5. At each of these pHs, the aqueous mixture was extracted with 3×50 ml portions EtOAc. The 5.4 and 5.0 fractions were combined, dried with Na2SO4 and concentrated under vacuum. A brown oil was obtained.
- A number of fractions were found to contain the desired product. These were dissolved in MeC12 and combined. MeC12 was removed under vacuum. A brown oil remained, which was taken up in MeOH. Several drops concentrated sulfuric acid were added and the solution allowed to reflux several hours. LC indicated reaction to prepare methyl ester had gone to completion. Heating was stopped. Several mgs sodium bicarbonate were added and MeOH removed under vacuum. The residue was taken up in EtO and extracted first with 2×50 ml portions SAT sodium bicarbonate and then 2×50 ml portions brine. Ether was concentrated and a brown oil remained. The oil was placed on a silica gel column and eluted through column with 70:30 hexane:EtOAc. 100 ml fractions taken. Fractions found to contain desired product by TLC were combined and concentrated. A light colored oil remained. Oil was taken up in about 50 ml 12N NaOH. This was stirred until LC indicated a shift due to hydrolysis of Me ester. The reaction mixture was acidified and a light colored oil separated out. The mixture was extracted with 3×50 ml portions EtOAc, EtOAc was dried with Na2SO4 and concentrated under vacuum.
- NMR analysis of the oil (A) indicated the oil contained mostly the desired product. Some EtOAc was present. Upon sitting, the oil slowly solidified. It was placed in refrigeration for about 2 weeks when most had solidified. It was removed from refrigeration and stirred in warm water again. The water was decanted off leaving tan solid (B), which LC indicated contained mostly the desired product with some impurities. An attempt was made to recrystallize from 70:30 Hexane:EtOAc Overnight a tan solid (C) precipitated. This was isolated by filtration and allowed to dry under vacuum overnight. LC of (C) indicated single peak at 4.53. Samples were submitted for analysis, and results were
- 180C was recrystallized from 70:30 hexane:EtOAc. An oil (180D) separated out, and was taken and isolated. The oil was allowed to stand in a refrigerator. The oil (180D) had begun to crystallize it was allowed to continue to stand in refrigerator. The oil 180D was isolated and some liquid still remained. 180D had a strong acetic acid smell. This was washed several times with H2O. A tan solid (180E) is isolated. 180E was dried under vacuum overnight. NMR was consistent with desired product. CHN theoretical C=65,31, H=7.82, N=4.76, actual C=65.13, H=8.02, N=4.71. 180E was combined with an earlier fraction and designated as 180F yield 21.95 g.
- 180F: Yield 2.95 g. Molecular formula C16H23NO4. Molecular weight 293 g/mol. Melting point=85-88 C. Elemental analysis theoretical: C=65.31, H=7.82, N-4.76; found: C=65.44, H=7.93, N=4.66.
-
- Step 1. 4,N-Dimethylbenzenesulphonamide was reacted with ethyl-8-bromooctanoate in DMF under the influence of sodium hydride to obtain 8-[Methyl-(toluene-4-sulfonyl)-amino]-octanoic acid ethyl ester
- Preparation of 8-[Methyl-(toluene-4-sulfonyl)-amino]-octanoic acid ethyl ester: A 500 ml round-bottomed flask equipped with nitrogen purge, magnetic stirbar, and a thermometer was charged with sodium hydride (3.11 g, 0.1297 mol, 1.2 eq) and DMF (30 ml). N-methyl-p-toluenesulphonamide (20.0 g, 0.1081 mol, 1.0 eq) was placed in a 125 ml Erlenmeyer flask and dissolved in DMF (50 ml). The N-methyl-p-toluenesulphonamide solution was added to the sodium hydride mixture dropwise with stirring over the course of approximately 45 min. A water bath was used to maintain the reaction temperature between 23 and 40° C. The resulting reaction mixture was heated to 43° C. for approximately 30 min. In a separate flask, ethyl-8-bromooctanoate (27.14 g, 0.1081 mol, 1.0 eq) was dissolved in DMF (150 ml). The solution of bromoester was added to the reaction mixture dropwise via addition funnel over the course of about 30 min. The reaction was maintained at approximately 58° C. during the addition. The reaction was cooled, and LC indicated completion by one predominant peak corresponding to product. The reaction mixture was poured into ice water (300 ml). The aqueous mixture was extracted with EtOAc (3×200 ml). The combined EtOAc layers were extracted with deionized water (3×200 ml), dried over Na2SO4, concentrated under reduced pressure, then placed under high vacuum overnight to yield 36.14 g of crude product. The crude product was chromatographed over silica gel in three portions. Each column was eluted with 80:20 hexane:EtOAc and 125 ml fractions collected. Appropriate product-containing fractions were combined, concentrated under reduced pressure, and further dried under high vacuum. LC and NMR indicated pure product from each of the three columns for a combined yield of 30.21 g 8-[methyl-(toluene-4-sulfonyl)-amino]-octanoic acid ethyl ester (0.0849 mol, 78.6% yield).
- Step 2. The ester of 8-[Methyl-(toluene-4-sulfonyl)-amino]-octanoic acid ethyl ester was hydrolyzed in aqueous sodium hydroxide to obtain 8-[Methyl-(toluene-4-sulfonyl)-amino]-octanoic acid
- Preparation of 8-[methyl-(toluene-4-sulfonyl)-amino]-octanoic acid: To a 250 ml round bottomed flask fitted with nitrogen purge and magnetic stir bar was added 8-[methyl-(toluene-4-sulfonyl)-amino]-octanoic acid ethyl ester (10.21 g, 0.0288 mol, 1 eq) and 2N aq. NaOH (57.52 ml, 0.1150 mol, 4.0 eq). The resulting reaction mixture was allowed to stir overnight at ambient temperature. HPLC at this stage still indicated 2 peaks. The reaction mixture was heated to reflux for approximately 6 h, when HPLC indicated reaction was complete, the heat was turned off, and the reaction allowed to cool to ambient temperature overnight. The hazy reaction mixture was acidified with 2N aq. HCl. A white oil separated. The reaction mixture was stirred vigorously in an ice bath and a solid white precipitate formed. The solid was isolated by filtration and dried under vacuum overnight. HPLC indicated a single peak, rt 6.44 min, and NMR was consistent with desired product, 8-[methyl-(toluene-4-sulfonyl)-amino]-octanoic acid: 9.29 g, 0.0284 mol, 98.6% yield.
- Step 3. The sulphonamide of 8-[Methyl-(toluene-4-sulfonyl)-amino]-octanoic acid was removed under reductive conditions and the resulting amine reacted with hydrogen chloride to obtain (7-Carboxy-heptyl)-methylammonium hydrochloride.
- Preparation of (7-carboxy-heptyl)-methylammonium hydrochloride: To a 1000 ml round bottomed flask equipped with a dry ice condenser, nitrogen bubbler, ammonia inlet, and mechanical stirrer was added 8-[methyl-(toluene-4-sulfonyl)-amino]-octanoic acid (9.29 g, 0.0284 mol, 1.0 eq) and THF (20 ml). The mixture was cooled in a dry ice/acetone bath with stirring. Ammonia (ca. 300 ml) was condensed into the flask. Sodium (ca. 3.92 g, 0.1705 mol, 6 eq) was added portion-wise until the blue-green color persisted. Ammonium chloride was added until the reaction mixture appeared white. The dry ice/acetone condenser was removed and the ammonia allowed to boil off overnight. A white solid remained in the flask. Water (10 mls) was added and the mixture was acidified to pH 2-3 by addition of 2N HCl. At this point an oil separated out. The THF was removed under reduced pressure and the aqueous mixture was stirred for ca. 1 h at ambient temperature. Dichloromethane (50 ml) was added and the solid (product A) was filtered off. The remaining aqueous filtrate was concentrated under reduced pressure to obtain another white solid (product B). NMR analysis indicated that product A is the starting material, 8-[methyl-(toluene-4-sulfonyl)-amino]-octanoic acid, and product B is the desired product, (7-carboxy-heptyl)-methylammonium hydrochloride. The amount of product obtained was greater than 100% of the theoretical mass. Based on the assumption that the product contains sodium chloride and mass balance of recovered starting material, it was assumed the crude product contained 3.72 g of the desired product and it was carried on without further purification.
