WO2008099165A1 - Piperidine derivatives and their use for treatment of ccr8 mediated diseases - Google Patents
Piperidine derivatives and their use for treatment of ccr8 mediated diseases Download PDFInfo
- Publication number
- WO2008099165A1 WO2008099165A1 PCT/GB2008/000490 GB2008000490W WO2008099165A1 WO 2008099165 A1 WO2008099165 A1 WO 2008099165A1 GB 2008000490 W GB2008000490 W GB 2008000490W WO 2008099165 A1 WO2008099165 A1 WO 2008099165A1
- Authority
- WO
- WIPO (PCT)
- Prior art keywords
- methyl
- dihydro
- dimethyl
- piperidin
- benzofuran
- Prior art date
- Legal status (The legal status is an assumption and is not a legal conclusion. Google has not performed a legal analysis and makes no representation as to the accuracy of the status listed.)
- Ceased
Links
- 0 CC(C)(C1)Oc2c1cccc2CN1CCC(CNC2=*c3ncc[n]3C2)CC1 Chemical compound CC(C)(C1)Oc2c1cccc2CN1CCC(CNC2=*c3ncc[n]3C2)CC1 0.000 description 6
- SFWQHFXRVMKCLS-UHFFFAOYSA-N CC(C(O)=O)[n]1cncc1 Chemical compound CC(C(O)=O)[n]1cncc1 SFWQHFXRVMKCLS-UHFFFAOYSA-N 0.000 description 1
- XYEULGAYLXNAFL-UHFFFAOYSA-N CC(C)(C)Cc1c(C)c(CN2CCC(CNC(CN3CCOCC3)=O)CC2)ccc1 Chemical compound CC(C)(C)Cc1c(C)c(CN2CCC(CNC(CN3CCOCC3)=O)CC2)ccc1 XYEULGAYLXNAFL-UHFFFAOYSA-N 0.000 description 1
- JICVZSJNOIZVAL-UHFFFAOYSA-N CC(C)(C1)Oc2c1cccc2CN1CCC(CNC(CC(NC(N2)=O)=CC2=O)=O)CC1 Chemical compound CC(C)(C1)Oc2c1cccc2CN1CCC(CNC(CC(NC(N2)=O)=CC2=O)=O)CC1 JICVZSJNOIZVAL-UHFFFAOYSA-N 0.000 description 1
- KNIADUAOMUWQTR-UHFFFAOYSA-N CC(C)(C1)Oc2c1cccc2CN1CCC(CNC(c2cc(ccnc3)c3[nH]2)=O)CC1 Chemical compound CC(C)(C1)Oc2c1cccc2CN1CCC(CNC(c2cc(ccnc3)c3[nH]2)=O)CC1 KNIADUAOMUWQTR-UHFFFAOYSA-N 0.000 description 1
- NUQOAAVSTGGESY-UHFFFAOYSA-N CC(C)(C1)Oc2c1cccc2CN1CCC(CNC(c2cc3c(C)ccc(C)c3[nH]2)=O)CC1 Chemical compound CC(C)(C1)Oc2c1cccc2CN1CCC(CNC(c2cc3c(C)ccc(C)c3[nH]2)=O)CC1 NUQOAAVSTGGESY-UHFFFAOYSA-N 0.000 description 1
- VHSQNULJTGMPMM-UHFFFAOYSA-N CC1(C)Oc2c(CN3CCC(CNC(Cc(cn4)ccc4Cl)=O)CC3)cccc2C1 Chemical compound CC1(C)Oc2c(CN3CCC(CNC(Cc(cn4)ccc4Cl)=O)CC3)cccc2C1 VHSQNULJTGMPMM-UHFFFAOYSA-N 0.000 description 1
- VWYFWTMFMXASPM-UHFFFAOYSA-N CC1(C)Oc2c(CN3CCC(CNC(Cc4c(CC(N)=O)cccc4)=O)CC3)cccc2C1 Chemical compound CC1(C)Oc2c(CN3CCC(CNC(Cc4c(CC(N)=O)cccc4)=O)CC3)cccc2C1 VWYFWTMFMXASPM-UHFFFAOYSA-N 0.000 description 1
- PQHHFLJHEUFHPP-UHFFFAOYSA-N CC1(C)Oc2c(CN3CCC(CNC(Cc4c(CC(O)=O)cccc4)=O)CC3)cccc2C1 Chemical compound CC1(C)Oc2c(CN3CCC(CNC(Cc4c(CC(O)=O)cccc4)=O)CC3)cccc2C1 PQHHFLJHEUFHPP-UHFFFAOYSA-N 0.000 description 1
- AWGSEWPALPZTQN-UHFFFAOYSA-N CC1(C)Oc2c(CN3CCC(CNC(Cc4c(CC(OC)=O)cccc4)=O)CC3)cccc2C1 Chemical compound CC1(C)Oc2c(CN3CCC(CNC(Cc4c(CC(OC)=O)cccc4)=O)CC3)cccc2C1 AWGSEWPALPZTQN-UHFFFAOYSA-N 0.000 description 1
Classifications
-
- C—CHEMISTRY; METALLURGY
- C07—ORGANIC CHEMISTRY
- C07D—HETEROCYCLIC COMPOUNDS
- C07D405/00—Heterocyclic compounds containing both one or more hetero rings having oxygen atoms as the only ring hetero atoms, and one or more rings having nitrogen as the only ring hetero atom
- C07D405/02—Heterocyclic compounds containing both one or more hetero rings having oxygen atoms as the only ring hetero atoms, and one or more rings having nitrogen as the only ring hetero atom containing two hetero rings
- C07D405/06—Heterocyclic compounds containing both one or more hetero rings having oxygen atoms as the only ring hetero atoms, and one or more rings having nitrogen as the only ring hetero atom containing two hetero rings linked by a carbon chain containing only aliphatic carbon atoms
-
- A—HUMAN NECESSITIES
- A61—MEDICAL OR VETERINARY SCIENCE; HYGIENE
- A61P—SPECIFIC THERAPEUTIC ACTIVITY OF CHEMICAL COMPOUNDS OR MEDICINAL PREPARATIONS
- A61P11/00—Drugs for disorders of the respiratory system
- A61P11/06—Antiasthmatics
-
- C—CHEMISTRY; METALLURGY
- C07—ORGANIC CHEMISTRY
- C07D—HETEROCYCLIC COMPOUNDS
- C07D405/00—Heterocyclic compounds containing both one or more hetero rings having oxygen atoms as the only ring hetero atoms, and one or more rings having nitrogen as the only ring hetero atom
- C07D405/14—Heterocyclic compounds containing both one or more hetero rings having oxygen atoms as the only ring hetero atoms, and one or more rings having nitrogen as the only ring hetero atom containing three or more hetero rings
-
- C—CHEMISTRY; METALLURGY
- C07—ORGANIC CHEMISTRY
- C07D—HETEROCYCLIC COMPOUNDS
- C07D409/00—Heterocyclic compounds containing two or more hetero rings, at least one ring having sulfur atoms as the only ring hetero atoms
- C07D409/14—Heterocyclic compounds containing two or more hetero rings, at least one ring having sulfur atoms as the only ring hetero atoms containing three or more hetero rings
-
- C—CHEMISTRY; METALLURGY
- C07—ORGANIC CHEMISTRY
- C07D—HETEROCYCLIC COMPOUNDS
- C07D413/00—Heterocyclic compounds containing two or more hetero rings, at least one ring having nitrogen and oxygen atoms as the only ring hetero atoms
- C07D413/14—Heterocyclic compounds containing two or more hetero rings, at least one ring having nitrogen and oxygen atoms as the only ring hetero atoms containing three or more hetero rings
-
- C—CHEMISTRY; METALLURGY
- C07—ORGANIC CHEMISTRY
- C07D—HETEROCYCLIC COMPOUNDS
- C07D417/00—Heterocyclic compounds containing two or more hetero rings, at least one ring having nitrogen and sulfur atoms as the only ring hetero atoms, not provided for by group C07D415/00
- C07D417/14—Heterocyclic compounds containing two or more hetero rings, at least one ring having nitrogen and sulfur atoms as the only ring hetero atoms, not provided for by group C07D415/00 containing three or more hetero rings
-
- C—CHEMISTRY; METALLURGY
- C07—ORGANIC CHEMISTRY
- C07D—HETEROCYCLIC COMPOUNDS
- C07D471/00—Heterocyclic compounds containing nitrogen atoms as the only ring hetero atoms in the condensed system, at least one ring being a six-membered ring with one nitrogen atom, not provided for by groups C07D451/00 - C07D463/00
- C07D471/02—Heterocyclic compounds containing nitrogen atoms as the only ring hetero atoms in the condensed system, at least one ring being a six-membered ring with one nitrogen atom, not provided for by groups C07D451/00 - C07D463/00 in which the condensed system contains two hetero rings
- C07D471/04—Ortho-condensed systems
-
- C—CHEMISTRY; METALLURGY
- C07—ORGANIC CHEMISTRY
- C07D—HETEROCYCLIC COMPOUNDS
- C07D495/00—Heterocyclic compounds containing in the condensed system at least one hetero ring having sulfur atoms as the only ring hetero atoms
- C07D495/02—Heterocyclic compounds containing in the condensed system at least one hetero ring having sulfur atoms as the only ring hetero atoms in which the condensed system contains two hetero rings
- C07D495/04—Ortho-condensed systems
Definitions
- the present invention relates to substituted piperidines, processes for their preparation, pharmaceutical compositions containing them and their use in therapy.
- the chemokines are a large family (>50 members) of small 8 - to 15- kDa secreted, heparin-binding polypeptides with the primary function of controlling trafficking and activation of leukocytes. They are distinct from classical chemoattractants (i.e. bacterial derived N-formyl peptides, complement components, lipid molecules and platelet activating factor) on the basis of shared structural similarities. All chemokines have four conserved cysteines residues that form disulfide bonds, which are critical for the 3-D structure. The chemokines are further subclassed according to the position of the first two cysteines.
- the two major subclasses are the CC-chemokines, that have the cysteines adjacent, and the CXC-cytokines, that have the cysteines separated by one amino acid.
- the two other families, the C and the CX3C chemokines, are much smaller and only comprise one or a few members.
- the C-X-C chemokines include several potent chemoattractants and activators of neutrophils such as interleukin-8 (IL-8) and neutrophil-activating peptide 2 (NAP-2).
- IL-8 interleukin-8
- NAP-2 neutrophil-activating peptide 2
- the C-C chemokines include potent chemoattractants of monocytes and lymphocytes, such as human monocyte chemotactic proteins 1-3 (MCP-I, MCP-2 and MCP-3), RANTES (Regulated on Activation, Normal T Expressed and Secreted), eotaxin and the macrophage inflammatory proteins 1 ⁇ and 1 ⁇ (MIP- 1 ⁇ and MIP- 1 ⁇ ) and CCL 1.
- MCP-I human monocyte chemotactic proteins 1-3
- RANTES Registered on Activation, Normal T Expressed and Secreted
- eotaxin and the macrophage inflammatory proteins 1 ⁇ and 1 ⁇ (MIP- 1 ⁇ and MIP- 1 ⁇ ) and CCL 1.
- chemokines are mediated by subfamilies of G protein-coupled receptors, among which are the receptors designated CCRl , CCR2, CCR2A, CCR2B, CCR3, CCR4, CCR5, CCR6, CCR7, CCR8, CCR9, CCRlO, CXCRl, CXCR2, CXCR3 and CXCR4.
- the human CCR8 receptor has been shown to interact with the human chemokine CCLl (1-309).
- This chemokine is a potent eosinophil, T-, dentritic and endothelial cell chemoattractant.
- the receptor has been shown to be transiently upregulated on polarized TH2 cells after optimal TCR cross linkage in the presence of costimulatory signals (i.e. CD28).
- CD28 costimulatory signals
- WO 03/037271 describes a broad class of phenyl derivatives that are said to be effective as CCR8 antagonists.
- C 2 -C 6 alkenyl (optionally substituted by -C(O)NR 3 R 1 ), C3-C 6 cycloalkyl (optionally substituted by at least one substituent selected from halogen, hydroxyl and cyano), -NHSO 2 -R , and a saturated or unsaturated 5- to 6-membered heterocyclic ring comprising at least one ring heteroatom selected from nitrogen, oxygen and sulphur, the heterocycylic ring itself being optionally substituted by at least one substituent selected from halogen, hydroxyl, carboxyl and Ci-C 6 alkyl; n is O or 1 ; 2 3
- R and R each independently represent hydrogen, hydroxyl, CJ-CO alky 1,
- R and R together with the carbon atom to which they are attached form a 3- to 6- membered saturated carbocyclic ring;
- ring B together with the two carbon atoms of ring A to which it is fused, represents a 5- to 6-membered, saturated or unsaturated, non-aromatic heterocyclic ring comprising one ring oxygen atom and optionally one or more ring heteroatoms independently selected from nitrogen, oxygen and sulphur, the group (P) being optionally substituted with at least one substituent selected from halogen, Cj-Cg alkyl, C ⁇ -Cg cycloalkyl and phenyl, the phenyl itself being optionally substituted with at least one substituent selected from halogen, hydroxyl and Cj-Cg alkoxy;
- R and R each independently represent hydrogen, Cj-Cg alkyl or C3 -Cg cycloalkyl, or R and R together with the nitrogen atom to which they are attached form a 4- to 7- membered saturated heterocyclic ring optionally substituted by at least one substituent selected from hydroxyl, Cj-Cg alkoxy and Cj-Cg alkoxy-Cj-Cg alkyl;
- R and R each independently represent hydrogen, Cj-Cg alkyl or C3 ⁇ Cg cycloalkyl
- R and R each independently represent hydrogen, Cj-Cg alkyl or C3-Cg
- R and R each independently represent hydrogen, Ci-Cg alkyl or C3-C6
- R and R each independently represent hydrogen, Ci-Cg alkyl or C3-Cg
- R represents a Ci-Cg alkyl group or a 6-membered saturated or unsaturated heterocyclic ring comprising at least one ring nitrogen atom, the heterocyclic ring being optionally substituted with at least one substituent selected from halogen, oxo, Ci-Cg alkyl and Ci-Cg alkoxy; or a pharmaceutically acceptable salt thereof.
- the compounds of the present invention are effective as CCR8 antagonists and may, additionally, possess properties such as low toxicity, good selectivity and/or good metabolic stability which are advantageous for pharmaceutical compounds.
- an alkyl/alkenyl substituent group or alky/alkenyl moiety in a substituent group may be linear or branched.
- a haloalkyl or haloalkoxy substituent group will comprise at least one halogen atom, e.g. one, two, three, four or five halogen atoms.
- An aryl group is an aromatic carbocyclic ring structure having from 6 to 10 carbon atoms, the ring structure being monocyclic or fused bicyclic.
- ring B in group (F) (and other heterocyclic groups referred to in formula (I)) is not intended to include unstable structures and is not intended to include any 0-0, O-S or S-S bonds.
- the substituent(s) on group (F) may be attached to any suitable ring atom. Unless otherwise specified, an unsaturated ring or ring system will be partially or fully unsaturated. Further, when R and
- R , or R and R , or R and R , or R and R , or R and R represent a 4- to 7-membered saturated heterocyclic ring, it should be understood that the only heteroatom present is the nitrogen atom to which R and R , or R and R , or R and R , or R and R are attached.
- substituent e.g. chlorine, fluorine, bromine or iodine
- Ci-Cg preferably C1-C4, alkoxy (e.g. methoxy, ethoxy, n-propoxy, isopropoxy, n- butoxy, isobutoxy, tert-butoxy, n-pentoxy or n-hexoxy),
- Q-Cg preferably C1-C4, alkoxycarbonyl (e.g. methoxycarbonyl, ethoxycarbonyl, n-propoxycarbonyl, isopropoxycarbonyl, n-butoxycarbonyl, isobutoxycarbonyl, tert-butoxycarbonyl, n-pentoxycarbonyl or n-hexoxycarbonyl),
- alkoxycarbonyl e.g. methoxycarbonyl, ethoxycarbonyl, n-propoxycarbonyl, isopropoxycarbonyl, n-butoxycarbonyl, isobutoxycarbonyl, tert-butoxycarbonyl, n-pentoxycarbonyl or n-hexoxycarbonyl
- Ci-Cg preferably C1-C4, alkylcarbonyl (e.g. methylcarbonyl, ethylcarbonyl, n-propylcarbonyl, isopropylcarbonyl, n-butylcarbonyl, isobutylcarbonyl, tert-butylcarbonyl, n-pentylcarbonyl or n-hexylcarbonyl),
- alkylcarbonyl e.g. methylcarbonyl, ethylcarbonyl, n-propylcarbonyl, isopropylcarbonyl, n-butylcarbonyl, isobutylcarbonyl, tert-butylcarbonyl, n-pentylcarbonyl or n-hexylcarbonyl
- Cj-Cg preferably C1-C4, alkyl such as methyl, ethyl, n-propyl, isopropyl, n-butyl, isobutyl, tert-butyl, n-pentyl or n-hexyl, optionally substituted by at least one substituent (e.g. one, two, three or four substituents independently) selected from halogen (e.g. chlorine, fluorine, bromine or iodine), hydroxyl, cyano, carboxyl, Cj-Cg or C1-C4 or
- substituent e.g. one, two, three or four substituents independently
- halogen e.g. chlorine, fluorine, bromine or iodine
- C 2 -Cg or C 2 -C4 alkenyl such as ethenyl, prop-1-enyl, prop-2-enyl, but-1-enyl, pent-1-enyl, hex-1-enyl or 2-methyl-pent-2-enyl, optionally substituted by -C(O)NR 13 R 14 ,
- C3-Cg cycloalkyl such as cyclopropyl, cyclobutyl, cyclopentyl or cyclohexyl, optionally substituted by at least one substituent (e.g. one, two, three or four substituents independently) selected from halogen (e.g. chlorine, fluorine, bromine or iodine), hydroxyl and cyano,
- substituent e.g. one, two, three or four substituents independently
- halogen e.g. chlorine, fluorine, bromine or iodine
- a saturated or unsaturated 5- to 6-membered heterocyclic ring comprising at least one ring heteroatom (e.g. one, two, three or four ring heteroatoms independently) selected from nitrogen, oxygen and sulphur (such as one or more of pyrrolidinyl, piperidinyl, piperazinyl, dithiolanyl, morpholinyl, tetrahydropyranyl, thiomorpholinyl, pyrazolyl, pyrazinyl, pyridazinyl, thiazolidinyl, thienyl, isoxazolyl, pyrimidinyl, thiadiazolyl, pyrrolyl, furanyl, thiazolyl, imidazolyl, triazolyl, tetrazolyl and pyridinyl, preferably pyrazolyl), the heterocycylic ring itself being optionally substituted by at least one substituent (
- halogen e.g. chlorine, fluorine, bromine or iodine
- hydroxyl carboxyl
- Ci-C ⁇ alkyl e.g. methyl, ethyl, n-propyl, isopropyl, n-butyl, isobutyl, tert-butyl, n-pentyl or n-hexyl.
- the saturated or unsaturated 5- to 15-membered ring system in R may be carbocylic or heterocyclic.
- suitable ring systems which may be monocyclic or polycyclic (e.g. bicyclic or tricyclic) where the two or more rings are fused, include one or more of cyclopentyl, cyclohexyl, bicyclo[2.2.1]heptyl, cyclopentenyl, cyclohexenyl, phenyl, pyrrolidinyl, piperidinyl, piperazinyl, morpholinyl, thiomorpholinyl, diazabicyclo[2.2.1]hept-2-yl, naphthyl, benzofuranyl, benzothienyl, benzodioxolyl, isoquinolinyl, quinolinyl, 1,2-dihydroquinolinyl, 1,2,3,4-tetrahydroquinolinyl, 2,3-dihydiObenzo
- Preferred ring systems include phenyl, pyrrolidinyl, piperazinyl, morpholinyl, benzofuranyl, benzothienyl, 3,4-dihydrobenzoxazinyl, indazolyl, 5,6,7,8-tetrahydro- 1,8- naphthyridinyl, benzimidazolyl, benzisoxazolyl, benzothiazolyl, pyrazolyl, pyrazinyl, thiazolidinyl, indanyl, oxadiazolyl, isoxazolyl, pyrrolyl, thiazolyl, indolyl, 2,3- dihydroisoindolyl, imidazolyl, pyrimidinyl, 1,6-dihydropyrimidinyl, triazolyl, tetrazolyl, pyridinyl, oxazolidinyl, imidazolidinyl, azaindo
- R represents a saturated or, particularly, unsaturated 5- to 13-membered ring system, particularly a 5-, 6-, 9- or 10-membered ring system, optionally comprising one, two, three or four ring heteroatoms, particularly one or two ring heteroatoms, independently selected from nitrogen, oxygen and sulphur, the ring system being optionally substituted as described above.
- R represents a saturated or, particularly, unsaturated 5- to 13- membered ring system, particularly a 5-, 6-, 9- or 10-membered ring system, optionally comprising one, two, three or four ring heteroatoms, particularly one or two ring heteroatoms, independently selected from nitrogen, oxygen and sulphur, the ring system being optionally substituted with at least one substituent (e.g. one, two, three or fouro substituents independently) selected from halogen (e.g. fluorine, chlorine, bromine or iodine), oxo, mercapto, nitro, hydroxyl, -NR R , Cj-Cg or Ci-C4 alkoxy, Cj -CO or
- substituent e.g. one, two, three or fouro substituents independently
- halogen e.g. fluorine, chlorine, bromine or iodine
- C1-C4 alkoxycarbonyl, Cj-Cg or C1-C4 alkyl (optionally substituted by one, two, three or four substituents independently selected from halogen (such as fluorine, chlorine, bromine
- R represents a saturated or, particularly, unsaturated 5- to 13- membered ring system, particularly a 5-, 6-, 9- or 10-membered ring system, optionally comprising one, two, three or four ring heteroatoms, particularly one or two ring S heteroatoms, independently selected from nitrogen, oxygen and sulphur, the ring system being optionally substituted with at least one substituent (e.g. one, two, three or four substituents independently) selected from halogen (e.g.
- R represents a saturated or, particularly, unsaturated 5- to
- 13-membered ring system particularly a 5-, 6-, 9- or 10-membered ring system, optionally comprising one, two, three or four ring heteroatoms, particularly one or two ring heteroatoms, independently selected from nitrogen, oxygen and sulphur, the ring system being optionally substituted with at least one substituent (e.g.
- substituents independently selected from fluorine, chlorine, bromine, oxo, mercapto, nitro, hydroxyl, -NH2, Ci-C2 alkoxy, ethoxycarbonyl, C 1-C2 alkyl (optionally substituted by one, two or three substituents independently selected from fluorine, methoxycarbonyl and -C(O)NH2), and pyrazolyl substituted by two methyl groups.
- R represents a saturated or unsaturated 5- to 15-membered ring system (optionally comprising at least one ring heteroatom selected from nitrogen, oxygen and sulphur) selected from phenyl, pyrrolidinyl, piperazinyl, morpholinyl, benzofuranyl, benzothienyl, 3,4-dihydrobenzoxazinyl, indazolyl, 5,6,7,8-tetrahydro-l,8- naphthyridinyl, benzimidazolyl, benzisoxazolyl, benzothiazolyl, pyrazolyl, pyrazinyl, thiazolidinyl, indanyl, oxadiazolyl, isoxazolyl, pyrrolyl, thiazolyl, indolyl, 2,3- dihydroisoindolyl, imidazolyl, pyrimidinyl, 1 ,6-dihydropyrimidin
- substituents independently selected from fluorine, chlorine, bromine, oxo, mercapto, nitro, hydroxyl, -NH2, Ci-C2 alkoxy, ethoxycarbonyl, C 1-C2 alkyl (optionally substituted by one, two or three substituents independently selected from fluorine, methoxycarbonyl and -C(O)NH2), and pyrazolyl substituted by two methyl groups.
- n 0.
- n 1
- R and R each independently represent hydrogen, hydroxy 1,
- Cj-Cg preferably C1-C4, alkyl (e.g. methyl, ethyl, n-propyl, isopropyl, n-butyl, isobutyl, tert-butyl, n-pentyl or n-hexyl),
- alkyl e.g. methyl, ethyl, n-propyl, isopropyl, n-butyl, isobutyl, tert-butyl, n-pentyl or n-hexyl
- Cj -CO preferably C1-C4, alkoxy (e.g. methoxy, ethoxy, n-propoxy, isopropoxy, n-butoxy, isobutoxy, tert-butoxy, n-pentoxy or n-hexoxy), Q-Cg, preferably C1-C4, haloalkyl (e.g. trifluoromethyl or pentafluoroethyl),
- Cj-Cg preferably C1-C4, haloalkoxy (e.g. trifluoromethoxy or pentafluoroethoxy), C3-C6 cycloalkyl (cyclopropyl, cyclobutyl, cyclopentyl or cyclohexyl), or
- Cg-Cio aryl such as phenyl or naphthyl
- the aryl group being optionally substituted with at least one substituent (e.g. one, two, three or four substituents independently) selected from halogen (e.g. fluorine, chlorine, bromine or iodine), hydroxyl, Cj-Cg, preferably
- alkyl e.g. methyl, ethyl, n-propyl, isopropyl, n-butyl, isobutyl, tert-butyl, n-pentyl or n-hexyl
- Cj-Cg preferably C1-C4, alkoxy (e.g. methoxy, ethoxy, n-propoxy, isopropoxy, n-butoxy, isobutoxy, tert-butoxy, n-pentoxy or n-hexoxy), or
- R and R each independently represent hydrogen, hydroxyl, C1-C3 alkyl, C1-C2 alkoxy, Ci-C2 haloalkyl, C5-C6 cycloalkyl or phenyl, or
- R and R together with the carbon atom to which they are attached form a 3- to 6- membered saturated carbocyclic ring.
- R and R each independently represent hydrogen, hydroxyl
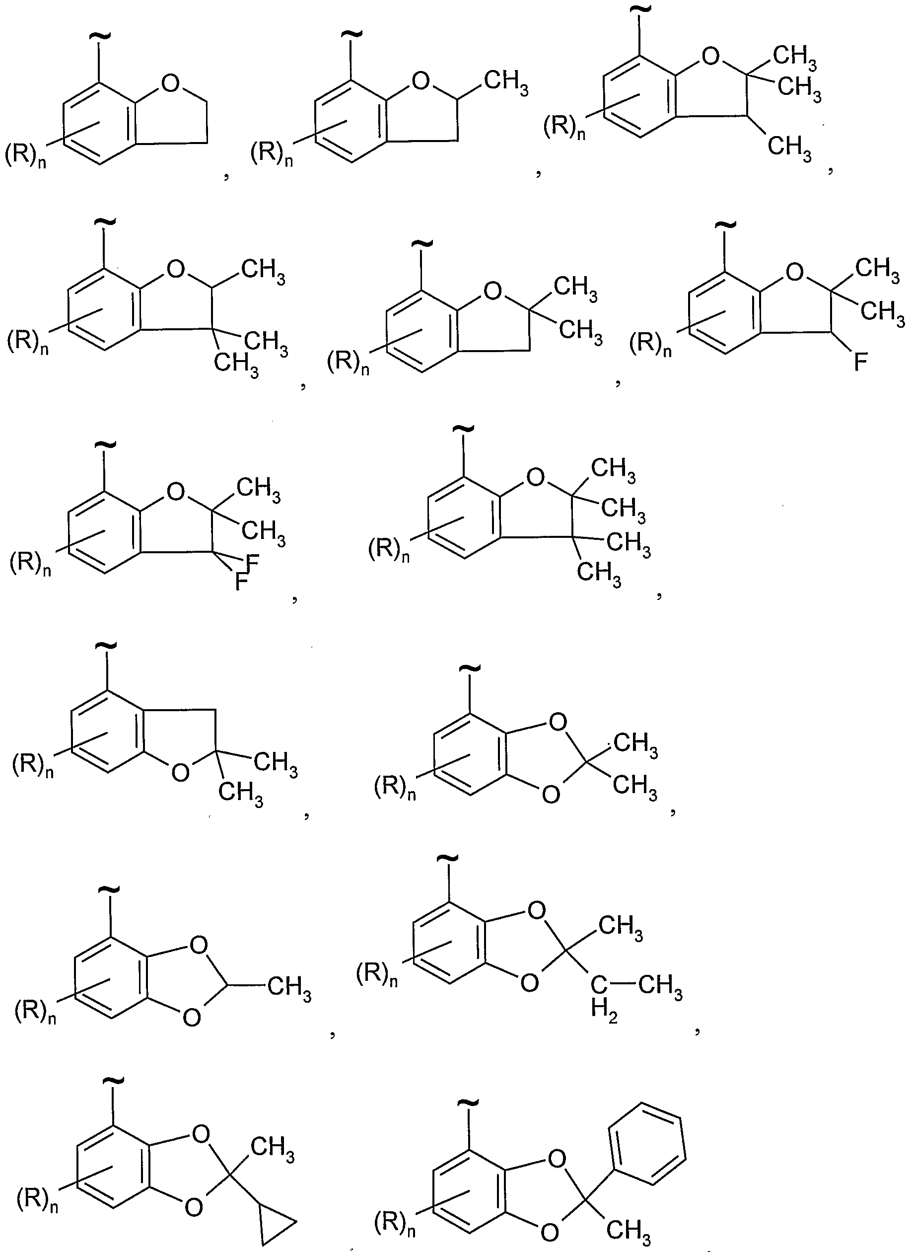
- ring B together with the two carbon atoms of ring A to which it is fused, represents a 5- to 6-membered, saturated or unsaturated, non-aromatic heterocyclic ring comprising one ring oxygen atom and optionally one or more (e.g. one or two) ring heteroatoms independently selected from nitrogen, oxygen and sulphur, the group (F) being optionally substituted with at least one substituent (e.g. one, two, three or four substituents independently) selected from halogen (e.g. fluorine, chlorine, bromine or iodine), Ci-Cg, preferably C1-C4, alkyl (e.g.
- substituent e.g. fluorine, chlorine, bromine or iodine
- substituent e.g. one, two, three or four substituents independently
- R represents a group (F) as shown above in which ring B, together with the two carbon atoms of ring A to which it is fused, represents a 5- to 6-membered, saturated or unsaturated, non-aromatic heterocyclic ring comprising one or two ring oxygen atoms, the group (P) being optionally substituted as defined above.
- R represents a group (F) as shown above in which ring B, together with the two carbon atoms of ring A to which it is fused, represents a 5- to 6-membered, saturated heterocyclic ring comprising one or two ring oxygen atoms, the group (F) being optionally substituted as defined above.
- R represents a group (F) as shown above in which ring B, together with the two carbon atoms of ring A to which it is fused, represents a 5- membered, saturated heterocyclic ring comprising one or two ring oxygen atoms, the group (F) being optionally substituted as defined above.
- Preferred substituents in group (F) are halogen atoms (particuarly fluorine) and alkyl groups (particularly methyl).
- group (F) is substituted in ring B by one or two methyl groups and, optionally, by one or two halogen atoms (particularly fluorine).
- R represents a group
- n 0, 1 or 2; each R independently represents a halogen atom or Ci-Cg alkyl group;
- R 22 23 independently represents a hydrogen atom or C ⁇ -Cg alkyl group and R and R may additionally represent a halogen atom;
- R and R each independently represent hydrogen, Cj-Cg alkyl, C3-C6 cycloalkyl, or phenyl (optionally substituted with at least one substituent selected from halogen, 1 s hydroxy 1 and C 1 -C $ alkoxy) .
- R and R each independently represent a hydrogen atom or Q-Cg alkyl, preferably
- C1-C4 alkyl e.g. methyl.
- R and R are both methyl.
- R and R each independently represent a hydrogen or halogen atom or Cj-Cg alkyl
- R 22 23 preferably Ci -C4 alkyl, e.g. methyl.
- R and R are both hydrogen.
- R and R each independently represent a hydrogen atom or Cj-Cg alkyl, preferably
- R and R are both hydrogen.
- R and R are both methyl.
- R and R each independently represent hydrogen, Cj-Cg, preferably Cj -C4, alkyl (e.g. methyl, ethyl, n-propyl, isopropyl, n-butyl, isobutyl, tert-butyl, n-pentyl or n-hexyl), C3 ⁇ Cg cycloalkyl (cyclopropyl, cyclobutyl, cyclopentyl or cyclohexyl), or phenyl
- alkyl e.g. methyl, ethyl, n-propyl, isopropyl, n-butyl, isobutyl, tert-butyl, n-pentyl or n-hexyl
- C3 ⁇ Cg cycloalkyl cyclopropyl, cyclobutyl, cyclopentyl or cyclohexyl
- substituent e.g. one, two, three or four substituents independently
- substituent selected from halogen (e.g. fluorine, chlorine, bromine or iodine), hydroxyl and Ci-Cg, preferably C1-C4, alkoxy (e.g. methoxy, ethoxy, n-propoxy, isopropoxy, n-butoxy, isobutoxy, tert-butoxy, n-pentoxy or n-hexoxy)).
- substituent e.g. one, two, three or four substituents independently
- halogen e.g. fluorine, chlorine, bromine or iodine
- hydroxyl hydroxyl
- Ci-Cg preferably C1-C4, alkoxy (e.g. methoxy, ethoxy, n-propoxy, isopropoxy, n-butoxy, isobutoxy, tert-butoxy, n-pentoxy or n-hexoxy)).
- R and R are both C1-C4 alkyl (e.g. methyl).
- R and R each independently represent a hydrogen atom or Ci-Cg alkyl, preferably
- R and R are either both hydrogen or both methyl.
- R and R each independently represent a hydrogen atom or Ci-Cg alkyl, preferably
- R and R are either both hydrogen or both methyl.
- R and R each independently represent a hydrogen atom or Cj-Cg alkyl, preferably
- R and R are both methyl.
- R and R each independently represent a hydrogen atom or Ci-Cg alkyl, preferably
- R and R are both 10 hydrogen.
- R and R each independently represent a hydrogen atom or Ci-Cg alkyl, preferably
- R and R are both hydrogen.
- R and R each independently represent a hydrogen atom or Ci-Cg alkyl, preferably
- C1-C4 alkyl e.g. methyl.
- R and R are both methyl.
- R , R , R , R , R , R , R and R each independently represent hydrogen or methyl.
- n and R are as defined above.
- R represents a group selected from: wherein n and R are as defined above.
- R and R each independently represent hydrogen, Cj-Cg or CJ-C4 alkyl (e.g. methyl,
- C5-C6 cycloalkyl (cyclopropyl, cyclobutyl, cyclopentyl or cyclohexyl), or R and R together with the nitrogen atom to which they are attached form a 4- to 7-membered or 5- to 6-membered saturated heterocyclic ring optionally substituted by at least one substituent
- C1-C4 alkoxy e.g. methoxy, ethoxy, n-propoxy, isopropoxy, n-butoxy, isobutoxy, tert- butoxy, n-pentoxy or n-hexoxy
- Cj-Cg or C1-C4 alkoxy-Cj-Cg or C1-C4 alkyl e.g. methoxymethyl, methoxyethyl, methoxypropyl, methoxybutyl, methoxypentyl or methoxy hexyl.
- R and R are both hydrogen.
- R and R each independently represent hydrogen, Cj-Cg or Cj -C4 alkyl (e.g. methyl, ethyl, n-propyl, isopropyl, n-butyl, isobutyl, tert-butyl, n-pentyl or n-hexyl) or C ⁇ -Cg or
- C5-Cg cycloalkyl (cyclopropyl, cyclobutyl, cyclopentyl or cyclohexyl), or R and R together with the nitrogen atom to which they are attached form a 4- to 7-membered saturated heterocyclic ring optionally substituted by at least one (e.g. one or two)
- R and R are both hydrogen.
- R and R each independently represent hydrogen, Cj-Cg or Cj -C4 alkyl (e.g. methyl, ethyl, n-propyl, isopropyl, n-butyl, isobutyl, tert-butyl, n-pentyl or n-hexyl) or C3-Cg or
- C5-Cg cycloalkyl (cyclopropyl, cyclobutyl, cyclopentyl or cyclohexyl), or R and R together with the nitrogen atom to which they are attached form a 4- to 7-membered or 5- to 6-membered saturated heterocyclic ring optionally substituted by at least one substituent
- CJ-C4 alkoxy e.g. methoxy, ethoxy, n-propoxy, isopropoxy, n-butoxy, isobutoxy, tert- butoxy, n-pentoxy or n-hexoxy
- Cj-Cg or CJ-C4 alkoxy-C j -Cg or Q-C4 alkyl e.g. methoxymethyl, methoxyethyl, methoxypropyl, methoxybutyl, methoxypentyl or
- R and R are both hydrogen.
- R and R each independently represent hydrogen, Ci-Cg or Ci-C4 alkyl (e.g. methyl, ethyl, n-propyl, isopropyl, n-butyl, isobutyl, tert-butyl, n-pentyl or n-hexyl) or C ⁇ -Cg or
- Cs-Cg cycloalkyl (cyclopropyl, cyclobutyl, cyclopentyl or cyclohexyl), or R and R together with the nitrogen atom to which they are attached form a 4- to 7-membered saturated heterocyclic ring optionally substituted by at least one (e.g. one or two)
- R and R are both hydrogen.
- R and R each independently represent hydrogen, Ci-Cg or Ci -C4 alkyl (e.g. methyl, ethyl, n-propyl, isopropyl, n-butyl, isobutyl, tert-butyl, n-pentyl or n-hexyl) or C3-C6 or
- Cs-Cg cycloalkyl (cyclopropyl, cyclobutyl, cyclopentyl or cyclohexyl), or R and R together with the nitrogen atom to which they are attached form a 4- to 7-membered saturated heterocyclic ring optionally substituted by at least one (e.g. one or two)
- R and R are both hydrogen.
- R represents a Ci-Cg or C1-C4 alkyl (e.g. methyl, ethyl, n-propyl, isopropyl, n-butyl, isobutyl, tert-butyl, n-pentyl or n-hexyl) group or a 6-membered saturated or unsaturated heterocyclic ring comprising at least one (e.g. one or two) ring nitrogen atom(s) (e.g. pyridinyl, pyrimidinyl or piperidinyl), the heterocyclic ring being optionally substituted with at least one substituent (e.g. one, two, three or four substituents independently) selected from halogen (e.g.
- Ci-Cg or C1-C4 alkyl e.g. methyl, ethyl, n-propyl, isopropyl, n-butyl, isobutyl, tert-butyl, n-pentyl or n-hexyl
- Ci-Cg or C1-C4 alkoxy e.g. methoxy, ethoxy, n-propoxy, isopropoxy, n-butoxy, isobutoxy, tert-butoxy, n-pentoxy or n-hexoxy.
- Preferred substituents in the heterocyclic ring include oxo and methyl.
- R represents a saturated or unsaturated 5- to 13-membered ring system optionally comprising at least one ring heteroatom selected from nitrogen, oxygen and sulphur, the ring system being optionally substituted with at least one substituent selected from fluorine, chlorine, bromine, oxo, mercapto, nitro, hydroxyl, -NH2, C1-C2 alkoxy,
- n 0 or 1 ;
- R and R each independently represent hydrogen, hydroxyl, methyl, ethyl,
- 2 3 isopropyl, methoxy, trifluoromethyl, cyclopentyl or phenyl, or R and R together with the carbon atom to which they are attached form a cyclopropyl ring;
- Examples of compounds of the invention include: N-( ⁇ l-[(2,2-dimethyl-2 5 3-dihydro-l-benzofuran-7-yl)methyl]piperidin-4-yl ⁇ methyl)-
- the present invention further provides a process for the preparation of a compound of formula (I) or a pharmaceutically acceptable salt thereof as defined above which comprises reacting a compound of formula (II)
- L represents a leaving group (e.g. a hydroxyl group or halogen atom) and n, R ,
- R is as defined in formula (I)
- a coupling agent such as carbonyldiimidazole and 1-hydroxybenzotriazole
- Pj represents a protecting group (an amine protecting group such as tert-butyl
- the compounds of formula (I) above may be converted to a pharmaceutically acceptable salt thereof, preferably a basic addition salt such as a sodium, potassium, calcium, aluminium, lithium, magnesium, zinc, benzathine, chloroprocaine, choline, diethanolamine, ethanolamine, ethyldiamine, meglumine, tromethamine or procaine salt, or an acid addition salt such as a hydrochloride, hydrobromide, phosphate, acetate, trifluoroacetate, benzenesulfonate, fumarate, maleate, tartrate, citrate, oxalate, methanesulphonate or/>-toluenesulphonate salt.
- a basic addition salt such as a sodium, potassium, calcium, aluminium, lithium, magnesium, zinc, benzathine, chloroprocaine, choline, diethanolamine, ethanolamine, ethyldiamine, meglumine, tromethamine or procaine salt
- the compounds of formula (I) and pharmaceutically acceptable salts thereof may exist in solvated, for example hydrated, as well as unsolvated forms, and the present invention encompasses all such solvated forms.
- the compounds of formula (I) and pharmaceutically acceptable salts thereof may exist as zwitterions.
- the representation of formula (I) and the examples of the present invention covers zwitterionic forms and mixtures thereof in all proportions.
- the compounds of formula (I) have activity as pharmaceuticals, in particular as modulators of chemokine receptor (especially CCR8) activity, and may be used in the treatment (therapeutic or prophylactic) of conditions/diseases in human and non-human animals which are exacerbated or caused by excessive or dysregulated production of chemokines.
