WO2009112077A1 - Process for the preparation of epothilone precursor compounds - Google Patents
Process for the preparation of epothilone precursor compounds Download PDFInfo
- Publication number
- WO2009112077A1 WO2009112077A1 PCT/EP2008/053030 EP2008053030W WO2009112077A1 WO 2009112077 A1 WO2009112077 A1 WO 2009112077A1 EP 2008053030 W EP2008053030 W EP 2008053030W WO 2009112077 A1 WO2009112077 A1 WO 2009112077A1
- Authority
- WO
- WIPO (PCT)
- Prior art keywords
- formula
- compound
- silyl
- lower alkyl
- sultam
- Prior art date
- Legal status (The legal status is an assumption and is not a legal conclusion. Google has not performed a legal analysis and makes no representation as to the accuracy of the status listed.)
- Ceased
Links
- 0 C*C1[C@](C)CCC(*)C1 Chemical compound C*C1[C@](C)CCC(*)C1 0.000 description 3
- GIWPDFYIPMDVBD-NCWITYSKSA-N C[C@H]([C@@H]([C@@H](C)C(C(C)(C)[C@H](CC(N([C@H]1C(CC2)(C3)C(C)(C)[C@H]2C1)S3(=O)=O)=O)O[Si+](C)(C)C(C)(C)C)=O)O)/C=C\C Chemical compound C[C@H]([C@@H]([C@@H](C)C(C(C)(C)[C@H](CC(N([C@H]1C(CC2)(C3)C(C)(C)[C@H]2C1)S3(=O)=O)=O)O[Si+](C)(C)C(C)(C)C)=O)O)/C=C\C GIWPDFYIPMDVBD-NCWITYSKSA-N 0.000 description 1
Classifications
-
- C—CHEMISTRY; METALLURGY
- C07—ORGANIC CHEMISTRY
- C07D—HETEROCYCLIC COMPOUNDS
- C07D417/00—Heterocyclic compounds containing two or more hetero rings, at least one ring having nitrogen and sulfur atoms as the only ring hetero atoms, not provided for by group C07D415/00
- C07D417/02—Heterocyclic compounds containing two or more hetero rings, at least one ring having nitrogen and sulfur atoms as the only ring hetero atoms, not provided for by group C07D415/00 containing two hetero rings
- C07D417/06—Heterocyclic compounds containing two or more hetero rings, at least one ring having nitrogen and sulfur atoms as the only ring hetero atoms, not provided for by group C07D415/00 containing two hetero rings linked by a carbon chain containing only aliphatic carbon atoms
-
- C—CHEMISTRY; METALLURGY
- C07—ORGANIC CHEMISTRY
- C07F—ACYCLIC, CARBOCYCLIC OR HETEROCYCLIC COMPOUNDS CONTAINING ELEMENTS OTHER THAN CARBON, HYDROGEN, HALOGEN, OXYGEN, NITROGEN, SULFUR, SELENIUM OR TELLURIUM
- C07F7/00—Compounds containing elements of Groups 4 or 14 of the Periodic Table
- C07F7/02—Silicon compounds
- C07F7/08—Compounds having one or more C—Si linkages
- C07F7/18—Compounds having one or more C—Si linkages as well as one or more C—O—Si linkages
- C07F7/1804—Compounds having Si-O-C linkages
-
- C—CHEMISTRY; METALLURGY
- C07—ORGANIC CHEMISTRY
- C07F—ACYCLIC, CARBOCYCLIC OR HETEROCYCLIC COMPOUNDS CONTAINING ELEMENTS OTHER THAN CARBON, HYDROGEN, HALOGEN, OXYGEN, NITROGEN, SULFUR, SELENIUM OR TELLURIUM
- C07F7/00—Compounds containing elements of Groups 4 or 14 of the Periodic Table
- C07F7/02—Silicon compounds
- C07F7/08—Compounds having one or more C—Si linkages
- C07F7/18—Compounds having one or more C—Si linkages as well as one or more C—O—Si linkages
- C07F7/1804—Compounds having Si-O-C linkages
- C07F7/1872—Preparation; Treatments not provided for in C07F7/20
- C07F7/1892—Preparation; Treatments not provided for in C07F7/20 by reactions not provided for in C07F7/1876 - C07F7/1888
-
- Y—GENERAL TAGGING OF NEW TECHNOLOGICAL DEVELOPMENTS; GENERAL TAGGING OF CROSS-SECTIONAL TECHNOLOGIES SPANNING OVER SEVERAL SECTIONS OF THE IPC; TECHNICAL SUBJECTS COVERED BY FORMER USPC CROSS-REFERENCE ART COLLECTIONS [XRACs] AND DIGESTS
- Y02—TECHNOLOGIES OR APPLICATIONS FOR MITIGATION OR ADAPTATION AGAINST CLIMATE CHANGE
- Y02P—CLIMATE CHANGE MITIGATION TECHNOLOGIES IN THE PRODUCTION OR PROCESSING OF GOODS
- Y02P20/00—Technologies relating to chemical industry
- Y02P20/50—Improvements relating to the production of bulk chemicals
- Y02P20/55—Design of synthesis routes, e.g. reducing the use of auxiliary or protecting groups
Definitions
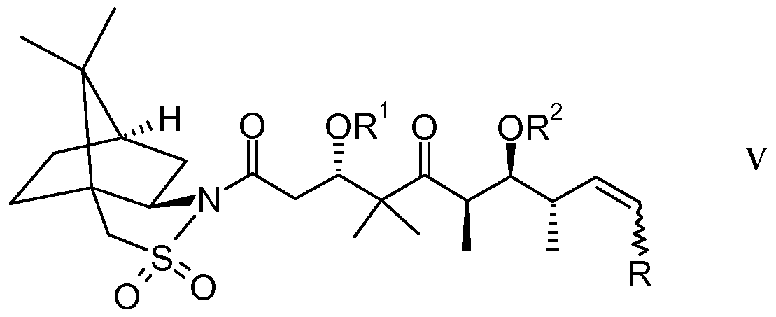
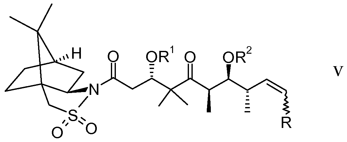
- the present invention relates to a new process for the preparation of a macrocyclic compound of the formula
- R 1 and R 2 are silyl protecting groups.
- the compounds of formula I may serve as intermediates for the manufacture of a 9,10-dehydro-12,13-desoxyepothilone of the formula
- the 9,10-dehydro-12,13-desoxyepothilone of formula XI inhibits the growth of tumor cells and is therefore a promising candidate for a novel anticancer agent (Danishefsky et al., J. Am. Chem. Soc. 2003, 125, 2899-2901; International Patent Application No. WO 2004/018478 A2).
- Object of the present invention therefore was to find a shorter and more convergent synthesis to the acid of type C and thus a synthesis which could be performed on a commercial scale.
- protecting group as used herein in the context of R 1 and R 2 has the meaning of a silyl protecting group.
- Suitable silyl protecting groups are tri lower alkyl silyl groups selected from the group consisting of trimethyl silyl (TMS), triethyl silyl (TES), tert-butyl dimethyl silyl (TBS), triisopropyl silyl (TIPS), and diethyl isopropyl silyl (DEIPS), preferably triethyl silyl (TES) and tert-butyl dimethyl silyl (TBS), or lower alkyl diaryl silyl groups such as tert-butyl diphenyl silyl (TBDPS).
- TMS trimethyl silyl
- TES triethyl silyl
- TPS triisopropyl silyl
- DEIPS diethyl isopropyl silyl
- TES triethyl silyl
- TPS triethyl silyl
- TPS triisopropyl silyl
- DEIPS diethyl isopropyl sily
- Preferred silyl protecting groups are selected from the group consisting of trimethyl silyl (TMS), triethyl silyl (TES), tert-butyl dimethyl silyl (TBS), triisopropyl silyl (TIPS), tert-butyl diphenyl silyl (TBDPS), and diethyl isopropyl silyl (DEIPS), with triethyl silyl (TES) and tert-butyl dimethyl silyl (TBS) being especially preferred.
- TMS trimethyl silyl
- TES triethyl silyl
- TPS triisopropyl silyl
- TPS tert-butyl diphenyl silyl
- DEIPS diethyl isopropyl silyl
- TES triethyl silyl
- TPS tert-butyl dimethyl silyl
- DEIPS diethyl isopropyl silyl
- lower alkyl refers to
- This term is further exemplified by radicals such as methyl, ethyl, n-propyl, isopropyl, n-butyl, s-butyl, isobutyl, t-butyl, n-pentyl, 3-methylbutyl, n-hexyl, 2-ethylbutyl and the like. Especially preferred is methyl.
- R 1 and R 2 are silyl protecting groups
- R 1 is a silyl protecting group, with an aldehyde of the formula
- R is hydrogen or lower alkyl
- R is hydrogen or lower alkyl and R 1 is a silyl protecting group
- R is hydrogen or lower alkyl and R 1 and R 2 are silyl protecting groups
- R is hydrogen or lower alkyl and R 1 and R 2 are silyl protecting groups, and d) coupling the acid of formula VI with a ketoalcohol of the formula
- R is hydrogen or lower alkyl and R 1 and R 2 are silyl protecting groups
- step a) a sultam compound of formula II is reacted with an aldehyde of formula III in the presence of a Lewis acid and an organic base to form the sultam alcohol of formula IV.
- the sultam compound II contains a silyl protecting group as defined above.
- a preferred protecting group R 1 is the TBS group.
- the substituent R in the aldehyde of formula III is hydrogen or a lower alkyl group such as a methyl group.
- R being lower alkyl the resulting alkenyl group can be E- or Z-configured.
- a preferred lower alkyl group is a methyl group with E- or Z- configuration. More preferably, the methyl group is in the Z-configuration.
- Lewis acids which promote the aldol reaction are TiC ⁇ and BCI3.
- a more preferred Lewis acid is BCI3.
- the Lewis acids are preferably used in equimolar or more than equimolar amounts.
- TiCLt a preferred range is 1.0 to 1.5 equivalents with regard to compound II and a more preferred range is 1.0 to 1.2 equivalents.
- BCI3 a preferred range is 1 - 5 equivalents with regard to compound II and a more preferred range is 1.5 to 3 equivalents.
- Preferred organic bases which can be used for this reaction are tertiary amines, such as triethylamine, ethyldiisopropylamine and the like as well as mixtures thereof.