- Step 4. The carboxylic acid of (7-Carboxy-heptyl)-methylammonium hydrochloride was protected in-situ with chlorotrimethylsilane. The resulting trimethylsilyl ester was reacted with O-acetylsalicyloyl chloride. The protecting groups were removed with aqueous sodium hydroxide, and after extensive purification, 8-[(2-Hydroxy-benzoyl)-methyl-amino]-octanoic acid, was obtained.
- Preparation of 8-[(2-Hydroxy-benzoyl)-methyl-amino]-octanoic acid: To a 100 ml round bottomed flask fitted with argon purge, magnetic stir bar and condenser was added (7-carboxy-heptyl)-methylammonium hydrochloride (3.25 g, 0.0155 mol, 1.0 eq) and dichloromethane (DCM, 50 ml). Chlorotrimethylsilane (3.37 g, 0.0310 mol, 2.0 eq) was added and the resulting mixture was brought to reflux for approximately 2 h. The flask was removed from the heating mantle and placed in an ice water bath. Once the reaction was cooled to 0° C., triethylamine (3.92 g, 0.0388 mol, 2.5 eq) was added and a white vapor formed over the reaction mixture. The reaction was allowed to stir for approximately 10 min at 0° C. In a separate flask, acetylsalicyloyl chloride (ASCC, 3.08 g, 0.0155 mol, 1.0 eq) was dissolved in DCM (20 ml). The ASCC solution was added dropwise to the reaction mixture, the ice bath was removed, and the reaction mixture was allowed to stir and warm to ambient temperature overnight. The DCM was removed under reduced pressure and aqueous 2N NaOH (20 ml) was added to the residue. The aqueous mixture was allowed to stir at ambient temperature for several hours and was then acidified with aqueous 2N HCl. The aqueous mixture became cloudy and a brown oil separated out. The aqueous mixture was extracted with EtOAc (3×100 ml). The combined EtOAc extracts were combined, dried over Na2SO4, and concentrated under reduced pressure. The resulting brown oil was further dried under high vacuum to yield a brown solid. HPLC at this point indicated the solid consisted of two components (rt 2.8 min, salicylic acid and rt 4.0 min, desired product). This mixture was stirred in warm water (40-50° C.) to dissolve the salicylic acid. The remaining solid was filtered off. HPLC indicated this is predominantly desired product, crude yield 3.99 g (0.0136 mol, 87.7%). This material was treated in warm water (40-50 ° C.) and filtered two more times to produce pure 8-[(2-Hydroxy-benzoyl)-methyl-amino]-octanoic acid. (HPLC rt 4.0 min; NMR consistent with desired product; Elemental analysis Theoretical: C=65.3 1, H=7.82, N=4.76 Found: C=65.32, H=7.72, N=4.73) This application incorporates by reference in its entirety International Publication No. WO 03/072195, which is also attached as an appendix A to this application.
- Throughout this description, the preferred embodiment and examples shown should be considered as exemplary, rather than as limitations on the present invention.
- Unless defined otherwise, all technical and scientific terms used herein have the same meaning as commonly understood by one of ordinary skill in the art to which the invention belongs. Any methods, compositions, reagents, cells, similar or equivalent to those described herein can be used in the practice or testing of the invention. All publications mentioned herein are incorporated herein, including all figures, graphs, equations, illustrations, and drawings, to describe and disclose specific information for which the reference was cited in connection with.
- The present invention is not to be limited in scope by the specific embodiments described herein. Indeed, various modifications of the invention in addition to those described herein will become apparent to those skilled in the art from the foregoing description and the accompanying figures. Such modifications are intended to fall within the scope of the appended claims. It is further to be understood that all values are approximate, and are provided for description. Patents, patent applications, publications, product descriptions, and protocols are cited throughout this application, the disclosures of which are incorporated herein by reference in their entireties for all purposes.
Claims (5)
Priority Applications (2)
| Application Number | Priority Date | Filing Date | Title |
|---|---|---|---|
| US11/018,180 US20060286129A1 (en) | 2003-12-19 | 2004-12-20 | Oral GLP-1 formulations |
| US12/497,373 US8785381B2 (en) | 2003-12-19 | 2009-07-02 | Oral GLP-1 formulations |
Applications Claiming Priority (3)
| Application Number | Priority Date | Filing Date | Title |
|---|---|---|---|
| US53093103P | 2003-12-19 | 2003-12-19 | |
| US55211604P | 2004-03-10 | 2004-03-10 | |
| US11/018,180 US20060286129A1 (en) | 2003-12-19 | 2004-12-20 | Oral GLP-1 formulations |
Related Child Applications (1)
| Application Number | Title | Priority Date | Filing Date |
|---|---|---|---|
| US12/497,373 Continuation US8785381B2 (en) | 2003-12-19 | 2009-07-02 | Oral GLP-1 formulations |
Publications (1)
| Publication Number | Publication Date |
|---|---|
| US20060286129A1 true US20060286129A1 (en) | 2006-12-21 |
Family
ID=37573593
Family Applications (2)
| Application Number | Title | Priority Date | Filing Date |
|---|---|---|---|
| US11/018,180 Abandoned US20060286129A1 (en) | 2003-12-19 | 2004-12-20 | Oral GLP-1 formulations |
| US12/497,373 Expired - Fee Related US8785381B2 (en) | 2003-12-19 | 2009-07-02 | Oral GLP-1 formulations |
Family Applications After (1)
| Application Number | Title | Priority Date | Filing Date |
|---|---|---|---|
| US12/497,373 Expired - Fee Related US8785381B2 (en) | 2003-12-19 | 2009-07-02 | Oral GLP-1 formulations |
Country Status (1)
| Country | Link |
|---|---|
| US (2) | US20060286129A1 (en) |
Cited By (54)
| Publication number | Priority date | Publication date | Assignee | Title |
|---|---|---|---|---|
| US20070087957A1 (en) * | 2005-09-06 | 2007-04-19 | Miriam Kidron | Methods and compositions for oral administration of proteins |
| US20090137456A1 (en) * | 2005-11-07 | 2009-05-28 | Indiana University Research And Technology | Glucagon analogs exhibiting physiological solubility and stability |
| US20090176892A1 (en) * | 2008-01-09 | 2009-07-09 | Pharmain Corporation | Soluble Hydrophobic Core Carrier Compositions for Delivery of Therapeutic Agents, Methods of Making and Using the Same |
