WO2008096129A1 - Nitrogen containing hetrocyclic compounds useful as bifunctional modulators of m3 receptors and beta- 2 receptors - Google Patents
Nitrogen containing hetrocyclic compounds useful as bifunctional modulators of m3 receptors and beta- 2 receptors Download PDFInfo
- Publication number
- WO2008096129A1 WO2008096129A1 PCT/GB2008/000407 GB2008000407W WO2008096129A1 WO 2008096129 A1 WO2008096129 A1 WO 2008096129A1 GB 2008000407 W GB2008000407 W GB 2008000407W WO 2008096129 A1 WO2008096129 A1 WO 2008096129A1
- Authority
- WO
- WIPO (PCT)
- Prior art keywords
- hydroxy
- methyl
- ethyl
- formula
- compound
- Prior art date
- Legal status (The legal status is an assumption and is not a legal conclusion. Google has not performed a legal analysis and makes no representation as to the accuracy of the status listed.)
- Ceased
Links
- 0 CC(C)CC(C)(C)C1C*CCC1 Chemical compound CC(C)CC(C)(C)C1C*CCC1 0.000 description 11
- WVUHHPQQQLBMOE-UHFFFAOYSA-N Cc1cnc(C)[s]1 Chemical compound Cc1cnc(C)[s]1 WVUHHPQQQLBMOE-UHFFFAOYSA-N 0.000 description 2
- RQHYFCPAVPSZEN-UHFFFAOYSA-N CC(C)(C)OC(N(CCc(c(S1)c2NC1=O)ccc2O)Cc1c[s]c(NC(CBr)=O)n1)=O Chemical compound CC(C)(C)OC(N(CCc(c(S1)c2NC1=O)ccc2O)Cc1c[s]c(NC(CBr)=O)n1)=O RQHYFCPAVPSZEN-UHFFFAOYSA-N 0.000 description 1
- CDSTXWLXBWMQPR-UHFFFAOYSA-N CC(C)(C)OC(N(CCc(c(S1)c2NC1=O)ccc2O)Cc1cccc(OCCCOS(C)(=O)=O)c1)=O Chemical compound CC(C)(C)OC(N(CCc(c(S1)c2NC1=O)ccc2O)Cc1cccc(OCCCOS(C)(=O)=O)c1)=O CDSTXWLXBWMQPR-UHFFFAOYSA-N 0.000 description 1
- VCXMMLIQRRFELZ-KEKNWZKVSA-N CN(CCC1=CN(C)C([C@@](C2CCCCC2)(c2ccccc2)O)O1)CCN Chemical compound CN(CCC1=CN(C)C([C@@](C2CCCCC2)(c2ccccc2)O)O1)CCN VCXMMLIQRRFELZ-KEKNWZKVSA-N 0.000 description 1
- XLECHRIEVICSBG-UHFFFAOYSA-P CN(CCCOc1ccc(CC=O)cc1)Cc1c[nH+]c(C(c2ccccc2)(c2ccccc2)[OH2+])[o]1 Chemical compound CN(CCCOc1ccc(CC=O)cc1)Cc1c[nH+]c(C(c2ccccc2)(c2ccccc2)[OH2+])[o]1 XLECHRIEVICSBG-UHFFFAOYSA-P 0.000 description 1
- CTPJVRAXSKQOIW-YAYIQTBWSA-N CN(CCc1cnc([C@@](C2CCCCC2)(C2=CC=CCC2)O)[o]1)CCNC(c1ccc(CNC[C@@H](c(ccc(O)c2N3)c2SC3=O)O)cc1)=O Chemical compound CN(CCc1cnc([C@@](C2CCCCC2)(C2=CC=CCC2)O)[o]1)CCNC(c1ccc(CNC[C@@H](c(ccc(O)c2N3)c2SC3=O)O)cc1)=O CTPJVRAXSKQOIW-YAYIQTBWSA-N 0.000 description 1
- HLWQFUFTGIWWLX-UHFFFAOYSA-M CNCCc(ccc([O-])c1[N]2(C)C)c1SC2=O Chemical compound CNCCc(ccc([O-])c1[N]2(C)C)c1SC2=O HLWQFUFTGIWWLX-UHFFFAOYSA-M 0.000 description 1
- HNJOAIYFUCQZAA-UHFFFAOYSA-N Cc1n[o]c(C)n1 Chemical compound Cc1n[o]c(C)n1 HNJOAIYFUCQZAA-UHFFFAOYSA-N 0.000 description 1
- LGNNZKURGCOEJY-UHFFFAOYSA-N Cc1n[o]c(N)n1 Chemical compound Cc1n[o]c(N)n1 LGNNZKURGCOEJY-UHFFFAOYSA-N 0.000 description 1
- YVDWFZIVIIKYBQ-UHFFFAOYSA-N Cc1nnc(C)[o]1 Chemical compound Cc1nnc(C)[o]1 YVDWFZIVIIKYBQ-UHFFFAOYSA-N 0.000 description 1
- ZMEVAJOHVFUPMR-UHFFFAOYSA-N NCC(c(c(S1)c2NC1=O)ccc2[O-])[OH2+] Chemical compound NCC(c(c(S1)c2NC1=O)ccc2[O-])[OH2+] ZMEVAJOHVFUPMR-UHFFFAOYSA-N 0.000 description 1
- DTQVDTLACAAQTR-UHFFFAOYSA-N OC(C(F)(F)F)=O Chemical compound OC(C(F)(F)F)=O DTQVDTLACAAQTR-UHFFFAOYSA-N 0.000 description 1
- FIINLNVECWKVTA-UHFFFAOYSA-N OCCc1ccc(CC(O)=O)[s]1 Chemical compound OCCc1ccc(CC(O)=O)[s]1 FIINLNVECWKVTA-UHFFFAOYSA-N 0.000 description 1
- KOWDUFGAHCTUIZ-UHFFFAOYSA-O [O-]CCc1ccc(CC([OH2+])=O)[o]1 Chemical compound [O-]CCc1ccc(CC([OH2+])=O)[o]1 KOWDUFGAHCTUIZ-UHFFFAOYSA-O 0.000 description 1
Classifications
-
- C—CHEMISTRY; METALLURGY
- C07—ORGANIC CHEMISTRY
- C07D—HETEROCYCLIC COMPOUNDS
- C07D417/00—Heterocyclic compounds containing two or more hetero rings, at least one ring having nitrogen and sulfur atoms as the only ring hetero atoms, not provided for by group C07D415/00
- C07D417/02—Heterocyclic compounds containing two or more hetero rings, at least one ring having nitrogen and sulfur atoms as the only ring hetero atoms, not provided for by group C07D415/00 containing two hetero rings
- C07D417/12—Heterocyclic compounds containing two or more hetero rings, at least one ring having nitrogen and sulfur atoms as the only ring hetero atoms, not provided for by group C07D415/00 containing two hetero rings linked by a chain containing hetero atoms as chain links
-
- A—HUMAN NECESSITIES
- A61—MEDICAL OR VETERINARY SCIENCE; HYGIENE
- A61P—SPECIFIC THERAPEUTIC ACTIVITY OF CHEMICAL COMPOUNDS OR MEDICINAL PREPARATIONS
- A61P1/00—Drugs for disorders of the alimentary tract or the digestive system
-
- A—HUMAN NECESSITIES
- A61—MEDICAL OR VETERINARY SCIENCE; HYGIENE
- A61P—SPECIFIC THERAPEUTIC ACTIVITY OF CHEMICAL COMPOUNDS OR MEDICINAL PREPARATIONS
- A61P11/00—Drugs for disorders of the respiratory system
-
- A—HUMAN NECESSITIES
- A61—MEDICAL OR VETERINARY SCIENCE; HYGIENE
- A61P—SPECIFIC THERAPEUTIC ACTIVITY OF CHEMICAL COMPOUNDS OR MEDICINAL PREPARATIONS
- A61P13/00—Drugs for disorders of the urinary system
-
- A—HUMAN NECESSITIES
- A61—MEDICAL OR VETERINARY SCIENCE; HYGIENE
- A61P—SPECIFIC THERAPEUTIC ACTIVITY OF CHEMICAL COMPOUNDS OR MEDICINAL PREPARATIONS
- A61P15/00—Drugs for genital or sexual disorders; Contraceptives
- A61P15/10—Drugs for genital or sexual disorders; Contraceptives for impotence
-
- A—HUMAN NECESSITIES
- A61—MEDICAL OR VETERINARY SCIENCE; HYGIENE
- A61P—SPECIFIC THERAPEUTIC ACTIVITY OF CHEMICAL COMPOUNDS OR MEDICINAL PREPARATIONS
- A61P17/00—Drugs for dermatological disorders
-
- A—HUMAN NECESSITIES
- A61—MEDICAL OR VETERINARY SCIENCE; HYGIENE
- A61P—SPECIFIC THERAPEUTIC ACTIVITY OF CHEMICAL COMPOUNDS OR MEDICINAL PREPARATIONS
- A61P19/00—Drugs for skeletal disorders
-
- A—HUMAN NECESSITIES
- A61—MEDICAL OR VETERINARY SCIENCE; HYGIENE
- A61P—SPECIFIC THERAPEUTIC ACTIVITY OF CHEMICAL COMPOUNDS OR MEDICINAL PREPARATIONS
- A61P25/00—Drugs for disorders of the nervous system
-
- A—HUMAN NECESSITIES
- A61—MEDICAL OR VETERINARY SCIENCE; HYGIENE
- A61P—SPECIFIC THERAPEUTIC ACTIVITY OF CHEMICAL COMPOUNDS OR MEDICINAL PREPARATIONS
- A61P27/00—Drugs for disorders of the senses
- A61P27/02—Ophthalmic agents
-
- A—HUMAN NECESSITIES
- A61—MEDICAL OR VETERINARY SCIENCE; HYGIENE
- A61P—SPECIFIC THERAPEUTIC ACTIVITY OF CHEMICAL COMPOUNDS OR MEDICINAL PREPARATIONS
- A61P29/00—Non-central analgesic, antipyretic or antiinflammatory agents, e.g. antirheumatic agents; Non-steroidal antiinflammatory drugs [NSAID]
-
- A—HUMAN NECESSITIES
- A61—MEDICAL OR VETERINARY SCIENCE; HYGIENE
- A61P—SPECIFIC THERAPEUTIC ACTIVITY OF CHEMICAL COMPOUNDS OR MEDICINAL PREPARATIONS
- A61P35/00—Antineoplastic agents
-
- A—HUMAN NECESSITIES
- A61—MEDICAL OR VETERINARY SCIENCE; HYGIENE
- A61P—SPECIFIC THERAPEUTIC ACTIVITY OF CHEMICAL COMPOUNDS OR MEDICINAL PREPARATIONS
- A61P9/00—Drugs for disorders of the cardiovascular system
-
- C—CHEMISTRY; METALLURGY
- C07—ORGANIC CHEMISTRY
- C07D—HETEROCYCLIC COMPOUNDS
- C07D413/00—Heterocyclic compounds containing two or more hetero rings, at least one ring having nitrogen and oxygen atoms as the only ring hetero atoms
- C07D413/02—Heterocyclic compounds containing two or more hetero rings, at least one ring having nitrogen and oxygen atoms as the only ring hetero atoms containing two hetero rings
- C07D413/12—Heterocyclic compounds containing two or more hetero rings, at least one ring having nitrogen and oxygen atoms as the only ring hetero atoms containing two hetero rings linked by a chain containing hetero atoms as chain links
-
- C—CHEMISTRY; METALLURGY
- C07—ORGANIC CHEMISTRY
- C07D—HETEROCYCLIC COMPOUNDS
- C07D417/00—Heterocyclic compounds containing two or more hetero rings, at least one ring having nitrogen and sulfur atoms as the only ring hetero atoms, not provided for by group C07D415/00
- C07D417/14—Heterocyclic compounds containing two or more hetero rings, at least one ring having nitrogen and sulfur atoms as the only ring hetero atoms, not provided for by group C07D415/00 containing three or more hetero rings
Definitions
- This invention relates to heterocycles, pharmaceutical compositions, methods for their 5 preparation and use in the treatment of diseases where compounds possessing both muscarinic receptor antagonist and ⁇ 2-agonist activity present in the same molecule (bifunctional molecules) are useful (such as in the treatment of asthma or COPD).
- bifunctional molecules are described in, for example, WO04/074246, WO04/089892, WO05/111004, WO06/023457 and WO06/023460, all of which use different linker radicals for covajently linking an M3 antagonist to a ⁇ 2-agonist.
- Anticholinergic agents prevent the passage of, or effects resulting from the passage of, impulses through the parasympathetic nerves. This is a consequence of the ability of such compounds to inhibit the action of acetylcholine (Ach) by blocking its binding to the muscarinic cholinergic receptors.
- M1 -M5 muscarinic acetylcholine receptors
- M1 -M5 muscarinic acetylcholine receptors
- muscarinic receptors M1 , M2 and M3 have been demonstrated to be important and are localized to the trachea, the bronchi, submucosal glands and 35 parasympathetic ganglia (reviewed in Fryer and Jacoby, 1998, Am J Resp Crit Care Med., 158 (5 part 3) S 154 - 160).
- M3 receptors on airway smooth muscle mediate contraction and therefore bronchoconstriction. Stimulation of M3 receptors localised to submucosal glands results in mucus secretion.
- vagal tone may either be increased (Gross etal. 1989, Chest; 96:984-987) and/or . may provoke a higher degree of obstruction for geometric reasons if applied on top of oedematous or mucus-laden airway walls (Gross et al. 1984, Am Rev Respir Dis; 129:856-870).
- WO97/30994 describes oxadiazoles and thiadiazoles as muscarinic receptor antagonists.
- EP0323864 describes oxadiazoles linked to a mono- or bicyclic ring as muscarinic receptor modulators. .
- ⁇ 2 adrenergic receptor agonists The class of ⁇ 2 adrenergic receptor agonists is well known. Many known ⁇ 2-agonists, in particular, long-acting ⁇ 2-agonists such as salmeterol and formoterol, have a role in the treatment of asthma and COPD. These compounds are also generally administered by inhalation. Compounds currently under evaluation as once-daily ⁇ 2 agonists are described in Expert Opin. Investig. Drugs 14 (7), 775-783 (2005). A well known ⁇ 2- agonist pharmacophore is the moiety:
- compositions that contain both a muscarinic antagonist and a ⁇ 2-agonist for use in the treatment of respiratory disorders.
- US2005/0025718 describes a ⁇ 2-agonist in combination with tiotropium, oxotropium, ipratropium or other muscarinic antagonist;
- WO02/060532 describes a combination of ipratropium with a ⁇ 2-agonist;
- WO02/060533 describes a combination of oxotropium with a ⁇ 2-agonist.
- Other M3 antagonist / ⁇ 2-agonist combinations are described in WO04/105759 and WO03/087097.
- R 1 is H or C 1 -(VaIkVl; and R 3 is lone pair or C r C 6 -alkyl; or
- R 4 and R 5 are independently selected from the group consisting of aryl, aryl-fused- heterocycloalkyl, heteroaryl, C 1 -CVaIkVl, cycloalkyl;
- R 6 is -OH, CrCe-alkyl, C r C 6 -alkoxy, hydroxy-CrC 6 -alkyl, nitrile, a group CON(R 12 ) 2 or a hydrogen atom; • • ' . one of W 1 V and A is N. or NR 11 ; another of W, V and A is N, O, S or CR 8 ; and the last one of W, V and A is N or CR 8 X is an C r C 6 alkylene, C 2 -C 6 alkenylene or C 2 -C 6 alkyny!ene group;
- R 8 , R 11 and R 12 are, independently, hydrogen atom or CrC 6 -alkyl group
- L a is a divalent linker radical of formula (Ia);
- L represents a linker comprising a hydrocarbyl chain of up to 14 carbon atoms, wherein up to three carbon atoms of the chain are replaced by groups independently selected from O, NR 45 , S, S(O), S(O) 2 , C(O)O, OC(O), .
- any heteroatoms in the chain are separated by at least 2 carbon atoms; and/or up to four carbon atoms of the chain form part of a mono- or bicyclic aliphatic, heteroaliphatic, aromatic or heteroaromatic ring having up to four heteroatoms independently selected from N, O or S, said ring comprising up to
- C 1-6 alkyl and C 3-6 cycloalkyl may be optionally substituted by up to three substituents independently selected from halogen, hydroxyl and C 1-6 alkoxy; and the chain may comprise up to three of such rings each selected independently, and;
- R 56 , ' R 65 and R 69 each independently represent C 1-6 alkyl or C 3-6 cycloalkyl, wherein C 1-6 alkyl and C 3-6 cycloalkyl may be optionally substituted by up to three substituents independently selected from halogen, hydroxyl, C 1-6 alkoxy; and
- R 45 , R 46 , R 47 , R 48 , R 49 , R 50 , R 51 , R 52 , R 53 , R 54 , R 55 , R 57 , R 58 , R 59 , R 60 , R 61 , R 62 , R 63 , R 64 , R 66 , R 67 , R 68 , R 70 , R 71 , R 72 and R 73 each independently represent hydrogen, Ci- 6 alkyl or C 3-6 cycloalkyl, wherein Ci -6 alkyl and C 3 .
- 6 cycloaikyl may be optionally substituted by up to three substituents independently selected from halogen, hydroxyl, C 1-6 alkoxy; or any of R 57 and R 58 , R 59 and R 60 , R 61 and R 62 or R 71 and R 72 , together with the nitrogen atom to which they are both attached, may form a 4 to 8 membered aliphatic heterocyclic ring, wherein the aliphatic heterocyclic ring may comprise up to three heteroatoms independently selected from N, O and S, wherein the ring may be optionally substituted by up to three substituents independently selected from halogen, hydroxyl and Ci -6 alkyl or C 3-6 cycloalkyl, wherein Ci -6 alkyl and C 3-6 cycloalkyl may be optionally substituted by one or more substituents independently selected from halogen and hydroxyl; and
- chain may additionally comprise up to. three carbon-carbon double bonds;
- chain may additionally comprise up to three carbon-carbon triple bonds
- L 1 and L 2 each independently represent. hydrogen, Ci -6 alkyl pr
- L 3 and L 4 each independently represent hydrogen, Ci -6 alkyl or C 3-6 cycloalkyl, wherein C 1-6 alkyl and C 3-6 cycloalkyl may be optionally substituted by one or more substituents independently selected from halogen and hydroxyl;
- L 1 and/or L 3 may be linked to a carbon atom of the hydrocarbyl chain in linker L to form an aliphatic ring of up to 6 ring atoms, wherein the ring may comprise up to three heteroatoms independently selected from N, O and
- Z 1 is a moiety having ⁇ 2- adrenoreceptor binding activity
- rocycloalkyl, aryl, aryl-fused-heterocycloalkyl, heteroaryl, cycloalkyl, alkoxy, alkylene, alkenylene, alkynylene or aryl-fused-cycloalkyl may be optionally substituted; and wherein each alkenylene chain contains, where possible, up to 2 carbon-carbon double bonds and each alkynylene chain contains, where possible, up to 2 carbon- carbon triple bonds or a pharmaceutically acceptable salt thereof.
- the present invention provides a prodrug of a compound of formula (1) as herein defined, or a pharmaceutically acceptable salt thereof.
- the present invention provides an N-oxide of a compound of formula (I) as herein defined, or a prodrug or pharmaceutically acceptable salt thereof.
- the present invention provides a solvate (such as a hydrate) of a compound of formula (I) as herein defined, or an N-oxide, prodrug or pharmaceutically acceptable salt thereof.
- the present invention provides compounds of formula (I), as defined above, wherein, unless otherwise specified, each occurrence of alkyl may be optionally substituted with one or more substituent groups chosen from C 1 -C 6 - haloalkyl, C 1 -C ⁇ aIkOXy, CrC 6 -haloalkoxy, CN and halo; and each occurrence of heterocycloalkyl, aryl, aryl-fused-heterocycloalkyl, heteroaryl, cycloalkyl, alkoxy, alkylene, alkenylene, alkynylene or aryl-fused-cycloalkyl may be optionally substituted with one or more substituent groups chosen from C r C 6 -alkyl, CrCe-haloalkyl, C 1 -C 6 - haloalkoxy, C r C 6 -alkoxy, CN and halo.
- the present invention provides compounds of formula (I), as defined above, wherein, unless otherwise specified, each occurrence of alkyl, heterocycloalkyl, aryl, aryl-fused-heterocycloalkyl, heteroaryl, cycloalkyl,. alkoxy, . alkylene, alkenylene, alkynylene or aryl-fused-cycloalkyl is not substituted.
- the present invention also provides compounds of formula (I), PROVIDED THAT . when A is an oxygen or sulfur atom and W is a nitrogen atom, then V is not a group CR 8 .
- the present invention provides a compound of formula (I) wherein: (i) R 1 is CrCe-alkyl; and R 3 is lone pair or C r C 6 -alkyl; or
- X is an alkylene, alkenylene or alkynylene group.
- R 1 is H or Ci-C 6 -alkyl; and R 3 is a lone pair;
- R 4 and R 5 are independently selected from the group consisting of aryl, heteroaryl and cycloalkyl
- R 6 is -OH, CrC 6 -alkoxy, hydroxy-C r C 6 -alkyl or a hydrogen atom; the 5-membered ring containing W, V and A is selected from:
- bond marked * is attached to the group R 4 R 5 R 6 C-, and the bond marked * * is attached to the group -XNR 1 (L a -Z 1 )R 3 ; and R 11 is as herein defined;
- X is a CrC 2 alkylene group;
- R 8 , R 11 and R 12 are, independently, hydrogen atom or CrCeralkyl group;
- L a is divalent linker radical of formula (Ia);
- a 1 , A 2 , and A 4 are, independently, hydrogen, halogen, C 1-6 alkyl
- a 3 is CH 2 OH, NHCHO, NHS(O) 2 NA 15 A 16 or NHSO 2 A 17 ;
- a 15 or A 16 are independently selected from hydrogen or C 1-6 alkyl; and
- a 17 is C 1-6 alkyl;
- each occurrence of alkyl may be optionally substituted with one or more substituent groups chosen from d-Ce-haloalkyl, C 1 -C 6 - haloalkoxy, CN and halo; and each occurrence of heterocycloalkyl, aryl, aryl-fused- heterocycloalkyl, heteroaryl, cycloalkyl, alkoxy, alkylene, alkenylene, alkynylene or aryl- fused-cycloalkyl may be optionally substituted with one or more substituent groups chosen from C r C 6 -alkyl, CrC 6 -haloalkyl, CrC 6 -haloalkoxy, CN and ha
- the present invention provides a compound of formula (I) wherein R 1 is C r C 6 -alkyl; and R 3 is a lone pair.
- the present invention provides a compound of formula (I) wherein R 1 is CrC 6 -alkyl; and R 3 is CrCValkyl and the nitrogen to which they are attached is quaternary and carries a positive charge.
- the present invention provides a compound of formula (I) wherein X is Ci-C 6 alkylene. In another aspect X is C 1 -C 2 alkylene. In yet another aspect X is methylene.
- the present invention provides a compound of formula (I) wherein the 5-membered ring containing W, V and A is:
- the present invention provides a compound of formula (I) wherein R 11 is hydrogen or C 1 -C 3 alkyl,
- the present invention provides a compound of formula (I) wherein the 5-membered ring containing W, V and A is: wherein the bond marked * is attached to the group R 4 R 5 R 6 C-, and the bond marked ** is attached to the group -XNR 1 (L a -Z 1 )R 3 ; and R 11 is as defined herein.
- the present invention provides a compound of formula (I) wherein the 5-membered ring containing W, V and A is:
- the present invention provides a compound of formula (I) wherein the 5-membered ring containing W, V and A is: wherein the bond marked * is attached to the group R 4 R 5 R 6 C-, and the bond marked * * is attached to the group -XNR 1 (L a -Z 1 )R 3 .
- R 6 is hydroxy, C 1 -C 4 alkyl (such as methyl), C 1 -C 4 alkoxy (such as methoxy) or nitrile. In a further aspect R 6 is hydroxy, C 1 -C 4 alkyl (such as methyl). In a still further aspect R 6 is hydroxy.
- the present invention provides a.compound of formula (I) wherein R 4 and R 5 are, independently, aryl (such as phenyl), C 4 -C 8 cycloalkyl (such as cyclopentyl or cyclohexyl) or heteroaryl (such as thiophenyl).
- the present invention provides a compound of formula (I) wherein R 4 is aryl (such as phenyl) or heteroaryl (such as thiophenyl).
- the present invention provides a compound of formula (I) wherein R 5 is C 4 -C 8 cycloalkyl (such as cyclopentyl or cyclohexyl), aryl (such as phenyl) or heteroaryl (such as thiophenyl).
- R 5 is C 4 -C 8 cycloalkyl (such as cyclopentyl or cyclohexyl), aryl (such as phenyl) or heteroaryl (such as thiophenyl).
- the present invention provides a compound of formula (I) wherein R 4 is aryl (for example phenyl) and R 5 is C 4 -C 8 cycloalkyl (for example cyclopentyl or cyclohexyl).
- Z 1 is a group of formula (lb):
- Z 1 is a group of formula (Ic): wherein, in each of these aspects, Ar represents a group selected from the following; ⁇
- a 1 , A 2 , A 3 and A 4 are, independently, hydrogen, halogen, trifluoromethyl, cyano, " carboxy, hydroxy, nitro, S(O) 2 A 8 , NA 9 S(O) 2 A 10 , C(O)NA 11 A 12 , NA 13 C(O)A 14 , C 1-6 alkyl, C 1-6 alkoxy, C(O)(C 1-6 alkyl) or C(O)OC 1-6 alkyl;
- a 3 can also be CH 2 OH, NHCHO, NHS(O) 2 NA 15 A 16 or NHSO 2 A 17 ;
- a 5 , A 6 , A 7 , A 9 , A 11 , A 12 , A 13 , A 14 , A 15 or A 16 are, independently, hydrogen or C 1-6 alkyl;
- a 8 , A 10 and A 17 are, independently, C 1-6 alkyl, and;
- Z 1 is a group selected from
- Z 1 is a group selected from:
- L represents a linker comprising a hydrocarbyl chain of up to 12 carbon atoms, more conveniently 6 to 12 carbon atoms; or of up to 10 carbon atoms or of up to 8 carbon atoms, wherein
- up to two carbon atoms of the chain are replaced by groups independently selected from O, NR 45 , S, S(O), S(O) 2 , C(O)O, OC(O), NR 46 C(O), C(O)NR 47 , NR 48 S(O) 2 , S(O) 2 NR 49 , NR 50 C(O)NR 51 , NR 52 S(O) 2 NR 53 ; or independently selected from O, S, S(O), S(O) 2 , NR 46 C(O), C(O)NR 47 ; provided that in each case any heteroatoms in the chain are separated by at least 2 carbon atoms; and/or
- up to four carbon atoms of the chain may form part of a mono- or bicyclic aliphatic, heteroaliphatic, aromatic or heteroaromatic ring having up to four heteroatoms independently selected from N, O or S, said ring comprising up to 10 ring atoms, and wherein the ring is optionally substituted by one or more substituents independently selected from halogen, S(O) 0-2 R 56 , NR 57 R 58 , S(O) 2 NR 59 R 60 , C(O)NR 61 R 62 , C(O)OR 63 ,- NR 64 S(O) 2 R 65 , NR 66 C(O)R 67 , NR 68 C(O)OR 69 , NR 70 C(O)NR 71 R 72 , OR 73 , C 1-6 alkyl and C 3 . 6 cycloalkyl, and wherein C 1-6 alkyl and C 3-6 cycloalkyl may be optionally substituted by up to
- the chain may comprise up to two, or one of such rings each selected independently;
- R 56 , R 65 and R 69 each independently represent C 1-4 alkyl or C 3-6 cycloalkyl, wherein C 1-4 alkyl and C 3-6 cycloalkyl may be optionally substituted by one or more. substituents independently selected from halogen, hydroxyl, C 1-4 alkoxy; and
- R 45 , R 46 , R 47 , R 48 , R 49 , R 50 , R 51 , R 52 , R 53 , R 54 , R 55 , R 57 , R 58 , R 59 , R 60 , R 61 , R 62 , R 63 , R 64 , R 66 , R 67 , R 68 , R 70 , R 71 , R 72 and R 73 each independently represent hydrogen, C 1-4 alkyl or C 3-6 cycloalkyl, wherein C 1-4 alkyl and C 3-6 cycloalkyl may be optionally substituted by one or more substituents independently selected from halogen, hydroxyl, C 1-4 alkoxy; or any of R 57 and R 58 , R 59 and R 60 , R 61 and R 62 or R 71 and R 72 , together with the nitrogen atom to which they are both attached, may form a 4 to 8 membered aliphatic heterocyclic ring
- Examples of convenient ring systems which may be present.as part of the hydrocarbyl linker include . wherein the heterocyclyl ring is unsubstituted or substituted by 1 or 2 substituents independently selected from, halogen, C 1 ⁇ alkyl (optionally substituted by OR 121 ,
- R -,133 represents Ci -6 alkyl or C 3 . 6 cycloalkyl, wherein C 1-6 alkyl and C 3-6 cycloalkyl may be optionally substituted by one or more substituents independently selected from halogen, hydroxyl, C 1-6 alkoxy; and p121 p122 p.123 p124 p125 p126 p127 p128 p129 p130 p131 p132 p134 p135 ⁇ p136 each independently represent hydrogen, Ci -6 alkyl or C 3-6 cycloalkyl, wherein C 1-6 alkyl and C 3 - 6 cycloalkyl may be optionally substituted by one or more substituents independently selected from halogen, hydroxyl, C 1-6 alkoxy; or any of R 122 and R 123 J R 127 and R 128 , R 129 and R 130 or R 134 and R 135 , together with the nitrogen atom to which they are both attached, may form a 4 to 8
- the chain may additionally comprise up to two carbon-carbon double bonds or a single carbon-carbon double bond.
