WO2009124755A1 - Compounds with novel medical uses and method of identifying such compounds - Google Patents
Compounds with novel medical uses and method of identifying such compounds Download PDFInfo
- Publication number
- WO2009124755A1 WO2009124755A1 PCT/EP2009/002620 EP2009002620W WO2009124755A1 WO 2009124755 A1 WO2009124755 A1 WO 2009124755A1 EP 2009002620 W EP2009002620 W EP 2009002620W WO 2009124755 A1 WO2009124755 A1 WO 2009124755A1
- Authority
- WO
- WIPO (PCT)
- Prior art keywords
- group
- optionally substituted
- cycloalkyl
- hydrogen
- heterocycloalkyl
- Prior art date
- Legal status (The legal status is an assumption and is not a legal conclusion. Google has not performed a legal analysis and makes no representation as to the accuracy of the status listed.)
- Ceased
Links
- 0 CC(*)(*)C(OC(CC1C2C3*2)*(*)CC3*1(**)O)=O Chemical compound CC(*)(*)C(OC(CC1C2C3*2)*(*)CC3*1(**)O)=O 0.000 description 2
- XMAYWYJOQHXEEK-OZXSUGGESA-N CC(N(CC1)CCN1c(cc1)ccc1OC[C@@H]1O[C@@](C[n]2cncc2)(c(c(Cl)c2)ccc2Cl)OC1)=O Chemical compound CC(N(CC1)CCN1c(cc1)ccc1OC[C@@H]1O[C@@](C[n]2cncc2)(c(c(Cl)c2)ccc2Cl)OC1)=O XMAYWYJOQHXEEK-OZXSUGGESA-N 0.000 description 1
- PBJUNZJWGZTSKL-INIZCTEOSA-N Cc1c(C(c2c(C)cc[s]2)=CCCN(CCC2)C[C@H]2C(O)=O)[s]cc1 Chemical compound Cc1c(C(c2c(C)cc[s]2)=CCCN(CCC2)C[C@H]2C(O)=O)[s]cc1 PBJUNZJWGZTSKL-INIZCTEOSA-N 0.000 description 1
- GZUITABIAKMVPG-UHFFFAOYSA-N Oc(cc1)ccc1-c1c(C(c(cc2)ccc2OCCN2CCCCC2)=O)c(ccc(O)c2)c2[s]1 Chemical compound Oc(cc1)ccc1-c1c(C(c(cc2)ccc2OCCN2CCCCC2)=O)c(ccc(O)c2)c2[s]1 GZUITABIAKMVPG-UHFFFAOYSA-N 0.000 description 1
Classifications
-
- A—HUMAN NECESSITIES
- A61—MEDICAL OR VETERINARY SCIENCE; HYGIENE
- A61K—PREPARATIONS FOR MEDICAL, DENTAL OR TOILETRY PURPOSES
- A61K31/00—Medicinal preparations containing organic active ingredients
- A61K31/33—Heterocyclic compounds
- A61K31/395—Heterocyclic compounds having nitrogen as a ring hetero atom, e.g. guanethidine or rifamycins
- A61K31/495—Heterocyclic compounds having nitrogen as a ring hetero atom, e.g. guanethidine or rifamycins having six-membered rings with two or more nitrogen atoms as the only ring heteroatoms, e.g. piperazine or tetrazines
-
- A—HUMAN NECESSITIES
- A61—MEDICAL OR VETERINARY SCIENCE; HYGIENE
- A61K—PREPARATIONS FOR MEDICAL, DENTAL OR TOILETRY PURPOSES
- A61K31/00—Medicinal preparations containing organic active ingredients
- A61K31/12—Ketones
- A61K31/122—Ketones having the oxygen directly attached to a ring, e.g. quinones, vitamin K1, anthralin
-
- A—HUMAN NECESSITIES
- A61—MEDICAL OR VETERINARY SCIENCE; HYGIENE
- A61K—PREPARATIONS FOR MEDICAL, DENTAL OR TOILETRY PURPOSES
- A61K31/00—Medicinal preparations containing organic active ingredients
- A61K31/13—Amines
- A61K31/135—Amines having aromatic rings, e.g. ketamine, nortriptyline
- A61K31/138—Aryloxyalkylamines, e.g. propranolol, tamoxifen, phenoxybenzamine
-
- A—HUMAN NECESSITIES
- A61—MEDICAL OR VETERINARY SCIENCE; HYGIENE
- A61K—PREPARATIONS FOR MEDICAL, DENTAL OR TOILETRY PURPOSES
- A61K31/00—Medicinal preparations containing organic active ingredients
- A61K31/185—Acids; Anhydrides, halides or salts thereof, e.g. sulfur acids, imidic, hydrazonic or hydroximic acids
- A61K31/19—Carboxylic acids, e.g. valproic acid
- A61K31/195—Carboxylic acids, e.g. valproic acid having an amino group
- A61K31/197—Carboxylic acids, e.g. valproic acid having an amino group the amino and the carboxyl groups being attached to the same acyclic carbon chain, e.g. gamma-aminobutyric acid [GABA], beta-alanine, epsilon-aminocaproic acid or pantothenic acid
- A61K31/198—Alpha-amino acids, e.g. alanine or edetic acid [EDTA]
-
- A—HUMAN NECESSITIES
- A61—MEDICAL OR VETERINARY SCIENCE; HYGIENE
- A61K—PREPARATIONS FOR MEDICAL, DENTAL OR TOILETRY PURPOSES
- A61K31/00—Medicinal preparations containing organic active ingredients
- A61K31/185—Acids; Anhydrides, halides or salts thereof, e.g. sulfur acids, imidic, hydrazonic or hydroximic acids
- A61K31/19—Carboxylic acids, e.g. valproic acid
- A61K31/20—Carboxylic acids, e.g. valproic acid having a carboxyl group bound to a chain of seven or more carbon atoms, e.g. stearic, palmitic, arachidic acids
- A61K31/202—Carboxylic acids, e.g. valproic acid having a carboxyl group bound to a chain of seven or more carbon atoms, e.g. stearic, palmitic, arachidic acids having three or more double bonds, e.g. linolenic
-
- A—HUMAN NECESSITIES
- A61—MEDICAL OR VETERINARY SCIENCE; HYGIENE
- A61K—PREPARATIONS FOR MEDICAL, DENTAL OR TOILETRY PURPOSES
- A61K31/00—Medicinal preparations containing organic active ingredients
- A61K31/33—Heterocyclic compounds
- A61K31/395—Heterocyclic compounds having nitrogen as a ring hetero atom, e.g. guanethidine or rifamycins
- A61K31/435—Heterocyclic compounds having nitrogen as a ring hetero atom, e.g. guanethidine or rifamycins having six-membered rings with one nitrogen as the only ring hetero atom
-
- A—HUMAN NECESSITIES
- A61—MEDICAL OR VETERINARY SCIENCE; HYGIENE
- A61K—PREPARATIONS FOR MEDICAL, DENTAL OR TOILETRY PURPOSES
- A61K31/00—Medicinal preparations containing organic active ingredients
- A61K31/33—Heterocyclic compounds
- A61K31/395—Heterocyclic compounds having nitrogen as a ring hetero atom, e.g. guanethidine or rifamycins
- A61K31/435—Heterocyclic compounds having nitrogen as a ring hetero atom, e.g. guanethidine or rifamycins having six-membered rings with one nitrogen as the only ring hetero atom
- A61K31/439—Heterocyclic compounds having nitrogen as a ring hetero atom, e.g. guanethidine or rifamycins having six-membered rings with one nitrogen as the only ring hetero atom the ring forming part of a bridged ring system, e.g. quinuclidine
-
- A—HUMAN NECESSITIES
- A61—MEDICAL OR VETERINARY SCIENCE; HYGIENE
- A61K—PREPARATIONS FOR MEDICAL, DENTAL OR TOILETRY PURPOSES
- A61K31/00—Medicinal preparations containing organic active ingredients
- A61K31/33—Heterocyclic compounds
- A61K31/395—Heterocyclic compounds having nitrogen as a ring hetero atom, e.g. guanethidine or rifamycins
- A61K31/435—Heterocyclic compounds having nitrogen as a ring hetero atom, e.g. guanethidine or rifamycins having six-membered rings with one nitrogen as the only ring hetero atom
- A61K31/44—Non condensed pyridines; Hydrogenated derivatives thereof
- A61K31/4402—Non condensed pyridines; Hydrogenated derivatives thereof only substituted in position 2, e.g. pheniramine, bisacodyl
-
- A—HUMAN NECESSITIES
- A61—MEDICAL OR VETERINARY SCIENCE; HYGIENE
- A61K—PREPARATIONS FOR MEDICAL, DENTAL OR TOILETRY PURPOSES
- A61K31/00—Medicinal preparations containing organic active ingredients
- A61K31/33—Heterocyclic compounds
- A61K31/395—Heterocyclic compounds having nitrogen as a ring hetero atom, e.g. guanethidine or rifamycins
- A61K31/435—Heterocyclic compounds having nitrogen as a ring hetero atom, e.g. guanethidine or rifamycins having six-membered rings with one nitrogen as the only ring hetero atom
- A61K31/44—Non condensed pyridines; Hydrogenated derivatives thereof
- A61K31/445—Non condensed piperidines, e.g. piperocaine
-
- A—HUMAN NECESSITIES
- A61—MEDICAL OR VETERINARY SCIENCE; HYGIENE
- A61K—PREPARATIONS FOR MEDICAL, DENTAL OR TOILETRY PURPOSES
- A61K31/00—Medicinal preparations containing organic active ingredients
- A61K31/33—Heterocyclic compounds
- A61K31/395—Heterocyclic compounds having nitrogen as a ring hetero atom, e.g. guanethidine or rifamycins
- A61K31/435—Heterocyclic compounds having nitrogen as a ring hetero atom, e.g. guanethidine or rifamycins having six-membered rings with one nitrogen as the only ring hetero atom
- A61K31/44—Non condensed pyridines; Hydrogenated derivatives thereof
- A61K31/445—Non condensed piperidines, e.g. piperocaine
- A61K31/4453—Non condensed piperidines, e.g. piperocaine only substituted in position 1, e.g. propipocaine, diperodon
-
- A—HUMAN NECESSITIES
- A61—MEDICAL OR VETERINARY SCIENCE; HYGIENE
- A61K—PREPARATIONS FOR MEDICAL, DENTAL OR TOILETRY PURPOSES
- A61K31/00—Medicinal preparations containing organic active ingredients
- A61K31/33—Heterocyclic compounds
- A61K31/395—Heterocyclic compounds having nitrogen as a ring hetero atom, e.g. guanethidine or rifamycins
- A61K31/495—Heterocyclic compounds having nitrogen as a ring hetero atom, e.g. guanethidine or rifamycins having six-membered rings with two or more nitrogen atoms as the only ring heteroatoms, e.g. piperazine or tetrazines
- A61K31/496—Non-condensed piperazines containing further heterocyclic rings, e.g. rifampin, thiothixene or sparfloxacin
-
- A—HUMAN NECESSITIES
- A61—MEDICAL OR VETERINARY SCIENCE; HYGIENE
- A61K—PREPARATIONS FOR MEDICAL, DENTAL OR TOILETRY PURPOSES
- A61K31/00—Medicinal preparations containing organic active ingredients
- A61K31/33—Heterocyclic compounds
- A61K31/395—Heterocyclic compounds having nitrogen as a ring hetero atom, e.g. guanethidine or rifamycins
- A61K31/495—Heterocyclic compounds having nitrogen as a ring hetero atom, e.g. guanethidine or rifamycins having six-membered rings with two or more nitrogen atoms as the only ring heteroatoms, e.g. piperazine or tetrazines
- A61K31/4965—Non-condensed pyrazines
- A61K31/497—Non-condensed pyrazines containing further heterocyclic rings
-
- A—HUMAN NECESSITIES
- A61—MEDICAL OR VETERINARY SCIENCE; HYGIENE
- A61K—PREPARATIONS FOR MEDICAL, DENTAL OR TOILETRY PURPOSES
- A61K31/00—Medicinal preparations containing organic active ingredients
- A61K31/33—Heterocyclic compounds
- A61K31/395—Heterocyclic compounds having nitrogen as a ring hetero atom, e.g. guanethidine or rifamycins
- A61K31/495—Heterocyclic compounds having nitrogen as a ring hetero atom, e.g. guanethidine or rifamycins having six-membered rings with two or more nitrogen atoms as the only ring heteroatoms, e.g. piperazine or tetrazines
- A61K31/505—Pyrimidines; Hydrogenated pyrimidines, e.g. trimethoprim
- A61K31/519—Pyrimidines; Hydrogenated pyrimidines, e.g. trimethoprim ortho- or peri-condensed with heterocyclic rings
-
- A—HUMAN NECESSITIES
- A61—MEDICAL OR VETERINARY SCIENCE; HYGIENE
- A61K—PREPARATIONS FOR MEDICAL, DENTAL OR TOILETRY PURPOSES
- A61K31/00—Medicinal preparations containing organic active ingredients
- A61K31/70—Carbohydrates; Sugars; Derivatives thereof
- A61K31/7028—Compounds having saccharide radicals attached to non-saccharide compounds by glycosidic linkages
- A61K31/7034—Compounds having saccharide radicals attached to non-saccharide compounds by glycosidic linkages attached to a carbocyclic compound, e.g. phloridzin
- A61K31/704—Compounds having saccharide radicals attached to non-saccharide compounds by glycosidic linkages attached to a carbocyclic compound, e.g. phloridzin attached to a condensed carbocyclic ring system, e.g. sennosides, thiocolchicosides, escin, daunorubicin
Definitions
- the present invention relates to a method for identifying a novel medical indication of a pharmaceutically active compound.
- the invention further provides novel medical indications for several pharmaceutically active compounds.
- compounds are provided for the prevention and treatment of a disease or disorder treatable with a serotonin-norepinephrine reuptake inhibitor (SNRI), a serotonin receptor antagonist, an estazolam, a dopamine receptor antagonist, a dopamine receptor agonist, an L-type calcium channel blocker, a selective estrogen receptor modulator (SERM), an antihistamine.
- SNRI serotonin-norepinephrine reuptake inhibitor
- SERM selective estrogen receptor modulator
- an antihistamine also provided is a pharmaceutically active compound for the prevention or treatment of tachycardia.
- NRIs Norepinephrine reuptake inhibitors
- NARIs noradrenaline reuptake inhibitors
- ADHD attention-deficit hyperactivity disorder
- depression is useful sedatives, anxiolytics, sympathomimetics, and anticholinergics.
- NRIs can further be used to treat chronic fatigue syndrome, chronic pain and migraine's.
- Serotonin-norepinephrine reuptake inhibitors are a class of antidepressants used in the treatment of clinical depression and other affective disorders. They are also sometimes used to treat anxiety disorders, obsessive-compulsive disorder, attention deficit hyperactivity disorder (ADHD) and chronic neuropathic pain. They act upon two neurotransmitters in the brain that are known to play an important part in mood, namely, serotonin and norepinephrine. This can be contrasted with the more widely-used selective serotonin reuptake inhibitors (SSRIs), which act only on serotonin.
- SSRIs selective serotonin reuptake inhibitors
- Serotonin (5-hydroxytryptamine, or 5-HT) is a monoamine neurotransmitter synthesized in serotonergic neurons in the central nervous system (CNS) and enterochromaffin cells in the gastrointestinal tract of animals including humans. Serotonin is also found in many mushrooms and plants, including fruits and vegetables. Serotonin receptor antagonists are important antiemetic agents. They are particularly important in treating the nausea and vomiting that occur during anticancer chemotherapy using cytotoxic drugs. Another application is in treatment of post-operative nausea and vomiting. Applications to the treatment of depression and other mental and psychological conditions have also been investigated with some positive results. Serotonin receptor antagonists can also be used to treat intestinal pathologies or a psychosis.
- Estazolam (marketed under the brand names ProSom, Eurodin) is a drug which is a benzodiazepine derivative. It possesses anxiolytic, anticonvulsant, sedative and skeletal muscle relaxant properties. Estazolam is an intermediate-acting benzodiazepine. It is commonly prescribed for short-term treatment of insomnia.
- a dopamine antagonist is a drug which blocks dopamine receptors by receptor antagonism.
- dopamine receptors There are five types of dopamine receptors in the human body; they are found in the brain, peripheral nervous system, blood vessels, and the kidney).
- Dopamine receptor antagonist preferably a D2-like dopamine receptor antagonist find applications in the treatment of diseases such as psychosis, nausea, depression, Parkinson's Disease (depending on the patient's background) and migraine.
- Dopamine receptor agonist can be used to treat, for example, Parkinson's disease, pars intermedia hyperplasia or Equine Cushing's Syndrome (ECS).
- ECS Equine Cushing's Syndrome
- L-type calcium channel blockers can be used to treat hypertension, angina pectoris, cardiac arrhythmia and a headache.
- Calcium channel blockers work by blocking L-type voltage- gated calcium channels (VGCCs) in muscle cells of the heart and blood vessels. This prevents calcium levels from increasing as much in the cells when stimulated, leading to less muscle contraction.
- VGCCs voltage- gated calcium channels
- a decrease in calcium available for each beat results in a decrease in cardiac contractility.
- vasodilation In blood vessels, a decrease in calcium results in less contraction of the vascular smooth muscle and therefore an increase in blood vessel diameter, a phenomenon called vasodilation.
- Vasodilation decreases total peripheral resistance, while a decrease in cardiac contractility decreases cardiac output. Since blood pressure is in part determined by cardiac output and peripheral resistance, blood pressure drops.
- SERMs Selective Estrogen Receptor Modulators
- Their mode of action may be different in various tissues, thereby granting the possibility to selectively inhibit or stimulate estrogen-like action in various tissues.
- SERMs can be used to treat, for example, breast cancer, prostate cancer and for the treatment of serious side effects of androgen deprivation therapy.
- a histamine antagonist is an agent which serves to inhibit the release or action of histamine.
- Antihistamine can be used to describe any histamine antagonist, but it is usually reserved for the classical antihistamines that act upon the Hl histamine receptor.
- Histamine antagonist can be used to treat, for example, allergy such as hay fever, angioedema, and urticaria.
- Tachycardia refers to rapid beating of the heart. By convention it defined as a heart rate greater than 100 beats per minute in adults. Treatment of tachycardia is usually directed at chemical conversion using antiarrythmics.
- An antidepressant is a psychiatric medication or other substance (nutrient or herb) used for alleviating depression or dysthymia ('milder' depression).
- MAOIs Drug groups known as MAOIs, tricyclics and SSRIs are particularly associated with the term. These medications are now amongst the drugs most commonly prescribed by medical psychologists, psychiatrists and general practitioners, and their effectiveness and adverse effects are the subject of many studies. Most antidepressants have a delayed onset of action and are usually taken over the course of weeks, months or years. They are generally considered distinct from stimulants, and drugs used for an immediate euphoric effect only are not generally considered antidepressants.
- agents which act as serotonin-norepinephrine reuptake inhibitor (SNRI), a serotonin receptor antagonist, a dopamine receptor antagonist, a dopamine receptor agonist, an L-type calcium channel blocker, a selective estrogen receptor modulator (SERM), an antihistamine or which act like the pharmaceutically active compound estazolam can be administered for the prophylaxis and treatment of above mentioned diseases.
- SNRI serotonin-norepinephrine reuptake inhibitor
- SERM selective estrogen receptor modulator
- the present invention provides as a first aspect the use of a compound having a structure according to formula I:
- X is O or S
- Z is in each instance CR 4 R 5 ; ni is an integer from 1 to 5; n 2 is an integer from 1 to 5; m is an integer from 0 to 4;
- R 1 is selected from the group consisting of cycloalkyl, heterocycloalkyl, an alicyclic system, aryl and heteroaryl; optionally substituted;
- R 2 is selected from the group consisting of cycloalkyl, heterocycloalkyl, an alicyclic system, aryl and heteroaryl; optionally substituted;
- R 3 is selected from the group consisting of hydrogen, halogen, alkyl, alkenyl, alkynyl and cycloalkyl; optionally substituted; and if two R 3 substituents are on adjacent carbon atoms, they may together form a cycloalkyl, heterocycloalkyl or alicyclic system; optionally substituted;
- R 4 and R 5 is each independently selected from the group consisting of hydrogen, alkyl, alkenyl, alkynyl, cycloalkyl, heterocycloalkyl, alkoxy, aryl, aralkyl, heteroaryl, and -NR 6 R 7 ; optionally substituted;
- R 6 and R 7 is each independently selected from the group consisting of hydrogen, alkyl, alkenyl, alkynyl, cycloalkyl, heterocycloalkyl, aryl, heteroaryl, and aralkyl or together form a heteroaryl, and heterocycloalkyl; optionally substituted; or pharmaceutically acceptable salts thereof, for the prevention or treatment of a disease or disorder treatable with a Serotonin-norepinephrine reuptake inhibitor (SNRI).
- SNRI Serotonin-norepinephrine reuptake inhibitor
- the invention further provides the use of a compound having a structure according to formula III:
- Y is selected from the group consisting of hydrogen, halogen, -NO 2 , -CN, -OR 6 , -NR 6 R 7 , -COOR 6 , -CONR 6 R 7 , -NR 4 COR 5 , -NR 4 COR 5 , -NR 4 CONR 6 R 7 , -NR 5 SO 2 A, -COR 6 - SO 2 NR 6 R 7 , -00CR 4 and -CR 4 R 5 OH; R 1 is selected from the group consisting of cycloalkyl, heterocycloalkyl, an alicyclic system, aryl and heteroaryl; optionally substituted; R 2 is selected from the group consisting of cycloalkyl, heterocycloalkyl, an alicyclic system, aryl and heteroaryl; optionally substituted;
- R 3 is selected from the group consisting of hydrogen, halogen, alkyl, alkenyl, alkynyl and cycloalkyl; optionally substituted; and if two R 3 substituents are on adjacent carbon atoms, they may together form a cycloalkyl, heterocycloalkyl or alicyclic system; optionally substituted;
- R 4 and R 5 is each independently selected from the group consisting of hydrogen, alkyl, alkenyl, alkynyl, cycloalkyl, heterocycloalkyl, alkoxy, aryl, aralkyl, heteroaryl, and -NR 6 R 7 ; optionally substituted;
- R 6 and R 7 is each independently selected from the group consisting of hydrogen, alkyl, alkenyl, alkynyl, cycloalkyl, heterocycloalkyl, aryl, heteroaryl, and aralkyl or together form a heteroaryl, and heterocycloalkyl; optionally substituted;
- R 6 ' and R 7 ' is each independently selected from the group consisting of hydrogen, alkyl, alkenyl or together form a heterocycloalkyl; optionally substituted; or pharmaceutically acceptable salts thereof, for the prevention or treatment of a disease or disorder treatable with a Serotonin-norepinephrine reuptake inhibitor (SNRI).
- SNRI Serotonin-norepinephrine reuptake inhibitor
- W is alkyl, -OR 6 ', -CR 4 R 5 OH, or -NR 6 'R 7 '; Z is in each instance CR 4 R 5 ;
- xv ⁇ is an integer from 1 to 5;
- R 1 is selected from the group consisting of cycloalkyl, heterocycloalkyl, an alicyclic system, aryl and heteroaryl; optionally substituted;
- R 2 is selected from the group consisting of cycloalkyl, heterocycloalkyl, an alicyclic system, aryl and heteroaryl; optionally substituted;
- R 4 and R 5 is each independently selected from the group consisting of hydrogen, alkyl, alkenyl, alkynyl, cycloalkyl, heterocycloalkyl, alkoxy, aryl, aralkyl, heteroaryl, and -NR 6 R 7 ; optionally substituted;
- R 6 and R 7 is each independently selected from the group consisting of hydrogen, alkyl, alkenyl, alkynyl, cycloalkyl, heterocycloalkyl, aryl, heteroaryl, and aralkyl or together form a heteroaryl, and heterocycloalkyl; optionally substituted;
- R 6 ' and R 7 ' is each independently selected from the group consisting of hydrogen, alkyl, alkenyl or together form a heterocycloalkyl; optionally substituted;
- R 8 is each individually selected from the group consisting of hydrogen, alkyl, alkenyl, alkynyl and cycloalkyl; optionally substituted; or pharmaceutically acceptable salts thereof, for the prevention or treatment of a disease or disorder treatable with a norepinephrine reuptake inhibitors (NRIs).
- NRIs norepinephrine reuptake inhibitors
- the invention further provides the use of a compound having a structure according to formula VII:
- X is in each instance O or S; X' is in each instance O or S; Y is in each instance selected from the group consisting of hydrogen, halogen, -NO 2 , -CN,
- R 2 is selected from the group consisting of cycloalkyl, heterocycloalkyl, an alicyclic system, aryl and heteroaryl; optionally substituted;
- R 3 is selected from the group consisting of hydrogen, halogen, alkyl, alkenyl, alkynyl and cycloalkyl; optionally substituted; and if two R 3 substituents are on adjacent carbon atoms, they may together form a cycloalkyl, heterocycloalkyl or alicyclic system; optionally substituted;
- R 3 is selected from the group consisting of hydrogen, halogen, alkyl, alkenyl, alkynyl and cycloalkyl; optionally substituted; and if two R 3 substituents are on adjacent carbon atoms, they may together form a cycloalkyl, heterocycloalkyl or alicyclic system; optionally substituted;
- R 4 and R 5 is each independently selected from the group consisting of hydrogen, alkyl, alkenyl, alkynyl, cycloalkyl, heterocycloalkyl, alkoxy, aryl, aralkyl, heteroaryl, and -NR 6 R 7 ; optionally substituted; R 6 and R 7 is each independently selected from the group consisting of hydrogen, alkyl, alkenyl, alkynyl, cycloalkyl, heterocycloalkyl, aryl, heteroaryl, and aralkyl or together form a heteroaryl, and heterocycloalkyl; optionally substituted; R 8 is selected from the group consisting of hydrogen, alkyl, alkenyl, alkynyl and cycloalkyl; optionally substituted; or pharmaceutically acceptable salts thereof, for the prevention or treatment of a psychosis and/or a disease or disorder treatable with an antihistamine.
- the invention further provides the use of a compound having a structure according to formula IX:
- A is in each instance S, O or NR ';
- X is O or S;
- Z is in each instance CR 4 R 5 ;
- m is an integer from 0 to 4;
- ni is an integer from 1 to 5;
- n 2 is an integer from 1 to 5;
- R is selected from the group consisting of cycloalkyl, heterocycloalkyl, an alicyclic system, aryl and heteroaryl; optionally substituted;
- R- is selected from the group consisting of cycloalkyl, heterocycloalkyl, an alicyclic system, aryl and heteroaryl; optionally substituted;
- R is selected from the group consisting of hydrogen, halogen, alkyl, alkenyl, alkynyl and cycloalkyl; optionally substituted;
- R > * 4' and R 5 is each independently selected from the group consisting of hydrogen, alkyl, alkenyl, alkynyl, cycloalkyl, heterocycloalkyl, alkoxy, aryl, aralkyl and heteroaryl; optionally substituted;
- R 6 and R 7 is each independently selected from the group consisting of hydrogen, alkyl, alkenyl, alkynyl, cycloalkyl, heterocycloalkyl, aryl, heteroaryl, and aralkyl or together form a heteroaryl, and heterocycloalkyl; optionally substituted;
- R 6 ' is selected from the group consisting of hydrogen, alkyl, alkenyl and alkynyl; optionally substituted;
- R 9 is in each instance independently selected from the group consisting of hydrogen,
- -OOCR 4 and -CR 4 R 5 OH;- R 10 is selected from the group consisting of cycloalkyl, heterocycloalkyl, an alicyclic system, aryl and heteroaryl; optionally substituted; or pharmaceutically acceptable salts thereof, for the prevention or treatment of disease or disorder treatable with a serotonin receptor antagonist, preferably a 5-HT2 type serotonin receptor antagonist.
- the invention further provides the use of a compound having a structure according to formula XI:
- B is C or N
- E is C or N
- X is O or S; if A is S then X is O; ml is an integer from O to 6; m2 is an integer from O to 3; m3 is an integer from O to 3; n 3 is an integer from 1 to 3;
- 1I 4 is an integer from 1 to 3;
- Y is selected from the group consisting of hydrogen, halogen, -NO 2 , -CN, -OR 6 ,
- Y' is selected from the group consisting of hydrogen, halogen, -NO 2 , -CN, -OR 6 ,
- Y is selected from the group consisting of hydrogen, halogen, -NO 2 , -CN, -OR 6 , -NR 6 R 7 , -COOR 6 , -CONR 6 R 7 ,
- Z is in each instance CR 4 R 5 ;
- R 4 and R 5 is each independently selected from the group consisting of hydrogen, alkyl, alkenyl, alkynyl, cycloalkyl, heterocycloalkyl, alkoxy, aryl, aralkyl, heteroaryl, and -NR 6 R 7 ; optionally substituted;
- R 6 and R 7 is each independently selected from the group consisting of hydrogen, alkyl, alkenyl, alkynyl, cycloalkyl, heterocycloalkyl, aryl, heteroaryl, and aralkyl or together form a heteroaryl, and heterocycloalkyl; optionally substituted;
- R 6 ' is selected from the group consisting of hydrogen, alkyl, alkenyl and alkynyl; optionally substituted;
- R 8 is selected from the group consisting of hydrogen, alkyl, alkenyl, alkynyl and cycloalkyl; optionally substituted; and wherein the bond indicated by the dashed line may be present
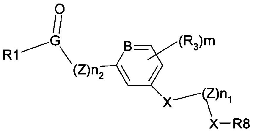
- the invention further provides the use of a compound having a structure according to formula XIII:
- B is C or N; G is C or S; X is in each instance O or S; Z is in each instance CR 4 R 5 ; m is an integer from 0 to 3; n] is an integer from 1 to 5; n 2 is an integer from 1 to 5; R 1 is selected from the group consisting of cycloalkyl, heterocycloalkyl, an alicyclic system, aryl and heteroaryl; optionally substituted;
- R 3 is selected from the group consisting of hydrogen, halogen, alkyl, alkenyl, alkynyl and cycloalkyl; optionally substituted; and if two R 3 substituents are on adjacent carbon atoms, they may together form a cycloalkyl, heterocycloalkyl or alicyclic system; optionally substituted;
- R 4 and R 5 is each independently selected from the group consisting of hydrogen, alkyl, alkenyl, alkynyl, cycloalkyl, heterocycloalkyl, alkoxy, aryl, aralkyl, heteroaryl, and -NR 6 R 7 ; optionally substituted;
- R 6 and R 7 is each independently selected from the group consisting of hydrogen, alkyl, alkenyl, alkynyl, cycloalkyl, heterocycloalkyl, aryl, heteroaryl, and aralkyl or together form a heteroaryl, and heterocycloalkyl; optionally substituted;
- R 8 is selected from the group consisting of hydrogen, alkyl, alkenyl, alkynyl and cycloalkyl; optionally substituted; or pharmaceutically acceptable salts thereof, for the prevention or treatment of a disease or disorder treatable with a dopamine receptor antagonist, preferably a type D2-like dopamine receptor antagonist.
- the invention further provides the use of a compound having a structure according to formula XV:
- A is S, O or NR 6 ';
- X is O or S;
- Y is in each instance selected from the group consisting of hydrogen, halogen, -NO 2 , -CN,
- R 1 is selected from the group consisting of cycloalkyl, heterocycloalkyl, an alicyclic system, aryl and heteroaryl; optionally substituted;
- R 2 is selected from the group consisting of cycloalkyl, heterocycloalkyl, an alicyclic system, aryl and heteroaryl; optionally substituted;
- R 4 and R 5 is each independently selected from the group consisting of hydrogen, alkyl, alkenyl, alkynyl, cycloalkyl, heterocycloalkyl, alkoxy, aryl, aralkyl, heteroaryl, and -NR 6 R 7 ; optionally substituted;
- R 6 and R 7 is each independently selected from the group consisting of hydrogen, alkyl, alkenyl, alkynyl, cycloalkyl, heterocycloalkyl, aryl, heteroaryl, and aralkyl or together form a heteroaryl, and heterocycloalkyl; optionally substituted;
- A is each independently selected from S, O or NR 6 ' ; Z is in each instance CR 4 R 5 ; ml is an integer from 0 to 3; m2 is an integer from O to 3; n is an integer from 1 to 5; R 1 is selected from the group consisting of cycloalkyl, heterocycloalkyl, an alicyclic system, aryl and heteroaryl; optionally substituted; R 3 is selected from the group consisting of hydrogen, halogen, alkyl, alkenyl, alkynyl and cycloalkyl; optionally substituted; and if two R 3 substituents are on adjacent carbon atoms, they may together form a cycloalkyl, heterocycloalkyl or alicyclic system; optionally substituted;
- R 4 and R 5 is each independently selected from the group consisting of hydrogen, alkyl, alkenyl, alkynyl, cycloalkyl, heterocycloalkyl, alkoxy, aryl, aralkyl, heteroaryl, and -NR 6 R 7 ; optionally substituted;
- R and R 7 is each independently selected from the group consisting of hydrogen, alkyl, alkenyl, alkynyl, cycloalkyl, heterocycloalkyl, aryl, heteroaryl, and aralkyl or together form a heteroaryl, and heterocycloalkyl; optionally substituted;
- R 6 ' is selected from the group consisting of hydrogen, alkyl, alkenyl and alkynyl; optionally substituted;
- R 8 is selected from the group consisting of hydrogen, alkyl, alkenyl, alkynyl and cycloalkyl; optionally substituted; and wherein the bond indicated by the dashed line may be present or not; or pharmaceutically acceptable salts thereof, for the prevention or treatment of a disease or disorder treatable with a dopamine receptor agonist.
- the invention further provides the use of a compound having a structure according to formula XIX:
- R 3 is selected from the group consisting of hydrogen, halogen, alkyl, alkenyl, alkynyl and cycloalkyl; optionally substituted;
- R 4 and R 5 is each independently selected from the group consisting of hydrogen, alkyl, alkenyl, alkynyl, cycloalkyl, heterocycloalkyl, alkoxy, aryl, aralkyl, heteroaryl, and -NR 6 R 7 ; optionally substituted;
- R 6 and R 7 is each independently selected from the group consisting of hydrogen, alkyl, alkenyl, alkynyl, cycloalkyl, heterocycloalkyl, aryl, heteroaryl, and aralkyl or together form a heteroaryl, and heterocycloalkyl; optionally substituted;
- R 6 ' is selected from the group consisting of hydrogen, alkyl, alkenyl and alkynyl; optionally substituted;
- R 8 is in each instance selected from the group consisting of hydrogen, alkyl, alkenyl, alkynyl and cycloalkyl; optionally substituted; and wherein each of the bonds indicated by the dashed line may be present or not; or pharmaceutically acceptable salts thereof, for the prevention or treatment of a disease or disorder treatable with an L-type calcium channel blocker.
- the invention further provides the use of a compound having a structure according to formula XXI:
- X is O or S; Z is in each instance CR 4 R 5 ; n is an integer from 1 to 5;
- R 1 is selected from the group consisting of cycloalkyl, heterocycloalkyl, an alicyclic system, aryl and heteroaryl; optionally substituted;
- R 2 is selected from the group consisting of cycloalkyl, heterocycloalkyl, an alicyclic system, aryl and heteroaryl; optionally substituted;
- R 3 is selected from the group consisting of hydrogen, halogen, alkyl, alkenyl, alkynyl and cycloalkyl; optionally substituted;
- R 4 and R 5 is each independently selected from the group consisting of hydrogen, alkyl, alkenyl, alkynyl, cycloalkyl, heterocycloalkyl, alkoxy, aryl, aralkyl, heteroaryl, and -NR 6 R 7 ; optionally substituted;
- R 6 and R 7 is each independently selected from the group consisting of hydrogen, alkyl, alkenyl, alkynyl, cycloalkyl, heterocycloalkyl, aryl, heteroaryl, and aralkyl or together form a heteroaryl, and heterocycloalkyl; optionally substituted;
- R 6 ' and R 7 ' is each independently selected from the group consisting of hydrogen, alkyl, alkenyl or together form a heterocycloalkyl; optionally substituted; and R 8 is in each instance selected from the group consisting of hydrogen, alkyl, alkenyl, alkynyl and cycloalkyl; optionally substituted; or pharmaceutically acceptable salts thereof, for the prevention or treatment of cancer and/or a disease or disorder treatable with a selective estrogen receptor modulator (SERM).
- SERM selective estrogen receptor modulator
- the invention further provides the use of a compound having a structure according to formula XXIII:
- XXIII wherein X is O or S; n is an integer from 1 to 5;
- R 3 is selected from the group consisting of hydrogen, halogen, alkyl, alkenyl, alkynyl and cycloalkyl; optionally substituted; and if two R 3 substituents are on adjacent carbon atoms, they may together form a cycloalkyl, heterocycloalkyl or alicyclic system; optionally substituted;
- R 3 is selected from the group consisting of hydrogen, halogen, alkyl, alkenyl, alkynyl and cycloalkyl; optionally substituted; R is selected from the group consisting of hydrogen, alkyl, alkenyl, alkynyl and cycloalkyl; optionally substituted; or pharmaceutically acceptable salts thereof, for the prevention or treatment of a disease or disorder treatable with an antihistamine.
- the invention further provides the use of a compound having a structure according to formula XXV:
- XXV wherein ml is an integer from O to 5; m2 is an integer from 0 to 4; X is O or S; Y is in each instance selected from the group consisting of hydrogen, halogen, -NO 2 , -CN,
- Y' is in each instance selected from the group consisting of hydrogen, halogen, -NO 2 , -CN,
- R 2 is selected from the group consisting of cycloalkyl, heterocycloalkyl, an alicyclic system, aryl and heteroaryl; optionally substituted;
- R 3 is selected from the group consisting of hydrogen, halogen, alkyl, alkenyl, alkynyl and cycloalkyl; optionally substituted;
- R 4 and R 5 is each independently selected from the group consisting of hydrogen, alkyl, alkenyl, alkynyl, cycloalkyl, heterocycloalkyl, alkoxy, aryl, aralkyl, heteroaryl, and -NR 6 R 7 ; optionally substituted;
- R 6 and R 7 is each independently selected from the group consisting of hydrogen, alkyl, alkenyl, alkynyl, cycloalkyl, heterocycloalkyl, aryl, heteroaryl, and aralkyl or together form a heteroaryl, and heterocycloalkyl; optionally substituted;
- R 8 is in each instance selected from the group consisting of hydrogen, alkyl, alkenyl, alkynyl and cycloalkyl; optionally substituted; and wherein the bond indicated by the dashed line may be present or not; or pharmaceutically acceptable salts thereof, for the prevention or treatment of a disease or disorder treatable with an antihistamine.
- the invention further provides the use of a compound having a structure according to formula XXVII:
- m is an integer from O to 3; B is C or N; X is O or S; Y is selected from the group consisting of hydrogen, halogen, -NO 2 , -CN, -OR 6 ,
- R 3 is selected from the group consisting of hydrogen, halogen, alkyl, alkenyl, alkynyl and cycloalkyl; optionally substituted;
- R 4 and R 5 is each independently selected from the group consisting of hydrogen, alkyl, alkenyl, alkynyl, cycloalkyl, heterocycloalkyl, alkoxy, aryl, aralkyl, heteroaryl, and -NR 6 R 7 ; optionally substituted;
- R 6 and R 7 is each independently selected from the group consisting of hydrogen, alkyl, alkenyl, alkynyl, cycloalkyl, heterocycloalkyl, aryl, heteroaryl, and aralkyl or together form a heteroaryl, and heterocycloalkyl; optionally substituted;
- R 6 ' and R 7 ' is each independently selected from the group consisting of hydrogen, alkyl, alkenyl or together form a heterocycloalkyl; optionally substituted; or pharmaceutically acceptable salts thereof, for the prevention or treatment of tachycardia or a disease or disorder treatable with an antihistamine, for example an allergy such as hay fever, angioedema or urticaria.
- the invention further provides the use of a compound having a structure according to formula XXIX:
- X is O or S
- R 1 is selected from the group consisting of cycloalkyl, heterocycloalkyl, an alicyclic system, aryl and heteroaryl; optionally substituted;
- R 2 is selected from the group consisting of cycloalkyl, heterocycloalkyl, an alicyclic system, aryl and heteroaryl; optionally substituted;
- R x is selected from the group consisting of hydrogen, alkyl, alkenyl, alkynyl and cycloalkyl; optionally substituted; or pharmaceutically acceptable salts thereof, for the prevention or treatment of a disease or disorder treatable with an antihistamine.
- the invention further provides the use of a compound having a structure according to formula XXXI:
- XXXI wherein ml is an integer from 0 to 2; m2 is an integer from 1 to 2; m3 is an integer from 0 to 4; Y is in each instance selected from the group consisting of hydrogen, halogen, -NO 2 , -CN, -OR 6 ,
- Y' is in each instance selected from the group consisting of hydrogen, halogen, -NO 2 , -CN,
- Y' ' is in each instance selected from the group consisting of hydrogen, halogen, -NO 2 , -CN,
- R 4 and R 5 is each independently selected from the group consisting of hydrogen, alkyl, alkenyl, alkynyl, cycloalkyl, heterocycloalkyl, alkoxy, aryl, aralkyl, heteroaryl, and -NR 6 R 7 ; optionally substituted;
- R 6 and R 7 is each independently selected from the group consisting of hydrogen, alkyl, alkenyl, alkynyl, cycloalkyl, heterocycloalkyl, aryl, heteroaryl, and aralkyl or together form a heteroaryl, and heterocycloalkyl; optionally substituted;
- R 8 is selected from the group consisting of hydrogen, alkyl, alkenyl, alkynyl and cycloalkyl; optionally substituted;
- R 11 is selected from the group consisting of hydrogen, -COR 12 , -CR 4 R 5 OH, alkyl, alkynyl and cycloalkyl; optionally substituted;
- R 12 is selected from the group consisting of hydrogen, alkyl, alkenyl, alkynyl, cycloalkyl, heterocycloalkyl, aryl, heteroaryl, and aralkyl; optionally substituted; or pharmaceutically acceptable salts thereof, for the prevention or treatment of a depression and/or a disease or disorder treatable with an antihistamine.
- the invention further provides the use of a compound having a structure according to formula XXXIII:
- m is an integer between 0 and 2; B is in each instance C or N; X is O or S; Y is selected from the group consisting of hydrogen, halogen, -NO 2 , -CN, -OR 6 ,
- R 1 is selected from the group consisting of cycloalkyl, heterocycloalkyl, an alicyclic system, aryl and heteroaryl; optionally substituted;
- R 4 and R 5 is each independently selected from the group consisting of hydrogen, alkyl, alkenyl, alkynyl, cycloalkyl, heterocycloalkyl, alkoxy, aryl, aralkyl, heteroaryl, and -NR 6 R 7 ; optionally substituted;
- R 6 and R 7 is each independently selected from the group consisting of hydrogen, alkyl, alkenyl, alkynyl, cycloalkyl, heterocycloalkyl, aryl, heteroaryl, and aralkyl or together form a heteroaryl, and heterocycloalkyl; optionally substituted;
- R 11 is selected from the group consisting of hydrogen, -COR 12 , -CR 4 R 5 OH, alkyl, alkynyl and cycloalkyl; optionally substituted;
- R 12 is selected from the group consisting of hydrogen, alkyl, alkenyl, alkynyl, cycloalkyl, heterocycloalkyl, aryl, heteroaryl, and aralkyl; optionally substituted; or pharmaceutically acceptable salts thereof, for the prevention or treatment of a depression and/or a disease or disorder treatable with an antihistamine.
- the invention further provides a method for identifying a novel medical indication of a pharmaceutically active compound comprising the steps:
- the terms used herein are defined as described in "A multilingual glossary of biotechnological terms: (IUPAC Recommendations)", Leuenberger, H.G.W, Nagel, B. and Klbl, H. eds. (1995), Helvetica Chimica Acta, CH-4010 Basel, Switzerland).
- alkyl "heteroalkyl”, “cycloalkyl”, “heterocycloalkyl”, “alicyclic system”, “aryl”, “aralkyl”, “heteroaryl”, “heteroaralkyl”, "alkenyl”, “cycloalkenyl”, “alkynyl” and “optionally substituted” are provided.
- alkyl refers to a saturated straight or branched carbon chain.
- the chain comprises from 1 to 10 carbon atoms, i.e. 1, 2, 3, 4, 5, 6, 7, 8, 9 or 10 e.g. methyl, ethyl methyl, ethyl, propyl, wo-propyl, butyl, wo-butyl, tert-butyl, pentyl or hexyl, heptyl, or octyl.
- Alkyl groups are optionally substituted.
- heteroalkyl refers to a saturated straight or branched carbon chain.
- the chain comprises from 1 to 9 carbon atoms, i.e. 1, 2, 3, 4, 5, 6, 7, 8, 9 e.g. methyl, ethyl, propyl, wo-propyl, butyl, wo-butyl, sec-butyl, tert-butyl, pentyl or hexyl, heptyl, octyl, which is interrupted one or more times, e.g. 1, 2, 3, 4, 5, with the same or different heteroatoms.
- the heteroatoms are selected from O, S, and N, e.g.
- Heteroalkyl groups are optionally substituted.
- cycloalkyl and “heterocycloalkyl”, by themselves or in combination with other terms, represent, unless otherwise stated, cyclic versions of “alkyl” and “heteroalkyl”, respectively, with preferably 3, 4, 5, 6, 7, 8, 9 or 10 atoms forming a ring, e.g. cyclopropyl, cyclobutyl, cyclopentyl, cyclohexyl, cycloheptyl, cyclooctyl etc.
- cycloalkyl and “heterocycloalkyl” are also meant to include bicyclic, tricyclic and polycyclic versions thereof.
- heterocycloalkyl preferably refers to a saturated ring having five members of which at least one member is a N, O or S atom and which optionally contains one additional O or one additional N; a saturated ring having six members of which at least one member is a N, O or S atom and which optionally contains one additional O or one additional N or two additional N atoms; or a saturated bicyclic ring having nine or ten members of which at least one member is a N, O or S atom and which optionally contains one, two or three additional N atoms.
- Cycloalkyl and “heterocycloalkyl” groups are optionally substituted. Additionally, for heterocycloalkyl, a heteroatom can occupy the position at which the heterocycle is attached to the remainder of the molecule.
- Preferred examples of cycloalkyl include cyclopropyl, cyclobutyl, cyclopentyl, cyclohexyl, cycloheptyl, cyclooctyl, cyclononyl, cyclodecyl, spiro[3,3]heptyl, spiro[3,4]octyl, spiro[4,3]octyl, spiro[3,5]nonyl, spiro[5,3]nonyl, spiro[3,6]decyl, spiro[6,3]decyl, spiro[4,5]decyl, spiro[5,4]decyl, bicyclo[4.
- heterocycloalkyl examples include l-(l,2,5,6-tetrahydropyridyl), 1-piperidinyl, 2-piperidinyl, 3- piperidinyl, 4-morpholinyl, 3-morpholinyl, 1,8 diaza-spiro-[4,5] decyl, 1,7 diaza-spiro-[4,5] decyl, 1,6 diaza-spiro-[4,5] decyl, 2,8 diaza-spiro[4,5] decyl, 2,7 diaza-spiro[4,5] decyl, 2,6 diaza-spiro[4,5] decyl, 1,8 diaza-spiro-[5,4] decyl, 1,7 diaza-spiro-[5,4] decyl, 2,8 diaza-spiro- [5,4] decyl, 2,7 diaza-spiro[5,4] decyl, 3,8 diaza-spiro[5,4] decyl, 3,7 diaza-
- alicyclic system refers to mono, bicyclic, tricyclic or polycyclic version of a cycloalkyl or heterocycloalkyl comprising at least one double and/or triple bond.
- an alicyclic system is not aromatic or heteroaromatic, i.e. does not have a system of conjugated double bonds/free electron pairs.
- the number of double and/or triple bonds maximally allowed in an alicyclic system is determined by the number of ring atoms, e.g. in a ring system with up to 5 ring atoms an alicyclic system comprises up to one double bond, in a ring system with 6 ring atoms the alicyclic system comprises up to two double bonds.
- the "cycloalkenyl" as defined below is a preferred embodiment of an alicyclic ring system.
- Alicyclic systems are optionally substituted.
- aryl preferably refers to an aromatic monocyclic ring containing 6 carbon atoms, an aromatic bicyclic ring system containing 10 carbon atoms or an aromatic tricyclic ring system containing 14 carbon atoms. Examples are phenyl, naphtyl or anthracenyl. The aryl group is optionally substituted.
- aralkyl refers to an alkyl moiety, which is substituted by aryl, wherein alkyl and aryl have the meaning as outlined above. An example is the benzyl radical.
- the alkyl chain comprises from 1 to 8 carbon atoms, i.e. 1, 2, 3, 4, 5, 6, 7, or 8, e.g.
- aralkyl group is optionally substituted at the alkyl and/or aryl part of the group.
- heteroaryl preferably refers to a five or six-membered aromatic monocyclic ring wherein at least one of the carbon atoms are replaced by 1, 2, 3, or 4 (for the five membered ring) or 1, 2, 3, 4, or 5 (for the six membered ring) of the same or different heteroatoms, preferably selected from O, N and S; an aromatic bicyclic ring system wherein 1, 2, 3, 4, 5, or 6 carbon atoms of the 8, 9, 10, 11 or 12 carbon atoms have been replaced with the same or different heteroatoms, preferably selected from O, N and S; or an aromatic tricyclic ring system wherein 1, 2, 3, 4, 5, or 6 carbon atoms of the 13, 14, 15, or 16 carbon atoms have been replaced with the same or different heteroatoms, preferably selected from O, N and S.
- Examples are oxazolyl, isoxazolyl, 1,2,5-oxadiazolyl, 1,2,3-oxadiazolyl, pyrrolyl, imidazolyl, pyrazolyl, 1,2,3- triazolyl, thiazolyl, isothiazolyl, 1,2,3,-thiadiazolyl, 1,2,5-thiadiazolyl, pyridinyl, pyrimidinyl, pyrazinyl, 1,2,3-triazinyl, 1,2,4-triazinyl, 1,3,5-triazinyl, 1-benzofuranyl, 2-benzofuranyl, indolyl, isoindolyl, benzothiophenyl, 2-benzothiophenyl, lH-indazolyl, benzimidazolyl, benzoxazolyl, indoxazinyl, 2,1-benzisoxazoyl, benzothiazolyl, 1,2-benzisothiazolyl,
- heteroarylkyl refers to an alkyl moiety, which is substituted by heteroaryl, wherein alkyl and heteroaryl have the meaning as outlined above.
