WO2009007224A1 - Low molecular weight heparin derivatives having neuroprotective activity - Google Patents
Low molecular weight heparin derivatives having neuroprotective activity Download PDFInfo
- Publication number
- WO2009007224A1 WO2009007224A1 PCT/EP2008/057890 EP2008057890W WO2009007224A1 WO 2009007224 A1 WO2009007224 A1 WO 2009007224A1 EP 2008057890 W EP2008057890 W EP 2008057890W WO 2009007224 A1 WO2009007224 A1 WO 2009007224A1
- Authority
- WO
- WIPO (PCT)
- Prior art keywords
- heparin
- batch
- deposits
- molecular weight
- amyloidosis
- Prior art date
- Legal status (The legal status is an assumption and is not a legal conclusion. Google has not performed a legal analysis and makes no representation as to the accuracy of the status listed.)
- Ceased
Links
Classifications
-
- A—HUMAN NECESSITIES
- A61—MEDICAL OR VETERINARY SCIENCE; HYGIENE
- A61K—PREPARATIONS FOR MEDICAL, DENTAL OR TOILETRY PURPOSES
- A61K31/00—Medicinal preparations containing organic active ingredients
- A61K31/70—Carbohydrates; Sugars; Derivatives thereof
- A61K31/715—Polysaccharides, i.e. having more than five saccharide radicals attached to each other by glycosidic linkages; Derivatives thereof, e.g. ethers, esters
- A61K31/726—Glycosaminoglycans, i.e. mucopolysaccharides
- A61K31/727—Heparin; Heparan
-
- C—CHEMISTRY; METALLURGY
- C08—ORGANIC MACROMOLECULAR COMPOUNDS; THEIR PREPARATION OR CHEMICAL WORKING-UP; COMPOSITIONS BASED THEREON
- C08B—POLYSACCHARIDES; DERIVATIVES THEREOF
- C08B37/00—Preparation of polysaccharides not provided for in groups C08B1/00 - C08B35/00; Derivatives thereof
- C08B37/006—Heteroglycans, i.e. polysaccharides having more than one sugar residue in the main chain in either alternating or less regular sequence; Gellans; Succinoglycans; Arabinogalactans; Tragacanth or gum tragacanth or traganth from Astragalus; Gum Karaya from Sterculia urens; Gum Ghatti from Anogeissus latifolia; Derivatives thereof
- C08B37/0063—Glycosaminoglycans or mucopolysaccharides, e.g. keratan sulfate; Derivatives thereof, e.g. fucoidan
- C08B37/0075—Heparin; Heparan sulfate; Derivatives thereof, e.g. heparosan; Purification or extraction methods thereof
- C08B37/0078—Degradation products
Definitions
- the present invention relates to new heparin derivatives and their use thereof for the treatment of neurovegetative disorders related to amyloidogenesis such as Alzheimer's disease or diseases brought about by prions. BACKGROUND OF THE INVENTION
- Amyloidosis is a generic term used for pathological conditions characterised by the presence of extracellular deposits of proteins which have particular structural characteristics.
- bovine transmissible spongiform encephalopathy and Creutzfeldt-Jacob disease are characterized by the presence and accumulation in the central nervous system of a protease resistant "prion" protein specifically for bovine spongiform encephalopahty (BSE) and of the protein P 2 P-27 for the Jacob's Disease.
- Alzheimer's disease is characterized by pathological lesions such as senile plaques, neurofibrillary tangles and vascular amyloid deposits. The main component of both the plaques and the vascular deposits is the amyloid peptide ⁇ (A ⁇ ).
- This peptide derives from a much bigger transmembrane glycoprotein (APP).
- APP transmembrane glycoprotein
- In vivo APP undergoes an enzymatic cleavage by the action of the ⁇ -secretase and by the ⁇ -secretase.
- the latter enzyme operating on the COOH-terminal region of the protein, generates peptides constituted by forty amino acids (A ⁇ i -40 ) or forty- two amino acids (A ⁇ i_ 42).
- the histopathological test of the brain of patients suffering from Alzheimer's disease shows that, in addition to the senile plaques and vascular amyloid deposits, there are neurofibrillary tangles and dystrophic neuritis containing couples of helicoidal filaments.
- An important component of these filaments is constituted by hyper-phosphorylated microtubules associated with the protein ⁇ (MAP- ⁇ ), a protein normally involved in the assembly of the microtubules.
- MAP- ⁇ hyper-
- Proteoglycans are associated with all the types of amyloid deposits in the human body. These complex macromolecules, in particular heparan sulphate (HS), have been reported to be involved in the pathogenesis of Alzheimer's disease, including the genesis of senile plaques, cerebrovascular amyloids and neurofibrillary tangles (see review of S. van Harden et al, The Lancet Neurobiology 2, 482 (2003) and the cited bibliography).
- HS heparan sulphate
- Heparan sulphate is mainly constituted of disaccharide sequences made up of glucuronic acid and N-acetyl glucosamine and can, on one hand, promote the formation of A ⁇ and of fibrils and, on the other, favour their resistance to the proteolytic degradation.
- low molecular weight polyphosphated compounds can prevent some effects generated by A ⁇ [see J. MoI. Neurosci. 10, 45-50 (2002)].
- the therapeutic use of small polysulphated compounds for inhibiting the interaction between amyloidogenic proteins and proteoglycans of the cellular membranes and subsequent inhibition of amyloid deposits was the subject matter of US Patent 5,972,328 assigned to Queen's University, guitariste, Canada.
- a tetrasaccharide is too short to exhibit a strong binding (Kd 34 ⁇ M), while the strength of the bond is not very different for hexa-dodecasaccharides (Kd 5 ⁇ M), and increases slightly for the tetra- decasaccharides (Kd 2 ⁇ M).
- glycosaminoglycans having a mean molecular weight of 2,400 Da obtained by treating a heparin aqueous solution with 60 Co gamma radiation and fractionation by gel permeation, for the treatment of senile dementia, Alzheimer or SDA (senile dementia Alzheimer type) is reported in patent application (WO 00/69444) (US patent USP 4,987,222).
- Oxidation with periodate is a known depolymehzation strategy for obtaining heparin fragments to be used for structural analysis and biological studies.
- Fresson LA° Malmstr ⁇ m A, Sjoberg I, Huckerby TN. Periodate oxidation and alkaline degradation of heparin-related glycans. Carbohydr Res 1980; 80:131 — 145).
- the reaction utilizes the residues of non-sulphated uronic acids (glucuronic acids and iduronic acids) naturally present in the heparin chains because of incomplete biosynthesis, and generates mixtures of fragments that are of very heterogeneous length because non-sulphated uronic acids concentrate in undersulphated regions of the heparin macromolecules (Roden L, Ananth S, Campbell P, Curenton T, Ekborg G, Manzella S, Pillion D, Meezan E. Heparin - An introduction. In: Lane DA, Bjork I, Lindahl U, eds. Heparin and Related Polysaccharides. New York: Plenum Press, 1992; 1-20; Casu B, Structure and Active Domains of Heparin. In: Chemistry and Biology of Heparin and Heparansulfate (Garg G, Linhardt R J and Hales CA, Eds), Elsevier, Amsterdam, 2005, 1-28.). DESCRIPTION OF THE INVENTION
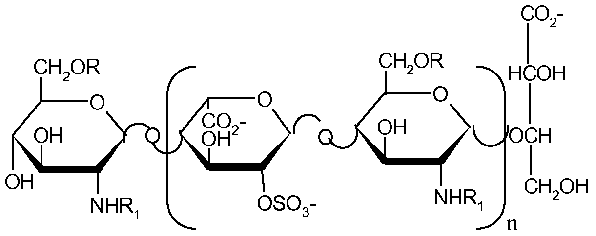
- the main object of the present invention is to provide a heparin derivative having the following formula (I)
- R is selected between H and SO 3- ; Ri is selected among H, SO 3- and acetyl; and n is a number ranging from O to 5; as well as mixtures containing one or more of this derivative and/or any pharmaceutically acceptable salt thereof.
- Suitable pharmaceutically acceptable base addition salts for the compound of the present invention include metallic salts made from aluminum, calcium, lithium, magnesium, potassium, sodium and zinc or organic salts made from lysine, N, IST- dibenzylethylenediamine, chloroprocaine, choline, diethanolamine, ethylenediamine, meglumine (N-methylglucamine) and procaine.
- Sodium salts are particularly preferred.
- This invention is related to the introduction in heparin chains of new residues of non sulphated uronic acids by selective O-desulphation of the units of 2-sulphated iduronic acid and subsequently the obtainment of new products generated, through oxidation and acid hydrolysis of such residues.
- the products are mixtures constituted by low dispersed oligosaccharides and having high structural homogeneity (Scheme 1 - Figure 1 ).
- the reaction sequences mentioned above generate a new class of oligosaccharides (lower than 3 KDa) having a peculiar structure and reducing terminal unit different from the conventional very low molecular weight heparins.
- the main characteristics of the heparin derivatives of the invention are the following:
- heparin oligosaccharides obtained from heparin differ from the oligosaccharides obtained from heparin by conventional methods (deaminative hydrolysis or chemical or enzymatic beta- elimination) also in the terminal units.
- the heparin oligosaccharides derived from deaminative hydrolysis are characterized by bearing on the reducing end a residue of 2,5-anhydro-mannose (or -mannitol), usually 6-O-sulphated, and a uronic acid residue (usually iduronic acid 2-O-sulphated) on the non-reducing side.
- the oligosaccharides derived from beta elimination bear on the reducing terminal units both 6-O-sulphated glucosamine or mannosamine residue (alpha and beta anomers mixture) and 1 ,6-anhydro- glucosamine or mannosamine, and on the non-reducing terminal units an 2- sulphated 4,5-unsaturated uronic acid residue.
- heparin oligosaccharides obtained with the conventional methods mentioned above may contain also nonsulphated glucuronic and iduronic acid residues, more than 90% of the uronic acid residue present in the chains of the heparin derivatives of the present invention are constituted of 2-O-sulphated iduronic acid (major constituent), with minor constituents ( ⁇ 5%) GlucA, IdoA (nonsulphated), and glycol-split IdoA (Formula I), while the glucosamine residue is mainly N-sulphated: N-acetyl-glucosamine ( ⁇ 4%).
- the heparin derivatives of the present invention have no affinity for antithrombin, since the non-sulphated glucuronic acid residues, essential for binding antithrombin (Naggi et al JBC 280, 13, 12103-12113, 2005), are involved in the hydrolysis reaction of the intermediate "gs heparin", which therefore destroys the pentasaccharide sequence that determines said affinity:
- the heparin derivatives of the present invention are on the average shorter than those which can be obtained directly from heparin without the previous partial 2-O-desulphation of sulphated iduronic residues.
- the heparin derivative of formula (I) may be prepared from readily available starting materials using the following general methods and procedures. It will be appreciated that, while typical or preferred experimental conditions (i.e. reaction temperatures, time, moles of reagents, solvents, etc.) are given, other experimental conditions can also be used, unless otherwise stated. Optimum reaction conditions may vary with the particular reactants or solvents used, but such conditions can be determined by a person skilled in the art by routine optimisation procedures.
- a further object of the present invention is a process for preparing the heparin derivatives of formula (I). According to preferred embodiments of the invention some of such processes are reported in the section entitled Examples and are diagrammatically represented in Scheme 1 (see Figure 1 ).
- a process for preparing the heparin derivatives of the present invention comprises: (a) a 2-O-deulphation by treatment with a base at a temperature of about 60°C; (b) an oxidation with periodate; (c) a reduction with borohydride; and (d) an acid hydrolysis or "Smith degradation".
- the 2-0 desulphation of heparin can be carried out by enzymatic or chemical means (solvolytic, acid, basic etc.).
- the desulphation in warm basic medium is used, thus obtaining galacturonic acid residues as described in the international patent application WO 01/55221 (Derivatives of partially desulphated glycosaminologycans endowed with antiangiogenic activity and devoid of anticoagulat effect) and by Casu et al. (in "Undersulfated and Glycol-Split Heparins Endowed with Antiangiogenic Activity” J. Med. Chem. 2004, 47, 838-848). With this process it is possible to control the degree of desulphation and subsequent depolymerization, obtaining mixtures of oligosaccharides having different average molecular weight.
- an amount of desulphation of the 2-O-sulphate iduronic acid comprised between 5 and 40% (in the above-mentioned patent application a desulphation degree ⁇ 60% is claimed) corresponding to a percentage of non- sulphated uronic acid comprised between 5 and 65 % of the total uronic acid .