- the chain may additionally comprise up to two carbon-carbon triple bonds or a single carbon-carbofi triple bond. • ;
- each of L 1 , L 2 , .L 3 and L 4 represent independently hydrogen or a C 1-4 alkyl group; in addition L 1 and/or L 3 may be linked to a carbon atom of the hydrocarbyl chain in linker L to form an aliphatic ring of up to 6 ring atoms, which ring may comprise up to two heteroatoms independently selected from N, O and S.
- said ring may, if an aliphatic ring system comprises up to 10, 9, 8, 7, 6, 5, 4 or 3 ring atoms, if an aromatic ring system then 10, 9, 6 or 5 ring atoms; each selected independently.
- L 1 and L 2 each independently represent hydrogen, Ci -4 alkyl or ,C 3-6 cycloalkyl. More conveniently L 1 and L 2 are each hydrogen.
- L 3 and L 4 each independently represent hydrogen, C 1-4 alkyl or C 3-6 cycloalkyl, which C 1-4 alkyl and C 3-6 cycloalkyl may be optionally substituted by one or more substituents independently selected from halogen and hydroxyl. More conveniently L 3 and L 4 are both hydrogen.
- the radical -C(L 1 )(L 2 )-L-C(L 3 )(L 4 )- is selected from:
- t is .0, 1 or 2
- u is 1 or 2;
- Ar is selected from: wherein
- a , A , and A are, independently, hydrogen, halogen, C 1-6 alkyl, Ci -6 alkoxy; and A d can also be CH 2 OH, NHCHO, NHS(O) 2 NA 14 VV" or NHSO 2 A V 1 T7l ..
- a or A are independently selected from hydrogen or Ci -6 alkyl
- Examples of C 1-6 alkyl include C 1-4 alkyl and C 1-2 alkyl.
- Examples of C 1-6 alkoxy include C 1-4 alkoxy and C 1-2 alkoxy.
- Ar is selected from:
- W is a group CR 8 , V is an oxygen atom and A is a nitrogen atom;
- W is a group CR 8 , V is a sulfur atom and A is a nitrogen atom;
- W is a group CR 8 , V is a nitrogen atom and A is an oxygen atom;
- W is a group CR 8 , V is a nitrogen atom and A is a sulfur atom;
- W is NR 11 , V is a nitrogen atom and A is an oxygen atom;
- W is a nitrogen atom, V is NR 11 , and A is an oxygen atom;
- W is a nitrogen atom, V is an oxygen atom and A is a nitrogen atom;
- W is an oxygen atom, V is a nitrogen atom and A is a nitrogen atom.
- R 8 may be hydrogen. . •
- R 4 and R 5 may both be both phenyl and R 6 may be -OH.
- a particular class of compounds of the invention consists of compounds of formula (I) wherein the non-aromatic nitrogen shown in formula (I) is a tertiary nitrogen.
- Another particular class of compounds of the invention consists of quaternary ammonium salts of formula (I) wherein the non-aromatic nitrogen shown in formula (I) is quaternary nitrogen, carrying a positive charge.
- a particular compound of the invention is:
- R 4 , R 5 and R 6 can also give rise to enantiomers.
- both enantiomers of the invention generally exhibit affinity at the M 3 receptor, although one enantiomer is generally favoured on criteria of potency at the M 3 receptor and/or selectivity against the M 2 receptor.
- the absolute stereochemistry of the favoured enantiomer is known.
- R 4 is a phenyl group
- R 5 is a cyclohexyl or cyclopentyl group
- R 6 is a hydroxyl group
- the carbon atom to which they are attached has the R- absolute configuration as dictated by Cahn-lngold-Preiog rules.
- Compounds of the invention may be useful in the treatment or prevention of diseases in which activation of muscarinic receptors are implicated, for example the present compounds are useful for treating a variety of indications, including but not limited to respiratory-tract disorders such as chronic obstructive lung disease (also known as chronic obstructive pulmonary disease or COPD), chronic bronchitis of all types (including dyspnoea associated therewith), asthma (allergic and non-allergic; 'whez- infant syndrome'), adult/acute respiratory distress syndrome (ARDS), chronic respiratory obstruction, bronchial hyperactivity, pulmonary fibrosis, pulmonary emphysema, and allergic rhinitis, exacerbation of airway hyperreactivity consequent to other drug therapy, particularly other inhaled drug therapy, pneumoconiosis (for example, aluminosis, anthracosis, asbestosis, chalicosis, ptilosis, siderosis, silicosis, tabaco
- a compound of present invention is useful in the treatment or prevention of respiratory-tract disorders such as chronic obstructive lung disease (also known as chronic obstructive pulmonary disease, COPD), chronic bronchitis of all types (including dyspnoea associated therewith), asthma (allergic and non-allergic; 'whez- infant syndrome'), adult/acute respiratory distress syndrome (ARDS), chronic respiratory obstruction, bronchial hyperactivity, pulmonary fibrosis, pulmonary emphysema, and allergic rhinitis, exacerbation of airway hyperreactivity consequent to other drug therapy, particularly, other .
- chronic obstructive lung disease also known as chronic obstructive pulmonary disease, COPD
- chronic bronchitis of all types including dyspnoea associated therewith
- asthma allergic and non-allergic; 'whez- infant syndrome'
- adult/acute respiratory distress syndrome ARDS
- chronic respiratory obstruction bronchial hyperactivity, pulmonary fibrosis,
- pneumoconiosis for example aluminosis, anthracosis, asbestosis, chalicosis, ptilosis, siderosis, silicosis, tabacosis and byssinosis.
- quaternary ammonium salts of the invention administered by inhalation is may be more than 12, or more than 24 hours for a typical dose.
- administration by the parenteral route usually the oral route may be preferred.
- Another. aspect of the invention is a pharmaceutical composition
- a pharmaceutical composition comprising a . compound of the invention and a pharmaceutically acceptable carrier, diluent or excipient.
- Another aspect of the invention is the use of a compound of the invention for the manufacture of a medicament for the treatment or prevention of a disease or condition in which muscarinic M3 receptor activity and (32-adrenergic activity are implicated.
- Diseases or conditions in which muscarinic M3 receptor activity and ⁇ 2- adrenergic activity are implicated include respiratory-tract disorders, gastrointestinal- tract disorders and cardiovascular disorders. Specific examples of such diseases and conditions include those listed above. :
- Another aspect of the invention provides a compound of the .invention for the treatment or prevention of a disease or condition in which muscarinic M3 receptor activity and ⁇ 2-adrenergic activity are implicated.
- Diseases or conditions in which muscarinic M3 receptor activity and ⁇ 2-adrenergic activity are implicated include respiratory-tract disorders, gastrointestinal-tract disorders and cardiovascular disorders. Specific examples of such diseases and conditions include those listed above. .
- Another aspect of the invention provides a method of treatment of a disease or condition in which M3 muscarinic receptor activity and ⁇ 2-adrenergic activity are implicated comprising administration to a subject in need thereof a therapeutically effective amount of a compound of the invention.
- Diseases or conditions in which muscarinic M3 receptor activity and ⁇ 2-adrenergic activity are implicated include respiratory-tract disorders, gastrointestinal-tract disorders and cardiovascular disorders. Specific examples of such diseases and conditions include those listed above.
- Another aspect of the invention provides a compound of the invention for use in therapy.
- acyl means a -CO-alkyl group in which the alkyl group is as described herein.
- exemplary acyl groups include -COCH 3 and -COCH(CH 3 ) 2 .
- acylamino means a -NR-acyl group, jn which R and acyl are as described herein.
- exemplary acylamino groups include -NHCOCH 3 and -N(CH 3 )COCH 3 .
- Alkoxy and “alkyloxy” means an -O-a ' lkyl group in which alkyl is as described below.
- exemplary alkoxy groups include methoxy (-OCH 3 ) and ethoxy (-OC 2 H 5 ).
- Alkoxycarbonyl means a -COO-alkyl group in which alkyl is as defined below.
- exemplary alkoxycarbonyl groups include methoxycarbonyl and ethoxycarbonyl.
- Alkyl as a group or part of a group refers to a straight or branched chain saturated hydrocarbon group having from 1 to 12, conveniently 1 to 6, carbon atoms, in the chain.
- exemplary alkyl groups include methyl, ethyl, 1 -propyl and 2-propyl.
- alkenyl as a group or part of a group refers to a straight or branched chain hydrocarbon group having from 2 to 12, conveniently 2 to 6, carbon atoms and one or more carbon-carbon double bonds in the chain.
- exemplary alkenyl groups include ethenyl, 1 -propenyl, and 2-propenyl.
- Alkylamino means a -NH-alkyl group in which aikyl is as defined above.
- Exemplary alkylamino groups include methylamino and ethylamino.
- Alkylene means an -alkyl- group in which alkyl is as defined previously.
- exemplary alkylene groups include -CH 2 -, -(CH 2 ) 2 - and -C(CH 3 )HCH 2 -.
- alkenylene means an -alkenyl- group in which alkenyl is as defined previously.
- Alkynylene means an -alkynyl- group in which -alkynyl- refers to a straight or branched chain hydrocarbon group having from 2 to 12, conveniently 2 to 6, carbon atoms and one carbon-carbon triple bond in the chain.
- exemplary alkynylene groups include ethynyl and propargyl.
- Alkylsulfinyl means a -SO-alkyl group in which alkyl is as defined above.
- exemplary alkylsulfinyl groups include methylsulfinyl and ethylsulfinyl.
- Alkylsulfonyl or “sulfonyl” each means a -SO 2 -alkyl group in which alkyl is as defined above.
- exemplary alkylsulfonyl groups include m ethyls u If onyl and ethylsulfonyl.
- Alkylthio means a -S-alkyl group in which alkyl is as defined above.
- exemplary alkylthio groups include methylthio and ethylthio.
- aminoacyl means a -CO-NRR group in which R is as herein described.
- exemplary aminoacyl groups include -CONH 2 and -CONHCH 3 .
- Aminoalkyl means an alkyl-NH 2 group in which alkyl is as previously described.
- exemplary aminoalkyl groups include -CH 2 NH 2 .
- Aminosulfonyl means a -SO 2 -NRR group in which R is as herein described. ⁇ Exemplary aminosulfonyl groups include -SO 2 NH 2 and -SO 2 NHCH 3 . . "Aryl” as a group or part of a group denotes an optionally substituted monocyclic or multicyclic aromatic carbocyclic moiety of from 6 to 14 carbon atoms, conveniently from 6 to 10 carbon atoms, such as phenyl or naphthyl. Phenyl is an example of a convenient aryl group. The aryl group, specifically a. phenyl group, may be substituted by one or more substituent groups. . . "Arylalkyl” means an aryl-alkyl- group in which the aryl and alkyl moieties are as previously described. Convenient arylalkyl groups contain a C 1 4 alkyl moiety.
- arylalkyl groups include benzyl, phenethyl and naphthlenemethyl.
- Arylalkyloxy means an aryl-alkyloxy- group in which the aryl and alkyloxy moieties are as previously described. Convenient arylalkyloxy groups contain a C 1 4 alkyl moiety. Exemplary arylalkyl groups include benzyloxy.
- Aryl-fused-cycloalkyl means a monocyclic aryl ring, such as phenyl, fused to a cycloalkyl group, in which the aryl and cycloalkyl are as described herein.
- Exemplary aryl-fused-cycloalkyl groups include tetrahydronaphthyl and indanyl.
- the aryl and cycloalkyl rings may each be substituted by one or more substituent groups.
- the aryl- fused-cycloalkyl group may be attached to the remainder of the compound by any available carbon atom.
- Aryl-fused-heterocycloalkyl means a monocyclic aryl ring, such as phenyl, fused to a heterocycloalkyl group, in which the aryl and heterocycloalkyl are as described herein.
- Exemplary aryl-fused-heterocycloalkyl groups include tetrahydroquinolinyl, indolinyl, benzodioxinyl, benxodioxolyl, dihydrobenzofuranyl and- isoindolonyl.
- the aryl and heterocycloalkyl rings may each be substituted by one or more substituent groups.
- the aryl-fused-heterocycloalkyl group may be attached to the remainder of the compound by any available carbon or nitrogen atom.
- Aryloxy means an -O-aryl group in which aryl is described above.
- Exemplary aryloxy groups include phenoxy.
- Cyclic amine means an optionally substituted 3 to 8 membered monocyclic cycloalkyl ring system where one of the ring carbon atoms is replaced by nitrogen, and which may optionally contain an additional heteroatom selected from O, S or NR (where R is as described herein).
- Exemplary cyclic amines include pyrrolidine, piperidine, morpholine, piperazine and ⁇ /-methylpiperazine. The cyclic amine group may be substituted by one or more substituent groups.
- Cycloalkyl means an optionally substituted saturated monocyclic or bicyclic ring system of from 3 to 12 carbon atoms, conveniently from 3 to 8 carbon atoms* and more conveniently from 3 to 6 carbon atoms.
- Exemplary monocyclic cycloalkyl rings include cyclopropyl, cyclopentyl, cyclohexyl and cycloheptyl.
- the cycloalkyl group may be substituted by one or more substituent groups.
- Cycloalkylalkyl means a cycloalkyl-alkyl- group in which the cycloalkyl and alkyl moieties are as previously described.
- Exemplary monocyclic cycloalkylalkyl groups include cyclopropylmethyl, cyclopentylmethyl, cyclohexylmethyl and cycloheptylmethyl.
- Dendrimer means a multifunctional core group with a branching group attached to each functional site. Each branching site can be attached to another branching molecule and this process may be repeated multiple times.
- Dialkylamino means a -N(alkyl)2 group in which alkyl is as defined above.
- dialkylamino groups include dimethylamino ' and diethylamino.
- "Halo” or “halogen” means fluoro, chloro, bromo, or iod ⁇ . Most convenient are fluoro or chloro.
- ⁇ "Haloalkoxy” means an -O-alkyl group in which the alkyl is substituted by one or more halogen atoms.
- Exemplary haloalkyl groups include trifluoromethoxy and difluoromethoxy.
- Haloalkyl means an alkyl group which is substituted by one or more halo atoms.
- exemplary haloalkyl groups include trifluoromethyl.
- Heteroaryl as a group or part of a group denotes an optionally substituted aromatic monocyclic or multicyclic organic moiety of from 5 to 14 ring atoms, conveniently from 5 to 10 ring atoms, in which one or more of the ring atoms is/are element(s) other than carbon, for example nitrogen, oxygen or sulfur.
- Examples of such groups include benzimidazolyl, benzoxazolyl, benzothiazolyi, benzof ⁇ ranyl, benzothienyl, furyl, imidazolyl, indolyl, indolizinyl, isoxazolyl, isoquinolinyl, isothiazolyl, oxazolyl, oxadiazolyl, pyrazinyl, pyridazinyl, pyrazolyl, pyridyl, pyrimidinyl, pyrrolyl, quinazolinyl, quinolinyl, tetrazolyl, 1 ,3,4-thiadiazolyl, thiazolyl, thienyl and triazolyl groups.
- the heteroaryl group may be substituted by one or more substituent groups.
- the heteroaryl group may be attached to the remainder of the compound of the invention by any available carbon or nitrogen atom.
- Heteroarylalkyl means a heteroaryl-alkyl- group in which the heteroaryl and alkyl moieties are as previously described. Convenient heteroarylalkyl groups contain a lower alkyl moiety. Exemplary heteroarylalkyl groups include pyridylmethyl. . "Heteroarylalkyloxy” means a heteroaryl-alkyloxy- group in which the heteroaryl and alkyloxy moieties are as previously described. Convenient heteroarylalkyloxy groups contain a lower alkyl moiety. Exemplary heteroarylalkyloxy groups include pyridylmethyloxy.
- Heteroarylene means a -heteroaryl- group where heteroaryl is as described in "Heteroaryl” above which is linked to. two or more other groups.
- exemplary groups include 2,5-furyl, 2,5-thienyl, 2,4-thiazolyl, 2,5-thiazolyl and 2,6-pyridyl.
- Heteroaryloxy means a heteroaryloxy- group in which the heteroaryl is as previously described.
- exemplary heteroaryloxy groups include pyridyloxy.
- Heteroaryl-fused-cycloalkyl means a monocyclic heteroaryl group; such as pyridyl or furanyl, fused to a cycloalkyl group, in which heteroaryl and cycloalkyl are as previously described.
- Exemplary heteroaryl-fused-cycloalkyl groups include tetrahydroquinolinyl and tetrahydrobenzofuranyl.
- the heteroaryl and cycloalkyl rings may each be substituted by one or more substituent groups.
- the heteroaryl-fused- cycloalkyl group may be attached to the remainder of the compound by any available carbon or nitrogen atom.
- Heteroaryl-fused-heterocycloalkyl means a monocyclic heteroaryl group, such as pyridyl or furanyl, fused to a heterocycloalkyl group, in which heteroaryl and heterocycloalkyl are as previously described.
- Exemplary heteroaryl-fused- heterocycloalkyl groups include dihydrodioxinopyridinyl, dihydropyrrolopyridinyl, dihydrofuranopyridinyl and dioxolopyridinyl.
- the heteroaryl and heterocycloalkyl rings may each be substituted by one or more substituents groups.
- the heteroaryl-fused- heterocycloalkyl group may be attached to the remainder of the compound by any available carbon or nitrogen atom. . . " •
- Heterocycloalkyl means: (i) an optionally substituted cycloalkyl group of from 4 to 8 ring members which contains one or more heteroatoms selected from O, S or NR; (ii) a cycloalkyl group of from 4 to 8 ring members which contains CONR or
- heterocycloalkyl group may be substituted by one or more substituent groups.
- the heterocycloalkyl group may be attached to the remainder of the compound by any available carbon or nitrogen atom.
- Heterocycloalkylalkyl means a heterocycloalkyl-alkyl- group in which the heterocycloalkyl and alkyl moieties are as previously described.
- “Hydrocarbyl” means a straight or branched chain saturated or unsaturated hydrocarbon group having from 1 to 14, or conveniently 1 to 12, or more conveniently 1 -8, or more conveniently still 1 -4, carbon atoms in the chain. Where possible, the chain may comprise up to three carbon-carbon double bonds or up to three carbon- carbon triple bonds. . . • ' "Lower alkyl” as a group means unless otherwise specified, an aliphatic hydrocarbon group which may be straight or branched having 1 to 4 carbon atoms in the chain, i.e. methyl, ethyl, propyl (propyl or /so-propyl) or butyl (butyl, /sobutyl or tert- butyl).
- Phenylene means -a -phenyl- group. Exemplary groups are 1 ,3-phenylene and 1 ,4-phenylene.
- “Sulfonylamino” means a -NR-sulfonyl group in which R and sulfonyl are as described herein.
- Exemplary sulfonylamino groups include -NHSO 2 CH 3 .
- a substituent designatation R in any of the above definitions means hydrogen, alkyl, aryl, or heteroaryl as described herein, and when two R groups are present on a group (for example on -SO 2- NRR) then the R groups can be the same or different.
- “Pharmaceutically acceptable salt” means a physiologically or toxicologically tolerable salt and includes, when appropriate, pharmaceutically acceptable base addition salts, pharmaceutically acceptable acid addition salts, and pharmaceutically, acceptable . quaternary ammonium salts.
- a compound of the invention contains one or more acidic groups, for example carboxy groups
- pharmaceutically acceptable base addition salts that may be formed include sodium, potassium, calcium, magnesium and ammonium salts, or salts with organic amines, such as, diethylamine, ⁇ /-methyl- glucamine, diethanolamine or amino acids (e.g. lysine) and the like;
- organic amines such as, diethylamine, ⁇ /-methyl- glucamine, diethanolamine or amino acids (e.g. lysine) and the like
- amino acids e.g. lysine
- salts that may be formed include hydrochlorides, hydrobromides, sulfates, phosphates, acetates, citrates, lactates; tartrates, mesylates, napadisylate (naphthalene-1 ,5-disulfonate or naphthalene-1 - (sulfonic acid)-5-sulfonate), edisylate (ethane-1 ,2-disulfonate or ethane-1 -(sulfonic acid)- 2 ⁇ sulfonate), maleates, fumarates, succinates and the like; (iii) when R 3 is not a lone pair the compound of formula (I) has a quaternary ammonium group for which the counter-ion may be, for example, chloride, bromide, sulfate, methanesulfonate, benzenesulf
- the present invention covers all permissible ratios of cationic ammonium species to counter-ion, for example hemi-napadisylate and napadisylate.
- references to the compounds of the invention are meant to also include the pharmaceutically acceptable salts.
- “Prodrug” refers to a compound which is convertible in vivo by metabolic means (e.g. by hydrolysis, reduction or oxidation) to a compound of the invention. Suitable groups for forming pro-drugs are described in 'The Practice of Medicinal Chemistry, 2 nd Ed. pp561 -585 (2003) and in F. J. Leinweber, Drug Metab. Res., , 18, 379. (1987) It will be understood that, as used in herein, references to the compounds of the invention are meant to also include the prodrug forms.
- “Saturated” pertains to compounds and/or groups which do not have any carbon-carbon double bonds or carbon-carbon triple bonds.
- cyclic groups referred to above namely, aryl, heteroaryl, cycloalkyl,. aryl- fused-cycloalkyl, heteroaryl-fused-cycloalkyl, heterocycloalkyl, aryl-fused- heterocycloalkyl, heteroaryl-fused-heterocycloalkyl and cyclic amine are unsubstituted or substituted by one or more of the same or different substituent groups.
- substituents include -Cl, -F, -CH 3 , -OCH 3 , -OH, -CN, -COOCH 3 , -CONH 2 ,
- a first class of substituent includes acyl (e.g. -COCHJ, alkoxy (e.g., -OCHJ, alkoxycarbonyl (e.g. -COOCH 3 ), alkylamino (e.g. -NHCH 3 ), alkylsulfinyl (e.g. -SOCH 3 ), alkylsulfonyl (e.g. -SO 0 CHJ, alkylthio (e.g. -SCHJ, -NH 2 , aminoacyl (e.g. -CON(CH 3 ) 2 ), aminoalkyl (e.g. -CH 0 NHJ, cyano, dialkylamino (e.g.
- haloalkoxy e.g. -OCF, or -OCHFJ
- haloalkyl e.g. -CFJ, alkyl (e.g. -CH, or -CH CHJ, -OH, -CHO
- -COOH e.g. -COOH, -NO 2 , aminoacyl (e.g. -CONH 2 , -CONHCH 3 ), aminosulfonyl (e.g. -SO 2 NH 2 , - SO 2 NHCH 3 ), acylamino (e.g. -NHCOCH 3 ) and sulfonylamino (e.g. -NHSO 2 CH 3 ); and (b)a second class of substituent includes arylalkyl (e.g. -CH 2 Ph or
- aryl e.g. morpholine
- aryloxy, heteroaryloxy, arylalkyloxy e.g. benzyloxy
- heteroarylalkyloxy the cyclic part of any of which being optionally substituted by any of the first class of substituent referred to above (for example alkoxy, haloalkoxy, halogen, alkyl and haloalkyl).
- Alkylene or alkenylene groups may be optionally substituted. Suitable optional substituent groups include alkoxy (e.g., -OCH 3 ), alkylamino (e.g. -NHCH 3 ), alkylsulfinyl
- alkylsulfonyl e.g. -SO 2 CH 3
- alkylthio e.g. -SCH 3
- -NH 2 aminoalkyl (e.g. -CH 2 NH 2 ), arylalkyl (e.g. -CH 2 Ph or -CH 2 -CH 2 -Ph), cyano, dialkylamino (e.g. -N(CHJJ, halo, haloalkoxy (e.g. -OCF, or -OCHFJ, haloalkyl (e.g. -CFJ, alkyl (e.g. - CH, or -CH CH J, -OH, -CHO, and -NO 2 .
- haloalkyl e.g. -CFJ
- Compounds of the invention may exist in one or more geometrical, optical, enantiomeric, diastereomeric and tautomeric forms, including but not limited to cis- and /rans-forms, E- and Z-forms, R-, S- and meso-forms, keto-, and enol-forms. Unless otherwise stated a reference to a particular compound includes all such isomeric forms, including racemic and other mixtures thereof. Where appropriate such isomers can be separated from their mixtures by the application or adaptation of known methods (e.g. chromatographic techniques and recrystallisation techniques). Where appropriate such isomers may be prepared by the application of adaptation of known methods (e.g. asymmetric synthesis).
- R 1 is H or Ci-C 6 -alkyl, such as methyl or ethyl; and R 3 is a lone pair or CrC 6 -alkyl, such as methyl or ethyl.
- R 1 and R 3 together with the nitrogen to which' they are attached form a heterocycloalkyl ring.
- R 1 and R 3 together with the nitrogen to which they are attached may form a monocyclic ring of from 3 to 7 ring atoms, in which the hetero-atoms are nitrogen.
- examples of such rings include azetidinyl, piperidinyl, piperazinyl, N-substituted piperazinyl such as methylpiperazinyl, and pyrrolidinyl rings.
- R 1 is methyl or ethyl
- R 3 is a lone pair, methyl or ethyl
- L a and Z 1 are as defined above.
- R 1 is hydrogen, methyl or ethyl
- R 3 is a lone pair, methyl or ethyl
- L a and Z 1 are as defined above.
- R 4 and R 5 may be independently selected from any of those aryl, aryl-fused- heterocycloalkyl, heteroaryl, CVCe-alkyl, or cycloalkyl groups specifically mentioned in the discussion of R 5 above.
- R 6 may be -OH, a hydrogen atom, CrC 6 -alkyl such as methyl or ethyl, C r C 6 -alkoxy such as methoxy or ethoxy, hydroxy-C r C 6 -alkyl such as hydroxymethyl, nitrile, or a group CONR 8 2 wherein each R 8 is independently C 1 -C 6 - alkyl such as methyl or ethyl, or a hydrogen atom.
- R 6 is -OH.
- Convenient combinations of R 4 and R 5 , especially when R 6 is -OH include those wherein (i) each of R 4 and R 5 is optionally substituted monocyclic heteroaryl of 5 or 6 ring atoms such as pyridyl, oxazolyl, thiazolyl, furyl and especially thienyl such a 2- thienyl; (ii) each of R 4 and R 5 is optionally substituted phenyl; (iii) one of R 4 and R 5 is optionally substituted phenyl and the other is cycloalkyl such as cyclopropyl, cyclobutyl, cycloheptyl , cyclooctyl or especially cyclopentyl or cyclohexyl;.and (iv) one of R 4 and R 5 is optionally substituted monocyclic heteroaryl of 5 or 6 ring atoms such as pyridyl, thien
- R 4 and R 5 are phenyl and the other is cycloalkyl, especially cyclohexyl, or (ii) when both R 4 and R 5 are phenyl.
- the carbon atom to which R 4 , R 5 and R 6 are attached can be an asymmetric centre so compounds of the invention may be in the form of single enantiomers or mixtures of enantiomers. Examples of configurations of this carbon atom include:
- the divalent heterocyclic radical B has been defined as a 5-membered heterocyclic ring selected from the group;
- the group R 11 may be selected from a hydrogen atom or a C 1 -C 3 -BIkVl, especially a methyl group.
- X may be an alkylene, alkenylene or alkynylene radical, it is convenient that it be alkylene, for example ethylene or methylene. • ' .
- L 1 , L 2 , L 3 and L 4 are defined above.
- L 1 , L 2 , L 3 and L 4 are hydrogen or C 1-3 alkyl.
- Up to three of the carbon atoms of the hydrocarbyl group L may be substituted with groups as defined above.
- the group L is an alkylene chain, moreconveniently C 5 -C 7 -alkylene, or one of the carbon atoms is replaced by a. group selected from O, NR 46 C(O) or C(O)NR 47 .
- Up to four carbon atoms of the chain may form part of a mono- or bicyclic aliphatic, heteroaliphatic, aromatic or heteroaromatic ring as described in the definition of L above.
- One convenient combination is for four of the carbon atoms to be incorporated into a phenyl ring to give a 1 ,4-phenylene, or a 1 ,3-phenyIene group.
- the radical Z 1 is a moiety having ⁇ 2-adrenoreceptor binding activity, such as a ⁇ 2 agonist group as defined above. • .
- Compounds of the invention are ⁇ 2-adrenergic binding compounds. Such compounds may be antagonists, partial agonists or full agonists. Compounds that are antagonists are useful tools, for example, for the generation of structure-activity relationships and as radioligands. Compounds that are partial or full agonists may be useful as pharmacological compounds for the treatment of the diseases described above. Compounds that are antagonists are conveniently those wherein Z 1 is a group of formula (Ic), whilst those that are partial or full agonists are conveniently those wherein Z 1 is a group of formula (Ib).
- the group Ar is (i) a 4-hydroxy-3- hydroxymethyl-phenyl group, (ii) a 3-formylamino-4-hydroxy-phenyl group, or especially, (iii) an 8-hydroxy-2-oxo-1 ,2-dihydroquinolinyl group or (iv) a 4-hydroxy-2- oxo-2,3-dihydro-benzothiazolyl group.
- groups of formula (Ic) it is convenient that the group Ar is a 4-hydroxy-2-oxo-2,3-dihydro-benzothiazolyl group.
- the present invention is also concerned with pharmaceutical formulations comprising, as an active ingredient, a compound of the invention.
- Other compounds may be combined with compounds of this invention for the prevention and treatment of inflammatory diseases of the lung.
- the present invention is also concerned with pharmaceutical compositions for preventing and treating respiratory-tract disorders such as chronic obstructive lung disease, chronic bronchitis, asthma, chronic respiratory obstruction, pulmonary fibrosis, pulmonary emphysema, and allergic rhinitis comprising a therapeutically effective amount of a compound of the invention and one or more other therapeutic agents. • • • .
- the invention includes a combination of an agent of the invention as hereinbefore described with one or more anti-inflammatory, bronchodilator, antihistamine, decongestant or anti-tussive agents, said agents of the invention hereinbefore described and said combination agents existing in the same or different pharmaceutical compositions, administered separately or simultaneously.
