WO2009025958A1 - Erythropoietin rceptor peptide formulations and uses - Google Patents
Erythropoietin rceptor peptide formulations and uses Download PDFInfo
- Publication number
- WO2009025958A1 WO2009025958A1 PCT/US2008/070943 US2008070943W WO2009025958A1 WO 2009025958 A1 WO2009025958 A1 WO 2009025958A1 US 2008070943 W US2008070943 W US 2008070943W WO 2009025958 A1 WO2009025958 A1 WO 2009025958A1
- Authority
- WO
- WIPO (PCT)
- Prior art keywords
- peptide
- epo
- dose
- peg
- patients
- Prior art date
- Legal status (The legal status is an assumption and is not a legal conclusion. Google has not performed a legal analysis and makes no representation as to the accuracy of the status listed.)
- Ceased
Links
- 0 C*C(C)C(C(CCCCNC(CN(CC(NCCCCC(C(*)=O)N*C)=O)C(CCNC([C@](CCCCNC(*)=O)NC(*)=O)=O)=O)=O)N*C)=O Chemical compound C*C(C)C(C(CCCCNC(CN(CC(NCCCCC(C(*)=O)N*C)=O)C(CCNC([C@](CCCCNC(*)=O)NC(*)=O)=O)=O)=O)N*C)=O 0.000 description 13
- PCQJBZWAYPEMRW-UHFFFAOYSA-N CCCC(N(CC(C)=O)CC(NOCN)=O)=O Chemical compound CCCC(N(CC(C)=O)CC(NOCN)=O)=O PCQJBZWAYPEMRW-UHFFFAOYSA-N 0.000 description 1
- BLZXFNUZFTZCFD-UHFFFAOYSA-N OC(C(CCCCNC(OCc1ccccc1)=O)NC(OCc1ccccc1)=O)=O Chemical compound OC(C(CCCCNC(OCc1ccccc1)=O)NC(OCc1ccccc1)=O)=O BLZXFNUZFTZCFD-UHFFFAOYSA-N 0.000 description 1
- NQTADLQHYWFPDB-UHFFFAOYSA-N ON(C(CC1)=O)C1=O Chemical compound ON(C(CC1)=O)C1=O NQTADLQHYWFPDB-UHFFFAOYSA-N 0.000 description 1
Classifications
-
- C—CHEMISTRY; METALLURGY
- C07—ORGANIC CHEMISTRY
- C07K—PEPTIDES
- C07K14/00—Peptides having more than 20 amino acids; Gastrins; Somatostatins; Melanotropins; Derivatives thereof
- C07K14/435—Peptides having more than 20 amino acids; Gastrins; Somatostatins; Melanotropins; Derivatives thereof from animals; from humans
- C07K14/46—Peptides having more than 20 amino acids; Gastrins; Somatostatins; Melanotropins; Derivatives thereof from animals; from humans from vertebrates
- C07K14/47—Peptides having more than 20 amino acids; Gastrins; Somatostatins; Melanotropins; Derivatives thereof from animals; from humans from vertebrates from mammals
- C07K14/4701—Peptides having more than 20 amino acids; Gastrins; Somatostatins; Melanotropins; Derivatives thereof from animals; from humans from vertebrates from mammals not used
- C07K14/4702—Regulators; Modulating activity
- C07K14/4705—Regulators; Modulating activity stimulating, promoting or activating activity
-
- A—HUMAN NECESSITIES
- A61—MEDICAL OR VETERINARY SCIENCE; HYGIENE
- A61K—PREPARATIONS FOR MEDICAL, DENTAL OR TOILETRY PURPOSES
- A61K47/00—Medicinal preparations characterised by the non-active ingredients used, e.g. carriers or inert additives; Targeting or modifying agents chemically bound to the active ingredient
- A61K47/50—Medicinal preparations characterised by the non-active ingredients used, e.g. carriers or inert additives; Targeting or modifying agents chemically bound to the active ingredient the non-active ingredient being chemically bound to the active ingredient, e.g. polymer-drug conjugates
- A61K47/51—Medicinal preparations characterised by the non-active ingredients used, e.g. carriers or inert additives; Targeting or modifying agents chemically bound to the active ingredient the non-active ingredient being chemically bound to the active ingredient, e.g. polymer-drug conjugates the non-active ingredient being a modifying agent
- A61K47/56—Medicinal preparations characterised by the non-active ingredients used, e.g. carriers or inert additives; Targeting or modifying agents chemically bound to the active ingredient the non-active ingredient being chemically bound to the active ingredient, e.g. polymer-drug conjugates the non-active ingredient being a modifying agent the modifying agent being an organic macromolecular compound, e.g. an oligomeric, polymeric or dendrimeric molecule
- A61K47/59—Medicinal preparations characterised by the non-active ingredients used, e.g. carriers or inert additives; Targeting or modifying agents chemically bound to the active ingredient the non-active ingredient being chemically bound to the active ingredient, e.g. polymer-drug conjugates the non-active ingredient being a modifying agent the modifying agent being an organic macromolecular compound, e.g. an oligomeric, polymeric or dendrimeric molecule obtained otherwise than by reactions only involving carbon-to-carbon unsaturated bonds, e.g. polyureas or polyurethanes
- A61K47/60—Medicinal preparations characterised by the non-active ingredients used, e.g. carriers or inert additives; Targeting or modifying agents chemically bound to the active ingredient the non-active ingredient being chemically bound to the active ingredient, e.g. polymer-drug conjugates the non-active ingredient being a modifying agent the modifying agent being an organic macromolecular compound, e.g. an oligomeric, polymeric or dendrimeric molecule obtained otherwise than by reactions only involving carbon-to-carbon unsaturated bonds, e.g. polyureas or polyurethanes the organic macromolecular compound being a polyoxyalkylene oligomer, polymer or dendrimer, e.g. PEG, PPG, PEO or polyglycerol
-
- A—HUMAN NECESSITIES
- A61—MEDICAL OR VETERINARY SCIENCE; HYGIENE
- A61P—SPECIFIC THERAPEUTIC ACTIVITY OF CHEMICAL COMPOUNDS OR MEDICINAL PREPARATIONS
- A61P13/00—Drugs for disorders of the urinary system
- A61P13/12—Drugs for disorders of the urinary system of the kidneys
-
- A—HUMAN NECESSITIES
- A61—MEDICAL OR VETERINARY SCIENCE; HYGIENE
- A61P—SPECIFIC THERAPEUTIC ACTIVITY OF CHEMICAL COMPOUNDS OR MEDICINAL PREPARATIONS
- A61P35/00—Antineoplastic agents
-
- A—HUMAN NECESSITIES
- A61—MEDICAL OR VETERINARY SCIENCE; HYGIENE
- A61P—SPECIFIC THERAPEUTIC ACTIVITY OF CHEMICAL COMPOUNDS OR MEDICINAL PREPARATIONS
- A61P7/00—Drugs for disorders of the blood or the extracellular fluid
- A61P7/06—Antianaemics
-
- A—HUMAN NECESSITIES
- A61—MEDICAL OR VETERINARY SCIENCE; HYGIENE
- A61K—PREPARATIONS FOR MEDICAL, DENTAL OR TOILETRY PURPOSES
- A61K38/00—Medicinal preparations containing peptides
Definitions
- EPO-R agonists Given the immense potential of EPO-R agonists, both for studies of the important biological activities mediated by this receptor and for treatment of disease, there remains a need for the identification of peptide EPO-R agonists of enhanced potency and activity.
- the present invention provides such compounds.
- 1- naphthylalanine is 1-nal or Np
- N-methylglycine also known as sarcosine
- MeG or Sc N-methylglycine
- acetylated glycine N-acetylglycine
- the phrase “pharmaceutically acceptable” refers to molecular entities and compositions that are "generally regarded as safe”, e.g., that are physiologically tolerable and do not typically produce an allergic or similar untoward reaction, such as gastric upset, dizziness and the like, when administered to a human.
- pharmaceutically acceptable means approved by a regulatory agency of the Federal or a state government or listed in the U.S. Pharmacopeia or other generally recognized pharmacopeia for use in animals, and more particularly in humans.
- carrier refers to a diluent, adjuvant, excipient, or vehicle with which the compound is administered.
- C 4 of the spacer is covalently bonded to C 3 of X; N 1 of the spacer is covalently attached via a carbamate or an amide linkage to an activated PEG moiety; and N 2 of the spacer is covalently attached via a carbamate or an amide linkage to an activated PEG moiety, where PEG has a molecular weight of about 10,000 to about 60,000 Daltons (the term "about” indicating that in preparations of PEG, some molecules will weigh more, some less, than the stated molecular weight).
- N 2 represents the nitrogen atom of lysine's ⁇ -amino group and N 1 represents the nitrogen atom of lysine's ⁇ -amino group.
- two amine functional groups of the linker molecule are protected with the same removable amine protecting group.
- the protected linker is coupled to a solid support via the linker's third functional group.
- the two protected functional groups of the linker molecule are simultaneously deprotected, and the two peptide chains simultaneously synthesized on the deprotected amines. Note that using this technique, the sequences of the peptide chains of the dimer will be identical, and the thiol-protecting groups for the cysteine residues are all the same.
- each protected amino acid is generally reacted in about a 3- fold excess using an appropriate carboxyl group activator such as 2-(lH-benzotriazol-l-yl)-l, 1,3,3 tetramethyluronium hexafluorophosphate (HBTU) or dicyclohexylcarbodimide (DCC) in solution, for example, in methylene chloride (CH 2 CI 2 ), N-methyl pyrrolidone, dimethyl formamide (DMF), or mixtures thereof.
- carboxyl group activator such as 2-(lH-benzotriazol-l-yl)-l, 1,3,3 tetramethyluronium hexafluorophosphate (HBTU) or dicyclohexylcarbodimide (DCC) in solution, for example, in methylene chloride (CH 2 CI 2 ), N-methyl pyrrolidone, dimethyl formamide (DMF), or mixtures thereof.
- the amino-terminus of the peptide can be capped with an ⁇ - substituted acetic acid, wherein the ⁇ -substituent is a leaving group, such as an ⁇ -haloacetic acid, for example, ⁇ -chloroacetic acid, ⁇ -bromoacetic acid, or ⁇ -iodoacetic acid.
- an ⁇ -haloacetic acid for example, ⁇ -chloroacetic acid, ⁇ -bromoacetic acid, or ⁇ -iodoacetic acid.
- EPO-R agonist activity assays In vitro functional assays In vitro competitive binding assays quantitate the ability of a test peptide to compete with
- the peptides of this invention will find use in the treatment of renal insufficiency and/or end-stage renal failure/dialysis; chronic kidney disease, anemia associated with AIDS; anemia associated with chronic inflammatory diseases (for example, rheumatoid arthritis and chronic bowel inflammation) and autoimmune disease; and for boosting the red blood count of a patient prior to surgery.
- diluents could include carbohydrates, especially mannitol, ⁇ -lactose, anhydrous lactose, cellulose, sucrose, modified dextrans and starch.
- Certain inorganic salts may be also be used as fillers including calcium triphosphate, magnesium carbonate and sodium chloride.
- Some commercially available diluents are Fast-Flo, Emdex, STA-Rx 1500, Emcompress and Avicell.
- compositions for rectal or vaginal administration are preferably suppositories which may contain, in addition to the active substance, excipients such as cocoa butter or a suppository wax.
- Compositions for nasal or sublingual administration are also prepared with standard excipients well known in the art.
- Contemplated for use in the practice of this invention are a wide range of mechanical devices designed for pulmonary delivery of therapeutic products, including but not limited to nebulizers, metered dose inhalers, and powder inhalers, all of which are familiar to those skilled in the art.
- Some specific examples of commercially available devices suitable for the practice of this invention are the Ultravent nebulizer (Mallinckrodt Inc., St. Louis, MO); the Acorn II nebulizer (Marquest Medical Products, Englewood, CO); the Ventolin metered dose inhaler (Glaxo Inc., Research Triangle Park, NC); and the Spinhaler powder inhaler (Fisons Corp., Bedford, MA).
- IMDM medium 40-50 mL IMDM medium is added gently to cells: the medium is added drop by drop along the side of the 5OmL tube for the first 1OmL, and then the remaining volume of medium is slowly dispensed along the side of the tube. The cells are then spun at 900rpm for 20 min, and the media removed carefully by gentle aspiration. The cells are resuspended in ImI of IMDM medium and the cell density per mL is counted on hemacytometer slide (lO ⁇ L aliquot of cell suspension on slide, and cell density is the average count X 10,000 cells/ml). The cells are then diluted in IMDM medium to a cell density of 15,000 cells/mL.
- mice Forty eight hours following sample injection, the mice are administered an intraperitoneal injection of 0.2 ml of Fe 59 (Dupont, NEN), for a dose of approximately 0.75 ⁇ Curies/mouse.
- Mouse body weights are determined 24hr after Fe 59 administration, and the mice are sacrificed 48hr after Fe 59 administration.
- Blood is collected from each animal by cardiac puncture and hematocrits are determined (heparin was used as the anticoagulant).
- Each blood sample (0.2 ml) is analyzed for Fe 59 incorporation using a Packard gamma counter.
- Non-responder mice i.e., those mice with radioactive incorporation less than the negative control group
- Mice that have hematocrit values less than 53% of the negative control group are also eliminated.
- mice are dosed with four weekly bolus intravenous injections of either EPO positive control, test peptide, or vehicle.
- a range of positive control and test peptide doses, expressed as mg/kg, are tested by varying the active compound concentration in the formulation. Volumes injected are 5ml/kg.
- the vehicle control group is comprised twelve animals, while 8 animals are in each of the remaining dose groups. Daily viability and weekly body weights are recorded.
- Step 4 Synthesis of PEG moiety comprising two linear PEG chains linked by Lysine mPEG2-Lysinol-NPC
- Example 10 Synthesis of EPO-R agonist peptide homodimers of peptide monomers having the amino acid sequence (AcG)GL YACHMGPIT(l-nal) VCQPLR(MeG)K (SEQ ID NO: 2)
- Proliferation of the resulting cell line, BaF3/Gal4/Elk/EPOR is dependent on EPO-R activation.
- the degree of cell proliferation is quantitated using MTT, where the signal in the MTT assay is proportional to the number of viable cells.
- the starved cells are then washed twice with Dulbecco's PBS (Gibco), and resuspended to a density of IxIO 6 cells/ml in DMEM/F12 supplemented with 10% FBS (no WEHI-3 supernatant). 50 ⁇ L aliquots (-50,000 cells) of the cell suspension are then plated, in triplicate, in 96 well assay plates.
- test EPO mimetic peptides 50 ⁇ L aliquots of dilution series of test EPO mimetic peptides, or 50 ⁇ L EPO (R & D Systems Inc., Minneapolis, MN) or AranespTM (darbepoeitin alpha, an ERO-R agonist commercially available from Amgen) in DMEM/F12 media supplemented with 10% FBS (no WEHI-3 supernatant I) are added to the 96 well assay plates (final well volume of lOO ⁇ L). For example, 12 different dilutions may be tested where the final concentration of test peptide (or control EPO peptide) ranges from 81OpM to 0.0045pM. The plated cells are then incubated for 48h at 37°C.
- Peptide I Since the primary amino acid sequence of Peptide I differs from that of recombinant Human EPO (rHuEPO), it is less likely to induce a cross-reactive immune response against endogenous EPO. Although very rare, a cross-reactive immune response can cause serious side effects associated with loss of potency for both recombinant human ESAs and endogenous EPO. In addition, since Peptide I is a synthetic peptide, its production avoids the potential risk of contamination of the drug with host cell material that may occur with recombinant protein products.
- the patients selected for the study will be those pre-dialysis patients aged 18-75 years with hemoglobin >9 g/dL and ⁇ 11 g/dL secondary to chronic kidney disease who have not had previous treatment with ESAs and who meet eligibility criteria will be enrolled.
- Each replacement patient will be assigned to the same treatment group as the withdrawn patient. Patients who terminate from study after day 22 will not be replaced.
- a patient's hemoglobin level reaches 14 g/dL, the patient should be phlebotomized if clinically indicated. If a patient's hemoglobin level reaches 16 g/dL (confirmed), the patient should be phlebotomized.
- An open-label, multi-center, sequential, dose finding study of the safety, pharmacodynamics, and pharmacokinetics of Peptide I injection administered intravenously for the maintenance treatment of anemia in chronic hemodialysis patients will be performed to determine the range of monthly intravenously administered Peptide I doses that maintains hemoglobin within 1.0 g/dL above or below baseline in hemodialysis patients whose hemoglobin values were stable on Epoetin alfa.
- This study will also evaluate the safety profile of up to 3 doses of Peptide I administered intravenously in hemodialysis patients; evaluate the pharmacokinetic profile of up to 3 doses Peptide I administered intravenously in hemodialysis patients (in a subset of study patients).
- K/DOQI Outcomes Quality Initiative
- enrollment into the current cohort may be stopped and dose escalation to the next cohort is allowed if there are: no safety concerns are identified by the MM; and, 6 or more patients are transfused after week 4 or have a confirmed hemoglobin increase of ⁇ 1 g/dL at week 6.
- Figure 6 depicts an increase in hemoglobin from baseline of > 1 g/dL at 6 weeks following the first dose of 0.5 mg/kg, 0.1 mg/kg, 0.15 mg/kg, and 0.2 mg/kg of Peptide I (SEQ ID NO: 2) was observed in 17%, 73%, 55%, and 47% of patients, respectively.
- Xaa is N-acetylglycine
- Xaa is 1-naphthylalanine
Landscapes
- Health & Medical Sciences (AREA)
- Chemical & Material Sciences (AREA)
- Life Sciences & Earth Sciences (AREA)
- General Health & Medical Sciences (AREA)
- Medicinal Chemistry (AREA)
- Organic Chemistry (AREA)
- Veterinary Medicine (AREA)
- Public Health (AREA)
- Pharmacology & Pharmacy (AREA)
- Animal Behavior & Ethology (AREA)
- Bioinformatics & Cheminformatics (AREA)
- Nuclear Medicine, Radiotherapy & Molecular Imaging (AREA)
- General Chemical & Material Sciences (AREA)
- Engineering & Computer Science (AREA)
- Chemical Kinetics & Catalysis (AREA)
- Zoology (AREA)
- Biophysics (AREA)
- Epidemiology (AREA)
- Toxicology (AREA)
- Diabetes (AREA)
- Gastroenterology & Hepatology (AREA)
- Biochemistry (AREA)
- Hematology (AREA)
- Genetics & Genomics (AREA)
- Molecular Biology (AREA)
- Proteomics, Peptides & Aminoacids (AREA)
- Urology & Nephrology (AREA)
- Medicines That Contain Protein Lipid Enzymes And Other Medicines (AREA)
- Peptides Or Proteins (AREA)
- Medicinal Preparation (AREA)
Abstract
The present invention relates to peptide compounds that are agonists of the erythropoietin receptor (EPO-R). The invention also relates to therapeutic methods using such peptide compounds to treat disorders associated with insufficient or defective red blood cell production. Pharmaceutical compositions, which comprise the peptide compounds of the invention, and dosages are also provided.
Description
ERYTHROPOIETIN RECEPTOR PEPTIDE FORMULATIONS AND USES
This application claims priority under 35 U.S. C. § 119(e) to U.S. Provisional Patent Application No. 60/989,758 filed November 21, 2007 and to U.S. Provisional Patent Application No. 60/957,396 filed August 22, 2007. The contents of the above-cited applications are incorporated into the present disclosure by reference and in their entireties.
FIELD OF THE INVENTION
The present invention relates to peptide compounds that are agonists of the erythropoietin receptor (EPO-R). The invention also relates to therapeutic methods using such peptide compounds to treat disorders associated with insufficient or defective red blood cell production. Pharmaceutical compositions, which comprise the peptide compounds of the invention, are also provided.
BACKGROUND OF THE INVENTION
Erythropoietin (EPO) is a glycoprotein hormone of 165 amino acids, with a molecular weight of about 34 kilodaltons (kD) and preferred glycosylation sites on amino-acid positions 24, 38, 83, and 126. It is initially produced as a precursor protein with a signal peptide of 23 amino acids. EPO can occur in three forms: α, β, and asialo. The α and β forms differ slightly in their carbohydrate components, but have the same potency, biological activity, and molecular weight. The asialo form is an α or β form with the terminal carbohydrate (sialic acid) removed. The DNA sequences encoding EPO have been reported [U.S. Pat. No. 4,703,008 to Lin]. EPO stimulates mitotic division and differentiation of erythrocyte precursor cells, and thus ensures the production of erythrocytes. It is produced in the kidney when hypoxic conditions prevail. During EPO-induced differentiation of erythrocyte precursor cells, globin synthesis is induced; heme complex synthesis is stimulated; and the number of ferritin receptors increases. These changes allow the cell to take on more iron and synthesize functional hemoglobin, which in mature erythrocytes binds oxygen. Thus, erythrocytes and their hemoglobin play a key role in supplying the body with oxygen. These changes are initiated by the interaction of EPO with an appropriate receptor on the cell surface of the erythrocyte precursor cells [See, e.g., Graber and Krantz (1978) Ann. Rev. Med. 29.51- 66].
EPO is present in very low concentrations in plasma when the body is in a healthy state wherein tissues receive sufficient oxygenation from the existing number of erythrocytes. This normal low concentration is sufficient to stimulate replacement of red blood cells which are lost normally through aging. The amount of EPO in the circulation is increased under conditions of hypoxia when oxygen transport by blood cells in the circulation is reduced. Hypoxia may be caused, for example, by substantial blood loss through hemorrhage, destruction of red blood cells by over-exposure to radiation, reduction in oxygen intake due to high altitude or prolonged unconsciousness, or various forms of anemia. In response to such hypoxic stress, elevated EPO levels increase red blood cell production by stimulating the proliferation of erythroid progenitor cells. When the number of red blood cells in circulation is greater than needed for normal tissue oxygen requirements, EPO levels in circulation are decreased.
Because EPO is essential in the process of red blood cell formation, this hormone has potentially useful applications in both the diagnosis and the treatment of blood disorders characterized by low or defective red blood cell production. Recent studies have provided a basis for the projection of EPO therapy efficacy for a variety of disease states, disorders, and states of hematologic irregularity, including: beta-thalassemia [see, Vedovato, et al. (1984) Acta. Haematol. 71 :211-213]; cystic fibrosis [see, Vichinsky, et al. (1984) J. Pediatric 105:15-21]; pregnancy and menstrual disorders [see, Cotes, et al. (193) Brit. J. Ostet. Gyneacol. 90:304-311]; early anemia of prematurity [see, Haga, et al. (1983) Acta Pediatr. Scand. 72; 827-831]; spinal cord injury [see, Claus-Walker, et al. (1984) Arch. Phys. Med. Rehabil. 65:370-374]; space flight [see, Dunn, et al. (1984) Eur. J. Appl. Physiol. 52:178-182]; acute blood loss [see, Miller, et al. (1982) Brit. J. Haematol. 52:545-590]; aging [see, Udupa, et al. (1984) J. Lab. Clin. Med. 103:574-580 and 581-588 and Lipschitz, et al. (1983) Blood 63:502-509]; various neoplastic disease states accompanied by abnormal erythropoiesis [see, Dainiak, et al. (1983) Cancer 5:1101-1106 and Schwartz, et al. (1983) Otolaryngol. 109:269-272]; and renal insufficiency [see, Eschbach. et al. (1987) N. Eng. J. Med. 316:73-78].
Purified, homogeneous EPO has been characterized [U.S. Pat. No. 4,677,195 to Hewick]. A DNA sequence encoding EPO was purified, cloned, and expressed to produce recombinant polypeptides with the same biochemical and immunological properties and natural EPO. A recombinant EPO molecule with oligosaccharides identical to those on natural EPO has also been produced [See, Sasaki, et al. (1987) J. Biol. Chem. 262: 12059-12076].
The biological effect of EPO appears to be mediated, in part, through interaction with a cell membrane bound receptor. Initial studies, using immature erythroid cells isolated from mouse spleen, suggested that the EPO-binding cell surface proteins comprise two polypeptides having approximate molecular weights of 85,000 Daltons and 100,000 Daltons, respectively [Sawyer, et al. (1987) Proc. Natl. Acad. Sci. USA 84:3690-3694]. The number of EPO-binding sites was calculated to average from 800 to 1000 per cell surface. Of these binding sites, approximately 300 bound EPO with a Kj of
- ? -
approximately 90 pM (picomolar), while the remaining bound EPO with a reduced affinity of approximately 570 pM [Sawyer, et al. (1987) J. Biol. Chem. 262:5554-5562]. An independent study suggested that EPO-responsive splenic erythroblasts, prepared from mice injected with the anemic strain (FVA) of the Friend leukemia virus, possess a total of approximately 400 high and low affinity EPO binding sites with Kd values of approximately 100 pM and 800 pM, respectively [Landschulz, et al. (1989) Blood 73:1476-1486].
Subsequent work indicated that the two forms of EPO receptor (EPO-R) were encoded by a single gene. This gene has been cloned [See, e.g., Jones, et al. (1990) Blood 76, 31-35; Noguchi, et al. (1991) Blood 78:2548-2556; Maouche, et al. (1991) Blood 78:2557-2563]. For example, the DNA sequences and encoded peptide sequences for murine and human EPO-R proteins are described in PCT Pub. No. WO 90/08822 to D'Andrea, et al. Current models suggest that binding of EPO to EPO- R results in the dimerization and activation of two EPO-R molecules, which results in subsequent steps of signal transduction [See, e.g., Watowich, et al. (1992) Proc. Natl. Acad. Sci. USA 89:2140- 2144]. The availability of cloned genes for EPO-R facilitates the search for agonists and antagonists of this important receptor. The availability of the recombinant receptor protein allows the study of receptor-ligand interaction in a variety of random and semi-random peptide diversity generation systems. These systems include the "peptides on plasmids" system [described in U.S. Pat. No. 6,270,170]; the "peptides on phage" system [described in U.S. Pat. No. 5,432,018 and Cwirla, et al. (1990) Proc. Natl. Acad. Sci. USA 87:6378-6382]; the "encoded synthetic library" (ESL) system [described in U.S. patent application Ser. No. 946,239, filed Sep. 16, 1992]; and the "very large scale immobilized polymer synthesis" system [described in U.S. Pat. No. 5,143,854; PCT Pub. No. 90/15070; Fodor, et al. (1991) Science 251 :767-773; Dower and Fodor (1991) Ann. Rep. Med. Chem. 26:271-180; and U.S. Pat. No. 5,424,186]. Peptides that interact to a least some extent with EPO-R have been identified and are described, for example in U.S. Pat. Nos. 5,773,569; 5,830,851; and 5,986,047 to Wrighton, et al; PCT Pub. No. WO 96/40749 to Wrighton, et al; U.S. Pat. No. 5,767,078 and PCT Pub. No. 96/40772 to Johnson and Zivin; PCT Pub. No. WO 01/38342 to BaIu; and WO 01/91780 to Smith-Swintosky, et al In particular, a group of peptides containing a peptide motif has been identified, members of which bind to EPO-R and stimulate EPO-dependent cell proliferation. Yet, peptides identified to date that contain the motif stimulate EPO-dependent cell proliferation in vitro with EC50 values of about 20 nanomolar (nM) to about 25OnM. Thus, peptide concentrations of 2OnM to 25OnM are required to stimulate 50% of the maximal cell proliferation stimulated by EPO. Still other peptides and constructs thereof that bind to the EPO receptor have been described in U.S. provisional application Serial Nos. 60/470,244, 60/470,245, and 60/469,993, all filed on May 12, 2003; U.S. provisional application Serial Nos. 60/627,432 and 60/627,433 both filed on November 11, 2004; U.S. non- provisional application Serial No. 10/844,968, filed on May 12, 2004; and International Application
Serial Nos. PCT/US2004/14886 and PCT/US2004/014889, both filed on May 12, 2004, and published as WO 2004/101611 and WO 2004/101606, respectively. Each of these applications is hereby incorporated by reference and in its entirety.
Given the immense potential of EPO-R agonists, both for studies of the important biological activities mediated by this receptor and for treatment of disease, there remains a need for the identification of peptide EPO-R agonists of enhanced potency and activity. The present invention provides such compounds.
The citation and/or discussion of cited references in this section and throughout the specification is provided merely to clarify the description of the present invention and is not an admission that any such reference is "prior art" to the present invention.
SUMMARY OF THE INVENTION
The present invention provides novel peptide compounds, which are EPO-R agonists of dramatically enhanced potency and activity. These peptide compounds are homodimers of peptide monomers having the amino acid sequence ( AcG)GLY ACHMGPIT(I -nal) VCQPLRK (SEQ ID NO:
1), or homodimers of peptide monomers having the amino acid sequence (AcG)GLY ACHMGPIT( 1- nal) VCQPLR(MeG)K (SEQ ID NO: 2), homodimers of peptide monomers having the amino acid sequence (AcG)GLY ACHMGPIT(I -nal) VCQPLR(MeG) (SEQ ID NO: 3); where each amino acid is indicated by standard one letter abbreviation, "(AcG)" is N-acetylglycine, "(1-nal)" is 1- naphthylalanine, and "(MeG)" is N-methylglycine, also known as sarcosine. Each peptide monomer of a peptide dimer contains an intramolecular disulfide bond between the cysteine residues of the monomer.
The peptide monomers may be dimerized by covalent attachment to a branched tertiary amide linker. The tertiary amide linker can be depicted as:
-C1O-CH2-X-CH2-C2O- where: X is NCO-(CH2)2-N1H-; C1 of the linker forms an amide bond with the ε-amino group of the C-terminal lysine residue of the first peptide monomer; C2 of the linker forms an amide bond with the ε-amino group of the C-terminal lysine residue of the second peptide monomer; and N1 of X is attached via a carbamate linkage or an amide linkage to an activated polyethylene glycol (PEG) moiety, where the PEG has a molecular weight of about 20,000 to about 40,000 Daltons (the term "about" indicating that in preparations of PEG, some molecules will weigh more, some less, than the stated molecular weight).