- compounds having a percentage of 2-O-sulphated uronic acid comprised between 20 and 60% are preferred.
- the 2-O-desulphated heparin derivative thus obtained is oxidized with NaIO 4 to give the corresponding oxyheparin ("OH”), which is treated according to the following route: reduction with NaBH 4 , to give the corresponding oxidized and reduced heparin ("R-OH”) and subsequently hydrolysis with acids (Linker, A.; Hovingh, P. Degradation of heparin as a tool for structural analysis. In Heparin: Structure, cellular functions, and clinical applications; McDuffie, N. M., Ed.; Academic Press: New York, 1979, pp 3-24.) to obtain oligosaccharides.
- the oligosaccharide mixtures thus obtained can be used without further treatments, or fractionated through precipitation and/or dimensional or ionic exclusion chromatography (in particular with fractionation the N-acetylated monosaccharides may be eliminated)
- Mw weight average molecular weight
- e c is the concentration in mg/mL.
- Mn number average molecular weight
- Mp is the molecular weight of the principal species.
- the number average molecular weight can be determined also by osmometry and by method that measure the end residues such as NMR, from which is possible to obtain the degree of polymerization, or DP, that is the number of repeat units in an average polymer chain.
- the degree of polymerization is another measure of the molecular weight.
- the heparin derivatives of the present invention have an Mw lower than 2,800 Da, an Mn comprised between 900 and 1 ,600 Da and an Mp comprised between 1 ,100 and 2,500 Da.
- Another object of the present invention is the use of the heparin derivatives of the invention as medicines, or, in other words, as active principles of drugs, in particular for the treatment of diseases characterised by deposits of amyloid aggregates.
- diseases characterised by deposits of amyloid aggregates are the following: Alzheimer's disease, Down's syndrome, hereditary cerebral haemorrhage accompanied by "Dutch type” amyloidosis, amyloidosis accompanied by chronic inflammation, amyloidosis accompanied by multiple myeloma and other dyscrasias of the haematic "B" lymphoid cells, amyloidosis accompanied by type Il diabetes, amyloidosis accompanied by prion diseases, kuru or ovine scrapie.
- diseases in which amyloidosis accompanied by prion diseases are Creutzfeldt-Jakob's disease or Gerstmann-Straussler syndrome.
- a further object of the present invention is the use of the heparin derivatives of the invention referred to above or one of their pharmaceutically acceptable salts, for the preparation of pharmaceutical compositions useful in the treatment of disorders characterised by deposits of amyloid aggregates.
- a method of treating a mammal suffering from a pathology characterized by deposits of amyloid aggregates, comprising administering a therapeutically effective amount of heparin derivatives of the invention represents one of the aspects of the present invention.
- therapeutically effective amount refers to an amount of a therapeutic agent needed to treat, ameliorate a targeted disease or condition, or to exhibit a detectable therapeutic effect.
- the therapeutically effective dose can be estimated initially in in vitro assays, for example by measuring the residual aggregated beta-amyloid after incubation with the compounds of the invention; or in animal models, usually mice, rats, rabbits, dogs, pigs or monkeys, such as for example the amyloid precursor protein (APP)-transgenic mice.
- the animal model may also be used to determine the appropriate concentration range and route of administration. Such information can then be used to determine useful doses and routes for administration in humans.
- an effective amount for a human subject will depend upon the severity of the disease state, general health of the subject, age, weight, and gender of the subject, diet, time and frequency of administration, drug combination (s), reaction sensitivities, and tolerance/response to therapy. This amount can be determined by routine experimentation and is within the judgement of the clinician. Generally, an effective dose will be from 0.01 mg/kg to 100 mg/kg, preferably 0.05 mg/kg to 50 mg/kg. Compositions may be administered individually to a patient or may be administered in combination with other agents, drugs or hormones.
- the medicament may also contain a pharmaceutically acceptable carrier, for administration of a therapeutic agent.
- a pharmaceutically acceptable carrier for administration of a therapeutic agent.
- Such carriers include antibodies and other polypeptides, genes and other therapeutic agents such as liposomes, provided that the carrier does not itself induce the production of antibodies harmful to the individual receiving the composition, and which may be administered without undue toxicity.
- Suitable carriers may be large, slowly metabolised macromolecules such as proteins, polysaccharides, polylactic acids, polyglycolic acids, polymeric amino acids, amino acid copolymers and inactive virus particles.
- a thorough discussion of pharmaceutically acceptable carriers is available in Remington's Pharmaceutical Sciences (Mack Pub. Co. , N. J.1991 ).
- Pharmaceutically acceptable carriers in therapeutic compositions may additionally contain liquids such as water, saline, glycerol and ethanol. Additionally, auxiliary substances, such as wetting or emulsifying agents, pH buffering substances, and the like, may be present in such compositions. Such carriers enable the pharmaceutical compositions to be formulated as tablets, pills, dragees, capsules, liquids, gels, syrups, slurries, suspensions, and the like, for ingestion by the patient.
- compositions of the invention can be administered directly to the subject.
- the subjects to be treated can be animals; in particular, human subjects can be treated.
- the medicament of this invention may be administered by any number of routes including, but not limited to, oral, intravenous, intramuscular, intra- arterial, intramedullary, intrathecal, intraventricular, transdermal or transcutaneous applications, subcutaneous, intraperitoneal, intranasal, enteral, topical, sublingual, intravaginal, rectal means or locally on the diseased tissue after surgical operation.
- Dosage treatment may be a single dose schedule or a multiple dose schedule.
- a further object of the present invention are pharmaceutical compositions containing one or more of the heparin derivatives of the invention described earlier, in combination with excipients and/or pharmacologically acceptable diluents.
- the compositions in question may, together with the heparin derivatives of the invention, contain other known active principles.
- a further embodiment of the invention is a process for the preparation of pharmaceutical compositions characterised by mixing one or more heparin derivatives of the invention with suitable excipients, stabilizers and/or pharmaceutically acceptable diluents.
- suitable excipients such as sodium bicarbonate, sodium bicarbonate, sodium bicarbonate, sodium bicarbonate, sodium bicarbonate, sodium bicarbonate, sodium bicarbonate, sodium bicarbonate, sodium bicarbonate, sodium bicarbonate, sodium bicarbonate, sodium bicarbonate, sodium bicarbonate, sodium bicarbonate, sodium bicarbonate, sodium bicarbonate, sodium bicarbonate, sodium bicarbonate, sodium bicarbonate, sodium bicarbonate, sodium bicarbonate, sodium bicarbonate, sodium bicarbonate, sodium bicarbonate, sodium bicarbonate, sodium bicarbonate, sodium bicarbonate, sodium bicarbonate, sodium bicarbonate, sodium bicarbonate, sodium bicarbonate, sodium bicarbonate, sodium bicarbonate, sodium bicarbonate, sodium bicarbonate, sodium bicarbonate, sodium bicarbonate, sodium bicarbonate
- FIG. 1 reports the schematic representation of glycol-splitting of both the pre-existing and the newly generated nonsulfated uronic acid residues of partially 2-O-desulphated heparin (H 50 gs) and hydrolysis in correspondence of the glycol-split residues (c).
- Scheme 2 reports the representation of oligosaccharides obtained by fragmentation of glycol-split heparins.
- Figure 2 it reports the 13 C NMR spectra of ST1514/A (batch n° G4448) as prepared in Example 1 and Fraction A (batch No. G4185) as prepared in Example-
- Figure 4 it reports the total ionic current (TIC) profile of HPLC/ESI-lon Trap analysis of G5579B1 prepared in Example 9.
- Figure 5 it reports the expansion of two regions of the heteronuclear single quantum coherence (HSQC) spectrum (M. Guerrini et al. Anal. Biochem. 337, 2005, 35-47) of G5579 B1 prepared in Example 9.
- HSQC heteronuclear single quantum coherence
- Examples 1 -5 describe the synthesis of heparin derivatives, already described and claimed in international patent application WO 01/55221 , which here are used as starting materials for the preparation of the heparin derivatives object of the present invention.
- Examples from 1 to 3 are preparations of different ST1514 batches described and claimed in international patent application WO 01/55221. These different batches have different mean molecular weights and glycol-splitting percentage.
- Examples 4 and 5 relate to the preparation of two batches for products ST 1827 and ST1516 respectively, also described in the same patent application.
- Examples 7, 9, 10 and 11 describe the synthesis of heparin derivatives object of the present invention.
- molecular weight determinations were performed by GPC-HPLC on a Viscotex instrument equipped with a VE1121 pump, Rheodyne valve (100 ⁇ l), and a detector array 302 equipped with IR and viscosimeter, two 300 x 7.8-mm TSK columns (G2500PWXL and G3000PWXL TOSOH) were used with 0.1 M NaNO 3 as eluent (flow, 0.6 mL/min) at 40°C. Samples were dissolved in the eluent solution at the concentration of 2-3 mg/ml.
- the average molecular mass (Mw), number average molecular weight (Mn) and the molecular weight of the major species (Mp) was determined by calibration of the size exclusion chromatography system with appropriate heparin standards. The ratio of the weight average to the number average is called the polydispersity index (d) (G.Barone in AIM Macromolecole scienza e tecnologia Vol. Il 107-136 Eds. F.Ciardelli, V. Crescenzi, G. Pezzin, E. Peggion, Pacini Ed. 1986 Pisa.; Z. Grubisic, P. Rempp, H. Benoit, J. Polymer. Lett., 5, 793, 1967).
- d polydispersity index
- NMR spectra were recorded at 500 MHz for 1 H and 125 MHz for 13 C with a Bruker AMX spectrometer equipped with a 5-mm 1 H/X inverse probe. The spectra were obtained at 45°C from D 2 O solutions (15 mg/0.5 ml D 2 O, 99.99% D). Chemical shifts, given in parts per million down field from sodium-3-(trimethylsilyl) propionate, were measured indirectly with reference to acetone in D 2 O ( ⁇ 2.235 for 1 H and ⁇ 30.20 for 13 C). The 13 C NMR spectra were recorded at 300 or 400 MHz with a Bruker AC-300 or AMX-400 spectrometer. EXAMPLE 1 (ST1514/A) (batch No.
- the solution was heated and stirred at 60° C for 20 minutes. The reaction was blocked by rapid cooling and neutralisation. The solution was then heated at 70° C. at pH 7 until the epoxide ring was completely open (the reaction trend was controlled by NMR).
- the desulphated sample (batch No. G2999H) recovered by freeze-drying was dissolved in 20 mL of water and cooled to 4° C. After the addition of 20 mL of a solution of NaIO 4 0.2 M, the solution was left to stir in the dark for 20 hours, and the reaction was stopped by adding ethylene glycol and the salts were eliminated by tangential ultrafiltration. 400 mg of NaBH 4 , subdivided into several portions, were added to the desalted solution (30-40 ml_).
- the Smith degradation reaction (acid hydrolysis of pehodate oxidized and borohydride reduced heparin) was applied to ST1514/A (batch n° G4448 - Example 1 ) to cleave the glycosidic bonds of its glycol-split residues.
- 1.5 g was dissolved in 50 ml_ of 0.1 M HCI. The solution was stirred at 65 °C for 2 h and then cooled and neutralized with 0.1 M NaOH.
- the product (1.65 g) was recovered by freeze-drying and fractionated by gel permeation chromatography (TSK. HW 4OS 5x67 cm) using 10% ethanol in distilled water as eluent and U. V. detection at 210 nm.
- Fraction A (batch No. G4185) (480 mg) and Fraction B (batch No. G4186) (960 mg).
- the Fraction A had a prominent MALDI MS peak at m/z 1 ,034.6 (calculated for tri-sacchahde 1 ,034) and a minor peak at m/z 1611 (calculated for penta-saccharide 1 ,612.5).
- the peaks at m/z 1 ,989-2,111 correspond to a family of hepta-saccharides, not exhaustively hydrolyzed, containing a residue of glycol-split uronic acid.
- Fraction B was further fractionated on the same column to obtain Fraction C (batch No.
- the Smith degradation reaction (acid hydrolysis of pehodate oxidized and borohydride reduced heparin) was applied to ST1514/A (batch No. G4448 - Example 1 ) to cleave the glycosidic bonds of its glycol-split residues. 3.9 g are dissolved in 133 ml_ of 0.1 M HCI. The solution was stirred at 55 °C for 2 h and then cooled and neutralized with 0.1 M NaOH. The product (3 g), was recovered by freeze-drying, and it resulted , by 13 CNMR analysis, not completely hydrolyzed. It was re-dissolved in 133 ml_ of 0.1 M HCI.