- a preferred amine is ethyldiisopropylamine.
- the organic base is preferably used in equimolar amounts or more than equimolar amounts with regard to compound II, preferably in at least the same number of equivalents as the Lewis acid.
- the aldol condensation reaction is preferably performed in an organic solvent.
- Solvents which can be used are solvent which are sufficiently inert under the reaction conditions and which allow for a sufficient solubility of the reaction components.
- Preferred solvents are chlorinated solvents and especially preferred is dichloromethane which can be used alone or as mixtures with other chlorinated or non-chlorinated solvents such as toluene.
- the aldol condensation reaction is usually carried out in a temperature range of
- -100 0 C to 30 0 C preferably in a range of -90 0 C to -50 0 C and more preferably in a range of -65 0 C to -80 0 C.
- step a) diastereomers obtained in step a) together with the desired sultam alcohol of formula IV as well as remaining starting material can be separated by chromatography and/or crystallization or other purification methods known in the art. Such purification procedures can analogously be performed also with products of subsequent synthetic steps.
- the sultam alcohol compounds of the formula IV are compounds which are not known in the art and thus represent a further embodiment of the present invention.
- a preferred sultam alcohol of formula IV is the one wherein R is methyl which is in a Z configuration and R 1 is a silyl protecting group.
- sultam alcohol of formula IV wherein R is methyl which is in a Z configuration and R 1 is a TBS group.
- step b) the free hydroxy group in compound of formula IV is protected with a silyl protecting group as defined above using a suitable silylating agent to form a compound of formula V.
- the silyl group is chosen from the list of the silyl groups as mentioned above in a way to provide sufficient stability to the intermediates under the conditions of the subsequent reaction steps as well as sufficiently easy deprotection later in the synthesis when it is required.
- the silyl group is TBS.
- the silylating agent is terf-butyldimethylsilyl trifluoromethanesulfonate. It is preferably used in 1 - 2 molar amounts with regard to compound IV, more preferably in an excess of 1.1 - 1.3 equivalents.
- the reaction is preferably carried out in the presence of a tertiary organic base such as triethylamine or a pyridine base, more preferably this base is 2,6-lutidine.
- a tertiary organic base such as triethylamine or a pyridine base, more preferably this base is 2,6-lutidine.
- the base is preferably used in at least the same number of equivalents with regard to compound IV as the silylating agent. More preferably 1.4 to 1.6 equivalents are used.
- the silylation reaction is preferably performed in an anhydrous organic solvent.
- Solvents which can be used are solvent which are sufficiently inert under the reaction conditions and which allow for a sufficient solubility of the reaction components, such as chlorinated solvents, ethereal solvents such as THF, aromatic solvents such as toluene, or DMF.
- Preferred solvents are chlorinated solvents and especially preferred is dichloromethane which can be used alone or as mixture with other chlorinated or non- chlorinated solvents.
- the silylation reaction is usually carried out in a temperature range of -78 0 C to 50 0 C, preferably in a range of -40 0 C to 25 0 C and more preferably in a range of 0 0 C to 25 0 C.
- step c) the O-protected sultam compound of formula V is hydrolyzed to form the acid compound of the formula VI.
- the hydrolysis reaction is usually conducted in the presence of a combination of lithium hydroxide and hydrogen peroxide.
- these reagents are used in an excess with regard to compound V.
- lihium hydroxide is used in 4 to 6 fold excess and hydrogen peroxide in 8 to 12 fold excess.
- the hydrolysis reaction is conducted in the presence of water in combination with a water-miscible organic solvent. More preferably the reaction is performed in a mixture of water and THF.
- the hydrolysis reaction is preferably carried out within a temperature range of -10 0 C to 40 0 C and more preferably in a temperature range between 10 0 C and 30 0 C. Even more preferably, the reaction is conducted at room temperature.
- the acid compounds of the formula VI, wherein R is lower alkyl are compounds which are not known in the art and thus represent a further embodiment of the present invention.
- R is methyl which is in a Z configuration and R 1 and R 2 are silyl protecting groups.
- R is methyl which is in a Z configuration and R 1 and R 2 are TBS groups.
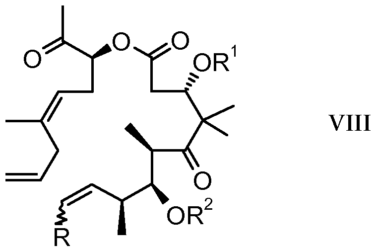
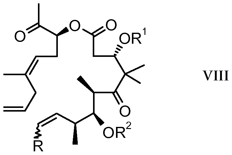
- step d) the acid compound of the formula VI is coupled with the ketoalcohol of formula VII to form the compound of formula I.
- ketoalcohol of formula VII can be prepared in analogy to Danishefsky et al., International Patent Application No. WO 2004/018478 A2, preferably according to Scheme
- a common coupling agent as for example l-(3-dimethyl-aminopropyl)-3-ethylcarbodiimide or dicyclohexylcarbodiimide (DCC) and 4-dimethylamino pyridine or N,N -carbonyldiimidazole
- the coupling is carried out in the presence of l-(3-dimethyl-aminopropyl)-3-ethylcarbodiimide hydrochloride (EDCI) and 4-dimethylamino-pyridine.
- the coupling reaction is usually performed in a suitable organic solvent such as e.g. in chlorinated solvents like for instance dichloromethane or 1,2-dichloroethane at a temperature of 0 0 C to 80 0 C, preferably 10 0 C to 30 0 C.
- a suitable organic solvent such as e.g. in chlorinated solvents like for instance dichloromethane or 1,2-dichloroethane at a temperature of 0 0 C to 80 0 C, preferably 10 0 C to 30 0 C.
- a preferred compound of formula VIII is one, wherein R is methyl which is in a Z configuration and R 1 and R 2 are silyl protecting groups.
- a more preferred compound of formula VIII is one wherein R is methyl which is in a
- R 1 and R 2 are TBS groups.
- step e) the compound of formula VIII is ring closed in the presence of a ruthenium carbene catalyst to form the macrocyclic compound of the formula I.
- Suitable ruthenium (Ru) carbene catalyst are of the formula
- R 4 is phenyl or phenyl substituted by one to five independently from each other selected lower alkyl groups and R has the meaning of cyclohexyl or phenyl, and in the presence of an organic solvent.
- This cyclization reaction which is known as "ring closing metathesis" reaction can preferably be performed with a ruthenium catalyst of formula IX or X, wherein A is a single or a double bond, R 4 is 2,4,6-trimethylphenyl or 2,6-diisopropylphenyl, and R 5 is cyclohexyl or phenyl.
- the ruthenium catalyst is selected from the compounds of formula X.
- the ruthenium catalyst is selected from the compounds of formula X, wherein A, R and R have the following meaning:
- A is a double bond
- R 4 is 2,4,6-trimethylphenyl and R 5 is cyclohexyl
- A is a double bond
- R 4 is 2,4,6-trimethylphenyl and R 5 is phenyl
- A is a single bond
- R 4 is 2,4,6-trimethylphenyl and R 5 is cyclohexyl, or
- A is a double bond
- R 4 is 2,6-diisopropylphenyl and R 5 is cyclohexyl.
- the cyclization is performed in the presence of a ruthenium catalyst of formula X wherein A signifies a double bond, R is 2,4,6-trimethylphenyl and R is cyclohexyl, or in the presence of a ruthenium catalyst of formula X wherein A signifies a single bond, R 4 is 2,4,6-trimethylphenyl and R 5 is cyclohexyl.
- reaction conditions used are as a rule those the skilled in the art would commonly apply for ring closure metathesis reactions.
- reaction is performed in a suitable organic solvent which is selected from the group consisting of toluene, methylene chloride, benzene and mesitylene, preferably toluene.
- the reaction temperature is expediently selected in the range of 20 0 C and 165 0 C, preferably in the range of 80 0 C and 120 0 C, most preferably 100 0 C and 110 0 C.
- the amount of catalyst used in the process of the present invention is in the range of 0.1 to 15 mol% relative to substrate, preferably in the range of 1 to 5 mol% relative to substrate.
- the compounds of formula I may serve as intermediates for the manufacture of a 9,10-dehydro-12,13-desoxyepothilone of the formula
- ImH 2 MeS l,3-bis-(2,4,6-trimethylphenyl)-2-imidazolidinylidene
- ImMes l,3-bis-(2,4,6-trimethylphenyl)-2-imidazolylidene
- ImH 2 Pr l,3-bis-(2,6-diisopropylphenyl)-2-imidazolidinylidene
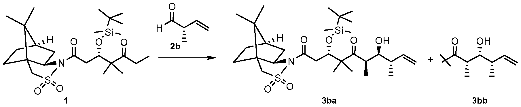
- Ketone 1 was reacted with aldehyde 2 under the conditions described in Example IA with the exception that N,N'-diisopropylethylamine was replaced by triethylamine.
- the crude product mainly consisted of a mixture of the three compounds 1, 3a and 3b in a relative ratio of 22:17:61.
- ketone 1 400 mg, 0.8 mmol
- dichloromethane 4.0 mL
- titanium tetrachloride 97 ⁇ L, 0.88 mmol
- diisopropylethylamine 150 ⁇ L
- aldehyde 2a 94 mg, 0.96 mmol
- the reaction was allowed to warm to -10 0 C over Ih.
- the reaction was quenched with pH 7.0 buffer, extracted with diethyl ether, dried over sodium sulfate and concentrated.
- ketone 1 500.5 mg, 1.0 mmol, 1.0 equiv.
- dichloromethane 2.0 mL
- titanium tetrachloride 1.1 mL, 1.0 M, 1.1 equiv.
- diisopropylethylamine 0.192 mL, 1.1 mmol, 1.1 equiv.
- the reaction mixture was stirred at -78 0 C for 1 hour and the solution of aldehyde 2b (1.5 mmol, 0.3 M, 1.5 equiv.) was added slowly. And then the reaction mixture was warmed up slowly to 10 0 C in 3 hours.
- the aqueous layer was extracted with diethyl ether (2 x 10 mL), and the combined organic layer was dried over magnesium sulfate, filtered, concentrated and the residue was purified with column chromatography (0% ethyl acetate to 20% in hexanes) to obtained 176 mg (30 %) of desired diastereomer 3ba and 241 mg (41%) of undesired diastereomer 3bb.