Where each monomer of the homodimer has the amino acid sequence, ( AcG)GLY ACHMGPIT( 1-nal) VCQPLRK (SEQ ID NO: 1) and N1 of the linker is attached via a
carbamate linkage to an activated polyethylene glycol (PEG) moiety, the novel peptide compounds of the invention may be represented as follows:
Where each monomer of the homodimer has the amino acid sequence,
(ACG)GLYACHMGPIT(I -nal) VCQPLRK (SEQ ID NO: 1) and N1 of the linker is attached via an amide linkage to an activated polyethylene glycol (PEG) moiety, the novel peptide compounds of the invention may be represented as follows:
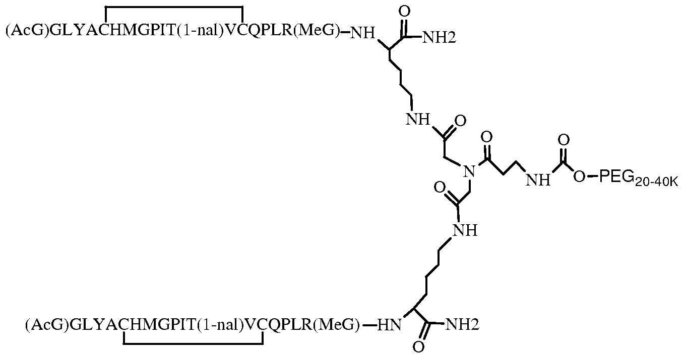
Where each monomer of the homodimer has the amino acid sequence, ( AcG)GLY ACHMGPIT( 1-nal) VCQPLR(MeG)K (SEQ ID NO: 2) and N1 of the linker is attached via a carbamate linkage to an activated polyethylene glycol (PEG) moiety, the novel peptide compounds of the invention may be represented as follows:
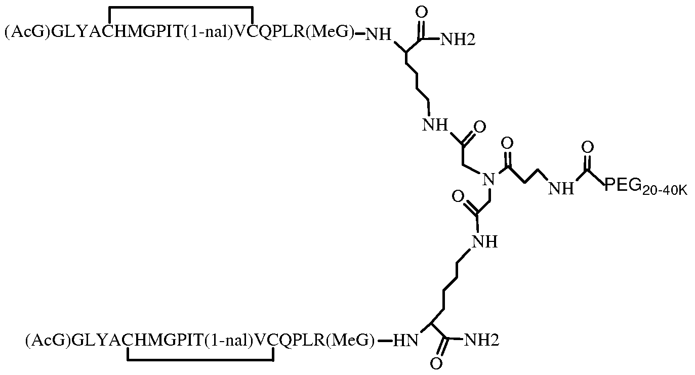
Where each monomer of the homodimer has the amino acid sequence, (ACG)GLYACHMGPIT(I -nal) VCQPLR(MeG)K (SEQ ID NO: 2) and N1 of the linker is attached via an amide linkage to an activated polyethylene glycol (PEG) moiety, the novel peptide compounds of the invention may be represented as follows:
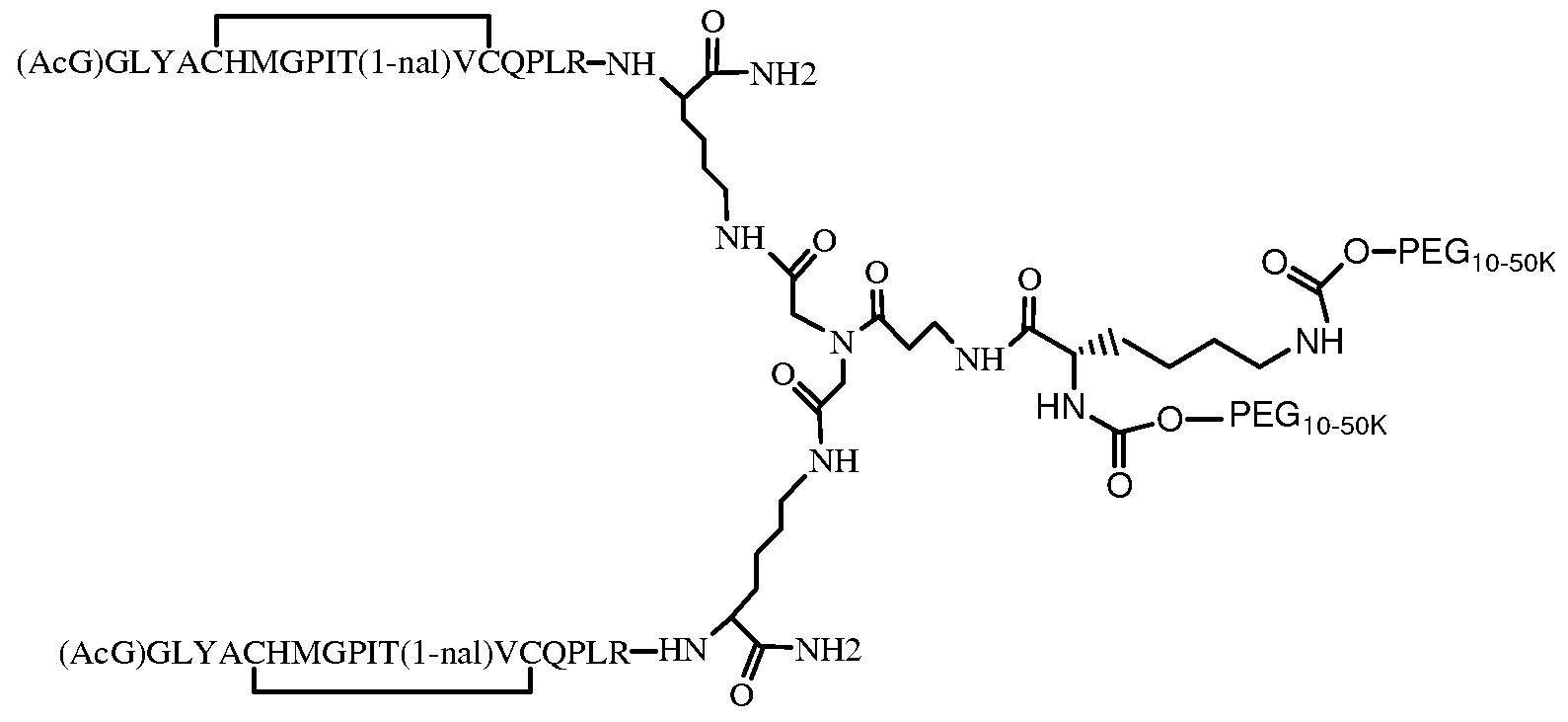
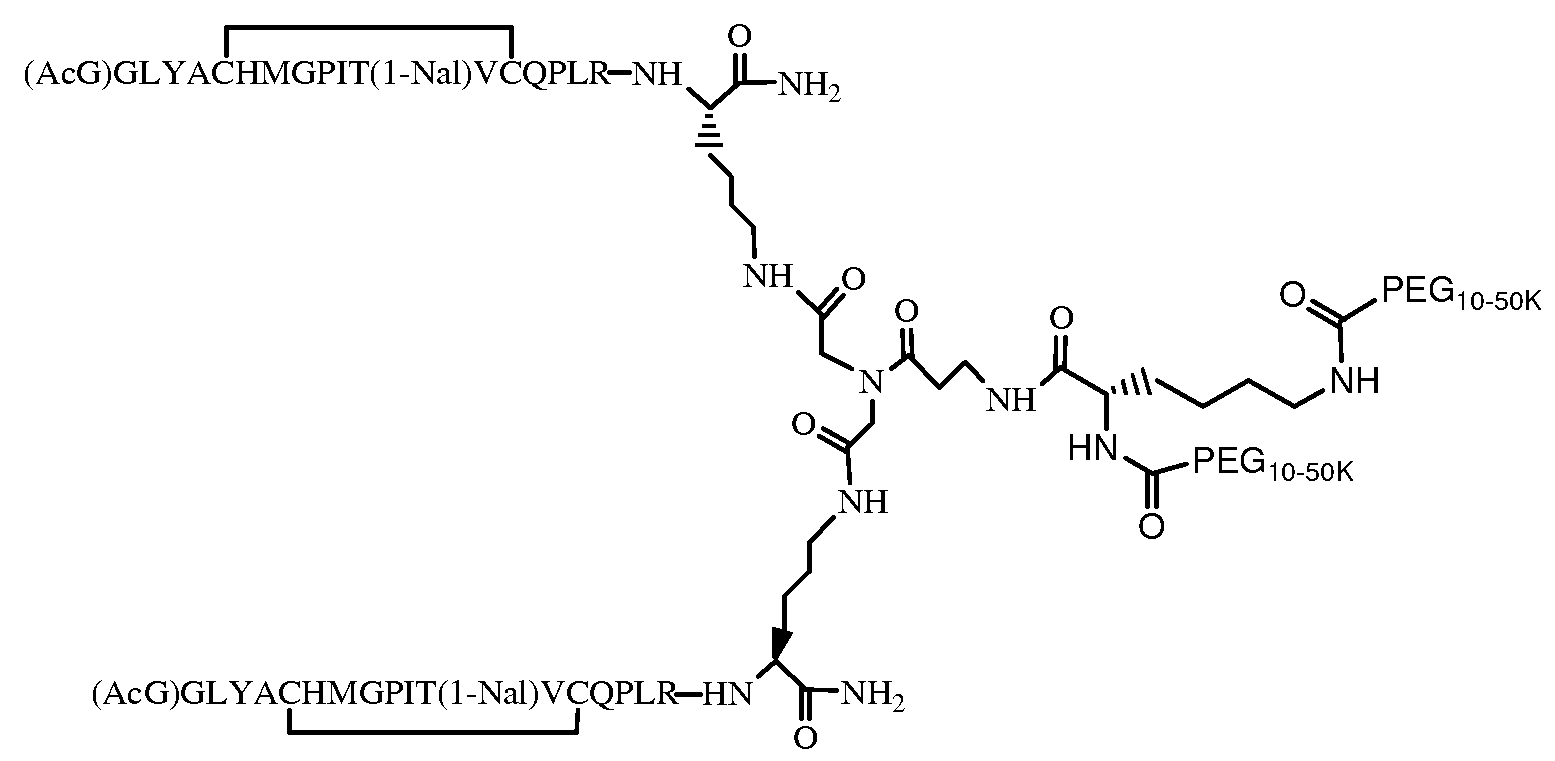
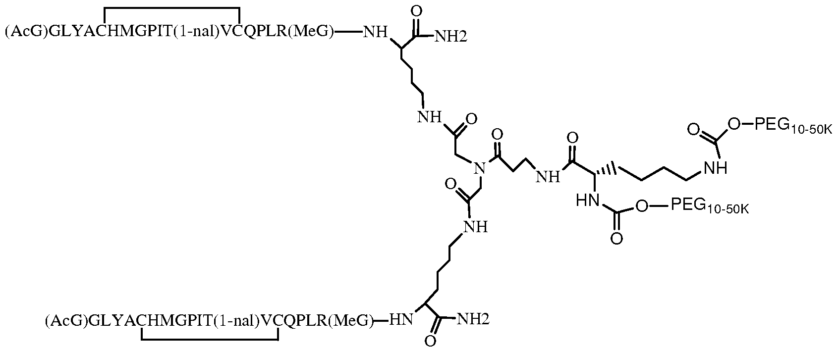
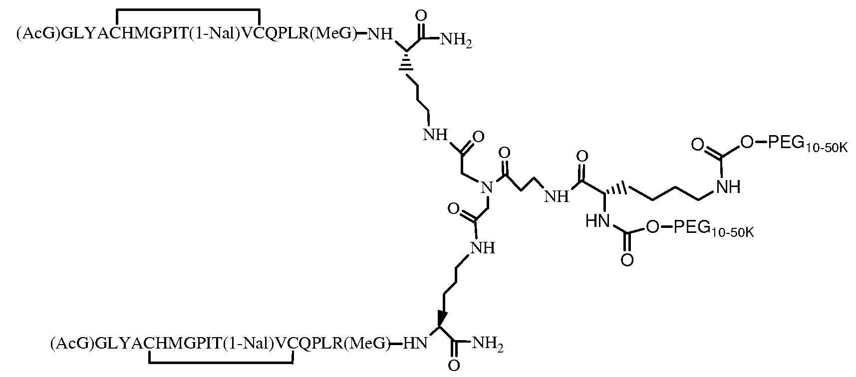
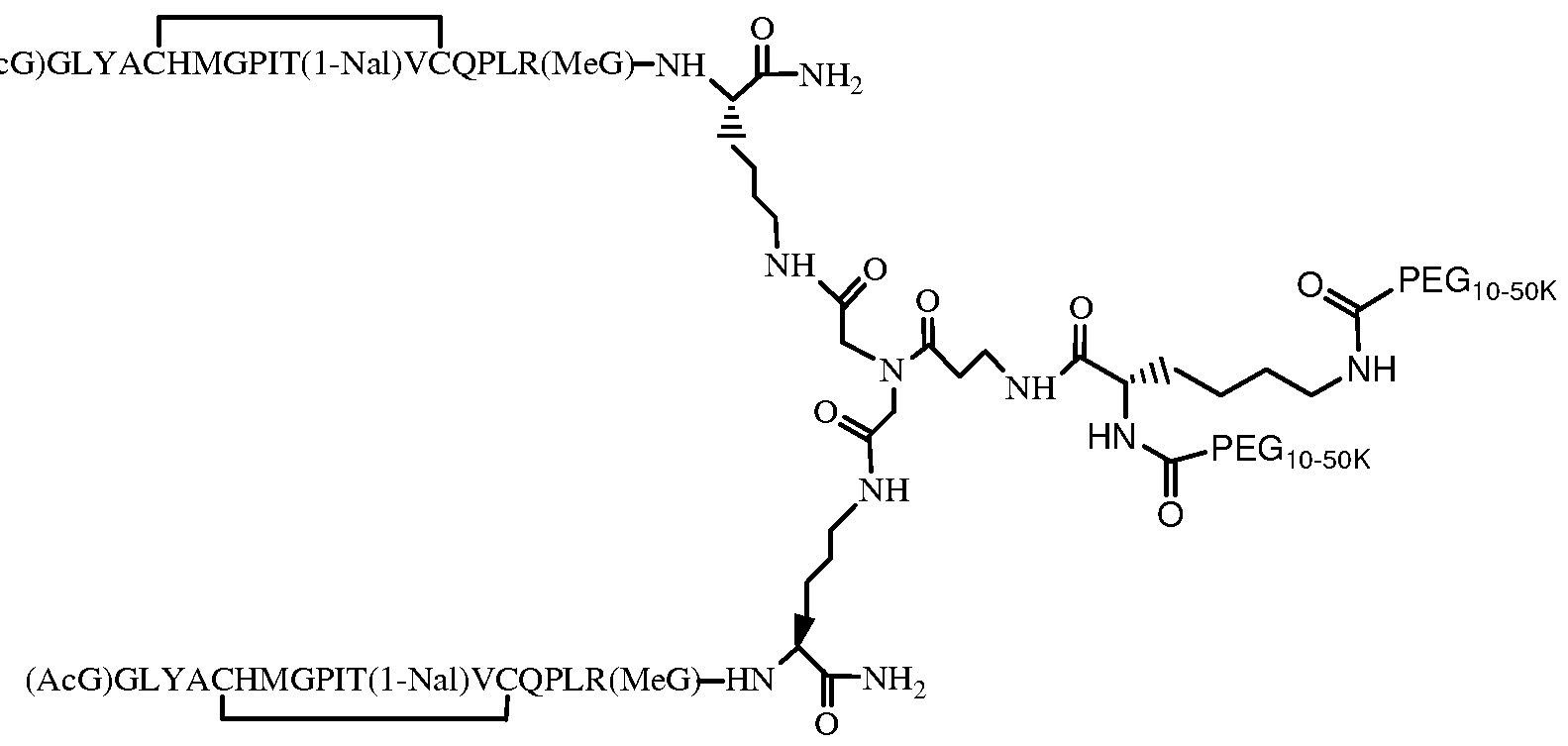
The peptide monomers may also be dimerized by covalent attachment to a branched tertiary amide linker. The tertiary amide linker can be depicted as:
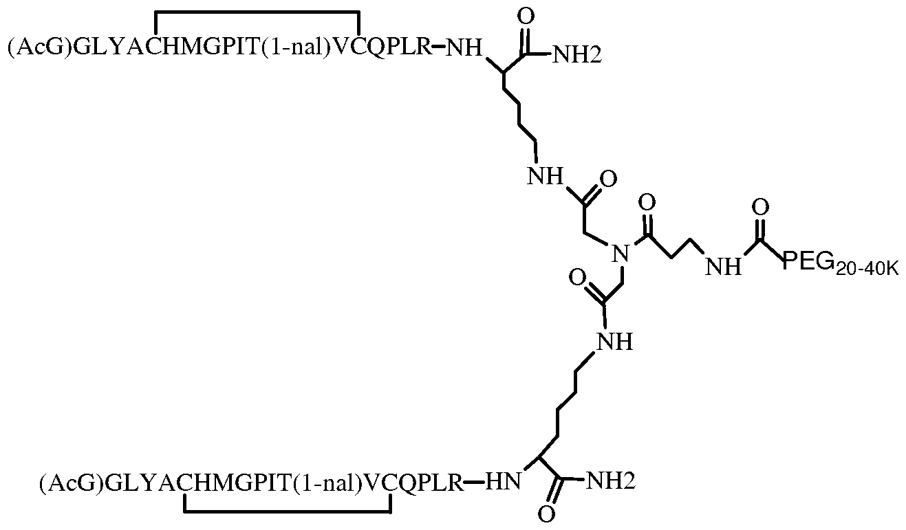
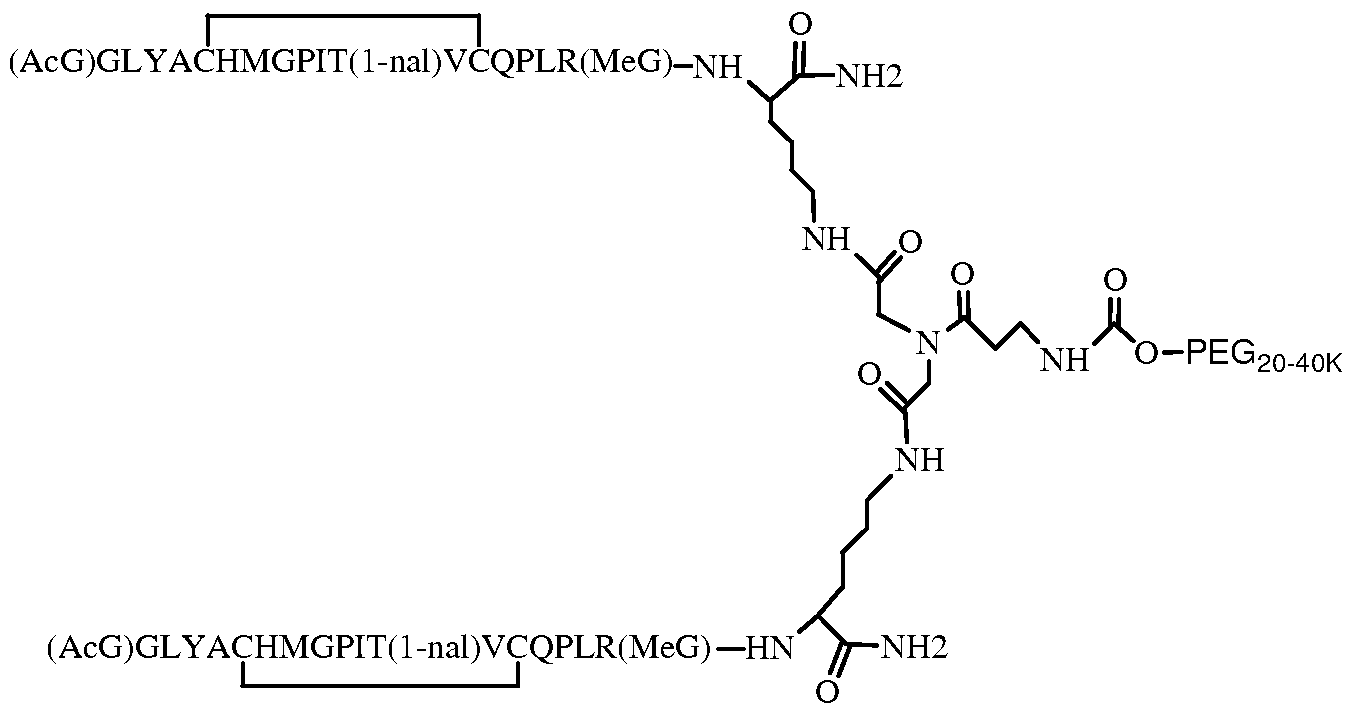
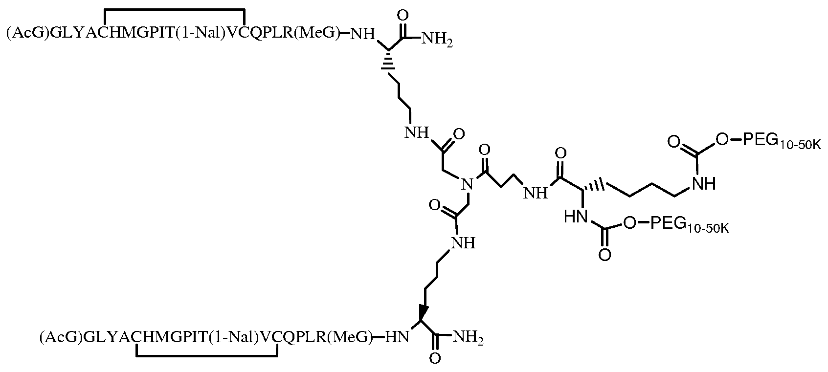
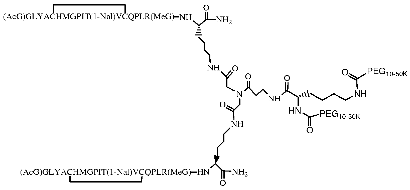
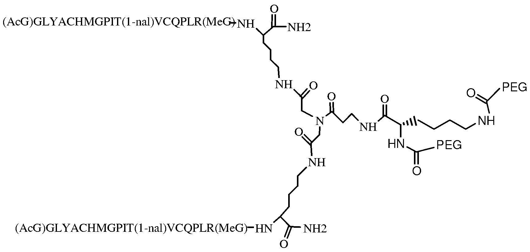
-C1O-CH2-X-CH2-C2O- where: X is NCO-(CH2)2-NH-C3O-; C1 of the linker forms an amide bond with the ε-amino group of the C-terminal lysine residue of the first peptide monomer; and C2 of the linker forms an amide bond with the ε-amino group of the C-terminal lysine residue of the second peptide monomer. The peptide dimers of the invention further comprise a spacer moiety of the following structure:
-N1H-(CH2VC4H-N2H- where: C4 of the spacer is covalently bonded to C3 of X; N1 of the spacer is covalently attached via a carbamate or an amide linkage to an activated polyethylene glycol (PEG) moiety; and N2 of the spacer
is covalently attached via a carbamate or an amide linkage to an activated PEG moiety, where PEG has a molecular weight of about 10,000 to about 50,000 Daltons (the term "about" indicating that in preparations of PEG, some molecules will weigh more, some less, than the stated molecular weight). Each PEG moiety may be, individually, 10,000 Daltons (1OkD), 2OkD, 3OkD, 4OkD, or 5OkD.
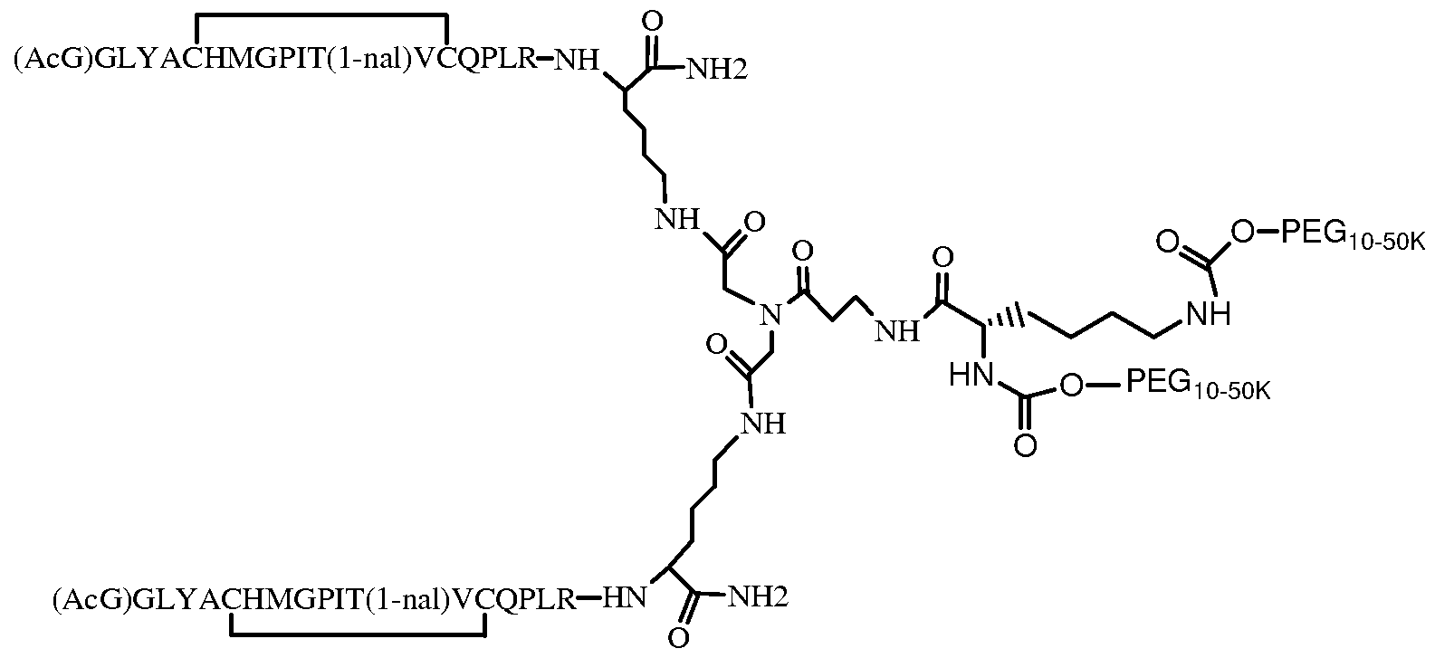
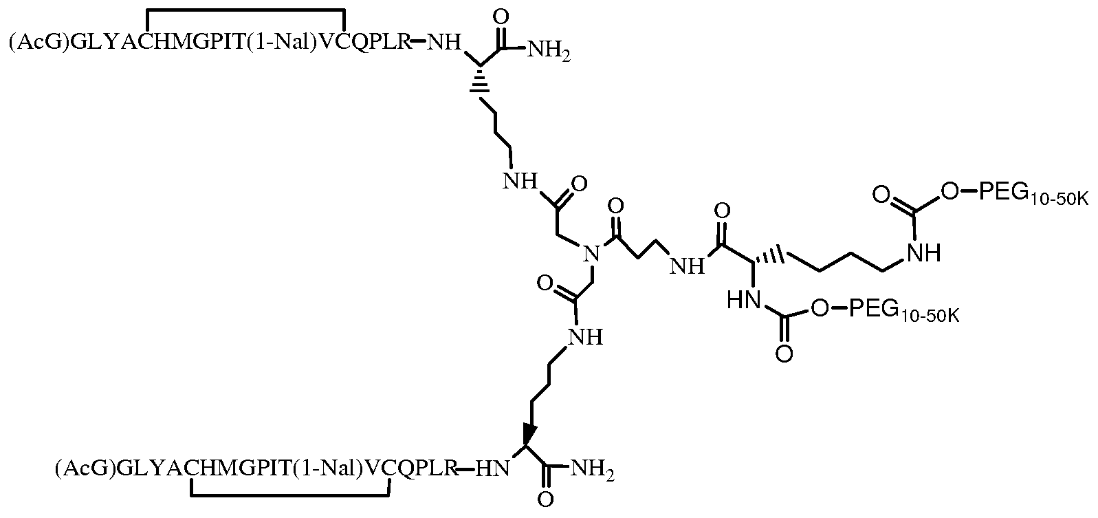
Where each monomer of the homodimer has the amino acid sequence, ( AcG)GLY ACHMGPIT(I -nal) VCQPLRK (SEQ ID NO: 1) and both N1 and N2 of the spacer are covalently attached via a carbamate linkage to an activated PEG moiety, the novel peptide compounds of the invention may be represented as follows:
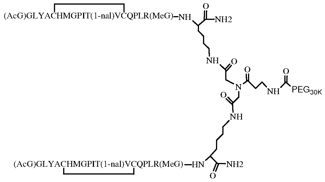
In preferred embodiments, the C-terminal lysine of the two peptide monomers is L-lysine. Also, those skilled in the art will appreciate from the above chemical structures that the two linear PEG moieties are joined by lysine (e.g., as mPEG2-Lys-NHS or as InPEG2-Ly sinol-NPC), which is also preferably L-lysine and giving rise to the following stereochemistry.
Alternatively, one or more of the lysine residues can be a D-lysine, giving rise to alternative stereochemistries which will be readily appreciate by those skilled in the art.
Where each monomer of the homodimer has the amino acid sequence, ( AcG)GLY ACHMGPIT(I -nal) VCQPLRK (SEQ ID NO: 1) and both N1 and N2 of the spacer are covalently attached via an amide linkage to an activated PEG moiety, the novel peptide compounds of the invention may be represented , as follows:
Again, the lysine molecules in this compound are preferably all L-lysine, giving rise to the following stereochemistry.
Alternatively, one or more of the lysine residues can be a D-lysine, giving rise to alternative stereochemistries which will be readily appreciated by those skilled in the art.
Where each monomer of the homodimer has the amino acid sequence, (AcG)GLYACHMGPIT( l-nal) VCQPLR(MeG)K (SEQ ID NO: 2) and both N1 and N2 of the spacer are covalently attached via a carbamate linkage to an activated PEG moiety, wherein Y is a carbamate group, the novel peptide compounds of the invention may be represented as follows:
Preferably, the lysine residues joining the peptide monomer and linear PEG moieties in this molecule are all L-lysine, giving rise to the following stereochemistry:
Alternatively, one or more of the lysine residues can be a D-lysine, giving rise to alternative stereochemistries that will be readily appreciated by those of ordinary skill in the art.
Where each monomer of the homodimer has the amino acid sequence, (ACG)GLYACHMGPIT(I -nal) VCQPLR(MeG)K (SEQ ID NO: 2) and both N1 and N2 of the spacer are covalently attached via an amide linkage to an activated PEG moiety, the novel peptide compounds of the invention may be represented as follows:
Preferably, the lysine residues joining the peptide monomer and linear PEG moieties of this molecule are all L-lysine, giving rise to the following stereochemistry.
(Ac
In other embodiments, one or more of the lysine residues can be a D-lysine, giving rise to alternative stereochemistries that will be readily appreciated by persons of ordinary skill in the art.
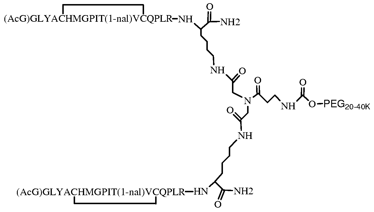
The peptide monomers may also be dimerized by attachment to a lysine linker, whereby one peptide monomer is attached at its C-terminus to the lysine' s ε-amino group and the second peptide monomer is attached at its C-terminus to the lysine's α-amino group.
The peptide dimers of the invention further comprise a spacer moiety of the following structure:
-N1H-(CH2)Z-O-(CH2)Z-O-(CH2)Z-N2H-
At one end, N1 of the spacer is attached via an amide linkage to a carbonyl carbon of the lysine linker. At the opposite end, N2 of the spacer is attached via a carbamate linkage or an amide linkage to an activated polyethylene glycol (PEG) moiety, where the PEG has a molecular weight of about 20,000 to about 40,000 Daltons (the term "about" indicating that in preparations of PEG, some molecules will weigh more, some less, than the stated molecular weight).
Where the spacer is attached via a carbamate linkage to an activated polyethylene glycol (PEG) moiety, the novel peptide compounds of the invention (SEQ ID NO: 3) may be represented as follows:
Where the spacer is attached via an amide linkage to an activated polyethylene glycol (PEG) moiety, the novel peptide compounds of the invention (SEQ ID NO: 3) may be represented as follows:
The invention further provides methods to treat various medical conditions using such peptide compounds. The methods include treating a patient having a disorder characterized by a deficiency of erythropoietin or a low or defective red blood cell population by administering to the patient a therapeutically effective amount of one of the above compounds. In certain embodiments, the disorder is end stage renal failure or dialysis; chronic kidney disease, anemia associated with AIDS, auto immune disease or a malignancy; beta-thalassemia; cystic fibrosis; early anemia of prematurity; anemia associated with chronic inflammatory disease; spinal cord injury; acute blood loss; aging; or neoplastic disease states accompanied by abnormal erythropoiesis. Furthermore, in certain embodiments, the disorder is renal failure or dialysis, and the therapeutically effective amount is a dosage of 0.025 to 0.2 milligram of the compound per 1 kilogram body weight of the patient. In other embodiments, the disorder is renal failure or dialysis, and the therapeutically effective amount is a dosage of 0.05 to 0.1 milligram of the compound per 1 kilogram body weight of the patient. In certain embodiments, the disorder is anemia associated with a malignancy, and the therapeutically effective amount is a dosage of 0.05 to 0.5 milligram of the compound per 1 kilogram body weight of the patient, or alternatively, between 0.075 to 0.5 milligram of the compound per 1 kilogram body weight of the patient. In other embodiments, the disorder is anemia associated with a malignancy, and the therapeutically effective amount is a dosage is 0.2 to 0.4 milligram of the compound per 1 kilogram body weight of the patient. The therapeutically effective amount can be administered once every 3 to 4 weeks.
In preferred embodiments, the disorder is chronic kidney disease and the therapeutically effective amount is preferably a dosage of 0.25 to 1.25 milligram of the compound per 1 kilogram of body weight of the patient, more preferably the dosage is 0.5 to 0.75 milligram of the compound per 1 kilogram of body weight of the patient. The therapeutically effective amount can be administered once every 3 to 6 weeks. In preferred embodiments, the therapeutically effective amount is administered once every 4 weeks. The therapeutically effective amount can be administered by either intravenous or subcutaneous injection. In preferred embodiments, the therapeutically effective amount is administered by subcutaneous injection. In particularly preferred embodiments the chronic kidney disease patient is pre-dialysis. The invention further provides pharmaceutical compositions comprised of such peptide compounds. In certain embodiments, the PEG has a molecular weight of about 20,000 Daltons. In other embodiments, the pharmaceutical composition comprises any one of the above compounds and a pharmaceutically acceptable carrier.
DESCRIPTION OF THE DRAWINGS
Figure 1 depicts the mean reticulocyte change from baseline for 0-12 weeks.
Figure 2 depicts the mean hemoglobin (Hgb) change from baseline for 0-12 weeks.
Figure 3 depicts correction of anaemia (Hgb >11 g/dL) by dose and treatment duration.
Figure 4 depicts the mean hemoglobin (Hgb) change from baseline for 12-22 weeks.
Figure 5 depicts the hemoglobin (Hgb) change from baseline for individual patients in the 0.05 mg/kg cohort for 0 to 12 weeks.
Figure 6 depicts the percent of pateints with a hemoglobin increase of > 1 g/dL from baseline for individual patients in the 0.5 mg/kg, 0.1 mg/kg, 0.15 mg/kg, and 0.2 mg/kg cohort for 3, 6, 9, and 12 weeks.
Figure 7 depicts the percent of patients showing a hemoglobin increase of > 2 g/dL or the combination of a > 1 g/dL increase and a hemoglobin value of at least l lg/dL in the 0.5 mg/kg, 0.1 mg/kg, 0.15 mg/kg, and 0.2 mg/kg dose cohorts. Figure 8 depicts hemoglobin increases from baseline for patients in the 0.1 mg/kg, 0.15 mg/kg, and 0.2 mg/kg dose cohorts for 0 to 14 weeks.
DETAILED DESCRIPTION OF THE INVENTION
Definitions:
Amino acid residues in peptides are abbreviated as follows: Phenylalanine is Phe or F; Leucine is Leu or L; Isoleucine is He or I; Methionine is Met or M; Valine is VaI or V; Serine is Ser or S; Proline is Pro or P; Threonine is Thr or T; Alanine is Ala or A; Tyrosine is Tyr or Y; Histidine is His or H; Glutamine is GIn or Q; Asparagine is Asn or N; Lysine is Lys or K; Aspartic Acid is Asp or D; Glutamic Acid is GIu or E; Cysteine is Cys or C; Tryptophan is Trp or W; Arginine is Arg or R; and Glycine is GIy or G. The unconventional amino acids in peptides are abbreviated as follows: 1- naphthylalanine is 1-nal or Np; N-methylglycine (also known as sarcosine) is MeG or Sc; and acetylated glycine (N-acetylglycine) is AcG.
As used herein, the term "polypeptide" or "protein" refers to a polymer of amino acid monomers that are alpha amino acids joined together through amide bonds. Polypeptides are therefore at least two amino acid residues in length, and are usually longer. Generally, the term "peptide" refers to a polypeptide that is only a few amino acid residues in length. The novel EPO-R agonist peptides of the present invention are preferably no more than about 50 amino acid residues in length. They are more preferably of about 17 to about 40 amino acid residues in length. A polypeptide, in contrast with a peptide, may comprise any number of amino acid residues. Hence, the term polypeptide included peptides as well as longer sequences of amino acids. As used herein, the phrase "pharmaceutically acceptable" refers to molecular entities and compositions that are "generally regarded as safe", e.g., that are physiologically tolerable and do not typically produce an allergic or similar untoward reaction, such as gastric upset, dizziness and the like, when administered to a human. Preferably, as used herein, the term "pharmaceutically acceptable" means approved by a regulatory agency of the Federal or a state government or listed in the U.S. Pharmacopeia or other generally recognized pharmacopeia for use in animals, and more particularly in humans. The term "carrier" refers to a diluent, adjuvant, excipient, or vehicle with which the compound is administered. Such pharmaceutical carriers can be sterile liquids, such as water and oils, including those of petroleum, animal, vegetable or synthetic origin, such as peanut oil, soybean oil, mineral oil, sesame oil and the like. Water or aqueous solution saline solutions and aqueous dextrose and glycerol solutions are preferably employed as carriers, particularly for injectable solutions. Suitable pharmaceutical carriers are described in "Remington's Pharmaceutical Sciences" by E.W. Martin.
As used herein the term "agonist" refers to a biologically active ligand which binds to its complementary biologically active receptor and activates the latter either to cause a biological response in the receptor, or to enhance preexisting biological activity of the receptor.