- respiratory tract obstructive diseases of the airways including: asthma, including bronchial, allergic, intrinsic, extrinsic, exercise-induced, drug-induced (including aspirin and NS AID-induced) and dust-induced asthma, both intermittent and persistent and of all severities, and other causes of airway hyper-responsiveness; chronic obstructive pulmonary disease (COPD); bronchitis, including infectious and eosinophilic bronchitis; emphysema; bronchiectasis; cystic fibrosis; sarcoidosis; farmer's lung and related diseases; hypersensitivity pneumonitis; lung fibrosis, including cryptogenic fibrosing alveolitis, idiopathic interstitial pneumonias, fibrosis complicating anti-neoplastic therapy and chronic infection, including tuberculosis and aspergillosis and other fungal infections; complications of lung transplantation; vasculitic and thrombotic disorders of the lung vascula
- osteoarthritides associated with or including osteoarthritis/osteoarthrosis both primary and secondary to, for example, congenital hip dysplasia; cervical and lumbar spondylitis, and low back and neck pain; osteoarthritis; rheumatoid arthritis and Still's disease; seronegative spondyloarthropathies including ankylosing spondylitis, psoriatic arthritis, reactive arthritis and undifferentiated spondarthropathy; septic arthritis and other infection-related arthopathies and bone disorders such as tuberculosis, including Potts' disease and Poncet's syndrome; acute and chronic crystal-induced synovitis including urate gout, calcium pyrophosphate deposition disease, and calcium apatite related tendon, bursal and synovial inflammation; Behcet's disease; primary and secondary Sjogren's syndrome; systemic sclerosis and limited scleroderma; systemic lupus erythematosus
- arthitides for example rheumatoid arthritis, osteoarthritis, gout or crystal arthropathy
- other joint disease such as intervertebral disc degeneration or temporomandibular joint degeneration
- bone remodelling disease such as osteoporosis, Paget's disease or osteonecrosis
- polychondritits such as osteoporosis, Paget's
- skin psoriasis, atopic dermatitis, contact dermatitis or other eczematous dermatoses, and delayed-type hypersensitivity reactions; phyto- and photodermatitis; seborrhoeic dermatitis, dermatitis herpetiformis, lichen planus, lichen sclerosus et atrophica, pyoderma gangrenosum, skin sarcoid, discoid lupus erythematosus, pemphigus, pemphigoid, epidermolysis bullosa, urticaria, angioedema, vasculitides, toxic erythemas, cutaneous eosinophilias, alopecia areata, male-pattern baldness, Sweet's syndrome, Weber-Christian syndrome, erythema multiforme; cellulitis, both infective and non-infective; panniculitis; cutaneous lymphomas, non-melanom
- eyes blepharitis; conjunctivitis, including perennial and vernal allergic conjunctivitis; ulceris; anterior and posterior uveitis; choroiditis; autoimmune; degenerative or inflammatory disorders affecting the retina; ophthalmitis including sympathetic ophthalmitis; sarcoidosis; infections including viral, fungal, and bacterial; 6.
- gastrointestinal tract glossitis, gingivitis, periodontitis; oesophagitis, including reflux; eosinophilic gastro-enteritis, mastocytosis, Crohn's disease, colitis including ulcerative colitis, proctitis, pruritis ani; coeliac disease, irritable bowel syndrome, and food-related allergies which may have effects remote from the gut (for example migraine, rhinitis or eczema);
- abdominal hepatitis, including autoimmune, alcoholic and viral; fibrosis and cirrhosis of the liver; cholecystitis; pancreatitis, both acute and chronic;
- nephritis including interstitial and glomerulonephritis; nephrotic syndrome; cystitis including acute and chronic (interstitial) cystitis and Hunner's ulcer; acute and chronic urethritis, prostatitis, epididymitis, oophoritis and salpingitis; vulvovaginitis; Peyronie's disease; erectile dysfunction (both male and female);
- allograft rejection acute and chronic following, for example, transplantation of kidney, heart, liver, lung, bone marrow, skin or cornea or following blood transfusion; or chronic graft versus host disease; 10.
- CNS Alzheimer's disease and other dementing disorders including CJD and nvCJD; amyloidosis; multiple sclerosis and other demyelinating syndromes; cerebral atherosclerosis and vasculitis; temporal arteritis; myasthenia gravis; acute and chronic pain (acute, intermittent or persistent, whether of central or peripheral origin) including visceral pain, headache, migraine, trigeminal neuralgia, atypical facial pain, joint and bone pain, pain arising from cancer and tumor invasion, neuropathic pain syndromes including diabetic, post-herpetic, and HIV-associated neuropathies; neurosarcoidosis; central and peripheral nervous system complications of malignant, infectious or autoimmune processes;
- cardiovascular atherosclerosis, affecting the coronary and peripheral circulation; pericarditis; myocarditis, inflammatory and auto-immune cardiomyopathies including myocardial sarcoid; ischaemic reperfusion injuries; endocarditis, valvulitis, and aortitis including infective (for example syphilitic); vasculitides; disorders of the proximal and peripheral veins including phlebitis and thrombosis, including deep vein thrombosis and complications of varicose veins;
- oncology treatment of common cancers including prostate, breast, lung, ovarian, pancreatic, bowel and colon, stomach, skin and brain tumors and malignancies affecting the bone marrow (including the leukaemias) and lymphoproliferative systems, such as Hodgkin's and non-Hodgkin's lymphoma; including the prevention and treatment of metastatic disease and tumour recurrences, and paraneoplastic syndromes;
- gastrointestinal tract Coeliac disease, proctitis, eosinopilic gastro-enteritis, mastocytosis, Crohn's disease, ulcerative colitis, microscopic colitis, indeterminant colitis, irritable bowel disorder, irritable bowel syndrome, non-inflammatory diarrhea, food- related allergies which have effects remote from the gut, e.g., migraine, rhinitis and eczema; and
- the present invention provides a compound of formula (I) or a pharmaceutically- acceptable salt thereof as hereinbefore defined for use in therapy.
- the invention provides a compound of formula (I) or a pharmaceutically acceptable salt thereof as hereinbefore defined for use in the treatment of asthma ⁇ such as bronchial, allergic, intrinsic, extrinsic or dust asthma, particularly chronic or inveterate asthma (for example late asthma or airways hyper-responsiveness) ⁇ , chronic obstructive pulmonary disease (COPD) or rhinitis.
- asthma such as bronchial, allergic, intrinsic, extrinsic or dust asthma, particularly chronic or inveterate asthma (for example late asthma or airways hyper-responsiveness) ⁇ , chronic obstructive pulmonary disease (COPD) or rhinitis.
- COPD chronic obstructive pulmonary disease
- the present invention provides a compound of formula (I) or a pharmaceutically acceptable salt thereof as hereinbefore defined for use in the treatment of sepsis.
- the present invention provides the use of a compound of formula (I) or a pharmaceutically acceptable salt thereof as hereinbefore defined in the manufacture of a medicament for use in therapy.
- the present invention provides the use of a compound of formula (I) or a pharmaceutically acceptable salt thereof as hereinbefore defined in the manufacture of a medicament for use in the treatment of asthma ⁇ such as bronchial, allergic, intrinsic, extrinsic or dust asthma, particularly chronic or inveterate asthma (for example late asthma or airways hyper-responsiveness) ⁇ , chronic obstructive pulmonary disease or rhinitis.
- the term “therapy” also includes “prophylaxis” unless there are specific indications to the contrary.
- the terms “therapeutic” and “therapeutically” should be construed accordingly.
- Prophylaxis is expected to be particularly relevant to the treatment of persons who have suffered a previous episode of, or are otherwise considered to be at increased risk of, the disease or condition in question.
- Persons at risk of developing a particular disease or condition generally include those having a family history of the disease or condition, or those who have been identified by genetic testing or screening to be particularly susceptible to developing the disease or condition.
- the invention also provides a method of treating, or reducing the risk of, a disease or condition in which modulation of chemokine receptor activity, particularly CCR8 activity, is beneficial which comprises administering to a patient in need thereof a therapeutically effective amount of a compound of formula (I) or a pharmaceutically acceptable salt thereof as hereinbefore defined.
- the present invention provides a method of treating asthma ⁇ such as bronchial, allergic, intrinsic, extrinsic or dust asthma, particularly chronic or inveterate asthma (for example late asthma or airways hyper-responsiveness) ⁇ , chronic obstructive pulmonary disease or rhinitis in a patient suffering from, or at risk of, said disease, which comprises administering to the patient a therapeutically effective amount of a compound of formula (I) or a pharmaceutically acceptable salt thereof as hereinbefore defined.
- asthma such as bronchial, allergic, intrinsic, extrinsic or dust asthma, particularly chronic or inveterate asthma (for example late asthma or airways hyper-responsiveness) ⁇
- chronic obstructive pulmonary disease or rhinitis in a patient suffering from, or at risk of, said disease, which comprises administering to the patient a therapeutically effective amount of a compound of formula (I) or a pharmaceutically acceptable salt thereof as hereinbefore defined.
- the daily dosage of the compound of the invention if inhaled, may be in the range from 0.05 micrograms per kilogram body weight ( ⁇ g/kg) to 100 micrograms per kilogram body weight ( ⁇ g/kg).
- the daily dosage of the compound of the invention may be in the range from 0.01 micrograms per kilogram body weight ( ⁇ g/kg) to 100 milligrams per kilogram body weight (mg/kg).
- the compounds of formula (I) and pharmaceutically acceptable salts thereof may be used on their own but will generally be administered in the form of a pharmaceutical composition in which the formula (I) compound/salt (active ingredient) is in association with a pharmaceutically acceptable adjuvant, diluent or carrier.
- a pharmaceutically acceptable adjuvant diluent or carrier.
- Conventional procedures for the selection and preparation of suitable pharmaceutical formulations are described in, for example, "Pharmaceuticals - The Science of Dosage Form Designs", M. E. Aulton, Churchill Livingstone, 1988.
- the pharmaceutical composition will preferably comprise from 0.05 to 99 %w (per cent by weight), more preferably from 0.05 to 80 %w, still more preferably from 0.10 to 70 %w, and even more preferably from 0.10 to 50 %w, of active ingredient, all percentages by weight being based on total composition.
- the present invention also provides a pharmaceutical composition
- a pharmaceutical composition comprising a compound of formula (I) or a pharmaceutically acceptable salt thereof as hereinbefore defined in association with a pharmaceutically acceptable adjuvant, diluent or carrier.
- the invention further provides a process for the preparation of a pharmaceutical composition of the invention which comprises mixing a compound of formula (I) or a pharmaceutically acceptable salt thereof as hereinbefore defined with a pharmaceutically acceptable adjuvant, diluent or carrier.
- compositions may be administered topically (e.g. to the skin or to the lung and/or airways) in the form, e.g., of creams, solutions, suspensions, heptafluoroalkane (HFA) aerosols and diy powder formulations, for example, formulations in the inhaler device known as the Turbuhaler ® ; or systemically, e.g. by oral administration in the form of tablets, capsules, syrups, powders or granules; or by parenteral administration in the form of solutions or suspensions; or by subcutaneous administration; or by rectal administration in the form of suppositories; or transdermally.
- HFA heptafluoroalkane
- Dry powder formulations and pressurized HFA aerosols of the compounds of the invention may be administered by oral or nasal inhalation.
- the compound is desirably finely divided.
- the finely divided compound preferably has a mass median diameter of less than 10 micrometres ( ⁇ m), and may be suspended in a propellant mixture with the assistance of a dispersant, such as a C8-C20 fatty acid or salt thereof, (for example, oleic acid), a bile salt, a phospholipid, an alkyl saccharide, a perfluorinated or polyethoxylated surfactant, or other pharmaceutically acceptable dispersant.
- a dispersant such as a C8-C20 fatty acid or salt thereof, (for example, oleic acid), a bile salt, a phospholipid, an alkyl saccharide, a perfluorinated or polyethoxylated surfactant, or other pharmaceutically acceptable dispersant.
- the compounds of the invention may also be administered by means of a dry powder inhaler.
- the inhaler may be a single or a multi dose inhaler, and may be a breath actuated dry powder inhaler.
- a carrier substance for example, a mono-, di- or polysaccharide, a sugar alcohol, or another polyol.
- Suitable carriers are sugars, for example, lactose, glucose, raff ⁇ nose, melezitose, lactitol, maltitol, trehalose, sucrose, mannitol; and starch.
- the finely divided compound may be coated by another substance.
- the powder mixture may also be dispensed into hard gelatine capsules, each containing the desired dose of the active compound.
- This spheronized powder may be filled into the drug reservoir of a multidose inhaler, for example, that known as the Turbuhaler ® in which a dosing unit meters the desired dose which is then inhaled by the patient.
- a multidose inhaler for example, that known as the Turbuhaler ® in which a dosing unit meters the desired dose which is then inhaled by the patient.
- the active ingredient with or without a carrier substance, is delivered to the patient.
- the compound of the invention may be admixed with an adjuvant or a carrier, for example, lactose, saccharose, sorbitol, mannitol; a starch, for example, potato starch, corn starch or amylopectin; a cellulose derivative; a binder, for example, gelatine or polyvinylpyrrolidone; and/or a lubricant, for example, magnesium stearate, calcium stearate, polyethylene glycol, a wax, paraffin, and the like, and then compressed into tablets.
- an adjuvant or a carrier for example, lactose, saccharose, sorbitol, mannitol
- a starch for example, potato starch, corn starch or amylopectin
- a cellulose derivative for example, gelatine or polyvinylpyrrolidone
- a lubricant for example, magnesium stearate, calcium stearate, polyethylene glycol, a wax
- the cores may be coated with a concentrated sugar solution which may contain, for example, gum arabic, gelatine, talcum and titanium dioxide.
- a concentrated sugar solution which may contain, for example, gum arabic, gelatine, talcum and titanium dioxide.
- the tablet may be coated with a suitable polymer dissolved in a readily volatile organic solvent.
- the compound of the invention may be admixed with, for example, a vegetable oil or polyethylene glycol.
- Hard gelatine capsules may contain granules of the compound using either the above-mentioned excipients for tablets.
- liquid or semi-solid formulations of the compound of the invention may be filled into hard gelatine capsules.
- Liquid preparations for oral application may be in the form of syrups or suspensions, for example, solutions containing the compound of the invention, the balance being sugar and a mixture of ethanol, water, glycerol and propylene glycol.
- Such liquid preparations may contain colouring agents, flavouring agents, saccharine and/or carboxymethylcellulose as a thickening agent or other excipients known to those skilled in art.
- the compounds of the invention may also be administered in conjunction with other compounds used for the treatment of the above conditions.
- the invention therefore further relates to combination therapies wherein a compound of the invention or a pharmaceutical composition or formulation comprising a compound of the invention is administered concurrently or sequentially or as a combined preparation with another therapeutic agent or agents, for the treatment of one or more of the conditions listed.
- a compound of the invention or a pharmaceutical composition or formulation comprising a compound of the invention is administered concurrently or sequentially or as a combined preparation with another therapeutic agent or agents, for the treatment of one or more of the conditions listed.
- the compounds of the invention may be combined with agents listed below.
- Non-steroidal anti-inflammatory agents including non-selective cyclo-oxygenase COX-I / COX-2 inhibitors whether applied topically or systemically (such as piroxicam, diclofenac, propionic acids such as naproxen, flurbiprofen, fenoprofen, ketoprofen and ibuprofen, fenamates such as mefenamic acid, indomethacin, sulindac, azapropazone, pyrazolones such as phenylbutazone, salicylates such as aspirin); selective COX-2 inhibitors (such as meloxicam, celecoxib, rofecoxib, valdecoxib, lumarocoxib, parecoxib and etoricoxib); cyclo-oxygenase inhibiting nitric oxide donors (CINODs); glucocorticosteroids (whether administered by topical, oral, intravepiroxicam, rt
- the present invention still further relates to the combination of a compound of the invention (including pharmaceutically acceptable salts) together with a cytokine or agonist or antagonist of cytokine function, (including agents which act on cytokine signalling pathways such as modulators of the SOCS system) including alpha-, beta-, and gamma- interferons; insulin-like growth factor type I (IGF-I); interleukins (IL) including ILl to 17, and interleukin antagonists or inhibitors such as anakinra; tumour necrosis factor alpha (TNF- ⁇ ) inhibitors such as anti-TNF monoclonal antibodies (for example infliximab; adalimumab, and CDP-870) and TNF receptor antagonists including immunoglobulin molecules (such as etanercept) and low-molecular-weight agents such as pentoxyfylline.
- a cytokine or agonist or antagonist of cytokine function including agents which act on cytokine signalling pathways
- Lymphocytes such as CD20 (rituximab), MRA-aIL16R and T-Lymphocytes, CTLA4-Ig, HuMax 11-15).
- the present invention still further relates to the combination of a compound of the invention with a modulator of chemokihe receptor function such as an antagonist of CCRl , CCR2, CCR2A, CCR2B, CCR3, CCR4, CCR5, CCR6, CCR7, CCR8, CCR9, CCRlO and s CCRl 1 (for the C-C family); CXCRl , CXCR2, CXCR3, CXCR4 and CXCR5 (for the C-
- the present invention further relates to the combination of a compound of the invention with an inhibitor of matrix metalloprotease (MMPs), i.e., the stromelysins, the I 0 collagenases, and the gelatinases, as well as aggrecanase; for example coUagenase-1 (MMP-I), collagenase-2 (MMP-8), collagenase-3 (MMP- 13), stromelysin-1 (MMP-3), stromelysin-2 (MMP-10), and stromelysin-3 (MMP-11) and MMP-9 and MMP-12, including agents such as doxycycline.
- MMPs matrix metalloprotease
- the present invention still further relates to the combination of a compound of the invention and a leukotriene biosynthesis inhibitor, 5 -lipoxygenase (5-LO) inhibitor or 5- lipoxygenase activating protein (FLAP) antagonist such as; zileuton; ABT-761; fenleuton; tepoxalin; Abbott-79175; Abbott-85761; a N-(5-substituted)-thiophene-2- alkylsulfonamide; 2,6-di-tert-butylphenolhydrazones; a methoxytetrahydropyrans such as
- Zeneca ZD-2138 the compound SB-210661 ; a pyridinyl-substituted 2-cyanonaphthalene compound such as L-739,010; a 2-cyanoquinoline compound such as L-746,530; or an indole or quinoline compound such as MK-591, MK-886, and BAY x 1005.
- the present invention further relates to the combination of a compound of the invention 2 5 and a receptor antagonist for leukotrienes (LT) B4, LTC4, LTD4, and LTE4.
- a receptor antagonist for leukotrienes (LT) B4, LTC4, LTD4, and LTE4 selected from the group consisting of the phenothiazin-3-yls such as L-651,392; amidino compounds such as CGS-25019c; benzoxalamines such as ontazolast; benzenecarboximidamides such as BIIL 284/260; and compounds such as zafirlukast, ablukast, montelukast, pranlukast, verlukast (MK-679), RG-12525, Ro-245913, iralukast (CGP 45715A), and BAY x 7195.
- a receptor antagonist for leukotrienes (LT) B4, LTC4, LTD4, and LTE4 selected
- the present invention still further relates to the combination of a compound of the invention and a phosphodiesterase (PDE) inhibitor such as a methylxanthanine including theophylline and aminophylline; a selective PDE isoenzyme inhibitor including a PDE4 inhibitor an inhibitor of the isoform PDE4D, or an inhibitor of PDE5.
- PDE phosphodiesterase
- the present invention further relates to the combination of a compound of the invention and a histamine type 1 receptor antagonist such as cetirizine, loratadine, desloratadine, fexofenadine, acrivastine, terfenadine, astemizole, azelastine, levocabastine, chlorpheniramine, promethazine, cyclizine, or mizolastine; applied orally, topically or parenterally.
- a histamine type 1 receptor antagonist such as cetirizine, loratadine, desloratadine, fexofenadine, acrivastine, terfenadine, astemizole, azelastine, levocabastine, chlorpheniramine, promethazine, cyclizine, or mizolastine
- the present invention still further relates to the combination of a compound of the invention and a proton pump inhibitor (such as omeprazole) or a gastroprotective histamine type 2 receptor antagonist.
- a proton pump inhibitor such as omeprazole
- a gastroprotective histamine type 2 receptor antagonist such as a gastroprotective histamine type 2 receptor antagonist.
- the present invention further relates to the combination of a compound of the invention and an antagonist of the histamine type 4 receptor.
- the present invention still further relates to the combination of a compound of the invention and an alpha- l/alpha-2 adrenoceptor agonist vasoconstrictor sympathomimetic agent, such as propylhexedrine, phenylephrine, phenylpropanolamine, ephedrine, pseudoephedrine, naphazoline hydrochloride, oxymetazoline hydrochloride, tetrahydrozoline hydrochloride, xylometazoline hydrochloride, tramazoline hydrochloride or ethylnorepinephrine hydrochloride.
- an alpha- l/alpha-2 adrenoceptor agonist vasoconstrictor sympathomimetic agent such as propylhexedrine, phenylephrine, phenylpropanolamine, ephedrine, pseudoephedrine, naphazoline hydrochloride, oxymetazoline hydrochlor
- the present invention further relates to the combination of a compound of the invention and an anticholinergic agent including muscarinic receptor (Ml , M2, and M3) antagonist such as atropine, hyoscine, glycopyrrrolate, ipratropium bromide, tiotropium bromide, oxitropium bromide, pirenzepine or telenzepine.
- Ml muscarinic receptor
- M2 muscarinic receptor
- M3 antagonist such as atropine, hyoscine, glycopyrrrolate, ipratropium bromide, tiotropium bromide, oxitropium bromide, pirenzepine or telenzepine.
- the present invention still further relates to the combination of a compound of the invention and a beta-adrenoceptor agonist (including beta receptor subtypes 1-4) such as isoprenaline, salbutamol, formoterol, salmeterol, terbutaline, orciprenaline, bitolterol mesylate, or pirbuterol, or a chiral enantiomer thereof.
- a beta-adrenoceptor agonist including beta receptor subtypes 1-4
- the present invention further relates to the combination of a compound of the invention and a chromone, such as sodium cromoglycate or nedocromil sodium.
- the present invention still further relates to the combination of a compound of the invention with a glucocorticoid, such as flunisolide, triamcinolone acetonide, beclomethasone dipropionate, budesonide, fluticasone propionate, ciclesonide or mometasone furoate.
- a glucocorticoid such as flunisolide, triamcinolone acetonide, beclomethasone dipropionate, budesonide, fluticasone propionate, ciclesonide or mometasone furoate.
- the present invention further relates to the combination of a compound of the invention with an agent that modulates a nuclear hormone receptor such as PPARs.
- the present invention still further relates to the combination of a compound of the invention together with an immunoglobulin (Ig) or Ig preparation or an antagonist or antibody modulating Ig function such as anti-IgE (for example omalizumab).
- Ig immunoglobulin
- Ig preparation or an antagonist or antibody modulating Ig function such as anti-IgE (for example omalizumab).
- anti-IgE for example omalizumab
- the present invention further relates to the combination of a compound of the invention and another systemic or topically-applied anti-inflammatory agent, such as thalidomide or a derivative thereof, a retinoid, dithranol or calcipotriol.
- a compound of the invention and another systemic or topically-applied anti-inflammatory agent, such as thalidomide or a derivative thereof, a retinoid, dithranol or calcipotriol.
- the present invention still further relates to the combination of a compound of the invention and combinations of aminosalicylates and sulfapyridine such as sulfasalazine, mesalazine, balsalazide, and olsalazine; and immunomodulatory agents such as the thiopurines, and corticosteroids such as budesonide.
- aminosalicylates and sulfapyridine such as sulfasalazine, mesalazine, balsalazide, and olsalazine
- immunomodulatory agents such as the thiopurines, and corticosteroids such as budesonide.
- the present invention further relates to the combination of a compound of the invention together with an antibacterial agent such as a penicillin derivative, a tetracycline, a macrolide, a beta-lactam, a fluoroquinolone, metronidazole, an inhaled aminoglycoside; an antiviral agent including acyclovir, famciclovir, valaciclovir, ganciclovir, cidofovir, amantadine, rimantadine, ribavirin, zanamavir and oseltamavir; a protease inhibitor such as indinavir, nelfinavir, ritonavir, and saquinavir; a nucleoside reverse transcriptase inhibitor such as didanosine, lamivudine, stavudine, zalcitabine or zidovudine; or a non-nucleoside reverse transcriptase inhibitor such as nevirapine
- the present invention still further relates to the combination of a compound of the invention and a cardiovascular agent such as a calcium channel blocker, a beta- adrenoceptor blocker, an angiotensin-converting enzyme (ACE) inhibitor, an angiotensin-2 receptor antagonist; a lipid lowering agent such as a statin or a fibrate; a modulator of blood cell morphology such as pentoxyfylline; thrombolytic, or an anticoagulant such as a platelet aggregation inhibitor.
- a cardiovascular agent such as a calcium channel blocker, a beta- adrenoceptor blocker, an angiotensin-converting enzyme (ACE) inhibitor, an angiotensin-2 receptor antagonist
- ACE angiotensin-converting enzyme
- angiotensin-2 receptor antagonist angiotensin-2 receptor antagonist
- a lipid lowering agent such as a statin or a fibrate
- a modulator of blood cell morphology such as pentoxyfylline
- the present invention further relates to the combination of a compound of the invention and a CNS agent such as an antidepressant (such as sertraline), an anti-Parkinsonian drug (such as deprenyl, L-dopa, ropinirole, pramipexole, a MAOB inhibitor such as selegine and rasagiline, a comP inhibitor such as tasmar, an A-2 inhibitor, a dopamine reuptake inhibitor, an NMDA antagonist, a nicotine agonist, a dopamine agonist or an inhibitor of neuronal nitric oxide synthase), or an anti-Alzheimer's drug such as donepezil, rivastigmine, tacrine, a COX-2 inhibitor, propentofylline or metrifonate.
- a CNS agent such as an antidepressant (such as sertraline), an anti-Parkinsonian drug (such as deprenyl, L-dopa, ropini
- the present invention still further relates to the combination of a compound of the invention and an agent for the treatment of acute or chronic pain, such as a centrally or peripherally-acting analgesic (for example an opioid or derivative thereof), carbamazepine, phenytoin, sodium valproate, amitryptiline or other anti-depressant agents, paracetamol, or a non-steroidal anti-inflammatory agent.
- analgesic for example an opioid or derivative thereof
- carbamazepine for example an opioid or derivative thereof
- phenytoin for example an opioid or derivative thereof
- sodium valproate for example an opioid or derivative thereof
- amitryptiline or other anti-depressant agents for example an opioid or derivative thereof
- paracetamol for example an opioid or derivative thereof
- non-steroidal anti-inflammatory agent for example an opioid or derivative thereof
- the present invention further relates to the combination of a compound of the invention together with a parenterally or topically-applied (including inhaled) local anaesthetic agent such as lignocaine or a derivative thereof.
- a parenterally or topically-applied (including inhaled) local anaesthetic agent such as lignocaine or a derivative thereof.
- a compound of the present invention can also be used in combination with an anti- osteoporosis agent including a hormonal agent such as raloxifene, or a biphosphonate such as alendronate.
- the present invention still further relates to the combination of a compound of the invention together with a: (i) tryptase inhibitor; (ii) platelet activating factor (PAF) antagonist; (iii) interleukin converting enzyme (ICE) inhibitor; (iv) IMPDH inhibitor; (v) adhesion molecule inhibitors including VLA-4 antagonist; (vi) cathepsin; (vii) kinase inhibitor such as an inhibitor of tyrosine kinase (such as Btk, Itk, Jak3 or MAP, for example Gefitinib or Imatinib mesylate), a serine / threonine kinase (such as an inhibitor of a MAP kinase such as p38, JNK, protein kina
- -receptor antagonist for example colchicine
- anti-gout agent for example colchicine
- xanthine oxidase inhibitor for example allopurinol
- uricosuric agent for example probenecid, sulfinpyrazone or benzbromarone
- growth hormone secretagogue for example transforming growth factor (TGF ⁇ );
- PDGF platelet- derived growth factor
- fibroblast growth factor for example basic fibroblast growth factor (bFGF);
- GM- CSF granulocyte macrophage colony stimulating factor
- capsaicin cream for example tachykinin NK.subl.
- NKP-608C SB-233412 (talnetant) or D-4418
- elastase inhibitor such as UT- 77 or ZD-0892
- TACE TNF-alpha converting enzyme inhibitor
- iNOS induced nitric oxide synthase
- chemoattractant receptor-homologous molecule expressed on TH2 cells such as a CRTH2 antagonist
- inhibitor of p38 agent modulating the function of Toll-like receptors (TLR),
- agent modulating the activity of purinergic receptors such as P2X7
- inhibitor of transcription factor activation such as NFkB, API, or STATS
- GR-receptor a non-steroidal glucocorticoid receptor
- the present invention provides a combination (for example for the treatment of COPD, asthma or allergic rhinitis) of a compound of formula (I) or a pharmaceutically acceptable salt thereof as hereinbefore defined and one or more agents independently selected from: • a non-steroidal glucocorticoid receptor (GR-receptor) agonist; • a selective ⁇ 2 adrenoceptor agonist (such as metaproterenol, isoproterenol, isoprenaline, albuterol, salbutamol, formoterol, salmeterol, terbutaline, orciprenaline, bitolterol mesylate, pirbuterol or indacaterol);
- GR-receptor non-steroidal glucocorticoid receptor
- a selective ⁇ 2 adrenoceptor agonist such as metaproterenol, isoproterenol, isoprenaline, albuterol, salbutamol, formoterol,
- a phosphodiesterase inhibitor such as a PDE4 inhibitor
- a protease inhibitor such as a neutrophil elastase or matrix metalloprotease MMP- 12 inhibitor
- a modulator of chemokine receptor function such as a CCRl receptor antagonist
- an inhibitor of kinase function (such as the kinases p38 or IKK).
- the invention also provides a pharmaceutical product comprising, in combination, a preparation of a first active ingredient which is a compound of formula (I) or a pharmaceutically acceptable salt thereof as hereinbefore defined, and a preparation of a second active ingredient which is
- GR-receptor a non-steroidal glucocorticoid receptor
- the invention provides a kit comprising a preparation of a first active ingredient which is a compound of formula (I) or a pharmaceutically acceptable salt thereof as hereinbefore defined, and a preparation of a second active ingredient which is • a non-steroidal glucocorticoid receptor (GR-receptor) agonist; 53
- the compound was synthesized according to General Method A using Intermediate A and Imidazol-1-yl-acetic acid.
- Membranes from CHO-Kl cells transfected with human recombinant chemokine CCR8 receptor (ES-136-M) were purchased from Euroscreen. Membrane preparations are stored at -7O 0 C in 7.5mM tris(hydroxymethyl)aminomethane hydrochloride (Tris-Cl; pH 7.5), 12.5 mM magnesium chloride (MgCl 2 ), 0.3 mM ethylenediamine tetraacetic acid (EDTA), ImM ethylene glycol bis(beta-amino-ethylether)N,N,N',N'-tetraacetic acid (EGTA) and 250 mM sucrose until used.
- Tris-Cl tris(hydroxymethyl)aminomethane hydrochloride
- MgCl 2 magnesium chloride
- EDTA ethylenediamine tetraacetic acid
- EGTA ImM ethylene glycol bis(beta-amino-ethylether)N,N
- SPA Wheat Germ Agglutinin Scintillation Proximity Assay
- a 10-point dose-response curve (final concentrations 50 ⁇ M, 16.7 ⁇ M, 5.6 ⁇ M, 1.9 ⁇ M, 0.62 ⁇ M, 0.21 ⁇ M, 0.069 ⁇ M, 0.023 ⁇ M) was prepared by diluting compounds by serial dilution 1:3 in dimethylsulfoxide (DMSO).
- DMSO dimethylsulfoxide
- l ⁇ l from the DMSO solutions of compounds was transferred into each well, l ⁇ l of DMSO was added to the blank control wells and 1 ⁇ l unlabeled CCLl (300 nM) was added to background control wells. 50 ⁇ l of the Scintillation
- SPA Proximity Assay
- the compounds of the Examples have an IC 50 of less than 2 ⁇ M.
- the results obtained for a representative selection of the compounds of the Examples are shown in Table 1 below.
Landscapes
- Chemical & Material Sciences (AREA)
- Organic Chemistry (AREA)
- Health & Medical Sciences (AREA)
- Pulmonology (AREA)
- Engineering & Computer Science (AREA)
- Bioinformatics & Cheminformatics (AREA)
- Chemical Kinetics & Catalysis (AREA)
- General Chemical & Material Sciences (AREA)
- Medicinal Chemistry (AREA)
- Nuclear Medicine, Radiotherapy & Molecular Imaging (AREA)
- Pharmacology & Pharmacy (AREA)
- Life Sciences & Earth Sciences (AREA)
- Animal Behavior & Ethology (AREA)
- General Health & Medical Sciences (AREA)
- Public Health (AREA)
- Veterinary Medicine (AREA)
- Plural Heterocyclic Compounds (AREA)
- Pharmaceuticals Containing Other Organic And Inorganic Compounds (AREA)
Abstract
The present invention provides compounds of formula (I) wherein n, R1, R2, R3 and R4 are as defined in the specification, a process for their preparation, pharmaceutical compositions containing them and their use in therapy.
Description
PIPERIDINE DERIVATIVES AND THEIR USE FOR TREATMENT OF CCR8 MEDIATED DISEASES
The present invention relates to substituted piperidines, processes for their preparation, pharmaceutical compositions containing them and their use in therapy.
Both the initial stages of a disease as well as the long-term tissue remodeling and muscle hypotrophy depend on recruitment of leukocytes to the inflammatory lesion. Leukocyte recruitment involves the migration of leukocytes into the diseased tissue from the blood vessel and their activation, which leads to progression of disease. The mechanism underlying this recruitment, chemotaxis, is similar both in classically defined immune mediated pathological conditions (i.e. allergic and autoimmune diseases) as well as others (i.e. atherosclerosis and Parkinson's disease). Thus, intervention of leukocyte recruitment to the inflamed target tissue constitutes an attractive novel therapeutic principle.
The chemokines are a large family (>50 members) of small 8 - to 15- kDa secreted, heparin-binding polypeptides with the primary function of controlling trafficking and activation of leukocytes. They are distinct from classical chemoattractants (i.e. bacterial derived N-formyl peptides, complement components, lipid molecules and platelet activating factor) on the basis of shared structural similarities. All chemokines have four conserved cysteines residues that form disulfide bonds, which are critical for the 3-D structure. The chemokines are further subclassed according to the position of the first two cysteines. The two major subclasses are the CC-chemokines, that have the cysteines adjacent, and the CXC-cytokines, that have the cysteines separated by one amino acid. The two other families, the C and the CX3C chemokines, are much smaller and only comprise one or a few members.
The C-X-C chemokines include several potent chemoattractants and activators of neutrophils such as interleukin-8 (IL-8) and neutrophil-activating peptide 2 (NAP-2).
The C-C chemokines include potent chemoattractants of monocytes and lymphocytes, such as human monocyte chemotactic proteins 1-3 (MCP-I, MCP-2 and MCP-3), RANTES
(Regulated on Activation, Normal T Expressed and Secreted), eotaxin and the macrophage inflammatory proteins 1 α and 1 β (MIP- 1 α and MIP- 1 β) and CCL 1.
Studies have demonstrated that the actions of the chemokines are mediated by subfamilies of G protein-coupled receptors, among which are the receptors designated CCRl , CCR2, CCR2A, CCR2B, CCR3, CCR4, CCR5, CCR6, CCR7, CCR8, CCR9, CCRlO, CXCRl, CXCR2, CXCR3 and CXCR4.
The accumulation of immune cells at a site of allergic inflammation occurs within 6-48 hours after allergen challenge and is a hallmark of allergic diseases. Studies have shown that antigen-specific CD4 T-cells are detected in lung tissue of asthmatic patients after exposure to the allergen. Although infiltrating T-cells are relatively few in number compared to eosinophils, compelling evidence has demonstrated essential roles for T-cells in orchestrating the inflammatory process in human asthma. A close correlation exists in humans between the level of TH2 cytokines produced by T cells, serum level of IgE and prevalence of asthma.
The human CCR8 receptor has been shown to interact with the human chemokine CCLl (1-309). This chemokine is a potent eosinophil, T-, dentritic and endothelial cell chemoattractant. The receptor has been shown to be transiently upregulated on polarized TH2 cells after optimal TCR cross linkage in the presence of costimulatory signals (i.e. CD28). The coordinated upregulation of CCR8 on activated T-cells after antigen challenge indicates that it contributes to redistribution of the activated T-cells to the inflammatory foci within the inflamed tissue expressing CCLl . Indeed, in vivo models of allergic airway inflammation using mice deficient in CCR8 expression have shown a profound block in recruitment of effector T-cells to the inflamed lung tissue and production of TH2 cytokines. Moreover, T-cells infiltrating the human airway subepithelium during allergen challenge have been shown to be CCR8 positive. Importantly, the number of CCR8 positive cells migrating into the airway submucosa following allergen challenge has been shown to correlate with decreases in FEVl .
Considering the significant role CCR8 plays in TH2 cell chemotaxis, and the importance of TH2 cells in allergic conditions such as asthma, CCR8 represents a good target for drug development in the treatment of respiratory diseases such as asthma.
WO 03/037271 describes a broad class of phenyl derivatives that are said to be effective as CCR8 antagonists.
In accordance with the present invention, there is therefore provided a compound of formula
R represents a saturated or unsaturated 5- to 15-membered ring system optionally comprising at least one ring heteroatom selected from nitrogen, oxygen and sulphur, the ring system being optionally substituted with at least one substituent selected from halogen, cyano, oxo (=0), mercapto (=S), nitro, hydroxyl, carboxyl, -SO2NH2, -NR5R6, -C(O)NR7R8, Ci-C6 alkoxy, Ci-C6 alkoxycarbonyl, Ci-C6 alkylcarbonyl,
Cj-C6 alkyl (optionally substituted by at least one substituent selected from halogen,
9 10 11 12 hydroxyl, cyano, carboxyl, Ci-C6 alkoxycarbonyl, -NR R and -C(O)NR R ),
C2-C6 alkenyl (optionally substituted by -C(O)NR 3R1 ), C3-C6 cycloalkyl (optionally substituted by at least one substituent selected from halogen, hydroxyl and cyano), -NHSO2-R , and a saturated or unsaturated 5- to 6-membered heterocyclic ring comprising at least one ring heteroatom selected from nitrogen, oxygen and sulphur, the heterocycylic ring itself being optionally substituted by at least one substituent selected from halogen, hydroxyl, carboxyl and Ci-C6 alkyl; n is O or 1 ;
2 3
R and R each independently represent hydrogen, hydroxyl, CJ-CO alky 1,
Ci-Cg alkoxy, Cj-Cg haloalkyl, Cj-Cg haloalkoxy, C3-C6 cycloalkyl or Cg-Cjo aryl, the aryl group being optionally substituted with at least one substituent selected from halogen, hydroxyl, Cj-Cg alkyl and Cj-Cg alkoxy, or
2 3
R and R together with the carbon atom to which they are attached form a 3- to 6- membered saturated carbocyclic ring;
4 R represents a group
in which ring B, together with the two carbon atoms of ring A to which it is fused, represents a 5- to 6-membered, saturated or unsaturated, non-aromatic heterocyclic ring comprising one ring oxygen atom and optionally one or more ring heteroatoms independently selected from nitrogen, oxygen and sulphur, the group (P) being optionally substituted with at least one substituent selected from halogen, Cj-Cg alkyl, Cβ-Cg cycloalkyl and phenyl, the phenyl itself being optionally substituted with at least one substituent selected from halogen, hydroxyl and Cj-Cg alkoxy;
R and R each independently represent hydrogen, Cj-Cg alkyl or C3 -Cg cycloalkyl, or R and R together with the nitrogen atom to which they are attached form a 4- to 7- membered saturated heterocyclic ring optionally substituted by at least one substituent selected from hydroxyl, Cj-Cg alkoxy and Cj-Cg alkoxy-Cj-Cg alkyl;
7 8 R and R each independently represent hydrogen, Cj-Cg alkyl or C3~Cg cycloalkyl,
7 8 or R and R together with the nitrogen atom to which they are attached form a 4- to 7- membered saturated heterocyclic ring optionally substituted by at least one aminocarbonyl;
9 10
R and R each independently represent hydrogen, Cj-Cg alkyl or C3-Cg
9 10 cycloalkyl, or R and R together with the nitrogen atom to which they are attached form
a 4- to 7-membered saturated heterocyclic ring optionally substituted by at least one substituent selected from hydroxyl, Cj-Cg alkoxy and Cj-Cg alkoxy-Ci-Cg alkyl;
11 12
R and R each independently represent hydrogen, Ci-Cg alkyl or C3-C6
11 12 cycloalkyl, or R and R together with the nitrogen atom to which they are attached form a 4- to 7-membered saturated heterocyclic ring optionally substituted by at least one aminocarbonyl;
13 14
R and R each independently represent hydrogen, Ci-Cg alkyl or C3-Cg
13 14 cycloalkyl, or R and R together with the nitrogen atom to which they are attached form a 4- to 7-membered saturated heterocyclic ring optionally substituted by at least one aminocarbonyl; and
R represents a Ci-Cg alkyl group or a 6-membered saturated or unsaturated heterocyclic ring comprising at least one ring nitrogen atom, the heterocyclic ring being optionally substituted with at least one substituent selected from halogen, oxo, Ci-Cg alkyl and Ci-Cg alkoxy; or a pharmaceutically acceptable salt thereof.
The compounds of the present invention are effective as CCR8 antagonists and may, additionally, possess properties such as low toxicity, good selectivity and/or good metabolic stability which are advantageous for pharmaceutical compounds.
In the context of the present specification, unless otherwise stated, an alkyl/alkenyl substituent group or alky/alkenyl moiety in a substituent group may be linear or branched. A haloalkyl or haloalkoxy substituent group will comprise at least one halogen atom, e.g. one, two, three, four or five halogen atoms. An aryl group is an aromatic carbocyclic ring structure having from 6 to 10 carbon atoms, the ring structure being monocyclic or fused bicyclic. It will be appreciated that the definition of ring B in group (F) (and other heterocyclic groups referred to in formula (I)) is not intended to include unstable structures and is not intended to include any 0-0, O-S or S-S bonds. The substituent(s) on group (F) may be attached to any suitable ring atom. Unless otherwise specified, an unsaturated ring
or ring system will be partially or fully unsaturated. Further, when
R and
R , or R and R , or R and R , or R and R represent a 4- to 7-membered saturated heterocyclic ring, it should be understood that the only heteroatom present is the nitrogen atom to which R and R , or R and R , or R and R , or R and R , or R and R are attached.
When any chemical moiety or group in formula (I) is described as being optionally substituted, it will be appreciated that the moiety or group may be either unsubstituted or substituted by one or more of the specified substituents. It will be appreciated that, throughout the specification, the number and nature of substituents on rings/ring systems in the compounds of the invention will be selected so as to avoid sterically undesirable combinations.
