WO2009087064A1 - Electroluminescent ionic host-guest dendritic materials - Google Patents
Electroluminescent ionic host-guest dendritic materials Download PDFInfo
- Publication number
- WO2009087064A1 WO2009087064A1 PCT/EP2008/068224 EP2008068224W WO2009087064A1 WO 2009087064 A1 WO2009087064 A1 WO 2009087064A1 EP 2008068224 W EP2008068224 W EP 2008068224W WO 2009087064 A1 WO2009087064 A1 WO 2009087064A1
- Authority
- WO
- WIPO (PCT)
- Prior art keywords
- substituted
- unsubstituted
- alkyl
- group
- independently
- Prior art date
- Legal status (The legal status is an assumption and is not a legal conclusion. Google has not performed a legal analysis and makes no representation as to the accuracy of the status listed.)
- Ceased
Links
- 0 Cc1c(-c2*(C)cccc2)[n]c2c1cccc2 Chemical compound Cc1c(-c2*(C)cccc2)[n]c2c1cccc2 0.000 description 10
- SSIAJBIKRGWWKL-UHFFFAOYSA-P C[NH+](C)Cc1cc(C[NH+](C)Cc2cc(OCc3cc(OCc4ccccc4)cc(OCc4ccccc4)c3)cc(OCc3cc(OCc4ccccc4)cc(OCc4ccccc4)c3)c2)ccc1 Chemical compound C[NH+](C)Cc1cc(C[NH+](C)Cc2cc(OCc3cc(OCc4ccccc4)cc(OCc4ccccc4)c3)cc(OCc3cc(OCc4ccccc4)cc(OCc4ccccc4)c3)c2)ccc1 SSIAJBIKRGWWKL-UHFFFAOYSA-P 0.000 description 2
- XSXCSWQISMJOOM-UHFFFAOYSA-N CC(C)(C)C(c(c(C)n[n]1-c2ccccc2)c1O)=O Chemical compound CC(C)(C)C(c(c(C)n[n]1-c2ccccc2)c1O)=O XSXCSWQISMJOOM-UHFFFAOYSA-N 0.000 description 1
- LRVOFDVMZZYXLR-UHFFFAOYSA-N CC(c(c(C)n[n]1-c2ccccc2)c1O)=O Chemical compound CC(c(c(C)n[n]1-c2ccccc2)c1O)=O LRVOFDVMZZYXLR-UHFFFAOYSA-N 0.000 description 1
- VUXVJVPWTGWEBP-UHFFFAOYSA-N CC1OC1C(CCCC1)C1O Chemical compound CC1OC1C(CCCC1)C1O VUXVJVPWTGWEBP-UHFFFAOYSA-N 0.000 description 1
- MSFGJICDOLGZQK-UHFFFAOYSA-N CCc1cc(O)cc(O)c1 Chemical compound CCc1cc(O)cc(O)c1 MSFGJICDOLGZQK-UHFFFAOYSA-N 0.000 description 1
- RQXOFXLOCFFCAH-UHFFFAOYSA-N Cc(c(C(c1ccccc1)=O)c1O)n[n]1-c1ccccc1 Chemical compound Cc(c(C(c1ccccc1)=O)c1O)n[n]1-c1ccccc1 RQXOFXLOCFFCAH-UHFFFAOYSA-N 0.000 description 1
- KCLJMJPZQAPYOG-UHFFFAOYSA-N O=C(CC(c1ccc[o]1)=O)c1ccc[o]1 Chemical compound O=C(CC(c1ccc[o]1)=O)c1ccc[o]1 KCLJMJPZQAPYOG-UHFFFAOYSA-N 0.000 description 1
- RYEKDXOACFEXKG-UHFFFAOYSA-N O=C(CC(c1ccc[s]1)=O)c1ccc[s]1 Chemical compound O=C(CC(c1ccc[s]1)=O)c1ccc[s]1 RYEKDXOACFEXKG-UHFFFAOYSA-N 0.000 description 1
- NDGWHQSOYIQHAS-UHFFFAOYSA-N O=C(CC(c1ccccc1)=O)c1ccc[o]1 Chemical compound O=C(CC(c1ccccc1)=O)c1ccc[o]1 NDGWHQSOYIQHAS-UHFFFAOYSA-N 0.000 description 1
- UCHVMNHSFFADEF-UHFFFAOYSA-N O=C(CC(c1ccccc1)=O)c1ccc[s]1 Chemical compound O=C(CC(c1ccccc1)=O)c1ccc[s]1 UCHVMNHSFFADEF-UHFFFAOYSA-N 0.000 description 1
Classifications
-
- H—ELECTRICITY
- H05—ELECTRIC TECHNIQUES NOT OTHERWISE PROVIDED FOR
- H05B—ELECTRIC HEATING; ELECTRIC LIGHT SOURCES NOT OTHERWISE PROVIDED FOR; CIRCUIT ARRANGEMENTS FOR ELECTRIC LIGHT SOURCES, IN GENERAL
- H05B33/00—Electroluminescent light sources
- H05B33/12—Light sources with substantially two-dimensional radiating surfaces
- H05B33/14—Light sources with substantially two-dimensional radiating surfaces characterised by the chemical or physical composition or the arrangement of the electroluminescent material, or by the simultaneous addition of the electroluminescent material in or onto the light source
-
- C—CHEMISTRY; METALLURGY
- C07—ORGANIC CHEMISTRY
- C07F—ACYCLIC, CARBOCYCLIC OR HETEROCYCLIC COMPOUNDS CONTAINING ELEMENTS OTHER THAN CARBON, HYDROGEN, HALOGEN, OXYGEN, NITROGEN, SULFUR, SELENIUM OR TELLURIUM
- C07F15/00—Compounds containing elements of Groups 8, 9, 10 or 18 of the Periodic Table
- C07F15/0006—Compounds containing elements of Groups 8, 9, 10 or 18 of the Periodic Table compounds of the platinum group
- C07F15/0033—Iridium compounds
-
- C—CHEMISTRY; METALLURGY
- C09—DYES; PAINTS; POLISHES; NATURAL RESINS; ADHESIVES; COMPOSITIONS NOT OTHERWISE PROVIDED FOR; APPLICATIONS OF MATERIALS NOT OTHERWISE PROVIDED FOR
- C09K—MATERIALS FOR MISCELLANEOUS APPLICATIONS, NOT PROVIDED FOR ELSEWHERE
- C09K11/00—Luminescent, e.g. electroluminescent, chemiluminescent materials
- C09K11/06—Luminescent, e.g. electroluminescent, chemiluminescent materials containing organic luminescent materials
-
- H—ELECTRICITY
- H05—ELECTRIC TECHNIQUES NOT OTHERWISE PROVIDED FOR
- H05B—ELECTRIC HEATING; ELECTRIC LIGHT SOURCES NOT OTHERWISE PROVIDED FOR; CIRCUIT ARRANGEMENTS FOR ELECTRIC LIGHT SOURCES, IN GENERAL
- H05B33/00—Electroluminescent light sources
- H05B33/12—Light sources with substantially two-dimensional radiating surfaces
- H05B33/20—Light sources with substantially two-dimensional radiating surfaces characterised by the chemical or physical composition or the arrangement of the material in which the electroluminescent material is embedded
-
- C—CHEMISTRY; METALLURGY
- C09—DYES; PAINTS; POLISHES; NATURAL RESINS; ADHESIVES; COMPOSITIONS NOT OTHERWISE PROVIDED FOR; APPLICATIONS OF MATERIALS NOT OTHERWISE PROVIDED FOR
- C09K—MATERIALS FOR MISCELLANEOUS APPLICATIONS, NOT PROVIDED FOR ELSEWHERE
- C09K2211/00—Chemical nature of organic luminescent or tenebrescent compounds
- C09K2211/10—Non-macromolecular compounds
- C09K2211/1018—Heterocyclic compounds
- C09K2211/1025—Heterocyclic compounds characterised by ligands
- C09K2211/1029—Heterocyclic compounds characterised by ligands containing one nitrogen atom as the heteroatom
-
- C—CHEMISTRY; METALLURGY
- C09—DYES; PAINTS; POLISHES; NATURAL RESINS; ADHESIVES; COMPOSITIONS NOT OTHERWISE PROVIDED FOR; APPLICATIONS OF MATERIALS NOT OTHERWISE PROVIDED FOR
- C09K—MATERIALS FOR MISCELLANEOUS APPLICATIONS, NOT PROVIDED FOR ELSEWHERE
- C09K2211/00—Chemical nature of organic luminescent or tenebrescent compounds
- C09K2211/18—Metal complexes
- C09K2211/185—Metal complexes of the platinum group, i.e. Os, Ir, Pt, Ru, Rh or Pd
Definitions
- the invention relates to novel electroluminescent ionic host-guest compounds, especially anionic organometallic phosphorescent emitters embedded in a cationic dendritic species, electronic devices comprising the electroluminescent ionic compounds and their use in electronic devices, especially organic light emitting diodes (OLEDs).
- OLEDs organic light emitting diodes
- Organic electronic devices that emit light, such as light emitting diodes that make up displays, are present in many different kinds of electronic equipment.
- an organic active layer is sandwiched between two electrical contact layers. At least one of the electrical contact layers is light-transmitting so that light can pass through the electrical contact layer.
- the organic active layer emits light through the light-transmitting electrical contact layer upon application of a voltage across the contact layers.
- Organic electrophosphorescent compounds known for use as an active component in a light emitting diode include various metal complexes comprising, for example, homoleptic
- electroluminescent compounds with excellent light emitting characteristics and good processability which may provide good control at a molecular level and for guest-host systems with a high level of the guest molecule in order to provide devices having improved efficiency.
- the properties of dendrimers make them ideal for solution processing and allow incorporation of metal complex chromophores through ionic interaction at definite sites which are predetermined by the cationic charge of the core resulting in separating the adjacent metal complexes and reduced triplet-triplet quenching.
- the number of guest molecules can be varied by varying the number of charges of the core. Controlled by the generation of the dendrimer the active metal complex may be completely embedded in the shell which leads to an increased lifetime of the light emitting device.
- E 1 is unsubstituted or substituted Ci-Ci 8 alkylene or unsubstituted or substituted
- R 1 and R 2 independently are H, unsubstituted or substituted Ci-Ci 8 alkyl, or R 1 and R 2 form an organic bridging group completing, together with the nitrogen atom, they are bonding to, a heterocyclic ring of 5 to 7 ring atoms in total;
- L 1 M is a fragment of a metal complex
- M is a metal with an atomic weight greater than 40
- L 1 independently is a color emission triggering moiety, comprising mono- or bidentate ligands
- L 2 is a mono- or bidentate ligand, substituted by Y-Z " , wherein
- Y is a single bond, unsubstituted or substituted Ci-Ci 8 alkylene or unsubstituted or substituted
- Ci-Ci 8 alkyleneoxy optionally interrupted by O or S;
- Z “ is an anionic group of sulfate (OSO 3 " ), sulfonate (SO 3 “ ), carboxylate (CO 2 " ), phosphate
- X " is an equivalent of a suitable anion.
- the ionic compound is of formula (II)
- A is a n-valent radical selected from H, Si, C, P, hydrocarbon radicals of 1 to 150 carbon atoms, and hydrocarbon radicals of 2 to 150 carbon atoms, wherein 1 or more CH 2 have been replaced by O, S, NR 3 , or N + R 3 R 3 , one or more CH have been replaced by P or N, or - A -
- each Ar 1 independently is unsubstituted or substituted C 6 -Ci 4 arylene
- each D independently is a dendritic molecular structure, comprising at least one branching group and optionally at least one linking group, the branching group being selected from unsubstituted or substituted C 6 -Ci 4 arylene and unsubstituted or substituted CrCi 8 alkylene, and the linking group being selected from unsubstituted or substituted C ⁇ -C-uarylene, unsubstituted or substituted CrCi 8 alkylene, unsubstituted or substituted Ci-Ci 8 alkyleneoxy and oxygen, said branching group being bonded to three or more groups, and said linking group being bonded to two groups, said dendritic molecular structure terminating at its distal points in unsubstituted or substituted C 6 -Ci
- R 4 , R 5 , R 6 independently are H, unsubstituted or substituted Ci-Ci 8 alkyl, unsubstituted or
- R 4 ', R 5 ', R 6 ' independently are unsubstituted or substituted Ci-Ci 8 alkyl, unsubstituted or substituted C 6 -Ci 4 aryl, OH, unsubstituted or substituted Ci-Ci 8 alkoxy, or a moiety of formula
- A represents a linking group E 2 , wherein E 2 is a direct bond, oxygen, unsubstituted or substituted Ci-Ci 8 alkylene, or a group -[Ar 2 Jr, wherein Ar 2 is unsubstituted or substituted C 6 -Ci 4 arylene, and r is an integer of from 1 to 10; or A is R 4 R 5 Si-E 2 -SiR 4 R 5' .
- dendrimer represents highly ordered, regularly branched, globular macromolecules prepared by a stepwise iterative approach. Their structure is divided in a core and one or more dendrons (also called dendrites or dendritic structure) attached to the core.
- dendrons also called dendrites or dendritic structure
- dendrimer does not encompass a hyperbranched polymer which has been synthesized through polymerization and which, as a result, has an irregularly arranged branching structure.
- the cationic dendrimer constituting a part of the present invention of formula (II) is known or is of a structure analogous to known compounds (Kleij, A.W. et al, Organometallics 1999, 18, 268-276 and Kleij, A.W. et al, Chem. Eur. J. 2001 , 7, 181-192).
- the dendrimer of the present invention has a branching structure in which repeating units each having a branching group are repeatedly linked through the "convergent method". This method is described in detail in Grayson, S. M., Frechet, J.M.J., Chem. Rev. 2001 , 101 , 3819-3867 or Hawker, CJ. , Frechet, J.M.J., J. Am. Chem. Soc. 1990, 112, 7638-7647. Therein, the dendrons are at first grown to the desired generation, and the resulting dendritic wedges are finally bonded to one or more focal points of a core.
- the core of a dendrimer serves as a center moiety, which is linked to one or more dendrons.
- the core is characterized in that it comprises at least one cationic moiety of the formula
- each nitrogen atom of the quaternary ammonium groups is bonded to a carbon atom of a dendron D, i.e. the number of quaternary ammonium groups defines the number of the charge of the core and thus the number of bonded dendrons.
- One or more cationic moieties of formula (IN') are bonded to a group A, which represents a n-valent radical, preferably selected from H, Si, C, and an hydrocarbon radical of 1 to 60 carbon atoms and hydrocarbon radicals of 2 to 60 carbon atoms, wherein 1 or more CH 2 have been replaced by O, S, NR 3 or N + R 3 R 3 , one or more CH have been replaced by P or N, or one or more C have been replaced by Si.
- a group A which represents a n-valent radical, preferably selected from H, Si, C, and an hydrocarbon radical of 1 to 60 carbon atoms and hydrocarbon radicals of 2 to 60 carbon atoms, wherein 1 or more CH 2 have been replaced by O, S, NR 3 or N + R 3 R 3 , one or more CH have been replaced by P or N, or one or more C have been replaced by Si.
- Hydrocarbon radicals of 1 to 60 carbon atoms are, for example, groups CR 4 R 5 R 6 , wherein R 4 , R 5 , R 6 independently are H, unsubstituted or substituted CrCi 8 alkyl, unsubstituted or substituted C 6 -Ci 4 aryl.
- Hydrocarbon radicals of 2 to 60 carbon atoms, wherein one or more C have been replaced by Si are, for example, groups SiR 4 R 5 R 6 , wherein R 4 ,R 5 and R 6 independently are unsubstituted or substituted CrCi 8 alkyl, unsubstituted or substituted C 6 -Ci 4 aryl, OH, or unsubstituted or substituted Ci-Ci 8 alkoxy.
- Hydrocarbon radicals of 2 to 60 carbon atoms wherein one or more CH 2 have been replaced by O, S, NR 3 or N + R 3 R 3 , one or more CH have been replaced by P or N, or one or more C have been replaced by Si are, for example, groups CR 4 R 5 R 6 , wherein R 4 , R 5 , R 6 independently are H, unsubstituted or substituted CrCi 8 alkyl, unsubstituted or substituted
- Hydrocarbon radicals of 2 to 60 carbon atoms wherein one or more CH 2 have been replaced by O, S, NR 3 or N + R 3 R 3 , one or more CH have been replaced by P or N, or one or more C have been replaced by Si are, for example, groups SiR 4 R 5 R 6 , wherein R 4 , R 5 and R 6 independently are unsubstituted or substituted CrCi 8 alkyl, unsubstituted or substituted C 6 -Ci 4 aryl, OH, or unsubstituted or substituted Ci-Ci 8 alkoxy and optionally a moiety of
- Hydrocarbon radicals of 2 to 60 carbon atoms wherein one or more CH 2 have been replaced by O, S or NR 3 or one or more CH have been replaced by P or N, are, for example, heterocyclic rings, preferably aromatic or aliphatic heterocyclic rings of 5 or 6 atoms in total, containing 1 to 3 nitrogen atoms or 1 sulfur atom, such as 1 ,2,3-triazole, 1 ,2,4-triazole, triazine, pyridine, piperazine, or thiophene, all of which may be substituted or fused to another carbocyclic or heterocyclic ring.
- heterocyclic rings preferably aromatic or aliphatic heterocyclic rings of 5 or 6 atoms in total, containing 1 to 3 nitrogen atoms or 1 sulfur atom, such as 1 ,2,3-triazole, 1 ,2,4-triazole, triazine, pyridine, piperazine, or thiophene, all of which may be substituted or fused to another carbo
- the group A may be a group of formula (I') R R , which results in a polycationic
- R-' V R 1 R 2 dendrimer of the following structure with (p+1 ) quaternary nitrogen atoms.
- A may be a linking group E 2 , wherein E 2 is a direct bond, oxygen, unsubstituted or substituted CrCi 8 alkylene, or a group Of -[Ar 2 Jr, wherein Ar 2 is unsubstituted or substituted C 6 -Ci 4 arylene and r is 1 to 10, or E 2 is R 4 R 5 Si-E 2 -SiR 4 R 5' .
- Ar 2 may also be a heterocyclic ring, preferably an aromatic or aliphatic heterocyclic ring of 5 or 6 atoms in total, containing 1 to 3 nitrogen atoms or 1 sulfur atom, such as 1 ,2,3-triazole, 1 ,2,4-triazole, triazine, pyridine, piperazine, or thiophene, all of which may be substituted or fused to another carbocyclic or heterocyclic ring.
- a heterocyclic ring preferably an aromatic or aliphatic heterocyclic ring of 5 or 6 atoms in total, containing 1 to 3 nitrogen atoms or 1 sulfur atom, such as 1 ,2,3-triazole, 1 ,2,4-triazole, triazine, pyridine, piperazine, or thiophene, all of which may be substituted or fused to another carbocyclic or heterocyclic ring.
- the cationic dendrimer i.e. the cationic part of formula (II), has the following structure of formula (IV)
- R 1 , R 2 independently are Ci-C 4 alkyl, preferably methyl
- E 1 is Ci-C 4 alkylene.
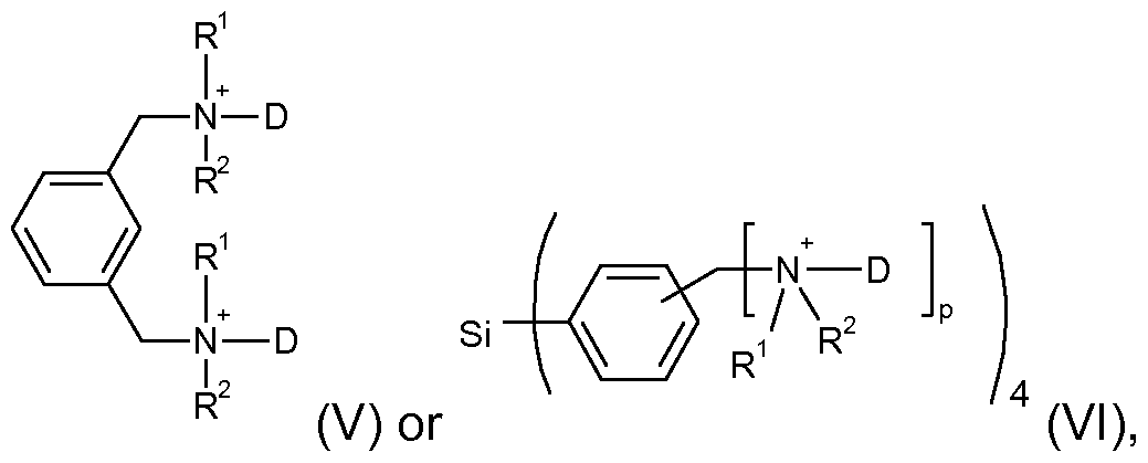
- ionic compounds wherein the cationic dendrimer, i.e. the cationic part of formula (II), has the following structure of formulae (V) or (Vl)
- Suitable cationic dendrimers include
- Dendrons or dendritic structures are branched structures comprising branching groups and optionally linking groups.
- the generation of a dendron is defined by the number of sets of branching points.
- Dendrons of higher generation can be composed of the same structural units (branching and linking groups) but have an additional level of branching, i.e. an additional repetition of these branching and linking groups. Alternatively higher generations can have an additional level of branching but different branching and linking groups at the higher generation.
- Branching groups have three or more attachments.
- the branching group may be unsubstituted or substituted C 6 -Ci 4 arylene and/or unsubstituted or substituted d- Ci 8 alkylene.
- Linking groups if present, have two attachments and may be unsubstituted or substituted C 6 -Ci 4 arylene and/or unsubstituted or substituted Ci-Ci 8 alkylene and/or unsubstituted or substituted Ci-Ci 8 alkyleneoxy and/or an oxygen atom.
- the arylene groups within the dendrons may be typically benzene, naphthalene, anthracene, phenanthrene or biphenylene (in which case an aryl group is present in the link between adjacent branching groups), fluorene and where appropriate substituted variations.
- Typical substituents which may be present at any position, include CrCi 8 alkyl, Ci-Ci 8 alkoxy, halogen and CF 3 .
- the arylene groups at the branching points are preferably benzene rings, preferably coupled at ring positions 1 , 3 and 5.
- the dendrons may be of the same or different generation as well as of the same or different type. Preferred are dendrons of the same generation and type.
- dendritic structures D include the following groups, wherein (Vl 1-1 ) to (VII-3) are preferred and (Vl 1-1 ) is most preferred:
- the number of generations of the dendrons is preferably 1 to 6 and more preferably 1 , 2 or 3.
- ionic compounds wherein the dendritic molecular structure D is of the 1 st , 2 nd or 3 rd generation.
- distal denotes the part or parts of the molecule furthest from the core when following the bond sequence out from the core.
- the distal groups are unsubstituted or substituted C 6 -Ci 4 aryl and/or unsubstituted or substituted Ci-Ci 8 alkyl and/or OH, and/or unsubstituted or substituted Ci-Ci 8 alkoxy.
- the anionic part of the ionic dendritic compound of the present invention i.e. the anionic metal complex L 1 M(L 2 - Y-Z " ), is characterized in that one ligand attached to the metal cation has an anionic substituent Z " , which is located close to the ammonium group of the dendrimer by electrostatic forces. Also, the compound of formula (II) is electroneutral.
- the group L 1 M represents a fragment of a metal complex comprising one or more ligands L 1 attached to the metal cation M.
- All ligands L 1 and the group (L 2 - Y-Z " ) attached to the metal cation must be such that the coordination requirements of the metal cation are fullfilled.
- Preferred ligands L 1 and L 2 as well as metal cations M are described below.
- ligand is intended to mean a molecule, ion, or atom that is attached to the coordination sphere of a metallic ion.
- complex when used as a noun, is intended to mean a compound having at least one metallic ion and at least one ligand.
- group is intended to mean a part of a compound, such a substituent in an organic compound or a ligand in a complex.
- adjacent to when used to refer to layers in a device, does not necessarily mean that one layer is immediately next to another layer.