- Preferred combinations would have two or three different pharmaceutical compositions.
- Suitable therapeutic agents for a combination therapy with compounds of the invention include:
- bronchodilators such as PDE3 inhibitors; Methyl xanthines such as theophylline; A corticosteroid, for example fluticasone propionate, ciclesonide, morhetasone furoate or budesonide, or steroids described in WO02/88167, WO02/12266, WO02/100879, WO02/00679, WO03/35668, WO03/48181 , WO03/62259, WO03/64445,
- a non-steroidal glucocorticoid receptor agonist A non-steroidal glucocorticoid receptor agonist
- a leukotriene modulator for example montelukast, zafirlukast or pranlukast
- protease inhibitors such as inhibitors of matrix metalloprotease for example MMP12 and TACE inhibitors such as marimastat, DPC-333, GW-3333
- MMP12 matrix metalloprotease
- TACE inhibitors such as marimastat, DPC-333, GW-3333
- WO04/024700 WO04/024701 , WO04/020410, WO04/020412, WO05/080372, WO05/082863, WO05/082864, WO03/053930;
- Phosphodiesterase-4 (PDE4) inhibitors for example roflumilast, arofylline, c ⁇ omilast,
- An antitussive agent such as codeine or dextramorphan
- Kinase inhibitors particularly P38 MAPKinase inhibitors
- P2X7 anatgonists P2X7 anatgonists; iNOS inhibitors;
- NSAID non-steroidal anti-inflammatory agent
- ibuprofen or ketoprofen for example ibuprofen or ketoprofen
- dopamine receptor antagonist for example ibuprofen or ketoprofen
- TNF- ⁇ inhibitors for example anti-TNF monoclonal antibodies, such as Remicade and CDP-870 and TNF receptor immunoglobulin molecules, such as Enbrel;
- A2a agonists such as those described in EP1052264 and EP1241176;
- A2b antagonists such as those described in WO2002/42298; Modulators of chemokine receptor function, for example antagonists of CCR1 , CCR2,
- Th1 or Th2 Compounds which modulate Th1 or Th2 function, for example, PPAR agonists; lnterleukin 1 receptor antagonists, such as Kineret; interleukin 10 agonists, such as llodecakin;
- HMG-CoA reductase inhibitors for example rosuvastatin, mevastatin, lovastatin, simvastatin, pravastatin and fluvastatin; Mucus regulators such as INS-37217, diquafosol, sibenadet, CS-003, talnetant, DNK-
- Antiinfective agents antibiotic or antiviral
- antiallergic drugs including, but not limited to, anti-histamines.
- the present invention privides a combination comprising a compound of formula (I) and an inhaled corticosteroid (for example fluticasone propionate, ciclesonide, mometasone furoate or budespnide), or an inhaled PDE 4 inhibitor (for example roflumilast, cilomilast, Tofimilast).
- an inhaled corticosteroid for example fluticasone propionate, ciclesonide, mometasone furoate or budespnide
- an inhaled PDE 4 inhibitor for example roflumilast, cilomilast, Tofimilast
- the weight ratio of the first and second active ingredients may be varied and will depend upon the effective dose of each ingredient. Generally, an effective dose of each will be used.
- any suitable route of administration may be employed for providing a mammal, especially a human, with an effective dosage of a compound of the present invention.
- the active compound may be administered by any convenient, suitable or effective route.
- Suitable routes of administration are known to those skilled in the art, and include oral, intravenous, rectal, parenteral, topical, ocular, nasal, buccal and pulmonary.
- prophylactic or therapeutic dose of a compound of the invention will, of course, vary depending upon a range of factors, including the activity of the specific compound that is used, the age, body weight, diet, general health and sex of the patient, time of administration, the route of administration, the rate of excretion, the use of any other drugs, and the severity of the disease undergoing treatment.
- the daily dose range for inhalation will lie within the range of from about •0.1 ⁇ g to about 10 mg per kg body weight of a human, preferably 0.1 ⁇ g to about 0.5 mg per kg, and more preferably 0.1 ⁇ g to 50 ⁇ g per kg, in single or divided doses. On the other hand, it may be necessary to use dosages outside these limits in some cases.
- compositions suitable for administration by inhalation are known, and may . include carriers and/or diluents that are known for use in such compositions.
- the composition may contain 0.01 -99% by weight of active compound.
- a unit dose comprises the active compound in an amount of 1 ⁇ g to 10 mg.
- suitable doses are 10 ⁇ g per kg to 10Omg per kg, preferably 40 ⁇ g per kg to 4 mg per kg. .
- compositions which comprise a compound of the invention and a pharmaceutically acceptable carrier.
- composition is intended to encompass a product comprising the active ingredient(s), and the inert ingredient(s) (pharmaceutically acceptable excipients) that make up the carrier, as well as any product which results, directly or indirectly, from combination, complexation or aggregation of any two or more of the ingredients, or from dissociation of one or more of the ingredients, or from other types of reactions or interactions of one or more of the ingredients.
- the pharmaceutical compositions of the present invention encompass any composition made by admixing a compound of the invention, additional active ingredient(s), and pharmaceutically acceptable excipients. .
- compositions of the present invention comprise a compound of the invention as an active ingredient or a pharmaceutically acceptable salt thereof, . and may also contain a pharmaceutically acceptable carrier and optionally other therapeutic ingredients.
- pharmaceutically acceptable salts refers to salts prepared from pharmaceutically acceptable non-toxic bases or acids including inorganic bases or acids and organic bases or acids, and salts of quaternary ammonium compounds with pharmaceutically acceptable counter-ions.
- the active compound is preferably in the form of microparticles. They may be prepared by a variety of techniques, including spray- drying, freeze-drying and micronisation.
- a composition of the invention may be prepared as a suspension for delivery from a nebuliser or as an aerosol in a liquid propellant, for example for use in a pressurised metered dose inhaler (PMDI).
- PMDI pressurised metered dose inhaler
- Propellants suitable for use in a PMDI are known to the skilled person, and include CFC-12, HFA-134a, HFA-227, HCFC-22 ' (CCI 2 F 2 ) and HFA-152 (C 2 H 4 F 2 ) and isobutane.
- a composition of the invention is in dry powder form, for delivery using a dry powder inhaler (DPI).
- DPI dry powder inhaler
- Microparticles for delivery by administration may be formulated with excipients that aid delivery and release.
- microparticles may be formulated with large carrier particles that aid flow from the DPI into the lung.
- Suitable carrier particles are known, and include lactose particles; they may have a mass median aerodynamic diameter of greater than 90 ⁇ m.
- the active compounds may be dosed as described depending on the inhaler system used.
- the administration forms may additionally contain excipients, such as, for example, propellants ⁇ e.g. Frigen in the case of metered aerosols), surface-active substances, emulsifiers, stabilizers, preservatives, flavorings, fillers (e.g. lactose in the case of powder inhalers) or, if appropriate, further active compounds.
- Volumatic® Volumatic®
- Automatic devices emitting a puffer spray for metered aerosols
- a number of technical solutions are available (e.g. Diskhaler®, Rotadisk®, Turbohaler® or the inhalers for example as described EP-A-0505321 ).
- compounds of the invention may be delivered in multi-chamber devices thus allowing for delivery of combination agents.
- the compounds of the invention of the present invention can be prepared according to the procedures of the following schemes and examples, using appropriate materials, and are further exemplified by the following specific examples. Moreover, by utilising the procedures described with the disclosure contained herein, one of ordinary skill in the art can readily prepare additional compounds of the present invention claimed herein. The compounds illustrated in the examples are not, however, to be construed as forming the only genus that is considered as the invention. The examples further illustrate details for the preparation of the compounds of the present invention. Those skilled in the art will readily understand that known variations of the conditions and processes of the following preparative procedures can be used to prepare these compounds.
- the compounds of the invention may be isolated in the form of their pharmaceutically acceptable salts, such as those described previously herein above. It may be necessary to protect reactive functional groups (e.g. hydroxy, amino, thio or carboxy) in intermediates used in the preparation of compounds of the invention to avoid their unwanted participation in a reaction leading to the formation of the compounds.
- reactive functional groups e.g. hydroxy, amino, thio or carboxy
- Conventional protecting groups for example those described by T. W. Greene and P. G. M. Wuts in "Protective groups in organic chemistry” John Wiley and Sons, 1999, may be used.
- the invention further provides a process for the preparation of a compound of formula (I) or a pharmaceutically acceptable salt thereof as defined above which comprises:
- LG 1 represents a leaving group such as chloride, bromide, iodide, methanesulfonate or para-toluenesulfonate
- L, L 2 , L 3 , L 4 , R 1 , R 4 , R 5 , R 6 , A, W, V and X and R 8 are as defined in formula (Ia), with a compound of formula (III), or a suitable salt thereof such as a hydrobromide, acetate or hydrochloride salt
- P 1 is hydrogen or a protective group such as ferf-butyldimethyl silyl in the presence of a base such as potassium carbonate, triethylamine or diisopropylethylamine, followed by removal of the protective group (e.g.
- LG 1 represents a leaving group such as chloride, bromide, iodide, methanesulfonate or para-toluenesulfonate
- P 2 represents a protective group (e.g. tert-butylcarbonyl) and L, L 2 , L 3 , L 4 , R 4 , R 5 , R 6 , R 8 A, W, V and X are as defined in formula (Ia), with a compound of formula (III), or a suitable salt thereof (e.g. hydrobromide, hydrochloride salt or acetate), in the presence of a base (e.g. potassium carbonate, triethylamine or diisopropylethylamine) followed by removal of the protective group (e.g. treatment with hydrochloric or trifluoroacetic acid); or
- a base e.g. potassium carbonate, triethylamine or diisopropylethylamine
- P 2 represents a protective group (e.g. tert-butylcarbonyl) with-a compound of formula (III), or a suitable salt thereof (e.g. hydrobromide, hydrochloride salt or acetate), in the presence of a suitable reducing agent (e.g. sodium cyanoborohydride, sodium triacetoxyborohydride, or hydrogen in the presence of a suitable palladium on carbon or platinum oxide catalyst), followed by removal of the protective group (e.g. treatment with hydrochloric or trifluoroacetic acid); or (e)when R 4 does not represent hydrogen, reacting a compound of formula (VII), or a suitable salt thereof
- a protective group e.g. tert-butylcarbonyl
- a suitable salt thereof e.g. hydrobromide, hydrochloride salt or acetate
- a suitable reducing agent e.g. sodium cyanoborohydride, sodium triacetoxyborohydride, or hydrogen in the presence of a suitable palladium
- L, L 1 , L 2 , L 3 , L 4 , R 1 , R 4 , R 5 , R 6 , R 8 A, W, V and X are as defined in formula (Ia)
- P 3 represents hydrogen or an activating group (e.g. 3-nitrophenylsulfonyl) with a compound of formula (VIII), or a suitable salt thereof,
- LG 2 represents a leaving group (e.g. chloride, bromide, iodide, methanesulfonate or para-toluenesulfonate) and P 1 is as defined in compound of formula (III) in the presence of a base (e.g. when P 3 is hydrogen, potassium carbonate, triethylamine, diisopropylethylamine and, when P 3 is 3-nitrophenylsulfonyl, sodium hydride or lithium di-/so-propylamide), followed by removal of the protective groups (e.g. using hydrofluoric acid-pyridine complex, thiophenol, thioacetic acid); or with a compound of formula (IX), or a suitable salt thereof, . .
- a base e.g. when P 3 is hydrogen, potassium carbonate, triethylamine, diisopropylethylamine and, when P 3 is 3-nitrophenylsulfonyl, sodium hydride or lithium di-
- a base e.g. when P 3 is hydrogen, potassium carbonate, triethylamine, diisopropylethylamine and, when P 3 is 3-nitrophenylsulfonyl, sodium hydride or lithium di-/so-propylamide
- the protective groups e.g. trifluoroacetic acid, thiophenol, thioacetic acid
- a compound of formula (X) or a suitable salt thereof
- LG 2 represents a leaving group (e.g. chloride, bromide, iodide, methanesulfonate or para- toluenesulfonate) in the presence of a base (e.g. when P 3 is hydrogen, potassium carbonate, triethylamine, diisopropylethylamine and, when P 3 is 3-nitrophenylsulfonyl, sodium hydride or lithium di-/so-propylamide), followed by reduction of the ketone (e.g. using sodium borohydride or a borane/chiral catalyst complex), followed by removal of the protective groups (e.g. trifluoroacetic acid, thiophenol, thioacetic acid); or (f)When R 4 represents hydrogen, reacting a compound of formula (Xl)
- a base e.g. when P 3 is hydrogen, potassium carbonate, triethylamine, diisopropylethylamine and, when P 3 is 3-nitrophenyls
- L, L 1 , L 2 , L 3 , L 4 , R 4 , R 5 , R 6 , R 8 A, W, V and X are as defined in formula (Ia),
- P 2 represents a protective group (e.g. terf-butylcarbonyl)
- P 3 represents hydrogen or an activating group (e.g. 3-n ⁇ trophenylsulfonyl)
- ith a compound of formula (VIII), (IX) or (X), or a suitable salt thereof, in the presence of a base (e.g.
- P 3 when P 3 is hydrogen, potassium carbonate, triethylamine, diisopropylethylamine and when P 3 is 3-nitrophenylsulfonyl, sodium hydride or lithium di-/so-propylamide), followed by removal of the protective groups (e.g. using trifluoroacetic acid, thiophenol, thioacetic acid); or
- L, L 1 , and L 2 are as defined in formula (Ia)
- P 1 is as defined in compound of formula (III)
- P 3 represents a protective group (e.g. tert-butylcarbonyl or 3- nitrophenylsulfonyl) with a compound of formula (XIII), or a suitable salt thereof,
- R 4 , R 5 , R 6 , R 1 , R 8 , A 1 W, V and X are as defined in formula (I), in the presence of a suitable reducing agent (e.g. sodium cyanoborohydride, sodium triacetoxyborohydride, or hydrogen in the presence of a suitable palladium on carbon or platinum oxide catalyst), followed by removal of the protective groups (e.g. treatment with hydrochloric or trifluoroacetic acid thiophenol, thioacetic acid); or (h) when one or both of L 3 and L 4 . represents hydrogen, reacting a compound of formula (XIV)
- a suitable reducing agent e.g. sodium cyanoborohydride, sodium triacetoxyborohydride, or hydrogen in the presence of a suitable palladium on carbon or platinum oxide catalyst
- the protective groups e.g. treatment with hydrochloric or trifluoroacetic acid thiophenol, thioacetic acid
- L, L 1 , and L 2 are as defined in formula (Ia), P 1 is as defined in compound of formula (III), P 3 represents a protective group (e.g. terf-butylcarbohyl or 3- nitrophenylsulfonoyl), LG 3 represents a leaving group (e.g. chloride, bromide, iodide, methanesulfonate or para-toluenesulfonate), with a compound of formula (XIII) or a suitable salt thereof, in the presence of a base (e.g. potassium carbonate, triethylamine, diisopropylethylamine), followed by removal of the protective groups (e.g. trifluoroacetic acid, thiophenol, thioacetic acid); or (i) when L 1 and L 2 each represents hydrogen and R 4 do not represent hydrogen, reacting a compound of formula (XV), or a suitable salt thereof,
- a base e.g. potassium carbonate, tri
- L, L 3 , L 4 , R 1 , R 4 , R 5 R 6 , R 8 , A, W, V and X are as defined in formula (I) and P 1 is as defined in formula (III) with a suitable reducing agent (e.g. borane tetrahydrofuran complex), followed by removal of the protective group (e;g. using hydrofluoric acid-pyridine complex); or,
- a suitable reducing agent e.g. borane tetrahydrofuran complex
- L 1 L 3 , L 4 , R 4 , R 5 , R 6 , A, W, V and X are as defined in formula (I) and P 2 is as defined in compound of formula (Xl) with a suitable reducing agent (e.g. borane tetrahydrofuran complex), followed by removal of the protective group (e.g. using hydrofluoric acid-pyridine complex); and optionally after (a), (b), (c), (d), (e), (f), (g), (h), (i) or (j) carrying out one or more of the following:
- a suitable reducing agent e.g. borane tetrahydrofuran complex
- the reaction may conveniently be carried out in an organic solvent such as ⁇ /, ⁇ /-dimethylformamide, ethanol, />butanol or dimethyl sulfoxide, at a temperature, for example, in the range from 50 to 14O 0 C.
- the reaction may conveniently be carried out in an organic solvent such as methanol, ethanol, dichloromethane, acetic acid N- methylpyrolidinone, or ⁇ /, ⁇ /-dimethylformamide containing up to 10%w of water and acetic acid.
- reaction may conveniently be carried out in an organic solvent such as tetrahydrofuran, at a temperature, for example, in the range from 0 to 80 0 C.
- organic solvent such as tetrahydrofuran
- a suitable leaving group e.g. chloride, bromide, iodide, methanesulfonate or para-toluenesulfonate.
- Compounds of formula (IV) may be prepared by reacting a compound of formula (XVII) with a compound of formula (XVIII) in an organic solvent, for example, tetrahydrofuran or ether, at a temperature, for example in the range from 0 to 6O 0 C, followed by oxidation of the resulting hydroxyl group with a suitable oxidating agent (e.g. Swem reagent, Dess-Martin reagent or pyridiniumchlorochromate) in an organic solvent such as dichloromethane, /V, ⁇ /-dimethylformamide or dimethylsulfoxide at a temperature, for example in the range from -78 to 60°C.
- a suitable oxidating agent e.g. Swem reagent, Dess-Martin reagent or pyridiniumchlorochromate
- an organic solvent such as dichloromethane, /V, ⁇ /-dimethylformamide or dimethylsulfoxide at a temperature, for
- P 2 , L, L 3 , L 4 , R 4 , R 5 , R 6 , R 8 , A, W, V and X are as defined in formula (V), " with a compound of formula (XVIII) in an organic solvent, for example, tetrahydrofuran or ether, at a temperature, for example in. the range from 0 to 6O 0 C, followed by conversion of the resulting hydroxyl group into a suitable leaving group (e.g. chloride, bromide, iodide, methanesulfonate or para-toluenesulfonate).
- an organic solvent for example, tetrahydrofuran or ether
- Compounds of formula (Vl) may be prepared by reacting a compound of formula (XVIII) with a compound of formula (XIX), followed by oxidation of the resulting hydroxyl group with a suitable oxidating agent (e.g. Swern reagent, Dess-Martin reagent or pyridiniumchlorochromate) in an organic solvent such as dichloromethane, ⁇ /, ⁇ /-dimethylformamide or dimethylsulfoxide at a temperature, for example in the range from -78 to 6O 0 C.
- a suitable oxidating agent e.g. Swern reagent, Dess-Martin reagent or pyridiniumchlorochromate
- an organic solvent such as dichloromethane, ⁇ /, ⁇ /-dimethylformamide or dimethylsulfoxide at a temperature, for example in the range from -78 to 6O 0 C.
- a compound of formula (IV) reacting a compound of formula (IV) with an amine (e.g. benzylamine, D-methyl benzylamine, 4-methoxybenzyla.mine or 2,4-methoxybenzylamine) followed by reduction of the resulting imine using a suitable reducing agent (e.g. sodium cyanoborohydride or sodium triacetoxyborohydride) in an organic solvent such as methanol, ethanol, dichloromethane, acetic acid, /V-methylpyrolidinone or N, N- dimethylformamide containing up to 10%w of water and acetic acid, followed by removal of the resulting benzyl protective group using the appropriate reagent (e.g.
- an amine e.g. benzylamine, D-methyl benzylamine, 4-methoxybenzyla.mine or 2,4-methoxybenzylamine
- a suitable reducing agent e.g. sodium cyanoborohydride or sodium triacetoxyborohydr
- a suitable catalyst Palladium on carbon or palladium hydroxide
- DDQ 2,3- dichloro-5,6-dicyanobenzoquinone
- CAN ammonium cerium nitrate
- an organic solvent for example, ethanol, methanol, tetrahydrofuran, dichloromethane, acetonitrile, water, or a mixture thereof, at a temperature ranging from 25 to 8O 0 C, and eventually followed by protection of the resulting amine (e.g. treatment with 3- nitrophenylsulfonyl chloride in the presence of a base such as pyridine);
- LG 4 is a leaving group (e.g. hydroxyl or chloride), L, L 1 , L 2 , L 3 , L 4 ,.
- R 1 , R 4 , R 5 , R 6 , R 8 , A, W, V and X are as defined in formula (VII), with reagents such as, when LG 4 is hydroxyl, diphenylphosphonic azide, in a presence of an amine (e.g.
- triethylamine in an organic solvent, for example, tert-butanol, tetrahydrofuran, dichloromethane, water, or a mixture thereof, at a temperature ranging from 25 to 100 0 C, or when LG 4 is chloride, sodium azide, in an organic solvent, for example, ether, tert-butanol, tetrahydrofuran, water, or a mixture thereof, at a ' temperature ranging from 25 to 100°C (Angewandte Chemie, 2005, 54, 5188), eventually followed by protection of the resulting amine (e.g. treatment with 3-nitrophenylsulfonyl chloride in the presence of a base such as pyridine).
- a base such as pyridine
- Compounds of formula (Xl) in which L 1 represents hydrogen may be prepared by (a) reacting a compound of formula (V) with sodium azide in an organic solvent, for example, tetrahydrofuran, /V, ⁇ /-dimethylformamide or dimethylsulfoxide at a temperature, for example in the range from 25 to 85 0 C, followed by reduction of the resulting azido compound using a suitable reducing agent (e.g. triphenylphosphine or hydrogen) in an organic solvent for example, tetrahydrofuran and water, eventually followed by protection of the resulting amine (e.g. treatment with 3-nitrophenylsulfonyi chloride in the presence of a base such as pyridine); or
- a suitable reducing agent e.g. triphenylphosphine or hydrogen
- a compound of formula (Vl) reacting a compound of formula (Vl) with an amine (e.g. benzylamine, a- methyl benzylamine, 4-methoxybenzyl amine or 2,4-methoxybenzyl amine), followed by reduction of the resulting imine using a suitable reducing agent (e.g. sodium cyanoborohydride, sodium triacetoxyborohydride) in an organic solvent such as methanol, ethanol, dichloromethane, acetic acid ⁇ /-methylpyrolidinone, or N 1 N- dimethylformamide containing up to 10%w of water and acetic acid, followed by removal of the resulting benzyl protective group using the appropriate reagent (e.g.
- an amine e.g. benzylamine, a- methyl benzylamine, 4-methoxybenzyl amine or 2,4-methoxybenzyl amine
- a suitable reducing agent e.g. sodium cyanoborohydride
- a suitable catalyst Palladium on carbon or palladium hydroxide
- an organic solvent for example, ethanol, methanol, tetrahydrofuran, dichloromethane, acetonitrile, water, or a mixture thereof, at a temperature ranging from 25 to 80 0 C, eventually followed by protection of the resulting amine (e.g. treatment with 3- nitrophenylsulfonyl chloride in the presence of a base such as pyridine).
- L 4 is a leaving group (e.g. hydroxyl or chloride)
- L, L 1 , L 2 , L 3 , L 4 , R 4 , R 5 , R 6 , R 8 , A, W, V X and P 2 are as defined in formula (Xl), with reagents such as, when LG 4 is hydroxyl, diphenylphosphonic azide, in a presence of an amine (e.g. triethylamine),.
- an amine e.g. triethylamine
- an organic solvent for example, terf-butanol, tetrahydrofuran, dichloromethane, water, or a mixture thereof, at a temperature ranging from 25 to 100 0 C, or when LG 4 is chloride, sodium azide, in an organic solvent, for example, ether, ferf-butanol, tetrahydrofuran, water, or a mixture thereof, at a temperature ranging from 25 to
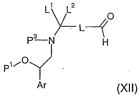
- Compounds of formula (XII) can be prepared by (a) reacting a compound of formula (XXil) wherein P 5 is hydrogen or a protective group (e.g. tert-butyldimethylsilyl, tetrahydropyran) and L, L 1 and L 2 are as defined in formula (XII), with a compound of formula (VIII), (IX) or (X), or a suitable salt thereof, in the presence of a base (e.g.
- potassium carbonate triethylamine or diisopropylethylamine when P 3 is hydrogen and sodium hydride or lithium di-/so-propylamide when P 3 is 3-nitrophenylsulfonyl
- an organic solvent such as ⁇ /, ⁇ /-dimethylformamide, ⁇ /-methylpyrolidinone, tetrahydrofuran, ethanol, n-butanol or dimethyl sulfoxide, at a temperature, for example, in the range from 50 to 140°C.
- ketone e.g. using sodium borohydride or a borane/chiral catalyst complex.
- Appropriate selective removal of the protective group e.g.
- P 5 is hydrogen or a protective group (e.g. tert-butyldimethylsilyl, tetrahydropyran) and, L and L 2 are as defined in formula (XII), with a compound of formula (III), or a suitable salt thereof, in the presence of a suitable reducing agent (e.g. sodium cyanoborohydride, sodium triacetoxyborohydride, or hydrogen in the presence of a suitable palladium on carbon or platinum oxide catalyst) in an organic .
- a suitable reducing agent e.g. sodium cyanoborohydride, sodium triacetoxyborohydride, or hydrogen in the presence of a suitable palladium on carbon or platinum oxide catalyst
- solvent such as methanol, ethanol, dichloromethane, acetic acid, ⁇ /-methypyrolidinone or ⁇ /, ⁇ /-dimethylformamide containing up to 10%w of water and acetic acid, followed by appropriate selective removal of the protective group (e.g. hydrofluoric acid- pyridine complex, tetrabutylamonium fluoride, diluted hydrochloric acid or amberlyst- 15 resin in methanol) and oxidation of the resulting alcohol into the corresponding aldehyde with a suitable oxidating agent (pyridinium chlorochromate, Dess-Martin reagent or. Swern reagent); or
- P 6 and P 7 represent an acyclic or cyclic carbonyl protective group (e.g. dimethoxy or diethoxy acetal, 1 ,3-dioxolane or 1 ,3-dioxane) and, L and L 2 are as defined in formula (XII), with a compound of formula (III), or a suitable salt thereof, in the presence of a suitable reducing agent (e.g.
- an organic solvent such as methanol, ethanol, dichloromethane, acetic acid, /V-methypyr ⁇ lidinone or ⁇ /, ⁇ /-dimethylforrnamide containing up to 10%w of water and acetic acid, followed by removal of the protective group (e.g. diluted hydrochloric acid or amberlyst-15 resin in methanol).
- Compounds of formula (XIV) can be prepared by converting compound of formula (XII), or a precursor to compound of formula (XII) as decribed above, chosing an appropriate sequence of reactions such as, for example, reduction of an aldehyde to an alcohol (e.g. sodium borohydride), appropriate selective removal of the protective group (e.g. hydrofluoric acid-pyridine complex, tetrabutylamonium fluoride, diluted hydrochloric acid or amberlyst-15 resin in methanol) and conversion of an alcohol into a suitable leaving group (e.g. halogen, mesylate, tosylate); or, Compounds of formula (XV) and (XVI) can be prepared by similar methods by reacting a compound of formula (XXVI)
- L, L 3 , L 4 , R 4 , R 5 , R 6 , R 8 , A, W, V and X are as defined in formula (XV)
- P 8 represents either R 3 as defined in compound of formula (XV) or P 2 as defined in compound of formula (XVI) and LG 6 represent hydroxyl or a leaving group (e.g. chloride) with a compound of formula (III), or a suitable salt thereof.
- the reaction is conveniently carried out in the presence of an activating reagent, for example, carbonyldiimidazole or O-(7- azabenzotriazol-1 -yl)- ⁇ /, ⁇ /,/V', ⁇ /-tetramethyluroniumhexafluorophosphate (HATU), in an organic solvent, for example, ⁇ /, ⁇ /-dimethylformamide or dichloromethane, at a temperature, for example in the range from 0 to 6O 0 C,
- an activating reagent for example, carbonyldiimidazole or O-(7- azabenzotriazol-1 -yl)- ⁇ /, ⁇ /,/V', ⁇ /-tetramethyluroniumhexafluorophosphate (HATU)
- an organic solvent for example, ⁇ /, ⁇ /-dimethylformamide or dichloromethane
- LG 7 represent a hydroxyl, an ether (e.g. methoxy, ethoxy), a leaving group (e.g.
- L, L 1 , L 2 , L 3 , L 4 and P 3 are as defined in compound of formula (VII); - for compound of formula (Xl), P 9 represents P 2 , P 10 represents
- P 9 and P 10 represents an appropriate nitrogen protecting group, such as terf-butoxycarbonyl, followed by suitable deprotection (e.g. trifluoroacetic acid acid);
- L, L 3 , and L 4 are as defined in compound of formula (XVII), wherein
- P and P represent an acyclic or cyclic carbonyl protective group (e.g. dimethoxy or diethoxy acetal, 1 ,3-dioxolane or 1 ,3-dioxane), followed by suitable deprotection (e.g. diluted hydrochloric acid or amberlyst-15 resin in methanol);
- acyclic or cyclic carbonyl protective group e.g. dimethoxy or diethoxy acetal, 1 ,3-dioxolane or 1 ,3-dioxane
- suitable deprotection e.g. diluted hydrochloric acid or amberlyst-15 resin in methanol
- L, L , and L are as defined in compound of formula (XIX), wherein P and P 12 represent an acyclic or cyclic carbonyl protective group (e.g. dimethoxy or diethoxy acetal, 1 ,3-dioxolane or 1 ,3-dioxane), followed by suitable deprotection (e.g. diluted hydrochloric acid or amberlyst-15 resin in methanol);
- P and P 12 represent an acyclic or cyclic carbonyl protective group (e.g. dimethoxy or diethoxy acetal, 1 ,3-dioxolane or 1 ,3-dioxane), followed by suitable deprotection (e.g. diluted hydrochloric acid or amberlyst-15 resin in methanol);
- L, L 1 , L 2 , L 3 , and L 4 are as defined in compound of formula (XX), wherein P 14 represent an acid protective group (e.g. methyl, ethyl or tert-butyl), followed by suitable deprotection (e.g. lithium hydroxide or sodium hydroxide, trifluoroacetic acid, hydrochloric acid); - for compound of formula (XXI), P 9 represents P 2 , P 10 represents
- L, L 1 , L 2 , L 3 , and L 4 are as defined in compound of formula (XXI), wherein P 14 represent an acid protective group (e.g. methyl, ethyl or tert-butyl), followed by suitable deprotection (e.g. lithium hydroxide or sodium hydroxide, trifluoroacetic acid, hydrochloric acid);
- P 14 represent an acid protective group (e.g. methyl, ethyl or tert-butyl)
- suitable deprotection e.g. lithium hydroxide or sodium hydroxide, trifluoroacetic acid, hydrochloric acid
- L, L 3 , and L 4 are as defined in compound of formula (XXVI), wherein P 14 represent an acid protective group (e.g. methyl, ethyl or tert-butyl), followed by suitable deprotection (e.g. lithium hydroxide or sodium hydroxide, trifluoroacetic acid, hydrochloric acid);
- P 14 represent an acid protective group (e.g. methyl, ethyl or tert-butyl)
- suitable deprotection e.g. lithium hydroxide or sodium hydroxide, trifluoroacetic acid, hydrochloric acid
- Compounds of general formula (LX-a) may be prepared from compounds of general formula (LXI) using methods described below for the preparation of compounds of formula (LXII) from compounds of formula (LXIII).
