WO2009049112A1 - Prolyl hydroxylase inhibitors - Google Patents
Prolyl hydroxylase inhibitors Download PDFInfo
- Publication number
- WO2009049112A1 WO2009049112A1 PCT/US2008/079444 US2008079444W WO2009049112A1 WO 2009049112 A1 WO2009049112 A1 WO 2009049112A1 US 2008079444 W US2008079444 W US 2008079444W WO 2009049112 A1 WO2009049112 A1 WO 2009049112A1
- Authority
- WO
- WIPO (PCT)
- Prior art keywords
- alkyl
- aryl
- heteroaryl
- heterocycloalkyl
- cycloalkyl
- Prior art date
- Legal status (The legal status is an assumption and is not a legal conclusion. Google has not performed a legal analysis and makes no representation as to the accuracy of the status listed.)
- Ceased
Links
- 0 CCOC(CNC(C1=C(O)OC(C)(C)OC1=O)=*)=O Chemical compound CCOC(CNC(C1=C(O)OC(C)(C)OC1=O)=*)=O 0.000 description 4
- GXHFUVWIGNLZSC-UHFFFAOYSA-N CC(C)(OC(C1)=O)OC1=O Chemical compound CC(C)(OC(C1)=O)OC1=O GXHFUVWIGNLZSC-UHFFFAOYSA-N 0.000 description 1
- OTYHJUUASIFGOA-UHFFFAOYSA-N OC(CNC(C1=C(O)OC2(CCCCC2)OC1=O)=O)=O Chemical compound OC(CNC(C1=C(O)OC2(CCCCC2)OC1=O)=O)=O OTYHJUUASIFGOA-UHFFFAOYSA-N 0.000 description 1
Classifications
-
- C—CHEMISTRY; METALLURGY
- C07—ORGANIC CHEMISTRY
- C07D—HETEROCYCLIC COMPOUNDS
- C07D491/00—Heterocyclic compounds containing in the condensed ring system both one or more rings having oxygen atoms as the only ring hetero atoms and one or more rings having nitrogen atoms as the only ring hetero atoms, not provided for by groups C07D451/00 - C07D459/00, C07D463/00, C07D477/00 or C07D489/00
- C07D491/02—Heterocyclic compounds containing in the condensed ring system both one or more rings having oxygen atoms as the only ring hetero atoms and one or more rings having nitrogen atoms as the only ring hetero atoms, not provided for by groups C07D451/00 - C07D459/00, C07D463/00, C07D477/00 or C07D489/00 in which the condensed system contains two hetero rings
- C07D491/10—Spiro-condensed systems
- C07D491/113—Spiro-condensed systems with two or more oxygen atoms as ring hetero atoms in the oxygen-containing ring
-
- C—CHEMISTRY; METALLURGY
- C07—ORGANIC CHEMISTRY
- C07D—HETEROCYCLIC COMPOUNDS
- C07D319/00—Heterocyclic compounds containing six-membered rings having two oxygen atoms as the only ring hetero atoms
- C07D319/04—1,3-Dioxanes; Hydrogenated 1,3-dioxanes
- C07D319/06—1,3-Dioxanes; Hydrogenated 1,3-dioxanes not condensed with other rings
-
- C—CHEMISTRY; METALLURGY
- C07—ORGANIC CHEMISTRY
- C07D—HETEROCYCLIC COMPOUNDS
- C07D319/00—Heterocyclic compounds containing six-membered rings having two oxygen atoms as the only ring hetero atoms
- C07D319/04—1,3-Dioxanes; Hydrogenated 1,3-dioxanes
- C07D319/08—1,3-Dioxanes; Hydrogenated 1,3-dioxanes condensed with carbocyclic rings or ring systems
Definitions
- This invention relates to certain heteroaromatic N-substituted glycine derivatives that are inhibitors of HIF prolyl hydroxylases, and thus have use in treating diseases benefiting from the inhibition of this enzyme, anemia being one example.
- Anemia occurs when there is a decrease or abnormality in red blood cells, which leads to reduced oxygen levels in the blood. Anemia occurs often in cancer patients, particularly those receiving chemotherapy. Anemia is often seen in the elderly population, patients with renal disease, and in a wide variety of conditions associated with chronic disease.
- Epo erythropoietin
- HIF hypoxia inducible factor
- HIF-alpha subunits HIF-I alpha, HIF-2alpha, and HIF- 3 alpha
- HIF-I alpha, HIF-2alpha, and HIF- 3 alpha are rapidly degraded by proteosome under normoxic conditions upon hydroxy lation of proline residues by prolyl hydroxylases (EGLNl, 2, 3).
- Proline hydroxylation allows interaction with the von Hippel Lindau (VHL) protein, a component of an E3 ubiquitin ligase. This leads to ubiquitination of HIF-alpha and subsequent degradation.
- VHL von Hippel Lindau
- the compounds of this invention provide a means for inhibiting these hydroxylases, increasing Epo production, and thereby treating anemia. Ischemia, stroke, and cytoprotection may also benefit by administering these compounds.
- this invention relates to a compound of formula (I):
- R 1 and R 4 are each independently selected from the group consisting of hydrogen
- Ci_Cioalkyl C 2 -Cioalkenyl, C 2 -Cioalkynyl, aryl, aryl-Ci_Cioalkyl, heteroaryl or heteroaryl- Ci.Cioalkyl; or R 1 and R 4 taken together form a ring selected from the group consisting of
- R 2 is -NR 5 R 6 or -OR 7 ;
- R 3 is H or d_C 4 alkyl
- R and R are each independently selected from the group consisting of hydrogen, Ci_C 10 alkyl, C 2 -Ci 0 alkenyl, C 2 -Ci 0 alkynyl, C 3 -C 8 cycloalkyl, C 3 -C 8 heterocycloalkyl, aryl and heteroaryl;
- R 7 is H or a cation, or Ci_Ci O alkyl which is unsubstituted or substituted with one or more substituents independently selected from the group consisting Of C 3 -C 6 cycloalkyl, heterocycloalkyl, aryl, and heteroaryl; Y is O or S; where any carbon or heteroatom of R 1 , R 2 , R 3 , R 4 , R 5 , R 6 , R 7 is unsubstituted or, where possible, is substituted with one or more substituents independently selected from Ci-C 6 alkyl, Ci-C 6 haloalkyl, halo, -OR 10 , -NR 5 R 6 , oxo, cyano, nitro, -C(O)R 10 , -C(O)OR 10 , -SR 10 , -S(O)R 10 , -S(O) 2 R 10 , -NR 5 R 6 , -CONR 5 R 6 ,
- a compound of formula (I) or a salt or solvate thereof for use in mammalian therapy, e.g. treating amenia.
- An example of this therapeutic approach is that of a method for treating anemia which is effected by increasing the production of erythropoietin (Epo) by inhibiting HIF prolyl hydroxylases comprising administering a compound of formula (I) to a patient in need thereof, neat or admixed with a pharmaceutically acceptable excipient, in an amount sufficient to increase production of Epo.
- a pharmaceutical composition comprising a compound of formula (I) or a salt, solvate, or the like thereof, and one or more of pharmaceutically acceptable carriers, diluents and excipients.
- a compound of formula (I) or a salt or solvate thereof in the preparation of a medicament for use in the treatment of a disorder mediated by inhibiting HIF prolyl hydroxylases, such as an anemia, that can be treated by inhibiting HIF prolyl hydroxylases.
- substituted means substituted by one or more defined groups.
- groups may be selected from a number of alternative groups the selected groups may be the same or different.
- an "effective amount” means that amount of a drug or pharmaceutical agent that will elicit the biological or medical response of a tissue, system, animal or human that is being sought, for instance, by a researcher or clinician.
- therapeutically effective amount means any amount which, as compared to a corresponding subject who has not received such amount, results in improved treatment, healing, prevention, or amelioration of a disease, disorder, or side effect, or a decrease in the rate of advancement of a disease or disorder.
- the term also includes within its scope amounts effective to enhance normal physiological function.
- alkyl refers to a straight- or branched-chain hydrocarbon radical having the specified number of carbon atoms. So for example, as used herein, the terms “Ci-C 4 alkyl” and “Ci_Cio alkyl” refers to an alkyl group having at least 1 and up to 4 or 10 carbon atoms respectively.
- Examples of such branched or straight-chained alkyl groups useful in the present invention include, but are not limited to, methyl, ethyl, n-propyl, isopropyl, isobutyl, n- butyl, t-butyl, n-pentyl, isopentyl, n-hexyl, n-heptyl, n-octyl, n-nonyl, and n-decyl, and branched analogs of the latter 5 normal alkanes.
- alkenyl refers to straight or branched hydrocarbon chains containing the specified number of carbon atoms and at least 1 and up to 5 carbon-carbon double bonds. Examples include ethenyl (or ethenylene) and propenyl (or propenylene).
- alkynyl refers to straight or branched hydrocarbon chains containing the specified number of carbon atoms and at least 1 and up to 5 carbon-carbon triple bonds. Examples include ethynyl (or ethynylene) and propynyl (or propynylene).
- Haloalkyl refers to an alkyl group group that is substituted with one or more halo substituent. Haloalkyl includes trifrouromethyl.
- cycloalkyl refers to a non-aromatic, saturated, cyclic hydrocarbon ring containing the specified number of carbon atoms. So, for example, the term “C 3 _C 8 cycloalkyl” refers to a non-aromatic cyclic hydrocarbon ring having from three to eight carbon atoms.
- C 3 -C 8 cycloalkyl groups useful in the present invention include, but are not limited to, cyclopropyl, cyclobutyl, cyclopentyl, cyclohexyl, cycloheptyl and cyclooctyl.
- C 5 -C 8 cycloalkenyl refers to a non-aromatic monocyclic carboxycyclic ring having the specified number of carbon atoms and up to 3 carbon-carbon double bonds.
- Cycloalkenyl includes by way of example cyclopentenyl and cyclohexenyl.
- C 3 -C 8 heterocycloalkyl means a non-aromatic heterocyclic ring containing the specified number of ring atoms being, saturated or having one or more degrees of unsaturation and containing one or more heteroatom substitutions selected from O, S and/or N. Such a ring may be optionally fused to one or more other "heterocyclic" ring(s) or cycloalkyl ring(s).
- heterocyclic moieties include, but are not limited to, aziridine, thiirane, oxirane, azetidine, oxetane, thietane, tetrahydrofuran, pyran, 1,4-dioxane, 1,3-dioxane, piperidine, piperazine, 2,4-piperazinedione, pyrrolidine, imidazolidine, pyrazolidine, morpholine, thiomorpholine, tetrahydrothiopyran, tetrahydrothiophene, and the like.
- Aryl refers to optionally substituted monocyclic and polycarbocyclic unfused or fused groups having 6 to 14 carbon atoms and having at least one aromatic ring that complies with Huckel's Rule.
- aryl groups are phenyl, biphenyl, naphthyl, anthracenyl, phenanthrenyl and the like.
- Heteroaryl means an optionally substituted aromatic monocyclic ring or polycarbocyclic fused ring system wherein at least one ring complies with Huckel's Rule, has the specified number of ring atoms, and that ring contains at least one heteratom selected from N, O, and/or S.
- heteroaryl groups include furanyl, thiophenyl, pyrrolyl, imidazolyl, pyrazolyl, triazolyl, tetrazolyl, thiazolyl, oxazolyl, isoxazolyl, oxadiazolyl, oxo-pyridyl, thiadiazolyl, isothiazolyl, pyridinyl, pyridazinyl, pyrazinyl, pyrimidinyl, quinolinyl, isoquinolinyl, benzofuranyl, benzothiophenyl, indolyl, and indazolyl.
- the term “optionally” means that the subsequently described event(s) may or may not occur, and includes both event(s), which occur, and events that do not occur.
- solvate refers to a complex of variable stoichiometry formed by a solute and a solvent. Such solvents for the purpose of the invention may not interfere with the biological activity of the solute.
- suitable solvents include, but are not limited to, water, methanol, ethanol and acetic acid.
- the solvent used is a pharmaceutically acceptable solvent.
- suitable pharmaceutically acceptable solvents include, without limitation, water, ethanol and acetic acid. Most preferably the solvent used is water.
- pharmaceutically-acceptable salts refers to salts that retain the desired biological activity of the subject compound and exhibit minimal undesired toxicological effects. These pharmaceutically-acceptable salts may be prepared in situ during the final isolation and purification of the compound, or by separately reacting the purified compound in its free acid or free base form with a suitable base or acid, respectively.
- compounds according to Formula I may contain an acidic functional group, one acidic enough to form salts.
- Representative salts include pharmaceutically - acceptable metal salts such as sodium, potassium, lithium, calcium, magnesium, aluminum, and zinc salts; carbonates and bicarbonates of a pharmaceutically-acceptable metal cation such as sodium, potassium, lithium, calcium, magnesium, aluminum, and zinc; pharmaceutically- acceptable organic primary, secondary, and tertiary amines including aliphatic amines, aromatic amines, aliphatic diamines, and hydroxy alkylamines such as methylamine, ethylamine, 2- hydroxyethylamine, diethylamine, triethylamine, ethylenediamine, ethanolamine, diethanolamine, and cyclohexylamine.
- pharmaceutically - acceptable metal salts such as sodium, potassium, lithium, calcium, magnesium, aluminum, and zinc salts
- carbonates and bicarbonates of a pharmaceutically-acceptable metal cation such as sodium, potassium, lithium, calcium
- compounds according to Formula (I) may contain a basic functional group and are therefore capable of forming pharmaceutically-acceptable acid addition salts by treatment with a suitable acid.
- Suitable acids include pharmaceutically-acceptable inorganic acids amd pharmaceutically-acceptable organic acids.
- Representative pharmaceutically- acceptable acid addition salts include hydrochloride, hydrobromide, nitrate, methylnitrate, sulfate, bisulfate, sulfamate, phosphate ⁇ acetate, hydroxyacetate, phenylacetate, propionate, butyrate, isobutyrate, valerate, maleate, hydroxymaleate, acrylate, fumarate, malate, tartrate, citrate, salicylate, />-aminosalicyclate, glycollate, lactate, heptanoate, phthalate, oxalate, succinate, benzoate, o-acetoxybenzoate, chlorobenzoate, methylbenzoate, dinitrobenzoate, hydroxybenzoate, methoxybenzoate, mandelate, tannate, formate, stearate, ascorbate, palmitate, oleate, pyruvate, pamoate, malonate, laurate, glutarate, gluta
- Y is O
- R 1 and R 4 are each independently selected from the group consisting of hydrogen, Ci_Cioalkyl, C 2 -Cioalkenyl, C 2 -Cioalkynyl, aryl, aryl-Ci_Cioalkyl, heteroaryl or heteroaryl- Ci.Cioalkyl; or R 1 and R 4 taken together form a ring selected from the group consisting of
- R 5 and R 6 are each independently selected from the group consisting of hydrogen, Ci_Ci 0 alkyl, C 2 -C 1 0 alkenyl, C 2 -C 1 0 alkynyl, C3-C8 cycloalkyl, C3-C8 heterocycloalkyl, aryl and heteroaryl;
- R 7 is H or a cation, or Ci_Cioalkyl which is unsubstituted or substituted with one or more substituents independently selected from the group consisting of C3-C6 cycloalkyl, heterocycloalkyl, aryl, and heteroaryl; where any carbon or heteroatom of R 1 , R 2 , R 3 , R 4 , R 7 is unsubstituted or, where possible, is substituted with one or more substituents independently selected from Ci-C 6 alkyl, Ci-C 6 haloalkyl, halogen, -OR 10 , -NR 5 R 6 , oxo,
- R 1 and R 4 are each independently selected from the group consisting of hydrogen, Ci_Ci O alkyl, C 2 _Ci 0 alkenyl, C 2 _Ci 0 alkynyl, aryl, aryl-Ci_Ci O alkyl, heteroaryl or heteroaryl- Ci.Ci O alkyl; or R 1 and R 4 taken together consist of C 3 -C 8 cycloalkyl, C 5 -C 8 cycloalkenyl, C 3 -C 8 heterocycloalkyl.
- R 2 is -OR 7 ;
- R 3 is H or Ci_C 4 alkyl
- R 7 is H or a cation, or Ci_Ci O alkyl which is unsubstituted or substituted with one or more substituents independently selected from the group consisting Of C 3 -C 6 cycloalkyl, heterocycloalkyl, aryl, and heteroaryl; where any carbon or heteroatom of R 1 , R 2 , R 3 , R 4 , R 7 is unsubstituted or, where possible, is substituted with one or more substituents independently selected from Ci-C 6 alkyl, Ci-C 6 haloalkyl, halogen, -OR 10 , -NR 5 R 6 , oxo, cyano, nitro, -C(O)R 10 , -C(O)OR 10 , -SR 10 ,
- Y is O
- R 1 and R 4 are each independently selected from the group consisting of hydrogen, C ⁇ C t oalkyl, C 2 _C 10 alkenyl, C 2 _C 10 alkynyl, aryl, aryl-C ⁇ C t oalkyl, heteroaryl or heteroaryl- Cudoalkyl; or R 1 and R 4 taken together consist of C 3 -Cgcycloalkyl, C 5 -Cgcycloalkenyl, C 3 -Cg heterocycloalkyl.