R represents a saturated or, preferably, unsaturated 5- or 6- to 7-, 8-, 9-, 10-, H-, 12-, 13-, 14- or 15-membered ring system (particularly 5- to 13-membered ring system) optionally comprising at least one ring heteroatom (e.g. one, two, three or four ring heteroatoms independently) selected from nitrogen, oxygen and sulphur, the ring system being optionally substituted with at least one substituent (e.g. one, two, three or four substituents independently) selected from halogen (e.g. chlorine, fluorine, bromine or iodine), cyano, oxo (=O), mercapto (=S), nitro, hydroxyl, carboxyl,
-SO2NH2,
-NR5R6,
-C(O)NR7R8,
Ci-Cg, preferably C1-C4, alkoxy (e.g. methoxy, ethoxy, n-propoxy, isopropoxy, n- butoxy, isobutoxy, tert-butoxy, n-pentoxy or n-hexoxy),
Q-Cg, preferably C1-C4, alkoxycarbonyl (e.g. methoxycarbonyl, ethoxycarbonyl, n-propoxycarbonyl, isopropoxycarbonyl, n-butoxycarbonyl, isobutoxycarbonyl, tert-butoxycarbonyl, n-pentoxycarbonyl or n-hexoxycarbonyl),
Ci-Cg, preferably C1-C4, alkylcarbonyl (e.g. methylcarbonyl, ethylcarbonyl, n-propylcarbonyl, isopropylcarbonyl, n-butylcarbonyl, isobutylcarbonyl, tert-butylcarbonyl, n-pentylcarbonyl or n-hexylcarbonyl),
Cj-Cg, preferably C1-C4, alkyl such as methyl, ethyl, n-propyl, isopropyl, n-butyl, isobutyl, tert-butyl, n-pentyl or n-hexyl, optionally substituted by at least one substituent (e.g. one, two, three or four substituents independently) selected from halogen (e.g. chlorine, fluorine, bromine or iodine), hydroxyl, cyano, carboxyl, Cj-Cg or C1-C4 or
Q i n 1 1 1 ?
C1-C2 alkoxycarbonyl, -NR R and -C(O)NR R ,
C2-Cg or C2-C4 alkenyl such as ethenyl, prop-1-enyl, prop-2-enyl, but-1-enyl, pent-1-enyl, hex-1-enyl or 2-methyl-pent-2-enyl, optionally substituted by -C(O)NR13R14,
C3-Cg cycloalkyl such as cyclopropyl, cyclobutyl, cyclopentyl or cyclohexyl, optionally substituted by at least one substituent (e.g. one, two, three or four substituents independently) selected from halogen (e.g. chlorine, fluorine, bromine or iodine), hydroxyl and cyano,
-NHSO2-R15, and a saturated or unsaturated 5- to 6-membered heterocyclic ring comprising at least one ring heteroatom (e.g. one, two, three or four ring heteroatoms independently) selected from nitrogen, oxygen and sulphur (such as one or more of pyrrolidinyl, piperidinyl, piperazinyl, dithiolanyl, morpholinyl, tetrahydropyranyl, thiomorpholinyl, pyrazolyl, pyrazinyl, pyridazinyl, thiazolidinyl, thienyl, isoxazolyl, pyrimidinyl, thiadiazolyl, pyrrolyl, furanyl, thiazolyl, imidazolyl, triazolyl, tetrazolyl and pyridinyl, preferably pyrazolyl), the heterocycylic ring itself being optionally substituted by at least one substituent (e.g. one, two, three or four substituents independently) selected from halogen
(e.g. chlorine, fluorine, bromine or iodine), hydroxyl, carboxyl and Ci-Cβ alkyl (e.g. methyl, ethyl, n-propyl, isopropyl, n-butyl, isobutyl, tert-butyl, n-pentyl or n-hexyl).
The saturated or unsaturated 5- to 15-membered ring system in R may be carbocylic or heterocyclic. Examples of suitable ring systems, which may be monocyclic or polycyclic (e.g. bicyclic or tricyclic) where the two or more rings are fused, include one or more of cyclopentyl, cyclohexyl, bicyclo[2.2.1]heptyl, cyclopentenyl, cyclohexenyl, phenyl, pyrrolidinyl, piperidinyl, piperazinyl, morpholinyl, thiomorpholinyl, diazabicyclo[2.2.1]hept-2-yl, naphthyl, benzofuranyl, benzothienyl, benzodioxolyl, isoquinolinyl, quinolinyl, 1,2-dihydroquinolinyl, 1,2,3,4-tetrahydroquinolinyl, 2,3-dihydiObenzoxazinyl, 3 ,4-dihydrobenzoxazinyl, quinazolinyl, 1,2,3,4-tetrahydroquinazolinyl, indazolyl, naphthyridinyl (e.g. 1,8-naphthyridinyl, 2,7- naphthyridinyl), 5,6,7,8-tetrahydro-l,8-naphthyridinyl, isoindolyl, indolinyl, benzisoxazolyl, benzothiazolyl, purinyl, cinnolinyl, quinoxalinyl, 2,3-dihydrobenzofuranyl, pyrazolyl, pyrazinyl, thiazolidinyl, indanyl, thienyl, oxadiazolyl, oxazolyl, isothiazolyl, isoxazolyl, pyridazinyl, thiadiazolyl, pyrrolyl, furanyl, thiazolyl, indolyl, isoindolyl, 2,3-dihydroisoindolyl, imidazolyl, pyrimidinyl, 1 ,6-dihydroρyrimidinyl, benzimidazolyl, triazolyl, tetrazolyl, pyridinyl, oxazolidinyl, imidazolidinyl, azaindolyl, thieno[2,3-b]pyridinyl, thieno[2,3-b]pyrazinyl and thieno[2,3-b]quinolinyl.
Preferred ring systems include phenyl, pyrrolidinyl, piperazinyl, morpholinyl, benzofuranyl, benzothienyl, 3,4-dihydrobenzoxazinyl, indazolyl, 5,6,7,8-tetrahydro- 1,8- naphthyridinyl, benzimidazolyl, benzisoxazolyl, benzothiazolyl, pyrazolyl, pyrazinyl, thiazolidinyl, indanyl, oxadiazolyl, isoxazolyl, pyrrolyl, thiazolyl, indolyl, 2,3- dihydroisoindolyl, imidazolyl, pyrimidinyl, 1,6-dihydropyrimidinyl, triazolyl, tetrazolyl, pyridinyl, oxazolidinyl, imidazolidinyl, azaindolyl, thieno[2,3-b]pyridinyl, thieno[2,3-b]pyrazinyl and thieno[2,3-b]quinolinyl.
In an embodiment of the invention, R represents a saturated or, particularly, unsaturated 5- to 13-membered ring system, particularly a 5-, 6-, 9- or 10-membered ring system,
optionally comprising one, two, three or four ring heteroatoms, particularly one or two ring heteroatoms, independently selected from nitrogen, oxygen and sulphur, the ring system being optionally substituted as described above.
5 In another embodiment, R represents a saturated or, particularly, unsaturated 5- to 13- membered ring system, particularly a 5-, 6-, 9- or 10-membered ring system, optionally comprising one, two, three or four ring heteroatoms, particularly one or two ring heteroatoms, independently selected from nitrogen, oxygen and sulphur, the ring system being optionally substituted with at least one substituent (e.g. one, two, three or fouro substituents independently) selected from halogen (e.g. fluorine, chlorine, bromine or iodine), oxo, mercapto, nitro, hydroxyl, -NR R , Cj-Cg or Ci-C4 alkoxy, Cj -CO or
C1-C4 alkoxycarbonyl, Cj-Cg or C1-C4 alkyl (optionally substituted by one, two, three or four substituents independently selected from halogen (such as fluorine, chlorine, bromine
9 10 or iodine), hydroxyl, cyano, carboxyl, Cj-Cg or C 1-C4 alkoxycarbonyl, -NR R and
11 12 s -C(O)NR R ), and a saturated or unsaturated 5- to 6-membered heterocyclic ring comprising one, two, three or four ring heteroatoms independently selected from nitrogen, oxygen and sulphur, the heterocycylic ring itself being optionally substituted by at least one substituent (e.g. one, two, three or four substituents independently) selected from halogen (such as fluorine, chlorine, bromine or iodine), hydroxyl, carboxyl and Cj-Cg orQ C1-C4 alkyl.
In a further embodiment, R represents a saturated or, particularly, unsaturated 5- to 13- membered ring system, particularly a 5-, 6-, 9- or 10-membered ring system, optionally comprising one, two, three or four ring heteroatoms, particularly one or two ring S heteroatoms, independently selected from nitrogen, oxygen and sulphur, the ring system being optionally substituted with at least one substituent (e.g. one, two, three or four substituents independently) selected from halogen (e.g. fluorine, chlorine, bromine or iodine), oxo, mercapto, nitro, hydroxyl, -NR R , Cj-Cg Or Cj-C4 alkoxy, Cj-Cg or C1-C4 alkoxycarbonyl, Cj-Cg or C1-C4 alkyl (optionally substituted by one, two, three or
four substituents independently selected from halogen (such as fluorine, chlorine, bromine
11 12 or iodine), CI-CO or C1-C4 alkoxycarbonyl and -C(O)NR R ), and a saturated or unsaturated 5- to 6-membered heterocyclic ring comprising one or two ring heteroatoms independently selected from nitrogen, oxygen and sulphur, the heterocycylic ring itself being optionally substituted by at least one (e.g. one or two) Ci-Cg or Q-C4 alkyl groups.
In a still further embodiment, R represents a saturated or, particularly, unsaturated 5- to
13-membered ring system, particularly a 5-, 6-, 9- or 10-membered ring system, optionally comprising one, two, three or four ring heteroatoms, particularly one or two ring heteroatoms, independently selected from nitrogen, oxygen and sulphur, the ring system being optionally substituted with at least one substituent (e.g. one, two, three or four substituents independently) selected from fluorine, chlorine, bromine, oxo, mercapto, nitro, hydroxyl, -NH2, Ci-C2 alkoxy, ethoxycarbonyl, C 1-C2 alkyl (optionally substituted by one, two or three substituents independently selected from fluorine, methoxycarbonyl and -C(O)NH2), and pyrazolyl substituted by two methyl groups.
In yet another embodiment, R represents a saturated or unsaturated 5- to 15-membered ring system (optionally comprising at least one ring heteroatom selected from nitrogen, oxygen and sulphur) selected from phenyl, pyrrolidinyl, piperazinyl, morpholinyl, benzofuranyl, benzothienyl, 3,4-dihydrobenzoxazinyl, indazolyl, 5,6,7,8-tetrahydro-l,8- naphthyridinyl, benzimidazolyl, benzisoxazolyl, benzothiazolyl, pyrazolyl, pyrazinyl, thiazolidinyl, indanyl, oxadiazolyl, isoxazolyl, pyrrolyl, thiazolyl, indolyl, 2,3- dihydroisoindolyl, imidazolyl, pyrimidinyl, 1 ,6-dihydropyrimidinyl, triazolyl, tetrazolyl, pyridinyl, oxazolidinyl, imidazolidinyl, azaindolyl, thieno[2,3-b]pyridinyl, thieno[2,3-b]pyrazinyl and thieno[2,3-b]quinolinyl, said ring system being optionally substituted with at least one substituent (e.g. one, two, three or four substituents independently) selected from fluorine, chlorine, bromine, oxo, mercapto, nitro, hydroxyl, -NH2, Ci-C2 alkoxy, ethoxycarbonyl, C 1-C2 alkyl (optionally substituted by
one, two or three substituents independently selected from fluorine, methoxycarbonyl and -C(O)NH2), and pyrazolyl substituted by two methyl groups.
In one embodiment of the invention, n is 0.
In another embodiment of the invention, n is 1.
2 3
R and R each independently represent hydrogen, hydroxy 1,
Cj-Cg, preferably C1-C4, alkyl (e.g. methyl, ethyl, n-propyl, isopropyl, n-butyl, isobutyl, tert-butyl, n-pentyl or n-hexyl),
Cj -CO, preferably C1-C4, alkoxy (e.g. methoxy, ethoxy, n-propoxy, isopropoxy, n-butoxy, isobutoxy, tert-butoxy, n-pentoxy or n-hexoxy), Q-Cg, preferably C1-C4, haloalkyl (e.g. trifluoromethyl or pentafluoroethyl),
Cj-Cg, preferably C1-C4, haloalkoxy (e.g. trifluoromethoxy or pentafluoroethoxy), C3-C6 cycloalkyl (cyclopropyl, cyclobutyl, cyclopentyl or cyclohexyl), or
Cg-Cio aryl (such as phenyl or naphthyl), the aryl group being optionally substituted with at least one substituent (e.g. one, two, three or four substituents independently) selected from halogen (e.g. fluorine, chlorine, bromine or iodine), hydroxyl, Cj-Cg, preferably
C1-C4, alkyl (e.g. methyl, ethyl, n-propyl, isopropyl, n-butyl, isobutyl, tert-butyl, n-pentyl or n-hexyl) and Cj-Cg, preferably C1-C4, alkoxy (e.g. methoxy, ethoxy, n-propoxy, isopropoxy, n-butoxy, isobutoxy, tert-butoxy, n-pentoxy or n-hexoxy), or
2 3
R and R together with the carbon atom to which they are attached form a 3- to 6- membered saturated carbocyclic ring.
2 3
In an embodiment of the invention, R and R each independently represent hydrogen, hydroxyl, C1-C3 alkyl, C1-C2 alkoxy, Ci-C2 haloalkyl, C5-C6 cycloalkyl or phenyl, or
2 3
R and R together with the carbon atom to which they are attached form a 3- to 6- membered saturated carbocyclic ring.
2 3
In another embodiment, R and R each independently represent hydrogen, hydroxyl,
2 methyl, ethyl, isopropyl, methoxy, trifluoromethyl, cyclopentyl or phenyl, or R and
R together with the carbon atom to which they are attached form a cyclopropyl ring.
4 R represents a group
in which ring B, together with the two carbon atoms of ring A to which it is fused, represents a 5- to 6-membered, saturated or unsaturated, non-aromatic heterocyclic ring comprising one ring oxygen atom and optionally one or more (e.g. one or two) ring heteroatoms independently selected from nitrogen, oxygen and sulphur, the group (F) being optionally substituted with at least one substituent (e.g. one, two, three or four substituents independently) selected from halogen (e.g. fluorine, chlorine, bromine or iodine), Ci-Cg, preferably C1-C4, alkyl (e.g. methyl, ethyl, n-propyl, isopropyl, n-butyl, isobutyl, tert-butyl, n-pentyl or n-hexyl), C3-C6 cycloalkyl (cyclopropyl, cyclobutyl, cyclopentyl or cyclohexyl), and phenyl, the phenyl itself being optionally substituted with at least one substituent (e.g. one, two, three or four substituents independently) selected from halogen (e.g. fluorine, chlorine, bromine or iodine), hydroxyl and Cj -Cβ, preferably
C1-C4, alkoxy (e.g. methoxy, ethoxy, n-propoxy, isopropoxy, n-butoxy, isobutoxy, tert- butoxy, n-pentoxy or n-hexoxy).
In an embodiment of the invention, R represents a group (F) as shown above in which ring B, together with the two carbon atoms of ring A to which it is fused, represents a 5- to 6-membered, saturated or unsaturated, non-aromatic heterocyclic ring comprising one or two ring oxygen atoms, the group (P) being optionally substituted as defined above.
4 In another embodiment of the invention, R represents a group (F) as shown above in which ring B, together with the two carbon atoms of ring A to which it is fused, represents a 5- to 6-membered, saturated heterocyclic ring comprising one or two ring oxygen atoms, the group (F) being optionally substituted as defined above.
4 In a further embodiment, R represents a group (F) as shown above in which ring B, together with the two carbon atoms of ring A to which it is fused, represents a 5- membered, saturated heterocyclic ring comprising one or two ring oxygen atoms, the group (F) being optionally substituted as defined above.
Preferred substituents in group (F) are halogen atoms (particuarly fluorine) and alkyl groups (particularly methyl).
In an embodiment of the invention, group (F) is substituted in ring B by one or two methyl groups and, optionally, by one or two halogen atoms (particularly fluorine).
4 In one aspect of the invention, R represents a group
wherein n is 0, 1 or 2; each R independently represents a halogen atom or Ci-Cg alkyl group;
each OfR20, R21, R22, R23, R24, R25, R26, R27, R3°, R31, R32, R33, R34, R35, R36, R37,
,. R38, R39, R40, R41, R42, R43, R44, R45, R46, R47 R48, R49, R5°, R51, R52 and R53
22 23 independently represents a hydrogen atom or C \ -Cg alkyl group and R and R may additionally represent a halogen atom; and
28 29
R and R each independently represent hydrogen, Cj-Cg alkyl, C3-C6 cycloalkyl, or phenyl (optionally substituted with at least one substituent selected from halogen, 1 s hydroxy 1 and C 1 -C$ alkoxy) .
20 21
R and R each independently represent a hydrogen atom or Q-Cg alkyl, preferably
20 21
C1-C4 alkyl, e.g. methyl. In an embodiment of this aspect, R and R are both methyl.
22 23
R and R each independently represent a hydrogen or halogen atom or Cj-Cg alkyl,
22 23 preferably Ci -C4 alkyl, e.g. methyl. In an embodiment of this aspect, R and R are both hydrogen.
24 25
R and R each independently represent a hydrogen atom or Cj-Cg alkyl, preferably
24 25
C 1-C4 alkyl, e.g. methyl. In an embodiment of this aspect, R and R are both hydrogen.
C 1-C4 alkyl, e.g. methyl. In an embodiment of this aspect, R and R are both methyl.
28 29 R and R each independently represent hydrogen, Cj-Cg, preferably Cj -C4, alkyl (e.g. methyl, ethyl, n-propyl, isopropyl, n-butyl, isobutyl, tert-butyl, n-pentyl or n-hexyl), C3~Cg cycloalkyl (cyclopropyl, cyclobutyl, cyclopentyl or cyclohexyl), or phenyl
(optionally substituted with at least one substituent (e.g. one, two, three or four substituents independently) selected from halogen (e.g. fluorine, chlorine, bromine or iodine), hydroxyl and Ci-Cg, preferably C1-C4, alkoxy (e.g. methoxy, ethoxy, n-propoxy, isopropoxy, n-butoxy, isobutoxy, tert-butoxy, n-pentoxy or n-hexoxy)). In an embodiment
28 29 of this aspect, R and R are both C1-C4 alkyl (e.g. methyl).
R and R each independently represent a hydrogen atom or Ci-Cg alkyl, preferably
C1-C4 alkyl, e.g. methyl. In an embodiment of this aspect, R and R are either both hydrogen or both methyl.
32 33
R and R each independently represent a hydrogen atom or Ci-Cg alkyl, preferably
32 33
C1-C4 alkyl, e.g. methyl. In an embodiment of this aspect, R and R are either both hydrogen or both methyl.
34 35
5 R and R each independently represent a hydrogen atom or Cj-Cg alkyl, preferably
34 35
C 1-C4 alkyl, e.g. methyl. In an embodiment of this aspect, R and R are both methyl.
R and R each independently represent a hydrogen atom or Ci-Cg alkyl, preferably
C1-C4 alkyl, e.g. methyl. In an embodiment of this aspect, R and R are both 10 hydrogen.
38 39
R and R each independently represent a hydrogen atom or Ci-Cg alkyl, preferably
38 39
C1-C4 alkyl, e.g. methyl. In an embodiment of this aspect, R and R are both hydrogen.
I5
40 41
R and R each independently represent a hydrogen atom or Ci-Cg alkyl, preferably
40 41
C1-C4 alkyl, e.g. methyl. In an embodiment of this aspect, R and R are both methyl.
„42 -,43 „44 „45 „46 „47 „48 „49 „50 „51 „52 -,53 . . . , +1 R , R , R , R , R , R , R , R , R , R , R and R each independently
20 represent a hydrogen atom or Ci-Cg alkyl, preferably C1-C4 alkyl. In an embodiment of
4l . , „42 „43 „44 „45 „46 „47 „48 „49 „50 „51 „52 , „53 . this aspect, R , R , R , R , R , R , R , R , R , R , R and R each independently represent hydrogen or methyl.
4 _ Examples of groups R include:
H-
In one embodiment of the invention, R represents a group selected from:
wherein n and R are as defined above.
R and R each independently represent hydrogen, Cj-Cg or CJ-C4 alkyl (e.g. methyl,
ethyl, n-propyl, isopropyl, n-butyl, isobutyl, tert-butyl, n-pentyl or n-hexyl) or C3-C6 or
C5-C6 cycloalkyl (cyclopropyl, cyclobutyl, cyclopentyl or cyclohexyl), or R and R together with the nitrogen atom to which they are attached form a 4- to 7-membered or 5- to 6-membered saturated heterocyclic ring optionally substituted by at least one substituent
(e.g. one, two, three or four substituents independently) selected from hydroxyl, Cj-Cg or
C1-C4 alkoxy (e.g. methoxy, ethoxy, n-propoxy, isopropoxy, n-butoxy, isobutoxy, tert- butoxy, n-pentoxy or n-hexoxy) and Cj-Cg or C1-C4 alkoxy-Cj-Cg or C1-C4 alkyl (e.g. methoxymethyl, methoxyethyl, methoxypropyl, methoxybutyl, methoxypentyl or methoxy hexyl). In one aspect, R and R are both hydrogen.
7 8
R and R each independently represent hydrogen, Cj-Cg or Cj -C4 alkyl (e.g. methyl, ethyl, n-propyl, isopropyl, n-butyl, isobutyl, tert-butyl, n-pentyl or n-hexyl) or Cβ-Cg or
7 8
C5-Cg cycloalkyl (cyclopropyl, cyclobutyl, cyclopentyl or cyclohexyl), or R and R together with the nitrogen atom to which they are attached form a 4- to 7-membered saturated heterocyclic ring optionally substituted by at least one (e.g. one or two)
7 8 aminocarbonyl(s). In one aspect, R and R are both hydrogen.
9 10
R and R each independently represent hydrogen, Cj-Cg or Cj -C4 alkyl (e.g. methyl, ethyl, n-propyl, isopropyl, n-butyl, isobutyl, tert-butyl, n-pentyl or n-hexyl) or C3-Cg or
9 10
C5-Cg cycloalkyl (cyclopropyl, cyclobutyl, cyclopentyl or cyclohexyl), or R and R together with the nitrogen atom to which they are attached form a 4- to 7-membered or 5- to 6-membered saturated heterocyclic ring optionally substituted by at least one substituent
(e.g. one, two, three or four substituents independently) selected from hydroxyl, Cj-Cg or
CJ-C4 alkoxy (e.g. methoxy, ethoxy, n-propoxy, isopropoxy, n-butoxy, isobutoxy, tert- butoxy, n-pentoxy or n-hexoxy) and Cj-Cg or CJ-C4 alkoxy-Cj-Cg or Q-C4 alkyl (e.g.
methoxymethyl, methoxyethyl, methoxypropyl, methoxybutyl, methoxypentyl or
9 10 methoxyhexyl). In one aspect, R and R are both hydrogen.
11 12
R and R each independently represent hydrogen, Ci-Cg or Ci-C4 alkyl (e.g. methyl, ethyl, n-propyl, isopropyl, n-butyl, isobutyl, tert-butyl, n-pentyl or n-hexyl) or Cβ-Cg or
11 12
Cs-Cg cycloalkyl (cyclopropyl, cyclobutyl, cyclopentyl or cyclohexyl), or R and R together with the nitrogen atom to which they are attached form a 4- to 7-membered saturated heterocyclic ring optionally substituted by at least one (e.g. one or two)
11 12 aminocarbonyl(s). In one aspect, R and R are both hydrogen.
13 14
R and R each independently represent hydrogen, Ci-Cg or Ci -C4 alkyl (e.g. methyl, ethyl, n-propyl, isopropyl, n-butyl, isobutyl, tert-butyl, n-pentyl or n-hexyl) or C3-C6 or
13 14
Cs-Cg cycloalkyl (cyclopropyl, cyclobutyl, cyclopentyl or cyclohexyl), or R and R together with the nitrogen atom to which they are attached form a 4- to 7-membered saturated heterocyclic ring optionally substituted by at least one (e.g. one or two)
13 14 aminocarbonyl(s). In one aspect, R and R are both hydrogen.
R represents a Ci-Cg or C1-C4 alkyl (e.g. methyl, ethyl, n-propyl, isopropyl, n-butyl, isobutyl, tert-butyl, n-pentyl or n-hexyl) group or a 6-membered saturated or unsaturated heterocyclic ring comprising at least one (e.g. one or two) ring nitrogen atom(s) (e.g. pyridinyl, pyrimidinyl or piperidinyl), the heterocyclic ring being optionally substituted with at least one substituent (e.g. one, two, three or four substituents independently) selected from halogen (e.g. fluorine, chlorine, bromine or iodine), oxo, Ci-Cg or C1-C4 alkyl (e.g. methyl, ethyl, n-propyl, isopropyl, n-butyl, isobutyl, tert-butyl, n-pentyl or n-hexyl) and Ci-Cg or C1-C4 alkoxy (e.g. methoxy, ethoxy, n-propoxy, isopropoxy, n-butoxy, isobutoxy, tert-butoxy, n-pentoxy or n-hexoxy). Preferred substituents in the heterocyclic ring include oxo and methyl.
In an embodiment of the invention,
R represents a saturated or unsaturated 5- to 13-membered ring system optionally comprising at least one ring heteroatom selected from nitrogen, oxygen and sulphur, the ring system being optionally substituted with at least one substituent selected from fluorine, chlorine, bromine, oxo, mercapto, nitro, hydroxyl, -NH2, C1-C2 alkoxy,
ethoxycarbonyl, C1-C2 alkyl (optionally substituted by at least one substituent selected from fluorine, methoxycarbonyl and -C(O)NH2), and pyrazolyl substituted by two methyl groups; n is 0 or 1 ;
2 3
R and R each independently represent hydrogen, hydroxyl, methyl, ethyl,
2 3 isopropyl, methoxy, trifluoromethyl, cyclopentyl or phenyl, or R and R together with the carbon atom to which they are attached form a cyclopropyl ring; and
4 R represents a group
Examples of compounds of the invention include: N-({l-[(2,2-dimethyl-253-dihydro-l-benzofuran-7-yl)methyl]piperidin-4-yl}methyl)-
2-( 1 H-imidazol- 1 -yl)acetamide,
2-(6-Chloropyridin-3-yl)-N-({l-[(2,2-dimethyl-2,3-dihydro-l-benzofuran-7- yl)methyl]piperidin-4-yl}methyl)acetamide,
2-(5- Amino- 1 H-tetrazol- 1 -yl)-N-( { 1 -[(2,2-dimethy 1-2,3 -dihydro- 1 -benzofuran-7- y l)methy l]piperidin-4-y 1 } methy l)acetamide, N-({l-[(2,2-dimethyl-2,3-dihydro-l-benzofuran-7-yl)methyl]piperidin-4-yl}methyl)-
2-( 1 H-tetrazol- 1 -yl)acetamide,
2-(4-Chloroρhenyl)-N-( { 1 - [(2,2-dimethy 1-2,3 -dihydro- 1 -benzofuran-7- yl)methyl]piperidin-4-yl}methyl)propanamide,
2-(4-Amino-l,2,5-oxadiazol-3-yl)-N-({l-[(2,2-dimethyl-2,3-dihydro-l-benzofuran-7- yl)methyl]piperidin-4-yl}methyl)acetamide,
1 -(4-Chlorophenyl)-N-( { 1 -[(2,2-dimethyl-2,3 -dihydro- 1 -benzofuran-7- yl)methyl]piperidin-4-yl}methyl)cyclopropanecarboxamide,
N-({l-[(2,2-dimethyl-2,3-dihydro-l-benzofuran-7-yl)methyl]piperidin-4-yl}methyl)- 2-(4-methylphenyl)-2-phenylacetamide, N-({l-[(2,2-dimethyl-2,3-dihydro-l-benzofuran-7-yl)methyl]piperidin-4-yl}methyl)-
2-(2 -methyl- 1 H-imidazol- 1 -y l)acetamide,
N-({l-[(2,2-dimethyl-2,3-dihydro-l-benzofuran-7-yl)methyl]piperidin-4-yl}methyl)- 2-(2-mercapto-4-methyl-6-oxo- 1 ,6-dihy dropyrimidin-5 -yl)acetamide,
N-({l-[(2,2-dimethyl-2,3-dihydro-l-benzofuran-7-yl)methyl]piperidin-4-yl}methyl)- 7-methoxy- 1 -benzofuran-2-carboxamide,
N-( { 1 - [(2,2-dimethyl-2,3 -dihydro- 1 -benzofuran-7-yl)methyl]piperidin-4-yl} methy I)- l-(2-fluorophenyl)cyclopropanecarboxamide,
N-( { 1 - [(2,2-dimethy 1-2,3 -dihydro- 1 -benzofuran-7-yl)methyl]ρiρeridin-4-yl} methyl)- 2-(3 -oxo-3 ,4-dihy dro-2H- 1 ,4-benzoxazin-2-yl)acetamide, 2-(4-Chloro- 1 H-pyrazol- 1 -yl)-N-( { 1 - [(2,2-dimethy 1-2,3-dihydro- 1 -benzofuran-7- yl)methyl]piperidin-4-yl}methyl)acetamide,
N-({l-[(2,2-dimethyl-2,3-dihydro-l-benzofuran-7-yl)methyl]piperidin-4-yl}methyl)- 7-fluoro-3 -methyl- 1 -benzofuran-2-carboxamide,
N-({l-[(2,2-dimethyl-2,3-dihydro-l-benzofuran-7-yl)methyl]piperidin-4-yl}methyl)- 2-(4-hydroxyphenyl)propanamide,
2-(l,2-Benzisoxazol-3-yl)-N-({l-[(2,2-dimethyl-2,3-dihydro-l-benzofuran-7- yl)methyl]piperidin-4-yl}methyl)acetamide,
N-( { 1 -[(2,2-dimethyl-2,3 -dihydro- 1 -benzofuran-7-yl)methyl]piperidin-4-yl} methyl)- 2-(3 -oxo-2,3 -dihydro- 1 H-isoindol- 1 -yl)acetamide,
N-({l-[(2,2-dimethyl-2,3-dihydro-l-benzofuran-7-yl)methyl]piperidin-4-yl}methyl)- 3 -methyl- 1 -benzofuran-2-carboxamide, 2-(4-Chlorophenyl)-N-({l-[(2,2-dimethyl-2,3-dihydro-l-benzofuran-7- yl)methyl]piperidin-4-yl}methyl)-2-methylpropanamide,
N-( { 1 -[(2,2-dimethy 1-2,3 -dihydro- 1 -benzofuran-7-yl)methyl]ρiperidin-4-yl} methyl)- 2-(2-oxo-l,3-oxazolidin-3-yl)acetamide,
N-({l-[(2,2-dimethyl-2,3-dihydro-l-benzofuran-7-yl)methyl]piperidin-4-yl}methyl)- 2-(5,6,7,8-tetrahydro- 1 ,8-naphthyridin-2-yl)acetamide,
N-( { 1 -[(2,2-dimethyl-2,3-dihydro- 1 -benzofuran-7-yl)methyl]piperidin-4-yl}methyl)- 1 ,3 -benzothiazole-2-carboxamide,
N-({l-[(2,2-dimethyl-2,3-dihydro-l-benzofuran-7-yl)methyl]piperidin-4-yl}methyl)- 5-methoxy- 1 -benzofuran-2-carboxamide, N-( { 1 - [(2,2-dimethy 1-2,3 -dihydro- 1 -benzofuran-7-yl)methy l]piperidin-4-yl} methyl)-
2-( 1 H-indol-3 -yl)acetamide,
N-({l-[(2,2-dimethyl-2,3-dihydro-l-benzofuran-7-yl)methyl]piperidin-4-yl}methyl)- 2-(2-oxo- 1 ,3-thiazolidin-3-yl)acetamide,
N-({ 1 -[(2,2-dimethyl-2,3-dihydro-l -benzofuran-7-yl)methyl]piperidin-4-yl}methyl)- 6-methy 1- 1 H-benzimidazole-2-carboxamide,
N-( { 1 - [(2,2-dimethyl-2 ,3 -dihydro- 1 -benzofuran-7-y l)methy l]piperidin-4-yl } methyl)- 6-fluoro- 1 H-indole-2-carboxamide,
N-({l-[(2,2-dimethyl-2,3-dihydro-l-benzofuran-7-yl)methyl]piperidin-4-yl}methyl)- 2-(2,5-dioxoimidazolidin-4-yl)acetamide, N-({l-[(2,2-dimethyl-2,3-dihydro-l-benzofuran-7-yl)methyl]piperidin-4-yl}methyl)-
2-(3 ,4,5-trimethyl- 1 H-pyrazol- 1 -yl)acetamide,
2-Cyclopentyl-N-({l-[(2,2-dimethyl-2,3-dihydro-l-benzofuran-7-yl)methyl]piperidin- 4-yl}methyl)-2-phenylacetamide,
N-({l-[(2,2-dimethyl-2,3-dihydro-l-benzofuran-7-yl)methyl]piperidin-4-yl}methyl)- 2-( 1 H- 1 ,2,4-triazol- 1 -yl)acetamide,
N-({l-[(2,2-dimethyl-2,3-dihydro-l-benzofuran-7-yl)methyl]piperidin-4-yl}methyl)- 2-(3 -methyl- 1 H-pyrazol- 1 -yl)acetamide,
6-Bromo-N-( { 1 - [(2,2-dimethyl-2,3 -dihydro- 1 -benzofuran-7-yl)methyl]piperidin-4- yl}methyl)-lH-indole-2-carboxamide,
N-({l-[(2,2-dimethyl-2,3-dihydro-l-benzofuran-7-yl)methyl]piperidin-4-yl}metliyl)- 2-(2H-indazol-2-yl)acetamide, N-( { 1 - [(2,2-dimethyl-2,3 -dihydro- 1 -benzofuran-7-yl)methyl]piperidin-4-yl} methy I)-
3 , 5 -dimethyl- 1 -benzofuran-2-carboxamide,
5-Chloro-N-({ 1 -[(2,2-dimethyl-2,3-dihydro- 1 -benzofuran-7-yl)methyl]piperidin-4- yl} methyl)- 1 -methyl- 1 H-indole-2-carboxamide,
N-({l-[(2,2-dimethyl-2,3-dihydro-l-benzofuran-7-yl)methyl]piperidin-4-yl}methyl)- 2-(4-methyl-l,2,5-oxadiazol-3-yl)acetamide,
N-({l-[(2,2-dimethyl-2,3-dihydro-l-benzofuran-7-yl)methyl]piperidin-4-yl}methyl)- 2-(3,5-dimethylisoxazol-4-yl)acetamide,
6-Chloro-N-( { 1 - [(2,2-dimethyl-2,3 -dihydro- 1 -benzofuran-7-yl)methyl]piperidin-4- yl}methyl)-lH-indole-2-carboxarnide, N-({l-[(2,2-dimethyl-2,3-dihydro-l-benzofuran-7-yl)methyl]piperidin-4-yl}methyl)-
1 -benzothiophene-2-carboxamide,
N-({l-[(2,2-dimethyl-2,3-dihydro-l-benzofuran-7-yl)methyl]piperidin-4-yl}methyl)- 5 -methyl- 1 -benzothiophene-2-carboxamide,
N-({l-[(2,2-dimethyl-2,3-dihydro-l-benzofuran-7-yl)methyl]piperidin-4-yl}methyl)- 4-fluoro- 1 H-indole-2-carboxamide,
N-({l-[(2,2-dimethyl-2,3-dihydro-l-benzoruran-7-yl)methyl]piperidin-4-yl}methyl)- 2-(3-oxo-2,3-dihydro-4H-l,4-benzoxazin-4-yl)acetamide,
N-( { 1 -[(2,2-dimethyl-2,3-dihydro- 1 -benzofuran-7-yl)methyl]piperidin-4-yl}methyl)- 5-ethyl- 1 H-indole-2-carboxamide, N-( { 1 - [(2,2-dimethy 1-2,3 -dihydro- 1 -benzofuran-7-yl)methyl]piperidin-4-yl} methy I)-
5-fluoro- 1 -methyl- 1 H-indole-2-carboxamide,
N-({ 1 - [(2,2-dimethy 1-2,3 -dihydro- 1 -benzofuran-7-yl)methyl]piperidin-4-yl}methyl)- 6-fluoro- 1 H-benzimidazole-2-carboxamide,
N-({ 1 -[(2,2-dimethyl-2,3-dihydro-l -benzofuran-7-yl)methyl]piperidin-4-yl} methy I)- 6-methyl- 1 H-indole-2-carboxamide,
N-( { 1 - [(2,2-dimethyl-2,3 -dihydro- 1 -benzofuran-7-yl)methyl]piperidin-4-yl } methy I)- 2-(3-methylisoxazol-5-yl)acetamide,
6-Chloro-N-( { 1 - [(2,2-dimethyl-2,3 -dihydro- 1 -benzofuran-7-yl)methyl]piperidin-4- yl}methyl)-lH-benzimidazole-2-carboxamide,
N-({l-[(2,2-dimethyl-2,3-dihydro-l-benzofuran-7-yl)methyl]piperidin-4-yl}methyl)- 2-(l,3-dimethyl-2,5-dioxoimidazolidin-4-yl)acetamide, N-( { 1 - [(2,2-dimethyl-2,3 -dihydro- 1 -benzofuran-7-yl)methyl]piρeridin-4-yl} methyl)-
1 H-indole-2-carboxamide,
4-Chloro-N-( { 1 - [(2,2-dimethyl-2,3-dihydro- 1 -benzofuran-7-yl)methyl]piperidin-4- yl}metliyl)-lH-indole-2-carboxamide,
N-({l-[(2,2-dimethyl-2,3-dihydro-l-benzofuran-7-yl)methyl]piperidin-4-yl}methyl)- 7-hydroxy- 1 H-indole-2-carboxamide,
5 -Chloro-N-( { 1 - [(2,2-dimethy 1-2,3 -dihydro- 1 -benzofuran-7-yl)methyl]piperidin-4- yl}methyl)-lH-indole-2-carboxamide,
N-({l-[(2,2-dimethyl-2,3-dihydro-l-benzofuran-7-yl)methyl]piperidin-4-yl}methyl)- 1 H-benzimidazole-2-carboxamide, 5-Bromo-N-({l-[(2,2-dimethyl-2,3-dihydro-l-benzofuran-7-yl)methyl]piperidin-4- yl} methyl)- 1 H-benzimidazole-2-carboxamide,
N-({l-[(2,2-dimethyl-2,3-dihydro-l-benzofuran-7-yl)methyl]piperidin-4-yl}methyl)- 2-pyrazin-2-ylacetamide,
N-({l-[(2,2-dimethyl-2,3-dihydro-l-benzofuran-7-yl)methyl]piperidin-4-yl}methyl)- 2-(5-methyl- 1 H-pyrazol- 1 -yl)acetamide,
N-({l-[(2,2-dimethyl-2,3-dihydro-l-benzofuran-7-yl)methyl]piperidin-4-yl}methyl)- 1 H-pyrrolo [2,3 -b]pyridine-2-carboxamide,
N-({l-[(2,2-dimethyl-2,3-dihydro-l-benzoruran-7-yl)methyl]piperidin-4-yl}methyl)- 1 -methyl- 1 H-indole-2-carboxamide, N-( { 1 - [(2,2-dimethy 1-2,3 -dihydro- 1 -benzofuran-7-yl)methyl]piperidin-4-yl} methyl)-
2-(2,4-dimethyl-l,3-thiazol-5-yl)acetamide,
N-({l-[(2,2-dimethyl-2,3-dihydro-l-benzofuran-7-yl)methyl]piperidin-4-yl}methyl)- 5-methoxy- 1 -methyl- 1 H-indole-2-carboxamide,
N-({l-[(2,2-dimethyl-2,3-dihydro-l-benzofuran-7-yl)methyl]piperidin-4-yl}methyl)- 2-(3 ,5-dimethyl- 1 H-pyrazol-4-yl)acetamide,
N-({l-[(2,2-dimethyl-2,3-dihydro-l-benzoruran-7-yl)methyl]piperidin-4-yl}methyl)- 6-ethoxy- 1 H-indole-2-carboxamide,
N-( { 1 -[(2,2-dimethyl-2,3 -dihydro- 1 -benzofuran-7-yl)methyl]piperidin-4-yl] methyl)- 2-(2-oxoimidazolidin- 1 -yl)acetamide,
N-({l-[(2,2-dimethyl-2,3-dihydro-l-benzofuran-7-yl)methyl]piperidin-4-yl}methyl)- 2-methyl-2-phenylpropanamide, N-({l-[(2,2-dimethyl-2,3-dihydro-l-benzofui-an-7-yl)methyl]piperidin-4-yl}methyl)-
2-(3 -oxopiperazin- 1 -yl)acetamide,
N-({l-[(2,2-dimethyl-2,3-dihydro-l-benzofuran-7-yl)methyl]piperidin-4-yl}methyl)- 6-methoxy- 1 H-indole-2-carboxamide,
2-(2,6-dihydroxypyrimidin-4-yl)-N-( { 1 - [(2,2-dimethyl-2,3 -dihydro- 1 -benzofuran-7- yl)methyl]piperidin-4-yl}methyl)acetamide,
N-( { 1 - [(2,2-dimethyl-2,3 -dihydro- 1 -benzofuran-7-yl)methyl]piperidin-4-yl }methyl)- 6,8-dimethylmieno[2,3-b]quinoline-2-carboxamide,
N-({l-[(2,2-dimethyl-2,3-dihydro-l-benzofuran-7-yl)methyl]piperidin-4-yl}methyl)- 2-morpholin-4-ylacetamide, N-({l-[(2,2-dimethyl-2,3-dihydro-l-benzofuran-7-yl)methyl]piperidin-4-yl}methyl)-
2-(l-oxo-l,3-dihydro-2H-isoindol-2-yl)acetamide,
N-({l-[(2,2-dimethyl-2,3-dihydro-l-benzofuran-7-yl)methyl]piperidin-4-yl}methyl)- 4-methoxy- 1 H-indole-2-carboxamide,
N-({l-[(2,2-dimethyl-2,3-dihydro-l-benzofuran-7-yl)methyl]piperidin-4-yl}methyl)- 5-methoxy- 1 H-indole-2-carboxamide,
N-({l-[(2,2-dimethyl-2,3-dihydro-l-benzofuran-7-yl)methyl]piperidin-4-yl}methyl)- 5-fluoro- 1 H-indole-2-carboxamide,
N-({l-[(2,2-dimethyl-2,3-dihydro-l-benzofuran-7-yl)methyl]piperidin-4-yl}methyl)- 2-(4-methyl- 1 H-pyrazol- 1 -yl)acetamide, N-({l-[(2,2-dimethyl-2,3-dihydro-l-benzofuran-7-yl)methyl]piperidin-4-yl}methyl)-
5,6-difluoro- 1 H-indole-2-carboxamide,
N-( { 1 -[(2,2-dimethyl-2,3-dihydro- 1 -benzofuran-7-yl)methyl]piperidin-4-yl}methyl)- 2-(2,4?7-trimethyl-lH-indol-3-yl)acetamide,
3 -Amino-N-( { 1 -[(2,2-dimethyl-2,3 -dihydro- 1 -benzofuran-7-yl)methyl]piperidin-4- yl}methyl)thieno[2,3-b]pyridine-2-carboxamide,
N-( { 1 -[(2,2-dimethyl-2,3-dihydro- 1 -benzofuran-7-yl)methyl]piperidin-4-yl}methyl)- 6-hydroxy- 1 H-indole-2-carboxamide,
N-({l-[(2,2-dimethyl-2,3-dihydro-l-benzofuran-7-yl)methyl]piperidin-4-yl}methyl)- 2-(2,5-dioxopyrrolidin- 1 -yl)acetamide,
N-( { 1 -[(2,2-dimethyl-2,3-dihydro- 1 -benzofuran-7-yl)methyl]piperidin-4- yl}methyl)thieno[2,3-b]pyridine-2-carboxamide, N-({l-[(2,2-dimethyl-2,3-dihydro-l-benzofuran-7-yl)methyl]piperidin-4-yl}methyl)-
4,7-dimethyl- 1 H-indole-2-carboxamide,
Ethyl 1 - {2-[( { 1 -[(2,2-dimethyl-2,3-dihydro- 1 -benzofuran-7-yl)methyl]piperidin-4- yl}methyl)amino]-2-oxoethyl}-2,5-dimethyl-lH-pyrrole-3-carboxylate,
(2R)-N-({l-[(2,2-dimetliyl-2,3-dihydro-l-benzofuran-7-yl)methyl]piperidin-4- yl}methyl)-2-hydroxy-2-phenylpropanamide,
2-(3- Amino- 1 H- 1 ,2,4-triazol- 1 -yl)-N-( { 1 - [(2,2-dimethyl-2,3 -dihydro- 1 -benzofuran-7- yl)methyl]piperidin-4-yl}methyl)acetamide,
N-({l-[(2,2-dimethyl-2,3-dihydro-l-benzofuran-7-yl)methyl]piperidin-4-yl}methyl)- 2-(3-methyl-2,4-dioxo-l,3-thiazolidin-5-yl)acetamide, N-({l-[(2,2-dimethyl-2,3-dihydro-l-benzofuran-7-yl)methyl]piperidin-4-yl}methyl)-
2-(2,5-dimethyl- 1 ,3-thiazol-4-yl)acetamide,
N-({l-[(2,2-dimethyl-2,3-dihydro-l-benzofuran-7-yl)methyl]piperidin-4-yl}methyl)- 5,7-dimethyl- 1 H-indole-2-carboxamide,
N-({l-[(2,2-dimethyl-2,3-dihydro-l-benzofuran-7-yl)methyl]piperidin-4-yl}methyl)- 2-(2-oxopyridin- 1 (2H)-yl)acetamide,
2-(r,3'-Dimethyl-lH,lΗ-3,4'-bipyrazol-l-yl)-N-({l-[(2,2-dimethyl-2,3-dihydro-l- benzofuran-7-yl)methyl]piperidin-4-yl}methyl)acetamide,
N-( { 1 - [(2,2-dimethyl-2,3 -dihydro- 1 -benzofuran-7-yl)methyl]piperidin-4-yl} methyl)- 2-[3 -(trifluoromethyl)- 1 H-pyrazol- 1 -yljacetamide, N-({l-[(2,2-dimethyl-2,3-dihydro-l-benzofuran-7-yl)methyl]piperidin-4-yl}methyl)-
4-ethoxy- 1 H-indole-2-carboxarnide,
N-({l-[(2,2-dimethyl-2,3-dihydro-l-benzofuran-7-yl)methyl]piperidin-4-yl}methyl)- 4,5-dimethoxy- 1 H-indole-2-carboxamide,
N-({l-[(2,2-dimethyl-2,3-dihydro-l-benzofuran-7-yl)methyl]piperidin-4-yl}methyl)- 3,3,3 -trifluoro-2-methoxy-2-phenylpropanamide,
N-( { 1 - [(2,2-dimethy 1-2,3 -dihydro- 1 -benzofuran-7-yl)methyl]piperidin-4-yl}methyl)- 5,7-difluoro- 1 H-indole-2-carboxamide,
N-({l-[(2,2-dimethyl-2,3-dihydro-l-benzofuran-7-yl)methyl]piperidin-4-yl}methyl)- 2-(3 ,5-dimethyl- 1 H-pyrazol- 1 -yl)acetamide,
N-({l-[(2,2-dimethyl-2,3-dihydro-l-benzofuran-7-yl)methyl]ρiperidin-4-yl}metliyl)- 1 H-pyrrolo [2,3 -c]pyridine-2-carboxamide, 2-Amino-N-({l-[(2,2-dimethyl-2,3-dihydro-l-benzofuran-7-yl)methyl]piperidin-4- yl}methyl)indane-2-carboxamide,
N-( { 1 -[(2,2-dimethyl-2,3-dihydro- 1 -benzofuran-7-yl)methyl]piperidm-4- yl}methyl)thieno[2,3-b]pyrazine-6-carboxamide,
2-[2-({l-(2,2-Dimethyl-2,3-dihydro-benzofuran-7-ylmethyl)-piperidin-4-ylmethyl]- carbamoyl} -niethyl)-phenyl]-acetamide,
Methyl (2-{2-[({l-[(2,2-dimethyl-2,3-dihydro-l-benzofuran-7-yl)methyl]piperidin-4- yl}methyl)amino]-2-oxoethyl}phenyl)acetate,
N-({l-[(2,2-dimethyl-2,3-dihydro-l-benzofuran-7-yl)methyl]ρiρeridin-4-yl}methyl)- 2-pyridin-3 -ylacetamide, N-({l-[(2,2-dimethyl-2,3-dihydro-l-benzoftιran-7-yl)methyl]piperidm-4-yl}methyl)-
2-pyridin-2 -ylacetamide,
N-({l-[(2;2-dimethyl-2,3-dihydro-l-benzofuran-7-yl)methyl]piperidm-4-yl}methyl)- 2-pyridin-4-ylacetamide,
N-({l-[(2,2-dimethyl-2,3-dihydro-l-benzofuran-7-yl)methyl]piperidin-4- yl}methyl)isonicotinamide,
N-({l-[(2,2-dimethyl-l,3-benzodioxol-4-yl)methyl]ρiperidin-4-yl}methyl)-2-(lH- imidazol- 1 -y l)acetamide,
2-(5- Amino- 1 H-tetrazol- 1 -yl)-N-( { 1 -[(2,2-dimethyl- 1 ,3 -benzodioxol-4- y l)methy l]piperidin-4-yl } methyl)acetamide, N-( { 1 -[(2,2-dimethyl-2,3 -dihy dro- 1 -benzofuran-7-yl)methyl]piperidin-4-yl} methyl)-
2-(2-nitro- 1 H-imidazol- 1 -yl)acetamide,
2-(2- Amino- 1 H-imidazol- 1 -yl)-N-( { 1 - [(2,2-dimethyl-2,3 -dihydro- 1 -benzofuran-7- yl)methyl]piperidin-4-yl } methyl)acetamide,
N-( { 1 -[(2,2-dimethyl-2,3 -dihydro- 1 -benzofuran-7-yl)methyl]piperidin-4-yl} methyl)- 2-(l H-imidazol- 1 -yl)propanamide,
N-({l-[(2,2-dimethyl-2,3-dihydro-l-benzoruran-7-yl)methyl]piperidin-4-yl}methyl)- 2-( 1 H-imidazol- 1 -yl)butanamide,
N-({l-[(2,2-diniethyl-2,3-dihydro-l-benzofuran-7-yl)methyl]ρiperidin-4-yl}methyl)- 2-( lH-imidazol- 1 -y l)-3 -methylbutanamide,
2-(5- Amino- lH-tetrazol- 1 -yl)-N-( { 1 -[(3 ,3 -dimethyl-2,3 -dihydro- 1 ,4-benzodioxin-5- yl)methyl]piperidin-4-yl } methyl)acetamide, N-({l-[(3,3-dimeth.yl-2,3-dihydro-l,4-benzodioxin-5-yl)methyl]piperidin-4- yl} methyl)-2-( 1 H-imidazol- 1 -yl)acetamide,
2-(5-Amino- lH-tetrazol- 1 -yl)-_V-( { 1 -[(2,2-dimethyl-2,3-dihydro-l -benzofuran-4- yl)methyl]piperidin-4-yl}methyl)acetamide,
N-({l-[(2,2-Dimethyl-2,3-dihydro-l-benzofuran-4-yl)methyl]piperidin-4-yl}methyl)- 2-(lH-imidazol- 1 -yl)acetamide,
2-(5-Amino-lH-tetrazol-l-yl)-N-({l-[(2,2-dimethyl-2H-chromen-8- yl)methyl]piperidin-4-yl}methyl)acetamide, and
N-( { 1 -[(2,2-Dimemyl-2H-chromen-8-y l)methy l]ρiperidin-4-yl} methyl)-2-( 1 H- imidazol- 1 -yl)acetamide, and pharmaceutically acceptable salts thereof.