- photoactive refers to any material that exhibits electroluminescence and/or photosensitivity.
- the metal M of the fragment L 1 M of the present invention is generally a metal with an atomic weight of greater than 40, preferably the metal M is selected from Tl, Pb, Bi, In, Sn, Sb, Te, especially Mo, Cr, Mn, Ta, V, Cu, Fe, Ru, Ni, Co, Ir, Pt, Pd, Rh, Re, Os, Ag and Au. More preferably M is selected from Ir, Re, Ru, Rh, Ag, Au, Pt, Pd and Cu, wherein Ir and Pt are most preferred.
- anions X " may be present in the ionic compound of the invention.
- Suitable anions are in general halides, such as F “ , Cl “ , Br “ or I “ , preferably Br " .
- a preferred embodiment of the invention is directed to an ionic compound, wherein M of the anionic metal complex is selected from Ir, Ru, Rh, Re, Ag, Au, Pt, Pd and Cu, preferably from Ir and Pt, and the optional further anion X “ is F “ , Cl “ , Br “ or I “ , preferably Br “ .
- a number of anionic metal complexes of the present invention with a suitable counter cation, preferably a tetraalkylammonium ion, are novel compounds.
- the present invention further relates also to a compound of the formula (VIII)
- L 1 is a color emission triggering moiety, comprising bidentate ligands
- Y is unsubstituted or substituted C-i-C-isalkylene or unsubstituted or substituted
- Ci-Ci 8 alkyleneoxy optionally interrupted by O or S;
- X + is a counter cation, preferably N + R 7 R 8 R 9 R 10 , wherein R 7 , R 8 , R 9 , R 10 are the same as R 1 and R 2 ; and the ligand (L 2 - Y-Z " ) is selected from
- ring A represents an optionally substituted aryl group which may contain a heteroatom
- ring B represents an optionally substituted nitrogen containing aryl group, which may contain further heteroatoms
- ring C represents a ligand derived from a nucleophilic carbene, which may contain a heteroatom
- R 11 is unsubstituted or substituted Ci-C 4 alkyl
- R 12 is CF 3 or a ring A
- R 13 is H, unsubstituted or substituted Ci-C 4 alkyl
- R 14 , R 14 independently are a ring A, unsubstituted or substituted C-i-Csalkyl, Ci-C ⁇ perfluoralkyI or a ring B, unsubstituted or substituted Ci-C 8 alkoxy; and
- W is N or CH.
- the linking group Y is Ci-Ci 8 alkylene or CrCi 8 alkyleneoxy, optionally interrupted by O or S,
- z is 0 or an integer of 1 to 3, more preferably 0 or 1.
- the anionic group Z " is preferably sulfate (OSO 3 " ) or carboxylate (CO 2 " ), preferably sulfate.
- Each L 1 of the fragment L 1 M of the metal complex of the present invention independently is a
- CyC CyC moiety _ ' orrent court consisting of 2 monodentate ligands CyC and/or CyN, or 1 bidentate ligand wherein the 2 moieties CyC and CyN, or CyC and CyC, are interlinked by a chemical bond
- CyC is an organic moiety containing a carbon atom bonding to M
- CyN is a cyclic organic moiety containing a nitrogen atom bonding to M.
- CyN may be a ring B, , as described above for the ligands (L 2 - Y-Z ).
- 2 rings are interconnected, respectively, to form a bidentate ligand of the formula
- nucleophilic carbene ligand means typical ⁇ -donor ligands that can substitute classical 2e " donor ligands. They can be cyclic or acyclic. They can have no or several different heteroatoms or several heteroatoms of the same kind.
- carbenes are, for example, diarylcarbenes, cyclic diaminocarbenes, imidazol-2-ylidenes, imidazolidin- 2-ylidene, 1 ,2,4-triazol-3-yildenes, 1 ,3-thiazol-2-ylidenes, acyclic diaminocarbenes, acyclic aminooxycarbenes, acyclic aminothiocarbenes, cyclic diborylcarbenes, acyclic diborylcarbenes, phosphinosilyl-carbenes, phosphinophosphoniocarbenes, sulfenyl- trifluormethylcarbenes, sulfenylpentafluorothiocarbenes, etc.
- bidentate ligands of this class include those of the formulae
- Preferred ligands L 1 comprise at least one ligand of formula wherein ring system A in preferred ligands of this class includes a phenyl group, a substituted phenyl group, a naphthyl group, a substituted naphthyl group, a furyl group, a substituted furyl group, a benzofuryl group, a substituted benzofuryl group, a thienyl group, a substituted thienyl group, a benzothienyl group, a substituted benzothienyl group, and the like.
- the substitutent on the substituted phenyl group, substituted naphthyl group, substituted furyl group, substituted benzofuryl group, substituted thienyl group, and substituted benzothienyl group include d-C 24 alkyl groups, C 2 -C 24 alkenyl groups, C 2 -C 24 alkynyl groups, aryl groups, heteroaryl groups, d-C 24 alkoxy groups, d-C 24 alkylthio groups, a cyano group, C 2 -C 24 acyl groups, d-C 24 alkyloxycarbonyl groups, a nitro group, halogen atoms, alkylenedioxy groups, and the like.
- R 16 , R 17 , R 18 , and R 19 are independently of each other hydrogen, d-C 24 alkyl, C 2 -C 24 alkenyl, C 2 -C 24 alkynyl, aryl, heteroaryl, d-C 24 alkoxy, d-C 24 alkylthio, cyano, acyl, alkyloxycarbonyl, a nitro group, or a halogen atom; or two substituents R 16 , R 17 , R 18 , and R 19 , which are adjacent to each other, together form a
- R 205 , R 206 , R 207 and R 208 are independently of each other H, or
- the ring A represents an optionally substituted aryl or heteroaryl group; or the ring A may be taken with the pyridyl group binding to the ring A to form a ring; the alkyl group, alkenyl group, alkynyl group, aryl group, heteroaryl group, alkoxy group, alkylthio group, acyl group, and alkyloxycarbonyl group represented by R 16 , R 17 , R 18 , and R 19 may be substituted.
- Y 3 is S, O, NR 200 , wherein R 200 is hydrogen, d-C 4 alkyl, C 2 -C 4 alkenyl, optionally substituted C 6 -Ci 0 aryl, especially phenyl,
- X 20 is halogen, especially F, or Cl; hydroxy, cyano, -O-Ci-C 4 alkyl, di(Ci-C 4 alkyl)amino, amino, or cyano; a group -(CH 2 ⁇ 0C(0)(CH 2 )r"CH 3 , wherein r is 1 , or 2, and r" is 0, or 1 ; , -NH-Ph, -
- Q 1 and Q 2 are independently of each other hydrogen, CrC 24 alkyl, or C 6 -Ci 8 aryl,
- a V 21 is hydrogen, halogen, d-C 4 alkoxy, or d-C 4 alkyl
- A is hydrogen, halogen, d-C ⁇ alkoxy, d-C ⁇ alkyl, or C 6 -Ci 0 aryl
- a V 23 is hydrogen, halogen, d-d 2 alkoxy, d-d 2 alkyl, or C 6 -Ci 0 aryl,
- A is hydrogen, halogen, d-dalkoxy, or d-dalkyl, or
- a 22 and A 23 , or A 23 and A 24 together form a group R " , wherein R 205 , R 206 , R 207 and R 208 are independently of each other H, halogen, d-d 2 alkoxy, or d-d 2 alkyl,
- R is H, halogen, d-d 2 alkyl, CrCi 2 alkoxy, or d-dperfluoroalkyl
- R 43 is H, halogen, d-d 2 alkyl, d-d 2 alkoxy, Crdperfluoroalkyl, d-Ci 5 aralkyl, or C 6 -Ci 0 aryl
- R 44 is H, halogen, d-d 2 alkyl, CrCi 2 alkoxy, C 6 -Ci 0 aryl, C 7 -d 5 aralkyl, or d-dperfluoroalkyl
- R 45 is H, halogen, d-d 2 alkyl, CrCi 2 alkoxy, or d-dperfluoroalkyl, more especially wherein A 21 is hydrogen,
- a 22 is hydrogen, d-d 2 alkoxy, d-d 2 alkyl, or phenyl
- a 23 is hydrogen, d-d 2 alkoxy, d-d 2 alkyl, or phenyl
- a V 24 is hydrogen, or
- R are independently of each other H, or d-C 8 alkyl
- R ->43 is H, F, Ci-Ci 2 alkyl, CrC 8 alkoxy, Ci-C 4 perfluoroalkyl, or phenyl
- R is H, F, Ci-Ci 2 alkyl, CrC 8 alkoxy, or Ci-C 4 perfluoroalkyl, and
- R ->4 4 5 3 is H, F, Ci-Ci 2 alkyl, Ci-C 8 alkoxy, or C r C 4 perfluoroalkyl.
- n' is 0, 1 or 2, especially 1 ;
- a 12 , A 14 , A 16 A 21 , A 22 , A 23 and A 24 are independently of each other hydrogen, CN, halogen,
- a 23 , A 24 ; or A 18 , A 22 ; or A 23 , A 19 , bonding to vicinal atoms, together are a group of formula
- a 4J , A 44 , A 4b , A 4b and A 4 ' are independently of each other H, halogen, CN, Ci-C 24 alkyl, Ci-C 24 perfluoroalkyl, Ci-C 24 alkoxy, Ci-C 24 alkylthio, C 6 -Ci 8 aryl, which may optionally be substituted by G 3 , -NR 25 R 26 , -CONR 25 R 26 , or -COOR 27 , or C 2 -Ci 0 heteroaryl; especially , or while each of A 11 , A 13 , A 15 , A' 21 , A' 22 , A' 23 and A' 24 independently is hydrogen or Ci-C 24 alkyl; or 2 adjacent radicals A 11 , A 12 ; A 13 , A 14 ; A 15 , A 16 A' 21 , A 21 ; A' 22 , A 22 ; A' 23 , A 23 ; A' 24 , A 24 , bonding to the same carbon atom
- E 5 is O, S, or NR 25 ,
- R 25 and R 26 are independently of each other C 6 -Ci 8 aryl, C 7 -Ci 8 aralkyl, or Ci-C 24 alkyl, R 27 is
- Ci-C 24 alkyl C 6 -Ci 8 aryl, or C 7 -Ci 8 aralkyl
- Y 5 , Y 5 and Y 6 are independently of each other a group of formula
- R 41 is the bond to M
- R 71 is the bond to M
- R 42 is hydrogen, or CrC 24 alkyl, CN, Ci-C 24 alkyl, which is substituted by F, halogen, especially F, C 6 -Ci8-aryl, C 6 -Ci 8 -aryl which is substituted by Ci-Ci 2 alkyl, or d-C 8 alkoxy
- R 43 is hydrogen, CN, halogen, especially F, Ci-C 24 alkyl, which is substituted by F, C 6 -Ci 8 aryl, C 6 -Ci 8 aryl which is substituted by C r Ci 2 alkyl, or C r C 8 alkoxy, -CONR 25 R 26 , -COOR 27 ,
- E 6 is -S-, -O-, or -NR 25' -, wherein R 25' is C r C 24 alkyl, or C 6 -Ci 0 aryl,
- R 110 is H, CN, CrC 24 alkyl, CrC 24 alkoxy, C 1 -C 24 alkylthio, -NR 25 R 26 , -CONR 25 R 26 , or -COOR 27 , or R 42 and R 43 are a group of formula , wherein A 41 , A 42 , A 43 , A 44 ,
- a 45 , A 46 and A 47 are independently of each other H, halogen, CN, d-C 24 alkyl, C r C 24 perfluoroalkyl, CrC 24 alkoxy, CrC 24 alkylthio, C 6 -Ci 8 aryl, which may optionally be substituted by G 3 , -NR 25 R 26 , -CONR 25 R 26 , or -COOR 27 , or C 2 -Ci 0 heteroaryl; especially
- R 44 is hydrogen, CN or Ci-C 24 alkyl, Ci-C 24 alkyl, which is substituted by F, halogen, especially F, C 6 -Ci8-aryl, C 6 -Ci 8 -aryl which is substituted by CrCi 2 alkyl, or d-C 8 alkoxy
- R 45 is hydrogen, CN or Ci-C 24 alkyl, Ci-C 24 alkyl, which is substituted by F, halogen, especially F, C 6 -Ci8-aryl, C 6 -Ci 8 -aryl which is substituted by CrCi 2 alkyl, or CrC 8 alkoxy
- a 11' , A 12' , A 13' , and A 14' are independently of each other H, halogen, CN, C r C 24 alkyl, CrC 24 alkoxy, C r C 24 alkylthio, -NR 25 R 26 , -CONR 25 R 26 , or -COOR 27 , R 68
- R 16 is hydrogen, halogen, especially F, or Cl; nitro,
- R 17 is hydrogen, halogen, especially F, or Cl; Ci-C 4 alkyl, Ci-C 4 perfluoroalkyl, optionally substituted C 6 -Ci 0 aryl, especially phenyl, or optionally substituted C 6 -Cioperfluoroaryl, especially C 6 F 5 ,
- R 18 is hydrogen, Ci-C 4 alkyl, d-C 8 alkoxy, Ci-C 4 perfluoroalkyl, optionally substituted C 6 -Ci 0 aryl, especially phenyl, or optionally substituted C 6 -Ci 0 perfluoroaryl, especially C 6 F 5
- R 19 is hydrogen, halogen, especially F, or Cl; nitro, cyano, Ci-C 4 alkyl, Ci-C 4 perfluoroalkyl, Ci-C 4 alkoxy, or optionally substituted C 6 -Ci 0 aryl, especially phenyl,
- a 10 is hydrogen, halogen, especially F, or Cl; nitro, cyano, Ci-C 4 alkyl, C 2 -C 4 alkenyl, Ci-C 4 perfluoroalkyl, -O-Ci-C 4 perfluoroalkyl, tri(Ci-C 4 alkyl)silanyl, especially tri(methyl)silanyl, optionally substituted C 6 -Ci 0 aryl, especially phenyl, or optionally substituted C 6 - Cioperfluoroaryl, especially C 6 F 5 ,
- a 11 is hydrogen, halogen, especially F, or Cl; nitro, cyano, Ci-C 4 alkyl, C 2 -C 4 alkenyl,
- a 12 is hydrogen, halogen, especially F, or Cl; nitro, hydroxy, mercapto, amino, Ci-C 4 alkyl, C 2 -C 4 alkenyl, Ci-C 4 perfluoroalkyl, Ci-C 4 alkoxy, OCi-C 4 perfluoroalkyl, -S-Ci-C 4 alkyl, a group -(CH 2 ) r X 20 , wherein r is 1 , or 2, X 20 is halogen, especially F, or Cl; hydroxy, cyano, OCi-C 4 alkyl
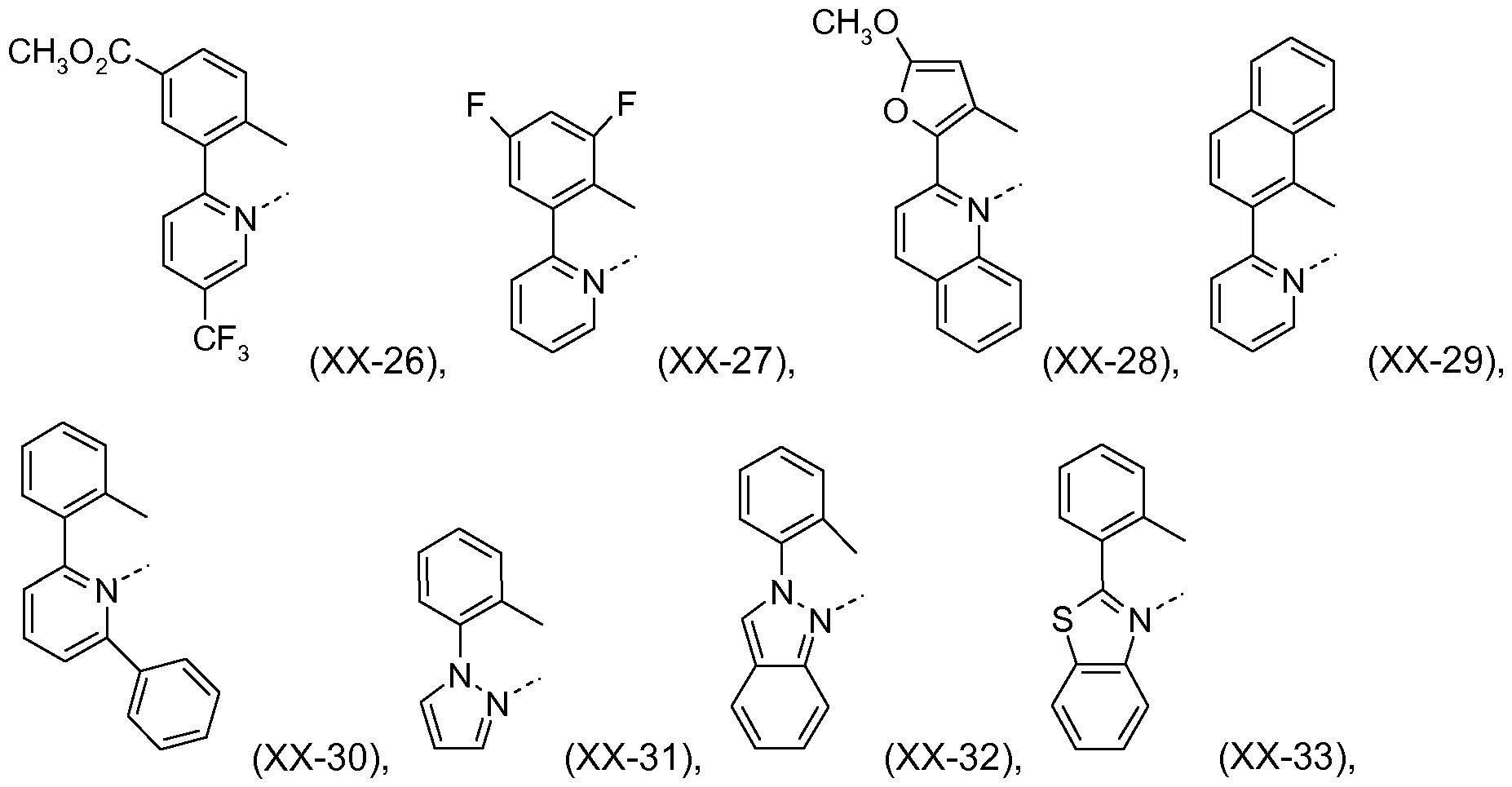
- the basic structure of the group (L 2 - Y- Z " ) may be one of the above-mentioned ligands for L 1 of the groups a) to e) including the mentioned substituents, in particular one of (XX-1 )-(XX- 53) as well as ligands disclosed in WO 2008/098851 , mentioned below, which examples are preferred.
- the group Y-Z " may be attached at any ring atom of CyC or CyN, at any ring atom of a fused ring or at any ring atom of an aryl or hetaryl substitutent.
- LDH is a bidentate ligand of formula (XXI).
- W : ' is selected from O , S, NR 304 , CR 305 R 306 ,
- X 5 is N or CR 307 ,
- Q i is selected from O, S, NR 308 ;
- R, R' and R" independently are selected from Ci-Ci 2 alkyl, C 5 -Ci 0 aryl, C 3 -Ci 2 cycloalkyl, preferably from d-C 6 alkyl, phenyl, cyclopentyl, cyclohexyl; and R may also be hydrogen; or the neighbouring residues R 301 and R 302 form an organic bridging group completing, together with the carbon atoms they are bonding to, a carbocyclic or heterocyclic, non- aromatic or preferably aromatic ring of 5 to 7 ring atoms in total, which optionally may be substituted;
- R 307 if present, together with its neighbouring residue R 300 forms an organic bridging group completing, with the carbon atoms they are bonding to, a carbocyclic or heterocyclic, non- aromatic or preferably aromatic ring of 5 to 7 ring atoms in total, which optionally may be substituted; and in case that W 5 is O, NR 304 , CR 305 R 306 and/or Q contains a nitrogen atom, R 307 also embraces the meanings given for R 304 ; or R 300 is H, unsubstituted or substituted CrCi 8 alkyl, unsubstituted or substituted C 2 - Ci 8 alkenyl, unsubstituted or substituted C 5 -Ci 0 aryl, unsubstituted or substituted C 2 - Cioheteroaryl, d-Ci 8 acyl; R 308 is hydrogen or a substituent.
- L 2 which is substituted by a group (Y- Z )
- Y- Z is a bidentate ligand, which has N, O, P, or S as coordinating atoms and forms 5- or 6-membered rings, when coordinated to metal.
- Suitable coordinating groups include amino, imino, amido, alkoxide, carboxylate, phosphino, thiolate, and the like.
- Suitable parent compounds for these ligands include ⁇ -dicarbonyls ( ⁇ -enolate ligands), and their N and S analogs; amino carboxylic acids (aminocarboxylate ligands); pyridine carboxylic acids (iminocarboxylate ligands); salicylic acid derivatives (salicylate ligands); hydroxyquinolines (hydroxyquinolinate ligands) and their S analogs; and diarylphosphinoalkanols (diarylphosphinoalkoxide ligands).
- R 11 and R 15 are independently of each other hydrogen, CrC 8 alkyl, C 6 -Ci 8 aryl,
- R 12 and R 16 are independently of each other hydrogen, or d-C 8 alkyl
- R 13 and R 17 are independently of each other hydrogen, d-C 8 alkyl, C 6 -Ci 8 aryl,
- R 14 is Ci-C 8 alkyl, C 6 -Ci 0 aryl, or OCuaralkyl,
- R 19 is Ci-C 8 alkyl
- R 20 is Ci-C 8 alkyl, or C 6 -Ci 0 aryl,
- R 21 is hydrogen, d-C 8 alkyl, or Ci-C 8 alkoxy, which may be partially or fully fluorinated,
- R 22 and R 23 are independently of each other C n (H+F) 2n +i, or C 6 (H+F) 5 , R 24 can be the same or different at each occurrence and is selected from H, or C n (H+F) 2n +i, p is 2, or 3, and
- R 46 is Ci-C 8 alkyl, C 6 -Ci 8 aryl, or C 6 -Ci 8 aryl, which is substituted by OC 8 alkyl.
- phosphino alkoxide ligands examples include 3-(diphenylphosphino)-1 -oxypropane [dppO] 1 ,1-bis(trifluoromethyl)-2-(diphenylphosphino)-ethoxide [tfmdpeO].
- hydroxyquinoline parent compounds can be substituted with groups such as alkyl or alkoxy groups which may be partially or fully fluorinated. In general, these compounds are commercially available.
- suitable hydroxyquinolinate ligands, L' include: 8-hydroxyquinolinate [8hq] 2-methyl-8-hydroxyquinolinate [Me-8hq] 10-hydroxybenzoquinolinate [10-hbq]
- anionic metal complexes of the present invention can be prepared from readily available salts of the metals and the ligands as described according to usual methods known from the prior art; see, for example, WO 06/000544 and literature cited therein.
- Iridium metal complexes of formula lr(L a ) 2 L' can, for example, be prepared by first preparing an intermediate iridium dimer of formula X I
- the iridium dimers can generally be prepared by first reacting iridium trichloride hydrate with HL a and adding NaX, and by reacting iridium trichloride hydrate with HL a in a suitable solvent, such as 2-ethoxyethanol.
- Complexes and ligands of the present invention may conveniently be obtained in analogy to methods known in the art, e.g. as initially mentioned.
- the group Y-Z " is introduced by any conversion of a suitable substituent at a ring atom of the ligands.
- Another possibility is to introduce the group Y-Z " by any conversion of a suitable substituent at a ring atom of a precursor compound HL', followed by addition to an intermediate dimer
- Ligands L 1 and the basic structure of L 2 are widely known in the art, many are commercially available.
- metal complexes having only bidendate ligands are metal complexes having only bidendate ligands.
- ML 1 is a fragment of a metal complex, wherein L 1 is one bidendate ligand.
- ML 1 is a fragment of a metal complex, wherein L 1 comprises two bidendate ligands.