Novel peptides that are EPO-R agonists
The present invention provides novel peptide compounds, which are EPO-R agonists of dramatically enhanced potency and activity. These peptide compounds are homodimers of peptide monomers having the amino acid sequence (AcG)GLY ACHMGPIT(I -nal) VCQPLRK (SEQ ID NO 1), or homodimers of peptide monomers having the amino acid sequence (AcG)GLY ACHMGPIT( 1- nal) VCQPLR(MeG)K (SEQ ID NO 2); where each amino acid is indicated by standard one letter abbreviation, "(AcG)" is N-acetylglycine, "(1-nal)" is 1 -naphthylalanine, and "(MeG)" is "(MeG)" is N-methylglycine, also known as sarcosine Each peptide monomer of a peptide dimer contains an intramolecular disulfide bond between the cysteine residues of the monomer Such monomers may be represented schematically as follows:
These monomeric peptides are dimenzed to provide peptide ditners of enhanced EPO-R agonist activity The linker (Lκ) moiety is a branched tertiary amide, which bridges the C-termini of two peptide monomers, by simultaneous attachment to the C-terminal lysine residue of each monomer The tertiary amide linker can be depicted as:
-C1O-CH2-X-CH2-C2O- where- X is NCO-(CH2^-N1H-; C1 of the linker forms an amide bond with the ε-amino group of the C-terminal lysine residue of the first peptide monomer, C of the linker forms an amide bond with the ε-amino group of the C-terminal lysine residue of the second peptide monomer; and N1 of X is attached via a carbamate linkage or an amide linkage to an activated polyethylene glycol (PEG) moiety, where the PEG has a molecular weight of about 20,000 to about 40,000 Daltons (the term "about" indicating that in preparations of PEG, some molecules will weigh more, some less, than the stated molecular weight).
The tertiary amide linker may also be depicted as:
-C1O-CH2-X-CH2-C2O-
where1 X is NCO-(CH2)2-NH-C3O-, C1 of the linker forms an amide bond with the ε-amino group of the C-terminal lysine residue of the first peptide monomer, and C2 of the linker forms an amide bond with the ε-amino group of the C-terminal lysine residue of the second peptide monomer The peptide dimers of the invention further comprise a spacer moiety of the following structure:
-N1H-(CHz)4-C4H-N2H-
where: C4 of the spacer is covalently bonded to C3 of X; N1 of the spacer is covalently attached via a carbamate or an amide linkage to an activated PEG moiety; and N2 of the spacer is covalently attached via a carbamate or an amide linkage to an activated PEG moiety, where PEG has a molecular weight of about 10,000 to about 60,000 Daltons (the term "about" indicating that in preparations of PEG, some molecules will weigh more, some less, than the stated molecular weight).
Thus, the novel peptides of the invention can also contain a PEG moiety, which is covalently attached via a carbamate linkage or an amide linkage to the tertiary amide linker of the peptide dimer. PEG is a water soluble polymer that is pharmaceutically acceptable. PEG for use in the present invention may be linear, unbranched PEG having a molecular weight of about 20 kilodaltons (20K) to about 6OK (the term "about" indicating that in preparations of PEG, some molecules will weigh more, some less, than the stated molecular weight). Most preferably, the PEG has a molecular weight of about 30K to about 4OK. One skilled in the art will be able to select the desired polymer size based on such considerations as the desired dosage; circulation time; resistance to proteolysis; effects, if any, on biological activity; ease in handling; degree or lack of antigenicity; and other known effects of PEG on a therapeutic peptide.
Peptides, peptide dimers and other peptide-based molecules of the invention can be attached to water-soluble polymers (e.g., PEG) using any of a variety of chemistries to link the water-soluble polymer(s) to the receptor-binding portion of the molecule (e.g., peptide + spacer). A typical embodiment employs a single attachment junction for covalent attachment of the water soluble polymer(s) to the receptor-binding portion, however in alternative embodiments multiple attachment junctions may be used, including further variations wherein different species of water-soluble polymer are attached to the receptor-binding portion at distinct attachment junctions, which may include covalent attachment junction(s) to the spacer and/or to one or both peptide chains. In some embodiments, the dimer or higher order multimer will comprise distinct species of peptide chain (i.e., a heterodimer or other heteromultimer). By way of example and not limitation, a dimer may comprise a first peptide chain having a PEG attachment junction and the second peptide chain may either lack a PEG attachment junction or utilize a different linkage chemistry than the first peptide chain and in some variations the spacer may contain or lack a PEG attachment junction and said spacer, if PEGylated, may utilize a linkage chemistry different than that of the first and/or second peptide chains. An alternative embodiment employs a PEG attached to the spacer portion of the receptor- binding portion and a different water-soluble polymer (e.g., a carbohydrate) conjugated to a side chain of one of the amino acids of the peptide portion of the molecule. A wide variety of polyethylene glycol (PEG) species may be used for PEGylation of the receptor-binding portion (peptides + spacer). Substantially any suitable reactive PEG reagent can be used. In preferred embodiments, the reactive PEG reagent will result in formation of a carbamate or
amide bond upon conjugation to the receptor-binding portion. Suitable reactive PEG species include, but are not limited to, those which are available for sale in the Drug Delivery Systems catalog (2003) of NOF Corporation (Yebisu Garden Place Tower, 20-3 Ebisu 4-chome, Shibuya-ku, Tokyo 150- 6019) and the Molecular Engineering catalog (2003) of Nektar Therapeutics (490 Discovery Drive, Huntsville, Alabama 35806). For example and not limitation, the following PEG reagents are often preferred in various embodiments: mPEG2-NHS, mPEG2-ALD, multi-Arm PEG, mPEG(MAL)2, mPEG2(MAL), mPEG-NH2, mPEG-SPA, mPEG-SBA, mPEG-thioesters, mPEG-Double Esters, mPEG-BTC, mPEG-ButyrALD, mPEG-ACET, heterofunctional PEGs (NH2-PEG-COOH, Boc- PEG-NHS, Fmoc-PEG-NHS, NHS-PEG-VS, NHS-PEG-MAL), PEG acrylates (ACRL-PEG-NHS), PEG-phospholipids (e.g., mPEG-DSPE), multiarmed PEGs of the SUNBRITE series including the GL series of glycerine-based PEGs activated by a chemistry chosen by those skilled in the art, any of the SUNBRITE activated PEGs (including but not limited to carboxyl-PEGs, p-NP-PEGs, Tresyl- PEGs, aldehyde PEGs, acetal-PEGs, amino-PEGs, thiol-PEGs, maleimido-PEGs, hydroxyl-PEG- amine, amino-PEG-COOH, hydroxyl-PEG-aldehyde, carboxylic anhydride type-PEG, functionalized PEG-phospholipid, and other similar and/or suitable reactive PEGs as selected by those skilled in the art for their particular application and usage.
The novel peptides of the invention can also contain two PEG moieties that are covalently attached via a carbamate or an amide linkage to a spacer moiety, wherein the spacer moiety is covalently bonded to the tertiary amide linker of the peptide dimer. Each of the two PEG moieties used in such embodiments of the present invention may be linear and may be linked together at a single point of attachment. Each PEG moiety preferably has a molecular weight of about 10 kilodaltons (10K) to about 6OK (the term "about" indicating that in preparations of PEG, some molecules will weigh more, some less, than the stated molecular weight). Linear PEG moieties are particularly preferred. More preferably, each of the two PEG moieties has a molecular weight of about 2OK to about 4OK, and still more preferably between about 2OK and about 4OK. Still more preferably, each of the two PEG moieties has a molecular weight of about 2OK. One skilled in the art will be able to select the desired polymer size based on such considerations as the desired dosage; circulation time; resistance to proteolysis; effects, if any, on biological activity; ease in handling; degree or lack of antigenicity; and other known effects of PEG on a therapeutic peptide. The present invention also comprises peptide agonists that are homodimers of peptide monomers having the amino acid sequence ( AcG)GLY ACHMGPIT(I -nal) VCQPLR(MeG) (SEQ ID NO: 3), where each amino acid is indicated by standard one letter abbreviation, "(AcG)" is N- acetylglycine, "(1-nal)" is 1-naphthylalanine, and "(MeG)" is N-methylglycine, also known as sarcosine. Each peptide monomer of the peptide dimer contains an intramolecular disulfide bond between the cysteine residues of the monomer. Such monomers may be represented schematically as follows:
These monomeric peptides are dimenzed to provide peptide dimers of enhanced EPO-R agonist activity. The linker (Lκ) moiety is a lysine residue, which bridges the C-terimm of two peptide monomers, by simultaneous attachment to the C-terminal amino acid of each monomer. One peptide monomer is attached at its C-termimis to the lysine's ε-amino group and the second peptide monomer is attached at its C-terminus to the lysine's α-amino group For example, the dimer may be illustrated structurally as shown in Formula I, and summarized as shown in Formula II.
In Formula I and Formula II, N2 represents the nitrogen atom of lysine's ε-amino group and N1 represents the nitrogen atom of lysine's α-amino group.
The peptide dimers of the invention further comprise a spacer moiety of the following structure:
-N1H-(CH2)2-O-(CH2)2-O-(CH2)2-N2H- At one end, N1 of the spacer is attached via an amide linkage to a carbonyl carbon of the lysine linker At the opposite end, N2 of the spacer is attached via a carbamate linkage or an amide linkage to an activated polyethylene glycol (PEG) moiety, where the PEG has a molecular weight of about 10,000 to about 60,000 Daltons (the term "about" indicating that in preparations of PEG, some molecules will weigh more, some less, than the stated molecular weight). More preferably, the PEG has a molecular weight of about 20,000 to 40,000 Daltons
Thus, the novel peptides of the invention also contain a PEG moiety, which is covalently attached to the peptide dimer PEG is a water soluble polymer that is pharmaceutically acceptable PEG for use in the present invention may be linear, unbranched PEG having a molecular weight of about 20 kilodaltons (20K) to about 6OK (the term "about" indicating that in preparations of PEG, some molecules will weigh more, some less, than the stated molecular weight) Most preferably, the PEG has a molecular weight of about 2OK to about 4OK, and still more preferably a molecular weight of about 30K to about 4OK. One skilled in the art will be able to select the desired polymer size based on such considerations as the desired dosage; circulation time; resistance to proteolysis; effects, if
any, on biological activity; ease in handling; degree or lack of antigenicity; and other known effects of PEG on a therapeutic peptide.
Where each monomer of the homodimer has the amino acid sequence, (AcG)GLY ACHMGPIT(I -nal) VCQPLRK (SEQ ID NO: 1) and N1 of the linker is attached via a carbamate linkage to an activated polyethylene glycol (PEG) moiety, the novel peptide compounds of the invention may be represented as follows:
Where each monomer of the homodimer has the amino acid sequence, (AcG)GLY ACHMGPIT(I -nal) VCQPLRK (SEQ ID NO: 1) and N1 of the linker is attached via an amide linkage to an activated polyethylene glycol (PEG) moiety, the novel peptide compounds of the invention may be represented as follows:
Where each monomer of the homodimer has the amino acid sequence,
(AcG)GLYACHMGPIT( 1-nal) VCQPLR(MeG)K (SEQ ID NO: 2) and N1 of the linker is attached via a carbamate linkage to an activated polyethylene glycol (PEG) moiety, the novel peptide compounds of the invention may be represented as follows:
Where each monomer of the homodimer has the amino acid sequence, (ACG)GLYACHMGPIT(I -nal) VCQPLR(MeG)K (SEQ ID NO: 2) and N1 of the linker is attached via an amide linkage to an activated polyethylene glycol (PEG) moiety, the novel peptide compounds of the invention may be represented as follows:
Preferred peptide dimers of the present invention include, but are not limited to:
Where each monomer of the homodimer has the amino acid sequence, (AcG)GLY ACHMGPITX 1-nal) VCQPLRK (SEQ ID NO: 1) and both N1 and N2 of the spacer are
covalently attached via a carbamate linkage to an activated PEG moiety, the novel peptide compounds of the invention may be represented as follows:
Where each monomer of the homodimer has the amino acid sequence, ( AcG)GLY ACHMGPIT(I -nal) VCQPLRK (SEQ ID NO: 1) and both N1 and N2 of the spacer are covalently attached via an amide linkage to an activated PEG moiety, the novel peptide compounds of the invention may be represented as follows:
Where each monomer of the homodimer has the amino acid sequence, ( AcG)GLY ACHMGPITX 1-nal) VCQPLR(MeG)K (SEQ ID NO: 2) and both N1 and N2 of the spacer are covalently attached via a carbamate linkage to an activated PEG moiety, the novel peptide compounds of the invention may be represented as follows:
Where each monomer of the homodimer has the amino acid sequence, (ACG)GLYACHMGPIT(I -nal) VCQPLR(MeG)K (SEQ ID NO: 2) and both N1 and N2 of the spacer are covalently attached via an amide linkage to an activated PEG moiety, the novel peptide compounds of the invention may be represented as follows:
Preferred peptide dimers of the present invention include, but are not limited to:
Where the spacer is attached via a carbamate linkage to an activated polyethylene glycol (PEG) moiety, the novel peptide compounds of the invention (SEQ ID NO: 3) may be represented as follows:
Where the spacer is attached via an amide linkage to an activated polyethylene glycol (PEG) moiety, the novel peptide compounds of the invention (SEQ ID NO: 3) may be represented as follows:
This dimeric structure can be written [Ac-peptide, disulfide]2Lys-spacer-PEG2o^toκ to denote an N-terminally acetylated peptide bound to both the α and ε amino groups of lysine with each peptide containing an intramolecular disulfide loop and a spacer molecule forming a covalent linkage between the C-terminus of lysine and a PEG moiety, where the PEG has a molecular weight of about
20,000 to about 40,000 Daltons.
Preferred peptide dimers of the present invention include, but are not limited to:
Stereoisomers (e.g., D-amino acids) of the twenty conventional amino acids, unnatural amino acids such as a,a-disubstituted amino acids, N-alkyl amino acids, lactic acid, and other unconventional amino acids may also be suitable components for compounds of the present invention. Examples of unconventional amino acids include, but are not limited to: β-alanine, 3-pyridylalanine, 4- hydroxyproline, O-phosphoserine, N-methylglycine, N-acetylserine, N-formylmethionine, 3- methylhistidine, 5 -hydroxy Iy sine, nor-leucine, and other similar amino acids and imino acids. Other modifications are also possible, including modification of the amino terminus, modification of the carboxy terminus, replacement of one or more of the naturally occurring genetically encoded amino acids with an unconventional amino acid, modification of the side chain of one or more amino acid residues, peptide phosphorylation, and the like.
The peptide sequences of the present invention and be present alone or in conjunction with N- terminal and/or C-terminal extensions of the peptide chain. Such extensions may be naturally encoded peptide sequences optionally with or substantially without non-naturally occurring sequences; the extensions may include any additions, deletions, point mutations, or other sequence modifications or combinations as desired by those skilled in the art. For example and not limitation, naturally- occurring sequences may be full-length or partial length and may include amino acid substitutions to provide a site for attachment of carbohydrate, PEG, other polymer, or the like via side chain conjugation. In a variation, the amino acid substitution results in humanization of a sequence to make in compatible with the human immune system. Fusion proteins of all types are provided, including immunoglobulin sequences adjacent to or in near proximity to the EPO-R activating sequences of the present invention with or without a non-immunoglobulin spacer sequence. One type of embodiment is an immunoglobulin chain having the EPO-R activating sequence in place of the variable (V) region of the heavy and/or light chain.
Preparation of the peptide compounds of the invention: Peptide synthesis
The peptides of the invention may be prepared by classical methods known in the art. These standard methods include exclusive solid phase synthesis, partial solid phase synthesis methods, fragment condensation, classical solution synthesis, and recombinant DNA technology [See, e.g., Merrifield J. Am. Chem. Soc. 1963 85:2149].
In one embodiment, the peptide monomers of a peptide dimer are synthesized individually and dimerized subsequent to synthesis.
In another embodiment, the peptide monomers of a dimer are linked via their C-termini by a branched tertiary amide linker Lκ moiety having two functional groups capable of serving as initiation sites for peptide synthesis and a third functional group (e.g., a carboxyl group or an amino group) that enables binding to another molecular moiety (e.g., as may be present on the surface of a solid support). In this case, the two peptide monomers may be synthesized directly onto two reactive nitrogen groups of the linker Lκ moiety in a variation of the solid phase synthesis technique. Such synthesis may be sequential or simultaneous.
In another embodiment, the two peptide monomers may be synthesized directly onto two reactive nitrogen groups of the linker Lκ moiety in a variation of the solid phase synthesis technique. Such synthesis may be sequential or simultaneous. In this embodiment, a lysine linker (Lκ) moiety having two amino groups capable of serving as initiation sites for peptide synthesis and a third functional group (e.g., the carboxyl group of a lysine; or the amino group of a lysine amide, a lysine residue wherein the carboxyl group has been converted to an amide moiety -CONH2) that enables binding to another molecular moiety (e.g., as may be present on the surface of a solid support) is used.
Where sequential synthesis of the peptide chains of a dimer onto a linker is to be performed, two amine functional groups on the linker molecule are protected with two different orthogonally removable amine protecting groups. The protected linker is coupled to a solid support via the linker's third functional group. The first amine protecting group is removed, and the first peptide of the dimer is synthesized on the first deprotected amine moiety. Then the second amine protecting group is removed, and the second peptide of the dimer is synthesized on the second deprotected amine moiety. For example, the first amino moiety of the linker may be protected with Alloc, and the second with Fmoc. In this case, the Fmoc group (but not the Alloc group) may be removed by treatment with a mild base [e.g., 20% piperidine in dimethyl formamide (DMF)], and the first peptide chain synthesized. Thereafter the Alloc group may be removed with a suitable reagent [e.g., Pd(PPh3)M- methyl morpholine and chloroform], and the second peptide chain synthesized. Note that where different thiol-protecting groups for cysteine are to be used to control disulfide bond formation (as discussed below) this technique must be used even where the final amino acid sequences of the peptide chains of a dimer are identical.
Where simultaneous synthesis of the peptide chains of a dimer onto a linker is to be performed, two amine functional groups of the linker molecule are protected with the same removable amine protecting group. The protected linker is coupled to a solid support via the linker's third functional group. In this case the two protected functional groups of the linker molecule are simultaneously deprotected, and the two peptide chains simultaneously synthesized on the deprotected amines. Note that using this technique, the sequences of the peptide chains of the dimer will be identical, and the thiol-protecting groups for the cysteine residues are all the same.
A preferred method for peptide synthesis is solid phase synthesis. Solid phase peptide synthesis procedures are well-known in the art [see, e.g., Stewart Solid Phase Peptide Syntheses (Freeman and Co.: San Francisco) 1969; 2002/2003 General Catalog from Novabiochem Corp, San Diego, USA; Goodman Synthesis of Peptides and Peptidomimetics (Houben-Weyl, Stuttgart) 2002]. In solid phase synthesis, synthesis is typically commenced from the C-terminal end of the peptide using an α-amino protected resin. A suitable starting material can be prepared, for instance, by attaching the required α-amino acid to a chloromethylated resin, a hydroxymethyl resin, a polystyrene resin, a benzhydrylamine resin, or the like. One such chloromethylated resin is sold under the trade name BIO-BEADS SX-I by Bio Rad Laboratories (Richmond, CA). The preparation of the hydroxymethyl resin has been described [Bodonszky, et al. (1966) Chem. Ind. London 38:1597]. The benzhydrylamine (BHA) resin has been described [Pietta and Marshall (1970) Chem. Commun. 650], and the hydrochloride form is commercially available from Beckman Instruments, Inc. (Palo Alto, CA). For example, an α-amino protected amino acid may be coupled to a chloromethylated resin with the aid of a cesium bicarbonate catalyst, according to the method described by Gisin (1973) HeIv. Chim. Acta 56:1467.
After initial coupling, the α-amino protecting group is removed, for example, using trifluoroacetic acid (TFA) or hydrochloric acid (HCI) solutions in organic solvents at room temperature. Thereafter, α-amino protected amino acids are successively coupled to a growing support-bound peptide chain. The α-amino protecting groups are those known to be useful in the art of stepwise synthesis of peptides, including: acyl-type protecting groups (e.g., formyl, trifluoroacetyl, acetyl), aromatic urethane-type protecting groups [e.g., benzyloxycarboyl (Cbz) and substituted Cbz], aliphatic urethane protecting groups [e.g., t-butyloxycarbonyl (Boc), isopropyloxycarbonyl, cyclohexyloxycarbonyl], and alkyl type protecting groups (e.g., benzyl, triphenylmethyl), fluorenylmethyl oxycarbonyl (Fmoc), allyloxycarbonyl (Alloc), and l-(4,4-dimethyl-2,6- dioxocyclohex- 1 -ylidene)ethyl (Dde).
The side chain protecting groups (typically ethers, esters, trityl, PMC, and the like) remain intact during coupling and are not split off during the deprotection of the amino-terminus protecting group or during coupling. The side chain protecting group must be removable upon the completion of the synthesis of the final peptide and under reaction conditions that will not alter the target peptide.
The side chain protecting groups for Tyr include tetrahydropyranyl, tert-butyl, trityl, benzyl, Cbz, Z- Br-Cbz, and 2,5-dichlorobenzyl. The side chain protecting groups for Asp include benzyl, 2,6- dichlorobenzyl, methyl, ethyl, and cyclohexyl. The side chain protecting groups for Thr and Ser include acetyl, benzoyl, trityl, tetrahydropyranyl, benzyl, 2,6-dichlorobenzyl, and Cbz. The side chain protecting groups for Arg include nitro, Tosyl (Tos), Cbz, adamantyloxycarbonyl mesitoylsulfonyl (Mts), 2,2,4,6,7-pentamethyldihydrobenzofurane-5-sulfonyl (Pbf), 4-mthoxy-2,3,6-trimethyl- benzenesulfonyl (Mtr), or Boc. The side chain protecting groups for Lys include Cbz, 2- chlorobenzyloxycarbonyl (2-Cl-Cbz), 2-bromobenzyloxycarbonyl (2-Br-Cbz), Tos, or Boc.
After removal of the α-amino protecting group, the remaining protected amino acids are coupled stepwise in the desired order. Each protected amino acid is generally reacted in about a 3- fold excess using an appropriate carboxyl group activator such as 2-(lH-benzotriazol-l-yl)-l, 1,3,3 tetramethyluronium hexafluorophosphate (HBTU) or dicyclohexylcarbodimide (DCC) in solution, for example, in methylene chloride (CH2CI2), N-methyl pyrrolidone, dimethyl formamide (DMF), or mixtures thereof. After the desired amino acid sequence has been completed, the desired peptide is decoupled from the resin support by treatment with a reagent, such as trifluoroacetic acid (TFA) or hydrogen fluoride (HF), which not only cleaves the peptide from the resin, but also cleaves all remaining side chain protecting groups. When a chloromethylated resin is used, hydrogen fluoride treatment results in the formation of the free peptide acids. When the benzhydrylamine resin is used, hydrogen fluoride treatment results directly in the free peptide amide. Alternatively, when the chloromethylated resin is employed, the side chain protected peptide can be decoupled by treatment of the peptide resin with ammonia to give the desired side chain protected amide or with an alkylamine to give a side chain protected alkylamide or dialkylamide. Side chain protection is then removed in the usual fashion by treatment with hydrogen fluoride to give the free amides, alkylamides, or dialkylamides. In preparing the esters of the invention, the resins used to prepare the peptide acids are employed, and the side chain protected peptide is cleaved with base and the appropriate alcohol (e.g., methanol). Side chain protecting groups are then removed in the usual fashion by treatment with hydrogen fluoride to obtain the desired ester.
These procedures can also be used to synthesize peptides in which amino acids other than the 20 naturally occurring, genetically encoded amino acids are substituted at one, two, or more positions of any of the compounds of the invention. Synthetic amino acids that can be substituted into the peptides of the present invention include, but are not limited to, N-methyl, L-hydroxypropyl, L-3, 4- dihydroxyphenylalanyl, δ amino acids such as L- δ-hydroxylysyl and D- δ-methylalanyl, L-α- methylalanyl, β amino acids, and isoquinolyl. D-amino acids and non-naturally occurring synthetic amino acids can also be incorporated into the peptides of the present invention.
Peptide modifications
One can also modify the amino and/or carboxy termini of the peptide compounds of the invention to produce other compounds of the invention. For example, the amino terminus may be acetylated with acetic acid or a halogenated derivative thereof such as α-chloroacetic acid, α- bromoacetic acid, or α-iodoacetic acid).
One can replace the naturally occurring side chains of the 20 genetically encoded amino acids (or the stereoisomeric D amino acids) with other side chains, for instance with groups such as alkyl, lower alkyl, cyclic 4-, 5-, 6-, to 7-membered alkyl, amide, amide lower alkyl, amide di(lower alkyl), lower alkoxy, hydroxy, carboxy and the lower ester derivatives thereof, and with 4-, 5-, 6-, to 7- membered heterocyclic. In particular, proline analogues in which the ring size of the proline residue is changed from 5 members to 4, 6, or 7 members can be employed. Cyclic groups can be saturated or unsaturated, and if unsaturated, can be aromatic or non-aromatic. Heterocyclic groups preferably contain one or more nitrogen, oxygen, and/or sulfur heteroatoms. Examples of such groups include the furazanyl, furyl, imidazolidinyl, imidazolyl, imidazolinyl, isothiazolyl, isoxazolyl, morpholinyl (e.g. morpholino), oxazolyl, piperazinyl (e.g., 1-piperazinyl), piperidyl (e.g., 1-piperidyl, piperidino), pyranyl, pyrazinyl, pyrazolidinyl, pyrazolinyl, pyrazolyl, pyridazinyl, pyridyl, pyrimidinyl, pyrrolidinyl (e.g., 1-pyrrolidinyl), pyrrolinyl, pyrrolyl, thiadiazolyl, thiazolyl, thienyl, thiomorpholinyl (e.g., thiomorpholino), and triazolyl. These heterocyclic groups can be substituted or unsubstituted. Where a group is substituted, the substituent can be alkyl, alkoxy, halogen, oxygen, or substituted or unsubstituted phenyl.
One can also readily modify peptides by phosphorylation, and other methods [e.g., as described in Hruby, et al. (1990) Biochem J. 268:249-262].
The peptide compounds of the invention also serve as structural models for non-peptidic compounds with similar biological activity. Those of skill in the art recognize that a variety of techniques are available for constructing compounds with the same or similar desired biological activity as the lead peptide compound, but with more favorable activity than the lead with respect to solubility, stability, and susceptibility to hydrolysis and proteolysis [See, Morgan and Gainor (1989) Ann. Rep. Med. Chem. 24:243-252]. These techniques include replacing the peptide backbone with a backbone composed of phosphonates, amidates, carbamates, sulfonamides, secondary amines, and N- methylamino acids.
Formation of disulfide bonds
The compounds of the present invention contain two intramolecular disulfide bonds. Such disulfide bonds may be formed by oxidation of the cysteine residues of each peptide monomer. In one embodiment, the control of cysteine bond formation is exercised by choosing an oxidizing agent of the type and concentration effective to optimize formation of the desired isomer.
For example, oxidation of a peptide dimer to form two intramolecular disulfide bonds (one on each peptide chain) is preferentially achieved (over formation of intermolecular disulfide bonds) when the oxidizing agent is DMSO or iodine (I2).
In other embodiments, the formation of cysteine bonds is controlled by the selective use of thiol-protecting groups during peptide synthesis. For example, where a dimer with two intramolecular disulfide bonds is desired, the first monomer peptide chain is synthesized with the two cysteine residues of the core sequence protected with a first thiol protecting group [e.g., trityl(Trt), allyloxycarbonyl (Alloc), and l-(4,4-dimethyl-2,6-dioxocyclohex-l-ylidene)ethyl (Dde)or the like], then the second monomer peptide is synthesized the two cysteine residues of the core sequence protected with a second thiol protecting group different from the first thiol protecting group [e.g., acetamidomethyl (Acm), t-butyl (tBu), or the like]. Thereafter, the first thiol protecting groups are removed effecting bisulfide cyclization of the first monomer, and then the second thiol protecting groups are removed effecting bisulfide cyclization of the second monomer.
Other embodiments of this invention provide for analogues of these disulfide derivatives in which one of the sulfurs has been replaced by a CH2 group or other isotere for sulfur. These analogues can be prepared from the compounds of the present invention, wherein each peptide monomer contains at least one C or homocysteine residue and an α- amino -γ-butyric acid in place of the second C residue, via an intramolecular or intermolecular displacement, using methods known in the art [See, e.g., Barker, et al. (1992) J. Med. Chem. 35:2040-2048 and Or, et al. (1991) J. Org. Chem. 56:3146-3149]. One of skill in the art will readily appreciate that this displacement can also occur using other homologs of α- amino -γ-butyric acid and homocysteine.
In addition to the foregoing cyclization strategies, other non-disulfide peptide cyclization strategies can be employed. Such alternative cyclization strategies include, for example, amide- cyclization strategies as well as those involving the formation of thio-ether bonds. Thus, the compounds of the present invention can exist in a cyclized form with either an intramolecular amide bond or an intramolecular thio-ether bond. For example, a peptide may be synthesized wherein one cysteine of the core sequence is replaced with lysine and the second cysteine is replaced with glutamic acid. Thereafter a cyclic monomer may be formed through an amide bond between the side chains of these two residues. Alternatively, a peptide may be synthesized wherein one cysteine of the core sequence is replaced with lysine (or serine). A cyclic monomer may then be formed through a thio- ether linkage between the side chains of the lysine (or serine) residue and the second cysteine residue of the core sequence. As such, in addition to disulfide cyclization strategies, amide-cyclization strategies and thio-ether cyclization strategies can both be readily used to cyclize the compounds of the present invention. Alternatively, the amino-terminus of the peptide can be capped with an α- substituted acetic acid, wherein the α-substituent is a leaving group, such as an α-haloacetic acid, for example, α-chloroacetic acid, α-bromoacetic acid, or α-iodoacetic acid.
Addition of branched tertiary amide linker
The peptide monomers may be dimerized by a branched tertiary amide linker moiety. In one embodiment, the linker is incorporated into the peptide during peptide synthesis. For example, where a linker Lκ moiety contains two functional groups capable of serving as initiation sites for peptide synthesis and one or more other functional groups (e.g., a carboxyl group or an amino group) that enables binding to one or more other molecular moieties, the linker may be conjugated to a solid support. Thereafter, two peptide monomers may be synthesized directly onto the two reactive nitrogen groups of the linker Lκ moiety in a variation of the solid phase synthesis technique. In alternate embodiments, the linker may be conjugated to the two peptide monomers of a peptide dimer after peptide synthesis. Such conjugation may be achieved by methods well established in the art. In one embodiment, the linker contains two functional groups suitable for attachment to the target functional groups of the synthesized peptide monomers. For example, a linker containing two carboxyl groups, either preactivated or in the presence of a suitable coupling reagent, may be reacted with the target lysine side chain amine groups of each of two peptide monomers.
For example, the peptide monomers may be chemically coupled to the tertiary amide linker,
A^C1O-CH2-X-CH2-C2O-B* where: X is NCO-(CH2)2-NH-Y and Y is a suitable protecting group, such as a t-butyloxycarbonyl (Boc) protecting group; A* is a suitable functional group, such as N-oxy succinimide, used to conjugate C1 of the linker to the ε-amino group of the C-terminal lysine residue of the first peptide monomer; and B* is a suitable functional group, such as N-oxy succinimide, used to conjugate C of the linker to the ε-amino group of the C-terminal lysine residue of the second peptide monomer.
Additionally, for example, the peptide monomers may be chemically coupled to the tertiary amide linker, A^C1O-CH2-X-CH2-C2O-B*
where: X is NCO-(CH2)2-NH-C O-; A* is a suitable functional group, such as N-oxy succinimide, used to conjugate C1 of the linker to the ε-amino group of the C-terminal lysine residue of the first peptide monomer; and B* is a suitable functional group, such as N-oxy succinimide, used to conjugate C2 of the linker to the ε-amino group of the C-terminal lysine residue of the second peptide monomer; and the tertiary amide linker is chemically bonded to the spacer moiety,
Y-NH-(CH2)4-C4H-NH-Y where: C3 of X is covalently bonded to C4 of the spacer; and Y is a suitable protecting group, such as a t-butyloxycarbonyl (Boc) protecting group.
Addition of lysine linker
The peptide monomers may be dimerized by a lysine linker Lκ moiety. In one embodiment, the lysine linker in incorporated into the peptide during peptide synthesis. For example, where a lysine linker Lκ moiety contains two functional groups capable of serving as initiation sites for peptide synthesis and a third functional group (e.g., a carboxyl group or an amino group) that enables binding to another molecular moiety, the linker may be conjugated to a solid support. Thereafter, two peptide monomers may be synthesized directly onto the two reactive nitrogen groups of the lysine linker Lκ moiety in a variation of the solid phase synthesis technique.
In alternate embodiments where a peptide dimer is dimerized by a lysine linker Lκ moiety, said linker may be conjugated to the two peptide monomers of a peptide dimer after peptide synthesis. Such conjugation may be achieved by methods well established in the art. In one embodiment, the linker contains at least two functional groups suitable for attachment to the target functional groups of the synthesized peptide monomers. For example, the lysine's two free amine groups may be reacted with the C-terminal carboxyl groups of each of two peptide monomers.
Addition of spacer
The peptide compounds of the invention further comprise a spacer moiety. In one embodiment the spacer may be incorporated into the peptide during peptide synthesis. For example, where a spacer contains a free amino group and a second functional group (e.g., a carboxyl group or an amino group) that enables binding to another molecular moiety, the spacer may be conjugated to the solid support.
In one embodiment, a spacer containing two functional groups is first coupled to the solid support via a first functional group. Next the lysine linker Lκ moiety having two functional groups capable of serving as initiation sites for peptide synthesis and a third functional group (e.g., a carboxyl group or an amino group) that enables binding to another molecular moiety is conjugated to the spacer via the spacer's second functional group and the linker's third functional group. Thereafter, two peptide monomers may be synthesized directly onto the two reactive nitrogen groups of the linker Lκ moiety in a variation of the solid phase synthesis technique. For example, a solid support coupled spacer with a free amine group may be reacted with a lysine linker via the linker's free carboxyl group. In alternate embodiments the spacer may be conjugated to the peptide dimer after peptide synthesis. Such conjugation may be achieved by methods well established in the art. In one embodiment, the linker contains at least one functional group suitable for attachment to the target functional group of the synthesized peptide. For example, a spacer with a free amine group may be reacted with a peptide's C-terminal carboxyl group. In another example, a linker with a free carboxyl group may be reacted with the free amine group of a lysine amide.