- R 2 is -OR 7 ;
- R 3 is H
- R 7 is H or a cation, where any carbon or heteroatom of R 1 , R 2 , R 3 , R 4 , R 7 is unsubstituted or, where possible, is substituted with one or more substituents independently selected from C 1 -C 6 alkyl, C 1 -C 6 haloalkyl, halogen, -OR 10 , -NR 5 R 6 , oxo, cyano, nitro, -C(O)R 10 , -C(O)OR 10 , -SR 10 , -S(O)R 10 , -S(O) 2 R 10 , -NR 5 R 6 , -CONR 5 R 6 , -N(R 5 )C(O)R 10 , -N(R 5 )C(O)OR 10 , -OC(O)NR 5 R 6 , -N(R 5 )C(O)NR 5 R 6 , -SO 2 NR 5 R 6 , -N
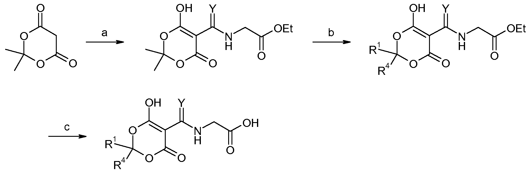
- Processes for preparing the compound of formula (I) are also within the ambit of this invention. To illustrate, a process for preparing a compound of formula (I)
- the compounds of formula (I) may be prepared in crystalline or non-crystalline form, and, if crystalline, may optionally be solvated, e.g. as the hydrate.
- This invention includes within its scope stoichiometric solvates (e.g. hydrates) as well as compounds containing variable amounts of solvent (e.g. water).
- Certain of the compounds described herein may contain one or more chiral atoms, or may otherwise be capable of existing as two enantiomers.
- the compounds claimed below include mixtures of enantiomers as well as purified enantiomers or enantiomerically enriched mixtures.
- Also included within the scope of the invention are the individual isomers of the compounds represented by formula (I), or claimed below, as well as any wholly or partially equilibrated mixtures thereof.
- the present invention also covers the individual isomers of the claimed compounds as mixtures with isomers thereof in which one or more chiral centers are inverted. Also, it is understood that any tautomers and mixtures of tautomers of the claimed compounds are included within the scope of the compounds of formula (I) as disclosed herein above or claimed herein below.
- compositions which includes a compound of formula (I) and salts, solvates and the like, and one or more pharmaceutically acceptable carriers, diluents, or excipients.
- the compounds of formula (I) and salts, solvates, etc, are as described above.
- the carrier(s), diluent(s) or excipient(s) must be acceptable in the sense of being compatible with the other ingredients of the formulation and not deleterious to the recipient thereof.
- a process for the preparation of a pharmaceutical formulation including admixing a compound of the formula (I), or salts, solvates etc, with one or more pharmaceutically acceptable carriers, diluents or excipients.
- pro-drugs examples include Drugs of Today, Volume 19, Number 9, 1983, pp 499 - 538 and in Topics in Chemistry, Chapter 31 , pp 306 - 316 and in "Design of Prodrugs" by H. Bundgaard, Elsevier, 1985, Chapter 1 (the disclosures in which documents are incorporated herein by reference). It will further be appreciated by those skilled in the art, that certain moieties, known to those skilled in the art as “pro-moieties”, for example as described by H. Bundgaard in "Design of Prodrugs” (the disclosure in which document is incorporated herein by reference) may be placed on appropriate functionalities when such functionalities are present within compounds of the invention.
- Preferred prodrugs for compounds of the invention include : esters, carbonate esters, hemi-esters, phosphate esters, nitro esters, sulfate esters, sulfoxides, amides, carbamates, azo-compounds, phosphamides, glycosides, ethers, acetals and ketals.
- compositions may be presented in unit dose forms containing a predetermined amount of active ingredient per unit dose.
- a unit may contain, for example, 0.5 mg to 1 g, preferably 1 mg to 700 mg, more preferably 5 mg to 100 mg of a compound of the formula (I), depending on the condition being treated, the route of administration and the age, weight and condition of the patient, or pharmaceutical compositions may be presented in unit dose forms containing a predetermined amount of active ingredient per unit dose.
- Preferred unit dosage compositions are those containing a daily dose or sub-dose, as herein above recited, or an appropriate fraction thereof, of an active ingredient.
- such pharmaceutical compositions may be prepared by any of the methods well known in the pharmacy art.
- compositions may be adapted for administration by any appropriate route, for example by the oral (including buccal or sublingual), rectal, nasal, topical (including buccal, sublingual or transdermal), vaginal or parenteral (including subcutaneous, intramuscular, intravenous or intradermal) route.
- Such compositions may be prepared by any method known in the art of pharmacy, for example by bringing into association a compound of formal (I) with the carrier(s) or excipient(s).
- compositions adapted for oral administration may be presented as discrete units such as capsules or tablets; powders or granules; solutions or suspensions in aqueous or nonaqueous liquids; edible foams or whips; or oil-in-water liquid emulsions or water-in-oil liquid emulsions.
- Capsules are made by preparing a powder mixture, as described above, and filling formed gelatin sheaths.
- Glidants and lubricants such as colloidal silica, talc, magnesium stearate, calcium stearate or solid polyethylene glycol can be added to the powder mixture before the filling operation.
- a disintegrating or solubilizing agent such as agar-agar, calcium carbonate or sodium carbonate can also be added to improve the availability of the medicament when the capsule is ingested.
- suitable binders include starch, gelatin, natural sugars such as glucose or beta-lactose, corn sweeteners, natural and synthetic gums such as acacia, tragacanth or sodium alginate, carboxymethylcellulose, polyethylene glycol, waxes and the like.
- Lubricants used in these dosage forms include sodium oleate, sodium stearate, magnesium stearate, sodium benzoate, sodium acetate, sodium chloride and the like.
- Disintegrators include, without limitation, starch, methyl cellulose, agar, bentonite, xanthan gum and the like.
- Tablets are formulated, for example, by preparing a powder mixture, granulating or slugging, adding a lubricant and disintegrant and pressing into tablets.
- a powder mixture is prepared by mixing the compound, suitably comminuted, with a diluent or base as described above, and optionally, with a binder such as carboxymethylcellulose, an aliginate, gelatin, or polyvinyl pyrrolidone, a solution retardant such as paraffin, a resorption accelerator such as a quaternary salt and/or an absorption agent such as bentonite, kaolin or dicalcium phosphate.
- a binder such as carboxymethylcellulose, an aliginate, gelatin, or polyvinyl pyrrolidone
- a solution retardant such as paraffin
- a resorption accelerator such as a quaternary salt
- an absorption agent such as bentonite, kaolin or dicalcium phosphate.
- the powder mixture can be granulated by tablet forming dies by means of the addition of stearic acid, a stearate salt, talc or mineral oil.
- the lubricated mixture is then compressed into tablets.
- the compounds of the present invention can also be combined with a free flowing inert carrier and compressed into tablets directly without going through the granulating or slugging steps.
- a clear or opaque protective coating consisting of a sealing coat of shellac, a coating of sugar or polymeric material and a polish coating of wax can be provided. Dyestuffs can be added to these coatings to distinguish different unit dosages.
- Oral fluids such as solution, syrups and elixirs can be prepared in dosage unit form so that a given quantity contains a predetermined amount of a compound of formula (I).
- Syrups can be prepared by dissolving the compound in a suitably flavored aqueous solution, while elixirs are prepared through the use of a non-toxic alcoholic vehicle.
- Suspensions can be formulated by dispersing the compound in a non-toxic vehicle.
- Solubilizers and emulsifiers such as ethoxylated isostearyl alcohols and polyoxy ethylene sorbitol ethers, preservatives, flavor additive such as peppermint oil or natural sweeteners or saccharin or other artificial sweeteners, and the like can also be added.
- dosage unit pharmaceutical compositions for oral administration can be microencapsulated.
- the formulation can also be prepared to prolong or sustain the release as for example by coating or embedding particulate material in polymers, wax or the like.
- compositions adapted for rectal administration may be presented as suppositories or as enemas.
- compositions adapted for vaginal administration may be presented as pessaries, tampons, creams, gels, pastes, foams or spray formulations.
- compositions adapted for parenteral administration include aqueous and non-aqueous sterile injection solutions which may contain anti-oxidants, buffers, bacteriostats and solutes which render the composition isotonic with the blood of the intended recipient; and aqueous and non-aqueous sterile suspensions which may include suspending agents and thickening agents.
- the pharmaceutical compositions may be presented in unit-dose or multi-dose containers, for example sealed ampoules and vials, and may be stored in a freeze-dried (lyophilized) condition requiring only the addition of the sterile liquid carrier, for example water for injections, immediately prior to use.
- Extemporaneous injection solutions and suspensions may be prepared from sterile powders, granules and tablets.
- compositions may include other agents conventional in the art having regard to the type of formulation in question, for example those suitable for oral administration may include flavouring agents.
- a therapeutically effective amount of a compound of the present invention will depend upon a number of factors including, for example, the age and weight of the intended recipient, the precise condition requiring treatment and its severity, the nature of the formulation, and the route of administration, and will ultimately be at the discretion of the attendant prescribing the medication.
- an effective amount of a compound of formula (I) for the treatment of anemia will generally be in the range of 0.1 to 100 mg/kg body weight of recipient per day and more usually in the range of 1 to 10 mg/kg body weight per day.
- the actual amount per day would usually be from 70 to 700 mg and this amount may be given in a single dose per day or more usually in a number (such as two, three, four, five or six) of sub-doses per day such that the total daily dose is the same.
- An effective amount of a salt or solvate, etc. may be determined as a proportion of the effective amount of the compound of formula (I) per se. It is envisaged that similar dosages would be appropriate for treatment of the other conditions referred to above.
- the compounds of this invention may be made by a variety of methods, including standard chemistry. Any previously defined variable will continue to have the previously defined meaning unless otherwise indicated. Illustrative general synthetic methods are set out below and then specific compounds of the invention as prepared are given in the examples.
- Compounds of general formula (I) may be prepared by methods known in the art of organic synthesis as set forth in part by the following synthesis schemes. In all of the schemes described below, it is well understood that protecting groups for sensitive or reactive groups are employed where necessary in accordance with general principles of chemistry. Protecting groups are manipulated according to standard methods of organic synthesis (T. W. Green and P. G. M. Wuts (1991) Protecting Groups in Organic Synthesis. John Wiley & Sons).
- IM aqueous sodium hydroxide (2.00 mL, 2.00 mmol) was added dropwise to a solution of ethyl N-[(6- hydroxy-2,2-dimethyl-4-oxo-4H- 1 ,3-dioxin-5-yl)carbonyl]glycinate (0.100 g, 0.366 mmol) in methanol (6 mL) stirred at room temperature. After 4 h, water (40 mL) was added and the mixture acidified to p ⁇ 2-3 with IM aqueous hydrochloric acid, then extracted with ethyl acetate. The extracts were dried (MgSO 4 ) and the solvent removed under reduced pressure.
- IM aqueous sodium hydroxide (6.00 mL, 6.00 mmol) was added slowly to a solution of ethyl N- [(2- hydroxy-4-oxo-l,5-dioxaspiro[5.5]undec-2-en-3-yl)carbonyl]glycinate (0.570 g, 1.82 mmol) in methanol (30 mL) stirred at room temperature. After 2 h, water (120 mL) was added, the mixture filtered and the filtrate acidified to pH 2 with IM aqueous hydrochloric acid, then extracted with ethyl acetate. The extracts were dried (MgSO 4 ) and the solvent removed under reduced pressure.
- Ethyl isocyanatoacetate (0.040 niL, 0.360 mmol) was injected into a stirred solution of 2-methyl- 2-phenyl-l,3-dioxane-4,6-dione (0.072 g, 0.349 mmol) and triethylamine (0.100 mL, 0.720 mmol) in N,N-dimethylformamide (1 mL) at room temperature under nitrogen. After stirring 60 h, ice-cooled 0. IM aqueous hydrochloric acid (50 mL) was added rapidly with stirring and the mixture extracted with ethyl acetate. The extracts were washed with water, brine, dried (MgSO 4 ) and evaporated under reduced pressure.
- Ethyl isocyanatoacetate (0.108 niL, 0.963 mmol) was injected into a stirred solution of 2- ethyl-2-(phenylmethyl)-l,3-dioxane-4,6-dione (0.223 g, 0.952 mmol) and triethylamine (0.268 mL, 1.92 mmol) in N,N-dimethylformamide (2 mL) at room temperature under nitrogen. After stirring 18 h, ice-cooled 0.1M aqueous hydrochloric acid (50 mL) was added rapidly with stirring and the mixture extracted with ethyl acetate.
- IM aqueous sodium hydroxide (0.50 mL, 0.500 mmol) was added dropwise to a stirred solution of ethyl N-[(6-hydroxy-4-oxo-3',4'-dihydro-l'H,4H-spiro[l,3- dioxin-2,2'-naphthalen]-5-yl)carbonyl]glycinate (0.037 g) in ethanol (3 mL) and the mixture stirred at room temperature for 2 h. The mixture was diluted with water (20 mL), filtered, then acidified to p ⁇ 2 with IM aqueous hydrochloric acid.
- IM aqueous sodium hydroxide (10.0 mL, 10.0 mmol) was added dropwise to a stirred solution of the ester intermediate in ethanol (50 mL) at room temperature and the mixture stirred for 3 h.
- the mixture was concentrated under reduced pressure to a volume of about 10 mL, then acidified to p ⁇ 2 with 0.1M aqueous hydrochloric acid and extracted with ether.
- the organic extracts were washed with IM aqueous sodium hydroxide, then the aqueous layer re-acidified with 0. IM aqueous hydrochloric acid and again extracted with ether.
- the extracts were dried (MgSO/t) and evaporated under reduced pressure.
- IM aqueous sodium hydroxide (10.0 mL, 10.0 mmol) was added dropwise to a stirred mixture of the residue and ethanol (50 mL) at room temperature and the mixture stirred for 3 h.
- the mixture was concentrated under reduced pressure to a volume of about 10 mL, then acidified to p ⁇ 2 with IM aqueous hydrochloric acid and extracted with ether.
- the extracts were dried (MgSO 4 ) and evaporated under reduced pressure.
- the residue was purified by reverse-phase preparative ⁇ PLC (ODS, 10- 90% acetonitrile/water + 0.1% trifluoroacetic acid).
- the product-containing fractions were concentrated under reduced pressure and extracted with ether.
- the extracts were dried
- the crude salt (0.200 g) was dissolved in N,N- dimethylformamide (2 mL) and l-hydroxy-7-azabenzotriazole (0.082 g, 0.600 mmol), triethylamine (0.154 mL, 1.10 mmol), methyl succinate (0.080 g, 0.600 mmol) and N-[3- (dimethylamino)propyl]-N'-ethylcarbodiimide hydrochloride (0.115 g, 0.600 mmol) added in that order and the mixture stirred at room temperature for 18 h. Water (40 mL) was added and the mixture acidified to pH 2 with IM aqueous hydrochloric acid, then extracted with ethyl acetate.
- erythropoietin is a HIF-2 ⁇ target gene in Hep3B and Kelly cells" FASEB J., 2004, 18, 1462-1464.
- His-MBP-EGLN3 (6HisMBPAttBlEGLN3(l-239)) was expressed in E. CoIi and purified from an amylase affinity column.
- Biotin-VBC [6HisSumoCysVHL(2-213), 6HisSumoElonginB(l-l 18), and 6HisSumoElonginC(l-l 12)] and His-GBl-HIF2 ⁇ -CODD (6HisGB ltevHIF2A(467-572)) were expressed from E. CoIi. Method:
- Cy5-labelled HIF2 ⁇ CODD, and a biotin-labeled VBC complex were used to determine EGLN3 inhibition.
- EGLN3 hydroxylation of the Cy5CODD substrate results in its recognition by the biotin-VBC.
- Addition of a Europium/streptavidin (Eu/SA) chelate results in proximity of Eu to Cy5 in the product, allowing for detection by energy transfer.
- Hep3B cells obtained from the American Type Culture Collection are seeded at 2xlO ⁇ 4 cells/well in Dulbecco's Modified Eagle Medium (DMEM) + 10% FBS in 96-well plates. Cells are incubated at 37degC/5% CO2/90% humidity (standard cell culture incubation conditions). After overnight adherence, medium is removed and replaced with DMEM without serum containing test compound or DMSO negative control. Following 48 hours incubation, cell culture medium is collected and assayed by ELISA to quantitate Epo protein.
- DMEM Dulbecco's Modified Eagle Medium
Landscapes
- Chemical & Material Sciences (AREA)
- Organic Chemistry (AREA)
- Pharmaceuticals Containing Other Organic And Inorganic Compounds (AREA)
Abstract
The invention described herein relates to certain dioxanedione N-substituted glycine derivatives of formula (I) which are antagonists of HIF prolyl hydroxylases and are useful for treating diseases benefiting from the inhibition of this enzyme, anemia being one example.
Description
Prolyl Hydroxylase Inhibitors
FIELD OF THE INVENTION
This invention relates to certain heteroaromatic N-substituted glycine derivatives that are inhibitors of HIF prolyl hydroxylases, and thus have use in treating diseases benefiting from the inhibition of this enzyme, anemia being one example.
BACKGROUND OF THE INVENTION
Anemia occurs when there is a decrease or abnormality in red blood cells, which leads to reduced oxygen levels in the blood. Anemia occurs often in cancer patients, particularly those receiving chemotherapy. Anemia is often seen in the elderly population, patients with renal disease, and in a wide variety of conditions associated with chronic disease.
Frequently, the cause of anemia is reduced erythropoietin (Epo) production resulting in prevention of erythropoiesis (maturation of red blood cells). Epo production can be increased by inhibition of prolyl hydroxylases that regulate hypoxia inducible factor (HIF).
One strategy to increase erythropoietin (Epo) production is to stabilize and thus increase the transcriptional activity of the HIF. HIF-alpha subunits (HIF-I alpha, HIF-2alpha, and HIF- 3 alpha) are rapidly degraded by proteosome under normoxic conditions upon hydroxy lation of proline residues by prolyl hydroxylases (EGLNl, 2, 3). Proline hydroxylation allows interaction with the von Hippel Lindau (VHL) protein, a component of an E3 ubiquitin ligase. This leads to ubiquitination of HIF-alpha and subsequent degradation. Under hypoxic conditions, the inhibitory activity of the prolyl hydroxylases is suppressed, HIF-alpha subunits are therefore stabilized, and HIF -responsive genes, including Epo, are transcribed. Thus, inhibition of prolyl hydroxylases results in increased levels of HIF-alpha and thus increased Epo production. The compounds of this invention provide a means for inhibiting these hydroxylases, increasing Epo production, and thereby treating anemia. Ischemia, stroke, and cytoprotection may also benefit by administering these compounds.
