WO2008119716A1 - 1- (1-cyclohexyl-4-piperidinyl) -1, 3-dihydro-2h-benzimidazol-2-one derivatives which have activity on the m1 receptor and their use in medicine - Google Patents
1- (1-cyclohexyl-4-piperidinyl) -1, 3-dihydro-2h-benzimidazol-2-one derivatives which have activity on the m1 receptor and their use in medicine Download PDFInfo
- Publication number
- WO2008119716A1 WO2008119716A1 PCT/EP2008/053595 EP2008053595W WO2008119716A1 WO 2008119716 A1 WO2008119716 A1 WO 2008119716A1 EP 2008053595 W EP2008053595 W EP 2008053595W WO 2008119716 A1 WO2008119716 A1 WO 2008119716A1
- Authority
- WO
- WIPO (PCT)
- Prior art keywords
- group
- compound
- formula
- methyl
- disorder
- Prior art date
- Legal status (The legal status is an assumption and is not a legal conclusion. Google has not performed a legal analysis and makes no representation as to the accuracy of the status listed.)
- Ceased
Links
- 0 Cc(c(*)c1*)cc(N)c1[N+]([O-])=O Chemical compound Cc(c(*)c1*)cc(N)c1[N+]([O-])=O 0.000 description 2
- BQNUJMXDFXVWBC-UHFFFAOYSA-N CC(CC1)(CCC1N(CC1)CCC1Nc(cc(C)cc1)c1[N+]([O-])=O)OC Chemical compound CC(CC1)(CCC1N(CC1)CCC1Nc(cc(C)cc1)c1[N+]([O-])=O)OC BQNUJMXDFXVWBC-UHFFFAOYSA-N 0.000 description 1
- CYZUHPMLBLQLKS-UHFFFAOYSA-N CC(CC1)(CCC1N(CC1)CCC1Nc1cc(C)ccc1N)OC Chemical compound CC(CC1)(CCC1N(CC1)CCC1Nc1cc(C)ccc1N)OC CYZUHPMLBLQLKS-UHFFFAOYSA-N 0.000 description 1
- RSJMPXDGTKPKFK-UHFFFAOYSA-N Cc(cc1)cc(N2C3CCNCC3)c1NC2=O Chemical compound Cc(cc1)cc(N2C3CCNCC3)c1NC2=O RSJMPXDGTKPKFK-UHFFFAOYSA-N 0.000 description 1
Classifications
-
- C—CHEMISTRY; METALLURGY
- C07—ORGANIC CHEMISTRY
- C07D—HETEROCYCLIC COMPOUNDS
- C07D401/00—Heterocyclic compounds containing two or more hetero rings, having nitrogen atoms as the only ring hetero atoms, at least one ring being a six-membered ring with only one nitrogen atom
- C07D401/02—Heterocyclic compounds containing two or more hetero rings, having nitrogen atoms as the only ring hetero atoms, at least one ring being a six-membered ring with only one nitrogen atom containing two hetero rings
- C07D401/04—Heterocyclic compounds containing two or more hetero rings, having nitrogen atoms as the only ring hetero atoms, at least one ring being a six-membered ring with only one nitrogen atom containing two hetero rings directly linked by a ring-member-to-ring-member bond
-
- A—HUMAN NECESSITIES
- A61—MEDICAL OR VETERINARY SCIENCE; HYGIENE
- A61P—SPECIFIC THERAPEUTIC ACTIVITY OF CHEMICAL COMPOUNDS OR MEDICINAL PREPARATIONS
- A61P25/00—Drugs for disorders of the nervous system
-
- C—CHEMISTRY; METALLURGY
- C07—ORGANIC CHEMISTRY
- C07D—HETEROCYCLIC COMPOUNDS
- C07D405/00—Heterocyclic compounds containing both one or more hetero rings having oxygen atoms as the only ring hetero atoms, and one or more rings having nitrogen as the only ring hetero atom
- C07D405/14—Heterocyclic compounds containing both one or more hetero rings having oxygen atoms as the only ring hetero atoms, and one or more rings having nitrogen as the only ring hetero atom containing three or more hetero rings
Definitions
- This invention relates to novel compounds, pharmaceutical compositions containing them and their use in therapy, in particular as antipsychotic agents.
- Muscarinic acetylcholine receptors are members of the G protein coupled receptor superfamily which mediate the actions of the neurotransmitter acetylcholine in both the central and peripheral nervous system. Five muscarinic receptor subtypes have been cloned, M 1 to M 5 . The muscarinic M 1 receptor is predominantly expressed in the cerebral cortex and hippocampus, although it is also expressed in the periphery e.g. exocrine glands.
- Muscarinic receptors in the central nervous system play a critical role in mediating higher cognitive processing.
- Diseases associated with cognitive impairments such as Alzheimer's disease, are accompanied by loss of cholinergic neurons in the basal forebrain.
- blockade or lesion of central cholinergic pathways results in profound cognitive deficits.
- Cholinergic replacement therapy has largely been based on the use of acetylcholinesterase inhibitors to prevent the breakdown of endogenous acetylcholine. These compounds have shown efficacy versus symptomatic cognitive decline in the clinic, but give rise to side effects resulting from stimulation of peripheral muscarinic receptors including disturbed gastrointestinal motility and nausea.
- M 1 receptor agonists have been sought for the symptomatic treatment of cognitive decline. More recently, a number of groups have shown that muscarinic receptor agonists display an atypical antipsychotic-like profile in a range of pre-clinical paradigms.
- the muscarinic agonist, xanomeline reverses a number of dopamine driven behaviours, including amphetamine induced locomotion in rats, apomorphine induced climbing in mice, dopamine agonist driven turning in unilateral 6-OH-DA lesioned rats and amphetamine-induced motor unrest in monkeys (without EPS liability).
- M 1 receptor agonists are known, for example in WO2007/036718, WO2007/036715, WO2007/03671 1 , WO2007/107566, WO2007/107567 and WO2007/107565.
- WO2007/036718 WO2007/036715
- WO2007/03671 1 WO2007/107566
- WO2007/107567 WO2007/107565
- WO2007/107565 WO2007/107565
- the invention provides a compound of formula (I) or a salt thereof:
- R 1 is selected from C 1-6 alkyl, C 3-6 cycloalkyl, C 3-6 cycloalkylC 1-6 alkyl and C 2-6 alkynyl, any alkyl or cycloalkyl group being optionally substituted by one or more fluorine atoms;
- R 2 is selected from hydrogen and C 1-6 alkyl; or R 1 and R 2 together form a group -CH 2 CH 2 - or -CH 2 CH 2 CH 2 -;
- Z is selected from CH 2 and oxygen
- R 4 is selected from hydrogen and fluoro
- R 5 is selected from hydrogen, cyano, halogen, C 1-6 alkyl (optionally substituted with one or more fluorine atoms), and C 1 ⁇ aIkOXy (optionally substituted with one or more fluorine atoms);
- R 6 is selected from hydrogen, halogen, cyano, C 1-6 alkyl (optionally substituted with one or more fluorine atoms), C 1-6 alkylsulfonyl, C 3-6 cycloalkyl (optionally substituted with one or more fluorine atoms), and C 1 ⁇ aIkOXy (optionally substituted with one or more fluorine atoms); and Q is selected from hydrogen and C 1-6 alkyl.
- alkyl refers to straight or branched hydrocarbon chains containing the specified number of carbon atoms.
- C 1-6 alkyl means a straight or branched alkyl containing at least 1 , and at most 6, carbon atoms.
- C 1-4 alkyl means a straight or branched alkyl containing at least 1 , and at most 4, carbon atoms.
- C 1-2 alkyl means a straight or branched alkyl containing at least 1 , and at most 2, carbon atoms.
- C 1-6 alkyl groups include, but are not limited to, methyl, ethyl, n-propyl, n- butyl, n-pentyl, n-hexyl, isobutyl, isopropyl, t-butyl and 1 ,1-dimethylpropyl.
- alkoxy refers to a straight or branched alkoxy group containing the specified number of carbon atoms.
- C 1-6 alkoxy means a straight or branched alkoxy group containing at least 1 , and at most 6, carbon atoms.
- Ci -4 alkoxy means a straight or branched alkoxy group containing at least 1 , and at most 4, carbon atoms.
- C 1-2 alkoxy means a straight or branched alkoxy group containing at least 1 , and at most 2, carbon atoms.
- Examples of "Ci -6 alkoxy" groups as used herein include, but are not limited to, methoxy, ethoxy, propoxy, prop-2-oxy, butoxy, but-2-oxy, 1-methylethyl- oxy, 2-methylprop-1-oxy, 2-methylprop-2-oxy, pentoxy or hexyloxy.
- cycloalkyl refers to a non-aromatic hydrocarbon ring containing the specified number of carbon atoms.
- C 3-6 cycloalkyl means a non-aromatic carbocyclic ring containing at least three, and at most six, ring carbon atoms.
- Examples of "C 3 - 6 cycloalkyl” as used herein include, but are not limited to, cyclopropyl, cyclobutyl, cyclopentyl and cyclohexyl.
- halogen refers to the elements fluorine (which may be abbreviated to “fluoro” or “F"), chlorine (which may be abbreviated to “chloro” or “Cl”), bromine (which may be abbreviated to “bromo” or “Br”) and iodine (which may be abbreviated to “iodo” or “I”).
- fluorine which may be abbreviated to "fluoro” or "F
- chlorine which may be abbreviated to "chloro” or “Cl”
- bromine which may be abbreviated to "bromo” or “Br”
- iodine which may be abbreviated to "iodo” or "I”
- alkynyl refers to a linear or branched hydrocarbon group containing one or more carbon-carbon triple bonds and the specified number of carbon atoms.
- C 2-6 alkynyl means a linear or branched hydrocarbon group containing one or more carbon-carbon triple bonds and at least two, and at most six, carbon atoms.
- Examples of "C 2 - 6 alkynyl” as used herein include, but are not limited to, include ethynyl, propynyl, butynyl, pentynyl and hexynyl.
- substituted refers to substitution with the named substituent or substituents, multiple degrees of substitution being allowed unless otherwise stated. For example, there may be 1 , 2 or 3 substituents on a given substituted group. For example, if R 5 is a C 1-6 alkyl group, it may be substituted by 1 , 2, 3 or 4 fluoro groups; and if R 5 is a C 1- 6 alkoxy group, it may be substituted by 1 , 2, 3 or 4 fluoro groups.
- C 1-6 alkylsulfonyl refers to a group SO 2 -C 1-6 alkyl, wherein C 1-6 alkyl is as defined above.
- C 3-6 cycloalkylC 1-6 alkyr refers to a group C 3- 6 cycloalkyl-Ci -6 alkyl wherein C 3-6 cycloalkyl and Ci -6 alkyl are as defined above.
- R 1 is selected from Ci -6 alkyl, C 3-6 cycloalkyl, Cs- ⁇ cycloalkylCi-ealkyl and C 2-6 alkynyl, any alkyl or cycloalkyl group being optionally substituted by one, two or three fluorine atoms.
- R 1 is C 1-6 alkyl.
- R 1 is selected from Ci -3 alkyl, C 3-6 cycloalkyl, Cs- ⁇ cycloalkylCi-salkyl and C 2-4 alkynyl, any alkyl or cycloalkyl group being optionally substituted by one, two or three fluorine atoms.
- R 1 is selected from methyl, ethyl, propyl, isopropyl, CF 3 , cyclopropylmethyl, propynyl and cyclobutyl.
- R 1 is methyl or propyl. In one embodiment R 1 is methyl.
- R 2 is hydrogen
- R 1 and R 2 together form a group -CH 2 CH 2 - or -CH 2 CH 2 CH 2 -, as follows:
- R 4 is hydrogen
- R 5 is selected from hydrogen, cyano, halogen, (optionally substituted with one, two or three fluorine atoms), and Ci -3 alkoxy (optionally substituted with one, two or three fluorine atoms).
- R 5 is selected from hydrogen, chloro, bromo, fluoro, methyl, ethyl, methoxy and trifluoromethyl.
- R 5 is selected from hydrogen, chloro, fluoro and trifluoromethyl.
- R 5 is hydrogen. In one embodiment, R 6 is selected from H and C h alky!.
- R 6 is selected from hydrogen, halogen, cyano, Ci -3 alkyl (optionally substituted with one, two or three fluorine atoms), Ci_3alkylsulfonyl, Cs- ⁇ cycloalkyl (optionally substituted with one, two or three fluorine atoms), and C 1-3 alkoxy (optionally substituted with one, two or three fluorine atoms).
- R 6 is selected from hydrogen, chloro, bromo, fluoro, methyl, ethyl, isopropyl, methoxy, trifluoromethoxy and trifluoromethyl, for example chloro, fluoro, methyl, cyclopropyl, methoxy, trifluoromethoxy and trifluoromethyl.
- R 6 is selected from hydrogen, chloro, fluoro, methyl, methoxy, trifluoromethoxy and trifluoromethyl.
- R 6 is selected from hydrogen, methyl, fluoro, chloro, methoxy and cyclopropyl.
- R 6 is selected from hydrogen, chloro, methyl and methoxy.
- R 6 is hydrogen or methyl.
- R 6 is hydrogen.
- R 6 is methyl.
- Q is selected from hydrogen and Ci_ 3 alkyl. In one embodiment, Q is hydrogen or methyl. In one embodiment, Q is hydrogen.
- the invention provides a compound of formula (I') or a salt or solvate thereof:
- R 1 is selected from Ci -6 alkyl, C 3-6 cycloalkyl, Cs-ecycloalkyld-ealkyl and C 2-6 alkynyl, any alkyl or cycloalkyl group being optionally substituted by one or more fluorine atoms;
- R 2 is hydrogen or Ci -6 alkyl; or R 1 and R 2 together form a group -CH 2 CH 2 - or -CH 2 CH 2 CH 2 -;
- Z is CH 2 or oxygen;
- R 4 is hydrogen or fluoro;
- R 5 is selected from hydrogen, cyano, halogen, C 1-6 alkyl, C 1-6 alkyl substituted with one or more fluorine atoms, Ci -6 alkoxy, and Ci -6 alkoxy substituted with one or more fluorine atoms
- R 6 is selected from hydrogen, halogen, cyano, Ci -6 alkyl, Ci -6 alkyl substituted with one or more fluorine atoms, C 1-6 alkylsulfonyl, C 3-6 cycloalkyl, C 3-6 cycloalkyl substituted with one or more fluorine atoms, Ci -6 alkoxy and Ci -6 alkoxy substituted with one or more fluorine atoms
- Q is hydrogen or Ci -6 alkyl.
- the salt of the compound of formula (I) is a pharmaceutically acceptable salt.
- the invention provides a compound of formula (I), or a pharmaceutically acceptable salt thereof.
- salts of formula (I) should be pharmaceutically acceptable.
- Suitable salts will be apparent to those skilled in the art and include for example mono- or di- basic salts formed with inorganic acids e.g. hydrochloric, hydrobromic, sulfuric, nitric, sulfamic phosphoric, hydroiodic, phosphoric or metaphosphoric acid; and with organic acids, such as tartaric, acetic, trifluoroacetic, citric, malic, lactic, fumaric, benzoic, formic, propionic, glycolic, gluconic, maleic, succinic, (1 R)-(-)-10- camphorsulphonic, (1 S)-(+)-10-camphorsulphonic, isothionic, mucic, gentisic, isonicotinic, saccharic, glucuronic, furoic, glutamic, ascorbic, anthranilic, salicylic, phenylacetic, mandelic, embonic (
- non-pharmaceutically acceptable salts e.g. oxalates
- the compounds of the present invention may be in the form of their free base or pharmaceutically acceptable salts thereof, particularly the monohydrochloride, monoformate or monotrifluoroacetate salts.
- Certain of the compounds of formula (I) may form acid addition salts with less than one (for example, 0.5 equivalent of a dibasic acid) or one or more equivalents of an acid.
- the present invention includes within its scope all possible stoichiometric and non-stoichiometric forms thereof.
- Solvates of the compounds of formula (I) and solvates of the salts of compounds of formula (I) are included within the scope of the present invention.
- the term "solvate” refers to a complex of variable stoichiometry formed by a solute (in this invention, a compound of formula (I) or a salt thereof) and a solvent.
- solute in this invention, a compound of formula (I) or a salt thereof
- solvents in which they are reacted or from which they are precipitated or crystallised.
- solvents for the purpose of the invention may not interfere with the biological activity of the solute.
- suitable solvents include, but are not limited to, water, methanol, ethanol and acetic acid.
- the solvent used is a pharmaceutically acceptable solvant.
- suitable pharmaceutically acceptable solvents include, without limitation, water, ethanol and acetic acid. Most preferably the solvent used is water. Where the solvent used is water such a solvate may then also be referred to as a hydrate.
- the compounds of formula (I) may have the ability to crystallise in more than one form. This is a characteristic known as polymorphism, and it is understood that such polymorphic forms (“polymorphs”) are within the scope of formula (I). Polymorphism generally can occur as a response to changes in temperature or pressure or both and can also result from variations in the crystallisation process. Polymorphs can be distinguished by various physical characteristics known in the art such as x-ray diffraction patterns, solubility, and melting point.
- Possible prodrugs for some compounds of the invention include : esters, carbonate esters, hemi-esters, phosphate esters, nitro esters, sulfate esters, sulfoxides, amides, carbamates, azo- compounds, phosphamides, glycosides, ethers, acetals and ketals.
- the invention also includes all suitable isotopic variations of a compound of the invention.
- An isotopic variation of a compound of the invention is defined as one in which at least one atom is replaced by an atom having the same atomic number but an atomic mass different from the atomic mass usually found in nature.
- isotopes that can be incorporated into compounds of the invention include isotopes of hydrogen, carbon, nitrogen, oxygen, phosphorus, sulphur, fluorine and chlorine such as 2 H, 3 H, 13 C, 14 C, 15 N, 17 O, 18 O, 31 P, 32 P, 35 S, 18 F and 36 CI, respectively.
- isotopic variations of the invention are useful in drug and/or substrate tissue distribution studies. Tritiated, i.e., 3 H, and carbon-14, i.e., 14 C, isotopes are particularly preferred for their ease of preparation and detectability. Further, substitution with isotopes such as deuterium, i.e., 2 H, may afford certain therapeutic advantages resulting from greater metabolic stability, for example, increased in vivo half-life or reduced dosage requirements and hence may be preferred in some circumstances.
- Isotopic variations of the compounds of the invention can generally be prepared by conventional procedures such as by the illustrative methods or by the preparations described in the Examples hereafter using appropriate isotopic variations of suitable reagents.
- the individual isomers ⁇ cis and trans) and mixtures of these are included within the scope of the present invention.
- the isomers may be separated one from the other by the usual methods or by methods detailed for the example compounds below. Any given isomer may also be obtained by stereospecific or asymmetric synthesis.
- the invention also extends to any tautomeric forms and mixtures thereof.
- the compounds of formula (I) are trans isomers.
- the compounds of formula (I) are cis isomers.
- Certain compounds of formula (I) may exist in stereoisomeric forms (e.g. they may contain one or more asymmetric carbon atoms).
- the individual stereoisomers (enantiomers and diastereomers) and mixtures of these are included within the scope of the present invention.
- the present invention also covers the individual isomers of the compounds represented by formula (I) as mixtures with isomers thereof in which one or more chiral centres are inverted.
- compounds of formula (I) may exist in tautomeric forms other than that shown in the formula and these are also included within the scope of the present invention.
- Example compounds include: cis-6-Methyl-1- ⁇ 1-[4-methyl-4-(methyloxy)cyclohexyl]-4-piperidinyl ⁇ -1 ,3-dihydro-2H- benzimidazol-2-one trans-6-Methyl-1- ⁇ 1-[4-methyl-4-(methyloxy)cyclohexyl]-4-piperidinyl ⁇ -1 ,3-dihydro-2H- benzimidazol-2-one cis-6-Methyl-1-[1-(1-oxaspiro[4.5]dec-8-yl)-4-piperidinyl]-1 ,3-dihydro-2H-benzimidazol-2-one trans-6-Methyl-1 -[1 -(1 -oxaspiro[4.5]dec-8-yl)-4-piperidinyl]-1 ,3-dihydro-2H-benzimidazol-2-one trans-6-Methyl-1
- the compounds of the present invention may be in the form of their free base or salts thereof.
- the salt is the hydrochloride salt, the trifluoroacetate salt or the formate salt.
- the salt is the monohydrochloride, monoformate or monotrifluoroacetate salt.
- R 1 is a group R 1 as previously defined, or a group convertible to R 1
- R 2 is a group R 2 as previously defined, or a group convertible to R 2
- R 4 is a group R 4 as previously defined, or a group convertible to R 4
- R 5 is a group R 5 as previously defined, or a group convertible to R 5
- R 6 is a group R 6 as previously defined, or a group convertible to R 6
- Z is as previously defined.
- the reaction is carried out under conditions suitable for reductive alkylation.
- the reductive alkylation reaction is typically carried out using sodium triacetoxyborohydride in dichloroethane, optionally in the presence of triethylamine, and optionally in the presence of titanium tetraisopropoxide.
- sodium cyanoborohydride can be used as the reducing reagent in solvents such as methanol or ethanol, or the reductive alkylation can be effected under catalytic hydrogenation conditions using a palladium catalyst.
- the compounds (II) and (III) can be condensed under dehydrating conditions e.g. molecular sieves or magnesium sulfate, and the resultant imine or enamine reduced using for example sodium borohydride or by catalytic hydrogenation.
- This reaction can generate a mixture of cis and trans isomers which can be separated by chromatography or crystallisation.
- a modification of general process (A1 ) is required where Q is C h alky!.
- a compound of formula (II) can be reacted with a compound of formula (III) in the presence of a source of cyanide, e.g. acetone cyanohydrin, to form the cyano intermediate (XXXX) which can be reacted with an alkyl Grignard reagent QMgX to form compounds of formula (I) in which Q is C 1-6 alkyl.
- a source of cyanide e.g. acetone cyanohydrin
- R 1 is a group R 1 as previously defined, or a group convertible to R 1
- R 2 is a group R 2 as previously defined, or a group convertible to R 2
- R 4 is a group R 4 as previously defined, or a group convertible to R 4
- R 5 is a group R 5 as previously defined, or a group convertible to R 5
- R 6 is a group R 6 as previously defined, or a group convertible to R 6
- Q is Ci -6 alkyl
- Z is as previously defined and X is bromo or iodo or chloro.
- the invention provides a compound of formula (XXXX) or a salt thereof wherein R 1 , R 2 , R 4 , R 5 , R 6 and Z are as hereinbefore defined.
- This reaction can generate a mixture of cis and trans isomers which can be separated by chromatography or crystallisation.
- the invention provides a general process (B) for preparing compounds of formula (I) which process comprises:
- R 1 is a group R 1 as previously defined, or a group convertible to R 1 and R 2 is a group R 2 as previously defined, or a group convertible to R 2 ;
- R 4 is a group R 4 as previously defined, or a group convertible to R 4 ;
- R 5 is a group R 5 as previously defined, or a group convertible to R 5 ;
- R 6 is a group R 6 as previously defined, or a group convertible to R 6 ;
- Q is as previously defined,
- Z is as previously defined and X and Y are both represent leaving groups.
- X and Y can be the same or different and examples are Cl, PhO, EtO, imidazole. When X and Y are both Cl, i.e. phosgene, this reagent can be generated in situ e.g. from diphosgene or triphosgene.
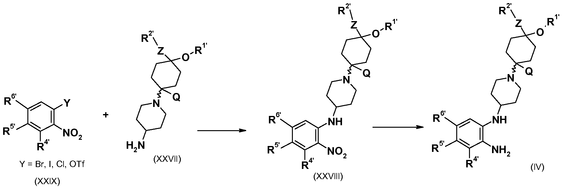
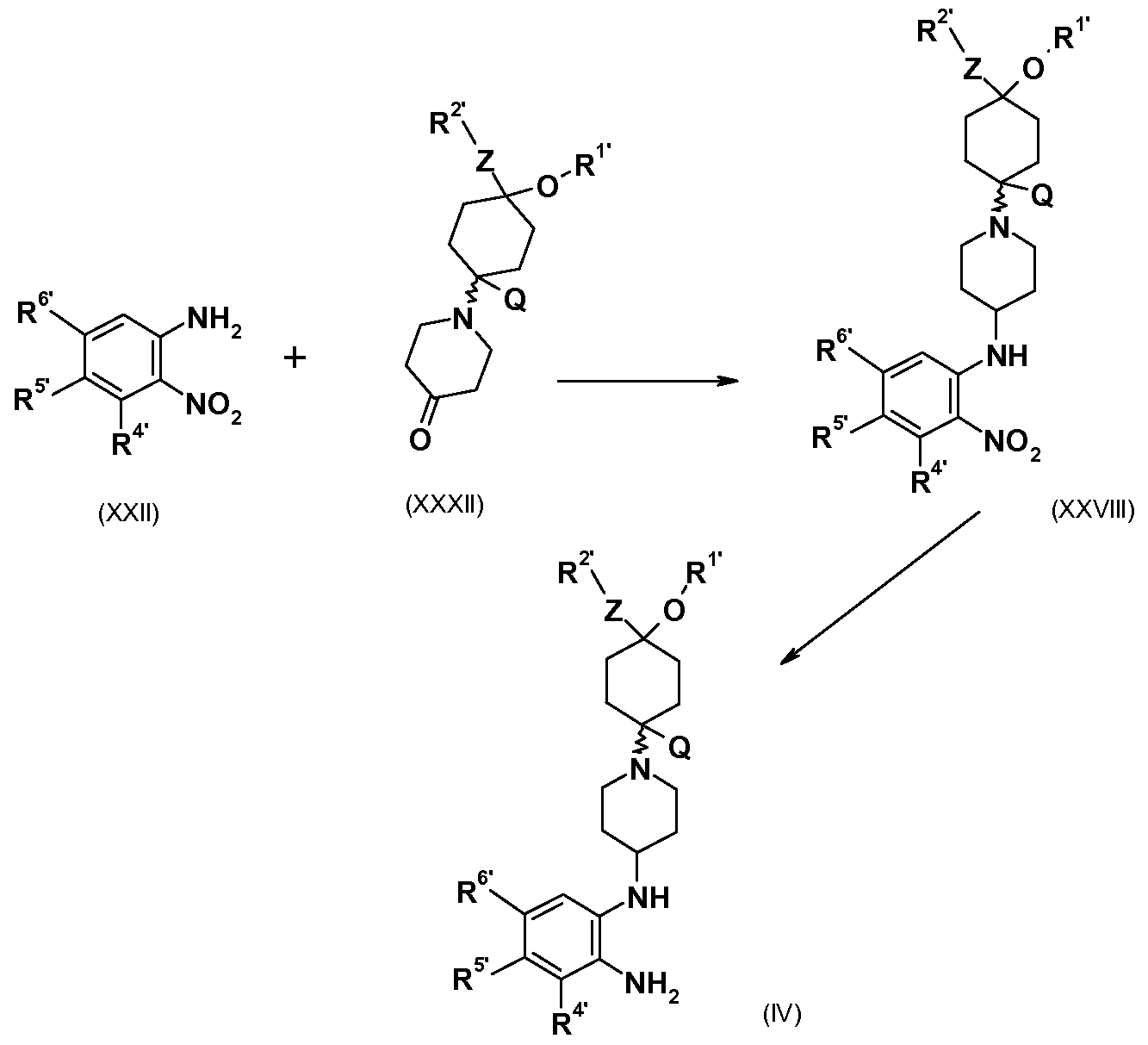
- the invention provides a compound of formula (IV) or a salt thereof, wherein R 1 , R 2 , R 4 , R 5 , R 6 , Q and Z are as hereinbefore defined.
- reaction is carried out using standard methodology e.g. reacting the diamine (IV) with the reagent (V) in an inert solvent for example dichloromethane or toluene, optionally in the presence of a base such as triethylamine or potassium carbonate, and optionally with heating.
- an inert solvent for example dichloromethane or toluene
- a base such as triethylamine or potassium carbonate
- compounds of formula (IV) can be cis or trans isomers, or a mixture of isomers. If necessary, separation of cis and trans isomers after the reaction with (V) can be achieved by chromatography or crystallisation.
- the invention provides a general process (C) for preparing compounds of formula (I) which process comprises:
- R 1 is a group R 1 as previously defined, or a group convertible to R 1 and R 2 is a group R 2 as previously defined, or a group convertible to R 2 ;
- R 4 is a group R 4 as previously defined, or a group convertible to R 4 ;
- R 5 is a group R 5 as previously defined, or a group convertible to R 5 ;
- R 6 is a group R 6 as previously defined, or a group convertible to R 6 ;
- Q is as previously defined, Z is as previously defined and Y is a leaving group such as bromo, iodo, chloro or triflate.
