WO2008137102A2 - Methods of modulating amyloid beta and compounds useful therefor - Google Patents
Methods of modulating amyloid beta and compounds useful therefor Download PDFInfo
- Publication number
- WO2008137102A2 WO2008137102A2 PCT/US2008/005719 US2008005719W WO2008137102A2 WO 2008137102 A2 WO2008137102 A2 WO 2008137102A2 US 2008005719 W US2008005719 W US 2008005719W WO 2008137102 A2 WO2008137102 A2 WO 2008137102A2
- Authority
- WO
- WIPO (PCT)
- Prior art keywords
- substituted
- unsubstituted
- compound
- ring
- mmol
- Prior art date
- Legal status (The legal status is an assumption and is not a legal conclusion. Google has not performed a legal analysis and makes no representation as to the accuracy of the status listed.)
- Ceased
Links
- 0 CC(*)(CC=CCC1)C1N1NNNNN1 Chemical compound CC(*)(CC=CCC1)C1N1NNNNN1 0.000 description 6
- JDSBHCQIHKTZAE-UHFFFAOYSA-N CC(C)c(cc(CN)c(C)c1)c1OC Chemical compound CC(C)c(cc(CN)c(C)c1)c1OC JDSBHCQIHKTZAE-UHFFFAOYSA-N 0.000 description 1
- CQERKDXJBAVTLF-UHFFFAOYSA-N CC(C)c(cc(CNCC1CC1)c(C)c1)c1OC Chemical compound CC(C)c(cc(CNCC1CC1)c(C)c1)c1OC CQERKDXJBAVTLF-UHFFFAOYSA-N 0.000 description 1
- XZDHSSVJKIMBIN-UHFFFAOYSA-N CC(C)c1cc(NC2CCC2)c(C)cc1O Chemical compound CC(C)c1cc(NC2CCC2)c(C)cc1O XZDHSSVJKIMBIN-UHFFFAOYSA-N 0.000 description 1
- VNHNQQYCLFRNBX-UHFFFAOYSA-N CCC(C)c1cc(C=O)c(C)cc1OC Chemical compound CCC(C)c1cc(C=O)c(C)cc1OC VNHNQQYCLFRNBX-UHFFFAOYSA-N 0.000 description 1
- AJEMGCWPWNRYNF-UHFFFAOYSA-N CCOc1cc(C)c(C=O)cc1C(C)C Chemical compound CCOc1cc(C)c(C=O)cc1C(C)C AJEMGCWPWNRYNF-UHFFFAOYSA-N 0.000 description 1
- VVCTYSYBVBJVFN-UHFFFAOYSA-N CCc1c(C)cc(C=O)c(F)c1 Chemical compound CCc1c(C)cc(C=O)c(F)c1 VVCTYSYBVBJVFN-UHFFFAOYSA-N 0.000 description 1
- MARCZIVXPMCHOP-UHFFFAOYSA-N CCc1cc(F)c(CNC2CC2)cc1C Chemical compound CCc1cc(F)c(CNC2CC2)cc1C MARCZIVXPMCHOP-UHFFFAOYSA-N 0.000 description 1
- HUUPVABNAQUEJW-UHFFFAOYSA-N CN(CC1)CCC1=O Chemical compound CN(CC1)CCC1=O HUUPVABNAQUEJW-UHFFFAOYSA-N 0.000 description 1
- RKISJSZBSQUZSJ-UHFFFAOYSA-N Cc(cc(C=O)c(F)c1)c1Br Chemical compound Cc(cc(C=O)c(F)c1)c1Br RKISJSZBSQUZSJ-UHFFFAOYSA-N 0.000 description 1
- SGSWHOSXMMFGAD-UHFFFAOYSA-N Cc(nc1)c[n]1-c(c(C)c1)ccc1[N+]([O-])=O Chemical compound Cc(nc1)c[n]1-c(c(C)c1)ccc1[N+]([O-])=O SGSWHOSXMMFGAD-UHFFFAOYSA-N 0.000 description 1
- ZMNJHTZXWRPYBB-UHFFFAOYSA-N Cc(nc1)c[n]1-c(cc1)c(C)cc1N Chemical compound Cc(nc1)c[n]1-c(cc1)c(C)cc1N ZMNJHTZXWRPYBB-UHFFFAOYSA-N 0.000 description 1
- POQJHLBMLVTHAU-UHFFFAOYSA-N Cc1c(C)cc(C=O)cc1 Chemical compound Cc1c(C)cc(C=O)cc1 POQJHLBMLVTHAU-UHFFFAOYSA-N 0.000 description 1
- XLSZMDLNRCVEIJ-UHFFFAOYSA-N Cc1c[nH]cn1 Chemical compound Cc1c[nH]cn1 XLSZMDLNRCVEIJ-UHFFFAOYSA-N 0.000 description 1
- XUCYJGMIICONES-UHFFFAOYSA-N Cc1cc([N+]([O-])=O)ccc1F Chemical compound Cc1cc([N+]([O-])=O)ccc1F XUCYJGMIICONES-UHFFFAOYSA-N 0.000 description 1
- YDFFIGRIWDSNOZ-UHFFFAOYSA-N Cc1ccc(CNC)cc1 Chemical compound Cc1ccc(CNC)cc1 YDFFIGRIWDSNOZ-UHFFFAOYSA-N 0.000 description 1
Classifications
-
- C—CHEMISTRY; METALLURGY
- C07—ORGANIC CHEMISTRY
- C07D—HETEROCYCLIC COMPOUNDS
- C07D403/00—Heterocyclic compounds containing two or more hetero rings, having nitrogen atoms as the only ring hetero atoms, not provided for by group C07D401/00
- C07D403/02—Heterocyclic compounds containing two or more hetero rings, having nitrogen atoms as the only ring hetero atoms, not provided for by group C07D401/00 containing two hetero rings
- C07D403/12—Heterocyclic compounds containing two or more hetero rings, having nitrogen atoms as the only ring hetero atoms, not provided for by group C07D401/00 containing two hetero rings linked by a chain containing hetero atoms as chain links
Definitions
- invention compounds are useful in modulating amyloid- beta levels.
- invention compounds are useful for treatment of diseases associated with aberrant amyloid-beta levels, e.g., neurodegenerative diseases.
- AD Alzheimer's disease
- a progressive neurodegenerative disorder that is the predominant cause of dementia in people over 65 years of age.
- Clinical symptoms of the disease begin with subtle short-term memory problems. As the disease progresses, difficulty with memory, language and orientation worsen to the point of interfering with the ability of the person to function independently. Other symptoms, which are variable, include myoclonus and seizures. Duration of AD from the first symptoms of memory loss until death is 10 years on average.
- AD Alzheimer's disease
- Down syndrome diffuse Lewy body disease
- progressive supranuclear palsy Hereditary Cerebral Hemorrhage with Amyloidosis-Dutch Type (HCHWA-D)
- CAA cerebral amyloid angiopathy
- MCI mild cognitive impairment
- AD Alzheimer's disease
- a ⁇ peptides are derived from processing of an amyloid precursor protein (APP). mRNA generated from the APP gene on chromosome 21 undergoes alternative splicing to yield several isoforms, two of which (APP695 and 751 amino acid isoforms) predominate in the brain.
- the major APP isoforms are single- transmembrane proteins, composed of an extracellular amino-terminal domain (approximately 590-680 amino acids) and a cytoplasmic tail containing intracellular trafficking signals (approximately 55 amino acids).
- the A ⁇ peptide sequence is located partially on the extracellular side of the membrane and extends partially into the transmembrane region.
- APP is trafficked through the constitutive secretory pathway, where it undergoes post-translational processing, including cleavage via either of two pathways, an amyloidogenic pathway and a non-amyloidogenic pathway.
- amyloidogenic pathway APP is cleaved by /3-secretase (BACE) at the beginning of the A ⁇ domain that defines the amino terminus of the A ⁇ peptide.
- BACE /3-secretase
- Cleavage by BACE generates a soluble N-terminus, sAPP/3, as well as an amyloidogenic C- terminal fragment (C99).
- BACE can also cleave APP 10 amino acids after the beginning of the A ⁇ domain (between amino acid 10 and 11) to generate a longer N-terminal soluble fragment and a shorter C-terminal fragment (C89). Additional cleavage of either C89 or C99 by ⁇ -secretase, a presenilin-dependent enzyme, produces A ⁇ peptides of various lengths. In the non-amyloidogenic pathway, APP is cleaved by osecretase within the A ⁇ domain, precluding A ⁇ formation.
- A/342 is the species initially deposited in brain plaques, and is highly prone to aggregation in vitro. Therefore, the A/342 species of amyloid peptide, in particular, may be a viable target in the development of therapeutics for the treatment of disease or disorders characterized by A ⁇ accumulation.
- AD Alzheimer's disease
- invention compounds have been discovered that are useful for a variety of therapeutic applications, e.g., for modulating amyloid-beta levels. Accordingly, invention compounds find use in the treatment of a variety of diseases. Compositions and kits comprising invention compounds are also provided.
- ⁇ amyloid-beta
- ⁇ amyloid-beta
- compounds herein are useful in the treatment of neurodegenerative disorders, such as AD.
- Figure 1 presents the structures of several benzaldehydes subjected to the conversion reactions described in Example 71.
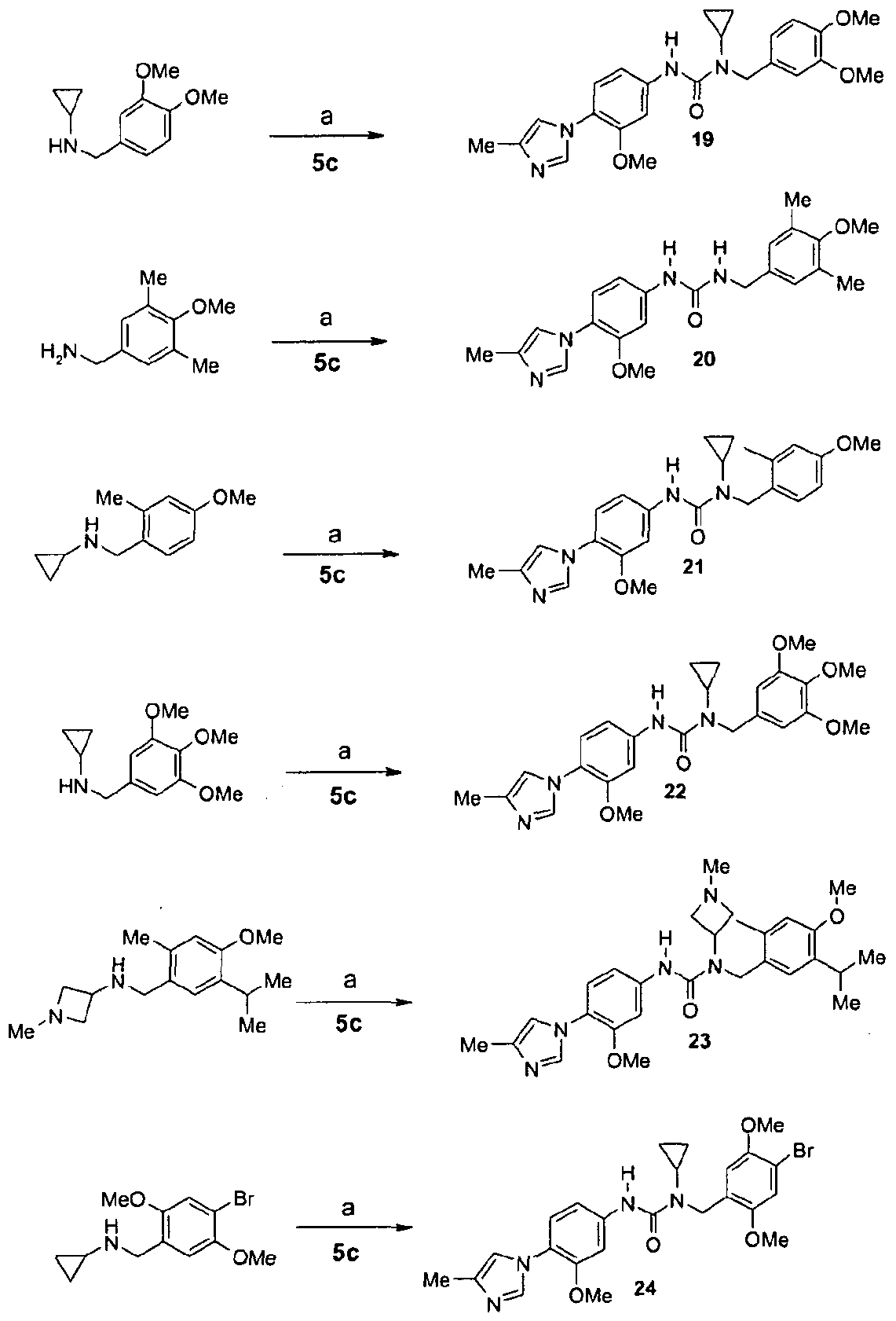
- Figure 2 presents the structures of the compounds prepared according to Example 72. Reagents and conditions (a) embrace contacting compound 5c with the corresponding amine, in the presence of TEA at room temperature for 17h.
- Figure 3 presents the structures of the compounds prepared according to Example 73. Reagents and conditions (a) embrace contacting compound 5b with the corresponding amine, in the presence of TEA at room temperature for 17h.
- Figure 4 presents the structures of the compounds prepared according to Example 74.
- Reagents and conditions (a) embrace contacting compound 5 a with the corresponding amine, in the presence of TEA at room temperature for 17h.
- Figure 5 presents the structures of the compounds prepared according to Example 84.
- Reagents and conditions (a) embrace contacting compound 162 with the corresponding amine, in the presence of TEA at room temperature for 17h.
- the present invention provides novel compounds selected from the group consisting of compounds having a structure corresponding to Formula (I):
- Ring A is optionally substituted arylene, optionally substituted heteroarylene or optionally substituted heterocycloalkyl, wherein a substituent, when present on Ring A, can cooperate with a substituent, when present on Ring B, to form a fused ring system;
- Ring B is optionally substituted arylene or optionally substituted heteroarylene, wherein a substituent, when present on Ring B, can cooperate with a substituent, when present on Ring A, to form a fused ring system;
- Ring C is aryl, heteroaryl, or fused benzocyclohexyl, wherein aryl, heteroaryl or fused benzocyclohexyl are substituted with at least one of halogen, substituted or unsubstituted alkyl, substituted or unsubstituted alkenyl, substituted or unsubstituted alkynyl, substituted or unsubstituted alkoxy, substituted or unsubstituted alkylamido, substituted or unsubstituted alkylamino, substituted or unsubstituted amino, substituted or unsubstituted cycloalkyl, or substituted or unsubstituted aryl; provided however, that halogen(s) is(are) not
- Z A is hydrogen, substituted or unsubstituted alkyl, substituted or unsubstituted cycloalkyl, substituted or unsubstituted alkenyl, substituted or unsubstituted alkynyl, substituted or unsubstituted alkoxy, substituted or unsubstituted alkylamido, substituted or unsubstituted alkylamino, substituted or unsubstituted amino;
- Z B is hydrogen, substituted or unsubstituted alkyl, substituted or unsubstituted cycloalkyl, substituted or unsubstituted alkenyl, substituted or unsubstituted alkynyl, substituted or unsubstituted alkoxy, substituted or unsubstituted alkylamido, substituted or unsubstituted alkylamino, substituted or unsubstituted amino;
- L A is a covalent bond or a linker selected from the group consisting -C(R') 2 -, -O-, -S-, -NR'-, -C(O)-, -S(O)-, and -S(O) 2 -, wherein each R' is independently hydrogen, substituted or unsubstituted alkyl, substituted or unsubstituted alkenyl, substituted or unsubstituted alkynyl, or substituted or unsubstituted cycloalkyl; and
- reference to a certain element such as hydrogen or H is meant to include all isotopes of that element. For instance, if a group is defined to include hydrogen or H, it also can include deuterium and/or tritium. In the structures provided herein, where a nitrogen atom appears to be divalent, it is assumed that the nitrogen atom is t ⁇ valent and the third substituient is hydrogen.
- Compounds of the present invention may have asymmetric centers and may occur, except when specifically noted, as mixtures of stereoisomers or as individual diastereomers, or enantiomers, with all isomeric forms being included in the present invention.
- Compounds of the present invention embrace all conformational isomers.
- Compounds of the present invention may also exist in one or more tautomeric forms, including both single tautomers and mixtures of tautomers.
- hydrocarbyl refers to any organic radical comp ⁇ sing carbon and hydrogen, and having a directly attachable carbon atom to any molecule presented herein.
- substituted hydrocarbyl refers to a hydrocarbyl group that is substituted according to the definition provided below. Hydrocarbyl groups include saturated and unsaturated hydrocarbons, straight and branched chain aliphatic hydrocarbons, cyclic hydrocarbons, and aromatic hydrocarbons.
- substituted refers to an atom or group of atoms that has been replaced with another substituent.
- substituted includes any level of substitution, e g mono-, di-, tri-, tetra-, or penta-substitution, where such substitution is chemically permissible. Substitutions can occur at any chemically accessible position and on any atom, such as substitution(s) on carbons or any heteroatom.
- substituted compounds are those where one or more bonds to a hydrogen or carbon atom(s) contained therein are replaced by a bond to non-hydrogen and/or non- carbon atom(s).
- alkyl refers to saturated hydrocarbyl chains comprising from 1 to 20 carbon atoms.
- alkyl includes straight chain alkyl groups, such as methyl, ethyl, propyl, butyl, pentyl, hexyl, heptyl, octyl, nonyl, decyl, undecyl, dodecyl, and the like.
- the phrase also includes branched chain isomers of straight chain alkyl groups, including but not limited to, the following which are provided by way of example: -CH(CH 3 ) 2 , -CH(CH 3 )(CH 2 CH 3 ), -CH(CH 2 CH 3 ) 2 , -C(CHj) 3 , -C(CH 2 CH 3 ) 3 , -CH 2 CH(CHa) 2 , -CH 2 CH(CH 3 )(CH 2 CH 3 ), -CH 2 CH(CH 2 CH 3 ) 2 , -CH 2 C(CH 3 ) 3 , -CH 2 C(CH 2 CH 3 ) 3 , -CH(CH 3 )CH(CH 3 )(CH 2 CH 3 ), -CH 2 CH 2 CH(CH 3 ) 2) -CH 2 CH 2 CH(CH 3 )(CH 2 CH 3 ), -CH 2 CH 2 CH(CH 3 ) 2 , -CH 2 CH 2 CH(CH 3 ) 2 -CH 2
- alkyl groups include primary alkyl groups, secondary alkyl groups, and tertiary alkyl groups.
- Preferred alkyl groups include alkyl groups having from 1 to 16 carbon atoms, or from 1 to 3 carbon atoms, such as methyl, ethyl, propyl, and -CH(CH 3 ) 2 .
- substituted alkyl refers to an alkyl group that is substituted according to the definition provided above.
- substituted alkyl groups include, but are not limited to, replacements of carbon or hydrogen atom(s) with a halogen atom(s), such as trifluoromethyl; an oxygen atom(s) in groups such as hydroxyl groups, alkoxy groups, aryloxy groups, and ester groups; a sulfur atom in groups such as thiol groups, alkyl and aryl sulfide groups, sulfone groups, sulfonyl groups, and sulfoxide groups; a nitrogen atom in groups such as amines, amides, alkylamines, dialkylamines, N-alkyloxides, imides, and enamines; a silicon atom in groups such as in trialkylsilyl groups, di alkyl aryl si 1 yl groups, alkyldiaryl
- alkylene refers to divalent alkyl groups comprising from 1 to 20 carbon atoms and "substituted alkylene” refers to alkylene groups further bearing one or more substituents as set forth above.
- alkenyl includes straight chain alkenyl groups, as well as branched chain isomers of straight chain alkenyl groups. Preferably, alkenyl groups comprise from 1 to 8 double bond(s).
- substituted alkenyl refers to an alkenyl group that is substituted according to the definition provided above.
- alkenylene refers to divalent alkenyl groups comprising from 2 to 20 carbon atoms and "substituted alkenylene” refers to alkenylene groups further bearing one or more substituents as set forth above.
- alkynyl refers to unsaturated hydrocarbyl chains comprising from 2 to 20 carbon atoms and comprising at least one carbon-carbon triple bond (-C ⁇ 2-).
- alkynyl includes straight chain alkynyl groups, as well as branched chain isomers of straight chain alkynyl groups. Preferably, alkynyl groups comprise from 1 to 8 triple bond(s).
- substituted alkynyl refers to an alkynyl group that is substituted according to the definition provided above.
- alkynylene refers to divalent alkynyl groups comprising from 2 to 20 carbon atoms and "substituted alkynylene” refers to alkynylene groups further bearing one or more substituents as set forth above.
- cycloalkyl refers to an alicyclic moiety having 3 to 20 carbon atoms and comprising any chemically permissible amount of saturated or unsaturated bonds.
- cycloalkyl groups comprise from 4 to 7 carbons atoms.
- Cycloalkyl groups include, but are not limited to, cyclopropyl, cyclobutyl, cyclopentyl, cyclohexyl, cycloheptyl, cyclooctyl, and the like.
- substituted cycloalkyl refers to a cycloalkyl group that is substituted according to the definition provided above.
- Substituted cycloalkyl groups can have one or more atom substituted with straight or branched chain alkyl groups and can further comprise cycloalkyl groups that are substituted with other rings including fused rings.
- Examples of cycloalkyl groups that are substituted with fused rings include, but are not limited to, adamantyl, norbornyl, bicyclo[2.2.2]octyl, decalinyl, tetrahydronaphthyl, and indanyl, bornyl, camphenlyl, isocamphenyl, and carenyl groups.
- Representative substituted cycloalkyl groups may be mono-substituted or substituted more than once, such as, but not limited to, 2,2-, 2,3-, 2,4-, 2,5-, or 2,6- disubstituted cyclohexyl groups or mono-, di- or tri-substituted norbornyl or cycloheptyl groups, which may be substituted with, for example, alkyl, alkoxy, amino, thio, or halo groups.
- cycloalkylene refers to divalent cycloalkyl groups comprising from 3 to 20 carbon atoms
- substituted cycloalkylene refers to cycloalkylene groups further bearing one or more substituents as set forth above.
- heterocyclyl refers to nonaromatic cyclic hydrocarbyl compounds of which at least one ring member is a heteroatom.
- Heterocyclic groups include monocyclic, bicyclic, and polycyclic ring compounds containing from 3 to 20 ring members of which one or more is a heteroatom such as, but not limited to, N, O, and S.
- Heterocyclic groups include, any level of saturation.
- heterocyclic groups include unsaturated 3 to 8 membered rings containing 1 to 4 nitrogen atoms; saturated 3 to 8 membered rings containing 1 to 4 nitrogen atoms; condensed unsaturated heterocyclic groups containing 1 to 4 nitrogen atoms; unsaturated 3 to 8 membered rings containing 1 to 2 oxygen atoms and 1 to 3 nitrogen atoms; saturated 3 to 8 membered rings containing 1 to 2 oxygen atoms and 1 to 3 nitrogen atoms; unsaturated condensed heterocyclic groups containing 1 to 2 oxygen atoms and 1 to 3 nitrogen atoms; unsaturated 3 to 8 membered rings containing 1 to 3 sulfur atoms and 1 to 3 nitrogen atoms.
- Preferred heterocyclyl groups contain 5 or 6 ring members.
- heterocyclic groups include, but are not limited to, pyrrolidine, pyrazolidine, imidazolidine, morpholine, thiomorpholine, piperidine, and piperazine.
- substituted heterocyclyl or “substituted heterocyclic” refers to a heterocyclyl group that is substituted according to the definition provided above.
- heterocycloalkyl refers to an alkyl moiety, as defined herein, substituted with a heterocyclyl moiety, as defined herein.
- heterocyclene or “heterocyclylene” refers to divalent heterocyclic (i.e., ring-containing) groups comprising from 3 to 20 carbon atoms and "substituted heterocycloalkylene” refers to heterocycloalkylene groups further bearing one or more substituents as set forth above.
- aryl refers to single-ring aromatic radicals which may include from 5 to 20 carbon atoms.
- Aryl groups include, but are not limited to, phenyl, biphenyl, anthracenyl, and naphthenyl.
- substituted aryl group refers to an aryl group that is substituted according to the definition provided above.
- substituted aryl groups may be bonded to one or more carbon atom(s), oxygen atom(s), nitrogen atom(s), and/or sulfur atom(s) and also includes aryl groups in which one or more aromatic carbons of the aryl group is bonded to a substituted and/or unsubstituted alkyl, alkenyl, or alkynyl group.
- substituted aryl includes, but is not limited to tolyl, hydroxyphenyl, and the like.
- arylene refers to divalent aryl groups comprising from 3 to 20 carbon atoms and "substituted arylene” refers to arylene groups further bearing one or more substituents as set forth above.
- heteroaryl refers to single-ring aromatic radicals comprising 3 to 20-carbon atoms, wherein the aromatic ring consists of carbon atoms and heteroatoms, such as N, S, and O or (ii) an 8- to 10-membered bicyclic or polycyclic ring system containing carbon atoms and heteroatoms, such as N, S, and O, wherein at least one of the rings in the bicyclic system is an aromatic ring.
- the heteroaryl ring may be attached at any heteroatom or carbon atom.
- heteroaryl compounds include, for example, imidazolyl, pyridyl, pyrazinyl, pyrimidinyl, thiophenyl, thiazolyl, furanyl, pyridofuranyl, pyrimidofuranyl, pyridothienyl, pyridazothienyl, pyridooxazolyl, pyridazooxazolyl, pyrimidooxazolyl, pyridothiazolyl, pyridazothiazolyl, pyrrolyl, pyrrolinyl, imidazolyl, pyrazolyl, pyridyl, dihydropyridyl, pyrimidyl, pyrazinyl, pyridazinyl, triazolyl (e.g.
- 1,2,4-oxadiazolyl, 1,3,4-oxadiazolyl, and 1 ,2,5-oxadiazolyl benzoxazolyl, benzoxadiazolyl, benzoxazinyl (e.g. 2H-l,4-benzoxazinyl), thiazolyl, isothiazolyl, thiadiazolyl (e.g. 1,2,3-thiadiazolyl, 1 ,2,4-thiadiazolyl, 1,3,4-thiadiazolyl, and 1 ,2,5-thiadiazolyl).
- substituted heteroaryl refers to a heteroaryl group that is substituted according to the definition provided above.
- heteroarylene refers to divalent aryl groups containing one or more heteroatoms (e.g., N, O, S, or the like) as part of the aromatic ring, and typically having in the range of 3 up to 20 carbon atoms and "substituted heteroarylene” refers to heteroarylene groups further bearing one or more substituents as set forth above.
- cycloalkylaryl refers to an cycloalkyl moiety as defined herein, substituted by, one or more aryl substiruents. Such substitution may be by a single covalent bond, or the aryl ring may be fused to the cycloalkyl moiety.
- substituted cycloalkylaryl refers to a cycloalkylaryl group that is substituted according to the definition provided above.
- Substituted cycloalkylaryl groups can have one or more atom substituted with straight or branched chain alkyl groups and can further comprise cycloalkyl groups that are substituted with other rings including fused rings.
- cycloalkylaryl groups that are substituted with fused rings include, but are not limited to, adamantyl, norbornyl, bicyclo[2.2.2]octyl, decalinyl, tetrahydronaphthyl, and indanyl, bornyl, camphenlyl, isocamphenyl, and carenyl groups.
- Representative substituted cycloalkylaryl groups may be mono-substituted or substituted more than once, such as, but not limited to, 2,2-, 2,3-, 2,4-, 2,5-, or 2,6- disubstituted cyclohexyl groups or mono-, di- or tri-substituted norbornyl or cycloheptyl groups, which may be substituted with, for example, alkyl, alkoxy, amino, thio, or halo groups.
- alkoxy refers to an oxygen-containing alkyl or cycloalkyl group, as defined above, and the term “alkoxylene” refers to an oxygen-containing alkylene or cycloalkylene group.
- alkylamido refers to an alkyl group, as defined above, which comprises -C(O)NR 2 wherein each R is independently hydrogen, alkyl, cycloalkyl, aryl, heteroaryl, or the like. Furthermore, alkylamido embraces embodiments wherein R, together with N, forms a cyclic structure.
- alkyleneamido refers to an alkylene group, as defined above, which comprises -C(O)NR 2 wherein each R is independently hydrogen, alkyl, cycloalkyl, aryl, heteroaryl, or the like. Furthermore, alkyleneamido embraces embodiments wherein R, together with N, forms a cyclic structure.
- amino refers to -NR 2 wherein each R is independently hydrogen, alkyl, cycloalkyl, aryl, heteroaryl, and the like. Furthermore, amino embraces embodiments wherein R, together with N, forms a cyclic structure.
- alkylamino refers to an alkyl group, as defined above, which comprises an amino group, as defined above
- alkyleneamino refers to an alkylene group, as defined above, which comprises an amino group, as defined above.
- halogen refers to F, Cl, Br, or I.
- linker refers to any chemical moiety which can be used to join, attach, or connect two or more radicals of hydrocarbyl, substituted hydrocarbyl, heteroatom-containing substituted hydrocarbyl, or substituted heteroatom-containing hydrocarbyl groups.
- each E is independently N, NR 1 , C, CR 2 , S, or O, provided that no more than four E's are heteroatoms;
- each R 1 is independently hydrogen, substituted or unsubstituted alkyl, substituted or unsubstituted alkenyl, substituted or unsubstituted alkynyl, substituted or unsubstituted alkoxy, substituted or unsubstituted alkylamido, substituted or unsubstituted alkylamino, substituted or unsubstituted cycloalkyl, substituted or unsubstituted aryl, or a divalent form of any of the above, which cooperates with R 3 or R 4 (on Ring B) to form a fused ring system;
- each R 2 is hydrogen, halogen, substituted or unsubstituted alkyl, substituted or unsubstituted alkenyl, substituted or unsubstituted alkynyl, substituted or unsubstituted alkoxy, substituted or unsubstituted alkylamido, substituted or unsubstituted alkylamino, substituted or unsubstituted amino, substituted or unsubstituted cycloalkyl, substituted or unsubstituted aryl, or a divalent form of any of the above, which cooperates with R 3 or R 4 (on Ring B) to form a fused ring system;
- each M is independently selected from CR 2 or N, provided that no more than three M' s are N;
- each Q is independently selected from N, NR 1 , CR 2 , C(R 2 ) 2 , S, or O, provided that at least one Q is a heteroatom, but no more than four Q' s are heteroatoms; and n is O, 1, 2 or 3.
- substituted or unsubstituted alkyl substituted or unsubstituted alkenyl, substituted or unsubstituted alkynyl, substituted or unsubstituted alkoxy, substituted or unsubstituted alkylamido, substituted or unsubstituted alkyl amino, substituted or unsubstituted cycloalkyl, or substituted or unsubstituted aryl contemplated herein include substituted or unsubstituted alkylene, substituted or unsubstituted alkenylene, substituted or unsubstituted alkynylene, substituted or unsubstituted alkoxylene, substituted or unsubstituted alkyleneamido, substituted or unsubstituted alkyl eneamino, substituted or unsubstituted cycloalkylene, or substituted or unsubstituted arylene, respectively.
- presently preferred divalent moieties when present, include alkoxylene (e.g., -CH 2 -O-, -CH 2 CH 2 -O-, and the like), alkyleneamido, alkyleneamino, and the like.
- alkoxylene e.g., -CH 2 -O-, -CH 2 CH 2 -O-, and the like
- alkyleneamido alkyleneamino
- Ring A is
- each E is independently N, NR 1 , C, CR 2 , S, or O, provided that no more than four E's are heteroatoms; with compounds wherein no more than three E's are heteroatoms being preferred in some embodiments; with compounds wherein no more than two E's are heteroatoms being preferred in some embodiments; and with compounds wherein only one E is heteroatom being preferred in some embodiments.
- Presently preferred embodiments herein include compounds of Formula (I) wherein Ring A is an imidazole or a pyrazole.
- R 1 is hydrogen, substituted or unsubstituted alkyl, substituted or unsubstituted alkenyl, substituted or unsubstituted alkynyl, substituted or unsubstituted alkoxy, substituted or unsubstituted alkylamido, substituted or unsubstituted alkylamino, substituted or unsubstiruted cycloalkyl, or substituted or unsubstituted aryl.
- Presently preferred embodiments herein include compounds wherein R 1 is C 1 -C 6 alkyl (especially methyl).
- each R 2 is independently hydrogen, halogen, substituted or unsubstituted alkyl, substituted or unsubstituted alkenyl, substituted or unsubstituted alkynyl, substituted or unsubstituted alkoxy, substituted or unsubstituted alkylamido, substituted or unsubstituted alkylamino, substituted or unsubstituted amino, substituted or unsubstituted cycloalkyl, or substituted or unsubstituted aryl.
- Presently preferred embodiments herein include compounds wherein R 2 is Ci-C ⁇ alkyl (especially methyl) or halogen.
- Ring A is:
- R 1 is Ci-C 6 alkyl (especially methyl)
- R 2 is C I -C O alkyl (especially methyl) or halogen
- G is CR or N (especially CR, with CH being presently preferred)
- R is hydrogen, halogen, substituted or unsubstituted alkyl, substituted or unsubstituted alkenyl, substituted or unsubstituted alkynyl, substituted or unsubstituted alkoxy, substituted or unsubstituted alkylamido, substituted or unsubstituted alkylamino, or substituted or unsubstituted amino.
- Ring A is
- each M is independently selected from CR 2 or N, provided that no more than three M's are N. In certain embodiments of the present invention, it is preferred that no more than two M's are N. In other embodiments of the present invention, it is preferred that only one M is N. In still other embodiments of the present invention, it is preferred that all M's are CR 2 . [0055] In still another aspect of the present invention, Ring A is
- each Q is independently selected from N, NR 1 ,
- A is a 4, 5, 6 or 7-membered heterocyclyl ring.
- Exemplary rings include pyrrolidine, tetrahydrofuran, tetrahydrothiophene, piperidine, and the like.
- each E' is independently N 1 NR 3 , C, CR 4 , S, or O, provided that no more than four E's are heteroatoms;
- R 3 is hydrogen, substituted or unsubstituted alkyl, substituted or unsubstituted alkenyl, substituted or unsubstituted alkynyl, substituted or unsubstituted alkoxy, substituted or unsubstituted alkylamido, substituted or unsubstituted alkylamino, substituted or unsubstituted cycloalkyl, substituted or unsubstituted aryl, or a divalent form of any of the above, which cooperates with R 1 or R 2 (on Ring A) to form a fused ring system;
- each R 4 is independently selected from hydrogen, halogen, substituted or unsubstituted alkyl, substituted or unsubstituted alkenyl, substituted or unsubstituted alkynyl, substituted or unsubstituted alkoxy, substituted or unsubstituted alkylamido, substituted or unsubstituted alkylamino, substituted or unsubstituted amino, substituted or unsubstituted cycloalkyl, substituted or unsubstituted aryl, or a divalent form of any of the above, which cooperates with R 1 or R 2 (on Ring A) to form a fused ring system; and
- each M' is independently selected from CR 4 or N, provided that no more than three M "s are N.
- Ring B is
- each E' is independently N, NR 3 , C, CR 4 , S, or O, provided that no more than four E's are heteroatoms; preferably no more than three E's are heteroatoms; with no more than two E's being heteroatoms being presently preferred.
- Ring B is
- each M' is independently selected from CR 4 or N, provided that no more than three M "s are N; with no more than two M"s being N being presently preferred.
- Ring B is
- A is Ring A as defined above;
- each R is independently selected from hydrogen, halogen, substituted or unsubstituted alkyl, substituted or unsubstituted alkenyl, substituted or unsubstituted alkynyl, substituted or unsubstituted alkoxy, substituted or unsubstituted alkylamido, substituted or unsubstituted alkylamino, substituted or unsubstituted amino; and
- Y is hydrogen, halogen, cyano, substituted or unsubstituted alkyl, substituted or unsubstituted alkenyl, substituted or unsubstituted alkynyl, substituted or unsubstituted alkoxy, substituted or unsubstituted alkylamido, substituted or unsubstituted alkylamino, substituted or unsubstituted amino, substituted or unsubstituted cycloalkyl, or substituted or unsubstituted aryl.
- Ring B is
- Y is hydrogen, halogen, substituted or unsubstituted alkyl, substituted or unsubstituted alkenyl, substituted or unsubstituted alkynyl, substituted or unsubstituted alkoxy, substituted or unsubstituted alkylamido, substituted or unsubstituted alkylamino, substituted or unsubstituted amino, substituted or unsubstituted cycloalkyl, or substituted or unsubstituted aryl; with Y selected from the group consisting of hydrogen, halogen, cyano, substituted or unsubstituted lower alkyl, and substituted or unsubstituted alkoxy, amino, and alkylamino being especially preferred, particularly hydrogen, fluoro, methoxy.
- Ring C is:
- each E" is independently N, NR 5 , C, CR 6 , S, or O, provided that no more than four E"s are heteroatoms;
- R 5 is hydrogen, substituted or unsubstituted alkyl, substituted or unsubstituted alkenyl, substituted or unsubstituted alkynyl, substituted or unsubstituted alkoxy, substituted or unsubstituted alkylamido, substituted or unsubstituted alkylamino, substituted or unsubstituted cycloalkyl, or substituted or unsubstituted aryl;
- each R 6 is hydrogen, halogen, substituted or unsubstituted alkyl, substituted or unsubstituted alkenyl, substituted or unsubstituted alkynyl, substituted or unsubstituted alkoxy, substituted or unsubstituted alkylamido, substituted or unsubstituted alkylamino, substituted or unsubstituted amino, substituted or unsubstituted cycloalkyl, or substituted or unsubstituted aryl; and
- each M" is independently selected from CR 6 or N, provided that no more than three M"s are N.
- Ring C is
- a presently preferred Ring C is a pyrazole.
- Ring C is
- each M" is CR 2 . In other embodiments of the present invention, one M" is N. In still other embodiments of the present invention, two M"s are N.
- each R 7 is independently selected from halogen, substituted or unsubstituted alkyl, substituted or unsubstituted cycloalkyl, substituted or unsubstituted alkenyl, substituted or unsubstituted aryl, substituted or unsubstituted alkoxy, or substituted or unsubstituted amino.
- the ortho R 7 is lower alkyl, especially methyl.
- L A is a covalent bond or a linker selected from the group consisting -C(R')2-, -O-, -S-, -NR'-, -C(O)-, -S(O)-, and -S(O) 2 -, wherein each R' is independently hydrogen, substituted or unsubstituted alkyl, substituted or unsubstituted alkenyl, substituted or unsubstituted alkynyl, or substituted or unsubstituted cycloalkyl.
- L A include a covalent bond, -CH 2 -, -O-, -C(O) -, and -NH-.
- An especially preferred linker L A is a covalent bond.
- L B includes a covalent bond, -CH 2 - -CH(CH 3 K -C(CH 3 ) 2 -, cyclopropylene, -0-, -NH-, -C(O) -, -O-C(O) - and -S(O) 2 -.
- Especially preferred linkers, L B include -CH 2 - -CH(CH 3 )- -C(CH 3 ) 2 - and cyclopropylene.
- Z A is hydrogen, substituted or unsubstituted alkyl, substituted or unsubstituted cycloalkyl, substituted or unsubstituted alkenyl, substituted or unsubstituted alkynyl, substituted or unsubstituted alkoxy, substituted or unsubstituted alkylamido, substituted or unsubstituted alkylamino, substituted or unsubstituted amino.
- Z A is selected from the group consisting of hydrogen, substituted or unsubstituted alkyl and substituted cycloalkyl.
- Z A is selected from the group consisting of hydrogen, methyl, ethyl, propyl, isopropyl, cyclopropyl, and cyclobutyl. In certain embodiments, it is presently preferred that Z A is hydrogen.
- ZB is hydrogen, substituted or unsubstituted alkyl, substituted or unsubstituted cycloalkyl, substituted or unsubstituted alkenyl, substituted or unsubstituted alkynyl, substituted or unsubstituted alkoxy, substituted or unsubstituted alkylamido, substituted or unsubstituted alkylamino, substituted or unsubstituted amino.
- ZB is selected from the group consisting of hydrogen, substituted or unsubstituted alkyl and substituted cycloalkyl.
- ZB is selected from the group consisting of hydrogen, methyl, ethyl, propyl, isopropyl, n-butyl, iso-butyl, t-butyl, n-pentyl, cyclopropyl, cyclobutyl, and cyclopentyl.
- Z B is hydrogen.
- Z B is methyl.
- Z B is ethyl.
- Z B is cyclopropyl.
- presently preferred combinations of Z A and Z B are those wherein each of Z A and Z B is hydrogen, or those wherein at least one of Z A and Z B is not hydrogen, or those wherein Z A is hydrogen and Z B is methyl, or those wherein Z A is hydrogen and Z B is cyclopropyl.
- Presently preferred compounds according to the invention include compounds having one of the following structures:
- each of G, Y, Z B , R 2 and R 7 are as defined above; with especially preferred compounds comprising those wherein Z 8 is alkyl (especially cyclopropyl), and Y is methoxy or halogen.
- compositions comprising compounds of Formula (I) and a pharmaceutically acceptable carrier; and kits comprising compounds of Formula (I) (or compositions containing same) and instructions for use.
- compounds contemplated by the present invention can be prepared in two steps by first contacting an appropriately substituted imidazole and para-fluoro-substituted nitrobenzene in the presence of K2CO3 in suitable solvent (e.g., DMSO or DMF) at about 50 °C for about 20 hr (step a), followed by treatment of the resulting phenyl-substituted imidazole with NaBH 4 and NiCl 2 , in methanol/dichloromethane (1 :1) at a temperature in the range of about 0 °C up to about room temperature for about 30 minutes (step b).
- suitable solvent e.g., DMSO or DMF
- compounds contemplated by the present invention can be prepared in two steps by first contacting a suitable substituted and protected pyrazole with a para-halogenated nitrobenzene in the presence of Pd(PPh 3 )4, Na 2 CO 3 , and LiCl, ethanol-toluene at about 9O°C, for about 17hr (step a), followed by treatment of the resulting phenyl-substituted pyrazole with NiCl 2 , NaBH 4 in methanol-dichloromethane at a temperature in the range of about O°C up to about 30minutes (step b).
- compounds contemplated by the present invention can be prepared in two steps by first converting an appropriately substituted nitrobenzenediazonium to a triazole compound under suitable conditions with sodium azide and methylpropyne (step 1), followed by treatment of the resulting triazole compound with NaBH 4 and NiCl 2 , in methanol-dichloromethane (1 :1) at a temperature in the range of about 0 °C up to about room temperature for about 50 minutes (step T).
- Ring C can be modified in a variety of ways for incorporation thereof into compounds of the invention, e.g., an appropriately substituted benzaldehyde can be treated with Z B -NH 2, in the presence of:
- Ring C can be elaborated by treating an appropriately substituted cyano-benzene with H 2 , Raney Nickel and IN NH 3 in methanol at about 60 °C.
- Ring C can be elaborated by treating an appropriately substituted bromomethyl-substituted benzene with Z B -NH 2 , in ethanol at room temperature.
- Ring C can be elaborated by treating an appropriately substituted aminomethyl-substituted benzene with a suitable protecting group (e.g., Boc 2 O) in a suitable solvent (e.g., THF), under suitable reaction conditions (e.g., room temperature for about 2hr) (step a).
- a suitable protecting group e.g., Boc 2 O
- THF a suitable solvent
- reaction conditions e.g., room temperature for about 2hr
- the resulting protected amine can be treated with NaH, and methyl or ethyl iodide in DMF at a temperature in the range of about -20 °C up to about room temperature (step b).
- the resulting substituted amine can be de-protected by treatment with trifluoroacetic acid at room temperature (step c).
- amyloid-beta or "A ⁇ ” refers to a peptide that corresponds in sequence to a peptide derived from both beta-secretase (BACE) and gamma-secretase cleavage of an amyloid precursor protein (APP).
- BACE beta-secretase
- APP amyloid precursor protein
- a ⁇ peptides include those that terminate at positions 33, 34, 37, 38, 39, 40 and 42, respectively, relative to human A ⁇ l-42 (SEQ ID NO:1; Asp-Ala-Glu-Phe-Arg-His-Asp-Ser-Gly-Tyr-Glu-Val-His- His-Gln-Lys-Leu-Val-Phe-Phe-Ala-Glu-Asp-Val-Gly-Ser-Asn-Lys-Gly-Ala-Ile-Ile- Gly-Leu-Met-Val-Gly-Gly-Val-Val-Ile-Ala) or A ⁇ l-42 homologs from other species.
- a ⁇ 42 includes peptides corresponding to amino acids 1-42, 2-42, and 11-42 of SEQ ID NO: 1 or its homologs.
- the phrase "modulate” or “modulating” with respect to A ⁇ level refers to a detectable increase or decrease in the amount of at least one species of A ⁇ peptide (such as A ⁇ 43, A ⁇ 42, A ⁇ 40, A ⁇ 39, A ⁇ 38, A ⁇ 37, A ⁇ 34, 11-43, 11-42, 11-40, 1 1-39, 11-38, 11-37, 11-34, etc.); a detectable increase or decrease in the relative amount of different species of A ⁇ peptides (such as the ratio of A ⁇ 42 to A ⁇ 40); a detectable increase or decrease in the amount, or relative amount, of A ⁇ in a particular form (such as monomelic, oligomeric, or fibrillar form; in solution or aggregated in a plaque; in a particular conformation; etc.); and/or a detectable increase or decrease in the amount, or relative amount, of A ⁇ in a particular location (such as an intracellular, membrane-associated or extracellular location, or in a particular tissue or body fluid).
- modulation is detectable as a decrease in the level of A ⁇ 42 or A ⁇ 40, or an increase in the level of A ⁇ 37 or A ⁇ 38.
- Modulation of A ⁇ level can be evidenced, for example, by an increase or decrease of at least 5%, such as at least 10%, 20%, 30%, 40%, 50%, 75%, 90% or more, of the amount, or relative amount, of an A ⁇ species, of total A ⁇ , or of a particular form of A ⁇ , relative to a reference level. Modulation can be an increase or decrease that is a statistically significant difference relative to the reference level.
- APP amyloid precursor protein
- the APP can be from any species, but is preferably human or mammalian, and can be any isoform, including the major isoforms APP695, APP751 and APP770, or other isoforms such as APP714, L- APP752, L-APP733, L-APP696, L-APP677, APP563, and APP365.
- the APP can contain one or more additions, deletions or mutations, including mutations found in families with AD or other amyloidoses (e.g.
- an assay can use just a portion of an APP, so long as the fragment can be processed to A ⁇ by one or more cleavage reactions.
- the APP C-terminal fragments designated C99 and C89, or portions thereof lacking some or all C-terminal residues that normally reside in the cytosol can be used.
- the source of APP or fragment can be an in vivo, ex vivo or in vitro substance.
- a source of APP or cleavable fragment can be a live organism (including a human subject, or a veterinary or laboratory animal, such as a transgenic animal), a sample therefrom (such as a tissue (e.g. brain), body fluid (e.g. blood, plasma, cerebrospinal fluid, urine, etc.), or extract thereof), a cell (such as a primary cell or cell line, a recombinant cell, or extract thereof), extracellular medium or purified protein.
- tissue e.g. brain
- body fluid e.g. blood, plasma, cerebrospinal fluid, urine, etc.
- a cell such as a primary cell or cell line, a recombinant cell, or extract thereof
- extracellular medium or purified protein extracellular medium or purified protein.
- cells including human or other mammalian cells that endogenously or recombinantly express APP can be used, such as SH- SY5Y-APP, CHO-APP Swe , HEK-APP 751 , primary cells (e.g. mixed brain cultures) obtained from APP-expressing animals, and the like.
- animals that endogenously express APP can be used, such as mice, rats, guinea pigs, rabbits, and the like.