Attachment of polyethylene glycol (PEG)
In recent years, water-soluble polymers, such as polyethylene glycol (PEG), have been used for the covalent modification of peptides of therapeutic and diagnostic importance. Attachment of such polymers is thought to enhance biological activity, prolong blood circulation time, reduce immunogenicity, increase aqueous solubility, and enhance resistance to protease digestion. For example, covalent attachment of PEG to therapeutic polypeptides such as interleukins [Knauf, et al. (1988) J. Biol. Chem. 263; 15064; Tsutsumi, et al. (1995) J. Controlled Release 33:447), interferons (Kita, et al. (1990) Drug Des. Delivery 6:157), catalase (Abuchowski, et al. (1977) J. Biol. Chem. 252:582), superoxide dismutase (Beauchamp, et al. (1983) Anal. Biochem. 131:25), and adenosine deaminase (Chen, et al. (1981) Biochim. Biophy. Acta 660:293), has been reported to extend their half life in vivo, and/or reduce their immunogenicity and antigenicity.
The peptide compounds of the invention may comprise a polyethylene glycol (PEG) moiety, which is covalently attached to the branched tertiary amide linker or the spacer of the peptide dimer via a carbamate linkage or via an amide linkage. An example of PEG used in the present invention is linear, unbranched PEG having a molecular weight of about 20 kiloDaltons (20K) to about 4OK (the term "about" indicating that in preparations of PEG, some molecules will weigh more, some less, than the stated molecular weight). Preferably, the PEG has a molecular weight of about 30K to about 4OK.
Another example of PEG used in the present invention is linear PEG having a molecular weight of about 1OK to about 6OK (the term "about" indicating that in preparations of PEG, some molecules will weigh more, some less, than the stated molecular weight). Preferably, the PEG has a molecular weight of about 2OK to about 4OK. More preferably, the PEG has a molecular weight of about 2OK.
Examples of methods for covalent attachment of PEG (PEGylation) are described below. These illustrative descriptions are not intended to be limiting. One of ordinary skill in the art will appreciate that a variety of methods for covalent attachment of a broad range of PEG is well established in the art. As such, peptide compounds to which PEG has been attached by any of a number of attachment methods known in the art are encompassed by the present invention.
For example, PEG may be covalently bound to the linker via a reactive group to which an activated PEG molecule may be bound (e.g., a free amino group or carboxyl group). PEG molecules may be attached to amino groups using methoxylated PEG ("mPEG") having different reactive moieties. Such polymers include mPEG-succinimidyl succinate, mPEG-succinimidyl carbonate, mPEG-imidate, mPEG-4-nitrophenyl carbonate, and mPEG-cyanuric chloride. Similarly, PEG molecules may be attached to carboxyl groups using methoxylated PEG with a free amine group (InPEG-NH2).
In some embodiments, the linker or spacer contains a terminal amino group (i.e., positioned at the terminus of the spacer). This terminal amino group may be reacted with a suitably activated PEG molecule, such as mPEG-para-nitrophenylcarbonate (mPEG-NPC), to make a stable covalent carbamate bond. Alternatively, this terminal amino group may be reacted with a suitably activated
PEG molecule, such as an mPEG-succinimidyl butyrate (mPEG-SBA) or mPEG-succinimidyl propionate (mPEG-SPA) containing a reactive N-hydroxl-succinimide (NHS) group, to make a stable covalent carbamate bond. In other embodiments, the linker reactive group contains a carboxyl group capable of being activated to form a covalent bond with an amine-containing PEG molecule under suitable reaction conditions. Suitable PEG molecules include mPEG-NH2 and suitable reaction conditions include carbodiimide-mediated amide formation or the like.
EPO-R agonist activity assays: In vitro functional assays In vitro competitive binding assays quantitate the ability of a test peptide to compete with
EPO for binding to EPO-R. For example (see, e.g., as described in U.S. Patent 5,773,569), the extracellular domain of the human EPO-R (EPO binding protein, EBP) may be recombinantly produced in E. coli and the recombinant protein coupled to a solid support, such as a microtitre dish or a synthetic bead [e.g., Sulfolink beads from Pierce Chemical Co. (Rockford, IL)]. Immobilized EBP is then incubated with labeled recombinant EPO, or with labeled recombinant EPO and a test peptide. Serial dilutions of test peptide are employed for such experiments. Assay points with no added test peptide define total EPO binding to EBP. For reactions containing test peptide, the amount of bound EPO is quantitated and expressed as a percentage of the control (total=100%) binding. These values are plotted versus peptide concentration. The IC50 value is defined as the concentration of test peptide which reduces the binding of EPO to EBP by 50% (i.e., 50% inhibition of EPO binding).
A different in vitro competitive binding assay measures the light signal generated as a function of the proximity of two beads: an EPO-conjugated bead and an EPO-R-conjugated bead. Bead proximity is generated by the binding of EPO to EPO-R. A test peptide that competes with EPO for binding to EPO-R will prevent this binding, causing a decrease in light emission. The concentration of test peptide that results in a 50% decrease in light emission is defined as the IC50 value.
The peptides of the present invention compete very efficiently with EPO for binding to the EPO-R. This enhanced function is represented by their ability to inhibit the binding of EPO at substantially lower concentrations of peptide (i.e., they have very low IC50 values). The biological activity and potency of monomeric and dimeric peptide EPO-R agonists of the invention, which bind specifically to the EPO-receptor, may be measured using in vitro cell-based functional assays.
One assay is based upon a murine pre-B-cell line expressing human EPO-R and further transfected with a fos promoter-driven luciferase reporter gene construct. Upon exposure to EPO or another EPO-R agonist, such cells respond by synthesizing luciferase. Luciferase causes the emission of light upon addition of its substrate luciferin. Thus, the level of EPO-R activation in such cells may be quantitated via measurement of luciferase activity. The activity of a test peptide is measured by
adding serial dilutions of the test peptide to the cells, which are then incubated for 4 hours. After incubation, luciferin substrate is added to the cells, and light emission is measured. The concentration of test peptide that results in a half-maximal emission of light is recorded as the EC50.
The peptides of the present invention show dramatically enhanced ability to promote EPO-R signaling-dependent luciferase expression in this assay. This enhanced function is represented by their ability to yield half of the maximal luciferase activity at substantially lower concentrations of peptide (i.e., they have very low EC50 values). This assay is a preferred method for estimating the potency and activity of an EPO-R agonist peptide of the invention.
Another assay may be performed using FDC-P1/ER cells [Dexter, et al. (1980) J. Exp. Med. 152: 1036-1047], a well characterized nontransformed murine bone marrow derived cell line into which EPO-R has been stably transfected. These cells exhibit EPO-dependent proliferation.
In one such assay, the cells are grown to half stationary density in the presence of the necessary growth factors (see, e.g., as described in U.S. Patent 5,773,569). The cells are then washed in PBS and starved for 16-24 hours in whole media without the growth factors. After determining the viability of the cells (e.g., by trypan blue staining), stock solutions (in whole media without the growth factors) are made to give about 105 cells per 50μL. Serial dilutions of the peptide EPO-R agonist compounds (typically the free, solution phase peptide as opposed to a phage -bound or other bound or immobilized peptide) to be tested are made in 96-well tissue culture plates for a final volume of 50μL per well. Cells (50μL) are added to each well and the cells are incubated 24-48 hours, at which point the negative controls should die or be quiescent. Cell proliferation is then measured by techniques known in the art, such as an MTT assay which measures H3-thymidine incorporation as an indication of cell proliferation [see, Mosmann (1983) J. Immunol. Methods 65:55-63]. Peptides are evaluated on both the EPO-R-expressing cell line and a parental non-expressing cell line. The concentration of test peptide necessary to yield one half of the maximal cell proliferation is recorded as the EC50.
The peptides of the present invention show dramatically enhanced ability to promote EPO- dependent cell growth in this assay. This enhanced function is represented by their ability to yield half of the maximal cell proliferation stimulation activity at substantially lower concentrations of peptide (i.e., they have very low EC50 values). This assay is a preferred method for estimating the potency and activity of an EPO-R agonist peptide of the invention.
In another assay, the cells are grown to stationary phase in EPO-supplemented medium, collected, and then cultured for an additional 18 hr in medium without EPO. The cells are divided into three groups of equal cell density: one group with no added factor (negative control), a group with EPO (positive control), and an experimental group with the test peptide. The cultured cells are then collected at various time points, fixed, and stained with a DNA-binding fluorescent dye (e.g., propidium iodide or Hoechst dye, both available from Sigma). Fluorescence is then measured, for example, using a FACS Scan Flow cytometer. The percentage of cells in each phase of the cell cycle
may then be determined, for example, using the SOBR model of CeIIFIT software (Becton Dickinson). Cells treated with EPO or an active peptide will show a greater proportion of cells in S phase (as determined by increased fluorescence as an indicator of increased DNA content) relative to the negative control group. Similar assays may be performed using FDCP-I [see, e.g., Dexter et al. (1980) J. Exp. Med.
152:1036-1047] or TF-I [Kitamura, et al. (1989) Blood 73:375-380] cell lines. FDCP-I is a growth factor dependent murine multi-potential primitive hematopoietic progenitor cell line that can proliferate, but not differentiate, when supplemented with WEHI-3-conditioned media (a medium that contains IL-3, ATCC number TIB-68). For such experiments, the FDCP-I cell line is transfected with the human or murine EPO-R to produce FDCP- 1-hEPO-R or FDCP- 1-mEPO-R cell lines, respectively, that can proliferate, but not differentiate, in the presence of EPO. TF-I, an EPO- dependent cell line, may also be used to measure the effects of peptide EPO-R agonists on cellular proliferation.
In yet another assay, the procedure set forth in Krystal (1983) Exp. Hematol 11:649-660 for a microassay based on H3-thymidine incorporation into spleen cells may be employed to ascertain the ability of the compounds of the present invention to serve as EPO agonists. In brief, B6C3Fi mice are injected daily for two days with phenylhydrazine (60 mg/kg). On the third day, spleen cells are removed and their ability to proliferate over a 24 hour period ascertained using an MTT assay.
The binding of EPO to EPO-R in an erythropoietin-responsive cell line induces tyrosine phosphorylation of both the receptor and numerous intracellular proteins, including She, vav and JAK2 kinase. Therefore, another in vitro assay measures the ability of peptides of the invention to induce tyrosine phosphorylation of EPO-R and downstream intracellular signal transducer proteins. Active peptides, as identified by binding and proliferation assays described above, elicit a phosphorylation pattern nearly identical to that of EPO in erythropoietin-responsive cells. For this assay, FDC-P1/ER cells [Dexter, et al. (1980) J Exp Med 152:1036-47] are maintained in EPO- supplemented medium and grown to stationary phase. These cells are then cultured in medium without EPO for 24 hr. A defined number of such cells is then incubated with a test peptide for approximately 10 min at 37°C. A control sample of cells with EPO is also run with each assay. The treated cells are then collected by centrifugation, resuspended in SDS lysis buffer, and subjected to SDS polyacrylamide gel electrophoresis. The electrophoresed proteins in the gel are transferred to nitrocellulose, and the phosphotyrosine containing proteins on the blot visualized by standard immunological techniques. For example, the blot may be probed with an anti-phosphotyrosine antibody (e.g., mouse anti-phosphotyrosine IgG from Upstate Biotechnology, Inc.), washed, and then probed with a secondary antibody [e.g., peroxidase labeled goat anti-mouse IgG from Kirkegaard & Perry Laboratories, Inc. (Washington, DC)]. Thereafter, phosphotyrosine-containing proteins may be visualized by standard techniques including colorimetric, chemiluminescent, or fluorescent assays.
For example, a chemiluminescent assay may be performed using the ECL Western Blotting System from Amersham.
Another cell-based in vitro assay that may be used to assess the activity of the peptides of the present invention is a colony assay, using murine bone marrow or human peripheral blood cells. Murine bone marrow may be obtained from the femurs of mice, while a sample of human peripheral blood may be obtained from a healthy donor. In the case of peripheral blood, mononuclear cells are first isolated from the blood, for example, by centrifugation through a Ficoll-Hypaque gradient [Stem Cell Technologies, Inc. (Vancouver, Canada)]. For this assay a nucleated cell count is performed to establish the number and concentration of nucleated cells in the original sample. A defined number of cells is plated on methyl cellulose as per manufacturer's instructions [Stem Cell Technologies, Inc. (Vancouver, Canada)]. An experimental group is treated with a test peptide, a positive control group is treated with EPO, and a negative control group receives no treatment. The number of growing colonies for each group is then scored after defined periods of incubation, generally 10 days and 18 days. An active peptide will promote colony formation. Other in vitro biological assays that can be used to demonstrate the activity of the compounds of the present invention are disclosed in Greenberger, et al. (1983) Proc. Natl. Acad. Sci. USA 80:2931-2935 (EPO-dependent hematopoietic progenitor cell line); Quelle and Wojchowski (1991) J. Biol. Chem. 266:609-614 (protein tyrosine phosphorylation in BόSUt.EP cells); Dusanter-Fourt, et al. (1992) J. Biol. Chem. 287: 10670-10678 (tyrosine phosphorylation of EPO-receptor in human EPO- responsive cells); Quelle, et al. (1992) J. Biol. Chem. 267:17055-17060 (tyrosine phosphorylation of a cytosolic protein, pp 100, in FDC-ER cells); Worthington, et al. (1987) Exp. Hematol. 15:85-92 (colorimetric assay for hemoglobin); Kaiho and Miuno (1985) Anal. Biochem. 149:117-120 (detection of hemoglobin with 2,7-diaminofluorene); Patel, et al. (1992) J. Biol. Chem. 267:21300- 21302 (expression of c-myb); Witthuhn, et al. (1993) Cell 74:227-236 (association and tyrosine phosphorylation of JAK2); Leonard, et al. (1993) Blood 82:1071-1079 (expression of GATA transcription factors); and Ando, et al. (1993) Proc. Natl. Acad. Sci. USA 90:9571-9575 (regulation of G1 transition by cycling D2 and D3).
An instrument designed by Molecular Devices Corp., known as a microphysiometer, has been reported to be successfully used for measurement of the effect of agonists and antagonists on various receptors. The basis for this apparatus is the measurement of the alterations in the acidification rate of the extracellular media in response to receptor activation.
In vivo functional assays
One in vivo functional assay that may be used to assess the potency of a test peptide is the polycythemic exhypoxic mouse bioassay. For this assay, mice are subjected to an alternating conditioning cycle for several days. In this cycle, the mice alternate between periods of hypobaric conditions and ambient pressure conditions. Thereafter, the mice are maintained at ambient pressure
for 2-3 days prior to administration of test samples. Test peptide samples, or EPO standard in the case positive control mice, are injected subcutaneously into the conditioned mice. Radiolabeled iron (e.g., 59Fe) is administered 2 days later, and blood samples taken two days after administration of radiolabeled iron. Hematocrits and radioactivity measurements are then determined for each blood sample by standard techniques. Blood samples from mice injected with active test peptides will show greater radioactivity (due to binding of Fe59 by erythrocyte hemoglobin) than mice that did not receive test peptides or EPO.
Another in vivo functional assay that may be used to assess the potency of a test peptide is the reticulocyte assay. For this assay, normal untreated mice are subcutaneously injected on three consecutive days with either EPO or test peptide. On the third day, the mice are also intraperitoneally injected with iron dextran. At day five, blood samples are collected from the mice. The percent (%) of reticulocytes in the blood is determined by thiazole orange staining and flow cytometer analysis (retic-count program). In addition, hematocrits are manually determined. The percent of corrected reticulocytes is determined using the following formula: % RETICcoRRECTED = % RETICoBSERVED X (Hematocrit^DiviDUAL /
HematocritNORMAL)
Active test compounds will show an increased % RETICCORRECTED level relative to mice that did not receive test peptides or EPO.
Use of EPO-R agonist peptides of the invention
The peptide compounds of the invention are useful in vitro as tools for understanding the biological role of EPO, including the evaluation of the many factors thought to influence, and be influenced by, the production of EPO and the binding of EPO to the EPO-R (e.g., the mechanism of EPO / EPO-R signal transduction/receptor activation). The present peptides are also useful in the development of other compounds that bind to the EPO-R, because the present compounds provide important structure-activity-relationship information that facilitates that development.
Moreover, based on their ability to bind to EPO-R, the peptides of the present invention can be used as reagents for detecting EPO-R on living cells; fixed cells; in biological fluids; in tissue homogenates; in purified, natural biological materials; etc. For example, by labeling such peptides, one can identify cells having EPO-R on their surfaces. In addition, based on their ability to bind EPO-R, the peptides of the present invention can be used in in situ staining, FACS (fluorescence- activated cell sorting) analysis, Western blotting, ELISA (enzyme-linked immunosorbent assay), etc. In addition, based on their ability to bind to EPO-R, the peptides of the present invention can be used in receptor purification or in purifying cells expressing EPO-R on the cell surface (or inside permeabilized cells).
The peptides of the invention can also be utilized as commercial reagents for various medical research and diagnostic purposes. Such uses can include but are not limited to: (1) use as a calibration
standard for quantitating the activities of candidate EPO-R agonists in a variety of functional assays;
(2) use as blocking reagents in random peptide screening, i.e., in looking for new families of EPO-R peptide ligands, the peptides can be used to block recovery of EPO peptides of the present invention;
(3) use in co-crystallization with EPO-R, i.e., crystals of the peptides of the present invention bound to the EPO-R may be formed, enabling determination of receptor/peptide structure by X-ray crystallography; (4) use to measure the capacity of erythrocyte precursor cells induce globin synthesis and heme complex synthesis, and to increase the number of ferritin receptors, by initiating differentiation; (5) use to maintain the proliferation and growth of EPO-dependent cell lines, such as the FDCP-1-mEPO-R and the TF-I cell lines; (6) use related to labeling the peptides of the invention with a radioactive chromophore; and (7) other research and diagnostic applications wherein the EPO- R is preferably activated or such activation is conveniently calibrated against a known quantity of an EPO-R agonist, and the like.
In yet another aspect of the present invention, methods of treatment and manufacture of a medicament are provided. The peptide compounds of the invention may be administered to warm blooded animals, including humans, to simulate the binding of EPO to the EPO-R in vivo. Thus, the present invention encompasses methods for therapeutic treatment of disorders associated with a deficiency of EPO, which methods comprise administering a peptide of the invention in amounts sufficient to stimulate the EPO-R and thus, alleviate the symptoms associated with a deficiency of EPO in vivo. For example, the peptides of this invention will find use in the treatment of renal insufficiency and/or end-stage renal failure/dialysis; chronic kidney disease, anemia associated with AIDS; anemia associated with chronic inflammatory diseases (for example, rheumatoid arthritis and chronic bowel inflammation) and autoimmune disease; and for boosting the red blood count of a patient prior to surgery. Other disease states, disorders, and states of hematologic irregularity that may be treated by administration of the peptides of this invention include: beta-thalassemia; cystic fibrosis; pregnancy and menstrual disorders; early anemia of prematurity; spinal cord injury; space flight; acute blood loss; aging; stroke, ischemia (both CNS and cardiac); and various neoplastic disease states accompanied by abnormal erythropoiesis.
In other embodiments, the peptide compounds of the invention may be used for the treatment of disorders which are not characterized by low or deficient red blood cells, for example as a pretreatment prior to transfusions. In addition, administration of the compounds of this invention can result in a decrease in bleeding time and thus, will find use in the administration to patients prior to surgery or for indications wherein bleeding is expected to occur. In addition, the compounds of this invention will find use in the activation of megakaryocytes.
Since EPO has been shown to have a mitogenic and chemotactic effect on vascular endothelial cells as well as an effect on central cholinergic neurons [see, e.g., Amagnostou, et al. (1990) Proc. Natl. Acad. Sci. USA 87:5978-5982 and Konishi, et al. (1993) Brain Res. 609:29-35], the compounds of this invention will also find use for the treatment of a variety of vascular disorders,
such as: promoting wound healing; promoting growth of collateral coronary blood vessels (such as those that may occur after myocardial infarction); trauma treatment; and post- vascular graft treatment. The compounds of this invention will also find use for the treatment of a variety of neurological disorders, generally characterized by low absolute levels of acetylcholine or low relative levels of acetylcholine as compared to other neuroactive substances e.g., neurotransmitters.
Pharmaceutical compositions
In yet another aspect of the present invention, pharmaceutical compositions of the above EPO-R agonist peptide compounds are provided. Conditions alleviated or modulated by the administration of such compositions include those indicated above. Such pharmaceutical compositions may be for administration by oral, parenteral (intramuscular, intraperitoneal, intravenous (IV) or subcutaneous injection), transdermal (either passively or using iontophoresis or electroporation), transmucosal (nasal, vaginal, rectal, or sublingual) routes of administration or using bioerodible inserts and can be formulated in dosage forms appropriate for each route of administration. In general, comprehended by the invention are pharmaceutical compositions comprising effective amounts of an EPO-R agonist peptide, or derivative products, of the invention together with pharmaceutically acceptable diluents, preservatives, solubilizers, emulsifiers, adjuvants and/or carriers. Such compositions include diluents of various buffer content (e.g., Tris-HCl, acetate, phosphate), pH and ionic strength; additives such as detergents and solubilizing agents (e.g., Tween 20, Tween 80, Polysorbate 80), anti-oxidants (e.g., ascorbic acid, sodium metabisulfite), preservatives (e.g., Thimersol, benzyl alcohol) and bulking substances (e.g., lactose, mannitol); incorporation of the material into particulate preparations of polymeric compounds such as polylactic acid, polyglycolic acid, etc. or into liposomes. Hylauronic acid may also be used. Such compositions may influence the physical state, stability, rate of in vivo release, and rate of in vivo clearance of the present proteins and derivatives. See, e.g., Remington's Pharmaceutical Sciences, 18th Ed. (1990, Mack Publishing Co., Easton, PA 18042) pages 1435-1712 which are herein incorporated by reference. The compositions may be prepared in liquid form, or may be in dried powder (e.g., lyophilized) form.
Oral Delivery
Contemplated for use herein are oral solid dosage forms, which are described generally in Remington's Pharmaceutical Sciences, 18th Ed. 1990 (Mack Publishing Co. Easton PA 18042) at Chapter 89, which is herein incorporated by reference. Solid dosage forms include tablets, capsules, pills, troches or lozenges, cachets, pellets, powders, or granules. Also, liposomal or proteinoid encapsulation may be used to formulate the present compositions (as, for example, proteinoid microspheres reported in U.S. Patent No. 4,925,673). Liposomal encapsulation may be used and the liposomes may be derivatized with various polymers (e.g., U.S. Patent No. 5,013,556). A description
of possible solid dosage forms for the therapeutic is given by Marshall, K. In: Modern Pharmaceutics Edited by G. S. Banker and CT. Rhodes Chapter 10, 1979, herein incorporated by reference. In general, the formulation will include the EPO-R agonist peptides (or chemically modified forms thereof) and inert ingredients which allow for protection against the stomach environment, and release of the biologically active material in the intestine.
Also contemplated for use herein are liquid dosage forms for oral administration, including pharmaceutically acceptable emulsions, solutions, suspensions, and syrups, which may contain other components including inert diluents; adjuvants such as wetting agents, emulsifying and suspending agents; and sweetening, flavoring, and perfuming agents. The peptides may be chemically modified so that oral delivery of the derivative is efficacious.
Generally, the chemical modification contemplated is the attachment of at least one moiety to the component molecule itself, where said moiety permits (a) inhibition of proteolysis; and (b) uptake into the blood stream from the stomach or intestine. Also desired is the increase in overall stability of the component or components and increase in circulation time in the body. As discussed above, PEGylation is a preferred chemical modification for pharmaceutical usage. Other moieties that may be used include: propylene glycol, copolymers of ethylene glycol and propylene glycol, carboxymethyl cellulose, dextran, polyvinyl alcohol, polyvinyl pyrrolidone, polyproline, poly- 1,3- dioxolane and poly-l,3,6-tioxocane [see, e.g., Abuchowski and Davis (1981) "Soluble Polymer- Enzyme Adducts," in Enzymes as Drugs. Hocenberg and Roberts, eds. (Wiley-Interscience: New York, NY) pp. 367-383; and Newmark, et al. (1982) J. Appl. Biochem. 4:185-189].
For oral formulations, the location of release may be the stomach, the small intestine (the duodenum, the jejunem, or the ileum), or the large intestine. One skilled in the art has available formulations which will not dissolve in the stomach, yet will release the material in the duodenum or elsewhere in the intestine. Preferably, the release will avoid the deleterious effects of the stomach environment, either by protection of the peptide (or derivative) or by release of the peptide (or derivative) beyond the stomach environment, such as in the intestine.
To ensure full gastric resistance a coating impermeable to at least pH 5.0 is essential. Examples of the more common inert ingredients that are used as enteric coatings are cellulose acetate trimellitate (CAT), hydroxypropylmethylcellulose phthalate (HPMCP), HPMCP 50, HPMCP 55, polyvinyl acetate phthalate (PVAP), Eudragit L30D, Aquateric, cellulose acetate phthalate (CAP), Eudragit L, Eudragit S, and Shellac. These coatings may be used as mixed films.
A coating or mixture of coatings can also be used on tablets, which are not intended for protection against the stomach. This can include sugar coatings, or coatings which make the tablet easier to swallow. Capsules may consist of a hard shell (such as gelatin) for delivery of dry therapeutic (i.e. powder), for liquid forms a soft gelatin shell may be used. The shell material of cachets could be thick starch or other edible paper. For pills, lozenges, molded tablets or tablet triturates, moist massing techniques can be used.
The peptide (or derivative) can be included in the formulation as fine multiparticulates in the form of granules or pellets of particle size about lmm. The formulation of the material for capsule administration could also be as a powder, lightly compressed plugs, or even as tablets. These therapeutics could be prepared by compression. Colorants and/or flavoring agents may also be included. For example, the peptide (or derivative) may be formulated (such as by liposome or microsphere encapsulation) and then further contained within an edible product, such as a refrigerated beverage containing colorants and flavoring agents.
One may dilute or increase the volume of the peptide (or derivative) with an inert material. These diluents could include carbohydrates, especially mannitol, α-lactose, anhydrous lactose, cellulose, sucrose, modified dextrans and starch. Certain inorganic salts may be also be used as fillers including calcium triphosphate, magnesium carbonate and sodium chloride. Some commercially available diluents are Fast-Flo, Emdex, STA-Rx 1500, Emcompress and Avicell.
Disintegrants may be included in the formulation of the therapeutic into a solid dosage form. Materials used as disintegrates include but are not limited to starch, including the commercial disintegrant based on starch, Explotab. Sodium starch glycolate, Amberlite, sodium carboxymethylcellulose, ultramylopectin, sodium alginate, gelatin, orange peel, acid carboxymethyl cellulose, natural sponge and bentonite may all be used. The disintegrants may also be insoluble cationic exchange resins. Powdered gums may be used as disintegrants and as binders and can include powdered gums such as agar, Karaya or tragacanth. Alginic acid and its sodium salt are also useful as disintegrants.
Binders may be used to hold the peptide (or derivative) agent together to form a hard tablet and include materials from natural products such as acacia, tragacanth, starch and gelatin. Others include methyl cellulose (MC), ethyl cellulose (EC) and carboxymethyl cellulose (CMC). Polyvinyl pyrrolidone (PVP) and hydroxypropylmethyl cellulose (HPMC) could both be used in alcoholic solutions to granulate the peptide (or derivative).
An antifrictional agent may be included in the formulation of the peptide (or derivative) to prevent sticking during the formulation process. Lubricants may be used as a layer between the peptide (or derivative) and the die wall, and these can include but are not limited to; stearic acid including its magnesium and calcium salts, polytetrafluoroethylene (PTFE), liquid paraffin, vegetable oils and waxes. Soluble lubricants may also be used such as sodium lauryl sulfate, magnesium lauryl sulfate, polyethylene glycol of various molecular weights, Carbowax 4000 and 6000.
Glidants that might improve the flow properties of the drug during formulation and to aid rearrangement during compression might be added. The glidants may include starch, talc, pyrogenic silica and hydrated silicoaluminate.
To aid dissolution of the peptide (or derivative) into the aqueous environment a surfactant might be added as a wetting agent. Surfactants may include anionic detergents such as sodium lauryl sulfate, dioctyl sodium sulfosuccinate and dioctyl sodium sulfonate. Cationic detergents might be used and could include benzalkonium chloride or benzethomium chloride. The list of potential nonionic detergents that could be included in the formulation as surfactants are lauromacrogol 400, polyoxyl 40 stearate, polyoxyethylene hydrogenated castor oil 10, 50 and 60, glycerol monostearate, polysorbate 20, 40, 60, 65 and 80, sucrose fatty acid ester, methyl cellulose and carboxymethyl cellulose. These surfactants could be present in the formulation of the protein or derivative either alone or as a mixture in different ratios. Additives which potentially enhance uptake of the peptide (or derivative) are for instance the fatty acids oleic acid, linoleic acid and linolenic acid.
Controlled release oral formulations may be desirable. The peptide (or derivative) could be incorporated into an inert matrix which permits release by either diffusion or leaching mechanisms, e.g., gums. Slowly degenerating matrices may also be incorporated into the formulation. Some enteric coatings also have a delayed release effect. Another form of a controlled release is by a method based on the Oros therapeutic system (Alza Corp.), i.e. the drug is enclosed in a semipermeable membrane which allows water to enter and push drug out through a single small opening due to osmotic effects.
Other coatings may be used for the formulation. These include a variety of sugars which could be applied in a coating pan. The peptide (or derivative) could also be given in a film coated tablet and the materials used in this instance are divided into 2 groups. The first are the nonenteric materials and include methyl cellulose, ethyl cellulose, hydroxyethyl cellulose, methylhydroxy-ethyl cellulose, hydroxypropyl cellulose, hydroxypropyl-methyl cellulose, sodium carboxy-methyl cellulose, providone and the polyethylene glycols. The second group consists of the enteric materials that are commonly esters of phthalic acid.
A mix of materials might be used to provide the optimum film coating. Film coating may be carried out in a pan coater or in a fluidized bed or by compression coating.
Parenteral delivery Preparations according to this invention for parenteral administration include sterile aqueous or non-aqueous solutions, suspensions, or emulsions. Examples of non-aqueous solvents or vehicles are propylene glycol, polyethylene glycol, vegetable oils, such as olive oil and corn oil, gelatin, and injectable organic esters such as ethyl oleate. Such dosage forms may also contain adjuvants such as preserving, wetting, emulsifying, and dispersing agents. They may be sterilized by, for example, filtration through a bacteria retaining filter, by incorporating sterilizing agents into the compositions, by irradiating the compositions, or by heating the compositions. They can also be manufactured using sterile water, or some other sterile injectable medium, immediately before use.
Rectal or vaginal delivery
Compositions for rectal or vaginal administration are preferably suppositories which may contain, in addition to the active substance, excipients such as cocoa butter or a suppository wax. Compositions for nasal or sublingual administration are also prepared with standard excipients well known in the art.
Pulmonary Delivery
Also contemplated herein is pulmonary delivery of the EPO-R agonist peptides (or derivatives thereof). The peptide (or derivative) is delivered to the lungs of a mammal while inhaling and traverses across the lung epithelial lining to the blood stream [see, e.g., Adjei, et al. (1990) Pharmaceutical Research 7:565-569; Adjei, et al. (1990) Int. J. Pharmaceutics 63:135-144 (leuprolide acetate); Braquet, et al. (1989) J. Cardiovascular Pharmacology 13(sup5):143-146 (endothelin-1); Hubbard, et al. (1989) Annals of Internal Medicine, Vol. Ill, pp. 206-212 (αl -antitrypsin); Smith, et al. (1989) J. Clin. Invest. 84:1145-1146 (α-1 -proteinase); Oswein, et al. (1990) "Aerosolization of Proteins", Proceedings of Symposium on Respiratory Drug Delivery II Keystone, Colorado (recombinant human growth hormone); Debs, et al. (1988) J. Immunol. 140:3482-3488 (interferon-γ and tumor necrosis factor α); and U.S. Pat. No. 5,284,656 to Platz, et al. (granulocyte colony stimulating factor). A method and composition for pulmonary delivery of drugs for systemic effect is described in U.S. Pat. No. 5,451,569 to Wong, et al.
Contemplated for use in the practice of this invention are a wide range of mechanical devices designed for pulmonary delivery of therapeutic products, including but not limited to nebulizers, metered dose inhalers, and powder inhalers, all of which are familiar to those skilled in the art. Some specific examples of commercially available devices suitable for the practice of this invention are the Ultravent nebulizer (Mallinckrodt Inc., St. Louis, MO); the Acorn II nebulizer (Marquest Medical Products, Englewood, CO); the Ventolin metered dose inhaler (Glaxo Inc., Research Triangle Park, NC); and the Spinhaler powder inhaler (Fisons Corp., Bedford, MA).
All such devices require the use of formulations suitable for the dispensing of peptide (or derivative). Typically, each formulation is specific to the type of device employed and may involve the use of an appropriate propellant material, in addition to the usual diluents, adjuvants and/or carriers useful in therapy. Also, the use of liposomes, microcapsules or microspheres, inclusion complexes, or other types of carriers is contemplated. Chemically modified peptides may also be prepared in different formulations depending on the type of chemical modification or the type of device employed. Formulations suitable for use with a nebulizer, either jet or ultrasonic, will typically comprise peptide (or derivative) dissolved in water at a concentration of about 0.1 to 25 mg of biologically
active protein per mL of solution. The formulation may also include a buffer and a simple sugar (e.g., for protein stabilization and regulation of osmotic pressure). The nebulizer formulation may also contain a surfactant, to reduce or prevent surface induced aggregation of the peptide (or derivative) caused by atomization of the solution in forming the aerosol. Formulations for use with a metered-dose inhaler device will generally comprise a finely divided powder containing the peptide (or derivative) suspended in a propellant with the aid of a surfactant. The propellant may be any conventional material employed for this purpose, such as a chlorofluorocarbon, a hydrochlorofluorocarbon, a hydrofluorocarbon, or a hydrocarbon, including trichlorofluoromethane, dichlorodifluoromethane, dichlorotetrafluoroethanol, and 1,1,1,2-tetrafluoroethane, or combinations thereof. Suitable surfactants include sorbitan trioleate and soya lecithin. Oleic acid may also be useful as a surfactant.
Formulations for dispensing from a powder inhaler device will comprise a finely divided dry powder containing peptide (or derivative) and may also include a bulking agent, such as lactose, sorbitol, sucrose, or mannitol in amounts which facilitate dispersal of the powder from the device, e.g., 50 to 90% by weight of the formulation. The peptide (or derivative) should most advantageously be prepared in particulate form with an average particle size of less than 10 mm (or microns), most preferably 0.5 to 5 mm, for most effective delivery to the distal lung.