- a particular preferred metal complex, which is employed in the preparation of the ionic dendritic compound is of formula (X)
- Ci-Ci 8 acyl stands for a radical X'-R 11 , wherein X' is CO or SO 2 and R 11 is selected from monovalent aliphatic or aromatic organic residues, usually from molecular weight up to 300; for example, R 11 may be selected from Ci-Ci 8 alkyl, C 2 -Ci 8 alkenyl, C 5 -Ci 0 aryl which may be unsubstituted or substituted by Ci-C 8 alkyl or halogen or Ci-C 8 alkoxy, C 6 -Ci 5 arylalkyl which may be unsubstituted or substituted in the aromatic part by Ci-C 8 alkyl or halogen or Ci-C 8 alkoxy, C 4 -Ci 2 cycl
- Acyl is preferably an aliphatic or aromatic residue of an organic acid -CO-R 11 , usually of 1 to 30 carbon atoms, wherein R 11 embraces aryl, alkyl, alkenyl, alkynyl, cycloalkyl, each of which may be substituted or unsubstituted and/or interrupted as described elsewhere inter alia for alkyl residues, or R' may be H (i.e. COR' being formyl).
- Preferences consequently are as described for aryl, alkyl etc.; more preferred acyl residues are substituted or unsubstituted benzoyl, substituted or unsubstituted Ci-Ci 7 alkanoyl or alkenoyl such as acetyl or propionyl or butanoyl or pentanoyl or hexanoyl, substituted or unsubstituted C 5 -Ci 2 cycloalkylcarbonyl such as cyclohexylcarbonyl.
- aryl e.g. in Ci-Ci 4 aryl
- this preferably comprises monocyclic rings or polycyclic ring systems with the highest possible number of double bonds, such as preferably phenyl, naphthyl, anthrachinyl, anthracenyl or fluorenyl.
- aryl mainly embraces Ci-Ci 8 aromatic moieties, which may be heterocyclic rings (also denoted as heteroaryl) containing, as part of the ring structure, one or more heteroatoms mainly selected from O, N and S; hydrocarbon aryl examples mainly are C 6 -Ci 8 including phenyl, naphthyl, anthrachinyl, anthracenyl, fluorenyl, especially phenyl.
- Heteroaryl such as C 4 -Ci 8 heteroaryl stands for an aryl group containing at least one heteroatom, especially selected from N, O, S, among the atoms forming the aromatic ring; examples include pyridyl, pyrimidyl, pyridazyl, pyrazyl, thienyl, benzothienyl, pyrryl, furyl, benzofuryl, indyl, carbazolyl, benzotriazolyl, thiazolyl, chinolyl, isochinolyl, triazinyl, tetrahydronaphthyl, thienyl, pyrazolyl, imidazolyl.
- C 4 -Ci 8 aryl e.g. selected from phenyl, naphthyl, pyridyl, tetrahydronaphthyl, furyl, thienyl, pyrryl, chinolyl, isochinolyl, anthrachinyl, anthracenyl, phenanthryl, pyrenyl, benzothiazolyl, benzoisothiazolyl, benzothienyl, especially C 6 -Ci 0 aryl; most preferred is phenyl, naphthyl.
- Any arylene is derived from aryl by abstracting a hydrogen atom from any ring carbon atom of the aryl.
- Halogen denotes I, Br, Cl, F, preferably Cl, F, especially F.
- Any alkylene is derived from alkyl by abstracting a hydrogen atom from any terminal carbon atom of the alkyl.
- any alkyl moiety of more than one, especially more than 2 carbon atoms, or such alkyl or alkylene moieties which are part of another moiety may be interrupted by a heterofunction such as O, S, COO, OCNR 10 , OCOO, OCONR 10 , NR 10 CNR 10 , or NR 10 , where R 10 is H, d-C ⁇ alkyl, C 3 -Ci 2 cycloalkyl, phenyl.
- They can be interrupted by one or more of these spacer groups, one group in each case being inserted, in general, into one carbon-carbon bond, with hetero-hetero bonds, for example O-O, S-S, NH-NH, etc., not occurring; if the interrupted alkyl is additionally substituted, the substituents are generally not ⁇ to the heteroatom. If two or more interrupting groups of the type -O-, -NR 10 -, -S- occur in one radical, they often are identical.
- alkyl whereever used, thus mainly embraces especially uninterrupted and, where appropriate, substituted Ci-C 22 alkyl such as methyl, ethyl, propyl, isopropyl, n-butyl, sec- butyl, isobutyl, tert-butyl, 2-ethylbutyl, n-pentyl, isopentyl, 1-methylpentyl, 1 ,3-dimethylbutyl, n-hexyl, 1-methylhexyl, n-heptyl, isoheptyl, 1 ,1 ,3,3-tetramethylbutyl, 1-methylheptyl, 3-methylheptyl, n-octyl, 2-ethylhexyl, 1 ,1 ,3-trimethylhexyl, 1 ,1 ,3,3-tetramethylpentyl, nonyl, decyl, undecyl, 1-methylundecyl,
- Haloalkyl denotes alkyl substituted by halogen; this includes perhalogenated alkyl such as perfluoroalkyl, especially Ci-C 4 perfluoroalkyl, which is a branched or unbranched radical such as for example -CF 3 , -CF 2 CF 3 , -CF 2 CF 2 CF 3 , -CF(CF 3 ) 2 , -(CF 2 ) 3 CF 3 , and -C(CF 3 ) 3 .
- perhalogenated alkyl such as perfluoroalkyl, especially Ci-C 4 perfluoroalkyl, which is a branched or unbranched radical such as for example -CF 3 , -CF 2 CF 3 , -CF 2 CF 2 CF 3 , -CF(CF 3 ) 2 , -(CF 2 ) 3 CF 3 , and -C(CF 3 ) 3 .
- Aralkyl is, within the definitions given, usually selected from C 7 -C 24 aralkyl radicals, preferably C 7 -Ci 5 aralkyl radicals, which may be substituted, such as, for example, benzyl, 2-benzyl-2- propyl, ⁇ -phenethyl, ⁇ -methylbenzyl, ⁇ , ⁇ -dimethylbenzyl, ⁇ -phenyl-butyl, ⁇ -phenyl-octyl, ⁇ -phenyl-dodecyl; or phenyl-Ci-C 4 alkyl substituted on the phenyl ring by one to three Ci-C 4 alkyl groups, such as, for example, 2-methylbenzyl, 3-methylbenzyl, 4-methylbenzyl, 2,4-dimethylbenzyl, 2,6-dimethylbenzyl or 4-tert-butylbenzyl.or 3-methyl-5-(1 ',1 ',3',3'- t
- alkenyl whereever used, thus mainly embraces especially uninterrupted and, where appropriate, substituted C 2 -C 22 alkyl such as vinyl, allyl, etc.
- C 2- C 24 alkynyl is straight-chain or branched and preferably C 2-8 alkynyl, which may be unsubstituted or substituted, such as, for example, ethynyl, 1-propyn-3-yl, 1-butyn-4-yl, 1-pentyn-5-yl, 2-methyl-3-butyn-2-yl, 1 ,4-pentadiyn-3-yl, 1 ,3-pentadiyn-5-yl, 1-hexyn-6-yl, cis-3-methyl-2-penten-4-yn-1 -yl, trans-3-methyl-2-penten-4-yn-1 -yl, 1 ,3-hexadiyn-5-yl, 1-octyn-8-yl, 1-nonyn-9-yl, 1-decyn-10-yl, or 1-tetracosyn-24-yl.
- Aliphatic cyclic moieties include cycloalkyl, aliphatic heterocyclic moieties, as well as unsaturated variants thereof such as cycloalkenyl.
- Cycloalkyl such as C 3 -Ci 8 cycloalkyl, is preferably C 3 -Ci 2 cycloalkyl or said cycloalkyl substituted by one to three Ci-C 4 alkyl groups, and includes cyclopropyl, cyclobutyl, cyclopentyl, methylcyclopentyl, dimethylcyclopentyl, cyclohexyl, methylcyclohexyl, dimethylcyclohexyl, trimethylcyclohexyl, tert-butylcyclohexyl, cycloheptyl, cyclooctyl, cyclononyl, cyclodecyl, cyclododecyl, 1-adamantyl, or 2-adamantyl.
- Cyclohexyl, 1-adamantyl and cyclopentyl are most preferred.
- C 3 -Ci 2 cycloalkyl includes cyclopropyl, cyclobutyl, cyclopentyl, cyclohexyl, cycloheptyl, cyclooctyl, cyclononyl, cyclodecyl, cycloundecyl, cyclododecyl; preferred among these residues are C 3 -C 6 cycloalkyl as well as cyclododecyl, especially cyclohexyl.
- heterocyclic aliphatic rings usually containing 5 to 7 ring members, among them at least 1 , especially 1-3, heteromoieties, usually selected from O, S, NR 10 , where R 10 is as explained above for interrupting NR 10 -groups; examples include C 4 -Ci8cycloalkyl, which is interrupted by S, O, or NR 10 , such as piperidyl, tetrahydrofuranyl, piperazinyl and morpholinyl. Unsaturated variants may be derived from these structures by abstraction of a hydrogen atom on 2 adjacent ring members with formation of a double bond between them; an example for such a moiety is cyclohexenyl.
- R 1 and R 2 together forming a heterocyclic ring are preferably , or corresponding substituted rings.
- Alkoxy such as Ci-C 24 alkoxy is a straight-chain or branched radical, e.g. methoxy, ethoxy, n- propoxy, isopropoxy, n-butoxy, sec-butoxy, tert-butoxy, amyloxy, isoamyloxy or tert-amyloxy, heptyloxy, octyloxy, isooctyloxy, nonyloxy, decyloxy, undecyloxy, dodecyloxy, tetradecyloxy, pentadecyloxy, hexadecyloxy, heptadecyloxy and octadecyloxy.
- Any alkyleneoxy is derived from alkoxy by abstracting a hydrogen atom from a carbon atom of the alkyl moiety. If bonding to a heteroatom (e.g. as E 1 in formula (I)), this heteroatom usually is attached to the carbon atom in alkyleneoxy.
- a heteroatom e.g. as E 1 in formula (I)
- C 6 -Ci 8 cycloalkoxy is, for example, cyclopentyloxy, cyclohexyloxy, cycloheptyloxy or cyclooctyloxy, or said cycloalkoxy substituted by one to three Ci-C 4 alkyl, for example, methylcyclopentyloxy, dimethylcyclopentyloxy, methylcyclohexyloxy, dimethylcyclohexyloxy, trimethylcyclohexyloxy, or tert-butylcyclohexyloxy.
- C 6 -C 24 aryloxy is typically phenoxy or phenoxy substituted by one to three Ci-C 4 alkyl groups, such as, for example o-, m- or p-methylphenoxy, 2,3-dimethylphenoxy, 2,4-dimethylphenoxy, 2,5-dimethylphenoxy, 2,6-dimethylphenoxy, 3,4-dimethylphenoxy, 3,5-dimethylphenoxy, 2-methyl-6-ethylphenoxy, 4-tert-butylphenoxy, 2-ethylphenoxy or 2,6-diethylphenoxy.
- Ci-C 4 alkyl groups such as, for example o-, m- or p-methylphenoxy, 2,3-dimethylphenoxy, 2,4-dimethylphenoxy, 2,5-dimethylphenoxy, 2,6-dimethylphenoxy, 3,4-dimethylphenoxy, 3,5-dimethylphenoxy, 2-methyl-6-ethylphenoxy, 4-tert-butylphenoxy, 2-ethy
- C 6 -C 24 aralkoxy is typically phenyl-Ci-C 9 alkoxy, such as, for example, benzyloxy, ⁇ -methylbenzyloxy, ⁇ , ⁇ -dimethylbenzyloxy or 2-phenylethoxy.
- Ci-C 24 alkylthio radicals are straight-chain or branched alkylthio radicals, such as e.g. methylthio, ethylthio, propylthio, isopropylthio, n-butylthio, isobutylthio, pentylthio, isopentyl- thio, hexylthio, heptylthio, octylthio, decylthio, tetradecylthio, hexadecylthio or octadecylthio.
- SiIyI such as SiRR'R" is preferably Si substituted by two or preferably three moieties selected from unsubstituted or substituted hydrocarbyl or hydrocarbyloxy (wherein the substituents are preferably other than substituted silyl), as defined above, or by unsubstituted or substituted heteroaryl.
- the silyl group is of the type -SiH(R 400 ) with R 40 O preferably being hydrocarbyl or hydrocarbyloxy.
- Preferred hydrocarbyl(oxy) are CrC 2 oalkyl(oxy), phenyl(oxy), CrC 9 alkylphenyl(oxy).
- three CrC 2 oalkyl or Ci-C 2 oalkoxy substituents i.e. substituted silyl then is Si(R 401 )3 with R 401 being d-C 2 oalkyl or CrC 2 oalkoxy, especially three Ci-C 8 -alkyl substitutents, such as methyl, ethyl, isopropyl, t-butyl or isobutyl.
- the number of negative charges, i.e. of the metal complex and the optionally further anion(s) X ⁇ , in the ionic compound of the present invention equals the number of ammonium groups in the dendrimer.
- the ionic compounds of the present invention are prepared by a biphasic
- reaction is carried out between equimolar amounts of the halide salts of the dendrimers NCN ⁇ 2G 1-3 ⁇ or the corresponding Si-compounds Si[NCN ⁇ 2G 1-3 ⁇ ] 4 and
- Further cations such as alkali cations, may be used as counterions of the complex educt as well.
- the reaction may be carried out as a two-phase reaction, preferably with the dendrimer educt in the aqueous phase, or as a homogenous phase reaction, e.g. in water or polar solvents, such as alcohols, or mixtures thereof.
- the ion exchange step can be followed by a desalination step. Further details of the preferred preparation method can be found in section (B) of the examples.
- an electronic device comprising the ionic host guest dendritic compounds of formula (II) and its fabrication process.
- the electronic device can comprise at least one organic active material positioned between two electrical contact layers, wherein at least one of the layers of the device includes the ionic dendritic compound.
- the electronic device can comprise an anode layer (a), a cathode layer (e), and an active layer (c). Adjacent to the anode layer (a) is an optional hole-injecting/transport layer (b), and adjacent to the cathode layer (e) is an optional electron-injection/transport layer (d). Layers (b) and (d) are examples of charge transport layers.
- the active layer (c) can comprise at least approximately 1 weight percent of the ionic dendritic compound of the present invention.
- the active layer (c) may be substantially 100% of the ionic dendriticic compound because a host charge transporting material, such as AIq 3 is not needed.
- substantially 100% it is meant that the ionic dendritic compound is the only material in the layer, with the possible exception of impurities or adventitious by-products from the process to form the layer.
- the ionic dendritic compound may be a dopant within a host material, which is typically used to aid charge transport within the active layer (c).
- the active layer (c) may include an additional other luminescent material, for example a luminescent metal complex.
- the device may include a support or substrate adjacent to the anode layer (a) or the cathode layer (e). Most frequently, the support is adjacent the anode layer (a).
- the support can be flexible or rigid, organic or inorganic. Generally, glass or flexible organic films are used as a support.
- the anode layer (a) is an electrode that is more efficient for injecting holes compared to the cathode layer (e).
- the anode can include materials containing a metal, mixed metal, alloy, metal oxide or mixed-metal oxide. Suitable metal elements within the anode layer (a) can include the Groups 4, 5, 6, and 8-1 1 transition metals.
- anode layer (a) is to be light-transmitting
- mixed-metal oxides of Groups 12, 13 and 14 metals such as indium-tin-oxide
- materials for anode layer (a) include indium-tin-oxide ("ITO"), aluminum-tin-oxide, gold, silver, copper, nickel, and selenium.
- the anode layer (a) may be formed by a chemical or physical vapor deposition process or spin-cast process. Chemical vapor deposition may be performed as a plasma-enhanced chemical vapor deposition ("PECVD”) or metal organic chemical vapor deposition (“MOCVD”).
- PECVD plasma-enhanced chemical vapor deposition
- MOCVD metal organic chemical vapor deposition
- Physical vapor deposition can include all forms of sputtering (e. g., ion beam sputtering), e- beam evaporation, and resistance evaporation.
- physical vapor deposition examples include rf magnetron sputtering or inductively- coupled plasma physical vapor deposition ("ICP- PVD"). These deposition techniques are well-known within the semiconductor fabrication arts.
- a hole-transport layer (b) may be adjacent to the anode. Both hole transporting small molecule compounds and polymers can be used. Commonly used hole transporting molecules include: N, N'-diphenyl-N, N'-bis(3- methylphenyl)-[1 ,1 '-biphenyl]-4,4'-diamine (TPD), 1 ,1-bis[(di-4-tolylamino)phenyl]cyclohexane (TAPC), N,N'-bis(4-methylphenyl)-N,N'-bis(4-ethylphenyl)-[1 ,1 '-(3,3'-dimethyl)biphenyl]4,4'- diamine (ETPD), tetrakis-(3-methylphenyl)-N,N,N',N'-2,5-phenylenediamine (PDA), a-phenyl- 4-N,N-diphenylaminostyrene (TPS
- hole transporting polymers are polyvinylcarbazole, (phenylmethyl) polysilane, poly(3,4-ethylendioxythiophene) (PEDOT), and polyaniline.
- Hole-transporting polymers can be obtained by doping hole-transporting molecules such as those mentioned above into polymers such as polystyrene and polycarbonate.
- the hole-injection/transport layer (b) can be formed using any conventional means, including spin-coating, casting, and printing, such as gravure printing.
- the layer can also be applied by ink jet printing, thermal patterning, or chemical or physical vapor deposition.
- the anode layer (a) and the hole-injection/transport layer (b) are patterned during the same lithographic operation.
- the pattern may vary as desired.
- the layers can be formed in a pattern by, for example, positioning a patterned mask or resist on the first flexible composite barrier structure prior to applying the first electrical contact layer material.
- the layers can be applied as an overall layer (also called blanket deposit) and subsequently patterned using, for example, a patterned resist layer and wet-chemical or dry-etching techniques. Other processes for patterning that are well known in the art can also be used.
- the anode layer (a) and hole injection/transport layer (b) typically are formed into substantially parallel strips having lengths that extend in substantially the same direction.
- the active layer (c) comprises the ionic dendritic compound of the present invention.
- the particular material chosen may depend on the specific application, potentials used during operation, or other factors.
- the active layer (c) may comprise a host material capable of transporting electrons and/or holes, doped with an emissive material that may trap electrons, holes, and/ or excitons, such that excitons relax from the emissive material via a photoemissive mechanism.
- Active layer (c) may comprise a single material that combines transport and emissive properties. Whether the emissive material is a dopant or a major constituent, the active layer may comprise other materials, such as dopants that tune the emission of the emissive material.
- Active layer (c) may include a plurality of emissive materials capable of, in combination, emitting a desired spectrum of light.
- phosphorescent emissive materials include the ionic dendritic compounds of the present invention.
- fluorescent emissive materials include DCM and DMQA.
- host materials include AIq 3 , CBP and mCP. Examples of emissive and host materials are disclosed in US 6,303,238 B, which is incorporated by reference in its entirety.
- Examples of methods for forming the active layer (c) include deposition by solution processing.
- Examples of film-forming methods from a solution include application methods, such as spin-coating, casting, microgravure coating, roll-coating, wire bar-coating, dip- coating, spray-coating, screen-printing, flexography, offset-printing, gravure printing and ink- jet-printing.
- composition used for forming the active layer (c) at least one kind of the ionic dendritic compounds of the present invention and at least one solvent are contained, and additives, such as hole transport material, electron transport material, luminescent material, rheology modifier or stabilizer, may be added.
- additives such as hole transport material, electron transport material, luminescent material, rheology modifier or stabilizer.
- the amount of solvent in the composition is 1 to 99 wt% of the total weight of the composition and preferably 60 to 99 wt% and more preferably 80 to 99 wt%.
- the solvent used in the solution processing method is not particularly limited and preferable are those which can dissolve or uniformly disperse the materials.
- the materials may be dissolved in a solvent, the solution deposited onto a substrate, and the solvent removed to leave a solid film.
- Any suitable solvents may be used to dissolve the ionic compounds, provided it is inert, may dissolve at least some material and may be removed from the substrate by conventional drying means (e.g. application of heat, reduced pressure, airflow, etc.).
- Suitable organic solvents include, but are not limited to, are aromatic or aliphatic hydrocarbons, halogenated such as chlorinated hydrocarbons, esters, ethers, ketones, amide, such as chloroform, dichloroethane, tetrahydrofuran, toluene, xylene, ethyl acetate, butyl acetate, methyl ethyl ketone, acetone, dimethyl formamide, dichlorobenzene, chlorobenzene, propylene glycol monomethyl ether acetate (PGMEA), and alcohols, and mixtures thereof. Also water and mixtures with water miscible solvents are possible.
- halogenated such as chlorinated hydrocarbons, esters, ethers, ketones, amide, such as chloroform, dichloroethane, tetrahydrofuran, toluene, xylene, ethyl acetate, butyl acetate, methyl e
- Optional layer (d) can function both to facilitate electron injection/transport, and also serve as a buffer layer or confinement layer to prevent quenching reactions at layer interfaces. More specifically, layer (d) may promote electron mobility and reduce the likelihood of a quenching reaction if layers (c) and (e) would otherwise be in direct contact.
- materials for optional layer (d) include metal-chelated oxinoid compounds (e. g., tris(8- hydroxyquinolato)aluminum (AIq 3 ) or the like); phenanthroline-based compounds (e.
- optional layer (d) may be inorganic and comprise BaO, LiF, Li 2 O, or the like.
- the electron injection/transport layer (d) can be formed using any conventional means, including spin-coating, casting, and printing, such as gravure printing.
- the layer can also be applied by ink jet printing, thermal patterning, or chemical or physical vapor deposition.
- the cathode layer (e) is an electrode that is particularly efficient for injecting electrons or negative charge carriers.
- the cathode layer (e) can be any metal or nonmetal having a lower work function than the first electrical contact layer (in this case, the anode layer (a)).
- Materials for the second electrical contact layer can be selected from alkali metals of Group 1 (e. g., Li, Na, K, Rb, Cs), the Group 2 (alkaline earth) metals, the Group 12 metals, the rare earths, the lanthanides (e. g. , Ce, Sm, Eu, or the like), and the actinides.
- Materials, such as aluminum, indium, calcium, barium, yttrium, and magnesium, and combinations thereof, may also be used.
- Li-containing organometallic compounds, LiF, and Li 2 O can also be deposited between the organic layer and the cathode layer to lower the operating voltage.
- Specific non- limiting examples of materials for the cathode layer (e) include barium, lithium, cerium, cesium, europium, rubidium, yttrium, magnesium, or samarium.
- the cathode layer (e) is usually formed by a chemical or physical vapor deposition process. In general, the cathode layer will be patterned, as discussed above in reference to the anode layer (a) and optional hole injecting layer (b). If the device lies within an array, the cathode layer (e) may be patterned into substantially parallel strips, where the lengths of the cathode layer strips extend in substantially the same direction and substantially perpendicular to the lengths of the anode layer strips.
- Pixels are formed at the cross points (where an anode layer strip intersects a cathode layer strip when the array is seen from a plan or top view).
- additional layer(s) may be present within organic electronic devices.
- a layer (not shown) between the hole injecting layer (b) and the active layer (c) may facilitate positive charge transport, band-gap matching of the layers, function as a protective layer, or the like.
- additional layers between the electron injecting layer (d) and the cathode layer (e) may facilitate negative charge transport, band-gap matching between the layers, function as a protective layer, or the like.
- Layers that are known in the art can be used. Some or all of the layers may be surface treated to increase charge carrier transport efficiency. The choice of materials for each of the component layers may be determined by balancing the goals of providing a device with high device efficiency with the cost of manufacturing, manufacturing complexities, or potentially other factors.
