WO2009106561A1 - Pyrazine compounds for treating gpr119 related disorders - Google Patents
Pyrazine compounds for treating gpr119 related disorders Download PDFInfo
- Publication number
- WO2009106561A1 WO2009106561A1 PCT/EP2009/052268 EP2009052268W WO2009106561A1 WO 2009106561 A1 WO2009106561 A1 WO 2009106561A1 EP 2009052268 W EP2009052268 W EP 2009052268W WO 2009106561 A1 WO2009106561 A1 WO 2009106561A1
- Authority
- WO
- WIPO (PCT)
- Prior art keywords
- methyl
- alkyl
- phenyl
- carboxylate
- amino
- Prior art date
- Legal status (The legal status is an assumption and is not a legal conclusion. Google has not performed a legal analysis and makes no representation as to the accuracy of the status listed.)
- Ceased
Links
- SOMLJGAFVUCUKP-UHFFFAOYSA-N CC(C)(C)OC(N(CC1)CCC1OCc(cn1)ncc1Cl)=O Chemical compound CC(C)(C)OC(N(CC1)CCC1OCc(cn1)ncc1Cl)=O SOMLJGAFVUCUKP-UHFFFAOYSA-N 0.000 description 1
- QXAHLVPHXXVFJY-UHFFFAOYSA-N CC(C)OC(N(CC1)CCC1N(Cc1ncc(-c(cc2)ccc2NC(C)=O)nc1)C1CC1)=O Chemical compound CC(C)OC(N(CC1)CCC1N(Cc1ncc(-c(cc2)ccc2NC(C)=O)nc1)C1CC1)=O QXAHLVPHXXVFJY-UHFFFAOYSA-N 0.000 description 1
- DDXXTJIUVGSMOP-UHFFFAOYSA-N CC(C)OC(N(CC1)CCC1N(Cc1ncc(-c(cc2)ccc2NC(OC)=O)nc1)C1CC1)=O Chemical compound CC(C)OC(N(CC1)CCC1N(Cc1ncc(-c(cc2)ccc2NC(OC)=O)nc1)C1CC1)=O DDXXTJIUVGSMOP-UHFFFAOYSA-N 0.000 description 1
- WYYYYKNPQXOGPI-UHFFFAOYSA-N CCC(CC)C(N(CC1)CCC1N(C)Cc(cn1)ncc1Cl)=O Chemical compound CCC(CC)C(N(CC1)CCC1N(C)Cc(cn1)ncc1Cl)=O WYYYYKNPQXOGPI-UHFFFAOYSA-N 0.000 description 1
- 0 CCCC1(C)CN(*)C2(CCCC2)CCC(B*c(c(*)n2)nc(C)c2[Al])C1 Chemical compound CCCC1(C)CN(*)C2(CCCC2)CCC(B*c(c(*)n2)nc(C)c2[Al])C1 0.000 description 1
- FNZUQHOMEGUTKZ-UHFFFAOYSA-N CS(c(cc1)ccc1-c(nc1)cnc1NCC(CC1)CCN1C(OCc1ccccc1)=O)(=O)=O Chemical compound CS(c(cc1)ccc1-c(nc1)cnc1NCC(CC1)CCN1C(OCc1ccccc1)=O)(=O)=O FNZUQHOMEGUTKZ-UHFFFAOYSA-N 0.000 description 1
- QXNWRJFMQQEVIA-UHFFFAOYSA-N CS(c(cc1)ccc1-c(nc1)cnc1OCC(CC1)CCN1C(Oc1ccccc1)=O)(=O)=O Chemical compound CS(c(cc1)ccc1-c(nc1)cnc1OCC(CC1)CCN1C(Oc1ccccc1)=O)(=O)=O QXNWRJFMQQEVIA-UHFFFAOYSA-N 0.000 description 1
- CYQISVNDCYCQBN-UHFFFAOYSA-N CS(c(cc1)ccc1-c(nc1)cnc1OCC(CC1)CCN1C(c1ccccc1)=O)(O)O Chemical compound CS(c(cc1)ccc1-c(nc1)cnc1OCC(CC1)CCN1C(c1ccccc1)=O)(O)O CYQISVNDCYCQBN-UHFFFAOYSA-N 0.000 description 1
- CMCRZWWBKSQEOP-UHFFFAOYSA-N CS(c(cc1)ccc1-c1cnc(COC(CC2)CCN2C(OCc2ccccc2)=O)cn1)(=O)=O Chemical compound CS(c(cc1)ccc1-c1cnc(COC(CC2)CCN2C(OCc2ccccc2)=O)cn1)(=O)=O CMCRZWWBKSQEOP-UHFFFAOYSA-N 0.000 description 1
- MHXAMNAHIWHHCR-UHFFFAOYSA-N NC(CC1)CCN1C(c(cc1Cl)ccc1Cl)=O Chemical compound NC(CC1)CCN1C(c(cc1Cl)ccc1Cl)=O MHXAMNAHIWHHCR-UHFFFAOYSA-N 0.000 description 1
- AAOPKVKFULNLTG-UHFFFAOYSA-N NC(c(c(F)c1)ccc1-c1cnc(CNC(CC2)CCN2c2ncccn2)cn1)=O Chemical compound NC(c(c(F)c1)ccc1-c1cnc(CNC(CC2)CCN2c2ncccn2)cn1)=O AAOPKVKFULNLTG-UHFFFAOYSA-N 0.000 description 1
Classifications
-
- C—CHEMISTRY; METALLURGY
- C07—ORGANIC CHEMISTRY
- C07D—HETEROCYCLIC COMPOUNDS
- C07D401/00—Heterocyclic compounds containing two or more hetero rings, having nitrogen atoms as the only ring hetero atoms, at least one ring being a six-membered ring with only one nitrogen atom
- C07D401/02—Heterocyclic compounds containing two or more hetero rings, having nitrogen atoms as the only ring hetero atoms, at least one ring being a six-membered ring with only one nitrogen atom containing two hetero rings
- C07D401/12—Heterocyclic compounds containing two or more hetero rings, having nitrogen atoms as the only ring hetero atoms, at least one ring being a six-membered ring with only one nitrogen atom containing two hetero rings linked by a chain containing hetero atoms as chain links
-
- A—HUMAN NECESSITIES
- A61—MEDICAL OR VETERINARY SCIENCE; HYGIENE
- A61P—SPECIFIC THERAPEUTIC ACTIVITY OF CHEMICAL COMPOUNDS OR MEDICINAL PREPARATIONS
- A61P3/00—Drugs for disorders of the metabolism
Definitions
- the present invention relates to novel pyrazine compounds, to pharmaceutical compositions comprising these compounds, and to the use of these compounds for the prophylaxis and treatment of medical conditions relating to disorders of the G-protein- coupled receptor GPRl 19 such as diabetes, obesity and osteoporosis.
- Diabetes mellitus is a group of disorders characterized by abnormal glucose homeostasis resulting in high levels of blood glucose.
- Type 1 also referred to as insulin-dependent diabetes mellitus or IDDM
- Type 2 diabetes also referred to as non- insulin-dependent diabetes mellitus or NIDDM
- Type 2 diabetes accounts for approximately 90% of all diabetic cases.
- Type 2 diabetes is a serious progressive disease that results in the development of microvascular complications (e.g. retinopathy, neuropathy, nephropathy) as well as macrovascular complications (e.g. accelerated atherosclerosis, coronary heart disease, stroke). More than 75% of people with Type 2 diabetes die of cardiovascular diseases.
- Type 2 diabetes involves insulin resistance, insulin secretory dysfunction (i.e. pancreatic beta cell dysfunction) and hepatic glucose overproduction. Insulin resistance is highly correlated with obesity. Accumulating reports suggest insulin resistance to be central to a cluster of metabolic abnormalities - including dyslipidemia, hypertension, endothelial dysfunction, reduced fibrinolysis, and chronic systemic inflammation - that together are responsible for the increased cardiovascular risk. Current antidiabetic therapy is targeting the defects mentioned above. For instance, sulphonylureas increase production of endogenous insulin.
- Obesity is linked to a wide range of medical complications, such as diabetes, cardiovascular disease and cancer In addition, being overweight can exacerbate the development of osteoporosis and asthma. Obesity is also proven to double the risk of hypertension. Obesity has only recently been regarded as a disease in the sense of being a specific target for medical therapy. Current therapies for obesity are based on diet and exercise and stomach surgery for extremely obese patients Two weight loss medications are today available for long- term use.
- Sibutramine a serotonin- and noradrenaline-reuptake inhibitor
- a prominent side effect is hypertension
- Orhstat inhibits the hpase-mediated breakdown of fat in the gastrointestinal tract, thereby limiting caloric intake resulting in weight loss
- approximately 20% of the patients using Orlistat develop faecal incontinence and urgency.
- Osteoporosis or porus bone
- GIP Glucose-dependent Insulmotropic Polypeptide
- GPRl 19 is a G-protein coupled receptor identified as SNORF25 in WO 00/50562 In humans, GPRl 19 is selectively expressed m pancreas and gastrointestinal tract Activation of GPRl 19 by lysophosphatidylcholme (LPC) induces glucose-dependent insulin secretion from pancreatic beta-cells (Soga et al , Biochem Biophys Res Commun 326, 744-751, 2005). GPRl 19 agonists stimulate insulin secretion m rat islets and reduce blood glucose in diabetic Lep ⁇ mice (WO 2004/065380 and Chu et al., Endocrinology 148, 2601-9, 2007).
- LPC lysophosphatidylcholme
- GPRl 19 agonists enhance the release of the mcretins, GLP-I and GIP in mice models and in GLUTag cells, which is a model used to investigate the function of intestinal L-cells (Chu et al., Endocrinology Jan 17, 2008).
- GPRl 19 Another endogenous ligand for GPRl 19, oleoylethanolamide (OEA), and a small molecule GPRl 19 agonist, PSN632408, both suppress food intake and reduce body weight gain in rat (Overton et al., Cell Metabolism 3, 167-175, 2006). Taken together, these data suggest that GPRl 19 is an interesting target for treating diabetes and/or obesity.
- OOA oleoylethanolamide
- PSN632408 a small molecule GPRl 19 agonist
- WO 2004/065380 disclose compounds that are modulators of the Rup3 receptor, also referred to as SNORF25 (WO 00/50562) or as GPRl 19 (Fredriksson et al., FEBS Lett, 554, 381- 388, 2003), and which inter alia may be used for the treatment of metabolic disorders and complications thereof, such as diabetes and obesity.
- WO 2005/061489, WO 2006/067531, WO 2006/067532 and WO 2006/070208 disclose compounds that are agonists of GPRl 16, also referred to as SNORF25 or as GPRl 19 (see Overton et al, Cell Metabolism 3, 167-175, 2006), and which inter alia may be used for the treatment of metabolic disorders and complications thereof, such as diabetes and obesity.
- WO 2006/076231 discloses a synergistic effect of a GPRl 19 agonist in combination with a DPP-IV inhibitor, m lowering elevated glucose levels m mice.
- WO 2007/120689 discloses a method of using GPRl 19 receptor to identify compounds useful for increasing bone mass in an individual.
- GPRl 19 agonists are shown to enhance GIP in wildtype mice.
- compounds of the general Formula (Ia) to (Ic) are active as agonists of GPRl 19 and are potentially useful in the treatment or prophylaxis of disorders relating to GPRl 19.
- disorders include Type 1 diabetes, Type 2 diabetes, inadequate glucose tolerance, insulin resistance, hyperglycemia, hyperlipidemia, hypercholesterolemia, dyslipidemia, syndrome X, obesity, hypertension, chronic systemic mflammation, retinopathy, neuropathy, nephropathy, atherosclerosis, reduced fibrinolysis, endothelial dysfunction and osteoporosis
- the invention provides a compound of Formula (Ia),
- A is CH 2 , O, NR 10 , C(O), S, S(O) or S(O) 2 ,
- B is CH 2 , O, NR 10 , C(O), S, S(O) or S(O) 2 , provided that when B is O, NR 10 , C(O), S, S(O) or S(O) 2 , then A is CH 2 ,
- D is N, C or CR 11 , provided that D must be CR 11 and said R 11 must be hydrogen or methyl when B is selected from O, NR 10 , C(O), S, S(O) and S(O) 2 ,
- — is a single bond when D is N or CR 11 or a double bond when D is C;
- E and G are independently Ci 3-alkylene, each optionally substituted with a substituent independently selected from the group consisting of Ci 3-alkyl, Ci 4-alkoxy, carboxy, fluoro-Ci 3-alkyl, hydroxy, hydroxymethyl, and fluoro, provided that the ring formed by D, E, N and G has not more than 7 ring atoms, and further provided that the said ring has 6 or 7 ring atoms when D is N, and yet further provided that the total number of substituents on E and G independently is not more than 2;
- R 1 is C(O)OR 2 , C(O)R 2 , S(O) 2 R 2 , C(O)NR 2 R 3 or -CH 2 -C(O)NR 2 R 3 , or a 5- or 6-membered heteroaryl group linked via a ring carbon atom, wherein the said heteroaryl group is optionally substituted with Ci- 4 -alkyl;
- Ar 1 is phenyl or heteroaryl, each of which is optionally independently substituted in one or more positions with a substituent selected from:
- R 2 is selected from:
- Ci_3-alkylaminocarbonyl-C2-6-alkyl (w) Ci_3-alkylaminocarbonyl-C2-6-alkyl, (x) di(Ci_ 3 -alkyl)aminocarbonyl-C 2 - 6 -alkyl,
- R 3 is selected from'
- R 4 is independently selected from:
- Ci_ 3 -alkylaminocarbonyl-C 2 - 4 -alkyl (s) di(Ci_ 3 -alkyl)aminocarbonyl-C 2 - 4 -alkyl,
- R 5 is each independently selected from:
- R 6 is independently selected from:
- R 7 is independently selected from Ci 4 -alkyl
- R 8 is independently selected from.
- R is each independently selected from' (a) Ci_ 4 -alkoxy-C 2 - 4 -alkyl,
- R 10 is independently selected from.
- R 11 is selected from:
- R is each independently selected from
- each R 5 is independently selected from the group consisting of hydrogen and C]_ 4 -alkyl, or two R 5 groups together with the nitrogen to which they are attached form a pyrrolidine or an azetidme ring,
- Ci-3-alkyl Ci-3-alkyl
- Ci_3-alkoxy-Ci_ 2 -alkyl Ci_3-alkoxy-Ci_ 2 -alkyl
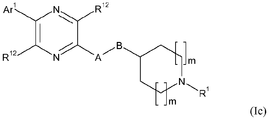
- a preferred group of compounds of formula (Ia) are the compounds of Formula (Ib),
- A is CH 2 , O, NR 10 , C(O), S, S(O) or S(O) 2 ,
- B is CH 2 , O, NR 10 , C(O), S, S(O) or S(O) 2 , provided that when B is O, NR 10 , C(O), S, S(O) or S(O) 2 , then A is CH 2 , m is each independently O or 1 , D is N or CR 11 , provided that D must be CR 11 and said R 1 1 must be hydrogen or methyl when B is selected from O, NR 10 , C(O), S, S(O) and S(O) 2 , and further provided that each m is 1 when D is N, Ar 1 , Z 1 , Z 2 , R 1 to R 9 and R 12 are as defined in Formula (Ia),
- R is independently selected from
- R 11 is selected from
- A is CH 2 , O or NR 10 ;
- B is CH 2 , O or NR 10 , provided that when B is O or NR 10 , then A is CH 2 , m is each independently 0 or 1;
- Z 1 , Z 2 , R 1 to R 7 , R 9 and R 12 are as defined in Formula (Ia);
- R 10 is as defined in Formula (Ib),
- Ar 1 is phenyl or 5- or 6-membered heteroaryl, each of which is optionally substituted in one or two positions with a substituent independently selected from the group Z 3 consisting of:
- halogen selected from bromine, chlorine and fluorine
- R 8 is independently selected from:
- a preferred subgroup of compounds of Formula (Ic) consists of compounds wherein:
- A is CH 2 and B is O or NR 10 , or A is O or NR 10 and B is CH 2 , m is each 1 ,
- Ar 1 is phenyl, pyridinyl or thienyl, each of which is optionally substituted in one or two positions with a substituent independently selected from the group Z 4 consisting of
- R 1 is a group R 1A selected from C(O)OR 2A , C(O)R 2A , S(O) 2 R 2A , C(O)NR 2A R 3A , -CH 2 -C(O)NR 2A R 3A , or a 5- or 6-membered heteroaryl group linked via a ring carbon atom, wherein the said heteroaryl group is optionally substituted with Ci- 4 -alkyl;
- R 2A is selected from:
- heteroaryl-Ci_ 4 -alkyl wherein any aryl or heteroaryl residue, alone or as a part of another group, is optionally substituted in one or more positions with a substituent independently selected from the group Z 5 consisting of
- R 3A is selected from:
- R 5A is each independently selected from:
- R 7A is independently selected from Ci- 4 -alkyl
- R 10 is independently selected from'
- R 12 is each hydrogen
- A is CH 2 and B is O or NR 10
- Ar 1 is selected from methylsulfonylphenyl, (ammocarbonyl)phenyl, [(methylamino)carbonyl]phenyl, [(dimethylamino)carbonyl]phenyl, [(4-methylpiperazm-l-yl)carbonyl]phenyl, [2-(hydroxy- methyl)morpholin-4-ylcarbonyl]phenyl, (methylsulfmyl)phenyl, pyridinyl, [(3-hydroxy- pyrrolidm- 1 -yl)carbonyl]phenyl, ⁇ [(2-hydroxymethyl)pyrrolidm- 1 -yl]carbonyl ⁇ phenyl, [(3-hydroxyazetidin- 1 -yl)carbonyl]phenyl, (ammocarbonyl)fluorophenyl, [(methoxy- carbonyl)amino]phenyl, [(methyl
- Ar 1 is selected from 4-methylsulfonylphenyl, 4-(ammocarbonyl)phenyl, 4-[(methylamino)carbonyl]phenyl, 4-[(dimethylamino)carbonyl]phenyl, 4-[(4-methyl- piperazin-l-yl)carbonyl]phenyl, 4- ⁇ [2-(hydroxymethyl)morpholin-4-yl]carbonyl ⁇ phenyl, 4-(methylsulfinyl)phenyl, 4-pyridinyl, 4-[(3-hydroxypyrrolidin-l-yl)carbonyl]phenyl, 4- ⁇ [2-(hydroxymethyl)pyrrohdin- 1 -yl]carbonyl ⁇ phenyl, 4- [(3-hydroxyazetidin- 1 -yl)- carbonyl]phenyl, 4-(aminocarbonyl)-3-fluorophenyl, 4- [(methoxycarbonyl)amino]phenyl, 4-[(methoxy
- R 1A is selected from C(O)OR 2A , C(O)R 2A or a 6-membered heteroaryl group.
- R 1A is C(O)OR 2A , wherein R 2A is selected from tert-but ⁇ l, phenyl, benzyl, ⁇ o-butyl, ethyl, isopropyl, 2,2-dimethylpropyl, 1-cyclopropylethyl and (3- methyloxetan-3-yl)methyl
- R 1A is C(O)R 2A , wherein R 2A is selected from phenyl, 1-methyl- lH-pyrrol-2-yl, 3,4-dichlorophenyl and 1 -ethylpropyl.
- R is 2-pyrimidmyl.
- R 10 is independently selected from hydrogen, methyl and cyclopropyl.
- Particularly preferred compounds of Formula (Ia) to (Ic) are the compounds selected from the group consisting of
- Another object of the invention is a compound of Formula (Ia) to (Ic) for use m therapy
- the compounds can be used in the treatment or prophylaxis of disorders relating to GPRl 19.
- disorders are Type 1 and Type 2 diabetes, inadequate glucose tolerance, insulin resistance, hyperglycemia, hyperhpidemia, hypercholesterolemia, dyslipidemia, syndrome X, obesity, hypertension, chrome systemic inflammation, retinopathy, neuropathy, nephropathy, atherosclerosis, reduced fibrinolysis, endothelial dysfunction and osteoporosis.
- Another object of the invention is the use of a compound of Formula (Ia) to (Ic) in the manufacture of a medicament for use in the treatment or prophylaxis of disorders related to GPRl 19.
- the GPR119-related disorder is any disorder or symptom wherein GPRl 19 is involved in the process or presentation of the disorder or the symptom.
- the GPRl 19- related disorders include, but are not limited to, Type 1 and Type 2 diabetes, inadequate glucose tolerance, insulin resistance, hyperglycemia, hyperhpidemia, hypercholesterolemia, dyslipidemia, syndrome X, obesity, hypertension, chronic systemic inflammation, retinopathy, neuropathy, nephropathy, atherosclerosis, reduced fibrinolysis, endothelial dysfunction and osteoporosis
- Another object of the invention is a method for modulating the GPRl 19 receptor activity (e g , agonizing human GPRl 19), comprising administering to a subject (e g , mammal, human, or animal) in need thereof an effective amount of a compound of Formula (Ia) to (Ic) or a composition comprising such a compound
- Yet another object of the invention is a method for the treatment or prophylaxis of disorders related to GPRl 19, said method comprising administering to a subject (e.g , mammal, human, or animal) m need of such treatment an effective amount of a compound of Formula (Ia) to (Ic)
- the GPRl 19-related disorder is any disorder or symptom wherein GPRl 19 is involved m the process or presentation of the disorder or the symptom
- the GPRl 19-related disorders include, but are not limited to Type 1 and Type 2 diabetes, inadequate glucose tolerance, msulm resistance, hyperglycemia, hyperhpidemia, hypercholesterolemia, dyslipidemia, syndrome X, obesity, hypertension, chronic systemic inflammation, retinopathy, neuropathy, nephropathy, atherosclerosis, reduced fibrinolysis, endothelial dysfunction and osteoporosis
- Methods delineated herein include those wherein the subject is identified as in need of a particular stated treatment. Identifying a subject in need of such treatment can be in the judgment of a subject or a health care professional and can be subjective (e g opinion) or objective (e.g. measurable by a test or diagnostic method).
- the methods herein include those further comprising monitoring subject response to the treatment administrations Such monitoring may include periodic sampling of subject tissue, fluids, specimens, cells, proteins, chemical markers, genetic materials, etc as markers or indicators of the treatment regimen
- monitoring may include periodic sampling of subject tissue, fluids, specimens, cells, proteins, chemical markers, genetic materials, etc as markers or indicators of the treatment regimen
- the subject is prescreened or identified as in need of such treatment by assessment for a relevant marker or indicator of suitability for such treatment.
- the invention provides a method of monitoring treatment progress
- the method includes the step of determining a level of diagnostic marker (Marker) (e.g , any target or cell type delineated herein modulated by a compound herein) or diagnostic measurement (e g., screen, assay) m a subject suffering from or susceptible to a disorder or symptoms thereof delineated herein, m which the subject has been administered a therapeutic amount of a compound herein sufficient to treat the disease or symptoms thereof
- the level of Marker determined in the method can be compared to known levels of Marker in either healthy normal controls or in other afflicted patients to establish the subject's disease status
- a second level of Marker m the subject is determined at a time point later than the determination of the first level, and the two levels are compared to monitor the course of disease or the efficacy of the therapy
- a pre-treatment level of Marker m the subject is determined prior to beginning treatment according to this invention, this pre-treatment level of Marker can then be compared
- a level of Marker or Marker activity in a subject is determined at least once Comparison of Marker levels, e g , to another measurement of Marker level obtained previously or subsequently from the same patient, another patient, or a normal subject, may be useful in determining whether therapy according to the invention is having the desired effect, and thereby permitting adjustment of dosage levels as appropriate
- Determination of Marker levels may be performed using any suitable sampling/expression assay method known m the art or described herein
- suitable samples include blood, urine, tissue, mouth or cheek cells, and hair samples containing roots
- suitable samples would be known to the person skilled in the art
- Determination of protein levels and/or mRNA levels (e g , Marker levels) m the sample can be performed using any suitable technique known m the art, including, but not limited to, enzyme immunoassay, ELISA, radio labelling/assay techniques, blotting/chemilummescence methods, real-time PCR, and
- Ci 6-alkyl denotes a straight or branched alkyl group having from 1 to 6 carbon atoms
- Ci 5-alkyl Ci 4-alkyl
- Ci 3-alkyl Ci 2-alkyl
- Cj 6-alkyl C2 5-alkyl
- C24-alkyl C23-alkyl
- C3 6-alkyl C4 5-alkyl
- examples of said Ci 6-alkyl include methyl, ethyl, n-propyl, isopropyl, n-butyl, isobutyl, sec-butyl, z-butyl and straight- and branched-chain pentyl and hexyl
- cyano-Ci-6-alkyl denotes a Ci_6-alkyl group, as defined above, substituted with a cyan
- amino-Ci_6-alkyl denotes a Ci_6-alkyl group, as defined above, substituted with an amino group.
- exemplary amino-Ci_6-alkyl groups include 2-aminoethyl and 3-aminopropyl.
- hydroxy-Ci_6-alkyl denotes a straight or branched alkyl group that has a hydrogen atom thereof replaced with OH.
- examples of said hydroxy-Ci_ 6 -alkyl include hydroxymethyl, 2-hydroxyethyl, 2-hydroxypropyl, 3-hydroxy-3-methylbutyl, 2-hydroxybutyl and 2-hydroxy-2-methylpropyl.
- Ci _ ⁇ -alkyl group is attached to the remainder of the molecule through an oxygen, sulfur or nitrogen atom, respectively.
- Ci 6-alkoxy all subgroups thereof are contemplated such as Ci 5-alkoxy, Ci 4 -alkoxy, Ci 3-alkoxy, Ci_ 2 -alkoxy, C 2 -6-alkoxy, C 2 -5-alkoxy, C 2 - 4 -alkoxy, C 2 -3-alkoxy, C3_6-alkoxy, C 4 -S- alkoxy, etc.
- Ci_6-alkoxy examples include methoxy, ethoxy, n-propoxy, isopropoxy, «-butoxy, isobutoxy, sec-butoxy, ?-butoxy and straight- and branched-chain pentoxy and hexoxy etc
- Subgroups of "Ci- ⁇ -alkylthio” and “Ci_6-alkylammo” are to be construed accordingly.
- the term "Ci_4-alkylsulfmyl” denotes a group C1-4- alkyl-S(O)— .
- Ci_ 4 -alkylsulfinyl groups include methylsulf ⁇ nyl and ethylsulfmyl.
- dihydroxy-C2_6-alkyl denotes a C2_6-alkyl group which is disubstituted with hydroxy and wherein said hydroxy groups are attached to different carbon atoms.
- Exemplary dihydroxy-C 2 - 6 -alkyl groups include 2,3-dihydroxy- propyl and 2,4-dihydroxybutyl.
- di(Ci_ 4 -alkyl)amino denotes a group (Ci_ 4 -alkyl) 2 N— , wherein the two alkyl portions may be the same or different.
- Exemplary di(Ci_4-alkyl)amino groups include N,N-dimethylamino, N-ethyl-N-methylamino and N,N- diethylamino.
- di(Ci_4-alkyl)ammo-C2-4-alkyl denotes a group as defined above, attached to a C24-alkyl group
- Exemplary di(Ci_ 4 -alkyl)amino-C 2 - 4 -alkyl groups include 2-(dimethylamino)ethyl and 3-(diethyl- amino)propyl.
- fluoro-Ci_6-alkyl denotes a Ci_6-alkyl group substituted by one or more fluorine atoms.
- fluoro-Ci_6-alkyl examples include 2-fluoroethyl, fluoromethyl, 2-fluoro-l-(fluoromethyl)ethyl, trifluoromethyl, 3,3,3- trifluoropropyl and 2,2,2-trifluoroethyl.
- aryl-Ci_6-alkyl means a Ci_6-alkyl group substituted by an aryl group.
- aryl-Ci_5-alkyl include benzyl, 2- phenylethyl, 1-phenylethyl and 2-methyl-2-phenylpropyl.
- arylcarbonyl-Ci_ 4 -alkyl denotes an arylcarbonyl group (e.g., benzoyl) that is attached through a Q ⁇ -alkyl group.
- arylcarbonyl-Ci_ 4 -alkyl examples include 3-oxo-3-phenylpropyl, 2-oxo-2-phenylethyl and l-methyl-3-oxo-3-phenylpropyl.
- heteroarylcarbonyl-Ci_4-alkyl denotes a heteroarylcarbonyl group (e.g., 3-pyridinylcarbonyl) that is attached through a Ci-4-alkyl group.
- heteroarylcarbonyl-Ci 4 -alkyl examples include 3-oxo-3-(3-pyridinyl)- propyl, 2-oxo-2-(3-py ⁇ dmyl)ethyl and l-methyl-3-oxo-3-(3-pyridinyl)propyl.
- Ci_6-alkoxy-C2-6-alkyl denotes a straight or branched alkoxy group having from 1 to 6 carbon atoms connected to an alkyl group having from from 2 to 6 carbon atoms.
- Examples of said Ci_6-alkoxy-C 2 -6-alkyl include methoxyethyl, ethoxyethyl, isopropoxyethyl, n-butoxyethyl, ?-butoxyethyl and straight- and branched-chain pentoxyethyl.
- Ci_6-alkoxy-C2-6-alkyl all subgroups thereof are contemplated such as Ci_5-alkoxy-C 2 -6-alkyl, Ci_ 4 -alkoxy-C 2 -6-alkyl, Ci_3-alkoxy-C2-6-alkyl, Ci_2-alkoxy-C2-6-alkyl, C2-6-alkoxy-C2_6-alkyl, C2-5-alkoxy-C2-6- alkyl, C 2 - 4 -alkoxy-C 2 - 6 -alkyl, C 2 - 3 -alkoxy-C 2 - 6 -alkyl, C 3 _ 6 -alkoxy-C 2 - 6 -alkyl, C 4 _ 5 -alkoxy- C 2 - 6 -alkyl, Ci_ 6 -alkoxy-C 2 - 5 -alkyl, Ci_ 6 -alkoxy-C 2 - 4 -alkoxy-C
- C2-6-alkenyl denotes a straight or branched hydrocarbon chain radical containing one carbon-carbon double bond and having from 2 to 6 carbon atoms.
- Examples of said C 2 -6-alkenyl include vinyl, allyl, 2,3-dimethylallyl, 1-butenyl, 1-pentenyl, and 1-hexenyl.
- C 2 -6-alkenyl all subgroups thereof are contemplated such as C 2 -5-alkenyl, C 2 - 4 -alkenyl, C 2 -3-alkenyl, C3_6-alkenyl, C 4 _5- alkenyl, etc.
- aryl-C 2 -6-alkenyl means a C 2 -6-alkenyl group substituted by an aryl group
- aryl-C2 6-alkenyl include styryl and cinnamyl.
- C 2 -6-alkynyl denotes a straight or branched hydrocarbon chain radical containing one carbon-carbon triple bond and having from 2 to 6 carbon atoms.
- Examples of said C 2 -6-alkynyl include ethynyl, 1-propynyl, 2-propynyl, 1-biitynyl, 2-butynyl, and l-methylprop-2-yn-l-yl.
- aryl-C2-6-alkynyl means a C2- ⁇ -alkynyl group substituted by an aryl group.
- aryl-C2-6-alkynyl include phenylethynyl, 3-phenyl-l-propyn-l-yl, 3-phenyl-2-propyn- 1 -yl and 4-phenyl-2-butyn- 1 -yl.
- C 3 _7-cycloalkyl denotes a cyclic alkyl group having a ring size from 3 to 7 carbon atoms and includes cyclopropyl, cyclobutyl, cyclopentyl, cyclohexyl, and cycloheptyl.
- C3_7-cycloalkyl For parts of the range "C3_7-cycloalkyl” all subgroups thereof are contemplated such as C3_6-cycloalkyl, C3_5-cycloalkyl, C3_4- cycloalkyl, C4 7-cycloalkyl, C4 6-cycloalkyl, C45-cycloalkyl, C5 7-cycloalkyl, Ce 7- cycloalkyl.
- C3-7-cycloalkyl-Ci_ 4 -alkyl denotes a C3-7- cycloalkyl group attached to a Ci- 4 -alkyl group.
- Exemplary C3-7-cycloalkyl-Ci_ 4 -alkyl groups include cyclopropylmethyl, 1-cyclopropylethyl, cyclohexylmethyl and 2-cyclo- hexylethyl.
- cycloalkyl portion as part of the group C 3 _ 7 -cycloalkyl-Ci_ 4 -alkyl is substituted with methyl
- examples of such groups include (l-methylcyclopropyl)methyl and 2-(4-methylcyclohexyl)ethyl.
- C7_8-bicyclyl denotes a carbobicyclic saturated aliphatic ring system in which two non-adjacent carbon atoms of a monocyclic ring are linked by an alkylene bridge of between one and three additional carbon atoms.
- Examples of said C7_s-bicyclyl include radicals obtainable from bicyclo[3.1.1]heptane, bicyclo[2.2.1]heptane (norbornane) and bicyclo[2.2.2]octane.
- C7_8-bicyclylalkyl means a Ci_6-alkyl group substituted by a C 7 _ 8 -bicyclyl group as defined above.
- An exemplary C 7 _ 8 -bicyclylalkyl group is bicyclo[2.2.1 ]hept-2-ylmethyl (2-norbonylmethyl).
- Cs_8-cycloalkenyl denotes a monocyclic or bicyclic alkenyl group of 5 to 8 carbon atoms having one carbon-carbon double bond.
- Examples of monocyclic cycloalkenyl groups are cyclopent-3-en-l-yl and cyclohexen-1- yl
- An exemplary bicyclic cycloalkenyl group is bicyclo[2.2.1]hept-5-en-2-yl (norbornen-
- oxo-C4_6-cycloalkyl refers to a C4_6- cycloalkyl wherein one of the ring carbons is a carbonyl.
- oxo-C 4 _ ⁇ - cycloalkyl include 2-oxocyclobutyl, 3-oxocyclobutyl, 2-oxocyclopentyl and 4-oxo- cyclohexyl
- fluoro-C36-cycloalkyl denotes a C3 6- cycloalkyl group substituted by one or two fluorine atoms.
- fluoro-C3 6- cycloalkyl examples include 2,2-difluorocyclopropyl and 4-fluorocyclohexyl
- Ci 3 -alkoxy-C 4 6-cycloalkyl denotes a C 4 6- cycloalkyl group substituted by a Ci 3 -alkoxy group.
- examples of said "Ci 3 -alkoxy-C4 ⁇ - cycloalkyl” include 4-methoxycyclohexyl and 2-ethoxycyclopentyl.
- methyl-C3 e-cycloalkyl denotes a C3 ⁇ - cycloalkyl group substituted by one or two methyl groups
- Examples of said "methyl-C3 6- cycloalkyl” include 4-methylcyclohexyl and 3,3-dimethylcyclopentyl.
- acyl which may be straight or branched, denotes a carbonyl group that is attached through its carbon atom to a hydrogen atom to form a Ci -acyl group (i e , a formyl group) or to an alkyl group, where alkyl is defined as above
- Ci 6-acyl all subgroups thereof are contemplated such as Ci 5-acyl, Ci 3-acyl, Ci 2-acyl, C 2 e-acyl, C 2 5-acyl, C 2 4 -acyl, C 2 3-acyl, C 3 e-acyl, C 4 5-acyl, etc
- Exemplary acyl groups include formyl, acetyl (i.e , C 2 -acyl), propanoyl, butanoyl, pentanoyl, hexanoyl
- C 2 6-acyl-Ci_6-alkyl refers to a group Ci 5-alky
- Ci 6-alkylsulfonyl which may be straight or branched, denotes a hydrocarbon having from 1 to 6 carbon atoms with a sulfonyl group
- Ci 5-alkylsulfonyl Ci 4 -alkylsulfonyl
- Ci 3-alkylsulfonyl Ci 2 -alkylsulfonyl, C 2 6- alkylsulfonyl, C 2 5 -alkylsulfonyl, C 2 4 -alkylsulfonyl, C 2 3 -alkylsulfonyl, C 3 6 -alkylsulfonyl, C 4 5 -alkylsulfonyl, etc.
- Ci 6 -alkylsulfonyl groups include methylsulfonyl, ethylsulfonyl, propylsulfonyl, «-butylsulfonyl, sec-butylsulfonyl, te/t-butylsulfonyl, pentylsulfonyl and hexylsulfonyl Unless otherwise stated or indicated, the term "hydroxy-C 2 4-alkylsulfonyl” denotes a C 2 4- alkylsulfonyl group as defined above substituted with a hydroxy group Examples of said hydroxy-C 2 4 -alkylsulfonyl include hydroxymethylsulfonyl and 2-hydroxyethylsulfonyl Unless otherwise stated or indicated, the term "Ci_4-alkylsulfonamido" denotes a group d_ 4 -alkyl-S0 2 NH—
- Ci-4-alkylsulfoximine refers to a group with the following chemical structure.
- R a is Ci- 4 -alkyl.
- Ci_3-alkylene refers to the diradicals methylene (-CH 2 -), ethylene (-CH 2 -CH 2 -) and propylene (-CH 2 -CH 2 -CH 2 -).
- halogen shall mean fluorine, chlorine, bromine or iodine
- aryl refers to a hydrocarbon ring system having at least one aromatic ring, preferably mono- or bicyclic.
- aryls are phenyl, indenyl, 2,3-dihydroindenyl (indanyl), 1-naphthyl, 2-naphthyl or 1,2,3,4- tetrahydronaphthyl.
- heteroaryl refers to a mono- or bicyclic heteroaromatic ring system having 5 to 10 ring atoms in which one or more of the ring atoms are other than carbon, such as nitrogen, sulphur or oxygen.
- heteroaryl groups include furyl, pyrrolyl, thienyl, oxazolyl, isoxazolyl, imidazolyl, thiazolyl, isothiazolyl, pyridyl, pyrimidinyl, quinazolinyl, indolyl, isomdolyl, 1,3-dihydro-isomdolyl, pyrazolyl, pyridazmyl, quinolmyl, quinoxalinyl, thiadiazolyl, benzofuranyl, 2,3-dihydrobenzofuranyl, 1,3-benzodioxolyl, 1,4- benzodioxinyl, 2,3-dihydro-l,4-benzodioxinyl, benzothiazolyl, benzimidazo
- heterocyclyl refers to a non-aromatic fully saturated or partially unsaturated monocyclic ring system having 4 to 7 ring atoms with at least one heteroatom such as O, N, or S, and the remaining ring atoms are carbon
- heterocyclic groups include piperidinyl, tetrahydropyranyl, tetrahydrofuranyl, oxetanyl, azepinyl, azetidinyl, pyrrolidinyl, morpholinyl, imidazolinyl, lmidazohdinyl, thiomorpholinyl, pyranyl, dioxanyl, piperazinyl and 5,6-dihydro-4H-l,3- oxazin-2-yl.
- exemplary heterocyclic groups containing sulfur in oxidized form are 1,1- dioxido-thiomorpholmyl and 1,1-dioxido-isothiazolidinyl.
- heterocyclic ring When two groups R 5 , two groups R 5A , two groups R 9 or two groups R 9A described herein form a heterocyclic ring and said heterocyclic ring is substituted with one or two oxo groups, examples of such groups include 2-pyrrolidon-l-yl, 2-piperidon- 1 -yl, 2-azetidinon- 1-yl, 2,5-dioxopyrrolidm-l-yl and hydantom- 1 -yl (i.e , 2,5-dioxoimidazolidin-l-yl).
- heterocyclic ring When two groups R 5 , two groups R 5A , two groups R 9 or two groups R 9A described herein form a heterocyclic ring and said heterocyclic ring is substituted with one or two fluoro atoms, examples of such groups include 4-fluoropiperidm-l-yl, 4,4-difluoropiperidin- 1 -yl, 3-fluoropyrrolidin-l-yl and 3,3-difluoropyrrolm-l-yl.
- examples of such groups include 4-hydroxypiperidin-l-yl, 3-hydroxypiperidin-l-yl, 3-hydroxy- pyrrolidin- 1 -yl and 3-hydroxyazetidin-l-yl
- examples of such groups include 4-ammopiperidin-l-yl, 3-aminopiperidm-l-yl, and 3-aminopyrrolidin- 1-yl
- heteroaryl-Ci 4 -alkyl denotes a heteroaryl group that is attached through a Ci_ 4 -alkyl group.
- heteroaryl-Ci_ 4 -alkyl examples include 2-(pyridin-2-yl)ethyl and 1,3 benzodioxol-5-ylmethyl.
- C-heterocyclyl indicates bonding via a carbon atom of said heterocyclyl, for example piperidin-4-yl, tetrahydrofuran-2-yl, oxetan-3-yl, tetrahydrofuran-3-yl and 5,6-dihydro-4H- l,3-oxazin-2-yl, while "N-heterocyclyl” indicates bonding through nitrogen in a nitrogen- containing heterocyclyl group, for example piperidin- 1 -yl and piperazm-1-yl.
- Ci-4-alkyl When C-heterocyclyl is substituted by Ci-4-alkyl, said Ci-4-alkyl is attached to a ring nitrogen atom or a ring carbon atom thereof
- Exemplary C-heterocyclyl groups substituted by Ci -4- alkyl include l-methylpiperidin-4-yl and 3-methyloxetan-3-yl
- N-heterocyclyl-C2 4-alkyl refers to a nitrogen-containing heterocyclyl group that is directly linked to a C24-alkyl group via a nitrogen atom of said heterocyclyl
- Exemplary N-heterocyclyl-C 2 4 -alkyl groups include 2-(pyrrolidm-l-yl)ethyl, 3-(4-morpholmyl)propyl, 2-(piperazm- 1 -yl)ethyl and 2-(4- morpholinyl)ethyl.
- heterocyclyl as part of the group N-heterocyclyl-C 2 4 -alkyl is substituted by methyl
- said heterocyclyl is selected from 1 -piperazmyl or 1-homopiperazinyl and said methyl is attached to the 4-position of the piperazme or homopiperazme ring
- Exemplary N-heterocyclyl-C 2 - 4 -alkyl groups wherein heterocyclyl is substituted with methyl are 2-(4-methylpiperazm-l-yl)ethyl, 2-(4-methylhomopiperazin-l-yl)ethyl.
- C-heterocyclyl-Ci 4-alkyl refers to a heterocyclyl group that is directly linked to a Ci 4 -alkyl group via a carbon atom of said heterocyclyl
- Exemplary C-heterocyc IyI-C 1 4 -alkyl groups include tetrahydropyran-4- ylmethyl, piperidin-4-ylmethyl, tetrahydrofuran-2-ylmethyl, oxetan-3-ylmethyl and 2-(pipe ⁇ dmyl-4-yl)ethyl.
- heterocyclyl as part of the group C-heterocyclyl-Ci 4 -alkyl is substituted by methyl, said methyl is attached to a ring nitrogen atom or ring carbon atom thereof
- Exemplary C-heterocyclyl-Ci- 4 -alkyl groups wherein heterocyclyl is substituted with methyl are 2-(l-methylpipendm-4-yl)ethyl and 3-methyloxetan-3-ylmethyl
- oxo-N-heterocyclyl denotes a nitrogen- containing heterocyclyl group that is substituted with one or two oxo groups
- oxo-N-heterocyclyl-C 2 4 -alkyl refers to an oxo-N-heterocyclyl group that is directly linked to a C24-alkyl group through a nitrogen atom of its heterocyclyl portion and where oxo-N-heterocyclyl is as defined above
- Exemplary oxo- ⁇ L heterocyclyl-C 2 4 -alkyl groups include 2-(2-pyrrolidon-l-yl)ethyl, 3-(2-pyrrohdon-l-yl)propyl and 2-(2,5-dioxoimidazohdm-l-yl)ethyl.
- fluoro-N-heterocyclyl denotes a nitrogen- containing heterocyclyl group that is substituted at a position other than alpha to a ring heteroatom with one or two fluorine atoms
- fluoro-N-heterocyclyl-C 2 4 -alkyl refers to a fluoro-N-heterocyclyl group that is directly linked to a C 2 4 -alkyl group through a nitrogen atom of its heterocyclyl portion and where fluoro-N-heterocyclyl is as defined above
- Exemplary fiuoro-N-heterocyclyl ⁇ vi-alkyl groups include 2-(3-fluoropyrrolidin-l-yl)- ethyl and 3-(3-fluoropyrrolidm-l-yl)propyl.
- hydroxy-N-heterocyclyl denotes a nitrogen-contammg heterocyclyl group that is substituted at a position other than alpha to a ring heteroatom with a hydroxy group
- hydroxy-N-heterocyclyl-C 2 4 -alkyL refers to a hydroxy-N-heterocyclyl group that is directly linked to a C24-alkyl group through a nitrogen atom of its heterocyclyl portion and where hydroxy-N-heterocyclyl is as defined above
- Exemplary hydro xy-N-heterocyclyl-C 2 4 -alkyl groups include 2-(4-hydroxy- pipe ⁇ dm- 1 -yl)ethyl and 3-(3-hydroxypipendm- 1 -yl)propyl
- the term “ammo-N-heterocyclyl” denotes a nitrogen- containing heterocyclyl group that is substituted at a position other than alpha to a ring heteroatom with an ammo group.
- the term “amino-JV-heterocycryl-C 2 4 -alkyl” refers to a ammo-N-heterocyclyl group that is directly linked to a C 2 4 -alkyl group through a nitrogen atom of its heterocyclyl portion and where amino-N-heterocyclyl is as defined above Exemplary amino-N-heterocyclyl-C 2 4 -alkyl groups include 2-(4-aminopipe ⁇ din-l- yl)ethyl and 3-(3-ammopipe ⁇ dm-l-yl)propyl Unless otherwise stated or indicated, the term “azabicyclyl” denotes a bicyclic heterocyclyl group
- C-heterocyclylsulfonyl When C-heterocyclylsulfonyl is substituted by Ci 4-alkyl, said heterocyclyl is selected from a nitrogen-containing heterocyclyl, and said Ci 4 -alkyl is attached to a ring nitrogen atom thereof.
- An exemplary C-heterocyclylsulfonyl group substituted by Ci 4 -alkyl includes 1 -methylpiperidm-4-ylsulfonyl
- Exemplary C 2 4 -acylammo groups include acetylammo and propionylammo
- C 2 4-acylammo-Ci 4-alkyl denotes a C24 acylammo group, as defined above, attached to a Ci 4 -alkyl group
- Examplary C 2 4 - groups include (acetylammo)methyl and 2-(acetylammo)ethyl.
- the term "ammocarbonyl-Ci 4 -alkyl” denotes a Ci 4 - alkyl group, as defined above, substituted with an aminocarbonyl group.
- exemplary aminocarbonyl-Ci 4 -alkyl groups include 2-(aminocarbonyl)ethyl and 3-(ammocarbonyl)- propyl.
- carboxy denotes a group -C(O)OH
- carboxy-Ci 3 -alkyl refers to a carboxy group, as defined above, attached to a Ci 3-alkyl group
- Exemplary carboxy-Ci 3-alkyl groups include 2-carboxyethyl and 3-carboxypropyl
- carboxy-Ci 3-alkylcarbonylamino refers to a carboxy-Ci 3-alkyl groups, as defined above, attached to the carbonyl carbon of carbonylammo (i e , -C(O)NH-)
- Exemplary carboxy-Ci 3-alkylcarbonylamino groups include (2-carboxyethyl)carbonylammo and (3-carboxypropyl)carbonylamino
- C-heterocyclylcarbonyl refers to a heterocyclyl group that is directly bonded to a carbonyl group via a carbon atom while “N-heterocyclylcarbonyl” refers to
- C-heterocyclylcarbonyl is substituted by Ci 4-alkyl
- said heterocyclyl is selected from a nitrogen-containing heterocyclyl, and said Ci 4 -alkyl is attached to a ring nitrogen atom thereof.
- An exemplary C-heterocyclylcarbonyl group substituted by Ci 4 -alkyl includes 1 -methylpipe ⁇ dm-4-ylcarbonyl.
- N-heterocyclylcarbonyl ⁇ 4-alkyl refers to a N-heterocyclylcarbonyl group that is directly linked to a C 2 4 -alkyl group through its carbonyl carbon atom and where N- heterocyclylcarbonyl is as defined above
- Exemplary N-heterocyclylcarbonyl-C 2 4 -alkyl groups include 2-(pyrrolidm-l-ylcarbonyl)ethyl, 2-(piperazin-l-ylcarbonyl)ethyl and 2- (pipe ⁇ dm- 1 -ylcarbonyl)ethyl
- heterocyclyl as part of the group N-heterocyclylcarbonyl-C2 4-alkyl is substituted by methyl, said heterocyclyl is selected from 1-piperazmyl or 1 -homopiperazmyl and said methyl is attached to the 4-position of the piperazme or homopiperazme ring.
- Exemplary jV-heterocyclylcarbonyl-C2 ⁇ -alkyl groups wherein heterocyclyl is substituted with methyl are 2-(4-methylpiperazm-l-ylcarbonyl)ethyl, 2-(4-methylhomopiperazin-l-ylcarbonyl)- ethyl
- C-heterocyclylcarbonyl-C2 4-alkyl refers to a C-heterocyclylcarbonyl group that is directly linked to a C 2 4 -alkyl group through its carbonyl carbon atom and where C- heterocyclylcarbonyl is as defined above.
- Exemplary C-heterocyclylcarbonyl-C 2 4 -alkyl groups include 2-(tetrahydropyran-4-ylcarbonyl)ethyl, 2-(pipe ⁇ din-3-ylcarbonyl)ethyl and 2-(pipe ⁇ dm-4-ylcarbonyl)ethyl
- heterocyclyl as part of the group C-heterocyclylcarbonyl-C2 4-alkyl is substituted by methyl
- said heterocyclyl is selected from a nitrogen-containing heterocyclyl and said methyl is attached to a ring nitrogen atom thereof
- An exemplary C-heterocyclylcarbonyl- C 2 4 -alkyl group wherein heterocyclyl is substituted with methyl is 2-(l-methylpipe ⁇ dm-4- ylcarbonyl)ethyl.
- C-heterocyclyloxy refers to a heterocyclic group that is directly bonded to an oxygen atom via a carbon atom.
- Examples of C-heterocyclyloxy groups include 3-piperidmyloxy, 4-piperidmyloxy, 3-tetrahydrofuranyloxy, and 4-tetrahydropyranyloxy
- Ci 4-alkyl When C-heterocyclyloxy is substituted by Ci 4-alkyl, said heterocyclyl is selected from a nitrogen-contammg heterocyclyl, and said Ci 4 -alkyl is attached to a ring nitrogen atom thereof
- An exemplary C-heterocyclyloxy group substituted by Ci 4-alkyl includes 1 -methylpiperidin-4-ylo xy
- hydroxy ⁇ 4 -alkoxy-Ci 4 -alkyl refers to a hydroxy ⁇ 4 -alkoxy group that is directly attached to a Ci 4-alkyl group Representative examples of such groups include.