- An example is the 2- alklypyridinyl, 3-alkylpyridinyl, or 2-methylpyridinyl.
- the alkyl chain comprises from 1 to 8 carbon atoms, i.e. 1, 2, 3, 4, 5, 6, 7, or 8, e.g.
- heteroaralkyl group is optionally substituted at the alkyl and/or heteroaryl part of the group.
- alkenyl and cycloalkenyl refer to olefinic unsaturated carbon atoms containing chains or rings with one or more double bonds. Examples are propenyl and cyclohexenyl.
- the alkenyl chain comprises from 2 to 8 carbon atoms, i.e. 2, 3, 4, 5, 6, 7, or 8, e.g.
- cycloalkenyl ring comprises from 3 to 14 carbon atoms, i.e. 3, 4, 5, 6, 7, 8, 9, 10, 11, 12, 13 or 14, e.g.
- alkynyl refers to unsaturated carbon atoms containing chains or rings with one or more triple bonds.
- An example is the propargyl radical.
- the alkynyl chain comprises from 2 to 8 carbon atoms, i.e. 2, 3, 4, 5, 6, 7, or 8, e.g. ethynyl, 1-propynyl, 2- propynyl, 1-butynyl, 2-butynyl, 3-butynyl, 1-pentynyl, 2-pentynyl, 3-pentynyl, 4-pentynyl, hexynyl, pentynyl, octynyl.
- substituents e.g. 1, 2, 3, 4, 5, 6, 7, 8, 9, or 10 substituents which are in each instance independently selected from the group consisting of halogen, in particular F, Cl, Br or I; -R', -NO 2 , -CN, -OR 1 , -NR'R", -COOR', -CONR'R", -NR"'COR"' ⁇ -NR'"COR”", -NR'"CONR'R", -NR"SO 2 A, -COR'”; -SO 2 NR 5 R", -OOCR'", -CR'"R”"OH, R'"OH, and -E;
- R' and R" is each independently selected from the group consisting of hydrogen, alkyl, alkenyl, alkynyl, cycloalkyl, heterocycloalkyl, aryl, heteroaryl, and aralkyl or together form a heteroaryl, or heterocycloalkyl;
- R'" and R"" is each independently selected from the group consisting of hydrogen, alkyl, alkenyl, alkynyl, cycloalkyl, heterocycloalkyl, alkoxy, aryl, aralkyl, heteroaryl, and -NR'R";
- E is selected from the group consisting of alkyl, alkenyl, cycloalkyl, alkoxy, alkoxyalkyl, heterocycloalkyl, an alicyclic system, aryl and heteroaryl; optionally substituted;
- the term "a compound according to the invention” refers to a compound according to any of formulas I through XXXTV including all preferred respective embodiment
- drug and pharmaceutically active compound(s) are used interchangeably.
- unexpected activities derived from off-targets are usually unwanted and harmful, they can sometimes be beneficial. As will be explained herein, they can, for example, lead to new therapeutic indications for existing, marketed drugs.
- the inventors of the present invention have established a computer implemented method to explore the vast amount of human phenomenological data generated from the use of marketed drugs, namely side effects, to infer molecular activities of drugs that are not implicit by their chemical similarity or the sequence similarity of their known targets. Simply making an "educated guess" that two compounds which have closely related side-effects will also share a common therapeutic target is prone to result in too many false predictions. Therefore, the present inventors have invested in refining and optimizing a complex computer implemented method which considers a plurality of data dependencies and which integrates the data by elaborous filtering and weighing steps as will be described herein. Unexpectedly, the optimized computer
- program was capable of identifying several hundred pairs of compounds which (a) merely have low chemical similarity and are, thus, structurally different, which (b) the prior art has classified in different therapeutic categories, which (c) were previously not known to share the same therapeutical target and which (d) are not related by the amino acid sequence similarity of their respective therapeutic target proteins. Importantly, for several of these identified compounds it was shown in "wet-lab” experiments that the respective drug pairs indeed share the same therapeutic target. In the following, novel medical indications will be provided for known compounds.
- the disorder or disease treatable with the respective compound according to the invention is frequently defined herein as a disorder or disease which is currently treated with a different pharmaceutical compound or any different pharmaceutical compound that belongs to a generic class of medicaments.
- the invention provides the use of a compound having a structure according to formula I:
- X is O or S; preferably X is O Z is in each instance CR 4 R 5 ; ni is an integer from 1 to 5; i.e. an integer selected from 1, 2, 3, 4 or 5; preferably nl is 2; n 2 is an integer from 1 to 5; i.e. an integer selected from 1, 2, 3, 4 or 5; preferably n2 is 1 ; m is an integer from 0 to 4; i.e.
- R 1 is selected from the group consisting of cycloalkyl, heterocycloalkyl, an alicyclic system, aryl and heteroaryl; optionally substituted
- R 2 is selected from the group consisting of cycloalkyl, heterocycloalkyl, an alicyclic system, aryl and heteroaryl; optionally substituted;
- R 3 is selected from the group consisting of hydrogen, halogen (preferably F, Cl, Br or I), alkyl, alkenyl, alkynyl and cycloalkyl; optionally substituted; and if two R 3 substituents are on adjacent carbon atoms, they may together form a cycloalkyl, heterocycloalkyl or alicyclic system; optionally substituted;
- R 4 and R 5 is each independently selected from the group consisting of hydrogen, alkyl, alkenyl, alkynyl, cycloalkyl, heterocycloalkyl, alkoxy, aryl, aralkyl, heteroaryl, and -NR 6 R 7 ; optionally substituted;
- R 6 and R 7 is each independently selected from the group consisting of hydrogen, alkyl, alkenyl, alkynyl, cycloalkyl, heterocycloalkyl, aryl, heteroaryl, and aralkyl or together form a heteroaryl, and heterocycloalkyl; optionally substituted; or pharmaceutically acceptable salts thereof, for the prevention or treatment of a disease or disorder treatable with a Serotonin-norepinephrine reuptake inhibitor (SNRI).
- SNRI Serotonin-norepinephrine reuptake inhibitor
- SNRI Serotonin-norepinephrine reuptake inhibitor
- At least one of the respective substituents of the compound according to formula I is defined as follows:
- R 1 is preferably aryl (in particular phenyl, naphthalenyl or anthracenyl), or heteroaryl (in particular furanyl, thienyl, oxazolyl, isoxazolyl, 1,2,5-oxadiazolyl, 1,2,3-oxadiazolyl, pyrrolyl, imidazolyl, pyrazolyl, 1,2,3-triazolyl, thiazolyl, isothiazolyl, 1,2,3-thiadiazolyl,
- 1,2,5-thiadiazolyl pyridinyl, pyrimidinyl, pyrazinyl, 1,2,3-triazinyl, 1,2,4-triazinyl, 1,3,5- triazinyl, 1-benzofuranyl, 2-benzofuranyl, indolyl, isoindolyl, benzothienyl, 2- benzothienyl, lH-indazolyl, benzimidazolyl, benzoxazolyl, indoxazinyl, 2,1- benzisoxazolyl, benzothiazolyl, 1,2-benzisothiazolyl, 2,1-benzisothiazolyl, benzotriazolyl, quinolinyl, isoquinolinyl, 2,3-benzodiazinyl, quinoxalinyl, quinazolinyl,
- R 2 is preferably aryl (in particular phenyl, naphthalenyl or anthracenyl), or heteroaryl (in particular furanyl, thienyl, oxazolyl, isoxazolyl, 1,2,5-oxadiazolyl, 1,2,3-oxadiazolyl, pyrrolyl, imidazolyl, pyrazolyl, 1,2,3-triazolyl, thiazolyl, isothiazolyl, 1,2,3-thiadiazolyl, 1,2,5-thiadiazolyl, pyridinyl, pyrimidinyl, pyrazinyl, 1,2,3-triazinyl, 1,2,4-triazinyl, 1,3,5- triazinyl, 1-benzofuranyl, 2-benzofuranyl, indolyl, isoindolyl, benzothienyl, 2- benzothienyl, lH-indazolyl, benzimidazoly
- R 4 and R 5 is preferably each independently selected from the group consisting of hydrogen, alkyl (in particular Ci-C ⁇ alkyl, e.g. C 1 , C 2 , C 3 , C 4 , C 5 , or Ce alkyl, preferably methyl, ethyl, propyl, wo-propyl, butyl, wo-butyl, tert-butyl, pentyl or hexyl), alkenyl and alkynyl; optionally substituted.
- alkyl in particular Ci-C ⁇ alkyl, e.g. C 1 , C 2 , C 3 , C 4 , C 5 , or Ce alkyl, preferably methyl, ethyl, propyl, wo-propyl, butyl, wo-butyl, tert-butyl, pentyl or hexyl
- alkenyl and alkynyl optionally substituted.
- nl is 2, n2 is 1,
- the compound according to structure I has a structure according to formula II (cetirizine):
- the invention further provides the use of a compound having a structure according to formula III:
- n is an integer from 0 to 9; i.e. an integer selected from 0, 1, 2, 3, 4, 5, 6, 7, 8 or 9; preferably m is 0;
- X is O or S; preferably X is O;
- Y is selected from the group consisting of hydrogen, halogen (preferably F, Cl, Br or I),
- R 1 is selected from the group consisting of cycloalkyl, heterocycloalkyl, an alicyclic system, aryl and heteroaryl; optionally substituted;
- R is selected from the group consisting of cycloalkyl, heterocycloalkyl, an alicyclic system, aryl and heteroaryl; optionally substituted;
- R 3 is selected from the group consisting of hydrogen, halogen (preferably F, Cl, Br or I), alkyl, alkenyl, alkynyl and cycloalkyl; optionally substituted; and if two R substituents are on adjacent carbon atoms, they may together form a cycloalkyl, heterocycloalkyl or alicyclic system; optionally substituted;
- R 4 and R 5 is each independently selected from the group consisting of hydrogen,
- R 6 and R 7 is each independently selected from the group consisting of hydrogen, alkyl, alkenyl, alkynyl, cycloalkyl, heterocycloalkyl, aryl, heteroaryl, and aralkyl or together form a heteroaryl, and heterocycloalkyl; optionally substituted;
- R 6 ' and R 7 ' is each independently selected from the group consisting of hydrogen, alkyl, alkenyl or together form a heterocycloalkyl; optionally substituted; or pharmaceutically acceptable salts thereof, for the prevention or treatment of a disease or disorder treatable with a Serotonin-norepinephrine reuptake inhibitor (SNRI).
- SNRI Serotonin-norepinephrine reuptake inhibitor
- At least one of the respective substituents of the compound according to formula III is defined as follows:
- Y is preferably selected from the group consisting of hydrogen, -OR 6 , -NR 6 R 7 and -COOR 6 ;
- R 1 is preferably aryl (in particular phenyl, naphthalenyl or anthracenyl), or heteroaryl (in particular furanyl, thienyl, oxazolyl, isoxazolyl, 1,2,5-oxadiazolyl, 1,2,3-oxadiazolyl, pyrrolyl, imidazolyl, pyrazolyl, 1,2,3-triazolyl, thiazolyl, isothiazolyl, 1,2,3-thiadiazolyl,
- 1,2,5-thiadiazolyl pyridinyl, pyrimidinyl, pyrazinyl, 1,2,3-triazinyl, 1,2,4-triazinyl, 1,3,5- triazinyl, 1-benzofuranyl, 2-benzofuranyl, indolyl, isoindolyl, benzothienyl, 2- benzothienyl, lH-indazolyl, benzimidazolyl, benzoxazolyl, indoxazinyl, 2,1- benzisoxazolyl, benzothiazolyl, 1 ,2-benzisothiazolyl, 2,1-benzisothiazolyl, benzotriazolyl, quinolinyl, isoquinolinyl, 2,3-benzodiazinyl, quinoxalinyl, quinazolinyl,
- R is preferably aryl (in particular phenyl, naphthalenyl or anthracenyl), or heteroaryl (in particular furanyl, thienyl, oxazolyl, isoxazolyl, 1,2,5-oxadiazolyl, 1,2,3-oxadiazolyl, pyrrolyl, imidazolyl, pyrazolyl, 1,2,3-triazolyl, thiazolyl, isothiazolyl, 1,2,3-thiadiazolyl,
- 1,2,5-thiadiazolyl pyridinyl, pyrimidinyl, pyrazinyl, 1,2,3-triazinyl, 1,2,4-triazinyl, 1,3,5- triazinyl, 1-benzofuranyl, 2-benzofuranyl, indolyl, isoindolyl, benzothienyl, 2- benzothienyl, lH-indazolyl, benzimidazolyl, benzoxazolyl, indoxazinyl, 2,1- benzisoxazolyl, benzothiazolyl, 1 ,2-benzisothiazolyl, 2,1-benzisothiazolyl, benzotriazolyl, quinolinyl, isoquinolinyl, 2,3-benzodiazinyl, quinoxalinyl, quinazolinyl,
- R 6 and R 7 is preferably each independently selected from the group consisting of hydrogen, alkyl
- Ci-C ⁇ alkyl e.g. C 1 , C 2 , C 3 , C 4 , C 5 , or Ce alkyl, preferably methyl, ethyl, propyl, /so-propyl, butyl, wo-butyl, tert-butyl, pentyl or hexyl
- alkenyl alkynyl, cycloalkyl, heterocycloalkyl (C 3 -C 14 -heterocycloalkyl, e.g.
- 2,1-benzisoxazolyl benzothiazolyl, 1,2-benzisothiazolyl, 2,1-benzisothiazolyl, benzotriazolyl, quinolinyl, isoquinolinyl, 2,3-benzodiazinyl, quinoxalinyl, quinazolinyl, 1,2,3-benzotriazinyl, or 1 ,2,4-benzotriazinyl), and aralkyl or together form a heteroaryl, and heterocycloalkyl; optionally substituted; and most preferably R 6 and/or R 7 is hydrogen; and
- R 6 ' and R 7 ' is preferably alkyl (in particular Ci-C 6 alkyl, e.g. Ci, C 2 , C 3 , C 4 , C 5 , or C 6 alkyl, preferably methyl, ethyl, propyl, /s ⁇ -propyl, butyl, /so-butyl, tert-butyl, pentyl or hexy ⁇ ); optionally substituted.
- X is O
- R 6 ' and R 7 ' is methyl and m is zero and preferably Y is -OH.
- the compound according to structure III has a structure according to formula IV (tiotropium):
- the invention further provides the use of a compound having a structure according to formula V:
- W is alkyl, -OR 6 ', -CR 4 R 5 OH, or -NR 6 'R 7 '; Z is in each instance CR 4 R 5 ;
- n! is an integer from 1 to 5; i.e. an integer selected from 1, 2, 3, 4 or 5; preferably n ⁇ is 2;
- R is selected from the group consisting of cycloalkyl, heterocycloalkyl, an alicyclic system, aryl and heteroaryl; optionally substituted;
- R 2 is selected from the group consisting of cycloalkyl, heterocycloalkyl, an alicyclic system, aryl and heteroaryl; optionally substituted;
- R 4 and R 5 is each independently selected from the group consisting of hydrogen, alkyl, alkenyl, alkynyl, cycloalkyl, heterocycloalkyl, alkoxy, aryl, aralkyl, heteroaryl, and -NR 6 R 7 ; optionally substituted; R 6 and R 7 is each independently selected from the group consisting of hydrogen, alkyl, alkenyl, alkynyl, cycloalkyl, heterocycloalkyl, aryl, heteroaryl, and aralkyl or together form a heteroaryl, and heterocycloalkyl; optionally substituted; R 6 ' and R 7 ' is each independently selected from the group consisting of hydrogen, alkyl, alkenyl or together form a heterocycloalkyl; optionally substituted; R 8 is each individually selected from the group consisting of hydrogen, alkyl, alkenyl, alkynyl and cycloalkyl; optionally substituted; or pharmaceutically acceptable salts thereof
- At least one of the respective substituents of the compound according to formula V is defined as follows: W is preferably -NR 6 'R 7 ';
- R 1 is preferably aryl (in particular phenyl, naphthalenyl or anthracenyl), or heteroaryl (in particular furanyl, thienyl, oxazolyl, isoxazolyl, 1,2,5-oxadiazolyl, 1,2,3-oxadiazolyl, pyrrolyl, imidazolyl, pyrazolyl, 1,2,3-triazolyl, thiazolyl, isothiazolyl, 1,2,3-thiadiazolyl, 1,2,5-thiadiazolyl, pyridinyl, pyrimidinyl, pyrazinyl, 1,2,3-triazinyl, 1,2,4-triazinyl, 1,3,5- triazinyl, 1-benzofuranyl, 2-benzofuranyl, indolyl, isoindolyl, benzothienyl, 2- benzothienyl, lH-indazolyl, benzimidazoly
- R 2 is preferably aryl (in particular phenyl, naphthalenyl or anthracenyl), or heteroaryl (in particular furanyl, thienyl, oxazolyl, isoxazolyl, 1,2,5-oxadiazolyl, 1,2,3-oxadiazolyl, pyrrolyl, imidazolyl, pyrazolyl, 1,2,3-triazolyl, thiazolyl, isothiazolyl, 1,2,3-thiadiazolyl, 1,2,5-thiadiazolyl, pyridinyl, pyrimidinyl, pyrazinyl, 1,2,3-triazinyl, 1,2,4-triazinyl, 1,3,5- triazinyl, 1-benzofuranyl, 2-benzofuranyl, indolyl, isoindolyl, benzothienyl, 2- benzothienyl, lH-indazolyl, benzimidazoly
- R 6 ' and R 7 ' is preferably each independently selected from the group consisting of hydrogen and alkyl (in particular Ci-C 6 alkyl, e.g. Ci, C 2 , C 3 , C 4 , C 5 , or C 6 alkyl, preferably methyl, ethyl, propyl, /so-propyl, butyl, iso-butyl, tert-butyl, pentyl or hexyl); optionally substituted; and
- R 8 is preferably hydrogen or alkyl (in particular C1-C6 alkyl, e.g. Cl, C2, C3, C4, C5, or C6 alkyl, preferably methyl, ethyl, propyl, iso-propyl, butyl, iso-butyl, tert-butyl, pentyl or hexyl); optionally substituted.
- nl is 2
- W is -NH 2
- R 8 is isopropyl.
- the compound according to structure V has a structure according to formula VI (disopyramide):
- a compound according to formula V or VI can be used for the prevention or treatment of a disease or disorder treatable with an antihistamine.
- a compound according to any of formulas I - VI can be used for the prevention or treatment of a depression and/or an anxiety disorder.
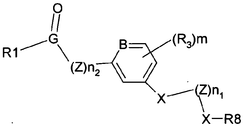
- the invention further provides the use of a compound having a structure according to formula VII:
- X is in each instance O or S; preferably X is O; X' is in each instance O or S; preferably X' is O; Y is in each instance selected from the group consisting of hydrogen, halogen (preferably F, Cl, Br or I), -NO 2 , -CN, -OR 6 , -NR 6 R 7 , -COOR 6 , -CONR 6 R 7 , -NR 4 COR 5 , -NR 4 COR 5 , -NR 4 CONR 6 R 7 , -NR 5 SO 2 A, -COR 6 , -SO 2 NR 6 R 7 , -OOCR 4 and -CR 4 R 5 OH;
- halogen preferably F, Cl, Br or I
- Z is in each instance CR 4 R 5 ; n is an integer from 1 to 5; i.e. an integer selected from 1, 2, 3, 4 or 5; preferably n is 1; In 1 is an integer between O and 3; i.e. an integer selected from O, 1, 2 or 3; preferably mi is O; m 2 is an integer between O and 3; i.e.
- R 2 is selected from the group consisting of cycloalkyl, heterocycloalkyl, an alicyclic system, aryl and heteroaryl; optionally substituted
- R 3 is selected from the group consisting of hydrogen, halogen (preferably F, Cl, Br or I), alkyl, alkenyl, alkynyl and cycloalkyl; optionally substituted; and if two R 3 substituents are on adjacent carbon atoms, they may together form a cycloalkyl, heterocycloalkyl or alicyclic system; optionally substituted;
- R 3 is selected from the group consisting of hydrogen, halogen (preferably F, Cl, Br or I), alkyl, alkenyl, alkynyl and cycloalkyl; optionally substituted; and if two R 3 substituents are on adjacent carbon atoms, they may together form a cycloalkyl, heterocycloalkyl or alicyclic system; optionally substituted;
- R 4 and R 5 is each independently selected from the group consisting of hydrogen, alkyl, alkenyl, alkynyl, cycloalkyl, heterocycloalkyl, alkoxy, aryl, aralkyl, heteroaryl, and -NR 6 R 7 ; optionally substituted;
- R 6 and R 7 is each independently selected from the group consisting of hydrogen, alkyl, alkenyl, alkynyl, cycloalkyl, heterocycloalkyl, aryl, heteroaryl, and aralkyl or together form a heteroaryl, and heterocycloalkyl; optionally substituted;
- R is selected from the group consisting of hydrogen, alkyl, alkenyl, alkynyl and cycloalkyl; optionally substituted; or pharmaceutically acceptable salts thereof, for the prevention or treatment of a psychosis and/or a disease or disorder treatable with an antihistamine such as, for example, an allergy.
- At least one of the respective substituents of the compound according to formula VII is defined as follows:
- Y is preferably in each instance selected from the group consisting of -OR 6 , -NR 6 R 7 and -COOR 6 ; and is most preferably -OH;
- R 2 is preferably cycloalkyl or heterocycloalkyl (C 3 -C 14 -heterocycloalkyl, e.g. C 3 , C 4 , C5, C 6 ,
- R 4 and R 5 is preferably each independently selected from hydrogen or alkyl (in particular C1-C6 alkyl, e.g. Cl, C2, C3, C4, C5, or C6 alkyl, preferably methyl, ethyl, propyl, iso-propyl, butyl, iso-butyl, tert-butyl, pentyl or hexyl); optionally substituted;
- alkyl in particular C1-C6 alkyl, e.g. Cl, C2, C3, C4, C5, or C6 alkyl, preferably methyl, ethyl, propyl, iso-propyl, butyl, iso-butyl, tert-butyl, pentyl or hexyl
- R 6 and R 7 is preferably each independently selected from hydrogen or alkyl (in particular C1-C6 alkyl, e.g. Cl, C2, C3, C4, C5, or C6 alkyl, preferably methyl, ethyl, propyl, iso-propyl, butyl, iso-butyl, tert-butyl, pentyl or hexyl); optionally substituted; and R 8 is preferably alkyl (in particular C1-C6 alkyl, e.g.
- C2, C3, C4, C5, or C6 alkyl preferably methyl, ethyl, propyl, iso-propyl, butyl, iso-butyl, tert-butyl, pentyl or hexyl); optionally substituted.
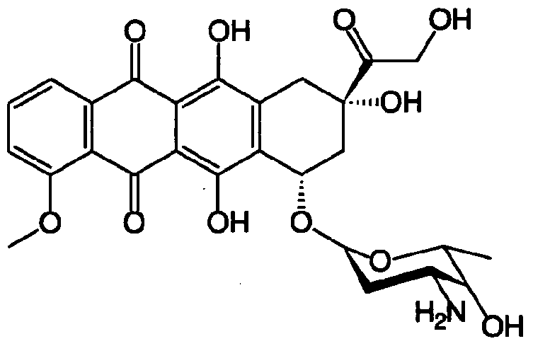
- the compound according to structure VII has a structure according to formula VIII (doxorubicin):
- the invention further provides the use of a compound having a structure according to formula IX:
- A is in each instance S, O or NR 6 '; preferably A is O; X is O or S; preferably X is O; Z is in each instance CR 4 R 5 ; m is an integer from O to 4; i.e. an integer selected from 0, 1 , 2, 3 or 4; preferably m is 0; ni is an integer from 1 to 5; i.e. an integer selected from 1, 2, 3, 4 or 5; preferably n t is 1; n 2 is an integer from 1 to 5; i.e. an integer selected from 1, 2, 3, 4 or 5; preferably n 2 is 1; R is selected from the group consisting of cycloalkyl, heterocycloalkyl, an alicyclic system, aryl and heteroaryl; optionally substituted;
- R is selected from the group consisting of cycloalkyl, heterocycloalkyl, an alicyclic system, aryl and heteroaryl; optionally substituted;
- R 3 is selected from the group consisting of hydrogen, halogen (preferably F, Cl, Br or I), alkyl, alkenyl, alkynyl and cycloalkyl; optionally substituted;
- R 4 and R 5 is each independently selected from the group consisting of hydrogen, alkyl, alkenyl, alkynyl, cycloalkyl, heterocycloalkyl, alkoxy, aryl, aralkyl and heteroaryl; optionally substituted;
- R 6 and R 7 is each independently selected from the group consisting of hydrogen, alkyl, alkenyl, alkynyl, cycloalkyl, heterocycloalkyl, aryl, heteroaryl, and aralkyl or together form a heteroaryl, and heterocycloalkyl; optionally substituted;
- R 6 ' is selected from the group consisting of hydrogen, alkyl, alkenyl and alkynyl; optionally substituted;
- R 9 is in each instance independently selected from the group consisting of hydrogen, halogen (preferably F, Cl, Br or I), -NO 2 , -CN, -OR 6 , -NR 6 R 7 , -COOR 6 , -CONR 6 R 7 ,
- R 10 is selected from the group consisting of cycloalkyl, heterocycloalkyl, an alicyclic system, aryl and heteroaryl; optionally substituted; or pharmaceutically acceptable salts thereof, for the prevention or treatment of disease or disorder treatable with a serotonin receptor antagonist, preferably a 5-HT2 type serotonin receptor antagonist and most preferably a 5-HT2C type serotonin receptor antagonist.
- a serotonin receptor antagonist preferably a 5-HT2 type serotonin receptor antagonist and most preferably a 5-HT2C type serotonin receptor antagonist.
- At least one of the respective substituents of the compound according to formula IX is defined as follows:
- R 1 is preferably cycloalkyl or heterocycloalkyl (C 3 -C 14 -heterocycloalkyl, e.g. C 3 , C 4 , C 5 , C 6 ,
- C 7 , C 8 , C 9 , C 10 , Cn, Ci 2 , Cu or C ⁇ -heterocycloalkyl in particular piperidinyl, morpholinyl, 1 ,3-diazacyclohexanyl, 1,8 diaza-spiro-[4,5] decyl, 1,7 diaza-spiro-[4,5] decyl, 1,6 diaza-spiro-[4,5] decyl, 2,8 diaza-spiro[4,5] decyl, 2,7 diaza-spiro[4,5] decyl,
- R 2 is preferably aryl (in particular phenyl, naphthalenyl or anthracenyl), or heteroaryl (in particular furanyl, thienyl, oxazolyl, isoxazolyl, 1,2,5-oxadiazolyl, 1,2,3-oxadiazolyl, pyrrolyl, imidazolyl, pyrazolyl, 1,2,3-triazolyl, thiazolyl, isothiazolyl, 1,2,3-thiadiazolyl, 1,2,5-thiadiazolyl, pyridinyl, pyrimidinyl, pyrazinyl, 1,2,3-triazinyl, 1,2,4-triazinyl, 1,3,5- triazinyl, 1-benzofuranyl, 2-benzofuranyl, indolyl, isoindolyl, benzothienyl, 2- benzothienyl, lH-indazolyl, benzimidazoly
- R 3 is preferably hydrogen or alkyl (in particular Ci-C 6 alkyl, e.g. Ci, C 2 , C 3 , C 4 , C 5 , or C 6 alkyl, preferably methyl, ethyl, propyl, /so-propyl, butyl, iso-butyl, tert-butyl, pentyl or hexyt); optionally substituted;
- Ci-C 6 alkyl e.g. Ci, C 2 , C 3 , C 4 , C 5 , or C 6 alkyl, preferably methyl, ethyl, propyl, /so-propyl, butyl, iso-butyl, tert-butyl, pentyl or hexyt
- R 4 and R 5 is preferably each independently selected from hydrogen or alkyl (in particular Ci-C 6 alkyl, e.g. Ci, C 2 , C 3 , C 4 , C 5 , or C 6 alkyl, preferably methyl, ethyl, propyl, /so-propyl, butyl, wo-butyl, tert-butyl, pentyl or hexyt); optionally substituted; and
- R 10 is preferably aryl (in particular phenyl, naphthalenyl or anthracenyl), or heteroaryl (in particular furanyl, thienyl, oxazolyl, isoxazolyl, 1,2,5-oxadiazolyl, 1,2,3-oxadiazolyl, pyrrolyl, imidazolyl, pyrazolyl, 1,2,3-triazolyl, thiazolyl, isothiazolyl, 1,2,3-thiadiazolyl, 1,2,5-thiadiazolyl, pyridinyl, pyrimidinyl, pyrazinyl, 1,2,3-triazinyl, 1,2,4-triazinyl, 1,3,5- triazinyl, 1-benzofuranyl, 2-benzofuranyl, indolyl, isoindolyl, benzothienyl, 2- benzothienyl, lH-indazolyl, benzimidazoly
- the compound according to structure IX has a structure according to formula X (ketoconazole):
- a compound according to formula IX or X is used for the prevention or treatment of a psychosis and/or nausea.
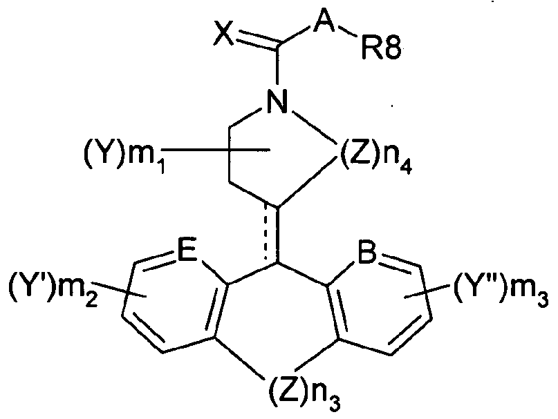
- the invention further provides the use of a compound having a structure according to formula XI:
- A is S, O or NR 6' ; preferably A is O; B is C or N; preferably B is N; E is C or N; preferably E is C; X is O or S; if A is S then X is O; preferably X is O; ml is an integer from O to 6; i.e. an integer selected from O, 1, 2, 3, 4, 5 or 6; preferably ml is O; m2 is.an integer from 0 to 3; i.e. an integer selected from 0, 1, 2 or 3; preferably m2 is 1; m3 is an integer from 0 to 3; i.e.
- n 3 is an integer from 1 to 3; i.e. an integer selected from 1, 2 or 3; preferably n 3 is 2;
- Xi 4 is an integer from 1 to 3; i.e. an integer selected from 1, 2 or 3; preferably 11 4 is 2;
- Y is selected from the group consisting of hydrogen, halogen (preferably F, Cl, Br or I),
- Y' is selected from the group consisting of hydrogen, halogen (preferably F, Cl, Br or I),
- Y is selected from the group consisting of hydrogen, halogen (preferably F, Cl, Br or I),
- R 4 and R 5 is each independently selected from the group consisting of hydrogen, alkyl, alkenyl, alkynyl, cycloalkyl, heterocycloalkyl, alkoxy, aryl, aralkyl, heteroaryl, and -NR 6 R 7 ; optionally substituted;
- R 6 and R 7 is each independently selected from the group consisting of hydrogen, alkyl, alkenyl, alkynyl, cycloalkyl, heterocycloalkyl, aryl, heteroaryl, and aralkyl or together form a heteroaryl, and heterocycloalkyl; optionally substituted;
- R 6 ' is selected from the group consisting of hydrogen, alkyl, alkenyl and alkynyl; optionally substituted;
- R 8 is selected from the group consisting of hydrogen, alkyl (preferably C1-C6 alkyl, e.g.
- Y' is preferably selected from the group consisting of hydrogen, halogen (preferably F, Cl,
- R 4 and R 5 is preferably hydrogen or alkyl (in particular C1-C6 alkyl, e.g. Cl, C2, C3, C4, C5, or C6 alkyl, preferably methyl, ethyl, propyl, iso-propyl, butyl, iso-butyl, tert-butyl, pentyl or hexyl); optionally substituted; and
- R 8 is preferably selected from the group consisting of alkyl (in particular Cl -C6 alkyl, e.g. Cl, C2, C3, C4, C5, or C6 alkyl, preferably methyl, ethyl, propyl, iso-propyl, butyl, iso- butyl, tert-butyl, pentyl or hexyl), alkenyl and alkynyl; optionally substituted.
- alkyl in particular Cl -C6 alkyl, e.g. Cl, C2, C3, C4, C5, or C6 alkyl, preferably methyl, ethyl, propyl, iso-propyl, butyl, iso- butyl, tert-butyl, pentyl or hexyl
- alkenyl and alkynyl optionally substituted.
- A is O
- X is O
- B is N
- E is C
- m 2 l
- In 3 O
- n 3 2
- Hi 1 O
- 11 4 2 and the bond indicated by the dashed line is present.
- the compound according to structure XI has a structure according to formula XII (loratadine):
- a compound according to formula XI or XII is used for the prevention or treatment of a disease or disorder selected from the group consisting of anxiety disorder, insomnia, agitation, a seizure, a muscle spasm and substance abuse-related disorder.
- the invention further provides the use of a compound having a structure according to formula XIII:
- B is C or N; preferably B is N; G is C or S; preferably G is S; X is in each instance O or S; preferably X is O; Z is in each instance CR 4 R 5 ;
- m is an integer from 0 to 3; i.e. an integer selected from 0, 1, 2 or 3; preferably m is 1;
- n ! is an integer from 1 to 5; i.e. an integer selected from 1, 2, 3, 4 or 5; preferably n t is 3; n 2 is an integer from 1 to 5; i.e.
- R 1 is selected from the group consisting of cycloalkyl, heterocycloalkyl, an alicyclic system, aryl and heteroaryl; optionally substituted;
- R 3 is selected from the group consisting of hydrogen, halogen (preferably F, Cl, Br or I), alkyl, alkenyl, alkynyl and cycloalkyl; optionally substituted; and if two R 3 substituents are on adjacent carbon atoms, they may together form a cycloalkyl, heterocycloalkyl or alicyclic system; optionally substituted;
- R 4 and R 5 is each independently selected from the group consisting of hydrogen, alkyl, alkenyl, alkynyl, cycloalkyl, heterocycloalkyl, alkoxy, aryl, aralkyl, heteroaryl, and -NR R ; optionally substituted;
- R 6 and R 7 is each independently selected from the group consisting of hydrogen, alkyl, alkenyl, alkynyl, cycloalkyl, heterocycloalkyl, aryl, heteroaryl, and aralkyl or together form a heteroaryl, and heterocycloalkyl; optionally substituted;
- R 8 is selected from the group consisting of hydrogen, alkyl, alkenyl, alkynyl and cycloalkyl; optionally substituted; or pharmaceutically acceptable salts thereof, for the prevention or treatment of a disease or disorder treatable with a dopamine receptor antagonist, preferably a type D2-like dopamine receptor antagonist.
- At least one of the respective substituents of the compound according to formula XIII is defined as follows:
- R 1 is preferably aryl (in particular phenyl, naphthalenyl or anthracenyl), or heteroaryl (in particular furanyl, thienyl, oxazolyl, isoxazolyl, 1,2,5-oxadiazolyl, 1,2,3-oxadiazolyl, pyrrolyl, imidazolyl, pyrazolyl, 1,2,3-triazolyl, thiazolyl, isothiazolyl, 1,2,3-thiadiazolyl, 1,2,5-thiadiazolyl, pyridinyl, pyrimidinyl, pyrazinyl, 1,2,3-triazinyl, 1,2,4-triazinyl, 1,3,5- triazinyl, 1 -benzofuranyl, 2-benzofuranyl, indolyl, isoindolyl, benzothienyl, 2- benzothienyl, lH-indazolyl, benzimid
- R 3 is preferably alkyl; optionally substituted
- R 4 and R 5 is preferably each independently selected from hydrogen or alkyl (in particular C1-C6 alkyl, e.g. Cl, C2, C3, C4, C5, or C6 alkyl, preferably methyl, ethyl, propyl, iso-propyl, butyl, iso-butyl, tert-butyl, pentyl or hexyl); optionally substituted; and R 8 is preferably selected from the group consisting alkyl (in particular C 1 -C6 alkyl, e.g.
- C 1 , C2, C3, C4, C5, or C6 alkyl preferably methyl, ethyl, propyl, iso-propyl, butyl, iso-butyl, tert-butyl, pentyl or hexyl), alkenyl and alkynyl; optionally substituted.
- the compound according to structure XIII has a structure according to formula XIV (rabeprazole):
- a compound according to formula XIII or XIV is used for the prevention or treatment of a disease or disorder selected from the group consisting of psychosis, nausea, depression, Parkinson's disease and migraine.
- the invention further provides the use of a compound having a structure according to formula XV:
- m is an integer from 1 to 4; i.e. an integer selected from 1, 2, 3 or 4; preferably m is 1;
- A is S, O or NR 6 ' ; preferably A is S;
- X is O or S; preferably X is O;
- Y is in each instance selected from the group consisting of hydrogen, halogen (preferably F, Cl, Br or I), -NO 2 , -CN, -OR 6 , -NR 6 R 7 , -COOR 6 , -CONR 6 R 7 , -NR 4 COR 5 , -NR 4 COR 5 ,
- R is selected from the group consisting of cycloalkyl, heterocycloalkyl, an alicyclic system, aryl and heteroaryl; optionally substituted;
- R 2 is selected from the group consisting of cycloalkyl, heterocycloalkyl, an alicyclic system, aryl and heteroaryl; optionally substituted;
- R 4 and R 5 is each independently selected from the group consisting of hydrogen, alkyl, alkenyl, alkynyl, cycloalkyl, heterocycloalkyl, alkoxy, aryl, aralkyl, heteroaryl, and -NR 6 R 7 ; optionally substituted;
- R 6 and R 7 is each independently selected from the group consisting of hydrogen, alkyl, alkenyl, alkynyl, cycloalkyl, heterocycloalkyl, aryl, heteroaryl, and aralkyl or together form a heteroaryl, and heterocycloalkyl; optionally substituted;
- R 6 ' is selected from the group consisting of hydrogen, alkyl, alkenyl and alkynyl; optionally substituted; or pharmaceutically acceptable salts thereof, for the prevention or treatment of a disease or disorder treatable with Tegaserod (2-((5-Methoxy-lH-indol-3-yl)methylene)-N- penty lhydrazinecarboximidamide) .
- At least one of the respective substituents of the compound according to formula XV is defined as follows: Y is preferably in each instance selected from the group consisting of -OR 6 , -NR 6 R 7 and
- R 1 is preferably aryl (in particular phenyl, naphthalenyl or anthracenyl), or heteroaryl (in particular furanyl, thienyl, oxazolyl, isoxazolyl, 1,2,5-oxadiazolyl, 1,2,3-oxadiazolyl, pyrrolyl, imidazolyl, pyrazolyl, 1,2,3-triazolyl, thiazolyl, isothiazolyl, 1,2,3-thiadiazolyl,
- 1,2,5-thiadiazolyl pyridinyl, pyrimidinyl, pyrazinyl, 1,2,3-triazinyl, 1,2,4-triazinyl, 1,3,5- triazinyl, 1-benzofuranyl, 2-benzofuranyl, indolyl, isoindolyl, benzothienyl, 2- benzothienyl, lH-indazolyl, benzimidazolyl, benzoxazolyl, indoxazinyl, 2,1- benzisoxazolyl, benzothiazolyl, 1,2-benzisothiazolyl, 2,1-benzisothiazolyl, benzotriazolyl, quinolinyl, isoquinolinyl, 2,3-benzodiazinyl, quinoxalinyl, quinazolinyl,
- R 2 is preferably aryl (in particular phenyl, naphthalenyl or anthracenyl), or heteroaryl (in particular furanyl, thienyl, oxazolyl, isoxazolyl, 1,2,5-oxadiazolyl, 1,2,3-oxadiazolyl, pyrrolyl, imidazolyl, pyrazolyl, 1,2,3-triazolyl, thiazolyl, isothiazolyl, 1,2,3-thiadiazolyl,
- 1,2,5-thiadiazolyl pyridinyl, pyrimidinyl, pyrazinyl, 1,2,3-triazinyl, 1,2,4-triazinyl, 1,3,5- triazinyl, 1-benzofuranyl, 2-benzofuranyl, indolyl, isoindolyl, benzothienyl, 2- benzothienyl, lH-indazolyl, benzimidazolyl, benzoxazolyl, indoxazinyl, 2,1- benzisoxazolyl, benzothiazolyl, 1,2-benzisothiazolyl, 2,1-benzisothiazolyl, benzotriazolyl, quinolinyl, isoquinolinyl, 2,3-benzodiazinyl, quinoxalinyl, quinazolinyl,
- R 6 and R 7 is preferably each independently selected from the group consisting of hydrogen or alkyl (in particular C1-C6 alkyl, e.g. Cl, C2, C3, C4, C5, or C6 alkyl, preferably methyl, ethyl, propyl, iso-propyl, butyl, iso-butyl, tert-butyl, pentyl or hexyl); optionally substituted.
- alkyl in particular C1-C6 alkyl, e.g. Cl, C2, C3, C4, C5, or C6 alkyl, preferably methyl, ethyl, propyl, iso-propyl, butyl, iso-butyl, tert-butyl, pentyl or hexyl
- X is O
- A is S
- the compound according to structure XV has a structure according to formula XVI (raloxifene):
- a compound according to formula XV or XVI is used for the prevention or treatment of an intestinal pathology, for example gastric stasis or irritable bowel syndrome;
- the invention further provides the use of a compound having a structure according to formula XVII:
- A is each independently selected from S, O or NR 6 '; preferably A is S; Z is in each instance CR 4 R 5 ;
- In 1 is an integer from 0 to 3; i.e. an integer selected from 0, 1, 2 or 3; preferably In 1 is 1; m 2 is an integer from 0 to 3; i.e. an integer selected from 0, 1, 2 or 3; preferably m 2 is 1; n is an integer from 1 to 5; i.e. an integer selected from 1, 2, 3, 4 or 5; preferably n is 2;
- R 1 is selected from the group consisting of cycloalkyl, heterocycloalkyl, an alicyclic system, aryl and heteroaryl; optionally substituted;
- R 3 is selected from the group consisting of hydrogen, halogen (preferably F, Cl, Br or I), alkyl, alkenyl, alkynyl and cycloalkyl; optionally substituted; and if two R 3 substituents are on adjacent carbon atoms, they may together form a cycloalkyl, heterocycloalkyl or alicyclic system; optionally substituted;
- R 4 and R 5 is each independently selected from the group consisting of hydrogen, alkyl, alkenyl, alkynyl, cycloalkyl, heterocycloalkyl, alkoxy, aryl, aralkyl, heteroaryl, and -NR 6 R 7 ; optionally substituted;
- R 6 and R 7 is each independently selected from the group consisting of hydrogen, alkyl, alkenyl, alkynyl, cycloalkyl, heterocycloalkyl, aryl, heteroaryl, and aralkyl or together form a heteroaryl, and heterocycloalkyl; optionally substituted;
- R 6 ' is selected from the group consisting of hydrogen, alkyl, alkenyl and alkynyl; optionally substituted;
- R 8 is selected from the group consisting of hydrogen, alkyl, alkenyl, alkynyl and cycloalkyl; optionally substituted; and wherein the bond indicated by the dashed line may be present or not; preferably the bond is present; or pharmaceutically acceptable salts thereof, for the prevention or treatment of a disease or disorder treatable with a dopamine receptor agonist.
- R 1 is selected from the group consisting of cycloalkyl, heterocycloalkyl (C 3 -C 14 - heterocycloalkyl, e.g.
- R 3 is selected from the group consisting of hydrogen, halogen (preferably F, Cl, Br or I), and alkyl (in particular C1-C6 alkyl, e.g. Cl, C2, C3, C4, C5, or C6 alkyl, preferably methyl, ethyl, propyl, iso-propyl, butyl, iso-butyl, tert-butyl, pentyl or hexyl); optionally substituted; R 4 and R 5 is each independently selected from the group consisting of hydrogen and alkyl (in particular C1-C6 alkyl, e.g.
- C2, C3, C4, C5, or C6 alkyl preferably methyl, ethyl, propyl, iso-propyl, butyl, iso-butyl, tert-butyl, pentyl or hexyl); optionally substituted; and
- R' 8 is hydrogen or alkyl (in particular C1-C6 alkyl, e.g. Cl, C2, C3, C4, C5, or C6 alkyl, preferably methyl, ethyl, propyl, iso-propyl, butyl, iso-butyl, tert-butyl, pentyl or hexyl); optionally substituted.
- C1-C6 alkyl e.g. Cl, C2, C3, C4, C5, or C6 alkyl, preferably methyl, ethyl, propyl, iso-propyl, butyl, iso-butyl, tert-butyl, pentyl or hexyl
- the compound according to structure XVII has a structure according to formula XVIII (tiagabine):
- a compound according to formula XVII or XVIII is used for the prevention or treatment of a disease or disorder selected from the group consisting of Parkinson's disease, pars intermedia hyperplasia and Equine Cushing's Syndrome (ECS).
- a disease or disorder selected from the group consisting of Parkinson's disease, pars intermedia hyperplasia and Equine Cushing's Syndrome (ECS).
- the invention further provides the use of a compound having a structure according to formula XIX:
- n is an integer from 2 to 6; i.e. an integer selected from 2, 3, 4, 5 or 6; preferably n is 3; o is an integer from 0 to 4; i.e. an integer selected from 0, 1, 2, 3 or 4; preferably o is 0; X is in each instance O or S; preferably X is O;
- Y is selected from the group consisting of hydrogen, halogen (preferably F, Cl, Br or I), -NO 2 , -CN, -OR 6 ,
- R 3 is selected from the group consisting of hydrogen, halogen (preferably F, Cl, Br or I), alkyl, alkenyl, alkynyl and cycloalkyl; optionally substituted;
- R 4 and R 5 is each independently selected from the group consisting of hydrogen, alkyl, alkenyl, alkynyl, cycloalkyl, heterocycloalkyl, alkoxy, aryl, aralkyl, heteroaryl, and -NR 6 R 7 ; optionally substituted;
- R 6 and R 7 is each independently selected from the group consisting of hydrogen, alkyl, alkenyl, alkynyl, cycloalkyl, heterocycloalkyl, aryl, heteroaryl, and aralkyl or together form a heteroaryl, and heterocycloalkyl; optionally substituted;
- R 6 ' is selected from the group consisting of hydrogen, alkyl, alkenyl and alkynyl; optionally substituted;
- R 8 is in each instance selected from the group consisting of hydrogen, alkyl, alkenyl, alkynyl and cycloalkyl; optionally substituted; and wherein each of the bonds indicated by the dashed line may be present or not; preferably the bond is present; or pharmaceutically acceptable salts thereof, for the prevention or treatment of a disease or disorder treatable with an L-type calcium channel blocker.
- At least one of the respective substituents of the compound according to formula XIX is defined as follows:
- R 3 is preferably hydrogen, halogen (preferably F, Cl, Br or I) or alkyl (in particular C1-C6 alkyl, e.g. Cl, C2, C3, C4, C5, or C6 alkyl, preferably methyl, ethyl, propyl, iso-propyl, butyl, iso-butyl, tert-butyl, pentyl or hexyl); optionally substituted;
- halogen preferably F, Cl, Br or I
- alkyl in particular C1-C6 alkyl, e.g. Cl, C2, C3, C4, C5, or C6 alkyl, preferably methyl, ethyl, propyl, iso-propyl, butyl, iso-butyl, tert-butyl, pentyl or hexyl
- R 6 ' is preferably hydrogen or alkyl (in particular C 1 -C6 alkyl, e.g. C 1 , C2, C3, C4, C5, or C6 alkyl, preferably methyl, ethyl, propyl, iso-propyl, butyl, iso-butyl, tert-butyl, pentyl or hexyl); optionally substituted; and R 8 is preferably hydrogen or alkyl (in particular C1-C6 alkyl, e.g.
- C2, C3, C4, C5, or C6 alkyl preferably methyl, ethyl, propyl, iso-propyl, butyl, iso-butyl, tert-butyl, pentyl or hexyl); optionally substituted.
- n 3
- R 6 is methyl
- the compound according to structure XIX has a structure according to formula XX (vitamin Kl):
- a compound according to formula XIX or XX is used for the prevention or treatment of a disease or disorder selected from the group consisting of hypertension, angina pectoris, cardiac arrhythmia and a headache.
