WO2008109468A1 - Nucleic acid compounds for inhibiting mmp gene expression and uses thereof - Google Patents
Nucleic acid compounds for inhibiting mmp gene expression and uses thereof Download PDFInfo
- Publication number
- WO2008109468A1 WO2008109468A1 PCT/US2008/055548 US2008055548W WO2008109468A1 WO 2008109468 A1 WO2008109468 A1 WO 2008109468A1 US 2008055548 W US2008055548 W US 2008055548W WO 2008109468 A1 WO2008109468 A1 WO 2008109468A1
- Authority
- WO
- WIPO (PCT)
- Prior art keywords
- strand
- dsrna
- seq
- mmp
- set forth
- Prior art date
- Legal status (The legal status is an assumption and is not a legal conclusion. Google has not performed a legal analysis and makes no representation as to the accuracy of the status listed.)
- Ceased
Links
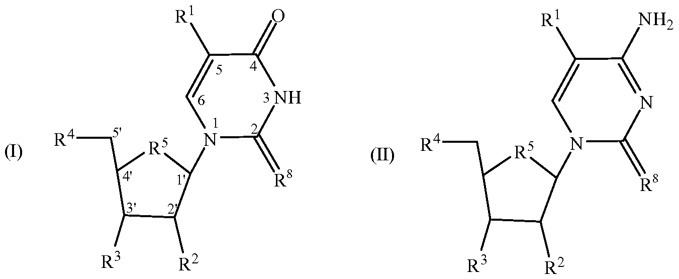
- 0 *CC(*1)C(*)C(*)C1N(C=C(*)C(N)=N1)C1=* Chemical compound *CC(*1)C(*)C(*)C1N(C=C(*)C(N)=N1)C1=* 0.000 description 1
Classifications
-
- C—CHEMISTRY; METALLURGY
- C12—BIOCHEMISTRY; BEER; SPIRITS; WINE; VINEGAR; MICROBIOLOGY; ENZYMOLOGY; MUTATION OR GENETIC ENGINEERING
- C12N—MICROORGANISMS OR ENZYMES; COMPOSITIONS THEREOF; PROPAGATING, PRESERVING, OR MAINTAINING MICROORGANISMS; MUTATION OR GENETIC ENGINEERING; CULTURE MEDIA
- C12N15/00—Mutation or genetic engineering; DNA or RNA concerning genetic engineering, vectors, e.g. plasmids, or their isolation, preparation or purification; Use of hosts therefor
- C12N15/09—Recombinant DNA-technology
- C12N15/11—DNA or RNA fragments; Modified forms thereof; Non-coding nucleic acids having a biological activity
- C12N15/113—Non-coding nucleic acids modulating the expression of genes, e.g. antisense oligonucleotides; Antisense DNA or RNA; Triplex- forming oligonucleotides; Catalytic nucleic acids, e.g. ribozymes; Nucleic acids used in co-suppression or gene silencing
- C12N15/1137—Non-coding nucleic acids modulating the expression of genes, e.g. antisense oligonucleotides; Antisense DNA or RNA; Triplex- forming oligonucleotides; Catalytic nucleic acids, e.g. ribozymes; Nucleic acids used in co-suppression or gene silencing against enzymes
-
- C—CHEMISTRY; METALLURGY
- C12—BIOCHEMISTRY; BEER; SPIRITS; WINE; VINEGAR; MICROBIOLOGY; ENZYMOLOGY; MUTATION OR GENETIC ENGINEERING
- C12N—MICROORGANISMS OR ENZYMES; COMPOSITIONS THEREOF; PROPAGATING, PRESERVING, OR MAINTAINING MICROORGANISMS; MUTATION OR GENETIC ENGINEERING; CULTURE MEDIA
- C12N2310/00—Structure or type of the nucleic acid
- C12N2310/10—Type of nucleic acid
- C12N2310/14—Type of nucleic acid interfering nucleic acids [NA]
Definitions
- the present disclosure relates generally to compounds for use in treating hyperproliferative or inflammatory disorders by gene silencing and, more specifically, to a nicked or gapped double-stranded RNA (dsRNA) comprising at least three strands that decreases expression of a matrix metalloproteinase (MMP) gene, and to uses of such dsRNA to treat or prevent one or more hyperproliferative disorders, including leukemia, cancer, carcinoma, sarcoma, glioma, as well as inflammatory disorders, including encephalomyelitis, inflammatory bowel disease, arthritis, and psoriasis associated with inappropriate MMP-gene expression.
- the dsRNA that decreases MMP gene expression may optionally have at least one uridine substituted with a 5-methyluridine.
- RNAi refers to the cellular process of sequence specific, post-transcriptional gene silencing in animals mediated by small inhibitory nucleic acid molecules, such as a double-stranded RNA (dsRNA) that is homologous to a portion of a targeted messenger RNA (Fire et al., Nature 391:806, 1998; Hamilton et al., Science 286:950, 1999).
- dsRNA double-stranded RNA
- RNAi has been observed in a variety of organisms, including mammalians (Fire et al., Nature 391:806, 1998; Bahramian and Zarbl, MoI. Cell. Biol. 19:21 '4, 1999; Wianny and Goetz, Nature Cell Biol. 2:10, 1999).
- RNAi can be induced by introducing an exogenous 21-nucleotide RNA duplex into cultured mammalian cells (Elbashir et al., Nature 411:494, 2001a).
- the mechanism by which dsRNA mediates targeted gene-silencing can be described as involving two steps.
- the first step involves degradation of long dsRNAs by a ribonuclease III- like enzyme, referred to as Dicer, into short interfering RNAs (siRNAs) having from 21 to 23 nucleotides with double-stranded regions of about 19 base pairs and a two nucleotide, generally, overhang at each 3'-end (Berstein et al., Nature 409:363, 2001; Elbashir et al., Genes i Dev. 75:188, 2001b; and Kim et al., Nature Biotech. 23:222, 2005).
- siRNAs short interfering RNAs
- RNAi gene-silencing involves activation of a multi-component nuclease having one strand (guide or antisense strand) from the siRNA and an Argonaute protein to form an RNA-induced silencing complex ("RISC") (Elbashir et al., Genes Dev. 75:188, 2001).
- RISC RNA-induced silencing complex
- Argonaute initially associates with a double-stranded siRNA and then endonucleolytically cleaves the non-incorporated strand (passenger or sense strand) to facilitate its release due to resulting thermodynamic instability of the cleaved duplex (Leuschner et al., EMBO 7:314, 2006).
- the guide strand is now able to bind a complementary target mRNA and the activated RISC cleaves the mRNA to promote gene silencing. Cleavage of the target RNA occurs in the middle of the target region that is complementary to the guide strand (Elbashir et al., 2001b).
- MMP matrix metalloproteinase family
- MMPs can also regulate many remoldeling processes, such as angiogenesis, arterial remodeling, and wound healing (van Hinsbergh et al., Arterioscler. Thromb. Vase. Biol. 26:716, 2006).
- the MMP family comprises at least twenty-five secreted or membrane-bound human isoforms having three similar domain structures, including a predomain for targeting secretion, a prodomain for maintaining latency, and an active catalytic region containing a zinc-binding active site.
- MMPs can be divided into six groups: gelatinases (such as MMP9), collagenases (such as MMP 13), membrane-associated (such as MMP 14), stromelysins (such as MMP 19), matrilysins (such as MMP26), and others (van Hinsbergh et al., 2006).
- MMP activity can be affected by transcriptional-level inhibitors, enzymatic-blocking inhibitors, and antibodies or fragments thereof.
- MMP9 Overexpression of active MMP9 can lead to excessive break down of extracellular matrices and tissue injury (Medina et al., 2006). MMP9 breaks down type IV collagen, which is necessary for tumor cell intravasation and extravasation (John et al., Pathol. Oncology Res. 7: 1 , 2001). Recent studies have shown that MMP9 can be involved in the recruitment of inflammatory cells into the intestinal wall and other organs, and has been associated with colitis and other forms of intestinal conditions (Medina et al., 2006).
- MMP9 was shown to degrade dystroglycan, a critical component of the blood-brain barrier, thereby compromising its integrity and allowing leukocyte trafficking into the central nervous system duing experimental autoimmune encephalomyelitis (Van Lint et al., J. Leukoc. Biol. 82, 2007). Expression of MMP9 by tumor-infiltrating macrophages promotes angiogenesis as well as growth and invasion of xenografted ovarian cancer cells in vivo (Stefanidakis et al, Blood. 108:5 2006).
- MMP9 proteolytic enzymes
- MMP9 has been shown to act cooperatively with VEGF in the process of leukemia cell invasion (Stefanidakis et al, 2006).
- MMP 13 Overexpression of MMP 13 has been documented in breast carcinomas, squamous cell carcinomas of the head, neck, and vulva, cutaneous basal cell carcinomas, and chondrosarcomas (Johansson et al, Am. J. Pathol. 154:2, 1999). Additionally, MMP 13 has been identified in human breast carcinomas and in osteoarthritic cartilage (Etoh et al., Gut 47, 2000). Moreover, MMP 13 has been detected in oral mucosal epithelium of chronic inflammation, rheumatoid synovium, and developing bone, but not in normal adult tissues (Etoh et al., 2000).
- MMP 13 has been shown to be associated with inflammatory bowel diseases, such as ulcerative colitis and Crohn's disease (G ⁇ nther et al., Am. J. Pathol. 155:2, 1999).
- Overexpression of MMP 14 plays multiple roles in tumorigenesis, including tumor invasion, regulation of tumor cell growth, cell migration, and angiogenesis (Petrella et al., MoI. Cancer 5:66, 2006).
- MMP 14 causes renal cell carcinoma tumor formation (Petrella et al, MoI Cancer 5:66, 2006).
- MMP14 expression is enhanced, and the enzyme has a prominent role in increasing prostate cell migration through the cleavage of basement membrane proteins laminin-511 and laminin-332 (Sroka et al, Neoplasia 9:5, 2007).
- MMP14 is thought to play a major role in the activation of pro-MMP2, which has been found in rheumatoid synovium (Honda et al, Clin. Exp. Immunol 126, 2001).
- MMP 19 has been associated with a diverse number of pathological conditions, including rheumatoid arthritis, psoriasis, and cancer (Pendas et al, MoI Cell. Biol. 24: 12, 2004; Sadowski et al, MoI Biol. Cell. 14, 2003). MMP19 has been shown to facilitate tumor progression through proangiogenic functions (Pendas et al, 2004). MMP19-knockout mice exposed to a methylcholanthrene-induced chemical carcinogenesis protocol were shown to develop fewer fibrosarcomas and with a longer latency period than wild-type littermates (Pendas et a., 2004).
- MMP19-knockout mice were also shown to depelop a diet-induced obesity and exhibited decreased susceptibility to skin tumors (Pendas et al, 2004).
- Overexpression of MMP26 has been found to be significantly correlated with depth of invasion, lymph node and distant metastasis, and advanced tumor stages of esophageal squamous cell carcinoma progression (Yamamoto et al., Carcinogenesis 25:12, 2004).
- MMP26 has been shown to be primarily expressed in epithelial cancers, including lung, breast, endometrial, and prostate carcinomas (Yamamoto et al., 2004).
- MMP26 has been shown to promote the invasion of a highly metastatic and tumorigenic prostate cancer cell line through the activation of pro-MMP9 (Lee et al., Biochem. J. 403, 2007).
- the expression level of MMP26 has been shown to be signifantly higher in pre-invasive human breast ductal carcinoma in situ and in high-grade prostatic intraepithelial neoplasia compared with that in normal human breast tissue samples and non-neoplastic ducts (Lee et al., 2007).
- MMP26 expression has been detected in early stages (I and II) of invasive carcinoma and low-grade squamous cell carcinomas, but not during stage III (Lee et al., 2007).
- MMP26 has been shown to be expressed by keratinocytes in association with various benign skin disorders, in wound repair, and early skin carcinogenesis (Ahokas et al., J. Invest. Dermatol. 124, 2005). Expression of concentrated MMP26 has been shown in inflamed colons of patients, under the surface epithelium (Pirila et al, Wound Rep. Reg. 15, 2007).
- dsRNA nicked or gapped double-stranded RNA
- MMP matrix metalloproteinase
- mRNA messenger RNA
- the instant disclosure provides a meroduplex mdRNA molecule, comprising a first strand that is complementary to any one of human MMP9 mRNA as set forth in SEQ ID NO: 1158, human MMP13 mRNA as set forth in SEQ ID NO: 1386, human MMP14 mRNA as set forth in SEQ ID NO: 1653, human MMP 19 mRNA as set forth in SEQ ID NO: 1997, or human MMP26 mRNA as set forth in SEQ ID NO: 2316, and a second strand and a third strand that are each complementary to non-overlapping regions of the first strand, wherein the second strand and third strands can anneal with the first strand to form at least two double-stranded regions spaced apart by up to 10 nucleotides and thereby forming a gap between the second and third strands, and wherein (a) the mdRNA molecule optionally includes at least one double-stranded region comprises from 5 base pairs to 13 base pairs, or (b
- the first strand is about 15 to about 40 nucleotides in length
- the second and third strands are each, individually, about 5 to about 20 nucleotides, wherein the combined length of the second and third strands is about 15 nucleotides to about 40 nucleotides.
- the first strand is about 15 to about 40 nucleotides in length and is complementary to at least about 15, 16, 17, 18, 19, 20, 21, 22, 23, 24, 25, 26, 27, 28, 29, 30, 31, 32, 33, 34, 35, 36, 37, 38, 39, or 40 contiguous nucleotides of any one of human MMP9 mRNA as set forth in SEQ ID NO: 1158, human MMP 13 mRNA as set forth in SEQ ID NO: 1386, human MMP14 mRNA as set forth in SEQ ID NO: 1653, human MMP 19 mRNA as set forth in SEQ ID NO : 1997, or human MMP26 mRNA as set forth in SEQ ID NO: 2316.
- the first strand is about 15 to about 40 nucleotides in length and is at least about 70%, 75%, 80%, 85%, 90%, 91%, 92%, 93%, 94%, 95%, 96%, 97%, 98%, or 99% identical to a sequence that is complementary to at least about 15, 16, 17, 18, 19, 20, 21, 22, 23, 24, 25, 26, 27, 28, 29, 30, 31, 32, 33, 34, 35, 36, 37, 38, 39, or 40 contiguous nucleotides of any one of human MMP9 mRNA as set forth in SEQ ID NO: 1158, human
- MMP 13 mRNA as set forth in SEQ ID NO: 1386 human MMP 14 mRNA as set forth in SEQ ID NO:1653, human MMP19 mRNA as set forth in SEQ ID NO:1997, or human MMP26 mRNA as set forth in SEQ ID NO: 2316.
- the mdRNA is a RISC activator (e.g., the first strand has about 15 nucleotides to about 25 nucleotides) or a Dicer substrate (e.g. , the first strand has about 26 nucleotides to about 40 nucleotides).
- the gap comprises at least one to ten unpaired nucleotides in the first strand positioned between the double-stranded regions formed by the second and third strands when annealed to the first strand, or the gap is a nick.
- the nick or gap is located 10 nucleotides from the 5'-end of the first (antisense) strand or at the Argonaute cleavage site.
- the meroduplex nick or gap is positioned such that the thermal stability is maximized for the first and second strand duplex and for the first and third strand duplex as compared to the thermal stability of such meroduplexes having a nick or gap in a different position.
- the instant disclosure provides an mdRNA molecule having a first strand that is complementary to any one of human MMP9 mRNA as set forth in SEQ ID NO: 1
- At least one nucleoside is according to Formula I in which R 1 is methyl and R 2 is -OH.
- at least one uridine of the dsRNA molecule is replaced with a nucleoside according to Formula I in which R 1 is methyl and R 2 is - OH, or R 1 is methyl, R 2 is -OH, and R 8 is S.
- the at least one R 1 is a
- At least one R 2 is selected from 2'-0-(Ci-Cs) alkyl, 2'-O-methyl, 2'-OCH 2 OCH 2 CH 3 , 2'-OCH 2 CH 2 OCH 3 , 2'-0-allyl, or fluoro.
- at least one pyrimidine nucleoside of the mdRNA molecule is a locked nucleic acid (LNA) in the form of a bicyclic sugar, wherein R 2 is oxygen, and the 2'-0 and 4'-C form an oxymethylene bridge on the same ribose ring (e.g., a 5-methyluridine LNA) or is a G clamp.
- LNA locked nucleic acid
- one or more of the nucleosides are according to Formula I in which R 1 is methyl and R 2 is a 2'-0-(Ci-Cs) alkyl, such as 2'-O-methyl.
- the gap comprises at least one unpaired nucleotide in the first strand positioned between the double- stranded regions formed by the second and third strands when annealed to the first strand, or the gap is a nick.
- the nick or gap is located 10 nucleotides from the 5 '-end of the first strand or at the Argonaute cleavage site.
- the meroduplex nick or gap is positioned such that the thermal stability is maximized for the first and second strand duplex and for the first and third strand duplex as compared to the thermal stability of such meroduplexes having a nick or gap in a different position.
- the instant disclosure provides a method for reducing the expression of a human MMP gene in a cell, comprising administering an mdRNA molecule to a cell expressing an MMP gene, wherein the mdRNA molecule is capable of specifically binding to an MMP mRNA and thereby reducing the gene's level of expression in the cell.
- a method of treating or preventing a disease associated with MMP expression in a subject by administering an mdRNA molecule of this disclosure.
- the cell or subject is human.
- the disease is one or more hyperproliferative disorders, for example, leukemia, myeloid and lymphoid neoplasms, ovarian cancer, breast cancer, lung cancer, squamous cell carcinoma of the head, neck, esophagus, endometrium, and vulva, cutaneous basal cell carcinoma, chondrosarcoma, glioma, renal cell carcinoma, and prostate cancer; one or more angiogenic diseases or disorders; metastasis and tumorigenesis; as well as one or more inflammatory disorders, for example, encephalomyelitis, inflammatory bowel disease, arthritis, and psoriasis.
- hyperproliferative disorders for example, leukemia, myeloid and lymphoid neoplasms, ovarian cancer, breast cancer, lung cancer, squamous cell carcinoma of the head, neck, esophagus, endometrium, and vulva, cutaneous basal cell carcinoma, chondrosarcoma, glioma
- some embodiments provide an mdRNA molecule having a 5-methyluridine (ribothymidine) , 2-thioribothymidine, or 2'-O-methyl-5-methyluridine in place of at least one uridine on the first, second, or third strand, or in place of each and every uridine on the first, second, or third strand.
- the mdRNA further comprises one or more non-standard nucleoside, such as a deoxyuridine, locked nucleic acid (LNA) molecule, or a universal-binding nucleotide, or a G clamp.
- Exemplary universal-binding nucleotides include C-phenyl, C-naphthyl, inosine, azole carboxamide, l- ⁇ -D-ribofuranosyl-4- nitroindole, l- ⁇ -D-ribofuranosyl-5-nitroindole, l- ⁇ -D-ribofuranosyl-6-nitroindole, or 1- ⁇ -D- ribofuranosyl-3-nitropyrrole.
- the mdRNA molecule further comprises a 2'-sugar substitution, such as a 2'-O-methyl, 2'-O-methoxyethyl, 2'-O-2-methoxyethyl, 2'-O-allyl, or halogen (e.g., 2'-fluoro).
- the mdRNA molecule further comprises a terminal cap substituent on one or both ends of one or more of the first strand, second strand, or third strand, such as independently an alkyl, abasic, deoxy abasic, glyceryl, dinucleotide, acyclic nucleotide, or inverted deoxynucleotide moiety.
- the mdRNA molecule further comprises at least one modified internucleoside linkage, such as independently a phosphorothioate, chiral phosphorothioate, phosphorodithioate, phosphotriester, aminoalkylphosphotriester, methyl phosphonate, alkyl phosphonate, 3'-alkylene phosphonate, 5'- alkylene phosphonate, chiral phosphonate, phosphonoacetate, thiophosphonoacetate, phosphinate, phosphoramidate, 3'-amino phosphoramidate, aminoalkylphosphoramidate, thionophosphoramidate, thionoalkylphosphonate, thionoalkylphosphotriester, selenophosphate, or boranophosphate linkage.
- modified internucleoside linkage such as independently a phosphorothioate, chiral phosphorothioate, phosphorodithioate, phosphotriester,
- some embodiments provide an mdRNA comprising an overhang of one to four nucleotides on at least one 3'-end that is not part of the gap, such as at least one deoxynucleotide or two deoxynucleotides (e.g., thymidine).
- at least one or two 5 '-terminal ribonucleotide of the second strand within the double-stranded region comprises a 2'-sugar substitution.
- at least one or two 5 '-terminal ribonucleotide of the first strand within the double-stranded region comprises a 2'-sugar substitution.
- At least one or two 5'-terminal ribonucleotide of the second strand and at least one or two 5 '-terminal ribonucleotide of the first strand within the double-stranded regions comprise independent 2'-sugar substitutions.
- the mdRNA molecule comprises at least three 5-methyluridines within at least one double-stranded region.
- the mdRNA molecule has a blunt end at one or both ends.
- the 5'-terminal of the third strand is a hydroxyl or a phosphate.
- Figure 1 shows the average gene silencing activity of intact (first bar), nicked (middle bar) and gapped (last bar) dsRNA Dicer substrate specific for each of 22 different targets (AKT, EGFR, FLTl, FRAPl, HIFlA, IL17A, IL18, IL6, MAP2K1, MAPKl, MAPK14, PDGFA, PDGFRA, PIKC3A, PKN3, RAFl, SRD5A1, TNF, TNFSF13B, VEGFA, BCR-ABL [b2a2], and BCR-ABL [b3a2]).
- Each bar is a graphical representation of an average activity often different sequences for each target, which is calculated from the data found in Table 1.
- Figure 2 shows knockdown activity for RISC activator lacZ dsRNA (21 nucleotide sense strand/21 nucleotide antisense strand; 21/21), Dicer substrate lacZ dsRNA (25 nucleotide sense strand/27 nucleotide antisense strand; 25/27), and meroduplex lacZ mdRNA (13 nucleotide sense strand and 11 nucleotide sense strand/27 nucleotide antisense strand; 13, 11/27 - the sense strand is missing one nucleotide so that a single nucleotide gap is left between the 13 nucleotide and 11 nucleotide sense strands when annealed to the 27 nucleotide antisense strand.
- Knockdown activities were normalized to a Qneg control dsRNA and presented as a normalized value of Qneg (i.e., Qneg represents 100% or "normal" gene expression levels). A smaller value indicates a
- Figure 3 shows knockdown activity of a RISC activator influenza dsRNA G1498 (21/21) and nicked dsRNA (10, 11/21) at 100 nM.
- the "wt” designation indicates an unsubstituted RNA molecule;
- rT indicates RNA having each uridine substituted with a ribothymidine;
- p indicates that the 5'-nucleotide of that strand was phosphorylated.
- the 21 nucleotide sense and antisense strands of G 1498 were individually nicked between the nucleotides 10 and 11 as measured from the 5'-end, and is referred to as 11, 10/21 and 21/10, 11, respectively.
- the G 1498 single stranded 21 nucleotide antisense strand alone (designated AS-only) was used as a control.
- Figure 4 shows knockdown activity of a lacZ dicer substrate (25/27) having a nick in one of each of positions 8 to 14 and a one nucleotide gap at position 13 of the sense strand (counted from the 5 '-end).
- a dideoxy guanosine (ddG) was incorporated at the 5 '-end of the 3 '-most strand of the nicked or gapped sense sequence at position 13.
- Figure 5 shows knockdown activity of a dicer substrate influenza dsRNA Gl 498DS (25/27) and this sequence nicked at one of each of positions 8 to 14 of the sense strand, and shows the activity of these nicked molecules that are also phosphorylated or have a locked nucleic acid substitution.
- Figure 6 shows a dose dependent knockdown activity a dicer substrate influenza dsRNA
- Figure 7 shows knockdown activity of a dicer substrate influenza dsRNA Gl 498DS having a nick or a gap of one to six nucleotides that begins at any one of positions 8 to 12 of the sense strand.
- Figure 8 shows knockdown activity of a LacZ RISC dsRNA having a nick or a gap of one to six nucleotides that begins at any one of positions 8 to 14 of the sense strand.
- Figure 9 shows knockdown activity of an influenza RISC dsRNA having a nick at any one of positions 8 to 14 of the sense strand and further having one or two locked nucleic acids (LNA) per sense strand.
- the inserts on the right side of the graph provides a graphic depiction of the meroduplex structures (for clarity, a single antisense strand is shown at the bottom of the grouping with each of the different nicked sense strands above the antisense) having different nick positions with the relative positioning of the LNAs on the sense strands.
- Figure 10 shows knockdown activity of a LacZ dicer substrate dsRNA having a nick at any one of positions 8 to 14 of the sense strand as compared to the same nicked dicer substrates but having a locked nucleic acid substitution.
- Figure 11 shows the percent knockdown in influenza viral titers using influenza specific mdRNA against influenza strain WSN.
- Figure 12 shows the in vivo reduction in PR8 influenza viral titers using influenza specific mdRNA as measured by TCID 50 .
- dsRNA nicked or gapped double-stranded RNA
- RISC RNA interference pathway
- partially duplexed dsRNA molecules described herein are capable of initiating an RNA interference cascade that modifies (e.g., reduces) expression of a target messenger RNA (mRNA), such as a human vascular endothelial growth factor receptor (MMP) mRNA.
- mRNA target messenger RNA
- MMP human vascular endothelial growth factor receptor
- thermodynamically less stable nicked or gapped dsRNA passenger strand (as compared to an intact dsRNA) to fall apart before any gene silencing effect would result (see, e.g., Leuschner et al, EMBO 7:314, 2006).
- Meroduplex ribonucleic acid (mdRNA) molecules described herein include a first (antisense) strand that is complementary to any one of human MMP9 mRNA as set forth in SEQ ID NO:1158, human MMP13 mRNA as set forth in SEQ ID NO:1386, human MMP14 mRNA as set forth in SEQ ID NO: 1653, human MMP19 mRNA as set forth in SEQ ID NO: 1997, or human MMP26 mRNA as set forth in SEQ ID NO: 2316, along with second and third strands (together forming a gapped sense strand) that are each complementary to non-overlapping regions of the first strand, wherein the second and third strands can anneal with the first strand to form at least two double-stranded regions separated by a gap, and wherein at least one double- stranded region is optionally from about 5 base pairs to about 15 base pairs, or the combined double-stranded regions total about 5 base pairs to about 40 base pairs and the mdRNA is
- the gap can be from 0 nucleotides (i.e., a nick in which only a phosphodiester bond between two nucleotides is broken in a polynucleotide molecule) up to about 10 nucleotides (i.e., the first strand will have at least one unpaired nucleotide).
- the nick or gap is located 10 nucleotides from the 5'-end of the first (antisense) strand or at the Argonaute cleavage site.
- the meroduplex nick or gap is positioned such that the thermal stability is maximized for the first and second strand duplex and for the first and third strand duplex as compared to the thermal stability of such meroduplexes having a nick or gap in a different position.
- hyperproliferative disorders for example, leukemia, myeloid and lymphoid neoplasms, ovarian cancer, breast cancer, lung cancer, squamous cell carcinoma of the head, neck,
- any concentration range, percentage range, ratio range, or integer range is to be understood to include the value of any integer within the recited range and, when appropriate, fractions thereof (such as one tenth and one hundredth of an integer), unless otherwise indicated.
- any number range recited herein relating to any physical feature, such as polymer subunits, size or thickness are to be understood to include any integer within the recited range, unless otherwise indicated.
- the terms “include” and “comprise” are open ended and are used synonymously.
- isolated means that the referenced material (e.g., nucleic acid molecules of the instant disclosure), is removed from its original environment, such as being separated from some or all of the co-existing materials in a natural environment (e.g., a natural environment may be a cell).
- a natural environment e.g., a natural environment may be a cell
- complementary refers to a nucleic acid molecule that can form hydrogen bond(s) with another nucleic acid molecule or itself by either traditional Watson-Crick base pairing or other non-traditional types of pairing (e.g., Hoogsteen or reversed Hoogsteen hydrogen bonding) between complementary nucleosides or nucleotides.
- the binding free energy for a nucleic acid molecule with its complementary sequence is sufficient to allow the relevant function of the nucleic acid molecule to proceed, for example, RNAi activity, and there is a sufficient degree of complementarity to avoid non-specific binding of the nucleic acid molecule (e.g., dsRNA) to non-target sequences under conditions in which specific binding is desired, i.e., under physiological conditions in the case of in vivo assays or therapeutic treatment, or under conditions in which the assays are performed in the case of in vitro assays (e.g., hybridization assays).
- nucleic acid molecule e.g., dsRNA
- DNA or RNA target e.g., DNA or RNA target.
- a nucleic acid molecule need not be 100% complementary to a target nucleic acid sequence to be specifically hybridizable or to specifically bind. That is, two or more nucleic acid molecules may be less than fully complementary and is indicated by a percentage of contiguous residues in a nucleic acid molecule that can form hydrogen bonds with a second nucleic acid molecule.
- a first nucleic acid molecule may have 10 nucleotides and a second nucleic acid molecule may have 10 nucleotides, then base pairing of 5, 6, 7, 8, 9, or 10 nucleotides between the first and second nucleic acid molecules, which may or may not form a contiguous double-stranded region, represents 50%, 60%, 70%, 80%, 90%, and 100% complementarity, respectively.
- complementary nucleic acid molecules may have wrongly paired bases - that is, bases that cannot form a traditional Watson-Crick base pair or other non- traditional types of pair (i.e., "mismatched" bases).
- complementary nucleic acid molecules may be identified as having a certain number of "mismatches," such as zero or about 1, about 2, about 3, about 4 or about 5.
- Perfectly or “fully” complementary nucleic acid molecules means those in which a certain number of nucleotides of a first nucleic acid molecule hydrogen bond (anneal) with the same number of residues in a second nucleic acid molecule to form a contiguous double-stranded region.
- two or more fully complementary nucleic acid molecule strands can have the same number of nucleotides (i.e., have the same length and form one double-stranded region, with or without an overhang) or have a different number of nucleotides (e.g. , one strand may be shorter than but fully contained within another strand or one strand may overhang the other strand).
- RNA refers to a nucleic acid molecule comprising at least one ribonucleotide molecule.
- ribonucleotide refers to a nucleotide with a hydroxyl group at the 2'-position of a ⁇ -D-ribofuranose moiety.
- RNA includes double-stranded (ds) RNA, single-stranded (ss) RNA, isolated RNA (such as partially purified RNA, essentially pure RNA, synthetic RNA, recombinantly produced RNA), altered RNA (which differs from naturally occurring RNA by the addition, deletion, substitution or alteration of one or more nucleotides), or any combination thereof.
- such altered RNA can include addition of non-nucleotide material, such as at one or both ends of an RNA molecule, internally at one or more nucleotides of the RNA, or any combination thereof.
- Nucleotides in RNA molecules of the instant disclosure can also comprise non-standard nucleotides, such as naturally occurring nucleotides, non-naturally occurring nucleotides, chemically-modified nucleotides, deoxynucleotides, or any combination thereof.
- RNAs may be referred to as analogs or analogs of RNA containing standard nucleotides (i.e., standard nucleotides, as used herein, are considered to be adenine, cytidine, guanidine, thymidine, and uridine).
- standard nucleotides i.e., standard nucleotides, as used herein, are considered to be adenine, cytidine, guanidine, thymidine, and uridine).
- dsRNA refers to any nucleic acid molecule comprising at least one ribonucleotide molecule and capable of inhibiting or down regulating gene expression, for example, by promoting RNA interference ("RNAi") or gene silencing in a sequence-specific manner.
- RNAi RNA interference
- the dsRNAs (mdRNAs) of the instant disclosure may be suitable substrates for Dicer or for association with RISC to mediate gene silencing by RNAi. Examples of dsRNA molecules of this disclosure are provided in the Sequence Listing identified herein.
- dsRNA molecules in addition to at least one ribonucleotide, can further include substitutions, chemically-modified nucleotides, and non-nucleotides. In certain embodiments, dsRNA molecules comprise ribonucleotides up to about 100% of the nucleotide positions.
- dsRNA is meant to be equivalent to other terms used to describe nucleic acid molecules that are capable of mediating sequence specific RNAi, for example, meroduplex RNA (mdRNA), nicked dsRNA (ndsRNA), gapped dsRNA (gdsRNA), short interfering nucleic acid (siNA), siRNA, micro-RNA (miRNA), short hairpin RNA (shRNA), short interfering oligonucleotide, short interfering substituted oligonucleotide, short interfering modified oligonucleotide, chemically-modified dsRNA, post-transcriptional gene silencing RNA (ptgsRNA), or the like.
- mdRNA meroduplex RNA
- ndsRNA nicked dsRNA
- gdsRNA gapped dsRNA
- siNA short interfering nucleic acid
- miRNA micro-RNA
- shRNA short hairpin RNA
- ptgsRNA post-
- large dsRNA refers to any double-stranded RNA longer than about 40 base pairs (bp) to about 100 bp or more, particularly up to about 300 bp to about 500 bp.
- the sequence of a large dsRNA may represent a segment of an mRNA or an entire mRNA.
- a double-stranded structure may be formed by a self-complementary nucleic acid molecule or by annealing of two or more distinct complementary nucleic acid molecule strands.
- a dsRNA comprises two separate oligonucleotides, comprising a first strand (antisense) and a second strand (sense), wherein the antisense and sense strands are self- complementary (i.e., each strand comprises a nucleotide sequence that is complementary to a nucleotide sequence in the other strand and the two separate strands form a duplex or double-stranded structure, for example, wherein the double-stranded region is about 15 to about 24 base pairs or about 26 to about 40 base pairs); the antisense strand comprises a nucleotide sequence that is complementary to a nucleotide sequence in a target nucleic acid molecule or a portion thereof (e.g.
- the dsRNA is assembled from a single oligonucleotide in which the self-complementary sense and antisense strands of the dsRNA are linked together by a nucleic acid based-linker or a non-nucleic acid-based linker.
- the first (antisense) and second (sense) strands of the dsRNA molecule are covalently linked by a nucleotide or non-nucleotide linker as described herein and known in the art.
- a first dsRNA molecule is covalently linked to at least one second dsRNA molecule by a nucleotide or non-nucleotide linker known in the art, wherein the first dsRNA molecule can be linked to a plurality of other dsRNA molecules that can be the same or different, or any combination thereof.
- the linked dsRNA may include a third strand that forms a meroduplex with the linked dsRNA.
- dsRNA molecules described herein form a meroduplex RNA (mdRNA) having three or more strands such as, for example, an A' (first or antisense) strand, 'Sl' (second) strand, and 'S2' (third) strand in which the 'Sl' and 'S2' strands are complementary to and form base pairs (bp) with non-overlapping regions of the A' strand (e.g., an mdRNA can have the form of A:S1S2).
- mdRNA meroduplex RNA
- the double-stranded region formed by the annealing of the 'Sl' and A' strands is distinct from and non-overlapping with the double-stranded region formed by the annealing of the 'S2' and A' strands.
- An mdRNA molecule is a "gapped" molecule, i.e., it contains a "gap” ranging from 0 nucleotides up to about 10 nucleotides (or a gap of 11, 12, 13, 14, 15, 16, 17, 18, 19, 20, 21, 22, 23, 24, 25, 26, 27, 28, 29, 30, 31, 32, 33, 34 or 35 nucleotides).
- the A: Sl duplex is separated from the A:S2 duplex by a gap resulting from at least one unpaired nucleotide (up to about 10 unpaired nucleotides) in the A' strand that is positioned between the A:S1 duplex and the A:S2 duplex and that is distinct from any one or more unpaired nucleotide at the 3'-end of one or more of the A', 'Sl', or 'S2' strands.
- the A: Sl duplex is separated from the A:S2 duplex by a gap of zero nucleotides (i.e., a nick in which only a phosphodiester bond between two nucleotides is broken or missing in the polynucleotide molecule) between the A: Sl duplex and the A:S2 duplex - which can also be referred to as nicked dsRNA (ndsRNA).
- a gap of zero nucleotides i.e., a nick in which only a phosphodiester bond between two nucleotides is broken or missing in the polynucleotide molecule
- A:S 1 S2 may be comprised of a dsRNA having at least two double-stranded regions that combined total about 14 base pairs to about 40 base pairs and the double-stranded regions are separated by a gap of 0, 1, 2, 3, 4, 5, 6, 7, 8, 9, 10, 11, 12, 13, 14, 15, 16, 17, 18, 19, 20, 21, 22, 23, 24, 25, 26, 27, 28, 29, 30, 31, 32, 33, 34 or 35 nucleotides, optionally having blunt ends, or
- A:S1S2 may comprise a dsRNA having at least two double-stranded regions spaced apart by up to 10 nucleotides and thereby forming a gap between the second and third strands wherein at least one of the double-stranded regions optionally has from 5 base pairs to 13 base pairs.
- a dsRNA or large dsRNA may include a substitution or modification in which the substitution or modification may be in a phosphate backbone bond, a sugar, a base, or a nucleoside.
- nucleoside substitutions can include natural non-standard nucleosides (e.g., 5-methyluridine or 5-methylcytidine or a 2-thioribothymidine), and such backbone, sugar, or nucleoside modifications can include an alkyl or heteroatom substitution or addition, such as a methyl, alkoxyalkyl, halogen, nitrogen or sulfur, or other modifications known in the art.
- RNAi is meant to be equivalent to other terms used to describe sequence specific RNA interference, such as post transcriptional gene silencing, translational inhibition, or epigenetics.
- dsRNA molecules of this disclosure can be used to epigenetically silence genes at the post-transcriptional level or the pre -transcriptional level or any combination thereof.
- target nucleic acid refers to any nucleic acid sequence whose expression or activity is to be altered (e.g., MMP9, MMP 13, MMP 14, MMP 19, MMP26).
- the target nucleic acid can be DNA, RNA, or analogs thereof, and includes single, double, and multi-stranded forms.
- target site or “target sequence” is meant a sequence within a target nucleic acid (e.g. , mRNA) that, when present in an RNA molecule, is “targeted” for cleavage by RNAi and mediated by a dsRNA construct of this disclosure containing a sequence within the antisense strand that is complementary to the target site or sequence.
- off-target effect or “off-target profile” refers to the observed altered expression pattern of one or more genes in a cell or other biological sample not targeted, directly or indirectly, for gene silencing by an mdRNA or dsRNA.
- an off-target effect can be quantified by using a DNA microarray to determine how many non-target genes have an expression level altered by about two-fold or more in the presence of a candidate mdRNA or dsRNA, or analog thereof specific for a target sequence, such as an MMP9, MMP 13, MMP 14, MMP 19, or MMP26 mRNA.
- a "minimal off-target effect” means that an mdRNA or dsRNA affects expression by about two-fold or more of about 25% to about 1% of the non-target genes examined or it means that the off-target effect of substituted or modified mdRNA or dsRNA (e.g., having at least one uridine substituted with a 5-methyluridine or 2-thioribothymidine and optionally having at least one nucleotide modified at the 2'-position), is reduced by at least about 1% to about 80% or more as compared to the effect on non-target genes of an unsubstituted or unmodified mdRNA or dsRNA.
- substituted or modified mdRNA or dsRNA e.g., having at least one uridine substituted with a 5-methyluridine or 2-thioribothymidine and optionally having at least one nucleotide modified at the 2'-position
- sense region or “sense strand” is meant one ore more nucleotide sequences of a dsRNA molecule having complementarity to one or more antisense regions of the dsRNA molecule.
- the sense region of a dsRNA molecule comprises a nucleic acid sequence having homology or identity to a target sequence, such as MMP9, MMP 13, MMP 14, MMP 19, or MMP26.
- antisense region or “antisense strand” is meant a nucleotide sequence of a dsRNA molecule having complementarity to a target nucleic acid sequence, such as MMP9, MMP13, MMP14, MMP19, or MMP26.
- the antisense region of a dsRNA molecule can comprise nucleic acid sequence region having complementarity to one or more sense strands of the dsRNA molecule.
- Analog refers to a compound that is structurally similar to a parent compound (e.g., a nucleic acid molecule), but differs slightly in composition (e.g., one atom or functional group is different, added, or removed).
- the analog may or may not have different chemical or physical properties than the original compound and may or may not have improved biological or chemical activity.
- the analog may be more hydrophilic or it may have altered activity as compared to a parent compound.
- the analog may mimic the chemical or biological activity of the parent compound (i.e., it may have similar or identical activity), or, in some cases, may have increased or decreased activity.
- the analog may be a naturally or non- naturally occurring (e.g., chemically-modified or recombinant) variant of the original compound.
- An example of an RNA analog is an RNA molecule having a non-standard nucleotide, such as 5-methyuridine or 5-methylcytidine or 2-thioribothymidine, which may impart certain desirable properties (e.g., improve stability, bioavailability, minimize off-target effects or interferon response).
- universal base refers to nucleotide base analogs that form base pairs with each of the standard DNA/RNA bases with little discrimination between them. A universal base is thus interchangeable with all of the standard bases when substituted into a nucleotide duplex (see, e.g., Loakes et al., J. MoI. Bio. 270:426, 1997).
- Examplary universal bases include C-phenyl, C-naphthyl and other aromatic derivatives, inosine, azole carboxamides, or nitroazole derivatives such as 3-nitropyrrole, 4-nitroindole, 5-nitroindole, and 6-nitroindole (see, e.g., Loakes, Nucleic Acids Res. 29:2437, 2001).
- RNA as used herein, especially in the context of "target gene” or “gene target” for RNAi, means a nucleic acid molecule that encodes an RNA or a transcription product of such gene, including a messenger RNA (mRNA, also referred to as structural genes that encode for a polypeptide), an mRNA splice variant of such gene, a functional RNA (fRNA), or non-coding RNA (ncRNA), such as small temporal RNA (stRNA), microRNA (miRNA), small nuclear RNA (snRNA), short interfering RNA (siRNA), small nucleolar RNA (snRNA), ribosomal RNA (rRNA), transfer RNA (tRNA) and precursor RNAs thereof.
- mRNA messenger RNA
- fRNA functional RNA
- ncRNA non-coding RNA
- stRNA small temporal RNA
- miRNA microRNA
- snRNA small nuclear RNA
- siRNA small nucleolar RNA
- rRNA
- RNAi knockdown
- inhibition inhibition
- down-regulation or “reduction” of expression of a target gene, such as a human MMP9, MMP 13, MMP 14, MMP 19, or MMP26 gene.
- a target gene such as a human MMP9, MMP 13, MMP 14, MMP 19, or MMP26 gene.
- the extent of silencing may be determined by methods described herein and known in the art (see, e.g., PCT Publication No. WO 99/32619; Elbashir et al, EMBO J. 20:6X77,
- quantification of gene expression permits detection of various amounts of inhibition that may be desired in certain embodiments of this disclosure, including prophylactic and therapeutic methods, which will be capable of knocking down target gene expression, in terms of mRNA level or protein level or activity, for example, by equal to or greater than 10%, 30%, 50%, 75% 90%, 95% or 99% of baseline (i.e., normal) or other control levels, including elevated expression levels as may be associated with particular disease states or other conditions targeted for therapy.
- a therapeutically effective amount means an amount of dsRNA that is sufficient to result in a decrease in severity of disease symptoms, an increase in frequency or duration of disease symptom- free periods, or a prevention of impairment or disability due to the disease, in the subject (e.g., human) to which it is administered.
- a therapeutically effective amount of dsRNA directed against an mRNA of MMP e.g., any one of SEQ ID NOS:1158, 1386, 1653, 1997, or 2316
- a therapeutically effective amount of a therapeutic compound can decrease, for example, atheromatous plaque size or otherwise ameliorate symptoms in a subject.
- One of ordinary skill in the art would be able to determine such therapeutically effective amounts based on such factors as the subject's size, the severity of symptoms, and the particular composition or route of administration selected.
- the nucleic acid molecules of the instant disclosure individually, or in combination or in conjunction with other drugs, can be used to treat diseases or conditions discussed herein.
- the dsRNA molecules can be administered to a patient or can be administered to other appropriate cells evident to those skilled in the art, individually or in combination with one or more drugs, under conditions suitable for treatment.
- one or more dsRNA may be used to knockdown expression of an MMP9 mRNA as set forth in SEQ ID NO: 1158, an MMP13 mRNA as set forth in SEQ ID NO: 1386, an MMP14 mRNA as set forth in SEQ ID NO: 1653, an MMP19 mRNA as set forth in SEQ ID NO: 1997, or an MMP26 mRNA as set forth in SEQ ID NO: 2316, or a related mRNA splice variant.
- an MMP gene may be transcribed into two or more mRNA splice variants; and thus, for example, in certain embodiments, knockdown of one mRNA splice variant without affecting the other mRNA splice variant may be desired, or vice versa; or knockdown of all transcription products may be targeted.
- alkyl refers to saturated straight- or branched-chain aliphatic groups containing from 1-20 carbon atoms, preferably 1-8 carbon atoms and most preferably 1-4 carbon atoms. This definition applies as well to the alkyl portion of alkoxy, alkanoyl and aralkyl groups.
- the alkyl group may be substituted or unsubstituted.
- the alkyl is a (C 1 -C 4 ) alkyl or methyl.
- cycloalkyl refers to a saturated cyclic hydrocarbon ring system containing from 3 to 12 carbon atoms that may be optionally substituted. Exemplary embodiments include, but are not limited to, cyclopropyl, cyclobutyl, cyclopentyl and cyclohexyl. In certain embodiments, the cycloalkyl group is cyclopropyl. In another embodiment, the (cycloalkyl)alkyl groups contain from 3 to 12 carbon atoms in the cyclic portion and 1 to 6 carbon atoms in the alkyl portion. In certain embodiments, the (cycloalkyl)alkyl group is cyclopropylmethyl. The alkyl groups are optionally substituted with from one to three substituents selected from the group consisting of halogen, hydroxy and amino.
- Specific embodiments of alkanoyl and alkanoyloxy groups are acetyl and acetoxy, respectively.
- alkenyl refers to an unsaturated branched, straight-chain or cyclic alkyl group having 2 to 15 carbon atoms and having at least one carbon-carbon double bond derived by the removal of one hydrogen atom from a single carbon atom of a parent alkene.
- the group may be in either the cis or trans conformation about the double bond(s).
- Certain embodiments include ethenyl, 1-propenyl, 2-propenyl, 1-methylethenyl, 1-butenyl, 2-butenyl, 3-butenyl, 2-methyl-2- propenyl, 1-pentenyl, 2-pentenyl, 4-pentenyl, 3-methyl-2-butenyl, 1-hexenyl, 2-hexenyl, 1- heptenyl, 2-heptenyl, 1-octenyl, 2-octenyl, 1,3-octadienyl, 2-nonenyl, 1,3-nonadienyl, 2-decenyl, etc., or the like.
- the alkenyl group may be substituted or unsubstituted.
- alkynyl refers to an unsaturated branched, straight-chain, or cyclic alkyl group having 2 to 10 carbon atoms and having at least one carbon-carbon triple bond derived by the removal of one hydrogen atom from a single carbon atom of a parent alkyne.
- exemplary alkynyls include ethynyl, 1-propynyl, 2-propynyl, 1-butynyl, 2-butynyl, 3- butynyl, 1-pentynyl, 2-pentynyl, 4-pentynyl, 1-octynyl, 6-methyl-l-heptynyl, 2-decynyl, or the like.
- the alkynyl group may be substituted or unsubstituted.
- hydroxyalkyl alone or in combination, refers to an alkyl group as previously defined, wherein one or several hydrogen atoms, preferably one hydrogen atom has been replaced by a hydroxyl group. Examples include hydroxymethyl, hydroxy ethyl and 2- hydroxy ethyl.
- aminoalkyl refers to the group -NRR', where R and R' may independently be hydrogen or (C 1 -C 4 ) alkyl.
- alkylaminoalkyl refers to an alkylamino group linked via an alkyl group ⁇ i.e., a group having the general structure -alkyl-NH-alkyl or -alkyl-N(alkyl)(alkyl)).