| US7589169B2 (en) | 2002-02-27 | 2009-09-15 | Pharmain Corporation | Compositions for treatment with glucagon-like peptide, and methods of making and using the same |
| WO2009136392A2 (en) | 2008-05-05 | 2009-11-12 | Oramed Pharmaceuticals, Ltd. | Methods and compositions for oral administration of exenatide |
| US7635463B2 (en) | 2002-02-27 | 2009-12-22 | Pharmain Corporation | Compositions for delivery of therapeutics and other materials |
| US20100016229A1 (en) * | 2003-12-19 | 2010-01-21 | Sarubbi Donald J | Oral GLP-1 Formulations |
| US20100190699A1 (en) * | 2007-01-05 | 2010-07-29 | Indiana University Research And Technology Corporation | GLUCAGON ANALOGS EXHIBITING ENHANCED SOLUBILITY IN PHYSIOLOGICAL pH BUFFERS |
| US7790140B2 (en) | 2002-02-27 | 2010-09-07 | Pharmain Corporation | Compositions for delivery of therapeutics and other materials, and methods of making and using the same |
| US20110014247A1 (en) * | 2008-03-26 | 2011-01-20 | Oramed Ltd. | Methods and compositions for oral administration of proteins |
| US20110065633A1 (en) * | 2008-01-30 | 2011-03-17 | Indiana University Research And Technology Corporation | Ester-based peptide prodrugs |
| US20110098217A1 (en) * | 2007-10-30 | 2011-04-28 | Indiana University Research And Technology Corporation | Compounds exhibiting glucagon antagonist and glp-1 agonist activity |
| US7960336B2 (en) | 2007-08-03 | 2011-06-14 | Pharmain Corporation | Composition for long-acting peptide analogs |
| US20110166062A1 (en) * | 2008-06-17 | 2011-07-07 | Indiana University Research And Technology Corporation | Gip-based mixed agonists for treatment of metabolic disorders and obesity |
| US20110190200A1 (en) * | 2008-06-17 | 2011-08-04 | Dimarchi Richard D | GLUCAGON ANALOGS EXHIBITING ENHANCED SOLUBILITY AND STABILITY IN PHYSIOLOGICAL pH BUFFERS |
| US20120225810A1 (en) * | 2003-11-20 | 2012-09-06 | Novo Nordisk A/S | Propylene glycol-containing peptide formulations which are optimal for production and for use in injection devices |
| US8454971B2 (en) | 2007-02-15 | 2013-06-04 | Indiana University Research And Technology Corporation | Glucagon/GLP-1 receptor co-agonists |
| US8507428B2 (en) | 2010-12-22 | 2013-08-13 | Indiana University Research And Technology Corporation | Glucagon analogs exhibiting GIP receptor activity |
| US8546327B2 (en) | 2008-06-17 | 2013-10-01 | Indiana University Research And Technology Corporation | Glucagon/GLP-1 receptor co-agonists |
| US8551946B2 (en) | 2010-01-27 | 2013-10-08 | Indiana University Research And Technology Corporation | Glucagon antagonist-GIP agonist conjugates and compositions for the treatment of metabolic disorders and obesity |
| US8563527B2 (en) | 2007-08-20 | 2013-10-22 | Pharmain Corporation | Oligonucleotide core carrier compositions for delivery of nucleic acid-containing therapeutic agents, methods of making and using the same |
| US8703701B2 (en) | 2009-12-18 | 2014-04-22 | Indiana University Research And Technology Corporation | Glucagon/GLP-1 receptor co-agonists |
| WO2014060472A1 (en) * | 2012-10-17 | 2014-04-24 | Novo Nordisk A/S | Fatty acid acylated amino acids for oral peptide delivery |
| US8729017B2 (en) | 2011-06-22 | 2014-05-20 | Indiana University Research And Technology Corporation | Glucagon/GLP-1 receptor co-agonists |
| US8778872B2 (en) | 2010-06-24 | 2014-07-15 | Indiana University Research And Technology Corporation | Amide based glucagon superfamily peptide prodrugs |
| US8815802B2 (en) | 2009-12-16 | 2014-08-26 | Novo Nordisk A/S | GLP-1 analogues and derivatives |
| US8859491B2 (en) | 2011-11-17 | 2014-10-14 | Indiana University Research And Technology Corporation | Glucagon superfamily peptides exhibiting glucocorticoid receptor activity |
| US8969288B2 (en) | 2008-12-19 | 2015-03-03 | Indiana University Research And Technology Corporation | Amide based glucagon and superfamily peptide prodrugs |
| US8981047B2 (en) | 2007-10-30 | 2015-03-17 | Indiana University Research And Technology Corporation | Glucagon antagonists |
| US9127088B2 (en) | 2010-05-13 | 2015-09-08 | Indiana University Research And Technology Corporation | Glucagon superfamily peptides exhibiting nuclear hormone receptor activity |
| US9145451B2 (en) | 2010-05-13 | 2015-09-29 | Indiana University Research And Technology Corporation | Glucagon superfamily peptides exhbiting G protein coupled receptor activity |
| US9150632B2 (en) | 2009-06-16 | 2015-10-06 | Indiana University Research And Technology Corporation | GIP receptor-active glucagon compounds |
| US9156902B2 (en) | 2011-06-22 | 2015-10-13 | Indiana University Research And Technology Corporation | Glucagon/GLP-1 receptor co-agonists |
| US9266940B2 (en) | 2011-04-12 | 2016-02-23 | Novo Nordisk A/S | Double-acylated GLP-1 derivatives |
| US9340600B2 (en) | 2012-06-21 | 2016-05-17 | Indiana University Research And Technology Corporation | Glucagon analogs exhibiting GIP receptor activity |
| US9737615B2 (en) | 2005-12-19 | 2017-08-22 | PharmalN Corporation | Hydrophobic core carrier compositions for delivery of therapeutic agents, methods of making and using the same |
| EP2651398B1 (en) | 2010-12-16 | 2017-12-13 | Novo Nordisk A/S | Solid compositions comprising a glp-1 agonist and a salt of n-(8-(2-hydroxybenzoyl)amino)caprylic acid |
| US10232020B2 (en) | 2014-09-24 | 2019-03-19 | Indiana University Research And Technology Corporation | Incretin-insulin conjugates |
| US10335369B2 (en) | 2012-03-22 | 2019-07-02 | Novo Nordisk A/S | Compositions comprising a delivery agent and preparation thereof |
| US10342764B2 (en) | 2012-02-01 | 2019-07-09 | Oramed Ltd. | Protease inhibitor-containing compositions, compositions comprising same, and methods for producing and using same |
| US10398762B2 (en) | 2012-01-03 | 2019-09-03 | Oramed Ltd. | Methods and compositions for treating diabetes |
| CN110256553A (en) * | 2018-12-12 | 2019-09-20 | 四川利通科创生物医药科技有限公司 | A kind of GLP-1 mutant and its preparation method and application |
| CN110251662A (en) * | 2018-12-12 | 2019-09-20 | 四川利通科创生物医药科技有限公司 | A kind of drug with antiobesity action |