- APP- expressing transgenic animals can be used, including but not limited to the Tg2576 mouse, which contains a gene encoding human APP695 with the Swedish (Lys670Asn, Met671Leu) double mutation under the control of the hamster prion protein gene promoter (Hsiao et al. (1996) Science 274:99-102; U.S. Patent No.
- V717F PDAPP mouse which contains a gene encoding human APP695 (Val717Phe) under the control of the platelet derived growth factor (PDGF) chain gene promoter (Games et al. (1995) Nature 373:523-527; U.S. Patent No. 5,811,633); and the ClOO mouse, which contains a gene encoding the neurotoxic C- terminal 100 amino acids of APP under the control of the dystrophin neural promoter (Neve et al. (1996) Neurobiol. Aging 17:191-203; U.S. Patent Nos. 5,672,805).
- PDGF platelet derived growth factor
- the substance containing the APP or cleavable fragment is contacted with a compound.
- the contacting can be by therapeutic or prophylactic administration of the compound (e.g. by oral, intravenous, intraperitoneal, etc. routes).
- the contacting can be by introduction of the compound into the culture medium.
- the contacting can be by mixing the compound with the lysate or solution.
- Electrophoresis 18:527-532 describes an assay using electrophoresis and immunoblotting that is suitable to detect changes in the level of A ⁇ 37, A ⁇ 38, A ⁇ 40 and/or A ⁇ 42.
- Alternative A ⁇ assay formats including mass spectroscopy, imaging methods in live organisms (e.g. multiphoton microscopy and positron emission tomography), are also known in the art.
- treating refers to any manner in which one or more of the symptoms of a disease or disorder are ameliorated or otherwise beneficially altered, whether in a permanent or temporary manner, which can be attributed to or associated with administration of the compound or composition herein.
- the term encompasses any pharmaceutical use, including prophylactic uses in which the development of one or more of the symptoms of a disease or disorder is prevented, delayed or reduced, whether in a permanent or temporary manner, which can be attributed to or associated with administration of the composition.
- disease associated with aberrant A ⁇ levels refers to any condition characterized by an abnormal amount of at least one species of A ⁇ peptide; by an abnormal relative amount of different species of A ⁇ peptides (such as the ratio of A ⁇ 42 to A ⁇ 40); by an abnormal amount, or relative amount, of A ⁇ in a particular form (such as monomelic, oligomeric, or fibrillar form; in solution or aggregated in a plaque; in a particular conformation, etc.); and/or by an abnormal amount, or relative amount, of A ⁇ in a particular location (such as intracellular, membrane-associated or extracellular location, or in a particular tissue or body fluid).
- a ⁇ levels are known in the art and/or described herein, and include, for example, Alzheimer's Disease, Down syndrome, Parkinson's disease, diffuse Lewy body disease, Hereditary Cerebral Hemorrhage with Amyloidosis-Dutch Type (HCHWA-D), cerebral amyloid angiopathy (CAA), mild cognitive impairment (MCI), macular degeneration and cataracts.
- HHWA-D Hereditary Cerebral Hemorrhage with Amyloidosis-Dutch Type
- CAA cerebral amyloid angiopathy
- MCI mild cognitive impairment
- macular degeneration cataracts.
- Compounds of the present invention can also be used in the treatment of neurological disorders, including but not limited to neurodegenerative disorders and other dementias or traumatic conditions.
- neurological disorders include prion diseases (including Creutzf el dt- Jakob, Gerstmann-Straussler-Scheinker disease, Kuru and fatal familial insomnia), age-related dementia and other conditions with memory loss, such as vascular dementia, diffuse white matter disease (Binswanger's disease), dementia of endocrine or metabolic origin, dementia of head trauma and diffuse brain damage, cerebral ischemia or infaction including embolic occlusion and thrombotic occlusion as well as intracranial hemorrhage of any type (including, but not limited to, epidural, subdural, subarachnoid and intracerebral), and intracranial and intravertebral lesions (including, but not limited to, contusion, penetration, shear, compression and laceration).
- prion diseases including Creutzf el dt- Ja
- Compounds and compositions of the instant invention may be used to treat or ameliorate a variety of other disorders.
- Compounds and compositions that may be used in therapeutic applications in one embodiment have reasonably high bioavailability in a target tissue (i.e. brain, for neurological disorders; particular peripheral organs for other conditions), reasonably good potency, and reasonably low toxicity.
- contacting refers to bringing into association, either directly or indirectly, two or more substances. Contacting may occur in vivo, ex vivo or in vitro.
- a source of APP, amyloid precursor fragment thereof and/or A ⁇ or source of BACE activity that is a human or other animal can be contacted with a compound, for example, by therapeutic or prophylactic administration of the compound.
- a source of APP, amyloid precursor fragment thereof and/or A ⁇ that is a tissue, tissue extract or cell can be contacted with a compound, for example, by introduction of the compound into the culture medium.
- a source of APP, amyloid precursor fragment thereof and/or A ⁇ that is a fluid, such as extracellular medium, can be contacted with a compound, for example, by admixing the compound with the fluid.
- disease associated with aberrant A ⁇ levels refers to any condition characterized by an abnormal amount of at least one species of A ⁇ peptide (such as A ⁇ 43, A ⁇ 42, A ⁇ 40, A ⁇ 39, A ⁇ 38, A ⁇ 37, A ⁇ 34, 11-43, 1 1-42, 11-40, 1 1-39, 11-38, 1 1-37, 1 1-34, etc.); by an abnormal relative amount of different species of A ⁇ peptides (such as the ratio of A ⁇ 42 to A ⁇ 40); by an abnormal amount, or relative amount, of A ⁇ in a particular form (such as monomelic, oligomeric, or fibrillar form; in solution or aggregated in a plaque; in a particular conformation, etc.); and/or by an abnormal amount, or relative amount, of A ⁇ in a particular location (such as intracellular, membrane-associated or extracellular location, or in a particular tissue or body fluid).
- a ⁇ peptide such as A ⁇ 43, A ⁇ 42, A ⁇ 40, A ⁇ 39, A ⁇ 38, A ⁇ 37, A ⁇
- the abnormal amount of one or more A ⁇ peptides, A ⁇ forms and/or A ⁇ can be relative to a condition that is a normal, non-disease state.
- Diseases and disorders characterized by altered A ⁇ levels are known in the art and/or described herein, and include, for example, Down syndrome, Parkinson's disease, diffuse Lewy body disease, progressive supranuclear palsy, Hereditary Cerebral Hemorrhage with Amyloidosis-Dutch Type (HCHWA-D), cerebral amyloid angiopathy (CAA), and mild cognitive impairment (MCI).
- Embodiments of the invention include methods of treating any disease associated with aberrant A ⁇ levels, such as AD.
- Compounds of the present invention can be administered to a subject to treat (including to prevent or to ameliorate) conditions associated with altered A ⁇ production, fibril formation/deposition, degradation and/or clearance, or any altered isoform of A ⁇ .
- Compounds and compositions of the instant invention may be used to treat or ameliorate a variety of disorders.
- Compounds and compositions that may be used in therapeutic applications in one embodiment have reasonably high bioavailability in a target tissue (i.e. brain, for neurodegenerative disorders; particular peripheral organs for other amyloidogenic conditions), and reasonably low toxicity.
- a target tissue i.e. brain, for neurodegenerative disorders; particular peripheral organs for other amyloidogenic conditions
- Those skilled in the art can assess compounds described herein for their pharmaceutical acceptability using standard methods.
- compounds of the instant invention can be used in the treatment of cancer or other diseases characterized by abnormal cellular proliferation, inflammatory disease, bacterial or viral infection, autoimmunue disease, acute pain, muscle pain, neuropathic pain, allergies, neurological disease, dermatological conditions, cardiovascular disease, diabetes, gastrointestinal disorders, depression, endocrine or other disease characterized by abnormal hormonal metabolism, obesity, osteoporosis or other bone disorders, pancreatic disease, epilepsy or seizure disorders, erectile or sexual dysfunction, opthamological disorders or diseases of the eye, cholesterol imbalance, hypertension or hypotension, migraine or headaches, obsessive compulsive disorder, panic disorder, anxiety disorder, post traumatic stress disorder, chemical dependency or addiction, and the like.
- Amyloidoses include all conditions in which deposition of amyloid in the brain or periphery is a characteristic, including amyloidosis associated with rheumatic diseases, idiopathic diseases, inherited conditions, inflammatory conditions, infectious diseases and malignancies.
- Amyloidosis disorders include, for example, conditions associated with altered A ⁇ levels described above (e.g.
- Alzheimer's disease Down syndrome, HCHWA-D, cerebral amyloid angiopathy (CAA), and mild cognitive impairment (MCI) etc.
- familial amyloid polyneuropathy familial amyloid cardiomyopathy (Danish type)
- isolated cardiac amyloid, amyloid angiopathy systemic senile amyloidosis, familial systemic amyloidosis, light-chain amyloidosis (AL), dialysis-associated amyloidosis, renal amyloidosis, pri on-related encephalopathies
- diabetes in which amylin may be deposited in the kidney or pancreas
- atrial amyloidosis and pituitary amyloidosis.
- compositions of the invention comprise one or more compounds provided herein.
- the compounds are, in one embodiment, formulated in combination with a pharmaceutically acceptable carrier into pharmaceutical preparations.
- pharmaceutically acceptable carrier refers to any carrier known to those skilled in the art to be suitable for the particular mode of administration.
- the compounds may be formulated as the sole pharmaceutically active ingredient in the composition or may be combined with other active ingredients.
- pharmaceutically acceptable salt refers to any salt prepration that is appropriate for use in a pharmaceutical application.
- Pharmaceutically- acceptable salts include amine salts, such as N,N'-dibenzylethylenediamine, chloroprocaine, choline, ammonia, diethanolamine and other hydroxyalkylamines, ethylenediamine, N-methylglucamine, procaine, N-benzylphenethylamine, 1-para- chloro- benzyl-2-pyrrolidin-r-ylmethylbenzimidazole, diethylamine and other alkylamines, piperazine, tris(hydroxymethyl)aminomethane, and the like; alkali metal salts, such as lithium, potassium, sodium, and the like; alkali earth metal salts, such as barium, calcium, magnesium, and the like; transition metal salts, such as zinc, aluminum, and the like; other metal salts, such as sodium hydrogen phosphate, disodium phosphate, and the
- prodrug refers to a compound that, upon in vivo administration, is metabolized by one or more steps or processes or otherwise converted to the biologically, pharmaceutically or therapeutically active form of the compound.
- Prodrugs can be prepared by modifying functional groups present in the compound in such a way that the modifications are cleaved, either in routine manipulation or in vivo, to a compound described herein.
- prodrugs include compounds of the present invention wherein a hydroxy, amino, or sulfhydryl group is bonded to any group that, when administered to a mammalian subject, can be cleaved to form a free hydroxyl, free amino, or free sulfhydryl group, respectively.
- prodrugs include, for example, esters, enol ethers, enol esters, acetates, formates, benzoate derivatives, and the like of alcohol and amine functional groups in the compounds of the present invention.
- compositions herein comprise one or more compounds provided herein.
- the compounds are, in one embodiment, formulated into suitable pharmaceutical preparations such as solutions, suspensions, tablets, dispersible tablets, pills, capsules, powders, sustained release formulations or elixirs, for oral administration or in sterile solutions or suspensions for parenteral administration, as well as transdermal patch preparation and dry powder inhalers.
- suitable pharmaceutical preparations such as solutions, suspensions, tablets, dispersible tablets, pills, capsules, powders, sustained release formulations or elixirs, for oral administration or in sterile solutions or suspensions for parenteral administration, as well as transdermal patch preparation and dry powder inhalers.
- the compounds described above are formulated into pharmaceutical compositions using techniques and procedures well known in the art (see, e.g., Ansel Introduction to Pharmaceutical Dosage Forms, Fourth Edition 1985, 126).
- compositions include, for example, solutions, suspensions, tablets, dispersible tablets, pills, capsules, powders, sustained release formulations or elixirs, for oral administration or in sterile solutions or suspensions for parenteral administration, as well as transdermal patch preparation and dry powder inhalers.
- compositions effective concentrations of one or more compounds or pharmaceutically acceptable derivatives thereof is (are) mixed with a suitable pharmaceutical carrier.
- the compounds may be derivatized as the corresponding salts, esters, enol ethers or esters, acetals, ketals, orthoesters, hemiacetals, hemiketals, acids, bases, solvates, hydrates or prodrugs prior to formulation, as described above.
- concentrations of the compounds in the compositions are effective for delivery of an amount, upon administration, that treats, prevents, or ameliorates one or more of the symptoms of diseases or disorders to be treated.
- compositions are formulated for single dosage administration.
- the weight fraction of compound is dissolved, suspended, dispersed or otherwise mixed in a selected carrier at an effective concentration such that the treated condition is relieved, prevented, or one or more symptoms are ameliorated.
- the active compound is included in the pharmaceutically acceptable carrier in an amount sufficient to exert a therapeutically useful effect in the absence of undesirable side effects on the patient treated.
- the therapeutically effective concentration may be determined empirically by testing the compounds in in vitro and in vivo systems described herein and in PCT publications WO 04/018997 and WO 04/110350, and then extrapolated therefrom for dosages for humans.
- the concentration of active compound in the pharmaceutical composition will depend on absorption, inactivation and excretion rates of the active compound, the physicochemical characteristics of the compound, the dosage schedule, and amount administered as well as other factors known to those of skill in the art.
- a therapeutically effective dosage should produce a serum concentration of active ingredient of from about 0.1 ng/ml to about 50- 100 ⁇ g/ml.
- the pharmaceutical compositions in another embodiment, should provide a dosage of from about 0.001 mg to about 2000 mg of compound per kilogram of body weight per day.
- Pharmaceutical dosage unit forms are prepared to provide from about 0.01 mg, 0.1 mg or 1 mg to about 500 mg, 1000 mg or 2000 mg, and in one embodiment from about 10 mg to about 500 mg of the active ingredient or a combination of essential ingredients per dosage unit form.
- the active ingredient may be administered at once, or may be divided into a number of smaller doses to be administered at intervals of time. It is understood that the precise dosage and duration of treatment is a function of the disease being treated and may be determined empirically using known testing protocols or by extrapolation from in vivo or in vitro test data. It is to be noted that concentrations and dosage values may also vary with the severity of the condition to be alleviated. It is to be further understood that for any particular subject, specific dosage regimens should be adjusted over time according to the individual need and the professional judgment of the person administering or supervising the administration of the compositions, and that the concentration ranges set forth herein are exemplary only and are not intended to limit the scope or practice of the claimed compositions.
- solubilizing compounds may be used. Such methods are known to those of skill in this art, and include, but are not limited to, using cosolvents, such as dimethylsulfoxide (DMSO) or polyethylene glycol (PEG), using surfactants, such as TWEEN ® , or dissolution in aqueous sodium bicarbonate. Derivatives of the compounds, such as prodrugs of the compounds, may also be used in formulating effective pharmaceutical compositions.
- cosolvents such as dimethylsulfoxide (DMSO) or polyethylene glycol (PEG)
- surfactants such as TWEEN ®
- dissolution in aqueous sodium bicarbonate such as sodium bicarbonate
- the resulting mixture may be a solution, suspension, emulsion, or the like.
- the form of the resulting mixture depends upon a number of factors, including the intended mode of administration and the solubility of the compound in the selected carrier or vehicle.
- the effective concentration is sufficient for ameliorating the symptoms of the disease, disorder or condition treated and may be empirically determined.
- the pharmaceutical compositions are provided for administration to humans and animals in unit dosage forms, such as tablets, capsules, pills, powders, granules, sterile parenteral solutions or suspensions, and oral solutions or suspensions, and oil-water emulsions containing suitable quantities of the compounds or pharmaceutically acceptable derivatives thereof.
- the pharmaceutically therapeutically active compounds and derivatives thereof are, in one embodiment, formulated and administered in unit-dosage forms or multiple-dosage forms.
- Unit- dose forms as used herein refers to physically discrete units suitable for human and animal subjects and packaged individually as is known in the art. Each unit-dose contains a predetermined quantity of the therapeutically active compound sufficient to produce the desired therapeutic effect, in association with the required pharmaceutical carrier, vehicle or diluent.
- unit-dose forms include ampoules and syringes and individually packaged tablets or capsules. Unit-dose forms may be administered in fractions or multiples thereof.
- a multiple-dose form is a plurality of identical unit-dosage forms packaged in a single container to be administered in segregated unit-dose form. Examples of multiple-dose forms include vials, bottles of tablets or capsules or bottles of pints or gallons. Hence, multiple dose form is a multiple of unit-doses which are not segregated in packaging.
- compositions containing active ingredient in the range of 0.005% to 100% (wt%) with the balance made up from non-toxic carrier may be prepared. Methods for preparation of these compositions are known to those skilled in the art.
- the contemplated compositions may contain 0.001%-100% (wt%) active ingredient, in one embodiment 0.1-95% (wt%), in another embodiment 75-85% (wt%).
- Liquid pharmaceutically administrable compositions can, for example, be prepared by dissolving, dispersing, or otherwise mixing an active compound as defined above and optional pharmaceutical adjuvants in a carrier, such as, for example, water, saline, aqueous dextrose, glycerol, glycols, ethanol, and the like, to thereby form a solution or suspension.
- a carrier such as, for example, water, saline, aqueous dextrose, glycerol, glycols, ethanol, and the like, to thereby form a solution or suspension.
- the pharmaceutical composition to be administered may also contain minor amounts of nontoxic auxiliary substances such as wetting agents, emulsifying agents, solubilizing agents, pH buffering agents, and the like, for example, acetate, sodium citrate, cyclodextrine derivatives, sorbitan monolaurate, triethanolamine sodium acetate, triethanolamine oleate, and other such agents.
- nontoxic auxiliary substances such as wetting agents, emulsifying agents, solubilizing agents, pH buffering agents, and the like, for example, acetate, sodium citrate, cyclodextrine derivatives, sorbitan monolaurate, triethanolamine sodium acetate, triethanolamine oleate, and other such agents.
- Oral pharmaceutical dosage forms are either solid, gel or liquid.
- the solid dosage forms are tablets, capsules, granules, and bulk powders.
- Types of oral tablets include compressed, chewable lozenges and tablets which may be enteric-coated, sugar-coated or film-coated.
- Capsules may be hard or soft gelatin capsules, while granules and powders may be provided in non-effervescent or effervescent form with the combination of other ingredients known to those skilled in the art.
- the formulations are solid dosage forms, in one embodiment, capsules or tablets.
- the tablets, pills, capsules, troches, and the like can contain one or more of the following ingredients, or compounds of a similar nature: a binder; a lubricant; a diluent; a glidant; a disintegrating agent; a coloring agent; a sweetening agent; a flavoring agent; a wetting agent; an emetic coating; and a film coating.
- binders include microcrystalline cellulose, gum tragacanth, glucose solution, acacia mucilage, gelatin solution, molasses, polvinylpyrrolidine, povidone, crospovidones, sucrose and starch paste.
- Lubricants include talc, starch, magnesium or calcium stearate, lycopodium and stearic acid.
- Diluents include, for example, lactose, sucrose, starch, kaolin, salt, mannitol and dicalcium phosphate.
- Glidants include, but are not limited to, colloidal silicon dioxide.
- Disintegrating agents include crosscarmellose sodium, sodium starch glycolate, alginic acid, corn starch, potato starch, bentonite, methylcellulose, agar and carboxymethylcellulose.
- Coloring agents include, for example, any of the approved certified water soluble FD and C dyes, mixtures thereof; and water insoluble FD and C dyes suspended on alumina hydrate.
- Sweetening agents include sucrose, lactose, mannitol and artificial sweetening agents such as saccharin, and any number of spray dried flavors.
- Flavoring agents include natural flavors extracted from plants such as fruits and synthetic blends of compounds which produce a pleasant sensation, such as, but not limited to peppermint and methyl salicylate.
- Wetting agents include propylene glycol monostearate, sorbitan monooleate, diethylene glycol monolaurate and polyoxyethylene laural ether.
- Emetic-coatings include fatty acids, fats, waxes, shellac, ammoniated shellac and cellulose acetate phthalates.
- Film coatings include hydroxyethylcellulose, sodium carboxymethylcellulose, polyethylene glycol 4000 and cellulose acetate phthalate.
- the compound, or pharmaceutically acceptable derivative thereof could be provided in a composition that protects it from the acidic environment of the stomach.
- the composition can be formulated in an enteric coating that maintains its integrity in the stomach and releases the active compound in the intestine.
- the composition may also be formulated in combination with an antacid or other such ingredient.
- the dosage unit form when it is a capsule, it can contain, in addition to material of the above type, a liquid carrier such as a fatty oil.
- dosage unit forms can contain various other materials which modify the physical form of the dosage unit, for example, coatings of sugar and other enteric agents.
- the compounds can also be administered as a component of an elixir, suspension, syrup, wafer, sprinkle, chewing gum, or the like.
- a syrup may contain, in addition to the active compounds, sucrose as a sweetening agent and certain preservatives, dyes and colorings and flavors.
- the active materials can also be mixed with other active materials which do not impair the desired action, or with materials that supplement the desired action, such as antacids, H2 blockers, and diuretics.
- the active ingredient is a compound or pharmaceutically acceptable derivative thereof as described herein. Higher concentrations, up to about 98% by weight of the active ingredient may be included.
- tablets and capsules formulations may be coated as known by those of skill in the art in order to modify or sustain dissolution of the active ingredient.
- they may be coated with a conventional enterically digestible coating, such as phenylsalicylate, waxes and cellulose acetate phthalate.
- Liquid oral dosage forms include aqueous solutions, emulsions, suspensions, solutions and/or suspensions reconstituted from non-effervescent granules and effervescent preparations reconstituted from effervescent granules.
- Aqueous solutions include, for example, elixirs and syrups.
- Emulsions are either oil- in-water or water-in-oil.
- Elixirs are clear, sweetened, hydroalcoholic preparations.
- Pharmaceutically acceptable carriers used in elixirs include solvents. Syrups are concentrated aqueous solutions of a sugar, for example, sucrose, and may contain a preservative.
- An emulsion is a two-phase system in which one liquid is dispersed in the form of small globules throughout another liquid.
- Pharmaceutically acceptable carriers used in emulsions are non-aqueous liquids, emulsifying agents and preservatives. Suspensions use pharmaceutically acceptable suspending agents and preservatives.
- Pharmaceutically acceptable substances used in non-effervescent granules, to be reconstituted into a liquid oral dosage form include diluents, sweeteners and wetting agents.
- Pharmaceutically acceptable substances used in effervescent granules, to be reconstituted into a liquid oral dosage form include organic acids and a source of carbon dioxide. Coloring and flavoring agents are used in all of the above dosage forms.
- Solvents include glycerin, sorbitol, ethyl alcohol and syrup.
- preservatives include glycerin, methyl and propylparaben, benzoic acid, sodium benzoate and alcohol.
- non-aqueous liquids utilized in emulsions include mineral oil and cottonseed oil.
- emulsifying agents include gelatin, acacia, tragacanth, bentonite, and surfactants such as polyoxyethylene sorbitan monooleate.
- Suspending agents include sodium carboxymethylcellulose, pectin, tragacanth, Veegum and acacia.
- Sweetening agents include sucrose, syrups, glycerin and artificial sweetening agents such as saccharin.
- Wetting agents include propylene glycol monostearate, sorbitan monooleate, diethylene glycol monolaurate and polyoxyethylene lauryl ether.
- Organic acids include citric and tartaric acid.
- Sources of carbon dioxide include sodium bicarbonate and sodium carbonate.
- Coloring agents include any of the approved certified water soluble FD and C dyes, and mixtures thereof.
- Flavoring agents include natural flavors extracted from plants such fruits, and synthetic blends of compounds which produce a pleasant taste sensation.
- the solution or suspension in for example propylene carbonate, vegetable oils or triglycerides, is in one embodiment encapsulated in a gelatin capsule.
- a gelatin capsule Such solutions, and the preparation and encapsulation thereof, are disclosed in U.S. Patent Nos. 4,328,245; 4,409,239; and 4,410,545.
- the solution e.g., for example, in a polyethylene glycol, may be diluted with a sufficient quantity of a pharmaceutically acceptable liquid carrier, e.g., water, to be easily measured for administration.
- a pharmaceutically acceptable liquid carrier e.g., water
- liquid or semi-solid oral formulations may be prepared by dissolving or dispersing the active compound or salt in vegetable oils, glycols, triglycerides, propylene glycol esters (e.g., propylene carbonate) and other such carriers, and encapsulating these solutions or suspensions in hard or soft gelatin capsule shells.
- Other useful formulations include those set forth in U.S. Patent Nos. RE28,819 and 4,358,603.
- such formulations include, but are not limited to, those containing a compound provided herein, a dialkylated mono- or poly-alkylene glycol, including, but not limited to, 1 ,2-dimethoxymethane, diglyme, triglyme, tetraglyme, polyethylene glycol-350-dimethyl ether, polyethylene glycol-550- dimethyl ether, polyethylene glycol-750-dimethyl ether wherein 350, 550 and 750 refer to the approximate average molecular weight of the polyethylene glycol, and one or more antioxidants, such as butylated hydroxytoluene (BHT), butylated hydroxyanisole (BHA), propyl gallate, vitamin E, hydroquinone, hydroxycoumarins, ethanolamine, lecithin, cephalin, ascorbic acid, malic acid, sorbitol, phosphoric acid, thiodipropionic acid and its esters, and dithiocarbamates.
- BHT butyl
- compositions include, but are not limited to, aqueous alcoholic solutions including a pharmaceutically acceptable acetal.
- Alcohols used in these formulations are any pharmaceutically acceptable water-miscible solvents having one or more hydroxyl groups, including, but not limited to, propylene glycol and ethanol.
- Acetals include, but are not limited to, di(lower alkyl) acetals of lower alkyl aldehydes such as acetaldehyde diethyl acetal.
- injectables can be prepared in conventional forms, either as liquid solutions or suspensions, solid forms suitable for solution or suspension in liquid prior to injection, or as emulsions.
- the injectables, solutions and emulsions also contain one or more excipients. Suitable excipients are, for example, water, saline, dextrose, glycerol or ethanol.
- compositions to be administered may also contain minor amounts of non-toxic auxiliary substances such as wetting or emulsifying agents, pH buffering agents, stabilizers, solubility enhancers, and other such agents, such as for example, sodium acetate, sorbitan monolaurate, triethanolamine oleate and cyclodextrins.
- auxiliary substances such as wetting or emulsifying agents, pH buffering agents, stabilizers, solubility enhancers, and other such agents, such as for example, sodium acetate, sorbitan monolaurate, triethanolamine oleate and cyclodextrins.
- a compound provided herein is dispersed in a solid inner matrix, e.g., polymethylmethacrylate, polybutylmethacrylate, plasticized or unplasticized polyvinylchloride, plasticized nylon, plasticized polyethyleneterephthalate, natural rubber, polyisoprene, polyisobutylene, polybutadiene, polyethylene, ethylene-vinylacetate copolymers, silicone rubbers, polydimethylsiloxanes, silicone carbonate copolymers, hydrophilic polymers such as hydrogels of esters of acrylic and methacrylic acid, collagen, cross-linked polyvinylalcohol and cross-linked partially hydrolyzed polyvinyl acetate, that is surrounded by an outer polymeric membrane, e.g.,
- Parenteral administration of the compositions includes intravenous, subcutaneous and intramuscular administrations.
- Preparations for parenteral administration include sterile solutions ready for injection, sterile dry soluble products, such as lyophilized powders, ready to be combined with a solvent just prior to use, including hypodermic tablets, sterile suspensions ready for injection, sterile dry insoluble products ready to be combined with a vehicle just prior to use and sterile emulsions.
- the solutions may be either aqueous or nonaqueous.
- suitable carriers include physiological saline or phosphate buffered saline (PBS), and solutions containing thickening and solubilizing agents, such as glucose, polyethylene glycol, and polypropylene glycol and mixtures thereof.
- PBS physiological saline or phosphate buffered saline
- Pharmaceutically acceptable carriers used in parenteral preparations include aqueous vehicles, nonaqueous vehicles, antimicrobial agents, isotonic agents, buffers, antioxidants, local anesthetics, suspending and dispersing agents, emulsifying agents, sequestering or chelating agents and other pharmaceutically acceptable substances.
- aqueous vehicles include Sodium Chloride Injection, Ringers Injection, Isotonic Dextrose Injection, Sterile Water Injection, Dextrose and Lactated Ringers Injection.
- Nonaqueous parenteral vehicles include fixed oils of vegetable origin, cottonseed oil, corn oil, sesame oil and peanut oil.
- Antimicrobial agents in bacteriostatic or fungistatic concentrations must be added to parenteral preparations packaged in multiple-dose containers which include phenols or cresols, mercurials, benzyl alcohol, chlorobutanol, methyl and propyl p-hydroxybenzoic acid esters, thimerosal, benzalkonium chloride and benzethonium chloride.
- Isotonic agents include sodium chloride and dextrose. Buffers include phosphate and citrate. Antioxidants include sodium bisulfate. Local anesthetics include procaine hydrochloride. Suspending and dispersing agents include sodium carboxymethylcelluose, hydroxypropyl methylcellulose and polyvinylpyrrolidone. Emulsifying agents include Polysorbate 80 (TWEEN ® 80). A sequestering or chelating agent of metal ions include EDTA. Pharmaceutical carriers also include ethyl alcohol, polyethylene glycol and propylene glycol for water miscible vehicles; and sodium hydroxide, hydrochloric acid, citric acid or lactic acid for pH adjustment.
- the concentration of the pharmaceutically active compound is adjusted so that an injection provides an effective amount to produce the desired pharmacological effect.
- the exact dose depends on the age, weight and condition of the patient or animal as is known in the art.
- the unit-dose parenteral preparations are packaged in an ampoule, a vial or a syringe with a needle. All preparations for parenteral administration must be sterile, as is known and practiced in the art. [0149] Illustratively, intravenous or intraarterial infusion of a sterile aqueous solution containing an active compound is an effective mode of administration. Another embodiment is a sterile aqueous or oily solution or suspension containing an active material injected as necessary to produce the desired pharmacological effect.
- Injectables are designed for local and systemic administration.
- a therapeutically effective dosage is formulated to contain a concentration of at least about 0.1% w/w up to about 90% w/w or more, in certain embodiments more than 1% w/w of the active compound to the treated tissue(s).
- the compound may be suspended in micronized or other suitable form or may be derivatized to produce a more soluble active product or to produce a prodrug.
- the form of the resulting mixture depends upon a number of factors, including the intended mode of administration and the solubility of the compound in the selected carrier or vehicle.
- the effective concentration is sufficient for ameliorating the symptoms of the condition and may be empirically determined.
- lyophilized powders which can be reconstituted for administration as solutions, emulsions and other mixtures. They may also be reconstituted and formulated as solids or gels.
- the sterile, lyophilized powder is prepared by dissolving a compound provided herein, or a pharmaceutically acceptable derivative thereof, in a suitable solvent.
- the solvent may contain an excipient which improves the stability or other pharmacological component of the powder or reconstituted solution, prepared from the powder. Excipients that may be used include, but are not limited to, dextrose, sorbital, fructose, corn syrup, xylitol, glycerin, glucose, sucrose or other suitable agent.
- the solvent may also contain a buffer, such as citrate, sodium or potassium phosphate or other such buffer known to those of skill in the art at, in one embodiment, about neutral pH.
- the resulting solution will be apportioned into vials for lyophilization.
- Each vial will contain a single dosage or multiple dosages of the compound.
- the lyophilized powder can be stored under appropriate conditions, such as at about 4 °C to room temperature.
- Reconstitution of this lyophilized powder with water for injection provides a formulation for use in parenteral administration.
- the lyophilized powder is added to sterile water or other suitable carrier. The precise amount depends upon the selected compound. Such amount can be empirically determined.
- Topical mixtures are prepared as described for the local and systemic administration.
- the resulting mixture may be a solution, suspension, emulsions, or the like, and are formulated as creams, gels, ointments, emulsions, solutions, elixirs, lotions, suspensions, tinctures, pastes, foams, aerosols, irrigations, sprays, suppositories, bandages, dermal patches or any other formulations suitable for topical administration.
- the compounds or pharmaceutically acceptable derivatives thereof may be formulated as aerosols for topical application, such as by inhalation (see, e.g., U.S. Patent Nos. 4,044,126, 4,414,209, and 4,364,923, which describe aerosols for delivery of a steroid useful for treatment of inflammatory diseases, particularly asthma).
- These formulations for administration to the respiratory tract can be in the form of an aerosol or solution for a nebulizer, or as a microfine powder for insufflation, alone or in combination with an inert carrier such as lactose.
- the particles of the formulation will, in one embodiment, have diameters of less than 50 microns, in one embodiment less than 10 microns.
- the compounds may be formulated for local or topical application, such as for topical application to the skin and mucous membranes, such as in the eye, in the form of gels, creams, and lotions and for application to the eye or for intracisternal or intraspinal application.
- Topical administration is contemplated for transdermal delivery and also for administration to the eyes or mucosa, or for inhalation therapies.
- Nasal solutions of the active compound alone or in combination with other pharmaceutically acceptable excipients can also be administered.
- These solutions particularly those intended for ophthalmic use, may be formulated as 0.01% - 10% (vol%) isotonic solutions, pH about 5-7, with appropriate salts.
- Transdermal patches including iotophoretic and electrophoretic devices, are well known to those of skill in the art.
- such patches are disclosed in U.S. Patent Nos. 6,267,983, 6,261,595, 6,256,533, 6,167,301, 6,024,975, 6,010715, 5,985,317, 5,983,134, 5,948,433, and 5,860,957.
- rectal suppositories are used herein mean solid bodies for insertion into the rectum which melt or soften at body temperature releasing one or more pharmacologically or therapeutically active ingredients.
- Pharmaceutically acceptable substances utilized in rectal suppositories are bases or vehicles and agents to raise the melting point. Examples of bases include cocoa butter (theobroma oil), glycerin-gelatin, carbowax (polyoxyethylene glycol) and appropriate mixtures of mono-, di- and triglycerides of fatty acids. Combinations of the various bases may be used.
- spermaceti and wax agents to raise the melting point of suppositories include spermaceti and wax.
- Rectal suppositories may be prepared either by the compressed method or by molding.
- the weight of a rectal suppository in one embodiment, is about 2 to 3 gm.
- Tablets and capsules for rectal administration are manufactured using the same pharmaceutically acceptable substance and by the same methods as for formulations for oral administration.
- the compounds provided herein, or pharmaceutically acceptable derivatives thereof, may also be formulated to be targeted to a particular tissue, receptor, or other area of the body of the subject to be treated. Many such targeting methods are well known to those of skill in the art. All such targeting methods are contemplated herein for use in the instant compositions. For non-limiting examples of targeting methods, see, e.g., U.S. Patent Nos.
- liposomal suspensions including tissue-targeted liposomes, such as tumor-targeted liposomes, may also be suitable as pharmaceutically acceptable carriers.
- tissue-targeted liposomes such as tumor-targeted liposomes
- liposome formulations may be prepared according to methods known to those skilled in the art.
- liposome formulations may be prepared as described in U.S. Patent No. 4,522,811. Briefly, liposomes such as multilamellar vesicles (MLVs) may be formed by drying down egg phosphatidyl choline and brain phosphatidyl serine (7:3 molar ratio) on the inside of a flask.
- MLVs multilamellar vesicles
- a solution of a compound provided herein in phosphate buffered saline lacking divalent cations (PBS) is added and the flask shaken until the lipid film is dispersed.
- PBS phosphate buffered saline lacking divalent cations
- Compounds and compositions provided herein may be administered in combination, or sequentially, with another therapeutic agent.
- Such other therapeutic agents include those known for treatment, prevention, or amelioration of one or more symptoms of neurodegenerative diseases and disorders, such as AD.
- Such therapeutic agents include, but are not limited to, donepezil hydrochloride (Aracept), rivastigmine tartrate (Exelon), tacrine hydrochloride (Cognex) and galantamine hydrobromide (Reminyl).
- kits are provided.
- Kits according to the invention include package(s) comprising compounds or compositions of the invention.
- the phrase "package" means any vessel containing compounds or compositions presented herein.
- the package can be a box or wrapping.
- Packaging materials for use in packaging pharmaceutical products are well known to those of skill in the art. See, e.g., U.S. Patent Nos. 5,323,907, 5,052,558 and 5,033,252. Examples of pharmaceutical packaging materials include, but are not limited to, blister packs, bottles, tubes, inhalers, pumps, bags, vials, containers, syringes, bottles, and any packaging material suitable for a selected formulation and intended mode of administration and treatment.
- the kit can also contain items that are not contained within the package but are attached to the outside of the package, for example, pipettes.
- Kits may optionally contain instructions for administering compounds or compositions of the present invention to a subject having a condition in need of treatment. Kits may also comprise instructions for approved uses of compounds or compositions herein by regulatory agencies, such as the United States Food and Drug Administration. Kits may optionally contain labeling or product inserts for the present compounds. The package(s) and/or any product insert(s) may themselves be approved by regulatory agencies.
- the kits can include compounds or compositions in the solid phase or in a liquid phase (such as buffers) provided in a package.
- the kits also can include buffers for preparing solutions for conducting the methods, and pipettes for transferring liquids from one container to another.
- the kit may optionally also contain one or more other compounds for use in combination therapies as described herein.
- the compounds described herein include compounds which modulate A ⁇ levels.
- Compounds can be evaluated for activity in modulating A ⁇ level using a variety of assays known in the art and/or described herein. Generally, a source of APP or fragment thereof and/or A ⁇ is contacted with a compound for a suitable period of time, and a level of A ⁇ is directly or indirectly assessed, as described below. The level of A ⁇ in the presence of the compound is compared to the level in a suitable control (such as a vehicle control or a positive control) to determine whether the compound modulates A ⁇ level.
- a suitable control such as a vehicle control or a positive control
- the source of APP, amyloid precursor fragment and/or A ⁇ used to assess the activity of a compound in modulating A ⁇ will depend on the product being detected and the nature of the assay.
- an APP C-terminal fragment corresponding to a beta-secretase cleavage product can be used, such as C99.
- full-length APP may be preferred.
- Suitable sources of APP, amyloid precursor fragment and/or A ⁇ used to assess the activity of a compound include live laboratory animals (e.g. natural and transgenic animals), as well as tissues (e.g. brain), tissue extracts, body fluids (e.g. blood, plasma, cerebrospinal fluid, urine, etc.) and primary cells from humans or laboratory animals.
- Other sources include recombinant cell lines, cell lysates therefrom (whole cell extracts, membrane fractions, etc.) and extracellular medium therefrom.
- substantially purified APP or A ⁇ may alternatively be used. Methods of isolating tissues, production and maintenance of primary and recombinant cells, preparation of lysates, and protein purification compatible with A ⁇ assays are known in the art.
- in vivo or in vitro sources can be used that contain APP, or an amyloid precursor fragment thereof, and have the ability to proteolytically process it to produce A ⁇ .
- a ⁇ form e.g. monomelic, oligomeric or fibrillar form, or conformation
- fibril deposition or fibril degradation in vitro or in vivo sources containing A ⁇ monomers, oligomers or fibrils can be used, which optionally may not also contain APP- or amyloid precursor fragment-producing cells.
- a ⁇ form e.g. monomelic, oligomeric or fibrillar form, or conformation
- fibril deposition or fibril degradation in vitro or in vivo sources containing A ⁇ monomers, oligomers or fibrils can be used, which optionally may not also contain APP- or amyloid precursor fragment-producing cells.
- Transgenic animals useful in evaluating compound activity can express any desired wild-type or mutant APP, amyloid precursor fragment or A/3 isoform, as described herein.
- the resulting animals can advantageously serve as models of human disease, and in particular, models of Alzheimer's disease and other neurodegenerative and amyloidosis-associated diseases.
- Transgenic animals include, but are not limited to rodents, including mice, rats and hamsters, sheep, goats, chickens, pigs, cattle, monkeys, primates and other non-human mammals.
- the animal can further exogenously express one or more other genes involved in the APP processing or degradation pathway, such as wild-type or mutant presenilin (PS-I or PS-2), BACE, IDE and/or neprilysin, and/or one or more other genes involved in pathogenesis, such as tau.
- one or more other genes involved in the APP processing or degradation pathway such as wild-type or mutant presenilin (PS-I or PS-2), BACE, IDE and/or neprilysin, and/or one or more other genes involved in pathogenesis, such as tau.
- the exogenous gene(s) can be expressed in all tissues or only in selected tissues (e.g. neural tissues), at any or all developmental stages, and at physiological, supra- or sub-physiological levels, by appropriate choice of regulatory elements.
- Transgenic animals can further be homozygous, hemizygous, heterozygous or chimeric for the exogenous gene(s).
- Transgenic animals can contain the exogenous gene(s) as well as, or instead of (e.g. through "knock-in” methodology), the endogenous counterpart. Methods of producing transgenic animals are described in standard laboratory manuals including, for example, Hogan et al., (1994), Manipulating the Mouse Embryo: A Laboratory Manual, 2 nd ed., Cold Spring Harbor Laboratory, New York.
- APP-expressing transgenic animals are known in the art, and include the Tg2576 mouse, which contains human APP695 with the Swedish (Lys670Asn, Met671Leu) double mutation under the control of the hamster prion protein gene promoter (Hsiao et al. (1996) Science 274:99-102; U.S. Patent No. 5,877,399); the V717F PDAPP mouse, which contains human APP695 (Val717Phe) under the control of the platelet derived growth factor (PDGF) chain gene promoter (Games et al. ( ⁇ 995) Nature 373:523-527; U.S. Patent No.
- Cells useful in evaluating compound activity can express, either endogenously or recombinantly, any desired wild-type or mutant APP and/or A/3 isoform, as described herein.
- Cells can be primary cells or cell lines derived from any animal, including humans and other mammals, such as transgenic animals described above.
- the cells can be of any differentiated lineage, such as neural lineage (e.g. cortical neural cells, microglia, glia, astrocytes), fibroblasts, lymphocytes and epithelial cells, or can be totipotent or pluripotent (see Freshney, R. I. (2000) "Culture of Animal Cells: A Manual of Basic Technique," 4 th ed., Wiley-Liss).
- An exemplary cell line suitable for assessing the activity of a compound in modulating A ⁇ is SH-SY5Y-APP751, which is described in the Example section herein.
- a further exemplary cell line is HGB, which expresses endogenous APP.
- Exemplary primary cells suitable for assessing the activity of a compound in modulating A ⁇ are mixed brain cultures from Tg2576 transgenic mice, or other APP-expressing transgenic animals.
- Mixed brain cultures can be prepared, for example, by dissecting brain tissues from approximately 17-day old mouse embryos, dissociating the brain tissue with papain, and culturing the cells by standard procedures for primary neuronal cultures.
- APP-, amyloid precursor fragment- or A/S-encoding nucleic acid under the control of suitable constitutive or inducible regulatory elements, can be transiently or stably introduced into primary cells or cell lines by various well-known transfection methods (Sambrook and Russell (2000) "Molecular Cloning: A Laboratory Manual” Cold Spring Harbor Laboratory Press; Ausubel et al. (eds.) (current edition) "Current Protocols in Molecular Biology” John Wiley & Sons.). D. ASSAYS THAT DIRECTLY ASSESS A ⁇ LEVELS
- Compounds can be evaluated for their ability to modulate A ⁇ using assays that directly assess the level of A ⁇ .
- the ability of a compound to modulate A ⁇ can be evaluated by determining the amount of a particular A ⁇ peptide (such as A ⁇ 43, A ⁇ 42, A ⁇ 40, A ⁇ 39, A ⁇ 38, A ⁇ 37, A ⁇ 34, 1 1-43, 11-42, 11-40, 11-39, 11-38, 1 1-37, 11-34, etc.); by determining the amount of A ⁇ peptides collectively; by determining the amount of a particular A ⁇ peptide relative to the amount of a second A ⁇ peptide (such as the ratio of A ⁇ 42 to A ⁇ 40); by determining the amount, or relative amount, of A ⁇ in a particular form (such as monomeric, oligomeric, or fibrillar form; in solution or aggregated in a plaque; in a particular conformation, etc.); and/or by determining the amount, or relative amount, of A ⁇ in a particular location (
- a ⁇ A ⁇ species or forms, or A ⁇ peptides collectively, in a sample.
- the level of A ⁇ can optionally be quantified using internal standards and/or calibration curves generated by performing the assay with known amounts of standards.
- immunodetection methods can be used that employ A ⁇ -specific antibodies (e.g. monoclonal and polyclonal antibodies, single-chain antibodies, chimeric antibodies, bifunctional antibodies, humanized antibodies, CDR- grafted antibodies and CDR-grafted alternative scaffolds, as well as antigen-binding fragments thereof)-
- a ⁇ -specific antibodies e.g. monoclonal and polyclonal antibodies, single-chain antibodies, chimeric antibodies, bifunctional antibodies, humanized antibodies, CDR- grafted antibodies and CDR-grafted alternative scaffolds, as well as antigen-binding fragments thereof
- Such antibodies can optionally be specific for particular A ⁇ species or forms.
- antibodies that bind an epitope at or near the N- terminus, C-terminus, or central portion of A ⁇ can be used to simultaneously detect multiple isoforms of A ⁇ .
- Exemplary antibodies include, but are not limited to, 6E10, B436, antibody raised against A ⁇ 12-28, 21F12, A387, Clone GB-10, and the A/340- selective antibodies. Moreover, antibodies selective for any desired epitope of any A ⁇ species can be readily prepared by well known methods described in the art.
- Antibody or binding agent can optionally be detectably labeled or, if a secondary antibody or binding agent is employed, the secondary antibody or agent can be detectably labeled.
- Exemplary detectable labels include radioactive, fluorescent, bioluminescent, chemiluminescent and enzymatic labels. Methods of detecting such labels, and of quantitatively or qualitatively assessing the amount of bound peptide based on such detection, are well known in the art.
- Immunodetection methods that can be adapted for assessing A/3 levels are well known to one of skill in the art. Representative methods include, but are not limited to, immunoprecipitation (optionally in combination with electrophoretic separation or a denaturing or non-denaturing gel, or mass spectroscopic analysis), western hybridization, immunocytochemistry, fluorescence resonance energy transfer (FRET)-based methods, and various formats of enzyme-linked immunosorbent assays (ELISA).
- FRET fluorescence resonance energy transfer
- ELISA enzyme-linked immunosorbent assays
- non-denaturing separation conditions e.g. non-denaturing electrophoresis or chromatography
- urea-bis-bicine-SDS based electrophoresis can be performed, which can resolve A/337, A/338, A/339, A/340, A/32- 42, and A/33-42 species (Wiltfang et al., (2001) J. Biol. Chem., 276: 42645-42657).
- Immunodetection methods can readily be adapted for use with non-antibody-based agents that bind A/3, such as A/3-binding proteins, fragments thereof, and small molecule compounds. Proteins and compounds that bind A ⁇ are known in the art or can be identified by routine screening assays.
- Any method of determining the amount of A ⁇ deposited in tissues of live organisms including imaging methods, such as multiphoton microscopy and positron emission tomography, can be employed.
- imaging agents cross the blood-brain barrier and bind amyloid deposits with high affinity, such as the thioflavin-T analogue 2-[4' -(methylamino)phenyl]benzothiazole (Mathis et al. (2002) Bioorg. Med. Chem. Lett. 12:295-298) and the Congo red derivative methoxy-X04 (Klunk ⁇ ⁇ /. (2002) J. Neuropathol. Exp. Neurol. 61 :797-805).
- imaging agents cross the blood-brain barrier and bind amyloid deposits with high affinity, such as the thioflavin-T analogue 2-[4' -(methylamino)phenyl]benzothiazole (Mathis et al. (2002) Bioorg. Med. Chem. Lett. 12:295-298)
- Compounds can alternatively be evaluated for their ability to modulate A ⁇ using assays that indirectly assess the level of A ⁇ . Those skilled in the art can determine suitable assays for evaluating modulation of A ⁇ levels. For example, the amount of uncleaved APP, or of a product of APP processing other than A ⁇ , can be assessed.