Nasal Delivery Nasal delivery of the EPO-R agonist peptides (or derivatives) is also contemplated. Nasal delivery allows the passage of the peptide to the blood stream directly after administering the therapeutic product to the nose, without the necessity for deposition of the product in the lung.
Formulations for nasal delivery include those with dextran or cyclodextran.
Other penetration-enhancers used to facilitate nasal delivery are also contemplated for use with the peptides of the present invention (such as described in International Patent Publication No.
WO 2004056314, filed December 17, 2003, incorporated herein by reference in its entirety).
Dosages
For all of the peptide compounds, as further studies are conducted, information will emerge regarding appropriate dosage levels for treatment of various conditions in various patients, and the ordinary skilled worker, considering the therapeutic context, age, and general health of the recipient, will be able to ascertain proper dosing. The selected dosage depends upon the desired therapeutic effect, on the route of administration, and on the duration of the treatment desired. Generally dosage levels of 0.001 to 10 mg/kg of body weight daily are administered to mammals. Generally, for intravenous injection or infusion, dosage may be lower.
In certain embodiments, any one of the peptides of the present invention may be used to treat individuals with renal failure prior to dialysis or during dialysis (pre-dialysis or dialysis patients). The
therapeutic dose range in this embodiment can be 0.025 to 0.2 milligrams (mg) of compound per 1 kilogram (kg) of body weight of the individual (0.025-0.2 mg/kg). More particularly, the dose range of 0.05-0.1 mg/kg would be preferred. Furthermore, a physician may initially use escalating dosages, starting at 0.025 mg/kg, and then titrate the dosage at approximately 0.025 mg/kg increments for each individual being treated based on their individual hemoglobin responses. Thus, the physician may titrate the dosage for each individual until an adequate hemoglobin response is achieved. In the case of individuals who are pre-dialysis or dialysis patients, the adequate hemoglobin response would be to approximately attain normal hemoglobin levels (14-15 g/dL) or another hemoglobin level as determined by the physician. In this embodiment, the pharmacologically active dose (PAD) for each individual pre-dialysis or dialysis patient is expected to be 0.067-0.075 mg/kg. An advantage of this embodiment is expected to be a lower dosing frequency of once every three to four weeks for each individual patient instead of weekly as is the case for other current erythropoiesis stimulating agents (ESAs). Many routes of administration may be used (oral, IV, etc. as described above). A preferred route of administration for dialysis patients would be intravenously. A preferred route of administration for pre-dialysis patients would be subcutaneously. In other certain embodiments, one of the compounds described above may be used to treat individuals with anemia associated with malignancies (oncology patients). The therapeutic dose range in this embodiment is expected to be three to five times the range for pre-dialysis or dialysis patients (i.e., 0.075-0.5 mg/kg or, alternatively, between 0.05-0.5 mg/kg). More particularly, the dose range of 0.2-0.4 mg/kg would be preferred. As above, the physician treating the oncology patients may titrate the dosage, starting at 0.075 mg/kg or, alternatively, at 0.05 mg/kg, and increasing at 0.075 mg/kg or, alternatively, at 0.05 mg/kg increments until an adequate hemoglobin response is attained. The PAD for each individual oncology patient is expected to be approximately 0.25 mg/kg. Again, the advantage of less frequent dosage of every three to four weeks is expected for each individual patient. Furthermore, other advantages for oncology patients is the dosage may be administered prior to chemotherapy (for example, 3-5 days beforehand) or co-administered with chemotherapy to prevent the decline in hemoglobin during the lag phase between reticulocyte stimulation and hemoglobin rise. Many routes of administration may be used (oral, IV, etc. as described above). Subcutaneous administration would be a preferred route of administration for oncology patients. Preferred compounds for use in treating pre-dialysis, dialysis, or oncology patients include those shown below.
The peptides of the present invention (or their derivatives) may be administered in conjunction with one or more additional active ingredients or pharmaceutical compositions.
Examples
The present invention is next described by means of the following examples. However, the use of these and other examples anywhere in the specification is illustrative only, and in no way limits the scope and meaning of the invention or of any exemplified form. Likewise, the invention is not limited to any particular preferred embodiments described herein. Indeed, many modifications and variations of the invention may be apparent to those skilled in the art upon reading this specification, and can be made without departing from its spirit and scope. The invention is therefore to be limited only by the terms of the appended claims, along with the full scope of equivalents to which the claims are entitled.
Example 1: Synthesis of EPO-R agonist peptide dimers by solid phase synthesis
Step 1 - Synthesis of Cbz-TAP: A solution containing the commercially available diamine ("TAP" from Aldrich Chemical Co.) (1Og, 67.47mmol) in anhydrous DCM (100 ml) was cooled to O0C. A solution of benzyl chloroformate (4.82ml, 33.7mmol) in anhydrous DCM (50ml) was added slowly through a dropping funnel over a period of 6-7 h, maintaining the temperature of the reaction mixture at O0C throughout, then allowed to warm to room temperature (-250C). After a further 16h, the DCM was removed under vacuum and the residue partitioned between 3N HCl and ether. The aqueous layers were collected and neutralized with 50% aq. NaOH to pH 8-9 and extracted with ethyl acetate. The ethyl acetate layer was dried over anhydrous Na2SO^ and then concentrated under vacuum to provide the crude mono-Cbz-TAP (5g, about 50% yield). This compound was used for the next reaction without any further purification.
Step 2 - Synthesis of Cbz-TAP-Boc: To a vigorously stirred suspension of the Cbz-TAP (5g,
17.7mmol) in hexane (25ml) was added BoC2O (3.86g, 17.7mmol) and stirring continued at RT overnight. The reaction mixture was diluted with DCM (25ml) and washed with 10% aq. citric acid (2X), water (2X) and brine. The organic layer was dried over anhydrous Na2Sθ4 and concentrated under vacuum. The crude product (yield 5g) was used directly in the next reaction.
Step 3 - Synthesis of Boc-TAP: The crude product from the previous reaction was dissolved in methanol (25ml) and hydrogenated in presence of 5% Pd on Carbon (5% w/W) under balloon pressure for 16 hrs. The mixture was filtered, washed with methanol and the filtrate concentrated in vacuo to provide the crude H-TAP-Boc product (yield 3.7g). The overall approximate yield of Boc- TAP after Steps 1-3 was 44% (calculated based on the amount of Cbz-Cl used.)
Step 4 - Synthesis of TentaGel-Linker: TentaGel bromide (2.5 g, 0.48 mmol/g, from Rapp Polymere, Germany), phenolic linker (5 equivalent, and K2CO3 (5 equivalent) were heated in 20 mL of DMF to 700C for 14h. After cooling to room temperature, the resin was washed (0.1 N HCl, water, ACN, DMF, MeOH) and dried to give an amber-colored resin.
Step 5 - Synthesis of TentaGel-linker-TAP(Boc): 2.5 gm of the resin from above and H- TAP-Boc (1.5gm, 5eq.) and glacial AcOH (34 μl, 5 eq.) was taken in a mixture of 1:1 MeOH-THF and shaken overnight. A IM solution of sodium cyanoborohydride (5eq) in THF was added to this and shaken for another 7hrs. The resin was filtered washed (DMF, THF, 0.1 N HCl, water, MeOH) and dried. A small amount of the resin was benzoylated with Bz-Cl and DIEA in DCM and cleaved with 70% TFA-DCM and checked by LCMS and HPLC.
Step 6 - Synthesis of TentaGel-linker-TAP-Lys: The resin from above was treated with a activated solution of Fmoc-Lys(Fmoc)-OH (prepared from 5 eq. of amino acid and 5 eq. of HATU dissolved at 0.5 M in DMF, followed by the addition of 10 eq. of DIEA) and allowed to gently shake 14h. The resin was washed (DMF, THF, DCM, MeOH) and dried to yield the protected resin. Residual amine groups were capped by treating the resin with a solution of 10% acetic anhydride, 20% pyridine in DCM for 20 minutes, followed by washing as above. The Fmoc groups are removed
by gently shaking the resin in 30% piperidine in DMF for 20 minutes, followed by washing (DMF, THF, DCM, MeOH) and drying.
Step 7 - Synthesis of TentaGel-Linker-TAP-Lys(Peptide) 2: The resin from above was subjected to repeated cycles of Fmoc-amino acid couplings with HBTU/HOBt activation and Fmoc removal with piperidine to build both peptide chains simultaneously. This was conveniently carried out on an ABI 433 automated peptide synthesizer available from Applied Biosystems, Inc. After the final Fmoc removal, the terminal amine groups were acylated with acetic anhydride (10 eq.) and DIEA (20 eq.) in DMF for 20 minutes, followed by washing as above.
Step 8 - Cleavage from resin: The resin from above was suspended in a solution of TFA
(82.5%), phenol (5%), ethanedithiol (2.5%), water (5%), and thioanisole (5%) for 3h at room temperature. Alternative cleavage cocktails such as TFA (95%), water (2.5%), and triisopropylsilane (2.5%) can also be used. The TFA solution was cooled to 5 0C and poured into Et2O to precipitate the peptide. Filtration and drying under reduced pressure gave the desired peptide. Purification via preparative HPLC with a C18 column afforded the pure peptide.
Step 9 - Oxidation of peptides to form intramolecular disulfide bonds: The peptide dimer was dissolved in 20% DMSO/water (1 mg dry weight peptide/mL) and allowed to stand at room temperature for 36h. The peptide was purified by loading the reaction mixture onto a C 18 HPLC
column (Waters Delta-Pak C18, 15 micron particle size, 300 angstrom pore size, 40 mm x 200 mm length), followed by a linear ACN/water/0.01 % TFA gradient from 5 to 95% ACN over 40 minutes. Lyopholization of the fractions containing the desired peptide affords the product as a fluffy white solid.
Step 10 - PEGylation of the terminal -NH2 group:
PEGylation via a carbamate bond: The peptide dimer was mixed with 1.5 eq. (mole basis) of activated PEG species (mPEG-NPC from NOF Corp. Japan) in dry DMF to afford a clear solution. After 5 minutes 4eq of DIEA was added to above solution. The mixture was stirred at ambient temperature 14h, followed by purification with C18 reverse phase HPLC. The structure of PEGylated peptide was confirmed by MALDI mass. The purified peptide was also subjected to purification via cation ion exchange chromatography as outlined below. The below scheme shows mPEG-NPC PEGylation using SEQ ID NO: 3.
PEGylation via an amide bond: The peptide dimer is mixed with 1.5 eq. (mole basis) of 1 eq. activated PEG species (PEG-SPA-NHS from Shearwater Corp, USA) in dry DMF to afford a clear
solution. After 5 minutes 10eq of DIEA is added to above solution. The mixture is stirred at ambient temperature 2h, followed by purification with C 18 reverse phase HPLC. The structure of PEGylated peptide was confirmed by MALDI mass. The purified peptide was also subjected to purification via cation ion exchange chromatography as outlined below. The below scheme shows PEG-SPA-NHS PEGylation using SEQ ID NO: 3.
Step 11 - Ion exchange purification: Several exchange supports were surveyed for their ability to separate the above peptide-PEG conjugate from unreacted (or hydrolyzed) PEG, in addition to their ability to retain the starting dimeric peptides. The ion exchange resin (2-3g) was loaded into a 1 cm column, followed by conversion to the sodium form (0.2 N NaOH loaded onto column until elutant was pH 14, ca. 5 column volumes), and than to the hydrogen form (eluted with either 0.1 N HCl or 0.1 M HOAc until elutant matched load pH, ca. 5 column volumes), followed by washing with 25% ACN/water until pH 6. Either the peptide prior to conjugation or the peptide-PEG conjugate was dissolved in 25% ACN/water (10 mg/mL) and the pH adjusted to <3 with TFA, then loaded on the column. After washing with 2-3 column volumes of 25% ACN/water and collecting 5 mL fractions, the peptide was released from the column by elution with 0.1 M NH4OAc in 25% ACN/water, again collecting 5 mL fractions. Analysis via HPLC revealed which fractions contained the desired peptide. Analysis with an Evaporative Light-Scattering Detector (ELSD) indicated that when the peptide was retained on the column and was eluted with the NH4OAc solution (generally between fractions 4 and 10), no non-conjugated PEG was observed as a contaminant. When the peptide eluted in the initial wash buffer (generally the first 2 fractions), no separation of desired PEG-conjugate and excess PEG was observed.
The following columns successfully retained both the peptide and the peptide-PEG conjugate, and successfully purified the peptide-PEG conjugate from the unconjugated peptide:
Table 1: Ion Exchange Resins
Example 2: Synthesis of EPO-R agonist peptide dimers by fragment condensation
Step 1- Synthesis of (Cbz)2-Lys: Lysine is reacted under standard conditions with a solution of benzyl chloroformate to obtain lysine protected at its two amino groups with a Cbz group.
Step 2 - Synthesis of Boc-TAP: Boc-TAP is synthesized as described in Steps 1 through 3 of
Example 1.
Step 3 - Coupling of (Cbz)rLys and Boc-TAP: (Cbz)2-Lys and Boc-TAP are coupled under standard coupling conditions to obtain (Cbz)2-Lys-TAP-Boc.
Step 4 - Lys-TAP-Boc: The crude product from the previous reaction is dissolved in methanol (25ml) and hydrogenated in presence of 5% Pd on Carbon (5% w/W) under balloon pressure for 16 hrs. The mixture is filtered, washed with methanol and the filtrate concentrated in vacuo to provide the crude Lys-TAP-Boc product
Step 5 - Synthesis of peptide monomers by fragment condensation: Four peptide fragments of the peptide monomer sequence are synthesized by standard techniques. These partially protected fragments are then subjected to two independent rounds of coupling. In the first round, the N- terminal half of the monomer is formed by coupling two of the peptide fragments, while the C- terminal half of the monomer is formed by coupling the other two of the peptide fragments. In the second round of coupling, the N-terminal and C-terminal halves are coupled to form the fully protected monomer. The monomer is then OBn-deprotected by standard techniques.
Step 6 - Oxidation of peptide monomers to form intramolecular disulfide bonds: The OBn- deprotected condensed peptide monomers (SEQ ID NO: 12) are then oxidized with under iodide to form intramolecular disulfide bonds between the Acm-protected cysteine residues of the monomers.
Step 7 - Coupling of Lys-TAP-Boc to oxidized OBn-deprotected monomers to form a peptide dimer: Lys-TAP-Boc is coupled to a two-fold molar excess of the oxidized OBn-deprotected monomers under standard conditions to form a peptide dimer. The peptide dimer is then deprotected under standard conditions.
13)
Step 8 - PEGylation of deprotected ditner: The deprotected peptide dimer is then PEGylated as described in Step 10 of Example 1.
Step 9 - Ion exchange purification: The PEGylated peptide dimer is then purified as described in Step 11 of Example 1.
Example 3: In vitro activity assays
This example describes various in vitro assays that are useful in evaluating the activity and potency of EPO-R agonist peptides of the invention. The results for these assays demonstrate that the novel peptides of this invention bind to EPO-R and activate EPO-R signaling. Moreover, the results for these assays show that the novel peptide compositions exhibit a surprising increase in EPO-R binding affinity and biological activity compared to EPO mimetic peptides that have been previously described.
EPO-R agonist peptide dimers are prepared according to the methods provided in Example 1 or Example 2. The potency of these peptide dimers is evaluated using a series of in vitro activity assays, including: a reporter assay, a proliferation assay, a competitive binding assay, and a C/BFU-e assay. These four assays are described in further detail below. The results of these in vitro activity assays are summarized in Table 2.
1. Reporter assay
This assay is based upon a on a murine pre-B-cell line derived reporter cell, Baf3/EpoR/GCSFR fos/lux. This reporter cell line expresses a chimeric receptor comprising the extra-cellular portion of the human EPO receptor to the intra-cellular portion of the human GCSF receptor. This cell line is further transfected with a fos promoter-driven luciferase reporter gene construct. Activation of this chimeric receptor through addition of erythropoietic agent results in the expression of the luciferase reporter gene, and therefore the production of light upon addition of the luciferase substrate luciferin. Thus, the level of EPO-R activation in such cells may be quantitated via measurement of luciferase activity.
The Baf3/EpoR/GCSFR fos/lux cells are cultured in DMEM/F12 medium (Gibco) supplemented with 10% fetal bovine serum (FBS; Hyclone), 10% WEHI-3 supernatant (the supernatant from a culture of WEHI-3 cells, ATCC # TIB-68), and penicillin/streptomycin. Approximately 18 h before the assay, cells are starved by transferring them to DMEM/F12 medium supplemented with 10% FBS and 0.1% WEHI-3 supernatant. On the day of assay, cells are washed once with DMEM/F12 medium supplemented with 10% FBS (no WEHI-3 supernatant), then 1 X 106 cells/mL are cultured in the presence of a known concentration of test peptide, or with EPO (R & D Systems Inc., Minneapolis, MN) as a positive control, in DMEM/F12 medium supplemented with 10% FBS (no WEHI-3 supernatant). Serial dilutions of the test peptide are concurrently tested in this assay. Assay plates are incubated for 4h at 37°C in a 5% CO2 atmosphere, after which luciferin (Steady-Glo; Promega, Madison, WI) is added to each well. Following a 5-minute incubation, light emission is measured on a Packard Topcount Luminometer (Packard Instrument Co., Downers Grove, 111.). Light counts are plotted relative to test peptide concentration and analysed using Graph Pad software. The concentration of test peptide that results in a half-maximal emission of light is recorded as the EC50 [See Table 2: Reporter EC50].
2. Proliferation assay
This assay is based upon a murine pre-B-cell line, Baf3, transfected to express human EPO-R. Proliferation of the resulting cell line, BaF3/Gal4/Elk/EPOR, is dependent on EPO-R activation. The degree of cell proliferation is quantitated using MTT, where the signal in the MTT assay is proportional to the number of viable cells.
The BaF3/Gal4/Elk/EPOR cells are cultured in spinner flasks in DMEM/F12 medium (Gibco) supplemented with 10% FBS (Hyclone) and 2% WEHI-3 supernatant (ATCC # TIB-68). Cultured cells are starved overnight, in a spinner flask at a cell density of IxIO6 cells/ml, in DMEM/F12 medium supplemented with 10% FBS and 0.1% WEHI-3 supernatant. The starved cells are then washed twice with Dulbecco's PBS (Gibco), and resuspended to a density of IxIO6 cells/ml in
DMEM/F12 supplemented with 10% FBS (no WEHI-3 supernatant). 50μL aliquots (-50,000 cells) of the cell suspension are then plated, in triplicate, in 96 well assay plates. 50μL aliquots of dilution series of test EPO mimetic peptides, or 50μL EPO (R & D Systems Inc., Minneapolis, MN) or
Aranesp™ (darbepoeitin alpha, an ERO-R agonist commercially available from Amgen) in DMEM/F12 media supplemented with 10% FBS (no WEHI-3 supernatant I) are added to the 96 well assay plates (final well volume of lOOμL). For example, 12 different dilutions may be tested where the final concentration of test peptide (or control EPO peptide) ranges from 81OpM to 0.0045pM. The plated cells are then incubated for 48h at 37°C. Next, lOμL of MTT (Roche Diagnostics) is added to each culture dish well, and then allowed to incubate for 4h. The reaction is then stopped by adding 10% SDS + 0.01N HCl. The plates are then incubated overnight at 37°C. Absorbance of each well at a wavelength of 595nm is then measured by spectrophotometry. Plots of the absorbance readings versus test peptide concentration are constructed and the EC50 calculated using Graph Pad software.
The concentration of test peptide that results in a half-maximal absorbance is recorded as the EC50
[See Table 2: Proliferation EC50].
3. Competitive Binding Assay
Competitive binding calculations are made using an assay in which a light signal is generated as a function of the proximity of two beads: a streptavidin donor bead bearing a biotinylated EPO-R- binding peptide tracer and an acceptor bead to which is bound EPO-R. Light is generated by non- radiative energy transfer, during which a singlet oxygen is released from a first bead upon illumination, and contact with the released singlet oxygen causes the second bead to emit light. These bead sets are commercially available (Packard). Bead proximity is generated by the binding of the EPO-R-binding peptide tracer to the EPO-R. A test peptide that competes with the EPO-R-binding peptide tracer for binding to EPO-R will prevent this binding, causing a decrease in light emission. In more detail the method is as follows: Add 4μL of serial dilutions of the test EPO-R agonist peptide, or positive or negative controls, to wells of a 384 well plate. Thereafter, add 2μL / well of receptor/bead cocktail. Receptor bead cocktail consists of: 15μL of 5mg/ml streptavidin donor beads (Packard), 15μL of 5mg/ml monoclonal antibody abl79 (this antibody recognizes the portion of the human placental alkaline phosphatase protein contained in the recombinant EPO-R), protein A-coated acceptor beads (protein A will bind to the abl79 antibody; Packard), 112.5μL of a 1:6.6 dilution of recombinant EPO-R (produced in Chinese Hamster Ovary cells as a fusion protein to a portion of the human placental alkaline phosphatase protein which contains the abl79 target epitope) and 607.5μL
of Alphaquest buffer (4OmM HEPES, pH 7.4; ImM MgCl2; 0.1% BSA, 0.05% Tween 20). Tap to mix. Add 2μL/well of the biotinylated EPO-R-binding peptide tracer (3OnM final concentration). The peptide tracer, an EPO-R binding peptide (see in the tables "Reporter EC50 (pM)"), is made according to the methods described in Example 1, with sequence Biotin- GGLYACHMGPITWVCQPLRG (SEQ ID NO: 4).
Peptide Tracer
Centrifuge 1 min to mix. Seal plate with Packard Top Seal and wrap in foil. Incubate overnight at room temperature. After 18 hours read light emission using an AlphaQuest reader (Packard). Plot light emission vs. concentration of peptide and analyze with Graph Pad or Excel.
The concentration of test peptide that results in a 50% decrease in light emission, relative to that observed without test peptide, is recorded as the IC50 [See Table 2: AQ IC50].
4. C/BFU-e Assay EPO-R signaling stimulates the differentiation of bone marrow stem cells into proliferating red blood cell precursors. This assay measures the ability of test peptides to stimulate the proliferation and differentiation of red blood cell precursors from primary human bone marrow pluripotent stem cells.
For this assay, serial dilutions of test peptide are made in IMDM medium (Gibco) supplemented with 10% FBS (Hyclone). These serial dilutions, or positive control EPO peptide, are then added to methylcellulose to give a final volume of 1.5mL. The methylcellulose and peptide mixture is then vortexed thoroughly. Aliquots (100,000 cells/mL) of human, bone marrow derived CD34+ cells (Poietics/Cambrex) are thawed. The thawed cells are gently added to 0.1 mL of lmg/ml DNAse (Stem Cells) in a 5OmL tube. Next, 40-50 mL IMDM medium is added gently to cells: the medium is added drop by drop along the side of the 5OmL tube for the first 1OmL, and then the remaining volume of medium is slowly dispensed along the side of the tube. The cells are then spun at 900rpm for 20 min, and the media removed carefully by gentle aspiration. The cells are resuspended in ImI of IMDM medium and the cell density per mL is counted on hemacytometer slide (lOμL aliquot of cell suspension on slide, and cell density is the average count X 10,000 cells/ml). The cells are then diluted in IMDM medium to a cell density of 15,000 cells/mL. A lOOμL of diluted cells is then added to each 1.5 mL methyl cellulose plus peptide sample (final cell concentration in assay media is 1000 cells/ mL), and the mixture is vortexed. Allow the bubbles in the mixture to disappear, and then aspirate ImL using blunt-end needle. Add 0.25 mL aspirated mixture from each sample into each of 4 wells of a 24-well plate (Falcon brand). Incubate the plated mixtures at 370C
under 5% CO2 in a humid incubator for 14 days. Score for the presence of erythroid colonies using a phase microscope (5X-10X objective, final magnification of 100X). The concentration of test peptide at which the number of formed colonies is 90% of maximum, relative to that observed with the EPO positive control, is recorded as the EC90 [See Table 2: C/BFU-e EC90].
5. Radioligand Competitive Binding Assay
An alternative radioligand competition binding assay can also be used to measure IC50 values of peptides in this invention. This assay measures binding of 125I-EPO to EPOr. The assay is preferably performed according to the following exemplary protocol:
A. Materials
B. Determination of appropriate receptor concentration.
One 50 μg vial of lyophilized recombinant EPOr extracellular domain fused to the Fc portion of human IgGl is reconstituted in 1 mL of assay buffer. To determine the correct amount of receptor to use in the assay, 100 μL serial dilutions of this receptor preparation are combined with approximately 20,000 cpm in 200 μL of iodinated recombinant human Erythropoietin (125I-EPO) in 12 x 75 mm polypropylene test tubes. Tubes are capped and mixed gently at 4 0C overnight on a LabQuake rotating shaker.
The next day, 50 μL of a 50 % slurry of Protein-G Sepharose is added to each tube. Tubes are then incubated for 2 hours at 4 0C, mixing gently. The tubes are then centrifuged for 15 min at 4000 RPM (3297 x G) to pellet the protein-G sepharose. The supernatants are carefully removed and discarded. After washing 3 times with 1 mL of 4 0C assay buffer, the pellets are counted in a Wallac
Wizard gamma counter. Results are then analyzed and the dilution required to reach 50 % of the maximum binding value is calculated.
C. ICso Determination for peptide To determine the IC50 of Peptide I, 100 μL serial dilutions of the peptide are combined with
100 μL of recombinant erythropoietin receptor (100 pg/tube) in 12 x 75 mm polypropylene test tubes. Then 100 μL of iodinated recombinant human Erythropoietin (125I-EPO) is added to each tube and the tubes are capped and mixed gently at 4°C overnight.
The next day, bound 125I-EPO is quantitated as described above. The results are analyzed and the IC50 value calculated using Graphpad Prism version 4.0, from GraphPad Software, Inc. (San Diego, CA). The assay is repeated two or more times for each peptide tested, for a total of 3 or more replicate IC50 determinations.
Example 4: In vivo activity assays
This example describes various in vivo assays that are useful in evaluating the activity and potency of EPO-R agonist peptides of the invention. EPO-R agonist peptide dimers are prepared according to the methods provided in Example 1 or Example 2. The in vivo activity of these peptide monomers and dimers is evaluated using a series assays, including a polycythemic exhypoxic mouse bioassay and a reticulocyte assay. These two assays are described in further detail below.
1. Polycythemic Exhypoxic Mouse Bioassay
Test peptides are assayed for in vivo activity in the polycythemic exhypoxic mouse bioassay adapted from the method described by Cotes and Bangham (1961), Nature 191: 1065-1067. This assay examines the ability of a test peptide to function as an EPO mimetic: i.e., to activate EPO-R and induce new red blood cell synthesis. Red blood cell synthesis is quantitated based upon incorporation of radiolabeled iron into hemoglobin of the synthesized red blood cells.
BDFl mice are allowed to acclimate to ambient conditions for 7-10 days. Body weights are determined for all animals, and low weight animals (<15 grams) are not used. Mice are subjected to successive conditioning cycles in a hypobaric chamber for a total of 14 days. Each 24 hour cycle consists of 18 hr at 0.40+0.02% atmospheric pressure and 6 hr at ambient pressure. After conditioning, the mice are maintained at ambient pressure for an additional 72 hr prior to dosing.
Test peptides, or recombinant human EPO standards, are diluted in PBS + 0.1% BSA vehicle (PBS/BSA). Peptide monomer stock solutions are first solubilized in dimethyl sulfoxide (DMSO). Negative control groups include one group of mice injected with PBS/BSA alone, and one group injected with 1% DMSO. Each dose group contains 10 mice. Mice are injected subcutaneously (scruff of neck) with 0.5 mL of the appropriate sample.
Forty eight hours following sample injection, the mice are administered an intraperitoneal injection of 0.2 ml of Fe59 (Dupont, NEN), for a dose of approximately 0.75 μCuries/mouse. Mouse body weights are determined 24hr after Fe59 administration, and the mice are sacrificed 48hr after Fe59 administration. Blood is collected from each animal by cardiac puncture and hematocrits are determined (heparin was used as the anticoagulant). Each blood sample (0.2 ml) is analyzed for Fe59 incorporation using a Packard gamma counter. Non-responder mice (i.e., those mice with radioactive incorporation less than the negative control group) are eliminated from the appropriate data set. Mice that have hematocrit values less than 53% of the negative control group are also eliminated.
Results are derived from sets of 10 animals for each experimental dose. The average amount of radioactivity incorporated [counts per minute (CPM)] into blood samples from each group is calculated.
2. Reticulocyte Assay
Normal BDFl mice are dosed (0.5 mL, injected subcutaneously) on three consecutive days with either EPO control or test peptide. At day three, mice are also dosed (0.1 mL, injected intraperitoneally) with iron dextran (100 mg/ml). At day five, mice are anesthetized with CO2 and bled by cardiac puncture. The percent (%) reticulocytes for each blood sample is determined by thiazole orange staining and flow cytometer analysis (retic-count program). Hematocrits are manually determined. The corrected percent of reticulocytes is determined using the following formula: % RETICcoRRECTED = % RETICoBSERVED X (HematocritnroiviDUAL / HematocritNORMAL)
3. Hematological Assay
Normal CDl mice are dosed with four weekly bolus intravenous injections of either EPO positive control, test peptide, or vehicle. A range of positive control and test peptide doses, expressed as mg/kg, are tested by varying the active compound concentration in the formulation. Volumes injected are 5ml/kg. The vehicle control group is comprised twelve animals, while 8 animals are in each of the remaining dose groups. Daily viability and weekly body weights are recorded.
The dosed mice are mice are fasted and then anesthetized with inhaled isoflurane and terminal blood samples are collected via cardiac or abdominal aorta puncture on Day 1 (for vehicle control mice) and on Days 15 and 29 (4 mice/group/day). The blood is transferred to Vacutainer® brand tubes. Preferred anticoagulant is ethylenediaminetetraacetic acid (EDTA). Blood samples are evaluated for endpoints measuring red blood synthesis and physiology such as hematocrit (Hct), hemoglobin (Hgb) and total erythrocyte count (RBC) using automated clinical analyzers well known in the art (e.g., those made by Coulter, Inc.).
Example 5: Synthesis of EPO-R agonist peptide homodimers of peptide monomers having the amino acid sequence (AcG)GL YACHMGPIT(l-nal) VCQPLRK (SEQ ID NO: 1)
Step 1 - Synthesis of peptide monomers: Peptide monomers are synthesized using standard Fmoc chemistry on an ABI 43 IA peptide synthesizer, using TG-RAM resin (0.18 mmol/g Rapp Polymere, Germany). For the synthesis of peptide monomers with an amidated carboxy terminus, the fully assembled peptide is cleaved from the resin with 82.5% TFA, 5% water, 6.25% anisole, 6.25% ethanedithiol. The deprotected product is filtered from the resin and precipitated with diethyl ether. After thorough drying, the product is purified by C18 reverse phase high performance liquid chromatography with a gradient of acetonitrile/water in 0.1 % trifluoro acetic acid. The structure of the peptide is confirmed by electospray mass spectrometry. The peptide is dissolved in a 1:1 solution of DMSO:water at a concentration of lmg/mL to affect disulfide formation. The product is purified by
C18 reverse phase high performance liquid chromatography with a gradient of acetonitrile/water in 0.1 % trifluoro acetic acid. The peptide monomers may be illustrated as follows:
Step 2 - Synthesis of the trifunctional linker: To a solution of diethyl iminoacetate (10.0g,
52.8 mmol) and Boc-beta-alanine (10.0g, 52.8 mmol) in 100 mL of DCM was added diisopropylcarbodiimide (8.0 mL, 51.1 mmol) over 10 minutes at room temperature. The reaction mixture warmed to -10 degrees during the addition, then cooled back to room temperature over 20 minutes. The reaction mixture was allowed to stir overnight and the precipitated diisopropylurea was filtered off. The solvent was removed under reduced pressure to afford a gum, and the residue dissolved in ethyl acetate and again filtered to remove the additional precipitated urea. The organic phase was placed into a separtory funnel, washed (sat. NaHCC>3, brine, 0.5 N HCl, brine), dried (MgSO4), filtered and concentrated under reduced pressure to afford the diester product as a colorless oil. The diester was taken up in a 1: 1 mixture of MeOH:THF (100 mL) and to this was added water (25 mL), and then NaOH (5g, 125 mmol). The pH was measured to be >10. The reaction mixture was stirred at room temperature for 2 h, and then acidified to pH 1 with 6N HCl. The aq. Phase was saturated with NaCl and extracted 4 times with ethyl acetate. The combined organic phase was washed (brine), dried (MgSO4), and concentrated under reduced pressure to give a white semi-solid. The solid was dissolved in 50 mL of DCM and to this was added 300 mL hexane to create a white slurry. The solvent was removed under reduced pressure to afford the diacid as a white solid (14.7 g, 91.5% yield for 2 steps). To a solution of the diacid (Ig, 3.29 mmol) in 20 mL of DMF was added N- hydroxysuccinimide (770 mg, 6.69 mmol) and diisopropylcarbodiimide (1.00 mL, 6.38 mmol) and A- dimethylaminopyridine (3 mg, 0.02 mmol). The reaction mixture was stirred overnight and the solvent removed under reduced pressure. The residue was taken up in ethyl acetate and filtered to remove the precipitated urea. The organic phase was placed into a separtory funnel, washed (sat. NaHCO3, brine, 0.5 N HCl, brine), dried (MgSO4), filtered and concentrated under reduced pressure to afford the di-NHS ester product as a white solid (1.12g, 68% yield).
Step 3 - Coupling of the trifunctional linker to the peptide monomers: For coupling to the linker, 2 eq peptide is mixed with 1 eq of trifunctional linker in dry DMF to give clear solution, 5eq of
DIEA is added after 2 minutes. The mixture is stirred at ambient temperature for 14h. The solvent is removed under reduced pressure and the crude product is dissolved in 80% TFA in DCM for 30min to remove the Boc group, followed by purification with C 18 reverse phase HPLC. The structure of the dimer is confirmed by electrospray mass spectrometry. This coupling reaction attaches the linker to the nitrogen atom of the ε-amino group of the lysine residue of each monomer. The process is shown below with SEQ ID NO: 1.