- the invention further provides the use of a compound having a structure according to formula XXI:
- X is O or S; preferably X is O; Z is in each instance CR 4 R 5 ; n is an integer from 1 to 5; i.e. an integer selected from 1, 2, 3, 4 or 5; preferably n is 1; R 1 is selected from the group consisting of cycloalkyl, heterocycloalkyl, an alicyclic system, aryl and heteroaryl; optionally substituted; R 2 is selected from the group consisting of cycloalkyl, heterocycloalkyl, an alicyclic system, aryl and heteroaryl; optionally substituted; R 3 is selected from the group consisting of hydrogen, halogen (preferably F, Cl, Br or I), alkyl, alkenyl, alkynyl and cycloalkyl; optionally substituted; R 4 and R 5 is each independently selected from the group consisting of hydrogen, alkyl, alkenyl, alkynyl, cycloalkyl, heterocycloalkyl, alkoxy, aryl,
- At least one of the respective substituents of the compound according to formula XXI is defined as follows:
- R 1 is preferably aryl (in particular phenyl, naphthalenyl or anthracenyl), or heteroaryl (in particular furanyl, thienyl, oxazolyl, isoxazolyl, 1,2,5-oxadiazolyl, 1,2,3-oxadiazolyl, pyrrolyl, imidazolyl, pyrazolyl, 1,2,3-triazolyl, thiazolyl, isothiazolyl, 1 ,2,3-thiadiazolyl, 1,2,5-thiadiazolyl, pyridinyl, pyrimidinyl, pyrazinyl, 1,2,3-triazinyl, 1,2,4-triazinyl, 1,3,5- triazinyl, 1-benzofuranyl, 2-benzofuranyl, indolyl, isoindolyl, benzothienyl, 2- benzothienyl, lH-indazolyl, benzimid
- R 2 is preferably aryl (in particular phenyl, naphthalenyl or anthracenyl), or heteroaryl (in particular furanyl, thienyl, oxazolyl, isoxazolyl, 1,2,5-oxadiazolyl, 1,2,3-oxadiazolyl, pyrrolyl, imidazolyl, pyrazolyl, 1,2,3-triazolyl, thiazolyl, isothiazolyl, 1,2,3-thiadiazolyl, 1,2,5-thiadiazolyl, pyridinyl, pyrimidinyl, pyrazinyl, 1,2,3-triazinyl, 1,2,4-triazinyl, 1,3,5- triazinyl, 1-benzofuranyl, 2-benzofuranyl, indolyl, isoindolyl, benzothienyl, 2- benzothienyl, lH-indazolyl, benzimidazoly
- C2, C3, C4, C5, or C6 alkyl preferably methyl, ethyl, propyl, iso-propyl, butyl, iso-butyl, tert-butyl, pentyl or hexyl); optionally substituted;
- R 4 and R 5 is preferably each independently selected from hydrogen and alkyl (in particular Cl- C6 alkyl, e.g. Cl, C2, C3, C4, C5, or C6 alkyl, preferably methyl, ethyl, propyl, iso- propyl, butyl, iso-butyl, tert-butyl, pentyl or hexyl); optionally substituted;
- alkyl in particular Cl- C6 alkyl, e.g. Cl, C2, C3, C4, C5, or C6 alkyl, preferably methyl, ethyl, propyl, iso- propyl, butyl, iso-butyl, tert-butyl, pentyl or hexyl
- R 6 and R 7 is preferably each independently selected from the group consisting of hydrogen and alkyl (in particular C1-C6 alkyl, e.g. Cl, C2, C3, C4, C5, or C6 alkyl, preferably methyl, ethyl, propyl, iso-propyl, butyl, iso-butyl, tert-butyl, pentyl or hexyl); optionally substituted;
- alkyl in particular C1-C6 alkyl, e.g. Cl, C2, C3, C4, C5, or C6 alkyl, preferably methyl, ethyl, propyl, iso-propyl, butyl, iso-butyl, tert-butyl, pentyl or hexyl
- alkyl in particular C1-C6 alkyl, e.g. Cl, C2, C3, C4, C5, or C6 alkyl, preferably methyl, ethyl, propyl
- R 6 ' and R 7 ' is preferably each independently selected from the group consisting of hydrogen and alkyl (in particular C1-C6 alkyl, e.g. Cl, C2, C3, C4, C5, or C6 alkyl, preferably methyl, ethyl, propyl, iso-propyl, butyl, iso-butyl, tert-butyl, pentyl or hexyl); optionally substituted; and R 8 is preferably alkyl (in particular C1-C6 alkyl, e.g.
- C2, C3, C4, C5, or C6 alkyl preferably methyl, ethyl, propyl, iso-propyl, butyl, iso-butyl, tert-butyl, pentyl or hexyl); optionally substituted.
- n l
- R 6 and R 7 is methyl and X is O.
- the compound according to structure XXI has a structure according to formula XXII (Methadone):
- a compound according to formula XXI or XXII is used for the prevention or treatment of a disease or disorder selected from the group consisting of breast cancer, prostate cancer and for the treatment of serious side effects of androgen deprivation therapy.
- a disease or disorder selected from the group consisting of breast cancer, prostate cancer and for the treatment of serious side effects of androgen deprivation therapy.
- the disease is any form of cancer.
- the invention further provides the use of a compound having a structure according to formula XXIII:
- X is O or S; preferably X is O; n is an integer from 1 to 5; i.e. an integer selected from 1, 2, 3, 4 or 5; preferably nis 2;
- R 3 is selected from the group consisting of hydrogen, halogen (preferably F, Cl, Br or I), alkyl, alkenyl, alkynyl and cycloalkyl; optionally substituted; and if two R 3 substituents are on adjacent carbon atoms, they may together form a cycloalkyl, heterocycloalkyl or alicyclic system; optionally substituted;
- R ,3 J ' is selected from the group consisting of hydrogen, halogen (preferably F, Cl, Br or I), alkyl, alkenyl, alkynyl and cycloalkyl; optionally substituted;
- R is selected from the group consisting of hydrogen, alkyl, alkenyl, alkynyl and cycloalkyl; optionally substituted; or pharmaceutically acceptable salts thereof, for the prevention or treatment of a disease or disorder treatable with treatable with an antihistamine.
- At least one of the respective substituents of the compound according to formula XXIII is defined as follows:
- R 3 is preferably selected from the group consisting of hydrogen, halogen (preferably F, Cl, Br or I), and alkyl (in particular C1-C6 alkyl, e.g. Cl, C2, C3, C4, C5, or C6 alkyl, preferably methyl, ethyl, propyl, iso-propyl, butyl, iso-butyl, tert-butyl, pentyl or hexyl); optionally substituted; R 3' is preferably alkyl (in particular C1-C6 alkyl, e.g.
- C2, C3, C4, C5, or C6 alkyl preferably methyl, ethyl, propyl, iso-propyl, butyl, iso-butyl, tert-butyl, pentyl or hexyl); optionally substituted; and
- R 8 is preferably alkyl (in particular C1-C6 alkyl, e.g. Cl, C2, C3, C4, C5, or C6 alkyl, preferably methyl, ethyl, propyl, iso-propyl, butyl, iso-butyl, tert-butyl, pentyl or hexyl); optionally substituted.
- alkyl in particular C1-C6 alkyl, e.g. Cl, C2, C3, C4, C5, or C6 alkyl, preferably methyl, ethyl, propyl, iso-propyl, butyl, iso-butyl, tert-butyl, pentyl or hexyl
- n 2 and X is O.
- the compound according to structure XXIII has a structure according to formula XXIV (acitretin):
- the invention further provides the use of a compound having a structure according to formula XXV:
- ml is an integer from O to 5; i.e. an integer selected from O, 1, 2, 3, 4 or 5; preferably ml is O; m2 is an integer from 0 to 4; i.e. an integer selected from 0, 1, 2, 3 or 4; preferably m2 is 0;
- X is O or S; preferably X is O; Y is in each instance selected from the group consisting of hydrogen, halogen (preferably F, Cl, Br or I), -NO 2 , -CN, -OR 6 , -NR 6 R 7 , -COOR 6 , -CONR 6 R 7 ,
- Y' is in each instance selected from the group consisting of hydrogen, halogen (preferably F, Cl, Br or I), -NO 2 , -CN, -OR 6 ,
- R 2 is selected from the group consisting of cycloalkyl, heterocycloalkyl, an alicyclic system, aryl and heteroaryl; optionally substituted;
- R 3 is selected from the group consisting of hydrogen, halogen (preferably F, Cl, Br or I), alkyl, alkenyl, alkynyl and cycloalkyl; optionally substituted;
- R 4 and R 5 is each independently selected from the group consisting of hydrogen, alkyl, alkenyl, alkynyl, cycloalkyl, heterocycloalkyl, alkoxy, aryl, aralkyl, heteroaryl, and -NR 6 R 7 ; optionally substituted;
- R 6 and R 7 is each independently selected from the group consisting of hydrogen, alkyl, alkenyl, alkynyl, cycloalkyl, heterocycloalkyl, aryl, heteroaryl, and aralkyl or together form a heteroaryl, and heterocycloalkyl; optionally substituted;
- R 8 is in each instance selected from the group consisting of hydrogen, alkyl, alkenyl, alkynyl and cycloalkyl; optionally substituted and preferably substituted with -NR 6 R 7 ; and wherein the bond indicated by the dashed line may be present or not; preferably the bond is present; or pharmaceutically acceptable salts thereof, for the prevention or treatment of a disease or disorder treatable with an antihistamine.
- At least one of the respective substituents of the compound according to formula XXV is defined as follows:
- R 2 is preferably aryl (in particular phenyl, naphthalenyl or anthracenyl), or heteroaryl (in particular furanyl, thienyl, oxazolyl, isoxazolyl, 1,2,5-oxadiazolyl, 1,2,3-oxadiazolyl, pyrrolyl, imidazolyl, pyrazolyl, 1,2,3-triazolyl, thiazolyl, isothiazolyl, 1,2,3-thiadiazolyl,
- 1,2,5-thiadiazolyl pyridinyl, pyrimidinyl, pyrazinyl, 1,2,3-triazinyl, 1,2,4-triazinyl, 1,3,5- triazinyl, 1-benzofuranyl, 2-benzofuranyl, indolyl, isoindolyl, benzothienyl, 2- benzothienyl, lH-indazolyl, benzimidazolyl, benzoxazolyl, indoxazinyl, 2,1- benzisoxazolyl, benzothiazolyl, 1,2-benzisothiazolyl, 2,1-benzisothiazolyl, benzotriazolyl, quinolinyl, isoquinolinyl, 2,3-benzodiazinyl, quinoxalinyl, quinazolinyl, 1,2,3-benzotriazinyl, or 1 ,2,4-benzotriazinyl); optionally substituted;
- R 3 is preferably halogen (preferably F, Cl, Br or I).
- R 8 is preferably alkyl (in particular C1-C6 alkyl, e.g. Cl, C2, C3, C4, C5, or C6 alkyl, preferably methyl, ethyl, propyl, iso-propyl, butyl, iso-butyl, tert-butyl, pentyl or hexyl); optionally substituted.
- alkyl in particular C1-C6 alkyl, e.g. Cl, C2, C3, C4, C5, or C6 alkyl, preferably methyl, ethyl, propyl, iso-propyl, butyl, iso-butyl, tert-butyl, pentyl or hexyl
- the compound according to structure XXV has a structure according to formula XXVI (clomiphene):
- the compound according to formula XXV or XXVI is comprised in a composition, which further comprises citrate.
- a compound according to formula XXV or XXVI is used for the prevention or treatment of an allergy such as hay fever, angioedema or urticaria.
- the invention further provides the use of a compound having a structure according to formula XXVII:
- m is an integer from O to 3; i.e. an integer selected from 0, 1 , 2 or 3; preferably m is 0; B is C or N; preferably B is N; X is O or S; preferably X is S; Y is selected from the group consisting of hydrogen, halogen (preferably F, Cl, Br or I),
- R 3 is selected from the group consisting of hydrogen, halogen (preferably F, Cl, Br or I), alkyl, alkenyl, alkynyl and cycloalkyl; optionally substituted;
- R 4 and R 5 is each independently selected from the group consisting of hydrogen, alkyl, alkenyl, alkynyl, cycloalkyl, heterocycloalkyl, alkoxy, aryl, aralkyl, heteroaryl, and -NR 6 R 7 ; optionally substituted;
- R 6 and R 7 is each independently selected from the group consisting of hydrogen, alkyl, alkenyl, alkynyl, cycloalkyl, heterocycloalkyl, aryl, heteroaryl, and aralkyl or together form a heteroaryl, and heterocycloalkyl; optionally substituted;
- R 6 ' and R 7 ' is each independently selected from the group consisting of hydrogen, alkyl, alkenyl or together form a
- At least one of the respective substituents of the compound according to formula XXVII is defined as follows:
- R 3 is preferably halogen (preferably F, Cl, Br or I) or alkyl (in particular C1-C6 alkyl, e.g. Cl, C2, C3, C4, C5, or C6 alkyl, preferably methyl, ethyl, propyl, iso-propyl, butyl, iso- butyl, tert-butyl, pentyl or hexyl); optionally substituted; and
- R 6 ' and R 7 ' is preferably hydrogen or alkyl (in particular C1-C6 alkyl, e.g. Cl, C2, C3, C4, C5, or C6 alkyl, preferably methyl, ethyl, propyl, iso-propyl, butyl, iso-butyl, tert-butyl, pentyl or hexyl); optionally substituted.
- alkyl in particular C1-C6 alkyl, e.g. Cl, C2, C3, C4, C5, or C6 alkyl, preferably methyl, ethyl, propyl, iso-propyl, butyl, iso-butyl, tert-butyl, pentyl or hexyl
- the compound according to structure XXVII has a structure according to formula XXVIII (ethionamide):
- the invention further provides the use of a compound having a structure according to formula XXIX:
- X is O or S; preferably X is O;
- R 1 is selected from the group consisting of cycloalkyl, heterocycloalkyl, an alicyclic system, aryl and heteroaryl; optionally substituted;
- R 2 is selected from the group consisting of cycloalkyl, heterocycloalkyl, an alicyclic system, aryl and heteroaryl; optionally substituted;
- R 8 is selected from the group consisting of hydrogen, alkyl, alkenyl, alkynyl and cycloalkyl; optionally substituted; or pharmaceutically acceptable salts thereof, for the prevention or treatment of a disease or disorder treatable with an antihistamine.
- R 1 is preferably cycloalkyl or heterocycloalkyl (C 3 -C ]4 -heterocycloalkyl, e.g.
- Ci 2 , Ci 3 or C ⁇ -heterocycloalkyl in particular piperidinyl, morpholinyl, 1,3-diazacyclohexanyl, 1,8 diaza-spiro-[4,5] decyl, 1,7 diaza-spiro-[4,5] decyl, 1,6 diaza-spiro-[4,5] decyl, 2,8 diaza-spiro[4,5] decyl, 2,7 diaza-spiro[4,5] decyl, 2,6 diaza-spiro[4,5] decyl, 1,8 diaza-spiro-[5,4] decyl, 1,7 diaza-spiro-[5,4] decyl, 2,8 diaza-spiro-[5,4] decyl, 2,7 diaza-spiro[5,4] decyl, 3,8 diaza-spir
- R 2 is preferably aryl (in particular phenyl, naphthalenyl or anthracenyl), or heteroaryl (in particular furanyl, thienyl, oxazolyl, isoxazolyl, 1,2,5-oxadiazolyl, 1,2,3-oxadiazolyl, pyrrolyl, imidazolyl, pyrazolyl, 1,2,3-triazolyl, thiazolyl, isothiazolyl, 1,2,3-thiadiazolyl, 1,2,5-thiadiazolyl, pyridinyl, pyrimidinyl, pyrazinyl, 1,2,3-triazinyl, 1,2,4-triazinyl, 1,3,5- triazinyl, 1-benzofuranyl, 2-benzofuranyl, indolyl, isoindolyl, benzothienyl, 2- benzothienyl, lH-indazolyl, benzimidazoly
- R 8 is hydrogen, X is O and R 1 is optionally substituted with alkyl.
- the compound according to structure XXIX has a according to formula XXX (nateglinide):
- a compound according to formula XXIX or XXX is used for the prevention or treatment of an allergy such as hay fever, angioedema or urticaria.
- the invention further provides the use of a compound having a structure according to formula XXXI:
- ml is an integer from O to 2; i.e. an integer selected from 0, 1 or 2; preferably ml is 0; m2 is an integer from 1 to 2; i.e. an integer selected from 1 or 2; preferably m2 is 1 ; m3 is an integer from 0 to 4; i.e. an integer selected from 0, 1, 2, 3 or 4; preferably m3 is 0; Y is in each instance selected from the group consisting of hydrogen, halogen (preferably F, Cl, Br or I), -NO 2 , -CN, -OR 6 ,
- Y' is in each instance selected from the group consisting of hydrogen, halogen (preferably F, Cl, Br or I), -NO 2 , -CN, -OR 6 ,
- Y is in each instance selected from the group consisting of hydrogen, halogen (preferably F, Cl, Br or I), -NO 2 , -CN, -OR 6 ,
- R 4 and R 5 is each independently selected from the group consisting of hydrogen, alkyl, alkenyl, alkynyl, cycloalkyl, heterocycloalkyl, alkoxy, aryl, aralkyl, heteroaryl, and -NR 6 R 7 ; optionally substituted;
- R 6 and R 7 is each independently selected from the group consisting of hydrogen, alkyl, alkenyl, alkynyl, cycloalkyl, heterocycloalkyl, aryl, heteroaryl, and aralkyl or together form a heteroaryl, and heterocycloalkyl; optionally substituted;
- R 8 is selected from the group consisting of hydrogen, alkyl, alkenyl, alkynyl and cycloalkyl; optionally substituted;
- R 11 is selected from the group consisting of hydrogen, -COR 12 , -CR 4 R 5 OH, alkyl, alkynyl and cycloalkyl; optionally substituted
- At least one of the respective substituents of the compound according to formula XXXI is defined as follows: Y' is preferably -NO 2 or -CN; R 8 is preferably hydrogen or alkyl (in particular C1-C6 alkyl, e.g. Cl, C2, C3, C4, C5, or C6 alkyl, preferably methyl, ethyl, propyl, iso-propyl, butyl, iso-butyl, tert-butyl, pentyl or hexyl); optionally substituted; and
- R 1 ' is preferably -COR 12 ; wherein R 12 is preferably alkyl (in particular C 1 -C6 alkyl, e.g. C 1 , C2, C3, C4, C5, or C6 alkyl, preferably methyl, ethyl, propyl, iso-propyl, butyl, iso-butyl, tert-butyl, pentyl or hexyl); optionally substituted.
- alkyl in particular C 1 -C6 alkyl, e.g. C 1 , C2, C3, C4, C5, or C6 alkyl, preferably methyl, ethyl, propyl, iso-propyl, butyl, iso-butyl, tert-butyl, pentyl or hexyl
- R 12 is preferably alkyl (in particular C 1 -C6 alkyl, e.g. C 1 , C2, C3, C4, C5, or C6 al
- the compound according to structure XXXI has a according to formula XXXII (zaleplon):
- a compound according to formula XXXI or XXXII is used for the prevention or treatment of an allergy such as hay fever, angioedema or urticaria.
- the invention further provides the use of a compound having a structure according to formula XXXIII:
- m is an integer between 0 and 2; i.e. an integer selected from 0, 1 or 2; preferably m is 0; B is in each instance C or N; preferably B is N; X is O or S; preferably X is O;
- Y is selected from the group consisting of hydrogen, halogen (preferably F, Cl, Br or I), -NO 2 , -CN, -OR 6 ,
- R 1 is selected from the group consisting of cycloalkyl, heterocycloalkyl, an alicyclic system, aryl and heteroaryl; optionally substituted;
- R 4 and R 5 is each independently selected from the group consisting of hydrogen, alkyl, alkenyl, alkynyl, cycloalkyl, heterocycloalkyl, alkoxy, aryl, aralkyl, heteroaryl, and -NR 6 R 7 ; optionally substituted;
- R 6 and R 7 is each independently selected from the group consisting of hydrogen, alkyl, alkenyl, alkynyl, cycloalkyl, heterocycloalkyl, aryl, heteroaryl, and aralkyl or together form a heteroaryl, and heterocycloalkyl; optionally substituted;
- R 11 is selected from the group consisting of hydrogen, -COR I2 ; -CR 4 R 5 OH, alkyl, alkynyl and cycloalkyl; optionally substituted;
- R 12 is selected from the group consisting of hydrogen, alkyl, alkenyl, alkynyl, cycloalkyl, heterocycloalkyl, aryl, heteroaryl, and aralkyl; optionally substituted; or pharmaceutically acceptable salts thereof, for the prevention or treatment of a depression and/or a disease or disorder treatable with an antihistamine.
- R 1 is preferably aryl (in particular phenyl, naphthalenyl or anthracenyl), or heteroaryl (in particular furanyl, thienyl, oxazolyl, isoxazolyl, 1,2,5-oxadiazolyl, 1,2,3-oxadiazolyl, pyrrolyl, imidazolyl, pyrazolyl, 1,2,3-triazolyl, thiazolyl, isothiazolyl, 1,2,3-thiadiazolyl, 1,2,5-thiadiazolyl, pyridinyl, pyrimidinyl, pyrazinyl, 1,2,3-triazinyl, 1,2,4-triazinyl, 1,3,5- triazinyl, 1-benzofuranyl, 2-benzofuranyl, indolyl, isoindolyl, be
- Ci 2 , Ci 3 or Ci 4 - heterocycloalkyl in particular piperidinyl, morpholinyl, 1,3-diazacyclohexanyl, 1,8 diaza-spiro-[4,5] decyl, 1,7 diaza-spiro-[4,5] decyl, 1,6 diaza-spiro-[4,5] decyl, 2,8 diaza- spiro[4,5] decyl, 2,7 diaza-spiro[4,5] decyl, 2,6 diaza-spiro[4,5] decyl, 1,8 diaza-spiro- [5,4] decyl, 1,7 diaza-spiro-[5,4] decyl, 2,8 diaza-spiro-[5,4] decyl, 2,7 diaza-spiro[5,4] decyl, 3,8 diaza-spiro- [5,4] decyl, 1,7 diaza-spiro-[5,4] decyl, 2,8 di
- R 11 is , wherein the asterisk indicates where the substitutent is attached to the O atom of formula (XXXIII) and wherein n is an integer between 0 and 2; i.e. an integer selected from 0, 1 or 2; preferably n is 0; and Y and has the above outlined meaning.
- the compound according to structure XXXIII has a structure according to formula XXXIV (zopiclone):
- a compound according to formula XXXIII or XXXIV is used for the prevention or treatment of an allergy such as hay fever, angioedema or urticaria.
- a compound of the invention is used for for the prevention or treatment of a depression, then it is preferred that the depression is selected from the group consisting of clinical depression, melancholic depression, atypical depression, psychotic depression and postnatal depression. If a compound of the invention is used for for the prevention or treatment of an anxiety disorder, then it is preferred that the anxiety disorder is selected from the group consisting of panic disorder, agoraphobia, social anxiety disorder, obsessive-compulsive disorder, posttraumatic stress disorder and separation anxiety.
- a compound of the invention is used for for the prevention or treatment of a psychosis, then it is preferred that the psychosis is selected from the group consisting of schizophrenia, bipolar disorder, mania and delusional disorder.
- Several compounds described herein are useful to treat an allergy. These compounds are preferably used to treat an allergy selected from the group consisting of: allergic rhinitis, asthma, atopic eczema, anaphylaxis, an insect venom-induced allergy, a drug induced allergy, a food- induced allergy and a multiple allergy disorder.
- table 3 lists pairs of pharmaceuticals which share the same therapeutic target.
- a pharmaceutical listed in column “Drug 1 (PugChem ID)” can also be used for the therapy of a disease or disorder that is generally treatable which a respective compound listed in the column “Drug 2 (PugChem ID)” of table 3.
- a pharmaceutical listed in column “Drug 2 (PugChem ID)” can be used for the therapy of a disease or disorder that is generally treatable which a respective compound listed in the column “Drug 1 (PugChem ID)”.
- a compound listed in table 3 under "Drug 1 (PugChem ID)" for the prevention or treatment of a medical indication as indicated under “T. Cat Drug2” and encoded by table 2.
- a compound listed in table 3 under “Drug 1 (PugChem ID)” can be used for the treatment of a disease or disorder treatable with a drug of the therapeutic class indicated under "T. Cat Drug2” and encoded by table 2.
- Clobetasol may be used for the treatment of a disease treatable with an antiinflamatory agent (therapeutic category "SOlB") or with a corticosteroid for systemic use (therapeutic category "H02").
- Spironolactone may be used for the treatment of a disease treatable with an androgen (therapeutic category "G03B").
- a compound according to the invention can be administered by various well known routes, including oral, rectal, intragastrical, intracranial and parenteral administration, e.g. intravenous, intramuscular, intranasal, intradermal, subcutaneous, and similar administration routes.
- parenteral administration and particular intravenous administration preferably by depot injection, is preferred.
- different pharmaceutical formulations are required and some of those may require that protective coatings are applied to the drug formulation to prevent degradation of a compound of the invention in, for example, the digestive tract.
- a compound of the invention is formulated as a syrup, an infusion or injection solution, a tablet, a capsule, a capslet, lozenge, a liposome, a suppository, a plaster, a band-aid, a retard capsule, a powder, or a slow release formulation.
- the diluent is water, a buffer, a buffered salt solution or a salt solution and the carrier preferably is selected from the group consisting of cocoa butter and vitebesole.
- Particular preferred pharmaceutical forms for the administration of a compound of the invention are forms suitable for i ⁇ jectionable use and include sterile aqueous solutions or dispersions and sterile powders for the extemporaneous preparation of sterile injectable solutions or dispersion. In all cases the final solution or dispersion form must be sterile and fluid.
- such a solution or dispersion will include a solvent or dispersion medium, containing, for example, water-buffered aqueous solutions, e.g. biocompatible buffers, ethanol, polyol, such as glycerol, propylene glycol, polyethylene glycol, suitable mixtures thereof, surfactants or vegetable oils.
- a compound of the invention can also be formulated into liposomes, in particular for parenteral administration. Liposomes provide the advantage of increased half life in the circulation, if compared to the free drug and a prolonged more even release of the enclosed drug.
- Sterilization of infusion or injection solutions can be accomplished by any number of art recognized techniques including but not limited to addition of preservatives like anti-bacterial or anti-fungal agents, e.g. parabene, chlorobutanol, phenol, sorbic acid or thimersal. Further, isotonic agents, such as sugars or salts, in particular sodium chloride may be incorporated in infusion or injection solutions.
- preservatives like anti-bacterial or anti-fungal agents, e.g. parabene, chlorobutanol, phenol, sorbic acid or thimersal.
- isotonic agents such as sugars or salts, in particular sodium chloride may be incorporated in infusion or injection solutions.
- sterile injectable solutions containing one or several of the compounds of the invention is accomplished by incorporating the respective compound in the required amount in the appropriate solvent with various ingredients enumerated above as required followed by sterilization. To obtain a sterile powder the above solutions are vacuum-dried or freeze-dried as necessary.
- Preferred diluents of the present invention are water, physiological acceptable buffers, physiological acceptable buffer salt solutions or salt solutions.
- Preferred carriers are cocoa butter and vitebesole.
- Excipients which can be used with the various pharmaceutical forms of a compound of the invention can be chosen from the following non-limiting list: a) binders such as lactose, mannitol, crystalline sorbitol, dibasic phosphates, calcium phosphates, sugars, microcrystalline cellulose, carboxymethyl cellulose, hydroxyethyl cellulose, polyvinyl pyrrolidone and the like; b) lubricants such as magnesium stearate, talc, calcium stearate, zinc stearate, stearic acid, hydrogenated vegetable oil, leucine, glycerids and sodium stearyl fumarates, c) disintegrants such as starches, croscaramellose, sodium methyl cellulose, agar, bentonite, alginic acid, carboxymethyl cellulose, polyvinyl pyrrolidone and the like.
- binders such as lactose, mannitol, crystalline sorb
- the dosage of a compound of the invention in the therapeutic or prophylactic use of the invention should be in the range of about 0.1 mg to about 1 g serum per kg body weight.
- a compound of the invention is administered to a subject in need thereof in an amount ranging from 1.0 to 500 mg/kg body weight, preferably ranging from 10 to 200 mg/kg body weight, preferably ranging from 50 to 150 mg/kg body weight, preferably ranging from 90 to 100 mg/kg body weight.
- the duration of therapy with a compound of the invention will vary, depending on the severity of the disease being treated and the condition and idiosyncratic response of each individual patient.
- the pharmaceutically effective amount of a given composition will also depend on the administration route. In general the required amount will be higher, if the administration is through the gastrointestinal tract; e.g.
- a compound of the invention will be administered in ranges of 50 mg to 1 g/kg body weight, preferably 100 mg to 500 mg/kg body weight, if rectal or intragastric administration is used and in ranges of 10 to 100 mg/kg body weight, if parenteral administration is used.
- a prophylactic administration of the biologically active blood serum or the pharmaceutical composition according to the invention may be possible.
- the respective compound of the invention is preferably administered in above outlined preferred and particular preferred doses on a daily basis. Preferably, between 0.1 mg to 1 g/kg body weight once a day, preferably 10 to 200 mg/kg body weight. This administration can be continued until the risk of developing the respective disorder has lessened. In most instances, however, a compound of the invention will be administered once a disease/disorder has been diagnosed. In these cases it is preferred that a first dose of a compound of the invention is administered one, two, three or four times daily. Preferably the administration is discontinued for one day, one week or one month and then repeated until the symptoms of the respective disease are no longer worsening or improving.
- the present invention provides in one aspect a method for identifying a novel medical indication of a pharmaceutically active compound comprising the steps: (a) extracting side-effects of a first pharmaceutically active compound from at least one database;
- the method of the invention further comprises the step
- step (d) determining a chemical similarity score which is the degree of structural similarity between the first and the second pharmaceutically active compound. It is further preferred that the method according to the invention further comprises the step (e) determining the probability that the second pharmaceutically active compound binds to the same therapeutic target protein as the first pharmaceutically active compound; wherein the probability is a function of the side-effect similarity score from step (c) and/or of the chemical similarity score from step (d).
- the method according to the invention further comprises the step (f) repeating steps (a) through (e) for a multiplicity of non-redundant pairs of pharmaceutically active compounds; wherein each pair comprises a respective first and second pharmaceutically active compound. It is further preferred that the method according to the invention further comprises the step
- step (g) if the probability determined in step (e) is greater than 20% preferably greater than 21%, 22%, 23%, 24%, 25%, 26%, 27%, 28%, 29%, 30%, 35%, 40%, 45%, or 50% and most preferably greater than 25%, then: selecting the medical indication of the first pharmaceutically active compound as a novel medical indication for the second pharmaceutically active compound; and/or selecting the medical indication of the second pharmaceutically active compound as a novel medical indication for the first pharmaceutically active compound; Further preferred is the method of the invention, wherein in step (a) and/or (b), extracted side- effects that are synonymous and/or fall into a common classification class such as defined e.g. by the Coding Symbols for a Thesaurus of Adverse Reaction Terms (COSTART) or the International Classification of Primary Care (ICPC), are grouped and treated as one side-effect throughout the method.
- COSTART Coding Symbols for a Thesaurus of Adverse Reaction Terms
- ICPC International Classification of Primary Care
- the method of the invention wherein at least one parent side-effect from at least one ontology, for example from one described above, is assigned to each side-effect of the first and/or second pharmaceutical compound to provide an "is-a" relation which is preferably used to determine similarities between closely related side effects.
- the extracted side effects are expanded with concepts related to them by a "is-a" relation from an ontology such as COSTART, i.e. parents terms from the ontology are assigned to capture similarities between closely related side effects.
- an ontology such as COSTART
- parents terms from the ontology are assigned to capture similarities between closely related side effects.
- macrocytic anaemia is a parent term of megaloblastic anaemia and is, thus, automatically assigned to all drugs that have this side effect.
- step (c) is a similarity measure and preferably is a distance measure.
- the similarity measure used in the method according to the invention is the sum of all side-effects shared between the first and second pharmaceutically active compound.
- An example for the aforementioned preferred embodiment is provided in example 1 and figure IE.
- the similarity measure may also be selected from the group consisting of: a Cosine coefficient, a Dice coefficient, an Euclid coefficient, a Forbes coefficient, a Hamman coefficient, a Jaccard coefficient, a Kulczynski coefficient, a Manhattan coefficient, a Matching coefficient, a Pearson correlation, a Rogers-tanimoto coefficient, a Russell-rao coefficient, a Simpson coefficient, a Tanimoto coefficient and a Yule coefficient.
- each shared side-effect is weighted according to the frequency of its occurrence and/or according to the frequency with which the side-effect correlates with other side-effects.
- An example for this is given in figure 1C and ID and in the respective examples.
- the method of the invention wherein the weight used to account for the frequency of correlation is determined using a tree weighting algorithm, for example the Gerstein-Sonnhammer-Chothia algorithm (see for example also the examples and fig. 1C).
- the weight of the side-effect frequency is the negative logarithm of the side-effect's frequency of occurrence (see for example also the examples and fig. ID).
- the side-effect similarity score is normalized by determining what fraction of a multiplicity of pairs of pharmaceutically active compounds, each of which has randomized side effects, has a side-effect similarity score which is equal or greater than the side-effect similarity score of the first and the second pharmaceutically active compound. Further preferred is the method of the invention, wherein
- each pair of said multiplicity of pairs of pharmaceutically active compounds has the same respective number of side-effects than the first and the second pharmaceutically active compound;
- step (iii) random side effects are selected for each pharmaceutically active compound by replacing each original side effect with one side-effect that is randomly selected from a set of side effects with similar frequency of occurrence.
- the chemical similarity score in step (d) is a Tanimoto 2D chemical similarity score, a Tanimoto 3D chemical similarity score, or a Tversky index.
- the probability in step (e) is determined using a continuous or discontinuous probability function that has been derived from a reference dataset comprising pharmaceutically active compounds, their respective side-effects as well as their respective one or more therapeutic target proteins.
- a reference dataset comprising pharmaceutically active compounds, their respective side-effects as well as their respective one or more therapeutic target proteins.
- derived preferably refers to selecting a mathematical function, i.e. said probability function which preferably statistically correlates data comprised in said reference dataset of one pharmaceutically active compound to the data comprised in said reference dataset of a further pharmaceutically active compound.
- the probability function correlates the side-effect similarity score determined according to step (c) and/or the chemical similarity score determined according to step (d) of a pair of pharmaceutically active compounds in the reference set with the probability that said pair shares the same therapeutic target protein.
- the probability function is a sigmoid function.
- x is the side-effect similarity score
- y is the chemical similarity score
- H is a real number between 0.7 and 0.9, preferably 0.83;
- A is a real number between 0.01 and 0.03, preferably 0.0167;
- B is a real number between 50 and 60, preferably 55.507;
- C is a real number between -600 and -1000, preferably -810.16;
- D is a real number between -50 and -200, preferably -129.6;
- E is a real number between 400 and 600, preferably 455.6;
- F is a real number between 500 and 700, preferably 617.3;
- G is a real number between 0.1 and 0.8, preferably 0.415.
- the probability function is a discontinuous function derived from the fraction of drug pairs that share a target within intervals of side-effect similarity scores and chemical similarity scores.
- the side-effect similarity score in step (c) is the weighted sum of all side-effects shared between the first and second pharmaceutically active compound; wherein the chemical similarity score in step (d) is a Tanimoto 2D chemical similarity score and wherein the probability function is a sigmoid function.
- the invention also provides a computer program product stored on a computer readable storage medium comprising a computer-readable program code for causing a computer to carry out the method according to the invention.
- an apparatus for carrying out the method according to the invention is also comprised.
- a data processing system e.g. a personal computer, comprising a memory device, an operating system and the computer program product according to the invention which is loaded into the memory device of said data processing system and wherein the data processing system is capable of carrying out the method according to the invention.
- the invention provides the use of a pharmaceutically active compound for which a novel medical indication has been identified according to the method of of the invention for the prevention or treatment of the respective novel medical indication that has been identified according to the method of the invention.
- Fig. 1 Flowchart of the method.
- A) Terms for side effects are extracted from the package inserts, B) subjected to ontological annotation in the UMLS ontology and then weighted for C) cross-correlation and D) frequency.
- macrocytic anaemia (E) is a parent term of megaloblastic anaemia (A) and is thus automatically assigned to all drugs that have this side effect.
- A) a raw side-effect similarity score is derived and F) normalized.
- Fig. 2 Breakdown of drug pairs predicted to share a target.
- A) The predicted 2903 drug pairs were subjected to consecutive filtering for a number of properties, leaving 754 pairs that imply unexpected drug-target relations.
- B) The subset of pairs and implied predictions that are predominantly based on side-effect similarity (requiring an additional stringent p-value ⁇ 0.1) was used for network analysis (Fig. 3).
- Fig. 3 Drug network based on likelihoods for having common protein targets.
- a drug subnetwork around the anti-ulcer drug Rabeprazole and other 15 experimentally confirmed predictions are shown around the network.
- Fig. 4 Novel drug— target relationships.
- the line delimits the area used to construct the network in Fig. 3 with shared target probability >25% and side-effect p-value ⁇ 0.1.
- Drug pairs that have been experimentally confirmed to share a target are denoted by black and grey dots according to Ki value.
- Fig. 5 Drug-protein interactions of reference set.
- Our reference set was derived from the MATADOR database (Manually Annotated Targets and Drugs Online Resource,(i)), DrugBank (2) and the PDSP Ki database (3). Metabolizing enzymes and proteins with unspecific drug binding were excluded from the reference set. From the PDSP Ki database, we only included interactions with an inhibition constant below lO ⁇ M. The number of drugs with annotated targets in MATADOR, DrugBank and the PDSP Ki database are 381, 462 and 148, respectively. The contributions of drug-protein interactions of the three databases to our reference are shown in a Venn diagram. The different databases treat interactions with protein groups such as complexes and families of proteins differently.
- Fig. 6 Benchmarking of target prediction methods. Three probabilistic methods that evaluate the probability of two drugs to share a target were compared. A) The first method is based on the comparison of side effects information of drugs (SE). The dotted line represents 50% probability of sharing targets at which the side-effect similarity p-value is 0.0045. B) The second method uses the information provided by the chemical similarity between drugs (2D) and the third method combines both individual predictors (SE_2D). Both individual methods show a clear correlation between similarity and the probability of sharing a common target. In our reference set, a Tanimoto 2D similarity score of 0.85 implies a 74% chance of sharing a target.
- Fig. 7 The number of drug pairs falsely predicted to share targets depends on the number of side effects of the drugs involved.
- the number of drugs that do not share targets but are predicted to share a target with the given drug with at least 25% probability is calculated and averaged over a sliding window of 11 drugs.
- Drug pairs involving at least one drug with less than 7 side effects produce relatively many false positives and are thus discarded for prediction purposes.
- Our model employs small contributions of many side effects towards overall side effect similarity. Thus, very low numbers of side effects do not provide sufficient information for a reliable prediction.
- Fig. 8 Breakdown of drug pairs predicted to share targets in different probability intervals. Drug pairs with less than 25% probability of sharing targets (A) are contrasted with those in various probability intervals between 25% and 100% (B). C) Subset of (B) with the additional requirement of a side-effect similarity pvalue lower than 0.1. The type of drug pair (see boxed inset) is indicated. In the bar graph the type of drug pair is ordered from top to bottom as indicated in the boxed inset.
- Similarity of protein targets correlates with probability of binding the same ligand.
- Fig. 10 Extension of Fig. 4 in main manuscript with details of experimental validation of 20 predicted drug pairs in the network.
- Predicted targets for drugs from the 20 drug pairs candidates in the network were tested in in vitro binding assays at 50 ⁇ M.
- Ki inhibition constant
- Prob. is the probability of sharing a target and nh refers to the Hill coefficient of the concentration-curves.
- Drug pairs sharing targets in the reference set were grouped in intervals by their probability of sharing targets as predicted by the combination of both side effect similarity and chemical similarity (A), side effect similarity alone (B) or chemical similarity alone (C).
- A side effect similarity and chemical similarity
- B side effect similarity alone
- C chemical similarity alone
- the average number of targets that are not shared (as indicated) and the average numbers of targets , that are shared (as indicated) were calculated within the intervals. Linear regression reveals that the probability of sharing a target correlates negatively with the number of targets that is not shared by the drug pair. This correlation is not observed when the number of targets shared for the drug pair is compared.
- ⁇ The square of the Pearson product-moment correlation coefficient is shown ( ⁇ ) along with the statistical significance of the correlation as assessed by 1000 randomizations of the drug pairs. The error bars indicate the standard deviation of the data.
- Fig. 12 Two-dimensional histogram representing the probabilities that two drugs share the same target as a function of side effect similarity p-value and chemical similarity.
- Table 1 FDA-approved drugs analyzed in this work. ID is the drug PubChem identifier. (Stereoisomers were merged into one compound.) Table 2 List of therapeutic categories.
- Table 3 Excerpt of the list of the 1018 drugs pairs with a probability (Prob) of sharing a target higher than 25% and side effect similarity p-value (SE) below 0.1.
- the Tanimoto coefficient of the drugs of the pairs (2D) is also given.
- Drug pairs are classified into five groups (1-5) according to the main text ( Figure 2 and Figure 3) whereby the respective groups are subtracted from the total 1018 prediction in the following order to arrive at the unexpected findings (group 5). From the total 1018 drug pairs, we first subtracted those drug pairs that are known to share targets (group 1); in this group 57 drug pairs with high chemical similarity can be found, as the chemical similarity filter was not applied to them.
- Classification System ATC (comprised in table 2), additional indications which are not covered included in table 2 can be found.
- the compounds ethionamide, zaleplon, zopiclone and doxorubicin can be used as antihistamines.
- these compounds can be used to inhibit the release or action of histamine.
- Histamine can be quantified using, for example, an ELISA assay and anti-histamine specific antibodies.
- Drugs that are part of the reference set and that imply a known human target are marked with an asterisk.
- the majority of the drugs that are not part of the reference set are drugs directed against non-human proteins (for example, antibiotics), but there is also a small number of drugs with as yet unknown target.
- drugs directed against human were retrievable from the resources used, and some drugs directed against human were not annotated in the reference sets (for example, endogenous compounds).
- the list contains a few drug pairs that are labelled as predictions (groups 2-5) although they are known to share a target (which underlines the predictive power of the approach).
- Example 1 Quantification and normalization of side-effect similarities
- UMLS Unified Medical Language System
- Fig. 3 we focused on those areas in the network that contain drugs with human targets, which belong to different therapeutic categories.
- Rabeprazole a proton pump inhibitor.
- five drug pairs are predicted to share targets with a probability in the range of 30-75%; four of them involve Rabeprazole.
- Fig. 4 We validated all our predictions in this subnetwork both with in vitro and cell assays (Fig. 4). It appears that Rabeprazol binds both the dopamine receptor DRD3 with an antagonist activity and, with lower affinity, the serotonin receptor HTRlD. We could not detect binding to the serotonin transporter SLC6A4 (Fig. 3B).
- the nervous system drugs Pergolide, Paroxetine and Fluoxetine are known to share two of the three targets above (Fig. 3B), while Zolmitriptan only seems to bind to its primary target serotonin receptor HTRlD that it shares with Rabeprazol (Fig. 3B).
- Donepezil's primary targets are cholinesterases. We show here that it also binds to serotonin transporter SLC6A4 in vitro and inhibits it in cell assays; this might explain Donepezil's strong side-effect similarity with Venlafaxin (Fig. 3B).
- the sharing of side effects of the proton pump inhibitor Rabeprazole revealed two nervous system off-targets with affinities (Fig.
- the reference set is composed of 502 drugs approved by the FDA (Food and Drug Administration) with 4857 associated drug-protein interactions.
- the drug- protein interactions were extracted from the MATADOR database (1), DrugBank (2) and the PDSP Ki database (3) (K. binding affinity lower than 10 ⁇ M).
- the different contributions of drug-target interactions of the databases are shown in a Venn diagram (Fig. 5).
- a target as a protein that binds physically to the drug and might be responsible of the drug mechanism of action.
- metabolizing enzymes and unspecific protein binders like albumin also bind drugs, they cannot generally be associated with the mechanism of action and they were therefore excluded from our reference set.
- the side effect and indication area sections of drug labels were extracted and searched for known terms of side effects. 1443 concepts from UMLS ontology were found by text mining. In order to avoid spurious hits resulting from the description of the drug's purpose within the side effect section, concepts found in the indication area section were masked and discarded from the concepts extracted from the side effect section.
- Drug labels were assigned to chemical compounds by matching of drug synonyms. Labels for combinations of drugs were discarded during the name mapping and by manual inspection of labels that contain the names of other drugs in the side-effect section. In some cases, groups of closely related drugs, such as Nonsteroidal Anti-Inflammatory Drugs (NSAIDs), are listed together on one label. These labels require manual intervention, as our the text-mining approach assigns all mentioned side effects to all drugs of the label although some of the side effect might only be relevant for some of the drugs. Therefore, these labels were manually annotated to assign the listed side effects to the specific drugs.
- NSAIDs Nonsteroidal Anti-Inflammatory Drugs
- the weighting scheme consists of two parts, a rareness weight and a correlation weight.
- the rareness weight for a side effect, ⁇ is defined as the negative logarithm of the side-effect frequency fi. (This frequency refers to the fraction of drug labels that feature a certain side effect, not the relative occurrence of the side effect in patients).
- the correlation of side effects was determined by clustering all side effects according to their assigned drugs using a Tanimoto/Jacquard score to compute a distance matrix: The distance between two drugs was calculated by dividing the number of drugs that feature both side effects by the number of drugs that have either side effect associated.
- the Gerstein-Sonnhammer- Chothia algorithm (7) was used to compute weights based on a hierarchal clustering with the aforementioned distance matrix (S).
- a raw score for the side-effect similarity of a drug-drug pair was calculated by summing the product of the weights over all shared concepts. This raw score was converted into a p-value by generating 10,000 drug pairs in which each side effect has been replaced by a randomly chosen side effect of similar frequency. For each side effect, a set of neighbours was assembled from the 100 side effects that are closest in frequency. This set was then extended to include all side effects of equal rareness.
- the open-source Chemistry Development Kit (P) was used to calculate chemical fingerprints and the commonly used Tanimoto 2D chemical similarity scores (10, 11).
- Example 11 Combining 2D and side effect similarity for target prediction.
- Drug pairs were scored by their probability of sharing targets based on a function of side- effect similarity and 2D similarity. To this end, we distributed drug pairs from the reference set in a two-dimensional histogram (Figure 12). In the first dimension, drug pairs were distributed using logarithmic percentiles of their ranked side effect similarity p-values, and in the second dimension, they were distributed using percentiles or their ranked chemical similarity. Equal similarity values were assigned to the same percentile.
- the fraction of drug pairs that share a target is computed as a function of the natural logarithm of the average side effect similarity p-value (JC in the following equations) and average chemical similarity (2D Tanimoto coefficient, y) within the cell.
- JC average side effect similarity
- 2D Tanimoto coefficient, y average chemical similarity
- PSE,2D represents the probability of sharing the same target for a drug pair with a given side effect similarity p-value and chemical similarity.
- P2D is the probability of sharing the same target as a function of chemical similarity of drug pairs only.
- the function used to model the probability of sharing the same target as predicted using only side effect similarity information is the following:
- PSE is the probability of sharing the same target for a drug pair predicted using only side effect similarity information.
- Example 12 Quantifying the impact of target similarity.
- Ki values less or equal to 10 ⁇ M were considered as binding, whereas higher Ki values were considered as non-binding.
- Normalized bitscores of 0 in Fig. 9A were caused by low-similarity alignments that are not reported. Protein- protein pairs were sorted by normalized bitscores and binned (14).
- the company Cerep performed the enzymatic assay for the prostaglandinendoperoxide synthase 2 (COX2, 777-2hr) and binding assays to the dopamine receptor type 3 (D3h, 803-3h), the serotonin transporter (5-HT transporter, 808-Uh), the serotonin receptor ID (5-HTID, 808- ldc), the alpha-2 adrenergic receptor (alpha2A, 802- IbAh), the alpha- 1 adrenergic receptor (alphal, non-selective, 802-la), the beta-1 adrenergic receptor (betal, 802-2ah), the peripheral- type benzodiazepine receptor (BZD, 852), the calcium-activated potassium channel (SKCa, 863- 3), the dopamine receptor type 1 (Dl, 803-lh), the dopamine receptor 2 (D2S,803-2h), the GABA receptor (GABA, non-selective,
- L concentration of radioligand in the assay
- KD affinity of the radioligand for the receptor.
- the specificity of the in vitro binding assay was controlled by using negative controls at 50 ⁇ M. For assays where our own tested candidates did not give negative results (Fig. 10), we ordered tests against compounds we did not expect to bind to verify the specificity. Those compounds are Mafenide on the 808-Uh (5-HT transporter) and 808- ldc (5-HTID) assays and Aspirin on the 805-Ih (Hl) assay.
- Example 14 Cell assays. The agonist and antagonist responses of all drugs that showed binding activity (inhibitory activity of the reference compound binding activity) above 40% were tested by Cerep at 50 ⁇ M using the following assays: Donepezil: serotonin uptake assay (710); Ketoconazole: serotonin receptor 2C (agonist effect: 722-13a, antagonist effect: 722-13b); Fluoxetine, Rabeprazole and Paroxetine: dopamine receptor 3 (agonist effect: 758-19a, antagonist effect: 758-19b); Zaleplon, Disopyramide, Clomiphene and Acitretin: histamine Hl receptor (agonist effect: 721 -7a, antagonist effect: 721 -7b).
Landscapes
- Health & Medical Sciences (AREA)
- Life Sciences & Earth Sciences (AREA)
- Chemical & Material Sciences (AREA)
- Medicinal Chemistry (AREA)
- Pharmacology & Pharmacy (AREA)
- Epidemiology (AREA)
- Animal Behavior & Ethology (AREA)
- General Health & Medical Sciences (AREA)
- Public Health (AREA)
- Veterinary Medicine (AREA)
- Molecular Biology (AREA)
- Pharmaceuticals Containing Other Organic And Inorganic Compounds (AREA)
Abstract
The present invention relates to a method for identifying a novel medical indication of a pharmaceutically active compound. The invention further provides novel medical indications for several pharmaceutically active compounds. Specifically, compounds are provided for the prevention and treatment of a disease or disorder treatable with a serotonin- norepinephrine reuptake inhibitor (SNRI), a serotonin receptor antagonist, an estazolam, a dopamine receptor antagonist, a dopamine receptor agonist, an L-type calcium channel blocker, a selective estrogen receptor modulator (SERM), an antihistamine. Also provided is a pharmaceutically active compound for the prevention or treatment of tachycardia.
Description
COMPOUNDS WITH NOVEL MEDICAL USES AND METHOD OF IDENTIFYING SUCH COMPOUNDS
The present invention relates to a method for identifying a novel medical indication of a pharmaceutically active compound. The invention further provides novel medical indications for several pharmaceutically active compounds. Specifically, compounds are provided for the prevention and treatment of a disease or disorder treatable with a serotonin-norepinephrine reuptake inhibitor (SNRI), a serotonin receptor antagonist, an estazolam, a dopamine receptor antagonist, a dopamine receptor agonist, an L-type calcium channel blocker, a selective estrogen receptor modulator (SERM), an antihistamine. Also provided is a pharmaceutically active compound for the prevention or treatment of tachycardia.
BACKGROUND OF THE INVENTION
Today's medical fields are restricted by the number of different medicaments that a physician can choose from to treat an individual patient. There are several reasons, why a larger collection of medicaments would be desirable to treat a particular disease or disorder. First, several less frequent diseases may only be treatable with a limited selection of very expensive medicaments which the physician and/or patient, may not be able to afford. Thus, it would be desirable to find novel medical indications for existing cheaper drugs. Secondly, medical and genetic predisposition of a patient may require an alternative treatment for a particular patient. For example an alternative medicament may be required, which, for example is better tolerated by the patient or which may be more compatible with the other medications that an individual patient may be adjusted to. Additionally, it would be important to have additional choices when treating diseases which can manifest multiple disease patterns in a patient, such as a neurological disease, for example.
In the following, several diseases will be outlined and the respective medicaments that are generally used to treat these diseases will be mentioned. For above-indicated reasons, there is a need for alternative types of medication to treat these diseases.