- the solution was stirred at 60 °C for 2 h and then cooled and neutralized with 0.1 M NaOH.
- the sample (G4591 2.2 g) was fractionated by gel permeation chromatography (TSK. HW 4OS 5x67 cm) using 10% ethanol in distilled water as eluent and U.V. detection at 210 nm. Two fractions were obtained: ST2808/B (batch n° G4619A) (1 g) and Fraction F (batch No. G4619B) (400 mg).
- the first fraction (ST2808/A) had a average polymerization degree determined by NMR (DP nm r) of 3.4 monosaccharidic unit plus remnant (r), a distribution of oligosaccharides evaluated by LC-ESI of: mono + (r); tri +(r) penta + (r) (FIG.2), and, determined by GPC-HPLC a Mn of 1 ,523 Da and a Mw of 2,147 Da (from 6,800 to 100), the 74% of the sample had an Mw ⁇ 2,400 Da and only 10% had an Mw comprised between 1 ,920 and 2,560 Da.
- EXAMPLES 8 ST2808/C (batch No.
- G5522A Acidic hydrolysis of partially 2-O-desulphated glycol-split heparin.
- the Smith degradation reaction (acid hydrolysis of periodate oxidized and borohydride reducted heparin) was applied to ST1514/B (Batch No. G5482 - Example 2) to cleave the glycosidic bonds of its glycol-split residues. 1.5 g are dissolved in 50 mL of 0.1 M HCI. The solution is stirred at 65 °C for 2 h and then cooled and neutralized with 0.1 M NaOH.
- the product (1.65 g) is recovered by freeze-drying, and fractionated by gel permeation chromatography (TSK.HW 4OS 5x67 cm) using 10% ethanol in distilled water as eluent and U.V. detection at 210 nm. Three fractions were obtained: ST2808/C (batch No.G5522A) (671 mg), Fraction G (batch No.G5522B) (330 mg) and Fraction H (batch No. G5522C) (162 mg).
- the first fraction ST2808/C has a average polymerization degree determined by NMR (DPnmr) of 6 monosaccharidic unit plus remnant (r), a distribution of oligosaccharides evaluated by LC-ESI of: tri +(r); penta + (r) saccharides.
- Fraction G has a average polymerization degree determined by NMR (DP nm r) of 1 monosaccharidic unit plus remnant (r), a distribution of oligosaccharides evaluated by LC-ESI of: mono + (r) saccharides.
- the Smith degradation reaction (acid hydrolysis of periodate-oxidized and borohydride-reducted heparin) was applied to the product of Example 3 ST1514/C (batch n°G5539) to cleave the glycosidic bonds of its glycol-split residues. 4.15 g are dissolved in 135 mL of 0.1 M HCI. The solution is stirred at 65 °C for 4 h and then cooled and neutralized with 0.1 M NaOH. The product (4.84 g), is recovered by freeze-drying, and fractionated, in two times, by gel permeation chromatography (TSK.HW 4OS 5x67 cm) using 10% ethanol in distilled water as eluent and U.V.
- TSK.HW 4OS 5x67 cm gel permeation chromatography
- Fraction I (batch No. G5564A) (g 1.58)
- Fraction L (batch No. G5564B) (g 0.815)
- Fraction M (batch No. G5512C) (g 0.7).
- Fractions I and L were put together and further purified on the same column, to give product ST2808/D (batch No.
- G5579B1 which has an average polymerisation degree determined by NMR (DP nm r) of 3.5 monosaccharidic unit + remnant (r), an apparent distribution of oligosaccharides evaluated by LC-ESI: mono + (r); tri + (r); penta + (r) saccharides; (Fig 2) which has an average polymerisation degree determined by NMR (DP nm r) of 2.9 monosaccharidic unit + remnant (r),and, determined by GPC- HPLC, a Mw of 2,560 Da (from 7700 to 226 Da), Mn 1 ,253 and Mp of 1 ,410 Da. More in detail 61.3% of product ST2808/D (batch No.
- the Smith degradation reaction (periodate oxidation, borohydride reduction, and mild acid hydrolysis) was applied to ST1827/A (batch No. G5864) of Example 4 to cleave the glycosidic bonds of its glycol-split residues.
- 1.5 g is dissolved in 49 ml_ of 0.1 M HCI. The solution is stirred at 65 °C for 4 h then cooled, neutralized with 0.1 M NaOH.
- the product ST2808/E (batch No. G5878) (1.765 g) is recovered by freeze-drying and fractionated in two times, by gel permeation chromatography (TSK.HW 4OS 5X67 cm) using 10% ethanol in distilled water as eluent and U.V.
- G5878A has an average polymerisation degree determined by NMR (DP nm r) of 2.1 monosaccharide unit + remnant (r), and Mw of 1 ,853 Da, Mp 1503 and Mn of 928 Da, determined by GPC-HPLC, More in detail 74% of samples had molecular weight ⁇ 2,400 Da and only 8% between ,1 ,920 and 2,560 Da.
- EXAMPLE 11 ST 2808/F (batch No. G5666) Acidic hydrolysis of partially 2-O-desulphated glycol-split heparin.
- the Smith degradation reaction (periodate oxidation, borohydride reduction, and mild acid hydrolysis) was applied to ST1516/A (batch No. G5618) (of Example 5) to cleave the glycosidic bonds of its glycol-split residues. 3.26 g was dissolved in 50 ml_ of 0.1 M HCI. The solution was stirred at 65 °C for 4 h then cooled, neutralized with 0.1 M NaOH and recovered by freeze-drying. The recovered sample (batch No. G5666) (3.85 g) was fractionated by gel permeation chromatography (TSK. HW 4OS 5 x 67 cm) using 10% ethanol in distilled water as eluent and U.V.
- Fraction N (batch No. G5666A) (1.68 g) having Mw of 2,714 Da (from 8,000 to 370 Da), Mn of 1 ,468 Da. and Mp 1246, determined by GPC-HPLC
- Fraction O (batch No.G5666B) (0.640 g)
- Fraction P (batch No.G5666C) (0.324 g).
- Fraction N (1.68 g) had, determined by GPC- HPLC, Mw of 2,714 Da (from 8,000 to 370 Da), Mn of 1 ,468 Da and Mp 1 ,246. More in detail the 56% of product ST2808/E (batch No. G5878A) had a Mw ⁇ 2,400 Da and only 11 % had a Mw comprised between 1 ,920 and 2,560 Da.
- Biological Results (batch No. G5878A) had a Mw ⁇ 2,400 Da and only 11 % had a Mw comprised between 1 ,920
- the potential neuroprotective activity of the claimed compounds was verified in comparison with a known LMWH, bemipahne.
- Primary cortical neuronal cultures obtained by microdissection of neonatal rat brain were cultivated in the presence of foetal calf serum (Andreoni et al. 1997 Exp. Neurology 148:281-287) and then exposed to ⁇ Ai -42 peptide for 4 days in presence or absence of compounds.
- the neuroprotective action was evaluated in terms of survival from neurotoxiticy by MTT assay.
- Experimental procedure ST2808 Primary cultures of cortical neurons were taken from the neonatal rat brain 2 days after birth and cultured in foetal calf serum. On incubation days 3 and 5, glial proliferation was inhibited using cytosine arabinoside as an antimitotic agent.
- the cultures were exposed to ⁇ A- ⁇ 2 peptide at concentrations of 25 ⁇ M from the day following seeding for 4 days.
- ST2808/A batch No. G4271A was added to the cultures at 25 ⁇ M or 50 ⁇ M concentrations and together with ⁇ Ai -4 2 peptide.
- the protection against neurotoxicity was evaluated in terms of survival from death induced by peptide and using the colorimetric method and densitometric analysis with an image analyser.
- cortical neurons Primary cultures of cortical neurons were taken from the neonatal rat brain 10 days after birth and cultured in foetal calf serum. On incubation days 3 and 5, glial proliferation was inhibited using cyctosine arabinoside as an antimitotic agent.
- ST2808/D (batch No. G5579B1 )
- ST2808/B (batch No. 4619A) were added to the cultures at concentrations of 10, 25 and 50 ⁇ g/ml
- bemiparine (IVOR®, batch No. X04) was added at the concentration of 50 ⁇ g/ml. All compounds were added together with ⁇ Ai -4 2 peptide.
- the protection against neurotoxicity was evaluated in terms of survival from death induced by peptide and using the colorimetric method and densitometric analysis with an image analyser.
- PrPsc shows several differences from the physiological form PrPc; such as a high percentage of ⁇ -sheet secondary structure, resistance to proteolysis, insolubility in detergents and a propensity to polymerize into amyloid-like fibrils (Barret A. et al., 2003, Journal of Virology 77(15): 8462-8469).
- LMWHs Low molecular weight heparins
- LMWHs Low molecular weight heparins
- the compounds of the invention do not have any anticoagulant activity
- Animals were injected subcutaneously with test products, reference compound (enoxaparin, a LMWH), or vehicle and their tails were transacted.
- Experimental procedure The activity of ST2808/D (batch n° G5579B1 ) was compared with a reference compound (enoxaparin, commercial name: Clexane 8000 Ul, batch no.180), and a vehicle (injectable water for solution, EUROSPITAL batch no. 5408-1).
- mice were injected subcutaneously with ST2808/D (250 mg/5ml_/kg), enoxapahn (2500 Ul/Kg, corresponding to about 24 mg) or vehicle (5 mL/kg) and anesthetized with pentobarbital (60 mg/kg ip).
- the tail warmed in normal saline at 37 °C, was transacted 2 mm from its tip with a scalpel and then placed in a tube of normal saline maintained at 37 °C.
- Bleeding time was investigated at 0.5, 1 , 2, 3, 4 hours after test item administration. At each time point, the time required after tail tip transaction to stop continuous blood flow for >30 s was recorded and defined as bleeding time. If no cessation of bleeding occurred within 15 min, 900 s were recorded as bleeding time. Results
Landscapes
- Health & Medical Sciences (AREA)
- Life Sciences & Earth Sciences (AREA)
- Chemical & Material Sciences (AREA)
- Medicinal Chemistry (AREA)
- General Health & Medical Sciences (AREA)
- Molecular Biology (AREA)
- Polymers & Plastics (AREA)
- Pharmacology & Pharmacy (AREA)
- Chemical Kinetics & Catalysis (AREA)
- Biochemistry (AREA)
- Engineering & Computer Science (AREA)
- Organic Chemistry (AREA)
- Dermatology (AREA)
- Materials Engineering (AREA)
- Epidemiology (AREA)
- Animal Behavior & Ethology (AREA)
- Public Health (AREA)
- Veterinary Medicine (AREA)
- Pharmaceuticals Containing Other Organic And Inorganic Compounds (AREA)
- Polysaccharides And Polysaccharide Derivatives (AREA)
Abstract
New heparin derivatives having low molecular weight are described as well as their use for the treatment of neurovegetative disorders related to the amyloidogenesis, such as Alzheimer's disease or diseases brought about by prions.
Description
LOW MOLECULAR WEIGHT HEPARIN DERIVATIVES HAVING NEUROPROTECTIVE ACTIVITY
FIELD OF THE INVENTION
The present invention relates to new heparin derivatives and their use thereof for the treatment of neurovegetative disorders related to amyloidogenesis such as Alzheimer's disease or diseases brought about by prions. BACKGROUND OF THE INVENTION
Amyloidosis is a generic term used for pathological conditions characterised by the presence of extracellular deposits of proteins which have particular structural characteristics. For example, bovine transmissible spongiform encephalopathy and Creutzfeldt-Jacob disease are characterized by the presence and accumulation in the central nervous system of a protease resistant "prion" protein specifically for bovine spongiform encephalopahty (BSE) and of the protein P2P-27 for the Jacob's Disease. Alzheimer's disease is characterized by pathological lesions such as senile plaques, neurofibrillary tangles and vascular amyloid deposits. The main component of both the plaques and the vascular deposits is the amyloid peptide β (Aβ). This peptide derives from a much bigger transmembrane glycoprotein (APP). In vivo APP undergoes an enzymatic cleavage by the action of the β-secretase and by the γ-secretase. The latter enzyme, operating on the COOH-terminal region of the protein, generates peptides constituted by forty amino acids (Aβi-40) or forty- two amino acids (Aβi_ 42). The histopathological test of the brain of patients
suffering from Alzheimer's disease shows that, in addition to the senile plaques and vascular amyloid deposits, there are neurofibrillary tangles and dystrophic neuritis containing couples of helicoidal filaments. An important component of these filaments is constituted by hyper-phosphorylated microtubules associated with the protein τ (MAP-τ), a protein normally involved in the assembly of the microtubules.