Landscapes
- Chemical & Material Sciences (AREA)
- Organic Chemistry (AREA)
- Chemical Kinetics & Catalysis (AREA)
Abstract
The invention relates to a novel process for the preparation of an epothilone derivative of the formula (I) wherein R1 and R2 are silyl protecting groups, that uses a sultam alcohol of the formula (IV) wherein R is hydrogen or lower alkyl and R1 is a silyl protecting group, as intermediate. The compound of formula (I) is useful for the preparation of desoxyepothilones that are promising candidates for novel anticancer agents.
Description
PROCESS FOR THE PREPARATION OF EPOTHILONE PRECURSOR COMPOUNDS
The present invention relates to a new process for the preparation of a macrocyclic compound of the formula
wherein R1 and R2 are silyl protecting groups.
The compounds of formula I may serve as intermediates for the manufacture of a 9,10-dehydro-12,13-desoxyepothilone of the formula
The 9,10-dehydro-12,13-desoxyepothilone of formula XI inhibits the growth of tumor cells and is therefore a promising candidate for a novel anticancer agent (Danishefsky et al., J. Am. Chem. Soc. 2003, 125, 2899-2901; International Patent Application No. WO 2004/018478 A2).
The same authors (Danishefsky et al.) report a process for the preparation of epothilone derivatives which is outlined in scheme 1 below. In the publications mentioned above as well as in a modified version reported in a more recent paper (Danishefsky et al.,
DK, 05.03.2008
Angew. Chem. Int. Ed. 2003, 42, 4761) the ketone A is described to be reacted with benzyloxy aldehyde B to lead, after numerous synthetic steps, to acid C, an important intermediate of the synthesis of epothilone of formula XI.
Scheme 1
The processes so far known for the preparation of the macrocyclic compound of the formula I suffer from the large number of steps used in the synthesis of the intermediate of type C. The synthesis of compound C is also rather linear, which causes long lead-times in production.
Object of the present invention therefore was to find a shorter and more convergent synthesis to the acid of type C and thus a synthesis which could be performed on a commercial scale.
It was found that this object could be reached with the process of the present invention as outlined below.
The following definitions are set forth to illustrate and define the meaning and scope of the various terms used to describe the invention herein.
The term protecting group as used herein in the context of R1 and R2 has the meaning of a silyl protecting group.
Suitable silyl protecting groups are tri lower alkyl silyl groups selected from the group consisting of trimethyl silyl (TMS), triethyl silyl (TES), tert-butyl dimethyl silyl (TBS), triisopropyl silyl (TIPS), and diethyl isopropyl silyl (DEIPS), preferably triethyl silyl (TES) and tert-butyl dimethyl silyl (TBS), or lower alkyl diaryl silyl groups such as tert-butyl diphenyl silyl (TBDPS).
Preferred silyl protecting groups are selected from the group consisting of trimethyl silyl (TMS), triethyl silyl (TES), tert-butyl dimethyl silyl (TBS), triisopropyl silyl (TIPS), tert-butyl diphenyl silyl (TBDPS), and diethyl isopropyl silyl (DEIPS), with triethyl silyl (TES) and tert-butyl dimethyl silyl (TBS) being especially preferred.
The term "lower alkyl" refers to a branched or straight- chain monovalent alkyl radical of one to six carbon atoms, preferably one to four carbon atoms. This term is further exemplified by radicals such as methyl, ethyl, n-propyl, isopropyl, n-butyl, s-butyl, isobutyl, t-butyl, n-pentyl, 3-methylbutyl, n-hexyl, 2-ethylbutyl and the like. Especially preferred is methyl.
The curled line, like for example in the formula of compound III
signifies indeterminate stereochemistry at the double bond and means that the compound of formula III is either in the E- or in the Z-configuration or that it is a mixture of E- and Z-isomers. E denotes that the substituents of highest Cahn-Ingold-Prelog priority at each end of the double bond are trans to each other, that is, on opposite sites. If the pertinent substituents are on the same side (cis to each other) the descriptor is Z.
The process for the preparation of a macrocyclic compound of the formula
wherein R1 and R2 are silyl protecting groups
comprises one or more of the steps
a) condensing a sultam compound of the formula
wherein R is hydrogen or lower alkyl,
and isolating the sultam alcohol of the formula
wherein R is hydrogen or lower alkyl and R1 is a silyl protecting group,
b) protecting the free hydroxy group in the sultam alcohol IV to form the Cipro tected sultam compound of formula
wherein R is hydrogen or lower alkyl and R1 and R2 are silyl protecting groups,
c) hydrolyzing the O-protected sultam compound of formula V to form the acid compound of the formula
wherein R is hydrogen or lower alkyl and R1 and R2 are silyl protecting groups, and
d) coupling the acid of formula VI with a ketoalcohol of the formula
to form a compound of formula
wherein R is hydrogen or lower alkyl and R1 and R2 are silyl protecting groups, and
e) ring closing of the compound of formula VIII in the presence of a ruthenium carbene catalyst to form the macrocyclic compound of formula I.
Step a)
In step a) a sultam compound of formula II is reacted with an aldehyde of formula III in the presence of a Lewis acid and an organic base to form the sultam alcohol of formula IV.
The sultam compound II contains a silyl protecting group as defined above. A preferred protecting group R1 is the TBS group. The synthesis of sultam compounds of formula II is publicly known (e.g. for R = TBS: K.-H. Altmann et al., HeIv. Chim.. Acta 2002, 85, 4086; J. De Brabander et al., Synlett 1997, 824).
The substituent R in the aldehyde of formula III is hydrogen or a lower alkyl group such as a methyl group. In the case of R being lower alkyl the resulting alkenyl group can be E- or Z-configured. A preferred lower alkyl group is a methyl group with E- or Z- configuration. More preferably, the methyl group is in the Z-configuration.
The synthesis of chiral non-racemic aldehydes of formula III can be performed from the corresponding sultam-precursors as described in the literature by W. Oppolzer et al., HeIv. Chim. Acta 1997, 80, 1319. The synthesis of suitable precursors is also described by
K. Tomooka et al., Chem. Lett. 1998, 1049. The synthesis of the aldehyde with R being (Z)- methyl has been described by G. Ehrlich & M. Kalesse, Synlett 2005, 655.
Examples of Lewis acids which promote the aldol reaction are TiC^ and BCI3. A more preferred Lewis acid is BCI3. The Lewis acids are preferably used in equimolar or more than equimolar amounts. For TiCLt a preferred range is 1.0 to 1.5 equivalents with regard to compound II and a more preferred range is 1.0 to 1.2 equivalents. For BCI3 a preferred range is 1 - 5 equivalents with regard to compound II and a more preferred range is 1.5 to 3 equivalents.
Preferred organic bases which can be used for this reaction are tertiary amines, such as triethylamine, ethyldiisopropylamine and the like as well as mixtures thereof. A preferred amine is ethyldiisopropylamine. The organic base is preferably used in equimolar amounts or more than equimolar amounts with regard to compound II, preferably in at least the same number of equivalents as the Lewis acid.
The aldol condensation reaction is preferably performed in an organic solvent. Solvents which can be used are solvent which are sufficiently inert under the reaction conditions and which allow for a sufficient solubility of the reaction components. Preferred solvents are chlorinated solvents and especially preferred is dichloromethane which can be used alone or as mixtures with other chlorinated or non-chlorinated solvents such as toluene.
The aldol condensation reaction is usually carried out in a temperature range of
-100 0C to 30 0C, preferably in a range of -90 0C to -50 0C and more preferably in a range of -65 0C to -80 0C.
Other diastereomers obtained in step a) together with the desired sultam alcohol of formula IV as well as remaining starting material can be separated by chromatography and/or crystallization or other purification methods known in the art. Such purification procedures can analogously be performed also with products of subsequent synthetic steps.
The sultam alcohol compounds of the formula IV are compounds which are not known in the art and thus represent a further embodiment of the present invention.
A preferred sultam alcohol of formula IV is the one wherein R is methyl which is in a Z configuration and R1 is a silyl protecting group.
Especially preferred is a sultam alcohol of formula IV wherein R is methyl which is in a Z configuration and R1 is a TBS group.
Step b)
In step b) the free hydroxy group in compound of formula IV is protected with a silyl protecting group as defined above using a suitable silylating agent to form a compound of formula V.
Preferably the silyl group is chosen from the list of the silyl groups as mentioned above in a way to provide sufficient stability to the intermediates under the conditions of the subsequent reaction steps as well as sufficiently easy deprotection later in the synthesis when it is required. Most preferably the silyl group is TBS.
Preferably, the silylating agent is terf-butyldimethylsilyl trifluoromethanesulfonate. It is preferably used in 1 - 2 molar amounts with regard to compound IV, more preferably in an excess of 1.1 - 1.3 equivalents.
The reaction is preferably carried out in the presence of a tertiary organic base such as triethylamine or a pyridine base, more preferably this base is 2,6-lutidine. The base is preferably used in at least the same number of equivalents with regard to compound IV as the silylating agent. More preferably 1.4 to 1.6 equivalents are used.
The silylation reaction is preferably performed in an anhydrous organic solvent. Solvents which can be used are solvent which are sufficiently inert under the reaction conditions and which allow for a sufficient solubility of the reaction components, such as chlorinated solvents, ethereal solvents such as THF, aromatic solvents such as toluene, or DMF. Preferred solvents are chlorinated solvents and especially preferred is dichloromethane which can be used alone or as mixture with other chlorinated or non- chlorinated solvents.
The silylation reaction is usually carried out in a temperature range of -78 0C to 50 0C, preferably in a range of -40 0C to 25 0C and more preferably in a range of 0 0C to 25 0C.
Step c)
In step c) the O-protected sultam compound of formula V is hydrolyzed to form the acid compound of the formula VI.
The hydrolysis reaction is usually conducted in the presence of a combination of lithium hydroxide and hydrogen peroxide. Preferably, these reagents are used in an excess with regard to compound V. More preferably, lihium hydroxide is used in 4 to 6 fold excess and hydrogen peroxide in 8 to 12 fold excess.
Preferably, the hydrolysis reaction is conducted in the presence of water in combination with a water-miscible organic solvent. More preferably the reaction is performed in a mixture of water and THF.
The hydrolysis reaction is preferably carried out within a temperature range of -10 0C to 40 0C and more preferably in a temperature range between 10 0C and 30 0C. Even more preferably, the reaction is conducted at room temperature.
The acid compounds of the formula VI, wherein R is lower alkyl, are compounds which are not known in the art and thus represent a further embodiment of the present invention.