Norepinephrine reuptake inhibitors (NRIs), also known as noradrenaline reuptake inhibitors (NARIs), are compounds that elevate the extracellular level of the neurotransmitter norepinephrine in the central nervous system by inhibiting its reuptake from the synaptic cleft into the presynaptic neuronal terminal. NRIs can be used for the treatment of attention-deficit hyperactivity disorder (ADHD) and depression and are useful sedatives, anxiolytics, sympathomimetics, and anticholinergics. NRIs can further be used to treat chronic fatigue
syndrome, chronic pain and migraine's. Serotonin-norepinephrine reuptake inhibitors (SNRIs) are a class of antidepressants used in the treatment of clinical depression and other affective disorders. They are also sometimes used to treat anxiety disorders, obsessive-compulsive disorder, attention deficit hyperactivity disorder (ADHD) and chronic neuropathic pain. They act upon two neurotransmitters in the brain that are known to play an important part in mood, namely, serotonin and norepinephrine. This can be contrasted with the more widely-used selective serotonin reuptake inhibitors (SSRIs), which act only on serotonin.
Serotonin (5-hydroxytryptamine, or 5-HT) is a monoamine neurotransmitter synthesized in serotonergic neurons in the central nervous system (CNS) and enterochromaffin cells in the gastrointestinal tract of animals including humans. Serotonin is also found in many mushrooms and plants, including fruits and vegetables. Serotonin receptor antagonists are important antiemetic agents. They are particularly important in treating the nausea and vomiting that occur during anticancer chemotherapy using cytotoxic drugs. Another application is in treatment of post-operative nausea and vomiting. Applications to the treatment of depression and other mental and psychological conditions have also been investigated with some positive results. Serotonin receptor antagonists can also be used to treat intestinal pathologies or a psychosis.
Estazolam (marketed under the brand names ProSom, Eurodin) is a drug which is a benzodiazepine derivative. It possesses anxiolytic, anticonvulsant, sedative and skeletal muscle relaxant properties. Estazolam is an intermediate-acting benzodiazepine. It is commonly prescribed for short-term treatment of insomnia.
A dopamine antagonist is a drug which blocks dopamine receptors by receptor antagonism. There are five types of dopamine receptors in the human body; they are found in the brain, peripheral nervous system, blood vessels, and the kidney). Dopamine receptor antagonist, preferably a D2-like dopamine receptor antagonist find applications in the treatment of diseases such as psychosis, nausea, depression, Parkinson's Disease (depending on the patient's background) and migraine. Dopamine receptor agonist can be used to treat, for example, Parkinson's disease, pars intermedia hyperplasia or Equine Cushing's Syndrome (ECS).
L-type calcium channel blockers can be used to treat hypertension, angina pectoris, cardiac arrhythmia and a headache. Calcium channel blockers work by blocking L-type voltage- gated calcium channels (VGCCs) in muscle cells of the heart and blood vessels. This prevents calcium levels from increasing as much in the cells when stimulated, leading to less muscle contraction. In the heart, a decrease in calcium available for each beat results in a decrease in cardiac contractility. In blood vessels, a decrease in calcium results in less contraction of the vascular smooth muscle and therefore an increase in blood vessel diameter, a phenomenon called vasodilation. Vasodilation decreases total peripheral resistance, while a decrease in cardiac
contractility decreases cardiac output. Since blood pressure is in part determined by cardiac output and peripheral resistance, blood pressure drops.
Selective Estrogen Receptor Modulators (SERMs) are a class of medicaments that act on the estrogen receptor. Their mode of action may be different in various tissues, thereby granting the possibility to selectively inhibit or stimulate estrogen-like action in various tissues. SERMs can be used to treat, for example, breast cancer, prostate cancer and for the treatment of serious side effects of androgen deprivation therapy.
A histamine antagonist is an agent which serves to inhibit the release or action of histamine. Antihistamine can be used to describe any histamine antagonist, but it is usually reserved for the classical antihistamines that act upon the Hl histamine receptor. Histamine antagonist can be used to treat, for example, allergy such as hay fever, angioedema, and urticaria. Tachycardia refers to rapid beating of the heart. By convention it defined as a heart rate greater than 100 beats per minute in adults. Treatment of tachycardia is usually directed at chemical conversion using antiarrythmics. An antidepressant is a psychiatric medication or other substance (nutrient or herb) used for alleviating depression or dysthymia ('milder' depression). Drug groups known as MAOIs, tricyclics and SSRIs are particularly associated with the term. These medications are now amongst the drugs most commonly prescribed by medical psychologists, psychiatrists and general practitioners, and their effectiveness and adverse effects are the subject of many studies. Most antidepressants have a delayed onset of action and are usually taken over the course of weeks, months or years. They are generally considered distinct from stimulants, and drugs used for an immediate euphoric effect only are not generally considered antidepressants.
In summary, agents which act as serotonin-norepinephrine reuptake inhibitor (SNRI), a serotonin receptor antagonist, a dopamine receptor antagonist, a dopamine receptor agonist, an L-type calcium channel blocker, a selective estrogen receptor modulator (SERM), an antihistamine or which act like the pharmaceutically active compound estazolam can be administered for the prophylaxis and treatment of above mentioned diseases. However, as mentioned, there is still a large need in the art to identify further therapeutic compounds that can be administered for diseases treatable with above-oulined compounds and also for other diseases or disorders as an alternative to presently available pharmaceutical compounds. This would allow a medical practitioner to more effectively match a medicament to the patients' medical and genetic background and it will, thus, permit to prevent, treat or ameliorate the severe health consequences of diseases and disorders, including those mentioned above more effectively.
SUMMARY OF THE INVENTION
Therefore, to provide a method of identifying a novel medical indication of a pharmaceutically active compound and to solve above-mentioned problems concerning side-effects and drug- resistance of patients, the present invention provides as a first aspect the use of a compound having a structure according to formula I:
(I) wherein
X is O or S;
Z is in each instance CR4R5; ni is an integer from 1 to 5; n2 is an integer from 1 to 5; m is an integer from 0 to 4;
R1 is selected from the group consisting of cycloalkyl, heterocycloalkyl, an alicyclic system, aryl and heteroaryl; optionally substituted; R2 is selected from the group consisting of cycloalkyl, heterocycloalkyl, an alicyclic system, aryl and heteroaryl; optionally substituted; R3 is selected from the group consisting of hydrogen, halogen, alkyl, alkenyl, alkynyl and cycloalkyl; optionally substituted; and if two R3 substituents are on adjacent carbon atoms, they may together form a cycloalkyl, heterocycloalkyl or alicyclic system; optionally substituted;
R4 and R5 is each independently selected from the group consisting of hydrogen, alkyl, alkenyl, alkynyl, cycloalkyl, heterocycloalkyl, alkoxy, aryl, aralkyl, heteroaryl, and -NR6R7; optionally substituted;
R6 and R7 is each independently selected from the group consisting of hydrogen, alkyl, alkenyl, alkynyl, cycloalkyl, heterocycloalkyl, aryl, heteroaryl, and aralkyl or together form a heteroaryl, and heterocycloalkyl; optionally substituted;
or pharmaceutically acceptable salts thereof, for the prevention or treatment of a disease or disorder treatable with a Serotonin-norepinephrine reuptake inhibitor (SNRI).
The invention further provides the use of a compound having a structure according to formula III:
(III) wherein m is an integer from 0 to 9; X is O or S;
Y is selected from the group consisting of hydrogen, halogen, -NO2, -CN, -OR6, -NR6R7, -COOR6, -CONR6R7, -NR4COR5, -NR4COR5, -NR4CONR6R7, -NR5SO2A, -COR6 - SO2NR6R7, -00CR4 and -CR4R5OH; R1 is selected from the group consisting of cycloalkyl, heterocycloalkyl, an alicyclic system, aryl and heteroaryl; optionally substituted; R2 is selected from the group consisting of cycloalkyl, heterocycloalkyl, an alicyclic system, aryl and heteroaryl; optionally substituted;
R3 is selected from the group consisting of hydrogen, halogen, alkyl, alkenyl, alkynyl and cycloalkyl; optionally substituted; and if two R3 substituents are on adjacent carbon atoms, they may together form a cycloalkyl, heterocycloalkyl or alicyclic system; optionally substituted;
R4 and R5 is each independently selected from the group consisting of hydrogen, alkyl, alkenyl, alkynyl, cycloalkyl, heterocycloalkyl, alkoxy, aryl, aralkyl, heteroaryl, and -NR6R7; optionally substituted;
R6 and R7 is each independently selected from the group consisting of hydrogen, alkyl, alkenyl, alkynyl, cycloalkyl, heterocycloalkyl, aryl, heteroaryl, and aralkyl or together form a heteroaryl, and heterocycloalkyl; optionally substituted;
R6' and R7' is each independently selected from the group consisting of hydrogen, alkyl, alkenyl or together form a heterocycloalkyl; optionally substituted; or pharmaceutically acceptable salts thereof, for the prevention or treatment of a disease or disorder treatable with a Serotonin-norepinephrine reuptake inhibitor (SNRI).
The invention further provides the use of a compound having a structure according to formula V:
(V)
wherein
W is alkyl, -OR6', -CR4R5OH, or -NR6'R7'; Z is in each instance CR4R5; xv\ is an integer from 1 to 5; R1 is selected from the group consisting of cycloalkyl, heterocycloalkyl, an alicyclic system, aryl and heteroaryl; optionally substituted; R2 is selected from the group consisting of cycloalkyl, heterocycloalkyl, an alicyclic system, aryl and heteroaryl; optionally substituted;
R4 and R5 is each independently selected from the group consisting of hydrogen, alkyl, alkenyl, alkynyl, cycloalkyl, heterocycloalkyl, alkoxy, aryl, aralkyl, heteroaryl, and -NR6R7; optionally substituted;
R6 and R7 is each independently selected from the group consisting of hydrogen, alkyl, alkenyl, alkynyl, cycloalkyl, heterocycloalkyl, aryl, heteroaryl, and aralkyl or together form a heteroaryl, and heterocycloalkyl; optionally substituted; R6' and R7' is each independently selected from the group consisting of hydrogen, alkyl, alkenyl or together form a heterocycloalkyl; optionally substituted; R8 is each individually selected from the group consisting of hydrogen, alkyl, alkenyl, alkynyl and cycloalkyl; optionally substituted; or pharmaceutically acceptable salts thereof, for the prevention or treatment of a disease or disorder treatable with a norepinephrine reuptake inhibitors (NRIs).
(VII)
wherein X is in each instance O or S; X' is in each instance O or S; Y is in each instance selected from the group consisting of hydrogen, halogen, -NO2, -CN,
-OR6, -NR6R7, -COOR6, -CONR6R7, -NR4COR5, -NR4COR5, -NR4CONR6R7,
-NR5SO2A, -COR6 -SO2NR6R7, -OOCR4 and -CR4R5OH; Z is in each instance CR4R5; n is an integer from 1 to 5; mi is an integer between O and 3; m2 is an integer between O and 3;
R2 is selected from the group consisting of cycloalkyl, heterocycloalkyl, an alicyclic system, aryl and heteroaryl; optionally substituted;
R3 is selected from the group consisting of hydrogen, halogen, alkyl, alkenyl, alkynyl and cycloalkyl; optionally substituted; and if two R3 substituents are on adjacent carbon atoms, they may together form a cycloalkyl, heterocycloalkyl or alicyclic system; optionally substituted; R3 is selected from the group consisting of hydrogen, halogen, alkyl, alkenyl, alkynyl and cycloalkyl; optionally substituted; and if two R3 substituents are on adjacent carbon atoms, they may together form a cycloalkyl, heterocycloalkyl or alicyclic system; optionally substituted;
R4 and R5 is each independently selected from the group consisting of hydrogen, alkyl, alkenyl, alkynyl, cycloalkyl, heterocycloalkyl, alkoxy, aryl, aralkyl, heteroaryl, and -NR6R7; optionally substituted; R6 and R7 is each independently selected from the group consisting of hydrogen, alkyl, alkenyl, alkynyl, cycloalkyl, heterocycloalkyl, aryl, heteroaryl, and aralkyl or together form a heteroaryl, and heterocycloalkyl; optionally substituted;
R8 is selected from the group consisting of hydrogen, alkyl, alkenyl, alkynyl and cycloalkyl; optionally substituted; or pharmaceutically acceptable salts thereof, for the prevention or treatment of a psychosis and/or a disease or disorder treatable with an antihistamine.
The invention further provides the use of a compound having a structure according to formula IX:
(IX)
wherein
A is in each instance S, O or NR '; X is O or S; Z is in each instance CR4 R5 ; m is an integer from 0 to 4; ni is an integer from 1 to 5; n2 is an integer from 1 to 5; R is selected from the group consisting of cycloalkyl, heterocycloalkyl, an alicyclic system, aryl and heteroaryl; optionally substituted;
R- is selected from the group consisting of cycloalkyl, heterocycloalkyl, an alicyclic system, aryl and heteroaryl; optionally substituted;
R is selected from the group consisting of hydrogen, halogen, alkyl, alkenyl, alkynyl and cycloalkyl; optionally substituted; R >*4' and R5 is each independently selected from the group consisting of hydrogen, alkyl, alkenyl, alkynyl, cycloalkyl, heterocycloalkyl, alkoxy, aryl, aralkyl and heteroaryl; optionally substituted; R6 and R7 is each independently selected from the group consisting of hydrogen, alkyl, alkenyl, alkynyl, cycloalkyl, heterocycloalkyl, aryl, heteroaryl, and aralkyl or together form a heteroaryl, and heterocycloalkyl; optionally substituted;
R6' is selected from the group consisting of hydrogen, alkyl, alkenyl and alkynyl; optionally substituted; R9 is in each instance independently selected from the group consisting of hydrogen, halogen, -NO2, -CN, -OR6, -NR6R7, -COOR6, -CONR6R7, -NR4COR5, -NR4COR5, -NR4CONR6R7, -NR5SO2A, -COR6 , -SO2NR6R7,
-OOCR4 and -CR4R5OH;- R10 is selected from the group consisting of cycloalkyl, heterocycloalkyl, an alicyclic system, aryl and heteroaryl; optionally substituted; or pharmaceutically acceptable salts thereof, for the prevention or treatment of disease or disorder treatable with a serotonin receptor antagonist, preferably a 5-HT2 type serotonin receptor antagonist.
The invention further provides the use of a compound having a structure according to formula XI:
(XI) wherein A is S, O or NR6';
B is C or N;
E is C or N;
X is O or S; if A is S then X is O; ml is an integer from O to 6; m2 is an integer from O to 3; m3 is an integer from O to 3; n3 is an integer from 1 to 3;
1I4 is an integer from 1 to 3;
Y is selected from the group consisting of hydrogen, halogen, -NO2, -CN, -OR6,
-NR6R7, -COOR6, -CONR6R7,
-NR4COR5, -NR4COR5, -NR4CONR6R7, -NR5SO2A, -COR6 , -SO2NR6R7, -OOCR4 and
-CR4R5OH; Y' is selected from the group consisting of hydrogen, halogen, -NO2, -CN, -OR6,
-NR6R7, -COOR6, -CONR6R7,
-NR4COR5, -NR4COR5, -NR4CONR6R7, -NR5SO2A, -COR6 , -SO2NR6R7, -OOCR4 and
-CR4R5OH;
Y" is selected from the group consisting of hydrogen, halogen, -NO2, -CN, -OR6, -NR6R7, -COOR6, -CONR6R7,
-NR4COR5, -NR4COR5, -NR4CONR6R7, -NR5SO2A, -COR6^SO2NR6R7, -OOCR4 and
-CR4R5OH;
Z is in each instance CR4R5;
R4 and R5 is each independently selected from the group consisting of hydrogen, alkyl, alkenyl, alkynyl, cycloalkyl, heterocycloalkyl, alkoxy, aryl, aralkyl, heteroaryl, and -NR6R7; optionally substituted; R6 and R7 is each independently selected from the group consisting of hydrogen, alkyl, alkenyl, alkynyl, cycloalkyl, heterocycloalkyl, aryl, heteroaryl, and aralkyl or together form a heteroaryl, and heterocycloalkyl; optionally substituted; R6' is selected from the group consisting of hydrogen, alkyl, alkenyl and alkynyl; optionally substituted; R8 is selected from the group consisting of hydrogen, alkyl, alkenyl, alkynyl and cycloalkyl; optionally substituted; and wherein the bond indicated by the dashed line may be present or not; or pharmaceutically acceptable salts thereof, for the prevention or treatment of disease or disorder treatable with 8-Chloro-6-phenyl-4H-l,2,4-triazolo(4,3-a)-l,4-benzodiazepine (estazolam).
(XIII)
wherein B is C or N; G is C or S; X is in each instance O or S; Z is in each instance CR4R5; m is an integer from 0 to 3; n] is an integer from 1 to 5; n2 is an integer from 1 to 5; R1 is selected from the group consisting of cycloalkyl, heterocycloalkyl, an alicyclic system, aryl and heteroaryl; optionally substituted;
R3 is selected from the group consisting of hydrogen, halogen, alkyl, alkenyl, alkynyl and cycloalkyl; optionally substituted; and if two R3 substituents are on adjacent carbon atoms, they may together form a cycloalkyl, heterocycloalkyl or alicyclic system; optionally substituted; R4 and R5 is each independently selected from the group consisting of hydrogen, alkyl, alkenyl, alkynyl, cycloalkyl, heterocycloalkyl, alkoxy, aryl, aralkyl, heteroaryl, and -NR6R7; optionally substituted;
R6 and R7 is each independently selected from the group consisting of hydrogen, alkyl, alkenyl, alkynyl, cycloalkyl, heterocycloalkyl, aryl, heteroaryl, and aralkyl or together form a heteroaryl, and heterocycloalkyl; optionally substituted;
R8 is selected from the group consisting of hydrogen, alkyl, alkenyl, alkynyl and cycloalkyl; optionally substituted; or pharmaceutically acceptable salts thereof, for the prevention or treatment of a disease or disorder treatable with a dopamine receptor antagonist, preferably a type D2-like dopamine receptor antagonist.
The invention further provides the use of a compound having a structure according to formula XV:
A is S, O or NR6'; X is O or S; Y is in each instance selected from the group consisting of hydrogen, halogen, -NO2, -CN,
-OR6, -NR6R7, -COOR6, -CONR6R7, -NR4COR5, -NR4COR5, -NR4CONR6R7,
-NR5SO2A, -COR6, -SO2NR6R7, -00CR4 and -CR4R5OH;
R1 is selected from the group consisting of cycloalkyl, heterocycloalkyl, an alicyclic system, aryl and heteroaryl; optionally substituted; R2 is selected from the group consisting of cycloalkyl, heterocycloalkyl, an alicyclic system, aryl and heteroaryl; optionally substituted; R4 and R5 is each independently selected from the group consisting of hydrogen, alkyl, alkenyl, alkynyl, cycloalkyl, heterocycloalkyl, alkoxy, aryl, aralkyl, heteroaryl, and -NR6R7; optionally substituted; R6 and R7 is each independently selected from the group consisting of hydrogen, alkyl, alkenyl, alkynyl, cycloalkyl, heterocycloalkyl, aryl, heteroaryl, and aralkyl or together form a heteroaryl, and heterocycloalkyl; optionally substituted; R6' is selected from the group consisting of hydrogen, alkyl, alkenyl and alkynyl; optionally substituted; or pharmaceutically acceptable salts thereof, for the prevention or treatment of a disease or disorder treatable with Tegaserod (2-((5-Methoxy-lH-indol-3-yl)methylene)-N- pentylhydrazinecarboximidamide). Exemplary diseases treatable with tegaserod comprise irritable bowel syndrome and constipation.
The invention further provides the use of a compound having a structure according to formula XVII:
A is each independently selected from S, O or NR6' ; Z is in each instance CR4R5; ml is an integer from 0 to 3; m2 is an integer from O to 3; n is an integer from 1 to 5; R1 is selected from the group consisting of cycloalkyl, heterocycloalkyl, an alicyclic system, aryl and heteroaryl; optionally substituted; R3 is selected from the group consisting of hydrogen, halogen, alkyl, alkenyl, alkynyl and cycloalkyl; optionally substituted; and if two R3 substituents are on adjacent carbon atoms, they may together form a cycloalkyl, heterocycloalkyl or alicyclic system; optionally substituted;
R4 and R5 is each independently selected from the group consisting of hydrogen, alkyl, alkenyl, alkynyl, cycloalkyl, heterocycloalkyl, alkoxy, aryl, aralkyl, heteroaryl, and -NR6R7; optionally substituted;
R and R7 is each independently selected from the group consisting of hydrogen, alkyl, alkenyl, alkynyl, cycloalkyl, heterocycloalkyl, aryl, heteroaryl, and aralkyl or together form a heteroaryl, and heterocycloalkyl; optionally substituted; R6' is selected from the group consisting of hydrogen, alkyl, alkenyl and alkynyl; optionally substituted; R8 is selected from the group consisting of hydrogen, alkyl, alkenyl, alkynyl and cycloalkyl; optionally substituted; and wherein the bond indicated by the dashed line may be present or not;
or pharmaceutically acceptable salts thereof, for the prevention or treatment of a disease or disorder treatable with a dopamine receptor agonist.
The invention further provides the use of a compound having a structure according to formula XIX:
wherein n is an integer from 2 to 6; o is an integer from 0 to 4; X is in each instance O or S; Y is selected from the group consisting of hydrogen, halogen, -NO2, -CN, -OR6,
-NR6R7, -COOR6, -CONR6R7, -NR4COR5, -NR4COR5, -NR4CONR6R7, -NR5SO2A, -COR6 , -SO2NR6R7, -OOCR4 and
-CR4R5OH; R3 is selected from the group consisting of hydrogen, halogen, alkyl, alkenyl, alkynyl and cycloalkyl; optionally substituted;
R4 and R5 is each independently selected from the group consisting of hydrogen, alkyl, alkenyl, alkynyl, cycloalkyl, heterocycloalkyl, alkoxy, aryl, aralkyl, heteroaryl, and -NR6R7; optionally substituted;
R6 and R7 is each independently selected from the group consisting of hydrogen, alkyl, alkenyl, alkynyl, cycloalkyl, heterocycloalkyl, aryl, heteroaryl, and aralkyl or together form a heteroaryl, and heterocycloalkyl; optionally substituted; R6' is selected from the group consisting of hydrogen, alkyl, alkenyl and alkynyl; optionally substituted; R8 is in each instance selected from the group consisting of hydrogen, alkyl, alkenyl, alkynyl and cycloalkyl; optionally substituted; and wherein each of the bonds indicated by the dashed line may be present or not;
or pharmaceutically acceptable salts thereof, for the prevention or treatment of a disease or disorder treatable with an L-type calcium channel blocker.
The invention further provides the use of a compound having a structure according to formula XXI:
(XXI).
wherein
X is O or S; Z is in each instance CR4R5; n is an integer from 1 to 5;
R1 is selected from the group consisting of cycloalkyl, heterocycloalkyl, an alicyclic system, aryl and heteroaryl; optionally substituted;
R2 is selected from the group consisting of cycloalkyl, heterocycloalkyl, an alicyclic system, aryl and heteroaryl; optionally substituted; R3 is selected from the group consisting of hydrogen, halogen, alkyl, alkenyl, alkynyl and cycloalkyl; optionally substituted; R4 and R5 is each independently selected from the group consisting of hydrogen, alkyl, alkenyl, alkynyl, cycloalkyl, heterocycloalkyl, alkoxy, aryl, aralkyl, heteroaryl, and -NR6R7; optionally substituted; R6 and R7 is each independently selected from the group consisting of hydrogen, alkyl, alkenyl, alkynyl, cycloalkyl, heterocycloalkyl, aryl, heteroaryl, and aralkyl or together form a heteroaryl, and heterocycloalkyl; optionally substituted;
R6' and R7' is each independently selected from the group consisting of hydrogen, alkyl, alkenyl or together form a heterocycloalkyl; optionally substituted; and R8 is in each instance selected from the group consisting of hydrogen, alkyl, alkenyl, alkynyl and cycloalkyl; optionally substituted;
or pharmaceutically acceptable salts thereof, for the prevention or treatment of cancer and/or a disease or disorder treatable with a selective estrogen receptor modulator (SERM).
The invention further provides the use of a compound having a structure according to formula XXIII:
(XXIII). wherein X is O or S; n is an integer from 1 to 5;
R3 is selected from the group consisting of hydrogen, halogen, alkyl, alkenyl, alkynyl and cycloalkyl; optionally substituted; and if two R3 substituents are on adjacent carbon atoms, they may together form a cycloalkyl, heterocycloalkyl or alicyclic system; optionally substituted;
R3 is selected from the group consisting of hydrogen, halogen, alkyl, alkenyl, alkynyl and cycloalkyl; optionally substituted; R is selected from the group consisting of hydrogen, alkyl, alkenyl, alkynyl and cycloalkyl; optionally substituted; or pharmaceutically acceptable salts thereof, for the prevention or treatment of a disease or disorder treatable with an antihistamine.
The invention further provides the use of a compound having a structure according to formula XXV:
(XXV)
wherein ml is an integer from O to 5; m2 is an integer from 0 to 4; X is O or S; Y is in each instance selected from the group consisting of hydrogen, halogen, -NO2, -CN,
-OR6,
-NR6R7, -COOR6, -CONR6R7,
-NR4COR5, -NR4COR5, -NR4CONR6R7, -NR5SO2A, -COR6^SO2NR6R7, -OOCR4 and
-CR4R5OH; Y' is in each instance selected from the group consisting of hydrogen, halogen, -NO2, -CN,
-OR6,
-NR6R7, -COOR6, -CONR6R7,
-NR4COR5, -NR4COR5, -NR4CONR6R7, -NR5SO2A, -COR6^SO2NR6R7, -OOCR4 and
-CR4R5OH; R2 is selected from the group consisting of cycloalkyl, heterocycloalkyl, an alicyclic system, aryl and heteroaryl; optionally substituted; R3 is selected from the group consisting of hydrogen, halogen, alkyl, alkenyl, alkynyl and cycloalkyl; optionally substituted;
R4 and R5 is each independently selected from the group consisting of hydrogen, alkyl, alkenyl, alkynyl, cycloalkyl, heterocycloalkyl, alkoxy, aryl, aralkyl, heteroaryl, and -NR6R7; optionally substituted; R6 and R7 is each independently selected from the group consisting of hydrogen, alkyl, alkenyl, alkynyl, cycloalkyl, heterocycloalkyl, aryl, heteroaryl, and aralkyl or together form a heteroaryl, and heterocycloalkyl; optionally substituted; R8 is in each instance selected from the group consisting of hydrogen, alkyl, alkenyl, alkynyl and cycloalkyl; optionally substituted; and wherein the bond indicated by the dashed line may be present or not; or pharmaceutically acceptable salts thereof, for the prevention or treatment of a disease or disorder treatable with an antihistamine.
wherein m is an integer from O to 3; B is C or N; X is O or S; Y is selected from the group consisting of hydrogen, halogen, -NO2, -CN, -OR6,
-NR6R7, -COOR6, -CONR6R7, -NR4COR5, -NR4COR5, -NR4CONR6R7, -NR5SO2A, -COR6 , -SO2NR6R7, -00CR4 and
-CR4R5OH; R3 is selected from the group consisting of hydrogen, halogen, alkyl, alkenyl, alkynyl and cycloalkyl; optionally substituted;
R4 and R5 is each independently selected from the group consisting of hydrogen, alkyl, alkenyl, alkynyl, cycloalkyl, heterocycloalkyl, alkoxy, aryl, aralkyl, heteroaryl, and -NR6R7; optionally substituted;
R6 and R7 is each independently selected from the group consisting of hydrogen, alkyl, alkenyl, alkynyl, cycloalkyl, heterocycloalkyl, aryl, heteroaryl, and aralkyl or together form a heteroaryl, and heterocycloalkyl; optionally substituted; R6' and R7' is each independently selected from the group consisting of hydrogen, alkyl, alkenyl or together form a heterocycloalkyl; optionally substituted; or pharmaceutically acceptable salts thereof, for the prevention or treatment of tachycardia or a disease or disorder treatable with an antihistamine, for example an allergy such as hay fever, angioedema or urticaria.
(XXIX)
wherein
X is O or S;
R1 is selected from the group consisting of cycloalkyl, heterocycloalkyl, an alicyclic system, aryl and heteroaryl; optionally substituted;
R2 is selected from the group consisting of cycloalkyl, heterocycloalkyl, an alicyclic system, aryl and heteroaryl; optionally substituted;
Rx is selected from the group consisting of hydrogen, alkyl, alkenyl, alkynyl and cycloalkyl; optionally substituted; or pharmaceutically acceptable salts thereof, for the prevention or treatment of a disease or disorder treatable with an antihistamine.
The invention further provides the use of a compound having a structure according to formula XXXI:
(XXXI) wherein ml is an integer from 0 to 2; m2 is an integer from 1 to 2; m3 is an integer from 0 to 4; Y is in each instance selected from the group consisting of hydrogen, halogen, -NO2, -CN, -OR6,
-NR6R7, -COOR6, -CONR6R7,
-NR4COR5, -NR4COR5, -NR4CONR6R7, -NR5SO2A, -CORVSO2NR6R7, -00CR4 and
-CR4R5OH; Y' is in each instance selected from the group consisting of hydrogen, halogen, -NO2, -CN,
-OR6, -NR6R7, -COOR6, -CONR6R7,
-NR4COR5, -NR4COR5, -NR4CONR6R7, -NR5SO2A, -COR6 , -SO2NR6R7, -OOCR4 and
-CR4R5OH; Y' ' is in each instance selected from the group consisting of hydrogen, halogen, -NO2, -CN,
-OR6, -NR6R7, -COOR6, -CONR6R7,
-NR4COR5, -NR4COR5, -NR4CONR6R7, -NR5SO2A, -COR6 , -SO2NR6R7, -OOCR4 and
-CR4R5OH; R4 and R5 is each independently selected from the group consisting of hydrogen, alkyl, alkenyl, alkynyl, cycloalkyl, heterocycloalkyl, alkoxy, aryl, aralkyl, heteroaryl, and -NR6R7; optionally substituted;
R6 and R7 is each independently selected from the group consisting of hydrogen, alkyl, alkenyl, alkynyl, cycloalkyl, heterocycloalkyl, aryl, heteroaryl, and aralkyl or together form a heteroaryl, and heterocycloalkyl; optionally substituted;
R8 is selected from the group consisting of hydrogen, alkyl, alkenyl, alkynyl and cycloalkyl; optionally substituted;
R11 is selected from the group consisting of hydrogen, -COR12 , -CR4R5OH, alkyl, alkynyl and cycloalkyl; optionally substituted; R12 is selected from the group consisting of hydrogen, alkyl, alkenyl, alkynyl, cycloalkyl, heterocycloalkyl, aryl, heteroaryl, and aralkyl; optionally substituted; or pharmaceutically acceptable salts thereof, for the prevention or treatment of a depression and/or a disease or disorder treatable with an antihistamine.
The invention further provides the use of a compound having a structure according to formula XXXIII:
wherein m is an integer between 0 and 2; B is in each instance C or N; X is O or S; Y is selected from the group consisting of hydrogen, halogen, -NO2, -CN, -OR6,
-NR6R7, -COOR6, -CONR6R7,
-NR4COR5, -NR4COR5, -NR4CONR6R7, -NR5SO2A, -COR6^SO2NR6R7, -00CR4 and
-CR4R5OH;
R1 is selected from the group consisting of cycloalkyl, heterocycloalkyl, an alicyclic system, aryl and heteroaryl; optionally substituted;
R4 and R5 is each independently selected from the group consisting of hydrogen, alkyl, alkenyl, alkynyl, cycloalkyl, heterocycloalkyl, alkoxy, aryl, aralkyl, heteroaryl, and -NR6R7; optionally substituted;
R6 and R7 is each independently selected from the group consisting of hydrogen, alkyl, alkenyl, alkynyl, cycloalkyl, heterocycloalkyl, aryl, heteroaryl, and aralkyl or together form a heteroaryl, and heterocycloalkyl; optionally substituted; R11 is selected from the group consisting of hydrogen, -COR12, -CR4R5OH, alkyl, alkynyl and cycloalkyl; optionally substituted;
R12 is selected from the group consisting of hydrogen, alkyl, alkenyl, alkynyl, cycloalkyl, heterocycloalkyl, aryl, heteroaryl, and aralkyl; optionally substituted; or pharmaceutically acceptable salts thereof, for the prevention or treatment of a depression and/or a disease or disorder treatable with an antihistamine.
The invention further provides a method for identifying a novel medical indication of a pharmaceutically active compound comprising the steps:
(a) extracting side-effects of a first pharmaceutically active compound from at least one database;
(b) extracting side-effects of a second pharmaceutically active compound from at least one database; (c) determining a side-effect similarity score which is the degree of similarity between the side-effects of the first and the second pharmaceutically active compound;
DETAILED DESCRIPTION OF THE INVENTION
Before the present invention is described in detail below, it is to be understood that this invention is not limited to the particular methodology, protocols and reagents described herein as
these may vary. It is also to be understood that the terminology used herein is for the purpose of describing particular embodiments only, and is not intended to limit the scope of the present invention which will be limited only by the appended claims. Unless defined otherwise, all technical and scientific terms used herein have the same meanings as commonly understood by one of ordinary skill in the art.
Preferably, the terms used herein are defined as described in "A multilingual glossary of biotechnological terms: (IUPAC Recommendations)", Leuenberger, H.G.W, Nagel, B. and Klbl, H. eds. (1995), Helvetica Chimica Acta, CH-4010 Basel, Switzerland).
Throughout this specification and the claims which follow, unless the context requires otherwise, the word "comprise", and variations such as "comprises" and "comprising", will be understood to imply the inclusion of a stated integer or step or group of integers or steps but not the exclusion of any other integer or step or group of integers or steps, hi the following passages different aspects of the invention are defined in more detail. Each aspect so defined may be combined with any other aspect or aspects unless clearly indicated to the contrary. In particular, any feature indicated as being preferred or advantageous may be combined with any other feature or features indicated as being preferred or advantageous.
Several documents are cited throughout the text of this specification. Each of the documents cited herein (including all patents, patent applications, scientific publications, manufacturer's specifications, instructions, etc.), whether supra or infra, are hereby incorporated by reference in their entirety. Nothing herein is to be construed as an admission that the invention is not entitled to antedate such disclosure by virtue of prior invention.
In the following definitions of the terms: "alkyl", "heteroalkyl", "cycloalkyl", "heterocycloalkyl", "alicyclic system", "aryl", "aralkyl", "heteroaryl", "heteroaralkyl", "alkenyl", "cycloalkenyl", "alkynyl" and "optionally substituted" are provided. These terms will in each instance of its use in the remainder of the specification have the respectively defined meaning and preferred meanings.
The term "alkyl" refers to a saturated straight or branched carbon chain. Preferably, the chain comprises from 1 to 10 carbon atoms, i.e. 1, 2, 3, 4, 5, 6, 7, 8, 9 or 10 e.g. methyl, ethyl methyl, ethyl, propyl, wo-propyl, butyl, wo-butyl, tert-butyl, pentyl or hexyl, heptyl, or octyl. Alkyl groups are optionally substituted.
The term "heteroalkyl" refers to a saturated straight or branched carbon chain. Preferably, the chain comprises from 1 to 9 carbon atoms, i.e. 1, 2, 3, 4, 5, 6, 7, 8, 9 e.g. methyl, ethyl, propyl, wo-propyl, butyl, wo-butyl, sec-butyl, tert-butyl, pentyl or hexyl, heptyl, octyl, which is interrupted one or more times, e.g. 1, 2, 3, 4, 5, with the same or different heteroatoms. Preferably the heteroatoms are selected from O, S, and N, e.g. -0-CH3, -S-CH3, -CH2-O-CH3, -
CH2-O-C2H5, -CH2-S-CH3, -CH2-S-C2H5, -C2H4-O-CH3, -C2H4-O-C2H5, -C2H4-S-CH3, -C2H4-S- C2H5 etc. Heteroalkyl groups are optionally substituted.
The terms "cycloalkyl" and "heterocycloalkyl", by themselves or in combination with other terms, represent, unless otherwise stated, cyclic versions of "alkyl" and "heteroalkyl", respectively, with preferably 3, 4, 5, 6, 7, 8, 9 or 10 atoms forming a ring, e.g. cyclopropyl, cyclobutyl, cyclopentyl, cyclohexyl, cycloheptyl, cyclooctyl etc. The terms "cycloalkyl" and "heterocycloalkyl" are also meant to include bicyclic, tricyclic and polycyclic versions thereof. If more than one cyclic ring is present such as in bicyclic, tricyclic and polycyclic versions, then these rings may also comprise one or more aryl- or heteroaryl ring. The term "heterocycloalkyl" preferably refers to a saturated ring having five members of which at least one member is a N, O or S atom and which optionally contains one additional O or one additional N; a saturated ring having six members of which at least one member is a N, O or S atom and which optionally contains one additional O or one additional N or two additional N atoms; or a saturated bicyclic ring having nine or ten members of which at least one member is a N, O or S atom and which optionally contains one, two or three additional N atoms. "Cycloalkyl" and "heterocycloalkyl" groups are optionally substituted. Additionally, for heterocycloalkyl, a heteroatom can occupy the position at which the heterocycle is attached to the remainder of the molecule. Preferred examples of cycloalkyl include cyclopropyl, cyclobutyl, cyclopentyl, cyclohexyl, cycloheptyl, cyclooctyl, cyclononyl, cyclodecyl, spiro[3,3]heptyl, spiro[3,4]octyl, spiro[4,3]octyl, spiro[3,5]nonyl, spiro[5,3]nonyl, spiro[3,6]decyl, spiro[6,3]decyl, spiro[4,5]decyl, spiro[5,4]decyl, bicyclo[4.1.0]hepryl, bicyclo[3.2.0]heptyl, bicyclo[2.2.1]heptyl, bicyclo[2.2.2]octyl, bicyclo[5.1.0]octyl, bicyclo[4.2.0]octyl, octahydro-pentalenyl, octahydro- indenyl, decahydro-azulenyl, adamantly, or decahydro-naphthalenyl. Examples of heterocycloalkyl include l-(l,2,5,6-tetrahydropyridyl), 1-piperidinyl, 2-piperidinyl, 3- piperidinyl, 4-morpholinyl, 3-morpholinyl, 1,8 diaza-spiro-[4,5] decyl, 1,7 diaza-spiro-[4,5] decyl, 1,6 diaza-spiro-[4,5] decyl, 2,8 diaza-spiro[4,5] decyl, 2,7 diaza-spiro[4,5] decyl, 2,6 diaza-spiro[4,5] decyl, 1,8 diaza-spiro-[5,4] decyl, 1,7 diaza-spiro-[5,4] decyl, 2,8 diaza-spiro- [5,4] decyl, 2,7 diaza-spiro[5,4] decyl, 3,8 diaza-spiro[5,4] decyl, 3,7 diaza-spiro[5,4] decyl, 1- aza-7,l l-dioxo-spiro[5,5] undecyl, l,4-diazabicyclo[2.2.2]oct-2-yl, tetrahydrofuran-2-yl, tetrahydrofuran-3-yl, tetrahydrothien-2-yl, tetrahydrothien-3-yl, 1 -piperazinyl, 2-piperazinyl, and the like.
The term "alicyclic system" refers to mono, bicyclic, tricyclic or polycyclic version of a cycloalkyl or heterocycloalkyl comprising at least one double and/or triple bond. However, an alicyclic system is not aromatic or heteroaromatic, i.e. does not have a system of conjugated double bonds/free electron pairs. Thus, the number of double and/or triple bonds maximally
allowed in an alicyclic system is determined by the number of ring atoms, e.g. in a ring system with up to 5 ring atoms an alicyclic system comprises up to one double bond, in a ring system with 6 ring atoms the alicyclic system comprises up to two double bonds. Thus, the "cycloalkenyl" as defined below is a preferred embodiment of an alicyclic ring system. Alicyclic systems are optionally substituted.
The term "aryl" preferably refers to an aromatic monocyclic ring containing 6 carbon atoms, an aromatic bicyclic ring system containing 10 carbon atoms or an aromatic tricyclic ring system containing 14 carbon atoms. Examples are phenyl, naphtyl or anthracenyl. The aryl group is optionally substituted. The term "aralkyl" refers to an alkyl moiety, which is substituted by aryl, wherein alkyl and aryl have the meaning as outlined above. An example is the benzyl radical. Preferably, in this context the alkyl chain comprises from 1 to 8 carbon atoms, i.e. 1, 2, 3, 4, 5, 6, 7, or 8, e.g. methyl, ethyl methyl, ethyl, propyl, wo-propyl, butyl, wo-butyl, .sec-butenyl, tert-butyl, pentyl or hexyl, pentyl, octyl. The aralkyl group is optionally substituted at the alkyl and/or aryl part of the group.
The term "heteroaryl" preferably refers to a five or six-membered aromatic monocyclic ring wherein at least one of the carbon atoms are replaced by 1, 2, 3, or 4 (for the five membered ring) or 1, 2, 3, 4, or 5 (for the six membered ring) of the same or different heteroatoms, preferably selected from O, N and S; an aromatic bicyclic ring system wherein 1, 2, 3, 4, 5, or 6 carbon atoms of the 8, 9, 10, 11 or 12 carbon atoms have been replaced with the same or different heteroatoms, preferably selected from O, N and S; or an aromatic tricyclic ring system wherein 1, 2, 3, 4, 5, or 6 carbon atoms of the 13, 14, 15, or 16 carbon atoms have been replaced with the same or different heteroatoms, preferably selected from O, N and S. Examples are oxazolyl, isoxazolyl, 1,2,5-oxadiazolyl, 1,2,3-oxadiazolyl, pyrrolyl, imidazolyl, pyrazolyl, 1,2,3- triazolyl, thiazolyl, isothiazolyl, 1,2,3,-thiadiazolyl, 1,2,5-thiadiazolyl, pyridinyl, pyrimidinyl, pyrazinyl, 1,2,3-triazinyl, 1,2,4-triazinyl, 1,3,5-triazinyl, 1-benzofuranyl, 2-benzofuranyl, indolyl, isoindolyl, benzothiophenyl, 2-benzothiophenyl, lH-indazolyl, benzimidazolyl, benzoxazolyl, indoxazinyl, 2,1-benzisoxazoyl, benzothiazolyl, 1,2-benzisothiazolyl, 2,1- benzisothiazolyl, benzotriazolyl, quinolinyl, isoquinolinyl, quinoxalinyl, quinazolinyl, 1,2,3- benzotriazinyl, or 1,2,4-benzotriazinyl.
The term "heteroaralkyl" refers to an alkyl moiety, which is substituted by heteroaryl, wherein alkyl and heteroaryl have the meaning as outlined above. An example is the 2- alklypyridinyl, 3-alkylpyridinyl, or 2-methylpyridinyl. Preferably, in this context the alkyl chain comprises from 1 to 8 carbon atoms, i.e. 1, 2, 3, 4, 5, 6, 7, or 8, e.g. methyl, ethyl methyl, ethyl,
propyl, wø-propyl, butyl, wo-butyl, sec-butenyl, tert-butyl, pentyl or hexyl, pentyl, octyl. The heteroaralkyl group is optionally substituted at the alkyl and/or heteroaryl part of the group.
The terms "alkenyl" and "cycloalkenyl" refer to olefinic unsaturated carbon atoms containing chains or rings with one or more double bonds. Examples are propenyl and cyclohexenyl. Preferably, the alkenyl chain comprises from 2 to 8 carbon atoms, i.e. 2, 3, 4, 5, 6, 7, or 8, e.g. ethenyl, 1 -propenyl, 2-propenyl, wo-propenyl, 1-butenyl, 2-butenyl, 3-butenyl, iso- butenyl, sec-butenyl, 1-pentenyl, 2-pentenyl, 3-pentenyl, 4-pentenyl, hexenyl, heptenyl, octenyl. The term also comprises CH2, i.e. methenyl, if the substituent is directly bonded via the double bond. Preferably the cycloalkenyl ring comprises from 3 to 14 carbon atoms, i.e. 3, 4, 5, 6, 7, 8, 9, 10, 11, 12, 13 or 14, e.g. cyclopropenyl, cyclobutenyl, cyclopentenyl, cyclohexenyl, cycloheptenyl, cyclooctyl, cyclononenyl, cyclodecenyl, spiro[3,3]heptenyl, spiro[3,4]octenyl, spiro[4,3]octenyl, spiro[3,5]nonenyl, spiro[5,3]nonenyl, spiro[3,6]decenyl, spiro[6,3]decenyl, spiro[4,5]decenyl, spiro[5,4]decenyl, bicyclo[4.1.0]heptenyl, bicyclo[3.2.0]heptenyl, bicyclo[2.2.1]heptenyl, bicyclo[2.2.2]octenyl, bicyclo [5.1.0] octenyl, bicyclo[4.2.0]octenyl, hexahydro-pentalenyl, hexahydro-indenyl, octahydro-azulenyl, or octahydro-naphthalenyl.
The term "alkynyl" refers to unsaturated carbon atoms containing chains or rings with one or more triple bonds. An example is the propargyl radical. Preferably, the alkynyl chain comprises from 2 to 8 carbon atoms, i.e. 2, 3, 4, 5, 6, 7, or 8, e.g. ethynyl, 1-propynyl, 2- propynyl, 1-butynyl, 2-butynyl, 3-butynyl, 1-pentynyl, 2-pentynyl, 3-pentynyl, 4-pentynyl, hexynyl, pentynyl, octynyl.
The term "optionally substituted" in each instance if not further specified refers to between 1 and 10 substituents, e.g. 1, 2, 3, 4, 5, 6, 7, 8, 9, or 10 substituents which are in each instance independently selected from the group consisting of halogen, in particular F, Cl, Br or I; -R', -NO2, -CN, -OR1, -NR'R", -COOR', -CONR'R", -NR"'COR"'\ -NR'"COR"", -NR'"CONR'R", -NR"SO2A, -COR'"; -SO2NR5R", -OOCR'", -CR'"R""OH, R'"OH, and -E;
R' and R" is each independently selected from the group consisting of hydrogen, alkyl, alkenyl, alkynyl, cycloalkyl, heterocycloalkyl, aryl, heteroaryl, and aralkyl or together form a heteroaryl, or heterocycloalkyl; R'" and R"" is each independently selected from the group consisting of hydrogen, alkyl, alkenyl, alkynyl, cycloalkyl, heterocycloalkyl, alkoxy, aryl, aralkyl, heteroaryl, and -NR'R"; E is selected from the group consisting of alkyl, alkenyl, cycloalkyl, alkoxy, alkoxyalkyl, heterocycloalkyl, an alicyclic system, aryl and heteroaryl; optionally substituted;
As used throughout the specification, the term "a compound according to the invention" refers to a compound according to any of formulas I through XXXTV including all preferred respective embodiments of such a compound and physiological acceptable salts thereof. As used herein, the terms "drug" and pharmaceutically active compound(s) are used interchangeably. Although unexpected activities derived from off-targets are usually unwanted and harmful, they can sometimes be beneficial. As will be explained herein, they can, for example, lead to new therapeutic indications for existing, marketed drugs.
Similar side effects of unrelated drugs can be caused by their common off-targets. For example, the two dissimilar drugs Cisapride and Astemizole both cause cardiac arrhythmias because they inhibit the cardiac ion channel hERG in addition to their primary targets (serotonin and histamine receptors, respectively) (6). Similarly, dry mouth, urinary retention and sedation are common side effects of many drugs that have muscarinic receptors as off-targets (6, T). So far, additional targets for known drugs have been identified through systematic analysis of changes in protein complex assembly upon drug treatment (10), by exploiting chemical similarity measures {11, 12) and using docking strategies (75, 14). However, none of these discoveries considered the entire system 'human' and, thus, the prior art did not consider to conduct a systematical analysis of medical database entries using a novel measure for side-effect similarity as described herein.
The inventors of the present invention have established a computer implemented method to explore the vast amount of human phenomenological data generated from the use of marketed drugs, namely side effects, to infer molecular activities of drugs that are not implicit by their chemical similarity or the sequence similarity of their known targets. Simply making an "educated guess" that two compounds which have closely related side-effects will also share a common therapeutic target is prone to result in too many false predictions. Therefore, the present inventors have invested in refining and optimizing a complex computer implemented method which considers a plurality of data dependencies and which integrates the data by elaborous filtering and weighing steps as will be described herein. Unexpectedly, the optimized computer
, program was capable of identifying several hundred pairs of compounds which (a) merely have low chemical similarity and are, thus, structurally different, which (b) the prior art has classified in different therapeutic categories, which (c) were previously not known to share the same therapeutical target and which (d) are not related by the amino acid sequence similarity of their respective therapeutic target proteins. Importantly, for several of these identified compounds it was shown in "wet-lab" experiments that the respective drug pairs indeed share the same therapeutic target.
In the following, novel medical indications will be provided for known compounds. The disorder or disease treatable with the respective compound according to the invention is frequently defined herein as a disorder or disease which is currently treated with a different pharmaceutical compound or any different pharmaceutical compound that belongs to a generic class of medicaments. The person skilled in the art knows which diseases and disorders are treatable with a known indicated pharmaceutically active compound or compound class because the respective medical indications that are treatable with available pharmaceutical compounds are known in the art. The skilled person may, for example, refer to the book "Rote Liste 2000, Arzneimittelverzeichnis fur Deutschland (einschlieβlich EU-Zulassungen)", Rote Liste Service GmbH, Frankfurt/Main, ISBN 3-87193-218-3. Alternatively or additionally, he may also refer to the book "Physician's Desk Reference Guide to Drug Interactions, Side Effects, and Indications", (2007 Edition); by Thomson PDR; ISBN 15636358 IX.