SUMMARY OF THE INVENTION In the first instance, this invention relates to a compound of formula (I):
(I)
wherein:
R1 and R4 are each independently selected from the group consisting of hydrogen,
Ci_Cioalkyl, C2-Cioalkenyl, C2-Cioalkynyl, aryl, aryl-Ci_Cioalkyl, heteroaryl or heteroaryl- Ci.Cioalkyl; or R1 and R4 taken together form a ring selected from the group consisting of
C3-Ciocycloalkyl, C5-Ciocycloalkenyl, C3-C10 heterocycloalkyl, a fused phenyl-C3-C6cycloalkyl group, or an adamantyl ring, each of which is unsubstituted or substituted on a carbon by one or more radicals selected from the group consisting of Ci-Ce alkyl, C2-C10 alkenyl, C2-C10 alkynyl, aryl, or arylCi-C6 alkyl; or where the ring is C3-C10 heterocycloalkyl and the hetero atom is N, the nitrogen is substituted by H, Ci-C6 alkyl, C2-Ci0alkenyl, C2-Ci0alkynyl, -CO(Ci-C4 alkyl), - C(O)OR7, or -CO(C1-C4 alkyl)-C(O)OR7;
R2 is -NR5R6 or -OR7;
R3 is H or d_C4alkyl;
R and R are each independently selected from the group consisting of hydrogen, Ci_C 10 alkyl, C2-Ci0 alkenyl, C2-Ci0 alkynyl, C3-C8 cycloalkyl, C3-C8 heterocycloalkyl, aryl and heteroaryl;
R7 is H or a cation, or Ci_CiOalkyl which is unsubstituted or substituted with one or more substituents independently selected from the group consisting Of C3-C6 cycloalkyl, heterocycloalkyl, aryl, and heteroaryl; Y is O or S; where any carbon or heteroatom of R1, R2, R3, R4, R5, R6, R7 is unsubstituted or, where possible, is substituted with one or more substituents independently selected from Ci-C6 alkyl, Ci-C6 haloalkyl, halo, -OR10, -NR5R6, oxo, cyano, nitro, -C(O)R10, -C(O)OR10, -SR10, -S(O)R10, -S(O)2R10, -NR5R6, -CONR5R6, -N(R5)C(O)R10, -N(R5)C(O)OR10, -OC(O)NR5R6, -N(R5)C(O)NR5R6, -SO2NR5R6, -N(R5)SO2R10, Ci-Ci0 alkenyl, Ci-Ci0 alkynyl, C3-C6 cycloalkyl, C3-C6 heterocycloalkyl, aryl, Ci-C6 alkyl-aryl, heteroaryl or Ci-C6 alkyl-heteroaryl, wherein R5, and R6 are the same as defined above and R10 is hydrogen, Ci_CiOalkyl, C2_Ci0alkenyl, C2_Ci0alkynyl, -CO(Ci-C4 alkyl), -CO(aryl), -CO(heteroaryl), -CO(C3-C6 cycloalkyl), -CO(C3-C6 heterocycloalkyl), -SO2(Ci-C4 alkyl), C3-C8 cycloalkyl, C3-C8heterocycloalkyl, C6-Ci4 aryl, aryl- Ci_Ci0alkyl,heteroaryl, and heteroaryl-Ci_Ci0alkyl; or a pharmaceutically acceptable salt or solvate thereof.
In a second aspect of the present invention, there is provided a compound of formula (I) or a salt or solvate thereof for use in mammalian therapy, e.g. treating amenia. An example of this therapeutic approach is that of a method for treating anemia which is effected by increasing the production of erythropoietin (Epo) by inhibiting HIF prolyl hydroxylases comprising administering a compound of formula (I) to a patient in need thereof, neat or admixed with a pharmaceutically acceptable excipient, in an amount sufficient to increase production of Epo.
In a third aspect of the present invention, there is provided a pharmaceutical composition comprising a compound of formula (I) or a salt, solvate, or the like thereof, and one or more of pharmaceutically acceptable carriers, diluents and excipients.
In a fourth aspect, there is provided the use of a compound of formula (I) or a salt or solvate thereof in the preparation of a medicament for use in the treatment of a disorder mediated by inhibiting HIF prolyl hydroxylases, such as an anemia, that can be treated by inhibiting HIF prolyl hydroxylases.
DETAILED DESCRIPTION OF THE INVENTION For the avoidance of doubt, unless otherwise indicated, the term "substituted" means substituted by one or more defined groups. In the case where groups may be selected from a number of alternative groups the selected groups may be the same or different.
The term "independently" means that where more than one substituent is selected from a number of possible substituents, those substituents may be the same or different. An "effective amount" means that amount of a drug or pharmaceutical agent that will elicit the biological or medical response of a tissue, system, animal or human that is being sought, for instance, by a researcher or clinician. Furthermore, the term "therapeutically effective amount" means any amount which, as compared to a corresponding subject who has not received such amount, results in improved treatment, healing, prevention, or amelioration of a disease, disorder, or side effect, or a decrease in the rate of advancement of a disease or disorder. The term also includes within its scope amounts effective to enhance normal physiological function.
As used herein the term "alkyl" refers to a straight- or branched-chain hydrocarbon radical having the specified number of carbon atoms. So for example, as used herein, the terms "Ci-C4 alkyl" and "Ci_Cio alkyl" refers to an alkyl group having at least 1 and up to 4 or 10 carbon atoms respectively. Examples of such branched or straight-chained alkyl groups useful in the present invention include, but are not limited to, methyl, ethyl, n-propyl, isopropyl, isobutyl, n- butyl, t-butyl, n-pentyl, isopentyl, n-hexyl, n-heptyl, n-octyl, n-nonyl, and n-decyl, and branched analogs of the latter 5 normal alkanes.
When the term "alkenyl" (or "alkenylene") is used it refers to straight or branched hydrocarbon chains containing the specified number of carbon atoms and at least 1 and up to 5 carbon-carbon double bonds. Examples include ethenyl (or ethenylene) and propenyl (or propenylene).
When the term "alkynyl" (or "alkynylene") is used it refers to straight or branched hydrocarbon chains containing the specified number of carbon atoms and at least 1 and up to 5 carbon-carbon triple bonds. Examples include ethynyl (or ethynylene) and propynyl (or propynylene).
"Haloalkyl" refers to an alkyl group group that is substituted with one or more halo substituent. Haloalkyl includes trifrouromethyl.
When "cycloalkyl" is used it refers to a non-aromatic, saturated, cyclic hydrocarbon ring containing the specified number of carbon atoms. So, for example, the term "C3_C8 cycloalkyl" refers to a non-aromatic cyclic hydrocarbon ring having from three to eight carbon atoms.
Exemplary "C3-C8 cycloalkyl" groups useful in the present invention include, but are not limited to, cyclopropyl, cyclobutyl, cyclopentyl, cyclohexyl, cycloheptyl and cyclooctyl.
The term " C5-C8cycloalkenyl" refers to a non-aromatic monocyclic carboxycyclic ring having the specified number of carbon atoms and up to 3 carbon-carbon double bonds. "Cycloalkenyl" includes by way of example cyclopentenyl and cyclohexenyl.
Where "C3-C8 heterocycloalkyl" is used, it means a non-aromatic heterocyclic ring containing the specified number of ring atoms being, saturated or having one or more degrees of unsaturation and containing one or more heteroatom substitutions selected from O, S and/or N. Such a ring may be optionally fused to one or more other "heterocyclic" ring(s) or cycloalkyl ring(s). Examples of "heterocyclic" moieties include, but are not limited to, aziridine, thiirane, oxirane, azetidine, oxetane, thietane, tetrahydrofuran, pyran, 1,4-dioxane, 1,3-dioxane, piperidine, piperazine, 2,4-piperazinedione, pyrrolidine, imidazolidine, pyrazolidine, morpholine, thiomorpholine, tetrahydrothiopyran, tetrahydrothiophene, and the like.
"Aryl" refers to optionally substituted monocyclic and polycarbocyclic unfused or fused groups having 6 to 14 carbon atoms and having at least one aromatic ring that complies with Huckel's Rule. Examples of aryl groups are phenyl, biphenyl, naphthyl, anthracenyl, phenanthrenyl and the like.
"Heteroaryl" means an optionally substituted aromatic monocyclic ring or polycarbocyclic fused ring system wherein at least one ring complies with Huckel's Rule, has the specified number of ring atoms, and that ring contains at least one heteratom selected from N, O, and/or S.
Examples of "heteroaryl" groups include furanyl, thiophenyl, pyrrolyl, imidazolyl, pyrazolyl, triazolyl, tetrazolyl, thiazolyl, oxazolyl, isoxazolyl, oxadiazolyl, oxo-pyridyl, thiadiazolyl, isothiazolyl, pyridinyl, pyridazinyl, pyrazinyl, pyrimidinyl, quinolinyl, isoquinolinyl, benzofuranyl, benzothiophenyl, indolyl, and indazolyl. The term "optionally" means that the subsequently described event(s) may or may not occur, and includes both event(s), which occur, and events that do not occur.
The term "solvate" refers to a complex of variable stoichiometry formed by a solute and a solvent. Such solvents for the purpose of the invention may not interfere with the biological activity of the solute. Examples of suitable solvents include, but are not limited to, water, methanol, ethanol and acetic acid. Preferably the solvent used is a pharmaceutically acceptable
solvent. Examples of suitable pharmaceutically acceptable solvents include, without limitation, water, ethanol and acetic acid. Most preferably the solvent used is water.
Herein, the term "pharmaceutically-acceptable salts" refers to salts that retain the desired biological activity of the subject compound and exhibit minimal undesired toxicological effects. These pharmaceutically-acceptable salts may be prepared in situ during the final isolation and purification of the compound, or by separately reacting the purified compound in its free acid or free base form with a suitable base or acid, respectively.
In certain embodiments, compounds according to Formula I may contain an acidic functional group, one acidic enough to form salts. Representative salts include pharmaceutically - acceptable metal salts such as sodium, potassium, lithium, calcium, magnesium, aluminum, and zinc salts; carbonates and bicarbonates of a pharmaceutically-acceptable metal cation such as sodium, potassium, lithium, calcium, magnesium, aluminum, and zinc; pharmaceutically- acceptable organic primary, secondary, and tertiary amines including aliphatic amines, aromatic amines, aliphatic diamines, and hydroxy alkylamines such as methylamine, ethylamine, 2- hydroxyethylamine, diethylamine, triethylamine, ethylenediamine, ethanolamine, diethanolamine, and cyclohexylamine.
In certain embodiments, compounds according to Formula (I) may contain a basic functional group and are therefore capable of forming pharmaceutically-acceptable acid addition salts by treatment with a suitable acid. Suitable acids include pharmaceutically-acceptable inorganic acids amd pharmaceutically-acceptable organic acids. Representative pharmaceutically- acceptable acid addition salts include hydrochloride, hydrobromide, nitrate, methylnitrate, sulfate, bisulfate, sulfamate, phosphate^ acetate, hydroxyacetate, phenylacetate, propionate, butyrate, isobutyrate, valerate, maleate, hydroxymaleate, acrylate, fumarate, malate, tartrate, citrate, salicylate, />-aminosalicyclate, glycollate, lactate, heptanoate, phthalate, oxalate, succinate, benzoate, o-acetoxybenzoate, chlorobenzoate, methylbenzoate, dinitrobenzoate, hydroxybenzoate, methoxybenzoate, mandelate, tannate, formate, stearate, ascorbate, palmitate, oleate, pyruvate, pamoate, malonate, laurate, glutarate, glutamate, estolate, methanesulfonate (mesylate), ethanesulfonate (esylate), 2-hydroxyethanesulfonate, benzenesulfonate (besylate),/>- aminobenzenesulfonate,/>-toluenesulfonate (tosylate), and napthalene-2-sulfonate. Compounds of particular interest include those wherein:
Y is O;
R1 and R4 are each independently selected from the group consisting of hydrogen, Ci_Cioalkyl, C2-Cioalkenyl, C2-Cioalkynyl, aryl, aryl-Ci_Cioalkyl, heteroaryl or heteroaryl- Ci.Cioalkyl; or R1 and R4 taken together form a ring selected from the group consisting of
C3-Ciocycloalkyl, C5-Ciocycloalkenyl, C3-C10 heterocycloalkyl, a fused phenyl-Cs-Cβcycloalkyl
group, or an adamantyl ring, each of which is unsubstituted or substituted on a carbon by one or more radicals selected from the group consisting of Ci-Ce alkyl, C2-C10 alkenyl, C2-C10 alkynyl, aryl, or arylCi-C6 alkyl; or where the ring is C3-C10 heterocycloalkyl and the hetero atom is N, the nitrogen is substituted by H, Ci-C6 alkyl, C2_Ci0alkenyl, C2_Cioalkynyl, -CO(Ci-C4 alkyl), - C(O)OR7, or -CO(Ci-C4 alkyl)-C(O)OR7; R2 is -NR5R6 or -OR7; R3 is H or Ci_C4alkyl;
R5 and R6 are each independently selected from the group consisting of hydrogen, Ci_Ci0 alkyl, C2-C10 alkenyl, C2-C10 alkynyl, C3-C8 cycloalkyl, C3-C8 heterocycloalkyl, aryl and heteroaryl; R7 is H or a cation, or Ci_Cioalkyl which is unsubstituted or substituted with one or more substituents independently selected from the group consisting of C3-C6 cycloalkyl, heterocycloalkyl, aryl, and heteroaryl; where any carbon or heteroatom of R1, R2, R3, R4, R7 is unsubstituted or, where possible, is substituted with one or more substituents independently selected from Ci-C6 alkyl, Ci-C6 haloalkyl, halogen, -OR10, -NR5R6, oxo, cyano, nitro, -C(O)R10, -C(O)OR10, -SR10,
-S(O)R10, -S(O)2R10, -NR5R6, -CONR5R6, -N(R5)C(O)R10, -N(R5)C(O)OR10, -OC(O)NR5R6, -N(R5)C(O)NR5R6, -SO2NR5R6, -N(R5)SO2R10, Ci-Ci0 alkenyl, Ci-Ci0 alkynyl, C3-C6 cycloalkyl, C3-C6 heterocycloalkyl, aryl, Ci-C6 alkyl-aryl, heteroaryl or Ci-C6 alkyl-heteroaryl, wherein R5, and R6 are the same as defined above and R10 is hydrogen, Ci_CiOalkyl, C2_Ci0alkenyl, C2_Ci0alkynyl, -CO(Ci-C4 alkyl), -CO(aryl),
-CO(heteroaryl), -CO(C3-C6 cycloalkyl), -CO(C3-C6 heterocycloalkyl), -SO2(Ci-C4 alkyl), C3-C8 cycloalkyl, C3-C8heterocycloalkyl, C6-Ci4 aryl, aryl-Ci_CiOalkyl, heteroaryl, and heteroaryl-Ci_Ci0alkyl.