- the materials of the charge transport layers (b) and (d) are generally of the same type as the materials of the active layer (c). More specifically, if the active layer (c) has a small molecule compound, then the charge transport layers (b) and (d), if either or both are present, can have a different small molecule compound. If the active layer (c) has a polymer, the charge transport layers (b) and (d), if either or both are present, can also have a different polymer. Still, the active layer (c) may be a small molecule compound, and any of its adjacent charge transport layers may be polymers.
- Each functional layer may be made up of more than one layer.
- the cathode layer may comprise a layer of a Group I metal and a layer of aluminum.
- the Group I metal may lie closer to the active layer (c), and the aluminum may help to protect the Group I metal from environmental contaminants, such as water.
- the different layers may have the following range of thicknesses: inorganic anode layer (a), usually no greater than approximately 500 nm, for example, approximately 50-200 nm; optional hole-injecting layer (b), usually no greater than approximately 100 nm, for example, approximately 50-200 nm; active layer (c), usually no greater than approximately 100 nm, for example, approximately 10-80 nm; optional electron- injecting layer (d), usually no greater than approximately 100 nm, for example, approximately 10-80 nm; and cathode layer (e), usually no greater than approximately 1000 nm, for example, approximately 30-500 nm. If the anode layer (a) or the cathode layer (e) needs to transmit at least some light, the thickness of such layer may not exceed approximately 100 nm.
- the location of the electron-hole recombination zone in the device, and thus the emission spectrum of the device, can be affected by the relative thickness of each layer.
- a potential light emitting compound such as AIq 3
- the electron-hole recombination zone can lie within the AIq 3 layer.
- the thickness of the electron-transport layer should be chosen so that the electron-hole recombination zone lies within the light emitting layer (i.e., active layer (c)).
- the desired ratio of layer thicknesses can depend on the exact nature of the materials used.
- the efficiency of the devices made with metal complexes can be further improved by optimizing the other layers in the device.
- more efficient cathodes such as Ca, Ba, Mg/Ag, or LiF/AI can be used.
- Shaped substrates and hole transport materials that result in a reduction in operating voltage or increase quantum efficiency are also applicable.
- Additional layers can also be added to tailor the energy levels of the various layers and facilitate electroluminescence.
- the active layer (c) can be a light emitting layer that is activated by a signal (such as in a light emitting diode) or a layer of material that responds to radiant energy and generates a signal with or without an applied potential (such as detectors or voltaic cells).
- a signal such as in a light emitting diode
- a layer of material that responds to radiant energy and generates a signal with or without an applied potential (such as detectors or voltaic cells).
- Examples of electronic devices that may respond to radiant energy are selected from photoconductive cells, photoresistors, photoswitches, phototransistors, and phototubes, and photovoltaic cells.
- the electroluminescent devices may be employed for full color display panels in, for example, mobile phones, televisions and personal computer screens. Accordingly the present invention relates also to a device selected from stationary and mobile displays, such as displays for computers, mobile phones, laptops, pdas, TV sets, displays in printers, kitchen equipment, billboards, lightings, information boards and destination boards in trains and buses, containing an organic light emitting diode according to the present invention.
- stationary and mobile displays such as displays for computers, mobile phones, laptops, pdas, TV sets, displays in printers, kitchen equipment, billboards, lightings, information boards and destination boards in trains and buses, containing an organic light emitting diode according to the present invention.
- OLEDs electrons and holes, injected from the cathode (e) and anode (a) layers, respectively, into the photoactive layer (c), form negative and positively charged polarons in the active layer (c). These polarons migrate under the influence of the applied electric field, forming a polaron exciton with an oppositely charged species and subsequently undergoing radiative recombination.
- a sufficient potential difference between the anode and cathode usually less than approximately 20 volts, and in some instances no greater than approximately 5 volts, may be applied to the device. The actual potential difference may depend on the use of the device in a larger electronic component.
- the anode layer (a) is biased to a positive voltage and the cathode layer (e) is at substantially ground potential or zero volts during the operation of the electronic device.
- a battery or other power source (s) may be electrically connected to the electronic device as part of a circuit.
- the compound does not need to be in a solid matrix diluent (e. g., host charge transport material) when used in layer (b) (c), or (d) in order to be effective.
- a layer greater than approximately 1 % by weight of the metal complex compound, based on the total weight of the layer, and up to substantially 100% of the complex compound can be used as the active layer (c).
- Additional materials can be present in the active layer (c) with the complex compound. For example, a fluorescent dye may be present to alter the color of emission.
- a diluent may also be added.
- the diluent can be a polymeric material, such as poly (N-vinyl carbazole) and polysilane. It can also be a small molecule, such as 4,4'-N,N'-dicarbazole biphenyl or tertiary aromatic amines.
- the complex compound is generally present in a small amount, usually less than 20% by weight, preferably less than 10% by weight, based on the total weight of the layer.
- the ionic dendritic compounds may be used in applications other than electronic devices. For example, they may be used as catalysts or indicators (e. g., oxygen-sensitive indicators, phosphorescent indicators in bioassays, or the like).
- UV-VIS Varian CARY 50 Scan UV-VIS spectrophotometer; room temperature; dichloromethane as solvent.
- the obtained pyridinium salt is dissolved in 10 ml of dichloromethane, the solution is added to a solution of 1 g of tetra-n-butylammonium chloride in 50 ml of deionised water and the biphasic system is stirred for 16 hours. The organic layer is separated, washed with water, dried, concentrated and recrystallised from diethyl ether to obtain 5 as a bright yellow powder.
- a solution of 0.54 g (0.83 mmol) of 4 in 25 ml of DMF is stirred at 0 0 C for 30 minutes, followed by adding 0.022 g (0.91 mmol) of sodium hydride.
- the resulting black suspension is stirred at room temperature for 16 hours.
- 0.123 g (0.001 mol) of 1 ,3-dioxithiolane-2,2-dioxide are subsequently added and the resulting orange solution is stirred for 12 hours.
- the solution is concentrated to 2 ml and the resulting reddish mixture is slowly added to diethyl ether resulting in a yellow solid which is collected by filtration.
- the solid is dissolved in 20 ml of dichloromethane, the solution is added to a solution of 0.664 g of tetra-n-butylammonium chloride in 40 ml of deionised water and the biphasic system is stirred for 16 hours. The organic layer is separated, washed with water, dried and concentrated. The remaining solution is added slowly to diethyl ether and the obtained yellow precipitate is collected by filtration to obtain 6.
- Organic luminescence device structure On a glass substrate the following layers are superimposed: ITO, PEDOT, the electroluminescent composition according in Table 2 is spin-coated from a solution of chlorobenzene, finally barium and aluminum.
- Table 3 shows color data (CIE-data x, y) and efficacy when the device is driven to emit 100cd/sqm luminance, and corresponding current density and voltage.
Landscapes
- Chemical & Material Sciences (AREA)
- Organic Chemistry (AREA)
- Engineering & Computer Science (AREA)
- Materials Engineering (AREA)
- Electroluminescent Light Sources (AREA)
Abstract
The invention relates to novel electroluminescent ionic host-guest compounds, especially anionic organometallic phosphorescent emitters embedded in a cationic dendritic species, electronic devices comprising the electroluminescent ionic compounds and their use in electronic devices, especially organic light emitting diodes (OLEDs). The ionic compound of a cationic dendrimer and a metal complex having an anionic substitutent is characterized in that the dendrimer moiety contains at least 1, preferably 2 to 24, cationic structural unit(s).
Description
Electroluminescent Ionic Host-Guest Dendritic Materials
The invention relates to novel electroluminescent ionic host-guest compounds, especially anionic organometallic phosphorescent emitters embedded in a cationic dendritic species, electronic devices comprising the electroluminescent ionic compounds and their use in electronic devices, especially organic light emitting diodes (OLEDs).
Organic electronic devices that emit light, such as light emitting diodes that make up displays, are present in many different kinds of electronic equipment. In all such devices, an organic active layer is sandwiched between two electrical contact layers. At least one of the electrical contact layers is light-transmitting so that light can pass through the electrical contact layer. The organic active layer emits light through the light-transmitting electrical contact layer upon application of a voltage across the contact layers.
Organic electrophosphorescent compounds known for use as an active component in a light emitting diode include various metal complexes comprising, for example, homoleptic
(Ir(III)(CN)3) and heteroleptic (Ir(III)(CN)2(LX)) complexes, where (C, N) is a monoanionic cyclometalating ligand and (LX) is an ancillary ligand (D'Andrade, B. W. et al; Adv. Mater. 2002, 14, 1032-1036). A variety of such complexes are also disclosed in US-A-2002/055014, US-A-2004/0265633, US-A-2001/19782, WO 2006/000544, WO 2006/067074, WO 2007/074093, and WO 2008/098851.
lntermolecular interactions play an important role in such OLEDs. Whilst strong intermolecular interactions between the electroactive chromophores are good for charge transport, they can be detrimental to light emission. Close interactions of emissive chromophores can lead to emission from excimers or aggregates leading to a change in color and generally lower photoluminescence quantum yields.
Reports on OLEDs based on phosphorescent small molecules have generally shown that devices are more efficient when the phosphorescent molecule is a guest in a host matrix. However, in blended systems there is always the issue of how evenly distributed the guest is in the host as localised high concentrations can lead to poor device performance.
In order to provide a degree of controlling interactions at the molecular level dendrimer light emitting diodes have been developed. Light emitting dendrimers typically have a luminescent metal complex as a core and in many cases at least partially conjugated dendrons. Such organometallic dendrimers are described, for example, in WO 2006/097717, WO 2004/029134 and WO 2004/020504. Since selection of the core, which is fixed as center moiety to dendrons, defines the color of light emission, it requires considerable effort to provide compounds of different colors of light emission, for the combination of such dopants (either in mixed or separate layers) generating white light emission.
Therefore, there is a continuing need for electroluminescent compounds with excellent light emitting characteristics and good processability which may provide good control at a molecular level and for guest-host systems with a high level of the guest molecule in order to provide devices having improved efficiency.
Recently, it has been shown that catalytically active arylpalladium complexes, which bear a tethered sulfato group, can be immobilized in polycationic core-shell dendritic materials through ionic interaction (van de Coevering, R. et al; J. Am. Chem. Soc. 2006, 128, 12700- 12713).
It has now been found that functionalised phosphorescent metal complexes incorporated as guest molecules in a cationic core-shell dendrimer are especially useful compounds for light emitting devices.
There is an opportunity to optimize the electronic and processing properties independently: First, the properties of dendrimers make them ideal for solution processing and allow incorporation of metal complex chromophores through ionic interaction at definite sites which are predetermined by the cationic charge of the core resulting in separating the adjacent metal complexes and reduced triplet-triplet quenching. In addition, the number of guest molecules can be varied by varying the number of charges of the core. Controlled by the generation of the dendrimer the active metal complex may be completely embedded in the shell which leads to an increased lifetime of the light emitting device. Second, it is possible to achieve different colors of light emission with the same dendrimer by selection of the embedded metal complex, so that easily accessible materials are provided for the preparation of different dopants generating white light emission.
Accordingly, the present invention is directed to ionic compounds of a cationic dendrimer and an anionic metal complex, characterized in that the dendrimer moiety contains at least 1 ,
-E1-N- preferably 2 to 24 cationic structural unit(s) R R (I), and at least 1 , preferably 2 to 24 anion(s) of a metal complex [L1M (L2- Y-Z")] and optionally further anions X~ , wherein
E1 is unsubstituted or substituted Ci-Ci8alkylene or unsubstituted or substituted
Ci-Ci8alkyleneoxy,
R1 and R2 independently are H, unsubstituted or substituted Ci-Ci8alkyl, or R1 and R2 form an organic bridging group completing, together with the nitrogen atom, they are bonding to, a heterocyclic ring of 5 to 7 ring atoms in total;
L1M is a fragment of a metal complex, wherein
M is a metal with an atomic weight greater than 40,
L1 independently is a color emission triggering moiety, comprising mono- or bidentate ligands, L2 is a mono- or bidentate ligand, substituted by Y-Z", wherein
Y is a single bond, unsubstituted or substituted Ci-Ci8alkylene or unsubstituted or substituted
Ci-Ci8alkyleneoxy, optionally interrupted by O or S;
Z" is an anionic group of sulfate (OSO3 "), sulfonate (SO3 "), carboxylate (CO2 "), phosphate
(OP(OR3X=O)O"), phosphonate (P(OR3X=O)O") or oxide (O"), wherein R3 is H, unsubstituted or substituted Ci-Ci8alkyl or unsubstituted or substituted C3-Ci0cycloalkyl; and
X" is an equivalent of a suitable anion.
In a preferred embodiment the ionic compound is of formula (II)
(II), wherein n is a number in the range of from 1 to 24; p is a number in the range of from 1 to 9; m is a number in the range of from O to (np-1 );
A is a n-valent radical selected from H, Si, C, P, hydrocarbon radicals of 1 to 150 carbon atoms, and hydrocarbon radicals of 2 to 150 carbon atoms, wherein 1 or more CH2 have been replaced by O, S, NR3, or N+R3R3 , one or more CH have been replaced by P or N, or
- A -
one or more C have been replaced by Si, and wherein R3 and R3 independently are defined as R3, R1 or R2 as described above; each Ar1 independently is unsubstituted or substituted C6-Ci4arylene; each D independently is a dendritic molecular structure, comprising at least one branching group and optionally at least one linking group, the branching group being selected from unsubstituted or substituted C6-Ci4arylene and unsubstituted or substituted CrCi8alkylene, and the linking group being selected from unsubstituted or substituted Cβ-C-uarylene, unsubstituted or substituted CrCi8alkylene, unsubstituted or substituted Ci-Ci8alkyleneoxy and oxygen, said branching group being bonded to three or more groups, and said linking group being bonded to two groups, said dendritic molecular structure terminating at its distal points in unsubstituted or substituted C6-Ci4aryl and/or unsubstituted or substituted Ci-Ci8alkyl and/or OH, and/or unsubstituted or substituted Ci-Ci8alkoxy.
Preferred is an ionic compound, wherein A is H, CR4R5R6 or SiR4 R5 R6 , or a group of formula
— E1— N— D (I) R R ;
R4, R5, R6 independently are H, unsubstituted or substituted Ci-Ci8alkyl, unsubstituted or
— Ar1 E- — N — D substituted C6-Ci4aryl or a moiety of formula (III)
R4', R5', R6' independently are unsubstituted or substituted Ci-Ci8alkyl, unsubstituted or substituted C6-Ci4aryl, OH, unsubstituted or substituted Ci-Ci8alkoxy, or a moiety of formula
; or A represents a linking group E2, wherein E2 is a direct bond, oxygen, unsubstituted or substituted Ci-Ci8alkylene, or a group -[Ar2Jr, wherein Ar2 is unsubstituted or substituted C6-Ci4arylene, and r is an integer of from 1 to 10; or A is R4 R5Si-E2-SiR4 R5'.
As used herein, the term "dendrimer" represents highly ordered, regularly branched, globular macromolecules prepared by a stepwise iterative approach. Their structure is divided in a core and one or more dendrons (also called dendrites or dendritic structure) attached to the core. The term "dendrimer" does not encompass a hyperbranched polymer which has been
synthesized through polymerization and which, as a result, has an irregularly arranged branching structure.
The cationic dendrimer constituting a part of the present invention of formula (II) is known or is of a structure analogous to known compounds (Kleij, A.W. et al, Organometallics 1999, 18, 268-276 and Kleij, A.W. et al, Chem. Eur. J. 2001 , 7, 181-192).
The dendrimer of the present invention has a branching structure in which repeating units each having a branching group are repeatedly linked through the "convergent method". This method is described in detail in Grayson, S. M., Frechet, J.M.J., Chem. Rev. 2001 , 101 , 3819-3867 or Hawker, CJ. , Frechet, J.M.J., J. Am. Chem. Soc. 1990, 112, 7638-7647. Therein, the dendrons are at first grown to the desired generation, and the resulting dendritic wedges are finally bonded to one or more focal points of a core.
The core of a dendrimer serves as a center moiety, which is linked to one or more dendrons. The core is characterized in that it comprises at least one cationic moiety of the formula
(IN') of valence (p+1 ), wherein each nitrogen atom of the quaternary ammonium groups is bonded to a carbon atom of a dendron D, i.e. the number of quaternary ammonium groups defines the number of the charge of the core and thus the number of bonded dendrons.
One or more cationic moieties of formula (IN') are bonded to a group A, which represents a n-valent radical, preferably selected from H, Si, C, and an hydrocarbon radical of 1 to 60 carbon atoms and hydrocarbon radicals of 2 to 60 carbon atoms, wherein 1 or more CH2 have been replaced by O, S, NR3 or N+R3R3 , one or more CH have been replaced by P or N, or one or more C have been replaced by Si.
Hydrocarbon radicals of 1 to 60 carbon atoms are, for example, groups CR4R5R6, wherein R4, R5, R6 independently are H, unsubstituted or substituted CrCi8alkyl, unsubstituted or substituted C6-Ci4aryl.
Hydrocarbon radicals of 2 to 60 carbon atoms, wherein one or more C have been replaced by Si, are, for example, groups SiR4 R5 R6 , wherein R4 ,R5 and R6 independently are unsubstituted or substituted CrCi8alkyl, unsubstituted or substituted C6-Ci4aryl, OH, or unsubstituted or substituted Ci-Ci8alkoxy.
Hydrocarbon radicals of 2 to 60 carbon atoms, wherein one or more CH2 have been replaced by O, S, NR3 or N+R3R3 , one or more CH have been replaced by P or N, or one or more C have been replaced by Si are, for example, groups CR4R5R6, wherein R4, R5, R6 independently are H, unsubstituted or substituted CrCi8alkyl, unsubstituted or substituted
- Ar1 E1 — N-D R1 R2 C6-Ci4aryl and optionally a moiety of formula (III)
Hydrocarbon radicals of 2 to 60 carbon atoms, wherein one or more CH2 have been replaced by O, S, NR3 or N+R3R3 , one or more CH have been replaced by P or N, or one or more C have been replaced by Si are, for example, groups SiR4 R5 R6 , wherein R4 , R5 and R6 independently are unsubstituted or substituted CrCi8alkyl, unsubstituted or substituted C6-Ci4aryl, OH, or unsubstituted or substituted Ci-Ci8alkoxy and optionally a moiety of
- Ar1 E1 — N-D R1 / V formula (III)
Hydrocarbon radicals of 2 to 60 carbon atoms, wherein one or more CH2 have been replaced by O, S or NR3 or one or more CH have been replaced by P or N, are, for example, heterocyclic rings, preferably aromatic or aliphatic heterocyclic rings of 5 or 6 atoms in total, containing 1 to 3 nitrogen atoms or 1 sulfur atom, such as 1 ,2,3-triazole, 1 ,2,4-triazole, triazine, pyridine, piperazine, or thiophene, all of which may be substituted or fused to another carbocyclic or heterocyclic ring.
— E1— N— D
The group A may be a group of formula (I') R R , which results in a polycationic
D— N — E1- Ar1 E1 — N-D
R-' V R1 R2 dendrimer of the following structure with (p+1 ) quaternary nitrogen atoms.
Also, A may be a linking group E2, wherein E2 is a direct bond, oxygen, unsubstituted or substituted CrCi8alkylene, or a group Of -[Ar2Jr, wherein Ar2 is unsubstituted or substituted C6-Ci4arylene and r is 1 to 10, or E2 is R4 R5Si-E2-SiR4 R5'.
Ar2 may also be a heterocyclic ring, preferably an aromatic or aliphatic heterocyclic ring of 5 or 6 atoms in total, containing 1 to 3 nitrogen atoms or 1 sulfur atom, such as 1 ,2,3-triazole, 1 ,2,4-triazole, triazine, pyridine, piperazine, or thiophene, all of which may be substituted or fused to another carbocyclic or heterocyclic ring.
More preferably, the cationic dendrimer, i.e. the cationic part of formula (II), has the following structure of formula (IV)
(IV), wherein n is 1 , 2, 3 or 4, and p is 1 or 2; if n = 1 , A is H, CR4R5R6 or SiR4 R5 R6', wherein R4, R5, R6 independently are H, CrC4alkyl, or phenyl, said phenyl is optionally substituted by Ci-C4alkyl or Ci-C4alkoxy; and R4', R5' and R6' independently are Ci-C4alkyl, or phenyl, said phenyl is optionally substituted by Ci-C4alkyl or Ci-C4alkoxy; if n = 2, A is CR4R5 or SiR4 R5', wherein R4, R5 and R4', R5' independently are defined as above; or A is a linking group E2, wherein E2 is a direct bond, oxygen, unsubstituted or substituted
CrC4alkylene, or group Of -[Ar2],--, wherein Ar2 is para-phenylene and r is 1 to 3; or A is R4 R5Si-E2-SiR4 R5', wherein R4', R5' independently are defined as above; if n = 3, A is CR4 or SiR4 , wherein R4, R4 independently are defined as above; if n = 4, A is C or Si;
R1, R2 independently are Ci-C4alkyl, preferably methyl; and
E1 is Ci-C4alkylene.
In particular, preferred are ionic compounds, wherein the cationic dendrimer, i.e. the cationic part of formula (II), has the following structure of formulae (V) or (Vl)
p is 1 or 2; and D is a dendritic molecular structure, comprising one or more repeating units of formula (Vl 1-1 )
Examples of particular suitable cationic dendrimers include
Dendrons or dendritic structures (denoted "D" in formula (II)) are branched structures comprising branching groups and optionally linking groups. The generation of a dendron is defined by the number of sets of branching points. Dendrons of higher generation can be composed of the same structural units (branching and linking groups) but have an additional level of branching, i.e. an additional repetition of these branching and linking groups. Alternatively higher generations can have an additional level of branching but different branching and linking groups at the higher generation.
Branching groups have three or more attachments. The branching group may be unsubstituted or substituted C6-Ci4arylene and/or unsubstituted or substituted d- Ci8alkylene. Linking groups, if present, have two attachments and may be unsubstituted or substituted C6-Ci4arylene and/or unsubstituted or substituted Ci-Ci8alkylene and/or unsubstituted or substituted Ci-Ci8alkyleneoxy and/or an oxygen atom.
The arylene groups within the dendrons may be typically benzene, naphthalene, anthracene, phenanthrene or biphenylene (in which case an aryl group is present in the link between adjacent branching groups), fluorene and where appropriate substituted variations. Typical substituents, which may be present at any position, include CrCi8alkyl, Ci-Ci8alkoxy, halogen and CF3. The arylene groups at the branching points are preferably benzene rings, preferably coupled at ring positions 1 , 3 and 5.
Preferred are ether-type aryl dendrons, in particular, where benzene rings are connected via a CrCβalkyleneoxy linking group, more preferably via a methyleneoxy linking group.
When there is more than one dendron, the dendrons may be of the same or different generation as well as of the same or different type. Preferred are dendrons of the same generation and type.
Specific examples of preferred groups which may be used as dendritic structures D include the following groups, wherein (Vl 1-1 ) to (VII-3) are preferred and (Vl 1-1 ) is most preferred:
(Vl 1-1 ), (VII-2), (VII-3), (VII-
4), (VII-5), (VII-6), and
No particular limitation is imposed on the number of generations of the dendrons. The number of generations is preferably 1 to 6 and more preferably 1 , 2 or 3.
Accordingly, preferred are ionic compounds, wherein the dendritic molecular structure D is of the 1st, 2nd or 3rd generation.
As used herein, the term "distal" denotes the part or parts of the molecule furthest from the core when following the bond sequence out from the core. The distal groups are unsubstituted or substituted C6-Ci4aryl and/or unsubstituted or substituted Ci-Ci8alkyl and/or OH, and/or unsubstituted or substituted Ci-Ci8alkoxy.
The anionic part of the ionic dendritic compound of the present invention, i.e. the anionic metal complex L1 M(L2- Y-Z"), is characterized in that one ligand attached to the metal cation has an anionic substituent Z", which is located close to the ammonium group of the dendrimer by electrostatic forces. Also, the compound of formula (II) is electroneutral.