PEGylation via a carbamate bond: The peptide dimer is mixed with an equal amount (mole basis) of activated PEG species (mPEG-NPC from NOF Corp. Japan) in dry DMF to afford a clear solution. After 5 minutes 4eq of DIEA is added to above solution. The mixture is stirred at ambient temperature 14h, followed by purification with C18 reverse phase HPLC. The structure of PEGylated peptide is confirmed by MALDI mass. The purified peptide was also subjected to purification via cation ion exchange chromatography as outlined below. The mPEG-NPC PEGylation is shown below using SEQ ID NO: 1.
PEGylation via an amide bond: The peptide dimer is mixed with an equal amount (mole basis) of activated PEG species (PEG-SPA-NHS from Shearwater Corp, USA) in dry DMF to afford a clear solution. After 5 minutes lOeq of DIEA is added to above solution. The mixture is stirred at ambient temperature 2h, followed by purification with C18 reverse phase HPLC. The structure of PEGylated
peptide was confirmed by MALDI mass. The purified peptide was also subjected to purification via cation ion exchange chromatography as outlined below. The PEG-SPA-NHS PEGylation is shown below using SEQ ID NO: 1.
Step 5: - Ion exchange purification of peptides: Several exchange supports were surveyed for their ability to separate the above peptide-PEG conjugate from unreacted (or hydrolyzed) PEG, in addition to their ability to retain the starting dimeric peptides. The ion exchange resin (2-3g) was loaded into a 1 cm column, followed by conversion to the sodium form (0.2 N NaOH loaded onto column until elutant was pH 14, ca. 5 column volumes), and than to the hydrogen form (eluted with either 0.1 N HCl or 0.1 M HOAc until elutant matched load pH, ca. 5 column volumes), followed by washing with 25% ACN/water until pH 6. Either the peptide prior to conjugation or the peptide-PEG conjugate was dissolved in 25% ACN/water (10 mg/mL) and the pH adjusted to <3 with TFA, then
loaded on the column. After washing with 2-3 column volumes of 25% ACN/water and collecting 5 mL fractions, the peptide was released from the column by elution with 0.1 M NH4OAc in 25% ACN/water, again collecting 5 mL fractions. Analysis via HPLC revealed which fractions contained the desired peptide. Analysis with an Evaporative Light-Scattering Detector (ELSD) indicated that when the peptide was retained on the column and was eluted with the NH4OAc solution (generally between fractions 4 and 10), no non-conjugated PEG was observed as a contaminant. When the peptide eluted in the initial wash buffer (generally the first 2 fractions), no separation of desired PEG- conjugate and excess PEG was observed.
The following columns successfully retained both the peptide and the peptide-PEG conjugate, and successfully purified the peptide-PEG conjugate from the unconjugated peptide:
Table 3: Ion Exchange Resins
Example 6: Synthesis of EPO-R agonist peptide homodimers of peptide monomers having the amino acid sequence (AcG)GL YACHMGPIT(l-nal) VCQPLR(MeG)K (SEQ ID NO: 2)
EPO-R agonist peptide homodimers of peptide monomers having the amino acid sequence (AcG)GLY ACHMGPIT(I -nal) VCQPLR(MeG)K (SEQ ID NO: 2) are synthesized as described in Example 1, except that in Step 1 the synthesized peptide monomers are:
(AcG)GL Y ACHMGPIT(I -nal) VCQPLR(MeG)K (SEO ID NO 2) Where the PEG is attached to the linker via a carbamate linkage, the final product of this synthesis using SEQ ID NO: 2 may be illustrated structurally as follows:
Where the PEG is attached to the linker via an amide linkage, the final product of this synthesis using SEQ ID NO: 2 may be illustrated structurally as follows:
Example 7: In vitro activity assays
This example describes various in vitro assays that are useful in evaluating the activity and potency of EPO-R agonist peptides of the invention. The results for these assays demonstrate that the novel peptides of this invention bind to EPO-R and activate EPO-R signaling. Moreover, the results for these assays show that the novel peptide compositions exhibit a surprising increase in EPO-R binding affinity and biological activity compared to EPO mimetic peptides that have been previously described.
EPO-R agonist peptide monomers and dimers are prepared according to the methods provided in Example 1 or Example 2. The potency of these peptide dimers is evaluated using a series of in vitro activity assays, including: a reporter assay, a proliferation assay, a competitive binding assay, and a C/BFU-e assay. These four assays are described in further detail below. The results of these in vitro activity assays are summarized in Table 2. 1. Reporter assay This assay is based upon a murine pre-B-cell lin derived reporter cell, Baf3/EpoR/GCSFR fos/lux. This reporter cell line expresses a chimeric receptor comprising the extra-cellular portion of the human EPO receptor to the intra-cellular portion of the human GCSF receptor. This cell line is further transfected with a fos promoter-driven luciferase reporter gene construct. Activation of this chimeric receptor through addition of erythropoietic agent results in the expression of the luciferase reporter gene, and therefore the production of light upon addition of the luciferase substrate luciferin. Thus, the level of EPO-R activation in such cells may be quantitated via measurement of luciferase activity.
The Baf3/EpoR/GCSFR fos/lux cells are cultured in DMEM/F12 medium (Gibco) supplemented with 10% fetal bovine serum (FBS; Hyclone), 10% WEHI-3 supernatant (the supernatant from a culture of WEHI-3 cells, ATCC # TIB-68), and penicillin/streptomycin.
Approximately 18 h before the assay, cells are starved by transferring them to DMEM/F12 medium supplemented with 10% FBS and 0.1% WEHI-3 supernatant. On the day of assay, cells are washed once with DMEM/F12 medium supplemented with 10% FBS (no WEHI-3 supernatant), then 1 X 106 cells/mL are cultured in the presence of a known concentration of test peptide, or with EPO (R & D Systems Inc., Minneapolis, MN) as a positive control, in DMEM/F12 medium supplemented with 10% FBS (no WEHI-3 supernatant). Serial dilutions of the test peptide are concurrently tested in this assay. Assay plates are incubated for 4h at 37°C in a 5% CO2 atmosphere, after which luciferin (Steady-Glo; Promega, Madison, WI) is added to each well. Following a 5-minute incubation, light emission is measured on a Packard Topcount Luminometer (Packard Instrument Co., Downers Grove, 111.). Light counts are plotted relative to test peptide concentration and analysed using Graph Pad software. The concentration of test peptide that results in a half-maximal emission of light is recorded as the EC50
2. Proliferation assay This assay is based upon a murine pre-B-cell line, Baf3, transfected to express human EPO-R.
Proliferation of the resulting cell line, BaF3/Gal4/Elk/EPOR, is dependent on EPO-R activation. The degree of cell proliferation is quantitated using MTT, where the signal in the MTT assay is proportional to the number of viable cells.
The BaF3/Gal4/Elk/EPOR cells are cultured in spinner flasks in DMEM/F12 medium (Gibco) supplemented with 10% FBS (Hyclone) and 2% WEHI-3 supernatant (ATCC # TIB-68). Cultured cells are starved overnight, in a spinner flask at a cell density of IxIO6 cells/ml, in DMEM/F12 medium supplemented with 10% FBS and 0.1% WEHI-3 supernatant. The starved cells are then washed twice with Dulbecco's PBS (Gibco), and resuspended to a density of IxIO6 cells/ml in DMEM/F12 supplemented with 10% FBS (no WEHI-3 supernatant). 50μL aliquots (-50,000 cells) of the cell suspension are then plated, in triplicate, in 96 well assay plates. 50μL aliquots of dilution series of test EPO mimetic peptides, or 50μL EPO (R & D Systems Inc., Minneapolis, MN) or Aranesp™ (darbepoeitin alpha, an ERO-R agonist commercially available from Amgen) in DMEM/F12 media supplemented with 10% FBS (no WEHI-3 supernatant I) are added to the 96 well assay plates (final well volume of lOOμL). For example, 12 different dilutions may be tested where the final concentration of test peptide (or control EPO peptide) ranges from 81OpM to 0.0045pM. The plated cells are then incubated for 48h at 37°C. Next, lOμL of MTT (Roche Diagnostics) is added to each culture dish well, and then allowed to incubate for 4h. The reaction is then stopped by adding 10% SDS + 0.01N HCl. The plates are then incubated overnight at 37°C. Absorbance of each well at a wavelength of 595nm is then measured by spectrophotometry. Plots of the absorbance readings versus test peptide concentration are constructed and the EC50 calculated using Graph Pad software. The concentration of test peptide that results in a half-maximal absorbance is recorded as the EC50.
3. Competitive Binding Assay
Competitive binding calculations are made using an assay in which a light signal is generated as a function of the proximity of two beads: a streptavidin donor bead bearing a biotinylated EPO-R- binding peptide tracer and an acceptor bead to which is bound EPO-R. Light is generated by non- radiative energy transfer, during which a singlet oxygen is released from a first bead upon illumination, and contact with the released singlet oxygen causes the second bead to emit light. These bead sets are commercially available (Packard). Bead proximity is generated by the binding of the EPO-R-binding peptide tracer to the EPO-R. A test peptide that competes with the EPO-R-binding peptide tracer for binding to EPO-R will prevent this binding, causing a decrease in light emission. In more detail the method is as follows: Add 4μL of serial dilutions of the test EPO-R agonist peptide, or positive or negative controls, to wells of a 384 well plate. Thereafter, add 2μL / well of receptor/bead cocktail. Receptor bead cocktail consists of: 15μL of 5mg/ml streptavidin donor beads (Packard), 15μL of 5mg/ml monoclonal antibody abl79 (this antibody recognizes the portion of the human placental alkaline phosphatase protein contained in the recombinant EPO-R), protein A-coated acceptor beads (protein A will bind to the abl79 antibody; Packard), 112.5μL of a 1:6.6 dilution of recombinant EPO-R (produced in Chinese Hamster Ovary cells as a fusion protein to a portion of the human placental alkaline phosphatase protein which contains the abl79 target epitope) and 607.5μL of Alphaquest buffer (4OmM HEPES, pH 7.4; ImM MgCl2; 0.1% BSA, 0.05% Tween 20). Tap to mix. Add 2μL/well of the biotinylated EPO-R-binding peptide tracer, (3OnM final concentration). The petpide tracer, an EPO-R binding peptide (see in the tables "Reporter EC50 (pM)"), is made according to the methods described in Example 1, using SEQ ID NO: 4.
Peptide Tracer
Centrifuge 1 min to mix. Seal plate with Packard Top Seal and wrap in foil. Incubate overnight at room temperature. After 18 hours read light emission using an AlphaQuest reader (Packard). Plot light emission vs. concentration of peptide and analyze with Graph Pad or Excel.
The concentration of test peptide that results in a 50% decrease in light emission, relative to that observed without test peptide, is recorded as the IC50.
4. C/BFU-e Assay
EPO-R signaling stimulates the differentiation of bone marrow stem cells into proliferating red blood cell precursors. This assay measures the ability of test peptides to stimulate the proliferation and differentiation of red blood cell precursors from primary human bone marrow pluripotent stem cells.
For this assay, serial dilutions of test peptide are made in IMDM medium (Gibco) supplemented with 10% FBS (Hyclone). These serial dilutions, or positive control EPO peptide, are then added to methylcellulose to give a final volume of 1.5mL. The methylcellulose and peptide mixture is then vortexed thoroughly. Aliquots (100,000 cells/mL) of human, bone marrow derived CD34+ cells (Poietics/Cambrex) are thawed. The thawed cells are gently added to 0.1 mL of lmg/ml DNAse (Stem Cells) in a 5OmL tube. Next, 40-50 mL IMDM medium is added gently to cells: the medium is added drop by drop along the side of the 5OmL tube for the first 1OmL, and then the remaining volume of medium is slowly dispensed along the side of the tube. The cells are then spun at 900rpm for 20 min, and the media removed carefully by gentle aspiration. The cells are resuspended in ImI of IMDM medium and the cell density per mL is counted on hemacytometer slide (lOμL aliquot of cell suspension on slide, and cell density is the average count X 10,000 cells/ml). The cells are then diluted in IMDM medium to a cell density of 15,000 cells/mL. A lOOμL of diluted cells is then added to each 1.5 mL methyl cellulose plus peptide sample (final cell concentration in assay media is 1000 cells/ mL), and the mixture is vortexed. Allow the bubbles in the mixture to disappear, and then aspirate ImL using blunt-end needle. Add 0.25 mL aspirated mixture from each sample into each of 4 wells of a 24-well plate (Falcon brand). Incubate the plated mixtures at 370C under 5% CO2 in a humid incubator for 14 days. Score for the presence of erythroid colonies using a phase microscope (5X-10X objective, final magnification of 100X). The concentration of test peptide at which the number of formed colonies is 90% of maximum, relative to that observed with the EPO positive control, is recorded as the EC90 [See Table 2: C/BFU-e EC90].
Example 8: In vivo activity assays
This example describes various in vivo assays that are useful in evaluating the activity and potency of EPO-R agonist peptides of the invention. EPO-R agonist peptide monomers and dimers are prepared according to the methods provided in Example 1. The in vivo activity of these peptide monomers and dimers is evaluated using a series assays, including a polycythemic exhypoxic mouse bioassay and a reticulocyte assay. These two assays are described in further detail below.
1. Polycythemic Exhypoxic Mouse Bioassay Test peptides are assayed for in vivo activity in the polycythemic exhypoxic mouse bioassay adapted from the method described by Cotes and Bangham (1961), Nature 191: 1065-1067. This assay examines the ability of a test peptide to function as an EPO mimetic: i.e., to activate EPO-R and induce new red blood cell synthesis. Red blood cell synthesis is quantitated based upon incorporation of radiolabeled iron into hemoglobin of the synthesized red blood cells. BDFl mice are allowed to acclimate to ambient conditions for 7-10 days. Body weights are determined for all animals, and low weight animals (<15 grams) are not used. Mice are subjected to successive conditioning cycles in a hypobaric chamber for a total of 14 days. Each 24 hour cycle consists of 18 hr at 0.40+0.02% atmospheric pressure and 6 hr at ambient pressure. After conditioning the mice are maintained at ambient pressure for an additional 72 hr prior to dosing. Test peptides, or recombinant human EPO standards, are diluted in PBS + 0.1% BSA vehicle
(PBS/BSA). Peptide monomer stock solutions are first solubilized in dimethyl sulfoxide (DMSO). Negative control groups include one group of mice injected with PBS/BSA alone, and one group injected with 1% DMSO. Each dose group contains 10 mice. Mice are injected subcutaneously (scruff of neck) with 0.5 mL of the appropriate sample. Forty eight hours following sample injection, the mice are administered an intraperitoneal injection of 0.2 ml of Fe59 (Dupont, NEN), for a dose of approximately 0.75 μCuries/mouse. Mouse body weights are determined 24hr after Fe59 administration, and the mice are sacrificed 48hr after Fe59 administration. Blood is collected from each animal by cardiac puncture and hematocrits are determined (heparin was used as the anticoagulant). Each blood sample (0.2 ml) is analyzed for Fe59 incorporation using a Packard gamma counter. Non-responder mice (i.e., those mice with radioactive incorporation less than the negative control group) are eliminated from the appropriate data set. Mice that have hematocrit values less than 53% of the negative control group are also eliminated.
Results are derived from sets of 10 animals for each experimental dose. The average amount of radioactivity incorporated [counts per minute (CPM)] into blood samples from each group is calculated.
2. Reticulocyte Assay
Normal BDFl mice are dosed (0.5 mL, injected subcutaneously) on three consecutive days with either EPO control or test peptide. At day three, mice are also dosed (0.1 mL, injected intraperitoneally) with iron dextran (100 mg/ml). At day five, mice are anesthetized with CO2 and bled by cardiac puncture. The percent (%) reticulocytes for each blood sample is determined by thiazole orange staining and flow cytometer analysis (retic-count program). Hematocrits are manually determined. The corrected percent of reticulocytes is determined using the following formula: % RETICcoRRECTED = % RETICoBSERVED X (HematocritnroiviDUAL / HematocritNORMAL)
3. Hematological Assay
Normal CDl mice are dosed with four weekly bolus intravenous injections of either EPO positive control, test peptide, or vehicle. A range of positive control and test peptide doses, expressed as mg/kg, are tested by varying the active compound concentration in the formulation. Volumes injected are 5ml/kg. The vehicle control group is comprised twelve animals, while 8 animals are in each of the remaining dose groups. Daily viability and weekly body weights are recorded.
The dosed mice are mice are fasted and then anesthetized with inhaled isoflurane and terminal blood samples are collected via cardiac or abdominal aorta puncture on Day 1 (for vehicle control mice) and on Days 15 and 29 (4 mice/group/day). The blood is transferred to Vacutainer® brand tubes. Preferred anticoagulant is ethylenediaminetetraacetic acid (EDTA). Blood samples are evaluated for endpoints measuring red blood synthesis and physiology such as hematocrit (Hct), hemoglobin (Hgb) and total erythrocyte count (RBC) using automated clinical analyzers well known in the art (e.g., those made by Coulter, Inc.).
Example 9: Synthesis of EPO-R agonist peptide homodimers of peptide monomers having the amino acid sequence (AcG)GL YACHMGPIT(l-nal) VCQPLRK (SEQ ID NO: 1)
Step 1 - Synthesis of peptide monomers: Peptide monomers are synthesized using standard Fmoc chemistry on an ABI 43 IA peptide synthesizer, using TG-RAM resin (0.18 mmol/g Rapp Polymere, Germany). For the synthesis of peptide monomers with an amidated carboxy terminus, the fully assembled peptide is cleaved from the resin with 82.5% TFA, 5% water, 6.25% anisole, 6.25% ethanedithiol. The deprotected product is filtered from the resin and precipitated with diethyl ether. After thorough drying the product is purified by C18 reverse phase high performance liquid chromatography with a gradient of acetonitrile/water in 0.1 % trifluoro acetic acid. The structure of the peptide is confirmed by electospray mass spectrometry. The peptide monomers may be illustrated as follows:
(AcG)GL Y ACHMGPIT(I -nal) VCQPLRK-NH2 (SEQ ID NO 1)
Step 2 - Synthesis of the trifunctional linker:
To a solution of diethyl iminoacetate (10. Og, 52.8 mmol) and Boc-beta-alanine (10.0g, 52.8 mmol) in 100 mL of DCM was added diisopropylcarbodiimide (8.0 mL, 51.1 mmol) over 10 minutes at room temperature. The reaction mixture warmed to -10 degrees during the addition, then cooled back to room temperature over 20 minutes. The reaction mixture was allowed to stir overnight and the precipitated diisopropylurea was filtered off. The solvent was removed under reduced pressure to afford a gum, and the residue dissolved in ethyl acetate and again filtered to remove the additional precipitated urea. The organic phase was placed into a separtory funnel, washed (sat. NaHCO3, brine, 0.5 N HCl, brine), dried (MgSO4), filtered and concentrated under reduced pressure to afford the diester product as a colorless oil. The diester was taken up in a 1 :1 mixture of MeOHiTHF (100 mL) and to this was added water (25 mL), and then NaOH (5g, 125 mmol). The pH was measured to be >10. The reaction mixture was stirred at room temperature for 2 h, and then acidified to pH 1 with 6N HCl. The aq. Phase was saturated with NaCl and extracted 4 times with ethyl acetate. The combined organic phase was washed (brine), dried (MgSO4), and concentrated under reduced pressure to give a white semi-solid. The solid was dissolved in 50 mL of DCM and to this was added 300 mL hexane to create a white slurry. The solvent was removed under reduced pressure to afford the diacid as a white solid (14.7 g, 91.5% yield for 2 steps). To a solution of the diacid (Ig, 3.29 mmol) in 20 mL of DMF was added N-hydroxysuccinimide (770 mg, 6.69 mmol) and diisopropylcarbodiimide (1.00 mL, 6.38 mmol) and 4-dimethylaminopyridine (3 mg, 0.02 mmol). The reaction mixture was stirred overnight and the solvent removed under reduced pressure. The residue was taken up in ethyl acetate and filtered to remove the precipitated urea. The organic phase was placed into a separtory funnel, washed (sat. NaHCO3, brine, 0.5 N HCl, brine), dried (MgSO4), filtered and concentrated under reduced pressure to afford the di-NHS ester product as a white solid (1.12g, 68% yield).
Step 3 - Coupling of the trifunctional linker to the peptide monomers:
For coupling to the linker, 2 eq peptide is mixed with 1 eq of trifunctional linker in dry DMF to give a clear solution, and 5eq of DIEA is added after 2 minutes. The mixture is stirred at ambient temperature for 14h. The solvent is removed under reduced pressure and the crude product is
dissolved in 80% TFA in DCM for 30min to remove the Boc group, followed by purification with C18 reverse phase HPLC. The structure of the dimer is confirmed by electrospray mass spectrometry. This coupling reaction attaches the linker to the nitrogen atom of the ε-amino group of the lysine residue of each monomer. Coupling using SEQ ID NO: 1 is shown below.
Step 4 - Synthesis of PEG moiety comprising two linear PEG chains linked by Lysine mPEG2-Lysinol-NPC
Lysinol, which may be obtained commercially, is treated with an excess of mPEG2-NPC to obtain MPEG2-lysinol, which is then reacted with NPC to form mPEG2-lysinol-NPC. mPEG2-Lys-NHS
This product may be obtained commercially, for example, from the Molecular Engineering catalog (2003) of Nektar Therapeutics (490 Discovery Drive, Huntsville, Alabama 35806), item no. 2Z3X0T01.
Step 5 - PEGylation of the peptide dimer: PEGylation via a carbamate bond: The peptide dimer and the PEG species (mPEG2-Lysinol-NPC) are mixed in a 1 :2 molar ratio in dry DMF to afford a clear solution. After 5 minutes 4eq of DIEA is added to above solution. The mixture is stirred at ambient temperature 14h, followed by purification with C 18 reverse phase HPLC. The structure of PEGylated peptide is confirmed by MALDI mass. The purified peptide was also subjected to purification via cation ion exchange chromatography as outlined below. PEGylation using mPEG-Lysinol-NPC is shown below using SEQ ID NO: 1.
PEGylation via an amide bond:
The peptide dimer and PEG species (mPEG2-Lys-NHS from Shearwater Corp, USA) are mixed in a 1:2 molar ratio in dry DMF to afford a clear solution. After 5 minutes 10eq of DIEA is added to above solution. The mixture is stirred at ambient temperature 2h, followed by purification with C18 reverse phase HPLC. The structure of PEGylated peptide was confirmed by MALDI mass. The purified peptide was also subjected to purification via cation ion exchange chromatography as outlined below. PEGylation using mPEG2-Lys-NHS using SEQ ID NO: 1 is shown below.
Step 6: - Ion exchange purification of peptides: Several exchange supports were surveyed for their ability to separate the above peptide-PEG conjugate from unreacted (or hydrolyzed) PEG, in addition to their ability to retain the starting dimeric peptides. The ion exchange resin (2-3g) was loaded into a 1 cm column, followed by conversion to the sodium form (0.2 N NaOH loaded onto column until elutant was pH 14, ca. 5 column volumes), and than to the hydrogen form (eluted with
either 0.1 N HCl or 0.1 M HOAc until elutant matched load pH, ca. 5 column volumes), followed by washing with 25% ACN/water until pH 6. Either the peptide prior to conjugation or the peptide-PEG conjugate was dissolved in 25% ACN/water (10 mg/mL) and the pH adjusted to <3 with TFA, then loaded on the column. After washing with 2-3 column volumes of 25% ACN/water and collecting 5 mL fractions, the peptide was released from the column by elution with 0.1 M NH4OAc in 25% ACN/water, again collecting 5 mL fractions. Analysis via HPLC revealed which fractions contained the desired peptide. Analysis with an Evaporative Light-Scattering Detector (ELSD) indicated that when the peptide was retained on the column and was eluted with the NH4OAc solution (generally between fractions 4 and 10), no non-conjugated PEG was observed as a contaminant. When the peptide eluted in the initial wash buffer (generally the first 2 fractions), no separation of desired PEG- conjugate and excess PEG was observed.
The following columns successfully retained both the peptide and the peptide-PEG conjugate, and successfully purified the peptide-PEG conjugate from the unconjugated peptide:
Table 5: Ion Exchange Resins
Example 10: Synthesis of EPO-R agonist peptide homodimers of peptide monomers having the amino acid sequence (AcG)GL YACHMGPIT(l-nal) VCQPLR(MeG)K (SEQ ID NO: 2)
EPO-R agonist peptide homodimers of peptide monomers having the amino acid sequence (AcG)GLY ACHMGPIT(I -nal) VCQPLR(MeG)K (SEQ ID NO: 2) are synthesized as described in Example 1, except that in Step 1 the synthesized peptide monomers are:
(AcG)GL YACHMGPIT(l-nal) VCQPLR(MeG)K (§EQ JD NQ. 2)
Where the PEG is attached to the spacer via carbamate linkages, the final product of this synthesis using SEQ ID NO: 2 may be illustrated structurally as follows:
Where the PEG is attached to the spacer via amide linkages, the final product of this synthesis using SEQ ID NO: 2 may be illustrated structurally as follows:
Example 11: In vitro activity assays
This example describes various in vitro assays that are useful in evaluating the activity and potency of EPO-R agonist peptides of the invention. The results for these assays demonstrate that the novel peptides of this invention bind to EPO-R and activate EPO-R signaling. Moreover, the results for these assays show that the novel peptide compositions exhibit a surprising increase in EPO-R binding affinity and biological activity compared to EPO mimetic peptides that have been previously described.
EPO-R agonist peptide monomers and dimers are prepared according to the methods provided in Example 1 or Example 2. The potency of these peptide dimers is evaluated using a series of in vitro activity assays, including: a reporter assay, a proliferation assay, a competitive binding assay, and a C/BFU-e assay. These four assays are described in further detail below. The results of these in vitro activity assays are summarized in Table 2.
1. Reporter assay
This assay is based upon a on a murine pre-B-cell lin derived reporter cell, Baf3/EpoR/GCSFR fos/lux. This reporter cell line expresses a chimeric receptor comprising the extra-cellular portion of the human EPO receptor to the intra-cellular portion of the human GCSF receptor. This cell line is further transfected with a fos promoter-driven luciferase reporter gene construct. Activation of this chimeric receptor through addition of erythropoietic agent results in the expression of the luciferase reporter gene, and therefore the production of light upon addition of the luciferase substrate luciferin. Thus, the level of EPO-R activation in such cells may be quantitated via measurement of luciferase activity.
The Baf3/EpoR/GCSFR fos/lux cells are cultured in DMEM/F12 medium (Gibco) supplemented with 10% fetal bovine serum (FBS; Hyclone), 10% WEHI-3 supernatant (the supernatant from a culture of WEHI-3 cells, ATCC # TIB-68), and penicillin/streptomycin. Approximately 18 h before the assay, cells are starved by transferring them to DMEM/F12 medium supplemented with 10% FBS and 0.1% WEHI-3 supernatant. On the day of assay, cells are washed once with DMEM/F12 medium supplemented with 10% FBS (no WEHI-3 supernatant), then 1 X 106 cells/mL are cultured in the presence of a known concentration of test peptide, or with EPO (R & D Systems Inc., Minneapolis, MN) as a positive control, in DMEM/F12 medium supplemented with 10% FBS (no WEHI-3 supernatant). Serial dilutions of the test peptide are concurrently tested in this assay. Assay plates are incubated for 4h at 37°C in a 5% CO2 atmosphere, after which luciferin (Steady-Glo; Promega, Madison, WI) is added to each well. Following a 5-minute incubation, light emission is measured on a Packard Topcount Luminometer (Packard Instrument Co., Downers Grove, 111.). Light counts are plotted relative to test peptide concentration and analysed using Graph Pad software. The concentration of test peptide that results in a half-maximal emission of light is recorded as the EC50
2. Proliferation assay This assay is based upon a murine pre-B-cell line, Baf3, transfected to express human EPO-R.
Proliferation of the resulting cell line, BaF3/Gal4/Elk/EPOR, is dependent on EPO-R activation. The
degree of cell proliferation is quantitated using MTT, where the signal in the MTT assay is proportional to the number of viable cells.
The BaF3/Gal4/Elk/EPOR cells are cultured in spinner flasks in DMEM/F12 medium (Gibco) supplemented with 10% FBS (Hyclone) and 2% WEHI-3 supernatant (ATCC # Tffi-68). Cultured cells are starved overnight, in a spinner flask at a cell density of IxIO6 cells/ml, in DMEM/F12 medium supplemented with 10% FBS and 0.1% WEHI-3 supernatant. The starved cells are then washed twice with Dulbecco's PBS (Gibco), and resuspended to a density of IxIO6 cells/ml in DMEM/F12 supplemented with 10% FBS (no WEHI-3 supernatant). 50μL aliquots (-50,000 cells) of the cell suspension are then plated, in triplicate, in 96 well assay plates. 50μL aliquots of dilution series of test EPO mimetic peptides, or 50μL EPO (R & D Systems Inc., Minneapolis, MN) or Aranesp™ (darbepoeitin alpha, an ERO-R agonist commercially available from Amgen) in DMEM/F12 media supplemented with 10% FBS (no WEHI-3 supernatant I) are added to the 96 well assay plates (final well volume of lOOμL). For example, 12 different dilutions may be tested where the final concentration of test peptide (or control EPO peptide) ranges from 81OpM to 0.0045pM. The plated cells are then incubated for 48h at 37°C. Next, lOμL of MTT (Roche Diagnostics) is added to each culture dish well, and then allowed to incubate for 4h. The reaction is then stopped by adding 10% SDS + 0.01N HCl. The plates are then incubated overnight at 37°C. Absorbance of each well at a wavelength of 595nm is then measured by spectrophotometry. Plots of the absorbance readings versus test peptide concentration are constructed and the EC50 calculated using Graph Pad software. The concentration of test peptide that results in a half-maximal absorbance is recorded as the EC50.
3. Competitive Binding Assay
Competitive binding calculations are made using an assay in which a light signal is generated as a function of the proximity of two beads: a streptavidin donor bead bearing a biotinylated EPO-R- binding peptide tracer and an acceptor bead to which is bound EPO-R. Light is generated by non- radiative energy transfer, during which a singlet oxygen is released from a first bead upon illumination, and contact with the released singlet oxygen causes the second bead to emit light. These bead sets are commercially available (Packard). Bead proximity is generated by the binding of the EPO-R-binding peptide tracer to the EPO-R. A test peptide that competes with the EPO-R-binding peptide tracer for binding to EPO-R will prevent this binding, causing a decrease in light emission.
In more detail the method is as follows: Add 4μL of serial dilutions of the test EPO-R agonist peptide, or positive or negative controls, to wells of a 384 well plate. Thereafter, add 2μL / well of receptor/bead cocktail. Receptor bead cocktail consists of: 15μL of 5mg/ml streptavidin donor beads (Packard), 15μL of 5mg/ml monoclonal antibody abl79 (this antibody recognizes the portion of the human placental alkaline phosphatase protein contained in the recombinant EPO-R), protein A-coated acceptor beads (protein A will bind to the abl79 antibody; Packard), 112.5μL of a 1:6.6 dilution of
recombinant EPO-R (produced in Chinese Hamster Ovary cells as a fusion protein to a portion of the human placental alkaline phosphatase protein which contains the abl79 target epitope) and 607.5μL of Alphaquest buffer (4OmM HEPES, pH 7.4; ImM MgCl2; 0.1% BSA, 0.05% Tween 20). Tap to mix. Add 2μL/well of the biotinylated EPO-R-binding peptide tracer, (3OnM final concentration). The peptide tracer, an EPO-R binding peptide (see in the tables "Reporter EC50 (pM)"), is made according to the methods described in Example 1 using SEQ ID NO: 4.
Peptide Tracer
Centrifuge 1 min to mix. Seal plate with Packard Top Seal and wrap in foil. Incubate overnight at room temperature. After 18 hours read light emission using an AlphaQuest reader (Packard). Plot light emission vs. concentration of peptide and analyze with Graph Pad or Excel.
The concentration of test peptide that results in a 50% decrease in light emission, relative to that observed without test peptide, is recorded as the IC50.
4. C/BFU-e Assay
EPO-R signaling stimulates the differentiation of bone marrow stem cells into proliferating red blood cell precursors. This assay measures the ability of test peptides to stimulate the proliferation and differentiation of red blood cell precursors from primary human bone marrow pluripotent stem cells. For this assay, serial dilutions of test peptide are made in IMDM medium (Gibco) supplemented with 10% FBS (Hyclone). These serial dilutions, or positive control EPO peptide, are then added to methylcellulose to give a final volume of 1.5mL. The methylcellulose and peptide mixture is then vortexed thoroughly. Aliquots (100,000 cells/mL) of human, bone marrow derived CD34+ cells (Poietics/Cambrex) are thawed. The thawed cells are gently added to 0.1 mL of lmg/ml DNAse (Stem Cells) in a 5OmL tube. Next, 40-50 mL IMDM medium is added gently to cells: the medium is added drop by drop along the side of the 5OmL tube for the first 1OmL, and then the remaining volume of medium is slowly dispensed along the side of the tube. The cells are then spun at 900rpm for 20 min, and the media removed carefully by gentle aspiration. The cells are resuspended in ImI of IMDM medium and the cell density per mL is counted on hemacytometer slide (lOμL aliquot of cell suspension on slide, and cell density is the average count X 10,000 cells/ml). The cells are then diluted in IMDM medium to a cell density of 15,000 cells/mL. A lOOμL of diluted cells is then added to each 1.5 mL methyl cellulose plus peptide sample (final cell concentration in assay media is 1000 cells/ mL), and the mixture is vortexed. Allow the bubbles in the mixture to disappear, and then aspirate ImL using blunt-end needle. Add 0.25 mL aspirated mixture from each
sample into each of 4 wells of a 24-well plate (Falcon brand). Incubate the plated mixtures at 370C under 5% CO2 in a humid incubator for 14 days. Score for the presence of erythroid colonies using a phase microscope (5X-10X objective, final magnification of 100X). The concentration of test peptide at which the number of formed colonies is 90% of maximum, relative to that observed with the EPO positive control, is recorded as the EC90 [See Table 2: C/BFU-e EC90].
Example 12: In vivo activity assays
This example describes various in vivo assays that are useful in evaluating the activity and potency of EPO-R agonist peptides of the invention. EPO-R agonist peptide monomers and dimers are prepared according to the methods provided in Example 1. The in vivo activity of these peptide monomers and dimers is evaluated using a series assays, including a polycythemic exhypoxic mouse bioassay and a reticulocyte assay. These two assays are described in further detail below.