| US10689429B2 (en) | 2014-04-07 | 2020-06-23 | Novo Nordisk A/S | Double-acylated GLP-1 compounds |
| US10696726B2 (en) | 2013-03-14 | 2020-06-30 | Indiana University Research And Technology Corporation | Insulin-incretin conjugates |
| CN112153979A (en) * | 2018-05-07 | 2020-12-29 | 诺和诺德股份有限公司 | Solid compositions comprising a GLP-1 agonist and a salt of N- (8- (2-hydroxybenzoyl) amino) caprylic acid |
| US10933120B2 (en) | 2012-03-22 | 2021-03-02 | Novo Nordisk A/S | Compositions of GLP-1 peptides and preparation thereof |
| US10967051B2 (en) | 2013-01-03 | 2021-04-06 | Oramed Ltd. | Methods and compositions for treating NAFLD, hepatic steatosis, and sequelae thereof |
| US11033499B2 (en) | 2012-06-20 | 2021-06-15 | Novo Nordisk A/S | Tablet formulation comprising a GLP-1 peptide and a delivery agent |
| US11123296B2 (en) | 2012-03-22 | 2021-09-21 | Novo Nordisk A/S | Compositions comprising a delivery agent and preparation thereof |
| US11318191B2 (en) | 2020-02-18 | 2022-05-03 | Novo Nordisk A/S | GLP-1 compositions and uses thereof |
| US11752198B2 (en) | 2017-08-24 | 2023-09-12 | Novo Nordisk A/S | GLP-1 compositions and uses thereof |
| US11833248B2 (en) | 2018-02-02 | 2023-12-05 | Novo Nordisk A/S | Solid compositions comprising a GLP-1 agonist and a salt of N-(8-(2-hydroxybenzoyl)amino)caprylic acid |
| US12239739B2 (en) | 2013-05-02 | 2025-03-04 | Novo Nordisk A/S | Oral dosing of GLP-1 compounds |
Families Citing this family (4)
| Publication number | Priority date | Publication date | Assignee | Title |
|---|---|---|---|---|
| JP4417113B2 (en) * | 2002-02-20 | 2010-02-17 | エミスフェアー・テクノロジーズ・インク | Administration method of GLP-1 molecule |
| KR102052983B1 (en) | 2012-01-26 | 2019-12-06 | 크리스토퍼 제이. 소레스 | Peptide antagonists of the calcitonin cgrp family of peptide hormones and their use |
| US10266577B2 (en) | 2013-08-15 | 2019-04-23 | Novo Nordisk A/S | GLP-1 derivatives, and uses thereof |
| EP4316595A3 (en) | 2016-09-02 | 2024-04-17 | Christopher J. Soares | Use of cgrp receptor antagonists in treating glaucoma |
Citations (1)
| Publication number | Priority date | Publication date | Assignee | Title |
|---|---|---|---|---|
| US6284725B1 (en) * | 1998-10-08 | 2001-09-04 | Bionebraska, Inc. | Metabolic intervention with GLP-1 to improve the function of ischemic and reperfused tissue |
Family Cites Families (84)
| Publication number | Priority date | Publication date | Assignee | Title |
|---|---|---|---|---|
| US5120712A (en) | 1986-05-05 | 1992-06-09 | The General Hospital Corporation | Insulinotropic hormone |
| US5118666A (en) | 1986-05-05 | 1992-06-02 | The General Hospital Corporation | Insulinotropic hormone |
| US5614492A (en) | 1986-05-05 | 1997-03-25 | The General Hospital Corporation | Insulinotropic hormone GLP-1 (7-36) and uses thereof |
| DE3729209A1 (en) | 1987-09-01 | 1989-03-09 | Boehringer Mannheim Gmbh | USE OF BEZAFIBRATE FOR TREATING DIABETES |
| JP2911496B2 (en) | 1989-09-11 | 1999-06-23 | 帝國製薬株式会社 | Highly absorbable vaginal agent containing bioactive polypeptide |
| US5545618A (en) | 1990-01-24 | 1996-08-13 | Buckley; Douglas I. | GLP-1 analogs useful for diabetes treatment |
| US5122539A (en) | 1990-02-12 | 1992-06-16 | Center For Innovative Technology | Allosteric hemoglobin modifiers useful for decreasing oxygen affinity and preserving oxygen carrying capability of stored blood |
| US5780599A (en) | 1990-07-13 | 1998-07-14 | Novo Nordisk A/S | Growth hormone crystals and a process for production of growth hormone crystals |
| US6221367B1 (en) | 1992-06-15 | 2001-04-24 | Emisphere Technologies, Inc. | Active agent transport systems |
| US6099856A (en) | 1992-06-15 | 2000-08-08 | Emisphere Technologies, Inc. | Active agent transport systems |
| US5629020A (en) | 1994-04-22 | 1997-05-13 | Emisphere Technologies, Inc. | Modified amino acids for drug delivery |
| US5714167A (en) | 1992-06-15 | 1998-02-03 | Emisphere Technologies, Inc. | Active agent transport systems |
| US5693338A (en) | 1994-09-29 | 1997-12-02 | Emisphere Technologies, Inc. | Diketopiperazine-based delivery systems |
| US5541155A (en) | 1994-04-22 | 1996-07-30 | Emisphere Technologies, Inc. | Acids and acid salts and their use in delivery systems |
| US5451410A (en) | 1993-04-22 | 1995-09-19 | Emisphere Technologies, Inc. | Modified amino acids for encapsulating active agents |
| US5447728A (en) | 1992-06-15 | 1995-09-05 | Emisphere Technologies, Inc. | Desferrioxamine oral delivery system |
| US5578323A (en) | 1992-06-15 | 1996-11-26 | Emisphere Technologies, Inc. | Proteinoid carriers and methods for preparation and use thereof |
| US5443841A (en) | 1992-06-15 | 1995-08-22 | Emisphere Technologies, Inc. | Proteinoid microspheres and methods for preparation and use thereof |
| DK36392D0 (en) | 1992-03-19 | 1992-03-19 | Novo Nordisk As | USE OF CHEMICAL COMPOUND |
| CZ315594A3 (en) | 1992-06-15 | 1995-07-12 | Pfizer | Peptide of glucagon type, insulinotropic derivatives, process of their preparation, pharmaceutical composition containing such compounds and use |
| US5792451A (en) | 1994-03-02 | 1998-08-11 | Emisphere Technologies, Inc. | Oral drug delivery compositions and methods |
| US5811127A (en) | 1992-06-15 | 1998-09-22 | Emisphere Technologies, Inc. | Desferrioxamine oral delivery system |
| SE9302278D0 (en) | 1992-10-28 | 1993-07-02 | Kabi Pharmacia Ab | GROWTH HORMONE |
| HU225496B1 (en) | 1993-04-07 | 2007-01-29 | Scios Inc | Pharmaceutical compositions of prolonged delivery, containing peptides |
| US6284727B1 (en) | 1993-04-07 | 2001-09-04 | Scios, Inc. | Prolonged delivery of peptides |
| US5958457A (en) | 1993-04-22 | 1999-09-28 | Emisphere Technologies, Inc. | Compositions for the delivery of antigens |
| US5766633A (en) | 1993-04-22 | 1998-06-16 | Emisphere Technologies, Inc. | Oral drug delivery compositions and methods |
| US5643957A (en) | 1993-04-22 | 1997-07-01 | Emisphere Technologies, Inc. | Compounds and compositions for delivering active agents |
| US6461643B2 (en) | 1993-04-22 | 2002-10-08 | Emisphere Technologies, Inc. | Oral drug delivery compositions and methods |
| US5424286A (en) | 1993-05-24 | 1995-06-13 | Eng; John | Exendin-3 and exendin-4 polypeptides, and pharmaceutical compositions comprising same |