In the metal complex of the formula L1M (L2- Y-Z") the group L1M represents a fragment of a metal complex comprising one or more ligands L1 attached to the metal cation M. All ligands L1 and the group (L2- Y-Z") attached to the metal cation must be such that the coordination requirements of the metal cation are fullfilled. Preferred ligands L1 and L2 as well as metal cations M are described below.
The term "ligand" is intended to mean a molecule, ion, or atom that is attached to the coordination sphere of a metallic ion. The term "complex", when used as a noun, is intended to mean a compound having at least one metallic ion and at least one ligand. The term "group" is intended to mean a part of a compound, such a substituent in an organic compound or a ligand in a complex. The phrase "adjacent to," when used to refer to layers in a device, does not necessarily mean that one layer is immediately next to another layer. The term "photoactive" refers to any material that exhibits electroluminescence and/or photosensitivity.
The metal M of the fragment L1M of the present invention is generally a metal with an atomic weight of greater than 40, preferably the metal M is selected from Tl, Pb, Bi, In, Sn, Sb, Te, especially Mo, Cr, Mn, Ta, V, Cu, Fe, Ru, Ni, Co, Ir, Pt, Pd, Rh, Re, Os, Ag and Au. More preferably M is selected from Ir, Re, Ru, Rh, Ag, Au, Pt, Pd and Cu, wherein Ir and Pt are most preferred.
Optionally, further anions X" may be present in the ionic compound of the invention. Suitable anions are in general halides, such as F", Cl", Br" or I", preferably Br".
Accordingly, a preferred embodiment of the invention is directed to an ionic compound, wherein M of the anionic metal complex is selected from Ir, Ru, Rh, Re, Ag, Au, Pt, Pd and Cu, preferably from Ir and Pt, and the optional further anion X" is F", Cl", Br" or I", preferably Br".
A number of anionic metal complexes of the present invention with a suitable counter cation, preferably a tetraalkylammonium ion, are novel compounds. The present invention further relates also to a compound of the formula (VIII)
L1M (L2-Y-Z") X+ (VIII), wherein
M and Z are defined as above-mentioned,
L1 is a color emission triggering moiety, comprising bidentate ligands,
Y is unsubstituted or substituted C-i-C-isalkylene or unsubstituted or substituted
Ci-Ci8alkyleneoxy, optionally interrupted by O or S;
X+ is a counter cation, preferably N+R7R8R9R10, wherein R7, R8, R9, R10 are the same as R1 and R2; and the ligand (L2- Y-Z") is selected from
O ,0 and x ' (IX-17), wherein
ring B,
, represents an optionally substituted nitrogen containing aryl group, which may contain further heteroatoms,
ring C, , represents a ligand derived from a nucleophilic carbene, which may contain a heteroatom,
G is -C(=O)-, or -C(X1)2-, wherein X1 is H, or unsubstituted or substituted Ci-C4alkyl, preferably H; y is 0, or 1 , preferably 0;
R11 is unsubstituted or substituted Ci-C4alkyl;
R12 is CF3 or a ring A;
R13 is H, unsubstituted or substituted Ci-C4alkyl
R14, R14 independently are a ring A, unsubstituted or substituted C-i-Csalkyl, Ci-CβperfluoralkyI or a ring B, unsubstituted or substituted Ci-C8alkoxy; and
W is N or CH.
The linking group Y is Ci-Ci8alkylene or CrCi8alkyleneoxy, optionally interrupted by O or S,
The anionic group Z" is preferably sulfate (OSO3 ") or carboxylate (CO2 "), preferably sulfate.
Z" may also be a dianionic group, such as (OP(=O)O2 2") or (P(=O)O2 2"), which results in ionic compounds which have half a number of metal complexes of the present invention so as to fulfil the electroneutrality.
Each L1 of the fragment L1M of the metal complex of the present invention independently is a
CyC CyC moiety _ ' or „ „ , consisting of 2 monodentate ligands CyC and/or CyN, or 1 bidentate ligand wherein the 2 moieties CyC and CyN, or CyC and CyC, are interlinked by a chemical bond, CyC is an organic moiety containing a carbon atom bonding to M, and CyN is a cyclic organic moiety containing a nitrogen atom bonding to M.
Ligands of these classes are well known in the art, see for example US-A-2004/0265633; US-A-2006/0172150; WO 2004/017043; WO 2006/067074; WO 2007/074093; WO 2006/000544; and documents above-mentioned in the description of the prior art. For
example, the moiety CyC may be a ring A, , or a group C, , and the moiety
In preferred ligands of these classes, 2 rings are interconnected, respectively, to form a bidentate ligand of the formula
The term "nucleophilic carbene ligand", as used herein, means typical σ-donor ligands that can substitute classical 2e" donor ligands. They can be cyclic or acyclic. They can have no or several different heteroatoms or several heteroatoms of the same kind. Possible carbenes are, for example, diarylcarbenes, cyclic diaminocarbenes, imidazol-2-ylidenes, imidazolidin- 2-ylidene, 1 ,2,4-triazol-3-yildenes, 1 ,3-thiazol-2-ylidenes, acyclic diaminocarbenes, acyclic
aminooxycarbenes, acyclic aminothiocarbenes, cyclic diborylcarbenes, acyclic diborylcarbenes, phosphinosilyl-carbenes, phosphinophosphoniocarbenes, sulfenyl- trifluormethylcarbenes, sulfenylpentafluorothiocarbenes, etc.
Examples for bidentate ligands of this class include those of the formulae
(XIII-8), wherein the open bond indicates the carbon atom bonding to the central metal atom, the 2 dots (:) indicate the carbene bonding to metal, and Ar stands for an aryl group, e.g. phenyl or substituted phenyl such as 2,6-diisopropylphenyl. Further explanations for such carbene-type ligands and examples are given in WO 2006/067074, see passages from page 5, line 27, to page 11 , line 16, which are hereby incorporated by reference.
Preferred ligands L1 comprise at least one ligand of formula
wherein ring system A in preferred ligands of this class includes a phenyl group, a substituted phenyl group, a naphthyl group, a substituted naphthyl group, a furyl group, a substituted furyl group, a benzofuryl group, a substituted benzofuryl group, a thienyl group, a substituted thienyl group, a benzothienyl group, a substituted benzothienyl group, and the like. The substitutent on the substituted phenyl group, substituted naphthyl group, substituted furyl group, substituted benzofuryl group, substituted thienyl group, and substituted benzothienyl group include d-C24alkyl groups, C2-C24alkenyl groups, C2-C24alkynyl groups, aryl groups, heteroaryl groups, d-C24alkoxy groups, d-C24alkylthio groups, a cyano group, C2-C24acyl groups, d-C24alkyloxycarbonyl groups, a nitro group, halogen atoms, alkylenedioxy groups, and the like.
a) of formula
, wherein R16, R17, R18, and R19 are independently of each other hydrogen, d-C24alkyl, C2-C24alkenyl, C2-C24alkynyl, aryl, heteroaryl, d-C24alkoxy, d-C24alkylthio, cyano, acyl, alkyloxycarbonyl, a nitro group, or a halogen atom; or
two substituents R16, R17, R18, and R19, which are adjacent to each other, together form a
Ci-C8alkyl, the ring A represents an optionally substituted aryl or heteroaryl group; or the ring A may be taken with the pyridyl group binding to the ring A to form a ring; the alkyl group, alkenyl group, alkynyl group, aryl group, heteroaryl group, alkoxy group, alkylthio group, acyl group, and alkyloxycarbonyl group represented by R16, R17, R18, and R19 may be substituted.
b) of formula
, especially , wherein Y3 is S, O, NR200, wherein R200 is hydrogen, d-C4alkyl, C2-C4alkenyl, optionally substituted C6-Ci0aryl, especially phenyl,
-(CH2X-Ar, wherein Ar is an optionally substituted C6-Ci0aryl, especially
-(CH2X1X20, wherein r' is an integer of 1 to 5, X20 is halogen, especially F, or Cl; hydroxy, cyano, -O-Ci-C4alkyl, di(Ci-C4alkyl)amino, amino, or cyano; a group
-(CH2χ0C(0)(CH2)r"CH3, wherein r is 1 , or 2, and r" is 0, or 1 ; , -NH-Ph, -
C(O)CH3, -CH2-O-(CH2)2-Si(CH3)3! or
2006/000544, wherein
Q1 and Q2 are independently of each other hydrogen, CrC24alkyl, or C6-Ci8aryl,
A V 21 is hydrogen, halogen, d-C4alkoxy, or d-C4alkyl, A is hydrogen, halogen, d-C^alkoxy, d-C^alkyl, or C6-Ci0aryl,
A V 23 is hydrogen, halogen, d-d2alkoxy, d-d2alkyl, or C6-Ci0aryl,
A is hydrogen, halogen, d-dalkoxy, or d-dalkyl, or
A22 and A23, or A23 and A24 together form a group
R " , wherein R205, R206, R207 and R208 are independently of each other H, halogen, d-d2alkoxy, or d-d2alkyl,
R is H, halogen, d-d2alkyl, CrCi2alkoxy, or d-dperfluoroalkyl, R43 is H, halogen, d-d2alkyl, d-d2alkoxy, Crdperfluoroalkyl, d-Ci5aralkyl, or C6-Ci0aryl, R44 is H, halogen, d-d2alkyl, CrCi2alkoxy, C6-Ci0aryl, C7-d5aralkyl, or d-dperfluoroalkyl, R45 is H, halogen, d-d2alkyl, CrCi2alkoxy, or d-dperfluoroalkyl, more especially wherein A21 is hydrogen,
A22 is hydrogen, d-d2alkoxy, d-d2alkyl, or phenyl, A23 is hydrogen, d-d2alkoxy, d-d2alkyl, or phenyl,
A V 24 is hydrogen, or
R are independently of each other H, or d-C8alkyl,
R ->442^ iS H, F, Ci-Ci2alkyl, d-C8alkoxy, or d-dperfluoroalkyl,
R ->43 is H, F, Ci-Ci2alkyl, CrC8alkoxy, Ci-C4perfluoroalkyl, or phenyl,
R is H, F, Ci-Ci2alkyl, CrC8alkoxy, or Ci-C4perfluoroalkyl, and
R ->4453 is H, F, Ci-Ci2alkyl, Ci-C8alkoxy, or CrC4perfluoroalkyl.
Further examples for this class of ligands are described in WO 2006/000544 from page 14, line 12, to page 18, line 3, and in the examples on pages 21-56 and 67-72 of said document, which passages are hereby incorporated by reference.
A12, A14, A16 A21, A22, A23 and A24 are independently of each other hydrogen, CN, halogen,
CrC24alkyl, CrC24alkoxy, Ci-C24alkylthio, Ci-C24perfluoroalkyl, C6-Ci8aryl, which is optionally substituted by G3; -NR25R26, -CONR25R26, or -COOR27, or C2-Ci0heteroaryl, which is optionally substituted by G3; or C5-Ci2cycloalkyl, C5-Ci2cycloalkoxy, C5-Ci2cycloalkylthio,
each of which is optionally substituted by G3; especially a group of formula or
; or 2 adjacent radicals A12, A14; or A14, A17; or A17 A16; or A21, A22; or A22, A23; or
A23, A24; or A18, A22; or A23, A19, bonding to vicinal atoms, together are a group of formula
A4J, A44, A4b, A4b and A4' are independently of each other H, halogen, CN, Ci-C24alkyl, Ci-C24perfluoroalkyl, Ci-C24alkoxy, Ci-C24alkylthio, C6-Ci8aryl, which may optionally be substituted by G3, -NR25R26, -CONR25R26, or -COOR27,
or C2-Ci0heteroaryl; especially , or
while each of A11, A13, A15, A'21, A'22, A'23 and A'24 independently is hydrogen or Ci-C24alkyl; or 2 adjacent radicals A11, A12; A13, A14; A15, A16 A'21, A21; A'22, A22; A'23, A23; A'24, A24, bonding to the same carbon atom, together are =0 or =NR25 or =N-OR25 or =N-OH;
E5 is O, S, or NR25,
R25 and R26 are independently of each other C6-Ci8aryl, C7-Ci8aralkyl, or Ci-C24alkyl, R27 is
Ci-C24alkyl, C6-Ci8aryl, or C7-Ci8aralkyl; and
R41 is the bond to M, R71 is the bond to M,
R42 is hydrogen, or CrC24alkyl, CN, Ci-C24alkyl, which is substituted by F, halogen, especially F, C6-Ci8-aryl, C6-Ci8-aryl which is substituted by Ci-Ci2alkyl, or d-C8alkoxy, R43 is hydrogen, CN, halogen, especially F, Ci-C24alkyl, which is substituted by F, C6-Ci8aryl, C6-Ci8aryl which is substituted by CrCi2alkyl, or CrC8alkoxy, -CONR25R26, -COOR27,
E6 is -S-, -O-, or -NR25'-, wherein R25' is CrC24alkyl, or C6-Ci0aryl,
R110 is H, CN, CrC24alkyl, CrC24alkoxy, C1-C24alkylthio, -NR25R26, -CONR25R26, or -COOR27, or
R42 and R43 are a group of formula
, wherein A41, A42, A43, A44,
A45, A46 and A47 are independently of each other H, halogen, CN, d-C24alkyl, Cr C24perfluoroalkyl, CrC24alkoxy, CrC24alkylthio, C6-Ci8aryl, which may optionally be substituted by G3, -NR25R26, -CONR25R26, or -COOR27, or C2-Ci0heteroaryl; especially
R44 is hydrogen, CN or Ci-C24alkyl, Ci-C24alkyl, which is substituted by F, halogen, especially F, C6-Ci8-aryl, C6-Ci8-aryl which is substituted by CrCi2 alkyl, or d-C8alkoxy, R45 is hydrogen, CN or Ci-C24alkyl, Ci-C24alkyl, which is substituted by F, halogen, especially F, C6-Ci8-aryl, C6-Ci8-aryl which is substituted by CrCi2 alkyl, or CrC8alkoxy, A11', A12', A13', and A14' are independently of each other H, halogen, CN, CrC24alkyl, CrC24alkoxy, CrC24alkylthio, -NR25R26, -CONR25R26, or -COOR27, R68 and R69 are independently of each other Ci-C24alkyl, especially C4-Ci2alkyl, especially hexyl, heptyl, 2-ethylhexyl, and octyl, which can be interrupted by one or two oxygen atoms, R70, R72, R73, R74, R75, R76, R90, R91, R92, and R93 are independently of each other H, halogen, especially F, CN, CrC24alkyl, C6-Ci0aryl, CrC24alkoxy, CrC24alkylthio, -NR25R26, -CONR25R26, or -COOR27, wherein R25, R26 and R27 are as defined above and G is CrCi8alkyl, -OR305, -SR305, -NR305R306, -CONR305R306, or -CN, wherein R305 and R306 are independently of each other C6-Ci8aryl; C6-Ci8aryl which is substituted by Ci-Ci8alkyl, or Ci-Ci8alkoxy; CrCi8alkyl, or CrCi8alkyl which is interrupted by -0-; or R305 and R306 together
form a five or six membered ring such as
e) of formula
, wherein R16 is hydrogen, halogen, especially F, or Cl; nitro,
Ci-C4alkyl, CrC4perfluoroalkyl, Ci-C4alkoxy, or optionally substituted C6-Ci0aryl, especially phenyl,
R17 is hydrogen, halogen, especially F, or Cl; Ci-C4alkyl, Ci-C4perfluoroalkyl, optionally substituted C6-Ci0aryl, especially phenyl, or optionally substituted C6-Cioperfluoroaryl, especially C6F5,
R18 is hydrogen, Ci-C4alkyl, d-C8alkoxy, Ci-C4perfluoroalkyl, optionally substituted C6-Ci0aryl, especially phenyl, or optionally substituted C6-Ci0perfluoroaryl, especially C6F5, R19 is hydrogen, halogen, especially F, or Cl; nitro, cyano, Ci-C4alkyl, Ci-C4perfluoroalkyl, Ci-C4alkoxy, or optionally substituted C6-Ci0aryl, especially phenyl,
A10 is hydrogen, halogen, especially F, or Cl; nitro, cyano, Ci-C4alkyl, C2-C4alkenyl, Ci-C4perfluoroalkyl, -O-Ci-C4perfluoroalkyl, tri(Ci-C4alkyl)silanyl, especially tri(methyl)silanyl, optionally substituted C6-Ci0aryl, especially phenyl, or optionally substituted C6- Cioperfluoroaryl, especially C6F5, A11 is hydrogen, halogen, especially F, or Cl; nitro, cyano, Ci-C4alkyl, C2-C4alkenyl,
Ci-C4perfluoroalkyl, -O-Ci-C4perfluoroalkyl, tri(Ci-C4alkyl)silanyl, especially tri(methyl)silanyl, optionally substituted C6-Ci0aryl, especially phenyl, or optionally substituted C6- Cioperfluoroaryl, especially C6F5, A12 is hydrogen, halogen, especially F, or Cl; nitro, hydroxy, mercapto, amino, Ci-C4alkyl, C2-C4alkenyl, Ci-C4perfluoroalkyl, Ci-C4alkoxy, OCi-C4perfluoroalkyl, -S-Ci-C4alkyl, a group -(CH2)rX20, wherein r is 1 , or 2, X20 is halogen, especially F, or Cl; hydroxy, cyano, OCi-C4alkyl, di(d-C4alkyl)amino, CO2X21, wherein X21 is H, or CrC4alkyl; CH=CHCO2X22, wherein X22 is CrC4alkyl; -CH(O), -SO2X23, -SOX23, -NC(O)X23, -NSO2X23, -NHX23, -N(X23)2, wherein X23 is Ci-C4alkyl; tri(Ci-C4alkyl)siloxanyl, optionally substituted OC6-Ci0aryl, especially phenoxy, cyclohexyl, optionally substituted C6-Ci0aryl, especially phenyl, or optionally substituted C6-Ci0perfluoroaryl, especially C6F5, and A13 is hydrogen, nitro, cyano, Ci-C4alkyl, C2-C4alkenyl, Ci-C4perfluoroalkyl, OCi-C4perfluoroalkyl, tri(Ci-C4alkyl)silanyl, or optionally substituted C6-Ci0aryl.
Specific examples of L1 are the following compounds (XX-1 ) to (XX-53):
(XX-6), (XX-7), (XX-8), (XX-9), (XX-10),
(XX-53). Special emphasis among them is given to (XX-1 ) to (XX-53).
The basic structure of the group (L2- Y- Z") may be one of the above-mentioned ligands for L1 of the groups a) to e) including the mentioned substituents, in particular one of (XX-1 )-(XX- 53) as well as ligands disclosed in WO 2008/098851 , mentioned below, which examples are preferred. The group Y-Z" may be attached at any ring atom of CyC or CyN, at any ring atom of a fused ring or at any ring atom of an aryl or hetaryl substitutent.
Another class of ligands for L2 are mentioned in WO 2008/098851 , which is denoted therein as LDH. LDH is a bidentate ligand of formula (XXI).
wherein
W: ' is selected from O , S, NR304, CR305R306,
X5 is N or CR307,
Q i is selected from O, S, NR308;
R301, R302, R304, R305, R306 independently are H, unsubstituted or substituted d-Ci8alkyl, unsubstituted or substituted C2-Ci8alkenyl, unsubstituted or substituted C5-Ci0aryl, unsubstituted or substituted C2-Ci0heteroaryl, d-Ci8acyl; or R301, R302 independently may stand for a substituent selected from halogen, d-Ci8alkoxy, Ci-Ci8alkylthio, Ci-Ci8acyl, C5-Ci0aryl, C3-Ci2cycloalkyl, Ci-Ci8acyloxy, C5-Ci0aryloxy, C3-Ci2cycloalkyloxy, or from the residues COR, CH=NR, CH=N-OH, CH=N-OR, COOR, CONHR, CONRR', CONH-NHR, CONH-NRR', SO2R, SO3R, SO2NHR, SO2NRR', SO2NH-NHR, SO2NH-NRR', S(O)R, S(O)OR, S(O)NHR, S(O)NRR', S(O)NH-NHR, S(O)NH-NRR', SiRR'R", PORR', PO(OR)R', PO(OR)2, PO(NHR)2, P0(NRR')2, CN, NO2, NHR, NRR', NH-NHR, NH-NRR', CONROH;
R, R' and R" independently are selected from Ci-Ci2alkyl, C5-Ci0aryl, C3-Ci2cycloalkyl, preferably from d-C6alkyl, phenyl, cyclopentyl, cyclohexyl; and R may also be hydrogen; or the neighbouring residues R301 and R302 form an organic bridging group completing, together with the carbon atoms they are bonding to, a carbocyclic or heterocyclic, non-
aromatic or preferably aromatic ring of 5 to 7 ring atoms in total, which optionally may be substituted;
R307, if present, together with its neighbouring residue R300 forms an organic bridging group completing, with the carbon atoms they are bonding to, a carbocyclic or heterocyclic, non- aromatic or preferably aromatic ring of 5 to 7 ring atoms in total, which optionally may be substituted; and in case that W5 is O, NR304, CR305R306 and/or Q contains a nitrogen atom, R307 also embraces the meanings given for R304; or R300 is H, unsubstituted or substituted CrCi8alkyl, unsubstituted or substituted C2- Ci8alkenyl, unsubstituted or substituted C5-Ci0aryl, unsubstituted or substituted C2- Cioheteroaryl, d-Ci8acyl; R308 is hydrogen or a substituent.
Alternatively, the basic structure of L2, which is substituted by a group (Y- Z ), is a bidentate ligand, which has N, O, P, or S as coordinating atoms and forms 5- or 6-membered rings, when coordinated to metal. Suitable coordinating groups include amino, imino, amido, alkoxide, carboxylate, phosphino, thiolate, and the like. Examples of suitable parent compounds for these ligands include β-dicarbonyls (β-enolate ligands), and their N and S analogs; amino carboxylic acids (aminocarboxylate ligands); pyridine carboxylic acids (iminocarboxylate ligands); salicylic acid derivatives (salicylate ligands); hydroxyquinolines (hydroxyquinolinate ligands) and their S analogs; and diarylphosphinoalkanols (diarylphosphinoalkoxide ligands).
Examples of bidentate ligands L2 (basic structures without the substituent Y- Z shown, denoted as L'), are
R11 and R15 are independently of each other hydrogen, CrC8alkyl, C6-Ci8aryl,
C2-Cioheteroaryl, or Ci-C8perfluoroalkyl,
R12 and R16 are independently of each other hydrogen, or d-C8alkyl, and
R13 and R17 are independently of each other hydrogen, d-C8alkyl, C6-Ci8aryl,
C2-Cioheteroaryl, CrC8perfluoroalkyl, or CrC8alkoxy, and
R19 is Ci-C8alkyl,
R20 is Ci-C8alkyl, or C6-Ci0aryl,
R21 is hydrogen, d-C8alkyl, or Ci-C8alkoxy, which may be partially or fully fluorinated,
R22 and R23 are independently of each other Cn(H+F)2n+i, or C6(H+F)5, R24 can be the same or different at each occurrence and is selected from H, or Cn(H+F)2n+i, p is 2, or 3, and
R46 is Ci-C8alkyl, C6-Ci8aryl, or C6-Ci8aryl, which is substituted by OC8alkyl.
Examples of suitable phosphino alkoxide ligands
(WO03/040256) are listed below:
3-(diphenylphosphino)-1 -oxypropane [dppO] 1 ,1-bis(trifluoromethyl)-2-(diphenylphosphino)-ethoxide [tfmdpeO].
(1 ,3-diphenyl-1 ,3-propanedionate [Dl]),
[TTFA]), (7,7-dimethyl-1 ,1 ,1 ,2,2,3,3-heptafluoro-4,6-octanedionate
( -phenyl-3-methyl-4-i-butyryl-pyrazolinonate [FMBP]), , and
The hydroxyquinoline parent compounds, HL', can be substituted with groups such as alkyl or alkoxy groups which may be partially or fully fluorinated. In general, these compounds are commercially available. Examples of suitable hydroxyquinolinate ligands, L', include: 8-hydroxyquinolinate [8hq] 2-methyl-8-hydroxyquinolinate [Me-8hq] 10-hydroxybenzoquinolinate [10-hbq]
The anionic metal complexes of the present invention can be prepared from readily available salts of the metals and the ligands as described according to usual methods known from the prior art; see, for example, WO 06/000544 and literature cited therein.