- [CF 3 CH 3 (OH)C]-C 1 6 -alkyl refers to a CF 3 CH 3 (OH)C- group that is directly attached to a Ci 6 -alkyl group.
- Representative examples of such groups include
- the carbon-carbon double or triple bonds present in the groups C 3 e-alkenyl, C 3 6 -alkynyl, aryl-C 3 6 -alkenyl and aryl-C 3 6 -alkynyl as values for R 2 are meant to be located at positions other than conjugated with a carbonyl group or adjacent to a nitrogen, oxygen or sulfur atom
- Coupled agent refers to a substance capable of catalyzing a coupling reaction, such as amidation or estenfication
- Examples of coupling agents include, but are not limited to, carbonyldiimidazole, dicyclohexylcarbodiimide, pyridine, 4-dimethylamino- pyridme, and tnphenylphosphme
- Another example of a coupling agent is l-ethyl-3-(3- dimethylammopropyl)carbodnmide hydrochloride (EDC), which is used in the presence of 1-hydroxybenzotriazole (HOBT) and a base such as triethylarmne
- exo and endo are stereochemical prefixes that describe the relative configuration of a substituent on a bridge (not a bridgehead) of a bicyclic system such as l-azabicyclo[2 2 l]heptane and bicyclo[2.2 l]heptane If a substituent is oriented toward the larger of the other bridges, it is endo. If a substituent is oriented toward the smaller bridge it is exo Both exo and endo forms and their mixtures are part of the present invention
- Syndrome X also called metabolic syndrome refers to a syndrome comprising some or all of the following diseases 1) dyshpoprotememia (combined hypercholesterolemia-hypertriglyceridemia, low HDL-cholesterol), 2) obesity (in particular upper body obesity), 3) impaired glucose tolerance (IGT) leading to noninsulin-dependent diabetes mellitus (NIDDM), 4) essential hypertension and (5) thrombogemc/fibrmolytic defects
- “Pharmaceutically acceptable” means being useful m preparing a pharmaceutical composition that is generally safe, non-toxic and neither biologically nor otherwise undesirable and includes being useful for veterinary use as well as human pharmaceutical use.
- Treatment as used herein includes prophylaxis of the named disorder or condition, or amelioration or elimination of the disorder once it has been established
- An effective amount refers to an amount of a compound that confers a therapeutic effect (e g , treats, controls, ameliorates, prevents, delays the onset of, or reduces the risk of developing a disease, disorder, or condition or symptoms thereof) on the treated subject
- the therapeutic effect may be objective (i e , measurable by some test or marker) or subjective (i.e , subject gives an indication of or feels an effect).
- Prodrugs refers to compounds that may be converted under physiological conditions or by solvolysis to a biologically active compound of the invention.
- a prodrug may be inactive when administered to a subject in need thereof, but is converted in vivo to an active compound of the invention.
- Prodrugs are typically rapidly transformed in vivo to yield the parent compound of the invention, e g by hydrolysis m the blood.
- the prodrug compound usually offers advantages of solubility, tissue compatibility or delayed release m a mammalian organism (see Silverman, R.
- Prodrugs of a compound of the invention may be prepared by modifying functional groups, such as a hydroxy, amino or mercapto groups, present in a compound of the invention in such a way that the modifications are cleaved, either in routine manipulation or in vivo, to the parent compound of the invention.
- prodrugs include, but are not limited to, acetate, formate and succinate derivatives of hydroxy functional groups or phenyl carbamate derivatives of amino functional groups Throughout the specification and the appended claims, a given chemical formula or name shall also encompass all salts, hydrates, solvates, N-oxides and prodrug forms thereof Further, a given chemical formula or name shall encompass all tautomeric and stereoisomeric forms thereof Stereoisomers include enantiomers and diastereomers Enantiomers can be present in their pure forms, or as racemic (equal) or unequal mixtures of two enantiomers. Diastereomers can be present in their pure forms, or as mixtures of diastereomers. Diastereomers also include geometrical isomers, which can be present in their pure cis or trans forms or as mixtures of those.
- the compounds of the Formula (Ia) to (Ic) may be used as such or, where appropriate, as pharmacologically acceptable salts (acid or base addition salts) thereof.
- pharmacologically acceptable addition salts mentioned below are meant to comprise the therapeutically active non-toxic acid and base addition salt forms that the compounds are able to form.
- acids include inorganic acids, such as hydrogen chloride, hydrogen bromide, hydrogen iodide, sulphuric acid, phosphoric acid; and organic acids such as formic acid, acetic acid, propanoic acid, hydroxyacetic acid, lactic acid, pyruvic acid, glycolic acid, maleic acid, malonic acid, oxalic acid, benzenesulphonic acid, toluenesulphonic acid, methanesulphonic acid, trifluoroacetic acid, fumaric acid, succinic acid, malic acid, tartaric acid, citric acid, salicylic acid, ⁇ -aminosalicylic acid, pamoic acid, benzoic acid, ascorbic acid and the like.
- inorganic acids such as hydrogen chloride, hydrogen bromide, hydrogen iodide, sulphuric acid, phosphoric acid
- organic acids such as formic acid, acetic acid, propanoic acid, hydroxyacetic acid, lactic acid, pyruvic acid
- Exemplary base addition salt forms are the sodium, potassium, calcium salts, and salts with pharmaceutically acceptable amines such as, for example, ammonia, alkylamines, benzathine, and ammo acids, such as, e.g. argimne and lysine.
- the term addition salt as used herein also comprises solvates which the compounds and salts thereof are able to form, such as, for example, hydrates, alcoholates and the like.
- the compounds of the invention are formulated into pharmaceutical formulations for oral, rectal, parenteral or other mode of administration.
- Pharmaceutical formulations are usually prepared by mixing the active substance, or a pharmaceutically acceptable salt thereof, with conventional pharmaceutical excipients.
- excipients are water, gelatin, gum arabicum, lactose, microcrystalline cellulose, starch, sodium starch glycolate, calcium hydrogen phosphate, magnesium stearate, talcum, colloidal silicon dioxide, and the like.
- Such formulations may also contain other pharmacologically active agents, and conventional additives, such as stabilizers, wetting agents, emulsif ⁇ ers, flavouring agents, buffers, and the like.
- the amount of active compounds is between 0.1-95% by weight of the preparation, preferably between 0.2-20% by weight in preparations for parenteral use and more preferably between 1-50% by weight in preparations for oral administration.
- the dose level and frequency of dosage of the specific compound will vary depending on a variety of factors including the potency of the specific compound employed, the metabolic stability and length of action of that compound, the patient's age, body weight, general health, sex, diet, mode and time of administration, rate of excretion, drug combination, the severity of the condition to be treated, and the patient undergoing therapy.
- the daily dosage may, for example, range from about 0.001 mg to about 100 mg per kilo of body weight, administered singly or multiply m doses, e.g. from about 0.01 mg to about 25 mg each. Normally, such a dosage is given orally but parenteral administration may also be chosen.
- the formulations can be further prepared by known methods such as granulation, compression, microencapsulation, spray coating, etc.
- the formulations may be prepared by conventional methods in the dosage form of tablets, capsules, granules, powders, syrups, suspensions, suppositories or injections
- Liquid formulations may be prepared by dissolving or suspending the active substance in water or other suitable vehicles Tablets and granules may be coated in a conventional manner.
- the compounds of Formula (Ia) to (Ic) may be administered with other active compounds for the treatment of diabetes and/or obesity, for example insulin and insulin analogs, DPP- IV inhibitors, sulfonyl ureas, biguanides, ⁇ 2 agonists, glitazones, PPAR- ⁇ agonists, mixed PPAR- ⁇ / ⁇ agonists, RXR agonists, ⁇ -glucosidase inhibitors, PTPlB inhibitors, 11- ⁇ - hydroxy steroid dehydrogenase Type 1 inhibitors, phosphodiesterase inhibitors, glycogen phosphorylase inhibitors, MCH-I antagonists, CB-I antagonists (or inverse agonists), amylm antagonists, CCK receptor agonists, p3-agonists, leptm and leptin mimetics, serotonergic/dopaminergic antiobesity drugs, gastric lipase inhibitors, pancreatic lipase inhibitors, fatty acid
- DPP-IV inhibitor means a compound which inhibits, antagonizes or decreases the activity of dipeptidyl peptidase IV (EC 3.4.14.5).
- the said DPP-IV inhibitor can e.g. be a compound as disclosed in WO 2005/056003; WO 2005/056013; WO 2005/095343, WO 2005/113510; WO 2005/120494, WO 2005/121131; WO 2005/121089; WO 2006/013104; or WO 2006/076231, including references therein.
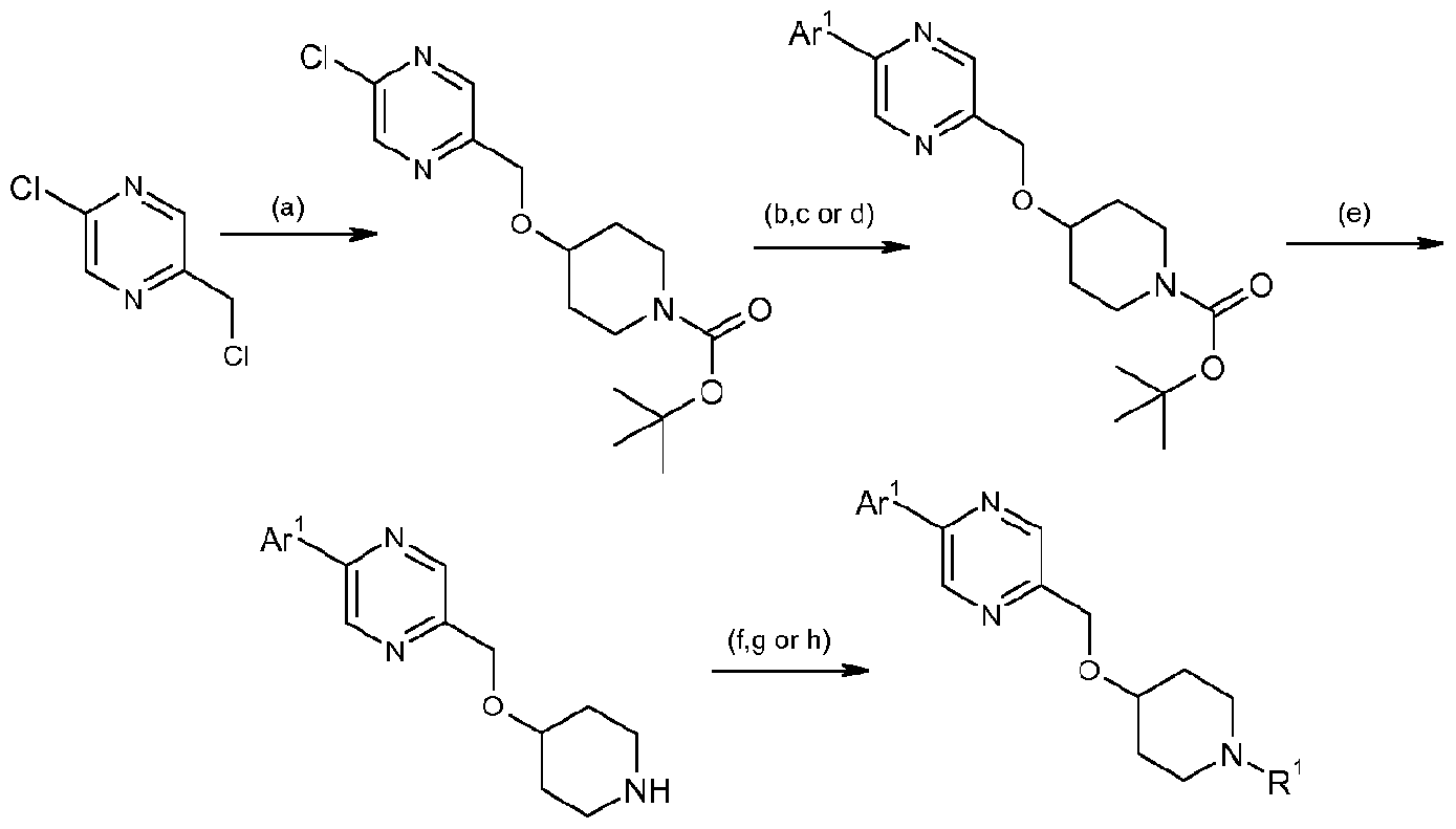
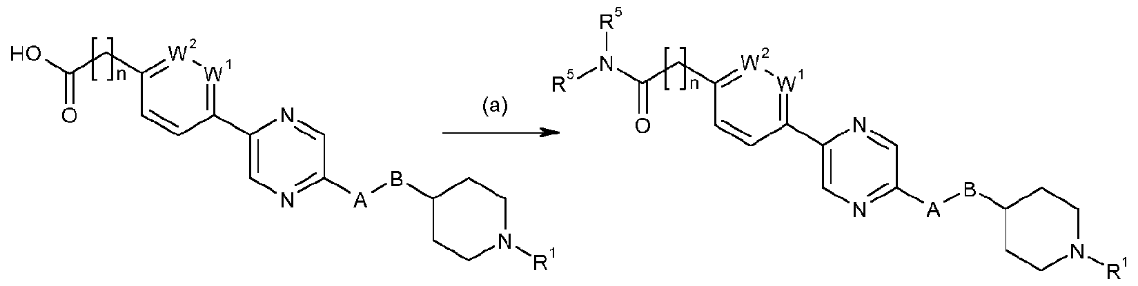
- the compounds of the Formula (Ia) to (Ic) above may be prepared by, or in analogy with, conventional methods.
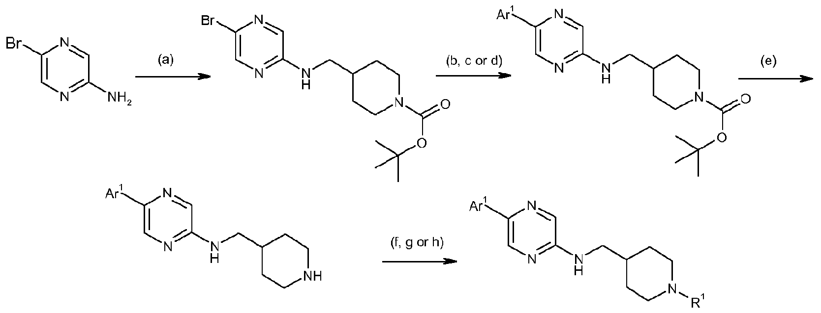
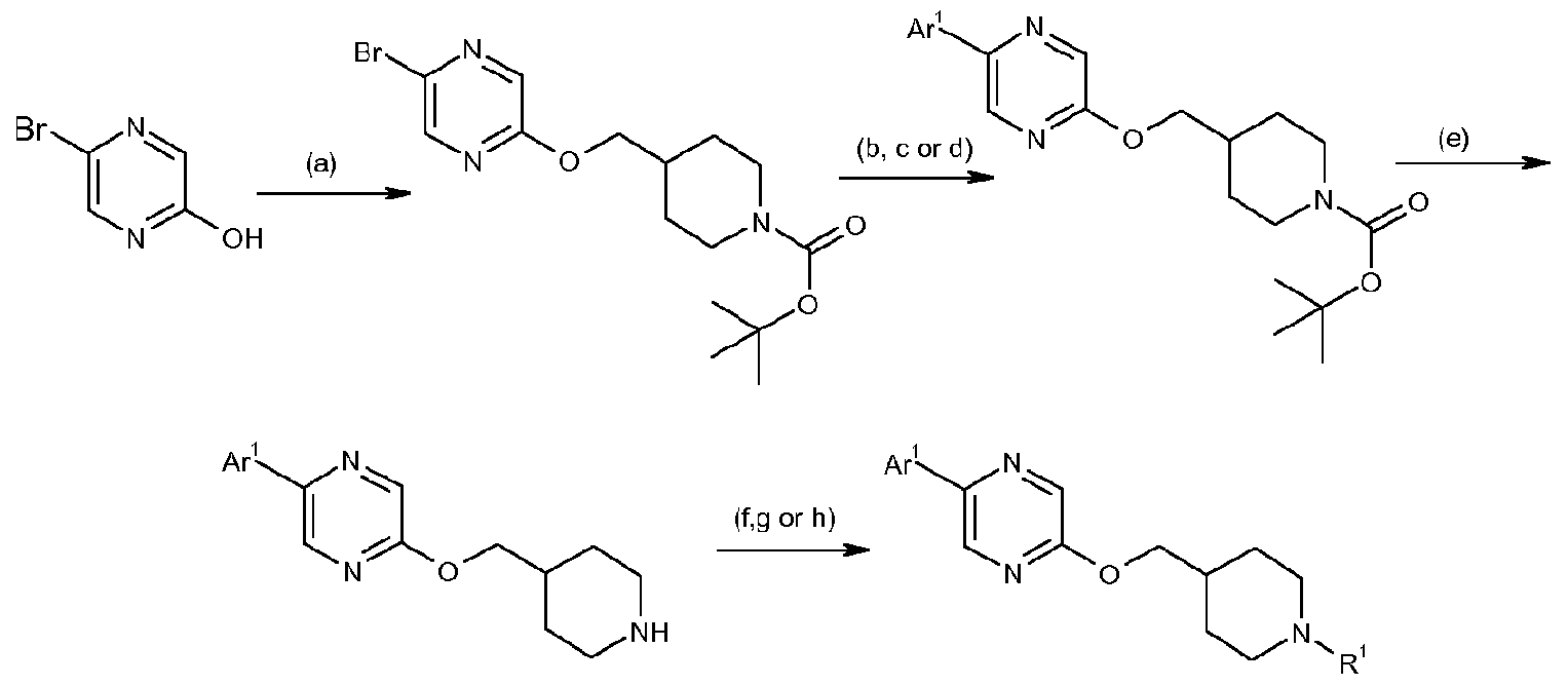
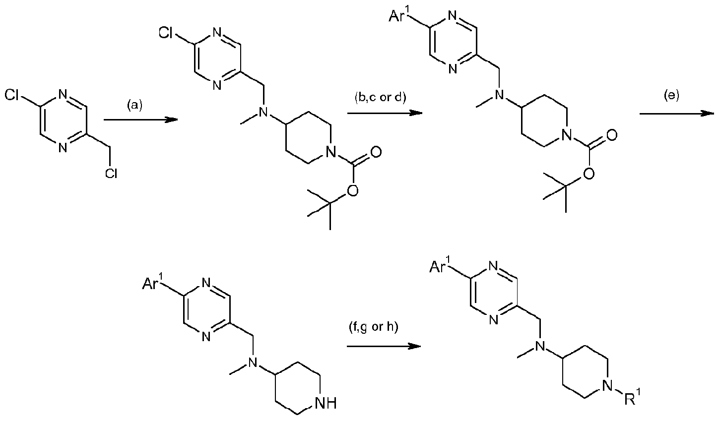
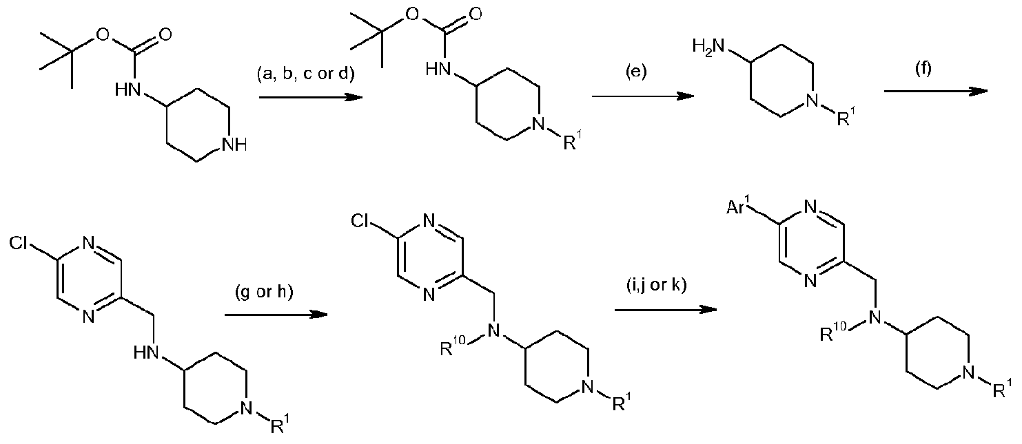
- the preparation of intermediates and compounds according to the examples of the present invention may in particular be illuminated by the following Schemes 1-6
- suitable deprotecting agent such as TFA, HCl (g) or aqueous concentrated HCl, m a suitable solvent, such as DCM, dioxane or ethanol, at ambient or elevated temperature,
- suitable deprotecting agent such as TFA, HCl (g) or aqueous concentrated HCl, m a suitable solvent, such as DCM, dioxane or ethanol, at ambient or elevated temperature,
- HOBT/EDC propylphosphomc anhydride, HBTU or TBTU; at ambient temperature;
- Reagents and conditions (a) appropriate acid chloride or chloroformate, suitable base, such as triethylamine; in a suitable solvent, such as THF or DMF, at ambient temperature,
- suitable coupling reagent such as I,l'-carbonylbis(li7- lmidazole), m a suitable solvent, such as DCM, acetomt ⁇
- suitable deprotectmg agent such as TFA, HCl (g) or aqueous HCl, m a suitable solvent, such as DCM, dioxane or ethanol, at ambient or elevated temperature,
- aryl- or heteroarylboronic acid (i) appropriate aryl- or heteroarylboronic acid; appropnate catalyst, such as Pd(PPh 3 ) 4 , a suitable base, such as K 2 CO 3 or NaHCO 3 , in a suitable solvent mixture such as 1 ,4- dioxane/water or toluene/isopropyl alcohol/water, at elevated temperature, for example 90 0 C,
- HOBT/EDC propylphosphonic anhydride, HBTU or TBTU; at ambient temperature;
- a pharmaceutically acceptable acid addition salt may be obtained by dissolving the free base in a suitable organic solvent and treating the solution with an acid, in accordance with conventional procedures for preparing acid addition salts from base compounds. Examples of addition salt forming acids are mentioned above
- the compounds of Formula (Ia) to (Ic) may possess one or more chiral carbon atoms, and they may therefore be obtained in the form of optical isomers, e.g as a pure enantiomer, or as a mixture of enantiomers (racemate) or as a mixture containing diastereomers
- optical isomers e.g as a pure enantiomer, or as a mixture of enantiomers (racemate) or as a mixture containing diastereomers
- the separation of mixtures of optical isomers to obtain pure enantiomers is well known m the art and may, for example, be achieved by fractional crystallization of salts with optically active (chiral) acids or by chromatographic separation on chiral columns
- the chemicals used in the synthetic routes delineated herein may include, for example, solvents, reagents, catalysts, and protecting group and deprotecting group reagents
- the methods desc ⁇ bed above may also additionally include steps, either before or after the steps described specifically herein, to add or remove suitable protecting groups in order to ultimately allow synthesis of the compounds
- various synthetic steps may be performed in an alternate sequence or order to give the desired compounds.
- Synthetic chemistry transformations and protecting group methodologies (protection and deprotection) useful in synthesizing applicable compounds are known in the art and include, for example, those described in R Larock, Comprehensive Organic
- any definition of a variable herein includes definitions of that variable as any single group or combination of listed groups.
- the recitation of an embodiment for a variable herein includes that embodiment as any single embodiment or in combination with any other embodiments or portions thereof.
- LRESIMS Low-resolution electrospray ionization mass spectra
- HRESIMS High-resolution electrospray ionization mass spectra
- System D X-b ⁇ dge C18 5 ⁇ m (250 x 4.6 mm), gradient 10-100% MeOH in H 2 O, flow rate 1 mL/min, with a gradient time of 20 min; or System E. Zorbax C18 5 ⁇ m (150 x 4 6 mm), gradient 10-100% MeOH m H 2 O (+ 0.1% TFA), flow rate 1 mL/min, with a gradient time of 26 min,
- Analytical LCMS data were obtained on an Agilent 1100 system equipped with System F ACE 3 C8 column (50 x 3 0 mm), gradient 10-97% H 2 O (+ 0 1% TFA) in CH 3 CN, flow rate 1 mL/mm, with a gradient time of 3 0 mm, or
- the title compound was prepared from tert-butyl 4- ⁇ [(5-bromopyrazin-2-yl)amino]- methyljpiperidine- 1-carboxylate (2.0 g, 0.0053 mol; Intermediate 1) and 4-carboxy- benzeneboronic acid (0.98 g, 0.0059 mol) in accordance with the procedure described for Example 1.
- the reaction was monitored by TLC using DCM .MeOH (8 2) as a mobile phase.
- the title compound was prepared from 5-[4-(methylsulfonyl)phenyl]-N-(pipe ⁇ din-4- ylmethyl)pyrazin-2-amine (90 mg, 0.26 mmol, Intermediate 2) and phenyl chloroformate (0.036 mL, 0.28 mmol) in accordance with the procedure described for Example 2.
- the reaction mixture was concentrated under reduced pressure and the remaining residue was purified by preparative TLC on silica using EtOAc. acetone (8.2) as mobile phase. Yield 32 mg (26%); Analytical HPLC purity 95.1% (System A); HRESIMS (ESI + ) calcd for C 24 H 26 N 4 O 4 S- 466 1675, found 466.1692.
- the title compound was prepared from 5-[4-(methylsulfonyl)phenyl]-N-(piperidin-4- ylmethyl)pyrazin-2-amine (90 mg, 0.26 mmol; Intermediate 2) and neopentyl chloroformate (0.04 mL, 0.28 mmol) m accordance with the procedure described for Example 2.
- the reaction mixture was concentrated under reduced pressure and the remaining residue was purified by preparative TLC on silica using EtOAc as mobile phase. Yield 32 mg (27%); Analytical HPLC: purity 99.4% (System A), HRESIMS (ESI + ) calcd for C 23 H 32 N 4 O 4 S: 460.2144, found 460.2163.
- the title compound was prepared from tert-but ⁇ 4- ⁇ [(5-bromopyrazm-2- yl)ammo]methyl ⁇ piperidme-l-carboxylate (100 mg, 0.26 mmol, Intermediate 1) and A- methylsulf ⁇ nylphenyl boromc acid (55 0 mg, 0 29 mmol) in accordance with the procedure described for Example 1.
- the reaction was monitored by TLC using DCM:MeOH (9 5 0 5) as a mobile phase
- the crude product was purified by preparative TLC on silica using DCM:MeOH (9 5 0 5) as eluent to give the title compound. Yield 42 mg (36%), Analytical HPLC: purity 98 1% (System D); HRESIMS (ESI + ) calcd for C 22 H 30 N 4 O 3 S 430.2039, found 430 2051
- the title compound was prepared from tert-butyl 4- ⁇ [(5-bromopyrazin-2- yl)amino]methyl ⁇ piperidine-l-carboxylate (100 mg, 0.26 mmol; Intermediate 1) and ⁇ 4- [(4-methylpiperazm- 1 -yl)carbonyl]phenyl ⁇ boronic acid (83.9 mg, 0 29 mmol) in accordance with the procedure described Example 1.
- the reaction was monitored by TLC using DCMMeOH (9.5:0.5) as a mobile phase.
- the crude product was purified by preparative TLC on silica using DCM MeOH (9.5 0 5) as eluent to give the title compound. Yield 24 mg (18%); Analytical HPLC: purity 99.1% (System D); HRESIMS (ESI + ) calcd for C 27 H 3 SN 6 O 3 : 494.3005, found 494.3004.
- the title compound was prepared from tert-bx ⁇ 4- ⁇ [(5-bromopyrazin-2- yl)amino]methyl ⁇ piperidme-l-carboxylate (100 mg, 0.26 mmol; Intermediate 1) and [4- (ammocarbonyl)phenyl]boronic acid (47.8 mg, 0.29 mmol) m accordance with the procedure described for Example 1.
- the reaction was monitored by TLC using DCM:MeOH (9.5:0.5) as a mobile phase.
- the crude product was purified by preparative TLC on silica using DCM:MeOH (9.5:0.5) as eluent to give the title compound. Yield 42 mg (37%); Analytical HPLC- purity 99.7% (System D); HRESIMS (ESI + ) calcd for C 22 H 29 N 5 O 3 : 411.2270, found 411.2268.
- the title compound was prepared from tert-butyl 4- ⁇ [(5-bromopyrazm-2-yl)ammo]- methyl ⁇ piperidine-l-carboxylate (100 mg, 0.26 mmol, Intermediate 1) and ⁇ 4-[(methyl- amino)carbonyl]phenyl ⁇ boromc acid (51 8 mg, 0.29 mmol) in accordance with the procedure described for Example 1
- the reaction was monitored by TLC using DCM MeOH (9 5 0 5) as a mobile phase
- the crude product was purified by preparative TLC on silica using DCM-MeOH (9 5O 5) as eluent to give the title compound Yield 50 mg (43%), Analytical HPLC purity 99.1% (System D), HRESIMS (ESI + ) calcd for C 23 H 3I N 5 O 3 : 425.2427, found 425.2422
- the title compound was prepared from tert-butyl 4- ⁇ [(5-bromopyrazm-2-yl)amino]- methyl ⁇ pipe ⁇ dine-l-carboxylate (100 mg, 0.26 mmol, Intermediate 1) and 4-pyridyl- boronic acid (35 6 mg, 0.29 mmol) in accordance with the procedure described for Example 1
- the reaction was monitored by TLC using DCM. MeOH (9.5 0.5) as a mobile phase.
- the title compound was prepared from 4-[5-( ⁇ [l-(t ⁇ /t-butoxycarbonyl)piperidin-4-yl]- methyl ⁇ ammo)pyrazm-2-yl]benzoic acid (100 mg, 0.24 mmol; Intermediate 3) and morpholin-2-ylmethanol (0 03 mL, 0 26 mmol) in accordance with the procedure described for Example 16.
- the crude product was purified by preparative TLC on silica using DCM:MeOH (9 5 0 5) as eluent to give the title compound. Yield 29 mg (23%), Analytical HPLC purity 94 0% (System D), HRESIMS (ESI + ) calcd for C 27 H 37 N 5 O 511 2795, found 511 2793
- the title compound was prepared from 4-[5-( ⁇ [l-(t ⁇ /t-butoxycarbonyl)piperidm-4-yl]- methyl ⁇ ammo)pyrazm-2-yl]benzoic acid (100 mg, 0.24 mmol; Intermediate 3) and (2R)- pyrrolidm-2-ylmethanol (0 026 mL, 0 26 mmol) m accordance with the procedure described for Example 16.
- the crude product was purified by preparative TLC on silica using DCM:MeOH (9 5:0.5) as eluent to give the title compound.
- the title compound was prepared from 4-[5-( ⁇ [l-(fer?-butoxycarbonyl)piperidin-4- yl]methyl ⁇ amino)pyrazin-2-yl]benzoic acid (100 mg, 0.24 mmol, Intermediate 3) and (2S)- pyrrolidin-2-ylmethanol (0.026 mL, 0.26 mmol) in accordance with the procedure described for Example 16.
- the crude product was purified by preparative TLC on silica using DCM:MeOH (9 5:0.5) as eluent to give the title compound. Yield 24 mg (20%), Analytical HPLC: purity 85.2% (System D); HRESIMS (ESI + ) calcd for C 27 H 37 N 5 O 4 : 495.2846, found 495 2846.
- the title compound was prepared from 4-[5-( ⁇ [l-(fer£-butoxycarbonyl)piperidin-4-yl]- methyl ⁇ amino)pyrazm-2-yl]benzoic acid (100 mg, 0.24 mmol; Intermediate 3) and azetidin-3-ol (19 mg, 0.26 mmol) in accordance with the procedure described for Example 16.
- the crude product was purified by preparative TLC on silica using DCM MeOH (9.5 0.5) as eluent to give the title compound. Yield 24 mg (19%); Analytical HPLC: purity 94.7% (System D); HRESIMS (ESI + ) calcd for C 25 H 33 N 5 O 4 : 467.2532, found 467.2531.
- the title compound was prepared from 2-[4-(methylsulfonyl)phenyl]-5-(piperidm-4-yl- methoxy)pyrazine (200 mg, 0.57 mmol; Intermediate 5) and phenyl chloro formate (0.08 mL, 0.63 mmol) m accordance with the procedure described for Example 22.
- the crude product was purified by preparative TLC using EtOAc: acetone (8:2) as mobile phase to give the title compound Yield 70 mg (26%).
- the title compound was prepared from 2-[4-(methylsulfonyl)phenyl]-5-(pipe ⁇ dm-4-yl- methoxy)pyrazine (200 mg, 0.57 mmol; Intermediate 5) and benzyl chloroformate (50% in toluene; 0.21 mL, 0.63 mmol) in accordance with the procedure described for Example 22.
- the crude product was purified by preparative TLC using EtOAc as mobile phase to give the title compound. Yield 75 mg (27%).
- Analytical HPLC purity 99.7% (System B), HRESIMS (ESI + ) calcd for C 25 H 27 N 3 O 5 S: 481.1671, found 481.1668.
- the title compound was prepared from 4-(5- ⁇ [l-(t ⁇ /t-butoxycarbonyl)piperidin-4-yTJ- methoxy ⁇ pyrazm-2-yl)benzoic acid (100 mg, 0.24 mmol; Intermediate 6) and (2R)- pyrrolidm-2-ylmethanol (0 026 mL, 0 26 mmol) in accordance with the procedure described for Example 33.
- the crude product was purified by preparative TLC using EtOAc acetone (8:2) as mobile phase to give the title compound. Yield 65 mg (54%) Analytical HPLC purity 97 4% (System B), HRESIMS (ESI + ) calcd for C 27 H 36 N 4 O 5 496 2686, found 496 2694
- the title compound was prepared from 4-(5- ⁇ [l-(t ⁇ /t-butoxycarbonyl)piperidm-4-yl]- methoxy ⁇ pyrazm-2-yl)benzoic acid (100 mg, 0 24 mmol; Intermediate 6) and (2S)- pyrrolidm-2-ylmethanol (0 026 mL, 0 26 mmol) in accordance with the procedure described for Example 33.
- the crude product was purified by preparative TLC using EtOAc acetone (8:2) as mobile phase to give the title compound.
- the title compound was prepared from tert-butyl 4- ⁇ [(5-bromopyrazm-2-yl)oxy]methyl ⁇ - pipe ⁇ dme-1-carboxylate (100 mg, 0 26 mmol, Intermediate 4) and 4-methylsulfmyl- phenylboronic acid (55 mg, 0 29 mmol) in accordance with the procedure described for Example 21
- the crude product was purified by preparative TLC using EtOAc 'hexane (8 2) as mobile phase to give the title compound Yield 50 mg (43%) Analytical HPLC purity 97.6% (System B); HRESIMS (ESI + ) calcd for C 22 H 29 N 3 O 4 S: 431.1879, found 431.1884.
- the title compound was prepared from tert-buiy ⁇ 4- ⁇ [(5-bromopyrazm-2-yl)oxy]methyl ⁇ - piperidme-1-carboxylate (100 mg, 0.26 mmol, Intermediate 4) and ⁇ 4-[(4-methylpiperazin- l-yl)carbonyl]phenyl ⁇ boromc acid (83 9 mg, 0 29 mmol) in accordance with the procedure described for Example 21
- the crude product was purified by preparative TLC using DCM:MeOH (9.5:0.5) as mobile phase to give the title compound Yield 60 mg (45%) Analytical HPLC purity 99.4% (System B); HRESIMS (ESI + ) calcd for C 27 H 37 N 5 O 4 495.2846, found 495 2850.
- the title compound was prepared from fert-butyl 4- ⁇ [(5-bromopyrazm-2-yl)oxy]methyl ⁇ - piperidme-1-carboxylate (100 mg, 0 26 mmol, Intermediate 4) and ⁇ 4-[(methylamino)- carbonyl]phenyl ⁇ boromc acid (51.8 mg, 0.29 mmol) in accordance with the procedure for Example 21.
- the crude product was purified by preparative TLC using DCM MeOH (9.5 0 5) to give the title compound. Yield 50 mg (43%).
- the title compound was prepared from crude N-methyl- ⁇ / -( ⁇ 5-[4-(methylsulfonyl)phenyl]- pyrazin-2-yl ⁇ methyl)piperidin-4-amine, hydrochloride (200 mg, 0.55 mmol; Intermediate 9) and ethyl chloroformate (0.06 mL, 0.66 mmol) in accordance with the procedure described for Example 43.
- the title compound was prepared from crude N-methyl-N-( ⁇ 5-[4-(methylsulfonyl)phenyl]- pyrazm-2-yl ⁇ methyl)piperidm-4-amme, hydrochloride (200 mg, 0.55 mmol; Intermediate 9) and isopropyl chloroformate (0 88 mL, 0 66 mmol) in accordance with the procedure described for Example 43.
- the crude product was purified by preparative TLC using DCM MeOH (95 5) as mobile phase to give the title compound Yield 70 mg (28%) Analytical HPLC purity 99% (System B), HRESIMS (ESI + ) calcd for C 22 H 30 N 4 O 4 S 446.1988, found 446 1986.
- the title compound was prepared from crude N-methyl- ⁇ / -( ⁇ 5-[4-(methylsulfonyl)phenyl]- pyrazin-2-yl ⁇ methyl)piperidin-4-amine, hydrochloride (180 mg, 0.50 mmol; Intermediate 9) and phenyl chloroformate (0 07 mL, 0 60 mmol) m accordance with the procedure described for Example 43.
- the crude product was purified by preparative TLC using DCMMeOH (95:5) as mobile phase to give the title compound Yield 72 mg (30%) Analytical HPLC punty 99.2% (System B), HRESIMS (ESI + ) calcd for C 25 H 28 N 4 O 4 S 480 1831, found 480 1851
- the title compound was prepared from crude N-methyl- ⁇ / -( ⁇ 5-[4-(methylsulfonyl)phenyl]- pyrazin-2-yl ⁇ methyl)piperidin-4-amine hydrochloride (150 mg, 0 40 mmol; Intermediate 9) and benzyl chloro formate (0 08 mL, 0.50 mmol) m accordance with the procedure for Example 43.
- the crude product was purified by preparative TLC using DCM MeOH (95 5) to give the title compound Yield 62 mg (30%) Analytical HPLC purity 99 5% (System E); HRESIMS (ESI + ) calcd for C 26 H 30 N 4 O 4 S 494 1988, found 494 1999
- the title compound was prepared from crude N-methyl-N-( ⁇ 5-[4-(methylsulfonyl)phenyl]- pyrazm-2-yl ⁇ methyl)piperidm-4-amme hydrochloride (180 mg, 0 50 mmol; Intermediate 9) and benzoyl chloride (0.07 mL, 0 60 mmol) in accordance with the procedure described for Example 43
- the crude product was purified by preparative TLC using DCM MeOH (95:5) as mobile phase to give the title compound. Yield 55 mg (24%) Analytical HPLC purity 99 5% (System E), HRESIMS (ESI + ) calcd for C 25 H 28 N 4 O 3 S 464 1882, found 464 1902
- the title compound was prepared from 4-(5- ⁇ [[l-(ter?-butoxycarbonyl)piperidin-4-yl]- (methyl)ammo]methyl ⁇ pyrazm-2-yl)benzoic acid (O 2 g, O 46 mmol; Intermediate 8) and morpholin-2-ylmethanol (0.06 mL, 0.51 mmol) in accordance with the procedure described for Example 51.
- the crude product was purified by preparative HPLC (System J). Yield 40 mg (16.7%), Analytical HPLC: purity 96.7% (System D), HRESIMS (ESI + ) calcd for C 28 H 39 N 5 O 5 : 525.2951, found 525.2971.
- the title compound was prepared from 4-(5- ⁇ [[l-(?erf-butoxycarbonyl)piperidin-4-yl]- (methyl)ammo]methyl ⁇ pyrazin-2-yl)benzoic acid (0.2 g, 0.46 mmol; Intermediate 8) and (2 ⁇ )-pyrrolidin-2-ylmethanol (0.05 mL, 0.51 mmol) in accordance with the procedure described for Example 51.
- the crude product was purified by preparative HPLC (System I). Yield 26 mg (11.3%); Analytical HPLC: purity 95.7% (System D); HRESIMS (ESI + ) calcd for C 28 H 39 N 5 O 4 : 509.3002, found 509.3014.
- the title compound was prepared from tert-butyl 4-[[(5-chloropyrazin-2-yl)methyl]- (methyl)amino]piperidine- 1 -carboxylate (0.2 g, 0 58 mmol; Intermediate 7) and [4-[(4- methyl-l-piperazinyl)carbonyl]phenyl]-boromc acid (0 2 g, 0 70 mmol) in accordance with the procedure described for Example 42 to give the title compound.
- the crude product was purified by preparative TLC using DCM:MeOH (95:5) as mobile phase. Yield 75 mg (25 9%), Analytical HPLC purity 99 7% (System B), HRESIMS (ESI + ) calcd for C 28 H 40 N 6 O 3 . 508.3162, found 508.3164
- the title compound was prepared from tert-butyl 4-[[(5-chloropyrazin-2-yl)methyl]- (methyl)ammo]pipe ⁇ dme- 1 -carboxylate (0 15 g, 0 44 mmol, Intermediate 7) and 4- aminocarbonylphenylboronic acid (0 087 g, 0 53 mmol) in accordance with the procedure described for Example 42 to give the title compound
- the crude product was purified by preparative TLC using DCM MeOH (95:5) as mobile phase. Yield 32 mg (17 1%), Analytical HPLC purity 98 2% (System B), HRESIMS (ESI + ) calcd for C 23 H 3I N 5 O 3 425.2427, found 425 2439.
- the title compound was prepared from tert-butyl 4-[[(5-chloropyrazin-2-yl)methyl]- (methyl)amino]pipe ⁇ dme- 1 -carboxylate (0 15 g, 0 44 mmol; Intermediate 7) and 4-(N- methylammocarbonyl)phenylboromc acid (0.094 g, 0.53 mmol) in accordance with the procedure described for Example 42 to give the title compound.
- the crude product was purified by preparative TLC using DCM:MeOH (95:5) as mobile phase. Yield 64 mg (33.2%), Analytical HPLC purity 98.8% (System B), HRESIMS (ESI + ) calcd for C 24 H 33 N 5 O 3 439 2583, found 439 2604
- GENERAL PROCEDURE G2 FOR SUZUKI-TYPE CROSS-COUPLING REACTIONS Methyl ⁇ 4-[5-( ⁇ cyclopropyl[l-(2-ethylbutanoyl)piperidin-4-yl]amino ⁇ methyl)pyrazin- 2-yl] phenyl ⁇ carbamate, trifluoroacetate
Landscapes
- Chemical & Material Sciences (AREA)
- Organic Chemistry (AREA)
- Health & Medical Sciences (AREA)
- Engineering & Computer Science (AREA)
- Bioinformatics & Cheminformatics (AREA)
- Diabetes (AREA)
- Hematology (AREA)
- Obesity (AREA)
- Chemical Kinetics & Catalysis (AREA)
- General Chemical & Material Sciences (AREA)
- Medicinal Chemistry (AREA)
- Nuclear Medicine, Radiotherapy & Molecular Imaging (AREA)
- Pharmacology & Pharmacy (AREA)
- Life Sciences & Earth Sciences (AREA)
- Animal Behavior & Ethology (AREA)
- General Health & Medical Sciences (AREA)
- Public Health (AREA)
- Veterinary Medicine (AREA)
- Pharmaceuticals Containing Other Organic And Inorganic Compounds (AREA)
- Plural Heterocyclic Compounds (AREA)
Abstract
The application relates to compounds of Formula (Ia), and pharmaceutically acceptable salts, solvates, hydrates, geometrical isomers, tautomers, optical isomers and N-oxides thereof. The application also relates to pharmaceutical compositions comprising these compounds and to the use of these compounds for the prophylaxis and treatment of medical conditions relating to disorders of the G-protein-coupled receptor GPRl 19, such as diabetes, obesity and osteoporosis.
Description
PYRAZINE COMPOUNDS FOR TREATING GPRl 19 RELATED DISORDERS
FIELD OF INVENTION
The present invention relates to novel pyrazine compounds, to pharmaceutical compositions comprising these compounds, and to the use of these compounds for the prophylaxis and treatment of medical conditions relating to disorders of the G-protein- coupled receptor GPRl 19 such as diabetes, obesity and osteoporosis.
BACKGROUND ART
Diabetes mellitus is a group of disorders characterized by abnormal glucose homeostasis resulting in high levels of blood glucose. The most common cases of diabetes mellitus are Type 1 (also referred to as insulin-dependent diabetes mellitus or IDDM) and Type 2 diabetes (also referred to as non- insulin-dependent diabetes mellitus or NIDDM). Type 2 diabetes accounts for approximately 90% of all diabetic cases. Type 2 diabetes is a serious progressive disease that results in the development of microvascular complications (e.g. retinopathy, neuropathy, nephropathy) as well as macrovascular complications (e.g. accelerated atherosclerosis, coronary heart disease, stroke). More than 75% of people with Type 2 diabetes die of cardiovascular diseases.
The increasing prevalence of obesity together with an ageing population is contributing to the predicted explosion in diabetes across the globe. Current projections suggest that 300 million people worldwide have diabetes by 2025. The pathogenesis of Type 2 diabetes involves insulin resistance, insulin secretory dysfunction (i.e. pancreatic beta cell dysfunction) and hepatic glucose overproduction. Insulin resistance is highly correlated with obesity. Accumulating reports suggest insulin resistance to be central to a cluster of metabolic abnormalities - including dyslipidemia, hypertension, endothelial dysfunction, reduced fibrinolysis, and chronic systemic inflammation - that together are responsible for the increased cardiovascular risk. Current antidiabetic therapy is targeting the defects mentioned above. For instance, sulphonylureas increase production of endogenous insulin. However, this enhanced insulin production is not glucose dependent and there is risk for developing hypoglycaemia. Metformin lowers hepatic glucose output. Thiazolidindiones (TZDs) reduce insulin resistance in muscle and liver and suppress inflammatory responses. A major side effect of
TZDs is weight gam due to fluid retention and increase m total body fat An earlier drug m this class, troglitazone, was withdrawn due to rare but serious cases of hepatotoxicity Current therapies have limited durability and/or significant side effects
The widespread availability and increased consumption of Western diet combined with the adoption of a sedentary life-style has increased the number of obese people Obesity is linked to a wide range of medical complications, such as diabetes, cardiovascular disease and cancer In addition, being overweight can exacerbate the development of osteoporosis and asthma. Obesity is also proven to double the risk of hypertension. Obesity has only recently been regarded as a disease in the sense of being a specific target for medical therapy. Current therapies for obesity are based on diet and exercise and stomach surgery for extremely obese patients Two weight loss medications are today available for long- term use. Sibutramine, a serotonin- and noradrenaline-reuptake inhibitor, controls appetite by producing a feeling of satiety However, a prominent side effect is hypertension Orhstat inhibits the hpase-mediated breakdown of fat in the gastrointestinal tract, thereby limiting caloric intake resulting in weight loss However, approximately 20% of the patients using Orlistat develop faecal incontinence and urgency. Thus, there is an unmet medical need for new and novel antidiabetic and antiobesity therapies.
Osteoporosis, or porus bone, is a disabling disease characterized by low bone mass and structural deterioration of bone tissue, leading to compromised bone strength and an increased risk of fractures of the hip, spine and wrist Anyone can develop osteoporosis, but it is common in older women As many as half of all women and a quarter of men older than 50 will have an osteopeorosis-related fracture m their life-time Riskfactors include getting older, gender, family history, body size, ethnicity (higher risk for Caucasians and Asians), inactive lifestyle, smoking and overconsumption of alcohol It has recently been shown that one of the mcretms, Glucose-dependent Insulmotropic Polypeptide (GIP, also known as gastric inhibitory polypeptide), promotes bone mass (Zhong et al., AM J Physiol Endocrinol Metab, 292, E543-E548, 2007)
GPRl 19 is a G-protein coupled receptor identified as SNORF25 in WO 00/50562 In humans, GPRl 19 is selectively expressed m pancreas and gastrointestinal tract Activation of GPRl 19 by lysophosphatidylcholme (LPC) induces glucose-dependent insulin secretion from pancreatic beta-cells (Soga et al , Biochem Biophys Res Commun 326, 744-751,
2005). GPRl 19 agonists stimulate insulin secretion m rat islets and reduce blood glucose in diabetic LepΛ^ mice (WO 2004/065380 and Chu et al., Endocrinology 148, 2601-9, 2007). GPRl 19 agonists enhance the release of the mcretins, GLP-I and GIP in mice models and in GLUTag cells, which is a model used to investigate the function of intestinal L-cells (Chu et al., Endocrinology Jan 17, 2008).
Another endogenous ligand for GPRl 19, oleoylethanolamide (OEA), and a small molecule GPRl 19 agonist, PSN632408, both suppress food intake and reduce body weight gain in rat (Overton et al., Cell Metabolism 3, 167-175, 2006). Taken together, these data suggest that GPRl 19 is an interesting target for treating diabetes and/or obesity.
WO 2004/065380, WO 2004/076413, WO 2005/007647, WO 2005/007658 and WO 2005/121121 disclose compounds that are modulators of the Rup3 receptor, also referred to as SNORF25 (WO 00/50562) or as GPRl 19 (Fredriksson et al., FEBS Lett, 554, 381- 388, 2003), and which inter alia may be used for the treatment of metabolic disorders and complications thereof, such as diabetes and obesity.
WO 2005/061489, WO 2006/067531, WO 2006/067532 and WO 2006/070208 disclose compounds that are agonists of GPRl 16, also referred to as SNORF25 or as GPRl 19 (see Overton et al, Cell Metabolism 3, 167-175, 2006), and which inter alia may be used for the treatment of metabolic disorders and complications thereof, such as diabetes and obesity. WO 2006/076231 discloses a synergistic effect of a GPRl 19 agonist in combination with a DPP-IV inhibitor, m lowering elevated glucose levels m mice. Further, a synergistic effect with the said combination is shown in increasing blood GLP-I levels after glucose challenge in mice WO 2007/120689 discloses a method of using GPRl 19 receptor to identify compounds useful for increasing bone mass in an individual. GPRl 19 agonists are shown to enhance GIP in wildtype mice.