1. Polycythemic Exhypoxic Mouse Bioassay Test peptides are assayed for in vivo activity in the polycythemic exhypoxic mouse bioassay adapted from the method described by Cotes and Bangham (1961), Nature 191 : 1065-1067. This assay examines the ability of a test peptide to function as an EPO mimetic: i.e., to activate EPO-R and induce new red blood cell synthesis. Red blood cell synthesis is quantitated based upon incorporation of radiolabeled iron into hemoglobin of the synthesized red blood cells. BDFl mice are allowed to acclimate to ambient conditions for 7-10 days. Body weights are determined for all animals, and low weight animals (<15 grams) are not used. Mice are subjected to successive conditioning cycles in a hypobaric chamber for a total of 14 days. Each 24 hour cycle consists of 18 hr at 0.40+0.02% atmospheric pressure and 6 hr at ambient pressure. After conditioning the mice are maintained at ambient pressure for an additional 72 hr prior to dosing. Test peptides, or recombinant human EPO standards, are diluted in PBS + 0.1% BSA vehicle
(PBS/BSA). Peptide monomer stock solutions are first solubilized in dimethyl sulfoxide (DMSO). Negative control groups include one group of mice injected with PBS/BSA alone, and one group injected with 1% DMSO. Each dose group contains 10 mice. Mice are injected subcutaneously (scruff of neck) with 0.5 mL of the appropriate sample. Forty eight hours following sample injection, the mice are administered an intraperitoneal injection of 0.2 ml of Fe59 (Dupont, NEN), for a dose of approximately 0.75 μCuries/mouse. Mouse body weights are determined 24hr after Fe59 administration, and the mice are sacrificed 48hr after Fe59 administration. Blood is collected from each animal by cardiac puncture and hematocrits are determined (heparin was used as the anticoagulant). Each blood sample (0.2 ml) is analyzed for Fe59 incorporation using a Packard gamma counter. Non-responder mice (i.e., those mice with radioactive incorporation less than the negative control group) are eliminated from the appropriate data set. Mice that have hematocrit values less than 53% of the negative control group are also eliminated.
Results are derived from sets of 10 animals for each experimental dose. The average amount of radioactivity incorporated [counts per minute (CPM)] into blood samples from each group is calculated.
2. Reticulocyte Assay
Normal BDFl mice are dosed (0.5 mL, injected subcutaneously) on three consecutive days with either EPO control or test peptide. At day three, mice are also dosed (0.1 mL, injected intraperitoneally) with iron dextran (100 mg/ml). At day five, mice are anesthetized with CO2 and bled by cardiac puncture. The percent (%) reticulocytes for each blood sample is determined by thiazole orange staining and flow cytometer analysis (retic-count program). Hematocrits are manually determined. The corrected percent of reticulocytes is determined using the following formula: % RETICcoRRECTED = % RETICoBSERVED X (HematocritjNDiviDUAL / HematocritNORMAL)
3. Hematological Assay
Normal CDl mice are dosed with four weekly bolus intravenous injections of either EPO positive control, test peptide, or vehicle. A range of positive control and test peptide doses, expressed as mg/kg, are tested by varying the active compound concentration in the formulation. Volumes injected are 5ml/kg. The vehicle control group is comprised twelve animals, while 8 animals are in each of the remaining dose groups. Daily viability and weekly body weights are recorded.
The dosed mice are mice are fasted and then anesthetized with inhaled isoflurane and terminal blood samples are collected via cardiac or abdominal aorta puncture on Day 1 (for vehicle control mice) and on Days 15 and 29 (4 mice/group/day). The blood is transferred to Vacutainer® brand tubes. Preferred anticoagulant is ethylenediaminetetraacetic acid (EDTA). Blood samples are evaluated for endpoints measuring red blood synthesis and physiology such as hematocrit (Hct), hemoglobin (Hgb) and total erythrocyte count (RBC) using automated clinical analyzers well known in the art (e.g., those made by Coulter, Inc.).
Example 13: Increase in Hemoglobin Levels in Animals and Human Normal Healthy Volunteers (NHV)
1. General
Based on nonclinical and clinical data, Peptide I, a fully synthetic EPO receptor agonist, has the potential to safely and effectively alleviate anemia secondary to inadequate EPO production. It is anticipated that Peptide I may have several potential advantages over currently available EPO products, including: prolonged half-life and pharmacodynamic activity with an expected dosing interval of every 3 to 4 weeks which may translate into improved convenience and compliance; reduced potential for antibody mediated pure red cell aplasia (PRCA) since there is no common amino acid sequence shared with endogenous EPO; potential for the treatment of patients with PRCA caused by antibodies to commercially available EPOs that cross-react with endogenous EPO; and enhanced stability with prolonged shelf life at room temperature compared to protein therapeutics.
Since the primary amino acid sequence of Peptide I differs from that of recombinant Human EPO (rHuEPO), it is less likely to induce a cross-reactive immune response against endogenous EPO. Although very rare, a cross-reactive immune response can cause serious side effects associated with loss of potency for both recombinant human ESAs and endogenous EPO. In addition, since Peptide I is a synthetic peptide, its production avoids the potential risk of contamination of the drug with host cell material that may occur with recombinant protein products.
2. Pharmacokinetics of Peptide I in Animals
Peptide I is a potent stimulator of erythropoiesis with dose -dependent activity observed following single or repeat dose administration in mice, rats (normocythemic and nephrectomized), dogs, rabbits and monkeys. Pharmacology studies in rats and monkeys indicate that the rise in reticulocytes (immature RBCs) and RBCs as measured by hemoglobin levels is dose proportional.
Pharmacokinetic studies in rats, dogs and monkeys have demonstrated the sustained plasma persistence of Peptide I in comparison to currently marketed rHuEPO products. Elimination half life (t1/2) ranges from 21.5 - 30.7 hours in rats, to 73.7 hours in dogs. Biodistribution of Peptide I is primarily to the plasma fraction. Following IV administration of 9.87 mg Peptide I /kg to five-sixth nephrectomy rats, the t1/2 was approximately 48 hours and clearance was low at 0.763 mL/h/kg (compared to 1.44 mL/h/kg in normocythemic rats) resulting in an increased AUC magnitude of 1.8.
2. Pharmacodynamics and Pharmacokinetics of Peptide I in Humans 2.1. Overview and methods
Peptide I has been tested in 20 NHV in one Phase 1 study. This first-in-human study with Peptide I was a randomized, double-blind, placebo-controlled, single-dose, IV, escalating dose, safety and tolerability trial. The primary objectives of the study were to evaluate the safety and pharmacokinetics of Peptide I, and to establish a pharmacologically active dose (PAD). Cohorts of seven male volunteers were scheduled to receive single doses of Peptide I or placebo in a 5:2 ratio. Cohorts were to be added at increasing dose levels until a PAD, as determined by an increase in hemoglobin from baseline values, was observed, at which point the dose level identified as the PAD would be repeated in another cohort of volunteers. The study was initiated in four cohorts were enrolled in a consecutive manner at Peptide I doses of 0.025, 0.05, 0.1 mg/kg, and 0.1 mg/kg, respectively (single dose per cohort). Results of the study showed that increases in reticulocyte count and hemoglobin levels were achieved after the third cohort received 0.1 mg/kg of Peptide I. This dose was repeated in the fourth cohort, to confirm the results observed in the third cohort. As such, the study was terminated. Unblinded results are summarized below.
2.2. Pharmacodynamic Results
Reticulocyte count (absolute number and percent) showed a dose-dependent increase with increasing Peptide I dose. Reticulocyte counts reached a maximum approximately 7 days postdose in all dose cohorts. A comparison of the maximum reticulocyte response, and reticulocyte vs. time curves (AUC0-i4days and AUC0-28days) showed significant differences among dose groups (p<0.05).
The hemoglobin response and change from baseline (both mean and maximum) over 28 days post-dose showed dose-dependent increases with increasing dose of Peptide I whereas the control group exhibited a slight decrease in hemoglobin over time secondary to the study related blood draws without concomitant exogenous stimulation of erythropoiesis [one-way Analysis of Variance (ANOVA) p-value of 0.0001]. A one-way Analysis of Covariance (ANCOVA) using mixed models was used to compare individual changes from baseline over time among all four groups. The results of this analysis showed a significant dose-response among all four dose groups (p =0.0001), with significant differences between the 0.025 vs. 0.1 mg/kg groups (p=0.0027), as well as the 0.05 vs. 0.1 mg/kg groups (p=0.0113). The PAD of Peptide I that was associated with at least a 1.0 g/dL increase in hemoglobin was 0.1 mg/kg.
Additionally, subjects in Cohorts 3 and 4 (0.1 mg/kg Peptide I or placebo) were followed through 42 days post-dose. At Day 42, the average hemoglobin levels had returned to baseline in the subjects treated with 0.1 mg/kg Peptide I, but were still below baseline values in the placebo subjects.
Thus, at Day 42, as throughout the study, the difference in change from baseline hemoglobin was >0.5 g/dL between subjects dosed with 0.1 mg/kg Peptide I versus those dosed with placebo.
Serum EPO levels transiently decreased with increasing Peptide I dose. Changes in other pharmacodynamic parameters (increased red cell count and hematocrit, transient decreases in ferritin and reticulocyte hemoglobin content, transient increase in soluble transferrin receptor protein, and transient decrease in EPO) were consistent with stimulation of erythropoiesis.
2.3. Pharmacokinetic Results
Following IV doses of 0.025, 0.05, and 0.1 mg/kg Peptide I over a 5 minute period, drug concentrations generally peaked at between 5 minutes and 1 hour after initiation of the infusion. In the 0.025 mg/kg dose group, Peptide I concentration peaked between 5 and 15 minutes, while tmax approached 1 hour for the 0.1 mg/kg dose. After Cmax was achieved, plasma concentrations declined and were generally quantifiable (>25 ng/mL) up to 96 hours after the 0.025 mg/kg dose, up to Day 5 for the 0.05 mg/kg dose, and up to Day 7 for the 0.1 mg/kg dose. Calculated half-lives showed a small increase at the 0.1 mg/kg dose, with a range of: 16.7-21.9 hours (mean 19.2 hours) following the 0.025 mg/kg dose; 15.3-25.1 hours (mean 18.7 hours) following the 0.05 mg/kg dose; and 17.7-33.1 hours (mean 23.5 hours) after the 0.1 mg/kg dose.
The drug's distribution and elimination appeared not to follow standard one or two compartment kinetics. First order kinetics were observed at lower drug concentrations only, suggesting saturation of metabolic/elimination processes at plasma concentrations in excess of approximately 400 ng/mL. Volume of distribution showed little change with dose (means of 2165, 1903, and 2010 mL for the 0.025, 0.05 and 0.1 mg/kg doses, respectively). Plasma clearance showed a small decline with dose, with geometric means of 78.0, 70.7 and, 59.2 mL/hr for the 0.025, 0.05, and 0.1 mg/kg doses, respectively. ANOVA of dose normalized Cmax, and AUQo-mfuuty) data showed that Cmax appeared to have a linear relationship with dose. However, AUQo-mfimty) showed evidence of non- linearity at the highest dose of 0.1 mg/kg, possibly associated with the observed small decrease in drug clearance at higher doses.
2.4. Safety Results
Fifteen subjects (4 of 8 receiving placebo and 11 of 20 receiving Peptide I) experienced a total of 28 adverse events (AEs) (6 in the placebo group and 22 in the Peptide I group). For subjects dosed with Peptide I, headache (4/20, 20.0%) and abdominal pain (2/20, 10.0%), nausea (2/20, 10.0%), and nasopharyngitis (2/20, 10.0%) were the more frequently reported events. All AEs, except one, were graded as mild (Grade 1). Most AEs observed among the Peptide I recipients (15/22) were considered probably not related to the study drug, Peptide I. There was no difference in frequency, severity or pattern of AEs between the 4 groups. There were no Serious Adverse Events (SAEs) or withdrawals from the study due to an AE; however, study drug was discontinued for one subject assigned to the 0.025 mg/kg dose of Peptide I due to a mild drug reaction. This reaction which started within 2 minutes of the infusion was a flush starting on the chest expanding to the face, with a sensation of feeling hot, uncomfortable and a scratchy throat. As a safety precaution, the infusion was discontinued for this subject. Symptoms resolved spontaneously and rapidly. No therapeutic intervention was required. There were no changes in vital signs. Laboratory parameters were normal including additional immunologic testing; therefore, the specific nature of this reaction cannot be elucidated. Similar (or more severe) drug reactions have been observed with many drugs, including other ESAs. In addition, patients should be observed during IV administration of Peptide I. An injection should be discontinued if a patient develops similar symptoms. One placebo recipient and one Peptide I recipient were given concomitant medications for mild headache and mild abdominal cramps, respectively. There were no clinically significant changes in vital signs, electrocardiograms (ECGs) or laboratory values. None of the subjects in this trial developed antibodies specific to Peptide I.
2.5. Summary
In summary, Peptide I appeared safe and well tolerated after single IV doses of 0.025, 0.05, or 0.1 mg/kg, with a safety profile similar to placebo. The pharmacokinetic results showed a halflife ranging from approximately 15 to 33 hours, with a mean of 23.5 hours at the 0.1 mg/kg dose. The median was comparable for all doses, occurring 15 minutes after the start of the infusion. Cmax appeared to have a linear relationship with dose; AUQo-mfnuty) appeared to be nonlinear at the 0.1 mg/kg dose. First order kinetics were observed at lower drug concentrations only, suggesting saturation of metabolic/elimination processes at plasma concentrations > 400 ng/mL. Peptide I showed pharmacological activity for reticulocytes at all doses evaluated; generally the responses were dose-dependent with greater and longer responses with increasing dose. The 0.1 mg/kg dose group was defined as the PAD in NHV as it was associated with a clinically and statistically significant increase in hemoglobin from baseline, with an average maximum increase from baseline of 1.36 + 0.39 g/dL among the 10 Peptide I recipients. Changes in other pharmacodynamic parameters (increased red cell count and hematocrit, transient decreases in ferritin and reticulocyte hemoglobin content, transient increase in soluble transferrin receptor protein, and transient decrease in EPO) were consistent with stimulation of erythropoiesis.
Incorporated herein by reference in its entirety is the poster and abstract # 0470 presented at the European Hematology Association 10th Annual Congress in Stockholm on June 4, 2005.
Example 14: Increase in Hemoglobin Levels of Pre-dialysis, Dialysis, and Oncology Patients
1. Pre-dialysis patients
A randomized, double blind, placebo controlled, sequential dose escalation study of the safety, pharmacodynamics, and pharmacokinetics of single intravenous doses of Peptide I injection in patients with chronic kidney disease (CKD) who are not on dialysis and who have not had prior erythropoiesis stimulating agent (ESA) treatment will be conducted. This study will evaluate the safety profile of single intravenous (IV) dose levels of Peptide I in CKD patients not on dialysis (pre dialysis patients). This study will also: evaluate the dose response relationships of a single dose of Peptide I on pharmacodynamic parameters including hemoglobin, reticulocytes, and iron stores; evaluate the pharmacokinetic profiles of single dose levels of Peptide I intravenously in pre dialysis patients; determine the pharmacologically active dose (PAD) intravenously in pre dialysis patients, e.g., the dose that results in >70% of patients achieving a > 1 g/dL hemoglobin increase from baseline
The endpoints of the study will include: adverse events (AEs); serious adverse events (SAES); pharmacokinetic parameters including Cmax, AUC0-t AUCo-mfmity, hnp, Vd, and CL; pharmacologic parameters including reticulocytes, hemoglobin, reticulocyte hemoglobin content, and serum measures of iron stores (e.g., serum ferritin, transferrin saturation, and transferrin receptor
protein); average hemoglobin change from baseline; maximum hemoglobin change from baseline; proportion of treated patients who achieve a > 1 g/dL hemoglobin increase from baseline; and frequency of red blood cell transfusions.
The patients selected for the study will be those pre-dialysis patients aged 18-75 years with hemoglobin >9 g/dL and < 11 g/dL secondary to chronic kidney disease who have not had previous treatment with ESAs and who meet eligibility criteria will be enrolled. In each cohort of 9 patients, patients will be randomly assigned to receive a single dose of Peptide I (n=7) or placebo (n=2). To ensure availability of data for a minimum of 22 days in 5 Peptide I treated patients per cohort, the third and subsequent patients in a cohort who terminate study prior to day 22 will be replaced. Each replacement patient will be assigned to the same treatment group as the withdrawn patient. Patients who terminate from study after day 22 will not be replaced.
Up to 6 dose level cohorts (up to 4 planned dose levels and LIP to 2 additional lower, intermediate, and/or repeat [confirmatory] dose levels) are planned to be sequentially enrolled as determined by the Independent Safety Monitor, Investigator, and Sponsor. A maximum of 54 evaluable patients may be enrolled in this trial.
Each patient in the study is expected to participate for at least 28 days following dosing. Each patient will receive a single dose of Peptide I or placebo. Planned sequential Peptide I dose levels are:
This is a randomized, double blind, placebo controlled, sequential dose escalation study with up to G dose cohorts of 9 pre dialysis patients per cohort. In each cohort, patients will be followed through day 29, or until stabilization of adverse events, whichever occurs later. Hemoglobin levels will be followed in all patients until elevated levels return to within 0.5 g/dL of baseline levels.
Baseline hemoglobin concentration is defined as the mean of the three most recent hemoglobin values prior to study drug dosing. During the study, changes in hemoglobin for a cohort initiation or stopping decision require confirmation by the next consecutive hemoglobin value.
If a patient's hemoglobin level reaches 14 g/dL, the patient should be phlebotomized if clinically indicated. If a patient's hemoglobin level reaches 16 g/dL (confirmed), the patient should be phlebotomized.
- Ill -
After dosing of the first cohort, subsequent enrollment of the next cohort at the next dose level will be based on protocol specified dose escalation criteria. Dose escalation to the next dose level cohort will be halted based on protocol specified stopping criteria. An unblinded, Independent Safety Monitor will review the unblinded clinical and laboratory data on an ongoing basis to determine when the dose escalation or stopping criteria have been met.
The Investigator clinic personnel and Sponsor clinical personnel will be blinded to individual patient treatment assignment and patient identified PK, hematologic, and iron parameter results including hematocrit, hemoglobin, MCHC (mean corpuscular hemoglobin concentration), MCH (mean corpuscular hemoglobin), MCV (mean corpuscular volume), reticulocyte count, and reticulocyte hemoglobin content, or iron store results including ferritin, transferrin saturation, and transferrin receptor protein; however, these personnel may review de identified results for these parameters during the course of the study. These personnel will not have access to patient identified results for these parameters, as the results, if identified by patient, could potentially unblind to treatment assignment. Beginning when all evaluable patients (no less than 7) in a cohort reach day 22, dose escalation to the next cohort is allowed if no safety concerns are identified and: no patient in the cohort achieves a hemoglobin increase ≥l.O g/dL; or all patients who receive Peptide I and achieve a hemoglobin increase > 1.0 g/dL from baseline demonstrate either stability (within 0.5 g/dL of peak hemoglobin value) or reversibility (decrease from peak hemoglobin value) over a minimum of two time points.
Enrollment of new patients into the current cohort and escalation to a new dose will be stopped if any of the following criteria are met: Two or more patients in a cohort have a Grade 3 or 4 Peptide I related adverse event; two or more patients who receive Peptide I in a cohort have a > 2.0 g/dL increase in hemoglobin (increase starting above baseline level) over any 4 week period; or two or more patients who receive Peptide I in a cohort exceed the upper limit of the target range of hemoglobin (>13 g/dL).
If no safety concerns are identified, additional cohorts of 9 patients may be initiated after the all evaluable patients (no less than 7) in a cohort have reached day 22 to study confirmatory (repeat), lower, or intermediate doses. It is expected that for the pre-dialysis patients, a PAD of 0.025 to 0.2 mg/kg, possibly 0.05-
0.1 mg/kg, possibly 0.067 to 0.075 mg/kg, will be determined.
2. Dialysis Patients
An open-label, multi-center, sequential, dose finding study of the safety, pharmacodynamics, and pharmacokinetics of Peptide I injection administered intravenously for the maintenance treatment
of anemia in chronic hemodialysis patients will be performed to determine the range of monthly intravenously administered Peptide I doses that maintains hemoglobin within 1.0 g/dL above or below baseline in hemodialysis patients whose hemoglobin values were stable on Epoetin alfa. This study will also evaluate the safety profile of up to 3 doses of Peptide I administered intravenously in hemodialysis patients; evaluate the pharmacokinetic profile of up to 3 doses Peptide I administered intravenously in hemodialysis patients (in a subset of study patients).
The endpoints of the study include: average weekly hemoglobin change from baseline; number (%) of patients with hemoglobin within 1.0 g/dL above or below baseline through Week 13; number (%) of patients who maintain hemoglobin within 9.5 -13.0 g/dL through Week 13; number (0Zo) of patients with no dose adjustments during the study and number (%) of patients with dose increase or decrease during the study; frequency of red blood cell transfusions; additional pharmacologic parameters including reticulocyte count (absolute and AUC), reticulocyte hemoglobin content, and serum measures of iron stores (e.g., serum ferritin, transferrin saturation, and soluble transferrin receptor protein); adverse events; serious adverse events; and pharmacokinetic parameters including Cmax, AUC0-t AUCo-m&mty, ti/2β, Vd, Vss and CL (in a subset of study patients). Results of the pharmacokinetic and pharmacodynamic analyses will be used to determine the preliminary conversion factor that best predicts the monthly dose of Peptide I based on the weekly dose of Epoetin alfa.
The patients selected for the study will be those hemodialysis patients aged 18 years or older with stable hemoglobin maintained on a stable dose of commercially available Epoetin alfa and who meet eligibility criteria will be enrolled. Up to 4 sequential dose level cohorts of 15 patients per cohort are planned to be enrolled at 3 to 10 clinical centers.
To ensure availability of data in a minimum of 10 patients per cohort who have received 3 Peptide I doses, the 6th and subsequent patients in a cohort who terminate study prior to receiving the 3rd dose will be replaced, up to a maximum of 4 replacements. Patients who terminate from study after receiving 3 doses will not be replaced.
Two dose level cohorts are initially planned to be sequentially enrolled. Depending on the observed safety profile and pharmacologic response, up to 2 additional cohorts of 15 patients each may be added to study lower, intermediate, and/or repeat (confirmatory) dose levels, and/or frequency of administration. A minimum of 30 and a maximum of 60 evaluable patients may be enrolled in this trial.
Each patient in the study is expected to participate for approximately 15 weeks following a 4 week screening period.
An amendment to lengthen the dosing duration for an additional 12 weeks is planned pending availability of supportive data.
Doses of Peptide I will be administered every 4 weeks for a total of three doses as rapid intravenous bolus injections over 30 seconds during the last 15 minutes of dialysis. Each patient in a cohort will receive open-label doses of Peptide I starting at a pre-specified Epoetin alfa-to-Peptide I conversion level. The dose will be escalated or de-escalated for the next cohort based on the dose response relationship observed in the previous cohort. The planned starting Peptide I dose level conversions are:
The Peptide I dose may be adjusted in individual patients as follows. Starting with the 3rd dose of the Peptide I study drug, the dose will be increased by 25% if a patient's confirmed hemoglobin decreases by > 1.0 g/dL from baseline or a patient's confirmed hemoglobin decreases by >0.5 g/dL from baseline to a level below 11 g/dL. Starting with the 3rd dose of study drug, the dose will be reduced by 25% if a patient's confirmed hemoglobin increases by > 1.5 g/dL from baseline or a patient's confirmed hemoglobin increases by > 0.5 g/dL from baseline to a level above 12 g/dL. The next dose will be reduced by 25% if at any time during the study a patient's confirmed hemoglobin increases (increase starting above baseline) by > 1.0 g/dL within any 2 week period. If at any time during the study, a patient's confirmed hemoglobin exceeds 12.5 g/dL, the next dose will be delayed until the hemoglobin decreases to 12.0 g/dL and the dose will be reduced by 25%.
Baseline hemoglobin concentration is defined as the mean of the 3 most recent mid-week pre- dialysis hemoglobin values collected in the 3 weeks prior to administration of study drug. During the study, changes in hemoglobin level for individual dose adjustment or cohort initiation or stopping criteria decisions require confirmation with a repeat hemoglobin value at any time within 7 days.
This is an open-label, sequential dose finding trial with 2-4 treatment cohorts of 15 hemodialysis patients per cohort. Each patient will receive an intravenous dose of Peptide I every 4 weeks for a total of 3 doses. After receiving the first dose of Peptide I, patients will be seen at least weekly throughout the study. During the study, iron status will be maintained per Kidney Disease
Outcomes Quality Initiative (K/DOQI) treatment guidelines.
Patients will be followed for a minimum of 42 days after the last administration of Peptide I, or until stabilization of adverse events, whichever occurs later. After ceasing treatment, hemoglobin levels will be followed in all patients until return to target range.
If a patient's hemoglobin level reaches 14 g/dL (confirmed), the patient may be phlebotomized per the Investigator's judgment. If a patient's hemoglobin level reaches 16 g/dL (confirmed), the patient will be phlebotomized. The method of phlebotomy will be done per the site's standard clinical practice. The volume of blood phlebotomized will be documented. Phlebotomized patients will discontinue receipt of Peptide I and postphlebotomy pharmacodynamic data will be excluded from analysis. After dosing of the first cohort, subsequent enrollment of the next cohort is based on protocol- specified dose escalation and de-escalation criteria. Once an appropriate dose level conversion factor is identified, the conversion factor dose level may be repeated in a confirmatory cohort. The Independent Safety Monitor and Sponsor will review the clinical and laboratory data on an ongoing basis to determine when the dose escalation, de-escalation, additional cohort, or stopping criteria have been met.
Beginning at the Week 7 data review of 6 or more patients enrolled in a cohort, enrollment into the current cohort may be stopped and dose escalation to the next cohort is allowed if no safety concerns are identified by the Independent Safety Monitor and a combined 6 or more patients have a confirmed hemoglobin decrease from baseline of more than 1.0 g/dL at Week 7 or later. Beginning at the Week 7 data review of 6 or more patients enrolled in a cohort, enrollment into the current cohort may be stopped and dose de-escalation to the next cohort is allowed if no safety concerns are identified by the Independent Safety Monitor and a combined 6 or more patients have a confirmed hemoglobin increase > 1.0 g/dL from baseline to a hemoglobin value > 13.0 g/dL occurring at Week 7 or later or a confirmed hemoglobin increase > 1.0 g/dL (increase starting above baseline) within any two week period after study entry.
Beginning at the Week 7 data review of 10 or more patients enrolled in a cohort, if no safety concerns are identified by the Independent Safety Monitor, an additional cohort may be initiated to study lower or intermediate (between the current and previously studied) conversion factors, and/or frequency of administration. A maximum of two additional cohorts may be enrolled. After the Week 7 data review of 10 or more patients enrolled in a cohort, a confirmatory cohort utilizing the same conversion factor may be initiated to repeat the same conversion factor and/or frequency of administration if no safety concerns are identified by the Independent Safety Monitor and neither dose escalation nor dose de-escalation rules have been met.
Enrollment of new patients into the current cohort and escalation to a new dose will be stopped if the following criterion is met: 3 patients in a cohort have a Grade 3 or Grade 4 Peptide I - related adverse event.
It is expected that for the dialysis patients, a PAD of 0.025 to 0.2 mg/kg, possibly 0.05-0.1 mg/kg, possibly 0.067 to 0.075 mg/kg, will be determined.
3. Oncology Patients
An open-label, multi-center dose-escalation study of the safety, pharmacodynamics, and pharmacokinetics of subcutaneously administered Peptide I in cancer patients with chemotherapy induced anemia (CIA) will be conducted to determine the Peptide I dose to be administered every three weeks by subcutaneous (SC) injection associated with a hemoglobin response in patients with chemotherapy induced anemia. Other objectives include to: evaluate the safety profile of up to 4 doses of Peptide I administered subcutaneously every three weeks in cancer patients receiving concomitant myelosuppressive chemotherapy; determine the change from baseline in Hgb in patients with CIA at different dose levels of Peptide I; determine the proportion of patients who have a Hgb response to Peptide I (as defined in Endpoints); determine the dose of Peptide I administered subcutaneously that increases and maintains the hemoglobin in the target range of 11-13 g/dL in CIA patients; evaluate the pharmacokinetic profile of up to 4 doses of Peptide I administered subcutaneously in CIA patients (in a subset of study patients); and explore the effect of dose frequency and parenteral iron replacement at an active dose of Peptide I.
The endpoints of the study will include: proportion of patients per treatment group who have > a 2 g/dL increase in hemoglobin OR who have an increase of Hgb of > 1 g/dL to at least 12 g/dL at 4 weeks, 9 weeks and 12 weeks in the absence of RBC transfusion in the previous 28 days; proportion of patients who have a Hgb increase of > 1 g/dL from baseline at 4 weeks, 9 weeks and 12 weeks in the absence of RBC transfusion in the previous 28 days; proportion of patients who have a Hgb in the target range of 11-13 g/dL at weeks 4, 9 and 12; proportion of Hgb values in the target range of 11-13 g/dL after week 4; average hemoglobin change from baseline; frequency of red blood cell transfusions; additional pharmacologic parameters including reticulocyte counts (absolute and AUC), reticulocyte hemoglobin content; changes in measures of iron stores, e.g. transferrin saturation and serum ferritin; adverse events (AEs); serious adverse events (SAEs); and in a subset of study patients pharmacokinetic parameters including Cmax, AUQM, AUCO-∞, ti/2β (elimination half-life), Vd (apparent volume of distribution), Vss (steady-state volume), and CL (clearance).
The patients selected for the study will be those with solid tumors or lymphoma, aged 18-80 years with hemoglobin > 9 g/dL and < 11 g/dL secondary to chemotherapy who have not had previous treatment with ESAs within the past 90 days and who meet eligibility criteria and will be assigned to
Peptide I at the starting dose or subsequent sequential dose level approved by the Medical Monitor
(MM). To ensure availability of 12 week data in of a minimum 10 treated patients per treatment group, the 6th and subsequent patients in a group who terminate the study prior to 8 weeks, will be replaced, up to a maximum of 5 replacements. Each replacement patient will be assigned to the same treatment group as the withdrawn patient. Up to 4 open-label treatment groups of 15 patients may be subsequently added to study lower, intermediate, and/or repeat dose levels and/or frequency of administration of Peptide I and/or parenteral iron replacement to maintain transferrin saturation levels at 25-50%. A minimum of 30 and a maximum of 90 patients (not including replacements) may be enrolled in this trial if all possible dosing regimens are explored.
Each patient in the study is expected to participate for up to 12 weeks following up to a 4 week screening period.
Sequential cohorts of fifteen patients will receive escalating doses of Peptide I. Open-label doses will be administered by SC injection every 3 weeks for a total of four doses (Study weeks 1, 4, 7, 10). Typically, Peptide I would be administered on Day 1 of a chemotherapy cycle. The Peptide I starting doses and frequency of dosing are based on Phase 1 data in Healthy Volunteers as well as predicted responses modeled from PK/PD data of the erythropoietic response to Peptide I and other Erythropoiesis Stimulating Agents (ESAs). Planned Peptide I dose levels and the number of patients in each group are show in Table 7:
Table 7 Peptide I Dose Levels and Patient Numbers
Patients will be followed for 28 days post last injection, or until stabilization of adverse events, or hemoglobin values are between 11-13 g/dL which ever comes last. No dose increases will be allowed. After week 4, if RBC transfusions are required to maintain the Hgb in the target range, the patient will be removed from study drug, return to standard of care, and be followed for an additional 28 days for safety. If at any time during the study, a patient' s hemoglobin increases by > 1.0 g/dL within any 2 week period, the next dose will be delayed until the hemoglobin stabilizes (an increase of < 0.5 g/dL in a week) and the dose will be reduced by 50%. Baseline hemoglobin concentration is defined as the mean of the 2 most recent weekly hemoglobin values collected in the week prior to administration of study drug (e.g. screening and baseline values). During the study, changes in hemoglobin level for cohort initiation or stopping criteria decisions require confirmation by the next consecutive hemoglobin value within 7 days.
This is an open-label, multi-center trial with up to 6 treatment groups of 15 patients with CIA per group. In the initial treatment groups, open-label Peptide I will be administered by subcutaneous injection every 3 weeks for a total of up to 4 doses. After the first dose, patients will be seen at least
weekly throughout the study. Patients will be followed for a minimum of 28 days after the last administration of study drug, or until stabilization of adverse events, or hemoglobin values are between 11-13 g/dL whichever occurs last. If a patient' s hemoglobin level reaches 14 g/dL (confirmed), the patient may be phlebotomized if clinically indicated and the volume of phlebotomy documented. Phlebotomized patients will discontinue receipt of study drug and post-phlebotomy pharmacodynamic data will be excluded from analysis. The Medical Monitor (MM), and Sponsor will review the safety and pharmacodynamic data on an ongoing basis to determine if and when the stopping criteria have been met.
After 6 or more patients enrolled in a cohort have completed at least 6 weeks of follow up (i.e. at least three weeks following the second dose), enrollment into the current cohort may be stopped and dose escalation to the next cohort is allowed if there are: no safety concerns are identified by the MM; and, 6 or more patients are transfused after week 4 or have a confirmed hemoglobin increase of <1 g/dL at week 6.
After 6 or more patients enrolled in a cohort and have completed at least 6 weeks of follow up (at least three weeks following the second dose), enrollment into the current cohort will be stopped and dose de-escalation to a lower level in the next cohort may be allowed if there is: an occurrence of at least 3 Grade 3 or 4 AEs possibly related to Peptide I or if the MM identifies any specific concern to Peptide I; or a total of 6 or more patients have a confirmed hemoglobin level > 13.0 g/dL (not related to transfusion), or a confirmed hemoglobin increase > 1.0 g/dL within any two week period (not related to transfusion)
If no safety concerns are identified by the MM and Sponsor, up to two additional open-label treatment groups of 15 patients may be initiated to study lower, intermediate (between the current and previously studied), or repeat dose levels. In addition, once the active dose administered every three weeks is determined, up to 2 additional cohorts may be enrolled to determine the relative effect of the same total dose administered in fractions at a different frequency (e.g., 4/3 of the every 3 week dose administered every 4 weeks). The effect of administration of parenteral iron to achieve a transferrin saturation of 25-50% may also be explored in a separate cohort.
It is expected that for the oncology patients, a PAD of 0.075-0.5 mg/kg, possibly 0.2-0.4 mg/kg, possibly 0.25 mg/kg, will be determined.