- compounds of formula (LX-a) are prepared from compounds of formula (LXIV) as described below.
- LG represents a leaving group such as bromide, chloride, iodide, by reaction with an amine of formula (LXVl):
- R c R d R e N represents appropriately substituted amine.
- the reaction is performed in a range of solvents, typically a mixture of THF/DCM or acetonitrile/chloroform at a range of temperatures, typically between 0 and the reflux temperature, or more typically, ' in acetonitrile at a temperature between 0 and 50° C, most typically at 50°C.
- reaction by reaction with a brominating agent such as N-bromosuccinimide in the presence of a radical initiator such as AlBN or benzoyl peroxide.
- a brominating agent such as N-bromosuccinimide
- a radical initiator such as AlBN or benzoyl peroxide.
- The. reaction can be carried out in. suitable solvents, such as CCI 4 , at a range of temperatures, typically between ambient temperature and the reflux temperature of the solvent.
- compounds of formula (LXIII) can be prepared from compounds of general formula (LXVII) by palladium-catalysed cyclisation using a palladium catalyst such as bis(dibenzylideneacetone)palladium in the presence of a ligand such as triphenylphosphine and a base such as sodium tert-butoxide in a solvent such as THF from room temperature to the reflux temperature of the solvent.
- a palladium catalyst such as bis(dibenzylideneacetone)palladium in the presence of a ligand such as triphenylphosphine and a base such as sodium tert-butoxide in a solvent such as THF from room temperature to the reflux temperature of the solvent.
- M represents a metallic counterion such as Li or MgBr.
- the reaction may take place in an aprotic organic solvent such as THF or diethyl ether at a range of temperatures, typically between -78 0 C and the reflux temperature of the solvent.
- Compounds of general formula (LXXV) can be prepared from compounds of formula (LXXlV) using methods described above for the preparation of compounds of formula (LXVII) from compounds of formula (LXXI).
- Compounds of formula (LX-f) can be prepared from compounds of formula (LX-a) by reaction with a reducing agent such as triethylsilane in the presence of an acid such as trifluoroacetic acid in a solvent such as DCM from room temperature to the reflux temperature of the solvent.
- a reducing agent such as triethylsilane
- an acid such as trifluoroacetic acid
- Compounds of formula (LX-h) can be prepared from compounds of formula (LX-a) by reaction with an alkylating agent of formula (LXXVI):
- R f is C r C 6 -alkyl and LG is a leaving group such as halogen, tosylate, mesylate.
- the reaction is performed in the presence of a base such as sodium hydride in a solvent such as THF from O 0 C to the reflux temperature of the solvent.
- Compounds of general formula (LXXVII) can be prepared from compounds of formula (LXXVIII) using methods described above for the preparation of compounds of formula (LXV) from compounds of formula (LXIII).
- compounds of formula (LXIV) may be prepared from compounds of formula (LXXIV) as illustrated in Scheme 12 below;
- Compounds of formula (LXXXIII) may be prepared from compounds of formula (LXXIV) using methods analogous to those used in the preparation of compounds of formula (V) from compounds of formula (Vl) as described above.
- Compounds of Formula (LX-b) may be prepared from compounds of Formula (LXXXIV) by employing a similar sequence of reactions as used to prepare compounds of Formula (LX-a) from compounds of Formula (LXII) in Scheme 1 above.
- Compounds of formula (LXXXIV) wherein R 4 and R 5 are the same maybe prepared from compounds of Formula (LXXV) where R is a suitable alkyl group (such as ethyl or methyl) by treatment with an appropriate organometallic reagent such as a Grignard reagent, in a suitable solvent such as THF or diethyl ether.
- Compounds of Formula (LXXXIV) wherein R 4 and R 5 are dissimilar may be prepared from compounds of Formula (LXXV) by converting to an intermediate amide, typically a Weinreb amide, and performing the introduction of R 4 and R 5 through their respective organometallic reagents in a stepwise manner.
- the present invention also comprises intermediate compounds having utility in the synthesis of the compounds of formula (I).
- such intermediate compounds are selected from the group including cyclohexyl-(5-methyl-oxazol-2-yl)- phenyl-methanol; (5-bromomethyl-oxazol-2-yl)-cyclohexyl-phenyl-methanol; (5- bromomethyl-oxazol-2-yl)-cyclopentyI-phenyl-methanoI; (5-bromomethyl-oxazol-2-yl)- diphenyl-methanol; (5-dimethylaminomethyl-oxazol-2-yl)-diphenyl-methanol; (5- methylaminomethyl-oxazol ⁇ -yO-diphenyl-methanoli cyclopentyl-C ⁇ -methylaminomethyl- oxazol-2-yl)-phenyl-methanoI; [5-( ⁇ [3-(4
- such intermediate compounds are selected from the group including cyclopentyl-(5-methylaminomethyl-oxazol-2-yl)-phenyl-methanol; [5-( ⁇ [3-(4- [1 ,3]dioxolan-2-yl-phenoxy)-propyl]-methyl-amino ⁇ -methyl)-oxazol-2-yl]-diphenyl- methanol; 4-(3- ⁇ [2-(Hydroxy-diphenyl-methyl)-oxazol-5-ylmethyl]-methyl-amino ⁇ -propoxy)- benzaldehyde; and 5- ⁇ (R)-1 -(tert-Butyl-dimethyl-silanyloxy)-2-[4-(3- ⁇ [2-(hydroxy-diphenyl- - methyl)-oxazol-5-ylmethyl]-methyl-arhino ⁇ -propoxy)-benzylamino]-ethyl ⁇ -8-(4-(4-
- the compounds of formula I have activity as pharmaceuticals, in particular as dual adrenergic ⁇ 2 receptor agonists and anticholinergic agents including muscarinic receptor (M1 , M2, and M3) antagonists, in particular M3 antagonists.
- Diseases and conditions which may be treated with the compounds of formula (I) and their pharmaceutically acceptable salts include:
- respiratory tract obstructive diseases of the airways including: asthma, including bronchial, allergic, intrinsic, extrinsic, exercise-induced, drug-induced (including aspirin arid NSAID-induced) and dust-induced asthma, both intermittent and persistent and of all severities, and other causes of airway, hyper-responsiveness; chronic obstructive pulmonary disease (COPD); bronchitis, including infectious and eosinophilic bronchitis; emphysema; bronchiectasis; cystic fibrosis; sarcoidosis; farmer's lung and related diseases; hypersensitivity pneumonitis; lung fibrosis, including cryptogenic fibrosing alveolitis, idiopathic interstitial pneumonias, fibrosis complicating anti-neoplastic therapy and chronic infection, including tuberculosis and aspergillosis and other fungal infections;
- COPD chronic obstructive pulmonary disease
- bronchitis including infectious and
- osteoarthritides associated with or including osteoarthritis/osteoarthrosis both primary and secondary to, for example, congenital hip dysplasia; cervical and lumbar spondylitis, and low back and neck pain; osteoporosis; rheumatoid arthritis and Still's disease; seronegative spondyloarthropathies including ankylosing spondylitis, psoriatic arthritis, reactive arthritis and undifferentiated spondarthropathy; septic arthritis and other infection-related arthopathies and bone disorders such as tuberculosis, including Potts' disease and Poncet's syndrome; acute and chronic crystal-induced synovitis including urate gout, calcium pyrophosphate deposition disease, and calcium apatite related tendon, bursal and synovial inflammation; Behcet's disease; primary and secondary Sjogren's syndrome; systemic sclerosis and limited scleroderma; systemic lupus erythemato
- juvenile arthritis including idiopathic inflammatory arthritides of whatever joint distribution and associated syndromes, and rheumatic fever and its systemic complications; vasculitides including gjant cell arteritis, Takayasu's arteritis, Churg-Strauss syndrome, polyarteritis nodosa, microscopic polyarteritis, and vasculitides associated with viral infection, hypersensitivity reactions, cryoglobulins, and paraproteins; low back pain; Familial Mediterranean fever, Muckle-Wells syndrome, and Familial Hibernian Fever, Kikuchi disease; drug-induced arthalgias, tendonititides, and myopathies; .
- vasculitides including gjant cell arteritis, Takayasu's arteritis, Churg-Strauss syndrome, polyarteritis nodosa, microscopic polyarteritis, and vasculitides associated with viral infection, hypersensitivity reactions, cryoglobulin
- arthitides for example rheumatoid arthritis, osteoarthritis, gout or crystal arthropathy
- other joint disease such as intervertebral disc degeneration or temporomandibular joint degeneration
- bone remodelling disease such as osteoporosis, Paget's disease or osteonecrosis
- polychondritits such as osteoporosis, Paget'
- skin psoriasis, atopic dermatitis, contact dermatitis or other eczematous dermatoses, and delayed-type hypersensitivity reactions; phyto- and photodermatitis; seborrhoeic dermatitis, dermatitis herpetiformis, lichen planus, lichen sclerosus et atrophica, pyoderma gangrenosum, skin sarcoid, discoid lupus erythematosus, pemphigus, pemphigoid, epidermolysis bullosa, urticaria, angioedema, vasculitides, toxic erythemas, cutaneous eosinophilias, alopecia areata, male-pattern baldness, Sweet's syndrome, Weber-Christian syndrome, erythema multiforme; cellulitis, both infective and non-infective; panniculitis;cutaneous lymphomas, non-melanoma skin
- eyes blepharitis; conjunctivitis, including perennial and vernal allergic conjunctivitis; ulceris; anterior and posterior uveitis; choroiditis; autoimmune; degenerative or inflammatory disorders affecting the retina; ophthalmitis including sympathetic ophthalmitis; sarcoidosis; infections including viral , fungal, and bacterial;
- gastrointestinal tract glossitis, gingivitis, periodontitis; oesophagitis, including reflux; eosinophilic gastro-enteritis, mastocytosis, Crohn's disease, colitis including ulcerative colitis, proctitis, pruritis ani; coeliac disease, irritable bowel syndrome, and food-related allergies which may have effects remote from the gut (for example migraine, rhinitis or eczema);
- abdominal hepatitis, including autoimmune, alcoholic and viral; fibrosis and cirrhosis of the liver; cholecystitis; pancreatitis, both acute and chronic;
- nephritis including interstitial and glomerulonephritis; nephrotic syndrome; cystitis including acute and chronic (interstitial) cystitis and Hunner's ulcer; acute and chronic urethritis, prostatitis, epididymitis, oophoritis and salpingitis; vulvovaginitis; Peyronie's disease; erectile dysfunction (both male and female);
- allograft rejection acute and chronic following, for example, transplantation of kidney, heart, liver,. lung, bone marrow, skin or cornea or following blood transfusion; or chronic graft versus host disease;
- CNS Alzheimer's disease and other dementing disorders including CJD and nvCJD; amyloidosis; multiple sclerosis and other demyelinating syndromes; cerebral atherosclerosis and vasculitis; temporal arteritis; myasthenia gravis; acute and chronic pain (acute, intermittent or persistent, whether of central or peripheral origin) including visceral pain, headache, migraine, trigeminal neuralgia, atypical facial pain, joint and bone pain, pain arising from cancer and tumor invasion, neuropathic pain syndromes including diabetic, post-herpetic, and HIV-associated neuropathies; neurosarcoidosis; central and peripheral nervous system complications of malignant, infectious or autoimmune processes; 11.
- cardiovascular atherosclerosis, affecting the coronary and peripheral circulation; pericarditis; myocarditis , inflammatory and auto-immune cardiomyopathies including myocardial sarcoid; ischaemic reperfusio ⁇ injuries; endocarditis, valvulitis, and aortitis including infective (for example syphilitic); vasculitides; disorders of the proximal and peripheral veins including phlebitis and thrombosis, including deep vein thrombosis and complications of varicose veins;
- oncology treatment of common cancers including prostate, breast, lung, ovarian, pancreatic, bowel and colon, stomach, skin and brain tumors and malignancies affecting the bone marrow (including the leukaemias) and lymphoproliferative systems, such as .
- Hodgkin's and non-Hodgkin's lymphoma including the prevention and treatment of metastatic disease and tumour recurrences, and paraneoplastic syndromes; and,
- gastrointestinal tract Coeliac disease, proctitis, eosinopilic gastro-enteritis, mastocytosis, Crohn's disease, ulcerative colitis, microscopic colitis, indeterminant colitis, irritable bowel disorder, irritable bowel syndrome, non-inflammatory diarrhea, food-related allergies which have effects remote from the gut, e.g., migraine, rhinitis and eczema.
- the present invention provides a compound of formula (I) or a pharmaceutically-acceptable salt thereof as hereinbefore defined for use in therapy.
- the present invention provides the use of a compound of formula (I) or a pharmaceutically acceptable salt thereof as hereinbefore defined in the manufacture of a medicament for use in therapy.
- the term "therapy” also includes
- Prophylaxis is expected to be particularly relevant to the treatment of persons who have suffered a previous episode of, or are otherwise considered to be at increased risk of, the disease or condition in question.
- Persons at risk of developing a particular disease or condition generally include those having a family history of the disease or condition, or those who have been identified by genetic testing or screening to be particularly susceptible to developing the disease or condition.
- the invention still further provides a method of treating, or reducing the risk of, an inflammatory disease or condition (including a reversible obstructive airways disease or condition) which comprises administering to a patient in need thereof a therapeutically effective amount of a compound of formula (I) or a pharmaceutically acceptable salt thereof as hereinbefore defined.
- the compounds of this invention may be used in the treatment of adult respiratory distress syndrome (ARDS), pulmonary emphysema, bronchitis, bronchiectasis, chronic obstructive pulmonary disease (COPD), asthma and rhinitis.
- ARDS adult respiratory distress syndrome
- COPD chronic obstructive pulmonary disease
- the daily dosage of the compound of the invention if inhaled, may be in the range from 0.05 micrograms per kilogram body weight ( ⁇ g/kg) to 100 micrograms per kilogram body weight ( ⁇ g/kg).
- the daily dosage of the compound of the invention maybe in the range from 0.01 micrograms per kilogram body weight ( ⁇ g/kg) to 100 milligrams per kilogram body weight (mg/kg).
- the compounds of formula (I) and pharmaceutically acceptable salts thereof may be used on their own but will generally be administered in the form of a pharmaceutical composition in which the formula (I) compound/salt (active ingredient) is in association with, a pharmaceutically . acceptable adjuvant, diluent or carrier.
- a pharmaceutically . acceptable adjuvant e.g., a pharmaceutically . acceptable diluent or carrier.
- Conventional procedures for the selection and preparation of suitable pharmaceutical formulations are described in, for example, "Pharmaceuticals - The Science of Dosage Form Designs", M. E. Aulton, Churchill Livingstone, 1988.
- the pharmaceutical composition will preferably comprise from 0.05 to 99 %w (per cent by weight), more preferably from 0.05 to 80 %w, still more preferably from 0.10 to 70 %w, and even more preferably from 0.10 to 50 %w, of active ingredient, all percentages by weight being based on total composition.
- the present invention also provides a pharmaceutical composition
- a pharmaceutical composition comprising a . compound -of formula (I) or a pharmaceutically acceptable salt thereof as hereinbefore defined, in association with a pharmaceutically acceptable adjuvant, diluent or carrier.
- the invention further provides a process for the preparation of a pharmaceutical. composition of the invention which comprises mixing a compound of formula (I) or a pharmaceutically acceptable salt thereof as hereinbefore defined with a pharmaceutically acceptable adjuvant, diluent or carrier.
- the pharmaceutical compositions may be administered topically (e.g. to the skin . or to the lung and/or airways) in the form, e.g., of creams, solutions, suspensions, heptafluoroalkane (HFA) aerosols and dry powder formulations, for example, formulations in the inhaler device known as the Turbuhaler ® ; or systemically, e.g. by oral administration in the form of tablets, capsules, syrups, powders or granules; or by parenteral administration in the form of solutions or suspensions; or by subcutaneous administration; or by rectal administration in the form of suppositories; or transdermally.
- HFA heptafluoroalkane
- Dry powder formulations and pressurized HFA aerosols of the compounds of the invention may be administered by oral or nasal inhalation.
- the compound is desirably finely divided.
- the finely divided compound preferably has a mass median diameter of less than 10 ⁇ m, and may be suspended in a propellant mixture with the assistance of a dispersant, such as a C 8 -C 20 fatty acid or salt thereof, (for example, oleic acid), a bile salt, a phospholipid, an alkyl saccharide, a perfluorinated or polyethoxylated surfactant, or other pharmaceutically acceptable dispersant.
- a dispersant such as a C 8 -C 20 fatty acid or salt thereof, (for example, oleic acid), a bile salt, a phospholipid, an alkyl saccharide, a perfluorinated or polyethoxylated surfactant, or other pharmaceutically acceptable dispersant.
- the compounds of the invention may also be administered by means of a dry powder inhaler.
- the inhaler may be a single or a multi dose inhaler, and may be a breath actuated dry powder inhaler.
- a carrier substance for example, a mono-, di- or polysaccharide, a sugar alcohol, or another polyol.
- Suitable carriers are sugars, for example, lactose, glucose, raffinose, melezitose, lactitol, maltitol, trehalose, sucrose, mannitol; and starch.
- the finely divided compound may be coated by another substance.
- the powder mixture may also be dispensed into hard gelatine capsules, each containing the desired dose of the active compound.
- This spheronized powder may be filled into the drug reservoir of a multidose inhaler, for example, that known as the Turbuhaler ® in which a dosing unit meters the desired dose which is then inhaled by the patient.
- a multidose inhaler for example, that known as the Turbuhaler ® in which a dosing unit meters the desired dose which is then inhaled by the patient.
- the active ingredient with or without a carrier substance, is delivered to the patient.
- the compound of the invention may be admixed with an adjuvant or a carrier, for example, lactose, saccharose, sorbitol, mannitol; a starch, for example, potato starch, corn starch or amylopectin; a cellulose derivative; a binder, for example, gelatine or polyvinylpyrrolidone; and/or a lubricant, for example, magnesium stearate, calcium stearate, polyethylene glycol, a wax, paraffin, and the like, and then compressed into tablets.
- an adjuvant or a carrier for example, lactose, saccharose, sorbitol, mannitol
- a starch for example, potato starch, corn starch or amylopectin
- a cellulose derivative for example, gelatine or polyvinylpyrrolidone
- a lubricant for example, magnesium stearate, calcium stearate, polyethylene glycol, a wax
- the cores may be coated with a concentrated sugar solution which may contain, for example, gum arabic, gelatine, talcum and titanium dioxide.
- a concentrated sugar solution which may contain, for example, gum arabic, gelatine, talcum and titanium dioxide.
- the tablet may be coated with a suitable polymer dissolved in a readily volatile organic solvent.
- the compound of the invention may be admixed with, for example, a vegetable oil or polyethylene glycol.
- Hard gelatine capsules may contain granules of the compound using either the above-mentioned excipients for tablets.
- liquid or semisolid formulations of the compound of the invention may be filled into hard gelatine capsules.
- Liquid preparations for oral application may be in the form of syrups or suspensions, for example, solutions containing the compound of the invention, the balance being sugar and a mixture of ethanol, water, glycerol and propylene glycol.
- Such liquid preparations may contain colouring agents, flavouring agents, saccharine and/or carboxymethylcellulose as a thickening agent or other excipients known to those skilled in art.
- the compounds of the invention may also be administered in conjunction with other compounds used for the treatment of the above conditions.
- the invention therefore further relates to combination therapies wherein a compound of the invention, or a pharmaceutically acceptable salt thereof, or a pharmaceutical composition or formulation comprising a compound of the invention, is administered concurrently or sequentially or as a combined preparation with another therapeutic agent or agents, for the treatment of one or more of the conditions listed.
- NSAIDs non-steroidal anti-inflammatory agents
- COX-1 / COX-2 inhibitors whether applied topically or systemically (such as piroxicam, diclofenac, propionic acids such as naproxen, flurbiprofen, fenoprofen, ketoprofen and ibuprofen, fenamates such as mefenamic acid, indomethacin, sulindac, azapropazone, pyrazolones such as phenylbutazone, salicylates such as aspirin); selective COX-2 inhibitors (such as mel
- the present invention still further relates to the combination of a compound of the invention, or a pharmaceutically acceptable salt thereof, together with a cytokine or agonist or antagonist of cytokine function, (including agents which act on cytokine signalling pathways such as modulators of the SOCS system) including alpha-, beta-, and gamma-interferons; insulin-like growth factor type I (IGF-1); interleukins (IL) including IL1 to 17, and interleukin antagonists or inhibitors such as anakinra; tumour necrosis factor alpha (TNF- ⁇ ) inhibitors such as anti-TNF monoclonal antibodies (for example infliximab; adalimumab, and CDP-870) and TNF receptor antagonists including immunoglobulin molecules (such as etanercept) and low-molecular-weight agents such as pentoxyfylline.
- a cytokine or agonist or antagonist of cytokine function including agents which act on cytokine signalling
- the invention relates to a combination of a compound of the invention, or a pharmaceutically acceptable salt thereof, with a monoclonal antibody targeting B- Lymphocytes (such as CD20 (rituximab), MRA-alLI6R) . or T-Lymphocytes (CTLA4-lg,
- the present invention still further relates to the combination of a compound of the invention, or a pharmaceutically acceptable salt thereof, with a modulator of chemokine receptor function such as an antagonist of CCR1 , CCR2, CCR2A, CCR2B, CCR3, CCR4, CCR5, CCR6, CCR7, CCR8, CCR9, CCR10 and CCR11 (for the C-C family);
- a modulator of chemokine receptor function such as an antagonist of CCR1 , CCR2, CCR2A, CCR2B, CCR3, CCR4, CCR5, CCR6, CCR7, CCR8, CCR9, CCR10 and CCR11 (for the C-C family);
- the present invention further relates to the combination of a compound of the invention, or a pharmaceutically acceptable salt thereof, with an inhibitor of matrix metalloprotease (MMPs), i.e., the stromelysins, the collagenases, and the gelatinases, as well as aggrecanase; especially collagenase-1 (MMP-1 ), collagenase-2 (MMP-8), collagenase-3 (MMP-13), stromelysin-1 (MMP-3), stromelysin-2 (MMP-10), and stromelysin-3 (MMP-1 1 ) and MMP-9 and MMP-12, including agents such as doxycycline.
- MMPs matrix metalloprotease
- the present invention still further relates to the combination of a compound of the invention, or a pharmaceutically acceptable salt thereof, and a leukotriene biosynthesis inhibitor, 5-lipoxygenase (5-LO) inhibitor or 5-lipoxygenase activating protein (FLAP) antagonist such as; zileuton; ABT-761 ; fenleuton; tepoxalin; Abbott-79175; Abbott-85761 ; a N-(5-substituted)-thiophene-2-alkylsulfonamide; 2,6-di-tert-butylphenolhydrazones; a methoxytetrahydropyrans such as Zeneca ZD-2138; the compound SB-210661 ; a pyridinyl-substituted 2-cyanpnaphthalene compound such as L-739,010; a .2- cyanoquinoline compound such as L-746,530; or an ⁇ ndole or quinoline compound such as MK-591
- the present invention further relates to the combination of a compound of the invention, or a pharmaceutically acceptable salt thereof, and a receptor antagonist for leukotrienes (LT) B4, LTC4,. LTD4, and LTE4.
- a receptor antagonist for leukotrienes (LT) B4, LTC4,. LTD4, and LTE4 selected from the group consisting of the phenothiazin-3-1 s such as L-651 ,392; amidino compounds such as CGS-25019c; benzoxalamines such as ontazolast; benzenecarboximidamides such as BIIL 284/260; and compounds such as zafirlukast, ablukast, montelukast, pranlukast, verlukast (MK-
- the present invention still further relates to the combination of a compound of the invention, or a pharmaceutically acceptable salt thereof, and a phosphodiesterase (PDE) inhibitor such as a methylxanthanine including theophylline and aminophylline; a selective PDE isoenzyme inhibitor including a PDE4 inhibitor an inhibitor of the isoform PDE4D, or an inhibitor of PDE5.
- PDE phosphodiesterase
- the present invention further relates to the combination of a compound of the invention, or a pharmaceutically acceptable salt thereof, and a histamine type 1 receptor antagonist such as cetirizine, loratadine, desloratadine, fexofenadine, acrivastine, terfenadine, astemizole, azelastine, levocabastine, chlorpheniramine, promethazine, cyclizine, or mizolastine; applied orally, topically or parenterally.
- a histamine type 1 receptor antagonist such as cetirizine, loratadine, desloratadine, fexofenadine, acrivastine, terfenadine, astemizole, azelastine, levocabastine, chlorpheniramine, promethazine, cyclizine, or mizolastine
- the present invention still further relates to the combination of a compound of the invention, or a pharmaceutically acceptable salt thereof, and a proton pump inhibitor (such as omeprazole) or a gastroprotective histamine type 2 receptor antagonist.
- a proton pump inhibitor such as omeprazole
- a gastroprotective histamine type 2 receptor antagonist such as a gastroprotective histamine type 2 receptor antagonist.
- the present invention further relates to the combination of a compound of the invention, or a pharmaceutically acceptable salt thereof, and an antagonist of the histamine type 4 receptor.
- the present invention still further relates.
- a compound of the invention or a pharmaceutically acceptable salt thereof, and an .alpha-1/alpha-2 adrenoceptor agonist vasoconstrictor sympathomimetic agent, such as propylhexedrine, phenylephrine, phenylpropanolamine, ephedrine, pseudoephedrine, naphazoline hydrochloride, oxymetazoline hydrochloride, tetrahydrozoline hydrochloride, xylometazoline hydrochloride, tramazoline hydrochloride or ethylnorepinephrine hydrochloride.
- an .alpha-1/alpha-2 adrenoceptor agonist vasoconstrictor sympathomimetic agent such as propylhexedrine, phenylephrine, phenylpropanolamine, ephedrine, pseudoephedrine, naphazoline hydrochloride, oxymetazoline hydrochloride,
- the present invention further relates to the combination of a compound of the invention, or a pharmaceutically acceptable salt thereof, and a chromone, such as sodium cromoglycate or nedocromil sodium.
- a chromone such as sodium cromoglycate or nedocromil sodium.
- the present invention still further relates to the combination of a compound of the invention, or a pharmaceutically acceptable salt thereof, with a glucocorticoid, such as flunisolide, triamcinolone acetonide, beclomethasone dipropionate, budesonide, fluticasone propionate, ciclesonide or mometasone furoate.
- the present invention further relates to the combination of a compound of the invention, or a pharmaceutically acceptable salt thereof, with an agent that modulates a nuclear hormone receptor such as PPARs.
- the present invention still further relates to the combination of a compound of the invention, or a pharmaceutically acceptable salt thereof, together with an immunoglobulin (Ig) or Ig preparation or an antagonist or antibody modulating Ig function such as anti-lgE (for example omalizumab).
- Ig immunoglobulin
- Ig preparation or an antagonist or antibody modulating Ig function
- anti-lgE for example omalizumab
- the present invention further relates to the combination of a compound of the invention, or a pharmaceutically acceptable salt thereof, and another systemic or topically-applied antiinflammatory agent, such as thalidomide or a derivative thereof, a retinoid, dithranol or calcipotriol.
- another systemic or topically-applied antiinflammatory agent such as thalidomide or a derivative thereof, a retinoid, dithranol or calcipotriol.
- the present invention still further relates to the combination of a compound of the invention, or a pharmaceutically acceptable salt thereof, and combinations of aminosalicylates and sulfapyridine such as sulfasalazine, mesalazine, balsalazide, and olsalazine; and immunomodulatory agents such as the thiopurines, and corticosteroids such as budesonide.
- aminosalicylates and sulfapyridine such as sulfasalazine, mesalazine, balsalazide, and olsalazine
- immunomodulatory agents such as the thiopurines, and corticosteroids such as budesonide.
- the present invention further relates to the combination of a compound of the invention, or a pharmaceutically acceptable salt thereof, together with an antibacterial agent such as a penicillin derivative, a tetracycline, a macrolide, a beta-lactam, a fluoroquinolone, metronidazole, an inhaled aminoglycoside; an antiviral agent including acyclovir, famciclovir, valaciclovir, ganciclovir, cidofovir, amantadine, rimantadine, ribavirin, zanamavir and oseltamavir; a protease inhibitor such as indinavir, .nelfinavir, ritonavir, and saquinavir; a nucleoside reverse transcriptase inhibitor such as didanosine, lamivudine, stavudine, zalcitabine or zidovudine; or a non-nucleoside reverse transcript
- the present invention still further relates to the combination of a compound of the invention, or a pharmaceutically acceptable salt thereof, and a cardiovascular agent such as a calcium channel blocker, a beta-adrenoceptor blocker, an angiotensin-converting enzyme (ACE) inhibitor, an angiotensin-2 receptor antagonist; a lipid lowering agent such as a statin or a fibrate; a modulator of blood cell morphology such as pentoxyfylline; thrombolytic, or an anticoagulant such as a platelet aggregation inhibitor.