In a first aspect, the invention provides the use of a compound having a structure according to formula I:
(I) wherein
X is O or S; preferably X is O Z is in each instance CR4R5; ni is an integer from 1 to 5; i.e. an integer selected from 1, 2, 3, 4 or 5; preferably nl is 2; n2 is an integer from 1 to 5; i.e. an integer selected from 1, 2, 3, 4 or 5; preferably n2 is 1 ; m is an integer from 0 to 4; i.e. an integer selected from 0, 1, 2, 3 or 4; preferably m is 0; R1 is selected from the group consisting of cycloalkyl, heterocycloalkyl, an alicyclic system, aryl and heteroaryl; optionally substituted; R2 is selected from the group consisting of cycloalkyl, heterocycloalkyl, an alicyclic system, aryl and heteroaryl; optionally substituted;
R3 is selected from the group consisting of hydrogen, halogen (preferably F, Cl, Br or I), alkyl, alkenyl, alkynyl and cycloalkyl; optionally substituted; and if two R3 substituents are on adjacent carbon atoms, they may together form a cycloalkyl, heterocycloalkyl or alicyclic system; optionally substituted;
R4 and R5 is each independently selected from the group consisting of hydrogen, alkyl, alkenyl, alkynyl, cycloalkyl, heterocycloalkyl, alkoxy, aryl, aralkyl, heteroaryl, and -NR6R7; optionally substituted;
R6 and R7 is each independently selected from the group consisting of hydrogen, alkyl, alkenyl, alkynyl, cycloalkyl, heterocycloalkyl, aryl, heteroaryl, and aralkyl or together form a heteroaryl, and heterocycloalkyl; optionally substituted; or pharmaceutically acceptable salts thereof, for the prevention or treatment of a disease or disorder treatable with a Serotonin-norepinephrine reuptake inhibitor (SNRI). In the first aspect, it is preferred that nl is 2, n2 is 1 and m is 0. In a more preferred embodiment, nl is 2, n2 is 1 and m is 0 and X is O.
In a preferred embodiment, at least one of the respective substituents of the compound according to formula I is defined as follows:
R1 is preferably aryl (in particular phenyl, naphthalenyl or anthracenyl), or heteroaryl (in particular furanyl, thienyl, oxazolyl, isoxazolyl, 1,2,5-oxadiazolyl, 1,2,3-oxadiazolyl, pyrrolyl, imidazolyl, pyrazolyl, 1,2,3-triazolyl, thiazolyl, isothiazolyl, 1,2,3-thiadiazolyl,
1,2,5-thiadiazolyl, pyridinyl, pyrimidinyl, pyrazinyl, 1,2,3-triazinyl, 1,2,4-triazinyl, 1,3,5- triazinyl, 1-benzofuranyl, 2-benzofuranyl, indolyl, isoindolyl, benzothienyl, 2- benzothienyl, lH-indazolyl, benzimidazolyl, benzoxazolyl, indoxazinyl, 2,1- benzisoxazolyl, benzothiazolyl, 1,2-benzisothiazolyl, 2,1-benzisothiazolyl, benzotriazolyl, quinolinyl, isoquinolinyl, 2,3-benzodiazinyl, quinoxalinyl, quinazolinyl,
1,2,3-benzotriazinyl, or 1 ,2,4-benzotriazinyl); optionally substituted;
R2 is preferably aryl (in particular phenyl, naphthalenyl or anthracenyl), or heteroaryl (in particular furanyl, thienyl, oxazolyl, isoxazolyl, 1,2,5-oxadiazolyl, 1,2,3-oxadiazolyl, pyrrolyl, imidazolyl, pyrazolyl, 1,2,3-triazolyl, thiazolyl, isothiazolyl, 1,2,3-thiadiazolyl, 1,2,5-thiadiazolyl, pyridinyl, pyrimidinyl, pyrazinyl, 1,2,3-triazinyl, 1,2,4-triazinyl, 1,3,5- triazinyl, 1-benzofuranyl, 2-benzofuranyl, indolyl, isoindolyl, benzothienyl, 2- benzothienyl, lH-indazolyl, benzimidazolyl, benzoxazolyl, indoxazinyl, 2,1- benzisoxazolyl, benzothiazolyl, 1,2-benzisothiazolyl, 2,1-benzisothiazolyl, benzotriazolyl, quinolinyl, isoquinolinyl, 2,3-benzodiazinyl, quinoxalinyl, quinazolinyl, 1,2,3-benzotriazinyl, or 1,2,4-benzotriazinyl); preferably substituted with a halogen selected from F, Cl, Br and I; and
R4 and R5 is preferably each independently selected from the group consisting of hydrogen, alkyl (in particular Ci-Cβ alkyl, e.g. C1, C2, C3, C4, C5, or Ce alkyl, preferably methyl, ethyl, propyl, wo-propyl, butyl, wo-butyl, tert-butyl, pentyl or hexyl), alkenyl and alkynyl; optionally substituted.
In a further preferred embodiment of the first aspect, nl is 2, n2 is 1, m is O, X is O, R1 is phenyl and R4 and R5 is hydrogen.
In a most preferred embodiment, the compound according to structure I has a structure according to formula II (cetirizine):
(II).
The invention further provides the use of a compound having a structure according to formula III:
wherein m is an integer from 0 to 9; i.e. an integer selected from 0, 1, 2, 3, 4, 5, 6, 7, 8 or 9; preferably m is 0;
X is O or S; preferably X is O;
Y is selected from the group consisting of hydrogen, halogen (preferably F, Cl, Br or I),
-NO2, -CN, -OR6, -NR6R7, -COOR6, -CONR6R7, -NR4COR5, -NR4COR5,
-NR4CONR6R7, -NR5SO2A, -COR6 , -SO2NR6R7, -OOCR4 and -CR4R5OH; R1 is selected from the group consisting of cycloalkyl, heterocycloalkyl, an alicyclic system, aryl and heteroaryl; optionally substituted; R is selected from the group consisting of cycloalkyl, heterocycloalkyl, an alicyclic system, aryl and heteroaryl; optionally substituted; R3 is selected from the group consisting of hydrogen, halogen (preferably F, Cl, Br or I), alkyl, alkenyl, alkynyl and cycloalkyl; optionally substituted; and if two R substituents are on adjacent carbon atoms, they may together form a cycloalkyl, heterocycloalkyl or alicyclic system; optionally substituted;
R4 and R5 is each independently selected from the group consisting of hydrogen, alkyl, alkenyl, alkynyl, cycloalkyl, heterocycloalkyl, alkoxy, aryl, aralkyl, heteroaryl, and -NR6R7; optionally substituted;
R6 and R7 is each independently selected from the group consisting of hydrogen, alkyl, alkenyl, alkynyl, cycloalkyl, heterocycloalkyl, aryl, heteroaryl, and aralkyl or together form a heteroaryl, and heterocycloalkyl; optionally substituted; R6' and R7' is each independently selected from the group consisting of hydrogen, alkyl, alkenyl or together form a heterocycloalkyl; optionally substituted; or pharmaceutically acceptable salts thereof, for the prevention or treatment of a disease or disorder treatable with a Serotonin-norepinephrine reuptake inhibitor (SNRI).
In a preferred embodiment, at least one of the respective substituents of the compound according to formula III is defined as follows:
Y is preferably selected from the group consisting of hydrogen, -OR6, -NR6R7 and -COOR6; R1 is preferably aryl (in particular phenyl, naphthalenyl or anthracenyl), or heteroaryl (in particular furanyl, thienyl, oxazolyl, isoxazolyl, 1,2,5-oxadiazolyl, 1,2,3-oxadiazolyl, pyrrolyl, imidazolyl, pyrazolyl, 1,2,3-triazolyl, thiazolyl, isothiazolyl, 1,2,3-thiadiazolyl,
1,2,5-thiadiazolyl, pyridinyl, pyrimidinyl, pyrazinyl, 1,2,3-triazinyl, 1,2,4-triazinyl, 1,3,5- triazinyl, 1-benzofuranyl, 2-benzofuranyl, indolyl, isoindolyl, benzothienyl, 2- benzothienyl, lH-indazolyl, benzimidazolyl, benzoxazolyl, indoxazinyl, 2,1- benzisoxazolyl, benzothiazolyl, 1 ,2-benzisothiazolyl, 2,1-benzisothiazolyl, benzotriazolyl, quinolinyl, isoquinolinyl, 2,3-benzodiazinyl, quinoxalinyl, quinazolinyl,
1,2,3-benzotriazinyl, or 1 ,2,4-benzotriazinyl); optionally substituted;
R is preferably aryl (in particular phenyl, naphthalenyl or anthracenyl), or heteroaryl (in particular furanyl, thienyl, oxazolyl, isoxazolyl, 1,2,5-oxadiazolyl, 1,2,3-oxadiazolyl, pyrrolyl, imidazolyl, pyrazolyl, 1,2,3-triazolyl, thiazolyl, isothiazolyl, 1,2,3-thiadiazolyl,
1,2,5-thiadiazolyl, pyridinyl, pyrimidinyl, pyrazinyl, 1,2,3-triazinyl, 1,2,4-triazinyl, 1,3,5- triazinyl, 1-benzofuranyl, 2-benzofuranyl, indolyl, isoindolyl, benzothienyl, 2- benzothienyl, lH-indazolyl, benzimidazolyl, benzoxazolyl, indoxazinyl, 2,1- benzisoxazolyl, benzothiazolyl, 1 ,2-benzisothiazolyl, 2,1-benzisothiazolyl, benzotriazolyl, quinolinyl, isoquinolinyl, 2,3-benzodiazinyl, quinoxalinyl, quinazolinyl,
1,2,3-benzotriazinyl, or 1 ,2,4-benzotriazinyl); optionally substituted;
R6 and R7 is preferably each independently selected from the group consisting of hydrogen, alkyl
(in particular Ci-Cβ alkyl, e.g. C1, C2, C3, C4, C5, or Ce alkyl, preferably methyl, ethyl, propyl, /so-propyl, butyl, wo-butyl, tert-butyl, pentyl or hexyl), alkenyl, alkynyl,
cycloalkyl, heterocycloalkyl (C3-C 14-heterocycloalkyl, e.g. C3, C4, C5, C6, C7, C8, C9, C io, Cn, Ci2, C13 or Cπ-heterocycloalkyl, in particular piperidinyl, morpholinyl, 1,3- diazacyclohexanyl, 1,8 diaza-spiro-[4,5] decyl, 1,7 diaza-spiro-[4,5] decyl, 1,6 diaza- spiro-[4,5] decyl, 2,8 diaza-spiro[4,5] decyl, 2,7 diaza-spiro[4,5] decyl, 2,6 diaza- spiro[4,5] decyl, 1,8 diaza-spiro-[5,4] decyl, 1,7 diaza-spiro-[5,4] decyl, 2,8 diaza-spiro-
[5,4] decyl, 2,7 diaza-spiro[5,4] decyl, 3,8 diaza-spiro[5,4] decyl, 3,7 diaza-spiro[5,4] decyl, l-aza-7,l l-dioxo-spiro[5,5] undecyl, l,4-diazabicyclo[2.2.2]oct-2-yl, tetrahydrofuran-2-yl, tetrahydrofuran-3-yl, tetrahydrothien-2-yl, tetrahydrothien-3-yl, piperazinyl, decahydroquinolinyl, decahydro-isoquinolinyl, decahydro-quinoxalinyl, or decahydro-quinazolinyl), aryl (in particular phenyl, naphthalenyl or anthracenyl), heteroaryl (in particular furanyl, thienyl, oxazolyl, isoxazolyl, 1 ,2,5-oxadiazolyl, 1,2,3- oxadiazolyl, pyrrolyl, imidazolyl, pyrazolyl, 1,2,3-triazolyl, thiazolyl, isothiazolyl, 1,2,3- thiadiazolyl, 1,2,5-thiadiazolyl, pyridinyl, pyrimidinyl, pyrazinyl, 1,2,3-triazinyl, 1,2,4- triazinyl, 1,3,5-triazinyl, 1-benzofuranyl, 2-benzofiiranyl, indolyl, isoindolyl, benzothienyl, 2-benzothienyl, lH-indazolyl, benzimidazolyl, benzoxazolyl, indoxazinyl,
2,1-benzisoxazolyl, benzothiazolyl, 1,2-benzisothiazolyl, 2,1-benzisothiazolyl, benzotriazolyl, quinolinyl, isoquinolinyl, 2,3-benzodiazinyl, quinoxalinyl, quinazolinyl, 1,2,3-benzotriazinyl, or 1 ,2,4-benzotriazinyl), and aralkyl or together form a heteroaryl, and heterocycloalkyl; optionally substituted; and most preferably R6 and/or R7 is hydrogen; and
R6' and R7' is preferably alkyl (in particular Ci-C6 alkyl, e.g. Ci, C2, C3, C4, C5, or C6 alkyl, preferably methyl, ethyl, propyl, /sø-propyl, butyl, /so-butyl, tert-butyl, pentyl or hexyϊ); optionally substituted. In a further preferred embodiment, X is O, R6' and R7' is methyl and m is zero and preferably Y is -OH.
In a most preferred embodiment, the compound according to structure III has a structure according to formula IV (tiotropium):
(IV).
The invention further provides the use of a compound having a structure according to formula V:
(V)
wherein W is alkyl, -OR6', -CR4R5OH, or -NR6'R7'; Z is in each instance CR4R5; n! is an integer from 1 to 5; i.e. an integer selected from 1, 2, 3, 4 or 5; preferably n\ is 2; R is selected from the group consisting of cycloalkyl, heterocycloalkyl, an alicyclic system, aryl and heteroaryl; optionally substituted; R2 is selected from the group consisting of cycloalkyl, heterocycloalkyl, an alicyclic system, aryl and heteroaryl; optionally substituted;
R4 and R5 is each independently selected from the group consisting of hydrogen, alkyl, alkenyl, alkynyl, cycloalkyl, heterocycloalkyl, alkoxy, aryl, aralkyl, heteroaryl, and -NR6R7; optionally substituted; R6 and R7 is each independently selected from the group consisting of hydrogen, alkyl, alkenyl, alkynyl, cycloalkyl, heterocycloalkyl, aryl, heteroaryl, and aralkyl or together form a heteroaryl, and heterocycloalkyl; optionally substituted; R6' and R7' is each independently selected from the group consisting of hydrogen, alkyl, alkenyl or together form a heterocycloalkyl; optionally substituted; R8 is each individually selected from the group consisting of hydrogen, alkyl, alkenyl, alkynyl and cycloalkyl; optionally substituted;
or pharmaceutically acceptable salts thereof, for the prevention or treatment of a disease or disorder treatable with a norepinephrine reuptake inhibitors (NRIs).
In a preferred embodiment, at least one of the respective substituents of the compound according to formula V is defined as follows: W is preferably -NR6'R7';
R1 is preferably aryl (in particular phenyl, naphthalenyl or anthracenyl), or heteroaryl (in particular furanyl, thienyl, oxazolyl, isoxazolyl, 1,2,5-oxadiazolyl, 1,2,3-oxadiazolyl, pyrrolyl, imidazolyl, pyrazolyl, 1,2,3-triazolyl, thiazolyl, isothiazolyl, 1,2,3-thiadiazolyl, 1,2,5-thiadiazolyl, pyridinyl, pyrimidinyl, pyrazinyl, 1,2,3-triazinyl, 1,2,4-triazinyl, 1,3,5- triazinyl, 1-benzofuranyl, 2-benzofuranyl, indolyl, isoindolyl, benzothienyl, 2- benzothienyl, lH-indazolyl, benzimidazolyl, benzoxazolyl, indoxazinyl, 2,1- benzisoxazolyl, benzothiazolyl, 1,2-benzisothiazolyl, 2,1-benzisothiazolyl, benzotriazolyl, quinolinyl, isoquinolinyl, 2,3-benzodiazinyl, quinoxalinyl, quinazolinyl, 1,2,3-benzotriazinyl, or 1 ,2,4-benzotriazinyl); optionally substituted;
R2 is preferably aryl (in particular phenyl, naphthalenyl or anthracenyl), or heteroaryl (in particular furanyl, thienyl, oxazolyl, isoxazolyl, 1,2,5-oxadiazolyl, 1,2,3-oxadiazolyl, pyrrolyl, imidazolyl, pyrazolyl, 1,2,3-triazolyl, thiazolyl, isothiazolyl, 1,2,3-thiadiazolyl, 1,2,5-thiadiazolyl, pyridinyl, pyrimidinyl, pyrazinyl, 1,2,3-triazinyl, 1,2,4-triazinyl, 1,3,5- triazinyl, 1-benzofuranyl, 2-benzofuranyl, indolyl, isoindolyl, benzothienyl, 2- benzothienyl, lH-indazolyl, benzimidazolyl, benzoxazolyl, indoxazinyl, 2,1- benzisoxazolyl, benzothiazolyl, 1,2-benzisothiazolyl, 2,1-benzisothiazolyl, benzotriazolyl, quinolinyl, isoquinolinyl, 2,3-benzodiazinyl, quinoxalinyl, quinazolinyl, 1,2,3-benzotriazinyl, or 1,2,4-benzotriazinyl); optionally substituted; R4 and R5 is preferably hydrogen or alkyl (in particular C1-C6 alkyl, e.g. Ci, C2, C3, C4, C5, or C6 alkyl, preferably methyl, ethyl, propyl, wo-propyl, butyl, /sø-butyl, tert-butyl, pentyl or hexyl); optionally substituted;
R6' and R7' is preferably each independently selected from the group consisting of hydrogen and alkyl (in particular Ci-C6 alkyl, e.g. Ci, C2, C3, C4, C5, or C6 alkyl, preferably methyl, ethyl, propyl, /so-propyl, butyl, iso-butyl, tert-butyl, pentyl or hexyl); optionally substituted; and
R8 is preferably hydrogen or alkyl (in particular C1-C6 alkyl, e.g. Cl, C2, C3, C4, C5, or C6 alkyl, preferably methyl, ethyl, propyl, iso-propyl, butyl, iso-butyl, tert-butyl, pentyl or hexyl); optionally substituted.
In a further preferred embodiment, nl is 2, W is -NH2, and R8 is isopropyl.
In a most preferred embodiment, the compound according to structure V has a structure according to formula VI (disopyramide):
(VI).
In another preferred embodiment, a compound according to formula V or VI can be used for the prevention or treatment of a disease or disorder treatable with an antihistamine.
In preferred embodiments a compound according to any of formulas I - VI can be used for the prevention or treatment of a depression and/or an anxiety disorder.
The invention further provides the use of a compound having a structure according to formula VII:
(VII) wherein X is in each instance O or S; preferably X is O; X' is in each instance O or S; preferably X' is O;
Y is in each instance selected from the group consisting of hydrogen, halogen (preferably F, Cl, Br or I), -NO2, -CN, -OR6, -NR6R7, -COOR6, -CONR6R7, -NR4COR5, -NR4COR5, -NR4CONR6R7, -NR5SO2A, -COR6 , -SO2NR6R7, -OOCR4 and -CR4R5OH;
Z is in each instance CR4R5; n is an integer from 1 to 5; i.e. an integer selected from 1, 2, 3, 4 or 5; preferably n is 1; In1 is an integer between O and 3; i.e. an integer selected from O, 1, 2 or 3; preferably mi is O; m2 is an integer between O and 3; i.e. an integer selected from O, 1, 2 or 3; preferably m2 is O; R2 is selected from the group consisting of cycloalkyl, heterocycloalkyl, an alicyclic system, aryl and heteroaryl; optionally substituted; R3 is selected from the group consisting of hydrogen, halogen (preferably F, Cl, Br or I), alkyl, alkenyl, alkynyl and cycloalkyl; optionally substituted; and if two R3 substituents are on adjacent carbon atoms, they may together form a cycloalkyl, heterocycloalkyl or alicyclic system; optionally substituted;
R3 is selected from the group consisting of hydrogen, halogen (preferably F, Cl, Br or I), alkyl, alkenyl, alkynyl and cycloalkyl; optionally substituted; and if two R3 substituents are on adjacent carbon atoms, they may together form a cycloalkyl, heterocycloalkyl or alicyclic system; optionally substituted;
R4 and R5 is each independently selected from the group consisting of hydrogen, alkyl, alkenyl, alkynyl, cycloalkyl, heterocycloalkyl, alkoxy, aryl, aralkyl, heteroaryl, and -NR6R7; optionally substituted;
R6 and R7 is each independently selected from the group consisting of hydrogen, alkyl, alkenyl, alkynyl, cycloalkyl, heterocycloalkyl, aryl, heteroaryl, and aralkyl or together form a heteroaryl, and heterocycloalkyl; optionally substituted;
R is selected from the group consisting of hydrogen, alkyl, alkenyl, alkynyl and cycloalkyl; optionally substituted; or pharmaceutically acceptable salts thereof, for the prevention or treatment of a psychosis and/or a disease or disorder treatable with an antihistamine such as, for example, an allergy.
In a preferred embodiment, at least one of the respective substituents of the compound according to formula VII is defined as follows:
Y is preferably in each instance selected from the group consisting of -OR6, -NR6R7 and -COOR6; and is most preferably -OH;
R2 is preferably cycloalkyl or heterocycloalkyl (C3-C 14-heterocycloalkyl, e.g. C3, C4, C5, C6,
C7, C8, C9, C 10, Cn, Ci2, C13 or Cπ-heterocycloalkyl, in particular piperidinyl, morpholinyl, 1,3-diazacyclohexanyl, 1,8 diaza-spiro-[4,5] decyl, 1,7 diaza-spiro-[4,5]
decyl, 1,6 diaza-spiro-[4,5] decyl, 2,8 diaza-spiro[4,5] decyl, 2,7 diaza-spiro[4,5] decyl, 2,6 diaza-spiro[4,5] decyl, 1,8 diaza-spiro-[5,4] decyl, 1,7 diaza-spiro-[5,4] decyl, 2,8 diaza-spiro-[5,4] decyl, 2,7 diaza-spiro[5,4] decyl, 3,8 diaza-spiro[5,4] decyl, 3,7 diaza- spiro[5,4] decyl, l-aza-7,l l-dioxo-spiro[5,5] undecyl, l,4-diazabicyclo[2.2.2]oct-2-yl, tetrahydrofuran-2-yl, tetrahydrofuran-3-yl, tetrahydrothien-2-yl, tetrahydrothien-3-yl, piperazinyl, decahydroquinolinyl, decahydro-isoquinolinyl, decahydro-quinoxalinyl, or decahydro-quinazolinyl); optionally substituted;
R4 and R5 is preferably each independently selected from hydrogen or alkyl (in particular C1-C6 alkyl, e.g. Cl, C2, C3, C4, C5, or C6 alkyl, preferably methyl, ethyl, propyl, iso-propyl, butyl, iso-butyl, tert-butyl, pentyl or hexyl); optionally substituted;
R6 and R7 is preferably each independently selected from hydrogen or alkyl (in particular C1-C6 alkyl, e.g. Cl, C2, C3, C4, C5, or C6 alkyl, preferably methyl, ethyl, propyl, iso-propyl, butyl, iso-butyl, tert-butyl, pentyl or hexyl); optionally substituted; and R8 is preferably alkyl (in particular C1-C6 alkyl, e.g. Cl, C2, C3, C4, C5, or C6 alkyl, preferably methyl, ethyl, propyl, iso-propyl, butyl, iso-butyl, tert-butyl, pentyl or hexyl); optionally substituted.
In a further preferred embodiment, X and X' is O, Y is OH, n=l and mi and m2 is zero.
In a most preferred embodiment, the compound according to structure VII has a structure according to formula VIII (doxorubicin):
(VIII).
(IX) wherein
A is in each instance S, O or NR6'; preferably A is O; X is O or S; preferably X is O; Z is in each instance CR4 R5 ; m is an integer from O to 4; i.e. an integer selected from 0, 1 , 2, 3 or 4; preferably m is 0; ni is an integer from 1 to 5; i.e. an integer selected from 1, 2, 3, 4 or 5; preferably nt is 1; n2 is an integer from 1 to 5; i.e. an integer selected from 1, 2, 3, 4 or 5; preferably n2 is 1; R is selected from the group consisting of cycloalkyl, heterocycloalkyl, an alicyclic system, aryl and heteroaryl; optionally substituted;
R is selected from the group consisting of cycloalkyl, heterocycloalkyl, an alicyclic system, aryl and heteroaryl; optionally substituted;
R3 is selected from the group consisting of hydrogen, halogen (preferably F, Cl, Br or I), alkyl, alkenyl, alkynyl and cycloalkyl; optionally substituted;
R4 and R5 is each independently selected from the group consisting of hydrogen, alkyl, alkenyl, alkynyl, cycloalkyl, heterocycloalkyl, alkoxy, aryl, aralkyl and heteroaryl; optionally substituted;
R6 and R7 is each independently selected from the group consisting of hydrogen, alkyl, alkenyl, alkynyl, cycloalkyl, heterocycloalkyl, aryl, heteroaryl, and aralkyl or together form a heteroaryl, and heterocycloalkyl; optionally substituted; R6' is selected from the group consisting of hydrogen, alkyl, alkenyl and alkynyl; optionally substituted;
R9 is in each instance independently selected from the group consisting of hydrogen, halogen (preferably F, Cl, Br or I), -NO2, -CN, -OR6, -NR6R7, -COOR6, -CONR6R7,
-NR4COR5, -NR4COR5, -NR4CONR6R7, -NR5SO2A, -COR6 -SO2NR6R7,
-OOCR4 and -CR4R5OH;
R 10 is selected from the group consisting of cycloalkyl, heterocycloalkyl, an alicyclic system, aryl and heteroaryl; optionally substituted;
or pharmaceutically acceptable salts thereof, for the prevention or treatment of disease or disorder treatable with a serotonin receptor antagonist, preferably a 5-HT2 type serotonin receptor antagonist and most preferably a 5-HT2C type serotonin receptor antagonist.
In a preferred embodiment, at least one of the respective substituents of the compound according to formula IX is defined as follows:
R1 is preferably cycloalkyl or heterocycloalkyl (C3-C 14-heterocycloalkyl, e.g. C3, C4, C5, C6,
C7, C8, C9, C 10, Cn, Ci2, Cu or Cπ-heterocycloalkyl, in particular piperidinyl, morpholinyl, 1 ,3-diazacyclohexanyl, 1,8 diaza-spiro-[4,5] decyl, 1,7 diaza-spiro-[4,5] decyl, 1,6 diaza-spiro-[4,5] decyl, 2,8 diaza-spiro[4,5] decyl, 2,7 diaza-spiro[4,5] decyl,
2,6 diaza-spiro[4,5] decyl, 1,8 diaza-spiro-[5,4] decyl, 1,7 diaza-spiro-[5,4] decyl, 2,8 diaza-spiro-[5,4] decyl, 2,7 diaza-spiro[5,4] decyl, 3,8 diaza-spiro[5,4] decyl, 3,7 diaza- spiro[5,4] decyl, l-aza-7,l l-dioxo-spiro[5,5] undecyl, l,4-diazabicyclo[2.2.2]oct-2-yl, tetrahydrofuran-2-yl, tetrahydrofuran-3-yl, tetrahydrothien-2-yl, tetrahydrothien-3-yl, piperazinyl, decahydroquinolinyl, decahydro-isoquinolinyl, decahydro-quinoxalinyl, or decahydro-quinazolinyl); optionally substituted;
R2 is preferably aryl (in particular phenyl, naphthalenyl or anthracenyl), or heteroaryl (in particular furanyl, thienyl, oxazolyl, isoxazolyl, 1,2,5-oxadiazolyl, 1,2,3-oxadiazolyl, pyrrolyl, imidazolyl, pyrazolyl, 1,2,3-triazolyl, thiazolyl, isothiazolyl, 1,2,3-thiadiazolyl, 1,2,5-thiadiazolyl, pyridinyl, pyrimidinyl, pyrazinyl, 1,2,3-triazinyl, 1,2,4-triazinyl, 1,3,5- triazinyl, 1-benzofuranyl, 2-benzofuranyl, indolyl, isoindolyl, benzothienyl, 2- benzothienyl, lH-indazolyl, benzimidazolyl, benzoxazolyl, indoxazinyl, 2,1- benzisoxazolyl, benzothiazolyl, 1 ,2-benzisothiazolyl, 2,1-benzisothiazolyl, benzotriazolyl, quinolinyl, isoquinolinyl, 2,3-benzodiazinyl, quinoxalinyl, quinazolinyl, 1,2,3-benzotriazinyl, or 1,2,4-benzotriazinyl); optionally substituted;
R3 is preferably hydrogen or alkyl (in particular Ci-C6 alkyl, e.g. Ci, C2, C3, C4, C5, or C6 alkyl, preferably methyl, ethyl, propyl, /so-propyl, butyl, iso-butyl, tert-butyl, pentyl or hexyt); optionally substituted;
R4 and R5 is preferably each independently selected from hydrogen or alkyl (in particular Ci-C6 alkyl, e.g. Ci, C2, C3, C4, C5, or C6 alkyl, preferably methyl, ethyl, propyl, /so-propyl, butyl, wo-butyl, tert-butyl, pentyl or hexyt); optionally substituted; and
R10 is preferably aryl (in particular phenyl, naphthalenyl or anthracenyl), or heteroaryl (in particular furanyl, thienyl, oxazolyl, isoxazolyl, 1,2,5-oxadiazolyl, 1,2,3-oxadiazolyl, pyrrolyl, imidazolyl, pyrazolyl, 1,2,3-triazolyl, thiazolyl, isothiazolyl, 1,2,3-thiadiazolyl, 1,2,5-thiadiazolyl, pyridinyl, pyrimidinyl, pyrazinyl, 1,2,3-triazinyl, 1,2,4-triazinyl, 1,3,5-
triazinyl, 1-benzofuranyl, 2-benzofuranyl, indolyl, isoindolyl, benzothienyl, 2- benzothienyl, lH-indazolyl, benzimidazolyl, benzoxazolyl, indoxazinyl, 2,1- benzisoxazolyl, benzothiazolyl, 1,2-benzisothiazolyl, 2,1-benzisothiazolyl, benzotriazolyl, quinolinyl, isoquinolinyl, 2,3-benzodiazinyl, quinoxalinyl, quinazolinyl, 1,2,3-benzotriazinyl, or 1,2,4-benzotriazinyl); optionally substituted.
In a further preferred embodiment, n2=l, n\= 1, A is O, Z is -CH2-, X is O and m=0 and, preferably R10 is substituted with chlorine.
In a most preferred embodiment, the compound according to structure IX has a structure according to formula X (ketoconazole):
(X).
In a preferred embodiment, a compound according to formula IX or X is used for the prevention or treatment of a psychosis and/or nausea.
The invention further provides the use of a compound having a structure according to formula XI:
(XI) wherein
A is S, O or NR6'; preferably A is O;
B is C or N; preferably B is N; E is C or N; preferably E is C; X is O or S; if A is S then X is O; preferably X is O; ml is an integer from O to 6; i.e. an integer selected from O, 1, 2, 3, 4, 5 or 6; preferably ml is O; m2 is.an integer from 0 to 3; i.e. an integer selected from 0, 1, 2 or 3; preferably m2 is 1; m3 is an integer from 0 to 3; i.e. an integer selected from 0, 1, 2 or 3; preferably m3 is 0; n3 is an integer from 1 to 3; i.e. an integer selected from 1, 2 or 3; preferably n3 is 2; Xi4 is an integer from 1 to 3; i.e. an integer selected from 1, 2 or 3; preferably 114 is 2; Y is selected from the group consisting of hydrogen, halogen (preferably F, Cl, Br or I),
-NO2, -CN, -OR6,
-NR6R7, -COOR6, -CONR6R7,
-NR4COR5, -NR4COR5, -NR4CONR6R7, -NR5SO2A, -COR6, -SO2NR6R7, -OOCR4 and
-CR4R5OH; Y' is selected from the group consisting of hydrogen, halogen (preferably F, Cl, Br or I),
-NO2, -CN, -OR6,
-NR6R7, -COOR6, -CONR6R7,
-NR4COR5, -NR4COR5, -NR4CONR6R7, -NR5SO2A, -COR6 , -SO2NR6R7, -OOCR4 and
-CR4R5OH; Y" is selected from the group consisting of hydrogen, halogen (preferably F, Cl, Br or I),
-NO2, -CN, -OR6,
-NR6R7, -COOR6, -CONR6R7,
-NR4COR5, -NR4COR5, -NR4CONR6R7, -NR5SO2A, -CORVSO2NR6R7, -OOCR4 and
-CR4R5OH; Z is in each instance CR4R5;
R4 and R5 is each independently selected from the group consisting of hydrogen, alkyl, alkenyl, alkynyl, cycloalkyl, heterocycloalkyl, alkoxy, aryl, aralkyl, heteroaryl, and -NR6R7; optionally substituted;
R6 and R7 is each independently selected from the group consisting of hydrogen, alkyl, alkenyl, alkynyl, cycloalkyl, heterocycloalkyl, aryl, heteroaryl, and aralkyl or together form a heteroaryl, and heterocycloalkyl; optionally substituted; R6' is selected from the group consisting of hydrogen, alkyl, alkenyl and alkynyl; optionally substituted;
R8 is selected from the group consisting of hydrogen, alkyl (preferably C1-C6 alkyl, e.g. methyl, ethyl, propyl, /50-propyl, butyl, wo-butyl, tert-butyl, pentyl or hexyl), alkenyl, alkynyl and cycloalkyl; optionally substituted; and wherein the bond indicated by the dashed line may be present or not; preferably the bond is present; or pharmaceutically acceptable salts thereof, for the prevention or treatment of disease or disorder treatable with 8-Chloro-6-phenyl-4H-l,2,4-triazolo(4,3-a)-l,4-benzodiazepine (estazolam).
In a preferred embodiment, at least one of the respective substituents of the compound according to formula XI is defined as follows: Y' is preferably selected from the group consisting of hydrogen, halogen (preferably F, Cl,
Br or I), -NO2 and -CN;
R4 and R5 is preferably hydrogen or alkyl (in particular C1-C6 alkyl, e.g. Cl, C2, C3, C4, C5, or C6 alkyl, preferably methyl, ethyl, propyl, iso-propyl, butyl, iso-butyl, tert-butyl, pentyl or hexyl); optionally substituted; and
R8 is preferably selected from the group consisting of alkyl (in particular Cl -C6 alkyl, e.g. Cl, C2, C3, C4, C5, or C6 alkyl, preferably methyl, ethyl, propyl, iso-propyl, butyl, iso- butyl, tert-butyl, pentyl or hexyl), alkenyl and alkynyl; optionally substituted.
In a further preferred embodiment, A is O, X is O, B is N, E is C, m2=l, In3=O, n3=2, Hi1=O, 114=2 and the bond indicated by the dashed line is present.
In a most preferred embodiment, the compound according to structure XI has a structure according to formula XII (loratadine):
In a preferred embodiment, a compound according to formula XI or XII is used for the prevention or treatment of a disease or disorder selected from the group consisting of anxiety disorder, insomnia, agitation, a seizure, a muscle spasm and substance abuse-related disorder.
The invention further provides the use of a compound having a structure according to formula XIII:
(XIII) wherein B is C or N; preferably B is N; G is C or S; preferably G is S; X is in each instance O or S; preferably X is O; Z is in each instance CR4R5; m is an integer from 0 to 3; i.e. an integer selected from 0, 1, 2 or 3; preferably m is 1; n! is an integer from 1 to 5; i.e. an integer selected from 1, 2, 3, 4 or 5; preferably nt is 3; n2 is an integer from 1 to 5; i.e. an integer selected from 1, 2, 3, 4 or 5; preferably n2 is 1 ; R1 is selected from the group consisting of cycloalkyl, heterocycloalkyl, an alicyclic system, aryl and heteroaryl; optionally substituted;
R3 is selected from the group consisting of hydrogen, halogen (preferably F, Cl, Br or I), alkyl, alkenyl, alkynyl and cycloalkyl; optionally substituted; and if two R3 substituents are on adjacent carbon atoms, they may together form a cycloalkyl, heterocycloalkyl or alicyclic system; optionally substituted;
R4 and R5 is each independently selected from the group consisting of hydrogen, alkyl, alkenyl, alkynyl, cycloalkyl, heterocycloalkyl, alkoxy, aryl, aralkyl, heteroaryl, and -NR R ; optionally substituted;
R6 and R7 is each independently selected from the group consisting of hydrogen, alkyl, alkenyl, alkynyl, cycloalkyl, heterocycloalkyl, aryl, heteroaryl, and aralkyl or together form a heteroaryl, and heterocycloalkyl; optionally substituted;
R8 is selected from the group consisting of hydrogen, alkyl, alkenyl, alkynyl and cycloalkyl; optionally substituted;
or pharmaceutically acceptable salts thereof, for the prevention or treatment of a disease or disorder treatable with a dopamine receptor antagonist, preferably a type D2-like dopamine receptor antagonist.
In a preferred embodiment, at least one of the respective substituents of the compound according to formula XIII is defined as follows:
R1 is preferably aryl (in particular phenyl, naphthalenyl or anthracenyl), or heteroaryl (in particular furanyl, thienyl, oxazolyl, isoxazolyl, 1,2,5-oxadiazolyl, 1,2,3-oxadiazolyl, pyrrolyl, imidazolyl, pyrazolyl, 1,2,3-triazolyl, thiazolyl, isothiazolyl, 1,2,3-thiadiazolyl, 1,2,5-thiadiazolyl, pyridinyl, pyrimidinyl, pyrazinyl, 1,2,3-triazinyl, 1,2,4-triazinyl, 1,3,5- triazinyl, 1 -benzofuranyl, 2-benzofuranyl, indolyl, isoindolyl, benzothienyl, 2- benzothienyl, lH-indazolyl, benzimidazolyl, benzoxazolyl, indoxazinyl, 2,1- benzisoxazolyl, benzothiazolyl, 1,2-benzisothiazolyl, 2,1-benzisothiazolyl, benzotriazolyl, quinolinyl, isoquinolinyl, 2,3-benzodiazinyl, quinoxalinyl, quinazolinyl, 1,2,3-benzotriazinyl, or 1,2,4-benzotriazinyl); optionally substituted;
R3 is preferably alkyl; optionally substituted;
R4 and R5 is preferably each independently selected from hydrogen or alkyl (in particular C1-C6 alkyl, e.g. Cl, C2, C3, C4, C5, or C6 alkyl, preferably methyl, ethyl, propyl, iso-propyl, butyl, iso-butyl, tert-butyl, pentyl or hexyl); optionally substituted; and R8 is preferably selected from the group consisting alkyl (in particular C 1 -C6 alkyl, e.g. C 1 , C2, C3, C4, C5, or C6 alkyl, preferably methyl, ethyl, propyl, iso-propyl, butyl, iso-butyl, tert-butyl, pentyl or hexyl), alkenyl and alkynyl; optionally substituted.
In a further preferred embodiment, B is N, m=l. X is O, G is S, n2=l and ni=3.
In a most preferred embodiment, the compound according to structure XIII has a structure according to formula XIV (rabeprazole):
(XIV).
In a preferred embodiment, a compound according to formula XIII or XIV is used for the prevention or treatment of a disease or disorder selected from the group consisting of psychosis, nausea, depression, Parkinson's disease and migraine.
The invention further provides the use of a compound having a structure according to formula XV:
(XV) wherein m is an integer from 1 to 4; i.e. an integer selected from 1, 2, 3 or 4; preferably m is 1; A is S, O or NR6' ; preferably A is S; X is O or S; preferably X is O;
Y is in each instance selected from the group consisting of hydrogen, halogen (preferably F, Cl, Br or I), -NO2, -CN, -OR6, -NR6R7, -COOR6, -CONR6R7, -NR4COR5, -NR4COR5,
-NR4CONR6R7, -NR5SO2A, -COR6, -SO2NR6R7, -OOCR4 and -CR4R5OH; R is selected from the group consisting of cycloalkyl, heterocycloalkyl, an alicyclic system, aryl and heteroaryl; optionally substituted;
R2 is selected from the group consisting of cycloalkyl, heterocycloalkyl, an alicyclic system, aryl and heteroaryl; optionally substituted;
R4 and R5 is each independently selected from the group consisting of hydrogen, alkyl, alkenyl, alkynyl, cycloalkyl, heterocycloalkyl, alkoxy, aryl, aralkyl, heteroaryl, and -NR6R7; optionally substituted;
R6 and R7 is each independently selected from the group consisting of hydrogen, alkyl, alkenyl, alkynyl, cycloalkyl, heterocycloalkyl, aryl, heteroaryl, and aralkyl or together form a heteroaryl, and heterocycloalkyl; optionally substituted;
R6' is selected from the group consisting of hydrogen, alkyl, alkenyl and alkynyl; optionally substituted;
or pharmaceutically acceptable salts thereof, for the prevention or treatment of a disease or disorder treatable with Tegaserod (2-((5-Methoxy-lH-indol-3-yl)methylene)-N- penty lhydrazinecarboximidamide) .
In a preferred embodiment, at least one of the respective substituents of the compound according to formula XV is defined as follows: Y is preferably in each instance selected from the group consisting of -OR6, -NR6R7 and
-COOR6;
R1 is preferably aryl (in particular phenyl, naphthalenyl or anthracenyl), or heteroaryl (in particular furanyl, thienyl, oxazolyl, isoxazolyl, 1,2,5-oxadiazolyl, 1,2,3-oxadiazolyl, pyrrolyl, imidazolyl, pyrazolyl, 1,2,3-triazolyl, thiazolyl, isothiazolyl, 1,2,3-thiadiazolyl,
1,2,5-thiadiazolyl, pyridinyl, pyrimidinyl, pyrazinyl, 1,2,3-triazinyl, 1,2,4-triazinyl, 1,3,5- triazinyl, 1-benzofuranyl, 2-benzofuranyl, indolyl, isoindolyl, benzothienyl, 2- benzothienyl, lH-indazolyl, benzimidazolyl, benzoxazolyl, indoxazinyl, 2,1- benzisoxazolyl, benzothiazolyl, 1,2-benzisothiazolyl, 2,1-benzisothiazolyl, benzotriazolyl, quinolinyl, isoquinolinyl, 2,3-benzodiazinyl, quinoxalinyl, quinazolinyl,
1,2,3-benzotriazinyl, or 1,2,4-benzotriazinyl); optionally substituted;
R2 is preferably aryl (in particular phenyl, naphthalenyl or anthracenyl), or heteroaryl (in particular furanyl, thienyl, oxazolyl, isoxazolyl, 1,2,5-oxadiazolyl, 1,2,3-oxadiazolyl, pyrrolyl, imidazolyl, pyrazolyl, 1,2,3-triazolyl, thiazolyl, isothiazolyl, 1,2,3-thiadiazolyl,
1,2,5-thiadiazolyl, pyridinyl, pyrimidinyl, pyrazinyl, 1,2,3-triazinyl, 1,2,4-triazinyl, 1,3,5- triazinyl, 1-benzofuranyl, 2-benzofuranyl, indolyl, isoindolyl, benzothienyl, 2- benzothienyl, lH-indazolyl, benzimidazolyl, benzoxazolyl, indoxazinyl, 2,1- benzisoxazolyl, benzothiazolyl, 1,2-benzisothiazolyl, 2,1-benzisothiazolyl, benzotriazolyl, quinolinyl, isoquinolinyl, 2,3-benzodiazinyl, quinoxalinyl, quinazolinyl,
1,2,3-benzotriazinyl, or 1,2,4-benzotriazinyl); optionally substituted; and
R6 and R7 is preferably each independently selected from the group consisting of hydrogen or alkyl (in particular C1-C6 alkyl, e.g. Cl, C2, C3, C4, C5, or C6 alkyl, preferably methyl, ethyl, propyl, iso-propyl, butyl, iso-butyl, tert-butyl, pentyl or hexyl); optionally substituted.
In one embodiment, X is O, A is S, m=l and R2 is phenol.
In a most preferred embodiment, the compound according to structure XV has a structure according to formula XVI (raloxifene):
(XVI).
In a preferred embodiment, a compound according to formula XV or XVI is used for the prevention or treatment of an intestinal pathology, for example gastric stasis or irritable bowel syndrome;
The invention further provides the use of a compound having a structure according to formula XVII:
A is each independently selected from S, O or NR6'; preferably A is S; Z is in each instance CR4R5;
In1 is an integer from 0 to 3; i.e. an integer selected from 0, 1, 2 or 3; preferably In1 is 1; m2 is an integer from 0 to 3; i.e. an integer selected from 0, 1, 2 or 3; preferably m2 is 1; n is an integer from 1 to 5; i.e. an integer selected from 1, 2, 3, 4 or 5; preferably n is 2;
R1 is selected from the group consisting of cycloalkyl, heterocycloalkyl, an alicyclic system, aryl and heteroaryl; optionally substituted;
R3 is selected from the group consisting of hydrogen, halogen (preferably F, Cl, Br or I), alkyl, alkenyl, alkynyl and cycloalkyl; optionally substituted; and if two R3 substituents
are on adjacent carbon atoms, they may together form a cycloalkyl, heterocycloalkyl or alicyclic system; optionally substituted; R4 and R5 is each independently selected from the group consisting of hydrogen, alkyl, alkenyl, alkynyl, cycloalkyl, heterocycloalkyl, alkoxy, aryl, aralkyl, heteroaryl, and -NR6R7; optionally substituted;
R6 and R7 is each independently selected from the group consisting of hydrogen, alkyl, alkenyl, alkynyl, cycloalkyl, heterocycloalkyl, aryl, heteroaryl, and aralkyl or together form a heteroaryl, and heterocycloalkyl; optionally substituted;
R6' is selected from the group consisting of hydrogen, alkyl, alkenyl and alkynyl; optionally substituted;
R8 is selected from the group consisting of hydrogen, alkyl, alkenyl, alkynyl and cycloalkyl; optionally substituted; and wherein the bond indicated by the dashed line may be present or not; preferably the bond is present; or pharmaceutically acceptable salts thereof, for the prevention or treatment of a disease or disorder treatable with a dopamine receptor agonist.
In a preferred embodiment, at least one of the respective substituents of the compound according to formula XVII is defined as follows: R1 is selected from the group consisting of cycloalkyl, heterocycloalkyl (C3-C14- heterocycloalkyl, e.g. C3, C4, C5, C6, C7, C8, C9, C i0, Cn, C12, C13 or C14- heterocycloalkyl, in particular piperidinyl, morpholinyl, 1,3-diazacyclohexanyl, 1,8 diaza-spiro-[4,5] decyl, 1,7 diaza-spiro-[4,5] decyl, 1,6 diaza-spiro-[4,5] decyl, 2,8 diaza- spiro[4,5] decyl, 2,7 diaza-spiro[4,5] decyl, 2,6 diaza-spiro[4,5] decyl, 1,8 diaza-spiro- [5,4] decyl, 1,7 diaza-spiro-[5,4] decyl, 2,8 diaza-spiro-[5,4] decyl, 2,7 diaza-spiro[5,4] decyl, 3,8 diaza-spiro[5,4] decyl, 3,7 diaza-spiro[5,4] decyl, l-aza-7,l l-dioxo-spiro[5,5] undecyl, l,4-diazabicyclo[2.2.2]oct-2-yl, tetrahydrofuran-2-yl, tetrahydrofuran-3-yl, tetrahydrothien-2-yl, tetrahydrothien-3-yl, piperazinyl, decahydroquinolinyl, decahydro- isoquinolinyl, decahydro-quinoxalinyl, or decahydro-quinazolinyl) and an alicyclic system; optionally substituted;
R3 is selected from the group consisting of hydrogen, halogen (preferably F, Cl, Br or I), and alkyl (in particular C1-C6 alkyl, e.g. Cl, C2, C3, C4, C5, or C6 alkyl, preferably methyl, ethyl, propyl, iso-propyl, butyl, iso-butyl, tert-butyl, pentyl or hexyl); optionally substituted;
R4 and R5 is each independently selected from the group consisting of hydrogen and alkyl (in particular C1-C6 alkyl, e.g. Cl, C2, C3, C4, C5, or C6 alkyl, preferably methyl, ethyl, propyl, iso-propyl, butyl, iso-butyl, tert-butyl, pentyl or hexyl); optionally substituted; and
R' 8 is hydrogen or alkyl (in particular C1-C6 alkyl, e.g. Cl, C2, C3, C4, C5, or C6 alkyl, preferably methyl, ethyl, propyl, iso-propyl, butyl, iso-butyl, tert-butyl, pentyl or hexyl); optionally substituted.
In a further preferred embodiment, A is S, mi=l, m2=l, n=2 and the bond indicated by the dashed line is present.
In a most preferred embodiment, the compound according to structure XVII has a structure according to formula XVIII (tiagabine):
(XVIII).
In a preferred embodiment, a compound according to formula XVII or XVIII is used for the prevention or treatment of a disease or disorder selected from the group consisting of Parkinson's disease, pars intermedia hyperplasia and Equine Cushing's Syndrome (ECS).
The invention further provides the use of a compound having a structure according to formula XIX:
wherein
n is an integer from 2 to 6; i.e. an integer selected from 2, 3, 4, 5 or 6; preferably n is 3; o is an integer from 0 to 4; i.e. an integer selected from 0, 1, 2, 3 or 4; preferably o is 0; X is in each instance O or S; preferably X is O;
Y is selected from the group consisting of hydrogen, halogen (preferably F, Cl, Br or I), -NO2, -CN, -OR6,
-NR6R7, -COOR6, -CONR6R7,
-NR4COR5, -NR4COR5, -NR4CONR6R7, -NR5SO2A, -COR6, -SO2NR6R7, -OOCR4 and
-CR4R5OH;
R3 is selected from the group consisting of hydrogen, halogen (preferably F, Cl, Br or I), alkyl, alkenyl, alkynyl and cycloalkyl; optionally substituted;
R4 and R5 is each independently selected from the group consisting of hydrogen, alkyl, alkenyl, alkynyl, cycloalkyl, heterocycloalkyl, alkoxy, aryl, aralkyl, heteroaryl, and -NR6R7; optionally substituted;
R6 and R7 is each independently selected from the group consisting of hydrogen, alkyl, alkenyl, alkynyl, cycloalkyl, heterocycloalkyl, aryl, heteroaryl, and aralkyl or together form a heteroaryl, and heterocycloalkyl; optionally substituted; R6' is selected from the group consisting of hydrogen, alkyl, alkenyl and alkynyl; optionally substituted;
R8 is in each instance selected from the group consisting of hydrogen, alkyl, alkenyl, alkynyl and cycloalkyl; optionally substituted; and wherein each of the bonds indicated by the dashed line may be present or not; preferably the bond is present; or pharmaceutically acceptable salts thereof, for the prevention or treatment of a disease or disorder treatable with an L-type calcium channel blocker.
In a preferred embodiment, at least one of the respective substituents of the compound according to formula XIX is defined as follows:
R3 is preferably hydrogen, halogen (preferably F, Cl, Br or I) or alkyl (in particular C1-C6 alkyl, e.g. Cl, C2, C3, C4, C5, or C6 alkyl, preferably methyl, ethyl, propyl, iso-propyl, butyl, iso-butyl, tert-butyl, pentyl or hexyl); optionally substituted;
R6' is preferably hydrogen or alkyl (in particular C 1 -C6 alkyl, e.g. C 1 , C2, C3, C4, C5, or C6 alkyl, preferably methyl, ethyl, propyl, iso-propyl, butyl, iso-butyl, tert-butyl, pentyl or hexyl); optionally substituted; and
R8 is preferably hydrogen or alkyl (in particular C1-C6 alkyl, e.g. Cl, C2, C3, C4, C5, or C6 alkyl, preferably methyl, ethyl, propyl, iso-propyl, butyl, iso-butyl, tert-butyl, pentyl or hexyl); optionally substituted.