DISCLOSURE OF THE INVENTION
It has surprisingly been found that compounds of the general Formula (Ia) to (Ic) are active as agonists of GPRl 19 and are potentially useful in the treatment or prophylaxis of disorders relating to GPRl 19. Examples of such disorders include Type 1 diabetes, Type 2 diabetes, inadequate glucose tolerance, insulin resistance, hyperglycemia, hyperlipidemia, hypercholesterolemia, dyslipidemia, syndrome X, obesity, hypertension, chronic systemic
mflammation, retinopathy, neuropathy, nephropathy, atherosclerosis, reduced fibrinolysis, endothelial dysfunction and osteoporosis
In a first aspect, the invention provides a compound of Formula (Ia),
or a pharmaceutically acceptable salt, solvate, hydrate, geometrical isomer, tautomer, optical isomer or N-oxide thereof; wherein:
A is CH2, O, NR10, C(O), S, S(O) or S(O)2,
B is CH2, O, NR10, C(O), S, S(O) or S(O)2, provided that when B is O, NR10, C(O), S, S(O) or S(O)2, then A is CH2,
D is N, C or CR11, provided that D must be CR11 and said R11 must be hydrogen or methyl when B is selected from O, NR10, C(O), S, S(O) and S(O)2,
— is a single bond when D is N or CR11 or a double bond when D is C;
E and G are independently Ci 3-alkylene, each optionally substituted with a substituent independently selected from the group consisting of Ci 3-alkyl, Ci 4-alkoxy, carboxy, fluoro-Ci 3-alkyl, hydroxy, hydroxymethyl, and fluoro, provided that the ring formed by D, E, N and G has not more than 7 ring atoms, and further provided that the said ring has 6 or 7 ring atoms when D is N, and yet further provided that the total number of substituents on E and G independently is not more than 2;
R1 is C(O)OR2, C(O)R2, S(O)2R2, C(O)NR2R3 or -CH2-C(O)NR2R3, or a 5- or 6-membered heteroaryl group linked via a ring carbon atom, wherein the said heteroaryl group is optionally substituted with Ci-4-alkyl;
Ar1 is phenyl or heteroaryl, each of which is optionally independently substituted in one or more positions with a substituent selected from:
(a) CF3SO3,
(b) halogen selected from chlorine, bromine and fluorine, (c) Ci-4-alkylsulfoximine,
(d) -S(O)IC,
(e) -S(O)2R4,
(f) -S(O)2NR5R5,
(g) -NR6S(O)2R4,
(h) -CH2-NR6C(O)R4,
(i) -NR6C(O)R4,
Ci) C(O)NR5R5,
(k) -CH2-C(O)NR5R5,
(1) -C(O)R4,
(m) H2N-C(O)O-
(n) CH3-NH-C(O)O-,
(o) (CH3)2NC(O)O-,
(P) CH3OC(O)NH-,
(q) C-heterocyclyl, optionally substituted with Ci-4-alkyl, ω -CN,
(s) OR8,
(t) -SCF3,
(u) -NO2,
(v) C-heterocyclylsulfonyl, optionally substituted with Ci-4-alkyl,
(w) -NR5R5,
W -C(OH)CH3CF3,
(y) [CF3CH3(OH)C]-C1_6-alkyl,
(z) cyano-Ci-6-alkyl,
(aa) guanidino,
(bb) amidino,
(cc) C^-alkyl,
(dd) CM-alkoxy-Ci_4-alkyl,
(ee) fluoro-Ci_4-alkyl,
(ff) C2_6-alkenyl,
(gg) fluoro-C2-4-alkenyl,
(hh) hydroxy-Ci_θ-alkyl,
(ii) CM-alkylsulfonyl-Ci_4-alkyl,
(]j) hydroxy-C2-4-alkoxy-Ci_4-alkyl, (kk) C2.3-acyl-Ci_3-alkyl,
(11) C^-alkynyl,
(mm) hydroxy-C^δ-cycloalkyl,
(nn) fluoro-C^-cycloalkyl,
(00) methyl-Q-tj-cycloalkyl, (pp) C-heterocyclylcarbonyl, optionally substituted with Ci_4-alkyl,
(qq) C3-6-cycloalkyl,
(rr) C3-6-cycloalkyl-Ci-4-alkyl,
(ss) R5R5N-Ci_2-alkyl,
(tt) -C(O)OR7, (uu) -CH2C(O)OR7,
(w) phenyl, and
(ww) heteroaryl, wherein phenyl or heteroaryl as substituent on Ar1 is optionally substituted m one or more positions with a substituent independently selected from the group Z1 consisting of (a) halogen selected from chlorine and fluorine,
(b) Ci-4-alkyl,
(c) hydroxy,
(d) Ci_4-alkoxy,
(e) -OCF3, (f) -SCF3,
(g) -CN,
(h) -C(OH)CH3CF3,
(1) hydroxy-Ci_4-alkyl,
Ci) -CF3, (k) -S(O)2CH3,
(1) -S(O)2NH2,
(m) -S(O)2NHCH3,
(n) -S(O)2N(CH3),,
(o) -N(CH3)S(O)2CH3,
(p) -N(CH3)C(O)CH3,
(q) -C(O)NH2,
(r) -C(O)NHCH3,
(s) -C(O)N(CH3)2, (t) -C(O)CH3,
(u) -NH2,
(v) -NHCH3,
(w) -N(CH3)2, and
(x) methoxycarbonyl;
R2 is selected from:
(a) Ci-6-alkyl,
(b) Ci_6-alkoxy-C2-6-alkyl,
(c) hydroxy-Cz 6-alkyl, (d) fiuoro-C2-6-alkyl,
(e) C3_6-alkynyl,
(f) C3_6-alkenyl,
(g) C3-7-cycloalkyl, (h) Cs-8-cycloalkenyl, (i) NR9R9, provided that R1 is not selected from C(O)OR2, C(O)NR2R3 and
-CH2-C(O)NR2R3,
(j) C-heterocyclyl, optionally substituted with Ci_4-alkyl,
(k) C7_8-bicyclyl, optionally substituted with hydroxy,
(1) Cy-g-bicycLylmethyl, (m) azabicyclyl, optionally substituted with hydroxy,
(n) C3_7-cycloalkyl-Ci_4-alkyl, wherein cycloalkyl is optionally substituted with methyl,
(o) Ci-6-alkylsulfonyl-C2_6-alkyl,
(p) C2-3-acyl-Ci_4-alkyl, (q) arylcarbonyl-Ci_4-alkyl,
(r) heteroarylcarbonyl-Ci 4-alkyl,
(s) [CF3CH3(OH)C]-Ci_6-alkyl,
(t) N-heterocyclylcarbonyl-C2_4-alkyl, wherein heterocyclyl is optionally substituted with methyl,
(u) C-heterocyclylcarbonyl-C2-4-alkyl, wherein heterocyclyl is optionally substituted with methyl,
(v) aminocarbonyl-C2-6-alkyl,
(w) Ci_3-alkylaminocarbonyl-C2-6-alkyl, (x) di(Ci_3-alkyl)aminocarbonyl-C2-6-alkyl,
(y) hydroxy-C2-4-alkoxy-C2-4-alkyL,
(z) hydroxy-C4-6-cycloalkyl,
(aa) oxo-C4_6-cycloalkyl,
(bb) fluoro-C4_6-cycloalkyl, (cc) Ci_3-alkoxy-C4_6-cycloalkyl,
(dd) methyl-C3_6-cycloalkyl,
(bb) oxo-N-heterocyclyl-C2-4-alkyl,
(cc) fluoro-jV-heterocyclyl-C2-4-alkyl,
(dd) amino-/V-heterocyclyl-C2 4-alkyl, (ee) hydroxy-Λr-heterocyclyl-C2-4-alkyl,
(ii) N-heterocyclyl-C2 -4-alkyl, wherein heterocyclyl is optionally substituted with methyl,
(jj) C-heterocyclyl-Ci -4-alkyl, wherem heterocyclyl is optionally substituted with methyl, (kk) aryl,
(11) aryl-Ci_4-alkyl,
(mm) aryl-C3_6-alkenyl,
(nn) aryl-C3_6-alkynyl,
(oo) heteroaryl, (pp) heteroaryl-Ci_4-alkyl,
(qq) heteroaryl-C3_6-alkenyl, and
(rr) heteroaryl-C3_6-alkynyl, wherem any aryl or heteroaryl residue, alone or as part of another group, is optionally independently substituted in one or more position with a substituent selected from the group Z1 as defined above;
R3 is selected from'
(a) hydrogen,
(b) Ci_6-alkyl,
(c) fluoro-C2-6-alkyl,
(d) hydroxy-C2-6-alkyl,
(e) Ci_6-alkoxy-C2-6-alkyl,
(f) amino-C2-s-alkyl, (g) Ci_3-alkylamino-C2-6-alkyl,
(h) di(Ci_3-alkyl)amino-C2-6-alkyl,
(i) cyano-Ci_6-alkyl, and
(j) Ci_6-alkylsulfonyl-C2-6-alkyl;
R4 is independently selected from:
(a) d_6-alkyl,
(b) fluoro-Ci_6-alkyl,
(c) hydroxy-C2-6-alkyl,
(d) Ci 4-alkoxy-C2 4-alkyl, (e) C2-4-acyl-Ci-4-alkyl,
(f) carboxy-Ci_3-alkyl,
(g) C3-6-cycloalkyl,
(h) oxo-C4_6-cycloalkyl,
(i) hydroxy-C4-6-cycloalkyl, (j) fluoro-C4_6-cycloalkyl,
(k) methyl-C3_6-cycloalkyl,
(1) N-heterocyclylcarbonyl-C2-4-alkyl, wherein heterocyclyl is optionally substituted with methyl,
(m) oxo-JV-heterocyclyl-C2-4-alkyl, (n) fluoro-N-heterocyclyl-C2-4-alkyl,
(o) hydroxy-N-heterocyclyl-C2-4-alkyl,
(p) ammo-ΛLheterocyclyl-C2-4-alkyl,
(q) aminocarbonyl-C2-4-alkyl,
(r) Ci_3-alkylaminocarbonyl-C2-4-alkyl, (s) di(Ci_3-alkyl)aminocarbonyl-C2-4-alkyl,
(t) C2 3-acylamino-C2 4-alkyl,
(u) hydroxy-C2-4-alkoxy-C2-4-alkyl,
(v) C-heterocycLylcarbonyl-C2 -4-alkyl, wherein heterocyclyl is optionally substituted with methyl,
(w) C3_6-cycloalkyl-Ci_2-alkyl,
(x) amino-C2-4-alkyl,
(y) Ci_2-alkylamino-C2-4-alkyl,
(z) di(Ci_2-alkyl)amino-C2-4-alkyl, (aa) phenyl, and
(bb) heteroaryl, wherein any phenyl or heteroaryl residue is optionally substituted in one or more positions with a substituent independently selected from the group Z2 consisting of:
(a) halogen selected from chlorine and fluorine, (b) Ci_4-alkoxy,
(c) hydroxymethyl,
(d) -CN,
(e) -CF3,
(f) C1 4-alkyl, (g) -OCF3, and
(h) -C(O)CH3;
R5 is each independently selected from:
(a) hydrogen, (b) Ci-6-alkyl,
(c) C3_4-cycloalkyl,
(d) fluoro-C2-4-alkyl,
(e) amino-C2-6-alkyl,
(f) cyano-Ci-6-alkyl, (g) hydroxy-C2-6-alkyl,
(h) dihydroxy-C2-6-alkyl,
(i) Ci_4-alkoxy-C2-4-alkyl,
(j) Ci_4-alkylamino-C2-4-alkyl,
(k) di(Ci_4-alkyl)amino-C2-4-alkyl, (1) aminocarbonyl-Ci_4-alkyl,
(m) C2 3-acylamino-C2 4-alkyl,
(n) Ci_4-alkylthio-C2-4-alkyl,
(o) C2-4-acyl-Ci_4-alkyl, and
(p) Ci-4-alkylsulfonyl-Ci-4-alkyl,
or two R5 groups together with the nitrogen to which they are attached form a heterocyclic ring, wherein said heterocyclic πng may be optionally substituted with: i) a substituent selected from
(aa) hydroxy, (bb) amino,
(cc) methylammo,
(dd) dimethylammo,
(ee) hydroxymethyl, and
(ff) ammomethyl, n) one or two oxo groups, or iii) one or two fluorine atoms, provided that when the substituent is selected from fluorine, hydroxy, ammo, methylammo and dimethylammo, said substituent is attached to the heterocyclic ring at a position other than alpha to a heteroatom, and when the two R5 groups form a piperazme ring, the nitrogen of the piperazme nng that allows the substitution is optionally substituted with Ci 4-alkyl,
R6 is independently selected from:
(a) hydrogen, (b) Ci 4-alkyl, and
(c) hydroxy-Ci 4-alkyl,
R7 is independently selected from Ci 4-alkyl,
R8 is independently selected from.
(a) hydrogen,
(b) Ci 6-alkyl,
(c) fluoro-Ci 6-alkyl,
(d) hydroxy-C2 6-alkyl, (e) ammo-C2 s-alkyl,
(f) Ci 3-alkylamino-C2 4-alkyl,
(g) di(Ci 3-dialkyl)ammo-C2 4-alkyl, (h) Ci 4-alkylsulfonyl-C2-4-alkyl,
(i) N-heterocyclyl-C2-4-alkyl, wherein heterocyclyl is optionally substituted with methyl,
(j) C-heterocyclyl, optionally substituted with methyl, (k) C2-3-acylamino-C2-4-alkyl, (1) [CF3CH3(OH)C]-Ci-6-alkyl,
(m) C3_6-cycloalkyl, (n) methyl-Cs-e-cycloalkyl, (o) C3_6-cycloalkyl-Ci_2-alkyl, (p) aryl, and (q) heteroaryl, wherein any aryl or heteroaryl residue is optionally independently substituted in one or two positions with a substituent selected from the group Z2 as defined above;
R is each independently selected from' (a) Ci_4-alkoxy-C2-4-alkyl,
(b) amino-C2-4-alkyl,
(c) Ci_4-alkylamino-C2-4-alkyl,
(d) di(Ci_4-alkyl)ammo-C2-4-alkyl,
(e) C2-3-acylamino-C2-4-alkyl, (f) Ci-4-alkylthio-C2-4-alkyl, and
(g) C2-4-acyl-Ci-4-alkyl; or two R9 groups together with the nitrogen to which they are attached form a heterocyclic ring, wherein said heterocyclic ring may be optionally substituted with: i) a substituent selected from: (aa) hydroxy,
(bb) amino, (cc) methylarmno, (dd) dimethylammo, (ee) hydroxymethyl, and (ff) aminomethyl; ii) one or two oxo groups; or iii) one or two fluorine atoms,
provided that when the substituent is selected from fluorine, hydroxy, ammo, methylamino and dimethylamino, said substituent is attached to the heterocyclic ring at a position other than alpha to a heteroatom; and when the two R9 groups form a piperazine ring, the nitrogen of the piperazine nng that allows the substitution is optionally substituted with d^-alkyl;
R10 is independently selected from.
(a) hydrogen,
(b) Ci-6-alkyl, (c) cyclopropyl,
(d) cyclobutyl,
(e) cyclopropylmethyl,
(f) fluoro-C2-6-alkyl,
(g) hydroxy-C2 6-alkyl, (h) Ci-2-alkoxy-C2-6-alkyl,
(i) amino-C2-6-alkyl,
(j) di(Ci_3-alkyl)amino-C2-6-alkyl,
(k) Ci_3-alkylammo-C2-6-alkyl,
(1) cyano-C2-4-alkyl, (m) C2-6-acyl,
(n) C2-6-acyl-Ci β-alkyl, and
(o) Ci_6-alkylsulfonyl-Ci_6-alkyl,
R11 is selected from:
(a) hydrogen, hydroxy,
(C) fluonne,
(d) Ci_4-alkoxy, and
(e) methyl;
R is each independently selected from
(a) hydrogen,
0>) -CN,
(c) Ci_4-alkoxy,
(d) -NR5R5, wherein each R5 is independently selected from the group consisting of hydrogen and C]_4-alkyl, or two R5 groups together with the nitrogen to which they are attached form a pyrrolidine or an azetidme ring,
(e) Ci-3-alkyl, (f) Ci_3-alkoxy-Ci_2-alkyl, and
(g) hydroxy-Ci_4-alkyl;
and with the proviso that the compound is not selected from:
• 1-Methylethyl 4-[({5-[4-(methylsulfonyl)phenyl]-2-pyrazmyl}oxy)methyl]-l- pipeπdmecarboxylate;
• 2-[({l-[3-(l-Methylethyl)-l,2,4-oxadiazol-5-yl]-4-piperidinyl}methyl)oxy]-5-[4- (methylsulfonyl)phenyl]pyrazme;
• 5-Fluoro-2-{4-[({5-[4-(methylsulfonyl)phenyl]-2-pyrazinyl}oxy)methyl]-l- piperidmyl}pyrimidine, • 2-[2-Fluoro-4-(methylsulfonyl)phenyl]-5-[({l-[3-(l-methylethyl)-l,2,4-oxadiazol-5-yl]- 4-piperidinyl}methyl)oxy]pyrazine;
• 1-Methylethyl 4-[({5-[2-fluoro-4-(methylsulfonyl)phenyl]-2-pyrazinyl}oxy)methyl]-l- pipeπdmecarboxylate; and
• 2-[({l-[3-(l-Methylethyl)-l,2,4-oxadiazol-5-yl]-4-pipendmyl}methyl)oxy]-5-[2- methyl-4-(methylsulfonyl)phenyl]pyrazme.
A preferred group of compounds of formula (Ia) are the compounds of Formula (Ib),
and pharmaceutically acceptable salts, solvates, hydrates, geometrical isomers, tautomers, optical isomers or Λ/-oxides thereof; wherein:
A is CH2, O, NR10, C(O), S, S(O) or S(O)2,
B is CH2, O, NR10, C(O), S, S(O) or S(O)2, provided that when B is O, NR10, C(O), S, S(O) or S(O)2, then A is CH2, m is each independently O or 1 , D is N or CR11, provided that D must be CR11 and said R1 1 must be hydrogen or methyl when B is selected from O, NR10, C(O), S, S(O) and S(O)2, and further provided that each m is 1 when D is N, Ar1, Z1, Z2, R1 to R9 and R12 are as defined in Formula (Ia),
R is independently selected from
(a) hydrogen,
(b) Ci-4-alkyl,
(c) cyclopropyl,
(Φ cyclobutyl,
(e) cyclopropylmethyl, rø fluoro-C2-4-alkyl,
(g) Ci-2-alkoxy-C2-3-alkyl,
O) amino-C2-4-alkyl,
(k) methylammo-C2-4-alkyl,
(1) dimethylammo-C2-4-alkyl, and
(m) cyano-C2-4-alkyl,
R11 is selected from
(a) hydrogen,
(b) hydroxy,
(c) fluorine, and
(d) methyl
A further preferred group of compounds of formula (Ia) are compounds of Formula (Ic),
and pharmaceutically acceptable salts, solvates, hydrates, geometrical isomers, tautomers, optical isomers or N-oxides thereof; wherein:
A is CH2, O or NR10;
B is CH2, O or NR10, provided that when B is O or NR10, then A is CH2, m is each independently 0 or 1;
Z1, Z2, R1 to R7, R9 and R12 are as defined in Formula (Ia);
R10 is as defined in Formula (Ib),
Ar1 is phenyl or 5- or 6-membered heteroaryl, each of which is optionally substituted in one or two positions with a substituent independently selected from the group Z3 consisting of:
(a) CF3SO3,
(b) halogen selected from bromine, chlorine and fluorine,
(c) Ci 4-alkylsulfoximine,
(d) -S(O)R4, (e) -S(O)2R4,
(f) -S(O)2NR5R5,
(g) -NR6S(O)2R4,
(h) NR6C(O)R4,
(i) -CH2-NR6C(O)R4, O) -C(O)NR5R5,
(k) -CH2-C(O)NR5R5, (1) -C(O)R4,
(m) H2N-C(O)O-,
(n) CH3-NH-C(O)O-,
(o) (CH3)2NC(O)O-,
(P) -NHC(O)OCH3,
(q) C-heterocyclyl, optionally substituted with methyl,
(r) -CN,
(S) -OR8,
(t) -SCF3,
(U) C-heterocyclylsulfonyl, optionally susbtituted with methyl,
(v) NR5R5,
(w) -C(OH)CH3CF3,
(x) cyano-Ci e-alkyl,
(y) Ci e-alkyl,
(z) Ci 4-alkoxy-Ci 4-alkyl,
(aa) fluoro-C] 4-alkyl,
(bb) C26-alkenyl,
(CC) fluoro-C2 4-alkenyl,
(dd) hydroxy-Ci β-alkyl,
(ee) Ci 4-alkylsulfonyl-Ci-4-alkyl,
(ff) hydroxy-C2 4-alkoxy-Ci 4-alkyl,
(gg) C23-acyl-Ci 3-alkyl,
(hh) C26-alkynyl,
(ii) C3 6-cycloalkyl,
Oi) hydroxy-C3 6-cycloalkyl,
(kk) fluoro-C3 6-cycloalkyl,
(H) methyl-C3 6-cycloalkyl,
(mm) C-heterocyclylcarbonyl, optionally substituted with methyl,
(nn) C3 6-cycloalkyl-Ci 4-alkyl,
(00) R5R5N-Ci 2-alkyl,
(pp) -C(O)OR7, (qq) -CH2C(O)OR7, and
(rr) heteroaryl, wherein any heteroaryl residue as substituent on Ar1 is optionally substituted m one or more positions with a substituent independently selected from the group Z2 as defined herein for Formula (Ia);
R8 is independently selected from:
(a) hydrogen,
(b) Ci-4-alkyl, (c) CF3,
(d) C3_5-cycloalkyl,
(e) methyl-Ca-s-cycloalkyl, and
(f) C-heterocycLyl, optionally substituted with methyl.
A preferred subgroup of compounds of Formula (Ic) consists of compounds wherein:
A is CH2 and B is O or NR10, or A is O or NR10 and B is CH2, m is each 1 ,
Ar1 is phenyl, pyridinyl or thienyl, each of which is optionally substituted in one or two positions with a substituent independently selected from the group Z4 consisting of
(a) halogen selected from chlorine and fluorine,
(b) Ci_4-alkylsulfoximine,
(c) Ci_4-alkylsulfonyl,
(d) C i .4-alkylsulfinyl,
(e) hydroxy-C2_4-alkylsulfonyl,
(f) C3_5-cycloalkylsulfonyl,
(g) methyl-C^-cycloalkylsulfonyl,
(h) trifluoromethylsulfonyl,
(0 -S(O)2NR5AR5A,
0) Ci-4-alkylsulfonamido,
(k) C2_4-acylammo,
(1) C2_4-acylaminomethyl,
(m) carboxy-C i _3 -alkylcarbonylamino ,
(n) -C(O)NR5AR5A,
(o) -CH2-C(O)NR5AR5A,
(P) NHC(O)OCH3,
(q) C2_4-acyl,
(r) C3_5-cycloalkylcarbonyl,
(s) Ci_4-alkoxy,
(t) C3_5-cycloalkyloxy,
(u) C-heterocyclyl,
(v) -CN,
(w) -OH,
(x) -OCF3,
(y) -CF3,
(z) -NR5AR5A,
(aa) -C(OH)CH3CF3,
(bb) cyano-Ci_2-alkyl,
(CC) Ci-4-alkyl,
(dd) C3-5-cycloalkyl,
(ee) Ci 2-alkoxy-Ci 2-alkyl,
(ff) vinyl,
(gg) ethynyl,
(hh) hydroxy-Ci_2-alkyl,
(u) C-heterocyclyloxy, optionally substituted with methyl,
Qj) R5AR5AN-Ci_2-alkyl, (kk) -C(O)OR7A, and
(11) -CH2C(O)OR7A;
R1 is a group R1A selected from C(O)OR2A, C(O)R2A, S(O)2R2A, C(O)NR2AR3A, -CH2-C(O)NR2AR3A, or a 5- or 6-membered heteroaryl group linked via a ring carbon atom, wherein the said heteroaryl group is optionally substituted with Ci-4-alkyl;
R2A is selected from:
(a) Ci-6-alkyl,
(b) Ci_6-alkoxy-C2-6-alkyl,
(c) hydroxy-Ci-δ-alkyl,
(d) hydroxy-C2 4-alkoxy-C2 4-alkyl,
(e) fluoro-C2-6-alkyl,
(f> C3_6-alkynyl,
(g) Cs-y-cycloalkyl,
(h) C5_8-cycloalkenyl,
NR9AR9A provided that R1A 1S not
(i) ; selected from C(O)OR2A, C(O)ΝR2AR3A and -CH2-C(O)NR2AR3A,
G) C-heterocyclyl, optionally substituted with methyl,
GO Cy-8-bicyclyl,
(1) 2-norbornylmethyl,
(m) azabicyclyl,
(n) C3_6-cycloalkyl-Ci_4-alkyl, wherein cycloalkyl is optionally substituted with methyl,
(o) C2-3-acyl-Ci_4-alkyl,
(P) arylcarbonyl-Ci_4-alkyl,
(q) heteroarylcarbonyl-Ci_4-alkyl,
(r) [CF3CH3(OH)C]-Ci_6-alkyl,
(s) N-heterocycLylcarbonyl-C24-alkyl, wherein heterocyclyl is optionally substituted with methyl,
(t) hydroxy-C4-6-cycloalkyl,
(U) oxo-C4_6-cycloalkyl,
(v) fluoro-C4_6-cycloalkyl,
(W) methoxy-C4-6-cycloalkyl,
(x) methyl-Cs-β-cycloalkyl,
(y) oxo-N-heterocyclyl-C2-4-alkyl,
(z) hydroxy-N-heterocyclyl-C2_4-alkyl,
(aa) fluoro-N-heterocyclyl-C2-4-alkyl,
(bb) amino-Λr-heterocyclyl-C2-4-alkyl,
(CC) N-heterocyclyl-C2 -4-alkyl, wherein heterocyclyl is optionally substituted with methyl,
(dd) C-heterocyclyl-Ci .4-alkyl, wherein heterocyclyl is optionally substituted with methyl,
(ee) aryl,
(ff) aryl-Ci_4-alkyl,
(gg) heteroaryl, and
(hh) heteroaryl-Ci_4-alkyl,
wherein any aryl or heteroaryl residue, alone or as a part of another group, is optionally substituted in one or more positions with a substituent independently selected from the group Z5 consisting of
(a) halogen selected from chlorine and fluorine,
(b) methyl,
(C) ethyl,
(d) methoxy,
(e) ethoxy,
CD isopropoxy,
(g) hydroxy,
(h) -OCF3,
(i) -CF3,
Ci) -CN,
(k) -C(OH)CH3CF3,
(1) dimethylammo,
(m) hydroxymethyl,
(n) -S(O)2CH3,
(o) -C(O)CH3, and
(P) -C(O)NH2;
R3A is selected from:
(a) hydrogen,
(b) Ci-4-alkyl,
(C) hydroxy-C2-4-alkyl, and
(d) methoxy-C2-4-alkyl;
R5A is each independently selected from:
(a) hydrogen,
(b) Ci-3-alkyl, (c) Ci-2-alkoxy-C2-4-alkyl,
(d) C3 4-cycloalkyl,
(e) hydroxy-C2-4-alkyl,
(f) cyano-Ci_3-alkyl,
(g) dihydroxy-C2-4-alkyl,
(h) aminocarbonyl-Ci_2-alkyl, and
(i) di(C]_2-alkyl)amino-C2-3-alkyl; or two R5A groups together with the nitrogen to which they are attached form a heterocyclic ring, wherein said heterocyclic ring may be optionally substituted with: i) a substituent selected from
(aa) hydroxy,
(bb) amino,
(cc) methylammo,
(dd) dimethylammo, (ee) hydroxymethyl, and
(ff) aminomethyl; ii) one or two oxo groups; or iii) one or two fluorine atoms, provided that when the substituent is selected from fluorine, hydroxy, amino, methylamino and dimethylamino, said substituent is attached to the heterocyclic ring at a position other than alpha to a heteroatom; and when the two R5A groups form a piperazine ring, the nitrogen of the piperazine ring that allows the substitution is optionally substituted with methyl,
R7A is independently selected from Ci-4-alkyl;
Two groups R9A together with the nitrogen to which they are attached form a heterocyclic ring, wherein said heterocyclic ring may be optionally substituted with. i) one hydroxy or amino group; n) one or two fluorine atoms; or iii) one or two oxo groups, provided that when the substituent is selected from fluorine, hydroxy and amino, said substituent is attached to the heterocyclic ring at a position other than alpha to a heteroatom, and when the two R9A groups form a piperazine ring, the nitrogen of the piperazine ring that allows the substitution is optionally substituted with methyl,
R10 is independently selected from'
(a) hydrogen,
(b) Ci-3-alkyl,
(c) cyclopropyl, and
(d) cyclopropylmethyl;
R12 is each hydrogen
In a more preferred subgroup of compounds of Formula (Ic), A is CH2 and B is O or NR10
In another more preferred subgroup of compounds of Formula (Ic), Ar1 is selected from methylsulfonylphenyl, (ammocarbonyl)phenyl, [(methylamino)carbonyl]phenyl, [(dimethylamino)carbonyl]phenyl, [(4-methylpiperazm-l-yl)carbonyl]phenyl, [2-(hydroxy- methyl)morpholin-4-ylcarbonyl]phenyl, (methylsulfmyl)phenyl, pyridinyl, [(3-hydroxy- pyrrolidm- 1 -yl)carbonyl]phenyl, { [(2-hydroxymethyl)pyrrolidm- 1 -yl]carbonyl} phenyl, [(3-hydroxyazetidin- 1 -yl)carbonyl]phenyl, (ammocarbonyl)fluorophenyl, [(methoxy- carbonyl)amino]phenyl, [(methylsulfonyl)ammo]phenyl, acetylthienyl, fluoro[(propyl- ammo)carbonyl]phenyl, (acetylammo)phenyl and fluoro(methylsulfonyl)phenyl
More preferably, Ar1 is selected from 4-methylsulfonylphenyl, 4-(ammocarbonyl)phenyl, 4-[(methylamino)carbonyl]phenyl, 4-[(dimethylamino)carbonyl]phenyl, 4-[(4-methyl- piperazin-l-yl)carbonyl]phenyl, 4-{[2-(hydroxymethyl)morpholin-4-yl]carbonyl}phenyl, 4-(methylsulfinyl)phenyl, 4-pyridinyl, 4-[(3-hydroxypyrrolidin-l-yl)carbonyl]phenyl, 4- {[2-(hydroxymethyl)pyrrohdin- 1 -yl]carbonyl}phenyl, 4- [(3-hydroxyazetidin- 1 -yl)- carbonyl]phenyl, 4-(aminocarbonyl)-3-fluorophenyl, 4- [(methoxycarbonyl)amino]phenyl, 4-[(methylsulfonyl)ammo]phenyl, 5-acetyl-2-thienyl, 3-fluoro-4-[(propylamino)carbonyl]- phenyl, 4-(acetylammo)phenyl and 2-fluoro-4-(methylsulfonyl)phenyl
In another more preferred subgroup of compounds of Formula (Ic), R1A is selected from C(O)OR2A, C(O)R2A or a 6-membered heteroaryl group.
In one embodiment, R1A is C(O)OR2A, wherein R2A is selected from tert-butγl, phenyl, benzyl, ώo-butyl, ethyl, isopropyl, 2,2-dimethylpropyl, 1-cyclopropylethyl and (3- methyloxetan-3-yl)methyl
In another embodiment, R1A is C(O)R2A, wherein R2A is selected from phenyl, 1-methyl- lH-pyrrol-2-yl, 3,4-dichlorophenyl and 1 -ethylpropyl.
In yet another embodiment, R is 2-pyrimidmyl.
In yet another more preferred subgroup of compounds of Formula (Ic), R10 is independently selected from hydrogen, methyl and cyclopropyl.
Particularly preferred compounds of Formula (Ia) to (Ic) are the compounds selected from the group consisting of
• tert-Butyl 4- [( {5 - [4-(methylsulfonyl)phenyl]pyrazin-2-yl} amino)methyl]piperidine- 1 - carboxylate; • Isobutyl 4-[({5-[4-(methylsulfonyl)phenyl]pyrazin-2-yl}ammo)methyl]piperidme-l- carboxylate;
• Phenyl 4-[({5-[4-(methylsulfonyl)phenyl]pyrazin-2-yl}amino)methyl]piperidine-l- carboxylate,
• 2,2-Dimethylpropyl 4-[({5-[4-(methylsulfonyl)phenyl]pyrazin-2-yl}ammo)methyl]- piperidine- 1 -carboxylate;
• Isopropyl 4-[({5-[4-(methylsulfonyl)phenyl]pyrazin-2-yl}amino)methyl]piperidine-l- carboxylate;
• Benzyl 4-[({5-[4-(methylsulfonyl)phenyl]pyrazm-2-yl}ammo)methyl]piperidme-l- carboxylate; • N-({l-[(l-Methyl-lH-pyrrol-2-yl)carbonyl]piperidin-4-yl}methyl)-5-[4-(methyl- sulfonyl)phenyl]pyrazm-2-amine;
• Ethyl 4-[({5-[4-(methylsulfonyl)phenyl]pyrazin-2-yl}amino)methyl]piperidme-l- carboxylate;
• iV-[(l-Benzoylpiperidin-4-yl)methyl]-5-[4-(methylsulfonyl)phenyl]pyrazin-2-amme; • JV- {[1 -(2-Ethylbutanoyl)piperidin-4-yl]methyl} -5-[4-(methylsulfonyl)phenyl]pyrazin-2- amme;
• tert-Butyl 4- [( {5 - [4-(methylsulfmyl)phenyl]pyrazm-2-yl} ammo)methyl]pipeπdme- 1 - carboxylate;
• tert-Butyl 4-{[(5-{4-[(4-methylpiperazm-l-yl)carbonyl]phenyl}pyrazin-2-yl)amino]- methyl} piperidine- 1 -carboxylate;
• tert-Butyl 4- [( {5 - [4-(ammocarbonyl)phenyl]pyrazm-2-yl} ammo)methyl]piperidme- 1 - carboxylate;
• tert-Butyl 4- {[(5- {4-[(methylammo)carbonyl]phenyl}pyrazin-2-yl)amino]methyl}- piperidine- 1 -carboxylate;
• tert-Butyl 4-{[(5-pyπdin-4-ylpyrazin-2-yl)amino]methyl}piperidme-l-carboxylate;
• tert-Butyl 4-{[(5-{4-[(3-hydroxypyrrolidin-l-yl)carbonyl]phenyl}pyrazin-2-yl)amino]- methyl} piperidine- 1 -carboxylate;
• tert-Butyl 4-({[5-(4- {[2-(hydroxymethyl)morpholin-4-yl]carbonyl}phenyl)pyrazm-2- yl]amino}methyl)piperidine- 1 -carboxylate;
• tert-Butyl 4-({[5-(4-{ [(2R)-2-(hydroxymethyl)pyrrolidm- 1 -yl] carbonyl}phenyl)pyrazin- 2-yl] amino }methyl)piperidine- 1 -carboxylate;
• tert-Butyl 4-({[5-(4-{[(2S)-2-(hydroxymethyl)pyrrolidin-l-yl]carbonyl}phenyl)pyrazin- 2-yl]ammo}methyl)pipeπdine- 1 -carboxylate; • tert-Butyl 4-{[(5-{4-[(3-hydroxyazetidin-l-yl)carbonyl]phenyl}pyrazin-2-yl)ammo]- methyl} piperidine- 1 -carboxylate;
• tert-Butyl 4- [( {5 - [4-(methylsulfbnyl)phenyl]pyrazm-2-yl} oxy)methyl]piperidme- 1 - carboxylate,
• Isobutyl 4-[({5-[4-(methylsulfonyl)phenyl]pyrazin-2-yl}oxy)methyl]piperidine-l- carboxylate;
• 1 -Cyclopropylethyl 4-[( {5-[4-(methylsulfonyl)phenyl]pyrazin-2-yl} oxy)methyl]- piperidine- 1 -carboxylate;
• Phenyl 4-[({5-[4-(methylsulfonyl)phenyl]pyrazin-2-yl}oxy)methyl]piperidme-l- carboxylate, • Benzyl 4-[({5-[4-(methylsulfonyl)phenyl]pyrazin-2-yl}oxy)methyl]piperidine-l- carboxylate;
• (3-Methyloxetan-3-yl)methyl 4-[({5-[4-(methylsulfonyl)phenyl]pyrazin-2-yl}oxy)- methyl]piperidine- 1 -carboxylate;
• Ethyl 4-[({5-[4-(methylsulfonyl)phenyl]pyrazm-2-yl}oxy)methyl]pipendine-l- carboxylate,
• 2-[(l-Benzoylpiperidin-4-yl)methoxy]-5-[4-(methylsulfonyl)phenyl]pyrazine;
• 2- {[ 1 -(2-Ethylbutanoyl)pipeπdm-4-yl]methoxy} -5-[4-(methylsulfonyl)phenyl]pyrazme;
• 2,2-Dimethylpropyl 4-[({5-[4-(methylsulfonyl)phenyl]pyrazin-2-yl}oxy)methyl]- piperidine- 1 -carboxylate; • 2-({l-[(l-Methyl-lH-pyrrol-2-yl)carbonyl]pipendm-4-yl}methoxy)-5-[4-(methyl- sulfonyl)phenyl]pyrazine,
• tert-Butyl 4-{[(5-{4-[(3-hydroxypyrrolidm-l-yl)carbonyl]phenyl}pyrazin-2-yl)oxy]- methyl} piperidine- 1 -carboxylate;
• tert-Butyl 4-({[5-(4- {[2-(hydroxymethyl)morpholm-4-yl]carbonyl}phenyl)pyrazin-2- yl]oxy}methyl)piperidine- 1 -carboxylate;
• tert-Butyl 4-({[5-(4-{ [(2R)-2-(hydroxymethyl)pyrrolidm- 1 -yl] carbonyl}phenyl)pyrazin- 2-yl]oxy}methyl)piperidine- 1 -carboxylate; • tert-Butyl 4-({[5-(4-{[(2S)-2-(hydroxymethyl)pyrrolidin-l-yl]carbonyl}phenyl)pyrazin- 2-yl]oxy}methyl)piperidine- 1 -carboxylate;
• tert-Butyl 4- [( {5 - [4-(methylsulfmyl)phenyl]pyrazin-2-yl} oxy)methyl]piperidine- 1 - carboxylate;
• tert-Butyl 4-{[(5-{4-[(4-methylpiperazm-l-yl)carbonyl]phenyl}pyrazin-2-yl)oxy]- methyl} piperidine- 1 -carboxylate,
• tert-Butyl 4- [( {5 - [4-(ammocarbonyl)phenyl]pyrazm-2-yl}oxy)methyl]piperidine- 1 - carboxylate;
• tert-Butyl 4-{[(5-{4-[(methylamino)carbonyl]phenyl}pyrazin-2-yl)oxy]methyl}- piperidine- 1 -carboxylate; • tert-Butyl 4-{[(5-{4-[(3-hydroxyazetidin-l-yl)carbonyl]phenyl}pyrazin-2-yl)oxy]- methyl} piperidine- 1 -carboxylate,
• tert-Butyl 4-[methyl({5-[4-(methylsulfonyl)phenyl]pyrazin-2-yl}methyl)amino]- pipeπdine- 1 -carboxylate;
• 2,2-Dimethylpropyl 4- [methyl( {5 - [4-(methylsulfbnyl)phenyl]pyrazm-2-yl}methyl)- ammo]piperidine- 1 -carboxylate;
• Isobutyl 4-[methyl( {5-[4-(methylsulfonyl)phenyl]pyrazm-2-yl}methyl)amino]- piperidine- 1 -carboxylate,
• Ethyl 4-[methyl( {5-[4-(methylsulfonyl)phenyl]pyrazin-2-yl}methyl)amino]pipeπdine- 1 -carboxylate; • Isopropyl 4-[methyl({5-[4-(methylsulfonyl)phenyl]pyrazin-2-yl}methyl)amino]- piperidine- 1 -carboxylate;
• Phenyl 4-[methyl({5-[4-(methylsulfonyl)phenyl]pyrazm-2-yl}methyl)ammo]piperidine- 1 -carboxylate,
• 1 -Cyclopropylethyl 4-[methyl( {5-[4-(methylsulfonyl)phenyl]pyrazin-2-yl}methyl)- ammo]piperidine- 1 -carboxylate;
• Benzyl 4-[methyl({5-[4-(methylsulfonyl)phenyl]pyrazin-2-yl}methyl)amino]piperidine- 1 -carboxylate;
• l-Benzoyl-N-methyl-N-({5-[4-(methylsulfonyl)phenyl]pyrazin-2-yl}methyl)piperidm- 4-amine;
• tert-Butyl 4-[[(5-{4-[(3-hydroxypyrrohdin-l-yl)carbonyl]phenyl}pyrazm-2-yl)methyl]- (methyl)ammo]piperidine- 1 -carboxylate;
• tert-Butyl 4-[{[5-(4-{[2-(hydroxymethyl)morpholm-4-yl]carbonyl}phenyl)pyrazm-2- yl]methyl} (methyl)amino]piperidme- 1 -carboxylate, • tert-Butyl 4-[{[5-(4-{[(2R)-2-(hydroxymethyl)pyrrolidm-l-yl]carbonyl}phenyl)pyrazin- 2-yl]methyl} (methyl)amino]piperidme- 1 -carboxylate;
• tert-Butyl 4-[{[5-(4-{[(2S)-2-(hydroxymethyl)pyrrolidin-l-yl]carbonyl}phenyl)pyrazin- 2-yl]methyl} (methyl)amino]pipeπdme- 1 -carboxylate;
• tert-Butyl 4-[methyl({5-[4-(methylsulfmyl)phenyl]pyrazm-2-yl}methyl)ammo]- pipeπdme- 1 -carboxylate,
• tert-Butyl 4- {methyl[(5- {4-[(4-methylpiperazin- 1 -yl)carbonyl]phenyl}pyrazin-2-yl)- methyl] ammo jpiperidine- 1 -carboxylate,
• tert-Butyl 4- [( {5 - [4-(ammocarbonyl)phenyl]pyτazin-2-yl}methyl)(methyl)ammo] - pipeπdme- 1 -carboxylate, • tert-Butyl 4-{methyl[(5-{4-[(methylammo)carbonyl]phenyl}pyrazm-2-yl)methyl]- ammo}pipendine- 1 -carboxylate,
• tert-Butyl 4- {methyl[(5-pyridm-4-ylpyrazin-2-yl)methyl]amino}piperidme-l- carboxylate,
• Methyl {4-[5-({cyclopropyl[l-(2-ethylbutanoyl)pipeπdin-4-yl]ammo}methyl)pyrazin- 2-yl]phenyl} carbamate,
• N- {4- [5 -( {Cyclopropyl[ 1 -(2-ethylbutanoyl)pipeπdm-4-yl]ammo }methyl)pyrazin-2-yl]- phenyl}methanesulfonamide,
• 4-[5-({Cyclopropyl[l-(3,4-dichlorobenzoyl)piperidm-4-yl]amino}methyl)pyrazin-2- yl] -N,N-dimethylbenzamide, • Methyl {4-[5-({cyclopropyl[l-(3,4-dichlorobenzoyl)pipendm-4-yl]amino}methyl)- pyrazin-2-yl]phenyl} carbamate,
• N- {4- [5 -( {Cyclopropyl[ 1 -(3 ,4-dichlorobenzoyl)pipeπdm-4-yl] amino } methyl)pyrazm-2- yl]phenyl} acetamide,
• 4-(5-{[Cyclopropyl(l-pyrimidm-2-ylpiperidin-4-yl)amino]methyl}pyrazm-2-yl)-2- fluorobenzamide,
• Methyl [4-(5-{[cyclopropyl(l-pyrimidin-2-ylpiperidin-4-yl)ammo]methyl}pyrazm-2- yl)phenyl]carbamate;
• iV-Cyclopropyl-ΛL({5-[2-fluoro-4-(methylsulfonyl)phenyl]pyrazm-2-yl}methyl)-l- pyrimidin-2-ylpipeπdin-4-amine;
• Methyl [4-(5- {[(l-benzoylpiperidm-4-yl)(cyclopropyl)ammo]metIiyl}pyrazm-2-yl)- phenyl]carbamate,
• 1 -Benzoyl-N-cyclopropyl-N-( {5-[2-fluoro-4-(methylsulfonyl)phenyl]pyrazm-2-yl} - methyl)piperidin-4-amine; • Isopropyl 4-[({5-[4-(aminocarbonyl)phenyl]pyrazin-2-yl}methyl)(cyclopropyl)amino]- pipeπdme- 1 -carboxylate;
• Isopropyl 4-[({5-[4-(ammocarbonyl)-3-fluorophenyl]pyrazin-2-yl}methyl)(cyclo- propyl)amino]piperidine- 1 -carboxylate;
• Isopropyl 4- {cyclopropyl[(5- {4-[(methylammo)carbonyl]prienyl}pyrazin-2-yl)methyl]- ammo}pipendine- 1 -carboxylate;
• Isopropyl 4- {cyclopropyl[(5- {4-[(dimethylammo)carbonyl]pherryl}pyrazin-2-yl)- methyl]amino}piperidine- 1 -carboxylate,
• Isopropyl 4- {cyclopropyl[(5- {3-fluoro-4-[(propylamino)carbonyl]phenyl}pyrazm-2-yl)- methyl]amino}piperidine- 1 -carboxylate, • Isopropyl 4- {cyclopropyl[(5- {4-[(methoxycarbonyl)amino]phenyl}pyrazin-2-yl)- methyl]amino}piperidine- 1 -carboxylate,
• Isopropyl 4-[({5-[4-(acetylamino)phenyl]pyrazin-2-yl}methyl)(cyclopropyl)amino]- pipeπdine- 1 -carboxylate;
• Isopropyl 4- {cyclopropyl[(5- {4-[(methylsulfonyl)amino]phenyl}pyrazin-2-yl)methyl]- ammo}piperidine- 1 -carboxylate;
• Isopropyl 4-[ {[5-(5-acetyl-2-thienyl)pyrazin-2-yl]methyl}(cyclopropyl)amino]- piperidine- 1 -carboxylate,
• 4-(5- {[[ 1 -(2-Ethylbutanoyl)piperidin-4-yl](methyl)amino]metriyl}pyrazin-2-yl)- benzamide; • 4-(5- {[[ 1 -(2-Ethylbutanoyl)piperidm-4-yl](methyl)amino]metriyl}pyrazin-2-yl)-2- fluorobenzamide ;
• Λr-[4-(5-{[[l-(2-Ethylbutanoyl)piperidm-4-yl](methyl)ammo]methyl}pyrazm-2-yl)- phenyl]acetamide,
• 4-(5- {[[ 1 -(2-Ethylbutanoyl)piperidin-4-yl](methyl)amino]metriyl}pyrazin-2-yl)-2- fluoro-Ν-propylbenzamide;
• iV-({5-[2-Fluoro-4-(metliylsulforiyl)phenyl]pyraziri-2-yl}methyl)-N-methyl-l- pyrimidin-2-ylpipeπdin-4-amine;
• l-[5-(5- {[Methyl(l-pyrimidm-2-ylpipendm-4-yl)ammo]methyl}pyrazin-2-yl)-2- thienyl] ethanone ;
• 2-Fluoro-4-(5-{[methyl(l-pyrimidin-2-ylpiperidin-4-yl)amino]methyl}pyrazm-2-yl)-iV- propylbenzamide;
• N,N-Dimethyl-4-(5-{[methyl(l-pyrimidm-2-ylpiperidin-4-yl)amino]methyl}pyrazin-2- yl)benzamide; • Isopropyl 4-[({5-[4-(aminocarbonyl)phenyl]pyrazin-2-yl}methyl)(methyl)amino]- piperidine- 1 -carboxylate;
• Isopropyl 4-[({5-[4-(aminocarbonyl)-3-fluorophenyl]pyrazin-2-yl}methyl)(methyl)- ammo]piperidine- 1 -carboxylate;
• Isopropyl 4- {methyl[(5- {4-[(methylamino)carbonyl]phenyl}pyrazm-2-yl)methyl]- ammo}piperidine- 1 -carboxylate;
• Isopropyl 4-[[(5- {4-[(dimethylamino)carbonyl]phenyl}pyrazm-2-yl)methyl](methyl)- ammo]piperidine- 1 -carboxylate;
• Isopropyl 4-[[(5- {3-fluoro-4-[(propylamino)carbonyl]phenyl}pyrazin-2-yl)methyl]- (methyl)amino]piperidine- 1 -carboxylate; • Isopropyl 4-[[(5-{4-[(methoxycarbonyl)amino]phenyl}pyrazin-2-yl)methyl](methyl)- ammo]piperidine- 1 -carboxylate;
• Isopropyl 4- {methyl[(5- {4-[(methylsulfonyl)amino]phenyl}pyrazin-2-yl)methyl]- ammo}pipendme- 1 -carboxylate;
• Isopropyl 4-[({5-[2-fluoro-4-(methylsulfonyl)phenyl]pyrazm-2-yl}methyl)(methyl)- ammo]piperidine- 1 -carboxylate;
• Isopropyl 4-[{[5-(5-acetyl-2-thienyl)pyrazin-2-yl]methyl}(methyl)amino]pipeπdme-l- carboxylate,
• 4-(5-{[[l-(3,4-Dichlorobenzoyl)piperidin-4-yl](methyl)amino]methyl}pyrazin-2-yl)- Ν,Ν-dimethylbenzamide; • 4-(5- {[[ 1 -(3,4-Dichlorobenzoyl)piperidin-4-yl](methyl)ammo]methyl}pyrazin-2-yl)-2- fluoro -N-propylbenzamide ;
• Methyl [4-(5-{[[l-(3,4-dichlorobenzoyl)piperidin-4-yl](methyl)ammo]methyl}pyrazm- 2-yl)phenyl] carbamate;
• Λr-[4-(5-{[[l-(3,4-Dichlorobenzoyl)pipeπdin-4-yl](methyl)ammo]metriyl}pyrazm-2-yl)- phenyl]acetamide;
• iV-[4-(5-{[[l-(3,4-Diclilorobenzoyl)pipeπdin-4-yl](methyl)ammo]methyl}pyrazm-2-yl)- phenyl]methanesulfonamide;
• l-(3,4-Dichlorobenzoyl)-iV-({5-[2-fluoro-4-(methylsulfonyl)phenyl]pyrazin-2-yl}- methyl)-N-methylpiperidin-4-amine;
• 1 - [5 -(5- { [ [ 1 -(3 ,4-Dichlorobenzoyl)piperidm-4-yl](methyl)amino]methyl} pyrazm-2-yl)- 2-thienyl]ethanone,
• 4-(5-{[[l-(3,4-Dichlorobenzoyl)pipeπdin-4-yl](methyl)ammo]methyl}pyrazm-2-yl)-2- fluorobenzamide , • 4-(5- {[[ 1 -(3,4-Dichlorobenzoyl)piperidin-4-yl](methyl)amino]methyl}pyrazin-2-yl)-N- methylbenzamide,
• 4-(5 - { [( 1 -Benzoylpiperidm-4-yl)(methyl)amino]methyl} pyrazin-2-yl)-N-methyl- benzamide;
• 4-(5 - { [( 1 -Benzoylpipendm-4-yl)(methyL)ammo]methyl} pyrazin-2-yl)-N,N-dimethyl- benzamide,
• tert-Butyl 4-( {5 - [4-(methylsulfonyl)phenyl]pyrazin-2-yl} methoxy)piperidine- 1 - carboxylate,
• Isobutyl 4-({5-[4-(methylsulfonyl)phenyl]pyrazm-2-yl}methoxy)piperidme-l- carboxylate, and • Benzyl 4-({5-[4-(methylsulfonyl)phenyl]pyrazin-2-yl}methoxy)pipeπdme-l- carboxylate
Another object of the invention is a compound of Formula (Ia) to (Ic) for use m therapy The compounds can be used in the treatment or prophylaxis of disorders relating to GPRl 19. Examples of such disorders are Type 1 and Type 2 diabetes, inadequate glucose tolerance, insulin resistance, hyperglycemia, hyperhpidemia, hypercholesterolemia, dyslipidemia, syndrome X, obesity, hypertension, chrome systemic inflammation, retinopathy, neuropathy, nephropathy, atherosclerosis, reduced fibrinolysis, endothelial dysfunction and osteoporosis.