- alkyl group ⁇ i.e., a group having the general structure -alkyl-NH-alkyl or -alkyl-N(alkyl)(alkyl)).
- alkyl group include, but are not limited to, mono- and di-(Ci-Cs alkyl)aminoCi-C8 alkyl, in which each alkyl may be the same or different.
- dialkylaminoalkyl refers to alkylamino groups attached to an alkyl group. Examples include, but are not limited to, N,N-dimethylaminomethyl, N,N-dimethylaminoethyl N,N-dimethylaminopropyl, and the like.
- dialkylaminoalkyl also includes groups where the bridging alkyl moiety is optionally substituted.
- haloalkyl refers to an alkyl group substituted with one or more halo groups, for example chloromethyl, 2-bromoethyl, 3-iodopropyl, trifluoromethyl, perfluoropropyl, 8- chlorononyl, or the like.
- alkyl refers to a saturated straight- or branched-chain hydrocarbyl radical of 1 to 6 carbon atoms such as methyl, ethyl, n-propyl, isopropyl, n-butyl, t-butyl, n-pentyl, 2-methylpentyl, n-hexyl, and so forth.
- Alkylene is the same as alkyl except that the group is divalent.
- alkoxy includes substituted and unsubstituted alkyl, alkenyl, and alkynyl groups covalently linked to an oxygen atom.
- the alkoxy group contains 1 to about 10 carbon atoms.
- Embodiments of alkoxy groups include, but are not limited to, methoxy, ethoxy, isopropyloxy, propoxy, butoxy, and pentoxy groups.
- Embodiments of substituted alkoxy groups include halogenated alkoxy groups.
- the alkoxy groups can be substituted with groups such as alkenyl, alkynyl, halogen, hydroxyl, alkylcarbonyloxy, arylcarbonyloxy, alkoxycarbonyloxy, aryloxycarbonyloxy, carboxylate, alkylcarbonyl, arylcarbonyl, alkoxycarbonyl, aminocarbonyl, alkylaminocarbonyl, dialkylaminocarbonyl, alkylthiocarbonyl, alkoxyl, phosphate, phosphonato, phosphinato, cyano, amino (including alkylamino, dialkylamino, arylamino, diarylamino, and alkylarylamino), acylamino (including alkylcarbonylamino, arylcarbonylamino, carbamoyl and ureido), amidino, imino, sulfhydryl, alkylthio, arylthio,
- halogen substituted alkoxy groups include, but are not limited to, fluoromethoxy, difluoromethoxy, trifluoromethoxy, chloromethoxy, dichloromethoxy, and trichloromethoxy.
- alkoxyalkyl refers to an alkylene group substituted with an alkoxy group.
- methoxyethyl CH 2 CH 2 -
- ethoxymethyl CH 3 CH 2 OCH 2 -
- aryl refers to monocyclic or bicyclic aromatic hydrocarbon groups having from 6 to 12 carbon atoms in the ring portion, for example, phenyl, naphthyl, biphenyl and diphenyl groups, each of which may be substituted with, for example, one to four substituents such as alkyl; substituted alkyl as defined above, halogen, trifluoromethyl, trifluoromethoxy, hydroxy, alkoxy, cycloalkyloxy, alkanoyl, alkanoyloxy, amino, alkylamino, dialkylamino, nitro, cyano, carboxy, carboxyalkyl, carbamyl, carbamoyl and aryloxy.
- Specific embodiments of aryl groups in accordance with the present disclosure include phenyl, substituted phenyl, naphthyl, biphenyl, and diphenyl.
- aroyl refers to an aryl radical derived from an aromatic carboxylic acid, such as optionally substituted benzoic or naphthoic acids.
- aralkyl refers to an aryl group bonded to the 2-pyridinyl ring or the 4-pyridinyl ring through an alkyl group, preferably one containing 1 to 10 carbon atoms.
- a preferred aralkyl group is benzyl.
- trifluoromethyl refers to -CF 3 .
- trifluoromethoxy refers to -OCF3.
- hydroxyl refers to -OH or -0 " .
- nitrile or "cyano” as used herein refers to the group -CN.
- nitro refers to a -NO 2 group.
- amino refers to the group -NR 9 R 9 , wherein R 9 may independently be hydrogen, alkyl, aryl, alkoxy, or heteroaryl.
- aminoalkyl as used herein represents a more detailed selection as compared to “amino” and refers to the group -NR'R', wherein R' may independently be hydrogen or (C 1 -C 4 ) alkyl.
- dialkylamino refers to an amino group having two attached alkyl groups that can be the same or different.
- carbonylamino refers to the group -NRZ-CO-CH 2 -R', wherein R' may be independently selected from hydrogen or (C 1 -C 4 ) alkyl.
- carbamoyl refers to -0-C(O)NH 2 .
- alkylsulfonylamino refers to the group -NHS(O) 2 R 12 , wherein R 12 is alkyl.
- halogen refers to bromine, chlorine, fluorine or iodine. In one embodiment, the halogen is fluorine. In another embodiment, the halogen is chlorine.
- heterocyclo refers to an optionally substituted, unsaturated, partially saturated, or fully saturated, aromatic or nonaromatic cyclic group that is a 4 to 7 membered monocyclic, or 7 to 11 membered bicyclic ring system that has at least one heteroatom in at least one carbon atom- containing ring.
- the substituents on the heterocyclo rings may be selected from those given above for the aryl groups.
- Each ring of the heterocyclo group containing a heteroatom may have 1, 2, or 3 heteroatoms selected from nitrogen, oxygen or sulfur.
- Plural heteroatoms in a given heterocyclo ring may be the same or different.
- Exemplary monocyclic heterocyclo groups include pyrrolidinyl, pyrrolyl, indolyl, pyrazolyl, imidazolyl, oxazolyl, isoxazolyl, thiazolyl, furyl, tetrahydrofuryl, thienyl, piperidinyl, piperazinyl, azepinyl, pyrimidinyl, pyridazinyl, tetrahydropyranyl, morpholinyl, dioxanyl, triazinyl and triazolyl.
- Preferred bicyclic heterocyclo groups include benzothiazolyl, benzoxazolyl, benzothienyl, quinolinyl, tetrahydroisoquinolinyl, benzimidazolyl, benzo furyl, indazolyl, benzisothiazolyl, isoindolinyl and tetrahydroquinolinyl.
- heterocyclo groups may include indolyl, imidazolyl, furyl, thienyl, thiazolyl, pyrrolidyl, pyridyl and pyrimidyl.
- Substituted refers to a group in which one or more hydrogen atoms are each independently replaced with the same or different substituent(s).
- each R 7 is independently hydrogen, alkyl, alkanyl, alkynyl, aryl, arylalkyl, arylheteralkyl, arylaryl, heteroaryl or heteroarylalkyl.
- Aryl containing substituents, whether or not having one or more substitutions, may be attached in a para (p-), meta (m-) or ortho (o-) conformation, or any combination thereof.
- MMP Matrix metalloproteinase
- dsRNA Molecules Exemplary dsRNA Molecules
- MMP9 matrix metalloproteinase 9
- MMPl 3 matrix metalloproteinase 13
- MMP 14 matrix metalloproteinase 14
- MMP19 matrix metalloproteinase 19
- MMP18 matrix metalloproteinase 19
- MMP26 matrix metalloproteinase 26
- MMP proteins have a role in regulating many physiologic processes, including bone resorption, angiogenesis, wound healing, skeletal development, bone remodeling and growth, neovascularization, ovulation, and cell migration.
- Mutation or overexpression of MMP that increases activity is associated with a variety of disorders including one or more hyperproliferative disorders, such as leukemia, myeloid and lymphoid neoplasms, ovarian cancer, breast cancer, lung cancer, squamous cell carcinoma of the head, neck, esophagus, endometrium, and vulva, cutaneous basal cell carcinoma, chondrosarcoma, glioma, renal cell carcinoma, and prostate cancer; one or more angiogenic diseases or disorders; metastasis and tumorigenesis; as well as one or more inflammatory disorders, for example, encephalomyelitis, inflammatory bowel disease, arthritis, and psoriasis
- NM 004994.2 SEQ ID NO:1158
- NM 002427.2 SEQ ID NO: 1386
- NM 004995.2 SEQ ID NO: 1653
- NM_002429.4 SEQ ID NO: 1997
- NM 021801.3 SEQ ID NO: 2316
- MMP mRNA or RNA sequences or sense strands means an MMP9, MMP 13, MMP 14, MMP 19, or MMP26 isoform as set forth in any one of SEQ ID NOS: 1158, 1386, 1997, and 2316, as well as variants and homologs having at least 80% or more identity with human MMP9, MMPl 3, MMP 14, MMP 19, or MMP26 sequences as set forth in SEQ ID NOS: 1158, 1386, 1653, 1997, and 2316.
- the comparison of sequences and determination of percent identity between two or more sequences can be accomplished using a mathematical algorithm, such as BLAST and Gapped BLAST programs at their default parameters (e.g., BLASTN, see www.ncbi.nlm.nih.gov/BLAST; see also Altschul et al, J. MoI. Biol. 275:403-410, 1990).
- the instant disclosure provides an mdRNA molecule, comprising a first strand that is complementary to an MMP9 mRNA as set forth in SEQ ID NO : 1158 , an MMP 13 mRNA as set forth in SEQ ID NO: 1386, an MMP14 mRNA as set forth in SEQ ID NO: 1653, an MMP 19 mRNA as set forth in SEQ ID NO: 1997, or an MMP26 mRNA as set forth in SEQ ID NO: 2316, and a second strand and a third strand that are each complementary to non-overlapping regions of the first strand, wherein the second strand and third strands can anneal with the first strand to form at least two double-stranded regions spaced apart by up to 10 nucleotides and thereby forming a gap between the second and third strands, and wherein (a) the mdRNA molecule optionally includes at least one double-stranded region comprises from about 5 to 13 base pairs, or (b) wherein the combined double-
- At least one nucleoside is according to Formula I in which R 1 is methyl and R 2 is -OH, or R 1 is methyl, R 2 is -OH, and R 8 is S.
- the internucleoside linking group covalently links from about 5 to about 40 nucleosides.
- the gap comprises at least one unpaired nucleotide in the first strand positioned between the double-stranded regions formed by the second and third strands when annealed to the first strand, or the gap is a nick.
- the nick or gap is located 10 nucleotides from the 5 '-end of the first (antisense) strand or at the Argonaute cleavage site.
- the meroduplex nick or gap is positioned such that the thermal stability is maximized for the first and second strand duplex and for the first and third strand duplex as compared to the thermal stability of such meroduplexes having a nick or gap in a different position.
- the instant disclosure provides an mdRNA molecule, comprising a first strand that is complementary to an MMP9 mRNA as set forth in SEQ ID NO: 1158, an MMP 13 mRNA as set forth in SEQ ID NO: 1386, an MMP 14 mRNA as set forth in SEQ ID NO: 1653, an MMP19 mRNA as set forth in SEQ ID NO: 1997, or an MMP26 mRNA as set forth in SEQ ID NO: 2316, and a second strand and a third strand that are each complementary to non-overlapping regions of the first strand, wherein the second strand and third strands can anneal with the first strand to form at least two double-stranded regions spaced apart by up to 10 nucleotides and thereby forming a gap between the second and third strands, and wherein the mdRNA molecule optionally includes at least one double-stranded region comprises from 5 base pairs to 13 base pairs.
- the instant disclosure provides an mdRNA molecule having a first strand that is complementary to an MMP9 mRNA as set forth in SEQ ID NO: 1158, an MMP13 mRNA as set forth in SEQ ID NO: 1386, an MMP14 mRNA as set forth in SEQ ID NO: 1653, an MMP19 mRNA as set forth in SEQ ID NO: 1997, or an MMP26 mRNA as set forth in SEQ ID NO: 2316, and a second strand and a third strand that are each complementary to non-overlapping regions of the first strand, wherein the second strand and third strands can anneal with the first strand to form at least two double-stranded regions spaced apart by up to 10 nucleotides and thereby forming a gap between the second and third strands, and wherein the combined double-stranded regions total about 15 base pairs to about 40 base pairs and the mdRNA molecule optionally has blunt ends.
- the gap comprises at least one unpaired nucleotide in the first strand positioned between the double- stranded regions formed by the second and third strands when annealed to the first strand, or the gap is a nick.
- the nick or gap is located 10 nucleotides from the 5 '-end of the first (antisense) strand or at the Argonaute cleavage site.
- the meroduplex nick or gap is positioned such that the thermal stability is maximized for the first and second strand duplex and for the first and third strand duplex as compared to the thermal stability of such meroduplexes having a nick or gap in a different position.
- any of the aspects or embodiments disclosed herein would be useful in treating MMP-associated diseases or disorders, such as one or more hyperproliferative disorders, for example, leukemia, myeloid and lymphoid neoplasms, ovarian cancer, breast cancer, lung cancer, squamous cell carcinoma of the head, neck, esophagus, endometrium, and vulva, cutaneous basal cell carcinoma, chondrosarcoma, glioma, renal cell carcinoma, and prostate cancer; one or more angiogenic diseases or disorders; metastasis and tumorigenesis; as well as one or more inflammatory disorders, for example, encephalomyelitis, inflammatory bowel disease, arthritis, and psoriasis.
- hyperproliferative disorders for example, leukemia, myeloid and lymphoid neoplasms, ovarian cancer, breast cancer, lung cancer, squamous cell carcinoma of the head, neck, esophagus, endometrium, and vul
- the dsRNA comprises at least three strands in which the first strand comprises about 5 nucleotides to about 40 nucleotides, and the second and third strands include each, individually, about 5 nucleotides to about 20 nucleotides, wherein the combined length of the second and third strands is about 15 nucleotides to about 40 nucleotides.
- the dsRNA comprises at least two strands in which the first strand comprises about 15 nucleotides to about 24 nucleotides or about 25 nucleotides to about 40 nucleotides.
- the first strand comprises about 15 to about 24 nucleotides or about 25 nucleotides to about 40 nucleotides and is complementary to at least about 15, 16, 17, 18, 19, 20, 21, 22, 23, 24, 25, 26, 27, 28, 29, 30, 31, 32, 33, 34, 35, 36, 37, 38, 39, or 40 contiguous nucleotides of any one of human MMP9 mRNA as set forth in SEQ ID NO: 1158, human MMP 13 mRNA as set forth in SEQ ID NO: 1386, human MMP 14 mRNA as set forth in SEQ ID NO:1653, human MMP19 mRNA as set forth in SEQ ID NO:1997, or human MMP26 mRNA as set forth in SEQ ID NO: 2316.
- the first strand comprises about 15 to about 24 nucleotides or about 25 nucleotides to about 40 nucleotides and is at least about 70%, 75%, 80%, 85%, 90%, 91%, 92%, 93%, 94%, 95%, 96%, 97%, 98%, or 99% identical to a sequence that is complementary to at least about 15, 16, 17, 18, 19, 20, 21, 22, 23, 24, 25, 26, 27, 28, 29, 30, 31, 32, 33, 34, 35, 36, 37, 38, 39, or 40 contiguous nucleotides of any one of human MMP9 mRNA as set forth in SEQ ID NO : 1158 , human MMP 13 mRNA as set forth in SEQ ID NO: 1386, human MMP14 mRNA as set forth in SEQ ID NO: 1653, human MMP19 mRNA as set forth in SEQ ID NO: 1997, or human MMP26 mRNA as set forth in SEQ ID NO: 2316.
- the first strand will be complementary to a second strand or a second and third strand or to a plurality of strands.
- the first strand and its complements will be able to form dsRNA and mdRNA molecules of this disclosure, but only about 19 to about 25 nucleotides of the first strand comprise a sequence complementary to an MMP mRNA.
- a Dicer substrate dsRNA can have about 25 nucleotides to about 40 nucleotides, but with only 19 nucleotides of the antisense (first) strand being complementary to an MMP mRNA.
- the first strand having complementarity to an MMP mRNA in about 19 nucleotides to about 25 nucleotides will have one, two, or three mismatches with an MMP mRNA, such as a sequence set forth in any one of SEQ ID NOS: 1158, 1386, 1653, 1997, or 2316, or the first strand of 19 nucleotides to about 25 nucleotides, that for example activates or is capable of loading into RISC, will have at least 80% identity with the corresponding nucleotides found in an MMP mRNA, such as the sequence set forth in any one of SEQ ID NOS: 1158, 1386, 1653, 1997, or 2316.
- dsRNA molecules which can be used to design mdRNA molecules and can optionally include substitutions or modifications as described herein are provided in the Sequence Listings attached herewith, which is herein incorporated by reference (text file "07-R065PCT_Sequence_Listing," created February 15, 2008 and having a size of
- dsRNA molecules of this disclosure can enable a lower dose of a particular nucleic acid molecule for a given therapeutic effect ⁇ e.g., reducing or silencing MMP9, MMP 13, MMP 14, MMP 19, or MMP26 expression) since dsRNA molecules of this disclosure tend to have a longer half- life in serum.
- substitutions and modifications can improve the bioavailability of dsRNA by targeting particular cells or tissues or improving cellular uptake of the dsRNA molecules. Therefore, even if the activity of a dsRNA molecule of this disclosure is reduced as compared to a native RNA molecule, the overall activity of the substituted or modified dsRNA molecule can be greater than that of the native RNA molecule due to improved stability or delivery of the molecule. Unlike native unmodified dsRNA, substituted and modified dsRNA can also minimize the possibility of activating the interferon response in, for example, humans.
- a dsRNA molecule of this disclosure has at least one uridine, at least three uridines, or each and every uridine ⁇ i.e., all uridines) of the first (antisense) strand of that is a 5-methyluridine, 2-thioribothymidine, 2'-O-methyl-5-methyluridine, or any combination thereof.
- the dsRNA molecule or analog thereof of this disclosure has at least one uridine, at least three uridines, or each and every uridine of the second (sense) strand of the dsRNA is a 5-methyluridine, 2-thioribothymidine, 2'-O-methyl-5-methyluridine, or any combination thereof.
- the dsRNA molecule of this disclosure has at least one uridine, at least three uridines, or each and every uridine of the third (sense) strand of the dsRNA is a 5-methyluridine, 2-thioribothymidine, 2'-O-methyl-5-methyluridine, or any combination thereof.
- the dsRNA molecule of this disclosure has at least one uridine, at least three uridines, or each and every uridine of both the first (antisense) and second (sense) strands; of both the first (antisense) and third (sense) strands; of both the second (sense) and third (sense) strands; or all of the first (antisense), second (sense) and third (sense) strands of the dsRNA are a 5-methyluridine, 2-thioribothymidine, 2'-O-methyl-5- methyluridine, or any combination thereof.
- the double-stranded region of a dsRNA molecule has at least three 5-methyluridines, 2-thioribothymidine, 2'-O-methyl-5- methyluridine, or any combination thereof.
- dsRNA molecules comprise ribonucleotides at about 5% to about 95% of the nucleotide positions in one strand, both strands, or any combination thereof.
- a dsRNA molecule that decreases expression of an MMP gene by RNAi according to the instant disclosure further comprises one or more natural or synthetic non-standard nucleoside.
- the non-standard nucleoside is one or more deoxyuridine, locked nucleic acid (LNA) molecule, a modified base (e.g., 5-methyluridine), a universal-binding nucleotide, a 2'-O-methyl nucleotide, a modified internucleoside linkage (e.g., phosphorothioate), a G clamp, or any combination thereof.
- LNA locked nucleic acid
- the universal-binding nucleotide can be C-phenyl, C-naphthyl, inosine, azole carboxamide, 1- ⁇ -D- ribofuranosyl-4-nitroindole, 1 - ⁇ -Z)-ribofuranosyl-5-nitroindole, 1 - ⁇ -D-ribofuranosyl-6- nitroindole, or l- ⁇ -Z)-ribofuranosyl-3-nitropyrrole.
- Substituted or modified nucleotides present in dsRNA molecules preferably in the sense or antisense strand, but also optionally in both the antisense and sense strands, comprise modified or substituted nucleotides according to this disclosure having properties or characteristics similar to natural or standard ribonucleotides.
- this disclosure features dsRNA molecules including nucleotides having a Northern conformation (e.g., Northern pseudorotation cycle; see, e.g., Saenger, Principles of Nucleic Acid Structure, Springer- Verlag ed., 1984).
- chemically modified nucleotides present in dsRNA molecules of this disclosure are resistant to nuclease degradation while at the same time maintaining the capacity to mediate RNAi.
- Exemplary nucleotides having a Northern configuration include locked nucleic acid (LNA) nucleotides (e.g., 2'-O, 4'-C-methylene-(D- ribofuranosyl) nucleotides), 2'-methoxyethyl (MOE) nucleotides, 2'-methyl-thio-ethyl, 2'-deoxy- 2'-fluoro nucleotides, 2'-deoxy-2'-chloro nucleotides, 2'-azido nucleotides, 5-methyluridines, or 2'-O-methyl nucleotides.
- LNA locked nucleic acid
- MOE 2'-methoxyethyl
- MOE 2'-methyl-thio-ethyl
- 2'-deoxy- 2'-fluoro nucleotides 2'-deoxy-2'-chloro nucleotides
- 2'-azido nucleotides 5-methyluri
- one or more substituted or modified nucleotides can be a G clamp (e.g., a cytosine analog that forms an additional hydrogen bond to guanine, such as 9-(aminoethoxy)phenoxazine; see, e.g. , Lin and Mateucci, J. Am. Chem. Soc. 720:8531, 1998).
- G clamp e.g., a cytosine analog that forms an additional hydrogen bond to guanine, such as 9-(aminoethoxy)phenoxazine; see, e.g. , Lin and Mateucci, J. Am. Chem. Soc. 720:8531, 1998.
- the first and one or more second strands of a dsRNA molecule or analog thereof provided by this disclosure can anneal or hybridize together (i.e., due to complementarity between the strands) to form at least one double-stranded region having a length of about 4 to about 10 base pairs, about 5 to about 13 base pairs, or about 15 to about 40 base pairs.
- the dsRNA has at least one double-stranded region ranging in length from about 15 to about 24 base pairs or about 19 to about 23 base pairs.
- the dsRNA has at least one double-stranded region ranging in length from about 26 to about 40 base pairs or about 27 to about 30 base pairs or about 30 to about 35 base pairs.
- the two or more strands of a dsRNA molecule of this disclosure may optionally be covalently linked together by nucleotide or non-nucleotide linker molecules.
- the dsRNA molecule or analog thereof comprises an overhang of one to four nucleotides on one or both 3 '-ends of the dsRNA, such as an overhang comprising a deoxyribonucleotide or two deoxyribonucleotides (e.g., thymidine, adenine).
- the 3'-end comprising one or more deoxyribonucleotide is in an mdRNA molecule and is either in the gap, not in the gap, or any combination thereof.
- dsRNA molecules or analogs thereof have a blunt end at one or both ends of the dsRNA.
- the 5'-end of the first or second strand is phosphorylated.
- the 3 '-terminal nucleotide overhangs can comprise ribonucleotides or deoxyribonucleotides that are chemically-modified at a nucleic acid sugar, base, or backbone.
- the 3 '-terminal nucleotide overhangs can comprise one or more universal base ribonucleotides.
- the 3 '-terminal nucleotide overhangs can comprise one or more acyclic nucleotides.
- the dsRNA can further comprise a terminal phosphate group, such as a 5'-phosphate (see Martinez et al., Cell. 110:563-574, 2002; and Schwarz et al., Molec. Cell 70:537-568, 2002) or a 5 ',3 '-diphosphate.
- a terminal phosphate group such as a 5'-phosphate (see Martinez et al., Cell. 110:563-574, 2002; and Schwarz et al., Molec. Cell 70:537-568, 2002) or a 5 ',3 '-diphosphate.
- the terminal structure of dsRNAs of this disclosure that decrease expression of an MMP (e.g., MMP9, MMP 13, MMP 14, MMP 19, MMP26) gene by, for example, RNAi may either have blunt ends or one or more overhangs.
- the overhang may be at the 3 '-end or the 5 '-end.
- the total length of dsRNAs having overhangs is expressed as the sum of the length of the paired double-stranded portion together with the overhanging nucleotides. For example, if a 19 base pair dsRNA has a two nucleotide overhang at both ends, the total length is expressed as 21-mer.
- a dsRNA of this disclosure that decreases expression of an MMP gene by RNAi may further comprise a low molecular weight structure (e.g., a natural RNA molecule such as a tRNA, rRNA or viral RNA, or an artificial RNA molecule) at, for example, one or more overhanging portion of the dsRNA.
- a low molecular weight structure e.g., a natural RNA molecule such as a tRNA, rRNA or viral RNA, or an artificial RNA molecule
- a dsRNA molecule that decreases expression of an MMP gene by RNAi further comprises a 2'-sugar substitution, such as 2'-deoxy, 2'-O-methyl, 2'-O-methoxyethyl, 2'-O-2-methoxyethyl, halogen, 2'-fluoro, 2'-O-allyl, or the like, or any combination thereof.
- a dsRNA molecule that decreases expression of an MMP gene by RNAi further comprises a terminal cap substituent on one or both ends of the first strand or one or more second strands, such as an alkyl, abasic, deoxy abasic, glyceryl, dinucleotide, acyclic nucleotide, inverted deoxynucleotide moiety, or any combination thereof.
- a terminal cap such as an alkyl, abasic, deoxy abasic, glyceryl, dinucleotide, acyclic nucleotide, inverted deoxynucleotide moiety, or any combination thereof.
- at least one or two 5 '-terminal ribonucleotides of the sense strand within the double-stranded region have a 2'-sugar substitution.
- a dsRNA molecule that decreases expression of one or more target gene by RNAi comprises one or more substitutions in the sugar backbone, including any combination of ribosyl, 2'-deoxyribosyl, a tetrofuranosyl (e.g.
- L- ⁇ -threofuranosyl a hexopyranosyl (e.g. , ⁇ -allopyranosyl, ⁇ -altropyranosyl, and ⁇ -glucopyranosyl), a pentopyranosyl (e.g. , ⁇ -ribopyranosyl, ⁇ -lyxopyranosyl, ⁇ -xylopyranosyl, and ⁇ -arabinopyranosyl), a carbocyclic (carbon only ring) analog, a pyranose, a furanose, a morpholino, or analogs or derivatives thereof.
- a hexopyranosyl e.g. , ⁇ -allopyranosyl, ⁇ -altropyranosyl, and ⁇ -glucopyranosyl
- a pentopyranosyl e.g. , ⁇ -ribopyranosyl,
- a dsRNA molecule that decreases expression of an MMP gene (including a mRNA splice variant thereof) by RNAi further comprises at least one modified internucleoside linkage, such as independently a phosphorothioate, chiral phosphorothioate, phosphorodithioate, phosphotriester, aminoalkylphosphotriester, methyl phosphonate, alkyl phosphonate, 3'-alkylene phosphonate, 5'- alkylene phosphonate, chiral phosphonate, phosphonoacetate, thiophosphonoacetate, phosphinate, phosphoramidate, 3'-amino phosphoramidate, aminoalkylphosphoramidate, thionophosphoramidate, thionoalkylphosphonate, thionoalkylphosphotriester, selenophosphate, boranophosphate linkage, or any combination thereof.
- modified internucleoside linkage such as independently a
- a modified internucleotide linkage can be present in one or more strands of a dsRNA molecule of this disclosure, for example, in the sense strand, the antisense strand, both strands, or a plurality of strands (e.g., in an mdRNA).
- the dsRNA molecules of this disclosure can comprise one or more modified internucleotide linkages at the 3 '-end, the 5 '-end, or both of the 3'- and 5 '-ends of the second sense strand, the third sense strand, the antisense strand or any combination of the antisense strand and one or more of the sense strands.
- a dsRNA molecule capable of decreasing expression of an MMP gene (including a specific or selected mRNA splice variant thereof) by RNAi has one modified internucleotide linkage at the 3 '-end, such as a phosphorothioate linkage.
- this disclosure provides a dsRNA molecule capable of decreasing expression of an MMP gene by RNAi having about 1 to about 8 or more phosphorothioate internucleotide linkages in one dsRNA strand.
- this disclosure provides a dsRNA molecule capable of decreasing expression of an MMP gene by RNAi having about 1 to about 8 or more phosphorothioate internucleotide linkages in the dsRNA strands.
- an exemplary dsRNA molecule of this disclosure can comprise from about 1 to about 5 or more consecutive phosphorothioate internucleotide linkages at the 5 '-end of the sense strand, the antisense strand, both strands, or a plurality of strands.
- an exemplary dsRNA molecule of this disclosure can comprise one or more pyrimidine phosphorothioate internucleotide linkages in the sense strand, the antisense strand, either strand, or a plurality of strands.
- an exemplary dsRNA molecule of this disclosure comprises one or more purine phosphorothioate internucleotide linkages in the sense strand, the antisense strand, either strand, or a plurality of strands.
- modified nucleotide bases or analogs thereof useful in the dsRNA of the instant disclosure include 5-methylcytosine; 5-hydroxymethylcytosine; xanthine; hypoxanthine; 2-aminoadenine; 6-methyl, 2-propyl, or other alkyl derivatives of adenine and guanine; 8-substituted adenines and guanines (such as 8-aza, 8-halo, 8-amino, 8-thiol,
- Further useful nucleotide bases can be found in Kurreck, Eur. J. Biochem. 270:1628, 2003; Herdewijn, Antisense Nucleic Acid Develop. 10:291, 2000; Concise Encyclopedia of Polymer Science and Engineering, pages 858-859, Kroschwitz, J. L, ed. John Wiley & Sons, 1990; U.S. Patent No. 3,687,808, and similar references.
- nucleotide base moieties are particularly useful for increasing the binding affinity of the dsRNA molecules of this disclosure to complementary targets. These include 5-substituted pyrimidines; 6-azapyrimidines; and N-2, N-6, or O-6 substituted purines (including 2-aminopropyladenine, 5-propynyluracil and 5-propynylcytosine).
- 5-methyluridine and 5-methylcytosine substitutions are known to increase nucleic acid duplex stability, which can be combined with 2'-sugar modifications (such as 2'-methoxy or 2'-methoxyethyl) or internucleoside linkages (e.g. , phosphorothioate) that provide nuclease resistance to the modified or substituted dsRNA.
- a dsRNA that decreases expression of an MMP gene comprising a first strand that is complementary to an MMP9 mRNA as set forth in SEQ ID NO: 1158, an MMP13 mRNA as set forth in SEQ ID NO: 1386, an MMP14 mRNA as set forth in SEQ ID NO: 1653, an MMP19 mRNA as set forth in SEQ ID NO: 1997, or an MMP26 mRNA as set forth in SEQ ID NO: 2316, and a second strand that is complementary to the first strand, wherein the first and second strands form a double-stranded region of about 5 to about 40 base pairs; wherein at least one pyrimidine of the dsRNA is a pyrimidine nucleoside according to Formula I or II:
- R 1 and R 2 are each independently a -H, -OH, -OCH 3 , -OCH 2 OCH 2 CH 3 ,
- At least one nucleoside is according to Formula I in which R 1 is methyl and R 2 is -OH, or R 1 is methyl, R 2 is -OH, and R 8 is S. In certain embodiments, at least one nucleoside is according to Formula I in which R 1 is methyl and R 2 is -O-methyl, or R 1 is methyl, R 2 is -O-methyl, and R 8 is O. In other embodiments, the internucleoside linking group covalently links from about 5 to about 40 nucleosides.
- the first and one or more second strands of a dsRNA which decreases expression of an MMP gene by RNAi and has at least one pyrimidine substituted with a pyrimidine nucleoside according to Formula I or II, can anneal or hybridize together (i.e., due to complementarity between the strands) to form at least one double-stranded region having a length or a combined length of about 15 to about 40 base pairs.
- the dsRNA has at least one double-stranded region ranging in length from about 4 base pairs to about 10 base pairs or about 5 to about 13 base pairs or about 15 to about 25 base pairs or about 19 to about 23 base pairs.
- the dsRNA has at least one double-stranded region ranging in length from about 26 to about 40 base pairs or about 27 to about 30 base pairs or about 30 to about 35 base pairs.
- the dsRNA molecule or analog thereof has an overhang of one to four nucleotides on one or both 3'-ends, such as an overhang comprising a deoxyribonucleotide or two deoxyribonucleotides (e.g., thymidine).
- dsRNA molecule or analog thereof has a blunt end at one or both ends of the dsRNA.
- the 5'-end of the first or second strand is phosphorylated.
- At least one R 1 is a C 1 -C 5 alkyl, such as methyl or ethyl.
- compounds of Formula I are a 5-alkyluridine (i.e., R 1 is alkyl, R 2 is -OH, and R 3 , R 4 , and R 5 are as defined herein) or compounds of Formula II are a 5-alkylcytidine (i.e., R 1 is alkyl, R 2 is -OH, and R 3 , R 4 , and R 5 are as defined herein).
- the 5-alkyluridine is a 5-methyluridine (also referred to as ribothymidine or T r - i.e., R 1 is methyl and R 2 is -OH), and the 5-alkylcytidine is a 5-methylcytidine.
- at least one, at least three, or all uridines of the first strand of the dsRNA are replaced with 5-methyluridine, or at least one, at least three, or all uridines of the second strand of the dsRNA are replaced with 5-methyluridine, or any combination thereof (e.g., such changes are made on more than one strand).
- At least one pyrimidine nucleoside of Formula I or Formula II has an R 5 that is S or R 8 that is S.
- at least one pyrimidine nucleoside of the dsRNA is a locked nucleic acid (LNA) in the form of a bicyclic sugar, wherein R 2 is oxygen, and the 2'-0 and 4'-C form an oxymethylene bridge on the same ribose ring.
- the LNA comprises a base substitution, such as a 5-methyluridine LNA or 2-thio-5-methyluridine LNA.
- At least one, at least three, or all uridines of the first strand of the dsRNA are replaced with 5-methyluridine or 2-thioribothymidine or 5-methyluridine LNA or 2-thio-5- methyluridine LNA, or at least one, at least three, or all uridines of the second strand of the dsRNA are replaced with 5-methyluridine, 2-thioribothymidine, 5-methyluridine LNA, 2-thio-5- methyluridine LNA, or any combination thereof (e.g.
- a ribose of the pyrimidine nucleoside or the internucleoside linkage can be optionally modified.
- R 2 is alkoxy, such as a 2'-O-methyl substitution (e.g., which may be in addition to a 5- alkyluridine or a 5-alkylcytidine, respectively).
- R 2 is selected from T- 0-(Ci-C 5 ) alkyl, 2'-O-methyl, 2'-OCH 2 OCH 2 CH 3 , 2'-OCH 2 CH 2 OCH 3 , 2'-0-allyl, or 2'-fluoro.
- one or more of the pyrimidine nucleosides are according to Formula I in which R 1 is methyl and R 2 is a 2'-O-(C r C 5 ) alkyl (e.g., 2'-O-methyl), or in which R 1 is methyl, R 2 is a 2'0-(Ci-Cs) alkyl (e.g., 2'0-methyl), and R 2 is S, or any combination thereof.
- one or more, or at least two, pyrimidine nucleosides according to Formula I or II have an R 2 that is not -H or -OH and is incorporated at a 3 '-end or 5 '-end and not within the gap of one or more strands within the double-stranded region of the dsRNA molecule.
- a dsRNA molecule or analog thereof comprising a pyrimidine nucleoside according to Formula I or Formula II in which R 2 is not -H or -OH and an overhang, further comprises at least two of pyrimidine nucleosides that are incorporated either at a 3 '-end or a 5 '-end or both of one strand or two strands within the double-stranded region of the dsRNA molecule.
- At least one of the at least two pyrimidine nucleosides in which R 2 is not -H or -OH is located at a 3 '-end or a 5 '-end within the double-stranded region of at least one strand of the dsRNA molecule, and wherein at least one of the at least two pyrimidine nucleosides in which R 2 is not -H or -OH is located internally within a strand of the dsRNA molecule.
- a dsRNA molecule or analog thereof that has an overhang has a first of the two or more pyrimidine nucleosides in which R 2 is not -H or -OH that is incorporated at a 5 '-end within the double-stranded region of the sense strand of the dsRNA molecule and a second of the two or more pyrimidine nucleosides is incorporated at a 5 '-end within the double-stranded region of the antisense strand of the dsRNA molecule.
- one or more substituted or modified nucleotides can be a G clamp (e.g.
- a cytosine analog that forms an additional hydrogen bond to guanine such as 9-(aminoethoxy) phenoxazine; see, e.g., Lin and Mateucci, 1998).
- a cytosine analog that forms an additional hydrogen bond to guanine such as 9-(aminoethoxy) phenoxazine; see, e.g., Lin and Mateucci, 1998).
- the one or more pyrimidine nucleosides are not within the mdRNA molecule gap.
- a dsRNA molecule or analog thereof of Formula I or II according to the instant disclosure that has an overhang that comprises four or more independent pyrimidine nucleosides or four or more independent pyrimidine nucleosides in which R 2 is not - H or -OH, wherein (a) a first pyrimidine nucleoside is incorporated into a 3 '-end within the double-stranded region of the sense (second) strand of the dsRNA, (b) a second pyrimidine nucleoside is incorporated into a 5 '-end within the double-stranded region of the sense (second) strand, (c) a third pyrimidine nucleoside is incorporated into a 3 '-end within the double-stranded region of the antisense (first) strand of the dsRNA, and (d) a fourth pyrimidine nucleoside is incorporated into a 5 '-end within the double-stranded region of the antis
- a dsRNA molecule or analog thereof comprising a pyrimidine nucleoside according to Formula I or Formula II in which R 2 is not -H or -OH and is blunt-ended, further comprises at least two of pyrimidine nucleosides that are incorporated either at a 3 '-end or a 5 '-end or both of one strand or two strands of the dsRNA molecule.
- At least one of the at least two pyrimidine nucleosides in which R 2 is not -H or -OH is located at a 3 '-end or a 5 '-end of at least one strand of the dsRNA molecule, and wherein at least one of the at least two pyrimidine nucleosides in which R 2 is not -H or -OH is located internally within a strand of the dsRNA molecule.
- a dsRNA molecule or analog thereof that is blunt-ended has a first of the two or more pyrimidine nucleosides in which R 2 is not -H or -OH that is incorporated at a 5 '-end of the sense strand of the dsRNA molecule and a second of the two or more pyrimidine nucleosides is incorporated at a 5 '-end of the antisense strand of the dsRNA molecule.
- R 2 is not -H or -OH that is incorporated at a 5 '-end of the sense strand of the dsRNA molecule and a second of the two or more pyrimidine nucleosides is incorporated at a 5 '-end of the antisense strand of the dsRNA molecule.
- a dsRNA molecule comprising a pyrimidine nucleoside according to Formula I or Formula II and that is blunt-ended comprises four or more independent pyrimidine nucleosides or four or more independent pyrimidine nucleosides in which R 2 is not -H or -OH, wherein (a) a first pyrimidine nucleoside is incorporated into a 3 '-end within the double-stranded region of the sense (second) strand of the dsRNA, (b) a second pyrimidine nucleoside is incorporated into a 5 '-end within the double-stranded region of the sense (second) strand, (c) a third pyrimidine nucleoside is incorporated into a 3 '-end within the double-stranded region of the antisense (first) strand of the dsRNA, and (d) a fourth pyrimidine nucleoside is incorporated into a 5 '-end within the double-strande
- a dsRNA molecule or analog thereof of Formula I or II according to the instant disclosure further comprises a terminal cap substituent on one or both ends of the first strand or second strand, such as an alkyl, abasic, deoxy abasic, glyceryl, dinucleotide, acyclic nucleotide, inverted deoxynucleotide moiety, or any combination thereof.
- a terminal cap substituent on one or both ends of the first strand or second strand such as an alkyl, abasic, deoxy abasic, glyceryl, dinucleotide, acyclic nucleotide, inverted deoxynucleotide moiety, or any combination thereof.
- one or more internucleoside linkage can be optionally modified.
- a dsRNA molecule or analog thereof of Formula I or II wherein at least one internucleoside linkage is modified to a phosphorothioate, chiral phosphorothioate, phosphorodithioate, phosphotriester, aminoalkylphosphotriester, methyl phosphonate, alkyl phosphonate, 3'-alkylene phosphonate, 5'-alkylene phosphonate, chiral phosphonate, phosphonoacetate, thiophosphonoacetate, phosphinate, phosphoramidate, 3 '-amino phosphoramidate, aminoalkylphosphoramidate, thionophosphoramidate, thionoalkylphosphonate, thionoalkylphosphotriester, selenophosphate, boranophosphate linkage, or any combination thereof.
- a nicked or gapped dsRNA molecule that decreases expression of an MMP gene by RNAi, comprising a first strand that is complementary to an MMP9 mRNA as set forth in SEQ ID NO: 1158, an MMP 13 mRNA as set forth in SEQ ID NO:1386, an MMP14 mRNA as set forth in SEQ ID NO:1653, an MMP19 mRNA as set forth in SEQ ID NO: 1997, or an MMP26 mRNA as set forth in SEQ ID NO: 2316, and two or more second strands that are complementary to the first strand, wherein the first and at least one of the second strands form a non-overlapping double-stranded region of about 5 to about 13 base pairs. Any of the substitutions or modifications described herein is contemplated within this embodiment as well.
- the dsRNAs comprise at least two or more substituted pyrimidine nucleosides can each be independently selected wherein R 1 comprises any chemical modification or substitution as contemplated herein, for example an alkyl (e.g., methyl), halogen, hydroxy, alkoxy, nitro, amino, trifluoromethyl, cycloalkyl, (cycloalkyl)alkyl, alkanoyl, alkanoyloxy, aryl, aroyl, aralkyl, nitrile, dialkylamino, alkenyl, alkynyl, hydroxyalkyl, aminoalkyl, alkylaminoalkyl, dialkylaminoalkyl, haloalkyl, carboxyalkyl, alkoxyalkyl, carboxy, carbonyl, alkanoylamino, carbamoyl, carbonylamino, alkylsulfonylamino, or heterocyclo group.
- R 1 comprises any chemical modification or substitution
- one or more substituted pyrimidine nucleosides according to Formula I or II can be located at any ribonucleotide position, or any combination of ribonucleotide positions, on either or both of the sense and antisense strands of a dsRNA molecule of this disclosure, including at one or more multiple terminal positions as noted above, or at any one or combination of multiple non-terminal ("internal") positions.
- each of the sense and antisense strands can incorporate about 1 to about 6 or more of the substituted pyrimidine nucleosides.
- the substituted pyrimidine nucleosides when two or more substituted pyrimidine nucleosides are incorporated within a dsRNA of this disclosure, at least one of the substituted pyrimidine nucleosides will be at a 3'- or 5'-end of one or both strands, and in certain embodiments at least one of the substituted pyrimidine nucleosides will be at a 5'-end of one or both strands.
- the substituted pyrimidine nucleosides are located at a position corresponding to a position of a pyrimidine in an unmodified dsRNA that is constructed as a homologous sequence for targeting a cognate mRNA, as described herein.
- the terminal structure of the dsRNAs of this disclosure may have a stem-loop structure in which ends of one side of the dsRNA molecule are connected by a linker nucleic acid, e.g., a linker RNA.
- the length of the double-stranded region (stem- loop portion) can be, for example, about 15 to about 49 bp, about 15 to about 35 bp, or about 21 to about 30 bp long.
- the length of the double-stranded region that is a final transcription product of dsRNAs to be expressed in a target cell may be, for example, approximately about 15 to about 49 bp, about 15 to about 35 bp, or about 21 to about 30 bp long.
- the linker portion may have a clover- leaf tRNA structure. Even if the linker has a length that would hinder pairing of the stem portion, it is possible, for example, to construct the linker portion to include introns so that the introns are excised during processing of a precursor RNA into mature RNA, thereby allowing pairing of the stem portion.
- either end (head or tail) of RNA with no loop structure may have a low molecular weight RNA.
- these low molecular weight RNAs may include a natural RNA molecule, such as tRNA, rRNA or viral RNA, or an artificial RNA molecule.
- a dsRNA molecule may be comprised of a circular nucleic acid molecule, wherein the dsRNA is about 38 to about 70 nucleotides in length having from about 18 to about 23 base pairs (e.g., about 19 to about 21 bp) wherein the circular oligonucleotide forms a dumbbell shaped structure having about 19 base pairs and two loops.
- a circular dsRNA molecule contains two loop motifs wherein one or both loop portions of the dsRNA molecule is biodegradable.
- a circular dsRNA molecule of this disclosure is designed such that degradation of the loop portions of the dsRNA molecule in vivo can generate a dsRNA molecule with 3 '-terminal overhangs, such as 3 '-terminal nucleotide overhangs comprising from about 1 to about 4 (unpaired) nucleotides.
- Substituting or modifying nucleosides of a dsRNA according to this disclosure can result in increased resistance to enzymatic degradation, such as exonucleolytic degradation, including 5'-exonucleolytic or 3 '-exonucleolytic degradation.
- the dsRNAs described herein will exhibit significant resistance to enzymatic degradation compared to a corresponding dsRNA having standard nucleotides, and will thereby possess greater stability, increased half-life, and greater bioavailability in physiological environments (e.g., when introduced into a eukaryotic target cell).
- the incorporation of one or more pyrimidine nucleosides according to Formula I or II will render dsRNAs more resistant to other enzymatic or chemical degradation processes and thus more stable and bioavailable than otherwise identical dsRNAs that do not include the substitutions or modifications.
- dsRNA substitutions or modifications described herein will often improve stability of a modified dsRNA for use within research, diagnostic and treatment methods wherein the modified dsRNA is contacted with a biological sample, for example, a mammalian cell, intracellular compartment, serum or other extracellular fluid, tissue, or other in vitro or in vzVo physiological compartment or environment.
- a biological sample for example, a mammalian cell, intracellular compartment, serum or other extracellular fluid, tissue, or other in vitro or in vzVo physiological compartment or environment.
- diagnosis is performed on an isolated biological sample.
- the diagnostic method is performed in vitro.
- the diagnostic method is not performed (directly) on a human or animal body.
- incorporation of one or more pyrimidine nucleosides according to Formula I or II in a dsRNA designed for gene silencing can provide additional desired functional results, including increasing a melting point of a substituted or modified dsRNA compared to a corresponding unmodified dsRNA.
- certain substitutions or modifications of dsRNAs described herein can reduce "off-target effects" of the substituted or modified dsRNA molecules when they are contacted with a biological sample ⁇ e.g., when introduced into a target eukaryotic cell having specific, and non-specific mRNA species present as potential specific and non-specific targets).
- dsRNA substitutions or modifications described herein can reduce interferon activation by the dsRNA molecule when the dsRNA is contacted with a biological sample, e.g., when introduced into a eukaryotic cell.
- dsRNAs of this disclosure can comprise one or more sense
- (second) strand that is homologous or corresponds to a sequence of a target gene ⁇ e.g. , an MMP9, MMPl 3, MMP 14, MMP 19, or MMP26) and an antisense (first) strand that is complementary to the sense strand and a sequence of the target gene ⁇ e.g., an MMP9, MMP 13, MMP14, MMP19, or MMP26).
- at least one strand of the dsRNA incorporates one or more pyrimidines substituted according to Formula I or II ⁇ e.g.
- the ribose is modified to incorporate one or more 2'-O-methyl substitutions, or any combination thereof).
- These and other multiple substitutions or modifications according to Formula I or II can be introduced into one or more pyrimidines, or into any combination and up to all pyrimidines present in one or more strands of a dsRNA of the instant disclosure, so long as the dsRNA has or retains RNAi activity similar to or better than the activity of an unmodified dsRNA.
- the dsRNA comprises one or more 2'-O-methyl-5-methyluridine.
- the dsRNA may include multiple modifications.
- a dsRNA having at least one ribothymidine or 2'-O-methyl-5- methyluridine may further comprise at least one LNA, 2'-methoxy, 2'-fluoro, 2'-deoxy, phosphorothioate linkage, an inverted base terminal cap, or any combination thereof.