Iridium metal complexes of formula lr(La)2L' , where La stands for a bidentate ligand [CyC, CyN] and L' stands for a neutral precursor of the ligand (L2- Y-Z"), can, for example, be prepared by first preparing an intermediate iridium dimer of formula X I
L\, O- ,L£
Jr Jr La/ O V L\ Cl |_a a/
X , or Cl , wherein X is H or lower alkyl such as methyl or ethyl, and La is as defined above, and then addition of HL'. The iridium dimers can generally be prepared by
first reacting iridium trichloride hydrate with HLa and adding NaX, and by reacting iridium trichloride hydrate with HLa in a suitable solvent, such as 2-ethoxyethanol.
Complexes and ligands of the present invention may conveniently be obtained in analogy to methods known in the art, e.g. as initially mentioned. For example, the group Y-Z" is introduced by any conversion of a suitable substituent at a ring atom of the ligands. Another possibility is to introduce the group Y-Z" by any conversion of a suitable substituent at a ring atom of a precursor compound HL', followed by addition to an intermediate dimer
Ll Cl |_a
L>Λ- . This may be carried out by protecting Z with a suitable protecting group.
Ligands L1 and the basic structure of L2 (without the substituent Y-Z ) are widely known in the art, many are commercially available.
Of special interest are metal complexes having only bidendate ligands. In metal complexes with Pt or Pd as a central metal atom, ML1 is a fragment of a metal complex, wherein L1 is one bidendate ligand. In metal complexes with Ir or Rh or Re as a central metal atom, ML1 is a fragment of a metal complex, wherein L1 comprises two bidendate ligands.
A particular preferred metal complex, which is employed in the preparation of the ionic dendritic compound is of formula (X)
(X), wherein w is 2, if M is Ir, Rh or Re, or w is 1 , if M is Pt or Pd and R7, R8, R9 and R10 are defined as above.
Any carbocyclic or heterocyclic, non-aromatic or preferably aromatic ring of 5 to 7 ring atoms in total formed by two neighbouring residues as an organic bridging group together with their anchor atoms often is selected from aryl, heteroaryl, cycloalkyl, or further cycloaliphatic unsaturated moieties as explained below.
Substituents, if present, preferably are selected from halogen, OH, d-Ci8alkoxy, CrCi8alkyl, said alkoxy or alkyl substituted by halogen, OH, COOH or CONH2, C2-Ci8alkenyl, Ci-Ci8alkylthio, Ci-Ci8acyl, C5-Ci4aryl, C4-Ci0heteroaryl, C3-Ci2cycloalkyl, Ci-Ci8acyloxy, C5-Ci0aryloxy, C3-Ci2cycloalkyloxy, or from the residues COR, CH=NR, CH=N-OH,
CH=N-OR, COOR, CONHR, CONRR', CONH-NHR, CONH-NRR', SO2R, SO3R, SO2NHR, SO2NRR', SO2NH-NHR, SO2NH-NRR', S(O)R, S(O)OR, S(O)NHR, S(O)NRR', S(O)NH-NHR, S(O)NH-NRR', SiRR'R", PORR', PO(OR)R', PO(OR)2, PO(NHR)2, PO(NRR')2, CN, NO2, NHR, NRR', NH-NHR, NH-NRR', CONROH; where R, R' and R" independently are selected from Ci-Ci2alkyl, Ci-Ci2haloalkyl, C5-Ci0aryl, C3-Ci2cycloalkyl, preferably from d-C6alkyl, phenyl, cyclopentyl, cyclohexyl; and R may also be hydrogen.
Acyl stands for a residue of a sulfonic acid or especially organic carboxylic acid, which is formed formally by abstraction of the acid OH; examples are formyl, acetyl, propionyl, benzoyl. Generally, Ci-Ci8acyl stands for a radical X'-R11, wherein X' is CO or SO2 and R11 is selected from monovalent aliphatic or aromatic organic residues, usually from molecular weight up to 300; for example, R11 may be selected from Ci-Ci8alkyl, C2-Ci8alkenyl, C5-Ci0aryl which may be unsubstituted or substituted by Ci-C8alkyl or halogen or Ci-C8alkoxy, C6-Ci5arylalkyl which may be unsubstituted or substituted in the aromatic part by Ci-C8alkyl or halogen or Ci-C8alkoxy, C4-Ci2cycloalkyl, and in case that X' is CO, R11 may also be H.
Acyl is preferably an aliphatic or aromatic residue of an organic acid -CO-R11, usually of 1 to 30 carbon atoms, wherein R11 embraces aryl, alkyl, alkenyl, alkynyl, cycloalkyl, each of which may be substituted or unsubstituted and/or interrupted as described elsewhere inter alia for alkyl residues, or R' may be H (i.e. COR' being formyl). Preferences consequently are as described for aryl, alkyl etc.; more preferred acyl residues are substituted or unsubstituted benzoyl, substituted or unsubstituted Ci-Ci7alkanoyl or alkenoyl such as acetyl or propionyl or butanoyl or pentanoyl or hexanoyl, substituted or unsubstituted C5-Ci2cycloalkylcarbonyl such as cyclohexylcarbonyl.
Where aryl (e.g. in Ci-Ci4aryl) is used, this preferably comprises monocyclic rings or polycyclic ring systems with the highest possible number of double bonds, such as preferably phenyl, naphthyl, anthrachinyl, anthracenyl or fluorenyl. The term aryl mainly embraces
Ci-Ci8aromatic moieties, which may be heterocyclic rings (also denoted as heteroaryl) containing, as part of the ring structure, one or more heteroatoms mainly selected from O, N and S; hydrocarbon aryl examples mainly are C6-Ci8 including phenyl, naphthyl, anthrachinyl, anthracenyl, fluorenyl, especially phenyl. Heteroaryl such as C4-Ci8heteroaryl stands for an aryl group containing at least one heteroatom, especially selected from N, O, S, among the atoms forming the aromatic ring; examples include pyridyl, pyrimidyl, pyridazyl, pyrazyl, thienyl, benzothienyl, pyrryl, furyl, benzofuryl, indyl, carbazolyl, benzotriazolyl, thiazolyl, chinolyl, isochinolyl, triazinyl, tetrahydronaphthyl, thienyl, pyrazolyl, imidazolyl. Preferred are C4-Ci8aryl, e.g. selected from phenyl, naphthyl, pyridyl, tetrahydronaphthyl, furyl, thienyl, pyrryl, chinolyl, isochinolyl, anthrachinyl, anthracenyl, phenanthryl, pyrenyl, benzothiazolyl, benzoisothiazolyl, benzothienyl, especially C6-Ci0aryl; most preferred is phenyl, naphthyl.
Any arylene is derived from aryl by abstracting a hydrogen atom from any ring carbon atom of the aryl.
Halogen denotes I, Br, Cl, F, preferably Cl, F, especially F.
Alkyl stands for any acyclic saturated monovalent hydrocarbyl group; alkenyl denotes such a group but containing at least one carbon-carbon double bond (such as in allyl); similarly, alkynyl denotes such a group but containing at least one carbon-carbon triple bond (such as in propargyl). In case that an alkenyl or alkynyl group contains more than one double bond, these bonds usually are not cumulated, but may be arranged in an alternating order, such as in -[CH=CH-]n or -[CH=C(CH3)-]n, where n may be, for example, from the range 2-50. Where not defined otherwise, preferred alkyl contains 1-22 carbon atoms; preferred alkenyl and alkinyl each contains 2-22 carbon atoms, especially 3-22 carbon atoms.
Any alkylene is derived from alkyl by abstracting a hydrogen atom from any terminal carbon atom of the alkyl.
Where indicated as interrupted, any alkyl moiety of more than one, especially more than 2 carbon atoms, or such alkyl or alkylene moieties which are part of another moiety, may be interrupted by a heterofunction such as O, S, COO, OCNR10, OCOO, OCONR10, NR10CNR10, or NR10, where R10 is H, d-C^alkyl, C3-Ci2cycloalkyl, phenyl. They can be interrupted by one or more of these spacer groups, one group in each case being inserted, in general, into
one carbon-carbon bond, with hetero-hetero bonds, for example O-O, S-S, NH-NH, etc., not occurring; if the interrupted alkyl is additionally substituted, the substituents are generally not α to the heteroatom. If two or more interrupting groups of the type -O-, -NR10-, -S- occur in one radical, they often are identical.
The term alkyl, whereever used, thus mainly embraces especially uninterrupted and, where appropriate, substituted Ci-C22alkyl such as methyl, ethyl, propyl, isopropyl, n-butyl, sec- butyl, isobutyl, tert-butyl, 2-ethylbutyl, n-pentyl, isopentyl, 1-methylpentyl, 1 ,3-dimethylbutyl, n-hexyl, 1-methylhexyl, n-heptyl, isoheptyl, 1 ,1 ,3,3-tetramethylbutyl, 1-methylheptyl, 3-methylheptyl, n-octyl, 2-ethylhexyl, 1 ,1 ,3-trimethylhexyl, 1 ,1 ,3,3-tetramethylpentyl, nonyl, decyl, undecyl, 1-methylundecyl, dodecyl, 1 ,1 ,3,3,5,5-hexamethylhexyl, tridecyl, tetradecyl, pentadecyl, hexadecyl, heptadecyl, octadecyl. Alkoxy is alkyl-O-; alkylthio is alkyl-S-.
Haloalkyl denotes alkyl substituted by halogen; this includes perhalogenated alkyl such as perfluoroalkyl, especially Ci-C4perfluoroalkyl, which is a branched or unbranched radical such as for example -CF3, -CF2CF3, -CF2CF2CF3, -CF(CF3)2, -(CF2)3CF3, and -C(CF3)3.
Aralkyl is, within the definitions given, usually selected from C7-C24aralkyl radicals, preferably C7-Ci5aralkyl radicals, which may be substituted, such as, for example, benzyl, 2-benzyl-2- propyl, β-phenethyl, α-methylbenzyl, α,α-dimethylbenzyl, ω-phenyl-butyl, ω-phenyl-octyl, ω-phenyl-dodecyl; or phenyl-Ci-C4alkyl substituted on the phenyl ring by one to three Ci-C4alkyl groups, such as, for example, 2-methylbenzyl, 3-methylbenzyl, 4-methylbenzyl, 2,4-dimethylbenzyl, 2,6-dimethylbenzyl or 4-tert-butylbenzyl.or 3-methyl-5-(1 ',1 ',3',3'- tetramethyl-butyl)-benzyl.
The term alkenyl, whereever used, thus mainly embraces especially uninterrupted and, where appropriate, substituted C2-C22alkyl such as vinyl, allyl, etc.
C2-C24alkynyl is straight-chain or branched and preferably C2-8alkynyl, which may be unsubstituted or substituted, such as, for example, ethynyl, 1-propyn-3-yl, 1-butyn-4-yl, 1-pentyn-5-yl, 2-methyl-3-butyn-2-yl, 1 ,4-pentadiyn-3-yl, 1 ,3-pentadiyn-5-yl, 1-hexyn-6-yl, cis-3-methyl-2-penten-4-yn-1 -yl, trans-3-methyl-2-penten-4-yn-1 -yl, 1 ,3-hexadiyn-5-yl, 1-octyn-8-yl, 1-nonyn-9-yl, 1-decyn-10-yl, or 1-tetracosyn-24-yl.
Aliphatic cyclic moieties include cycloalkyl, aliphatic heterocyclic moieties, as well as unsaturated variants thereof such as cycloalkenyl. Cycloalkyl such as C3-Ci8cycloalkyl, is preferably C3-Ci2cycloalkyl or said cycloalkyl substituted by one to three Ci-C4alkyl groups, and includes cyclopropyl, cyclobutyl, cyclopentyl, methylcyclopentyl, dimethylcyclopentyl, cyclohexyl, methylcyclohexyl, dimethylcyclohexyl, trimethylcyclohexyl, tert-butylcyclohexyl, cycloheptyl, cyclooctyl, cyclononyl, cyclodecyl, cyclododecyl, 1-adamantyl, or 2-adamantyl. Cyclohexyl, 1-adamantyl and cyclopentyl are most preferred. C3-Ci2cycloalkyl includes cyclopropyl, cyclobutyl, cyclopentyl, cyclohexyl, cycloheptyl, cyclooctyl, cyclononyl, cyclodecyl, cycloundecyl, cyclododecyl; preferred among these residues are C3-C6cycloalkyl as well as cyclododecyl, especially cyclohexyl. Further ring structures occuring are heterocyclic aliphatic rings usually containing 5 to 7 ring members, among them at least 1 , especially 1-3, heteromoieties, usually selected from O, S, NR10, where R10 is as explained above for interrupting NR10-groups; examples include C4-Ci8cycloalkyl, which is interrupted by S, O, or NR10, such as piperidyl, tetrahydrofuranyl, piperazinyl and morpholinyl. Unsaturated variants may be derived from these structures by abstraction of a hydrogen atom on 2 adjacent ring members with formation of a double bond between them; an example for such a moiety is cyclohexenyl.
^ N O N
R1 and R2 together forming a heterocyclic ring are preferably , or corresponding substituted rings.
Alkoxy such as Ci-C24alkoxy is a straight-chain or branched radical, e.g. methoxy, ethoxy, n- propoxy, isopropoxy, n-butoxy, sec-butoxy, tert-butoxy, amyloxy, isoamyloxy or tert-amyloxy, heptyloxy, octyloxy, isooctyloxy, nonyloxy, decyloxy, undecyloxy, dodecyloxy, tetradecyloxy, pentadecyloxy, hexadecyloxy, heptadecyloxy and octadecyloxy.
Any alkyleneoxy is derived from alkoxy by abstracting a hydrogen atom from a carbon atom of the alkyl moiety. If bonding to a heteroatom (e.g. as E1 in formula (I)), this heteroatom usually is attached to the carbon atom in alkyleneoxy.
C6-Ci8cycloalkoxy is, for example, cyclopentyloxy, cyclohexyloxy, cycloheptyloxy or cyclooctyloxy, or said cycloalkoxy substituted by one to three Ci-C4alkyl, for example, methylcyclopentyloxy, dimethylcyclopentyloxy, methylcyclohexyloxy, dimethylcyclohexyloxy, trimethylcyclohexyloxy, or tert-butylcyclohexyloxy.
C6-C24aryloxy is typically phenoxy or phenoxy substituted by one to three Ci-C4alkyl groups, such as, for example o-, m- or p-methylphenoxy, 2,3-dimethylphenoxy, 2,4-dimethylphenoxy, 2,5-dimethylphenoxy, 2,6-dimethylphenoxy, 3,4-dimethylphenoxy, 3,5-dimethylphenoxy, 2-methyl-6-ethylphenoxy, 4-tert-butylphenoxy, 2-ethylphenoxy or 2,6-diethylphenoxy.
C6-C24aralkoxy is typically phenyl-Ci-C9alkoxy, such as, for example, benzyloxy, α-methylbenzyloxy, α,α-dimethylbenzyloxy or 2-phenylethoxy.
Ci-C24alkylthio radicals are straight-chain or branched alkylthio radicals, such as e.g. methylthio, ethylthio, propylthio, isopropylthio, n-butylthio, isobutylthio, pentylthio, isopentyl- thio, hexylthio, heptylthio, octylthio, decylthio, tetradecylthio, hexadecylthio or octadecylthio.
SiIyI such as SiRR'R" is preferably Si substituted by two or preferably three moieties selected from unsubstituted or substituted hydrocarbyl or hydrocarbyloxy (wherein the substituents are preferably other than substituted silyl), as defined above, or by unsubstituted or substituted heteroaryl. In case that Si carries only two substituents, the silyl group is of the type -SiH(R400) with R40O preferably being hydrocarbyl or hydrocarbyloxy. Preferred hydrocarbyl(oxy) are CrC2oalkyl(oxy), phenyl(oxy), CrC9alkylphenyl(oxy). More preferred are three CrC2oalkyl or Ci-C2oalkoxy substituents, i.e. substituted silyl then is Si(R401)3 with R401 being d-C2oalkyl or CrC2oalkoxy, especially three Ci-C8-alkyl substitutents, such as methyl, ethyl, isopropyl, t-butyl or isobutyl.
The number of negative charges, i.e. of the metal complex and the optionally further anion(s) X~, in the ionic compound of the present invention equals the number of ammonium groups in the dendrimer. The number of anionic metal complexes is preferably the same as the charge of the dendrimer, i.e. m is 0, or the number of anionic metal complexes is equal to the number of the further anion(s) X", i.e. 2 m = np.
Typically the ionic compounds of the present invention are prepared by a biphasic
(dichloromethane/water) ion-exchange reaction known in the art. For example, the reaction is carried out between equimolar amounts of the halide salts of the dendrimers NCN{2G1-3} or the corresponding Si-compounds Si[NCN{2G1-3}]4 and
Si[NCN{2G1}]4 [Br8]
and the tetraalkylammonium salts of the anionic metal complexes Ir(ppy)2(pic-Y-Z"); (lr(ppy)2pic as comparative example)
Further cations, such as alkali cations, may be used as counterions of the complex educt as well. The reaction may be carried out as a two-phase reaction, preferably with the dendrimer educt in the aqueous phase, or as a homogenous phase reaction, e.g. in water or polar solvents, such as alcohols, or mixtures thereof. If desired, the ion exchange step can be followed by a desalination step. Further details of the preferred preparation method can be found in section (B) of the examples.
According to another aspect of the present invention, there is provided an electronic device comprising the ionic host guest dendritic compounds of formula (II) and its fabrication process. The electronic device can comprise at least one organic active material positioned between two electrical contact layers, wherein at least one of the layers of the device includes the ionic dendritic compound. The electronic device can comprise an anode layer (a), a cathode layer (e), and an active layer (c). Adjacent to the anode layer (a) is an optional hole-injecting/transport layer (b), and adjacent to the cathode layer (e) is an optional electron-injection/transport layer (d). Layers (b) and (d) are examples of charge transport layers.
The active layer (c) can comprise at least approximately 1 weight percent of the ionic dendritic compound of the present invention.
In some embodiments, the active layer (c) may be substantially 100% of the ionic dendriticic compound because a host charge transporting material, such as AIq3 is not needed. By
"substantially 100%" it is meant that the ionic dendritic compound is the only material in the layer, with the possible exception of impurities or adventitious by-products from the process to form the layer. Still, in some embodiments, the ionic dendritic compound may be a dopant within a host material, which is typically used to aid charge transport within the active layer (c). The active layer (c) may include an additional other luminescent material, for example a luminescent metal complex.
The device may include a support or substrate adjacent to the anode layer (a) or the cathode layer (e). Most frequently, the support is adjacent the anode layer (a). The support can be flexible or rigid, organic or inorganic. Generally, glass or flexible organic films are used as a support. The anode layer (a) is an electrode that is more efficient for injecting holes compared to the cathode layer (e). The anode can include materials containing a metal, mixed metal, alloy, metal oxide or mixed-metal oxide. Suitable metal elements within the anode layer (a) can include the Groups 4, 5, 6, and 8-1 1 transition metals. If the anode layer (a) is to be light-transmitting, mixed-metal oxides of Groups 12, 13 and 14 metals, such as indium-tin-oxide, may be used. Some non-limiting, specific examples of materials for anode layer (a) include indium-tin-oxide ("ITO"), aluminum-tin-oxide, gold, silver, copper, nickel, and selenium.
The anode layer (a) may be formed by a chemical or physical vapor deposition process or spin-cast process. Chemical vapor deposition may be performed as a plasma-enhanced chemical vapor deposition ("PECVD") or metal organic chemical vapor deposition ("MOCVD").
Physical vapor deposition can include all forms of sputtering (e. g., ion beam sputtering), e- beam evaporation, and resistance evaporation.
Specific forms of physical vapor deposition include rf magnetron sputtering or inductively- coupled plasma physical vapor deposition ("ICP- PVD"). These deposition techniques are well-known within the semiconductor fabrication arts.
A hole-transport layer (b) may be adjacent to the anode. Both hole transporting small molecule compounds and polymers can be used.
Commonly used hole transporting molecules include: N, N'-diphenyl-N, N'-bis(3- methylphenyl)-[1 ,1 '-biphenyl]-4,4'-diamine (TPD), 1 ,1-bis[(di-4-tolylamino)phenyl]cyclohexane (TAPC), N,N'-bis(4-methylphenyl)-N,N'-bis(4-ethylphenyl)-[1 ,1 '-(3,3'-dimethyl)biphenyl]4,4'- diamine (ETPD), tetrakis-(3-methylphenyl)-N,N,N',N'-2,5-phenylenediamine (PDA), a-phenyl- 4-N,N-diphenylaminostyrene (TPS), p- (diethylamino)benzaldehydediphenylhydrazone (DEH), triphenylamine (TPA), bis[4-(N,N-diethylamino)-2-methylphenyl](4- methylphenyl)methane (MPMP), 1-phenyl-3-[p-(diethylamino)styryl]-5-[p- (diethylamino)phenyl]pyrazoline (PPR or DEASP), 1 ,2-trans-bis (9H-carbazol-9- yl)cyclobutane (DCZB), N,N,N',N'-tetrakis (4-methylphenyl)-(1 ,1'-biphenyl)-4,4'-diamine (TTB), 4,4'-N,N-dicarbazole-biphenyl (CBP), N,N-dicarbazoyl-1 ,4-dimethene-benzene (DCB), porphyrinic compounds, and combinations thereof.
Commonly used hole transporting polymers are polyvinylcarbazole, (phenylmethyl) polysilane, poly(3,4-ethylendioxythiophene) (PEDOT), and polyaniline. Hole-transporting polymers can be obtained by doping hole-transporting molecules such as those mentioned above into polymers such as polystyrene and polycarbonate.
The hole-injection/transport layer (b) can be formed using any conventional means, including spin-coating, casting, and printing, such as gravure printing. The layer can also be applied by ink jet printing, thermal patterning, or chemical or physical vapor deposition.
Usually, the anode layer (a) and the hole-injection/transport layer (b) are patterned during the same lithographic operation. The pattern may vary as desired. The layers can be formed in a pattern by, for example, positioning a patterned mask or resist on the first flexible composite barrier structure prior to applying the first electrical contact layer material. Alternatively, the layers can be applied as an overall layer (also called blanket deposit) and subsequently patterned using, for example, a patterned resist layer and wet-chemical or dry-etching techniques. Other processes for patterning that are well known in the art can also be used. When the electronic devices are located within an array, the anode layer (a) and hole injection/transport layer (b) typically are formed into substantially parallel strips having lengths that extend in substantially the same direction.
The active layer (c) comprises the ionic dendritic compound of the present invention. The particular material chosen may depend on the specific application, potentials used during
operation, or other factors. The active layer (c) may comprise a host material capable of transporting electrons and/or holes, doped with an emissive material that may trap electrons, holes, and/ or excitons, such that excitons relax from the emissive material via a photoemissive mechanism. Active layer (c) may comprise a single material that combines transport and emissive properties. Whether the emissive material is a dopant or a major constituent, the active layer may comprise other materials, such as dopants that tune the emission of the emissive material. Active layer (c) may include a plurality of emissive materials capable of, in combination, emitting a desired spectrum of light. Examples of phosphorescent emissive materials include the ionic dendritic compounds of the present invention. Examples of fluorescent emissive materials include DCM and DMQA. Examples of host materials include AIq3, CBP and mCP. Examples of emissive and host materials are disclosed in US 6,303,238 B, which is incorporated by reference in its entirety.
Examples of methods for forming the active layer (c) include deposition by solution processing. Examples of film-forming methods from a solution include application methods, such as spin-coating, casting, microgravure coating, roll-coating, wire bar-coating, dip- coating, spray-coating, screen-printing, flexography, offset-printing, gravure printing and ink- jet-printing.