Another object of the invention is the use of a compound of Formula (Ia) to (Ic) in the manufacture of a medicament for use in the treatment or prophylaxis of disorders related to GPRl 19. The GPR119-related disorder is any disorder or symptom wherein GPRl 19 is involved in the process or presentation of the disorder or the symptom. The GPRl 19- related disorders include, but are not limited to, Type 1 and Type 2 diabetes, inadequate glucose tolerance, insulin resistance, hyperglycemia, hyperhpidemia, hypercholesterolemia, dyslipidemia, syndrome X, obesity, hypertension, chronic systemic inflammation, retinopathy, neuropathy, nephropathy, atherosclerosis, reduced fibrinolysis, endothelial dysfunction and osteoporosis
Another object of the invention is a method for modulating the GPRl 19 receptor activity (e g , agonizing human GPRl 19), comprising administering to a subject (e g , mammal, human, or animal) in need thereof an effective amount of a compound of Formula (Ia) to (Ic) or a composition comprising such a compound
Yet another object of the invention is a method for the treatment or prophylaxis of disorders related to GPRl 19, said method comprising administering to a subject (e.g , mammal, human, or animal) m need of such treatment an effective amount of a compound of Formula (Ia) to (Ic) The GPRl 19-related disorder is any disorder or symptom wherein GPRl 19 is involved m the process or presentation of the disorder or the symptom The GPRl 19-related disorders include, but are not limited to Type 1 and Type 2 diabetes, inadequate glucose tolerance, msulm resistance, hyperglycemia, hyperhpidemia, hypercholesterolemia, dyslipidemia, syndrome X, obesity, hypertension, chronic systemic inflammation, retinopathy, neuropathy, nephropathy, atherosclerosis, reduced fibrinolysis, endothelial dysfunction and osteoporosis
Methods delineated herein include those wherein the subject is identified as in need of a particular stated treatment. Identifying a subject in need of such treatment can be in the judgment of a subject or a health care professional and can be subjective (e g opinion) or objective (e.g. measurable by a test or diagnostic method).
In other aspects, the methods herein include those further comprising monitoring subject response to the treatment administrations Such monitoring may include periodic sampling of subject tissue, fluids, specimens, cells, proteins, chemical markers, genetic materials, etc as markers or indicators of the treatment regimen In other methods, the subject is prescreened or identified as in need of such treatment by assessment for a relevant marker or indicator of suitability for such treatment.
In one embodiment, the invention provides a method of monitoring treatment progress The method includes the step of determining a level of diagnostic marker (Marker) (e.g , any target or cell type delineated herein modulated by a compound herein) or diagnostic measurement (e g., screen, assay) m a subject suffering from or susceptible to a disorder or symptoms thereof delineated herein, m which the subject has been administered a therapeutic amount of a compound herein sufficient to treat the disease or symptoms thereof The level of Marker determined in the method can be compared to known levels of Marker in either healthy normal controls or in other afflicted patients to establish the
subject's disease status In preferred embodiments, a second level of Marker m the subject is determined at a time point later than the determination of the first level, and the two levels are compared to monitor the course of disease or the efficacy of the therapy In certain preferred embodiments, a pre-treatment level of Marker m the subject is determined prior to beginning treatment according to this invention, this pre-treatment level of Marker can then be compared to the level of Marker m the subject after the treatment commences, to determine the efficacy of the treatment
In certain method embodiments, a level of Marker or Marker activity in a subject is determined at least once Comparison of Marker levels, e g , to another measurement of Marker level obtained previously or subsequently from the same patient, another patient, or a normal subject, may be useful in determining whether therapy according to the invention is having the desired effect, and thereby permitting adjustment of dosage levels as appropriate Determination of Marker levels may be performed using any suitable sampling/expression assay method known m the art or described herein Preferably, a tissue or fluid sample is first removed from a subject Examples of suitable samples include blood, urine, tissue, mouth or cheek cells, and hair samples containing roots Other suitable samples would be known to the person skilled in the art Determination of protein levels and/or mRNA levels (e g , Marker levels) m the sample can be performed using any suitable technique known m the art, including, but not limited to, enzyme immunoassay, ELISA, radio labelling/assay techniques, blotting/chemilummescence methods, real-time PCR, and the like
DEFINITIONS
The following definitions shall apply throughout the specification and the appended claims
Unless otherwise stated or indicated, the term "Ci 6-alkyl" denotes a straight or branched alkyl group having from 1 to 6 carbon atoms For parts of the range "Ci 6-alkyl", all subgroups thereof are contemplated, such as Ci 5-alkyl, Ci 4-alkyl, Ci 3-alkyl, Ci 2-alkyl, Cj 6-alkyl, C2 5-alkyl, C24-alkyl, C23-alkyl, C3 6-alkyl, C4 5-alkyl, etc Examples of said Ci 6-alkyl include methyl, ethyl, n-propyl, isopropyl, n-butyl, isobutyl, sec-butyl, z-butyl and straight- and branched-chain pentyl and hexyl
Unless otherwise stated or indicated, the term "cyano-Ci-6-alkyl" denotes a Ci_6-alkyl group, as defined above, substituted with a cyano group. Exemplary cyano-Ci_6-alkyl groups include 2-cyanoethyl and 3-cyanopropyl.
Unless otherwise stated or indicated, the term "amino-Ci_6-alkyl" denotes a Ci_6-alkyl group, as defined above, substituted with an amino group. Exemplary amino-Ci_6-alkyl groups include 2-aminoethyl and 3-aminopropyl.
Unless otherwise stated or indicated, the term "hydroxy-Ci_6-alkyl" denotes a straight or branched alkyl group that has a hydrogen atom thereof replaced with OH. Examples of said hydroxy-Ci_6-alkyl include hydroxymethyl, 2-hydroxyethyl, 2-hydroxypropyl, 3-hydroxy-3-methylbutyl, 2-hydroxybutyl and 2-hydroxy-2-methylpropyl.
Derived expressions such as "C]_6-alkoxy", "Ci_6-alkylthio" and "Ci-6-alkylamino" are to be construed accordingly where an Ci _β -alkyl group is attached to the remainder of the molecule through an oxygen, sulfur or nitrogen atom, respectively. For parts of the range "Ci 6-alkoxy" all subgroups thereof are contemplated such as Ci 5-alkoxy, Ci 4-alkoxy, Ci 3-alkoxy, Ci_2-alkoxy, C2-6-alkoxy, C2-5-alkoxy, C2-4-alkoxy, C2-3-alkoxy, C3_6-alkoxy, C4-S- alkoxy, etc. Examples of said "Ci_6-alkoxy" include methoxy, ethoxy, n-propoxy, isopropoxy, «-butoxy, isobutoxy, sec-butoxy, ?-butoxy and straight- and branched-chain pentoxy and hexoxy etc Subgroups of "Ci-β-alkylthio" and "Ci_6-alkylammo" are to be construed accordingly. Unless otherwise stated or indicated, the term "Ci_4-alkylsulfmyl" denotes a group C1-4- alkyl-S(O)— . Exemplary Ci_4-alkylsulfinyl groups include methylsulfϊnyl and ethylsulfmyl. Unless otherwise stated or indicated, the term "dihydroxy-C2_6-alkyl" denotes a C2_6-alkyl group which is disubstituted with hydroxy and wherein said hydroxy groups are attached to different carbon atoms. Exemplary dihydroxy-C2-6-alkyl groups include 2,3-dihydroxy- propyl and 2,4-dihydroxybutyl.
Unless otherwise stated or indicated, the term "di(Ci_4-alkyl)amino" denotes a group (Ci_4-alkyl)2N— , wherein the two alkyl portions may be the same or different. Exemplary di(Ci_4-alkyl)amino groups include N,N-dimethylamino, N-ethyl-N-methylamino and N,N- diethylamino. Unless otherwise stated or indicated, the term "di(Ci_4-alkyl)ammo-C2-4-alkyl" denotes a group
as defined above, attached to a C24-alkyl group Exemplary di(Ci_4-alkyl)amino-C2-4-alkyl groups include 2-(dimethylamino)ethyl and 3-(diethyl- amino)propyl.
Unless otherwise stated or indicated, the term "fluoro-Ci_6-alkyl" denotes a Ci_6-alkyl group substituted by one or more fluorine atoms. Examples of said fluoro-Ci_6-alkyl include 2-fluoroethyl, fluoromethyl, 2-fluoro-l-(fluoromethyl)ethyl, trifluoromethyl, 3,3,3- trifluoropropyl and 2,2,2-trifluoroethyl. Unless otherwise stated or indicated, the term "aryl-Ci_6-alkyl" means a Ci_6-alkyl group substituted by an aryl group. Examples of said aryl-Ci_5-alkyl include benzyl, 2- phenylethyl, 1-phenylethyl and 2-methyl-2-phenylpropyl.
Unless otherwise stated or indicated, the term "arylcarbonyl-Ci_4-alkyl" denotes an arylcarbonyl group (e.g., benzoyl) that is attached through a Q^-alkyl group. Examples of said arylcarbonyl-Ci_4-alkyl include 3-oxo-3-phenylpropyl, 2-oxo-2-phenylethyl and l-methyl-3-oxo-3-phenylpropyl.
Unless otherwise stated or indicated, the term "heteroarylcarbonyl-Ci_4-alkyl" denotes a heteroarylcarbonyl group (e.g., 3-pyridinylcarbonyl) that is attached through a Ci-4-alkyl group. Examples of said heteroarylcarbonyl-Ci 4-alkyl include 3-oxo-3-(3-pyridinyl)- propyl, 2-oxo-2-(3-pyπdmyl)ethyl and l-methyl-3-oxo-3-(3-pyridinyl)propyl.
Unless otherwise stated or indicated, the term "Ci_6-alkoxy-C2-6-alkyl" denotes a straight or branched alkoxy group having from 1 to 6 carbon atoms connected to an alkyl group having from from 2 to 6 carbon atoms. Examples of said Ci_6-alkoxy-C2-6-alkyl include methoxyethyl, ethoxyethyl, isopropoxyethyl, n-butoxyethyl, ?-butoxyethyl and straight- and branched-chain pentoxyethyl. For parts of the range "Ci_6-alkoxy-C2-6-alkyl" all subgroups thereof are contemplated such as Ci_5-alkoxy-C2-6-alkyl, Ci_4-alkoxy-C2-6-alkyl, Ci_3-alkoxy-C2-6-alkyl, Ci_2-alkoxy-C2-6-alkyl, C2-6-alkoxy-C2_6-alkyl, C2-5-alkoxy-C2-6- alkyl, C2-4-alkoxy-C2-6-alkyl, C2-3-alkoxy-C2-6-alkyl, C3_6-alkoxy-C2-6-alkyl, C4_5-alkoxy- C2-6-alkyl, Ci_6-alkoxy-C2-5-alkyl, Ci_6-alkoxy-C2 -4-alkyl, etc. Unless otherwise stated or indicated, the term "C2-6-alkenyl" denotes a straight or branched hydrocarbon chain radical containing one carbon-carbon double bond and having from 2 to 6 carbon atoms. Examples of said C2-6-alkenyl include vinyl, allyl, 2,3-dimethylallyl, 1-butenyl, 1-pentenyl, and 1-hexenyl. For parts of the range "C2-6-alkenyl", all subgroups thereof are contemplated such as C2-5-alkenyl, C2-4-alkenyl, C2-3-alkenyl, C3_6-alkenyl, C4_5- alkenyl, etc. Likewise, "aryl-C2-6-alkenyl" means a C2-6-alkenyl group substituted by an aryl group Examples of said aryl-C2 6-alkenyl include styryl and cinnamyl. Unless otherwise stated or indicated, the term "C2-6-alkynyl" denotes a straight or branched hydrocarbon chain radical containing one carbon-carbon triple bond and having from 2 to
6 carbon atoms. Examples of said C2-6-alkynyl include ethynyl, 1-propynyl, 2-propynyl, 1-biitynyl, 2-butynyl, and l-methylprop-2-yn-l-yl.
Likewise, aryl-C2-6-alkynyl means a C2-β-alkynyl group substituted by an aryl group. Examples of said aryl-C2-6-alkynyl include phenylethynyl, 3-phenyl-l-propyn-l-yl, 3-phenyl-2-propyn- 1 -yl and 4-phenyl-2-butyn- 1 -yl.
The term "oxo" denotes 1 ^=O
Unless otherwise stated or indicated, the term "C3_7-cycloalkyl" denotes a cyclic alkyl group having a ring size from 3 to 7 carbon atoms and includes cyclopropyl, cyclobutyl, cyclopentyl, cyclohexyl, and cycloheptyl. For parts of the range "C3_7-cycloalkyl" all subgroups thereof are contemplated such as C3_6-cycloalkyl, C3_5-cycloalkyl, C3_4- cycloalkyl, C4 7-cycloalkyl, C4 6-cycloalkyl, C45-cycloalkyl, C5 7-cycloalkyl, Ce 7- cycloalkyl.
Unless otherwise stated or indicated, the term "C3-7-cycloalkyl-Ci_4-alkyl" denotes a C3-7- cycloalkyl group attached to a Ci-4-alkyl group. Exemplary C3-7-cycloalkyl-Ci_4-alkyl groups include cyclopropylmethyl, 1-cyclopropylethyl, cyclohexylmethyl and 2-cyclo- hexylethyl. When the cycloalkyl portion as part of the group C3_7-cycloalkyl-Ci_4-alkyl is substituted with methyl, examples of such groups include (l-methylcyclopropyl)methyl and 2-(4-methylcyclohexyl)ethyl.
Unless otherwise stated or indicated, the term "C7_8-bicyclyl" denotes a carbobicyclic saturated aliphatic ring system in which two non-adjacent carbon atoms of a monocyclic ring are linked by an alkylene bridge of between one and three additional carbon atoms.
Examples of said C7_s-bicyclyl include radicals obtainable from bicyclo[3.1.1]heptane, bicyclo[2.2.1]heptane (norbornane) and bicyclo[2.2.2]octane.
Unless otherwise stated or indicated, the term C7_8-bicyclylalkyl means a Ci_6-alkyl group substituted by a C7_8-bicyclyl group as defined above. An exemplary C7_8-bicyclylalkyl group is bicyclo[2.2.1 ]hept-2-ylmethyl (2-norbonylmethyl).
Unless otherwise stated or indicated, the term "Cs_8-cycloalkenyl" denotes a monocyclic or bicyclic alkenyl group of 5 to 8 carbon atoms having one carbon-carbon double bond.
Examples of monocyclic cycloalkenyl groups are cyclopent-3-en-l-yl and cyclohexen-1- yl An exemplary bicyclic cycloalkenyl group is bicyclo[2.2.1]hept-5-en-2-yl (norbornen-
2-yl).
Unless otherwise stated or indicated, the term "oxo-C4_6-cycloalkyl" refers to a C4_6- cycloalkyl wherein one of the ring carbons is a carbonyl. Examples of "oxo-C4_β-
cycloalkyl" include 2-oxocyclobutyl, 3-oxocyclobutyl, 2-oxocyclopentyl and 4-oxo- cyclohexyl
Unless otherwise stated or indicated, the term "fluoro-C36-cycloalkyl" denotes a C3 6- cycloalkyl group substituted by one or two fluorine atoms. Examples of said "fluoro-C3 6- cycloalkyl" include 2,2-difluorocyclopropyl and 4-fluorocyclohexyl
Unless otherwise stated or indicated, the term "Ci 3-alkoxy-C4 6-cycloalkyl" denotes a C46- cycloalkyl group substituted by a Ci 3-alkoxy group. Examples of said "Ci 3-alkoxy-C4 β- cycloalkyl" include 4-methoxycyclohexyl and 2-ethoxycyclopentyl. Unless otherwise stated or indicated, the term "methyl-C3 e-cycloalkyl" denotes a C3 β- cycloalkyl group substituted by one or two methyl groups Examples of said "methyl-C3 6- cycloalkyl" include 4-methylcyclohexyl and 3,3-dimethylcyclopentyl. Unless otherwise stated or indicated, the term "acyl", which may be straight or branched, denotes a carbonyl group that is attached through its carbon atom to a hydrogen atom to form a Ci -acyl group (i e , a formyl group) or to an alkyl group, where alkyl is defined as above For parts of the range "Ci 6-acyl" all subgroups thereof are contemplated such as Ci 5-acyl,
Ci 3-acyl, Ci 2-acyl, C2 e-acyl, C25-acyl, C2 4-acyl, C23-acyl, C3 e-acyl, C4 5-acyl, etc Exemplary acyl groups include formyl, acetyl (i.e , C2-acyl), propanoyl, butanoyl, pentanoyl, hexanoyl Unless otherwise stated or indicated, the term "C26-acyl-Ci_6-alkyl" refers to a group Ci 5-alkyl-(C=O)-Ci 6-alkyl. Exemplary C2 β-acyl-Ci 6-alkyl groups include 2-acetylethyl and 3-acetylpropyl
Unless otherwise stated or indicated, the term "Ci 6-alkylsulfonyl", which may be straight or branched, denotes a hydrocarbon having from 1 to 6 carbon atoms with a sulfonyl group For parts of the range "Ci 6-alkylsulfonyl" all subgroups thereof are contemplated such as Ci 5-alkylsulfonyl, Ci 4-alkylsulfonyl, Ci 3-alkylsulfonyl, Ci 2-alkylsulfonyl, C26- alkylsulfonyl, C2 5-alkylsulfonyl, C2 4-alkylsulfonyl, C2 3-alkylsulfonyl, C3 6-alkylsulfonyl, C4 5-alkylsulfonyl, etc. Exemplary Ci 6-alkylsulfonyl groups include methylsulfonyl, ethylsulfonyl, propylsulfonyl, «-butylsulfonyl, sec-butylsulfonyl, te/t-butylsulfonyl, pentylsulfonyl and hexylsulfonyl Unless otherwise stated or indicated, the term "hydroxy-C2 4-alkylsulfonyl" denotes a C24- alkylsulfonyl group as defined above substituted with a hydroxy group Examples of said hydroxy-C2 4-alkylsulfonyl include hydroxymethylsulfonyl and 2-hydroxyethylsulfonyl
Unless otherwise stated or indicated, the term "Ci_4-alkylsulfonamido" denotes a group d_4-alkyl-S02NH— . Exemplary Ci_4-alkylsulfonamido groups include methylsulfonyl- amino and ethylsulfonylamino.
The term "Ci-4-alkylsulfoximine" refers to a group with the following chemical structure. O
Il NH ^ wherein Ra is Ci-4-alkyl.
Unless otherwise stated or indicated, the term "Ci_3-alkylene" refers to the diradicals methylene (-CH2-), ethylene (-CH2-CH2-) and propylene (-CH2-CH2-CH2-). In case the group denoted by E in Formula (Ia) forms a double bond with D, then E is a trivalent radical selected from (=CH2-CH2-) and (=CH2-CH2-CH2-). Unless otherwise stated or indicated, the term "halogen" shall mean fluorine, chlorine, bromine or iodine
Unless otherwise stated or indicated, the term "aryl" refers to a hydrocarbon ring system having at least one aromatic ring, preferably mono- or bicyclic. Examples of aryls are phenyl, indenyl, 2,3-dihydroindenyl (indanyl), 1-naphthyl, 2-naphthyl or 1,2,3,4- tetrahydronaphthyl.
Unless otherwise stated or indicated, the term "heteroaryl" refers to a mono- or bicyclic heteroaromatic ring system having 5 to 10 ring atoms in which one or more of the ring atoms are other than carbon, such as nitrogen, sulphur or oxygen. Only one ring need be aromatic and said heteroaryl moiety can be linked to the remainder of the molecule via a carbon or nitrogen atom m any ring Examples of heteroaryl groups include furyl, pyrrolyl, thienyl, oxazolyl, isoxazolyl, imidazolyl, thiazolyl, isothiazolyl, pyridyl, pyrimidinyl, quinazolinyl, indolyl, isomdolyl, 1,3-dihydro-isomdolyl, pyrazolyl, pyridazmyl, quinolmyl, quinoxalinyl, thiadiazolyl, benzofuranyl, 2,3-dihydrobenzofuranyl, 1,3-benzodioxolyl, 1,4- benzodioxinyl, 2,3-dihydro-l,4-benzodioxinyl, benzothiazolyl, benzimidazolyl, benzothiadiazolyl, benzotriazolyl, indolmyl, lsomdolmyl, and chromanyl groups.
Unless otherwise stated or indicated, the term "heterocyclyl" or "heterocyclic ring" refers to a non-aromatic fully saturated or partially unsaturated monocyclic ring system having 4 to 7 ring atoms with at least one heteroatom such as O, N, or S, and the remaining ring atoms are carbon Examples of heterocyclic groups include piperidinyl, tetrahydropyranyl, tetrahydrofuranyl, oxetanyl, azepinyl, azetidinyl, pyrrolidinyl, morpholinyl, imidazolinyl, lmidazohdinyl, thiomorpholinyl, pyranyl, dioxanyl, piperazinyl and 5,6-dihydro-4H-l,3- oxazin-2-yl. When present, the sulfur atom may be in an oxidized form (i.e., S=O or
O=S=O). Exemplary heterocyclic groups containing sulfur in oxidized form are 1,1- dioxido-thiomorpholmyl and 1,1-dioxido-isothiazolidinyl.
When two groups R5, two groups R5A, two groups R9 or two groups R9A described herein form a heterocyclic ring and said heterocyclic ring is substituted with one or two oxo groups, examples of such groups include 2-pyrrolidon-l-yl, 2-piperidon- 1 -yl, 2-azetidinon- 1-yl, 2,5-dioxopyrrolidm-l-yl and hydantom- 1 -yl (i.e , 2,5-dioxoimidazolidin-l-yl). When two groups R5, two groups R5A, two groups R9 or two groups R9A described herein form a heterocyclic ring and said heterocyclic ring is substituted with one or two fluoro atoms, examples of such groups include 4-fluoropiperidm-l-yl, 4,4-difluoropiperidin- 1 -yl, 3-fluoropyrrolidin-l-yl and 3,3-difluoropyrrolm-l-yl.
When two groups R5, two groups R5A, two groups R9 or two groups R9A described herein form a heterocyclic ring and said heterocyclic ring is substituted with hydroxy, examples of such groups include 4-hydroxypiperidin-l-yl, 3-hydroxypiperidin-l-yl, 3-hydroxy- pyrrolidin- 1 -yl and 3-hydroxyazetidin-l-yl When two groups R5, two groups R5A, two groups R9 or two groups R9A described herein form a heterocyclic ring and said heterocyclic ring is substituted with amino, examples of such groups include 4-ammopiperidin-l-yl, 3-aminopiperidm-l-yl, and 3-aminopyrrolidin- 1-yl When two groups R5, two groups R5A, two groups R9 or two groups R9A described herein form a heterocyclic ring and said heterocyclic ring is substituted with hydroxymethyl, examples of such groups include 2-(hydroxymethyl)pyrrolidin- 1 -yl, 2-(hydroxymethyl)- morpholin-4-yl and 4-(hydroxymethyl)piperidin-l-yl
When two groups R5, two groups R5A, two groups R9 or two groups R9A described herein form a heterocyclic ring and said heterocyclic ring is substituted with methylamino or dimethylamino, examples of such groups include 3-dimethylaminopyrrolidin-l-yl and 3- methylaminopyrrolidin- 1 -yl.
Unless otherwise stated or indicated, the term "heteroaryl-Ci 4-alkyl" denotes a heteroaryl group that is attached through a Ci_4-alkyl group. Examples of said heteroaryl-Ci_4-alkyl include 2-(pyridin-2-yl)ethyl and 1,3 benzodioxol-5-ylmethyl. "C-heterocyclyl" indicates bonding via a carbon atom of said heterocyclyl, for example piperidin-4-yl, tetrahydrofuran-2-yl, oxetan-3-yl, tetrahydrofuran-3-yl and 5,6-dihydro-4H- l,3-oxazin-2-yl, while "N-heterocyclyl" indicates bonding through nitrogen in a nitrogen- containing heterocyclyl group, for example piperidin- 1 -yl and piperazm-1-yl. When C-heterocyclyl is substituted by Ci-4-alkyl, said Ci-4-alkyl is attached to a ring nitrogen
atom or a ring carbon atom thereof Exemplary C-heterocyclyl groups substituted by Ci -4- alkyl include l-methylpiperidin-4-yl and 3-methyloxetan-3-yl
Unless otherwise stated or indicated, the term "N-heterocyclyl-C2 4-alkyl" refers to a nitrogen-containing heterocyclyl group that is directly linked to a C24-alkyl group via a nitrogen atom of said heterocyclyl Exemplary N-heterocyclyl-C2 4-alkyl groups include 2-(pyrrolidm-l-yl)ethyl, 3-(4-morpholmyl)propyl, 2-(piperazm- 1 -yl)ethyl and 2-(4- morpholinyl)ethyl.
When heterocyclyl as part of the group N-heterocyclyl-C2 4-alkyl is substituted by methyl, said heterocyclyl is selected from 1 -piperazmyl or 1-homopiperazinyl and said methyl is attached to the 4-position of the piperazme or homopiperazme ring Exemplary N-heterocyclyl-C2-4-alkyl groups wherein heterocyclyl is substituted with methyl are 2-(4-methylpiperazm-l-yl)ethyl, 2-(4-methylhomopiperazin-l-yl)ethyl. Unless otherwise stated or indicated, the term "C-heterocyclyl-Ci 4-alkyl" refers to a heterocyclyl group that is directly linked to a Ci 4-alkyl group via a carbon atom of said heterocyclyl Exemplary C-heterocyc IyI-C 1 4-alkyl groups include tetrahydropyran-4- ylmethyl, piperidin-4-ylmethyl, tetrahydrofuran-2-ylmethyl, oxetan-3-ylmethyl and 2-(pipeπdmyl-4-yl)ethyl.
When heterocyclyl as part of the group C-heterocyclyl-Ci 4-alkyl is substituted by methyl, said methyl is attached to a ring nitrogen atom or ring carbon atom thereof Exemplary C-heterocyclyl-Ci-4-alkyl groups wherein heterocyclyl is substituted with methyl are 2-(l-methylpipendm-4-yl)ethyl and 3-methyloxetan-3-ylmethyl
Unless otherwise stated or indicated, the term "oxo-N-heterocyclyl" denotes a nitrogen- containing heterocyclyl group that is substituted with one or two oxo groups Unless otherwise stated or indicated, the term "oxo-N-heterocyclyl-C2 4-alkyl" refers to an oxo-N-heterocyclyl group that is directly linked to a C24-alkyl group through a nitrogen atom of its heterocyclyl portion and where oxo-N-heterocyclyl is as defined above Exemplary oxo-ΛLheterocyclyl-C2 4-alkyl groups include 2-(2-pyrrolidon-l-yl)ethyl, 3-(2-pyrrohdon-l-yl)propyl and 2-(2,5-dioxoimidazohdm-l-yl)ethyl. Unless otherwise stated or indicated, the term "fluoro-N-heterocyclyl" denotes a nitrogen- containing heterocyclyl group that is substituted at a position other than alpha to a ring heteroatom with one or two fluorine atoms
Unless otherwise stated or indicated, the term "fluoro-N-heterocyclyl-C2 4-alkyl" refers to a fluoro-N-heterocyclyl group that is directly linked to a C2 4-alkyl group through a nitrogen atom of its heterocyclyl portion and where fluoro-N-heterocyclyl is as defined above
Exemplary fiuoro-N-heterocyclyl^vi-alkyl groups include 2-(3-fluoropyrrolidin-l-yl)- ethyl and 3-(3-fluoropyrrolidm-l-yl)propyl.
Unless otherwise stated or indicated, the term "hydroxy-N-heterocyclyl" denotes a nitrogen-contammg heterocyclyl group that is substituted at a position other than alpha to a ring heteroatom with a hydroxy group
Unless otherwise stated or indicated, the term "hydroxy-N-heterocyclyl-C2 4-alkyL" refers to a hydroxy-N-heterocyclyl group that is directly linked to a C24-alkyl group through a nitrogen atom of its heterocyclyl portion and where hydroxy-N-heterocyclyl is as defined above Exemplary hydro xy-N-heterocyclyl-C2 4-alkyl groups include 2-(4-hydroxy- pipeπdm- 1 -yl)ethyl and 3-(3-hydroxypipendm- 1 -yl)propyl
Unless otherwise stated or indicated, the term "ammo-N-heterocyclyl" denotes a nitrogen- containing heterocyclyl group that is substituted at a position other than alpha to a ring heteroatom with an ammo group. Unless otherwise stated or indicated, the term "amino-JV-heterocycryl-C2 4-alkyl" refers to a ammo-N-heterocyclyl group that is directly linked to a C2 4-alkyl group through a nitrogen atom of its heterocyclyl portion and where amino-N-heterocyclyl is as defined above Exemplary amino-N-heterocyclyl-C2 4-alkyl groups include 2-(4-aminopipeπdin-l- yl)ethyl and 3-(3-ammopipeπdm-l-yl)propyl Unless otherwise stated or indicated, the term "azabicyclyl" denotes a bicyclic heterocyclyl group with seven or eight atoms (including bridgehead atoms), wherein at least one ring member is a nitrogen atom and the remainder ring atoms being carbon The said azabicyclyl may optionally contain a carbon-carbon double bond Examples of azabicyclyl groups include carbon radicals obtainable from l-azabicyclo[2 2 2]octane, 1-aza- bicyclo[2.2 ljheptane and azabicyclo[2.2.2]oct-2-ene "C-heterocyclylsulfonyl" refers to a heterocyclyl group that is directly bonded to SO2 via a carbon atom. Exemplary C-heterocyclylsulfonyl groups include 4-piperidmylsulfonyl and tetrahydropyran-4-ylsulfonyl
When C-heterocyclylsulfonyl is substituted by Ci 4-alkyl, said heterocyclyl is selected from a nitrogen-containing heterocyclyl, and said Ci 4-alkyl is attached to a ring nitrogen atom thereof. An exemplary C-heterocyclylsulfonyl group substituted by Ci 4-alkyl includes 1 -methylpiperidm-4-ylsulfonyl
Unless otherwise stated or indicated, the term "C2 4-acylamino" denotes a group Rb(C=O)ΝH— wherein Rb is selected from Ci 3-alkyl Exemplary C2 4-acylammo groups include acetylammo and propionylammo
Unless otherwise stated or indicated, the term "C24-acylammo-Ci 4-alkyl" denotes a C24 acylammo group, as defined above, attached to a Ci 4-alkyl group Examplary C2 4-
groups include (acetylammo)methyl and 2-(acetylammo)ethyl. Unless otherwise stated or indicated, the term "ammocarbonyl" refers to the radical NH2(C=O)-
Unless otherwise stated or indicated, the term "ammocarbonyl-Ci 4-alkyl" denotes a Ci 4- alkyl group, as defined above, substituted with an aminocarbonyl group. Exemplary aminocarbonyl-Ci 4-alkyl groups include 2-(aminocarbonyl)ethyl and 3-(ammocarbonyl)- propyl. Unless otherwise stated or indicated, the term "carboxy" denotes a group -C(O)OH
Unless otherwise stated or indicated, the term "carboxy-Ci 3-alkyl" refers to a carboxy group, as defined above, attached to a Ci 3-alkyl group Exemplary carboxy-Ci 3-alkyl groups include 2-carboxyethyl and 3-carboxypropyl Unless otherwise stated or indicated, the term "carboxy-Ci 3-alkylcarbonylamino" refers to a carboxy-Ci 3-alkyl groups, as defined above, attached to the carbonyl carbon of carbonylammo (i e , -C(O)NH-) Exemplary carboxy-Ci 3-alkylcarbonylamino groups include (2-carboxyethyl)carbonylammo and (3-carboxypropyl)carbonylamino "C-heterocyclylcarbonyl" refers to a heterocyclyl group that is directly bonded to a carbonyl group via a carbon atom while "N-heterocyclylcarbonyl" refers to a mtrogen- containing heterocyclyl group that is directly bonded to a carbonyl group via a nitrogen atom Examples of N-heterocyclylcarbonyl groups include 1-pipeπdmylcarbonyl, 1-piperazinylcarbonyl and 1-pyrrolidmcarbonyl Exemplary C-heterocyclylcarbonyl groups include 3-pipeπdinylcarbonyl, 4-pipeπdmylcarbonyl and tetrahydropyranyl-4- ylcarbonyl. When C-heterocyclylcarbonyl is substituted by Ci 4-alkyl, said heterocyclyl is selected from a nitrogen-containing heterocyclyl, and said Ci 4-alkyl is attached to a ring nitrogen atom thereof. An exemplary C-heterocyclylcarbonyl group substituted by Ci 4-alkyl includes 1 -methylpipeπdm-4-ylcarbonyl. The term "N-heterocyclylcarbonyl^ 4-alkyl" refers to a N-heterocyclylcarbonyl group that is directly linked to a C2 4-alkyl group through its carbonyl carbon atom and where N- heterocyclylcarbonyl is as defined above Exemplary N-heterocyclylcarbonyl-C2 4-alkyl groups include 2-(pyrrolidm-l-ylcarbonyl)ethyl, 2-(piperazin-l-ylcarbonyl)ethyl and 2- (pipeπdm- 1 -ylcarbonyl)ethyl
When heterocyclyl as part of the group N-heterocyclylcarbonyl-C2 4-alkyl is substituted by methyl, said heterocyclyl is selected from 1-piperazmyl or 1 -homopiperazmyl and said methyl is attached to the 4-position of the piperazme or homopiperazme ring. Exemplary jV-heterocyclylcarbonyl-C2^-alkyl groups wherein heterocyclyl is substituted with methyl are 2-(4-methylpiperazm-l-ylcarbonyl)ethyl, 2-(4-methylhomopiperazin-l-ylcarbonyl)- ethyl
The term "C-heterocyclylcarbonyl-C2 4-alkyl" refers to a C-heterocyclylcarbonyl group that is directly linked to a C2 4-alkyl group through its carbonyl carbon atom and where C- heterocyclylcarbonyl is as defined above. Exemplary C-heterocyclylcarbonyl-C2 4-alkyl groups include 2-(tetrahydropyran-4-ylcarbonyl)ethyl, 2-(pipeπdin-3-ylcarbonyl)ethyl and 2-(pipeπdm-4-ylcarbonyl)ethyl
When heterocyclyl as part of the group C-heterocyclylcarbonyl-C2 4-alkyl is substituted by methyl, said heterocyclyl is selected from a nitrogen-containing heterocyclyl and said methyl is attached to a ring nitrogen atom thereof An exemplary C-heterocyclylcarbonyl- C2 4-alkyl group wherein heterocyclyl is substituted with methyl is 2-(l-methylpipeπdm-4- ylcarbonyl)ethyl.
The term "C-heterocyclyloxy" refers to a heterocyclic group that is directly bonded to an oxygen atom via a carbon atom. Examples of C-heterocyclyloxy groups include 3-piperidmyloxy, 4-piperidmyloxy, 3-tetrahydrofuranyloxy, and 4-tetrahydropyranyloxy When C-heterocyclyloxy is substituted by Ci 4-alkyl, said heterocyclyl is selected from a nitrogen-contammg heterocyclyl, and said Ci 4-alkyl is attached to a ring nitrogen atom thereof An exemplary C-heterocyclyloxy group substituted by Ci 4-alkyl includes 1 -methylpiperidin-4-ylo xy The term "hydroxy^ 4-alkoxy-Ci 4-alkyl" refers to a hydroxy^ 4-alkoxy group that is directly attached to a Ci 4-alkyl group Representative examples of such groups include.
The term "amidino" refers to a group with the following chemical structure
NH
H2N
The term "guanidmo" refers to a group with the following chemical structure: NH
H2N A. N H
The chemical formula -C(OH)CHsCFs refers to a group with the following chemical structure
OH
CF, CH '3
The term [CF3CH3(OH)C]-C1 6-alkyl refers to a CF3CH3(OH)C- group that is directly attached to a Ci 6-alkyl group. Representative examples of such groups include
The carbon-carbon double or triple bonds present in the groups C3 e-alkenyl, C3 6-alkynyl, aryl-C3 6-alkenyl and aryl-C3 6-alkynyl as values for R2 are meant to be located at positions other than conjugated with a carbonyl group or adjacent to a nitrogen, oxygen or sulfur atom
"Optional" or "optionally" means that the subsequently described event or circumstance may but need not occur, and that the description includes instances where the event or circumstance occurs and instances in which it does not.
The term "coupling agent" refers to a substance capable of catalyzing a coupling reaction, such as amidation or estenfication Examples of coupling agents include, but are not limited to, carbonyldiimidazole, dicyclohexylcarbodiimide, pyridine, 4-dimethylamino- pyridme, and tnphenylphosphme Another example of a coupling agent is l-ethyl-3-(3- dimethylammopropyl)carbodnmide hydrochloride (EDC), which is used in the presence of 1-hydroxybenzotriazole (HOBT) and a base such as triethylarmne
The terms "exo" and "erado" are stereochemical prefixes that describe the relative configuration of a substituent on a bridge (not a bridgehead) of a bicyclic system such as l-azabicyclo[2 2 l]heptane and bicyclo[2.2 l]heptane If a substituent is oriented toward the larger of the other bridges, it is endo. If a substituent is oriented toward the smaller bridge it is exo Both exo and endo forms and their mixtures are part of the present invention
The term "Syndrome X" (also called metabolic syndrome) refers to a syndrome comprising some or all of the following diseases 1) dyshpoprotememia (combined
hypercholesterolemia-hypertriglyceridemia, low HDL-cholesterol), 2) obesity (in particular upper body obesity), 3) impaired glucose tolerance (IGT) leading to noninsulin-dependent diabetes mellitus (NIDDM), 4) essential hypertension and (5) thrombogemc/fibrmolytic defects "Pharmaceutically acceptable" means being useful m preparing a pharmaceutical composition that is generally safe, non-toxic and neither biologically nor otherwise undesirable and includes being useful for veterinary use as well as human pharmaceutical use. "Treatment" as used herein includes prophylaxis of the named disorder or condition, or amelioration or elimination of the disorder once it has been established
"An effective amount" refers to an amount of a compound that confers a therapeutic effect (e g , treats, controls, ameliorates, prevents, delays the onset of, or reduces the risk of developing a disease, disorder, or condition or symptoms thereof) on the treated subject The therapeutic effect may be objective (i e , measurable by some test or marker) or subjective (i.e , subject gives an indication of or feels an effect).
"Prodrugs" refers to compounds that may be converted under physiological conditions or by solvolysis to a biologically active compound of the invention. A prodrug may be inactive when administered to a subject in need thereof, but is converted in vivo to an active compound of the invention. Prodrugs are typically rapidly transformed in vivo to yield the parent compound of the invention, e g by hydrolysis m the blood. The prodrug compound usually offers advantages of solubility, tissue compatibility or delayed release m a mammalian organism (see Silverman, R. B., The Organic Chemistry of Drug Design and Drug Action, 2nd Ed , Elsevier Academic Press (2004), pp 498-549) Prodrugs of a compound of the invention may be prepared by modifying functional groups, such as a hydroxy, amino or mercapto groups, present in a compound of the invention in such a way that the modifications are cleaved, either in routine manipulation or in vivo, to the parent compound of the invention. Examples of prodrugs include, but are not limited to, acetate, formate and succinate derivatives of hydroxy functional groups or phenyl carbamate derivatives of amino functional groups Throughout the specification and the appended claims, a given chemical formula or name shall also encompass all salts, hydrates, solvates, N-oxides and prodrug forms thereof Further, a given chemical formula or name shall encompass all tautomeric and stereoisomeric forms thereof Stereoisomers include enantiomers and diastereomers Enantiomers can be present in their pure forms, or as racemic (equal) or unequal mixtures
of two enantiomers. Diastereomers can be present in their pure forms, or as mixtures of diastereomers. Diastereomers also include geometrical isomers, which can be present in their pure cis or trans forms or as mixtures of those.
The compounds of the Formula (Ia) to (Ic) may be used as such or, where appropriate, as pharmacologically acceptable salts (acid or base addition salts) thereof. The pharmacologically acceptable addition salts mentioned below are meant to comprise the therapeutically active non-toxic acid and base addition salt forms that the compounds are able to form. Compounds that have basic properties can be converted to their pharmaceutically acceptable acid addition salts by treating the base form with an appropriate acid Exemplary acids include inorganic acids, such as hydrogen chloride, hydrogen bromide, hydrogen iodide, sulphuric acid, phosphoric acid; and organic acids such as formic acid, acetic acid, propanoic acid, hydroxyacetic acid, lactic acid, pyruvic acid, glycolic acid, maleic acid, malonic acid, oxalic acid, benzenesulphonic acid, toluenesulphonic acid, methanesulphonic acid, trifluoroacetic acid, fumaric acid, succinic acid, malic acid, tartaric acid, citric acid, salicylic acid, ^-aminosalicylic acid, pamoic acid, benzoic acid, ascorbic acid and the like. Exemplary base addition salt forms are the sodium, potassium, calcium salts, and salts with pharmaceutically acceptable amines such as, for example, ammonia, alkylamines, benzathine, and ammo acids, such as, e.g. argimne and lysine. The term addition salt as used herein also comprises solvates which the compounds and salts thereof are able to form, such as, for example, hydrates, alcoholates and the like.
COMPOSITIONS
For clinical use, the compounds of the invention are formulated into pharmaceutical formulations for oral, rectal, parenteral or other mode of administration. Pharmaceutical formulations are usually prepared by mixing the active substance, or a pharmaceutically acceptable salt thereof, with conventional pharmaceutical excipients. Examples of excipients are water, gelatin, gum arabicum, lactose, microcrystalline cellulose, starch, sodium starch glycolate, calcium hydrogen phosphate, magnesium stearate, talcum, colloidal silicon dioxide, and the like. Such formulations may also contain other pharmacologically active agents, and conventional additives, such as stabilizers, wetting agents, emulsifϊers, flavouring agents, buffers, and the like. Usually, the amount of active compounds is between 0.1-95% by weight of the preparation, preferably between 0.2-20%
by weight in preparations for parenteral use and more preferably between 1-50% by weight in preparations for oral administration.
The dose level and frequency of dosage of the specific compound will vary depending on a variety of factors including the potency of the specific compound employed, the metabolic stability and length of action of that compound, the patient's age, body weight, general health, sex, diet, mode and time of administration, rate of excretion, drug combination, the severity of the condition to be treated, and the patient undergoing therapy. The daily dosage may, for example, range from about 0.001 mg to about 100 mg per kilo of body weight, administered singly or multiply m doses, e.g. from about 0.01 mg to about 25 mg each. Normally, such a dosage is given orally but parenteral administration may also be chosen.
The formulations can be further prepared by known methods such as granulation, compression, microencapsulation, spray coating, etc. The formulations may be prepared by conventional methods in the dosage form of tablets, capsules, granules, powders, syrups, suspensions, suppositories or injections Liquid formulations may be prepared by dissolving or suspending the active substance in water or other suitable vehicles Tablets and granules may be coated in a conventional manner.
The compounds of Formula (Ia) to (Ic) may be administered with other active compounds for the treatment of diabetes and/or obesity, for example insulin and insulin analogs, DPP- IV inhibitors, sulfonyl ureas, biguanides, α2 agonists, glitazones, PPAR-γ agonists, mixed PPAR-α/γ agonists, RXR agonists, α-glucosidase inhibitors, PTPlB inhibitors, 11-β- hydroxy steroid dehydrogenase Type 1 inhibitors, phosphodiesterase inhibitors, glycogen phosphorylase inhibitors, MCH-I antagonists, CB-I antagonists (or inverse agonists), amylm antagonists, CCK receptor agonists, p3-agonists, leptm and leptin mimetics, serotonergic/dopaminergic antiobesity drugs, gastric lipase inhibitors, pancreatic lipase inhibitors, fatty acid oxidation inhibitors, lipid lowering agents and thyromimetics. It is particularly preferred that the compounds of Formula (Ia) to (Ic) are administered m combination with a DPP-IV inhibitor. The term "DPP-IV inhibitor" means a compound which inhibits, antagonizes or decreases the activity of dipeptidyl peptidase IV (EC 3.4.14.5). The said DPP-IV inhibitor can e.g. be a compound as disclosed in WO 2005/056003; WO 2005/056013; WO 2005/095343, WO 2005/113510; WO 2005/120494, WO 2005/121131; WO 2005/121089; WO 2006/013104; or WO 2006/076231, including references therein.
PREPARATION OF COMPOUNDS OF THE INVENTION
The compounds of the Formula (Ia) to (Ic) above may be prepared by, or in analogy with, conventional methods. The preparation of intermediates and compounds according to the examples of the present invention may in particular be illuminated by the following Schemes 1-6
Scheme 1
wherein Ar1 and R1 are as defined in Formula (Ia),
Reagents and conditions
(a) tert-buty\ 4-formylpiperidme-l-carboxylate; appropriate reducing agent, such as sodium triacetoxyborohydride; in a suitable solvent such as THF or DCM, at r.t;
(b) appropriate aryl- or heteroarylboronic acid, appropriate catalyst, such as Pd(PPli3)4, a suitable base, such as K2CO3 or NaHCO3, in a suitable solvent mixture such as 1 ,4- dioxane/water or toluene/isopropyl alcohol/water, at elevated temperature, for example 90 0C, (c) appropriate aryl- or heteroarylboronic ester, appropriate catalyst, such as Pd(PPh3)4, a suitable base, such as K2CO3 or NaHCO3, in a suitable solvent mixture such as 1 ,4- dioxane/water or toluene/isopropyl alcohol/water, at elevated temperature, for example 90 0C,
(d) (1) bis(neopentylglycolato)diboron; suitable base, such as KOAc, appropriate catalyst, such as PdCl2(dppf)-DCM, in a suitable solvent, such as DME, at elevated temperature, for example 120 0C (microwaves), (ii) appropriate aryl halide, suitable
base, such as NaHCOs, appropnate catalyst, such as Pd(PPti3)4, m a suitable solvent mixture, such as water and DME, at elevated temperature, for example 120 0C (microwaves),
(e) suitable deprotecting agent, such as TFA, HCl (g) or aqueous concentrated HCl, m a suitable solvent, such as DCM, dioxane or ethanol, at ambient or elevated temperature,
(f) (i) appropriate carboxylic acid, suitable base, such as tπethylamine, in a suitable solvent, such as THF, dioxane or DMF, (ii) appropnate coupling reagent, such as HOBT/EDC, propylphosphomc anhydride, HBTU or TBTU; at ambient temperature; (g) appropnate acid chlonde or chloroformate, suitable base, such as tnethylamme, in a suitable solvent, such THF or DMF; at ambient temperature,
(h) appropnate alcohol; suitable coupling reagent, such as l,l'-carbonylbis(lH- lmidazole), in a suitable solvent, such DCM, acetonitrile or DCM/THF, at elevated temperature
Scheme 2
wherein Ar1 and R1 are as defined in Formula (Ia),
Reagents and conditions
(a) (i) tert-butyl 4-(hydroxymethyl)pipendme-l-carboxylate, tnphenylphosphme, THF
(dry) r t. sonication (20-kHz for 1 minute) (ii) DEAD, 0 0C, sonication (20-kHz); (b) appropriate aryl- or heteroarylboronic acid; appropnate catalyst, such as Pd(PPh3)Z1, a suitable base, such as K2CO3 or NaHCC>3, in a suitable solvent mixture such as 1,4-
dioxane/water or toluene/isopropyl alcohol/water, at elevated temperature, for example 90 0C,
(c) appropriate aryl- or heteroarylboromc ester, appropriate catalyst, such as Pd(PPri3)4, a suitable base, such as K2CO3 or NaHCCh, in a suitable solvent mixture such as 1,4- dioxane/water or toluene/isopropyl alcohol/water, at elevated temperature, for example 90 0C,
(d) (1) bis(neopentylglycolato)diboron, suitable base, such as KOAc, appropriate catalyst, such as PdCl2(dppf)-DCM; in a suitable solvent, such as DME; at elevated temperature, for example 120 0C (microwaves), (11) appropriate aryl hahde; suitable base, such as NaHCCh, appropriate catalyst, such as Pd(PPti3)4, m a suitable solvent mixture, such as water and DME, at elevated temperature, for example 120 0C (microwaves),
(e) suitable deprotecting agent, such as TFA, HCl (g) or aqueous concentrated HCl, m a suitable solvent, such as DCM, dioxane or ethanol, at ambient or elevated temperature,
(f) (1) appropriate carboxylic acid, suitable base, such as tπethylamine, in a suitable solvent, such as THF, dioxane or DMF, (ii) appropriate coupling reagent, such as HOBT/EDC, propylphosphomc anhydride, HBTU or TBTU; at ambient temperature;
(g) appropriate acid chloride or chloroformate, suitable base, such as tnethylamme, in a suitable solvent, such THF or DMF; at ambient temperature,
(h) appropriate alcohol; suitable coupling reagent, such as l,l'-carbonylbis(lH- lmidazole), in a suitable solvent, such DCM, acetonitrile or DCM/THF, at elevated temperature
Scheme 3
wherein Ar1 and R1 are as defined in Formula (Ia);
Reagents and conditions:
(a) (i) potassium tert-butoxide, THF (dry), (ii) tert-butyl 4-(methylamino)-piperidine-l- carboxylate, reflux; (b) appropriate aryl- or heteroarylboronic acid; appropriate catalyst, such as Pd(PPb^)4; a suitable base, such as K2CO3 or NaHCCh; in a suitable solvent mixture such as 1,4- dioxane/water or toluene/isopropyl alcohol/water; at elevated temperature, for example 90 0C;
(c) appropriate aryl- or heteroarylboronic ester; appropriate catalyst, such as Pd(PPh3)4; a suitable base, such as K2CO3 or NaHCOs; in a suitable solvent mixture such as 1,4- dioxane/water or toluene/isopropyl alcohol/water; at elevated temperature, for example 90 0C;
(d) (i) bis(neopentylglycolato)diboron; suitable base, such as KOAc; appropriate catalyst, such as PdCl2(dppf)-DCM; in a suitable solvent, such as DME; at elevated temperature, for example 120 0C (microwaves); (ii) appropriate aryl halide; suitable base, such as NaHCO3; appropriate catalyst, such as Pd(PPh3)4; in a suitable solvent mixture, such as water and DME; at elevated temperature, for example 120 0C (microwaves);
(e) suitable deprotecting agent, such as TFA, HCl (g) or aqueous concentrated HCl, m a suitable solvent, such as DCM, dioxane or ethanol; at ambient or elevated temperature,
(f) (i) appropriate carboxylic acid, suitable base, such as triethylamine, in a suitable solvent, such as THF, dioxane or DMF, (ii) appropπate coupling reagent, such as
HOBT/EDC, propylphosphomc anhydride, HBTU or TBTU; at ambient temperature;
(g) appropriate acid chloride or chloroformate, suitable base, such as triethylamine, in a suitable solvent, such THF or DMF; at ambient temperature,
(h) appropπate alcohol; suitable coupling reagent, such as 1,1 τ-carbonylbis(li7- imidazole), in a suitable solvent, such DCM, acetonitπle or DCM/THF, at elevated temperature
Scheme 4
wherein Ar1, R1 and R10 are as defined in Formula (Ia),
Reagents and conditions: (a) appropriate acid chloride or chloroformate, suitable base, such as triethylamine; in a suitable solvent, such as THF or DMF, at ambient temperature,
(b) appropπate alcohol; suitable coupling reagent, such as I,l'-carbonylbis(li7- lmidazole), m a suitable solvent, such as DCM, acetomtπle or DCM/THF, at elevated temperature; (c) appropriate halogenated heteroaromatic ring, such as 2-bromopyπmidme; in a suitable solvent, such as DMSO or acetomtπle, at elevated temperature,
(d) (i) appropriate carboxylic acid, suitable base, such as triethylamme, in a suitable solvent, such as THF, dioxane or DMF, (ii) appropriate coupling reagent, such as HOBT/EDC, propylphosphomc anhydride, HBTU or TBTU; at ambient temperature;
(e) suitable deprotectmg agent, such as TFA, HCl (g) or aqueous HCl, m a suitable solvent, such as DCM, dioxane or ethanol, at ambient or elevated temperature,
(f) 2-chloro-5-chloromethylpyrazine; suitable base, such as triethylamme or NN- dusopropylethyl amine in a suitable solvent, such as acetonitrile, at elevated temperature,
(g) appropπate aldehyde or ketone, or protected ketone such as [(1- ethoxycyclopropyl)oxy]trimethylsilane), corresponding to R10, appropriate reducing agent, such as ΝaBH(0Ac)3 or NaBH3CN; in a suitable solvent, such as MeOH, 1 ,2- dichloroethane, DCM, or in a solvent mixture such as methano I/water or methanol/acetic acid, at ambient or elevated temperature, (h) appropriate alkylating agent corresponding to R , such as an alkyl halide or an alkyl tnflate; suitable base, such iV,N-diisopropylethyl amine or triethylamme, in a suitable solvent, such as THF or DMF, at elevated temperature,
(i) appropriate aryl- or heteroarylboronic acid; appropnate catalyst, such as Pd(PPh3)4, a suitable base, such as K2CO3 or NaHCO3, in a suitable solvent mixture such as 1 ,4- dioxane/water or toluene/isopropyl alcohol/water, at elevated temperature, for example 90 0C,
(j) appropriate aryl- or heteroarylboronic ester, appropriate catalyst, such as Pd(PPh3)4, a suitable base, such as K2CO3 or NaHCO3, in a suitable solvent mixture such as 1 ,4- dioxane/water or toluene/isopropyl alcohol/water; at elevated temperature, for example 90 0C, (k) (1) bis(neopentylglycolato)diboron, suitable base, such as KOAc, appropπate catalyst, such as PdCi2(dppf)-DCM; in a suitable solvent, such as DME; at elevated temperature, for example 120 0C (microwaves), (11) appropriate aryl halide; suitable base, such as NaHCO3, appropriate catalyst, such as Pd(PPh3)4, in a suitable solvent mixture, such as water and DME, at elevated temperature, for example 120 0C (microwaves).