In a preferred acid of formula VI R is methyl which is in a Z configuration and R1 and R2 are silyl protecting groups.
In a more preferred acid of formula VI R is methyl which is in a Z configuration and R1 and R2 are TBS groups.
Step d)
In step d) the acid compound of the formula VI is coupled with the ketoalcohol of formula VII to form the compound of formula I.
The ketoalcohol of formula VII can be prepared in analogy to Danishefsky et al., International Patent Application No. WO 2004/018478 A2, preferably according to Scheme
2.
Scheme 2
VII XXIII
The coupling reaction can then be carried out according to methods described in the literature {cf. J. March 'Advanced Organic Chemistry', John Wiley & Sons, New York, 4th edition, page 393 ff.), such as e.g. with the help of a common coupling agent as for example l-(3-dimethyl-aminopropyl)-3-ethylcarbodiimide or dicyclohexylcarbodiimide (DCC) and 4-dimethylamino pyridine or N,N -carbonyldiimidazole, preferably the coupling is carried out in the presence of l-(3-dimethyl-aminopropyl)-3-ethylcarbodiimide hydrochloride (EDCI) and 4-dimethylamino-pyridine.
The coupling reaction is usually performed in a suitable organic solvent such as e.g. in chlorinated solvents like for instance dichloromethane or 1,2-dichloroethane at a temperature of 0 0C to 80 0C, preferably 10 0C to 30 0C.
The compounds of formula VIII, wherein R is lower alkyl, are compounds which are not known in the art and thus represent a further embodiment of the present invention.
A preferred compound of formula VIII is one, wherein R is methyl which is in a Z configuration and R1 and R2 are silyl protecting groups.
A more preferred compound of formula VIII is one wherein R is methyl which is in a
Z configuration and R1 and R2 are TBS groups.
Step e)
In step e) the compound of formula VIII is ring closed in the presence of a ruthenium carbene catalyst to form the macrocyclic compound of the formula I.
Suitable ruthenium (Ru) carbene catalyst are of the formula
IX X
wherein A is a single or a double bond, R4 is phenyl or phenyl substituted by one to five independently from each other selected lower alkyl groups and R has the meaning of cyclohexyl or phenyl, and in the presence of an organic solvent.
This cyclization reaction which is known as "ring closing metathesis" reaction can preferably be performed with a ruthenium catalyst of formula IX or X, wherein A is a single or a double bond, R4 is 2,4,6-trimethylphenyl or 2,6-diisopropylphenyl, and R5 is cyclohexyl or phenyl.
Preferably, the ruthenium catalyst is selected from the compounds of formula X.
More preferably, the ruthenium catalyst is selected from the compounds of formula X, wherein A, R and R have the following meaning:
a) A is a double bond, R4 is 2,4,6-trimethylphenyl and R5 is cyclohexyl,
b) A is a double bond, R4 is 2,4,6-trimethylphenyl and R5 is phenyl,
c) A is a single bond, R4 is 2,4,6-trimethylphenyl and R5 is cyclohexyl, or
d) A is a double bond, R4 is 2,6-diisopropylphenyl and R5 is cyclohexyl.
Most preferably, the cyclization is performed in the presence of a ruthenium catalyst of formula X wherein A signifies a double bond, R is 2,4,6-trimethylphenyl and R is cyclohexyl, or in the presence of a ruthenium catalyst of formula X wherein A signifies a single bond, R4 is 2,4,6-trimethylphenyl and R5 is cyclohexyl.
The reaction conditions used are as a rule those the skilled in the art would commonly apply for ring closure metathesis reactions.
Therefore the reaction is performed in a suitable organic solvent which is selected from the group consisting of toluene, methylene chloride, benzene and mesitylene, preferably toluene.
The reaction temperature is expediently selected in the range of 20 0C and 165 0C, preferably in the range of 80 0C and 120 0C, most preferably 100 0C and 110 0C.
The amount of catalyst used in the process of the present invention is in the range of 0.1 to 15 mol% relative to substrate, preferably in the range of 1 to 5 mol% relative to substrate.
Preferably, the reaction can also be carried out in form of a "double addition" process, meaning that a solution of the substrate and a solution of the catalyst are simultaneously added within 100 minutes with aid of syringe pumps to the boiling solvent (substrate concentration after complete addition = 10 mM).
As outlined above the compounds of formula I may serve as intermediates for the manufacture of a 9,10-dehydro-12,13-desoxyepothilone of the formula
The respective synthesis is disclosed for instance in the International Patent Application No. WO 2006/111491 A2).
The following examples shall illustrate the invention without limiting it.
Examples
Abbreviations
r.t. = room temperature,
ImH2MeS = l,3-bis-(2,4,6-trimethylphenyl)-2-imidazolidinylidene,
ImMes = l,3-bis-(2,4,6-trimethylphenyl)-2-imidazolylidene,
ImH2Pr = l,3-bis-(2,6-diisopropylphenyl)-2-imidazolidinylidene,
RCM = ring closing metathesis,
TBME = tert. -butyl methyl ether,
TLC = thin layer chromatography.
Example 1
(Z)-(3S,6R,7S,8S)-3-(tert-Butyl-dimethyl-silanyloxy)-l-((5R,7R)-10J0-dimethyl-33- dioxo-3 λ6-tfaia-4-aza-tricyclo[5.2J.01'5ldec-4-yl)-7-hydroxy-8-metfayl-4,4,6-trirnethyl- undec-9-ene-l,5-dione (3a)
Example IA
To a stirred solution of 500 mg (1.0 mmol) of ketone 1 in 2 ml dichloromethane, 1.1 ml (1.1 mmol) of a 1 M solution of titanium tetrachloride in dichloromethane was added within 5 min at -78 0C followed by addition of a solution of 142 mg (1.1 mmol) of N,N'- diisopropylethylamine in 0.5 ml dichloromethane. After 1 h at -78 0C, a solution of 387 mg (1.3 mmol) of aldehyde 2 in 2.5 ml dichloromethane was added dropwise over 30 min to the dark-red solution. Stirring at -78 0C was continued for 1 h and the reaction mixture was allowed to slowly warm up to room temperature. After 3 h the reaction mixture was poured onto a stirred ice-cold mixture of TBME and aqueous phosphate buffer pH 7. The aqueous phase was separated and extracted with TBME. The organic phases were washed with aqueous phosphate buffer pH 7, combined, dried over sodium sulfate and concentrated to give 620 mg of the crude product as a light-brown oil. According to HPLC on an Agilent Zorbax Eclipse XDB C8 column the crude product mainly consisted of a mixture of the three compounds 1, 3a and 3b in a relative ratio of 30:13:57. The crude
product was chromatographed on silica gel with toluene / ethyl acetate (2.5% - 4%) as the eluent to afford 160 mg of the starting material 1 (32% recovery), 80 mg of compound 3a (13% yield) and 310 mg of compound 3b (52% yield). The structure of diastereomer 3b (including absolute configuration) was confirmed by x-ray crystallography.
3a: MS: 598.3 (M+H+), 615.6 (M+NH4 +). 1H-NMR (400 MHz, CDCl3): 0.09 (s, 3H), 0.12 (s, 3H), 0.89 (s, 9H), 0.92 (d, 3H, J=8 Hz), 0.96 (s, 3H), 1.08 (d, 3H, J=8 Hz), 1.16 (s, 3H), 1.17 (s, 3H), 1.22 (s, 3H), 1.30-1.40 (m, 2H), 1.65 (split d, 3H, J=8 Hz), 1.82-1.95 (m, 3H), 2.05-2.13 (m, IH), 2.15-2.25 (m, IH), 2.54-2.65 (m, 2H), 2.90-3.00 (m, IH), 3.15-3.25 (m, IH), 3.27 (broad s, IH), 3.38-3.50 (m, 3H), 3.83-3.90 (m, IH), 4.55-4.60 (m, IH), 5.30- 5.39 (m, IH), 5.47-5.57 (m, IH).
3b: MS: 598.3 (M+H+), 615.6 (M+NH4 +). 1H-NMR (400 MHz, CDCl3): 0.08 (s, 3H), 0.10 (s, 3H), 0.87 (s, 9H), 0.97 (s, 3H), 0.99 (d, 3H, J=8Hz), 1.06 (d, 3H, J=8 Hz), 1.14 (s, 6 H), 1.17 (s, 3H), 1.40-1.55 (m, 2H), 1.65 (split d, 3H, J=8 Hz), 1.81-1.95 (m, 3H), 2.04-2.12 (m, IH), 2.15-2.24 (m, IH), 2.50-2.64 (m, IH), 2.65-2.73 (m, IH), 2.83-2.92 (m, IH), 3.11-3.19 (m, IH), 3.35-3.53 (m, 4H), 3.82-3.89 (m, IH), 4.57-4.65 (m, IH), 5.10-5.18 (m, IH), 5.44-5.54 (m, IH).
Example IB
Ketone 1 was reacted with aldehyde 2 under the conditions described in Example IA with the exception that N,N'-diisopropylethylamine was replaced by triethylamine. According to HPLC the crude product mainly consisted of a mixture of the three compounds 1, 3a and 3b in a relative ratio of 22:17:61.
Example 1C
To a stirred solution of 500 mg (1.0 mmol) of ketone 1 in 2.5 ml dichloromethane, 2.5 ml (2.5 mmol) of a IM boron trichloride in dichloromethane was added within 5 min at -78 0C. After 10 min, 323 mg (2.5 mmol) of N,N'-diisopropylethylamine was added over 10 min, followed by a solution of 387 mg (1.3 mmol) of aldehyde 2 in 2.5 ml dichloromethane which was added within 1 min to the colorless solution. After 2.5 h the reaction mixture was poured onto a stirred mixture of 30 ml dichloromethane and 30 ml aqueous phosphate buffer pH 7. The mixture was filtered and the organic phase was separated and washed with aqueous phosphate buffer pH 7. The aqueous phases were extracted with an additional portion of dichloromethane. The organic phases were combined, dried over sodium sulfate and concentrated to give 680 mg of the crude product as light-brown oil. According to HPLC on an Agilent Zorbax Eclipse XDB C8 column the crude product contained the mixture of the three compounds 1, 3a and 3b in a relative ratio of 24:39:37. Chromatography on silica gel with toluene / ethyl acetate (2.5%) afforded
105 mg of the desired diastereomer 3a as white crystals (18% yield). The 1H-NMR WaS consistent with the values given in Example IA for compound 3a.