| WO1995005848A1 (en) | 1993-08-24 | 1995-03-02 | Novo Nordisk A/S | Protracted glp-1 |
| US5837702A (en) | 1993-10-07 | 1998-11-17 | Bristol-Myers Squibb Co. | 4-arylamino-benzopyran and related compounds |
| EP0658568A1 (en) | 1993-12-09 | 1995-06-21 | Eli Lilly And Company | Glucagon-like insulinotropic peptides, compositions and methods |
| US5705483A (en) | 1993-12-09 | 1998-01-06 | Eli Lilly And Company | Glucagon-like insulinotropic peptides, compositions and methods |
| US5512549A (en) | 1994-10-18 | 1996-04-30 | Eli Lilly And Company | Glucagon-like insulinotropic peptide analogs, compositions, and methods of use |
| DE69529998D1 (en) | 1994-12-23 | 2003-04-24 | Novo Nordisk As | GLP-1 COMPOSITIONS WITH EXTENDED EFFECT |
| US5989539A (en) | 1995-03-31 | 1999-11-23 | Emisphere Technologies, Inc. | Compounds and compositions for delivering active agents |
| US5650386A (en) | 1995-03-31 | 1997-07-22 | Emisphere Technologies, Inc. | Compositions for oral delivery of active agents |
| CN1151836C (en) | 1995-03-31 | 2004-06-02 | 艾米斯菲尔技术有限公司 | Compound and compositions for delivering active agents |
| US6001347A (en) | 1995-03-31 | 1999-12-14 | Emisphere Technologies, Inc. | Compounds and compositions for delivering active agents |
| US5866536A (en) | 1995-03-31 | 1999-02-02 | Emisphere Technologies, Inc. | Compounds and compositions for delivering active agents |
| US5965121A (en) | 1995-03-31 | 1999-10-12 | Emisphere Technologies, Inc. | Compounds and compositions for delivering active agents |
| US5820881A (en) | 1995-04-28 | 1998-10-13 | Emisphere Technologies, Inc. | Microspheres of diamide-dicarboxylic acids |
| US5766620A (en) | 1995-10-23 | 1998-06-16 | Theratech, Inc. | Buccal delivery of glucagon-like insulinotropic peptides |
| US5849322A (en) | 1995-10-23 | 1998-12-15 | Theratech, Inc. | Compositions and methods for buccal delivery of pharmaceutical agents |
| IL126318A (en) | 1996-03-29 | 2004-09-27 | Emisphere Tech Inc | Compounds and compositions for delivering active agents and some novel carrier compounds |
| ATE417622T1 (en) | 1996-08-08 | 2009-01-15 | Amylin Pharmaceuticals Inc | REGULATION OF GASTROINTESTINAL MOBILITY |
| US6006753A (en) | 1996-08-30 | 1999-12-28 | Eli Lilly And Company | Use of GLP-1 or analogs to abolish catabolic changes after surgery |
| KR100556067B1 (en) | 1996-08-30 | 2006-03-07 | 노보 노르디스크 에이/에스 | Glp-1 derivatives |
| US6268343B1 (en) | 1996-08-30 | 2001-07-31 | Novo Nordisk A/S | Derivatives of GLP-1 analogs |
| US6277819B1 (en) | 1996-08-30 | 2001-08-21 | Eli Lilly And Company | Use of GLP-1 or analogs in treatment of myocardial infarction |
| UA65549C2 (en) | 1996-11-05 | 2004-04-15 | Елі Ліллі Енд Компані | Use of glucagon-like peptides such as glp-1, glp-1 analog, or glp-1 derivative in methods and compositions for reducing body weight |
| DE69732572T2 (en) | 1996-11-12 | 2005-12-29 | Novo Nordisk A/S | USE OF GLP-1 PEPTIDES |
| US5990166A (en) | 1997-02-07 | 1999-11-23 | Emisphere Technologies, Inc. | Compounds and compositions for delivering active agents |
| US6313088B1 (en) | 1997-02-07 | 2001-11-06 | Emisphere Technologies, Inc. | 8-[(2-hydroxy-4-methoxy benzoyl) amino]-octanoic acid compositions for delivering active agents |
| US5773647A (en) * | 1997-02-07 | 1998-06-30 | Emisphere Technologies, Inc. | Compounds and compositions for delivering active agents |
| CA2283834A1 (en) | 1997-03-31 | 1998-10-08 | James Arthur Hoffmann | Glucagon-like peptide-1 analogs |
| PT1019077E (en) | 1997-08-08 | 2008-02-21 | Amylin Pharmaceuticals Inc | Novel exendin agonist compounds |
| DE69838916T2 (en) | 1997-11-14 | 2008-12-18 | Amylin Pharmaceuticals, Inc., San Diego | NOVEL EXENDIN AGONISTS |
| EP1032587B2 (en) | 1997-11-14 | 2013-03-13 | Amylin Pharmaceuticals, Inc. | Novel exendin agonist compounds |
| US6380357B2 (en) * | 1997-12-16 | 2002-04-30 | Eli Lilly And Company | Glucagon-like peptide-1 crystals |
| CA2320371C (en) | 1998-02-13 | 2012-01-17 | Amylin Pharmaceuticals, Inc. | Inotropic and diuretic effects of exendin and glp-1 |
| EP1056775B1 (en) | 1998-02-27 | 2010-04-28 | Novo Nordisk A/S | Glp-1 derivatives of glp-1 and exendin with protracted profile of action |
| US6009856A (en) | 1998-05-27 | 2000-01-04 | Caterpillar Inc. | Fuel injector isolation |
| SE9802080D0 (en) | 1998-06-11 | 1998-06-11 | Hellstroem | Pharmaceutical composition for the treatment of functional dyspepsia and / or irritable bowel syndrome and new use of substances therein |
| ES2242412T3 (en) * | 1998-07-27 | 2005-11-01 | Emisphere Technologies, Inc. | COMPOUNDS THAT ALLOW THE MANAGEMENT OF ACTIVE AGENTS AND COMPOSITIONS BASED ON THESE COMPOUNDS. |
| DE69911975T2 (en) | 1998-07-31 | 2004-09-09 | Novo Nordisk A/S | IN-VITRO STIMULATION OF BETA CELL REPRODUCTION |
| MY155270A (en) | 1998-09-24 | 2015-09-30 | Lilly Co Eli | Use of glp-1 or analogs in treatment of stroke |
| US6627228B1 (en) | 1999-01-08 | 2003-09-30 | Emisphere Technologies, Inc. | Polymeric delivery agents and delivery agents compounds |
| DE60024414T2 (en) | 1999-02-11 | 2006-06-14 | Emisphere Tech Inc | OXADIAZOL COMPOUNDS AND COMPOSITIONS FOR THE DISPOSAL OF ACTIVE SUBSTANCES |
| AU3378100A (en) | 1999-02-26 | 2000-09-14 | Emisphere Technologies, Inc. | Compounds and compositions for delivering active agents |
| AU4216700A (en) | 1999-04-05 | 2000-10-23 | Emisphere Technologies, Inc. | Disodium salts, monohydrates, and ethanol solvates |
| SI1180121T1 (en) | 1999-05-17 | 2004-04-30 | Conjuchem, Inc. | Long lasting insulinotropic peptides |
| US6514500B1 (en) | 1999-10-15 | 2003-02-04 | Conjuchem, Inc. | Long lasting synthetic glucagon like peptide {GLP-!} |
| CN1384814B (en) | 1999-11-05 | 2015-11-25 | 艾米斯菲尔技术有限公司 | For phenoxy carboxylic acid compounds and the composition of delivering active agents |
| DE60038183T2 (en) | 1999-12-16 | 2009-02-19 | Emisphere Technologies, Inc. | COMPOUNDS AND COMPOSITIONS FOR THE DELIVERY OF ACTIVE AGENTS |
| AU2001236457A1 (en) | 2000-01-13 | 2001-07-24 | Emisphere Technologies, Inc. | Compounds and compositions for delivering active agents |
| DK1299348T3 (en) | 2000-06-29 | 2008-07-28 | Emisphere Tech Inc | Compounds and compositions for delivery of active agents |