Compounds of further interest are those wherein: Y is O;
R1 and R4 are each independently selected from the group consisting of hydrogen, Ci_CiOalkyl, C2_Ci0alkenyl, C2_Ci0alkynyl, aryl, aryl-Ci_CiOalkyl, heteroaryl or heteroaryl- Ci.CiOalkyl; or R1 and R4 taken together consist of C3-C8cycloalkyl, C5-C8cycloalkenyl, C3-C8 heterocycloalkyl. R2 is -OR7;
R3 is H or Ci_C4alkyl;
R7 is H or a cation, or Ci_CiOalkyl which is unsubstituted or substituted with one or more substituents independently selected from the group consisting Of C3-C6 cycloalkyl, heterocycloalkyl, aryl, and heteroaryl; where any carbon or heteroatom of R1, R2, R3, R4, R7 is unsubstituted or, where possible, is substituted with one or more substituents independently selected from Ci-C6 alkyl, Ci-C6
haloalkyl, halogen, -OR10, -NR5R6, oxo, cyano, nitro, -C(O)R10, -C(O)OR10, -SR10,
-S(O)R10, -S(O)2R10, -NR5R6, -CONR5R6, -N(R5)C(O)R10, -N(R5)C(O)OR10, -OC(O)NR5R6, -N(R5)C(O)NR5R6, -SO2NR5R6, -N(R5)SO2R10, C1-C10 alkenyl, C1-C10 alkynyl, C3-C6 cycloalkyl, C3-C6 heterocycloalkyl, aryl, C1-C6 alkyl-aryl, heteroaryl or C1-C6 alkyl-heteroaryl, wherein R5, and R6 are the same as defined above and R10 is hydrogen, Q.Qoalkyl, C2.C10alkenyl, C2.C10alkynyl, -CO(C1-C4 alkyl), -CO(aryl), -CO(heteroaryl), -CO(C3-C6 cycloalkyl), -CO(C3-C6 heterocycloalkyl), -SO2(C1-C4 alkyl), C3-C8 cycloalkyl, C3-C8heterocycloalkyl, C6-C14 aryl, aryl-C^C^alkyl, heteroaryl, and
Of further interest are those compounds where:
Y is O;
R1 and R4 are each independently selected from the group consisting of hydrogen, C^Ctoalkyl, C2_C10alkenyl, C2_C10alkynyl, aryl, aryl-C^Ctoalkyl, heteroaryl or heteroaryl- Cudoalkyl; or R1 and R4 taken together consist of C3-Cgcycloalkyl, C5-Cgcycloalkenyl, C3-Cg heterocycloalkyl. R2 is -OR7; R3 is H
R7 is H or a cation, where any carbon or heteroatom of R1, R2, R3, R4, R7 is unsubstituted or, where possible, is substituted with one or more substituents independently selected from C1-C6 alkyl, C1-C6 haloalkyl, halogen, -OR10, -NR5R6, oxo, cyano, nitro, -C(O)R10, -C(O)OR10, -SR10, -S(O)R10, -S(O)2R10, -NR5R6, -CONR5R6, -N(R5)C(O)R10, -N(R5)C(O)OR10, -OC(O)NR5R6, -N(R5)C(O)NR5R6, -SO2NR5R6, -N(R5)SO2R10, C1-C10 alkenyl, C1-C10 alkynyl, C3-C6 cycloalkyl, C3-C6 heterocycloalkyl, aryl, C1-C6 alkyl-aryl, heteroaryl or C1-C6 alkyl-heteroaryl, wherein R5, and R6 are the same as defined above and R10 is hydrogen, d.C^alkyl, C2.C10alkenyl, C2.C10alkynyl, -CO(C1-C4 alkyl), -CO(aryl), -CO(heteroaryl), -CO(C3-C6 cycloalkyl), -CO(C3-C6 heterocycloalkyl), -SO2(C1-C4 alkyl), C3-Cg cycloalkyl, C3-Cgheterocycloalkyl, C6-C14 aryl, aryl-C^Ctoalkyl, heteroaryl, and
Specific compounds exemplified herein are:
N-[(6-hydroxy-2,2-dimethyl-4-oxo-4H-l,3-dioxin-5-yl)carbonyl]glycine; N-[(2-hydroxy-4-oxo-l,5-dioxaspiro[5.5]undec-2-en-3-yl)carbonyl]glycine; N-[(6-hydroxy-2-methyl-4-oxo-2-phenyl-4H-l,3-dioxin-5-yl)carbonyl]glycine; N-{[2-ethyl-6-hydroxy-4-oxo-2-(phenylmethyl)-4H-l,3-dioxin-5-yl]carbonyl}glycine; N-[(6-hydroxy-4-oxo-3',4'-dihydro-lΗ,4H-spiro[l,3-dioxin-2,2'-naphthalen]-5- yl)carbonyl]glycine;
N-[(2-hydroxy-4-oxo-9-phenyl-l,5-dioxaspiro[5.5]undec-2-en-3-yl)carbonyl]glycine;
N-[(2-hydroxy-4-oxo-7-phenyl-l,5-dioxaspiro[5.5]undec-2-en-3-yl)carbonyl]glycine;
N-{[2-hydroxy-4-oxo-7-(phenylmethyl)-l,5-dioxaspiro[5.5]undec-2-en-3- yl]carbonyl}glycine; N-[(6-hydroxy-4-oxo-4H-spiro[l,3-dioxin-2,2'-tricyclo[3.3.1.1~3,7~]decan]-5- yl)carbonyl]glycine;
N-[(9- {[(1 , 1 -dimethylethyl)oxy]carbonyl} -2-hydroxy-4-oxo- 1 ,5-dioxa-9- azaspiro[5.5]undec-2-en-3-yl)carbonyl]glycine;
4-(3- {[(carboxymethyl)amino]carbonyl}-2-hydroxy-4-oxo-l,5-dioxa-9- azaspiro[5.5]undec-2-en-9-yl)-4-oxobutanoic acid;
3-(3- {[(carboxymethyl)amino]carbonyl}-2-hydroxy-4-oxo-l,5-dioxa-9- azaspiro [5.5 ]undec-2-en-9-yl)-3 -oxopropanoic acid.
Processes for preparing the compound of formula (I) are also within the ambit of this invention. To illustrate, a process for preparing a compound of formula (I)
(I) wherein Y, R1, R2, R3 and R4 are the same as defined above for formula (I), the process comprising treating a compound of formula A:
wherein Y, R1, R3 and R4 are the same as for those groups in formula (I) with an alkali such as sodium hydroxide, in an appropriate solvent, such as aqueous ethanol, at a suitable temperature such as room temperature, to form a compound of formula (I) where R2 is -OH;
It will be appreciated by those skilled in the art that the compounds of formula (I) may exist in one or more of the following tautomeric forms:
(IC)
All tautomeric forms of the compounds described herein, including mixtures thereof, are intended to be encompassed within the scope of the invention. As a convention, the compounds exemplified herein have been assigned names based on the structure of the tautomer of formaula (IA). It should be understood that any reference to named compounds of this invention is intended to encompass all tautomers of the named compounds and any mixtures of tautomers of the named compounds.
The compounds of formula (I) may be prepared in crystalline or non-crystalline form, and, if crystalline, may optionally be solvated, e.g. as the hydrate. This invention includes within its scope stoichiometric solvates (e.g. hydrates) as well as compounds containing variable amounts of solvent (e.g. water).
Certain of the compounds described herein may contain one or more chiral atoms, or may otherwise be capable of existing as two enantiomers. The compounds claimed below include mixtures of enantiomers as well as purified enantiomers or enantiomerically enriched mixtures. Also included within the scope of the invention are the individual isomers of the compounds represented by formula (I), or claimed below, as well as any wholly or partially equilibrated mixtures thereof. The present invention also covers the individual isomers of the claimed compounds as mixtures with isomers thereof in which one or more chiral centers are inverted. Also, it is understood that any tautomers and mixtures of tautomers of the claimed compounds are included within the scope of the compounds of formula (I) as disclosed herein above or claimed herein below.
Where there are different isomeric forms they may be separated or resolved one from the other by conventional methods, or any given isomer may be obtained by conventional synthetic methods or by stereospecific or asymmetric syntheses.
While it is possible that, for use in therapy, a compound of formula (I), as well as salts, solvates and the like, may be administered as a neat preparation, i.e. no additional carrier, the more usual practice is to present the active ingredient confected with a carrier or diluent. Accordingly, the invention further provides pharmaceutical compositions, which includes a compound of formula (I) and salts, solvates and the like, and one or more pharmaceutically acceptable carriers, diluents, or excipients. The compounds of formula (I) and salts, solvates, etc, are as described above. The carrier(s), diluent(s) or excipient(s) must be acceptable in the sense of being compatible with the other ingredients of the formulation and not deleterious to the recipient thereof. In accordance with another aspect of the invention there is also provided a process for the preparation of a pharmaceutical formulation including admixing a compound of the formula (I), or salts, solvates etc, with one or more pharmaceutically acceptable carriers, diluents or excipients.
It will be appreciated by those skilled in the art that certain protected derivatives of compounds of formula (I), which may be made prior to a final deprotection stage, may not possess pharmacological activity as such, but may, in certain instances, be administered orally or parenterally and thereafter metabolised in the body to form compounds of the invention which are pharmacologically active. Such derivatives may therefore be described as "prodrugs". Further, certain compounds of the invention may act as prodrugs of other compounds of the invention. All protected derivatives and prodrugs of compounds of the invention are included within the scope of the invention. Examples of suitable pro-drugs for the compounds of the present invention are described in Drugs of Today, Volume 19, Number 9, 1983, pp 499 - 538 and in Topics in Chemistry, Chapter 31 , pp 306 - 316 and in "Design of Prodrugs" by H. Bundgaard, Elsevier, 1985, Chapter 1 (the disclosures in which documents are incorporated herein by reference). It will further be appreciated by those skilled in the art, that certain moieties, known to those skilled in the art as "pro-moieties", for example as described by H. Bundgaard in "Design of Prodrugs" (the disclosure in which document is incorporated herein by reference) may be placed on appropriate functionalities when such functionalities are present within compounds of the invention. Preferred prodrugs for compounds of the invention include : esters, carbonate esters, hemi-esters, phosphate esters, nitro esters, sulfate esters, sulfoxides, amides, carbamates, azo-compounds, phosphamides, glycosides, ethers, acetals and ketals.
Pharmaceutical compositions may be presented in unit dose forms containing a predetermined amount of active ingredient per unit dose. Such a unit may contain, for example, 0.5 mg to 1 g, preferably 1 mg to 700 mg, more preferably 5 mg to 100 mg of a compound of the formula (I), depending on the condition being treated, the route of administration and the age, weight and condition of the patient, or pharmaceutical compositions may be presented in unit dose forms containing a predetermined amount of active ingredient per unit dose. Preferred unit dosage compositions are those containing a daily dose or sub-dose, as herein above recited, or an
appropriate fraction thereof, of an active ingredient. Furthermore, such pharmaceutical compositions may be prepared by any of the methods well known in the pharmacy art.
Pharmaceutical compositions may be adapted for administration by any appropriate route, for example by the oral (including buccal or sublingual), rectal, nasal, topical (including buccal, sublingual or transdermal), vaginal or parenteral (including subcutaneous, intramuscular, intravenous or intradermal) route. Such compositions may be prepared by any method known in the art of pharmacy, for example by bringing into association a compound of formal (I) with the carrier(s) or excipient(s).
Pharmaceutical compositions adapted for oral administration may be presented as discrete units such as capsules or tablets; powders or granules; solutions or suspensions in aqueous or nonaqueous liquids; edible foams or whips; or oil-in-water liquid emulsions or water-in-oil liquid emulsions.
Capsules are made by preparing a powder mixture, as described above, and filling formed gelatin sheaths. Glidants and lubricants such as colloidal silica, talc, magnesium stearate, calcium stearate or solid polyethylene glycol can be added to the powder mixture before the filling operation. A disintegrating or solubilizing agent such as agar-agar, calcium carbonate or sodium carbonate can also be added to improve the availability of the medicament when the capsule is ingested.
Moreover, when desired or necessary, suitable binders, lubricants, disintegrating agents and coloring agents can also be incorporated into the mixture. Suitable binders include starch, gelatin, natural sugars such as glucose or beta-lactose, corn sweeteners, natural and synthetic gums such as acacia, tragacanth or sodium alginate, carboxymethylcellulose, polyethylene glycol, waxes and the like. Lubricants used in these dosage forms include sodium oleate, sodium stearate, magnesium stearate, sodium benzoate, sodium acetate, sodium chloride and the like. Disintegrators include, without limitation, starch, methyl cellulose, agar, bentonite, xanthan gum and the like. Tablets are formulated, for example, by preparing a powder mixture, granulating or slugging, adding a lubricant and disintegrant and pressing into tablets. A powder mixture is prepared by mixing the compound, suitably comminuted, with a diluent or base as described above, and optionally, with a binder such as carboxymethylcellulose, an aliginate, gelatin, or polyvinyl pyrrolidone, a solution retardant such as paraffin, a resorption accelerator such as a quaternary salt and/or an absorption agent such as bentonite, kaolin or dicalcium phosphate. The powder mixture can be granulated by tablet forming dies by means of the addition of stearic acid, a stearate salt, talc or mineral oil. The lubricated mixture is then compressed into tablets. The compounds of the present invention can also be combined with a free flowing inert carrier and compressed into tablets directly without going through the granulating or slugging steps. A clear or opaque protective coating consisting of a sealing coat of shellac, a coating of sugar or polymeric material
and a polish coating of wax can be provided. Dyestuffs can be added to these coatings to distinguish different unit dosages.
Oral fluids such as solution, syrups and elixirs can be prepared in dosage unit form so that a given quantity contains a predetermined amount of a compound of formula (I). Syrups can be prepared by dissolving the compound in a suitably flavored aqueous solution, while elixirs are prepared through the use of a non-toxic alcoholic vehicle. Suspensions can be formulated by dispersing the compound in a non-toxic vehicle. Solubilizers and emulsifiers such as ethoxylated isostearyl alcohols and polyoxy ethylene sorbitol ethers, preservatives, flavor additive such as peppermint oil or natural sweeteners or saccharin or other artificial sweeteners, and the like can also be added.
Where appropriate, dosage unit pharmaceutical compositions for oral administration can be microencapsulated. The formulation can also be prepared to prolong or sustain the release as for example by coating or embedding particulate material in polymers, wax or the like.
Pharmaceutical compositions adapted for rectal administration may be presented as suppositories or as enemas.
Pharmaceutical compositions adapted for vaginal administration may be presented as pessaries, tampons, creams, gels, pastes, foams or spray formulations.
Pharmaceutical formulations adapted for parenteral administration include aqueous and non-aqueous sterile injection solutions which may contain anti-oxidants, buffers, bacteriostats and solutes which render the composition isotonic with the blood of the intended recipient; and aqueous and non-aqueous sterile suspensions which may include suspending agents and thickening agents. The pharmaceutical compositions may be presented in unit-dose or multi-dose containers, for example sealed ampoules and vials, and may be stored in a freeze-dried (lyophilized) condition requiring only the addition of the sterile liquid carrier, for example water for injections, immediately prior to use. Extemporaneous injection solutions and suspensions may be prepared from sterile powders, granules and tablets.
It should be understood that in addition to the ingredients particularly mentioned above, the pharmaceutical compositions may include other agents conventional in the art having regard to the type of formulation in question, for example those suitable for oral administration may include flavouring agents.
A therapeutically effective amount of a compound of the present invention will depend upon a number of factors including, for example, the age and weight of the intended recipient, the precise condition requiring treatment and its severity, the nature of the formulation, and the route of administration, and will ultimately be at the discretion of the attendant prescribing the medication. However, an effective amount of a compound of formula (I) for the treatment of anemia will generally be in the range of 0.1 to 100 mg/kg body weight of recipient per day and
more usually in the range of 1 to 10 mg/kg body weight per day. Thus, for a 70kg adult mammal, the actual amount per day would usually be from 70 to 700 mg and this amount may be given in a single dose per day or more usually in a number (such as two, three, four, five or six) of sub-doses per day such that the total daily dose is the same. An effective amount of a salt or solvate, etc., may be determined as a proportion of the effective amount of the compound of formula (I) per se. It is envisaged that similar dosages would be appropriate for treatment of the other conditions referred to above.
Definitions DMF - N,N-dimethylformamide
DMSO - dimethylsulfoxide
HPLC - high pressure liquid chromatography
LCMS - liquid chromatography/mass spectrometry
NMR - nuclear magnetic resonance rt - room temperature
TFA - Trifluoroacetic acid
EDC - N-[3-(dimethylamino)propyl]-N'-ethylcarbodiimide hydrochloride
HOAt - 1 -hydroxy-7-azabenzotriazole
Chemical Background:
The compounds of this invention may be made by a variety of methods, including standard chemistry. Any previously defined variable will continue to have the previously defined meaning unless otherwise indicated. Illustrative general synthetic methods are set out below and then specific compounds of the invention as prepared are given in the examples. Compounds of general formula (I) may be prepared by methods known in the art of organic synthesis as set forth in part by the following synthesis schemes. In all of the schemes described below, it is well understood that protecting groups for sensitive or reactive groups are employed where necessary in accordance with general principles of chemistry. Protecting groups are manipulated according to standard methods of organic synthesis (T. W. Green and P. G. M. Wuts (1991) Protecting Groups in Organic Synthesis. John Wiley & Sons). These groups are removed at a convenient stage of the compound synthesis using methods that are readily apparent to those skilled in the art. The selection of processes as well as the reaction conditions and order of their execution shall be consistent with the preparation of compounds of formula (I). Those skilled in the art will recognize if a stereocenter exists in compounds of formula (I). Accordingly, the present invention includes both possible stereoisomers and includes not only racemic compounds but the individual enantiomers as well. When a compound is desired as a single enantiomer, it may
be obtained by stereospecific synthesis or by resolution of the final product or any convenient intermediate. Resolution of the final product, an intermediate, or a starting material may be effected by any suitable method known in the art. See, for example, Stereochemistry of Organic Compounds by E. L. EHeI, S. H. Wilen, and L. N. Mander (Wiley-Interscience, 1994).