Example ID
To a stirred cold (-75 0C) solution of 3.50 g (27.0 mmol) of ketone 1 in 150 ml dichloromethane, 47.3 ml (47.3 mmol) of a IM boron trichloride in dichloromethane was added within 5 min keeping the temperature in a range of -75 0C to -71 0C. After 10 min, 8.73 g (67.5 mmol) of N,N'-diisopropylethylamine in 8 ml dichloromethane was added over 10 min, followed by a solution of 11.36 g (40.5 mmol) of aldehyde 2 in 10 ml dichloromethane which was added within 3 min to the solution at a temperature range of -78 0C to -74°C. After additional 45 min at -78 0C, the turbid reaction mixture was poured onto a stirred ice-cold mixture of 200 ml dichloromethane and 200 ml aqueous phosphate buffer pH 7. The organic phase was separated from the clear two-phase mixture and washed with aqueous phosphate buffer pH 7. The aqueous phases were extracted with an additional portion of dichloromethane. The organic phases were combined, dried over sodium sulfate and concentrated to give 16.10 g of the crude product as light-brown oil. After chromatography on silica gel with toluene / ethyl acetate, 3.08 g of the desired diastereomer 3a was isolated as light-yellow crystals (19% yield). The 1H-NMR was consistent with the values given in Example IA for compound 3a. An additional, 0.57 g of slightly less pure portion of 3a (approx. 3% yield) was isolated in a separate fraction. The structure of diastereomer 3a (including absolute configuration) was confirmed by x-ray crystallography.
Example 2
(Z)-(3S,6R,7S,8S)-3,7-Bis-(tert-butyl-dimethyl-silanyloxy)-l-((5R,7R)-10J0-dimethyl-33- dioxo-3λ6-thia-4-aza-tricyclo[5.2.1.01'5ldec-4-yl)-8-methyl-4,4,6-trimethyl-undec-9-ene- 1,5-dione (4)
To a solution of 2.50 g (4.2 mmol) of compound 3a (synthesized as described in Example ID) in 25 ml dichloromethane was added a solution of 672 mg (6.3 mmol) of 2,6- lutidine in 5 ml dichloromethane at 0 0C. After 5 min, 1.44 g (5.4 mmol) of tert- butyldimethylsilyl trifluoromethanesulfonate was added over 15 min using a syringe pump.
Stirring was continued for 10 min at 0 0C and for 3.5 h at room temperature. At this point the reaction was complete according to TLC. A few drops of methanol were then added, and the reaction mixture was poured onto a stirred ice-cold mixture of 10% aq. citric acid and dichloromethane. The organic phase was separated and washed with aqueous phosphate buffer pH 7. The aqueous phases were extracted with an additional portion of dichloromethane. The organic phases were combined, dried over sodium sulfate and concentrated to give 3.16 g of the crude product 4 as light-yellow oil. Chromatography on silica gel using heptane / ethyl acetate (6 - 12%) as the eluent afforded 2.60 g of pure title compound 4 as a colorless oil (87% yield).
MS: 712.3 (M+H+), 729.4 (M+NH4 +). 1H-NMR (400 MHz, CDCl3): 0.05-0.12 (4 s, 12H), 0.88 (s, 9H), 0.92 (s, 9H), 0.95 (d, 3H, J=8 Hz), 0.97 (s, 3H), 1.04 (d, 3H, J=8 Hz), 1.06 (s, 3H), 1.18 (s, 3H), 1.20 (s, 3H), 1.30-1.44 (m, 2H), 1.52 (split d, 3H, J=8 Hz), 1.83-1.95 (m, 3H), 2.10-2.16 (m, IH), 2.24-2.34 (m, 2H), 2.55-2.62 (m, IH), 2.86-2.98 (m, 2H), 3.44 (dd, 2H), 3.78-3.83 (m, IH), 3.85-3.93 (m, IH), 4.56-4.61 (m, IH), 5.45-5.53 (m, IH, Jαs=l l.l Hz), 5.63-5.72 (m, IH, JC1S= 11.1 Hz).
Example 3
(Z)-(3S,6R,7S,8S)-3,7-Bis-(tert-butyl-dimethyl-silanyloxy)-4,4,6,8-tetramethyl-5-oxo- undec-9-enoic acid (5)
2.50 g (3.5 mmol) of compound 4 synthesized as described in Example 2 was dissolved in a mixture of 80 ml tetrahydrofuran and 20 ml water. At 0 0C, 736 mg ( 17.5 mmol) of lithium hydroxide and 3.02 ml (35.1 mmol) of 35% aq. hydrogen peroxide were added with stirring. The reaction mixture was allowed to warm to room temperature. After stirring for 42 h at room temperature, the reaction was complete according to TLC on silicagel (heptane / ethyl acetate 4:1 +2% AcOH). At ~10°C, 5 ml of 38-40% aq. sodium hydrogensulfite was added dropwise together with pieces of ice to keep the temperature until a test with acidified potassium iodide / starch paper was negative. In a rotary evaporator most of the tetrahydrofuran was removed and the residue was extracted with TBME. The aqueous phase was extracted with an additional portion of TBME. The organic phases were washed with diluted aqueous sodium chloride, combined, dried over sodium sulfate and concentrated to give 2.50 g of the crude product as a white foam. The crude product was taken up in 10 ml heptane. 210 mg of sultam which had crystallized was
removed by filtration. The filtrate was concentrated and the residue was chromatographed on silica gel using heptane / ethyl acetate (5-15% with 1% AcOH) as the eluent to afford 970 mg of the product as a slightly yellow oil. The oil was dissolved in heptane and washed with water. The aqueous phase was separated and extracted with an additional portion of heptane. The organic phases were combined, dried over sodium sulfate and treated with charcoal (Norit SA II). After filtration through dicalite speedex the solvent was evaporated and the residue dried until weight constancy to afford 920 mg of the title compound 5 as colorless oil (51% yield)
MS: 513.3 (M+H+).1H-NMR (400 MHz, CDCl3): 0.05-0.10 (4 s, 12H), 0.88 (s, 9H), 0.92 (s, 9H), 0.97 (d, 3H, J=8 Hz), 1.05 (d, 3H, J=8 Hz), 1.06 (s, 3H), 1.19 (s, 3H), 1.54 (split d, 3H, J=8 Hz), 2.26-2.38 (m, 2H), 2.41-2.50 (m, IH), 2.94-3.06 (m, IH), 3.82-3.88 (m, IH), 4.38-4.44 (m, IH), 5.43-5.54 (m, IH), 5.59-5.68 (m, IH). [α]D -26.1° (c=1.01; CDCl3; 200C)
Example 4
(Z)-(3S,6R,7S,8R)-3,7-Bis-(terf-butyl-dimethyl-silanyloxy)-4,4,6,8-tetramethyl-5-oxo- undec-9-enoic acid (Z)-(S)-l-acetyl-4-methyl-hepta-3,6-dienyl ester (7)
To an ice cold solution of 313 mg (1.8 mmol) of (Z)-(S)-3-hydroxy-6-methyl-nona- 5,8-dien-2-one (6) (prepared in analogy to SJ. Danishefsky et al., /. Am. Chem. Soc. 2003, 125, 2899-2901; SJ. Danishefsky et al., US 2004/0053910 Al) in 10 ml dichloromethane, 241 mg (1.9 mmol) of 4-dimethylamino-pyridine and 378 mg (1.9 mmol) l-(3-dimethyl- aminopropyl)-3-ethylcarbodiimide hydrochloride were added. Within 10 min, a solution of 622 mg (1.2 mmol) of (Z)-(3S,6R,7S,8R)-3,7-bis-(ferf-butyl-dimethyl-silanyloxy)-4,4,6,8- tetramethyl-5-oxo-undec-9-enoic acid (5) in 14 ml dichloromethane was added and the resulting colorless solution stirred at r.t. for 16 h. The reaction mixture was evaporated to dryness and the resulting crude product 7 purified by silica gel chromatography (hexane / diethylether 9:1) to yield 652 mg of the title compound 7 as a yellowish oil with 96% purity (78% yield). (HPLC method: Zorbax 300SB-C3 column, 4.6 x 150 mm, solvent A: 5% acetonitrile in water, B: acetonitrile, gradient from A/B 8/2 to 15/85 within 5 min and 4 min at 15/85, flow 1 ml/min, 40 0C, 210 nm. Retention time: Product 7 at 8.7 min).
MS: 665.5 (M+H+), 682.5 (M+NH4 +), 687.4 (M+Na+). 1H-NMR (300 MHz, CDCl3): 0.01 (s, 3H), 0.07 (s, 6H), 0.09 (s, 3H), 0.86 (s, 9H), 0.92 (s, 9H), 0.96 (d, 3H, J=7.0 Hz), 1.03 (s, 3H), 1.05 (s, 3H), 1.20 (s, 3H), 1.54 (dd, 3H, J=6.7, 1.4 Hz), 1.69 (d, 3H, J=1.2 Hz), 2.14 (s, 3H), 2.36 (dd, 2H, J=17.0, 6.5 Hz), 2.47 (br t, 2H, J=6.5 Hz), 2.57 (dd, IH, J=16.7, 3.2 Hz), 2.67-2.83 (m, 2H), 3.01 (quint, IH, J=7.1 Hz), 3.83 (dd, IH; J=6.9, 2.0 Hz), 4.38 (dd, IH, J=6.3, 3.4 Hz), 4.92-5.07 (m, 3H), 5.19 (br t, IH, J=7.3 Hz), 5.41-5.53 (m, IH), 5.56- 5.66 (m, IH), 5.65-5.81 (m, IH).