- a cardiovascular agent such as a calcium channel blocker, a beta-adrenoceptor blocker, an angiotensin-converting enzyme (ACE) inhibitor, an angiotensin-2 receptor antagonist
- ACE angiotensin-converting enzyme
- angiotensin-2 receptor antagonist angiotensin-2 receptor antagonist
- a lipid lowering agent such as a statin or a fibrate
- a modulator of blood cell morphology such as
- the present invention further relates to the combination of a compound of, the invention, or a pharmaceutically acceptable salt thereof, and a CNS agent such as an antidepressant (such as sertraline), an anti-Parkinsonian drug (such as deprenyl, L-dopa, ropiiiirole, pramipexole, a MAOB inhibitor such as selegine and rasagiline, a comP inhibitor such as tasmar, an A-2 inhibitor, a dopamine reuptake inhibitor, an NMDA antagonist, a nicotine agonist, a dopamine agonist or an inhibitor of neuronal nitric oxide synthase), or an anti-Alzheimer's drug such as donepezil, rivastigmine, tacrine, a COX-2 inhibitor, propentofylline or metrifonate. . . .
- a CNS agent such as an antidepressant (such as sertraline), an anti-Parkinsonian drug (
- the present invention still further relates to the combination of a compound of the invention, or a pharmaceutically acceptable salt thereof, and an agent for the treatment of acute or chronic pain, such as a centrally or peripherally-acting analgesic (for example an opioid or derivative thereof), carbamazepine, phenytoin, sodium valproate, amitryptiline or other anti-depressant agent-s, paracetamol, or a non-steroidal anti-inflammatory agent.
- the present invention further relates to the combination of a compound of the invention, or a pharmaceutically acceptable salt thereof, together with a parenterally or topically-applied (including inhaled) local anaesthetic agent such as lignocaine or a derivative thereof.
- a compound of the present invention, or a pharmaceutically acceptable salt thereof can also be used in combination with an anti-osteoporosis agent including a hormonal agent such as raloxifene, or a biphosphonate such as alendronate.
- the present invention still further relates to the combination of a compound of the invention, or a pharmaceutically acceptable salt thereof, together with a: (i) tryptase inhibitor; (ii) platelet activating factor (PAF) antagonist; (iii) interleukin converting enzyme (ICE) inhibitor; (iv) IMPDH inhibitor; (v) adhesion molecule inhibitors including VLA-4 antagonist; (vi) cathepsin; (vii) kinase inhibitor such as an inhibitor of tyrosine kinase (such as Btk, Itk, Jak3 or MAP, for example Gefitinib or lmatinib mesylate), a serine / threonine kinase, (such as an inhibitor of a MAP kinase such as p38, JNK, protein kinase A, B or C, or IKK), or a kinase involved in cell cycle regulation (such as a cylin dependent kinas
- - or B.sub2. -receptor antagonist for example colchicine
- anti-gout agent for example colchicine
- xanthine oxidase inhibitor for example allopurinol
- uricosuric agent for example probenecid, sulfinpyrazone or benzbromarone
- growth hormone secretagogue for example probenecid, sulfinpyrazone or benzbromarone
- transforming for example colchicine
- anti-gout agent for example colchicine
- uricosuric agent for example probenecid, sulfinpyrazone or benzbromarone
- growth hormone secretagogue for example probenecid, sulfinpyrazone or benzbromarone
- TGF ⁇ platelet-derived growth factor
- PDGF platelet-derived growth factor
- bFGF fibroblast growth factor for example basic fibroblast growth factor
- GM-CSF granulocyte macrophage colony stimulating factor
- capsaicin cream tachykinin NK.subi . or NK.sub3.
- NKP-608C such as NKP-608C, SB-233412 (talnetant) or D-4418
- elastase inhibitor such as UT-77 or ZD-0892
- TACE TNF-alpha converting enzyme inhibitor
- iNOS induced nitric oxide synthase
- chemoattractant receptor-homologous molecule expressed on TH2 cells such as a CRTH2 antagonist
- inhibitor of P38 agent modulating the function of Toll-like receptors (TLR), agent modulating the activity of purinergic receptors such as P2X7; (xxvii) inhibitor of transcription factor activation such as NFkB, API or STATS; or (xxviii) a glucocorticoid receptor (GR-receptor) agonist.
- TLR Toll-like receptors
- P2X7 agent modulating the activity of purinergic receptors
- inhibitor of transcription factor activation such as NFkB, API or STATS
- GR-receptor glucocorticoid receptor
- the present invention provides a combination (for example for the treatment of COPD, asthma or allergic rhinitis) of a compound of formula (I) and one or more agents selected from the list comprising: o a non-steroidal glucocorticoid receptor (GR-receptor) agonist; o a PDE4 inhibitor including an inhibitor of the isof ⁇ rm PDE4D; o a modulator of chemokine receptor function (such as a CCR1 receptor antagonist); o a steroid (such as budesonide); and o an inhibitor of p38 kinase function.
- GR-receptor non-steroidal glucocorticoid receptor
- PDE4 inhibitor including an inhibitor of the isof ⁇ rm PDE4D
- o a modulator of chemokine receptor function such as a CCR1 receptor antagonist
- o a steroid such as budesonide
- an inhibitor of p38 kinase function for example for the treatment of
- a compound of the invention, or a pharmaceutically acceptable salt thereof, can also be used in combination with an existing therapeutic agent for the treatment of cancer, for example suitable agents include:
- an antiproliferative/antineoplastic drug or a combination thereof, as used in medical oncology such as an alkylating agent (for example cis-platin, carboplatin, cyclophosphamide, nitrogen mustard, melphalan, chlorambucil, busulphan or a nitrosourea); an antimetabolite (for example an antifolate such as a flu ⁇ ropyrimidine like 5-fluorouracil or tegafur, raltitrexed, methotrexate, cytosine arabinoside, hydroxyurea, gemcitabine or paclitaxel); an antitumour.antibiotic (for example an anthracycline such as adriamycin, bleomycin, doxorubicin, daunomycin, epirubicin, idarubicin, mitomycin-C, dactinomycin or mithramycin); an antimitotic agent (for example ayinca alkaloid such
- a cytostatic agent such as an antioestrogen (for example tamoxifen, toremifene, raloxifene, droloxifene or iodoxyfene), an oestrogen receptor down regulator (for example fulvestrant), an a ' ntiandrogen (for example bicalutamide, flutamide, nilutamide or cyproterone acetate), a LHRH antagonist or LHRH agonist (for example goserelin, leuprorelin or buserelin), a progestogen (for example megestrol acetate), an aromatase inhibitor (for example as anastrozole, letrozole, vorazole or exemestane) or an inhibitor of 5 ⁇ -reductase such as finasteride; (Hi) an agent which inhibits cancer cell invasion (for example a metalloproteinase inhibitor like marimastat or an inhibitor of urokina), an
- an agent used in antisense therapy for example one. directed, to one of the targets listed above, such as ISIS 2503, an anti-ras antisense;
- an agent used in' a gene therapy approach for example approaches to replace aberrant genes such as aberrant p53 or aberrant BRCA1 or BRCA2, GDEPT (gene-directed enzyme pro-drug therapy) approaches such as those using cytosine deaminase, thymidine kinase or a bacterial nitroreductase enzyme and approaches to increase patient tolerance to chemotherapy or radiotherapy such as multi-drug resistance gene therapy; or
- an agent used in an immunotherapeutic approach for example ex-vivo and in-vivo approaches to increase the immunogenicity of patient tumour cells, such as transfection with cytokines such as interleukin 2, interleukin 4 or granulocyte-macrophage colony stimulating factor, approaches to decrease T-cell anergy, approaches using transfected immune cells such as cytokine-transfected dendritic cells, approaches using cytokine-transfected tumour cell lines and approaches using anti-idiotypic antibodies.
- cytokines such as interleukin 2, interleukin 4 or granulocyte-macrophage colony stimulating factor
- Silica gel used for medium pressure column chromatography is 0.035 to 0.070 mm (220 to 440 mesh) (e.g. Fluka silica gel 60), and an applied pressure up to 10 psi accelerated column elution.
- TLC thin layer chromatography
- it refers to silica gel TLC using plates, typically 3 x 6 cm silica gel on aluminium foil plates with a fluorescent indicator (254 nm) (e.g. Fluka 60778). All solvents and commercial reagents were used as received.
- Purification by prepacked SCX-2 cartridge refers to Isolute ® SCX-2, a strong cation exchange sorbent (Argonaut/IST).
- Purification over NH 2 silica gel refers to Isolute ® flash NH 2 prepacked cartridges (Argonaut/IST).
- Phenyl hexyl column 250 x 21.20 mm Ld. Luna column with 5 ⁇ m particle size), eluting using linear gradients of mixtures of solvent A (water with 0.1% TFA) and solvent B (acetonitrile with 0.1 % TFA) at a flow rate of 18 ml_/min with UV detection set at 254 nm.
- HPLC system 4 C8-reverse-phase column (50 x 19 mm Ld. " Symmetry column with 5.0 ⁇ m particle size), eluting using linear gradients of mixtures of solvent A (water with 0.1 % TFA) and solvent B (acetonitrile with 0.1 % TFA) at a flow rate of 20 mL/min with UV detection set at 220 nm.
- Micromass Platform LCT with a C18-reverse-phase column (100 x 3.0 mm i.d. Higgins Clipeus with 5 ⁇ m particle size), elution with solvent A (water with 0.1 % formic acid) and solvent B (acetonitrile with 0.1 % formic acid).
- MS ionisation method Electrospray (positive ion).
- MS ionisation method Electrospray (positive and negative ion).
- MS ionisation method Electrospray (positive and negative ion).
- MS ionisation method - APCI positive ion and negative ions
- Agilent 1100 series LG/MSD with C18-reverse-phase column (50 x 2.1 mm i.d. Waters Symmetry column with 3.5 ⁇ m particle size), eluting using linear gradients of mixtures of solvent A (water with 0.1% TFA) and solvent B (acetonitrile with 0.1 % TFA) at a flow rate of 1 mL/min.
- MS ionisation method - APCI positive ion and negative ions
- AIBN (2,2'-azobis(2-methylproprionitrile)
- BOC-anhydride Di-t ⁇ /t-butyl dicarbonate .
- CDI 1 ,1 '-carbonyl diimidazole
- DIPEA diisopropylethylamine
- DMF /V, ⁇ /-di methyl formamide
- HATU O-(7-azabenzotriazol-1 -yl)- ⁇ /, ⁇ /, ⁇ /' ⁇ /-tetramethyluroniumhexafluoro- phosphate
- NaHCO 3 sodium hydrogen carbonate
- NaOH Sodium hydroxide
- TEMPO 2,2,6,6-tetramethyl-1 -piperidinyloxy free radical
- the title compound was prepared from (5-methyl-oxazol-2-yl)-diphenyl-methanol by a similar method to. that disclosed in WO200.7/017669.
- the title compound was prepared from [5-(2-benzylamino-ethyl)-oxazol-2-yl]-diphenyl- methanol using a similar procedure to that disclosed in WO2007/017669.
- the title compound was prepared from 4-nitro-benzaldehyde and 7-(2-amino-ethyl)-4- hydroxy-3H-benzothiazol-2-one hydrochloride by similar methods to those employed in intermediates 19-21 , respectively.
- Dess-Martin periodinane (1.22 g, 2.88 mmol) was added to /V-(2,2-dimethoxy-ethyl)-4- (2-hydroxy-ethyl)-benzamide (0.55 g, 2.17 mmol) in DCM (15 mL. After 1 hour, saturated aqueous NaHCO 3 (25 mL), sodium thiosulphate (25 mL) and EtOAc (80 mL) were added and the mixture shaken vigorously for 1 minute then separated.
- tert-Butyldimethylchlorosilane (4.07 mL, 21 .89 mmo! was added to a stirred solution of methyl 3-(2-hydroxyethyl)benzoate (3.30 g, 18.31 mmol) a ⁇ d Imidazole (3.70 g, 54.35 mmol) in dry DMF (30 mL) cooled in an ice bath. After 45 minutes, the reaction mixture was diluted with ethyl acetate, washed with water (x 3) and evaporated in vacuo. The resulting gum was dissolved in iso-hexanes and passed through a pad of silica-g ⁇ l eluting with iso-hexanes followed by EtOAc/DCM [1 :10] to afford the title compound.
- Lithium hydroxide (2.0 g, 83 mmol) as a suspension in water (20 ml_) was added to methyl 3-(2-(tert-butyldimethylsilyloxy)ethyl)benzoate (5.1 g, 20.04 mmol) in MeOH (60 mL). The resulting suspension was stirred at room temperature for 16 hours. The mixture was then partitioned between 10% aqueous acetic acid (200 mL) and EtOAc (300 mL). The EtOAc solution was washed with water (x 3), dried (Na 2 SO 4 ), filtered and concentrated in vacuo.
- the title compound was prepared from 3-[2-(tert-butyl-dimethyl-silanyloxy)-ethyl]- benzoic acid and 7-(2-amino-ethyl)-4-hydroxy-3H-benzothiazol-2-one hydro chloride by similar methods to those employed in intermediates 23-25.
- the title compound was prepared from ⁇ 2-[3-(2,2-dimethoxy-ethylcarbamoyl)-phenyl]- ethyl ⁇ -[2-(4-hydroxy-2-oxo-2,3-dihydro-benzothiazol-7-yl)-ethyl] carbamic acid tert- butyl ester hydro chloride by a similar method to. that used in intermediate 26.
- HATU (8.30 g, 21.83 mmol) was added portion-wise over 10 minutes to a cooled 0 0 C stirred solution of 4-(hydroxymethyl)benzoic acid (2.60 g, 17.09 mmol), 2,2- dimethoxyethanamine (3.00 g, 28.53 mmol) and triethylamine (8.00 g, 79.06 mmol) in DMF (40 ml_). After 1 hour the reaction mixture was quenched with water (200 mL) and extracted with EtOAc (6 x 350 mL). The organic extracts were combined, dried (MgSO 4 ), filtered and evaporated in vacuo. The crude product was purified by flash silica chromatography, eluting with EtOAc/iso-hexanes ⁇ 3:1] to afford the title compound.
- the title compound was prepared from /V-(2,2-dimethoxy-ethyl)-4-formyl-benzamide and 7-(2-amino-ethyl)-4-hydroxy-3H-benzothiazol-2-one hydro chloride by similar methods to those employed in intermediates 25 and 26. . .
- the title compound was prepared from (3-acetoxymethyl-phenyl)-acetic acid methyl ester by a similar method to that used in intermediate 30 to give the title compound, as a coloured gum.
- the title compound was prepared from (3-hydroxymethyl-phenyl)-acetic acid by a similar method to that used in intermediate 29 to give the title compound as an orange gum.
- the title compound was prepared from ⁇ 4-[2-(tert-butyl-dimethyl-siianyIoxy)-ethyl]- phenyl ⁇ -acetaldehyde and 7-(2-amino-ethyl)-4-hydroxy-3H-benzothiazol -2-one hydrochloride by similar methods to the reductive amination and Boc-protection steps in intermediate 26.
- a solution of the intermediate amino TBDMS ether in MeOH (20 ml_) was converted to the amino alcohol by addition of concentrated aqueous HCI (2 ml_). After 20 minutes, the mixture was concentrated in vacuo to give the crude de-silylated intermediate which was taken on to the BoC 2 O reaction to give the title compound.
- the title compound was prepared from carbonic acid 7-[2-(tert-butoxycarbonyl- ⁇ 2-[4- (2-hydroxy-ethyl)-phenyl]-ethyl ⁇ -amino)-ethyl]-2-oxo-2,3-dihydro-benzothiazol-4-yI ester tert-butyl ester by a similar Dess-Martin oxidation method used in the synthesis . of intermediate 26.
- the title compound was prepared from carbonic acid 7-[2-(tert-butoxycarbonyl- ⁇ 2-[3- (2-hydroxy-ethoxy)-phenyl]-ethyl ⁇ -amiho)-ethyl]-2-oxo-2,3-dihydro-benzothiazol-4-yl ester tert-butyl ester by a similar Dess-Martin oxidation method used in the synthesis of intermediate 26.
- the title compound was prepared from [3-(3-bromo-propoxy)-phenyl]-acetal dehyde and 7-(2-amino-ethyl)-4-hydroxy-3H-benzothiazol-2-one hydro chloride by similar methods to those employed for intermediate 26.
- the crude product was purified by HPLC (HPLC system 3) to give the desired product as a white solid.
- the title compound was prepared from [4-(3-bromo-propoxy)-phenyl]-acetaldehyde and 7-(2-amino-ethyl)-4-hydroxy-3H-benzothiazol-2-one hydro chloride by similar methods to those employed for intermediate 26.
- the crude product was purified by HPLC (HPLC system 3) to give the desired product as a white solid.
- the title compound was prepared from 4-(2-hydroxyethyl)phenol and 2-bromo-1 ,1- diethoxyethane by a similar method to that employed for intermediate 49.
- the intermediate dimethylacetal of the title compound was prepared from [2-[4-(2,2- dimethoxy-ethoxy)-phenyl] ⁇ ethanol and 7-(2-amino-ethyl)-4-hydroxy-3H-benzothiazol- 2-one acetate by similar methods to those employed for intermediates 26 and 50, respectively..
- the intermediate dimethylacetal of the title compound was prepared from [4-(2,2- dimethoxy-ethoxy)-phenyl]-methanol and 7-(2-amino-ethyl)-4-hydroxy-3H- benzothiazol-2-one hydrochloride by similar methods to those employed for intermediates 34, 19 and 20, respectively.
- the dimethyl acetal was converted into the title aldehyde following hydrolysis as for intermediate 27, and was used directly.
- the title compound was prepared from 2-(2-thienyl)ethanol by similar a method to that 5 employed in intermediate 29.
- Triphenylphosphine (13.04 g, 49.71 mmol), followed by carbon tetrabromide (15.71 g, 47.38 mmol) were added in one portion to ⁇ 5-[2-(tert-butyl-dimethyl-silanyloxy)-ethyl]- thiophen-2-yl ⁇ -methanol (10.94 g, 40.15 mmol) in DCM (20 mL) at 0 0 C under nitrogen. The resulting solution was stirred at room temperature for 1 hour. The reaction mixture was cooled to 0 0 C and treated with tetraethylammonium cyanide (8.96 g, 57.34 mmol), added in one portion.
- TBDMS-CI (10.35 g, 68.69 mmol) was added to a stirred solution of imidazole (4.68 g, 68.69 mmol), and 2-hydroxymethyl-1 H-benzoimidazoie-5-carboxylic acid (6.00 g, 31 .22 mmol) in DMF (50 ml_) at 20 0 C. The resulting solution was stirred at 20 0 C for 1 hour. To the mixture was then added THF (50 ml_) followed with ice-bath cooling by a solution.of K 2 CO 3 (6.04 g, 43.71. mmol) in Water (50 mL).
- the mixture was stirred at 0 0 C for 20 minutes and then diluted with water (200 mL) and extracted with diethyl ether.
- the aqueous layer was acidified by addition of acetic acid and then extracted with EtOAc, the organic layers were combined, washed twice with water before being ' dried (Na s O 4 ) and filtered.
- the solvent was removed in vacuo until solid precipitated out; the solid was filtered off and washed with a little ether to yield 2.15 g of product.
- the mother liquors were diluted with iso-hexane to precipitate a further 4.35 g of the desired product.
- the title compound was prepared from 4-hydroxy-7- ⁇ 2-[(2-hydroxymethyl-1 H- benzoimidazol-5-ylmethyl)-amino]-ethyl ⁇ -3H-benzothiazol-2-one by a similar method to that employed in intermediate 20.
Landscapes
- Health & Medical Sciences (AREA)
- Chemical & Material Sciences (AREA)
- Organic Chemistry (AREA)
- General Health & Medical Sciences (AREA)
- Animal Behavior & Ethology (AREA)
- Veterinary Medicine (AREA)
- Chemical Kinetics & Catalysis (AREA)
- General Chemical & Material Sciences (AREA)
- Medicinal Chemistry (AREA)
- Nuclear Medicine, Radiotherapy & Molecular Imaging (AREA)
- Public Health (AREA)
- Pharmacology & Pharmacy (AREA)
- Life Sciences & Earth Sciences (AREA)
- Bioinformatics & Cheminformatics (AREA)
- Engineering & Computer Science (AREA)
- Ophthalmology & Optometry (AREA)
- Urology & Nephrology (AREA)
- Biomedical Technology (AREA)
- Neurology (AREA)
- Neurosurgery (AREA)
- Pain & Pain Management (AREA)
- Cardiology (AREA)
- Rheumatology (AREA)
- Pulmonology (AREA)
- Heart & Thoracic Surgery (AREA)
- Dermatology (AREA)
- Physical Education & Sports Medicine (AREA)
- Gynecology & Obstetrics (AREA)
- Endocrinology (AREA)
- Reproductive Health (AREA)
- Pharmaceuticals Containing Other Organic And Inorganic Compounds (AREA)
Abstract
The present invention relates to a compound of formula (I) having both M3 receptor antagonist and β2 agonist activity; a composition comprising such a compound; the use of such a compound in therapy (such as asthma or COPD); and a method of treating a patient with such a compound; wherein R1, R3, R4, R5, R6, La, Z1, W, V, A and X are as defined herein.
Description
NITROGEN CONTAINING HETROCYCLIC COMPOUNDS USEFUL AS BIFUNCTIONAL MODULATORS OF M3 RECEPTORS AND BETA- 2 RECEPTORS
Field of the Invention
This invention relates to heterocycles, pharmaceutical compositions, methods for their 5 preparation and use in the treatment of diseases where compounds possessing both muscarinic receptor antagonist and β2-agonist activity present in the same molecule (bifunctional molecules) are useful (such as in the treatment of asthma or COPD).
Background to the invention
10 Compounds possessing both muscarinic receptor antagonist and β2-agonist activity present in the same molecule are known in the art. Such bifunctional molecules provide bronchodilation through two separate modes of action whilst possessing
. single molecule pharmacokinetics. Such a molecule might be easier to formulate for therapeutic use as compared to two separate compounds and might be more
15 easily co-formulated with another active ingredient, for example a steroid. Such bifunctional molecules are described in, for example, WO04/074246, WO04/089892, WO05/111004, WO06/023457 and WO06/023460, all of which use different linker radicals for covajently linking an M3 antagonist to a β2-agonist.
20 Anticholinergic agents prevent the passage of, or effects resulting from the passage of, impulses through the parasympathetic nerves. This is a consequence of the ability of such compounds to inhibit the action of acetylcholine (Ach) by blocking its binding to the muscarinic cholinergic receptors.
25 There are five subtypes of muscarinic acetylcholine receptors (mAChRs), termed M1 -M5, and each is the product of a distinct gene and each displays unique pharmacological properties. mAChRs are widely distributed in vertebrate organs, and these receptors can mediate both inhibitory and excitatory actions. For example, in smooth muscle found in the airways, bladder and gastrointestinal tract,
30 M3 mAChRs mediate contractile responses (reviewed by Caulfield, 1993, Pharmac. Ther., 58, 319 - 379).
. In the lungs, muscarinic receptors M1 , M2 and M3 have been demonstrated to be important and are localized to the trachea, the bronchi, submucosal glands and 35 parasympathetic ganglia (reviewed in Fryer and Jacoby, 1998, Am J Resp Crit Care Med., 158 (5 part 3) S 154 - 160). M3 receptors on airway smooth muscle mediate
contraction and therefore bronchoconstriction. Stimulation of M3 receptors localised to submucosal glands results in mucus secretion.
Increased signalling through muscarinic acetylcholine receptors has been noted in a variety of different pathophysiological states including asthma and COPD. In COPD, vagal tone may either be increased (Gross etal. 1989, Chest; 96:984-987) and/or . may provoke a higher degree of obstruction for geometric reasons if applied on top of oedematous or mucus-laden airway walls (Gross et al. 1984, Am Rev Respir Dis; 129:856-870). In addition, inflammatory conditions can lead to a loss of inhibitory M2 receptor activity which results in increased levels of acetylcholine release following vagal nerve stimulation (Fryer et al, 1999, Life Sci., 64, (6-7) 449-455). The resultant increased activation of M3 receptors leads to enhanced airway obstruction. Thus the identification of potent muscarinic receptor antagonists would be useful for the therapeutic treatment of those disease states where enhanced M3 receptor activity is implicated. Indeed, contemporary treatment strategies currently support regular use of M3 antagonist bronchodilators as first-line therapy for COPD patients (Pauwels et al. 2001 , Am Rev Respir Crit Care Med; 163:1256-1276)
Chem. Pharm. Bull. 27 (12) 3149-3152 (1979) and J. Pharm. Sci 69 (5) 534-537 (1980) describe furyl derivatives as possessing atropine-like activities.
Med. Chem. Res 10 (9), 615-633 (2001) describes isoxazoles and Δ2-isoxazolines as muscarinic antagonists.
WO97/30994 describes oxadiazoles and thiadiazoles as muscarinic receptor antagonists. EP0323864 describes oxadiazoles linked to a mono- or bicyclic ring as muscarinic receptor modulators. .
The class of β2 adrenergic receptor agonists is well known. Many known β2-agonists, in particular, long-acting β2-agonists such as salmeterol and formoterol, have a role in the treatment of asthma and COPD. These compounds are also generally administered by inhalation. Compounds currently under evaluation as once-daily β2 agonists are described in Expert Opin. Investig. Drugs 14 (7), 775-783 (2005). A well known β2- agonist pharmacophore is the moiety:
Also known in the' art are pharmaceutical compositions that contain both a muscarinic antagonist and a β2-agonist for use in the treatment of respiratory disorders. For. example, US2005/0025718 describes a β2-agonist in combination with tiotropium, oxotropium, ipratropium or other muscarinic antagonist; WO02/060532 describes a combination of ipratropium with a β2-agonist; and, WO02/060533 describes a combination of oxotropium with a β2-agonist. Other M3 antagonist / β2-agonist combinations are described in WO04/105759 and WO03/087097.
Summary of the Invention . .
According to the invention, there is provided a compound of formula (I):
(ii) R1 and R3 together with the nitrogen to which they are attached form a heterocycloalkyl ring;
R4 and R5 are independently selected from the group consisting of aryl, aryl-fused- heterocycloalkyl, heteroaryl, C1-CVaIkVl, cycloalkyl;
R6 is -OH, CrCe-alkyl, CrC6-alkoxy, hydroxy-CrC6-alkyl, nitrile, a group CON(R12)2 or a hydrogen atom; • • ' . one of W1 V and A is N. or NR11; another of W, V and A is N, O, S or CR8; and the last one of W, V and A is N or CR8
X is an CrC6alkylene, C2-C6alkenylene or C2-C6alkyny!ene group;
R8, R11 and R12 are, independently, hydrogen atom or CrC6-alkyl group; ■
La is a divalent linker radical of formula (Ia);
wherein L represents a linker comprising a hydrocarbyl chain of up to 14 carbon atoms, wherein up to three carbon atoms of the chain are replaced by groups independently selected from O, NR45, S, S(O), S(O)2, C(O)O, OC(O), .
NR46C(O), C(O)NR47, NR48S(O)2, S(O)2NR49, NR50C(O)NR51, NR52S(O)2NR53,
OC(O)NR54, NR55C(O)O, provided that any heteroatoms in the chain are separated by at least 2 carbon atoms; and/or up to four carbon atoms of the chain form part of a mono- or bicyclic aliphatic, heteroaliphatic, aromatic or heteroaromatic ring having up to four heteroatoms independently selected from N, O or S, said ring comprising up to
10 ring atoms, and wherein the ring is optionally substituted by up to three substituents independently selected from halogen, S(O)0-2R56, NR57R58,
S(O)2NR59R60, C(O)NR61R62, C(O)OR63, NR64S(O)2R65, NR66C(O)R67,
NR68C(O)OR69, NR70C(O)NR71R72, OR73, C1-6 alkyl and C3-6 cycloalkyl, and wherein
C1-6 alkyl and C3-6 cycloalkyl may be optionally substituted by up to three substituents independently selected from halogen, hydroxyl and C1-6 alkoxy; and the chain may comprise up to three of such rings each selected independently, and;
wherein R56,' R65 and R69 each independently represent C1-6 alkyl or C3-6 cycloalkyl, wherein C1-6 alkyl and C3-6 cycloalkyl may be optionally substituted by up to three substituents independently selected from halogen, hydroxyl, C1-6 alkoxy; and
wherein R45, R46, R47, R48, R49, R50, R51, R52, R53, R54, R55, R57, R58, R59, R60,
R61, R62, R63, R64, R66, R67, R68 , R70, R71, R72 and R73 each independently represent hydrogen, Ci-6 alkyl or C3-6 cycloalkyl, wherein Ci-6 alkyl and C3.6 cycloaikyl may be optionally substituted by up to three substituents independently selected from halogen, hydroxyl, C1-6 alkoxy; or any of R57 and R58, R59 and R60, R61 and R62 or R71 and R72, together with the nitrogen atom to which they are both attached, may form a 4 to 8 membered aliphatic heterocyclic ring, wherein the aliphatic heterocyclic ring may comprise up to three heteroatoms independently selected from N, O and S, wherein the ring may be optionally substituted by up to three substituents independently selected from halogen, hydroxyl and Ci-6 alkyl or C3-6 cycloalkyl, wherein Ci-6 alkyl and C3-6 cycloalkyl may be optionally substituted by one or more substituents independently selected from halogen and hydroxyl; and
wherein the chain may additionally comprise up to. three carbon-carbon double bonds; and,
wherein the chain may additionally comprise up to three carbon-carbon triple bonds;
L1 and L2 each independently represent. hydrogen, Ci-6 alkyl pr
C3-6 cycloalkyl;
L3 and L4 each independently represent hydrogen, Ci-6 alkyl or C3-6 cycloalkyl, wherein C1-6 alkyl and C3-6 cycloalkyl may be optionally substituted by one or more substituents independently selected from halogen and hydroxyl;
and in addition L1 and/or L3 may be linked to a carbon atom of the hydrocarbyl chain in linker L to form an aliphatic ring of up to 6 ring atoms, wherein the ring may comprise up to three heteroatoms independently selected from N, O and
S; and
wherein * denotes the point of attachement of the group of formula (Ia) to the non-aromatic nitrogen bearing R1 and R3, and ** denotes the point of attachment to the group Z1;
Z1 is a moiety having β2- adrenoreceptor binding activity;
wherein, unless otherwise specified, each occurrence of alkyl, hete.rocycloalkyl, aryl, aryl-fused-heterocycloalkyl, heteroaryl, cycloalkyl, alkoxy, alkylene, alkenylene, alkynylene or aryl-fused-cycloalkyl may be optionally substituted; and wherein each alkenylene chain contains, where possible, up to 2 carbon-carbon double bonds and each alkynylene chain contains, where possible, up to 2 carbon- carbon triple bonds or a pharmaceutically acceptable salt thereof.