- a dsRNA will have from one to all ribothymidines and have up to 75% LNA.
- a dsRNA will have from one to all ribothymidines and have up to 75% 2'-methoxy ⁇ e.g., not at the Argonaute cleavage site). In still other embodiments, a dsRNA will have from one to all ribothymidines and have up to 100% 2'-fluoro. In further embodiments, a dsRNA will have from one to all ribothymidines and have up to 75% 2'-deoxy. In further embodiments, a dsRNA will have up to 75% LNA and have up to 75% 2'-methoxy.
- a dsRNA will have up to 75% LNA and have up to 100% 2'-fluoro. In further embodiments, a dsRNA will have up to 75% LNA and have up to 75% 2'-deoxy. In other embodiments, a dsRNA will have up to 75% 2'-methoxy and have up to 100% 2'-fluoro. In more embodiments, a dsRNA will have up to 75% 2'-methoxy and have up to 75% 2'-deoxy. In further embodiments, a dsRNA will have up to 100% 2'-fluoro and have up to 75% 2'-deoxy.
- a dsRNA will have from one to all ribothymidines, up to 75% LNA, and up to 75% 2'-methoxy. In still further embodiments, a dsRNA will have from one to all ribothymidines, up to 75% LNA, and up to 100% 2'-fluoro. In further embodiments, a dsRNA will have from one to all ribothymidines, up to 75% LNA, and up to about 75% 2'-deoxy. In further embodiments, a dsRNA will have from one to all ribothymidines, up to 75% 2'-methoxy, and up to 75% 2'-fluoro.
- a dsRNA will have from one to all ribothymidines, up to 75% 2'-methoxy, and up to 75% 2'-deoxy. In further embodiments, a dsRNA will have from one to all ribothymidines, up to
- a dsRNA will have from one to all ribothymidines, up to 75% LNA substitutions, up to 75% 2'-methoxy, up to 100% 2'-fluoro, and up to 75% 2'-deoxy. In other embodiments, a dsRNA will have up to 75% LNA, up to 75% 2'-methoxy, and up to 100% 2'-fluoro. In further embodiments, a dsRNA will have up to 75% LNA, up to 75% 2'-methoxy, and up to about 75% 2'-deoxy.
- a dsRNA will have up to 75% LNA, up to 100% 2'-fluoro, and up to 75% 2'-deoxy. In still further embodiments, a dsRNA will have up to 75% 2'-methoxy, up to 100% 2'-fluoro, and up to 75% 2'-deoxy.
- the dsRNA may further comprise up to 100% phosphorothioate internucleoside linkages, from one to ten or more inverted base terminal caps, or any combination thereof. Additionally, any of these dsRNA may have these multiple modifications on one strand, two strands, three strands, a plurality of strands, or all strands, or on the same or different nucleoside within a dsRNA molecule. Finally, in any of these multiple modification dsRNA, the dsRNA must have gene silencing activity.
- the present disclosure provides dsRNA that decreases expression of an MMP gene by RNAi (e.g., an MMP of any one of SEQ ID NOS: 1158, 1386, 1653, 1997, or 2316), and compositions comprising one or more dsRNA, wherein at least one dsRNA comprises one or more universal-binding nucleotide(s) in the first, second or third position in the anti-codon of the antisense or sense strand of the dsRNA and wherein the dsRNA is capable of specifically binding to an MMP sequence, such as an RNA expressed by a target cell.
- RNAi e.g., an MMP of any one of SEQ ID NOS: 1158, 1386, 1653, 1997, or 2316
- compositions comprising one or more dsRNA, wherein at least one dsRNA comprises one or more universal-binding nucleotide(s) in the first, second or third position in the anti-codon of the antisense or sense strand of
- dsRNA comprising a universal-binding nucleotide retains its capacity to specifically bind a target MMP RNA, thereby mediating gene silencing and, as a consequence, overcoming escape of the target MMP from dsRNA-mediated gene silencing.
- Examplary universal-binding nucleotides that may be suitably employed in the compositions and methods disclosed herein include inosine, l- ⁇ -D-ribofuranosyl-5-nitroindole, or l- ⁇ -D-ribofuranosyl-3- nitropyrrole.
- dsRNA disclosed herein can include between about 1 universal-binding nucleotide and about 10 universal-binding nucleotides.
- the presently disclosed dsRNA may comprise a sense strand that is homologous to a sequence of an MMP gene and an antisense strand that is complementary to the sense strand, with the proviso that at least one nucleotide of the antisense or sense strand of the otherwise complementary dsRNA duplex has one or more universal-binding nucleotide.
- oligonucleotides e.g. , certain modified oligonucleotides or portions of oligonucleotides lacking ribonucleotides
- Oligonucleotides are synthesized using protocols known in the art, for example as described in Caruthers et al, Methods in Enzymol. 211:3-19, 1992; Thompson et al, PCT Publication No. WO 99/54459, Wincott et al, Nucleic Acids Res. 25:2677-2684, 1995; Wincott et al, Methods MoI. Bio.
- RNA including certain dsRNA molecules and analogs thereof of this disclosure, can be made using the procedure as described in Usman et al, J. Am. Chem. Soc. 109:7845, 1987; Scaringe et al, Nucleic Acids Res. 18:5433, 1990; and Wincott et al, Nucleic Acids Res. 25:2677-2684, 1995; Wincott et al, Methods MoI. Bio. 74:59, 1997.
- the nucleic acid molecules of the present disclosure can be synthesized separately and joined together post-synthetically, for example, by ligation (Moore et al, Science 256:9923, 1992; Draper et al, PCT Publication No. WO 93/23569; Shabarova et al, Nucleic Acids Res. 19:4241, 1991; Bellon et al, Nucleosides & Nucleotides 16:951, 1997; Bellon et al, Bioconjugate Chem. 5:204, 1997), or by hybridization following synthesis or deprotection.
- dsRNAs of this disclosure that decrease expression of an MMP gene by RNAi can be made as single or multiple transcription products expressed by a polynucleotide vector encoding one or more dsRNAs and directing their expression within host cells.
- the double-stranded portion of a final transcription product of the dsRNAs to be expressed within the target cell can be, for example, about 5 to about 40 bp, about 15 to about 24 bp, or about 25 to about 40 bp long.
- double- stranded portions of dsRNAs are not limited to completely paired nucleotide segments, and may contain non-pairing portions due to a mismatch (the corresponding nucleotides are not complementary), bulge (lacking in the corresponding complementary nucleotide on one strand), overhang, or the like.
- Non-pairing portions can be contained to the extent that they do not interfere with dsRNA formation and function.
- a "bulge" may comprise 1 to 2 non-pairing nucleotides, and the double-stranded region of dsRNAs in which two strands pair up may contain from about 1 to 7, or about 1 to 5 bulges.
- mismatch portions contained in the double-stranded region of dsRNAs may include from about 1 to 7, or about 1 to 5 mismatches.
- the double- stranded region of dsRNAs of this disclosure may contain both bulge and mismatched portions in the approximate numerical ranges specified herein.
- a dsRNA or analog thereof of this disclosure may be further comprised of a nucleotide, non-nucleotide, or mixed nucleotide/non-nucleotide linker that joins the sense region of the dsRNA to the antisense region of the dsRNA.
- a nucleotide linker can be a linker of more than about 2 nucleotides length up to about 10 nucleotides in length.
- the nucleotide linker can be a nucleic acid aptamer.
- aptamer or “nucleic acid aptamer” as used herein is meant a nucleic acid molecule that binds specifically to a target molecule wherein the nucleic acid molecule has sequence that comprises a sequence recognized by the target molecule in its natural setting.
- an aptamer can be a nucleic acid molecule that binds to a target molecule wherein the target molecule does not naturally bind to a nucleic acid.
- the target molecule can be any molecule of interest.
- the aptamer can be used to bind to a ligand-binding domain of a protein, thereby preventing interaction of the naturally occurring ligand with the protein.
- This is a non-limiting example and those in the art will recognize that other embodiments can be readily generated using techniques generally known in the art (see, e.g., Gold et al., Annu. Rev. Biochem. 64:763, 1995; Brody and Gold, J. Biotechnol. 74:5, 2000; Sun, Curr. Opin. MoI. Ther. 2:100, 2000; Kusser, J. Biotechnol. 74:21, 2000; Hermann and Patel, Science 257:820, 2000; and Jayasena, Clinical Chem. 45: 1628, 1999).
- a non-nucleotide linker may be comprised of an abasic nucleotide, polyether, polyamine, polyamide, peptide, carbohydrate, lipid, polyhydrocarbon, or other polymeric compounds (e.g., polyethylene glycols such as those having between 2 and 100 ethylene glycol units).
- polyethylene glycols such as those having between 2 and 100 ethylene glycol units.
- Specific examples include those described by Seela and Kaiser, Nucleic Acids Res. 75:6353, 1990, and Nucleic Acids Res. 75:3113, 1987; Cload and Schepartz, J. Am. Chem. Soc. 113:6324, 1991; Richardson and Schepartz, J. Am. Chem. Soc. 113:5109, 1991; Ma et al, Nucleic Acids Res.
- the synthesis of a dsRNA molecule of this disclosure comprises: (a) synthesis of a first (antisense) strand and synthesis of a second (sense) strand and a third (sense) strand that are each complementary to non-overlapping regions of the first strand; and (b) annealing the first, second and third strands together under conditions suitable to obtain a dsRNA molecule.
- synthesis of the first, second and thirdstrands of a dsRNA molecule is by solid phase oligonucleotide synthesis.
- synthesis of the first, second ,and third strands of a dsRNA molecule is by solid phase tandem oligonucleotide synthesis. Chemically synthesizing nucleic acid molecules with substitutions or modifications
- WO 91/03162 discloses various substitutions and chemical modifications to the base, phosphate, or sugar moieties of nucleic acid molecules, which can be used in the dsRNAs described herein.
- oligonucleotides can be modified at the sugar moiety to enhance stability or prolong biological activity by increasing nuclease resistance.
- Representative sugar modifications include 2'-amino, 2'-C-allyl, 2'-fluoro, 2'-O-methyl, 2'-O-allyl, or 2'-H.
- Other modifications to enhance stability or prolong biological activity can be internucleoside linkages, such as phosphorothioate, or base- modifications, such as locked nucleic acids (see, e.g., U.S. Patent Nos. 6,670,461; 6,794,499; 6,268,490), or 5-methyluridine or 2'-O-methyl-5-methyluridine in place of uridine (see, e.g., U.S. Patent Application Publication No. 2006/0142230).
- dsRNA molecules of the instant disclosure can be modified to increase nuclease resistance or duplex stability while substantially retaining or having enhanced RNAi activity as compared to unmodified dsRNA.
- this disclosure features substituted or modified dsRNA molecules, such as phosphate backbone modifications comprising one or more phosphorothioate, phosphorodithioate, methylphosphonate, phosphotriester, morpholino, amidate carbamate, carboxymethyl, acetamidate, polyamide, sulfonate, sulfonamide, sulfamate, formacetal, thioformacetal, or alkylsilyl substitutions.
- a conjugate molecule can be optionally attached to a dsRNA or analog thereof that decreases expression of an MMP gene by RNAi.
- conjugate molecules may be polyethylene glycol, human serum albumin, polyarginine, GIn- Asn polymer, or a ligand for a cellular receptor that can, for example, mediate cellular uptake ⁇ e.g. , HIV TAT, see Vocero-Akbani et al, Nature Med. 5:23, 1999; see also U.S. Patent Application Publication No. 2004/0132161)..
- a conjugate molecule is covalently attached to a dsRNA or analog thereof that decreases expression of an MMP gene by RNAi via a biodegradable linker.
- a conjugate molecule can be attached at the 3 '-end of either the sense strand, the antisense strand, or both strands of a dsRNA molecule provided herein.
- a conjugate molecule can be attached at the 5 '-end of either the sense strand, the antisense strand, or both strands of the dsRNA or analog thereof. In yet another embodiment, a conjugate molecule is attached at both the 3 '-end and 5 '-end of either the sense strand, the antisense strand, or both strands of a dsRNA molecule, or any combination thereof. In further embodiments, a conjugate molecule of this disclosure comprises a molecule that facilitates delivery of a dsRNA or analog thereof into a biological system, such as a cell.
- dsRNA of this disclosure having various conjugates to determine whether the dsRNA-conjugate possesses improved properties ⁇ e.g., pharmacokinetic profiles, bioavailability, stability) while maintaining the ability to mediate RNAi in, for example, an animal model as described herein or generally known in the art.
- the present disclosure also provides methods for selecting dsRNA and analogs thereof that are capable of specifically binding to an MMP gene (including a mRNA splice variant thereof) while being incapable of specifically binding or minimally binding to non-MMP genes.
- the selection process disclosed herein is useful, for example, in eliminating dsRNAs analogs that are cytotoxic due to non-specific binding to, and subsequent degradation of, one or more non-MMP genes.
- nucleotide sequence of every possible gene variant (including mRNA splice variants) targeted by the dsRNA or analog thereof is selected from a conserved region or consensus sequence of an MMP gene.
- nucleotide sequence of the dsRNA may be selectively or preferentially targeted to a certain sequence contained in an mRNA splice variant of an MMP gene.
- methods for selecting one or more dsRNA molecule that decreases expression of an MMP gene by RNAi, comprising a first strand that is complementary to an MMP9 mRNA as set forth in SEQ ID NO: 1158, an MMP 13 mRNA as set forth in SEQ ID NO:1386, an MMP14 mRNA as set forth in SEQ ID NO:1653, an MMP19 mRNA as set forth in SEQ ID NO: 1997, or an MMP26 mRNA as set forth in SEQ ID NO: 2316, and a second strand that is complementary to the first strand, wherein the first and second strands form a double-stranded region of about 15 to about 40 base pairs (see, e.g., MMP9, MMP 13, MMP 14, MMP 19, or MMP26 sequences in the Sequence Listing identified herein), and wherein at least one uridine of the dsRNA molecule is replaced with a 5-methyluridine or 2-thioribothymidine or 2'-O-
- one or more dsRNA molecule that decreases expression of an MMP gene by RNAi may further comprise a third strand that is complementary to the first strand, wherein the first and third strands form a double- stranded region wherein the double-stranded region formed by the first and third strands is non- overlapping with a double-stranded region formed by the first and second strands.
- the "off- target" profile of the dsRNA provided herein is quantified by determining the number of non- MMP genes having reduced expression levels in the presence of the candidate dsRNAs.
- the existence of "off target" binding indicates a dsRNA is capable of specifically binding to one or more non-MMP gene messages.
- a dsRNA as provided herein see, e.g., sequences in the Sequence Listing identified herein
- a dsRNA as provided herein see, e.g., sequences in the Sequence Listing identified herein
- Still further embodiments provide methods for selecting more efficacious dsRNA by using one or more reporter gene constructs comprising a constitutive promoter, such as a cytomegalovirus (CMV) or phosphoglycerate kinase (PGK) promoter, operably fused to, and capable of altering the expression of one or more reporter genes, such as a luciferase, chloramphenicol (CAT), or ⁇ -galactosidase, which, in turn, is operably fused in-frame with a dsRNA (such as one having a length between about 15 base-pairs and about 40 base-pairs or from about 5 nucleotides to about 24 nucleotides, or about 25 nucleotides to about 40 nucleotides) that contains an MMP sequence, as provided herein.
- a constitutive promoter such as a cytomegalovirus (CMV) or phosphoglycerate kinase (PGK) promoter
- Individual reporter gene expression constructs may be co-transfected with one or more dsRNA or analog thereof.
- the capacity of a given dsRNA to reduce the expression level of MMP may be determined by comparing the measured reporter gene activity in cells transfected with or without a dsRNA molecule of interest.
- Certain embodiments disclosed herein provide methods for selecting one or more modified dsRNA molecule(s) that employ the step of predicting the stability of a dsRNA duplex. In some embodiments, such a prediction is achieved by employing a theoretical melting curve wherein a higher theoretical melting curve indicates an increase in dsRNA duplex stability and a concomitant decrease in cytotoxic effects.
- stability of a dsRNA duplex may be determined empirically by measuring the hybridization of a single RNA analog strand as described herein to a complementary target gene within, for example, a polynucleotide array.
- the melting temperature i.e., the T m value
- the relative stability of the modified RNA pairing with a complementary RNA molecule determined.
- Kawase et al. Nucleic Acids Res.
- nucleotide substitutions e.g., 5-methyluridine for uridine
- further modifications e.g., a ribose modification at the 2'-position
- one or more anti-codon within an antisense strand of a dsRNA molecule or analog thereof is substituted with a universal-binding nucleotide in a second or third position in the anti-codon of the antisense strand.
- the one or more first or second position nucleotide-pair substitution allows the substituted dsRNA molecule to specifically bind to mRNA wherein a first or a second position nucleotide-pair substitution has occurred, wherein the one or more nucleotide-pair substitution results in an amino acid change in the corresponding gene product.
- any of these methods of identifying dsRNA of interest can also be used to examine a dsRNA that decreases expression of an MMP gene by RNA interference, comprising a first strand that is complementary to an MMP9 mRNA as set forth in SEQ ID NO: 1158, an MMP 13 mRNA as set forth in SEQ ID NO: 1386, an MMP14 mRNA as set forth in SEQ ID NO: 1653, an MMP 19 mRNA as set forth in SEQ ID NO: 1997, or an MMP26 mRNA as set forth in SEQ ID NO: 2316, and a second and third strand that have non-overlapping complementarity to the first strand, wherein the first and at least one of the second or third strand optionally form a double- stranded region of about 5 to about 13 base pairs; wherein at least one pyrimidine of the dsRNA comprises a pyrimidine nucleoside according to Formula I or II:
- At least one nucleoside is according to Formula I in which R 1 is methyl and R 2 is -OH, or R 1 is methyl, R 2 is -OH, and R 8 is S. In certain embodiments, at least one nucleoside is according to Formula I in which R 1 is methyl and R 2 is -O-methyl, or R 1 is methyl, R 2 is -O-methyl, and R 8 is O. In other embodiments, the internucleoside linking group covalently links from about 5 to about 40 nucleosides.
- dsRNA of the instant disclosure are designed to target an MMP gene
- hyperproliferative disorders for example, leukemia, myeloid and lymphoid neoplasms, ovarian cancer, breast cancer, lung cancer, squamous cell carcinoma of the head, neck, esophagus, endometrium, and vulva, cutaneous basal cell carcinoma, chondrosarcoma, glioma, renal cell carcinoma, and prostate cancer; one or more angiogenic diseases or disorders; metastasis and tumorigenesis; as well as one or more inflammatory disorders, for example, encephalomyelitis, inflammatory bowel disease, arthritis, and psoriasis.
- hyperproliferative disorders for example, leukemia, myeloid and lymphoid neoplasms, ovarian cancer, breast cancer, lung cancer, squamous cell carcinoma of the head, neck, esophagus, endometrium, and vulva, cutaneous basal cell carcinoma, chondrosarcoma, glioma, renal cell carcinoma, and prostate
- a dsRNA or analog thereof of this disclosure will effectively downregulate expression of an MMP gene to levels that prevent, alleviate, or reduce the severity or recurrence of one or more associated disease symptoms.
- down regulation of an MMP gene will nonetheless result in a therapeutic result by lowering gene expression (i.e., to reduce levels of a selected mRNA or protein product of an MMP9, MMP13, MMP14, MMP19, or MMP26 gene).
- dsRNAs of this disclosure may be targeted to lower expression of MMP, which can result in upregulation of a "downstream" gene whose expression is negatively regulated, directly or indirectly, by an MMP protein.
- the dsRNA molecules of the instant disclosure comprise useful reagents and can be used in methods for a variety of therapeutic, diagnostic, target validation, genomic discovery, genetic engineering, and pharmacogenomic applications.
- aqueous suspensions contain dsRNA of this disclosure in admixture with suitable excipients, such as suspending agents or dispersing or wetting agents.
- suitable excipients such as suspending agents or dispersing or wetting agents.
- suspending agents include sodium carboxymethylcellulose, methylcellulose, hydropropyl-methylcellulose, sodium alginate, polyvinylpyrrolidone, gum tragacanth and gum acacia.
- Representative dispersing or wetting agents include naturally-occurring phosphatides (e.g., lecithin), condensation products of an alkylene oxide with fatty acids (e.g., polyoxyethylene stearate), condensation products of ethylene oxide with long chain aliphatic alcohols (e.g., heptadecaethyleneoxycetanol), condensation products of ethylene oxide with partial esters derived from fatty acids and hexitol (e.g., polyoxyethylene sorbitol monooleate), or condensation products of ethylene oxide with partial esters derived from fatty acids and hexitol anhydrides (e.g., polyethylene sorbitan monooleate).
- naturally-occurring phosphatides e.g., lecithin
- condensation products of an alkylene oxide with fatty acids e.g., polyoxyethylene stearate
- condensation products of ethylene oxide with long chain aliphatic alcohols e.g., heptadecaethyleneoxycetan
- the aqueous suspensions can optionally contain one or more preservatives (e.g., ethyl or n-propyl-/?- hydroxybenzoate), one or more coloring agents, one or more flavoring agents, or one or more sweetening agents (e.g., sucrose, saccharin).
- preservatives e.g., ethyl or n-propyl-/?- hydroxybenzoate
- coloring agents e.g., one or more coloring agents
- one or more flavoring agents e.g., sucrose, saccharin
- sweetening agents e.g., sucrose, saccharin
- dispersible powders and granules suitable for preparation of an aqueous suspension by the addition of water provide dsRNA of this disclosure in admixture with a dispersing or wetting agent, suspending agent and optionally one or more preservative, coloring agent, flavoring agent, or sweetening agent.
- compositions prepared for storage or administration that include a pharmaceutically effective amount of a desired compound in a pharmaceutically acceptable carrier or diluent.
- Acceptable carriers or diluents for therapeutic use are well known in the pharmaceutical art, and are described, for example, in Remington's Pharmaceutical Sciences, Mack Publishing Co., A.R. Gennaro edit., 1985, hereby incorporated by reference herein.
- pharmaceutical compositions of this disclosure can optionally include preservatives, antioxidants, stabilizers, dyes, flavoring agents, or any combination thereof.
- Exemplary preservatives include sodium benzoate, sorbic acid, chlorobutanol, and esters of p-hydroxybenzoic acid.
- compositions of the instant disclosure can be effectively employed as pharmaceutically-acceptable formulations.
- Pharmaceutically-acceptable formulations prevent, alter the occurrence or severity of, or treat (alleviate one or more symptom(s) to a detectable or measurable extent) of a disease state or other adverse condition in a subject.
- a pharmaceutically acceptable formulation includes salts of the above compounds, e.g., acid addition salts, such as salts of hydrochloric acid, hydrobromic acid, acetic acid, or benzene sulfonic acid.
- a pharmaceutical composition or formulation refers to a composition or formulation in a form suitable for administration into a cell, or a subject such as a human (e.g., systemic administration).
- compositions of the present disclosure having an amount of dsRNA sufficient to treat or prevent a disorder associated with MMP gene expression are, for example, suitable for topical (e.g., creams, ointments, skin patches, eye drops, ear drops) application or administration.
- topical e.g., creams, ointments, skin patches, eye drops, ear drops
- Other routes of administration include oral, parenteral, sublingual, bladder wash-out, vaginal, rectal, enteric, suppository, nasal, and inhalation.
- parenteral includes subcutaneous, intravenous, intramuscular, intraarterial, intraabdominal, intraperitoneal, intraarticular, intraocular or retrobulbar, intraaural, intrathecal, intracavitary, intracelial, intraspinal, intrapulmonary or transpulmonary, intrasynovial, and intraurethral injection or infusion techniques.
- the pharmaceutical compositions of the present disclosure are formulated to allow the dsRNA contained therein to be bioavailable upon administration to a subject.
- dsRNA of this disclosure can be formulated as oily suspensions or emulsions (e.g., oil-in-water) by suspending dsRNA in, for example, a vegetable oil (e.g., arachis oil, olive oil, sesame oil or coconut oil) or a mineral oil (e.g., liquid paraffin).
- a vegetable oil e.g., arachis oil, olive oil, sesame oil or coconut oil
- a mineral oil e.g., liquid paraffin
- Suitable emulsifying agents can be naturally-occurring gums (e.g.
- gum acacia or gum tragacanth naturally-occurring phosphatides (e.g., soy bean, lecithin, esters or partial esters derived from fatty acids and hexitol), anhydrides (e.g., sorbitan monooleate), or condensation products of partial esters with ethylene oxide (e.g., polyoxyethylene sorbitan monooleate).
- the oily suspensions or emulsions can optionally contain a thickening agent, such as beeswax, hard paraffin or cetyl alcohol.
- sweetening agents and flavoring agents can optionally be added to provide palatable oral preparations.
- compositions can be preserved by optionally adding an anti-oxidant, such as ascorbic acid.
- dsRNA of this disclosure can be formulated as syrups and elixirs with sweetening agents (e.g., glycerol, propylene glycol, sorbitol, glucose or sucrose). Such formulations can also contain a demulcent, preservative, flavoring, coloring agent, or any combination thereof.
- pharmaceutical compositions comprising dsRNA of this disclosure can be in the form of a sterile, injectable aqueous or oleaginous suspension.
- the sterile injectable preparation can also be a sterile, injectable solution or suspension in a nontoxic parenterally acceptable diluent or solvent (e.g., as a solution in 1,3-butanediol).
- a nontoxic parenterally acceptable diluent or solvent e.g., as a solution in 1,3-butanediol.
- exemplary acceptable vehicles and solvents useful in the compositions of this disclosure is water, Ringer's solution, or isotonic sodium chloride solution.
- sterile, fixed oils may be employed as a solvent or suspending medium for the dsRNA of this disclosure.
- any bland fixed oil can be employed including synthetic mono- or diglycerides.
- fatty acids such as oleic acid find use in the preparation of parenteral formulations.
- compositions and methods that feature the presence or administration of one or more dsRNA or analogs thereof of this disclosure, combined, complexed, or conjugated with a polypeptide, optionally formulated with a pharmaceutically-acceptable carrier, such as a diluent, stabilizer, buffer, or the like.
- a pharmaceutically-acceptable carrier such as a diluent, stabilizer, buffer, or the like.
- the negatively charged dsRNA molecules of this disclosure may be administered to a patient by any standard means, with or without stabilizers, buffers, or the like, to form a composition suitable for treatment.
- standard protocols for formation of liposomes can be followed.
- compositions of the present disclosure may also be formulated and used as a tablet, capsule or elixir for oral administration, suppository for rectal administration, sterile solution, or suspension for injectable administration, either with or without other compounds known in the art.
- dsRNAs of the present disclosure may be administered in any form, such as nasally, transdermally, parenterally, or by local injection.
- dsRNA molecules (optionally substituted or modified or conjugated), compositions thereof, and methods for inhibiting expression of an MMP gene in a cell or organism are provided.
- this disclosure provides methods and dsRNA compositions for treating a subject, including a human cell, tissue or individual, having a disease or at risk of developing a disease caused by or associated with the expression of an MMP gene.
- the method includes administering a dsRNA of this disclosure or a pharmaceutical composition containing the dsRNA to a cell or an organism, such as a mammal, such that expression of the target gene is silenced.
- Subjects e.g., mammalian, human amenable for treatment using the dsRNA molecules (optionally substituted or modified or conjugated), compositions thereof, and methods of the present disclosure include those suffering from one or more disease or condition mediated, at least in part, by overexpression or inappropriate expression of an MMP gene, or which are amenable to treatment by reducing expression of an MMP protein, including one or more hyperproliferative disorders, for example, leukemia, myeloid and lymphoid neoplasms, ovarian cancer, breast cancer, lung cancer, squamous cell carcinoma of the head, neck, esophagus, endometrium, and vulva, cutaneous basal cell carcinoma, chondrosarcoma, glioma, renal cell carcinoma, and prostate cancer; one or more angiogenic diseases or disorders; metastasis and tumorigenesis; as well as one or more inflammatory disorders, for example, encephalomyelitis, inflammatory bowel disease, arthritis, and psorias
- dsRNA or substituted or modified dsRNA, as described herein, comprising a first strand that is complementary to a human MMP9 mRNA as set forth in SEQ ID NO: 1158, human MMP 13 mRNA as set forth in SEQ ID NO: 1386, human MMP 14 mRNA as set forth in SEQ ID NO:1653, human MMP19 mRNA as set forth in SEQ ID NO:1997, or human MMP26 mRNA as set forth in SEQ ID NO:2316, and a second strand and a third strand that is each complementary to non-overlapping regions of the first strand, wherein the second strand and third strands can anneal with the first strand to form at least two double-stranded regions spaced apart by up to 10 nucleotides and thereby forming a gap between the second and third strands, and wherein the mdRNA molecule optionally includes at least one double-stranded region comprises from
- subjects can be effectively treated, prophylactically or therapeutically, by administering an effective amount of one or more dsRNA having a first strand that is complementary to a human MMP9 mRNA as set forth in SEQ ID NO: 1158, human MMP13 mRNA as set forth in SEQ ID NO: 1386, human MMP14 mRNA as set forth in SEQ ID NO : 1653 , human MMP 19 mRNA as set forth in SEQ ID
- the second strand and third strands can anneal with the first strand to form at least two double- stranded regions spaced apart by up to 10 nucleotides and thereby forming a gap between the second and third strands
- the mdRNA molecule optionally includes at least one double- stranded region comprises from 5 base pairs to 13 base pairs and at least one pyrimidine of the mdRNA is a pyrimidine nucleoside according to Formula I or II:
- At least one nucleoside is according to Formula I in which R 1 is methyl and R 2 is -OH, or R 1 is methyl, R 2 is -OH, and R 8 is S. In certain embodiments, at least one nucleoside is according to Formula I in which R 1 is methyl and R 2 is -O-methyl, or R 1 is methyl, R 2 is -O-methyl, and R 8 is O. In certain embodiments, the internucleoside linking group covalently links from about 5 to about 40 nucleosides.
- a dsRNA can have at least one 5-methyluridine, 2'-O-methyl- 5-methyluridine, LNA, 2'-methoxy, 2'-fluoro, 2'-deoxy, phosphorothioate linkage, inverted base terminal cap, or any combination thereof.
- a dsRNA will have from one to all 5-methyluridines and have up to about 75% LNA.
- a dsRNA will have from one to all 5-methyluridines and have up to about 75% 2'-methoxy provided the 2'-methoxy are not at the Argonaute cleavage site.
- a dsRNA will have from one to all 5-methyluridines and have up to about 100% 2'-luoro substitutions. In further exemplary methods, a dsRNA will have from one to all 5-ethyluridines and have up to about 75% 2'-deoxy. In further exemplary methods, a dsRNA will have up to about 75% LNA and have up to about 75% 2'-methoxy. In still other embodiments, a dsRNA will have up to about 75% LNA and have up to about 100% 2'-fluoro. In further exemplary methods, a dsRNA will have up to about 75% LNA and have up to about 75% 2'-deoxy.
- a dsRNA will have up to about 75% 2'-methoxy and have up to about 100% 2'-fluoro. In further exemplary methods, a dsRNA will have up to about 75% 2'-methoxy and have up to about 75% 2'-deoxy. In further embodiments, a dsRNA will have up to about 100% 2'-fluoro and have up to about 75% 2'-deoxy.
- a dsRNA will have from one to all uridines substituted with 5-methyluridine, up to about 75% LNA, and up to about 75% 2'-methoxy. In still further exemplary methods, a dsRNA will have from one to all 5-methyluridines, up to about 75% LNA, and up to about 100% 2'-fluoro. In further exemplary methods, a dsRNA will have from one to all 5-methyluridines, up to about 75% LNA, and up to about 75% 2'-deoxy.
- a dsRNA will have from one to all 5-methyluridines, up to about 75% 2'-methoxy, and up to about 75% 2'-fluoro. In further exemplary methods, a dsRNA will have from one to all 5-methyluridines, up to about 75% 2'-methoxy, and up to about 75% 2'-deoxy. In more exemplary methods, a dsRNA will have from one to all 5-methyluridines, up to about 100% 2'-fluoro, and up to about 75% 2'-deoxy.
- a dsRNA will have from one to all 5-methyluridines, up to about 75% LNA, up to about 75% 2'-methoxy, up to about 100% 2'-fluoro, and up to about 75% 2'-deoxy. In other exemplary methods, a dsRNA will have up to about 75% LNA, up to about 75% 2'-methoxy, and up to about 100% 2'-fluoro. In further exemplary methods, a dsRNA will have up to about 75% LNA, up to about 75% 2'-methoxy, and up to about 75% 2'-deoxy.
- a dsRNA will have up to about 75% LNA, up to about 100% 2'-fluoro, and up to about 75% 2'-deoxy. In still further exemplary methods, a dsRNA will have up to about 75% 2'-methoxy, up to about 100% 2'-fluoro, and up to about 75% 2'-deoxy.
- the dsRNA may further comprise up to 100% phosphorothioate internucleoside linkages, from one to ten or more inverted base terminal caps, or any combination thereof. Additionally, any of these dsRNA may have these multiple modifications on one strand, two strands, three strands, a plurality of strands, or all strands, or on the same or different nucleoside within a dsRNA molecule. Finally, in any of these multiple modification dsRNA, the dsRNA must have gene silencing activity.
- subjects can be effectively treated, prophylactically or therapeutically, by administering an effective amount of one or more dsRNA, or substituted or modified dsRNA as described herein, having a first strand that is complementary to an MMP9 mRNA as set forth in SEQ ID NO: 1158, an MMP13 mRNA as set forth in SEQ ID NO: 1386, an MMP14 mRNA as set forth in SEQ ID NO: 1653, an MMP19 mRNA as set forth in SEQ ID NO : 1997, or an MMP26 mRNA as set forth in SEQ ID NO : 2316, and a second strand and a third strand that is each complementary to non-overlapping regions of the first strand, wherein the second strand and third strands can anneal with the first strand to form at least two double- stranded regions spaced apart by up to 10 nucleotides and thereby forming a gap between the second and third strands, and wherein the combined double-stranded regions total
- methods disclosed herein there may be used with one or more dsRNA that comprises a first strand that is complementary to an MMP9 mRNA as set forth in SEQ ID NO: 1158, an MMP13 mRNA as set forth in SEQ ID NO: 1386, an MMP14 mRNA as set forth in SEQ ID NO: 1653, an MMP19 mRNA as set forth in SEQ ID NO: 1997, or an MMP26 mRNA as set forth in SEQ ID NO: 2316, and a second strand and a third strand that is each complementary to non-overlapping regions of the first strand, wherein the second strand and third strands can anneal with the first strand to form at least two double-stranded regions spaced apart by up to 10 nucleotides and thereby forming a gap between the second and third strands, and wherein the mdRNA has a combined double-stranded region totaling about 15 to about 40 base pairs, optionally has at least one double-stranded region
- R 3 and R 4 are each independently a hydroxyl, a protected hydroxyl, or an internucleoside linking group; and R 5 and R 8 are independently O or S.
- At least one nucleoside is according to Formula I in which R 1 is methyl and R 2 is -OH, or R 1 is methyl, R 2 is -OH, and R 8 is S. In certain embodiments, at least one nucleoside is according to Formula I in which R 1 is methyl and R 2 is -O-methyl, or R 1 is methyl, R 2 is -O-methyl, and R 8 is O. In other embodiments, the internucleoside linking group covalently links from about 5 to about 40 nucleosides.
- combination formulations and methods comprising an effective amount of one or more dsRNA of the present disclosure in combination with one or more secondary or adjunctive active agents that are formulated together or administered coordinately with the dsRNA of this disclosure to control an MMP-associated disease or condition as described herein.
- Useful adjunctive therapeutic agents in these combinatorial formulations and coordinate treatment methods include, for example, enzymatic nucleic acid molecules, allosteric nucleic acid molecules, antisense, decoy, or aptamer nucleic acid molecules, antibodies such as monoclonal antibodies, small molecules and other organic or inorganic compounds including metals, salts and ions, and other drugs and active agents indicated for treating an MMP-associated disease or condition, including chemotherapeutic agents used to treat cancer, steroids, non-steroidal anti-inflammatory drugs (NSAIDs), tyrosine kinase inhibitors, or the like.
- chemotherapeutic agents used to treat cancer steroids, non-steroidal anti-inflammatory drugs (NSAIDs), tyrosine kinase inhibitors, or the like.
- NSAIDs non-steroidal anti-inflammatory drugs
- chemotherapeutic agents include alkylating agents (e.g., cisplatin, oxaliplatin, carboplatin, busulfan, nitrosoureas, nitrogen mustards, uramustine, temozolomide), antimetabolites (e.g., aminopterin, methotrexate, mercaptopurine, fluorouracil, cytarabine), taxanes (e.g., paclitaxel, docetaxel), anthracyclines (e.g., doxorubicin, daunorubicin, epirubicin, idaruicin, mitoxantrone, valrubicin), bleomycin, mytomycin, actinomycin, hydroxyurea, topoisomerase inhibitors (e.g., camptothecin, topotecan, irinotecan, etoposide, teniposide), monoclonal antibodies (e.g., alemtuzuma
- adjunctive therapies may be directed at targets that interact or associate with MMP or affect specific MMP biological activities.
- a variety of inhibitors of MMP have been described that may be suitably employed as adjunctive therapies including, but not limited to, transcriptional-level inhibitors, enzymatic-blocking inhibitors, and antibodies or fragments thereof.
- Transcriptional-level inhibitors of MMP include, for example, cytokines, such as tumor necrosis factor alpha (TNF- ⁇ ) and interleukin one (IL-I), mitogens, and growth factors.
- cytokines such as tumor necrosis factor alpha (TNF- ⁇ ) and interleukin one (IL-I)
- IL-I interleukin one
- mitogens mitogens
- growth factors growth factors.
- Inhibitors of the enzymatic activity of MMP include, for example, tissue inhibitors of metalloproteinases (TIMPs), ⁇ -2 macroglobulin, and reversion-inducing cysteine-rich protein with Kazal motifs (RECK).
- TIMP gene family includes at least four members that interact nonselectively with MMP by forming a 1 : 1 complex with the highly conserved zinc binding site of MMP9 that blocks the enzymatic activity of MMP9 (Medina et al., J. Pharmacol. Exp. Ther. 318:3, 2006).
- a plasma-circulating general protease inhibitor, ⁇ -2 macroglobulin also can block the enzymatic activity of MMP. (Medina et al., J. Pharmacol.
- MMP 13 The enzymatic activity of MMP can also be affected by RECK, which is a membrane-anchored glycoprotein (van Hinsbergh et al., Arterioscler. Thromb. Vase. Biol. 26:716, 2006). Additionally, inhibitors of the enzymatic activity of MMP 13 include the serine proteinase inhibitor tissue factor pathway inhibitor-2 (TFPI-2). TFPI-2 diminishes the ability of MMP 13 to degrade triple-helical collagen, the primary load-bearing molecule of the the extracellular matrix within human atheroma (Herman et al., J. Clin. Invest. 107, 2001).
- TFPI-2 serine proteinase inhibitor tissue factor pathway inhibitor-2
- inhibitors of the enzymatic activiy of MMP 19 and MMP26 include calcium.
- MMP 19 has been shown to be down-regulated in a suprabasal compartment of a human keratinocyte cell line by calcium at a high cell density (Sadowski et al., MoI. Biol. Cell. 14, 2003). It has been observed that calcium ions can modulate the catalytic activity of MMP26 through conformation changes in the MMP26 active site (Lee et al., Biochem. J. 403, 2007).
- a dsRNA is administered, simultaneously or sequentially, in a coordinated treatment protocol with one or more of the secondary or adjunctive therapeutic agents contemplated herein.
- the coordinate administration may be done in any order, and there may be a time period while only one or both (or all) active therapeutic agents, individually or collectively, exert their biological activities.
- a distinguishing aspect of all such coordinate treatment methods is that the dsRNA present in a composition elicits some favorable clinical response, which may or may not be in conjunction with a secondary clinical response provided by the secondary therapeutic agent.
- a dsRNA of this disclosure can include a conjugate member on one or more of the terminal nucleotides of a dsRNA.
- the conjugate member can be, for example, a lipophile, a terpene, a protein binding agent, a vitamin, a carbohydrate, or a peptide.
- the conjugate member can be naproxen, nitroindole (or another conjugate that contributes to stacking interactions), folate, ibuprofen, or a C5 pyrimidine linker.
- the conjugate member is a glyceride lipid conjugate (e.g., a dialkyl glyceride derivatives), vitamin E conjugates, or thio-cholesterols.
- Additional conjugate members include peptides that function, when conjugated to a modified dsRNA of this disclosure, to facilitate delivery of the dsRNA into a target cell, or otherwise enhance delivery, stability, or activity of the dsRNA when contacted with a biological sample (e.g., a target cell expressing MMP).
- Exemplary peptide conjugate members for use within these aspects of this disclosure include peptides PN27, PN28, PN29, PN58, PN61, PN73, PN158, PN159, PN173, PN182, PN183, PN202, PN204, PN250, PN361, PN365, PN404, PN453, PN509, and PN963, described, for example, in U.S. Patent Application Publication Nos. 2006/0040882 and 2006/0014289, and U.S. Provisional Patent Application Nos. 60/822,896 and 60/939,578; and PCT Application PCT/US2007/075744, which are all incorporated herein by reference.
- a dsRNA or analog thereof of this disclosure may be conjugated to the polypeptide and admixed with one or more non-cationic lipids or a combination of a non-cationic lipid and a cationic lipid to form a composition that enhances intracellular delivery of the dsRNA as compared to delivery resulting from contacting the target cells with a naked dsRNA.
- the mixture, complex or conjugate comprising a dsRNA and a polypeptide can be optionally combined with (e.g., admixed or complexed with) a cationic lipid, such as LipofectineTM.
- a cationic lipid such as LipofectineTM.
- the dsRNA and peptide may be mixed together first in a suitable medium such as a cell culture medium, after which the cationic lipid is added to the mixture to form a dsRNA/delivery peptide/cationic lipid composition.
- the peptide and cationic lipid can be mixed together first in a suitable medium such as a cell culture medium, followed by the addition of the dsRNA to form the dsRNA/delivery peptide/cationic lipid composition.
- dsRNA compositions comprising surface-modified liposomes containing, for example, poly(ethylene glycol) lipids (PEG- modified, or long-circulating liposomes or stealth liposomes)
- PEG-modified, or stealth liposomes PEG-modified, or stealth liposomes
- compositions are provided for targeting dsRNA molecules of this disclosure to specific cell types, such as hepatocytes.
- dsRNA can be complexed or conjugated glycoproteins or synthetic glycoconjugates glycoproteins or synthetic glycoconjugates having branched galactose ⁇ e.g., asialoorosomucoid), JV-acetyl-D- galactosamine, or mannose ⁇ see, e.g., Wu and Wu, J. Biol. Chem. 262:4429, 1987; Baenziger and Fiete, Cell 22: 611, 1980; Connolly et al., J. Biol. Chem. 257:939, 1982; Lee and Lee,
- a pharmaceutically effective dose is that dose required to prevent, inhibit the occurrence of, or treat (alleviate a symptom to some extent, preferably all of the symptoms) a disease state.
- the pharmaceutically effective dose depends on the type of disease, the composition used, the route of administration, the type of subject being treated, the physical characteristics of the specific subject under consideration for treatment, concurrent medication, and other factors that those skilled in the medical arts will recognize. For example, an amount between 0.1 mg/kg and 100 mg/kg body weight/day of active ingredients may be administered depending on the potency of a dsRNA of this disclosure.
- a specific dose level for any particular patient depends upon a variety of factors including the activity of the specific compound employed, age, body weight, general health, sex, diet, time of administration, route of administration, rate of excretion, drug combination, and the severity of the particular disease undergoing therapy.
- test subjects will exhibit about a 10% up to about a 99% reduction in one or more symptoms associated with the disease or disorder being treated, as compared to placebo-treated or other suitable control subjects.
- Dosage levels in the order of about 0.1 mg to about 140 mg per kilogram of body weight per day can be useful in the treatment of the above-indicated conditions (about 0.5 mg to about 7 g per patient per day).
- the amount of active ingredient that can be combined with the carrier materials to produce a single dosage form varies depending upon the host treated and the particular mode of administration.
- Dosage unit forms generally contain between from about 1 mg to about 500 mg of an active ingredient.
- a dosage form of a dsRNA or composition thereof of this disclosure can be liquid, an emulsion, or a micelle, or in the form of an aerosol or droplets.
- a dosage form of a dsRNA or composition thereof of this disclosure can be solid, which can be reconstituted in a liquid prior to administration. The solid can be administered as a powder. The solid can be in the form of a capsule, tablet, or gel.
- the dsRNA and analogs thereof of the present disclosure are useful in a wide variety of in vitro applications, such as scientific and commercial research ⁇ e.g., elucidation of physiological pathways, drug discovery and development), and medical and veterinary diagnostics.
- Nucleic acid molecules and polypeptides can be administered to cells by a variety of methods known to those of skill in the art, including administration within formulations that comprise a dsRNA alone, a dsRNA and a polypeptide complex / conjugate alone, or that further comprise one or more additional components, such as a pharmaceutically acceptable carrier, diluent, excipient, adjuvant, emulsif ⁇ er, stabilizer, preservative, or the like.
- additional components such as a pharmaceutically acceptable carrier, diluent, excipient, adjuvant, emulsif ⁇ er, stabilizer, preservative, or the like.
- Other exemplary substances used to approximate physiological conditions include pH adjusting and buffering agents, tonicity adjusting agents, and wetting agents, for example, sodium acetate, sodium lactate, sodium chloride, potassium chloride, calcium chloride, sorbitan monolaurate, triethanolamine oleate, and mixtures thereof.
- conventional nontoxic pharmaceutically acceptable carriers can be used which include, for example, pharmaceutical grades of mannitol, lactose, starch, magnesium stearate, sodium saccharin, talcum, cellulose, glucose, sucrose, magnesium carbonate, and the like.
- the dsRNA and compositions thereof can be encapsulated in liposomes, administered by iontophoresis, or incorporated into other vehicles, such as hydrogels, cyclodextrins, biodegradable nanocapsules, bioadhesive microspheres, or proteinaceous vectors ⁇ see, e.g., PCT Publication No. WO 00/53722).
- the dsRNA may be administered in a time release formulation, for example, in a composition that includes a slow release polymer.
- the dsRNA can be prepared with carriers that will protect against rapid release, for example, a controlled release vehicle such as a polymer, microencapsulated delivery system, or bioadhesive gel. Prolonged delivery of the dsRNA, in various compositions of this disclosure can be brought about by including in the composition agents that delay absorption, for example, aluminum monosterate hydrogels and gelatin.
- a dsRNA composition of this disclosure can be locally delivered by direct injection or by use of, for example, an infusion pump.
- Direct injection of dsRNAs of this disclosure, whether subcutaneous, intramuscular, or intradermal, can be done by using standard needle and syringe methodologies or by needle-free technologies, such as those described in Corny et al. (Clin. Cancer Res. 5:2330, 1999) and PCT Publication No. WO 99/31262.
- the dsRNA of this disclosure and compositions thereof may be administered to subjects by a variety of mucosal administration modes, including oral, rectal, vaginal, intranasal, intrapulmonary, or transdermal delivery, or by topical delivery to the eyes, ears, skin, or other mucosal surfaces.
- the mucosal tissue layer includes an epithelial cell layer, which can be pulmonary, tracheal, bronchial, alveolar, nasal, buccal, epidermal, or gastrointestinal.
- Compositions of this disclosure can be administered using conventional actuators, such as mechanical spray devices, as well as pressurized, electrically activated, or other types of actuators.
- the dsRNAs can also be administered in the form of suppositories, e.g., for rectal administration.
- these compositions can be mixed with an excipient that is solid at room temperature but liquid at the rectal temperature so that the dsRNA is released.
- excipient that is solid at room temperature but liquid at the rectal temperature so that the dsRNA is released.