Example 5
(10EJ3Z)-(4S,7R,8S,9SJ6S)-16-Acetyl-4,8-bis-(terf-butyl-dimethyl-silanyloxy)-5,5,7,9J3- pentamethyl-oxacyclohexadeca- 10, 13-diene-2,6-dione (8)
To 110 ml toluene at 110 0C, a solution of 464 mg (0.7 mmol) of (Z)-(3S,6R,7S,8R)- 3,7-Bis-(terf-butyl-dimethyl-silanyloxy)-4,4,6,8-tetramethyl-5-oxo-undec-9-enoic acid (Z)- (S)-l-acetyl-4-methyl-hepta-3,6-dienyl ester (7) in 10 ml toluene and a solution of 34 mg (0.04 mmol) of [RuCl2(PCy3) (ImMes)(3-phenyl-indenylidene)] (CAS No. 254972-49-1, commercially available from Degussa AG, Rodenbacher Chaussee 4, D-63457 Hanau- Wolfgang) in 10 ml toluene were added continuously (with aid of two syringe pumps) within 100 min. Afterwards the reaction mixture was stirred for additional 140 min at 110 0C. Then, 16 mg (0.1 mmol) 2-mercaptonicotinic acid was added, and after 60 min the hot reaction solution was filtered over a silica gel pad. The filtrate was evaporated to dryness to remove residual toluene, the crude product was dissolved in 50 ml ethanol and the formed solution evaporated to dryness to yield 290 mg of crude product. Silica gel chromatographic purification of the crude 8 (hexane / ethylacetate 9:1) yielded 239 mg of the title compound 8 as an off- white solid with 78% purity (45% yield). (HPLC method: Zorbax 300SB-C3 column, 4.6 x 150 mm, solvent A: 5% acetonitrile in water, B: acetonitrile, gradient from A/B 8/2 to 15/85 within 5 min and 4 min at 15/85, flow 1 ml/min, 40 0C, 210 nm. Retention times: Product 8 at 8.1 min, starting material 7 at 8.5 min).
MS: 623.4 (M+H+), 645.4 (M+Na+). 1H-NMR (300 MHz, CDCl3): -0.15 (s, 3H), -0.10 (s, 3H), -0.03 (s, 3H), 0.00 (s, 3H), 0.75 (s, 9H), 0.83 (s, 9H), 0.93 (d, 3H, J=7.0 Hz), 1.01 (s, 3H), 1.02 (d, 3H, J=7 Hz), 1.08 (s, 3H), 1.58 (s, 3H), 2.12 (s, 3H), 2.15-2.85 (m, 2H), 2.87- 2.53 (m, 2H), 2.62 (dd, IH, J=15.5, 2.6 Hz), 2.84 (dd, 2H, J=15.5, 8.0 Hz), 2.97 (dd, IH, J=15.1, 4.8 Hz), 3.84 (d, IH, J=8.6 Hz), 4.11 (dd, IH, J=8.6, 2.4 Hz), 4.89 (dd, IH, J=8.5, 2.5 Hz), 5.06 (t, IH, J=7.5 Hz), 5.20-5.30 (m, IH), 5.52 (dd, IH, J=16.1, 8.5 Hz). Anal, calcd. for C34H62O6Si2: C, 65.55; H, 10.03. Found: C, 65.59; H, 9.75.
Example 6
(E)-(3S,6R,7S,8S)-3-(tert-Butyl-dimethyl-silanyloxy)-l-((5R,7R)-10J0-dimethyl-33- dioxo-3 λ6-thia-4-aza-tricyclo[5.2.1.01'5ldec-4-yl)-7-hydroxy-8-methyl-4,4,6-trimethyl- undec-9-ene-l,5-dione (3aa)
To a stirred solution of ketone 1 (400 mg, 0.8 mmol) in dichloromethane (4.0 mL) at -78 0C was added titanium tetrachloride (97 μL, 0.88 mmol) followed by diisopropylethylamine (150 μL). After 15 min. aldehyde 2a (94 mg, 0.96 mmol) was added and the reaction was allowed to warm to -10 0C over Ih. After 2 h the reaction was quenched with pH 7.0 buffer, extracted with diethyl ether, dried over sodium sulfate and concentrated. The residue was purified by flash chromatography (SiO2, 25% diethyl ether in hexanes) to yield the syn-anti aldol product 3aa (72 mg, 15%) and the syn-syn aldol product 3ab (240 mg, 50%).
3aa: 1H-NMR (400 MHz, CDCl3): 0.06 (s, 3H), 0.10 (s, 3H), 0.86 (s, 9H), 0.93 (d, 3H, J=6.9 Hz), 0.94 (s, 3H), 1.03 (d, 3H, J=7.0 Hz), 1.13 (s, 3H), 1.14 (s, 3H), 1.19 (s, 3H), 1.30-1.40 (m, 2H), 1.66 (split d, 3H, J=4.9 Hz), 1.82-1.95 (m, 3H), 2.06 (dd, IH, J=14.2, 7.7 Hz), 2.15-2.25 (m, 2H), 2.61 (dd, IH, J=17.5, 3.7 Hz), 2.91 (dd, IH, J=17.5, 5.2 Hz), 3.10-3.20 (m, 2H), 3.35-3.50 (m, 3H), 3.85 (dd, IH, J=7.7, 4.8 Hz), 4.56 (dd, IH, J=5.0, 3.8 Hz), 5.40-5.54 (m, 2H).
3ab: 1H-NMR (400 MHz, CDCl3): 0.04 (s, 3H), 0.06 (s, 3H), 0.83 (s, 9H), 0.93 (s, 3H), 0.94 (d, 3H, J=6.9Hz), 1.06 (d, 3H, J=6.5 Hz), 1.08 (s, 3 H), 1.11 (s, 3H), 1.12 (s, 3H), 1.25-1.41 (m, 2H), 1.65 (dd, 3H, J=6.4, 1.5 Hz), 1.81-1.95 (m, 3H), 2.05 (dd, IH, J=14.1, 7.8 Hz,), 2.10-2.22 (m, 2H), 2.67 (dd, IH, J=17.3, 4.3 Hz), 2.85 (dd, IH, J=17.3, 5.0 Hz), 3.14-3.22
(m, IH), 3.35 (dd, IH, J=9.6, 1.1 Hz), 3.43 (q, 2H, J=13.7 Hz), 3.83 (dd, IH, J=7.7, 4.9 Hz), 4.57-4.62 (m, IH), 5.15-5.24 (m, IH), 5.41-5.52 (m, IH).
Example 7
(E)-(3S,6R,7S,8S)-3,7-Bis-(tert-butyl-dimethyl-silanyloxy)-l-((5R,7R)-10J0-dimethyl-33- dioxo-3λ6-thia-4-aza-tricvclo[5.2.1.01'5ldec-4-yl)-8-methyl-4,4,6-trimethyl-undec-9-ene- 1,5-dione (4a)
Similar protocol as in Example 2 was followed, and similar results were obtained.
4a: 1H-NMR (400 MHz, CDCl3): 0.04 (s, 3H), 0.05 (s, 3H), 0.06 (s, 3H), 0.10 (s, 3H), 0.87 (s, 9H), 0.91 (s, 9H), 0.95 (s, 3H), 0.96 (d, 3H, J=7.7 Hz), 1.01 (d, 3H, J=6.9 Hz), 1.08 (s, 3H), 1.15 (s, 3H), 1.19 (s, 3H), 1.30-1.44 (m, 2H), 1.66 (split d, 3H, J=6.2 Hz), 1.83-1.95 (m, 3H), 1.95-2.05 (m, IH), 2.09 (dd, IH, J=14.0, 7.8 Hz), 2.20-2.30 (m, IH), 2.61 (dd, IH, J=17.6, 3.9 Hz), 2.90 (dd, IH, J= 17.4, 4.7 Hz), 3.00 (m, IH), 3.39 (d, J=13.8, IH), 3.45 (d, J=13.8, IH), 3.77 (dd, IH, J=7.7, 1.9 Hz), 3.86 (dd, IH, J=7.7, 4.9 Hz), 4.56 (t, J=4.2, IH), 5.37 (dqd, IH, J=15.5, 6.2, 0.7 Hz), 5.50 (ddm, IH, J=15.5, 7.8 Hz).
Example 8
(E)-(3S,6R,7S,8S)-3,7-Bis-(tert-butyl-dimethyl-silanyloxy)-4,4,6,8-tetramethyl-5-oxo- undec-9-enoic acid (5a)
Similar protocol as in Example 3 was followed, and similar results were obtained.
5a: 1H-NMR (400 MHz, CDCl3): 0.04 (s, 3H), 0.06 (s, 6H), 0.09 (s, 3H), 0.88 (s, 9H), 0.92 (s, 9H), 0.99 (d, 3H, J=6.9 Hz), 1.03 (d, 3H, J=6.9 Hz), 1.09 (s, 3H), 1.20 (s, 3H), 1.67 (split d, 3H, J=6.0 Hz), 2.06 (m, IH), 2.30 (dd, IH, J= 16.4, 6.8 Hz), 2.50 (dd, IH, J= 16.4,
3.0 Hz), 3.05 (pentet, IH, J=6.9 Hz), 3.82 (dd, IH, J=6.9, 2.2 Hz), 4.37 (dd, IH, J=6.9, 3.0 Hz), 5.39 (dq, IH, J=15.5, 6.0Hz), 5.50 (ddq, IH, J=15.5, 7.6, 1.3 Hz).
Example 9
(E)-(3S,6R,7S,8R)-3,7-Bis-(terf-butyl-dimethyl-silanyloxy)-4,4,6,8-tetramethyl-5-oxo- undec-9-enoic acid (Z)-(S)-l-acetyl-4-methyl-hepta-3,6-dienyl ester (7a)
5a 7a
Similar protocol as in Example 4 was followed, and similar results were obtained.
7a: 1H-NMR (300 MHz, CDCl3): 0.01 (s, 3H), 0.06 (s, 6H), 0.09 (s, 3H), 0.87 (s, 9H), 0.92 (s, 9H), 0.98 (d, 3H, J=7.0 Hz), 1.02 (d, 3H, J=7.0 Hz), 1.08 (s, 3H), 1.21 (s, 3H), 1.67 (d, 3H, J=6.0 Hz), 1.69 (s, 3H), 2.06 (m, IH), 2.13 (s, 3H), 2.36 (dd, IH, J=17.0, 6.3 Hz), 2.47 (t, 2H, J=6.8 Hz), 2.60 (dd, IH, J=17.0, 3.3 Hz), 2.76 (br s, 2H), 3.06 (pentet, IH, J=6.8 Hz), 3.79 (dd, IH; J=6.5, 2.2 Hz), 4.35 (dd, IH, J=6.4, 3.4 Hz), 4.95-5.03 (m, 3H), 5.18 (br t, IH, J=7.0 Hz), 5.34-5.54 (m, 2H), 5.71 (dq, IH, J=16.5, 6.5 Hz).
Example 10
(10EJ3Z)-(4S,7R,8S,9SJ6S)-16-Acetyl-4,8-bis-(terf-butyl-dimethyl-silanyloxy)-5,5,7,9J3- pentamethyl-oxacyclohexadeca- 10, 13-diene-2,6-dione (8)
7a
Similar protocol as in Example 5 was followed, and similar results were obtained.