- Methods of determining the amount of APP or of APP processing products are known in the art, and include immunodetection assays similar to those described above for A ⁇ , employing suitable antibodies.
- the reaction mixture was degassed by bubbling nitrogen though it for 30 minutes before Pd(PPh 3 ) 4 (2.31 g, 2.0 mmol) was added.
- the reaction mixture was stirred at 100°C for 16 hours. After the reaction mixture had cooled, it was extracted with EtOAc (3x100 mL) and water (100 mL). The combined organic extracts were washed with brine (100 mL), dried over MgSO 4 and filtered. Removal of the solvent in vacuo gave an oily residue which was purified by column chromatography.
- the compound 4-(2-fluoro-4-nitro-phenyl)-l -methyl- IH- pyrazole 62 was obtained as a yellow powder (3.46 g, 65%).
- the reaction mixture was degassed by bubbling nitrogen though it for 30 minutes before Pd(PPl ⁇ ) 4 (1.39 g, 1.20 mmol) was added.
- the reaction mixture was heated at 100°C for 17 hours and allowed to cool to room temperature.
- the reaction mixture was then extracted with EtOAc (3x100 mL), washed with water (100 mL), brine (100 mL), dried over MgSO 4 and filtered. Removal of the solvent in vacuo gave an oily residue which was purified by column chromatography.
- the compound 4-(l -methyl- lH-pyrazol-4-yl)-phenylamine 72 was obtained as a pale yellow powder (820 mg, 40%).
- Reagents and conditions (a) NaBH(OAc) 3 , HOAc, DCE, 2 N MeNH 2 in MeOH, rt, 2 h.
- Reagents and conditions (a) NaBH 4 , NiCl 2 -OH 2 O, DCM/MeOH, 0°C - rt, 1.5 h; (b) Br 2 , HOAc, DCM, 2 h, (c) (CHj) 2 CHCH 2 B(OH) 2 , Pd(OAc) 2 , PCy 3 , K 3 PO 4 , Toluene, Water, 100°C, 16 h; (d) NaNO 2 , HBr; (e) Cu(I)Br, HBr; (f) K 4 [Fe(CN) 6 ], Pd(OAc) 2 , Na 2 CO 3 , DMAC, 120°C, N 2 , 16 h; (g) H 2 , Raney Ni, IN NHj/MeOH, 60 0 C, 16 h; (h) BoC 2 O, THF, rt, 2 h; (i) NaH, CH 3 I / DMF, -20 0 C
- reaction mixture was heated at 100°C for 16 h before it was allowed to cool to room temperature and filtered through a pad of celite and washed with EtOAc (300 ml). The organic layer was washed with water (50 ml) and then brine (50 ml), dried over MgSO 4 and filtered. Removal of the solvent in vacuo gave a brown oil which was purified by flash column chromatography on silica gel (eluting with 2% to 20% ethyl acetate in hexane gradient over 50 min.
- Reagents and conditions (a) Cu(I)CN, DMF, 155°C, 16 h; (b) (CHj) 2 CHCH 2 B(OH) 2 , Pd(OAc) 2 , PCy 3 , K 3 PO 4 , Toluene, Water, 100 0 C, 16 h; (c) H 2 , Raney Ni, IN NH 3 ZMeOH, 60°C, 16 h; (d) BoC 2 O, THF, rt, 2 h; (e) NaH, CH 3 LOMF, -20°C - rt; (f) TFA, 15 min.
- Reagents and conditions (a) NaNO 2 , HBr; (b) Cu(I)Br, HBr; (c) Cu(I)CN, DMF, 155 0 C, 16 h; (d) H 2 , Raney Ni, IN NH 3 MeOH, 60°C, 16 h, (e) BoC 2 O, THF, rt, 2 h; (f) NaH, CH 3 I / DMF, -20°C - rt; (g) TFA, 15 mm.
- Reagents and conditions (a) n-BuLi, DMF, THF, N 2 , -78 - 0°C, 80 min; (b) Cyclopropyl amine, NaBH(OAc) 3 , i-Pr 2 NEt, DCE, rt, 16 h.
- Reagents and conditions (a) n-BuLi, DMF, THF, N 2 , -78 - 0°C, 80 min; (b) Cyclopropyl amine, NaBH(OAc) 3 , J-Pr 2 NEt, DCE, rt, 16 h.
- reaction mixture was quenched with one drop of water and the product isolated by reverse-phase HPLC. Pure fraction was concentrated to yield l-(2,4-dichloro-benzyl)-3-[3-fluoro-4-(4-methyl-imidazol-l-yl)-phenyl]-l ,3-dimethyl- urea (2) as a tan oil (0.027 g, 51%).
- R1 methyl (3a), cyclopropyl (3b) Reagents and conditions: (a) DCE, AcOH, NaBH(OAc) 3, 1 h;
- Reagents and conditions (a) K 2 CO 3 , DMSO, rt; b) NaBH 4 , NiCl 2 , DCM-MeOH (1 : 1); c) pyridine, p- nitrophenyl chloroformate, DCM, 0 °C to rt; d) NaBH(OAc) 3 , HOAc, DCE, rt, e) DIEA 1 DMSO, rt.
- Reagents and conditions a) NaBH(OAc) 3 , HOAc, DCE, rt; b) DIEA, DMSO, rt.
- Amine intermediates 12 and 13 were prepared via reductive amination of aldehyde 11. Further coupling of 12 with carbamate intermediates 5b and 5c using DIEA in DMSO at room temperature provided the title compounds 14a and 14b, respectively. 15a and 15b were prepared by the same procedure.
- Reagents and conditions a) NaCNBH 3 , HCl, cyclopropylamine, MeOH, rt; b) DIEA, DMF, rt.
- Amine intermediate 17 was prepared via reductive amination of aldehyde 16 using sodium cyanoborohydride in the presence of anhydrous HCl in methanol at room temperatue. Further coupling of 17 with carbamate intermediates 5b and 5c using DIEA in DMF at room temperature, followed by HPLC purification, provided the title compounds 18a and 18b, respectively.
- Reagents and conditions a) DIEA, DMSO, rt.
- Reagents and conditions a) DIEA, DMSO, rt.
- Reagents and conditions (a) NaNO 2 , HBr; (b) Cu(I)Br, HBr; (c) n-BuLi, DMF, THF, -78°C, Ih; (d) Cyclopropyl amine, NaBH(OAc) 3 , 1-Pr 2 NEt, 16h; (e) i-pr 2 NEt, DMF, rt, 16 h
- Reagents and conditions (a) Br 2 J 2 , Dark, O°C, KOH; (b) n-BuLi, N-formylpipe ⁇ dine, THF, -78°C, 2 h; (c) CH 3 CH 2 B(OH) 2 , Pd(OAc) 2 , PCy 3 , K 3 PO 4 , Toluene, Water, 100°C, 16 h; (d) Methyl amine, NaBH(OAc) 3 , HOAc, MeOH, 16h; (e) i-pr 2 NEt, DMF, rt, 16 h
- Reagents and conditions (a) NaBH 4 , NiCl 2 .6H 2 O, DCM/MeOH, 0°C, 2h; (b) NaNO 2 , HBr; (c) Cu(I)Br, HBr; (d) n-BuLi, DMF, THF, -78 0 C, Ih; (e) Cyclopropyl amine, NaBH(OAc) 3 , i-Pr 2 NEt, 16h; (I) I-Pr 2 NEt 1 DMF 1 H, 16 h.
- Reagents and conditions (a) Cu(I)CN, DMF, 155 0 C, 16 h; (b) H 2 , Raney Ni, IN NH 3 /MeOH, 60°C, 16 h; (c) BoC 2 O, THF, rt, 2 h; (d) NaH, CH 3 I / DMF, -20°C - rt; (e) TFA, 15 min; (f) i-pr 2 NEt, DMF, it, 16 h. [0293] The synthesis of compounds 49a-c is outlined above. Bromide 40 was converted to nitrile 44 by reacting with Cu(I)CN in DMF at 155°C.
- Reagents and conditions (a) CH 3 CH 2 B(OH) 2 , Pd(OAc) 2 , PCy 3 , K 3 PO 4 , Toluene, Water, 100 0 C, 1 h; (b) Cyclopropyl amine, NaBH(OAc) 3 , J-Pr 2 NEt 1 16h; (c) i-pr 2 NEt, DMF, rt, 16 h.
- Reagents and conditions (a) CH 3 CH 2 B(OH) 2 , Pd(OAc) 2 , PCy 3 , K 3 PO 4 , Toluene, Water, 100 0 C, 1 h, (b) methyl amine, NaBH(OAc) 3 , HOAc, MeOH, 16h, (c) i-pr 2 NEt, DMF, rt, 16 h.
- Reagents and conditions (a) cyclopropylamine or methylamine in MeOH, DCE, AcOH, NaBH(OAc 3 ), 3h at room temp.; (b) Carbamate 5a, 5b or 5c, DMF, DIEA Ih, room temp.
- Benzylamines 66a-b were synthesized using aldehyde 65, cyclopropylamine or methylamine in methanol and the previously described procedure for reductive aminations. Compounds 66a or 66b were then reacted with the appropriate carbamate in DMF at room temperature for Ih. Products 67a-d were isolated by reverse-phase HPLC.
- Compound 70 was synthesized by the selective bromination of 68 followed by the alkylation of bromophenol 69 with l-bromo-2-chloroethane. Procuct 70 was then dissolved in dry THF and cooled to -78°C and treated with n-BuLi and stirred for 30 min. DMF was then added dropwise, reaction stirred for 5 min., then allowed to react while warming to room temperature. Compound 71 was isolated by normal- phase chromatography. Compound 72 was prepared by dissolving compound 71 in methanol and treating with cyclopropylamine with stirring for 1 h. After cooling to 0°C in an ice bath, NaBH 4 was added and the mixture stirred for Ih while warming to room temperature. Compound 72 was then treated with tert-butyloxycarbonyl anhydride and DIEA in THF. The mixture was stirred for 18 h. The Boc protected product 73 was isolated by column chromatography. EXAMPLE 67
- Reagents and conditions (a) 37% aq.sol. HCHO, NaBH 3 CN, AcOH, MeCN, 0°C to rt, 2h; (b) rcBuli, DMF, THF, -78 0 C to 0°C, Ih.
- the aldehyde 79 was synthesized as outlined above.
- Compound 78 was prepared by reductive alkylation of reagent 77 with formaldehyde. Subsequent lithium-halogen exchange on intermediate 78, followed by reaction with DMF afforded the aldehyde title compound 79.
- Reagents and conditions (a) Pyrrolidine, K 2 CO 3 , DMF, 120°C, 66h; (b) Piperidine, K 2 CO 3 , DMF, 120°C, 66h; (c) DIBALH, toluene, -78 0 C, 2h.
- the aldehydes 83 and 84 were synthesized as outlined above. Nucleophilic displacement reaction on compound 80 with the corresponding amines, namely pyrrolidine and piperidine, gave the benzonitrile intermediates 81 and 82, respectively. Subsequent reduction of the nitrile group in compounds 81 and 82 with DIBALH at -78°C afforded the aldehyde title compounds 83 and 84, respectively. [0307] 4-amino substituted benzaldehydes, such as those shown below, were prepared in a similar manner.
- R 2 Me, Cyclopropyl
- N-alkylated benzylamines 87 were prepared as outlined above.
- the corresponding aldehydes 85 were subjected to a stepwise reductive amination protocol, without isolation of the imine intermediate 86, to afford the N-alkylated benzylamine title compounds 87.
- N-Substituted ureas 88-101 were synthesized as outlined in Figure 2. Reaction of intermediate 5c with the corresponding amines in the presence of triethylamine afforded the N-substituted urea title compounds 88-101. More compounds, e.g. compound 1332, 1428, 1542, and the like, can be synthesized in similar manner — see Table 1. Similarly, exemplary 2-Ethoxy compounds can also be prepared in this manner — see Table 1. EXAMPLE 73
- N-S ⁇ bstituted ureas 102-115 were synthesized as described in Figure 3. Reaction of intermediate 5b with the corresponding amines in the presence of triethylamine afforded the N-substituted urea title compounds 102-115. More compounds, e.g. compound 1331, 1478, 1524, and the like, can similarly be synthesized — see Table 1.
- N-Substituted ureas 116-128 were synthesized as outlined in Figure 4. Reaction of intermediate 5a with the corresponding amines in the presence of triethylamine afforded the N-substituted urea title compounds 116-128. More compounds, e.g. compound 1330, 1481, 1537, and the like, can similarly be synthesized — see Table 1.
- Reagents and conditions a) NaBH(OAc) 3 , HOAc 5 DCE, rt; b) DIEA, DMSO, rt.
- Amine intermediate 130 was prepared via reductive amination of aldehyde 129 using one equivalent of cyclopentyl amine under similar conditions. Further coupling of 130 with carbamate intermediates 5b, 5c using DIEA in DMSO at room temperature, followed by HPLC purification, provided the title compounds 131a and 131b, respectively.
- EXAMPLE 76 SYNTHESIS OF CYCLOBUTYL-UREA ANALOGS
- Reagents and conditions a) NaBH(OAc) 3 , HOAc, DCE, rt; b) DIEA, DMSO, rt.
- Cyclopropylmethyl-(2,5-dimethylbenzyl) amine 137 was prepared as outlined above. 2,5-Dimethylbenzylamine 135 was subjected to a stepwise reductive alkylation protocol, without isolation of the imine intermediate 136, to afford cyclopropylmethyl-(2,5-dimethylbenzyl) amine 137.
- Cyclopropylmethyl-(5-isopropyl-4-methoxy-2-methylbenzyl) amine 140 was prepared as outlined above. 5-isopropyl-4-methoxy-2-methylbenzylamine 138 was subjected to a stepwise reductive alkylation protocol, without isolation of the imine intermediate 139, to afford cyclopropylmethyl-(5-isopropyl-4-methoxy-2- methylbenzyl) amine 140.
- Reagents and conditions (a) K 2 CO 3 , DMSO, rt; b) H 2 , 10% Pd-C, MeOH, rt; c) p-nitrophenyl chloroformate, DCM, 0 °C; d) DIEA 1 DMSO, rt.
- Reagents and conditions (a) NaH, DMSO, rt; b) H 2 , 10% Pd-C, MeOH, rt; c) pyridine, p-nitrophenyl chloroformate, DCM, 0 °C; d) DIEA, DMSO, rt.
- Reagents and conditions a) NaH, ethanol, DMSO, rt; b) H 2 , 10% Pd-C, MeOH, rt; c) pyridine, p- nitrophenyl chloroformate, DCM, 0 0 C; d) DIEA, DMSO, rt.
- Reagents and conditions (a) K 2 CO 3 , DMSO, rt; b) NaBH 4 , NiCl 2 , MeOH-DCM (1 :1), rt; c) p- nitrophenyl chloroformate, DCM, 0 0 C; d) DIEA, DMSO, rt.
- Reagents and conditions (a) K 2 CO 3 , DMF, 55 0 C, 18h; (b) NiCl 2 , NaBH 4 , MeOH/DCM, 0°C to rt, 60min; (c) p-nitrophenylchloroformate, DCM, pyridine, -10 D C to rt, 30min.
- Reagents and conditions (a) Pd(PPh 3 ) 4 , Na 2 CO 3 , LiCl, EtOH-toluene, 90°C, 17h, (b) NiCl 2 , NaBH 4 , MeOH/DCM, 0°C to rt, 30min, (c) p-nitrophenylchloroformate, DCM, pyridine, -10°C to it, 30min
- Reagents and conditions (a) Pd(PPh 3 ) 4 , Na 2 CO 3 , LiCl, EtOH-toluene, 90°C, 17h, (b) NiCl 2 , NaBH 4 , MeOH/DCM, 0 0 C to rt, 30min, (c) p-nitrophenylchloroformate, DCM, pyridine, -10°C to rt, 30min [0323]
- the carbamate 187 was synthesized as outlined above. Reagents 179 and 184 were coupled according to a Suzuki-Miyaura protocol. The resulting nitro intermediate 185 was reduced to yield aniline 186. Subsequent reaction of compound 186 with p-nitrophenylchloroformate, in the presence of pyridine afforded the carbamate title compound 187.
- Reagents and conditions (a) Pd(PPh 3 ) 4 , Na 2 CO 3 , LiCl, EtOH-toluene, 90°C, 17h; (b) p- Nitrophenylchloroformate, DCM, pyridine, - 10°C to rt, 30mi ⁇ .
- the carbamate 190 was synthesized as outlined above. Reagents 179 and 188 were coupled according to a Suzuki-Miyaura protocol. The resulting aniline intermediate 189 was reacted with p-nitrochloroformate, in the presence of pyridine afforded the carbamate title compound 190.
- Reagents and conditions (a) Corresponding amine, TEA, rt, 17h.
- Reagents and conditions (a) Corresponding amine, TEA, rt, 17h.
- Reagents and conditions (a) Corresponding amine, TEA, rt, 17h.
- Step 1 To a solution of 141 (5.4Og, 30 mmol) in distilled water (30 mL) was added dropwise NaN 3 (2.34 g, 36 mmol) in distilled water (18 mL). The reaction mixture was stirred at 0 °C / 5°C for 30 min before it was allowed to warm to RT. After 90 min, diethylether (150 mL) was added and the reaction mixture was extracted. The ether layer was dried over MgSO 4 and substantially all of the ether removed in vacuo (the ether was not removed completely (5-10 mL left) because azides can be explosive as dry powders).
- Step 2 Compound 142 (553 mg, 2.36 mmol) was dissolved in MeOHiCH 2 Cl 2 1 :1 (20 mL) and cooled to -5°C to 0°C by means of a dry-ice / acetone bath. NiCl 2 .6H 2 O (180 mg, 0.76 mmol) and NaBH 4 (269 mg, 7.27 mmol) were added in portions under N 2 according to the following chart:
- Reagents and conditions for systhesis of 3a (a) Pd 2 (dba) 3 , Zn(CN) 2 , Dppf, Zn, DMA, 125 °C; b) cyclopropylamine, NaBH(OAc) 3 , HOAc, DCE, rt.
- Step a To a solution of triflate 1 (1.19 g, 3.83 mmol) in 39 mL of DMA was added zinc cyanide (450 mg, 3.83 mmol), Dppf (170 mg, 0.31 mmol) and zinc (60 mg, 0.92 mmol). Pd 2 (dba) 3 (140 mg, 0.15 mmol) was added rapidly to the reaction mixture at room temperature under an argon atmosphere. The resulting reaction mixture was stirred at 125 °C for 12 hrs, cooled down to the room temperature and filtered through a bed of celite.
- Step b To a solution of compound 2a (374 mg, 2 mmol) in 15 mL of 1 ,2- dichloroethane was added cyclopropyl amine (342 mg, 6 mmol), acetic acid (0.23 mL, 4 mmol) and sodium triacetoxyborohydride (551 mg, 2. 6mmol) at room temperature. The reaction mixture was stirred at room temperature for 24 hrs and concentrated in vacuo. The crude product was purified on silica gel column chromatography (hexanes: ethyl acetate, 1 :2) to afford the desired product 3a (388 mg, 85%) as a yellow oil.
- Reagents and conditions (a) NaN ⁇ , C11SO 4 , sodium ascorbate, methylpropyne, EtOH / toluene, rt, 20 h, (b) NiCl 2 , NaBH 4 , MeOH/DCM, 0 0 C , 10 mm; (c) p-Nitrophenylchloroformate, DCM, pyridine, -10°C to rt, 30 min, (d) Corresponding amine, TEA, it, 17 h
- Reagents and conditions (a) K 2 CO 3 , DMSO, it; (b) H 2 SO4, 80 °C; (c) H 2 , 10% Pd-C, MeOH, rt; (d) p- nitrophenyl chloroformate, DCM, 0 0 C; (e) DIEA, DMSO, rt.
- Reagents and conditions (a) MeCN, 90°C, 5h; (b) Corresponding amine, 2-propanol, reflux, 16h.
- Compound 207 was synthesized as outlined above.
- the intermediate 206 prepared from aniline 4b and diphenyl cyanocarbonimidate 205, was reacted with corresponding amine to afford the cyano guanidine derivative 207.
- Compounds 174- 178 were prepared in a smilar fashion.
- Reagents and conditions (a) ACN, TEA, 70°C, 18h; (b) DMSO, NaOH, 70°C, 4h; (c) NiCl 2 . H 2 O, NaBH 4 , DCM:MeOH 1 : 1, 0°C, 0.5h; (d) DCM, Pyridine, p-nitrophenylchloroformate, 0°C to room temp, 2h; (e) secondary amine, DMF, TEA, 70 0 C, 0.5h. [0337] Compound 60 was synthesized from commercially available compounds 58 and 59 and the product was isolated by precipitation from water. The product was collected on a filter and washed with water to obtain compound 60.
- nitro group on 60 was then reduced to obtain aniline 61.
- Aniline 61 was then reacted with p- nitrophenylchloroformate in DCM/pyridine to produce carbamate 62.
- Carbamate 62 was then combined with five different secondary amines in DMF/TEA to yield ureas 63a-e which were purified by reverse-phase HPLC.
- Reagents and conditions (a) ACN, TEA, 70°C, 3.5h; (b) DMSO:ACN 1 :1, NaOH, 80°C, 2h; (c) NiCl 2 -H 2 O, NaBH 4 , DCM:MeOH 1:1, 0°C, 0.5h; (d) DCM, Pyridine, p-nitrophe ⁇ ylchloroformate, O°C to room temp, 2h; (e) secondary amine, DMF, TEA, 7O°C, 0.5h.
- Compound 65 was synthesized from commercially available compounds 58 and 64 and the product was isolated by precipitation from water. The product was collected on a filter and washed with water to obtain compound 65. The nitro group on 65 was then reduced to obtain aniline 66. Aniline 66 was reacted with p- nitrophenylchloroformate in DCM/pyridine to produce carbamate 67. Carbamate 67 was then combined with three different secondary amines in DMF/TEA with heating to yield ureas 68a-c which were purified by reverse-phase HPLC.
- Reagents and conditions (a) NaN 3 , CuSO 4 , sodium ascorbate, methylpropyne, EtOH / toluene, rt, 2Oh, (b) NiCl 2 , NaBH 4 , MeOH/DCM, 0°C , l Omin; (c) p-Nitrophenylchloroformate, DCM, pyridine, -10°C to rt, 30min; (d) Corresponding amine, TEA, rt, 17h [0339]
- the nitro intermediate 38 was obtained by the copper catalyzed reaction of reagent 37 with sodium azide followed by cycloaddition with methylpropyne. The intermediate 38 was reduced to the corresponding aniline 39. Subsequent reaction of 39 withp-nitro chloro formate afforded carbamate 40, which was reacted with the corresponding amines to afford the title compounds 41-44.
- Reagents and conditions (a) Corresponding amine, TEA, rt, 17h.
- Table 1 illustrates representative compounds which were synthesized using exemplary routes described in the preceding Examples.
- the SH-SY5Y-APP cell line was derived by transfecting the human neuroblastoma line SH-SY5Y with a plasmid expressing wild type I1APP 751 and selecting for stable expression of APP and secretion of A ⁇ .
- SH-SY5Y-APP cells were plated at 20,000 cells/well in 384-well tissue culture plates. After 24 h, the culture medium was replaced with fresh medium containing compound. Replicates of 4 wells per test concentration were used, with 11 concentrations at !4 log steps. Vehicle (0.2% DMSO) and a positive control gamma-secretase inhibitor (Tian et al. (2002) J. Biol. Chem. 277:31499-31505) were included as controls. After incubation for 20 h at 37°C, the culture medium was transferred to a new plate and appropriate concentrations of fluorescently-labeled antibodies were added for the FRET assay.
- the FRET assay utilizes fluorescence resonance energy transfer between the donor europium on the A ⁇ 42 -specific antibody A387 (PCT publication WO 04/018997) to the acceptor XL665 on the A ⁇ i-i 2 -specific antibody B608 when the two antibodies are bound to the same A ⁇ 42 molecule.
- Europium is excited at 337 nm and its emission at 620 nm is transferred to XL665, which then emits at 665 nm.
- the fluorescence emission at 665 nm from XL665 was corrected against the europium emission at 620 nm as an internal control.
- Cytotoxicity was determined with an alamarBlueTM assay, which measures the ability of respiring cells to metabolize a substrate to a fluorescent product. Supernatant of cells treated with compound, as described above, was removed, and a solution containing 10% by volume of the cell viability indicator dye alamarBlueTM (Biosource, San Diego) was added. Cells were incubated for 3 h at 37 °C, after which fluorescence was read on a CytoFluor (Applied Biosystems) spectrophotometer, using a 530-nm excitation filter and 580-nm emission filter. The compounds set forth in Table I above produced less than 30% decrease in AlamarBlue fluorescence at 10 ⁇ M relative to control cells.
Landscapes
- Chemical & Material Sciences (AREA)
- Organic Chemistry (AREA)
- Pharmaceuticals Containing Other Organic And Inorganic Compounds (AREA)
Abstract
In accordance with the present invention, novel compounds have been discovered that are useful for a variety of therapeutic applications, e.g., for modulating amyloid-beta levels. Accordingly, invention compounds find use in the treatment of a variety of diseases. Compositions and kits comprising invention compounds are also provided. In one aspect of the present invention, there are provided compounds which have activity in modulating levels of amyloid-beta (AjS). As a result, such compounds are applicable for treating diseases associated with aberrant levels of Aß and/or any condition in which modulation of Aß levels provides a therapeutic effect. Preferably, compounds herein are useful in the treatment of neurodegenerative disorders, such as AD.
Description
METHODS OF MODULATING AMYLOID BETA AND COMPOUNDS USEFUL THEREFOR
FIELD OF THE INVENTION
[0001] The present invention relates to compounds, pharmaceutical compositions containing such compounds, and methods of use of invention compounds and compositions. In one aspect, invention compounds are useful in modulating amyloid- beta levels. In another aspect, invention compounds are useful for treatment of diseases associated with aberrant amyloid-beta levels, e.g., neurodegenerative diseases.
BACKGROUND OF THE INVENTION
[0002] The information provided herein and references cited are provided solely to assist the understanding of the reader, and does not constitute an admission that any of the references or information is prior art to the present invention.
[0003] Alzheimer's disease (AD) is a progressive neurodegenerative disorder that is the predominant cause of dementia in people over 65 years of age. Clinical symptoms of the disease begin with subtle short-term memory problems. As the disease progresses, difficulty with memory, language and orientation worsen to the point of interfering with the ability of the person to function independently. Other symptoms, which are variable, include myoclonus and seizures. Duration of AD from the first symptoms of memory loss until death is 10 years on average.
[0004] AD is characterized by massive neuronal cell loss in certain brain areas, and by the deposition of proteinaceous material in the brains of AD patients. These deposits contain neurofibrillary tangles and /3-amyloid plaques. The major protein component of the 0-amyloid plaque is A/3. Increased accumulation of A/3 has been postulated to significantly contribute to the pathogenesis of AD, and is also associated with various other amyloidoses and neurological disorders, such as Parkinson's disease, Down syndrome, diffuse Lewy body disease, progressive supranuclear palsy, Hereditary Cerebral Hemorrhage with Amyloidosis-Dutch Type (HCHWA-D), cerebral amyloid angiopathy (CAA), and mild cognitive impairment (MCI).
[0005] One of the most important lines of evidence implicating accumulation of Aβ peptides in AD comes from the identification of various mutations that result in increased formation of A/3 by cells that account for certain types of inherited AD (familial AD, or FAD). FAD individuals comprise 10% of all AD cases and generally exhibit symptoms of the disease much earlier than sporadic AD patients.
[0006] Aβ peptides are derived from processing of an amyloid precursor protein (APP). mRNA generated from the APP gene on chromosome 21 undergoes alternative splicing to yield several isoforms, two of which (APP695 and 751 amino acid isoforms) predominate in the brain. The major APP isoforms are single- transmembrane proteins, composed of an extracellular amino-terminal domain (approximately 590-680 amino acids) and a cytoplasmic tail containing intracellular trafficking signals (approximately 55 amino acids). Within APP, the Aβ peptide sequence is located partially on the extracellular side of the membrane and extends partially into the transmembrane region.
[0007] APP is trafficked through the constitutive secretory pathway, where it undergoes post-translational processing, including cleavage via either of two pathways, an amyloidogenic pathway and a non-amyloidogenic pathway. In the amyloidogenic pathway, APP is cleaved by /3-secretase (BACE) at the beginning of the Aβ domain that defines the amino terminus of the Aβ peptide. Cleavage by BACE generates a soluble N-terminus, sAPP/3, as well as an amyloidogenic C- terminal fragment (C99). Alternatively, BACE can also cleave APP 10 amino acids after the beginning of the Aβ domain (between amino acid 10 and 11) to generate a longer N-terminal soluble fragment and a shorter C-terminal fragment (C89). Additional cleavage of either C89 or C99 by γ-secretase, a presenilin-dependent enzyme, produces Aβ peptides of various lengths. In the non-amyloidogenic pathway, APP is cleaved by osecretase within the Aβ domain, precluding Aβ formation.
[0008] The predominant forms of Aβ found in plaques from AD brains are the A/842 and A/340 species. A/342 is the species initially deposited in brain plaques, and is highly prone to aggregation in vitro. Therefore, the A/342 species of amyloid
peptide, in particular, may be a viable target in the development of therapeutics for the treatment of disease or disorders characterized by Aβ accumulation.
[0009] Currently, there is no cure or effective treatment for AD, and the few approved drugs, including Aricept, Exelon, Cognex and Reminyl, are palliative at best. Based on the correlation between Aβ accumulation, neuronal loss and AD, modulating Aβ levels, such as reducing levels of pathogenic Aβ species, represents a viable way to decrease plaque formation and minimize neuronal cell death.
[0010] Thus, there exists a medical need for compounds that modulate levels of Aβ. Such compounds would be useful for the treatment of neurodegenerative disorders, including AD.
SUMMARY OF THE INVENTION
[0011] In accordance with the present invention, novel compounds have been discovered that are useful for a variety of therapeutic applications, e.g., for modulating amyloid-beta levels. Accordingly, invention compounds find use in the treatment of a variety of diseases. Compositions and kits comprising invention compounds are also provided.
[0012] In one aspect of the present invention, there are provided compounds which have activity in modulating levels of amyloid-beta (AjS). As a result, such compounds are applicable for treating diseases associated with aberrant levels of Aβ and/or any condition in which modulation of Aβ levels provides a therapeutic effect. Preferably, compounds herein are useful in the treatment of neurodegenerative disorders, such as AD.
BRIEF DESCRIPTION OF THE FIGURES
[0013] Figure 1 presents the structures of several benzaldehydes subjected to the conversion reactions described in Example 71.
[0014] Figure 2 presents the structures of the compounds prepared according to Example 72. Reagents and conditions (a) embrace contacting compound 5c with the corresponding amine, in the presence of TEA at room temperature for 17h.
[0015] Figure 3 presents the structures of the compounds prepared according to Example 73. Reagents and conditions (a) embrace contacting compound 5b with the corresponding amine, in the presence of TEA at room temperature for 17h.
[0016] Figure 4 presents the structures of the compounds prepared according to Example 74. Reagents and conditions (a) embrace contacting compound 5 a with the corresponding amine, in the presence of TEA at room temperature for 17h.
[0017] Figure 5 presents the structures of the compounds prepared according to Example 84. Reagents and conditions (a) embrace contacting compound 162 with the corresponding amine, in the presence of TEA at room temperature for 17h.
DETAILED DESCRIPTION OF THE INVENTION
[0018] Unless defined otherwise, all technical and scientific terms used herein have the same meaning as is commonly understood by one of ordinary skill in the art to which this invention belongs. All patents, applications, published applications and other publications are incorporated by reference in their entirety.
I. INVENTION COMPOUNDS
[0019] The present invention provides novel compounds selected from the group consisting of compounds having a structure corresponding to Formula (I):
(Ring A)-(Ring B)-LA-N(ZA)-C(X)-N(ZB)-LB-(Ring C)
(I) and pharmaceutically acceptable salts, and prodrugs thereof, wherein:
Ring A is optionally substituted arylene, optionally substituted heteroarylene or optionally substituted heterocycloalkyl, wherein a substituent, when present on Ring A, can cooperate with a substituent, when present on Ring B, to form a fused ring system;
Ring B is optionally substituted arylene or optionally substituted heteroarylene, wherein a substituent, when present on Ring B, can cooperate with a substituent, when present on Ring A, to form a fused ring system;
Ring C is aryl, heteroaryl, or fused benzocyclohexyl, wherein aryl, heteroaryl or fused benzocyclohexyl are substituted with at least one of halogen, substituted or unsubstituted alkyl, substituted or unsubstituted alkenyl, substituted or unsubstituted alkynyl, substituted or unsubstituted alkoxy, substituted or unsubstituted alkylamido, substituted or unsubstituted alkylamino, substituted or unsubstituted amino, substituted or unsubstituted cycloalkyl, or substituted or unsubstituted aryl; provided however, that halogen(s) is(are) not the only non-hydrogen substituent(s) on said ring;
X is =O, =S or =N(CN);
ZA is hydrogen, substituted or unsubstituted alkyl, substituted or unsubstituted cycloalkyl, substituted or unsubstituted alkenyl, substituted or unsubstituted alkynyl, substituted or unsubstituted alkoxy, substituted or unsubstituted alkylamido, substituted or unsubstituted alkylamino, substituted or unsubstituted amino;
ZB is hydrogen, substituted or unsubstituted alkyl, substituted or unsubstituted cycloalkyl, substituted or unsubstituted alkenyl, substituted or unsubstituted alkynyl, substituted or unsubstituted alkoxy, substituted or unsubstituted alkylamido, substituted or unsubstituted alkylamino, substituted or unsubstituted amino;
LA is a covalent bond or a linker selected from the group consisting -C(R')2-, -O-, -S-, -NR'-, -C(O)-, -S(O)-, and -S(O)2-, wherein each R' is independently hydrogen, substituted or unsubstituted alkyl, substituted or unsubstituted alkenyl, substituted or unsubstituted alkynyl, or substituted or unsubstituted cycloalkyl; and
LB is a covalent bond or a linker selected from the group consisting of -C=C-, -C ≡CC, -(C(R')2)z-, -0-, -0-CR'r, -S-, -NR'-, -NH-(CR'2)-, -N=N-, -C(O)-, -C(O)NR'-, -O-C(O)-, -NR'-C(O)-, -S-C(O)-, -S(O)-, -S(O)2-, -0-S(O)2-, -O-S(O)-, -O-C(S)-, -NR'-C(S)-, -S-S(O)2-, -O-P(O)(R')2-, -S-P(O)(R')2-, and -NR'-P(O)(R')2-, wherein each R' is independently hydrogen, substituted or unsubstituted alkyl, substituted or unsubstituted alkenyl, substituted or unsubstituted alkynyl, or substituted or unsubstituted cycloalkyl, and z is 1 or 2.
[0020] As used herein, reference to a certain element such as hydrogen or H is meant to include all isotopes of that element. For instance, if a group is defined to include hydrogen or H, it also can include deuterium and/or tritium. In the structures provided herein, where a nitrogen atom appears to be divalent, it is assumed that the nitrogen atom is tπvalent and the third substituient is hydrogen.
[0021] Compounds of the present invention may have asymmetric centers and may occur, except when specifically noted, as mixtures of stereoisomers or as individual diastereomers, or enantiomers, with all isomeric forms being included in the present invention. Compounds of the present invention embrace all conformational isomers. Compounds of the present invention may also exist in one or more tautomeric forms, including both single tautomers and mixtures of tautomers.
[0022] The phrase "hydrocarbyl" refers to any organic radical compπsing carbon and hydrogen, and having a directly attachable carbon atom to any molecule presented herein. The phrase "substituted hydrocarbyl" refers to a hydrocarbyl group that is substituted according to the definition provided below. Hydrocarbyl groups include saturated and unsaturated hydrocarbons, straight and branched chain aliphatic hydrocarbons, cyclic hydrocarbons, and aromatic hydrocarbons.
[0023] The phrase "substituted" refers to an atom or group of atoms that has been replaced with another substituent. The phrase "substituted" includes any level of substitution, e g mono-, di-, tri-, tetra-, or penta-substitution, where such substitution is chemically permissible. Substitutions can occur at any chemically accessible position and on any atom, such as substitution(s) on carbons or any heteroatom. For example, substituted compounds are those where one or more bonds to a hydrogen or carbon atom(s) contained therein are replaced by a bond to non-hydrogen and/or non- carbon atom(s).
[0024] The phrase "alkyl" refers to saturated hydrocarbyl chains comprising from 1 to 20 carbon atoms. The phrase "alkyl" includes straight chain alkyl groups, such as methyl, ethyl, propyl, butyl, pentyl, hexyl, heptyl, octyl, nonyl, decyl, undecyl, dodecyl, and the like. The phrase also includes branched chain isomers of straight chain alkyl groups, including but not limited to, the following which are provided by way of example: -CH(CH3)2, -CH(CH3)(CH2CH3), -CH(CH2CH3)2, -C(CHj)3,
-C(CH2CH3)3, -CH2CH(CHa)2, -CH2CH(CH3)(CH2CH3), -CH2CH(CH2CH3)2, -CH2C(CH3)3, -CH2C(CH2CH3)3, -CH(CH3)CH(CH3)(CH2CH3), -CH2CH2CH(CH3)2) -CH2CH2CH(CH3)(CH2 CH3), -CH2CH2CH(CH2CHj)2, -CH2CH2C(CH3)3, -CH2CH2C(CH2CHj)3, -CH(CH3)CH2 CH(CH3)2, -CH(CH3)CH(CH3)CH(CH3)2, and -CH(CH2CH3)CH(CH3)CH(CH3)(CH2CH3). Thus, alkyl groups include primary alkyl groups, secondary alkyl groups, and tertiary alkyl groups. Preferred alkyl groups include alkyl groups having from 1 to 16 carbon atoms, or from 1 to 3 carbon atoms, such as methyl, ethyl, propyl, and -CH(CH3)2.
[0025] The phrase "substituted alkyl" refers to an alkyl group that is substituted according to the definition provided above. Examples of "substituted alkyl" groups include, but are not limited to, replacements of carbon or hydrogen atom(s) with a halogen atom(s), such as trifluoromethyl; an oxygen atom(s) in groups such as hydroxyl groups, alkoxy groups, aryloxy groups, and ester groups; a sulfur atom in groups such as thiol groups, alkyl and aryl sulfide groups, sulfone groups, sulfonyl groups, and sulfoxide groups; a nitrogen atom in groups such as amines, amides, alkylamines, dialkylamines, N-alkyloxides, imides, and enamines; a silicon atom in groups such as in trialkylsilyl groups, di alkyl aryl si 1 yl groups, alkyldiarylsilyl groups, and triarylsilyl groups; and other various heteroatoms. Additionally, substituted alkyl groups may be bonded to one or more carbon atom(s).
[0026] The phrase "alkylene" refers to divalent alkyl groups comprising from 1 to 20 carbon atoms and "substituted alkylene" refers to alkylene groups further bearing one or more substituents as set forth above.
[0027] The phrase "alkenyl" refers to unsaturated hydrocarbyl chains comprising from 2 to 20 carbon atoms and comprising at least one carbon-carbon double bond (-C=C-). The phrase "alkenyl" includes straight chain alkenyl groups, as well as branched chain isomers of straight chain alkenyl groups. Preferably, alkenyl groups comprise from 1 to 8 double bond(s). The phrase "substituted alkenyl" refers to an alkenyl group that is substituted according to the definition provided above.
[0028] The phrase "alkenylene" refers to divalent alkenyl groups comprising from 2 to 20 carbon atoms and "substituted alkenylene" refers to alkenylene groups further bearing one or more substituents as set forth above.
[0029] The phrase "alkynyl" refers to unsaturated hydrocarbyl chains comprising from 2 to 20 carbon atoms and comprising at least one carbon-carbon triple bond (-C ^2-). The phrase "alkynyl" includes straight chain alkynyl groups, as well as branched chain isomers of straight chain alkynyl groups. Preferably, alkynyl groups comprise from 1 to 8 triple bond(s). The phrase "substituted alkynyl" refers to an alkynyl group that is substituted according to the definition provided above.
[0030] The phrase "alkynylene" refers to divalent alkynyl groups comprising from 2 to 20 carbon atoms and "substituted alkynylene" refers to alkynylene groups further bearing one or more substituents as set forth above.
[0031[ The phrase "cycloalkyl" refers to an alicyclic moiety having 3 to 20 carbon atoms and comprising any chemically permissible amount of saturated or unsaturated bonds. Preferably, cycloalkyl groups comprise from 4 to 7 carbons atoms. Cycloalkyl groups include, but are not limited to, cyclopropyl, cyclobutyl, cyclopentyl, cyclohexyl, cycloheptyl, cyclooctyl, and the like. The phrase "substituted cycloalkyl" refers to a cycloalkyl group that is substituted according to the definition provided above. Substituted cycloalkyl groups can have one or more atom substituted with straight or branched chain alkyl groups and can further comprise cycloalkyl groups that are substituted with other rings including fused rings. Examples of cycloalkyl groups that are substituted with fused rings include, but are not limited to, adamantyl, norbornyl, bicyclo[2.2.2]octyl, decalinyl, tetrahydronaphthyl, and indanyl, bornyl, camphenlyl, isocamphenyl, and carenyl groups. Representative substituted cycloalkyl groups may be mono-substituted or substituted more than once, such as, but not limited to, 2,2-, 2,3-, 2,4-, 2,5-, or 2,6- disubstituted cyclohexyl groups or mono-, di- or tri-substituted norbornyl or cycloheptyl groups, which may be substituted with, for example, alkyl, alkoxy, amino, thio, or halo groups.
[0032] The phrase "cycloalkylene" refers to divalent cycloalkyl groups comprising from 3 to 20 carbon atoms, and "substituted cycloalkylene" refers to cycloalkylene groups further bearing one or more substituents as set forth above.
[0033] The phrase "heterocyclyl", "heterocyclic", or "heterocycle" refers to nonaromatic cyclic hydrocarbyl compounds of which at least one ring member is a
heteroatom. Heterocyclic groups include monocyclic, bicyclic, and polycyclic ring compounds containing from 3 to 20 ring members of which one or more is a heteroatom such as, but not limited to, N, O, and S. Heterocyclic groups include, any level of saturation. For instance, heterocyclic groups include unsaturated 3 to 8 membered rings containing 1 to 4 nitrogen atoms; saturated 3 to 8 membered rings containing 1 to 4 nitrogen atoms; condensed unsaturated heterocyclic groups containing 1 to 4 nitrogen atoms; unsaturated 3 to 8 membered rings containing 1 to 2 oxygen atoms and 1 to 3 nitrogen atoms; saturated 3 to 8 membered rings containing 1 to 2 oxygen atoms and 1 to 3 nitrogen atoms; unsaturated condensed heterocyclic groups containing 1 to 2 oxygen atoms and 1 to 3 nitrogen atoms; unsaturated 3 to 8 membered rings containing 1 to 3 sulfur atoms and 1 to 3 nitrogen atoms. Preferred heterocyclyl groups contain 5 or 6 ring members. Examples of heterocyclic groups include, but are not limited to, pyrrolidine, pyrazolidine, imidazolidine, morpholine, thiomorpholine, piperidine, and piperazine. The phrase "substituted heterocyclyl" or "substituted heterocyclic" refers to a heterocyclyl group that is substituted according to the definition provided above.
[0034] The phrase "heterocycloalkyl" refers to an alkyl moiety, as defined herein, substituted with a heterocyclyl moiety, as defined herein.
[0035] The phrase "heterocyclene" or "heterocyclylene" refers to divalent heterocyclic (i.e., ring-containing) groups comprising from 3 to 20 carbon atoms and "substituted heterocycloalkylene" refers to heterocycloalkylene groups further bearing one or more substituents as set forth above.
[0036] The phrase "aryl" refers to single-ring aromatic radicals which may include from 5 to 20 carbon atoms. Aryl groups include, but are not limited to, phenyl, biphenyl, anthracenyl, and naphthenyl. The phrase "substituted aryl group" refers to an aryl group that is substituted according to the definition provided above. For example, substituted aryl groups may be bonded to one or more carbon atom(s), oxygen atom(s), nitrogen atom(s), and/or sulfur atom(s) and also includes aryl groups in which one or more aromatic carbons of the aryl group is bonded to a substituted and/or unsubstituted alkyl, alkenyl, or alkynyl group. This includes bonding arrangements in which two carbon atoms of an aryl group are bonded to two atoms of
an alkyl, alkenyl, or alkynyl group to define a fused ring system (e.g. dihydronaphthyl or tetrahydronaphthyl). Thus, the phrase "substituted aryl" includes, but is not limited to tolyl, hydroxyphenyl, and the like.
[0037] The phrase "arylene" refers to divalent aryl groups comprising from 3 to 20 carbon atoms and "substituted arylene" refers to arylene groups further bearing one or more substituents as set forth above.
[0038] The phrase "heteroaryl" refers to single-ring aromatic radicals comprising 3 to 20-carbon atoms, wherein the aromatic ring consists of carbon atoms and heteroatoms, such as N, S, and O or (ii) an 8- to 10-membered bicyclic or polycyclic ring system containing carbon atoms and heteroatoms, such as N, S, and O, wherein at least one of the rings in the bicyclic system is an aromatic ring. The heteroaryl ring may be attached at any heteroatom or carbon atom. Representative heteroaryl compounds include, for example, imidazolyl, pyridyl, pyrazinyl, pyrimidinyl, thiophenyl, thiazolyl, furanyl, pyridofuranyl, pyrimidofuranyl, pyridothienyl, pyridazothienyl, pyridooxazolyl, pyridazooxazolyl, pyrimidooxazolyl, pyridothiazolyl, pyridazothiazolyl, pyrrolyl, pyrrolinyl, imidazolyl, pyrazolyl, pyridyl, dihydropyridyl, pyrimidyl, pyrazinyl, pyridazinyl, triazolyl (e.g. 4H-l,2,4-triazolyl, lH-l,2,3-triazolyl, and 2H-l,2,3-triazolyl), tetrazolyl, (e.g. 1 H-tetrazolyl and 2H tetrazolyl), imidazolidinyl, piperazinyl, indolyl, isoindolyl, indolinyl, indolizinyl, benzimidazolyl, quinolyl, isoquinolyl, indazolyl, benzotriazolyl, oxazolyl, isoxazolyl, oxadiazolyl (e.g. 1,2,4-oxadiazolyl, 1,3,4-oxadiazolyl, and 1 ,2,5-oxadiazolyl), benzoxazolyl, benzoxadiazolyl, benzoxazinyl (e.g. 2H-l,4-benzoxazinyl), thiazolyl, isothiazolyl, thiadiazolyl (e.g. 1,2,3-thiadiazolyl, 1 ,2,4-thiadiazolyl, 1,3,4-thiadiazolyl, and 1 ,2,5-thiadiazolyl). The phrase "substituted heteroaryl" refers to a heteroaryl group that is substituted according to the definition provided above.
[0039] The phrase "heteroarylene" refers to divalent aryl groups containing one or more heteroatoms (e.g., N, O, S, or the like) as part of the aromatic ring, and typically having in the range of 3 up to 20 carbon atoms and "substituted heteroarylene" refers to heteroarylene groups further bearing one or more substituents as set forth above.