- Such materials include, for example, cocoa butter and polyethylene glycols.
- Further methods for delivery of nucleic acid molecules, such as the dsRNAs of this disclosure are described, for example, in Boado et al., J. Pharm. Sci. 57:1308, 1998; Tyler et al., FEBS Lett. 421:280, 1999; Pardridge et al, Proc. Nat' I Acad. Sci.
- the gene silencing activity of dsRNA as compared to nicked or gapped versions of the same dsRNA was examined using a dual fluorescence assay. A total of 22 different genes were targeted at ten different sites each (see Table 1).
- a Dicer substrate dsRNA molecule was used, which has a 25 nucleotide sense strand, a 27 nucleotide antisense strand, and a two deoxynucleotide overhang at the 3 '-end of the antisense strand (referred to as a 25/27 dsRNA).
- the nicked version of each dsRNA Dicer substrate has a nick at one of positions 9 to 16 on the sense strand as measured from the 5 '-end of the sense strand.
- an ndsRNA having a nick at position 11 has three strands - a 5'-sense strand of 11 nucleotides, a 3'-sense strand of 14 nucleotides, and an antisense strand of 27 nucleotides (which is also referred to as an Nl 1-14/27 mdRNA).
- each of the sense strands of the ndsRNA have three locked nucleic acids (LNAs) evenly distributed along each sense fragment. If the nick is at position 9, then the LNAs can be found at positions 2, 6, and 9 of the 5' sense strand fragment and at positions 11, 18, and 23 of the 3' sense strand fragment.
- the LNAs can be found at positions 2, 6, and 10 of the 5' sense strand fragment and at positions 12, 18, and 23 of the 3' sense strand fragment. If the nick is at position 11, then the LNAs can be found at positions 2, 6, and 11 of the 5' sense strand fragment and at positions 13, 18, and 23 of the 3' sense strand fragment. If the nick is at position 12, then the LNAs can be found at positions 2, 6, and 12 of the 5' sense strand fragment and at positions 14, 18, and 23 of the 3' sense strand fragment. If the nick is at position 13, then the LNAs can be found at positions 2, 7, and 13 of the 5' sense strand fragment and at positions 15, 18, and 23 of the 3' sense strand fragment.
- each dsRNA Dicer substrate has a single nucleotide missing at one of positions 10 to 17 on the sense strand as measured from the 5 '-end of the sense strand.
- a gdsRNA having a gap at position 11 has three strands - a 5 '-sense strand of 11 nucleotides, a 3'-sense strand of 13 nucleotides, and an antisense strand of 27 nucleotides (which is also referred to as Gl 1-(I)- 13/27 mdRNA).
- each of the sense strands of the gdsRNA contain three locked nucleic acids (LNAs) evenly distributed along each sense fragment (as described for the nicked counterparts).
- multiwell plates were seeded with about 7-8 x 10 5 HeLa cells/well in DMEM having 10% fetal bovine serum, and incubated overnight at 37 0 C / 5% CO 2 .
- the HeLa cell medium was changed to serum-free DMEM just prior to transfection.
- the psiCHECKTM-2 vector, containing about a 1,000 basepair insert of a target gene, diluted in serum-free DMEM was mixed with diluted GenJetTM transfection reagent (SignalDT Biosystems, Hayward, California) according to the manufacturer's instructions and then incubated at room temperature for 10 minutes.
- GenJet/ psiCHECKTM-2- [target gene insert] solution was added to the HeLa cells and then incubated at 37°C, 5% CO 2 for 4.5 hours. After the vector transfection, cells were trypsinized and suspended in antibiotic-free DMEM containing 10% FBS at a concentration of 10 5 cells per mL.
- the dsRNA was formulated in OPTI-MEM I reduced serum medium (Gibco® Invitrogen, Carlsbad, California) and placed in multiwell plates. Then LipofectamineTM RNAiMAX (Invitrogen) was mixed with OPTI-MEM per manufacture's specifications, added to each well containing dsRNA, mixed manually, and incubated at room temperature for 10-20 minutes. Then 30 ⁇ L of vector-trans fected HeLa cells at 10 5 cells per mL were added to each well (final dsRNA concentration of 25 nM), the plates were spun for 30 seconds at 1,000 rpm, and then incubated at 37 0 C / 5% CO 2 for 2 days. The Cell Titer Blue (CTB) reagent (Promega, Madison, Wisconson) was used to assay for cell viability and proliferation - none of the dsRNA showed any substantial toxicity.
- CTB Cell Titer Blue
- the SEQ ID NOS. are provided in the following order: (1) Dicer: sense strand, antisense strand; (2) Nicked: 5'-sense strand fragment, 3'-sense strand fragment, and antisense strand; and (3) Gapped: 5'-sense strand fragment, 3'-sense strand fragment, and antisense strand.
- the Dicer dsRNA has two strands, while ndsRNA and gdsRNA have three strands each.
- the nicked or gapped sense strand fragments have three locked nucleic acids each.
- Length 5'-S refers to the length of the 5'-sense strand fragment of the nicked or gapped mdRNA, which indicates the position of the nick (e.g., 10 means the nick is between position 10 and 11, so the 5'sense strand fragment is 10 nucleotides long and the 3'-sense strand fragment is 15 nucelotides long) or one nucleotide gap (e.g., 10 means the missing nucleotide is number 11, so the 5'sense strand fragment is 10 nucleotides long and the 3'-sense strand fragment is 14 nucelotides long).
- the nucleic acid sequence of the one or more sense strands, and the antisense strand of the dsRNA and gapped dsRNA (also referred to herein as a meroduplex or mdRNA) are shown below and were synthesized using standard techniques.
- the RISC activator LacZ dsRNA comprises a 21 nucleotide sense strand and a 21 nucleotide antisense strand, which can anneal to form a double-stranded region of 19 base pairs with a two deoxythymidine overhang on each strand (referred to as 21/21 dsRNA).
- the Dicer substrate LacZ dsRNA comprises a 25 nucleotide sense strand and a 27 nucleotide antisense strand, which can anneal to form a double-stranded region of 25 base pairs with one blunt end and a cytidine and uridine overhang on the other end (referred to as 25/27 dsRNA).
- the LacZ mdRNA comprises two sense strands of 13 nucleotides (5 '-portion) and 11 nucleotides (3 '-portion) and a 27 nucleotide antisense strand, which three strands can anneal to form two double-stranded regions of 13 and 11 base pairs separated by a single nucleotide gap (referred to as a 13, 11/27 mdRNA).
- the 5'-end of the 11 nucleotide sense strand fragment may be optionally phosphorylated.
- the "*" indicates a gap - in this case, a single nucleotide gap (i.e., a cytidine is missing).
- Each of the LacZ dsRNA or mdRNA was used to transfect 91acZ/R cells. Transfection
- RNA and transfection solutions were combined and left at room temperature for 20 minutes to form transfection complexes.
- the final concentration of HIPERFECT was 50 ⁇ M, and the dsRNAs were tested at 0.05nM, O.lnM, 0.2nM, 0.5nM, InM, 2nM, 5nM, and 1OnM, while the mdRNA was tested at 0.2nM, 0.5nM, InM, 2nM, 5nM, 1OnM, 2OnM, and 5OnM.
- Complete media was removed, the cells were washed with incomplete OPTIMEM, and then 500 ⁇ l transfection mixture was applied to the cells, which were incubated with gentle shaking at 37 0 C for 4 hours.
- Transfected cells were washed with PBS, and then detached with 0.5 ml trypsin/EDTA.
- the detached cells were suspended in 1 ml complete DMEM/high glucose and transferred to a clean tube.
- the cells were harvested by centrifugation at 250 x g for 5 minutes, and then resuspended in 50 ⁇ l Ix lysis buffer at 4 0 C.
- the lysed cells were subjected to two freeze-thaw cycles on dry ice and a 37 0 C water bath. The lysed samples were centrifuged for 5 minutes at 4 0 C and the supernatant was recovered.
- the level of measured LacZ activity was correlated with the quantity of LacZ transcript within 9L/LacZ cells.
- a reduction in ⁇ -galactosidase activity after dsRNA transfection, absent a negative impact on cell viability was attributed to a reduction in the quantity of LacZ transcripts resulting from targeted degradation mediated by the LacZ dsRNA.
- the IC50 of the lacZ mdRNA was calculated to be 3.74 nM, which is about 10 fold lower than what had been previously measured for lacZ dsRNA 21/21 (data not shown).
- the dsRNA and nicked dsRNA are shown below and were synthesized using standard techniques.
- the RISC activator influenza G 1498 dsRNA comprises a 21 nucleotide sense strand and a 21 nucleotide antisense strand, which can anneal to form a double-stranded region of 19 base pairs with a two deoxythymidine overhang on each strand.
- the RISC activator influenza G1498 dsRNA was nicked on the sense strand after nucleotide 11 to produce a ndsRNA having two sense strands of 11 nucleotides (5 '-portion, italic) and 10 nucleotides (3 '-portion) and a 21 nucleotide antisense strand, which three strands can anneal to form two double-stranded regions of 11 (shown in italics) and 10 base pairs separated by a one nucleotide gap (which may be referred to as G1498 11, 10/21 ndsRNA-wt).
- the 5 '-end of the 10 nucleotide sense strand fragment may be optionally phosphorylated, as depicted by a "p" preceding the nucleotide (e.g., pC).
- each of these G 1498 dsRNAs were made with each U substituted with a 5-methyluridine (ribothymidine) and are referred to as G1498 dsRNA-rT.
- G1498 dsRNA or ndsRNA meroduplex
- the G 1498 antisense strand alone or the antisense strand annealed to the 11 nucleotide sense strand portion alone or the 10 nucleotide sense strand portion alone were examined for activity.
- the reporter plasmid psiCHECKTM-2 (Promega, Madison, WI), which constitutively expresses both firefly Iuc2 (Photinus pyralis) and Renilla (Renilla reniformis, also known as sea pansy) luciferases, was used to clone in a portion of the influenza NP gene downstream of the Renilla translational stop codon that results in a i?em7/ ⁇ -influenza NP fusion mRNA.
- the firefly luciferase in the psiCHECKTM-2 vector is used to normalize Renilla luciferase expression and serves as a control for transfection efficiency.
- Multi-well plates were seeded with HeLa S3 cells/well in 100 ⁇ l Ham's F 12 medium and
- the HeLa S3 cells were transfected with the psiCHECKTM-infiuenza plasmid (75 ng) and G 1498 dsRNA or ndsRNA (final concentration of 10 nM or 100 nM) formulated in LipofectamineTM 2000 and OPTIMEM reduced serum medium. The transfection mixture was incubated with the HeLa S3 cells with gentle shaking at 37 0 C for about 18 to 20 hours.
- firefly luciferase reporter activity was measured first by adding Dual- GloTM Luciferase Reagent (Promega, Madison, WI) for 10 minutes with shaking, and then quantitating the luminescent signal using a VICTOR 3 TM 1420 Multilabel Counter (PerkinElmer, Waltham, MA). After measuring the firefly luminescence, Stop & Glo ® Reagent (Promega, Madison, WI) was added for 10 minutes with shaking to simultaneously quench the firefly reaction and initiate the Renilla luciferase reaction, and then the Renilla luciferase luminescent signal was quantitated VICTOR 3 TM 1420 Multilabel Counter (PerkinElmer, Waltham, MA).
- the "p” designation indicates that the 5'-end of the 3'-most strand of the nicked sense influenza sequence was phosphorylated.
- the "L” designation indicates that the G at position 2 of the 5 '-most strand of the nicked sense influenza sequence was substituted for a locked nucleic acid G.
- the Qneg is a negative control dsRNA.
- the dual fluorescence assay of Example 3 was used to measure knockdown activity with
- the lacZ dicer substrate (25/27, LacZ-DS) and lacZ RISC activator (21/21, LacZ) are equally active, and the LacZ-DS can be nicked in any position between 8 and 14 without affecting activity (Figure 3).
- the inclusion of a ddG on the 5'-end of the 3'-most LacZ sense sequence having a nick (LacZ:DSNkdl3-3'dd) or a one nucleotide gap (LacZ:DSNkdl3Dl-3'dd) was essentially as active as the unsubstituted sequence (Figure 4).
- the influenza dicer substrate (G1498DS) nicked at any one of positions 8 to 14 was also highly active ( Figure 5). Phosphorylation of the 5 '-end of the 3 '-most strand of the nicked sense influenza sequence had essentially no effect on activity, but addition of a locked nucleic acid appears to improve activity.
- a dose response assay was performed to measure the mean inhibitory concentration (IC 50 ) of the influenza dicer substrate dsRNA of Example 8 having a sense strand with a nick at position 12, 13, or 14, including or not a locked nucleic acid.
- the dual luciferase assay of Example 2 was used.
- the influenza dicer substrate dsRNA (G1498DS) was tested at 0.0004 nM, 0.002 nM, 0.005 nM, 0.019 nM, 0.067 nM, 0.233 nM, 0.816 nM, 2.8 nM, and 1OnM, while the mdRNA with a nick at position 13 (G1498DS:Nkdl3) was tested at 0.001 nM, 0.048 nM, 0.167 nM, 1 nM, 2 nM, 7 nM, and 25 nM (see Figure 6).
- RISC activator molecules (21/21) with or without a nick at various positions (including G1498DS:Nkdl 1, G1498DS:Nkdl2, and G1498DS:Nkdl4), each of the nicked versions with a locked nucleic acid as described above (data not shown).
- the Qneg is a negative control dsRNA.
- the IC 50 of the RISC activator G 1498 was calculated to be about 22 pM, while the dicer substrate G1498DS IC 50 was calculated to be about 6 pM.
- the IC 50 of RISC and Dicer mdRNAs range from about 200 pM to about 15 nM.
- influenza dicer substrate dsRNA having a sense strand with a gap of differing sizes and positions was examined.
- the influenza dicer substrate dsRNA of Example 8 was generated with a sense strand having a gap of 0 to 6 nucleotides at position 8, a gap of 4 nucleotides at position 9, a gap of 3 nucleotides at position 10, a gap of 2 nucleotides at position 11, and a gap of 1 nucleotide at position 12 (see Table 2).
- the Qneg is a negative control dsRNA.
- Each of the mdRNAs was tested at a concentration of 5 nM (data not shown) and 10 nM.
- the mdRNAs have the following antisense strand
- G indicates a locked nucleic acid G in the 5' sense strand.
- Example 2 The dual fluorescence assay of Example 2 was used to measure knockdown activity. Similar results were obtained at both the 5 nM and 10 nM concentrations. These data show that an mdRNA having a gap of up to 6 nucleotides still has activity, although having four or fewer missing nucleotides shows the best activity (see, also, Figure 7). Thus, mdRNA having various sizes gaps that are in various different positions have knockdown activity.
- the lacZ RISC dsRNA of Example 1 was generated with a sense strand having a gap of 0 to 6 nucleotides at position 8, a gap of 5 nucleotides at position 9, a gap of 4 nucleotides at position 10, a gap of 3 nucleotides at position 11, a gap of 2 nucleotides at position 12, a gap of 1 nucleotide at position 12, and a nick (gap of 0) at position 14 (see Table 3).
- the Qneg is a negative control dsRNA.
- the lacZ mdRNAs have the following antisense strand 5'-AAAUCGCUGAUUUGUGUAGdTdTUAAA (SEQ ID NO:2) and nicked or gapped sense strands as shown in Table 3. Table 3.
- A indicates a locked nucleic acid A in each sense strand.
- FIG. 8 shows that an mdRNA having a gap of up to 6 nucleotides has substantial activity and the position of the gap may affect the potency of knockdown.
- mdRNA having various sizes gaps that are in various different positions and in different mdRNA sequences have knockdown activity.
- EXAMPLE 7 KNOCKDOWN ACTIVITY OF SUBSTITUTED MDRNA
- the activity of an influenza dsRNA RISC sequences having a nicked sense strand and the sense strands having locked nucleic acid substitutions were examined.
- the influenza RISC sequence G 1498 of Example 3 was generated with a sense strand having a nick at positions 8 to 14 counting from the 5 '-end.
- Each sense strand was substituted with one or two locked nucleic acids as shown in Table 4.
- the Qneg and Plasmid are negative controls.
- Each of the mdRNAs was tested at a concentration of 5 nM.
- the antisense strand used was 5'- CUCCGAAGAAAUAAGAUCCdTdT (SEQ ID NO:8). Table 4.
- Example 3 The dual fluorescence assay of Example 3 was used to measure knockdown activity. These data show that increasing the number of locked nucleic acid substitutions tends to increase activity of an mdRNA having a nick at any of a number of positions.
- the single locked nucleic acid per sense strand appears to be most active when the nick is at position 11 (see Figure 9). But, multiple locked nucleic acids on each sense strand make mdRNA having a nick at any position as active as the most optimal nick position with a single substitution (i.e., position 11) ( Figure 9). Thus, mdRNA having duplex stabilizing modifications make mdRNA essentially equally active regardless of the nick position.
- the activity of a dicer substrate nicked dsRNA in reducing influenza virus titer as compared to a wild-type dsRNA (i.e., not having a nick) was examined.
- the influenza dicer substrate sequence (25/27) is as follows:
- the mdRNA sequences have a nicked sense strand after position 12, 13, and 14, respectively, as counted from the 5'-end, and the G at position 2 is substituted with locked nucleic acid G.
- Vero cells were seeded at 6.5 x 10 4 cells/well the day before transfection in 500 ⁇ l 10% FBS/DMEM media per well.
- Samples of 100, 10, 1, 0.1, and 0.01 nM stock of each dsRNA were complexed with 1.0 ⁇ l (1 mg/ml stock) of LipofectamineTM 2000 (Invitrogen, Carlsbad, CA) and incubated for 20 minutes at room temperature in 150 ⁇ l OPTIMEM (total volume) (Gibco, Carlsbad, CA). Vero cells were washed with OPTIMEM, and 150 ⁇ l of the transfection complex in OPTIMEM was then added to each well containing 150 ⁇ l of OPTIMEM media. Triplicate wells were tested for each condition. An additional control well with no transfection condition was prepared. Three hours post transfection, the media was removed.
- Each well was washed once with 200 ⁇ l PBS containing 0.3% BSA and 10 mM HEPES/PS.
- Cells in each well were infected with WSN strain of influenza virus at an MOI 0.01 in 200 ⁇ l of infection media containing 0.3% BSA/10 mM HEPES/PS and 4 ⁇ g/ml trypsin.
- the plate was incubated for 1 hour at 37°C. Unadsorbed virus was washed off with the 200 ⁇ l of infection media and discarded, then 400 ⁇ l DMEM containing 0.3% BSA/10 mM HEPES/PS and 4 ⁇ g/ml trypsin was added to each well.
- TCID50 assays 50% Tissue-Culture Infective Dose, WHO protocol
- titers were estimated using the Spearman and Karber formula. The results show that these mdRNAs show about a 50% to 60% viral titer knockdown, even at a concentration as low aslO pM ( Figure 11).
- An in vivo influenza mouse model was also used to examine the activity of a dicer substrate nicked dsRNA in reducing influenza virus titer as compared to a wild-type dsRNA (i.e., not having a nick).
- Female BALB/c mice (age 8-10 weeks with 5-10 mice per group) were dosed intranasally with 120 nmol/kg/day dsRNA (formulated in C12-norArg(NH 3 +Cr)- C12/DSPE-PEG2000/DSPC/cholesterol at a ratio of 30:1 :20:49) for three consecutive days before intranasal challenge with influenza strain PR8 (20 PFU/mouse).
- TCID50 the viral titer
- mice Female BALB/c mice (age 7-9 weeks) were dosed intranasally with about 50 ⁇ M dsRNA (formulated in C12-norArg(NH 3 +Cl-)-C12/DSPE-PEG2000/DSPC/cholesterol at a ratio of 30:1 :20:49) or with 605 nmol/kg/day naked dsRNA for three consecutive days. About four hours after the final dose is administered, the mice were sacrificed to collect bronchoalveolar fluid (BALF), and collected blood is processed to serum for evaluation of the cytokine response.
- BALF bronchoalveolar fluid
- Bronchial lavage was performed with 0.5 mL ice-cold 0.3% BSA in saline two times for a total of 1 mL.
- BALF was spun and supernatants collected and frozen until cytokine analysis.
- Blood was collected from the vena cava immediately following euthanasia, placed into serum separator tubes, and allowed to clot at room temperature for at least 20 minutes. The samples were processed to serum, aliquoted into Millipore ULTRAFREE 0.22 ⁇ m filter tubes, spun at 12,000 rpm, frozen on dry ice, and then stored at -7O 0 C until analysis.
- Cytokine analysis of BALF and plasma were performed using the ProcartaTM mouse 10-Plex Cytokine Assay Kit (Panomics, Fremont, CA) on a Bio-PlexTM array reader. Toxicity parameters were also measured, including body weights, prior to the first dose on day 0 and again on day 3 (just prior to euthanasia). Spleens were harvested and weighed (normalized to final body weight). The results are provided in Table 5.
- the mdRNA (RISC or dicer sized) induced cytokines to lesser extent than the intact (i.e., not nicked) parent molecules.
- the decrease in cytokine induction was greatest when looking at IL-12(p40), the cytokine with consistently the highest levels of induction of the 10 cytokine multiplex assay.
- the decrease in IL- 12 (p40) ranges from 25- to 56-fold, while the reduction in either IL-6 or TNF ⁇ induction was more modest (the decrease in these two cytokines ranges from 2- to 10-fold).
- the mdRNA structure appears to provide an advantage in vivo in that cytokine induction is minimized compared to unmodified dsRNA.
Landscapes
- Life Sciences & Earth Sciences (AREA)
- Genetics & Genomics (AREA)
- Health & Medical Sciences (AREA)
- Engineering & Computer Science (AREA)
- Biomedical Technology (AREA)
- General Engineering & Computer Science (AREA)
- Bioinformatics & Cheminformatics (AREA)
- Organic Chemistry (AREA)
- Chemical & Material Sciences (AREA)
- Biotechnology (AREA)
- Zoology (AREA)
- Wood Science & Technology (AREA)
- Molecular Biology (AREA)
- Microbiology (AREA)
- Plant Pathology (AREA)
- Virology (AREA)
- Biophysics (AREA)
- Biochemistry (AREA)
- General Health & Medical Sciences (AREA)
- Physics & Mathematics (AREA)
- Pharmaceuticals Containing Other Organic And Inorganic Compounds (AREA)
Abstract
The present disclosure provides meroduplex ribonucleic acid molecules (mdRNA) capable of decreasing or silencing MMP (e.g., MMP9, MMPl 3, MMP 14, MMP 19, or MMP26) gene expression. An mdRNA of this disclosure comprises at least three strands that combine to form at least two non-overlapping double-stranded regions separated by a nick or gap wherein one strand is complementary to an MMP9, MMPl 3, MMP 14, MMP 19, or MMP26 mRNA. In addition, the meroduplex may have at least one uridine is a 5-methyluridine, a nucleoside is a locked nucleic acid, or optionally other modifications, and any combination thereof. Also provided are methods of decreasing expression of an MMP gene in a cell or in a subject to treat an MMP-related disease.
Description
NUCLEIC ACID COMPOUNDS FOR INHIBITING MMP GENE EXPRESSION AND USES THEREOF
CROSS-REFERENCE TO RELATED APPLICATIONS
The present application claims priority to U.S. Patent Application Nos. 60/934,940, filed March 2, 2007; 60/934,930, filed March 16, 2007; 60/987,740, filed November 13; 60/987; 60/988,076, filed November 14; 60/988,079, filed November 14; 60/988,082, filed November 14; and 60/988,083, filed November 14, 2007, each of which is incorporated by reference in its entirety.
TECHNICAL FIELD The present disclosure relates generally to compounds for use in treating hyperproliferative or inflammatory disorders by gene silencing and, more specifically, to a nicked or gapped double-stranded RNA (dsRNA) comprising at least three strands that decreases expression of a matrix metalloproteinase (MMP) gene, and to uses of such dsRNA to treat or prevent one or more hyperproliferative disorders, including leukemia, cancer, carcinoma, sarcoma, glioma, as well as inflammatory disorders, including encephalomyelitis, inflammatory bowel disease, arthritis, and psoriasis associated with inappropriate MMP-gene expression. The dsRNA that decreases MMP gene expression may optionally have at least one uridine substituted with a 5-methyluridine.
BACKGROUND RNA interference (RNAi) refers to the cellular process of sequence specific, post-transcriptional gene silencing in animals mediated by small inhibitory nucleic acid molecules, such as a double-stranded RNA (dsRNA) that is homologous to a portion of a targeted messenger RNA (Fire et al., Nature 391:806, 1998; Hamilton et al., Science 286:950, 1999). RNAi has been observed in a variety of organisms, including mammalians (Fire et al., Nature 391:806, 1998; Bahramian and Zarbl, MoI. Cell. Biol. 19:21 '4, 1999; Wianny and Goetz, Nature Cell Biol. 2:10, 1999). RNAi can be induced by introducing an exogenous 21-nucleotide RNA duplex into cultured mammalian cells (Elbashir et al., Nature 411:494, 2001a).
The mechanism by which dsRNA mediates targeted gene-silencing can be described as involving two steps. The first step involves degradation of long dsRNAs by a ribonuclease III- like enzyme, referred to as Dicer, into short interfering RNAs (siRNAs) having from 21 to 23 nucleotides with double-stranded regions of about 19 base pairs and a two nucleotide, generally, overhang at each 3'-end (Berstein et al., Nature 409:363, 2001; Elbashir et al., Genes i
Dev. 75:188, 2001b; and Kim et al., Nature Biotech. 23:222, 2005). The second step of RNAi gene-silencing involves activation of a multi-component nuclease having one strand (guide or antisense strand) from the siRNA and an Argonaute protein to form an RNA-induced silencing complex ("RISC") (Elbashir et al., Genes Dev. 75:188, 2001). Argonaute initially associates with a double-stranded siRNA and then endonucleolytically cleaves the non-incorporated strand (passenger or sense strand) to facilitate its release due to resulting thermodynamic instability of the cleaved duplex (Leuschner et al., EMBO 7:314, 2006). The guide strand is now able to bind a complementary target mRNA and the activated RISC cleaves the mRNA to promote gene silencing. Cleavage of the target RNA occurs in the middle of the target region that is complementary to the guide strand (Elbashir et al., 2001b).
Members of the matrix metalloproteinase (MMP) family are a class of structurally related proteins that are collectively responsible for the metabolism of extracellular matrix, such as collagen, proteoglycans, and glycoproteins, and basement membrane of connective tissue (Visse et al, Ore. Res. 92 :S27, 2003; Medina et al., J. Pharmacol. Exp. Ther. 318:3, 2006; Fiore et al., Oncogene 21, 2002). MMPs can also regulate many remoldeling processes, such as angiogenesis, arterial remodeling, and wound healing (van Hinsbergh et al., Arterioscler. Thromb. Vase. Biol. 26:716, 2006). The MMP family comprises at least twenty-five secreted or membrane-bound human isoforms having three similar domain structures, including a predomain for targeting secretion, a prodomain for maintaining latency, and an active catalytic region containing a zinc-binding active site. Based on substrate specificity and structural homology, MMPs can be divided into six groups: gelatinases (such as MMP9), collagenases (such as MMP 13), membrane-associated (such as MMP 14), stromelysins (such as MMP 19), matrilysins (such as MMP26), and others (van Hinsbergh et al., 2006). MMP activity can be affected by transcriptional-level inhibitors, enzymatic-blocking inhibitors, and antibodies or fragments thereof.
Overexpression of active MMP9 can lead to excessive break down of extracellular matrices and tissue injury (Medina et al., 2006). MMP9 breaks down type IV collagen, which is necessary for tumor cell intravasation and extravasation (John et al., Pathol. Oncology Res. 7: 1 , 2001). Recent studies have shown that MMP9 can be involved in the recruitment of inflammatory cells into the intestinal wall and other organs, and has been associated with colitis and other forms of intestinal conditions (Medina et al., 2006). MMP9 was shown to degrade dystroglycan, a critical component of the blood-brain barrier, thereby compromising its integrity and allowing leukocyte trafficking into the central nervous system duing experimental autoimmune encephalomyelitis (Van Lint et al., J. Leukoc. Biol. 82, 2007). Expression of MMP9 by tumor-infiltrating macrophages promotes angiogenesis as well as growth and invasion
of xenografted ovarian cancer cells in vivo (Stefanidakis et al, Blood. 108:5 2006). Invasiveness of many hematologic malignancies, including myelo-monocytic leukemias, involves overexpression of proteolytic enzymes, such as MMP9 (Stefanidakis et al, Blood. 108:5 2006). Studies have demonstrated the involvement of MMP9 in the growth and progression of myeloid and lymphoid neoplasms (Stefanidakis et at., 2006). Additionally,
MMP9 has been shown to act cooperatively with VEGF in the process of leukemia cell invasion (Stefanidakis et al, 2006).
Overexpression of MMP 13 has been documented in breast carcinomas, squamous cell carcinomas of the head, neck, and vulva, cutaneous basal cell carcinomas, and chondrosarcomas (Johansson et al, Am. J. Pathol. 154:2, 1999). Additionally, MMP 13 has been identified in human breast carcinomas and in osteoarthritic cartilage (Etoh et al., Gut 47, 2000). Moreover, MMP 13 has been detected in oral mucosal epithelium of chronic inflammation, rheumatoid synovium, and developing bone, but not in normal adult tissues (Etoh et al., 2000). Overexpression of MMP 13 has been shown to be associated with inflammatory bowel diseases, such as ulcerative colitis and Crohn's disease (Gϋnther et al., Am. J. Pathol. 155:2, 1999). Overexpression of MMP 14 plays multiple roles in tumorigenesis, including tumor invasion, regulation of tumor cell growth, cell migration, and angiogenesis (Petrella et al., MoI. Cancer 5:66, 2006). Studies have shown that MMP14 degradation of the extracellular matrix at the invasive fronts of glioma cells allows subsequent tumor cell migration into newly created, more permissive spaces in adjacent brain structures (Guo et al, Am. J. Pathol. 166:3, 2005). Xenograph models have shown that overexpression of MMP 14 causes renal cell carcinoma tumor formation (Petrella et al, MoI Cancer 5:66, 2006). In prostate cancer tissues, MMP14 expression is enhanced, and the enzyme has a prominent role in increasing prostate cell migration through the cleavage of basement membrane proteins laminin-511 and laminin-332 (Sroka et al, Neoplasia 9:5, 2007). MMP14 is thought to play a major role in the activation of pro-MMP2, which has been found in rheumatoid synovium (Honda et al, Clin. Exp. Immunol 126, 2001).
Overexpression of MMP 19 has been associated with a diverse number of pathological conditions, including rheumatoid arthritis, psoriasis, and cancer (Pendas et al, MoI Cell. Biol. 24: 12, 2004; Sadowski et al, MoI Biol. Cell. 14, 2003). MMP19 has been shown to facilitate tumor progression through proangiogenic functions (Pendas et al, 2004). MMP19-knockout mice exposed to a methylcholanthrene-induced chemical carcinogenesis protocol were shown to develop fewer fibrosarcomas and with a longer latency period than wild-type littermates (Pendas et a., 2004). The same MMP19-knockout mice were also shown to depelop a diet-induced obesity and exhibited decreased susceptibility to skin tumors (Pendas et al, 2004).
Overexpression of MMP26 has been found to be significantly correlated with depth of invasion, lymph node and distant metastasis, and advanced tumor stages of esophageal squamous cell carcinoma progression (Yamamoto et al., Carcinogenesis 25:12, 2004). MMP26 has been shown to be primarily expressed in epithelial cancers, including lung, breast, endometrial, and prostate carcinomas (Yamamoto et al., 2004). MMP26 has been shown to promote the invasion of a highly metastatic and tumorigenic prostate cancer cell line through the activation of pro-MMP9 (Lee et al., Biochem. J. 403, 2007). The expression level of MMP26 has been shown to be signifantly higher in pre-invasive human breast ductal carcinoma in situ and in high-grade prostatic intraepithelial neoplasia compared with that in normal human breast tissue samples and non-neoplastic ducts (Lee et al., 2007). MMP26 expression has been detected in early stages (I and II) of invasive carcinoma and low-grade squamous cell carcinomas, but not during stage III (Lee et al., 2007). MMP26 has been shown to be expressed by keratinocytes in association with various benign skin disorders, in wound repair, and early skin carcinogenesis (Ahokas et al., J. Invest. Dermatol. 124, 2005). Expression of concentrated MMP26 has been shown in inflamed colons of patients, under the surface epithelium (Pirila et al, Wound Rep. Reg. 15, 2007).
There continues to be a need for alternative effective therapeutic modalities useful for treating or preventing MMP-associated diseases or disorders in which reduced MMP gene expression (gene silencing) would be beneficial. The present disclosure meets such needs, and further provides other related advantages.
BRIEF SUMMARY
Briefly, the present disclosure provides nicked or gapped double-stranded RNA (dsRNA) comprising at least three strands that is suitable as a substrate for Dicer or as a RISC activator to modify expression of a matrix metalloproteinase (MMP) messenger RNA (mRNA). In one aspect, the instant disclosure provides a meroduplex mdRNA molecule, comprising a first strand that is complementary to any one of human MMP9 mRNA as set forth in SEQ ID NO: 1158, human MMP13 mRNA as set forth in SEQ ID NO: 1386, human MMP14 mRNA as set forth in SEQ ID NO: 1653, human MMP 19 mRNA as set forth in SEQ ID NO: 1997, or human MMP26 mRNA as set forth in SEQ ID NO: 2316, and a second strand and a third strand that are each complementary to non-overlapping regions of the first strand, wherein the second strand and third strands can anneal with the first strand to form at least two double-stranded regions spaced apart by up to 10 nucleotides and thereby forming a gap between the second and third strands, and wherein (a) the mdRNA molecule optionally includes at least one double-stranded region comprises from 5 base pairs to 13 base pairs, or (b) the double-
stranded regions combined total about 15 base pairs to about 40 base pairs and the mdRNA molecule optionally has blunt ends. In certain embodiments, the first strand is about 15 to about 40 nucleotides in length, and the second and third strands are each, individually, about 5 to about 20 nucleotides, wherein the combined length of the second and third strands is about 15 nucleotides to about 40 nucleotides. In other embodiments, the first strand is about 15 to about 40 nucleotides in length and is complementary to at least about 15, 16, 17, 18, 19, 20, 21, 22, 23, 24, 25, 26, 27, 28, 29, 30, 31, 32, 33, 34, 35, 36, 37, 38, 39, or 40 contiguous nucleotides of any one of human MMP9 mRNA as set forth in SEQ ID NO: 1158, human MMP 13 mRNA as set forth in SEQ ID NO: 1386, human MMP14 mRNA as set forth in SEQ ID NO: 1653, human MMP 19 mRNA as set forth in SEQ ID NO : 1997, or human MMP26 mRNA as set forth in SEQ ID NO: 2316. In still further embodiments, the first strand is about 15 to about 40 nucleotides in length and is at least about 70%, 75%, 80%, 85%, 90%, 91%, 92%, 93%, 94%, 95%, 96%, 97%, 98%, or 99% identical to a sequence that is complementary to at least about 15, 16, 17, 18, 19, 20, 21, 22, 23, 24, 25, 26, 27, 28, 29, 30, 31, 32, 33, 34, 35, 36, 37, 38, 39, or 40 contiguous nucleotides of any one of human MMP9 mRNA as set forth in SEQ ID NO: 1158, human
MMP 13 mRNA as set forth in SEQ ID NO: 1386, human MMP 14 mRNA as set forth in SEQ ID NO:1653, human MMP19 mRNA as set forth in SEQ ID NO:1997, or human MMP26 mRNA as set forth in SEQ ID NO: 2316.
In other embodiments, the mdRNA is a RISC activator (e.g., the first strand has about 15 nucleotides to about 25 nucleotides) or a Dicer substrate (e.g. , the first strand has about 26 nucleotides to about 40 nucleotides). In some embodiments, the gap comprises at least one to ten unpaired nucleotides in the first strand positioned between the double-stranded regions formed by the second and third strands when annealed to the first strand, or the gap is a nick. In certain embodiments, the nick or gap is located 10 nucleotides from the 5'-end of the first (antisense) strand or at the Argonaute cleavage site. In another embodiment, the meroduplex nick or gap is positioned such that the thermal stability is maximized for the first and second strand duplex and for the first and third strand duplex as compared to the thermal stability of such meroduplexes having a nick or gap in a different position.
In another aspect, the instant disclosure provides an mdRNA molecule having a first strand that is complementary to any one of human MMP9 mRNA as set forth in SEQ ID
NO:1158, human MMP13 mRNA as set forth in SEQ ID NO:1386, human MMP14 mRNA as set forth in SEQ ID NO: 1653, human MMP19 mRNA as set forth in SEQ ID NO: 1997, or human MMP26 mRNA as set forth in SEQ ID NO: 2316, and a second strand and a third strand that is each complementary to non-overlapping regions of the first strand, wherein the second strand and third strand can anneal with the first strand to form at least two double-stranded
regions spaced apart by up to 10 nucleotides and thereby forming a gap between the second and third strands, and wherein (a) the mdRNA molecule optionally includes at least one double- stranded region comprises from 5 base pairs to 13 base pairs, or (b) the double-stranded regions combined total about 15 base pairs to about 40 base pairs and the mdRNA molecule optionally has blunt ends; and wherein at least one pyrimidine of the mdRNA comprises a pyrimidine nucleoside according to Formula I or II:
wherein R1 and R2 are each independently a -H, -OH, -OCH3, -OCH2OCH2CH3, -OCH2CH2OCH3, halogen, substituted or unsubstituted C1-C10 alkyl, alkoxy, alkoxyalkyl, hydroxyalkyl, carboxyalkyl, alkylsulfonylamino, aminoalkyl, dialkylamino, alkylaminoalkyl, dialkylaminoalkyl, haloalkyl, trifluoromethyl, cycloalkyl, (cycloalkyl)alkyl, substituted or unsubstituted C2-CiO alkenyl, substituted or unsubstituted -O-allyl, -0-CH2CH=CH2, -0-CH=CHCH3, substituted or unsubstituted C2-CiO alkynyl, carbamoyl, carbamyl, carboxy, carbonylamino, substituted or unsubstituted aryl, substituted or unsubstituted aralkyl, -NH2, -NO2, -C≡N, or heterocyclo group; R3 and R4 are each independently a hydroxyl, a protected hydroxyl, a phosphate, or an internucleoside linking group; and R5 and R8 are independently O or S. In certain embodiments, at least one nucleoside is according to Formula I in which R1 is methyl and R2 is -OH. In certain related embodiments, at least one uridine of the dsRNA molecule is replaced with a nucleoside according to Formula I in which R1 is methyl and R2 is - OH, or R1 is methyl, R2 is -OH, and R8 is S. In some embodiments, the at least one R1 is a
C1-C5 alkyl, such as methyl. In some embodiments, at least one R2 is selected from 2'-0-(Ci-Cs) alkyl, 2'-O-methyl, 2'-OCH2OCH2CH3, 2'-OCH2CH2OCH3, 2'-0-allyl, or fluoro. In some embodiments, at least one pyrimidine nucleoside of the mdRNA molecule is a locked nucleic acid (LNA) in the form of a bicyclic sugar, wherein R2 is oxygen, and the 2'-0 and 4'-C form an oxymethylene bridge on the same ribose ring (e.g., a 5-methyluridine LNA) or is a G clamp. In other embodiments, one or more of the nucleosides are according to Formula I in which R1 is methyl and R2 is a 2'-0-(Ci-Cs) alkyl, such as 2'-O-methyl. In some embodiments, the gap comprises at least one unpaired nucleotide in the first strand positioned between the double- stranded regions formed by the second and third strands when annealed to the first strand, or the
gap is a nick. In certain embodiments, the nick or gap is located 10 nucleotides from the 5 '-end of the first strand or at the Argonaute cleavage site. In another embodiment, the meroduplex nick or gap is positioned such that the thermal stability is maximized for the first and second strand duplex and for the first and third strand duplex as compared to the thermal stability of such meroduplexes having a nick or gap in a different position.
In still another aspect, the instant disclosure provides a method for reducing the expression of a human MMP gene in a cell, comprising administering an mdRNA molecule to a cell expressing an MMP gene, wherein the mdRNA molecule is capable of specifically binding to an MMP mRNA and thereby reducing the gene's level of expression in the cell. In a related aspect, there is provided a method of treating or preventing a disease associated with MMP expression in a subject by administering an mdRNA molecule of this disclosure. In certain embodiments, the cell or subject is human. In certain embodiments, the disease is one or more hyperproliferative disorders, for example, leukemia, myeloid and lymphoid neoplasms, ovarian cancer, breast cancer, lung cancer, squamous cell carcinoma of the head, neck, esophagus, endometrium, and vulva, cutaneous basal cell carcinoma, chondrosarcoma, glioma, renal cell carcinoma, and prostate cancer; one or more angiogenic diseases or disorders; metastasis and tumorigenesis; as well as one or more inflammatory disorders, for example, encephalomyelitis, inflammatory bowel disease, arthritis, and psoriasis.
In any of the aspects of this disclosure, some embodiments provide an mdRNA molecule having a 5-methyluridine (ribothymidine) , 2-thioribothymidine, or 2'-O-methyl-5-methyluridine in place of at least one uridine on the first, second, or third strand, or in place of each and every uridine on the first, second, or third strand. In further embodiments, the mdRNA further comprises one or more non-standard nucleoside, such as a deoxyuridine, locked nucleic acid (LNA) molecule, or a universal-binding nucleotide, or a G clamp. Exemplary universal-binding nucleotides include C-phenyl, C-naphthyl, inosine, azole carboxamide, l-β-D-ribofuranosyl-4- nitroindole, l-β-D-ribofuranosyl-5-nitroindole, l-β-D-ribofuranosyl-6-nitroindole, or 1-β-D- ribofuranosyl-3-nitropyrrole. In some embodiments, the mdRNA molecule further comprises a 2'-sugar substitution, such as a 2'-O-methyl, 2'-O-methoxyethyl, 2'-O-2-methoxyethyl, 2'-O-allyl, or halogen (e.g., 2'-fluoro). In certain embodiments, the mdRNA molecule further comprises a terminal cap substituent on one or both ends of one or more of the first strand, second strand, or third strand, such as independently an alkyl, abasic, deoxy abasic, glyceryl, dinucleotide, acyclic nucleotide, or inverted deoxynucleotide moiety. In other embodiments, the mdRNA molecule further comprises at least one modified internucleoside linkage, such as independently a phosphorothioate, chiral phosphorothioate, phosphorodithioate, phosphotriester, aminoalkylphosphotriester, methyl phosphonate, alkyl phosphonate, 3'-alkylene phosphonate, 5'-
alkylene phosphonate, chiral phosphonate, phosphonoacetate, thiophosphonoacetate, phosphinate, phosphoramidate, 3'-amino phosphoramidate, aminoalkylphosphoramidate, thionophosphoramidate, thionoalkylphosphonate, thionoalkylphosphotriester, selenophosphate, or boranophosphate linkage. In any aspect of this disclosure, some embodiments provide an mdRNA comprising an overhang of one to four nucleotides on at least one 3'-end that is not part of the gap, such as at least one deoxynucleotide or two deoxynucleotides (e.g., thymidine). In some embodiments, at least one or two 5 '-terminal ribonucleotide of the second strand within the double-stranded region comprises a 2'-sugar substitution. In related embodiments, at least one or two 5 '-terminal ribonucleotide of the first strand within the double-stranded region comprises a 2'-sugar substitution. In other related embodiments, at least one or two 5'-terminal ribonucleotide of the second strand and at least one or two 5 '-terminal ribonucleotide of the first strand within the double-stranded regions comprise independent 2'-sugar substitutions. In other embodiments, the mdRNA molecule comprises at least three 5-methyluridines within at least one double-stranded region. In some embodiments, the mdRNA molecule has a blunt end at one or both ends. In other embodiments, the 5'-terminal of the third strand is a hydroxyl or a phosphate.
BRIEF DESCRIPTION OF THE DRAWINGS
Figure 1 shows the average gene silencing activity of intact (first bar), nicked (middle bar) and gapped (last bar) dsRNA Dicer substrate specific for each of 22 different targets (AKT, EGFR, FLTl, FRAPl, HIFlA, IL17A, IL18, IL6, MAP2K1, MAPKl, MAPK14, PDGFA, PDGFRA, PIKC3A, PKN3, RAFl, SRD5A1, TNF, TNFSF13B, VEGFA, BCR-ABL [b2a2], and BCR-ABL [b3a2]). Each bar is a graphical representation of an average activity often different sequences for each target, which is calculated from the data found in Table 1.
Figure 2 shows knockdown activity for RISC activator lacZ dsRNA (21 nucleotide sense strand/21 nucleotide antisense strand; 21/21), Dicer substrate lacZ dsRNA (25 nucleotide sense strand/27 nucleotide antisense strand; 25/27), and meroduplex lacZ mdRNA (13 nucleotide sense strand and 11 nucleotide sense strand/27 nucleotide antisense strand; 13, 11/27 - the sense strand is missing one nucleotide so that a single nucleotide gap is left between the 13 nucleotide and 11 nucleotide sense strands when annealed to the 27 nucleotide antisense strand. Knockdown activities were normalized to a Qneg control dsRNA and presented as a normalized value of Qneg (i.e., Qneg represents 100% or "normal" gene expression levels). A smaller value indicates a greater knockdown effect.
Figure 3 shows knockdown activity of a RISC activator influenza dsRNA G1498 (21/21) and nicked dsRNA (10, 11/21) at 100 nM. The "wt" designation indicates an unsubstituted
RNA molecule; "rT" indicates RNA having each uridine substituted with a ribothymidine; and "p" indicates that the 5'-nucleotide of that strand was phosphorylated. The 21 nucleotide sense and antisense strands of G 1498 were individually nicked between the nucleotides 10 and 11 as measured from the 5'-end, and is referred to as 11, 10/21 and 21/10, 11, respectively. The G 1498 single stranded 21 nucleotide antisense strand alone (designated AS-only) was used as a control.
Figure 4 shows knockdown activity of a lacZ dicer substrate (25/27) having a nick in one of each of positions 8 to 14 and a one nucleotide gap at position 13 of the sense strand (counted from the 5 '-end). A dideoxy guanosine (ddG) was incorporated at the 5 '-end of the 3 '-most strand of the nicked or gapped sense sequence at position 13.
Figure 5 shows knockdown activity of a dicer substrate influenza dsRNA Gl 498DS (25/27) and this sequence nicked at one of each of positions 8 to 14 of the sense strand, and shows the activity of these nicked molecules that are also phosphorylated or have a locked nucleic acid substitution. Figure 6 shows a dose dependent knockdown activity a dicer substrate influenza dsRNA
Gl 498DS (25/27) and this sequence nicked at position 13 of the sense strand.
Figure 7 shows knockdown activity of a dicer substrate influenza dsRNA Gl 498DS having a nick or a gap of one to six nucleotides that begins at any one of positions 8 to 12 of the sense strand. Figure 8 shows knockdown activity of a LacZ RISC dsRNA having a nick or a gap of one to six nucleotides that begins at any one of positions 8 to 14 of the sense strand.
Figure 9 shows knockdown activity of an influenza RISC dsRNA having a nick at any one of positions 8 to 14 of the sense strand and further having one or two locked nucleic acids (LNA) per sense strand. The inserts on the right side of the graph provides a graphic depiction of the meroduplex structures (for clarity, a single antisense strand is shown at the bottom of the grouping with each of the different nicked sense strands above the antisense) having different nick positions with the relative positioning of the LNAs on the sense strands.
Figure 10 shows knockdown activity of a LacZ dicer substrate dsRNA having a nick at any one of positions 8 to 14 of the sense strand as compared to the same nicked dicer substrates but having a locked nucleic acid substitution.
Figure 11 shows the percent knockdown in influenza viral titers using influenza specific mdRNA against influenza strain WSN.