- the invention provides a compound of formula (Vl) or a salt thereof, wherein R 1' , R 2' , R 4' , R 5' , R 6' , Z and Q are as hereinbefore defined.
- the cyclisation reaction can be carried out using a variety of palladium or copper reagents as described in the literature (JACS, 2003, 125, 6653, Tet. Lett., 2004, 45, 8535, or JACS, 2002, 124, 7421.)
- compounds of formula (Vl) can be cis or trans isomers, or a mixture of isomers. If necessary, separation of cis and trans isomers after the intramolecular cyclisation can be achieved by chromatography or crystallisation.
- the invention provides a general process (D) for preparing compounds of formula (I) which process comprises:
- R 1 is a group R 1 as previously defined, or a group convertible to R 1 and R 2 is a group R 2 as previously defined, or a group convertible to R 2 ;
- R 4 is a group R 4 as previously defined, or a group convertible to R 4 ;
- R 5 is a group R 5 as previously defined, or a group convertible to R 5 ;
- R 6 is a group R 6 as previously defined, or a group convertible to R 6 ;
- Q is as previously defined, Z is as previously defined, and R a is a Ci -5 alkyl group.
- condensation and cyclisation reactions can be carried out under reaction conditions similar to those described in the literature for an analogous process (US 3161645) (for example heating in an inert solvent such as xylene) followed by reduction of the piperidine double bond using for example catalytic hydrogenation over palladium or Raney nickel.
- an analogous process for example heating in an inert solvent such as xylene
- reduction of the piperidine double bond using for example catalytic hydrogenation over palladium or Raney nickel.
- compounds of formula (IX) can be cis or trans isomers, or a mixture of isomers. If necessary, separation of cis and trans isomers after the intramolecular cyclisation can be achieved by chromatography or crystallisation.
- the invention provides a general process (E) for preparing compounds of formula (I) which process comprises:
- R 1 is a group R 1 as previously defined, or a group convertible to R 1 and R 2 is a group R 2 as previously defined, or a group convertible to R 2 ;
- R 4 is a group R 4 as previously defined, or a group convertible to R 4 ;
- R 5 is a group R 5 as previously defined, or a group convertible to R 5 ;
- R 6 is a group R 6 as previously defined, or a group convertible to R 6 ;
- Q is as previously defined, and Z is as previously defined.
- the invention provides a compound of formula (X) or a salt thereof wherein R 1 , R 2 , R 4 , R 5 , R 6 , Q and Z are as hereinbefore defined.
- the Curtius rearrangement is typically carried out by mixing the two reactants in an inert solvent such as toluene, optionally with heating.
- compounds of formula (X) can be cis or trans isomers, or a mixture of isomers. If necessary, separation of cis and trans isomers after the intramolecular cyclisation can be achieved by chromatography or crystallisation.
- the invention provides a general process (F) for preparing compounds of formula (I) which process comprises:
- R 1 is a group R 1 as previously defined, or a group convertible to R 1 and R 2 is a group R 2 as previously defined, or a group convertible to R 2 ;
- R 4 is a group R 4 as previously defined, or a group convertible to R 4 ;
- R 5 is a group R 5 as previously defined, or a group convertible to R 5 ;
- R 6 is a group R 6 as previously defined, or a group convertible to R 6 ;
- Q is as previously defined, Z is as previously defined, and M is hydroxy or a leaving group such as chloro, bromo or iodo, or alkyl/aryl sulfonate.
- M a leaving group
- compounds of formula (X) can be cis or trans isomers, or a mixture of isomers. If necessary, separation of cis and trans isomers after the intramolecular cyclisation can be achieved by chromatography or crystallisation.
- R 6 when R 6 is a halogen, it can be converted to an alkoxy or trifluoromethyl group by copper catalysed reaction, using an alcohol, or methyl fluorosulfonyl(difluoro)acetate, respectively. It may also be converted to an alkyl group with an organometallic reagent, for example an alkylstannane.
- organometallic reagent for example an alkylstannane.
- R 6 when R 6 is hydroxy, it may be converted to an alkoxy group by reaction with an alkyl halide or sulfonate, or to trifluoromethoxy by conversion to the xanthate followed by oxidation in the presence of fluoride ion.
- R 6 when R 6 is methyl, it may be converted to a trifluoromethyl group by chlorination or bromination followed by displacement of the introduced halogens with fluoride. Conversion of R 5 to R 5 or interconversions or R 5 may be accomplished in a manner similar to that indicated for conversion of R 6 to R 6 or interconversions or R 6 .
- R 4 to R 4 may be accomplished in various ways; for example by displacement of a halide group by fluoride, or by fluorination of an organometallic derivative with a source of electrophilic fluorine such as N-fluorobenzenesulfonimide, or by decomposition of a diazonium tetrafluoroborate.
- R 1 is benzyl
- the benzyl group can be removed using standard methodology, e.g. catalytic hydrogenation over palladium on carbon, to provide the alcohol.
- Alkylation of the resultant alcohol using a strong base e.g. sodium hydride and a d- ⁇ alkylating agent e.g. methyl iodide or ethyl iodide or propyl iodide, will afford the desired product. It will be appreciated that protection of any NH functionality present in the molecule may be necessary.
- R 1 when R 1 is methyl, the methyl group can be removed by treatment with a dealkylating agent such as boron tribromide to afford the alcohol intermediate, which can be alkylated in a similar manner to that described above.
- a dealkylating agent such as boron tribromide
- R 4 is a group R 4 as previously defined, or a group convertible to R 4
- R 5 is a group R 5 as previously defined, or a group convertible to R 5
- R 6 is a group R 6 as previously defined, or a group convertible to R 6
- P represents a nitrogen protecting group (e.g.
- the anthranilic acid or ester starting materials (XVII) are commercially available or can be made by standard methodology.
- the Curtius rearrangement can be effected using the conditions described under process E.
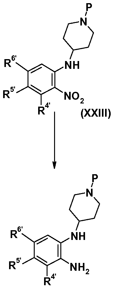
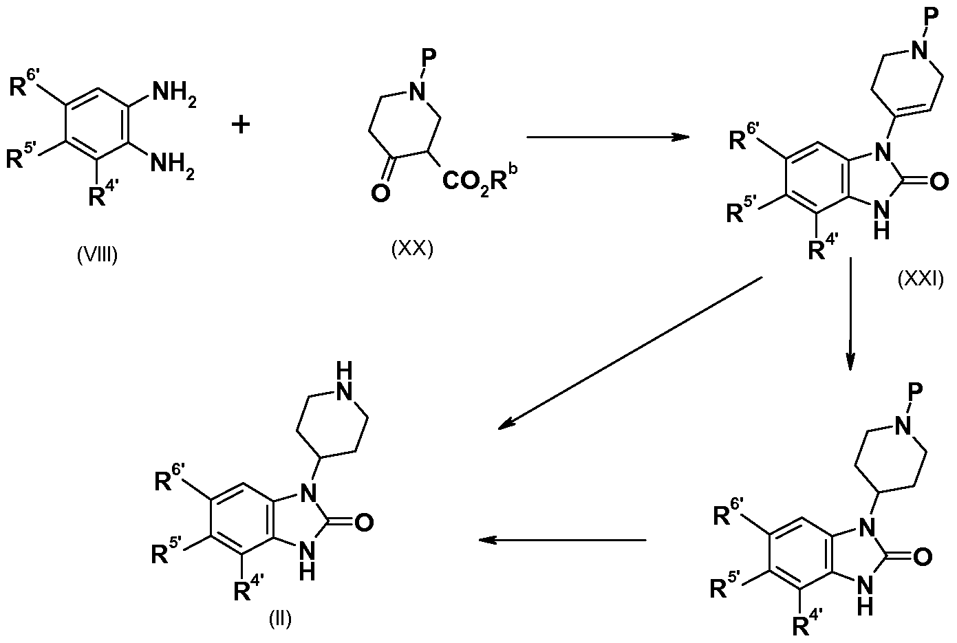
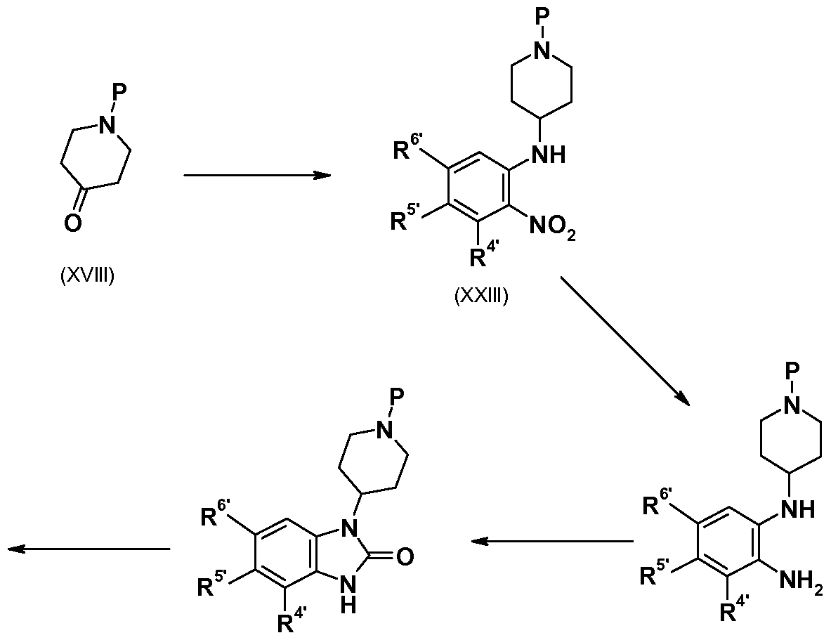
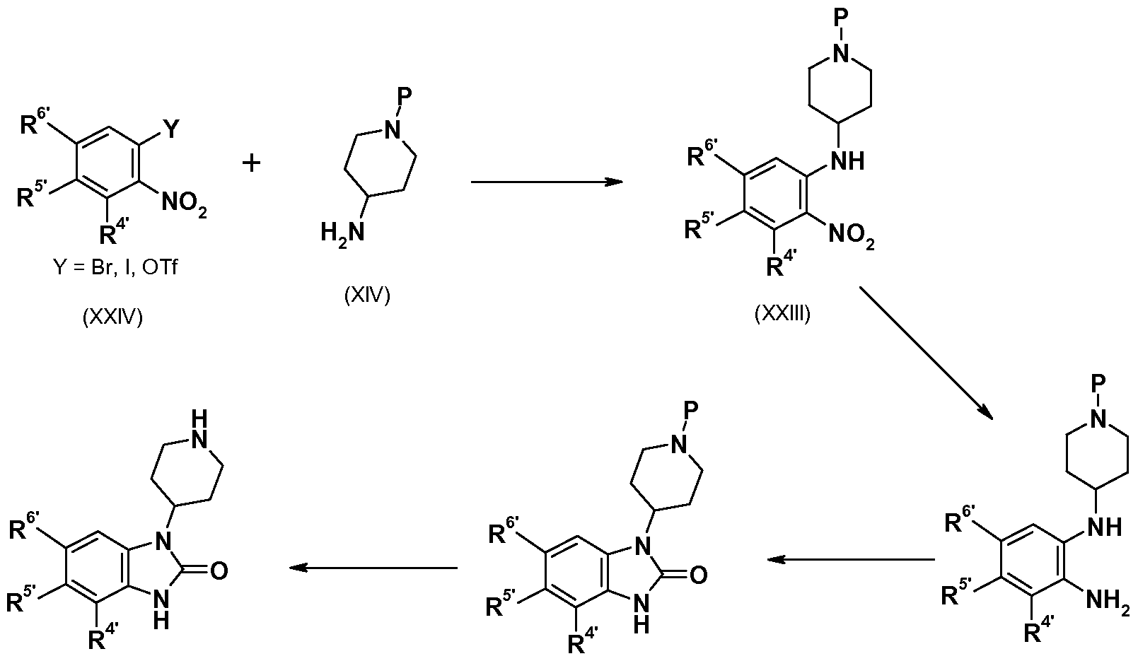
- Boc, acetyl, trifluoroacetyl, benzyloxycarbonyl) and R b is a Ci -5 alkyl group (Scheme 4), by heating in an inert solvent at elevated temperature, to afford the tetrahydropyridine intermediate (XXI). Hydrogenation of the double bond and deprotection of the piperidine nitrogen can be accomplished separately or concomitantly dependent on the precise nature of the protecting group P, to afford the desired product (II).
- Compounds of formula (VIII) are commercially available or can be prepared by standard methodology.
- Compounds of formula (XX) are commercially available or can be prepared by standard methodology.
- the compounds of formula (III) can be prepared by standard literature methodology.
- Compounds of formula (V) are commercially available e.g. carbonyl diimidazole, phosgene, phosgene solution in toluene, diphosgene, triphosgene, phenyl chloroformate, diethyl carbonate.
- Phosgene equivalents include carbonyl diimidazole, diphosgene, triphosgene, phenyl chloroformate; or
- Both isocyanates can be prepared from the corresponding amines using standard methodology for isocyanate formation.
- Palladium and copper catalysts (VII) are commercially available or can be prepared as described in the literature (see references in Process C).
- the group R 1 in the above described processes is the group R 1 as hereinbefore defined.
- the group R 2 in the above described processes is the group R 2 as hereinbefore defined.
- the group R 4 in the above described processes is the group R 4 as hereinbefore defined.
- the group R 5 in the above described processes is the group R 5 as hereinbefore defined.
- the group R 6 in the above described processes is the group R 6 as hereinbefore defined.
- M 1 receptor agonists are said to be useful to ameliorate positive and cognitive symptoms of psychotic disorders such as schizophrenia, schizo-affective disorders, schizophreniform diseases, psychotic depression, mania, acute mania, paranoid and delusional disorders, and cognitive impairment including memory disorders such as Alzheimer's disease without peripheral cholinergic side effects mediated predominantly through M 2 and M 3 receptors.
- M 1 receptor agonists may also be suitable for combination with other typical and atypical antipsychotics and other actives such as mood stabilisers, antidepressants, anxiolytics, drugs for extrapyramidal side effects and cognitive enhancers, to provide improved treatment of psychotic disorders.
- the invention provides a compound of formula (I) as hereinbefore described or a pharmaceutically acceptable salt thereof for use in therapy.
- the invention provides a compound of formula (I) or a pharmaceutically acceptable salt thereof for use in the treatment of a condition wherein agonism of a muscarinic M 1 receptor would be beneficial.
- the terms describing the indications used herein are classified in the Diagnostic and Statistical Manual of Mental Disorders, 4th Edition, published by the American Psychiatric Association (DSM-IV) and/or the International Classification of Diseases, 10th Edition (ICD- 10). Treatment of the various subtypes of the disorders mentioned herein are contemplated as part of the present invention. Numbers in brackets after the listed diseases below refer to the classification code in DSM-IV.
- the term psychotic disorder includes Schizophrenia including the subtypes Paranoid Type (295.30), Disorganised Type (295.10), Catatonic Type (295.20), Undifferentiated Type (295.90) and Residual Type (295.60); Schizophreniform Disorder (295.40); Schizoaffective Disorder (295.70) including the subtypes Bipolar Type and Depressive Type; Delusional Disorder (297.1 ) including the subtypes Erotomanic Type, Grandiose Type, Jealous Type, Persecutory Type, Somatic Type, Mixed Type and Unspecified Type; Brief Psychotic Disorder (298.8); Shared Psychotic Disorder (297.3); Psychotic Disorder Due to a General Medical Condition including the subtypes With Delusions and With Hallucinations; Substance-Induced Psychotic Disorder including the subtypes With Delusions (293.81 ) and With Hallucinations (293.82); and Psychotic Disorder Not Otherwise Specified (298.9);
- Depression and mood disorders including Major Depressive Episode, Manic Episode, Mixed Episode and Hypomanic Episode; Depressive Disorders including Major Depressive Disorder, Dysthymic Disorder (300.4), Depressive Disorder Not Otherwise Specified (31 1 ); Bipolar Disorders including Bipolar I Disorder, Bipolar Il Disorder (Recurrent Major Depressive Episodes with Hypomanic Episodes) (296.89), Cyclothymic Disorder (301.13) and Bipolar Disorder Not Otherwise Specified (296.80); Other Mood Disorders including Mood Disorder Due to a General Medical Condition (293.83) which includes the subtypes With Depressive Features, With Major Depressive-like Episode, With Manic Features and With Mixed Features), Substance-Induced Mood Disorder (including the subtypes With Depressive Features, With Manic Features and With Mixed Features) and Mood Disorder Not Otherwise Specified (296.90);
- Anxiety disorders including Social Anxiety Disorder, Panic Attack, Agoraphobia, Panic Disorder, Agoraphobia Without History of Panic Disorder (300.22), Specific Phobia (300.29) including the subtypes Animal Type, Natural Environment Type, Blood-lnjection-lnjury Type, Situational Type and Other Type), Social Phobia (300.23), Obsessive-Compulsive Disorder (300.3), Posttraumatic Stress Disorder (309.81 ), Acute Stress Disorder (308.3), Generalized Anxiety Disorder (300.02), Anxiety Disorder Due to a General Medical Condition (293.84), Substance-Induced Anxiety Disorder and Anxiety Disorder Not Otherwise Specified (300.00); Substance-related disorders including Substance Use Disorders such as Substance Dependence, Substance Craving and Substance Abuse; Substance-Induced Disorders such as Substance Intoxication, Substance Withdrawal, Substance-Induced Delirium, Substance- Induced Persisting Dementia, Substance-Induced Persisting Amnestic
- Sleep disorders including primary sleep disorders such as Dyssomnias such as Primary Insomnia (307.42), Primary Hypersomnia (307.44), Narcolepsy (347), Breathing-Related Sleep Disorders (780.59), Circadian Rhythm Sleep Disorder (307.45) and Dyssomnia Not Otherwise Specified (307.47); primary sleep disorders such as Parasomnias such as Nightmare Disorder (307.47), Sleep Terror Disorder (307.46), Sleepwalking Disorder (307.46) and Parasomnia Not Otherwise Specified (307.47); Sleep Disorders Related to Another Mental Disorder such as Insomnia Related to Another Mental Disorder (307.42) and Hypersomnia Related to Another Mental Disorder (307.44); Sleep Disorder Due to a General Medical Condition; and Substance-Induced Sleep Disorder including the subtypes Insomnia Type, Hypersomnia Type, Parasomnia Type and Mixed Type;
- Eating disorders such as Anorexia Nervosa (307.1 ) including the subtypes Restricting Type and Binge-Eating/Purging Type; Bulimia Nervosa (307.51 ) including the subtypes Purging Type and Nonpurging Type; Obesity; Compulsive Eating Disorder; and Eating Disorder Not Otherwise Specified (307.50);
- Attention-Deficit /Hyperactivity Disorder including the subtypes Attention-Deficit /Hyperactivity Disorder Combined Type (314.01 ), Attention-Deficit /Hyperactivity Disorder Predominantly Inattentive Type (314.00), Attention-Deficit /Hyperactivity Disorder Hyperactive-Impulse Type (314.01 ) and Attention-Deficit /Hyperactivity Disorder Not Otherwise Specified (314.9); Hyperkinetic Disorder; Disruptive Behaviour Disorders such as Conduct Disorder including the subtypes childhood-onset type (321.81 ), Adolescent-Onset Type (312.82) and Unspecified Onset (312.89), Oppositional Defiant Disorder (313.81 ) and Disruptive Behaviour Disorder Not Otherwise Specified; and Tic Disorders such as Tourette's Disorder (307.23);
- Personality Disorders including the subtypes Paranoid Personality Disorder (301.0), Schizoid Personality Disorder (301.20), Schizotypal Personality Disorder (301 ,22), Antisocial Personality Disorder (301.7), Borderline Personality Disorder (301 ,83), Histrionic Personality Disorder (301.50), Narcissistic Personality Disorder (301 ,81 ), Avoidant Personality Disorder (301.82), Dependent Personality Disorder (301.6), Obsessive-Compulsive Personality Disorder (301.4) and Personality Disorder Not Otherwise Specified (301.9); and
- Sexual dysfunctions including sexual Desire Disorders such as Hypoactive Sexual Desire Disorder (302.71 ), and sexual Aversion Disorder (302.79); sexual arousal disorders such as Female sexual Arousal Disorder (302.72) and Male Erectile Disorder (302.72); orgasmic disorders such as Female Orgasmic Disorder (302.73), Male Orgasmic Disorder (302.74) and Premature Ejaculation (302.75); sexual pain disorder such as Dyspareunia (302.76) and Vaginismus (306.51 ); Sexual Dysfunction Not Otherwise Specified (302.70); paraphilias such as Exhibitionism (302.4), Fetishism (302.81 ), Frotteurism (302.89), Pedophilia (302.2), Sexual Masochism (302.83), sexual Sadism (302.84), Transvestic Fetishism (302.3), Voyeurism (302.82) and Paraphilia Not Otherwise Specified (302.9); gender identity disorders such as Gender Identity Disorder in Children (302.6) and Gender Identity Disorder in Adolescents or Adults (302.85); and
- the compounds of formula (I) may also be useful for the enhancement of cognition, including both the treatment of cognitive impairment on its own and the treatment of cognition impairment in other diseases such as schizophrenia, bipolar disorder, depression, other psychiatric disorders and psychotic conditions associated with cognitive impairment. Where cognitive impairment results from a treatment of a disease, M 1 agonists may be beneficial.
- an M 1 agonist may be useful for the alleviation or treatment of the cognitive impairment.
- the term cognitive impairment includes, for example, impairment of cognitive functions including attention, orientation, learning disorders, memory (i.e. memory disorders, amnesia, amnesic disorders, transient global amnesia syndrome and age-associated memory impairment) and language function; cognitive impairment as a result of stroke, Alzheimer's disease, Huntington's disease, Pick disease, Aids-related dementia or other dementia states such as Multiinfarct dementia, alcoholic dementia, hypotiroidism-related dementia, and dementia associated to other degenerative disorders such as cerebellar atrophy and amyotropic lateral sclerosis; other acute or sub-acute conditions that may cause cognitive decline such as delirium or depression (pseudodementia states) trauma, head trauma, age related cognitive decline, stroke, neurodegeneration, drug-induced states, neurotoxic agents, mild cognitive impairment, age related cognitive impairment, autism related cognitive impairment, Down's syndrome, cognitive deficit related to psychosis, and post-electroconvulsive treatment related cognitive disorders; and dyskinetic disorders such as Parkinson
- Compounds of formula (I) or pharmaceutically accepatble salts thereof may also be used as memory and/or cognition enhancers in healthy humans with no cognitive and/or memory deficit.
- the invention provides a compound of formula (I) as hereinbefore described or a pharmaceutically acceptable salt thereof for use in the treatment of a psychotic disorder. In one embodiment, the invention provides a compound of formula (I) as hereinbefore described or a pharmaceutically acceptable salt thereof for use in the treatment of schizophrenia.
- the invention also provides a compound of formula (I) as hereinbefore described or a pharmaceutically acceptable salt thereof for use in the treatment of cognitive impairment.
- the invention provides the use of a compound of formula (I) as hereinbefore described or a pharmaceutically acceptable salt thereof in the manufacture of a medicament for the treatment of a condition wherein agonism of the M 1 receptor would be beneficial.
- the invention provides the use of a compound of formula (I) as hereinbefore described or a pharmaceutically acceptable salt thereof in the manufacture of a medicament for the treatment of a psychotic disorder.
- the invention provides the use of a compound of formula (I) as hereinbefore described or a pharmaceutically acceptable salt thereof in the manufacture of a medicament for the treatment of schizophrenia.
- the invention provides a compound of formula (I) as hereinbefore described or a pharmaceutically acceptable salt thereof in the treatment of a psychotic disorder. In one embodiment, the invention provides a compound of formula (I) as hereinbefore described or a pharmaceutically acceptable salt thereof for the treatment of schizophrenia.
- the invention also provides the use of a compound of formula (I) as hereinbefore described or a pharmaceutically acceptable salt thereof in the manufacture of a medicament for the treatment of cognitive impairment.
- the invention also provides a compound of formula (I) as hereinbefore described or a pharmaceutically acceptable salt thereof for the treatment of cognitive impairment.
- the invention provides a method of treating a condition where agonism of the M 1 receptor would be beneficial, which comprises administering to a mammal in need thereof an effective amount of a compound of formula (I) as hereinbefore described or a pharmaceutically acceptable salt thereof.
- the mammal is a human.
- the invention provides a method of treating a psychotic disorder which comprises administering to a mammal in need thereof an effective amount of a compound of formula (I) as hereinbefore described or a pharmaceutically acceptable salt thereof.
- the invention provides a method of treating schizophrenia, which comprises administering to a mammal in need thereof an effective amount of a compound of formula (I) as hereinbefore described or a pharmaceutically acceptable salt thereof.
- the mammal is a human.
- the invention also provides a method of treating cognitive impairment, which comprises administering to a mammal in need thereof an effective amount of a compound of formula (I) as hereinbefore described or a pharmaceutically acceptable salt thereof.
- the mammal is a human.
- the compounds of formula (I) and pharmaceutically acceptable salts thereof may also be suitable for combination with other actives, such as typical and atypical antipsychotics, mood stabilisers, antidepressants, anxiolytics, drugs for extrapyrimidal side effects and cognitive enhancers to provide improved treatment of psychotic disorders.
- actives such as typical and atypical antipsychotics, mood stabilisers, antidepressants, anxiolytics, drugs for extrapyrimidal side effects and cognitive enhancers to provide improved treatment of psychotic disorders.
- adjunctive administration is meant the coterminous or overlapping administration of each of the components in the form of separate pharmaceutical compositions or devices.
- This regime of therapeutic administration of two or more therapeutic agents is referred to generally by those skilled in the art and herein as adjunctive therapeutic administration; it is also known as add-on therapeutic administration.
- Any and all treatment regimes in which a patient receives separate but coterminous or overlapping therapeutic administration of the compounds of formula (I) or a pharmaceutically acceptable salt thereof and at least one antipsychotic agent, a mood stabiliser, an antidepressant, an anxiolytic, a drug for extrapyrimidal side effects or a cognitive enhancer are within the scope of the current invention.
- a patient is typically stabilised on a therapeutic administration of one or more of the components for a period of time and then receives administration of another component.
- the compounds of formula (I) or a pharmaceutically acceptable salt thereof may be administered as adjunctive therapeutic treatment to patients who are receiving administration of at least one antipsychotic agent, a mood stabiliser, an antidepressant, an anxiolytic, a drug for extrapyrimidal side effects or a cognitive enhancer, but the scope of the invention also includes the adjunctive therapeutic administration of at least one antipsychotic agent, a mood stabiliser, an antidepressant, an anxiolytic, a drug for extrapyrimidal side effects or a cognitive enhancer to patients who are receiving administration of compounds of formula (I) or a pharmaceutically acceptable salt thereof.
- the combination therapies of the invention may also be administered simultaneously.
- simultaneous administration is meant a treatment regime wherein the individual components are administered together, either in the form of a single pharmaceutical composition or device comprising or containing both components, or as separate compositions or devices, each comprising one of the components, administered simultaneously.
- Such combinations of the separate individual components for simultaneous combination may be provided in the form of a kit-of-parts.
- the invention provides a method of treatment of a psychotic disorder by adjunctive therapeutic administration of compounds of formula (I) or a pharmaceutically acceptable salt thereof to a patient receiving therapeutic administration of at least one antipsychotic agent.
- the invention provides the use of compounds of formula (I) or a pharmaceutically acceptable salt thereof in the manufacture of a medicament for adjunctive therapeutic administration for the treatment of a psychotic disorder in a patient receiving therapeutic administration of at least one antipsychotic agent.
- the invention provides compounds of formula (I) or a pharmaceutically acceptable salt thereof for adjunctive therapeutic administration for the treatment of a psychotic disorder in a patient receiving therapeutic administration of at least one antipsychotic agent.
- the invention further provides compounds of formula (I) or a pharmaceutically acceptable salt thereof for use for adjunctive therapeutic administration for the treatment of a psychotic disorder in a patient receiving therapeutic administration of at least one antipsychotic agent.
- the invention provides a method of treatment of a psychotic disorder by adjunctive therapeutic administration of at least one antipsychotic agent to a patient receiving therapeutic administration of compounds of formula (I) or a pharmaceutically acceptable salt thereof.