Scheme 5
wherein Ar1 and R1 are as defined in Formula (Ia),
Reagents and conditions:
(a) sodium hydride, THF (dry), tert-butyi 4-hydroxypiperidme- 1 -carboxylate;
(b) appropriate aryl- or heteroarylboronic acid, appropriate catalyst, such as Pd(PPri3)4, a suitable base, such as K2CO3 or NaHCCh, in a suitable solvent mixture such as 1 ,4- dioxane/water or toluene/isopropyl alcohol/water; at elevated temperature, for example 90 0C,
(c) appropriate aryl- or heteroarylboronic ester, appropriate catalyst, such as Pd(PPh3)4, a suitable base, such as K2CO3 or NaHCC^, in a suitable solvent mixture such as 1 ,4- dioxane/water or toluene/isopropyl alcohol/water, at elevated temperature, for example 90 0C,
(d) (1) bis(neopentylglycolato)diboron; suitable base, such as KOAc, appropriate catalyst, such as PdCl2(dppf)-DCM, in a suitable solvent, such as DME, at elevated temperature, for example 120 0C (microwaves), (ii) appropriate aryl halide, suitable base, such as NaHCC>3, appropriate catalyst, such as Pd(PPt^)4; m a suitable solvent mixture, such as water and DME, at elevated temperature, for example 120 0C (microwaves),
(e) suitable deprotecting agent, such as TFA, HCl (g) or aqueous concentrated HCl; in a suitable solvent, such as DCM, dioxane or ethanol; at ambient or elevated temperature;
(f) (i) appropriate carboxylic acid; suitable base, such as triethylamine; in a suitable solvent, such as THF, dioxane or DMF; (ii) appropriate coupling reagent, such as
HOBT/EDC, propylphosphonic anhydride, HBTU or TBTU; at ambient temperature;
(g) appropriate acid chloride or chloroformate; suitable base, such as triethylamine; in a suitable solvent, such THF or DMF; at ambient temperature;
(h) appropriate alcohol; suitable coupling reagent, such as I,l'-carbonylbis(li7- imidazole); in a suitable solvent, such DCM, acetonitrile or DCM/THF; at elevated temperature.
Scheme 6
wherein A, B, R1 and R5 are as defined in Formula (Ia);
W1 and W2 are both CH, or one of W1 or W2 is CH and the other of W1 or W2 is N; and n = 0, 1 or 2.
Reagents and conditions:
(a) (i) appropriate amine; suitable base, such as triethylamine; in a suitable solvent, such as THF, dioxane or DMF; (ii) appropriate coupling reagent, such as HOBT/EDC, propylphosphonic anhydride, HBTU or TBTU; at 0 0C or ambient temperature.
Definitions of variables in the structures in schemes herein are commensurate with those of corresponding positions in the formulae delineated herein.
The necessary starting matenals for preparing the compounds of Formula (Ia) to (Ic) and other compounds herein are either commercially available or may be prepared m analogy with the preparation of known compounds.
The processes described below in the example section may be carried out to give a compound of the invention in the form of a free base or as an acid addition salt A pharmaceutically acceptable acid addition salt may be obtained by dissolving the free base in a suitable organic solvent and treating the solution with an acid, in accordance with conventional procedures for preparing acid addition salts from base compounds. Examples of addition salt forming acids are mentioned above
The compounds of Formula (Ia) to (Ic) may possess one or more chiral carbon atoms, and they may therefore be obtained in the form of optical isomers, e.g as a pure enantiomer, or as a mixture of enantiomers (racemate) or as a mixture containing diastereomers The separation of mixtures of optical isomers to obtain pure enantiomers is well known m the art and may, for example, be achieved by fractional crystallization of salts with optically active (chiral) acids or by chromatographic separation on chiral columns
The chemicals used in the synthetic routes delineated herein may include, for example, solvents, reagents, catalysts, and protecting group and deprotecting group reagents The methods descπbed above may also additionally include steps, either before or after the steps described specifically herein, to add or remove suitable protecting groups in order to ultimately allow synthesis of the compounds In addition, various synthetic steps may be performed in an alternate sequence or order to give the desired compounds. Synthetic chemistry transformations and protecting group methodologies (protection and deprotection) useful in synthesizing applicable compounds are known in the art and include, for example, those described in R Larock, Comprehensive Organic
Transformations, VCH Publishers (1989), T W. Greene and P G M. Wuts, Protective
Groups in Organic Synthesis, 3rd Ed , John Wiley and Sons (1999); L Fieser and M Fieser, Fieser and Fieser s Reagents for Organic Synthesis, John Wiley and Sons (1994), and L Paquette, ed , Encyclopedia of Reagents for Organic Synthesis, John Wiley and
Sons (1995) and subsequent editions thereof
The following abbreviations have been used:
Boc tert-butylo xycarbony 1
Brine water saturated or nearly saturated with sodium chloride
CHCl3 chloroform
DCM dichloromethane
DEAD diethyl (Z)-diazene- 1 ,2-dicarboxylate
DIPEA N,N-diisopropylethyl amine
DME 1 ,2-dimethoxyethane
DMF dimethylformamide
DMSO dimethyl sulphoxide
EDC N-(3 -dimethylaminopropyl)-Nt-ethylcarbodiimide, or
1 -ethyl-3-(3-dimethylaminopropyl)carbodiimide hydrochloride
ESI electrospray ionization
Et3N triethylamine
EtOAc ethyl acetate equiv equivalents
HDL High-Density Lipoprotein
HBTU 0-Benzotriazole-N,N,7V,7V-tetramethyl-uronium-hexafluorophosphate
HOBT 1-hydroxybenzotriazole hydrate
HPLC High Performance Liquid Chromatography
HRESIMS High-Resolution Electrospray Ionization Mass Spectra
LCMS Liquid Chromatography Mass Spectrometry
LRESIMS Low-Resolution Electrospray Ionization Mass Spectra
MeCN acetonitrile
MeOH methanol
NaBH(OAc)3 sodium triacetoxyborohydride
PdCl2(dppf)-DCM [1,1 '-bis(diphenylphosphino)-ferrocene]dichloro-palladium(II) complex with DCM (1: 1)
Pd(PPh3)4 tetrakis(triphenylphospine)palladium(0) r.t. room temperature
TBTU N,NjV',N'-tetramethyl-(9-(benzotriazol- 1 -yl)uronium tetrafluoroborate
TFA trifluoroacetic acid
THF tetrahydrofuran
TLC thin layer chromatograpy
The recitation of a listing of chemical groups m any definition of a variable herein includes definitions of that variable as any single group or combination of listed groups. The recitation of an embodiment for a variable herein includes that embodiment as any single embodiment or in combination with any other embodiments or portions thereof.
The invention will now be further illustrated by the following non-limiting Examples. The specific examples below are to be construed as merely illustrative, and not limitative of the remainder of the disclosure in any way whatsoever. Without further elaboration, it is believed that one skilled in the art can, based on the description herein, utilize the present invention to its fullest extent All references and publications cited herein are hereby incorporated by reference in their entirety.
EXAMPLES AND INTERMEDIATE COMPOUNDS
Experimental Methods
AU reagents were commercial grade and were used as received without further purification, unless otherwise specified Commercially available anhydrous solvents were used for reactions conducted under inert atmosphere. Reagent grade solvents were used in all other cases, unless otherwise specified Low-resolution electrospray ionization mass spectra (LRESIMS) were obtained using an Agilent MSD mass spectrometer or a Waters ZQ mass spectrometer High-resolution electrospray ionization mass spectra (HRESIMS) were obtained on:
(a) Agilent LC/MSD TOF connected to an Agilent 1100 LC-system, Ion Source: ESI, Ion polarity, pos, Data, profile mode, Scan range. 100-1100 Da, MS parameters. Fragmentor 215V, Skimmer 560V och OCT RF (octpole rods) 250 V., Reference Masses 121.050873 and 922.009798 (Agilent reference Mix); LC: A 15 mM ammonium acetate, B 100 MeCN, flow rate 400 μL/min isocratic.
(b) Shimadzu 2010 EV, quadruple connected to Prominence LC system. Ion Source: ESI, Ion polarity: pos, Data: scane mode, Scan range: 100-700 Da, MS parameters: CDL 5V, Q-array DC 15V, Q-array RF 150V, CDL monitor temperature 250 0C, Reference Masses PEG mixture + Raffmose (Agilent reference Mix); LC A 0.1% ammonium acetate; B 100 MeOH, flow rate 300 μL/mm isocratic.
Flash chromatography was performed on Merck silica gel 60 (230-400 mesh). The compounds were automatically named using ACD 8 0.
Analytical HPLC was performed on a Waters Alliance Separation Module 2690 system equipped with:
System A: Kromasil C18 5μm (250 x 4 6 mm), gradient 10-90% MeOH m H2O (+ 0.1% TFA), flow rate 1 mL/min, with a gradient time of 20 min, or
System B: Zorbax C18 5μm (150 x 4.6 mm), gradient 10-90% MeOH in H2O (+ 0.1% TFA), flow rate 1 mL/min, with a gradient time of 20 min; or
System C. Zorbax C18 5μm (150 x 4.6 mm), gradient 10-100% MeOH in H2O, flow rate 1 mL/min, with a gradient time of 20 min; or
System D: X-bπdge C18 5μm (250 x 4.6 mm), gradient 10-100% MeOH in H2O, flow rate 1 mL/min, with a gradient time of 20 min; or
System E. Zorbax C18 5μm (150 x 4 6 mm), gradient 10-100% MeOH m H2O (+ 0.1% TFA), flow rate 1 mL/min, with a gradient time of 26 min,
Analytical LCMS data were obtained on an Agilent 1100 system equipped with System F ACE 3 C8 column (50 x 3 0 mm), gradient 10-97% H2O (+ 0 1% TFA) in CH3CN, flow rate 1 mL/mm, with a gradient time of 3 0 mm, or
System Gl ' YMC ODS-AQ column (33 x 3 0 mm), gradient 10-97% H2O (+ 0 1% TFA) in CH3CN, flow rate 1 mL/mm, with a gradient time of 3 0 min; or
System G2' Xterra MSC18 column (50 x 3 0 mm), gradient 10-97% H2O (containing 10 mM NH4HCO3, pH=10) in CH3CN, flow rate 1 mL/mm, with a gradient time of 3 0 mm,
Preparative HPLC was performed on a Waters Delta 600 system equipped with:
System H X-Bπdge C18 5 μm (150 x 19 mm), gradient 10-90% MeOH in H2O, flow rate
15 mL/mm, with a gradient time of 10 mm, or System I X-Bndge C18 5 μm (150 x 19 mm), gradient 10-90% MeOH m H2O, flow rate
15 mL/mm, with a gradient time of 14 mm, or
System J X-Bridge Cl 8 5 μm (150 x 19 mm), gradient 10-90% MeOH m H2O, flow rate
15 mL/mm, with a gradient time of 9 mm; or
System K X-Bπdge C18 5 μm (150 x 19 mm), gradient 10-100% MeOH in H2O, flow rate 15 mL/mm, with a gradient time of 10 mm, or
System L. ACE 5 C8 (50 x 20 mm), H2O (+ 0 1% TFA) in CH3CN, flow rate 25 mL/mm, with a gradient time of 5 mm, or
System M XTerra Prep MS Cl 8 5 μm (19x50 mm), H2O (containing 50 mM NH4HCO3, pH=10) in CH3CN, flow rate 25 mL/mm, with a gradient time of 5 mm
A mixture of 5-bromopyrazm-2-amme (4 9 g, 0 028 mol), prepared in accordance with the literature procedure {Journal of Chemical Research 2005, 11, 747-749), and tert-butyl A- formylpiperidme-1-carboxylate (5 g, 0 023 mol) was stirred m dry THF (35 mL) at r.t
under nitrogen atmosphere. After 10 minutes, sodium triacetoxyborohydride (8.9 g, 0.042 mol) was added in small portions within 15 minutes while maintaining the temperature at room temperature. The mixture was stirred overnight. The reaction was monitored by TLC using hexane. ethyl acetate (6.4) as mobile phase. The reaction mixture was concentrated under reduced pressure. The residue was treated with a saturated aqueous solution of NaHCθ3 and extracted with EtOAc (3 x 100 mL) The combined organic layers were concentrated under reduced pressure to give the crude product. Column chromatography of the crude product on silica using hexane EtOAc (6:4) as eluent gave the title compound. Yield 1.2 g (13%); LRESIMS m/z = (ESI+) 372 (M+H)+.
Crude terf-butyl 4-[( {5-[4-(methylsulfonyl)phenyl]pyrazin-2-yl} amino)methyl]prperidine- 1-carboxylate (2 g, 0 0045 mol; obtained in Example 1) was added to a 4M solution of HCl in dioxane (10 mL) at r.t. The mixture was stirred at r.t. overnight. The reaction was monitored by LCMS analysis. The reaction mixture was concentrated under reduced pressure. Water (500 mL) and EtOAc (300 mL) were added to the residue and the mixture was stirred vigorously for 10 mm. The aqueous layer was basifϊed using NaOH solution (2M; 25 mL) and the product was extracted with DCM (3 x 25 mL). The combined organic layers were washed with water (100 mL) and dried over anhydrous sodium sulphate, filtered and concentrated under reduced pressure to give the crude product. Yield 1 g (48%). Mass m/z = (ESI+) 347 (M+H)+.
INTERMEDIATE 3
4-[5-({[l-(tert-butoxycarbonyl)piperidin-4-yl]methyl}amino)pyrazin-2-yl]benzoic acid
The title compound was prepared from tert-butyl 4-{[(5-bromopyrazin-2-yl)amino]- methyljpiperidine- 1-carboxylate (2.0 g, 0.0053 mol; Intermediate 1) and 4-carboxy- benzeneboronic acid (0.98 g, 0.0059 mol) in accordance with the procedure described for
Example 1. The reaction was monitored by TLC using DCM .MeOH (8 2) as a mobile phase. The crude product was purified by column chromatography on silica using DCM:MeOH (8:2) as eluent to give the title compound. Yield 1 0 g (45%); LRESIMS (ESI+) m/z = 311 (M+-t-Boc-l).
INTERMEDIATE 4 tert-Butyl 4-{[(5-bromopyrazin-2-yl)oxy]methyl}piperidine-l-carboxylate
5-Bromopyrazm-2-ol (10 g, 0 057 mol), prepared in accordance with a literature procedure (Journal of Chemical Research 2005, 11, 747-749), tøt-butyl 4-(hydroxymethyl)- pipeπdme-1-carboxylate (12 2 g, 0 057 mol) and tπphenylphosphine (29.9 g, 0.114 mol) were added to dry THF (75 mL) at r t The reaction mixture was sonicated at 20-kHz at r t for 1 minute which resulted in a clear solution The reaction mixture was cooled to 0 0C and DEAD (14.3 mL, 0.091 mol) was added dropwise to the reaction mixture at 0 0C under sonication Overall the reaction mixture was sonicated for 7 minutes The reaction mixture was concentrated under reduced pressure The residue was subjected to column chromatography on silica using hexaneΕtOAc (7*3) as eluent to obtain the title compound
Yield 10 g (47%) Analytical HPLC purity 99 3% (System B), LRESIMS (ESI+) m/z =
(ESI+) 373 (M+H)+.
INTERMEDIATE 5
2-[4-(Methylsulfonyl)phenyl]-5-(piperidin-4-ylmethoxy)pyrazine
To a stirred solution of 4M HCl m dioxane (20 mL) at room temperature was added tert- butyl 4-[( {5-[4-(methylsulfonyl)phenyl]pyrazm-2-yl} oxy)methyl]pipeπdme- 1 -carboxylate
(12 g, crude product, obtained m Example 21). The mixture was stirred at r.t. overnight and then concentrated under reduced pressure to give a crude residue. Water (100 mL) and
EtOAc (700 mL) were added to the residue and the mixture was stirred over night. The layers were separated and the aqueous layer was basifϊed using NaOH solution (2M; 50 mL) and then extracted with DCM (3 x 100 mL). The combined organic layers were washed with water and dried over anhydrous sodium sulphate, filtered and concentrated under reduced pressure to give the crude product. Yield 4 g.
INTERMEDIATE 6 4-(5-{[l-(ter^butoxycarbonyl)piperidin-4-yl]methoxy}pyrazin-2-yl)benzoic acid
To a stirred mixture of tert-buty\ 4-{[(5-bromopyrazin-2-yl)oxy]methyl}piperidine-l- carboxylate (3.0 g, 0 0080 mol; Intermediate 4) in toluene (45 mL) at r.t. under argon atmosphere were added 4-carboxybenzeneboronic acid (1.47 g, 0.0088 mol) and isopropyl alcohol (45 mL). After 2 minutes, a 2M solution of aqueous K2CO3 (20 14 mL, 0.040 mol) was added dropwise to the stirred suspension. After additional 5 minutes, Pd(PPh3)^ (0.465 g, 0.0004 mol) was added and the reaction mixture was heated to reflux. The reaction was monitored by TLC using DCM:MeOH (8:2) as mobile phase. The mixture was stirred at reflux for 6 hours and then allowed to cool. The cooled mixture was poured into water (600 mL) under stirring and then left at r t. overnight. The aqueous mixture was extracted with EtOAc (4 x 500 mL). The combined organic layers were washed with water and brine, dried over anhydrous sodium sulphate, filtered and concentrated under reduced pressure to give the crude product. The crude product was purified by column chromatography on silica using DCM:MeOH (8:2) as eluent to give the title compound. Yield 1.5 g (45%). LRESIMS m/z = (ESI+) 414 (M+H)+.
INTERMEDIATE 7 tert-Butyl 4-[[(5-chloropyrazin-2-yl)methyl](methyl)aminolpiperidine-l-carboxylate
To a stirred solution of 2-chloro-5-(chloromethyl)pyrazine (7.0 g, 0.0429 mol), prepared in accordance with a literature procedure {Journal of Heterocyclic Chemistry, 1986 23, 149- 51), in dry THF (80 mL) under nitrogen atmosphere was added potassium tøt-butoxide (5.29 g, 0.0471 mol). The suspension was stirred at room temperature for 10 minutes, tert- Butyl 4-(methylamino)piperidine-l-carboxylate (6.9 g, 0 0471 mol) was added portionwise and the resulting reaction mixture was heated at reflux for 40 hours The reaction was monitored by TLC using EtOAc. hexane (1.1) as a mobile phase. The mixture was concentrated under reduced pressure and the residue was diluted with water (100 mL) and extracted with EtOAc (3 x 50 mL). The combined organic layers were washed first with water and then with brine solution. The organic phase was concentrated under reduced pressure to give 7.8 g of a semisolid crude product. Purification of the crude product by column chromatography on silica using EtOAc:hexane (1 :4) as mobile phase gave 4.0 g (27.3%) of the pure product, LRESIMS m/z = (ESI+) 341 (M+H)+.
INTERMEDIATE 8
4-(5- { [ [ 1 -(tert-Butoxycarbonyl)piperidin-4-yl] (methyl)amino] methyl} pyrazin-2-yl)- benzoic acid
To a stirred solution of tert-butyl 4-[[(5-chloropyrazin-2-yl)methyl](methyl)amino]- piperidine-1-carboxylate (0.9 g, 2.64 mmol; Intermediate 7) in a dry solvent mixture of toluene (10 mL) and isopropyl alchohol (10 mL) under nitrogen atmosphere at r.t was added 4-carboxybenzeneboromc acid (0.61 g, 3.70 mmol). After 2 minutes, a solution of K2CO3 (1.93 g, 13 9 mmol) in water (10 mL) was added. After additional 5 minutes, Pd(PPh3)4 (0 15 g, 0 13 mmol) was added and the reaction mixture was stirred at 120 0C for 12 hours. The reaction was monitored by TLC using DCM MeOH (9.5:0.5) as mobile phase. The reaction mixture was concentrated under reduced pressure. The residual solid was diluted with water (100 mL) and extracted with DCM (3 x 60 mL) The organic layers were combined and concentrated under reduced pressure to afford 0.7 g of a semisolid crude product. Purification of the crude product by column chromatography on silica using
EtOAc hexane (3.7) as eluent gave the title compound Yield 0.6 g (53.6%). Analytical HPLC: purity 99% (System A), LRESIMS (ESI+) for C23H30N4O4 m/z = 427 (M+H)+.
INTERMEDIATE 9 7V-Methy]-iV-({5-[4-(methylsulfonyl)pheπyl]pyrazin-2-yl}methy])piperidiπ-4-aiπine, hydrochloride
To a stirred solution of tert-butyl 4-[methyl({5-[4-(methylsulfonyl)phenyl]pyrazin-2- yl}methyl)ammo]piperidme-l-carboxylate (4.0 g, 0.0087 mol, obtained in Example 42) in dry dioxane (50 mL) at r t was added dropwise a 4M HCl solution in dioxane (12 mL) The reaction mixture was allowed to stir at r t for 12 hours The reaction was monitored by TLC using DCM MeOH (8 2) + 5 drops of a 25% aqueous ammonia solution as mobile phase The reaction mixture was concentrated under reduced pressure The residual solid obtained was treated with MeOH and filtered. The solid was washed with MeOH and the filtrate was concentrated under reduced pressure to give the title compound as an off white solid The off white solid obtained was used without further purification Yield 2 5 g (83.3%), LRESIMS (ESI+) m/z = 361 (M+H)+.
A mixture of tert-butyl piperidm-4-ylcarbamate (1.80 g, 9 0 mmol) and 2- bromopyrimidme (477 mg, 3 0 mmol) in DMSO (3 mL) was stirred at 55 0C for 1 hour and then added to a mixture of water (40 mL) and NH4Cl (0 45 g) The precipitate was collected by filtration affording tert-butyl (l-pyrimidin-2-ylpiperidin-4-yl)carbamate (0 79 g, 95% yield) Part of this Boc-protected intermediate (695 mg, 2 5 mmol) was stirred in TFA (2.09 mL) and DCM (8 3 mL) for 2 hours at r t The mixture was concentrated under reduced pressure and the remaining residue dissolved in MeOH and passed through an ion-
exchange resm (Dowex 1X8, OH , 20 g) The eluate was concentrated under reduced pressure to give the title compound Yield 0 43 g (97%) LRESIMS m/z = 179 (M+H)+
A stirred mixture of tert-butyl pipeπdm-4-ylcarbamate (1 0 g, 5 0 mmol), Et^N (1 39 mL, 10 mmol) in DCM (20 mL) was cooled in an ice bath Benzoyl chloπde (0 58 mL, 5 0 mmol) was added After 15 mm, the mixture was warmed to r t and left for 2 h 15 mm The mixture was washed with 5% aqueous NaHC O3 (20 mL), IM HCl and brme The organic phase was dried (Na2Sθ4) and evaporated to give tert-butyl (l-benzoylpiperidm-4- yl)carbamate Yield 1 53 g (100%) Part of this Boc-protected intermediate (0 82 g) was dissolved in DCM (8 mL) and TFA (2 mL) and stirred at r t for 2 hours The mixture was concentrated under reduced pressure and the remaining residue dissolved m CHCI3 and washed with IM NaOH and brme The organic phase was concentrated under reduced pressure to give the title compound Yield 271 mg (50%) LRESIMS m/z = 205 (M+H)+
The title compound was prepared from tert-butyl piperidm-4-ylcarbamate and 2- ethylbutanoyl chloride by similar conditions as used for the synthesis of 1-benzoyl- pipeπdm-4-amme (Intermediate 11) Yield 523 mg (96%) LRESIMS m/z = 199 (M+H)+
INTERMEDIATE 13 l-(3,4-Dichlorobenzoy])piperidin-4-amine
The title compound was prepared from tert-butyl pipeπdm-4-ylcarbamate and 3,4- dichlorobenzoyl chloride by similar conditions as used for the synthesis of 1-benzoyl- pipeπdm-4-amme (Intermediate 11) Yield 701 mg (95%) LRESIMS m/z = 273 (M+H)+
INTERMEDIATE 14
Isopropyl 4-aminopiperidine-l-carboxylate
H2N -(~~W
tert-Butyl piperidm-4-ylcarbamate (750 mg, 3 75 mmol) and Et3N (1 39 mL, 1 g, 10 mmol) were dissolved in DCM (45 mL) Isopropyl chloro formate (IM m toluene, 7 5 mL, 7 5 mmol) was added to the solution The solution was stirred at r t for 2 hours and then concentrated under reduced pressure CHCI3 (90 mL) and IM NaOH (10 mL) were added and the aqueous phase and the organic phase were allowed to separate The organic layer was dried (Na2SC>4) and concentrated under reduced pressure to give isopropyl 4-[(tert- butoxycarbonyl)ammo]pipeπdme-l-carboxylate Yield 1 072 g solid This intermediate was stirred in a mixture of TFA (3 mL) and DCM (12 mL) at r t for 2 hours The mixture was concentrated under reduced pressure and the remaining residue dissolved m CHCb and washed with 2 M NaOH and brine The organic phase was concentrated under reduced pressure to give the title compound Yield 683 mg (98%), LRESIMS m/z = 187 (M+H)+
INTERMEDIATE 15
7V-[(5-Ch]oropyrazin-2-yl)methyl]-l-(2-ethylbutanoyl)piperidin-4-amine
l-(2-Ethylbutanoyl)pipeπdm-4-amme (0 48 g, 2 4 mmol, Intermediate 12) was dissolved in CH3CN (6 mL) and DIPEA (0 838 mL, 4 8 mmol) and added to 2-chloro-5- chloromethylpyrazme (0 39 g, 2 4 mmol) The solution was stirred at 70 0C for 6 hours and then concentrated under reduced pressure Flash chromatography with 2-5% 2M NH3 m MeOH/CHCl3 gave the title compound Yield 0 5O g (64%) LRESIMS m/z = 325/327 (M+H)+
INTERMEDIATE 16 7V-[(5-Ch]oropyrazin-2-yl)methyl]-l-(2-ethylbutanoyl)-Λ/-methylpiperidin-4-amine
N-[(5-Chloropyrazin-2-yl)methyl]-l-(2-ethylbutanoyl)piperidm-4-amine (0.21 g, 0.65 mmoL; Intermediate 15), formalin (105 mg, 1.30 mmol) and NaBH(OAc)3 (551 mg, 2.60 mmol) were stirred in DCE (4 mL) at r.t. overnight. CHCl3 (100 mL) and IM NaOH (15 mL) were added to the reaction mixture and the organic phase was separated, dried (Na2SO4) and evaporated to give the title compound. Yield 209 mg (92%). LRMSIMS m/z = 339 (M+H)+.
INTERMEDIATE 17
TV-KS-Chloropyrazin-l-ylJmethyll-l-tS^-dichlorobenzoyO-N-methylpiperidin-^ amine
The title compound was prepared starting from 2-chloro-5-chloromethylpyrazine and 1- (3,4-dichlorobenzoyl)piperidin-4-amine (Intermediate 13) in accordance with the procedures of Intermediates 15 and 16. Yield 81%. LRMSIMS m/z = 413 (M+H)\
INTERMEDIATE 18 7V-[(5-Ch]oropyrazin-2-yl)methyl]-7V-methyl-l-pyrimidin-2-y]piperidin-4-amine
The title compound was prepared starting from 2-chloro-5-chloromethylpyrazine and 1- pyrimidin-2-ylpiperidm-4-amme (Intermediate 10) in accordance with the procedures of Intermediates 15 and 16. Yield 60%. LRESIMS m/z = 319 (M+H)+.
INTERMEDIATE 19 l-Benzoyl-iV-[(5-chloropyrazin-2-yl)methyl]-Λ'-methylpiperidin-4-amine
The title compound was prepared starting from 2-chloro-5-chloromethylpyrazme and 1- benzoylpipendm-4-amme (Intermediate 11) in accordance with the procedures of Intermediates 15 and 16 LRESIMS m/z = 345 (M+H)+
INTERMEDIATE 20 Isopropyl 4-[[(5-chloropyrazin-2-yl)methyl](methyl)amino]piperidine-l-carboxylate
The title compound was prepared starting from 2-chloro-5-chloromethylpyrazine and isopropyl 4-aminopiperidine-l-carboxylate (Intermediate 14) m accordance with the procedures of Intermediates 15 and 16. Yield 71%. LRESIMS m/z = 327 (M+H)+.
INTERMEDIATE 21
GENERAL PROCEDURE Gl FOR THE N-CYCLOPROPYLATION OF SECONDARY
AMINES (compare.Tetrahedron Lett 1995, 36, 7399-7402). iV-[(5-Chloropyrazin-2-yl)methyl]-iV-cyclopropyl-l-(2-ethylbutanoyl)piperidiii-4- amine
N-[(5-Chloropyrazm-2-yl)methyl]-l-(2-ethylbutanoyl)pipendin-4-amine (216 mg, 0 66 mmol, Intermediate 15) was dissolved m MeOH (4 mL) and acetic acid (0 4 mL, 10
eqmv ) [(1-Ethoxycyclopropyl)oxy]trimethylsilane (0 54 g, 3 11 mmol) was added followed by NaBH3CN (167 mg, 2 66 mmol) The mixture was stirred at 62 0C overnight The reaction mixture was concentrated under reduced pressure and the residue was acidified with IM HCl The mixture was made alkalme with 2M NaOH and extracted with dichloromethane Flash chromatography on silica using MeOH/CHCi3 (3 97) as eluent gave the title compound Yield 142 mg (59%) LRESIMS m/z = 365 (M+H)+
INTERMEDIATE 22 iV-[(5-Chloropyrazin-2-yl)methyl]-iV-cyclopropyl-l-(3,4-dichlorobenzoyl)piperidin-4- amine
2-Chloro-5-chloromethylpyrazine was reacted with l-(3,4-dichlorobenzoyl)pipendm-4- amme (Intermediate 13) in accordance with the procedure described for Intermediate 15, and the secondary amine formed was subjected to reductive alkylation using the conditions described in General procedure Gl to afford the title compound Yield 88% LRESIMS m/z = 439 (M+H)+
INTERMEDIATE 23 Λr-[(5-Chloropyrazin-2-yl)methyl]-Λ'-cyclopropyl-l-pyriinidin-2-ylpiperidin-4-ainine
2-Chloro-5-chloromethylpyrazine was reacted with l-pyrimidm-2-ylpiperidm-4-amme (Intermediate 10) m accordance with the procedure described for Intermediate 15, and the secondary amine formed was subjected to reductive alkylation using the conditions described in General procedure Gl to afford the title compound Yield 37% LRESIMS m/z = 345 (M+H)+
INTERMEDIATE 24 l-Benzoyl-7V-[(5-chloropyrazin-2-yl)methyl]-Λ/-cyclopropylpiperidin-4-amine
2-Chloro-5-chloromethylpyrazine was reacted with 1 -benzoylpiperidin-4-amine (Intermediate 11) in accordance with the procedure described for Intermediate 15, and the secondary amine formed was subjected to reductive alkylation using the conditions described in General procedure Gl to afford the title compound. LRESIMS m/z = 371 (M+H)\
INTERMEDIATE 25
Isopropyl ^KS-chloropyrazin-l-yOmethylKcyclopropylJaminolpiperidine-l- carboxylate
2-Chloro-5-chloromethylpyrazine was reacted with isopropyl 4-aminopiperidine-l- carboxylate (Intermediate 14) in accordance with the procedure described for Intermediate 15, and the secondary amine formed was subjected to reductive alkylation using the conditions described in General Procedure Gl to afford the title compound. Yield 90%. LRESIMS m/z = 353 (M+H)+.
INTERMEDIATE 26 tert-Butyl 4-[(5-chloropyrazin-2-yl)methoxy]piperidine-l-carboxylate
To a stirred solution of 2-chloro-5-(chloromethyl)pyrazine (10 g, 0.0613 mol), prepared in accordance with a literature procedure (Journal of Heterocyclic Chemistry, 1986 23, 149-
51), m dry THF (150 mL) at 0-5 0C under nitrogen was added NaH (4 0 g, 0 086 mol) m small portions The resulting mixture was stirred at 0-5 0C for 1 hour, after which tert- butyl 4-hydroxypipeπdrne-l-carboxylate (12.3 g, 0.0613 mol) was added portionwise to the reaction mixture The resulting mixture was then stirred at reflux for 18 hours The reaction was monitored by TLC using EtOAc hexane (2 8) as mobile phase The mixture was diluted with water (100 mL) and extracted with EtOAc (3 x 50 mL) The combined EtOAc layers were washed with water and then with brine. The organic layer was concentrated under reduced pressure to give 8 g of a semisolid crude product. This material was purified by column chromatography on silica using EtOAc:hexane (12 88) as eluent to give the title compound Yield 2 6 g (12 7%), LRESIMS (ESI+) m/z = 328 (M+H)+
INTERMEDIATE 27 2-[4-(Methylsulfonyl)phenyl]-5-[(piperidin-4-yloxy)methyl]pyrazine, hydrochloride
To a stirred solution of tert-butyl 4-({5-[4-(methylsulfonyl)phenyl]pyrazin-2-yl}methoxy)- pipeπdme-1-carboxylate (1.5 g, 0 0033 mol, obtained m Example 107) in dry dioxane at room temperature under nitrogen atmosphere was added dropwise a 4 M solution of HCl in dioxane (5 0 mL). The reaction mixture was allowed to stir at room temperature for 12 hours. The reaction was monitored by TLC using DCM:MeOH (8 2) + 25% aqueous ammonia (5 drops). The reaction mixture was concentrated under reduced pressure and the residual solid obtained was treated with MeOH (10 mL) and filtered The solid was washed with additional MeOH (10 mL) and the combined filtrate was concentrated under reduced pressure to give an off white solid The obtained solid was used without further purification Yield 1 g (86%); LRESIMS (ESI+) m/z = 348 (M+H)+
EXAMPLE 1 tert-Butyl 4-[({5-[4-(methylsulfonyl)phenyl]pyrazin-2-y]}amino)methyl]piperidine-l- carboxylate
To a stirred solution of tert-butyl 4-{[(5-bromopyrazm-2-yl)amino]methyl}pipeπdine-l- carboxylate (1 5 g, 0.0040 mol, Intermediate 1) m dry toluene (22 mL) at r.t under argon atmosphere were added 4-(methylsulfonyl)phenylboromc acid (0 89 g, 0 0044 mol) and isopropyl alcohol (22 mL) After 2 minutes, a 2M aqueous solution of K2CO3 (10.1 mL, 0 0202 mol) was added dropwise After 5 minutes, Pd(PPh3)4 (0 233 g, 0 2 mmol) was added to the reaction mixture and the resulting mixture was heated to reflux The reaction was monitored by TLC using hexane EtOAc (2 8) as mobile phase which showed that the reaction was completed after 6 hours The reaction mixture was added into water (250 mL) under stirring and left overnight at r.t. The aqueous mixture was extracted with EtOAc (4 x 500 mL) The combined organic layers were dπed over anhydrous sodium sulphate, filtered and concentrated under reduced pressure to give 2 g of the crude product. This material was used m the preparation of 5-[4-(methylsulfonyl) phenyl]-N-(pipeπdm-4- ylmethyl)pyrazin-2-amine (Intermediate 2) without further purification A second batch of tert-butyl 4-[({5-[4-(methylsulfonyl)phenyl]pyrazm-2-yl}amino)- methyljpiperidme- 1 -carboxylate (0.5 g, 1 029 mmol) was synthesized using the conditions described above The crude product was purified by column chromatography on silica using EtOAc hexane (3:7) as mobile phase. Yield 250 mg (41%); Analytical HPLC: purity 99.3% (System A); HRESIMS (ESI4) calcd for C22H30N4O4S: 446.1988, found 446.1987.
EXAMPLE 2
Isobutyl 4-[({5-[4-(methy]sulfonyl)phenyl]pyrazin-2-yl}amino)methyl]piperidine-l- carboxylate
To a stirred solution of 5-[4-(methylsulfonyl)phenyl]-N-(piperidin-4-ylmethyl)pyrazin-2- amine (90 mg, 0 26 mmol; Intermediate 2) m dry DCM (5 mL) at room temperature was added isobutyl chloroformate (0.036 mL, 0 28 mmol). After 2 minutes, Et3N (0.07 mL,
0.52 mmol) was added and the mixture was stirred for an additional 15 minutes at room temperature The reaction mixture was concentrated under reduced pressure and the remaining residue was purified by preparative TLC on silica using EtOAc:hexane (9 1) as mobile phase. Yield 32 mg (27%), Analytical HPLC purity 99.4% (System A); HRESIMS
(ESI+) calcd for C22H30N4O4S 446 1988, found 446 2007
EXAMPLE 3
Phenyl 4-[({5-[4-(methylsulfonyl)phenyl]pyrazin-2-yl}amino)methyl]piperidine-l- carboxylate
The title compound was prepared from 5-[4-(methylsulfonyl)phenyl]-N-(pipeπdin-4- ylmethyl)pyrazin-2-amine (90 mg, 0.26 mmol, Intermediate 2) and phenyl chloroformate (0.036 mL, 0.28 mmol) in accordance with the procedure described for Example 2. The reaction mixture was concentrated under reduced pressure and the remaining residue was purified by preparative TLC on silica using EtOAc. acetone (8.2) as mobile phase. Yield 32 mg (26%); Analytical HPLC purity 95.1% (System A); HRESIMS (ESI+) calcd for C24H26N4O4S- 466 1675, found 466.1692.
EXAMPLE 4 2,2-Dimethylpropyl 4-[({5-[4-(methylsulfonyl)phenyl]pyrazin-2-yl}amino)methyl]- piperidine-1-carboxylate
The title compound was prepared from 5-[4-(methylsulfonyl)phenyl]-N-(piperidin-4- ylmethyl)pyrazin-2-amine (90 mg, 0.26 mmol; Intermediate 2) and neopentyl chloroformate (0.04 mL, 0.28 mmol) m accordance with the procedure described for Example 2. The reaction mixture was concentrated under reduced pressure and the remaining residue was purified by preparative TLC on silica using EtOAc as mobile phase. Yield 32 mg (27%); Analytical HPLC: purity 99.4% (System A), HRESIMS (ESI+) calcd for C23H32N4O4S: 460.2144, found 460.2163.
EXAMPLE 5
The title compound was prepared from 5-[4-(methylsulfonyl)phenyl]-Λ7-(pipeπdin-4- ylmethyl)pyrazm-2-amme (90 mg, 0 26 mmol, Intermediate 2) and isopropyl chloroformate (0 031 mL, 0 28 mmol) in accordance with the procedure described for Example 2 The reaction mixture was concentrated under reduced pressure and the remaining residue was purified by preparative TLC on silica using EtOAc hexane (9 1) as mobile phase Yield 30 mg (26%), Analytical HPLC purity 98 3% (System A), HRESIMS (ESI+) calcd for C2IH28N4O4S 432 1831, found 432 1842
EXAMPLE 6
Benzyl 4-[({5-[4-(methylsulfonyl)pheny]]pyrazin-2-yl}amino)methyl]piperidine-l- carboxylate
The title compound was prepared from 5-[4-(methylsulfonyl)phenyl]-N-(pipeπdin-4- ylmethyl)pyrazm-2-amme (90 mg, 0 26 mmol, Intermediate 2) and benzyl chloroformate
(50% solution in toluene, 0 094 mL, 0 28 mmol) in accordance with the procedure described for Example 2 The reaction mixture was concentrated under reduced pressure and the remaining residue was purified by preparative TLC on silica using EtOAc as mobile phase Yield 30 mg (24%), Analytical HPLC purity 99 3% (System A), HRESIMS (ESI+) calcd for C25H28N4O4S 480 1831, found 480 1845
EXAMPLE 7
N-({l-[(l-Methyl-lH-pyrrol-2-yl)carbonyl]piperidin-4-yl}methy])-5-[4-(methyl- sulfonyl)phenyl]pyraziπ-2-amine
The title compound was prepared from 5-[4-(methylsulfonyl)phenyl]-N-(pipeπdin-4- ylmethyl)pyrazm-2-amme (90 mg, 0 26 mmol, Intermediate 2) and 1 -methyl- l/f-pyrrole-2-
carbonyl chloride (0 04 niL, 0.28 mmol) m accordance with the procedure described for Example 2. The reaction mixture was concentrated under reduced pressure and the remaining residue was purified by preparative TLC on silica using EtOAc acetone (8 2) as mobile phase. Yield 33 mg (28%), Analytical HPLC purity 99.2% (System A), HRESIMS (ESI+) calcd for C23H27N5O3S 453 1835, found 453 1844
EXAMPLE 8
Ethyl 4-[({5-[4-(methy]sulfonyl)phenyl]pyrazin-2-yl}amino)methyl]piperidine-l- carboxylate
The title compound was prepared from 5-[4-(methylsulfonyl)phenyl]-N-(pipeπdin-4- ylmethyl)pyrazm-2-amine (90 mg, 0 26 mmol, Intermediate 2) and ethyl chloroformate (0 026 mL, 0 28 mmol) m accordance with the procedure described for Example 2 The crude product was purified by preparative TLC using EtOAc as a mobile phase. Yield 35mg (32%), Analytical HPLC: punty 98 3% (System A); HRESIMS (ESI+) calcd for C20H26N4O4S 418 1675, found 418 1686
EXAMPLE 9
N- [(l-Benzoylpiperidin-4-yl)methyl] -5- [4-(methylsulfoπyl)phenyl] pyraziπ-2-amine
The title compound was prepared from 5-[4-(methylsulfonyl)phenyl]-N-(pipeπdin-4-yl methyl)pyrazm-2-amine (90 mg, 0.26 mmol, Intermediate 2) and benzoyl chloride (0 032 mL, 0.28 mmol) in accordance with the procedure described Example 2 The reaction mixture was concentrated under reduced pressure and the remaining residue was purified by preparative TLC on silica using EtOAc:acetone (8:2) as mobile phase Yield 22 mg (19%); Analytical HPLC: purity 98 2% (System A); HRESIMS (ESI+) calcd for C24H26N4O3S 450.1726, found 450.1741.
EXAMPLE 10
N-{[l-(2-Ethylbutanoyl)piperidin-4-yl]methyl}-5-[4-(methylsulfonyl)phenyl]pyrazin-
2-amine
The title compound was prepared from 5-[4-(methylsulfonyl)phenyl]-N-(pipeπdin-4- ylmethyl)pyrazin-2-amine (90 mg, 0.26 mmol, Intermediate 2) and 2-ethylbutanoyl chloride (0 038 mL, 0 28 mmol) m accordance with the procedure described for Example 2 The crude product was purified by preparative TLC using EtOAc as a mobile phase Yield 32 mg (27%), Analytical HPLC purity 98.8% (System A), HRESIMS (ESI+) calcd for C23H32N4O3S: 444.2195, found 444.2204
EXAMPLE 11 tert-Butyl 4-[({5-[4-(methylsulfinyl)phenyl]pyrazin-2-yl}amino)methyl]piperidine-l- carboxylate
The title compound was prepared from tert-butγ\ 4-{[(5-bromopyrazm-2- yl)ammo]methyl}piperidme-l-carboxylate (100 mg, 0.26 mmol, Intermediate 1) and A- methylsulfϊnylphenyl boromc acid (55 0 mg, 0 29 mmol) in accordance with the procedure described for Example 1. The reaction was monitored by TLC using DCM:MeOH (9 5 0 5) as a mobile phase The crude product was purified by preparative TLC on silica using DCM:MeOH (9 5 0 5) as eluent to give the title compound. Yield 42 mg (36%), Analytical HPLC: purity 98 1% (System D); HRESIMS (ESI+) calcd for C22H30N4O3S 430.2039, found 430 2051
EXAMPLE 12 tert-Butyl 4-{[(5-{4-[(4-methylpiperazin-l-yl)carbony]]phenyl}pyrazin-2-y])amino]- methy]}piperidine-l-carboxylate
The title compound was prepared from tert-butyl 4-{[(5-bromopyrazin-2- yl)amino]methyl}piperidine-l-carboxylate (100 mg, 0.26 mmol; Intermediate 1) and {4- [(4-methylpiperazm- 1 -yl)carbonyl]phenyl}boronic acid (83.9 mg, 0 29 mmol) in accordance with the procedure described Example 1. The reaction was monitored by TLC using DCMMeOH (9.5:0.5) as a mobile phase. The crude product was purified by preparative TLC on silica using DCM MeOH (9.5 0 5) as eluent to give the title compound. Yield 24 mg (18%); Analytical HPLC: purity 99.1% (System D); HRESIMS (ESI+) calcd for C27H3SN6O3: 494.3005, found 494.3004.
EXAMPLE 13 tert-Butyl 4-[({5-[4-(aminocarbonyl)phenyl]pyrazin-2-yl}amino)methyl]piperidine-l- carboxylate
The title compound was prepared from tert-bxύγ\ 4-{[(5-bromopyrazin-2- yl)amino]methyl}piperidme-l-carboxylate (100 mg, 0.26 mmol; Intermediate 1) and [4- (ammocarbonyl)phenyl]boronic acid (47.8 mg, 0.29 mmol) m accordance with the procedure described for Example 1. The reaction was monitored by TLC using DCM:MeOH (9.5:0.5) as a mobile phase. The crude product was purified by preparative TLC on silica using DCM:MeOH (9.5:0.5) as eluent to give the title compound. Yield 42 mg (37%); Analytical HPLC- purity 99.7% (System D); HRESIMS (ESI+) calcd for C22H29N5O3: 411.2270, found 411.2268.
EXAMPLE 14 ^rt-Butyl 4-{[(5-{4-[(methylamino)carbonyl]phenyl}pyrazin-2-yl)amino]methy]}- piperidine-1-carboxylate
The title compound was prepared from tert-butyl 4-{[(5-bromopyrazm-2-yl)ammo]- methyl}piperidine-l-carboxylate (100 mg, 0.26 mmol, Intermediate 1) and {4-[(methyl- amino)carbonyl]phenyl}boromc acid (51 8 mg, 0.29 mmol) in accordance with the procedure described for Example 1 The reaction was monitored by TLC using DCM MeOH (9 5 0 5) as a mobile phase The crude product was purified by preparative TLC on silica using DCM-MeOH (9 5O 5) as eluent to give the title compound Yield 50 mg (43%), Analytical HPLC purity 99.1% (System D), HRESIMS (ESI+) calcd for C23H3IN5O3: 425.2427, found 425.2422
EXAMPLE 15 tert-Butyl 4-{[(5-pyridin-4-ylpyrazin-2-yl)amino]methy]}piperidine-l-carboxy]ate
The title compound was prepared from tert-butyl 4-{[(5-bromopyrazm-2-yl)amino]- methyl}pipeπdine-l-carboxylate (100 mg, 0.26 mmol, Intermediate 1) and 4-pyridyl- boronic acid (35 6 mg, 0.29 mmol) in accordance with the procedure described for Example 1 The reaction was monitored by TLC using DCM. MeOH (9.5 0.5) as a mobile phase. The crude product was purified by preparative TLC on silica using DCM MeOH (9 5 0 5) as eluent to give the title compound Yield 27 mg (27%), Analytical HPLC purity 98 3% (System D), HRESIMS (ESI+) calcd for C20H27N5O2 369 2165, found 369.2178.