Figure 12 shows the in vivo reduction in PR8 influenza viral titers using influenza specific mdRNA as measured by TCID50.
DETAILED DESCRIPTION
The instant disclosure is predicated upon the unexpected discovery that a nicked or gapped double-stranded RNA (dsRNA) comprising at least three strands is a suitable substrate for Dicer or RISC and, therefore, may be advantageously employed for gene silencing via, for example, the RNA interference pathway. That is, partially duplexed dsRNA molecules described herein (also referred to as meroduplexes having a nick or gap in at least one strand) are capable of initiating an RNA interference cascade that modifies (e.g., reduces) expression of a target messenger RNA (mRNA), such as a human vascular endothelial growth factor receptor (MMP) mRNA. This is surprising because a person of skill in the art would expect the thermodynamically less stable nicked or gapped dsRNA passenger strand (as compared to an intact dsRNA) to fall apart before any gene silencing effect would result (see, e.g., Leuschner et al, EMBO 7:314, 2006).
Meroduplex ribonucleic acid (mdRNA) molecules described herein include a first (antisense) strand that is complementary to any one of human MMP9 mRNA as set forth in SEQ ID NO:1158, human MMP13 mRNA as set forth in SEQ ID NO:1386, human MMP14 mRNA as set forth in SEQ ID NO: 1653, human MMP19 mRNA as set forth in SEQ ID NO: 1997, or human MMP26 mRNA as set forth in SEQ ID NO: 2316, along with second and third strands (together forming a gapped sense strand) that are each complementary to non-overlapping regions of the first strand, wherein the second and third strands can anneal with the first strand to form at least two double-stranded regions separated by a gap, and wherein at least one double- stranded region is optionally from about 5 base pairs to about 15 base pairs, or the combined double-stranded regions total about 5 base pairs to about 40 base pairs and the mdRNA is blunt- ended. The gap can be from 0 nucleotides (i.e., a nick in which only a phosphodiester bond between two nucleotides is broken in a polynucleotide molecule) up to about 10 nucleotides (i.e., the first strand will have at least one unpaired nucleotide). In certain embodiments, the nick or gap is located 10 nucleotides from the 5'-end of the first (antisense) strand or at the Argonaute cleavage site. In another embodiment, the meroduplex nick or gap is positioned such that the thermal stability is maximized for the first and second strand duplex and for the first and third strand duplex as compared to the thermal stability of such meroduplexes having a nick or gap in a different position. Also provided herein are methods of using such dsRNA to reduce expression of an MMP gene in a cell or to treat or prevent diseases or disorders associated with MMP gene expression, including one or more hyperproliferative disorders, for example, leukemia, myeloid and lymphoid neoplasms, ovarian cancer, breast cancer, lung cancer, squamous cell carcinoma of the head, neck, esophagus, endometrium, and vulva, cutaneous basal cell carcinoma, chondrosarcoma, glioma, renal cell carcinoma, and prostate cancer; one or
more angiogenic diseases or disorders; metastasis and tumorigenesis; as well as one or more inflammatory disorders, for example, encephalomyelitis, inflammatory bowel disease, arthritis, and psoriasis.
Prior to introducing more detail to this disclosure, it may be helpful to an appreciation thereof to provide definitions of certain terms to be used herein.
In the present description, any concentration range, percentage range, ratio range, or integer range is to be understood to include the value of any integer within the recited range and, when appropriate, fractions thereof (such as one tenth and one hundredth of an integer), unless otherwise indicated. Also, any number range recited herein relating to any physical feature, such as polymer subunits, size or thickness, are to be understood to include any integer within the recited range, unless otherwise indicated. As used herein, "about" or "consisting essentially of mean ± 20% of the indicated range, value, or structure, unless otherwise indicated. As used herein, the terms "include" and "comprise" are open ended and are used synonymously. It should be understood that the terms "a" and "an" as used herein refer to "one or more" of the enumerated components. The use of the alternative (e.g., "or") should be understood to mean either one, both, or any combination thereof of the alternatives.
As used herein, the term "isolated" means that the referenced material (e.g., nucleic acid molecules of the instant disclosure), is removed from its original environment, such as being separated from some or all of the co-existing materials in a natural environment (e.g., a natural environment may be a cell).
As used herein, "complementary" refers to a nucleic acid molecule that can form hydrogen bond(s) with another nucleic acid molecule or itself by either traditional Watson-Crick base pairing or other non-traditional types of pairing (e.g., Hoogsteen or reversed Hoogsteen hydrogen bonding) between complementary nucleosides or nucleotides. In reference to the nucleic molecules of the present disclosure, the binding free energy for a nucleic acid molecule with its complementary sequence is sufficient to allow the relevant function of the nucleic acid molecule to proceed, for example, RNAi activity, and there is a sufficient degree of complementarity to avoid non-specific binding of the nucleic acid molecule (e.g., dsRNA) to non-target sequences under conditions in which specific binding is desired, i.e., under physiological conditions in the case of in vivo assays or therapeutic treatment, or under conditions in which the assays are performed in the case of in vitro assays (e.g., hybridization assays). Determination of binding free energies for nucleic acid molecules is well known in the art (see, e.g., Turner et αl., CSH Symp. Quαnt. Biol. L//: 123, 1987; Frier et αl., Proc. Nαt'l. Acαd. Sci. USA 83:9373, 1986; Turner et αl., J. Am. Chem. Soc. 109:3783, 1987). Thus, "complementary" or "specifically hybridizable" or "specifically binds" are terms that indicate a
sufficient degree of complementarity or precise pairing such that stable and specific binding occurs between a nucleic acid molecule (e.g., dsRNA) and a DNA or RNA target. It is understood in the art that a nucleic acid molecule need not be 100% complementary to a target nucleic acid sequence to be specifically hybridizable or to specifically bind. That is, two or more nucleic acid molecules may be less than fully complementary and is indicated by a percentage of contiguous residues in a nucleic acid molecule that can form hydrogen bonds with a second nucleic acid molecule.
For example, a first nucleic acid molecule may have 10 nucleotides and a second nucleic acid molecule may have 10 nucleotides, then base pairing of 5, 6, 7, 8, 9, or 10 nucleotides between the first and second nucleic acid molecules, which may or may not form a contiguous double-stranded region, represents 50%, 60%, 70%, 80%, 90%, and 100% complementarity, respectively. In certain embodiments, complementary nucleic acid molecules may have wrongly paired bases - that is, bases that cannot form a traditional Watson-Crick base pair or other non- traditional types of pair (i.e., "mismatched" bases). For instance, complementary nucleic acid molecules may be identified as having a certain number of "mismatches," such as zero or about 1, about 2, about 3, about 4 or about 5.
"Perfectly" or "fully" complementary nucleic acid molecules means those in which a certain number of nucleotides of a first nucleic acid molecule hydrogen bond (anneal) with the same number of residues in a second nucleic acid molecule to form a contiguous double-stranded region. For example, two or more fully complementary nucleic acid molecule strands can have the same number of nucleotides (i.e., have the same length and form one double-stranded region, with or without an overhang) or have a different number of nucleotides (e.g. , one strand may be shorter than but fully contained within another strand or one strand may overhang the other strand). By "ribonucleic acid" or "RNA" is meant a nucleic acid molecule comprising at least one ribonucleotide molecule. As used herein, "ribonucleotide" refers to a nucleotide with a hydroxyl group at the 2'-position of a β-D-ribofuranose moiety. The term RNA includes double-stranded (ds) RNA, single-stranded (ss) RNA, isolated RNA (such as partially purified RNA, essentially pure RNA, synthetic RNA, recombinantly produced RNA), altered RNA (which differs from naturally occurring RNA by the addition, deletion, substitution or alteration of one or more nucleotides), or any combination thereof. For example, such altered RNA can include addition of non-nucleotide material, such as at one or both ends of an RNA molecule, internally at one or more nucleotides of the RNA, or any combination thereof. Nucleotides in RNA molecules of the instant disclosure can also comprise non-standard nucleotides, such as naturally occurring nucleotides, non-naturally occurring nucleotides, chemically-modified nucleotides,
deoxynucleotides, or any combination thereof. These altered RNAs may be referred to as analogs or analogs of RNA containing standard nucleotides (i.e., standard nucleotides, as used herein, are considered to be adenine, cytidine, guanidine, thymidine, and uridine).
The term "dsRNA" as used herein, which is interchangeable with "mdRNA," refers to any nucleic acid molecule comprising at least one ribonucleotide molecule and capable of inhibiting or down regulating gene expression, for example, by promoting RNA interference ("RNAi") or gene silencing in a sequence-specific manner. The dsRNAs (mdRNAs) of the instant disclosure may be suitable substrates for Dicer or for association with RISC to mediate gene silencing by RNAi. Examples of dsRNA molecules of this disclosure are provided in the Sequence Listing identified herein. One or both strands of the dsRNA can further comprise a terminal phosphate group, such as a 5'-phosphate or 5', 3'-diphosphate. As used herein, dsRNA molecules, in addition to at least one ribonucleotide, can further include substitutions, chemically-modified nucleotides, and non-nucleotides. In certain embodiments, dsRNA molecules comprise ribonucleotides up to about 100% of the nucleotide positions. In addition, as used herein, the term dsRNA is meant to be equivalent to other terms used to describe nucleic acid molecules that are capable of mediating sequence specific RNAi, for example, meroduplex RNA (mdRNA), nicked dsRNA (ndsRNA), gapped dsRNA (gdsRNA), short interfering nucleic acid (siNA), siRNA, micro-RNA (miRNA), short hairpin RNA (shRNA), short interfering oligonucleotide, short interfering substituted oligonucleotide, short interfering modified oligonucleotide, chemically-modified dsRNA, post-transcriptional gene silencing RNA (ptgsRNA), or the like. The term "large double-stranded RNA" ("large dsRNA") refers to any double-stranded RNA longer than about 40 base pairs (bp) to about 100 bp or more, particularly up to about 300 bp to about 500 bp. The sequence of a large dsRNA may represent a segment of an mRNA or an entire mRNA. A double-stranded structure may be formed by a self-complementary nucleic acid molecule or by annealing of two or more distinct complementary nucleic acid molecule strands.
In one aspect, a dsRNA comprises two separate oligonucleotides, comprising a first strand (antisense) and a second strand (sense), wherein the antisense and sense strands are self- complementary (i.e., each strand comprises a nucleotide sequence that is complementary to a nucleotide sequence in the other strand and the two separate strands form a duplex or double-stranded structure, for example, wherein the double-stranded region is about 15 to about 24 base pairs or about 26 to about 40 base pairs); the antisense strand comprises a nucleotide sequence that is complementary to a nucleotide sequence in a target nucleic acid molecule or a portion thereof (e.g. , a human MMP mRNA of any one of SEQ ID NOS:1158, 1386, 1653, 1997, or 2316); and the sense strand comprises a nucleotide sequence corresponding (i. e. ,
homologous) to the target nucleic acid sequence or a portion thereof (e.g. , a sense strand of about 15 to about 25 nucleotides or about 26 to about 40 nucleotides corresponds to the target nucleic acid or a portion thereof).
In another aspect, the dsRNA is assembled from a single oligonucleotide in which the self-complementary sense and antisense strands of the dsRNA are linked together by a nucleic acid based-linker or a non-nucleic acid-based linker. In certain embodiments, the first (antisense) and second (sense) strands of the dsRNA molecule are covalently linked by a nucleotide or non-nucleotide linker as described herein and known in the art. In other embodiments, a first dsRNA molecule is covalently linked to at least one second dsRNA molecule by a nucleotide or non-nucleotide linker known in the art, wherein the first dsRNA molecule can be linked to a plurality of other dsRNA molecules that can be the same or different, or any combination thereof. In another embodiment, the linked dsRNA may include a third strand that forms a meroduplex with the linked dsRNA.
In still another aspect, dsRNA molecules described herein form a meroduplex RNA (mdRNA) having three or more strands such as, for example, an A' (first or antisense) strand, 'Sl' (second) strand, and 'S2' (third) strand in which the 'Sl' and 'S2' strands are complementary to and form base pairs (bp) with non-overlapping regions of the A' strand (e.g., an mdRNA can have the form of A:S1S2). The double-stranded region formed by the annealing of the 'Sl' and A' strands is distinct from and non-overlapping with the double-stranded region formed by the annealing of the 'S2' and A' strands. An mdRNA molecule is a "gapped" molecule, i.e., it contains a "gap" ranging from 0 nucleotides up to about 10 nucleotides (or a gap of 11, 12, 13, 14, 15, 16, 17, 18, 19, 20, 21, 22, 23, 24, 25, 26, 27, 28, 29, 30, 31, 32, 33, 34 or 35 nucleotides). In one embodiment, the A: Sl duplex is separated from the A:S2 duplex by a gap resulting from at least one unpaired nucleotide (up to about 10 unpaired nucleotides) in the A' strand that is positioned between the A:S1 duplex and the A:S2 duplex and that is distinct from any one or more unpaired nucleotide at the 3'-end of one or more of the A', 'Sl', or 'S2' strands. In another embodiment, the A: Sl duplex is separated from the A:S2 duplex by a gap of zero nucleotides (i.e., a nick in which only a phosphodiester bond between two nucleotides is broken or missing in the polynucleotide molecule) between the A: Sl duplex and the A:S2 duplex - which can also be referred to as nicked dsRNA (ndsRNA). For example, A:S 1 S2 may be comprised of a dsRNA having at least two double-stranded regions that combined total about 14 base pairs to about 40 base pairs and the double-stranded regions are separated by a gap of 0, 1, 2, 3, 4, 5, 6, 7, 8, 9, 10, 11, 12, 13, 14, 15, 16, 17, 18, 19, 20, 21, 22, 23, 24, 25, 26, 27, 28, 29, 30, 31, 32, 33, 34 or 35 nucleotides, optionally having blunt ends, or A:S1S2 may comprise a dsRNA having at least two double-stranded regions spaced apart by up to 10 nucleotides and thereby forming a
gap between the second and third strands wherein at least one of the double-stranded regions optionally has from 5 base pairs to 13 base pairs.
A dsRNA or large dsRNA may include a substitution or modification in which the substitution or modification may be in a phosphate backbone bond, a sugar, a base, or a nucleoside. Such nucleoside substitutions can include natural non-standard nucleosides (e.g., 5-methyluridine or 5-methylcytidine or a 2-thioribothymidine), and such backbone, sugar, or nucleoside modifications can include an alkyl or heteroatom substitution or addition, such as a methyl, alkoxyalkyl, halogen, nitrogen or sulfur, or other modifications known in the art.
In addition, as used herein, the term "RNAi" is meant to be equivalent to other terms used to describe sequence specific RNA interference, such as post transcriptional gene silencing, translational inhibition, or epigenetics. For example, dsRNA molecules of this disclosure can be used to epigenetically silence genes at the post-transcriptional level or the pre -transcriptional level or any combination thereof.
As used herein, "target nucleic acid" refers to any nucleic acid sequence whose expression or activity is to be altered (e.g., MMP9, MMP 13, MMP 14, MMP 19, MMP26). The target nucleic acid can be DNA, RNA, or analogs thereof, and includes single, double, and multi-stranded forms. By "target site" or "target sequence" is meant a sequence within a target nucleic acid (e.g. , mRNA) that, when present in an RNA molecule, is "targeted" for cleavage by RNAi and mediated by a dsRNA construct of this disclosure containing a sequence within the antisense strand that is complementary to the target site or sequence.
As used herein, "off-target effect" or "off-target profile" refers to the observed altered expression pattern of one or more genes in a cell or other biological sample not targeted, directly or indirectly, for gene silencing by an mdRNA or dsRNA. For example, an off-target effect can be quantified by using a DNA microarray to determine how many non-target genes have an expression level altered by about two-fold or more in the presence of a candidate mdRNA or dsRNA, or analog thereof specific for a target sequence, such as an MMP9, MMP 13, MMP 14, MMP 19, or MMP26 mRNA. A "minimal off-target effect" means that an mdRNA or dsRNA affects expression by about two-fold or more of about 25% to about 1% of the non-target genes examined or it means that the off-target effect of substituted or modified mdRNA or dsRNA (e.g., having at least one uridine substituted with a 5-methyluridine or 2-thioribothymidine and optionally having at least one nucleotide modified at the 2'-position), is reduced by at least about 1% to about 80% or more as compared to the effect on non-target genes of an unsubstituted or unmodified mdRNA or dsRNA.
By "sense region" or "sense strand" is meant one ore more nucleotide sequences of a dsRNA molecule having complementarity to one or more antisense regions of the dsRNA
molecule. In addition, the sense region of a dsRNA molecule comprises a nucleic acid sequence having homology or identity to a target sequence, such as MMP9, MMP 13, MMP 14, MMP 19, or MMP26. By "antisense region" or "antisense strand" is meant a nucleotide sequence of a dsRNA molecule having complementarity to a target nucleic acid sequence, such as MMP9, MMP13, MMP14, MMP19, or MMP26. In addition, the antisense region of a dsRNA molecule can comprise nucleic acid sequence region having complementarity to one or more sense strands of the dsRNA molecule.
"Analog" as used herein refers to a compound that is structurally similar to a parent compound (e.g., a nucleic acid molecule), but differs slightly in composition (e.g., one atom or functional group is different, added, or removed). The analog may or may not have different chemical or physical properties than the original compound and may or may not have improved biological or chemical activity. For example, the analog may be more hydrophilic or it may have altered activity as compared to a parent compound. The analog may mimic the chemical or biological activity of the parent compound (i.e., it may have similar or identical activity), or, in some cases, may have increased or decreased activity. The analog may be a naturally or non- naturally occurring (e.g., chemically-modified or recombinant) variant of the original compound. An example of an RNA analog is an RNA molecule having a non-standard nucleotide, such as 5-methyuridine or 5-methylcytidine or 2-thioribothymidine, which may impart certain desirable properties (e.g., improve stability, bioavailability, minimize off-target effects or interferon response).
As used herein, the term "universal base" refers to nucleotide base analogs that form base pairs with each of the standard DNA/RNA bases with little discrimination between them. A universal base is thus interchangeable with all of the standard bases when substituted into a nucleotide duplex (see, e.g., Loakes et al., J. MoI. Bio. 270:426, 1997). Examplary universal bases include C-phenyl, C-naphthyl and other aromatic derivatives, inosine, azole carboxamides, or nitroazole derivatives such as 3-nitropyrrole, 4-nitroindole, 5-nitroindole, and 6-nitroindole (see, e.g., Loakes, Nucleic Acids Res. 29:2437, 2001).
The term "gene" as used herein, especially in the context of "target gene" or "gene target" for RNAi, means a nucleic acid molecule that encodes an RNA or a transcription product of such gene, including a messenger RNA (mRNA, also referred to as structural genes that encode for a polypeptide), an mRNA splice variant of such gene, a functional RNA (fRNA), or non-coding RNA (ncRNA), such as small temporal RNA (stRNA), microRNA (miRNA), small nuclear RNA (snRNA), short interfering RNA (siRNA), small nucleolar RNA (snRNA), ribosomal RNA (rRNA), transfer RNA (tRNA) and precursor RNAs thereof. Such non-coding
RNAs can serve as target nucleic acid molecules for dsRNA mediated RNAi to alter the activity of the target RNA involved in functional or regulatory cellular processes.
As used herein, "gene silencing" refers to a partial or complete loss-of-function through targeted inhibition of gene expression in a cell, which may also be referred to as RNAi "knockdown," "inhibition," "down-regulation," or "reduction" of expression of a target gene, such as a human MMP9, MMP 13, MMP 14, MMP 19, or MMP26 gene. Depending on the circumstances and the biological problem to be addressed, it may be preferable to partially reduce gene expression. Alternatively, it might be desirable to reduce gene expression as much as possible. The extent of silencing may be determined by methods described herein and known in the art (see, e.g., PCT Publication No. WO 99/32619; Elbashir et al, EMBO J. 20:6X77,
2001). Depending on the assay, quantification of gene expression permits detection of various amounts of inhibition that may be desired in certain embodiments of this disclosure, including prophylactic and therapeutic methods, which will be capable of knocking down target gene expression, in terms of mRNA level or protein level or activity, for example, by equal to or greater than 10%, 30%, 50%, 75% 90%, 95% or 99% of baseline (i.e., normal) or other control levels, including elevated expression levels as may be associated with particular disease states or other conditions targeted for therapy.
As used herein, the term "therapeutically effective amount" means an amount of dsRNA that is sufficient to result in a decrease in severity of disease symptoms, an increase in frequency or duration of disease symptom- free periods, or a prevention of impairment or disability due to the disease, in the subject (e.g., human) to which it is administered. For example, a therapeutically effective amount of dsRNA directed against an mRNA of MMP (e.g., any one of SEQ ID NOS:1158, 1386, 1653, 1997, or 2316) can inhibit the deposition of lipoproteins in the walls of arteries by at least about 20%, at least about 40%, at least about 60%, or at least about 80% relative to untreated subjects. A therapeutically effective amount of a therapeutic compound can decrease, for example, atheromatous plaque size or otherwise ameliorate symptoms in a subject. One of ordinary skill in the art would be able to determine such therapeutically effective amounts based on such factors as the subject's size, the severity of symptoms, and the particular composition or route of administration selected. The nucleic acid molecules of the instant disclosure, individually, or in combination or in conjunction with other drugs, can be used to treat diseases or conditions discussed herein. For example, to treat a particular disease, disorder, or condition, the dsRNA molecules can be administered to a patient or can be administered to other appropriate cells evident to those skilled in the art, individually or in combination with one or more drugs, under conditions suitable for treatment.
In addition, one or more dsRNA may be used to knockdown expression of an MMP9 mRNA as set forth in SEQ ID NO: 1158, an MMP13 mRNA as set forth in SEQ ID NO: 1386, an MMP14 mRNA as set forth in SEQ ID NO: 1653, an MMP19 mRNA as set forth in SEQ ID NO: 1997, or an MMP26 mRNA as set forth in SEQ ID NO: 2316, or a related mRNA splice variant. In this regard it is noted that an MMP gene may be transcribed into two or more mRNA splice variants; and thus, for example, in certain embodiments, knockdown of one mRNA splice variant without affecting the other mRNA splice variant may be desired, or vice versa; or knockdown of all transcription products may be targeted.
In addition, it should be understood that the individual compounds, or groups of compounds, derived from the various combinations of the structures and substituents described herein, are disclosed by the present application to the same extent as if each compound or group of compounds was set forth individually. Thus, selection of particular structures or particular substituents is within the scope of the present disclosure. As described herein, all value ranges are inclusive over the indicated range. Thus, a range Of Ci-C4 will be understood to include the values of 1 , 2, 3, and 4, such that C1, C2, C3 and C4 are included.
The term "alkyl" as used herein refers to saturated straight- or branched-chain aliphatic groups containing from 1-20 carbon atoms, preferably 1-8 carbon atoms and most preferably 1-4 carbon atoms. This definition applies as well to the alkyl portion of alkoxy, alkanoyl and aralkyl groups. The alkyl group may be substituted or unsubstituted. In certain embodiments, the alkyl is a (C1-C4) alkyl or methyl.
The term "cycloalkyl" as used herein refers to a saturated cyclic hydrocarbon ring system containing from 3 to 12 carbon atoms that may be optionally substituted. Exemplary embodiments include, but are not limited to, cyclopropyl, cyclobutyl, cyclopentyl and cyclohexyl. In certain embodiments, the cycloalkyl group is cyclopropyl. In another embodiment, the (cycloalkyl)alkyl groups contain from 3 to 12 carbon atoms in the cyclic portion and 1 to 6 carbon atoms in the alkyl portion. In certain embodiments, the (cycloalkyl)alkyl group is cyclopropylmethyl. The alkyl groups are optionally substituted with from one to three substituents selected from the group consisting of halogen, hydroxy and amino.
The terms "alkanoyl" and "alkanoyloxy" as used herein refer, respectively, to -C(O)-alkyl groups and -O-C(=O)- alkyl groups, each optionally containing 2 to 10 carbon atoms. Specific embodiments of alkanoyl and alkanoyloxy groups are acetyl and acetoxy, respectively.
The term "alkenyl" refers to an unsaturated branched, straight-chain or cyclic alkyl group having 2 to 15 carbon atoms and having at least one carbon-carbon double bond derived by the removal of one hydrogen atom from a single carbon atom of a parent alkene. The group may be in either the cis or trans conformation about the double bond(s). Certain embodiments include
ethenyl, 1-propenyl, 2-propenyl, 1-methylethenyl, 1-butenyl, 2-butenyl, 3-butenyl, 2-methyl-2- propenyl, 1-pentenyl, 2-pentenyl, 4-pentenyl, 3-methyl-2-butenyl, 1-hexenyl, 2-hexenyl, 1- heptenyl, 2-heptenyl, 1-octenyl, 2-octenyl, 1,3-octadienyl, 2-nonenyl, 1,3-nonadienyl, 2-decenyl, etc., or the like. The alkenyl group may be substituted or unsubstituted. The term "alkynyl" as used herein refers to an unsaturated branched, straight-chain, or cyclic alkyl group having 2 to 10 carbon atoms and having at least one carbon-carbon triple bond derived by the removal of one hydrogen atom from a single carbon atom of a parent alkyne. Exemplary alkynyls include ethynyl, 1-propynyl, 2-propynyl, 1-butynyl, 2-butynyl, 3- butynyl, 1-pentynyl, 2-pentynyl, 4-pentynyl, 1-octynyl, 6-methyl-l-heptynyl, 2-decynyl, or the like. The alkynyl group may be substituted or unsubstituted.
The term "hydroxyalkyl" alone or in combination, refers to an alkyl group as previously defined, wherein one or several hydrogen atoms, preferably one hydrogen atom has been replaced by a hydroxyl group. Examples include hydroxymethyl, hydroxy ethyl and 2- hydroxy ethyl. The term "aminoalkyl" as used herein refers to the group -NRR', where R and R' may independently be hydrogen or (C1-C4) alkyl.
The term "alkylaminoalkyl" refers to an alkylamino group linked via an alkyl group {i.e., a group having the general structure -alkyl-NH-alkyl or -alkyl-N(alkyl)(alkyl)). Such groups include, but are not limited to, mono- and di-(Ci-Cs alkyl)aminoCi-C8 alkyl, in which each alkyl may be the same or different.
The term "dialkylaminoalkyl" refers to alkylamino groups attached to an alkyl group. Examples include, but are not limited to, N,N-dimethylaminomethyl, N,N-dimethylaminoethyl N,N-dimethylaminopropyl, and the like. The term dialkylaminoalkyl also includes groups where the bridging alkyl moiety is optionally substituted. The term "haloalkyl" refers to an alkyl group substituted with one or more halo groups, for example chloromethyl, 2-bromoethyl, 3-iodopropyl, trifluoromethyl, perfluoropropyl, 8- chlorononyl, or the like.
The term "carboxyalkyl" as used herein refers to the substituent -R10-COOH, wherein R10 is alkylene; and "carbalkoxyalkyl" refers to -R10-C(=O)ORn, wherein R10 and R11 are alkylene and alkyl respectively. In certain embodiments, alkyl refers to a saturated straight- or branched-chain hydrocarbyl radical of 1 to 6 carbon atoms such as methyl, ethyl, n-propyl, isopropyl, n-butyl, t-butyl, n-pentyl, 2-methylpentyl, n-hexyl, and so forth. Alkylene is the same as alkyl except that the group is divalent.
The term "alkoxy" includes substituted and unsubstituted alkyl, alkenyl, and alkynyl groups covalently linked to an oxygen atom. In one embodiment, the alkoxy group contains 1 to
about 10 carbon atoms. Embodiments of alkoxy groups include, but are not limited to, methoxy, ethoxy, isopropyloxy, propoxy, butoxy, and pentoxy groups. Embodiments of substituted alkoxy groups include halogenated alkoxy groups. In a further embodiment, the alkoxy groups can be substituted with groups such as alkenyl, alkynyl, halogen, hydroxyl, alkylcarbonyloxy, arylcarbonyloxy, alkoxycarbonyloxy, aryloxycarbonyloxy, carboxylate, alkylcarbonyl, arylcarbonyl, alkoxycarbonyl, aminocarbonyl, alkylaminocarbonyl, dialkylaminocarbonyl, alkylthiocarbonyl, alkoxyl, phosphate, phosphonato, phosphinato, cyano, amino (including alkylamino, dialkylamino, arylamino, diarylamino, and alkylarylamino), acylamino (including alkylcarbonylamino, arylcarbonylamino, carbamoyl and ureido), amidino, imino, sulfhydryl, alkylthio, arylthio, thiocarboxylate, sulfates, alkylsulfϊnyl, sulfonato, sulfamoyl, sulfonamido, nitro, trifluoromethyl, cyano, azido, heterocyclyl, alkylaryl, or an aromatic or heteroaromatic moieties. Exemplary halogen substituted alkoxy groups include, but are not limited to, fluoromethoxy, difluoromethoxy, trifluoromethoxy, chloromethoxy, dichloromethoxy, and trichloromethoxy. The term "alkoxyalkyl" refers to an alkylene group substituted with an alkoxy group.
For example, methoxyethyl (CH3OCH2CH2-) and ethoxymethyl (CH3CH2OCH2-) are both C3 alkoxyalkyl groups.
The term "aryl" as used herein refers to monocyclic or bicyclic aromatic hydrocarbon groups having from 6 to 12 carbon atoms in the ring portion, for example, phenyl, naphthyl, biphenyl and diphenyl groups, each of which may be substituted with, for example, one to four substituents such as alkyl; substituted alkyl as defined above, halogen, trifluoromethyl, trifluoromethoxy, hydroxy, alkoxy, cycloalkyloxy, alkanoyl, alkanoyloxy, amino, alkylamino, dialkylamino, nitro, cyano, carboxy, carboxyalkyl, carbamyl, carbamoyl and aryloxy. Specific embodiments of aryl groups in accordance with the present disclosure include phenyl, substituted phenyl, naphthyl, biphenyl, and diphenyl.
The term "aroyl," as used alone or in combination herein, refers to an aryl radical derived from an aromatic carboxylic acid, such as optionally substituted benzoic or naphthoic acids.
The term "aralkyl" as used herein refers to an aryl group bonded to the 2-pyridinyl ring or the 4-pyridinyl ring through an alkyl group, preferably one containing 1 to 10 carbon atoms. A preferred aralkyl group is benzyl.
The term "carboxy," as used herein, represents a group of the formula -C(=O)OH or - C(=O)O".
The term "carbonyl" as used herein refers to a group in which an oxygen atom is double-bonded to a carbon atom -C=O. The term "trifluoromethyl" as used herein refers to -CF3.
2o
The term "trifluoromethoxy" as used herein refers to -OCF3.
The term "hydroxyl" as used herein refers to -OH or -0".
The term "nitrile" or "cyano" as used herein refers to the group -CN.
The term "nitro," as used herein alone or in combination refers to a -NO2 group. The term "amino" as used herein refers to the group -NR9R9, wherein R9 may independently be hydrogen, alkyl, aryl, alkoxy, or heteroaryl. The term "aminoalkyl" as used herein represents a more detailed selection as compared to "amino" and refers to the group -NR'R', wherein R' may independently be hydrogen or (C1-C4) alkyl. The term "dialkylamino" refers to an amino group having two attached alkyl groups that can be the same or different.
The term "alkanoylamino" refers to alkyl, alkenyl or alkynyl groups containing the group -C(=O)- followed by -N(H)-, for example acetylamino, propanoylamino and butanoylamino and the like.
The term "carbonylamino" refers to the group -NRZ-CO-CH2-R', wherein R' may be independently selected from hydrogen or (C1-C4) alkyl.
The term "carbamoyl" as used herein refers to -0-C(O)NH2.
The term "carbamyl" as used herein refers to a functional group in which a nitrogen atom is directly bonded to a carbonyl, i.e., as in -NR"C(=0)R" or -C(=0)NR"R", wherein R" can be independently hydrogen, alkyl, substituted alkyl, alkenyl, substituted alkenyl, alkoxy, cycloalkyl, aryl, heterocyclo, or heteroaryl.
The term "alkylsulfonylamino" refers to the group -NHS(O)2R12, wherein R12 is alkyl.
The term "halogen" as used herein refers to bromine, chlorine, fluorine or iodine. In one embodiment, the halogen is fluorine. In another embodiment, the halogen is chlorine.
The term "heterocyclo" refers to an optionally substituted, unsaturated, partially saturated, or fully saturated, aromatic or nonaromatic cyclic group that is a 4 to 7 membered monocyclic, or 7 to 11 membered bicyclic ring system that has at least one heteroatom in at least one carbon atom- containing ring. The substituents on the heterocyclo rings may be selected from those given above for the aryl groups. Each ring of the heterocyclo group containing a heteroatom may have 1, 2, or 3 heteroatoms selected from nitrogen, oxygen or sulfur. Plural heteroatoms in a given heterocyclo ring may be the same or different.
Exemplary monocyclic heterocyclo groups include pyrrolidinyl, pyrrolyl, indolyl, pyrazolyl, imidazolyl, oxazolyl, isoxazolyl, thiazolyl, furyl, tetrahydrofuryl, thienyl, piperidinyl, piperazinyl, azepinyl, pyrimidinyl, pyridazinyl, tetrahydropyranyl, morpholinyl, dioxanyl, triazinyl and triazolyl. Preferred bicyclic heterocyclo groups include benzothiazolyl, benzoxazolyl, benzothienyl, quinolinyl, tetrahydroisoquinolinyl, benzimidazolyl, benzo furyl, indazolyl,
benzisothiazolyl, isoindolinyl and tetrahydroquinolinyl. In more detailed embodiments heterocyclo groups may include indolyl, imidazolyl, furyl, thienyl, thiazolyl, pyrrolidyl, pyridyl and pyrimidyl.
"Substituted" refers to a group in which one or more hydrogen atoms are each independently replaced with the same or different substituent(s). Representative substituents include -X, -R6, -O-, =0, -OR, -SR6, -S-, =S, -NR6R6, =NR6, -CX3, -CF3, -CN, -OCN, -SCN, -NO, -NO2, =N2, -N3, -S(=O)2O-, -S(=O) 2OH, -S(=O)2R6, -OS(=O)2O-, -OS(=O)2OH, -OS(=O)2R6, -P(=O)(O )2, -P(=O)(OH)(O ), -OP(=O)2(O ), -C(-O)R6, -C(=S)R6, -C(=O)OR6, -C(=O)O", -C(=S)OR6, -NR6-C(=O)-N(R6)2, -NR6-C(=S)-N(R6)2, and -C(=NR6)NR6R6, wherein each X is independently a halogen; and each R6 is independently hydrogen, halogen, alkyl, aryl, arylalkyl, arylaryl, arylheteroalkyl, heteroaryl, heteroarylalkyl, NR7R7, -C(=O)R7, and
-S(=O)2R7; and each R7 is independently hydrogen, alkyl, alkanyl, alkynyl, aryl, arylalkyl, arylheteralkyl, arylaryl, heteroaryl or heteroarylalkyl. Aryl containing substituents, whether or not having one or more substitutions, may be attached in a para (p-), meta (m-) or ortho (o-) conformation, or any combination thereof.
Matrix metalloproteinase (MMP) and Exemplary dsRNA Molecules
The products of matrix metalloproteinase 9 (MMP9; also known as gelatinase B, 92kDa gelatinase, 92kDa type IV collagenase, GELB, and CLG4B), matrix metalloproteinase 13 (MMPl 3; also known as collagenase 3, and CLG3), matrix metalloproteinase 14 (MMP 14; also known as MMP-Xl, MTMMPl, and MTl-MMP), matrix metalloproteinase 19 (MMP19; also known as MMP18, and RASI-I), and matrix metalloproteinase 26 (MMP26; also known as matrilysin-2, endometase, MGC126590, and MGC126592) are zinc-dependent endopeptidases that degrade a large number of components of the extra cellular matrix and basement membrane of connective tissue. The MMP proteins have a role in regulating many physiologic processes, including bone resorption, angiogenesis, wound healing, skeletal development, bone remodeling and growth, neovascularization, ovulation, and cell migration. Mutation or overexpression of MMP that increases activity is associated with a variety of disorders including one or more hyperproliferative disorders, such as leukemia, myeloid and lymphoid neoplasms, ovarian cancer, breast cancer, lung cancer, squamous cell carcinoma of the head, neck, esophagus, endometrium, and vulva, cutaneous basal cell carcinoma, chondrosarcoma, glioma, renal cell carcinoma, and prostate cancer; one or more angiogenic diseases or disorders; metastasis and tumorigenesis; as well as one or more inflammatory disorders, for example, encephalomyelitis, inflammatory bowel disease, arthritis, and psoriasis
More detail regarding MMP9, MMP 13, MMP 14, MMP 19, and MMP26 and related diseases and disorders are described at www.ncbi.nlm.nih.gov/entrez/query.fcgi?db=OMIM,
which is in the Online Mendelian Inheritance in Man database (OMIM Accession No. 120361, 600108, 600754, 601807, and 605470, respectively). The complete mRNA sequence for human MMP9, MMPl 3, MMP 14, MMP 19, and MMP26 have Genbank accession numbers NM 004994.2 (SEQ ID NO:1158); NM 002427.2 (SEQ ID NO: 1386); NM 004995.2 (SEQ ID NO: 1653); NM_002429.4 (SEQ ID NO: 1997); and NM 021801.3 (SEQ ID NO: 2316), respectively. As used herein, reference to MMP mRNA or RNA sequences or sense strands means an MMP9, MMP 13, MMP 14, MMP 19, or MMP26 isoform as set forth in any one of SEQ ID NOS: 1158, 1386, 1997, and 2316, as well as variants and homologs having at least 80% or more identity with human MMP9, MMPl 3, MMP 14, MMP 19, or MMP26 sequences as set forth in SEQ ID NOS: 1158, 1386, 1653, 1997, and 2316.
The "percent identity" between two or more nucleic acid sequences is a function of the number of identical positions shared by the sequences (i.e., % identity = number of identical positions / total number of positions x 100), taking into account the number of gaps, and the length of each gap that needs to be introduced to optimize alignment of two or more sequences. The comparison of sequences and determination of percent identity between two or more sequences can be accomplished using a mathematical algorithm, such as BLAST and Gapped BLAST programs at their default parameters (e.g., BLASTN, see www.ncbi.nlm.nih.gov/BLAST; see also Altschul et al, J. MoI. Biol. 275:403-410, 1990).
In one aspect, the instant disclosure provides an mdRNA molecule, comprising a first strand that is complementary to an MMP9 mRNA as set forth in SEQ ID NO : 1158 , an MMP 13 mRNA as set forth in SEQ ID NO: 1386, an MMP14 mRNA as set forth in SEQ ID NO: 1653, an MMP 19 mRNA as set forth in SEQ ID NO: 1997, or an MMP26 mRNA as set forth in SEQ ID NO: 2316, and a second strand and a third strand that are each complementary to non-overlapping regions of the first strand, wherein the second strand and third strands can anneal with the first strand to form at least two double-stranded regions spaced apart by up to 10 nucleotides and thereby forming a gap between the second and third strands, and wherein (a) the mdRNA molecule optionally includes at least one double-stranded region comprises from about 5 to 13 base pairs, or (b) wherein the combined double-stranded regions total about 15 to about 40 base pairs and the mdRNA molecule optionally has one or more blunt ends; wherein at least one pyrimidine of the mdRNA is a pyrimidine nucleoside according to Formula I or II:
wherein R1 and R2 are each independently a -H, -OH, -OCH3, -OCH2OCH2CH3, -OCH2CH2OCH3, halogen, substituted or unsubstituted C1-C10 alkyl, alkoxy, alkoxyalkyl, hydroxyalkyl, carboxyalkyl, alkylsulfonylamino, aminoalkyl, dialkylamino, alkylaminoalkyl, dialkylaminoalkyl, haloalkyl, trifluoromethyl, cycloalkyl, (cycloalkyl)alkyl, substituted or unsubstituted C2-CiO alkenyl, substituted or unsubstituted -O-allyl, -0-CH2CH=CH2, -0-CH=CHCH3, substituted or unsubstituted C2-CiO alkynyl, carbamoyl, carbamyl, carboxy, carbonylamino, substituted or unsubstituted aryl, substituted or unsubstituted aralkyl, -NH2, -NO2, -C≡N, or heterocyclo group; R3 and R4 are each independently a hydroxyl, a protected hydroxyl, a phosphate, or an internucleoside linking group; and R5 and R8 are each independently O or S. In certain embodiments, at least one nucleoside is according to Formula I in which R1 is methyl and R2 is -OH, or R1 is methyl, R2 is -OH, and R8 is S. In other embodiments, the internucleoside linking group covalently links from about 5 to about 40 nucleosides. In some embodiments, the gap comprises at least one unpaired nucleotide in the first strand positioned between the double-stranded regions formed by the second and third strands when annealed to the first strand, or the gap is a nick. In certain embodiments, the nick or gap is located 10 nucleotides from the 5 '-end of the first (antisense) strand or at the Argonaute cleavage site. In another embodiment, the meroduplex nick or gap is positioned such that the thermal stability is maximized for the first and second strand duplex and for the first and third strand duplex as compared to the thermal stability of such meroduplexes having a nick or gap in a different position.
In still another aspect, the instant disclosure provides an mdRNA molecule, comprising a first strand that is complementary to an MMP9 mRNA as set forth in SEQ ID NO: 1158, an MMP 13 mRNA as set forth in SEQ ID NO: 1386, an MMP 14 mRNA as set forth in SEQ ID NO: 1653, an MMP19 mRNA as set forth in SEQ ID NO: 1997, or an MMP26 mRNA as set forth in SEQ ID NO: 2316, and a second strand and a third strand that are each complementary to non-overlapping regions of the first strand, wherein the second strand and third strands can anneal with the first strand to form at least two double-stranded regions spaced apart by up to 10
nucleotides and thereby forming a gap between the second and third strands, and wherein the mdRNA molecule optionally includes at least one double-stranded region comprises from 5 base pairs to 13 base pairs. In a further aspect, the instant disclosure provides an mdRNA molecule having a first strand that is complementary to an MMP9 mRNA as set forth in SEQ ID NO: 1158, an MMP13 mRNA as set forth in SEQ ID NO: 1386, an MMP14 mRNA as set forth in SEQ ID NO: 1653, an MMP19 mRNA as set forth in SEQ ID NO: 1997, or an MMP26 mRNA as set forth in SEQ ID NO: 2316, and a second strand and a third strand that are each complementary to non-overlapping regions of the first strand, wherein the second strand and third strands can anneal with the first strand to form at least two double-stranded regions spaced apart by up to 10 nucleotides and thereby forming a gap between the second and third strands, and wherein the combined double-stranded regions total about 15 base pairs to about 40 base pairs and the mdRNA molecule optionally has blunt ends. In some embodiments, the gap comprises at least one unpaired nucleotide in the first strand positioned between the double- stranded regions formed by the second and third strands when annealed to the first strand, or the gap is a nick. In certain embodiments, the nick or gap is located 10 nucleotides from the 5 '-end of the first (antisense) strand or at the Argonaute cleavage site. In another embodiment, the meroduplex nick or gap is positioned such that the thermal stability is maximized for the first and second strand duplex and for the first and third strand duplex as compared to the thermal stability of such meroduplexes having a nick or gap in a different position. As provided herein, any of the aspects or embodiments disclosed herein would be useful in treating MMP-associated diseases or disorders, such as one or more hyperproliferative disorders, for example, leukemia, myeloid and lymphoid neoplasms, ovarian cancer, breast cancer, lung cancer, squamous cell carcinoma of the head, neck, esophagus, endometrium, and vulva, cutaneous basal cell carcinoma, chondrosarcoma, glioma, renal cell carcinoma, and prostate cancer; one or more angiogenic diseases or disorders; metastasis and tumorigenesis; as well as one or more inflammatory disorders, for example, encephalomyelitis, inflammatory bowel disease, arthritis, and psoriasis.
In some embodiments, the dsRNA comprises at least three strands in which the first strand comprises about 5 nucleotides to about 40 nucleotides, and the second and third strands include each, individually, about 5 nucleotides to about 20 nucleotides, wherein the combined length of the second and third strands is about 15 nucleotides to about 40 nucleotides. In other embodiments, the dsRNA comprises at least two strands in which the first strand comprises about 15 nucleotides to about 24 nucleotides or about 25 nucleotides to about 40 nucleotides. In yet other embodiments, the first strand comprises about 15 to about 24 nucleotides or about 25 nucleotides to about 40 nucleotides and is complementary to at least about 15, 16, 17, 18, 19, 20,
21, 22, 23, 24, 25, 26, 27, 28, 29, 30, 31, 32, 33, 34, 35, 36, 37, 38, 39, or 40 contiguous nucleotides of any one of human MMP9 mRNA as set forth in SEQ ID NO: 1158, human MMP 13 mRNA as set forth in SEQ ID NO: 1386, human MMP 14 mRNA as set forth in SEQ ID NO:1653, human MMP19 mRNA as set forth in SEQ ID NO:1997, or human MMP26 mRNA as set forth in SEQ ID NO: 2316. In alternative embodiments, the first strand comprises about 15 to about 24 nucleotides or about 25 nucleotides to about 40 nucleotides and is at least about 70%, 75%, 80%, 85%, 90%, 91%, 92%, 93%, 94%, 95%, 96%, 97%, 98%, or 99% identical to a sequence that is complementary to at least about 15, 16, 17, 18, 19, 20, 21, 22, 23, 24, 25, 26, 27, 28, 29, 30, 31, 32, 33, 34, 35, 36, 37, 38, 39, or 40 contiguous nucleotides of any one of human MMP9 mRNA as set forth in SEQ ID NO : 1158 , human MMP 13 mRNA as set forth in SEQ ID NO: 1386, human MMP14 mRNA as set forth in SEQ ID NO: 1653, human MMP19 mRNA as set forth in SEQ ID NO: 1997, or human MMP26 mRNA as set forth in SEQ ID NO: 2316.
In further embodiments, the first strand will be complementary to a second strand or a second and third strand or to a plurality of strands. The first strand and its complements will be able to form dsRNA and mdRNA molecules of this disclosure, but only about 19 to about 25 nucleotides of the first strand comprise a sequence complementary to an MMP mRNA. For example, a Dicer substrate dsRNA can have about 25 nucleotides to about 40 nucleotides, but with only 19 nucleotides of the antisense (first) strand being complementary to an MMP mRNA. In further embodiments, the first strand having complementarity to an MMP mRNA in about 19 nucleotides to about 25 nucleotides will have one, two, or three mismatches with an MMP mRNA, such as a sequence set forth in any one of SEQ ID NOS: 1158, 1386, 1653, 1997, or 2316, or the first strand of 19 nucleotides to about 25 nucleotides, that for example activates or is capable of loading into RISC, will have at least 80% identity with the corresponding nucleotides found in an MMP mRNA, such as the sequence set forth in any one of SEQ ID NOS: 1158, 1386, 1653, 1997, or 2316.
Certain illustrative dsRNA molecules, which can be used to design mdRNA molecules and can optionally include substitutions or modifications as described herein are provided in the Sequence Listings attached herewith, which is herein incorporated by reference (text file "07-R065PCT_Sequence_Listing," created February 15, 2008 and having a size of
571 kilobytes). In addition, the content of Table B disclosed in U.S. Provisional Patent Application No. 60/934,930 (filed March 16, 2007), which was submitted with that application as a separate text file named "Table_B_Human_RefSeq_Accession_Numbers.txt" (created March 16, 2007 and having a size of 3,604 kilobytes), is incorporated herein by reference in its entirety.