Illustrated Methods of preparation
Scheme 1
Scheme 2
Scheme 3
Experimentals
Example 1
N-[(6-Hydroxy-2,2-dimethyl-4-oxo-4H-l,3-dioxin-5-yl)carbonyl]glycine a) Ethyl N-[(6-hydroxy-2,2-dimethyl-4-oxo-4H- l,3-dioxin-5-yl)carbonyl]glycinate. Triethylamine (0.836 niL, 6.00 mmol) was added to a stirred solution of 2,2-dimethyl-l,3- dioxane-4,6-dione (0.432 g, 3.00 mmol) in N,N-dimethylformamide (3 mL) at room temperature under nitrogen. After 5 min, ethyl isocyanatoacetate (0.336 mL, 3.00 mmol) was injected and stirring continued for 1 h. The mixture was poured into ice-cold 0.1 M aqueous hydrochloric acid (30 mL), stirred and the solid collected, washed with water and dried to give the title compound (0.560 g, 68%) as a white solid. 1Η NMR (400 MHz,
DMSO-(Z6) δ ppm 1.22 (t, J=7.07 Hz, 3 H) 1.67 (s, 6 H) 4.16 (q, J=7.07 Hz, 2 H) 4.21 (d, J=5.81 Hz, 2 H) 9.58 (t, J=5.68 Hz, 1 H). b) N-[(6-Hydroxy-2,2-dimethyl-4-oxo-4H-l,3-dioxin-5-yl)carbonyl]glycine. IM aqueous sodium hydroxide (2.00 mL, 2.00 mmol) was added dropwise to a solution of ethyl N-[(6- hydroxy-2,2-dimethyl-4-oxo-4H- 1 ,3-dioxin-5-yl)carbonyl]glycinate (0.100 g, 0.366 mmol) in methanol (6 mL) stirred at room temperature. After 4 h, water (40 mL) was added and the mixture acidified to pΗ 2-3 with IM aqueous hydrochloric acid, then extracted with ethyl acetate. The extracts were dried (MgSO4) and the solvent removed under reduced pressure. The residue was triturated with ether and the solid collected and dried to give the title compound (0.049 g, 54%) as a cream solid. 1Η NMR (400 MHz, DMSO-(Z6) δ ppm
1.67 (s, 6 H) 4.13 (d, J=5.56 Hz, 2 H) 9.54 (t, J=5.43 Hz, 1 H) 13.15 (br. s., 1 H) 15.06 (br. s., 1 H)
Example 2
N-[(2-Hydroxy-4-oxo-l,5-dioxaspiro[5.5]undec-2-en-3-yl)carbonyl]glycine a) l,5-Dioxaspiro[5.5]undecane-2,4-dione. A solution of 2,2-dimethyl-l,3-dioxane-4,6-dione (0.432 g, 3.00 mmol) and cyclohexanone (0.315 niL, 3.04 mmol) in toluene (4 niL) was heated under reflux with stirring for 1 h, then cooled and chromatographed directly (silica gel, 10-50% ethyl acetate/hexane) to give the title compound (0.397 g, 72%) as a white solid. lH NMR (400 MHz, CHLOROFORM-rf) δ ppm l.49 - 1.57 (m, 2 H) 1.73 - 1.81 (m, 4 H) 1.96 - 2.03 (m, 4 H) 3.64 (s, 2 H). b) Ethyl N-[(2-hydroxy-4-oxo-l,5-dioxaspiro[5.5]undec-2-en-3-yl)carbonyl]glycinate. Ethyl isocyanatoacetate (0.242 mL, 2.16 mmol) was injected into a stirred solution of 1,5- dioxaspiro[5.5]undecane-2,4-dione (0.395 g, 2.14 mmol) and triethylamine (0.602 mL,
4.32 mmol) in N,N-dimethylformamide (2.5 mL) at room temperature under nitrogen. After stirring 18 h, ice-cooled 0.2M aqueous hydrochloric acid (50 mL) was added rapidly with stirring, then the precipitated solid filtered, washed with water and dried to give the title compound (0.573 g, 85%) as an off-white solid. IH NMR (400 MHz, DMSO-^6) δ ppm 1.22 (t, J=7.07 Hz, 3 H) 1.40 - 1.49 (m, 2 H) 1.54 - 1.63 (m, 4 H) 1.90 - 1.98 (m, 4 H)
4.16 (q, J=7.24 Hz, 2 H) 4.20 (d, J=6.06 Hz, 2 H) 9.56 (t, J=5.81 Hz, 1 H). c) N-[(2-Hydroxy-4-oxo-l,5-dioxaspiro[5.5]undec-2-en-3-yl)carbonyl]glycine. IM aqueous sodium hydroxide (6.00 mL, 6.00 mmol) was added slowly to a solution of ethyl N- [(2- hydroxy-4-oxo-l,5-dioxaspiro[5.5]undec-2-en-3-yl)carbonyl]glycinate (0.570 g, 1.82 mmol) in methanol (30 mL) stirred at room temperature. After 2 h, water (120 mL) was added, the mixture filtered and the filtrate acidified to pH 2 with IM aqueous hydrochloric acid, then extracted with ethyl acetate. The extracts were dried (MgSO4) and the solvent removed under reduced pressure. The residue was triturated with warm ether and the solid collected after cooling, washed with ether and dried to give the title compound (0.222 g, 43%) as a solid. IH ΝMR (400 MHz, DMSO-^6) δ ppm 1.39 - 1.49 (m, 2 H) 1.51 - 1.65
(m, 4 H) 1.86 - 2.00 (m, 4 H) 4.12 (d, J=5.81 Hz, 2 H) 9.52 (t, J=5.56 Hz, 1 H) 13.14 (br. s., 1 H).
N-[(6-Hydroxy-2-methyl-4-oxo-2-phenyl-4H-l,3-dioxin-5-yl)carbonyl]glycine a) 2-Methyl-2-phenyl-l,3-dioxane-4,6-dione. A solution of 2,2-dimethyl-l,3-dioxane-4,6- dione (0.720 g, 5.00 mmol) and acetophenone (0.600 g, 5.00 mmol) in toluene (5 niL) was heated under reflux with stirring for 20 min, then cooled and chromatographed directly (silica gel, 10-50% ethyl acetate/hexane) to give the title compound (0.074 g, 7%) as a white solid. IH NMR (400 MHz, DMSO-^6) δ ppm 1.94 (s, 3 H) 3.46 (d, J=20.21 Hz, 1 H) 3.71 (d, J=20.46 Hz, 1 H) 7.41 - 7.47 (m, 2 H) 7.47 - 7.55 (m, 3 H). b) N-[(6-Hydroxy-2-methyl-4-oxo-2-phenyl-4H-l,3-dioxin-5-yl)carbonyl]glycine. Ethyl isocyanatoacetate (0.040 niL, 0.360 mmol) was injected into a stirred solution of 2-methyl- 2-phenyl-l,3-dioxane-4,6-dione (0.072 g, 0.349 mmol) and triethylamine (0.100 mL, 0.720 mmol) in N,N-dimethylformamide (1 mL) at room temperature under nitrogen. After stirring 60 h, ice-cooled 0. IM aqueous hydrochloric acid (50 mL) was added rapidly with stirring and the mixture extracted with ethyl acetate. The extracts were washed with water, brine, dried (MgSO4) and evaporated under reduced pressure. The residue was chromatographed (silica gel, 1-8% methanol/dichloromethane) to give the intermediate ester (0.063 g,) sufficiently pure for the next step. IM aqueous sodium hydroxide (1.20 mL, 1.20 mmol) was added dropwise to a stirred solution of the intermediate ester in methanol (5 mL) and the mixture stirred at room temperature for 18 h. After filtering, the mixture was diluted with water (30 mL), acidified to pH 2-3 with IM aqueous hydrochloric acid, then extracted with ethyl acetate. The extracts were dried (MgSO4) and the solvent removed under reduced pressure. The residue was dissolved in IM aqueous sodium hydroxide and reprecipitated with IM aqueous hydrochloric acid. The gummy precipitate was collected and dried under reduced pressure to give the title compound
(0.032 g, 30%) as a cream powder. IH NMR (400 MHz, DMSO-^6) δ ppm 1.86 (s, 3 H) 4.04 (d, J=5.56 Hz, 2 H) 7.37 - 7.49 (m, 5 H) 9.44 (t, J=5.31 Hz, 1 H) 13.09 (s, 1 H).
Example 4
N-{[2-Ethyl-6-hydroxy-4-oxo-2-(phenylmethyl)-4H-l,3-dioxin-5-yl]carbonyl}glycine a) 2-Ethyl-2-(phenylmethyl)-l,3-dioxane-4,6-dione. A solution of 2,2-dimethyl-l,3-dioxane- 4,6-dione (0.720 g, 5.00 mmol) and 1 -phenyl-2-butanone (0.740 g, 5.00 mmol) in toluene (20 niL) was heated at reflux under nitrogen with stirring for 1 h, then cooled and chromatographed directly (silica gel, 10-50% ethyl acetate/hexane) to give the title compound (0.225 g, 19%) as a white solid. IH NMR (400 MHz, DMSO-^6) δ ppm 0.96 (t, J=7.45 Hz, 3 H) 1.89 (q, J=IAl Hz, 2 H) 3.32 (s, 2 H) 3.78 (d, J=21.00 Hz, 1 H) 3.87 (d, J=20.70 Hz, 1 H) 7.22 - 7.27 (m, 2 H) 7.28 - 7.38 (m, 3 H). b) N- {[2-Ethyl-6-hydroxy-4-oxo-2-(phenylmethyl)-4H-l,3-dioxin-5-yl]carbonyl} glycine. Ethyl isocyanatoacetate (0.108 niL, 0.963 mmol) was injected into a stirred solution of 2- ethyl-2-(phenylmethyl)-l,3-dioxane-4,6-dione (0.223 g, 0.952 mmol) and triethylamine (0.268 mL, 1.92 mmol) in N,N-dimethylformamide (2 mL) at room temperature under nitrogen. After stirring 18 h, ice-cooled 0.1M aqueous hydrochloric acid (50 mL) was added rapidly with stirring and the mixture extracted with ethyl acetate. The extracts were washed with water, brine, dried (MgSO4) and evaporated under reduced pressure. IM aqueous sodium hydroxide (5.00 mL, 5.00 mmol) was added dropwise to a stirred solution of the residue in ethanol (30 mL) and the mixture stirred at room temperature for 2 h. After filtering, most of the ethanol was removed under reduced pressure and the mixture diluted with water (50 mL), then acidified to pH 2 with IM aqueous hydrochloric acid. The precipitate was filtered, washed with water and dried to give the title compound (0.236 g, 74%) as a cream solid. IH NMR (400 MHz, OMSO-d6) δ ppm 0.96 (t, J=7.45 Hz, 3 H) 1.85 (q, J=7.41 Hz, 2 H) 3.26 (s, 2 H) 4.11 (d, J=5.56 Hz, 2 H) 7.21 - 7.36 (m, 5 H) 9.51 (t, J=5.69 Hz, 1 H) 13.14 (br. s., 1 H).
Example 5
N-[(6-Hydroxy-4-oxo-3',4'-dihydro-lΗ,4H-spiro[l,3-dioxin-2,2'-naphthalen]-5- yl)carbonyl]glycine a) Ethyl N-[(6-hydroxy-4-oxo-3',4'-dihydro-rH,4H-spiro[l,3-dioxin-2,2'-naphthalen]-5- yl)carbonyl]glycinate. A solution of ethyl N-[(6-hydroxy-2,2-dimethyl-4-oxo-4H- 1,3- dioxin-5-yl)carbonyl]glycinate (0.134 g, 0.490 mmol) and β-tetralone (0.060 mL, 0.500 mmol) in toluene (3 mL) was stirred at reflux under nitrogen for 1.5 h, then cooled and
chromatographed (silica gel, 1 -7% methanol/dichloromethane) to give the partially purified title compound (0.037 g). LCMS m/z 362 (MH+). b) N-[(6-Hydroxy-4-oxo-3',4'-dihydro-lΗ,4H-spiro[l,3-dioxin-2,2'-naphthalen]-5- yl)carbonyl]glycine. IM aqueous sodium hydroxide (0.50 mL, 0.500 mmol) was added dropwise to a stirred solution of ethyl N-[(6-hydroxy-4-oxo-3',4'-dihydro-l'H,4H-spiro[l,3- dioxin-2,2'-naphthalen]-5-yl)carbonyl]glycinate (0.037 g) in ethanol (3 mL) and the mixture stirred at room temperature for 2 h. The mixture was diluted with water (20 mL), filtered, then acidified to pΗ 2 with IM aqueous hydrochloric acid. The precipitate was filtered, washed with water and dried to give the title compound (0.015 g, 9% over 2 steps) as a cream solid. 1Η NMR (400 MHz, DMSO-^6) δ ppm 2.32 (t, J=6.69 Hz, 2 H) 2.93 (t,
J=6.69 Hz, 2 H) 3.34 (s, 2 H) 4.14 (d, J=5.56 Hz, 2 H) 7.10 - 7.22 (m, 4 H) 9.56 (t, J=5.43 Hz, 1 H) 13.14 (br. s., I H).
Example 6
N-[(2-Hydroxy-4-oxo-9-phenyl-l,5-dioxaspiro[5.5]undec-2-en-3-yl)carbonyl]glycine A mixture of ethyl N-[(6-hydroxy-2,2-dimethyl-4-oxo-4H-l,3-dioxin-5- yl)carbonyl]glycinate (0.546 g, 2.00 mmol), 4-phenylcyclohexanone (0.697 g, 4.00 mmol) and toluene (10 mL) was stirred at reflux under nitrogen for 2 h, then cooled and chromatographed (silica gel, 1 -7% methanol/dichloromethane) to give the partially purified ester intermediate (1.20 g). IM aqueous sodium hydroxide (10.0 mL, 10.0 mmol) was added dropwise to a stirred solution of the ester intermediate in ethanol (50 mL) at room temperature and the mixture stirred for 3 h. The mixture was concentrated under reduced pressure to a volume of about 10 mL, then acidified to pΗ 2 with 0.1M aqueous hydrochloric acid and extracted with ether. The organic extracts were washed with IM aqueous sodium hydroxide, then the aqueous layer re-acidified with 0. IM aqueous hydrochloric acid and again extracted with ether. The extracts were dried (MgSO/t) and evaporated under reduced pressure. The residue was triturated with ether and the solid filtered, washed with ether and dried to give the title compound (0.380 g, 53%) as a cream solid. 1Η NMR (400 MHz, OMSO-d6) δ ppm 1.63 - 1.78 (m, 2 H) 1.80 - 1.88 (m, 2 H)
1.89 - 2.00 (m, 2 H) 2.27 - 2.38 (m, 2 H) 2.66 - 2.78 (m, 1 H) 4.14 (d, J=5.56 Hz, 2 H) 7.16 - 7.27 (m, 3 H) 7.28 - 7.36 (m, 2 H) 9.54 (t, J=5.68 Hz, 1 H) 13.15 (br. s., 1 H).
Example 7
N-[(2-Hydroxy-4-oxo-7-phenyl-l,5-dioxaspiro[5.5]undec-2-en-3-yl)carbonyl]glycine A mixture of ethyl N-[(6-hydroxy-2,2-dimethyl-4-oxo-4H- 1 ,3-dioxin-5- yl)carbonyl]glycinate (0.546 g, 2.00 mmol), 2-phenylcyclohexanone (0.697 g, 4.00 mmol) and toluene (10 mL) was stirred at reflux under nitrogen for 2 h, then cooled and evaporated under reduced pressure. IM aqueous sodium hydroxide (10.0 mL, 10.0 mmol) was added dropwise to a stirred mixture of the residue and ethanol (50 mL) at room temperature and the mixture stirred for 3 h. The mixture was concentrated under reduced pressure to a volume of about 10 mL, then acidified to pΗ 2 with IM aqueous hydrochloric acid and extracted with ether. The extracts were dried (MgSO4) and evaporated under reduced pressure. The residue was purified by reverse-phase preparative ΗPLC (ODS, 10- 90% acetonitrile/water + 0.1% trifluoroacetic acid). The product-containing fractions were concentrated under reduced pressure and extracted with ether. The extracts were dried
(MgSO4) and evaporated under reduced pressure to give the title compound (0.184 g, 25%) as a white foam. 1Η NMR (400 MHz, DMSO-(Z6) δ ppm 1.38 - 1.66 (m, 2 H) 1.70 - 1.88 (m, 4 H) 2.00 - 2.15 (m, 1 H) 2.39 - 2.46 (m, 1 H) 3.14 (dd, J=13.14, 3.79 Hz, 1 H) 4.03 (d, J=5.81 Hz, 2 H) 7.18 - 7.33 (m, 5 H) 9.35 (t, J=5.81 Hz, 1 H) 13.09 (br. s., 1 H).
Example 8
N-{[2-Hydroxy-4-oxo-7-(phenylmethyl)-l,5-dioxaspiro[5.5]undec-2-en-3-yl]carbonyl}glycine a) Ethyl N- {[2-hydroxy-4-oxo-7-(phenylmethyl)-l,5-dioxaspiro[5.5]undec-2-en-3- yl]carbonyl}glycinate. A mixture of ethyl N-[(6-hydroxy-2,2-dimethyl-4-oxo-4H- 1,3- dioxin-5-yl)carbonyl]glycinate (0.273 g, 1.00 mmol), 2-benzylcyclohexanone (0.377 g, 2.00 mmol) and toluene (10 mL) was stirred at reflux under nitrogen for 2 h, then cooled and chromatographed (silica gel, 20- 100% ethyl acetate/hexane) to give the title compound (0.075 g, 19%) as a colourless gum. LCMS m/z 404 (MH+).
b) N-{[2-Hydroxy-4-oxo-7-(phenylmethyl)-l,5-dioxaspiro[5.5]undec-2-en-3- yl]carbonyl}glycine. IM aqueous sodium hydroxide (2.0 niL, 2.0 mmol) was added dropwise to a stirred solution of ethyl N-{[2-hydroxy-4-oxo-7-(phenylmethyl)-l,5- dioxaspiro[5.5]undec-2-en-3-yl]carbonyl}glycinate (0.073 g, 0.181 mmol) in ethanol (10 mL) at room temperature and the mixture stirred for 3 h. After filtering, most of the ethanol was removed under reduced pressure, and the mixture acidified to pH 2 with IM aqueous hydrochloric acid and extracted with ether. The extracts were washed (brine), dried (MgSO4) and evaporated under reduced pressure. The residue was purified by reverse-phase preparative HPLC (ODS, 10-90% acetonitrile/water + 0.1% trifluoroacetic acid). The product-containing fractions were concentrated under reduced pressure and extracted with ether. The extracts were dried (MgSO4) and evaporated under reduced pressure to give the title compound (0.044 g, 65%) as a foam. LCMS m/z 376 (MH+).
Example 9
N-[(6-Hydroxy-4-oxo-4H-spiro[l,3-dioxin-2,2'-tricyclo[3.3.1.1~3,7~]decan]-5-yl)carbonyl]glycine A solution of ethyl N-[(6-hydroxy-2,2-dimethyl-4-oxo-4H-l,3-dioxin-5- yl)carbonyl]glycinate (0.273 g, 1.00 mmol), 2-adamantanone (0.300 g, 2.00 mmol) and toluene (10 mL) was stirred at reflux under nitrogen for 2 h, then cooled and chromatographed (silica gel, 0-8% methanol/dichloromethane) to give the partially purified ester intermediate (0.252 g). IM aqueous sodium hydroxide (3.00 mL, 3.00 mmol) was added dropwise to a stirred solution of the ester intermediate in ethanol (10 mL) at room temperature and the mixture stirred for 2 h. The mixture was diluted with water (50 mL), filtered, then acidified to pΗ 2 with IM aqueous hydrochloric acid. The precipitate was filtered, washed with water and dried to give the title compound (0.125 g,
37%) as a cream solid. 1Η NMR (400 MHz, DMSO-^6) δ ppm 1.66 - 1.77 (m, 6 H) 1.81 - 1.87 (m, 2 H) 1.89 - 2.03 (m, 4 H) 2.27 - 2.36 (m, 2 H) 4.12 (d, J=5.56 Hz, 2 H) 9.49 (t, J=5.31 Hz, 1 H) 13.15 (br. s., 1 H).