EXAMPLE 16
^rt-Butyl 4-{[(5-{4-[(3-hydroxypyrrolidin-l-yl)carbonyl]phenyl}pyrazin-2-yl)amino]- methy]}piperidine-l-carboxylate
4-[5-({[l-(før?-Butoxycarbonyl)piperidm-4-yl]methyl}ammo)pyrazm-2-yl]benzoic acid (100 mg, 0 24 mmol, Intermediate 3) and pyrrolidm-3-ol (0.02 mL, 0 26 mmol) were added to dry DMF (5 0 mL) The reaction mixture was stirred at room temperature for 2 minutes and then chilled to 0 0C. HBTU (137 mg, 0 36 mmol) was added and the resulting
reaction mixture was stirred for 2 hours at 0 0C. The mixture was concentrated under reduced pressure The crude residue was purified by preparative TLC using DCM MeOH (9.5 0 5) as mobile phase to give the title compound Yield 32 mg (26%); Analytical HPLC. purity 98 7% (System D), HRESIMS (ESI+) calcd for C26H35N5O4 481.2689, found 481 2680
EXAMPLE 17 tert-Butγl 4-({[5-(4-{[2-(hydroxymethyl)morpholin-4-yl]carbonyl}phenyl)pyrazin-2- yl]amino}methyl)piperidine-l-carboxylate
The title compound was prepared from 4-[5-({[l-(tø/t-butoxycarbonyl)piperidin-4-yl]- methyl}ammo)pyrazm-2-yl]benzoic acid (100 mg, 0.24 mmol; Intermediate 3) and morpholin-2-ylmethanol (0 03 mL, 0 26 mmol) in accordance with the procedure described for Example 16. The crude product was purified by preparative TLC on silica using DCM:MeOH (9 5 0 5) as eluent to give the title compound. Yield 29 mg (23%), Analytical HPLC purity 94 0% (System D), HRESIMS (ESI+) calcd for C27H37N5O5 511 2795, found 511 2793
EXAMPLE 18 tert-Butyl 4-({[5-(4-{[(2R)-2-(hydroxymethyl)pyrrolidin-l-yl]carbonyl}phenyl)- pyrazin-2-yl] amino} methyl)piperidine- 1-carboxylate
The title compound was prepared from 4-[5-({[l-(tø/t-butoxycarbonyl)piperidm-4-yl]- methyl}ammo)pyrazm-2-yl]benzoic acid (100 mg, 0.24 mmol; Intermediate 3) and (2R)- pyrrolidm-2-ylmethanol (0 026 mL, 0 26 mmol) m accordance with the procedure described for Example 16. The crude product was purified by preparative TLC on silica using DCM:MeOH (9 5:0.5) as eluent to give the title compound. Yield 21 mg (17%), Analytical HPLC purity 95.4% (System D), HRESIMS (ESI+) calcd for C27H37N5O4 495 2846, found 495 2851
EXAMPLE 19 tert-Butyl 4-({[5-(4-{[(2S)-2-(hydroxymethyl)pyrrolidin-l-y]]carbonyl}phenyl)- pyrazin-2-yl]amino}methyl)piperidine-l-carboxylate
The title compound was prepared from 4-[5-({[l-(fer?-butoxycarbonyl)piperidin-4- yl]methyl}amino)pyrazin-2-yl]benzoic acid (100 mg, 0.24 mmol, Intermediate 3) and (2S)- pyrrolidin-2-ylmethanol (0.026 mL, 0.26 mmol) in accordance with the procedure described for Example 16. The crude product was purified by preparative TLC on silica using DCM:MeOH (9 5:0.5) as eluent to give the title compound. Yield 24 mg (20%), Analytical HPLC: purity 85.2% (System D); HRESIMS (ESI+) calcd for C27H37N5O4: 495.2846, found 495 2846.
EXAMPLE 20 tert-Butyl 4-{[(5-{4-[(3-hydroxyazetidin-l-yl)carbonyl]phenyl}pyrazin-2-yl)amino]- methy]}piperidine-l-carboxylate
The title compound was prepared from 4-[5-({[l-(fer£-butoxycarbonyl)piperidin-4-yl]- methyl}amino)pyrazm-2-yl]benzoic acid (100 mg, 0.24 mmol; Intermediate 3) and azetidin-3-ol (19 mg, 0.26 mmol) in accordance with the procedure described for Example 16. The crude product was purified by preparative TLC on silica using DCM MeOH (9.5 0.5) as eluent to give the title compound. Yield 24 mg (19%); Analytical HPLC: purity 94.7% (System D); HRESIMS (ESI+) calcd for C25H33N5O4: 467.2532, found 467.2531.
EXAMPLE 21 tert-Butyl 4-[({5-[4-(methylsulfonyl)phenyl]pyrazin-2-yl}oxy)methyl]piperidine-l- carboxylate
To a stirred mixture of tert-butyl 4-{[(5-bromopyrazm-2-yl)oxy]methyl}pipeπdme-l- carboxylate (5 g, 0 0134 mol, Intermediate 4) m toluene (75 mL) at r t were added 4- (methylsulfonyl)phenylboronic acid (2 90 g, 0 0147 mol) and isopropyl alcohol (75 mL) After 2 minutes, a 2M K2CO3 solution (33 5 mL, 0 020 mol) was added dropwise to the stirred suspension After additional 5 minutes, Pd(PPh3)4 (0 776 g, 0 6 mmol) was added and the reaction mixture was heated to reflux The reaction was monitored by TLC using hexane EtOAc (1 1) as mobile phase The mixture was stirred at reflux for 6 hours and then allowed to cool The cooled mixture was poured into water (500 mL) under stirring and then left at r t over night The aqueous mixture was extracted with EtOAc (4 x 500 mL) The combined organic layers were washed with water and brine, dried (Na2SO4), filtered and concentrated in vacuo to give the crude product Yield 12 g Mass m/z = (ESI+) 448 (M+H)+ The crude product was used m the preparation of 2-[4-(methylsulfonyl)- phenyl]-5-(pipeπdm-4-ylmethoxy)pyrazine (Intermediate 5) without further purification
A second batch of tert-butyl 4-[({5-[4-(methylsulfonyl)phenyl]pyrazm-2-yl}oxy)methyl]- pipeπdme-1-carboxylate was prepared using the conditions described above The crude product was purified by column chromatography on silica using EtOAc hexane (4 6) as mobile phase Yield 200 mg (33%) Analytical HPLC purity 99 7% (System B), HRESIMS (ESI+) calcd for C22H29N3O5S 447 1828, found 447 1822
EXAMPLE 22
Isobutyl 4-[({5-[4-(methy]sulfonyl)phenyl]pyrazin-2-yl}oxy)methyl]piperidine-l- carboxylate
To a stirred solution of 2-[4-(methylsulfonyl)phenyl]-5-(piperidm-4-ylmethoxy)pyrazine (200 mg, 0.57 mmol, Intermediate 5) in dry DCM (10 mL) at r.t. was added isobutyl chloroformate (0.08 mL, 0.63 mmol). After 2 minutes, Et3N (0.16 mL, 1.1 mmol) was added and the reaction mixture was stirred for 15 minutes at r.t. The reaction mixture was concentrated under reduced pressure and the crude product was purified by preparative TLC using EtOAc as mobile phase. Yield 65 mg (25%) Analytical HPLC: purity 98.1% (System A), HRESIMS (ESI+) calcd for C22H29N3O5S: 447.1828, found 447.1838
EXAMPLE 23 1-Cyclopropylethyl 4-[({5-[4-(methylsulfony])phenyl]pyrazin-2-yl}oxy)methy]]- piperidine-1-carboxylate
To a stirred solution of 1-cyclopropylethanol (0.2 mL, 2 mmol) in dry DCM (7 mL) at r.t. under nitrogen atmosphere was added dropwise a solution of l,l'-carbonylbis-lH- imidazole (CDI; 0.33 g, 2.0 mmol) in dry DCM (7 mL). The mixture was stirred at r.t. for 1.5 hours. 2-[4-(Methylsulfonyl)phenyl]-5-(piperidin-4-ylmethoxy)pyrazine (0.36 g, 0.93 mmol; Intermediate 5) was added and the mixture was stirred at r.t overnight The mixture was concentrated in vacuo and the crude product was purified by preparative TLC using EtOAc:hexane (1 :1) as mobile phase. Yield 32 mg (8%). Analytical ΗPLC: purity 90.9% (System B); ΗRESIMS (ESI+) calcd for C23H29N3O5S: 459.1828, found 459.1819.
EXAMPLE 24
Phenyl 4-[({5-[4-(methylsulfonyl)phenyl]pyrazin-2-yl}oxy)methyl]piperidine-l- carboxylate
The title compound was prepared from 2-[4-(methylsulfonyl)phenyl]-5-(piperidm-4-yl- methoxy)pyrazine (200 mg, 0.57 mmol; Intermediate 5) and phenyl chloro formate (0.08 mL, 0.63 mmol) m accordance with the procedure described for Example 22. The crude product was purified by preparative TLC using EtOAc: acetone (8:2) as mobile phase to give the title compound Yield 70 mg (26%). Analytical HPLC purity 97.4% (System A), HRESIMS (ESI+) calcd for C24H25N3O5S: 467.1515, found 467.1512.
EXAMPLE 25
Benzyl 4-[({5-[4-(methylsulfonyl)phenyl]pyrazin-2-yl}oxy)methyl]piperidine-l- carboxylate
The title compound was prepared from 2-[4-(methylsulfonyl)phenyl]-5-(pipeπdm-4-yl- methoxy)pyrazine (200 mg, 0.57 mmol; Intermediate 5) and benzyl chloroformate (50% in toluene; 0.21 mL, 0.63 mmol) in accordance with the procedure described for Example 22. The crude product was purified by preparative TLC using EtOAc as mobile phase to give the title compound. Yield 75 mg (27%). Analytical HPLC: purity 99.7% (System B), HRESIMS (ESI+) calcd for C25H27N3O5S: 481.1671, found 481.1668.
EXAMPLE 27 (3-Methyloxetan-3-yl)methyl 4-[({5-[4-(methylsulfonyl)phenyl]pyrazin-2-yl}oxy)- methyl] piperidine-1-carboxylate
The title compound was prepared from 2-[4-(methylsulfonyl)phenyl]-5-(piperidm-4-yl- methoxy)pyrazine (0.35 g, 0.93 mmol; Intermediate 5) and (3-methyloxetan-3-yl)methanol (0.2 mL, 2.0 mmol) in accordance with the procedure described for Example 23. The crude
product was purified by preparative TLC using EtOAc as mobile phase to give the title compound. Yield 70 mg (14%) Analytical HPLC: purity 99.6% (System B); HRESIMS (ESI+) calcd for C23H29N3O6S 475 1777, found 475.1775
EXAMPLE 28
Ethyl 4- [({5- [4-(methylsulfonyl)phenyl] pyrazin-2-yl}oxy)methyl] piperidine- 1- carboxylate
The title compound was prepared from 2-[4-(methylsulfonyl)phenyl]-5-(pipeπdm-4-yl- methoxy)pyrazine (200 mg, 0.57 mmol; Intermediate 5) and ethyl chloroformate (0.06 mL, 0 63 mmol) m accordance with the procedure described for Example 22 The crude product was purified by preparative TLC using EtOAc as mobile phase to give the title compound Yield 65 mg (27%) Analytical HPLC purity 97.8% (System A), HRESIMS (ESI+) calcd for C20H25N3O5S. 419.1515, found 419.1516
EXAMPLE 29 2-[(l-Benzoylpiperidin-4-yl)methoxy]-5-[4-(methylsulfonyl)phenyl]pyrazine
The title compound was prepared from 2-[4-(methylsulfonyl)phenyl]-5-(pipeπdm-4-yl- methoxy)pyrazine (200 mg, 0.57 mmol; Intermediate 5) and benzoyl chloride (0.07 mL, 0 63 mmol) m accordance with the procedure described for Example 22 The crude product was purified by preparative TLC using EtOAc as mobile phase to give the title compound Yield 70 mg (27%) Analytical HPLC purity 98.6% (System A), HRESIMS (ESI+) calcd for C24H25N3O4S 451 1566, found 451 1564
EXAMPLE 30 2-{[l-(2-Ethylbutanoyl)piperidin-4-yl]methoxy}-5-[4-(methylsulfonyl)phenyl]pyrazine
The title compound was prepared from 2-[4-(methylsulfonyl)phenyl]-5-(pipeπdm-4-yl- methoxy)pyrazine (200 mg, 0 57 mmol, Intermediate 5) and 2-ethylbutanoyl chloride (0 08 mL, 0 63 mmol) in accordance with the procedure described for Example 22 The crude product was purified by preparative TLC using EtOAc as mobile phase to give the title compound. Yield 80 mg (31%). Analytical HPLC: purity 98.1% (System A); HRESIMS
(ESI+) calcd for C23H3IN3O4S 445 2035, found 445.2027
EXAMPLE 31
2,2-Dimethylpropyl 4-[({5-[4-(methylsulfonyl)pheny]]pyrazin-2-yl}oxy)methyl]- piperidine-1-carboxylate
The title compound was prepared from 2-[4-(methylsulfonyl)phenyl]-5-(piperidin-4- ylmethoxy)pyrazme (200 mg, 0.57 mmol, Intermediate 5) and 2,2-dimethylpropyl chloridocarbonate (0 10 mL, 0 63 mmol) m accordance with the procedure described for Example 22 The crude product was purified by preparative TLC using EtOAc as mobile phase to give the title compound. Yield 70 mg (26%) Analytical HPLC: purity 96.9% (System A), HRESIMS (ESI+) calcd for C23H3]N3O5S 461 1984, found 461 1991
EXAMPLE 32
2-({l-[(l-Methyl-lH-pyrrol-2-yl)carbonyl]piperidin-4-yl}methoxy)-5-[4-(methyl- sulfonyl)phenyl]pyrazine
The title compound was prepared from 2-[4-(methylsulfonyl)phenyl]-5-(piperidin-4- ylmethoxy)pyrazme (200 mg, 0.57 mmol; Intermediate 5) and 1 -methyl- l/f-pyrrole-2- carbonyl chloride (0 09 mL, 0.63 mmol) m accordance with the procedure described for Example 22. The crude product was purified by preparative TLC using EtOAc as mobile phase to give the title compound. Yield 74 mg (28%). Analytical HPLC: purity 98.9% (System B); HRESIMS (ESI+) calcd for C23H26N4O4S: 454.1674, found 454.1687.
EXAMPLE 33 tert-Butyl 4-{[(5-{4-[(3-hydroxypyrrolidin-l-yl)carbonyl]phenyl}pyrazin-2-yl)oxy]- methy]}piperidine-l-carboxylate
4-(5-{[l-(ferϊ-Butoxycarbonyl)piperidm-4-yl]methoxy}pyrazin-2-yi)benzoic acid (100 mg, 0.24 mmol; Intermediate 6) and pyrrolidin-3-ol (0.02 mL, 0.26 mmol) were added to dry DMF (5.0 mL). The reaction mixture was stirred at room temperature for 2 minutes and then chilled to 0 0C HBTU (137 mg, 0 36 mmol) was added and the resulting reaction mixture was stirred for 2 hours at 0 0C. The mixture was concentrated under reduced pressure. The crude residue was purified by preparative TLC using EtOAc:acetone (8:2) as mobile phase to give the title compound. Yield 56 mg (48%); Analytical HPLC purity 99.2% (System B); HRESIMS (ESI+) calcd for C26H34N4O5 482.2529, found 482 2531.
EXAMPLE 34 tert-Butγl 4-({[5-(4-{[2-(hydroxymethyl)morpholin-4-yl]carbonyl}phenyl)pyrazin-2- yl]oxy}methyl)piperidine-l-carboxylate
The title compound was prepared from 4-(5-{[l-(tø/t-butoxycarbonyl)piperidin-4-yl]- methoxy}pyrazin-2-yl)benzoic acid (100 mg, 0 24 mmol; Intermediate 6) and morpholin-
2-ylmethanol (0.03 mL, 0 26 mmol) in accordance with the procedure described for Example 33 The crude product was purified by preparative TLC using EtOAc: acetone (8:2) as mobile phase to give the title compound. Yield 70 mg (56%). Analytical HPLC purity 98.7% (System B), HRESIMS (ESI+) calcd for C27H35N4O6 512.2635, found 512 2636
EXAMPLE 35 tert-Butγl 4-({[5-(4-{[(2R)-2-(hydroxymethyl)pyrrolidin-l-yl]carbonyl}phenyl)- pyrazin-2-yl]oxy}methyl)piperidine-l-carboxylate
The title compound was prepared from 4-(5-{[l-(tø/t-butoxycarbonyl)piperidin-4-yTJ- methoxy}pyrazm-2-yl)benzoic acid (100 mg, 0.24 mmol; Intermediate 6) and (2R)- pyrrolidm-2-ylmethanol (0 026 mL, 0 26 mmol) in accordance with the procedure described for Example 33. The crude product was purified by preparative TLC using EtOAc acetone (8:2) as mobile phase to give the title compound. Yield 65 mg (54%) Analytical HPLC purity 97 4% (System B), HRESIMS (ESI+) calcd for C27H36N4O5 496 2686, found 496 2694
EXAMPLE 36 tert-Butyl 4-({[5-(4-{[(2S)-2-(hydroxymethyl)pyrrolidin-l-y]]carbonyl}phenyl)- pyrazin-2-yl]oxy}methyl)piperidine-l-carboxylate
The title compound was prepared from 4-(5-{[l-(tø/t-butoxycarbonyl)piperidm-4-yl]- methoxy}pyrazm-2-yl)benzoic acid (100 mg, 0 24 mmol; Intermediate 6) and (2S)- pyrrolidm-2-ylmethanol (0 026 mL, 0 26 mmol) in accordance with the procedure described for Example 33. The crude product was purified by preparative TLC using EtOAc acetone (8:2) as mobile phase to give the title compound. Yield 65 mg (54%) Analytical HPLC purity 97.4% (System B), HRESIMS (ESI+) calcd for C27H36N4O5 496 2686, found 496 2696
EXAMPLE 37 tert-Butyl 4-[({5-[4-(methylsulfinyl)phenyl]pyrazin-2-yl}oxy)methyl]piperidine-l- carboxylate
The title compound was prepared from tert-butyl 4-{[(5-bromopyrazm-2-yl)oxy]methyl}- pipeπdme-1-carboxylate (100 mg, 0 26 mmol, Intermediate 4) and 4-methylsulfmyl- phenylboronic acid (55 mg, 0 29 mmol) in accordance with the procedure described for Example 21 The crude product was purified by preparative TLC using EtOAc 'hexane (8 2) as mobile phase to give the title compound Yield 50 mg (43%) Analytical HPLC purity 97.6% (System B); HRESIMS (ESI+) calcd for C22H29N3O4S: 431.1879, found 431.1884.
EXAMPLE 38 tert-Butyl 4-{[(5-{4-[(4-methylpiperazin-l-yl)carbony]]phenyl}pyrazin-2-yl)oxy]- methy]}piperidine-l-carboxylate
The title compound was prepared from tert-buiy\ 4-{[(5-bromopyrazm-2-yl)oxy]methyl}- piperidme-1-carboxylate (100 mg, 0.26 mmol, Intermediate 4) and {4-[(4-methylpiperazin- l-yl)carbonyl]phenyl}boromc acid (83 9 mg, 0 29 mmol) in accordance with the procedure described for Example 21 The crude product was purified by preparative TLC using DCM:MeOH (9.5:0.5) as mobile phase to give the title compound Yield 60 mg (45%) Analytical HPLC purity 99.4% (System B); HRESIMS (ESI+) calcd for C27H37N5O4 495.2846, found 495 2850.
EXAMPLE 39 tert-Butyl 4-[({5-[4-(aminocarbonyl)phenyl]pyrazin-2-yl}oxy)methyl]piperidine-l- carboxylate
The title compound was prepared from tert-butyl 4-{[(5-bromopyrazm-2-yl)oxy]methyl}- piperidme-1-carboxylate (100 mg, 0 26 mmol; Intermediate 4) and [4-(ammocarbonyl)- phenyljboromc acid (47 8 mg, 0 29 mmol) m accordance with the procedure described for Example 21. The crude product was purified by preparative TLC using DCM MeOH (9 5 0 5) as mobile phase to give the title compound Yield 35 mg (31%). Analytical HPLC purity 98 7% (System A), HRESIMS (ESI+) calcd for C22H28N4O4 412 2111, found 412 2127
EXAMPLE 40 tert-Butyl 4-{[(5-{4-[(methylamino)carbonyl]phenyl}pyrazin-2-yl)oxy]methyl}- piperidine-1-carboxylate
The title compound was prepared from fert-butyl 4-{[(5-bromopyrazm-2-yl)oxy]methyl}- piperidme-1-carboxylate (100 mg, 0 26 mmol, Intermediate 4) and {4-[(methylamino)- carbonyl]phenyl}boromc acid (51.8 mg, 0.29 mmol) in accordance with the procedure for Example 21. The crude product was purified by preparative TLC using DCM MeOH (9.5 0 5) to give the title compound. Yield 50 mg (43%). Analytical HPLC purity 99.8% (System C), HRESIMS (ESI+) calcd for C23H30N4O4. 426 2267, found 426 2269.
EXAMPLE 41
?m-Butyl 4-{[(5-{4-[(3-hydroxyazetidin-l-yl)carbonyl]phenyl}pyrazin-2-yl)oxy]- methy]}piperidine-l-carboxylate
The title compound was prepared from 4-(5-{[l-(tørr-butoxycarbonyl)piperidin-4-yl]- methoxy}pyrazm-2-yl)benzoic acid (100 mg, 0.26 mmol, Intermediate 6) and azetidm-3-ol (35 6 mg, 0 29 mmol) m accordance with the procedure described for Example 33 The
crude product was purified by preparative TLC using DCM.MeOH (9 5.0 5) as mobile phase to give the title compound. Yield 40 mg (35%) Analytical HPLC: purity 99.5% (System C), HRESIMS (ESI+) calcd for C25H32N4O5: 468.2373, found 468.2372
EXAMPLE 42
^rt-Butyl 4-[methyl({5-[4-(methylsulfonyl)phenyl]pyrazin-2-yl}methyl)amino]- piperidine-1-carboxylate
To a stirred solution of dry toluene (60 mL) and isopropyl alcohol (60 mL) at r t under nitrogen atmosphere were added tert-butyl 4-[[(5-chloropyrazin-2-yl)methyi](methyl)- ammo]pipeπdine-l-carboxylate (6 g, 0 0176 mol; Intermediate 7) and (4-methylsulfonyl- phenyl)boromc acid (4 5 g, 0 0229 mol) After 2 minutes, a solution of K2CO3 (12 89 g, 0.0932 mol) was added. After additional 5 minutes, Pd(PPh3)4 (1 g, 0.0008 mol) was added and the reaction mixture was allowed to stir at 120 0C for 12 hours The reaction was monitored by TLC using DCM MeOH (9 5 0 5) as mobile phase The reaction mixture was concentrated under reduced pressure and to the residual solid was added water (100 mL) The aqueous mixture was extracted with DCM (3 x 60 mL) The combined organic layers were concentrated under reduced pressure to give 7 g of a semi-solid product The crude product was purified by column chromatography on silica using EtOAc hexane (7 3) as eluent to give the title compound. Yield 4 5 g (55.6%). Analytical HPLC: purity 99% (System B), HRESIMS (ESI+) calcd for C23H32N4O4S 460 2144, found 460 2144
EXAMPLE 43
2,2-Dimethylpropyl 4- [methyl({5- [4-(methylsulfonyl)phenyl] pyrazin-2-yl}methyl)- amino]piperidine-l-carboxylate
To a stirred mixture of crude N-methyl-N-({5-[4-(methylsulfonyl)phenyl]pyrazm-2-yl}- methyl)piperidm-4-amine, hydrochloride (200 mg, 0.55 mmol; Intermediate 9) in dry DCM (10 mL) at r.t was added 2,2-dimethylpropyl chloπdocarbonate (0 09 mL, 0.66 mmol). After 2 mm, Et3N (0.156 mL, 1 11 mmol) was added and the reaction mixture was stirred at r t for 3 h and 15 min The reaction was monitored by TLC using DCM MeOH (9'1) as mobile phase The reaction mixture was concentrated under reduced pressure The residual crude product was purified by preparative TLC using DCM MeOH (95.5) as mobile phase to give the title compound. Yield 85 mg (32.3%) Analytical HPLC purity 97.0% (System E); HRESIMS (ESI+) calcd for C24H34N4O4S: 474 2301, found 474.2297
EXAMPLE 44
Isobutyl 4-[methyl({5-[4-(methylsulfonyl)phenyl]pyrazin-2-yl}methyl)amino]- piperidine-1-carboxylate
The title compound was prepared from crude N-methyl-N-({5-[4-(methylsulfonyl)phenyl]- pyrazin-2-yl}methyl)piperidin-4-amine, hydrochloride (200 mg, 0.55 mmol; Intermediate 9) and isobutyl chloroformate (0 09 mL, 0 66 mmol) m accordance with the procedure described for Example 43 The crude product was purified by preparative TLC using DCM:MeOH (95 5) to give the title compound Yield 74 mg (29%) Analytical HPLC purity 99.9% (System B); HRESIMS (ESI+) calcd for C23H32N4O4S: 460.2144, found 460 2143
EXAMPLE 45
Ethyl 4-[methyl({5-[4-(methylsulfonyl)phenyl]pyrazin-2-yl}methyl)amino]piperidine- 1-carboxylate
The title compound was prepared from crude N-methyl-Λ/-({5-[4-(methylsulfonyl)phenyl]- pyrazin-2-yl}methyl)piperidin-4-amine, hydrochloride (200 mg, 0.55 mmol; Intermediate 9) and ethyl chloroformate (0.06 mL, 0.66 mmol) in accordance with the procedure described for Example 43. The crude product was purified by preparative TLC using DCM MeOH (95 5) as mobile phase to give the title compound Yield 78 mg (32 5%) Analytical HPLC punty 99 6% (System B), HRESIMS (ESI+) calcd for C2IH28N4O4S 432.1831, found 432 1832.
EXAMPLE 46 Isopropyl 4-[methy]({5-[4-(methylsulfonyl)phenyl]pyrazin-2-yl}methyl)amino]- piperidine-1-carboxylate
The title compound was prepared from crude N-methyl-N-({5-[4-(methylsulfonyl)phenyl]- pyrazm-2-yl}methyl)piperidm-4-amme, hydrochloride (200 mg, 0.55 mmol; Intermediate 9) and isopropyl chloroformate (0 88 mL, 0 66 mmol) in accordance with the procedure described for Example 43. The crude product was purified by preparative TLC using DCM MeOH (95 5) as mobile phase to give the title compound Yield 70 mg (28%) Analytical HPLC purity 99% (System B), HRESIMS (ESI+) calcd for C22H30N4O4S 446.1988, found 446 1986.
EXAMPLE 47
Phenyl 4-[methyl({5-[4-(methylsulfonyl)phenyl]pyrazin-2-yl}methyl)amino]- piperidine-1-carboxylate
The title compound was prepared from crude N-methyl-Λ/-({5-[4-(methylsulfonyl)phenyl]- pyrazin-2-yl}methyl)piperidin-4-amine, hydrochloride (180 mg, 0.50 mmol; Intermediate
9) and phenyl chloroformate (0 07 mL, 0 60 mmol) m accordance with the procedure described for Example 43. The crude product was purified by preparative TLC using DCMMeOH (95:5) as mobile phase to give the title compound Yield 72 mg (30%) Analytical HPLC punty 99.2% (System B), HRESIMS (ESI+) calcd for C25H28N4O4S 480 1831, found 480 1851
EXAMPLE 48
1-Cyclopropylethyl 4-[methyl({5-[4-(methylsulfonyl)phenyl|pyrazin-2-yl}methyl)- amino]piperidine-l-carboxylate
To a stirred solution of 1-cyclopropylethanol (0 1 mL, 1 1 mmol) in dry DCM (7.0 mL) at room temperature under nitrogen atmosphere was added dropwise a solution of 1,1'- carbonylbis-lH-imidazole (CDI, 0.17 g, 1.1 mmol) in dry DCM (7.0 mL). The mixture was stirred at room temperature for 1.5 hours. N-Methyl-N-({5-[4-(methylsulfonyl)- phenyl]pyrazin-2-yl}methyl)piperidin-4-amme, hydrochloride (0 2 g, 0 55 mmol, Intermediate 9) was added and the mixture was stirred at r t overnight The mixture was concentrated under reduced pressure and the crude product was purified by TLC using DCM:MeOH (9.5:0.5) as mobile phase. Yield 84 mg (32 1%). Analytical HPLC purity 99.8% (System C); HRESIMS (ESI+) calcd for C24H32N4O4S: 472.2144, found 472.2143
EXAMPLE 49
Benzyl 4-[methy]({5-[4-(methylsulfonyl)phenyl]pyrazin-2-yl}methyl)amino]- piperidine-1-carboxylate
The title compound was prepared from crude N-methyl-Λ/-({5-[4-(methylsulfonyl)phenyl]- pyrazin-2-yl}methyl)piperidin-4-amine hydrochloride (150 mg, 0 40 mmol; Intermediate 9) and benzyl chloro formate (0 08 mL, 0.50 mmol) m accordance with the procedure for Example 43. The crude product was purified by preparative TLC using DCM MeOH (95 5) to give the title compound Yield 62 mg (30%) Analytical HPLC purity 99 5% (System E); HRESIMS (ESI+) calcd for C26H30N4O4S 494 1988, found 494 1999
EXAMPLE 50 l-Benzoyl-N-methyl-N-({5-[4-(methylsulfony])phenyl]pyrazin-2-yl}methyl)piperidin-
4-amine
The title compound was prepared from crude N-methyl-N-({5-[4-(methylsulfonyl)phenyl]- pyrazm-2-yl}methyl)piperidm-4-amme hydrochloride (180 mg, 0 50 mmol; Intermediate 9) and benzoyl chloride (0.07 mL, 0 60 mmol) in accordance with the procedure described for Example 43 The crude product was purified by preparative TLC using DCM MeOH (95:5) as mobile phase to give the title compound. Yield 55 mg (24%) Analytical HPLC purity 99 5% (System E), HRESIMS (ESI+) calcd for C25H28N4O3S 464 1882, found 464 1902
EXAMPLE 51 tert-Butyl 4- [ [(5- {4- [(3-hydroxypyrrolidin- l-yl)carbonyl]phenyl}pyrazin-2-yl)methyl] -
(methyl)amino]piperidine-l-carboxylate
4-(5-{[[l-(ϊert-Butoxycarbonyl)piperidin-4-yl](methyl)amino]methyl}pyrazin-2-yl)- benzoic acid (0 2 g, 0 46 mmol, Intermediate 8) was dissolved in dry DMF (5 mL) at room temperature The solution was cooled to 0-5 0C and pyrrolidin-3-ol (0 04 mL, 0 51 mmol) followed by HBTU (0.26 g, 0.70 mmol) were added and the reaction mixture was stirred
for 1 hour at this temperature. The cooling bath was removed and the reaction mixture was stirred at r.t. for 12 hours. The reaction was monitored by TLC using DCM:MeOH (9: 1) as mobile phase. DMF was removed under reduced pressure and the crude compound isolated was purified by preparative TLC on silica using DCM. MeOH (95:5) as mobile phase. The isolated semi-pure compound was subjected to preparative HPLC purification (System K) to give the pure title compound Yield 38 mg (16 5%); Analytical HPLC- purity 99.8% (System D), HRESIMS (ESI+) calcd for C27H37N5O4. 495.2846, found 495.2867.
EXAMPLE 52 tert-Butyl 4-[{[5-(4-{[2-(hydroxymethyl)morpholin-4-yl]carbonyl}phenyl)pyrazin-2- yl]methyl}(methyl)amino]piperidine-l-carboxylate
The title compound was prepared from 4-(5-{[[l-(ter?-butoxycarbonyl)piperidin-4-yl]- (methyl)ammo]methyl}pyrazm-2-yl)benzoic acid (O 2 g, O 46 mmol; Intermediate 8) and morpholin-2-ylmethanol (0.06 mL, 0.51 mmol) in accordance with the procedure described for Example 51. The crude product was purified by preparative HPLC (System J). Yield 40 mg (16.7%), Analytical HPLC: purity 96.7% (System D), HRESIMS (ESI+) calcd for C28H39N5O5: 525.2951, found 525.2971.
EXAMPLE 53
^rt-Butyl 4-[{[5-(4-{[(2R)-2-(hydroxymethyl)pyrrolidin-l-yl]carbonyl}phenyl)- pyrazin-2-yl]methy]}(methy])amino]piperidine-l-carboxylate
The title compound was prepared from 4-(5-{[[l-(?erf-butoxycarbonyl)piperidin-4-yl]- (methyl)ammo]methyl}pyrazin-2-yl)benzoic acid (0.2 g, 0.46 mmol; Intermediate 8) and (2Λ)-pyrrolidin-2-ylmethanol (0.05 mL, 0.51 mmol) in accordance with the procedure described for Example 51. The crude product was purified by preparative HPLC (System I). Yield 26 mg (11.3%); Analytical HPLC: purity 95.7% (System D); HRESIMS (ESI+) calcd for C28H39N5O4: 509.3002, found 509.3014.
EXAMPLE 54 tert-Butyl 4-[{[5-(4-{[(2S)-2-(hydroxymethyl)pyrrolidin-l-y]]carbonyl}phenyl)- pyrazin-2-yl] methy]}(methy])amino] piperidine-1-carboxylate
The title compound was prepared from 4-(5-{[[l-(fø/t-butoxycarbonyl)piperidin-4-yl]- (methyl)ammo]methyl}pyrazm-2-yl)benzoic acid (O 2 g, O 46 mmol; Intermediate 8) and (2iS)-pyrrohdm-2-ylmethanol (O 05 mL, 0 51 mmol) m accordance with the procedure described for Example 51. The crude product was purified by preparative HPLC (System H). Yield 48 mg (20 8%); Analytical HPLC purity 98.5% (System D), HRESIMS (ESI+) calcd for C28H39N5O4 509 3002, found 509 3008
EXAMPLE 55 tert-Butyl 4-[methyl({5-[4-(methylsu]finyl)phenyl]pyrazin-2-yl}methyl)amino]- piperidine-1-carboxylate
The title compound was prepared from tert-bxήyl 4-[[(5-chloropyrazin-2-yl)methyl]- (methyl)amino]pipeπdine- 1 -carboxylate (0 2 g, 0 58 mmol; Intermediate 7) and 4- (methylsulfϊnylpheny)lboromc acid (0 1 g, 0.56 mmol) in accordance with the procedure described for Example 42 to give the title compound The crude product was purified by preparative TLC using DCM MeOH (95:5) as mobile phase. Yield 72 mg (27 7%), Analytical HPLC purity 97 2% (System A), HRESIMS (ESI+) calcd for C23H32N4O3S 444 2195, found 444 2216
EXAMPLE 56 tert-Butyl 4-{methyl[(5-{4-[(4-methylpiperazin-l-yl)carbonyl]phenyl}pyrazin-2-yl)- methy]]amino}piperidine-l-carboxylate
The title compound was prepared from tert-butyl 4-[[(5-chloropyrazin-2-yl)methyl]- (methyl)amino]piperidine- 1 -carboxylate (0.2 g, 0 58 mmol; Intermediate 7) and [4-[(4- methyl-l-piperazinyl)carbonyl]phenyl]-boromc acid (0 2 g, 0 70 mmol) in accordance with the procedure described for Example 42 to give the title compound. The crude product was purified by preparative TLC using DCM:MeOH (95:5) as mobile phase. Yield 75 mg (25 9%), Analytical HPLC purity 99 7% (System B), HRESIMS (ESI+) calcd for C28H40N6O3. 508.3162, found 508.3164
EXAMPLE 57 tert-Butγl 4-[({5-[4-(aminocarbonyl)phenyl]pyrazin-2-yl}methyl)(methyl)amino]- piperidine-1-carboxylate
The title compound was prepared from tert-butyl 4-[[(5-chloropyrazin-2-yl)methyl]- (methyl)ammo]pipeπdme- 1 -carboxylate (0 15 g, 0 44 mmol, Intermediate 7) and 4- aminocarbonylphenylboronic acid (0 087 g, 0 53 mmol) in accordance with the procedure described for Example 42 to give the title compound The crude product was purified by preparative TLC using DCM MeOH (95:5) as mobile phase. Yield 32 mg (17 1%), Analytical HPLC purity 98 2% (System B), HRESIMS (ESI+) calcd for C23H3IN5O3 425.2427, found 425 2439.
EXAMPLE 58 tert-Butγl 4-{methyl[(5-{4-[(methylamino)carbonyl]phenyl}pyrazin-2-yl)methyl]- amino}piperidine-l-carboxylate
The title compound was prepared from tert-butyl 4-[[(5-chloropyrazin-2-yl)methyl]- (methyl)amino]pipeπdme- 1 -carboxylate (0 15 g, 0 44 mmol; Intermediate 7) and 4-(N-
methylammocarbonyl)phenylboromc acid (0.094 g, 0.53 mmol) in accordance with the procedure described for Example 42 to give the title compound. The crude product was purified by preparative TLC using DCM:MeOH (95:5) as mobile phase. Yield 64 mg (33.2%), Analytical HPLC purity 98.8% (System B), HRESIMS (ESI+) calcd for C24H33N5O3 439 2583, found 439 2604
EXAMPLE 59 tert-Butγl 4-{methy][(5-pyridin-4-ylpyrazin-2-yl)methyl]amino}piperidine-l- carboxylate
The title compound was prepared from tert-butyl 4-[[(5-chloropyrazm-2-yl)methyl]-
(methyl)ammo]pipeπdme- 1 -carboxylate (0.20 g, 0 58 mmol; Intermediate 7) and pyndme- 4-boromc acid (0.086 g, 0.70 mmol) m accordance with the procedure described for Example 42 to give the title compound. The crude product was purified by preparative TLC using DCM MeOH (95 5). Yield 50 mg (22 2%); Analytical HPLC: purity 98.2% (System B), HRESIMS (ESI+) calcd for C2IH29N5O2: 383 2321, found 383 2333.
EXAMPLE 60
GENERAL PROCEDURE G2 FOR SUZUKI-TYPE CROSS-COUPLING REACTIONS Methyl {4-[5-({cyclopropyl[l-(2-ethylbutanoyl)piperidin-4-yl]amino}methyl)pyrazin- 2-yl] phenyl} carbamate, trifluoroacetate
N- [(5-Chloropyrazm-2-yl)methyl] -N-cyclopropyl- 1 -(2-ethylbutanoyl)pipendm-4-amme (0 06 mmol, Intermediate 21) was dissolved m dioxane (0 48 mL) in a test tube 4- (Methoxycarbonylamino)phenylboronic acid (0 072 mmol), aqueous K2CO3 (0 12 mL, 1.25 M, 0 15 mmol) and Pd(PPh3)4 (3 mg, 0.003 mmol, 0 05 equiv.) were added to the tube. The mixture was stirred at 80-85 °C overnight The mixture was then concentrated under reduced pressure and the residue mixed with 10% aqueous Νa2Cθ3 (0 8 mL) and EtOAc (7 mL). The organic phase was separated and concentrated in vacuo. The crude
product was purified by preparative HPLC (System M followed by System L) to give the title compound as the TFA-salt. Yield 5.1 mg (18%). Analytical HPLC: purity 99% (System F and Gl'); HRESIMS (ESI+) calcd for C27H37N5O3: 479.2896, found 479.2919.
EXAMPLE 61
7V-{4-[5-({Cyclopropyl[l-(2-ethylbutanoyl)piperidin-4-yl]amino}methyl)pyrazin-2-yl]- phenyl}methanesulfonamide
The title compound was prepared fromN-[(5-chloropyrazin-2-yl)methyl]-N-cyclopropyl-l- (2-ethylbutanoyl)piperidin-4-amine (Intermediate 21) and (4-methylsulfonylamino- phenyl)boronic acid in accordance with General procedure G2. The residue was purified by preparative HPLC (System M). Yield 7.8 mg (26%). Analytical HPLC: purity 95% (System F and Gl'); HRESIMS (ESI+) calcd for C26H37N5O3S: 499.2617, found 499.2634.
EXAMPLE 62
4-[5-({Cyclopropyl[l-(3,4-dichlorobenzoyl)piperidin-4-y]]amino}methyl)pyrazin-2- yl] -ΛyV-dimethylbenzainide, trifluoroacetate
The title compound was prepared fromΛr-[(5-chloropjτazin-2-yl)methyl]-N-cyclopropyl-l- (3,4-dichlorobenzoyl)piperidin-4-amine (Intermediate 22) and [4-(N,N-dimethylamino- carbonyl)phenyl]boronic acid in accordance with General procedure G2. The residue was purified by preparative HPLC (System M followed by System L). Yield 4.2 mg (13%). Analytical HPLC: purity 100% (System F and Gl '); HRESIMS (ESI+) calcd for C29H3ICl2N5O2: 551.1855, found 551.1855.
EXAMPLE 63
Methyl {4-[5-({cyc]opropyl[l-(3,4-dichlorobenzoy])piperidin-4-yl]amino}methyl)- pyrazin-2-yl]phenyl}carbamate, trifluoroacetate
The title compound was prepared fromN-[(5-chloropyrazm-2-yl)methyl]-N-cyclopropyl-l- (3,4-dichlorobenzoyl)pipeπdm-4-amme (Intermediate 22) and 4-(methoxycarbonylammo)- phenylboronic acid m accordance with General procedure G2 The residue was purified by preparative HPLC (System M followed by System L) Yield 3 6 mg (11%). Analytical HPLC: purity 99% (System F and Gl '); HRESIMS (ESI+) calcd for C28H29Cl2N5O3 553 1647, found 553 1655
EXAMPLE 64 Λr-{4-[5-({Cyclopropyl[l-(3,4-dichlorobeπzoyl)piperidiπ-4-yllamiπo}methyl)pyrazin- 2-yllphenyl}acetamide, trifluoroacetate
The title compound was prepared fromjV-[(5-chloropyrazm-2-yl)methyl]-N-cyclopropyl-l- (3,4-dichlorobenzoyl)pipeπdm-4-amme (Intermediate 22) and 4-acetamidophenylboromc acid in accordance with General procedure G2. The residue was purified by preparative HPLC (System M followed by System L) Yield 4 4 mg (14%) Analytical HPLC purity 99% (System F and Gl '), HRESIMS (ESI+) calcd for C28H29Cl2N5O2 537.1698, found 537 1704
EXAMPLE 65
4-(5-{[Cyclopropyl(l-pyrimidin-2-ylpiperidin-4-yl)amino]methyl}pyrazin-2-yl)-2- fluorobenzamide, trifluoroacetate
x CF3CO2H
The title compound was prepared fromN-[(5-chloropyrazm-2-yl)methyl]-N-cyclopropyl-l- pyrimidm-2-ylpipeπdm-4-amine (Intermediate 23) and 4-carbamoyl-3-fluorophenyl-
boromc acid in accordance with General procedure G2. The residue was purified by preparative HPLC (System M followed by System L). Yield 1.7 mg (6%). Analytical HPLC: purity 99% (System F and Gl '); HRESIMS (ESI+) calcd for C24H25FN7O: 447.2183, found 447.2193.
EXAMPLE 66
Methyl [4-(5-{ [cyclopropyl(l-pyrimidin-2-ylpiperidin-4-yl)amino] methyl}pyrazin-2- yl)phenyl] carbamate, trifluoroacetate
The title compound was prepared from N-[(5-chloropyrazin-2-yl)methyl]-N-cyclopropyl-l- pyrimidm-2-ylpipeπdm-4-amine (Intermediate 23) and 4-(methoxycarbonylammo)phenyl- boromc acid in accordance with General procedure G2. The residue was purified by preparative HPLC (System M followed by System L). Yield 2 9 mg (11%). Analytical HPLC: purity 98% (System F and Gl '), HRESIMS (ESI+) calcd for C25H29N7O2: 459.2383, found 459 2392.
EXAMPLE 67
7V-Cyclopropyl-7V-({5-[2-fluoro-4-(methylsulfonyl)phenyl]pyrazin-2-yl}methyl)-l- pyrimidin-2-ylpiperidin-4-amine, trifluoroacetate
The title compound was prepared fromΛL[(5-chloropyrazm-2-yl)methyl]-N-cyclopropyl-l- pyrimidm-2-ylpiperidin-4-amine (Intermediate 23) and 2-fluoro-4-(methylsulfonyl)phenyl- boronic acid in accordance with General procedure G2. The residue was purified by preparative HPLC (System M followed by System L) Yield 3 9 mg (13%). Analytical HPLC: purity 99% (System F and Gl '); HRESIMS (ESI+) calcd for C24H27FN6O2S- 482.1900, found 482 1904.
EXAMPLE 68
Methyl [4-(5-{ [(l-benzoylpiperidin-4-yl)(cyclopropyl)amino] methyl} pyrazin-2-yl)- phenyl] carbamate, trifluoroacetate
The title compound was prepared from l-benzoyl-N-[(5-chloropyrazin-2-yl)methyl]-N- cyclopropylpiperidin-4-amine (Intermediate 24) and 4-(methoxycarbonylamino)phenyl- boronic acid in accordance with General procedure G2. The residue was purified by preparative HPLC (System M followed by System L). Yield 2 8 mg (10%). Analytical HPLC: purity 100% (System F and Gl '); HRESIMS (ESI+) calcd for C28H3IN5O3. 485.2427, found 485 2445.
EXAMPLE 69 l-Benzoyl-7V-cyclopropyl-7V-({5-[2-fluoro-4-(methylsulfonyl)phenyl]pyrazin-2-yl}- methy])piperidin-4-amine, trifluoroacetate
The title compound was prepared from l-benzoyl-N-[(5-chloropyrazin-2-yl)methyl]-N- cyclopropylpiperidin-4-amine (Intermediate 24) and 2-fluoro-4-(methylsulfbnyl)phenyl- boronic acid in accordance with General procedure G2. The residue was purified by preparative HPLC (System M followed by System L). Yield 5 6 mg (18%). Analytical HPLC: purity 99% (System F and Gl '); HRESIMS (ESI+) calcd for C27H29FN4O3S. 508.1944, found 508 1959.
EXAMPLE 70
Isopropyl 4-[({5-[4-(aminocarbonyl)phenyl]pyrazm-2-yl}methyl)(cyclopropyl)amino]- piperidine-1-carboxylate, trifluoroacetate
x CF,CO,H
The title compound was prepared from isopropyl 4-[[(5-chloropyrazin-2- yl)methyl](cyclopropyl)amino]pipeπdme-l-carboxylate (Intermediate 25) and (4-ammo- carbonylphenyl)boromc acid m accordance with General procedure G2 The residue was purified by preparative HPLC (System M followed by System L) Yield 1 3 mg (5%) Analytical HPLC purity 100% (System F and Gl '), HRESIMS (ESI+) calcd for C24H31N5O3 437 2427, found 437 2447
EXAMPLE 71
Isopropyl 4-[({5-[4-(aminocarbonyl)-3-fluorophenyl]pyrazin-2-yl}methyl)- (cyclopropyl)amino]piperidine-l-carboxylate
The title compound was prepared from isopropyl 4-[[(5-chloropyrazm-2- yl)methyl](cyclopropyl)ammo]pipeπdme-l-carboxylate (Intermediate 25) and 4- carbamoyl-3-fluorophenylboromc acid in accordance with General procedure G2 The residue was purified by preparative HPLC (System M) Yield 5 0 mg (18%) Analytical HPLC purity 99% (System F and Gl '), HRESIMS (ESI+) calcd for C24H30FN5O3 455 2333, found 455 2345
EXAMPLE 72 Isopropyl 4-{cyclopropyl[(5-{4-[(methylamino)carbonyl]phenyl}pyrazin-2-yl)methyl]- amino}piperidine-l-carboxylate
The title compound was prepared from isopropyl 4-[[(5-chloropyrazm-2-yl)methyl]- (cyclopropyl)ammo]pipeπdme-l-carboxylate (Intermediate 25) and 4-(N-methylamino- carbonyl)phenylboromc acid m accordance with General procedure G2 The residue was purified by preparative HPLC (System M) Yield 3 1 mg (11%) Analytical HPLC purity 99% (System F and Gl '), HRESIMS (ESI+) calcd for C23H33N5O3 451 2583, found 451 2599
EXAMPLE 73
Isopropyl 4-{cyclopropyl[(5-{4-[(dimethylamino)carbonyl]phenyl}pyrazin-2-yl)- methy]]amino}piperidine-l-carboxy]ate
The title compound was prepared from isopropyl 4-[[(5-chloropyrazin-2-yl)methyl]- (cyclopropyl)amino]piperidine-l-carboxylate (Intermediate 25) and [4-(N,N-dimethyl- aminocarbonyl)phenyl]boronic acid in accordance with General procedure G2. The residue was purified by preparative HPLC (System M). Yield 3.5 mg (13%). Analytical HPLC: purity 100% (System F and Gl '); HRESIMS (ESI+) calcd for C26H35N5O3: 465.2740, found 465.2762.
EXAMPLE 74
Isopropyl 4-{cyclopropyl[(5-{3-fluoro-4-[(propylamino)carbonyl]phenyl}pyrazin-2- yl)methyl]amino}piperidine-l-carboxylate
The title compound was prepared from isopropyl 4-[[(5-chloropyrazin-2-yl)methyl]-
(cyclopropyl)amino]piperidine-l-carboxylate (Intermediate 25) and 3-fluoro-4-(propyl- carbamoyl)phenylboromc acid in accordance with General procedure G2. The residue was purified by preparative HPLC (System M). Yield 1.2 mg (4%). Analytical HPLC purity 100% (System F and GF); HRESIMS m/z = (ESI+) calcd for C27H36FN5O3: 497.2802, found 497.2826.
EXAMPLE 75
Isopropyl 4-{cyclopropyl[(5-{4-[(methoxycarbonyl)amino]phenyl}pyrazin-2-yϊ)- methyl]amino}piperidine-l-carboxylate, trifluoroacetate
The title compound was prepared from isopropyl 4-[[(5-chloropyrazin-2-yl)methyl]- (cyclopropyl)amino]piperidine-l-carboxylate (Intermediate 25) and 4-(methoxycarbonyl- amino)phenylboronic acid in accordance with General procedure G2. The residue was purified by preparative HPLC (System M followed by System L). Yield 3.4 mg (12%). Analytical HPLC: purity 100% (System F and Gl '); HRESIMS (ESI+) calcd for C25H33N5O4: 467.2533, found 467.2541.