- the invention provides the use of at least one antipsychotic agent in the manufacture of a medicament for adjunctive therapeutic administration for the treatment of a psychotic disorder in a patient receiving therapeutic administration of compounds of formula (I) or a pharmaceutically acceptable salt thereof.
- the invention provides at least one antipsychotic agent for adjunctive therapeutic administration for the treatment of a psychotic disorder in a pateient recieving therapeutic administration of compounds of formula (I) or a pharmaceutically acceptable salt thereof.
- the invention further provides at least one antipsychotic agent for adjunctive therapeutic administration for the treatment of a psychotic disorder in a patient receiving therapeutic administration of compounds of formula (I) or a pharmaceutically acceptable salt thereof.
- the invention provides a method of treatment of a psychotic disorder by simultaneous therapeutic administration of compounds of formula (I) or a pharmaceutically acceptable salt thereof in combination with at least one antipsychotic agent.
- the invention further provides the use of a combination of compounds of formula (I) or a pharmaceutically acceptable salt thereof and at least one antipsychotic agent in the manufacture of a medicament for simultaneous therapeutic administration in the treatment of a psychotic disorder.
- the invention further provides a combination of compounds of formula (I) or a pharmaceutically acceptable salt thereof and at least one antipsycotic agent for simultaneous therapeutic administration in the treatment of a psychotic disorder.
- the invention further provides the use of compounds of formula (I) or a pharmaceutically acceptable salt thereof in the manufacture of a medicament for simultaneous therapeutic administration with at least one antipsychotic agent in the treatment of a psychotic disorder.
- the invention further provides compounds of formula (I) or a pharmaceutically acceptable salt thereof for use for simultaneous therapeutic administration with at least one antipsychotic agent in the treatment of a psychotic disorder.
- the invention further provides the use of at least one antipsychotic agent in the manufacture of a medicament for simultaneous therapeutic administration with compounds of formula (I) or a pharmaceutically acceptable salt thereof in the treatment of a psychotic disorder.
- the invention further provides at least one antipsychotic agent for simultaneous therapeutic administration with compounds of formula (I) or a pharmaceutically acceptable salt thereof in the treatment of a psychotic disorder.
- the invention provides a kit-of-parts for use in the treatment of a psychotic disorder comprising a first dosage form comprising compounds of formula (I) or a pharmaceutically acceptable salt thereof and one or more further dosage forms each comprising an antipsychotic agent for simultaneous therapeutic administration.
- the invention provides a method of treatment of a psychotic disorder by adjunctive therapeutic administration of a compound of the present invention to a patient receiving therapeutic administration of an active ingredient selected from the group consisting of: a mood stabiliser, an antidepressant, an anxiolytic, a drug for extrapyrimidal side effects and a cognitive enhancer.
- an active ingredient selected from the group consisting of: a mood stabiliser, an antidepressant, an anxiolytic, a drug for extrapyrimidal side effects and a cognitive enhancer.
- the invention provides the use of a compound of the present invention in the manufacture of a medicament for adjunctive therapeutic administration for the treatment of a psychotic disorder in a patient receiving therapeutic administration of an active ingredient selected from the group consisting of: a mood stabiliser, an antidepressant, an anxiolytic, a drug for extrapyrimidal side effects and a cognitive enhancer.
- an active ingredient selected from the group consisting of: a mood stabiliser, an antidepressant, an anxiolytic, a drug for extrapyrimidal side effects and a cognitive enhancer.
- the invention also provides a compound of the present invention for adjunctive therapeutic administration for the treatment of a psychotic disorder in a patient receiving therapeutic administration of an active ingredient selected from the group consisting of: a mood stabiliser, an antidepressant, an anxiolytic, a drug for extrapyrimidal side effects and a cognitive enhancer.
- an active ingredient selected from the group consisting of: a mood stabiliser, an antidepressant, an anxiolytic, a drug for extrapyrimidal side effects and a cognitive enhancer.
- the invention also provides the use of a compound of the present invention in adjunctive therapeutic administration for the treatment of a psychotic disorder in a patient receiving therapeutic administration of an active ingredient selected from the group consisting of: a mood stabiliser, an antidepressant, an anxiolytic, a drug for extrapyrimidal side effects and a cognitive enhancer.
- an active ingredient selected from the group consisting of: a mood stabiliser, an antidepressant, an anxiolytic, a drug for extrapyrimidal side effects and a cognitive enhancer.
- the invention further provides the use of a compound of the present invention for use for adjunctive therapeutic administration for the treatment of a psychotic disorder in a patient receiving therapeutic administration of an active ingredient selected from the group consisting of: a mood stabiliser, an antidepressant, an anxiolytic, a drug for extrapyrimidal side effects and a cognitive enhancer.
- an active ingredient selected from the group consisting of: a mood stabiliser, an antidepressant, an anxiolytic, a drug for extrapyrimidal side effects and a cognitive enhancer.
- the invention provides a method of treatment of a psychotic disorder by adjunctive therapeutic administration of an active ingredient selected from the group consisting of: a mood stabiliser, an antidepressant, an anxiolytic, a drug for extrapyrimidal side effects and a cognitive enhancer to a patient receiving therapeutic administration of a compound of the present invention.
- the invention provides the use of an active ingredient selected from the group consisting of: a mood stabiliser, an antidepressant, an anxiolytic, a drug for extrapyrimidal side effects and a cognitive enhancer in the manufacture of a medicament for adjunctive therapeutic administration for the treatment of a psychotic disorder in a patient receiving therapeutic administration of a compound of the present invention.
- an active ingredient selected from the group consisting of: a mood stabiliser, an antidepressant, an anxiolytic, a drug for extrapyrimidal side effects and a cognitive enhancer in the manufacture of a medicament for adjunctive therapeutic administration for the treatment of a psychotic disorder in a patient receiving therapeutic administration of a compound of the present invention.
- the invention also provides an active ingredient selected from the group consisting of: a mood stabiliser, an antidepressant, an anxiolytic, a drug for extrapyrimidal side effects and a cognitive enhancer for adjunctive therapeutic administration for the treatment of a psychotic disorder in a patient receiving therapeutic administration of a compound of the present invention
- the invention also provides the use of an active ingredient selected from the group consisting of: a mood stabiliser, an antidepressant, an anxiolytic, a drug for extrapyrimidal side effects and a cognitive enhancer for adjunctive therapeutic administration for the treatment of a psychotic disorder in a patient receiving therapeutic administration of a compound of the present invention
- the invention provides a method of treatment of a psychotic disorder by simultaneous therapeutic administration of a compound of the present invention in combination with an active ingredient selected from the group consisting of: a mood stabiliser, an antidepressant, an anxiolytic, a drug for extrapyrimidal side effects and a cognitive enhancer.
- the invention further provides the use of a combination of a compound of the present invention and an active ingredient selected from the group consisting of: a mood stabiliser, an antidepressant, an anxiolytic, a drug for extrapyrimidal side effects and a cognitive enhancer in the manufacture of a medicament for simultaneous therapeutic administration in the treatment of a psychotic disorder.
- an active ingredient selected from the group consisting of: a mood stabiliser, an antidepressant, an anxiolytic, a drug for extrapyrimidal side effects and a cognitive enhancer in the manufacture of a medicament for simultaneous therapeutic administration in the treatment of a psychotic disorder.
- the invention further provides a combination of a compound of the present invention and an active ingredient selected from the group consisting of: a mood stabiliser, an antidepressant, an anxiolytic, a drug for extrapyrimidal side effects and a cognitive enhancer for simultaneous therapeutic administration for the treatment of a psychotic disorder.
- an active ingredient selected from the group consisting of: a mood stabiliser, an antidepressant, an anxiolytic, a drug for extrapyrimidal side effects and a cognitive enhancer for simultaneous therapeutic administration for the treatment of a psychotic disorder.
- the invention further provides the use of a combination of a compound of the present invention and an active ingredient selected from the group consisting of: a mood stabiliser, an antidepressant, an anxiolytic, a drug for extrapyrimidal side effects and a cognitive enhancer for simultaneous therapeutic administration in the treatment of a psychotic disorder.
- an active ingredient selected from the group consisting of: a mood stabiliser, an antidepressant, an anxiolytic, a drug for extrapyrimidal side effects and a cognitive enhancer for simultaneous therapeutic administration in the treatment of a psychotic disorder.
- the invention further provides the use of a compound of the present invention in the manufacture of a medicament for simultaneous therapeutic administration with an active ingredient selected from the group consisting of: a mood stabiliser, an antidepressant, an anxiolytic, a drug for extrapyrimidal side effects and a cognitive enhancer in the treatment of a psychotic disorder.
- an active ingredient selected from the group consisting of: a mood stabiliser, an antidepressant, an anxiolytic, a drug for extrapyrimidal side effects and a cognitive enhancer in the treatment of a psychotic disorder.
- the invention further provides a compound of the present invention for simultaneous therapeutic administration with an active ingredient selected from the group consisting of: a mood stabiliser, an antidepressant, an anxiolytic, a drug for extrapyrimidal side effects and a cognitive enhancer for the treatment of a psychotic disorder.
- an active ingredient selected from the group consisting of: a mood stabiliser, an antidepressant, an anxiolytic, a drug for extrapyrimidal side effects and a cognitive enhancer for the treatment of a psychotic disorder.
- the invention further provides the use of a compound of the present invention for simultaneous therapeutic administration with an active ingredient selected from the group consisting of: a mood stabiliser, an antidepressant, an anxiolytic, a drug for extrapyrimidal side effects and a cognitive enhancer in the treatment of a psychotic disorder.
- an active ingredient selected from the group consisting of: a mood stabiliser, an antidepressant, an anxiolytic, a drug for extrapyrimidal side effects and a cognitive enhancer in the treatment of a psychotic disorder.
- the invention further provides a compound of the present invention for use for simultaneous therapeutic administration with an active ingredient selected from the group consisting of: a mood stabiliser, an antidepressant, an anxiolytic, a drug for extrapyrimidal side effects and a cognitive enhancer in the treatment of a psychotic disorder.
- an active ingredient selected from the group consisting of: a mood stabiliser, an antidepressant, an anxiolytic, a drug for extrapyrimidal side effects and a cognitive enhancer in the manufacture of a medicament for simultaneous therapeutic administration with a compound of the present invention in the treatment of a psychotic disorder.
- the invention further provides an active ingredient selected from the group consisting of: a mood stabiliser, an antidepressant, an anxiolytic, a drug for extrapyrimidal side effects and a cognitive enhancer for simultaneous therapeutic administration with a compound of the present invention for the treatment of a psychotic disorder.
- a mood stabiliser an antidepressant, an anxiolytic, a drug for extrapyrimidal side effects and a cognitive enhancer for simultaneous therapeutic administration with a compound of the present invention for the treatment of a psychotic disorder.
- the invention further provides the use of an active ingredient selected from the group consisting of: a mood stabiliser, an antidepressant, an anxiolytic, a drug for extrapyrimidal side effects and a cognitive enhancer for simultaneous therapeutic administration with a compound of the present invention in the treatment of a psychotic disorder.
- an active ingredient selected from the group consisting of: a mood stabiliser, an antidepressant, an anxiolytic, a drug for extrapyrimidal side effects and a cognitive enhancer for simultaneous therapeutic administration with a compound of the present invention in the treatment of a psychotic disorder.
- the invention provides a kit-of-parts for use in the treatment of a psychotic disorder comprising a first dosage form comprising a compound of the present invention and one or more further dosage forms each comprising an active ingredient selected from the group consisting of: a mood stabiliser, an antidepressant, an anxiolytic, a drug for extrapyrimidal side effects and a cognitive enhancer for simultaneous therapeutic administration.
- the patient is a human.
- antipsychotic drugs examples include, but are not limited to: sodium channel blockers; mixed 5HT/dopamine receptor antagonists; mGluR5 positive modulators; D3 antagonists; 5HT6 angatonists; nicotinic alpha-7 modulators; glycine transporter GIyTI inhibitors; D2 partial agonist/D3 antanogist/H3 antagonists; AMPA modulators; NK3 antagonists such as osanetant and talnetant; an atypical antipsychotic, for example clozapine, olanzapine, risperidone, quetiapine, aripirazole, ziprasidone and amisulpride; butyrophenones, such as haloperidol, pimozide, and droperidol; phenothiazines, such as chlorpromazine, thioridazine, mesoridazine, trifluoperazine, perphenazine,
- tradenames and suppliers of selected antipsychotic drugs that may be suitable for use in the present invention are as follows : clozapine (available under the tradename CLOZARIL®, from Mylan, Zenith Goldline, UDL, Novartis); olanzapine (available under the tradename ZYPREXA®, from Lilly); ziprasidone (available under the tradename GEODON®, from Pfizer); risperidone (available under the tradename RISPERDAL®, from Janssen); quetiapine fumarate (available under the tradename SEROQUEL®, from AstraZeneca); sertindole (available under the tradename SERLECT®); amisulpride (available under the tradename SOLION®, from Sanofi-Synthelabo); haloperidol (available under the tradename HALDOL®, from Ortho-McNeil); haloperidol decanoate (available under the tradename HALDOL decanoate®
- antipsychotic drugs include promazine (available under the tradename SPARINE®), triflurpromazine (available under the tradename VESPRIN®), chlorprothixene (available under the tradename TARACTAN®), droperidol (available under the tradename INAPSINE®), acetophenazine (available under the tradename TINDAL®;), prochlorperazine (available under the tradename COMPAZINE®), methotrimeprazine (available under the tradename NOZINAN®), pipotiazine (available under the tradename PIPOTRIL®), iloperidone, pimozide and flupenthixol.
- promazine available under the tradename SPARINE®
- triflurpromazine available under the tradename VESPRIN®
- chlorprothixene available under the tradename TARACTAN®
- droperidol available under the tradename INAPSINE®
- acetophenazine available under the tradename TINDAL®
- suitable antipsychotic agents include olanzapine, risperidone, quetiapine, amisulpride, aripiprazole, haloperidol, clozapine, olanzepine, ziprasidone, talnetant and osanetant.
- Mood stabilisers which may be used in the therapy of the present invention include lithium, sodium valproate/valproic acid/divalproex, carbamazepine, lamotrigine, gabapentin, topiramate, oxcarbazepine and tiagabine.
- Antidepressant drugs which may be used in the therapy of the present invention include serotonin antagonists, CRF-1 antagonists, Cox-2 inhibitor/SSRI dual antagonists; dopamine/noradrenaline/serotonin triple reuptake inhibitors; NK1 antagonists; NK1 and NK2 dual antagonists; NK1/SSRI dual antagonists; NK2 antagonists; serotonin agonists (such as rauwolscine, yohimbine and metoclopramide); serotonin reuptake inhibitors (such as citalopram, escitalopram, fluoxetine, fluvoxamine, femoxetine, indalpine, zimeldine, paroxetine and sertraline); dual serotonin/noradrenaline reuptake inhibitors (such as venlafaxine, reboxetine, duloxetine and milnacipran); Noradrenaline reuptake inhibitors (such as reboxetine);
- Anxiolytics which may be used in the therapy of the present invention include V1 b antagonists, 5HT7 antagonists and benzodiazepines such as alprazolam and lorazepam.
- Drugs for extrapyramidal side effects which may be used in the therapy of the present invention include anticholinergics (such as benztropine, biperiden, procyclidine and trihexyphenidyl), antihistamines (such as diphenhydramine) and dopaminergics (such as amantadine).
- anticholinergics such as benztropine, biperiden, procyclidine and trihexyphenidyl
- antihistamines such as diphenhydramine
- dopaminergics such as amantadine
- Cognitive enhancers which may be used in the therapy of the present invention include example cholinesterase inhibitors (such as tacrine, donepezil, rivastigmine and galantamine), H3 antagonists and muscarinic M 1 agonists (such as cevimeline).
- cholinesterase inhibitors such as tacrine, donepezil, rivastigmine and galantamine
- H3 antagonists such as muscarinic M 1 agonists (such as cevimeline).
- the compounds of the present invention are usually administered as a standard pharmaceutical composition.
- the present invention therefore provides in a further aspect a pharmaceutical composition comprising a compound of formula (I) as hereinbefore described or a pharmaceutically acceptable salt thereof and a pharmaceutically acceptable carrier.
- the pharmaceutical composition can be for use in the treatment of any of the conditions described herein.
- the invention provides a process for preparing a pharmaceutical composition, the process comprising mixing a compound of formula (I) as hereinbefore described or a pharmaceutically acceptable salt thereof and one or more pharmaceutically acceptable carriers.
- the invention provides a pharmaceutical composition comprising a compound of formula (I) as hereinbefore described or a pharmaceutically acceptable salt thereof in combination with at least 1 antipsychotic, and one or more pharmaceutically acceptable carriers.
- the invention provides a process for preparing a pharmaceutical composition, the process comprising mixing a compound of formula (I) as hereinbefore described or a pharmaceutically acceptable salt thereof, at least 1 antipsychotic, and one or more pharmaceutically acceptable carriers.
- the compounds of the invention may be administered by any convenient method, for example by oral, parenteral (e.g. intravenous), buccal, sublingual, nasal, rectal or transdermal administration and the pharmaceutical compositions adapted accordingly.
- the compounds of the invention which are active when given orally can be formulated as liquids or solids, for example syrups, suspensions or emulsions, tablets, capsules and lozenges.
- a liquid formulation will generally consist of a suspension or solution of the compound or salt in a suitable liquid carrier(s) for example an aqueous solvent such as water, ethanol or glycerine, or a non-aqueous solvent, such as polyethylene glycol or an oil.
- a suitable liquid carrier(s) for example an aqueous solvent such as water, ethanol or glycerine, or a non-aqueous solvent, such as polyethylene glycol or an oil.
- the formulation may also contain a suspending agent, preservative, flavouring or colouring agent.
- a composition in the form of a tablet can be prepared using any suitable pharmaceutical carrier(s) routinely used for preparing solid formulations.
- suitable pharmaceutical carrier(s) include magnesium stearate, starch, lactose, sucrose and cellulose.
- a composition in the form of a capsule can be prepared using routine encapsulation procedures.
- pellets containing the active ingredient can be prepared using standard carriers and then filled into a hard gelatin capsule; alternatively, a dispersion or suspension can be prepared using any suitable pharmaceutical carrier(s), for example aqueous gums, celluloses, silicates or oils and the dispersion or suspension then filled into a soft gelatin capsule.
- Typical parenteral compositions consist of a solution or suspension of the compound or salt in a sterile aqueous carrier or parenterally acceptable oil, for example polyethylene glycol, polyvinyl pyrrolidone, lecithin, arachis oil or sesame oil.
- a sterile aqueous carrier or parenterally acceptable oil for example polyethylene glycol, polyvinyl pyrrolidone, lecithin, arachis oil or sesame oil.
- the solution can be lyophilised and then reconstituted with a suitable solvent just prior to administration.
- compositions for nasal administration may conveniently be formulated as aerosols, drops, gels and powders.
- Aerosol formulations typically comprise a solution or fine suspension of the active substance in a pharmaceutically acceptable aqueous or non-aqueous solvent and are usually presented in single or multidose quantities in sterile form in a sealed container, which can take the form of a cartridge or refill for use with an atomising device.
- the sealed container may be a unitary dispensing device such as a single dose nasal inhaler or an aerosol dispenser fitted with a metering valve which is intended for disposal once the contents of the container have been exhausted.
- the dosage form comprises an aerosol dispenser
- a propellant which can be a compressed gas such as compressed air or an organic propellant such as a fluorochlorohydrocarbon.
- the aerosol dosage forms can also take the form of a pump-atomiser.
- compositions suitable for buccal or sublingual administration include tablets, lozenges and pastilles, wherein the active ingredient is formulated with a carrier such as sugar and acacia, tragacanth, or gelatin and glycerin.
- a carrier such as sugar and acacia, tragacanth, or gelatin and glycerin.
- compositions for rectal administration are conveniently in the form of suppositories containing a conventional suppository base such as cocoa butter.
- compositions suitable for transdermal administration include ointments, gels and patches.
- the composition may be in unit dose form such as a tablet, capsule or ampoule.
- Each dosage unit for oral administration contains, for example, from 1 to 250 mg (and for parenteral administration contains, for example, from 0.1 to 25 mg) of a compound of the formula (I) or a pharmaceutically acceptable salt thereof calculated as the free base.
- the antipsychotic agent component or components used in the adjunctive therapy of the present invention may also be administered in their basic or acidic forms as appropriate or, where appropriate, in the form of a pharmaceutically acceptable salt or other derivative.
- All solvates and all alternative physical forms of the antipsychotic agent or agents or their salts or derivatives as described herein, including but not limited to alternative crystalline forms, amorphous forms and polymorphs, are also within the scope of this invention.
- the forms and derivatives are, for example, those which are approved for therapeutic administration as monotherapies, including those mentioned above, but all references to antipsychotic agents herein include all salts or other derivatives thereof, and all solvates and alternative physical forms thereof.
- compounds of formula (I) or pharmaceutically acceptable salts thereof and the antipsychotic agent or agents or their salts, derivatives or solvates may each be administered in pure form, but each of the components will, for example, be formulated into any suitable pharmaceutically acceptable and effective composition which provides effective levels of the respective component in the body.
- suitable pharmaceutical compositions for each component is within the skill of the art, and may be the same form or different forms for each of the components.
- Suitable formulations include, but are not limited to tablets, capsules, powders, granules, lozenges, suppositories, reconstitutable powders, or liquid preparations such as oral or sterile parenteral solutions or suspensions.
- compounds of formula (I) or their pharmaceutically acceptable salts and the antipsychotic agent or agents and their salts, derivatives or solvates may be administered together in pure form, but the combined components will, for example, be formulated into any suitable pharmaceutically acceptable and effective composition which provides effective levels of each of the components in the body.
- suitable pharmaceutically acceptable and effective composition which provides effective levels of each of the components in the body.
- the choice of the most appropriate pharmaceutical compositions for the combined components is within the skill of the art.
- Suitable formulations include, but are not limited to tablets, sub-lingual tablets, buccal compositions, capsules, powders, granules, lozenges, suppositories, reconstitutable powders, or liquid preparations such as oral or sterile parenteral solutions or suspensions.
- compositions of each of the components, or of the combination of the components is, for example, in the form of a unit dose.
- treatment includes prophylaxis, where this is appropriate for the relevant condition(s).
- CHO-M1 cells were plated (20,000/well) and allowed to grow overnight at 37 degrees. Media was removed and 30 ⁇ L loading buffer (HBSS with 2OmM HEPES, pH 7.4) containing FLIPR Calcium 3 dye (Molecular Devices Co., Sunnyvale, CA) was added according to manufacturer's instructions.
- loading buffer HBSS with 2OmM HEPES, pH 7.4
- Results were imported into ActivityBase data analysis suite (ID Business Solution Inc., Parsippany, NJ) where the curves were analysed by non-linear curve fitting and the resulting pEC 5 o/plC 5 o were calculated.
- the intrinsic activities of agonist compounds were calculated as percentage of maximum FLIPR response induced by acetylcholine (ie using acetylcholine at EC 10O as the control).
- Compounds of the invention were characterized in a functional assay to determine their ability to activate the intracellular calcium pathway in CHO cells with stable expression of human muscarinic receptors using FLIPR (Fluorometric Imaging Plate Reader) technology. Briefly, CH0-M1 cells were plated (15,000/well) and allowed to grow overnight at 37 degrees. Media was removed and 30 ⁇ L loading buffer (HBSS with 2.5mM probenicid, 2 ⁇ M Fluo-4, 500 ⁇ M Brilliant Black, pH 7.4) was added. After incubation at 37 degrees for 90 minutes, 10 ⁇ L of the assay buffer (HBSS with 2.5 mM probenecid, pH 7.4) containing test compounds was added to each well on the FLIPR instrument. Calcium response was monitored to determine agonism.
- FLIPR Fluorometric Imaging Plate Reader
- the intrinsic activities of agonist compounds were calculated as percentage of maximum FLIPR response induced by acetylcholine added as control on the same compound plates, and converted to a fraction between 0 and 1 (i.e. calculated using a 100% max response from a fitted acetylcholine standard curve, containing multiple concentrations, as control).
- the example compounds below were tested in one or both of the above assays and were each found to have an average pEC 50 value of > 6.0 at the muscarinic M 1 receptor, and intrinsic activity > 50%.
- the virus to cell ratio was determined in separate experiments by functional titration to be most appropriate to measure intrinsic activities of partial agonists. After mixing with virus in suspension, cells were then plated (10,000/well) and allowed to grow overnight at 37 degrees. FLIPR experiment was then carried out next day using the same protocol as described above for CHO-M1 cells. Results were imported into ActivityBase data analysis suite where the curves were analysed by nonlinear curve fitting and the resulting pEC 50 values were calculated. The intrinsic activities of agonist compounds were calculated as percentage of maximum FLIPR response induced by acetylcholine added as control on the same compound plates, and converted to a fraction between 0 and 1 (i.e. calculated using a 100% max response from a fitted acetylcholine standard curve, containing multiple concentrations, as control).
- M 1 agonist compounds were characterized in FLIPR experiments on CHO cells with transient expression of human muscarinic M 1 receptors. Briefly, CHO cells were transduced with M1 BacMam virus (Ames, R S; Fornwald, J A; Nuthulaganti, P; Trill, J J; Foley, J J; Buckley, P T; Kost, T A; Wu, Z and Romanos, M A. (2004) Use of BacMam recombinant baculoviruses to support G protein- coupled receptor drug discovery. Receptors and Channels 10 (3-4): 99-109) at a multiplicity of infection of 6.
- M1 BacMam virus Ames, R S; Fornwald, J A; Nuthulaganti, P; Trill, J J; Foley, J J; Buckley, P T; Kost, T A; Wu, Z and Romanos, M A. (2004) Use of BacMam recombinant baculoviruses to support G protein- coupled receptor drug discovery. Re
- the virus to cell ratio was determined in separate experiments by functional titration to be most appropriate to measure intrinsic activities of partial agonists. After mixing with virus in suspension, cells were then plated (15,000/well) and allowed to grow overnight at 37 degrees. Alternatively, cells were then frozen in 1 ml vials at a concentration of 4.8x10e7 cells/ml in 90% dialysed Foetal Bovine Serum, 10% DimethylSulphoxide at -140 degrees. Cells could then be thawed on the day prior to assay, plated (15,000/well) and allowed to grow overnight at 37 degrees.
- the FLIPR experiment was carried out on the day following plating using the same protocol as described above for CHO-M1 cells. Results were imported into ActivityBase data analysis suite where the curves were analysed by non-linear curve fitting and the resulting pEC 5 o values were calculated. The intrinsic activities of agonist compounds were calculated as percentage of maximum FLIPR response induced by acetylcholine added as control on the same compound plates, and converted to a fraction between 0 and 1 (i.e. calculated using a 100% max response from a fitted acetylcholine standard curve, containing multiple concentrations, as control).
- the example compounds below were tested in one or both of the above assays and were found to be selective for the M 1 receptor over M 2 , M 3 , M 4 and M 5 receptors, with typical selectivity (ratio of pEC 5 o's) of >10-fold, and in certain cases > 100-fold.
- the starting material may not necessarily have been prepared from the batch referred to.
- SCX refers to a sulfonic acid ion exchange resin supplied by Varian. All reactions were either done under argon or can be done under argon, unless stated otherwise (for example hydrogenation reactions).
- NMR spectra were run on either a Brucker DPX250A or DPX400B spectrometer at 250 or 400MHz frequency respectively at 295K and run as a dilute solution of d 6 -DMSO unless otherwise stated. All NMR spectra were referenced to tetramethylsilane (TMS ⁇ H 0, ⁇ C 0). All coupling constants are reported in hertz (Hz) and multiplicities are labelled s (singlet), bs (broad singlet), d (doublet), t (triplet), q (quartet), dd (doublet of doublets), dt (doublet of triplets) and m (multiplet).
- the title compound was prepared from 8-(3-hydroxypropyl)-1 ,4-dioxaspiro[4.5]decan-8-ol (D20) according to procedures in US4438130.