In a further preferred embodiment, n=3, R6 is methyl, X is O and o=0 and each of the bonds indicated by the dashed line is present.
In a most preferred embodiment, the compound according to structure XIX has a structure according to formula XX (vitamin Kl):
(XX).
In a preferred embodiment, a compound according to formula XIX or XX is used for the prevention or treatment of a disease or disorder selected from the group consisting of hypertension, angina pectoris, cardiac arrhythmia and a headache.
The invention further provides the use of a compound having a structure according to formula XXI:
(XXI).
wherein
X is O or S; preferably X is O; Z is in each instance CR4R5; n is an integer from 1 to 5; i.e. an integer selected from 1, 2, 3, 4 or 5; preferably n is 1;
R1 is selected from the group consisting of cycloalkyl, heterocycloalkyl, an alicyclic system, aryl and heteroaryl; optionally substituted; R2 is selected from the group consisting of cycloalkyl, heterocycloalkyl, an alicyclic system, aryl and heteroaryl; optionally substituted; R3 is selected from the group consisting of hydrogen, halogen (preferably F, Cl, Br or I), alkyl, alkenyl, alkynyl and cycloalkyl; optionally substituted; R4 and R5 is each independently selected from the group consisting of hydrogen, alkyl, alkenyl, alkynyl, cycloalkyl, heterocycloalkyl, alkoxy, aryl, aralkyl, heteroaryl, and -NR6R7; optionally substituted; R6 and R7 is each independently selected from the group consisting of hydrogen, alkyl, alkenyl, alkynyl, cycloalkyl, heterocycloalkyl, aryl, heteroaryl, and aralkyl or together form a heteroaryl, and heterocycloalkyl; optionally substituted; R6' and R7' is each independently selected from the group consisting of hydrogen, alkyl, alkenyl or together form a heterocycloalkyl; optionally substituted; and R8 is in each instance selected from the group consisting of hydrogen, alkyl, alkenyl, alkynyl and cycloalkyl; optionally substituted; or pharmaceutically acceptable salts thereof, for the prevention or treatment of cancer and/or a disease or disorder treatable with a selective estrogen receptor modulator (SERM).
In a preferred embodiment, at least one of the respective substituents of the compound according to formula XXI is defined as follows:
R1 is preferably aryl (in particular phenyl, naphthalenyl or anthracenyl), or heteroaryl (in particular furanyl, thienyl, oxazolyl, isoxazolyl, 1,2,5-oxadiazolyl, 1,2,3-oxadiazolyl, pyrrolyl, imidazolyl, pyrazolyl, 1,2,3-triazolyl, thiazolyl, isothiazolyl, 1 ,2,3-thiadiazolyl, 1,2,5-thiadiazolyl, pyridinyl, pyrimidinyl, pyrazinyl, 1,2,3-triazinyl, 1,2,4-triazinyl, 1,3,5- triazinyl, 1-benzofuranyl, 2-benzofuranyl, indolyl, isoindolyl, benzothienyl, 2- benzothienyl, lH-indazolyl, benzimidazolyl, benzoxazolyl, indoxazinyl, 2,1- benzisoxazolyl, benzothiazolyl, 1 ,2-benzisothiazolyl, 2,1-benzisothiazolyl, benzotriazolyl, quinolinyl, isoquinolinyl, 2,3-benzodiazinyl, quinoxalinyl, quinazolinyl, 1,2,3-benzotriazinyl, or 1 ,2,4-benzotriazinyl); optionally substituted;
R2 is preferably aryl (in particular phenyl, naphthalenyl or anthracenyl), or heteroaryl (in particular furanyl, thienyl, oxazolyl, isoxazolyl, 1,2,5-oxadiazolyl, 1,2,3-oxadiazolyl, pyrrolyl, imidazolyl, pyrazolyl, 1,2,3-triazolyl, thiazolyl, isothiazolyl, 1,2,3-thiadiazolyl, 1,2,5-thiadiazolyl, pyridinyl, pyrimidinyl, pyrazinyl, 1,2,3-triazinyl, 1,2,4-triazinyl, 1,3,5- triazinyl, 1-benzofuranyl, 2-benzofuranyl, indolyl, isoindolyl, benzothienyl, 2-
benzothienyl, lH-indazolyl, benzimidazolyl, benzoxazolyl, indoxazinyl, 2,1- benzisoxazolyl, benzothiazolyl, 1,2-benzisothiazolyl, 2,1-benzisothiazolyl, benzotriazolyl, quinolinyl, isoquinolinyl, 2,3-benzodiazinyl, quinoxalinyl, quinazolinyl, 1,2,3-benzotriazinyl, or 1,2,4-benzotriazinyl); optionally substituted; R3 is preferably selected from the group consisting of hydrogen, halogen (preferably F, Cl, Br or I) and alkyl (in particular C1-C6 alkyl, e.g. Cl, C2, C3, C4, C5, or C6 alkyl, preferably methyl, ethyl, propyl, iso-propyl, butyl, iso-butyl, tert-butyl, pentyl or hexyl); optionally substituted;
R4 and R5 is preferably each independently selected from hydrogen and alkyl (in particular Cl- C6 alkyl, e.g. Cl, C2, C3, C4, C5, or C6 alkyl, preferably methyl, ethyl, propyl, iso- propyl, butyl, iso-butyl, tert-butyl, pentyl or hexyl); optionally substituted;
R6 and R7 is preferably each independently selected from the group consisting of hydrogen and alkyl (in particular C1-C6 alkyl, e.g. Cl, C2, C3, C4, C5, or C6 alkyl, preferably methyl, ethyl, propyl, iso-propyl, butyl, iso-butyl, tert-butyl, pentyl or hexyl); optionally substituted;
R6' and R7' is preferably each independently selected from the group consisting of hydrogen and alkyl (in particular C1-C6 alkyl, e.g. Cl, C2, C3, C4, C5, or C6 alkyl, preferably methyl, ethyl, propyl, iso-propyl, butyl, iso-butyl, tert-butyl, pentyl or hexyl); optionally substituted; and R8 is preferably alkyl (in particular C1-C6 alkyl, e.g. Cl, C2, C3, C4, C5, or C6 alkyl, preferably methyl, ethyl, propyl, iso-propyl, butyl, iso-butyl, tert-butyl, pentyl or hexyl); optionally substituted.
In a further preferred embodiment, n=l, R6 and R7 is methyl and X is O. In a most preferred embodiment, the compound according to structure XXI has a structure according to formula XXII (Methadone):
(XXII).
In a preferred embodiment, a compound according to formula XXI or XXII is used for the prevention or treatment of a disease or disorder selected from the group consisting of breast cancer, prostate cancer and for the treatment of serious side effects of androgen deprivation therapy. Preferably the disease is any form of cancer.
The invention further provides the use of a compound having a structure according to formula XXIII:
(XXIII).
wherein
X is O or S; preferably X is O; n is an integer from 1 to 5; i.e. an integer selected from 1, 2, 3, 4 or 5; preferably nis 2;
R3 is selected from the group consisting of hydrogen, halogen (preferably F, Cl, Br or I), alkyl, alkenyl, alkynyl and cycloalkyl; optionally substituted; and if two R3 substituents are on adjacent carbon atoms, they may together form a cycloalkyl, heterocycloalkyl or alicyclic system; optionally substituted; R ,3J' is selected from the group consisting of hydrogen, halogen (preferably F, Cl, Br or I), alkyl, alkenyl, alkynyl and cycloalkyl; optionally substituted; R is selected from the group consisting of hydrogen, alkyl, alkenyl, alkynyl and cycloalkyl; optionally substituted; or pharmaceutically acceptable salts thereof, for the prevention or treatment of a disease or disorder treatable with treatable with an antihistamine.
In a preferred embodiment, at least one of the respective substituents of the compound according to formula XXIII is defined as follows:
R3 is preferably selected from the group consisting of hydrogen, halogen (preferably F, Cl, Br or I), and alkyl (in particular C1-C6 alkyl, e.g. Cl, C2, C3, C4, C5, or C6 alkyl,
preferably methyl, ethyl, propyl, iso-propyl, butyl, iso-butyl, tert-butyl, pentyl or hexyl); optionally substituted; R3' is preferably alkyl (in particular C1-C6 alkyl, e.g. Cl, C2, C3, C4, C5, or C6 alkyl, preferably methyl, ethyl, propyl, iso-propyl, butyl, iso-butyl, tert-butyl, pentyl or hexyl); optionally substituted; and
R8 is preferably alkyl (in particular C1-C6 alkyl, e.g. Cl, C2, C3, C4, C5, or C6 alkyl, preferably methyl, ethyl, propyl, iso-propyl, butyl, iso-butyl, tert-butyl, pentyl or hexyl); optionally substituted.
In a preferred embodiment, n=2 and X is O.
In a most preferred embodiment, the compound according to structure XXIII has a structure according to formula XXIV (acitretin):
The invention further provides the use of a compound having a structure according to formula XXV:
(XXV) wherein ml is an integer from O to 5; i.e. an integer selected from O, 1, 2, 3, 4 or 5; preferably ml is O; m2 is an integer from 0 to 4; i.e. an integer selected from 0, 1, 2, 3 or 4; preferably m2 is 0;
X is O or S; preferably X is O; Y is in each instance selected from the group consisting of hydrogen, halogen (preferably F, Cl, Br or I), -NO2, -CN, -OR6,
-NR6R7, -COOR6, -CONR6R7,
-NR4COR5, -NR4COR5, -NR4CONR6R7, -NR5SO2A, -COR6, -SO2NR6R7, -00CR4 and
-CR4R5OH;
Y' is in each instance selected from the group consisting of hydrogen, halogen (preferably F, Cl, Br or I), -NO2, -CN, -OR6,
-NR6R7, -COOR6, -CONR6R7,
-NR4COR5, -NR4COR5, -NR4CONR6R7, -NR5SO2A, -COR6 ^ -SO2NR6R7, -OOCR4 and
-CR4R5OH;
R2 is selected from the group consisting of cycloalkyl, heterocycloalkyl, an alicyclic system, aryl and heteroaryl; optionally substituted;
R3 is selected from the group consisting of hydrogen, halogen (preferably F, Cl, Br or I), alkyl, alkenyl, alkynyl and cycloalkyl; optionally substituted; R4 and R5 is each independently selected from the group consisting of hydrogen, alkyl, alkenyl, alkynyl, cycloalkyl, heterocycloalkyl, alkoxy, aryl, aralkyl, heteroaryl, and -NR6R7; optionally substituted;
R6 and R7 is each independently selected from the group consisting of hydrogen, alkyl, alkenyl, alkynyl, cycloalkyl, heterocycloalkyl, aryl, heteroaryl, and aralkyl or together form a heteroaryl, and heterocycloalkyl; optionally substituted;
R8 is in each instance selected from the group consisting of hydrogen, alkyl, alkenyl, alkynyl and cycloalkyl; optionally substituted and preferably substituted with -NR6R7; and wherein the bond indicated by the dashed line may be present or not; preferably the bond is present; or pharmaceutically acceptable salts thereof, for the prevention or treatment of a disease or disorder treatable with an antihistamine.
In a preferred embodiment, at least one of the respective substituents of the compound according to formula XXV is defined as follows:
R2 is preferably aryl (in particular phenyl, naphthalenyl or anthracenyl), or heteroaryl (in particular furanyl, thienyl, oxazolyl, isoxazolyl, 1,2,5-oxadiazolyl, 1,2,3-oxadiazolyl, pyrrolyl, imidazolyl, pyrazolyl, 1,2,3-triazolyl, thiazolyl, isothiazolyl, 1,2,3-thiadiazolyl,
1,2,5-thiadiazolyl, pyridinyl, pyrimidinyl, pyrazinyl, 1,2,3-triazinyl, 1,2,4-triazinyl, 1,3,5- triazinyl, 1-benzofuranyl, 2-benzofuranyl, indolyl, isoindolyl, benzothienyl, 2- benzothienyl, lH-indazolyl, benzimidazolyl, benzoxazolyl, indoxazinyl, 2,1- benzisoxazolyl, benzothiazolyl, 1,2-benzisothiazolyl, 2,1-benzisothiazolyl,
benzotriazolyl, quinolinyl, isoquinolinyl, 2,3-benzodiazinyl, quinoxalinyl, quinazolinyl, 1,2,3-benzotriazinyl, or 1 ,2,4-benzotriazinyl); optionally substituted;
R3 is preferably halogen (preferably F, Cl, Br or I); and
R8 is preferably alkyl (in particular C1-C6 alkyl, e.g. Cl, C2, C3, C4, C5, or C6 alkyl, preferably methyl, ethyl, propyl, iso-propyl, butyl, iso-butyl, tert-butyl, pentyl or hexyl); optionally substituted.
In a further preferred embodiment, mi=0, m2=0, the bond indicated by the dashed line is present and X is O and R8 is substituted with -NR6R7.
In a most preferred embodiment, the compound according to structure XXV has a structure according to formula XXVI (clomiphene):
In the aforementioned use, it is preferred that the compound according to formula XXV or XXVI is comprised in a composition, which further comprises citrate.
In a preferred embodiment, a compound according to formula XXV or XXVI is used for the prevention or treatment of an allergy such as hay fever, angioedema or urticaria.
The invention further provides the use of a compound having a structure according to formula XXVII:
wherein m is an integer from O to 3; i.e. an integer selected from 0, 1 , 2 or 3; preferably m is 0; B is C or N; preferably B is N; X is O or S; preferably X is S; Y is selected from the group consisting of hydrogen, halogen (preferably F, Cl, Br or I),
-NO2, -CN3 -OR6,
-NR6R7, -COOR6, -CONR6R7,
-NR4COR5, -NR4COR5, -NR4CONR6R7, -NR5SO2A, -CORVSO2NR6R7, -OOCR4 and
-CR4R5OH; R3 is selected from the group consisting of hydrogen, halogen (preferably F, Cl, Br or I), alkyl, alkenyl, alkynyl and cycloalkyl; optionally substituted; R4 and R5 is each independently selected from the group consisting of hydrogen, alkyl, alkenyl, alkynyl, cycloalkyl, heterocycloalkyl, alkoxy, aryl, aralkyl, heteroaryl, and -NR6R7; optionally substituted; R6 and R7 is each independently selected from the group consisting of hydrogen, alkyl, alkenyl, alkynyl, cycloalkyl, heterocycloalkyl, aryl, heteroaryl, and aralkyl or together form a heteroaryl, and heterocycloalkyl; optionally substituted; R6' and R7' is each independently selected from the group consisting of hydrogen, alkyl, alkenyl or together form a heterocycloalkyl; optionally substituted; or pharmaceutically acceptable salts thereof, for the prevention or treatment of tachycardia or a disease or disorder treatable with an antihistamine, for example an allergy such as hay fever, angioedema or urticaria.
In a preferred embodiment, at least one of the respective substituents of the compound according to formula XXVII is defined as follows:
R3 is preferably halogen (preferably F, Cl, Br or I) or alkyl (in particular C1-C6 alkyl, e.g. Cl, C2, C3, C4, C5, or C6 alkyl, preferably methyl, ethyl, propyl, iso-propyl, butyl, iso- butyl, tert-butyl, pentyl or hexyl); optionally substituted; and
R6' and R7' is preferably hydrogen or alkyl (in particular C1-C6 alkyl, e.g. Cl, C2, C3, C4, C5, or C6 alkyl, preferably methyl, ethyl, propyl, iso-propyl, butyl, iso-butyl, tert-butyl, pentyl or hexyl); optionally substituted.
In a preferred embodiment, X is S, B is N and m=0.
In a most preferred embodiment, the compound according to structure XXVII has a structure according to formula XXVIII (ethionamide):
The invention further provides the use of a compound having a structure according to formula XXIX:
(XXIX) wherein
X is O or S; preferably X is O;
R1 is selected from the group consisting of cycloalkyl, heterocycloalkyl, an alicyclic system, aryl and heteroaryl; optionally substituted;
R2 is selected from the group consisting of cycloalkyl, heterocycloalkyl, an alicyclic system, aryl and heteroaryl; optionally substituted; R8 is selected from the group consisting of hydrogen, alkyl, alkenyl, alkynyl and cycloalkyl; optionally substituted; or pharmaceutically acceptable salts thereof, for the prevention or treatment of a disease or disorder treatable with an antihistamine.
In a preferred embodiment, at least one of the respective substituents of the compound according to formula XXIX is defined as follows: R1 is preferably cycloalkyl or heterocycloalkyl (C3-C ]4-heterocycloalkyl, e.g. C3, C4, C5, C6, C7, Cg, C9, C 10, C11, Ci2, Ci3 or Cπ-heterocycloalkyl, in particular piperidinyl, morpholinyl, 1,3-diazacyclohexanyl, 1,8 diaza-spiro-[4,5] decyl, 1,7 diaza-spiro-[4,5] decyl, 1,6 diaza-spiro-[4,5] decyl, 2,8 diaza-spiro[4,5] decyl, 2,7 diaza-spiro[4,5] decyl, 2,6 diaza-spiro[4,5] decyl, 1,8 diaza-spiro-[5,4] decyl, 1,7 diaza-spiro-[5,4] decyl, 2,8
diaza-spiro-[5,4] decyl, 2,7 diaza-spiro[5,4] decyl, 3,8 diaza-spiro[5,4] decyl, 3,7 diaza- spiro[5,4] decyl, l-aza-7,l l-dioxo-spiro[5,5] undecyl, l,4-diazabicyclo[2.2.2]oct-2-yl, tetrahydrofuran-2-yl, tetrahydrofuran-3-yl, tetrahydrothien-2-yl, tetrahydrothien-3-yl, piperazinyl, decahydroquinolinyl, decahydro-isoquinolinyl, decahydro-quinoxalinyl, or decahydro-quinazolinyl); optionally substituted;
R2 is preferably aryl (in particular phenyl, naphthalenyl or anthracenyl), or heteroaryl (in particular furanyl, thienyl, oxazolyl, isoxazolyl, 1,2,5-oxadiazolyl, 1,2,3-oxadiazolyl, pyrrolyl, imidazolyl, pyrazolyl, 1,2,3-triazolyl, thiazolyl, isothiazolyl, 1,2,3-thiadiazolyl, 1,2,5-thiadiazolyl, pyridinyl, pyrimidinyl, pyrazinyl, 1,2,3-triazinyl, 1,2,4-triazinyl, 1,3,5- triazinyl, 1-benzofuranyl, 2-benzofuranyl, indolyl, isoindolyl, benzothienyl, 2- benzothienyl, lH-indazolyl, benzimidazolyl, benzoxazolyl, indoxazinyl, 2,1- benzisoxazolyl, benzothiazolyl, 1,2-benzisothiazolyl, 2,1-benzisothiazolyl, benzotriazolyl, quinolinyl, isoquinolinyl, 2,3-benzodiazinyl, quinoxalinyl, quinazolinyl, 1,2,3-benzotriazinyl, or 1,2,4-benzotriazinyl); optionally substituted; and R8 is preferably hydrogen.
In a preferred embodiment, R8 is hydrogen, X is O and R1 is optionally substituted with alkyl.
In a most preferred embodiment, the compound according to structure XXIX has a according to formula XXX (nateglinide):
(XXX).
In a preferred embodiment, a compound according to formula XXIX or XXX is used for the prevention or treatment of an allergy such as hay fever, angioedema or urticaria.
(XXXI)
wherein ml is an integer from O to 2; i.e. an integer selected from 0, 1 or 2; preferably ml is 0; m2 is an integer from 1 to 2; i.e. an integer selected from 1 or 2; preferably m2 is 1 ; m3 is an integer from 0 to 4; i.e. an integer selected from 0, 1, 2, 3 or 4; preferably m3 is 0; Y is in each instance selected from the group consisting of hydrogen, halogen (preferably F, Cl, Br or I), -NO2, -CN, -OR6,
-NR6R7, -COOR6, -CONR6R7,
-NR4COR5, -NR4COR5, -NR4CONR6R7, -NR5SO2A, -COR6 , -SO2NR6R7, -OOCR4 and
-CR4R5OH;
Y' is in each instance selected from the group consisting of hydrogen, halogen (preferably F, Cl, Br or I), -NO2, -CN, -OR6,
-NR6R7, -COOR6, -CONR6R7,
-NR4COR5, -NR4COR5, -NR4CONR6R7, -NR5SO2A, -COR6 ^ -SO2NR6R7, -OOCR4 and
-CR4R5OH;
Y" is in each instance selected from the group consisting of hydrogen, halogen (preferably F, Cl, Br or I), -NO2, -CN, -OR6,
-NR6R7, -COOR6, -CONR6R7,
-NR4COR5, -NR4COR5, -NR4CONR6R7, -NR5SO2A, -COR6^SO2NR6R7, -OOCR4 and
-CR4R5OH;
R4 and R5 is each independently selected from the group consisting of hydrogen, alkyl, alkenyl, alkynyl, cycloalkyl, heterocycloalkyl, alkoxy, aryl, aralkyl, heteroaryl, and -NR6R7; optionally substituted; R6 and R7 is each independently selected from the group consisting of hydrogen, alkyl, alkenyl, alkynyl, cycloalkyl, heterocycloalkyl, aryl, heteroaryl, and aralkyl or together form a heteroaryl, and heterocycloalkyl; optionally substituted;
R8 is selected from the group consisting of hydrogen, alkyl, alkenyl, alkynyl and cycloalkyl; optionally substituted; R11 is selected from the group consisting of hydrogen, -COR12 , -CR4R5OH, alkyl, alkynyl and cycloalkyl; optionally substituted; R12 is selected from the group consisting of hydrogen, alkyl, alkenyl, alkynyl, cycloalkyl, heterocycloalkyl, aryl, heteroaryl, and aralkyl; optionally substituted; or pharmaceutically acceptable salts thereof, for the prevention or treatment of a depression and/or a disease or disorder treatable with an antihistamine.
In a preferred embodiment, at least one of the respective substituents of the compound according to formula XXXI is defined as follows: Y' is preferably -NO2 or -CN; R8 is preferably hydrogen or alkyl (in particular C1-C6 alkyl, e.g. Cl, C2, C3, C4, C5, or C6 alkyl, preferably methyl, ethyl, propyl, iso-propyl, butyl, iso-butyl, tert-butyl, pentyl or hexyl); optionally substituted; and
R1 ' is preferably -COR12; wherein R12 is preferably alkyl (in particular C 1 -C6 alkyl, e.g. C 1 , C2, C3, C4, C5, or C6 alkyl, preferably methyl, ethyl, propyl, iso-propyl, butyl, iso-butyl, tert-butyl, pentyl or hexyl); optionally substituted.
In a further preferred embodiment, In1=O, m2=l and Hi3=O.
In a most preferred embodiment, the compound according to structure XXXI has a according to formula XXXII (zaleplon):
(XXXII).
In a preferred embodiment, a compound according to formula XXXI or XXXII is used for the prevention or treatment of an allergy such as hay fever, angioedema or urticaria.
The invention further provides the use of a compound having a structure according to formula XXXIII:
(XXXIII) wherein m is an integer between 0 and 2; i.e. an integer selected from 0, 1 or 2; preferably m is 0; B is in each instance C or N; preferably B is N; X is O or S; preferably X is O;
Y is selected from the group consisting of hydrogen, halogen (preferably F, Cl, Br or I), -NO2, -CN, -OR6,
-NR6R7, -COOR6, -CONR6R7,
-NR4COR5, -NR4COR5, -NR4CONR6R7, -NR5SO2A, -COR6^SO2NR6R7, -00CR4 and -CR4R5OH;
R1 is selected from the group consisting of cycloalkyl, heterocycloalkyl, an alicyclic system, aryl and heteroaryl; optionally substituted;
R4 and R5 is each independently selected from the group consisting of hydrogen, alkyl, alkenyl, alkynyl, cycloalkyl, heterocycloalkyl, alkoxy, aryl, aralkyl, heteroaryl, and -NR6R7; optionally substituted;
R6 and R7 is each independently selected from the group consisting of hydrogen, alkyl, alkenyl, alkynyl, cycloalkyl, heterocycloalkyl, aryl, heteroaryl, and aralkyl or together form a heteroaryl, and heterocycloalkyl; optionally substituted; R11 is selected from the group consisting of hydrogen, -CORI2 ; -CR4R5OH, alkyl, alkynyl and cycloalkyl; optionally substituted;
R12 is selected from the group consisting of hydrogen, alkyl, alkenyl, alkynyl, cycloalkyl, heterocycloalkyl, aryl, heteroaryl, and aralkyl; optionally substituted; or pharmaceutically acceptable salts thereof, for the prevention or treatment of a depression and/or a disease or disorder treatable with an antihistamine.
In a preferred embodiment, at least one of the respective substituents of the compound according to formula XXXIII is defined as follows:
R1 is preferably aryl (in particular phenyl, naphthalenyl or anthracenyl), or heteroaryl (in particular furanyl, thienyl, oxazolyl, isoxazolyl, 1,2,5-oxadiazolyl, 1,2,3-oxadiazolyl, pyrrolyl, imidazolyl, pyrazolyl, 1,2,3-triazolyl, thiazolyl, isothiazolyl, 1,2,3-thiadiazolyl, 1,2,5-thiadiazolyl, pyridinyl, pyrimidinyl, pyrazinyl, 1,2,3-triazinyl, 1,2,4-triazinyl, 1,3,5- triazinyl, 1-benzofuranyl, 2-benzofuranyl, indolyl, isoindolyl, benzothienyl, 2- benzothienyl, lH-indazolyl, benzimidazolyl, benzoxazolyl, indoxazinyl, 2,1- benzisoxazolyl, benzothiazolyl, 1,2-benzisothiazolyl, 2,1-benzisothiazolyl, benzotriazolyl, quinolinyl, isoquinolinyl, 2,3-benzodiazinyl, quinoxalinyl, quinazolinyl, 1,2,3-benzotriazinyl, or 1,2,4-benzotriazinyl); optionally substituted; and R11 is preferably -COR12; wherein R12 is preferably cycloalkyl or heterocycloalkyl (C3-C14- heterocycloalkyl, e.g. C3, C4, C5, C6, C7, C«, C9, C io, Cn, Ci2, Ci3 or Ci4- heterocycloalkyl, in particular piperidinyl, morpholinyl, 1,3-diazacyclohexanyl, 1,8 diaza-spiro-[4,5] decyl, 1,7 diaza-spiro-[4,5] decyl, 1,6 diaza-spiro-[4,5] decyl, 2,8 diaza- spiro[4,5] decyl, 2,7 diaza-spiro[4,5] decyl, 2,6 diaza-spiro[4,5] decyl, 1,8 diaza-spiro- [5,4] decyl, 1,7 diaza-spiro-[5,4] decyl, 2,8 diaza-spiro-[5,4] decyl, 2,7 diaza-spiro[5,4] decyl, 3,8 diaza-spiro[5,4] decyl, 3,7 diaza-spiro[5,4] decyl, l-aza-7,l l-dioxo-spiro[5,5] undecyl, l,4-diazabicyclo[2.2.2]oct-2-yl, tetrahydrofuran-2-yl, tetrahydrofuran-3-yl, tetrahydrothien-2-yl, tetrahydrothien-3-yl, piperazinyl, decahydroquinolinyl, decahydro- isoquinolinyl, decahydro-quinoxalinyl, or decahydro-quinazolinyl); optionally substituted.
In a preferred embodiment, X is O, m=0 and B=N.
In a furher preferred embodiment, R11 is
, wherein the asterisk indicates where the substitutent is attached to the O atom of formula (XXXIII) and wherein n is an integer between 0 and 2; i.e. an integer selected from 0, 1 or 2; preferably n is 0; and Y and has the above outlined meaning.
In a most preferred embodiment, the compound according to structure XXXIII has a structure according to formula XXXIV (zopiclone):
In a preferred embodiment, a compound according to formula XXXIII or XXXIV is used for the prevention or treatment of an allergy such as hay fever, angioedema or urticaria.
If a compound of the invention is used for for the prevention or treatment of a depression, then it is preferred that the depression is selected from the group consisting of clinical depression, melancholic depression, atypical depression, psychotic depression and postnatal depression. If a compound of the invention is used for for the prevention or treatment of an anxiety disorder, then it is preferred that the anxiety disorder is selected from the group consisting of panic disorder, agoraphobia, social anxiety disorder, obsessive-compulsive disorder, posttraumatic stress disorder and separation anxiety.
If a compound of the invention is used for for the prevention or treatment of a psychosis, then it is preferred that the psychosis is selected from the group consisting of schizophrenia, bipolar disorder, mania and delusional disorder.
Several compounds described herein are useful to treat an allergy. These compounds are preferably used to treat an allergy selected from the group consisting of: allergic rhinitis, asthma, atopic eczema, anaphylaxis, an insect venom-induced allergy, a drug induced allergy, a food- induced allergy and a multiple allergy disorder.
As mentioned above, table 3 lists pairs of pharmaceuticals which share the same therapeutic target. Thus, a pharmaceutical listed in column "Drug 1 (PugChem ID)" can also be used for the therapy of a disease or disorder that is generally treatable which a respective compound listed in the column "Drug 2 (PugChem ID)" of table 3. Likewise, also a pharmaceutical listed in column "Drug 2 (PugChem ID)" can be used for the therapy of a disease or disorder that is generally treatable which a respective compound listed in the column "Drug 1 (PugChem ID)".
Thus, in another aspect of the invention is the use of a compound listed in table 3 under "Drug 1 (PugChem ID)" for the prevention or treatment of a medical indication as indicated under "T. Cat Drug2" and encoded by table 2. In other words, a compound listed in table 3 under "Drug 1 (PugChem ID)" can be used for the treatment of a disease or disorder treatable with a drug of the therapeutic class indicated under "T. Cat Drug2" and encoded by table 2. As an example, Clobetasol may be used for the treatment of a disease treatable with an antiinflamatory agent (therapeutic category "SOlB") or with a corticosteroid for systemic use (therapeutic category "H02").
In another aspect of the invention is the use of a compound listed in table 3 under "Drug 2 (PugChem ID)" for the prevention or treatment of a medical indication as indicated under "T.
Cat Drugl" and encoded by table 2. In other words, a compound listed in table 3 under "Drug 2
(PugChem ID)" can be used for the treatment of a disease or disorder treatable with a drug of the therapeutic class indicated under "T. Cat Drugl" and encoded by table 2. As an example,
Spironolactone may be used for the treatment of a disease treatable with an androgen (therapeutic category "G03B").
A compound according to the invention can be administered by various well known routes, including oral, rectal, intragastrical, intracranial and parenteral administration, e.g. intravenous, intramuscular, intranasal, intradermal, subcutaneous, and similar administration routes. Parenteral administration and particular intravenous administration, preferably by depot injection, is preferred. Depending on the route of administration different pharmaceutical formulations are required and some of those may require that protective coatings are applied to the drug formulation to prevent degradation of a compound of the invention in, for example, the digestive tract.
Thus, preferably, a compound of the invention is formulated as a syrup, an infusion or injection solution, a tablet, a capsule, a capslet, lozenge, a liposome, a suppository, a plaster, a band-aid, a retard capsule, a powder, or a slow release formulation. Preferably the diluent is water, a buffer, a buffered salt solution or a salt solution and the carrier preferably is selected from the group consisting of cocoa butter and vitebesole.
Particular preferred pharmaceutical forms for the administration of a compound of the invention are forms suitable for iηjectionable use and include sterile aqueous solutions or dispersions and sterile powders for the extemporaneous preparation of sterile injectable solutions or dispersion. In all cases the final solution or dispersion form must be sterile and fluid.
Typically, such a solution or dispersion will include a solvent or dispersion medium, containing, for example, water-buffered aqueous solutions, e.g. biocompatible buffers, ethanol, polyol, such as glycerol, propylene glycol, polyethylene glycol, suitable mixtures thereof, surfactants or
vegetable oils. A compound of the invention can also be formulated into liposomes, in particular for parenteral administration. Liposomes provide the advantage of increased half life in the circulation, if compared to the free drug and a prolonged more even release of the enclosed drug. Sterilization of infusion or injection solutions can be accomplished by any number of art recognized techniques including but not limited to addition of preservatives like anti-bacterial or anti-fungal agents, e.g. parabene, chlorobutanol, phenol, sorbic acid or thimersal. Further, isotonic agents, such as sugars or salts, in particular sodium chloride may be incorporated in infusion or injection solutions.
Production of sterile injectable solutions containing one or several of the compounds of the invention is accomplished by incorporating the respective compound in the required amount in the appropriate solvent with various ingredients enumerated above as required followed by sterilization. To obtain a sterile powder the above solutions are vacuum-dried or freeze-dried as necessary. Preferred diluents of the present invention are water, physiological acceptable buffers, physiological acceptable buffer salt solutions or salt solutions. Preferred carriers are cocoa butter and vitebesole. Excipients which can be used with the various pharmaceutical forms of a compound of the invention can be chosen from the following non-limiting list: a) binders such as lactose, mannitol, crystalline sorbitol, dibasic phosphates, calcium phosphates, sugars, microcrystalline cellulose, carboxymethyl cellulose, hydroxyethyl cellulose, polyvinyl pyrrolidone and the like; b) lubricants such as magnesium stearate, talc, calcium stearate, zinc stearate, stearic acid, hydrogenated vegetable oil, leucine, glycerids and sodium stearyl fumarates, c) disintegrants such as starches, croscaramellose, sodium methyl cellulose, agar, bentonite, alginic acid, carboxymethyl cellulose, polyvinyl pyrrolidone and the like.
Other suitable excipients can be found in the Handbook of Pharmaceutical Excipients, published by the American Pharmaceutical Association, which is herein incorporated by reference.
It is to be understood that depending on the severity of the disorder and the particular type which is treatable with one of the compounds of the invention, as well as on the respective patient to be treated, e.g. the general health status of the patient, etc., different doses of the respective compound are required to elicit a therapeutic or prophylactic effect. The determination of the appropriate dose lies within the discretion of the attending physician. It is contemplated that the dosage of a compound of the invention in the therapeutic or prophylactic use of the invention should be in the range of about 0.1 mg to about 1 g serum per kg body weight. However, in a preferred use of the present invention a compound of the invention is administered to a subject in need thereof in an amount ranging from 1.0 to 500 mg/kg body weight, preferably
ranging from 10 to 200 mg/kg body weight, preferably ranging from 50 to 150 mg/kg body weight, preferably ranging from 90 to 100 mg/kg body weight. The duration of therapy with a compound of the invention will vary, depending on the severity of the disease being treated and the condition and idiosyncratic response of each individual patient. As is known in the art, the pharmaceutically effective amount of a given composition will also depend on the administration route. In general the required amount will be higher, if the administration is through the gastrointestinal tract; e.g. by suppository, rectal, or by an intragastric probe, and lower if the route of administration is parenteral, e.g. intravenous. Typically, a compound of the invention will be administered in ranges of 50 mg to 1 g/kg body weight, preferably 100 mg to 500 mg/kg body weight, if rectal or intragastric administration is used and in ranges of 10 to 100 mg/kg body weight, if parenteral administration is used.
If a person is know to be at risk of developing a disorder treatable with a compound of the invention, a prophylactic administration of the biologically active blood serum or the pharmaceutical composition according to the invention may be possible. In these cases the respective compound of the invention is preferably administered in above outlined preferred and particular preferred doses on a daily basis. Preferably, between 0.1 mg to 1 g/kg body weight once a day, preferably 10 to 200 mg/kg body weight. This administration can be continued until the risk of developing the respective disorder has lessened. In most instances, however, a compound of the invention will be administered once a disease/disorder has been diagnosed. In these cases it is preferred that a first dose of a compound of the invention is administered one, two, three or four times daily. Preferably the administration is discontinued for one day, one week or one month and then repeated until the symptoms of the respective disease are no longer worsening or improving.
In the following, the concept of the method of the invention will be set out. In particular the the inventors have found that a novel medical indication can be identified for a known pharmaceutically active compound by searching in silico for pharmaceutically active compounds that elicit similar side-effects in patients.
Thus, the present invention provides in one aspect a method for identifying a novel medical indication of a pharmaceutically active compound comprising the steps: (a) extracting side-effects of a first pharmaceutically active compound from at least one database;
(b) extracting side-effects of a second pharmaceutically active compound from at least one database;
(c) determining a side-effect similarity score which is the degree of similarity between the side-effects of the first and the second pharmaceutically active compound;
A side-effect is an adverse drug reaction, i.e. an unintended consequence specifically arising from drug therapy. The present inventors have further found that the sensitivity of the method of the invention can be significantly increased by identifying pairs of pharmaceutically active compounds which share similar side-effects and further have a similar structure. Thus, in a preferred embodiment, the method of the invention further comprises the step
(d) determining a chemical similarity score which is the degree of structural similarity between the first and the second pharmaceutically active compound. It is further preferred that the method according to the invention further comprises the step (e) determining the probability that the second pharmaceutically active compound binds to the same therapeutic target protein as the first pharmaceutically active compound; wherein the probability is a function of the side-effect similarity score from step (c) and/or of the chemical similarity score from step (d).
It is further preferred that the method according to the invention further comprises the step (f) repeating steps (a) through (e) for a multiplicity of non-redundant pairs of pharmaceutically active compounds; wherein each pair comprises a respective first and second pharmaceutically active compound. It is further preferred that the method according to the invention further comprises the step
(g) if the probability determined in step (e) is greater than 20% preferably greater than 21%, 22%, 23%, 24%, 25%, 26%, 27%, 28%, 29%, 30%, 35%, 40%, 45%, or 50% and most preferably greater than 25%, then: selecting the medical indication of the first pharmaceutically active compound as a novel medical indication for the second pharmaceutically active compound; and/or selecting the medical indication of the second pharmaceutically active compound as a novel medical indication for the first pharmaceutically active compound; Further preferred is the method of the invention, wherein in step (a) and/or (b), extracted side- effects that are synonymous and/or fall into a common classification class such as defined e.g. by the Coding Symbols for a Thesaurus of Adverse Reaction Terms (COSTART) or the International Classification of Primary Care (ICPC), are grouped and treated as one side-effect throughout the method.
Further preferred is the method of the invention, wherein at least one parent side-effect from at least one ontology, for example from one described above, is assigned to each side-effect of the first and/or second pharmaceutical compound to provide an "is-a" relation which is preferably used to determine similarities between closely related side effects.
Thus, the extracted side effects are expanded with concepts related to them by a "is-a" relation from an ontology such as COSTART, i.e. parents terms from the ontology are assigned to capture similarities between closely related side effects. As an example, macrocytic anaemia is a parent term of megaloblastic anaemia and is, thus, automatically assigned to all drugs that have this side effect.
Further preferred is the method of the invention, wherein in the prior art the first pharmaceutically active compound is not used for the same medical indication as the second pharmaceutically active compound. Further preferred is the method of the invention, wherein the side-effect similarity score in step (c) is a similarity measure and preferably is a distance measure.
In a further preferred embodiment, the similarity measure used in the method according to the invention is the sum of all side-effects shared between the first and second pharmaceutically active compound. An example for the aforementioned preferred embodiment is provided in example 1 and figure IE. Preferably, the similarity measure may also be selected from the group consisting of: a Cosine coefficient, a Dice coefficient, an Euclid coefficient, a Forbes coefficient, a Hamman coefficient, a Jaccard coefficient, a Kulczynski coefficient, a Manhattan coefficient, a Matching coefficient, a Pearson correlation, a Rogers-tanimoto coefficient, a Russell-rao coefficient, a Simpson coefficient, a Tanimoto coefficient and a Yule coefficient.
Further preferred is the method of the invention, wherein each shared side-effect is weighted according to the frequency of its occurrence and/or according to the frequency with which the side-effect correlates with other side-effects. An example for this is given in figure 1C and ID and in the respective examples. Further preferred is the method of the invention, wherein the weight used to account for the frequency of correlation is determined using a tree weighting algorithm, for example the Gerstein-Sonnhammer-Chothia algorithm (see for example also the examples and fig. 1C).
Further preferred is the method of the invention, wherein the weight of the side-effect frequency is the negative logarithm of the side-effect's frequency of occurrence (see for example also the examples and fig. ID).
Further preferred is the method of the invention, wherein the side-effect similarity score is normalized by determining what fraction of a multiplicity of pairs of pharmaceutically active compounds, each of which has randomized side effects, has a side-effect similarity score which is equal or greater than the side-effect similarity score of the first and the second pharmaceutically active compound.
Further preferred is the method of the invention, wherein
(i) the normalized side-effect similarity score is said fraction; (ii) each pair of said multiplicity of pairs of pharmaceutically active compounds has the same respective number of side-effects than the first and the second pharmaceutically active compound; and
(iii) random side effects are selected for each pharmaceutically active compound by replacing each original side effect with one side-effect that is randomly selected from a set of side effects with similar frequency of occurrence. Further preferred is the method of the invention, wherein the chemical similarity score in step (d) is a Tanimoto 2D chemical similarity score, a Tanimoto 3D chemical similarity score, or a Tversky index. There are many chemical similarity methods and software solutions available in the prior art to determine the structural similarity between two compounds, see e.g. http://www.daylight.com/dayhtml/doc/theory/theory.finger.html. In a further preferred embodymement of the method of the invention, the probability in step (e) is determined using a continuous or discontinuous probability function that has been derived from a reference dataset comprising pharmaceutically active compounds, their respective side-effects as well as their respective one or more therapeutic target proteins. Many databases are comprised in the art that can be used to obtain a reference dataset, see for example figure 5 and the examples. As used here, the term "derived" preferably refers to selecting a mathematical function, i.e. said probability function which preferably statistically correlates data comprised in said reference dataset of one pharmaceutically active compound to the data comprised in said reference dataset of a further pharmaceutically active compound.
In a further preferred embodymement of the method of the invention, the probability function correlates the side-effect similarity score determined according to step (c) and/or the chemical similarity score determined according to step (d) of a pair of pharmaceutically active compounds in the reference set with the probability that said pair shares the same therapeutic target protein.
In a further preferred embodymement of the method of the invention, the probability function is a sigmoid function. Sigmoid functions are known in the art and can be expressed by the general formula: P(t) = 1 / ( 1 + e4) It is preferred that the sigmoid function is a function P(x,y) according to the formula:
H is a real number between 0.7 and 0.9, preferably 0.83; A is a real number between 0.01 and 0.03, preferably 0.0167;
B is a real number between 50 and 60, preferably 55.507;
C is a real number between -600 and -1000, preferably -810.16;
D is a real number between -50 and -200, preferably -129.6;
E is a real number between 400 and 600, preferably 455.6; F is a real number between 500 and 700, preferably 617.3; and
G is a real number between 0.1 and 0.8, preferably 0.415.
In a further preferred embodymement of the method of the invention, the probability function is a discontinuous function derived from the fraction of drug pairs that share a target within intervals of side-effect similarity scores and chemical similarity scores. In a further preferred embodymement of the method of the invention, the side-effect similarity score in step (c) is the weighted sum of all side-effects shared between the first and second pharmaceutically active compound; wherein the chemical similarity score in step (d) is a Tanimoto 2D chemical similarity score and wherein the probability function is a sigmoid function. In a further aspect, the invention also provides a computer program product stored on a computer readable storage medium comprising a computer-readable program code for causing a computer to carry out the method according to the invention.
Also contemplated is in a further aspect, an apparatus for carrying out the method according to the invention. Also comprised is a data processing system, e.g. a personal computer, comprising a memory device, an operating system and the computer program product according to the invention which is loaded into the memory device of said data processing system and wherein the data processing system is capable of carrying out the method according to the invention.
In a further aspect of the invention, the invention provides the use of a pharmaceutically active compound for which a novel medical indication has been identified according to the method of of the invention for the prevention or treatment of the respective novel medical indication that has been identified according to the method of the invention.
Various modifications and variations of the invention will be apparent to those skilled in the art without departing from the scope of the invention. Although the invention has been described in connection with specific preferred embodiments, it should be understood that the
invention as claimed should not be unduly limited to such specific embodiments. Indeed, various modifications of the described modes for carrying out the invention which are obvious to those skilled in the relevant fields are intended to be covered by the present invention.
The following figures and examples are merely illustrative of the present invention and should not be construed to limit the scope of the invention as indicated by the appended claims in any way.
BRIEF DESCRIPTION OF THE FIGURES
Fig. 1 Flowchart of the method. A) Terms for side effects are extracted from the package inserts, B) subjected to ontological annotation in the UMLS ontology and then weighted for C) cross-correlation and D) frequency. For example, macrocytic anaemia (E) is a parent term of megaloblastic anaemia (A) and is thus automatically assigned to all drugs that have this side effect. For each pair of drugs E) a raw side-effect similarity score is derived and F) normalized.
G) The chemical similarity is H) combined with side effect similarity to provide the final score for assigning a probability to any pair of drugs to share a target. For orientation, drugs are shown in blue while their side effects are in red. All display items relate to the drugs Pyrimethamine (X) and Trimethoprim (Y), which are predicted to share a target with a probability of 57% (see H).
Using our reference set of 4857 drug-target relations we assign probabilities based on side-effect similarity (H, upper horizontal bar), 2D similarity (H, vertical bar) and the two in combination (H, rectangle). The latter outperforms the two individual predictions.
Fig. 2 Breakdown of drug pairs predicted to share a target. A) The predicted 2903 drug pairs were subjected to consecutive filtering for a number of properties, leaving 754 pairs that imply unexpected drug-target relations. B) The subset of pairs and implied predictions that are predominantly based on side-effect similarity (requiring an additional stringent p-value < 0.1) was used for network analysis (Fig. 3).
Fig. 3 Drug network based on likelihoods for having common protein targets.
A). 424 drugs (nodes) form 1018 pairs associated by significant side-effect similarity (p < 0.1) with at least 25% probability of sharing a target (edges, width proportional to probability). A drug subnetwork around the anti-ulcer drug Rabeprazole and other 15 experimentally confirmed predictions are shown around the network. B) Selected drug-target relations in the subnetwork around Rabeprazole. Predicted drug-target relations that have been experimentally validated (see Fig. 4) are shown with green arrows, while dashed red arrows indicate that the predicted targets
could not be confirmed. Yet, for all predicted pairs at least one common target could be identified.
Fig. 4 Novel drug— target relationships. A) Inhibition constants (Ki) for the 12 drug-target relationships were measured for those drugs that showed an in vitro binding activity higher than 40% at 50 μM. When possible, drug-target relations were validated in cell assays by measuring the activity of the compounds at 50 μM. The asterisk denotes a candidate with conflicting results between in vitro binding and cell assays. B) Concentration curves on competition assays for the novel 12 drug-target relationships. Ki #3 was estimated from the in vitro binding activity at 50 μM, which was close to IC50 (46%). C) Using our reference set of 4857 drug-target relations we assign probabilities based on a combination of side-effect similarity and chemical similarity. The line delimits the area used to construct the network in Fig. 3 with shared target probability >25% and side-effect p-value < 0.1. Drug pairs that have been experimentally confirmed to share a target are denoted by black and grey dots according to Ki value.
Fig. 5 Drug-protein interactions of reference set. Our reference set was derived from the MATADOR database (Manually Annotated Targets and Drugs Online Resource,(i)), DrugBank (2) and the PDSP Ki database (3). Metabolizing enzymes and proteins with unspecific drug binding were excluded from the reference set. From the PDSP Ki database, we only included interactions with an inhibition constant below lOμM. The number of drugs with annotated targets in MATADOR, DrugBank and the PDSP Ki database are 381, 462 and 148, respectively. The contributions of drug-protein interactions of the three databases to our reference are shown in a Venn diagram. The different databases treat interactions with protein groups such as complexes and families of proteins differently. When a complex (or family of proteins) is the target of a drug, all subunits are annotated as targets in MATADOR (in addition to the identity of the complex) and we use here for our analysis. Similarly, the PDSP Ki database contains entries for binding constants with complexes or groups of proteins. However, these entries could not be mapped to individual proteins and were thus not considered. In contrast, DrugBank only contains an entry for one individual member of the group (for example, one subunit of a complex). This partially explains the high number of interactions derived from Matador (3465) that are not present in DrugBank and the PDSP Ki database.
Fig. 6 Benchmarking of target prediction methods. Three probabilistic methods that evaluate the probability of two drugs to share a target were compared. A) The first method is based on the comparison of side effects information of drugs (SE). The dotted line represents 50% probability of sharing targets at which the side-effect similarity p-value is 0.0045. B) The second method
uses the information provided by the chemical similarity between drugs (2D) and the third method combines both individual predictors (SE_2D). Both individual methods show a clear correlation between similarity and the probability of sharing a common target. In our reference set, a Tanimoto 2D similarity score of 0.85 implies a 74% chance of sharing a target. This relatively high probability (at a score of 0.85, a chance of target sharing between 12% and 80% has been reported depending on libraries, assays and fingerprinting methods (10, 14)) can be explained by the fact that many marketed drugs show limited pharmacophore and structural variability as they are often designed for the same mode of action. C) Specificity vs. sensitivity plot of all methods based on the reference set of drug-protein interactions. Sensitivity is defined as the fraction of drug pairs known to share a target that are recovered at a given minimum probability of sharing targets. Specificity is the fraction of drug pairs that share a target out of the total number of drug pairs with a given minimum probability. D) The number of drug pairs that share targets is compared between the three methods for different probabilities cut-offs in the reference set. Dotted lines represent 25% and 50% probability of sharing targets.
Fig. 7 The number of drug pairs falsely predicted to share targets depends on the number of side effects of the drugs involved.
For each drug in the reference set, the number of drugs that do not share targets but are predicted to share a target with the given drug with at least 25% probability (false positives) is calculated and averaged over a sliding window of 11 drugs. Drug pairs involving at least one drug with less than 7 side effects produce relatively many false positives and are thus discarded for prediction purposes. Our model employs small contributions of many side effects towards overall side effect similarity. Thus, very low numbers of side effects do not provide sufficient information for a reliable prediction.
Fig. 8 Breakdown of drug pairs predicted to share targets in different probability intervals. Drug pairs with less than 25% probability of sharing targets (A) are contrasted with those in various probability intervals between 25% and 100% (B). C) Subset of (B) with the additional requirement of a side-effect similarity pvalue lower than 0.1. The type of drug pair (see boxed inset) is indicated. In the bar graph the type of drug pair is ordered from top to bottom as indicated in the boxed inset.