[0040] The phrase "cycloalkylaryl" refers to an cycloalkyl moiety as defined herein, substituted by, one or more aryl substiruents. Such substitution may be by a single covalent bond, or the aryl ring may be fused to the cycloalkyl moiety. The phrase "substituted cycloalkylaryl" refers to a cycloalkylaryl group that is substituted according to the definition provided above. Substituted cycloalkylaryl groups can have one or more atom substituted with straight or branched chain alkyl groups and can further comprise cycloalkyl groups that are substituted with other rings including fused rings. Examples of cycloalkylaryl groups that are substituted with fused rings include, but are not limited to, adamantyl, norbornyl, bicyclo[2.2.2]octyl, decalinyl, tetrahydronaphthyl, and indanyl, bornyl, camphenlyl, isocamphenyl, and carenyl groups. Representative substituted cycloalkylaryl groups may be mono-substituted or substituted more than once, such as, but not limited to, 2,2-, 2,3-, 2,4-, 2,5-, or 2,6- disubstituted cyclohexyl groups or mono-, di- or tri-substituted norbornyl or cycloheptyl groups, which may be substituted with, for example, alkyl, alkoxy, amino, thio, or halo groups.
[0041] The phrase "alkoxy" refers to an oxygen-containing alkyl or cycloalkyl group, as defined above, and the term "alkoxylene" refers to an oxygen-containing alkylene or cycloalkylene group.
[0042] The phrase "alkylamido" refers to an alkyl group, as defined above, which comprises -C(O)NR2 wherein each R is independently hydrogen, alkyl, cycloalkyl, aryl, heteroaryl, or the like. Furthermore, alkylamido embraces embodiments wherein R, together with N, forms a cyclic structure.
[0043] The phrase "alkyleneamido" refers to an alkylene group, as defined above, which comprises -C(O)NR2 wherein each R is independently hydrogen, alkyl, cycloalkyl, aryl, heteroaryl, or the like. Furthermore, alkyleneamido embraces embodiments wherein R, together with N, forms a cyclic structure.
[0044] The phrase "amino" refers to -NR2 wherein each R is independently hydrogen, alkyl, cycloalkyl, aryl, heteroaryl, and the like. Furthermore, amino embraces embodiments wherein R, together with N, forms a cyclic structure.
[0045] The phrase "alkylamino" refers to an alkyl group, as defined above, which comprises an amino group, as defined above, and the term "alkyleneamino" refers to an alkylene group, as defined above, which comprises an amino group, as defined above.
[0046] The phrase "halogen" refers to F, Cl, Br, or I.
[0047] The phrase "linker" refers to any chemical moiety which can be used to join, attach, or connect two or more radicals of hydrocarbyl, substituted hydrocarbyl, heteroatom-containing substituted hydrocarbyl, or substituted heteroatom-containing hydrocarbyl groups. Representative linkers include -C=C-, -C ≡€-, -(C(R')2)Z-, -O-, -O-(C(R')2)Z-, -S-, -NR'-, -NH-(C(R')2)Z-, -N=N-, -C(O)-, -C(O)NR'-, -O-C(O)-, -0-C(O)-O-, -0-C(O)-NR'-, -NR'-C(O)-, -NR'-C(O)-O-, -NR'-C(O)-NR'-, -S-C(O)-, -S-C(O)-O-, -S-C(O)-NR'-, -S(O)-, -S(O)2-, -0-S(O)2-, -0-S(O)2-O-, -0-S(O)2-NR'-, -O-S(O)-, -0-S(O)-O-, -0-S(O)-NR'-, -O-NR'-C(O)-, -0-NR'-C(0)-0-, -O-NR'-C(O)-NR'-, -NR'-O-C(O)-, -NR'-0-C(O)-0-, -NR' -0-C(O)-NR'-, -O-NR'-C(S)-, -O-NR'-C(S)-O-, -0-NR'-C(S)-NR'-, -NR'-O-C(S)-, -NR'-O-C(S)-O-, -NR'-O-C(S)-NR'-, -O-C(S)-, -0-C(S)-O-, -0-C(S)-NR'-, -NR'-C(S)-, -NR'-C(S)-O-, -NR'-C(S)-NR'-, -S-S(O)2-, -S-S(O)2-O-, -S-S(O)2-NR'-, -NR'-O-S(O)-, -NR'-O-S(O)-O-, -NR'-O-S(O)-NR'-, -NR'-O-S(O)2-, -NR'-O-S(O)2-O-, -NR'-O-S(O)2-NR'-, -O-NR'-S(O)-, -O-NR'-S(O)-O-, -0-NR' -S(O)-NR'-, -O-NR'-S(O)2-O-, -O-NR'-S(O)2-NR'-, -O-NR'-S(O)2-, -O-P(O)(R')2-, -S-P(O)(R')2-, and -NR'-P(O)(R')2-, wherein each R' is independently hydrogen, substituted or unsubstituted alkyl, substituted or unsubstituted alkenyl, substituted or unsubstituted alkynyl, or substituted or unsubstituted cycloalkyl, and z is 1-10.
, or
wherein each E is independently N, NR1, C, CR2, S, or O, provided that no more than four E's are heteroatoms;
each R1 is independently hydrogen, substituted or unsubstituted alkyl, substituted or unsubstituted alkenyl, substituted or unsubstituted alkynyl, substituted or unsubstituted alkoxy, substituted or unsubstituted alkylamido, substituted or unsubstituted alkylamino, substituted or unsubstituted cycloalkyl, substituted or unsubstituted aryl, or a divalent form of any of the above, which cooperates with R3 or R4 (on Ring B) to form a fused ring system;
each R2 is hydrogen, halogen, substituted or unsubstituted alkyl, substituted or unsubstituted alkenyl, substituted or unsubstituted alkynyl, substituted or unsubstituted alkoxy, substituted or unsubstituted alkylamido, substituted or unsubstituted alkylamino, substituted or unsubstituted amino, substituted or unsubstituted cycloalkyl, substituted or unsubstituted aryl, or a divalent form of any of the above, which cooperates with R3 or R4 (on Ring B) to form a fused ring system;
each M is independently selected from CR2 or N, provided that no more than three M' s are N;
each Q is independently selected from N, NR1, CR2, C(R2)2, S, or O, provided that at least one Q is a heteroatom, but no more than four Q' s are heteroatoms; and
n is O, 1, 2 or 3.
[0049] Divalent forms of substituted or unsubstituted alkyl, substituted or unsubstituted alkenyl, substituted or unsubstituted alkynyl, substituted or unsubstituted alkoxy, substituted or unsubstituted alkylamido, substituted or unsubstituted alkyl amino, substituted or unsubstituted cycloalkyl, or substituted or unsubstituted aryl contemplated herein include substituted or unsubstituted alkylene, substituted or unsubstituted alkenylene, substituted or unsubstituted alkynylene, substituted or unsubstituted alkoxylene, substituted or unsubstituted alkyleneamido, substituted or unsubstituted alkyl eneamino, substituted or unsubstituted cycloalkylene, or substituted or unsubstituted arylene, respectively. Presently preferred divalent moieties, when present, include alkoxylene (e.g., -CH2-O-, -CH2CH2-O-, and the like), alkyleneamido, alkyleneamino, and the like.
[0050] In a particular aspect of the invention, Ring A is
, wherein each E is independently N, NR1, C, CR2, S, or O, provided that no more than four E's are heteroatoms; with compounds wherein no more than three E's are heteroatoms being preferred in some embodiments; with compounds wherein no more than two E's are heteroatoms being preferred in some embodiments; and with compounds wherein only one E is heteroatom being preferred in some embodiments. Presently preferred embodiments herein include compounds of Formula (I) wherein Ring A is an imidazole or a pyrazole.
[0051] In certain aspects of the invention, R1 is hydrogen, substituted or unsubstituted alkyl, substituted or unsubstituted alkenyl, substituted or unsubstituted alkynyl, substituted or unsubstituted alkoxy, substituted or unsubstituted alkylamido, substituted or unsubstituted alkylamino, substituted or unsubstiruted cycloalkyl, or substituted or unsubstituted aryl. Presently preferred embodiments herein include compounds wherein R1 is C1 -C6 alkyl (especially methyl).
[0052] In certain aspects of the invention, each R2 is independently hydrogen, halogen, substituted or unsubstituted alkyl, substituted or unsubstituted alkenyl, substituted or unsubstituted alkynyl, substituted or unsubstituted alkoxy, substituted or unsubstituted alkylamido, substituted or unsubstituted alkylamino, substituted or unsubstituted amino, substituted or unsubstituted cycloalkyl, or substituted or unsubstituted aryl. Presently preferred embodiments herein include compounds wherein R2 is Ci-Cβ alkyl (especially methyl) or halogen.
[0053] In presently preferred embodiments of the present invention, Ring A is:
R1 is Ci-C6 alkyl (especially methyl), R2 is CI-CO alkyl (especially methyl) or halogen, and G is CR or N (especially CR, with CH being presently preferred), wherein R is hydrogen, halogen, substituted or unsubstituted alkyl, substituted or unsubstituted alkenyl, substituted or unsubstituted alkynyl, substituted or unsubstituted alkoxy, substituted or unsubstituted alkylamido, substituted or unsubstituted alkylamino, or substituted or unsubstituted amino.
[0054] In another aspect of the present invention, Ring A is
, wherein each M is independently selected from CR2 or N, provided that no more than three M's are N. In certain embodiments of the present invention, it is preferred that no more than two M's are N. In other embodiments of the present invention, it is preferred that only one M is N. In still other embodiments of the present invention, it is preferred that all M's are CR2.
[0055] In still another aspect of the present invention, Ring A is
, wherein each Q is independently selected from N, NR1,
CR2, C(R2)2, S, or O, provided that at least one Q is a heteroatom, but no more than four Q's are heteroatoms, and n is 0, 1, 2 or 3; thus in certain embodiments, A is a 4, 5, 6 or 7-membered heterocyclyl ring. Exemplary rings include pyrrolidine, tetrahydrofuran, tetrahydrothiophene, piperidine, and the like.
[0056] Presently preferred embodiments of the present invention include compounds wherein Ring B is:
wherein each E' is independently N1 NR3, C, CR4, S, or O, provided that no more than four E's are heteroatoms;
R3 is hydrogen, substituted or unsubstituted alkyl, substituted or unsubstituted alkenyl, substituted or unsubstituted alkynyl, substituted or unsubstituted alkoxy, substituted or unsubstituted alkylamido, substituted or unsubstituted alkylamino, substituted or unsubstituted cycloalkyl, substituted or unsubstituted aryl, or a divalent form of any of the above, which cooperates with R1 or R2 (on Ring A) to form a fused ring system;
each R4 is independently selected from hydrogen, halogen, substituted or unsubstituted alkyl, substituted or unsubstituted alkenyl, substituted or unsubstituted alkynyl, substituted or unsubstituted alkoxy, substituted or unsubstituted alkylamido,
substituted or unsubstituted alkylamino, substituted or unsubstituted amino, substituted or unsubstituted cycloalkyl, substituted or unsubstituted aryl, or a divalent form of any of the above, which cooperates with R1 or R2 (on Ring A) to form a fused ring system; and
each M' is independently selected from CR4 or N, provided that no more than three M "s are N.
[0057] In one aspect of the present invention, Ring B is
wherein each E' is independently N, NR3, C, CR4, S, or O, provided that no more than four E's are heteroatoms; preferably no more than three E's are heteroatoms; with no more than two E's being heteroatoms being presently preferred.
[0058] In another aspect of the present invention, Ring B is
wherein each M' is independently selected from CR4 or N, provided that no more than three M "s are N; with no more than two M"s being N being presently preferred.
[0059] In still another aspect of the present invention, Ring B is
each G is independently CR or N, preferably CR (with R = H being preferred);
each R is independently selected from hydrogen, halogen, substituted or unsubstituted alkyl, substituted or unsubstituted alkenyl, substituted or unsubstituted alkynyl, substituted or unsubstituted alkoxy, substituted or unsubstituted alkylamido, substituted or unsubstituted alkylamino, substituted or unsubstituted amino; and
Y is hydrogen, halogen, cyano, substituted or unsubstituted alkyl, substituted or unsubstituted alkenyl, substituted or unsubstituted alkynyl, substituted or unsubstituted alkoxy, substituted or unsubstituted alkylamido, substituted or unsubstituted alkylamino, substituted or unsubstituted amino, substituted or unsubstituted cycloalkyl, or substituted or unsubstituted aryl.
[0060] In still other aspects of the present invention, Ring B is
wherein A and Y are as defined above;
[0061] In presently preferred embodiments of the present invention, Y is hydrogen, halogen, substituted or unsubstituted alkyl, substituted or unsubstituted alkenyl, substituted or unsubstituted alkynyl, substituted or unsubstituted alkoxy, substituted or unsubstituted alkylamido, substituted or unsubstituted alkylamino, substituted or unsubstituted amino, substituted or unsubstituted cycloalkyl, or substituted or unsubstituted aryl; with Y selected from the group consisting of hydrogen, halogen, cyano, substituted or unsubstituted lower alkyl, and substituted or
unsubstituted alkoxy, amino, and alkylamino being especially preferred, particularly hydrogen, fluoro, methoxy.
[0062] In one aspect of the present invention, Ring C is:
wherein each E" is independently N, NR5, C, CR6, S, or O, provided that no more than four E"s are heteroatoms;
R5 is hydrogen, substituted or unsubstituted alkyl, substituted or unsubstituted alkenyl, substituted or unsubstituted alkynyl, substituted or unsubstituted alkoxy, substituted or unsubstituted alkylamido, substituted or unsubstituted alkylamino, substituted or unsubstituted cycloalkyl, or substituted or unsubstituted aryl;
each R6 is hydrogen, halogen, substituted or unsubstituted alkyl, substituted or unsubstituted alkenyl, substituted or unsubstituted alkynyl, substituted or unsubstituted alkoxy, substituted or unsubstituted alkylamido, substituted or unsubstituted alkylamino, substituted or unsubstituted amino, substituted or unsubstituted cycloalkyl, or substituted or unsubstituted aryl; and
each M" is independently selected from CR6 or N, provided that no more than three M"s are N.
[0063] In certain embodiments of the present invention, Ring C is
[0064] In other embodiments of the present invention, Ring C is
In a presently preferred embodiment, each M" is CR2. In other embodiments of the present invention, one M" is N. In still other embodiments of the present invention, two M"s are N.
[0065] Particularly preferred compounds of the invention are those wherein Ring C is
wherein each R7 is independently selected from halogen, substituted or unsubstituted alkyl, substituted or unsubstituted cycloalkyl, substituted or unsubstituted alkenyl, substituted or unsubstituted aryl, substituted or unsubstituted alkoxy, or substituted or unsubstituted amino. In a presently preferred embodiment, the ortho R7 is lower alkyl, especially methyl.
[0066] In certain embodiments of the present invention, LA is a covalent bond or a linker selected from the group consisting -C(R')2-, -O-, -S-, -NR'-, -C(O)-, -S(O)-, and -S(O)2-, wherein each R' is independently hydrogen, substituted or unsubstituted alkyl, substituted or unsubstituted alkenyl, substituted or unsubstituted alkynyl, or substituted or unsubstituted cycloalkyl. Presently preferred variants for LA include a
covalent bond, -CH2-, -O-, -C(O) -, and -NH-. An especially preferred linker LA is a covalent bond.
[0067] In certain embodiments of the present invention, LB is a covalent bond or a linker selected from the group consisting of -C=C-, -C ≡€-, -(C(R')2)z-, -O-, -O-CR'2-, -S-, -NR'-, -NH-(CR'2)-, -N=N-, -C(O)-, -C(O)NR'-, -O-C(O)-, -NR'-C(O)-, -S-C(O)-, -S(O)-, -S(O)2-, -0-S(O)2-, -O-S(O)-, -O-C(S)-, -NR'-C(S)-, -S-S(O)2-, -O-P(O)(R')2-, -S-P(O)(R')2-, and -NR'-P(O)(R')2-, wherein each R' is independently hydrogen, substituted or unsubstituted alkyl, substituted or unsubstituted alkenyl, substituted or unsubstituted alkynyl, or substituted or unsubstituted cycloalkyl, and z is 1 or 2. Presently preferred variants for LB include a covalent bond, -CH2- -CH(CH3K -C(CH3)2-, cyclopropylene, -0-, -NH-, -C(O) -, -O-C(O) - and -S(O)2-. Especially preferred linkers, LB, include -CH2- -CH(CH3)- -C(CH3)2- and cyclopropylene.
[0068] In certain embodiments of the present invention, X is =0, =S or =N(CN). In some embodiments, X is preferably =O. In other embodiments, X is preferably =S. In still other embodiments, X is preferably =N(CN).
[0069] In certain embodiments of the present invention, ZA is hydrogen, substituted or unsubstituted alkyl, substituted or unsubstituted cycloalkyl, substituted or unsubstituted alkenyl, substituted or unsubstituted alkynyl, substituted or unsubstituted alkoxy, substituted or unsubstituted alkylamido, substituted or unsubstituted alkylamino, substituted or unsubstituted amino. In certain embodiments, ZA is selected from the group consisting of hydrogen, substituted or unsubstituted alkyl and substituted cycloalkyl. In especially preferred embodiments, ZA is selected from the group consisting of hydrogen, methyl, ethyl, propyl, isopropyl, cyclopropyl, and cyclobutyl. In certain embodiments, it is presently preferred that ZA is hydrogen.
[0070] In certain embodiments of the present invention, ZB is hydrogen, substituted or unsubstituted alkyl, substituted or unsubstituted cycloalkyl, substituted or unsubstituted alkenyl, substituted or unsubstituted alkynyl, substituted or unsubstituted alkoxy, substituted or unsubstituted alkylamido, substituted or unsubstituted alkylamino, substituted or unsubstituted amino. In certain
embodiments, ZB is selected from the group consisting of hydrogen, substituted or unsubstituted alkyl and substituted cycloalkyl. In especially preferred embodiments, ZB is selected from the group consisting of hydrogen, methyl, ethyl, propyl, isopropyl, n-butyl, iso-butyl, t-butyl, n-pentyl, cyclopropyl, cyclobutyl, and cyclopentyl. In certain embodiments, it is presently preferred that ZB is hydrogen. In certain embodiments, it is presently preferred that ZB is methyl. In certain embodiments, it is presently preferred that ZB is ethyl. In certain embodiments, it is presently preferred that ZB is cyclopropyl.
[0071] In certain aspects of the present invention, presently preferred combinations of ZA and ZB are those wherein each of ZA and ZB is hydrogen, or those wherein at least one of ZA and ZB is not hydrogen, or those wherein ZA is hydrogen and ZB is methyl, or those wherein ZA is hydrogen and ZB is cyclopropyl.
[0072] Presently preferred compounds according to the invention include compounds having one of the following structures:
wherein each of G, Y, ZB, R2 and R7 are as defined above;
with especially preferred compounds comprising those wherein Z8 is alkyl (especially cyclopropyl), and Y is methoxy or halogen.
[0073] Additional embodiments of the present invention contemplated herein include compositions comprising compounds of Formula (I) and a pharmaceutically acceptable carrier; and kits comprising compounds of Formula (I) (or compositions containing same) and instructions for use.
II. PREPARATION OF COMPOUNDS
[00741 Presented below are exemplary general SCHEMES for the preparation of invention compounds, and intermediates therefor. Further details of synthetic methods are provided in the Examples herein. Since compounds herein (and intermediates therefore) can be readily prepared according to procedures well known to one of ordinary skill in the art, numerous methods, in lieu of or in addition to the synthetic SCHEMES presented below, may be employed to prepare compounds herein.
[0075] Derivatives and chemically similar compounds within the scope of the instant disclosure may be prepared by routine modification of the procedures provided herein using the appropriate starting materials, the selection of which will be evident to those of skill in the art.
[0076] Compounds herein can be prepared in a variety of ways, such as, for example, by any one of the following Schemes:
General Synthetic Schemes
Scheme 1
(a) p-nitrophenyl chloroformate
[0077] Thus, according to Scheme 1 , compounds contemplated by the present invention can be prepared in two steps, starting with an amino-substituted compound, which is treated withp-nitrophenyl chloro formate in suitable solvent(s) under suitable reaction conditions, followed by condensation with an appropriately substituted amine in suitable solvent(s), as illustrated above.
Scheme 2
(a) Triphosgene
[0078] According to Scheme 2, compounds contemplated by the present invention can be prepared in a one-pot, two-step process wherein an appropriately substituted amine is treated with triphosgene in suitable solvent(s) under suitable reaction conditions, followed by condensation with an appropriately substituted amine, as illustrated above.
Scheme 3
[0079] According to Scheme 3, compounds contemplated by the present invention can be prepared in a one-step process wherein an appropriately substituted cyanate (or thiocyanate) is reacted with an appropriately substituted amine in suitable solvent(s) under suitable reaction conditions, as illustrated above.
Scheme 4
[0080| According to Scheme 4, compounds contemplated by the present invention can be prepared in two steps starting with reaction of an appropriately substituted amine with diphenyl cyanocarbonimindiate, CH3CN, followed by reaction with an appropriately substituted amine in suitable solvent(s) under suitable reaction conditions, as illustrated above.
Schemes for preparation of Ring A plus Ring B fusions
Scheme 5
[0081] According to Scheme 5, compounds contemplated by the present invention can be prepared in two steps by first contacting an appropriately substituted imidazole and para-fluoro-substituted nitrobenzene in the presence of K2CO3 in suitable solvent (e.g., DMSO or DMF) at about 50 °C for about 20 hr (step a), followed by treatment of the resulting phenyl-substituted imidazole with NaBH4 and NiCl2, in methanol/dichloromethane (1 :1) at a temperature in the range of about 0 °C up to about room temperature for about 30 minutes (step b).
Scheme 6
[0082] According to Scheme 6, compounds contemplated by the present invention can be prepared in two steps by first contacting a suitable substituted and protected pyrazole with a para-halogenated nitrobenzene in the presence of Pd(PPh3)4, Na2CO3, and LiCl, ethanol-toluene at about 9O°C, for about 17hr (step a), followed by treatment of the resulting phenyl-substituted pyrazole with NiCl2, NaBH4 in methanol-dichloromethane at a temperature in the range of about O°C up to about 30minutes (step b).
Scheme 7
[0083] According to Scheme 7, compounds contemplated by the present invention can be prepared in two steps by first contacting an appropriately substituted imidazole and a chloro-, nitro-substituted pyridine or pyrimidine in the presence of K2CCh in DMSO at room temperature for about 6 hr (step a), followed by treatment of the resulting pyridyl-substituted imidazole or pyrimidine-substituted imidazole with NaBH4 and NiCl2, in methanol-dichloromethane (1 :1) at a temperature in the range of about 0 °C up to about room temperature for about 50 minutes (step b).
Scheme 7a
[0084] According to Scheme 7a, compounds contemplated by the present invention can be prepared in two steps by first converting an appropriately substituted nitrobenzenediazonium to a triazole compound under suitable conditions with sodium azide and methylpropyne (step 1), followed by treatment of the resulting triazole compound with NaBH4 and NiCl2, in methanol-dichloromethane (1 :1) at a temperature in the range of about 0 °C up to about room temperature for about 50 minutes (step T).
Schemes for incorporation of Ring C into compounds of the invention:
Scheme 8
[0085] According to Scheme 8, Ring C can be modified in a variety of ways for incorporation thereof into compounds of the invention, e.g., an appropriately substituted benzaldehyde can be treated with ZB-NH2, in the presence of:
(a) NaBH(OAc)3, and ethyl, diisopropylamine in dichloroethane at room temperature, or
(b) NaBH(OAc)3 in acetic acid at room temperature,
(c) NaBH3CN, and 5N HCl in methanol at room temperature, or
(d) NaHCO3 in anhydrous methanol at room temperature, then NaBH4.
Scheme 9
[00861 According to Scheme 9, Ring C can be elaborated by treating an appropriately substituted cyano-benzene with H2, Raney Nickel and IN NH3 in methanol at about 60 °C.
Scheme 10
[0087] According to Scheme 10, Ring C can be elaborated by treating an appropriately substituted bromomethyl-substituted benzene with ZB-NH2, in ethanol at room temperature.
Scheme 1 1
[0088] According to Scheme 11 , Ring C can be elaborated by treating an appropriately substituted aminomethyl-substituted benzene with a suitable protecting group (e.g., Boc2O) in a suitable solvent (e.g., THF), under suitable reaction conditions (e.g., room temperature for about 2hr) (step a). The resulting protected amine can be treated with NaH, and methyl or ethyl iodide in DMF at a temperature in the range of about -20 °C up to about room temperature (step b). The resulting
substituted amine can be de-protected by treatment with trifluoroacetic acid at room temperature (step c).
III. METHODS OF MODULATING Aβ AND METHODS FOR TREATING DISEASE ASSOCIATED WITH Aβ
[0089] In accordance with one aspect of the present invention, there are provided methods of modulating amyloid beta (A/3) levels and methods for treating a disease associated with aberrant Aβ levels using compounds described herein, including compounds of Formula (I) and compositions compπsing such compounds.
[0090] The term "amyloid-beta" or "Aβ" refers to a peptide that corresponds in sequence to a peptide derived from both beta-secretase (BACE) and gamma-secretase cleavage of an amyloid precursor protein (APP). Aβ peptides include those that terminate at positions 33, 34, 37, 38, 39, 40 and 42, respectively, relative to human Aβl-42 (SEQ ID NO:1; Asp-Ala-Glu-Phe-Arg-His-Asp-Ser-Gly-Tyr-Glu-Val-His- His-Gln-Lys-Leu-Val-Phe-Phe-Ala-Glu-Asp-Val-Gly-Ser-Asn-Lys-Gly-Ala-Ile-Ile- Gly-Leu-Met-Val-Gly-Gly-Val-Val-Ile-Ala) or Aβl-42 homologs from other species. Since BACE is able to cleave APP at multiple sites (including between residues 671 and 672, between residues 672 and 673, and between residues 681 and 682, relative to the human APP770 sequence, GenBank Accession No. P05067) the N-terminus of an Aβ peptide may vary. Thus, for example, the term Aβ42 includes peptides corresponding to amino acids 1-42, 2-42, and 11-42 of SEQ ID NO: 1 or its homologs.
[0091] The phrase "modulate" or "modulating" with respect to Aβ level, refers to a detectable increase or decrease in the amount of at least one species of Aβ peptide (such as Aβ43, Aβ42, Aβ40, Aβ39, Aβ38, Aβ37, Aβ34, 11-43, 11-42, 11-40, 1 1-39, 11-38, 11-37, 11-34, etc.); a detectable increase or decrease in the relative amount of different species of Aβ peptides (such as the ratio of Aβ42 to Aβ40); a detectable increase or decrease in the amount, or relative amount, of Aβ in a particular form (such as monomelic, oligomeric, or fibrillar form; in solution or aggregated in a plaque; in a particular conformation; etc.); and/or a detectable increase or decrease in the amount, or relative amount, of Aβ in a particular location (such as an intracellular,
membrane-associated or extracellular location, or in a particular tissue or body fluid). In preferred embodiments, modulation is detectable as a decrease in the level of Aβ42 or Aβ40, or an increase in the level of Aβ37 or Aβ38. Modulation of Aβ level can be evidenced, for example, by an increase or decrease of at least 5%, such as at least 10%, 20%, 30%, 40%, 50%, 75%, 90% or more, of the amount, or relative amount, of an Aβ species, of total Aβ, or of a particular form of Aβ, relative to a reference level. Modulation can be an increase or decrease that is a statistically significant difference relative to the reference level.
[0092] As readily recognized by those of skill in the art, various assays can be performed to determine whether a compound modulates Aβ levels. For most applications, the compound will be tested over a range of concentrations, and a compound that raises or lowers the amount of Aβ will be determined to do so in a concentration-dependent manner, such that an EC50 or IC50 can be determined.
[0093] An assay to detect whether a compound raises or lowers Aβ will involve a source of amyloid precursor protein (APP). The APP can be from any species, but is preferably human or mammalian, and can be any isoform, including the major isoforms APP695, APP751 and APP770, or other isoforms such as APP714, L- APP752, L-APP733, L-APP696, L-APP677, APP563, and APP365. The APP can contain one or more additions, deletions or mutations, including mutations found in families with AD or other amyloidoses (e.g. the Swedish (Lys670Asn, Met671 Leu) double mutation; the London mutation (Val717Ile), the Indiana mutation (Val717Phe), the Val717GIy mutation, the Ala713Thr mutation, the Ala713 VaI mutation, the Austrian mutation (Thr714Ile), the Iranian mutation (Thr714Ala), the French mutation (Val715Met), the German mutation (Val715Ala), the Florida mutation (Ile716Val), the He 716Thr mutation, the Australian mutation (Leu723Pro), the Flemish mutation (Ala692Gly), the Dutch mutation (Glu693Gln), the Arctic mutation (Glu693Gly), the Italian mutation (Glu693Lys), the Iowa mutation (Asp694Asn), and the amyloidsis-Dutch type mutation (Glu693Gln); all numbering is given relative to the APP770 form).
[0094] Alternatively, an assay can use just a portion of an APP, so long as the fragment can be processed to Aβ by one or more cleavage reactions. For example, the
APP C-terminal fragments designated C99 and C89, or portions thereof lacking some or all C-terminal residues that normally reside in the cytosol, can be used.
|0095] Depending on the desired assay, the source of APP or fragment can be an in vivo, ex vivo or in vitro substance. For example, a source of APP or cleavable fragment can be a live organism (including a human subject, or a veterinary or laboratory animal, such as a transgenic animal), a sample therefrom (such as a tissue (e.g. brain), body fluid (e.g. blood, plasma, cerebrospinal fluid, urine, etc.), or extract thereof), a cell (such as a primary cell or cell line, a recombinant cell, or extract thereof), extracellular medium or purified protein. Methods of isolating tissues, production and maintenance of primary and recombinant cells, preparation of lysates, and protein purification compatible with Aβ assays are known in the art.
[0096] For cell based Aβ assays, cells (including human or other mammalian cells) that endogenously or recombinantly express APP can be used, such as SH- SY5Y-APP, CHO-APPSwe, HEK-APP751, primary cells (e.g. mixed brain cultures) obtained from APP-expressing animals, and the like.
[0097] For in vivo Aβ assays, animals that endogenously express APP can be used, such as mice, rats, guinea pigs, rabbits, and the like. Alternatively, APP- expressing transgenic animals can be used, including but not limited to the Tg2576 mouse, which contains a gene encoding human APP695 with the Swedish (Lys670Asn, Met671Leu) double mutation under the control of the hamster prion protein gene promoter (Hsiao et al. (1996) Science 274:99-102; U.S. Patent No. 5,877,399); the V717F PDAPP mouse, which contains a gene encoding human APP695 (Val717Phe) under the control of the platelet derived growth factor (PDGF) chain gene promoter (Games et al. (1995) Nature 373:523-527; U.S. Patent No. 5,811,633); and the ClOO mouse, which contains a gene encoding the neurotoxic C- terminal 100 amino acids of APP under the control of the dystrophin neural promoter (Neve et al. (1996) Neurobiol. Aging 17:191-203; U.S. Patent Nos. 5,672,805).
[0098] In the Aβ assays contemplated herein, the substance containing the APP or cleavable fragment is contacted with a compound. As will be appreciated by one skilled in the art, when the substance is a human or other animal, the contacting can be by therapeutic or prophylactic administration of the compound (e.g. by oral,
intravenous, intraperitoneal, etc. routes). When the substance is a tissue, tissue extract or cell, the contacting can be by introduction of the compound into the culture medium. When the substance is a cell lysate or a solution, the contacting can be by mixing the compound with the lysate or solution.
[0099] It will be appreciated that there are various assay formats available to detect the ability of a compound to modulate Aβ. For instance, an assay using FRET to detect changes in the amount of Aβ 1-42 is described in Example 5, and this assay can be modified to detect changes in the amount of other Aβ peptides by varying the antibody or antibodies used. US Published Application 2005/0070538 describes a sandwich ELISA format to detect changes in the level of Aβ40 and Aβ42. Meso Scale Discovery (Gaithersburg, Maryland) supplies an ultra-sensitive sandwich ELISA assay kit and the Meso Scale Sector Imager 6000 to detect changes in the level of Aβ38, Aβ40 or Aβ42. Wiltfang et al. (1997) Electrophoresis 18:527-532 describes an assay using electrophoresis and immunoblotting that is suitable to detect changes in the level of Aβ37, Aβ38, Aβ40 and/or Aβ42. Alternative Aβ assay formats, including mass spectroscopy, imaging methods in live organisms (e.g. multiphoton microscopy and positron emission tomography), are also known in the art.
10100] The term "treating" or "treatment" refers to any manner in which one or more of the symptoms of a disease or disorder are ameliorated or otherwise beneficially altered, whether in a permanent or temporary manner, which can be attributed to or associated with administration of the compound or composition herein. The term encompasses any pharmaceutical use, including prophylactic uses in which the development of one or more of the symptoms of a disease or disorder is prevented, delayed or reduced, whether in a permanent or temporary manner, which can be attributed to or associated with administration of the composition.
[0101] The phrase "disease associated with aberrant Aβ levels" refers to any condition characterized by an abnormal amount of at least one species of Aβ peptide; by an abnormal relative amount of different species of Aβ peptides (such as the ratio of Aβ42 to Aβ40); by an abnormal amount, or relative amount, of Aβ in a particular form (such as monomelic, oligomeric, or fibrillar form; in solution or aggregated in a plaque; in a particular conformation, etc.); and/or by an abnormal amount, or relative
amount, of Aβ in a particular location (such as intracellular, membrane-associated or extracellular location, or in a particular tissue or body fluid).
[0102] Diseases associated with aberrant Aβ levels are known in the art and/or described herein, and include, for example, Alzheimer's Disease, Down syndrome, Parkinson's disease, diffuse Lewy body disease, Hereditary Cerebral Hemorrhage with Amyloidosis-Dutch Type (HCHWA-D), cerebral amyloid angiopathy (CAA), mild cognitive impairment (MCI), macular degeneration and cataracts.
[0103] Compounds of the present invention can also be used in the treatment of neurological disorders, including but not limited to neurodegenerative disorders and other dementias or traumatic conditions. Exemplary neurological disorders include prion diseases (including Creutzf el dt- Jakob, Gerstmann-Straussler-Scheinker disease, Kuru and fatal familial insomnia), age-related dementia and other conditions with memory loss, such as vascular dementia, diffuse white matter disease (Binswanger's disease), dementia of endocrine or metabolic origin, dementia of head trauma and diffuse brain damage, cerebral ischemia or infaction including embolic occlusion and thrombotic occlusion as well as intracranial hemorrhage of any type (including, but not limited to, epidural, subdural, subarachnoid and intracerebral), and intracranial and intravertebral lesions (including, but not limited to, contusion, penetration, shear, compression and laceration).
[0104] Compounds and compositions of the instant invention may be used to treat or ameliorate a variety of other disorders. Compounds and compositions that may be used in therapeutic applications, in one embodiment have reasonably high bioavailability in a target tissue (i.e. brain, for neurological disorders; particular peripheral organs for other conditions), reasonably good potency, and reasonably low toxicity.
[0105] Those skilled in the art can determine other diseases and disorders for which administration of a compound or composition described herein can be beneficial, and can assess compounds described herein for their pharmaceutical acceptability using standard methods.
[0106] The phrase "contacting" refers to bringing into association, either directly or indirectly, two or more substances. Contacting may occur in vivo, ex vivo or in vitro. A source of APP, amyloid precursor fragment thereof and/or Aβ or source of BACE activity, that is a human or other animal can be contacted with a compound, for example, by therapeutic or prophylactic administration of the compound. A source of APP, amyloid precursor fragment thereof and/or Aβ that is a tissue, tissue extract or cell can be contacted with a compound, for example, by introduction of the compound into the culture medium. A source of APP, amyloid precursor fragment thereof and/or Aβ that is a fluid, such as extracellular medium, can be contacted with a compound, for example, by admixing the compound with the fluid.
[0107] The phrase "disease associated with aberrant Aβ levels" refers to any condition characterized by an abnormal amount of at least one species of Aβ peptide (such as Aβ43, Aβ42, Aβ40, Aβ39, Aβ38, Aβ37, Aβ34, 11-43, 1 1-42, 11-40, 1 1-39, 11-38, 1 1-37, 1 1-34, etc.); by an abnormal relative amount of different species of Aβ peptides (such as the ratio of Aβ42 to Aβ40); by an abnormal amount, or relative amount, of Aβ in a particular form (such as monomelic, oligomeric, or fibrillar form; in solution or aggregated in a plaque; in a particular conformation, etc.); and/or by an abnormal amount, or relative amount, of Aβ in a particular location (such as intracellular, membrane-associated or extracellular location, or in a particular tissue or body fluid). The abnormal amount of one or more Aβ peptides, Aβ forms and/or Aβ can be relative to a condition that is a normal, non-disease state. Diseases and disorders characterized by altered Aβ levels are known in the art and/or described herein, and include, for example, Down syndrome, Parkinson's disease, diffuse Lewy body disease, progressive supranuclear palsy, Hereditary Cerebral Hemorrhage with Amyloidosis-Dutch Type (HCHWA-D), cerebral amyloid angiopathy (CAA), and mild cognitive impairment (MCI). Embodiments of the invention include methods of treating any disease associated with aberrant Aβ levels, such as AD. Compounds of the present invention can be administered to a subject to treat (including to prevent or to ameliorate) conditions associated with altered Aβ production, fibril formation/deposition, degradation and/or clearance, or any altered isoform of Aβ.
IV. ALTERNATIVE THERAPEUTIC APPLICATIONS
[0108] Compounds and compositions of the instant invention may be used to treat or ameliorate a variety of disorders. Compounds and compositions that may be used in therapeutic applications, in one embodiment have reasonably high bioavailability in a target tissue (i.e. brain, for neurodegenerative disorders; particular peripheral organs for other amyloidogenic conditions), and reasonably low toxicity. Those skilled in the art can assess compounds described herein for their pharmaceutical acceptability using standard methods.
[0109] For instance, compounds of the instant invention can be used in the treatment of cancer or other diseases characterized by abnormal cellular proliferation, inflammatory disease, bacterial or viral infection, autoimmunue disease, acute pain, muscle pain, neuropathic pain, allergies, neurological disease, dermatological conditions, cardiovascular disease, diabetes, gastrointestinal disorders, depression, endocrine or other disease characterized by abnormal hormonal metabolism, obesity, osteoporosis or other bone disorders, pancreatic disease, epilepsy or seizure disorders, erectile or sexual dysfunction, opthamological disorders or diseases of the eye, cholesterol imbalance, hypertension or hypotension, migraine or headaches, obsessive compulsive disorder, panic disorder, anxiety disorder, post traumatic stress disorder, chemical dependency or addiction, and the like.
[0110] Compounds provided herein can also be used to prevent or treat amyloidoses. Amyloidoses include all conditions in which deposition of amyloid in the brain or periphery is a characteristic, including amyloidosis associated with rheumatic diseases, idiopathic diseases, inherited conditions, inflammatory conditions, infectious diseases and malignancies. Amyloidosis disorders include, for example, conditions associated with altered Aβ levels described above (e.g. Alzheimer's disease, Down syndrome, HCHWA-D, cerebral amyloid angiopathy (CAA), and mild cognitive impairment (MCI) etc.), as well as familial amyloid polyneuropathy, familial amyloid cardiomyopathy (Danish type), isolated cardiac amyloid, amyloid angiopathy, systemic senile amyloidosis, familial systemic amyloidosis, light-chain amyloidosis (AL), dialysis-associated amyloidosis, renal amyloidosis, pri on-related encephalopathies, diabetes (in which amylin may be deposited in the kidney or pancreas), atrial amyloidosis and pituitary amyloidosis.
[Oil 1] Those skilled in the art can determine other diseases and disorders for which administration of a compound or composition described herein can be beneficial.
V. PHARMACEUTICAL COMPOSITIONS
[0112] Compositions of the invention comprise one or more compounds provided herein. The compounds are, in one embodiment, formulated in combination with a pharmaceutically acceptable carrier into pharmaceutical preparations. The phrase "pharmaceutically acceptable carrier" refers to any carrier known to those skilled in the art to be suitable for the particular mode of administration. In addition, the compounds may be formulated as the sole pharmaceutically active ingredient in the composition or may be combined with other active ingredients.
[0113] The phrase "pharmaceutically acceptable salt" refers to any salt prepration that is appropriate for use in a pharmaceutical application. Pharmaceutically- acceptable salts include amine salts, such as N,N'-dibenzylethylenediamine, chloroprocaine, choline, ammonia, diethanolamine and other hydroxyalkylamines, ethylenediamine, N-methylglucamine, procaine, N-benzylphenethylamine, 1-para- chloro- benzyl-2-pyrrolidin-r-ylmethylbenzimidazole, diethylamine and other alkylamines, piperazine, tris(hydroxymethyl)aminomethane, and the like; alkali metal salts, such as lithium, potassium, sodium, and the like; alkali earth metal salts, such as barium, calcium, magnesium, and the like; transition metal salts, such as zinc, aluminum, and the like; other metal salts, such as sodium hydrogen phosphate, disodium phosphate, and the like; mineral acids, such as hydrochlorides, sulfates, and the like; and salts of organic acids, such as acetates, lactates, malates, tartrates, citrates, ascorbates, succinates, butyrates, valerates, fumarates, and the like.
[0114] The phrase "prodrug" refers to a compound that, upon in vivo administration, is metabolized by one or more steps or processes or otherwise converted to the biologically, pharmaceutically or therapeutically active form of the compound. Prodrugs can be prepared by modifying functional groups present in the compound in such a way that the modifications are cleaved, either in routine manipulation or in vivo, to a compound described herein. For example, prodrugs
include compounds of the present invention wherein a hydroxy, amino, or sulfhydryl group is bonded to any group that, when administered to a mammalian subject, can be cleaved to form a free hydroxyl, free amino, or free sulfhydryl group, respectively. Representative prodrugs include, for example, esters, enol ethers, enol esters, acetates, formates, benzoate derivatives, and the like of alcohol and amine functional groups in the compounds of the present invention. By virtue of knowledge of pharmacodynamic processes and drug metabolism in vivo, those of skill in this art, once a pharmaceutically active compound is known, can design prodrugs of the compound (see, e.g., Nogrady (1985) Medicinal Chemistry A Biochemical Approach, Oxford University Press, New York, pages 388-392).
[0115] Compositions herein comprise one or more compounds provided herein. The compounds are, in one embodiment, formulated into suitable pharmaceutical preparations such as solutions, suspensions, tablets, dispersible tablets, pills, capsules, powders, sustained release formulations or elixirs, for oral administration or in sterile solutions or suspensions for parenteral administration, as well as transdermal patch preparation and dry powder inhalers. In one embodiment, the compounds described above are formulated into pharmaceutical compositions using techniques and procedures well known in the art (see, e.g., Ansel Introduction to Pharmaceutical Dosage Forms, Fourth Edition 1985, 126).
[0116] Techniques and procedures for preparing pharmaceutical preparations are well known in the art (see, e.g., Ansel Introduction to Pharmaceutical Dosage Forms, Fourth Edition 1985, 126; also see WO 04/110350). Pharmaceutical preparation include, for example, solutions, suspensions, tablets, dispersible tablets, pills, capsules, powders, sustained release formulations or elixirs, for oral administration or in sterile solutions or suspensions for parenteral administration, as well as transdermal patch preparation and dry powder inhalers.
[0117] In the compositions, effective concentrations of one or more compounds or pharmaceutically acceptable derivatives thereof is (are) mixed with a suitable pharmaceutical carrier. The compounds may be derivatized as the corresponding salts, esters, enol ethers or esters, acetals, ketals, orthoesters, hemiacetals, hemiketals, acids, bases, solvates, hydrates or prodrugs prior to formulation, as described above.
The concentrations of the compounds in the compositions are effective for delivery of an amount, upon administration, that treats, prevents, or ameliorates one or more of the symptoms of diseases or disorders to be treated.
[0118] In one embodiment, the compositions are formulated for single dosage administration. To formulate a composition, the weight fraction of compound is dissolved, suspended, dispersed or otherwise mixed in a selected carrier at an effective concentration such that the treated condition is relieved, prevented, or one or more symptoms are ameliorated.
[0119] The active compound is included in the pharmaceutically acceptable carrier in an amount sufficient to exert a therapeutically useful effect in the absence of undesirable side effects on the patient treated. The therapeutically effective concentration may be determined empirically by testing the compounds in in vitro and in vivo systems described herein and in PCT publications WO 04/018997 and WO 04/110350, and then extrapolated therefrom for dosages for humans.
[0120] The concentration of active compound in the pharmaceutical composition will depend on absorption, inactivation and excretion rates of the active compound, the physicochemical characteristics of the compound, the dosage schedule, and amount administered as well as other factors known to those of skill in the art.
[0121] In one embodiment, a therapeutically effective dosage should produce a serum concentration of active ingredient of from about 0.1 ng/ml to about 50- 100 μg/ml. The pharmaceutical compositions, in another embodiment, should provide a dosage of from about 0.001 mg to about 2000 mg of compound per kilogram of body weight per day. Pharmaceutical dosage unit forms are prepared to provide from about 0.01 mg, 0.1 mg or 1 mg to about 500 mg, 1000 mg or 2000 mg, and in one embodiment from about 10 mg to about 500 mg of the active ingredient or a combination of essential ingredients per dosage unit form.
[0122] The active ingredient may be administered at once, or may be divided into a number of smaller doses to be administered at intervals of time. It is understood that the precise dosage and duration of treatment is a function of the disease being treated and may be determined empirically using known testing protocols or by
extrapolation from in vivo or in vitro test data. It is to be noted that concentrations and dosage values may also vary with the severity of the condition to be alleviated. It is to be further understood that for any particular subject, specific dosage regimens should be adjusted over time according to the individual need and the professional judgment of the person administering or supervising the administration of the compositions, and that the concentration ranges set forth herein are exemplary only and are not intended to limit the scope or practice of the claimed compositions.
[0123] In instances in which the compounds exhibit insufficient solubility, methods for solubilizing compounds may be used. Such methods are known to those of skill in this art, and include, but are not limited to, using cosolvents, such as dimethylsulfoxide (DMSO) or polyethylene glycol (PEG), using surfactants, such as TWEEN®, or dissolution in aqueous sodium bicarbonate. Derivatives of the compounds, such as prodrugs of the compounds, may also be used in formulating effective pharmaceutical compositions.
[0124] Upon mixing or addition of the compound(s), the resulting mixture may be a solution, suspension, emulsion, or the like. The form of the resulting mixture depends upon a number of factors, including the intended mode of administration and the solubility of the compound in the selected carrier or vehicle. The effective concentration is sufficient for ameliorating the symptoms of the disease, disorder or condition treated and may be empirically determined.
[0125] The pharmaceutical compositions are provided for administration to humans and animals in unit dosage forms, such as tablets, capsules, pills, powders, granules, sterile parenteral solutions or suspensions, and oral solutions or suspensions, and oil-water emulsions containing suitable quantities of the compounds or pharmaceutically acceptable derivatives thereof. The pharmaceutically therapeutically active compounds and derivatives thereof are, in one embodiment, formulated and administered in unit-dosage forms or multiple-dosage forms. Unit- dose forms as used herein refers to physically discrete units suitable for human and animal subjects and packaged individually as is known in the art. Each unit-dose contains a predetermined quantity of the therapeutically active compound sufficient to produce the desired therapeutic effect, in association with the required pharmaceutical
carrier, vehicle or diluent. Examples of unit-dose forms include ampoules and syringes and individually packaged tablets or capsules. Unit-dose forms may be administered in fractions or multiples thereof. A multiple-dose form is a plurality of identical unit-dosage forms packaged in a single container to be administered in segregated unit-dose form. Examples of multiple-dose forms include vials, bottles of tablets or capsules or bottles of pints or gallons. Hence, multiple dose form is a multiple of unit-doses which are not segregated in packaging.
[0126] Actual methods of preparing dosage forms are known, or will be apparent, to those skilled in this art; for example, see Remington's Pharmaceutical Sciences, Mack Publishing Company, Easton, Pa., 15th Edition, 1975.