Example 10
N-[(9- {[(1 , 1 -Dimethylethyl)oxy]carbonyl} -2-hydroxy-4-oxo- 1 ,5-dioxa-9-azaspiro[5.5]undec-2-en-
3-yl)carbonyl]glycine a) Ethyl N-[(9-{[(l,l-dimethylethyl)oxy]carbonyl}-2-hydroxy-4-oxo-l,5-dioxa-9- azaspiro[5.5]undec-2-en-3-yl)carbonyl]glycinate. A solution of ethyl N-[(6-hydroxy-2,2- dimethyl-4-oxo-4H-l,3-dioxin-5-yl)carbonyl]glycinate (0.273 g, 1.00 mmol), 1,1- dimethylethyl 4-oxo-l-piperidinecarboxylate (0.400 g, 2.00 mmol) and toluene (10 mL) was stirred at reflux under nitrogen for 2 h, then cooled and chromatographed (silica gel, 1 - 9% methanol/dichloromethane) to give the title compound (0.166 g, 40%). 1 Η NMR (400
MHz, DMSO-(Z6) δ ppm 1.20 (t, J=7.02 Hz, 3 H) 1.41 (s, 9 H) 1.88 - 1.95 (m, 4 H) 3.39 - 3.44 (m, 4 H) 4.05 (d, J=5.56 Hz, 2 H) 4.11 (q, J=7.16 Hz, 2 H) 9.29 (s, 1 H). b) N-[(9-{[(l,l-Dimethylethyl)oxy]carbonyl}-2-hydroxy-4-oxo-l,5-dioxa-9- azaspiro[5.5]undec-2-en-3-yl)carbonyl]glycine. IM aqueous sodium hydroxide (2.00 mL, 2.00 mmol) was added dropwise to a stirred solution of ethyl N- [(9- {[(1,1 - dimethylethyl)oxy]carbonyl} -2-hydroxy-4-oxo- 1 ,5-dioxa-9-azaspiro[5.5]undec-2-en-3- yl)carbonyl]glycinate (0.164 g, 0.396 mmol) in ethanol (5 mL) at room temperature and the mixture stirred for 3 h. The mixture was filtered and diluted with water (50 mL). Acetic acid (3 mL) was added and the mixture extracted with ethyl acetate. The extracts were dried (MgSO4) and evaporated under reduced pressure. The residue was azeotroped three times with toluene and triturated with ether. The solid was collected and dried to give the title compound (0.115 g, 75%) as a cream solid. IH NMR (400 MHz, DMSO-(Z6) δ ppm 1.41 (s, 9 H) 1.96 - 2.03 (m, 4 H) 3.41 - 3.47 (m, 4 H) 4.12 (d, J=5.31 Hz, 2 H) 9.52 (t, J=5.18 Hz, 1 H) 13.12 (br. s., 1 H).
Example 11
4-(3-{[(Carboxymethyl)amino]carbonyl}-2-hydroxy-4-oxo-l,5-dioxa-9-azaspiro[5.5]undec-2-en-
9-yl)-4-oxobutanoic acid
a) Methyl 4-[3-({[2-(ethyloxy)-2-oxoethyl]amino}carbonyl)-2-hydroxy-4-oxo-l,5-dioxa-9- azaspiro[5.5]undec-2-en-9-yl]-4-oxobutanoate. A solution of ethyl N-[(9-{[(l,l- dimethylethyl)oxy]carbonyl} -2-hydroxy-4-oxo- 1 ,5-dioxa-9-azaspiro[5.5]undec-2-en-3- yl)carbonyl]glycinate (example 10(a), 0.829 g, 2.00 mmol) in trifluoroacetic acid (1.5 niL) and dichloromethane (25 niL) was stirred at room temperature for 1 h, then evaporated under reduced pressure. The residue was azeotroped three times with toluene to give the crude amine trifluoroacetate salt (0.985 g). The crude salt (0.200 g) was dissolved in N,N- dimethylformamide (2 mL) and l-hydroxy-7-azabenzotriazole (0.082 g, 0.600 mmol), triethylamine (0.154 mL, 1.10 mmol), methyl succinate (0.080 g, 0.600 mmol) and N-[3- (dimethylamino)propyl]-N'-ethylcarbodiimide hydrochloride (0.115 g, 0.600 mmol) added in that order and the mixture stirred at room temperature for 18 h. Water (40 mL) was added and the mixture acidified to pH 2 with IM aqueous hydrochloric acid, then extracted with ethyl acetate. The extracts were washed with water, brine, dried (MgSO/t) and evaporated under reduced pressure. The residue was chromatographed (silica gel, 2-10% methanol/dichloromethane) to give the title compound (0.099 g, 57%). LCMS m/z 429
(MH+). b) 4-(3- {[(Carboxymethyl)amino]carbonyl}-2-hydroxy-4-oxo-l,5-dioxa-9- azaspiro[5.5]undec-2-en-9-yl)-4-oxobutanoic acid. IM aqueous sodium hydroxide (1.14 mL, 1.14 mmol) was added dropwise to an ice-cooled, stirred solution of methyl 4-[3-({[2- (ethyloxy)-2-oxoethyl]amino}carbonyl)-2-hydroxy-4-oxo-l,5-dioxa-9-azaspiro[5.5]undec-
2-en-9-yl]-4-oxobutanoate (0.098 g, 0.229 mmol) in ethanol (5 mL) and the mixture stirred for 2 h. Water (40 mL) was added and the mixture acidified to pH 2 with IM aqueous hydrochloric acid, saturated with salt, then extracted with ethyl acetate. About 20% starting material was present by LCMS. The residue from the extracts after evaporation was redissolved in ethanol (5 mL), cooled in ice and 0.5M aqueous sodium hydroxide
(6.00 mL, 3.00 mmol) added dropwise. After 2 h, water (40 mL) was added and the mixture acidified to pH 2 with IM aqueous hydrochloric acid, saturated with salt, then extracted with ethyl acetate. The extracts were washed with brine, dried (MgSO/t) and evaporated under reduced pressure. The residue was purified by reverse-phase preparative HPLC (ODS, 10-90% acetonitrile/water + 0.1% trifluoroacetic acid). The product was triturated with ether to give the title compound (0.023 g, 26%) as a cream powder. LCMS m/z 387 (MH+).
Example 12
9-yl)-3-oxopropanoic acid a) Phenylmethyl 3-[3-({[2-(ethyloxy)-2-oxoethyl]amino}carbonyl)-2-hydroxy-4-oxo-l,5- dioxa-9-azaspiro[5.5]undec-2-en-9-yl]-3-oxopropanoate. The amine trifluoroacetate salt of example 1 l(a) (0.200 g) was dissolved in N,N-dimethylformamide (2 mL) and 1- hydroxy-7-azabenzotriazole (0.082 g, 0.600 mmol), triethylamine (0.154 mL, 1.10 mmol), benzyl malonate (0.117 g, 0.600 mmol) and N- [3- (dimethy lamino)propyl]-N- ethylcarbodiimide hydrochloride (0.115 g, 0.600 mmol) added in that order and the mixture stirred at room temperature for 18 h. Water (40 mL) was added and the mixture acidified to pH 2 with IM aqueous hydrochloric acid, then extracted with ethyl acetate. The extracts were washed with water, brine, dried (MgSO4) and evaporated under reduced pressure. The residue was chromatographed (silica gel, 2-10% methanol/dichloromethane) to give the title compound (0.123 g, -43%), LCMS m/z 491 (MH+), containing benzyl malonic acid as an impurity, b) 3-(3- {[(Carboxymethyl)amino]carbonyl}-2-hydroxy-4-oxo-l,5-dioxa-9- azaspiro[5.5]undec-2-en-9-yl)-3-oxopropanoic acid. A solution of phenylmethyl 3-[3- ({[2-(ethyloxy)-2-oxoethyl]amino}carbonyl)-2-hydroxy-4-oxo-l,5-dioxa-9- azaspiro[5.5]undec-2-en-9-yl]-3-oxopropanoate (0.121 g, 0.247 mmol) in methanol (10 mL) was shaken with 5% palladium-on-charcoal (0.100 g, 0.047 mmol) under 50 psi hydrogen for 1 h. The hydrogen was flushed out and the mixture filtered through a PTFE micropore filter. The solvent was removed from the filtrate under reduced pressure. The residue was dissolved in ethanol (4 mL), cooled in ice and IM aqueous sodium hydroxide (2.00 mL, 2.00 mmol) added dropwise. After 4 h, IM aqueous hydrochloric acid (3 mL) was added and the mixture poured into brine, then extracted with ethyl acetate. The extracts were dried (MgSO4) and evaporated under reduced pressure to give the title compound (0.049 g, 53%) as a foam. LCMS m/z 373 (MH+).
Biological Background:
The following references set out information about the target enzymes, HIF prolyl hydroxylases, and methods and materials for measuring inhibition of same by small molecules.
M. Hirsila, P. Koivunen, V. Gunzler, K. I. Kivirikko, and J. Myllyharju "Characterization of the Human Prolyl 4-Hydroxylases That Modify the Hypoxia- inducible Factor" J. Biol. Chem., 2003, 278, 30772-30780.
C. Willam, L. G. Nicholls, P. J. Ratcliffe, C. W. Pugh, P. H. Maxwell "The prolyl hydroxylase enzymes that act as oxygen sensors regulating destruction of hypoxia- inducible factor α" Advan. Enzyme Regul, 2004, 44, 75-92
M. S. Wiesener, J. S. Jurgensen, C. Rosenberger, C. K. Scholze, J. H. Hδrstrup, C. Warnecke, S. Mandriota, I. Bechmann, U. A. Frei, C. W. Pugh, P. J. Ratcliffe, S. Bachmann, P. H. Maxwell, and K.-U. Eckardt "Widespread hypoxia-inducible expression of HIF-2u- in distinct cell populations of different organs" FASEB J., 2003, 17, 271-273.
S. J. Klaus, C. J. Molineaux, T. B. Neff, V. Guenzler-Pukall, I. Lansetmo Parobok, T. W. Seeley, R. C. Stephenson "Use of hypoxia-inducible factor α (HIF α) stabilizers for enhancing erythropoiesis" PCT Int. Appl. (2004), WO 2004108121 Al
C. Warnecke, Z. Zaborowska, J. Kurreck, V. A. Erdmann, U. Frei, M. Wiesener, and K.-U. Eckardt "Differentiating the functional role of hypoxia-inducible factor (HIF)- 1 α and HIF-2α (EPAS-I) by the use of RNA interference: erythropoietin is a HIF-2α target gene in Hep3B and Kelly cells" FASEB J., 2004, 18, 1462-1464.
For the expression of EGLNS see: R. K. Bruick and S. L. McKnight "A Conserved Family of Prolyl-4-Hydroxylases That
Modify HIF" Science, 2001, 294, 1337-1340.
For the expression ofHIF2a-CODD see: a) P. Jaakkola, D. R. Mole, Y.-M. Tian, M. I. Wilson, J. Gielbert, S. J. Gaskell, A. von Kriegsheim, H. F. Hebestreit, M. Mukherji, C. J. Schofield, P. H. Maxwell, C. W. Pugh, P, J.
Ratcliffe "Targeting of HIF-α to the von Hippel-Lindau Ubiquitylation Complex by O2- Regulated Prolyl Hydroxylation" Science, 2001, 292, A(&-A12. b) M. Ivan, K. Kondo, H. Yang, W. Kim, J. Valiando, M. Ohh, A. Salic, J. M. Asara, W. S. Lane, W. G. Kaelin Jr. "HIFα Targeted for VHL-Mediated Destruction by Proline Hydroxylation: Implications for O2 Sensing" Science, 2001, 292, 464-468.
For the expression of VHL, elongin b and elongin c see:
A. Pause, S. Lee, R. A. Worrell, D. Y. T. Chen, W. H. Burgess, W. M. Linehan, R. D. Klausner "The von Hippel-Lindau tumor-suppressor gene product forms a stable complex with
human CUL-2, a member of the Cdc53 family of proteins" Proc. Natl. Acad. ScL USA, 1997, 94, 2156-2161.
Biological Assay(s) EGLN3 Assay Materials:
His-MBP-EGLN3 (6HisMBPAttBlEGLN3(l-239)) was expressed in E. CoIi and purified from an amylase affinity column. Biotin-VBC [6HisSumoCysVHL(2-213), 6HisSumoElonginB(l-l 18), and 6HisSumoElonginC(l-l 12)] and His-GBl-HIF2α-CODD (6HisGB ltevHIF2A(467-572)) were expressed from E. CoIi. Method:
Cy5-labelled HIF2α CODD, and a biotin-labeled VBC complex were used to determine EGLN3 inhibition. EGLN3 hydroxylation of the Cy5CODD substrate results in its recognition by the biotin-VBC. Addition of a Europium/streptavidin (Eu/SA) chelate results in proximity of Eu to Cy5 in the product, allowing for detection by energy transfer. A ratio of Cy5 to Eu emission
(LANCE Ratio) is the ultimate readout, as this normalized parameter has significantly less variance than the Cy5 emission alone.
Then 5OnL of inhibitors in DMSO (or DMSO controls) were stamped into a 384-well low volume Corning NBS plate, followed by addition of 2.5 μL of enzyme [50 mL buffer (50 mM HEPES/50 mM KCl) + 1 mL of a 10 mg/mL BSA in buffer + 6.25 μL of a lOmg/mL FeCl2 solution in water + 100 μL of a 200 mM solution of ascorbic acid in water + 15.63 μL EGLN3] or control [50 mL buffer + 1 mL of a 10 mg/mL BSA in buffer + 6.25 μL of a lOmg/mL FeCl2 solution in water + 100 μL of a 200 mM solution of ascorbic acid in water]. Following a 3 minutes incubation, 2.5 μL of substrate [5OmL Buffer + 68.6 μL biotin-VBC + 70.4 μL Eu (at 710 μg/mL stock) + 91.6 μL Cy5CODD + 50 μL of a 20 mM solution of 2-oxoglutaric acid in water + 0.3mM CHAPS] was added and incubated for 30 minutes. The plate was loaded into a PerkinElmer Viewlux for imaging. For dose response experiments, normalized data were fit by ABASE/XC50 using the equation y = a + (b-a)/(l+(10Λx/10Λc)Λd), where a is the minimum % activity, b is the maximum % activity, c is the pIC5o, and d is the Hill slope. All exemplified compounds herein (Examples 1 to 12) have demonstrated in vitro EGLN3 inhibitory activity in this assay and have IC50's in the range of 100 nanomolar to 5 micromolar. This range represents the data accumulated as of the time of filing this application. Later testing may show variations in IC50 data due to variations in reagents, conditions and variations in the method(s) used from those given herein above. Thus, these values are to be viewed as illustrative rather than absolute.
Measure Epo protein produced by Hep3B cell line using ELISA method.
Hep3B cells obtained from the American Type Culture Collection (ATCC) are seeded at 2xlOΛ4 cells/well in Dulbecco's Modified Eagle Medium (DMEM) + 10% FBS in 96-well plates. Cells are incubated at 37degC/5% CO2/90% humidity (standard cell culture incubation conditions). After overnight adherence, medium is removed and replaced with DMEM without serum containing test compound or DMSO negative control. Following 48 hours incubation, cell culture medium is collected and assayed by ELISA to quantitate Epo protein.
All exemplified compounds herein (Examples 1 to 12) have demonstrated EC5o's in the Hep3B ELISA greater than 100 micromolar, the maximum concentration tested, using the reagents and under the conditions outlined herein above. This represents the data accumulated as of the time of the filing of this initial application. Later testing may show variations in EC5O data due to variations in reagents, conditions and variations in the method(s) used from those given herein above. Thus, these values are to be viewed as illustrative rather than absolute. These compound are believed to be useful in therapy as defined above and to not have unacceptable or untoward effects when used in compliance with a permited therapeutic regime.
The foregoing examples and assay have been set forth to illustrate the invention, not limit it. What is reserved to the inventors is to be determined by reference to the claims.