Landscapes
- Chemical & Material Sciences (AREA)
- Organic Chemistry (AREA)
- Health & Medical Sciences (AREA)
- General Chemical & Material Sciences (AREA)
- Nuclear Medicine, Radiotherapy & Molecular Imaging (AREA)
- Neurosurgery (AREA)
- Biomedical Technology (AREA)
- Chemical Kinetics & Catalysis (AREA)
- Bioinformatics & Cheminformatics (AREA)
- Medicinal Chemistry (AREA)
- Neurology (AREA)
- Engineering & Computer Science (AREA)
- Pharmacology & Pharmacy (AREA)
- Life Sciences & Earth Sciences (AREA)
- Animal Behavior & Ethology (AREA)
- General Health & Medical Sciences (AREA)
- Public Health (AREA)
- Veterinary Medicine (AREA)
- Pharmaceuticals Containing Other Organic And Inorganic Compounds (AREA)
Abstract
Compounds of Formula (I) or a salt thereof are provided: wherein R1, R2, R4, R5, R6, Q and Z are as defined in the description. Uses of the compounds as medicaments and in the manufacture of medicaments for treating psychotic disorders and cognitive impairments are disclosed. The invention further discloses pharmaceutical compositions comprising the compounds.
Description
1- (1-CYCL0HEXYL-4-PIPERIDINYL) -1 , 3-DIHYDR0-2H-BENZIMIDAZ0L-2-0NE DERIVATIVES WHICH HAVE ACTIVITY ON THE Ml RECEPTOR AND THEIR USE IN MEDICINE
This invention relates to novel compounds, pharmaceutical compositions containing them and their use in therapy, in particular as antipsychotic agents.
Muscarinic acetylcholine receptors are members of the G protein coupled receptor superfamily which mediate the actions of the neurotransmitter acetylcholine in both the central and peripheral nervous system. Five muscarinic receptor subtypes have been cloned, M1 to M5. The muscarinic M1 receptor is predominantly expressed in the cerebral cortex and hippocampus, although it is also expressed in the periphery e.g. exocrine glands.
Muscarinic receptors in the central nervous system, especially M1, play a critical role in mediating higher cognitive processing. Diseases associated with cognitive impairments, such as Alzheimer's disease, are accompanied by loss of cholinergic neurons in the basal forebrain. Furthermore, in animal models, blockade or lesion of central cholinergic pathways results in profound cognitive deficits.
Cholinergic replacement therapy has largely been based on the use of acetylcholinesterase inhibitors to prevent the breakdown of endogenous acetylcholine. These compounds have shown efficacy versus symptomatic cognitive decline in the clinic, but give rise to side effects resulting from stimulation of peripheral muscarinic receptors including disturbed gastrointestinal motility and nausea.
The dopamine hypothesis of schizophrenia suggests that excess dopaminergic stimulation is responsible for the positive symptoms of the disease, hence the utility of dopamine receptor antagonists to reduce psychotic symptoms. However, conventional dopamine receptor antagonists can cause extrapyramidal side effects (EPS) in patients, including tremor and tardive dyskinesias.
M1 receptor agonists have been sought for the symptomatic treatment of cognitive decline. More recently, a number of groups have shown that muscarinic receptor agonists display an atypical antipsychotic-like profile in a range of pre-clinical paradigms. The muscarinic agonist, xanomeline, reverses a number of dopamine driven behaviours, including amphetamine induced locomotion in rats, apomorphine induced climbing in mice, dopamine agonist driven turning in unilateral 6-OH-DA lesioned rats and amphetamine-induced motor unrest in monkeys (without EPS liability). It also has been shown to inhibit A10, but not A9, dopamine cell firing and conditioned avoidance and induces c-fos expression in prefrontal cortex and nucleus accumbens, but not in striatum in rats. These data are all suggestive of an atypical antipsychotic-like profile.
Xanomeline has also been shown to reduce psychotic symptoms such as suspiciousness, hallucinations and delusions in Alzheimer's patients. However, the relatively non-selective nature of the compound gives rise to dose-limiting peripheral cholinergic side effects.
Certain M1 receptor agonists are known, for example in WO2007/036718, WO2007/036715, WO2007/03671 1 , WO2007/107566, WO2007/107567 and WO2007/107565. We have now found a novel group of compounds which are M1 receptor agonists.
In a first aspect therefore, the invention provides a compound of formula (I) or a salt thereof:
(I) wherein:
R1 is selected from C1-6alkyl, C3-6cycloalkyl, C3-6cycloalkylC1-6alkyl and C2-6alkynyl, any alkyl or cycloalkyl group being optionally substituted by one or more fluorine atoms; R2 is selected from hydrogen and C1-6alkyl; or R1 and R2 together form a group -CH2CH2- or -CH2CH2CH2-;
Z is selected from CH2 and oxygen;
R4 is selected from hydrogen and fluoro;
R5 is selected from hydrogen, cyano, halogen, C1-6alkyl (optionally substituted with one or more fluorine atoms), and C1^aIkOXy (optionally substituted with one or more fluorine atoms); R6 is selected from hydrogen, halogen, cyano, C1-6alkyl (optionally substituted with one or more fluorine atoms), C1-6alkylsulfonyl, C3-6cycloalkyl (optionally substituted with one or more fluorine atoms), and C1^aIkOXy (optionally substituted with one or more fluorine atoms); and Q is selected from hydrogen and C1-6alkyl.
As used herein, the term "alkyl" refers to straight or branched hydrocarbon chains containing the specified number of carbon atoms. For example, C1-6alkyl means a straight or branched alkyl containing at least 1 , and at most 6, carbon atoms. Foe example C1-4alkyl means a straight or branched alkyl containing at least 1 , and at most 4, carbon atoms. For example C1-2alkyl means a straight or branched alkyl containing at least 1 , and at most 2, carbon atoms. Examples of C1-6alkyl groups include, but are not limited to, methyl, ethyl, n-propyl, n- butyl, n-pentyl, n-hexyl, isobutyl, isopropyl, t-butyl and 1 ,1-dimethylpropyl.
As used herein, the term "alkoxy" refers to a straight or branched alkoxy group containing the specified number of carbon atoms. For example, C1-6alkoxy means a straight or branched alkoxy group containing at least 1 , and at most 6, carbon atoms. For example Ci-4alkoxy means a straight or branched alkoxy group containing at least 1 , and at most 4, carbon atoms. For example C1-2alkoxy means a straight or branched alkoxy group containing at least 1 , and at most 2, carbon atoms. Examples of "Ci-6alkoxy" groups as used herein include, but are not limited to, methoxy, ethoxy, propoxy, prop-2-oxy, butoxy, but-2-oxy, 1-methylethyl- oxy, 2-methylprop-1-oxy, 2-methylprop-2-oxy, pentoxy or hexyloxy.
As used herein, the term "cycloalkyl" refers to a non-aromatic hydrocarbon ring containing the specified number of carbon atoms. For example, C3-6cycloalkyl means a non-aromatic carbocyclic ring containing at least three, and at most six, ring carbon atoms. Examples of "C3-6cycloalkyl" as used herein include, but are not limited to, cyclopropyl, cyclobutyl, cyclopentyl and cyclohexyl.
As used herein, the term "halogen" (or the abbreviated form "halo") refers to the elements fluorine (which may be abbreviated to "fluoro" or "F"), chlorine (which may be abbreviated to "chloro" or "Cl"), bromine (which may be abbreviated to "bromo" or "Br") and iodine (which may be abbreviated to "iodo" or "I"). Examples of halogens are fluorine, chlorine and bromine.
As used herein, the term "alkynyl" refers to a linear or branched hydrocarbon group containing one or more carbon-carbon triple bonds and the specified number of carbon atoms. For example, C2-6alkynyl means a linear or branched hydrocarbon group containing one or more carbon-carbon triple bonds and at least two, and at most six, carbon atoms. Examples of "C2-6alkynyl" as used herein include, but are not limited to, include ethynyl, propynyl, butynyl, pentynyl and hexynyl.
As used herein, the term "substituted" refers to substitution with the named substituent or substituents, multiple degrees of substitution being allowed unless otherwise stated. For example, there may be 1 , 2 or 3 substituents on a given substituted group. For example, if R5 is a C1-6alkyl group, it may be substituted by 1 , 2, 3 or 4 fluoro groups; and if R5 is a C1- 6alkoxy group, it may be substituted by 1 , 2, 3 or 4 fluoro groups.
As used herein, the term "C1-6alkylsulfonyl" refers to a group SO2-C1-6alkyl, wherein C1-6alkyl is as defined above.
As used herein, the term "C3-6cycloalkylC1-6alkyr as used herein refers to a group C3- 6cycloalkyl-Ci-6alkyl wherein C3-6cycloalkyl and Ci-6alkyl are as defined above.
In one embodiment, R1 is selected from Ci-6alkyl, C3-6cycloalkyl, Cs-βcycloalkylCi-ealkyl and C2-6alkynyl, any alkyl or cycloalkyl group being optionally substituted by one, two or three fluorine atoms.
In one embodiment, R1 is C1-6alkyl.
In one embodiment, R1 is selected from Ci-3alkyl, C3-6cycloalkyl, Cs-βcycloalkylCi-salkyl and C2-4alkynyl, any alkyl or cycloalkyl group being optionally substituted by one, two or three fluorine atoms.
In one embodiment, R1 is selected from methyl, ethyl, propyl, isopropyl, CF3, cyclopropylmethyl, propynyl and cyclobutyl.
In one embodiment, R1 is methyl or propyl. In one embodiment R1 is methyl.
In one embodiment, R2 is hydrogen.
In one embodiment, R1 and R2 together form a group -CH2CH2- or -CH2CH2CH2-, as follows:
In one embodiment, R4 is hydrogen.
In one embodiment, R5 is selected from hydrogen, cyano, halogen,
(optionally substituted with one, two or three fluorine atoms), and Ci-3alkoxy (optionally substituted with one, two or three fluorine atoms).
In one embodiment, R5 is selected from hydrogen, chloro, bromo, fluoro, methyl, ethyl, methoxy and trifluoromethyl.
In one embodiment, R5 is selected from hydrogen, chloro, fluoro and trifluoromethyl.
In one embodiment, R5 is hydrogen.
In one embodiment, R6 is selected from H and Chalky!.
In one embodiment, R6 is selected from hydrogen, halogen, cyano, Ci-3alkyl (optionally substituted with one, two or three fluorine atoms), Ci_3alkylsulfonyl, Cs-βcycloalkyl (optionally substituted with one, two or three fluorine atoms), and C1-3alkoxy (optionally substituted with one, two or three fluorine atoms).
In another embodiment of the invention, R6 is selected from hydrogen, chloro, bromo, fluoro, methyl, ethyl, isopropyl, methoxy, trifluoromethoxy and trifluoromethyl, for example chloro, fluoro, methyl, cyclopropyl, methoxy, trifluoromethoxy and trifluoromethyl.
In one embodiment, R6 is selected from hydrogen, chloro, fluoro, methyl, methoxy, trifluoromethoxy and trifluoromethyl.
In one embodiment, R6 is selected from hydrogen, methyl, fluoro, chloro, methoxy and cyclopropyl.
In one embodiment, R6 is selected from hydrogen, chloro, methyl and methoxy. For example, R6 is hydrogen or methyl. In one embodiment, R6 is hydrogen. In one embodiment R6 is methyl.
In one embodiment, Q is selected from hydrogen and Ci_3alkyl. In one embodiment, Q is hydrogen or methyl. In one embodiment, Q is hydrogen.
In one embodiment, the invention provides a compound of formula (I') or a salt or solvate thereof:
(H wherein: R1 is selected from Ci-6alkyl, C3-6cycloalkyl, Cs-ecycloalkyld-ealkyl and C2-6alkynyl, any alkyl or cycloalkyl group being optionally substituted by one or more fluorine atoms; R2 is hydrogen or Ci-6alkyl; or R1 and R2 together form a group -CH2CH2- or -CH2CH2CH2-; Z is CH2 or oxygen;
R4 is hydrogen or fluoro;
R5 is selected from hydrogen, cyano, halogen, C1-6alkyl, C1-6alkyl substituted with one or more fluorine atoms, Ci-6 alkoxy, and Ci-6 alkoxy substituted with one or more fluorine atoms; R6 is selected from hydrogen, halogen, cyano, Ci-6alkyl, Ci-6alkyl substituted with one or more fluorine atoms, C1-6alkylsulfonyl, C3-6cycloalkyl, C3-6cycloalkyl substituted with one or more fluorine atoms, Ci-6 alkoxy and Ci-6 alkoxy substituted with one or more fluorine atoms; Q is hydrogen or Ci-6alkyl.
All features and embodiments for formula (I) apply to compounds of formula (I') mutatis mutandis. Hereinafter, all references to compounds of formula (I) include compounds of formula (I').
In one embodiment the salt of the compound of formula (I) is a pharmaceutically acceptable salt. In one embodiment, the invention provides a compound of formula (I), or a pharmaceutically acceptable salt thereof.
It will be appreciated that for use in medicine the salts of formula (I) should be pharmaceutically acceptable. Suitable salts will be apparent to those skilled in the art and include for example mono- or di- basic salts formed with inorganic acids e.g. hydrochloric, hydrobromic, sulfuric, nitric, sulfamic phosphoric, hydroiodic, phosphoric or metaphosphoric acid; and with organic acids, such as tartaric, acetic, trifluoroacetic, citric, malic, lactic, fumaric, benzoic, formic, propionic, glycolic, gluconic, maleic, succinic, (1 R)-(-)-10- camphorsulphonic, (1 S)-(+)-10-camphorsulphonic, isothionic, mucic, gentisic, isonicotinic, saccharic, glucuronic, furoic, glutamic, ascorbic, anthranilic, salicylic, phenylacetic, mandelic, embonic (pamoic), methanesulfonic, ethanesulfonic, pantothenic, stearic, sulfinilic, alginic, galacturonic and arylsulfonic, for example naphthalene-1 ,5-disulphonic, naphthalene-1 ,3- disulphonic, benzenesulfonic, and p-toluenesulfonic, acids. Other non-pharmaceutically acceptable salts e.g. oxalates, may be used, for example in the isolation of compounds of formula (I) and are included within the scope of this invention. The compounds of the present invention may be in the form of their free base or pharmaceutically acceptable salts thereof, particularly the monohydrochloride, monoformate or monotrifluoroacetate salts. Certain of the compounds of formula (I) may form acid addition salts with less than one (for example, 0.5 equivalent of a dibasic acid) or one or more equivalents of an acid. The present invention includes within its scope all possible stoichiometric and non-stoichiometric forms thereof.
Solvates of the compounds of formula (I) and solvates of the salts of compounds of formula (I) are included within the scope of the present invention. As used herein, the term "solvate" refers to a complex of variable stoichiometry formed by a solute (in this invention, a compound of formula (I) or a salt thereof) and a solvent. Those skilled in the art of organic chemistry will appreciate that many organic componds can form such complexes with solvents in which they are reacted or from which they are precipitated or crystallised. Such
solvents for the purpose of the invention may not interfere with the biological activity of the solute. Examples of suitable solvents include, but are not limited to, water, methanol, ethanol and acetic acid. Preferably the solvent used is a pharmaceutically acceptable solvant. Examples of suitable pharmaceutically acceptable solvents include, without limitation, water, ethanol and acetic acid. Most preferably the solvent used is water. Where the solvent used is water such a solvate may then also be referred to as a hydrate.
The compounds of formula (I) may have the ability to crystallise in more than one form. This is a characteristic known as polymorphism, and it is understood that such polymorphic forms ("polymorphs") are within the scope of formula (I). Polymorphism generally can occur as a response to changes in temperature or pressure or both and can also result from variations in the crystallisation process. Polymorphs can be distinguished by various physical characteristics known in the art such as x-ray diffraction patterns, solubility, and melting point.
It will be appreciated by those skilled in the art that certain protected derivatives of compounds of formula (I), which may be made prior to a final deprotection stage, may not possess pharmacological activity as such, but may, in certain instances, be administered orally or parenterally and thereafter metabolised in the body to form compounds of the invention which are pharmacologically active. Such derivatives may therefore be described as "prodrugs". Further, certain compounds of the invention may act as prodrugs of other compounds of the invention. All protected derivatives and prodrugs of compounds of the invention are included within the scope of the invention. Examples of suitable protecting groups for the compounds of the present invention are described in Drugs of Today, Volume 19, Number 9, 1983, pp 499 - 538 and in Topics in Chemistry, Chapter 31 , pp 306 - 316 and in "Design of Prodrugs" by H. Bundgaard, Elsevier, 1985, Chapter 1 (the disclosures in which documents are incorporated herein by reference). It will further be appreciated by those skilled in the art, that certain moieties, known to those skilled in the art as "pro-moieties", for example as described by H. Bundgaard in "Design of Prodrugs" (the disclosure in which document is incorporated herein by reference) may be placed on appropriate functionalities when such functionalities are present within compounds of the invention. Possible prodrugs for some compounds of the invention include : esters, carbonate esters, hemi-esters, phosphate esters, nitro esters, sulfate esters, sulfoxides, amides, carbamates, azo- compounds, phosphamides, glycosides, ethers, acetals and ketals.
Hereinafter, compounds of formula (I) (whether in solvated or unsolvated form) or their pharmaceutically acceptable salts (whether in solvated or unsolvated form) or prodrugs thereof defined in any aspect of the invention (except intermediate compounds in chemical processes) are referred to as "compounds of the invention".
The invention also includes all suitable isotopic variations of a compound of the invention. An isotopic variation of a compound of the invention is defined as one in which at least one
atom is replaced by an atom having the same atomic number but an atomic mass different from the atomic mass usually found in nature. Examples of isotopes that can be incorporated into compounds of the invention include isotopes of hydrogen, carbon, nitrogen, oxygen, phosphorus, sulphur, fluorine and chlorine such as 2H, 3H, 13C, 14C, 15N, 17O, 18O, 31P, 32P, 35S, 18F and 36CI, respectively. Certain isotopic variations of the invention, for example, those in which a radioactive isotope such as 3H or 14C is incorporated, are useful in drug and/or substrate tissue distribution studies. Tritiated, i.e., 3H, and carbon-14, i.e., 14C, isotopes are particularly preferred for their ease of preparation and detectability. Further, substitution with isotopes such as deuterium, i.e., 2H, may afford certain therapeutic advantages resulting from greater metabolic stability, for example, increased in vivo half-life or reduced dosage requirements and hence may be preferred in some circumstances. Isotopic variations of the compounds of the invention can generally be prepared by conventional procedures such as by the illustrative methods or by the preparations described in the Examples hereafter using appropriate isotopic variations of suitable reagents.
It will be appreciated that compounds of formula (I) where Z is CH2 can exist in cis or trans isomeric forms:
CIS
It will be appreciated that the trans form when Z = CH2 may be drawn in the following different ways, although both represent the same isomeric form:
The individual isomers {cis and trans) and mixtures of these are included within the scope of the present invention. The isomers may be separated one from the other by the usual methods or by methods detailed for the example compounds below. Any given isomer may also be obtained by stereospecific or asymmetric synthesis. The invention also extends to any tautomeric forms and mixtures thereof.
In one embodiment, the compounds of formula (I) are trans isomers.
In another embodiment, the compounds of formula (I) are cis isomers.
Mixtures of cis- and trans- compounds, or compounds in which the cis/trans conformation have not been determined, are drawn herein as shown below:
Certain compounds of formula (I) may exist in stereoisomeric forms (e.g. they may contain one or more asymmetric carbon atoms). The individual stereoisomers (enantiomers and diastereomers) and mixtures of these are included within the scope of the present invention. The present invention also covers the individual isomers of the compounds represented by formula (I) as mixtures with isomers thereof in which one or more chiral centres are inverted. Likewise, it is understood that compounds of formula (I) may exist in tautomeric forms other
than that shown in the formula and these are also included within the scope of the present invention.
Example compounds include: cis-6-Methyl-1-{1-[4-methyl-4-(methyloxy)cyclohexyl]-4-piperidinyl}-1 ,3-dihydro-2H- benzimidazol-2-one trans-6-Methyl-1-{1-[4-methyl-4-(methyloxy)cyclohexyl]-4-piperidinyl}-1 ,3-dihydro-2H- benzimidazol-2-one cis-6-Methyl-1-[1-(1-oxaspiro[4.5]dec-8-yl)-4-piperidinyl]-1 ,3-dihydro-2H-benzimidazol-2-one trans-6-Methyl-1 -[1 -(1 -oxaspiro[4.5]dec-8-yl)-4-piperidinyl]-1 ,3-dihydro-2H-benzimidazol-2- one cis-6-Methyl-1-[1-(1-oxaspiro[5.5]undec-9-yl)-4-piperidinyl]-1 ,3-dihydro-2H-benzimidazol-2- one trans-6-Methyl-1 -[1 -(1 -oxaspiro[5.5]undec-9-yl)-4-piperidinyl]-1 ,3-dihydro-2H-benzimidazol-2- one
1-[1-(1 ,4-Dioxaspiro[4.5]dec-8-yl)-4-piperidinyl]-1 ,3-dihydro-2H-benzimidazol-2-one
1-[1-(1 ,4-Dioxaspiro[4.5]dec-8-yl)-4-piperidinyl]-6-methyl-1 ,3-dihydro-2H-benzimidazol-2-one and salts thereof.
The compounds of the present invention may be in the form of their free base or salts thereof. In one embodiment, the salt is the hydrochloride salt, the trifluoroacetate salt or the formate salt. In one embodiment, the salt is the monohydrochloride, monoformate or monotrifluoroacetate salt.
Compounds of the invention may be prepared by methods known in the art of organic synthesis as set forth in part by the following synthesis schemes. In the following reaction schemes and hereafter, unless otherwise stated, all the groups are as defined in the first aspect. It is also recognised that in all of the schemes described below, it is well understood that protecting groups for sensitive or reactive groups are employed where necessary in accordance with general principles of chemistry. Protecting groups are manipulated according to standard methods of organic synthesis (T. W. Greene and P. G. M. Wuts (1991 ) Protecting Groups in Organic Synthesis, John Wiley & Sons). These groups are removed at a convenient stage of the compound synthesis using methods that are readily apparent to those skilled in the art. The selection of processes as well as the reaction conditions and order of their execution shall be consistent with the preparation of compounds of the invention.
In a further aspect, the invention provides a general process (A1 ) for preparing compounds of formula (I) in which Q =H, which process comprises:
with a compound of formula (III)
R1 is a group R1 as previously defined, or a group convertible to R1, R2 is a group R2 as previously defined, or a group convertible to R2, R4 is a group R4 as previously defined, or a group convertible to R4; R5 is a group R5 as previously defined, or a group convertible to R5; R6 is a group R6 as previously defined, or a group convertible to R6; and Z is as previously defined.
The reaction is carried out under conditions suitable for reductive alkylation. The reductive alkylation reaction is typically carried out using sodium triacetoxyborohydride in dichloroethane, optionally in the presence of triethylamine, and optionally in the presence of titanium tetraisopropoxide. Alternatively sodium cyanoborohydride can be used as the reducing reagent in solvents such as methanol or ethanol, or the reductive alkylation can be effected under catalytic hydrogenation conditions using a palladium catalyst. In a further variation, the compounds (II) and (III) can be condensed under dehydrating conditions e.g. molecular sieves or magnesium sulfate, and the resultant imine or enamine reduced using for example sodium borohydride or by catalytic hydrogenation.
This reaction can generate a mixture of cis and trans isomers which can be separated by chromatography or crystallisation.
A modification of general process (A1 ) is required where Q is Chalky!. Thus, in general process (A2), a compound of formula (II) can be reacted with a compound of formula (III) in the presence of a source of cyanide, e.g. acetone cyanohydrin, to form the cyano intermediate (XXXX) which can be reacted with an alkyl Grignard reagent QMgX to form compounds of formula (I) in which Q is C1-6alkyl.
wherein:
R1 is a group R1 as previously defined, or a group convertible to R1, R2 is a group R2 as previously defined, or a group convertible to R2; R4 is a group R4 as previously defined, or a group convertible to R4; R5 is a group R5 as previously defined, or a group convertible to R5; R6 is a group R6 as previously defined, or a group convertible to R6; Q is Ci-6alkyl, Z is as previously defined and X is bromo or iodo or chloro.
In one aspect the invention provides a compound of formula (XXXX) or a salt thereof wherein R1 , R2 , R4 , R5 , R6 and Z are as hereinbefore defined.
This reaction can generate a mixture of cis and trans isomers which can be separated by chromatography or crystallisation.
In a further aspect, the invention provides a general process (B) for preparing compounds of formula (I) which process comprises:
coupling a compound of formula
with a compound of formula (V)
wherein:
R1 is a group R1 as previously defined, or a group convertible to R1 and R2 is a group R2 as previously defined, or a group convertible to R2; R4 is a group R4 as previously defined, or a group convertible to R4; R5 is a group R5 as previously defined, or a group convertible to R5; R6 is a group R6 as previously defined, or a group convertible to R6; Q is as previously defined, Z is as previously defined and X and Y are both represent leaving groups. X and Y can be the same or different and examples are Cl, PhO, EtO, imidazole. When X and Y are both Cl, i.e. phosgene, this reagent can be generated in situ e.g. from diphosgene or triphosgene.
In one aspect, the invention provides a compound of formula (IV) or a salt thereof, wherein R1 , R2 , R4 , R5 , R6 , Q and Z are as hereinbefore defined.
The above reaction is carried out using standard methodology e.g. reacting the diamine (IV) with the reagent (V) in an inert solvent for example dichloromethane or toluene, optionally in the presence of a base such as triethylamine or potassium carbonate, and optionally with heating.
It will be appreciated that compounds of formula (IV) can be cis or trans isomers, or a mixture of isomers. If necessary, separation of cis and trans isomers after the reaction with (V) can be achieved by chromatography or crystallisation.
In a further aspect, the invention provides a general process (C) for preparing compounds of formula (I) which process comprises:
treatment of a compound of
with a palladium or copper catalyst (VII) to effect an intramolecular cyclisation wherein: R1 is a group R1 as previously defined, or a group convertible to R1 and R2 is a group R2 as previously defined, or a group convertible to R2; R4 is a group R4 as previously defined, or a group convertible to R4; R5 is a group R5 as previously defined, or a group convertible to R5; R6 is a group R6 as previously defined, or a group convertible to R6; Q is as previously defined, Z is as previously defined and Y is a leaving group such as bromo, iodo, chloro or triflate.
In one aspect, the invention provides a compound of formula (Vl) or a salt thereof, wherein R1', R2', R4', R5', R6', Z and Q are as hereinbefore defined.
The cyclisation reaction can be carried out using a variety of palladium or copper reagents as described in the literature (JACS, 2003, 125, 6653, Tet. Lett., 2004, 45, 8535, or JACS, 2002, 124, 7421.)
It will be appreciated that compounds of formula (Vl) can be cis or trans isomers, or a mixture of isomers. If necessary, separation of cis and trans isomers after the intramolecular cyclisation can be achieved by chromatography or crystallisation.
In a further aspect, the invention provides a general process (D) for preparing compounds of formula (I) which process comprises:
coupling a compound of form
with a compound of formula (IX)
R1 is a group R1 as previously defined, or a group convertible to R1 and R2 is a group R2 as previously defined, or a group convertible to R2; R4 is a group R4 as previously defined, or a group convertible to R4; R5 is a group R5 as previously defined, or a group convertible to R5; R6 is a group R6 as previously defined, or a group convertible to R6; Q is as previously defined, Z is as previously defined, and Ra is a Ci-5alkyl group.
The condensation and cyclisation reactions can be carried out under reaction conditions similar to those described in the literature for an analogous process (US 3161645) (for example heating in an inert solvent such as xylene) followed by reduction of the piperidine double bond using for example catalytic hydrogenation over palladium or Raney nickel.
It will be appreciated that compounds of formula (IX) can be cis or trans isomers, or a mixture of isomers. If necessary, separation of cis and trans isomers after the intramolecular cyclisation can be achieved by chromatography or crystallisation.
In a further aspect, the invention provides a general process (E) for preparing compounds of formula (I) which process comprises:
with diphenylphosphoryl azide or other reagent/combination of reagents to effect the Curtius rearrangement of compound (X), followed by intramolecular cyclisation. wherein:
R1 is a group R1 as previously defined, or a group convertible to R1 and R2 is a group R2 as previously defined, or a group convertible to R2; R4 is a group R4 as previously defined, or a group convertible to R4; R5 is a group R5 as previously defined, or a group convertible to R5; R6 is a group R6 as previously defined, or a group convertible to R6; Q is as previously defined, and Z is as previously defined.
In one aspect, the invention provides a compound of formula (X) or a salt thereof wherein R1 , R2 , R4 , R5 , R6 , Q and Z are as hereinbefore defined.
The Curtius rearrangement is typically carried out by mixing the two reactants in an inert solvent such as toluene, optionally with heating.