As the composition used for forming the active layer (c) at least one kind of the ionic dendritic compounds of the present invention and at least one solvent are contained, and additives, such as hole transport material, electron transport material, luminescent material, rheology modifier or stabilizer, may be added. The amount of solvent in the composition is 1 to 99 wt% of the total weight of the composition and preferably 60 to 99 wt% and more preferably 80 to 99 wt%.
The solvent used in the solution processing method is not particularly limited and preferable are those which can dissolve or uniformly disperse the materials. Preferably the materials may be dissolved in a solvent, the solution deposited onto a substrate, and the solvent removed to leave a solid film. Any suitable solvents may be used to dissolve the ionic compounds, provided it is inert, may dissolve at least some material and may be removed from the substrate by conventional drying means (e.g. application of heat, reduced pressure, airflow, etc.). Suitable organic solvents include, but are not limited to, are aromatic or aliphatic hydrocarbons, halogenated such as chlorinated hydrocarbons, esters, ethers,
ketones, amide, such as chloroform, dichloroethane, tetrahydrofuran, toluene, xylene, ethyl acetate, butyl acetate, methyl ethyl ketone, acetone, dimethyl formamide, dichlorobenzene, chlorobenzene, propylene glycol monomethyl ether acetate (PGMEA), and alcohols, and mixtures thereof. Also water and mixtures with water miscible solvents are possible.
Optional layer (d) can function both to facilitate electron injection/transport, and also serve as a buffer layer or confinement layer to prevent quenching reactions at layer interfaces. More specifically, layer (d) may promote electron mobility and reduce the likelihood of a quenching reaction if layers (c) and (e) would otherwise be in direct contact. Examples of materials for optional layer (d) include metal-chelated oxinoid compounds (e. g., tris(8- hydroxyquinolato)aluminum (AIq3) or the like); phenanthroline-based compounds (e. g., 2,9- dimethyl-4,7-diphenyl-1 ,10-phenanthroline ("DDPA"), 4,7-diphenyl-1 ,10-phenanthroline ("DPA"), or the like; azole compounds (e. g., 2-(4-biphenylyl)-5-(4-t-butylphenyl)-1 ,3,4- oxadiazole ("PBD") or the like, 3-(4-biphenylyl)-4-phenyl-5-(4-t-butylphenyl)-1 ,2,4-triazole ("TAZ") or the like; other similar compounds; or any one or more combinations thereof. Alternatively, optional layer (d) may be inorganic and comprise BaO, LiF, Li2O, or the like.
The electron injection/transport layer (d) can be formed using any conventional means, including spin-coating, casting, and printing, such as gravure printing. The layer can also be applied by ink jet printing, thermal patterning, or chemical or physical vapor deposition.
The cathode layer (e) is an electrode that is particularly efficient for injecting electrons or negative charge carriers. The cathode layer (e) can be any metal or nonmetal having a lower work function than the first electrical contact layer (in this case, the anode layer (a)). Materials for the second electrical contact layer can be selected from alkali metals of Group 1 (e. g., Li, Na, K, Rb, Cs), the Group 2 (alkaline earth) metals, the Group 12 metals, the rare earths, the lanthanides (e. g. , Ce, Sm, Eu, or the like), and the actinides. Materials, such as aluminum, indium, calcium, barium, yttrium, and magnesium, and combinations thereof, may also be used. Li-containing organometallic compounds, LiF, and Li2O can also be deposited between the organic layer and the cathode layer to lower the operating voltage. Specific non- limiting examples of materials for the cathode layer (e) include barium, lithium, cerium, cesium, europium, rubidium, yttrium, magnesium, or samarium.
The cathode layer (e) is usually formed by a chemical or physical vapor deposition process. In general, the cathode layer will be patterned, as discussed above in reference to the anode layer (a) and optional hole injecting layer (b). If the device lies within an array, the cathode layer (e) may be patterned into substantially parallel strips, where the lengths of the cathode layer strips extend in substantially the same direction and substantially perpendicular to the lengths of the anode layer strips.
Electronic elements called pixels are formed at the cross points (where an anode layer strip intersects a cathode layer strip when the array is seen from a plan or top view).
In other embodiments, additional layer(s) may be present within organic electronic devices. For example, a layer (not shown) between the hole injecting layer (b) and the active layer (c) may facilitate positive charge transport, band-gap matching of the layers, function as a protective layer, or the like. Similarly, additional layers between the electron injecting layer (d) and the cathode layer (e) may facilitate negative charge transport, band-gap matching between the layers, function as a protective layer, or the like. Layers that are known in the art can be used. Some or all of the layers may be surface treated to increase charge carrier transport efficiency. The choice of materials for each of the component layers may be determined by balancing the goals of providing a device with high device efficiency with the cost of manufacturing, manufacturing complexities, or potentially other factors.
The materials of the charge transport layers (b) and (d) are generally of the same type as the materials of the active layer (c). More specifically, if the active layer (c) has a small molecule compound, then the charge transport layers (b) and (d), if either or both are present, can have a different small molecule compound. If the active layer (c) has a polymer, the charge transport layers (b) and (d), if either or both are present, can also have a different polymer. Still, the active layer (c) may be a small molecule compound, and any of its adjacent charge transport layers may be polymers.
Each functional layer may be made up of more than one layer. For example, the cathode layer may comprise a layer of a Group I metal and a layer of aluminum. The Group I metal may lie closer to the active layer (c), and the aluminum may help to protect the Group I metal from environmental contaminants, such as water.
Although not meant to limit, the different layers may have the following range of thicknesses: inorganic anode layer (a), usually no greater than approximately 500 nm, for example, approximately 50-200 nm; optional hole-injecting layer (b), usually no greater than approximately 100 nm, for example, approximately 50-200 nm; active layer (c), usually no greater than approximately 100 nm, for example, approximately 10-80 nm; optional electron- injecting layer (d), usually no greater than approximately 100 nm, for example, approximately 10-80 nm; and cathode layer (e), usually no greater than approximately 1000 nm, for example, approximately 30-500 nm. If the anode layer (a) or the cathode layer (e) needs to transmit at least some light, the thickness of such layer may not exceed approximately 100 nm.
The location of the electron-hole recombination zone in the device, and thus the emission spectrum of the device, can be affected by the relative thickness of each layer. For example, when a potential light emitting compound, such as AIq3 is used in the electron transport layer (d), the electron-hole recombination zone can lie within the AIq3 layer.
The emission would then be that Of AIq3, and not a desired sharp emission. Thus, the thickness of the electron-transport layer should be chosen so that the electron-hole recombination zone lies within the light emitting layer (i.e., active layer (c)). The desired ratio of layer thicknesses can depend on the exact nature of the materials used.
The efficiency of the devices made with metal complexes can be further improved by optimizing the other layers in the device. For example, more efficient cathodes such as Ca, Ba, Mg/Ag, or LiF/AI can be used. Shaped substrates and hole transport materials that result in a reduction in operating voltage or increase quantum efficiency are also applicable. Additional layers can also be added to tailor the energy levels of the various layers and facilitate electroluminescence.
Depending upon the application of the electronic device, the active layer (c) can be a light emitting layer that is activated by a signal (such as in a light emitting diode) or a layer of material that responds to radiant energy and generates a signal with or without an applied potential (such as detectors or voltaic cells). Examples of electronic devices that may respond to radiant energy are selected from photoconductive cells, photoresistors, photoswitches, phototransistors, and phototubes, and photovoltaic cells. After reading this
specification, skilled artisans will be capable of selecting material (s) that for their particular applications.
The electroluminescent devices may be employed for full color display panels in, for example, mobile phones, televisions and personal computer screens. Accordingly the present invention relates also to a device selected from stationary and mobile displays, such as displays for computers, mobile phones, laptops, pdas, TV sets, displays in printers, kitchen equipment, billboards, lightings, information boards and destination boards in trains and buses, containing an organic light emitting diode according to the present invention.
In OLEDs, electrons and holes, injected from the cathode (e) and anode (a) layers, respectively, into the photoactive layer (c), form negative and positively charged polarons in the active layer (c). These polarons migrate under the influence of the applied electric field, forming a polaron exciton with an oppositely charged species and subsequently undergoing radiative recombination. A sufficient potential difference between the anode and cathode, usually less than approximately 20 volts, and in some instances no greater than approximately 5 volts, may be applied to the device. The actual potential difference may depend on the use of the device in a larger electronic component. In many embodiments, the anode layer (a) is biased to a positive voltage and the cathode layer (e) is at substantially ground potential or zero volts during the operation of the electronic device. A battery or other power source (s) may be electrically connected to the electronic device as part of a circuit.
The compound does not need to be in a solid matrix diluent (e. g., host charge transport material) when used in layer (b) (c), or (d) in order to be effective. A layer greater than approximately 1 % by weight of the metal complex compound, based on the total weight of the layer, and up to substantially 100% of the complex compound can be used as the active layer (c). Additional materials can be present in the active layer (c) with the complex compound. For example, a fluorescent dye may be present to alter the color of emission.
A diluent may also be added. The diluent can be a polymeric material, such as poly (N-vinyl carbazole) and polysilane. It can also be a small molecule, such as 4,4'-N,N'-dicarbazole biphenyl or tertiary aromatic amines. When a diluent is used, the complex compound is generally present in a small amount, usually less than 20% by weight, preferably less than 10% by weight, based on the total weight of the layer.
The ionic dendritic compounds may be used in applications other than electronic devices. For example, they may be used as catalysts or indicators (e. g., oxygen-sensitive indicators, phosphorescent indicators in bioassays, or the like).
The definitions and preferences given for the ionic compound above apply in any combination as well as in any combination for the other aspects of the invention.
The following examples are for illustrative purposes only and are not to be construed to limit the instant invention in any manner whatsoever. Unless otherwise indicated, all percentages are by weight, and room temperature denotes a temperature from the range 20-250C.
Reactions are carried out under a nitrogen atmosphere and in the absence of light, unless otherwise stated.
Apparatus, etc. employed in measurement are as follows: 1H NMR, 13C NMR: Varian Inova 300; Varian Oxford AS400
Elemental analyses: Mikroanalytisches Laboratorium, Mϋllheim a.d. Ruhr, Germany
Mass Spectroscopy: Applied Biosystems Voyager DE-STR MALDI-TOF MS or LCT micromass ESI-MS
UV-VIS: Varian CARY 50 Scan UV-VIS spectrophotometer; room temperature; dichloromethane as solvent.
Emission: SPEX FLUOROLOG 1680 0.22 m Spectrometer (fac-[lr(ppy)3] in 2-MeTHF was used as a reference (Φ = 0.4); the excitation wavelength was 360nm; emission lifetimes were obtained (in 2-MeTHF) using a DPL 800-B pulsed diode laser; the results were manipulated by exponentially fitting the emission decay curves). Cyclic Voltametry: EG&G Princeton Applied Research Potentiostat Model 263A (experiments were carried out at room temperature (20 0C); a platinum disc working electrode was polished with alumina on felt before use; a platinum wire was used as counter electrode; a silver wire was used as a pseudo-/quasi-reference electrode; tetrabutylammonium hexafluorophosphate (0.1 M) in acetonitrile was used as electrolyte; the scan rate was 0.1 V/s; the silver reference electrode was calibrated using ferrocene/ferrocenium (Fc/Fc+) redox couple as an internal standard; the oxidation potential of Fc/Fc+ was found to be 0.51V against the silver reference electrode).
Examples
A) Synthesis of the anionic metal complexes Example 1
a) 1.71 g (0.0047 mol) of 1 are added to 30 ml of 4M hydrochloric acid, the resulting mixture is heated at reflux for 24 hours and subsequently evaporated. The residue is washed with acetone to obtain 2 as a white crystalline material.
1H NMR (300 MHz, D2O) δ = 4.88 (s, 2H, CH2), 7.99 (d, 1 H, CH), 8.26 (s, 1 H, CH), 8.59 (d, 1 H, CH). 13C-NMR (75 MHz, D2O) δ = 62.1 , 123.7, 125.7, 141.1 , 143.7, 162.9, 164.5. Elem. anal, calcd. for C7H8O3NCI : C 44.34, H 4.25, N 7.39; found: C 44.31 , H 4.21 , N 7.35.
b) 0.46 g (0.0024 mol, 2.6 eq) of 2 and 0.44 g (0.004 mol, 4.4 eq) of sodium carbonate are dissolved in 30 ml of 2-ethoxyethanol and 0.50 g (0.00093 mol) of the iridium complex 3 are added thereto. The resulting mixture is heated at reflux for 24 hours and then cooled to room temperature. The solid is collected by filtration, washed with ethanol and acetone to obtain 4 as a bright yellow solid.
1H NMR (300 MHz, d6-DMSO) δ = 4.59 (d, 2H, CH2), 5.58 (t, 1 H, OH), 6.03 (d, 1 H, CH), 6.22 (d, 1 H, CH), 6.75 (m, 2H, CH's), 6.87 (m, 2H, CH's), 7.20 (t, 1 H, CH), 7.35 (t, 1 H, CH), 7.55 (m, 3H, CH's), 7.78 (m, 2H, CH's), 7.90 (m, 2H, CH's), 8.06 (s, 1 H, CH), 8.19 (m, 2H, CH's), 8.49 (d, 1 H, CH). 13C-NMR (75 MHz, d6-DMSO) δ = 61.9, 119.9, 120.0, 121.6, 121.8, 123.6, 123.9, 124.9, 125.2, 125.5, 126.5, 129.6, 130.3, 132.4, 132.7, 138.6, 138.7, 144.7, 145.3, 148.0, 148.2, 148.2, 148.9, 150.8, 151.5, 155.6, 167.6, 168.5, 172.6. Elem. anal, calcd.: C 53.36, H 3.40, N 6.44; found: C 53.45, H 3.36, N 6.33. M/Z (MALDI-TOF) 675.9 (M+Na+).
c) 0.5 g (0.0031 mol) of pyridine sulphur trioxide and 0.1 ml (0.0012 mol) of pyridine are added to a solution of 0.60 g (0.00093 mol) of 4 in 15 ml of dichloromethane and stirred at room temperature for 12 hours. The yellow mixture is then filtered and the filtrate is concentrated. The remaining solution is added slowly to diethyl ether resulting in a yellow precipitate which is collected by filtration. The obtained pyridinium salt is dissolved in 10 ml of dichloromethane, the solution is added to a solution of 1 g of tetra-n-butylammonium chloride in 50 ml of deionised water and the biphasic system is stirred for 16 hours. The organic layer is separated, washed with water, dried, concentrated and recrystallised from diethyl ether to obtain 5 as a bright yellow powder.
1H NMR (300 MHz, d6-DMSO): δ = 0.93 (t, 12H, NBu4), 1.30 (m, 8H, NBu4), 1.54 (m, 8H, NBu4), 3.16 (m, 8H, NBu4), 4.89 (s, 2H, CH2), 6.04 (d, 1 H, CH), 6.24 (d, 1 H, CH), 6.73 (m, 2H, CH's), 6.88 (m, 2H, CH's), 7.23 (t, 1 H, CH), 7.36 (t, 1 H, CH), 7.55 (m, 3H, CH's), 7.79 (m, 2H, CH's), 7.91 (m, 2H, CH's), 8.08 (s, 1 H, CH), 8.19 (m, 2H, CH's), 8.50 (d, 1 H, CH). 13C NMR (75 MHz, d6-DMSO): δ = 14.1 , 19.9, 23.7, 58.2, 66.1 , 119.9, 121.6, 121.9, 123.6, 123.9, 124.8, 125.4, 125.8, 125.9, 127.2, 129.5, 129.7, 130.2, 130.4, 132.3, 132.6, 138.7, 144.7, 145.3, 147.9, 148.2, 149.0, 150.8, 151.3, 151.6, 167.6, 168.5, 172.4. Elem. anal, calcd.: C 55.48, H 5.90, N 5.75; found: C 54.88, H 6.07, N 5.68. M/Z (MALDI-TOF) 732.16 (M - counterion).
Example 2
A solution of 0.54 g (0.83 mmol) of 4 in 25 ml of DMF is stirred at 0 0C for 30 minutes, followed by adding 0.022 g (0.91 mmol) of sodium hydride. The resulting black suspension is stirred at room temperature for 16 hours. 0.123 g (0.001 mol) of 1 ,3-dioxithiolane-2,2-dioxide are subsequently added and the resulting orange solution is stirred for 12 hours. The solution is concentrated to 2 ml and the resulting reddish mixture is slowly added to diethyl ether resulting in a yellow solid which is collected by filtration. The solid is dissolved in 20 ml of dichloromethane, the solution is added to a solution of 0.664 g of tetra-n-butylammonium chloride in 40 ml of deionised water and the biphasic system is stirred for 16 hours. The organic layer is separated, washed with water, dried and concentrated. The remaining solution is added slowly to diethyl ether and the obtained yellow precipitate is collected by filtration to obtain 6.
1H NMR (300 MHz, d6-DMSO): δ = 0.92 (m, 12H, NBu4), 1.28 (m, 8H, NBu4), 1.54 (m, 8H, NBu4), 3.14 (m, 8H, NBu4), 3.63 (t, 2H, CH2), 3.84 (t, 2H, CH2), 4.62 (s, 2H, CH2), 6.04 (d, 1 H, CH), 6.22 (d, 1 H, CH), 6.72 (m, 2H, CH's), 6.86 (m, 2H, CH's), 7.22 (t, 1 H, CH), 7.35 (t, 1 H, CH), 7.55 (m, 3H, CH's), 7.78 (m, 2H, CH's), 7.87 (t, 1 H, CH), 7.92 (t, 1 H, CH), 8.01 (s, 1 H, CH), 8.18 (m, 2H, CH's), 8.48 (d, 1 H, CH). 13C NMR (75 MHz, d6-DMSO): δ = 14.2, 19.9, 23.7, 31.4, 58.2, 65.5, 70.2, 1 19.9, 121.5, 121.8, 123.6, 124.1 , 124.8, 125.5, 125.7, 126.6, 126.7, 128.0, 129.5, 130.3, 131.1 , 132.5, 132.7, 138.8, 144.7, 145.3, 148.0, 148.3, 148.4, 149.2, 150.8, 151.7, 167.6, 168,4, 172.3. Elem. anal, calcd.: C 55.44, H 6.04, N 5.50; found: C 55.35, H 6.12, N 5.41. M/Z (ESI-) 773.95 (M - counterion).
Example 3
a) 2.O g (0.00185 mol) of 3 was added to 120 ml of a solution of 0.86 g (0.004 mol, 4.4 eq) of sodium carbonate and 0.67g (0.0048 mol, 2.6 eq) of 3-hydroxy-2-pyridine carboxylic acid in 2-ethoxyethanol. The resulting mixture is heated at reflux for 24 hours and subsequently evaporated. The residue is dissolved in 300 ml of dichloromethane and 200 ml of water. The organic phase is separated, washed 2x with 200 ml of water, dried over sodium sulfate, filtered, and the solvent is removed. The residue is dissolved in 30 ml of dichloromethane,
and the resulting solution is slowly added to 300 ml of diisopropylether while stirring. The yellow precipitate is collected by filtration. Yield 2.31 g (97%).
1H NMR (300 MHz, CDCI3) δ = 6.18 (d, 1 H, CH), 6.37 (d, 1 H, CH), 6.78 (m, 2H, CH's), 6.82- 7.10 (m, 3H, CH's), 7.12-7.19 (m, 2H, CH's), 7.21 (d, 1 H, CH), 7.36 (d, 1 H, CH), 7.51 (d, 1 H, CH), 7.58 (m, 2H, CH's), 7.73 (t, 2H, CH's), 7.82-7.92 (m, 2H, CH's), 8.71 (d, 1 H, CH).
b) 2.3 g (0.0036 mol) of 7, 0.94 ml (0.0072 mol) of 6-bromo-1 -hexanol and 1.43 g (0.0108 mol) of potassium carbonate are added to 30 ml of DMF, the resulting mixture is stirred at 90 0C for 16 hours and cooled to room temperature. 150 ml of dichloromethane and 150 ml of water are added to orange mixture. The organic phase is separated, washed 6x with 75 ml of water, dried over sodium sulfate, filtered, and the solvent is removed. The remaining yellow solid (2.9 g) is purified by column chromatography (dichloromethane/ 5% methanol) to obtain 8 as a yellow solid. Yield 1.92 g (72%).
1H NMR (300 MHz, CDCI3) δ = 1.58 (m, 6H, CH2), 1.94 (m, 2H, CH2), 3.65 (t, 2H, CH2), 4.1 1 (m, 2H, CH2), 6.15 (d, 1 H, CH), 6.39 (d, 1 H, CH), 6.71 (t, 1 H, CH), 6.80 (m, 2H, CH's), 6.87- 6.95 (m, 2H, CH's), 7.10-7.20 (m, 2H, CH's), 7.36-7.42 (m, 2H, CH's) 7.48-7.62 (m, 3H, CH's) 7.65-7.72 (m, 2H, CH's), 7.79-7.88 (m, 2H, CH's), 8.83 (d, 1 H, CH).
c) 4.24 g (0.0266 mol) of pyridine sulphur trioxide and 1.7 ml (0.021 1 mol) of pyridine are added to a solution of 1.92 g (0.026 mol) of 8 in 42 ml of dichloromethane and stirred at room temperature for 16 hours. The yellow mixture is then filtered, and the filtrate is diluted with 30 ml of ethylacetate and slowly concentrated. 120 ml of dichloromethane and a solution of 8.4
g of tetra-n-butylammonium chloride in 300 ml of deionised water are added to the remaining residue. The biphasic system is stirred for 1 hour. The organic layer is separated and washed 8x with water. The organic layer is dried over sodium sulphate and evaporated. The yellow residue is washed 2x with 50 ml of diethyl ether to obtain 9 as a bright yellow powder. Yield = 1.75 (69%).
1H NMR (300 MHz, CDCI3): δ = 0.93 (t, 12H, CH3), 1.38-1.66 (m, 22H, CH2 1S), 1.92 (m, 2H, CH2), 3.2 (m, 8H, NCH2), 4.02 (t, 2H, CH2), 4.1 1 (m, 2H, CH2), 6.18 (d, 1 H, CH), 6.36 (d, 1 H, CH), 6.62-6.98 (m, 5H, CH's), 7.10-7.21 (m, 2H, CH's), 7.36-7.41 (m, 2H, CH's), 7.50-7.62 (m, 3H, CH's), 7.65-7.76 (m, 2H, CH's), 7.82 (t, 2H, CH's), 8.80 (d, 1 H, CH).
B) Ion exchange reaction between tetra-n-butyl ammonium sulfate complexes and cationic-halide dendritic species (general procedure)
Approximately 0.1 g of the required equivalency of the ammonium sulfato complex in 10 ml of dichloromethane is added to a solution of the required equivalency of the polyionic dendritic species in 10 ml of water. The biphasic system is vigorously stirred at room temperature for 12 hours. The organic layer is separated, washed 10x with 10 ml of water, dried, concentrated and recrystallised from diethyl ether. All products are bright yellow solids and yields are always over 85%, with the losses believed to be as a result of the high number of washing steps. Dialysis can also be used as a purification technique, but is not utilised in most cases. In NMR spectra host signals (H) and guest signals (G) are assigned, where possible, to differentiate.
Example 4: NCN{2G2}[lr(ppy)2(picCH2OSO3)]2 (10)
1H NMR (300 MHz, d6-DMSO): δ = 2.86 (br s, 12H, NMe2), 4.49 (br d, 8H, CH2NMe2CH2), 4.88 (s, 4H, SO4CH2), 5.05 (br s, 24H, ArOCH2), 6.06 (d, 2H, CH9), 6.22 (d, 2H, CH9), 6.63- 6.92 (m, 25H, mix ArCH's), 7.15-7.44 (m, 49H, mix ArCH's), 7.50-7.60 (m, 9H, mix ArCH's), 7.67 (m, 5H, CH9), 7.80 (m, 4H, CH9), 7.91 (m, 6H, CH9), 8.08 (s, 2H, CH9), 8.19 (m, 4H, CH9), 8.50 (d, 2H, CH9). 13C NMR (75 MHz, CD2CI2): δ = 29.9, 30.8, 49.1 , 66.6, 70.1 , 101.6, 106.7, 1 12.4, 1 18.9, 1 19.3, 121.4, 121.8, 122.6, 122.8, 124.3, 124.7, 126.1 , 126.2, 127.8, 128.2, 128.7, 129.7, 129.8, 130.0, 132.4, 132.6, 137.1 , 137.5, 137.8, 139.3, 144.3, 144.6, 146.7, 148.4, 149.8, 150.8, 151.6, 160.1 , 160.3, 167.6, 168.7, 173.2. Elem. anal, calcd.: C 64.85, H 4.78, N 3.60; found: C 63.51 , H 4.86, N 3.48.