[0127] Dosage forms or compositions containing active ingredient in the range of 0.005% to 100% (wt%) with the balance made up from non-toxic carrier may be prepared. Methods for preparation of these compositions are known to those skilled in the art. The contemplated compositions may contain 0.001%-100% (wt%) active ingredient, in one embodiment 0.1-95% (wt%), in another embodiment 75-85% (wt%).
[0128] Liquid pharmaceutically administrable compositions can, for example, be prepared by dissolving, dispersing, or otherwise mixing an active compound as defined above and optional pharmaceutical adjuvants in a carrier, such as, for example, water, saline, aqueous dextrose, glycerol, glycols, ethanol, and the like, to thereby form a solution or suspension. If desired, the pharmaceutical composition to be administered may also contain minor amounts of nontoxic auxiliary substances such as wetting agents, emulsifying agents, solubilizing agents, pH buffering agents, and the like, for example, acetate, sodium citrate, cyclodextrine derivatives, sorbitan monolaurate, triethanolamine sodium acetate, triethanolamine oleate, and other such agents.
A. COMPOSITIONS FOR ORAL ADMINISTRATION
[0129] Oral pharmaceutical dosage forms are either solid, gel or liquid. The solid dosage forms are tablets, capsules, granules, and bulk powders. Types of oral tablets include compressed, chewable lozenges and tablets which may be enteric-coated,
sugar-coated or film-coated. Capsules may be hard or soft gelatin capsules, while granules and powders may be provided in non-effervescent or effervescent form with the combination of other ingredients known to those skilled in the art.
1. Solid compositions for oral administration
[0130] In certain embodiments, the formulations are solid dosage forms, in one embodiment, capsules or tablets. The tablets, pills, capsules, troches, and the like, can contain one or more of the following ingredients, or compounds of a similar nature: a binder; a lubricant; a diluent; a glidant; a disintegrating agent; a coloring agent; a sweetening agent; a flavoring agent; a wetting agent; an emetic coating; and a film coating. Examples of binders include microcrystalline cellulose, gum tragacanth, glucose solution, acacia mucilage, gelatin solution, molasses, polvinylpyrrolidine, povidone, crospovidones, sucrose and starch paste. Lubricants include talc, starch, magnesium or calcium stearate, lycopodium and stearic acid. Diluents include, for example, lactose, sucrose, starch, kaolin, salt, mannitol and dicalcium phosphate. Glidants include, but are not limited to, colloidal silicon dioxide. Disintegrating agents include crosscarmellose sodium, sodium starch glycolate, alginic acid, corn starch, potato starch, bentonite, methylcellulose, agar and carboxymethylcellulose. Coloring agents include, for example, any of the approved certified water soluble FD and C dyes, mixtures thereof; and water insoluble FD and C dyes suspended on alumina hydrate. Sweetening agents include sucrose, lactose, mannitol and artificial sweetening agents such as saccharin, and any number of spray dried flavors. Flavoring agents include natural flavors extracted from plants such as fruits and synthetic blends of compounds which produce a pleasant sensation, such as, but not limited to peppermint and methyl salicylate. Wetting agents include propylene glycol monostearate, sorbitan monooleate, diethylene glycol monolaurate and polyoxyethylene laural ether. Emetic-coatings include fatty acids, fats, waxes, shellac, ammoniated shellac and cellulose acetate phthalates. Film coatings include hydroxyethylcellulose, sodium carboxymethylcellulose, polyethylene glycol 4000 and cellulose acetate phthalate.
[0131] The compound, or pharmaceutically acceptable derivative thereof, could be provided in a composition that protects it from the acidic environment of the stomach.
For example, the composition can be formulated in an enteric coating that maintains its integrity in the stomach and releases the active compound in the intestine. The composition may also be formulated in combination with an antacid or other such ingredient.
[0132] When the dosage unit form is a capsule, it can contain, in addition to material of the above type, a liquid carrier such as a fatty oil. In addition, dosage unit forms can contain various other materials which modify the physical form of the dosage unit, for example, coatings of sugar and other enteric agents. The compounds can also be administered as a component of an elixir, suspension, syrup, wafer, sprinkle, chewing gum, or the like. A syrup may contain, in addition to the active compounds, sucrose as a sweetening agent and certain preservatives, dyes and colorings and flavors.
[0133] The active materials can also be mixed with other active materials which do not impair the desired action, or with materials that supplement the desired action, such as antacids, H2 blockers, and diuretics. The active ingredient is a compound or pharmaceutically acceptable derivative thereof as described herein. Higher concentrations, up to about 98% by weight of the active ingredient may be included.
[0134] In all embodiments, tablets and capsules formulations may be coated as known by those of skill in the art in order to modify or sustain dissolution of the active ingredient. Thus, for example, they may be coated with a conventional enterically digestible coating, such as phenylsalicylate, waxes and cellulose acetate phthalate.
2. Liquid compositions for oral administration
[0135) Liquid oral dosage forms include aqueous solutions, emulsions, suspensions, solutions and/or suspensions reconstituted from non-effervescent granules and effervescent preparations reconstituted from effervescent granules. Aqueous solutions include, for example, elixirs and syrups. Emulsions are either oil- in-water or water-in-oil.
[0136] Elixirs are clear, sweetened, hydroalcoholic preparations. Pharmaceutically acceptable carriers used in elixirs include solvents. Syrups are concentrated aqueous
solutions of a sugar, for example, sucrose, and may contain a preservative. An emulsion is a two-phase system in which one liquid is dispersed in the form of small globules throughout another liquid. Pharmaceutically acceptable carriers used in emulsions are non-aqueous liquids, emulsifying agents and preservatives. Suspensions use pharmaceutically acceptable suspending agents and preservatives. Pharmaceutically acceptable substances used in non-effervescent granules, to be reconstituted into a liquid oral dosage form, include diluents, sweeteners and wetting agents. Pharmaceutically acceptable substances used in effervescent granules, to be reconstituted into a liquid oral dosage form, include organic acids and a source of carbon dioxide. Coloring and flavoring agents are used in all of the above dosage forms.
[0137] Solvents include glycerin, sorbitol, ethyl alcohol and syrup. Examples of preservatives include glycerin, methyl and propylparaben, benzoic acid, sodium benzoate and alcohol. Examples of non-aqueous liquids utilized in emulsions include mineral oil and cottonseed oil. Examples of emulsifying agents include gelatin, acacia, tragacanth, bentonite, and surfactants such as polyoxyethylene sorbitan monooleate. Suspending agents include sodium carboxymethylcellulose, pectin, tragacanth, Veegum and acacia. Sweetening agents include sucrose, syrups, glycerin and artificial sweetening agents such as saccharin. Wetting agents include propylene glycol monostearate, sorbitan monooleate, diethylene glycol monolaurate and polyoxyethylene lauryl ether. Organic acids include citric and tartaric acid. Sources of carbon dioxide include sodium bicarbonate and sodium carbonate. Coloring agents include any of the approved certified water soluble FD and C dyes, and mixtures thereof. Flavoring agents include natural flavors extracted from plants such fruits, and synthetic blends of compounds which produce a pleasant taste sensation.
[0138] For a solid dosage form, the solution or suspension, in for example propylene carbonate, vegetable oils or triglycerides, is in one embodiment encapsulated in a gelatin capsule. Such solutions, and the preparation and encapsulation thereof, are disclosed in U.S. Patent Nos. 4,328,245; 4,409,239; and 4,410,545. For a liquid dosage form, the solution, e.g., for example, in a polyethylene glycol, may be diluted with a sufficient quantity of a pharmaceutically acceptable liquid carrier, e.g., water, to be easily measured for administration.
[0139) Alternatively, liquid or semi-solid oral formulations may be prepared by dissolving or dispersing the active compound or salt in vegetable oils, glycols, triglycerides, propylene glycol esters (e.g., propylene carbonate) and other such carriers, and encapsulating these solutions or suspensions in hard or soft gelatin capsule shells. Other useful formulations include those set forth in U.S. Patent Nos. RE28,819 and 4,358,603. Briefly, such formulations include, but are not limited to, those containing a compound provided herein, a dialkylated mono- or poly-alkylene glycol, including, but not limited to, 1 ,2-dimethoxymethane, diglyme, triglyme, tetraglyme, polyethylene glycol-350-dimethyl ether, polyethylene glycol-550- dimethyl ether, polyethylene glycol-750-dimethyl ether wherein 350, 550 and 750 refer to the approximate average molecular weight of the polyethylene glycol, and one or more antioxidants, such as butylated hydroxytoluene (BHT), butylated hydroxyanisole (BHA), propyl gallate, vitamin E, hydroquinone, hydroxycoumarins, ethanolamine, lecithin, cephalin, ascorbic acid, malic acid, sorbitol, phosphoric acid, thiodipropionic acid and its esters, and dithiocarbamates.
[0140] Other formulations include, but are not limited to, aqueous alcoholic solutions including a pharmaceutically acceptable acetal. Alcohols used in these formulations are any pharmaceutically acceptable water-miscible solvents having one or more hydroxyl groups, including, but not limited to, propylene glycol and ethanol. Acetals include, but are not limited to, di(lower alkyl) acetals of lower alkyl aldehydes such as acetaldehyde diethyl acetal.
B. INJECTABLES, SOLUTIONS AND EMULSIONS
[0141] Parenteral administration, in one embodiment characterized by injection, either subcutaneously, intramuscularly or intravenously is also contemplated herein. Injectables can be prepared in conventional forms, either as liquid solutions or suspensions, solid forms suitable for solution or suspension in liquid prior to injection, or as emulsions. The injectables, solutions and emulsions also contain one or more excipients. Suitable excipients are, for example, water, saline, dextrose, glycerol or ethanol. In addition, if desired, the pharmaceutical compositions to be administered may also contain minor amounts of non-toxic auxiliary substances such as wetting or emulsifying agents, pH buffering agents, stabilizers, solubility enhancers, and other
such agents, such as for example, sodium acetate, sorbitan monolaurate, triethanolamine oleate and cyclodextrins.
[0142] Implantation of a slow-release or sustained-release system, such that a constant level of dosage is maintained (see, e.g., U.S. Patent No. 3,710,795) is also contemplated herein. Briefly, a compound provided herein is dispersed in a solid inner matrix, e.g., polymethylmethacrylate, polybutylmethacrylate, plasticized or unplasticized polyvinylchloride, plasticized nylon, plasticized polyethyleneterephthalate, natural rubber, polyisoprene, polyisobutylene, polybutadiene, polyethylene, ethylene-vinylacetate copolymers, silicone rubbers, polydimethylsiloxanes, silicone carbonate copolymers, hydrophilic polymers such as hydrogels of esters of acrylic and methacrylic acid, collagen, cross-linked polyvinylalcohol and cross-linked partially hydrolyzed polyvinyl acetate, that is surrounded by an outer polymeric membrane, e.g., polyethylene, polypropylene, ethylene/propylene copolymers, ethylene/ethyl acrylate copolymers, ethylene/vinylacetate copolymers, silicone rubbers, polydimethyl siloxanes, neoprene rubber, chlorinated polyethylene, polyvinylchloride, vinylchloride copolymers with vinyl acetate, vinylidene chloride, ethylene and propylene, ionomer polyethylene terephthalate, butyl rubber epichlorohydrin rubbers, ethylene/vinyl alcohol copolymer, ethylene/vinyl acetate/vinyl alcohol terpolymer, and ethylene/vinyloxyethanol copolymer, that is insoluble in body fluids. The compound diffuses through the outer polymeric membrane in a release rate controlling step. The percentage of active compound contained in such parenteral compositions is highly dependent on the specific nature thereof, as well as the activity of the compound and the needs of the subject.
[0143] Parenteral administration of the compositions includes intravenous, subcutaneous and intramuscular administrations. Preparations for parenteral administration include sterile solutions ready for injection, sterile dry soluble products, such as lyophilized powders, ready to be combined with a solvent just prior to use, including hypodermic tablets, sterile suspensions ready for injection, sterile dry insoluble products ready to be combined with a vehicle just prior to use and sterile emulsions. The solutions may be either aqueous or nonaqueous.
[0144] If administered intravenously, suitable carriers include physiological saline or phosphate buffered saline (PBS), and solutions containing thickening and solubilizing agents, such as glucose, polyethylene glycol, and polypropylene glycol and mixtures thereof.
[0145] Pharmaceutically acceptable carriers used in parenteral preparations include aqueous vehicles, nonaqueous vehicles, antimicrobial agents, isotonic agents, buffers, antioxidants, local anesthetics, suspending and dispersing agents, emulsifying agents, sequestering or chelating agents and other pharmaceutically acceptable substances.
[0146] Examples of aqueous vehicles include Sodium Chloride Injection, Ringers Injection, Isotonic Dextrose Injection, Sterile Water Injection, Dextrose and Lactated Ringers Injection. Nonaqueous parenteral vehicles include fixed oils of vegetable origin, cottonseed oil, corn oil, sesame oil and peanut oil. Antimicrobial agents in bacteriostatic or fungistatic concentrations must be added to parenteral preparations packaged in multiple-dose containers which include phenols or cresols, mercurials, benzyl alcohol, chlorobutanol, methyl and propyl p-hydroxybenzoic acid esters, thimerosal, benzalkonium chloride and benzethonium chloride. Isotonic agents include sodium chloride and dextrose. Buffers include phosphate and citrate. Antioxidants include sodium bisulfate. Local anesthetics include procaine hydrochloride. Suspending and dispersing agents include sodium carboxymethylcelluose, hydroxypropyl methylcellulose and polyvinylpyrrolidone. Emulsifying agents include Polysorbate 80 (TWEEN® 80). A sequestering or chelating agent of metal ions include EDTA. Pharmaceutical carriers also include ethyl alcohol, polyethylene glycol and propylene glycol for water miscible vehicles; and sodium hydroxide, hydrochloric acid, citric acid or lactic acid for pH adjustment.
[0147] The concentration of the pharmaceutically active compound is adjusted so that an injection provides an effective amount to produce the desired pharmacological effect. The exact dose depends on the age, weight and condition of the patient or animal as is known in the art.
[0148] The unit-dose parenteral preparations are packaged in an ampoule, a vial or a syringe with a needle. All preparations for parenteral administration must be sterile, as is known and practiced in the art.
[0149] Illustratively, intravenous or intraarterial infusion of a sterile aqueous solution containing an active compound is an effective mode of administration. Another embodiment is a sterile aqueous or oily solution or suspension containing an active material injected as necessary to produce the desired pharmacological effect.
[0150] Injectables are designed for local and systemic administration. In one embodiment, a therapeutically effective dosage is formulated to contain a concentration of at least about 0.1% w/w up to about 90% w/w or more, in certain embodiments more than 1% w/w of the active compound to the treated tissue(s).
[0151] The compound may be suspended in micronized or other suitable form or may be derivatized to produce a more soluble active product or to produce a prodrug. The form of the resulting mixture depends upon a number of factors, including the intended mode of administration and the solubility of the compound in the selected carrier or vehicle. The effective concentration is sufficient for ameliorating the symptoms of the condition and may be empirically determined.
C. LYOPHILIZED POWDERS
[0152] Of interest herein are also lyophilized powders, which can be reconstituted for administration as solutions, emulsions and other mixtures. They may also be reconstituted and formulated as solids or gels.
[0153] The sterile, lyophilized powder is prepared by dissolving a compound provided herein, or a pharmaceutically acceptable derivative thereof, in a suitable solvent. The solvent may contain an excipient which improves the stability or other pharmacological component of the powder or reconstituted solution, prepared from the powder. Excipients that may be used include, but are not limited to, dextrose, sorbital, fructose, corn syrup, xylitol, glycerin, glucose, sucrose or other suitable agent. The solvent may also contain a buffer, such as citrate, sodium or potassium phosphate or other such buffer known to those of skill in the art at, in one embodiment, about neutral pH. Subsequent sterile filtration of the solution followed by lyophilization under standard conditions known to those of skill in the art provides the desired formulation. In one embodiment, the resulting solution will be apportioned into vials for lyophilization. Each vial will contain a single dosage or
multiple dosages of the compound. The lyophilized powder can be stored under appropriate conditions, such as at about 4 °C to room temperature.
[0154] Reconstitution of this lyophilized powder with water for injection provides a formulation for use in parenteral administration. For reconstitution, the lyophilized powder is added to sterile water or other suitable carrier. The precise amount depends upon the selected compound. Such amount can be empirically determined.
D. TOPICAL ADMINISTRATION
[0155] Topical mixtures are prepared as described for the local and systemic administration. The resulting mixture may be a solution, suspension, emulsions, or the like, and are formulated as creams, gels, ointments, emulsions, solutions, elixirs, lotions, suspensions, tinctures, pastes, foams, aerosols, irrigations, sprays, suppositories, bandages, dermal patches or any other formulations suitable for topical administration.
[0156] The compounds or pharmaceutically acceptable derivatives thereof may be formulated as aerosols for topical application, such as by inhalation (see, e.g., U.S. Patent Nos. 4,044,126, 4,414,209, and 4,364,923, which describe aerosols for delivery of a steroid useful for treatment of inflammatory diseases, particularly asthma). These formulations for administration to the respiratory tract can be in the form of an aerosol or solution for a nebulizer, or as a microfine powder for insufflation, alone or in combination with an inert carrier such as lactose. In such a case, the particles of the formulation will, in one embodiment, have diameters of less than 50 microns, in one embodiment less than 10 microns.
[0157] The compounds may be formulated for local or topical application, such as for topical application to the skin and mucous membranes, such as in the eye, in the form of gels, creams, and lotions and for application to the eye or for intracisternal or intraspinal application. Topical administration is contemplated for transdermal delivery and also for administration to the eyes or mucosa, or for inhalation therapies. Nasal solutions of the active compound alone or in combination with other pharmaceutically acceptable excipients can also be administered.
[0158] These solutions, particularly those intended for ophthalmic use, may be formulated as 0.01% - 10% (vol%) isotonic solutions, pH about 5-7, with appropriate salts.
E. OTHER ROUTES OF ADMINISTRATION
[0159] Other routes of administration, such as transdermal patches, including iontophoretic and electrophoretic devices, and rectal administration, are also contemplated herein.
[0160] Transdermal patches, including iotophoretic and electrophoretic devices, are well known to those of skill in the art. For example, such patches are disclosed in U.S. Patent Nos. 6,267,983, 6,261,595, 6,256,533, 6,167,301, 6,024,975, 6,010715, 5,985,317, 5,983,134, 5,948,433, and 5,860,957.
[0161] For example, pharmaceutical dosage forms for rectal administration are rectal suppositories, capsules and tablets for systemic effect. Rectal suppositories are used herein mean solid bodies for insertion into the rectum which melt or soften at body temperature releasing one or more pharmacologically or therapeutically active ingredients. Pharmaceutically acceptable substances utilized in rectal suppositories are bases or vehicles and agents to raise the melting point. Examples of bases include cocoa butter (theobroma oil), glycerin-gelatin, carbowax (polyoxyethylene glycol) and appropriate mixtures of mono-, di- and triglycerides of fatty acids. Combinations of the various bases may be used. Agents to raise the melting point of suppositories include spermaceti and wax. Rectal suppositories may be prepared either by the compressed method or by molding. The weight of a rectal suppository, in one embodiment, is about 2 to 3 gm.
[0162] Tablets and capsules for rectal administration are manufactured using the same pharmaceutically acceptable substance and by the same methods as for formulations for oral administration.
F. TARGETED FORMULATIONS
[0163] The compounds provided herein, or pharmaceutically acceptable derivatives thereof, may also be formulated to be targeted to a particular tissue,
receptor, or other area of the body of the subject to be treated. Many such targeting methods are well known to those of skill in the art. All such targeting methods are contemplated herein for use in the instant compositions. For non-limiting examples of targeting methods, see, e.g., U.S. Patent Nos. 6,316,652, 6,274,552, 6,271,359, 6,253,872, 6,139,865, 6,131 ,570, 6,120,751, 6,071 ,495, 6,060,082, 6,048,736, 6,039,975, 6,004,534, 5,985,307, 5,972,366, 5,900,252, 5,840,674, 5,759,542 and 5,709,874.
[0164] In one embodiment, liposomal suspensions, including tissue-targeted liposomes, such as tumor-targeted liposomes, may also be suitable as pharmaceutically acceptable carriers. These may be prepared according to methods known to those skilled in the art. For example, liposome formulations may be prepared as described in U.S. Patent No. 4,522,811. Briefly, liposomes such as multilamellar vesicles (MLVs) may be formed by drying down egg phosphatidyl choline and brain phosphatidyl serine (7:3 molar ratio) on the inside of a flask. A solution of a compound provided herein in phosphate buffered saline lacking divalent cations (PBS) is added and the flask shaken until the lipid film is dispersed. The resulting vesicles are washed to remove unencapsulated compound, pelleted by centrifugation, and then resuspended in PBS.
G. COMBINATION THERAPY
[0165] Compounds and compositions provided herein may be administered in combination, or sequentially, with another therapeutic agent. Such other therapeutic agents include those known for treatment, prevention, or amelioration of one or more symptoms of neurodegenerative diseases and disorders, such as AD. Such therapeutic agents include, but are not limited to, donepezil hydrochloride (Aracept), rivastigmine tartrate (Exelon), tacrine hydrochloride (Cognex) and galantamine hydrobromide (Reminyl).
VI. KITS
[0166] According to another aspect of the invention, kits are provided. Kits according to the invention include package(s) comprising compounds or compositions of the invention.
[0167] The phrase "package" means any vessel containing compounds or compositions presented herein. In preferred embodiments, the package can be a box or wrapping. Packaging materials for use in packaging pharmaceutical products are well known to those of skill in the art. See, e.g., U.S. Patent Nos. 5,323,907, 5,052,558 and 5,033,252. Examples of pharmaceutical packaging materials include, but are not limited to, blister packs, bottles, tubes, inhalers, pumps, bags, vials, containers, syringes, bottles, and any packaging material suitable for a selected formulation and intended mode of administration and treatment.
[0168] The kit can also contain items that are not contained within the package but are attached to the outside of the package, for example, pipettes.
[0169] Kits may optionally contain instructions for administering compounds or compositions of the present invention to a subject having a condition in need of treatment. Kits may also comprise instructions for approved uses of compounds or compositions herein by regulatory agencies, such as the United States Food and Drug Administration. Kits may optionally contain labeling or product inserts for the present compounds. The package(s) and/or any product insert(s) may themselves be approved by regulatory agencies. The kits can include compounds or compositions in the solid phase or in a liquid phase (such as buffers) provided in a package. The kits also can include buffers for preparing solutions for conducting the methods, and pipettes for transferring liquids from one container to another. The kit may optionally also contain one or more other compounds for use in combination therapies as described herein.
VII. EVALUATION OF ACTIVITY OF COMPOUNDS IN MODULATING Aβ LEVEL
[0170] The compounds described herein include compounds which modulate Aβ levels. Compounds can be evaluated for activity in modulating Aβ level using a variety of assays known in the art and/or described herein. Generally, a source of APP or fragment thereof and/or Aβ is contacted with a compound for a suitable period of time, and a level of Aβ is directly or indirectly assessed, as described below. The level of Aβ in the presence of the compound is compared to the level in a suitable
control (such as a vehicle control or a positive control) to determine whether the compound modulates Aβ level.
A. SOURCE OF APP, AMYLOID PRECURSOR FRAGMENT AND/OR Aβ
[01711 The source of APP, amyloid precursor fragment and/or Aβ used to assess the activity of a compound in modulating Aβ will depend on the product being detected and the nature of the assay. For example, to assess activity of a compound in modulating gamma-secretase cleavage of APP or an amyloid precursor fragment, an APP C-terminal fragment corresponding to a beta-secretase cleavage product can be used, such as C99. In cases in which the effect of the compound is being evaluated at any and all stages in APP production, full-length APP may be preferred.
[0172] Suitable sources of APP, amyloid precursor fragment and/or Aβ used to assess the activity of a compound include live laboratory animals (e.g. natural and transgenic animals), as well as tissues (e.g. brain), tissue extracts, body fluids (e.g. blood, plasma, cerebrospinal fluid, urine, etc.) and primary cells from humans or laboratory animals. Other sources include recombinant cell lines, cell lysates therefrom (whole cell extracts, membrane fractions, etc.) and extracellular medium therefrom. For certain applications, substantially purified APP or Aβ may alternatively be used. Methods of isolating tissues, production and maintenance of primary and recombinant cells, preparation of lysates, and protein purification compatible with Aβ assays are known in the art.
[0173] To directly or indirectly evaluate effects of a compound on Aβ peptide production, secretion and/or degradation, in vivo or in vitro sources can be used that contain APP, or an amyloid precursor fragment thereof, and have the ability to proteolytically process it to produce Aβ. To evaluate effects of a compound on Aβ form (e.g. monomelic, oligomeric or fibrillar form, or conformation), fibril deposition or fibril degradation, in vitro or in vivo sources containing Aβ monomers, oligomers or fibrils can be used, which optionally may not also contain APP- or amyloid precursor fragment-producing cells.
B. TRANSGENIC ANIMALS
[0174) Transgenic animals useful in evaluating compound activity can express any desired wild-type or mutant APP, amyloid precursor fragment or A/3 isoform, as described herein. The resulting animals can advantageously serve as models of human disease, and in particular, models of Alzheimer's disease and other neurodegenerative and amyloidosis-associated diseases. Transgenic animals include, but are not limited to rodents, including mice, rats and hamsters, sheep, goats, chickens, pigs, cattle, monkeys, primates and other non-human mammals.
[01751 Optionally, the animal can further exogenously express one or more other genes involved in the APP processing or degradation pathway, such as wild-type or mutant presenilin (PS-I or PS-2), BACE, IDE and/or neprilysin, and/or one or more other genes involved in pathogenesis, such as tau.
[0176] The exogenous gene(s) can be expressed in all tissues or only in selected tissues (e.g. neural tissues), at any or all developmental stages, and at physiological, supra- or sub-physiological levels, by appropriate choice of regulatory elements. Transgenic animals can further be homozygous, hemizygous, heterozygous or chimeric for the exogenous gene(s). Transgenic animals can contain the exogenous gene(s) as well as, or instead of (e.g. through "knock-in" methodology), the endogenous counterpart. Methods of producing transgenic animals are described in standard laboratory manuals including, for example, Hogan et al., (1994), Manipulating the Mouse Embryo: A Laboratory Manual, 2nd ed., Cold Spring Harbor Laboratory, New York.
[0177] APP-expressing transgenic animals are known in the art, and include the Tg2576 mouse, which contains human APP695 with the Swedish (Lys670Asn, Met671Leu) double mutation under the control of the hamster prion protein gene promoter (Hsiao et al. (1996) Science 274:99-102; U.S. Patent No. 5,877,399); the V717F PDAPP mouse, which contains human APP695 (Val717Phe) under the control of the platelet derived growth factor (PDGF) chain gene promoter (Games et al. (\995) Nature 373:523-527; U.S. Patent No. 5,811,633); and the ClOO mouse, which contains the neurotoxic C-terminal 100 amino acids of APP under the control of the dystrophin neural promoter (Neve et al. (1996) Neurobiol. Aging 17:191-203; U.S.
Patent Nos. 5,672,805). Additional APP-expressing transgenic animals are described, for example, in U.S. Patent Nos. 5,612,486; 5,850,003; 5,387,742; 6,037,521 ; 6,184,435; 6,187,992; 6,211,428; and 6,340,783; and are reviewed by Emilien, et ai, (2000) Arch. Neuro. 57: 176-181.
C. CELLS
[0178] Cells useful in evaluating compound activity can express, either endogenously or recombinantly, any desired wild-type or mutant APP and/or A/3 isoform, as described herein. Cells can be primary cells or cell lines derived from any animal, including humans and other mammals, such as transgenic animals described above. The cells can be of any differentiated lineage, such as neural lineage (e.g. cortical neural cells, microglia, glia, astrocytes), fibroblasts, lymphocytes and epithelial cells, or can be totipotent or pluripotent (see Freshney, R. I. (2000) "Culture of Animal Cells: A Manual of Basic Technique," 4th ed., Wiley-Liss). An exemplary cell line suitable for assessing the activity of a compound in modulating Aβ is SH-SY5Y-APP751, which is described in the Example section herein. A further exemplary cell line is HGB, which expresses endogenous APP.
[0179] Exemplary primary cells suitable for assessing the activity of a compound in modulating Aβ are mixed brain cultures from Tg2576 transgenic mice, or other APP-expressing transgenic animals. Mixed brain cultures can be prepared, for example, by dissecting brain tissues from approximately 17-day old mouse embryos, dissociating the brain tissue with papain, and culturing the cells by standard procedures for primary neuronal cultures.
[0180] APP-, amyloid precursor fragment- or A/S-encoding nucleic acid, under the control of suitable constitutive or inducible regulatory elements, can be transiently or stably introduced into primary cells or cell lines by various well-known transfection methods (Sambrook and Russell (2000) "Molecular Cloning: A Laboratory Manual" Cold Spring Harbor Laboratory Press; Ausubel et al. (eds.) (current edition) "Current Protocols in Molecular Biology" John Wiley & Sons.).
D. ASSAYS THAT DIRECTLY ASSESS Aβ LEVELS
[0181] Compounds can be evaluated for their ability to modulate Aβ using assays that directly assess the level of Aβ. Thus, the ability of a compound to modulate Aβ can be evaluated by determining the amount of a particular Aβ peptide (such as Aβ43, Aβ42, Aβ40, Aβ39, Aβ38, Aβ37, Aβ34, 1 1-43, 11-42, 11-40, 11-39, 11-38, 1 1-37, 11-34, etc.); by determining the amount of Aβ peptides collectively; by determining the amount of a particular Aβ peptide relative to the amount of a second Aβ peptide (such as the ratio of Aβ42 to Aβ40); by determining the amount, or relative amount, of Aβ in a particular form (such as monomeric, oligomeric, or fibrillar form; in solution or aggregated in a plaque; in a particular conformation, etc.); and/or by determining the amount, or relative amount, of Aβ in a particular location (such as intracellular, membrane-associated or extracellular, or in a particular tissue or body fluid).
[0182] Numerous methods are known in the art for determining the amount, or relative amount, of particular Aβ species or forms, or Aβ peptides collectively, in a sample. In such methods, the level of Aβ can optionally be quantified using internal standards and/or calibration curves generated by performing the assay with known amounts of standards.
[0183] For example, immunodetection methods can be used that employ Aβ- specific antibodies (e.g. monoclonal and polyclonal antibodies, single-chain antibodies, chimeric antibodies, bifunctional antibodies, humanized antibodies, CDR- grafted antibodies and CDR-grafted alternative scaffolds, as well as antigen-binding fragments thereof)- Such antibodies can optionally be specific for particular Aβ species or forms. For instance, antibodies that bind an epitope at or near the N- terminus, C-terminus, or central portion of Aβ can be used to simultaneously detect multiple isoforms of Aβ. Exemplary antibodies include, but are not limited to, 6E10, B436, antibody raised against Aβ 12-28, 21F12, A387, Clone GB-10, and the A/340- selective antibodies. Moreover, antibodies selective for any desired epitope of any Aβ species can be readily prepared by well known methods described in the art.
[0184] Antibody or binding agent can optionally be detectably labeled or, if a secondary antibody or binding agent is employed, the secondary antibody or agent can be detectably labeled. Exemplary detectable labels include radioactive, fluorescent, bioluminescent, chemiluminescent and enzymatic labels. Methods of detecting such labels, and of quantitatively or qualitatively assessing the amount of bound peptide based on such detection, are well known in the art.
[0185] Immunodetection methods that can be adapted for assessing A/3 levels are well known to one of skill in the art. Representative methods include, but are not limited to, immunoprecipitation (optionally in combination with electrophoretic separation or a denaturing or non-denaturing gel, or mass spectroscopic analysis), western hybridization, immunocytochemistry, fluorescence resonance energy transfer (FRET)-based methods, and various formats of enzyme-linked immunosorbent assays (ELISA). For assessing any form of Aβ (e.g. whether the A/3 is in monomelic, oligomeric or fibrillar form, and its conformation), non-denaturing separation conditions (e.g. non-denaturing electrophoresis or chromatography) can be used. For assessing levels of particular species of Aβ, urea-bis-bicine-SDS based electrophoresis can be performed, which can resolve A/337, A/338, A/339, A/340, A/32- 42, and A/33-42 species (Wiltfang et al., (2001) J. Biol. Chem., 276: 42645-42657).
[0186] Immunodetection methods, such as those described above, can readily be adapted for use with non-antibody-based agents that bind A/3, such as A/3-binding proteins, fragments thereof, and small molecule compounds. Proteins and compounds that bind Aβ are known in the art or can be identified by routine screening assays.
[0187] Any method of determining the amount of Aβ deposited in tissues of live organisms, including imaging methods, such as multiphoton microscopy and positron emission tomography, can be employed. For example, imaging agents cross the blood-brain barrier and bind amyloid deposits with high affinity, such as the thioflavin-T analogue 2-[4' -(methylamino)phenyl]benzothiazole (Mathis et al. (2002) Bioorg. Med. Chem. Lett. 12:295-298) and the Congo red derivative methoxy-X04 (Klunk ^ α/. (2002) J. Neuropathol. Exp. Neurol. 61 :797-805).
E. ASSAYS THAT INDIRECTLY ASSESS Aβ LEVELS
[0188) Compounds can alternatively be evaluated for their ability to modulate Aβ using assays that indirectly assess the level of Aβ. Those skilled in the art can determine suitable assays for evaluating modulation of Aβ levels. For example, the amount of uncleaved APP, or of a product of APP processing other than Aβ, can be assessed.
[0189] Thus, the ability of a compound to modulate the amount, or relative amount, of APP, and/or of a cleavage product of osecretase (such as sAPPotor C83), and/or of a product of the combined cleavage of α-secretase and γ-secretase (such as p3), and/or of a cleavage product of /3-secretase (such as sAPP/3, C99, or C89), can be assessed. Methods of determining the amount of APP or of APP processing products are known in the art, and include immunodetection assays similar to those described above for Aβ, employing suitable antibodies.
[0190] The following examples are provided to further illustrate aspects of the invention. These examples are non-limiting and should not be construed as limiting any aspect of the invention.
EXAMPLES
[0191] All solvents and reagents were obtained from the Aldrich Chemical Company (Milwaukee, WI) unless otherwise indicated.
[0192] Structural characterization was conducted using 1H NMR spectroscopy. Proton nuclear magnetic resonance (1H NMR) spectra were recorded on a Varian 300 MHz NMR spectrometer in deuterated chloroform (CDCU) or water (D2O) using the residual 1H solvent peak as the internal standard.
[0193] Purified compounds were analyzed for correct mass and purity using an Applied Biosystems AP 150X mass spectrometer coupled with a Shimadzu HPLC system. A typical gradient utilized a mobile phase of acetonitrile/water 1-99% over 4 min. 0.035 to 0.050% of trifluoroacetic acid was added to the mobile phase. Gradients were run at 7 ml/min through a Chromalith™ SpeedRod RP-18e, 4.6 x 50 mm column. Compound structure was confirmed by the observance of the (M+H+)
ion (M+ 1). Compound purity was assessed by ultraviolet light absorbance at wavelengths of 220 nm and 254 run. The percent purity was based upon integration of the area under the peaks in the chromatogram.
EXAMPLE 1 PREPARATION OF INVENTION COMPOUNDS VIA SCHEME 1
[0194] To a solution of compound 1 (2mml, 350.6 mg) in DMF (10 ml) Carbamate 2 (2 mmol, 737 mg) and J-Pr2NEt (10 mmol, 1.79 ml) were added. The reaction was stirred at room temperature for 5 h. Water (10 ml) was added. The reaction mixture was extracted with EtOAc (3 x 20 ml). The combined organic layer was washed with water (5 ml) and brine (5 ml), dried over over MgSO4 and filtered. Removal of the solvent in vacuo gave a yellow oil which was purified by flash column chromatography on silica gel (eluting with 0% to 8% MeOH in DCM gradient over 45 min. The desired product 3 was obtained as a light yellow oil (780 mg, 96%; LC/MS: [M+H]+= 405.6; 1H NMR in CD3OD, δ: 7.677 (d, J = 1.5 Hz, IH), 7.522 (d, J = 2.1 Hz, IH), 7.177 (d, J = 8.4, IH), 7.150 (dd, J = 8.4 and 2.1 Hz, 1 H), 7.032 - 6.957 (m, 4H), 4.587 (s, 3H), 3.822 (s, 3H), 2.599 (m, IH), 2.270 (s, 6H), 2.229 (s, 3H), 0.903 (m, 2H) and 0.849 (m, 2H); 13C NMR in CD3OD, δ: 158.362, 153.983, 141.791 , 138.011 , 137.572, 137.065, 136.287, 133.632, 131.179, 128.902, 128.573, 126.414, 122.199, 118.304, 112.998, 105.434, 56.316, 49.423, 29.442, 21.283, 18.891, 13.242 and 9.911).
EXAMPLE 2 PREPARATION OF INVENTION COMPOUNDS VIA SCHEME 2
[0195] To a solution of 5-ethyl-2,4-dimethyl benzyl amine 4 (0.1 mmol, 16.3 mg) in DCM (2.5 ml) at 0°C, i-Pr2NET (1 mmol, 0.18 ml) and triphosgene (0.13 mmol, 38 mg) were added slowly. After stirring the reaction mixture at O°C for 30 minutes, aniline 5 (0.15 mmol, 30.5 mg) was added. The reaction mixture was warmed up and stirred at 5O°C overnight. Aqueous NH3 (0.1 ml) was added to the reaction mixture. Following evaporative removal of the solvent, the residue was re-dissolved in the mixture of DMF and MeOH (1 ml, 1 :1), and purified by direct injection onto a reverse-phase HPLC column to yield compound 6 (30 mg, 63%; LCMS, [M+H]+ = 363.5).
EXAMPLE 3 PREPARATION OF INVENTION COMPOUNDS VIA SCHEME 3
[0196] A mixture of 3-fluoro-4-(4-methyl-imidazol-l-yl)-phenylamine 7 (0.050 g, 0.26 mmol) and 2,4-dichlorobenzylisocyante 8 (0.068 g, 0.34 mmol) in THF (1 mL) was stirred at 60°C for 0.5 h. The solvent was then removed under reduced pressure to yield brown crystals. The crystals were triturated with 90% hexanes/ethyl acetate (4 mL) to yield l-(2,4-dichloro-benzyl)-3-[3-fluoro-4-(4-methyl-imidazol-l-yl)- phenyl]-urea 9 as light brown crystals (0.100 g, 99%). LC/MS [M+H]+ = 393; 1H NMR (DMSO-d6, 300 MHz): δ 2.15 (d, 3H, J = 0.9 Hz), 4.33 (d, 2H, J = 6.3 Hz),
6.87 (t, IH, J = 6.0 Hz), 7.14 - 7.18 (m, 2H), 7.36 - 7.45 (m, 3H), 7.60 - 7.62 (t, IH, J = 2.1 Hz), 7.66 (d, IH, J = 2.4 Hz), 7.77 (s, IH), 9.14 (s, IH).
EXAMPLE 4 PREPARATION OF INVENTION COMPOUNDS VIA SCHEME 4
[0197] To a solution of 3-fluoro-4-(4-methyl-imidazol-l-yl)-phenylamine 10 (500 mg, 2.63 mmol) in anhydrous acetonitrile (10 mL) under nitrogen was added diphenylcyano carbonimidate (626 mg, 2.63 mmol) at room temperature. The reaction mixture was heated under reflux for 5 hours. After the reaction mixture had cooled to room temperature, the solvent was removed in vacuo. The residue was crystallized from EtOAc/Hexanes to give Compound 11 as a pale yellow powder (703 mg, 80%). LC/MS [M+H]+ = 336.
Step (b)
[0198] A mixture of compound 11 (34 mg, 0.1 mmol) and 2,5- dimethylbenzylamine (21 mg, 0.15 mmol) in anhydrous 2-propanol (1 mL) under nitrogen was heated under reflux for 3 hours. After the reaction mixture had cooled to room temperature, the solvent was removed in vacuo. The residue was purified by reversed phase HPLC to yield Compound 12 was obtained as a white powder (38.6 mg, 79%). LC/MS [M+H]+ = 377.
EXAMPLE 5 PREPARATION OF COMPOUND 16
[0199] A mixture of of 3-methoxy-4-fluoro-nitrobenzene 14 (5 g, 29.2 mmol), 4- methylimidazole 13 (2.9 g, 35.3 mmol) and potassium carbonate (10 g, 72.5 mmol) in DMSO (100 mL) was stirred at 55 °C for 20 hrs. Warm water (~ 50 °C, 150 mL) was added to the reaction mixture. The mixture was quickly filtered through a pad of silica gel under vacuum. The residue was further washed with warm water (~ 50 °C, 200 mL) and dried in vacuo to provide a pale brownish solid 15 (5.1 g, 75%).
Step (b)
[0200] To a cooled solution of 15 (1.78 g, 7.6 mmol) in methanol (30 mL) and dichloromethane (30 mL) was added NiCl2-OH2O (453 mg, 1.9 mmol) followed by NaBH4 (846 mg, 22.9 mmol) in six portions. The resulting mixture was stirred at room temperature for 30 min, and 4 g of silica gel was added to the mixture. The reaction mixture was concentrated and filtered through a pad of celite under vaccum. The crude product was purified via silica gel column chromatography (MeOH : CH2Cl2, 1 : 19) to afford the desired product 16 as a brownish foam.
EXAMPLE 6 PREPARATION OF COMPOUND 23
[0201] To a solution of 3,4-Difluoronitrobenzene 21 (31.82 g, 200 mmol) in anhydrous DMF (200 mL) under nitrogen was added 4-methylimidazole 13 (19.71 g, 240 mmol) and potassium carbonate (41.46 g, 300 mmol). The reaction mixture was stirred at 55°C for 18 hours. After the reaction mixture had cooled to room temperature, it was poured onto ice-water. The precipitate was filtered, stirred in warm water (500 mL, 55°C) for 10 min and filtered. The compound l-(2-fluoro-4- nitro-phenyl)-4-methyl-l H-imidazole 22 was obtained as a tan powder (23 g, 52%).
Step (b)
[0202] To a cooled solution (-5°C) of Compound 22 (7.75 g, 35.04 mmol) in MeOHiCH2Cl2 (1 :1, 100 mL) under nitrogen were added NiCl2-OH2O (2.66 g, 1 1.21 mmol), followed by NaBH4 (4.0 g, 107.92 mmol) in portions over 10 min while maintaining the temperature at -5°C. The reaction mixture was allowed to warm to room temperature and stirred at room temperature for 40 min. Following evaporative removal of the solvent, silica gel was added to the residue. The solid was taken up in EtOAc (500 mL) and filtered through a pad of celite. The filtrate was concentrated and purified by column chromatography to give the compound 3-fluoro-4-(4-methyl- imidazol-l-yl)-phenylamine 23 as an orange powder (4.50 g, 68%). LC/MS [M+H]+ = 192; 1H NMR (in ppm, CD3OD-^, 300 MHz): 2.23 (d, 3H, J= 0.9 Hz), 6.49 - 6.57 (m, 2H), 6.91 (q, 1 H, J= 1.2 Hz), 7.10 (t, IH, J= 9.0 Hz), 7.63 (t, 1H, J= 1.5 Hz).
EXAMPLE 7 PREPARATION OF COMPOUND 33
13 31 32 33
Step (a)
[0203] A mixture of 4-methyl-imidazole 13 (5.9 g, 72.0 mmol), 4-fluoro- nitrobenzene (8.46 g, 60.0 mmol) 31 and K2CO3 (12.4 g, 90.0 mmol) in DMSO (75 mL) was stirred in an oil bath at 55°C for 48 h. Water (400 mL) was added to the reaction mixture and the resulting mixture was stirred until the temperature stabilized
at 55°C. The reaction was then removed from the oil bath and filtered hot. The solid was washed with warm water (2 x 50 mL) and dried under reduced pressure to obtain a solid (12.3 g, 100%). The material was recrystallized from a boiling mixture of water (200 mL) and MeOH (50 mL). Crystals were collected on a filter, washed with water (50 mL) and dried under reduced pressure to yield 4-methyl-l-(4-nitro-phenyl)- lH-imidazole 32 as pale yellow needle crystals (10.05 g, 83%). LC/MS [M+H]+ = 204; 1H NMR (DMSO-d6, 300 MHz): δ 2.17 (d, 3H, J = 0.9 Hz), 7.64 (t, IH, J = 1.2 Hz), 7.89 - 7.93 (m, 2H), 8.30 - 8.34 (m, 2H), 8.38 (d, IH, J = 1.5 Hz).
Step (b)
[0204] To a cooled solution (-5°C) of compound 32 (10.0 g, 49.3 mmol) in CH2Cl2)MeOH (1 : 1) was added NiCl2-OH2O (3.9 g, 16.3 mmol) followed by NaBH4 (5.5 g, 148.1 mmol) in portions over 50 min. The reaction mixture was removed from the ice bath and filtered through celite. The filtrate was then concentrated under reduced pressure to a black semi-solid. The crude material was purified by column chromatography to yield 4-(4-Methyl-imidazol-l-yl)-phenylamine 33 (3.8 g, 44%) as a yellow solid. LC/MS [M+H]+ = 174; 1H NMR (DMSO-/, 300 MHz): δ 2.12 (d, 3H, J = 0.9 Hz), 6.59 - 6.61 (m, 2H), 7.13 - 7.16 (m, 2H), 7.79 (d, IH, J = 1.5 Hz).
EXAMPLE 8 PREPARATION OF COMPOUND 43
13 41 42 43
[0205] A mixture of l-fluoro-2-methyl-4-nitro-benzene 41 (5.0 g, 32.23 mmol), 4- methylimidazole 13 (3.17 g, 38.68 mmol) and potassium carbonate (6.68 g, 48.35 mmol) in anhydrous DMF (35 mL) was stirred at 55°C for 18 hours. After the reaction mixture had cooled, it was poured onto ice-water. The slurry was filtered. The resulting solid was stirred in warm water (500 mL, 55°C) for 10 min and filtered to give 4-methyl-l -(2-rnethyl-4-nitro-phenyl)-lH-imidazole 42 as a light brown powder (4.23 g, 61%).
Step (b)
[0206] To a cooled solution (-5°C)of compound 42 (4.21 g, 19.38 mmol) in MeOH:CH2Cl2 (1:1, 60 mL) under nitrogen was added NiCl2-OH2O (1.47 g, 6.20 mmol) followed by NaBH4 (2.21 g, 59.69 mmol) in portions over 15 min while maintaining the temperature at -5°C. The reaction mixture was allowed to warm to room temperature, and stirred at room temperature for 30 min. Following evaporative removal of the solvent, silica gel was added to the residue. The resulting solid was taken up in EtOAc (400 mL) and filtered through a pad of celite. The filtrate was concentrated and purified by column chromatography to give the compound 3- methyl-4-(4-methyl-imidazol-l-yl)-phenylamine 43 as a pale yellow powder (1.60 g, 44%). LC/MS [M+H]+ = 188; 1H NMR (in ppm, OMSO-d6, 300 MHz): 1.94 (s, 3H), 2.13 (d, 3H, J= 0.9 Hz), 6.41 (dd, IH, J= 8.4 Hz, J= 2.7 Hz), 6.47 (d, IH, J= 2.1 Hz), 6.85 (d, 1H, J= 8.1 Hz ), 6.87 (t, 1H, J= 1.2 Hz), 7.46 (d, IH1 J= 1.2 Hz).
EXAMPLE 9 PREPARATION OF COMPOUND 19
[0207] To a suspension of 4-methylimidazole 13 (1.89 g, 23.1 mmol) and potassium carbonate (6.63 g, 48.0 mmol) in DMSO (20 mL) at room temperature was added compound 17 (3.1 g, 23.1 mmol) dropwise. The reaction mixture was stirred at room temperature for 6 hrs. Warm water (approx. 4O°C, 150 mL) was added to the reaction mixture, and the mixture mixture was filtered. The solid was washed with warm water (approx 4O°C, 200 mL) and dried in vacuo to provide a pale brownish solid 18 (3.1 g, 66%).