It will be appreciated that compounds of formula (X) can be cis or trans isomers, or a mixture of isomers. If necessary, separation of cis and trans isomers after the intramolecular cyclisation can be achieved by chromatography or crystallisation.
In a further aspect, the invention provides a general process (F) for preparing compounds of formula (I) which process comprises:
coupling a compound of formula
R1 is a group R1 as previously defined, or a group convertible to R1 and R2 is a group R2 as previously defined, or a group convertible to R2; R4 is a group R4 as previously defined, or a group convertible to R4; R5 is a group R5 as previously defined, or a group convertible to R5; R6 is a group R6 as previously defined, or a group convertible to R6; Q is as previously defined, Z is as previously defined, and M is hydroxy or a leaving group such as chloro, bromo or iodo, or alkyl/aryl sulfonate.
The alkylation reaction can be carried out under classical alkylation (M = a leaving group) or Mitsunobu reaction (M = OH) conditions. Using classical alkylation conditions, the benzimidazolone intermediate (Xl) can be deprotonated using a base such as sodium hydride in an inert solvent such as dimethylformamide, and then treated with the alkylating reagent (XII), optionally with heating. The Mitsunobu reaction with (XII) M = OH can be carried out using standard conditions e.g. triphenylphosphine and diethylazodicarboxylate in an inert solvent such as dichloromethane or tetrahydrofuran at room temperature.
It will be appreciated that compounds of formula (X) can be cis or trans isomers, or a mixture of isomers. If necessary, separation of cis and trans isomers after the intramolecular cyclisation can be achieved by chromatography or crystallisation.
Conversion of R6 to R6 or interconversions of R6 may be accomplished as indicated below.
For example, when R6 is a halogen, it can be converted to an alkoxy or trifluoromethyl group by copper catalysed reaction, using an alcohol, or methyl fluorosulfonyl(difluoro)acetate, respectively. It may also be converted to an alkyl group with an organometallic reagent, for example an alkylstannane.
As another example, when R6 is hydroxy, it may be converted to an alkoxy group by reaction with an alkyl halide or sulfonate, or to trifluoromethoxy by conversion to the xanthate followed by oxidation in the presence of fluoride ion.
As a further example, when R6 is methyl, it may be converted to a trifluoromethyl group by chlorination or bromination followed by displacement of the introduced halogens with fluoride.
Conversion of R5 to R5 or interconversions or R5 may be accomplished in a manner similar to that indicated for conversion of R6 to R6 or interconversions or R6.
Conversion of R4 to R4 may be accomplished in various ways; for example by displacement of a halide group by fluoride, or by fluorination of an organometallic derivative with a source of electrophilic fluorine such as N-fluorobenzenesulfonimide, or by decomposition of a diazonium tetrafluoroborate.
Conversion of R1 to R1 or interconversions of R1 may be accomplished as indicated below.
For example when R1 is benzyl, the benzyl group can be removed using standard methodology, e.g. catalytic hydrogenation over palladium on carbon, to provide the alcohol. Alkylation of the resultant alcohol using a strong base e.g. sodium hydride and a d-β alkylating agent e.g. methyl iodide or ethyl iodide or propyl iodide, will afford the desired product. It will be appreciated that protection of any NH functionality present in the molecule may be necessary.
As another example, when R1 is methyl, the methyl group can be removed by treatment with a dealkylating agent such as boron tribromide to afford the alcohol intermediate, which can be alkylated in a similar manner to that described above.
Compounds of formula (II) are generally known in the literature or can be prepared by a range of different processes for example:
(a) displacement of an ortho-fluoro or ortho-chloro nitrobenzene intermediate (XIII) with the amine (XIV), wherein R4 is a group R4 as previously defined, or a group convertible to R4; R5 is a group R5 as previously defined, or a group convertible to R5; R6 is a group R6 as previously defined, or a group convertible to R6; and P represents a nitrogen protecting group (e.g. Boc, acetyl, trifluoroacetyl, ethoxycarbonyl, benzyloxycarbonyl), to give (XXIII), followed by reduction of the nitro group, cyclisation using phosgene or a phosgene equivalent, and deprotection of the piperidine nitrogen using standard literature conditions (Scheme 1 ).
Scheme 1.
Compounds of formula (XIII) are commercially available or can be prepared by standard mehodology. The compound (XIV) in which P = Boc is commercially available.
(b) metal catalysed cyclisation of an intermediate (XV) followed by deprotection of the piperidine nitrogen, wherein R4 is a group R4 as previously defined, or a group convertible to R4; R5 is a group R5 as previously defined, or a group convertible to R5; R6 is a group R6 as previously defined, or a group convertible to R6, P represents a nitrogen protecting group (e.g. Boc, acetyl, trifluoroacetyl, benzyloxycarbonyl), and Y represents a leaving group such as bromo, iodo, chloro or triflate. Reaction conditions for the metal catalysed cyclisation are summarised in Process C. The urea (XV) can be prepared using any of the classical methods for urea formation as illustrated in Scheme 2. The starting materials for this process are commercially available or can be prepared using standard methodology.
Scheme 2.
(c) Curtius rearrangement of an intermediate (XVI), wherein R4 is a group R4 as previously defined, or a group convertible to R4; R5 is a group R5 as previously defined, or a group convertible to R5; R6 is a group R6 as previously defined, or a group convertible to R6; P represents a nitrogen protecting group (e.g. Boc, acetyl, trifluoroacetyl, benzyloxycarbonyl), and Rb represents H or a Ci-5alkyl group (e.g. methyl or ethyl), followed by intramolecular cyclisation and deprotection of the piperidine nitrogen (Scheme 3). The anthranilic acid or ester starting materials (XVII) are commercially available or can be made by standard methodology. The piperidone starting material (P = Boc or benzyl) is commercially available. The Curtius rearrangement can be effected using the conditions described under process E.
Scheme 3.
(d) Condensation of an orthophenylenediamine (VIII) with a 3-alkoxycarbonyl-4-piperidone (XX), wherein R4 is a group R4 as previously defined, or a group convertible to R4; R5 is a group R5 as previously defined, or a group convertible to R5; R6 is a group R6 as previously defined, or a group convertible to R6; P represents a nitrogen protecting group (e.g. Boc, acetyl, trifluoroacetyl, benzyloxycarbonyl) and Rb is a Ci-5 alkyl group (Scheme 4), by heating in an inert solvent at elevated temperature, to afford the tetrahydropyridine intermediate (XXI). Hydrogenation of the double bond and deprotection of the piperidine nitrogen can be accomplished separately or concomitantly dependent on the precise nature of the protecting group P, to afford the desired product (II). Compounds of formula (VIII) are commercially available or can be prepared by standard methodology. Compounds of formula (XX) are commercially available or can be prepared by standard methodology.
Scheme 4.
(e) Reductive alkylation of an ortho nitroaniline (XXII) with an N-protected 4-piperidone (XVIII), wherein R4 is a group R4 as previously defined, or a group convertible to R4; R5 is a group R5 as previously defined, or a group convertible to R5; R6 is a group R6 as previously defined, or a group convertible to R6; and P represents a nitrogen protecting group (e.g. Boc, acetyl, trifluoroacetyl, benzyloxycarbonyl), using for example sodium triacetoxyborohydride to give the intermediate (XXIII). Reduction of the nitro group, followed by cyclisation and deprotection as described hereinbefore provides the desired product (II) (Scheme 5). Compounds of formula (XXII) and (XVIII) are commercially available or can be prepared by standard methodology.
Scheme 5.
(f) metal catalysed reaction between the amine (XIV) and a suitably substituted nitrobenzene compound (XXIV) wherein R4 is a group R4 as previously defined, or a group convertible to R4; R5 is a group R5 as previously defined, or a group convertible to R5; R6 is a group R6 as previously defined, or a group convertible to R6; P represents a nitrogen protecting group e.g. (Boc, acetyl, trifluoroacetyl, benzyloxycarbonyl), and Y represents a leaving group such as bromo, iodo, chloro or triflate (Scheme 6). This process generates intermediates of formula
(XXIII) and subsequent reactions are similar to that for Scheme 5. Compounds of formula
(XXIV) are commercially available or can be prepared by known methodology. The compound (XIV) in which P = Boc is commercially available.
Scheme 6.
(g) metal catalysed reaction between the amine (XIV) and the protected aniline (XXV), wherein R4 is a group R4 as previously defined, or a group convertible to R4; R5 is a group R5 as previously defined, R6 is a group R6 as previously defined, or a group convertible to R6; P and P' independently represent a nitrogen protecting group (e.g. Boc, acetyl, trifluoroacetyl, benzyloxycarbonyl), and Y represents a leaving group such as bromo, iodo, chloro or triflate, to give the intermediate (XXVI) (Scheme 7). Deprotection of the aniline followed by the same reaction sequence as in Scheme 6 affords the desired intermediate (II). Compounds of formula (XXV) are commercially available or can be prepared by known methodology e.g. halogenation ortho to the optionally protected aniline group. The compound (XIV) in which P = Boc is commercially available.
The compounds of formula (III) can be prepared by standard literature methodology.
Compounds of formula (IV) can be prepared by a number of different processes e.g.
(h) displacement of an ortho-fluoro or ortho-chloro nitrobenzene intermediate (XIII) with the amine (XXVII) wherein R1 is a group R1 as previously defined, or a group convertible to R1 and R2 is a group R2 as previously defined, or a group convertible to R2; R4 is a group R4 as previously defined, or a group convertible to R4; R5 is a group R5 as previously defined, or a group convertible to R5; R6 is a group R6 as previously defined, or a group convertible to R6; Q is as previously defined, Z is as previously defined, to afford compound (XXVIII) followed by reduction of the nitro group using standard conditions e.g. hydrogenation over palladium or Raney nickel (Scheme 8). Compounds of formula (XIII) are commercially available or can be prepared by standard methodology. It will be appreciated that separation of the cis and trans isomers can be achieved at any suitable stage in the synthesis.
Scheme 8.
(i) metal catalysed reaction of the amine (XXVII) with the ortho substituted nitrobenzene (XXIX), wherein R1 is a group R1 as previously defined, or a group convertible to R1 and R2 is a group R2 as previously defined, or a group convertible to R2; R4 is a group R4 as previously defined, or a group convertible to R4; R5 is a group R5 as previously defined, or a group convertible to R5; R6 is a group R6 as previously defined, or a group convertible to R6; Q is as previously defined, Z is as previously defined, to afford compound (XXVIII) (Scheme 9) followed by the same reactions as illustrated in Scheme 8. Compounds of formula (XXIX) are commercially available or can be prepared by standard methodology. It will be appreciated that separation of the cis and trans isomers can be achieved at any suitable stage in the synthesis.
Scheme 9.
(j) metal catalysed reaction of the amine (XXVII) with the protected aniline derivative (XXV), wherein R1 is a group R1 as previously defined, or a group convertible to R1 and R2 is a group R2 as previously defined, or a group convertible to R2; R4 is a group R4 as previously
defined, or a group convertible to R4; R5 is a group R5 as previously defined, or a group convertible to R5; R6 is a group R6 as previously defined, or a group convertible to R6; Q is as previously defined, Z is as previously defined, and P' represents a nitrogen protecting group (such as acetyl, trifluoroacetyl, Boc, phthalimide), to afford compound (XXXI) (Scheme 10) followed by deprotection of the aniline group. Compounds of formula (XXV) are commercially available or can be prepared by standard methodology. It will be appreciated that separation of the cis and trans isomers can be achieved at any suitable stage in the synthesis.
Scheme 10.
(k) Reductive alkylation of an ortho nitroaniline (XXII) with the piperidone (XXXII) wherein R1 is a group R1 as previously defined, or a group convertible to R1 and R2 is a group R2 as previously defined, or a group convertible to R2; R4 is a group R4 as previously defined, or a group convertible to R4; R5 is a group R5 as previously defined, or a group convertible to R5; R6 is a group R6 as previously defined, or a group convertible to R6; Q is as previously defined, Z is as previously defined, using for example sodium triacetoxyborohydride in dichloroethane to give the intermediate (XXVIII) (Scheme 1 1 ). Reduction of the nitro group using, for example, palladium on carbon or Raney nickel affords the desired intermediate (IV). It will be appreciated that separation of the cis and trans isomers can be achieved at any suitable stage in the synthesis.
Compounds of formula (V) are commercially available e.g. carbonyl diimidazole, phosgene, phosgene solution in toluene, diphosgene, triphosgene, phenyl chloroformate, diethyl carbonate.
Compounds of formula (Vl) can be prepared by a variety of processes e.g. urea formation can be achieved as shown in Scheme 12 by:
• combining the two amines (XXXIV) and (XXVII) with phosgene or a phosgene equivalent using standard conditions Phosgene equivalents include carbonyl diimidazole, diphosgene, triphosgene, phenyl chloroformate; or
• reacting the amine (XXVII) with the isocyanate (XXXV); or
• reacting the amine (XXXIV) with the isocyanate (XXXVI).
Both isocyanates can be prepared from the corresponding amines using standard methodology for isocyanate formation.
It will be appreciated that separation of the cis and trans isomers can be achieved at any suitable stage in the synthesis.
Palladium and copper catalysts (VII) are commercially available or can be prepared as described in the literature (see references in Process C).
Compounds of formula (VIII) are commercially available or can be prepared by known literature routes e.g. reduction of a mono or dinitrobenzene precursor.
Compounds of formula (IX) can be prepared by reductive alkylation of the 3-alkoxycarbonyl- 4-piperidone with cyclohexanone (III).
Compounds of formula (X) can be prepared as shown in Scheme 13. Reductive alkylation of an anthranilic acid or ester (XVII) with the ketone (XXXII), followed if appropriate by hydrolysis of the ester group. It will be appreciated that separation of the cis and trans isomers can be achieved at any suitable stage in the synthesis.
Compounds of formula (Xl) are commercially available or can be prepared by literature processes.
Compounds of formula (XII) where Q = H can be prepared as shown in Scheme 14, by reductive alkylation of (XXXVII) wherein R1 is a group R1 as previously defined, or a group convertible to R1; R2 is a group R2 as previously defined, or a group convertible to R2 and M' represents M or a group convertible to M, with the ketone (III). Conversion of a M' hydroxy group to M = chloro or bromo can be accomplished using standard methodology e.g. treatment with thionyl chloride or triphenylphosphine/carbon tetrabromide. It will be appreciated that separation of the cis and trans isomers can be achieved at any suitable stage in the synthesis.
Scheme 14.
(XXXVIl)
(XII)
The compound (XXVII) where Q = H can be prepared as shown in Scheme 15. Reductive alkylation of the commercially available amine (XXXVIII) with ketone (III) using for example sodium triacetoxyborohydride in dichloroethane provides the intermediate (XXXIX) which is deprotected using HCI in ethanol or trifluoroacetic acid to afford the primary amine (XXVII). It will be appreciated that separation of the cis and trans isomers can be achieved at any suitable stage in the synthesis.
(XXXVIII) ('"> (XXVII)
The compound (XXVII) where Q = alkyl can be prepared as in process A2, followed by deprotection.
In one embodiment, the group R1 in the above described processes is the group R1 as hereinbefore defined.
In one embodiment, the group R2 in the above described processes is the group R2 as hereinbefore defined.
In one embodiment, the group R4 in the above described processes is the group R4 as hereinbefore defined.
In one embodiment, the group R5 in the above described processes is the group R5 as hereinbefore defined.
In one embodiment, the group R6 in the above described processes is the group R6 as hereinbefore defined.
Compounds of the present invention are M1 receptor agonists. Selective M1 receptor agonists are said to be useful to ameliorate positive and cognitive symptoms of psychotic disorders such as schizophrenia, schizo-affective disorders, schizophreniform diseases, psychotic depression, mania, acute mania, paranoid and delusional disorders, and cognitive impairment including memory disorders such as Alzheimer's disease without peripheral cholinergic side effects mediated predominantly through M2 and M3 receptors. M1 receptor agonists may also be suitable for combination with other typical and atypical antipsychotics and other actives such as mood stabilisers, antidepressants, anxiolytics, drugs for extrapyramidal side effects and cognitive enhancers, to provide improved treatment of psychotic disorders.
Thus in a further aspect, the invention provides a compound of formula (I) as hereinbefore described or a pharmaceutically acceptable salt thereof for use in therapy.
In another aspect, the invention provides a compound of formula (I) or a pharmaceutically acceptable salt thereof for use in the treatment of a condition wherein agonism of a muscarinic M1 receptor would be beneficial.
The terms describing the indications used herein are classified in the Diagnostic and Statistical Manual of Mental Disorders, 4th Edition, published by the American Psychiatric Association (DSM-IV) and/or the International Classification of Diseases, 10th Edition (ICD- 10). Treatment of the various subtypes of the disorders mentioned herein are contemplated as part of the present invention. Numbers in brackets after the listed diseases below refer to the classification code in DSM-IV.
Within the context of the present invention, the term psychotic disorder includes Schizophrenia including the subtypes Paranoid Type (295.30), Disorganised Type (295.10), Catatonic Type (295.20), Undifferentiated Type (295.90) and Residual Type (295.60); Schizophreniform Disorder (295.40); Schizoaffective Disorder (295.70) including the subtypes Bipolar Type and Depressive Type; Delusional Disorder (297.1 ) including the subtypes Erotomanic Type, Grandiose Type, Jealous Type, Persecutory Type, Somatic Type, Mixed Type and Unspecified Type; Brief Psychotic Disorder (298.8); Shared Psychotic Disorder (297.3); Psychotic Disorder Due to a General Medical Condition including the subtypes With Delusions and With Hallucinations; Substance-Induced Psychotic Disorder including the subtypes With Delusions (293.81 ) and With Hallucinations (293.82); and Psychotic Disorder Not Otherwise Specified (298.9);
Other conditions wherein agonism of the M1 receptor would be beneficial in their treatment include:
Depression and mood disorders including Major Depressive Episode, Manic Episode, Mixed Episode and Hypomanic Episode; Depressive Disorders including Major Depressive Disorder, Dysthymic Disorder (300.4), Depressive Disorder Not Otherwise Specified (31 1 ); Bipolar Disorders including Bipolar I Disorder, Bipolar Il Disorder (Recurrent Major Depressive Episodes with Hypomanic Episodes) (296.89), Cyclothymic Disorder (301.13) and Bipolar Disorder Not Otherwise Specified (296.80); Other Mood Disorders including Mood Disorder Due to a General Medical Condition (293.83) which includes the subtypes With Depressive Features, With Major Depressive-like Episode, With Manic Features and With Mixed Features), Substance-Induced Mood Disorder (including the subtypes With Depressive Features, With Manic Features and With Mixed Features) and Mood Disorder Not Otherwise Specified (296.90);
Anxiety disorders including Social Anxiety Disorder, Panic Attack, Agoraphobia, Panic Disorder, Agoraphobia Without History of Panic Disorder (300.22), Specific Phobia (300.29) including the subtypes Animal Type, Natural Environment Type, Blood-lnjection-lnjury Type, Situational Type and Other Type), Social Phobia (300.23), Obsessive-Compulsive Disorder (300.3), Posttraumatic Stress Disorder (309.81 ), Acute Stress Disorder (308.3), Generalized Anxiety Disorder (300.02), Anxiety Disorder Due to a General Medical Condition (293.84), Substance-Induced Anxiety Disorder and Anxiety Disorder Not Otherwise Specified (300.00);
Substance-related disorders including Substance Use Disorders such as Substance Dependence, Substance Craving and Substance Abuse; Substance-Induced Disorders such as Substance Intoxication, Substance Withdrawal, Substance-Induced Delirium, Substance- Induced Persisting Dementia, Substance-Induced Persisting Amnestic Disorder, Substance- Induced Psychotic Disorder, Substance-Induced Mood Disorder, Substance-Induced Anxiety Disorder, Substance-Induced Sexual Dysfunction, Substance-Induced Sleep Disorder and Hallucinogen Persisting Perception Disorder (Flashbacks); Alcohol-Related Disorders such as Alcohol Dependence (303.90), Alcohol Abuse (305.00), Alcohol Intoxication (303.00), Alcohol Withdrawal (291.81 ), Alcohol Intoxication Delirium, Alcohol Withdrawal Delirium, Alcohol-Induced Persisting Dementia, Alcohol-Induced Persisting Amnestic Disorder, Alcohol-Induced Psychotic Disorder, Alcohol-Induced Mood Disorder, Alcohol-Induced Anxiety Disorder, Alcohol-Induced Sexual Dysfunction, Alcohol-Induced Sleep Disorder and Alcohol-Related Disorder Not Otherwise Specified (291.9); Amphetamine (or Amphetamine- Like)-Related Disorders such as Amphetamine Dependence (304.40), Amphetamine Abuse (305.70), Amphetamine Intoxication (292.89), Amphetamine Withdrawal (292.0), Amphetamine Intoxication Delirium, Amphetamine Induced Psychotic Disorder, Amphetamine-Induced Mood Disorder, Amphetamine-Induced Anxiety Disorder, Amphetamine-Induced Sexual Dysfunction, Amphetamine-Induced Sleep Disorder and Amphetamine-Related Disorder Not Otherwise Specified (292.9); Caffeine Related Disorders such as Caffeine Intoxication (305.90), Caffeine-Induced Anxiety Disorder, Caffeine-Induced Sleep Disorder and Caffeine-Related Disorder Not Otherwise Specified (292.9); Cannabis- Related Disorders such as Cannabis Dependence (304.30), Cannabis Abuse (305.20), Cannabis Intoxication (292.89), Cannabis Intoxication Delirium, Cannabis-lnduced Psychotic Disorder, Cannabis-lnduced Anxiety Disorder and Cannabis-Related Disorder Not Otherwise Specified (292.9); Cocaine-Related Disorders such as Cocaine Dependence (304.20), Cocaine Abuse (305.60), Cocaine Intoxication (292.89), Cocaine Withdrawal (292.0), Cocaine Intoxication Delirium, Cocaine-Induced Psychotic Disorder, Cocaine-Induced Mood Disorder, Cocaine-Induced Anxiety Disorder, Cocaine-Induced Sexual Dysfunction, Cocaine- Induced Sleep Disorder and Cocaine-Related Disorder Not Otherwise Specified (292.9); Hallucinogen-Related Disorders such as Hallucinogen Dependence (304.50), Hallucinogen Abuse (305.30), Hallucinogen Intoxication (292.89), Hallucinogen Persisting Perception Disorder (Flashbacks) (292.89), Hallucinogen Intoxication Delirium, Hallucinogen-Induced Psychotic Disorder, Hallucinogen-Induced Mood Disorder, Hallucinogen-Induced Anxiety Disorder and Hallucinogen-Related Disorder Not Otherwise Specified (292.9); Inhalant- Related Disorders such as Inhalant Dependence (304.60), Inhalant Abuse (305.90), Inhalant Intoxication (292.89), Inhalant Intoxication Delirium, Inhalant-Induced Persisting Dementia, Inhalant-Induced Psychotic Disorder, Inhalant-Induced Mood Disorder, Inhalant-Induced Anxiety Disorder and Inhalant-Related Disorder Not Otherwise Specified (292.9); Nicotine- Related Disorders such as Nicotine Dependence (305.1 ), Nicotine Withdrawal (292.0) and Nicotine-Related Disorder Not Otherwise Specified (292.9); Opioid-Related Disorders such as Opioid Dependence (304.00), Opioid Abuse (305.50), Opioid Intoxication (292.89), Opioid Withdrawal (292.0), Opioid Intoxication Delirium, Opioid-lnduced Psychotic Disorder, Opioid-
Induced Mood Disorder, Opioid-lnduced Sexual Dysfunction, Opioid-lnduced Sleep Disorder and Opioid-Related Disorder Not Otherwise Specified (292.9); Phencyclidine (or Phencyclidine-Like)-Related Disorders such as Phencyclidine Dependence (304.60), Phencyclidine Abuse (305.90), Phencyclidine Intoxication (292.89), Phencyclidine Intoxication Delirium, Phencyclidine-lnduced Psychotic Disorder, Phencyclidine-lnduced Mood Disorder, Phencyclidine-lnduced Anxiety Disorder and Phencyclidine-Related Disorder Not Otherwise Specified (292.9); Sedative-, Hypnotic-, or Anxiolytic-Related Disorders such as Sedative, Hypnotic, or Anxiolytic Dependence (304.10), Sedative, Hypnotic, or Anxiolytic Abuse (305.40), Sedative, Hypnotic, or Anxiolytic Intoxication (292.89), Sedative, Hypnotic, or Anxiolytic Withdrawal (292.0), Sedative, Hypnotic, or Anxiolytic Intoxication Delirium, Sedative, Hypnotic, or Anxiolytic Withdrawal Delirium, Sedative-, Hypnotic-, or Anxiolytic- Persisting Dementia, Sedative-, Hypnotic-, or Anxiolytic- Persisting Amnestic Disorder, Sedative-, Hypnotic-, or Anxiolytic-lnduced Psychotic Disorder, Sedative-, Hypnotic-, or Anxiolytic-lnduced Mood Disorder, Sedative-, Hypnotic-, or Anxiolytic-lnduced Anxiety Disorder Sedative-, Hypnotic-, or Anxiolytic-lnduced Sexual Dysfunction, Sedative-, Hypnotic-, or Anxiolytic-lnduced Sleep Disorder and Sedative-, Hypnotic-, or Anxiolytic- Related Disorder Not Otherwise Specified (292.9); Polysubstance-Related Disorder such as Polysubstance Dependence (304.80); and Other (or Unknown) Substance-Related Disorders such as Anabolic Steroids, Nitrate Inhalants and Nitrous Oxide;
Sleep disorders including primary sleep disorders such as Dyssomnias such as Primary Insomnia (307.42), Primary Hypersomnia (307.44), Narcolepsy (347), Breathing-Related Sleep Disorders (780.59), Circadian Rhythm Sleep Disorder (307.45) and Dyssomnia Not Otherwise Specified (307.47); primary sleep disorders such as Parasomnias such as Nightmare Disorder (307.47), Sleep Terror Disorder (307.46), Sleepwalking Disorder (307.46) and Parasomnia Not Otherwise Specified (307.47); Sleep Disorders Related to Another Mental Disorder such as Insomnia Related to Another Mental Disorder (307.42) and Hypersomnia Related to Another Mental Disorder (307.44); Sleep Disorder Due to a General Medical Condition; and Substance-Induced Sleep Disorder including the subtypes Insomnia Type, Hypersomnia Type, Parasomnia Type and Mixed Type;
Eating disorders such as Anorexia Nervosa (307.1 ) including the subtypes Restricting Type and Binge-Eating/Purging Type; Bulimia Nervosa (307.51 ) including the subtypes Purging Type and Nonpurging Type; Obesity; Compulsive Eating Disorder; and Eating Disorder Not Otherwise Specified (307.50);
Autistic Disorder (299.00); Attention-Deficit /Hyperactivity Disorder including the subtypes Attention-Deficit /Hyperactivity Disorder Combined Type (314.01 ), Attention-Deficit /Hyperactivity Disorder Predominantly Inattentive Type (314.00), Attention-Deficit /Hyperactivity Disorder Hyperactive-Impulse Type (314.01 ) and Attention-Deficit /Hyperactivity Disorder Not Otherwise Specified (314.9); Hyperkinetic Disorder; Disruptive Behaviour Disorders such as Conduct Disorder including the subtypes childhood-onset type
(321.81 ), Adolescent-Onset Type (312.82) and Unspecified Onset (312.89), Oppositional Defiant Disorder (313.81 ) and Disruptive Behaviour Disorder Not Otherwise Specified; and Tic Disorders such as Tourette's Disorder (307.23);
Personality Disorders including the subtypes Paranoid Personality Disorder (301.0), Schizoid Personality Disorder (301.20), Schizotypal Personality Disorder (301 ,22), Antisocial Personality Disorder (301.7), Borderline Personality Disorder (301 ,83), Histrionic Personality Disorder (301.50), Narcissistic Personality Disorder (301 ,81 ), Avoidant Personality Disorder (301.82), Dependent Personality Disorder (301.6), Obsessive-Compulsive Personality Disorder (301.4) and Personality Disorder Not Otherwise Specified (301.9); and
Sexual dysfunctions including Sexual Desire Disorders such as Hypoactive Sexual Desire Disorder (302.71 ), and Sexual Aversion Disorder (302.79); sexual arousal disorders such as Female Sexual Arousal Disorder (302.72) and Male Erectile Disorder (302.72); orgasmic disorders such as Female Orgasmic Disorder (302.73), Male Orgasmic Disorder (302.74) and Premature Ejaculation (302.75); sexual pain disorder such as Dyspareunia (302.76) and Vaginismus (306.51 ); Sexual Dysfunction Not Otherwise Specified (302.70); paraphilias such as Exhibitionism (302.4), Fetishism (302.81 ), Frotteurism (302.89), Pedophilia (302.2), Sexual Masochism (302.83), Sexual Sadism (302.84), Transvestic Fetishism (302.3), Voyeurism (302.82) and Paraphilia Not Otherwise Specified (302.9); gender identity disorders such as Gender Identity Disorder in Children (302.6) and Gender Identity Disorder in Adolescents or Adults (302.85); and Sexual Disorder Not Otherwise Specified (302.9).