Claims
1. A compound according to formula (I):
wherein:
R1 and R4 are each independently selected from the group consisting of hydrogen,
Ci_Cioalkyl, C2-Cioalkenyl, C2-Cioalkynyl, aryl, aryl-Ci_Cioalkyl, heteroaryl or heteroaryl- Ci.Cioalkyl; or R1 and R4 taken together form a ring selected from the group consisting of C3-Ciocycloalkyl, C5-Ciocycloalkenyl, C3-C10 heterocycloalkyl, a fused phenyl-C3-C6cycloalkyl group, or an adamantyl ring, each of which is unsubstituted or substituted on a carbon by one or more radicals selected from the group consisting Of Ci-C6 alkyl, C2-C10 alkenyl, C2-C10 alkynyl, aryl, or arylCi-C6 alkyl; or where the ring is C3-C10 heterocycloalkyl and the hetero atom is N, the nitrogen is substituted by H, Q-C6 alkyl, C2_Ci0alkenyl, C2_Cioalkynyl, -CO(Ci-C4 alkyl), - C(O)OR7, or -CO(C1-C4 alkyl)-C(O)OR7; R2 is -NR5R6 or -OR7; R3 is H or d_C4alkyl; R and R are each independently selected from the group consisting of hydrogen, Ci_C 10 alkyl, C2-Ci0 alkenyl, C2-Ci0 alkynyl, C3-C8 cycloalkyl, C3-C8 heterocycloalkyl, aryl and heteroaryl;
R7 is H or a cation, or Ci_CiOalkyl which is unsubstituted or substituted with one or more substituents independently selected from the group consisting Of C3-C6 cycloalkyl, heterocycloalkyl, aryl, and heteroaryl; Y is O or S; where any carbon or heteroatom of R1, R2, R3, R4, R5, R6, R7 is unsubstituted or, where possible, is substituted with one or more substituents independently selected from Ci-C6 alkyl, Ci-C6 haloalkyl, halo, -OR10, -NR5R6, oxo, cyano, nitro, -C(O)R10, -C(O)OR10, -SR10, -S(O)R10, -S(O)2R10, -NR5R6, -CONR5R6, -N(R5)C(O)R10, -N(R5)C(0)0R10, -OC(O)NR5R6, -N(R5)C(O)NR5R6, -SO2NR5R6, -N(R5)SO2R10, Ci-Ci0 alkenyl, Ci-Ci0 alkynyl, C3-C6 cycloalkyl, C3-C6 heterocycloalkyl, aryl, Ci-C6 alkyl-aryl, heteroaryl or Ci-C6 alkyl-heteroaryl, wherein R5, and R6 are the same as defined above and R10 is hydrogen, Ci_CiOalkyl, C2_Ci0alkenyl, C2-Ci0alkynyl, -CO(Ci-C4 alkyl), -CO(aryl), -CO(heteroaryl), -CO(C3-C6 cycloalkyl), -CO(C3-C6 heterocycloalkyl), -SO2(Ci-C4 alkyl), C3-Cg cycloalkyl, C3-C8heterocycloalkyl, C6-C^ aryl, aryl- Ci_Ci0alkyl,heteroaryl, and heteroaryl-Ci_Ci0alkyl; or a pharmaceutically acceptable salt or solvate thereof.
2. A compound according to claim 1 wherein:
Y is O;
R1 and R4 are each independently selected from the group consisting of hydrogen, Ci_Cioalkyl, C2-Cioalkenyl, C2-Cioalkynyl, aryl, aryl-Ci_Cioalkyl, heteroaryl or heteroaryl- Ci.Cioalkyl; or R1 and R4 taken together consist of C3-Cgcycloalkyl, C5-Cgcycloalkenyl, C3-Cg heterocycloalkyl.
R2 is -NR5R6 or -OR7; R3 is H or Ci_C4alkyl; R5 and R6 are each independently selected from the group consisting of hydrogen, Ci_Cio alkyl, C2-Ci0 alkenyl, C2-Ci0 alkynyl, C3-C8 cycloalkyl, C3-C8 heterocycloalkyl, aryl and heteroaryl;
R7 is H or a cation, or Ci_CiOalkyl which is unsubstituted or substituted with one or more substituents independently selected from the group consisting Of C3-C6 cycloalkyl, heterocycloalkyl, aryl, and heteroaryl; where any carbon or heteroatom of R1, R2, R3, R4, R5, R6, R7 is unsubstituted or, where possible, is substituted with one or more substituents independently selected from Ci-C6 alkyl, Ci-C6 haloalkyl, halogen, -OR10, -NR5R6, oxo, cyano, nitro, -C(O)R10, -C(O)OR10, -SR10, -S(O)R10, -S(O)2R10, -NR5R6, -CONR5R6, -N(R5)C(O)R10, -N(R5)C(0)0R10, -OC(O)NR5R6, -N(R5)C(O)NR5R6, -SO2NR5R6, -N(R5)SO2R10, Ci-Qo alkenyl, Ci-Ci0 alkynyl, C3-C6 cycloalkyl, C3-C6 heterocycloalkyl, aryl, Ci-C6 alkyl-aryl, heteroaryl or Ci-C6 alkyl-heteroaryl, wherein R5, and R6 are the same as defined above and R10 is hydrogen, Ci_CiOalkyl, C2_Ci0alkenyl, C2_Ci0alkynyl, -CO(Ci-C4 alkyl), -CO(aryl), -CO(heteroaryl), -CO(C3-C6 cycloalkyl), -CO(C3-C6 heterocycloalkyl), -SO2(Ci-C4 alkyl), C3-C8 cycloalkyl, C3-C8heterocycloalkyl, C6-Ci4 aryl, aryl- Ci_Ci0alkyl,heteroaryl, and heteroaryl-Ci_Ci0alkyl; or a pharmaceutically acceptable salt or solvate thereof.
3. A compound according to claim 1 wherein:
Y is O;
R1 and R4 are each independently selected from the group consisting of hydrogen, Ci_CiOalkyl, C2_Ci0alkenyl, C2_Ci0alkynyl, aryl, aryl-Ci_CiOalkyl, heteroaryl or heteroaryl- Ci.CiOalkyl; or R1 and R4 taken together consist of C3-C8cycloalkyl, C5-C8cycloalkenyl, C3-C8 heterocycloalkyl.
R2 is -OR7;
R3 is H or Ci_C4alkyl;
R7 is H or a cation, or Ci_CiOalkyl which is unsubstituted or substituted with one or more substituents independently selected from the group consisting of C3-C6 cycloalkyl, heterocycloalkyl, aryl, and heteroaryl; where any carbon or heteroatom of R1, R2, R3, R4, R7 is unsubstituted or, where possible, is substituted with one or more substituents independently selected from Ci-C6 alkyl, Ci-C6 haloalkyl, halogen, -OR10, -NR5R6, oxo, cyano, nitro, -C(O)R10, -C(O)OR10, -SR10, -S(O)R10, -S(O)2R10, -NR5R6, -CONR5R6, -N(R5)C(O)R10, -N(R5)C(O)OR10, -OC(O)NR5R6, -N(R5)C(O)NR5R6, -SO2NR5R6, -N(R5)SO2R10, Ci-Ci0 alkenyl, Ci-Ci0 alkynyl, C3-C6 cycloalkyl, C3-C6 heterocycloalkyl, aryl, Ci-C6 alkyl-aryl, heteroaryl or Ci-C6 alkyl-heteroaryl, wherein R5, and R6 are the same as defined above and R10 is hydrogen, Ci_CiOalkyl, C2_Ci0alkenyl, C2_Ci0alkynyl, -CO(Ci-C4 alkyl), -CO(aryl), -CO(heteroaryl), -CO(C3-C6 cycloalkyl), -CO(C3-C6 heterocycloalkyl), -SO2(Ci-C4 alkyl), C3-C8 cycloalkyl, C3-C8heterocycloalkyl, C6-Ci4 aryl, aryl- Ci_Ci0alkyl,heteroaryl, and heteroaryl-Ci_Ci0alkyl; or a pharmaceutically acceptable salt or solvate thereof.
4. A compound according to claim 1 wherein: Y is O;
R1 and R4 are each independently selected from the group consisting of hydrogen, Ci_CiOalkyl, C2_Ci0alkenyl, C2_Ci0alkynyl, aryl, aryl-Ci_CiOalkyl, heteroaryl or heteroaryl- Ci.CiOalkyl; or R1 and R4 taken together consist of C3-C8cycloalkyl, C5-C8cycloalkenyl, C3-C8 heterocycloalkyl. R2 is -OR7; R3 is H;
R7 is H or a cation, or Ci_CiOalkyl which is unsubstituted or substituted with one or more substituents independently selected from the group consisting Of C3-C6 cycloalkyl, heterocycloalkyl, aryl, and heteroaryl; where any carbon or heteroatom of R1, R2, R3, R4, R7 is unsubstituted or, where possible, is substituted with one or more substituents independently selected from Ci-C6 alkyl, Ci-C6 haloalkyl, halogen, -OR10, -NR5R6, oxo, cyano, nitro, -C(O)R10, -C(O)OR10, -SR10, -S(O)R10, -S(O)2R10, -NR5R6, -CONR5R6, -N(R5)C(O)R10, -N(R5)C(O)OR10, -OC(O)NR5R6, -N(R5)C(O)NR5R6, -SO2NR5R6, -N(R5)SO2R10, Ci-Ci0 alkenyl, Ci-Ci0 alkynyl, C3-C6 cycloalkyl, C3-C6 heterocycloalkyl, aryl, Ci-C6 alkyl-aryl, heteroaryl or Ci-C6 alkyl-heteroaryl, wherein R5, and R6 are the same as defined above and R10 is hydrogen, Ci_CiOalkyl, C2-Ci0alkenyl, C2-Ci0alkynyl, -CO(Ci-C4 alkyl), -CO(aryl), -CO(heteroaryl), -CO(C3-C6 cycloalkyl), -CO(C3-C6 heterocycloalkyl), -SO2(Ci-C4 alkyl), C3-C8 cycloalkyl, C3-C8heterocycloalkyl, C6-Ci4 aryl, aryl- Ci_Ci0alkyl,heteroaryl, and heteroaryl-Ci_Ci0alkyl; or a pharmaceutically acceptable salt or solvate thereof.
5. A compound according to claim 1 which is:
N-[(6-hydroxy-2,2-dimethyl-4-oxo-4H-l,3-dioxin-5-yl)carbonyl]glycine; N-[(2-hydroxy-4-oxo-l,5-dioxaspiro[5.5]undec-2-en-3-yl)carbonyl]glycine; N-[(6-hydroxy-2-methyl-4-oxo-2-phenyl-4H- 1 ,3-dioxin-5-yl)carbonyl]glycine;
N-{[2-ethyl-6-hydroxy-4-oxo-2-(phenylmethyl)-4H-l,3-dioxin-5-yl]carbonyl}glycine; N-[(6-hydroxy-4-oxo-3',4'-dihydro-lΗ,4H-spiro[l,3-dioxin-2,2'-naphthalen]-5- yl)carbonyl]glycine;
N-[(2-hydroxy-4-oxo-9-phenyl-l,5-dioxaspiro[5.5]undec-2-en-3-yl)carbonyl]glycine; N-[(2-hydroxy-4-oxo-7-phenyl-l,5-dioxaspiro[5.5]undec-2-en-3-yl)carbonyl]glycine;
N-{[2-hydroxy-4-oxo-7-(phenylmethyl)-l,5-dioxaspiro[5.5]undec-2-en-3- yl]carbonyl}glycine;
N-[(6-hydroxy-4-oxo-4H-spiro[l,3-dioxin-2,2'-tricyclo[3.3.1.1~3,7~]decan]-5- yl)carbonyl]glycine; N-[(9- {[(1 , 1 -dimethylethyl)oxy]carbonyl} -2-hydroxy-4-oxo- 1 ,5-dioxa-9- azaspiro[5.5]undec-2-en-3-yl)carbonyl]glycine;
4-(3- {[(carboxymethyl)amino]carbonyl}-2-hydroxy-4-oxo-l,5-dioxa-9- azaspiro[5.5]undec-2-en-9-yl)-4-oxobutanoic acid;
3-(3- {[(carboxymethyl)amino]carbonyl}-2-hydroxy-4-oxo-l,5-dioxa-9- azaspiro[5.5]undec-2-en-9-yl)-3-oxopropanoic acid; or a pharmaceutically acceptable salt or solvate thereof.
6. A method for treating anemia in a mammal, which method comprises administering an effective amount of a compound of formula (I) or a salt or solvate thereof according to claim 1 to a mammalian suffering from anemia which can be treated by inhibiting HIF prolyl hydroxylases.
7. A pharmaceutical composition comprising a compound of formula (I) or a salt, solvate, according to claim 1 and one or more of pharmaceutically acceptable carriers, diluents and excipients.
8. A process for preparing a compound of formula (I)
wherein:
R1 and R4 are each independently selected from the group consisting of hydrogen, -NR5R6, d.doalkyl, C2.C10alkenyl, C2.C10alkynyl, C3-C8cycloalkyl, Ci_Ciθalkyl-C3-C8cycloalkyl, C5-C8cycloalkenyl, d_doalkyl-C5-d cycloalkenyl, C3-C8 heterocycloalkyl, Ci_CiOalkyl-C3-C8 heterocycloalkyl, aryl, Ci_CiOalkyl-aryl, heteroaryl or Ci_Ci0alkyl-heteroaryl; R2 is -NR7R8 or -OR9;
R3 is H or Ci_C4alkyl;
R5 and R6 are each independently selected from the group consisting of hydrogen, Ci-Cio alkyl, C3-C8cycloalkyl, Ci-Ci0 alkyl-C3-C8cycloalkyl, C3-C8heterocycloalkyl, , Ci-Ci0 alkyl- C3-C8heterocycloalkyl, aryl, Ci_Cioalkyl-aryl, heteroaryl, Ci_Cioalkyl-heteroaryl, -CO(Ci-C4 alkyl), -CO(C3-C6 cycloalkyl), -CO(C3-C6 heterocycloalkyl), -CO(aryl), -CO(heteroaryl), -SO2(Ci-C4 alkyl); or R5 and R6 taken together with the nitrogen to which they are attached form a 5- or 6- or 7- membered saturated ring optionally containing one other heteroatom selected from oxygen, nitrogen and sulphur;
R7 and R8 are each independently selected from the group consisting of hydrogen, Ci_Cio alkyl, C2_Cio alkenyl, C2_Cio alkynyl, C3-C8 cycloalkyl, C3-C8 heterocycloalkyl, aryl and heteroaryl;
R9 is H or a cation, or Ci_Cioalkyl which is unsubstituted or substituted with one or more substituents independently selected from the group consisting Of C3-C6 cycloalkyl, heterocycloalkyl, aryl, and heteroaryl; X is O or S where any carbon or heteroatom of R1, R2, R3, R4, R5, R6, R7, R8, R9 is unsubstituted or, where possible, is substituted with one or more substituents independently selected from Ci-C6 alkyl, aryl, heteroaryl, halogen, -OR10, -NR5R6, cyano, nitro, -C(O)R10, -C(O)OR10, -SR10, -S(O)R10, -S(O)2R10, -NR5R6, -CONR5R6, -N(R5)C(O)R10, -N(R5)C(0)0R10, -OC(O)NR5R6, -N(R5)C(O)NR5R6, -SO2NR5R6, -N(R5)SO2R10, Ci-Ci0 alkenyl, Ci-Ci0 alkynyl, C3-C6 cycloalkyl, C3-C6 heterocycloalkyl, aryl or heteroaryl group, wherein R5, and R6 are the same as defined above and R10 is hydrogen, Ci.CiOalkyl, C2_Cioalkenyl, C2_Cioalkynyl, -CO(Ci-C4 alkyl), -CO(aryl), -CO(heteroaryl), -CO(C3-C6 cycloalkyl), -CO(C3-C6 heterocycloalkyl), -SO2(Ci-C4 alkyl), C3-C8 cycloalkyl, C3-C8heterocycloalkyl, C6-Ci4 aryl, Ci_CiOalkyl-aryl, heteroaryl, and Ci_CiOalkyl- heteroaryl; comprising treating a compound of formula A:
wherein R1 and R4 are the same as for those groups in formula (I) with glycine and an appropriate base, such as l,8-diazabicyclo[5.4.0]undec-7-ene, in an appropriate solvent, such as ethanol, under either conventional thermal conditions or by microwave irradiation, to form a compound of formula (I) where R2 is -OH, and R3 is H;
9. A process for preparing a compound of formula (I)
(I) wherein Y, R1, R2, R3 and R4 are the same as defined above for formula (I), the process comprising treating a compound of formula A:
Applications Claiming Priority (2)
| Application Number | Priority Date | Filing Date | Title |
|---|---|---|---|
| US97885907P | 2007-10-10 | 2007-10-10 | |
| US60/978,859 | 2007-10-10 |
Publications (1)
| Publication Number | Publication Date |
|---|---|
| WO2009049112A1 true WO2009049112A1 (en) | 2009-04-16 |
Family
ID=40549572
Family Applications (1)
| Application Number | Title | Priority Date | Filing Date |
|---|---|---|---|
| PCT/US2008/079444 Ceased WO2009049112A1 (en) | 2007-10-10 | 2008-10-10 | Prolyl hydroxylase inhibitors |
Country Status (1)
| Country | Link |
|---|---|
| WO (1) | WO2009049112A1 (en) |
Cited By (24)
| Publication number | Priority date | Publication date | Assignee | Title |
|---|---|---|---|---|
| US7811595B2 (en) | 2006-06-26 | 2010-10-12 | Warner Chilcott Company, Llc | Prolyl hydroxylase inhibitors and methods of use |
| US8050873B2 (en) | 2006-03-07 | 2011-11-01 | Warner Chilcott Company | Crystal of hypoxia inducible factor 1 alpha prolyl hydroxylase |
| US8217043B2 (en) | 2008-08-20 | 2012-07-10 | Fibrogen, Inc. | Compounds and methods for their use |
| WO2012106472A1 (en) | 2011-02-02 | 2012-08-09 | Fibrogen, Inc. | Naphthyridine derivatives as inhibitors of hypoxia inducible factor (hif) hydroxylase |
| WO2012110789A1 (en) | 2011-02-15 | 2012-08-23 | Isis Innovation Limited | Method for assaying ogfod1 activity |
| EP2505659A1 (en) | 2011-03-31 | 2012-10-03 | Cellzome Ag | Methods for the identification of dioxygenase interacting molecules and for the purification of dioxygenase proteins |
| US8309537B2 (en) | 2009-11-06 | 2012-11-13 | Aerpio Therapeutics Inc. | Compositions and methods for treating colitis |
| US8324405B2 (en) | 2008-02-05 | 2012-12-04 | Fibrogen, Inc. | Chromene derivatives and use thereof as HIF hydroxylase activity inhibitors |
| WO2013014449A1 (en) | 2011-07-28 | 2013-01-31 | Isis Innovation Limited | Assay for histidinyl hydroxylase activity |
| WO2013167495A1 (en) | 2012-05-09 | 2013-11-14 | Bayer Pharma Aktiengesellschaft | Bicyclically substituted uracils and the use thereof |
| WO2014021281A1 (en) | 2012-07-30 | 2014-02-06 | 大正製薬株式会社 | Partially saturated nitrogen-containing heterocyclic compound |