It should be noted that each of the chemical compounds listed above represents a particular and independent aspect of the invention.
The present invention further provides a process for the preparation of a compound of formula (I) or a pharmaceutically acceptable salt thereof as defined above which comprises reacting a compound of formula (II)
4 wherein R is as defined in formula (I), in the presence of a coupling agent (such as carbonyldiimidazole and 1-hydroxybenzotriazole), and optionally thereafter carrying out one or more of the following procedures:
• converting a compound of formula (I) into another compound of formula (I),
• removing any protecting groups,
• forming a pharmaceutically acceptable salt.
Compounds of formula (III) may be prepared by reacting a compound of formula (IV)
4 4 carbamate (BOC)), with a compound of formula (V), R -C(O)H, wherein R is as defined in formula (III), in the presence of a reducing agent (such as sodium borohydridetriacetate), and thereafter removing the protecting group Pi (e.g. by contacting the compound obtained with methanolic hydrogen chloride). The reaction between the compounds of formulae (IV) and (V) is conveniently carried out in an organic solvent (e.g. dichloromethane) and at room temperature (200C). The deprotection step may conveniently be carried out in an organic solvent (e.g. methanol) and at room temperature (200C).
Compounds of formulae (II), (IV) and (V) are either commercially available, are well known in the literature or may be prepared easily using known techniques.
It will be appreciated by those skilled in the art that in the processes of the present invention certain functional groups such as hydroxyl or amino groups in the reagents may
need to be protected by protecting groups. Thus, the preparation of the compounds of formula (I) may involve, at an appropriate stage, the removal of one or more protecting groups.
The protection and deprotection of functional groups is described in 'Protective Groups in Organic Chemistry', edited by J.W.F. McOmie, Plenum Press (1973) and 'Protective Groups in Organic Synthesis', 3r edition, T. W. Greene and P.G.M. Wuts, Wiley- Interscience (1999).
The compounds of formula (I) above may be converted to a pharmaceutically acceptable salt thereof, preferably a basic addition salt such as a sodium, potassium, calcium, aluminium, lithium, magnesium, zinc, benzathine, chloroprocaine, choline, diethanolamine, ethanolamine, ethyldiamine, meglumine, tromethamine or procaine salt, or an acid addition salt such as a hydrochloride, hydrobromide, phosphate, acetate, trifluoroacetate, benzenesulfonate, fumarate, maleate, tartrate, citrate, oxalate, methanesulphonate or/>-toluenesulphonate salt.
The compounds of formula (I) and pharmaceutically acceptable salts thereof may exist in solvated, for example hydrated, as well as unsolvated forms, and the present invention encompasses all such solvated forms.
Compounds of formula (I) are capable of existing in stereoisomeric forms. It will be understood that the invention encompasses the use of all geometric and optical isomers (including atropisomers) of the compounds of formula (I) and mixtures thereof including racemates. The use of tautomers and mixtures thereof also form an aspect of the present invention. Enantiomerically pure forms are particularly desired.
It will be appreciated that the compounds of formula (I) and pharmaceutically acceptable salts thereof may exist as zwitterions. In this regard, the representation of formula (I) and the examples of the present invention covers zwitterionic forms and mixtures thereof in all proportions.
The compounds of formula (I) have activity as pharmaceuticals, in particular as modulators of chemokine receptor (especially CCR8) activity, and may be used in the treatment (therapeutic or prophylactic) of conditions/diseases in human and non-human animals which are exacerbated or caused by excessive or dysregulated production of chemokines.
The compounds of formula (I) and their pharmaceutically acceptable salts can be used in the treatment of:
1. respiratory tract: obstructive diseases of the airways including: asthma, including bronchial, allergic, intrinsic, extrinsic, exercise-induced, drug-induced (including aspirin and NS AID-induced) and dust-induced asthma, both intermittent and persistent and of all severities, and other causes of airway hyper-responsiveness; chronic obstructive pulmonary disease (COPD); bronchitis, including infectious and eosinophilic bronchitis; emphysema; bronchiectasis; cystic fibrosis; sarcoidosis; farmer's lung and related diseases; hypersensitivity pneumonitis; lung fibrosis, including cryptogenic fibrosing alveolitis, idiopathic interstitial pneumonias, fibrosis complicating anti-neoplastic therapy and chronic infection, including tuberculosis and aspergillosis and other fungal infections; complications of lung transplantation; vasculitic and thrombotic disorders of the lung vasculature, and pulmonary hypertension; antitussive activity including treatment of chronic cough associated with inflammatory and secretory conditions of the airways, and iatrogenic cough; acute and chronic rhinitis including rhinitis medicamentosa, and vasomotor rhinitis; perennial and seasonal allergic rhinitis including rhinitis nervosa (hay fever); nasal polyposis; acute viral infection including the common cold, and infection due to respiratory syncytial virus, influenza, coronavirus (including SARS) or adenovirus; or eosinophilic esophagitis; 2. bone and joints: arthritides associated with or including osteoarthritis/osteoarthrosis, both primary and secondary to, for example, congenital hip dysplasia; cervical and lumbar spondylitis, and low back and neck pain; osteoarthritis; rheumatoid arthritis and Still's disease; seronegative spondyloarthropathies including ankylosing spondylitis, psoriatic arthritis, reactive arthritis and undifferentiated spondarthropathy; septic arthritis and other infection-related arthopathies and bone disorders such as tuberculosis, including Potts' disease and Poncet's syndrome; acute and chronic crystal-induced synovitis including urate gout, calcium pyrophosphate deposition disease, and calcium apatite related tendon, bursal
and synovial inflammation; Behcet's disease; primary and secondary Sjogren's syndrome; systemic sclerosis and limited scleroderma; systemic lupus erythematosus, mixed connective tissue disease, and undifferentiated connective tissue disease; inflammatory myopathies including dermatomyositits and polymyositis; polymalgia rheumatica; juvenile arthritis including idiopathic inflammatory arthritides of whatever joint distribution and associated syndromes, and rheumatic fever and its systemic complications; vasculitides including giant cell arteritis, Takayasu's arteritis, Churg-Strauss syndrome, polyarteritis nodosa, microscopic polyarteritis, and vasculitides associated with viral infection, hypersensitivity reactions, cryoglobulins, and paraproteins; low back pain; Familial Mediterranean fever, Muckle- Wells syndrome, and Familial Hibernian Fever, Kikuchi disease; drug-induced arthalgias, tendonititides, and myopathies;
3. pain and connective tissue remodelling of musculoskeletal disorders due to injury [for example sports injury] or disease: arthitides (for example rheumatoid arthritis, osteoarthritis, gout or crystal arthropathy), other joint disease (such as intervertebral disc degeneration or temporomandibular joint degeneration), bone remodelling disease (such as osteoporosis, Paget's disease or osteonecrosis), polychondritits, scleroderma, mixed connective tissue disorder, spondyloarthropathies or periodontal disease (such as periodontitis);
4. skin: psoriasis, atopic dermatitis, contact dermatitis or other eczematous dermatoses, and delayed-type hypersensitivity reactions; phyto- and photodermatitis; seborrhoeic dermatitis, dermatitis herpetiformis, lichen planus, lichen sclerosus et atrophica, pyoderma gangrenosum, skin sarcoid, discoid lupus erythematosus, pemphigus, pemphigoid, epidermolysis bullosa, urticaria, angioedema, vasculitides, toxic erythemas, cutaneous eosinophilias, alopecia areata, male-pattern baldness, Sweet's syndrome, Weber-Christian syndrome, erythema multiforme; cellulitis, both infective and non-infective; panniculitis; cutaneous lymphomas, non-melanoma skin cancer and other dysplastic lesions; drug- induced disorders including fixed drug eruptions;
5. eyes: blepharitis; conjunctivitis, including perennial and vernal allergic conjunctivitis; iritis; anterior and posterior uveitis; choroiditis; autoimmune; degenerative or inflammatory disorders affecting the retina; ophthalmitis including sympathetic ophthalmitis; sarcoidosis; infections including viral, fungal, and bacterial;
6. gastrointestinal tract: glossitis, gingivitis, periodontitis; oesophagitis, including reflux; eosinophilic gastro-enteritis, mastocytosis, Crohn's disease, colitis including ulcerative colitis, proctitis, pruritis ani; coeliac disease, irritable bowel syndrome, and food-related allergies which may have effects remote from the gut (for example migraine, rhinitis or eczema);
7. abdominal: hepatitis, including autoimmune, alcoholic and viral; fibrosis and cirrhosis of the liver; cholecystitis; pancreatitis, both acute and chronic;
8. genitourinary: nephritis including interstitial and glomerulonephritis; nephrotic syndrome; cystitis including acute and chronic (interstitial) cystitis and Hunner's ulcer; acute and chronic urethritis, prostatitis, epididymitis, oophoritis and salpingitis; vulvovaginitis; Peyronie's disease; erectile dysfunction (both male and female);
9. allograft rejection: acute and chronic following, for example, transplantation of kidney, heart, liver, lung, bone marrow, skin or cornea or following blood transfusion; or chronic graft versus host disease; 10. CNS: Alzheimer's disease and other dementing disorders including CJD and nvCJD; amyloidosis; multiple sclerosis and other demyelinating syndromes; cerebral atherosclerosis and vasculitis; temporal arteritis; myasthenia gravis; acute and chronic pain (acute, intermittent or persistent, whether of central or peripheral origin) including visceral pain, headache, migraine, trigeminal neuralgia, atypical facial pain, joint and bone pain, pain arising from cancer and tumor invasion, neuropathic pain syndromes including diabetic, post-herpetic, and HIV-associated neuropathies; neurosarcoidosis; central and peripheral nervous system complications of malignant, infectious or autoimmune processes;
11. other auto-immune and allergic disorders including Hashimoto's thyroiditis, Graves' disease, Addison's disease, diabetes mellitus, idiopathic thrombocytopaenic purpura, eosinophilic fasciitis, hyper-IgE syndrome, antiphospholipid syndrome;
12. other disorders with an inflammatory or immunological component; including acquired immune deficiency syndrome (AIDS), leprosy, Sezary syndrome, and paraneoplastic syndromes; 13. cardiovascular: atherosclerosis, affecting the coronary and peripheral circulation; pericarditis; myocarditis, inflammatory and auto-immune cardiomyopathies including myocardial sarcoid; ischaemic reperfusion injuries; endocarditis, valvulitis, and aortitis
including infective (for example syphilitic); vasculitides; disorders of the proximal and peripheral veins including phlebitis and thrombosis, including deep vein thrombosis and complications of varicose veins;
14. oncology, treatment of common cancers including prostate, breast, lung, ovarian, pancreatic, bowel and colon, stomach, skin and brain tumors and malignancies affecting the bone marrow (including the leukaemias) and lymphoproliferative systems, such as Hodgkin's and non-Hodgkin's lymphoma; including the prevention and treatment of metastatic disease and tumour recurrences, and paraneoplastic syndromes;
15. gastrointestinal tract: Coeliac disease, proctitis, eosinopilic gastro-enteritis, mastocytosis, Crohn's disease, ulcerative colitis, microscopic colitis, indeterminant colitis, irritable bowel disorder, irritable bowel syndrome, non-inflammatory diarrhea, food- related allergies which have effects remote from the gut, e.g., migraine, rhinitis and eczema; and
16. other disorders-.sepsis.
Thus, the present invention provides a compound of formula (I) or a pharmaceutically- acceptable salt thereof as hereinbefore defined for use in therapy.
In a further aspect the invention provides a compound of formula (I) or a pharmaceutically acceptable salt thereof as hereinbefore defined for use in the treatment of asthma {such as bronchial, allergic, intrinsic, extrinsic or dust asthma, particularly chronic or inveterate asthma (for example late asthma or airways hyper-responsiveness)}, chronic obstructive pulmonary disease (COPD) or rhinitis.
In a still further aspect, the present invention provides a compound of formula (I) or a pharmaceutically acceptable salt thereof as hereinbefore defined for use in the treatment of sepsis.
In another aspect, the present invention provides the use of a compound of formula (I) or a pharmaceutically acceptable salt thereof as hereinbefore defined in the manufacture of a medicament for use in therapy.
In yet another aspect, the present invention provides the use of a compound of formula (I) or a pharmaceutically acceptable salt thereof as hereinbefore defined in the manufacture of a medicament for use in the treatment of asthma {such as bronchial, allergic, intrinsic, extrinsic or dust asthma, particularly chronic or inveterate asthma (for example late asthma or airways hyper-responsiveness)}, chronic obstructive pulmonary disease or rhinitis.
In the context of the present specification, the term "therapy" also includes "prophylaxis" unless there are specific indications to the contrary. The terms "therapeutic" and "therapeutically" should be construed accordingly.
Prophylaxis is expected to be particularly relevant to the treatment of persons who have suffered a previous episode of, or are otherwise considered to be at increased risk of, the disease or condition in question. Persons at risk of developing a particular disease or condition generally include those having a family history of the disease or condition, or those who have been identified by genetic testing or screening to be particularly susceptible to developing the disease or condition.
The invention also provides a method of treating, or reducing the risk of, a disease or condition in which modulation of chemokine receptor activity, particularly CCR8 activity, is beneficial which comprises administering to a patient in need thereof a therapeutically effective amount of a compound of formula (I) or a pharmaceutically acceptable salt thereof as hereinbefore defined.
In a further aspect, the present invention provides a method of treating asthma {such as bronchial, allergic, intrinsic, extrinsic or dust asthma, particularly chronic or inveterate asthma (for example late asthma or airways hyper-responsiveness)}, chronic obstructive pulmonary disease or rhinitis in a patient suffering from, or at risk of, said disease, which comprises administering to the patient a therapeutically effective amount of a compound of formula (I) or a pharmaceutically acceptable salt thereof as hereinbefore defined.
For the above-mentioned therapeutic uses the dosage administered will, of course, vary with the compound employed, the mode of administration, the treatment desired and the
disorder indicated. For example, the daily dosage of the compound of the invention, if inhaled, may be in the range from 0.05 micrograms per kilogram body weight (μg/kg) to 100 micrograms per kilogram body weight (μg/kg). Alternatively, if the compound is administered orally, then the daily dosage of the compound of the invention may be in the range from 0.01 micrograms per kilogram body weight (μg/kg) to 100 milligrams per kilogram body weight (mg/kg).
The compounds of formula (I) and pharmaceutically acceptable salts thereof may be used on their own but will generally be administered in the form of a pharmaceutical composition in which the formula (I) compound/salt (active ingredient) is in association with a pharmaceutically acceptable adjuvant, diluent or carrier. Conventional procedures for the selection and preparation of suitable pharmaceutical formulations are described in, for example, "Pharmaceuticals - The Science of Dosage Form Designs", M. E. Aulton, Churchill Livingstone, 1988.
Depending on the mode of administration, the pharmaceutical composition will preferably comprise from 0.05 to 99 %w (per cent by weight), more preferably from 0.05 to 80 %w, still more preferably from 0.10 to 70 %w, and even more preferably from 0.10 to 50 %w, of active ingredient, all percentages by weight being based on total composition.
The present invention also provides a pharmaceutical composition comprising a compound of formula (I) or a pharmaceutically acceptable salt thereof as hereinbefore defined in association with a pharmaceutically acceptable adjuvant, diluent or carrier.
The invention further provides a process for the preparation of a pharmaceutical composition of the invention which comprises mixing a compound of formula (I) or a pharmaceutically acceptable salt thereof as hereinbefore defined with a pharmaceutically acceptable adjuvant, diluent or carrier.
The pharmaceutical compositions may be administered topically (e.g. to the skin or to the lung and/or airways) in the form, e.g., of creams, solutions, suspensions, heptafluoroalkane (HFA) aerosols and diy powder formulations, for example, formulations in the inhaler
device known as the Turbuhaler®; or systemically, e.g. by oral administration in the form of tablets, capsules, syrups, powders or granules; or by parenteral administration in the form of solutions or suspensions; or by subcutaneous administration; or by rectal administration in the form of suppositories; or transdermally.
Dry powder formulations and pressurized HFA aerosols of the compounds of the invention (that is, compounds of formula (I) and pharmaceutically acceptable salts thereof) may be administered by oral or nasal inhalation. For inhalation, the compound is desirably finely divided. The finely divided compound preferably has a mass median diameter of less than 10 micrometres (μm), and may be suspended in a propellant mixture with the assistance of a dispersant, such as a C8-C20 fatty acid or salt thereof, (for example, oleic acid), a bile salt, a phospholipid, an alkyl saccharide, a perfluorinated or polyethoxylated surfactant, or other pharmaceutically acceptable dispersant.
The compounds of the invention may also be administered by means of a dry powder inhaler. The inhaler may be a single or a multi dose inhaler, and may be a breath actuated dry powder inhaler.
One possibility is to mix the finely divided compound of the invention with a carrier substance, for example, a mono-, di- or polysaccharide, a sugar alcohol, or another polyol. Suitable carriers are sugars, for example, lactose, glucose, raffϊnose, melezitose, lactitol, maltitol, trehalose, sucrose, mannitol; and starch. Alternatively the finely divided compound may be coated by another substance. The powder mixture may also be dispensed into hard gelatine capsules, each containing the desired dose of the active compound.
Another possibility is to process the finely divided powder into spheres which break up during the inhalation procedure. This spheronized powder may be filled into the drug reservoir of a multidose inhaler, for example, that known as the Turbuhaler® in which a dosing unit meters the desired dose which is then inhaled by the patient. With this system the active ingredient, with or without a carrier substance, is delivered to the patient.
For oral administration the compound of the invention may be admixed with an adjuvant or a carrier, for example, lactose, saccharose, sorbitol, mannitol; a starch, for example, potato starch, corn starch or amylopectin; a cellulose derivative; a binder, for example, gelatine or polyvinylpyrrolidone; and/or a lubricant, for example, magnesium stearate, calcium stearate, polyethylene glycol, a wax, paraffin, and the like, and then compressed into tablets. If coated tablets are required, the cores, prepared as described above, may be coated with a concentrated sugar solution which may contain, for example, gum arabic, gelatine, talcum and titanium dioxide. Alternatively, the tablet may be coated with a suitable polymer dissolved in a readily volatile organic solvent.
For the preparation of soft gelatine capsules, the compound of the invention may be admixed with, for example, a vegetable oil or polyethylene glycol. Hard gelatine capsules may contain granules of the compound using either the above-mentioned excipients for tablets. Also liquid or semi-solid formulations of the compound of the invention may be filled into hard gelatine capsules.
Liquid preparations for oral application may be in the form of syrups or suspensions, for example, solutions containing the compound of the invention, the balance being sugar and a mixture of ethanol, water, glycerol and propylene glycol. Optionally such liquid preparations may contain colouring agents, flavouring agents, saccharine and/or carboxymethylcellulose as a thickening agent or other excipients known to those skilled in art.
The compounds of the invention (that is, compounds of formula (I) and pharmaceutically acceptable salts thereof) may also be administered in conjunction with other compounds used for the treatment of the above conditions.
The invention therefore further relates to combination therapies wherein a compound of the invention or a pharmaceutical composition or formulation comprising a compound of the invention is administered concurrently or sequentially or as a combined preparation with another therapeutic agent or agents, for the treatment of one or more of the conditions listed.
In particular, for the treatment of the inflammatory diseases such as (but not restricted to) rheumatoid arthritis, osteoarthritis, asthma, allergic rhinitis, chronic obstructive pulmonary disease (COPD), psoriasis, and inflammatory bowel disease, the compounds of the invention may be combined with agents listed below.
Non-steroidal anti-inflammatory agents (hereinafter NSAIDs) including non-selective cyclo-oxygenase COX-I / COX-2 inhibitors whether applied topically or systemically (such as piroxicam, diclofenac, propionic acids such as naproxen, flurbiprofen, fenoprofen, ketoprofen and ibuprofen, fenamates such as mefenamic acid, indomethacin, sulindac, azapropazone, pyrazolones such as phenylbutazone, salicylates such as aspirin); selective COX-2 inhibitors (such as meloxicam, celecoxib, rofecoxib, valdecoxib, lumarocoxib, parecoxib and etoricoxib); cyclo-oxygenase inhibiting nitric oxide donors (CINODs); glucocorticosteroids (whether administered by topical, oral, intramuscular, intravenous, or intra-articular routes); methotrexate; leflunomide; hydroxychloroquine; d-penicillamine; auranofin or other parenteral or oral gold preparations; analgesics; diacerein; intra-articular therapies such as hyaluronic acid derivatives; and nutritional supplements such as glucosamine.
The present invention still further relates to the combination of a compound of the invention (including pharmaceutically acceptable salts) together with a cytokine or agonist or antagonist of cytokine function, (including agents which act on cytokine signalling pathways such as modulators of the SOCS system) including alpha-, beta-, and gamma- interferons; insulin-like growth factor type I (IGF-I); interleukins (IL) including ILl to 17, and interleukin antagonists or inhibitors such as anakinra; tumour necrosis factor alpha (TNF-α) inhibitors such as anti-TNF monoclonal antibodies (for example infliximab; adalimumab, and CDP-870) and TNF receptor antagonists including immunoglobulin molecules (such as etanercept) and low-molecular-weight agents such as pentoxyfylline. In addition the invention relates to a combination of a compound of the invention, or a pharmaceutically acceptable salt thereof, with a monoclonal antibody targeting B-
Lymphocytes (such as CD20 (rituximab), MRA-aIL16R and T-Lymphocytes, CTLA4-Ig, HuMax 11-15).
The present invention still further relates to the combination of a compound of the invention with a modulator of chemokihe receptor function such as an antagonist of CCRl , CCR2, CCR2A, CCR2B, CCR3, CCR4, CCR5, CCR6, CCR7, CCR8, CCR9, CCRlO and s CCRl 1 (for the C-C family); CXCRl , CXCR2, CXCR3, CXCR4 and CXCR5 (for the C-
X-C family) and CX3CRl for the C-X3-C family.
The present invention further relates to the combination of a compound of the invention with an inhibitor of matrix metalloprotease (MMPs), i.e., the stromelysins, the I0 collagenases, and the gelatinases, as well as aggrecanase; for example coUagenase-1 (MMP-I), collagenase-2 (MMP-8), collagenase-3 (MMP- 13), stromelysin-1 (MMP-3), stromelysin-2 (MMP-10), and stromelysin-3 (MMP-11) and MMP-9 and MMP-12, including agents such as doxycycline.
is The present invention still further relates to the combination of a compound of the invention and a leukotriene biosynthesis inhibitor, 5 -lipoxygenase (5-LO) inhibitor or 5- lipoxygenase activating protein (FLAP) antagonist such as; zileuton; ABT-761; fenleuton; tepoxalin; Abbott-79175; Abbott-85761; a N-(5-substituted)-thiophene-2- alkylsulfonamide; 2,6-di-tert-butylphenolhydrazones; a methoxytetrahydropyrans such as
20 Zeneca ZD-2138 ; the compound SB-210661 ; a pyridinyl-substituted 2-cyanonaphthalene compound such as L-739,010; a 2-cyanoquinoline compound such as L-746,530; or an indole or quinoline compound such as MK-591, MK-886, and BAY x 1005.
The present invention further relates to the combination of a compound of the invention 25 and a receptor antagonist for leukotrienes (LT) B4, LTC4, LTD4, and LTE4. selected from the group consisting of the phenothiazin-3-yls such as L-651,392; amidino compounds such as CGS-25019c; benzoxalamines such as ontazolast; benzenecarboximidamides such as BIIL 284/260; and compounds such as zafirlukast, ablukast, montelukast, pranlukast, verlukast (MK-679), RG-12525, Ro-245913, iralukast (CGP 45715A), and BAY x 7195.
30
The present invention still further relates to the combination of a compound of the invention and a phosphodiesterase (PDE) inhibitor such as a methylxanthanine including
theophylline and aminophylline; a selective PDE isoenzyme inhibitor including a PDE4 inhibitor an inhibitor of the isoform PDE4D, or an inhibitor of PDE5.
The present invention further relates to the combination of a compound of the invention and a histamine type 1 receptor antagonist such as cetirizine, loratadine, desloratadine, fexofenadine, acrivastine, terfenadine, astemizole, azelastine, levocabastine, chlorpheniramine, promethazine, cyclizine, or mizolastine; applied orally, topically or parenterally.
The present invention still further relates to the combination of a compound of the invention and a proton pump inhibitor (such as omeprazole) or a gastroprotective histamine type 2 receptor antagonist.
The present invention further relates to the combination of a compound of the invention and an antagonist of the histamine type 4 receptor.
The present invention still further relates to the combination of a compound of the invention and an alpha- l/alpha-2 adrenoceptor agonist vasoconstrictor sympathomimetic agent, such as propylhexedrine, phenylephrine, phenylpropanolamine, ephedrine, pseudoephedrine, naphazoline hydrochloride, oxymetazoline hydrochloride, tetrahydrozoline hydrochloride, xylometazoline hydrochloride, tramazoline hydrochloride or ethylnorepinephrine hydrochloride.
The present invention further relates to the combination of a compound of the invention and an anticholinergic agent including muscarinic receptor (Ml , M2, and M3) antagonist such as atropine, hyoscine, glycopyrrrolate, ipratropium bromide, tiotropium bromide, oxitropium bromide, pirenzepine or telenzepine.
The present invention still further relates to the combination of a compound of the invention and a beta-adrenoceptor agonist (including beta receptor subtypes 1-4) such as isoprenaline, salbutamol, formoterol, salmeterol, terbutaline, orciprenaline, bitolterol mesylate, or pirbuterol, or a chiral enantiomer thereof.
The present invention further relates to the combination of a compound of the invention and a chromone, such as sodium cromoglycate or nedocromil sodium.
The present invention still further relates to the combination of a compound of the invention with a glucocorticoid, such as flunisolide, triamcinolone acetonide, beclomethasone dipropionate, budesonide, fluticasone propionate, ciclesonide or mometasone furoate.
The present invention further relates to the combination of a compound of the invention with an agent that modulates a nuclear hormone receptor such as PPARs.
The present invention still further relates to the combination of a compound of the invention together with an immunoglobulin (Ig) or Ig preparation or an antagonist or antibody modulating Ig function such as anti-IgE (for example omalizumab).
The present invention further relates to the combination of a compound of the invention and another systemic or topically-applied anti-inflammatory agent, such as thalidomide or a derivative thereof, a retinoid, dithranol or calcipotriol.
The present invention still further relates to the combination of a compound of the invention and combinations of aminosalicylates and sulfapyridine such as sulfasalazine, mesalazine, balsalazide, and olsalazine; and immunomodulatory agents such as the thiopurines, and corticosteroids such as budesonide.
The present invention further relates to the combination of a compound of the invention together with an antibacterial agent such as a penicillin derivative, a tetracycline, a macrolide, a beta-lactam, a fluoroquinolone, metronidazole, an inhaled aminoglycoside; an antiviral agent including acyclovir, famciclovir, valaciclovir, ganciclovir, cidofovir, amantadine, rimantadine, ribavirin, zanamavir and oseltamavir; a protease inhibitor such as indinavir, nelfinavir, ritonavir, and saquinavir; a nucleoside reverse transcriptase inhibitor
such as didanosine, lamivudine, stavudine, zalcitabine or zidovudine; or a non-nucleoside reverse transcriptase inhibitor such as nevirapine or efavirenz.
The present invention still further relates to the combination of a compound of the invention and a cardiovascular agent such as a calcium channel blocker, a beta- adrenoceptor blocker, an angiotensin-converting enzyme (ACE) inhibitor, an angiotensin-2 receptor antagonist; a lipid lowering agent such as a statin or a fibrate; a modulator of blood cell morphology such as pentoxyfylline; thrombolytic, or an anticoagulant such as a platelet aggregation inhibitor.
The present invention further relates to the combination of a compound of the invention and a CNS agent such as an antidepressant (such as sertraline), an anti-Parkinsonian drug (such as deprenyl, L-dopa, ropinirole, pramipexole, a MAOB inhibitor such as selegine and rasagiline, a comP inhibitor such as tasmar, an A-2 inhibitor, a dopamine reuptake inhibitor, an NMDA antagonist, a nicotine agonist, a dopamine agonist or an inhibitor of neuronal nitric oxide synthase), or an anti-Alzheimer's drug such as donepezil, rivastigmine, tacrine, a COX-2 inhibitor, propentofylline or metrifonate.
The present invention still further relates to the combination of a compound of the invention and an agent for the treatment of acute or chronic pain, such as a centrally or peripherally-acting analgesic (for example an opioid or derivative thereof), carbamazepine, phenytoin, sodium valproate, amitryptiline or other anti-depressant agents, paracetamol, or a non-steroidal anti-inflammatory agent.
The present invention further relates to the combination of a compound of the invention together with a parenterally or topically-applied (including inhaled) local anaesthetic agent such as lignocaine or a derivative thereof.
A compound of the present invention can also be used in combination with an anti- osteoporosis agent including a hormonal agent such as raloxifene, or a biphosphonate such as alendronate.
The present invention still further relates to the combination of a compound of the invention together with a: (i) tryptase inhibitor; (ii) platelet activating factor (PAF) antagonist; (iii) interleukin converting enzyme (ICE) inhibitor; (iv) IMPDH inhibitor; (v) adhesion molecule inhibitors including VLA-4 antagonist; (vi) cathepsin; (vii) kinase inhibitor such as an inhibitor of tyrosine kinase (such as Btk, Itk, Jak3 or MAP, for example Gefitinib or Imatinib mesylate), a serine / threonine kinase (such as an inhibitor of a MAP kinase such as p38, JNK, protein kinase A, B or C, or IKK), or a kinase involved in cell cycle regulation (such as a cylin dependent kinase); (viii) glucose-6 phosphate dehydrogenase inhibitor; (ix) kinin-B.subl. - or B.sub2. -receptor antagonist; (x) anti-gout agent, for example colchicine; (xi) xanthine oxidase inhibitor, for example allopurinol; (xii) uricosuric agent, for example probenecid, sulfinpyrazone or benzbromarone; (xiii) growth hormone secretagogue; (xiv) transforming growth factor (TGFβ); (xv) platelet- derived growth factor (PDGF); (xvi) fibroblast growth factor for example basic fibroblast growth factor (bFGF); (xvii) granulocyte macrophage colony stimulating factor (GM- CSF); (xviii) capsaicin cream; (xix) tachykinin NK.subl. or NK.sub3. receptor antagonist such as NKP-608C, SB-233412 (talnetant) or D-4418; (xx) elastase inhibitor such as UT- 77 or ZD-0892; (xxi) TNF-alpha converting enzyme inhibitor (TACE); (xxii) induced nitric oxide synthase (iNOS) inhibitor; (xxiii) chemoattractant receptor-homologous molecule expressed on TH2 cells, (such as a CRTH2 antagonist); (xxiv) inhibitor of p38; (xxv) agent modulating the function of Toll-like receptors (TLR), (xxvi) agent modulating the activity of purinergic receptors such as P2X7; (xxvii) inhibitor of transcription factor activation such as NFkB, API, or STATS; or (xxviii) a non-steroidal glucocorticoid receptor (GR-receptor) agonist.
In a further aspect the present invention provides a combination (for example for the treatment of COPD, asthma or allergic rhinitis) of a compound of formula (I) or a pharmaceutically acceptable salt thereof as hereinbefore defined and one or more agents independently selected from: • a non-steroidal glucocorticoid receptor (GR-receptor) agonist;
• a selective β2 adrenoceptor agonist (such as metaproterenol, isoproterenol, isoprenaline, albuterol, salbutamol, formoterol, salmeterol, terbutaline, orciprenaline, bitolterol mesylate, pirbuterol or indacaterol);
• a phosphodiesterase inhibitor (such as a PDE4 inhibitor); • a protease inhibitor (such as a neutrophil elastase or matrix metalloprotease MMP- 12 inhibitor);
• a glucocorticoid;
• an anticholinergic agent;
• a modulator of chemokine receptor function (such as a CCRl receptor antagonist); and
• an inhibitor of kinase function (such as the kinases p38 or IKK).
The invention also provides a pharmaceutical product comprising, in combination, a preparation of a first active ingredient which is a compound of formula (I) or a pharmaceutically acceptable salt thereof as hereinbefore defined, and a preparation of a second active ingredient which is
• a non-steroidal glucocorticoid receptor (GR-receptor) agonist;
• a selective β2 adrenoceptor agonist;
• a phosphodiesterase inhibitor; • a protease inhibitor;
• a glucocorticoid;
• an anticholinergic agent;
• a modulator of chemokine receptor function; or
• an inhibitor of kinase function; for simultaneous, sequential or separate use in therapy.