Substituting and Modifying MMP dsRNA Molecules
The introduction of substituted and modified nucleotides into mdRNA and dsRNA molecules of this disclosure provides a powerful tool in overcoming potential limitations of in vivo stability and bioavailability inherent to native RNA molecules {i.e., having standard nucleotides) that are exogenously delivered. For example, the use of dsRNA molecules of this disclosure can enable a lower dose of a particular nucleic acid molecule for a given therapeutic effect {e.g., reducing or silencing MMP9, MMP 13, MMP 14, MMP 19, or MMP26 expression) since dsRNA molecules of this disclosure tend to have a longer half- life in serum. Furthermore, certain substitutions and modifications can improve the bioavailability of dsRNA by targeting particular cells or tissues or improving cellular uptake of the dsRNA molecules. Therefore, even if the activity of a dsRNA molecule of this disclosure is reduced as compared to a native RNA molecule, the overall activity of the substituted or modified dsRNA molecule can be greater than that of the native RNA molecule due to improved stability or delivery of the molecule. Unlike native unmodified dsRNA, substituted and modified dsRNA can also minimize the possibility of activating the interferon response in, for example, humans.
In certain embodiments, a dsRNA molecule of this disclosure has at least one uridine, at least three uridines, or each and every uridine {i.e., all uridines) of the first (antisense) strand of that is a 5-methyluridine, 2-thioribothymidine, 2'-O-methyl-5-methyluridine, or any combination thereof. In a related embodiment, the dsRNA molecule or analog thereof of this disclosure has at least one uridine, at least three uridines, or each and every uridine of the second (sense) strand of the dsRNA is a 5-methyluridine, 2-thioribothymidine, 2'-O-methyl-5-methyluridine, or any combination thereof. In a related embodiment, the dsRNA molecule of this disclosure has at least one uridine, at least three uridines, or each and every uridine of the third (sense) strand of the dsRNA is a 5-methyluridine, 2-thioribothymidine, 2'-O-methyl-5-methyluridine, or any combination thereof. In still another embodiment, the dsRNA molecule of this disclosure has at least one uridine, at least three uridines, or each and every uridine of both the first (antisense) and second (sense) strands; of both the first (antisense) and third (sense) strands; of both the second (sense) and third (sense) strands; or all of the first (antisense), second (sense) and third (sense) strands of the dsRNA are a 5-methyluridine, 2-thioribothymidine, 2'-O-methyl-5- methyluridine, or any combination thereof. In some embodiments, the double-stranded region of a dsRNA molecule has at least three 5-methyluridines, 2-thioribothymidine, 2'-O-methyl-5- methyluridine, or any combination thereof. In certain embodiments, dsRNA molecules comprise ribonucleotides at about 5% to about 95% of the nucleotide positions in one strand, both strands, or any combination thereof.
In further embodiments, a dsRNA molecule that decreases expression of an MMP gene by RNAi according to the instant disclosure further comprises one or more natural or synthetic non-standard nucleoside. In related embodiments, the non-standard nucleoside is one or more deoxyuridine, locked nucleic acid (LNA) molecule, a modified base (e.g., 5-methyluridine), a universal-binding nucleotide, a 2'-O-methyl nucleotide, a modified internucleoside linkage (e.g., phosphorothioate), a G clamp, or any combination thereof. In certain embodiments, the universal-binding nucleotide can be C-phenyl, C-naphthyl, inosine, azole carboxamide, 1-β-D- ribofuranosyl-4-nitroindole, 1 -β-Z)-ribofuranosyl-5-nitroindole, 1 -β-D-ribofuranosyl-6- nitroindole, or l-β-Z)-ribofuranosyl-3-nitropyrrole. Substituted or modified nucleotides present in dsRNA molecules, preferably in the sense or antisense strand, but also optionally in both the antisense and sense strands, comprise modified or substituted nucleotides according to this disclosure having properties or characteristics similar to natural or standard ribonucleotides. For example, this disclosure features dsRNA molecules including nucleotides having a Northern conformation (e.g., Northern pseudorotation cycle; see, e.g., Saenger, Principles of Nucleic Acid Structure, Springer- Verlag ed., 1984). As such, chemically modified nucleotides present in dsRNA molecules of this disclosure, preferably in the antisense strand, but also optionally in the sense or both the antisense and sense strands, are resistant to nuclease degradation while at the same time maintaining the capacity to mediate RNAi. Exemplary nucleotides having a Northern configuration include locked nucleic acid (LNA) nucleotides (e.g., 2'-O, 4'-C-methylene-(D- ribofuranosyl) nucleotides), 2'-methoxyethyl (MOE) nucleotides, 2'-methyl-thio-ethyl, 2'-deoxy- 2'-fluoro nucleotides, 2'-deoxy-2'-chloro nucleotides, 2'-azido nucleotides, 5-methyluridines, or 2'-O-methyl nucleotides. In certain embodiments, the LNA is a 5-methyluridine LNA or 2-thio- 5-methyluridine LNA. In any of these embodiments, one or more substituted or modified nucleotides can be a G clamp (e.g., a cytosine analog that forms an additional hydrogen bond to guanine, such as 9-(aminoethoxy)phenoxazine; see, e.g. , Lin and Mateucci, J. Am. Chem. Soc. 720:8531, 1998).
As described herein, the first and one or more second strands of a dsRNA molecule or analog thereof provided by this disclosure can anneal or hybridize together (i.e., due to complementarity between the strands) to form at least one double-stranded region having a length of about 4 to about 10 base pairs, about 5 to about 13 base pairs, or about 15 to about 40 base pairs. In some embodiments, the dsRNA has at least one double-stranded region ranging in length from about 15 to about 24 base pairs or about 19 to about 23 base pairs. In other embodiments, the dsRNA has at least one double-stranded region ranging in length from about 26 to about 40 base pairs or about 27 to about 30 base pairs or about 30 to about 35 base pairs.
In other embodiments, the two or more strands of a dsRNA molecule of this disclosure may optionally be covalently linked together by nucleotide or non-nucleotide linker molecules.
In certain embodiments, the dsRNA molecule or analog thereof comprises an overhang of one to four nucleotides on one or both 3 '-ends of the dsRNA, such as an overhang comprising a deoxyribonucleotide or two deoxyribonucleotides (e.g., thymidine, adenine). In certain embodiments, the 3'-end comprising one or more deoxyribonucleotide is in an mdRNA molecule and is either in the gap, not in the gap, or any combination thereof. In some embodiments, dsRNA molecules or analogs thereof have a blunt end at one or both ends of the dsRNA. In certain embodiments, the 5'-end of the first or second strand is phosphorylated. In any of the embodiments of dsRNA molecules described herein, the 3 '-terminal nucleotide overhangs can comprise ribonucleotides or deoxyribonucleotides that are chemically-modified at a nucleic acid sugar, base, or backbone. In any of the embodiments of dsRNA molecules described herein, the 3 '-terminal nucleotide overhangs can comprise one or more universal base ribonucleotides. In any of the embodiments of dsRNA molecules described herein, the 3 '-terminal nucleotide overhangs can comprise one or more acyclic nucleotides. In any of the embodiments of dsRNA molecules described herein, the dsRNA can further comprise a terminal phosphate group, such as a 5'-phosphate (see Martinez et al., Cell. 110:563-574, 2002; and Schwarz et al., Molec. Cell 70:537-568, 2002) or a 5 ',3 '-diphosphate.
As set forth herein, the terminal structure of dsRNAs of this disclosure that decrease expression of an MMP (e.g., MMP9, MMP 13, MMP 14, MMP 19, MMP26) gene by, for example, RNAi may either have blunt ends or one or more overhangs. In certain embodiments, the overhang may be at the 3 '-end or the 5 '-end. The total length of dsRNAs having overhangs is expressed as the sum of the length of the paired double-stranded portion together with the overhanging nucleotides. For example, if a 19 base pair dsRNA has a two nucleotide overhang at both ends, the total length is expressed as 21-mer. Furthermore, since the overhanging sequence may have low specificity to an MMP gene, it is not necessarily complementary (antisense) or identical (sense) to an MMP gene sequence. In further embodiments, a dsRNA of this disclosure that decreases expression of an MMP gene by RNAi may further comprise a low molecular weight structure (e.g., a natural RNA molecule such as a tRNA, rRNA or viral RNA, or an artificial RNA molecule) at, for example, one or more overhanging portion of the dsRNA. In further embodiments, a dsRNA molecule that decreases expression of an MMP gene by RNAi according to the instant disclosure further comprises a 2'-sugar substitution, such as 2'-deoxy, 2'-O-methyl, 2'-O-methoxyethyl, 2'-O-2-methoxyethyl, halogen, 2'-fluoro, 2'-O-allyl, or the like, or any combination thereof. In still further embodiments, a dsRNA molecule that decreases expression of an MMP gene by RNAi according to the instant disclosure further
comprises a terminal cap substituent on one or both ends of the first strand or one or more second strands, such as an alkyl, abasic, deoxy abasic, glyceryl, dinucleotide, acyclic nucleotide, inverted deoxynucleotide moiety, or any combination thereof. In certain embodiments, at least one or two 5 '-terminal ribonucleotides of the sense strand within the double-stranded region have a 2'-sugar substitution. In certain other embodiments, at least one or two 5 '-terminal ribonucleotides of the antisense strand within the double-stranded region have a 2'-sugar substitution. In certain embodiments, at least one or two 5'-terminal ribonucleotides of the sense strand and the antisense strand within the double-stranded region have a 2'-sugar substitution. In other embodiments, a dsRNA molecule that decreases expression of one or more target gene by RNAi according to the instant disclosure comprises one or more substitutions in the sugar backbone, including any combination of ribosyl, 2'-deoxyribosyl, a tetrofuranosyl (e.g. , L-α-threofuranosyl), a hexopyranosyl (e.g. , β-allopyranosyl, β-altropyranosyl, and β-glucopyranosyl), a pentopyranosyl (e.g. , β-ribopyranosyl, α-lyxopyranosyl, β-xylopyranosyl, and α-arabinopyranosyl), a carbocyclic (carbon only ring) analog, a pyranose, a furanose, a morpholino, or analogs or derivatives thereof.
In yet other embodiments, a dsRNA molecule that decreases expression of an MMP gene (including a mRNA splice variant thereof) by RNAi according to the instant disclosure further comprises at least one modified internucleoside linkage, such as independently a phosphorothioate, chiral phosphorothioate, phosphorodithioate, phosphotriester, aminoalkylphosphotriester, methyl phosphonate, alkyl phosphonate, 3'-alkylene phosphonate, 5'- alkylene phosphonate, chiral phosphonate, phosphonoacetate, thiophosphonoacetate, phosphinate, phosphoramidate, 3'-amino phosphoramidate, aminoalkylphosphoramidate, thionophosphoramidate, thionoalkylphosphonate, thionoalkylphosphotriester, selenophosphate, boranophosphate linkage, or any combination thereof. A modified internucleotide linkage, as described herein, can be present in one or more strands of a dsRNA molecule of this disclosure, for example, in the sense strand, the antisense strand, both strands, or a plurality of strands (e.g., in an mdRNA). The dsRNA molecules of this disclosure can comprise one or more modified internucleotide linkages at the 3 '-end, the 5 '-end, or both of the 3'- and 5 '-ends of the second sense strand, the third sense strand, the antisense strand or any combination of the antisense strand and one or more of the sense strands. In one embodiment, a dsRNA molecule capable of decreasing expression of an MMP gene (including a specific or selected mRNA splice variant thereof) by RNAi has one modified internucleotide linkage at the 3 '-end, such as a phosphorothioate linkage. For example, this disclosure provides a dsRNA molecule capable of decreasing expression of an MMP gene by RNAi having about 1 to about 8 or more phosphorothioate internucleotide linkages in one dsRNA strand. In yet
another embodiment, this disclosure provides a dsRNA molecule capable of decreasing expression of an MMP gene by RNAi having about 1 to about 8 or more phosphorothioate internucleotide linkages in the dsRNA strands. In other embodiments, an exemplary dsRNA molecule of this disclosure can comprise from about 1 to about 5 or more consecutive phosphorothioate internucleotide linkages at the 5 '-end of the sense strand, the antisense strand, both strands, or a plurality of strands. In another example, an exemplary dsRNA molecule of this disclosure can comprise one or more pyrimidine phosphorothioate internucleotide linkages in the sense strand, the antisense strand, either strand, or a plurality of strands. In yet another example, an exemplary dsRNA molecule of this disclosure comprises one or more purine phosphorothioate internucleotide linkages in the sense strand, the antisense strand, either strand, or a plurality of strands.
Many exemplary modified nucleotide bases or analogs thereof useful in the dsRNA of the instant disclosure include 5-methylcytosine; 5-hydroxymethylcytosine; xanthine; hypoxanthine; 2-aminoadenine; 6-methyl, 2-propyl, or other alkyl derivatives of adenine and guanine; 8-substituted adenines and guanines (such as 8-aza, 8-halo, 8-amino, 8-thiol,
8-thioalkyl, 8-hydroxyl, or the like); 7-methyl, 7-deaza, and 3-deaza adenines and guanines; 2-thiouracil; 2-thiothymine; 2-thiocytosine; 5-methyl, 5-propynyl, 5-halo (such as 5-bromo or 5- fluoro), 5-trifluoromethyl, or other 5-substituted uracils and cytosines; and 6-azouracil. Further useful nucleotide bases can be found in Kurreck, Eur. J. Biochem. 270:1628, 2003; Herdewijn, Antisense Nucleic Acid Develop. 10:291, 2000; Concise Encyclopedia of Polymer Science and Engineering, pages 858-859, Kroschwitz, J. L, ed. John Wiley & Sons, 1990; U.S. Patent No. 3,687,808, and similar references.
Certain nucleotide base moieties are particularly useful for increasing the binding affinity of the dsRNA molecules of this disclosure to complementary targets. These include 5-substituted pyrimidines; 6-azapyrimidines; and N-2, N-6, or O-6 substituted purines (including 2-aminopropyladenine, 5-propynyluracil and 5-propynylcytosine). For example, 5-methyluridine and 5-methylcytosine substitutions are known to increase nucleic acid duplex stability, which can be combined with 2'-sugar modifications (such as 2'-methoxy or 2'-methoxyethyl) or internucleoside linkages (e.g. , phosphorothioate) that provide nuclease resistance to the modified or substituted dsRNA.
In another aspect of the instant disclosure, there is provided a dsRNA that decreases expression of an MMP gene, comprising a first strand that is complementary to an MMP9 mRNA as set forth in SEQ ID NO: 1158, an MMP13 mRNA as set forth in SEQ ID NO: 1386, an MMP14 mRNA as set forth in SEQ ID NO: 1653, an MMP19 mRNA as set forth in SEQ ID NO: 1997, or an MMP26 mRNA as set forth in SEQ ID NO: 2316, and a second strand that is
complementary to the first strand, wherein the first and second strands form a double-stranded region of about 5 to about 40 base pairs; wherein at least one pyrimidine of the dsRNA is a pyrimidine nucleoside according to Formula I or II:
-OCH2CH2OCH3, halogen, substituted or unsubstituted C1-C10 alkyl, alkoxy, alkoxyalkyl, hydroxyalkyl, carboxyalkyl, alkylsulfonylamino, aminoalkyl, dialkylamino, alkylaminoalkyl, dialkylaminoalkyl, haloalkyl, trifluoromethyl, cycloalkyl, (cycloalkyl)alkyl, substituted or unsubstituted C2-CiO alkenyl, substituted or unsubstituted -O-allyl, -0-CH2CH=CH2, -0-CH=CHCH3, substituted or unsubstituted C2-CiO alkynyl, carbamoyl, carbamyl, carboxy, carbonylamino, substituted or unsubstituted aryl, substituted or unsubstituted aralkyl, -NH2, -NO2, -C≡N, or heterocyclo group; R3 and R4 are each independently a hydroxyl, a protected hydroxyl, or an internucleoside linking group; and R5 and R8 are each independently O or S. In certain embodiments, at least one nucleoside is according to Formula I in which R1 is methyl and R2 is -OH, or R1 is methyl, R2 is -OH, and R8 is S. In certain embodiments, at least one nucleoside is according to Formula I in which R1 is methyl and R2 is -O-methyl, or R1 is methyl, R2 is -O-methyl, and R8 is O. In other embodiments, the internucleoside linking group covalently links from about 5 to about 40 nucleosides.
In certain embodiments, the first and one or more second strands of a dsRNA, which decreases expression of an MMP gene by RNAi and has at least one pyrimidine substituted with a pyrimidine nucleoside according to Formula I or II, can anneal or hybridize together (i.e., due to complementarity between the strands) to form at least one double-stranded region having a length or a combined length of about 15 to about 40 base pairs. In some embodiments, the dsRNA has at least one double-stranded region ranging in length from about 4 base pairs to about 10 base pairs or about 5 to about 13 base pairs or about 15 to about 25 base pairs or about 19 to about 23 base pairs. In other embodiments, the dsRNA has at least one double-stranded region ranging in length from about 26 to about 40 base pairs or about 27 to about 30 base pairs or about 30 to about 35 base pairs. In certain embodiments, the dsRNA molecule or analog thereof has an overhang of one to four nucleotides on one or both 3'-ends, such as an overhang
comprising a deoxyribonucleotide or two deoxyribonucleotides (e.g., thymidine). In some embodiments, dsRNA molecule or analog thereof has a blunt end at one or both ends of the dsRNA. In certain embodiments, the 5'-end of the first or second strand is phosphorylated.
In certain embodiments, at least one R1 is a C1-C5 alkyl, such as methyl or ethyl. Within other exemplary embodiments of this disclosure, compounds of Formula I are a 5-alkyluridine (i.e., R1 is alkyl, R2 is -OH, and R3, R4, and R5 are as defined herein) or compounds of Formula II are a 5-alkylcytidine (i.e., R1 is alkyl, R2 is -OH, and R3, R4, and R5 are as defined herein). In related embodiments, the 5-alkyluridine is a 5-methyluridine (also referred to as ribothymidine or Tr - i.e., R1 is methyl and R2 is -OH), and the 5-alkylcytidine is a 5-methylcytidine. In other embodiments, at least one, at least three, or all uridines of the first strand of the dsRNA are replaced with 5-methyluridine, or at least one, at least three, or all uridines of the second strand of the dsRNA are replaced with 5-methyluridine, or any combination thereof (e.g., such changes are made on more than one strand). In certain embodiments, at least one pyrimidine nucleoside of Formula I or Formula II has an R5 that is S or R8 that is S. In further embodiments, at least one pyrimidine nucleoside of the dsRNA is a locked nucleic acid (LNA) in the form of a bicyclic sugar, wherein R2 is oxygen, and the 2'-0 and 4'-C form an oxymethylene bridge on the same ribose ring. In a related embodiment, the LNA comprises a base substitution, such as a 5-methyluridine LNA or 2-thio-5-methyluridine LNA. In other embodiments, at least one, at least three, or all uridines of the first strand of the dsRNA are replaced with 5-methyluridine or 2-thioribothymidine or 5-methyluridine LNA or 2-thio-5- methyluridine LNA, or at least one, at least three, or all uridines of the second strand of the dsRNA are replaced with 5-methyluridine, 2-thioribothymidine, 5-methyluridine LNA, 2-thio-5- methyluridine LNA, or any combination thereof (e.g. , such changes are made on both strands, or some substitutions include 5-methyluridine only, 2-thioribothymidine only, 5-methyluridine LNA only, 2-thio-5-methyluridine LNA only, or one or more 5-methyluridine or 2- thioribothymidine with one or more 5-methyluridine LNA or 2-thio-5-methyluridine LNA). In further embodiments, a ribose of the pyrimidine nucleoside or the internucleoside linkage can be optionally modified. For example, compounds of Formula I or II are provided wherein R2 is alkoxy, such as a 2'-O-methyl substitution (e.g., which may be in addition to a 5- alkyluridine or a 5-alkylcytidine, respectively). In certain embodiments, R2 is selected from T- 0-(Ci-C5) alkyl, 2'-O-methyl, 2'-OCH2OCH2CH3, 2'-OCH2CH2OCH3, 2'-0-allyl, or 2'-fluoro. In further embodiments, one or more of the pyrimidine nucleosides are according to Formula I in which R1 is methyl and R2 is a 2'-O-(CrC5) alkyl (e.g., 2'-O-methyl), or in which R1 is methyl, R2 is a 2'0-(Ci-Cs) alkyl (e.g., 2'0-methyl), and R2 is S, or any combination thereof. In other embodiments, one or more, or at least two, pyrimidine nucleosides according to Formula I
or II have an R2 that is not -H or -OH and is incorporated at a 3 '-end or 5 '-end and not within the gap of one or more strands within the double-stranded region of the dsRNA molecule.
In further embodiments, a dsRNA molecule or analog thereof comprising a pyrimidine nucleoside according to Formula I or Formula II in which R2 is not -H or -OH and an overhang, further comprises at least two of pyrimidine nucleosides that are incorporated either at a 3 '-end or a 5 '-end or both of one strand or two strands within the double-stranded region of the dsRNA molecule. In a related embodiment, at least one of the at least two pyrimidine nucleosides in which R2 is not -H or -OH is located at a 3 '-end or a 5 '-end within the double-stranded region of at least one strand of the dsRNA molecule, and wherein at least one of the at least two pyrimidine nucleosides in which R2 is not -H or -OH is located internally within a strand of the dsRNA molecule. In still further embodiments, a dsRNA molecule or analog thereof that has an overhang has a first of the two or more pyrimidine nucleosides in which R2 is not -H or -OH that is incorporated at a 5 '-end within the double-stranded region of the sense strand of the dsRNA molecule and a second of the two or more pyrimidine nucleosides is incorporated at a 5 '-end within the double-stranded region of the antisense strand of the dsRNA molecule. In any of these embodiments, one or more substituted or modified nucleotides can be a G clamp (e.g. , a cytosine analog that forms an additional hydrogen bond to guanine, such as 9-(aminoethoxy) phenoxazine; see, e.g., Lin and Mateucci, 1998). In any of these embodiments, provided the one or more pyrimidine nucleosides are not within the mdRNA molecule gap. In yet other embodiments, a dsRNA molecule or analog thereof of Formula I or II according to the instant disclosure that has an overhang that comprises four or more independent pyrimidine nucleosides or four or more independent pyrimidine nucleosides in which R2 is not - H or -OH, wherein (a) a first pyrimidine nucleoside is incorporated into a 3 '-end within the double-stranded region of the sense (second) strand of the dsRNA, (b) a second pyrimidine nucleoside is incorporated into a 5 '-end within the double-stranded region of the sense (second) strand, (c) a third pyrimidine nucleoside is incorporated into a 3 '-end within the double-stranded region of the antisense (first) strand of the dsRNA, and (d) a fourth pyrimidine nucleoside is incorporated into a 5 '-end within the double-stranded region of the antisense (first) strand. In any of these embodiments, provided the one or more pyrimidine nucleosides are not within the gap.
In further embodiments, a dsRNA molecule or analog thereof comprising a pyrimidine nucleoside according to Formula I or Formula II in which R2 is not -H or -OH and is blunt-ended, further comprises at least two of pyrimidine nucleosides that are incorporated either at a 3 '-end or a 5 '-end or both of one strand or two strands of the dsRNA molecule. In a related embodiment, at least one of the at least two pyrimidine nucleosides in which R2 is not -H or -OH
is located at a 3 '-end or a 5 '-end of at least one strand of the dsRNA molecule, and wherein at least one of the at least two pyrimidine nucleosides in which R2 is not -H or -OH is located internally within a strand of the dsRNA molecule. In still further embodiments, a dsRNA molecule or analog thereof that is blunt-ended has a first of the two or more pyrimidine nucleosides in which R2 is not -H or -OH that is incorporated at a 5 '-end of the sense strand of the dsRNA molecule and a second of the two or more pyrimidine nucleosides is incorporated at a 5 '-end of the antisense strand of the dsRNA molecule. In any of these embodiments, provided the one or more pyrimidine nucleosides are not within the gap.
In yet other embodiments, a dsRNA molecule comprising a pyrimidine nucleoside according to Formula I or Formula II and that is blunt-ended comprises four or more independent pyrimidine nucleosides or four or more independent pyrimidine nucleosides in which R2 is not -H or -OH, wherein (a) a first pyrimidine nucleoside is incorporated into a 3 '-end within the double-stranded region of the sense (second) strand of the dsRNA, (b) a second pyrimidine nucleoside is incorporated into a 5 '-end within the double-stranded region of the sense (second) strand, (c) a third pyrimidine nucleoside is incorporated into a 3 '-end within the double-stranded region of the antisense (first) strand of the dsRNA, and (d) a fourth pyrimidine nucleoside is incorporated into a 5 '-end within the double-stranded region of the antisense (first) strand. In any of these embodiments, provided the one or more pyrimidine nucleosides are not within the gap. In still further embodiments, a dsRNA molecule or analog thereof of Formula I or II according to the instant disclosure further comprises a terminal cap substituent on one or both ends of the first strand or second strand, such as an alkyl, abasic, deoxy abasic, glyceryl, dinucleotide, acyclic nucleotide, inverted deoxynucleotide moiety, or any combination thereof. In further embodiments, one or more internucleoside linkage can be optionally modified. For example, a dsRNA molecule or analog thereof of Formula I or II according to the instant disclosure wherein at least one internucleoside linkage is modified to a phosphorothioate, chiral phosphorothioate, phosphorodithioate, phosphotriester, aminoalkylphosphotriester, methyl phosphonate, alkyl phosphonate, 3'-alkylene phosphonate, 5'-alkylene phosphonate, chiral phosphonate, phosphonoacetate, thiophosphonoacetate, phosphinate, phosphoramidate, 3 '-amino phosphoramidate, aminoalkylphosphoramidate, thionophosphoramidate, thionoalkylphosphonate, thionoalkylphosphotriester, selenophosphate, boranophosphate linkage, or any combination thereof.
In still another embodiment, a nicked or gapped dsRNA molecule (ndsRNA or gdsRNA, respectively) that decreases expression of an MMP gene by RNAi, comprising a first strand that is complementary to an MMP9 mRNA as set forth in SEQ ID NO: 1158, an MMP 13 mRNA as
set forth in SEQ ID NO:1386, an MMP14 mRNA as set forth in SEQ ID NO:1653, an MMP19 mRNA as set forth in SEQ ID NO: 1997, or an MMP26 mRNA as set forth in SEQ ID NO: 2316, and two or more second strands that are complementary to the first strand, wherein the first and at least one of the second strands form a non-overlapping double-stranded region of about 5 to about 13 base pairs. Any of the substitutions or modifications described herein is contemplated within this embodiment as well.
In another exemplary of this disclosure, the dsRNAs comprise at least two or more substituted pyrimidine nucleosides can each be independently selected wherein R1 comprises any chemical modification or substitution as contemplated herein, for example an alkyl (e.g., methyl), halogen, hydroxy, alkoxy, nitro, amino, trifluoromethyl, cycloalkyl, (cycloalkyl)alkyl, alkanoyl, alkanoyloxy, aryl, aroyl, aralkyl, nitrile, dialkylamino, alkenyl, alkynyl, hydroxyalkyl, aminoalkyl, alkylaminoalkyl, dialkylaminoalkyl, haloalkyl, carboxyalkyl, alkoxyalkyl, carboxy, carbonyl, alkanoylamino, carbamoyl, carbonylamino, alkylsulfonylamino, or heterocyclo group. When two or more modified ribonucleotides are present, each modified ribonucleotide can be independently modified to have the same or different modification or substitution at R1 or R2.
In other detailed embodiments, one or more substituted pyrimidine nucleosides according to Formula I or II can be located at any ribonucleotide position, or any combination of ribonucleotide positions, on either or both of the sense and antisense strands of a dsRNA molecule of this disclosure, including at one or more multiple terminal positions as noted above, or at any one or combination of multiple non-terminal ("internal") positions. In this regard, each of the sense and antisense strands can incorporate about 1 to about 6 or more of the substituted pyrimidine nucleosides.
In certain embodiments, when two or more substituted pyrimidine nucleosides are incorporated within a dsRNA of this disclosure, at least one of the substituted pyrimidine nucleosides will be at a 3'- or 5'-end of one or both strands, and in certain embodiments at least one of the substituted pyrimidine nucleosides will be at a 5'-end of one or both strands. In other embodiments, the substituted pyrimidine nucleosides are located at a position corresponding to a position of a pyrimidine in an unmodified dsRNA that is constructed as a homologous sequence for targeting a cognate mRNA, as described herein.
In addition, the terminal structure of the dsRNAs of this disclosure may have a stem-loop structure in which ends of one side of the dsRNA molecule are connected by a linker nucleic acid, e.g., a linker RNA. The length of the double-stranded region (stem- loop portion) can be, for example, about 15 to about 49 bp, about 15 to about 35 bp, or about 21 to about 30 bp long. Alternatively, the length of the double-stranded region that is a final transcription product of dsRNAs to be expressed in a target cell may be, for example, approximately about 15 to about 49 bp, about 15 to about 35 bp, or about 21 to about 30 bp long. When linker segments are
employed, there is no particular limitation in the length of the linker as long as it does not hinder pairing of the stem portion. For example, for stable pairing of the stem portion and suppression of recombination between DNAs coding for this portion, the linker portion may have a clover- leaf tRNA structure. Even if the linker has a length that would hinder pairing of the stem portion, it is possible, for example, to construct the linker portion to include introns so that the introns are excised during processing of a precursor RNA into mature RNA, thereby allowing pairing of the stem portion. In the case of a stem- loop dsRNA, either end (head or tail) of RNA with no loop structure may have a low molecular weight RNA. As described above, these low molecular weight RNAs may include a natural RNA molecule, such as tRNA, rRNA or viral RNA, or an artificial RNA molecule.
A dsRNA molecule may be comprised of a circular nucleic acid molecule, wherein the dsRNA is about 38 to about 70 nucleotides in length having from about 18 to about 23 base pairs (e.g., about 19 to about 21 bp) wherein the circular oligonucleotide forms a dumbbell shaped structure having about 19 base pairs and two loops. In certain embodiments, a circular dsRNA molecule contains two loop motifs wherein one or both loop portions of the dsRNA molecule is biodegradable. For example, a circular dsRNA molecule of this disclosure is designed such that degradation of the loop portions of the dsRNA molecule in vivo can generate a dsRNA molecule with 3 '-terminal overhangs, such as 3 '-terminal nucleotide overhangs comprising from about 1 to about 4 (unpaired) nucleotides. Substituting or modifying nucleosides of a dsRNA according to this disclosure can result in increased resistance to enzymatic degradation, such as exonucleolytic degradation, including 5'-exonucleolytic or 3 '-exonucleolytic degradation. As such, in some embodiments, the dsRNAs described herein will exhibit significant resistance to enzymatic degradation compared to a corresponding dsRNA having standard nucleotides, and will thereby possess greater stability, increased half-life, and greater bioavailability in physiological environments (e.g., when introduced into a eukaryotic target cell). In addition to increasing resistance of the substituted or modified dsRNAs to exonucleolytic degradation, the incorporation of one or more pyrimidine nucleosides according to Formula I or II will render dsRNAs more resistant to other enzymatic or chemical degradation processes and thus more stable and bioavailable than otherwise identical dsRNAs that do not include the substitutions or modifications. In related aspects of this disclosure, dsRNA substitutions or modifications described herein will often improve stability of a modified dsRNA for use within research, diagnostic and treatment methods wherein the modified dsRNA is contacted with a biological sample, for example, a mammalian cell, intracellular compartment, serum or other extracellular fluid, tissue, or other in vitro or in vzVo physiological compartment or environment. In one embodiment, diagnosis is performed on
an isolated biological sample. In another embodiment, the diagnostic method is performed in vitro. In a further embodiment, the diagnostic method is not performed (directly) on a human or animal body.
In addition to increasing stability of substituted or modified dsRNAs, incorporation of one or more pyrimidine nucleosides according to Formula I or II in a dsRNA designed for gene silencing can provide additional desired functional results, including increasing a melting point of a substituted or modified dsRNA compared to a corresponding unmodified dsRNA. In another aspect of this disclosure, certain substitutions or modifications of dsRNAs described herein can reduce "off-target effects" of the substituted or modified dsRNA molecules when they are contacted with a biological sample {e.g., when introduced into a target eukaryotic cell having specific, and non-specific mRNA species present as potential specific and non-specific targets). In yet another aspect of this disclosure, the dsRNA substitutions or modifications described herein can reduce interferon activation by the dsRNA molecule when the dsRNA is contacted with a biological sample, e.g., when introduced into a eukaryotic cell. In further embodiments, dsRNAs of this disclosure can comprise one or more sense
(second) strand that is homologous or corresponds to a sequence of a target gene {e.g. , an MMP9, MMPl 3, MMP 14, MMP 19, or MMP26) and an antisense (first) strand that is complementary to the sense strand and a sequence of the target gene {e.g., an MMP9, MMP 13, MMP14, MMP19, or MMP26). In exemplary embodiments, at least one strand of the dsRNA incorporates one or more pyrimidines substituted according to Formula I or II {e.g. , wherein the pyrimidine is 5-methyluridine, 2-thioribothymidine, or 2-O-methyl-5-methylurindine, the ribose is modified to incorporate one or more 2'-O-methyl substitutions, or any combination thereof). These and other multiple substitutions or modifications according to Formula I or II can be introduced into one or more pyrimidines, or into any combination and up to all pyrimidines present in one or more strands of a dsRNA of the instant disclosure, so long as the dsRNA has or retains RNAi activity similar to or better than the activity of an unmodified dsRNA. In one embodiment, the dsRNA comprises one or more 2'-O-methyl-5-methyluridine.
In any of the embodiments described herein, the dsRNA may include multiple modifications. For example, a dsRNA having at least one ribothymidine or 2'-O-methyl-5- methyluridine may further comprise at least one LNA, 2'-methoxy, 2'-fluoro, 2'-deoxy, phosphorothioate linkage, an inverted base terminal cap, or any combination thereof. In certain embodiments, a dsRNA will have from one to all ribothymidines and have up to 75% LNA. In other embodiments, a dsRNA will have from one to all ribothymidines and have up to 75% 2'-methoxy {e.g., not at the Argonaute cleavage site). In still other embodiments, a dsRNA will have from one to all ribothymidines and have up to 100% 2'-fluoro. In further embodiments, a
dsRNA will have from one to all ribothymidines and have up to 75% 2'-deoxy. In further embodiments, a dsRNA will have up to 75% LNA and have up to 75% 2'-methoxy. In still other embodiments, a dsRNA will have up to 75% LNA and have up to 100% 2'-fluoro. In further embodiments, a dsRNA will have up to 75% LNA and have up to 75% 2'-deoxy. In other embodiments, a dsRNA will have up to 75% 2'-methoxy and have up to 100% 2'-fluoro. In more embodiments, a dsRNA will have up to 75% 2'-methoxy and have up to 75% 2'-deoxy. In further embodiments, a dsRNA will have up to 100% 2'-fluoro and have up to 75% 2'-deoxy.
In further multiple modification embodiments, a dsRNA will have from one to all ribothymidines, up to 75% LNA, and up to 75% 2'-methoxy. In still further embodiments, a dsRNA will have from one to all ribothymidines, up to 75% LNA, and up to 100% 2'-fluoro. In further embodiments, a dsRNA will have from one to all ribothymidines, up to 75% LNA, and up to about 75% 2'-deoxy. In further embodiments, a dsRNA will have from one to all ribothymidines, up to 75% 2'-methoxy, and up to 75% 2'-fluoro. In further embodiments, a dsRNA will have from one to all ribothymidines, up to 75% 2'-methoxy, and up to 75% 2'-deoxy. In further embodiments, a dsRNA will have from one to all ribothymidines, up to
100% 2'-fluoro, and up to 75% 2'-deoxy. In yet further embodiments, a dsRNA will have from one to all ribothymidines, up to 75% LNA substitutions, up to 75% 2'-methoxy, up to 100% 2'-fluoro, and up to 75% 2'-deoxy. In other embodiments, a dsRNA will have up to 75% LNA, up to 75% 2'-methoxy, and up to 100% 2'-fluoro. In further embodiments, a dsRNA will have up to 75% LNA, up to 75% 2'-methoxy, and up to about 75% 2'-deoxy. In further embodiments, a dsRNA will have up to 75% LNA, up to 100% 2'-fluoro, and up to 75% 2'-deoxy. In still further embodiments, a dsRNA will have up to 75% 2'-methoxy, up to 100% 2'-fluoro, and up to 75% 2'-deoxy.
In any of these exemplary methods for using multiply modified dsRNA, the dsRNA may further comprise up to 100% phosphorothioate internucleoside linkages, from one to ten or more inverted base terminal caps, or any combination thereof. Additionally, any of these dsRNA may have these multiple modifications on one strand, two strands, three strands, a plurality of strands, or all strands, or on the same or different nucleoside within a dsRNA molecule. Finally, in any of these multiple modification dsRNA, the dsRNA must have gene silencing activity. Within certain aspects, the present disclosure provides dsRNA that decreases expression of an MMP gene by RNAi (e.g., an MMP of any one of SEQ ID NOS: 1158, 1386, 1653, 1997, or 2316), and compositions comprising one or more dsRNA, wherein at least one dsRNA comprises one or more universal-binding nucleotide(s) in the first, second or third position in the anti-codon of the antisense or sense strand of the dsRNA and wherein the dsRNA is capable of specifically binding to an MMP sequence, such as an RNA expressed by a target cell. In cases
wherein the sequence of a target MMP RNA includes one or more single nucleotide substitutions, dsRNA comprising a universal-binding nucleotide retains its capacity to specifically bind a target MMP RNA, thereby mediating gene silencing and, as a consequence, overcoming escape of the target MMP from dsRNA-mediated gene silencing. Examplary universal-binding nucleotides that may be suitably employed in the compositions and methods disclosed herein include inosine, l-β-D-ribofuranosyl-5-nitroindole, or l-β-D-ribofuranosyl-3- nitropyrrole.
In certain aspects, dsRNA disclosed herein can include between about 1 universal-binding nucleotide and about 10 universal-binding nucleotides. Within other aspects, the presently disclosed dsRNA may comprise a sense strand that is homologous to a sequence of an MMP gene and an antisense strand that is complementary to the sense strand, with the proviso that at least one nucleotide of the antisense or sense strand of the otherwise complementary dsRNA duplex has one or more universal-binding nucleotide.
Synthesis of Nucleic Acid Molecules Exemplary molecules of the instant disclosure are recombinantly produced, chemically synthesized, or a combination thereof. Oligonucleotides (e.g. , certain modified oligonucleotides or portions of oligonucleotides lacking ribonucleotides) are synthesized using protocols known in the art, for example as described in Caruthers et al, Methods in Enzymol. 211:3-19, 1992; Thompson et al, PCT Publication No. WO 99/54459, Wincott et al, Nucleic Acids Res. 25:2677-2684, 1995; Wincott et al, Methods MoI. Bio. 74:59, 1997; Brennan et al, Biotechnol Bioeng. 61:33-45, 1998; and Brennan, U.S. Patent No. 6,001,311. Synthesis of RNA, including certain dsRNA molecules and analogs thereof of this disclosure, can be made using the procedure as described in Usman et al, J. Am. Chem. Soc. 109:7845, 1987; Scaringe et al, Nucleic Acids Res. 18:5433, 1990; and Wincott et al, Nucleic Acids Res. 25:2677-2684, 1995; Wincott et al, Methods MoI. Bio. 74:59, 1997.
In certain embodiments, the nucleic acid molecules of the present disclosure can be synthesized separately and joined together post-synthetically, for example, by ligation (Moore et al, Science 256:9923, 1992; Draper et al, PCT Publication No. WO 93/23569; Shabarova et al, Nucleic Acids Res. 19:4241, 1991; Bellon et al, Nucleosides & Nucleotides 16:951, 1997; Bellon et al, Bioconjugate Chem. 5:204, 1997), or by hybridization following synthesis or deprotection.
In further embodiments, dsRNAs of this disclosure that decrease expression of an MMP gene by RNAi can be made as single or multiple transcription products expressed by a polynucleotide vector encoding one or more dsRNAs and directing their expression within host
cells. In these embodiments the double-stranded portion of a final transcription product of the dsRNAs to be expressed within the target cell can be, for example, about 5 to about 40 bp, about 15 to about 24 bp, or about 25 to about 40 bp long. Within exemplary embodiments, double- stranded portions of dsRNAs, in which two or more strands pair up, are not limited to completely paired nucleotide segments, and may contain non-pairing portions due to a mismatch (the corresponding nucleotides are not complementary), bulge (lacking in the corresponding complementary nucleotide on one strand), overhang, or the like. Non-pairing portions can be contained to the extent that they do not interfere with dsRNA formation and function. In certain embodiments, a "bulge" may comprise 1 to 2 non-pairing nucleotides, and the double-stranded region of dsRNAs in which two strands pair up may contain from about 1 to 7, or about 1 to 5 bulges. In addition, "mismatch" portions contained in the double-stranded region of dsRNAs may include from about 1 to 7, or about 1 to 5 mismatches. In other embodiments, the double- stranded region of dsRNAs of this disclosure may contain both bulge and mismatched portions in the approximate numerical ranges specified herein. A dsRNA or analog thereof of this disclosure may be further comprised of a nucleotide, non-nucleotide, or mixed nucleotide/non-nucleotide linker that joins the sense region of the dsRNA to the antisense region of the dsRNA. In one embodiment, a nucleotide linker can be a linker of more than about 2 nucleotides length up to about 10 nucleotides in length. In another embodiment, the nucleotide linker can be a nucleic acid aptamer. By "aptamer" or "nucleic acid aptamer" as used herein is meant a nucleic acid molecule that binds specifically to a target molecule wherein the nucleic acid molecule has sequence that comprises a sequence recognized by the target molecule in its natural setting. Alternately, an aptamer can be a nucleic acid molecule that binds to a target molecule wherein the target molecule does not naturally bind to a nucleic acid. The target molecule can be any molecule of interest. For example, the aptamer can be used to bind to a ligand-binding domain of a protein, thereby preventing interaction of the naturally occurring ligand with the protein. This is a non-limiting example and those in the art will recognize that other embodiments can be readily generated using techniques generally known in the art (see, e.g., Gold et al., Annu. Rev. Biochem. 64:763, 1995; Brody and Gold, J. Biotechnol. 74:5, 2000; Sun, Curr. Opin. MoI. Ther. 2:100, 2000; Kusser, J. Biotechnol. 74:21, 2000; Hermann and Patel, Science 257:820, 2000; and Jayasena, Clinical Chem. 45: 1628, 1999).
A non-nucleotide linker may be comprised of an abasic nucleotide, polyether, polyamine, polyamide, peptide, carbohydrate, lipid, polyhydrocarbon, or other polymeric compounds (e.g., polyethylene glycols such as those having between 2 and 100 ethylene glycol units). Specific examples include those described by Seela and Kaiser, Nucleic Acids Res. 75:6353, 1990, and Nucleic Acids Res. 75:3113, 1987; Cload and Schepartz, J. Am. Chem. Soc.
113:6324, 1991; Richardson and Schepartz, J. Am. Chem. Soc. 113:5109, 1991; Ma et al, Nucleic Acids Res. 27:2585, 1993, and Biochemistry 32:1751, 1993; Durand et al., Nucleic Acids Res. 18:6353, 1990; McCurdy et al, Nucleosides & Nucleotides 70:287, 1991; Jaschke et al., Tetrahedron Lett. 34:301, 1993; Ono et al, Biochemistry 30:9914, 1991; Arnold et al., PCT Publication No. WO 89/02439; Usman et al., PCT Publication No. WO 95/06731 ; Dudycz et al., PCT Publication No. WO 95/11910 and Ferentz and Verdine, J. Am. Chem. Soc. 113:4000, 1991. The synthesis of a dsRNA molecule of this disclosure, which can be further modified, comprises: (a) synthesis of a first (antisense) strand and synthesis of a second (sense) strand and a third (sense) strand that are each complementary to non-overlapping regions of the first strand; and (b) annealing the first, second and third strands together under conditions suitable to obtain a dsRNA molecule. In another embodiment, synthesis of the first, second and thirdstrands of a dsRNA molecule is by solid phase oligonucleotide synthesis. In yet another embodiment, synthesis of the first, second ,and third strands of a dsRNA molecule is by solid phase tandem oligonucleotide synthesis. Chemically synthesizing nucleic acid molecules with substitutions or modifications
(base, sugar, phosphate, or any combination thereof) can prevent their degradation by serum ribonucleases, which may lead to increased potency. See, e.g., Eckstein et al., PCT Publication No. WO 92/07065; Perrault et al., Nature 344:565, 1990; Pieken et al., Science 253:314, 1991; Usman and Cedergren, Trends in Biochem. Sci. 17:334, 1992; Usman et al., Nucleic Acids Symp. Ser. 31:163, 1994; Beigelman et al., J. Biol. Chem. 270:25702, 1995; Burgin et al., Biochemistry 55:14090, 1996; Burlina et al., Bioorg. Med. Chem. 5:1999, 1997; Thompson et al., Karpeisky et al., Tetrahedron Lett. 39: 1131, 1998; Earnshaw and Gait, Biopolymers (Nucleic Acid Sciences) 48:39-55, 1998; Verma and Eckstein, Annu. Rev. Biochem. 67:99, 1998; Herdewijn, Antisense Nucleic Acid Drug D ev. 10:297, 2000; Kurreck, Eur. J. Biochem. 270:1628, 2003; Dorsett and Tuschl, Nature Rev. Drug Discov. 5:318, 2004; PCT Publication Nos.
WO 91/03162; WO 93/15187; WO 97/26270; WO 98/13526; U.S. Patent Nos. 5,334,711; 5,627,053; 5,716,824; 5,767, 264; 6,300,074. Each of the above references discloses various substitutions and chemical modifications to the base, phosphate, or sugar moieties of nucleic acid molecules, which can be used in the dsRNAs described herein. For example, oligonucleotides can be modified at the sugar moiety to enhance stability or prolong biological activity by increasing nuclease resistance. Representative sugar modifications include 2'-amino, 2'-C-allyl, 2'-fluoro, 2'-O-methyl, 2'-O-allyl, or 2'-H. Other modifications to enhance stability or prolong biological activity can be internucleoside linkages, such as phosphorothioate, or base- modifications, such as locked nucleic acids (see, e.g., U.S. Patent Nos. 6,670,461; 6,794,499; 6,268,490), or 5-methyluridine or 2'-O-methyl-5-methyluridine in place of uridine (see, e.g.,
U.S. Patent Application Publication No. 2006/0142230). Hence, dsRNA molecules of the instant disclosure can be modified to increase nuclease resistance or duplex stability while substantially retaining or having enhanced RNAi activity as compared to unmodified dsRNA. In one embodiment, this disclosure features substituted or modified dsRNA molecules, such as phosphate backbone modifications comprising one or more phosphorothioate, phosphorodithioate, methylphosphonate, phosphotriester, morpholino, amidate carbamate, carboxymethyl, acetamidate, polyamide, sulfonate, sulfonamide, sulfamate, formacetal, thioformacetal, or alkylsilyl substitutions. For a review of oligonucleotide backbone modifications, see Hunziker and Leumann, Nucleic Acid Analogues: Synthesis and Properties, in Modern Synthetic Methods, VCH, 331-417, 1995; and Mesmaeker et al, ACS, 24-39, 1994.
In another embodiment, a conjugate molecule can be optionally attached to a dsRNA or analog thereof that decreases expression of an MMP gene by RNAi. For example, such conjugate molecules may be polyethylene glycol, human serum albumin, polyarginine, GIn- Asn polymer, or a ligand for a cellular receptor that can, for example, mediate cellular uptake {e.g. , HIV TAT, see Vocero-Akbani et al, Nature Med. 5:23, 1999; see also U.S. Patent Application Publication No. 2004/0132161).. Examples of specific conjugate molecules contemplated by the instant disclosure that can be attached to a dsRNA or analog thereof of this disclosure are described in Vargeese et al., U.S. Patent Application Publication No. 2003/0130186, and U.S. Patent Application Publication No. 2004/0110296. In another embodiment, a conjugate molecule is covalently attached to a dsRNA or analog thereof that decreases expression of an MMP gene by RNAi via a biodegradable linker. In certain embodiments, a conjugate molecule can be attached at the 3 '-end of either the sense strand, the antisense strand, or both strands of a dsRNA molecule provided herein. In another embodiment, a conjugate molecule can be attached at the 5 '-end of either the sense strand, the antisense strand, or both strands of the dsRNA or analog thereof. In yet another embodiment, a conjugate molecule is attached at both the 3 '-end and 5 '-end of either the sense strand, the antisense strand, or both strands of a dsRNA molecule, or any combination thereof. In further embodiments, a conjugate molecule of this disclosure comprises a molecule that facilitates delivery of a dsRNA or analog thereof into a biological system, such as a cell. A person of skill in the art can screen dsRNA of this disclosure having various conjugates to determine whether the dsRNA-conjugate possesses improved properties {e.g., pharmacokinetic profiles, bioavailability, stability) while maintaining the ability to mediate RNAi in, for example, an animal model as described herein or generally known in the art.