| US8865748B2 (en) | 2011-06-06 | 2014-10-21 | Akebia Therapeutics Inc. | Compounds and compositions for stabilizing hypoxia inducible factor-2 alpha as a method for treating cancer |
| US8927591B2 (en) | 2008-11-14 | 2015-01-06 | Fibrogen, Inc. | Thiochromene derivatives as HIF hydroxylase inhibitors |
| US8952160B2 (en) | 2008-01-11 | 2015-02-10 | Fibrogen, Inc. | Isothiazole-pyridine derivatives as modulators of HIF (hypoxia inducible factor) activity |
| US9695131B2 (en) | 2013-11-08 | 2017-07-04 | Bayer Pharma Aktiengesellschaft | Substituted uracils as chymase inhibitors |
| US9751843B2 (en) | 2013-11-08 | 2017-09-05 | Bayer Pharma Aktiengesellschaft | Substituted uracils and use thereof |
| US9987262B2 (en) | 2013-11-15 | 2018-06-05 | Akebia Therapeutics, Inc. | Solid forms of {[5-(3-chlorophenyl)-3-hydroxypyridine-2-carbonyl]amino}acetic acid, compositions, and uses thereof |
| US10065928B2 (en) | 2014-09-02 | 2018-09-04 | Sunshine Lake Pharma Co., Ltd. | Quinolinone compound and use thereof |
| US10150734B2 (en) | 2015-01-23 | 2018-12-11 | Akebia Therapeutics, Inc. | Solid forms of 2-(5-(3-fluorophenyl)-3-hydroxypicolinamido)acetic acid, compositions, and uses thereof |
| US10246416B2 (en) | 2011-06-06 | 2019-04-02 | Akebia Therapeutics, Inc. | Process for preparing [(3-hydroxypyridine-2-carbonyl)amino] alkanoic acids, esters and amides |
| US11324734B2 (en) | 2015-04-01 | 2022-05-10 | Akebia Therapeutics, Inc. | Compositions and methods for treating anemia |
| US11524939B2 (en) | 2019-11-13 | 2022-12-13 | Akebia Therapeutics, Inc. | Solid forms of {[5-(3-chlorophenyl)-3-hydroxypyridine-2-carbonyl]amino} acetic acid |
| US11713298B2 (en) | 2018-05-09 | 2023-08-01 | Akebia Therapeutics, Inc. | Process for preparing 2-[[5-(3-chlorophenyl)-3-hydroxypyridine-2-carbonyl]amino]acetic acid |
| US11857543B2 (en) | 2013-06-13 | 2024-01-02 | Akebia Therapeutics, Inc. | Compositions and methods for treating anemia |
Citations (2)
| Publication number | Priority date | Publication date | Assignee | Title |
|---|---|---|---|---|
| US20030195240A1 (en) * | 2000-05-08 | 2003-10-16 | Kalindjian Sarkis Barret | Pharmaceutical compositions comprising proton pump inhibitors and gastrin/cholecystokinin receptor ligands |
| US20070213335A1 (en) * | 2006-03-07 | 2007-09-13 | Fitch Duke M | Prolyl Hydroxylase Inhibitors |
-
2008
- 2008-10-10 WO PCT/US2008/079444 patent/WO2009049112A1/en not_active Ceased
Patent Citations (2)
| Publication number | Priority date | Publication date | Assignee | Title |
|---|---|---|---|---|
| US20030195240A1 (en) * | 2000-05-08 | 2003-10-16 | Kalindjian Sarkis Barret | Pharmaceutical compositions comprising proton pump inhibitors and gastrin/cholecystokinin receptor ligands |
| US20070213335A1 (en) * | 2006-03-07 | 2007-09-13 | Fitch Duke M | Prolyl Hydroxylase Inhibitors |
Cited By (62)
| Publication number | Priority date | Publication date | Assignee | Title |
|---|---|---|---|---|
| US8512972B2 (en) | 2006-03-07 | 2013-08-20 | Akebia Therapeutics, Inc. | Crystal of hypoxia inducible factor 1 alpha prolyl hydroxylase |
| US8050873B2 (en) | 2006-03-07 | 2011-11-01 | Warner Chilcott Company | Crystal of hypoxia inducible factor 1 alpha prolyl hydroxylase |
| US7811595B2 (en) | 2006-06-26 | 2010-10-12 | Warner Chilcott Company, Llc | Prolyl hydroxylase inhibitors and methods of use |
| US8598210B2 (en) | 2006-06-26 | 2013-12-03 | Akebia Therapeutics, Inc. | Prolyl hydroxylase inhibitors and methods of use |
| US11883386B2 (en) | 2006-06-26 | 2024-01-30 | Akebia Therapeutics, Inc. | Prolyl hydroxylase inhibitors and methods of use |
| US11426393B2 (en) | 2006-06-26 | 2022-08-30 | Akebia Therapeutics, Inc. | Prolyl hydroxylase inhibitors and methods of use |
| US10729681B2 (en) | 2006-06-26 | 2020-08-04 | Akebia Therapeutics, Inc. | Prolyl hydroxylase inhibitors and methods of use |
| US8323671B2 (en) | 2006-06-26 | 2012-12-04 | Akebia Therapeutics Inc. | Prolyl hydroxylase inhibitors and methods of use |
| US8940773B2 (en) | 2006-06-26 | 2015-01-27 | Akebia Therapeutics, Inc. | Prolyl hydroxylase inhibitors and methods of use |
| US8343952B2 (en) | 2006-06-26 | 2013-01-01 | Akebia Therapeutics Inc. | Prolyl hydroxylase inhibitors and methods of use |
| US8722895B2 (en) | 2006-06-26 | 2014-05-13 | Akebia Therapeutics, Inc. | Prolyl hydroxylase inhibitors and method of use |
| US12478615B2 (en) | 2006-06-26 | 2025-11-25 | Akebia Therapeutics, Inc. | Prolyl hydroxylase inhibitors and methods of use |
| USRE47437E1 (en) | 2006-06-26 | 2019-06-18 | Akebia Therapeutics, Inc. | Prolyl hydroxylase inhibitors and methods of use |
| US9598370B2 (en) | 2006-06-26 | 2017-03-21 | Akebia Therapeutics, Inc. | Prolyl hydroxylase inhibitors and methods of use |
| US9387200B2 (en) | 2008-01-11 | 2016-07-12 | Fibrogen, Inc. | Isothiazole-pyridine derivatives as modulators of HIF (hypoxia inducible factor) activity |
| US8952160B2 (en) | 2008-01-11 | 2015-02-10 | Fibrogen, Inc. | Isothiazole-pyridine derivatives as modulators of HIF (hypoxia inducible factor) activity |
| US8324405B2 (en) | 2008-02-05 | 2012-12-04 | Fibrogen, Inc. | Chromene derivatives and use thereof as HIF hydroxylase activity inhibitors |
| US8217043B2 (en) | 2008-08-20 | 2012-07-10 | Fibrogen, Inc. | Compounds and methods for their use |
| US8927591B2 (en) | 2008-11-14 | 2015-01-06 | Fibrogen, Inc. | Thiochromene derivatives as HIF hydroxylase inhibitors |
| US9149476B2 (en) | 2008-11-14 | 2015-10-06 | Fibrogen, Inc. | Thiochromene derivatives as HIF hydroxylase inhibitors |
| US10562854B2 (en) | 2009-11-06 | 2020-02-18 | Aerpio Therapeutics, Inc. | Prolyl hydroxylase inhibitors |
| US8536181B2 (en) | 2009-11-06 | 2013-09-17 | Aerpio Therapeutics Inc. | Prolyl hydroxylase inhibitors |
| US9540326B2 (en) | 2009-11-06 | 2017-01-10 | Aerpio Therapeutics, Inc. | Prolyl hydroxylase inhibitors |
| US8999971B2 (en) | 2009-11-06 | 2015-04-07 | Aerpio Therapeutics Inc. | Methods for increasing the stabilization of hypoxia inducible factor-1 alpha |
| US8883774B2 (en) | 2009-11-06 | 2014-11-11 | Aerpio Therapeutics Inc. | Methods for increasing the stabilization of hypoxia inducible factor-1 alpha |
| US9045495B2 (en) | 2009-11-06 | 2015-06-02 | Aerpio Therapeutics Inc. | Prolyl hydroxylase inhibitors |
| US8778412B2 (en) | 2009-11-06 | 2014-07-15 | Aerpio Therapeutics Inc. | Methods for increasing the stabilization of hypoxia inducible factor-1 alpha |
| US9278930B2 (en) | 2009-11-06 | 2016-03-08 | Aerpio Therapeutics, Inc. | Methods for increasing the stabilization of hypoxia inducible factor-α |
| US8309537B2 (en) | 2009-11-06 | 2012-11-13 | Aerpio Therapeutics Inc. | Compositions and methods for treating colitis |
| WO2012106472A1 (en) | 2011-02-02 | 2012-08-09 | Fibrogen, Inc. | Naphthyridine derivatives as inhibitors of hypoxia inducible factor (hif) hydroxylase |
| WO2012110789A1 (en) | 2011-02-15 | 2012-08-23 | Isis Innovation Limited | Method for assaying ogfod1 activity |
| EP2505659A1 (en) | 2011-03-31 | 2012-10-03 | Cellzome Ag | Methods for the identification of dioxygenase interacting molecules and for the purification of dioxygenase proteins |
| US10246416B2 (en) | 2011-06-06 | 2019-04-02 | Akebia Therapeutics, Inc. | Process for preparing [(3-hydroxypyridine-2-carbonyl)amino] alkanoic acids, esters and amides |
| US11267785B2 (en) | 2011-06-06 | 2022-03-08 | Akebia Therapeutics, Inc. | Process for preparing [(3-hydroxypyridine-2-carbonyl)amino]alkanoic acids, esters and amides |
| US10738010B2 (en) | 2011-06-06 | 2020-08-11 | Akebia Therapeutics, Inc. | Process for preparing [(3-hydroxypyridine-2-carbonyl)amino] alkanoic acids, esters and amides |
| US8865748B2 (en) | 2011-06-06 | 2014-10-21 | Akebia Therapeutics Inc. | Compounds and compositions for stabilizing hypoxia inducible factor-2 alpha as a method for treating cancer |
| WO2013014449A1 (en) | 2011-07-28 | 2013-01-31 | Isis Innovation Limited | Assay for histidinyl hydroxylase activity |
| US9481672B2 (en) | 2012-05-09 | 2016-11-01 | Bayer Pharma Aktiengesellschaft | Bicyclically substituted uracils and the use thereof |
| US9949978B2 (en) | 2012-05-09 | 2018-04-24 | Bayer Pharma Aktiengesellschaft | Bicyclically substituted uracils and the use thereof |
| US9949977B2 (en) | 2012-05-09 | 2018-04-24 | Bayer Pharma Aktiengesellschaft | Bicyclically substituted uracils and the use thereof |
| WO2013167495A1 (en) | 2012-05-09 | 2013-11-14 | Bayer Pharma Aktiengesellschaft | Bicyclically substituted uracils and the use thereof |
| US10300062B2 (en) | 2012-05-09 | 2019-05-28 | Bayer Pharma Aktiengesellschaft | Bicyclically substituted uracils and the use thereof |
| EP3045456A1 (en) | 2012-05-09 | 2016-07-20 | Bayer Pharma Aktiengesellschaft | Bicyclic substituted uracils and their use |
| WO2014021281A1 (en) | 2012-07-30 | 2014-02-06 | 大正製薬株式会社 | Partially saturated nitrogen-containing heterocyclic compound |
| US9422240B2 (en) | 2012-07-30 | 2016-08-23 | Taisho Pharmaceutical Co., Ltd | Partially saturated nitrogen-containing heterocyclic compound |
| KR20150036219A (en) | 2012-07-30 | 2015-04-07 | 다이쇼 세이야꾸 가부시끼가이샤 | Partially saturated nitrogen-containing heterocyclic compound |
| US11857543B2 (en) | 2013-06-13 | 2024-01-02 | Akebia Therapeutics, Inc. | Compositions and methods for treating anemia |
| US9751843B2 (en) | 2013-11-08 | 2017-09-05 | Bayer Pharma Aktiengesellschaft | Substituted uracils and use thereof |
| US9695131B2 (en) | 2013-11-08 | 2017-07-04 | Bayer Pharma Aktiengesellschaft | Substituted uracils as chymase inhibitors |
| US10149842B2 (en) | 2013-11-15 | 2018-12-11 | Akebia Therapeutics, Inc. | Solid forms of {[5-(3-chlorophenyl)-3-hydroxypyridine-2-carbonyl]amino}acetic acid, compositions, and uses thereof |
| US11065237B2 (en) | 2013-11-15 | 2021-07-20 | Akebia Therapeutics, Inc. | Solid forms of {[5-(3-chlorophenyl)-3-hydroxypyridine-2-carbonyl]amino}acetic acid, compositions, and uses thereof |
| US10596158B2 (en) | 2013-11-15 | 2020-03-24 | Akebia Therapeutics, Inc. | Solid forms of {[5-(3-chlorophenyl)-3-hydroxypyridine-2-carbonyl]amino}acetic acid, compositions, and uses thereof |
| US11690836B2 (en) | 2013-11-15 | 2023-07-04 | Akebia Therapeutics, Inc. | Solid forms of {[5-(3-chlorophenyl)-3-hydroxypyridine-2-carbonyl]amino}acetic acid, compositions, and uses thereof |
| US12419877B2 (en) | 2013-11-15 | 2025-09-23 | Akebia Therapeutics, Inc. | Solid forms of {[5-(3-chlorophenyl)-3-hydroxypyridine-2-carbonyl]amino}acetic acid, compositions, and uses thereof |
| US9987262B2 (en) | 2013-11-15 | 2018-06-05 | Akebia Therapeutics, Inc. | Solid forms of {[5-(3-chlorophenyl)-3-hydroxypyridine-2-carbonyl]amino}acetic acid, compositions, and uses thereof |
| US10065928B2 (en) | 2014-09-02 | 2018-09-04 | Sunshine Lake Pharma Co., Ltd. | Quinolinone compound and use thereof |
| US10150734B2 (en) | 2015-01-23 | 2018-12-11 | Akebia Therapeutics, Inc. | Solid forms of 2-(5-(3-fluorophenyl)-3-hydroxypicolinamido)acetic acid, compositions, and uses thereof |
| US11324734B2 (en) | 2015-04-01 | 2022-05-10 | Akebia Therapeutics, Inc. | Compositions and methods for treating anemia |
| US11844756B2 (en) | 2015-04-01 | 2023-12-19 | Akebia Therapeutics, Inc. | Compositions and methods for treating anemia |
| US11713298B2 (en) | 2018-05-09 | 2023-08-01 | Akebia Therapeutics, Inc. | Process for preparing 2-[[5-(3-chlorophenyl)-3-hydroxypyridine-2-carbonyl]amino]acetic acid |
| US12269802B2 (en) | 2018-05-09 | 2025-04-08 | Akebia Therapeutics, Inc. | Process for preparing 2-[[5-(3-chlorophenyl)-3-hydroxypyridine-2-carbonyl] amino] acetic acid |
| US11524939B2 (en) | 2019-11-13 | 2022-12-13 | Akebia Therapeutics, Inc. | Solid forms of {[5-(3-chlorophenyl)-3-hydroxypyridine-2-carbonyl]amino} acetic acid |
Similar Documents
| Publication | Publication Date | Title |
|---|---|---|
| EP2124565B1 (en) | N-substituted glycine derivatives: hydroxylase inhibitors | |
| WO2009049112A1 (en) | Prolyl hydroxylase inhibitors | |
| US7897612B2 (en) | Substituted 1,8-naphthyridinecarboxamides for use as prolyl hydroxylase inhibitors | |
| EP2326178A2 (en) | Prolyl hydroxylase inhibitors | |
| WO2007136990A2 (en) | Prolyl hydroxylase inhibitors | |
| WO2009039321A1 (en) | Prolyl hydroxylase inhibitors | |
| US20100305154A1 (en) | Prolyl Hydroxylase Inhibitors | |
| WO2009039323A1 (en) | Prolyl hydroxylase inhibitors | |
| WO2010059552A1 (en) | Prolyl hydroxylase inhibitors | |
| US10611770B2 (en) | Condensed-ring pyrimidylamino derivative, preparation method therefor, and intermediate, pharmaceutical composition and applications thereof | |
| US20110144167A1 (en) | Prolyl Hydroxylase Inhibitors | |
| KR101411816B1 (en) | Prolyl hydroxylase inhibitors | |
| US20110039895A1 (en) | Prolyl hydroxylase inhibitors | |
| WO2009039322A1 (en) | Prolyl hydroxylase inhibitors | |
| WO2007038571A2 (en) | Prolyl hydroxylase antagonists | |
| WO2009086044A1 (en) | Prolyl hydroxylase inhibitors | |
| US20110098324A1 (en) | Prolyl hydroxylase inhibitors | |
| WO2010059549A1 (en) | Prolyl hydroxylase inhibitors | |
| WO2010022308A1 (en) | Prolyl hydroxylase inhibitors | |
| WO2009134847A1 (en) | Prolyl hydroxylase inhibitors | |
| WO2010059555A1 (en) | Prolyl hydroxylase inhibitors |
Legal Events
| Date | Code | Title | Description |
|---|---|---|---|
| 121 | Ep: the epo has been informed by wipo that ep was designated in this application |
Ref document number: 08837947 Country of ref document: EP Kind code of ref document: A1 |
|
| NENP | Non-entry into the national phase |
Ref country code: DE |
|
| 122 | Ep: pct application non-entry in european phase |
Ref document number: 08837947 Country of ref document: EP Kind code of ref document: A1 |