Proteoglycans are associated with all the types of amyloid deposits in the human body. These complex macromolecules, in particular heparan sulphate (HS), have been reported to be involved in the pathogenesis of Alzheimer's disease, including the genesis of senile plaques, cerebrovascular amyloids and neurofibrillary tangles (see review of S. van Harden et al, The Lancet Neurobiology 2, 482 (2003) and the cited bibliography). Heparan sulphate is mainly constituted of disaccharide sequences made up of glucuronic acid and N-acetyl glucosamine and can, on one hand, promote the formation of Aβ and of fibrils and, on the other, favour their resistance to the proteolytic degradation. In vitro and in vivo studies have demonstrated that low molecular weight polyphosphated compounds can prevent some effects generated by Aβ [see J. MoI. Neurosci. 10, 45-50 (2002)]. The therapeutic use of small polysulphated compounds for inhibiting the interaction between amyloidogenic proteins and proteoglycans of the cellular membranes and subsequent inhibition of amyloid deposits was the subject matter of US Patent 5,972,328 assigned to Queen's University, Kingstone, Canada.
Recent studies reported the in vitro ed in vivo efficacy of the treatment on amyloidosis with low molecular weight heparins (LMWH) [H. Zhu et al, MoI. Med., Aug. 7 (8), 517-522 (2001 )]; Bergamaschini et al, J. Neurosci. 4181-4186 (2004)]. These compounds are able to inhibit in mice the progression of amyloid deposits and the progression of inflammation related to amyloid (AA). In vitro studies indicate that LMWHs prevent the inflammation associated to amyloid (AA) as well as the formation of fibrils Aβ.
Furthermore, some studies have determined [(H. Heegaard et al, Eur. J. Biochem. 269, 2860-2867 (2002)] the dissociation constants of the complex between heparin or related oligosaccharides and the peptide AP27-38 of the amyloid P, a protein whose physiological function is not clear and whose presence in the cellular membrane, in the connective tissue and in all the kinds of amyloid deposits indicates a possible involvement in neurodegenerative process. Said study on one hand highlights that the amino acid sequence of the peptide AP27-38, which binds to heparin, is related to one of the sequences suggested by Margalit (Margalit, H., Fischer, N. & Ben Sasson, S.A. ,1993) characterized by a critical distance of 2θA between two basic amino acids; on the other, that the length of the oligosaccharides structurally related to heparin is an important parameter for determining the affinity to this portion. In fact, a tetrasaccharide is too short to exhibit a strong binding (Kd 34μM), while the strength of the bond is not very different for hexa-dodecasaccharides (Kd 5μM), and increases slightly for the tetra-
decasaccharides (Kd 2μM).
The use of glycosaminoglycans, having a mean molecular weight of 2,400 Da obtained by treating a heparin aqueous solution with 60Co gamma radiation and fractionation by gel permeation, for the treatment of senile dementia, Alzheimer or SDA (senile dementia Alzheimer type) is reported in patent application (WO 00/69444) (US patent USP 4,987,222).
Oxidation with periodate is a known depolymehzation strategy for obtaining heparin fragments to be used for structural analysis and biological studies. (Fransson LA° , Malmstrδm A, Sjoberg I, Huckerby TN. Periodate oxidation and alkaline degradation of heparin-related glycans. Carbohydr Res 1980; 80:131 — 145). The reaction utilizes the residues of non-sulphated uronic acids (glucuronic acids and iduronic acids) naturally present in the heparin chains because of incomplete biosynthesis, and generates mixtures of fragments that are of very heterogeneous length because non-sulphated uronic acids concentrate in undersulphated regions of the heparin macromolecules (Roden L, Ananth S, Campbell P, Curenton T, Ekborg G, Manzella S, Pillion D, Meezan E. Heparin - An introduction. In: Lane DA, Bjork I, Lindahl U, eds. Heparin and Related Polysaccharides. New York: Plenum Press, 1992; 1-20; Casu B, Structure and Active Domains of Heparin. In: Chemistry and Biology of Heparin and Heparansulfate (Garg G, Linhardt R J and Hales CA, Eds), Elsevier, Amsterdam, 2005, 1-28.).
DESCRIPTION OF THE INVENTION
The main object of the present invention is to provide a heparin derivative having the following formula (I)
(I) where:
R is selected between H and SO3-; Ri is selected among H, SO3- and acetyl; and n is a number ranging from O to 5; as well as mixtures containing one or more of this derivative and/or any pharmaceutically acceptable salt thereof.
Preferably n is selected among 1 , 2, 3 and 4. Suitable pharmaceutically acceptable base addition salts for the compound of the present invention include metallic salts made from aluminum, calcium, lithium,
magnesium, potassium, sodium and zinc or organic salts made from lysine, N, IST- dibenzylethylenediamine, chloroprocaine, choline, diethanolamine, ethylenediamine, meglumine (N-methylglucamine) and procaine. Sodium salts are particularly preferred. This invention is related to the introduction in heparin chains of new residues of non sulphated uronic acids by selective O-desulphation of the units of 2-sulphated iduronic acid and subsequently the obtainment of new products generated, through oxidation and acid hydrolysis of such residues. The products are mixtures constituted by low dispersed oligosaccharides and having high structural homogeneity (Scheme 1 - Figure 1 ).
The reaction sequences mentioned above generate a new class of oligosaccharides (lower than 3 KDa) having a peculiar structure and reducing terminal unit different from the conventional very low molecular weight heparins. The main characteristics of the heparin derivatives of the invention are the following:
1 ) They are mainly made of an uneven number of monosaccharide residues, whereas the oligosaccharides obtained using common methods of fragmentation of heparin (deaminative hydrolysis or chemical or enzymatic beta-elimination) are mainly made of an even number of monosaccharide residues (B. Casu, Structure and biological activity of heparin. Advances
Carbohydr. Chem. Biochem. 43, 1985, 51 -134), or are constituted in similar
proportions by both even and uneven oligosaccharide mixtures in case of oxidative depolymehzations.
2) Furthermore, they differ from the oligosaccharides obtained from heparin by conventional methods (deaminative hydrolysis or chemical or enzymatic beta- elimination) also in the terminal units. The heparin oligosaccharides derived from deaminative hydrolysis are characterized by bearing on the reducing end a residue of 2,5-anhydro-mannose (or -mannitol), usually 6-O-sulphated, and a uronic acid residue (usually iduronic acid 2-O-sulphated) on the non-reducing side. On the other end, the oligosaccharides derived from beta elimination bear on the reducing terminal units both 6-O-sulphated glucosamine or mannosamine residue (alpha and beta anomers mixture) and 1 ,6-anhydro- glucosamine or mannosamine, and on the non-reducing terminal units an 2- sulphated 4,5-unsaturated uronic acid residue. The oligosaccharides of the present invention are constituted of a glucosamine 6-sulphate residue on the non-reducing terminal, and on the reducing terminal by a glucosamine bound to a "remnant" residue (remnant = D-trehonic acid) deriving from the hydrolysis of the open rings generated by oxidation and reduction at the level of the nonsulphated uronic acid residues (scheme 2-3).
3) Sugar units composition: whereas the heparin oligosaccharides obtained with the conventional methods mentioned above may contain also nonsulphated glucuronic and iduronic acid residues, more than 90% of the uronic acid residue
present in the chains of the heparin derivatives of the present invention are constituted of 2-O-sulphated iduronic acid (major constituent), with minor constituents (≤ 5%) GlucA, IdoA (nonsulphated), and glycol-split IdoA (Formula I), while the glucosamine residue is mainly N-sulphated: N-acetyl-glucosamine (≤ 4%).
4) The heparin derivatives of the present invention have no affinity for antithrombin, since the non-sulphated glucuronic acid residues, essential for binding antithrombin (Naggi et al JBC 280, 13, 12103-12113, 2005), are involved in the hydrolysis reaction of the intermediate "gs heparin", which therefore destroys the pentasaccharide sequence that determines said affinity:
Consequently, the present oligosaccharides are not anticoagulant.
5) The heparin derivatives of the present invention are on the average shorter than those which can be obtained directly from heparin without the previous partial 2-O-desulphation of sulphated iduronic residues. The heparin derivative of formula (I) may be prepared from readily available starting materials using the following general methods and procedures. It will be appreciated that, while typical or preferred experimental conditions (i.e. reaction temperatures, time, moles of reagents, solvents, etc.) are given, other experimental conditions can also be used, unless otherwise stated. Optimum reaction conditions may vary with the particular reactants or solvents used, but such conditions can be determined by a person skilled in the art by routine optimisation procedures.
A further object of the present invention is a process for preparing the heparin derivatives of formula (I). According to preferred embodiments of the invention some of such processes are reported in the section entitled Examples and are diagrammatically represented in Scheme 1 (see Figure 1 ). A process for preparing the heparin derivatives of the present invention comprises: (a) a 2-O-deulphation by treatment with a base at a temperature of about 60°C; (b) an oxidation with periodate; (c) a reduction with borohydride; and (d) an acid hydrolysis or "Smith degradation". According to the process which controls the number of units of non-sulphated uronic acid generated by 2-O-desulfation of heparin before the oxidation, it is possible to obtain a oligosaccharide mixture having different average molecular weight (comprised between 900 and 3,500 Da).
The 2-0 desulphation of heparin can be carried out by enzymatic or chemical means (solvolytic, acid, basic etc.). In order to obtain the oligosaccharides object of the present invention, the desulphation in warm basic medium is used, thus obtaining galacturonic acid residues as described in the international patent application WO 01/55221 (Derivatives of partially desulphated glycosaminologycans endowed with antiangiogenic activity and devoid of anticoagulat effect) and by Casu et al. (in "Undersulfated and Glycol-Split Heparins Endowed with Antiangiogenic Activity" J. Med. Chem. 2004, 47, 838-848). With this process it is possible to control the degree of desulphation and subsequent
depolymerization, obtaining mixtures of oligosaccharides having different average molecular weight.
It should be preferred an amount of desulphation of the 2-O-sulphate iduronic acid comprised between 5 and 40% (in the above-mentioned patent application a desulphation degree <60% is claimed) corresponding to a percentage of non- sulphated uronic acid comprised between 5 and 65 % of the total uronic acid . In particular compounds having a percentage of 2-O-sulphated uronic acid comprised between 20 and 60% are preferred. The 2-O-desulphated heparin derivative thus obtained is oxidized with NaIO4 to give the corresponding oxyheparin ("OH"), which is treated according to the following route: reduction with NaBH4, to give the corresponding oxidized and reduced heparin ("R-OH") and subsequently hydrolysis with acids (Linker, A.; Hovingh, P. Degradation of heparin as a tool for structural analysis. In Heparin: Structure, cellular functions, and clinical applications; McDuffie, N. M., Ed.; Academic Press: New York, 1979, pp 3-24.) to obtain oligosaccharides. The oligosaccharide mixtures thus obtained can be used without further treatments, or fractionated through precipitation and/or dimensional or ionic exclusion chromatography (in particular with fractionation the N-acetylated monosaccharides may be eliminated) Molecular Weight Definitions and Measurement
The weight average molecular weight (Mw) is a way of describing the molecular weight of a polymer. Polysaccharide molecules, even if of the same type, are present in different sizes (chain lengths, for linear polymers), so we have to take an average of some kind. For the weight average molecular weight, this is calculated by applying the following formula:
∑ ∑NNMM
Mw =
Where is the number of molecules of molecular weight M, e c, is the concentration in mg/mL.
An alternative measure of molecular weight for a polymer is the number average molecular weight (Mn) calculated by applying the following formula, where N,=c/M is the number of molecules present in slice /:
_ Y NM2
Mn = % -
∑NM,
Mp is the molecular weight of the principal species.
The number average molecular weight can be determined also by osmometry and by method that measure the end residues such as NMR, from which is possible to obtain the degree of polymerization, or DP, that is the number of repeat units in an average polymer chain. The degree of polymerization is another measure of the molecular weight.