The compounds of formula (I) may also be useful for the enhancement of cognition, including both the treatment of cognitive impairment on its own and the treatment of cognition impairment in other diseases such as schizophrenia, bipolar disorder, depression, other psychiatric disorders and psychotic conditions associated with cognitive impairment. Where cognitive impairment results from a treatment of a disease, M1 agonists may be beneficial.
For example, when the treatment of epilepsy with anticonvulsants results in cognitive impairment, an M1 agonist may be useful for the alleviation or treatment of the cognitive impairment.
Within the context of the present invention, the term cognitive impairment includes, for example, impairment of cognitive functions including attention, orientation, learning disorders, memory (i.e. memory disorders, amnesia, amnesic disorders, transient global amnesia syndrome and age-associated memory impairment) and language function; cognitive impairment as a result of stroke, Alzheimer's disease, Huntington's disease, Pick disease, Aids-related dementia or other dementia states such as Multiinfarct dementia, alcoholic dementia, hypotiroidism-related dementia, and dementia associated to other degenerative disorders such as cerebellar atrophy and amyotropic lateral sclerosis; other acute or sub-acute conditions that may cause cognitive decline such as delirium or depression (pseudodementia states) trauma, head trauma, age related cognitive decline,
stroke, neurodegeneration, drug-induced states, neurotoxic agents, mild cognitive impairment, age related cognitive impairment, autism related cognitive impairment, Down's syndrome, cognitive deficit related to psychosis, and post-electroconvulsive treatment related cognitive disorders; and dyskinetic disorders such as Parkinson's disease, neuroleptic- induced parkinsonism, and tardive dyskinesias.
Compounds of formula (I) or pharmaceutically accepatble salts thereof may also be used as memory and/or cognition enhancers in healthy humans with no cognitive and/or memory deficit.
In another aspect, the invention provides a compound of formula (I) as hereinbefore described or a pharmaceutically acceptable salt thereof for use in the treatment of a psychotic disorder. In one embodiment, the invention provides a compound of formula (I) as hereinbefore described or a pharmaceutically acceptable salt thereof for use in the treatment of schizophrenia.
The invention also provides a compound of formula (I) as hereinbefore described or a pharmaceutically acceptable salt thereof for use in the treatment of cognitive impairment.
In another aspect, the invention provides the use of a compound of formula (I) as hereinbefore described or a pharmaceutically acceptable salt thereof in the manufacture of a medicament for the treatment of a condition wherein agonism of the M1 receptor would be beneficial.
In another aspect, the invention provides the use of a compound of formula (I) as hereinbefore described or a pharmaceutically acceptable salt thereof in the manufacture of a medicament for the treatment of a psychotic disorder. In one embodiment, the invention provides the use of a compound of formula (I) as hereinbefore described or a pharmaceutically acceptable salt thereof in the manufacture of a medicament for the treatment of schizophrenia.
In another aspect, the invention provides a compound of formula (I) as hereinbefore described or a pharmaceutically acceptable salt thereof in the treatment of a psychotic disorder. In one embodiment, the invention provides a compound of formula (I) as hereinbefore described or a pharmaceutically acceptable salt thereof for the treatment of schizophrenia.
The invention also provides the use of a compound of formula (I) as hereinbefore described or a pharmaceutically acceptable salt thereof in the manufacture of a medicament for the treatment of cognitive impairment.
The invention also provides a compound of formula (I) as hereinbefore described or a pharmaceutically acceptable salt thereof for the treatment of cognitive impairment.
In another aspect, the invention provides a method of treating a condition where agonism of the M1 receptor would be beneficial, which comprises administering to a mammal in need thereof an effective amount of a compound of formula (I) as hereinbefore described or a pharmaceutically acceptable salt thereof. In one embodiment, the mammal is a human.
In another aspect, the invention provides a method of treating a psychotic disorder which comprises administering to a mammal in need thereof an effective amount of a compound of formula (I) as hereinbefore described or a pharmaceutically acceptable salt thereof. In one embodiment, the invention provides a method of treating schizophrenia, which comprises administering to a mammal in need thereof an effective amount of a compound of formula (I) as hereinbefore described or a pharmaceutically acceptable salt thereof. In one embodiment, the mammal is a human.
The invention also provides a method of treating cognitive impairment, which comprises administering to a mammal in need thereof an effective amount of a compound of formula (I) as hereinbefore described or a pharmaceutically acceptable salt thereof. In one embodiment, the mammal is a human.
The compounds of formula (I) and pharmaceutically acceptable salts thereof may also be suitable for combination with other actives, such as typical and atypical antipsychotics, mood stabilisers, antidepressants, anxiolytics, drugs for extrapyrimidal side effects and cognitive enhancers to provide improved treatment of psychotic disorders.
The combination therapies of the invention are, for example, administered adjunctively. By adjunctive administration is meant the coterminous or overlapping administration of each of the components in the form of separate pharmaceutical compositions or devices. This regime of therapeutic administration of two or more therapeutic agents is referred to generally by those skilled in the art and herein as adjunctive therapeutic administration; it is also known as add-on therapeutic administration. Any and all treatment regimes in which a patient receives separate but coterminous or overlapping therapeutic administration of the compounds of formula (I) or a pharmaceutically acceptable salt thereof and at least one antipsychotic agent, a mood stabiliser, an antidepressant, an anxiolytic, a drug for extrapyrimidal side effects or a cognitive enhancer are within the scope of the current invention. In one embodiment of adjunctive therapeutic administration as described herein, a patient is typically stabilised on a therapeutic administration of one or more of the components for a period of time and then receives administration of another component. The compounds of formula (I) or a pharmaceutically acceptable salt thereof may be administered as adjunctive therapeutic treatment to patients who are receiving administration of at least one antipsychotic agent, a mood stabiliser, an antidepressant, an anxiolytic, a drug
for extrapyrimidal side effects or a cognitive enhancer, but the scope of the invention also includes the adjunctive therapeutic administration of at least one antipsychotic agent, a mood stabiliser, an antidepressant, an anxiolytic, a drug for extrapyrimidal side effects or a cognitive enhancer to patients who are receiving administration of compounds of formula (I) or a pharmaceutically acceptable salt thereof.
The combination therapies of the invention may also be administered simultaneously. By simultaneous administration is meant a treatment regime wherein the individual components are administered together, either in the form of a single pharmaceutical composition or device comprising or containing both components, or as separate compositions or devices, each comprising one of the components, administered simultaneously. Such combinations of the separate individual components for simultaneous combination may be provided in the form of a kit-of-parts.
In a further aspect therefore, the invention provides a method of treatment of a psychotic disorder by adjunctive therapeutic administration of compounds of formula (I) or a pharmaceutically acceptable salt thereof to a patient receiving therapeutic administration of at least one antipsychotic agent. In a further aspect, the invention provides the use of compounds of formula (I) or a pharmaceutically acceptable salt thereof in the manufacture of a medicament for adjunctive therapeutic administration for the treatment of a psychotic disorder in a patient receiving therapeutic administration of at least one antipsychotic agent. In a further aspect, the invention provides compounds of formula (I) or a pharmaceutically acceptable salt thereof for adjunctive therapeutic administration for the treatment of a psychotic disorder in a patient receiving therapeutic administration of at least one antipsychotic agent. The invention further provides compounds of formula (I) or a pharmaceutically acceptable salt thereof for use for adjunctive therapeutic administration for the treatment of a psychotic disorder in a patient receiving therapeutic administration of at least one antipsychotic agent.
In a further aspect, the invention provides a method of treatment of a psychotic disorder by adjunctive therapeutic administration of at least one antipsychotic agent to a patient receiving therapeutic administration of compounds of formula (I) or a pharmaceutically acceptable salt thereof. In a further aspect, the invention provides the use of at least one antipsychotic agent in the manufacture of a medicament for adjunctive therapeutic administration for the treatment of a psychotic disorder in a patient receiving therapeutic administration of compounds of formula (I) or a pharmaceutically acceptable salt thereof. In a further aspect, the invention provides at least one antipsychotic agent for adjunctive therapeutic administration for the treatment of a psychotic disorder in a pateient recieving therapeutic administration of compounds of formula (I) or a pharmaceutically acceptable salt thereof. The invention further provides at least one antipsychotic agent for adjunctive therapeutic administration for the treatment of a psychotic disorder in a patient receiving therapeutic administration of compounds of formula (I) or a pharmaceutically acceptable salt thereof.
In a further aspect, the invention provides a method of treatment of a psychotic disorder by simultaneous therapeutic administration of compounds of formula (I) or a pharmaceutically acceptable salt thereof in combination with at least one antipsychotic agent. The invention further provides the use of a combination of compounds of formula (I) or a pharmaceutically acceptable salt thereof and at least one antipsychotic agent in the manufacture of a medicament for simultaneous therapeutic administration in the treatment of a psychotic disorder. The invention further provides a combination of compounds of formula (I) or a pharmaceutically acceptable salt thereof and at least one antipsycotic agent for simultaneous therapeutic administration in the treatment of a psychotic disorder. The invention further provides the use of compounds of formula (I) or a pharmaceutically acceptable salt thereof in the manufacture of a medicament for simultaneous therapeutic administration with at least one antipsychotic agent in the treatment of a psychotic disorder. The invention further provides compounds of formula (I) or a pharmaceutically acceptable salt thereof for use for simultaneous therapeutic administration with at least one antipsychotic agent in the treatment of a psychotic disorder. The invention further provides the use of at least one antipsychotic agent in the manufacture of a medicament for simultaneous therapeutic administration with compounds of formula (I) or a pharmaceutically acceptable salt thereof in the treatment of a psychotic disorder. The invention further provides at least one antipsychotic agent for simultaneous therapeutic administration with compounds of formula (I) or a pharmaceutically acceptable salt thereof in the treatment of a psychotic disorder.
In a further aspect, the invention provides a kit-of-parts for use in the treatment of a psychotic disorder comprising a first dosage form comprising compounds of formula (I) or a pharmaceutically acceptable salt thereof and one or more further dosage forms each comprising an antipsychotic agent for simultaneous therapeutic administration.
In another aspect, the invention provides a method of treatment of a psychotic disorder by adjunctive therapeutic administration of a compound of the present invention to a patient receiving therapeutic administration of an active ingredient selected from the group consisting of: a mood stabiliser, an antidepressant, an anxiolytic, a drug for extrapyrimidal side effects and a cognitive enhancer.
In a further aspect, the invention provides the use of a compound of the present invention in the manufacture of a medicament for adjunctive therapeutic administration for the treatment of a psychotic disorder in a patient receiving therapeutic administration of an active ingredient selected from the group consisting of: a mood stabiliser, an antidepressant, an anxiolytic, a drug for extrapyrimidal side effects and a cognitive enhancer.
The invention also provides a compound of the present invention for adjunctive therapeutic administration for the treatment of a psychotic disorder in a patient receiving therapeutic administration of an active ingredient selected from the group consisting of: a mood
stabiliser, an antidepressant, an anxiolytic, a drug for extrapyrimidal side effects and a cognitive enhancer.
The invention also provides the use of a compound of the present invention in adjunctive therapeutic administration for the treatment of a psychotic disorder in a patient receiving therapeutic administration of an active ingredient selected from the group consisting of: a mood stabiliser, an antidepressant, an anxiolytic, a drug for extrapyrimidal side effects and a cognitive enhancer.
The invention further provides the use of a compound of the present invention for use for adjunctive therapeutic administration for the treatment of a psychotic disorder in a patient receiving therapeutic administration of an active ingredient selected from the group consisting of: a mood stabiliser, an antidepressant, an anxiolytic, a drug for extrapyrimidal side effects and a cognitive enhancer.
In a further aspect, the invention provides a method of treatment of a psychotic disorder by adjunctive therapeutic administration of an active ingredient selected from the group consisting of: a mood stabiliser, an antidepressant, an anxiolytic, a drug for extrapyrimidal side effects and a cognitive enhancer to a patient receiving therapeutic administration of a compound of the present invention.
In a further aspect, the invention provides the use of an active ingredient selected from the group consisting of: a mood stabiliser, an antidepressant, an anxiolytic, a drug for extrapyrimidal side effects and a cognitive enhancer in the manufacture of a medicament for adjunctive therapeutic administration for the treatment of a psychotic disorder in a patient receiving therapeutic administration of a compound of the present invention.
The invention also provides an active ingredient selected from the group consisting of: a mood stabiliser, an antidepressant, an anxiolytic, a drug for extrapyrimidal side effects and a cognitive enhancer for adjunctive therapeutic administration for the treatment of a psychotic disorder in a patient receiving therapeutic administration of a compound of the present invention
The invention also provides the use of an active ingredient selected from the group consisting of: a mood stabiliser, an antidepressant, an anxiolytic, a drug for extrapyrimidal side effects and a cognitive enhancer for adjunctive therapeutic administration for the treatment of a psychotic disorder in a patient receiving therapeutic administration of a compound of the present invention
In a further aspect, the invention provides a method of treatment of a psychotic disorder by simultaneous therapeutic administration of a compound of the present invention in combination with an active ingredient selected from the group consisting of: a mood
stabiliser, an antidepressant, an anxiolytic, a drug for extrapyrimidal side effects and a cognitive enhancer.
The invention further provides the use of a combination of a compound of the present invention and an active ingredient selected from the group consisting of: a mood stabiliser, an antidepressant, an anxiolytic, a drug for extrapyrimidal side effects and a cognitive enhancer in the manufacture of a medicament for simultaneous therapeutic administration in the treatment of a psychotic disorder.
The invention further provides a combination of a compound of the present invention and an active ingredient selected from the group consisting of: a mood stabiliser, an antidepressant, an anxiolytic, a drug for extrapyrimidal side effects and a cognitive enhancer for simultaneous therapeutic administration for the treatment of a psychotic disorder.
The invention further provides the use of a combination of a compound of the present invention and an active ingredient selected from the group consisting of: a mood stabiliser, an antidepressant, an anxiolytic, a drug for extrapyrimidal side effects and a cognitive enhancer for simultaneous therapeutic administration in the treatment of a psychotic disorder.
The invention further provides the use of a compound of the present invention in the manufacture of a medicament for simultaneous therapeutic administration with an active ingredient selected from the group consisting of: a mood stabiliser, an antidepressant, an anxiolytic, a drug for extrapyrimidal side effects and a cognitive enhancer in the treatment of a psychotic disorder.
The invention further provides a compound of the present invention for simultaneous therapeutic administration with an active ingredient selected from the group consisting of: a mood stabiliser, an antidepressant, an anxiolytic, a drug for extrapyrimidal side effects and a cognitive enhancer for the treatment of a psychotic disorder.
The invention further provides the use of a compound of the present invention for simultaneous therapeutic administration with an active ingredient selected from the group consisting of: a mood stabiliser, an antidepressant, an anxiolytic, a drug for extrapyrimidal side effects and a cognitive enhancer in the treatment of a psychotic disorder.
The invention further provides a compound of the present invention for use for simultaneous therapeutic administration with an active ingredient selected from the group consisting of: a mood stabiliser, an antidepressant, an anxiolytic, a drug for extrapyrimidal side effects and a cognitive enhancer in the treatment of a psychotic disorder.
The invention further provides the use of an active ingredient selected from the group consisting of: a mood stabiliser, an antidepressant, an anxiolytic, a drug for extrapyrimidal side effects and a cognitive enhancer in the manufacture of a medicament for simultaneous therapeutic administration with a compound of the present invention in the treatment of a psychotic disorder.
The invention further provides an active ingredient selected from the group consisting of: a mood stabiliser, an antidepressant, an anxiolytic, a drug for extrapyrimidal side effects and a cognitive enhancer for simultaneous therapeutic administration with a compound of the present invention for the treatment of a psychotic disorder.
The invention further provides the use of an active ingredient selected from the group consisting of: a mood stabiliser, an antidepressant, an anxiolytic, a drug for extrapyrimidal side effects and a cognitive enhancer for simultaneous therapeutic administration with a compound of the present invention in the treatment of a psychotic disorder.
In a further aspect, the invention provides a kit-of-parts for use in the treatment of a psychotic disorder comprising a first dosage form comprising a compound of the present invention and one or more further dosage forms each comprising an active ingredient selected from the group consisting of: a mood stabiliser, an antidepressant, an anxiolytic, a drug for extrapyrimidal side effects and a cognitive enhancer for simultaneous therapeutic administration.
In one embodiment, the patient is a human.
Examples of antipsychotic drugs that may be useful in the present invention include, but are not limited to: sodium channel blockers; mixed 5HT/dopamine receptor antagonists; mGluR5 positive modulators; D3 antagonists; 5HT6 angatonists; nicotinic alpha-7 modulators; glycine transporter GIyTI inhibitors; D2 partial agonist/D3 antanogist/H3 antagonists; AMPA modulators; NK3 antagonists such as osanetant and talnetant; an atypical antipsychotic, for example clozapine, olanzapine, risperidone, quetiapine, aripirazole, ziprasidone and amisulpride; butyrophenones, such as haloperidol, pimozide, and droperidol; phenothiazines, such as chlorpromazine, thioridazine, mesoridazine, trifluoperazine, perphenazine, fluphenazine, thiflupromazine, prochlorperazine, and acetophenazine; thioxanthenes, such as thiothixene and chlorprothixene; thienobenzodiazepines; dibenzodiazepines; benzisoxazoles; dibenzothiazepines; imidazolidinones; benzisothiazolyl-piperazines; triazine such as lamotrigine; dibenzoxazepines, such as loxapine; dihydroindolones, such as molindone; aripiprazole; and derivatives thereof that have antipsychotic activity.
Examples of tradenames and suppliers of selected antipsychotic drugs that may be suitable for use in the present invention are as follows : clozapine (available under the tradename CLOZARIL®, from Mylan, Zenith Goldline, UDL, Novartis); olanzapine (available under the
tradename ZYPREXA®, from Lilly); ziprasidone (available under the tradename GEODON®, from Pfizer); risperidone (available under the tradename RISPERDAL®, from Janssen); quetiapine fumarate (available under the tradename SEROQUEL®, from AstraZeneca); sertindole (available under the tradename SERLECT®); amisulpride (available under the tradename SOLION®, from Sanofi-Synthelabo); haloperidol (available under the tradename HALDOL®, from Ortho-McNeil); haloperidol decanoate (available under the tradename HALDOL decanoate®); haloperidol lactate (available under the tradenames HALDOL® and INTENSOL®); chlorpromazine (available under the tradename THORAZINE®, from SmithKline Beecham (GSK)); fluphenazine (available under the tradename PROLIXIN®, from Apothecon, Copley, Schering, Teva, and American Pharmaceutical Partners, Pasadena); fluphenazine decanoate (available under the tradename PROLIXIN decanoate®); fluphenazine enanthate (available under the tradename PROLIXIN®); fluphenazine hydrochloride (available under the tradename PROLIXIN®); thiothixene (available under the tradename NAVANE®, from Pfizer); thiothixene hydrochloride (available under the tradename NAVANE®); trifluoperazine (10-[3-(4-methyl-1-piperazinyl)propyl]-2- (trifluoromethyl)phenothiazine dihydrochloride, available under the tradename STELAZINE®, from SmithKline Beckman); perphenazine (available under the tradename TRILAFON®, from Schering); perphenazine and amitriptyline hydrochloride (available under the tradename ETRAFON TRILAFON®); thioridazine (available under the tradename MELLARIL®; from Novartis, Roxane, HiTech, Teva, and Alpharma); molindone (available under the tradename MOBAN®, from Endo); molindone hydrochloride (available under the tradename MOBAN®); loxapine (available under the tradename LOXITANE®; from Watson); loxapine hydrochloride (available under the tradename LOXITANE®); and loxapine succinate (available under the tradename LOXITANE®). Furthermore, benperidol (Glianimon®), perazine (Taxilan®) or melperone (Eunerpan®)) may be used.
Other suitable antipsychotic drugs include promazine (available under the tradename SPARINE®), triflurpromazine (available under the tradename VESPRIN®), chlorprothixene (available under the tradename TARACTAN®), droperidol (available under the tradename INAPSINE®), acetophenazine (available under the tradename TINDAL®;), prochlorperazine (available under the tradename COMPAZINE®), methotrimeprazine (available under the tradename NOZINAN®), pipotiazine (available under the tradename PIPOTRIL®), iloperidone, pimozide and flupenthixol.
The antipsychotic drugs listed above by Tradename may also be available from other suppliers under a different Tradename.
In one further aspect of the invention, suitable antipsychotic agents include olanzapine, risperidone, quetiapine, amisulpride, aripiprazole, haloperidol, clozapine, olanzepine, ziprasidone, talnetant and osanetant.
Mood stabilisers which may be used in the therapy of the present invention include lithium, sodium valproate/valproic acid/divalproex, carbamazepine, lamotrigine, gabapentin, topiramate, oxcarbazepine and tiagabine.
Antidepressant drugs which may be used in the therapy of the present invention include serotonin antagonists, CRF-1 antagonists, Cox-2 inhibitor/SSRI dual antagonists; dopamine/noradrenaline/serotonin triple reuptake inhibitors; NK1 antagonists; NK1 and NK2 dual antagonists; NK1/SSRI dual antagonists; NK2 antagonists; serotonin agonists (such as rauwolscine, yohimbine and metoclopramide); serotonin reuptake inhibitors (such as citalopram, escitalopram, fluoxetine, fluvoxamine, femoxetine, indalpine, zimeldine, paroxetine and sertraline); dual serotonin/noradrenaline reuptake inhibitors (such as venlafaxine, reboxetine, duloxetine and milnacipran); Noradrenaline reuptake inhibitors (such as reboxetine); tricyclic antidepressants (such as amitriptyline, clomipramine, imipramine, maprotiline, nortriptyline and trimipramine); monoamine oxidase inhibitors (such as isocarboxazide, moclobemide, phenelzine and tranylcypromine); 5HT3 antagonists (such as example ondansetron and granisetron); and others (such as bupropion, amineptine, radafaxine, mianserin, mirtazapine, nefazodone and trazodone).
Anxiolytics which may be used in the therapy of the present invention include V1 b antagonists, 5HT7 antagonists and benzodiazepines such as alprazolam and lorazepam.
Drugs for extrapyramidal side effects which may be used in the therapy of the present invention include anticholinergics (such as benztropine, biperiden, procyclidine and trihexyphenidyl), antihistamines (such as diphenhydramine) and dopaminergics (such as amantadine).
Cognitive enhancers which may be used in the therapy of the present invention include example cholinesterase inhibitors (such as tacrine, donepezil, rivastigmine and galantamine), H3 antagonists and muscarinic M1 agonists (such as cevimeline).
For use in medicine, the compounds of the present invention are usually administered as a standard pharmaceutical composition. The present invention therefore provides in a further aspect a pharmaceutical composition comprising a compound of formula (I) as hereinbefore described or a pharmaceutically acceptable salt thereof and a pharmaceutically acceptable carrier. The pharmaceutical composition can be for use in the treatment of any of the conditions described herein. In a further aspect, the invention provides a process for preparing a pharmaceutical composition, the process comprising mixing a compound of formula (I) as hereinbefore described or a pharmaceutically acceptable salt thereof and one or more pharmaceutically acceptable carriers. In a further aspect, the invention provides a pharmaceutical composition comprising a compound of formula (I) as hereinbefore described or a pharmaceutically acceptable salt thereof in combination with at least 1 antipsychotic, and one or more pharmaceutically acceptable carriers. In a further aspect, the invention
provides a process for preparing a pharmaceutical composition, the process comprising mixing a compound of formula (I) as hereinbefore described or a pharmaceutically acceptable salt thereof, at least 1 antipsychotic, and one or more pharmaceutically acceptable carriers.
The compounds of the invention may be administered by any convenient method, for example by oral, parenteral (e.g. intravenous), buccal, sublingual, nasal, rectal or transdermal administration and the pharmaceutical compositions adapted accordingly.
The compounds of the invention which are active when given orally can be formulated as liquids or solids, for example syrups, suspensions or emulsions, tablets, capsules and lozenges.
A liquid formulation will generally consist of a suspension or solution of the compound or salt in a suitable liquid carrier(s) for example an aqueous solvent such as water, ethanol or glycerine, or a non-aqueous solvent, such as polyethylene glycol or an oil. The formulation may also contain a suspending agent, preservative, flavouring or colouring agent.
A composition in the form of a tablet can be prepared using any suitable pharmaceutical carrier(s) routinely used for preparing solid formulations. Examples of such carriers include magnesium stearate, starch, lactose, sucrose and cellulose.
A composition in the form of a capsule can be prepared using routine encapsulation procedures. For example, pellets containing the active ingredient can be prepared using standard carriers and then filled into a hard gelatin capsule; alternatively, a dispersion or suspension can be prepared using any suitable pharmaceutical carrier(s), for example aqueous gums, celluloses, silicates or oils and the dispersion or suspension then filled into a soft gelatin capsule.
Typical parenteral compositions consist of a solution or suspension of the compound or salt in a sterile aqueous carrier or parenterally acceptable oil, for example polyethylene glycol, polyvinyl pyrrolidone, lecithin, arachis oil or sesame oil. Alternatively, the solution can be lyophilised and then reconstituted with a suitable solvent just prior to administration.
Compositions for nasal administration may conveniently be formulated as aerosols, drops, gels and powders. Aerosol formulations typically comprise a solution or fine suspension of the active substance in a pharmaceutically acceptable aqueous or non-aqueous solvent and are usually presented in single or multidose quantities in sterile form in a sealed container, which can take the form of a cartridge or refill for use with an atomising device. Alternatively the sealed container may be a unitary dispensing device such as a single dose nasal inhaler or an aerosol dispenser fitted with a metering valve which is intended for disposal once the contents of the container have been exhausted. Where the dosage form comprises an
aerosol dispenser, it will contain a propellant which can be a compressed gas such as compressed air or an organic propellant such as a fluorochlorohydrocarbon. The aerosol dosage forms can also take the form of a pump-atomiser.
Compositions suitable for buccal or sublingual administration include tablets, lozenges and pastilles, wherein the active ingredient is formulated with a carrier such as sugar and acacia, tragacanth, or gelatin and glycerin.
Compositions for rectal administration are conveniently in the form of suppositories containing a conventional suppository base such as cocoa butter.
Compositions suitable for transdermal administration include ointments, gels and patches. The composition may be in unit dose form such as a tablet, capsule or ampoule.
Each dosage unit for oral administration contains, for example, from 1 to 250 mg (and for parenteral administration contains, for example, from 0.1 to 25 mg) of a compound of the formula (I) or a pharmaceutically acceptable salt thereof calculated as the free base.
It will be appreciated that the precise dose administered will depend on the age and condition of the patient and the frequency and route of administration and will be at the ultimate discretion of the attendant physician.
The antipsychotic agent component or components used in the adjunctive therapy of the present invention may also be administered in their basic or acidic forms as appropriate or, where appropriate, in the form of a pharmaceutically acceptable salt or other derivative. All solvates and all alternative physical forms of the antipsychotic agent or agents or their salts or derivatives as described herein, including but not limited to alternative crystalline forms, amorphous forms and polymorphs, are also within the scope of this invention. In the case of the antipsychotic agent or agents, the forms and derivatives are, for example, those which are approved for therapeutic administration as monotherapies, including those mentioned above, but all references to antipsychotic agents herein include all salts or other derivatives thereof, and all solvates and alternative physical forms thereof.
For adjunctive therapeutic administration according to the invention, compounds of formula (I) or pharmaceutically acceptable salts thereof and the antipsychotic agent or agents or their salts, derivatives or solvates may each be administered in pure form, but each of the components will, for example, be formulated into any suitable pharmaceutically acceptable and effective composition which provides effective levels of the respective component in the body. The choice of the most appropriate pharmaceutical compositions for each component is within the skill of the art, and may be the same form or different forms for each of the components. Suitable formulations include, but are not limited to tablets, capsules, powders,
granules, lozenges, suppositories, reconstitutable powders, or liquid preparations such as oral or sterile parenteral solutions or suspensions.