Fig. 9 Similarity of protein targets correlates with probability of binding the same ligand. A) If a ligand is known to bind to one protein, the probability of binding to a second protein is correlated with the sequence similarity between the two proteins as measured
by a normalized bitscore (75). A 50% probability cut-off (dashed line at a normalized bitscore of 0.12) is used to filter drug pairs that are related by their targets. Data is taken from the PDSP Ki Database, using 10 μM as the threshold for binding vs. non-binding and fitted with a logistic function. Regarding drug pairs that are not chemically similar, we find that for 244 of these pairs the respective target proteins have similar sequences. Thus, we exclude these 244 pairs from our further analysis. B) The fraction of targets related by sequence similarity of a drug pair increases with the predicted probability of two drugs to share a target. Squares represent the fraction of targets related by sequence similarity within the respective probability intervals.
Fig. 10 Extension of Fig. 4 in main manuscript with details of experimental validation of 20 predicted drug pairs in the network. Predicted targets for drugs from the 20 drug pairs candidates in the network were tested in in vitro binding assays at 50 μM. For those drug-target relations that showed a moderate (from 40% to 50% inhibition of control-specific binding) or significant activity (higher than 50%) we measured the inhibition constant (Ki) in concentration curves and the activity in cell assays at 50 μM. Prob. is the probability of sharing a target and nh refers to the Hill coefficient of the concentration-curves.
Fig. 11 Drugs in pairs that share targets, but were not predicted, tend to bind to multiple targets. Drug pairs sharing targets in the reference set were grouped in intervals by their probability of sharing targets as predicted by the combination of both side effect similarity and chemical similarity (A), side effect similarity alone (B) or chemical similarity alone (C). The average number of targets that are not shared (as indicated) and the average numbers of targets , that are shared (as indicated) were calculated within the intervals. Linear regression reveals that the probability of sharing a target correlates negatively with the number of targets that is not shared by the drug pair. This correlation is not observed when the number of targets shared for the drug pair is compared. The square of the Pearson product-moment correlation coefficient is shown (π) along with the statistical significance of the correlation as assessed by 1000 randomizations of the drug pairs. The error bars indicate the standard deviation of the data. Fig. 12 Two-dimensional histogram representing the probabilities that two drugs share the same target as a function of side effect similarity p-value and chemical similarity. A) Raw data. B) Fitted data. The quasi-Newton method was used to fit the raw data excluding those cells in the grid that contain less than five drug pairs (*) to the sigmoid function (1).
Table 1 FDA-approved drugs analyzed in this work. ID is the drug PubChem identifier. (Stereoisomers were merged into one compound.)
Table 2 List of therapeutic categories.
We created a list of therapeutic categories that includes the 2nd ATC level (therapeutic main group) or more specific therapeutic categories form levels 3rt (therapeutic / pharmacological subgroup) and 4th (chemical / therapeutic / pharmacological subgroup) by manual inspection of the ATC levels.
Table 3 Excerpt of the list of the 1018 drugs pairs with a probability (Prob) of sharing a target higher than 25% and side effect similarity p-value (SE) below 0.1. The Tanimoto coefficient of the drugs of the pairs (2D) is also given. Drug pairs are classified into five groups (1-5) according to the main text (Figure 2 and Figure 3) whereby the respective groups are subtracted from the total 1018 prediction in the following order to arrive at the unexpected findings (group 5). From the total 1018 drug pairs, we first subtracted those drug pairs that are known to share targets (group 1); in this group 57 drug pairs with high chemical similarity can be found, as the chemical similarity filter was not applied to them. Then, from the drug pairs that were left (that is, those that are not known to share targets) we subtracted those pairs with a 2D Tanimoto coefficient above 0.6 and those related by sequence similarity of their targets (normalized bitscore above 0.12) (group 2). In a subsequent step, drug pairs without known human targets for which no possible human target prediction can be made were placed in a separate group (group 3). Lastly, those drug pairs classified in the same therapeutic category were subtracted and labelled as group 4. At the end we arrived to a set of predictions that are unexpected, that is, drug pairs classified in different therapeutic categories, where at least one drug has known target that have low chemical similarity and are not related by sequence similarity of their target (group 5). Group 5 drugs are comprised in table 3. It is noted, that when utilizing a medical indication notation different than the Anatomical Therapeutic Chemical
Classification System ATC (comprised in table 2), additional indications which are not covered included in table 2 can be found. For example, it has been found that the compounds ethionamide, zaleplon, zopiclone and doxorubicin can be used as antihistamines. Thus, these compounds can be used to inhibit the release or action of histamine. Histamine can be quantified using, for example, an ELISA assay and anti-histamine specific antibodies.
Above-mentioned groups are categroized as follows:
1 - Drug pairs known to share targets 2 - Drug pairs with similar structures or targets
3 - Drug pairs without known human targets
4 - Drug pairs from the same therapeutic category
5 - Drug pairs from different therapeutic categories
Drugs that are part of the reference set and that imply a known human target are marked with an asterisk. The majority of the drugs that are not part of the reference set are drugs directed against non-human proteins (for example, antibiotics), but there is also a small number of drugs with as yet unknown target. However, not all known targets were retrievable from the resources used, and some drugs directed against human were not annotated in the reference sets (for example, endogenous compounds). For these reasons, the list contains a few drug pairs that are labelled as predictions (groups 2-5) although they are known to share a target (which underlines the predictive power of the approach).
EXAMPLES
Based on a newly developed measure for side-effect similarity, the likelihood of sharing protein targets for 215,770 pairs of 746 marketed drugs were analysed and it was proven experimentally that side-effect similarity of many unrelated drugs indeed directly indicates common protein targets. Thus, the inventors were able to propose additional targets for many existing drugs, often implicated in different therapeutic categories. In the following, one preferred embodiment of the novel method for identifying a novel medical indication of a pharmaceutically active compound is provided. Furthermore, the examples also show preferred compounds having novel medical indications and experimental validation of their use.
Example 1: Quantification and normalization of side-effect similarities To classify side effects we used the UMLS (Unified Medical Language System) ontology for medical symptoms (75) and extracted relevant terms from drug package inserts (16) (Fig. IA). As closely related side effects are often annotated as distinct terms (for example, A and E in Fig. IB), their similarities have to be captured. In order to do so, parent side effects were assigned from the UMLS ontology (see Fig. IB where the closest parents of A are shown). In addition, not all side effects are independent of each other; for example, 97% of drugs that cause vomiting also cause nausea. We correct for this redundancy by weighting side effects in a manner analogous to the down-weighting of similar protein sequences within multiple alignments (16, 17) (Fig. 1C).
The recorded side effects vary greatly in abundance: some, like megaloblastic anaemia, occur in only a few package inserts, while others, like dizziness, appear in most. To be able to
account for this, we examined the relation between side-effect frequency and the probability of sharing a drug target within a reference set of 502 drugs with 4859 known human drug-target relationships (Fig. 5). Our reference set was derived from all drug target relations in the MATADOR database (18), DrugBank (7P), and the PDSP Ki database (20), except metabolizing enzymes and unspecific protein binders (16). We observed an inverse correlation between side- effect frequency and the likelihood of two drugs sharing a protein target. Consequently, we weighted side effects correspondently (Fig. ID).
Using the weighting scheme introduced above, we calculated a "raw score" for the side- effect similarity of any two drugs (Fig. IE). As drugs with many side effects, in particular rare ones, perform better in this raw scoring scheme, we normalized the scores into p-values by randomizing the side effects (16) (Fig. IF). These p-values are therefore our measure of side effect similarity between two drugs. The predictive power of this side-effect similarity measure can be tested on our reference set of 502 drugs with known human targets. We observe a surprisingly clear correlation between side-effect similarity and the likelihood that two drugs share a protein target (Fig. IH and also Fig. 6A). Side-effect similarity thus appears as an intriguing predictor that implies new and partly unexpected targets for 'old' drugs on which extensive efforts have been spent in the past to ensure a minimum of damaging effects.
Example 2: Combining side-effect and chemical similarity for target prediction
Numerous studies have correlated chemical similarity of drugs with similar molecular mechanisms (see for example (21-23)). We also see in our reference set that chemically similar drugs (according to 2D Tanimoto chemical similarity score (16)) are more likely to have the same targets (Fig. 1, G and H, and Fig. 6B). We thus compared the overlap of the corresponding predictions with those based on side-effects and found that it is surprisingly small. For example, in the reference set, only 35 drug pairs are in common between the 198 and 301 pairs with more than 50% probability of sharing targets according to their side-effect similarity and chemical similarity, respectively. This not only implies that side effects alone are able to reveal hidden off- targets, but also that a combination of the two predictors should be even more powerful. Consequently, we combined side-effect similarity and chemical similarity (16) and benchmarked against our reference set to obtain the final probabilities for any two drugs to share a protein target (Fig. IH). As expected, both specificity and sensitivity improve considerably (Fig. 6C); for example, in our reference set the combined prediction method identifies 634 drug pairs with more than 50% chance of sharing a target, whereas the two similarity measures separately capture together only 359 such drug pairs.
Example 3: Prediction of common protein targets for dissimilar drugs
We next applied our combined and benchmarked target prediction method to a larger set of 746 human marketed drugs for which side-effect information is available (Table 1), including 244 drugs without annotated human targets in our reference set (for example, antibiotics). After exclusion of 44 drugs with less than 7 side effects that were too unspecific (for details see Fig. 7), we predict 2903 pairs of drugs to share a target with over 25% likelihood (Fig. 2A, for details, see Fig. 8). We use this arbitrary 25% cutoff in the following because above this value the combined method is considerably more sensitive than chemical similarity or side-effect similarity alone (Fig. 6D). The actual chance of sharing a target is likely to be higher than our scoring scheme indicates as many binding partners for known drugs are not known yet and were thus counted as false negatives in our benchmarks (16). Among the 2903 predicted pairs, 956 are already known to have common targets (Fig. 2A). This corresponds to a five-fold enrichment over the random expectation to find drug pairs with common targets {16). Of the remaining 1947 drug pairs that imply novel predictions, only 612 have a Tanimoto 2D chemical similarity higher than 0.6 (which we use in the following to filter for dissimilar drugs, Fig. 2A) indicating that our combined prediction scheme can directly point to novel targets even for dissimilar drugs.
We have previously shown that there is a strong correlation between length-normalized sequence similarity between two proteins and their probability of sharing a ligand (Fig. 9A) (24). This dependency is indeed reflected in our target prediction score: the higher the probability that two drugs have a common target the more likely their targets are related by sequence similarity (Fig. 9B). We thus consider the 244 predicted pairs of drugs that have known, similar targets to be predictable by other means than side-effect similarity (see Fig. 9 for details).
Because of partial overlap of these 244 drug pairs with the 612 pairs of chemically similar drugs, we classify a total of 802 drug pairs as predictable using molecular features (yellow in Fig. 2A), leaving us with 1145 non-obvious pairwise associations of drugs. We then subtracted 255 pairs that only contained drugs without known human target annotated in the reference set and hence do not point to a human off-target (for example, pairs of antibiotics, grey in Fig. 2A) as well as 136 pairs which fall in the same therapeutic category of the Anatomical Therapeutic Chemical Classification System (ATC) of the World Health Organization (for classification see Table 6). The remaining 754 drug pairs (dark green in Fig. 2A) thus all imply predictions of unexpected human off-targets for existing marketed drugs. Example 4: A drug network based on side-effect similarity
To get an overview of the 1018 drug pairs that are predicted to share targets primarily based on side-effect similarity (a subset of the total 2903 predictions restricted to sideeffect similarity p-values < 0.1, Fig. 2B), we constructed a network of the corresponding 424 drugs
with at least 25% likelihood of sharing a target. Classifying these pairs into the categories described above revealed 261 unexpected associations (dark green in Figs. 2B and 3, Fig. 8C and Table 3), which we examined in more detail. Almost half of these associations involve 71 drugs primarily directed against non-human targets (for example, antifungals). Although the prediction of human off-targets for these could lead to additional indications or could be used to reduce their respective side effects, we have not considered those further.
Instead, we focused on those areas in the network that contain drugs with human targets, which belong to different therapeutic categories (Fig. 3). For example, there is a subnetwork of several drugs targeting the nervous system around the anti-ulcer drug Rabeprazole, a proton pump inhibitor. Within this subnetwork, five drug pairs are predicted to share targets with a probability in the range of 30-75%; four of them involve Rabeprazole. We validated all our predictions in this subnetwork both with in vitro and cell assays (Fig. 4). It appears that Rabeprazol binds both the dopamine receptor DRD3 with an antagonist activity and, with lower affinity, the serotonin receptor HTRlD. We could not detect binding to the serotonin transporter SLC6A4 (Fig. 3B). The nervous system drugs Pergolide, Paroxetine and Fluoxetine are known to share two of the three targets above (Fig. 3B), while Zolmitriptan only seems to bind to its primary target serotonin receptor HTRlD that it shares with Rabeprazol (Fig. 3B). Donepezil's primary targets are cholinesterases. We show here that it also binds to serotonin transporter SLC6A4 in vitro and inhibits it in cell assays; this might explain Donepezil's strong side-effect similarity with Venlafaxin (Fig. 3B). Taken together, the sharing of side effects of the proton pump inhibitor Rabeprazole revealed two nervous system off-targets with affinities (Fig. 4) that have been shown to cause side effects (see below, (25)) and should be physiologically relevant given Rabeprazole' s plasma concentrations (26). Our experimental validations also imply that all drug-drug associations in this subnetwork (Fig. 3B) are indeed caused by shared targets. Example S: Verification of predicted drug associations
In order to avoid biases and to be able to generalize the predictive power, we experimentally tested predictions derived from another 15 drug pairs in addition to the five predictions around Rabeprazole (Fig. 3A), all from the "unexpected" category (261 candidate pairs comprising dissimilar drugs from different indication areas in Fig. 2B). In total, for 12 of the 20 pairs tested, we confirmed binding activity to at least one of their predicted targets in vitro (Figs. 4 and 10). Nine of the confirmed drug-target pairs have Ki values of 10 μM or less (Fig. 4). For 8 of the 12 drug-target relations with in vitro activity, cell assays were available and all confirm the predicted activity (Fig. 4). Both the observed phenotypic similarity (shared side effects) that led to these predictions and the cellular activities confirmed here indicate the
physiological relevance of the newly identified drug-target relations. The observed binding affinities are at concentrations that can lead to side effects in at least 40% of the cases (with IC50s <50 μM, (25)) and most are biologically active (Ki <10μM, (12)). All verified predictions imply binding of existing drugs to proteins associated with different therapeutic categories. For example, we have found a relationship between the nootropic drug Donepezil and the antidepressant Venlafaxine. Indeed, there is speculation that Donepezil can be used to treat depression (27). Although it is unclear whether all the novel activities we found are sufficient for direct medical applications, the respective drugs certainly can be used as leads for further optimization towards the new targets (28-30). Example 6: Conclusions
In the course of our study we have i) quantified and normalised side-effect similarity, ii) have established a correlation between side-effect similarity and the probability of sharing targets for pairs of marketed drugs, iii) quantified the dependency of chemical similarity of two drugs and the likelihood of sharing a target, iv) derived a protein target prediction method that combines all those correlations, v) singled out those predictions that are mostly caused by phenotypic side-effect similarity, vi) analysed a network of marketed drugs linked by side-effect similarity and, finally, vii) experimentally confirmed 12 unexpected drug-target relations derived from 20 pairs of dissimilar drugs tested so far (60% success). Hence, the assumptions and probabilities that come along with our predictions of novel off-targets based on 1947 pairs of marketed drugs (Fig. 2A) seem to hold. When taking each individual probability into account they should roughly translate into 860 true drug pairs, each implying at least one new off-target protein, more than two thirds of them in distinct therapeutic categories. The numerous, so far hidden, off-targets for marketed drugs suggest that many of them have a much broader protein binding spectrum with physiological relevance than expected. The use of direct readouts (side effects) of a perturbed human system to reveal molecular drug-target interactions should be applicable in a number of ways. First and foremost, existing drugs could be routinely checked for additional hidden targets and potential use in different therapeutic categories. Newly uncovered off-target effects will provide insights into the molecular basis of the drug's side effects, but will also increase the reference set, which, in turn, then helps improving the method. The strategy could also be used in a pre-clinical setting via integration of candidate drugs into the network presented here or via application to animal models. Example 7: Reference set of protein-drug interactions.
The reference set is composed of 502 drugs approved by the FDA (Food and Drug Administration) with 4857 associated drug-protein interactions. The drug- protein interactions were extracted from the MATADOR database (1), DrugBank (2) and the PDSP Ki database (3) (K.
binding affinity lower than 10 μM). The different contributions of drug-target interactions of the databases are shown in a Venn diagram (Fig. 5). We defined a target as a protein that binds physically to the drug and might be responsible of the drug mechanism of action. Although metabolizing enzymes and unspecific protein binders like albumin also bind drugs, they cannot generally be associated with the mechanism of action and they were therefore excluded from our reference set. We used a heuristic approach to identify those by searching for the following keywords in the annotation of proteins as aggregated in the STRING database (4): "Multidrug", "Cytochrome", "ATP-binding cassette", "Thromboxane", "Arachidonate 5-lipoxygenase", "Glutathione S-transferases", "flavin containing monooxygenase" and "albumin". Example 8: Extraction of side effects.
Concepts of the Coding Symbols for Thesaurus of Adverse Reaction Terms (COSTART) ontology were used as the basis for the extraction of side effects. These concepts were extracted from the Unified Medical Language System (UMLS) Metathesaurus (version from 2006) (5). The concepts were filtered based on the semantic type (STY) annotation of the UMLS. The following types and all sub-types were used: Al.2.2 (Anatomical Abnormality), A2.2 (Finding), and B2.2 (Natural Phenomenon or Process). 2693 out of the 3073 concepts of COST ART passed this filter. Using the COSTART concepts as a seed, synonyms and parent concepts were extracted from the complete UMLS ontology.
The side effect and indication area sections of drug labels were extracted and searched for known terms of side effects. 1443 concepts from UMLS ontology were found by text mining. In order to avoid spurious hits resulting from the description of the drug's purpose within the side effect section, concepts found in the indication area section were masked and discarded from the concepts extracted from the side effect section. Drug labels were assigned to chemical compounds by matching of drug synonyms. Labels for combinations of drugs were discarded during the name mapping and by manual inspection of labels that contain the names of other drugs in the side-effect section. In some cases, groups of closely related drugs, such as Nonsteroidal Anti-Inflammatory Drugs (NSAIDs), are listed together on one label. These labels require manual intervention, as our the text-mining approach assigns all mentioned side effects to all drugs of the label although some of the side effect might only be relevant for some of the drugs. Therefore, these labels were manually annotated to assign the listed side effects to the specific drugs.
Parent terms from the complete UMLS ontology were assigned to the extracted side effects. Side effect and their parents were annotated in a binary fashion regardless of reported abundance in patients during clinical trials or post-marketing (<5).
Example 9:Weighting schemes.
Our weighting scheme consists of two parts, a rareness weight and a correlation weight. The rareness weight for a side effect, π, is defined as the negative logarithm of the side-effect frequency fi. (This frequency refers to the fraction of drug labels that feature a certain side effect, not the relative occurrence of the side effect in patients). In order to determine the correlation weight, the correlation of side effects was determined by clustering all side effects according to their assigned drugs using a Tanimoto/Jacquard score to compute a distance matrix: The distance between two drugs was calculated by dividing the number of drugs that feature both side effects by the number of drugs that have either side effect associated. The Gerstein-Sonnhammer- Chothia algorithm (7) was used to compute weights based on a hierarchal clustering with the aforementioned distance matrix (S). A raw score for the side-effect similarity of a drug-drug pair was calculated by summing the product of the weights over all shared concepts. This raw score was converted into a p-value by generating 10,000 drug pairs in which each side effect has been replaced by a randomly chosen side effect of similar frequency. For each side effect, a set of neighbours was assembled from the 100 side effects that are closest in frequency. This set was then extended to include all side effects of equal rareness. Example 10:Chemical similarity measure
The open-source Chemistry Development Kit (P) was used to calculate chemical fingerprints and the commonly used Tanimoto 2D chemical similarity scores (10, 11). Example 11: Combining 2D and side effect similarity for target prediction.
Drug pairs were scored by their probability of sharing targets based on a function of side- effect similarity and 2D similarity. To this end, we distributed drug pairs from the reference set in a two-dimensional histogram (Figure 12). In the first dimension, drug pairs were distributed using logarithmic percentiles of their ranked side effect similarity p-values, and in the second dimension, they were distributed using percentiles or their ranked chemical similarity. Equal similarity values were assigned to the same percentile.
Within each cell of the histogram, the fraction of drug pairs that share a target is computed as a function of the natural logarithm of the average side effect similarity p-value (JC in the following equations) and average chemical similarity (2D Tanimoto coefficient, y) within the cell. We found that the two-dimensional histogram of the raw data could be well approximated by a sigmoid function (1). (See Figure 12 for the comparison of the two-dimensional histogram for raw data and fitted data.)
(1) PSE,2D represents the probability of sharing the same target for a drug pair with a given side effect similarity p-value and chemical similarity. The fitted parameters are: Λ=0.0167, £=55.507, C=-810.16, D=-\29.6, £=455.6, F=617.3, G=0.415, H=0.83.
We calculated the probability that a drug pair shares a common target based only on the information provided by chemical similarity (2) or side effect similarity pvalue (3) by fitting to a function the dependency of the fraction of drug pairs sharing targets with side-effect similarity p- value or chemical similarity. In the former case, drug pairs were binned using logarithmic percentiles of their ranked side effect similarity p-values and in the later drug pairs were binned using percentiles or their ranked chemical similarity.
The function that better modelled the probability of sharing the same target depending on the chemical similarity measure (2D Tanimoto coefficient) is the following sigmoid function:
(2)
P2D is the probability of sharing the same target as a function of chemical similarity of drug pairs only. A and B are parameters of the function {/4=6.19, 5=0.68). The function used to model the probability of sharing the same target as predicted using only side effect similarity information is the following:
PS£(x) = A - x + B
(3)
PSE is the probability of sharing the same target for a drug pair predicted using only side effect similarity information. A and B are parameters (Λ=-0.084, 5=0.047). Example 12: Quantifying the impact of target similarity. In order to determine the probability of ligand sharing between similar proteins (Fig. 9), data from the PDSP Ki database (3) was analyzed. Ki values less or equal to 10 μM were
considered as binding, whereas higher Ki values were considered as non-binding. Normalized bitscores of 0 in Fig. 9A were caused by low-similarity alignments that are not reported. Protein- protein pairs were sorted by normalized bitscores and binned (14).
To determine the correlation between shared target probability and sequence similarity of their known targets (Fig. 9B), drug pairs where both drugs have at least one known target, but do not share targets, were grouped in bins by their probability for sharing a target. The fraction of pairs related by sequence similarity was determined for each bin and fitted to a line across all bins. To determine the similarity between drug targets, proteins were aligned using the Paralign implementation of the Smith- Waterman algorithm (12). The bit scores were normalized by dividing the bit score of the alignment by the maximum bit score achieved by aligning each of the proteins against itself (14). Example 13: In vitro binding assays.
The company Cerep performed the enzymatic assay for the prostaglandinendoperoxide synthase 2 (COX2, 777-2hr) and binding assays to the dopamine receptor type 3 (D3h, 803-3h), the serotonin transporter (5-HT transporter, 808-Uh), the serotonin receptor ID (5-HTID, 808- ldc), the alpha-2 adrenergic receptor (alpha2A, 802- IbAh), the alpha- 1 adrenergic receptor (alphal, non-selective, 802-la), the beta-1 adrenergic receptor (betal, 802-2ah), the peripheral- type benzodiazepine receptor (BZD, 852), the calcium-activated potassium channel (SKCa, 863- 3), the dopamine receptor type 1 (Dl, 803-lh), the dopamine receptor 2 (D2S,803-2h), the GABA receptor (GABA, non-selective, 804), the histamine Hl receptor (Hl, 805-lh), the opioid receptors (opioid, non-slective, 840), the serotonin receptors (5-HT, nonselective , 808), the norepinephrine transporter (802-Uh), the voltage-dependent calcium channel (L, diltiazem site, 861-L2). Acitretin (44707), Amoxicillin (10039), Clomiphene (C6272), Disopyramide (D7644) Doxepin (D4526), Doxorubicin (44583), Ethambutol (E4630), Fluoxetine (Fl 32), Glibenclamide (G0639), Loratadine (L9664), Ketoconazole (Kl 003), Paroxetin (P9623), Pergolide (P8828) and Primidone (P7295), were purchased from Sigma, Rabeprazole (M36117646) from Molekula GmbH, Raloxifene (2280) from Tocris Biosciences and Cetirizine (C281100), Donepezil (D531750), Quinaprilat (Q670010), Zaleplon (Z145000) and Zolmitriptan (Z639000) from Toronto Research Chemicals Inc. All compounds were stored and shipped as 10 mM stocks in DMSO. The selected drug candidates were initially tested at 50 μM concentration in the relevant binding assay. Those drugs that showed an inhibitory activity of the reference compound binding activity above 40% were further tested by Cerep to determine the Ki values. IC50s were calculated using a non-linear regression analysis of the competition curve generated with mean duplicate values using Hill equation curve fitting (Y = D + [(A - D)/(l + (C/IC50)nH)], where Y = specific binding, D = minimum specific binding (was fixed to 0), A = maximum specific
binding, C =compound concentration, and nH = Hill coefficient. IC50 values were converted to inhibition constant values (Ki) using the Cheng-Prusoff equation (Ki = IC50/(1+(L/KD)), where L = concentration of radioligand in the assay, and KD = affinity of the radioligand for the receptor). The specificity of the in vitro binding assay was controlled by using negative controls at 50 μM. For assays where our own tested candidates did not give negative results (Fig. 10), we ordered tests against compounds we did not expect to bind to verify the specificity. Those compounds are Mafenide on the 808-Uh (5-HT transporter) and 808- ldc (5-HTID) assays and Aspirin on the 805-Ih (Hl) assay.
Example 14: Cell assays. The agonist and antagonist responses of all drugs that showed binding activity (inhibitory activity of the reference compound binding activity) above 40% were tested by Cerep at 50 μM using the following assays: Donepezil: serotonin uptake assay (710); Ketoconazole: serotonin receptor 2C (agonist effect: 722-13a, antagonist effect: 722-13b); Fluoxetine, Rabeprazole and Paroxetine: dopamine receptor 3 (agonist effect: 758-19a, antagonist effect: 758-19b); Zaleplon, Disopyramide, Clomiphene and Acitretin: histamine Hl receptor (agonist effect: 721 -7a, antagonist effect: 721 -7b).
Example 15: Domain analysis.
To exclude the possibility that the new activities are caused by ligand-binding domains that are shared between the known targets and the newly found target, we analysed the domains of all known targets using SMART (73) and found that no domains were shared with the newly discovered targets in each case. Example 16: Enrichment of true positives.
Of the 2679 drug pairs of the reference set that are predicted to share targets, 956 (35.7%) are already known to have common targets (Fig. 2). In total, there are 125,751 drug pairs in the reference set, of which 8678 (6.9%) are known to share targets. Therefore, we observe a more than five-fold enrichment of true positives (35.7/6.9).
Example 17: Tables
In the following tables 1 thorugh 4 will be provided. Table 4 summarizes in vitro and in vivo data obtained for the compounds indicated.
TABLEl
ATC CODE DESCRIPTION OF THERAPEUTIC CATEGORY
AOl STOMATOLOGICAL PREPARATIONS
A02A ANTACIDS
A02B DRUGS FOR PEPTIC ULCER AND GASTRO-OESOPHAGEAL REFLUX DISEASE (GORD)
A03 DRUGS FOR FUNCTIONAL GASTROINTESTINAL DISORDERS
A04 ANTIEMETICS AND ANT1NAUSEANTS
A05 BILE AND LIVER THERAPY
A06 LAXATIVES
A07A INTESTINAL ANTIINFECTIVES
A07B INTESTINAL ADSORBENTS
A07C ELECTROLYTES WITH CARBOHYDRATES
A07E INTESTINAL ANTIINFLAMMATORY AGENTS
A07F ANTIDIARRHEAL MICROORGANISMS
A07X OTHER ANTIDIARRHEALS
A08 ANTIOBESITY PREPARATIONS, EXCL. DIET PRODUCTS
A09 DIGESTIVES, INCL ENZYMES
AlO DRUGS USED IN DIABETES
Al l VITAMINS
A12 MINERAL SUPPLEMENTS
AH ANABOLIC AGENTS FOR SYSTEMIC USE
A16 OTHER ALIMENTARY TRACT AND METABOLISM PRODUCTS
BOl ANTITHROMBOTIC AGENTS
B02A ANTIFIBRINOLYTICS
B02B VITAMIN K. AND OTHER HEMOSTATICS
B03 ANTIANEMIC PREPARATIONS
B05 BLOOD SUBSTITUTES AND PERFUSION SOLUTIONS
B06 OTHER HEMATOLOGICAL AGENTS
COlB ANTIARRHYTHMICS, CLASS 1 AND in
COlC CARDIAC STIMULANTS EXCL. CARDIAC GLYCOSIDES
COlD VASODILATORS USED IN CARDIAC DISEASES
COlE OTHER CARDIAC PREPARATIONS
C02A ANTIADRENERGIC AGENTS, CENTRALLY ACTING
C02B ANTIADRENERGIC AGENTS, GANGLION-BLOCKING
C02C ANTIADRENERGIC AGENTS, PERIPHERALLY ACTING
C02D ARTERIOLAR SMOOTH MUSCLE, AGENTS ACTING ON
C03 DIURETICS
C04 PERIPHERAL VASODILATORS
C05 VASOPROTECTIVES
C07 BETA BLOCKING AGENTS
C08 CALCIUM CHANNEL BLOCKERS
C09 AGENTS ACTING ON THE RENIN-ANGIOTENSIN SYSTEM
ClO LIPID MODIFYING AGENTS
DOl ANTIFUNGALS FOR DERMATOLOGICAL USE
D02 EMOLLIENTS AND PROTECTIVES
D03 PREPARATIONS FOR TREATMENT OF WOUNDS AND ULCERS
D04 ANTIPRURITICS, INCL. ANTIHISTAMINES, ANESTHETICS, ETC.
Table 2 (continued)
REFERENCES
References for the description and examples 1 - 6 1. D. C. Liebler, F. P. Guengerich, Nat Rev Drug Discov. 4, 410 (2005).
2. J. Blagg, Annu Rep Med Chem 41, 353 (2006).
3. S. Whitebread, J. Hamon, D. Bojanic, L. Urban, Drug Discov Today. 10, 1421 (2005).
4. E. Laffitte, J. Revuz, Expert Opin Drug Saf. 3, 47 (2004). 5. T. T. Ashburn, K. B. Thor, Nat Rev Drug Discov. 3, 673 (2004).
6. K. Finlayson, H. J. Witchel, J. McCulloch, J. Sharkey, Eur J Pharmacol 500, 129 (Oct 1, 2004).
7. G. Howell, 3rd et al, BMC Pharmacol. 5, 13. (2005).
8. A. F. Fliri, W. T. Loging, P. F. Thadeio, R. A. Volkmann, Nat Chem Biol. 1, 389 (2005).
9. A. F. Fliri, W. T. Loging, R. A. Volkmann, ChemMedChem. 2, 111 A (2007).
10. M. L. MacDonald et al, Nat Chem Biol. 2, 329 (2006).
11. M. J. Keiser et al., Nat Biotechnol 25, 197 (Feb, 2007).
12. G. V. Paolini, R. H. Shapland, W. P. van Hoorn, J. S. Mason, A. L. Hopkins, Nat Biotechnol. 24, 805 (2006).
13. H. Gohlke, G. Klebe, Angew Chem Int Ed Engl. 41, 2644 (2002).
14. D. B. Kitchen, H. Decornez, J. R. Furr, J. Bajorath, Na/ Rev Drug Discov. 3, 935 (2004).
15. 0. Bodenreider, Nucleic Acids Res. 32, D267 (2004). 16. Materials and methods are available as supporting material on Science Online.
17. M. Gerstein, E. L. Sonnhammer, C. Chothia, J MoI Biol. 236, 1067 (1994).
18. S. Gunther et al., Nucleic Acids Res. 36, D919 (2008).
19. D. S. Wishart et al., Nucleic Acids Res. 34, D668 (2006).
20. B. L. Roth, W. K. Kroeze, S. Patel, E. lopez, The Neuroscientist 6, 252 (2000).
21. Y. C. Martin, J. L. Kofron, L. M. Traphagen, J Med Chem. 45, 4350 (2002).
22. A. Schuffenhauer, P. Floersheim, P. Acklin, E. Jacoby, J Chem InfComput Sci. 43, 391 (2003). 23. A. F. Fliri, W. T. Loging, P. F. Thadeio, R. A. Volkmann, Proc Natl Acad Sci U SA. 102, 261 (2005).
24. M. Kuhn, M. Campillos, P. Gonzalez, L. J. Jensen, P. Bork, FEBS Lett 20, 20 (2008).
25. C. M. Krejsa et al, Curr Opin Drug Discov Devel. 6, 470 (2003). 26. C. J. Lin, J. C. Yang, Y. S. Uang, H. D. Chern, T. H. Wang, Pharmacotherapy.
23. 711 (2003).
27. G. Chouinard, C-S. Peretti, USPTO Application 2007082928, (2007).
28. W. Guba et al., JMed Chem. 50, 6295 (2007).
29. R. E. Martin, L. G. Green, W. Guba, N. Kratochwil, A. Christ, J Med Chem. 50, 6291 (2007).
30. J. Tsai et al, Proc Natl Acad Sci USA. 105, 3041 (2008).
References for examples 7 - 17
I . S. Gunther et al., Nucleic Acids Res. 36, D919 (2008). 2. D. S. Wishart et al. , Nucleic Acids Res. 34, D668 (2006).
3. B. L. Roth, W. K. Kroeze, S. Patel, E. lopez, The Neuroscientist 6, 252 (2000).
4. C. von Mering et al, Nucleic Acids Res. 35, D358 (2007).
5. O. Bodenreider, Nucleic Acids Res. 32, D267 (2004).
6. A. F. Fliri, W. T. Loging, P. F. Thadeio, R. A. Volkmann, Nat Chem Biol. 1, 389 (2005).
7. M. Gerstein, E. L. Sonnhammer, C. Chothia, JMoI Biol. 236, 1067 (1994).
8. M. B. Eisen, P. T. Spellman, P. O. Brown, D. Botstein, Proc Natl Acad Sci U SA. 95, 14863 (1998).
9. C. Steinbeck et al, Curr Pharm Des. 12, 2111 (2006). 10. Y. C. Martin, J. L. Kofron, L. M. Traphagen, JMe^ Chem. 45, 4350 (2002).
I 1. P. Willett, J. M. Barnard, G. M. Downs, JOURNAL OF CHEMICAL INFORMATIONAND COMPUTER SCIENCES 38, 983 (1998).
12. T. Rognes, E. Seeberg, Bioinformatics. 16, 699 (2000). 13. 1. Letunic et al, Nucleic Acids Res. 34, D257 (2006). 14. A. Wallqvist, R. Huang, N. Thanki, D. G. Covell, J Chem Inf Model. 46, 430
(2006).
15. M. Kuhn, M. Campillos, P. Gonzalez, L. J. Jensen, P. Bork, FEBS Lett 20, 20
(2008).
Claims
1. Use of a compound having a structure according to formula I:
(I) wherein
X is O or S; Z is in each instance CR4R5; n! is an integer from 1 to 5; n2 is an integer from 1 to 5; m is an integer from 0 to 4;
R1 is selected from the group consisting of cycloalkyl, heterocycloalkyl, an alicyclic system, aryl and heteroaryl; optionally substituted;
R2 is selected from the group consisting of cycloalkyl, heterocycloalkyl, an alicyclic system, aryl and heteroaryl; optionally substituted;
R3 is selected from the group consisting of hydrogen, halogen, alkyl, alkenyl, alkynyl and cycloalkyl; optionally substituted; and if two R3 substituents are on adjacent carbon atoms, they may together form a cycloalkyl, heterocycloalkyl or alicyclic system; optionally substituted;
R4 and R5 is each independently selected from the group consisting of hydrogen, alkyl, alkenyl, alkynyl, cycloalkyl, heterocycloalkyl, alkoxy, aryl, aralkyl, heteroaryl, and -NR6R7; optionally substituted; R6 and R7 is each independently selected from the group consisting of hydrogen, alkyl, alkenyl, alkynyl, cycloalkyl, heterocycloalkyl, aryl, heteroaryl, and aralkyl or together form a heteroaryl, and heterocycloalkyl; optionally substituted;
or pharmaceutically acceptable salts thereof, for the prevention or treatment of a disease or disorder treatable with a Serotonin-norepinephrine reuptake inhibitor (SNRI).
2. Use according to claim 1 , wherein the compound has a structure according to formula II (cetirizine):
(II).
3. Use of a compound having a structure according to formula III:
(III) wherein m is an integer from 0 to 9; X is O or S; Y is selected from the group consisting of hydrogen, halogen, -NO2, -CN, -OR6, -NR6R7,
-COOR6, -CONR6R7, -NR4COR5, -NR4COR5, -NR4CONR6R7, -NR5SO2A, -COR6 , -
SO2NR6R7, -OOCR4 and -CR4R5OH; R1 is selected from the group consisting of cycloalkyl, heterocycloalkyl, an alicyclic system, aryl and heteroaryl; optionally substituted; R2 is selected from the group consisting of cycloalkyl, heterocycloalkyl, an alicyclic system, aryl and heteroaryl; optionally substituted; R3 is selected from the group consisting of hydrogen, halogen, alkyl, alkenyl, alkynyl and cycloalkyl; optionally substituted; and if two R3 substituents are on adjacent carbon atoms, they may together form a cycloalkyl, heterocycloalkyl or alicyclic system; optionally substituted; R4 and R5 is each independently selected from the group consisting of hydrogen, alkyl, alkenyl, alkynyl, cycloalkyl, heterocycloalkyl, alkoxy, aryl, aralkyl, heteroaryl, and
-NR6R7; optionally substituted;
R6 and R7 is each independently selected from the group consisting of hydrogen, alkyl, alkenyl, alkynyl, cycloalkyl, heterocycloalkyl, aryl, heteroaryl, and aralkyl or together form a heteroaryl, and heterocycloalkyl; optionally substituted; R6' and R7' is each independently selected from the group consisting of hydrogen, alkyl, alkenyl or together form a heterocycloalkyl; optionally substituted;
or pharmaceutically acceptable salts thereof, for the prevention or treatment of a disease or disorder treatable with a Serotonin-norepinephrine reuptake inhibitor (SNRI).
4. Use of a compound according to claim 3, wherein the compound has a structure according to formula IV (tiotropium):
(IV).
5. Use of a compound having a structure according to formula V:
(V)
wherein W is alkyl, -OR6', -CR 44Rn 53,OH, or -NR t i°>t'τR> l't Z is in each instance CR4R5; n! is an integer from 1 to 5;
R1 is selected from the group consisting of cycloalkyl, heterocycloalkyl, an alicyclic system, aryl and heteroaryl; optionally substituted; R2 is selected from the group consisting of cycloalkyl, heterocycloalkyl, an alicyclic system, aryl and heteroaryl; optionally substituted; R4 and R5 is each independently selected from the group consisting of hydrogen, alkyl, alkenyl, alkynyl, cycloalkyl, heterocycloalkyl, alkoxy, aryl, aralkyl, heteroaryl, and
-NR6R7; optionally substituted; R6 and R7 is each independently selected from the group consisting of hydrogen, alkyl, alkenyl, alkynyl, cycloalkyl, heterocycloalkyl, aryl, heteroaryl, and aralkyl or together form a heteroaryl, and heterocycloalkyl; optionally substituted; R6' and R7' is each independently selected from the group consisting of hydrogen, alkyl, alkenyl or together form a heterocycloalkyl; optionally substituted; R8 is each individually selected from the group consisting of hydrogen, alkyl, alkenyl, alkynyl and cycloalkyl; optionally substituted;
or pharmaceutically acceptable salts thereof, for the prevention or treatment of a disease or disorder treatable with a norepinephrine reuptake inhibitors (NRIs).
6. Use of a compound according to claim 5, wherein the compound has a structure according to formula VI (disopyramide):
(VI).
7. Use according to any of claims 1 - 6, wherein the disease or disorder is a depression and/or an anxiety disorder.
8. Use of a compound having a structure according to formula VII:
(VII)
wherein
X is in each instance O or S;
X' is in each instance O or S;
Y is in each instance selected from the group consisting of hydrogen, halogen, -NO2,
-CN, -OR6, -NR6R7, -COOR6, -CONR6R7, -NR4COR5, -NR4COR5, -NR4CONR6R7,
-NR5SO2A, -COR6, -SO2NR6R7, -00CR4 and -CR4R5OH;
Z is in each instance CR4R5; n is an integer from 1 to 5; mi is an integer between O and 3; m2 is an integer between O and 3; R2 is selected from the group consisting of cycloalkyl, heterocycloalkyl, an alicyclic system, aryl and heteroaryl; optionally substituted;
RJ is selected from the group consisting of hydrogen, halogen, alkyl, alkenyl, alkynyl and cycloalkyl; optionally substituted; and if two R3 substituents are on adjacent carbon atoms, they may together form a cycloalkyl, heterocycloalkyl or alicyclic system; optionally substituted; R 3' is selected from the group consisting of hydrogen, halogen, alkyl, alkenyl, alkynyl and cycloalkyl; optionally substituted; and if two R3 substituents are on adjacent carbon atoms, they may together form a cycloalkyl, heterocycloalkyl or alicyclic system; optionally substituted; R4 and R5 is each independently selected from the group consisting of hydrogen, alkyl, alkenyl, alkynyl, cycloalkyl, heterocycloalkyl, alkoxy, aryl, aralkyl, heteroaryl, and
-NR6R7; optionally substituted; R6 and R7 is each independently selected from the group consisting of hydrogen, alkyl, alkenyl, alkynyl, cycloalkyl, heterocycloalkyl, aryl, heteroaryl, and aralkyl or together form a heteroaryl, and heterocycloalkyl; optionally substituted; R8 is selected from the group consisting of hydrogen, alkyl, alkenyl, alkynyl and cycloalkyl; optionally substituted;
or pharmaceutically acceptable salts thereof, for the prevention or treatment of a psychosis and/or a disease or disorder treatable with an antihistamine.
9. Use of a compound according to claim 8, wherein the compound has a structure according to formula VIII (doxorubicin):
(VIII).
10. Use of a compound having a structure according to formula IX:
(IX)
wherein A is in each instance S, O or NR6'; X is O or S;
Z is in each instance CR4 R5 ; m is an integer from 0 to 4; n! is an integer from 1 to 5; n2 is an integer from 1 to 5;
R1 is selected from the group consisting of cycloalkyl, heterocycloalkyl, an alicyclic system, aryl and heteroaryl; optionally substituted; R2 is selected from the group consisting of cycloalkyl, heterocycloalkyl, an alicyclic system, aryl and heteroaryl; optionally substituted; R3 is selected from the group consisting of hydrogen, halogen, alkyl, alkenyl, alkynyl and cycloalkyl; optionally substituted; R4 and R5 is each independently selected from the group consisting of hydrogen, alkyl, alkenyl, alkynyl, cycloalkyl, heterocycloalkyl, alkoxy, aryl, aralkyl and heteroaryl; optionally substituted; R6 and R7 is each independently selected from the group consisting of hydrogen, alkyl, alkenyl, alkynyl, cycloalkyl, heterocycloalkyl, aryl, heteroaryl, and aralkyl or together form a heteroaryl, and heterocycloalkyl; optionally substituted; R6' is selected from the group consisting of hydrogen, alkyl, alkenyl and alkynyl; optionally substituted; R9 is in each instance independently selected from the group consisting of hydrogen, halogen, -NO2, -CN, -OR6, -NR6R7, -COOR6, -CONR6R7,
-NR4COR5, -NR4COR5, -NR4CONR6R7, -NR5SO2A, -COR6^SO2NR6R7,
-00CR4 and -CR4R5OH;
R10 is selected from the group consisting of cycloalkyl, heterocycloalkyl, an alicyclic system, aryl and heteroaryl; optionally substituted;
or pharmaceutically acceptable salts thereof, for the prevention or treatment of disease or disorder treatable with a serotonin receptor antagonist, preferably a 5-HT2 type serotonin receptor antagonist.
11. Use of a compound according to claim 10, wherein the compound has a structure according to formula X (ketoconazole):
(X).
12. Use according to claim 10 or 11, wherein the disease or disorder is psychosis and/or nausea.
13. Use of a compound having a structure according to formula XI:
(XI) wherein
A is S, O or NR6'; B is C or N; E is C or N;
X is O or S; if A is S then X is O; ml is an integer from 0 to 6; m2 is an integer from 0 to 3; m3 is an integer from 0 to 3; n3 is an integer from 1 to 3; ri4 is an integer from 1 to 3;
Y is selected from the group consisting of hydrogen, halogen, -NO2, -CN, -OR , -NR6R7, -COOR6, -CONR6R7, -NR4COR5, -NR4COR5, -NR4CONR6R7, -NR5SO2A, -CORVSO2NR6R7, -00CR4 and
-CR4R5OH; Y' is selected from the group consisting of hydrogen, halogen, -NO2, -CN, -OR6,
-NR6R7, -COOR6, -CONR6R7, -NR4COR5, -NR4COR5, -NR4CONR6R7, -NR5SO2A, -COR6 , -SO2NR6R7, -OOCR4 and
-CR4R5OH; Y" is selected from the group consisting of hydrogen, halogen, -NO2, -CN, -OR6,
-NR6R7, -COOR6, -CONR6R7,
-NR4COR5, -NR4COR5, -NR4CONR6R7, -NR5SO2A, -COR6^SO2NR6R7, -OOCR4 and -CR4R5OH;
Z is in each instance CR4R5;
R4 and R5 is each independently selected from the group consisting of hydrogen, alkyl, alkenyl, alkynyl, cycloalkyl, heterocycloalkyl, alkoxy, aryl, aralkyl, heteroaryl, and
-NR6R7; optionally substituted; R6 and R7 is each independently selected from the group consisting of hydrogen, alkyl, alkenyl, alkynyl, cycloalkyl, heterocycloalkyl, aryl, heteroaryl, and aralkyl or together form a heteroaryl, and heterocycloalkyl; optionally substituted; R6' is selected from the group consisting of hydrogen, alkyl, alkenyl and alkynyl; optionally substituted; R8 is selected from the group consisting of hydrogen, alkyl, alkenyl, alkynyl and cycloalkyl; optionally substituted; and wherein the bond indicated by the dashed line may be present or not;
or pharmaceutically acceptable salts thereof, for the prevention or treatment of disease or disorder treatable with 8-Chloro-6-phenyl-4H-l,2,4-triazolo(4,3-a)-l,4-benzodiazepine (estazolam).
14. Use of a compound according to claim 13, wherein the compound has a structure according to formula XII (loratadine):
(XII).
15. Use according to claim 13 or 14, wherein the disease or disorder is selected from the group consisting of anxiety disorder, insomnia, agitation, a seizure, a muscle spasm and substance abuse-related disorder.
16. Use of a compound having a structure according to formula XIII:
(XIII)
wherein B is C or N;
G is C or S;
X is in each instance O or S;
Z is in each instance CR4R5; m is an integer from O to 3; n! is an integer from 1 to 5; n2 is an integer from 1 to 5;
R1 is selected from the group consisting of cycloalkyl, heterocycloalkyl, an alicyclic system, aryl and heteroaryl; optionally substituted; R3 is selected from the group consisting of hydrogen, halogen, alkyl, alkenyl, alkynyl and cycloalkyl; optionally substituted; and if two R3 substituents are on adjacent carbon atoms, they may together form a cycloalkyl, heterocycloalkyl or alicyclic system; optionally substituted; R4 and R5 is each independently selected from the group consisting of hydrogen, alkyl, alkenyl, alkynyl, cycloalkyl, heterocycloalkyl, alkoxy, aryl, aralkyl, heteroaryl, and
-NR6R7; optionally substituted; R6 and R7 is each independently selected from the group consisting of hydrogen, alkyl, alkenyl, alkynyl, cycloalkyl, heterocycloalkyl, aryl, heteroaryl, and aralkyl or together form a heteroaryl, and heterocycloalkyl; optionally substituted;
R8 is selected from the group consisting of hydrogen, alkyl, alkenyl, alkynyl and cycloalkyl; optionally substituted;
or pharmaceutically acceptable salts thereof, for the prevention or treatment of a disease or disorder treatable with a dopamine receptor antagonist, preferably a type D2-like dopamine receptor antagonist.
17. Use of a compound according to claim 16, wherein the compound has a structure according to formula XIV (rabeprazole):
(XIV).
18. Use according to claim 16 or 17, wherein the disease or disorder is selected from the group consisting of psychosis, nausea, depression, Parkinson's disease and migraine.
19. Use of a compound having a structure according to formula XV:
(XV) wherein m is an integer from 1 to 4; A is S, O or NR6'; X is O or S; Y is in each instance selected from the group consisting of hydrogen, halogen, -NO2,
-CN, -OR6, -NR6R7, -COOR6, -CONR6R7, -NR4COR5, -NR4COR5, -NR4CONR6R7, -NR5SO2A, -COR6 , -SO2NR6R7, -00CR4 and -CR4R5OH;
R1 is selected from the group consisting of cycloalkyl, heterocycloalkyl, an alicyclic system, aryl and heteroaryl; optionally substituted; R2 is selected from the group consisting of cycloalkyl, heterocycloalkyl, an alicyclic system, aryl and heteroaryl; optionally substituted; R4 and R5 is each independently selected from the group consisting of hydrogen, alkyl, alkenyl, alkynyl, cycloalkyl, heterocycloalkyl, alkoxy, aryl, aralkyl, heteroaryl, and -NR6R7; optionally substituted;
R6 and R7 is each independently selected from the group consisting of hydrogen, alkyl, alkenyl, alkynyl, cycloalkyl, heterocycloalkyl, aryl, heteroaryl, and aralkyl or together form a heteroaryl, and heterocycloalkyl; optionally substituted;
R6' is selected from the group consisting of hydrogen, alkyl, alkenyl and alkynyl; optionally substituted;
or pharmaceutically acceptable salts thereof, for the prevention or treatment of a disease or disorder treatable with Tegaserod (2-((5-Methoxy-lH-indol-3-yl)methylene)-N- pentylhydrazinecarboximidamide).