According to separately preferred embodiments of the invention, the heparin derivatives of the present invention have an Mw lower than 2,800 Da, an Mn
comprised between 900 and 1 ,600 Da and an Mp comprised between 1 ,100 and 2,500 Da.
Another object of the present invention is the use of the heparin derivatives of the invention as medicines, or, in other words, as active principles of drugs, in particular for the treatment of diseases characterised by deposits of amyloid aggregates.
Examples of diseases characterised by deposits of amyloid aggregates are the following: Alzheimer's disease, Down's syndrome, hereditary cerebral haemorrhage accompanied by "Dutch type" amyloidosis, amyloidosis accompanied by chronic inflammation, amyloidosis accompanied by multiple myeloma and other dyscrasias of the haematic "B" lymphoid cells, amyloidosis accompanied by type Il diabetes, amyloidosis accompanied by prion diseases, kuru or ovine scrapie. Examples of diseases in which amyloidosis accompanied by prion diseases are Creutzfeldt-Jakob's disease or Gerstmann-Straussler syndrome. A further object of the present invention is the use of the heparin derivatives of the invention referred to above or one of their pharmaceutically acceptable salts, for the preparation of pharmaceutical compositions useful in the treatment of disorders characterised by deposits of amyloid aggregates.
A method of treating a mammal suffering from a pathology characterized by deposits of amyloid aggregates, comprising administering a therapeutically effective amount of heparin derivatives of the invention represents one of the
aspects of the present invention.
The term "therapeutically effective amount" as used herein refers to an amount of a therapeutic agent needed to treat, ameliorate a targeted disease or condition, or to exhibit a detectable therapeutic effect. For any compound, the therapeutically effective dose can be estimated initially in in vitro assays, for example by measuring the residual aggregated beta-amyloid after incubation with the compounds of the invention; or in animal models, usually mice, rats, rabbits, dogs, pigs or monkeys, such as for example the amyloid precursor protein (APP)-transgenic mice. The animal model may also be used to determine the appropriate concentration range and route of administration. Such information can then be used to determine useful doses and routes for administration in humans.
The precise effective amount for a human subject will depend upon the severity of the disease state, general health of the subject, age, weight, and gender of the subject, diet, time and frequency of administration, drug combination (s), reaction sensitivities, and tolerance/response to therapy. This amount can be determined by routine experimentation and is within the judgement of the clinician. Generally, an effective dose will be from 0.01 mg/kg to 100 mg/kg, preferably 0.05 mg/kg to 50 mg/kg. Compositions may be administered individually to a patient or may be administered in combination with other agents, drugs or hormones.
The medicament may also contain a pharmaceutically acceptable carrier, for
administration of a therapeutic agent. Such carriers include antibodies and other polypeptides, genes and other therapeutic agents such as liposomes, provided that the carrier does not itself induce the production of antibodies harmful to the individual receiving the composition, and which may be administered without undue toxicity.
Suitable carriers may be large, slowly metabolised macromolecules such as proteins, polysaccharides, polylactic acids, polyglycolic acids, polymeric amino acids, amino acid copolymers and inactive virus particles. A thorough discussion of pharmaceutically acceptable carriers is available in Remington's Pharmaceutical Sciences (Mack Pub. Co. , N. J.1991 ).
Pharmaceutically acceptable carriers in therapeutic compositions may additionally contain liquids such as water, saline, glycerol and ethanol. Additionally, auxiliary substances, such as wetting or emulsifying agents, pH buffering substances, and the like, may be present in such compositions. Such carriers enable the pharmaceutical compositions to be formulated as tablets, pills, dragees, capsules, liquids, gels, syrups, slurries, suspensions, and the like, for ingestion by the patient.
Once formulated, the compositions of the invention can be administered directly to the subject. The subjects to be treated can be animals; in particular, human subjects can be treated.
The medicament of this invention may be administered by any number of routes
including, but not limited to, oral, intravenous, intramuscular, intra- arterial, intramedullary, intrathecal, intraventricular, transdermal or transcutaneous applications, subcutaneous, intraperitoneal, intranasal, enteral, topical, sublingual, intravaginal, rectal means or locally on the diseased tissue after surgical operation. Dosage treatment may be a single dose schedule or a multiple dose schedule. A further object of the present invention are pharmaceutical compositions containing one or more of the heparin derivatives of the invention described earlier, in combination with excipients and/or pharmacologically acceptable diluents. The compositions in question may, together with the heparin derivatives of the invention, contain other known active principles.
A further embodiment of the invention is a process for the preparation of pharmaceutical compositions characterised by mixing one or more heparin derivatives of the invention with suitable excipients, stabilizers and/or pharmaceutically acceptable diluents. The compounds according to the present invention are also useful for the prevention of the diseases indicated above.
The invention will now be illustrated in greater detail by means of non-limiting Examples, which make reference to the following Figures. DESCRIPTION OF THE FIGURES Figure 1 : Scheme 1 reports the schematic representation of glycol-splitting of both the pre-existing and the newly generated nonsulfated uronic acid residues of
partially 2-O-desulphated heparin (H50gs) and hydrolysis in correspondence of the glycol-split residues (c). Scheme 2 reports the representation of oligosaccharides obtained by fragmentation of glycol-split heparins.
Figure 2: it reports the 13C NMR spectra of ST1514/A (batch n° G4448) as prepared in Example 1 and Fraction A (batch No. G4185) as prepared in Example-
6.
Figure 3: it shows the total ionic current (TIC) profile of HPLC/ESI-lon Trap analysis of G4619A-Example 7 using a RP C18 4.6 mm d.i. x 250 mm (3um) column and a gradient elution from: A = H2O 10 mM DBA (dibutil ammonium acetate) to B = MeOH 1O mM DBA.
Figure 4: it reports the total ionic current (TIC) profile of HPLC/ESI-lon Trap analysis of G5579B1 prepared in Example 9.
Figure 5: it reports the expansion of two regions of the heteronuclear single quantum coherence (HSQC) spectrum (M. Guerrini et al. Anal. Biochem. 337, 2005, 35-47) of G5579 B1 prepared in Example 9.
EXAMPLES
Introduction
Examples 1 -5 describe the synthesis of heparin derivatives, already described and claimed in international patent application WO 01/55221 , which here are used as starting materials for the preparation of the heparin derivatives object of the present invention. In particular Examples from 1 to 3 are preparations of different
ST1514 batches described and claimed in international patent application WO 01/55221. These different batches have different mean molecular weights and glycol-splitting percentage.
Examples 4 and 5 relate to the preparation of two batches for products ST 1827 and ST1516 respectively, also described in the same patent application. Examples 7, 9, 10 and 11 describe the synthesis of heparin derivatives object of the present invention.
Methods: molecular weight determinations Molecular weight determinations were performed by GPC-HPLC on a Viscotex instrument equipped with a VE1121 pump, Rheodyne valve (100 μl), and a detector array 302 equipped with IR and viscosimeter, two 300 x 7.8-mm TSK columns (G2500PWXL and G3000PWXL TOSOH) were used with 0.1 M NaNO3 as eluent (flow, 0.6 mL/min) at 40°C. Samples were dissolved in the eluent solution at the concentration of 2-3 mg/ml. The average molecular mass (Mw), number average molecular weight (Mn) and the molecular weight of the major species (Mp) was determined by calibration of the size exclusion chromatography system with appropriate heparin standards. The ratio of the weight average to the number average is called the polydispersity index (d) (G.Barone in AIM Macromolecole scienza e tecnologia Vol. Il 107-136 Eds. F.Ciardelli, V. Crescenzi, G. Pezzin, E. Peggion, Pacini Ed. 1986 Pisa.; Z. Grubisic, P. Rempp, H. Benoit, J. Polymer. Lett., 5, 793, 1967).
NMR spectra were recorded at 500 MHz for 1H and 125 MHz for 13C with a Bruker AMX spectrometer equipped with a 5-mm 1 H/X inverse probe. The spectra were obtained at 45°C from D2O solutions (15 mg/0.5 ml D2O, 99.99% D). Chemical shifts, given in parts per million down field from sodium-3-(trimethylsilyl) propionate, were measured indirectly with reference to acetone in D2O (δ 2.235 for 1 H and δ 30.20 for 13C). The 13C NMR spectra were recorded at 300 or 400 MHz with a Bruker AC-300 or AMX-400 spectrometer. EXAMPLE 1 (ST1514/A) (batch No. G4448) 2-O-Desulphation, oxidation and reduction of heparin 1 g of heparin was dissolved in 12.5 ml_ of NaOH 1 N. The solution was heated and stirred at 60° C. for 35 minutes. The reaction was blocked by rapid cooling and neutralisation. The solution was then heated at 70° C at pH 7 until the intermediate epoxide ring was completely open (the reaction trend was controlled by NMR) and recovered by freeze-drying. The desulphated sample (batch No. G2999H) was dissolved in 20 ml_ of water and cooled to 4° C. After addition of 20 ml_ of a solution of NaIO4 0.2 M, the solution was left to stir in the dark for 20 hours, the reaction was stopped by adding ethylene glycol and the salts were eliminated by tangential ultrafiltration. 400 mg of NaBH4, subdivided into several portions, were added to the desalted solution (30-40 ml_). The solution was left to stir for 3 hours at room temperature, then neutralised with diluted HCI and desalted by tangential ultrafiltration. By freeze-drying were recovered 710 mg of product, batch No.
G4448, molecular weight (Mw) 12,900 Da, polydispersion index d 1.5, sulphation degree 1.8 (expressed as SO3 ":COO" molar ratio). The compound was characterised by NMR spectroscopy, whose study led to the percentage of modified uronic acids compared to total uronic acids, as follows: 5% epoxide groups, 55% oxidated and reduced (split) uronic residues. EXAMPLE 2 ST1514/B (batch No. G5482) 2-O-Desulphation, oxidation and reduction of heparin
5 g of heparin was dissolved in 60 ml_ of NaOH 1 N. The solution was heated and stirred at 60° C for 35 minutes. The reaction was blocked by rapid cooling and neutralisation. The solution was then heated at 70° C at pH 7 for 72h. The desulphated sample was dissolved in 82 ml_ of water and cooled to 4° C. After the addition of 82 ml_ of a solution of NaIO4 0.2 M, the solution was left to stir at 4° C in the dark for 18 hours, and the reaction was stopped by adding ethylene glycol and the salts were eliminated by tangential ultrafiltration. 12 g of NaBH4, subdivided into several portions, were added to the desalted solution (100 ml_). The solution was left to stir for 3 hours at room temperature, then neutralised with diluted HCI and desalted by tangential ultrafiltration. 4.5 g of product, batch No. G5482, were recovered by precipitation with 600 ml_ of ethanol at 4° C for 18 hours. Molecular weight (Mw): 14,520 Da, polydispersion index d 1.19); the percentage of modified uronic acids compared to total uronic acids was approximately 63%. EXAMPLE 3 ST1514/C (batch No. G5539)
2-O-Desulphation, oxidation and reduction of heparin
5 g of heparin was dissolved in 60 ml_ of NaOH 1 N. The solution was heated and stirred at 60° C for 35 minutes. The reaction was blocked by rapid cooling and neutralisation. The solution was then heated at 70° C at pH 7 for 72h. The desulphated sample was dissolved in 82 ml_ of water and cooled to 4° C After the addition of 82 ml_ of a solution of NaIO4 0.2 M, the solution was left to stir at 4° C in the dark for 18 hours, and the reaction was stopped by adding ethylene glycol and the salts were eliminated by tangential ultrafiltration. 12 g of NaBH4, subdivided into several portions, were added to the desalted solution (100 ml_). The solution was left to stir for 3 hours at room temperature, then neutralised with diluted HCI and desalted by tangential ultrafiltration. 4.5 g of product, here called G5582, were recovered by precipitation with 600 ml_ of ethanol at 4° C for 18 hours. Molecular weight (Mw): 12,940 Da, polydispersion index d 1.19; the percentage of modified uronic acids compared to total uronic acids <2% epoxide groups, 57% oxidated and reduced (split) uronic residues. EXAMPLE 4 ST1827/A (G5864) 2-O-Desulphation, oxidation and reduction of heparin
2 g of heparin was dissolved in 24 ml_ of NaOH 1 N. The solution was heated and stirred at 60° C for 45 minutes. The reaction was blocked by rapid cooling and neutralisation. The solution (24 ml_) was then heated at 70° C at pH 7 until the epoxide rings were completely open (the reaction trend was controlled by NMR).