| US6432591B1 (en) * | 2000-08-30 | 2002-08-13 | Micron Technology, Inc. | Overlay target design method with pitch determination to minimize impact of lens aberrations |
| KR20030083725A (en) | 2001-03-01 | 2003-10-30 | 에미스페어 테크놀로지스, 인코포레이티드 | Compositions for delivering bisphosphonates |
| US20030225300A1 (en) * | 2001-04-19 | 2003-12-04 | Emisphere Technologies Inc. | Compounds and compositions for delivering active agents |
| JP4417113B2 (en) | 2002-02-20 | 2010-02-17 | エミスフェアー・テクノロジーズ・インク | Administration method of GLP-1 molecule |
| US7384914B2 (en) | 2003-01-06 | 2008-06-10 | Emisphere Technologies, Inc. | Night-time oral insulin therapy |
| US20060286129A1 (en) | 2003-12-19 | 2006-12-21 | Emisphere Technologies, Inc. | Oral GLP-1 formulations |
-
2004
- 2004-12-20 US US11/018,180 patent/US20060286129A1/en not_active Abandoned
-
2009
- 2009-07-02 US US12/497,373 patent/US8785381B2/en not_active Expired - Fee Related
Patent Citations (1)
| Publication number | Priority date | Publication date | Assignee | Title |
|---|---|---|---|---|
| US6284725B1 (en) * | 1998-10-08 | 2001-09-04 | Bionebraska, Inc. | Metabolic intervention with GLP-1 to improve the function of ischemic and reperfused tissue |
Cited By (103)
| Publication number | Priority date | Publication date | Assignee | Title |
|---|---|---|---|---|
| US7790140B2 (en) | 2002-02-27 | 2010-09-07 | Pharmain Corporation | Compositions for delivery of therapeutics and other materials, and methods of making and using the same |
| US8277776B2 (en) | 2002-02-27 | 2012-10-02 | Pharmain Corporation | Compositions for delivery of therapeutics and other materials |
| US7589169B2 (en) | 2002-02-27 | 2009-09-15 | Pharmain Corporation | Compositions for treatment with glucagon-like peptide, and methods of making and using the same |
| US8257682B2 (en) | 2002-02-27 | 2012-09-04 | Pharmain Corporation | Compositions for delivery of therapeutics and other materials |
| US7635463B2 (en) | 2002-02-27 | 2009-12-22 | Pharmain Corporation | Compositions for delivery of therapeutics and other materials |
| US8231859B2 (en) | 2002-02-27 | 2012-07-31 | Pharmain Corporation | Compositions for delivery of therapeutics and other materials |
| US20120225810A1 (en) * | 2003-11-20 | 2012-09-06 | Novo Nordisk A/S | Propylene glycol-containing peptide formulations which are optimal for production and for use in injection devices |
| US20100016229A1 (en) * | 2003-12-19 | 2010-01-21 | Sarubbi Donald J | Oral GLP-1 Formulations |
| US8785381B2 (en) | 2003-12-19 | 2014-07-22 | Emisphere Technologies, Inc. | Oral GLP-1 formulations |
| US9259456B2 (en) | 2005-09-06 | 2016-02-16 | Oramed Pharmaceuticals Inc. | Methods and compositions for oral administration of proteins |
| US20070087957A1 (en) * | 2005-09-06 | 2007-04-19 | Miriam Kidron | Methods and compositions for oral administration of proteins |
| US20090137456A1 (en) * | 2005-11-07 | 2009-05-28 | Indiana University Research And Technology | Glucagon analogs exhibiting physiological solubility and stability |
| US9018164B2 (en) | 2005-11-07 | 2015-04-28 | Indiana University Research And Technology Corporation | Glucagon analogs exhibiting physiological solubility and stability |
| US8338368B2 (en) * | 2005-11-07 | 2012-12-25 | Indiana University Research And Technology Corporation | Glucagon analogs exhibiting physiological solubility and stability |
| US10507248B2 (en) | 2005-12-19 | 2019-12-17 | Pharmain Corporation | Hydrophobic core carrier compositions for delivery of therapeutic agents, methods of making and using the same |
| US9737615B2 (en) | 2005-12-19 | 2017-08-22 | PharmalN Corporation | Hydrophobic core carrier compositions for delivery of therapeutic agents, methods of making and using the same |
| US8669228B2 (en) | 2007-01-05 | 2014-03-11 | Indiana University Research And Technology Corporation | Glucagon analogs exhibiting enhanced solubility in physiological pH buffers |
| US20100190699A1 (en) * | 2007-01-05 | 2010-07-29 | Indiana University Research And Technology Corporation | GLUCAGON ANALOGS EXHIBITING ENHANCED SOLUBILITY IN PHYSIOLOGICAL pH BUFFERS |
| US9447162B2 (en) | 2007-02-15 | 2016-09-20 | Indiana University Research And Technology Corporation | Glucagon/GLP-1 receptor co-agonists |
| US8900593B2 (en) | 2007-02-15 | 2014-12-02 | Indiana University Research And Technology Corporation | Glucagon/GLP-1 receptor co-agonists |
| US8454971B2 (en) | 2007-02-15 | 2013-06-04 | Indiana University Research And Technology Corporation | Glucagon/GLP-1 receptor co-agonists |
| US9657078B2 (en) | 2007-08-03 | 2017-05-23 | Pharmain Corporation | Composition for long-acting peptide analogs |
| US7960336B2 (en) | 2007-08-03 | 2011-06-14 | Pharmain Corporation | Composition for long-acting peptide analogs |
| US9090664B2 (en) | 2007-08-03 | 2015-07-28 | Pharmain Corporation | Composition for long-acting peptide analogs |
| US8518876B2 (en) | 2007-08-03 | 2013-08-27 | PharmalN Corporation | Composition for long-acting peptide analogs |
| US8563527B2 (en) | 2007-08-20 | 2013-10-22 | Pharmain Corporation | Oligonucleotide core carrier compositions for delivery of nucleic acid-containing therapeutic agents, methods of making and using the same |
| US8981047B2 (en) | 2007-10-30 | 2015-03-17 | Indiana University Research And Technology Corporation | Glucagon antagonists |
| US20110098217A1 (en) * | 2007-10-30 | 2011-04-28 | Indiana University Research And Technology Corporation | Compounds exhibiting glucagon antagonist and glp-1 agonist activity |
| US8980830B2 (en) | 2007-10-30 | 2015-03-17 | Indiana University Research And Technology Corporation | Peptide compounds exhibiting glucagon antagonist and GLP-1 agonist activity |
| US9562111B2 (en) | 2008-01-09 | 2017-02-07 | Pharmain Corporation | Soluble hydrophobic core carrier compositions for delivery of therapeutic agents, methods of making and using the same |
| US20090176892A1 (en) * | 2008-01-09 | 2009-07-09 | Pharmain Corporation | Soluble Hydrophobic Core Carrier Compositions for Delivery of Therapeutic Agents, Methods of Making and Using the Same |