In another aspect the present invention provides a prodrug of a compound of formula (1) as herein defined, or a pharmaceutically acceptable salt thereof.
In yet another aspect the present invention provides an N-oxide of a compound of formula (I) as herein defined, or a prodrug or pharmaceutically acceptable salt thereof.
In a further aspect the present invention provides a solvate (such as a hydrate) of a compound of formula (I) as herein defined, or an N-oxide, prodrug or pharmaceutically acceptable salt thereof.
In an additional aspect, the present invention provides compounds of formula (I), as defined above, wherein, unless otherwise specified, each occurrence of alkyl may be optionally substituted with one or more substituent groups chosen from C1-C6- haloalkyl, C1-C^aIkOXy, CrC6-haloalkoxy, CN and halo; and each occurrence of heterocycloalkyl, aryl, aryl-fused-heterocycloalkyl, heteroaryl, cycloalkyl, alkoxy, alkylene, alkenylene, alkynylene or aryl-fused-cycloalkyl may be optionally substituted with one or more substituent groups chosen from CrC6-alkyl, CrCe-haloalkyl, C1-C6- haloalkoxy, CrC6-alkoxy, CN and halo.
In an alternative aspect, the present invention provides compounds of formula (I), as defined above, wherein, unless otherwise specified, each occurrence of alkyl, heterocycloalkyl, aryl, aryl-fused-heterocycloalkyl, heteroaryl, cycloalkyl,. alkoxy, . alkylene, alkenylene, alkynylene or aryl-fused-cycloalkyl is not substituted.
The present invention also provides compounds of formula (I), PROVIDED THAT .
when A is an oxygen or sulfur atom and W is a nitrogen atom, then V is not a group CR8.
In another aspect the present invention provides a compound of formula (I) wherein: (i) R1 is CrCe-alkyl; and R3 is lone pair or CrC6-alkyl; or
(ii) R1 and R3 together with the nitrogen to which they are attached form a he'terocycloalkyl ring; and
X is an alkylene, alkenylene or alkynylene group.
•
In a further aspect, the present invention provides compounds of formula (I) wherein:
R1 is H or Ci-C6-alkyl; and R3 is a lone pair;
R4 and R5 are independently selected from the group consisting of aryl, heteroaryl and cycloalkyl;
R6 is -OH, CrC6-alkoxy, hydroxy-CrC6-alkyl or a hydrogen atom; the 5-membered ring containing W, V and A is selected from:
wherein the bond marked * is attached to the group R4R5R6C-, and the bond marked ** is attached to the group -XNR1(La-Z1)R3; and R11 is as herein defined; X is a CrC2alkylene group;
R8, R11 and R12 are, independently, hydrogen atom or CrCeralkyl group; La is divalent linker radical of formula (Ia);
wherein * denotes the point of attachement of the group of formula (Ia) to the non-aromatic nitrogen bearing R1 and R3, and ** denotes the point of attachment to the group Z1; and wherein the moiety -C(L1)(La)-L-C(L3)(L4)-. is selected from: - (i) -(CH2)s-O-(CH2)t-B-(CH2)u-, wherein B is a phenylene or heteroarylene radical
and s is 2 or 3, t is 0, 1 or 2, and u is 1 or 2;
(ii) -(CH2)v-C(O)NR47-B-(CH2)u-, wherein v is 1 or 2.and R47 is hydrogen, C1-6alkyl or C3.6 cycloalkyl, B is a phenylene or heteroarylene radical, and u is 1 or 2; (iii) -(CH2)V-NR47C(O)-B-(CH2)U-, wherein y is 1 or 2, B, R47, and u are as defined in case (ii);
(iv) -(GH2)V-C(O)N R47-(CH2)w-; wherein w is 3-8 and v and R47 are. as defined in case (iii); and
(v) -(CH2)V-B-(CH2)U-, wherein v is 1 or 2, B is a phenyiene or heteroarylene . radical, and u is 1 or 2; Z1 is a group of formula (Ib):
T ^ ***
OH H (Ib) wherein Ar is selected from:
wherein M1 is S, CH=CH, CH2O or OCH2; M2 is S, CH=CH, CH2O or OCH2; A1, A2, and A4 are, independently, hydrogen, halogen, C1-6 alkyl,
C1-6 alkoxy; A3 is CH2OH, NHCHO, NHS(O)2NA15A16 or NHSO2A17; A15 or A16 are independently selected from hydrogen or C1-6 alkyl; and A17 is C1-6 alkyl; and
*** represents the attachment point of the group of formula (Ib) to the group of formula (Ia); or a pharmaceutically acceptable salt thereof; wherein, unless otherwise specified, each occurrence of alkyl may be optionally substituted with one or more substituent groups chosen from d-Ce-haloalkyl, C1-C6- haloalkoxy, CN and halo; and each occurrence of heterocycloalkyl, aryl, aryl-fused- heterocycloalkyl, heteroaryl, cycloalkyl, alkoxy, alkylene, alkenylene, alkynylene or aryl- fused-cycloalkyl may be optionally substituted with one or more substituent groups chosen from CrC6-alkyl, CrC6-haloalkyl, CrC6-haloalkoxy, CN and ha|o. .
In another aspect the present invention provides a compound of formula (I) wherein R1 is CrC6-alkyl; and R3 is a lone pair.
In another aspect the present invention provides a compound of formula (I) wherein R1 is CrC6-alkyl; and R3 is CrCValkyl and the nitrogen to which they are attached is quaternary and carries a positive charge.
In a still further aspect the present invention provides a compound of formula (I) wherein X is Ci-C6 alkylene. In another aspect X is C1-C2 alkylene. In yet another aspect X is methylene.
In a further aspect the present invention provides a compound of formula (I) wherein the 5-membered ring containing W, V and A is:
wherein the bond marked * is attached to the group R4R5R6C-, and the bond marked ' ** is attached to the group -XNR1(La-Z1)R3; and R11 is as defined above.
In a still further aspect the present invention provides a compound of formula (I) wherein R11 is hydrogen or C1-C3 alkyl,
In another aspect the present invention provides a compound of formula (I) wherein the 5-membered ring containing W, V and A is:
wherein the bond marked * is attached to the group R4R5R6C-, and the bond marked ** is attached to the group -XNR1(La-Z1)R3; and R11 is as defined herein.
In a further aspect the present invention provides a compound of formula (I) wherein the 5-membered ring containing W, V and A is:
wherein the bond marked * is attached to the group R4R5R6C-, and the bond marked ** is attached to the group -XNR1(LΛZ1)R3; and R11 is as defined herein.
In a yet further aspect the present invention provides a compound of formula (I) wherein the 5-membered ring containing W, V and A is:
wherein the bond marked * is attached to the group R4R5R6C-, and the bond marked ** is attached to the group -XNR1(La-Z1)R3.
In yet another aspect R6 is hydroxy, C1-C4 alkyl (such as methyl), C1-C4 alkoxy (such as methoxy) or nitrile. In a further aspect R6 is hydroxy, C1-C4 alkyl (such as methyl).
In a still further aspect R6 is hydroxy.
In a still further aspect the present invention provides a.compound of formula (I) wherein R4 and R5 are, independently, aryl (such as phenyl), C4-C8 cycloalkyl (such as cyclopentyl or cyclohexyl) or heteroaryl (such as thiophenyl).
In another aspect the present invention provides a compound of formula (I) wherein R4 is aryl (such as phenyl) or heteroaryl (such as thiophenyl).
In yet another aspect the present invention provides a compound of formula (I) wherein R5 is C4-C8 cycloalkyl (such as cyclopentyl or cyclohexyl), aryl (such as phenyl) or heteroaryl (such as thiophenyl).
In a further aspect the present invention provides a compound of formula (I) wherein R4 is aryl (for example phenyl) and R5 is C4-C8 cycloalkyl (for example cyclopentyl or cyclohexyl).
In a further aspect Z1 is a group of formula (lb):
OH H (|b)
In a yet further aspect Z1 is a group of formula (Ic):
wherein, in each of these aspects, Ar represents a group selected from the following; ■
wherein
M1 is S, C(O), NA5, CA6A7, CH2CH2, CH=CH, CH2O Or OCH2;
IVT is S, C(O), NAb, CAbA', CH2CH2, CH=CH, CH2O or OCH2;
A1, A2, A3 and A4 are, independently, hydrogen, halogen, trifluoromethyl, cyano, " carboxy, hydroxy, nitro, S(O)2A8, NA9S(O)2A10, C(O)NA11A12, NA13C(O)A14, C1-6 alkyl, C1-6 alkoxy, C(O)(C1-6 alkyl) or C(O)OC1-6 alkyl;
and A3 can also be CH2OH, NHCHO, NHS(O)2NA15A16 or NHSO2A17;
A5, A6, A7, A9, A11, A12, A13, A14, A15 or A16 are, independently, hydrogen or C1-6 alkyl;
A8, A10 and A17 are, independently, C1-6 alkyl, and;
*** represents the attachment point of the group of formula (Ib) or (Ic) to the group of formula (Ia).
In a further aspect Z1 is a group selected from:
The group of formula (Ia)
Conveniently L represents a linker comprising a hydrocarbyl chain of up to 12 carbon atoms, more conveniently 6 to 12 carbon atoms; or of up to 10 carbon atoms or of up to 8 carbon atoms, wherein
up to two carbon atoms of the chain are replaced by groups independently selected from O, NR45, S, S(O), S(O)2, C(O)O, OC(O), NR46C(O), C(O)NR47, NR48S(O)2, S(O)2NR49, NR50C(O)NR51, NR52S(O)2NR53; or independently selected from O, S, S(O), S(O)2, NR46C(O), C(O)NR47; provided that in each case any heteroatoms in the chain are separated by at least 2 carbon atoms; and/or
up to four carbon atoms of the chain may form part of a mono- or bicyclic aliphatic,
heteroaliphatic, aromatic or heteroaromatic ring having up to four heteroatoms independently selected from N, O or S, said ring comprising up to 10 ring atoms, and wherein the ring is optionally substituted by one or more substituents independently selected from halogen, S(O)0-2R56, NR57R58, S(O)2NR59R60, C(O)NR61R62, C(O)OR63,- NR64S(O)2R65, NR66C(O)R67, NR68C(O)OR69, NR70C(O)NR71R72, OR73, C1-6alkyl and C3.6cycloalkyl, and wherein C1-6 alkyl and C3-6 cycloalkyl may be optionally substituted by up to three substituents independently selected from halogen, hydroxyl and C1-6 alkoxy;
Conveniently the chain may comprise up to two, or one of such rings each selected independently;
Conveniently R56, R65 and R69 each independently represent C1-4 alkyl or C3-6 cycloalkyl, wherein C1-4 alkyl and C3-6 cycloalkyl may be optionally substituted by one or more. substituents independently selected from halogen, hydroxyl, C1-4 alkoxy; and
Conveniently R45, R46, R47, R48, R49, R50, R51, R52, R53, R54, R55, R57, R58, R59, R60, R61, R62, R63, R64, R66, R67, R68 , R70, R71, R72 and R73 each independently represent hydrogen, C1-4 alkyl or C3-6 cycloalkyl, wherein C1-4 alkyl and C3-6 cycloalkyl may be optionally substituted by one or more substituents independently selected from halogen, hydroxyl, C1-4 alkoxy; or any of R57 and R58, R59 and R60, R61 and R62 or R71 and R72, together with the nitrogen atom to which they are both attached, may form a 4 to 8 membered aliphatic heterocyclic ring, wherein, the aliphaticheterocyclic ring may be optionally substituted by one or more substituents independently selected from halogen, hydroxyl and C1-4 alkyl or C3:6 cycloalkyl, wherein C1-4 alkyl and C3.6 cycloalkyl may be optionally substituted by one or more substituents independently selected from halogen and hydroxyl.
Examples of convenient ring systems which may be present.as part of the hydrocarbyl linker include .
wherein the heterocyclyl ring is unsubstituted or substituted by 1 or 2 substituents independently selected from, halogen, C1^ alkyl (optionally substituted by OR121,
NR 31i2222Rπ-,112233Oorr NNRR112244CC((OO))RR112255)),
N MRD112277RD 112288, C rvx(OrW)NMRn112299RD 113300, NR131C(O)R132, CN,
S(O)2R133 or S(O)2NR134R135;
R -,133 represents Ci-6 alkyl or C3.6 cycloalkyl, wherein C1-6 alkyl and C3-6 cycloalkyl may be optionally substituted by one or more substituents independently selected from halogen, hydroxyl, C1-6 alkoxy; and p121 p122 p.123 p124 p125 p126 p127 p128 p129 p130 p131 p132 p134 p135 ^ p136 each independently represent hydrogen, Ci-6 alkyl or C3-6 cycloalkyl, wherein C1-6 alkyl and C3-6 cycloalkyl may be optionally substituted by one or more substituents independently selected from halogen, hydroxyl, C1-6 alkoxy; or any of R122 and R123 J R127 and R128, R129 and R130 or R134 and R135, together with the nitrogen atom to which they are both attached, may form a 4 to 8 membered aliphatic heterocyclic ring, wherein the aliphatic heterocyclic ring may be optionally substituted by one or more substituents independently selected from halogen, hydroxyl and C1-6 alkyl or C3-6 cycloalkyl, wherein C^6 alkyl and C3.6 cycloalkyl may be optionally substituted by one or more substituents independently selected, from halogen and hydroxyl.
Conveniently the chain may additionally comprise up to two carbon-carbon double bonds or a single carbon-carbon double bond.
Conveniently the chain may additionally comprise up to two carbon-carbon triple bonds or a single carbon-carbofi triple bond. • ;
Conveniently each of L1 , L2, .L3 and L4 represent independently hydrogen or a C1-4 alkyl group; in addition L1 and/or L3 may be linked to a carbon atom of the hydrocarbyl chain in linker L to form an aliphatic ring of up to 6 ring atoms, which ring may
comprise up to two heteroatoms independently selected from N, O and S.
Where four carbon atoms of the chain form part of a mono- or bicyclic aliphatic, heteroaliphatic, aromatic or heteroaromatic ring having up to three heteroatoms independently selected from N, O or S, said ring may, if an aliphatic ring system comprises up to 10, 9, 8, 7, 6, 5, 4 or 3 ring atoms, if an aromatic ring system then 10, 9, 6 or 5 ring atoms; each selected independently.
Conveniently:
L1 and L2 each independently represent hydrogen, Ci-4 alkyl or ,C3-6 cycloalkyl. More conveniently L1 and L2 are each hydrogen.
L3 and L4 each independently represent hydrogen, C1-4 alkyl or C3-6 cycloalkyl, which C1-4 alkyl and C3-6 cycloalkyl may be optionally substituted by one or more substituents independently selected from halogen and hydroxyl. More conveniently L3 and L4 are both hydrogen.
In some compounds of the invention, the radical -C(L1)(L2)-L-C(L3)(L4)- is selected from:
(i) -(CH2)S-O-(CH2)I-B-(CH2)U-, wherein B is a phenylene or heteroarylene radical and s is
2 or 3, t is .0, 1 or 2, and u is 1 or 2;
(ii) -(CH2)V-C(O)N R47-B-(CH2)u-, wherein v is 1 or 2 and R47 is conveniently hydrogen, but may also be C1-6 alkyl such as methyl or ethyl,, or C3.6 cycloalkyl such. as cyclopropyl, B is a phenylene or heteroarylene radical, and u is 1 or 2;
(iii) -(CH2)V-NR47C(O)-B-(CH2)U-, wherein y is 1 or 2, R47 is conveniently hydrogen,, but may also be C1-6 alkyl such as methyl or ethyl, or C3.6 cycloalkyl such as cyclopropyl, B is a phenylene or heteroarylene radical, and u is 1 or 2;. (iv) -(CH2)v-C(O)NR47-(CH2)w-; wherein w is 3-8 and.v and R47 are as defined in case (iii); and
(v) -(CH2)V-B-(CH2)U-, wherein v is 1 or 2, B is a phenylene or heteroarylene radical, and u is 1 or 2.
The group of formula (Ib) or (Ic)
M1 is S1 CH=CH, CH2O or OCH2;
M2 is S, CH=CH, CH2O or OCH2;
A , A , and A are, independently, hydrogen, halogen, C1-6 alkyl, Ci-6 alkoxy; and Ad can also be CH2OH, NHCHO, NHS(O)2NA14VV" or NHSO2A V 1 T7l ..
A or A are independently selected from hydrogen or Ci-6 alkyl;
A1Ms C1-6 alkyl;
Examples of C1-6 alkyl include C1-4 alkyl and C1-2 alkyl. Examples of C1-6 alkoxy include C1-4 alkoxy and C1-2 alkoxy.
More conveniently Ar is selected from:
Particular combinations of W, V and A in the compounds of formula (I) include:
(a) W is a group CR8, V is an oxygen atom and A is a nitrogen atom;
(b) W is a group CR8, V is a sulfur atom and A is a nitrogen atom;
(c) W is a group CR8, V is a nitrogen atom and A is an oxygen atom;
(d) W is a group CR8, V is a nitrogen atom and A is a sulfur atom;
(e) W is NR11, V is a nitrogen atom and A is an oxygen atom;
(f) W is a nitrogen atom, V is NR11, and A is an oxygen atom;
(g) W is a nitrogen atom, V is an oxygen atom and A is a nitrogen atom; (h) W is an oxygen atom, V is a nitrogen atom and A is a nitrogen atom.
In the compounds (I), as defined and further particularized above, R8 may be hydrogen. . •
Furthermore, in the compounds (I), as defined and further particularized above, R4 and R5 may both be both phenyl and R6 may be -OH.
A particular class of compounds of the invention consists of compounds of formula (I) wherein the non-aromatic nitrogen shown in formula (I) is a tertiary nitrogen.
Another particular class of compounds of the invention consists of quaternary ammonium salts of formula (I) wherein the non-aromatic nitrogen shown in formula (I) is quaternary nitrogen, carrying a positive charge.
A particular compound of the invention is:
8-Hydroxy-5-{(f?)-1-hydroxy-2-[4-(3-{[2-(hydroxy-diphenyl-methyl)-oxazol-5- ylmethyl]-methyl-amino}-propoxy)-benzylamino]-ethyl}-1 /V-quinolin-2-one.
Other particular compound of the invention are:
8-Hydroxy-5-{(f?)-1 -hydroxy-2-[4-(3-{[2-(hydroxy-diphenyl-methyl)-oxazol-5- ylmethyl]-methyl-ami.no}-propoxy)-benzylamino]-ethyl}-1 H-quinolin-2-one; 8-Hydroxy-5-((R)-1-hydroxy-2-{2-[4-(3-{[2-(hydroxy-diphenyI-methyl)-oxazol-5- ylmethyl]-methyl-amino}-propoxy)-phenyl]-ethylamino}-ethyl)-1 H-quinolin-2-one;
3-{[2-(Hydroxy-diphenyl-methyl)-oxazol-5-ylmethyl]-methyl-amino}-N-{5-[(R)-2- hydroxy-2-(8-hydroxy-2-oxo-1 ,2-dihydro-quinolin-5-yl)-ethylamino]-pentyl}- propionamide; 3-{[2-(Hydroxy-diphenyl-methyl)-oxazol-5-ylmethyl]-methyl-amino}-Λ/-(4-{[(/:?)-2- hydroxy-2-(8-hydroxy-2-oxo-1 ,2-dihydro-quinolin-5-yl) ethylamino]-methyl}-phenyl)- propionamide; . .
8-Hydroxy-5-{(R)-1 -hydroxy-2-[4-(2-{[2-(hydroxy-diphenyl-methyl)-oxazol-5- ylmethy!]-methyl-amino}-ethoxymethyl)-benzylamino]-ethyl}-1 H-quinolin-2-one; N-(2-{[2-{Hydroxy-diphenyl-methyl)-oxazol-5-ylmethyl]-methyl-amino}-ethyl)-4-
{[(R)-2-hydroxy-2-(8-hydroxy-2-oxo-1 ,2-dihydro-quinolin-5-yl)-ethylamino]-methyl}-
benzamide; '
N-(2-{[2-(Hydroxy-diphenyl-methyl)-oxazol-5-ylmethyl]-methyl-amino}-ethyl)-4- {2-[(R)-2-hydroxy-2-(8-hydroxy-2-oxo-1 ,2-dihydro-quinolin-5-yl)-θthylamino]-ethyl}- benzamide; 8-Hydroxy-5-((R)-1 -hydroxy-2-{4-[2-(2-{[2-(hydroxy-diphenyl-methyl)-oxazol-5- ylmethyl]-methyl-amino}-ethoxy)-ethyl]-benzylamino}-ethyl)-1 H-quinolin-2-one;
Λ/-[2-({2-[2-((R)-Cyclohexyl-hydroxy-phenyl-methyl)-oxazol-5-yl]-ethyl}-methyl- amino)-ethyl]-4-{[(R)-2-hydroxy-2-(4-hydroxy-2-oxo-2,3-dihydro-benzothiazol-7-yl)- ethylamino]-methyl}-benzamide; Λ/-(2-{2-[2-((R)-Cyclohexyl-hydroxy-phenyl-methyl)-oxazol-5-yl]-ethylamino}- ethyl)-4-{[(R)-2-hydroxy-2-(4-hydroxy-2-oxo-2,3-dihydro-benzothiazol-7-yl)- ethylamino]-methyl}-benzamide;
3-({2-[2-((R)-Cyclohexyl-hydroxy-phenyl-methyl)-oxazol-5-yl]-ethyl}-methyl- amino)-N-(4-{[(R)-2-hydroxy-2-(4-hydroxy-2-oxo-2,3-dihydro benzothiazol-7-yl)- ethylamino]-methyl}-phenyl)-propionamide;
7-[(R)-2-(2-{3-[({2-[2-(Cyclohexyl-hydroxy-phenyl-methyl)-oxazol-5-yl]-ethyl}- methyl-amino)-methyl]-phenyl}-ethylamino)-1 -hydroxy-ethyl]-4-hydroxy-3H- benzothiazol-2-one;
7-((R)-2-{2-[3-({2-[2-(Cyclohexyl-hydroxy-phenyl-methyl)-oxazol-5-yl]- ethylamino}-methyl)-phenyl]-ethylamino}-1 -hydroxy-ethyl)-4-hydroxy-3H-benzothiazol- 2-one;
7-[(R)-2-(2-{4-[({2-[2-((R)-Cyclohexyl-hydroxy-phenyl-methyl)-oxazol-5-yl]- ethyl}-methyl-amino)-methyl]-phenyl}-ethylamino)-1-hyd'roxy-ethyl]-4-hydroxy-3H- benzothiazol-2-one; 7-((R)-2-{3-[3-({2-[2-((R)-Cyclohexyl-hydroxy-phenyl-methyl)-oxazol-5-yl]-ethyl}- methyl-amino)-propoxy]-benzylamino}-1-hydroxy-ethyl)-4-hydroxy-3H-benzothiazol-2- one;
5-((R)-2-{3-[3-({2-[2-((R)-Cyclohexyl-hydroxy-phenyl-methyl)-oxazol-5-yl]-ethyl}- methyl-amino)-propoxy]-benzylamino}-1-hydroxy-ethyl)-8-hydroxy-1 H-quinolin-2-one; Λ/-(2-{2-[2-((R)-Cyclohexyl-hydroxy-phenyl-methyl)-oxazol-5-yl]-ethyl amino}- ethyl)-4-{[(R)-2-hydroxy-2-(8-hydroxy-2-oxo-1 ,2-dihydro-quinolin-5-yl)-ethylamino]- methylj-benzamide;
/V-[2-({2-[2-((R)-Cyclohexyl-hydroxy-phenyl-methyl)-oxazol-5-yl]-ethyl}-methyl- amino)-ethyl]-3-{2-[(R)-2-hydroxy-2-(4-hydroxy-2-oxo-2,3-dihydro-benzothiazol-7-yl)- ethylamino]-ethyl}-benzamide;
3-({2-[2-((R)-Cyclohexyl-hydroxy-phenyl-methyl)-oxazol-5-yl]-ethyl}-methyl-
amino)-N-(4-{[(R)-2-hydroxy-2-(8-hydroxy-2-oxo-1 ,2-dihydro-quinolin-5-yl)- ethylamino]-methyl}-phenyl)-propionamide;
5-[(R)-2-(2-{3-[({2-[2-((R)-Cyclohexyl-hydroxy-phenyl-methyl)-oxazol-5-yl]- ethyl}-methyl-amino)-methyl]-phenyl}-ethylamino)-1-hydroxy-ethyl]-8-hydroxy-1 H- quinolin-2-one;
5-((,R)-2-{2-[3-({2-[2-((R)-Cyclohexyl-hydroxy-phenyl-rriethyl)-oxa2ol-5-yl]- ethylamino}-methyl)-phenyl]-ethylamino}-1 -hydroxy-ethyl)-8-hydroxy-1 H-quinolin-2-one
and pharmaceutically acceptable salts thereof.
Other convenient compounds of the invention are:
8-Hydroxy-5-((R)-1-hydroxy-2-{2-[4-(3-{[2-(hydroxy-diphenyl-methyl)-oxazol-5-" ylmethyl]-methyl-amino}-propoxy)-phenyl]-ethylamino}-ethyl)-1 H-qϋinolin-2-one;
3-{[2-(Hydroxy-diphenyl-methyl)-oxazol-5-ylmethyl]-methyl-amino}-N-(4-{2-[(R)- 2-hydroxy-2-(8-hydroxy-2-oxo-1 ,2-dihydro-quinolin-5-yl)-ethylamino]-ethyl}-phenyl)- propionamide; .
3-{[2-(Hydroxy-diphenyl-methyl)-oxazol-5-ylmethyl]-methyl-amino}-N-{5-[(R)-2r hydroxy-2-(8-hydroxy-2-oxo-1 ,2-dihydro-quinolin-5-yl)-ethylamino]-pentyl}- propipnamide; . 3-{t2-(Hydroxy-diphenyl-methyl)-oxazol-5-ylmethyl]-methyl-amino}-N-(4-{[(R)-2- hydroxy-2-(8-hydroxy-2-oxo-1 ,2-dihydro-quinolin-5-yl)-ethylamino]-methyl}-phenyl)- prdpionamide;
8-Hydroxy-5-{(R)-1-hydroxy-2-[4-(2-{[2-(hydroxy-diphenyl-methyl)-oxazol-5- ylmethyl]-methyl-amino}-ethoxymethyl)-benzylaminp]-ethyl}-1 H-quinolin-2-one; N-(2-{[2-(Hydroxy-diphenyl-methyl)-oxazol-5-ylmethyl]-methyl-amino}-ethyl)-4-
{[(R)-2-hydroxy-2-(8-hydroxy-2-oxo-1 ,2-dihydro-qϋinolin-5-yl)-ethylamino]-methyl}- benzamide;
N-(2-{[2-(Hydroxy-diphenyl-methyl)-oxazol-5-ylmethyl]-methyI-aminp}-ethyl)-4- {2-[(R)-2-hydroxy-2-(8-hydroxy72-oxo-1 ,2-dihydro-quinolin-5-yl)-ethylamino]-ethyl}- benzamide;
8-Hydroxy-5-((R)-1-hydroxy-2-{2-[4-(2-{[2-(hydroxy-diphenyl-methyl)-oxazol-5- ylmethyl]-methyl-amino}-ethoxymethyl)-phenyl]-ethylamino}-ethyl)-1 H-quinolin-2-one; 8-Hydroxy-5-((R)-1-hydroxy-2-{4-[2-(2-{[2-(hydroxy-diphenyl-methyl)-oxazol-5- ylmethyl]-methyl-amino}-ethoxy)-ethyl]-benzyIamino}-ethyl)-1 H-quinolin-2-one; and N-(2-Chloro-4-{[(R)-2-hydroxy-2-(8-hydroxy-2-oxo-1 ,2-dihydro-quinolin-5-yl)- ethylamino]-methyl}-5-methoxy-phenyl)-3-{[2-(hydroxy-diphenyl-methyl)-oxazol-5-
ylmethyl]-methyl-amino}-propionamicle.
Each of the compounds identified above, taken alone or with any combination of the other identified compounds represents an independent aspect of the invention.
It will be appreciated that the carbon atom to which R4, 'R5 and R6 are attached can be an asymmetric centre so compounds of the invention may be in the form of single enantiomers or mixtures of enantiomers.