For simultaneous administration as a combined composition of compounds of formula (I) and the antipsychotic agent or agents according to the invention, compounds of formula (I) or their pharmaceutically acceptable salts and the antipsychotic agent or agents and their salts, derivatives or solvates may be administered together in pure form, but the combined components will, for example, be formulated into any suitable pharmaceutically acceptable and effective composition which provides effective levels of each of the components in the body. The choice of the most appropriate pharmaceutical compositions for the combined components is within the skill of the art. Suitable formulations include, but are not limited to tablets, sub-lingual tablets, buccal compositions, capsules, powders, granules, lozenges, suppositories, reconstitutable powders, or liquid preparations such as oral or sterile parenteral solutions or suspensions.
In order to obtain consistency of adjunctive administration, the compositions of each of the components, or of the combination of the components is, for example, in the form of a unit dose.
The term "treatment" includes prophylaxis, where this is appropriate for the relevant condition(s).
Biological Test Methods
FLIPR experiments on M^ receptor to determine agonist/antagonist potency Assay A
Compounds of the invention were characterized in a functional assay to determine their ability to activate the intracellular calcium pathway in CHO cells with stable expression of human muscarinic receptors using FLIPR (Fluorometric Imaging Plate Reader) technology. Briefly, CHO-M1 cells were plated (20,000/well) and allowed to grow overnight at 37 degrees. Media was removed and 30μL loading buffer (HBSS with 2OmM HEPES, pH 7.4) containing FLIPR Calcium 3 dye (Molecular Devices Co., Sunnyvale, CA) was added according to manufacturer's instructions. After incubation at 37 degrees for 45-60 minutes, 10μL of the assay buffer (HBSS with 2OmM HEPES and 2.5 mM probenecid, pH 7.4) containing test compounds was added to each well on FLIPR instrument. Calcium response was monitored to determine agonism. Plates were then incubated for another 30 minutes before 10μL of assay buffer containing acetylcholine was added at an EC8O, as the agonist challenge. Calcium response was then monitored again to determine compound's antagonism to acetylcholine. Concentration-response curves of both agonism and antagonism on M1 receptors were performed for each compound. Results were imported into ActivityBase data analysis suite (ID Business Solution Inc., Parsippany, NJ) where the curves were analysed by non-linear curve fitting and the resulting pEC5o/plC5o were
calculated. The intrinsic activities of agonist compounds were calculated as percentage of maximum FLIPR response induced by acetylcholine (ie using acetylcholine at EC10O as the control).
Assay B
Compounds of the invention were characterized in a functional assay to determine their ability to activate the intracellular calcium pathway in CHO cells with stable expression of human muscarinic receptors using FLIPR (Fluorometric Imaging Plate Reader) technology. Briefly, CH0-M1 cells were plated (15,000/well) and allowed to grow overnight at 37 degrees. Media was removed and 30μL loading buffer (HBSS with 2.5mM probenicid, 2μM Fluo-4, 500μM Brilliant Black, pH 7.4) was added. After incubation at 37 degrees for 90 minutes, 10μL of the assay buffer (HBSS with 2.5 mM probenecid, pH 7.4) containing test compounds was added to each well on the FLIPR instrument. Calcium response was monitored to determine agonism. Plates were then incubated for another 30 minutes before 10μL of assay buffer containing acetylcholine was added at an EC80, as the agonist challenge. Calcium response was then monitored again to determine compound's antagonism to acetylcholine. Concentration-response curves of both agonism and antagonism on M1 receptors were performed for each compound. Results were imported into ActivityBase data analysis suite (ID Business Solution Inc., Parsippany, NJ) where the curves were analysed by non-linear curve fitting and the resulting pECso/fpK, were calculated. The intrinsic activities of agonist compounds were calculated as percentage of maximum FLIPR response induced by acetylcholine added as control on the same compound plates, and converted to a fraction between 0 and 1 (i.e. calculated using a 100% max response from a fitted acetylcholine standard curve, containing multiple concentrations, as control).
The example compounds below were tested in one or both of the above assays and were each found to have an average pEC50 value of > 6.0 at the muscarinic M1 receptor, and intrinsic activity > 50%.
FLIPR experiments on M1 receptor to determine agonist intrinsic activity Assay A
To determine the intrinsic activities of M1 agonist compounds, compounds of the invention were characterized in FLIPR experiments on U2OS cells with transient expression of human muscarinic M1 receptors. Briefly, U2OS cells were transduced with M1 BacMam virus (Ames, R S; Fornwald, J A; Nuthulaganti, P; Trill, J J; Foley, J J; Buckley, P T; Kost, T A; Wu, Z and Romanos, M A. (2004) Use of BacMam recombinant baculoviruses to support G protein- coupled receptor drug discovery. Receptors and Channels 10 (3-4): 99-109) in 2x10e5/mL cell suspension with 0.1 % virus/cell ratio (v/v). The virus to cell ratio was determined in separate experiments by functional titration to be most appropriate to measure intrinsic activities of partial agonists. After mixing with virus in suspension, cells were then plated (10,000/well) and allowed to grow overnight at 37 degrees. FLIPR experiment was then carried out next day using the same protocol as described above for CHO-M1 cells. Results
were imported into ActivityBase data analysis suite where the curves were analysed by nonlinear curve fitting and the resulting pEC50 values were calculated. The intrinsic activities of agonist compounds were calculated as percentage of maximum FLIPR response induced by acetylcholine added as control on the same compound plates, and converted to a fraction between 0 and 1 (i.e. calculated using a 100% max response from a fitted acetylcholine standard curve, containing multiple concentrations, as control).
Assay B
To determine the intrinsic activities of M1 agonist compounds, compounds of the invention were characterized in FLIPR experiments on CHO cells with transient expression of human muscarinic M1 receptors. Briefly, CHO cells were transduced with M1 BacMam virus (Ames, R S; Fornwald, J A; Nuthulaganti, P; Trill, J J; Foley, J J; Buckley, P T; Kost, T A; Wu, Z and Romanos, M A. (2004) Use of BacMam recombinant baculoviruses to support G protein- coupled receptor drug discovery. Receptors and Channels 10 (3-4): 99-109) at a multiplicity of infection of 6. The virus to cell ratio was determined in separate experiments by functional titration to be most appropriate to measure intrinsic activities of partial agonists. After mixing with virus in suspension, cells were then plated (15,000/well) and allowed to grow overnight at 37 degrees. Alternatively, cells were then frozen in 1 ml vials at a concentration of 4.8x10e7 cells/ml in 90% dialysed Foetal Bovine Serum, 10% DimethylSulphoxide at -140 degrees. Cells could then be thawed on the day prior to assay, plated (15,000/well) and allowed to grow overnight at 37 degrees.
The FLIPR experiment was carried out on the day following plating using the same protocol as described above for CHO-M1 cells. Results were imported into ActivityBase data analysis suite where the curves were analysed by non-linear curve fitting and the resulting pEC5o values were calculated. The intrinsic activities of agonist compounds were calculated as percentage of maximum FLIPR response induced by acetylcholine added as control on the same compound plates, and converted to a fraction between 0 and 1 (i.e. calculated using a 100% max response from a fitted acetylcholine standard curve, containing multiple concentrations, as control).
The example compounds below were tested in one or both of the above assays, and were each found to have an avearge pEC50 value of > 6.0 at the muscarinic M1 receptor, and intrinsic activity of greater than or equal to 0.3.
FLIPR experiments on M2^ receptor to determine receptor subtype selectivity
Assay A
To determine selectivity of compounds of the invention against other muscarinic receptor subtypes, compounds were characterized in FLIPR experiments in CHO cells with stable expression of human muscarinic receptors, M2, M3, M4 or M5. In the case of M2 and M4 receptors, chimeric G-protein Gqi5 was also co-expressed to couple receptors to the calcium signaling pathway. Briefly, cells were plated (20,000/well) and allowed to grow overnight at
37 degrees. FLIPR experiment was then carried out next day using the same protocol as described above for CH0-M1 cells. Results were imported into ActivityBase data analysis suite where the curves were analysed by non-linear curve fitting and the resulting pEC5o/plC5o values were calculated.
Assay B
To determine selectivity of compounds of the invention against other muscarinic receptor subtypes, compounds were characterized in FLIPR experiments in CHO cells with stable expression of human muscarinic receptors, M2, M3, M4 or M5. In the case of M2 and M4 receptors, chimeric G-protein Gqi5 was also co-expressed to couple receptors to the calcium signaling pathway. Briefly, cells were plated (15,000/well) and allowed to grow overnight at 37 degrees. The FLIPR experiment was then carried out on the next day using the same protocol as described above for CH0-M1 cells. Results were imported into ActivityBase data analysis suite where the curves were analysed by non-linear curve fitting and the resulting pECso/fpK, values were calculated.
The example compounds below were tested in one or both of the above assays and were found to be selective for the M1 receptor over M2, M3, M4 and M5 receptors, with typical selectivity (ratio of pEC5o's) of >10-fold, and in certain cases > 100-fold.
The invention is further illustrated by the following non-limiting examples. In the procedures that follow, after each starting material, reference to a Description by number is typically provided. This is provided merely for assistance to the skilled chemist.
The starting material may not necessarily have been prepared from the batch referred to.
SCX refers to a sulfonic acid ion exchange resin supplied by Varian. All reactions were either done under argon or can be done under argon, unless stated otherwise (for example hydrogenation reactions).
NMR spectra were run on either a Brucker DPX250A or DPX400B spectrometer at 250 or 400MHz frequency respectively at 295K and run as a dilute solution of d6-DMSO unless otherwise stated. All NMR spectra were referenced to tetramethylsilane (TMS δH 0, δC 0). All coupling constants are reported in hertz (Hz) and multiplicities are labelled s (singlet), bs (broad singlet), d (doublet), t (triplet), q (quartet), dd (doublet of doublets), dt (doublet of triplets) and m (multiplet).
Mass spectra were recorded on an Agilent 1 100 LCMS system using a Sunfire C18 3.5 micron reverse phase column eluted with acetonitrile - aqueous ammonium bicarbonate. Total ion current traces were obtained for electrospray positive and negative ionisation (ES+ / ES-) and/or atmospheric pressure chemical positive and negative ionisation (AP+ / AP-).
Abbreviations
Et2O diethyl ether
MeOH methanol
HPLC high performancy liquid chromatography
EtOH ethanol
DCM dichloromethane
DMSO dimethyl sulfoxide
Description 1. 8-Methyl-1,4-dioxaspiro[4.5]decan-8-ol (D1)
A solution of 1 ,4-dioxaspiro[4.5]decan-8-one (8.5g, 55mmole) in tetrahydrofuran (75ml) at - 120C under argon was treated dropwise over 10 minutes with a 1.6M solution of methyllithium in ether (45ml, 72mmole). The mixture was stirred at -120C under argon for 2 hours then quenched by addition of 1 M NH4CI solution (100ml) and the resulting mixture washed with water and extracted with ether (3 x 75ml). The combined extract was dried (Na2SO4) and concentrated under vacuum to leave a white solid. This was purified by chromatography on silica gel eluting with 10-40% ethyl acetate/hexane to afford the title compound (5.5g, 58%).
1H NMR δ (CDCI3, 400MHz): 1.27 (3H, s), 1.55-1.75 (7H, m), 1.83-1.95 (2H, m), 3.90-4..00 (4H, m).
Description 2. 8-Methyl-8-(methyloxy)-1 ,4-dioxaspiro[4.5]decane (D2)
A stirred suspension of sodium hydride (370mg of 60% oil dispersion, lOmmole) in tetrahydrofuran (100ml) at 450C under argon was treated with iodomethane (0.93ml, 15mmole) followed by dropwise addition over 1 hour of a solution of 8-methyl-1 ,4- dioxaspiro[4.5]decan-8-ol (D1 , 1.6g, 9.3mmole) in tetrahydrofuran. The mixture was stirred at 450C for 3 hours then quenched by the cautious addition of water (100ml). The resulting mixture was extracted with Et2O (3 x 50ml) and the combined extract dried (Na2SO4) and concentrated to afford the title compound as a colourless oil (1.7g, 98%). 1H NMR δ (CDCI3, 400MHz): 1.14 (3H, s), 1.48-1.62 (4H, m), 1.76-1.88 (4H, m), 3.18 (3H, s), 3.90-4.00 (4H, m).
A solution of 8-methyl-8-(methyloxy)-1 ,4-dioxaspiro[4.5]decane (D2, 1.7g, 9.1 mmole) in tetrahydrofuran (50ml) was treated with 5N HCI acid (50ml) and the mixture stirred under argon at room temperature for 1 hour. The mixture was extracted with Et2O and the extract dried (Na2SO4) and concentrated under vacuum to leave the crude title compound as a colourless oil (1.1g, 85%).
1H NMR δ (CDCI3, 400MHz): 1.24 (3H, s), 1.60-1.75 (2H, m), 2.08-2.23 (4H, m), 2.53-2.65 (2H, m), 3.29 (3H, s),
Description 4. cis/trans-1,1-Dimethylethyl {1 -[4-methyl-4-(methyloxy)cyclohexyl]-4- piperidinyl}carbamate (D4)
A mixture of 4-methyl-4-(methyloxy)cyclohexanone (D3, 600mg, 4.22mmole) and 1 ,1- dimethylethyl 4-piperidinylcarbamate (845mg, 4.22mmole) in dichloromethane (50ml) at room temperature under argon was treated with sodium triacetoxyborohydride (900mg, 4.25mmole) then stirred overnight at room temperature. A few drops of methanol were added, then the solution was washed with NaHCO3 solution and extracted with dichloromethane. The organic layer was isolated, dried (Na2SO4) and concentrated under vacuum. The residue was purified by chromatography on silica gel eluting with 0-20% of 0.4M ammonia in MeOH/dichloromethane to afford the title compound as a pale yellow solid (1g, 73%), as a mixture of isomers. 1H NMR δ (CDCI3, 400MHz): 1.10 and 1.20 (2 x s, together 3H), 1.15-1.30 (m), 1.30-2.00 (m), 2.18-2.40 (3H, m), 2.90 (2H, br d), 3.15 and 3.22 (2 x s, together 3H), 3.38-3.52 (1 H, m), 4.40-4.50 (1 H, br m).
Description 5. cis/trans-1 -[4-Methyl-4-(methyloxy)cyclohexyl]-4-piperidinamine dihydrochloride (D5)
A solution of cis/trans-1 , 1-dimethylethyl {1-[4-methyl-4-(methyloxy)cyclohexyl]-4- piperidinyl}carbamate (D4, 1 g, 3.06mmole) in dichloromethane (15ml) was treated with 1 M
HCI/Et2O (35ml) and stirred under argon at room temperature for 5 hours. The white solid
formed was filtered off, washed with Et2O and dried overnight at 5O0C under vacuum to afford the title compound (730mg, 80%), as a mixture of isomers.
1H NMR δ (de-DMSO, 400MHz): 1.05 and 1.47 (2 x s, together 3H), 1.20-1.45 (m), 1.50-1.65 (m), 1.72-1.92 (m), 1.92-2.30 (m), 2.95-3.20 (m), 3.07 and 3.1 1 (2 x s together 3H), 3.20-3.60 (m), 8.34 and 8.46 (2 x br s, together 3H), 10.42 and 10.60 (2 x br s, together 1 H).
Description 6. cis and trans-1 -[4-Methyl-4-(methyloxy)cyclohexyl]-Λ/-(5-methyl-2- nitrophenyl)-4-piperidinamine (D6a = Isomer 1 ; D6b = Isomer 2)
A mixture of 3-fluoro-4-nitrotoluene (320mg, 2.06mmole) and cis/trans-1-[4-methyl-4- (methyloxy)cyclohexyl]-4-piperidinamine dihydrochloride (D5, 610mg, 2mmole) in dimethylformamide (20ml) was treated with diisopropylethylamine and heated with stirring at 9O0C for 24 hours. The mixture was washed with NaHCO3 solution and extracted with dichloromethane. The extract was dried (Na2SO4) and concentrated. The residue was dissolved in dichloromethane and loaded onto an SCX cartridge and washed with dichloromethane (20ml), then with MeOH (15ml), then eluted with 2M NH3/MeOH (25ml) to remove the product (490mg of cis/trans mixture). Attempted separation of isomers by various chromatography conditions was only partially successful. A 210mg sample was eventually separated by preparative HPLC to afford 78mg of first eluting compound (>98% purity) = Isomer 1 (D6a) and 78mg of the second eluting compound (>98% purity) = Isomer 2 (D6b). Isomer 1 (D6a): 1H NMR δ (CDCI3, 500MHz): 1.19 (3H, s), 1.46 (4H, m), 1.68 (2H, m), 1.78 (2H, m), 1.85 (2H, br d), 2.10 (2H, br d), 2.34 (4H, s + m), 2.43 (2H, br), 2.94 (2H, br d), 3.23 (3H, s), 3.57 (1 H, br m), 6.43 (1 H, d), 6.62 (1 H, s), 8.06 (1 H, d), 8.20 (1 H, br d).
Isomer 2 (D6b): 1H NMR δ (CDCI3, 500MHz): 1.10 (3H, s), 1.25 (2H, m), 1.61 (4H, m), 1.67 (2H, m), 1.91 (2H, m), 2.09 (2H, br d), 2.33 (4H, s + m), 2.49 (2H, m), 2.89 (2H, m), 3.16 (3H, s), 3.55 (1 H, br m), 6.42 (1 H, d), 6.62 (1 H, s), 8.06 (1 H, d), 8.19 (1 H, d). NMR spectra were consistent with structure but it was not possible to determine relative stereochemistry.
Description 7. (2-Amino-5-methylphenyl){1 -[4-methyl-4-(methyloxy)cyclohexyl]-4- piperidinyl}amine - isomer 1 (D7)
isomer 1 (D7)
A stirred solution of 1-[4-methyl-4-(methyloxy)cyclohexyl]-Λ/-(5-methyl-2-nitrophenyl)-4- piperidinamine - Isomer 1 (D6a, 78mg, 0.22mmole) in EtOH (20ml) at room temperature under argon was treated with Raney Nickel (20mg) and dropwise addition of hydrazine hydrate (0.2ml, 6.22mmole) and maintained for 1 hour. The solution was filtered through Kieselguhr and concentrated under vacuum to afford the title compound as a colourless oil (60mg, 82%). MH+ 332.
Description 8. (2-Amino-5-methylphenyl){1 -[4-methyl-4-(methyloxy)cyclohexyl]-4- piperidinyl}amine - isomer 2 (D8)
A stirred solution of 1-[4-methyl-4-(methyloxy)cyclohexyl]-Λ/-(5-methyl-2-nitrophenyl)-4- piperidinamine - Isomer 2 (D6b, 78mg, 0.22mmole) in EtOH (20ml) at room temperature under argon was treated with Raney Nickel (20mg) and dropwise addition of hydrazine hydrate (0.2ml) and maintained for 1 hour. The solution was filtered through Kieselguhr and concentrated under vacuum to afford the title compound as a colourless oil (60mg, 82%). MH+ 332.
Description 9. 8-(4-{[(1,1-Dimethylethyl)(dimethyl)silyl]oxy}-1 -butyn-1-yl)-1,4- dioxaspiro[4.5]decan-8-ol (D9)
To a cooled solution of (3-butyn-1-yloxy)(1 ,1-dimethylethyl)dimethylsilane (0.727ml, 3.52mmole) in tetrahydrofuran (10ml) was added n-butyllithium (1.6M, 2.2ml). The colourless solution was cooled to -780C and stirred for 2 hours then allowed to warm to -1O0C. A solution of 1 ,4-dioxaspiro[4.5]decan-8-one (0.5g, 3.20mmole) in tetrahydrofuran (20ml) was added and the colourless solution was allowed to stir at -2O0C for 3 hours and then warmed to room temperature overnight. The mixture was poured into sat. NH4CI solution (15ml) and extracted with ethyl acetate (2x15ml). The combined organic extract was washed with water (15ml) and brine (15ml), then dried over MgSO4 and concentrated under reduced pressure. The residue was purified by chromatography on silica gel eluting with 0-50% ethyl acetate/hexane to afford the title compound as a colourless oil (0.626g, 57%). [M-OH]+ 323.
Description 10. 8-(4-{[(1 ,1 -Dimethylethyl)(dimethyl)silyl]oxy}butyl)-1 ,4- dioxaspiro[4.5]decan-8-ol (D10)
To a clear solution of 8-(4-{[(1 , 1 -dimethylethyl)(dimethyl)silyl]oxy}-1 -butyn-1 -yl)-1 ,4- dioxaspiro[4.5]decan-8-ol (D9, 0.62g, 1.82mmole) in EtOH (8ml) was added ammonium formate (0.7g) followed by Pd/C (0.12g). The resultant mixture was allowed to gently effervesce for 1.5 hours, warming to 7O0C periodically when the effervescence stopped. It was then cooled and filtered through celite washing with EtOH (80ml). The filtrate was concentrated under reduced pressure to yield the title compound as a colourless oil (0.602g, 96%). MH+ 345.
Description 11. 8-(4-Hydroxybutyl)-1,4-dioxaspiro[4.5]decan-8-ol (D11)
To a solution of 8-(4-{[(1 ,1-dimethylethyl)(dimethyl)silyl]oxy}butyl)-1 ,4-dioxaspiro[4.5]decan- 8-ol (D10, 0.6g, 1.74mmole) in tetrahydrofuran (10ml) was added tetrabutylammonium fluoride (1 M in THF, 3.5ml). The pale yellow solution was allowed to stir at room temperature for 5 days, then concentrated under reduced pressure and purified by chromatography on silica gel eluting with ethyl acetate to yield the title compound (322mg, 80%). [M+Na]+ 253.
Description 12. 4-(8-Hydroxy-1 ,4-dioxaspiro[4.5]dec-8-yl)butyl 4- methylbenzenesulfonate (D12)
To a cooled solution of 8-(4-hydroxybutyl)-1 ,4-dioxaspiro[4.5]decan-8-ol (D1 1 , 0.32g, 1.39mmole) in dichloromethane (14ml) at O0C was added triethylamine (0.58ml), 4- dimethylaminopyridine (17mg) and tosyl chloride (0.291 g). The solution was allowed to warm
up to room temperature overnight. The orange solution was poured into a separating funnel containing water (20ml) and dichloromethane (20ml). The layers were separated and the aqueous layer extracted with dichloromethane (2x1 OmI). The organic extracts were combined, dried and concentrated under reduced pressure. The residue was purified by chromatography on silica gel eluting with 0-100% ethyl acetate/hexane to yield the title compound as a very pale yellow oil (0.474g, 89%). MH+ 385.
Description 13. 1,4,9-Trioxadispiro[4.2.5.2]pentadecane (D13)
To a flask containing sodium hydride (31 mg) was added 4-(8-hydroxy-1 ,4-dioxaspiro[4.5]dec- 8-yl)butyl 4-methylbenzenesulfonate (D12, 0.27g, 0.7mmole) in dimethylformamide (9ml). The pale yellow cloudy solution was allowed to stir under argon for 6h, then stand for 5 days. The mixture was quenched by pouring into a separating funnel containing ethyl acetate (10ml) and water/brine (1 :1 , 10ml). The layers were separated and the aqueous layer was extracted with ethyl acetate (3x1 OmI). The organic extracts were combined and washed with water and brine alternately twice (10ml each), then dried and concentrated under reduced pressure to yield the title compound as a colourless oil (0.129g, 86%). 1H NMR δ (CDCI3, 400MHz): 1.40-1.70 (10H, m), 1.80-1.90 (2H, m), 1.90-2.02 (2H, m), 3.60- 3.66 (2H, m), 3.90-4.00 (4H, m).
Description 14. 1-Oxaspiro[5.5]undecan-9-one (D14)
A stirred solution of 1 ,4,9-trioxadispiro[4.2.5.2]pentadecane (D13, 220mg, 1.04mmole) in tetrahydrofuran (5ml) was treated with 5N HCI acid (15ml) and the mixture stirred at room temperature overnight. The mixture was extracted with Et2O and the extract dried (Na2SO4) and concentrated under vacuum to leave the crude title compound as a colourless oil (165mg, 95%).
1H NMR δ (CDCI3, 400MHz): 1.47-1.73 (8H, m), 2.17-2.24 (2H, m), 2.24-2.34 (2H, m), 2.57- 2.70 (2H, m), 3.70-3.80 (2H, m).
A stirred solution of 3-fluoro-4-nitrotoluene (1 Og, 0.064mole) in dimethylformamide (40ml) at room temperature under argon was treated with diisopropylethylamine (14ml, O.OδOmole) followed by 1 ,1-dimethylethyl 4-amino-1-piperidinecarboxylate (11.3g, 0.064mole) and then heated at 9O0C for 18hrs. The mixture was concentrated under vacuum and the residue treated with 10% Na2CO3 solution (100ml) and extracted with dichloromethane (2 x 150ml). The combined extract was washed with water (150ml), dried (Na2SO4) and concentrated under vacuum. The residue was treated with Et2O (200ml) and allowed to stand overnight. The crystals which had formed were filtered off, washed with Et2O and dried to afford the title compound as an orange solid (16g, 74%).
1H NMR δ (CDCI3, 400MHz): 1.45-1.65 (2H, m), 1.48 (9H, s), 2.00-2.10 (2H, m), 2.35 (3H, s), 3.00-3.15 (2H, m), 3.62-3.72 (1 H, m), 3.92-4.12 (2H, br m), 6.46 (1 H, dd), 6.63 (1 H, s), 8.07 (1 H, d), 8.15 (1 H, d).
Description 16. 1,1 -Dimethylethyl 4-[(2-amino-5-methylphenyl)amino]-1- piperidinecarboxylate (D16)
A stirred suspension of 1 ,1-dimethylethyl 4-[(5-methyl-2-nitrophenyl)amino]-1- piperidinecarboxylate (D15, 16g, 0.050mole) in ethanol (350ml) was treated with 10% Pd/C (1.5g) and maintained under a hydrogen atmosphere at room temperature and pressure for 16hrs. The mixture was filtered through Kieselguhr to remove the catalyst and the filtrate concentrated under vacuum to leave the title compound as a pale purple solid (13.5g, 93%). 1H NMR δ (CDCI3, 400MHz): 1.28-1.52 (2H, m), 1.48 (9H, s), 2.04 (2H, br d), 2.26 (3H, s), 2.90-3.02 (2H, m), 3.20 (3H, br s), 3.35-3.46 (1 H, m), 4.02 (2H, br s), 6.46-6.50 (2H, m), 6.64 (1 H, d).
Description 17. 1,1-Dimethylethyl 4-(6-methyl-2-oxo-2,3-dihydro-1 H-benzimidazol-1- yl)-1 -piperidinecarboxylate (D17)
A stirred solution of 1 ,1-dimethylethyl 4-[(2-amino-5-methylphenyl)amino]-1- piperidinecarboxylate (D16, 13.5g, 0.044mole) in acetonitrile (300ml) at room temperature under argon was treated over 10 minutes with a solution of 1 ,1 '-carbonyldiimidazole (11.4g, 0.070mole) in acetonitrile (150ml), then heated at 4O0C for 6hrs followed by 18hrs at room temperature. The solid which had formed was filtered off, washed with acetonitrile and dried to afford 4.6g of title compound as a pale purple solid. The filtrate was concentrated under vacuum and the residue dissolved in dichloromethane (300ml) and washed with water (3 x 200ml), then dried (Na2SO4) and concentrated under vacuum to leave a brown oil. This was treated with 1 :1 ethyl acetate/60-80 petrol (200ml) to cause crystallisation of more title compound (5.6g).
1H NMR δ (CDCI3, 400MHz): 1.52 (9H, s), 1.83 (2H, br d), 2.26-2.45 (2H, m), 2.39 (3H, s), 2.80-3.00 (2H, br m), 4.30 (2H, br s), 4.41-4.52 (1 H, m), 6.87 (1 H, d), 6.94 (1 H, s), 6.98 (1 H, d), 9.30 (1 H, s).