Step (b)
[0208] To a cooled solution of 18 (1.04 g, 5.1 mmol) in methanol : dichloromethane (1 :1, 20 mL) was added nickel chloride (303 mg, 1.3 mmol) followed by sodium borohydride (568 mg, 15.4 mmol) in six portions. The resulting dark mixture was stirred at room temperature for 50 min and silica gel (4g) was added to the reaction mixture. The reaction mixture was concentrated and filtered through a pad of celite under vaccum. The crude product was purified via silica gel column chromatography (MeOH : CH2Cl2, 1 : 19) to afford the desired product 19 as a brownish foam (800 mg, 90%).
EXAMPLE 10 PREPARATION OF COMPOUND 26
[0209] To a suspension of 4-methylimidazole 13 (0.7 g, 8.8 mmol) and potassium carbonate (2.54 g, 18.4 mmol) in DMSO (20 mL) at room temperature was added 24 (1.17 g, 7.4 mmol) dropwise. The reaction mixture was stirred at ambient temperature for 16 hrs. Warm water (~ 45 °C, 150 mL) was added to the reaction mixture and the mixture was quickly filtered under vacuum. The resulting solid was washed with warm water (~ 45 °C, 200 mL) and dried in vacuo to provide a pale orange solid 25 (0.9 g, 58%).
Step (b)
[0210] To a cooled solution of 25 (0.4 g, 2.0 mmol) in methanol and dichloromethane (1 :0, 20 mL) was added nickel chloride (121 mg, 0.5 mmol) followed by sodium borohydride (226 mg, 6.1 mmol) in five portions. The resulting dark mixture was stirred at room temperature for 40 min. Silica gel (4g) was added to the reaction mixture, and the reaction mixture was concentrated and filtered through a pad of celite under vaccum. The crude product was purified via silica gel column
chromatography (MeOH : CH2Cl2, 1 : 17) to afford the desired product 26 as a brownish foam (298 mg, 85%).
EXAMPLE 11 PREPARATION OF COMPOUND 29
[0211) To a suspension of 4-methylimidazole 13 (1.3 g, 15.8 mmol) and potassium carbonate (4.55 g, 33.0 mmol) in DMSO (20 mL) at room temperature was added 27 (2.43 g, 13.2 mmol). The reaction mixture was stirred at room temperature for 24 hrs. Warm water (150 mL) was added to the reaction mixture, which was then quickly filtered under vacuum. The resulting solid was washed with warm water (~ 45 °C, 200 mL) and dried in vacuo to provide a red solid 28 (1.1 g, 35%).
Step (b)
[0212] To a cooled solution of 28 (342 mg, 1.5 mmol) in methanol : dichloromethane (1 :1, 20 mL) was added nickel chloride (88 mg, 0.25 mmol) followed by sodium borohydride (166 mg, 4.5 mmol) in four portions. The resulting dark mixture was stirred at room temperature for 40 min. Silica gel (4g) was added to the reaction mixture, which was then concentrated and filtered through a pad of celite under vaccum. The crude product was purified via silica gel column chromatography (MeOH : CH2Cl2, 1 : 15) to afford the desired product 29 as a brownish foam (290 mg, 97%).
EXAMPLE 12 PREPARATION OF COMPOUND 112
Step (a)
[0213] To a suspension of 4-methylimidazole 13 (524 mg, 6.4 mmol) and potassium carbonate (1.83 g, 13.3 mmol) in DMSO (15 mL) at room temperature was added 110 (1.0 g, 5.3 mmol). The reaction mixture was stirred at 45 °C for 15 hrs. Warm water (80 mL) was added and the reaction mixture was quickly filtered under vacuum. The resulting solid was washed with warm water (~ 45 °C, 80 mL) and dried in vacuo to provide a red solid 111 (613 mg, 49%).
Step (b)
[0214] To a cooled solution of 111 (609 mg, 2.6 mmol) in methanol : dichloromethane (1:1, 40 mL) was added nickel chloride (154 mg, 0.65 mmol) followed by sodium borohydride (287 mg, 7.8 mmol) in four portions. The resulting dark mixture was stirred at room temperature for 30 min. Silica gel (5g) was added and the reaction mixture was concentrated and filtered through a pad of celite under vaccum. The crude product was purified via silica gel column chromatography (MeOH : CH2Cl2, 1 : 15) to afford the desired product 112 as a brownish foam (381 mg, 72%).
[0215] Similarly, compound 112 b and 112c were prepared from the corresponding starting materials.
EXAMPLE 13 PREPARATION OF COMPOUND 53
[02161 l-Methyl-4-(4,4,5,5-tetramethyl-[l, 3,2]dioxaborolan-2-yl)-lH-pyrazole 50 (5.0 g, 24.03 mmol) , l-iodo-2-methoxy-4-nitro-benzene 51 (5.59 g, 20.02 mmol), lithium chloride (2.55 g, 60.06 mmol) were placed in a sealed vessel and toluene:EtOH (4:1, 300 mL) were added followed by 2M aqueous Na2CO3 (6.37 g, 60.06 mmol in distilled water (30 mL)). The reaction mixture was degassed by bubbling nitrogen though it for 30 minutes before Pd(PPh3)4 (2.31 g, 2.0 mmol) was added. The reaction mixture was stirred at 100°C for 17 hours. The reaction mixture was then allowed to cool to room temperature and extracted with EtOAc (3x100 mL) and water (100 mL). The combined organic extracts were washed with brine (100 mL), dried over MgSO4 and filtered. Removal of the solvent in vacuo gave an oily residue which was purified by column chromatography to give the title compound 4- (2-methoxy-4-nitro-phenyl)-l -methyl- lH-pyrazole 52 as a yellow powder (2.87 g,
Step (b)
[0217] To a cooled solution of compound 52 (2.73 g, 1 1.71 mmol) in MeOHiCH2Cl2 (1 : 1 , 40 mL) under nitrogen was added NiCl2 OH2O (888 mg, 3.75 mmol) followed by NaBH4 (1.33 g, 36.07 mmol) in portions over 10 min while maintaining the temperature at -5°C. Upon completion of the additions, the reaction mixture was allowed to warm to room temperature and stirred at room temperature for 30 min. The solvent was removed in vacuo and silica gel was added to the residue. The solid was taken up in EtOAc (300 mL) and filtered through a pad of celite. The filtrate was concentrated and purified by column chromatography. The compound 3- methoxy-4-(l -methyl- lH-pyrazol-4-yl)-phenylamine 53 was obtained as a yellow
powder (1.77 g, 75%). LC/MS [M+Hf = 204; 1H NMR (in ppm, DMSO-ck, 300 MHz): 3.75 (s, 3H), 3.81 (s, 3H), 5.06 (s, 2H), 6.14 (dd, IH, J= 7.8 Hz, J- 1.8 Hz), 6.26 (d, I H, J= 1.8 Hz), 7.18 (d, IH, J= 7.8 Hz ), 7.65 (d, IH, J= 0.9 Hz), 7.82 (s, IH).
EXAMPLE 14 PREPARATION OF COMPOUND 63
[0218] l-Methyl-4-(4,4,5,5-tetramethyl-[l , 3,2]dioxaborolan-2-yl)-lH-pyrazole 60 (5.0 g, 24.03 mmol) , l-bromo-2-fluoro-4-nitro-benzene 61 (4.40 g, 20.02 mmol), lithium chloride (2.55 g, 60.06 mmol) were placed in a sealed vessel and tolueneiEtOH (4:1 , 300 mL) were added followed by 2M aqueous Na2CO3 (6.37 g, 60.06 mmol in distilled water (30 mL)). The reaction mixture was degassed by bubbling nitrogen though it for 30 minutes before Pd(PPh3)4 (2.31 g, 2.0 mmol) was added. The reaction mixture was stirred at 100°C for 16 hours. After the reaction mixture had cooled, it was extracted with EtOAc (3x100 mL) and water (100 mL). The combined organic extracts were washed with brine (100 mL), dried over MgSO4 and filtered. Removal of the solvent in vacuo gave an oily residue which was purified by column chromatography. The compound 4-(2-fluoro-4-nitro-phenyl)-l -methyl- IH- pyrazole 62 was obtained as a yellow powder (3.46 g, 65%).
Step Cb)
[0219] To a cooled solution (-5°C) of compound 62 (3.46 g, 15.64 mmol) in MeOHiCH2Cl2 (1 : 1 , 50 mL) under nitrogen was added NiCl2 OH2O (1.19 g, 5.0 mmol) followed by NaBH4 (1.78 g, 48.18 mmol) in portions over 20 min while maintaining the temperature at -5°C. Upon completion of the additions, the reaction mixture was allowed to warm to room temperature and stirred at room temperature
for 40 min. The solvent solvent was removed in vacuo and silica gel was added to the residue. The solid was taken up in EtOAc (350 mL) and filtered through a pad of celite. The filtrate was concentrated and purified by column chromatography. The title compound 3-3-fluoro-4-(l-methyl-lH-pyrazol-4-yl)-phenylamine 63 was obtained as a tan powder (1.47 g, 50%). LC/MS [M+H]+ = 192.
EXAMPLE 15 PREPARATION OF COMPOUND 72
[0220] l-Methyl-4-(4,4,5,5-tetramethyl-[l, 3,2]dioxaborolan-2-yl)-lH-pyrazole 70 (3.0 g, 14.42 mmol) , 4-bromo-phenylamine 71 (2.07 g, 12.01 mmol), lithium chloride (1.53 g, 36.03 mmol) were placed in a sealed vessel and toluene:EtOH (4:1, 160 mL) were added followed by 2M aqueous Na2CO3 (3.82 g, 36.03 mmol in distilled water (16 mL)). The reaction mixture was degassed by bubbling nitrogen though it for 30 minutes before Pd(PPl^)4 (1.39 g, 1.20 mmol) was added. The reaction mixture was heated at 100°C for 17 hours and allowed to cool to room temperature. The reaction mixture was then extracted with EtOAc (3x100 mL), washed with water (100 mL), brine (100 mL), dried over MgSO4 and filtered. Removal of the solvent in vacuo gave an oily residue which was purified by column chromatography. The compound 4-(l -methyl- lH-pyrazol-4-yl)-phenylamine 72 was obtained as a pale yellow powder (820 mg, 40%). LC/MS [M+H]+ = 174; 1H NMR (in ppm, DMSO-Jn, 300 MHz): 3.80 (s, 3H), 5.00 (s, 2H), 6.53 (d, 2H, J= 8.4 Hz), 7.18 (d, 2H, J= 8.4 Hz), 7.61 (d, IH, J = 0.9 Hz ), 7.83 (s, IH).
EXAMPLE 16 PREPARATION OF COMPOUND 81
[0221] A solution of 80 (510 mg, 2.5 mmol) and sodium methoxide (682 mg, 13 mmol) in anhydrous methanol (15 mL) was added to a suspension of paraformaldehyde (106 mg, 3.5 mmol) in methanol (15 mL). The resulting mixture was stirred at room temperature for one hour and was charged with sodium borohydride (95 mg, 2.5 mmol). The reaction mixture was refluxed for 18 hrs and quenched with water (50 mL). The mixture was extracted with ethyl acetate (2 x 50 mL). The organic phase was washed with brine (1 x 50 mL), dried over anhydrous sodium sulfate and concentrated. The crude product was purified via silica gel column chromatography (Hexanes : Ethyl acetate, 1 : 4) to afford the desired product 81 as a yellow oil (246 mg, 45%).
EXAMPLE 17 PREPARATION OF AMINE INTERMEDIATES VIA SCHEME 8A
200 201a: ZB = cyclopropyl
201 b: ZB = isopropyl
[0222] To a solution of 2,5-dimethyl benzaldehyde 200 (10 mmol, 1.34 g) in DCE (20 ml), cyclopropyl amine (15 mmol, 0.856 g, 1.05 ml) or isopropyl amine (15 mmol, 0.886 g, 1.28 ml) was added. The mixture was stirred for 5 min and then NaBH(OAc)3 (15 mmol, 3.18 g) and i-Pr2NEt (15 mmol, 2.6 ml) were added. The reaction mixture was stirred at room temperature overnight and then quenched with water (15 ml). The mixture was extracted with EtOAc (3 x 60 ml). The combined organic layer was washed with water (10 ml), brine (10 ml), dried over MgSO4 and filtered. Removal of the solvent in vacuo gave the crude product which was purified by flash column chromatography on silica gel (eluting with 0% to 50% ethyl acetate in hexane gradient over 45 min. The desired products 201a (0.91 g, 52%; LC/MS: [M+H]+ = 176.4) / 201b (0.95 g, 54%; LC/MS: [M+H]+ = 178.4) were obtained as a light yellow oil.
EXAMPLE 18 PREPARATION OF AMINE INTERMEDIATES VIA SCHEME 8B
210 211
[0223] To a solution of 210 (642 mg, 4.0 mmol) and acetic acid (0.45 mL, 7.9 mmol) in 15 mL of 1 ,2-dichloroethane was added dropwise cyclopropyl amine (677 mg, 11.9 mmol). The reaction mixture was stirred for 10 min and was treated with sodium triacetoxyborohydride (1.1 g, 5.1 mmol) in three portions at room temperature. The reaction mixture was stirred at this temperature for 5 hrs and quenched with 10% sodium hydroxide (30 mL). The product mixture was extracted with ethyl acetate (50 x 2 mL). The organic phase was washed with brine (30 mL), dried over anhydrous sodium sulfate, filtered and concentrated in vacuo. The crude product was purified via silica gel column chromatography (hexanes : ethyl acetate, 1 : 4) to afford the desired product 211 as a colorless oil (479 mg, 59 %).
EXAMPLE 19 PREPARATION OF AMINE INTERMEDIATES VIA SCHEME 8C
[0224] To a solution of 220 (0.74 g, 3.85 mmol) in 15 mL of methanol was added a solution of anhydrous HCl in methanol (5 N, 1.54 mL, 7.7 mmol) followed by a fresh solution of methyl amine in methanol (2 N, 19.2 mL, 38.5 mmol). The resulting solution was stirred at ambient temperature for 10 min and charged with sodium cyanoborohydride (242 mg, 3.85 mmol). The reaction mixture was stirred at ambient temperature for 24 hrs and quenched by aqueous sodium hydroxide (1 N, 40 mL). Ether (60 x 2 mL) was added to extract the mixture. The organic phase was washed with brine (40 mL), dried over anhydrous magnesium sulfate, filtered and concentrated on rotavapor. The crude product was purified by silica gel column
chromatography (hexanes : ethyl acetate, 3 : 1 to 1 : 4) to afford 221 as a colorless oil (438 mg, 55%).
EXAMPLE 20 PREPARATION OF AMINE INTERMEDIATES VIA SCHEME 9
[0225] To a solution of 230 (1.58 g, 6.5 mmol) in 25 mL of anhydrous DMA was added sequentially zinc cyanide (765 mg, 6.5 mmol), Dppf (289 mg, 0.5 mmol), zinc powder (102 mg, 1.6 mmol) at room temperature. The suspension was purged with argon for 2 min and Pd2(dba)3 (239 mg, 0.26 mmol) was quickly added under argon protection. The resulting reaction mixture was stirred at 125 °C for 18 hrs and was partitioned with ether (100 mL) and water (60 mL). The organic phase was washed with brine (50 mL) and concentrated in vacuo. The crude product was purified via silica gel column chromatography (hexanes : ethyl acetate, 18 : 1 to 14 : 1) to furnish the desired product 231 as a yellow oil (1.17 g, 95%).
Step (b)
[0226] A solution of 231 (1.17 g, 6.2 mmol) in 30 mL of ammonia in methanol (2 N) was charged with 25 mg of Raney Nickel and was stirred under hydrogen at 60 °C for 4 hrs, upon which LCMS indicated the disappearance of starting material. The reaction mixture was filtered through a pad of celite and the filtrate was concentrated in vacuo to afford a colorless oil 232 (1.2 g, 100%).
EXAMPLE 21 PREPARATION OF AMINE INTERMEDIATES VIA SCHEME 10
[0227] To a solution of 240 (1.9 mmol) in 20 mL of ethanol was added 40% methyl amine in water (2.3 mL, 2.5 mmol) at room temperature. The reaction mixture was stirred at this temperature for 20 hrs, concentrated and co-evaporated with ethanol (2 x 20 mL). The crude product was indicated to be pure by LCMS and further dried in vacuo to afford a white solid 241 (413 mg, 95%).
EXAMPLE 22 PREPARATION OF AMINE INTERMEDIATES VIA SCHEME 11
[0228] To a solution of compound 230 (2.7 mmol, crude) in THF ( 10 ml) Boc anhydride (4.05 mmol, 883 mg) and i-Pr2NEt (4.05 mmol, 720 ul) were added. The reaction was stirred at room temperature for 2 h. The solvent was removed and the crude was purified by flash column chromatography on silica gel (eluting with 0% to 15% ethyl acetate in hexane gradient over 40 min. The desired product 251 was obtained as a white powder (415 mg, 80.9%; LC/MS: [M+H]+ = 264.4).
Step (b)
[0229] To a solution of compound 251 (1 mmol, 263 mg) in dry DMF (2 ml) at -20 °C NaH (1.5 mmol, 36 mg) was added. After stirred about 5 minutes, MeI (0.75 mmol, 213 mg, 94 ul) was added drop wise at -2O °C. The reaction was stirred at -5 - O°C for 30 minutes and then warmed to room temperature. Water (2 ml) was added to quench the reaction and then extracted with EtOAc (3 x 5 ml). The combined organic layer was dried over MgSO4 and filtered. Removal of the solvent in vacuo gave a brown oil which was purified by flash column chromatography on silica gel (eluting with 0% to 15% ethyl acetate in hexane gradient over 40 min. The desired product 252 was obtained as a white powder (230 mg, 83%; LC/MS: [M+H]+ = 278.4).
Step (c)
[0230] To a solution of compound 252 (230 mg) in DCM (2 ml) TFA (2 ml) was added. The reaction was stirred at room temperature for 15 minutes. Removal of the solvent and the excess TFA gave the compound 253 (LC/MS: [M+H]+ = 178.4) semisolid TFA salt.
EXAMPLE 23
Step (a)
[0231] To a solution of substrate 1 (1.60 g, 9.74 mmol) in 30 mL of glacial acetic acid at 0 °C was added dropwise bromine (0.5 mL, 9.74 mmol). The resulting mixture was stirred at ambient temperature for 2 hrs and TLC indicated the full conversion of starting material. 100 mL of aqueous NaHSO3 (10%) was cautiously added to quench the reaction and ether (80 x 2 mL) was added to extract the reaction mixture. The organic phase was washed sequentially with IN aqueous sodium hydroxide (80 x 2 mL) and brine (60 mL), dried over anhydrous magnesium sulfate and filtered. The filtrate was concentrated on rotavapor and dried in vacuo to afford a yellow oil (2.37 g, 100%).
Step (b)
[0232] To a solution of 2 (2.53 g, 10.4 mmol) in 30 mL of anhydrous THF at -78 °C was added dropwise a solution of n-BuLi in hexanes (2.5 N, 7.8 mL, 19.5 mmol). The resulting suspension was stirred at this temperature for 30 min, to which DMF (1.5 mL, 19.5 mmol) was added dropwise. The reaction mixture was allowed to be warmed up to ambient temperature for 3 hrs. 40 mL of saturated aqueous ammonium chloride was added to quench the reaction and the crude product mixture was extracted with ether (80 x 2 mL). The organic phase was washed with brine (60 mL),
dried over anhydrous magnesium sulfate, filtered, concentrated on rotavapor and dried in vacuo to provide 3 as a yellow oil (1.9 g, 95%).
Step (c)
[0233] To a solution of 3 (1.09 g, 5.71 mmol) in 15 mL of methanol was added a solution of anhydrous HCl in methanol (5 N, 2.28 mL, 11.42 mmol) followed by cyclopropylamine (3.26 g, 57.1 mmol). The resulting solution was stirred at ambient temperature for 10 min and charged with sodium cyanoborohydride (359 mg, 5.71 mmol). The reaction mixture was stirred at ambient temperature for 5 hrs and quenched by aqueous sodium hydroxide (1 N, 40 mL). Ether (60 x 2 mL) was added to extract the mixture. The organic phase was washed with brine (60 mL), dried over anhydrous magnesium sulfate, filtered and concentrated on rotavapor. The crude product was purified by silica gel column chromatography (hexanes : ethyl acetate, 3 : 1 to 1 : 3) to afford 4 as a colorless oil (866 mg, 65%).
EXAMPLE 24
|0234] To a solution of "3" from Example 23 (0.59 g, 3.1 mmol) and acetic acid (0.35 mL, 6.2 mmol) in 25 mL of 1 ,2-dichloroethane was added dropwise ethyl amine (2 N, 9.3 mmol, 4.65 mL). The reaction mixture was stirred for 10 min and was treated with sodium triacetoxyborohydride (854 mg, 4.0 mmol) in three portions at room temperature. The reaction mixture was stirred at this temperature for 4 hrs and quenched with 10% sodium hydroxide (40 mL). The product mixture was extracted with ethyl acetate (60 x 2 mL). The organic phase was washed with brine (60 mL), dried over anhydrous sodium sulfate, filtered and concentrated in vacuo. The crude product was purified via silica gel column chromatography (hexanes : ethyl acetate, 3 : 1 to 1 : 4) to afford the desired product 6 as a colorless oil (334 mg, 52%).
EXAMPLE 25
[0235] To a solution of 16 (419 mg, 2.0 mmol) and acetic acid (0.23 mL, 4.0 mmol) in 15 mL of 1 ,2-dichloroethane was added dropwise cyclopropyl amine (333 mg, 5.8 mmol). The reaction mixture was stirred for 10 min and was treated with sodium triacetoxyborohydride (559 mg, 2.6 mmol) in three portions at room temperature. The reaction mixture was stirred at this temperature for 2 hrs and quenched with 10% sodium hydroxide (40 mL). The product mixture was extracted with ethyl acetate (40 x 2 mL). The organic phase was washed with brine (40 mL), dried over anhydrous sodium sulfate, filtered and concentrated in vacuo. The crude product was purified via silica gel column chromatography (hexanes : ethyl acetate, 3 : 1 to 1 : 4) to afford the desired product 17 as a colorless oil (297 mg, 60 %).
EXAMPLE 26
Reagents and conditions: (a) NaBH(OAc)3, HOAc, DCE, 2 N MeNH2 in MeOH, rt, 2 h.
[0236] To a solution of 16 [from Ex xx6] (404 mg, 1.9 mmol) and acetic acid (0.22 mL, 3.8 mmol) in 15 mL of 1 ,2-dichloroethane was added dropwise methyl amine (2 N in MeOH, 2.8 mL, 5.7 mmol). The reaction mixture was stirred for 10 min and was treated with sodium triacetoxyborohydride (537 mg, 2.5 mmol) in three portions at room temperature. The reaction mixture was stirred at this temperature for 2 hrs and quenched with 10% sodium hydroxide (40 mL). The product mixture was extracted with ethyl acetate (40 x 2 mL). The organic phase was washed with brine (40 mL), dried over anhydrous sodium sulfate, filtered and concentrated in vacuo. The crude
product was purified via silica gel column chromatography (hexanes : ethyl acetate, 3 : 1 to 1 : 4) to afford the desired product 18 as a colorless oil (265 mg, 63 %).
EXAMPLE 27
[0237] To a solution of 19 (522 mg, 3.2 mmol) in 20 mL of anhydrous methanol was added ammonium acetate (247 mg, 32 mmol) followed by sodium cyanoborohydride (202 mg, 3.2 mmol) at room temperature. The reaction mixture was stirred for 18 hrs, quenched with ammonium hydroxide (5 mL) and concentrated. The crude product was re-dissolved in methanol (30 mL) and dried over anhydrous sodium sulfate. The solution was filtered and concentrated. The crude product was indicated by LCMS to be pure and dried in vacuo to provide the desired product 20 as a colorless oil (693 mg, 95%).
EXAMPLE 28
[0238] A solution of 21 (320 mg, 2.2 mmol) in 20 mL of ammonia in methanol was charged with 20 mg of Raney Nickel and was stirred at 60 °C in the presence of atmospheric hydrogen for 3 hrs. The product mixture was filtered through a pad of celite, concentrated and dried in vacuo to afford the desired product 22 as a colorless oil (324 mg, 99%).
EXAMPLE 29
[0239] To a solution of 23 (338 mg, 1.3 rnmol) in 20 mL of ethanol was added 40% methyl amine in water (1,6 mL, 1.7 mmol) at room temperature. The reaction mixture was stirred at this temperature for 20 hrs, concentrated and co-evaporated with ethanol (2 x 20 mL). The crude product was indicated to be pure by LCMS and further dried in vacuo to afford a white solid 24 (346 mg, 94%).
EXAMPLE 30
[0240] To a solution of 3 from Example 23 (255 mg, 1.3 mmol) in 10 mL of methanol was added a solution of anhydrous HCl in methanol (5 N, 0.53 mL, 2.6 mmol) followed by (N,N'-dimethylamino)ethylamine (1.2 g, 13 mmol). The resulting solution was stirred at ambient temperature for 10 min and charged with sodium cyanoborohydride (83 mg, 1.3 mmol). The reaction mixture was stirred at ambient temperature for 24 hrs and quenched by aqueous sodium hydroxide (1 N, 10 mL). Ether (60 x 2 mL) was added to extract the mixture. The organic phase was washed with brine (40 mL), dried over anhydrous magnesium sulfate, filtered and concentrated on rotavapor. The crude product was purified by silica gel column chromatography (hexanes : ethyl acetate, 1 : 7) to afford 25 as a colorless oil (223 mg, 65%).
EXAMPLE 31
[0241] To a solution of 3 from Example 23 (204 mg, 1.1 mmol) in 10 mL of methanol was added a solution of anhydrous HCl in methanol (5 N, 0.43 mL, 2.2 mmol) followed by (2-pyrrolidin- 1 -yl-thyl)amine (121 mg, 1.1 mmol). The resulting
solution was stirred at ambient temperature for 10 min and charged with sodium cyanoborohydride (67 mg, 1.1 mmol). The reaction mixture was stirred at ambient temperature for 18 hrs and quenched by aqueous sodium hydroxide (1 N, 10 niL). Ether (60 x 2 mL) was added to extract the mixture. The organic phase was washed with brine (30 mL), dried over anhydrous magnesium sulfate, filtered and concentrated on rotavapor. The crude product was purified by silica gel column chromatography (hexanes : ethyl acetate, 1 : 6) to afford 26 as a colorless oil (185 mg,
EXAMPLE 32
[0242] To a solution of 27 (436 mg, 2.2 mmol) in 20 mL of ethanol was added 40% cyclopropyl amine in water (182 mg, 3.2 mmol) at room temperature. The reaction mixture was stirred at this temperature for 20 hrs, concentrated and co- evaporated with ethanol (2 x 20 mL). The crude product was indicated to be pure by LCMS and further dried in vacuo to afford 28 as a white solid (560 mg, 100%).
29 31
[0243] To a solution of 29 (1.03 g, 6.4 mmol) and acetic acid (0.72 mL, 12.8 mmol) in 25 mL of 1,2-dichloroethane was added dropwise methyl amine in methanol (9.6 mL, 19.2 mmol, 2 N). The reaction mixture was stirred for 10 min and was treated with sodium triacetoxyborohydride (1.8 g, 8.4 mmol) in three portions at room temperature. The reaction mixture was stirred at this temperature for 5 hrs and quenched with 10% sodium hydroxide (30 mL). The product mixture was extracted with ethyl acetate (60 x 2 mL). The organic phase was washed with brine (50 mL), dried over anhydrous sodium sulfate, filtered and concentrated in vacuo. The crude
product was purified via silica gel column chromatography (hexanes : ethyl acetate, 1 : 4) to afford the desired product 31 as a colorless oil (715 mg, 63 %).
EXAMPLE 34
[0244] To a solution of 32 (737 mg, 2.7 mmol) in 20 mL of ethanol was added 40% methyl amine in water (3.5 mL, 3.5 mmol) at room temperature. The reaction mixture was stirred at this temperature for 24 hrs, concentrated and co-evaporated with ethanol (2 x 30 mL). The crude product was indicated to be pure by LCMS and further dπed in vacuo to afford 33 as a white solid (592 mg, 98%).
EXAMPLE 35
Synthesis of 5-isopropyl-2-methyl-4(2-methylpropyl) methyl benzyl amine TFA
Salt (10)
Reagents and conditions (a) NaBH4, NiCl2-OH2O, DCM/MeOH, 0°C - rt, 1.5 h; (b) Br2, HOAc, DCM, 2 h, (c) (CHj)2CHCH2B(OH)2, Pd(OAc)2, PCy3, K3PO4, Toluene, Water, 100°C, 16 h; (d) NaNO2, HBr; (e) Cu(I)Br, HBr; (f) K4[Fe(CN)6], Pd(OAc)2, Na2CO3, DMAC, 120°C, N2, 16 h; (g) H2, Raney Ni, IN NHj/MeOH, 600C, 16 h; (h) BoC2O, THF, rt, 2 h; (i) NaH, CH3I / DMF, -200C - rt; (j) TFA, 15 min.
Synthesis of 5-isopropyl-2-methyl phenyl amine 2:
[0245] 4-isopropyl-l -methyl-2-nitro benzene 1 (100 mmol, 17.92 g) was dissolved in 1 : 1 DCM and MeOH (300 ml) and cooled to -5 - O°C. NaBH4 (300 mmol, 1 1.1 g) and NiCl2.6H2O (20 mmol, 4.75 g) were added in portions under N2 over about 50 minutes.
[0246] The reaction mixture was allowed to warm to room temperature and stirred for an additional 40 min. The mixture was filtered through a pad of celite. The filtrate was concentrated in vacuo and EtOAc (800 ml) and water (200 ml) were added. A black precipitate was formed. The mixture was filtered through a pad of celite. The organic layer and aqueous layer were separated. The aqueous layer was extracted with EtOAc (3 x 80 ml). AU organic layers were combined and washed with water (60 ml) and then brine (60 ml), dried over MgSO4 and filtered. Removal of the solvent in vacuo gave a brown oil which was purified by flash column chromatography on silica gel (eluting with 5% to 30% ethyl acetate in hexane gradient over 50 min). The desired product 2 (12 g, 80.4%) was obtained as a light yellow oil (LC/MS: [M+H]+ = 150.4).
Synthesis of 4-Bromo-5-isopropyl-2-methyl phenyl amine 3:
[0247] 5-isopropyl-2-methyl phenyl amine 2 (80.4 mmol, 12 g) was dissolved in 1 : 2 HOAc and DCM (200 ml) and cooled to -5 - O°C. Bromine (80.4 mmol, 12.86 g, 4.12 ml) in 6 ml HOAc was added drop wise over 1 h of period of time. The reaction mixture was continuing to stir for another hour at O°C and then warmed to room temperature and stirred for 30 min. Saturated Na2SO3 aqueous (20 ml) was added to quench the reaction. The reaction mixture was concentrated in vacuo to remove most of the solvents (DCM and HOAc). The solution was basified with saturated Na2CO3 aqueous solution and then extracted with EtOAc (3 x 80 ml). The combined organic layer was washed with water (40 ml) and then brine (40 ml), dried over MgSO4 and filtered. Removal of the solvent in vacuo gave a brown oil which was purified by flash column chromatography on silica gel (eluting with 2% to 25% ethyl acetate in hexane gradient over 50 min. The desired product 3 (15.2 g, 82.9%) was obtained as a light brown oil (LC/MS: [M+H]+ = 228.2 and 230.2).
Synthesis of 4-isobutyl-5-isopropyl-2-methyl phenyl amine 4:
[0248] To a mixture of compound 3 (40.95 mmol, 9.75 g), isobutyl boronic acid (61.43 mmol, 6.265 g), K3PO4 (143.33 mmol, 30.5 g) and tricyclohexylphoshine (4.095 mmol, 1.147 g) in toluene (120 ml) was added distilled water (10 ml). Pd(OAc)2 (2.048 mmol, 463 mg) was added to the mixture a few minutes later. The reaction mixture was heated at 100°C for 16 h before it was allowed to cool to room temperature and filtered through a pad of celite and washed with EtOAc (300 ml). The organic layer was washed with water (50 ml) and then brine (50 ml), dried over MgSO4 and filtered. Removal of the solvent in vacuo gave a brown oil which was purified by flash column chromatography on silica gel (eluting with 2% to 20% ethyl acetate in hexane gradient over 50 min. The desired product 4 (4.81 g, 57.2%) was obtained as a light brown oil [(LC/MS: [M+H]+ = 206.4; 1H NMR in CD3OD, δ: 6.688 (s, I H), 6.668 (s, I H), 3.062 (m, IH), 2.360 (d, J = 5.4 Hz, 2H), 2.1 1 1 (s, 3H), 1.710 (m, IH), 1.182 (d, J = 6.9 Hz, 6H), and 0.906 (d, J = 6.9 Hz, 6H)].
Synthesis of 1 -Bromo-4-isobutyl-5-isopropyl-2 -methyl Benzene 5:
[0249] Compound 4 (2.8 mmol, 575 mg) was suspended in a mixture of water (3 ml) and HBr (1.5 ml, 48%), cooled to O°C with acetone / dry ice bath. An ice-cold solution OfNaNO2 (5.6 mmol, 386 mg) in water (1.5 ml) was slowly added while stirred suspension (keeping the temperature at 0 - 5°C). The reaction mixture was stirred for 15 min at O°C. The solution was slowly added to a pre-heated Cu(I)Br solution (442 mg in 1.5 ml 48% HBr) at 7O°C. After stirred for 5 min, the reaction mixture was heated up to 90°C and stirred for 30 min. The reaction mixture was poured onto ice-water (30 g) and extracted with EtOAc (3 x 40 ml). The combined organic layers were washed with brine, dried over MgSO4 and filtered. Removal of the solvent in vacuo gave a brown oil which was purified by flash column chromatography on silica gel (eluting with 0% to 4% ethyl acetate in hexane gradient over 30 min. The desired product 5 (375 mg, 50%) was obtained as a light brown oil [1H NMR in CDCl3, δ: 7.348 (s, IH), 6.91 1 (s, IH), 3.068 (m, IH), 2.429 (d, J = 7.2 Hz, 2H), 2.317 (s, 3H), 1.758 (m, IH), 1.198 (d, J = 6.9 Hz, 6H), and 0.922 (d, J = 6.6 Hz, 6H)].
Synthesis of 4-isobutyl-5-isopropyl-2-methyl Benzonitrile 6:
[0250] A 20 ml vial was charged with compound 5 (1.4 mmol, 375 mg), DMAC, K4[Fe(CN)6]SH2O1 Na2CO3 and Pd(OAc)2. The vial was filled with N2 and heated up to 120 °C. After stirred overnight, the reaction mixture was allowed to cool to room temperature. The mixture was filtered through a pad of celite and washed with EtOAc (3 x 20 ml). The combined organic layers were washed with water (5 ml) and then brine (5 ml), dried over MgSO4 and filtered. Removal of the solvent in vacuo gave a black oil which was purified by flash column chromatography on silica gel (eluting with 0% to 10% ethyl acetate in hexane gradient over 30 min. The desired product 6 (255 mg, 84%) was obtained as a purple oil [1H NMR in CD3OD, δ: 7.509 (s, I H), 3.187 (m, I H), 2.577 (d, J = 7.2 Hz, 2H), 2.444 (s, 3H), 1.826 (m, IH), 1.229 (d, J =6.6 Hz, 6H) and 0.948 (d, J = 7.2 Hz, 6H)].
Synthesis of 4-isobutyl-5-isopropyl-2-methyl Benzyl amine 7:
[0251] To a solution of compound 6 (1.18 mmol, 255 mg) in IN NH3 / MeOH (30 ml), Raney Ni (~ 60 mg, washed with MeOH several times) was added. A hydrogen balloon was put on. The reaction was heated to 6O°C and stirred over night. Allowed to cool to room temperature, the mixture was filtered through a pad of celite. Removal of the solvent in vacuo gave a colorless semi-solid product 7 [ 198 mg, 77%; LC/MS: [M+H]+ = 220.4] which was used for the next step without further purification.
Synthesis of (4-isobutyl-5-isopropyl-2-methyl Benzyl) carbamic acid tert-butyl ester
[0252] To a solution of compound 7 (0.7 mmol, 154 mg) in THF (2 ml) Boc anhydride (0.84 mmol, 183 mg) and i-Pr2NEt (1.05 mmol, 183 ul) were added. The reaction was stirred at room temperature for 2 h. The solvent was removed and the crude was purified by flash column chromatography on silica gel (eluting with 0% to 15% ethyl acetate in hexane gradient over 30 min. The desired product 8 was obtained as a white powder [215 mg, 96%; LC/MS: [M+H]+ = 320.4; 1H NMR in CDCl3, δ: 7.077 (s, IH), 6.858 (s,lH), 4.270 (d, J = 5.4 Hz, 2H), 3.109 (m, IH), 2.461 (d, J = 7.2 Hz, 2H), 2.253 (s, 3H), 1.457 (s, 9H), 1.206 (d, J = 6.9 Hz, 6H) and 0.930 (d, J = 6.9 Hz, 6H)].
Synthesis of (4-isobutyl-5-isopropyl-2-methyl Benzyl) methyl carbamic acid tert- butyl ester 9:
[0253] To a solution of compound 8 (0.6 mmol, 192 mg) in dry DMF (1 ml) at -20 °C NaH (0.9 mmol, 21.6 mg) was added. After stirred about 5 minutes, MeI (0.9 mmol, 56.2 ul) was added dropwise at -2O°C. The reaction was stirred at -5 - O°C for 30 minutes and then warmed to room temperature. Water (1 ml) was added to quench the reaction and then extracted with EtOAc (3 x 5 ml). The combined organic layer was dried over MgSO4 and filtered. Removal of the solvent in vacuo gave a brown oil which was purified by flash column chromatography on silica gel (eluting with 0% to 15% ethyl acetate in hexane gradient over 30 min. The desired product 9 was obtained as a white powder [145 mg, 73%; LC/MS: [M+H]+ = 334.4].
Synthesis of (4-isobutyl-5-isopropyl-2-methyl Benzyl) methyl amine TFA salt 10:
[0254] To a solution of compound 9 in DCM (1 ml) TFA (1 ml) was added. The reaction was stirred at room temperature for 15 minutes. Removal of the solvent and the excess TFA gave the title compound 10 [LC/MS: [M+H]+ = 234.4] as semi-solid TFA salt.
EXAMPLE 36
SYNTHESIS OF (4-ISOBUTYL-2,5-DIMETHYL BENZYL) METHYL AMINE
TFA SALT (17)
Reagents and conditions: (a) Cu(I)CN, DMF, 155°C, 16 h; (b) (CHj)2CHCH2B(OH)2, Pd(OAc)2, PCy3, K3PO4, Toluene, Water, 1000C, 16 h; (c) H2, Raney Ni, IN NH3ZMeOH, 60°C, 16 h; (d) BoC2O, THF, rt, 2 h; (e) NaH, CH3LOMF, -20°C - rt; (f) TFA, 15 min.
Synthesis of 4-bromo-2,5-dimethyl Benzonitrile 12:
[0255] To Cu(I)CN (12 mmol, 1.075 g) in DMF (50 ml) l,4-dibromo-2,5-dimethyl benzene 11 (10 mmol, 2.64 g) was added. The reaction was heated to 155 °C and
stirred for 16 h at this temperature. After cooled to room temperature, a solution of FeCl3 (7.9 g FeCl3 in 2.5 ml concentrated HCl and 9.8 ml water) was added. The reaction was re-heated to 7O°C and stirred for 20 minutes. The mixture was allowed to cool to room temperature and then extracted with EtOAc (3 x 80 ml). The combined organic layers were washed with water (30 ml) and then brine (30 ml), dried over MgSO4 and filtered. Removal of the solvent in vacuo gave a black oil which was purified by flash column chromatography on silica gel (eluting with 0% to 20% ethyl acetate in hexane gradient over 45 min. The desired product 12 (650 mg, 31 %) was obtained as a purple oil [1H NMR in CDCl3, δ: 7.498 (s, IH), 7.418 (s, IH), 2.479 (s, 3H) and 2.375 (s, 3H)].
Synthesis of 4-isobutyl-2,5-dimethyl Benzonitrile 13:
[0256] To a mixture of compound 12 (3.09 mmol, 650 mg), isobutyl boronic acid (4.64 mmol, 474 mg), K3PO4 (10.82 mmol, 2.3 g) and tricyclohexylphoshine (0.30 mmol, 84 mg) in toluene (10 ml) was added distilled water (0.8 ml). Pd(OAc)2 (0.15 mmol, 35 mg) was added to the mixture a few minutes later. The reaction mixture was heated at 100°C for 16 h before it was allowed to cool to room temperature and filtered through a pad of celite and washed with EtOAc (50 ml). The organic layer was washed with water (5 ml) and then brine (5 ml), dried over MgSO4 and filtered. Removal of the solvent in vacuo gave a brown oil which was purified by flash column chromatography on silica gel (eluting with 0% to 15% ethyl acetate in hexane gradient over 40 min. The desired product 13 was obtained as a light brown oil [556 mg, 96.2%; 1H NMR in CDCl3, δ: 7.330 (s, IH), 6.999 (s, IH), 2.465 (s, 3H), 2.476 (d, J = 7.2 Hz, 2H), 2.263 (s, 3H), 1.849 (m, IH) and 0.926 (d, J = 6.6 Hz, 6H)].
Synthesis of 4-isobutyl -2,5-dimethyl Benzyl amine 14:
|0257] To a solution of compound 13 (2.97 mmol, 556 mg) in IN NH3 / MeOH (60 ml), Raney Ni (~ 120 mg, washed with MeOH several times) was added. A hydrogen balloon was put on. The reaction was heated to 6O°C and stirred over night. Allowed to cool to room temperature, the mixture was filtered through a pad of celite. Removal of the solvent in vacuo gave a light brown semi-solid product 14 [540 mg, 95%; LC/MS: [M+H]+ = 192.4] which was used for the next step without further purification.
Synthesis of (4-isobutyl-2,5-dimethyl Benzyl) carbamic acid tert-butyl ester 15:
[0258) To a solution of compound 14 (2.16 mmol, 413 mg) in THF (8 ml) Boc anhydride (2.6 mmol, 566 mg) and i-Pr2NEt (3.9 mmol, 678 ul) were added. The reaction was stirred at room temperature for 2 h. The solvent was removed and the crude was purified by flash column chromatography on silica gel (eluting with 0% to 15% ethyl acetate in hexane gradient over 40 min. The desired product 15 was obtained as a white powder [550 mg, 87.2%; LC/MS: [M+H]+ = 292.4].
Synthesis of (4-isobutyl-2,5-dimethyl Benzyl) methyl carbamic acid tert-butyl ester 16:
[0259] To a solution of compound 15 (1.0 mmol, 292 mg) in dry DMF (3 ml) at - 2O°C NaH (0.9 mmol, 21.6 mg) was added. After stirred about 5 minutes, MeI (0.9 mmol, 56.2 ul) was added dropwise at -20 °C. The reaction was stirred at -5 - O°C for 30 minutes and then warmed to room temperature. Water (1 ml) was added to quench the reaction and then extracted with EtOAc (3 x 5 ml). The combined organic layer was dried over MgSO4 and filtered. Removal of the solvent in vacuo gave a brown oil which was purified by flash column chromatography on silica gel (eluting with 0% to 15% ethyl acetate in hexane gradient over 40 min. The desired product 16 was obtained as a white powder [245 mg, 80%; LC/MS: [M+H]+ = 306.5].
Synthesis of (4-isobutyl-2, 5-methyl Benzyl) methyl amine TFA salt 17:
[0260) To a solution of compound 16 (0.8 mmol, 245 mg) in DCM (2 ml) TFA (2 ml) was added. The reaction was stirred at room temperature for 15 minutes. Removal of the solvent and the excess TFA gave the title compound 17 [LC/MS: [M+H]+ = 206.4] as semi-solid TFA salt.
EXAMPLE 37
SYNTHESIS OF (5-ETHYL-2,4-DIMETHYL BENZYL) METHYL AMINE
TFA SALT (24)
Reagents and conditions: (a) NaNO2, HBr; (b) Cu(I)Br, HBr; (c) Cu(I)CN, DMF, 1550C, 16 h; (d) H2, Raney Ni, IN NH3MeOH, 60°C, 16 h, (e) BoC2O, THF, rt, 2 h; (f) NaH, CH3I / DMF, -20°C - rt; (g) TFA, 15 mm.
Synthesis of l -Bromo-5-ethyl-2,4-dimethyl Benzene 19:
[0261] Compound 18 (26.67 mmol, 4 g), made in the previously described method [1] starting from l-bromo-2,4-dimethyl-5-nitro benzene, was suspended in a mixture of water (28 ml) and HBr (12 ml, 48%), cooled to O°C with acetone / dry ice bath. An ice-cold solution OfNaNO2 (53.3 mmol, 3.68 g) in water (12 ml) was slowly added while stirred suspension (keeping the temperature at 0 - 5°C). The reaction mixture was stirred for 15 min at O°C. The solution was slowly added to a pre-heated Cu(I)Br solution (29.3 mmol, 4.2 g in 12 ml 48% HBr) at 70°C. After stirred for 5 min, the reaction mixture was heated up to 9O°C and stirred for 30 min. The reaction mixture was poured onto ice-water (200 g) and extracted with EtOAc (3 x 200 ml). The combined organic layer was washed with brine, dried over MgSO4 and filtered. Removal of the solvent in vacuo gave a brown oil which was purified by flash column chromatography on silica gel (eluting with 0% to 4% ethyl acetate in hexane gradient over 40 min. The desired product 19 was obtained as a light brown oil [1.45 g, 53.6%; 1H NMR in CD3OD, ό: 7.230 (s, I H), 6.992 (s, IH), 2.558 (q, J = 7.5 Hz, 2H), 2.275 (s, 3H), 2.195 (s, 3H), 1.182 (t, J = 7.5 Hz, 3H)].
Synthesis of 5-ethyl-2,4-dimethyl Benzonitrile 20:
[0262] To Cu(I)CN (4.39 mmol, 394 mg) in DMF (15 ml) 1 -bromo-5-ethyl-2,4- dimethyl benzene 19 (3.66 mmol, 780 mg) was added. The reaction was heated to 155 °C and stirred for 16 h at this temperature. After cooled to room temperature, a solution Of FeCl3 (2.9 g FeCl3 in 0.9 ml concentrated HCl and 3.6 ml water) was added. The reaction was re-heated to 7O°C and stirred for 20 minutes. The mixture was allowed to cool to room temperature and then extracted with EtOAc (3 x 50 ml). The combined organic layer was washed with water (10 ml) and then brine (10 ml), dried over MgSO4 and filtered. Removal of the solvent in vacuo gave a black oil which was purified by flash column chromatography on silica gel (eluting with 0% to 20% ethyl acetate in hexane gradient over 45 min. The desired product 20 was obtained as a purple oil [310 mg, 53.2%; 1H NMR in CD3OD, δ: 7.385 (s, I H), 7.166 (s, I H), 2.651 (q, J = 7.5 Hz, 2H), 2.436 (s, 3H), 2.339 (s, 3H), 1.204 (t, J = 7.5 Hz, 3H)].
Synthesis of 5-ethyl-2.4-dimethyl Benzyl amine 21:
[0263] To a solution of compound 20 (1.95 mmol, 310 mg) in IN NH3 / MeOH (30 ml), Raney Ni (~ 60 mg, washed with MeOH several times) was added. A hydrogen balloon was put on. The reaction was heated to 6O°C and stirred over night. Allowed to cool to room temperature, the mixture was filtered through a pad of celite. Removal of the solvent in vacuo gave a colorless semi-solid product 21 [-100%; LC/MS: [M+H]+ = 164.4; 1H NMR in CD3OD, δ: 7.040 (s, I H), 6.898 (s, IH), 3.733 (s, 2H), 2.612 (q, J - 7.5 Hz, 2H), 2.261 (s, 3H), 2.236 (s, 3H), 1.185 (t, J = 7.5 Hz, 3H)] which was used for the next step without further purification.