The desulphated sample (batch n° G5864) recovered by freeze-drying was dissolved in 24 ml_ of water and cooled to 4° C. After the addition of 20 ml_ of a solution of NaIO4 0.2 M, the solution was left to stir in the dark for 20 hours, and the reaction was stopped by adding ethylene glycol and the salts were eliminated by dialysis using membranes with 3,500 Da cut-off. 480 mg of NaBH4, subdivided into several portions, were added to the desalted solution (30-40 ml_). The solution was left to stir for 3 hours at room temperature, then neutralised with diluted HCI and recovered by precipitation with 60OmL ethanol at 4°C, 1 ,72 g of product, here called ST1827/A: molecular weight (Mw) 12,800 Da, polydispersion index d 1.5, percentage of modified uronic acids compared to total uronic acids: 5% epoxide groups, 71 % oxidated and reduced (split) uronic residues. EXAMPLE 5 ST1516/A (batch n° G5618) 2-O-Desulphation, oxidation and reduction of heparin 1 g of heparin was dissolved in 12.5 mL of NaOH 1 N. The solution was heated and stirred at 60° C for 20 minutes. The reaction was blocked by rapid cooling and neutralisation. The solution was then heated at 70° C. at pH 7 until the epoxide ring was completely open (the reaction trend was controlled by NMR). The desulphated sample (batch No. G2999H) recovered by freeze-drying was dissolved in 20 mL of water and cooled to 4° C. After the addition of 20 mL of a solution of NaIO4 0.2 M, the solution was left to stir in the dark for 20 hours, and the reaction was stopped by adding ethylene glycol and the salts were eliminated
by tangential ultrafiltration. 400 mg of NaBH4, subdivided into several portions, were added to the desalted solution (30-40 ml_). The solution was left to stir for 3 hours at room temperature, then neutralised with diluted HCI and desalted by tangential ultrafiltration. 600 mg of product, here called ST1516/A (batch n° G5618): molecular weight (Mw) 12,900 Da, polydispersion index d 1.5, desulphation degree 1.8 (expressed as SO3 ":COO" molar ratio), percentage of modified uronic acids compared to total uronic acids: 5% epoxide groups, 44,5% oxidated and reduced (split) uronic residues. EXAMPLE 6 ST 2808/A (batch No. G4271 A) Acidic hydrolysis of glycol-split partially 2-O-desulphated heparin.
The Smith degradation reaction (acid hydrolysis of pehodate oxidized and borohydride reduced heparin) was applied to ST1514/A (batch n° G4448 - Example 1 ) to cleave the glycosidic bonds of its glycol-split residues. 1.5 g was dissolved in 50 ml_ of 0.1 M HCI. The solution was stirred at 65 °C for 2 h and then cooled and neutralized with 0.1 M NaOH. The product (1.65 g) was recovered by freeze-drying and fractionated by gel permeation chromatography (TSK. HW 4OS 5x67 cm) using 10% ethanol in distilled water as eluent and U. V. detection at 210 nm. Fig 2. Two fractions are obtained: Fraction A (batch No. G4185) (480 mg) and Fraction B (batch No. G4186) (960 mg). The Fraction A had a prominent MALDI MS peak at m/z 1 ,034.6 (calculated for tri-sacchahde 1 ,034) and a minor peak at m/z 1611 (calculated for penta-saccharide 1 ,612.5). The peaks at m/z
1 ,989-2,111 correspond to a family of hepta-saccharides, not exhaustively hydrolyzed, containing a residue of glycol-split uronic acid. Fraction B was further fractionated on the same column to obtain Fraction C (batch No. G4241 ) (224 mg) and Fraction D (batch No. G4242) (500mg). Fraction C revealed the same composition of Fraction A so they were put together (new batch No. G4271 ) and further fractionated on the same column to obtain, after freeze drying, ST2808/A (batch No. G4271A) (326 mg) and Fraction E (batch No. G4271 B) (325 mg) . In Figure 2 the 13C NMR spectra of Fraction A and its precursor are reported. EXAMPLES 7 ST2808/B (G4619A) Acidic hydrolysis of partially 2-O-desulphated glycol-split heparin.
The Smith degradation reaction (acid hydrolysis of pehodate oxidized and borohydride reduced heparin) was applied to ST1514/A (batch No. G4448 - Example 1 ) to cleave the glycosidic bonds of its glycol-split residues. 3.9 g are dissolved in 133 ml_ of 0.1 M HCI. The solution was stirred at 55 °C for 2 h and then cooled and neutralized with 0.1 M NaOH. The product (3 g), was recovered by freeze-drying, and it resulted , by 13CNMR analysis, not completely hydrolyzed. It was re-dissolved in 133 ml_ of 0.1 M HCI. The solution was stirred at 60 °C for 2 h and then cooled and neutralized with 0.1 M NaOH. The sample (G4591 2.2 g) was fractionated by gel permeation chromatography (TSK. HW 4OS 5x67 cm) using 10% ethanol in distilled water as eluent and U.V. detection at 210 nm. Two fractions were obtained: ST2808/B (batch n° G4619A) (1 g) and Fraction F (batch
No. G4619B) (400 mg). The first fraction (ST2808/A) had a average polymerization degree determined by NMR (DPnmr) of 3.4 monosaccharidic unit plus remnant (r), a distribution of oligosaccharides evaluated by LC-ESI of: mono + (r); tri +(r) penta + (r) (FIG.2), and, determined by GPC-HPLC a Mn of 1 ,523 Da and a Mw of 2,147 Da (from 6,800 to 100), the 74% of the sample had an Mw < 2,400 Da and only 10% had an Mw comprised between 1 ,920 and 2,560 Da. EXAMPLES 8 ST2808/C (batch No. G5522A) Acidic hydrolysis of partially 2-O-desulphated glycol-split heparin. The Smith degradation reaction (acid hydrolysis of periodate oxidized and borohydride reducted heparin) was applied to ST1514/B (Batch No. G5482 - Example 2) to cleave the glycosidic bonds of its glycol-split residues. 1.5 g are dissolved in 50 mL of 0.1 M HCI. The solution is stirred at 65 °C for 2 h and then cooled and neutralized with 0.1 M NaOH. The product (1.65 g) is recovered by freeze-drying, and fractionated by gel permeation chromatography (TSK.HW 4OS 5x67 cm) using 10% ethanol in distilled water as eluent and U.V. detection at 210 nm. Three fractions were obtained: ST2808/C (batch No.G5522A) (671 mg), Fraction G (batch No.G5522B) (330 mg) and Fraction H (batch No. G5522C) (162 mg). The first fraction ST2808/C has a average polymerization degree determined by NMR (DPnmr) of 6 monosaccharidic unit plus remnant (r), a distribution of oligosaccharides evaluated by LC-ESI of: tri +(r); penta + (r) saccharides.
Fraction G has a average polymerization degree determined by NMR (DPnmr) of 1
monosaccharidic unit plus remnant (r), a distribution of oligosaccharides evaluated by LC-ESI of: mono + (r) saccharides.
EXAMPLES 9 ST2808/D (batch No. G5579B1 ) Acidic hydrolysis of partially 2-O-desulphated glycol-split heparin.
The Smith degradation reaction (acid hydrolysis of periodate-oxidized and borohydride-reducted heparin) was applied to the product of Example 3 ST1514/C (batch n°G5539) to cleave the glycosidic bonds of its glycol-split residues. 4.15 g are dissolved in 135 mL of 0.1 M HCI. The solution is stirred at 65 °C for 4 h and then cooled and neutralized with 0.1 M NaOH. The product (4.84 g), is recovered by freeze-drying, and fractionated, in two times, by gel permeation chromatography (TSK.HW 4OS 5x67 cm) using 10% ethanol in distilled water as eluent and U.V. detection at 210 nm. . Five fractions were obtained: Fraction I (batch No. G5564A) (g 1.58) , Fraction L (batch No. G5564B) (g 0.815), and Fraction M (batch No. G5512C) (g 0.7). Fractions I and L were put together and further purified on the same column, to give product ST2808/D (batch No. G5579B1 ), which has an average polymerisation degree determined by NMR (DPnmr) of 3.5 monosaccharidic unit + remnant (r), an apparent distribution of oligosaccharides evaluated by LC-ESI: mono + (r); tri + (r); penta + (r) saccharides; (Fig 2) which has an average polymerisation degree determined by NMR (DPnmr) of 2.9 monosaccharidic unit + remnant (r),and, determined by GPC- HPLC, a Mw of
2,560 Da (from 7700 to 226 Da), Mn 1 ,253 and Mp of 1 ,410 Da. More in detail 61.3% of product ST2808/D (batch No. G5579B1 ) had a Mw <2,400 Da and only 11 % had a Mw comprised between 1 ,920 and 2,560 Da. EXAMPLES 10 ST2808/E (batch No. G5878A) Acidic hydrolysis of partially 2-O-desulphated glycol-split heparin.
The Smith degradation reaction (periodate oxidation, borohydride reduction, and mild acid hydrolysis) was applied to ST1827/A (batch No. G5864) of Example 4 to cleave the glycosidic bonds of its glycol-split residues. 1.5 g is dissolved in 49 ml_ of 0.1 M HCI. The solution is stirred at 65 °C for 4 h then cooled, neutralized with 0.1 M NaOH. The product ST2808/E (batch No. G5878) (1.765 g) is recovered by freeze-drying and fractionated in two times, by gel permeation chromatography (TSK.HW 4OS 5X67 cm) using 10% ethanol in distilled water as eluent and U.V. detection at 210 nm (Figure 7). After freeze drying two fractions were obtained G5878A (mg 925) and G5878B (mg 267). G5878A has an average polymerisation degree determined by NMR (DPnmr) of 2.1 monosaccharide unit + remnant (r), and Mw of 1 ,853 Da, Mp 1503 and Mn of 928 Da, determined by GPC-HPLC, More in detail 74% of samples had molecular weight < 2,400 Da and only 8% between ,1 ,920 and 2,560 Da. EXAMPLE 11 ST 2808/F (batch No. G5666) Acidic hydrolysis of partially 2-O-desulphated glycol-split heparin.
The Smith degradation reaction (periodate oxidation, borohydride reduction, and
mild acid hydrolysis) was applied to ST1516/A (batch No. G5618) (of Example 5) to cleave the glycosidic bonds of its glycol-split residues. 3.26 g was dissolved in 50 ml_ of 0.1 M HCI. The solution was stirred at 65 °C for 4 h then cooled, neutralized with 0.1 M NaOH and recovered by freeze-drying. The recovered sample (batch No. G5666) (3.85 g) was fractionated by gel permeation chromatography (TSK. HW 4OS 5 x 67 cm) using 10% ethanol in distilled water as eluent and U.V. detection at 210 nm. Three fractions were obtained: Fraction N (batch No. G5666A) (1.68 g) having Mw of 2,714 Da (from 8,000 to 370 Da), Mn of 1 ,468 Da. and Mp 1246, determined by GPC-HPLC, Fraction O (batch No.G5666B) (0.640 g), and Fraction P (batch No.G5666C) (0.324 g). Fraction N (batch No. G5666A) (1.68 g) had, determined by GPC- HPLC, Mw of 2,714 Da (from 8,000 to 370 Da), Mn of 1 ,468 Da and Mp 1 ,246. More in detail the 56% of product ST2808/E (batch No. G5878A) had a Mw < 2,400 Da and only 11 % had a Mw comprised between 1 ,920 and 2,560 Da. Biological Results
The potential neuroprotective activity of the claimed compounds was verified in comparison with a known LMWH, bemipahne. Primary cortical neuronal cultures obtained by microdissection of neonatal rat brain were cultivated in the presence of foetal calf serum (Andreoni et al. 1997 Exp. Neurology 148:281-287) and then exposed to βAi-42 peptide for 4 days in presence or absence of compounds. The
neuroprotective action was evaluated in terms of survival from
neurotoxiticy by MTT assay. Experimental procedure ST2808 Primary cultures of cortical neurons were taken from the neonatal rat brain 2 days after birth and cultured in foetal calf serum. On incubation days 3 and 5, glial proliferation was inhibited using cytosine arabinoside as an antimitotic agent.
The cultures were exposed to βA-^2 peptide at concentrations of 25 μM from the day following seeding for 4 days. ST2808/A (batch No. G4271A) was added to the cultures at 25 μM or 50 μM concentrations and together with βAi-42 peptide.