In another aspect, the invention provides a kit comprising a preparation of a first active ingredient which is a compound of formula (I) or a pharmaceutically acceptable salt thereof as hereinbefore defined, and a preparation of a second active ingredient which is • a non-steroidal glucocorticoid receptor (GR-receptor) agonist;
53
1HNMR (499.881 MHz, DMSO-D6) δ 8.91 (s, IH)5 8.43 (t, J= 5.5 Hz, IH), 7.56 (s, 2H), 7.24 (d, J= 6.9 Hz, IH), 7.15 (d, J= 7.7 Hz, IH), 6.84 (t, J= 7.5 Hz, IH), 4.91 (s, 2H), 4.08 (s, 2H), 3.33 (d, J= 11.9 Hz, 2H), 3.00 (s, 2H), 2.96 (t, J= 6.2 Hz, 2H), 2.86 (t, J= 12.2 Hz, 2H), 1.80 (d, J= 13.7 Hz, 2H), 1.68 - 1.58 (m, IH), 1.38 (s, 6H), 1.33 - 1.22 (m, 2H)
APCI-MS m/z: 383.4 [MH+]
Example 2
2-(6-ChIoropyridin-3-yI)-N-({l-[(2,2-dimethyl-2,3-dihydro-l-benzofuran-7- yl)methyl]piperidin-4-yl}methyl)acetamide
APCI-MS m/z: 428.4 [MH+]
Example 3 2-(5-Amino-lH-tetrazol-l-yI)-N-({l-[(2,2-dimethyI-2,3-dihydro-l-benzofuran-7- yl)methyl]piperidin-4-yl}methyI)acetamide
1H NMR (499.881 MHz, DMSO-D6) δ 8.27 (d, J= 5.8 Hz, IH), 7.23 (d, J= 5.8 Hz, IH), 7.14 (d, J= 7.7 Hz, IH), 6.84 (t, J= 7.6 Hz, IH), 6.61 (s, 2H), 4.75 (s, 2H), 4.06 (s, 2H), 3.31 (d, J= 11.9 Hz5 2H), 2.99 (s, 2H), 2.97 - 2.94 (m, 2H), 2.88 - 2.80 (m, 2H), 1.81 - 1.74 (m, 2H), 1.67 - 1.58 (m, IH), 1.37 (s, 6H), 1.30 - 1.22 (m, 2H) APCI-MS m/z: 400.5 [MH+]
54
Example 4
N-({l-[(2,2-dimethyl-2,3-dihydro-l-benzofuran-7-yl)methyl]piperidin-4-yl}methyl)-2- (1 H-tetrazol- 1 -yl)acetamide
1HNMR (499.881 MHz, DMSO-D6) δ 9.26 (s, IH), 8.46 (t, J= 5.9 Hz, IH), 7.23 (d, J= 7.1 Hz, IH), 7.15 (d, J= 7.5 Hz, IH), 6.84 (t, J= 7.5 Hz, IH), 5.18 (s, 2H), 4.07 (s, 2H), 3.32 (d, J= 11.9 Hz, 2H), 3.00 (s, 2H), 2.97 (t, J= 6.3 Hz, 2H), 2.91 - 2.83 (m, 2H), 1.81 - 1.75 (m, 2H), 1.67 - 1.60 (m, IH), 1.38 (s, 6H), 1.31 - 1.23 (m, 2H) APCI-MS m/z: 385.1 [MH+]
Example 5
2-(4-Chlorophenyl)-N-({l-[(2,2-dimethyl-2,3-dihydro-l-benzofuran-7- yI)methyl]piperidin-4-yl}methyl)propanamide
1H NMR (499.881 MHz, DMSO-D6) δ 8.07 - 8.03 (m, IH), 7.29 - 7.21 (m, 5H), 7.13 - 7.10 (m, IH), 6.83 (t, J= 7.5 Hz, IH), 4.09 - 4.05 (m, IH), 4.03 (s, 2H), 3.28 - 3.23 (m, 2H), 2.99 (s, 2H), 2.86 (t, J= 6.0 Hz, 2H), 2.82 - 2.76 (m, 2H), 1.68 - 1.60 (m, 2H), 1.58 - 1.51 (m, IH), 1.36 (s, 6H), 1.24 (d, J= 7.1 Hz, 3H), 1.22 - 1.16 (m, 2H) APCI-MS m/z: 441.5 [MH+]
Example 6
2-(4-Amino-l,2,5-oxadiazol-3-yl)-N-({l-[(2,2-dimethyl-2,3-dihydro-l-benzofuran-7- yl)methyI]piperidin-4-yl}methyl)acetamide
55
1H NMR (499.881 MHz, DMSOD6) δ 8.26 (t, J= 6.1 Hz, IH), 7.23 (d, J= 7.3 Hz, IH), 7.14 (d, J= 7.7 Hz, IH), 6.84 (t, J= 7.5 Hz, IH), 5.98 (s, 2H), 4.27 - 4.15 (m, 2H), 4.06 . (s, 2H), 3.41 - 3.34 (m, 2H), 3.33 - 3.28 (m, 2H), 3.00 (s, 2H), 2.88 - 2.81 (m, 2H), 1.80 - 1.74 (m, 2H), 1.65 - 1.58 (m, IH), 1.37 (s, 6H), 1.28 - 1.22 (m, 2H) APCI-MS m/z: 400.1 [MH+]
Example 7 l-(4-Chlorophenyl)-N-({l-[(2,2-dimethyI-2,3-dihydro-l-benzofuran-7- yl)methyI]piperidin-4-yl}methyl)cydopropanecarboxamide
1H NMR (499.881 MHz, DMSO-D6) δ 7.33 - 7.27 (m, 4H), 7.22 (d, J= 7.1 Hz, IH), 7.13 (d, J= 7.5 Hz, IH), 6.93 (t, J= 6.7 Hz, IH), 6.83 (t, J= 7.4 Hz, IH), 4.04 (s, 2H), 3.30 - 3.24 (m, 2H), 2.99 (s, 2H), 2.87 - 2.74 (m, 4H), 1.65 - 1.51 (m, 3H), 1.37 (s, 6H), 1.26 (dd, J= 6.5, 3.9 Hz, 2H), 1.22 - 1.17 (m, 2H), 0.90 (dd, J= 6.5, 3.9 Hz, 2H) APCI-MS m/z: 453.5/455.5 [MH+]
Example 8
N-({l-[(2,2-dimethyl-2,3-dihydro-l-benzofuran-7-yl)methyl]piperidin-4-yl}methyI)-2- (4-methylphenyl)-2-phenylacetamide
56
1H NMR (499.881 MHz, DMSO-D6) δ 8.27 (t, J= 6.6 Hz, IH), 7.25 - 7.09 (m, 10H)5 7.04 (d, J= 8.1 Hz, IH)5 6.83 (t, J= 7.4 Hz, IH)5 4.80 (d, J= 3.3 Hz, IH), 4.04 (s, 2H)5 3.30 - 3.24 (m, 2H), 2.99 (s, 2H), 2.92 - 2.90 (m, 2H), 2.83 - 2.78 (m, 2H), 2.18 (s, 3H)5 1.70 - 1.65 (m, 2H)5 1.62 - 1.58 (m, IH)5 1.36 (d, J= 2.7 Hz5 6H), 1.25 - 1.20 (m5 2H) APCI-MS m/z: 483.5 [MH+]
Example 9
N-({l-[(2,2-dimethyl-2,3-dihydro-l-benzofuran-7-yI)methyl]piperidin-4-yl}methyl)-2- (2-methyl-lH-imidazol-l-yl)acetaraide
1H NMR (499.881 MHz, DMSO-D6) δ 8.44 (t, J= 5.8 Hz, IH)5 7.45 (s, 2H)5 7.23 (d, J= 7.3 Hz, IH), 7.15 (d, J= 7.5 Hz, IH)5 6.84 (t, J= 7.5 Hz, IH), 4.83 (s, 2H), 4.07 (s, 2H), 3.32 (d, J= 12.2 Hz5 2H)5 3.00 (s, 2H)5 2.96 (t, J= 6.2 Hz5 2H)5 2.85 (t, J= 12.1 Hz, 2H)5 2.42 (s, 3H)5 1.79 (d, J= 13.7 Hz, 2H), 1.63 (s, IH), 1.38 (s, 6H)5 1.33 - 1.19 (m, 2H) APCI-MS m/z: 397.1 [MH+]
Example 10
N-({l-[(2,2-dimethyl-2,3-dihydro-l-benzofuran-7-yI)methyI]piperidin-4-yl}methyl)-2- (2-mercapto-4-methyI-6-oxo-l,6-dihydropyrimidin-5-yl)acetamide
57
1
H NMR (499.881 MHz, DMSO-D6) δ 12.13 (s, IH), 7.85 (t, J= 6.0 Hz, IH), 7.23 (d, J = 7.9 Hz, IH), 7.14 (d, J= 7.9 Hz, IH), 6.84 (t, J= 7.5 Hz, IH), 4.06 (s, 2H)5 3.31 - 3.27 (m, 2H), 3.09 (s, 2H), 3.00 (s, 2H), 2.89 - 2.85 (m, 4H), 2.01 (s, 3H), 1.76 - 1.71 (m, 2H), 1.61 - 1.56 (m, IH), 1.37 (s, 6H), 1.25 - 1.20 (m, 2H) APCI-MS m/z: 457.5 [MH+]
Example 11
N-({l-[(2,2-dimethyl-2,3-dihydro-l-benzofuran-7-yl)methyl]piperidin-4-yI}methyl)-7- methoxy-l-benzofuran-2-carboxamide
1H NMR (499.881 MHz, DMSO-D6) δ 8.69 (t, J= 6.3 Hz, IH), 7.44 (s, IH), 7.27 - 7.18 (m, 3H), 7.13 (d, J= 7.1 Hz, IH), 7.01 (d, J= 8.4 Hz, IH), 6.83 (t, J= 7.5 Hz, IH), 4.06 (s, 2H), 3.89 (s, 3H), 3.34 - 3.29 (m, 2H), 3.14 (t, J= 6.0 Hz, 2H), 2.98 (s, 2H), 2.90 - 2.83 (m, 2H), 1.83 - 1.74 (m, 3H), 1.39 - 1.30 (m, 8H) APCI-MS m/z: 449.5 [MH+]
Example 12
N-({l-[(2,2-dimethyI-2,3-dihydro-l-benzofuran-7-yl)methyI]piperidin-4-yl}methyl)-l- (2-fluorophenyl)cycIopropanecarboxamide
58
1H NMR (499.881 MHz, DMSO-D6) δ 7.34 - 7.28 (m, 2H), 7.22 (d, J= 1.6 Hz, IH), 7.14 - 7.07 (m, 3H), 6.94 (t, J= 5.7 Hz, IH), 6.83 (t, J= 7.6 Hz, IH), 4.05 (s, 2H), 3.30 - 3.25 (m, 2H), 2.99 (s, 2H), 2.86 - 2.81 (m, 4H), 1.65 - 1.60 (m, 2H), 1.58 - 1.52 (m, IH), 1.37 (d, J= 2.2 Hz, 6H), 1.34 - 1.31 (m, 2H), 1.21 - 1.17 (m, 2H), 0.93 - 0.90 (m, 2H) APCI-MS m/z: 437.5 [MH+]
Example 13 N-({l-[(2,2-dimethyl-2,3-dihydro-l-benzofuran-7-yl)methyl]piperidin-4-yl}methyl)-2- (3-oxo-3,4-dihydro-2H-l,4-benzoxazin-2-yl)acetamide
1H NMR (499.881 MHz, DMSO-D6) δ 10.64 (s, IH), 8.06 (t, J= 6.7 Hz, IH), 7.23 (d, J = 7.5 Hz, IH), 7.14 (d, J= 7.7 Hz, IH), 6.91 - 6.82 (m, 4H), 6.78 - 6.75 (m, IH), 4.82 - 4.79 (m, IH), 4.06 (s, 2H), 3.35 - 3.28 (m, 2H), 3.10 - 3.05 (m, 2H), 3.00 (s, 2H), 2.89 - 2.81 (m, 4H), 1.80 - 1.73 (m, 2H), 1.62 - 1.56 (m, IH), 1.37 (s, 6H), 1.28 - 1.23 (m, 2H) APCI-MS m/z: 464.5 [MH+]
Example 14 2-(4-Chloro-lH-pyrazol-l-yl)-N-({l-[(2,2-dimethyl-2,3-dihydro-l-benzofuran-7- yl)methyl]piperidin-4-yl}methyl)acetamide
59
1H NMR (499.881 MHz, DMSO-D6) δ 8.17 (t, J= 6.2 Hz, IH), 7.83 (s, IH), 7.47 (s, IH), 7.23 (d, J= 7.3 Hz, IH), 7.14 (d, J= 7.5 Hz, IH), 6.83 (t, J= 7.6 Hz, IH), 4.70 (s, 2H), 4.06 (s, 2H), 3.32 - 3.28 (m, 2H), 3.09 - 3.04 (m, 2H), 2.99 (s, 2H), 2.88 - 2.82 (m, 2H), 1.78 - 1.73 (m, 2H), 1.63 - 1.58 (m, IH), 1.39 - 1.34 (m, 6H), 1.27 - 1.22 (m, 2H) APCI-MS m/z: 417.4/419.4 [MH+]
Example 15
N-({l-[(2,2-dimethyl-2,3-dihydro-l-benzofuran-7-yl)methyl]piperidin-4-yl}methyl)-7- fluoro-3-methyl-l-benzofuran-2-carboxamide
10
1H NMR (499.881 MHz, DMSO-D6) δ 8.65 (t, J= 6.2 Hz, IH), 7.52 (d, J= 7.3 Hz, IH), 7.36 - 7.25 (m, 3H), 7.23 (d, J= 7.5 Hz, IH), 7.15 - 7.12 (m, IH), 6.83 (t, J= 7.5 Hz, IH), 4.06 (s, IH), 3.35 - 3.29 (m, 2H), 3.14 (t, J= 5.8 Hz, 2H), 2.99 (s, 2H), 2.91 - 2.82 (m, 2H), (3H in solvent peak), 1.84 - 1.71 (m, 3H), 1.40 - 1.31 (m, 8H)
I5 APCI-MS m/z: 451.5 [MH+]
Example 16
N-({l-[(2,2-dimethyl-2,3-dihydro-l-benzofuran-7-yl)methyl]piperidin-4-yI}methyI)-2-
(4-hydroxyphenyl)propanamide
20
60
1 H NMR (499.881 MHz, DMSO-D6) δ 9.32 (s, IH), 7.93 - 7.87 (m, IH), 7.22 (d, J= 6.9 Hz, IH), 7.12 (d, J= 8.0 Hz, IH), 7.02 (d, J= 8.6 Hz, 2H), 6.83 (t, J= 7.5 Hz, IH), 6.60 (d, J= 8.6 Hz, 2H), 4.04 (s, 2H), 3.42 - 3.37 (m, IH), 3.30 - 3.22 (m, 2H), 2.99 (s, 2H), 2.88 - 2.75 (m, 4H), 1.69 - 1.61 (m, 2H), 1.58 - 1.49 (m, IH), 1.37 (s, 6H), 1.24 - 1.09 (m, 5H) APCI-MS m/z: 423.5 [MH+]
Example 17
2-(l,2-benzisoxazol-3-yl)-N-({l-[(2,2-dimethyl-2,3-dihydro-l-benzofuran-7- yl)methyl] piperidin-4-yl}methyl)acetamide
1H NMR (499.881 MHz, DMSO-D6) δ 8.41 (t, J= 5.9 Hz, IH), 7.77 (d, J= 8.4 Hz, IH), 7.65 (d, J= 8.4 Hz, IH), 7.59 (t, J= 8.0 Hz, IH), 7.32 (t, J= 7.5 Hz, IH), 7.23 (d, J= 8.2 Hz, IH), 7.13 (d, J= 7.5 Hz, IH), 6.83 (t, J= 7.5 Hz, IH), 4.05 (s, 2H), 3.85 (s, 2H), 3.31 - 3.27 (m, 2H), 3.00 (s, 2H), 2.95 (t, J= 5.9 Hz, 2H), 2.88 - 2.81 (m, 2H)5 1.78 - 1.73 (m, 2H), 1.65 - 1.60 (m, IH), 1.37 (s, 6H), 1.33 - 1.29 (m, 2H) APCI-MS m/z: 434.5 [MH+]
Example 18
N-({l-[(2,2-dimethyl-2,3-dihydro-l-benzofuran-7-yl)methyl]piperidin-4-yl}methyl)-2-
(3-oxo-2,3-dihydro-lH-isomdol-l-yl)acetamide
1H NMR (499.881 MHz, DMSO-D6) δ 8.49 (s, IH), 8.01 (t, J= 6.0 Hz, IH), 7.61 (d, J= 7.5 Hz, IH), 7.53 (t, J= 7.4 Hz, IH), 7.46 - 7.43 (m, IH), 7.23 (d, J= 6.6 Hz, IH), 7.15 (d, J= 7.7 Hz5 IH), 6.84 (t, J= 7.5 Hz, IH), 4.84 (t, J= 6.7 Hz, IH)5 4.07 (s, 2H), *(2H in
61
solvent peak), 3.32 - 3.27 (m, 2H), 3.02 - 2.98 (m, 2H), 2.97 - 2.94 (m, 2H), 2.87 - 2.80 (m, 2H), 1.75 - 1.67 (m, 2H), 1.61 - 1.56 (m, IH), 1.38 (s, 6H), 1.27 - 1.22 (m, 2H) APCI-MS m/z: 448.5 [MH+]
Example 19
N-({l-[(2,2-dimethyl-2,3-dihydro-l-benzofuran-7-yl)methyl]piperidin-4-yI}methyl)-3- methyl-l-benzofuran-2-carboxamide
7.53 (d, J= 8.5 Hz, IH), 7.42 (t, J= 7.6 Hz, IH), 7.29 (t, J= 7.6 Hz, IH), 7.22 (d, J= 7.2 Hz, IH), 7.15 - 7.11 (m, IH), 6.83 (t, J= 7.5 Hz, IH), 4.06 (s, 2H), 3.35 - 3.29 (m, 2H), 3.13 (t, J= 6.1 Hz, 2H), 2.99 (s, 2H), 2.90 - 2.83 (m, 2H), (3H in solvents peak), 1.84 - 1.71 (m, 3H), 1.37 (d, J= 2.4 Hz, 6H), 1.35 - 1.30 (m, 2H) APCI-MS m/z: 433.5 [MH+]
Example 20
2-(4-chIorophenyI)-N-({l-[(2,2-dimethyl-2,3-dihydro-l-benzofuran-7- yl)methyl]piperidin-4-yI}methyl)-2-methyIpropanamide
1H NMR (499.881 MHz, DMSO-D6) δ 7.42 (t, J= 6.3 Hz, IH), 7.29 (d, J= 8.6 Hz, 2H), 7.26 - 7.21 (m, 3H), 7.12 (d, J= 7.3 Hz, IH), 6.83 (t, J= 7.5 Hz, IH), 4.04 (s, 2H), 3.29 - 3.23 (m, 2H), 2.99 (s, 2H), 2.87 - 2.83 (m, 2H), 2.81 - 2.74 (m, 2H), 1.63 - 1.54 (m, 3H), 1.47 (s, 6H), 1.36 (s, 6H), 1.24 - 1.18 (m, 2H) APCI-MS m/z: 455.5/457.5[MH+]
62
Example 21
N-({l-[(2,2-dimethyl-2,3-dihydro-l-benzofuran-7-yl)methyl]piperidin-4-yI}methyl)-2-
(2-oxo-l,3-oxazolidin-3-yl)acetamide
1H NMR (499.881 MHz, DMSO-D6) δ 8.08 (t, J= 6.2 Hz, IH), 7.23 (d, J= 7.1 Hz, IH), 7.14 (d, J= 7.5 Hz, IH), 6.84 (t, J= 7.5 Hz, IH), 4.22 (t, J= 8.1 Hz, 2H), 4.06 (s, 2H), *(2H in solvent peak), 3.52 - 3.48 (m, 2H), 3.33 - 3.28 (m, 2H), 3.11 - 3.05 (m, 2H), 3.00 (s, 2H), 2.88 - 2.80 (m, 2H), 1.78 - 1.72 (m, 2H), 1.64 - 1.58 (m, IH), 1.37 (s, 6H), 1.30 - 1.25 (m, 2H) APCI-MS m/z: 402.5 [MH+]
Example 22
N-({l-[(2,2-dimethyl-2,3-dihydro-l-benzofuran-7-yl)methyl]piperidin-4-yl}methyl)-2-
(5,6,7,8-tetrahydro-l,8-naphthyridin-2-yl)acetamide
1H NMR (499.881 MHz, DMSO-D6) δ 8.25 (t, J= 6.4 Hz, IH), 7.50 (d, J= 7.3 Hz, IH), 7.23 (d, J= 7.5 Hz, IH), 7.13 (d, J= 7.3 Hz, IH), 6.84 (t, J= 7.5 Hz, IH), 6.51 (d, J= 7.5 Hz, IH), 4.06 (s, 2H), 3.50 (s, 2H), 3.36 - 3.28 (m, 4H), 2.99 (s, 2H), 2.87 - 2.81 (m, 2H), 2.69 - 2.65 (m, 2H), *(2H in solvent peak) 1.80 - 1.72 (m, 4H), 1.64 - 1.56 (m, IH), 1.37 (s, 6H), 1.29 - 1.22 (m, 2H) APCI-MS m/z: 449.5 [MH+]
Example 23
N-({l-[(2,2-dimethyl-2,3-dihydro-l-benzofuran-7-yl)methyl]piperidin-4-yl}methyl)- l,3-benzothiazole-2-carboxamide
63
1H NMR (499.881 MHz, DMSO-D6) δ 9.19 (t, J= 6.1 Hz, IH), 8.15 (d, J= 8.0 Hz, IH), 8.08 (d, J= 8.2 Hz, IH), 7.60 - 7.57 (m, IH), 7.55 - 7.51 (m, IH)5 7.22 (d, J= 7.8 Hz, IH), 7.13 (d, J= 8.4 Hz, IH), 6.83 (t, J= 7.5 Hz, IH), 4.06 (s, 2H), 3.35 - 3.29 (m, 2H)5 3.19 (t, J= 6.2 Hz, 2H), 2.99 (d, J= 4.2 Hz, 2H), 2.90 - 2.83 (m, 2H), 1.85 - 1.78 (m, 2H), 1.77 - 1.72 (m, IH), 1.36 (s, 6H), 1.20 - 1.15 (m, 2H) APCI-MS m/z: 436.4 [MH+]
Example 24 N-({l-[(2,2-dimethyI-2,3-dihydro-l-benzofuran-7-yI)methyl]piperidin-4-yl}methyI)-5- methoxy-l-benzofuran-2-carboxamide
1H NMR (499.881 MHz, DMSO-D6) δ 8.75 (t, J= 6.1 Hz5 IH), 7.49 (d, J= 9.1 Hz, IH), 7.39 (s, IH)5 7.24 - 7.19 (m, 2H), 7.14 (d, J= 7.5 Hz5 IH), 7.02 - 6.98 (m5 IH), 6.83 (t5 J = 7.6 Hz, IH)5 4.06 (s, 2H)5 3.73 (s5 3H), 3.35 - 3.29 (m, 2H)5 3.13 (t, J= 6.0 Hz5 2H)5 2.99 (s, 2H), 2.91 - 2.82 (m, 2H), 1.84 - 1.71 (m, 3H), 1.37 (s, 6H), 1.34 - 1.29 (m, 2H) APCI-MS m/z: 449.5 [MH+]
Example 25
N-({l-[(2,2-dimethyl-2,3-dihydro-l-benzofuran-7-yl)methyl]piperidin-4-yI}methyI)-2- (lH-indol-3-yl)acetamide
64
1H NMR (499.881 MHz, DMSO-D6) δ 7.95 (t, J= 6.0 Hz, IH), 7.46 (d, J= 7.5 Hz, IH), 7.29 (d, J= 8.2 Hz, IH), 7.24 - 7.21 (m, IH), 7.14 - 7.11 (m, 2H), 7.02 - 6.98 (m, IH), 6.91 - 6.88 (m, IH), 6.86 - 6.81 (m, IH), 4.04 (s, 2H), 3.44 (s, 2H), 3.34 - 3.23 (m, 4H), 2.99 (s, 2H), 2.90 - 2.86 (m, 2H), 1.73 - 1.68 (m, 2H), 1.61 - 1.55 (m, IH), 1.37 (s, 6H), 1.24 - 1.19 (m, 2H) APCI-MS m/z: 432.1 [MH+]
Example 26 N-({l-[(2,2-dimethyI-2,3-dihydro-l-benzofuran-7-yI)methyl]piperidin-4-yl}methyl)-2- (2-oxo-l,3-thiazolidin-3-yl)acetamide
1H NMR (499.881 MHz, DMSO-D6) δ 8.04 (t, J= 5.9 Hz, IH), 7.23 (d, J= 7.1 Hz, IH), 7.13 (d, J= 7.5 Hz, IH), 6.83 (t, J= 7.6 Hz, IH), 4.05 (s, 2H), 3.79 (s, 2H), *(4H in solvent peak), 3.32 - 3.27 (m, 2H), 3.25 (t, J= 7.3 Hz, 2H), 2.99 (s, 2H), 2.87 - 2.79 (m, 2H), 1.77 - 1.71 (m, 2H), 1.63 - 1.55 (m, IH), 1.37 (s, 6H), 1.29 - 1.22 (m, 2H) APCI-MS m/z: 418.5 [MH+]
Example 27
N-({l-[(2,2-dimethyl-2,3-dihydro-l-benzofuran-7-yl)methyI]piperidin-4-yl}methyl)-6- methyl-lH-benzimidazole-2-carboxamide
65
APCI-MS m/z: 433.1 [MH+]
Example 28 N-({l-[(2,2-dimethyl-2,3-dihydro-l-benzofuran-7-yl)methyl]piperidin-4-yl}methyl)-6- fluoro- 1 H-indole-2-carboxamide
1H NMR (499.881 MHz, DMSO-D6) δ 11.53 (s, IH), 8.50 (t, J= 6.8 Hz, IH), 7.59 - 7.56 (m, IH), 7.23 (d, J= 7.1 Hz, IH), 7.16 - 7.10 (m, 2H), 7.08 (s, IH), 6.89 - 6.82 (m, 2H), 4.08 (s, 2H), 3.36 - 3.30 (m, 2H)5 3.14 (t, J= 6.2 Hz, 2H), 3.00 (s, 2H), 2.91 - 2.85 (m, 2H), 1.85 - 1.71 (m, 3H), 1.37 (s, 6H), 1.36 - 1.31 (m, 2H) APCI-MS m/z: 436.5 [MH+]
Example 29 N-({l-[(2,2-dimethyl-2,3-dihydro-l-benzofuran-7-yl)methyl]piperidin-4-yl}methyl)-2- (2,5-dioxoimidazolidin-4-yl)acetamide
1 HNMR (499.881 MHz, DMSO-D6) δ 10.55 (s, IH), 7.97 (t, J= 5.6 Hz, IH), 7.71 (s, IH)5 7.23 (d, J= 7.6 Hz, IH), 7.14 (d, J= 7.6 Hz5 IH), 6.84 (t, J= 7.8 Hz, IH), 4.15 (t, J= 5.7 Hz5 IH), 4.06 (s, 2H), (*2H in solvent peak), 3.33 - 3.27 (m, 2H), 3.00 (s, 2H), 2.92 - 2.78 (m5 4H)5 1.80 - 1.74 (m, 2H), 1.60 - 1.53 (m, IH), 1.37 (s, 6H), 1.28 - 1.23 (m, 2H) APCI-MS m/z: 415.1 [MH+]
Example 30
N-({l-[(2,2-dimethyl-2,3-dihydro-l-benzofuran-7-yl)methyl]piperidin-4-yl}methyl)-2-
(3,4,5-trimethyl-lH-pyrazol-l-yl)acetamide
1H NMR (499.881 MHz, DMSO-D6) δ 7.99 (t, J= 5.8 Hz, IH)5 7.23 (d5 J= 7.3 Hz, IH), 7.14 (d, J= 7.0 Hz5 IH)5 6.84 (t, J= 7.3 Hz5 IH), 4.51 (s, 2H), 4.07 (s, 2H), 3.33 - 3.28 (m, 2H), 3.10 - 3.04 (m, 2H), 3.00 (s, 2H), 2.89 - 2.81 (m, 2H)5 1.99 (s, 3H), 1.95 (s, 3H), 1.78 - 1.73 (m, 5H), 1.64 - 1.58 (m, IH), 1.38 (s, 6H), 1.30 - 1.21 (m, 2H) APCI-MS m/z: 425.5 [MH+]
Example 31
2-cyclopentyl-N-({l-[(2,2-dimethyl-2,3-dihydro-l-benzofuran-7-yl)methyl]piperidin-
4-yl}methyl)-2-phenylacetamide
1H NMR (499.881 MHz, DMSO-D6) δ 8.07 (t, J= 6.0 Hz5 IH), 7.28 - 7.18 (m, 5H)5 7.15 - 7.10 (m, 2H), 6.83 (t, J= 7.6 Hz, IH)5 4.03 (s5 2H), 3.37 - 3.21 (m, 4H)5 3.06 (d, J=
67
11.5 Hz, IH), 3.00 (s, 2H)5 2.83 - 2.72 (m, 2H), 1.70 - 1.58 (m, 4H), 1.58 - 1.49 (m, 4H), 1.49 - 1.42 (m, 4H), 1.36 (s, 6H), 1.26 - 1.05 (m, 2H) APCI-MS m/z: 461.6 [MH+]
Example 32
N-({l-[(2,2-dimethyl-2,3-dihydro-l-beπzofuran-7-yl)raethyl]piperidin-4-yl}methyl)-2- (1 H-1 ,2 ,4-triazol- 1 -y l)acetamide
1H NMR (499.881 MHz, DMSO-D6) δ 8.40 (s, IH), 8.29 (t, J= 5.9 Hz, IH), 7.90 (s, IH)5 7.23 (d, J= 6.2 Hz5 IH), 7.13 (d, J= 9.3 Hz5 IH)5 6.83 (t, J= 7.5 Hz5 IH)5 4.83 (s, 2H)5 4.06 (s, 2H), 3.38 - 3.27 (m5 2H)5 2.99 (s5 2H)5 2.97 - 2.93 (m5 2H), 2.87 - 2.79 (m, 2H), 1.80 - 1.74 (m, 2H)5 1.66 - 1.58 (m, IH)5 1.37 (s, 6H), 1.31 - 1.21 (m, 2H) APCI-MS m/z: 384.5 [MH+]
Example 33
N-({l-[(2,2-dimethyl-2,3-dihydro-l-benzofuran-7-yI)methyl]piperidin-4-yI}methyl)-2- (3-methyl-lH-pyrazol-l-yl)acetamide
1H NMR (499.881 MHz, DMSO-D6) δ 8.05 (t, J= 5.9 Hz5 IH)5 7.47 (d, J= 2.2 Hz5 IH)5 7.23 (d, J= 7.1 Hz5 IH)5 7.14 (d, J= 1.1 Hz5 IH)5 6.84 (t, J= 7.5 Hz, IH)5 5.97 (d, J= 2.0 Hz, IH), 4.60 (s, 2H)5 4.06 (s5 2H), 3.31 (d5 J= 11.9 Hz5 2H)5 3.12 - 3.03 (m5 2H)5 3.00 (S5 2H), 2.89 - 2.81 (m, 2H)5 2.06 (s, 3H), 1.80 - 1.73 (m, 2H)5 1.66 - 1.57 (m, IH), 1.37 (s, 6H)5 1.30 - 1.22 (m, 2H) APCI-MS m/z: 397.4 [MH+]
68
Example 34
6-Bromo-N-({l-[(2,2-dimethyl-2,3-dihydro-l-benzofuran-7-yl)methyl]piperidin-4- yl}methyl)-lH-indole-2-carboxamide
1H NMR (499.881 MHz, DMSO-D6) δ 11.59 (s, IH), 8.58 (t, J= 6.5 Hz5 IH), 7.57 (s, IH), 7.53 (d, J= 8.6 Hz, IH), 7.23 (d, J= 6.9 Hz, IH), 7.15 - 7.11 (m, 2H), 7.07 (s, IH), 6.83 (t, J= 7.7 Hz, IH), 4.07 (s, 2H), 3.35 - 3.28 (m, 2H), 3.17 - 3.10 (m, 2H), 2.99 (s, 2H), 2.91 - 2.83 (m, 2H), 1.85 - 1.71 (m, 3H), 1.40 - 1.30 (m, 8H) APCI-MS m/z: 496.4/498.4 [MH+]
10
Example 35
N-({l-[(2,2-dimethyl-2,3-dihydro-l-benzofuran-7-yl)methyl]piperidin-4-yl}methyl)-2-
(2H-indazol-2-yl)acetamide
I5 1H NMR (499.881 MHz, DMSO-D6) δ 8.30 (t, J= 6.8 Hz, IH), 8.27 (s, IH), 7.66 (d, J= 8.4 Hz, IH), 7.50 (d, J= 8.6 Hz, IH), 7.25 - 7.17 (m, 2H), 7.14 (d, J= 7.5 Hz, IH), 6.99 (t, J= 7.5 Hz, IH), 6.84 (t, J= 7.5 Hz, IH), 5.04 (s, 2H), 4.07 (s, 2H), 3.34 - 3.28 (m, 2H), 3.00 (s, 2H), 2.97 (d, J= 6.2 Hz, 2H), 2.91 - 2.82 (m, 2H), 1.81 - 1.76 (m, 2H), 1.68 - 1.60 (m, IH), 1.38 (s, 6H), 1.29 - 1.24 (m, 2H)
20 APCI-MS m/z: 433.5 [MH+]
Example 36
N-({l-[(2,2-dimethyl-2,3-dihydro-l-benzofuran-7-yl)methyl]piperidin-4-yl}methyl)-
3,5-dimethyl-l-benzofuran-2-carboxamide
69
I Η1 NMR (499.881 MHz, DMSO-D6) δ 8.56 (t, J= 6.2 Hz, IH), 7.44 (s, IH), 7.40 (d, J= 8.6 Hz, IH)5 7.25 - 7.20 (m, 2H), 7.13 (d, J= 6.4 Hz, IH), 6.83 (t, J= 7.5 Hz, IH), 4.05 (s, 2H), 3.34 - 3.28 (m, 2H), 3.14 - 3.09 (m, 2H)5 2.98 (s, 2H)5 2.90 - 2.81 (m, 2H), *(6H in 5 solvent peak), 1.83 - 1.70 (m, 3H), 1.36 (s, 6H)5 1.34 - 1.29 (m, 2H) APCI-MS m/z: 447.5 [MH+]
Example 37
5-Chloro-N-({l-[(2,2-dimethyl-2,3-dihydro-l-benzofuran-7-yl)methyl]piperidin-4-
10 yl} methy I)- 1-methy 1- 1 H-indole-2-carboxamide
1H NMR (499.881 MHz5 DMSO-D6) δ 8.60 (t, J= 6.4 Hz5 IH)5 7.63 (d, J= 4.0 Hz, IH), 7.50 (d, J= 9.4 Hz5 IH)5 7.25 - 7.20 (m, 2H), 7.14 (d, J= 11.1 Hz5 IH)5 6.97 (s5 IH)5 6.84 (t, J= 7.5 Hz5 IH)5 4.07 (s, 2H), 3.87 (s, 3H), 3.36 - 3.30 (m, 2H), 3.14 - 3.10 (m, 2H)5
I5 2.99 (S5 2H)5 2.91 - 2.83 (m, 2H), 1.86 - 1.71 (m5 3H), 1.37 (s, 6H)5 1.36 - 1.30 (m5 2H) APCI-MS m/z: 466.5/468.4 [MH+]
Example 38
N-({l-[(2,2-dimethyl-2,3-dihydro-l-benzofuran-7-yI)methyI]piperidin-4-yl}methyI)-2- 20 (4-methyI-l,2,5-oxadiazol-3-yl)acetamide
APCI-MS m/z: 399.5 [MH+]
Example 39
N-({l-[(2,2-dimethyl-2,3-dihydro-l-benzofuran-7-yl)methyI]piperidin-4-yl}methyl)-2- (3,5-dimethylisoxazol-4-yl)acetamide
1HNMR (499.881 MHz, DMSO-D6) δ 8.09 - 8.03 (m, IH), 7.24 (d, J= 8.0 Hz, IH), 7.14 (d, J= 7.5 Hz, IH), 6.84 (t, J= 7.5 Hz, IH), 4.07 (s, 2H), 3.34 - 3.28 (m, 2H)5 3.12 (s, 2H), 3.00 (s, 2H), 2.92 - 2.82 (m, 4H), 2.22 (s, 3H), 2.05 (s, 3H), 1.77 - 1.71 (m, 2H), 1.63 - 1.56 (m, IH), 1.38 (s, 6H), 1.27 - 1.22 (m, 2H) APCI-MS m/z: 412.5 [MH+]
Example 40
6-Chloro-N-({l-[(2,2-dimethyl-2,3-dihydro-l-benzofuran-7-yl)methyl]piperidin-4- yl}methyl)-lH-indole-2-carboxamide
1H NMR (499.881 MHz, DMSO-D6) δ 11.57 (s, IH), 8.57 (t, J= 5.9 Hz, IH), 7.58 (d, J = 8.4 Hz, IH), 7.42 (s, IH), 7.22 (d, J= 6.6 Hz, IH), 7.13 (d, J= 7.7 Hz, IH), 7.07 (s, IH), 7.01 (dd, J= 8.5, 1.9 Hz, IH)5 6.83 (t, J= 7.5 Hz, IH)5 4.06 (s, 2H), 3.36 - 3.28 (m, 2H), 3.14 (t, J= 6.4 Hz5 2H), 2.99 (s, 2H)5 2.91 - 2.82 (m, 2H), 1.84 - 1.70 (m, 3H), 1.36 (s, 6H), 1.35 - 1.30 (m, 2H) APCI-MS m/z: 452.4/454.5 [MH+]
71
Example 41
N-({l-[(2,2-dimethyI-2,3-dihydro-l-benzofuran-7-yl)methyl]piperidin-4-yl}methyl)-l- benzothiophene-2-carboxamide
APCI-MS m/z: 435.5 [MH+]
Example 42
N-({l-[(2,2-dimethyl-2,3-dihydro-l-benzofuran-7-yl)methyl]piperidin-4-yl}methyI)-5- methyl-l-benzothiophene-2-carboxamide
1H NMR (499.881 MHz, DMSO-D6) δ 8.75 (t, J= 6.1 Hz, IH), 7.90 (s, IH), 7.81 (d, J= 8.4 Hz, IH), 7.66 (s, IH), 7.26 - 7.21 (m, 2H), 7.14 (d, J= 7.3 Hz, IH), 6.84 (t, J= 7.4 Hz, IH), 4.07 (s, 2H), 3.33 (d, J= 11.5 Hz, 2H), 3.13 (t, J= 5.9 Hz, 2H), 2.99 (s, 2H), 2.92 - 2.83 (m, 2H), 2.37 (s, 3H), 1.87 - 1.70 (m, 3H), 1.37 (s, 6H), 1.35 - 1.29 (m, 2H) APCI-MS m/z: 449.5 [MH+]
Example 43
N-({l-[(2,2-dimethyI-2,3-dihydro-l-benzofuran-7-yl)methyl]piperidin-4-yI}methyl)-4- fluoro-lH-indole-2-carboxamide
1
H NMR (499.881 MHz, DMSO-D6) δ 11.77 (s, IH), 8.60 (t, J= 6.2 Hz, IH), 7.24 - 7.21 (m, 2H), 7.16 - 7.09 (m, 3H), 6.83 (t, J= 7.7 Hz, IH), 6.79 - 6.74 (m, IH), 4.07 (s, 2H), 3.35 - 3.29 (m, 2H), 3.16 (t, J= 6.4 Hz, 2H), 2.99 (s, 2H), 2.92 - 2.83 (m, 2H), 1.86 - 1.72 (m, 3H)5 1.37 (s, 6H), 1.36 - 1.31 (m, 2H) APCI-MS m/z: 436.5 [MH+]
Example 44
N-({l-[(2,2-dimethyl-2,3-dihydro-l-benzofuran-7-yI)methyl]piperidin-4-yl}methyl)-2-
(3-oxo-2,3-dihydro-4H-l,4-benzoxazin-4-yl)acetamide
1H NMR (499.881 MHz, DMSO-D6) δ 8.24 (t, J= 5.5 Hz, IH), 7.23 (d, J= 7.3 Hz, IH), 7.13 (d, J= 7.7 Hz, IH), 6.97 - 6.92 (m, 3H), 6.86 - 6.81 (m, 2H), 4.61 (s, 2H), 4.44 (s, 2H), 4.05 (s, 2H), (2H in solvent peak), 3.32 - 3.25 (m, 2H), 3.00 (s, 2H), 2.87 - 2.78 (m, 2H), 1.74 - 1.55 (m, 3H), 1.38 (s, 6H), 1.28 - 1.20 (m, 2H) APCI-MS m/z: 464.5 [MH+]
Example 45
N-({l-[(2,2-dimethyl-2,3-dihydro-l-benzofuran-7-yl)methyl]piperidin-4-yl}methyl)-5- ethyl-lH-indole-2-carboxamide
1H NMR (499.881 MHz, DMSO-D6) δ 11.26 (s, IH), 8.46 (t, J= 6.0 Hz, IH), 7.32 (s, IH), 7.29 (d, J= 8.6 Hz, IH), 7.22 (d, J= 6.6 Hz, IH), 7.13 (d, J= 8.4 Hz, IH), 7.03 - 6.95 (m, 2H), 6.83 (t, J= 7.5 Hz, IH), 4.06 (s, 2H), 3.36 - 3.28 (m, 2H), 3.14 (t, J= 6.2 Hz,
73
2H), 2.99 (s, 2H), 2.92 - 2.83 (m, 2H), 2.46 - 2.45 (m, 2H), 1.85 - 1.70 (m, 3H), 1.36 (s, 6H), 1.35 - 1.30 (m, 2H), 1.14 (t, J= 7.5 Hz, 3H) APCI-MS m/z: 446.5 [MH+]
Example 46
N-Cll-tCl^-dimethyl^^-dihydro-l-benzofuran-T-y^methyllpiperidin^-ylJmethy^-S- fluoro-l-methyI-lH-indoIe-2-carboxamide
1H NMR (499.881 MHz, DMSO-D6) δ 8.57 (t, J= 5.3 Hz, IH), 7.50 - 7.46 (m, IH), 7.34 (dd, J- 9.7, 2.4 Hz, IH), 7.23 (d, J= 7.5 Hz, IH), 7.14 (d, J= 7.5 Hz, IH), 7.10 - 7.05 (m, 2H), 6.98 (s, IH), 6.84 (t, J= 7.5 Hz, IH), 4.07 (s, IH), 3.36 - 3.29 (m, 2H), 3.12 (t, J= 6.0 Hz, 2H), 2.99 (s, 2H)5 2.92 - 2.83 (m, 2H), 1.86 - 1.71 (m, 3H), 1.37 (s, 6H), 1.35 - 1.30 (m, 2H), 3.88 (s, 3H) APCI-MS m/z: 450.5 [MH+]
Example 47
N-({l-[(2,2-dimethyl-2,3-dihydro-l-benzofuran-7-yl)methyl]piperidin-4-yI}methyl)-6- fluoro-lH-benzimidazoIe-2-carboxamide
1H NMR (499.881 MHz, DMSO-D6) δ 8.95 (t, J= 6.2 Hz, IH), 7.62 - 7.58 (m, IH), 7.37 - 7.33 (m, IH), 7.22 (d, J= 7.5 Hz, IH), 7.15 - 7.10 (m, 2H), 6.83 (t, J= 7.6 Hz, IH), 4.06 (d, J= 6.6 Hz, 2H), 3.35 - 3.29 (m, 2H), 3.17 (t, J= 6.3 Hz, 2H), 2.99 (s, 2H), 2.92 - 2.83 (m, 2H), 1.84 - 1.70 (m, 3H), 1.41 - 1.32 (m, 8H)
74
APCI-MS m/z: 437.1 [MH+]
Example 48