Synthesis of f5-ethyl-2,4-dimethyl Benzyl) carbamic acid tert-butyl ester 22:
[0264] To a solution of compound 21 (1.95 mmol, 310 mg) in THF (8 ml) Boc anhydride (2.925 mmol, 638 mg) and i-Pr2NEt (2.925 mmol, 513 ul) were added. The reaction was stirred at room temperature for 2 h. The solvent was removed and the crude was purified by flash column chromatography on silica gel (eluting with 0% to 15% ethyl acetate in hexane gradient over 30 min. The desired product 22 was obtained as a white powder (415 mg, 80.9%; LC/MS: [M+H]+ = 264.4).
Synthesis of f5-ethyl-2,4-dimethyl Benzyl) methyl carbamic acid tert-butyl ester 23
[0265] To a solution of compound 22 (0.5 mmol, 132 mg) in dry DMF (2 ml) at - 2O°C NaH (0.75 mmol, 18 mg) was added. After stirred about 5 minutes, MeI (0.75 mmol, 106.5 mg, 47 ul) was added dropwise at -2O °C. The reaction was stirred at -5 - O°C for 30 minutes and then warmed to room temperature. Water (1 ml) was added to quench the reaction and then extracted with EtOAc (3 x 5 ml). The combined organic layer was dried over MgSO4 and filtered. Removal of the solvent in vacuo gave a brown oil which was purified by flash column chromatography on silica gel (eluting with 0% to 15% ethyl acetate in hexane gradient over 30 min. The desired product 23 was obtained as a white powder (137 mg, 99%, LC/MS: [M+H]+ = 278.4).
Synthesis of (4-isobutyl-5-isopropyl-2-methyl Benzyl) methyl amine TFA salt 24:
[0266] To a solution of compound 23 in DCM (1 ml) TFA (1 ml) was added. The reaction was stirred at room temperature for 15 minutes. Removal of the solvent and the excess TFA gave the title compound 24 (LC/MS: [M+H]+ = 177.4 as semi-solid TFA salt.
EXAMPLE 38
SCHEME 4: SYNTHESIS OF (5-ETHYL-2,4-DIMETHYL BENZYL) CYCLOPROPYL AMINE
Reagents and conditions: (a) n-BuLi, DMF, THF, N2, -78 - 0°C, 80 min; (b) Cyclopropyl amine, NaBH(OAc)3, i-Pr2NEt, DCE, rt, 16 h.
[0267] To compound 19 (2 mmol, 426 mg) in dry THF (10 ml), n-BuLi (2.2 mmol, 0.88 ml of 2.5 M solution in hexane) was added drop wise at -78°C under N2. After stirred for 5 min, dry DMF (3 mmol, 219.3 mg, 0.23 ml) in THF (1 ml) was added drop wise. The reaction mixture was allowed to stir for 15 min at -78°C and then warmed up to O°C and stirred at this temperature for 1 h. The reaction was quenched with 5% aqueous HCl until pH 2-3. The reaction was extracted with EtOAc (3 x 30 ml). The combined organic layer was washed with water (5 ml) and then brine (5 ml), dried over MgSO4 and filtered. Removal of the solvent in vacuo gave a light brown
oil 28 [1H NMR in CD3OD, δ: 10.1 16 (s, IH), 7.569 (s, IH), 7.060 (s, IH), 2.683 (q, J = 7.5 Hz, 2H), 2.561 (s, 3H), 2.334 (s, 3H) and 1.227 (t, J - 7.5 Hz, 3H)] which was used for the next step reaction without further purification.
[0268] The crude 28 was dissolved in DCE (5 ml) and cyclopropyl amine (3 mmol, 171.3 mg, 0.210 ml) was added. The mixture was stirred for 5 min and then NaBH(OAc)3 (3 mmol, 0.64 g) and i-Pr2NEt (3 mmol, 0.52 ml) were added. The reaction was stirred at room temperature overnight and then quenched with water (5 ml). The mixture was extracted with EtOAc (3 x 20 ml). The combined organic layer was washed with water (3 ml) and then brine (3 ml), dried over MgSO4 and filtered. Removal of the solvent in vacuo gave a brown oil which was purified by flash column chromatography on silica gel (eluting with 0% to 50% ethyl acetate in hexane gradient over 40 min. The desired product 29 was obtained as a light brown oil (174mg, LC/MS: [M+H]+, 204.4). The overall yield for these two step reactions was 42.7%.
EXAMPLE 39 SYNTHESIS OF (5-ISOPROPYL-2-METHYL BENZYL) CYCLOPROPYL
AMINE (37)
Reagents and conditions: (a) n-BuLi, DMF, THF, N2, -78 - 0°C, 80 min; (b) Cyclopropyl amine, NaBH(OAc)3, J-Pr2NEt, DCE, rt, 16 h.
[0269] To compound 30 (3.47 mmol, 740 mg) in dry THF ( 15 ml), n-BuLi (3.82 mmol, 1.53 ml of 2.5 M solution in hexane) was added drop wise at -78°C under N2. After stirred for 5 min, dry DMF (5.2 mmol, 380.5 mg, 0.41 ml) in THF (1 ml) was added drop wise. The reaction mixture was allowed to stir for 15 min at -78°C and then warmed up to O°C and stirred at this temperature for 1 h. The reaction was quenched with 5% aqueous HCl until pH 2-3. The reaction was extracted with EtOAc (3 x 50 ml). The combined organic layer was washed with water (5 ml) and then brine (5 ml), dried over MgSO4 and filtered. Removal of the solvent in vacuo gave a light brown oil 36 which was used for next step reaction without further purification.
[0270] The crude 36 was dissolved in DCE (10 ml) and cyclopropyl amine (6.74 mmol, 385 mg, 0.473 ml) was added. The mixture was stirred for 5 min and then NaBH(OAc)3 (6.74 mmol, 1.43 g) and 1-Pr2NEt (6.74 mmol, 1.21 ml) were added. The reaction was stirred at room temperature overnight and then quenched with water (5 ml). The mixture was extracted with EtOAc (3 x 30 ml). The combined organic layer was washed with water (5 ml) and then brine (5 ml), dried over MgSO4 and filtered. Removal of the solvent in vacuo gave a brown oil 37 (259 mg, 55% overall yield; LC/MS: [M+H]+ = 204.4), which was used for next step reaction without further purification.
EXAMPLE 40
SYNTHESIS OF (2,5-DIMETHYL BENZYL) METHYL / ETHYL AMINE TFA
SALT (4OA AND 40B)
38 39 40a : R = Me 41a: R = Me
40 b : R = Et 41 b: R = Et
Reagents and conditions: (a) BoC2O1 THF, it, 2 h; (b) NaH, CH3I / EtI, DMF, -20°C - rt; (c) TFA, 15 min.
Synthesis of (2,5-dimethyl Benzyl) carbamic acid tert-butyl ester 39:
[0271] To a solution of commercially available 2,5-dimethyl benzyl amine 38 (10 mmol, 1.35) in THF (20 ml) Boc anhydride (12 mmol, 2.62 g) and i-Pr2NEt (15 mmol, 2.6 ml) were added. The reaction was stirred at room temperature for 2 h. Water (20 ml) was added and solvent THF was removed under vacuo. The mixture was crashed out, which was filtered, washed with water and dried to yield the desired product 39 (2.25 g, 96%; LC/MS: [M+H]+ = 236.4) as a white powder.
Synthesis of (5-isopropyl-2-methyl Benzyl) methyl carbamic acid tert-butyl ester 40a / 40b:
[0272] To a solution of compound 39 (1 mmol, 235 mg) in dry DMF (2 ml) at -20 °C NaH (1.5 mmol, 36 mg) was added. After stirred about 5 minutes, MeI (1.5 mmol, 213 mg, 94 ul) / EtI (1.5 mmol, 102 ul) was added drop wise at -2O °C. The reaction was stirred at -5 - O°C for 30 minutes and then warmed to room temperature. Water (2 ml) was added to quench the reaction and then extracted with EtOAc (3 x 5 ml). The combined organic layer was dried over MgSO4 and filtered. Removal of the solvent in vacuo gave a brown oil which was purified by flash column chromatography on silica gel (eluting with 0% to 15% ethyl acetate in hexane gradient over 40 min. The desired products 40a (188 mg, 75.5%; LC/MS: [M+H]+ = 250.4) / 40b were obtained as a white powder (245 mg, 93%; LC/MS: [M+H]+ = 264.4).
Synthesis of (4-isobutyl-5-isopropyl-2-methyl Benzyl) methyl / ethyl amine TFA salts 41a / 41b:
[0273] To a solution of compound 40a ( 188 mg) / 40b (245 mg) in DCM (2 ml) TFA (2 ml) was added. The reaction was stirred at room temperature for 15 minutes. Removal of the solvent and the excess TFA gave the title compound 41a (LC/MS: [M+H]+ = 150.4) / 41b (LC/MS: [M+H]+ = 164.4) as semi-solid TFA salts.
EXAMPLE 41
SYNTHESIS OF (2,5-DIMETHYL-4-METHOXY BENZYL) CYCLOPROPYL AMINES (45A) AND (2,4,5-TRIMETHYL BENZYL) CYCLOPROPYL
AMINES (45B)
44a: R = MeO 45a: R = Me0
44b: R = Me 45b: R = Me
Reagents and conditions: (a) Cyclopropyl amine, NaBH(O Ac)3, UPr2NEt, DCE, rt, 16 h.
[0274] To a solution of 2,5-dimethyl-4-methoxy benzaldehyde 44a (10 mmol, 1.64 g) in DCE (20 ml) / 2,4,5-trimethyl benzaldehyde 44b (10 mmol, 1.48 g) in DCE (20 ml) cyclopropyl amine (15 mmol, 0.856 g, 1.05 ml) was added. The mixture was stirred for 5 min and then NaBH(OAc)3 (15 mmol, 3.18 g) and UPr2NEt (15 mmol,
2.6 ml) were added. The reaction was stirred at room temperature overnight and then
quenched with water (15 ml). The mixture was extracted with EtOAc (3 x 60 ml). The combined organic layer was washed with water (10 ml) and then brine (10 ml), dried over MgSO4 and filtered. Removal of the solvent in vacuo gave a yellow oil which was purified by flash column chromatography on silica gel (eluting with 0% to 50% ethyl acetate in hexane gradient over 45 min. The desired product 45a (1.27 g, 62%; LC/MS: [M+H]+ = 206.4) / 45b (1.05 g, 55.6%, LC/MS: [M+H]+ = 190.4) were obtained as a light yellow oil.
EXAMPLE 42 SYNTHESIS OF (2,4,5-TRIMETHYL BENZYL) METHYL AMINES (46)
44b
46
Reagents and conditions: (a) 2N methyl amine in MeOH, NaBH(OAc)3, HOAc, rt, 2 h.
[0275] To a solution of 2,4,5-trimethyl benzaldehyde 44b (10 mmol, 1.48 g) in MeOH (5 ml) methylamine (15 mmol, 30 ml of 2N in MeOH) was added. The mixture was stirred for 5 min and then NaBH(OAc)3 (15 mmol, 3.18 g) and i-HOAc (15 mmol, 0.85 ml) were added. The reaction was stirred at room temperature for 2h and then quenched with water (15 ml). The reaction mixture was concentrated down to remove MeOH and HOAc and then basified with saturated Na2CO3 aqueous solution. The mixture was extracted with EtOAc (3 x 60 ml). The combined organic layer was washed with water (5 ml) and then brine (5 ml), dried over MgSO4 and filtered. Removal of the solvent in vacuo gave a yellow oil 46 (LC/MS: [M+H]+ = 264.4) which was used for the next step reaction without further purification.
EXAMPLE 43 SYNTHESIS OF 2-METHYL-5-DIMETHYLAMINO BENZYL AMINE (48)
Reagents and conditions: (a) MeI / Na2CO3, DMF, 80°C; (b) Cu(I)CN, DMF, 1550C, 16 h.
Synthesis of 2-methyl-5-dimethylamino benzonitrile (48)
[0276] To 5-amino-2-methyl benzonitrile 47 (20 mmol, 2.64 g) in DMF (20 ml) Na2CO3 (40 mmol, 5.52 g) was added. MeI (30 mmol, 4.26 g) was added a few minutes later. The reaction was heated to 80cC and stirred for 16h. The reaction was allowed to cool to room temperature and water (20 ml) was added to dissolve the inorganic base. The mixture was extracted with EtOAc (3 x 80 ml). The combined organic layer was washed with water (10 ml) and then brine (10 ml), dried over MgSO4 and filtered. Removal of the solvent in vacuo gave a dark brown oil which was purified by flash column chromatography on silica gel (eluting with 0% to 50% ethyl acetate in hexane gradient over 65 min. The desired product 48 (2.16 g, 67.5%; LC/MS: [M+H]+ = 161.4) was obtained as a brown oil.
Synthesis of 2-methyl-5-dimethylamino benzyl amine (49)
[0277] To a solution of compound 48 (6 mmol, 960 mg) in IN NH3 / MeOH (60 ml), Raney Ni (~ 120 mg, washed with MeOH several times) was added. A hydrogen balloon was put on. The reaction was heated to 6O°C and stirred overnight. Allowed to cool to room temperature, the mixture was filtered through a pad of celite. Removal of the solvent in vacuo gave a colorless semi-solid product 49 (-100%; LC/MS: [M+H]+ = 165.4) which was used for the next step without further purification.
l -(2,4-dichloro-benzyl)-3-[3-fluoro-4-(4-methyl-imidazol-l -yl)-phenyll-l ,3-dimethyl- urea (2):
[0278] 95% NaH (0.010 g, 0.254 mmol) was suspended in DMF (1 mL) and was cooled to -20°C in a 30% isopropanol/water ice bath. l-(2,4-dichloro-benzyl)-3-[3- fluoro-4-(4-methyl-imidazol-l-yl)-phenyl]-urea was then added and the mixture stirred in the ice bath for 5 min. A cloudy green solution resulted. CH3I was then added in one portion and the mixture stirred for 10 min in the ice bath. Reaction was then removed from the ice bath and allowed to warm up to room temperature while stirring over 30 min. The reaction mixture was quenched with one drop of water and the product isolated by reverse-phase HPLC. Pure fraction was concentrated to yield l-(2,4-dichloro-benzyl)-3-[3-fluoro-4-(4-methyl-imidazol-l-yl)-phenyl]-l ,3-dimethyl- urea (2) as a tan oil (0.027 g, 51%). LC/MS [M+H]+ = 393; 1H NMR (DMSO-/, 300 MHz): δ 2.34 (d, 3H, J = 0.9 Hz), 2.67 (s, 3H), 3.19 (s, 3H), 4.48 (s, 2H), 7.08 - 7.12
(two m, 2H), 7.27 -7.46 (m, 3H), 7.62 -7.68 (m, 2H), 7.76 (d, IH, 1.5 Hz), 9.36 (s, IH).
EXAMPLE 44
R1 = methyl (3a), cyclopropyl (3b) Reagents and conditions: (a) DCE, AcOH, NaBH(OAc)3, 1 h;
(3-isopropyl-benzyP-methyl-amine. TFA salt (3a):
[0279] 3-Isopropyl-benzaldehyde (0.200 g, 1.35 mmol) and methyl amine (2 mL of a 2.0 M solution in methanol) were combined in 1,2-dichloroethane and stirred under a nitrogen atmosphere for 5 min. Glacial acetic acid (0.153 mL, 2.70 mmol) was added followed by NaBH(OAc)3. Resulting mixture was stirred under a nitrogen atmosphere for 1 h. The reaction was then diluted with water (0.1 mL) and DMF (0.9 mL) and purified by direct injection onto a reverse-phase HPLC column. Pure fractions were combined and concentrated to yield (3-isopropyl-benzyl)-methyl- amine, TFA salt (3a) as a clear, colorless oil (0.123g, 33%). LC/MS [M+H]+ = 164; 1H NMR (DMSO-/, 300 MHz): δ 1.20 (d, 6H, J = 6.6 Hz), 2.57 (t, 3H, J = 11.7 Hz), 2.90 (q, IH, J = 6.6 Hz), 4.10 (t, 2H, J = 6.0 Hz), 7.23 - 7.37 (m, 4H), 8.79 (brs, IH).
β-isopropyl-benzyD-cvclopropyl-amine, TFA salt (3b):
[0280] 3-Isopropyl-benzaldehyde (0.200 g, 1.35 mmol) and cyclopropyl amine (0.23 Ig, 4.05 mmol) were combined in 1,2-dichloroethane and stirred under a nitrogen atmosphere for 5 min. Glacial acetic acid (0.153 mL, 2.70 mmol) was added followed by NaBH(OAc)3. Resulting mixture was stirred under a nitrogen atmosphere for 1 h. The reaction was then diluted with water (0.1 mL) and DMF (0.9 mL) and purified by direct injection onto a reverse-phase HPLC column. Pure fractions were combined and concentrated to yield (3-isopropyl-benzyl)-cyclopropyl- amine, TFA salt (3b) as a clear, colorless oil (0.130g, 32%). LC/MS [M+H]+ = 190;
1H NMR (DMSO-/, 300 MHz): δ 0.72 - 0.84 (m, 4H), 1.20 (d, 6H, J = 6.6 Hz), 2.71 (brs, IH), 2.89 (q, IH, J = 6.9 Hz and 13.5 Hz)
EXAMPLE 45
Reagents and conditions: (a) DCE, AcOH, NaBH(OAc)3, 1 h;
Dimethyl-[ 1 -(3-methylaminomethyl-phenyl)-ethyl]-amine (4):
[0281] 3-(l-Dimethylamino-ethyl)-benzaldehyde (0.200 g, 1.13 mmol) and methyl amine (1.7 mL of a 2.0 M solution in methanol) were combined in 1 ,2-dichloroethane and stirred under a nitrogen atmosphere for 5 min. Glacial acetic acid (0.128 mL, 2.26 mmol) was added followed by NaBH(OAc)3 (0.31 1 g, 1.47 mmol). Resulting mixture was stirred under a nitrogen atmosphere for 1.5 h. The reaction was then diluted with water (0.1 mL) and MeOH (2 mL) and sample concentrated under reduced pressure to a liquid. Purified by direct injection onto a reverse-phase HPLC column. Compound required 100% MeOH to remove from column. Pure fractions were concentrated and re-constitued in EtOAc to precipitate any dissolved silica. The mixture was filtered through a 0.45 μm filter and concentrated to yield Dimethyl-[1 - (3-methylaminomethyl-phenyl)-ethyl]-amine (4) as a clear liquid (0.086 g, 40%). LC/MS [M+H]+ = 190; 1H NMR (DMSO-d6, 300 MHz): δ 1.23 (d, 3H, J = 6.6 Hz), 1.81 (s, 6H), 2.24 (s, 3H), 3.61 (s, 2H), 7.09 - 7.24 (m, 4H).
EXAMPLE 46
SYNTHESIS OF CYCLOPROPYLMETHYL-(5-ISOPROPYL-4-METHOXY-2-
METHYL-BENZYL)-AMINE (18)
[0282] 5-Isopropyl-4-methoxy-2-methyl-benzylamine 16 (580 mg, 3 mmol), cyclopropanecarbaldehyde 17 (0.18 mL, 2.36 mmol) and NaHCO3 (199 mg, 2.36 mmol) were suspended in anhydrous MeOH (5 mL) under an atmosphere of nitrogen. The reaction mixture was heated under reflux for 17 hours before it was allowed to cool to room temperature and filtered. NaBH4 (93 mg, 2.50 mmol) was added to the filtrate and the mixture stirred for 30 min at room temperature under an atmosphere of nitrogen. After removal of the solvent in vacuo, the residue was taken up in EtOAC (100 mL), washed with water (50 mL), brine (100 mL), dried over MgSO4 and filtered. Removal of the solvent in vacuo gave the title compound cyclopropylmethyl- (5-isopropyl-4-methoxy-2-methyl-benzyl)-amine 18 as a light brown oil (697 mg, 94%). LC/MS [M+H]+ = 248.
EXAMPLE 47
SYNTHESIS OF CYCLOPROPYLMETHYL-(2,5-DIMETHYL-BENZYL)-
AMINE (20)
19 17 20
Stepl
[0283] 2,5-Dimethyl-benzylamine 19 (1.72 g, 12.70 mmol), cyclopropanecarbaldehyde 17 (0.75 mL, 10.0 mmol) and NaHCO3 (840 mg, 10.0 mmol) were suspended in anhydrous MeOH (10 mL) under an atmosphere of nitrogen. The reaction mixture was heated under reflux for 15 hours before it was allowed to cool to room temperature and filtered. NaBH4 (400 mg, 11.0 mmol) was added to the filtrate and the mixture stirred for 30 min at room temperature under an atmosphere of nitrogen. After removal of the solvent in vacuo, the residue was taken up in EtOAC (150 mL), washed with water (50 mL), brine (100 mL), dried over MgSO4 and filtered. Removal of the solvent in vacuo gave the title compound cyclopropylmethyl-(2,5-dimethyl-benzyl)-arnine 20 as a pale yellow oil (1.93 g, quantitative yield). LC/MS [M+H]+ = 190.
EXAMPLE 48
SYNTHESIS OF (2,5-DIMETHYL-BENZYL)-(I-METHYL-PIPERIDIN^-YL)-
AMINE (22)
Stepl
[0284] 2,5-Dimethyl-benzylamine 19 (500 mg, 3.70 mmol), 1 -methyl-piperidin-4- one 21 (410 mg, 3.70 mmol) in anhydrous DCE (10 mL) under an atmosphere of nitrogen were treated with sodium cyanoborohydride (1.17 g, 5.55 mmol). The reaction mixture was stirred at room temperature for 1 hour before it was carefully quenched with water (50 mL). The water layer was basicified (pH 14) and extracted with CH2Cl2 (2x 100 mL). The organic extracts were washed with water (100 mL), brine (100 mL), dried over MgSO4 and filtered. Removal of the solvent in vacuo gave a semi-solid which was triturated with EtOAc/Hexanes. The precipitate was filtered and the mother liquor collected and concentrated to give the title compound (2,5- dimethyl-benzyl)-(l-methyl-piperidin-4-yl)-amine 22 as a yellow oil (652 mg, 76%). LC/MS [M+H]+ = 233.
EXAMPLE 49
SYNTHESES OF UREA ANALOGS CONTAINING 2-METHYL-4-ETHOXY-
5-ISOPROPYL PHENYL C-RING
Reagents and conditions: (a) K2CO3, DMSO, rt; b) NaBH4, NiCl2, DCM-MeOH (1 : 1); c) pyridine, p- nitrophenyl chloroformate, DCM, 0 °C to rt; d) NaBH(OAc)3, HOAc, DCE, rt, e) DIEA1 DMSO, rt.
[0285] The coupling of 4-methylimidazole with 3,4-difluoronitrobenzene, or 3- methoxy-4-fluoronitrobenzene, in the presence of potassium carbonate in DMSO gave intermediate 3, which upon reduction by sodium borohydride catalyzed by nickel chloride provided aniline intermediate 4. Further condensation of 4 with para- nitrophenyl chloroformate in the presence of pyridine in DCM at room temperature provided intermediate 5a, 5b and 5c. Preparation of amines 7 and 8 was carried out via reductive amination of aldehyde 6 using sodium triacetoxyborohydride in the presence of acetice acid in 1 ,2-dichloroethane at room temperature. Further coupling
of 7 with 5b, 5c, followed by reverse-phased HPLC purification, provided the title compounds 9a and 9b. 10a and 10b were prepared by the same procedure.
EXAMPLE 50
SYNTHESIS OF UREA ANALOGS CONTAINING 4-ISOBUTYL PHENYL C-
RING
Reagents and conditions: a) NaBH(OAc)3, HOAc, DCE, rt; b) DIEA, DMSO, rt.
[0286] Amine intermediates 12 and 13 were prepared via reductive amination of aldehyde 11. Further coupling of 12 with carbamate intermediates 5b and 5c using DIEA in DMSO at room temperature provided the title compounds 14a and 14b, respectively. 15a and 15b were prepared by the same procedure.
EXAMPLE 51
SYNTHESIS OF UREA ANALOGS CONTAINING 2-METHYL-4-ETHYL
PHENYL C- RING
Reagents and conditions: a) NaCNBH3, HCl, cyclopropylamine, MeOH, rt; b) DIEA, DMF, rt.
[0287] Amine intermediate 17 was prepared via reductive amination of aldehyde 16 using sodium cyanoborohydride in the presence of anhydrous HCl in methanol at room temperatue. Further coupling of 17 with carbamate intermediates 5b and 5c
using DIEA in DMF at room temperature, followed by HPLC purification, provided the title compounds 18a and 18b, respectively.
EXAMPLE 52
SYNTHESIS OF UREA ANALOGS CONTAINING DI-SUBSTITUTED AND TRI-SUBSTITUTED PHENYL C-RING
Reagents and conditions: a) DIEA, DMSO, rt.
[0288] The synthesis of 19-24 was carried out via a similar strategy as outlined above. Thus, the coupling of corresponding amines with carbamate 5c followed by HPLC purification provided the title compounds.
EXAMPLE 53
SYNTHESIS OF UREA ANALOGS CONTAINING DI-SUBSTITUTED AND TRI-SUBSTITUTED PHENYL C-RING
Reagents and conditions: a) DIEA, DMSO, rt.
[0289] The synthesis of 25-28 was carried out via a similar strategy as outlined above. Thus, the coupling of the corresponding amines with carbamate 5b followed by HPLC purification provided the title compounds.
EXAMPLE 54
SYNTHESIS OF CYCLOPROPYL-UREA ANALOGUES CONTAINING 2,4- DIMETHYL-5-ETHYL-PHENYL C-RING
Reagents and conditions: (a) NaNO2, HBr; (b) Cu(I)Br, HBr; (c) n-BuLi, DMF, THF, -78°C, Ih; (d) Cyclopropyl amine, NaBH(OAc)3, 1-Pr2NEt, 16h; (e) i-pr2NEt, DMF, rt, 16 h
[0290] The synthesis of compounds 33a-c is outlined above. Aniline 29 was converted to the diazonium salt followed by reaction with Cu(I)Br to give bromide 30. Bromide 30 was treated with n-BuLi at -78°C and then reacted with DMF to yield aldehyde 31. The aldehyde 31 was reacted with cyclopropyl amine and NaBH(OAc)3 to give cyclopropyl benzyl amine 32 which was reacted with 5a-c to yield the title compounds 33a-c.
EXAMPLE 55
SYNTHESIS OF METHYL-UREA ANALOGUES CONTAINING N- METHYL-2,4-DIMETHY-5-ETHYL-BENZYL AMINO GROUP
Reagents and conditions: (a) Br2J2, Dark, O°C, KOH; (b) n-BuLi, N-formylpipeπdine, THF, -78°C, 2 h; (c) CH3CH2B(OH)2, Pd(OAc)2, PCy3, K3PO4, Toluene, Water, 100°C, 16 h; (d) Methyl amine, NaBH(OAc)3, HOAc, MeOH, 16h; (e) i-pr2NEt, DMF, rt, 16 h
[0291] The synthesis of compounds 37a-c is outlined above. m-Xylene was brominated with bromine in the presence of iodine at O°C to give 1,5-dibromo 2,4- dimethyl benzene 34. Mono formylation of 34 with n-BuLi and N-formylpiperidine at -78°C yielded bromo aldehyde 35. Suzuki coupling on 35 with boronic acid [CH3CH2B(OH)2] in the presence OfPd(OAc)2, PCy3 and K3PO4 gave aldehyde 31. The aldehyde 31 was reacted with methyl amine and NaBH(OAc)3 to give methyl benzyl amine 36 which was reacted with 5a-c to yield the title compounds 37a-c.
EXAMPLE 56
SYNTHESIS OF CYCLOPROPYL-UREA ANALOGUES CONTAINING 2- METHYL-5-ISOPROPYL-PHENYL C-RING
Reagents and conditions: (a) NaBH4, NiCl2.6H2O, DCM/MeOH, 0°C, 2h; (b) NaNO2, HBr; (c) Cu(I)Br, HBr; (d) n-BuLi, DMF, THF, -780C, Ih; (e) Cyclopropyl amine, NaBH(OAc)3, i-Pr2NEt, 16h; (I) I-Pr2NEt1 DMF1 H, 16 h.
[0292] The synthesis of compounds 43a-c is outlined above. 2-Nitro-4-cymene was reduced to the aniline 39 which was converted to the diazonium salt followed by reaction with Cu(I)Br to give bromide 40. Bromide 40 was treated with n-BuLi at -78°C and then reacted with DMF to yield aldehyde 41. Aldehyde 41 was reacted with cyclopropyl amine and NaBH(OAc)3 to give cyclopropyl benzyl amine 42 which was reacted with 5a-c to yield the title compounds 43a-c.
EXAMPLE 57
SYNTHESIS OF METHYL-UREA ANALOGUES CONTAINING 2-METHY-5-
ISOPROPYL PHENYL C-RING
Reagents and conditions: (a) Cu(I)CN, DMF, 1550C, 16 h; (b) H2, Raney Ni, IN NH3/MeOH, 60°C, 16 h; (c) BoC2O, THF, rt, 2 h; (d) NaH, CH3I / DMF, -20°C - rt; (e) TFA, 15 min; (f) i-pr2NEt, DMF, it, 16 h.
[0293] The synthesis of compounds 49a-c is outlined above. Bromide 40 was converted to nitrile 44 by reacting with Cu(I)CN in DMF at 155°C. The nitrile was reduced to give benzyl amine 45 using hydrogen / Raney Ni condition. Compound 45 was reacted with di-tert-butyl dicarbonate to give the boc protected amine 46. Methylation on 46 with MeI and NaH in DMF gave compound 47, which was de- protected with TFA to give the secondary amine 48 as TFA salt. Benzyl amine 48 was then reacted with 5a-c to yield the title compounds 49a-c.
EXAMPLE 58
SYNTHESIS OF CYCLOPROPYL-UREA ANALOGUES CONTAINING 2- FLUORO-4-ETHYL-5-METHYL PHENYL C-RING
51
50
Reagents and conditions: (a) CH3CH2B(OH)2, Pd(OAc)2, PCy3, K3PO4, Toluene, Water, 1000C, 1 h; (b) Cyclopropyl amine, NaBH(OAc)3, J-Pr2NEt1 16h; (c) i-pr2NEt, DMF, rt, 16 h.
[0294] The synthesis of compounds 52a-c is outlined above. 4-Bromo-2-fluoro-5- methyl aldehyde was coupled with boronic acid [CH3CH2B(OH)2] in the presence of Pd(OAc)2, PCy3 and K3PO4 gave 4-ethyl-2-fluoro-5-methyl aldehyde 50. Aldehyde 50 was then reacted with cyclopropyl amine and NaBH(OAc)3 to give cyclopropyl benzyl amine 51 which was reacted with 5a-c to yield the title compounds 52a-c.
EXAMPLE 59
SYNTHESIS OF METHYL-UREA ANALOGUES CONTAINING 2-FLUORO- 4-ETHYL-5-METHYL PHENYL C-RING
Reagents and conditions: (a) CH3CH2B(OH)2, Pd(OAc)2, PCy3, K3PO4, Toluene, Water, 1000C, 1 h, (b) methyl amine, NaBH(OAc)3, HOAc, MeOH, 16h, (c) i-pr2NEt, DMF, rt, 16 h.
[0295] The synthesis of compounds 54a-c is outlined above. Aldehyde 50 was reacted with methyl amine and NaBH(OAc)3 to give methyl benzyl amine 53 which was reacted with 5a-c to yield the title compounds 54a-c.
EXAMPLE 60
SYNTHESIS OF CYCLOPROPYL-UREA ANALOGUES CONTAINING 2,4,5-
TRIMETHYL PHENYL C-RING
Reagents and conditions (a) Cyclopropyl amine, NaBH(OAc)3, 1-Pr2NEt, 16h, (b) i-pr2NEt, DMF, rt, 16 h
[0296] The synthesis of compounds 56a-c is outlined above. 2,4,5-trimethyl benzaldehyde was reacted with cyclopropyl amine and NaBH(OAc)3 to give cyclopropyl benzyl amine 55 which was reacted with 5a-c to yield the title compounds 56a-c
EXAMPLE 61
SYNTHESIS OF METHYL-UREA ANALOGUES CONTAINING 2,4,5- TRIMETHYL PHENYL C-RING
[0297] The synthesis of compounds 58a-c is outlined above. 2,4,5-tπmethyl benzaldehyde was reacted with methyl amine and NaBH(OAc)3 to give methyl benzyl amine 57 which was reacted with 5a-c to yield the title compounds 58a-c.
EXAMPLE 62
SYNTHESIS OF CYCLOPROPYL-UREA ANALOGUES CONTAINING 2,5- DIMETHYL-4-METHOXY PHENYL C-RING
Reagents and conditions: (a) Cyclopropyl amine, NaBH(OAc)3, i-P^NEt, 16h; (b) i-p^NEt, DMF, rt, 16 h.
[0298] The synthesis of compounds 60a-c is outlined above. 2,5-dimethyl-4- methoxy phenyl aldehyde was reacted with cyclopropyl amine and NaBH(OAc)3 to give cyclopropyl benzyl amine 59 which was reacted with 5a-c to yield the title compounds 60a-c.
EXAMPLE 63
SYNTHESIS OF CYCLOPROPYL-UREA ANALOGUES CONTAINING 2- CHLORO-6-FLUORO-5-METHOXY PHENYL C-RING
Reagents and conditions: (a) Cyclopropyl amine, NaBH(OAc)3, i-Pr2NEt, 16h; (b) i-pr2NEt, DMF, rt, 16 h.
[0299] The synthesis of compounds 62a-c is outlined above. 2-chloro-6-fluoro-5- methoxy benzaldehyde was reacted with cyclopropyl amine and NaBH(OAc)3 to give cyclopropyl benzyl amine 61 which was reacted with 5a-c to yield the title compounds 62a-c.
EXAMPLE 64
SYNTHESIS OF CYCLOPROPYL-UREA ANALOGUES CONTAINING 2- CHLORO-BENZO[1,3]DIOXOLE C-RING
Reagents and conditions: (a) Cyclopropyl amine, NaBH(OAc)3, i-Pr2NEt, 16h; (b) i-pr2NEt, DMF, rt, 16 h.
[0300] The synthesis of compounds 64a-c is outlined above. 2-chloro- benzo[l,3]dioxole-5-carbaldehyde was reacted with cyclopropyl amine and NaBH(OAc)3 to give cyclopropyl benzyl amine 63 which was reacted with 5a-c to yield the title compounds 64a-c.
EXAMPLE 65
SYNTHESIS OF CYCLOPROPYL-UREA ANALOGUES CONTAINING 2,5-
DIMETHOXYPHENYL C-RING
Reagents and conditions: (a) cyclopropylamine or methylamine in MeOH, DCE, AcOH, NaBH(OAc3), 3h at room temp.; (b) Carbamate 5a, 5b or 5c, DMF, DIEA Ih, room temp.
[0301] Benzylamines 66a-b were synthesized using aldehyde 65, cyclopropylamine or methylamine in methanol and the previously described
procedure for reductive aminations. Compounds 66a or 66b were then reacted with the appropriate carbamate in DMF at room temperature for Ih. Products 67a-d were isolated by reverse-phase HPLC.
EXAMPLE 66
SYNTHESIS OF BOC PROTECTED 4-(2-CHLOROETHOXY)-2-METHYL-5- ISOPROPYL BENZYL-Λ∑-CYCLOPROPYL AMINES
68 69 70 71
Reagents and conditions: (a) Tetrabutylammonium tπbromide, DCM, room temp , 5 min; (b) 1 -bromo- 2-chloroethane, DMF, DIEA, 9O°C, 18h. (c) anhydrous THF, -780C, n-BuLi, stir 30 min. at -780C, anhydrous DMF stir 30 min to room temp.; (d) Methanol, cyclopropylamine, Ih. then cool to 0°C in an ice bath and add NaBH4, stir Ih to room temp (e) BoC2O, THF, DIEA, 18h
[0302] Compound 70 was synthesized by the selective bromination of 68 followed by the alkylation of bromophenol 69 with l-bromo-2-chloroethane. Procuct 70 was then dissolved in dry THF and cooled to -78°C and treated with n-BuLi and stirred for 30 min. DMF was then added dropwise, reaction stirred for 5 min., then allowed to react while warming to room temperature. Compound 71 was isolated by normal- phase chromatography. Compound 72 was prepared by dissolving compound 71 in methanol and treating with cyclopropylamine with stirring for 1 h. After cooling to 0°C in an ice bath, NaBH4 was added and the mixture stirred for Ih while warming to room temperature. Compound 72 was then treated with tert-butyloxycarbonyl anhydride and DIEA in THF. The mixture was stirred for 18 h. The Boc protected product 73 was isolated by column chromatography.
EXAMPLE 67
SYNTHESIS OF 4-(2-AMINOETHOXY)-2-METHYL-5-ISOPROPYL-Λr- CYCLOPROPYL BENZYL AMINES
Reagents and conditions (a) Appropriate Amines (HNRl R2), DMF, DIEA, 90°C, 18h, (b) 50% TFA/DCM
[0303] Compound 73 was dissolved in minimal DMF and was treated with excess of the appropπate amine and DIEA The mixtures were stirred at 90°C for 18h The products 74a-f were isolated by HPLC and concentrated to dryness Each compound was then treated with 50% TFA/DCM for 15 mm at room temperature to remove the boc group and then concentrated under vacuum to yield secondary amine compounds 75a-f
EXAMPLE 68
SYNTHESIS OF CYCLOPROPYL UREA ANALOGS CONTAINING 4-(2- AMINOETHOXY)-2-METHYL-5-ISOPROPYL PHENYL-C-RING
75a-f 5bor5c 76a-k
Reagents and conditions (a) Amines 75a-f, carbamates Sb or 5c, DMF1 DIEA
[0304] Compounds 76a-76f were synthesized by reacting amines 75a-75f with carbamate 5b or 5c in DMF/DIEA at rt for 1 h
EXAMPLE 69 SYNTHESIS OF S-DIMETHYLAMINO-Z-METHYL-BENZALDEHYDE
Reagents and conditions: (a) 37% aq.sol. HCHO, NaBH3CN, AcOH, MeCN, 0°C to rt, 2h; (b) rcBuli, DMF, THF, -780C to 0°C, Ih.
[0305] The aldehyde 79 was synthesized as outlined above. Compound 78 was prepared by reductive alkylation of reagent 77 with formaldehyde. Subsequent lithium-halogen exchange on intermediate 78, followed by reaction with DMF afforded the aldehyde title compound 79.
EXAMPLE 70 SYNTHESIS OF 5- AMINO SUBSTITUTED-2-METHYL-BENZALDEHYDES
Reagents and conditions: (a) Pyrrolidine, K2CO3, DMF, 120°C, 66h; (b) Piperidine, K2CO3, DMF, 120°C, 66h; (c) DIBALH, toluene, -780C, 2h.
[0306] The aldehydes 83 and 84 were synthesized as outlined above. Nucleophilic displacement reaction on compound 80 with the corresponding amines, namely pyrrolidine and piperidine, gave the benzonitrile intermediates 81 and 82, respectively. Subsequent reduction of the nitrile group in compounds 81 and 82 with DIBALH at -78°C afforded the aldehyde title compounds 83 and 84, respectively.
[0307] 4-amino substituted benzaldehydes, such as those shown below, were prepared in a similar manner.
EXAMPLE 71 SYNTHESIS OF N-ALKYLATED BENZYL AMINES
R2 = Me, Cyclopropyl
Reagents and conditions: (a) Corresponding amine, NaHCO3, MeOH1 700C, 3h; (b) NaBH4, MeOH, rt, 30 min.
[0308] The N-alkylated benzylamines 87 were prepared as outlined above. The corresponding aldehydes 85 were subjected to a stepwise reductive amination protocol, without isolation of the imine intermediate 86, to afford the N-alkylated benzylamine title compounds 87.
EXAMPLE 72
SYNTHESIS OF N-SUBSTITUTED-UREA ANALOGS CONTAINING 2- METHOXY PHENYL B-RING
[0309] N-Substituted ureas 88-101 were synthesized as outlined in Figure 2. Reaction of intermediate 5c with the corresponding amines in the presence of triethylamine afforded the N-substituted urea title compounds 88-101. More compounds, e.g. compound 1332, 1428, 1542, and the like, can be synthesized in similar manner — see Table 1. Similarly, exemplary 2-Ethoxy compounds can also be prepared in this manner — see Table 1.
EXAMPLE 73
SYNTHESIS OF N-SUBSTITUTED UREA ANALOGS CONTAINING 2-
FLUORO-PHENYL B RING
[0310] N-Sυbstituted ureas 102-115 were synthesized as described in Figure 3. Reaction of intermediate 5b with the corresponding amines in the presence of triethylamine afforded the N-substituted urea title compounds 102-115. More compounds, e.g. compound 1331, 1478, 1524, and the like, can similarly be synthesized — see Table 1.
EXAMPLE 74 SYNTHESIS OF UREA ANALOGS CONTAINING PHENYL B RING
[0311] N-Substituted ureas 116-128 were synthesized as outlined in Figure 4. Reaction of intermediate 5a with the corresponding amines in the presence of triethylamine afforded the N-substituted urea title compounds 116-128. More compounds, e.g. compound 1330, 1481, 1537, and the like, can similarly be synthesized — see Table 1.
EXAMPLE 75 SYNTHESIS OF CYCLOPENTYL-UREA ANALOGS
131a R = F 131b R = OMe
Reagents and conditions: a) NaBH(OAc)3, HOAc5 DCE, rt; b) DIEA, DMSO, rt.
[0312] Amine intermediate 130 was prepared via reductive amination of aldehyde 129 using one equivalent of cyclopentyl amine under similar conditions. Further coupling of 130 with carbamate intermediates 5b, 5c using DIEA in DMSO at room temperature, followed by HPLC purification, provided the title compounds 131a and 131b, respectively.
EXAMPLE 76 SYNTHESIS OF CYCLOBUTYL-UREA ANALOGS
134a R = F 134b R = OMe
Reagents and conditions: a) NaBH(OAc)3, HOAc, DCE, rt; b) DIEA, DMSO, rt.
[0313] 134a and 134b were prepared via a similar reaction sequence as shown in Example 75.
EXAMPLE 77
SYNTHESIS OF CYCLOPROPYLMETHYL-(I5S-DIMETHYLBENZYL)
AMINE
Reagents and conditions: (a) Cyclopropylcarboxaldehyde, NaHCO3, MeOH, 70°C, 15h; (b) NaBH4, MeOH, rt, 30 min.
[0314] Cyclopropylmethyl-(2,5-dimethylbenzyl) amine 137 was prepared as outlined above. 2,5-Dimethylbenzylamine 135 was subjected to a stepwise reductive alkylation protocol, without isolation of the imine intermediate 136, to afford cyclopropylmethyl-(2,5-dimethylbenzyl) amine 137.
EXAMPLE 78
SYNTHESIS OF CYCLOPROPYLMETHYL-(S-ISOPROPYL^-METHOXY-I-
METHYLBENZYL) AMINE
Reagents and conditions: (a) Cyclopropylcarboxaldehyde, NaHCO3, MeOH, 70°C, 15h; (b) NaBH4, MeOH. rt, 30 min.
[0315] Cyclopropylmethyl-(5-isopropyl-4-methoxy-2-methylbenzyl) amine 140 was prepared as outlined above. 5-isopropyl-4-methoxy-2-methylbenzylamine 138 was subjected to a stepwise reductive alkylation protocol, without isolation of the imine intermediate 139, to afford cyclopropylmethyl-(5-isopropyl-4-methoxy-2- methylbenzyl) amine 140.
EXAMPLE 79
SYNTHESIS OF CYCLOPROPYL-UREA ANALOGS CONTAINING 2-
PYRIDYL B RING
Reagents and conditions: (a) K2CO3, DMSO, rt; b) H2, 10% Pd-C, MeOH, rt; c) p-nitrophenyl chloroformate, DCM, 0 °C; d) DIEA1 DMSO, rt.
[0316] Coupling of 4-methylimidazole with 2-chloro-5-nitropyridine, in the presence of potassium carbonate in DMSO at room temperature gave intermediate 142, which upon hydrogenolysis catalyzed by palladium on carbon provided aniline intermediate 143. Further condensation of 143 with para-nitrophenyl chloroformate in the absence of any base in DCM at 0 °C provided intermediate 144. Further coupling of amines with carbamate 144, followed by reverse-phased HPLC purification, provided the title compounds 145a and 145b.
EXAMPLE 80
SYNTHESIS OF CYCLOPROPYL-UREA ANALOGS CONTAINING DIMETHYLAMINOETHOXY GROUP AT THE 2-POSITION OF B RING
149a, 149b
7A R = OEt 23 R = OMe
Reagents and conditions: (a) NaH, DMSO, rt; b) H2, 10% Pd-C, MeOH, rt; c) pyridine, p-nitrophenyl chloroformate, DCM, 0 °C; d) DIEA, DMSO, rt.
[0317] Coupling of intermediate 3 with N,N-dimethylaminoethyl alcohol in the presence of sodium hydride at room temperature gave intermediate 146, which upon hydrogenolysis catalyzed by palladium on carbon provided aniline intermediate 147. Further condensation of 147 with para-nitrophenyl chloroformate in the presence of pyridine in DCM at O °C provided intermediate 148. Further coupling of 7A and/or 23 with carbamate 27, followed by reverse-phased HPLC purification, provided the title compounds 149a and 149b.
EXAMPLE 81
SYNTHESIS OF CYCLOPROPYL-UREA ANALOGS CONTAINING 2-
ETHOXY-PHENYL B-RING
Reagents and conditions: a) NaH, ethanol, DMSO, rt; b) H2, 10% Pd-C, MeOH, rt; c) pyridine, p- nitrophenyl chloroformate, DCM, 0 0C; d) DIEA, DMSO, rt.
[0318] Coupling of intermediate 3 with ethyl alcohol in the presence of sodium hydride at room temperature gave intermediate 150, which upon hydrogenation catalyzed by palladium on carbon provided aniline intermediate 151. Condensation of 151 with para-nitrophenyl chloroformate in the presence of pyridine in DCM at 0 °C provided intermediate 152. Further coupling of amines with carbamate 152, followed by reverse-phased HPLC purification, provided the title compounds 153a and 153b.
EXAMPLE 82
SYNTHESIS OF CYCLOPROPYL-UREA ANALOGS CONTAINING
PYRIMIDINE B-RING
Reagents and conditions: (a) K2CO3, DMSO, rt; b) NaBH4, NiCl2, MeOH-DCM (1 :1), rt; c) p- nitrophenyl chloroformate, DCM, 00C; d) DIEA, DMSO, rt.
[0319] Coupling of 4-methylimidazole with 2-chloro-5-nitropyrimidine, in the presence of potassium carbonate in DMSO at room temperature gave intermediate 155, which was reduced by sodium borohydride in the presence of nickel chloride to afford aniline intermediate 156. Further condensation of 156 with para-nitrophenyl chloroformate in the absence of any base in DCM at O °C provided intermediate 157. Further coupling of 7A and/or 23 with carbamate 157, followed by reverse-phased HPLC purification, provided the title compounds 158a and 158b.
EXAMPLE 83
SYNTHESIS OF P-NITRO PHENYL CARBAMATE CONTAINING 4- METHYL-IMIDAZOLE AND 2-METHYL PHENYL B-RING
Reagents and conditions: (a) K2CO3, DMF, 550C, 18h; (b) NiCl2, NaBH4, MeOH/DCM, 0°C to rt, 60min; (c) p-nitrophenylchloroformate, DCM, pyridine, -10DC to rt, 30min.