Example 11
(3S,6R,7S,8S)-3-(tert-Butyl-dimethyl-silanyloxy)-l-((5R,7R)-10J0-dimethyl-33-dioxo-3 λ6-tfaia-4-aza-tricyclo[5.2J.01'5ldec-4-yl)-7-hydroxy-8-methyl-4,4,6-trimethyl-dec-9-ene- 1,5-dione (3ba)
To a stirred solution of ketone 1 (500.5 mg, 1.0 mmol, 1.0 equiv.) in dichloromethane (2.0 mL) was added titanium tetrachloride (1.1 mL, 1.0 M, 1.1 equiv.) at -780C, followed by addition of diisopropylethylamine (0.192 mL, 1.1 mmol, 1.1 equiv.) to obtain a dark red solution. Then the reaction mixture was stirred at -78 0C for 1 hour and the solution of aldehyde 2b (1.5 mmol, 0.3 M, 1.5 equiv.) was added slowly. And then the reaction mixture was warmed up slowly to 10 0C in 3 hours. The reaction mixture was quenched with KH2PO4ZK2HPO4 (20 mL, 1:1, 2.0 M, pH = 7.0,) and was diluted with diethyl ether (40 mL). The aqueous layer was extracted with diethyl ether (2 x 10 mL), and the combined organic layer was dried over magnesium sulfate, filtered, concentrated and the residue was purified with column chromatography (0% ethyl acetate to 20% in hexanes) to obtained 176 mg (30 %) of desired diastereomer 3ba and 241 mg (41%) of undesired diastereomer 3bb.
3ba: 1H-NMR (400 MHz, CDCl3): 0.02 (s, 3H), 0.05 (s, 3H), 0.82 (s, 9H), 0.89 (s, 3H), 0.92 (d, 3H, J=6.8 Hz), 1.00 (d, 3H, J=6.8 Hz), 1.09 (s, 6H), 1.14 (s, 3H), 1.22-1.40 (m, 2H), 1.74-1.90 (m, 3H), 2.01 (dd, IH, J=13.7, 7.8 Hz), 2.10-2.25 (m, 2H), 2.57 (dd, IH, J= 17.4, 3.7 Hz), 2.87 (dd, IH, J= 17.4, 5.1 Hz), 3.13 (br q, IH, J=7.0 Hz) 3.21 (s, IH), 3.32-3.45 (m, 3H), 3.79 (dd, IH, J=7.4, 5.0 Hz), 4.52 (t, IH, J=4.3 Hz), 4.95 -5.05 (m, 2H), 5.82 (ddd, 1H, J=17.2, 10.2, 7.6 Hz).
3bb: 1H-NMR (400 MHz, CDCl3): 0.01 (s, 3H), 0.03 (s, 3H), 0.79 (s, 9H), 0.90 (s, 3H), 0.93 (d, 3H, J=7.0 Hz), 1.03 (d, 3H, J=6.6 Hz), 1.06 (s, 3H), 1.07 (s, 3H), 1.09 (s, 3H), 1.20-1.40 (m, 2H), 1.74-1.90 (m, 3H), 2.01 (dd, IH, J=13.5, 7.6 Hz), 2.06-2.24 (m, 2H), 2.63 (dd, IH, J=17.2, 4.3 Hz), 2.82 (dd, IH, J=17.2, 5.1 Hz), 3.14 (br q, IH, J=6.9 Hz), 3.29-3.47 (m, 4H), 3.79 (dd, IH, J=7.4, 4.9 Hz), 4.55 (t, IH, J=4.6 Hz), 4.96 (dd, IH, J=10.1, 1.6 Hz), 5.01 (dd, IH, J=17.2, 1.2 Hz), 5.82 (ddd, IH, J=17.2, 10.2, 9.2 Hz).
Example 12
(3S,6R,7S,8S)-3,7-Bis-(tert-butyl-dimethyl-silanyloxy)-l-((5R,7R)-10J0-dimethyl-33- dioxo-3λ6-thia-4-aza-tricyclo[5.2.1.01'5ldec-4-yl)-8-methyl-4,4,6-trimethyl-dec-9-ene-l,5- dione (4b)
Similar protocol as in Example 2 was followed, and similar results were obtained.
4b: 1H-NMR (400 MHz, CDCl3): 0.05 (s, 3H), 0.06 (s, 6H), 0.10 (s, 3H), 0.87 (s, 9H), 0.91 (s, 9H), 0.96 (s, 3H), 1.01 (d, 3H, J=7.1 Hz), 1.02 (d, 3H, J=7.2 Hz), 1.10 (s, 3H), 1.16 (s, 3H), 1.19 (s, 3H), 1.30-1.44 (m, 2H), 1.82-1.95 (m, 3H), 1.95-2.05 (m, IH), 2.05 (m, IH), 2.10 (dd, IH, J=13.9, 7.8 Hz), 2.26 (m, IH), 2.61 (dd, IH, J=17.6, 3.9 Hz), 2.90 (dd, IH, J=17.6, 4.7 Hz), 3.00 (dq, IH, J= 7.9, 7.0 Hz), 3.39 (d, J=13.8, IH), 3.45 (d, J=13.8, IH), 3.82 (dd, IH, J=8.1, 1.6 Hz), 3.87 (dd, IH, J=7.7, 4.9 Hz), 4.57 (t, J=4.2, IH), 4.97 (ddd, IH, J= 17.4, 2.0, 1.0 Hz), 5.04 (dd, IH, J=10.5, 1.8 Hz), 5.93 (ddd, IH, J= 17.4, 10.5, 7.8 Hz).
Example 13
(3S,6R,7S,8S)-3,7-Bis-(tert-butyl-dimethyl-silanyloxy)-4,4,6,8-tetramethyl-5-oxo-dec-9- enoic acid (5b)
Similar protocol as in Example 3 was followed, and similar results were obtained.
5b: 1H-NMR (400 MHz, CDCl3): 0.06 (s, 3H), 0.08 (s, 6H), 0.10 (s, 3H), 0.88 (s, 9H), 0.92 (s, 9H), 1.03 (d, 3H, J=6.9 Hz), 1.04 (d, 3H, J=6.9 Hz), 1.11 (s, 3H), 1.20 (s, 3H), 2.10 (br pentet, IH, J=7.2 Hz), 2.31 (dd, IH, J= 16.4, 6.5 Hz), 2.49 (dd, IH, J= 16.4, 3.3 Hz), 3.05 (pentet, IH, J=7.0 Hz), 3.87 (dd, IH, J=7.4, 1.7 Hz), 4.39 (dd, IH, J=6.5, 3.2 Hz), 5.00 (d, IH, J= 17.4 Hz), 5.06 (d, IH, J=10.5 Hz), 5.50 (ddd, IH, J= 17.4, 10.5, 7.7 Hz).
Example 14
(3S,6R,7S,8R)-3,7-Bis-(tert-butyl-dimethyl-silanyloxy)-4,4,6,8-tetramethyl-5-oxo-dec-9- enoic acid (Z)-(S)-l-acetyl-4-methyl-hepta-3,6-dienyl ester (7b)
5b 7b
Similar protocol as in Example 4 was followed, and similar results were obtained.
7b: 1H-NMR (300 MHz, CDCl3): -0.02 (s, 3H), 0.00 (s, 3H), 0.06 (s, 3H), 0.08 (s, 3H), 0.85 (s, 9H), 0.90 (s, 9H), 2.10 (d, 3H, J=6.7 Hz), 1.02 (d, 3H, J=6.7 Hz), 1.08 (s, 3H), 1.19 (s, 3H), 1.68 (s, 3H), 2.08 (dd, IH, J=7.2, 6.9 Hz), 2.13 (s, 3H), 2.36 (dd, IH, J=16.9, 6.6 Hz), 2.44-2.48 (m, 2H), 2.56 (dd, IH , J=16.9, 3.1 Hz), 2.70-2.79 (m, 2H), 3.04 (dq, IH , J=14.0, 6.9 Hz), 3.83 (br d, IH, J=6.0 Hz), 4.37 (dd, IH, J=6.5, 3.0 Hz), 4.98-5.06 (m, 4 H), 5.18 (dd, IH, J=7.0, 7.0 Hz), 5.70 (dddd, IH, J=17.0, 10.2, 6.5, 6.4 Hz), 5.92 (ddd, IH, J=17.8, 10.4, 7.8 Hz).
Example 15
(10EJ3Z)-(4S,7R,8S,9SJ6S)-16-Acetyl-4,8-bis-(terf-butyl-dimethyl-silanyloxy)-5,5,7,9J3- pentamethyl-oxacyclohexadeca- 10, 13-diene-2,6-dione (8)
7b
Similar protocol as in Example 5 was followed, and similar results were obtained.
Claims
1. Process for the preparation of a macrocyclic compound of the formula
wherein R1 and R2 are silyl protecting groups, comprising one or more of the steps a) condensing a sultam compound of the formula
wherein R is hydrogen or lower alkyl and R1 is a silyl protecting group, b) protecting the free hydroxy group in the sultam alcohol IV to form the Cipro tected sultam compound of formula
wherein R is hydrogen or lower alkyl and R1 and R2 are silyl protecting groups,
c) hydrolyzing the O-protected sultam compound of formula V to form the acid compound of the formula
wherein R is hydrogen or lower alkyl and R1 and R2 are silyl protecting groups, and
d) coupling the acid of formula VI with a ketoalcohol of the formula
to form a compound of formula
wherein R is hydrogen or lower alkyl and R1 and R2 are silyl protecting groups, and e) ring closing of the compound of formula VIII in the presence of a ruthenium carbene catalyst to form the macrocyclic compound of formula VIII.
2. Process according to claim 1, comprising the steps a) to e).
3. Process according to claims 1 or 2, wherein R1 and R2 are silyl protecting groups independently selected from trimethyl silyl (TMS), triethyl silyl (TES), tert-butγ\ dimethyl silyl (TBS), triisopropyl silyl (TIPS), tert-butyl diphenyl silyl (TBDPS), and diethyl isopropyl silyl (DEIPS).
4. Process according to claim 3, wherein R1 and R2 are tert-butyl dimethyl silyl (TBS), triisopropyl silyl.
5. Process according to claims 1 or 2, wherein R has the meaning of methyl.
6. Process according to any one of claims 1 to 5, wherein the condensation in step a) is performed in the presence of a Lewis acid and an organic base in an organic solvent at a reaction temperature of -100 0C to 30 0C.