N-({l-[(2,2-dimethyl-2,3-dihydro-l-benzofuran-7-yl)methyI]piperidin-4-yl}methyl)-6- methyl-lH-indole-2-carboxamide
1H NMR (499.881 MHz, DMSO-D6) δ 11.25 (s, IH), 8.44 (t, J= 5.9 Hz, IH), 7.42 (d, J = 8.2 Hz, IH), 7.23 (d, J= 8.4 Hz, IH), 7.19 - 7.10 (m, 2H), 7.00 - 6.98 (m, IH), 6.84 (t, J= 7.5 Hz, 2H), 4.07 (s, 2H), 3.36 - 3.28 (m, 2H), 3.14 (t, J= 6.1 Hz, 2H), 3.00 (s, 2H), 2.92 - 2.84 (m, 2H), 2.37 (s, 3H), 1.86 - 1.72 (m, 3H), 1.37 (s, 6H), 1.36 - 1.31 (m, 2H) APCI-MS m/z: 432.5 [MH+]
Example 49
N-({l-[(2,2-dimethyl-2,3-dihydro-l-benzofuran-7-yl)methyl]piperidin-4-yI}methyI)-2-
(3-methylisoxazoI-5-yl)acetamide
1HNMR (499.881 MHz, DMSO-D6) δ 8.25 - 8.20 (m, IH), 7.23 (d, J= 7.3 Hz, IH),
7.13 (d, J= 7.7 Hz, IH), 6.83 (t, J= 7.5 Hz, IH), 6.11 (s, IH), 4.05 (s, 2H), *(2H in solvent peak), 3.34 - 3.27 (m, 2H), 3.13 - 3.03 (m, 2H), 2.99 (s, 2H), 2.88 - 2.78 (m,
2H), 2.12 (s, 3H), 1.78 - 1.71 (m, 2H), 1.64 - 1.56 (m, IH), 1.37 (s, 6H), 1.30 - 1.22 (m,
2H)
APCI-MS m/z: 398.5 [MH+]
75
Example 50
6-Chloro-N-({l-[(2,2-dimethyl-2,3-dihydro-l-benzofuran-7-yl)methyI]piperidin-4- yI}methyl)-lH-benzimidazole-2-carboxamide
7.50 (m, IH), 7.33 - 7.24 (m, 2H), 7.22 (d, J= 6.8 Hz, IH), 7.13 (d, J= 6.8 Hz, IH), 6.83 (t, J= 7.5 Hz, IH), 4.08 - 4.03 (m, 2H), 3.34 - 3.27 (m, 2H), 3.20 - 3.16 (m, 2H), 2.98 (s, 2H), 2.90 - 2.82 (m, 2H), 1.84 - 1.74 (m, 3H), 1.36 (s, 6H), 1.36 - 1.32 (m, 2H) APCI-MS m/z: 453.5/455.4 [MH+]
Example 51
N-({l-[(2,2-dimethyl-2,3-dihydro-l-benzofuran-7-yl)methyI]piperidin-4-yl}methyl)-2- (1 ,3-dimethyl-2,5-dioxoimidazoIidin-4-y Dacetamide
H NMR (499.881 MHz, DMSO-D6) δ 8.08 (t, J= 6.0 Hz, IH), 7.23 (d, J= 7.3 Hz, IH), 7.13 (d, J= 7.5 Hz, IH), 6.83 (t, J= 7.5 Hz, IH), 4.11 (t, J= 4.8 Hz, IH), 4.05 (s, 2H), 3.29 (d, J= 11.3 Hz, 2H), 3.08 - 3.02 (m, 2H), 2.99 (s, 2H), 2.90 - 2.78 (m, 4H), 2.75 (s, 3H), 2.71 (s, 3H), 1.77 - 1.64 (m, 2H), 1.61 - 1.50 (m, IH), 1.37 (s, 6H), 1.27 - 1.14 (m, 2H) APCI-MS m/z: 443.5 [MH+]
Example 52
N-({l-[(2,2-dimethyI-2,3-dihydro-l-benzofuran-7-yI)methyI]piperidin-4-yl}methyl)- lH-indole-2-carboxamide
76
1H NMR (499.881 MHz, DMSO-D6) δ 11.40 (s, IH), 8.50 (t, J= 5.6 Hz, IH), 7.54 (d, J= 8.0 Hz, IH), 7.39 (d, J- 8.1 Hz, IH), 7.22 (d, J= 7.1 Hz, IH), 7.13 (t, J= 7.1 Hz, 2H), 7.05 (s, IH), 6.99 (t, J= 7.5 Hz, IH), 6.83 (t, J= 7.4 Hz, IH), 4.06 (s, 2H), 3.32 (d, J= 9.5 Hz, 2H), 3.14 (d, J= 5.5 Hz, 2H), 2.99 (s, 2H), 2.92 - 2.83 (m, 2H), 1.87 - 1.71 (m, 3H), 1.42 - 1.30 (m, 8H) APCI-MS m/z: 418.1 [MH+]
10 Example 53
4-chloro-N-({l-[(2,2-dimethyl-2,3-dihydro-l-benzofuran-7-yl)methyI]piperidin-4- yl}methyl)-lH-indoIe-2-carboxamide
1H NMR (499.881 MHz, DMSO-D6) δ 11.82 (s, IH), 8.65 (t, J= 5.8 Hz, IH), 7.37 (d, J=
I5 8.2 Hz, IH), 7.23 (d, J= 7.3 Hz, IH), 7.17 (d, J= 1.5 Hz, IH), 7.16 - 7.11 (m, 2H), 7.07 (d, J= 7.3 Hz, IH), 6.84 (t, J= 7.5 Hz, IH), 4.07 (s, 2H), 3.33 (d, J= 12.2 Hz, 2H), 3.16 (t, J= 6.1 Hz, 2H), 2.99 (s, 2H), 2.92 - 2.84 (m, 2H), 1.83 (d, J= 14.6 Hz, 2H), 1.80 - 1.72 (m, IH), 1.42 - 1.30 (m, 8H) APCI-MS m/z: 452.4 [MH+]
20
Example 54
N-({l-[(2,2-dimethyl-2,3-dihydro-l-benzofuran-7-yl)methyI]piperidin-4-yl}methyl)-7- hydroxy-lH-indole-2-carboxamide
77
1H NMR (499.881 MHz, DMSO-D6) δ 10.94 (s, IH), 9.62 (s, IH), 8.48 (t, J= 6.1 Hz, IH), 7.22 (d, J= 7.5 Hz, IH), 7.13 (d, J= 7.5 Hz, IH), 7.02 - 6.98 (m, 2H), 6.82 (q, J= 7.7 Hz, 2H), 6.53 (d, J= 7.5 Hz, IH), 4.06 (s, 2H), 3.33 (d, J= 11.7 Hz, 2H), 3.15 (t, J= 6.0 Hz, 2H), 2.99 (s, 2H), 2.92 - 2.82 (m, 2H), 1.83 (d, J= 12.2 Hz, 2H), 1.79 - 1.69 (m, IH), 1.41 - 1.29 (m, 8H) APCI-MS m/z: 434.5 [MH+]
Example 55 5-Chloro-N-({l-[(2,2-dimethyl-2,3-dihydro-l-benzofuran-7-yl)methyϊ]piperidin-4- yϊ}methyl)-lH-indole-2-carboxamide
1H NMR (499.881 MHz, DMSO-D6) δ 11.63 (s, IH), 8.57 (t, J= 6.2 Hz, IH), 7.62 (d, J= 1.8 Hz, IH), 7.40 (d, J= 8.8 Hz, IH), 7.22 (d, J= 7.3 Hz, IH), 7.13 (dd, J= 8.7, 1.9 Hz, 2H), 7.03 (s, IH), 6.83 (t, J= 7.4 Hz, IH), 4.06 (s, 2H), 3.32 (d, J= 11.7 Hz, 2H), 3.14 (t, J= 6.2 Hz, 2H), 2.99 (s, 2H), 2.87 (s, 2H), 1.82 (d, J= 14.6 Hz, 2H), 1.78 - 1.70 (m, IH), 1.41 - 1.29 (m, 8H) APCI-MS m/z: 452.5 [MH+]
Example 56
N-({l-[(2,2-dimethyl-2,3-dihydro-l-benzofuran-7-yl)methyI]piperidin-4-yl}methyI)- lH-benzimidazoIe-2-carboxamide
78
1H NMR (499.881 MHz, DMSO-D6) δ 8.91 (t, J= 6.0 Hz, IH), 7.62 - 7.55 (m, 2H), 7.25 (dd, J= 6.2, 3.1 Hz, 2H), 7.22 (d, J= 7.7 Hz, IH), 7.13 (d, J= 7.3 Hz, IH), 6.83 (t, J= 7.5 Hz, IH), 4.06 (s, 2H), 3.32 (d, J= 12.2 Hz, 2H), 3.18 (t, J= 6.2 Hz, 2H), 2.99 (s, 2H), 2.87 (s, 2H), 1.82 (d, J= 12.6 Hz, 2H), 1.76 - 1.71 (m, IH), 1.44 - 1.30 (m, 8H) APCI-MS m/z: 419.5 [MH+]
Example 57
5-Bromo-N-({l-[(2,2-dimethyl-2,3-dihydro-l-benzofuran-7-yl)methyl]piperidin-4- yl}methyl)-lH-benzimidazole-2-carboxamide
1H NMR (499.881 MHz, DMSO-D6) δ 8.99 (t, J= 6.2 Hz, IH), 7.77 (s, IH), 7.55 (d, J= 8.6 Hz, IH), 7.39 (dd, J= 8.6, 1.8 Hz, IH), 7.22 (d, J= 7.1 Hz, IH), 7.13 (d, J= 7.5 Hz, IH), 6.83 (t, J= 7.5 Hz, IH), 4.06 (s, 2H), 3.32 (d, J= 11.7 Hz, 2H), 3.17 (t, J= 6.1 Hz, 2H), 2.99 (s, 2H), 2.92 - 2.82 (m, 2H), 1.81 (d, J= 12.4 Hz, 2H), 1.76 - 1.69 (m, IH), 1.42 - 1.30 (m, 8H) APCI-MS m/z: 497.4, 499.4 [MH+]
Example 58 N-({l-[(2,2-dimethyl-2,3-dihydro-l-benzofuran-7-yl)methyl]piperidin-4-yl}methyl)-2- pyrazin-2-ylacetamide
79
1H NMR (499.881 MHz, DMSO-D6) δ 8.52 (d, J= 0.9 Hz, IH), 8.48 (t, J= 1.9 Hz, IH), 8.45 (d, J= 2.7 Hz, IH), 8.24 (t, J= 5.8 Hz, IH), 7.24 (d, J= 7.3 Hz, IH), 7.15 (d, J= 7.7 Hz, IH), 6.84 (t, J= 7.5 Hz, IH), 4.07 (s, 2H), (*2Hin solvent peak), 3.31 (d, J= 12.2 Hz, s 2H), 3.00 (d, J= 7.3 Hz, 2H), 2.93 (t, J= 6.1 Hz, 2H), 2.90 - 2.81 (m, 2H), 1.77 (d, J= 12.4 Hz, 2H), 1.67 - 1.57 (m, IH), 1.38 (s, 6H), 1.32 - 1.21 (m, 2H) APCI-MS m/z: 395.1 [MH+]
Example 59 o N-({l-[(2,2-dimethyl-2,3-dihydro-l-benzofuran-7-yl)methyl]piperidin-4-yl}methyl)-2- (5-methyl-lH-pyrazol-l-yl)acetamide
1H NMR (499.881 MHz, DMSO-D6) δ 8.09 (t, J= 5.9 Hz, IH), 7.24 - 7.21 (m, 2H), 7.14 (d, J= 7.7 Hz, IH), 6.84 (t, J= 7.5 Hz, IH), 5.98 (s, IH), 4.64 (s, 2H), 4.06 (s, 2H), 3.31s (d, J= 12.8 Hz, 2H), 3.00 (s, 2H), 2.94 (t, J= 6.0 Hz, 2H), 2.90 - 2.81 (m, 2H), 2.13 (s, 3H), 1.76 (d, J= 13.9 Hz, 2H), 1.64 - 1.58 (m, IH), 1.38 (s, 6H), 1.31 - 1.20 (m, 2H) APCI-MS m/z: 397.5 [MH+]
Example 60 0 N-({l-[(2,2-dimethyl-2,3-dihydro-l-benzofuran-7-yl)methyI]piperidin-4-yl}methyl)- lH-pyrrolo[2,3-b]pyridine-2-carboxamide
1 H NMR (499.881 MHz, DMSO-D6) δ 11.89 (s, IH), 8.55 (t, J= 5.9 Hz, IH), 8.27 (dd, J = 4.4, 1.5 Hz, IH), 8.01 (dd, J= 8.1, 1.3 Hz, IH), 7.23 (d, J= 7.3 Hz, IH), 7.14 (d5 J= 7.7 Hz, IH), 7.08 (dd, J= 8.0, 4.6 Hz, IH), 7.05 (s, IH), 6.83 (t, J- 7.5 Hz, IH)5 4.07 (s, 2H), 3.33 (d, J= 11.9 Hz, 2H), 3.16 (t, J= 6.1 Hz, 2H), 2.99 (s, 2H), 2.90 - 2.83 (m, 2H), 1.83 (d, J= 14.8 Hz, 2H), 1.79 - 1.72 (m, IH), 1.42 - 1.29 (m, 8H) APCI-MS m/z: 419.5 [MH+]
Example 61
N-({l-[(2,2-dimethyl-2,,3-dihydro-l-benzofuran-7-yl)methyl]piperidin-4-yl}methyl)-l- io methyl-lH-indole-2-carboxamide
1H NMR (499.881 MHz, DMSO-D6) δ 8.52 (t, J= 5.8 Hz, IH), 7.56 (d, J= 8.0 Hz, IH), 7.45 (d, J= 8.4 Hz, IH), 7.25 - 7.20 (m, 2H), 7.14 (d, J= 7.5 Hz, IH), 7.05 (t, J= 7.5 Hz, IH), 7.00 (s, IH), 6.84 (t, J= 7.5 Hz, IH), 4.07 (s, 2H), 3.89 (s, 3H), 3.33 (d, J= 12.8
I5 Hz, 2H), 3.12 (t, J= 6.3 Hz, 2H), 2.99 (s, 2H), 2.87 (s, 2H), 1.83 (d, J= 14.8 Hz, 2H), 1.80 - 1.72 (m, IH), 1.41 - 1.30 (m, 8H) APCI-MS m/z: 432.5 [MH+]
Example 62
20 N-({l-[(2,2-dimethyl-2,3-dihydro-l-benzofuran-7-yl)methyl]piperidin-4-yl}methyl)-2-
(2,4-dimethyl-l,3-thiazol-5-yl)acetamide
1H NMR (499.881 MHz, DMSO-D6) δ 8.13 (t, J= 6.1 Hz, IH), 7.23 (d, J= 9.3 Hz, IH), 7.13 (d, J= 7.7 Hz, IH), 6.84 (t, J= 7.5 Hz, IH), 4.06 (s, 2H), 3.30 (d, J= 13.1 Hz, 2H), as 3.08 - 3.03 (m, 2H), 3.00 (s, 2H), 2.92 - 2.88 (m, 2H), 2.88 - 2.80 (m, 2H), (*3H in
81
solvent peak), 2.14 (s, 3H), 1.80 - 1.70 (m, 2H), 1.65 - 1.55 (m, IH), 1.37 (s, 6H), 1.32 -
1.20 (m, 2H)
APCI-MS m/z: 428.1 [MH+]
Example 63
N-({l-[(2,2-dimethyl-2,3-dihydro-l-benzofuran-7-yl)methyl]piperidin-4-yl}methyl)-5- methoxy-l-methyl-lH-indole-2-carboxamide
1H NMR (499.881 MHz, DMSO-D6) δ 8.47 (t, J= 6.3 Hz, IH), 7.36 (d, J= 9.3 Hz, IH), 7.23 (d, J= 7.3 Hz, IH), 7.14 (d, J= 6.9 Hz, IH), 7.02 (d, J= 2.4 Hz, IH), 6.91 (s, IH), 6.87 (dd, J= 9.1, 2.4 Hz, IH), 6.84 (t, J= 7.4 Hz, IH), 4.06 (s, 2H), 3.85 (s, 3H), (*3Hin solvent peak), 3.36 - 3.29 (m, 2H), 3.11 (t, J= 6.1 Hz, 2H), 2.99 (s, 2H), 2.91 - 2.82 (m, 2H), 1.82 (d, J= 14.8 Hz, 2H), 1.78 - 1.70 (m, IH), 1.40 - 1.30 (m, 8H) APCI-MS m/z: 462.5 [MH+]
Example 64
N-({l-[(2,2-dimethyl-2,3-dihydro-l-benzofuran-7-yl)methyl]piperidin-4-yl}methyl)-2-
(3,5-dimethyl-lH-pyrazol-4-yl)acetamide
1H NMR (499.881 MHz, DMSO-D6) δ 7.84 (t, J= 5.8 Hz, IH), 7.50 (t, J= 5.0 Hz, IH)5 7.25 - 7.21 (m, IH), 7.16 - 7.11 (m, IH), 6.86 - 6.81 (m, IH), 4.08 (s, 2H), 4.05 (s, 2H), 3.33 (d, J= 14.6 Hz, 2H), 3.00 (s, 2H), 2.94 (t, J= 7.2 Hz, 2H), 2.89 - 2.78 (m, 2H), 2.01 (s, 6H), 1.72 (d, J= 12.4 Hz, 2H), 1.63 - 1.53 (m, IH), 1.37 (s, 6H), 1.33 - 1.21 (m, 2H) APCI-MS m/z: 411.5 [MH+]
82
Example 65
N-({l-[(2,2-dimethyI-2,3-dihydro-l-benzofuran-7-yI)methyI]piperidin-4-yI}methyl)-6- ethoxy-lH-indole-2-carboxamide
1H NMR (499.881 MHz, DMSO-D6) δ 11.24 (s, IH), 8.40 (s, IH), 7.45 (d, J= 8.6 Hz, IH), 7.27 (d, J= 7.3 Hz, IH), 7.18 (d, J= 7.3 Hz, IH), 7.02 (s, IH), 6.88 (t, J= 7.5 Hz, 2H), 6.67 (dd, J= 8.8, 2.2 Hz, IH), 4.11 (s, 2H), 3.99 (q, J= 6.9 Hz, 2H), 3.37 (d, J= 11.7 Hz, 2H), 3.17 (t, J= 6.1 Hz, 2H), 3.03 (s, 2H), 2.97 - 2.87 (m, 2H), 1.85 (d, J= 14.4 Hz, 2H), 1.79 (s, IH), 1.45 - 1.36 (m, 8H), 1.33 (t, J= 7.0 Hz, 3H)
10 APCI-MS ra/z: 462.5 [MH+]
Example 66
N-({l-[(2,2-dimethyI-2,3-dihydro-l-benzofuran-7-yI)methyl]ρiperidin-4-yI}methyI)-2-
(2-oxoimidazoIidin-l-yl)acetamide
I5
1H NMR (499.881 MHz, DMSO-D6) δ 7.94 (t, J= 6.0 Hz, IH), 7.23 (d, J= 7.1 Hz, IH), 7.15 (d, J= 7.7 Hz, IH), 6.84 (t, J= 7.5 Hz, IH), 4.07 (s, 2H), (*2H + IH in solvent peak), 3.34 - 3.27 (m, 4H), 3.23 - 3.17 (m, 2H)5 3.00 (s, 2H)5 2.92 (t, J= 6.6 Hz, 2H), 2.89 - 2.80 (m, 2H), 1.74 (d, J= 13.9 Hz, 2H), 1.66 - 1.56 (m, IH), 1.38 (s, 6H)5 1.31 -
20 1.20 (m, 2H) APCI-MS m/z: 401.1 [MH+]
83
Example 67
N-Cil-JCl^-dimethyl-ljS-dihydro-l-benzofuran-T-y^methyllpiperidin^-ylJmethyl)-!- methyl-2-phenyIpropanamide
1U NMR (499.881 MHz, DMS0-D6) δ 7.40 - 7.34 (m, IH), 7.28 (d, J- 4.2 Hz, IH), 7.26 - 7.21 (m, 4H), 7.16 - 7.10 (m, IH), 6.83 (t, J= 7.6 Hz, IH), 4.03 (s, IH), 3.28 - 3.21 (m, 2H), 3.06 - 2.97 (m, 2H), 2.99 (s, 2H), 2.88 - 2.82 (m, 2H), 2.81 - 2.74 (m, 2H), 1.62 - 1.53 (m, 3H), 1.37 (s, 12H), 1.24 - 1.13 (m, 2H) APCI-MS m/z: 421.1 [MH+]
Example 68
N-({l-[(2,2-dimethyI-2,3-dihydro-l-benzofuran-7-yl)methyl]piperidin-4-yl}methyl)-2- (3-oxopiperazin~l-yl)acetamide
1H NMR (499.881 MHz, DMSO-D6) δ 8.38 (s, IH), 8.20 (s, IH), 7.24 (d, J= 7.3 Hz, IH), 7.15 (d, J= 7.7 Hz, IH), 6.84 (t, J= 7.5 Hz, IH), 4.08 (s, 2H), (*2Hm solvent peak), 3.36 - 3.26 (m, 4H), 3.14 (s, 2H), 3.10 - 3.04 (m, 2H), 3.00 (s, 2H), 2.98 (t, J= 6.3 Hz, 2H), 2.90 - 2.81 (m, 2H), 1.77 (d, J= 13.5 Hz, 2H), 1.68 - 1.58 (m, IH), 1.38 (s, 6H), 1.28 (q, J= 11.9 Hz, 2H)
APCI-MS m/z: 415.5 [MH+]
Example 69
N-({l-[(2,2-dimethyI-2,3-dihydro-l-benzofuran-7-yl)methyl]piperidin-4-yl}methyl)-6- methoxy-lH-indole-2-carboxamide
84
1 HNMR (499.881 MHz, DMSO-D6) δ 11.22 (s, IH), 8.37 (t, J= 6.1 Hz, IH), 7.41 (d, J= 8.6 Hz, IH), 7.24 - 7.20 (m, IH), 7.15 - 7.10 (m, IH), 7.01 - 6.97 (m, IH), 6.88 - 6.82 (m, 2H), 6.64 (dd, J= 8.8, 2.2 Hz, IH), 4.07 (s, 2H), (*3Hin solvent peak), 3.33 (d, J= 11.1 Hz, 2H), 3.13 (t, J= 6.1 Hz, 2H), 2.99 (s, 2H), 2.92 - 2.83 (m, 2H), 1.82 (d, J= 14.2 Hz, 2H), 1.75 (s, IH), 1.40 - 1.30 (m, 8H) APCI-MS m/z: 448.5 [MH+]
Example 70 2-(2,6-Dihydroxypyrimidin-4-yl)-N-({l-[(2,2-dimethyl-2,3-dihydro-l-benzofuran-7- y l)methy 1] piperidin-4-y 1} methyl) acetamide
1H NMR (499.881 MHz, DMSO-D6) δ 10.96 (s, IH), 10.78 (s, IH), 8.09 (t, J= 5.6 Hz, IH), 7.25 - 7.21 (m, IH), 7.13 (d, J= 8.8 Hz, IH), 6.83 (t, J= 7.4 Hz, IH), 5.31 (s, IH), 4.07 (d, J= 9.7 Hz, 2H), 3.41 - 3.26 (m, 2H), 3.18 (s, 2H), 3.14 - 3.03 (m, 2H), 2.99 (s, 2H), 2.96 - 2.89 (m, 2H), 1.84 - 1.74 (m, 2H), 1.66 - 1.55 (m, IH), 1.37 (s, 6H), 1.29 - 1.20 (m, 2H) APCI-MS m/z: 427.5 [MH+]
Example 71
N-({l-[(2,2-dimethyI-2,3-dihydro-l-benzofuran-7-yI)methyI]piperidin-4-yl}methyl)- 6,8-dimethylthieno [2,3-b] quinoline-2-carboxamide
85
1H NMR (499.881 MHz, DMSO-D6) δ 8.98 - 8.93 (m, IH), 8.78 (s, IH), 8.06 (s, IH), 7.70 (s, IH), 7.52 (s, IH), 7.23 (d, J= 8.0 Hz, IH), 7.14 (d, J= 7.5 Hz, IH), 6.84 (t, J= 7.6 Hz, IH), 4.07 (s, 2H), (*6Hin solvent peak) , 3.34 (d, J= 11.7 Hz, 2H), 3.20 - 3.14 (m, 2H), 2.99 (s, 2H), 2.92 - 2.85 (m, 2H), 1.88 - 1.82 (m, 2H), 1.82 - 1.74 (m, IH), 1.42 - 1.33 (m, 8H) APCI-MS m/z: 514.5 [MH+]
Example 72
N-({l-[(2,2-dimethyl-2,3-dihydro-l-benzofuran-7-yl)methyl]piperidin-4-yl}methyl)-2- morpholin-4-ylacetamide
1H NMR (499.881 MHz, DMSO-D6) δ 8.39 - 8.30 (m, IH), 7.25 - 7.21 (m, IH), 7.14 (d, J= 7.7 Hz, IH), 6.84 (t, J= 7.6 Hz, IH), 4.07 (s, 2H), (HH in solvent peak), 3.31 (d, J= 10.8 Hz, 2H), 3.10 - 3.04 (m, 4H), 3.00 (s, 4H), 2.97 (t, J= 6.3 Hz, 2H), 2.89 - 2.80 (m, 2H), 1.76 (d, J= 12.8 Hz, 2H), 1.66 - 1.58 (m, IH), 1.37 (s, 6H), 1.31 - 1.21 (m, 2H) APCI-MS m/z: 402.5 [MH+]
Example 73
N-({l-[(2,2-dimethyl-2,3-dihydro-l-benzofuran-7-yI)methyI]piperidiπ-4-yI}methyI)-2- (l-oxo-l,3-dihydro-2H-isoindol-2-yl)acetamide
86
1H NMR (499.881 MHz, DMSO-D6) δ 7.86 - 7.79 (m, 2H), 7.65 (d, J= 7.7 Hz, IH), 7.59 - 7.53 (m, IH), 7.45 (t, J= 7.1 Hz, IH), 7.23 (d, J= 7.5 Hz, IH), 7.14 (d, J= 7.7 Hz, IH), 6.84 (t, J= 7.5 Hz, IH), 4.44 (s, 2H), 4.16 - 4.09 (m, 2H), 4.06 (s, 2H), (*2Hin solvent peak), 3.31 (d, J= 13.5 Hz, 2H), 3.00 (s, 2H), 2.85 (s, 2H), 1.80 - 1.72 (m, 2H), 1.66 - 1.58 (m, IH), 1.38 (s, 6H), 1.34 - 1.20 (m, 2H) APCI-MS m/z: 448.5 [MH+]
Example 74
N-({l-[(2,2-dimethyI-2,3-dihydro-l-benzofuran-7-yl)methyl]piperidin-4-yl}methyl)-4- methoxy-lH-indole-2-carboxamide
1H NMR (499.881 MHz, DMSO-D6) δ 11.40 (s, IH), 8.44 (t, J= 6.0 Hz, IH), 7.22 (d, J= 6.6 Hz, IH), 7.16 - 7.11 (m, 2H), 7.04 (q, J= 7.9 Hz, IH), 6.97 (d, J= 8.2 Hz, IH), 6.83 (t, J= 7.5 Hz, IH), 6.46 (d, J= 7.5 Hz, IH), 4.06 (s, 2H), (*3H in solvent peak), 3.32 (d, J = 11.9 Hz, 2H), 3.13 (t, J= 6.2 Hz, 2H), 2.99 (s, 2H), 2.91 - 2.82 (m, 2H), 1.82 (d, J= 15.3 Hz, 2H), 1.79 - 1.69 (m, IH), 1.40 - 1.29 (m, 8H) APCI-MS m/z: 448.5 [MH+]
Example 75
N-({l-[(2,2-dimethyl-2,3-dihydro-l-benzofuran-7-yl)methyl]piperidin-4-yl}methyl)-5- methoxy-lH-indole-2-carboxamide
87
1H NMR (499.881 MHz, DMSO-D6) δ 11.25 (s, IH), 8.45 (t, J= 6.1 Hz, IH), 7.28 (d, J= 8.6 Hz, IH), 7.22 (d, J= 6.6 Hz, IH), 7.14 (d, J= 7.7 Hz, IH), 7.00 (d, J= 2.2 Hz, IH), 6.96 (s, IH), 6.83 (t, J= 7.5 Hz, IH), 6.78 (dd, J= 8.8, 2.4 Hz, IH), 4.06 (s, 2H), (*3Hin solvent peak), 3.32 (d, J= 11.5 Hz, 2H), 3.14 (t, J= 62 Hz, 2H), 2.99 (s, 2H), 2.92 - 2.83 (m, 2H), 1.82 (d, J= 14.4 Hz, 2H), 1.78 - 1.70 (m, IH), 1.40 - 1.30 (m, 8H) APCI-MS m/z: 448.5 [MH+]
Example 76 N-({l-[(2,2-dimethyI-2,3-dihydro-l-benzofuran-7-yl)methyl]piperidin-4-yl}methyl)-5- fluoro-lH-indole-2-carboxamide
1H NMR (499.881 MHz, DMSO-D6) δ 11.53 (s, IH), 8.54 (t, J= 5.5 Hz, IH), 7.38 (dd, J = 9.0, 4.5 Hz, IH), 7.31 (dd, J= 9.7, 2.4 Hz, IH), 7.22 (d, J= 6.6 Hz, IH), 7.13 (d, J= 7.3 Hz, IH), 7.04 (s, IH), 6.99 (td, J= 9.3, 2.4 Hz, IH), 6.83 (t, J= 7.4 Hz, IH), 4.06 (s, 2H), 3.32 (d, J= 11.5 Hz, 2H), 3.14 (t, J= 6.1 Hz, 2H), 2.99 (s, 2H), 2.92 - 2.82 (m, 2H), 1.85 - 1.70 (m, 3H), 1.41 - 1.29 (m, 8H) APCI-MS m/z: 436.5 [MH+]
Example 77
N-({l-[(2,2-dimethyI-2,3-dihydro-l-benzofuran-7-yl)methyI]piperidin-4-yl}methyl)-2- (4-methyl-lH-pyrazol-l-yI)acetamide
88
1H NMR (499.881 MHz, DMSO-D6) δ 8.04 (t, J= 6.0 Hz, IH), 7.37 (s, IH), 7.23 (d, J= 7.3 Hz, IH), 7.18 (s, IH), 7.14 (d, J= 7.5 Hz, IH), 6.84 (t, J= 7.4 Hz, IH), 4.62 (s, 2H), 4.06 (s, 2H), 3.30 (d, J= 12.4 Hz, 2H), 3.12 - 3.04 (m, 2H), 3.00 (s, 2H), 2.90 - 2.80 (m, 2H), 1.94 (s, 3H), 1.75 (d, J= 13.5 Hz, 2H), 1.65 - 1.57 (m, IH), 1.38 (s, 6H), 1.31 - 1.20 (m, 2H) APCI-MS m/z: 397.5 [MH+]
Example 78 N-({l-[(2,2-dimethyl-2,3-dihydro-l-benzofuran-7-yl)methyI]piperidin-4-yl}methyl)- 5,6-difluoro-lH-indole-2-carboxamide
1H NMR (499.881 MHz, DMSO-D6) δ 11.61 (s, IH), 8.55 (X, J= 5.8 Hz, IH), 7.57 (dd, J = 11.1, 8.2 Hz, IH), 7.33 (dd, J= 11.1, 7.1 Hz, IH), 7.22 (d, J= 7.1 Hz, IH), 7.13 (d, J= 8.2 Hz, IH), 7.06 (d, J= 1.5 Hz, IH), 6.83 (t, J= 7.5 Hz, IH), 4.05 (s, 2H), 3.31 (d, J= 9.7 Hz, 2H), 3.14 (s, 2H), 2.98 (s, 2H), 2.92 - 2.81 (m, 2H), 1.81 (d, J= 14.2 Hz, 2H), 1.77 - 1.69 (m, IH), 1.40 - 1.28 (m, 8H) APCI-MS m/z: 454.5 [MH+]
Example 79
N-({l-[(2,2-dimethyl-2,3-dihydro-l-benzofuran-7-yl)methyl]piperidin-4-yl}methyl)-2- (2,4,7-trimethyl-lH-indol-3-yl)acetamide
89
H NMR (499.881 MHz, DMSO-D6) δ 10.63 (s, IH), 7.48 (t, J= 5.8 Hz, IH), 7.27 (d, J-- 7.3 Hz, IH), 7.17 (d, J= 7.3 Hz, IH), 6.87 (t, J= 7.5 Hz, IH), 6.62 (d, J= 7.3 Hz, IH), 6.50 (d, J= 7.3 Hz, IH), 4.09 (s, 2H), 3.35 - 3.27 (m, 2H), 3.11 - 3.06 (m, 2H), 3.04 (s, 2H), 2.90 (t, J= 6.0 Hz, 2H), 2.87 - 2.81 (m, 2H), 2.43 (s, 3H), 2.33 (s, 3H), 2.28 (s, 3H), 1.70 (d, J= 13.9 Hz, 2H), 1.66 - 1.58 (m, IH), 1.42 (s, 6H), 1.29 - 1.17 (m, 2H) APCI-MS m/z: 474.5 [MH+]
Example 80 3-Amino-N-({l-[(2,2-dimethyl-2,3-dihydro-l-benzofuran-7-yl)methyI]piperidin-4- yI}methyl)thieno[2,3-b]pyridine-2-carboxamide
1H NMR (499.881 MHz, DMSO-D6) δ 8.57 (dd, J= 4.6, 1.5 Hz, IH), 8.33 (dd, J= 8.2, 1.5 Hz, IH), 7.78 (s, IH), 7.39 (dd, J= 8.2, 4.6 Hz, IH), 7.22 (d, J= 7.3 Hz, IH), 7.15 - 7.11 (m, 2H), 7.06 (s, IH), 6.83 (t, J= 7.4 Hz, IH), 4.05 (s, 2H), 3.35 - 3.27 (m, 2H), 3.11 - 3.05 (m, 2H), 2.99 (s, 2H), 2.90 - 2.77 (m, 2H), 1.82 - 1.66 (m, 3H), 1.40 - 1.28 (m, 8H) APCI-MS m/z: 451.5 [MH+]
Example 81
N-({l-[(2,2-dimethyl-2,3-dihydro-l-benzofuran-7-yl)methyI]piperidin-4-yl}methyI)-6- hydroxy-lH-indoIe-2-carboxamide
90
1H NMR (499.881 MHz5 DMSO-DO) δ 11.02 (s, IH), 8.31 (t, J= 5.9 Hz, IH), 7.32 (d, J= 8.4 Hz, IH), 7.23 (d, J= 7.3 Hz, IH), 7.14 (d, J= 7.7 Hz, IH), 6.93 (d, J= 1.5 Hz, IH), 6.83 (t, J= 7.4 Hz, IH), 6.72 (d, J= 1.8 Hz, IH), 6.53 (dd, J= 8.6, 2.2 Hz, IH), 4.07 (s, 2H), 3.33 (d, J= 12.2 Hz, 2H), 3.12 (t, J= 6.0 Hz, 2H), 2.99 (s, 2H), 2.92 - 2.83 (m, 2H), 1.81 (d, J= 13.5 Hz, 2H), 1.77 - 1.69 (m, IH), 1.40 - 1.30 (m, 8H) APCI-MS m/z: 434.1 [MH+]
Example 82 N-({l-[(2,2-dimethyl-2,3-dihydro-l-benzofuran-7-yI)methyl]piperidin-4-yI}methyl)-2- (2,5-dioxopyrroIidin-l-yl)acetamide
1H NMR (499.881 MHz, DMSO-D6) δ 8.15 (t, J= 5.7 Hz, IH), 7.23 (d, J= 7.5 Hz, IH), 7.14 (d, J= 7.7 Hz, IH), 6.84 (t, J= 7.5 Hz, IH), 4.06 (s, 2H), 3.91 (s, 2H), 3.31 (d, J= 11.7 Hz, 2H), 3.00 (s, 2H), 2.93 - 2.89 (m, 2H), 2.88 - 2.80 (m, 2H), (HH in solvent peak), 1.74 (d, J= 13.3 Hz, 2H), 1.64 - 1.54 (m, IH), 1.38 (s, 6H), 1.31 - 1.18 (m, 2H) APCI-MS m/z: 414.5 [MH+]
Example 83 N-({l-[(2,2-dimethyl-2,3-dihydro-l-benzofuran-7-yl)methyl]piperidin-4- yl}methyl)thieno[2,3-b]pyridine-2-carboxamide
91
1H NMR (499.881 MHz, DMSO-D6) δ 8.89 (t, J= 5.5 Hz, IH), 8.59 (dd, J= 4.7, 1.5 Hz, IH), 8.30 (d, J= 8.2 Hz, IH), 7.98 (s, IH), 7.45 (dd, J= 8.2, 4.6 Hz, IH), 7.23 (d, J= 6.6 Hz, IH), 7.14 (d, J= 7.7 Hz, IH), 6.84 (t, J= 7.5 Hz, IH), 4.07 (s, 2H), 3.33 (d, J= 11.7 Hz, 2H), 3.15 (t, J= 5.9 Hz, 2H), 2.99 (s, 2H), 2.92 - 2.84 (m, 2H), 1.87 - 1.72 (m, 3H), 1.41 - 1.30 (m, 8H) APCI-MS m/z: 436.0 [MH+]
Example 84 N-({l-[(2,2-dimethyl-2,3-dihydro-l-benzofuran-7-yI)methyl]piperidin-4-yl}methyl)- 4,7-dimethyl-lH-indole-2-carboxamide
1H NMR (499.881 MHz, DMSO-D6) δ 11.13 (s, IH), 8.45 (t, J= 6.1 Hz, IH), 7.22 (d, J= 7.7 Hz, IH), 7.14 (d, J= 7.3 Hz, IH), 7.09 (d, J= 2.0 Hz, IH), 6.86 - 6.80 (m, 2H), 6.70 (d, J= 7.3 Hz, IH), 4.07 (s, 2H), 3.33 (d, J= 12.2 Hz, 2H), 3.16 (t, J= 5.9 Hz, 2H), 2.99 (s, 2H), 2.91 - 2.84 (m, 2H), 2.38 (s, 3H), 2.37 (s, 3H), 1.83 (d, J= 13.7 Hz, 2H), 1.80 - 1.71 (m, IH), 1.42 - 1.31 (m, 8H) APCI-MS m/z: 446.5 [MH+]
Example 85
Ethyl l-{2-[({l-[(2,2-dimethyl-2,3-dihydro-l-benzofuran-7-yl)methyI]piperidin-4- yl}methyI)amino]-2-oxoethyl}-2,5-dimethyl-lH-pyrrole-3-carboxylate
92
1H NMR (499.881 MHz, DMSO-D6) δ 8.17 (t, J- 5.8 Hz, IH), 7.23 (d, J= 7.3 Hz, IH), 7.14 (d, J= 7.5 Hz, IH), 6.83 (t, J= 7.5 Hz, IH), 6.02 (s, IH), 4.41 (s, 2H), 4.10 - 4.03 (m, 4H), 3.32 (d, J= 11.9 Hz, 2H), 3.09 - 3.03 (m, 2H), 3.00 (s, 2H), 2.90 - 2.80 (m, 2H), 2.29 (s, 3H), 2.00 (s, 3H), 1.75 (d, J= 13.5 Hz, 2H), 1.65 - 1.57 (m, IH), 1.37 (s, 6H), 1.31 - 1.21 (m, 2H), 1.17 (t, J= 7.1 Hz, 3H) APCI-MS m/z: 482.5 [MH+]
Example 86
10 (2R)-N-({l-[(2,2-dimethyl-2,3-dihydro-l-benzofuran-7-yl)methyl]piperidin-4- yl}methyl)-2-hydroxy-2-phenylpropanamide
1H NMR (499.881 MHz, DMSO-D6) δ 7.93 (t, J= 6.1 Hz, IH), 7.44 (d, J= 7.7 Hz, 2H), 7.25 - 7.21 (m, 3H), 7.19 - 7.14 (m, IH), 7.12 (d, J= 8.0 Hz, IH), 6.83 (t, J= 7.5 Hz,
I5 IH), 6.10 (s, IH), 4.03 (s, 2H), 3.30 - 3.19 (m, 2H), 2.99 (s, 2H), 2.87 (t, J= 6.1 Hz, 2H), 2.83 - 2.73 (m, 2H), 1.67 - 1.53 (m, 6H), 1.36 (s, 6H), 1.26 - 1.12 (m, 2H) APCI-MS m/z: 423.5 [MH+]
Example 87
20 2-(3-Amino-lH-l,2,4-triazoI-l-yI)-N-({l-[(2,2-dimethyI-2,3-dihydro-l-benzofuran-7- yl)methyl]piperidin-4-yl}methyI)acetamide
1H NMR (499.881 MHz, DMSO-D6) δ 8.15 (t, J= 5.6 Hz, IH), 7.89 (s, IH)5 7.23 (d, J= 7.3 Hz, IH), 7.15 (d, J= 8.0 Hz, IH), 6.84 (t, J= 7.5 Hz, IH), 4.52 (s, 2H), 4.07 (s, 2H), (*2Hin solvent peak), 3.31 (d, J= 10.8 Hz, 2H), 3.12 - 3.04 (m, 2H), 3.00 (s, 2H)5 2.91 - 2.81 (m, 2H), 1.77 (d, J= 13.8 Hz, 2H), 1.67 - 1.57 (m, IH), 1.38 (s, 6H), 1.31 - 1.19 (m, 5 2H)
APCI-MS m/z: 399.5 [MH+]
Example 88
N-({l-[(2,2-dimethyl-2,3-dihydro-l-benzofuran-7-yl)methyl]piperidin-4-yl}methyl)-2-o (3-methyl-2,4-dioxo-l,3-thiazoIidin-5-yl)acetamide
1HNMR (499.881 MHz, DMSO-D6) δ 8.13 (t, J= 5.8 Hz, IH), 7.24 (d, J= 7.1 Hz, IH), 7.14 (d, J= 8.0 Hz, IH), 6.84 (t, J= 7.4 Hz, IH), 4.53 (dd, J= 8.4, 3.8 Hz, IH), 4.07 (s, 2H), 3.31 (d, J= 11.5 Hz, 2H), 3.10 - 3.04 (m, 2H), 3.00 (s, 2H), 2.97 (d, J= 3.3 Hz, 2H),s 2.92 - 2.88 (m, 2H), 2.89 (s, 3H), 1.79 - 1.72 (m, 2H), 1.63 - 1.54 (m, IH), 1.38 (s, 6H), 1.31 - 1.16 (m, 2H) APCI-MS m/z: 446.4 [MH+]
Example 89 0 N-({l-[(2,2-dimethyl-2,3-dihydro-l-benzofiiran-7-yl)methyl]piperidin-4-yl}methyl)-2- (2,5-dimethyl-l,3-thiazol-4-yl)acetamide
1H NMR (499.881 MHz, DMSO-D6) δ 7.97 (t, J= 5.6 Hz, IH), 7.23 (d, J= 7.4 Hz, IH), 7.14 (d, J= 8.3 Hz, IH), 6.84 (t, J= 7.5 Hz, IH), 4.06 (s, 2H), 3.37 (s, 2H), 3.31 (d, J=S 11.3 Hz, 2H), 3.09 - 3.03 (m, 2H), 3.00 (s, 2H), 2.87 - 2.80 (m, 2H), (*3Hin solvent
94
peak), 2.22 (s, 3H), 1.77 (d, J= 13.1 Hz, 2H), 1.66 - 1.56 (m, IH), 1.37 (s, 6H), 1.29
1.16 (m, 2H)
APCI-MS m/z: 428.5 [MH+]
Example 90
N-({l-[(2,2-dimethyl-2,3-dihydro-l-benzofuran-7-yl)methyl]piperidin-4-yI}methyl)-
5,7-dimethyl-lH-indole-2-carboxamide
1H NMR (499.881 MHz, DMSO-D6) δ 11.03 (s, IH), 8.41 (t, J= 6.0 Hz, IH), 7.23 (d, J=
10 6.6 Hz, IH), 7.15 - 7.12 (m, 2H), 6.95 (d, J= 2.0 Hz, IH), 6.83 (t, J= 7.5 Hz, IH), 6.77 (s, IH), 4.06 (s, 2H), 3.33 (d, J= 12.6 Hz, 2H), 3.15 (t, J= 6.1 Hz, 2H), 2.99 (s, 2H), 2.92 - 2.83 (m, 2H), (*3Hin solvent peak), 2.26 (s, 3H), 1.83 (d, J= 14.6 Hz, 2H), 1.79 - 1.70 (m, IH), 1.42 - 1.30 (m, 8H) APCI-MS m/z: 446.5 [MH+]