Certain combinations of R4, R5 and R6 can also give rise to enantiomers. In such cases, both enantiomers of the invention generally exhibit affinity at the M3 receptor, although one enantiomer is generally favoured on criteria of potency at the M3 receptor and/or selectivity against the M2 receptor. In some embodiments of the invention, the absolute stereochemistry of the favoured enantiomer is known. For example, in one embodiment R4 is a phenyl group; R5 is a cyclohexyl or cyclopentyl group; R6 is a hydroxyl group; and the carbon atom to which they are attached has the R- absolute configuration as dictated by Cahn-lngold-Preiog rules.
Compounds of the invention may be useful in the treatment or prevention of diseases in which activation of muscarinic receptors are implicated, for example the present compounds are useful for treating a variety of indications, including but not limited to respiratory-tract disorders such as chronic obstructive lung disease (also known as chronic obstructive pulmonary disease or COPD), chronic bronchitis of all types (including dyspnoea associated therewith), asthma (allergic and non-allergic; 'wheezy- infant syndrome'), adult/acute respiratory distress syndrome (ARDS), chronic respiratory obstruction, bronchial hyperactivity, pulmonary fibrosis, pulmonary emphysema, and allergic rhinitis, exacerbation of airway hyperreactivity consequent to other drug therapy, particularly other inhaled drug therapy, pneumoconiosis (for example, aluminosis, anthracosis, asbestosis, chalicosis, ptilosis, siderosis, silicosis, tabacosis and byssinosis); gastrointestinal-tract disorders such as irritable bowel syndrome, spasmodic colitis, gastroduodenal ulcers, gastrointestinal convulsions or hyperanakinesia, diverticulitis, pain accompanying spasms of gastrointestinal smooth musculature; urinary-tract disorders accompanying micturition disorders including neurogenic pόllakisuria, neurogenic bladder, nocturnal enuresis, psychosomatic bladder, incontinence associated with bladder spasms or chronic cystitis, urinary- urgency or pollakiuria;
motion sickness; and cardiovascular disorders such as vagally induced sinus bradycardia.
In another aspect a compound of present invention is useful in the treatment or prevention of respiratory-tract disorders such as chronic obstructive lung disease (also known as chronic obstructive pulmonary disease, COPD), chronic bronchitis of all types (including dyspnoea associated therewith), asthma (allergic and non-allergic; 'wheezy- infant syndrome'), adult/acute respiratory distress syndrome (ARDS), chronic respiratory obstruction, bronchial hyperactivity, pulmonary fibrosis, pulmonary emphysema, and allergic rhinitis, exacerbation of airway hyperreactivity consequent to other drug therapy, particularly, other . inhaled drug therapy or pneumoconiosis (for example aluminosis, anthracosis, asbestosis, chalicosis, ptilosis, siderosis, silicosis, tabacosis and byssinosis).
For treatment of respiratory conditions, administration by inhalation will often be preferred, and in such cases administration of compounds (I) which are quaternary ammonium salts will often be preferred. In many cases, the duration of action of quaternary ammonium salts of the invention administered by inhalation is may be more than 12, or more than 24 hours for a typical dose. For treatment of gastrointestinal-tract disorders and cardiovascular disorders, administration by the parenteral route, usually the oral route may be preferred.
Another. aspect of the invention is a pharmaceutical composition comprising a . compound of the invention and a pharmaceutically acceptable carrier, diluent or excipient.
Another aspect of the invention is the use of a compound of the invention for the manufacture of a medicament for the treatment or prevention of a disease or condition in which muscarinic M3 receptor activity and (32-adrenergic activity are implicated. Diseases or conditions in which muscarinic M3 receptor activity and β2- adrenergic activity are implicated include respiratory-tract disorders, gastrointestinal- tract disorders and cardiovascular disorders. Specific examples of such diseases and conditions include those listed above. :
Another aspect of the invention provides a compound of the .invention for the treatment or prevention of a disease or condition in which muscarinic M3 receptor
activity and β2-adrenergic activity are implicated. Diseases or conditions in which muscarinic M3 receptor activity and β2-adrenergic activity are implicated include respiratory-tract disorders, gastrointestinal-tract disorders and cardiovascular disorders. Specific examples of such diseases and conditions include those listed above. .
Another aspect of the invention provides a method of treatment of a disease or condition in which M3 muscarinic receptor activity and β2-adrenergic activity are implicated comprising administration to a subject in need thereof a therapeutically effective amount of a compound of the invention. Diseases or conditions in which muscarinic M3 receptor activity and β2-adrenergic activity are implicated include respiratory-tract disorders, gastrointestinal-tract disorders and cardiovascular disorders. Specific examples of such diseases and conditions include those listed above.
Another aspect of the invention provides a compound of the invention for use in therapy.
Description of Definitions Unless otherwise qualified in the context in which they are used, the following terms have the following meanings when used herein:
"Acyl" means a -CO-alkyl group in which the alkyl group is as described herein. Exemplary acyl groups include -COCH3 and -COCH(CH3)2.
"Acylamino" means a -NR-acyl group, jn which R and acyl are as described herein. Exemplary acylamino groups include -NHCOCH3 and -N(CH3)COCH3.
"Alkoxy" and "alkyloxy" means an -O-a'lkyl group in which alkyl is as described below. Exemplary alkoxy groups include methoxy (-OCH3) and ethoxy (-OC2H5).
"Alkoxycarbonyl" means a -COO-alkyl group in which alkyl is as defined below. Exemplary alkoxycarbonyl groups include methoxycarbonyl and ethoxycarbonyl. "Alkyl" as a group or part of a group refers to a straight or branched chain saturated hydrocarbon group having from 1 to 12, conveniently 1 to 6, carbon atoms, in the chain. Exemplary alkyl groups include methyl, ethyl, 1 -propyl and 2-propyl.
"Alkenyl" as a group or part of a group refers to a straight or branched chain hydrocarbon group having from 2 to 12, conveniently 2 to 6, carbon atoms and one or more carbon-carbon double bonds in the chain. Exemplary alkenyl groups include ethenyl, 1 -propenyl, and 2-propenyl.
"Alkylamino" means a -NH-alkyl group in which aikyl is as defined above. Exemplary alkylamino groups include methylamino and ethylamino.
"Alkylene" means an -alkyl- group in which alkyl is as defined previously. Exemplary alkylene groups include -CH2-, -(CH2)2- and -C(CH3)HCH2-. "Alkenylene" means an -alkenyl- group in which alkenyl is as defined previously. Exemplary alkenylene groups include -CH=CH-, -CH=CHCH2-, and - CH2CH=CH-.
"Alkynylene" means an -alkynyl- group in which -alkynyl- refers to a straight or branched chain hydrocarbon group having from 2 to 12, conveniently 2 to 6, carbon atoms and one carbon-carbon triple bond in the chain. Exemplary alkynylene groups include ethynyl and propargyl.
"Alkylsulfinyl" means a -SO-alkyl group in which alkyl is as defined above. Exemplary alkylsulfinyl groups include methylsulfinyl and ethylsulfinyl.
"Alkylsulfonyl" or "sulfonyl" each means a -SO2-alkyl group in which alkyl is as defined above. Exemplary alkylsulfonyl groups include m ethyls u If onyl and ethylsulfonyl.
"Alkylthio" means a -S-alkyl group in which alkyl is as defined above. Exemplary alkylthio groups include methylthio and ethylthio.
"Aminoacyl" means a -CO-NRR group in which R is as herein described. Exemplary aminoacyl groups include -CONH2 and -CONHCH3.
"Aminoalkyl" means an alkyl-NH2 group in which alkyl is as previously described. Exemplary aminoalkyl groups include -CH2NH2.
"Aminosulfonyl" means a -SO2-NRR group in which R is as herein described. ■ Exemplary aminosulfonyl groups include -SO2NH2 and -SO2NHCH3. . "Aryl" as a group or part of a group denotes an optionally substituted monocyclic or multicyclic aromatic carbocyclic moiety of from 6 to 14 carbon atoms, conveniently from 6 to 10 carbon atoms, such as phenyl or naphthyl. Phenyl is an example of a convenient aryl group. The aryl group, specifically a. phenyl group, may be substituted by one or more substituent groups. . . "Arylalkyl" means an aryl-alkyl- group in which the aryl and alkyl moieties are as previously described. Convenient arylalkyl groups contain a C1 4 alkyl moiety.
Exemplary arylalkyl groups include benzyl, phenethyl and naphthlenemethyl.
"Arylalkyloxy" means an aryl-alkyloxy- group in which the aryl and alkyloxy moieties are as previously described. Convenient arylalkyloxy groups contain a C1 4 alkyl moiety. Exemplary arylalkyl groups include benzyloxy.
"Aryl-fused-cycloalkyl" means a monocyclic aryl ring, such as phenyl, fused to
a cycloalkyl group, in which the aryl and cycloalkyl are as described herein. Exemplary aryl-fused-cycloalkyl groups include tetrahydronaphthyl and indanyl. The aryl and cycloalkyl rings may each be substituted by one or more substituent groups. The aryl- fused-cycloalkyl group may be attached to the remainder of the compound by any available carbon atom.
"Aryl-fused-heterocycloalkyl" means a monocyclic aryl ring, such as phenyl, fused to a heterocycloalkyl group, in which the aryl and heterocycloalkyl are as described herein. Exemplary aryl-fused-heterocycloalkyl groups include tetrahydroquinolinyl, indolinyl, benzodioxinyl, benxodioxolyl, dihydrobenzofuranyl and- isoindolonyl. The aryl and heterocycloalkyl rings may each be substituted by one or more substituent groups. The aryl-fused-heterocycloalkyl group may be attached to the remainder of the compound by any available carbon or nitrogen atom.
"Aryloxy" means an -O-aryl group in which aryl is described above. Exemplary aryloxy groups include phenoxy. "Cyclic amine" means an optionally substituted 3 to 8 membered monocyclic cycloalkyl ring system where one of the ring carbon atoms is replaced by nitrogen, and which may optionally contain an additional heteroatom selected from O, S or NR (where R is as described herein). Exemplary cyclic amines include pyrrolidine, piperidine, morpholine, piperazine and Λ/-methylpiperazine. The cyclic amine group may be substituted by one or more substituent groups.
"Cycloalkyl" means an optionally substituted saturated monocyclic or bicyclic ring system of from 3 to 12 carbon atoms, conveniently from 3 to 8 carbon atoms* and more conveniently from 3 to 6 carbon atoms. Exemplary monocyclic cycloalkyl rings include cyclopropyl, cyclopentyl, cyclohexyl and cycloheptyl. The cycloalkyl group may be substituted by one or more substituent groups.
"Cycloalkylalkyl" means a cycloalkyl-alkyl- group in which the cycloalkyl and alkyl moieties are as previously described. Exemplary monocyclic cycloalkylalkyl groups include cyclopropylmethyl, cyclopentylmethyl, cyclohexylmethyl and cycloheptylmethyl. "Dendrimer" means a multifunctional core group with a branching group attached to each functional site. Each branching site can be attached to another branching molecule and this process may be repeated multiple times.
"Dialkylamino" means a -N(alkyl)2 group in which alkyl is as defined above.
Exemplary dialkylamino groups include dimethylamino' and diethylamino. "Halo" or "halogen" means fluoro, chloro, bromo, or iodα. Most convenient are fluoro or chloro.
■ "Haloalkoxy" means an -O-alkyl group in which the alkyl is substituted by one or more halogen atoms. Exemplary haloalkyl groups include trifluoromethoxy and difluoromethoxy.
"Haloalkyl" means an alkyl group which is substituted by one or more halo atoms. Exemplary haloalkyl groups include trifluoromethyl.
"Heteroaryl" as a group or part of a group denotes an optionally substituted aromatic monocyclic or multicyclic organic moiety of from 5 to 14 ring atoms, conveniently from 5 to 10 ring atoms, in which one or more of the ring atoms is/are element(s) other than carbon, for example nitrogen, oxygen or sulfur. Examples of such groups include benzimidazolyl, benzoxazolyl, benzothiazolyi, benzofύranyl, benzothienyl, furyl, imidazolyl, indolyl, indolizinyl, isoxazolyl, isoquinolinyl, isothiazolyl, oxazolyl, oxadiazolyl, pyrazinyl, pyridazinyl, pyrazolyl, pyridyl, pyrimidinyl, pyrrolyl, quinazolinyl, quinolinyl, tetrazolyl, 1 ,3,4-thiadiazolyl, thiazolyl, thienyl and triazolyl groups. The heteroaryl group may be substituted by one or more substituent groups. The heteroaryl group may be attached to the remainder of the compound of the invention by any available carbon or nitrogen atom.
"Heteroarylalkyl" means a heteroaryl-alkyl- group in which the heteroaryl and alkyl moieties are as previously described. Convenient heteroarylalkyl groups contain a lower alkyl moiety. Exemplary heteroarylalkyl groups include pyridylmethyl. . "Heteroarylalkyloxy" means a heteroaryl-alkyloxy- group in which the heteroaryl and alkyloxy moieties are as previously described. Convenient heteroarylalkyloxy groups contain a lower alkyl moiety. Exemplary heteroarylalkyloxy groups include pyridylmethyloxy.
"Heteroarylene" means a -heteroaryl- group where heteroaryl is as described in "Heteroaryl" above which is linked to. two or more other groups. Exemplary groups include 2,5-furyl, 2,5-thienyl, 2,4-thiazolyl, 2,5-thiazolyl and 2,6-pyridyl.
"Heteroaryloxy" means a heteroaryloxy- group in which the heteroaryl is as previously described. Exemplary heteroaryloxy groups include pyridyloxy.
"Heteroaryl-fused-cycloalkyl" means a monocyclic heteroaryl group; such as pyridyl or furanyl, fused to a cycloalkyl group, in which heteroaryl and cycloalkyl are as previously described. Exemplary heteroaryl-fused-cycloalkyl groups include tetrahydroquinolinyl and tetrahydrobenzofuranyl. The heteroaryl and cycloalkyl rings, may each be substituted by one or more substituent groups. The heteroaryl-fused- cycloalkyl group may be attached to the remainder of the compound by any available carbon or nitrogen atom.
"Heteroaryl-fused-heterocycloalkyl" means a monocyclic heteroaryl group,
such as pyridyl or furanyl, fused to a heterocycloalkyl group, in which heteroaryl and heterocycloalkyl are as previously described. Exemplary heteroaryl-fused- heterocycloalkyl groups include dihydrodioxinopyridinyl, dihydropyrrolopyridinyl, dihydrofuranopyridinyl and dioxolopyridinyl. The heteroaryl and heterocycloalkyl rings may each be substituted by one or more substituents groups. The heteroaryl-fused- heterocycloalkyl group may be attached to the remainder of the compound by any available carbon or nitrogen atom. . . " •
"Heterocycloalkyl" means: (i) an optionally substituted cycloalkyl group of from 4 to 8 ring members which contains one or more heteroatoms selected from O, S or NR; (ii) a cycloalkyl group of from 4 to 8 ring members which contains CONR or
CONRCO (examples of such groups include succinimidyl and 2-oxopyrrolidinyl). The heterocycloalkyl group may be substituted by one or more substituent groups. The heterocycloalkyl group may be attached to the remainder of the compound by any available carbon or nitrogen atom. "Heterocycloalkylalkyl" means a heterocycloalkyl-alkyl- group in which the heterocycloalkyl and alkyl moieties are as previously described.
"Hydrocarbyl" means a straight or branched chain saturated or unsaturated hydrocarbon group having from 1 to 14, or conveniently 1 to 12, or more conveniently 1 -8, or more conveniently still 1 -4, carbon atoms in the chain. Where possible, the chain may comprise up to three carbon-carbon double bonds or up to three carbon- carbon triple bonds. . . • ' "Lower alkyl" as a group means unless otherwise specified, an aliphatic hydrocarbon group which may be straight or branched having 1 to 4 carbon atoms in the chain, i.e. methyl, ethyl, propyl (propyl or /so-propyl) or butyl (butyl, /sobutyl or tert- butyl).
"Phenylene" means -a -phenyl- group. Exemplary groups are 1 ,3-phenylene and 1 ,4-phenylene.
"Sulfonylamino" means a -NR-sulfonyl group in which R and sulfonyl are as described herein. Exemplary sulfonylamino groups include -NHSO2CH3. A substituent designatation R in any of the above definitions means hydrogen, alkyl, aryl, or heteroaryl as described herein, and when two R groups are present on a group (for example on -SO2-NRR) then the R groups can be the same or different. "Pharmaceutically acceptable salt" means a physiologically or toxicologically tolerable salt and includes, when appropriate, pharmaceutically acceptable base addition salts, pharmaceutically acceptable acid addition salts, and pharmaceutically, acceptable . quaternary ammonium salts. For example (i) where a compound of the invention contains
one or more acidic groups, for example carboxy groups, pharmaceutically acceptable base addition salts that may be formed include sodium, potassium, calcium, magnesium and ammonium salts, or salts with organic amines, such as, diethylamine, Λ/-methyl- glucamine, diethanolamine or amino acids (e.g. lysine) and the like; (ii) where a . compound of the invention contains a basic group, such as an amino group, pharmaceutically acceptable acid addition salts that may be formed include hydrochlorides, hydrobromides, sulfates, phosphates, acetates, citrates, lactates; tartrates, mesylates, napadisylate (naphthalene-1 ,5-disulfonate or naphthalene-1 - (sulfonic acid)-5-sulfonate), edisylate (ethane-1 ,2-disulfonate or ethane-1 -(sulfonic acid)- 2^sulfonate), maleates, fumarates, succinates and the like; (iii) when R3 is not a lone pair the compound of formula (I) has a quaternary ammonium group for which the counter-ion may be, for example, chloride, bromide, sulfate, methanesulfonate, benzenesulfonate, toluenesulfonate (tosylate), napadisylate (naphthalene-1 ,5-disulfonate or naphthalene-1 - (sulfonic acid)-5-sulfonate), edisylate (ethane-1 ,2-disulfonate or ethane-1 -(sulfonic acid)- 2-sulfonate), isethionate (2-hydroxyethylsulfonate), phosphate, acetate, citrate, lactate, tartrate, mesylate, maleate, malate, fumarate, xinafoate, p-acetamidobenzoate and succinate; wherein the number of quaternary ammonium species balances the counter- ion such that compound of formula (I) has no net charge.
The present invention covers all permissible ratios of cationic ammonium species to counter-ion, for example hemi-napadisylate and napadisylate.
It will be understood that, as used herein, references to the compounds of the invention are meant to also include the pharmaceutically acceptable salts. "Prodrug" refers to a compound which is convertible in vivo by metabolic means (e.g. by hydrolysis, reduction or oxidation) to a compound of the invention. Suitable groups for forming pro-drugs are described in 'The Practice of Medicinal Chemistry, 2nd Ed. pp561 -585 (2003) and in F. J. Leinweber, Drug Metab. Res., , 18, 379. (1987) It will be understood that, as used in herein, references to the compounds of the invention are meant to also include the prodrug forms.
"Saturated" pertains to compounds and/or groups which do not have any carbon-carbon double bonds or carbon-carbon triple bonds.
The cyclic groups referred to above, namely, aryl, heteroaryl, cycloalkyl,. aryl- fused-cycloalkyl, heteroaryl-fused-cycloalkyl, heterocycloalkyl, aryl-fused- heterocycloalkyl, heteroaryl-fused-heterocycloalkyl and cyclic amine are unsubstituted or
substituted by one or more of the same or different substituent groups. Examples of specific optional substituents include -Cl, -F, -CH3, -OCH3, -OH, -CN, -COOCH3, -CONH2,
-SO2NH2, -SO2N(CH3)2. More generally the substituents can be divided into two classes:
(a) a first class of substituent includes acyl (e.g. -COCHJ, alkoxy (e.g., -OCHJ, alkoxycarbonyl (e.g. -COOCH3), alkylamino (e.g. -NHCH3), alkylsulfinyl (e.g. -SOCH3), alkylsulfonyl (e.g. -SO0CHJ, alkylthio (e.g. -SCHJ, -NH2, aminoacyl (e.g. -CON(CH3)2), aminoalkyl (e.g. -CH0NHJ, cyano, dialkylamino (e.g. -N(CHJJ, halo, haloalkoxy (e.g. -OCF, or -OCHFJ, haloalkyl (e.g. -CFJ, alkyl (e.g. -CH, or -CH CHJ, -OH, -CHO,
-COOH, -NO2, aminoacyl (e.g. -CONH2, -CONHCH3), aminosulfonyl (e.g. -SO2NH2, - SO2NHCH3), acylamino (e.g. -NHCOCH3) and sulfonylamino (e.g. -NHSO2CH3); and (b)a second class of substituent includes arylalkyl (e.g. -CH2Ph or
-CH2-CH2-Ph), aryl, heteroaryl, heterocycloalkyl, heteroarylalkyl, cyclic amine (e.g. morpholine), aryloxy, heteroaryloxy, arylalkyloxy (e.g. benzyloxy) and heteroarylalkyloxy, the cyclic part of any of which being optionally substituted by any of the first class of substituent referred to above (for example alkoxy, haloalkoxy, halogen, alkyl and haloalkyl).
Alkylene or alkenylene groups may be optionally substituted. Suitable optional substituent groups include alkoxy (e.g., -OCH3), alkylamino (e.g. -NHCH3), alkylsulfinyl
(e.g. -SOCH3), alkylsulfonyl (e.g. -SO2CH3), alkylthio (e.g. -SCH3), -NH2, aminoalkyl (e.g. -CH2NH2), arylalkyl (e.g. -CH2Ph or -CH2-CH2-Ph), cyano, dialkylamino (e.g. -N(CHJJ, halo, haloalkoxy (e.g. -OCF, or -OCHFJ, haloalkyl (e.g. -CFJ, alkyl (e.g. - CH, or -CH CH J, -OH, -CHO, and -NO2.
Compounds of the invention may exist in one or more geometrical, optical, enantiomeric, diastereomeric and tautomeric forms, including but not limited to cis- and /rans-forms, E- and Z-forms, R-, S- and meso-forms, keto-, and enol-forms. Unless otherwise stated a reference to a particular compound includes all such isomeric forms, including racemic and other mixtures thereof. Where appropriate such isomers can be separated from their mixtures by the application or adaptation of known methods (e.g. chromatographic techniques and recrystallisation techniques). Where appropriate such isomers may be prepared by the application of adaptation of known methods (e.g. asymmetric synthesis).
The groups R1, R2 and R3
There are two combinations of groups R1 and R3
In combination (i) R1 is H or Ci-C6-alkyl, such as methyl or ethyl; and R3 is a lone pair or CrC6-alkyl, such as methyl or ethyl.
In combination (ii) R1 and R3 together with the nitrogen to which' they are attached form a heterocycloalkyl ring. In particular R1 and R3 together with the nitrogen to which they are attached may form a monocyclic ring of from 3 to 7 ring atoms, in which the hetero-atoms are nitrogen. Examples of such rings include azetidinyl, piperidinyl, piperazinyl, N-substituted piperazinyl such as methylpiperazinyl, and pyrrolidinyl rings.
In one embodiment of the invention, in the group -NR1(La-Z1)R3, R1 is methyl or ethyl, R3 is a lone pair, methyl or ethyl; and La and Z1 are as defined above.
In another embodiment of the invention, in the group -NR1(La-Z1)R3, R1 is hydrogen, methyl or ethyl, R3 is a lone pair, methyl or ethyl; and La and Z1 are as defined above.
The groups Ff, F? and Ff
R4 and R5 may be independently selected from any of those aryl, aryl-fused- heterocycloalkyl, heteroaryl, CVCe-alkyl, or cycloalkyl groups specifically mentioned in the discussion of R5 above. R6 may be -OH, a hydrogen atom, CrC6-alkyl such as methyl or ethyl, CrC6-alkoxy such as methoxy or ethoxy, hydroxy-CrC6-alkyl such as hydroxymethyl, nitrile, or a group CONR8 2 wherein each R8 is independently C1-C6- alkyl such as methyl or ethyl, or a hydrogen atom. Conveniently, R6 is -OH. Convenient combinations of R4 and R5, especially when R6 is -OH, include those wherein (i) each of R4 and R5 is optionally substituted monocyclic heteroaryl of 5 or 6 ring atoms such as pyridyl, oxazolyl, thiazolyl, furyl and especially thienyl such a 2- thienyl; (ii) each of R4 and R5 is optionally substituted phenyl; (iii) one of R4 and R5 is optionally substituted phenyl and the other is cycloalkyl such as cyclopropyl, cyclobutyl, cycloheptyl , cyclooctyl or especially cyclopentyl or cyclohexyl;.and (iv) one of R4 and R5 is optionally substituted monocyclic heteroaryl of 5 or 6 ring atoms such as pyridyl, thienyl, oxazolyl, thiazolyl, or furyl; and the other is cycloalkyl such as cyclopropyl, cyclobutyl, cyclopentyl or cyclohexyl. Especially convenient combinations are those where (i) one of R4 and R5 is phenyl and the other is cycloalkyl, especially cyclohexyl, or (ii) when both R4 and R5 are phenyl.
As previously mentioned, it will be appreciated that the carbon atom to which R4, R5 and R6 are attached can be an asymmetric centre so compounds of the invention may be in the form of single enantiomers or mixtures of enantiomers. Examples of configurations of this carbon atom include:
wherein the bond marked * is attached to the ring containing W, V and A. Further examples of configurations of this carbon atom include:
W, V, A and the heterocyclic radical B
The permitted and specific combinations of W, V and A in compounds of formula (I) have been' defined and specified above.
Furthermore, in compounds (II), the divalent heterocyclic radical B has been defined as a 5-membered heterocyclic ring selected from the group;
wherein the bond marked * is attached to the group R R R6C-, and the bond marked
** is attached to the group -XNR1 (La-Z1)R3.
The group R11 may be selected from a hydrogen atom or a C1-C3-BIkVl, especially a methyl group.
Particularly convenient are the cases where B is selected from the group;
O-N N-O
-V "V- **
* — ,
The Radical X
Although X may be an alkylene, alkenylene or alkynylene radical, it is convenient that it be alkylene, for example ethylene or methylene. • ' .
The Radical W
The permitted combinations of L, L1, L2, L3 and L4 are defined above. Conveniently, L1, L2, L3 and L4 are hydrogen or C1-3alkyl. Up to three of the carbon atoms of the hydrocarbyl group L may be substituted with groups as defined above. Conveniently, the group L is an alkylene chain, moreconveniently C5-C7-alkylene, or one of the carbon atoms is replaced by a. group selected from O, NR46C(O) or C(O)NR47. Up to four carbon atoms of the chain may form part of a mono- or bicyclic aliphatic, heteroaliphatic, aromatic or heteroaromatic ring as described in the definition of L above. One convenient combination is for four of the carbon atoms to be incorporated into a phenyl ring to give a 1 ,4-phenylene, or a 1 ,3-phenyIene group.
The Radical Z1
The radical Z1 is a moiety having β2-adrenoreceptor binding activity, such as a β2 agonist group as defined above. • .
Compounds of the invention are β2-adrenergic binding compounds. Such compounds may be antagonists, partial agonists or full agonists. Compounds that are antagonists are useful tools, for example, for the generation of structure-activity relationships and as radioligands. Compounds that are partial or full agonists may be useful as pharmacological compounds for the treatment of the diseases described above. Compounds that are antagonists are conveniently those wherein Z1 is a group
of formula (Ic), whilst those that are partial or full agonists are conveniently those wherein Z1 is a group of formula (Ib).
In groups of formula (Ib), conveniently, the group Ar is (i) a 4-hydroxy-3- hydroxymethyl-phenyl group, (ii) a 3-formylamino-4-hydroxy-phenyl group, or especially, (iii) an 8-hydroxy-2-oxo-1 ,2-dihydroquinolinyl group or (iv) a 4-hydroxy-2- oxo-2,3-dihydro-benzothiazolyl group. In groups of formula (Ic) it is convenient that the group Ar is a 4-hydroxy-2-oxo-2,3-dihydro-benzothiazolyl group.
Specific embodiments of the present invention include those compounds described in the Examples provided herein below.
The present invention is also concerned with pharmaceutical formulations comprising, as an active ingredient, a compound of the invention. Other compounds may be combined with compounds of this invention for the prevention and treatment of inflammatory diseases of the lung. Thus the present invention is also concerned with pharmaceutical compositions for preventing and treating respiratory-tract disorders such as chronic obstructive lung disease, chronic bronchitis, asthma, chronic respiratory obstruction, pulmonary fibrosis, pulmonary emphysema, and allergic rhinitis comprising a therapeutically effective amount of a compound of the invention and one or more other therapeutic agents. • • .