EXAMPLE 76
Isopropyl 4-[({5-[4-(acetylamino)phenyl]pyrazin-2-yl}methyl)(cyclopropyl)amino]- piperidine-1-carboxylate
The title compound was prepared from isopropyl 4-[[(5-chloropyrazm-2-yl)methyl]- (cyclopropyl)amino]piperidine-l-carboxylate (Intermediate 25) and 4-acetamidophenyl- boronic acid in accordance with General procedure G2. The residue was purified by preparative HPLC (System M). Yield 2.9 mg (11%). Analytical HPLC: punty 98% (System F and Gl'); HRESIMS (ESI+) calcd for C25H33N5O3: 451.2583, found 451.2597.
EXAMPLE 77
Isopropyl 4-{cyclopropyl[(5-{4-[(methylsulfonyl)amino]pheπyl}pyrazin-2-yl)methyl]- amino}piperidine-l-carboxylate, trifluoroacetate
The title compound was prepared from isopropyl 4-[[(5-chloropyrazin-2-yl)methyl]- (cyclopropyl)amino]piperidine-l-carboxylate (Intermediate 25) and (4-methylsulfonyl- aminophenyl)boronic acid in accordance with General procedure G2. The residue was purified by preparative HPLC (System M followed by System L). Yield 9.8 mg (33%). Analytical HPLC: purity 99% (System F and Gl '); HRESIMS (ESI+) calcd for C24H33N5O4S: 487.2253, found 487.2270.
EXAMPLE 78
IsopropyM-fffS-tS-acetyl-l-thienylJpyrazin-l-yllmethylKcyclopropylJamino]- piperidine-1-carboxylate
The title compound was prepared from isopropyl 4-[[(5-chloropyrazin-2-yi)methyl]- (cyclopropyl)amino]piperidine-l-carboxylate (Intermediate 25) and 5-acetyl-2-thiophene- boronic acid in accordance with General procedure G2. The residue was purified by preparative HPLC (System M). Yield 6.1 mg (23%) Analytical HPLC- purity 100% (System F and Gl'); HRESIMS (ESI+) calcd for C23H30N4O3S: 442.2039, found 442.2059.
EXAMPLE 79
4-(5-{[[l-(2-Ethylbutanoyl)piperidin-4-yl](methyl)amino]methyl}pyrazin-2-y])- benzamide
The title compound was prepared from N-[(5-chloropyrazm-2-yl)methyl]-l-(2- ethylbutanoyl)-N-methylpiperidin-4-amine (Intermediate 16) and (4-aminocarbonyl- phenyl)boronic acid in accordance with General procedure G2. The residue was purified by preparative HPLC (System M). Yield 4.0 mg (16%). Analytical HPLC: purity 92% (System F), 96% (System G2'); HRESIMS (ESI+) calcd for C24H33N5O2: 423.2634, found 423.2647.
EXAMPLE 80
4-(5-{[[l-(2-Ethylbutanoyl)piperidin-4-yl](methyl)amino]methyl}pyrazin-2-y])-2- fluorobenzamide
The compound was prepared from N-[(5-chloropyrazm-2-yl)methyl]-l-(2-ethylbutanoyl)- N-methylpiperidin-4-amine (Intermediate 16) and 4-carbamoyl-3-fluorophenylboromc acid
in accordance with General procedure G2. The residue was purified by preparative HPLC (System M). Yield 9.0 mg (34%) Analytical HPLC: purity 100% (System F), 96% (System G2'), HRESIMS (ESI+) calcd for C24H32FN5O2: 441.2540, found 441.2552
EXAMPLE 81
7V-[4-(5-{[[l-(2-Ethylbutanoy])piperidin-4-yl](methy])amino]methyl}pyrazin-2-yl)- phenyljacetamide
The title compound was prepared from N-[(5-chloropyrazm-2-yl)methyl]-l-(2- ethylbutanoyl)-N-methylpipendm-4-amme (Intermediate 16) and 4-acetamidophenyl- boromc acid in accordance with General procedure G2 The residue was purified by preparative HPLC (System M) Yield 7 4 mg (28%) Analytical HPLC punty 97% (System F), 97% (System G2'); HRESIMS (ESI+) calcd for C25H35N5O2: 437 2791, found 437 2805
EXAMPLE 82
4-(5-{[[l-(2-Ethylbutanoyl)piperidin-4-yl](methyl)amino]methyl}pyrazin-2-yl)-2- fluoro-N-propylbenzamide
The title compound was prepared from N-[(5-chloropyrazm-2-yl)methyl]-l-(2- ethylbutanoyl)-N-methylpiperidm-4-amme (Intermediate 16) and 3-fluoro-4-(propyl- carbamoyl)phenylboromc acid in accordance with General procedure G2. The residue was purified by preparative HPLC (System M). Yield 8.3 mg (29%) Analytical HPLC: purity 100% (System F), 98% (System G2'), HRESIMS (ESI+) calcd for C27H38FN5O2- 483 3010, found 483 3024
EXAMPLE 83
7V-({5-[2-Fluoro-4-(methylsulfonyl)phenyl]pyrazin-2-yl}methyl)-7V-methyl-l- pyrimidin-2-ylpiperidin-4-amine
The title compound was prepared from Λ/-[(5-chloropyrazm-2-yl)methyl]-N-methyl-l- pyrimidm-2-ylpipeπdm-4-amme (Intermediate 18) and 2-fiuoro-4-(methylsulfonyl)phenyl- boromc acid in accordance with General procedure G2. The residue was purified by preparative HPLC (System M) Yield 4 5 mg (16%) Analytical HPLC punty 94% (System F) 94% (System G2'); HRESIMS (ESI+) calcd for C22H23FN6O2S 456.1744, found 456 1758
EXAMPLE 84 l-[5-(5-{[Methyl(l-pyrimidin-2-ylpiperidin-4-yl)amino]methyl}pyrazin-2-yl)-2- thienyl]ethanone
The title compound was prepared from N-[(5-chloropyrazm-2-yl)methyl]-N-methyl-l- pyrimidm-2-ylpiperidm-4-amine (Intermediate 18) and 5-acetyl-2-thiophene-boronic acid in accordance with General procedure G2 The residue was purified by preparative HPLC (System M) Yield 5 9 mg (24%). Analytical HPLC. purity 95% (System F) 99% (System G2'), HRESIMS (ESI+) calcd for C2IH24N6OS 408 1732, found 408 1739
EXAMPLE 85 2-Fluoro-4-(5-{[methy](l-pyrimidin-2-ylpiperidin-4-yl)amino]methyl}pyrazin-2-yl)- 7V-propylbenzamide
The title compound was prepared from N-[(5-chloropyrazm-2-yl)methyl]-N-methyl-l- pyrimidm-2-ylpipendm-4-amine (Intermediate 18) and 3-fTuoro-4-(propylcarbamoyl)- phenylboronic acid in accordance with General procedure G2. The residue was purified by preparative HPLC (System M) Yield 6.9 mg (25%). Analytical HPLC punty 91%
(System F), 90% (System G2'), HRESIMS (ESI+) calcd for C25H30FN7O: 463.2496, found
463.2517.
EXAMPLE 86 jVr/V-Dimethy]-4-(5-{[methyl(l-pyrimidin-2-ylpiperidin-4-yl)amiπo]methyl}pyrazin-2- yl)benzamide
The title compound was prepared from N-[(5-chloropyrazm-2-yl)methyl]-N-methyl-l- pyrimidin-2-ylpiperidin-4-amine (Intermediate 18) and [4-(N,7V-dimethylaminocarbonyl)- phenyljboronic acid in accordance with General procedure G2. The residue was purified by preparative HPLC (System M). Yield 6.2 mg (24%). Analytical HPLC: purity 99% (System F). 96% (System G2'); HRESIMS (ESI+) calcd for C24H29N7O: 431.2434, found 431.2427.
EXAMPLE 87
Isopropyl 4-[({5-[4-(aminocarbonyl)phenyl]pyrazin-2-yl}methyl)(methyl)amino]- piperidine-1-carboxylate
The title compound was prepared from isopropyl 4-[[(5-chloropyrazm-2-yl)methyl]- (methyl)amino]pipeπdme- 1 -carboxylate (Intermediate 20) and (4-ammocarbonylphenyl)- boronic acid in accordance with General procedure G2. The residue was purified by preparative HPLC (System M). Yield 6.6 mg (27%). Analytical HPLC: punty 98% (System F), 100% System G2'), HRESIMS (ESI+) calcd for C22H29N5O3. 411.2270, found 411.2290.
EXAMPLE 88
Isopropyl 4-[({5-[4-(aminocarbonyl)-3-fluorophenyl]pyrazin-2-yl}methyl)(methyl)- amino]piperidine-l-carboxylate
The title compound was prepared from isopropyl 4-[[(5-chloropyrazin-2-yl)methyl]- (methyl)amino]pipeπdine- 1 -carboxylate (Intermediate 20) and 4-carbamoyl-3-fluoro- phenylboronic acid m accordance with General procedure G2. The residue was purified by preparative HPLC (System M). Yield 6.6 mg (26%). Analytical HPLC: punty 95% (System F), 95% (System G2'); HRESIMS (ESI+) calcd for C22H28FN5O3: 429.2176, found 429.2187.
EXAMPLE 89 Isopropyl 4- {methyl [(5-{4- [(methylamino)carbonyl] phenyl}pyrazin-2-yl)methyl] - amino}piperidine-l-carboxylate
The title compound was prepared from isopropyl 4-[[(5-chloropyrazm-2-yl)methyl]- (methyl)ammo]pipeπdine- 1 -carboxylate (Intermediate 20) and 4-(N-methylamino- carbonyl)phenylboronic acid in accordance with General procedure G2. The residue was purified by preparative HPLC (System M). Yield 7.3 mg (29%) Analytical HPLC: punty 95% (System F), 97% (System G2'); HRESIMS (ESI+) calcd for C23H3IN5O3: 425.2427, found 425.2432.
EXAMPLE 90
Isopropyl 4- [ [(5- {4- [(dimethylamino)carbonyl]phenyl}pyrazin-2-yl)methyl] (methyl)- amino]piperidine-l-carboxylate
The title compound was prepared from isopropyl 4-[[(5-chloropyrazin-2-yl)methyl]- (methyl)ammo]pipeπdine- 1 -carboxylate (Intermediate 20) and [4-(N,N-dimethylamino- carbonyl)phenyl]boronic acid in accordance with General procedure G2. The residue was purified by preparative HPLC (System M). Yield 10.5 mg (40%). Analytical HPLC: purity
93% (System F), 97% (System G2'); HRESIMS (ESI+) calcd for C24H33N5O3: 439.2583, found 439.2599.
EXAMPLE 91 Isopr opyl 4- [ [(5- {3-fluoro-4- [(propylamino)carbonyl] phenyl} pyrazin-2-yl)methyl] - (methyl)amino]piperidine-l-carboxylate
The title compound was prepared from isopropyl 4-[[(5-chloropyrazin-2-yl)methyl]- (methyl)amino]pipeπdine- 1 -carboxylate (Intermediate 20) and 3-fluoro-4-(propyl- carbamoyl)phenylboromc acid in accordance with General procedure G2. The residue was purified by preparative HPLC (System M). Yield 9.6 mg (34%) Analytical HPLC: purity 98% (System F), 95% (System G2'); HRESIMS (ESI+) calcd for C25H34FN5O3: 471.2646, found 471.2636.
EXAMPLE 92
Isopropyl 4- [ [(5- {4- [(methoxycarbonyl)amino]phenyl}pyrazin-2-yl)methyl] (methyl)- amino]piperidine-l-carboxylate
The title compound was prepared from isopropyl 4-[[(5-chloropyrazin-2-yl)methyl]- (methyl)amino]pipeπdine- 1 -carboxylate (Intermediate 20) and 4-(methoxycarbonyl- amino)phenylboronic acid in accordance with General procedure G2. The residue was purified by preparative HPLC (System M). Yield 8.8 mg (33%) Analytical HPLC: purity 92% (System F), 100% (System G2'); HRESIMS (ESI+) calcd for C23H3IN5O4: 441.2376, found 441.2386.
EXAMPLE 93
Isopropyl 4-{methyl[(5-{4-[(methylsulfonyl)amino]phenyl}pyrazin-2-yl)methyl]- amino}piperidine-l-carboxylate
The title compound was prepared from isopropyl 4-[[(5-chloropyrazm-2-yl)methyl]- (methyl)amino]pipeπdine- 1 -carboxylate (Intermediate 20) and (4-methylsulfbnylamino- phenyl)boromc acid in accordance with General procedure G2 The residue was purified by preparative HPLC (System M). Yield 14.9 mg (54%) Analytical HPLC: purity 97% (System F), 98% (System G2'), HRESIMS (ESI+) calcd for C22H3IN5O4S 461 2097, found 461.2110.
EXAMPLE 94 Isopropyl 4-[({5-[2-fluoro-4-(methylsulfonyl)phenyl]pyrazin-2-yl}methyl)(methyl)- amino]piperidine-l-carboxylate
The title compound was prepared from isopropyl 4-[[(5-chloropyrazm-2-yl)methyl]- (methyl)ammo]pipeπdme- 1 -carboxylate (Intermediate 20) and 2-fluoro-4-(methyl- sulfonyl)phenylboromc acid in accordance with General procedure G2 The residue was purified by preparative HPLC (System M). Yield 4.3 mg (15%) Analytical HPLC: purity 95% (System F), 95% (System G2'); HRESIMS (ESI+) calcd for C22H29FN4O4S 464 1894, found 464 1912
EXAMPLE 95
The title compound was prepared from isopropyl 4-[[(5-chloropyrazm-2-yl)methyl]- (methyl)amino]piperidine- 1 -carboxylate (Intermediate 20) and 5-acetyl-2-thiophene- boromc acid in accordance with General procedure G2 The residue was purified by preparative HPLC (System M) Yield 4.0 mg (16%). Analytical HPLC punty 95%
(System F), 95% (System G2'); HRESIMS (ESI+) calcd for C2JH28N4O3S: 416.1882, found 416.1900.
EXAMPLE 96 4-(5-{[[l-(3,4-Dichlorobenzoyl)piperidin-4-yl](methyl)aminolmethy]}pyrazin-2-yl)- N,N-dimethylbenzamide
The title compound was prepared from N-[(5-chloropyrazin-2-yl)methyl]-l-(3,4- dichlorobenzoyl)-N-methylpiperidin-4-amine (Intermediate 17) and [4-(N,N-dimethyl- aminocarbonyl)phenyl]boronic acid in accordance with General procedure G2. The residue was purified by preparative HPLC (System M) Yield 8.0 mg (25%). Analytical HPLC purity 99% (System F), 94% (System G2'); HRESIMS (ESI+) calcd for C27H29Cl2N5O2: 525.1698, found 525 17098.
EXAMPLE 97
4-(5-{[[l-(3,4-Dichlorobenzoyl)piperidin-4-yl](methyl)aminolmethy]}pyrazin-2-yl)-2- fluoro-TV-propylbenzamide
The title compound was prepared from N-[(5-chloropyrazin-2-yl)methyl]-l-(3,4- dichlorobenzoyl)-N-methylpipeπdm-4-amine (Intermediate 17) and 3-fluoro-4-(propyl- carbamoyl)phenylboromc acid in accordance with General procedure G2. The residue was purified by preparative HPLC (System M). Yield 7.7 mg (23%) Analytical HPLC: purity 100% (System F), 93% (System G2'); HRESIMS (ESI+) calcd for C28H30Cl2FN5O2: 557.1761, found 557 1776.
EXAMPLE 98
Methyl [4-(5-{[[l-(3,4-dichlorobenzoyl)piperidin-4-yl](methy])amino]methyl}pyrazin-
2-yl)phenyl] carbamate
The title compound was prepared from N-[(5-chloropyrazin-2-yl)methyl]-l-(3,4- dichlorobenzoyl)-N-methylpipeπdm-4-amine (Intermediate 17) and 4-(methoxycarbonyl- ammo)phenylboromc acid m accordance with General procedure G2 The residue was purified by preparative HPLC (System M). Yield 3.2 mg (10%) Analytical HPLC: purity 97% (System F), 95% (System G2'); HRESIMS (ESI+) calcd for C26H27Cl2N5O3 527.1491, found 527 1504.
EXAMPLE 99
7V-[4-(5-{[[l-(3,4-Dichlorobenzoyl)piperidin-4-yl](methyl)amino]methyl}pyrazin-2-yl)- phenyl] acetamide
The title compound was prepared from N-[(5-chloropyrazin-2-yl)methyl]-l-(3,4- dichlorobenzoyl)-Ν-methylpiperidm-4-amine (Intermediate 17) and 4-acetamidophenyl- boromc acid m accordance with General procedure G2 The residue was purified by preparative HPLC (System M). Yield 6.6 mg (21%) Analytical HPLC purity 100% (System F) 93% (System G2'); HRESIMS (ESI+) calcd for C26H27Cl2N5O2 511.1542, found 511 1549
EXAMPLE 100
Λr-[4-(5-{[[l-(3,4-Dichlorobenzoyl)piperidin-4-yl](methyl)amino]methyl}pyrazin-2-yl)- phenyl] methanesulfonamide
The title compound was prepared from N-[(5-chloropyrazin-2-yl)methyl]-l-(3,4- dichlorobenzoyl)-N-methylpiperidm-4-amine (Intermediate 17) and (4-methylsulfonyl- aminophenyl)boronic acid in accordance with General procedure G2 The residue was purified by preparative HPLC (System M). Yield 9.0 mg (27%) Analytical HPLC: purity 99% (System F), 96% (System G2'); HRESIMS (ESI+) calcd for C25H27Cl2N5O3S: 547.1212, found 547 1217.
EXAMPLE 101 l-(3,4-Dichlorobenzoyl)-jV-({5-[2-fluoro-4-(methylsulfonyl)phenyl]pyrazin-2-yl}- methyl)-JV-methylpiperidin-4-amine
The title compound was prepared from N-[(5-chloropyrazin-2-yl)methyl]-l-(3,4- dichlorobenzoyl)-N-methylpiperidin-4-amine (Intermediate 17) and 2-fluoro-4-(methyl- sulfonyl)phenylboronic acid in accordance with General procedure G2. The residue was purified by preparative HPLC (System M). Yield 9.8 mg (30%) Analytical HPLC: purity 99% (System F), 100% (System G2'); HRESIMS (ESI+) calcd for C25H25Cl2FN4O3S 550.1008, found 550 1020.
EXAMPLE 102 l-[5-(5-{[[l-(3,4-Dichlorobenzoyl)piperidin-4-yl](methyl)amino]methyl}pyrazin-2-y])- 2-thienyl]ethanone
The title compound was prepared from jV-[(5-chloropyrazin-2-yl)methyl]-l-(3,4- dichlorobenzoyl)-N-methylpiperidm-4-amine (Intermediate 17) and 5-acetyl-2-thiophene- boromc acid m accordance with General procedure G2. The residue was purified by preparative HPLC (System M) Yield 3.6 mg (12%). Analytical HPLC punty 95% (System F), 94% (System G2'), HRESIMS (ESI+) calcd for C24H24Cl2N4O2S 502 0997, found 502 1008
EXAMPLE 103
4-(5-{[[l-(3,4-Dichlorobenzoyl)piperidin-4-yl](methyl)aminolmethy]}pyrazin-2-yl)-2- fluorobenzamide, trifluoroacetate
The title compound was prepared from N-[(5-chloropyrazin-2-yl)methyl]-l-(3,4- dichlorobenzoyl)-N-methylpiperidm-4-amine (Intermediate 17) and 4-carbamoyl-3-fluoro- phenylboronic acid m accordance with General procedure G2 The residue was purified by preparative HPLC (System L). Yield 3 5 mg (9%). Analytical HPLC purity 100% (System F) and 92% (System G2'); HRESIMS (ESI+) calcd for C25H24Cl2FN5O2 515.1291, found 515.1298.
EXAMPLE 104 4-(5-{[[l-(3,4-Dichlorobenzoyl)piperidin-4-yl](methyl)aminolmethy]}pyrazin-2-yl)-N- methylbenzamide, trifluoroacetate
The title compound was prepared from N-[(5-chloropyrazin-2-yl)methyl]-l-(3,4- dichlorobenzoyl)-N-methylpipeπdm-4-amine (Intermediate 17) and 4-(N-methylamino- carbonyl)phenylboromc acid m accordance with General procedure G2. The residue was purified by preparative HPLC (System L) Yield 9 3 mg (25%) Analytical HPLC purity 96% (System F) and 94% (System G2'); HRESIMS (ESI+) calcd for C26H27Cl2N5O2 511 1542, found 511 1549
EXAMPLE 105
4-(5-{[(l-Benzoylpiperidin-4-yl)(methyl)amino]methyl}pyrazin-2-yl)-jY-methyl- benzamide
The title compound was prepared from l-benzoyl-N-[(5-chloropyrazm-2-yl)methyl]-N- methylpiperidin-4-amme (Intermediate 19) and 4-(N-methylaminocarbonyl)phenylboromc acid m accordance with General procedure G2 The residue was purified by preparative HPLC (System M) Yield 5 0 mg (19%) Analytical HPLC- purity 92% (System F), 94% (System G2'), HRESIMS (ESI+) calcd for C26H29N5O2 443 2321, found 443 2336.
EXAMPLE 106
4-(5-{[(l-Benzoylpiperidin-4-yl)(methyl)amino]methyl}pyrazin-2-yl)-iVr/V-dimethyl- benzamide
The title compound was prepared from l-benzoyl-N-[(5-chloropyrazin-2-yl)methyl]-N- methylpiperidm-4-amme (Intermediate 19) and [4-(N,N-dimethylammocarbonyl)phenyl]- boromc acid in accordance with General procedure G2. The residue was purified by preparative HPLC (System M) Yield 6 2 mg (23%) Analytical HPLC punty 97% (System F), 94% (System G2'); HRESIMS (ESI+) calcd for C27H3IN5O2- 457 2478, found 457.2500.
EXAMPLE 107 tørt-Butyl 4-({5-[4-(methylsulfonyl)pheny]]pyrazin-2-yl}methoxy)piperidine-l- carboxylate
To stirred solution of tert-butyl 4-[(5-chloropyrazm-2-yl)methoxy]piperidine-l- carboxylate (2 5 g, 0 0076 mol; Intermediate 26) m dry toluene (30 mL) and dry isopropyl alcohol (30 mL) at r.t under nitrogen atmosphere was added 4-(methylsulfonyl) phenylboronic acid (1.98 g, 0.0099 mol). After 2 minutes, a 2M solution of aqueous K2CO3 (3 2 g, 0 023 mol) was added portionwise to the reaction After additional 5 minutes, Pd(PPh3)4 (0 25 g, 0 0002 mol) was added and the reaction mixture was heated to 120 0C and stirred at this temperature for 12 hours The reaction was monitored by TLC using DCM MeOH (9.5:0.5) as mobile phase. The mixture was allowed to cool and then concentrated under reduced pressure The residue was diluted with water (100 mL) and extracted with DCM (3 x 60 mL) The combined organic layers were concentrated under reduced pressure to give 3 5 g of a semi-solid residue The crude product was purified using column chromatography on silica using EtOAc hexane (2:8) as eluent to give the title compound. Yield 1.5 g (44%). Analytical HPLC. puπty 98% (System A), HRESIMS (ESI+) calcd for C22H29N3O5S 447 1828, found 447 1808
EXAMPLE 108
Isobutyl 4-({5-[4-(methylsulfonyl)phenyl|pyrazin-2-y]}methoxy)piperidine-l- carboxylate
To a stirred mixture of crude 2-[4-(methylsulfonyl)phenyl]-5-[(piperidin-4-yloxy)methyl]- pyrazine, hydrochloride (70 mg, 0.20 mmol, Intermediate 27) in dry DCM (5 mL) at r.t was added isobutyl chloroformate (0 031 mL, 0 24 mmol) After 2 minutes, Et3N (0 056 mL, 0 46 mmol) was added and the mixture was stirred at r t for 3 hours and 15 minutes The reaction was monitored by TLC using DCM:MeOH (9.5:0.5) as mobile phase. The reaction mixture was concentrated under reduced pressure The residual crude product was purified by preparative TLC using DCM:MeOH (95:5) as mobile phase to give the title compound. Yield 54 mg (60%). Analytical HPLC: purity 92.6% (System A); HRESIMS (ESI+) calcd for C22H29N3O5S 447 1828, found 447.1812
EXAMPLE 109
Benzyl 4-({5-[4-(methylsulfonyl)phenyl]pyrazin-2-yl}methoxy)piperidine-l- carboxylate
The title compound was prepared from crude 2-[4-(methylsulfonyl)phenyl]-5-[(pipeπdin- 4-yloxy)methyl]pyrazme hydrochloride (50 mg, 0 14 mmol, Intermediate 27) and benzyl chloroformate (0.03 mL, 0.17 mmol) m accordance with the procedure described for Example 108. The crude product was purified by preparative TLC using DCM MeOH (95:5) as mobile phase to give the title compound. Yield 40 mg (57.7%). Analytical HPLC purity 98% (System B); HRESIMS (ESI+) calcd for C25H27N3O3S 481.1671, found 481.1673.
BIOLOGICAL TESTS
Human GPRl 19 Activity Assay
Agonists to the human GPRl 19 receptor were characterized by measuring human GPRl 19 receptor-mediated stimulation of cyclic AMP (cAMP) in HEK 293 cells expressing the human GPRl 19 receptor Briefly, cAMP content was determined using a cAMP kit based on HTRF technology (Homogeneous Time-Resolved Fluorescence, Cisbio Cat. no. 62AM2PEC) HEK293 cells stably expressing the human GPRl 19 receptor (HEK293-hGPRl 19 cells) were cultured m DMEM (Gibco # 31966-021) supplemented with 10% Bovine Calf Serum (Hyclone # SH30072.03), and 500 μg/mL Hygromycin B (Roche Diagnostics 843555). At 80% confiuency, cells were detached using Trypsme and ahquoted at a density of 5xlO6 cells/mL in freezing medium (DMEM (Gibco # 31966-021), 20% BCS (Hyclone # SH30072.03), 10% DMSO (Sigma #D2650) and stored at -135 0C On the experimental day, HEK293-hGPR119 cells were thawn and diluted to 0 4xlO6 cells/mL in assay buffer (Ix HBSS (Gibco Cat. no. 14025-049), 20 mM Hepes (Gibco Cat. no.15630-056), 0.1% BSA, pH 7.4) and incubated with test substances for 20 min at room temperature. After addition of HTRF reagents diluted m lysis buffer, the 96- or 384-well plates were
incubated 1 hour, followed by measuring the fluorescence ratio at 665 nm / 620 nm Test substances was diluted in compound buffer (Ix HBSS (Gibco Cat no 14025-049), 20 mM Hepes (Gibco Cat. no.15630-056), 0.1% BSA, 2mM IBMX (Sigma- Aldrich Cat No 17018, pH 7 4) The potency of the agonist was quantified by determine the concentration that cause 50% activation of hGPRl 19 evoked increase in cAMP, EC50
Compounds of the invention showed a concentration-dependant increase in intracellular cAMP level and generally had an EC50 value of <10 μM
Hamster GPRl 19 Activity Assay
Agonists to the GPRl 19 receptor are characterized by measuring receptor-mediated stimulation of cyclic AMP in HIT-T 15 cells (Hamster beta-cell line, American Type Culture Collection) endogenously expressing the hamster GPRl 19. HIT-T15 cells are grown m suitable media (typically F12 Kaighn's Nutrient Mixture Kaighn's modification supplemented with 10% Horse serum, 1.5 g/L sodium bicarbonate, 2.5% dialyzed and heat-mactivated Fetal Bovine Serum) as recommended by the provider. Cells are trypsmated, resuspended in growth media supplemented with 10 % DMSO, ahquoted and frozen as ready-to-use vials For potency analyses, frozen cells are thawed, spun and resuspended in HTRF assay buffer at a suitable cell density. Cells are treated with various concentrations of test compounds, a reference compound to define 100% response, forskolm or buffer containing the same DMSO concentration as the compound solutions to define base line Typically, stimulation proceeds for 15 to 30 minutes and thereafter the cAMP levels are determined using the HTRF® kit (Homogenous Time-Resolved FRET, CisBio).
Effects of GPRl 19 Modulators on Glucose-Stimulated Insulin Release
In vitro experiments
The effect of GPRl 19 modulators on glucose-stimulated insulin release is determined in isolated pancreatic islets from Wistar rats and diabetic rat models, e.g GK rat. Briefly, islets are isolated from the rats by digestion with collagenase according to standard protocol The islets are cultured for 24 h in RPMI- 1640 medium supplemented with 11 1 mM glucose and 10 % (vol/vol) fetal calf serum. On the experimental day, batches of three islets are premcubated in KRB (Krebs-Ringer bicarbonate) buffer and 3.3 mM glucose for
30 min, 37 0C Thereafter the batches with islets are incubated in 16.7 mM glucose and KRB buffer supplemented with vehicle or test compounds for 60 mm at 37 °C Aliquots of the medium will be frozen for measurement of insulin using a radioimmunoassay with rabbit ant-porcine insulin antibodies.
In vivo experiments
The effects of GPRl 19 modulators on glucose stimulated insulin release is determined in diabetic mice models (eg. Lepob/ob or diet-induced obese (DIO) mice) undergoing an oral glucose tolerance test. Briefly, overnight fasted mice is given either vehicle or test compound at desired doses via oral gavage Based on the pharmacokinetic of the test compounds, a glucose boluse dose is delivered via oral gavage 30min-2hrs following the test compound Plasma glucose and insulin levels are determined at desired time points over a 2 hour period using blood collection from tail nick. Plasma glucose is determined using a Glucometer and plasma insulin is determined using an insulin ELISA following blood collection in hepaπnated tubes and centrifugation.
For GLP-I and GIP pharmacodynamic studies, vehicle or test compounds are administered orally prior to glucose bolus dose. Blood is collected in tubes containing EDTA and a DPPIV inhibitor at desired time points After centrifugation, plasma is collected and analysed for active GLP-I and GIP (using ELISA kit)
Effects of GPRl 19 Modulators on Incretin Secretion and Body Weight
In vivo experiments
The effect of GPRl 19 modulators on body weight is determined in diabetic and obese mice models, eg. Lepob/ob or diet-induced obese (DIO) mice. The food intake and body weight gain is measured during subchronic treatment with vehicle or test compound via oral gavage At the end of the experiment, vena cava blood is collected and e g HbAIc, GLP-I, insulin, ALAT, ASAT are measured.
Claims
1. A compound of Formula (Ia),
or a pharmaceutically acceptable salt, solvate, hydrate, geometrical isomer, tautomer, optical isomer or TV-oxide thereof; wherein:
A is CH2, O, NR10, C(O), S, S(O) or S(O)2;
B is CH2, O, NR10, C(O), S, S(O) or S(O)2, provided that when B is O, NR10, C(O),
S, S(O) or S(O)2, then A is CH2;
D is N, C or CR , provided that D must be CR and said R must be hydrogen or methyl when B is selected from O, NR10, C(O), S, S(O) and S(O)2; :==z is a single bond when D is N or CR11 or a double bond when D is C;
E and G are independently d-3-alkylene, each optionally substituted with a substituent independently selected from the group consisting of Ci-3-alkyl, C1-4- alkoxy, carboxy, fluoro-Ci_3-alkyl, hydroxy, hydroxymethyl, and fluoro, provided that the ring formed by D, E, N and G has not more than 7 ring atoms, and further provided that the said ring has 6 or 7 ring atoms when D is N, and yet further provided that the total number of substituents on E and G independently is not more than 2;
R1 is C(O)OR2, C(O)R2, S(O)2R2, C(O)NR2R3 or -CH2-C(O)NR2R3, or a 5- or 6- membered heteroaryl group linked via a ring carbon atom, wherein the said heteroaryl group is optionally substituted with Ci-4-alkyl; Ar1 is phenyl or heteroaryl, each of which is optionally independently substituted m one or more positions with a substituent selected from:
(a) CF3SO3,
(b) halogen selected from chlorine, bromine and fluorine, (c) Ci 4-alkylsulfoximine,
(d) -S(O)ET,
(e) -S(O)2R4,
(f) -S(O)2NR5R5,
(g) -NR6S(O)2R4,
(h) -CH2-NR6C(O)R4,
(i) -NR6C(O)R4,
0) C(O)NR5R5,
(k) -CH2-C(O)NR5R3,
(1) -C(O)R4,
(m) H2N-C(O)O-,
(n) CH3-NH-C(O)O-,
(o) (CH3)2NC(O)O-
(P) CH3OC(O)NH-,
(s) OR8,
(0 -SCF3,
(u) -NO2,
(v) C-heterocyclylsulfonyl, optionally substituted with Ci 4-alkyl,
(W) -NR5R5,
(X) -C(OH)CH3CF3,
(y) [CF3CH3(OH)C]-Ci e-alkyl,
(z) cyano-Ci 6-alkyl,
(aa) guanidino,
(bb) amidmo,
(cc) Ci 6-alkyl,
(dd) Ci 4-alkoxy-Ci 4-alkyl,
(ee) fluoro-Ci 4-alkyl,
(ff) C2 6-alkenyl, (gg) fluoro-C2-4-alkenyl,
(hh) hydroxy-Ci-6-alkyl,
(ii) Ci_4-alkylsulfonyl-Ci_4-alkyl,
(jj) hydroxy-C2-4-alkoxy-Ci .4-alkyl, (kk) C2-3-acyl-C1.3-a.kyl,
(11) C2.6-alkynyl,
(mm) hydroxy-Ca-δ-cycloalkyl,
(nn) fluoro-C3_6-cycloalkyl,
(00) methyl-C3-6-cycloalkyl, (pp) C-heterocyclylcarbonyl, optionally substituted with Ci_4-alkyl,
(qq) C3-6-cycloalkyl,
(rr) C3-6-cycloalkyl-Ci_4-alkyl,
(ss) R3R5N-Ci_2-alkyl,
(tt) -C(O)OR7, (uu) -CH2C(O)OR7,
(w) phenyl, and
(ww) heteroaryl, wherein phenyl or heteroaryl as substituent on Ar1 is optionally substituted in one or more positions with a substituent independently selected from the group Z1 consisting of:
(a) halogen selected from chlorine and fluorine,
(b) C^-alkyl,
(C) hydroxy,
(d) Ci_4-alkoxy,
(e) -OCF3,
(f) -SCF3,
(g) -CN,
(h) -C(OH)CH3CF3,
(i) hydroxy- C 1 _4-alkyl, ω -CF3,
(k) -S(O)2CH3,
(1) -S(O)2NH2,
(m) S(O)2NHCH3,
(n) -S(O)2N(CH3)2, (0) -N(CH3)S(O)2CH3, (p) -N(CH3)C(O)CH3, (q) -C(O)NH2,
(r) -C(O)NHCH3, (s) -C(O)N(CHs)2,
(t) -C(O)CH3,
(u) -NH2,
(v) -NHCH3,
(w) -N(CH3)2, and (x) methoxycarbonyl;
R2 is selected from:
(a) d-6-alkyl,
(b) Ci 6-alko xy-C2 β-alkyl, (c) hydroxy-C2_6-alkyl,
(d) fluoro-C2_6-alkyl,
(e) C3_6-alkynyl,
(f) C3_6-alkenyl,
(g) C3_7-cycloalkyl, (h) C5_s-cycloalkenyl,
(1) NR9R9, provided that R1 is not selected from C(O)OR2, C(O)NR2R3 and -CH2-C(O)NR2R3,
(j) C-heterocyclyl, optionally substituted with Ci-4-alkyl,
(k) C7-S -bicyc IyI, optionally substituted with hydroxy, (1) C7-8-bicyclylmethyl,
(m) azabicyclyl, optionally substituted with hydroxy,
(n) C3_7-cycloalkyl-Ci_4-alkyl, wherein cycloalkyl is optionally substituted with methyl,
(o) Ci_6-alkylsulfonyl-C2-6-alkyl, (p) C2_3-acyl-Ci_4-alkyl,
(q) arylcarbonyl-Ci 4-alkyl,
(r) heteroarylcarbonyl-Ci_4-alkyl,
(s) [CF3CH3(OH)C]-Ci_6-alkyl, (t) iV-heterocyclylcarbonyl-C2v(-aIkyl, wherein heterocyclyl is optionally substituted with methyl, (u) C-heterocyclylcarbonyl-C2^-alkyl, wherein heterocyclyl is optionally substituted with methyl, (v) aminocarbonyl-C2-6-alkyl,
(w) Ci_3-alkylaminocarbonyl-C2-6-alkyl, (x) di(Ci _3-alkyl)aminocarbonyl-C2-6-alkyl, (y) hydroxy-C2-4-alkoxy-C2-4-alkyl, (z) hydroxy-C4_6-cycloalkyL,
(bb) fluoro-C4_6-cycloalkyl, (cc) Ci_3-alkoxy-C4_6-cycloalkyl, (dd) methyl-Cs-β-cycloalkyl, (bb) oxo-7V-heterocyclyl-C2 4-alkyl, (cc) fluoro-Λ/-heterocyclyl-C2-4-alkyl,
(dd) ammo-jV-heterocyclyl-C2-4-alkyl, (ee) hydroxy-N-heterocyclyl-C2-4-alkyl, (ii) Λr-heterocyclyl-C2 -4-alkyl, wherein heterocyclyl is optionally substituted with methyl, (jj) C-heterocyclyl-Ci_4-alkyl, wherein heterocyclyl is optionally substituted with methyl, (kk) aryl, (11) aryl-Ci.4-alkyl, (mm) aryl-C3_6-alkenyl, (nn) aryl-C3_6-alkynyl,
(oo) heteroaryl, (pp) heteroaryl-Ci-4-alkyl, (qq) heteroaryl-C3-6-alkenyl, and (rr) heteroaryl-C3_6-alkynyl, wherein any aryl or heteroaryl residue, alone or as part of another group, is optionally independently substituted in one or more position with a substituent selected from the group Z1; R3 is selected from:
(a) hydrogen,
(b) d-e-alkyl,
(c) fluoro-C2-6-alkyl,
(Φ hydroxy-C2-6-alkyl,
(e) Ci_6-alkoxy-C2-6-alkyl, ω ammo-C2-6-alkyl,
(g) Ci_3-alkylamino-C2-6-alkyl,
CO di(Ci _3-alkyl)amino-C2-6-aLkyl,
(O cyano-Ci_6-alkyl, and ω Ci-θ-alkylsulfonyl-Cz-β-alkyl;
R4 is independently selected from.
(a) C1 6-alkyl,
(b) fluoro-Ci_6-alkyl,
(c) hydroxy-C2-6-alkyl,
(Φ Ci_4-alkoxy-C2-4-alkyl,
(e) C2-4-acyl-Ci-4-alkyl, ω carboxy-Ci _3-alkyl,
(g) C3-6-cycloalkyl,
CO oxo-C4-6-cycloalkyl,
(i) hydroxy-C4-6-cycloalkyL
(D fluoro-C4_6-cycloalkyl,
(k) methyl-Cs-β-cycloalkyl,
(1) N-heterocyclylcarbonyl-C2J4-alkyl, wherein heterocyclyl is optionally substituted with methyl,
(m) oxo-N-heterocyclyl-C2-4-alkyl,
(n) fluoro-N-heterocyclyl-C2-4-alkyl,
(o) hydroxy-N-heterocyclyl-C2-4-alkyl,
(P) ammo-jV-heterocyclyl-C2-4-alkyl,
(q) aminocarbonyl-C2 4-alkyl,
(r) Ci_3-alkylaminocarbonyl-C2-4-alkyl,
(S) di(Ci_3-alkyl)aminocarbonyl-C2-4-alkyl,
O) C2-3-acylamino-C2-4-alkyl, (u) hydroxy-C2-4-alkoxy-C2-4-alkyl,
(v) C-heterocyclylcarbonyl-Cz^-alkyl, wherein heterocyclyl is optionally substituted with methyl,
(w) C3-6-cycloalkyl-Ci_2-alkyl,
(x) amino-C2-4-alkyl,
(y) Ci_2-alkylamino-C2-4-alkyl,
00 di(Ci _2-alkyl)amino-C2-4-alkyl,
(aa) phenyl, and
(bb) heteroaryl, wherein any phenyl or heteroaryl residue is optionally substituted in one or more positions with a substituent independently selected from the group Z2 consisting of:
(a) halogen selected from chlorine and fluorine,
(b) Ci_4-alkoxy,
(c) hydroxymethyl,
(d) -CN,
(e) -CF3,
(f> d-4-alkyl,
(g) -OCF3, and
GO -C(O)CH3;
R5 is each independently selected from:
(a) hydrogen,
(b) d-e-alkyl,
(c) C3_4-cycloalkyl, (d) fluoro-C2-4-alkyl,
(e) amino-C2-6-alkyl,
(f) cyano-Ci-e-alkyl,
(g) hydroxy-C2-6-alkyl, (h) dihydroxy-C2-6-alkyl, (i) Ci_4-alkoxy-C2-4-alkyl,
(j) Ci 4-alkylamino-C2 4-alkyl,
(k) di(Ci _4-alkyl)amino-C2-4-aLkyl,
(1) aminocarbonyl-Ci_4-alkyl,
(m) C2-3-acylamino-C2-4-alkyl, (n) Ci_4-alkylthio-C2-4-alkyl,
(o) C2-4-acyl-Ci_4-alkyl, and
(p) Ci_4-alkylsulfonyl-Ci_4-alkyl, or two R3 groups together with the nitrogen to which they are attached form a heterocyclic ring, wherein said heterocyclic ring may be optionally substituted with: i) a substituent selected from:
(aa) hydroxy,
(bb) amino,
(cc) methylammo, (dd) dimethylamino,
(ee) hydroxymethyl, and
(ff) ammomethyl; ii) one or two oxo groups, or iii) one or two fluorine atoms, provided that when the substituent is selected from fluorine, hydroxy, amino, methylamino and dimethylamino, said substituent is attached to the heterocyclic ring at a position other than alpha to a heteroatom; and when the two R5 groups form a piperazme ring, the nitrogen of the piperazme ring that allows the substitution is optionally substituted with Ci-4-alkyl;
R6 is independently selected from:
(a) hydrogen,
(b) Ci-4-alkyl, and
(c) hydroxy-C2-4-alkyl;
R7 is independently selected from Ci-4-alkyl;
R8 is independently selected from:
(a) hydrogen, (b) d-e-alkyl,
(c) fluoro-Ci 6-alkyl,
(d) hydroxy-C2-6-alkyl,
(e) ammo-C2-6-alkyl,
(f) Ci_3-alkylamino-C2_4-alkyl, (g) di(Ci _3-dialkyl)amino-C2v(-alkyl,
(h) C]_4-alkylsulfonyl-C2-4-alkyl,
(i) N-heterocyclyl-C2-4-alkyl, wherein heterocyclyl is optionally substituted with methyl, (j) C-heterocyclyl, optionally substituted with methyl,
(k) C2-3-acylamino-C2-4-alkyl, (1) [CF3CH3(OH)C]-Ci_6-alkyl, (m) C3_6-cycloalkyl, (n) methyl-C3-6-cycloalkyl, (o) C3_6-cycloalkyl-Ci_2-alkyl,
(p) aryl, and (q) heteroaryl, wherein any aryl or heteroaryl residue is optionally independently substituted in one or two positions with a substituent selected from the group Z ;
R9 is each independently selected from:
(a) Ci_4-alkoxy-C2-4-alkyl,
(b) ammo-C2-4-alkyl,
(c) Ci_4-alkylamino-C2-4-alkyl, (d) di(Ci-4-alkyl)amino-C2-4-aLkyl,
(e) C2-3-acylamino-C2-4-alkyl,
(f) Ci_4-alkylthio-C2-4-alkyl, and
(g) C2-4-acyl-Ci_4-alkyl; or two R9 groups together with the nitrogen to which they are attached form a heterocyclic ring, wherein said heterocyclic ring may be optionally substituted with: i) a substituent selected from:
(aa) hydroxy,
(bb) amino,
(cc) methylamino, (dd) dimethylamino,
(ee) hydroxymethyl, and
(ff) aminomethyl; ii) one or two oxo groups; or iii) one or two fluorine atoms, provided that when the substituent is selected from fluorine, hydroxy, amino, methylammo and dimethylamino, said substituent is attached to the heterocyclic ring at a position other than alpha to a heteroatom, and when the two R9 groups form a piperazine ring, the nitrogen of the piperazine ring that allows the substitution is optionally substituted with Ci 4-alkyl,
R10 is independently selected from.
(a) hydrogen,
(b) C1 6-alkyl,
(c) cyclopropyl,
(d) cyclobutyl,
(e) cyclopropylmethyl,
(f) fluoro-C26-alkyl,
(g) hydroxy-C2 e-alkyl,
CO Ci 2-alko xy-C2 e-alkyl,
(i) ammo-C2 6-alkyl,
(D di(Ci 3-alkyl)amino-C26-alkyl,
(k) Ci 3-alkylammo-C2 6-alkyl,
(n) C26-acyl-Ci 6-alkyl, and
(o) Ci 6-alkylsulfonyl-Ci 6-alkyl,
R11 is selected from:
(a) hydrogen,
(b) hydroxy,
(C) fluoπne,
(d) Ci 4-alkoxy, and
(e) methyl;
R12 is each independently selected from
(a) hydrogen,
(b) -CN,
(C) Ci 4-alkoxy, (d) -NR5R5, wherein each R5 is independently selected from the group consisting of hydrogen and Ci_4-alkyl; or two R5 groups together with the nitrogen to which they are attached form a pyrrolidine or an azetidine ring, (e) Ci_3-alkyl,
(f) C1_3-alkoxy-Ci_2-alkyl, and
(g) hydroxy-Ci-4-alkyl;
with the proviso that the compound is not selected from: • 1 -Methylethyl 4-[({5-[4-(methylsulfonyl)phenyl]-2-pyrazinyl}oxy)methyl]-l- piperidinecarboxylate;
• 2-[({l-[3-(l-Methylethyl)-l,2,4-oxadiazol-5-yl]-4-pipeπdmyl}methyl)oxy]-5-[4- (methylsulfonyl)phenyl]pyrazine,
• 5 -Fluoro-2- {4- [( {5 -[4-(methylsulfonyl)phenyl] -2-pyrazinyl} oxy)methyl] - 1 - piperidmyljpyrimidme;
• 2-[2-Fluoro-4-(methylsulfonyl)phenyl]-5-[({l-[3-(l-methylethyl)-l,2,4- oxadiazol-5-yl]-4-piperidmyl}methyl)oxy]pyrazine;
• 1 -Methylethyl 4-[({5-[2-fluoro-4-(methylsulfonyl)phenyl]-2-pyrazmyl}oxy)- methyl] - 1 -pip eridinecarboxylate; and • 2-[({l-[3-(l-Methylethyl)-l,2,4-oxadiazol-5-yl]-4-pipeπdinyl}methyl)oxy]-5-[2- methyl-4-(methylsulfonyl)phenyl]pyrazine.
2. A compound according to claim 1 having Formula (Ib),
wherein A is CH2, O, NR10, C(O), S, S(O) or S(O)2,
B is CH2, O, NR10, C(O), S, S(O) or S(O)2, provided that when B is O, NR10, C(O),
S, S(O) or S(O)2, then A is CH2, m is each independently O or 1 ,
D is N or CR11, provided that D must be CR11 and said R11 must be hydrogen or methyl when B is selected from O, NR10, C(O), S, S(O) and S(O)2; and further provided that each m is 1 when D is N,
Ar1, Z1, Z2, R1 to R9 and R12 are as defined in claim 1;
R is independently selected from:
(a) hydrogen,
(b) Ci 4-alkyl,
(c) cyclopropyl,
(d) cyclobutyl,
(e) cyclopropylmethyl,
(f) fluoro-C2 4-alkyl,
(g) Ci 2-alkoxy-C23-alkyl,
O) ammo-C2 4-alkyl,
(k) methylammo-C2 4-alkyl,
(1) dimethylamino-C2 4-alkyl, and
(m) cyano-C2 4-alkyl;
R11 is selected from:
(a) hydrogen,
(b) hydroxy,
(c) fluorine, and
(d) methyl.
3. A compound according to claim 1 or 2 having Formula (Ic),
wherein.
A is CH2, O or NR iJoU;.
B is CH2, O or NR10, provided that when B is O or NR10, then A is CH2; m is each independently 0 or 1 ;
Z1, Z2, R1 to R7, R9 and R12 are as defined in claim 1;
R10 is as defined in claim 2;
Ar1 is phenyl or 5- or 6-membered heteroaryl, each of which is optionally substituted m one or two positions with a substituent independently selected from the group Z consisting of:
(a) CF3SO3,
(b) halogen selected from bromine, chlorine and fluorine,
(c) Ci_4-alkylsulfoximi
(d) -S(O)R4,
(e) -S(O)2R4,
(f> -S(O)2NR5R5,
(g) -NR6S(O)2R4,
CO -NR6C(O)R4,
(0 -CH2-NR6C(O)R4,
(S) -C(O)NR5R5,
(k) -CH2-C(O)NR5R5,
(1) -C(O)R4,
(m) H2N-C(O)O-,
(n) CH3-NH-C(O)O-, (O) (CHs)2NC(O)O-
(P) -NHC(O)OCH3,
(q) C-heterocyclyl, optionally substituted with methyl,
(r) -CN,
(S) -OR8,
0) -SCF3,
(u) C-heterocyclylsulfonyl, optionally susbtituted with methyl,
(V) -NR5R5,
(w) C(OH)CH3CF3,
(x) cyano-Ci_6-alkyl,
(y) Ci-6-alkyl,
(z) Ci_4-alkoxy-Ci_4-alkyl,
(aa) fluoro-Ci_4-alkyl,
(bb) C2 6-alkenyl,
(CC) fluoro-C2-4-alkenyl,
(dd) hydroxy- C i -6-alkyl,
(ee) Ci_4-alkylsulfonyl-Ci_4-alkyl,
(ff) hydroxy-C2-4-alkoxy-Ci _4-alkyl,
(gg) C2-3-acyl-Ci-3-alkyl,
(hh) C2-6-alkynyl,
(ii) C3_6-cycloalkyl,
CU) hydroxy-Cs-δ-cycloalkyl,
(kk) fluoro-Cs-e-cycloalkyl,
(H) methyl-Cs-β-cycloalkyl,
(mm) C-heterocyclylcarbonyl, optionally substituted with methyl,
(nn) C3_6-cycloalkyl-Ci_4-alkyl,
(00) R5R5N-Ci_2-alkyl,
(PP) -C(O)OR7,
(qq) -CH2C(O)OR7, and
(rr) heteroaryl, wherein any heteroaryl residue as substituent on Ar1 is optionally substituted in one or more positions with a substituent independently selected from the group Z2 as defined herein for claim 1 : R8 is independently selected from:
(a) hydrogen,
(b) d-4-alkyl,
(c) CF3, (d) C3-5-cycloalkyl,
(e) methyL-C^-cycloalkyl, and
(f) C-heterocyclyl, optionally substituted with methyl.