I5
Example 91
N-({l-[(2,2-dimethyl-2,3-dihydro-l-benzofuran-7-yl)methyl]piperidin-4-yl}methyI)-2-
(2-oxopyridin-l(2H)~yl)acetamide
20 1H NMR (499.881 MHz, DMSO-D6) δ 8.19 (X, J= 5.8 Hz, IH), 7.50 (d, J= 5.1 Hz, IH), 7.41 (ddd, J= 9.0, 6.8, 2.2 Hz, IH), 7.23 (d, J= 7.3 Hz, IH), 7.13 (d, J= 7.5 Hz, IH), 6.83 (t, J= 7.5 Hz, IH), 6.33 (d, J= 8.8 Hz, IH), 6.20 (t, J= 6.6 Hz, IH), 4.43 (s, 2H), 4.06 (s, 2H), 3.30 (d, J= 11.5 Hz, 2H), 3.13 - 3.02 (m, 2H), 2.99 (s, 2H), 2.89 - 2.78 (m, 2H), 1.78 (d, J= 13.1 Hz, 2H), 1.66 - 1.55 (m, IH), 1.37 (s, 6H), 1.30 - 1.19 (m, 2H)
95
APCI-MS m/z: 410.5 [MH+]
Example 92
2-(lt^'-DimethyI-lH,lΗ-3,4'-bipyrazol-l-yl)-N^{l-[(2^-diinethyl-2β-dihydro-l- benzofuran-7-yl)methyl]piperidin-4-yl}methyl)acetamide
1H NMR (499.881 MHz, DMSO-D6) δ 8.11 (t, J= 5.9 Hz, IH), 7.76 (s, IH), 7.60 (d, J= 2.2 Hz, IH), 7.23 (d, J= 7.5 Hz, IH), 7.14 (d, J= 7.7 Hz, IH), 6.84 (t, J= 7.5 Hz, IH), 6.29 (d, J= 2.2 Hz, IH), 4.69 (s, 2H), 4.06 (s, 2H), (*3Hin solvent peak), 3.30 (d, J= 12.2 Hz, 2H), 3.00 (s, 2H), 2.95 (t, J= 6.5 Hz5 2H), 2.90 - 2.80 (m, 2H), 2.22 (s, 3H), 1.77 (d, J= 13.9 Hz, 2H), 1.67 - 1.57 (m, IH), 1.37 (s, 6H), 1.31 - 1.20 (m, 2H) APCI-MS m/z: 477.6 [MH+]
Example 93 N-({l-[(2,2-dimethyl-2,3-dihydro-l-benzofuran-7-yI)methyl]piperidin-4-yl}methyl)-2- [3-(trifluoromethyl)-lH-pyrazol-l-yl]acetamide
1H NMR (499.881 MHz, DMSO-D6) δ 8.28 (t, J= 6.0 Hz, IH), 7.84 (d, J= 1.3 Hz, IH), 7.23 (d, J= 7.1 Hz, IH), 7.14 (d, J= 7.7 Hz, IH), 6.84 (t, J= 7.4 Hz, IH), 6.66 (d, J= 2.2 Hz, IH), 4.84 (s, 2H), 4.07 (s, 2H), 3.31 (d, J= 11.9 Hz, 2H), 3.00 (s, 2H), 2.95 (t, J= 7.0 Hz, 2H), 2.91 - 2.82 (m, 2H), 1.77 (d, J= 15.3 Hz, 2H), 1.67 - 1.57 (m, IH), 1.38 (s, 6H), 1.31 - 1.20 (m, 2H) APCI-MS m/z: 451.1 [MH+]
96
Example 94
N-({l-[(2,2-dimethyl-2,3-dihydro-l-benzofuran-7-yI)methyl]piperidin-4-yl}raethyl)-4- ethoxy-lH-indole-2-carboxamide
1H NMR (499.881 MHz, DMSO-D6) δ 11.39 (s, IH), 8.45 (t, J= 6.0 Hz, IH), 7.23 (d, J= 6.9 Hz, IH), 7.16 - 7.10 (m, 2H), 7.02 (d, J= 7.7 Hz, IH), 6.95 (d, J= 8.2 Hz, IH), 6.83 (t, J= 7.4 Hz, IH)5 6.44 (d, J= 7.7 Hz, IH), 4.10 - 4.04 (m, 4H), 3.33 (d, J= 12.2 Hz, 2H), 3.13 (t, J= 6.3 Hz, 2H), 2.99 (s, 2H), 2.92 - 2.83 (m, 2H), 1.82 (d, J= 14.4 Hz, 2H), 1.79 - 1.70 (m, IH), 1.40 - 1.36 (m, 8H), 1.34 (t, J= 6.9 Hz, 3H) APCI-MS m/z: 462.5 [MH+]
Example 95
N-({l-[(2,2-dimethyl-2,3-dihydro-l-benzofuran-7-yl)methyl]piperidin-4-yI}methyl)-
4,5-dimethoxy-lH-indoIe-2-carboxamide
1H NMR (499.881 MHz, DMSO-D6) δ 11.31 (s, IH), 8.48 (t, J= 5.8 Hz, IH), 7.22 (d, J= 7.5 Hz, IH), 7.16 - 7.10 (m, 2H), 7.04 (d, J= 8.6 Hz, IH), 6.96 (d, J= 8.8 Hz, IH), 6.83 (t, J= 7.5 Hz, IH), 4.06 (s, 2H), 3.86 (s, 3H), (*3Hin solvent peak), 3.32 (d, J= 11.9 Hz, 2H), 3.14 (t, J= 5.9 Hz, 2H), 2.99 (s, 2H), 2.87 (s, 2H), 1.82 (d, J= 13.3 Hz, 2H), 1.75 (s5 IH), 1.42 - 1.29 (m, 8H) APCI-MS m/z: 478.5 [MH+]
97
Example 96
N-({l-[(2,2-dimethyl-2,3-dihydro-l-benzofuran-7-yl)methyl]piperidin-4-yl}methyl)-
3,3,3-trifluoro-2-methoxy-2-phenylpropanamide
1H NMR (499.881 MHz, DMSO-D6) δ 8.46 (t, J- 6.1 Hz, IH), 7.46 - 7.36 (m, 5H), 7.23 (d, J= 6.2 Hz, IH), 7.13 (d, J= 7.1 Hz, IH), 6.83 (t, J- 7.5 Hz, IH), 4.05 (s, 2H), 3.34 (s, 3H), 3.27 (s, 2H), 3.01 - 2.95 (m, 4H), 2.88 - 2.77 (m, 2H), 1.73 - 1.56 (m, 3H)5 1.37 (s, 6H), 1.30 - 1.18 (m, 2H) APCI-MS m/z: 491.5 [MH+]
Example 97
N-({l-[(2,2-dimethyl-2,3-dihydro-l-benzofuran-7-yl)methyI]piperidin-4-yI}methyl)-
5,7-difluoro-lH-indoIe-2-carboxamide
1H NMR (499.881 MHz, DMSO-D6) δ 12.05 (s, IH), 8.56 (t, J= 5.9 Hz, IH), 7.25 - 7.21 (m, 2H), 7.15 (d, J= 7.7 Hz, IH), 7.12 (t, J= 2.4 Hz, IH), 7.02 (td, J= 10.5, 2.3 Hz, IH), 6.84 (t, J= 7.5 Hz, IH), 4.08 (s, 2H), 3.33 (d, J= 12.4 Hz, 2H)5 3.15 (t, J= 6.2 Hz5 2H), 2.99 (s, 2H), 2.93 - 2.85 (m, 2H)5 1.83 (d, J= 14.2 Hz, 2H), 1.79 - 1.70 (m, IH), 1.42 - 1.30 (m, 8H) APCI-MS m/z: 454.0 [MH+]
98
Example 98
N-({l-[(2,2-dimethyl-2,3-dihydro-l-benzofuran-7-yl)methyI]piperidin-4-yl}methyI)-2-
(3,5-dimethyl-lH-pyrazoI-l-yl)acetamide
1H NMR (499.881 MHz, DMSO-D6) δ 8.07 (t, J= 5.9 Hz, IH), 7.28 (d, J= 7.5 Hz, IH), 7.19 (d, J= 7.7 Hz, IH), 6.88 (t, J= 7.5 Hz, IH), 5.79 (s, IH), 4.57 (s, 2H), 4.11 (s, 2H), 3.36 (d, J= 11.3 Hz, 2H), 3.17 - 3.08 (m, 2H), 3.05 (s, 2H), 2.94 - 2.87 (m, 2H), 2.12 (s, 3H), 2.04 (s, 3H), 1.80 (d, J= 12.6 Hz, 2H), 1.70 - 1.60 (m, IH), 1.42 (s, 6H), 1.35 - 1.20 (m, 2H) APCI-MS m/z: 411.5 [MH+]
Example 99
N-({l-[(2,2-dimethyl-2,3-dihydro-l-benzofuran-7-yl)methyl]piperidin-4-yl}methyl)- lH-pyrrolo[2,3-c]pyridine-2-carboxamide
1HNMR (499.881 MHz, DMSO-D6) δ 9.14 (t, J= 5.9 Hz, IH), 9.02 (s, IH), 8.25 (d, J= 6.4 Hz, IH), 8.16 (d, J= 6.4 Hz, IH), 7.42 (s, IH), 7.23 (d, J= 7.1 Hz, IH), 7.15 (d, J= 7.5 Hz, IH), 6.84 (t, J= 7.6 Hz, IH), 4.08 (s, 2H), 3.34 (d, J= 12.4 Hz, 2H), 3.20 (t, J= 5.9 Hz, 2H), 3.00 (s, 2H)9 2.92 - 2.85 (m, 3H), 1.89 - 1.72 (m, 3H), 1.43 - 1.31 (m, 8H) APCI-MS m/z: 419.5 [MH+]
99
Example 100
2-Amino-N-({l-[(2,2-dimethyl-2,3-dihydro-l-benzofuran-7-yl)methyl]piperidin-4- yI}methyl)indane-2-carboxamide
1H NMR (499.881 MHz, DMSO-D6) δ 8.42 (t, J= 5.5 Hz, IH), 8.31 (s, 2H), 7.29 - 7.20 (m, 5H), 7.15 (d, J= 7.7 Hz, IH), 6.84 (t, J= 7.5 Hz, IH), 4.08 (s, 2H), 3.32 (d, J= 11.9 Hz, 2H), 3.15 (s, 2H), 3.12 (s, 2H), 3.03 - 2.98 (m, 4H), 2.89 - 2.78 (m, 2H), 1.74 (d, J= 13.5 Hz5 2H), 1.69 - 1.60 (m, IH), 1.38 (s, 6H), 1.28 (dd, J= 24.9, 11.6 Hz, 2H) APCI-MS m/z: 434.1 [MH+]
Example 101
N-({l-[(2,2-dimethyl-2,3-dihydro-l-benzofuran-7-yl)methyl]piperidin-4- yI}methyl)thieno[2,3-b]pyrazine-6-carboxamide
1H NMR (499.881 MHz, DMSO-D6) δ 9.07 (t, J= 5.7 Hz, IH), 8.77 (d, J= 2.4 Hz, IH), 8.65 (d, J= 2.2 Hz, IH), 8.19 (s, IH), 7.22 (d, J= 7.5 Hz, IH), 7.14 (d, J= 7.5 Hz, IH), 6.83 (t, J= 7.5 Hz, IH), 4.06 (s, 2H), 3.33 (d, J= 13.3 Hz5 2H), 3.21 - 3.15 (m, 2H), 2.99 (s, 2H), 2.92 - 2.83 (m, 2H), 1.87 - 1.73 (m, 3H), 1.41 - 1.30 (m, 8H) APCI-MS m/z: 437.0 [MH+]
Example 102
2-[2-({l-(2,2-DimethyI-2,3-dihydro-benzofuran-7-ylmethyl)-piperidin-4-ylmethyl]- carbamoyl}-methyl)-phenyl]-acetamide
100
(D (2)
Methyl (2- {2- [( { 1 - [(2,2-dimethyl-2,3 -dihydro- 1 -benzofuran-7-yl)methyl]piperidin-4- yl}methyl)amino]-2-oxoethyl}phenyl)acetate (Example 103) (230 nig, 0.5 mniol) and lithium hydroxide (LiOH) monohydrate (123 mg, 2.94 mmol) was dissolved in methanol (1 ml), H2O (1 ml) and tetrahydrofuran (THF) (2 ml). The mixture was stirred at room temperature overnight and evaporated to dryness. The crude product was purified by preparative HPLC (RP-18, gradient acetonitrile/water + 2g ammonium acetate
(NH4Oac)/L affording 180 mg (80%) of (2-{2-[({l-[dimethyl-2,3-dihydro-l-benzofuran-7- yl)methyl]piperidine-4-yl}methyl)amino]-2-oxoethyl}phenyl)acetic acid (1) as a white solid.
APCI-MS m/z: 451.4 [MH+]
(2- {2- [( { 1 - [dimethyl-2,3-dihydro- 1 -benzofuran-7-yl)methyl]piperidine-4- yl}methyl)amino]-2-oxoethyl}phenyl)acetic acid (1) (92 mg, 0.2 mmol), 1-
[bis(dimethylamino)methylene]-lH-benzotriazolium hexafluorophosphate 3-oxide (HBTU) (93 mg, 0.24 mmol) and 7M NH3 in MeOH (300 μl, 2.1 mmol) was dissolved in CH3CN (2 ml) and stirred at room temperature for 1 hour. The mixture was evaporated to dryness and the crude product was purified by preparative HPLC (RP-18, gradient
• acetonitrile/water + 2g NH4OAC/L and Xterra, gradient acetonitrile/water/NH4OH) affording 8 mg (9%) of the title compound as a white solid. 1H NMR (499.881 MHz, DMSO-D6) δ 8.02 (t, J= 5.4 Hz, IH), 7.46 (s, IH), 7.22 - 7.17 (m, 2H), 7.17 - 7.13 (m, 2H), 7.03 (dd, J= 7.3, 2.8 Hz, 2H), 6.90 (s, IH), 6.74 (t, J= 7.5 Hz, IH), 3.51 (s, 2H), 3.48 (s, 2H), 3.34 (s, 2H), 2.98 (s, 2H), 2.92 (t, J= 6.2 Hz, 2H), 2.76 (d, J= 11.7 Hz, 2H), 1.89 - 1.82 (m, 2H), 1.57 - 1.51 (m, 2H), 1.38 (s, 6H), 1.37 - 1.29 (m, IH), 1.13 - 1.03 (m, 2H) HPLC (Method A) Retention time: 6.32 min
101
HPLC (Method B) Retention time: 7.67 min
Example 103
Methyl (2-{2-[({l-[(2,2-dimethyl-2,3-dihydro-l-benzofuran-7-yl)methyl]piperidin-4- yl}methyl)amino]-2-oxoethyI}phenyl)acetate
Synthesized according to General Method A from Intermediate B and [2-(2methoxy-2- oxoethyl)phenyl] acetic acid.
APCI-MS m/z: 407.3 [MH+]
HPLC (Method A) Retention time: 9.74 min
HPLC (Method B) Retention time: 8.24 min
Example 104
N-({l-[(2,2-dimethyl-2,3-dihydro-l-benzofuran-7-yl)methyl]piperidin-4-yl}methyl)-2- pyridin-3-yIacetamide
Synthesized according to General Method A using Intermediate B and 2-pyridin-3-ylacetic acid.
1H NMR (499.881 MHz, CD3OD) δ 8.46 (d, J= 1.8 Hz, IH), 8.42 (dd, J= 4.9, 1.4 Hz, IH), 7.78 (dt, J= 7.8, 1.9 Hz, IH), 7.39 (dd, J= 7.8, 5.0 Hz, IH), 7.06 (t, J= 8.1 Hz, 2H), 6.78 (t, J= 7.5 Hz, IH), 3.55 (s, 2H), 3.53 (s, 2H), 3.07 (d, J= 6.7 Hz, 2H), 3.02 (s, 2H), 2.94 (d, J= 11.7 Hz, 2H), 2.09 (t, J= 11.7 Hz, 2H), 1.66 (d, J= 12.3 Hz, 2H), 1.53 - 1.45 (m, IH), 1.44 (s, 6H), 1.31 - 1.21 (m, 2H)
102
APCI-MS m/z: 394.1 [MH+]
HPLC (Method A) Retention time: 4.95 min
Example 105 N-({l-[(2,2-dimethyl-2,3-dihydro-l-benzofuran-7-yl)methyI]piperidin-4-yI}methyI)-2- pyridin-2-yIacetamide
Synthesized according to General Method A using Intermediate B and 2-pyridin-2-ylacetic acid. 1H NMR (299.945 MHz, CD3OD) δ 8.46 (d, J= 4.2 Hz, IH), 7.78 (td, J= 7.7, 1.8 Hz,
IH), 7.38 (d, J= 7.9 Hz, IH), 7.30 (dd, J= 7.5, 5.0 Hz, IH), 7.06 (dd, J= 7.4, 3.2 Hz, 2H),
6.77 (t, J= 7.4 Hz, IH), 3.70 (s, 2H), 3.52 (s, 2H), 3.08 (d, J= 6.6 Hz, 2H), 3.02 (s, 2H),
2.94 (d, J= 12.1 Hz, 2H), 2.08 (td, J= 12.0, 2.0 Hz, 2H), 1.68 (d, J= 12.7 Hz, 2H), 1.55 -
1.41 (m, IH), 1.44 (s, 6H), 1.26 (qd, J= 12.3, 3.6 Hz, 2H) APCI-MS m/z: 394.2 [MH+]
HPLC (Method A) Retention time: 6.01 min
Example 106
N-({l-[(2,2-dimethyl-2,3-dihydro-l-benzofuran-7-yI)methyl]piperidin-4-yl}methyl)-2- pyπdin-4-ylacetamide
Synthesized according to General Method A using Intermediate B and 2-pyridin-4-ylacetic acid.
103
1H NMR (499.881 MHz, CD3OD) δ 8.75 (dd, J= 4.8, 1.3 Hz, 2H), 7.95 (d, J= 6.6 Hz, 2H), 7.29 (dd, J= 7.4, 1.1 Hz, IH), 7.18 (d, J= 7.1 Hz, IH), 6.92 (t, J= 7.5 Hz, IH), 4.22 (s, 2H), 3.92 - 3.87 (m, 2H), 3.54 (d, J= 12.7 Hz, 2H), 3.17 - 3.13 (m, 2H), 3.11 (s, 2H), 3.00 (td, J= 13.0, 2.6 Hz, 2H), 1.98 (d, J= 14.5 Hz, 2H), 1.90 - 1.76 (m, IH), 1.49 (s, 6H), 1.49 - 1.40 (m, 2H) APCI-MS m/z: 394.1 [MH+] HPLC (Method A) Retention time: 4.87 min
Example 107 N-({l-[(2,2-dimethyl-2,3-dihydro-l-benzofuran-7-yl)methyI]piperidin-4- yl}methyl)isonicotinamide
Synthesized according to General Method A using Intermediate B and Isonicotinic acid. 1H NMR (499.881 MHz, CD3OD) δ 8.82 (d, J= 6.3 Hz, 2H), 8.02 (dd, J= 4.9, 1.6 Hz, 2H), 7.29 (dd, J= 7.3, 1.1 Hz, IH), 7.19 (d, J= 7.4 Hz, IH), 6.91 (t, J= 7.5 Hz, IH), 4.23 (s, 2H), 3.59 - 3.54 (m, 2H), 3.36 (d, J= 6.7 Hz, 2H), 3.10 (s, 2H), 3.03 (td, J= 13.0, 2.6 Hz, 2H), 2.08 - 2.00 (m, 2H), 2.00 - 1.91 (m, IH), 1.58 - 1.47 (m, 2H), 1.49 (s, 6H) APCI-MS m/z: 380.1 [MH+] HPLC (Method A) Retention time: 5.05 min
Example 108
N-({l-[(2,2-dimethyl-l,3-benzodioxol-4-yl)methyl]piperidin-4-yl}methyl)-2-(lH- imidazol-l-yl)acetamide
The compound was synthesized according to General Method A using Intermediate A and Imidazol-1-yl-acetic acid.
1H NMR (499.881 MHz, CD30D) δ 7.65 (s, IH), 7.10 (t, J= 1.3 Hz, IH), 6.98 (s, IH), 6.78 - 6.73 (m, 2H), 6.65 (dt, J= 8.6, 6.3 Hz, IH), 4.72 (s, 2H), 3.52 (s, 2H), 3.10 (d, J= 6.6 Hz, 2H), 2.95 (d, J= 11.9 Hz, 2H), 2.07 (dd, J= 11.7, 9.9 Hz, 2H), 1.68 (d, J= 13.0 Hz, 2H), 1.64 (s, 6H), 1.54 - 1.44 (m, IH), 1.27 (qd, J= 12.3, 3.6 Hz, 2H) APCI-MS m/z: 385.4 [MH+] HPLC (Method A) Retention time: 4.31 min HPLC (Method B) Retention time: 7.04 min
Example 109
2-(5-Amino-lH-tetrazol-l-yl)-N-({l-[(2,2-dimethyl-l,3-benzodioxol-4- yl)methyl] piperidin-4-yI} methyl)acetamide
The compound was synthesized according to General Method A using Intermediate A and
(5-amino-tetrazol-l -yl)-acetic acid.
1H NMR (499.881 MHz, CD3OD) δ 6.78 - 6.73 (m, 2H), 6.68 - 6.63 (m, IH), 4.88 (s,
2H), 3.52 (s, 2H), 3.12 (d, J= 6.6 Hz, 2H), 2.95 (d, J= 11.7 Hz, 2H), 2.09 (t, J= 11.7 Hz,
2H), 1.71 (d, J= 12.6 Hz, 2H), 1.64 (s, 6H), 1.56 - 1.46 (m, IH), 1.29 (qd, J= 12.4, 3.6 Hz, 2H)
APCI-MS m/z: 402.5 [MH+]
HPLC (Method A) Retention time: 4.64 min
HPLC (Method B) Retention time: 6.70 min
Example 110
N-({l-[(2,2-dimethyl-2,3-dihydro-l-benzofuran-7-yI)methyI]piperidin-4-yI}methyl)-2- (2-nitro-lH-imidazoI-l-yl)acetamide trifluoroacetate
105
Synthesized according to General Method A, starting from Intermediate B and (2-nitro-lH- imidazol-l-yl)acetic acid.
1H NMR (399.99 MHz, CD3OD) δ 8.51 (t, J= 5.8 Hz, IH), 7.47 (s, 0.15H), 7.45 (s, 5 0.75H), 7.28 (d, J= 7.4 Hz, IH), 7.20 (s, 0.3H), 7.17 (s, 1.7H), 6.91 (t, J= 7.5 Hz, IH),
5.19 (s, 0.3H), 5.16 (s, 1.7H), 4.30 (s, 0.3H), 4.22 (s, 1.7H), 3.55 (d, J- 12.6 Hz, 2H),
3.16 (t, J= 6.3 Hz, 2H), 3.11 (s, 1.7H), 3.09 (s, 0.3H), 3.01 (t, J= 13.4 Hz, 2H), 2.04 -
1.96 (m, 2H), 1.92 - 1.76 (m, IH), 1.50 (s, 5H), 1.46 (s, IH), 1.44 - 1.38 (m, 2H)
APCI-MS m/z: 428.4 [MH+] io HPLC (Method A) Retention time: 5.77 min
HPLC (Method B) Retention time: 7.59 min
Example 111
2-(2-Amino-lH-imidazoI-l-yl)-N-({l-[(2,2-dimethyI-2,3-dihydro-l-benzofuran-7- I5 yl)methyl]piperidin-4-yl}methyl)acetamide trifluoroacetate
N-({l-[(2,2-dimethyl-2,3-dihydro-l-benzofuran-7-yl)methyl]piperidin-4-yl}methyl)-2-(2- nitro-lH-imidazol-l-yl)acetamide trifluoroacetate (90mg, 0.17 mmol) was dissolved in 10 ml of ethanol (EtOH)/ethylacetate (EtOAc) 1 : 1 and stirred under a hydrogen atmosphere 20 for 4h, filtrated and concentrated in vacuo. The crude product was purified by preparative
106
HPLC (RP-18, gradient acetonitrile+ 0.1% TFA /water + 0.1% TFA affording 50 mg
(47%) of the title compound as a white solid.
1H NMR (399.99 MHz, CD3OD) δ 8.45 - 8.39 (m, IH), 7.28 (d, J= 7.3 Hz, IH), 7.19 (d,
J= 7.6 Hz, IH), 6.91 (t, J= 7.5 Hz, IH), 6.82 (dd, J= 12.7, 2.3 Hz, 2H), 4.67 (s, 0.3H),
4.65 (s, 1.7H), 4.31 (s, 0.3H), 4.22 (s, 1.7H), 3.54 (d, J= 12.6 Hz5 2H), 3.17 (d, J= 6.5
Hz, 2H), 3.10 (s, 2H), 2.99 (t, J= 12.1 Hz, 2H), 1.98 (d, J= 14.2 Hz, 2H), 1.88 - 1.76 (m,
IH), 1.54 - 1.42 (m, 8H)
APCI-MS m/z: 398.4 [MH+]
HPLC (Method A) Retention time: 4.62min
HPLC (Method B) Retention time: 6.47min
Example 112
N-({l-[(2,2-dimethyl-2,3-dihydro-l-benzofuran-7-yI)methyl]piperidiα-4-yl}methyl)-2-
(lH-imidazol-l-yl)propanamide
To a solution of 2-bromopropanoic acid (612 mg, 4.0 mmol) in methanol (10 ml) were imidazole (272 mg, 4.0 mmol) and potassium carbonate (1.2g, 8.4 mmol) added. The mixture was stirred at 4O0C overnight, filtered and concentrated in vacuo to afford 2-(1H- imidazol-l-yl)propanoic acid (1). The title compound was synthesized according to General Method A starting from acid (1) and Intermediate B. H NMR (399.99 MHz, CD3OD) δ 7.73 (s, IH), 7.19 (s, IH), 7.06 (s, 2H), 6.97 (s, IH), 6.77 (s, IH), 4.90 (q, J= 7.0 Hz, IH), 3.51 (s, 2H), 3.08 (d, J= 6.7 Hz, 2H), 3.02 (s,
107
2H), 2.96 - 2.89 (m, 2H), 2.10 - 2.02 (m, 2H), 1.66 (d, J= 7.1 Hz, 3H), 1.65 - 1.57 (m, 2H), 1.50 - 1.45 (m, IH), 1.43 (s, 6H), 1.32 - 1.20 (m, 2H) APCI-MS m/z: 397.4 [MH+] HPLC (Method A) Retention time: 4.83 min HPLC (Method B) Retention time: 7.15 min
Example 113
N-({l-[(2,2-dimethyI-2,3-dihydro-l-benzofuran-7-yI)methyl]piperidin-4-yl}methyl)-2-
(lH-imidazoI-l-yl)butanamide
Synthesized according to Example 112 using 2-bromobutanoic acid. 1H NMR (399.99 MHz, CD3OD) δ 7.71 (s, IH), 7.20 (s, IH), 7.06 (t, J= 7.2 Hz, 2H), 6.97 (s, IH), 6.77 (t, J= 7.5 Hz, IH), 4.62 (t, J= 7.9 Hz, IH), 3.51 (s, 2H), 3.08 (d, J= 6.5 Hz, 2H), 3.02 (s, 2H), 2.92 (d, J= 11.7 Hz, 2H), 2.16 - 1.94 (m, 4H), 1.62 (d, J= 10.8 Hz, 2H), 1.49 - 1.41 (m, 7H), 1.31 - 1.19 (m, 2H), 0.88 (t, J= 7.3 Hz, 3H) APCI-MS m/z: 411.5 [MH+] HPLC (Method A) Retention time: 5.21 min HPLC (Method B) Retention time: 7.86 min
Example 114
N-({l-[(2,2-dimethyl-2,3-dihydro-l-benzofuran-7-yI)methyl]piperidin-4-yI}methyl)-2- (lH-imidazoI-l-yl)-3-methylbutanamide
Synthesized according to Example 112 using 2-bromo-3-methylbutanoic acid.
1H NMR (399.99 MHz, CD3OD) δ 7.69 (s, IH), 7.22 (s, IH), 7.05 (t, J= 7.7 Hz, 2H),
6.97 (s, IH), 6.77 (t, J= 7.5 Hz5 IH), 4.22 (d, J= 10.6 Hz, IH), 3.50 (s, 2H), 3.16 - 3.03 (m, 2H)5 3.01 (s, 2H), 2.94 - 2.88 (m, 2H), 2.48 - 2.37 (m, IH), 2.05 (t, J= 11.9 Hz, 2H),
1.65 - 1.57 (m, 2H), 1.49 - 1.40 (m, 7H), 1.30 - 1.18 (m, 2H), 1.00 (d, J= 6.7 Hz, 3H),
0.74 (d, J= 6.5 Hz, 3H)
APCI-MS m/z: 425.5 [MH+]
HPLC (Method A) Retention time: 5.57 min HPLC (Method B) Retention time: 8.39 min
Example 115
2-(5-Ammo-lH-tetrazol-l-yI)-N-({l-[(3,3-dimethyl-2,3-dihydro-l,4-benzodioxin-5- yl)methyl]piperidin-4-yl}methyI)acetamide trifluoroacetate
Synthesized according to General Method A, starting from Intermediate D and (5-amino- lH-tetrazol-l-yl)acetic acid.
1H NMR (399.99 MHz, CD3OD) δ 7.01 (d, J= 8.0 Hz, 2H), 6.94 - 6.89 (m, IH), 4.94 (s, 0.3H), 4.91 (s, 1.7H), 4.34 (S5 0.3H), 4.26 (s, 1.7H), 3.96 (s, 2H), 3.95 (s, OH), 3.58 - 3.51 (m, 2H)5 3.17 (d, J= 6.7 Hz, 2H), 3.07 - 2.98 (m, 2H), 2.02 - 1.94 (m, 2H), 1.90 - 1.79 (m, IH), 1.51 - 1.42 (m, 2H), 1.38 (s, 5H)5 1.36 (s, IH) APCI-MS m/z: 416.3 [MH+] HPLC (Method A) Retention time: 5.10 min HPLC (Method B) Retention time: 6.76 min
109
Example 116
N-({l-[(3,3-dimethyI-2,3-dihydro-l,4-benzodioxin-5-yI)methyI]piperidin-4-yl}methyl)-
2-(lH-imidazoI-l-yI)acetamide
Synthesized according to General Method A, starting from Intermediate D and IH- imidazol-1-ylacetic acid.
1H NMR (399.99 MHz, CD3OD) δ 7.65 (s, IH), 7.10 (s, IH), 6.98 (s, IH), 6.89 - 6.85
(m, IH), 6.80 - 6.75 (m, 2H), 4.72 (s, 2H), 3.88 (s, 2H), 3.56 (s, 2H), 3.10 (d, J= 6.7
Hz, 2H), 2.98 - 2.92 (m, 2H), 2.13 - 2.05 (m, 2H), 1.70 - 1.64 (m, 2H), 1.54 - 1.43 (m, IH), 1.32 (s, 6H), 1.31 -1.21 (m, 2H)
APCI-MS m/z: 399.3 [MH+]
HPLC (Method A) Retention time: 4.56 min
HPLC (Method B) Retention time: 6.76min
Example 117
2-(5-Amino-lJ?-tetrazoI-l-yl)-iV-({l-[(2,2-dimethyI-2,3-dihydro-l-benzofuran-4- yl)methyl] piperidin-4-yl} methyl)acetamide
Synthesized according to General Method A, starting from Intermediate C l-{l-[(2,2- dimethyl-2,3-dihydro-l-benzofuran-4-yl)methyl]piperidin-4-yl}methanamine and (5- amino-lH-tetrazol-1-yl) acetic acid and desalted according to General Method B
110
1H NMR (299.945 MHz, CD3OD) δ 7.04 (t, J= 7.8 Hz, IH), 6.77 (d, J= 7.6 Hz, IH), 6.56 (d, J= 7.7 Hz, IH), 4.89 (s, 2H), 3.42 (s, 2H), 3.13 (d, J= 6.6 Hz, 2H)5 3.04 (s, 2H), 2.97 - 2.87 (m, 2H), 2.11 - 1.94 (m, 2H), 1.76 - 1:65 (m, 2H), 1.62 - 1.47 (m, IH), 1.43 (s, 6H), 1.36 - 1.17 (m, 2H) APCI-MS m/z: 400.2 [MH+]
HPLC (Method A) Retention time: 4.95 min HPLC (Method B) Retention time: 6.53 min
Example 118 N-({l-[(2,2-Dimethyl-2,3-dihydro-l-benzofuran-4-yl)methyl]piperidin-4-yl}methyl)-2- (lϋf-imidazol-l-yl)acetamide
Synthesized according to General Method A, starting from Intermediate C l-{l-[(2,2- dimethyl-2,3-dihydro-l -benzofuran-4-yl)methyl]piperidin-4-yl}methanamine and IH- imidazol-1-yl acetic acid and desalted according to General Method B.
1H NMR (299.945 MHz, CD3OD) δ 7.66 (s, IH), 7.11 - 7.09 (m, IH), 7.04 (t, J= 7.8 Hz, IH), 6.99 - 6.97 (m, IH), 6.77 (d, J= 7.2 Hz, IH), 6.57 (d, J= 7.6 Hz, IH), 4.73 (s, 2H), 3.43 (s, 2H), 3.11 (d, J= 6.8 Hz, 2H), 3.04 (s, 2H), 2.97 - 2.87 (m, 2H), 2.08 - 1.97 (m, 2H), 1.73 - 1.63 (m, 2H), 1.61 - 1.46 (m, IH), 1.43 (s, 6H), 1.34 - 1.17 (m, 2H) APCI-MS m/z: 383.2 [MH+]
HPLC (Method A) Retention time: 4.43 min HPLC (Method B) Retention time: 6.64 min
Example 119 2-(5-Amino-lH-tetrazol-l-yl)-Λr-({l-[(2,2-dimethyl-2iϊ-chromen-8- yl)methyl]piperidin-4-yl}methyl)acetamide
111
Synthesized according to General Method A, starting from Intermediate E l-{l-[(2,2- dimethyl-2/f-chromen-8-yl)methyl]piperidin-4-yl}methanamine and (5-amino-lif-tetrazol- l-yl)acetic and desalted according to General Method B. 1H NMR (299.945 MHz, CD30D) δ 7.15 (dd, J= 7.6, 1.6 Hz, IH), 6.93 (dd, J= 7.5, 1.7 Hz, IH), 6.81 (t, J= 7.5 Hz, IH), 6.36 (d, J= 10.0 Hz, IH), 5.68 (d, J= 9.8 Hz, IH), 4.89 (s, 2H), 3.58 (s, 2H), 3.12 (d, J= 6.6 Hz, 2H), 3.03 - 2.93 (m, 2H), 2.20 - 2.07 (m, 2H), 1.77 - 1.65 (m, 2H), 1.60 - 1.44 (m, IH)5 1.41 (s, 6H), 1.37 - 1.18 (m, 2H) APCI-MS m/z: 412.2 [MH+] HPLC (Method A) Retention time: 6.05 min HPLC (Method B) Retention time: 7.64 min
Example 120
^-({l-^ljl-Dimethyl-lJff-chromeii-S-yOmethylJpiperidin^-ylJmethyO-I-ClH- imidazol-l-yl)acetamide
Synthesized according to General Method A, starting from Intermediate E l-{l-[(2,2- dimethyl-2//-chromen-8-yl)methyl]piperidin-4-yl}methanamine and lH-imidazol-1 -yl acetic acid and desalted according to General Method B. 1H NMR (299.945 MHz, CD3OD) δ 7.65 (s, IH), 7.15 (dd, J= 7.6, 1.7 Hz, IH), 7.11 - 7.09 (m, IH), 6.99 - 6.97 (m, IH), 6.93 (dd, J= 7.4, 1.7 Hz, IH), 6.81 (t, J= 7.5 Hz, IH), 6.36 (d, J= 9.8 Hz, IH), 5.68 (d, J= 9.8 Hz, IH)5 4.72 (s, 2H), 3.57 (s, 2H)5 3.11 (d, J=
112
6.6 Hz, 2H), 3.01 - 2.92 (m, 2H), 2.17 - 2.04 (m, 2H), 1.73 - 1.63 (m, 2H), 1.58 - 1.41 (m, IH)5 1.41 (s, 6H), 1.37 - 1.18 (m, 2H) APCI-MS m/z: 395.2 [MH+] HPLC (Method A) Retention time: 5.44 min HPLC (Method B) Retention time: 7.75 min
CCLl SPA Binding assay
Membranes from CHO-Kl cells transfected with human recombinant chemokine CCR8 receptor (ES-136-M) were purchased from Euroscreen. Membrane preparations are stored at -7O0C in 7.5mM tris(hydroxymethyl)aminomethane hydrochloride (Tris-Cl; pH 7.5), 12.5 mM magnesium chloride (MgCl2), 0.3 mM ethylenediamine tetraacetic acid (EDTA), ImM ethylene glycol bis(beta-amino-ethylether)N,N,N',N'-tetraacetic acid (EGTA) and 250 mM sucrose until used.
The CCR8 membranes (50.6 mg/ml) were preincubated with Wheat Germ Agglutinin Scintillation Proximity Assay (SPA) beads (4.05 mg/ml) in assay buffer (5OmM N-(2- hydroxy ethyl) piperazine-N'-(2-ethanesulfonic acid) (HEPES), 1 mM calcium chloride dihydrate (CaCl2.2H2O), 5 mM magnesium chloride hexahydrate (MgCl2.6H2O), 75 mM sodium chloride (NaCl), 0.1% bovine serum albumin (BSA)) at pH=7.4 for 2 hours on ice. A 10-point dose-response curve (final concentrations 50 μM, 16.7 μM, 5.6 μM, 1.9 μM, 0.62 μM, 0.21 μM, 0.069 μM, 0.023 μM) was prepared by diluting compounds by serial dilution 1:3 in dimethylsulfoxide (DMSO). In the screening plate (Polystyrene NBS plates, Costar Corning 3604) lμl from the DMSO solutions of compounds was transferred into each well, lμl of DMSO was added to the blank control wells and 1 μl unlabeled CCLl (300 nM) was added to background control wells. 50 μl of the Scintillation
Proximity Assay (SPA) bead - membrane mixture was added into each well. Finally, 50 μl (30 pM) 125I CCLl (2000Ci/mM) was added to each well. Plates were then incubated at room temperature (RT) with shaking (700 rpm) for 90 minutes followed by 30 minutes at RT without shaking. The plate was read in a Wallac MicroBeta counter for 2 minutes / well.
113
AU the compounds of the Examples have an IC50 of less than 2 μM. The results obtained for a representative selection of the compounds of the Examples are shown in Table 1 below.