The protection against neurotoxicity was evaluated in terms of survival from death induced by peptide and using the colorimetric method and densitometric analysis with an image analyser.
The results, as show in Table 1 demonstrated that ST2808/A protected cells from toxicity induced by βAi-42
Table 1
ST2808/D, ST2808/B and bemiparine
Primary cultures of cortical neurons were taken from the neonatal rat brain 10 days after birth and cultured in foetal calf serum. On incubation days 3 and 5, glial proliferation was inhibited using cyctosine arabinoside as an antimitotic agent.
The cultures were exposed to βAi-42 peptide at concentration of 25 μM from the day following seeding for 4 days. ST2808/D (batch No. G5579B1 ) ST2808/B (batch No. 4619A) were added to the cultures at concentrations of 10, 25 and 50 μg/ml, bemiparine (IVOR®, batch No. X04) was added at the concentration of 50 μg/ml. All compounds were added together with βAi-42 peptide.
The protection against neurotoxicity was evaluated in terms of survival from death induced by peptide and using the colorimetric method and densitometric analysis with an image analyser.
The results, as show respectively in Table 2, Table 3 and Table 4 demonstrated that both ST2808/D and ST2808/B protected cells from toxicity induced by βA^2 while bemiparine did not exert any kind of protection
Table 2
Table 3
Table 4
Protective activity from neurotoxicity induced by PrPsc
The potential neuroprotective activity of ST2808/B was verified on "in vivo" animal model of Prion Protein disease. Scrapie in hamster was the rodents specimen of bovine spongiform encephalopathy (BSE) considered the animal model of human Creuztfeldt Jacob Disease (CJD). These diseases are characterized by the
accumulation of a pathological form of the cellular prion protein (PrPc), called scrapie prion protein (PrPsc), in the central nervous system and, in many instances, in the lymphoreticular system. PrPsc shows several differences from the physiological form PrPc; such as a high percentage of β-sheet secondary structure, resistance to proteolysis, insolubility in detergents and a propensity to polymerize into amyloid-like fibrils (Barret A. et al., 2003, Journal of Virology 77(15): 8462-8469).
Syrian hamsters were exposed to PrPsc infection in order to experimentally induce a scrapie disease. Animals were then divided into 3 groups, the first one receiving ST2808/B, the second one receiving enoxaparin, a low molecular weight heparin used as referring standard whose protective activity in this model is well known from literature and the third one (positive control) receiving saline. The neuroprotective activity of ST2808/B was evaluated in terms of % of surviving time (days) compared to saline treated group and enoxaparin treated hamster, Experimental procedure
Golden Syrian hamsters, 2-3 months old, were injected intraperitoneally (50 μl 10-2 dilution) with a homogenized tissue infected with mouse-adapted 263K scrapie strain and were treated with ST2808/B (2.5 mg/kg i.p. 3 times/week), enoxaparin (2.5 mg/kg i.p. , 3 times/week) used as reference standard or saline (positive control group). Neuroprotection from death induced by infection was evaluated in terms of survival median time and expressed in days.
The results, as show in Table 5 demonstrated that ST2808/B was capable to protect from neurotoxicity induced by PrPsc injection.
Table 5
Activity on bleeding time in mice
Low molecular weight heparins (LMWHs) are extensively used at present as antithrombotics and their use is associated with some risk of bleeding complications (1 ). In order to demonstrate that the compounds of the invention do not have any anticoagulant activity, the compounds were tested in a model of bleeding time in mice. Animals were injected subcutaneously with test products, reference compound (enoxaparin, a LMWH), or vehicle and their tails were transacted. Experimental procedure The activity of ST2808/D (batch n° G5579B1 ) was compared with a reference compound (enoxaparin, commercial name: Clexane 8000 Ul, batch no.180), and a vehicle (injectable water for solution, EUROSPITAL batch no. 5408-1).
The formulations were prepared on the day of treatment. Appropriate amounts of ST2808/D were diluted in the vehicle to the desired concentration. Administration volume was adjusted on the basis of the animals' body weight recorded on treatment days. Mice (CD1 , males) were injected subcutaneously with ST2808/D (250 mg/5ml_/kg), enoxapahn (2500 Ul/Kg, corresponding to about 24 mg) or vehicle (5 mL/kg) and anesthetized with pentobarbital (60 mg/kg ip). The tail, warmed in normal saline at 37 °C, was transacted 2 mm from its tip with a scalpel and then placed in a tube of normal saline maintained at 37 °C. The time required for bleeding to stop was recorded. Bleeding time was investigated at 0.5, 1 , 2, 3, 4 hours after test item administration. At each time point, the time required after tail tip transaction to stop continuous blood flow for >30 s was recorded and defined as bleeding time. If no cessation of bleeding occurred within 15 min, 900 s were recorded as bleeding time. Results
The data are expressed both as individual values and mean values ± SEM. Two-way analysis of variance was used to compare groups. enoxaparin at 2500 Ul/kg increased bleeding time already 30 min after administration. The increase of bleeding time persisted up to 120 min after its administration (Table 6). ST2808/D did not change the bleeding time at any time point considered (Table 6) demonstrating that ST2808/D does not modify haemostatic capability in vivo.
Table 6
Bleeding time (s) of mice treated subcutaneously with vehicle, 2500 Ul/kg enoxaparina and 250 mg/kg ST2808/D
Data are expressed as mean values ± SEM of 5 mice. Two-way ANOVA; treatment, F (2,4) = 20.0, p< 0.001 ; time, F (2,4) = 2.3, not significant; treatment x time F(8,60) = 1.1 , not significant: Tukey's test: * = p<0.001 vs vehicle.
Claims
1. A heparin derivative having the following formula (I)
(I) where:
R is selected between H and SO3-;
Ri is selected among H, SO3- and acetyl; and n is a number ranging from O to 5; as well as mixtures containing one or more of this derivative and/or any pharmaceutically acceptable salt thereof.
2. The compound according to claim 1 , where n is selected among 1 , 2, 3 and 4.
3. The compound according to any preceding claim, having a weight average molecular weight (Mw) lower than 2,800 Da.
4. The compound according to any preceding claim, having an Mn comprised between 900 and 1 ,600 Da.
5. The compound according to any preceding claim, having an Mp comprised between 1 ,100 and 2,500 Da.
6. Use of a compound according to any claim from 1 to 5, as a medicine
7. The use according to claim 6, for the preparation of a medicine for the treatment of diseases characterised by deposits of amyloid aggregates.
8. The use according to Claim 7, in which the condition or disease characterised by deposits of amyloid aggregates is selected from among the group consisting of Alzheimer's disease, Down's syndrome, hereditary cerebral haemorrhage accompanied by "Dutch type" amyloidosis, amyloidosis accompanied by chronic inflammation, amyloidosis accompanied by multiple myeloma and other dyscrasias of the haematic "B" lymphoid cells, amyloidosis accompanied by type Il diabetes, amyloidosis accompanied by prion diseases, kuru or ovine scrapie.
9. The use according to Claim 8, in which amyloidosis accompanied by prion diseases is selected from among the group consisting of Creutzfeldt-Jakob's disease or Gerstmann-Straussler syndrome.
10. Use of a compound according to any of claims 1 to 5, for the preparation of a medicine for the treatment of diseases characterised by deposits of amyloid aggregates.
11. A pharmaceutical composition containing as active ingredient a compound of any claim from 1 to 5, and at least one pharmaceutically acceptable excipient and/or diluent.
12. The pharmaceutical composition according to claim 11 for the treatment and/or prevention of disorders characterised by deposits of amyloid aggregates.
13. A process for preparing the heparin derivatives of claims 1-5, comprising the following steps: (a) a 2-O-desulphation by treatment with a base at a temperature of about 60°C; (b) an oxidation with periodate; (c) a reduction with borohydride; and (d) an acid hydrolysis or "Smith degradation".
14 A process for preparing the composition of previous claims 11-12 comprising mixing the compound(s) of any claims from 1 to5 with suitable excipient(s) and/or diluent(s). 15. A method of treating a mammal suffering from a disorder characterised by deposits of amyloid aggregates, comprising administering a therapeutically effective amount of the compound of any of claims 1 to 5.
Applications Claiming Priority (2)
| Application Number | Priority Date | Filing Date | Title |
|---|---|---|---|
| EP07112142.0 | 2007-07-10 | ||
| EP07112142 | 2007-07-10 |
Publications (1)
| Publication Number | Publication Date |
|---|---|
| WO2009007224A1 true WO2009007224A1 (en) | 2009-01-15 |
Family
ID=39672771
Family Applications (1)
| Application Number | Title | Priority Date | Filing Date |
|---|---|---|---|
| PCT/EP2008/057890 Ceased WO2009007224A1 (en) | 2007-07-10 | 2008-06-20 | Low molecular weight heparin derivatives having neuroprotective activity |
Country Status (1)
| Country | Link |
|---|---|
| WO (1) | WO2009007224A1 (en) |
Cited By (15)
| Publication number | Priority date | Publication date | Assignee | Title |
|---|---|---|---|---|
| WO2012121617A1 (en) * | 2011-03-10 | 2012-09-13 | Industrial Research Limited | Oligosaccharide compounds |
| WO2013095215A1 (en) * | 2011-12-19 | 2013-06-27 | Dilaforette Ab | Low anticoagulant heparins |
| WO2013095279A1 (en) * | 2011-12-19 | 2013-06-27 | Dilafor Ab | Non anti-coagulative glycosaminoglycans comprising repeating disaccharide unit and their medical use |
| US8569262B2 (en) | 2007-11-02 | 2013-10-29 | Momenta Pharmaceuticals, Inc. | Polysaccharide compositions and methods of use for the treatment and prevention of disorders associated with progenitor cell mobilization |
| US8592393B2 (en) | 2007-11-02 | 2013-11-26 | Momenta Pharmaceuticals, Inc. | Polysaccharide compositions and methods of use for the treatment and prevention of disorders associated with progenitor cell mobilization |
| WO2014202982A1 (en) * | 2013-06-19 | 2014-12-24 | Dilafor Ab | New processes for the production of chemically-modified heparins |
| US9351992B2 (en) | 2007-11-02 | 2016-05-31 | Momenta Pharmaceuticals, Inc. | Non-anticoagulant polysaccharide compositions |
| US9387256B2 (en) | 2010-04-16 | 2016-07-12 | Momenta Pharmaceuticals, Inc. | Tissue targeting |
| CN107177015A (en) * | 2016-03-11 | 2017-09-19 | 梁颖 | A kind of heparin modified thing of reacetylation and its preparation method and application |
| US10017585B2 (en) | 2010-06-17 | 2018-07-10 | Momenta Pharmaceuticals, Inc. | Methods and compositions for promoting hair growth |
| US10016449B2 (en) | 2013-05-28 | 2018-07-10 | Momenta Pharmaceuticals, Inc. | Pharmaceutical compositions |
| WO2018149320A1 (en) * | 2017-02-15 | 2018-08-23 | 清华大学 | Non-anticoagulant heparin derivative and use thereof in treating inflammatory bowel disease |
| EP3705126A1 (en) * | 2019-03-05 | 2020-09-09 | Leadiant Biosciences S.p.A. | Roneparstat for the treatment of amyloidosis |
| US10792301B2 (en) | 2015-02-13 | 2020-10-06 | The University Of Toledo | Therapeutic polysaccharide midi-GAGR and related materials and methods |
| CN117362478A (en) * | 2023-10-09 | 2024-01-09 | 海南大学 | De-sulfating heparin carrier and preparation method and application thereof |