4. A compound according to any one of claims 1 to 3, wherein A is CH2 and B is O or NR10; and m is each 1.
5. A compound according to any one of claims 1 to 3, wherein A is O or NR10 and B is CEh, and m is each 1.
6. A compound according to any one of claims 1 to 5, wherein Ar1 is phenyl, pyridinyl or thienyl, each of which is optionally substituted in one or two positions with a substituent independently selected from the group Z4 consisting of:
(a) halogen selected from chlorine and fluorine,
(b) Ci_4-alkylsulfoximine,
(c) Ci_4-alkylsulfonyl,
(d) Ci_4-alkylsulfϊnyl,
(e) hydroxy-C2-4-alkylsulfonyl,
(f> C^s-cycloalkylsulfonyl,
(g) methyl-Cs-s-cycloalkylsulfonyl,
CO trifluoromethylsulfonyl,
(0 -S(O)2NR5AR5A, ω Ci_4-alkylsulfonamido,
(k) C2-4-acylamino,
(1) C2-4-acylaminomethyl,
(m) carboxy-Ci_3-alkylcarbonylamino,
CO -C(O)NR5AR5A,
(o) -CH2-C(O)NR5AR5A,
(P) -NHC(O)OCH3,
(q) C2-4-acyl, (r) C3_5-cycloalkylcarbonyl,
(S) C]_4-alkoxy,
(t) C3_5-cycloalkyloxy,
(u) C-heterocyclyl,
(v) -CN,
(w) -OH,
(x) -OCF3,
(y) -CF3,
(z) -NR5AR5A,
(aa) -C(OH)CH3CF3,
(bb) cyano-Ci-2-alkyl,
(CC) d-4-alkyl,
(dd) C3-s-cycloalkyl,
(ee) Ci 2-alkoxy-Ci 2-alkyl,
(ft) vinyl,
(gg) ethynyl,
(hh) hydroxy- C i _2-alkyl,
(H) C-heterocyclyloxy, optionally substituted with methyl,
Gi) R5AR5AN-d-2-alkyl, (kk) -C(O)OR7A, and
(11) -CH2C(O)OR7A;
R1 is a group R1A selected from C(O)OR2A, C(O)R2A, S(O)2R2A, C(O)NR2AR3A, -CH2-C(O)NR2AR3A, or a 5- or 6-membered heteroaryl group linked via a ring carbon atom, wherein the said heteroaryl group is optionally substituted with C1-4- alkyl;
R2A is selected from
(a) d-fi-alkyl, (b) Ci_6-alkoxy-C2-6-alkyl,
(c) hydroxy-C2 6-alkyl,
(d) hydroxy-C2-4-alkoxy-C2-4-alkyl,
(e) fluoro-C2-6-alkyl,
(f) C3-6-alkynyl, (g) C3_7-cycloalkyl,
CO C5_8-cycloalkenyl,
(O NR9AR9A provided that R1A is not selected from C(O)OR2A,
C(O)NR2AR3A and -CH2-C(O)NR2AR3A,
(D C-heterocyclyl, optionally substituted with methyl,
(k) C7_8-bicyclyl,
(1) 2-norbornylmethyl,
(m) azabicyclyl,
(n) C3_6-cycloalkyl-Ci_4-alkyl, wherein cycloalkyl is optionally substituted with methyl,
(o) C2-3-acyl-Ci_4-alkyl,
(P) arylcarbonyl-Ci_4-alkyl,
(q) heteroarylcarbonyl- C i _4-alkyl,
(r) [CF3CH3(OH)C]-Ci 6-alkyl,
(S) iV-heterocyclylcarbonyl-C2^-aIkyl, wherein heterocyclyl is optionally substituted with methyl,
O) hydroxy-C4_6-cycloalkyL,
(u) oxo-C4_6-cycloalkyl,
(v) fluoro-C4-6-cycloalkyl,
(w) methoxy-C4_6-cycloalkyl,
(x) methyl-Cs-β-cycloalkyl,
(y) oxo-N-heterocyclyl-C2-4-alkyl,
(z) hydroxy-N-heterocyclyl-C2-4-alkyl,
(aa) fluoro-Λ/-heterocyclyl-C2-4-alkyl,
(bb) amino-jV-heterocyclyl-C2-4-alkyl,
(CC) N-heterocyclyl-C2-4-alkyl, wherein heterocyclyl is optionally substituted with methyl,
(dd) C-heterocyclyl-Ci_4-alkyl, wherein heterocyclyl is optionally substituted with methyl,
(ee) aryl,
(ff) aryl-Ci 4-alkyl,
(gg) heteroaryl, and
(hh) heteroaryl-Ci-4-alkyl, wherein any aryl or heteroaryl residue, alone or as a part of another group, is optionally substituted in one or more positions with a substituent independently selected from the group Z5 consisting of:
(a) halogen selected from chlorine and fluorine,
(b) methyl,
(C) ethyl,
(d) methoxy,
(e) ethoxy, ω isopropoxy,
(g) hydroxy,
CO -OCF3,
(0 -CF3, ω -CN,
(k) -C(OH)CH3CF3,
(1) dimethylamino,
(m) hydroxymethyl,
CO -S(O)2CH3,
(o) -C(O)CH3, and
(P) -C(O)NH2;
R3Λ is selected from:
(a) hydrogen,
(b) CM-alkyl,
(C) hydroxy-C2_4-alkyl, and
(d) methoxy-C2_4-alkyl;
R5Λ is each independently selected from:
(a) hydrogen,
(b) Ci-3-alkyl,
(c) Ci_2-alkoxy-C2_4-alkyl,
(d) C3 4-cycloalkyl,
(e) hydroxy-C2_4-alkyl, ω cyano-Ci_3-alkyl,
(g) dihydroxy-C2_4-alkyl, (h) ammocarbonyl-Ci 2-alkyl, and
(i) di(Ci 2-alkyl)amino-C23-alkyl, or two R5A groups together with the nitrogen to which they are attached form a heterocyclic ring, wherein said heterocyclic ring may be optionally substituted with. 1) a substituent selected from
(aa) hydroxy,
(bb) ammo,
(cc) methylammo,
(dd) dimethylamino, (ee) hydroxymethyl, and
(ff) ammomethyl, 11) one or two oxo groups, or iii) one or two fluorine atoms, provided that when the substituent is selected from fluorine, hydroxy, amino, methylammo and dimethylamino, said substituent is attached to the heterocyclic ring at a position other than alpha to a heteroatom; and when the two R5A groups form a piperazine ring, the nitrogen of the piperazine ring that allows the substitution is optionally substituted with methyl,
R7A is independently selected from Ci 4-alkyl,
Two groups R9A together with the nitrogen to which they are attached form a heterocyclic ring, wherein said heterocyclic ring may be optionally substituted with
I) one hydroxy or ammo group;
II) one or two fluorine atoms, or iii) one or two oxo groups, provided that when the substituent is selected from fluorine, hydroxy and amino, said substituent is attached to the heterocyclic ring at a position other than alpha to a heteroatom, and when the two R9A groups form a piperazine ring, the nitrogen of the piperazine ring that allows the substitution is optionally substituted with methyl,
R10 is independently selected fronr
(a) hydrogen,
(b) C1 3-alkyl, (c) cyclopropyl, and
(d) cyclopropylmethyl;
R12 is each hydrogen.
7 A compound according to claim 6, wherein Ar1 is selected from methylsulfonyl- phenyl, (aminocarbonyl)phenyl, [(methylamino)carbonyl]phenyl, [(dimethylamino)- carbonyl]phenyl, [(4-methylpiperazin- 1 -yl)carbonyl]phenyl, [2-(hydroxymethyl)- morpholm-4-ylcarbonyl]phenyl, (methylsulfϊnyl)phenyl, pyridmyl, [(3-hydroxy- pyrrolidm- 1 -yl)carbonyl]phenyl, {[(2-hydroxymethyl)pyrrolidm- 1 -yl]carbonyl} - phenyl, [(3 -hydroxyazetidin- 1 -yl)carbonyl]phenyl, (aminocarbonyl)fluorophenyl, [(methoxycarbonyl)ammo]phenyl, [(methylsulfonyl)ammo]phenyl, acetylthienyl, fluoro[(propylamino)carbonyl]phenyl, fluoro(methylsulfonyl)phenyl and (acetyl- ammo)phenyl
8. A compound according to claim 6 or 7, wherein R1A is selected from C(O)OR2A, C(O)R2A or a 6-membered heteroaryl group.
9. A compound according to any one of claims 6 to 8, wherein R1A is C(O)OR2A and wherein R2A is selected from tert-butyl, phenyl, benzyl, zso-butyl, ethyl, isopropyl,
2,2-dimethylpropyl, 1-cyclopropylethyl and (3-methyloxetan-3-yl)methyl.
10 A compound according to any one of claims 6 to 8, wherein R1A is C(O)R2A and wherein R2A is selected from phenyl, 1 -methyl- lH-pyrrol-2-yl, 3,4-dichlorophenyl and 1-ethylpropyl.
11. A compound according to any one of claims 6 to 8, wherein R1 A is 2-pyπmidmyl
12. A compound according to any one of claims 6 to 11, wherein R10 is independently selected from hydrogen, methyl and cyclopropyl
13 A compound according to any one of claims 1 to 12, which is selected fronr • tert-Butyl 4-[({5-[4-(methylsulfonyl)phenyl]pyrazm-2-yl}ammo)methyl]- pipeπdme- 1 -carboxylate; • Isobutyl 4-[( {5-[4-(methylsulfonyl)phenyl]pyrazm-2-yl} amino)methyl]pipeπdme- 1 -carboxylate;
• Phenyl 4- [( {5 - [4-(methylsulfbnyl)phenyl]pyrazm-2-yl} ammo)methyl]piperidme- 1 -carboxylate, • 2,2-Dimethylpropyl 4-[({5-[4-(methylsulfonyl)phenyl]pyrazin-2-yl}amino)- methyljprpeπdme- 1 -carboxylate;
• Isopropyl 4-[({5-[4-(methylsulfonyl)phenyl]pyrazin-2-yl}amino)methyl]- piperidme- 1 -carboxylate;
• Benzyl 4-[({5-[4-(methylsulfonyl)phenyl]pyrazm-2-yl}ammo)methyl]piperidme- 1 -carboxylate,
• N-( { 1 - [( 1 -Methyl- lH-pyrrol-2-yl)carbonyl]pipeπdin-4-yl}methyl)-5 -[4-(methyl- sulfonyl)phenyl]pyrazm-2-amme,
• Ethyl 4-[( {5-[4-(methylsulfonyl)phenyl]pyrazm-2-yl} ammo)methyl]pipeπdme- 1 - carboxylate, • N-[( 1 -Benzoylpipendin-4-yl)methyl] -5 - [4-(methylsulfonyl)phenyl]pyrazm-2- amme,
• 7V-{[l-(2-Ethylbutanoyl)piperidin-4-yl]methyl}-5-[4-(methylsulfonyl)phenyl]- pyrazm-2-amme;
• tert-Butyl 4-[({5-[4-(methylsulfmyl)phenyl]pyrazm-2-yl}amino)methyl]- piperidme-1 -carboxylate;
• tert-Butyl 4-{[(5-{4-[(4-methylpiperazm-l-yl)carbonyl]phenyl}pyrazm-2-yl)- ammo]methyl}pipeπdine-l-carboxylate,
• tert-Butyl 4-[({5-[4-(aminocarbonyl)phenyl]pyrazin-2-yl}amino)methyl]- piperidme- 1 -carboxylate; • tert-Butyl 4-{[(5-{4-[(methylamino)carbonyl]phenyl}pyrazin-2-yl)amino]- methyl}piperidme- 1 -carboxylate,
• tert-Butyl 4- {[(5-pyridin-4-ylpyrazm-2-yl)ammo]methyl}piperidme-l- carboxylate,
• tert-Butyl 4-{[(5-{4-[(3-hydroxypyrrolidin-l-yl)carbonyl]phenyl}pyrazin-2-yl)- ammo]methyl}pipeπdme-l-carboxylate;
• tert-Butyl 4-({[5-(4-{[2-(hydroxymethyl)morpholm-4-yl]carbonyl}phenyl)- pyrazin-2-yl]ammo}methyl)piperidine-l-carboxylate,
• tert-Butyl 4-( { [5-(4- { [(2R)-2-(hydroxymethyl)pyrrohdm- 1 -yl] carbonyl}phenyl)- pyrazin-2-yl]ammo}methyl)piperidine-l-carboxylate, • tert-Butyl 4-( { [5-(4- { [(2S)-2-(hydroxymethyl)pyrrohdin- 1 -yl] carbonyl} phenyl)- pyrazm-2-yl]ammo}methyl)piperidine-l-carboxylate,
• tert-Butyl 4-{[(5-{4-[(3-hydroxyazetidin-l-yl)carbonyl]phenyl}pyrazm-2-yl)- ammo]methyl}pipeπdine-l-carboxylate, • tert-Butyl 4-[({5-[4-(methylsulfonyl)phenyl]pyrazin-2-yl}oxy)methyl]pipeπdine-
1 -carboxylate;
• Isobutyl 4-[({5-[4-(methylsulfonyl)phenyl]pyrazm-2-yl}oxy)methyl]piperidme-l- carboxylate;
• l-Cyclopropylethyl 4-[({5-[4-(methylsulfonyl)phenyl]pyrazm-2-yl}oxy)methyl]- pipeπdme-1 -carboxylate,
• Phenyl 4-[({5-[4-(methylsulfonyl)phenyl]pyrazin-2-yl}oxy)methyl]piperidme- 1 - carboxylate;
• Benzyl 4-[({5-[4-(methylsulfonyl)phenyl]pyrazm-2-yl}oxy)methyl]piperidme-l- carboxylate, • (3-Methyloxetan-3-yl)methyl 4-[({5-[4-(methylsulfonyl)phenyl]pyrazm-2-yl}- oxy)methyl]piperidme- 1 -carboxylate,
• Ethyl 4-[({5-[4-(methylsulfonyl)phenyl]pyrazm-2-yl}oxy)methyl]piperidine-l- carboxylate;
• 2-[(l-Benzoylpipeπdm-4-yl)methoxy]-5-[4-(methylsulfonyl)phenyl]pyrazine, • 2- { [ 1 -(2-Ethylbutanoyl)piperidin-4-yl]methoxy } -5 - [4-(methylsulfonyl)phenyl] - pyrazine;
• 2,2-Dimethylpropyl 4-[({5-[4-(methylsulfonyl)phenyl]pyrazin-2-yl}oxy)methyl]- piperidme- 1 -carboxylate;
• 2-({l-[(l-Methyl-lH-pyrrol-2-yl)carbonyl]piperidm-4-yl}methoxy)-5-[4-(methyl- sulfonyl)phenyl]pyrazme,
• tert-Butyl 4-{[(5-{4-[(3-hydroxypyrrohdin-l-yl)carbonyl]phenyl}pyrazin-2-yl)- oxy]methyl}pipeπdme-l-carboxylate;
• tert-Butyl 4-({[5-(4-{[2-(hydroxymethyl)morpholm-4-yl]carbonyl}phenyl)- pyrazm-2-yl]oxy}methyl)piperidme- 1 -carboxylate; • tert-Butyl 4-({[5-(4-{[(2R)-2-(hydroxymethyl)pyrrohdm-l-yl]carbonyl}phenyl)- pyrazm-2-yl]oxy}methyl)piperidme- 1 -carboxylate,
• tert-Butyl 4-( { [5-(4- { [(2S)-2-(hydroxymethyl)pyrrolidin- 1 -yl] carbonyl} phenyl)- pyrazm-2-yl]oxy}methyl)piperidme- 1 -carboxylate; • tert-Butyl 4-[({5-[4-(methylsulfmyl)phenyl]pyrazm-2-yl}oxy)methyl]prρeridme- 1 -carboxylate;
• tert-Butyl 4- {[(5- {4-[(4-methylpiperazm-l-yi)carbonyl]phenyl}pyrazm-2-yl)- oxy]methyl}piperidine-l-carboxylate, • tert-Butyl 4-[({5-[4-(aminocarbonyl)phenyl]pyrazm-2-yl}oxy)methyl]piperidine-
1 -carboxylate;
• tert-Butyl 4- {[(5- {4-[(methylamino)carbonyl]phenyl}pyrazin-2-yl)oxy]methyl} - piperidme- 1 -carboxylate;
• tert-Butyl 4- {[(5- {4-[(3-hydroxyazetidin-l-yl)carbonyl]phenyl}pyrazm-2-yl)- oxy]methyl}pipeπdme-l-carboxylate,
• tert-Butyl 4-[methyl({5-[4-(methylsulfonyl)phenyl]pyrazm-2-yl}methyl)ammo]- piperidme- 1 -carboxylate;
• 2,2-Dimethylpropyl 4- [methyl( {5 - [4-(methylsulfonyl)phenyl]pyrazin-2-yl} - methyl)ammo]pipeπdme- 1 -carboxylate, • Isobutyl 4-[methyl({5-[4-(methylsulfonyl)phenyl]pyrazin-2-yl}methyl)ammo]- piperidme- 1 -carboxylate,
• Ethyl 4-[methyl( {5-[4-(methylsulfonyl)phenyl]pyrazm-2-yl}methyl)amino]- piperidme- 1 -carboxylate;
• Isopropyl 4-[methyl( {5-[4-(methylsulfonyl)phenyl]pyrazm-2-yl}methyl)ammo]- piperidme- 1 -carboxylate;
• Phenyl 4-[methyl({5-[4-(methylsulfonyl)phenyl]pyrazin-2-yl}methyl)ammo]- piperidme- 1 -carboxylate,
• 1 -Cyclopropylethyl 4-[methyl( {5-[4-(methylsulfonyl)phenyl]pyrazm-2-yl} - methyl)ammo]piperidme- 1 -carboxylate; • Benzyl 4-[methyl({5-[4-(methylsulfonyl)phenyl]pyrazin-2-yl}methyl)amino]- piperidme- 1 -carboxylate;
• 1 -Benzoyl-N-methyl-N-( {5-[4-(methylsulfonyl)phenyl]pyrazin-2-yl}methyl)- piperidm-4-amme,
• tert-Butyl 4-[[(5- {4-[(3-hydroxypyrrolidin-l-yl)carbonyl]phenyl}pyrazm-2-yl)- methyl](methyl)ammo]pipeπdme-l-carboxylate,
• tert-Butyl 4-[{[5-(4-{[2-(hydroxymethyl)morpholm-4-yl]carbonyl}phenyl)- pyrazm-2-yl]methyl} (methyl)amino]piperidme- 1 -carboxylate;
• tert-Butyl 4- [ { [5-(4- { [(2R)-2-(hydroxymethyl)pyrrohdm- 1 -yl] carbonyl}phenyl)- pyrazm-2-yl]methyl} (methyl)amino]piperidme- 1 -carboxylate; • tert-Butyl 4- [ { [5-(4- { [(2S)-2-(hydroxymethyl)pyrrohdin- 1 -yl] carbonyl} phenyl)- pyrazm-2-yl]methyl} (methyl)ammo]piperidme- 1 -carboxylate;
• tert-Butyl 4-[methyl({5-[4-(methylsulfmyl)phenyl]pyrazm-2-yl}methyl)ammo]- pipendme- 1 -carboxylate, • tert-Butyl 4- {methyl[(5- {4-[(4-methylpiperazm- l -yl)carbonyl]phenyl}pyrazin-2- yl)methyl] amino } prperidme- 1 -carboxylate;
• tert-Butyl 4-[({5-[4-(aminocarbonyl)phenyl]pyrazm-2-yl}methyl)(methyl)amino]- piperidme- 1 -carboxylate;
• tert-Butyl 4- {methyl[(5- {4-[(methylammo)carbonyl]phenyl}pyrazm-2-yl)- methyl]ammo}pipeπdme-l-carboxylate,
• tert-Butyl 4- {methyl[(5-pyridm-4-ylpyrazm-2-yl)methyl]amino}piperidme- 1 - carboxylate;
• Methyl {4-[5-( {cyclopropyl[l-(2-ethylbutanoyl)piperidin-4-yl]amino}methyl)- pyrazm-2-yl]phenyl} carbamate, • Λr-{4-[5-({Cyclopropyl[l -(2-ethylbutanoyl)pipeπdm-4-yl]amino}methyl)pyrazin-
2-yl]phenyl} methanesulfonamide,
• 4-[5-({Cyclopropyl[l -(3,4-dichlorobenzoyl)pipendm-4-yl]amino}methyl)- pyrazin-2-yl]-JV,N-dimethylbenzamide;
• Methyl {4-[5-( {cyclopropyl[l-(3,4-dichlorobenzoyl)pipeπdm-4-yl]amino} - methyl)pyrazin-2-yl]phenyl} carbamate,
• jV-{4-[5-({Cyclopropyl[l -(3,4-dichlorobenzoyl)piperidm-4-yl]ammo}methyl)- pyrazm-2-yl]phenyl} acetamide,
• 4-(5- {[Cyclopropyl(l-pyrimidm-2-ylpipeπdin-4-yl)ammo]methyl}pyrazin-2-yl)- 2-fluorobenzamide, • Methyl [4-(5- {[cyclopropyl(l -pyπmidin-2-ylpiperidin-4-yl)amino]methyl} - pyrazm-2-yl)phenyl]carbamate,
• N-Cyclopropyl-N-({5-[2-fluoro-4-(methylsulfonyl)phenyl]pyrazm-2-yl}methyl)- l -pyrimidin-2-ylpipeπdm-4-amme,
• Methyl [4-(5 - { [( 1 -benzoylpiperidin-4-yl)(cyclopropyl)ammo]methyl} pyrazin-2- yl)phenyl]carbamate;
• 1 -Benzoyl-/Y-cyclopropyl-N-( {5-[2-fluoro-4-(methylsulfonyl)phenyl]pyrazm-2- yl}methyl)pipeπdin-4-amme,
• Isopropyl 4-[( {5-[4-(ammocarbonyl)phenyl]pyrazm-2-yl}methyl)(cyclopropyl)- ammo]piperidme- 1 -carboxylate, • Isopropyl 4-[( {5-[4-(ammocarbonyl)-3-fluorophenyl]pyrazm-2-yl}methyl)(cyclo- propyl)amino]piperidine- 1 -carboxylate;
• Isopropyl 4- {cyclopropyl[(5- {4-[(methylammo)carbonyl]phenyl}pyrazm-2-yl)- methyl] amino } piperidine- 1 -carboxylate; • Isopropyl 4-{cyclopropyl[(5-{4-[(dimethylamino)carbonyl]phenyl}pyrazin-2-yl)- methyljammo } piperidine- 1 -carboxylate;
• Isopropyl 4-{cyclopropyl[(5-{3-fluoro-4-[(propylamino)carbonyl]phenyl}- pyrazin-2-yl)methyl]amino}piperidine-l-carboxylate;
• Isopropyl 4- {cyclopropyl[(5- {4-[(methoxycarbonyl)amino]phenyl}pyrazm-2-yl)- methyl]ammo}pipeπdine-l-carboxylate;
• Isopropyl 4-[( {5-[4-(acetylamino)phenyl]pyrazin-2-yl}methyl)(cyclopropyl)- ammo]piperidme- 1 -carboxylate;
• Isopropyl 4-{cyclopropyl[(5-{4-[(methylsulfonyl)amino]phenyl}pyrazm-2-yl)- methyljamino } piperidine- 1 -carboxylate; • Isopropyl 4-[{[5-(5-acetyl-2-thienyl)pyrazm-2-yl]methyL}(cyclopropyl)amino]- piperidine- 1 -carboxylate;
• 4-(5-{[[l -(2-Ethylbutanoyl)pipeπdin-4-yl](methyl)amino]methyl} pyrazm-2-yl)- benzamide;
• 4-(5-{[[l -(2-Ethylbutanoyl)pipeπdm-4-yl](methyl)amino]methyl} pyrazm-2-yl)-2- fluorobenzamide;
• jV-[4-(5-{[[l-(2-Ethylbutanoyl)piperidm-4-yl](methyl)amino]methyl}pyrazin-2- yl)phenyl]acetamide,
• 4-(5-{[[l -(2-Ethylbutanoyl)pipeπdin-4-yl](methyl)amino]methyl} pyrazm-2-yl)-2- fluoro-N-propylbenzamide; • N-({5-[2-Fluoro-4-(methylsulfonyl)phenyl]pyrazin-2-yl}methyl)-N-methyl-l- pyrimidin-2-ylpiperidin-4-amine;
• l-[5-(5-{ [Methyl( 1 -pyrimidm-2-ylpipeπdm-4-yl)amino]methyl} pyrazm-2-yl)-2- thieny 1] ethanone ;
• 2-Fluoro-4-(5-{[methyl(l-pyrimidm-2-ylpiperidin-4-yl)amino]methyl}pyrazin-2- yl)-N-propylbenzamide;
• iV,N-Dimethyl-4-(5 - { [methyl( 1 -pyrimidin-2-ylpiperidm-4-yl)amino]methyl} - pyrazin-2-yl)benzamide;
• Isopropyl 4-[( {5-[4-(ammocarbonyl)phenyl]pyrazm-2-yl}methyl)(methyl)amino]- piperidine- 1 -carboxylate; • Isopropyl 4-[( {5-[4-(aminocarbonyl)-3-fluorophenyl]pyrazm-2-yl}methyl)- (methyl)amino]piperidine- 1 -carboxylate,
• Isopropyl 4-{methyl[(5-{4-[(methylammo)carbonyl]phenyl}pyrazin-2-yl)methyl]- ammo } piperidine- 1 -carboxylate, • Isopropyl 4-[[(5-{4-[(dimethylamino)carbonyl]phenyl}pyrazin-2-yl)methyl]-
(methyl)amino]pipeπdine- 1 -carboxylate,
• Isopropyl 4-[[(5- {3-fluoro-4-[(propylamino)carbonyl]phenyl}pyrazin-2-yl)- methyl](methyl)ammo]piperidine-l-carboxylate,
• Isopropyl 4-[[(5- {4-[(methoxycarbonyl)ammo]phenyl}pyrazm-2-yl)methyl]- (methyl)amino]pipeπdine- 1 -carboxylate,
• Isopropyl 4-{methyl[(5-{4-[(methylsulfonyl)amino]phenyl}pyrazin-2-yl)methyl]- ammo } pipendme- 1 -carboxylate,
• Isopropyl 4-[( {5-[2-fluoro-4-(methylsulfonyl)phenyl]pyrazm-2-yl}methyl)- (methyl)amino]piperidine- 1 -carboxylate, • Isopropyl 4-[{[5-(5-acetyl-2-thienyl)pyrazm-2-yl]methyl}(methyl)ammo]- pipendme- 1 -carboxylate,
• 4-(5-{[[l-(3,4-Dichlorobenzoyl)piperidin-4-yl](methyl)amino]methyl}pyrazin-2- yl)-N,N-dimethylbenzamide;
• 4-(5-{[[l-(3,4-Dichlorobenzoyl)piperidm-4-yl](methyl)ammo]methyl}pyrazm-2- yl)-2-fluoro-N-propylbenzamide;
• Methyl [4-(5-{[[l-(3,4-dichlorobenzoyl)piperidm-4-yl](methyl)amino]metrιyl}- pyrazin-2-yl)phenyl]carbamate,
• N-[4-(5-{[[l-(3,4-Dichloroberizoyl)piperidm-4-yl](methyl)ammo]methyl}pyrazin- 2-yl)phenyl]acetamide, • N-[4-(5-{[[l-(3,4-Dichlorobenzoyl)piperidin-4-yl](methyl)amino]methyl}pyrazin-
2-yl)phenyl]methanesulfonamide;
• l-(3,4-Dichlorobenzoyl)-N-({5-[2-fluoro-4-(methylsulfonyl)phenyl]pyrazm-2- yl}methyl)-N-methylpiperidin-4-amme,
• 1 - [5 -(5- { [[ 1 -(3 ,4-Dichlorobenzoyl)pipeπdm-4-yl](metrιyl)amino]methyl} pyrazin- 2-yl)-2-trnenyl]ethanone,
• 4-(5-{[[l-(3,4-Dichlorobenzoyl)piperidm-4-yl](metriyl)amino]methyl}pyrazm-2- yl)-2-fluorobenzamide,
• 4-(5-{[[l-(3,4-Dichlorobenzoyl)piperidin-4-yl](methyl)ammo]methyl}pyrazm-2- yl)-Ν-methylbenzamide, • 4-(5 - { [( 1 -Benzoylpiperidin-4-yl)(methyl)amino]methyl} pyrazm-2-yl)-N-methyl- benzamide;
• 4-(5 - { [( 1 -Benzoylpipendin-4-yl)(methyl)amino]methyl} pyrazin-2-yl)-N,iV- dimethylbenzamide; • tert-Butyl 4-({5-[4-(methylsulfonyl)phenyl]pyrazin-2-yl}memoxy)piperidine-l- carboxylate;
• Isobutyl 4-({5-[4-(methylsulfonyl)phenyl]pyrazin-2-yl}methoxy)piperidine-l- carboxylate; and
• Benzyl 4-( {5-[4-(methylsulfonyl)phenyl]pyrazm-2-yl}methoxy)piperidine-l- carboxylate.
14. A compound according to any one of claims 1 to 13 for use m therapy.
15. A compound according to any one of claims 1 to 13 for use in the treatment or prophylaxis of disorders relating to GPRl 19 activity, wherein said disorders are selected from the group consisting of Type 1 diabetes, Type 2 diabetes, inadequate glucose tolerance, insulin resistance, hyperglycemia, hyperlipidemia, hypercholesterolemia, dyshpidemia, syndrome X, obesity, hypertension, chrome systemic inflammation, retinopathy, neuropathy, nephropathy, atherosclerosis, reduced fibrinolysis, endothelial dysfunction and osteoporosis.
16. Use of a compound according to any one of claims 1 to 13 in the manufacture of a medicament for the treatment or prophylaxis of disorders relating to GPRl 19 activity, wherein said disorders are selected from the group consisting of Type 1 diabetes, Type 2 diabetes, inadequate glucose tolerance, insulin resistance, hyperglycemia, hyperlipidemia, hypercholesterolemia, dyslipidemia, syndrome X, obesity, hypertension, chronic systemic inflammation, retinopathy, neuropathy, nephropathy, atherosclerosis, reduced fibrinolysis, endothelial dysfunction and osteoporosis.
17. A method for the treatment or prophylaxis of disorders relating to GPRl 19 activity which comprises administering to a mammal, including man, in need of such treatment an effective amount of a compound according to any one of claims 1 to 13, wherein said disorders relating to GPRl 19 activity are selected from the group consistmg of Type 1 diabetes, Type 2 diabetes, inadequate glucose tolerance, msulm resistance, hyperglycemia, hyperlipidemia, hypercholesterolemia, dyslipidemia, syndrome X, obesity, hypertension, chronic systemic inflammation, retinopathy, neuropathy, nephropathy, atherosclerosis, reduced fibrinolysis, endothelial dysfunction and osteoporosis
18. A pharmaceutical formulation comprising a compound according to any one of claims 1 to 13 as active ingredient in combination with a pharmaceutically acceptable diluent or earner.
19. The pharmaceutical formulation according to claim 18 for use in the treatment or prophylaxis of disorders relating to GPRl 19 activity, wherein said disorders are selected from the group consisting of Type 1 diabetes, Type 2 diabetes, inadequate glucose tolerance, insulin resistance, hyperglycemia, hyperlipidemia, hypercholesterolemia, dyslipidemia, syndrome X, obesity, hypertension, chronic systemic inflammation, retinopathy, neuropathy, nephropathy, atherosclerosis, reduced fibrinolysis, endothelial dysfunction and osteoporosis
20. Use of a compound according to any one of claims 1 to 13, m combination with a DPP-IV inhibitor, in the manufacture of a medicament for the treatment or prophylaxis of disorders relating to GPRl 19 activity, wherein said disorders are selected from the group consisting of Type 1 diabetes, Type 2 diabetes, inadequate glucose tolerance, insulin resistance, hyperglycemia, hyperlipidemia, hypercholesterolemia, dyslipidemia, syndrome X, obesity, hypertension, chronic systemic inflammation, retinopathy, neuropathy, nephropathy, atherosclerosis, reduced fibrinolysis, endothelial dysfunction and osteoporosis
21. A method for the treatment or prophylaxis of disorders relating to GPRl 19 activity which comprises administering to a mammal, including man, m need of such treatment an effective amount of a compound according to any one of claims 1 to 13 m combination with a DPP-IV inhibitor, wherein said disorders relating to GPRl 19 activity are selected from the group consisting of Type 1 diabetes, Type 2 diabetes, inadequate glucose tolerance, insulin resistance, hyperglycemia, hyperlipidemia, hypercholesterolemia, dyslipidemia, syndrome X, obesity, hypertension, chrome systemic inflammation, retinopathy, neuropathy, nephropathy, atherosclerosis, reduced fibrinolysis, endothelial dysfunction and osteoporosis.
22. The pharmaceutical formulation according to claim 18 which in addition comprises a DPP-IV inhibitor.
Applications Claiming Priority (4)
| Application Number | Priority Date | Filing Date | Title |
|---|---|---|---|
| US6752508P | 2008-02-27 | 2008-02-27 | |
| US61/067,525 | 2008-02-27 | ||
| SE0800458 | 2008-02-27 | ||
| SE0800458-2 | 2008-02-27 |
Publications (1)
| Publication Number | Publication Date |
|---|---|
| WO2009106561A1 true WO2009106561A1 (en) | 2009-09-03 |
Family
ID=40688394
Family Applications (1)
| Application Number | Title | Priority Date | Filing Date |
|---|---|---|---|
| PCT/EP2009/052268 Ceased WO2009106561A1 (en) | 2008-02-27 | 2009-02-26 | Pyrazine compounds for treating gpr119 related disorders |
Country Status (1)
| Country | Link |
|---|---|
| WO (1) | WO2009106561A1 (en) |
Cited By (24)
| Publication number | Priority date | Publication date | Assignee | Title |
|---|---|---|---|---|
| WO2011107494A1 (en) | 2010-03-03 | 2011-09-09 | Sanofi | Novel aromatic glycoside derivatives, medicaments containing said compounds, and the use thereof |
| WO2011113947A1 (en) | 2010-03-18 | 2011-09-22 | Boehringer Ingelheim International Gmbh | Combination of a gpr119 agonist and the dpp-iv inhibitor linagliptin for use in the treatment of diabetes and related conditions |
| WO2011161030A1 (en) | 2010-06-21 | 2011-12-29 | Sanofi | Heterocyclic substituted methoxyphenyl derivatives having an oxo group, method for producing same, and use thereof as gpr40 receptor modulators |
| WO2012004269A1 (en) | 2010-07-05 | 2012-01-12 | Sanofi | (2-aryloxy-acetylamino)-phenyl-propionic acid derivatives, method for producing same and use thereof as pharmaceuticals |
| WO2012004270A1 (en) | 2010-07-05 | 2012-01-12 | Sanofi | Spirocyclically substituted 1,3-propane dioxide derivatives, methods for the production thereof and use of the same as medicament |
| WO2012010413A1 (en) | 2010-07-05 | 2012-01-26 | Sanofi | Aryloxy-alkylene substituted hydroxyphenyl hexynoic acids, methods for the production thereof and use of the same as medicament |
| WO2012046249A1 (en) | 2010-10-08 | 2012-04-12 | Cadila Healthcare Limited | Novel gpr 119 agonists |
| US8293729B2 (en) | 2009-06-24 | 2012-10-23 | Boehringer Ingelheim International Gmbh | Compounds, pharmaceutical composition and methods relating thereto |
| WO2013037390A1 (en) | 2011-09-12 | 2013-03-21 | Sanofi | 6-(4-hydroxy-phenyl)-3-styryl-1h-pyrazolo[3,4-b]pyridine-4-carboxylic acid amide derivatives as kinase inhibitors |
| WO2013045413A1 (en) | 2011-09-27 | 2013-04-04 | Sanofi | 6-(4-hydroxy-phenyl)-3-alkyl-1h-pyrazolo[3,4-b]pyridine-4-carboxylic acid amide derivatives as kinase inhibitors |
| US8481731B2 (en) | 2009-06-24 | 2013-07-09 | Boehringer Ingelheim International Gmbh | Compounds, pharmaceutical composition and methods relating thereto |
| WO2014011926A1 (en) | 2012-07-11 | 2014-01-16 | Elcelyx Therapeutics, Inc. | Compositions comprising statins, biguanides and further agents for reducing cardiometabolic risk |
| WO2014037327A1 (en) * | 2012-09-10 | 2014-03-13 | Boehringer Ingelheim International Gmbh | N-cyclopropyl-n-piperidinyl-amides, pharmaceutical compositions containing them, and uses thereof |
| WO2015080446A1 (en) * | 2013-11-26 | 2015-06-04 | Chong Kun Dang Pharmaceutical Corp. | Amide derivatives for gpr119 agonist |
| JP2015522633A (en) * | 2012-07-24 | 2015-08-06 | ベーリンガー インゲルハイム インターナショナル ゲゼルシャフト ミット ベシュレンクテル ハフツング | N-cyclopropyl-N-piperidinyl-amide derivatives and their use as GPR119 modulators |
| JP2015522559A (en) * | 2012-06-12 | 2015-08-06 | チョン クン ダン ファーマシューティカル コーポレーション | Piperidine derivatives as GPR119 agonists |
| JP2015523404A (en) * | 2012-08-02 | 2015-08-13 | ベーリンガー インゲルハイム インターナショナル ゲゼルシャフト ミット ベシュレンクテル ハフツング | N-cyclopropyl-N-piperidinyl-amide, pharmaceutical compositions containing them and uses thereof |
| CN105829304A (en) * | 2013-12-20 | 2016-08-03 | 中国人民解放军军事医学科学院毒物药物研究所 | N, n substituted piperidinamine compounds, and preparation method and usage thereof |
| JP2016540824A (en) * | 2013-12-20 | 2016-12-28 | インスティテュート オブ ファーマコロジー アンド トキシコロジー アカデミー オブ ミリタリー メディカル サイエンシズ ピー.エル.エー.チャイナ | Novel piperidine carboxamide compounds, their preparation and use |
| CN112074513A (en) * | 2018-06-27 | 2020-12-11 | 豪夫迈·罗氏有限公司 | Pyridine and pyrazine derivatives as preferential cannabinoid 2 agonists |
| WO2021174048A1 (en) | 2020-02-28 | 2021-09-02 | Kallyope, Inc. | Gpr40 agonists |
| CN113396149A (en) * | 2018-12-06 | 2021-09-14 | 星座制药公司 | Modulators of TREX1 |
| US11279702B2 (en) | 2020-05-19 | 2022-03-22 | Kallyope, Inc. | AMPK activators |
| US11407768B2 (en) | 2020-06-26 | 2022-08-09 | Kallyope, Inc. | AMPK activators |
Citations (3)
| Publication number | Priority date | Publication date | Assignee | Title |
|---|---|---|---|---|
| WO2006070208A1 (en) * | 2004-12-31 | 2006-07-06 | Prosidion Ltd. | Pyridine, pyrimidine and pyrazine derivatives as gpcr agonists |
| WO2008025800A1 (en) * | 2006-08-30 | 2008-03-06 | Biovitrum Ab (Publ) | Pyrimidine compounds for treating gpr119 related disorders |
| WO2008070692A2 (en) * | 2006-12-06 | 2008-06-12 | Smithkline Beecham Corporation | Bicyclic compounds and use as antidiabetics |
-
2009
- 2009-02-26 WO PCT/EP2009/052268 patent/WO2009106561A1/en not_active Ceased
Patent Citations (3)
| Publication number | Priority date | Publication date | Assignee | Title |
|---|---|---|---|---|
| WO2006070208A1 (en) * | 2004-12-31 | 2006-07-06 | Prosidion Ltd. | Pyridine, pyrimidine and pyrazine derivatives as gpcr agonists |
| WO2008025800A1 (en) * | 2006-08-30 | 2008-03-06 | Biovitrum Ab (Publ) | Pyrimidine compounds for treating gpr119 related disorders |
| WO2008070692A2 (en) * | 2006-12-06 | 2008-06-12 | Smithkline Beecham Corporation | Bicyclic compounds and use as antidiabetics |
Cited By (39)
| Publication number | Priority date | Publication date | Assignee | Title |
|---|---|---|---|---|
| US8293729B2 (en) | 2009-06-24 | 2012-10-23 | Boehringer Ingelheim International Gmbh | Compounds, pharmaceutical composition and methods relating thereto |
| US8481731B2 (en) | 2009-06-24 | 2013-07-09 | Boehringer Ingelheim International Gmbh | Compounds, pharmaceutical composition and methods relating thereto |
| WO2011107494A1 (en) | 2010-03-03 | 2011-09-09 | Sanofi | Novel aromatic glycoside derivatives, medicaments containing said compounds, and the use thereof |
| WO2011113947A1 (en) | 2010-03-18 | 2011-09-22 | Boehringer Ingelheim International Gmbh | Combination of a gpr119 agonist and the dpp-iv inhibitor linagliptin for use in the treatment of diabetes and related conditions |
| WO2011161030A1 (en) | 2010-06-21 | 2011-12-29 | Sanofi | Heterocyclic substituted methoxyphenyl derivatives having an oxo group, method for producing same, and use thereof as gpr40 receptor modulators |
| WO2012004269A1 (en) | 2010-07-05 | 2012-01-12 | Sanofi | (2-aryloxy-acetylamino)-phenyl-propionic acid derivatives, method for producing same and use thereof as pharmaceuticals |
| WO2012004270A1 (en) | 2010-07-05 | 2012-01-12 | Sanofi | Spirocyclically substituted 1,3-propane dioxide derivatives, methods for the production thereof and use of the same as medicament |
| WO2012010413A1 (en) | 2010-07-05 | 2012-01-26 | Sanofi | Aryloxy-alkylene substituted hydroxyphenyl hexynoic acids, methods for the production thereof and use of the same as medicament |
| WO2012046249A1 (en) | 2010-10-08 | 2012-04-12 | Cadila Healthcare Limited | Novel gpr 119 agonists |
| WO2013037390A1 (en) | 2011-09-12 | 2013-03-21 | Sanofi | 6-(4-hydroxy-phenyl)-3-styryl-1h-pyrazolo[3,4-b]pyridine-4-carboxylic acid amide derivatives as kinase inhibitors |
| WO2013045413A1 (en) | 2011-09-27 | 2013-04-04 | Sanofi | 6-(4-hydroxy-phenyl)-3-alkyl-1h-pyrazolo[3,4-b]pyridine-4-carboxylic acid amide derivatives as kinase inhibitors |
| US9944600B2 (en) | 2012-06-12 | 2018-04-17 | Chong Kun Dang Pharmaceutical Corp. | Piperidine derivatives for GPR119 agonist |
| JP2019104741A (en) * | 2012-06-12 | 2019-06-27 | チョン クン ダン ファーマシューティカル コーポレーション | Piperidine derivatives as gpr119 agonist |
| JP2017105785A (en) * | 2012-06-12 | 2017-06-15 | チョン クン ダン ファーマシューティカル コーポレーション | Piperidine derivative as GPR119 agonist |
| EP2858986A4 (en) * | 2012-06-12 | 2015-11-11 | Chong Kun Dang Pharm Corp | GPR119 AGONIST PIPERIDINE DERIVATIVES |
| JP2015522559A (en) * | 2012-06-12 | 2015-08-06 | チョン クン ダン ファーマシューティカル コーポレーション | Piperidine derivatives as GPR119 agonists |
| WO2014011926A1 (en) | 2012-07-11 | 2014-01-16 | Elcelyx Therapeutics, Inc. | Compositions comprising statins, biguanides and further agents for reducing cardiometabolic risk |
| JP2015522633A (en) * | 2012-07-24 | 2015-08-06 | ベーリンガー インゲルハイム インターナショナル ゲゼルシャフト ミット ベシュレンクテル ハフツング | N-cyclopropyl-N-piperidinyl-amide derivatives and their use as GPR119 modulators |
| JP2015523404A (en) * | 2012-08-02 | 2015-08-13 | ベーリンガー インゲルハイム インターナショナル ゲゼルシャフト ミット ベシュレンクテル ハフツング | N-cyclopropyl-N-piperidinyl-amide, pharmaceutical compositions containing them and uses thereof |
| US9926308B2 (en) | 2012-08-02 | 2018-03-27 | Boehringer Ingelheim International Gmbh | N-cyclopropyl-N-piperidinyl-amides, pharmaceutical compositions containing them and uses thereof |
| US9469631B2 (en) | 2012-09-10 | 2016-10-18 | Boehringer Ingelheim International Gmbh | N-cyclopropyl-N-piperidinyl-amides, pharmaceutical compositions containing them, and uses thereof |
| WO2014037327A1 (en) * | 2012-09-10 | 2014-03-13 | Boehringer Ingelheim International Gmbh | N-cyclopropyl-n-piperidinyl-amides, pharmaceutical compositions containing them, and uses thereof |
| JP2016538296A (en) * | 2013-11-26 | 2016-12-08 | チョン クン ダン ファーマシューティカル コーポレーション | Amide derivatives as GPR119 agonists |
| WO2015080446A1 (en) * | 2013-11-26 | 2015-06-04 | Chong Kun Dang Pharmaceutical Corp. | Amide derivatives for gpr119 agonist |
| US9776987B2 (en) | 2013-11-26 | 2017-10-03 | Chong Kun Dang Pharmaceutical Corp | Amide derivatives for GPR119 agonist |
| RU2642429C2 (en) * | 2013-11-26 | 2018-01-25 | Чон Кун Тан Фармасьютикал Корп. | Amide derivatives as grp119 agonists |
| EP3085701A4 (en) * | 2013-12-20 | 2017-10-18 | Institute of Pharmacology and Toxicology Academy of Military Medical Sciences P.L.A. China | N, n' substituted piperidinamine compounds, and preparation method and usage thereof |
| JP2016540824A (en) * | 2013-12-20 | 2016-12-28 | インスティテュート オブ ファーマコロジー アンド トキシコロジー アカデミー オブ ミリタリー メディカル サイエンシズ ピー.エル.エー.チャイナ | Novel piperidine carboxamide compounds, their preparation and use |
| US10023565B2 (en) | 2013-12-20 | 2018-07-17 | Institute Of Pharmacology And Toxicology Academy Of Military Medical Sciences P.L.A. China | N,N′ substituted piperidinamine compounds, and preparation method and usage thereof |
| CN105829304A (en) * | 2013-12-20 | 2016-08-03 | 中国人民解放军军事医学科学院毒物药物研究所 | N, n substituted piperidinamine compounds, and preparation method and usage thereof |
| CN105829304B (en) * | 2013-12-20 | 2019-09-20 | 中国人民解放军军事医学科学院毒物药物研究所 | N, N' substituted piperidine amine compounds, preparation method and use thereof |
| CN112074513A (en) * | 2018-06-27 | 2020-12-11 | 豪夫迈·罗氏有限公司 | Pyridine and pyrazine derivatives as preferential cannabinoid 2 agonists |
| CN113396149A (en) * | 2018-12-06 | 2021-09-14 | 星座制药公司 | Modulators of TREX1 |
| US12172990B2 (en) | 2018-12-06 | 2024-12-24 | Constellation Pharmaceuticals, Inc. | Modulators of TREX1 |
| WO2021174048A1 (en) | 2020-02-28 | 2021-09-02 | Kallyope, Inc. | Gpr40 agonists |
| US12264171B2 (en) | 2020-02-28 | 2025-04-01 | Kallyope, Inc. | GPR40 agonists |
| US11279702B2 (en) | 2020-05-19 | 2022-03-22 | Kallyope, Inc. | AMPK activators |
| US11851429B2 (en) | 2020-05-19 | 2023-12-26 | Kallyope, Inc. | AMPK activators |
| US11407768B2 (en) | 2020-06-26 | 2022-08-09 | Kallyope, Inc. | AMPK activators |
Similar Documents
| Publication | Publication Date | Title |
|---|---|---|
| WO2009106561A1 (en) | Pyrazine compounds for treating gpr119 related disorders | |
| WO2009106565A1 (en) | Agonists of gpr119 | |
| US20080103141A1 (en) | New compounds | |
| WO2009150144A1 (en) | New gpr119modulators | |
| JP7301861B2 (en) | Inhibitor of TRPC6 | |
| JP7217273B2 (en) | Pyridine carbonyl derivatives and their therapeutic use as TRPC6 inhibitors | |
| CA2674360A1 (en) | Piperidine gpcr agonists | |
| JP6094578B2 (en) | Substituted piperidines as GPR119 modulators for the treatment of metabolic disorders | |
| JP2008545010A (en) | G protein-coupled receptor agonist | |
| JPWO2008059854A1 (en) | Piperidine derivatives or salts thereof | |
| EP2668157A1 (en) | Protease activated receptor 2 (par2) antagonists | |
| JP2014509600A (en) | N-cyclopropyl-N-piperidinylbenzamide as a GPR119 modulator | |
| JP2021514963A (en) | Triazine derivatives for the treatment of neurotrophin-related diseases | |
| JP2008533136A (en) | 2-pyridine derivatives as inhibitors of neutrophil elastase | |
| EP3194403A1 (en) | Pyrrolopyrimidine derivatives as nr2b nmda receptor antagonists | |
| TW201341379A (en) | Chemical compounds | |
| CN101535258B (en) | Dual Modulators of Ether Derivatives of 5HT2A and D3 Receptors | |
| JP2022546014A (en) | Triazine derivatives for treating diseases associated with neurotrophins | |
| WO2009071691A2 (en) | Oxindole derivatives and the use thereof as a medication | |
| US10399949B2 (en) | NK1 receptor antagonist | |
| JPWO2009041475A1 (en) | Method for producing pyrazol-3-yl-benzamide derivative | |
| JP6263789B2 (en) | N-cyclopropyl-N-piperidinyl-amide, pharmaceutical compositions containing them and uses thereof | |
| JP2015523404A (en) | N-cyclopropyl-N-piperidinyl-amide, pharmaceutical compositions containing them and uses thereof | |
| TW202446369A (en) | Glucose-dependent insulinotropic polypeptide receptor antagonists and uses thereof | |
| CN104662013A (en) | Novel phenylacetamide compound and pharmaceutical containing same |
Legal Events
| Date | Code | Title | Description |
|---|---|---|---|
| 121 | Ep: the epo has been informed by wipo that ep was designated in this application |
Ref document number: 09714310 Country of ref document: EP Kind code of ref document: A1 |
|
| NENP | Non-entry into the national phase |
Ref country code: DE |
|
| 122 | Ep: pct application non-entry in european phase |
Ref document number: 09714310 Country of ref document: EP Kind code of ref document: A1 |

















































































































