Methods for Selecting dsRNA Molecules Specific for MMP
As indicated herein, the present disclosure also provides methods for selecting dsRNA and analogs thereof that are capable of specifically binding to an MMP gene (including a mRNA splice variant thereof) while being incapable of specifically binding or minimally binding to non-MMP genes. The selection process disclosed herein is useful, for example, in eliminating dsRNAs analogs that are cytotoxic due to non-specific binding to, and subsequent degradation of, one or more non-MMP genes.
Methods of the present disclosure do not require a priori knowledge of the nucleotide sequence of every possible gene variant (including mRNA splice variants) targeted by the dsRNA or analog thereof. In one embodiment, the nucleotide sequence of the dsRNA is selected from a conserved region or consensus sequence of an MMP gene. In another embodiment, the nucleotide sequence of the dsRNA may be selectively or preferentially targeted to a certain sequence contained in an mRNA splice variant of an MMP gene.
In certain embodiments, methods are provided for selecting one or more dsRNA molecule that decreases expression of an MMP gene by RNAi, comprising a first strand that is complementary to an MMP9 mRNA as set forth in SEQ ID NO: 1158, an MMP 13 mRNA as set forth in SEQ ID NO:1386, an MMP14 mRNA as set forth in SEQ ID NO:1653, an MMP19 mRNA as set forth in SEQ ID NO: 1997, or an MMP26 mRNA as set forth in SEQ ID NO: 2316, and a second strand that is complementary to the first strand, wherein the first and second strands form a double-stranded region of about 15 to about 40 base pairs (see, e.g., MMP9, MMP 13, MMP 14, MMP 19, or MMP26 sequences in the Sequence Listing identified herein), and wherein at least one uridine of the dsRNA molecule is replaced with a 5-methyluridine or 2-thioribothymidine or 2'-O-methyl-5-methyluridine, which methods employ "off-target" profiling whereby one or more dsRNA provided herein is contacted with a cell, either in vivo or in vitro, and total mRNA is collected for use in probing a microarray comprising oligonucleotides having one or more nucleotide sequence from a panel of known genes, including non-MMP genes {e.g., interferon). Within related embodiments, one or more dsRNA molecule that decreases expression of an MMP gene by RNAi may further comprise a third strand that is complementary to the first strand, wherein the first and third strands form a double- stranded region wherein the double-stranded region formed by the first and third strands is non- overlapping with a double-stranded region formed by the first and second strands. The "off- target" profile of the dsRNA provided herein is quantified by determining the number of non- MMP genes having reduced expression levels in the presence of the candidate dsRNAs. The existence of "off target" binding indicates a dsRNA is capable of specifically binding to one or more non-MMP gene messages. In certain embodiments, a dsRNA as provided herein (see, e.g.,
sequences in the Sequence Listing identified herein) applicable to therapeutic use will exhibit a greater stability, minimal interferon response, and little or no "off-target" binding.
Still further embodiments provide methods for selecting more efficacious dsRNA by using one or more reporter gene constructs comprising a constitutive promoter, such as a cytomegalovirus (CMV) or phosphoglycerate kinase (PGK) promoter, operably fused to, and capable of altering the expression of one or more reporter genes, such as a luciferase, chloramphenicol (CAT), or β-galactosidase, which, in turn, is operably fused in-frame with a dsRNA (such as one having a length between about 15 base-pairs and about 40 base-pairs or from about 5 nucleotides to about 24 nucleotides, or about 25 nucleotides to about 40 nucleotides) that contains an MMP sequence, as provided herein.
Individual reporter gene expression constructs may be co-transfected with one or more dsRNA or analog thereof. The capacity of a given dsRNA to reduce the expression level of MMP may be determined by comparing the measured reporter gene activity in cells transfected with or without a dsRNA molecule of interest. Certain embodiments disclosed herein provide methods for selecting one or more modified dsRNA molecule(s) that employ the step of predicting the stability of a dsRNA duplex. In some embodiments, such a prediction is achieved by employing a theoretical melting curve wherein a higher theoretical melting curve indicates an increase in dsRNA duplex stability and a concomitant decrease in cytotoxic effects. Alternatively, stability of a dsRNA duplex may be determined empirically by measuring the hybridization of a single RNA analog strand as described herein to a complementary target gene within, for example, a polynucleotide array. The melting temperature (i.e., the Tm value) for each modified RNA and complementary RNA immobilized on the array can be determined and, from this Tm value, the relative stability of the modified RNA pairing with a complementary RNA molecule determined. For example, Kawase et al. (Nucleic Acids Res. 14:1121, 1986) have described an analysis of the nucleotide-pairing properties of Di (inosine) to A, C, G , and T, which was achieved by measuring the hybridization of oligonucleotides (ODNs) with Di in various positions to complementary sets of ODNs made as an array. The relative strength of nucleotide- pairing is I-C > I-A > I-G ~ I-T. Generally, Di containing duplexes showed lower Tm values when compared to the corresponding wild type (WT) nucleotide pair. The stabilization of Di by pairing was in order of Dc > Da > Dg > Dt > Du. As a person of skill in the art would understand, although universal-binding nucleotides are used herein as an example of determining duplex stability (i.e., the Tm value), other nucleotide substitutions (e.g., 5-methyluridine for uridine) or further modifications (e.g., a ribose modification at the 2'-position) can also be evaluated by these or similar methods.
In still further embodiments of the presently disclosed methods, one or more anti-codon within an antisense strand of a dsRNA molecule or analog thereof is substituted with a universal-binding nucleotide in a second or third position in the anti-codon of the antisense strand. By substituting a universal-binding nucleotide for a first or second position, the one or more first or second position nucleotide-pair substitution allows the substituted dsRNA molecule to specifically bind to mRNA wherein a first or a second position nucleotide-pair substitution has occurred, wherein the one or more nucleotide-pair substitution results in an amino acid change in the corresponding gene product.
Any of these methods of identifying dsRNA of interest can also be used to examine a dsRNA that decreases expression of an MMP gene by RNA interference, comprising a first strand that is complementary to an MMP9 mRNA as set forth in SEQ ID NO: 1158, an MMP 13 mRNA as set forth in SEQ ID NO: 1386, an MMP14 mRNA as set forth in SEQ ID NO: 1653, an MMP 19 mRNA as set forth in SEQ ID NO: 1997, or an MMP26 mRNA as set forth in SEQ ID NO: 2316, and a second and third strand that have non-overlapping complementarity to the first strand, wherein the first and at least one of the second or third strand optionally form a double- stranded region of about 5 to about 13 base pairs; wherein at least one pyrimidine of the dsRNA comprises a pyrimidine nucleoside according to Formula I or II:
wherein R1 and R2 are each independently a -H, -OH, -OCH3, -OCH2OCH2CH3, -OCH2CH2OCH3, halogen, substituted or unsubstituted C1-C10 alkyl, alkoxy, alkoxyalkyl, hydroxyalkyl, carboxyalkyl, alkylsulfonylamino, aminoalkyl, dialkylamino, alkylaminoalkyl, dialkylaminoalkyl, haloalkyl, trifluoromethyl, cycloalkyl, (cycloalkyl)alkyl, substituted or unsubstituted C2-CiO alkenyl, substituted or unsubstituted -O-allyl, -0-CH2CH=CH2, -0-CH=CHCH3, substituted or unsubstituted C2-CiO alkynyl, carbamoyl, carbamyl, carboxy, carbonylamino, substituted or unsubstituted aryl, substituted or unsubstituted aralkyl, -NH2, -NO2, -C≡N, or heterocyclo group; R3 and R4 are each independently a hydroxyl, a protected hydroxyl, or an internucleoside linking group; and R5 and R8 are independently O or S. In certain embodiments, at least one nucleoside is according to Formula I in which R1 is methyl and R2 is -OH, or R1 is methyl, R2 is -OH, and R8 is S. In certain embodiments, at least one
nucleoside is according to Formula I in which R1 is methyl and R2 is -O-methyl, or R1 is methyl, R2 is -O-methyl, and R8 is O. In other embodiments, the internucleoside linking group covalently links from about 5 to about 40 nucleosides.
Compositions and Methods of Use As set forth herein, dsRNA of the instant disclosure are designed to target an MMP gene
(including one or more mRNA splice variant thereof) that is expressed at an elevated level or continues to be expressed when it should not, and is a causal or contributing factor associated with one or more hyperproliferative disorders, for example, leukemia, myeloid and lymphoid neoplasms, ovarian cancer, breast cancer, lung cancer, squamous cell carcinoma of the head, neck, esophagus, endometrium, and vulva, cutaneous basal cell carcinoma, chondrosarcoma, glioma, renal cell carcinoma, and prostate cancer; one or more angiogenic diseases or disorders; metastasis and tumorigenesis; as well as one or more inflammatory disorders, for example, encephalomyelitis, inflammatory bowel disease, arthritis, and psoriasis. In this context, a dsRNA or analog thereof of this disclosure will effectively downregulate expression of an MMP gene to levels that prevent, alleviate, or reduce the severity or recurrence of one or more associated disease symptoms. Alternatively, for various distinct disease models in which expression of an MMP gene is not necessarily elevated as a consequence or sequel of disease or other adverse condition, down regulation of an MMP gene will nonetheless result in a therapeutic result by lowering gene expression (i.e., to reduce levels of a selected mRNA or protein product of an MMP9, MMP13, MMP14, MMP19, or MMP26 gene). Furthermore, dsRNAs of this disclosure may be targeted to lower expression of MMP, which can result in upregulation of a "downstream" gene whose expression is negatively regulated, directly or indirectly, by an MMP protein. The dsRNA molecules of the instant disclosure comprise useful reagents and can be used in methods for a variety of therapeutic, diagnostic, target validation, genomic discovery, genetic engineering, and pharmacogenomic applications.
In certain embodiments, aqueous suspensions contain dsRNA of this disclosure in admixture with suitable excipients, such as suspending agents or dispersing or wetting agents. Exemplary suspending agents include sodium carboxymethylcellulose, methylcellulose, hydropropyl-methylcellulose, sodium alginate, polyvinylpyrrolidone, gum tragacanth and gum acacia. Representative dispersing or wetting agents include naturally-occurring phosphatides (e.g., lecithin), condensation products of an alkylene oxide with fatty acids (e.g., polyoxyethylene stearate), condensation products of ethylene oxide with long chain aliphatic alcohols (e.g., heptadecaethyleneoxycetanol), condensation products of ethylene oxide with partial esters derived from fatty acids and hexitol (e.g., polyoxyethylene sorbitol monooleate), or
condensation products of ethylene oxide with partial esters derived from fatty acids and hexitol anhydrides (e.g., polyethylene sorbitan monooleate). In certain embodiments, the aqueous suspensions can optionally contain one or more preservatives (e.g., ethyl or n-propyl-/?- hydroxybenzoate), one or more coloring agents, one or more flavoring agents, or one or more sweetening agents (e.g., sucrose, saccharin). In additional embodiments, dispersible powders and granules suitable for preparation of an aqueous suspension by the addition of water provide dsRNA of this disclosure in admixture with a dispersing or wetting agent, suspending agent and optionally one or more preservative, coloring agent, flavoring agent, or sweetening agent. The present disclosure includes dsRNA compositions prepared for storage or administration that include a pharmaceutically effective amount of a desired compound in a pharmaceutically acceptable carrier or diluent. Acceptable carriers or diluents for therapeutic use are well known in the pharmaceutical art, and are described, for example, in Remington's Pharmaceutical Sciences, Mack Publishing Co., A.R. Gennaro edit., 1985, hereby incorporated by reference herein. In certain embodiments, pharmaceutical compositions of this disclosure can optionally include preservatives, antioxidants, stabilizers, dyes, flavoring agents, or any combination thereof. Exemplary preservatives include sodium benzoate, sorbic acid, chlorobutanol, and esters of p-hydroxybenzoic acid.
The dsRNA compositions of the instant disclosure can be effectively employed as pharmaceutically-acceptable formulations. Pharmaceutically-acceptable formulations prevent, alter the occurrence or severity of, or treat (alleviate one or more symptom(s) to a detectable or measurable extent) of a disease state or other adverse condition in a subject. A pharmaceutically acceptable formulation includes salts of the above compounds, e.g., acid addition salts, such as salts of hydrochloric acid, hydrobromic acid, acetic acid, or benzene sulfonic acid. A pharmaceutical composition or formulation refers to a composition or formulation in a form suitable for administration into a cell, or a subject such as a human (e.g., systemic administration). The formulations of the present disclosure, having an amount of dsRNA sufficient to treat or prevent a disorder associated with MMP gene expression are, for example, suitable for topical (e.g., creams, ointments, skin patches, eye drops, ear drops) application or administration. Other routes of administration include oral, parenteral, sublingual, bladder wash-out, vaginal, rectal, enteric, suppository, nasal, and inhalation. The term parenteral, as used herein, includes subcutaneous, intravenous, intramuscular, intraarterial, intraabdominal, intraperitoneal, intraarticular, intraocular or retrobulbar, intraaural, intrathecal, intracavitary, intracelial, intraspinal, intrapulmonary or transpulmonary, intrasynovial, and intraurethral injection or infusion techniques. The pharmaceutical compositions of the present disclosure are
formulated to allow the dsRNA contained therein to be bioavailable upon administration to a subject.
In further embodiments, dsRNA of this disclosure can be formulated as oily suspensions or emulsions (e.g., oil-in-water) by suspending dsRNA in, for example, a vegetable oil (e.g., arachis oil, olive oil, sesame oil or coconut oil) or a mineral oil (e.g., liquid paraffin). Suitable emulsifying agents can be naturally-occurring gums (e.g. , gum acacia or gum tragacanth), naturally-occurring phosphatides (e.g., soy bean, lecithin, esters or partial esters derived from fatty acids and hexitol), anhydrides (e.g., sorbitan monooleate), or condensation products of partial esters with ethylene oxide (e.g., polyoxyethylene sorbitan monooleate). In certain embodiments, the oily suspensions or emulsions can optionally contain a thickening agent, such as beeswax, hard paraffin or cetyl alcohol. In related embodiments, sweetening agents and flavoring agents can optionally be added to provide palatable oral preparations. In yet other embodiments, these compositions can be preserved by optionally adding an anti-oxidant, such as ascorbic acid. In further embodiments, dsRNA of this disclosure can be formulated as syrups and elixirs with sweetening agents (e.g., glycerol, propylene glycol, sorbitol, glucose or sucrose). Such formulations can also contain a demulcent, preservative, flavoring, coloring agent, or any combination thereof. In other embodiments, pharmaceutical compositions comprising dsRNA of this disclosure can be in the form of a sterile, injectable aqueous or oleaginous suspension. The sterile injectable preparation can also be a sterile, injectable solution or suspension in a nontoxic parenterally acceptable diluent or solvent (e.g., as a solution in 1,3-butanediol). Among the exemplary acceptable vehicles and solvents useful in the compositions of this disclosure is water, Ringer's solution, or isotonic sodium chloride solution. In addition, sterile, fixed oils may be employed as a solvent or suspending medium for the dsRNA of this disclosure. For this purpose, any bland fixed oil can be employed including synthetic mono- or diglycerides. In addition, fatty acids such as oleic acid find use in the preparation of parenteral formulations.
Within certain embodiments of this disclosure, pharmaceutical compositions and methods are provided that feature the presence or administration of one or more dsRNA or analogs thereof of this disclosure, combined, complexed, or conjugated with a polypeptide, optionally formulated with a pharmaceutically-acceptable carrier, such as a diluent, stabilizer, buffer, or the like. The negatively charged dsRNA molecules of this disclosure may be administered to a patient by any standard means, with or without stabilizers, buffers, or the like, to form a composition suitable for treatment. When it is desired to use a liposome delivery mechanism, standard protocols for formation of liposomes can be followed. The compositions of the present disclosure may also be formulated and used as a tablet, capsule or elixir for oral
administration, suppository for rectal administration, sterile solution, or suspension for injectable administration, either with or without other compounds known in the art. Thus, dsRNAs of the present disclosure may be administered in any form, such as nasally, transdermally, parenterally, or by local injection. In accordance with this disclosure, dsRNA molecules (optionally substituted or modified or conjugated), compositions thereof, and methods for inhibiting expression of an MMP gene in a cell or organism are provided. In certain embodiments, this disclosure provides methods and dsRNA compositions for treating a subject, including a human cell, tissue or individual, having a disease or at risk of developing a disease caused by or associated with the expression of an MMP gene. In one embodiment, the method includes administering a dsRNA of this disclosure or a pharmaceutical composition containing the dsRNA to a cell or an organism, such as a mammal, such that expression of the target gene is silenced. Subjects (e.g., mammalian, human) amenable for treatment using the dsRNA molecules (optionally substituted or modified or conjugated), compositions thereof, and methods of the present disclosure include those suffering from one or more disease or condition mediated, at least in part, by overexpression or inappropriate expression of an MMP gene, or which are amenable to treatment by reducing expression of an MMP protein, including one or more hyperproliferative disorders, for example, leukemia, myeloid and lymphoid neoplasms, ovarian cancer, breast cancer, lung cancer, squamous cell carcinoma of the head, neck, esophagus, endometrium, and vulva, cutaneous basal cell carcinoma, chondrosarcoma, glioma, renal cell carcinoma, and prostate cancer; one or more angiogenic diseases or disorders; metastasis and tumorigenesis; as well as one or more inflammatory disorders, for example, encephalomyelitis, inflammatory bowel disease, arthritis, and psoriasis. Within exemplary embodiments, the compositions and methods of this disclosure are also useful as therapeutic tools to regulate expression of MMP9, MMP 13, MMP 14, MMP 19, or MMP26 to treat or prevent symptoms of, for example, the conditions listed herein.
In any of the methods disclosed herein there may be used with one or more dsRNA, or substituted or modified dsRNA, as described herein, comprising a first strand that is complementary to a human MMP9 mRNA as set forth in SEQ ID NO: 1158, human MMP 13 mRNA as set forth in SEQ ID NO: 1386, human MMP 14 mRNA as set forth in SEQ ID NO:1653, human MMP19 mRNA as set forth in SEQ ID NO:1997, or human MMP26 mRNA as set forth in SEQ ID NO:2316, and a second strand and a third strand that is each complementary to non-overlapping regions of the first strand, wherein the second strand and third strands can anneal with the first strand to form at least two double-stranded regions spaced apart by up to 10 nucleotides and thereby forming a gap between the second and third strands, and wherein the mdRNA molecule optionally includes at least one double-stranded region
comprises from 5 base pairs to 13 base pairs. In other embodiments, subjects can be effectively treated, prophylactically or therapeutically, by administering an effective amount of one or more dsRNA having a first strand that is complementary to a human MMP9 mRNA as set forth in SEQ ID NO: 1158, human MMP13 mRNA as set forth in SEQ ID NO: 1386, human MMP14 mRNA as set forth in SEQ ID NO : 1653 , human MMP 19 mRNA as set forth in SEQ ID
NO: 1997, or human MMP26 mRNA as set forth in SEQ ID NO:2316, and a second strand and a third strand that is each complementary to non-overlapping regions of the first strand, wherein the second strand and third strands can anneal with the first strand to form at least two double- stranded regions spaced apart by up to 10 nucleotides and thereby forming a gap between the second and third strands, and the mdRNA molecule optionally includes at least one double- stranded region comprises from 5 base pairs to 13 base pairs and at least one pyrimidine of the mdRNA is a pyrimidine nucleoside according to Formula I or II:
wherein R1 and R2 are each independently a -H, -OH, -OCH3, -OCH2OCH2CH3, -OCH2CH2OCH3, halogen, substituted or unsubstituted Ci-Cio alkyl, alkoxy, alkoxyalkyl, hydroxyalkyl, carboxyalkyl, alkylsulfonylamino, aminoalkyl, dialkylamino, alkylaminoalkyl, dialkylaminoalkyl, haloalkyl, trifluoromethyl, cycloalkyl, (cycloalkyl)alkyl, substituted or unsubstituted C2-CiO alkenyl, substituted or unsubstituted -O-allyl, -0-CH2CH=CH2, -0-CH=CHCH3, substituted or unsubstituted C2-CiO alkynyl, carbamoyl, carbamyl, carboxy, carbonylamino, substituted or unsubstituted aryl, substituted or unsubstituted aralkyl, -NH2, -NO2, -C≡N, or heterocyclo group; R3 and R4 are each independently a hydroxyl, a protected hydroxyl, or an internucleoside linking group; and R5 and R8 are independently O or S. In certain embodiments, at least one nucleoside is according to Formula I in which R1 is methyl and R2 is -OH, or R1 is methyl, R2 is -OH, and R8 is S. In certain embodiments, at least one nucleoside is according to Formula I in which R1 is methyl and R2 is -O-methyl, or R1 is methyl, R2 is -O-methyl, and R8 is O. In certain embodiments, the internucleoside linking group covalently links from about 5 to about 40 nucleosides.
In any of the methods described herein, the dsRNA used may include multiple modifications. For example, a dsRNA can have at least one 5-methyluridine, 2'-O-methyl-
5-methyluridine, LNA, 2'-methoxy, 2'-fluoro, 2'-deoxy, phosphorothioate linkage, inverted base terminal cap, or any combination thereof. In certain exemplary methods, a dsRNA will have from one to all 5-methyluridines and have up to about 75% LNA. In other exemplary methods, a dsRNA will have from one to all 5-methyluridines and have up to about 75% 2'-methoxy provided the 2'-methoxy are not at the Argonaute cleavage site. In still other exemplary methods, a dsRNA will have from one to all 5-methyluridines and have up to about 100% 2'-luoro substitutions. In further exemplary methods, a dsRNA will have from one to all 5-ethyluridines and have up to about 75% 2'-deoxy. In further exemplary methods, a dsRNA will have up to about 75% LNA and have up to about 75% 2'-methoxy. In still other embodiments, a dsRNA will have up to about 75% LNA and have up to about 100% 2'-fluoro. In further exemplary methods, a dsRNA will have up to about 75% LNA and have up to about 75% 2'-deoxy. In further exemplary methods, a dsRNA will have up to about 75% 2'-methoxy and have up to about 100% 2'-fluoro. In further exemplary methods, a dsRNA will have up to about 75% 2'-methoxy and have up to about 75% 2'-deoxy. In further embodiments, a dsRNA will have up to about 100% 2'-fluoro and have up to about 75% 2'-deoxy.
In other exemplary methods for using multiply modified dsRNA, a dsRNA will have from one to all uridines substituted with 5-methyluridine, up to about 75% LNA, and up to about 75% 2'-methoxy. In still further exemplary methods, a dsRNA will have from one to all 5-methyluridines, up to about 75% LNA, and up to about 100% 2'-fluoro. In further exemplary methods, a dsRNA will have from one to all 5-methyluridines, up to about 75% LNA, and up to about 75% 2'-deoxy. In further exemplary methods, a dsRNA will have from one to all 5-methyluridines, up to about 75% 2'-methoxy, and up to about 75% 2'-fluoro. In further exemplary methods, a dsRNA will have from one to all 5-methyluridines, up to about 75% 2'-methoxy, and up to about 75% 2'-deoxy. In more exemplary methods, a dsRNA will have from one to all 5-methyluridines, up to about 100% 2'-fluoro, and up to about 75% 2'-deoxy. In yet other exemplary methods, a dsRNA will have from one to all 5-methyluridines, up to about 75% LNA, up to about 75% 2'-methoxy, up to about 100% 2'-fluoro, and up to about 75% 2'-deoxy. In other exemplary methods, a dsRNA will have up to about 75% LNA, up to about 75% 2'-methoxy, and up to about 100% 2'-fluoro. In further exemplary methods, a dsRNA will have up to about 75% LNA, up to about 75% 2'-methoxy, and up to about 75% 2'-deoxy. In more exemplary methods, a dsRNA will have up to about 75% LNA, up to about 100% 2'-fluoro, and up to about 75% 2'-deoxy. In still further exemplary methods, a dsRNA will have up to about 75% 2'-methoxy, up to about 100% 2'-fluoro, and up to about 75% 2'-deoxy.
In any of these exemplary methods for using multiply modified dsRNA, the dsRNA may further comprise up to 100% phosphorothioate internucleoside linkages, from one to ten or more
inverted base terminal caps, or any combination thereof. Additionally, any of these dsRNA may have these multiple modifications on one strand, two strands, three strands, a plurality of strands, or all strands, or on the same or different nucleoside within a dsRNA molecule. Finally, in any of these multiple modification dsRNA, the dsRNA must have gene silencing activity. In further embodiments, subjects can be effectively treated, prophylactically or therapeutically, by administering an effective amount of one or more dsRNA, or substituted or modified dsRNA as described herein, having a first strand that is complementary to an MMP9 mRNA as set forth in SEQ ID NO: 1158, an MMP13 mRNA as set forth in SEQ ID NO: 1386, an MMP14 mRNA as set forth in SEQ ID NO: 1653, an MMP19 mRNA as set forth in SEQ ID NO : 1997, or an MMP26 mRNA as set forth in SEQ ID NO : 2316, and a second strand and a third strand that is each complementary to non-overlapping regions of the first strand, wherein the second strand and third strands can anneal with the first strand to form at least two double- stranded regions spaced apart by up to 10 nucleotides and thereby forming a gap between the second and third strands, and wherein the combined double-stranded regions total about 15 base pairs to about 40 base pairs and the mdRNA molecule optionally has blunt ends. In still further embodiments, methods disclosed herein there may be used with one or more dsRNA that comprises a first strand that is complementary to an MMP9 mRNA as set forth in SEQ ID NO: 1158, an MMP13 mRNA as set forth in SEQ ID NO: 1386, an MMP14 mRNA as set forth in SEQ ID NO: 1653, an MMP19 mRNA as set forth in SEQ ID NO: 1997, or an MMP26 mRNA as set forth in SEQ ID NO: 2316, and a second strand and a third strand that is each complementary to non-overlapping regions of the first strand, wherein the second strand and third strands can anneal with the first strand to form at least two double-stranded regions spaced apart by up to 10 nucleotides and thereby forming a gap between the second and third strands, and wherein the mdRNA has a combined double-stranded region totaling about 15 to about 40 base pairs, optionally has at least one double-stranded region of 5 base pairs to 13 base pairs, optionally has one or more blunt ends, or any combination thereof, and at least one pyrimidine of the mdRNA is a pyrimidine nucleoside according to Formula I or II:
wherein R1 and R2 are each independently a -H, -OH, -OCH3, -OCH2OCH2CH3, -OCH2CH2OCH3, halogen, substituted or unsubstituted C1-C10 alkyl, alkoxy, alkoxyalkyl, hydroxyalkyl, carboxyalkyl, alkylsulfonylamino, aminoalkyl, dialkylamino, alkylaminoalkyl, dialkylaminoalkyl, haloalkyl, trifluoromethyl, cycloalkyl, (cycloalkyl)alkyl, substituted or unsubstituted C2-CiO alkenyl, substituted or unsubstituted -O-allyl, -0-CH2CH=CH2,
-0-CH=CHCH3, substituted or unsubstituted C2-CiO alkynyl, carbamoyl, carbamyl, carboxy, carbonylamino, substituted or unsubstituted aryl, substituted or unsubstituted aralkyl, -NH2, -NO2, -C≡N, or heterocyclo group; R3 and R4 are each independently a hydroxyl, a protected hydroxyl, or an internucleoside linking group; and R5 and R8 are independently O or S. In certain embodiments, at least one nucleoside is according to Formula I in which R1 is methyl and R2 is -OH, or R1 is methyl, R2 is -OH, and R8 is S. In certain embodiments, at least one nucleoside is according to Formula I in which R1 is methyl and R2 is -O-methyl, or R1 is methyl, R2 is -O-methyl, and R8 is O. In other embodiments, the internucleoside linking group covalently links from about 5 to about 40 nucleosides. Within additional aspects of this disclosure, combination formulations and methods are provided comprising an effective amount of one or more dsRNA of the present disclosure in combination with one or more secondary or adjunctive active agents that are formulated together or administered coordinately with the dsRNA of this disclosure to control an MMP-associated disease or condition as described herein. Useful adjunctive therapeutic agents in these combinatorial formulations and coordinate treatment methods include, for example, enzymatic nucleic acid molecules, allosteric nucleic acid molecules, antisense, decoy, or aptamer nucleic acid molecules, antibodies such as monoclonal antibodies, small molecules and other organic or inorganic compounds including metals, salts and ions, and other drugs and active agents indicated for treating an MMP-associated disease or condition, including chemotherapeutic agents used to treat cancer, steroids, non-steroidal anti-inflammatory drugs (NSAIDs), tyrosine kinase inhibitors, or the like.
Exemplary chemotherapeutic agents include alkylating agents (e.g., cisplatin, oxaliplatin, carboplatin, busulfan, nitrosoureas, nitrogen mustards, uramustine, temozolomide), antimetabolites (e.g., aminopterin, methotrexate, mercaptopurine, fluorouracil, cytarabine), taxanes (e.g., paclitaxel, docetaxel), anthracyclines (e.g., doxorubicin, daunorubicin, epirubicin, idaruicin, mitoxantrone, valrubicin), bleomycin, mytomycin, actinomycin, hydroxyurea, topoisomerase inhibitors (e.g., camptothecin, topotecan, irinotecan, etoposide, teniposide), monoclonal antibodies (e.g., alemtuzumab, bevacizumab, cetuximab, gemtuzumab, panitumumab, rituximab, tositumomab, trastuzumab), vinca alkaloids (e.g., vincristine, vinblastine, vindesine, vinorelbine), cyclophosphamide, prednisone, leucovorin, oxaliplatin.
Some adjunctive therapies may be directed at targets that interact or associate with MMP or affect specific MMP biological activities. A variety of inhibitors of MMP have been described that may be suitably employed as adjunctive therapies including, but not limited to, transcriptional-level inhibitors, enzymatic-blocking inhibitors, and antibodies or fragments thereof.
Transcriptional-level inhibitors of MMP include, for example, cytokines, such as tumor necrosis factor alpha (TNF-α) and interleukin one (IL-I), mitogens, and growth factors. (Medina et al., J. Pharmacol. Exp. Ther. 318:3, 2006). Additionally, at subantimicrobial doses, doxycycline, a synthetic tetracycline antibiotic, has been shown to inhibit MMP (Lee et al., Stroke 35, 2004).
Inhibitors of the enzymatic activity of MMP include, for example, tissue inhibitors of metalloproteinases (TIMPs), α-2 macroglobulin, and reversion-inducing cysteine-rich protein with Kazal motifs (RECK). The TIMP gene family includes at least four members that interact nonselectively with MMP by forming a 1 : 1 complex with the highly conserved zinc binding site of MMP9 that blocks the enzymatic activity of MMP9 (Medina et al., J. Pharmacol. Exp. Ther. 318:3, 2006). A plasma-circulating general protease inhibitor, α-2 macroglobulin, also can block the enzymatic activity of MMP. (Medina et al., J. Pharmacol. Exp. Ther. 318:3, 2006). The enzymatic activity of MMP can also be affected by RECK, which is a membrane-anchored glycoprotein (van Hinsbergh et al., Arterioscler. Thromb. Vase. Biol. 26:716, 2006). Additionally, inhibitors of the enzymatic activity of MMP 13 include the serine proteinase inhibitor tissue factor pathway inhibitor-2 (TFPI-2). TFPI-2 diminishes the ability of MMP 13 to degrade triple-helical collagen, the primary load-bearing molecule of the the extracellular matrix within human atheroma (Herman et al., J. Clin. Invest. 107, 2001). Moreover, inhibitors of the enzymatic activiy of MMP 19 and MMP26 include calcium. MMP 19 has been shown to be down-regulated in a suprabasal compartment of a human keratinocyte cell line by calcium at a high cell density (Sadowski et al., MoI. Biol. Cell. 14, 2003). It has been observed that calcium ions can modulate the catalytic activity of MMP26 through conformation changes in the MMP26 active site (Lee et al., Biochem. J. 403, 2007).
To practice the coordinate administration methods of this disclosure, a dsRNA is administered, simultaneously or sequentially, in a coordinated treatment protocol with one or more of the secondary or adjunctive therapeutic agents contemplated herein. The coordinate administration may be done in any order, and there may be a time period while only one or both (or all) active therapeutic agents, individually or collectively, exert their biological activities. A distinguishing aspect of all such coordinate treatment methods is that the dsRNA present in a composition elicits some favorable clinical response, which may or may not be in conjunction
with a secondary clinical response provided by the secondary therapeutic agent. For example, the coordinate administration of the dsRNA with a secondary therapeutic agent as contemplated herein can yield an enhanced (synergistic) therapeutic response beyond the therapeutic response elicited by either or both the purified dsRNA or secondary therapeutic agent alone. In another embodiment, a dsRNA of this disclosure can include a conjugate member on one or more of the terminal nucleotides of a dsRNA. The conjugate member can be, for example, a lipophile, a terpene, a protein binding agent, a vitamin, a carbohydrate, or a peptide. For example, the conjugate member can be naproxen, nitroindole (or another conjugate that contributes to stacking interactions), folate, ibuprofen, or a C5 pyrimidine linker. In other embodiments, the conjugate member is a glyceride lipid conjugate (e.g., a dialkyl glyceride derivatives), vitamin E conjugates, or thio-cholesterols. Additional conjugate members include peptides that function, when conjugated to a modified dsRNA of this disclosure, to facilitate delivery of the dsRNA into a target cell, or otherwise enhance delivery, stability, or activity of the dsRNA when contacted with a biological sample (e.g., a target cell expressing MMP). Exemplary peptide conjugate members for use within these aspects of this disclosure, include peptides PN27, PN28, PN29, PN58, PN61, PN73, PN158, PN159, PN173, PN182, PN183, PN202, PN204, PN250, PN361, PN365, PN404, PN453, PN509, and PN963, described, for example, in U.S. Patent Application Publication Nos. 2006/0040882 and 2006/0014289, and U.S. Provisional Patent Application Nos. 60/822,896 and 60/939,578; and PCT Application PCT/US2007/075744, which are all incorporated herein by reference. In certain embodiments, when peptide conjugate partners are used to enhance delivery of dsRNA of this disclosure, the resulting dsRNA formulations and methods will often exhibit further reduction of an interferon response in target cells as compared to dsRNAs delivered in combination with alternate delivery vehicles, such as lipid delivery vehicles (e.g., Lipofectamine™). In still another embodiment, a dsRNA or analog thereof of this disclosure may be conjugated to the polypeptide and admixed with one or more non-cationic lipids or a combination of a non-cationic lipid and a cationic lipid to form a composition that enhances intracellular delivery of the dsRNA as compared to delivery resulting from contacting the target cells with a naked dsRNA. In more detailed aspects of this disclosure, the mixture, complex or conjugate comprising a dsRNA and a polypeptide can be optionally combined with (e.g., admixed or complexed with) a cationic lipid, such as Lipofectine™. To produce these compositions comprised of a polypeptide, dsRNA and a cationic lipid, the dsRNA and peptide may be mixed together first in a suitable medium such as a cell culture medium, after which the cationic lipid is added to the mixture to form a dsRNA/delivery peptide/cationic lipid composition. Optionally, the peptide and cationic lipid can be mixed together first in a suitable
medium such as a cell culture medium, followed by the addition of the dsRNA to form the dsRNA/delivery peptide/cationic lipid composition.
This disclosure also features the use of dsRNA compositions comprising surface-modified liposomes containing, for example, poly(ethylene glycol) lipids (PEG- modified, or long-circulating liposomes or stealth liposomes) (Lasic et al., Chem. Rev. P5:2601, 1995; Ishiwata et al, Chem. Pharm. Bull. 45:1005, 1995; Lasic et al, Science 267:1215, 1995; Oku et al., Biochim. Biophys. Acta 1238:86, 1995; Liu et al., J. Biol. Chem. 42:24864, 1995; Choi et al., PCT Publication No. WO 96/10391; Ansell et al., PCT Publication No. WO 96/10390; Holland et al, PCT Publication No. WO 96/10392). In another embodiment, compositions are provided for targeting dsRNA molecules of this disclosure to specific cell types, such as hepatocytes. For example, dsRNA can be complexed or conjugated glycoproteins or synthetic glycoconjugates glycoproteins or synthetic glycoconjugates having branched galactose {e.g., asialoorosomucoid), JV-acetyl-D- galactosamine, or mannose {see, e.g., Wu and Wu, J. Biol. Chem. 262:4429, 1987; Baenziger and Fiete, Cell 22: 611, 1980; Connolly et al., J. Biol. Chem. 257:939, 1982; Lee and Lee,
Glycoconjugate J. 4:311, 1987; Ponpipom et al., J. Med. Chem. 24:1388, 1981) for a targeted delivery to, for example, the liver.
A pharmaceutically effective dose is that dose required to prevent, inhibit the occurrence of, or treat (alleviate a symptom to some extent, preferably all of the symptoms) a disease state. The pharmaceutically effective dose depends on the type of disease, the composition used, the route of administration, the type of subject being treated, the physical characteristics of the specific subject under consideration for treatment, concurrent medication, and other factors that those skilled in the medical arts will recognize. For example, an amount between 0.1 mg/kg and 100 mg/kg body weight/day of active ingredients may be administered depending on the potency of a dsRNA of this disclosure.
A specific dose level for any particular patient depends upon a variety of factors including the activity of the specific compound employed, age, body weight, general health, sex, diet, time of administration, route of administration, rate of excretion, drug combination, and the severity of the particular disease undergoing therapy. Following administration of dsRNA compositions as disclosed herein, test subjects will exhibit about a 10% up to about a 99% reduction in one or more symptoms associated with the disease or disorder being treated, as compared to placebo-treated or other suitable control subjects.
Dosage levels in the order of about 0.1 mg to about 140 mg per kilogram of body weight per day can be useful in the treatment of the above-indicated conditions (about 0.5 mg to about 7 g per patient per day). The amount of active ingredient that can be combined with the carrier
materials to produce a single dosage form varies depending upon the host treated and the particular mode of administration. Dosage unit forms generally contain between from about 1 mg to about 500 mg of an active ingredient.
A dosage form of a dsRNA or composition thereof of this disclosure can be liquid, an emulsion, or a micelle, or in the form of an aerosol or droplets. A dosage form of a dsRNA or composition thereof of this disclosure can be solid, which can be reconstituted in a liquid prior to administration. The solid can be administered as a powder. The solid can be in the form of a capsule, tablet, or gel. In addition to in vivo gene inhibition, a skilled artisan will appreciate that the dsRNA and analogs thereof of the present disclosure are useful in a wide variety of in vitro applications, such as scientific and commercial research {e.g., elucidation of physiological pathways, drug discovery and development), and medical and veterinary diagnostics.
Nucleic acid molecules and polypeptides can be administered to cells by a variety of methods known to those of skill in the art, including administration within formulations that comprise a dsRNA alone, a dsRNA and a polypeptide complex / conjugate alone, or that further comprise one or more additional components, such as a pharmaceutically acceptable carrier, diluent, excipient, adjuvant, emulsifϊer, stabilizer, preservative, or the like. Other exemplary substances used to approximate physiological conditions include pH adjusting and buffering agents, tonicity adjusting agents, and wetting agents, for example, sodium acetate, sodium lactate, sodium chloride, potassium chloride, calcium chloride, sorbitan monolaurate, triethanolamine oleate, and mixtures thereof. For solid compositions, conventional nontoxic pharmaceutically acceptable carriers can be used which include, for example, pharmaceutical grades of mannitol, lactose, starch, magnesium stearate, sodium saccharin, talcum, cellulose, glucose, sucrose, magnesium carbonate, and the like.
In certain embodiments, the dsRNA and compositions thereof can be encapsulated in liposomes, administered by iontophoresis, or incorporated into other vehicles, such as hydrogels, cyclodextrins, biodegradable nanocapsules, bioadhesive microspheres, or proteinaceous vectors {see, e.g., PCT Publication No. WO 00/53722). In certain embodiments of this disclosure, the dsRNA may be administered in a time release formulation, for example, in a composition that includes a slow release polymer. The dsRNA can be prepared with carriers that will protect against rapid release, for example, a controlled release vehicle such as a polymer, microencapsulated delivery system, or bioadhesive gel. Prolonged delivery of the dsRNA, in various compositions of this disclosure can be brought about by including in the composition agents that delay absorption, for example, aluminum monosterate hydrogels and gelatin.
Alternatively, a dsRNA composition of this disclosure can be locally delivered by direct injection or by use of, for example, an infusion pump. Direct injection of dsRNAs of this
disclosure, whether subcutaneous, intramuscular, or intradermal, can be done by using standard needle and syringe methodologies or by needle-free technologies, such as those described in Corny et al. (Clin. Cancer Res. 5:2330, 1999) and PCT Publication No. WO 99/31262.
The dsRNA of this disclosure and compositions thereof may be administered to subjects by a variety of mucosal administration modes, including oral, rectal, vaginal, intranasal, intrapulmonary, or transdermal delivery, or by topical delivery to the eyes, ears, skin, or other mucosal surfaces. In one embodiment, the mucosal tissue layer includes an epithelial cell layer, which can be pulmonary, tracheal, bronchial, alveolar, nasal, buccal, epidermal, or gastrointestinal. Compositions of this disclosure can be administered using conventional actuators, such as mechanical spray devices, as well as pressurized, electrically activated, or other types of actuators. The dsRNAs can also be administered in the form of suppositories, e.g., for rectal administration. For example, these compositions can be mixed with an excipient that is solid at room temperature but liquid at the rectal temperature so that the dsRNA is released. Such materials include, for example, cocoa butter and polyethylene glycols. Further methods for delivery of nucleic acid molecules, such as the dsRNAs of this disclosure, are described, for example, in Boado et al., J. Pharm. Sci. 57:1308, 1998; Tyler et al., FEBS Lett. 421:280, 1999; Pardridge et al, Proc. Nat' I Acad. Sci. USA 92:5592, 1995; Boado, Adv. Drug Delivery Rev. 15:73, 1995; Aldrian-Herrada et al., Nucleic Acids Res. 26:4910, 1998; Tyler et al., Proc. Nat'l Acad. Sci. USA £6:7053-7058, 1999; Akhtar et al., Trends Cell Bio. 2:139, 1992; "Delivery Strategies for Antisense Oligonucleotide Therapeutics," ed. Akhtar, 1995, Maurer et al., MoI. Membr. Biol. 16:129, 1999; Hofland and Huang, Handb. Exp. Pharmacol 137:165, 1999; and Lee et al., ACS Symp. Ser. 752:184, 2000; PCT Publication No. WO 94/02595.
All U.S. patents, U.S. patent application publications, U.S. patent applications, foreign patents, foreign patent applications, non-patent publications, figures, tables, and websites referred to in this specification are expressly incorporated herein by reference, in their entirety.
EXAMPLES
EXAMPLE 1
KNOCKDOWN OF GENE EXPRESSION BY MDRNA
The gene silencing activity of dsRNA as compared to nicked or gapped versions of the same dsRNA was examined using a dual fluorescence assay. A total of 22 different genes were targeted at ten different sites each (see Table 1).
A Dicer substrate dsRNA molecule was used, which has a 25 nucleotide sense strand, a 27 nucleotide antisense strand, and a two deoxynucleotide overhang at the 3 '-end of the antisense strand (referred to as a 25/27 dsRNA). The nicked version of each dsRNA Dicer substrate has a nick at one of positions 9 to 16 on the sense strand as measured from the 5 '-end of the sense strand. For example, an ndsRNA having a nick at position 11 has three strands - a 5'-sense strand of 11 nucleotides, a 3'-sense strand of 14 nucleotides, and an antisense strand of 27 nucleotides (which is also referred to as an Nl 1-14/27 mdRNA). In addition, each of the sense strands of the ndsRNA have three locked nucleic acids (LNAs) evenly distributed along each sense fragment. If the nick is at position 9, then the LNAs can be found at positions 2, 6, and 9 of the 5' sense strand fragment and at positions 11, 18, and 23 of the 3' sense strand fragment. If the nick is at position 10, then the LNAs can be found at positions 2, 6, and 10 of the 5' sense strand fragment and at positions 12, 18, and 23 of the 3' sense strand fragment. If the nick is at position 11, then the LNAs can be found at positions 2, 6, and 11 of the 5' sense strand fragment and at positions 13, 18, and 23 of the 3' sense strand fragment. If the nick is at position 12, then the LNAs can be found at positions 2, 6, and 12 of the 5' sense strand fragment and at positions 14, 18, and 23 of the 3' sense strand fragment. If the nick is at position 13, then the LNAs can be found at positions 2, 7, and 13 of the 5' sense strand fragment and at positions 15, 18, and 23 of the 3' sense strand fragment. If the nick is at position 14, then the LNAs can be found at positions 2, 7, and 14 of the 5' sense strand fragment and at positions 16, 18, and 23 of the 3' sense strand fragment. If the nick is at position 15, then the LNAs can be found at positions 2, 8, and 15 of the 5' sense strand fragment and at positions 17, 19, and 23 of the 3' sense strand fragment. If the nick is at position 16, then the LNAs can be found at positions 2, 8, and 16 of the 5' sense strand fragment and at positions 18, 19, and 23 of the 3' sense strand fragment. Similarly, a gapped version of each dsRNA Dicer substrate has a single nucleotide missing at one of positions 10 to 17 on the sense strand as measured from the 5 '-end of the sense strand. For example, a gdsRNA having a gap at position 11 has three strands - a 5 '-sense strand of 11 nucleotides, a 3'-sense strand of 13 nucleotides, and an antisense strand of 27 nucleotides
(which is also referred to as Gl 1-(I)- 13/27 mdRNA). In addition, each of the sense strands of the gdsRNA contain three locked nucleic acids (LNAs) evenly distributed along each sense fragment (as described for the nicked counterparts).
In sum, three dsRNA were tested at each of the ten different sites per gene - an unmodified dsRNA, a nicked mdRNA with three LNAs per sense strand fragment, and a single nucleotide gapped mdRNA with three LNAs per sense strand fragment. In other words, 660 different dsRNA were examined.
Briefly, multiwell plates were seeded with about 7-8 x 105 HeLa cells/well in DMEM having 10% fetal bovine serum, and incubated overnight at 370C / 5% CO2. The HeLa cell medium was changed to serum-free DMEM just prior to transfection. The psiCHECK™-2 vector, containing about a 1,000 basepair insert of a target gene, diluted in serum-free DMEM was mixed with diluted GenJet™ transfection reagent (SignalDT Biosystems, Hayward, California) according to the manufacturer's instructions and then incubated at room temperature for 10 minutes. The GenJet/ psiCHECK™-2- [target gene insert] solution was added to the HeLa cells and then incubated at 37°C, 5% CO2 for 4.5 hours. After the vector transfection, cells were trypsinized and suspended in antibiotic-free DMEM containing 10% FBS at a concentration of 105 cells per mL.
To transfect the dsRNA, the dsRNA was formulated in OPTI-MEM I reduced serum medium (Gibco® Invitrogen, Carlsbad, California) and placed in multiwell plates. Then Lipofectamine™ RNAiMAX (Invitrogen) was mixed with OPTI-MEM per manufacture's specifications, added to each well containing dsRNA, mixed manually, and incubated at room temperature for 10-20 minutes. Then 30 μL of vector-trans fected HeLa cells at 105 cells per mL were added to each well (final dsRNA concentration of 25 nM), the plates were spun for 30 seconds at 1,000 rpm, and then incubated at 370C / 5% CO2 for 2 days. The Cell Titer Blue (CTB) reagent (Promega, Madison, Wisconson) was used to assay for cell viability and proliferation - none of the dsRNA showed any substantial toxicity.