Citations (8)
| Publication number | Priority date | Publication date | Assignee | Title |
|---|---|---|---|---|
| WO1990004607A2 (en) * | 1988-10-21 | 1990-05-03 | Opocrin S.P.A. Laboratorio Farmacobiologico | Novel dermatan sulfate and heparin oligosaccharides having antiatherosclerotic activity |
| US4990502A (en) * | 1987-04-16 | 1991-02-05 | Sanofi, S.A. | Low molecular weight heparins of regular structure, their preparation and their biological uses. |
| EP1033375A1 (en) * | 1997-11-20 | 2000-09-06 | Ikuo Yamashina | Low-molecular heparin modification and remedy for skin ulcer |
| WO2000069444A1 (en) * | 1999-05-14 | 2000-11-23 | Umberto Cornelli | Glycosaminoglycans having an average molecular weight equal to 2400 d suitable for the treatment of senile dementia |
| WO2001055221A1 (en) * | 2000-01-25 | 2001-08-02 | Sigma-Tau Industrie Farmaceutiche Riunite S.P.A. | Derivatives of partially desulphated glycosaminoglycans endowed with antiangiogenic activity and devoid of anticoagulating effect |
| WO2003022291A1 (en) * | 2001-09-12 | 2003-03-20 | Sigma-Tau Industrie Farmaceutiche Riunite S.P.A. | Derivatives of partially desulphated glycosaminoglycans as heparanase inhibitors, endowed with antiangiogenic activity and devoid of anticoagulating effect |
| WO2005089365A2 (en) * | 2004-03-16 | 2005-09-29 | The General Hospital Corporation | Treatment and prevention of abnormal cellular proliferation |
| US20060172968A1 (en) * | 2000-01-25 | 2006-08-03 | Benito Casu | Derivatives of partially desulphated glycosaminoglycans as heparanase inhibitors, endowed with antiangiogenic activity and devoid of anticoagulating effect |
-
2008
- 2008-06-20 WO PCT/EP2008/057890 patent/WO2009007224A1/en not_active Ceased
Patent Citations (8)
| Publication number | Priority date | Publication date | Assignee | Title |
|---|---|---|---|---|
| US4990502A (en) * | 1987-04-16 | 1991-02-05 | Sanofi, S.A. | Low molecular weight heparins of regular structure, their preparation and their biological uses. |
| WO1990004607A2 (en) * | 1988-10-21 | 1990-05-03 | Opocrin S.P.A. Laboratorio Farmacobiologico | Novel dermatan sulfate and heparin oligosaccharides having antiatherosclerotic activity |
| EP1033375A1 (en) * | 1997-11-20 | 2000-09-06 | Ikuo Yamashina | Low-molecular heparin modification and remedy for skin ulcer |
| WO2000069444A1 (en) * | 1999-05-14 | 2000-11-23 | Umberto Cornelli | Glycosaminoglycans having an average molecular weight equal to 2400 d suitable for the treatment of senile dementia |
| WO2001055221A1 (en) * | 2000-01-25 | 2001-08-02 | Sigma-Tau Industrie Farmaceutiche Riunite S.P.A. | Derivatives of partially desulphated glycosaminoglycans endowed with antiangiogenic activity and devoid of anticoagulating effect |
| US20060172968A1 (en) * | 2000-01-25 | 2006-08-03 | Benito Casu | Derivatives of partially desulphated glycosaminoglycans as heparanase inhibitors, endowed with antiangiogenic activity and devoid of anticoagulating effect |
| WO2003022291A1 (en) * | 2001-09-12 | 2003-03-20 | Sigma-Tau Industrie Farmaceutiche Riunite S.P.A. | Derivatives of partially desulphated glycosaminoglycans as heparanase inhibitors, endowed with antiangiogenic activity and devoid of anticoagulating effect |
| WO2005089365A2 (en) * | 2004-03-16 | 2005-09-29 | The General Hospital Corporation | Treatment and prevention of abnormal cellular proliferation |
Non-Patent Citations (4)
| Title |
|---|
| CASU, B. GUERRINI, M. GUGLIERI, S. NAGGI, A. PEREZ, M. TORRI, G. CASSINELLI, G. RIBATTI, D. CARMINATI, P. GIANNINI, G.: "Undersulfated and Glycol-Split Heparins Endowed with Antiangiogenic Activity", JOURNAL OF MEDICINAL CHEMISTRY, vol. 47, 8 January 2004 (2004-01-08), pages 838 - 848, XP002492012 * |
| CASU, B. GUERRINI, M. NAGGI, A. PEREZ, M. TORRI, G. RIBATTI, D.; CARMINATI, P. GIANNINI, G. PENCO, S. PISANO, C.: "Short Heparin Sequences Spaced by Glycol-Split Uronate Residues Are Antagonists of Fibroblast Growth Factor 2 and Angiogenesis Inhibitors", BIOCHEMISTRY, vol. 41, 23 July 2002 (2002-07-23), pages 10519 - 10528, XP002492011 * |
| GARG ET AL: "Increase in the growth inhibition of bovine pulmonary artery smooth muscle cells by an O-hexanoyl low-molecular-weight heparin derivative", CARBOHYDRATE RESEARCH, ELSEVIER SCIENTIFIC PUBLISHING COMPANY. AMSTERDAM, NL, vol. 341, no. 15, 6 November 2006 (2006-11-06), pages 2607 - 2612, XP005666977, ISSN: 0008-6215 * |
| ISLAM T ET AL: "Further evidence that periodate cleavage of heparin occurs primarily through the antithrombin binding site", CARBOHYDRATE RESEARCH, ELSEVIER SCIENTIFIC PUBLISHING COMPANY. AMSTERDAM, NL, vol. 337, no. 21-23, 19 November 2002 (2002-11-19), pages 2239 - 2243, XP004392218, ISSN: 0008-6215 * |
Cited By (25)
| Publication number | Priority date | Publication date | Assignee | Title |
|---|---|---|---|---|
| US9212233B2 (en) | 2007-11-02 | 2015-12-15 | Momenta Pharmaceuticals, Inc. | Polysaccharide compositions and methods of use for the treatment and prevention of disorders associated with progenitor cell mobilization |
| US9358252B2 (en) | 2007-11-02 | 2016-06-07 | Momenta Pharmaceuticals, Inc. | Polysaccharide compositions and methods of use for the treatment and prevention of disorders associated with progenitor cell mobilization |
| US8569262B2 (en) | 2007-11-02 | 2013-10-29 | Momenta Pharmaceuticals, Inc. | Polysaccharide compositions and methods of use for the treatment and prevention of disorders associated with progenitor cell mobilization |
| US8592393B2 (en) | 2007-11-02 | 2013-11-26 | Momenta Pharmaceuticals, Inc. | Polysaccharide compositions and methods of use for the treatment and prevention of disorders associated with progenitor cell mobilization |
| US9351992B2 (en) | 2007-11-02 | 2016-05-31 | Momenta Pharmaceuticals, Inc. | Non-anticoagulant polysaccharide compositions |
| US9387256B2 (en) | 2010-04-16 | 2016-07-12 | Momenta Pharmaceuticals, Inc. | Tissue targeting |
| US10017585B2 (en) | 2010-06-17 | 2018-07-10 | Momenta Pharmaceuticals, Inc. | Methods and compositions for promoting hair growth |
| US9315587B2 (en) | 2011-03-10 | 2016-04-19 | Victoria Link Limited | Oligosaccharide compounds |
| WO2012121617A1 (en) * | 2011-03-10 | 2012-09-13 | Industrial Research Limited | Oligosaccharide compounds |
| JP2014508837A (en) * | 2011-03-10 | 2014-04-10 | キャラハン イノベーション リサーチ リミテッド | Oligosaccharide compounds |
| WO2013095279A1 (en) * | 2011-12-19 | 2013-06-27 | Dilafor Ab | Non anti-coagulative glycosaminoglycans comprising repeating disaccharide unit and their medical use |
| WO2013095215A1 (en) * | 2011-12-19 | 2013-06-27 | Dilaforette Ab | Low anticoagulant heparins |
| US9475888B2 (en) | 2011-12-19 | 2016-10-25 | Dilafor Ab | Non anti-coagulative glycosaminoglycans comprising repeating disaccharide unit and their medical use |
| US9480702B2 (en) | 2011-12-19 | 2016-11-01 | Dilaforette Ab | Use of chemically modified heparin derivates in sickle cell disease |
| US9480701B2 (en) | 2011-12-19 | 2016-11-01 | Dilaforette Ab | Low anticoagulant heparins |
| RU2617764C2 (en) * | 2011-12-19 | 2017-04-26 | Дилафор Аб | Non-anticoagulant glycosaminoglycans with repeating disaccharide units, and their medical application |
| US10016449B2 (en) | 2013-05-28 | 2018-07-10 | Momenta Pharmaceuticals, Inc. | Pharmaceutical compositions |
| WO2014202982A1 (en) * | 2013-06-19 | 2014-12-24 | Dilafor Ab | New processes for the production of chemically-modified heparins |
| JP2016522302A (en) * | 2013-06-19 | 2016-07-28 | ディラホア アクチエボラゲット | A new process for the production of chemically modified heparin. |
| US10023659B2 (en) | 2013-06-19 | 2018-07-17 | Dilafor Ab | Processes for the production of chemically-modified heparins |
| US10792301B2 (en) | 2015-02-13 | 2020-10-06 | The University Of Toledo | Therapeutic polysaccharide midi-GAGR and related materials and methods |
| CN107177015A (en) * | 2016-03-11 | 2017-09-19 | 梁颖 | A kind of heparin modified thing of reacetylation and its preparation method and application |
| WO2018149320A1 (en) * | 2017-02-15 | 2018-08-23 | 清华大学 | Non-anticoagulant heparin derivative and use thereof in treating inflammatory bowel disease |
| EP3705126A1 (en) * | 2019-03-05 | 2020-09-09 | Leadiant Biosciences S.p.A. | Roneparstat for the treatment of amyloidosis |
| CN117362478A (en) * | 2023-10-09 | 2024-01-09 | 海南大学 | De-sulfating heparin carrier and preparation method and application thereof |
Similar Documents
| Publication | Publication Date | Title |
|---|---|---|
| WO2009007224A1 (en) | Low molecular weight heparin derivatives having neuroprotective activity | |
| DK173818B1 (en) | heparin derivative | |
| DK2794666T3 (en) | Use of chemically modified heparin derivatives in sickle cell disease | |
| AU2001292231B2 (en) | Derivatives of partially desulphated glycogaminoglycans as heparanase inhibitors, endowed with antiangiogenic activity and devoid of anticoagulating effect | |
| AU2012354229B2 (en) | Non anti-coagulative glycosaminoglycans comprising repeating disaccharide unit and their medical use | |
| AU1669592A (en) | New non-anticoagulant heparin derivatives | |
| US5605891A (en) | Use of polysaccharides in acute peripheral neuropathies | |
| AU2001292231A1 (en) | Derivatives of partially desulphated glycogaminoglycans as heparanase inhibitors, endowed with antiangiogenic activity and devoid of anticoagulating effect | |
| DE60018061T2 (en) | USE OF GLYCOSAMINOGLYCANES FOR THE TREATMENT OF SENILER DAMAGE | |
| JP6132302B2 (en) | Derivatives of partially desulfated glycosaminoglycans as heparanase inhibitors with anti-angiogenic activity and no anticoagulant effect | |
| JPH0273801A (en) | Selectively O-acylated glycosaminoglycans | |
| CN108285498B (en) | Oligosaccharide compound for inhibiting endogenous coagulation factor X enzyme complex and preparation method and application thereof | |
| US6498246B1 (en) | Glycosaminoglycan derivatives and processes for preparing same | |
| JP2010518251A (en) | Heparin containing at least one covalent bond with biotin or a biotin derivative, methods for their preparation and their use | |
| JP2020510104A (en) | Oligosaccharides inhibiting endogenous tenase complex, methods for their production and use | |
| JPH10503168A (en) | Use of substituted dextrans for treatment of nervous system damage and heparan sulfate-rich fractionation | |
| AU2008202261B2 (en) | Derivatives of partially desulphated glycosaminoglycans as heparanase inhibitors, endowed with antiangiogenic activity and devoid of anticoagulating effect | |
| JP2016014148A (en) | Derivatives of partially desulphated glycosaminoglycans as heparanase inhibitors, endowed with antiangiogenic activity and devoid of anticoagulating effect | |
| HK1199893B (en) | Use of chemically modified heparin derivates in sickle cell disease | |
| HK1069537B (en) | Derivatives of partially desulphated glycosaminoglycans as heparanase inhibitors, endowed with antiangiogenic activity and devoid of anticoagulating effect | |
| HK1202883B (en) | Non anti-coagulative glycosaminoglycans comprising repeating disaccharide unit and their medical use |
Legal Events
| Date | Code | Title | Description |
|---|---|---|---|
| 121 | Ep: the epo has been informed by wipo that ep was designated in this application |
Ref document number: 08774186 Country of ref document: EP Kind code of ref document: A1 |
|
| NENP | Non-entry into the national phase |
Ref country code: DE |
|
| 122 | Ep: pct application non-entry in european phase |
Ref document number: 08774186 Country of ref document: EP Kind code of ref document: A1 |