20. Use of a compound according to claim 19, wherein the compound has a structure according to formula XVI (raloxifene):
(XVI).
21. Use according to claim 19 or 20, wherein the disease or disorder is an intestinal pathology, for example gastric stasis or irritable bowel syndrome;
22. Use of a compound having a structure according to formula XVII:
A is each independently selected from S, O or NR6'; Z is in each instance CR4R5; ml is an integer from 0 to 3 ; m2 is an integer from 0 to 3; n is an integer from 1 to 5;
R1 is selected from the group consisting of cycloalkyl, heterocycloalkyl, an alicyclic system, aryl and heteroaryl; optionally substituted; R3 is selected from the group consisting of hydrogen, halogen, alkyl, alkenyl, alkynyl
^nd cycloalkyl; optionally substituted; and if two R3 substituents are on adjacent carbon atoms, they may together form a cycloalkyl, heterocycloalkyl or alicyclic system; optionally substituted; R4 and R5 is each independently selected from the group consisting of hydrogen, alkyl, alkenyl, alkynyl, cycloalkyl, heterocycloalkyl, alkoxy, aryl, aralkyl, heteroaryl, and
-NR6R7; optionally substituted; R6 and R7 is each independently selected from the group consisting of hydrogen, alkyl, alkenyl, alkynyl, cycloalkyl, heterocycloalkyl, aryl, heteroaryl, and aralkyl or together form a heteroaryl, and heterocycloalkyl; optionally substituted;
R6' is selected from the group consisting of hydrogen, alkyl, alkenyl and alkynyl; optionally substituted; R8 is selected from the group consisting of hydrogen, alkyl, alkenyl, alkynyl and cycloalkyl; optionally substituted; and wherein the bond indicated by the dashed line may be present or not;
or pharmaceutically acceptable salts thereof, for the prevention or treatment of a disease or disorder treatable with a dopamine receptor agonist.
23. Use of a compound according to claim 22, wherein the compound has a structure according to formula XVIII (tiagabine):
(XVIII).
24. Use according to claim 22 or 23, wherein the disease or disorder is selected from the group consisting of Parkinson's disease, pars intermedia hyperplasia and Equine Cushing's Syndrome (ECS).
25. Use of a compound having a structure according to formula XIX:
Y is selected from the group consisting of hydrogen, halogen, -NO2, -CN, -OR6, -NR6R7, -COOR6, -CONR6R7,
-NR4COR5, -NR4COR5, -NR4CONR6R7, -NR5SO2A, -COR6^SO2NR6R7, -OOCR4 and -CR4R5OH; R3 is selected from the group consisting of hydrogen, halogen, alkyl, alkenyl, alkynyl and cycloalkyl; optionally substituted; R4 and R5 is each independently selected from the group consisting of hydrogen, alkyl, alkenyl, alkynyl, cycloalkyl, heterocycloalkyl, alkoxy, aryl, aralkyl, heteroaryl, and -NR6R7; optionally substituted; R6 and R7 is each independently selected from the group consisting of hydrogen, alkyl, alkenyl, alkynyl, cycloalkyl, heterocycloalkyl, aryl, heteroaryl, and aralkyl or together form a heteroaryl, and heterocycloalkyl; optionally substituted;
R6' is selected from the group consisting of hydrogen, alkyl, alkenyl and alkynyl; optionally substituted; R8 is in each instance selected from the group consisting of hydrogen, alkyl, alkenyl, alkynyl and cycloalkyl; optionally substituted; and wherein each of the bonds indicated by the dashed line may be present or not;
or pharmaceutically acceptable salts thereof, for the prevention or treatment of a disease or disorder treatable with an L-type calcium channel blocker.
26. Use of a compound according to claim 25, wherein the compound has a structure according to formula XX (vitamin Kl):
(XX).
27. Use according to claim 25 or 26, wherein the disease or disorder is selected from the group consisting of hypertension, angina pectoris, cardiac arrhythmia and a headache.
28. Use of a compound having a structure according to formula XXI:
(XXI). wherein
X is O or S; Z is in each instance CR4R5; n is an integer from 1 to 5; R1 is selected from the group consisting of cycloalkyl, heterocycloalkyl, an alicyclic system, aryl and heteroaryl; optionally substituted;
R2 is selected from the group consisting of cycloalkyl, heterocycloalkyl, an alicyclic system, aryl and heteroaryl; optionally substituted;
R3 is selected from the group consisting of hydrogen, halogen, alkyl, alkenyl, alkynyl and cycloalkyl; optionally substituted;
R4 and R5 is each independently selected from the group consisting of hydrogen, alkyl, alkenyl, alkynyl, cycloalkyl, heterocycloalkyl, alkoxy, aryl, aralkyl, heteroaryl, and -NR6R7; optionally substituted; R6 and R7 is each independently selected from the group consisting of hydrogen, alkyl, alkenyl, alkynyl, cycloalkyl, heterocycloalkyl, aryl, heteroaryl, and aralkyl or together form a heteroaryl, and heterocycloalkyl; optionally substituted; R6' and R7' is each independently selected from the group consisting of hydrogen, alkyl, alkenyl or together form a heterocycloalkyl; optionally substituted; and R8 is in each instance selected from the group consisting of hydrogen, alkyl, alkenyl, alkynyl and cycloalkyl; optionally substituted; or pharmaceutically acceptable salts thereof, for the prevention or treatment of cancer and/or a disease or disorder treatable with a selective estrogen receptor modulator (SERM).
29. Use of a compound according to claim 28, wherein the compound has a structure according to formula XXII (Methadone):
(XXII).
30. Use according to claim 28 or 29, wherein the disease or disorder is selected from the group consisting of breast cancer, prostate cancer and for the treatment of serious side effects of androgen deprivation therapy.
31. Use of a compound having a structure according to formula XXIII:
(XXIII). wherein
X is O or S; n is an integer from 1 to 5;
RJ is selected from the group consisting of hydrogen, halogen, alkyl, alkenyl, alkynyl and cycloalkyl; optionally substituted; and if two R3 substituents are on adjacent carbon atoms, they may together form a cycloalkyl, heterocycloalkyl or alicyclic system; optionally substituted;
R 31 is selected from the group consisting of hydrogen, halogen, alkyl, alkenyl, alkynyl and cycloalkyl; optionally substituted; R' g is selected from the group consisting of hydrogen, alkyl, alkenyl, alkynyl and cycloalkyl; optionally substituted;
or pharmaceutically acceptable salts thereof, for the prevention or treatment of a disease or disorder treatable with treatable with an antihistamine.
32. Use of a compound according to claim 31, wherein the compound has a structure according to formula XXIV (acitretin):
(XXIV).
33. Use of a compound having a structure according to formula XXV:
(XXV) wherein ml is an integer from O to 5; m2 is an integer from O to 4;
X is O or S; -
Y is in each instance selected from the group consisting of hydrogen, halogen, -NO2,
-CN5 -OR6, -NR6R7, -COOR6, -CONR6R7,
-NR4COR5, -NR4COR5, -NR4CONR6R7, -NR5SO2A, -COR6^SO2NR6R7, -00CR4 and
-CR4R5OH; Y' is in each instance selected from the group consisting of hydrogen, halogen, -NO2,
-CN, -OR6, -NR6R7, -COOR6, -CONR6R7,
-NR4COR5, -NR4COR5, -NR4CONR6R7, -NR5SO2A, -COR6^SO2NR6R7, -OOCR4 and
-CR4R5OH; R2 is selected from the group consisting of cycloalkyl, heterocycloalkyl, an alicyclic system, aryl and heteroaryl; optionally substituted; R3 is selected from the group consisting of hydrogen, halogen, alkyl, alkenyl, alkynyl and cycloalkyl; optionally substituted; R4 and R5 is each independently selected from the group consisting of hydrogen, alkyl, alkenyl, alkynyl, cycloalkyl, heterocycloalkyl, alkoxy, aryl, aralkyl, heteroaryl, and
-NR6R7; optionally substituted; R6 and R7 is each independently selected from the group consisting of hydrogen, alkyl, alkenyl, alkynyl, cycloalkyl, heterocycloalkyl, aryl, heteroaryl, and aralkyl or together form a heteroaryl, and heterocycloalkyl; optionally substituted;
R is in each instance selected from the group consisting of hydrogen, alkyl, alkenyl, alkynyl and cycloalkyl; optionally substituted; and wherein the bond indicated by the dashed line may be present or not;
or pharmaceutically acceptable salts thereof, for the prevention or treatment of a disease or disorder treatable with an antihistamine.
35. Use according to any of claims 31 to 34, wherein the disease or disorder is an allergy such as hay fever, angioedema or urticaria.
36. Use of a compound having a structure according to formula XXVII:
wherein m is an integer from O to 3; B is C or N; X is O or S; Y is selected from the group consisting of hydrogen, halogen, -NO2, -CN, -OR6, -NR6R7, -COOR6, -CONR6R7,
-NR4COR5, -NR4COR5, -NR4CONR6R7, -NR5SO2A, -COR6^SO2NR6R7, -OOCR4 and -CR4R5OH;
R3 is selected from the group consisting of hydrogen, halogen, alkyl, alkenyl, alkynyl and cycloalkyl; optionally substituted;
R4 and R5 is each independently selected from the group consisting of hydrogen, alkyl, alkenyl, alkynyl, cycloalkyl, heterocycloalkyl, alkoxy, aryl, aralkyl, heteroaryl, and -NR6R7; optionally substituted; R6 and R7 is each independently selected from the group consisting of hydrogen, alkyl, alkenyl, alkynyl, cycloalkyl, heterocycloalkyl, aryl, heteroaryl, and aralkyl or together form a heteroaryl, and heterocycloalkyl; optionally substituted;
R6' and R7' is each independently selected from the group consisting of hydrogen, alkyl, alkenyl or together form a heterocycloalkyl; optionally substituted; or pharmaceutically acceptable salts thereof, for the prevention or treatment of tachycardia or a disease or disorder treatable with an antihistamine, for example an allergy such as hay fever, angioedema or urticaria.
37. Use of a compound according to claim 36, wherein the compound has a structure according to formula XXVIII (ethionamide):
38. Use of a compound having a structure according to formula XXIX:
(XXIX)
wherein
X is O or S; R1 is selected from the group consisting of cycloalkyl, heterocycloalkyl, an alicyclic system, aryl and heteroaryl; optionally substituted;
R is selected from the group consisting of cycloalkyl, heterocycloalkyl, an alicyclic system, aryl and heteroaryl; optionally substituted; R8 is selected from the group consisting of hydrogen, alkyl, alkenyl, alkynyl and cycloalkyl; optionally substituted;
or pharmaceutically acceptable salts thereof, for the prevention or treatment of a disease or disorder treatable with an antihistamine.
39. Use of a compound according to claim 38, wherein the compound has a structure according to formula XXX (nateglinide):
(XXX).
40. Use according to claim 38 or 39, wherein the disease or disorder is an allergy such as hay fever, angioedema or urticaria.
41. Use of a compound having a structure according to formula XXXI:
(XXXI)
wherein ml is an integer from 0 to 2; m2 is an integer from 1 to 2; m3 is an integer from 0 to 4; Y is in each instance selected from the group consisting of hydrogen, halogen, -NO2,
-CN, -OR6, -NR6R7, -COOR6, -CONR6R7,
-NR4COR5, -NR4COR5, -NR4CONR6R7, -NR5SO2A, -COR6 , -SO2NR6R7, -00CR4 and
-CR4R5OH; Y' is in each instance selected from the group consisting of hydrogen, halogen, -NO2,
-CN, -OR6, -NR6R7, -COOR6, -CONR6R7,
-NR4COR5, -NR4COR5, -NR4CONR6R7, -NR5SO2A, -COR6^SO2NR6R7, -OOCR4 and
-CR4R5OH; Y" is in each instance selected from the group consisting of hydrogen, halogen, -NO2,
-CN, -OR6, -NR6R7, -COOR6, -CONR6R7,
-NR4COR5, -NR4COR5, -NR4CONR6R7, -NR5SO2A, -COR6 , -SO2NR6R7, -OOCR4 and
-CR4R5OH; R4 and R5 is each independently selected from the group consisting of hydrogen, alkyl, alkenyl, alkynyl, cycloalkyl, heterocycloalkyl, alkoxy, aryl, aralkyl, heteroaryl, and -NR6R7; optionally substituted;
R6 and R7 is each independently selected from the group consisting of hydrogen, alkyl, alkenyl, alkynyl, cycloalkyl, heterocycloalkyl, aryl, heteroaryl, and aralkyl or together form a heteroaryl, and heterocycloalkyl; optionally substituted; R8 is selected from the group consisting of hydrogen, alkyl, alkenyl, alkynyl and cycloalkyl; optionally substituted;
R11 is selected from the group consisting of hydrogen, -COR12 , -CR4R5OH, alkyl, alkynyl and cycloalkyl; optionally substituted; R12 is selected from the group consisting of hydrogen, alkyl, alkenyl, alkynyl, cycloalkyl, heterocycloalkyl, aryl, heteroaryl, and aralkyl; optionally substituted;
or pharmaceutically acceptable salts thereof, for the prevention or treatment of a depression and/or a disease or disorder treatable with an antihistamine.
42. Use of a compound according to claim 41, wherein the compound has a structure according to formula XXXII (zaleplon):
(XXXII).
43. Use of a compound having a structure according to formula XXXIII:
(XXXIII) wherein m is an integer between 0 and 2; B is in each instance C or N; X is O or S;
Y is selected from the group consisting of hydrogen, halogen, -NO2, -CN, -OR6, -NR6R7, -COOR6, -CONR6R7,
-NR4COR5, -NR4COR5, -NR4CONR6R7, -NR5SO2A, -COR6^SO2NR6R7, -OOCR4 and -CR4R5OH; R is selected from the group consisting of cycloalkyl, heterocycloalkyl, an alicyclic system, aryl and heteroaryl; optionally substituted; R4 and R5 is each independently selected from the group consisting of hydrogen, alkyl, alkenyl, alkynyl, cycloalkyl, heterocycloalkyl, alkoxy, aryl, aralkyl, heteroaryl, and -NR6R7; optionally substituted; R6 and R7 is each independently selected from the group consisting of hydrogen, alkyl, alkenyl, alkynyl, cycloalkyl, heterocycloalkyl, aryl, heteroaryl, and aralkyl or together form a heteroaryl, and heterocycloalkyl; optionally substituted; R11 is selected from the group consisting of hydrogen, -COR12 , -CR4R5OH, alkyl, alkynyl and cycloalkyl; optionally substituted; R12 is selected from the group consisting of hydrogen, alkyl, alkenyl, alkynyl, cycloalkyl, heterocycloalkyl, aryl, heteroaryl, and aralkyl; optionally substituted;
or pharmaceutically acceptable salts thereof, for the prevention or treatment of a depression and/or a disease or disorder treatable with an antihistamine.
44. Use of a compound according to claim 43, wherein the compound has a structure according to formula XXXIV (zopiclone):
45. Use according to any of claims 7, 18, 41 and 43, wherein the depression is selected from the group consisting of clinical depression, melancholic depression, atypical depression, psychotic depression and postnatal depression.
46. Use according to claim 7 or 15, wherein the anxiety disorder is selected from the group consisting of panic disorder, agoraphobia, social anxiety disorder, obsessive- compulsive disorder, post-traumatic stress disorder and separation anxiety.
47. Use according to claim 12, wherein the psychosis is selected from the group consisting of schizophrenia, bipolar disorder, mania and delusional disorder.
48. Method for identifying a novel medical indication of a pharmaceutically active compound comprising the steps: (a) extracting side-effects of a first pharmaceutically active compound from at least one database;
(b) extracting side-effects of a second pharmaceutically active compound from at least one database; (c) determining a side-effect similarity score which is the degree of similarity between the side-effects of the first and the second pharmaceutically active compound;
49. Method according to claim 48, further comprising the step
(d) determining a chemical similarity score which is the degree of structural similarity between the first and the second pharmaceutically active compound.
50. Method according to claim 48 or 49, further comprising the step
(e) determining the probability that the second pharmaceutically active compound binds to the same therapeutic target protein as the first pharmaceutically active compound; wherein the probability is a function of the side-effect similarity score from step (c) and/or of the chemical similarity score from step (d).
51. Method according to claim 50, further comprising the step
(f) repeating steps (a) through (e) for a multiplicity of non-redundant pairs of pharmaceutically active compounds; wherein each pair comprises a respective first and second pharmaceutically active compound.
52. Method according to claim 50 or 51 , further comprising the step
(g) if the probability determined in step (e) is greater than 20% preferably greater than 25% then: selecting the medical indication of the first pharmaceutically active compound as a novel medical indication for the second pharmaceutically active compound; and/or selecting the medical indication of the second pharmaceutically active compound as a novel medical indication for the first pharmaceutically active compound;
53. Method according to any of claims 48-52, wherein in step (a) and/or (b), extracted side-effects that are synonymous and/or fall into a common classification class such as defined e.g. by the Coding Symbols for a Thesaurus of Adverse Reaction Terms (COSTART) or the International Classification of Primary Care (ICPC), are grouped and treated as one side-effect throughout the method.
54. Method according to claim 53, wherein at least one parent side-effect from at least one ontology is assigned to each side-effect of the first and/or second pharmaceutical compound to provide an "is-a" relation which is preferably used to determine similarities between closely related side effects.
55. Method according to any of claims 48-54, wherein in the prior art the first pharmaceutically active compound is not used for the same medical indication as the second pharmaceutically active compound.
56. Method according to any of claims 48-55, wherein the side-effect similarity score in step (c) is a similarity measure.
57. Method according to any of claims 48-56, wherein the similarity measure is a distance measure.
58. Method according to any of claims 48-57, wherein the similarity measure is the sum of all side-effects shared between the first and second pharmaceutically active compound or a similarity measure selected from the group consisting of: a Cosine coefficient, a Dice coefficient, an Euclid coefficient, a Forbes coefficient, a Hamman coefficient, a Jaccard coefficient, a Kulczynski coefficient, a Manhattan coefficient, a Matching coefficient, a Pearson correlation, a Rogers-tanimoto coefficient, a Russell-rao coefficient, a Simpson coefficient, a Tanimoto coefficient and a Yule coefficient.
59. Method according to claim 58, wherein each shared side-effect is weighted according to the frequency of its occurrence and/or according to the frequency with which the side-effect correlates with other side-effects.
60. Method according to claim 59, wherein the weight used to account for the frequency of correlation is determined using a tree weighting algorithm, for example the Gerstein-Sonnhammer-Chothia algorithm.
61. Method according to claim 59 or 60, wherein the weight of the side-effect frequency is the negative logarithm of the side-effect's frequency of occurrence.
62. Method according to claims 48-61, wherein the side-effect similarity score is normalized by determining what fraction of a multiplicity of pairs of pharmaceutically active compounds, each of which has randomized side effects, has a side-effect similarity score which is equal or greater than the side-effect similarity score of the first and the second pharmaceutically active compound.
63. Method according to claim 62, wherein (i) the normalized side-effect similarity score is said fraction;
(ii) each pair of said multiplicity of pairs of pharmaceutically active compounds has the same respective number of side-effects than the first and the second pharmaceutically active compound; and
(iii) random side effects are selected for each pharmaceutically active compound by replacing each original side effect with one side-effect that is randomly selected from a set of side effects with similar frequency of occurrence.
64. Method according to any of claims 48-63, wherein the chemical similarity score in step (d) is a Tanimoto 2D chemical similarity score, a Tanimoto 3D chemical similarity score, or a Tversky index.
65. Method according to any of claims 48-64, wherein the probability in step (e) is determined using a continuous or discontinuous probability function that has been derived from a reference dataset comprising pharmaceutically active compounds, their respective side-effects as well as their respective one or more therapeutic target proteins.
66. Method according to claim 65, wherein the probability function correlates the side- effect similarity score determined according to step (c) and/or the chemical similarity score determined according to step (d) of a pair of pharmaceutically active compounds in the reference set with the probability that said pair shares the same therapeutic target protein.
67. Method according to claim 65 or 66, wherein the probability function is a sigmoid function.
68. Method according to claim 67, wherein the sigmoid function is a function P(x,y) according to the formula:
H is a real number between 0.7 and 0.9, preferably 0.83; A is a real number between 0.01 and 0.03, preferably 0.0167;
B is a real number between 50 and 60, preferably 55.507;
C is a real number between -600 and -1000, preferably -810.16;
D is a real number between -50 and -200, preferably -129.6;
E is a real number between 400 and 600, preferably 455.6; F is a real number between 500 and 700, preferably 617.3; and
G is a real number between 0.1 and 0.8, preferably 0.415.
69. Method according to any of claims 65-68, wherein the probability function is a discontinuous function derived from the fraction of drug pairs that share a target within intervals of side-effect similarity scores and chemical similarity scores.
70. Method according to any of claims 65-69, wherein the side-effect similarity score in step (c) is the weighted sum of all side-effects shared between the first and second pharmaceutically active compound; wherein the chemical similarity score in step (d) is a Tanimoto 2D chemical similarity score and wherein the probability function is a sigmoid function. Use of a pharmaceutically active compound for which a novel medical indication has been identified according to the method of any of claims 48-70 for the prevention or treatment of the respective novel medical indication that has been identified according to the method of any of claims 48-70.
Applications Claiming Priority (2)
| Application Number | Priority Date | Filing Date | Title |
|---|---|---|---|
| US4329208P | 2008-04-08 | 2008-04-08 | |
| US61/043,292 | 2008-04-08 |
Publications (1)
| Publication Number | Publication Date |
|---|---|
| WO2009124755A1 true WO2009124755A1 (en) | 2009-10-15 |
Family
ID=40791404
Family Applications (1)
| Application Number | Title | Priority Date | Filing Date |
|---|---|---|---|
| PCT/EP2009/002620 Ceased WO2009124755A1 (en) | 2008-04-08 | 2009-04-08 | Compounds with novel medical uses and method of identifying such compounds |
Country Status (1)
| Country | Link |
|---|---|
| WO (1) | WO2009124755A1 (en) |
Cited By (60)
| Publication number | Priority date | Publication date | Assignee | Title |
|---|---|---|---|---|
| US8445526B2 (en) | 2011-02-03 | 2013-05-21 | Glaucoma & Nasal Therapies Llc | Compositions and methods for treatment of glaucoma |
| CN103860561A (en) * | 2014-04-08 | 2014-06-18 | 青岛大学医学院附属医院 | Medicament composition for preventing and treating breast cancer and application thereof |
| US8765758B2 (en) | 2009-12-17 | 2014-07-01 | Eye Therapies Llc | Compositions and methods for eye whitening |
| US8952011B2 (en) | 2008-08-01 | 2015-02-10 | Eye Therapies Llc | Compositions and methods for the treatment of nasal conditions |
| US8987270B2 (en) | 2009-07-27 | 2015-03-24 | Eye Therapies Llc | Formulations of selective alpha-2 agonists and methods of use thereof |
| US8999938B2 (en) | 2013-06-21 | 2015-04-07 | Gnt Llc | Ophthalmic lipophilic drug delivery vehicle formulations |
| WO2015150299A3 (en) * | 2014-04-01 | 2015-12-23 | Boehringer Ingelheim Vetmedica Gmbh | Treatment of metabolic disorders in equine animals |
| US9266886B2 (en) | 2014-02-03 | 2016-02-23 | Vitae Pharmaceuticals, Inc. | Dihydropyrrolopyridine inhibitors of ROR-gamma |
| US9481674B1 (en) | 2016-06-10 | 2016-11-01 | Vitae Pharmaceuticals, Inc. | Dihydropyrrolopyridine inhibitors of ROR-gamma |
| US9492444B2 (en) | 2013-12-17 | 2016-11-15 | Pharmaceutical Manufacturing Research Services, Inc. | Extruded extended release abuse deterrent pill |
| CN106470994A (en) * | 2014-08-27 | 2017-03-01 | 豪夫迈·罗氏有限公司 | For treating substituted pyrazine simultaneously [2,1 A] isoquinilone derivatives of CNS disease |
| US9585893B2 (en) | 2011-02-23 | 2017-03-07 | Coeruleus Ltd. | Flumazenil complexes, compositions comprising same and uses thereof |
| WO2017040778A1 (en) * | 2015-09-04 | 2017-03-09 | Janssen Pharmaceutica Nv | Therapeutic compound for pain and synthesis thereof |
| US9663515B2 (en) | 2014-11-05 | 2017-05-30 | Vitae Pharmaceuticals, Inc. | Dihydropyrrolopyridine inhibitors of ROR-gamma |
| US9707184B2 (en) | 2014-07-17 | 2017-07-18 | Pharmaceutical Manufacturing Research Services, Inc. | Immediate release abuse deterrent liquid fill dosage form |
| US9796710B2 (en) | 2014-10-14 | 2017-10-24 | Vitae Pharmaceuticals, Inc. | Dihydropyrrolopyridine inhibitors of ROR-gamma |
| US9845308B2 (en) | 2014-11-05 | 2017-12-19 | Vitae Pharmaceuticals, Inc. | Isoindoline inhibitors of ROR-gamma |
| WO2018208633A1 (en) * | 2017-05-07 | 2018-11-15 | China Medical University | Methods and compositions for treating withdrawal syndrome |
| US10172797B2 (en) | 2013-12-17 | 2019-01-08 | Pharmaceutical Manufacturing Research Services, Inc. | Extruded extended release abuse deterrent pill |
| US10195153B2 (en) | 2013-08-12 | 2019-02-05 | Pharmaceutical Manufacturing Research Services, Inc. | Extruded immediate release abuse deterrent pill |
| US10301261B2 (en) | 2015-08-05 | 2019-05-28 | Vitae Pharmaceuticals, Llc | Substituted indoles as modulators of ROR-gamma |
| US10357487B2 (en) * | 2015-12-03 | 2019-07-23 | Sidney J. Goldfarb | Combinations of acetylcholinesterase inhibitors and muscarinic agonists and methods of use thereof |
| US10555958B2 (en) | 2014-09-25 | 2020-02-11 | Boehringer Ingelheim Vetmedica Gmbh | Combination treatment of SGLT2 inhibitors and dopamine agonists for preventing metabolic disorders in equine animals |
| US10603300B2 (en) | 2014-01-23 | 2020-03-31 | Boehringer Ingelheim Vetmedica Gmbh | Treatment of metabolic disorders in canine animals |
| US10617666B2 (en) | 2013-12-17 | 2020-04-14 | Boehringer Ingelheim Vetmedica Gmbh | Treatment of metabolic disorders in feline animals |
| US10772871B2 (en) | 2013-10-07 | 2020-09-15 | Teikoku Pharma Usa, Inc. | Dexmedetomidine transdermal delivery devices and methods for using the same |
| US10829481B2 (en) | 2016-01-29 | 2020-11-10 | Vitae Pharmaceuticals, Llc | Benzimidazole derivatives as modulators of ROR-gamma |
| US10874642B2 (en) | 2013-10-07 | 2020-12-29 | Teikoku Pharma Usa, Inc. | Methods and compositions for treating attention deficit hyperactivity disorder, anxiety and insomnia using dexmedetomidine transdermal compositions |
| US10913739B2 (en) | 2017-07-24 | 2021-02-09 | Vitae Pharmaceuticals, LLC (121374) | Inhibitors of RORγ |
| US10959958B2 (en) | 2014-10-20 | 2021-03-30 | Pharmaceutical Manufacturing Research Services, Inc. | Extended release abuse deterrent liquid fill dosage form |
| US10987342B2 (en) | 2013-10-07 | 2021-04-27 | Teikoku Pharma Usa, Inc. | Methods and compositions for transdermal delivery of a non-sedative amount of dexmedetomidine |
| US11008340B2 (en) | 2015-11-20 | 2021-05-18 | Vitae Pharmaceuticals, Llc | Modulators of ROR-gamma |
| US11014923B2 (en) | 2015-02-20 | 2021-05-25 | Incyte Corporation | Bicyclic heterocycles as FGFR4 inhibitors |
| US11053246B2 (en) | 2012-06-13 | 2021-07-06 | Incyte Corporation | Substituted tricyclic compounds as FGFR inhibitors |
| US11116760B2 (en) | 2018-10-30 | 2021-09-14 | Gilead Sciences, Inc. | Quinoline derivatives |
| US11173162B2 (en) | 2015-02-20 | 2021-11-16 | Incyte Corporation | Bicyclic heterocycles as FGFR4 inhibitors |
| US11174256B2 (en) | 2018-10-30 | 2021-11-16 | Gilead Sciences, Inc. | Imidazopyridine derivatives |
| US11174257B2 (en) | 2018-05-04 | 2021-11-16 | Incyte Corporation | Salts of an FGFR inhibitor |
| US11179383B2 (en) | 2018-10-30 | 2021-11-23 | Gilead Sciences, Inc. | Compounds for inhibition of α4β7 integrin |
| US11186573B2 (en) | 2017-07-24 | 2021-11-30 | Vitae Pharmaceuticals, Llc | Inhibitors of ROR gamma |
| US11224600B2 (en) | 2018-10-30 | 2022-01-18 | Gilead Sciences, Inc. | Compounds for inhibition of alpha 4 beta 7 integrin |
| US11407750B2 (en) | 2019-12-04 | 2022-08-09 | Incyte Corporation | Derivatives of an FGFR inhibitor |
| US11466004B2 (en) | 2018-05-04 | 2022-10-11 | Incyte Corporation | Solid forms of an FGFR inhibitor and processes for preparing the same |
| US11472801B2 (en) | 2017-05-26 | 2022-10-18 | Incyte Corporation | Crystalline forms of a FGFR inhibitor and processes for preparing the same |
| US11530214B2 (en) | 2013-04-19 | 2022-12-20 | Incyte Holdings Corporation | Bicyclic heterocycles as FGFR inhibitors |
| CN115515578A (en) * | 2020-05-07 | 2022-12-23 | 诺罗瑞韦有限公司 | Combination therapy of cycloserine and pentoxifylline for the treatment of depression |
| US11566028B2 (en) | 2019-10-16 | 2023-01-31 | Incyte Corporation | Bicyclic heterocycles as FGFR inhibitors |
| US11578069B2 (en) | 2019-08-14 | 2023-02-14 | Gilead Sciences, Inc. | Compounds for inhibition of α4 β7 integrin |
| US11591329B2 (en) | 2019-07-09 | 2023-02-28 | Incyte Corporation | Bicyclic heterocycles as FGFR inhibitors |
| US11596600B2 (en) | 2008-08-01 | 2023-03-07 | Eye Therapies, Llc | Vasoconstriction compositions and methods of use |
| US11607416B2 (en) | 2019-10-14 | 2023-03-21 | Incyte Corporation | Bicyclic heterocycles as FGFR inhibitors |
| US11628162B2 (en) | 2019-03-08 | 2023-04-18 | Incyte Corporation | Methods of treating cancer with an FGFR inhibitor |
| US11897891B2 (en) | 2019-12-04 | 2024-02-13 | Incyte Corporation | Tricyclic heterocycles as FGFR inhibitors |
| US11939331B2 (en) | 2021-06-09 | 2024-03-26 | Incyte Corporation | Tricyclic heterocycles as FGFR inhibitors |
| US12012409B2 (en) | 2020-01-15 | 2024-06-18 | Incyte Corporation | Bicyclic heterocycles as FGFR inhibitors |
| US12065494B2 (en) | 2021-04-12 | 2024-08-20 | Incyte Corporation | Combination therapy comprising an FGFR inhibitor and a Nectin-4 targeting agent |
| US12122767B2 (en) | 2019-10-01 | 2024-10-22 | Incyte Corporation | Bicyclic heterocycles as FGFR inhibitors |
| US12246013B2 (en) | 2008-08-01 | 2025-03-11 | Eye Therapies Llc | Vasoconstriction compositions and methods of use |
| US12428420B2 (en) | 2021-06-09 | 2025-09-30 | Incyte Corporation | Tricyclic heterocycles as FGFR inhibitors |
| US12527770B2 (en) | 2016-10-31 | 2026-01-20 | Teikoku Pharma Usa, Inc. | Methods of managing pain using dexmedetomidine transdermal delivery devices |
-
2009
- 2009-04-08 WO PCT/EP2009/002620 patent/WO2009124755A1/en not_active Ceased
Non-Patent Citations (1)
| Title |
|---|
| CAMPILLOS M ET AL: "Drug target identification using side-effect similarity", SCIENCE 20080711 US, vol. 321, no. 5886, 11 July 2008 (2008-07-11), pages 263 - 266, XP002534673, ISSN: 0036-8075 1095-9203 * |
Cited By (87)
| Publication number | Priority date | Publication date | Assignee | Title |
|---|---|---|---|---|
| US12246013B2 (en) | 2008-08-01 | 2025-03-11 | Eye Therapies Llc | Vasoconstriction compositions and methods of use |
| US8952011B2 (en) | 2008-08-01 | 2015-02-10 | Eye Therapies Llc | Compositions and methods for the treatment of nasal conditions |
| US11596600B2 (en) | 2008-08-01 | 2023-03-07 | Eye Therapies, Llc | Vasoconstriction compositions and methods of use |
| US11833245B2 (en) | 2008-08-01 | 2023-12-05 | Eye Therapies Llc | Vasoconstriction compositions and methods of use |
| US12311050B2 (en) | 2008-08-01 | 2025-05-27 | Eye Therapies Llc | Vasoconstriction compositions and methods of use |
| US8987270B2 (en) | 2009-07-27 | 2015-03-24 | Eye Therapies Llc | Formulations of selective alpha-2 agonists and methods of use thereof |
| US8765758B2 (en) | 2009-12-17 | 2014-07-01 | Eye Therapies Llc | Compositions and methods for eye whitening |
| US9259425B2 (en) | 2009-12-17 | 2016-02-16 | Eye Therapies Llc | Compositions and methods for eye whitening |
| US8445526B2 (en) | 2011-02-03 | 2013-05-21 | Glaucoma & Nasal Therapies Llc | Compositions and methods for treatment of glaucoma |
| US9585893B2 (en) | 2011-02-23 | 2017-03-07 | Coeruleus Ltd. | Flumazenil complexes, compositions comprising same and uses thereof |
| US11053246B2 (en) | 2012-06-13 | 2021-07-06 | Incyte Corporation | Substituted tricyclic compounds as FGFR inhibitors |
| US12534463B2 (en) | 2012-06-13 | 2026-01-27 | Incyte Corporation | Substituted tricyclic compounds as FGFR inhibitors |
| US11840534B2 (en) | 2012-06-13 | 2023-12-12 | Incyte Corporation | Substituted tricyclic compounds as FGFR inhibitors |
| US11530214B2 (en) | 2013-04-19 | 2022-12-20 | Incyte Holdings Corporation | Bicyclic heterocycles as FGFR inhibitors |
| US8999938B2 (en) | 2013-06-21 | 2015-04-07 | Gnt Llc | Ophthalmic lipophilic drug delivery vehicle formulations |
| US10639281B2 (en) | 2013-08-12 | 2020-05-05 | Pharmaceutical Manufacturing Research Services, Inc. | Extruded immediate release abuse deterrent pill |
| US10195153B2 (en) | 2013-08-12 | 2019-02-05 | Pharmaceutical Manufacturing Research Services, Inc. | Extruded immediate release abuse deterrent pill |
| US10987342B2 (en) | 2013-10-07 | 2021-04-27 | Teikoku Pharma Usa, Inc. | Methods and compositions for transdermal delivery of a non-sedative amount of dexmedetomidine |
| US10772871B2 (en) | 2013-10-07 | 2020-09-15 | Teikoku Pharma Usa, Inc. | Dexmedetomidine transdermal delivery devices and methods for using the same |
| US10874642B2 (en) | 2013-10-07 | 2020-12-29 | Teikoku Pharma Usa, Inc. | Methods and compositions for treating attention deficit hyperactivity disorder, anxiety and insomnia using dexmedetomidine transdermal compositions |
| US11896574B2 (en) | 2013-12-17 | 2024-02-13 | Boehringer Ingelheim Vetmedica Gmbh | Treatment of metabolic disorders in feline animals |
| US10617666B2 (en) | 2013-12-17 | 2020-04-14 | Boehringer Ingelheim Vetmedica Gmbh | Treatment of metabolic disorders in feline animals |
| US10172797B2 (en) | 2013-12-17 | 2019-01-08 | Pharmaceutical Manufacturing Research Services, Inc. | Extruded extended release abuse deterrent pill |
| US9492444B2 (en) | 2013-12-17 | 2016-11-15 | Pharmaceutical Manufacturing Research Services, Inc. | Extruded extended release abuse deterrent pill |
| US10792254B2 (en) | 2013-12-17 | 2020-10-06 | Pharmaceutical Manufacturing Research Services, Inc. | Extruded extended release abuse deterrent pill |
| US10603300B2 (en) | 2014-01-23 | 2020-03-31 | Boehringer Ingelheim Vetmedica Gmbh | Treatment of metabolic disorders in canine animals |
| US11433045B2 (en) | 2014-01-23 | 2022-09-06 | Boehringer Ingelheim Vetmedica Gmbh | Treatment of metabolic disorders in canine animals |
| US10047085B2 (en) | 2014-02-03 | 2018-08-14 | Vitae Pharmaceuticals, Inc. | Dihydropyrrolopyridine inhibitors of ROR-gamma |
| US10807980B2 (en) | 2014-02-03 | 2020-10-20 | Vitae Pharmaceuticals, Llc | Dihydropyrrolopyridine inhibitors of ROR-gamma |
| US9266886B2 (en) | 2014-02-03 | 2016-02-23 | Vitae Pharmaceuticals, Inc. | Dihydropyrrolopyridine inhibitors of ROR-gamma |
| US10399976B2 (en) | 2014-02-03 | 2019-09-03 | Vitae Pharmaceuticals, Llc | Dihydropyrrolopyridine inhibitors of ROR-gamma |
| US11535614B2 (en) | 2014-02-03 | 2022-12-27 | Vitae Pharmaceuticals, Llc | Dihydropyrrolopyridine inhibitors of ROR-gamma |
| US9624217B2 (en) | 2014-02-03 | 2017-04-18 | Vitae Pharmaceuticals, Inc. | Dihydropyrrolopyridine inhibitors of ROR-gamma |
| US10688116B2 (en) | 2014-04-01 | 2020-06-23 | Boehringer Ingelheim Vetmedica Gmbh | Treatment of metabolic disorders in equine animals |
| WO2015150299A3 (en) * | 2014-04-01 | 2015-12-23 | Boehringer Ingelheim Vetmedica Gmbh | Treatment of metabolic disorders in equine animals |
| CN103860561B (en) * | 2014-04-08 | 2015-11-18 | 青岛大学医学院附属医院 | A kind of pharmaceutical composition and application thereof preventing and treating breast carcinoma |
| CN103860561A (en) * | 2014-04-08 | 2014-06-18 | 青岛大学医学院附属医院 | Medicament composition for preventing and treating breast cancer and application thereof |
| US9707184B2 (en) | 2014-07-17 | 2017-07-18 | Pharmaceutical Manufacturing Research Services, Inc. | Immediate release abuse deterrent liquid fill dosage form |
| CN106470994A (en) * | 2014-08-27 | 2017-03-01 | 豪夫迈·罗氏有限公司 | For treating substituted pyrazine simultaneously [2,1 A] isoquinilone derivatives of CNS disease |
| CN106470994B (en) * | 2014-08-27 | 2019-09-24 | 豪夫迈·罗氏有限公司 | For treating the substituted pyrazine of CNS disease simultaneously [2,1-A] isoquinilone derivatives |
| US10555958B2 (en) | 2014-09-25 | 2020-02-11 | Boehringer Ingelheim Vetmedica Gmbh | Combination treatment of SGLT2 inhibitors and dopamine agonists for preventing metabolic disorders in equine animals |
| US9796710B2 (en) | 2014-10-14 | 2017-10-24 | Vitae Pharmaceuticals, Inc. | Dihydropyrrolopyridine inhibitors of ROR-gamma |
| US10087184B2 (en) | 2014-10-14 | 2018-10-02 | Vitae Pharmaceuticals, Inc. | Dihydropyrrolopyridine inhibitors of RORγ |
| US10959958B2 (en) | 2014-10-20 | 2021-03-30 | Pharmaceutical Manufacturing Research Services, Inc. | Extended release abuse deterrent liquid fill dosage form |
| US9663515B2 (en) | 2014-11-05 | 2017-05-30 | Vitae Pharmaceuticals, Inc. | Dihydropyrrolopyridine inhibitors of ROR-gamma |
| US9845308B2 (en) | 2014-11-05 | 2017-12-19 | Vitae Pharmaceuticals, Inc. | Isoindoline inhibitors of ROR-gamma |
| US11001583B2 (en) | 2014-11-05 | 2021-05-11 | Vitae Pharmaceuticals, Llc | Dihydropyrrolopyridine inhibitors of ROR-gamma |
| US11014923B2 (en) | 2015-02-20 | 2021-05-25 | Incyte Corporation | Bicyclic heterocycles as FGFR4 inhibitors |
| US11173162B2 (en) | 2015-02-20 | 2021-11-16 | Incyte Corporation | Bicyclic heterocycles as FGFR4 inhibitors |
| US11667635B2 (en) | 2015-02-20 | 2023-06-06 | Incyte Corporation | Bicyclic heterocycles as FGFR4 inhibitors |
| US10829448B2 (en) | 2015-08-05 | 2020-11-10 | Vitae Pharmaceuticals, Llc | Substituted benzoimidazoles as modulators of ROR-γ |
| US10301261B2 (en) | 2015-08-05 | 2019-05-28 | Vitae Pharmaceuticals, Llc | Substituted indoles as modulators of ROR-gamma |
| JP2018527355A (en) * | 2015-09-04 | 2018-09-20 | ヤンセン ファーマシューティカ エヌ.ベー. | Therapeutic compounds for pain and their synthesis |
| WO2017040778A1 (en) * | 2015-09-04 | 2017-03-09 | Janssen Pharmaceutica Nv | Therapeutic compound for pain and synthesis thereof |
| US11008340B2 (en) | 2015-11-20 | 2021-05-18 | Vitae Pharmaceuticals, Llc | Modulators of ROR-gamma |
| US10357487B2 (en) * | 2015-12-03 | 2019-07-23 | Sidney J. Goldfarb | Combinations of acetylcholinesterase inhibitors and muscarinic agonists and methods of use thereof |
| US10829481B2 (en) | 2016-01-29 | 2020-11-10 | Vitae Pharmaceuticals, Llc | Benzimidazole derivatives as modulators of ROR-gamma |
| US9481674B1 (en) | 2016-06-10 | 2016-11-01 | Vitae Pharmaceuticals, Inc. | Dihydropyrrolopyridine inhibitors of ROR-gamma |
| US12527770B2 (en) | 2016-10-31 | 2026-01-20 | Teikoku Pharma Usa, Inc. | Methods of managing pain using dexmedetomidine transdermal delivery devices |
| WO2018208633A1 (en) * | 2017-05-07 | 2018-11-15 | China Medical University | Methods and compositions for treating withdrawal syndrome |
| US11472801B2 (en) | 2017-05-26 | 2022-10-18 | Incyte Corporation | Crystalline forms of a FGFR inhibitor and processes for preparing the same |
| US11186573B2 (en) | 2017-07-24 | 2021-11-30 | Vitae Pharmaceuticals, Llc | Inhibitors of ROR gamma |
| US10913739B2 (en) | 2017-07-24 | 2021-02-09 | Vitae Pharmaceuticals, LLC (121374) | Inhibitors of RORγ |
| US12024517B2 (en) | 2018-05-04 | 2024-07-02 | Incyte Corporation | Salts of an FGFR inhibitor |
| US12473286B2 (en) | 2018-05-04 | 2025-11-18 | Incyte Corporation | Salts of an FGFR inhibitor |
| US11466004B2 (en) | 2018-05-04 | 2022-10-11 | Incyte Corporation | Solid forms of an FGFR inhibitor and processes for preparing the same |
| US11174257B2 (en) | 2018-05-04 | 2021-11-16 | Incyte Corporation | Salts of an FGFR inhibitor |
| US11224600B2 (en) | 2018-10-30 | 2022-01-18 | Gilead Sciences, Inc. | Compounds for inhibition of alpha 4 beta 7 integrin |
| US11179383B2 (en) | 2018-10-30 | 2021-11-23 | Gilead Sciences, Inc. | Compounds for inhibition of α4β7 integrin |
| US11174256B2 (en) | 2018-10-30 | 2021-11-16 | Gilead Sciences, Inc. | Imidazopyridine derivatives |
| US11116760B2 (en) | 2018-10-30 | 2021-09-14 | Gilead Sciences, Inc. | Quinoline derivatives |
| US12053462B2 (en) | 2018-10-30 | 2024-08-06 | Gilead Sciences, Inc. | Quinoline derivatives |
| US11628162B2 (en) | 2019-03-08 | 2023-04-18 | Incyte Corporation | Methods of treating cancer with an FGFR inhibitor |
| US11591329B2 (en) | 2019-07-09 | 2023-02-28 | Incyte Corporation | Bicyclic heterocycles as FGFR inhibitors |
| US11578069B2 (en) | 2019-08-14 | 2023-02-14 | Gilead Sciences, Inc. | Compounds for inhibition of α4 β7 integrin |
| US12122767B2 (en) | 2019-10-01 | 2024-10-22 | Incyte Corporation | Bicyclic heterocycles as FGFR inhibitors |
| US12083124B2 (en) | 2019-10-14 | 2024-09-10 | Incyte Corporation | Bicyclic heterocycles as FGFR inhibitors |
| US11607416B2 (en) | 2019-10-14 | 2023-03-21 | Incyte Corporation | Bicyclic heterocycles as FGFR inhibitors |
| US11566028B2 (en) | 2019-10-16 | 2023-01-31 | Incyte Corporation | Bicyclic heterocycles as FGFR inhibitors |
| US11407750B2 (en) | 2019-12-04 | 2022-08-09 | Incyte Corporation | Derivatives of an FGFR inhibitor |
| US11897891B2 (en) | 2019-12-04 | 2024-02-13 | Incyte Corporation | Tricyclic heterocycles as FGFR inhibitors |
| US12168660B2 (en) | 2019-12-04 | 2024-12-17 | Incyte Corporation | Derivatives of an FGFR inhibitor |
| US12012409B2 (en) | 2020-01-15 | 2024-06-18 | Incyte Corporation | Bicyclic heterocycles as FGFR inhibitors |
| CN115515578A (en) * | 2020-05-07 | 2022-12-23 | 诺罗瑞韦有限公司 | Combination therapy of cycloserine and pentoxifylline for the treatment of depression |
| US12065494B2 (en) | 2021-04-12 | 2024-08-20 | Incyte Corporation | Combination therapy comprising an FGFR inhibitor and a Nectin-4 targeting agent |
| US12428420B2 (en) | 2021-06-09 | 2025-09-30 | Incyte Corporation | Tricyclic heterocycles as FGFR inhibitors |
| US11939331B2 (en) | 2021-06-09 | 2024-03-26 | Incyte Corporation | Tricyclic heterocycles as FGFR inhibitors |
Similar Documents
| Publication | Publication Date | Title |
|---|---|---|
| WO2009124755A1 (en) | Compounds with novel medical uses and method of identifying such compounds | |
| Cooper et al. | Coenzyme Q10 and vitamin E deficiency in Friedreich’s ataxia: predictor of efficacy of vitamin E and coenzyme Q10 therapy | |
| Richards et al. | Pharmacologic treatment of cannabinoid hyperemesis syndrome: a systematic review | |
| Seidel et al. | Antipsychotics for acute and chronic pain in adults | |
| Lipton et al. | Sumatriptan for the range of headaches in migraine sufferers: results of the Spectrum Study | |
| Amsallem et al. | Phosphodiesterase III inhibitors for heart failure | |
| Huynh et al. | Severity of Irukandji syndrome and nematocyst identification from skin scrapings | |
| Weeke et al. | Antipsychotics and associated risk of out‐of‐hospital cardiac arrest | |
| Centorrino et al. | Metabolic syndrome in psychiatrically hospitalized patients treated with antipsychotics and other psychotropics | |
| Rathbone et al. | Anticholinergics for neuroleptic‐induced acute akathisia | |
| Seitz et al. | Risk of perioperative blood transfusions and postoperative complications associated with serotonergic antidepressants in older adults undergoing hip fracture surgery | |
| Soares et al. | Penfluridol for schizophrenia | |
| Secnik et al. | Cholinesterase inhibitors in patients with diabetes mellitus and dementia: an open-cohort study of~ 23 000 patients from the Swedish Dementia Registry | |
| Kamm | The complexity of drug development for irritable bowel syndrome | |
| Barbui et al. | Treatment discontinuation with selective serotonin reuptake inhibitors (SSRIs) versus tricyclic antidepressants (TCAs) | |
| Kammer et al. | The association between antidepressant use and glycemic control in the Southern Community Cohort Study (SCCS) | |
| Hemilä et al. | Vitamin C for preventing and treating tetanus | |
| Hicks et al. | Effectiveness of pharmacotherapy for depression after adult traumatic brain injury: An umbrella review | |
| Pugh et al. | Selective serotonin reuptake inhibitor (SSRI) toxicosis in cats: 33 cases (2004–2010) | |
| Wang et al. | Hyperuricaemia is an important risk factor of the erectile dysfunction: A systematic review and meta‐analysis | |
| Rothman et al. | Chronic treatment with phentermine combined with fenfluramine lowers plasma serotonin | |
| Ohtomo | Atomoxetine ameliorates nocturnal enuresis with subclinical attention‐deficit/hyperactivity disorder | |
| Rose et al. | Drug treatment for facioscapulohumeral muscular dystrophy | |
| Peritogiannis et al. | Atypical antipsychotics in the treatment of delirium | |
| Nakao et al. | Clinical application of paroxetine for tapering benzodiazepine use in non‐major‐depressive outpatients visiting an internal medicine clinic |
Legal Events
| Date | Code | Title | Description |
|---|---|---|---|
| 121 | Ep: the epo has been informed by wipo that ep was designated in this application |
Ref document number: 09730882 Country of ref document: EP Kind code of ref document: A1 |
|
| NENP | Non-entry into the national phase |
Ref country code: DE |
|
| 122 | Ep: pct application non-entry in european phase |
Ref document number: 09730882 Country of ref document: EP Kind code of ref document: A1 |















































































