After transfecting, the media and CTB reagent were removed and the wells washed once with 100 PBS. Cells were assayed for firefly and Renilla luciferase reporter activity by first adding Dual-Glo™ Luciferase Reagent (Promega, Madison, WI) for 10 minutes with shaking, and then quantitating the luminescent signal on a VICTOR3™ 1420 Multilabel Counter
(PerkinElmer). After measuring the firefly luminescence, Stop & Glo® Reagent (Promega, Madison, WI) was added for 10 minutes with shaking to simultaneously quench the firefly reaction and initiate the Renilla luciferase reaction, which was then quantitated on a VICTOR ™ 1420 Multilabel Counter (PerkinElmer). The results are presented in Table 1.
Table 1. Gene Silencing Activity* of dsRNA Dicer Substrate and mdRNA (nicked or gapped) Dicer Substrate
* All samples were normalized to the respective dsRNA QNeg (Qiagen) negative control samples run in the same experiment. That is, QNeg values were set as 100% active (i.e., no knockdown), with 95% confidence intervals (CI) ranging from 6.3-22.5%. As a positive control, an siRNA specific for rLuc was used, which samples showed on average expression levels that varied from 1.2% to 16.8% (i.e., about 83% to about 99% knockdown activity and a 95% CI ranging from 0.3% to 13.7%). f "Pos" refers to the position on the target gene mRNA message that aligns with the 5'-end of the dsRNA sense strand. The mRNA numbering is based on the GenBank accession numbers as described herein.
J The SEQ ID NOS. are provided in the following order: (1) Dicer: sense strand, antisense strand; (2) Nicked: 5'-sense strand fragment, 3'-sense strand fragment, and antisense strand; and (3) Gapped: 5'-sense strand fragment, 3'-sense strand fragment, and antisense strand. The Dicer dsRNA has two strands, while ndsRNA and gdsRNA have three strands each. The nicked or gapped sense strand fragments have three locked nucleic acids each.
O Λ "Length 5'-S" refers to the length of the 5'-sense strand fragment of the nicked or gapped mdRNA, which indicates the position of the nick (e.g., 10 means the nick is between position 10 and 11, so the 5'sense strand fragment is 10 nucleotides long and the 3'-sense strand fragment is 15 nucelotides long) or one nucleotide gap (e.g., 10 means the missing nucleotide is number 11, so the 5'sense strand fragment is 10 nucleotides long and the 3'-sense strand fragment is 14 nucelotides long).
EXAMPLE 2
KNOCKDOWN OF P-GALACTOSIDASE ACTIVITY BY GAPPED DSRNA DICER SUBSTRATE
The activity of a Dicer substrate dsRNA containing a gap in the double-stranded structure in silencing LacZ mRNA as compared to the normal Dicer substrate dsRNA (i.e., not having a gap) was examined.
Nucleotide Sequences of dsRNA and mdRNA Targeting LacZ mRNA
The nucleic acid sequence of the one or more sense strands, and the antisense strand of the dsRNA and gapped dsRNA (also referred to herein as a meroduplex or mdRNA) are shown below and were synthesized using standard techniques. The RISC activator LacZ dsRNA comprises a 21 nucleotide sense strand and a 21 nucleotide antisense strand, which can anneal to form a double-stranded region of 19 base pairs with a two deoxythymidine overhang on each strand (referred to as 21/21 dsRNA).
LacZ dsRNA (21/21) - RISC Activator Sense 5'-CUACACAAAUCAGCGAUUUdTdT-S' (SEQ ID NO:1)
Antisense 3'-dTdTGAUGUGUUUAGUCGCUAAA-5' (SEQ ID NO:2)
The Dicer substrate LacZ dsRNA comprises a 25 nucleotide sense strand and a 27 nucleotide antisense strand, which can anneal to form a double-stranded region of 25 base pairs with one blunt end and a cytidine and uridine overhang on the other end (referred to as 25/27 dsRNA).
LacZ dsRNA (25/27) - Dicer Substrate
Sense 5'-CUACACAAAUCAGCGAUUUCCAUdGdT-S' (SEQ ID NO:3)
Antisense 3'-CUGAUGUGUUUAGUCGCUAAAGGUA C A - S' (SEQ ID NO:4)
The LacZ mdRNA comprises two sense strands of 13 nucleotides (5 '-portion) and 11 nucleotides (3 '-portion) and a 27 nucleotide antisense strand, which three strands can anneal to form two double-stranded regions of 13 and 11 base pairs separated by a single nucleotide gap (referred to as a 13, 11/27 mdRNA). The 5'-end of the 11 nucleotide sense strand fragment may be optionally phosphorylated. The "*" indicates a gap - in this case, a single nucleotide gap (i.e., a cytidine is missing).
LacZ mdRNA (13, 11/27) - Dicer Substrate
Sense 5'-CUACACAAAUCAG*GAUUUCCAUdGdT-3> (SEQ ID NOS:5, 6)
Antisense 3'-CUGAUGUGUUUAGUCGCUAAAGGUA C A - S' (SEQ ID NO:4)
Each of the LacZ dsRNA or mdRNA was used to transfect 91acZ/R cells. Transfection
Six well collagen-coated plates were seeded with 5 x 105 91acZ/R cells/well in a 2 ml volume per well, and incubated overnight at 370C / 5% CO2 in DMEM/high glucose media. Preparation for transfection: 250 μl of OPTIMEM media without serum was mixed with 5 μl of 20 pmol/μl dsRNA and 5μl of HIPERFECT transfection solution (Qiagen) was mixed with another 250 μl OPTIMEM media. After both mixtures were allowed to equilibrate for
5 minutes, the RNA and transfection solutions were combined and left at room temperature for 20 minutes to form transfection complexes. The final concentration of HIPERFECT was 50 μM, and the dsRNAs were tested at 0.05nM, O.lnM, 0.2nM, 0.5nM, InM, 2nM, 5nM, and 1OnM, while the mdRNA was tested at 0.2nM, 0.5nM, InM, 2nM, 5nM, 1OnM, 2OnM, and 5OnM. Complete media was removed, the cells were washed with incomplete OPTIMEM, and then 500 μl transfection mixture was applied to the cells, which were incubated with gentle shaking at 370C for 4 hours. After transfecting, the transfection media was removed, cells were washed once with complete DMEM/high glucose media, fresh media added, and the cells were then incubated for 48 hours at 370C, 5% CO2. β-Galactosidase Assay
Transfected cells were washed with PBS, and then detached with 0.5 ml trypsin/EDTA. The detached cells were suspended in 1 ml complete DMEM/high glucose and transferred to a clean tube. The cells were harvested by centrifugation at 250 x g for 5 minutes, and then resuspended in 50 μl Ix lysis buffer at 40C. The lysed cells were subjected to two freeze-thaw cycles on dry ice and a 370C water bath. The lysed samples were centrifuged for 5 minutes at 40C and the supernatant was recovered. For each sample, 1.5 μl and 10 μl of lysate was transferred to a clean tube and sterile water added to a final volume of 30 μl followed by the addition of 70 μl o-nitrophenyl-β-D-galactopyranose (ONPG) and 200 μl Ix cleavage buffer with β-mercaptoethanol. The samples were mixed briefly, incubated for 30 minutes at 370C, and then 500 μl stop buffer was added (final volume 800 μl). β-Galactosidase activity for each sample was measured in disposable cuvettes at 420 nm. Protein concentration was determined by the BCA (bicinchoninic acid) method. For the purpose of the instant example, the level of measured LacZ activity was correlated with the quantity of LacZ transcript within 9L/LacZ cells. Thus, a reduction in β-galactosidase activity after dsRNA transfection, absent a negative
impact on cell viability, was attributed to a reduction in the quantity of LacZ transcripts resulting from targeted degradation mediated by the LacZ dsRNA.
Results
Knockdown activity in transfected and untransfected cells was normalized to a Qneg control dsRNA and presented as a normalized value of the Qneg control (i.e., Qneg represented 100% or "normal" gene expression levels). Both the lacZ RISC activator and Dicer substrate dsRNAs molecule showed good knockdown of β-galactosidase activity at concentration as low as 0.1 nM (Figure 2), while the Dicer substrate antisense strand alone (single stranded 27mer) had no silencing effect. Surprisingly, a gapped mdRNA showed good knockdown although somewhat lower than that of intact RISC activator and Dicer substrate dsRNAs (Figure 2). The presence of the gapmer cytidine (i.e., the missing nucleotide) at various concentrations (0.1 μM to 50 μM) had no effect on the activity of the mdRNA (data not shown). None of the dsRNA or mdRNA solutions showed any detectable toxicity in the transfected 9L/LacZ cells. The IC50 of the lacZ mdRNA was calculated to be 3.74 nM, which is about 10 fold lower than what had been previously measured for lacZ dsRNA 21/21 (data not shown). These results show that a meroduplex (gapped dsRNA) is capable of inducing gene silencing.
EXAMPLE 3 KNOCKDOWN OF INFLUENZA GENE EXPRESSION BY NICKED DSRNA
The activity of a nicked dsRNA (21/21) in silencing influenza gene expression as compared to a normal dsRNA (i.e., not having a nick) was examined.
Nucleotide Sequences of dsRNA and mdRNA Targeting Influenza mRNA
The dsRNA and nicked dsRNA (another form of meroduplex, referred to herein as ndsRNA) are shown below and were synthesized using standard techniques. The RISC activator influenza G 1498 dsRNA comprises a 21 nucleotide sense strand and a 21 nucleotide antisense strand, which can anneal to form a double-stranded region of 19 base pairs with a two deoxythymidine overhang on each strand.
G1498-wt dsRNA (21/21)
Sense 5'-GGAUCUUAUUUCUUCGGAGdTdT-S' (SEQ ID NO:7)
Antisense 3'-dTdTCCUAGAAUAAAGAAGCCUC-5' (SEQ ID NO:8)
The RISC activator influenza G1498 dsRNA was nicked on the sense strand after nucleotide 11 to produce a ndsRNA having two sense strands of 11 nucleotides (5 '-portion, italic) and 10 nucleotides (3 '-portion) and a 21 nucleotide antisense strand, which three strands
can anneal to form two double-stranded regions of 11 (shown in italics) and 10 base pairs separated by a one nucleotide gap (which may be referred to as G1498 11, 10/21 ndsRNA-wt). The 5 '-end of the 10 nucleotide sense strand fragment may be optionally phosphorylated, as depicted by a "p" preceding the nucleotide (e.g., pC).
G1498 ndsRNA-wt (11, 10/21)
Sense 5'- GGAUCUUAUUUCXJUCGGAGdTdT-I' (SEQ ID N0:9, 10)
Antisense 3'-dTdTCCUAGAAUAAAGAAGCCUC-5' (SEQ ID NO:8)
G1498 ndsRNA-wt (11, 10/21)
Sense 5'- GGAUCUUAUUUpCUUCGGAGdTdT -3' (SEQ ID NOS:9, 10) Antisense 3'-dTdTCCUAGAAUAAAGAAGCCUC-5' (SEQ ID NO:8)
In addition, each of these G 1498 dsRNAs were made with each U substituted with a 5-methyluridine (ribothymidine) and are referred to as G1498 dsRNA-rT. Each of the G1498 dsRNA or ndsRNA (meroduplex), with or without the 5-methyluridine substitution, was used to transfect HeLa S3 cells having an influenza target sequence associated with a luciferase gene. Also, the G 1498 antisense strand alone or the antisense strand annealed to the 11 nucleotide sense strand portion alone or the 10 nucleotide sense strand portion alone were examined for activity.
Transfection and Dual Luciferase Assay
The reporter plasmid psiCHECK™-2 (Promega, Madison, WI), which constitutively expresses both firefly Iuc2 (Photinus pyralis) and Renilla (Renilla reniformis, also known as sea pansy) luciferases, was used to clone in a portion of the influenza NP gene downstream of the Renilla translational stop codon that results in a i?em7/α-influenza NP fusion mRNA. The firefly luciferase in the psiCHECK™-2 vector is used to normalize Renilla luciferase expression and serves as a control for transfection efficiency. Multi-well plates were seeded with HeLa S3 cells/well in 100 μl Ham's F 12 medium and
10% fetal bovine serum, and incubated overnight at 370C / 5% CO2. The HeLa S3 cells were transfected with the psiCHECK™-infiuenza plasmid (75 ng) and G 1498 dsRNA or ndsRNA (final concentration of 10 nM or 100 nM) formulated in Lipofectamine™ 2000 and OPTIMEM reduced serum medium. The transfection mixture was incubated with the HeLa S3 cells with gentle shaking at 370C for about 18 to 20 hours.
After transfecting, firefly luciferase reporter activity was measured first by adding Dual- Glo™ Luciferase Reagent (Promega, Madison, WI) for 10 minutes with shaking, and then quantitating the luminescent signal using a VICTOR3™ 1420 Multilabel Counter (PerkinElmer,
Waltham, MA). After measuring the firefly luminescence, Stop & Glo® Reagent (Promega, Madison, WI) was added for 10 minutes with shaking to simultaneously quench the firefly reaction and initiate the Renilla luciferase reaction, and then the Renilla luciferase luminescent signal was quantitated VICTOR3™ 1420 Multilabel Counter (PerkinElmer, Waltham, MA).
Results
Knockdown activity in transfected and untransfected cells was normalized to a Qneg control dsRNA and presented as a normalized value of the Qneg control {i.e., Qneg represented 100% or "normal" gene expression levels). Thus, a smaller value indicates a greater knockdown effect. The G 1498 dsRNA-wt and dsRNA-rT showed similar good knockdown at a 100 nM concentration (Figure 3). Surprisingly, the G1498 ndsRNA-rT, whether phosphorylated or not, showed good knockdown although somewhat lower than the G1498 dsRNA-wt (Figure 3). Similar results were obtained with dsRNA or ndsRNA at 10 nM (data not shown). None of the G 1498 dsRNA or ndsRNA solutions showed any detectable toxicity in HeLa S3 cells at either 10 nM or 100 nM. Even the presence of only half a nicked sense strand (an 11 nucleotide or 10 nucleotide strand alone) with a G 1498 antisense strand showed some detectable activity. These results show that a nicked-type meroduplex dsRNA molecule is unexpectedly capable of promoting gene silencing.
EXAMPLE 4
KNOCKDOWN ACTIVITY OF NICKED MDRNA In this example, the activity of a dicer substrate LacZ dsRNA of Example 1 having a sense strand with a nick at various positions was examined. In addition, a dideoxy nucleotide {i.e., ddG) was incorporated at the 5 '-end of the 3 '-most strand of a sense sequence having a nick or a single nucleotide gap to determine whether the in vivo ligation of the nicked sense strand is "rescuing" activity. The ddG is not a substrate for ligation. Also examined was the influenza dicer substrate dsRNA of Example 7 having a sense strand with a nick at one of positions 8 to 14. The "p" designation indicates that the 5'-end of the 3'-most strand of the nicked sense influenza sequence was phosphorylated. The "L" designation indicates that the G at position 2 of the 5 '-most strand of the nicked sense influenza sequence was substituted for a locked nucleic acid G. The Qneg is a negative control dsRNA. The dual fluorescence assay of Example 3 was used to measure knockdown activity with
5 nM of the LacZ sequences and 0.5 nM of the influenza sequences. The lacZ dicer substrate (25/27, LacZ-DS) and lacZ RISC activator (21/21, LacZ) are equally active, and the LacZ-DS can be nicked in any position between 8 and 14 without affecting activity (Figure 3). In
addition, the inclusion of a ddG on the 5'-end of the 3'-most LacZ sense sequence having a nick (LacZ:DSNkdl3-3'dd) or a one nucleotide gap (LacZ:DSNkdl3Dl-3'dd) was essentially as active as the unsubstituted sequence (Figure 4). The influenza dicer substrate (G1498DS) nicked at any one of positions 8 to 14 was also highly active (Figure 5). Phosphorylation of the 5 '-end of the 3 '-most strand of the nicked sense influenza sequence had essentially no effect on activity, but addition of a locked nucleic acid appears to improve activity.
EXAMPLE 5 MEAN INHIBITORY CONCENTRATION OF MDRNA
In this example, a dose response assay was performed to measure the mean inhibitory concentration (IC50) of the influenza dicer substrate dsRNA of Example 8 having a sense strand with a nick at position 12, 13, or 14, including or not a locked nucleic acid. The dual luciferase assay of Example 2 was used. The influenza dicer substrate dsRNA (G1498DS) was tested at 0.0004 nM, 0.002 nM, 0.005 nM, 0.019 nM, 0.067 nM, 0.233 nM, 0.816 nM, 2.8 nM, and 1OnM, while the mdRNA with a nick at position 13 (G1498DS:Nkdl3) was tested at 0.001 nM, 0.048 nM, 0.167 nM, 1 nM, 2 nM, 7 nM, and 25 nM (see Figure 6). Also tested were RISC activator molecules (21/21) with or without a nick at various positions (including G1498DS:Nkdl 1, G1498DS:Nkdl2, and G1498DS:Nkdl4), each of the nicked versions with a locked nucleic acid as described above (data not shown). The Qneg is a negative control dsRNA. The IC50 of the RISC activator G 1498 was calculated to be about 22 pM, while the dicer substrate G1498DS IC50 was calculated to be about 6 pM. The IC50 of RISC and Dicer mdRNAs range from about 200 pM to about 15 nM. The inclusion of a single locked nucleic acid reduced the IC50 of Dicer mdRNAs by up 4 fold (data not shown). These results show that a meroduplex dsRNA having a nick or gap in any position is capable of inducing gene silencing.
EXAMPLE 6
KNOCKDOWN ACTIVITY OF GAPPED MDRNA
The activity of an influenza dicer substrate dsRNA having a sense strand with a gap of differing sizes and positions was examined. The influenza dicer substrate dsRNA of Example 8 was generated with a sense strand having a gap of 0 to 6 nucleotides at position 8, a gap of 4 nucleotides at position 9, a gap of 3 nucleotides at position 10, a gap of 2 nucleotides at position 11, and a gap of 1 nucleotide at position 12 (see Table 2). The Qneg is a negative control dsRNA. Each of the mdRNAs was tested at a concentration of 5 nM (data not shown) and
10 nM. The mdRNAs have the following antisense strand
5'-CAUUGUCUCCGAAGAAAUAAGAUCCUU (SEQ ID NO:11), and nicked or gapped sense strands as shown in Table 2.
Table 2.
* % KD means percent knockdown activity.
The dual fluorescence assay of Example 2 was used to measure knockdown activity. Similar results were obtained at both the 5 nM and 10 nM concentrations. These data show that an mdRNA having a gap of up to 6 nucleotides still has activity, although having four or fewer missing nucleotides shows the best activity (see, also, Figure 7). Thus, mdRNA having various sizes gaps that are in various different positions have knockdown activity.
To examine the general applicability of a sequence having a sense strand with a gap of differing sizes and positions, a different dsRNA sequence was tested. The lacZ RISC dsRNA of Example 1 was generated with a sense strand having a gap of 0 to 6 nucleotides at position 8, a gap of 5 nucleotides at position 9, a gap of 4 nucleotides at position 10, a gap of 3 nucleotides at position 11, a gap of 2 nucleotides at position 12, a gap of 1 nucleotide at position 12, and a nick (gap of 0) at position 14 (see Table 3). The Qneg is a negative control dsRNA. Each of the mdRNAs was tested at a concentration of 5 nM (data not shown) and 25 nM. The lacZ mdRNAs have the following antisense strand 5'-AAAUCGCUGAUUUGUGUAGdTdTUAAA (SEQ ID NO:2) and nicked or gapped sense strands as shown in Table 3.
Table 3.
* A indicates a locked nucleic acid A in each sense strand.
The dual fluorescence assay of Example 3 was used to measure knockdown activity. Figure 8 shows that an mdRNA having a gap of up to 6 nucleotides has substantial activity and the position of the gap may affect the potency of knockdown. Thus, mdRNA having various sizes gaps that are in various different positions and in different mdRNA sequences have knockdown activity.
EXAMPLE 7 KNOCKDOWN ACTIVITY OF SUBSTITUTED MDRNA The activity of an influenza dsRNA RISC sequences having a nicked sense strand and the sense strands having locked nucleic acid substitutions were examined. The influenza RISC sequence G 1498 of Example 3 was generated with a sense strand having a nick at positions 8 to 14 counting from the 5 '-end. Each sense strand was substituted with one or two locked nucleic acids as shown in Table 4. The Qneg and Plasmid are negative controls. Each of the mdRNAs was tested at a concentration of 5 nM. The antisense strand used was 5'- CUCCGAAGAAAUAAGAUCCdTdT (SEQ ID NO:8).
Table 4.
* Nucleotides that are bold and underlined are locked nucleic acids.
The dual fluorescence assay of Example 3 was used to measure knockdown activity. These data show that increasing the number of locked nucleic acid substitutions tends to increase activity of an mdRNA having a nick at any of a number of positions. The single locked nucleic acid per sense strand appears to be most active when the nick is at position 11 (see Figure 9). But, multiple locked nucleic acids on each sense strand make mdRNA having a nick at any position as active as the most optimal nick position with a single substitution (i.e., position 11) (Figure 9). Thus, mdRNA having duplex stabilizing modifications make mdRNA essentially equally active regardless of the nick position.
Similar results were observed when locked nucleic acid substitutions were made in the LacZ dicer substrate mdRNA of Example 2 (SEQ ID NOS :3 and 4). The lacZ dicer was nicked at positions 8 to 14, and a duplicate set of nicked LacZ dicer molecules were made with the exception that the A at position 3 (from the 5 '-end) of the 5' sense strand was substituted for a locked nucleic acid A (LNA-A). As is evident from Figure 10, most of the nicked lacZ dicer molecules containing LNA-A were as potent in knockdown activity as the unsubstituted lacZ dicer.
19
EXAMPLE 7 MDRNA KNOCKDOWN OF INFLUENZA VIRUS TITER
The activity of a dicer substrate nicked dsRNA in reducing influenza virus titer as compared to a wild-type dsRNA (i.e., not having a nick) was examined. The influenza dicer substrate sequence (25/27) is as follows:
Sense 5'-GGAUCUUAUUUCUUCGGAGACAAdTdG (SEQ ID NO :62) Antisense 5'-CAUUGUCUCCGAAGAAAUAAGAUCCUU (SEQ ID NO: 11)
The mdRNA sequences have a nicked sense strand after position 12, 13, and 14, respectively, as counted from the 5'-end, and the G at position 2 is substituted with locked nucleic acid G. For the viral infectivity assay, Vero cells were seeded at 6.5 x 104 cells/well the day before transfection in 500 μl 10% FBS/DMEM media per well. Samples of 100, 10, 1, 0.1, and 0.01 nM stock of each dsRNA were complexed with 1.0 μl (1 mg/ml stock) of Lipofectamine™ 2000 (Invitrogen, Carlsbad, CA) and incubated for 20 minutes at room temperature in 150 μl OPTIMEM (total volume) (Gibco, Carlsbad, CA). Vero cells were washed with OPTIMEM, and 150 μl of the transfection complex in OPTIMEM was then added to each well containing 150 μl of OPTIMEM media. Triplicate wells were tested for each condition. An additional control well with no transfection condition was prepared. Three hours post transfection, the media was removed. Each well was washed once with 200 μl PBS containing 0.3% BSA and 10 mM HEPES/PS. Cells in each well were infected with WSN strain of influenza virus at an MOI 0.01 in 200 μl of infection media containing 0.3% BSA/10 mM HEPES/PS and 4 μg/ml trypsin. The plate was incubated for 1 hour at 37°C. Unadsorbed virus was washed off with the 200 μl of infection media and discarded, then 400 μl DMEM containing 0.3% BSA/10 mM HEPES/PS and 4 μg/ml trypsin was added to each well. The plate was incubated at 37°C, 5% CO2 for 48 hours, then 50 μl supernatant from each well was tested in duplicate by TCID50 assays (50% Tissue-Culture Infective Dose, WHO protocol) in MDCK cells and titers were estimated using the Spearman and Karber formula. The results show that these mdRNAs show about a 50% to 60% viral titer knockdown, even at a concentration as low aslO pM (Figure 11).
An in vivo influenza mouse model was also used to examine the activity of a dicer substrate nicked dsRNA in reducing influenza virus titer as compared to a wild-type dsRNA (i.e., not having a nick). Female BALB/c mice (age 8-10 weeks with 5-10 mice per group) were dosed intranasally with 120 nmol/kg/day dsRNA (formulated in C12-norArg(NH3+Cr)- C12/DSPE-PEG2000/DSPC/cholesterol at a ratio of 30:1 :20:49) for three consecutive days before intranasal challenge with influenza strain PR8 (20 PFU/mouse). Two days after infection, whole lungs are harvested from each mouse and placed in a solution of PBS/0.3%
BSA with antibiotics, homogenize, and measure the viral titer (TCID50). Doses were well tolerated by the mice, indicated by less than 2% body weight reduction in any of the dose groups. The mdRNAs tested exhibit similar, if not slightly greater, virus reduction in vivo as compared to unmodified and unnicked G1498 dicer substrate (see Figure 12). Hence, mdRNA are active in vivo.
EXAMPLE 8 EFFECT OF MDRNA ON CYTOKINE INDUCTION
The effect of the mdRNA structure on cytokine induction in vivo was examined. Female BALB/c mice (age 7-9 weeks) were dosed intranasally with about 50 μM dsRNA (formulated in C12-norArg(NH3+Cl-)-C12/DSPE-PEG2000/DSPC/cholesterol at a ratio of 30:1 :20:49) or with 605 nmol/kg/day naked dsRNA for three consecutive days. About four hours after the final dose is administered, the mice were sacrificed to collect bronchoalveolar fluid (BALF), and collected blood is processed to serum for evaluation of the cytokine response. Bronchial lavage was performed with 0.5 mL ice-cold 0.3% BSA in saline two times for a total of 1 mL. BALF was spun and supernatants collected and frozen until cytokine analysis. Blood was collected from the vena cava immediately following euthanasia, placed into serum separator tubes, and allowed to clot at room temperature for at least 20 minutes. The samples were processed to serum, aliquoted into Millipore ULTRAFREE 0.22 μm filter tubes, spun at 12,000 rpm, frozen on dry ice, and then stored at -7O0C until analysis. Cytokine analysis of BALF and plasma were performed using the Procarta™ mouse 10-Plex Cytokine Assay Kit (Panomics, Fremont, CA) on a Bio-Plex™ array reader. Toxicity parameters were also measured, including body weights, prior to the first dose on day 0 and again on day 3 (just prior to euthanasia). Spleens were harvested and weighed (normalized to final body weight). The results are provided in Table 5.
Table 5. In vivo Cytokine Induction by Naked mdRNA
The mdRNA (RISC or dicer sized) induced cytokines to lesser extent than the intact (i.e., not nicked) parent molecules. The decrease in cytokine induction was greatest when looking at IL-12(p40), the cytokine with consistently the highest levels of induction of the 10 cytokine multiplex assay. For the mdRNA, the decrease in IL- 12 (p40) ranges from 25- to 56-fold, while the reduction in either IL-6 or TNFα induction was more modest (the decrease in these two cytokines ranges from 2- to 10-fold). Thus, the mdRNA structure appears to provide an advantage in vivo in that cytokine induction is minimized compared to unmodified dsRNA.
Similar results were obtained with the formulated mdRNA, although the reduction in induction was not as prominent. In addition, the presence or absence of a locked nucleic acid has no effect on cytokine induction. These results are shown in Table 6.
The teachings of all of references cited herein including patents, patent applications, journal articles, wedpages, tables, and priority documents are incorporated herein in their entirety by reference. Although the foregoing disclosure has been described in detail by way of example for purposes of clarity of understanding, it will be apparent to the artisan that certain changes and modifications may be practiced within the scope of the appended claims which are presented by way of illustration not limitation. In this context, various publications and other references have been cited within the foregoing disclosure for economy of description. It is noted, however, that the various publications discussed herein are incorporated solely for their disclosure prior to the filing date of the present application, and the inventors reserve the right to antedate such disclosure by virtue of prior invention.
Claims
1. A meroduplex ribonucleic acid (mdRNA) molecule, comprising a first strand of 15 to 40 nucleotides in length that is complementary to a portion of any one of a human matrix metalloproteinase (MMP) 9 mRNA as set forth in SEQ ID NO: 1158, human MMP 13 mRNA as set forth in SEQ ID NO: 1386, human MMP14 mRNA as set forth in SEQ ID NO: 1653, human MMP 19 mRNA as set forth in SEQ ID NO: 1997, or human MMP26 mRNA as set forth in SEQ ID NO: 2316, and a second strand and a third strand that are each complementary to non-overlapping regions of the first strand, wherein the second strand and third strand can anneal with the first strand to form at least two double-stranded regions spaced apart by up to 10 nucleotides and thereby forming a gap between the second and third strands.
2. The mdRNA molecule of claim 1 wherein the first strand is 15 to 25 nucleotides in length or 26 to 40 nucleotides in length.
3. The mdRNA molecule of claim 1 wherein the gap is a nick or the gap comprises at least one unpaired nucleotide in the first strand positioned between the double-stranded regions formed by the second and third strands when annealed to the first strand.
4. The mdRNA molecule of claim 1 wherein at least one uridine of the mdRNA molecule is a 5-methyluridine, 2-thioribothymidine, or 2'-O-methyl-5-methyluridine.
5. The mdRNA molecule of claim 1 wherein the mdRNA molecule comprises at least one locked nucleic acid (LNA) molecule, deoxy nucleotide, G clamp, 2'-sugar modification, modified internucleoside linkage, or any combination thereof.
6. The mdRNA molecule of claim 1 wherein the mdRNA contains at least one 3'- overhang comprising one to four nucleotides that are not part of the gap or wherein the mdRNA has a blunt end at one or both ends of the mdRNA.
7. The mdRNA molecule of claim 1 wherein the third strand comprises a 5 '-terminal end comprising a hydroxyl or a phosphate.
8. An mdRNA molecule, comprising a first strand of 15 to 40 nucleotides in length that is complementary to any one of human MMP9 mRNA as set forth in SEQ ID NO: 1158, human MMP 13 mRNA as set forth in SEQ ID NO: 1386, human MMP 14 mRNA as set forth in SEQ ID NO: 1653, human MMP19 mRNA as set forth in SEQ ID NO: 1997, or human MMP26 mRNA as set forth in SEQ ID NO:2316, and a second strand and a third strand that are each complementary to non-overlapping regions of the first strand, wherein the second strand and third strands can anneal with the first strand to form at least two double-stranded regions spaced apart by up to 10 nucleotides and thereby forming a gap between the second and third strands, and wherein at least one pyrimidine of the mdRNA comprises a pyrimidine nucleoside according to Formula I or II:
wherein:
R1 and R2 are each independently a -H, -OH, -OCH3, -OCH2OCH2CH3,
-OCH2CH2OCH3, halogen, substituted or unsubstituted Ci-Cio alkyl, alkoxy, alkoxyalkyl, hydroxyalkyl, carboxyalkyl, alkylsulfonylamino, aminoalkyl, dialkylamino, alkylaminoalkyl, dialkylaminoalkyl, haloalkyl, trifluoromethyl, cycloalkyl, (cycloalkyl)alkyl, substituted or unsubstituted C2-CiO alkenyl, substituted or unsubstituted -O-allyl, -0-CH2CH=CH2, -0-CH=CHCH3, substituted or unsubstituted C2-CiO alkynyl, carbamoyl, carbamyl, carboxy, carbonylamino, substituted or unsubstituted aryl, substituted or unsubstituted aralkyl, -NH2, -NO2, -C≡N, or heterocyclo group,
R3 and R4 are each independently a hydroxyl, a protected hydroxyl, a phosphate, or an internucleoside linking group, and
R5 and R8 are each independently O or S.
9. The mdRNA molecule of claim 8 wherein the first strand is 15 to 25 nucleotides in length or 26 to 40 nucleotides in length.
10. The mdRNA molecule of claim 8 wherein the gap is a nick or the gap comprises at least one unpaired nucleotide in the first strand positioned between the double-stranded regions formed by the second and third strands when annealed to the first strand.
11. The mdRNA molecule of claim 8 wherein at least one nucleoside is according to Formula I and in which R1 is methyl and R2 is -OH or -O-methyl.
12. The mdRNA molecule of claim 8 wherein at least one R2 is selected from the group consisting of 2'-0-(Ci-C5) alkyl, 2'-O-methyl, 2'-OCH2OCH2CH3, 2'-OCH2CH2OCH3, 2'-0-allyl, and 2'-fluoro.
13. The mdRNA molecule of claim 8 wherein at least one uridine of the mdRNA molecule is a 5-methyluridine, 2-thioribothymidine, or 2'-O-methyl-5-methyluridine.
14. The mdRNA molecule of claim 8 wherein the mdRNA molecule comprises at least one LNA, deoxy nucleotide, G clamp, 2'-sugar modification, modified internucleoside linkage, or any combination thereof.
15. The mdRNA molecule of claim 8 wherein the mdRNA contains at least one 3 '-overhang comprising one to four nucleotides that is not a part of the gap or wherein the mdRNA molecule has a blunt end on one or both ends of the mdRNA molecule.
16. An mdRNA molecule, comprising a first strand that is complementary to any one of human MMP9 mRNA as set forth in SEQ ID NO: 1158, human MMP 13 mRNA as set forth in SEQ ID NO: 1386, human MMP14 mRNA as set forth in SEQ ID NO: 1653, human MMP19 mRNA as set forth in SEQ ID NO: 1997, or human MMP26 mRNA as set forth in SEQ ID NO:2316, and a second strand and a third strand that are each complementary to non-overlapping regions of the first strand, wherein the second strand and third strands can anneal with the first strand to form at least two double-stranded regions spaced apart by up to 10 nucleotides and thereby forming a gap between the second and third strands, and wherein the combined double-stranded regions total about 15 base pairs to about 40 base pairs.
17. The mdRNA molecule of claim 16 wherein the first strand is 15 to 25 nucleotides in length or 26 to 40 nucleotides in length.
18. The mdRNA molecule of claim 16 wherein the gap is a nick or the gap comprises at least one unpaired nucleotide in the first strand positioned between the double-stranded regions formed by the second and third strands when annealed to the first strand.
19. The mdRNA molecule of claim 16 wherein at least one uridine of the mdRNA molecule is a 5-methyluridine, 2-thioribothymidine, or 2'-O-methyl-5-methyluridine.
20. The mdRNA molecule of claim 1, wherein the first strand is 19 to 23 nucleotides in length and is complementary to a human MMP9 nucleic acid sequence as set forth in any one of SEQ ID NOS: 1159-1385, or human MMP13 nucleic acid sequence as set forth in any one of SEQ ID NOS: 1387-1652, or human MMP 14 nucleic acid sequence as set forth in any one of SEQ ID NOS: 1654- 1996, or human MMP 19 nucleic acid sequence as set forth in any one of SEQ ID NOS: 1998-2315, or human MMP26 nucleic acid sequence as set forth in any one of SEQ ID NOS:2317-2414.
21. The mdRNA molecule of claim 1 , wherein the first strand is 25 to 29 nucleotides in length and is complementary to a human MMP9 nucleic acid sequence as set forth in any one of SEQ ID NOS: 1159-1385, or human MMP13 nucleic acid sequence as set forth in any one of SEQ ID NOS: 1387-1652, or human MMP 14 nucleic acid sequence as set forth in any one of SEQ ID NOS: 1654- 1996, or human MMP 19 nucleic acid sequence as set forth in any one of SEQ ID NOS: 1998-2315, or human MMP26 nucleic acid sequence as set forth in any one of SEQ ID NOS:2317-2414.
22. A method for reducing the expression of a human MMP gene, comprising administering an mdRNA molecule according to any one of claims 1-21 to a cell expressing an MMP9, MMP 13, MMP 14, MMP 19, or MMP26 gene, wherein the mdRNA molecule reduces expression of the MMP9, MMP 13, MMP 14, MMP 19, or MMP26 gene in the cell.
23. The method according to claim 22 wherein the cell is human.
24. Use of an mdRNA as defined in any one of the preceding claims for the manufacture of a medicament for use in the therapy of a hyperproliferative or inflammatory disease.
Priority Applications (2)
| Application Number | Priority Date | Filing Date | Title |
|---|---|---|---|
| US12/552,082 US20100105134A1 (en) | 2007-03-02 | 2009-09-01 | Nucleic acid compounds for inhibiting gene expression and uses thereof |
| US13/327,545 US20130011922A1 (en) | 2007-03-02 | 2011-12-15 | Nucleic acid compounds for inhibiting gene expression and uses thereof |
Applications Claiming Priority (14)
| Application Number | Priority Date | Filing Date | Title |
|---|---|---|---|
| US93494007P | 2007-03-02 | 2007-03-02 | |
| US60/934,940 | 2007-03-02 | ||
| US93493007P | 2007-03-16 | 2007-03-16 | |
| US60/934,930 | 2007-03-16 | ||
| US98774007P | 2007-11-13 | 2007-11-13 | |
| US60/987,740 | 2007-11-13 | ||
| US98808307P | 2007-11-14 | 2007-11-14 | |
| US98807607P | 2007-11-14 | 2007-11-14 | |
| US98807907P | 2007-11-14 | 2007-11-14 | |
| US98808207P | 2007-11-14 | 2007-11-14 | |
| US60/988,082 | 2007-11-14 | ||
| US60/988,076 | 2007-11-14 | ||
| US60/988,083 | 2007-11-14 | ||
| US60/988,079 | 2007-11-14 |
Related Parent Applications (1)
| Application Number | Title | Priority Date | Filing Date |
|---|---|---|---|
| PCT/US2008/055611 Continuation-In-Part WO2008109497A1 (en) | 2007-03-02 | 2008-03-03 | Nucleic acid compounds for inhibiting folh1 gene expression and uses thereof |
Related Child Applications (3)
| Application Number | Title | Priority Date | Filing Date |
|---|---|---|---|
| PCT/US2008/055606 Continuation-In-Part WO2008109494A1 (en) | 2007-03-02 | 2008-03-03 | Nucleic acid compounds for inhibiting stat3 gene expression and uses thereof |
| AU2009212920A Division AU2009212920A1 (en) | 2007-03-02 | 2009-09-01 | Nucleic acid compounds for inhibiting gene expression and uses thereof |
| US12/552,082 Continuation-In-Part US20100105134A1 (en) | 2007-03-02 | 2009-09-01 | Nucleic acid compounds for inhibiting gene expression and uses thereof |
Publications (2)
| Publication Number | Publication Date |
|---|---|
| WO2008109468A1 true WO2008109468A1 (en) | 2008-09-12 |
| WO2008109468B1 WO2008109468B1 (en) | 2008-12-04 |
Family
ID=39638663
Family Applications (1)
| Application Number | Title | Priority Date | Filing Date |
|---|---|---|---|
| PCT/US2008/055548 Ceased WO2008109468A1 (en) | 2007-03-02 | 2008-02-29 | Nucleic acid compounds for inhibiting mmp gene expression and uses thereof |
Country Status (1)
| Country | Link |
|---|---|
| WO (1) | WO2008109468A1 (en) |
Cited By (2)
| Publication number | Priority date | Publication date | Assignee | Title |
|---|---|---|---|---|
| US9074205B2 (en) | 2006-10-18 | 2015-07-07 | Marina Biotech, Inc. | Nicked or gapped nucleic acid molecules and uses thereof |
| WO2022168053A3 (en) * | 2021-02-08 | 2022-09-29 | Galderma Holding SA | Reduction of gene expression for the use for treating acne |
Citations (5)
| Publication number | Priority date | Publication date | Assignee | Title |
|---|---|---|---|---|
| US20050233997A1 (en) * | 2001-05-18 | 2005-10-20 | Sirna Therapeutics, Inc. | RNA interference mediated inhibition of matrix metalloproteinase 13 (MMP13) gene expression using short interfering nucleic acid (siNA) |
| WO2006055727A2 (en) * | 2004-11-18 | 2006-05-26 | The Board Of Trustees Of The University Of Illinois | MULTICISTRONIC siRNA CONSTRUCTS TO INHIBIT TUMORS |
| WO2007056153A2 (en) * | 2005-11-04 | 2007-05-18 | Nastech Pharmaceutical Company Inc. | Peptide-dicer substrate rna conjugates as delivery vehicles for sirna |
| WO2007107162A2 (en) * | 2006-03-23 | 2007-09-27 | Santaris Pharma A/S | Small internally segmented interfering rna |
| WO2008049078A1 (en) * | 2006-10-18 | 2008-04-24 | Nastech Pharmaceutical Company Inc. | Nicked or gapped nucleic acid molecules and uses thereof |
-
2008
- 2008-02-29 WO PCT/US2008/055548 patent/WO2008109468A1/en not_active Ceased
Patent Citations (5)
| Publication number | Priority date | Publication date | Assignee | Title |
|---|---|---|---|---|
| US20050233997A1 (en) * | 2001-05-18 | 2005-10-20 | Sirna Therapeutics, Inc. | RNA interference mediated inhibition of matrix metalloproteinase 13 (MMP13) gene expression using short interfering nucleic acid (siNA) |
| WO2006055727A2 (en) * | 2004-11-18 | 2006-05-26 | The Board Of Trustees Of The University Of Illinois | MULTICISTRONIC siRNA CONSTRUCTS TO INHIBIT TUMORS |
| WO2007056153A2 (en) * | 2005-11-04 | 2007-05-18 | Nastech Pharmaceutical Company Inc. | Peptide-dicer substrate rna conjugates as delivery vehicles for sirna |
| WO2007107162A2 (en) * | 2006-03-23 | 2007-09-27 | Santaris Pharma A/S | Small internally segmented interfering rna |
| WO2008049078A1 (en) * | 2006-10-18 | 2008-04-24 | Nastech Pharmaceutical Company Inc. | Nicked or gapped nucleic acid molecules and uses thereof |
Non-Patent Citations (5)
| Title |
|---|
| BRAMSEN J B ET AL: "Improved silencing properties using small internally segmented interfering RNAs", NUCLEIC ACIDS RESEARCH, OXFORD UNIVERSITY PRESS, SURREY, GB, vol. 35, no. 17, 28 July 2007 (2007-07-28), pages 5886 - 5897, XP002467844, ISSN: 0305-1048 * |
| HAGERMAN K R AND HAGERMAN P J: "Helix rigidity of DNA: the meroduplex as an experimental paradigm", JOURNAL OF MOLECULAR BIOLOGY,, vol. 260, 1 January 1996 (1996-01-01), pages 207 - 223, XP002484999 * |
| LEUSCHNER PHILIPP J F ET AL: "Cleavage of the siRNA passenger strand during RISC assembly in human cells", EMBO REPORTS, NATURE PUBLISHING GROUP, LONDON, GB, vol. 7, no. 3, 1 March 2006 (2006-03-01), pages 314 - 320, XP002443952, ISSN: 1469-221X * |
| MILLS JANINE B ET AL: "Origin of the intrinsic rigidity of DNA", NUCLEIC ACIDS RESEARCH,, vol. 32, no. 13, 1 January 2004 (2004-01-01), pages 4055 - 4059, XP002484664 * |
| YURII V ET AL: "COLLAGENASE-2 AND -3 MEDIATE EPIDERMAL GROWTH FACTOR RECEPTOR TRANSACTIVATION BY BRADYKININ B2 RECEPTOR IN KIDNEY CELLS", JOURNAL OF PHARMACOLOGY AND EXPERIMENTAL THERAPEUTICS, EXPERIMENTAL THERAPEUTICS, BALTIMORE, MD, vol. 318, no. 3, 1 September 2006 (2006-09-01), pages 1033 - 1043, XP008076548, ISSN: 0022-3565 * |
Cited By (2)
| Publication number | Priority date | Publication date | Assignee | Title |
|---|---|---|---|---|
| US9074205B2 (en) | 2006-10-18 | 2015-07-07 | Marina Biotech, Inc. | Nicked or gapped nucleic acid molecules and uses thereof |
| WO2022168053A3 (en) * | 2021-02-08 | 2022-09-29 | Galderma Holding SA | Reduction of gene expression for the use for treating acne |
Also Published As
| Publication number | Publication date |
|---|---|
| WO2008109468B1 (en) | 2008-12-04 |
Similar Documents
| Publication | Publication Date | Title |
|---|---|---|
| WO2008109460A2 (en) | Nucleic acid compounds for inhibiting ctnnb1 gene expression and uses thereof | |
| WO2008109494A1 (en) | Nucleic acid compounds for inhibiting stat3 gene expression and uses thereof | |
| EP2121925A2 (en) | Nucleic acid compounds for inhibiting ras gene expression and uses thereof | |
| WO2008109352A2 (en) | Nucleic acid compounds for inhibiting akt gene expression and uses thereof | |
| WO2008109379A9 (en) | Nucleic acid compounds for inhibiting il17a gene expression and uses thereof | |
| WO2008109546A2 (en) | Nucleic acid compounds for inhibiting tgfbr gene expression and uses thereof | |
| EP2126082A1 (en) | Nucleic acid compounds for inhibiting bcl2 gene expression and uses thereof | |
| WO2008109534A1 (en) | Nucleic acid compounds for inhibiting ezh2 gene expression and uses thereof | |
| WO2008109375A2 (en) | Nucleic acid compounds for inhibiting pik3c gene expression and uses thereof | |
| WO2008109474A1 (en) | Nucleic acid compounds for inhibiting fgf2 gene expression and uses thereof | |
| WO2008109350A2 (en) | Nucleic acid compounds for inhibiting il6 gene expression and uses thereof | |
| WO2008109548A2 (en) | Nucleic acid compounds for inhibiting tgfb gene expression and uses thereof | |
| WO2008109366A2 (en) | Nucleic acid compounds for inhibiting ccnd1 gene expression and uses thereof | |
| WO2008109354A1 (en) | Nucleic acid compounds for inhibiting il18 gene expression and uses thereof | |
| WO2008109487A9 (en) | Nucleic acid compounds for inhibiting mme gene expression and uses thereof | |
| WO2008109495A2 (en) | Nucleic acid compounds for inhibiting cd40 gene expression and uses thereof | |
| WO2008109553A1 (en) | Nucleic acid compounds for inhibiting ptpn11 gene expression and uses thereof | |
| WO2008109532A2 (en) | Nucleic acid compounds for inhibiting fas gene expression and uses thereof | |
| WO2008109468A1 (en) | Nucleic acid compounds for inhibiting mmp gene expression and uses thereof | |
| WO2008109526A1 (en) | Nucleic acid compounds for inhibiting egr gene expression and uses thereof | |
| WO2008109493A2 (en) | Nucleic acid compounds for inhibiting cd19 gene expression and uses thereof | |
| WO2008109488A1 (en) | Nucleic acid compounds for inhibiting angpt2 gene expression and uses thereof | |
| WO2008109368A2 (en) | Nucleic acid compounds for inhibiting vegfr gene expression and uses thereof | |
| WO2008109503A1 (en) | Nucleic acid compounds for inhibiting ms4a1 gene expression and uses thereof | |
| WO2008109497A1 (en) | Nucleic acid compounds for inhibiting folh1 gene expression and uses thereof |
Legal Events
| Date | Code | Title | Description |
|---|---|---|---|
| 121 | Ep: the epo has been informed by wipo that ep was designated in this application |
Ref document number: 08731166 Country of ref document: EP Kind code of ref document: A1 |
|
| NENP | Non-entry into the national phase |
Ref country code: DE |
|
| 122 | Ep: pct application non-entry in european phase |
Ref document number: 08731166 Country of ref document: EP Kind code of ref document: A1 |




