7. Process according to any one of claims 1 to 6, wherein the silylation in step b) is performed with ferf-butyldimethylsilyl trifluoromethanesulfonate in an anhydrous organic solvent at a reaction temperature of -78 0C to 50 0C.
8. Process according to any one of claims 1 to 7, wherein the hydrolysis in step c) is performed in the presence of a combination of lithium hydroxide and hydrogen peroxide in a solvent mixture of water and a water miscible organic solvent at a reaction temperature of -10 °C to 40 0C.
9. Process according to any one of claims 1 to 7, wherein the coupling in step d) is performed in the presence of l-(3-dimethyl-aminopropyl)-3-ethylcarbodiimide hydrochloride (EDCI) as coupling agent.
10. Process according to any one of claims 1 to 9, wherein the ruthenium carbene catalyst used for the ring closing reaction in step e) is selected from Ru-compounds of the formula
IX X
wherein A is a single or a double bond, R4 is phenyl or phenyl substituted by one to five independently from each other selected lower alkyl groups and R has the meaning of cyclohexyl or phenyl.
11. Process according claim 10, wherein in the Ru-compounds of formula IX or X A is a single or a double bond, R4 is 2,4,6-trimethylphenyl or 2,6-diisopropylphenyl, and R5 is cyclohexyl or phenyl.
12. Compound of formula
Villa
wherein R is lower alkyl and R1 and R2 are silyl protecting groups.
13. Compound according to claim 12 having the formula
14. Compound of the formula VIII-b according to claim 13, wherein R1 and R2 are tert-butγ\ dimethyl silyl.
15. Acid compound of the formula
wherein R is lower alkyl and R and R are silyl protecting groups.
16. Acid compound according to claim 15 having the formula
wherein R1 and R2 are silyl protecting groups.
17. Acid compound of formula VI-b according to claim 16, wherein R1 and R2 are tert-butyl dimethyl silyl.
18. Sultam alcohol of the formula
wherein R is hydrogen or lower alkyl and R1 is a silyl protecting group.
19. Sultam alcohol according to claim 18 having the formula
wherein R1 is a silyl protecting group.
20. Sultam alcohol of formula IV-a according to claim 19, wherein R1 and R2 are tert- butyl dimethyl silyl.
21. Use of the process according to any one of claims 1 to 11 in the preparation of the macrocyclic compound of the formula
22. Process for the preparation of the macrocyclic compound of formula
comprising one or more of the steps
wherein R1 is a silyl protecting group, with an aldehyde of the formula
wherein R is hydrogen or lower alkyl,
and isolating the sultam alcohol of the formula
wherein R is hydrogen or lower alkyl and R1 is a silyl protecting group,
b) protecting the free hydroxy group in the sultam alcohol to form the O-protected sultam compound of formula
wherein R is hydrogen or lower alkyl and R1 and R2 are silyl protecting groups,
c) hydrolyzing the O-protected sultam compound of formula V to form the acid compound of the formula
wherein R is hydrogen or lower alkyl and R1 and R2 are silyl protecting groups, and
d) coupling the acid of formula VI with a ketoalcohol of the formula
to form a compound of formula
wherein R is hydrogen or lower alkyl and R1 and R2 are silyl protecting groups, and
e) ring closing of the compound of formula VIII in the presence of a ruthenium carbene catalyst to form the macrocyclic compound of formula I.
Priority Applications (1)
| Application Number | Priority Date | Filing Date | Title |
|---|---|---|---|
| PCT/EP2008/053030 WO2009112077A1 (en) | 2008-03-13 | 2008-03-13 | Process for the preparation of epothilone precursor compounds |
Applications Claiming Priority (1)
| Application Number | Priority Date | Filing Date | Title |
|---|---|---|---|
| PCT/EP2008/053030 WO2009112077A1 (en) | 2008-03-13 | 2008-03-13 | Process for the preparation of epothilone precursor compounds |
Publications (1)
| Publication Number | Publication Date |
|---|---|
| WO2009112077A1 true WO2009112077A1 (en) | 2009-09-17 |
Family
ID=40325753
Family Applications (1)
| Application Number | Title | Priority Date | Filing Date |
|---|---|---|---|
| PCT/EP2008/053030 Ceased WO2009112077A1 (en) | 2008-03-13 | 2008-03-13 | Process for the preparation of epothilone precursor compounds |
Country Status (1)
| Country | Link |
|---|---|
| WO (1) | WO2009112077A1 (en) |
Cited By (1)
| Publication number | Priority date | Publication date | Assignee | Title |
|---|---|---|---|---|
| US8580975B2 (en) | 2008-01-11 | 2013-11-12 | Purdue Research Foundation | Synthesis of macrocyclic cancer chemotherapy agents and methods of use |
Citations (3)
| Publication number | Priority date | Publication date | Assignee | Title |
|---|---|---|---|---|
| WO2004018478A2 (en) * | 2002-08-23 | 2004-03-04 | Sloan-Kettering Institute For Cancer Research | Synthesis of epothilones, intermediates thereto, analogues and uses thereof |
| WO2006111491A1 (en) * | 2005-04-21 | 2006-10-26 | F. Hoffmann-La Roche Ag | Process for the preparation of 9,10-dehydro-12,13-desoxyepothilone derivatives |
| WO2008141130A1 (en) * | 2007-05-11 | 2008-11-20 | Kosan Biosciences, Inc. | Process for the preparation of epothilones |
-
2008
- 2008-03-13 WO PCT/EP2008/053030 patent/WO2009112077A1/en not_active Ceased
Patent Citations (3)
| Publication number | Priority date | Publication date | Assignee | Title |
|---|---|---|---|---|
| WO2004018478A2 (en) * | 2002-08-23 | 2004-03-04 | Sloan-Kettering Institute For Cancer Research | Synthesis of epothilones, intermediates thereto, analogues and uses thereof |
| WO2006111491A1 (en) * | 2005-04-21 | 2006-10-26 | F. Hoffmann-La Roche Ag | Process for the preparation of 9,10-dehydro-12,13-desoxyepothilone derivatives |
| WO2008141130A1 (en) * | 2007-05-11 | 2008-11-20 | Kosan Biosciences, Inc. | Process for the preparation of epothilones |
Non-Patent Citations (2)
| Title |
|---|
| ALTMANN ET AL.: "The Total Synthesis and Biological Assessment of trans-Epothilone A", HELV. CHIM. ACTA, vol. 85, 1 January 2002 (2002-01-01), pages 4086 - 4110, XP002299670, ISSN: 0018-019X * |
| RIVKIN ET AL.: "COMPLEX TARGET-ORIENTED TOTAL SYNTHESIS IN THE DRUG DISCOVERY PROCESS: THE DISCOVERY OF A HIGHLY PROMISING FAMILY OF SECOND GENERATION EPOTHILONES", J. AM. CHEM. SOC., vol. 125, no. 10, 1 January 2003 (2003-01-01), pages 2899 - 2901, XP001180982, ISSN: 0002-7863 * |
Cited By (1)
| Publication number | Priority date | Publication date | Assignee | Title |
|---|---|---|---|---|
| US8580975B2 (en) | 2008-01-11 | 2013-11-12 | Purdue Research Foundation | Synthesis of macrocyclic cancer chemotherapy agents and methods of use |
Similar Documents
| Publication | Publication Date | Title |
|---|---|---|
| EP2240492B1 (en) | Process for the preparation of asenapine and intermediate products used in said process | |
| Davoli et al. | On the effect of ring substituents in the carbonylation of aziridines | |
| CN101282967B (en) | Total synthesis of pladienolide b and pladienolide D | |
| EP1414384A2 (en) | Synthesis of epothilones and relates analogs | |
| JP6440896B2 (en) | Method for making beraprost | |
| FI90423C (en) | Process for the preparation of (+) - biotin | |
| US5874595A (en) | Method for the preparation of baccatin III and derivatives thereof from 10-deacetylbaccatin III | |
| WO2003064420A1 (en) | Novel optically active compounds, method for kinetic optical resolution of carboxylic acid derivatives and catalysts therefor | |
| JP2023514754A (en) | Intermediate useful for synthesis of SGLT inhibitor and method for producing SGLT inhibitor using the same | |
| EP1368334B1 (en) | Process for preparing intermediates for the manufacture of discodermolide and discodermolide analogues | |
| WO2009112077A1 (en) | Process for the preparation of epothilone precursor compounds | |
| Verhelst et al. | Synthesis of orthogonally protected 2-deoxystreptamine stereoisomers | |
| JPH07316188A (en) | Production of oleanolic acid derivative | |
| US20100317868A1 (en) | Method of preparing taxane derivatives and intermediates used therein | |
| KR950006894B1 (en) | Method for preparing α-amino-β, δ-diol derivatives | |
| WO2004028452A2 (en) | Method for preparing crambescidin core acid intermediates and their use for preparing crambescidin alkaloid analogs as therapeutic agents | |
| Nishiyama et al. | Acylative Uni-directional Transport on Level Periodic Potential Surface Using a Rotaxane Platform with a Isopropylidene Separator | |
| KR100491337B1 (en) | Process for preparing Epothilone derivatives | |
| JP3682291B2 (en) | Method for producing oleanolic acid derivative | |
| JP3565587B2 (en) | Novel synthesis of 15-hydroxymilbemycin derivatives | |
| WO2006014006A1 (en) | Method for producing unsaturated aminodiols | |
| KR100408431B1 (en) | Process for the preparation of 1,2,3,9-tetrahydro-9-methyl-3-[(2-methyl-1h-imidazol-1-yl)methyl]-4h-carbazol-4-one or pharmaceutically acceptable salts thereof | |
| WO2003080567A2 (en) | Intermediates for the synthesis of discodermolide and related analogues and methods for their preparation | |
| KR101014890B1 (en) | Novel cyclic compounds and preparation methods thereof | |
| Bełzecki et al. | An Approach to A 1-Oxacephem Skeleton from D-Galactose |
Legal Events
| Date | Code | Title | Description |
|---|---|---|---|
| 121 | Ep: the epo has been informed by wipo that ep was designated in this application |
Ref document number: 08717774 Country of ref document: EP Kind code of ref document: A1 |
|
| NENP | Non-entry into the national phase |
Ref country code: DE |
|
| 122 | Ep: pct application non-entry in european phase |
Ref document number: 08717774 Country of ref document: EP Kind code of ref document: A1 |



















