Description 18. 6-Methyl-1 -(4-piperidinyl)-1 ,3-dihydro-2H-benzimidazol-2-one (D18)
A stirred solution of 1 ,1-dimethylethyl 4-(6-methyl-2-oxo-2,3-dihydro-1 H-benzimidazol-1-yl)-1- piperidinecarboxylate (D17, 10.2g, 0.031 mole) in a mixture of dichloromethane (80ml) and MeOH (20ml) at room temperature under argon was treated with 4M HCI in dioxane (35ml, 0.14mole) and stirred at room temperature for 20hrs. The solid which had formed was filtered off, washed with Et2O and dried to afford the HCI salt of the title compound as a pale grey solid (7.95g, 96%). Most of this material (7.8Og) was treated with DCM (220ml) and 10% Na2CO3 solution (200ml), shaken well until solid had dissolved, then the DCM layer was separated, dried (Na2SO4) and concentrated under vacuum to afford the title compound as a beige solid (6.8Og). 1H NMR (free base) δ (CDCI3, 400MHz): 1.64 (1 H, br s), 1.80-1.90 (2H, m), 2.30 -2.45 (2H, m), 2.39 (3H, s), 2.75-2.86 (2H, m), 3.23-3.31 (2H, m), 4.38-4.50 (1 H, m), 6.86 (1 H, d), 6.98 (1 H, d), 7.11 (1 H, s), 9.50 (1 H, br s).
Description 19. 8-(2-Propen-1-yl)-1 ,4-dioxaspiro[4.5]decan-8-ol (D19)
To a solution of 1 ,4-dioxaspiro[4.5]decan-8-one (1 g, 6.40mmole) in ether (30 ml) at room temperature under argon was added allylmagnesium bromide (1 M in ether, 12.81 ml). Effervescence was observed and the cloudy solution was allowed to stir at room temperature for 45 min and then stand for 5 days. The reaction mixture was poured into a separating funnel containing sat. NH4CI solution (20ml) and then extracted with ethyl acetate (2 x 20ml). The organic extracts were combined and washed with water (20ml) and brine (20ml), then concentrated under reduced pressure after drying with MgSO4. Purification by chromatography on silica gel (5Og) eluting with 0-70% ethyl acetate/ hexane afforded the title compound (1.279g) as a colourless oil. 1H NMR δ (CDCI3, 400MHz): 1.55-1.72 (9H, m), 1.85-1.97 (2H, m), 2.24 (2H, d), 3.90-4.00 (4H, m), 5.10-5.20 (2H, m), 5.80-5.95 (1 H, m).
Description 20. 8-(3-Hydroxypropyl)-1 ,4-dioxaspiro[4.5]decan-8-ol (D20)
To a cooled solution of 8-(2-propen-1-yl)-1 ,4-dioxaspiro[4.5]decan-8-ol (D19, 0.5g, 2.52mmole) at O0C in tetrahydrofuran (25ml) was added 1 M borane-tetrahydrofuran complex in tetrahydrofuran (2.65ml, 2.65mmole). The cloudy solution was allowed to stir at O0C for 1 h, then 3M NaOH solution (2.5ml, 7.5mmole) was added followed by 30% w/w hydrogen peroxide solution (2.5ml, 7.5mmole). The mixture was allowed to stir at O0C for 1.5h and then poured into a separating funnel containing ethyl acetate (20ml) and water (20ml). The layers were separated and the aqueous layer extracted with ethyl acetate (20ml). The combined organic extracts were washed with brine, dried over MgSO4 and concentrated under reduced pressure. Purification by chromatography on silica gel eluting with ethyl acetate afforded the title compound (0.21 g, 39%). [M+Na]+ 239; [M-OH]+ 199.
The title compound was prepared from 8-(3-hydroxypropyl)-1 ,4-dioxaspiro[4.5]decan-8-ol (D20) according to procedures in US4438130.
Example 1. 6-Methyl-1 -{1 -[4-methyl-4-(methyloxy)cyclohexyl]-4-piperidinyl}-1 ,3- dihydro-2H-benzimidazol-2-one hydrochloride - isomer 1 (E1)
A stirred solution of (2-amino-5-methylphenyl){1-[4-methyl-4-(methyloxy)cyclohexyl]-4- piperidinyl}amine - isomer 1 (D7, 60mg, 0.18mmole) and diisopropylethylamine (0.1 ml, 0.54mmole) in dichloromethane (10ml) at O0C under argon was treated with triphosgene (21 mg, 0.072mmole), then stirred at room temperature for 30 minutes. The solution was washed with sat. NaHCO3 solution and extracted with dichloromethane, then extract dried (Na2SO4) and concentrated under vacuum to leave a red solid (50mg, 78%). A 20mg sample was dissolved in dichloromethane (3ml) and HCI in Et2O (1 ml) was added and the solvent removed under vacuum to afford the title compound (22mg). MH+ 358. 1H NMR (free base) δ (CDCI3, 400MHz): 1.15-1.30 (m), 1.21 (3H, s), 1.24-1.70 (m), 1.75-1.92 (m), 2.30-2.50 (m), 2.39 (3H, s), 3.1 1 (2H, br d), 3.24 (3H, s), 4.25-4.40 (1 H, m), 6.85 (1 H, d), 6.93 (1 H, d), 7.13 (1 H, s), 8.18 (1 H, s).
Example 2. 6-Methyl-1 -{1 -[4-methyl-4-(methyloxy)cyclohexyl]-4-piperidinyl}-1 ,3- dihydro-2H-benzimidazol-2-one hydrochloride - isomer 2 (E2)
isomer 2 (E2)
A stirred solution of (2-amino-5-methylphenyl){1-[4-methyl-4-(methyloxy)cyclohexyl]-4- piperidinyljamine - isomer 2 (D8, 61 mg, 0.19mmole) and diisopropylethylamine (0.1 ml, 0.54mmole) in dichloromethane (5ml) at O0C under argon was treated with triphosgene (21 mg, 0.074mmole), then stirred at room temperature for 30 minutes. The solution was washed with sat. NaHCC>3 solution and extracted with dichloromethane, then extract dried (Na2SO4) and concentrated under vacuum. The residue was purified using a Waters Xbridge chromatography column and mass-directed collection and the resulting solution eluted through a SCX cartridge, then dissolved in dichloromethane and 1 M HCI in Et2O (1 ml) was added. The solvent removed under vacuum to afford the title compound as a white solid (21 mg). MH+ 358.
1H NMR (HCI salt) δ (d6-DMSO, 400MHz): 1.07 (3H, br s), 1.20-1.40 (m), 1.55-1.75 (m), 1.85 (br s), 2.32 (3H, br s), 2.70-2.90 (m), 3.08 (3H, br s), 3.00-3.60 (br m), 4.5-4.62 (1 H, br m), 6.81 (1 H, br d), 6.87 (1 H, br d), 7.39 (1 H, br s), 10.05 (1 H, br s), 10.78 (1 H, br s).
Example 3. cis/trans-6-Methyl-1 -[1 -(1 -oxaspiro[4.5]dec-8-yl)-4-piperidinyl]-1 ,3-dihydro- 2H-benzimidazol-2-one hydrochloride (E3)
A solution of 1-oxaspiro[4.5]decan-8-one (D21 , 0.48mmole) in dichloromethane (5ml) was added to 6-methyl-1-(4-piperidinyl)-1 ,3-dihydro-2/-/-benzimidazol-2-one (D18, 142mg, 0.53mmole), followed by sodium triacetoxyborohydride (107mg, 0.50mmole). The reaction mixture was left to stir for 5 days and quenched by pouring into a separating funnel containing dichloromethane and water. The layers were separated, and the aqueous layer was extracted with dichloromethane (2x1 OmI). The combined organic extracts were dried
over MgSO4 and concentrated under reduced pressure. The residue was dissolved in MeOH (1 ml) and treated with HCI (1 M in ether, 54μl) and allowed to stand for 30min. The mixture was then concentrated under reduced pressure and azeotroped with dichloromethane (5x1 ml) to afford the title compound (19mg) as a pale yellow amorphous solid. MH+ 370. 1H NMR (HCI salt) δ (CDCI3): 1.4-2.4 (m), 2.45 (3H, s), 2.9-3.8 (9H, m), 4.65 (1 H, br s), 6.87 (1 H, d, J 8 Hz), 6.98 (1 H, d, J 8 Hz), 7.88 (1 H, s), 9.50 (1 H, s), 12.5 (1 H, br s).
Example 4. cis and trans-6-Methyl-1-[1-(1-oxaspiro[5.5]undec-9-yl)-4-piperidinyl]-1,3- dihydro-2H-benzimidazol-2-one hydrochloride (E4a = Isomer 1 and E4b = Isomer 2)
A mixture of 1-oxaspiro[5.5]undecan-9-one (D14, 170mg, 1.01 mmole) and 6-methyl-1-(4- piperidinyl)-1 ,3-dihydro-2H-benzimidazol-2-one (D18, 234mg, I .OOmmole) in dichloromethane (30ml) was treated portionwise with sodium triacetoxyborohydride (230mg, 1.10mmole), then stirred at room temperature for 3 days. The solvent was removed under vacuum and the residue washed with aqueous NaHCO3 solution and extracted with dichloromethane. The extract was dried (Na2SO4) and concentrated under vacuum to leave a solid (300mg), which was purified using a Waters Xbridge chromatography column and mass-directed collection to afford 92mg of clean cis/trans mixture. A 20mg sample was stirred with HCI in Et2O (2ml) to afford the HCI salt (23mg) as isomer mixture. LC/MS: 5 min run: isomer 1 retention time 1.61 min, MH+ 384; isomer 2 retention time 1.66 min, MH+ 384.
Separation of isomers was carried out by HPLC.
Faster running isomer was isolated as trifluoroacetate salt (9mg); chemical purity 94.9%; isomeric purity 93.9% w/w. This was dissolved in MeOH (3ml) and passed through a SCX cartridge (1g) to obtain the free base. This was dissolved in dichloromethane and treated with 1 M HCI/Et2O (1.2 equivalents) and concentrated to afford title compound Isomer 1 (E4a) as a pale brown solid (9mg).
Slower running isomer was isolated as trifluoroacetate salt (38mg); chemical purity >99%; isomeric purity 98.7% w/w. This was dissolved in MeOH (3ml) and passed through a SCX
cartridge (1g) to obtain the free base. This was dissolved in dichloromethane and treated with 1 M HCI/Et2O (2 equivalents) and concentrated to afford title compound Isomer 2 (E4b) as a pale purple solid (16mg).
Example 5. 1 -[1 -(1 ,4-Dioxaspiro[4.5]dec-8-yl)-4-piperidinyl]-1 ,3-dihydro-2H- benzimidazol-2-one (E5)
1-(4-Piperidinyl)-1 ,3-dihydro-2H-benzimidazol-2-one (1 g, 4.6 mmole) was dissolved in 1 ,2- dichloroethane (50 ml) and 1 ,4-dioxaspiro[4.5]decan-8-one (1.5 eq., 6.9 mmole, 1.1g) was added, followed by AcOH (catalytic) and sodium triacetoxyborohydride (1 eq., 0.97 g) at room temperature and the mixture was stirred at room temperature overnight. The mixture was then poured into a saturated aqueous solution of NaHCO3 and the two phases were separated by hydrophobic filters. The organic solution was isolated and evaporated to afford a yellow oil that was purified on a Biotage KP-NH™-silica column eluting with ethyl acetate/n- hexane to afford the title compound as a white solid (856 mg, 50%). MH+ 358. 1HNMR δ (d6-DMSO, 400 MHz):1.50 (4H, m), 1.64 (2H, br m), 1.71 (4H, m), 2.26-2.44 (5H, m), 2.94 (2H, d), 3.85 (4H, s), 4.09 (1 H, br m), 6.97 (3H, m), 7.19 (1 H, m).
Example 6. 1 -[1 -(1 ,4-Dioxaspiro[4.5]dec-8-yl)-4-piperidinyl]-6-methyl-1 ,3-dihydro-2H- benzimidazol-2-one (E6)
A stirred solution of 6-methyl-1-(4-piperidinyl)-1 ,3-dihydro-2H-benzimidazol-2-one (D18, 1.5g, 6.5mmole) in dichloromethane (40ml) at room temperature under argon was treated with 1 ,4-
dioxaspiro[4.5]decan-8-one (1.09g, 7.0mmole) followed after 10 minutes with sodium triacetoxyborohydride (2.12g, l Ommole), then stirred at room temperature for 3 days. The reaction mixture was treated with 10% Na2CO3 solution (40ml), stirred well for 20 minutes, then the dichloromethane layer was isolated. The aqueous layer was extracted with dichloromethane (30ml) and the two dichloromethane solutions combined, dried (Na2SO4) and concentrated under vacuum. The residue crystallised from 1 :1 dichloromethane/ethyl acetate to afford the title compound as a white solid (1.57g, 66%). MH+ 372. 1H NMR δ (d6-DMSO, 400MHz): 1.43-1.80 (1OH, m), 2.22-2.36 (7H, s + m), 2.35-2.50 (1 H, m), 2.90-3.00 (2H, m), 3.80-3.90 (4H, m), 4.00-4.14 (1 H, m), 6.76 (1 H, d), 6.84 (1 H, d), 7.01 (1 H, s), 10.70 (1 H, s).
Claims
1. A compound of formula (I) or a salt thereof:
R1 is selected from C1-6alkyl, C3-6CyClOaIkYl, C3-6cycloalkylC1-6alkyl and C2-6alkynyl, any alkyl or cycloalkyl group being optionally substituted by one or more fluorine atoms;
R2 is selected from hydrogen and Ci-6alkyl; or R1 and R2 together form a group -CH2CH2- or -CH2CH2CH2-;
Z is selected from CH2 and oxygen;
R4 is selected from hydrogen and fluoro;
R5 is selected from hydrogen, cyano, halogen, C1-6alkyl (optionally substituted with one or more fluorine atoms), and C-i-βalkoxy (optionally substituted with one or more fluorine atoms); R6 is selected from hydrogen, halogen, cyano, Ci-6alkyl (optionally substituted with one or more fluorine atoms), C1-6alkylsulfonyl, C3-6cycloalkyl (optionally substituted with one or more fluorine atoms), and (optionally substituted with one or more fluorine atoms); and
Q is selected from hydrogen and Ci-6alkyl.
2. A compound as claimed in claim 1 wherein the salt is a pharmaceutically acceptable salt.
3. A compound as claimed in claim 1 or claim 2 wherein R1 is methyl and R2 is hydrogen.
4. A compound as claimed in any of claims 1-3 wherein R1 and R2 together form a group - CH2CH2- Or -CH2CH2CH2-.
5. A compound as claimed in any of claims 1-4 wherein R4 is hydrogen.
6. A compound as claimed in any of claims 1-5 wherein R5 is hydrogen.
7. A compound as claimed in any of claims 1-6 wherein R6 is selected from hydrogen, chloro, methyl and methoxy.
8. A compound as claimed in any of claims 1-7 wherein Q is hydrogen or methyl.
9. A compound as claimed in claim 1 , which is selected from the group consisting of: cis-6-Methyl-1-{1-[4-methyl-4-(methyloxy)cyclohexyl]-4-piperidinyl}-1 ,3-dihydro-2H- benzimidazol-2-one; trans-6-Methyl-1-{1-[4-methyl-4-(methyloxy)cyclohexyl]-4-piperidinyl}-1 ,3-dihydro-2H- benzimidazol-2-one; cis-6-Methyl-1-[1-(1-oxaspiro[4.5]dec-8-yl)-4-piperidinyl]-1 ,3-dihydro-2H-benzimidazol-2-one; trans-6-Methyl-1 -[1 -(1 -oxaspiro[4.5]dec-8-yl)-4-piperidinyl]-1 ,3-dihydro-2H-benzimidazol-2- one; cis-6-Methyl-1-[1-(1-oxaspiro[5.5]undec-9-yl)-4-piperidinyl]-1 ,3-dihydro-2H-benzimidazol-2- one; trans-6-Methyl-1 -[1 -(1 -oxaspiro[5.5]undec-9-yl)-4-piperidinyl]-1 ,3-dihydro-2H-benzimidazol-2- one;
1-[1-(1 ,4-Dioxaspiro[4.5]dec-8-yl)-4-piperidinyl]-1 ,3-dihydro-2H-benzimidazol-2-one; and 1-[1-(1 ,4-Dioxaspiro[4.5]dec-8-yl)-4-piperidinyl]-6-methyl-1 ,3-dihydro-2H-benzimidazol-2-one; or salts thereof.
10. A compound as claimed in claim 9 wherein the salt is a pharmaceutically acceptable salt.
11. A pharmaceutical composition comprising a compound as claimed in any of claims 2-10 and a pharmaceutically acceptable carrier, diluent or excipient.
12. A compound as claimed in any of claims 2-10 for use in therapy.
13. A compound as claimed in any of claims 2-10 for use in the treatment of a condition wherein agonism of a muscarinic M1 receptor would be beneficial.
14. A compound as claimed in any of claims 2-10 for use in the treatment of a psychotic disorder or cognitive impairment.
15. Use of a compound as claimed in any of claims 2-10 in the manufacture of a medicament for the treatment of a condition wherein agonism of a muscarinic M1 receptor would be beneficial.
16. Use of a compound as claimed in any of claims 2-10 in the manufacture of a medicament for the treatment of a psychotic disorder or cognitive impairment.
17. A compound as claimed in any of claims 2-10 for the treatment of a condition wherein agonism of a muscarinic M1 receptor would be beneficial.
18. A compound as claimed in any of claims 2-10 for the treatment of a psychotic disorder or cognitive impairment.
19. A method of treating a condition wherein agonism of a muscarinic M1 receptor would be beneficial, which method comprises administering to a mammal in need thereof an effective amount of a compound as claimed in any of claims 2-10.
20. A method of treating a psychotic disorder or cognitive impairment, which method comprises administering to a mammal in need thereof an effective amount of a compound as claimed in any of claims 2-10.
21. A compound of formula (XXXX) or a salt thereof:
(XXXX) wherein:
R1 is a group R1 as defined in claim 1 , or a group convertible to R1;
R2 is a group R2 as defined in claim 1 , or a group convertible to R2;
R4 is a group R4 as defined in claim 1 , or a group convertible to R4;
R5 is a group R5 as defined in claim 1 , or a group convertible to R5; R6 is a group R6 as defined in claim 1 , or a group convertible to R6;
Q is as defined in claim 1 ; and
Z is as defined in claim 1.
22. A compound of formula (IV) or a salt thereof:
wherein: R1 is a group R1 as defined in claim 1 , or a group convertible to R1; R2 is a group R2 as defined in claim 1 , or a group convertible to R2; R4 is a group R4 as defined in claim 1 , or a group convertible to R4; R5 is a group R5 as defined in claim 1 , or a group convertible to R5; R6 is a group R6 as defined in claim 1 , or a group convertible to R6; Q is as defined in claim 1 ; and Z is as defined in claim 1.
23. A compound of formula (Vl) or a salt thereof:
R1 is a group R1 as defined in claim 1 , or a group convertible to R1; R2 is a group R2 as defined in claim 1 , or a group convertible to R2; R4 is a group R4 as defined in claim 1 , or a group convertible to R4; R5 is a group R5 as defined in claim 1 , or a group convertible to R5; R6 is a group R6 as defined in claim 1 , or a group convertible to R6; Q is as defined in claim 1 ; Z is as defined in claim 1 ; and Y is a leaving group.
24. A compound of formula (X) or a salt thereof:
R1 is a group R1 as defined in claim 1 , or a group convertible to R1; R2 is a group R2 as defined in claim 1 , or a group convertible to R2; R4 is a group R4 as defined in claim 1 , or a group convertible to R4; R5 is a group R5 as defined in claim 1 , or a group convertible to R5; R6 is a group R6 as defined in claim 1 , or a group convertible to R6; Q is as defined in claim 1 ; and Z is as defined in claim 1.
Applications Claiming Priority (2)
| Application Number | Priority Date | Filing Date | Title |
|---|---|---|---|
| GBGB0706188.0A GB0706188D0 (en) | 2007-03-29 | 2007-03-29 | Compounds |
| GB0706188.0 | 2007-03-29 |
Publications (1)
| Publication Number | Publication Date |
|---|---|
| WO2008119716A1 true WO2008119716A1 (en) | 2008-10-09 |
Family
ID=38050504
Family Applications (1)
| Application Number | Title | Priority Date | Filing Date |
|---|---|---|---|
| PCT/EP2008/053595 Ceased WO2008119716A1 (en) | 2007-03-29 | 2008-03-27 | 1- (1-cyclohexyl-4-piperidinyl) -1, 3-dihydro-2h-benzimidazol-2-one derivatives which have activity on the m1 receptor and their use in medicine |
Country Status (2)
| Country | Link |
|---|---|
| GB (1) | GB0706188D0 (en) |
| WO (1) | WO2008119716A1 (en) |
Cited By (7)
| Publication number | Priority date | Publication date | Assignee | Title |
|---|---|---|---|---|
| WO2011007146A1 (en) | 2009-07-16 | 2011-01-20 | Syngenta Limited | Herbicidally active 2-(substituted-phenyl)-cyclopentane-1,3-dione derivatives |
| US8283364B2 (en) | 2005-09-30 | 2012-10-09 | Glaxo Group Limited | Compounds which have activity at M1 receptor and their uses in medicine |
| US8288413B2 (en) | 2005-09-30 | 2012-10-16 | Glaxo Group Limited | Benzimidazolones which have activity at M1 receptor |
| US8288412B2 (en) | 2005-09-30 | 2012-10-16 | Glaxo Group Limited | Compounds which have activity at M1 receptor and their uses in medicine |
| US8344000B2 (en) | 2007-09-20 | 2013-01-01 | Glaxo Group Limited | Compounds which have activity at M1 receptor and their uses in medicine |
| JP2017505323A (en) * | 2014-02-06 | 2017-02-16 | ヘプタレス セラピューティクス リミテッドHeptares Therapeutics Limited | Bicyclic aza compounds as muscarinic M1 receptor agonists |
| CN115745765A (en) * | 2022-11-22 | 2023-03-07 | 浙大宁波理工学院 | Preparation method of p-bromoalkylcyclohexanone compounds |
Citations (4)
| Publication number | Priority date | Publication date | Assignee | Title |
|---|---|---|---|---|
| US4329353A (en) * | 1980-10-22 | 1982-05-11 | Janssen Pharmaceutica, N.V. | 1-(4-Aryl-cyclohexyl)piperidine derivatives, method of use thereof and pharmaceutical compositions thereof |
| US5718912A (en) * | 1996-10-28 | 1998-02-17 | Merck & Co., Inc. | Muscarine agonists |
| US20030008886A1 (en) * | 2001-04-18 | 2003-01-09 | Goehring R. Richard | Benzimidazolone compounds |
| US20050176765A1 (en) * | 2002-06-17 | 2005-08-11 | Ogidigben Miller J. | Ophthalmic compositions for treating ocular hypertension |
-
2007
- 2007-03-29 GB GBGB0706188.0A patent/GB0706188D0/en not_active Ceased
-
2008
- 2008-03-27 WO PCT/EP2008/053595 patent/WO2008119716A1/en not_active Ceased
Patent Citations (4)
| Publication number | Priority date | Publication date | Assignee | Title |
|---|---|---|---|---|
| US4329353A (en) * | 1980-10-22 | 1982-05-11 | Janssen Pharmaceutica, N.V. | 1-(4-Aryl-cyclohexyl)piperidine derivatives, method of use thereof and pharmaceutical compositions thereof |
| US5718912A (en) * | 1996-10-28 | 1998-02-17 | Merck & Co., Inc. | Muscarine agonists |
| US20030008886A1 (en) * | 2001-04-18 | 2003-01-09 | Goehring R. Richard | Benzimidazolone compounds |
| US20050176765A1 (en) * | 2002-06-17 | 2005-08-11 | Ogidigben Miller J. | Ophthalmic compositions for treating ocular hypertension |
Cited By (10)
| Publication number | Priority date | Publication date | Assignee | Title |
|---|---|---|---|---|
| US8283364B2 (en) | 2005-09-30 | 2012-10-09 | Glaxo Group Limited | Compounds which have activity at M1 receptor and their uses in medicine |
| US8288413B2 (en) | 2005-09-30 | 2012-10-16 | Glaxo Group Limited | Benzimidazolones which have activity at M1 receptor |
| US8288412B2 (en) | 2005-09-30 | 2012-10-16 | Glaxo Group Limited | Compounds which have activity at M1 receptor and their uses in medicine |
| US8481566B2 (en) | 2005-09-30 | 2013-07-09 | Glaxo Group Limited | Compounds which have activity at M1 receptor and their uses in medicine |
| US8344000B2 (en) | 2007-09-20 | 2013-01-01 | Glaxo Group Limited | Compounds which have activity at M1 receptor and their uses in medicine |
| WO2011007146A1 (en) | 2009-07-16 | 2011-01-20 | Syngenta Limited | Herbicidally active 2-(substituted-phenyl)-cyclopentane-1,3-dione derivatives |
| JP2017505323A (en) * | 2014-02-06 | 2017-02-16 | ヘプタレス セラピューティクス リミテッドHeptares Therapeutics Limited | Bicyclic aza compounds as muscarinic M1 receptor agonists |
| CN109851610A (en) * | 2014-02-06 | 2019-06-07 | 赫普泰雅治疗有限公司 | Azabicyclo compound as muscarine M1 and/or M4 receptor stimulating agent |
| CN109851610B (en) * | 2014-02-06 | 2021-09-21 | 赫普泰雅治疗有限公司 | Bicyclic aza compounds as muscarinic M1 and/or M4 receptor agonists |
| CN115745765A (en) * | 2022-11-22 | 2023-03-07 | 浙大宁波理工学院 | Preparation method of p-bromoalkylcyclohexanone compounds |
Also Published As
| Publication number | Publication date |
|---|---|
| GB0706188D0 (en) | 2007-05-09 |
Similar Documents
| Publication | Publication Date | Title |
|---|---|---|
| US8481566B2 (en) | Compounds which have activity at M1 receptor and their uses in medicine | |
| US8299257B2 (en) | Compounds which have activity at M1receptor and their uses in medicine | |
| WO2008119720A1 (en) | 1-(1-cyclobutyl-4-piperidinyl)-1,3-dihydro-2h-benzimidazol-2-one derivatives which have activity on the m1 receptor and their use in medicine | |
| EP1996188B1 (en) | Benzimidazoles which have activity at m1 receptor and their uses in medicine | |
| EP1996189B1 (en) | Benzimidazoles which have activity at m1 receptor and their uses in medicine | |
| US8288412B2 (en) | Compounds which have activity at M1 receptor and their uses in medicine | |
| US8288413B2 (en) | Benzimidazolones which have activity at M1 receptor | |
| WO2008119713A1 (en) | 1- (1-cyclohexyl-4-piperidinyl) -1, 3-dihydro-2h-benzimidazol-2-one derivatives which have activity on the m1 receptor and their use in medicine | |
| WO2008119716A1 (en) | 1- (1-cyclohexyl-4-piperidinyl) -1, 3-dihydro-2h-benzimidazol-2-one derivatives which have activity on the m1 receptor and their use in medicine | |
| WO2008119718A1 (en) | Compounds which have activity at m1 receptor and their uses in medicine | |
| WO2008119717A1 (en) | Compounds which have activity at m1 receptor and their uses in medicine | |
| WO2008119715A1 (en) | 1- (1-cyclohexyl-4-piperidinyl) -1, 3-dihydro-2h-benzimidazol-2-one derivatives which have activity on the m1 receptor and their use in medicine | |
| WO2008119712A1 (en) | Benzoimidazole derivatives which have activity at m1 receptor and their uses in medicine | |
| WO2008119721A1 (en) | Compounds which have activity at m1 receptor and their uses in medicine | |
| WO2008119711A1 (en) | Substituted benzimidazolone compounds which have activity at m1 receptor and their uses in medicine | |
| WO2008119714A1 (en) | Compounds which have activity at m1 receptor and their uses in medicine | |
| WO2008119719A1 (en) | 1- (1-cyclohexyl-4-piperidinyl) -1, 3-dihydro-2h-benzimidazol-2-one derivatives which have activity on the m1 receptor and their use in medicine | |
| EP2344483B1 (en) | Compounds which have activity at m1 receptor and their uses in medicine | |
| US8344000B2 (en) | Compounds which have activity at M1 receptor and their uses in medicine |
Legal Events
| Date | Code | Title | Description |
|---|---|---|---|
| 121 | Ep: the epo has been informed by wipo that ep was designated in this application |
Ref document number: 08735497 Country of ref document: EP Kind code of ref document: A1 |
|
| NENP | Non-entry into the national phase |
Ref country code: DE |
|
| 122 | Ep: pct application non-entry in european phase |
Ref document number: 08735497 Country of ref document: EP Kind code of ref document: A1 |








































