Example 15: Long-Term Safety, Tolerability, and Pharmacodynamics of Peptide I in a Phase II, Multi-Dose Study in Patients with Chronic Kidney Disease
1. Study Methods
A multi-center, open-label, sequential dose-finding phase II clinical trial involving patients with chronic kidney disease was performed in order to evaluate the safety and pharmacodynamics of
multiple doses of once-monthly (Q4W) subcutaneous (SC) delivery of Peptide I (SEQ ID NO:2). A total of 60 erythropoiesis-stimulating-agent-naϊve, pre-dialysis, chronic kidney disease (CKD) patients [hemoglobin (Hgb) levels 9.0-10.9 g/dL, ferritin >100 ug/L and transferrin saturation (TSAT) >20%] were enrolled into three dose cohorts. Patients received up to six once-monthly SC drug doses. The starting doses were 0.025 mg/kg (n=15), 0.050 mg/kg (n=30) and 0.075 mg/kg (n=15). Dose titration was allowed after the first dose, based on patient Hgb levels.
2. Mean Baseline Characteristics and Individual Patient Dose Adjustments
Baseline characteristics were were balance accross dose groups as shown in the Table :
Table 8
Dose titrations were allowed after the patient's initial dose. Dose adjustments were +25% of the previous dose, depending on the patient's measured hemoglobin (Hgb) level. Patients (shown by percent) that were dose-titrated by week 12, are shown in Table 9.
Table 9 Patients Dose-titrated by Week 12
The study pharmacodynamic results are shown in Figures 1-4. The mean reticulocyte change from baseline for 0-12 weeks is shown in Figure 1. The mean hemoglobin (Hgb) change from baseline for the study weeks 0-12 is shown in Figure 2. The correction of anaemia (Hgb >11 g/dL) by dose and treatment duration is shown in Figure 3 depicts. The mean hemoglobin (Hgb) change from baseline for the study weeks 12-22 is shown in Figure 4. The hemoglobin (Hgb) change from baseline for individual patients in the 0.05 mg/kg cohort for the study weeks 0 to 12 is shown in Figure 5.
3. Safety Results
Adverse events and serious adverse events were monitored during the study. Eleven (18%) patients reported 36 adverse events. All events were assessed as not related to study drug. No adverse event resulted in study withdrawal, no injection site reaction was reported. All serious adverse events were assessed as not related to study drug.
4. Conclusions
Pre-dialysis chronic kidney disease (CKD) patients can be effectively treated with Peptide I by monthly dosing via a subcutaneous injection. Multiple monthly subcutaneous Peptide I injections are well-tolerated. Monthly drug dosing achieves correction of anaemia in patients by week eight. The drug results in a sustained increase in hemoglobin (Hgb) up to week 22, when dosed monthly in patients with chronic kidney disease.
Example 16: Safety, Tolerability, and Pharmacodynamics of Peptide I in a Phase II Multi-Dose Study in Patients Suffering from Anemia Associated with Solid Tumor Malignancy or Lymphoma
1. Study Methods
A multi-center, open label, sequential dose-finding phase II clinical trial involving patients with cancer was performed in order to evaluate the safety and pharmacodynamics of multiple doses administered every 3 weeks (Q3W) subcutaneous (SC) delivery of Peptide I (SEQ ID NO: T). A total of 60 patients with solid tumor malignancy or lymphoma [ patients had greater than 9 weeks of chemotherapy and baseline hemoglobin levels greater than 8 g/dL but less than 11 g/dL and adequate iron, folate and B 12 stores] were enrolled into four dose cohorts. Patients received up to two SC drug doses which were given once every three weeks. The starting doses were 0.05 mg/kg (n=15), 0.10 mg/kg (n=15), 0.15 mg/kg (n=15), and 0.20 kg/mg (n=15).
2. Mean Baseline Characteristics and Pharmacodynamic Results
Mean baseline hemoglobin values and the percent of patients completing the study across the four dose cohorts are shown in the following table. Table 10 below also shows the percent of patients at Week 7 of the study showing a mean increase from baseline hemoglobin of > 1 g/dL in the pharmacodynamic dataset comprising 42 patients across the four dose cohorts.
Table 10 Percent of Patients at Week 7 with Mean Increase from Baseline Hemoglobin
3. Safety Results
Adverse events and serious adverse events were monitored during the study. Three patients withdrew from the study due to adverse events that were assessed as not related to the study drug. Six patients withdrew from the study due to serious adverse events. One serious adverse event, thrombophlebitis, was probably related to the study drug; however the other five reports of serious adverse events were not attributed to the study drug. Three patient deaths occurred during the course of the drug study (two deaths due to disease progression and one death due to renal insufficiency). None of the deaths was attributed to the study drug.
4. Conclusions
Patients suffering from anemia associated with solid tumor malignancy or lymphoma who are also undergoing chemotherapy can be effectively treated with Peptide I by subcutaneous injection every three weeks. Subcutaneous injections of Peptide I every three weeks was well tolerated. By week 7 of the study, Peptide I resulted in a mean increase from baseline hemoglobin of > 1 g/dL in patients of the study.
Example 17: Safety, Tolerability, and Pharmacodynamics of Peptide I in a Phase II Multi-Dose Study in Patients Suffering from Anemia Associated with Solid Tumor Malignancy or Lymphoma 1. Study Methods
A multi-center, open label, sequential dose-finding phase II clinical trial involving patients with cancer was performed in order to evaluate the safety and pharmacodynamics of multiple doses administered Q3W SC delivery of Peptide I (SEQ ID NO: 2). A total of 60 patients with solid tumor malignancy or lymphoma [ patients had greater than 9 weeks of chemotherapy and baseline
hemoglobin levels greater than 8 g/dL but less than 11 g/dL and adequate iron, folate and B 12 stores and ECOG performance status of 0-2] were enrolled into four dose cohorts. Patients received at least two SC drug doses which were given once every three weeks. The starting doses were 0.05 mg/kg (n=15), 0.10 mg/kg (n=15), 0.15 mg/kg (n=15), and 0.20 kg/mg (n=15). 2. Mean Baseline Characteristics and Pharmacodynamic Results
The pharmacodynamic data set (n=49) included patients who received at least two (2) doses of Peptide I and had at least two (2) hemoglobin values at or after six (6) weeks following the first dose. Hemoglobin responses were determined in patients without red blood cell transfusions in the previous twenty-eight (28) days. Demographic and baseline characteristics for patients completing the study across the four dose cohorts are shown in the Table 11.
Table 11 Patient Demographic and baseline characteristics
Figure 6 depicts an increase in hemoglobin from baseline of > 1 g/dL at 6 weeks following the first dose of 0.5 mg/kg, 0.1 mg/kg, 0.15 mg/kg, and 0.2 mg/kg of Peptide I (SEQ ID NO: 2) was observed in 17%, 73%, 55%, and 47% of patients, respectively. Figure 7 depicts the percent of patients at Week 6 after the first dose of the study showing a hemoglobin increase of > 2 g/dL or the combination of a > 1 g/dL increase and a hemoglobin value of at least 1 lg/dL occurred in 8%, 73%, 55%, and 40% of patients in the 0.5 mg/kg, 0.1 mg/kg, 0.15 mg/kg, and 0.2 mg/kg dose cohorts, respectively. As shown in Table 12, dose reductions and delays occurred more frequently in the 0.2 mg/kg cohort:
Table 12
Figure 8 depicts that the patients in the 0.1 mg/kg, 0.15 mg/kg, and 0.2 mg/kg dose cohorts had increases in hemoglobin from baseline.
3. Safety Results
Adverse events and serious adverse events were monitored during the study. Forty-five (45) of the sixty (60) patients reported an adverse event. The most frequently reported adverse events were; nausea (22%), pyrexia (12%), vomiting (12%), anemia (10%), dyspnea (10%), constipation
(8%), febrile neutropenia (8%). Eight (8) patients (representing 13%) had one or more of the adverse events considered related to the study drug. In two (2) patients, the following five events occurred: constipation, nausea, vomiting, abnormal hematology test, and increased reticulocyte count. One (1) patient suffered eleven (11) other related events. Thirty-seven (37) serious adverse were reported in eighteen (18) patients. One serious adverse event, thrombophlebitis, was probably related to the study drug; however the other reports of serious adverse events were not attributed to the study drug. The most frequently reported serious adverse events included: febrile neutropenia (8%), neutropenia (5%), neutropenic sepsis (5%), panctyopenia (5%), anemia (3%), and infection (3%). Three patient deaths due to serious adverse events occurred during the course of the drug study (one death due to pulmonary edema, one death due to disease progression and one death due to renal insufficiency). A fourth death occurred > one (1) month after study completion due to serious adverse events of pleural effusion and decreased performance status. None of the deaths was attributed to the study drug.
4. Conclusions Patients suffering from anemia associated with solid tumor malignancy or lymphoma who are also undergoing chemotherapy can be effectively treated with Peptide I by subcutaneous injection every three weeks. Subcutaneous injections of Peptide I every three weeks was well tolerated. By week 6 of the study, Peptide I at doses of 0.1 mg/kg and 0.15 mg/kg administered by subcutaneous injection every three weeks in oncology patients also undergoing myelosuppressive chemotherapy resulted in an increase of hemoglobin of > 1 g/dL in 50% of patients of the study. The increase in
hemoglobin in the 0.1 mg/kg and 0.15 mg/kg dose cohorts appeared to be sustained through nine (9) and twelve (12) weeks. The 0.05 mg/kg dose did not produce a meaningful increase in hemoglobin; however, hemoglobin values were maintained close to baseline. While forty-seven percent (47%) of the patients in the 0.2 mg/kg dose cohort had a hemoglobin increase of > 1 g/dL by week 6, this was not sustained. The trend toward a lower response rate and a lower average hemoglobin over time in 0.2 mg/kg dose cohort compared to the 0.1 mg/kg or 0.15 mg/kg dose cohorts is due to several factors, including: a greater number of dose delays and reductions secondary to initial substantial hemoglobin increases.
Hgb and Dose Analysis of Peptide I treatment in Cancer Patients
An open-label, multi-center dose escalation study of the safety, pharmacodynamics, and pharmacokinetics of subcutaneously administered Peptide I in anemic cancer patients receiving chemotherapy was conducted. An objective of this study was to determine the dose of Peptide I administered every three weeks by subcutaneous (SC) injection associated with a hemoglobin increase of > 1 g/dL at 9 weeks in > 50% of anemic cancer patients receiving chemotherapy. The time frame of the study was approximately 13 weeks. Results of the study can be summarized, as shown in Table 13, which groups the results by the three cancer types studied, breast cancer, non- small cell lung cancer (NSCLC), and prostate cancer. Further details are discussed below and presented in Tables 14-16.
Table 13: Summary of Peptide I Treatment Results for Cancer Patients
Other measures of the study included: (1) an evaluation of the safety profile of up to four doses of Peptide I administered subcutaneously every three weeks in cancer patients receiving concomitant myelosuppressive chemotherapy, (2) a determination of the change from baseline in hemoglobin (Hgb) in anemic cancer patients receiving chemotherapy at different dose levels of Peptide I, (3) a determination of the proportion of patients who have a Hgb response to Peptide I, (4) a determination of Peptide I administered subcutaneously that increases and maintains the hemoglobin in the target range of 11-13 g/dL in anemic cancer patients receiving chemotherapy, (5) an evaluation of the pharmacokinetic profile of up to 4 doses of Peptide I administered subcutaneously in anemic
cancer patients receiving chemotherapy (in a subset of study patients), (6) an exploration of the effect of dose frequency at an active dose of Peptide I, and (7) and exploration of the effect of parenteral iron replacement at an active dose of Peptide I.
Patient inclusion criteria for this study were as follows: (1) the Patient was informed of the investigational nature of this study and gave written, witnessed informed consent in accordance with institutional, local, and national guidelines; (2) male or female > 18 and < 80 years of age; premenopausal females (with the exception of those who are surgically sterile) must have a negative pregnancy test at screening; those who are sexually active must practice a highly effective method of birth control for at least 2 weeks prior to study start, and must be willing to continue practicing birth control for at least 4 weeks after the last dose of study drug. A highly effective method of birth control is defined as one that results in a low failure rate (i.e., less than 1% per year) when used consistently and correctly such as implants, injectables, combined oral contraceptives, some IUDs, sexual abstinence (only acceptable if practiced as a life-style and not acceptable if one who is sexually active practices abstinence only for the duration of study) or vasectomized partner; (3) Patients with histologically confirmed solid tumor malignancy or lymphoma who are scheduled to receive at least 9 weeks of cyclic myelosuppressive chemotherapy while on study; (4) a hemoglobin value of > 8 and < 11 g/dL within 1 week prior to administration of study drug; (5) an ECOG Performance Status of 0-2; (6) one reticulocyte hemoglobin content (CHr) > 29 pg within 4 weeks prior to study drug administration; (7) one transferrin saturation > 15% within 4 weeks prior to study drug administration; (8) one serum or red cell folate level above the lower limit of normal within 4 weeks prior to study drug administration; (9) one vitamin B12 level above the lower limit of normal within 4 weeks prior to study drug administration; (10) one absolute neutrophil count > 1.0 X 109/L within 1 week prior to administration of study drug; (11) one platelet count > 75 X 109/L within one week prior to administration of study drug; and (12) a life expectancy > 6 months. If the patient was considered by the investigator as iron-deficient and IV iron supplementation was required, the patient was re-screened weekly (no sooner than 7 days after iron administration) until hemoglobin has not increased more than 0.5 g/dL from the previous week.
Patient exclusion criteria included: (1) treatment with any erythropoiesis stimulating agent (ESA) in the past 90 days; (2) history of failure to respond to ESA treatment; (3) known antibodies to other ESAs or history of pure red cell aplasia (PRCA); (4) acute or chronic leukemia, myelodysplastic syndrome (MDS), or multiple myeloma; (5) any previous or planned radiotherapy to more than 50% of either the pelvis or spine; (6) known intolerance to parenteral iron supplementation; (7) red-blood cell (RBC) transfusion within 4 weeks prior to study drug administration; (8) known hemoglobinopathy (e.g., homozygous sickle-cell disease, thalassemia of all types, etc.); (9) known hemolysis; (10) history of pulmonary embolism or DVT in the previous 2 years or current therapeutic doses of anticoagulants; (11) known blood loss as a cause of anemia; (12) uncontrolled, or
symptomatic inflammatory disease (e.g., rheumatoid arthritis, systemic lupus erythematosus, etc.); (13) AST or ALT > 2.5 times the upper limit of normal; AST or ALT > 5 times the upper limit of normal if liver metastases are present; (14) creatinine > 175 μmol/L; (15) history of bone marrow or peripheral blood cell transplantation; (16) pyrexia/fever of > 39 0C within 48 hours prior to study drug administration; (17) poorly controlled hypertension, per the investigator's judgment, within 4 weeks prior to study drug administration (e.g., systolic > 170 mm Hg or diastolic > 100 mm Hg on repeat readings); (18) epileptic seizure in the 6 months prior to study drug administration; advanced chronic congestive heart failure - New York Heart Association Class IV; (19) high likelihood of early withdrawal or interruption of the study (e.g., myocardial infarction within the past 3 months; severe or unstable coronary artery disease; stroke; respiratory, autoimmune, neuropsychiatric or neurological abnormalities; liver disease including active hepatitis B or C; active HIV disease; or any other clinically significant medical diseases or conditions within the prior 6 months that may, in the investigator's opinion, interfere with assessment or follow-up of the patient); (20) anticipated elective surgery during the study period; (21) history of multiple drug allergies; (22) exposure to any investigational agent within 1 month prior to administration of study drug or planned receipt during the study period.
Tables 14-16 provide clinical results by cancer group. The data includes hemoglobin concentrations (the top portion of each table) and dosing information (bottom portion of each table) for Peptide I. The abbreviations used in these tables are as follows: "Hgb" refers to Hgb concentration in g/dL; "n" indicates the number of observations; "std" refers to standard deviation. "Taxane" indicates that the patient was being treated with a taxane-based chemotherapeutic agent. "Non-Taxane" indicates that the patient was being treated with a non-taxane based chemotherapeutic agent. Empty cells indicate that no data was obtained or that no dose was given.
<210> 1 <211> 20 <212> PRT <213> artificial
<220>
<223> synthetic peptide
<220> <221> MISC_FEATURE <222> (1)..(1) <223> Xaa is N-acetylglycine
<220> <221> MISC_FEATURE <222> (13)..(13) <223> Xaa is 1-naphthylalanine
<400> 1
Xaa GIy Leu Tyr Ala Cys His Met GIy Pro lie Thr Xaa VaI Cys GIn 1 5 10 15
Pro Leu Arg Lys
20
<210> 2 <211> 21 <212> PRT <213> artificial
<220>
<223> synthetic protein
<220>
<221> MISC_FEATURE
<222> (1)..(1)
<223> Xaa is N-acetylglycine
<220>
<221> MISC_FEATURE
<222> (13)..(13)
<223> Xaa is 1-naphthylalanine
<220>
<221> MISC_FEATURE
<222> (20)..(20)
<223> Xaa is N-methylglycine
<400> 2
Xaa GIy Leu Tyr Ala Cys His Met GIy Pro lie Thr Xaa VaI Cys GIn 1 5 10 15
Pro Leu Arg Xaa Lys
20
<210> 3 <211> 20
<212> PRT
<213> artificial
<220> <223> synthetic protein
<220>
<221> MISC_FEATURE <222> (1)..(1)
<223> Xaa is N-acetylglycine
<220>
<221> MISC_FEATURE <222> (13)..(13)
<223> Xaa is 1-naphthylalanine
<220>
<221> MISC_FEATURE <222> (20)..(20)
<223> Xaa is N-methylglycine
<400> 3
Xaa GIy Leu Tyr Ala Cys His Met GIy Pro He Thr Xaa VaI Cys GIn 1 5 10 15
Pro Leu Arg Xaa
20
<210> 4 <211> 20 <212> PRT <213> artificial
<220>
<223> synthetic peptide
<220>
<221> MISC_FEATURE <222> (1)..(1) <223> biotinylated
<400> 4
GIy GIy Leu Tyr Ala Cys His Met GIy Pro lie Thr Trp VaI Cys GIn 1 5 10 15
Pro Leu Arg GIy
20
<210> 5 <211> 5 <212> PRT
<213> artificial
<220>
<223> synthetic peptide
<220>
<221> MISC_FEATURE <222> (1)..(1) <223> Xaa is N-acetylglycine
<220>
<221> MISC_FEATURE
<222> (4)..(4) <223> Y side chain tBu protected
<400> 5
Xaa GIy Leu Tyr Ala 1 5
<210> 6
<211> 4 <212> PRT
<213> artificial
<220>
<223> synthetic peptide
<220>
<221> MISC_FEATURE
<222> (1)..(1)
<223> NH2 protected by Fmoc
<220>
<221> MISC_FEATURE
<222> (1)..(1)
<223> side chain Acm protected
<220>
<221> MISC_FEATURE
<222> (2)..(2)
<223> side chain Trt protected
<400> 6
Cys His Met GIy 1
<210> 7
<211> 8
<212> PRT
<213> artificial
<220>
<223> synthetic peptide
<220>
<221> MISC_FEATURE <222> (1)..(1)
<223> NH2 protected by Fmoc
<220>
<221> MISC_FEATURE <222> (3)..(3)
<223> side chain tBu protected
<220>
<221> MISC_FEATURE <222> (4)..(4)
<223> Xaa is 1-naphthylalanine
<220>
<221> MISC_FEATURE <222> (6)..(6)
<223> side chain Acm protected
<220>
<221> MISC_FEATURE <222> (7)..(7)
<223> side chain Trt protected
<400> 7
Pro lie Thr Xaa VaI Cys GIn Pro
1 5
<210> 8 <211> 3
<212> PRT <213> artificial
<220>
<223> synthetic peptide
<220>
<221> MISC_FEATURE
<222> (2)..(2)
<223> side chain Pbf protected
<220>
<221> MISC_FEATURE
<222> (3)..(3)
<223> Xaa is N-methylglycine
<220>
<221> MISC_FEATURE
<222> (3)..(3)
<223> COOH Bn protected
<400> 8
Leu Arg Xaa 1
<210> 9 <211> 9 <212> PRT <213> artificial
<220>
<223> synthetic peptide
<220> <221> MISC_FEATURE
<222> (1)..(1)
<223> Xaa is N-acetylglycine
<220> <221> MISC_FEATURE
<222> (4)..(4)
<223> side chain tBu protected
<220> <221> MISC_FEATURE
<222> (6)..(6)
<223> side chain Acm protected
<220> <221> MISC_FEATURE
<222> (7)..(7)
<223> side chain Trt protected
<400> 9
Xaa GIy Leu Tyr Ala Cys His Met GIy
1 5
<210> 10 <211> 11 <212> PRT
<213> artificial
<220>
<223> synthetic peptide
<220>
<221> MISC_FEATURE <222> (1)..(1) <223> NH2 protected by Fmoc
<220>
<221> MISC_FEATURE
<222> (3)..(3) <223> side chain tBu protected
<220>
<221> MISC_FEATURE
<222> (4)..(4) <223> Xaa is 1-naphthylalanine
<220>
<221> MISC_FEATURE
<222> (6)..(6) <223> side chain Acin protected
<220>
<221> MISC_FEATURE
<222> (7)..(7) <223> side chain Trt protected
<220>
<221> MISC_FEATURE
<222> (ΙO)-.(IO)
<223> side chain Pbf protected
<220>
<221> MISC_FEATURE
<222> (H)-(I l)
<223> Xaa is N-methylglycine
<220>
<221> MISC_FEATURE
<222> (H)-(I l)
<223> COOH Bn protected
<400> 10
Pro lie Thr Xaa VaI Cys GIn Pro Leu Arg Xaa 1 5 10
<210> 11
<211> 20
<212> PRT
<213> artificial
<220>
<223> synthetic peptide
<220>
<221> MISC_FEATURE
<222> (I)-(I)
<223> Xaa is N-acetylglycine
<220>
<221> MISC_FEATURE <222> (4)..(4)
<223> side chain tBu protected
<220>
<221> MISC_FEATURE <222> (6)..(6)
<223> side chain Acm protected
<220>
<221> MISC_FEATURE <222> (7)..(7)
<223> side chain Trt protected
<220>
<221> MISC_FEATURE <222> (12)..(12)
<223> side chain tBu protected
<220>
<221> MISC_FEATURE <222> (13)..(13)
<223> Xaa is 1-naphthylalanine
<220>
<221> MISC_FEATURE <222> (15)..(15)
<223> side chain Acm protected
<220>
<221> MISC_FEATURE
<222> (16)..(16)
<223> side chain Trt protected
<220>
<221> MISC_FEATURE
<222> (19)..(19)
<223> side chain Pbf protected
<220>
<221> MISC_FEATURE
<222> (20)..(20)
<223> Xaa is N-methylglycine
<220>
<221> MISC_FEATURE
<222> (20)..(20)
<223> COOH Bn protected
<400> 11
Xaa GIy Leu Tyr Ala Cys His Met GIy Pro lie Thr Xaa VaI Cys GIn 1 5 10 15
Pro Leu Arg Xaa
20
<210> 12
<211> 20
<212> PRT <213> artificial
<220> <223> synthetic peptide
<220>
<221> MISC_FEATURE <222> (1)..(1)
<223> Xaa is N-acetylglycine
<220>
<221> MISC_FEATURE <222> (4)..(4)
<223> side chain tBu protected
<220>
<221> MISC_FEATURE <222> (6)..(6)
<223> side chain Acin protected
<220>
<221> MISC_FEATURE <222> (7)..(7)
<223> side chain Trt protected
<220>
<221> MISC_FEATURE <222> (12)..(12)
<223> side chain tBu protected
<220>
<221> MISC_FEATURE
<222> (13)..(13)
<223> Xaa is 1-naphthylalanine
<220>
<221> MISC_FEATURE
<222> (15)..(15)
<223> side chain Acm protected
<220>
<221> MISC_FEATURE
<222> (16)..(16)
<223> side chain Trt protected
<220>
<221> MISC_FEATURE
<222> (19)..(19)
<223> side chain Pbf protected
<220>
<221> MISC_FEATURE
<222> (20)..(20)
<223> Xaa is N-methylglycine
<400> 12
Xaa GIy Leu Tyr Ala Cys His Met GIy Pro lie Thr Xaa VaI Cys GIn 1 5 10 15
Pro Leu Arg Xaa
20
<210> 13 <211> 20 <212> PRT <213> artificial
<220> <223> synthetic peptide
<220>
<221> MISC_FEATURE <222> (1)..(1)
<223> Xaa is N-acetylglycine
<220>
<221> MISC_FEATURE <222> (4)..(4)
<223> side chain tBu protected
<220>
<221> MISC_FEATURE <222> (7)..(7)
<223> side chain Trt protected
<220>
<221> MISC_FEATURE <222> (12)..(12)
<223> side chain tBu protected
<220>
<221> MISC_FEATURE
<222> (13)..(13)
<223> Xaa is 1-naphthylalanine
<220>
<221> MISC_FEATURE
<222> (16)..(16)
<223> side chain Trt protected
<220>
<221> MISC_FEATURE
<222> (19)..(19)
<223> side chain Pbf protected
<220>
<221> MISC_FEATURE
<222> (20)..(20)
<223> Xaa is N-methylglycine
<400> 13
Xaa GIy Leu Tyr Ala Cys His Met GIy Pro lie Thr Xaa VaI Cys GIn 1 5 10 15
Pro Leu Arg Xaa
20
The present invention is not to be limited in scope by the specific embodiments described herein. Indeed, various modifications of the invention in addition to those described herein will become apparent to those skilled in the art from the foregoing description and the accompanying figures. Such modifications are intended to fall within the scope of the appended claims. It is further to be understood that all values are approximate, and are provided for description.
Numerous references, including patents, patent applications, and various publications are cited and discussed in the description of this invention. The citation and/or discussion of such references is provided merely to clarify the description of the present invention and is not an admission that any such reference is "prior art" to the present invention. All references cited and discussed in this specification are incorporated herein by reference in their entirety and to the same extent as if each reference was individually incorporated by reference.
Claims
1. A method for treating a patient having a disorder characterized by a deficiency of erythropoietin or a low or defective red blood cell population, which method comprises administering to the patient a therapeutically effective amount of a compound according to Formula I that binds to and activates the erythropoietin receptor (EPO-R), wherein the therapeutically effective amount is a dosage of 0.025 to 0.5 milligram of the compound per 1 kilogram of body weight of the patient
2. The method according to Claim 2 wherein the compound is Formula Ia
3. The method of claim 1, wherein the method further comprises a pharmaceutically acceptable carrier.
4. The method of claim 1, wherein the disorder is renal failure or dialysis.
5. The method of claim 4, wherein the therapeutically effective amount is a dosage of 0.025 to 0.2 milligram of the compound per 1 kilogram of body weight of the patient.
6. The method of claim 5, wherein the dosage is 0.05 to 0.1 milligram of the compound per 1 kilogram of body weight of the patient.
7. The method of claim 1, wherein the disorder is anemia associated with a malignancy.
8. The method of claim 7, wherein the therapeutically effective amount is a dosage of 0.075 to 0.5 milligram of the compound per 1 kilogram of body weight of the patient.
9. The method of claim 8, wherein the dosage is 0.2 to 0.4 milligram of the compound per 1 kilogram of body weight of the patient.
10. The method of claim 1, wherein the therapeutically effective amount is administered once every 3 to 4 weeks.
11. The method of claim 1, wherein the disorder is chronic kidney disease.
12. The method of claim 11, wherein the therapeutically effective amount is a dosage of 0.25 to 1.25 milligram of the compound per 1 kilogram of body weight of the patient.
13. The method of claim 12, wherein the dosage is 0.5 to 0.75 milligram of the compound per 1 kilogram of body weight of the patient.
14. The method of claim 11, wherein the therapeutically effective amount is administered once every 3 to 6 weeks.
15. The method of claim 14, wherein the therapeutically effective amount is administered once every 4 weeks.
16. The method of claim 11, wherein the therapeutically effective amount is administered by either intravenous or subcutaneous injection.
17. The method of claim 16, wherein the therapeutically effective amount is administered by subcutaneous injection.
18. The method of claim 7, wherein the therapeutically effective amount is a dosage of 0.05 to 0.5 milligram of the compound per 1 kilogram of body weight of the patient.
19. The method of claim 7, wherein the malignancy is solid tumor malignancy or lymphoma.
Priority Applications (2)
| Application Number | Priority Date | Filing Date | Title |
|---|---|---|---|
| JP2010521913A JP2010536858A (en) | 2007-08-22 | 2008-07-23 | Erythropoietin receptor peptide preparation and use |
| EP08796513A EP2195002A4 (en) | 2007-08-22 | 2008-07-23 | ERYTHROPOIETIN RECEPTOR PEPTIDE FORMULATIONS AND USES THEREOF |
Applications Claiming Priority (4)
| Application Number | Priority Date | Filing Date | Title |
|---|---|---|---|
| US95739607P | 2007-08-22 | 2007-08-22 | |
| US60/957,396 | 2007-08-22 | ||
| US98975807P | 2007-11-21 | 2007-11-21 | |
| US60/989,758 | 2007-11-21 |
Publications (1)
| Publication Number | Publication Date |
|---|---|
| WO2009025958A1 true WO2009025958A1 (en) | 2009-02-26 |
Family
ID=40194013
Family Applications (2)
| Application Number | Title | Priority Date | Filing Date |
|---|---|---|---|
| PCT/US2008/070943 Ceased WO2009025958A1 (en) | 2007-08-22 | 2008-07-23 | Erythropoietin rceptor peptide formulations and uses |
| PCT/US2008/070926 Ceased WO2009025957A1 (en) | 2005-06-03 | 2008-07-23 | Erythropoietin receptor peptide formulations and uses |
Family Applications After (1)
| Application Number | Title | Priority Date | Filing Date |
|---|---|---|---|
| PCT/US2008/070926 Ceased WO2009025957A1 (en) | 2005-06-03 | 2008-07-23 | Erythropoietin receptor peptide formulations and uses |
Country Status (3)
| Country | Link |
|---|---|
| EP (1) | EP2195002A4 (en) |
| JP (2) | JP2010536857A (en) |
| WO (2) | WO2009025958A1 (en) |
Families Citing this family (2)
| Publication number | Priority date | Publication date | Assignee | Title |
|---|---|---|---|---|
| EP2709648A4 (en) * | 2011-05-19 | 2015-04-08 | Geysen Hendrik M | Compounds that bind to the erythropoietin receptor |
| EP3148522A4 (en) * | 2014-05-28 | 2018-01-10 | The Board of Regents of The University of Texas System | Novel compounds supports hematopoietic stem cells and red blood cells |
Citations (2)
| Publication number | Priority date | Publication date | Assignee | Title |
|---|---|---|---|---|
| US20050137329A1 (en) * | 2003-05-12 | 2005-06-23 | Affymax, Inc. | Novel peptides that bind to the erythropoietin receptor |
| US20070027074A1 (en) * | 2003-05-12 | 2007-02-01 | Affymax, Inc. | Novel peptides that bind to the erythropoietin receptor |
Family Cites Families (3)
| Publication number | Priority date | Publication date | Assignee | Title |
|---|---|---|---|---|
| US7550433B2 (en) * | 2005-06-03 | 2009-06-23 | Affymax, Inc. | Erythropoietin receptor peptide formulations and uses |
| US7919461B2 (en) * | 2005-06-03 | 2011-04-05 | Affymax, Inc. | Erythropoietin receptor peptide formulations and uses |
| WO2006136821A1 (en) * | 2005-06-22 | 2006-12-28 | Astex Therapeutics Limited | Pharmaceutical compounds |
-
2008
- 2008-07-23 WO PCT/US2008/070943 patent/WO2009025958A1/en not_active Ceased
- 2008-07-23 JP JP2010521912A patent/JP2010536857A/en active Pending
- 2008-07-23 WO PCT/US2008/070926 patent/WO2009025957A1/en not_active Ceased
- 2008-07-23 JP JP2010521913A patent/JP2010536858A/en active Pending
- 2008-07-23 EP EP08796513A patent/EP2195002A4/en not_active Withdrawn
Patent Citations (3)
| Publication number | Priority date | Publication date | Assignee | Title |
|---|---|---|---|---|
| US20050137329A1 (en) * | 2003-05-12 | 2005-06-23 | Affymax, Inc. | Novel peptides that bind to the erythropoietin receptor |
| US20060040858A1 (en) * | 2003-05-12 | 2006-02-23 | Affymax, Inc. | Novel peptides that bind to the erythropoietin receptor |
| US20070027074A1 (en) * | 2003-05-12 | 2007-02-01 | Affymax, Inc. | Novel peptides that bind to the erythropoietin receptor |
Non-Patent Citations (1)
| Title |
|---|
| See also references of EP2195002A4 * |
Also Published As
| Publication number | Publication date |
|---|---|
| EP2195002A4 (en) | 2011-09-07 |
| EP2195002A1 (en) | 2010-06-16 |
| WO2009025957A1 (en) | 2009-02-26 |
| JP2010536857A (en) | 2010-12-02 |
| JP2010536858A (en) | 2010-12-02 |
Similar Documents
| Publication | Publication Date | Title |
|---|---|---|
| EP1629007B1 (en) | Novel peptides that bind to the erythropoietin receptor | |
| EP1625156B1 (en) | Peptides that bind to the erythropoietin receptor | |
| AU2006255081B2 (en) | Erythropoietin receptor peptide formulations and uses | |
| US7919461B2 (en) | Erythropoietin receptor peptide formulations and uses | |
| US8324159B2 (en) | Erythropoietin receptor peptide formulations and uses | |
| EP2195002A1 (en) | Erythropoietin receptor peptide formulations and uses | |
| AU2012203812A1 (en) | Erythropoietin receptor peptide formulations and uses | |
| HK1088616B (en) | Novel peptides that bind to the erythropoietin receptor | |
| HK1088906B (en) | Peptides that bind to the erythropoietin receptor |
Legal Events
| Date | Code | Title | Description |
|---|---|---|---|
| 121 | Ep: the epo has been informed by wipo that ep was designated in this application |
Ref document number: 08796513 Country of ref document: EP Kind code of ref document: A1 |
|
| ENP | Entry into the national phase |
Ref document number: 2010521913 Country of ref document: JP Kind code of ref document: A |
|
| NENP | Non-entry into the national phase |
Ref country code: DE |
|
| WWE | Wipo information: entry into national phase |
Ref document number: 2008796513 Country of ref document: EP |








































































