| US8999930B2 (en) | 2008-01-09 | 2015-04-07 | Pharmain Corporation | Soluble hydrophobic core carrier compositions for delivery of therapeutic agents, methods of making and using the same |
| US20110065633A1 (en) * | 2008-01-30 | 2011-03-17 | Indiana University Research And Technology Corporation | Ester-based peptide prodrugs |
| US11660327B2 (en) | 2008-03-26 | 2023-05-30 | Oramed Ltd. | Methods and compositions for oral administration of proteins |
| US10881714B2 (en) | 2008-03-26 | 2021-01-05 | Oramed Ltd. | Methods and compositions for oral administration of proteins |
| US20110014247A1 (en) * | 2008-03-26 | 2011-01-20 | Oramed Ltd. | Methods and compositions for oral administration of proteins |
| US10058593B2 (en) | 2008-03-26 | 2018-08-28 | Oramed Ltd. | Methods and compositions for oral administration of proteins |
| EP2300031A4 (en) * | 2008-05-05 | 2012-10-24 | Oramed Ltd | METHOD AND COMPOSITIONS FOR ORAL ADMINISTRATION OF EXENATIDE |
| US10350162B2 (en) | 2008-05-05 | 2019-07-16 | Oramed Ltd. | Methods and compositions for oral administration of exenatide |
| WO2009136392A2 (en) | 2008-05-05 | 2009-11-12 | Oramed Pharmaceuticals, Ltd. | Methods and compositions for oral administration of exenatide |
| EP3275460A1 (en) * | 2008-05-05 | 2018-01-31 | Oramed Ltd. | Methods and compositions for oral administration of exenatide |
| US9062124B2 (en) | 2008-06-17 | 2015-06-23 | Indiana University Research And Technology Corporation | GIP-based mixed agonists for treatment of metabolic disorders and obesity |
| US20110166062A1 (en) * | 2008-06-17 | 2011-07-07 | Indiana University Research And Technology Corporation | Gip-based mixed agonists for treatment of metabolic disorders and obesity |
| US8546327B2 (en) | 2008-06-17 | 2013-10-01 | Indiana University Research And Technology Corporation | Glucagon/GLP-1 receptor co-agonists |
| US8450270B2 (en) | 2008-06-17 | 2013-05-28 | Indiana University Research And Technology Corporation | Glucagon analogs exhibiting enhanced solubility and stability in physiological pH buffers |
| US20110190200A1 (en) * | 2008-06-17 | 2011-08-04 | Dimarchi Richard D | GLUCAGON ANALOGS EXHIBITING ENHANCED SOLUBILITY AND STABILITY IN PHYSIOLOGICAL pH BUFFERS |
| US8969288B2 (en) | 2008-12-19 | 2015-03-03 | Indiana University Research And Technology Corporation | Amide based glucagon and superfamily peptide prodrugs |
| US9150632B2 (en) | 2009-06-16 | 2015-10-06 | Indiana University Research And Technology Corporation | GIP receptor-active glucagon compounds |
| US9790263B2 (en) | 2009-06-16 | 2017-10-17 | Indiana University Research And Technology Corporation | GIP receptor-active glucagon compounds |
| US8815802B2 (en) | 2009-12-16 | 2014-08-26 | Novo Nordisk A/S | GLP-1 analogues and derivatives |
| US8703701B2 (en) | 2009-12-18 | 2014-04-22 | Indiana University Research And Technology Corporation | Glucagon/GLP-1 receptor co-agonists |
| US8551946B2 (en) | 2010-01-27 | 2013-10-08 | Indiana University Research And Technology Corporation | Glucagon antagonist-GIP agonist conjugates and compositions for the treatment of metabolic disorders and obesity |
| US9487571B2 (en) | 2010-01-27 | 2016-11-08 | Indiana University Research And Technology Corporation | Glucagon antagonist-GIP agonist conjugates and compositions for the treatment of metabolic disorders and obesity |
| US9145451B2 (en) | 2010-05-13 | 2015-09-29 | Indiana University Research And Technology Corporation | Glucagon superfamily peptides exhbiting G protein coupled receptor activity |
| US9783592B2 (en) | 2010-05-13 | 2017-10-10 | Indiana University Research And Technology Corporation | Glucagon superfamily peptides exhibiting nuclear hormone receptor activity |
| US9127088B2 (en) | 2010-05-13 | 2015-09-08 | Indiana University Research And Technology Corporation | Glucagon superfamily peptides exhibiting nuclear hormone receptor activity |
| US8778872B2 (en) | 2010-06-24 | 2014-07-15 | Indiana University Research And Technology Corporation | Amide based glucagon superfamily peptide prodrugs |
| EP3326620B1 (en) | 2010-12-16 | 2020-03-04 | Novo Nordisk A/S | Solid compositions comprising a glp-1 agonist and a salt of n-(8-(2- hydroxybenzoyl)amino)caprylic acid |
| US11382957B2 (en) | 2010-12-16 | 2022-07-12 | Novo Nordisk A/S | Solid compositions comprising a GLP-1 agonist and a salt of N-(8-(2-hydroxybenzoyl)amino)caprylic acid |
| US10960052B2 (en) | 2010-12-16 | 2021-03-30 | Novo Nordisk A/S | Solid compositions comprising a GLP-1 agonist and a salt of N-(8-(2-hydroxybenzoyl) amino) caprylic acid |
| EP2651398B1 (en) | 2010-12-16 | 2017-12-13 | Novo Nordisk A/S | Solid compositions comprising a glp-1 agonist and a salt of n-(8-(2-hydroxybenzoyl)amino)caprylic acid |
| US8507428B2 (en) | 2010-12-22 | 2013-08-13 | Indiana University Research And Technology Corporation | Glucagon analogs exhibiting GIP receptor activity |
| US9249206B2 (en) | 2010-12-22 | 2016-02-02 | Indiana University Research And Technology Corporation | Glucagon analogs exhibiting GIP receptor activity |
| US11034746B2 (en) | 2011-04-12 | 2021-06-15 | Novo Nordisk A/S | Double-acylated GLP-1 derivatives |
| US9266940B2 (en) | 2011-04-12 | 2016-02-23 | Novo Nordisk A/S | Double-acylated GLP-1 derivatives |
| US10005827B2 (en) | 2011-04-12 | 2018-06-26 | Novo Nordisk A/S | Double-acylated GLP-1 derivatives |
| US11117947B2 (en) | 2011-04-12 | 2021-09-14 | Novo Nordisk A/S | Double-acylated GLP-1 derivatives |
| US9527900B2 (en) | 2011-04-12 | 2016-12-27 | Novo Nordisk A/S | Double-acylated GLP-1 derivatives |
| US10174093B2 (en) | 2011-06-22 | 2019-01-08 | Indiana University Research And Technology Corporation | Glucagon/GLP-1 receptor co-agonists |
| US9156902B2 (en) | 2011-06-22 | 2015-10-13 | Indiana University Research And Technology Corporation | Glucagon/GLP-1 receptor co-agonists |
| US10730923B2 (en) | 2011-06-22 | 2020-08-04 | Indiana University Research And Technology Corporation | Glucagon/GLP-1 receptor co-agonists |
| US9309301B2 (en) | 2011-06-22 | 2016-04-12 | Indiana University Research And Technology Corporation | Glucagon/GLP-1 receptor co-agonists |
| US8729017B2 (en) | 2011-06-22 | 2014-05-20 | Indiana University Research And Technology Corporation | Glucagon/GLP-1 receptor co-agonists |