[0320] The carbamate 162 was synthesized as outlined above. The reaction of 4- methylimidazole with compound 159 in the presence of base gave the nitro phenyl compound 160 which in turn was reduced tq the aniline 161. Subsequent reaction of compound 161 with p-nitrophenylchloroformate, in the presence of pyridine afforded the carbamate title compound 162.
EXAMPLE 84
SYNTHESIS OF UREA ANALOGS CONTAINING 2-METHYL PHENYL B-
RING
[0321] Ureas 163-178 were synthesized as outlined in Figure 5. Reaction of intermediate 162 with the corresponding amines in the presence of triethylamine afforded the urea title compounds 163-178.
EXAMPLE 85
SYNTHESIS OF />-NITRO PHENYL CARBAMATE CONTAINING PYRAZOLE A-RING AND 2-METHOXY PHENYL B-RING
Reagents and conditions (a) Pd(PPh3)4, Na2CO3, LiCl, EtOH-toluene, 90°C, 17h, (b) NiCl2, NaBH4, MeOH/DCM, 0°C to rt, 30min, (c) p-nitrophenylchloroformate, DCM, pyridine, -10°C to it, 30min
[0322] The carbamate 183 was synthesized as descπbed above. Reagents 179 and 180 were coupled according to a Suzuki-Miyaura protocol. The resulting nitro intermediate 181 was reduced to yield aniline 182. Subsequent reaction of compound 182 with p-nitrochloroformate, in the presence of pyridine afforded the carbamate title compound 183.
EXAMPLE 86
SYNTHESIS OF P-NITRO PHENYL CARBAMATE CONTAINING PYRAZOLE A-RING AND 2-FLUORO PHENYL B-RING
Reagents and conditions (a) Pd(PPh3)4, Na2CO3, LiCl, EtOH-toluene, 90°C, 17h, (b) NiCl2, NaBH4, MeOH/DCM, 00C to rt, 30min, (c) p-nitrophenylchloroformate, DCM, pyridine, -10°C to rt, 30min
[0323] The carbamate 187 was synthesized as outlined above. Reagents 179 and 184 were coupled according to a Suzuki-Miyaura protocol. The resulting nitro intermediate 185 was reduced to yield aniline 186. Subsequent reaction of compound 186 with p-nitrophenylchloroformate, in the presence of pyridine afforded the carbamate title compound 187.
EXAMPLE 87
SYNTHESIS OF P-NITRO PHENYL CARBAMATE CONTAINING PYRAZOLE A-RING AND PHENYL B-RING
Reagents and conditions: (a) Pd(PPh3)4, Na2CO3, LiCl, EtOH-toluene, 90°C, 17h; (b) p- Nitrophenylchloroformate, DCM, pyridine, - 10°C to rt, 30miπ.
[0324] The carbamate 190 was synthesized as outlined above. Reagents 179 and 188 were coupled according to a Suzuki-Miyaura protocol. The resulting aniline intermediate 189 was reacted with p-nitrochloroformate, in the presence of pyridine afforded the carbamate title compound 190.
EXAMPLE 88
SYNTHESIS OF UREA ANALOGS CONTAINING PYRAZOLE A-RING AND
2-METHOXY PHENYL B-RING
Reagents and conditions: (a) Corresponding amine, TEA, rt, 17h.
[0325] Ureas 191-196 were synthesized as outlined above. Reaction of intermediate 183 with the corresponding amines in the presence of tri ethyl amine afforded the urea title compounds 191-196.
EXAMPLE 89
SYNTHESIS OF UREA ANALOGS CONTAINING PYRAZOLE A-RING AND
2-FLUORO-PHENYL B RING
Reagents and conditions: (a) Corresponding amine, TEA, rt, 17h.
[0326] Ureas 197-202 were synthesized as outlined above. Reaction of intermediate 187 with the corresponding amines in the presence of triethylamine afforded the urea title compounds 197-202.
EXAMPLE 90
SYNTHESIS OF UREA ANALOGS CONTAINING PYRAZOLE A-RING AND
PHENYL B-RING
Reagents and conditions: (a) Corresponding amine, TEA, rt, 17h.
[0327] Ureas 203 and 204 were synthesized as outlined above. Reaction of intermediate 190 with the corresponding amines in the presence of triethylamine afforded the urea title compounds 203 and 204.
EXAMPLE 91 SYNTHESIS OF UREA ANALOGS CONTAINING TRIAZOLE A-RING
[0328] Step 1 : To a solution of 141 (5.4Og, 30 mmol) in distilled water (30 mL) was added dropwise NaN3 (2.34 g, 36 mmol) in distilled water (18 mL). The reaction mixture was stirred at 0 °C / 5°C for 30 min before it was allowed to warm to RT. After 90 min, diethylether (150 mL) was added and the reaction mixture was extracted. The ether layer was dried over MgSO4 and substantially all of the ether removed in vacuo (the ether was not removed completely (5-10 mL left) because azides can be explosive as dry powders). Toluene:EtOH (1 : 1, 120 mL) was added, followed by CuSO4.5H2O (5.62g, 22.50 mmol) and sodium ascorbate (4.46g, 22.5
mmol). The reaction mixture was stirred at RT while bubbling methyl propyne for 30 min. Subsequently, the reaction mixture was stirred at RT for 2Oh before water (300 mL) and EtOAc (2x 300 mL) were added. The combined EtOAc extracts were washed with brine (200 mL), dried over MgSO4 and filtered. The solvent was removed in vacuo. The title compound 142 was obtained as a yellow powder (760 mg, 11%). LC/MS [M+H]+ = 235; 1H NMR (in ppm, DMSO-d6 300 MHz): 2.34 (s, 3H), 4.02 (s, 3H), 7.97-7.99 (m, 2H), 8.04-8.05 (m, IH), 8.36-8.37 (m, IH).
[0329] Step 2: Compound 142 (553 mg, 2.36 mmol) was dissolved in MeOHiCH2Cl2 1 :1 (20 mL) and cooled to -5°C to 0°C by means of a dry-ice / acetone bath. NiCl2.6H2O (180 mg, 0.76 mmol) and NaBH4 (269 mg, 7.27 mmol) were added in portions under N2 according to the following chart:
[0330] The reaction mixture was allowed to warm to RT and stirred for 30 min. Silica gel (Merck) was added and the mixture was filtered through a pad of celite. The filtrate was placed in a separatory funnel where it was washed with brine (100 mL), and subsequently dried over MgSO4 and filtered. After removal of the solvent, the title compound 143 was obtained as a yellow powder (447 mg, 93%). LC/MS [M+H]+ = 205.
EXAMPLE 92
SYNTHESIS OF SUBSTITUTED RING C ANALOGS VIA PALLADIUM
CHEMISTRY
Reagents and conditions for systhesis of 3a: (a) Pd2(dba)3, Zn(CN)2, Dppf, Zn, DMA, 125 °C; b) cyclopropylamine, NaBH(OAc)3, HOAc, DCE, rt.
[0331] Step a: To a solution of triflate 1 (1.19 g, 3.83 mmol) in 39 mL of DMA was added zinc cyanide (450 mg, 3.83 mmol), Dppf (170 mg, 0.31 mmol) and zinc (60 mg, 0.92 mmol). Pd2(dba)3 (140 mg, 0.15 mmol) was added rapidly to the reaction mixture at room temperature under an argon atmosphere. The resulting reaction mixture was stirred at 125 °C for 12 hrs, cooled down to the room temperature and filtered through a bed of celite. The resulting solution was concentrated on a rotavaporator to afford the crude product mixture, which was purified on silica gel column chromatography (hexanes: ethyl acetate, 8:1) to afford the desired product 2a (523 mg, 73%) as a yellow oil.
[0332] Step b: To a solution of compound 2a (374 mg, 2 mmol) in 15 mL of 1 ,2- dichloroethane was added cyclopropyl amine (342 mg, 6 mmol), acetic acid (0.23 mL, 4 mmol) and sodium triacetoxyborohydride (551 mg, 2. 6mmol) at room temperature. The reaction mixture was stirred at room temperature for 24 hrs and concentrated in vacuo. The crude product was purified on silica gel column chromatography (hexanes: ethyl acetate, 1 :2) to afford the desired product 3a (388 mg, 85%) as a yellow oil.
[0333] In a similar manner, compounds 3b to 3g were prepared from the corresponding starting materials.
EXAMPLE 93 SYNTHESIS OF UREA ANALOGS CONTAINING TRIAZOLE A-RING
Reagents and conditions, (a) NaNβ, C11SO4, sodium ascorbate, methylpropyne, EtOH / toluene, rt, 20 h, (b) NiCl2, NaBH4, MeOH/DCM, 00C , 10 mm; (c) p-Nitrophenylchloroformate, DCM, pyridine, -10°C to rt, 30 min, (d) Corresponding amine, TEA, it, 17 h
[0334] Reaction of reagent 141 with NaN3, followed by cycloaddition with methylpropyne yielded the nitro intermediate 142, which was reduced to the corresponding aniline 143. Subsequent reaction of 143 with p-nitro chloroformate afforded carbamate 144, which was reacted with the corresponding amines to afford the title compounds 145-148.
EXAMPLE 94
SYNTHESIS OF A UREA ANALOG CONTAINING 5-AMIDE-3-PYRIDYL B-
RING
156 157
Reagents and conditions: (a) K2CO3, DMSO, it; (b) H2SO4, 80 °C; (c) H2, 10% Pd-C, MeOH, rt; (d) p- nitrophenyl chloroformate, DCM, 00C; (e) DIEA, DMSO, rt.
[0335] Coupling of 4-methylimidazole with 2-chloro-3-cyano-5-nitropyridine, in the presence of potassium carbonate in DMSO at room temperature gave intermediate 156, which was hydrolyzed in concentrated sulfuric acid at 8O°C to afford amide 157. Compound 157 underwent hydrogenation catalyzed by palladium on carbon to provide aniline intermediate 158. Further condensation of 158 with para-nitrophenyl chloroformate in the absence of any base in DCM at 0 °C provided intermediate 159. Further coupling of amine with carbamate 159 provided the title compound 160.
EXAMPLE 95 SYNTHESIS OF CYANOGU ANIDINE DERIVATIVE
[0336] Compound 207 was synthesized as outlined above. The intermediate 206, prepared from aniline 4b and diphenyl cyanocarbonimidate 205, was reacted with corresponding amine to afford the cyano guanidine derivative 207. Compounds 174- 178 were prepared in a smilar fashion.
EXAMPLE 96
SYNTHESIS OF CYCLOPROPYL UREA ANALOGS CONTAINING A-B RING FUSED BY CYCLIC ETHER
Reagents and conditions: (a) ACN, TEA, 70°C, 18h; (b) DMSO, NaOH, 70°C, 4h; (c) NiCl2. H2O, NaBH4, DCM:MeOH 1 : 1, 0°C, 0.5h; (d) DCM, Pyridine, p-nitrophenylchloroformate, 0°C to room temp, 2h; (e) secondary amine, DMF, TEA, 700C, 0.5h.
[0337] Compound 60 was synthesized from commercially available compounds 58 and 59 and the product was isolated by precipitation from water. The product was collected on a filter and washed with water to obtain compound 60. The nitro group on 60 was then reduced to obtain aniline 61. Aniline 61 was then reacted with p- nitrophenylchloroformate in DCM/pyridine to produce carbamate 62. Carbamate 62 was then combined with five different secondary amines in DMF/TEA to yield ureas 63a-e which were purified by reverse-phase HPLC.
EXAMPLE 97
SYNTHESIS OF CYCLOPROPYL ANALOGS CONTAINING A-B RING
FUSED BY CYCLIC ETHER
Reagents and conditions: (a) ACN, TEA, 70°C, 3.5h; (b) DMSO:ACN 1 :1, NaOH, 80°C, 2h; (c) NiCl2-H2O, NaBH4, DCM:MeOH 1:1, 0°C, 0.5h; (d) DCM, Pyridine, p-nitropheπylchloroformate, O°C to room temp, 2h; (e) secondary amine, DMF, TEA, 7O°C, 0.5h.
[0338J Compound 65 was synthesized from commercially available compounds 58 and 64 and the product was isolated by precipitation from water. The product was collected on a filter and washed with water to obtain compound 65. The nitro group
on 65 was then reduced to obtain aniline 66. Aniline 66 was reacted with p- nitrophenylchloroformate in DCM/pyridine to produce carbamate 67. Carbamate 67 was then combined with three different secondary amines in DMF/TEA with heating to yield ureas 68a-c which were purified by reverse-phase HPLC.
EXAMPLE 98
SYNTHESIS OF CYCLOPROPYL UREA ANALOGS CONTAINING A
TRIAZOLE A-RING
Reagents and conditions: (a) NaN3, CuSO4, sodium ascorbate, methylpropyne, EtOH / toluene, rt, 2Oh, (b) NiCl2, NaBH4, MeOH/DCM, 0°C , l Omin; (c) p-Nitrophenylchloroformate, DCM, pyridine, -10°C to rt, 30min; (d) Corresponding amine, TEA, rt, 17h
[0339] The nitro intermediate 38 was obtained by the copper catalyzed reaction of reagent 37 with sodium azide followed by cycloaddition with methylpropyne. The intermediate 38 was reduced to the corresponding aniline 39. Subsequent reaction of 39 withp-nitro chloro formate afforded carbamate 40, which was reacted with the corresponding amines to afford the title compounds 41-44.
EXAMPLE 99
SYNTHESIS OF CYCLOPROPYL UREA ANALOGS CONTAINING A
PYRAZOLE A-RING
Reagents and conditions: (a) Corresponding amine, TEA, rt, 17h.
[0340] Compounds 46-48 were synthesized from a pyrazole intermediate. Reaction of intermediate 45 with the corresponding amines afforded the title compounds 46-48. Similarly, compounds 50-51 and 53-54 were prepared from the pyrazole analogs.
SYNTHESIS OF A CYCLOPROPYL-UREA ANALOG CONTAINING 3-
PYRIDYL B RING
[0341] Condensation of 112a-b with para-nitrophenyl chloroformate in the absence of any base in DCM at 0 °C provided intermediate 153a-b. Further coupling of amine with carbamate 153a provided the title compound 154. More compounds, e.g. compounds 1452, 1463-1465, etc., synthesized in similar manner from 153b are listed in Table 1.
[0342] Table 1 below illustrates representative compounds which were synthesized using exemplary routes described in the preceding Examples.
EXAMPLE 101
ASSESSMENT OF AMYLOID BETA MODULATING ACTIVITY OF REPRESENTATIVE COMPOUNDS
A. Procedure for assessing Aβ42 lowering activity and cellular toxicity (cytotoxicity)
[0343] Compounds were tested for concentration-dependent effects on levels of secreted Aβ42 and cytotoxicity in SH-SY5Y-APP cells. The levels of Aβ42 secreted into the media were measured using a FRET assay, and cytotoxicity was determined using an Alamar Blue assay.
[0344] The SH-SY5Y-APP cell line was derived by transfecting the human neuroblastoma line SH-SY5Y with a plasmid expressing wild type I1APP751 and selecting for stable expression of APP and secretion of Aβ. SH-SY5Y-APP cells
were plated at 20,000 cells/well in 384-well tissue culture plates. After 24 h, the culture medium was replaced with fresh medium containing compound. Replicates of 4 wells per test concentration were used, with 11 concentrations at !4 log steps. Vehicle (0.2% DMSO) and a positive control gamma-secretase inhibitor (Tian et al. (2002) J. Biol. Chem. 277:31499-31505) were included as controls. After incubation for 20 h at 37°C, the culture medium was transferred to a new plate and appropriate concentrations of fluorescently-labeled antibodies were added for the FRET assay.
[0345] The FRET assay utilizes fluorescence resonance energy transfer between the donor europium on the Aβ42-specific antibody A387 (PCT publication WO 04/018997) to the acceptor XL665 on the Aβi-i2-specific antibody B608 when the two antibodies are bound to the same Aβ42 molecule. Europium is excited at 337 nm and its emission at 620 nm is transferred to XL665, which then emits at 665 nm. The fluorescence emission at 665 nm from XL665 was corrected against the europium emission at 620 nm as an internal control.
[0346] The IC50 for secreted Aβ« was calculated as the concentration at one-half maximal efficacy using a four parameter fit. The IC50 was verified and reported only when the top and bottom portions of the curve reached a plateau. The IC50 values for secreted Aβ42 for selected compounds is shown in Table 1 above. A= <200 nM; B= 0.2 to 1 μM; C= 1.1 to 5 μM; D=>5 μM.
[0347] Cytotoxicity was determined with an alamarBlue™ assay, which measures the ability of respiring cells to metabolize a substrate to a fluorescent product. Supernatant of cells treated with compound, as described above, was removed, and a solution containing 10% by volume of the cell viability indicator dye alamarBlue™ (Biosource, San Diego) was added. Cells were incubated for 3 h at 37 °C, after which fluorescence was read on a CytoFluor (Applied Biosystems) spectrophotometer, using a 530-nm excitation filter and 580-nm emission filter. The compounds set forth in Table I above produced less than 30% decrease in AlamarBlue fluorescence at 10 μM relative to control cells.
[0348] The invention illustratively described herein may be practiced in the absence of any element or elements, limitation or limitations which is not specifically
disclosed herein. The terms and expressions which have been employed are used as terms of description and not of limitation, and there is no intention that in the use of such terms and expressions of excluding any equivalents of the features shown and described or portions thereof, but it is recognized that various modifications are possible within the scope of the invention claimed. Thus, it should be understood that although the present invention has been specifically disclosed by preferred embodiments and optional features, modification and variation of the concepts herein disclosed may be resorted to by those skilled in the art, and that such modifications and variations are considered to be within the scope of this invention as defined by the appended claims.
[0349] The contents of the articles, patents, and patent applications, and all other documents and electronically available information mentioned or cited herein, are hereby incorporated by reference in their entirety to the same extent as if each individual publication was specifically and individually indicated to be incorporated by reference. Applicants reserve the right to physically incorporate into this application any and all materials and information from any such articles, patents, patent applications, or other documents.
[0350] The inventions illustratively described herein may suitably be practiced in the absence of any element or elements, limitation or limitations, not specifically disclosed herein. Thus, for example, the terms "comprising", "including," containing", etc. shall be read expansively and without limitation. Additionally, the terms and expressions employed herein have been used as terms of description and not of limitation, and there is no intention in the use of such terms and expressions of excluding any equivalents of the features shown and described or portions thereof, but it is recognized that various modifications are possible within the scope of the invention claimed. Thus, it should be understood that although the present invention has been specifically disclosed by preferred embodiments and optional features, modification and variation of the inventions embodied therein herein disclosed may be resorted to by those skilled in the art, and that such modifications and variations are considered to be within the scope of this invention.
[0351] The invention has been described broadly and generically herein. Each of the narrower species and subgeneric groupings falling within the generic disclosure also form part of the invention. This includes the generic description of the invention with a proviso or negative limitation removing any subject matter from the genus, regardless of whether or not the excised material is specifically recited herein.
[0352] In addition, where features or aspects of the invention are described in terms of Markush groups, those skilled in the art will recognize that the invention is also thereby described in terms of any individual member or subgroup of members of the Markush group.
[0353] Other embodiments are set forth within the following claims.
Claims
WHAT IS CLAIMED IS:
1. A compound selected from the group consisting of compounds having a structure corresponding to Formula (I):
(Ring A)-(Ring B)-LA-N(ZA)-C(X)-N(ZB)-LB-(Ring C)
(I) and pharmaceutically acceptable salts, and prodrugs thereof, wherein:
Ring A is optionally substituted arylene, optionally substituted heteroarylene or optionally substituted heterocycloalkyl, wherein a substituent, when present on Ring A, can cooperate with a substituent, when present on Ring B, to form a fused ring system;
Ring B is optionally substituted arylene or optionally substituted heteroarylene, wherein a substituent, when present on Ring B, can cooperate with a substituent, when present on Ring A, to form a fused ring system;
Ring C is aryl, heteroaryl, or fused benzocyclohexyl, wherein aryl, heteroaryl or fused benzocyclohexyl are substituted with at least one of halogen, substituted or unsubstituted alkyl, substituted or unsubstituted alkenyl, substituted or unsubstituted alkynyl, substituted or unsubstituted alkoxy, substituted or unsubstituted alkylamido, substituted or unsubstituted alkylamino, substituted or unsubstituted amino, substituted or unsubstituted cycloalkyl, or substituted or unsubstituted aryl; provided however, that halogen(s) is(are) not the only non-hydrogen substituent(s) on said ring;
X is =0, =S or =N(CN);
ZA is hydrogen, substituted or unsubstituted alkyl, substituted or unsubstituted cycloalkyl, substituted or unsubstituted alkenyl, substituted or unsubstituted alkynyl, substituted or unsubstituted alkoxy, substituted or unsubstituted alkylamido, substituted or unsubstituted alkylamino, substituted or unsubstituted amino;
ZB is hydrogen, substituted or unsubstituted alkyl, substituted or unsubstituted cycloalkyl, substituted or unsubstituted alkenyl, substituted or unsubstituted alkynyl, substituted or unsubstituted alkoxy, substituted or unsubstituted alkylamido,
substituted or unsubstituted alkylamino, substituted or unsubstituted amino;
LA is a covalent bond or a linker selected from the group consisting -C(RZ)2-, -O-, -S-, -NR'-, -C(O)-, -S(O)-, and -S(O)2-, wherein each R' is independently hydrogen, substituted or unsubstituted alkyl, substituted or unsubstituted alkenyl, substituted or unsubstituted alkynyl, or substituted or unsubstituted cycloalkyl; and
LB is a covalent bond or a linker selected from the group consisting of -C=C-, -C .€-, -(C(R')2)2-, -0-, -0-CR'r, -S-, -NR'-, -NH-(CR'2)-, -N=N-, -C(O)-, -C(O)NR'-, -O-C(O)-, -NR'-C(O)-, -S-C(O)-, -S(O)-, -S(O)2-, -0-S(O)2-, -O-S(O)-, -O-C(S)-, -NR'-C(S)-, -S-S(O)2-, -O-P(O)(R')2-, -S-P(O)(R')2-, and -NR'-P(O)(R')2-, wherein each R' is independently hydrogen, substituted or unsubstituted alkyl, substituted or unsubstituted alkenyl, substituted or unsubstituted alkynyl, or substituted or unsubstituted cycloalkyl, and z is 1 or 2.
2. The compound of claim 1, wherein Ring A is
, or
wherein each E is independently N, NR1, C, CR2, S, or O, provided that no more than four E's are heteroatoms;
each R1 is independently hydrogen, substituted or unsubstituted alkyl, substituted or unsubstituted alkenyl, substituted or unsubstituted alkynyl, substituted or unsubstituted alkoxy, substituted or unsubstituted alkylamido, substituted or unsubstituted alkylamino, substituted or unsubstituted cycloalkyl, substituted or unsubstituted aryl, or a divalent form of any of the above, which cooperates with R3 or R4 (on Ring B) to form a fused ring system;
each R2 is independently hydrogen, halogen, substituted or unsubstituted alkyl, substituted or unsubstituted alkenyl, substituted or unsubstituted alkynyl, substituted or unsubstituted alkoxy, substituted or unsubstituted alkylamido, substituted or unsubstituted alkylamino, substituted or unsubstituted amino, substituted or unsubstituted cycloalkyl, substituted or unsubstituted aryl, or a divalent form of any of the above, which cooperates with R3 or R4 (on Ring B) to form a fused ring system;
each M is independently selected from CR2 or N, provided that no more than three M's are N;
each Q is independently selected from N, NR1, CR2, C(R2)2, S, or O, provided that at least one Q is a heteroatom, but no more than four Q's are heteroatoms; and
n is O, 1, 2 or 3.
3. The compound of claim 2 wherein Ring A is:
wherein G is CR or N, wherein R is hydrogen, halogen, substituted or unsubstituted alkyl, substituted or unsubstituted alkenyl, substituted or unsubstituted alkynyl, substituted or unsubstituted alkoxy, substituted or unsubstituted alkylamido, substituted or unsubstituted alkylamino, or substituted or unsubstituted amino.
The compound of any of the preceding claims wherein Ring B is:
wherein each E' is independently N, NR3, C, CR4, S, or O, provided that no more than four E's are heteroatoms;
R3 is hydrogen, substituted or unsubstituted alkyl, substituted or unsubstituted alkenyl, substituted or unsubstituted alkynyl, substituted or unsubstituted alkoxy, substituted or unsubstituted alkylamido, substituted or unsubstituted alkylamino, substituted or unsubstituted cycloalkyl, substituted or unsubstituted aryl, or a divalent form of any of the above, which cooperates with R1 or R2 (on Ring A) to form a fused ring system;
each R4 is independently selected from hydrogen, halogen, substituted or unsubstituted alkyl, substituted or unsubstituted alkenyl, substituted or unsubstituted alkynyl, substituted or unsubstituted alkoxy, substituted or unsubstituted alkylamido, substituted or unsubstituted alkylamino, substituted or unsubstituted amino, substituted or unsubstituted cycloalkyl, substituted or unsubstituted aryl, or a divalent form of any of the above, which cooperates with R1 or R2 (on Ring A) to form a fused ring system; and
each M' is independently selected from CR4 or N, provided that no more than three M"s are N.
5. The compound of claim 4 wherein Ring B is
wherein each G is independently CR or N;
each R is independently selected from hydrogen, halogen, substituted or unsubstituted alkyl, substituted or unsubstituted alkenyl, substituted or unsubstituted alkynyl, substituted or unsubstituted alkoxy, substituted or unsubstituted alkylamido, substituted or unsubstituted alkylamino, substituted or • unsubstituted amino; and
Y is hydrogen, halogen, cyano, substituted or unsubstituted alkyl, substituted or unsubstituted alkenyl, substituted or unsubstituted alkynyl, substituted or unsubstituted alkoxy, substituted or unsubstituted alkylamido, substituted or unsubstituted alkylamino, substituted or unsubstituted amino, substituted or unsubstituted cycloalkyl, or substituted or unsubstituted aryl.
6. The compound of claim 5, wherein each G is CR.
7. The compound of claim 6, wherein each R is hydrogen.
8. The compound of claim 5, wherein Y is hydrogen, halogen, substituted or unsubstituted alkyl, substituted or unsubstituted alkenyl, substituted or unsubstituted alkynyl, substituted or unsubstituted alkoxy, substituted or unsubstituted alkylamido, substituted or unsubstituted alkylamino, substituted or unsubstituted amino, substituted or unsubstituted cycloalkyl, or substituted or unsubstituted aryl.
9. The compound of claim 5, wherein Y is selected from the group consisting of hydrogen, halogen, cyano, substituted or unsubstituted lower alkyl, and substituted or unsubstituted alkoxy, amino, and alkylamino.
10. The compound of claim 9, wherein Y is selected from the group consisting of hydrogen, fluoro, methoxy.
11. The compound of any of the preceding claims, wherein LA is a covalent bond.
12. The compound of any of the preceding claims, wherein ZA is selected from the group consisting of hydrogen, substituted or unsubstituted alkyl and substituted or unsubstituted cycloalkyl.
13. The compound of claim 7, wherein ZA is selected from the group consisting of hydrogen, methyl, ethyl, propyl, isopropyl, cyclopropyl, and cyclobutyl.
14. The compound of any of the preceding claims wherein X is =O.
15. The compound of any of the preceding claims wherein X is =S.
16. The compound of any of the preceding claims wherein X is =N(CN).
17. The compound of any of the preceding claims, wherein ZB is selected from the group consisting of substituted or unsubstituted alkyl and substituted or unsubstituted cycloalkyl.
18. The compound of claim 17, wherein ZB is selected from the group consisting of methyl, ethyl, propyl, isopropyl, cyclopropyl, and cyclobutyl.
19. The compound of any of the preceding claims, wherein LB is -CH2-, -CH(CH3) - or -C(CH3);.-.
0. The compound of any of the preceding claims, wherein Ring C is:
wherein each E" is independently N, NR5, C, CR6, S, or O, provided that no more than four E"s are heteroatoms;
R5 is hydrogen, substituted or unsubstituted alkyl, substituted or unsubstituted alkenyl, substituted or unsubstituted alkynyl, substituted or unsubstituted alkoxy, substituted or unsubstituted alkylamido, substituted or unsubstituted alkylamino, substituted or unsubstituted cycloalkyl, or substituted or unsubstituted aryl;
each R6 is independently hydrogen, halogen, substituted or unsubstituted alkyl, substituted or unsubstituted alkenyl, substituted or unsubstituted alkynyl, substituted or unsubstituted alkoxy, substituted or unsubstituted alkylamido, substituted or unsubstituted alkylamino, substituted or unsubstituted amino, substituted or unsubstituted cycloalkyl, or substituted or unsubstituted aryl, provided however, that at least one R6 ortho to the site of attachment of Ring C to LB is not hydrogen; and
each M" is independently selected from CR6 or N, provided that no more than three M"s are N.
21. The compound of any of the preceding claims, wherein Ring C is
22. The compound of claim 21 , wherein Ring C is a pyrazole.
23. The compound of any of the preceding claims, wherein Ring C is
24. The compound of claim 23, wherein each M" is CR2
25. The compound of claim 23, wherein one M" is N.
26. The compound of claim 23, wherein two M"s are N.
27. The compound of claim 23, wherein Ring C is
wherein each R7 is independently selected from halogen, substituted or unsubstituted alkyl, substituted or unsubstituted cycloalkyl, substituted or unsubstituted alkenyl, substituted or unsubstiruted aryl, substituted or unsubstituted alkoxy, or substituted or unsubstituted amino.
28. A composition comprising a compound of any of the preceding_claims and a pharmaceutically acceptable carrier.
29. A kit comprising a compound of any one of claims 1-27 and instructions for use.
30. A method of modulating amyloid-beta (A/3) levels, comprising contacting a source of amyloid precursor protein (APP) or fragment thereof and/or AjS with an effective amount of a compound according any one of claims 1-27.
31. A method for treating a disease associated with aberrant Aβ levels, comprising administering to a subject in need thereof an effective amount of a compound according to any one of claims 1-27.
32. Use of an effective amount of a compound according to any one of claims 1-27 in the preparation of a medicament for modulating amyloid-beta (A/3) levels in a source of amyloid precursor protein (APP) or fragment thereof and/or A/3.
33. Use of an effective amount of a compound according to any one of claims 1-27 in the preparation of a medicament for treating a subject in need thereof having a disease or condition associated with aberrant amyloid-beta (A/3) levels.
Applications Claiming Priority (2)
| Application Number | Priority Date | Filing Date | Title |
|---|---|---|---|
| US91624607P | 2007-05-04 | 2007-05-04 | |
| US60/916,246 | 2007-05-04 |
Publications (2)
| Publication Number | Publication Date |
|---|---|
| WO2008137102A2 true WO2008137102A2 (en) | 2008-11-13 |
| WO2008137102A3 WO2008137102A3 (en) | 2010-05-27 |
Family
ID=39944170
Family Applications (1)
| Application Number | Title | Priority Date | Filing Date |
|---|---|---|---|
| PCT/US2008/005719 Ceased WO2008137102A2 (en) | 2007-05-04 | 2008-05-01 | Methods of modulating amyloid beta and compounds useful therefor |
Country Status (1)
| Country | Link |
|---|---|
| WO (1) | WO2008137102A2 (en) |
Cited By (27)
| Publication number | Priority date | Publication date | Assignee | Title |
|---|---|---|---|---|
| WO2010127855A1 (en) * | 2009-05-07 | 2010-11-11 | Grünenthal GmbH | Substituted aromatic carboxamide and urea derivatives as vanilloid receptor ligands |
| WO2010127856A1 (en) * | 2009-05-07 | 2010-11-11 | Grünenthal GmbH | Substituted phenyllureas and phenylamides as vanilloid receptor ligands |
| EP2187746A4 (en) * | 2007-08-06 | 2011-01-19 | Univ California | PREPARATION OF INNOVATIVE 1,3-SUBSTITUTED UREAMS AS SOLUBLE EPOXY HYDROLASE INHIBITORS |
| WO2011007819A1 (en) | 2009-07-17 | 2011-01-20 | 塩野義製薬株式会社 | Pharmaceutical product containing lactam or benzene sulfonamide compound |
| WO2011016559A1 (en) * | 2009-08-07 | 2011-02-10 | 武田薬品工業株式会社 | Heterocyclic compound and use thereof |
| EP2019093A4 (en) * | 2006-05-19 | 2011-02-23 | Eisai R&D Man Co Ltd | Urea type cinnamide derivative |
| US7935815B2 (en) | 2007-08-31 | 2011-05-03 | Eisai R&D Management Co., Ltd. | Imidazoyl pyridine compounds and salts thereof |
| US7973033B2 (en) | 2006-03-09 | 2011-07-05 | Eisai R&D Management Co., Ltd. | Multi-cyclic cinnamide derivatives |
| US8008293B2 (en) | 2007-02-28 | 2011-08-30 | Eisai R&D Management Co., Ltd. | Bicyclic oxomorpholine derivative |
| US8048878B2 (en) | 2005-11-24 | 2011-11-01 | Eisai R&D Management Co., Ltd. | Two cyclic cinnamide compound |
| US8367863B2 (en) | 2007-12-20 | 2013-02-05 | Envivo Pharmaceuticals, Inc. | Tetrasubstituted benzenes |
| JP2013545750A (en) * | 2010-11-15 | 2013-12-26 | アッヴィ・インコーポレイテッド | NAMPT inhibitor |
| US8697673B2 (en) | 2011-03-31 | 2014-04-15 | Pfizer Inc. | Bicyclic pyridinones |
| WO2014085485A1 (en) * | 2012-11-28 | 2014-06-05 | The Regents Of The University Of Michigan | Methods and compositions for targeting cancer stem cells |
| US8912184B1 (en) | 2010-03-01 | 2014-12-16 | Alzheimer's Institute Of America, Inc. | Therapeutic and diagnostic methods |
| US8916564B2 (en) | 2012-09-21 | 2014-12-23 | Pfizer Inc. | Substituted pyrido[1,2-a]pyrazines for the treatment of neurodegenerative and neurological disorders |
| US8946204B2 (en) | 2009-05-07 | 2015-02-03 | Gruenenthal Gmbh | Substituted phenylureas and phenylamides as vanilloid receptor ligands |
| US9126944B2 (en) | 2013-02-28 | 2015-09-08 | Bristol-Myers Squibb Company | Phenylpyrazole derivatives as potent ROCK1 and ROCK2 inhibitors |
| US9453000B2 (en) | 2007-08-31 | 2016-09-27 | Eisai R&D Management Co., Ltd. | Polycyclic compound |
| CN106061964A (en) * | 2014-01-20 | 2016-10-26 | 豪夫迈·罗氏有限公司 | N-phenyl-lactam derivatives capable of stimulating neurogenesis and their use in the treatment of neurological disorders |
| CN106467538A (en) * | 2015-08-14 | 2017-03-01 | 沈阳中化农药化工研发有限公司 | A kind of substituted tetrahydro isoquinoline compound and purposes |
| US9765073B2 (en) | 2015-02-03 | 2017-09-19 | Pfizer Inc. | Cyclopropabenzofuranyl pyridopyrazinediones |
| CN107226777A (en) * | 2016-08-03 | 2017-10-03 | 沈阳金久奇科技有限公司 | Synthesis method of 1, 2-diphenoxyl ethane thermosensitive sensitizer |
| US9828345B2 (en) | 2013-02-28 | 2017-11-28 | Bristol-Myers Squibb Company | Phenylpyrazole derivatives as potent ROCK1 and ROCK2 inhibitors |
| US11034669B2 (en) | 2018-11-30 | 2021-06-15 | Nuvation Bio Inc. | Pyrrole and pyrazole compounds and methods of use thereof |
| CN114805054A (en) * | 2022-05-31 | 2022-07-29 | 浙江精进药业有限公司 | Synthesis method of gemfibrozil bromine derivative |
| WO2024170880A1 (en) * | 2023-02-13 | 2024-08-22 | Pathios Therapeutics Limited | Gpr65 modulators |
Family Cites Families (1)
| Publication number | Priority date | Publication date | Assignee | Title |
|---|---|---|---|---|
| MXPA05012281A (en) * | 2003-05-14 | 2006-05-19 | Torreypines Therapeutics Inc | Compouds and uses thereof in modulating amyloid beta. |
-
2008
- 2008-05-01 WO PCT/US2008/005719 patent/WO2008137102A2/en not_active Ceased
Cited By (49)
| Publication number | Priority date | Publication date | Assignee | Title |
|---|---|---|---|---|
| US8048878B2 (en) | 2005-11-24 | 2011-11-01 | Eisai R&D Management Co., Ltd. | Two cyclic cinnamide compound |
| US7973033B2 (en) | 2006-03-09 | 2011-07-05 | Eisai R&D Management Co., Ltd. | Multi-cyclic cinnamide derivatives |
| EP2019093A4 (en) * | 2006-05-19 | 2011-02-23 | Eisai R&D Man Co Ltd | Urea type cinnamide derivative |
| US8008293B2 (en) | 2007-02-28 | 2011-08-30 | Eisai R&D Management Co., Ltd. | Bicyclic oxomorpholine derivative |
| EP2187746A4 (en) * | 2007-08-06 | 2011-01-19 | Univ California | PREPARATION OF INNOVATIVE 1,3-SUBSTITUTED UREAMS AS SOLUBLE EPOXY HYDROLASE INHIBITORS |
| US9453000B2 (en) | 2007-08-31 | 2016-09-27 | Eisai R&D Management Co., Ltd. | Polycyclic compound |
| US7935815B2 (en) | 2007-08-31 | 2011-05-03 | Eisai R&D Management Co., Ltd. | Imidazoyl pyridine compounds and salts thereof |
| US8664249B2 (en) | 2007-12-20 | 2014-03-04 | Envivo Pharmaceuticals, Inc. | Tetrasubstituted benzenes |
| US8367863B2 (en) | 2007-12-20 | 2013-02-05 | Envivo Pharmaceuticals, Inc. | Tetrasubstituted benzenes |
| RU2553392C2 (en) * | 2009-05-07 | 2015-06-10 | Грюненталь Гмбх | Substituted phenylureas and phenylamides as ligands of vanilloid receptors |
| US9624209B2 (en) | 2009-05-07 | 2017-04-18 | Gruenenthal Gmbh | Substituted phenylureas and phenylamides as vanilloid receptor ligands |
| KR101746016B1 (en) | 2009-05-07 | 2017-06-14 | (주) 메디프론디비티 | Substituted phenylureas and phenylamides as vanilloid receptor ligands |
| US8334315B2 (en) | 2009-05-07 | 2012-12-18 | Gruenenthal Gmbh | Substituted aromatic carboxamide and urea derivatives as vanilloid receptor ligands |
| CN102428071A (en) * | 2009-05-07 | 2012-04-25 | 格吕伦塔尔有限公司 | Substituted phenylureas and phenylamides as ligands for vanilloid receptors |
| CN106243037A (en) * | 2009-05-07 | 2016-12-21 | 格吕伦塔尔有限公司 | The substituted phenylurea of part and phenyl amide as Rhizoma et radix valerianae compounds receptor |
| US8592471B2 (en) | 2009-05-07 | 2013-11-26 | Gruenenthal Gmbh | Substituted phenylureas and phenylamides as vanilloid receptor ligands |
| WO2010127856A1 (en) * | 2009-05-07 | 2010-11-11 | Grünenthal GmbH | Substituted phenyllureas and phenylamides as vanilloid receptor ligands |
| TWI504589B (en) * | 2009-05-07 | 2015-10-21 | Substituted aromatic carboxamide and urea derivatives as vanilloid receptor ligands | |
| US9120756B2 (en) | 2009-05-07 | 2015-09-01 | Gruenenthal Gmbh | Substituted phenylureas and phenylamides as vanilloid receptor ligands |
| WO2010127855A1 (en) * | 2009-05-07 | 2010-11-11 | Grünenthal GmbH | Substituted aromatic carboxamide and urea derivatives as vanilloid receptor ligands |
| AU2010244684B2 (en) * | 2009-05-07 | 2014-07-03 | Grunenthal Gmbh | Substituted aromatic carboxamide and urea derivatives as vanilloid receptor ligands |
| US8946204B2 (en) | 2009-05-07 | 2015-02-03 | Gruenenthal Gmbh | Substituted phenylureas and phenylamides as vanilloid receptor ligands |
| WO2011007819A1 (en) | 2009-07-17 | 2011-01-20 | 塩野義製薬株式会社 | Pharmaceutical product containing lactam or benzene sulfonamide compound |
| CN102482228A (en) * | 2009-07-17 | 2012-05-30 | 盐野义制药株式会社 | Pharmaceutical product containing lactam or benzene sulfonamide compound |
| JPWO2011007819A1 (en) * | 2009-07-17 | 2012-12-27 | 塩野義製薬株式会社 | Pharmaceuticals containing lactam or benzenesulfonamide compounds |
| WO2011016559A1 (en) * | 2009-08-07 | 2011-02-10 | 武田薬品工業株式会社 | Heterocyclic compound and use thereof |
| US8912184B1 (en) | 2010-03-01 | 2014-12-16 | Alzheimer's Institute Of America, Inc. | Therapeutic and diagnostic methods |
| JP2013545750A (en) * | 2010-11-15 | 2013-12-26 | アッヴィ・インコーポレイテッド | NAMPT inhibitor |
| US9067934B2 (en) | 2011-03-31 | 2015-06-30 | Pfizer Inc. | Bicyclic pyridinones |
| US8697673B2 (en) | 2011-03-31 | 2014-04-15 | Pfizer Inc. | Bicyclic pyridinones |
| US9193726B2 (en) | 2012-09-21 | 2015-11-24 | Pfizer Inc. | Substituted pyrido[1,2-a]pyrazines for the treatment of neurodegenerative and neurological disorders |
| US9751877B2 (en) | 2012-09-21 | 2017-09-05 | Pfizer Inc. | Substituted pyrido[1,2-a]pyrazines for the treatment of neurodegenerative and neurological disorders |
| US8916564B2 (en) | 2012-09-21 | 2014-12-23 | Pfizer Inc. | Substituted pyrido[1,2-a]pyrazines for the treatment of neurodegenerative and neurological disorders |
| WO2014085485A1 (en) * | 2012-11-28 | 2014-06-05 | The Regents Of The University Of Michigan | Methods and compositions for targeting cancer stem cells |
| US9468632B2 (en) | 2012-11-28 | 2016-10-18 | The Regents Of The University Of Michigan | Methods and compositions for targeting cancer stem cells |
| US9458110B2 (en) | 2013-02-28 | 2016-10-04 | Bristol-Myers Squibb Company | Phenylpyrazole derivatives as potent ROCK1 and ROCK2 inhibitors |
| US9126944B2 (en) | 2013-02-28 | 2015-09-08 | Bristol-Myers Squibb Company | Phenylpyrazole derivatives as potent ROCK1 and ROCK2 inhibitors |
| US9828345B2 (en) | 2013-02-28 | 2017-11-28 | Bristol-Myers Squibb Company | Phenylpyrazole derivatives as potent ROCK1 and ROCK2 inhibitors |
| JP2017503025A (en) * | 2014-01-20 | 2017-01-26 | エフ.ホフマン−ラ ロシュ アーゲーF. Hoffmann−La Roche Aktiengesellschaft | N-phenyl-lactam derivatives capable of stimulating neurogenesis and their use in the treatment of neurological disorders |
| CN106061964A (en) * | 2014-01-20 | 2016-10-26 | 豪夫迈·罗氏有限公司 | N-phenyl-lactam derivatives capable of stimulating neurogenesis and their use in the treatment of neurological disorders |
| CN106061964B (en) * | 2014-01-20 | 2019-10-25 | 豪夫迈·罗氏有限公司 | N-phenyl-lactam derivatives capable of stimulating neurogenesis and their use in the treatment of neurological disorders |
| US9765073B2 (en) | 2015-02-03 | 2017-09-19 | Pfizer Inc. | Cyclopropabenzofuranyl pyridopyrazinediones |
| CN106467538A (en) * | 2015-08-14 | 2017-03-01 | 沈阳中化农药化工研发有限公司 | A kind of substituted tetrahydro isoquinoline compound and purposes |
| CN106467538B (en) * | 2015-08-14 | 2019-03-05 | 沈阳中化农药化工研发有限公司 | A kind of substituted tetrahydro isoquinoline compound and purposes |
| CN107226777A (en) * | 2016-08-03 | 2017-10-03 | 沈阳金久奇科技有限公司 | Synthesis method of 1, 2-diphenoxyl ethane thermosensitive sensitizer |
| US11034669B2 (en) | 2018-11-30 | 2021-06-15 | Nuvation Bio Inc. | Pyrrole and pyrazole compounds and methods of use thereof |
| CN114805054A (en) * | 2022-05-31 | 2022-07-29 | 浙江精进药业有限公司 | Synthesis method of gemfibrozil bromine derivative |
| CN114805054B (en) * | 2022-05-31 | 2024-05-28 | 浙江精进药业有限公司 | Synthesis method of gemfibrozil Ji Xiu derivative |
| WO2024170880A1 (en) * | 2023-02-13 | 2024-08-22 | Pathios Therapeutics Limited | Gpr65 modulators |
Also Published As
| Publication number | Publication date |
|---|---|
| WO2008137102A3 (en) | 2010-05-27 |
Similar Documents
| Publication | Publication Date | Title |
|---|---|---|
| WO2008137102A2 (en) | Methods of modulating amyloid beta and compounds useful therefor | |
| EP1628666B1 (en) | Compouds and uses thereof in modulating amyloid beta | |
| KR101866858B1 (en) | Arylcyclopropylamine based demethylase inhibitors of lsd1 and their medical use | |
| CN100338062C (en) | Azaindoles as inhibitors of c-Jun N-terminal kinases | |
| JP6095844B2 (en) | Tetrahydropyrrolothiazine compound | |
| US12209071B2 (en) | Triazine derivatives for treating diseases relating to neurotrophins | |
| US9403815B2 (en) | Compounds and uses thereof in modulating levels of various amyloid beta peptide alloforms | |
| US20250257039A1 (en) | Mct4 inhibitors for treating disease | |
| EA028775B1 (en) | 4-AMINO-6-PHENYL-6,7-DIHYDRO[1,2,3]TRIAZOLO[1,5-a]PYRAZINE DERIVATIVES AS INHIBITORS OF BETA-SECRETASE (BACE) | |
| KR20150002713A (en) | Phenyl-urea and phenyl-carbamate derivatives as inhibitors of protein aggregation | |
| US10611736B2 (en) | 2,4,6-trisubstituted s-triazine compound, preparation method therefor, and use thereof | |
| US20140005240A1 (en) | Compounds and compositions for use as modulators of tau aggregation and alleviation of tauopathies |
Legal Events
| Date | Code | Title | Description |
|---|---|---|---|
| 121 | Ep: the epo has been informed by wipo that ep was designated in this application |
Ref document number: 08767533 Country of ref document: EP Kind code of ref document: A2 |
|
| NENP | Non-entry into the national phase |
Ref country code: DE |
|
| 122 | Ep: pct application non-entry in european phase |
Ref document number: 08767533 Country of ref document: EP Kind code of ref document: A2 |











































































































































































































