Table 1
Claims
1. A compound of formula
R represents a saturated or unsaturated 5- to 15-membered ring system optionally comprising at least one ring heteroatom selected from nitrogen, oxygen and sulphur, the ring system being optionally substituted with at least one substituent selected from halogen, cyano, oxo, mercapto, nitro, hydroxyl, carboxyl, -SO2NH2, -NR R , -C(O)NR7R8, Ci-Cβ alkoxy, C1-C6 alkoxycarbonyl, Ci-C6 alkylcarbonyl, Ci-C6 alkyl
(optionally substituted by at least one substituent selected from halogen, hydroxyl,
9 10 11 12 cyano, carboxyl, Ci-C6 alkoxycarbonyl, -NR R and -C(O)NR R ), C2-C6 alkenyl
13 14 (optionally substituted by -C(O)NR R ), C3-C6 cycloalkyl (optionally substituted by at least one substituent selected from halogen, hydroxyl and cyano), -NHSO2-R , and a saturated or unsaturated 5- to 6-membered heterocyclic ring comprising at least one ring heteroatom selected from nitrogen, oxygen and sulphur, the heterocycylic ring itself being optionally substituted by at least one substituent selected from halogen, hydroxyl, carboxyl and Ci-C6 alkyl; n is O or 1 ;
2 3 R and R each independently represent hydrogen, hydroxyl, Cj-C6 alkyl,
Ci-C6 alkoxy, Cj-C6 haloalkyl, Cj-C6 haloalkoxy, C3 -C6 cycloalkyl or C6-C]Q aryl, the aryl group being optionally substituted with at least one substituent selected from halogen, hydroxyl, Cj-C6 alkyl and Ci-C6 alkoxy, or
2 3
R and R together with the carbon atom to which they are attached form a 3- to 6- membered saturated carbocyclic ring; 115
4 R represents a group
in which ring B5 together with the two carbon atoms of ring A to which it is fused, represents a 5- to 6-membered, saturated or unsaturated, non-aromatic heterocyclic ring comprising one ring oxygen atom and optionally one or more ring heteroatoms independently selected from nitrogen, oxygen and sulphur, the group (F) being optionally substituted with at least one substituent selected from halogen, Cj -Cg alkyl, Cβ-Cg cycloalkyl and phenyl, the phenyl itself being optionally substituted with at least one substituent selected from halogen, hydroxyl and Ci-Cg alkoxy; R and R each independently represent hydrogen, Cj-Cg alkyl or C3-C6 cycloalkyl, or R and R together with the nitrogen atom to which they are attached form a 4- to 7- membered saturated heterocyclic ring optionally substituted by at least one substituent selected from hydroxyl, Ci-Cg alkoxy and Ci-Cg alkoxy-Ci-Cg alkyl;
7 8
R and R each independently represent hydrogen, Ci-Cg alkyl or Cβ-Cg cycloalkyl,
7 8 or R and R together with the nitrogen atom to which they are attached form a 4- to 7- membered saturated heterocyclic ring optionally substituted by at least one aminocarbonyl;
9 10
R and R each independently represent hydrogen, Ci-Cg alkyl or C3~Cg
9 10 cycloalkyl, or R and R together with the nitrogen atom to which they are attached form a 4- to 7-membered saturated heterocyclic ring optionally substituted by at least one substituent selected from hydroxyl, C 1 -Cg alkoxy and C 1 -Cg alkoxy-C 1 -Cg alkyl;
11 12
R and R each independently represent hydrogen, Ci-Cg alkyl or C3-Cg
11 12 cycloalkyl, or R and R together with the nitrogen atom to which they are attached form a 4- to 7-membered saturated heterocyclic ring optionally substituted by at least one aminocarbonyl; 116
13 14
R and R each independently represent hydrogen, C]-Cg alkyl or C3-Cg
13 14 cycloalkyl, or R and R together with the nitrogen atom to which they are attached form a 4- to 7-membered saturated heterocyclic ring optionally substituted by at least one aminocarbonyl; and
R represents a Cj-Cg alkyl group or a 6-membered saturated or unsaturated heterocyclic ring comprising at least one ring nitrogen atom, the heterocyclic ring being optionally substituted with at least one substituent selected from halogen, oxo, Cj -Cg alkyl and Cj-Cg alkoxy; or a pharmaceutically acceptable salt thereof.
2. A compound according to claim 1, wherein R represents a saturated or unsaturated 5- to 13-membered ring system optionally comprising one, two, three or four ring heteroatoms independently selected from nitrogen, oxygen and sulphur, the ring system being optionally substituted with one, two, three or four substituents independently selected from halogen, oxo, mercapto, nitro, hydroxyl, -NR R , Cj-Cg alkoxy,
Cj-Cg alkoxycarbonyl, Cj-Cg alkyl (optionally substituted by one, two, three or four substituents independently selected from halogen, hydroxyl, cyano, carboxyl,
9 10 11 12
Cj-Cg alkoxycarbonyl, -NR R and -C(O)NR R ), and a saturated or unsaturated 5- to 6-membered heterocyclic ring comprising one, two, three or four ring heteroatoms independently selected from nitrogen, oxygen and sulphur, the heterocycylic ring itself being optionally substituted by one, two, three or four substituents independently selected from halogen, hydroxyl, carboxyl and Cj-Cg alkyl.
3. A compound according to claim 1 or claim 2, wherein, in R , the ring system is 5- to 10-membered.
4. A compound according to any one of claims 1 to 3, wherein, in R , the ring system is unsaturated. 117
4
5. A compound according to any one of claims 1 to 4, wherein R^ represents a group
in which n is 0, 1 or 2; each R independently represents a halogen atom or Cj-Cg alkyl group; 118
each of R20, R21, R22, R23, R24, R25, R26, R27, R3°, R31, R32, R33, R34, R35, R36, R37,
R38, R39, R40, R41, R42, R43, R44, R45, R46, R47, R48, R49, R50, R51, R52 and R53
22 23 independently represents a hydrogen atom or Ci-Cg alkyl group and R and R may additionally represent a halogen atom; and
28 29
R and R each independently represent hydrogen, Cj-Cg alkyl, C3-C6 cycloalkyl, or phenyl (optionally substituted with at least one substituent selected from halogen, hydroxy 1 and C^-Cg alkoxy).
H-
6. A compound according to any one of claims 1 to 4, wherein R represents a group
in which n is 0, 1 or 2; and each R independently represents a halogen atom or Cj-Cg alkyl group.
7. A compound according to claim 1 being:
N-({l-[(2,2-dimethyl-2,3-dihydro-l-benzofuran-7-yl)methyl]piperidin-4-yl}methyl)- 2-( 1 H-imidazol- 1 -yl)acetamide,
2-(6-Chloropyridin-3 -yl)-N-( { 1 - [(2,2-dimethyl-2,3-dihydro- 1 -benzofuran-7- yl)methyl]piperidin-4-yl}methyl)acetamide, 119
2-(5-Amino- 1 H-tetrazol- 1 -yl)-N-( { 1 -[(2,2-dimethyl-2,3 -dihydro- 1 -benzofuran-7- yl)methyl]piperidin-4-yl } methy l)acetamide,
N-( { 1 -[(2,2-dimethyl-2,3 -dihydro- 1 -benzofuran-7-yl)methyl]piperidin-4-yl} methy I)- 2-( 1 H-tetrazol- 1 -yl)acetamide, 2-(4-Chloroρhenyl)-N-({l-[(2,2-dimethyl-2,3-dihydro-l-benzofui-an-7- yl)methyl]piperidin-4-yl}methyl)propanamide,
2-(4-Amino-l,2,5-oxadiazol-3-yl)-N-({l-[(2,2-dimethyl-2,3-dihydro-l-benzoruran-7- yl)methyl]piperidin-4-yl}methyl)acetamide,
1 -(4-Chlorophenyl)-N-({ 1 -[(2,2-dimethyl-2,3-dihydro-l -benzofuran-7- yl)methyl]piperidin-4-yl}methyl)cyclopropanecarboxamide,
N-( { 1 -[(2,2-dimethy 1-2,3 -dihydro- 1 -benzoruran-7-yl)methyl]piperidin-4-yl} methy I)- 2-(4-methylphenyl)-2-phenylacetamide,
N-({l-[(2J2-dimethyl-2,3-dihydro-l-benzofuran-7-yl)methyl]piperidin-4-yl}methyl)- 2-(2-methyl- 1 H-imidazol- 1 -y l)acetamide, N-({l-[(2,2-dimethyl-2,3-dihydro-l-benzofuran-7-yl)methyl]piperidin-4-yl}methyl)-
2-(2-mercapto-4-methyl-6-oxo-l,6-dihydropyrimidin-5-yl)acetamide,
N-( { 1 -[(2,2-dimethyl-2,3 -dihydro- 1 -benzofuran-7~yl)methyl]piperidin-4-yl} methy I)- 7-methoxy- 1 -benzofuran-2-carboxamide,
N-({l-[(2,2-dimethyl-2,3-dihydro-l-benzofuran-7-yl)methyl]piperidin-4-yl}methyl)- 1 -(2-fluorophenyl)cyclopropanecarboxamide,
N-({l-[(2,2-dimethyl-2,3-dihydro-l-benzoruran-7-yl)methyl]piperidin-4-yl}methyl)- 2-(3 -oxo-3 ,4-dihydro-2H- 1 ,4-benzoxazin-2-yl)acetamide,
2-(4-Chloro- 1 H-pyrazol- 1 -yl)-N-( { 1 -[(2,2-dimethyl-2,3 -dihydro- 1 -benzofuran-7- yl)methyl]piperidin-4-yl}methyl)acetamide, N-({l-[(2,2-dimethyl-2,3-dihydro-l-benzoruran-7-yl)methyl]piperidin-4-yl}methyl)-
7-fluoro-3 -methyl- 1 -benzofuran-2-carboxamide,
N-({l-[(2,2-dimethyl-2,3-dihydro-l-benzofuran-7-yl)methyl]piperidin-4-yl}methyl)- 2-(4-hydroxyphenyl)propanamide,
2-(l,2-Benzisoxazol-3-yl)-N-({l-[(2,2-dimethyl-2,3-dihydro-l-benzofuran-7- yI)methyl]piperidin-4-yl}methyl)acetarnide,
N-( { 1 -[(2,2-dimethyl-2,3 -dihydro- 1 -benzoturan-7-yl)methyl]piperidin-4-yl} methyl)- 2-(3-oxo-2,3 -dihydro- 1 H-isoindol- 1 -yl)acetamide, 120
N-( { 1 - [(2,2-dimethy 1-2,3 -dihy dro- 1 -benzofuran-7-yl)memyl]piperidin-4-yl}methyl)- 3 -methyl- 1 -benzofor an-2-carboxamide,
2-(4-Chloroρhenyl)-N-( { 1 - [(2,2-dimethy 1-2,3 -dihy dro- 1 -benzofuran-7- yl)methyl]piperidin-4-yl}methyl)-2-methylpropanamide, N-( { 1 - [(2,2-dimethyl-2,3 -dihy dro- 1 -benzofuran-7-yl)methyl]piperidin-4-yl }methyl)-
2-(2-oxo-l,3-oxazolidin-3-yl)acetamide,
N-({l-[(2,2-dimethyl-2,3-dihydro-l-benzofuran-7-yl)methyl]piperidin-4-yl}methyl)- 2-(5,6,7,8-tetrahydro-l,8-naphthyridin-2-yl)acetamide,
N-({l-[(2,2-dimethyl-2,3-dihydro-l-benzofuran-7-yl)methyl]piperidin-4-yl}methyl)- 1,3 -benzothiazole-2-carboxamide,
N-( { 1 - [(2,2-dimethyl-2,3 -dihy dro- 1 -benzofuran-7-yl)methyl]piperidin-4-yl } methyl)- 5-methoxy- 1 -benzofuran-2-carboxamide,
' N-( { 1 - [(2,2-dimethyl-2,3 -dihydro- 1 ~benzofuran-7-yl)methyl]ρiperidin-4-yl }methyl)- 2-(l H-indol-3 -yl)acetamide, N-({l-[(2,2-dimethyl-2,3-dihydro-l-benzofuran-7-yl)methyl]piperidin-4-yl}methyl)-
2-(2-oxo- 1 ,3-thiazolidin-3-yl)acetamide,
N-({l-[(2,2-dimethyl-2,3-dihydro-l-benzofuran-7-yl)methyl]ρiρeridin-4-yl}methyl)- 6-niethyl- 1 H-benziniidazole-2-carboxamide,
N-( { 1 -[(2,2-dimethyl-2,3 -dihydro- 1 -benzofuran-7-yl)methyl]piρeridin-4-yl }methyl)- 6-fluoro- 1 H-indole-2-carboxamide,
N-( { 1 -[(2,2-dimethyl-2,3-dihydro- 1 -benzoruran-7-yl)methyl]piperidin-4-yl}methyl)- 2-(255-dioxoimidazolidin-4-yl)acetamide,
N-({l-[(2,2-dimethyl-2,3-dihydro-l-benzofuran-7-yl)methyl]piperidin-4-yl}methyl)- 2-(3 ,4,5-trimethyl- 1 H-pyrazol- 1 -yl)acetamide, 2-Cyclopentyl-N-({l-[(2,2-dimethyl-2!,3-dihydro-l-benzofuran-7-yl)methyl]piρeridin-
4-yl}methyl)-2-phenylacetamide,
N-({l-[(2,2-dimethyl-2,3-dihydro-l-benzoruran-7-yl)methyl]piperidin-4-yl}methyl)- 2-( 1 H- 1 ,2,4-triazol- 1 -yl)acetamide,
N-({l-[(2,2-dimethyl-2,3-dihydro-l-benzofuran-7-yl)methyl]ρiperidin-4-yl}methyl)- 2-(3 -methyl- 1 H-pyrazol- 1 -yl)acetamide,
6-Bromo-N-({l-[(2,2-dimethyl-2,3-dihydro-l-benzofuran-7-yl)methyl]piperidin-4- y 1 } methyl)- 1 H-indole-2-carboxamide, 121
N-({ 1 - [(2,2-dimethy 1-2,3 -dihydro- 1 -benzofuran-7-yl)methyl]ρiperidin-4-yl} methyl)- 2-(2H-indazol-2-yl)acetamide,
N-({l-[(2,2-dimethyl-2,3-dihydro-l-benzofuran-7-yl)methyl]piperidin-4-yl}methyl)- 3,5-dimethyl-l-benzofuran-2-carboxamide, 5-Chloro-N-({l-[(2,2-dimethyl-2,3-dihydro-l-benzofuran-7-yl)methyl]piperidin-4- yl } methyl)- 1 -methyl- 1 H-indole-2-carboxamide,
N-({l-[(2,2-dimethyl-2,3-dihydro-l-benzofuran-7-yl)methyl]piperidin-4-yl}methyl)- 2-(4-methyl-l,2,5-oxadiazol-3-yl)acetamide,
N-({l-[(2,2-dimethyl-2,3-dihydro-l-benzofuran-7-yl)methyl]piperidin-4-yl}methyl)- 2-(3 ,5-dimethylisoxazol-4-yl)acetamide,
6-Chloro-N-({ 1 -[(2,2-dimethy 1-2,3 -dihydro- 1 -benzofuran-7-yl)methyl]piperidin-4- yl}methyl)-lH-indole-2-carboxamide,
N-({l-[(2,2-dimethyl-2,3-dihydro-l-benzofuran-7-yl)methyl]piperidin-4-yl}methyl)- 1 -benzothiophene-2-carboxamide, N-( { 1 - [(2,2-dimethy 1-2,3 -dihydro- 1 -benzofuran-7-yl)methyl]piperidin-4-yl} methyl)-
5-methyl- 1 -benzothiophene-2-carboxamide,
N-({l-[(2,2-dimethyl-2,3-dihydro-l-benzofuran-7-yl)methyl]piperidin-4-yl}methyl)- 4-fluoro- 1 H-indole-2-carboxamide,
N-({ 1 -[(2,2-dimethyl-2,3 -dihydro- 1 -benzofuran-7-yl)methyl]piperidin-4-yl}methyl)- 2-(3 -oxo-2,3 -dihydro-4H- 1 ,4-benzoxazin-4-yl)acetamide,
N-({l-[(2,2-dimethyl-2,3-dihydro-l-benzofuran-7-yl)methyl]piperidin-4-yl}methyl)- 5-ethyl- 1 H-indole-2-carboxamide,
N-( { 1 - [(2,2-dimethyl-2,3 -dihydro- 1 -benzofuran-7-yl)methyl]piperidin-4-yl } methyl)- 5-fluoro- 1 -methyl- 1 H-indole-2-carboxamide, N-({ 1 -[(2,2-dimethyl-2,3-dihydro-l -benzofuran-7-yl)methyl]piperidin-4-yl}methyl)-
6-fluoro- 1 H-benzimidazole-2-carboxamide,
N-({ 1 -[(2,2-dimethyl-2,3-dihydro- 1 -benzofuran-7-yl)methyl]piperidin-4-yl}methyl)- 6-methyl- 1 H-indole-2-carboxamide,
N-( { 1 - [(2,2-dimethyl-2,3 -dihydro- 1 -benzofuran-7-yl)methyl]piperidin-4-yl}methyl)- 2-(3-methylisoxazol-5-yl)acetamide,
6-Chloro-N-({l-[(2,2-dimethyl-2,3-dihydro-l-benzofuran-7-yl)methyl]piperidin-4- yl}methyl)-lH-benzimidazole-2-carboxamide, 122
N-({l-[(2,2-dimethyl-2,3-dihydro-l-benzofuran-7-yl)methyl]piperidin-4-yl}methyl)- 2-(l,3-dimethyl-2,5-dioxoimidazolidin-4-yl)acetamide,
N-({l-[(2,2-dimethyl-2,3-dihydro-l-benzofuran-7-yl)methyl]piperidin-4-yl}methyl)- 1 H-indole-2-carboxamide, 4-Chloro-N-({l-[(2,2-dimethyl-2,3-dihydro-l-beiizofuran-7-yl)methyl]piperidin-4- yl}methyl)-lH-indole-2-carboxamide,
N-({l-[(2,2-dimetliyl-2,3-dihydro-l-benzofuran-7-yl)methyl]piperidin-4-yl}methyl)- 7-hydroxy- 1 H-indole-2-carboxamide,
5-Chloro-N-({ 1 -[(2,2-dimethyl-2,3-dihydro- 1 -benzofuran-7-yl)methyl]piperidin-4- yl}methyl)- 1 H-indole-2-carboxamide,
N-({l-[(2,2-dimethyl-2,3-dihydro-l-benzofuran-7-yl)methyl]piperidin-4-yl}methyl)- 1 H-benzimidazole-2-carboxamide,
5-Bromo-N-({l-[(2,2-dimethyl-2,3-dihydro-l-benzofuran-7-yl)methyl]piperidin-4- yl}methyl)-lH-benzimidazole-2-carboxamide, N-({l-[(2,2-dimethyl-2,3-dihydro-l-benzofuran-7-yl)methyl]piperidin-4-yl}methyl)-
2-pyrazin-2-ylacetamide,
N-({l-[(2,2-dimethyl-2,3-dihydro-l-benzofuran-7-yl)methyl]piperidin-4-yl}methyl)- 2-(5-methyl- 1 H-pyrazol- 1 -yl)acetamide,
N-({l-[(2,2-dimethyl-2,3-dihydro-l-benzofuran-7-yl)methyl]piperidin-4-yl}methyl)- lH-pyrrolo[2,3-b]pyridine-2-carboxamide,
N-({l-[(2,2-dimethyl-2,3-dihydro-l-benzofuran-7-yl)methyl]piperidin-4-yl}methyl)- 1 -methyl- 1 H-indole-2-carboxamide,
N-({l-[(2,2-dimethyl-2,3-dihydro-l-benzofuran-7-yl)methyl]piperidin-4-yl}methyl)- 2-(2,4-dimethyl- 1 ,3-thiazol-5-yl)acetamide, N-({l-[(2,2-dimethyl-2,3-dihydro-l-benzofuran-7-yl)methyl]piperidin-4-yl}methyl)-
5-methoxy- 1 -methyl- 1 H-indole-2-carboxamide,
N-({l-[(2,2-dimethyl-2,3-dihydro-l-benzofuran-7-yl)methyl]piperidin-4-yl}methyl)- 2-(3,5-dimethyl-lH-pyrazol-4-yl)acetamide,
N-({l-[(2,2-dimethyl-2,3-dihydro-l-benzofuran-7-yl)methyl]piperidin-4-yl}methyl)- 6-ethoxy- 1 H-indole-2-carboxamide,
N-({l-[(2,2-dimethyl-2,3-dihydro-l-benzofuran-7-yl)methyl]piperidin-4-yl}methyl)- 2-(2-oxoimidazolidin- 1 -yl)acetamide, 123
N-({ 1 - [(2,2-dimethyl-2,3 -dihydro- 1 -benzofuran-7-yl)methyl]piperidin-4-yl} methyl)- 2-methyl-2-phenylpropanamide,
N-({l-[(2,2-dimethyl-2,3-dihydro-l-benzofuran-7-yl)methyl]piperidin-4-yl}methyl)- 2-(3 -oxopiperazin- 1 -yl)acetamide, N-( { 1 - [(2,2-dimethyl-2,3 -dihydro- 1 -benzofuran-7-yl)methyl]piperidin-4-yl} methyl)-
6-methoxy- 1 H-indole-2-carboxamide,
2-(2,6-dihydroxypyrimidin-4-yl)-N-( { 1 - [(2,2-dimethy 1-2,3 -dihydro- 1 -benzofuran-7- yl)methyl]piperidin-4-yl}methyl)acetamide,
N-( { 1 - [(2,2-dimethy 1-2,3 -dihydro- 1 -benzofuran-7-yl)methyl]piperidin-4-yl } methyl)- 6,8-dimethylthieno[2,3-b]quinoline-2-carboxamide,
N-({l-[(2,2-dimethyl-2,3-dihydro-l-benzofuran-7-yl)methyl]piperidin-4-yl}methyl)- 2-morpholin-4-ylacetamide,
N-( { 1 - [(2,2-dimethy 1-2,3 -dihydro- 1 -benzofuran-7-yl)methyl]piperidin-4-yl} methyl)- 2-( 1 -oxo- 1 ,3 -dihydro-2H-isoindol-2-yl)acetamide, N-({l-[(2,2-dimethyl-2,3-dihydro-l-benzofuran-7-yl)methyl]piperidin-4-yl}methyl)-
4-methoxy- 1 H-indole-2-carboxamide,
N-( { 1 - [(2,2-dimethy 1-2,3 -dihydro- 1 -benzofuran-7-yl)methyl]piperidin-4-yl} methyl)- 5-methoxy- 1 H-indole-2-carboxamide,
N-( { 1 - [(2,2-dimethyl-2,3 -dihydro- 1 -benzofuran-7-yl)methyl]piperidin-4-yl} methyl)- 5-fluoro-lH-indole-2-carboxamide,
N-({1- [(2,2-dimethyl-2,3 -dihydro- 1 -benzoruran-7-yl)methyl]piperidin-4-yl} methyl)- 2-(4-methyl- 1 H-pyrazol- 1 -yl)acetamide,
N-({l-[(2,2-dimethyl-2,3-dihydro-l-benzofuran-7-yl)methyl]piperidin-4-yl}methyl)- 5, 6-difluoro-l H-indole-2-carboxamide, N-({l-[(2,2-dimethyl-2,3-dihydro-l-benzofuran-7-yl)methyl]piperidin-4-yl}methyl)-
2-(2,4,7-trimethyl- 1 H-indol-3 -yl)acetamide,
3 -Amino-N-( { 1 - [(2,2-dimethyl-2,3 -dihydro- 1 -benzofuran-7-y l)methyl]piperidin-4- yl} methyl)thieno [2,3 -b]pyridine-2-carboxamide,
N-({l-[(2,2-dimethyl-2,3-dihydro-l-benzoruran-7-yl)methyl]piρeridin-4-yl}methyl)- 6-hydroxy- 1 H-indole-2-carboxamide,
N-({l-[(2,2-dimethyl-2,3-dihydro-l-benzofuran-7-yl)methyl]ρiρeridin-4-yl}methyl)- 2-(2,5-dioxopyrrolidin- 1 -yl)acetamide, 124
N-({l-[(2,2-dimethyl-2,3-dihydro-l-benzofuran-7-yl)methyl]piperidin-4- yl}methyl)thieno[2,3-b]pyridine-2-carboxamide,
N-({ 1 -[(2,2-dimethyl-2,3-dihydro-l -benzofui-an-7-yl)methyl]piperidin-4-yl}methyl)- 4,7-dimethyl-lH-indole-2-carboxamide,
5 Ethyl l-{2-[({l-[(2,2-dimethyl-2,3-dihydro-l-benzofuran-7-yl)methyl]piρeridin-4- yl } methyl)amino]-2-oxoethyl } -2, 5 -dimethyl- 1 H-pyrrole- 3 -carboxylate,
(2R)-N-( { 1 - [(2,2-dimethyl-2,3 -dihydro- 1 -benzofuran-7-yl)methyl]piperidin-4- yl}methyl)-2-hydroxy-2-phenylpropanamide,
2-(3-Amino-lH-l,2,4-triazol-l-yl)-N-({l-[(2,2-dimethyl-2,3-dihydro-l-benzofuran-7- i o yl)methyl]piperidin-4-yl } methy l)acetamide,
N-( { 1 -[(2,2-dimethyl-2,3-dihydro- 1 -benzofuran-7-yl)methyl]piperidin-4-yl}methyl)- 2-(3-methyl-2,4-dioxo- 1 ,3-thiazolidin-5-yl)acetamide,
N-({l-[(2,2-dimethyl-2,3-dihydro-l-benzofuran-7-yl)metliyl]piperidin-4-yl}methyl)- 2-(2,5-dimethyl-l,3-thiazol-4-yl)acetamide,
15 N-( { 1 - [(2,2-dimethy 1-2,3 -dihydro- 1 -benzofuran-7-yl)methyl]piperidin-4-yl } methy I)-
5,7-dimethyl- 1 H-indole-2-carboxamide,
N-({l-[(2,2-dimethyl-2,3-dihydro-l-benzofuran-7-yl)methyl]piperidin-4-yl}methyl)- 2-(2-oxopyridin- 1 (2H)-yl)acetamide,
2-(l',3'-Dimethyl-lH,lΗ-3,4'-bipyrazol-l-yl)-N-({l-[(2,2-dimethyl-2,3-dihydiO-l- 20 benzofuran-7-yl)methyl]piperidin-4-yl}methyl)acetamide,
N-({l-[(2,2-dimethyl-2,3-dihydro-l-benzofuran-7-yl)methyl]piperidin-4-yl}methyl)- 2-[3-(trifluoromethyl)-lH-ρyrazol-l-yl]acetamide,
N-({l-[(2,2-dimethyl-2,3-dihydro-l-benzofuran-7-yl)methyl]piperidin-4-yl}methyl)- 4-ethoxy- 1 H-indole-2-carboxamide, 5 N-({l-[(2,2-dimethyl-2,3-dihydro-l-benzofuran-7-yl)methyl]piperidin-4-yl}methyl)-
4,5-dimethoxy-lH-indole-2-carboxamide,
N-({l-[(2,2-dimethyl-2,3-dihydro-l-benzofuran-7-yl)methyl]piperidin-4-yl}methyl)- 3 ,3 ,3 -trifluoro-2-methoxy-2-phenylpropanamide,
N-( { 1 - [(2,2-dimethy 1-2,3 -dihydro- 1 -benzofuran-7-yl)methyl]piperidin-4-yl } methy I)- 0 5,7-difluoro-l H-indole-2-carboxamide,
N-( { 1 - [(2,2-dimethy 1-2,3 -dihydro- 1 -benzofuran-7-yl)methyl]piperidin-4-yl} methy I)- 2-(3,5-dimethyl- 1 H-pyrazol- 1 -yl)acetamide, 125
N-({ 1 -[(2,2-dimethyl-2,3-dihydro- 1 -benzofuran-7-yl)memyl]piρeridin-4-yl}methyl)- 1 H-pyrrolo [2,3 -c]pyridine-2-carboxamide,
2-Amino-N-({l-[(2,2-dimethyl-2,3-dihydro-l-benzofuran-7-yl)methyl]piperidin-4- yl}methyl)indane-2-carboxamide, N-({l-[(2,2-dimethyl-2,3-dihydro-l-benzofuran-7-yl)methyl]piperidin-4- yl} methyl)thieno [2,3 -b]pyrazine-6-carboxamide,
2-[2-({l-(2,2-Dimethyl-2,3-dihydro-benzofliran-7-ylmethyl)-piperidin-4-ylmethyl]- carbamoyl } -methyl)-pheny 1] -acetamide,
Methyl (2-{2-[({l-[(2,2-dimethyl-2,3-dihydro-l-benzofuran-7-yl)methyl]ρiperidin-4- yl}methyl)amino]-2-oxoethyl}phenyl)acetate,
N-({l-[(2,2-dimethyl-2,3-dihydro-l-benzofui-an-7-yl)methyl]piperidin-4-yl}methyl)- 2-pyridin-3 -ylacetamide,
N-({l-[(2,2-dimethyl-2,3-dihydro-l-benzofuran-7-yl)methyl]piperidin-4-yl}methyl)- 2-pyridin-2-ylacetamide, N-({l-[(2,2-dimethyl-2,3-dihydro-l-benzofuran-7-yl)methyl]piperidin-4-yl}methyl)-
2-pyridin-4-ylacetamide,
N-( { 1 -[(2,2-dimethyl-2,3-dihydro- 1 -benzofuran-7-yl)methyl]piperidin-4- y 1 } methyl)isonicotinamide,
N-({l-[(2,2-dimethyl-l,3-benzodioxol-4-yl)methyl]piρeridin-4-yl}methyl)-2-(lH- imidazol-l-yl)acetamide,
2-(5 -Amino- 1 H-tetrazol- 1 -yl)-N-( { 1 - [(2,2-dimethyl- 1 ,3 -benzodioxol-4- yl)methyl]piperidin-4-yl}methyl)acetamide,
N-( { 1 -[(2,2-dimethyl-2,3 -dihydro- 1 -benzofuran-7-yl)methyl]piperidin-4-yl } methyl)- 2-(2-nitro- 1 H-imidazol- 1 -yl)acetamide, 2-(2- Amino- 1 H-imidazol- 1 -yl)-N-( { 1 - [(2,2-dimethyl-2,3 -dihydro- 1 -benzofuran-7- yl)methyl]piperidin-4-yl } methyl)acetamide,
N-({l-[(2,2-dimethyl-2,3-dihydro-l-benzofuran-7-yl)methyl]piperidin-4-yl}methyl)- 2-( 1 H-imidazol- 1 -yl)propanamide,
N-({l-[(2,2-dimethyl-2,3-dihydro-l-benzofuran-7-yl)methyl]piperidin-4-yl}methyl)- 2-( 1 H-imidazol- 1 -yl)butanamide,
N-({ 1 -[(2,2-dimethyl-2,3-dihydro-l -benzofuran-7-yl)methyl]piperidin-4-yl}methyl)- 2-(lH-imidazol-l-yl)-3-methylbutanamide, 126
2-(5-Amino-lH-tetrazol-l-yl)-N-({l-[(3,3-dimethyl-2,3-dihydro-l,4-benzodioxin-5- y l)methyl]piperidin-4-yl } methyl)acetamide,
N-({l-[(3,3-dimethyl-2,3-dihydro-l,4-benzodioxin-5-yl)methyl]piperidin-4- y 1 } methyl)-2-( 1 H-imidazol- 1 -yl)acetamide, 2-(5- Amino- 1 H-tetxazol- 1 -yl)-iV-( { 1 -[(2,2-dimethy 1-2,3 -dihydro- 1 -benzofuran-4- yl)methyl]piperidin-4-yl } methyl)acetamide,
N-({l-[(2,2-Dimethyl-2,3-dihydro-l-benzofuran-4-yl)methyl]piperidin-4-yl}methyl)- 2-( 1 H-imidazol- 1 -yl)acetamide,
2-(5-Amino-lH-tetrazol-l -yl)-iV-({ 1 -[(2,2-dimethyl-2H-chromen-8- yl)methyl]piperidin-4-yl}methyl)acetamide, or
N-({l-[(2,2-Dimethyl-2H-chromen-8-yl)methyl]piperidin-4-yl}methyl)-2-(lH- imidazol- 1 -yl)acetamide, or a pharmaceutically acceptable salt of any one thereof.
8. A process for the preparation of a compound of formula (I) or a pharmaceutically acceptable salt thereof as claimed in claim 1 which comprises reacting a compound of formula (II)
1 2 3 wherein L represents a leaving group and n, R , R and R are as defined in claim 1, with a compound of formula (III)
4 wherein R is as defined in claim 1, in the presence of a coupling agent, and optionally thereafter carrying out one or more of the following procedures: • converting a compound of formula (I) into another compound of formula (I), 127
• removing any protecting groups,
• forming a pharmaceutically acceptable salt.
9. A pharmaceutical composition comprising a compound of formula (I) as claimed in
5 any one of claims 1 to 7 or a pharmaceutically acceptable salt thereof, in association with a pharmaceutically acceptable adjuvant, diluent or carrier.
10. A process for the preparation of a pharmaceutical composition as claimed in claim 9 which comprises mixing a compound of formula (I) as claimed in any one of claims 1 to 7o or a pharmaceutically acceptable salt thereof, with a pharmaceutically acceptable adjuvant, diluent or carrier.
11. A compound of formula (I) as claimed in any one of claims 1 to 7 or a pharmaceutically acceptable salt thereof for use in therapy. 5
12. Use of a compound of formula (I) as claimed in any one of claims 1 to 7 or a pharmaceutically acceptable salt thereof, in the manufacture of a medicament for use in treating a respiratory disease. Q
13. Use of a compound of formula (I) as claimed in any one of claims 1 to 7 or a pharmaceutically acceptable salt thereof, in the manufacture of a medicament for use in treating asthma, chronic obstructive pulmonary disease, rhinitis or sepsis.
14. A method of treating a respiratory disease in a patient suffering from, or at risk of, said5 disease, which comprises administering to the patient a therapeutically effective amount of a compound of formula (I) as claimed in any one of claims 1 to 7 or a pharmaceutically acceptable salt thereof.
15. A combination of a compound of formula (I) as claimed in any one of claims 1 to 7 or0 a pharmaceutically acceptable salt thereof, and one or more agents independently selected from:
• a non-steroidal glucocorticoid receptor agonist; 128
a selective β2 adrenoceptor agonist; a phosphodiesterase inhibitor; a protease inhibitor; a glucocorticoid; an anticholinergic agent; a modulator of chemokine receptor function; and an inhibitor of kinase function .
Applications Claiming Priority (2)
| Application Number | Priority Date | Filing Date | Title |
|---|---|---|---|
| US89007807P | 2007-02-15 | 2007-02-15 | |
| US60/890,078 | 2007-02-15 |
Publications (1)
| Publication Number | Publication Date |
|---|---|
| WO2008099165A1 true WO2008099165A1 (en) | 2008-08-21 |
Family
ID=39332076
Family Applications (1)
| Application Number | Title | Priority Date | Filing Date |
|---|---|---|---|
| PCT/GB2008/000490 Ceased WO2008099165A1 (en) | 2007-02-15 | 2008-02-13 | Piperidine derivatives and their use for treatment of ccr8 mediated diseases |
Country Status (1)
| Country | Link |
|---|---|
| WO (1) | WO2008099165A1 (en) |
Cited By (4)
| Publication number | Priority date | Publication date | Assignee | Title |
|---|---|---|---|---|
| EP2344479A4 (en) * | 2008-09-23 | 2012-05-30 | Univ Georgetown | 1,2-BENZISOTHIAZOLINONE AND ISOINDOLINONE DERIVATIVES |
| US9428472B2 (en) | 2011-08-16 | 2016-08-30 | Georgetown University | Methods of treating bacterial infections with 1,2-benzisothiazolinone and isoindolinone derivatives |
| WO2017066705A1 (en) * | 2015-10-14 | 2017-04-20 | Aquinnah Pharmaceuticals, Inc. | Compounds, compositions and methods of use against stress granules |
| WO2024115549A1 (en) | 2022-11-30 | 2024-06-06 | Idorsia Pharmaceuticals Ltd | Aryl- and heteroaryl-sulfonamide derivatives as ccr8 modulators |
Citations (4)
| Publication number | Priority date | Publication date | Assignee | Title |
|---|---|---|---|---|
| WO2003037271A2 (en) * | 2001-10-30 | 2003-05-08 | Millennium Pharmaceuticals,Inc. | Compounds, pharmaceutical compositions and methods of use therefor |
| WO2004032856A2 (en) * | 2002-10-07 | 2004-04-22 | Smithkline Beecham Corporation | Compounds |
| WO2004058709A1 (en) * | 2002-12-23 | 2004-07-15 | Millennium Pharmaceuticals, Inc. | Ccr8 inhibitors |
| WO2005040167A1 (en) * | 2003-10-23 | 2005-05-06 | Astrazeneca Ab | Novel diazaspiroalkanes and their use for treatment of ccr8 mediated diseases |
-
2008
- 2008-02-13 WO PCT/GB2008/000490 patent/WO2008099165A1/en not_active Ceased
Patent Citations (4)
| Publication number | Priority date | Publication date | Assignee | Title |
|---|---|---|---|---|
| WO2003037271A2 (en) * | 2001-10-30 | 2003-05-08 | Millennium Pharmaceuticals,Inc. | Compounds, pharmaceutical compositions and methods of use therefor |
| WO2004032856A2 (en) * | 2002-10-07 | 2004-04-22 | Smithkline Beecham Corporation | Compounds |
| WO2004058709A1 (en) * | 2002-12-23 | 2004-07-15 | Millennium Pharmaceuticals, Inc. | Ccr8 inhibitors |
| WO2005040167A1 (en) * | 2003-10-23 | 2005-05-06 | Astrazeneca Ab | Novel diazaspiroalkanes and their use for treatment of ccr8 mediated diseases |
Cited By (5)
| Publication number | Priority date | Publication date | Assignee | Title |
|---|---|---|---|---|
| EP2344479A4 (en) * | 2008-09-23 | 2012-05-30 | Univ Georgetown | 1,2-BENZISOTHIAZOLINONE AND ISOINDOLINONE DERIVATIVES |
| US9040715B2 (en) | 2008-09-23 | 2015-05-26 | Georgetown University | 1,2-benzisothiazolinone and isoindolinone derivatives |
| US9428472B2 (en) | 2011-08-16 | 2016-08-30 | Georgetown University | Methods of treating bacterial infections with 1,2-benzisothiazolinone and isoindolinone derivatives |
| WO2017066705A1 (en) * | 2015-10-14 | 2017-04-20 | Aquinnah Pharmaceuticals, Inc. | Compounds, compositions and methods of use against stress granules |
| WO2024115549A1 (en) | 2022-11-30 | 2024-06-06 | Idorsia Pharmaceuticals Ltd | Aryl- and heteroaryl-sulfonamide derivatives as ccr8 modulators |
Similar Documents
| Publication | Publication Date | Title |
|---|---|---|
| AU2007327105B2 (en) | Hydantoin derivatives used as MMP inhibitors | |
| US7700782B2 (en) | Compounds 569 | |
| US8058294B2 (en) | Pharmaceutical salts of N-[2-(diethylamino)ethyl]-N-(2-{[2-(4-hydroxy-2-oxo-2,3-dihydro-1,3-benzothiazol-7-yl)ethyl]amino}ethyl)-3-[2-(1-napthyl)ethoxy]propanamide | |
| US7741360B2 (en) | Bi-aryl or aryl-heteroaryl substituted indoles | |
| US20090156575A1 (en) | Novel diazaspiroalkanes and their use for treatment of ccr8 mediated diseases | |
| US20100210688A1 (en) | Novel Benzothiazolone Derivatives | |
| CA2649813A1 (en) | A system for wireless transmission of measurement results intended to be used in a coupling device and a use of the system in a vehicle | |
| CA2726746A1 (en) | Benzoxazinone derivatives acting as beta2-adrenoreceptor agonist for the treatment of respiratory disorders | |
| WO2008104752A1 (en) | Dihydropyridones as elastase inhibitors | |
| US20080227797A1 (en) | Pyridopyrimidine Derivatives as Pde4 Inhibitors for the Treatment of Inflammatory and Immune Diseases | |
| JP3911006B2 (en) | Chemical compound | |
| US20080058309A1 (en) | Novel Compounds 171 | |
| US20070167442A1 (en) | Chemical compounds | |
| WO2008121065A1 (en) | Novel pyrrolidine derivatives as antagonists of the chemokine receptor | |
| US20080021038A1 (en) | Novel Piperidine/8-Azabicyclo [3.2.1.] Octan Derivatives As Modulators Of Chemokine Receptor Ccr5 | |
| WO2008099165A1 (en) | Piperidine derivatives and their use for treatment of ccr8 mediated diseases | |
| US7943768B2 (en) | Piperazine compounds useful as antagonists of C-C chemokines (Ccr2b and CcrS) for the treatment of inflammatory diseases | |
| AU2005257707B2 (en) | Chemical compounds I | |
| US20090054413A1 (en) | Novel 5,6-Dihydropyrazolo[3,4-E] [L,4]Diazepin-4 (IH) -One Derivatives for the Treatment of Asthma and Chronic Obstructive Pulmonary Disease | |
| US20090012125A1 (en) | Piperidine Derivatives, Their Process for Preparation, Their Use as Therapeutic Agents and Pharmaceutical Compositions Containing Them | |
| WO2009007747A2 (en) | Hydantoin derivatives used as mmp12 inhibitors | |
| WO2008121066A1 (en) | Novel tricyclic spiropiperidines or spiropyrrolidines and their use as modulators of chemokine receptors | |
| WO2008136754A1 (en) | Novel benzyl - 2 -oxo-piperazinyl/ 7-oxo/5-oxa- [1,4] diazepanyl/ 2 -oxo- tetrahydropyrimidinyl derivatives | |
| WO2006075955A1 (en) | Pyrazolyl acylsulfonamide derivatives as endothelin converting enzyme inhibitors and useful in the treatment of chronic obstructive pulmonary disease | |
| US20090197914A1 (en) | Piperidine Derivatives, Their Process for Preparation, Their Use as Therapeutic Agents and Pharmaceutical Compositions Containing Them |
Legal Events
| Date | Code | Title | Description |
|---|---|---|---|
| 121 | Ep: the epo has been informed by wipo that ep was designated in this application |
Ref document number: 08709384 Country of ref document: EP Kind code of ref document: A1 |
|
| NENP | Non-entry into the national phase |
Ref country code: DE |
|
| 122 | Ep: pct application non-entry in european phase |
Ref document number: 08709384 Country of ref document: EP Kind code of ref document: A1 |

















































































































