| US9758562B2 (en) | 2011-06-22 | 2017-09-12 | Indiana University and Technology Corporation | Glucagon/GLP-1 receptor co-agonists |
| US8859491B2 (en) | 2011-11-17 | 2014-10-14 | Indiana University Research And Technology Corporation | Glucagon superfamily peptides exhibiting glucocorticoid receptor activity |
| US11395848B2 (en) | 2012-01-03 | 2022-07-26 | Oramed Ltd. | Methods and compositions for treating diabetes |
| US10398762B2 (en) | 2012-01-03 | 2019-09-03 | Oramed Ltd. | Methods and compositions for treating diabetes |
| US10342764B2 (en) | 2012-02-01 | 2019-07-09 | Oramed Ltd. | Protease inhibitor-containing compositions, compositions comprising same, and methods for producing and using same |
| US10933022B2 (en) | 2012-02-01 | 2021-03-02 | Oramed Ltd. | Protease inhibitor-containing compositions, compositions comprising same, and methods for producing and using same |
| US11759502B2 (en) | 2012-03-22 | 2023-09-19 | Novo Nordisk A/S | Compositions of GLP-1 peptides and preparation thereof |
| US10335369B2 (en) | 2012-03-22 | 2019-07-02 | Novo Nordisk A/S | Compositions comprising a delivery agent and preparation thereof |
| US11759503B2 (en) | 2012-03-22 | 2023-09-19 | Novo Nordisk A/S | Compositions of GLP-1 peptides and preparation thereof |
| US10933120B2 (en) | 2012-03-22 | 2021-03-02 | Novo Nordisk A/S | Compositions of GLP-1 peptides and preparation thereof |
| US11759501B2 (en) | 2012-03-22 | 2023-09-19 | Novo Nordisk A/S | Compositions of GLP-1 peptides and preparation thereof |
| US11123296B2 (en) | 2012-03-22 | 2021-09-21 | Novo Nordisk A/S | Compositions comprising a delivery agent and preparation thereof |
| US11033499B2 (en) | 2012-06-20 | 2021-06-15 | Novo Nordisk A/S | Tablet formulation comprising a GLP-1 peptide and a delivery agent |
| US9340600B2 (en) | 2012-06-21 | 2016-05-17 | Indiana University Research And Technology Corporation | Glucagon analogs exhibiting GIP receptor activity |
| WO2014060472A1 (en) * | 2012-10-17 | 2014-04-24 | Novo Nordisk A/S | Fatty acid acylated amino acids for oral peptide delivery |
| US10967051B2 (en) | 2013-01-03 | 2021-04-06 | Oramed Ltd. | Methods and compositions for treating NAFLD, hepatic steatosis, and sequelae thereof |
| US10696726B2 (en) | 2013-03-14 | 2020-06-30 | Indiana University Research And Technology Corporation | Insulin-incretin conjugates |
| US12514822B2 (en) | 2013-05-02 | 2026-01-06 | Novo Nordisk A/S | Oral dosing of GLP-1 compounds |
| US12239739B2 (en) | 2013-05-02 | 2025-03-04 | Novo Nordisk A/S | Oral dosing of GLP-1 compounds |
| US10689429B2 (en) | 2014-04-07 | 2020-06-23 | Novo Nordisk A/S | Double-acylated GLP-1 compounds |
| US10232020B2 (en) | 2014-09-24 | 2019-03-19 | Indiana University Research And Technology Corporation | Incretin-insulin conjugates |
| US12214017B2 (en) | 2017-08-24 | 2025-02-04 | Novo Nordisk A/S | GLP-1 compositions and uses thereof |
| US11752198B2 (en) | 2017-08-24 | 2023-09-12 | Novo Nordisk A/S | GLP-1 compositions and uses thereof |
| US11833248B2 (en) | 2018-02-02 | 2023-12-05 | Novo Nordisk A/S | Solid compositions comprising a GLP-1 agonist and a salt of N-(8-(2-hydroxybenzoyl)amino)caprylic acid |
| US12396953B2 (en) | 2018-02-02 | 2025-08-26 | Novo Nordisk A/S | Solid compositions comprising a GLP-1 agonist and a salt of N-(8-(2-hydroxybenzoyl)amino)caprylic acid |
| CN112153979A (en) * | 2018-05-07 | 2020-12-29 | 诺和诺德股份有限公司 | Solid compositions comprising a GLP-1 agonist and a salt of N- (8- (2-hydroxybenzoyl) amino) caprylic acid |
| US11622996B2 (en) | 2018-05-07 | 2023-04-11 | Novo Nordisk A/S | Solid compositions comprising a GLP-1 agonist and a salt of N-(8-(2-hydroxybenzoyl)amino)caprylic acid |
| CN110251662A (en) * | 2018-12-12 | 2019-09-20 | 四川利通科创生物医药科技有限公司 | A kind of drug with antiobesity action |
| CN110256553A (en) * | 2018-12-12 | 2019-09-20 | 四川利通科创生物医药科技有限公司 | A kind of GLP-1 mutant and its preparation method and application |
| US11318191B2 (en) | 2020-02-18 | 2022-05-03 | Novo Nordisk A/S | GLP-1 compositions and uses thereof |
Also Published As
| Publication number | Publication date |
|---|---|
| US20100016229A1 (en) | 2010-01-21 |
| US8785381B2 (en) | 2014-07-22 |
Similar Documents
| Publication | Publication Date | Title |
|---|---|---|
| US8785381B2 (en) | Oral GLP-1 formulations | |
| EP1478233B1 (en) | Method for administering glp-1 molecules | |
| US9486506B2 (en) | Glucagon analogues | |
| US20050009748A1 (en) | Compositions for delivering peptide YY and PYY agonists | |
| IL262802B2 (en) | Glucagon-receptor selective polypeptides and methods of use thereof | |
| JP2005508895A (en) | Premix of GLP-1 and basal insulin | |
| IL282079B2 (en) | Human amylin analog polypeptides and methods of use | |
| US20240270809A1 (en) | Oral glp receptor agonists | |
| HK1166449A (en) | Method for administering glp-1 molecules | |
| HK1166449B (en) | Method for administering glp-1 molecules |
Legal Events
| Date | Code | Title | Description |
|---|---|---|---|
| AS | Assignment |
Owner name: EMISPHERE TECHNOLOGIES, INC., NEW YORK Free format text: ASSIGNMENT OF ASSIGNORS INTEREST;ASSIGNOR:SARUBBI, DONALD J.;REEL/FRAME:016711/0586 Effective date: 20050606 |
|
| AS | Assignment |
Owner name: MHR INSTITUTIONAL PARTNERS IIA LP, NEW YORK Free format text: SECURITY AGREEMENT;ASSIGNOR:EMISPHERE TECHNOLOGIES, INC.;REEL/FRAME:016617/0145 Effective date: 20050926 Owner name: MHR INSTITUTIONAL PARTNERS IIA LP,NEW YORK Free format text: SECURITY AGREEMENT;ASSIGNOR:EMISPHERE TECHNOLOGIES, INC.;REEL/FRAME:016617/0145 Effective date: 20050926 |
|
| STCB | Information on status: application discontinuation |
Free format text: ABANDONED -- FAILURE TO RESPOND TO AN OFFICE ACTION |
|
| AS | Assignment |
Owner name: NOVO NORDISK NORTH AMERICA OPERATIONS A/S, DENMARK Free format text: ASSIGNMENT OF ASSIGNORS INTEREST;ASSIGNOR:EMISPHERE TECHNOLOGIES, INC.;REEL/FRAME:056750/0169 Effective date: 20201208 Owner name: NOVO NORDISK NORTH AMERICA OPERATIONS A/S, DENMARK Free format text: ASSIGNMENT OF ASSIGNOR'S INTEREST;ASSIGNOR:EMISPHERE TECHNOLOGIES, INC.;REEL/FRAME:056750/0169 Effective date: 20201208 |




