Example 5: NCN{2G2}[lr(ppy)2(picCH2OC2H4OSO3)]2 (11)
1H NMR (300 MHz, d6-DMSO): δ =2.86 (s, 12H, NMe2) 3.63 (t, 4H, OCH2CH2O(9)), 3.86 (t, 4H, OCH2CH2O9), 4.53 (br s, 8H, CH2(h)), 4.59 (s, 4H, PicCH2O), 5.03 (s, 24H, CH2(h)), 6.03 (d, 2H, CHg), 6.22 (d, 2H, CH9), 6.60-7.00 (m, 23H, CH9 and CHh), 7.16-7.50 (m, 46H, CH9 and CHh) 7.50 -7.70 (m, 1 OH, CH9 and CHh), 7.77 (t, 4H1CH9), 7.93-7.84 (m, 4H, CH9), 8.01 (s, 2H, CH9), 8.16 (t, 4H, CH9), 8.48 (d, 2H, CH9).13C NMR (75 MHz, d6-DMSO): δ = 49.2, 65.7, 68.2, 70.0, 101.7 (H), 107.3 (H), 1 12.9 (H), 119.9, 121.5, 121.8, 123.6, 124.1 , 124.8,
125.5, 125.7, 127.3, 127.9, 128.4 (H), 128.6 (H), 129.1 (H), 129.6, 130.4, 132.5, 132.7,
135.6, 137.532, 138.7 (H), 139.7 (H), 144.7, 145.3, 147.9, 148.3, 148.4, 149.2, 150.7, 151.6,
151.7, 160.1 (H), 160.3 (H), 167.6, 168.4, 172.4.
Example 6: Si[NCN{2Gi}][lr(ppy)2(picCH2OSO3)]2 (12)
1H NMR (300 MHz, d6-DMSO): δ =2.84 (s, 48H, NMe2) 4.47 (br s, 16, CH2(h)), 4.54 ( br s, 16H, NCH2), 4.86 (s, 16H, PicCH2), 5.10 (s, 32H, CH2(h)), 6.03 (d, 8H, CH9), 6.22 (d, 8H, CH9), 6.66-6.90 (m, 6OH, CH9 and CHh), 7.16-7.45 (m, 88H, CH9 and CHh), 7.50 -7.65 (m, 4OH, CH9 and CHh), 7.77 (t, 16H, CH9), 7.80-7.95 (m, 16H, CH9), 8.06 (s, 8H, CH9), 8.16 (t, 16H, CH9), 8.48 (d, 8H, CH9).13C NMR (75 MHz, d6-DMSO): δ = 49.3, 66.0, 68.2, 70.3, 101.2 (H), 103.3 (H), 109.1 (H), 1 12.8 (H), 119.9, 121.3, 124.7, 130.3, 132.7, 135.4, 137.2 (H), 137.5, 138.8 (H), 144.2, 144.5, 145.5, 148.3, 149.0, 150.8, 151.1 , 151.6, 160.3 (H), 167.6, 168.7, 172.7. Elem. anal, calcd.: C 59.16, H 4.29, N 4.97; found: C 57.50, H 4.24, N 4.77.
Example 7: Si[NCN{2G3}][lr(ppy)2(picCH2OSO3)]2 (13)
1H NMR (300 MHz, d6-DMSO): δ = 2.80 (br s, 48H, NMe2), 4.64-4.83 (br s, 272H, all ArCH2 1S), 5.98 (d, 8H, CH9), 6.16 (d, 8H, CH9), 6.40-6.70 (br m, 104H,mix ArCH's), 6.78 (br m, 32H, CH9), 6.97-7.37 (br m, 320H, ArCH's), 7.43 (br m, 32H, mix ArCH's), 7.69 (br m, 56H, mix ArCH's),8.08 (br m, 24H1CH9), 3.41 (d, 8H, CH9). 13C NMR (75 MHz, CD2CI2): (some host peaks overlap guest) 5 = 66.5, 70.1 (H), 101.4 (H), 106.6 (H), 1 18.7, 119.0, 121.4, 121.7, 122.7, 125.8, 126.0, 127.7 (H), 127.9 (H), 128.6 (H), 130.0, 130.1 , 132.4, 137.0 (H), 137.5, 139.2 (H), 139.5, 144.1 , 144.5, 147.0, 148.3, 149.7, 150.4, 158.1 , 160.1 (H), 167.4, 168.4, 173.1. Elem. anal, calcd. C, 69.87; H, 5.22; N, 2.31 , Found: C, 69.79; H, 5.24; N, 2.39
Example 8: Si[NCN{2G3}][lr(ppy)2(picCH2θC2H4θSO3)]2 (14)
1H NMR (300 MHz, d6-DMSO): δ = 2.86 (br s, 48H, NMe2), 3.54 (br s, 16H, OCH2CH2O), 3.85 (br s, 16H, OCH2CH2O), 4.44 (br s, 16H, NMe2CH2) 4.87 (br s, 256H, mix CH2's), 6.01 (d, 8H, CH9), 6.18 (d, 8H, CH9), 6.40-6.60 (br m, 118H, mix ArCH's), 6.82 (m, 24H, CH9), 7.21 (br s, 336H, mix ArCH's), 7.49 (br s, 2OH, mix CH's), 7.73 (br m, 36H, CH9), 7.96 (s, 8H,
CHg), 8.06 (m, 16H, CH9), 8.45 (d, 8H, CH9). 13C NMR (75 MHz, d6-DMSO): δ = 50.0, 65.8, 69.3, 70.4, 101.6, 107.1 , 112.8, 1 19.8, 121.5, 121.8, 123.4, 123.8, 124.8, 125.4, 125.5, 126.8, 127.8, 128.2, 128.4, 129.0, 129.6, 130.3, 132.4, 132.6, 137.4, 137.5, 138.6, 139.3, 139.7, 144.6, 145.2, 147.8, 148.2, 148.3, 148.9, 150.6, 151.4, 151.6, 160.2, 167.5, 168.4, 172.4. Elem. anal, calcd. C, 69.60; H, 5.29; N, 2.27, Found: C, 67.17; H, 6.87; N, 4.23.
Example 9: Si[NCN{2Gi}][lr(ppy)2(picO(CH2)6θSO3)] Br (15)
1H NMR (300 MHz, CDCI3): δ = 1.10-1.45 (br s, 24H), 1.62 (br s, 24H), 2.93 (br s, 48H), 3.80 (br s, 8H), 3.95 (br m, 8H), 4.64 (br s, 16H), 4.92 (s, 48H), 6.10 (d, 4H, ArCH9), 6.28 (s, 4H, ArCH9), 6.45-7.60 (br m, 160H, ArCH's), 7.72 (d, 4H, ArCH9), 8.26 (br s, 8H, ArCH's), 8.38 (br s, 4H, ArCH), 8.64 (s, 4H, ArCH9). Ir-content calc. 1 1.7%, found 9.2%.
The photophysical and electrochemical data of ionic host-guest compounds of the present invention as well as the data of the corresponding metal complexes and the dendrimers as tetrabutyl-ammonium salts are listed in Tables 1 and 2.
Table 1
a) quantum yield (referenced to fac-[lr(ppy)3], Φ = 0.4); emission lifetime, c H-host, G-guest
Table 2
Application Examples:
Organic luminescence device structure: On a glass substrate the following layers are superimposed: ITO, PEDOT, the electroluminescent composition according in Table 2 is spin-coated from a solution of chlorobenzene, finally barium and aluminum.
Table 3 shows color data (CIE-data x, y) and efficacy when the device is driven to emit 100cd/sqm luminance, and corresponding current density and voltage.
Table 3
Claims
1. Ionic compound of a cationic dendrimer and an anionic metal complex, characterized in that the dendrimer moiety contains at least 1 , preferably 2 to 24 cationic structural
-E1-N- i / ^ 2 unit(s) R R (I), and at least 1 , preferably 2 to 24 anion(s) of a metal complex
[L1M (L2- Y-Z")] and optionally further anions X" , wherein
E1 is unsubstituted or substituted C-i-C-isalkylene or unsubstituted or substituted
Ci-Ci8alkyleneoxy,
R1 and R2 independently are H, unsubstituted or substituted CrCisalkyl, or R1 and R2 form an organic bridging group completing, together with the nitrogen atom, they are bonding to, a heterocyclic ring of 5 to 7 ring atoms in total;
L1M is a fragment of a metal complex, wherein
M is a metal with an atomic weight greater than 40,
L1 independently is a color emission triggering moiety, comprising mono- or bidentate ligands,
L2 is a mono- or bidentate ligand, substituted by Y-Z", wherein
Y is a direct bond, unsubstituted or substituted C-i-C-isalkylene or unsubstituted or substituted CrCi8alkyleneoxy, optionally interrupted by O or S;
Z" is an anionic group of sulfate (OSO3 "), sulfonate (SO3 "), carboxylate (CO2 "), phosphate (OP(OR3X=O)O"), phosphonate (P(OR3X=O)O") or oxide (O"), wherein R3 is H, unsubstituted or substituted Ci-Ci8alkyl or unsubstituted or substituted
C3-Ciocycloalkyl; and
X" is an equivalent of a suitable anion.
2. Compound according to claim 1 of the formula (II)
(II), wherein n is a number in the range of from 1 to 24; p is a number in the range of from 1 to 9; m is a number in the range of from O to (np-1 ); A is a n-valent radical selected from H, Si, C, P, hydrocarbon radicals of 1 to 150 carbon atoms, and hydrocarbon radicals of 2 to 150 carbon atoms, wherein 1 or more CH2 have been replaced by O, S, NR3 or N+R3R3 , one or more CH have been replaced by P or N, or one or more C have been replaced by Si, and wherein R3 and R3 independently are defined as R3, R1 or R2 in claim 1 ; each Ar1 independently is unsubstituted or substituted C6-Ci4arylene; each D independently is a dendritic molecular structure, comprising at least one branching group and optionally at least one linking group, the branching group being selected from unsubstituted or substituted Cβ-C-uarylene and unsubstituted or substituted CrCi8alkylene, and the linking group being selected from unsubstituted or substituted C6-Ci4arylene, unsubstituted or substituted CrCi8alkylene, unsubstituted or substituted Ci-Ci8alkyleneoxy and oxygen, said branching group being bonded to three or more groups, and said linking group being bonded to two groups, said dendritic molecular structure terminating at its distal points in unsubstituted or substituted C6-Ci4aryl and/or unsubstituted or substituted Ci-Ci8alkyl and/or OH, and/or unsubstituted or substituted Ci-Ci8alkoxy.
3. Ionic compound according to claim 1 or 2, wherein M is selected from Ir, Re, Ru, Rh, Ag, Au, Pt, Pd and Cu, preferably from Ir and Pt, and X~ is F", Cl", Br" or I", preferably Br.
4. Ionic compound according to claim 2 or 3, wherein A is H, CR4R5R6 or SiR4 R5 R6 , or a
— E1— N— D i / N 2 group of formula (I) R R ;
R4, R5, R6 independently are H, unsubstituted or substituted Ci-Ci8alkyl, unsubstituted
- Ar1 E1 — N-D R1 R2 or substituted C6-Ci4aryl or a moiety of formula (III)
R4', R5', R6' independently are unsubstituted or substituted Ci-Ci8alkyl, unsubstituted or substituted C6-Ci4aryl, OH, unsubstituted or substituted Ci-Ci8alkoxy, or a moiety of
5. Ionic compound according to claims 1 to 4, wherein any substituent, if present, is selected from halogen, OH, d-Ci8alkoxy, CrCi8alkyl, said alkoxy or alkyl substituted by halogen, OH, COOH or CONH2, C2-Ci8alkenyl, d-Ci8alkylthio, CrCi8acyl, C5-Ci4aryl, C4-Ci0heteroaryl, C3-Ci2cycloalkyl, Ci-Ci8acyloxy, C5-Ci0aryloxy, C3-Ci2cycloalkyloxy, or from the residues COR, CH=NR, CH=N-OH, CH=N-OR,
COOR, CONHR, CONRR', CONH-NHR, CONH-NRR', SO2R, SO3R, SO2NHR, SO2NRR', SO2NH-NHR, SO2NH-NRR', S(O)R, S(O)OR, S(O)NHR, S(O)NRR', S(O)NH-NHR, S(O)NH-NRR', SiRR'R", PORR', PO(OR)R', PO(OR)2, PO(NHR)2, P0(NRR')2, CN, NO2, NHR, NRR', NH-NHR, NH-NRR', CONROH; where R, R' and R" independently and in each occurrence are selected from
Ci-Ci2alkyl, Ci-Ci2haloalkyl, C5-Ci0aryl, C3-Ci2cycloalkyl, preferably from d-C6alkyl, phenyl, cyclopentyl, cyclohexyl; and R may also be hydrogen.
6. Compound according to claims 2 to 5, wherein the cationic part of formula (II) has the following structure of formula (IV)
n is 1 , 2, 3 or 4; p is 1 or 2; if n = 1 , A is H, CR4R5R6 or SiR4 R5 R6', wherein R4, R5, R6 independently are H, d-dalkyl, or phenyl, said phenyl is optionally substituted by d-C4alkyl or d-C4alkoxy; and R4', R5' and R6' independently are d-C4alkyl, or phenyl, said phenyl is optionally substituted by d-C4alkyl or d-C4alkoxy; if n = 2, A is CR4R5 or SiR4 R5', wherein R4, R5 and R4', R5' independently are defined as above; or A is a linking group E2, wherein E2 is a direct bond, oxygen, unsubstituted or substituted d-C4alkylene, or a group -[Ar2Jr, wherein Ar2 is para-phenylene and r is an integer of from 1 to 3; or A is R4 R5Si-E2-SiR4 R5', wherein R4', R5' independently are defined as above; if n = 3, A is CR4 or SiR4 , wherein R4, R4' independently are defined as above; if n = 4, A is C or Si; R1 and R2 independently are CrC4alkyl, and
E1 is Ci-C4alkylene.
7. Compound according to claims 2 to 6, wherein the cationic part of formula (II) has the following structure of formulae (V) or (Vl)
D is a dendritic molecular structure, comprising one or more repeating units of formula
(VII-1 )
8. Compound according to claims 2 to 7, wherein the dendritic molecular structure D is of the 1st, 2nd or 3rd generation.
9. Compound of the formula (VIII)
L1M (iΛY-Z") X+ (VIII), wherein
M and Z" are defined as in claim 1 ,
L1 is a color emission triggering moiety, comprising bidentate ligands, Y is unsubstituted or substituted Ci-Ci8alkylene or unsubstituted or substituted
Ci-Ci8alkyleneoxy, optionally interrupted by O or S; X+ is a counter cation, preferably N+R7R8R9R10, wherein R7, R8, R9, R10 are the same as
R1 and R2; and (L2- Y-Z") is selected from
(IX-15),
ring B, , represents an optionally substituted nitrogen containing aryl group, which may contain further heteroatoms, ring C, , represents a ligand derived from a nucleophilic carbene, which may contain a heteroatom,
G is -C(=O)-, or -C(X1)2-, wherein X1 is H, or unsubstituted or substituted Ci-C4alkyl, preferably H; y is 0, or 1 , preferably 0;
R11 is unsubstituted or substituted Ci-C4alkyl;
R12 is CF3 or a ring A;
R13 is H, unsubstituted or substituted Ci-C4alkyl
R14 and R14 independently are a ring A, unsubstituted or substituted C-i-Csalkyl, d-Cβperfluoralkyl or a ring B, unsubstituted or substituted Ci-C8alkoxy; and
W is N or CH.
10. Compound according to claim 9 having the formula (X)
(X), wherein w is 2 and M is Ir, Rh or Re, or w is 1 and M is Pt or Pd.
1 1. An organic electronic device, especially organic light emitting diode or light emitting cell, comprising an emitting layer wherein the emitting layer comprises an ionic compound according to any of claims 1 to 10.
12. The device of claim 1 1 , further comprising a hole transport material, especially selected from polyvinyl-carbazol, N, N'-diphenyl-N, N'-bis(3-methylphenyl)-[1 ,1 '-biphenyl]-4,4'- diamine (TPD), 1 ,1-bis[(di-4-tolylamino)phenyl]cyclohexane (TAPC), N,N'-bis(4- methylphenyl)-N,N'-bis(4-ethylphenyl)-[1 ,1 '-(3,3'-dimethyl)biphenyl]4,4'-diamine (ETPD), tetrakis-(3-methylphenyl)-N,N,N',N'-2,5-phenylenediamine (PDA), a-phenyl-4- N,N-diphenylaminostyrene (TPS), p-(diethylamino)benzaldehyde-diphenylhydrazone
(DEH), triphenylamine (TPA), bis[4-(N,N-diethylamino)-2-methylphenyl](4- methylphenyl)methane (MPMP), 1-phenyl-3-[p-(diethylamino)styryl]-5-[p- (diethylamino)phenyl]pyrazoline (PPR or DEASP), 1 ,2-trans-bis (9H-carbazol-9- yl)cyclobutane (DCZB), N,N,N',N'-tetrakis (4-methylphenyl)-(1 ,1'-biphenyl)-4,4'-diamine (TTB), 4,4'-N,N-dicarbazole-biphenyl (CBP), N,N-dicarbazoyl-1 ,4-dimethene-benzene
(DCB), porphyrinic compounds, (phenylmethyl) polysilane, poly(3,4- ethylendioxythiophene) (PEDOT), polyaniline, and combinations thereof, or one or more of the above components doped into a polymer such as polystyrene, polycarbonate.
13. Use of an ionic compound according to any of claims 1 to 10 in an electronic device, especially as active component in an organic light emitting diode or light emitting cell, as oxygen sensitive indicator, as pH sensitive indicator, as phosphorescent indicator in a bioassay, or as a catalyst.
14. Method for the preparation of a light emitting device, especially an organic light emitting diode or light emitting cell, which method comprises providing an organic substance layer containing an ionic compound according to any of claims 1 to 10 between a pair of electrodes on a substrate.
15. A device selected from stationary and mobile displays, such as displays for computers, mobile phones, laptops, pdas, TV sets, displays in printers, kitchen equipment, billboards, lightings, information boards and destination boards for example in trains and buses, containing an organic light emitting diode according to claim 1 1 or 12.
Applications Claiming Priority (2)
| Application Number | Priority Date | Filing Date | Title |
|---|---|---|---|
| EP08150051 | 2008-01-04 | ||
| EP08150051.4 | 2008-01-04 |
Publications (1)
| Publication Number | Publication Date |
|---|---|
| WO2009087064A1 true WO2009087064A1 (en) | 2009-07-16 |
Family
ID=39358029
Family Applications (1)
| Application Number | Title | Priority Date | Filing Date |
|---|---|---|---|
| PCT/EP2008/068224 Ceased WO2009087064A1 (en) | 2008-01-04 | 2008-12-23 | Electroluminescent ionic host-guest dendritic materials |
Country Status (1)
| Country | Link |
|---|---|
| WO (1) | WO2009087064A1 (en) |
Cited By (1)
| Publication number | Priority date | Publication date | Assignee | Title |
|---|---|---|---|---|
| CN102559169A (en) * | 2011-12-21 | 2012-07-11 | 湘潭大学 | Arborization three-nucleus cyclometallation platinum coordination compound electro-phosphorescent material and application of electro-phosphorescent material in polymer electroluminescence white light emitting device |
Citations (2)
| Publication number | Priority date | Publication date | Assignee | Title |
|---|---|---|---|---|
| WO2006097717A1 (en) * | 2005-03-15 | 2006-09-21 | Isis Innovation Limited | Highly branched dendrimers |
| US20070114915A1 (en) * | 2003-11-25 | 2007-05-24 | Merck Patent Gmbh | Organic electroluminescent element |
-
2008
- 2008-12-23 WO PCT/EP2008/068224 patent/WO2009087064A1/en not_active Ceased
Patent Citations (2)
| Publication number | Priority date | Publication date | Assignee | Title |
|---|---|---|---|---|
| US20070114915A1 (en) * | 2003-11-25 | 2007-05-24 | Merck Patent Gmbh | Organic electroluminescent element |
| WO2006097717A1 (en) * | 2005-03-15 | 2006-09-21 | Isis Innovation Limited | Highly branched dendrimers |
Non-Patent Citations (1)
| Title |
|---|
| VAN DE COEVERING R, ALFERS A, MEELDIJK J, MARTÍNEZ-VIVIENTE E, PREGOSIN P, KLEIN GEBBINK R, VAN KOTEN G: "Ionic Core-Shell Dendrimers with an Octacationic Core as Noncovalent Supports for Homogeneous Catalysts", JOURNAL OF THE AMERICAN CHEMICAL SOCIETY, vol. 128, 2001, pages 12700 - 12713, XP002480496 * |
Cited By (1)
| Publication number | Priority date | Publication date | Assignee | Title |
|---|---|---|---|---|
| CN102559169A (en) * | 2011-12-21 | 2012-07-11 | 湘潭大学 | Arborization three-nucleus cyclometallation platinum coordination compound electro-phosphorescent material and application of electro-phosphorescent material in polymer electroluminescence white light emitting device |
Similar Documents
| Publication | Publication Date | Title |
|---|---|---|
| EP2337786B1 (en) | Complex salts | |
| KR101539789B1 (en) | Light emitting cu(i) complexes | |
| EP2197980B1 (en) | Complexes with tridentate ligands | |
| KR101532798B1 (en) | Electroluminescent metal complexes with benzotriazoles | |
| EP1893718A2 (en) | Electroluminescent metal complexes with triazoles and benotriazoles | |
| EP2252624A1 (en) | Electroluminescent metal complexes with dibenzo[f,h]quinoxalines | |
| KR20070050859A (en) | Transition Metal Complexes Containing Carbin Ligands Acting as Emitters for Organic Light Emitting Diodes | |
| WO2006067074A1 (en) | Electroluminescent metal complexes with nucleophilic carbene ligands | |
| WO2010031738A1 (en) | Electroluminescent metal complexes with azapyrenes | |
| WO2005105746A1 (en) | Organometallic complex, luminous solid, organic el element and organic el display | |
| KR101863375B1 (en) | Ion-pairing soft salts based on organometallic complexes and their applications in organic light emitting diodes | |
| EP2297272B1 (en) | Dibenzofurane polymers for electroluminiscent devices | |
| KR20090109591A (en) | Electroluminescent metal complexes | |
| CN101346451B (en) | Electroluminescent triazole metal complexes | |
| WO2009092671A2 (en) | Organic light emitting systems | |
| JP5797078B2 (en) | Phosphorescent light emitting device | |
| WO2009087064A1 (en) | Electroluminescent ionic host-guest dendritic materials |
Legal Events
| Date | Code | Title | Description |
|---|---|---|---|
| 121 | Ep: the epo has been informed by wipo that ep was designated in this application |
Ref document number: 08870396 Country of ref document: EP Kind code of ref document: A1 |
|
| NENP | Non-entry into the national phase |
Ref country code: DE |
|
| 122 | Ep: pct application non-entry in european phase |
Ref document number: 08870396 Country of ref document: EP Kind code of ref document: A1 |

































































