Other compounds may be combined with compounds of this invention for the prevention and treatment of inflammatory diseases of the lung. Accordingly the invention includes a combination of an agent of the invention as hereinbefore described with one or more anti-inflammatory, bronchodilator, antihistamine, decongestant or anti-tussive agents, said agents of the invention hereinbefore described and said combination agents existing in the same or different pharmaceutical compositions, administered separately or simultaneously. Preferred combinations would have two or three different pharmaceutical compositions. Suitable therapeutic agents for a combination therapy with compounds of the invention include:
One or more other bronchodilators such as PDE3 inhibitors; Methyl xanthines such as theophylline; A corticosteroid, for example fluticasone propionate, ciclesonide, morhetasone furoate or budesonide, or steroids described in WO02/88167, WO02/12266, WO02/100879,
WO02/00679, WO03/35668, WO03/48181 , WO03/62259, WO03/64445,
WO03/72592, WO04/39827 and WO04/66920;
A non-steroidal glucocorticoid receptor agonist;
A leukotriene modulator, for example montelukast, zafirlukast or pranlukast; protease inhibitors, such as inhibitors of matrix metalloprotease for example MMP12 and TACE inhibitors such as marimastat, DPC-333, GW-3333;
Human neutrophil elastase inhibitors, such as sivelestat and those described in
WO04/043942, WO05/021509, WO05/021512, WO05/026123, WO05/026124,
WO04/024700, WO04/024701 , WO04/020410, WO04/020412, WO05/080372, WO05/082863, WO05/082864, WO03/053930;
Phosphodiesterase-4 (PDE4) inhibitors, for example roflumilast, arofylline, cϋomilast,
ONO-6126 or lC-485;
Phosphodiesterase-7 inhibitors;
An antitussive agent, such as codeine or dextramorphan; Kinase inhibitors, particularly P38 MAPKinase inhibitors;
P2X7 anatgonists; iNOS inhibitors;
A non-steroidal anti-inflammatory agent (NSAID), for example ibuprofen or ketoprofen; A dopamine receptor antagonist;
TNF-α inhibitors, for example anti-TNF monoclonal antibodies, such as Remicade and CDP-870 and TNF receptor immunoglobulin molecules, such as Enbrel;
A2a agonists such as those described in EP1052264 and EP1241176;
A2b antagonists such as those described in WO2002/42298; Modulators of chemokine receptor function, for example antagonists of CCR1 , CCR2,
CCR3, CXCR2, CXCR3, CX3CR1 and CCR8, such as SB-332235, SB-656933, SB-
265610, SB-225002, MCP-1 (9-76), RS-504393, MLN-1202, INCB-3284;
Compounds which modulate the action of prostanoid receptors, for example a PGD2
(DP1 or CRTH2), or a thromboxane A2 antagonist eg ramatrobant; Compounds which modulate Th1 or Th2 function, for example, PPAR agonists; lnterleukin 1 receptor antagonists, such as Kineret; interleukin 10 agonists, such as llodecakin;
HMG-CoA reductase inhibitors (statins); for example rosuvastatin, mevastatin, lovastatin, simvastatin, pravastatin and fluvastatin; Mucus regulators such as INS-37217, diquafosol, sibenadet, CS-003, talnetant, DNK-
333, MSI-1956, gefitinib;
Antiinfective agents (antibiotic or antiviral), and antiallergic drugs including, but not limited to, anti-histamines.
In a further aspect the present invention privides a combination comprising a compound of formula (I) and an inhaled corticosteroid (for example fluticasone propionate, ciclesonide, mometasone furoate or budespnide), or an inhaled PDE4 inhibitor (for example roflumilast, cilomilast, Tofimilast).
The weight ratio of the first and second active ingredients may be varied and will depend upon the effective dose of each ingredient. Generally, an effective dose of each will be used.
Any suitable route of administration may be employed for providing a mammal, especially a human, with an effective dosage of a compound of the present invention. In therapeutic use, the active compound may be administered by any convenient, suitable or effective route. Suitable routes of administration are known to those skilled in the art, and include oral, intravenous, rectal, parenteral, topical, ocular, nasal, buccal and pulmonary.
The magnitude of prophylactic or therapeutic dose of a compound of the invention will, of course, vary depending upon a range of factors, including the activity of the specific compound that is used, the age, body weight, diet, general health and sex of the patient, time of administration, the route of administration, the rate of excretion, the use of any other drugs, and the severity of the disease undergoing treatment. In general, the daily dose range for inhalation will lie within the range of from about •0.1 μg to about 10 mg per kg body weight of a human, preferably 0.1 μg to about 0.5 mg per kg, and more preferably 0.1 μg to 50μg per kg, in single or divided doses. On the other hand, it may be necessary to use dosages outside these limits in some cases. Compositions suitable for administration by inhalation are known, and may . include carriers and/or diluents that are known for use in such compositions. The composition may contain 0.01 -99% by weight of active compound. Preferably, a unit dose comprises the active compound in an amount of 1 μg to 10 mg. For oral administration suitable doses are 10μg per kg to 10Omg per kg, preferably 40μg per kg to 4 mg per kg. .
Another aspect of the present invention provides pharmaceutical compositions which
comprise a compound of the invention and a pharmaceutically acceptable carrier. The term "composition", as in pharmaceutical composition, is intended to encompass a product comprising the active ingredient(s), and the inert ingredient(s) (pharmaceutically acceptable excipients) that make up the carrier, as well as any product which results, directly or indirectly, from combination, complexation or aggregation of any two or more of the ingredients, or from dissociation of one or more of the ingredients, or from other types of reactions or interactions of one or more of the ingredients. Accordingly, the pharmaceutical compositions of the present invention encompass any composition made by admixing a compound of the invention, additional active ingredient(s), and pharmaceutically acceptable excipients. .
The pharmaceutical compositions of the present invention comprise a compound of the invention as an active ingredient or a pharmaceutically acceptable salt thereof, . and may also contain a pharmaceutically acceptable carrier and optionally other therapeutic ingredients. The term "pharmaceutically acceptable salts" refers to salts prepared from pharmaceutically acceptable non-toxic bases or acids including inorganic bases or acids and organic bases or acids, and salts of quaternary ammonium compounds with pharmaceutically acceptable counter-ions..
For delivery by inhalation, the active compound is preferably in the form of microparticles. They may be prepared by a variety of techniques, including spray- drying, freeze-drying and micronisation.
By way of example, a composition of the invention may be prepared as a suspension for delivery from a nebuliser or as an aerosol in a liquid propellant, for example for use in a pressurised metered dose inhaler (PMDI). Propellants suitable for use in a PMDI are known to the skilled person, and include CFC-12, HFA-134a, HFA-227, HCFC-22 ' (CCI2F2) and HFA-152 (C2H4F2) and isobutane.
In a preferred embodiment of the invention, a composition of the invention is in dry powder form, for delivery using a dry powder inhaler (DPI). Many types of DPI are known.
Microparticles for delivery by administration may be formulated with excipients that aid delivery and release. For example, in a dry powder formulation, microparticles may be formulated with large carrier particles that aid flow from the DPI into the lung. Suitable
carrier particles are known, and include lactose particles; they may have a mass median aerodynamic diameter of greater than 90 μm.
In the case of an aerosol-based formulation, an example is: Compound of the invention 24 mg / canister
Lecithin, NF Liq. Cone. 1.2 mg / canister
Trichlorofluoromethane, NF 4.025 g / canister Dichlorodifluoromethane, NF 12.15 g / canister.
The active compounds may be dosed as described depending on the inhaler system used. In addition to the active compounds, the administration forms may additionally contain excipients, such as, for example, propellants {e.g. Frigen in the case of metered aerosols), surface-active substances, emulsifiers, stabilizers, preservatives, flavorings, fillers (e.g. lactose in the case of powder inhalers) or, if appropriate, further active compounds.
For the purposes of inhalation, a large number of systems are available with which aerosols of optimum particle size can be generated and administered, using an inhalation technique which is appropriate for the patient. In addition to the use of adaptors (spacers, expanders) and pear-shaped containers (e.g. Nebulator®,
Volumatic®), and automatic devices emitting a puffer spray (Autohaler®), for metered aerosols, in particular in the case of powder inhalers, a number of technical solutions are available (e.g. Diskhaler®, Rotadisk®, Turbohaler® or the inhalers for example as described EP-A-0505321 ). Additionally, compounds of the invention may be delivered in multi-chamber devices thus allowing for delivery of combination agents.
Methods of Synthesis
The compounds of the invention of the present invention can be prepared according to the procedures of the following schemes and examples, using appropriate materials, and are further exemplified by the following specific examples. Moreover, by utilising the procedures described with the disclosure contained herein, one of ordinary skill in the art can readily prepare additional compounds of the present invention claimed herein. The compounds illustrated in the examples are not, however, to be construed as forming the only genus that is considered as the invention. The examples further illustrate details for the preparation of the compounds
of the present invention. Those skilled in the art will readily understand that known variations of the conditions and processes of the following preparative procedures can be used to prepare these compounds.
The compounds of the invention may be isolated in the form of their pharmaceutically acceptable salts, such as those described previously herein above. It may be necessary to protect reactive functional groups (e.g. hydroxy, amino, thio or carboxy) in intermediates used in the preparation of compounds of the invention to avoid their unwanted participation in a reaction leading to the formation of the compounds. Conventional protecting groups, for example those described by T. W. Greene and P. G. M. Wuts in "Protective groups in organic chemistry" John Wiley and Sons, 1999, may be used.
The invention further provides a process for the preparation of a compound of formula (I) or a pharmaceutically acceptable salt thereof as defined above which comprises:
(a) when L1 represents hydrogen and R1 does not represent hydrogen, reacting a compound of formula (II)
wherein LG1 represents a leaving group such as chloride, bromide, iodide, methanesulfonate or para-toluenesulfonate, and L, L2, L3, L4, R1, R4, R5, R6, A, W, V and X and R8 are as defined in formula (Ia), with a compound of formula (III), or a suitable salt thereof such as a hydrobromide, acetate or hydrochloride salt
wherein P1 is hydrogen or a protective group such as ferf-butyldimethyl silyl in the presence of a base such as potassium carbonate, triethylamine or diisopropylethylamine, followed by removal of the protective group (e.g. using a hydrofluoric acid-pyridine complex); or (b) when L1 represents hydrogen and R1 does not represent hydrogen, reacting a compound of formula (IV), or a suitable salt thereof
wherein L, L2, L3, L4, R1, R4, R5, R6 R8 A, W, V and X are as defined in formula (Ia), with a compound of formula (III) or a suitable salt thereof in the presence of a suitable reducing agent such as sodium cyanoborohydride, sodium triacetoxyborohydride, or hydrogen in the presence of a suitable palladium on carbon or platinum oxide catalyst; or . .
(c) when L1 represents hydrogen and R1 represents hydrogen, reacting a compound of formula (V)
wherein LG1 represents a leaving group such as chloride, bromide, iodide, methanesulfonate or para-toluenesulfonate, P2 represents a protective group (e.g. tert-butylcarbonyl) and L, L2, L3, L4, R4, R5, R6, R8 A, W, V and X are as defined in formula (Ia), with a compound of formula (III), or a suitable salt thereof (e.g. hydrobromide, hydrochloride salt or acetate), in the presence of a base (e.g. potassium carbonate, triethylamine or diisopropylethylamine) followed by removal of the protective group (e.g. treatment with hydrochloric or trifluoroacetic acid); or
(d) when L1 represents hydrogen and R1 represents hydrogen, reacting a compound of formula (Vl) ;
wherein L, L2, L3, L4, R4, R5, R6, R8 A, W, V and X are as defined in formula (Ia), P2 represents a protective group (e.g. tert-butylcarbonyl) with-a compound of formula (III), or a suitable salt thereof (e.g. hydrobromide, hydrochloride salt or acetate), in the presence of a suitable reducing agent (e.g. sodium cyanoborohydride, sodium triacetoxyborohydride, or hydrogen in the presence of a suitable palladium on carbon or platinum oxide catalyst), followed by removal of
the protective group (e.g. treatment with hydrochloric or trifluoroacetic acid); or (e)when R4 does not represent hydrogen, reacting a compound of formula (VII), or a suitable salt thereof
wherein L, L1, L2, L3, L4, R1, R4, R5, R6, R8 A, W, V and X are as defined in formula (Ia), P3 represents hydrogen or an activating group (e.g. 3-nitrophenylsulfonyl) with a compound of formula (VIII), or a suitable salt thereof,
wherein LG2 represents a leaving group (e.g. chloride, bromide, iodide, methanesulfonate or para-toluenesulfonate) and P1 is as defined in compound of formula (III) in the presence of a base (e.g. when P3 is hydrogen, potassium carbonate, triethylamine, diisopropylethylamine and, when P3 is 3-nitrophenylsulfonyl, sodium hydride or lithium di-/so-propylamide), followed by removal of the protective groups (e.g. using hydrofluoric acid-pyridine complex, thiophenol, thioacetic acid); or with a compound of formula (IX), or a suitable salt thereof, . .
in the presence of a base (e.g. when P3 is hydrogen, potassium carbonate, triethylamine, diisopropylethylamine and, when P3 is 3-nitrophenylsulfonyl, sodium hydride or lithium di-/so-propylamide), followed by removal of the protective groups (e.g. trifluoroacetic acid, thiophenol, thioacetic acid); or with a compound of formula (X), or a suitable salt thereof,
LG2 represents a leaving group (e.g. chloride, bromide, iodide, methanesulfonate or para- toluenesulfonate) in the presence of a base (e.g. when P3 is hydrogen, potassium
carbonate, triethylamine, diisopropylethylamine and, when P3 is 3-nitrophenylsulfonyl, sodium hydride or lithium di-/so-propylamide), followed by reduction of the ketone (e.g. using sodium borohydride or a borane/chiral catalyst complex), followed by removal of the protective groups (e.g. trifluoroacetic acid, thiophenol, thioacetic acid); or (f)When R4 represents hydrogen, reacting a compound of formula (Xl)
wherein L, L1, L2, L3, L4, R4, R5, R6, R8 A, W, V and X are as defined in formula (Ia), P2 represents a protective group (e.g. terf-butylcarbonyl), P3 represents hydrogen or an activating group (e.g. 3-nιtrophenylsulfonyl), ith a compound of formula (VIII), (IX) or (X), or a suitable salt thereof, in the presence of a base (e.g. when P3 is hydrogen, potassium carbonate, triethylamine, diisopropylethylamine and when P3 is 3-nitrophenylsulfonyl, sodium hydride or lithium di-/so-propylamide), followed by removal of the protective groups (e.g. using trifluoroacetic acid, thiophenol, thioacetic acid); or
(g) when L3 and L4 each represents hydrogen, reacting a compound of formula (XII)
whwerein L, L1, and L2 are as defined in formula (Ia), P1 is as defined in compound of formula (III), P3 represents a protective group (e.g. tert-butylcarbonyl or 3- nitrophenylsulfonyl) with a compound of formula (XIII), or a suitable salt thereof,
wherein R4, R5, R6, R1, R8, A1 W, V and X are as defined in formula (I), in the presence of a suitable reducing agent (e.g. sodium cyanoborohydride, sodium
triacetoxyborohydride, or hydrogen in the presence of a suitable palladium on carbon or platinum oxide catalyst), followed by removal of the protective groups (e.g. treatment with hydrochloric or trifluoroacetic acid thiophenol, thioacetic acid); or (h) when one or both of L3 and L4. represents hydrogen, reacting a compound of formula (XIV)
wherein L, L1, and L2 are as defined in formula (Ia), P1 is as defined in compound of formula (III), P3 represents a protective group (e.g. terf-butylcarbohyl or 3- nitrophenylsulfonoyl), LG3 represents a leaving group (e.g. chloride, bromide, iodide, methanesulfonate or para-toluenesulfonate), with a compound of formula (XIII) or a suitable salt thereof, in the presence of a base (e.g. potassium carbonate, triethylamine, diisopropylethylamine), followed by removal of the protective groups (e.g. trifluoroacetic acid, thiophenol, thioacetic acid); or (i) when L1 and L2 each represents hydrogen and R4 do not represent hydrogen, reacting a compound of formula (XV), or a suitable salt thereof,
wherein L, L3, L4, R1, R4, R5 R6, R8, A, W, V and X are as defined in formula (I) and P1 is as defined in formula (III) with a suitable reducing agent (e.g. borane tetrahydrofuran complex), followed by removal of the protective group (e;g. using hydrofluoric acid-pyridine complex); or,
(j)when L1 and L2 each represents hydrogen and R4 represents hydrogen, reacting a compound of formula (XVI) .
wherein L1 L3, L4, R4, R5, R6, A, W, V and X are as defined in formula (I) and P2 is as defined in compound of formula (Xl) with a suitable reducing agent (e.g. borane tetrahydrofuran complex), followed by removal of the protective group (e.g. using hydrofluoric acid-pyridine complex); and optionally after (a), (b), (c), (d), (e), (f), (g), (h), (i) or (j) carrying out one or more of the following:
• converting the compound obtained to a further compound of the invention
• forming a pharmaceutically acceptable salt of the compound.
In process variants (a), (c), (e), (f) and (h), the reaction may conveniently be carried out in an organic solvent such as Λ/,Λ/-dimethylformamide, ethanol, />butanol or dimethyl sulfoxide, at a temperature, for example, in the range from 50 to 14O0C. In process variants (b), (d) and (g), the reaction may conveniently be carried out in an organic solvent such as methanol, ethanol, dichloromethane, acetic acid N- methylpyrolidinone, or Λ/,Λ/-dimethylformamide containing up to 10%w of water and acetic acid.
In process variants (i) and (j), the reaction may conveniently be carried out in an organic solvent such as tetrahydrofuran, at a temperature, for example, in the range from 0 to 800C. Compounds of formula (II) may be prepared by reacting a compound of formula
(XVII), or a suitable salt thereof,
wherein L, L3, L4, R1, R4 , R5, R6, R8, A, W, V, and X are as defined in formula (II), with a compound of formula (XVIII)
2 '
L Mt (XVHl) wherein L2 is as defined in formula (II) and Mt represents a metal such as lithium or magnesium, or aluminium or boron (e.g. methyllithium, methylmagnesium bromide,, lithium aluminium hydride, sodium borohydride) in an organic solvent, for example, tetrahydrofuran or ether, at a temperature, for example in the range from 0 to 6O0C, followed by conversion of the resulting hydroxyl group into a suitable leaving group (e.g. chloride, bromide, iodide, methanesulfonate or para-toluenesulfonate).
Compounds of formula (IV) may be prepared by reacting a compound of formula (XVII) with a compound of formula (XVIII) in an organic solvent, for example, tetrahydrofuran or ether, at a temperature, for example in the range from 0 to 6O0C, followed by oxidation of the resulting hydroxyl group with a suitable oxidating agent (e.g. Swem reagent, Dess-Martin reagent or pyridiniumchlorochromate) in an organic solvent such as dichloromethane, /V,Λ/-dimethylformamide or dimethylsulfoxide at a temperature, for example in the range from -78 to 60°C. Compounds of formula (V) may be prepared by reacting a compound of formula (XIX)
wherein P2, L, L3, L4, R4, R5 , R6, R8, A, W, V and X are as defined in formula (V)," with a compound of formula (XVIII) in an organic solvent, for example, tetrahydrofuran or ether, at a temperature, for example in. the range from 0 to 6O0C, followed by conversion of the resulting hydroxyl group into a suitable leaving group (e.g. chloride, bromide, iodide, methanesulfonate or para-toluenesulfonate).
Compounds of formula (Vl) may be prepared by reacting a compound of formula (XVIII) with a compound of formula (XIX), followed by oxidation of the resulting hydroxyl group with a suitable oxidating agent (e.g. Swern reagent, Dess-Martin reagent or pyridiniumchlorochromate) in an organic solvent such as dichloromethane, Λ/,Λ/-dimethylformamide or dimethylsulfoxide at a temperature, for example in the range from -78 to 6O0C.
Compounds of formula (VII) in which L1 represents hydrogen and L, L2, L3, L4, R1, R4, R5, R6, R8, A, W, V, and X are as defined in formula (VII) may be prepared by
(a) reacting a compound of formula (II) with sodium azide, in an organic solvent for example, tetrahydrofuran, /V,Λ/-dimethylformamide or dimethylsulfoxide at a temperature, for example in the range from 25 to 850C, followed by reduction of the resulting azido compound using a suitable reducing agent (e.g. triphenylphosphine) in an organic solvent for example, tetrahydrofuran and water, and eventually followed by protection of the resulting amine (e.g. treatment with 3-nitrophenylsuffonyl chloride in the presence of a base such as pyridine); or,
(b) reacting a compound of formula (IV) with an amine (e.g. benzylamine, D-methyl benzylamine, 4-methoxybenzyla.mine or 2,4-methoxybenzylamine) followed by reduction of the resulting imine using a suitable reducing agent (e.g. sodium
cyanoborohydride or sodium triacetoxyborohydride) in an organic solvent such as methanol, ethanol, dichloromethane, acetic acid, /V-methylpyrolidinone or N, N- dimethylformamide containing up to 10%w of water and acetic acid, followed by removal of the resulting benzyl protective group using the appropriate reagent (e.g. hydrogen and a suitable catalyst (Palladium on carbon or palladium hydroxide), 2,3- dichloro-5,6-dicyanobenzoquinone (DDQ), or ammonium cerium nitrate (CAN)) in an organic solvent, for example, ethanol, methanol, tetrahydrofuran, dichloromethane, acetonitrile, water, or a mixture thereof, at a temperature ranging from 25 to 8O0C, and eventually followed by protection of the resulting amine (e.g. treatment with 3- nitrophenylsulfonyl chloride in the presence of a base such as pyridine);
Compounds of formula (VII) in which L, L1, L2, L3, L4, R1, R4, R5, R6, R8 A, W, V and X are as defined in formula (VII) may be prepared by reacting a compound of formula (XX)
wherein LG4 is a leaving group (e.g. hydroxyl or chloride), L, L1, L2, L3, L4,. R1, R4, R5, R6, R8, A, W, V and X are as defined in formula (VII), with reagents such as, when LG4 is hydroxyl, diphenylphosphonic azide, in a presence of an amine (e.g. triethylamine), in an organic solvent, for example, tert-butanol, tetrahydrofuran, dichloromethane, water, or a mixture thereof, at a temperature ranging from 25 to 1000C, or when LG4 is chloride, sodium azide, in an organic solvent, for example, ether, tert-butanol, tetrahydrofuran, water, or a mixture thereof, at a'temperature ranging from 25 to 100°C (Angewandte Chemie, 2005, 54, 5188), eventually followed by protection of the resulting amine (e.g. treatment with 3-nitrophenylsulfonyl chloride in the presence of a base such as pyridine).
Compounds of formula (III), (VIII), (IX) and (X) are known in the literature or may be prepared using known techniques.
Compounds of formula (Xl) in which L1 represents hydrogen may be prepared by (a) reacting a compound of formula (V) with sodium azide in an organic solvent, for example, tetrahydrofuran, /V,Λ/-dimethylformamide or dimethylsulfoxide at a temperature, for example in the range from 25 to 850C, followed by reduction of the resulting azido compound using a suitable reducing agent (e.g. triphenylphosphine or hydrogen) in an organic solvent for example, tetrahydrofuran and water, eventually
followed by protection of the resulting amine (e.g. treatment with 3-nitrophenylsulfonyi chloride in the presence of a base such as pyridine); or
(b) reacting a compound of formula (Vl) with an amine (e.g. benzylamine, a- methyl benzylamine, 4-methoxybenzyl amine or 2,4-methoxybenzyl amine), followed by reduction of the resulting imine using a suitable reducing agent (e.g. sodium cyanoborohydride, sodium triacetoxyborohydride) in an organic solvent such as methanol, ethanol, dichloromethane, acetic acid Λ/-methylpyrolidinone, or N1N- dimethylformamide containing up to 10%w of water and acetic acid, followed by removal of the resulting benzyl protective group using the appropriate reagent (e.g. hydrogen and a suitable catalyst (Palladium on carbon or palladium hydroxide), 2,3- dichloro-5,6-dicyanobenzoquinone (DDQ), or ammonium cerium nitrate (CAN)) in an organic solvent, for example, ethanol, methanol, tetrahydrofuran, dichloromethane, acetonitrile, water, or a mixture thereof, at a temperature ranging from 25 to 800C, eventually followed by protection of the resulting amine (e.g. treatment with 3- nitrophenylsulfonyl chloride in the presence of a base such as pyridine). ■ \
Compounds of formula (Xl) may be prepared by reacting a compound of formula (XXI)
. wherein L4 is a leaving group (e.g. hydroxyl or chloride), L, L1, L2, L3, L4, R4, R5 , R6, R8, A, W, V X and P2 are as defined in formula (Xl), with reagents such as, when LG4 is hydroxyl, diphenylphosphonic azide, in a presence of an amine (e.g. triethylamine),. in an organic solvent; for example, terf-butanol, tetrahydrofuran, dichloromethane, water, or a mixture thereof, at a temperature ranging from 25 to 1000C, or when LG4 is chloride, sodium azide, in an organic solvent, for example, ether, ferf-butanol, tetrahydrofuran, water, or a mixture thereof, at a temperature ranging from 25 to
1000C (Angewandte Chemie, 2005, 54, 5188), eventually followed by protection of the resulting amine (e.g. treatment with 3-nitrophenylsulfonyl chloride in the presence of a base such as pyridine).
Compounds of formula (XII) can be prepared by (a) reacting a compound of formula (XXil)
wherein P5 is hydrogen or a protective group (e.g. tert-butyldimethylsilyl, tetrahydropyran) and L, L1 and L2 are as defined in formula (XII), with a compound of formula (VIII), (IX) or (X), or a suitable salt thereof, in the presence of a base (e.g. potassium carbonate, triethylamine or diisopropylethylamine when P3 is hydrogen and sodium hydride or lithium di-/so-propylamide when P3 is 3-nitrophenylsulfonyl) in an organic solvent such as Λ/,Λ/-dimethylformamide, Λ/-methylpyrolidinone, tetrahydrofuran, ethanol, n-butanol or dimethyl sulfoxide, at a temperature, for example, in the range from 50 to 140°C. When reacting with compound of formula (X), this is followed by reduction of the ketone (e.g. using sodium borohydride or a borane/chiral catalyst complex). Appropriate selective removal of the protective group (e.g. hydrofluoric acid-pyridine complex, tetrabutylamonium fluoride, diluted hydrochloric acid or amberlyst-15 resin in methanol) and oxidation of the resulting alcohol into the corresponding aldehyde with a suitable oxidating agent (pyridinium chlorochromate, Dess-martin reagent or Swern reagent) lead to compound of formula (XII); or (b) reacting a compound of formula (XXIII)
(XXIII) wherein P6 and P7 represent an acyclic or cyclic carbonyl protective group (e.g. dimetoxy or diethoxy acetal, 1 ,3-dioxolane or 1 ,3-dioxane) and L, L1, L2, and P3 are as defined in formula (XII), with a compound of formula (VIII), (IX) or (X), or a suitable salt thereof, in the presence of a base (e.g. potassium carbonate, triethylamine or diisopropylethylamine when P3 is hydrogen and sodium hydride or lithium di-/so- propylamide when P3 is 3-nitrophenylsulfonyl) in an organic solvent such as N1N- dimethylformamide, Λ/-methylpyrolidinone, tetrahydrofuran, ethanol, n-butanol or dimethyl sulfoxide, at a temperature, for example, in the range from 50 to 14O0C. When reacting with compound of formula (X), this is followed by reduction of the ketone (e.g. using sodium borohydride or a borane/chiral catalyst complex). Removal of the protective group (e.g. diluted hydrochloric acid or amberlyst-1.5 resih in
methanol) lead to compound of formula (XII); or
(c) when L1 represents hydrogen, reacting a compound of formula (XXIV)
wherein. P5 is hydrogen or a protective group (e.g. tert-butyldimethylsilyl, tetrahydropyran) and, L and L2 are as defined in formula (XII), with a compound of formula (III), or a suitable salt thereof, in the presence of a suitable reducing agent (e.g. sodium cyanoborohydride, sodium triacetoxyborohydride, or hydrogen in the presence of a suitable palladium on carbon or platinum oxide catalyst) in an organic . solvent such as methanol, ethanol, dichloromethane, acetic acid, Λ/-methypyrolidinone or Λ/,Λ/-dimethylformamide containing up to 10%w of water and acetic acid, followed by appropriate selective removal of the protective group (e.g. hydrofluoric acid- pyridine complex, tetrabutylamonium fluoride, diluted hydrochloric acid or amberlyst- 15 resin in methanol) and oxidation of the resulting alcohol into the corresponding aldehyde with a suitable oxidating agent (pyridinium chlorochromate, Dess-Martin reagent or. Swern reagent); or
(d) when R1 represents hydrogen, reacting a compound of formula (XXV)
wherein P6 and P7 represent an acyclic or cyclic carbonyl protective group (e.g. dimethoxy or diethoxy acetal, 1 ,3-dioxolane or 1 ,3-dioxane) and, L and L2 are as defined in formula (XII), with a compound of formula (III), or a suitable salt thereof, in the presence of a suitable reducing agent (e.g. sodium cyanoborohydride, sodium triacetoxyborohydride, or hydrogen in the presence of a suitable palladium on carbon or platinum oxide catalyst) in an organic solvent such as methanol, ethanol, dichloromethane, acetic acid, /V-methypyrόlidinone or Λ/,Λ/-dimethylforrnamide containing up to 10%w of water and acetic acid, followed by removal of the protective group (e.g. diluted hydrochloric acid or amberlyst-15 resin in methanol). Compounds of formula (XIV) can be prepared by converting compound of formula (XII), or a precursor to compound of formula (XII) as decribed above, chosing an appropriate sequence of reactions such as, for example, reduction of an aldehyde to an alcohol (e.g. sodium borohydride), appropriate selective removal of the protective group (e.g. hydrofluoric acid-pyridine complex, tetrabutylamonium fluoride, diluted
hydrochloric acid or amberlyst-15 resin in methanol) and conversion of an alcohol into a suitable leaving group (e.g. halogen, mesylate, tosylate); or, Compounds of formula (XV) and (XVI) can be prepared by similar methods by reacting a compound of formula (XXVI)
wherein L, L3, L4, R4, R5, R6, R8, A, W, V and X are as defined in formula (XV), P8 represents either R3 as defined in compound of formula (XV) or P2 as defined in compound of formula (XVI) and LG6 represent hydroxyl or a leaving group (e.g. chloride) with a compound of formula (III), or a suitable salt thereof.
When LG6 represents hydroxyl, the reaction is conveniently carried out in the presence of an activating reagent, for example, carbonyldiimidazole or O-(7- azabenzotriazol-1 -yl)-Λ/,Λ/,/V',Λ/-tetramethyluroniumhexafluorophosphate (HATU), in an organic solvent, for example, Λ/,Λ/-dimethylformamide or dichloromethane, at a temperature, for example in the range from 0 to 6O0C,
When LG6 represents chloride, the reaction is conveniently carried out in the presence of a base, for example, triethylamine or diisopropylethylamine in an organic solvent, for example, dichloromethane or tetrahydrofuran at a temperature, for example, in the range from 0 to 250C. Compounds of formula (VII), (XIX), (XX), (XXI) can be accessed through a general amination reaction of a compound of formula (XXVII)
(XXVII) wherein R4, R5, R6, R8, A, W, V and X are as defined in formula (Ia), LG7 represent a hydroxyl, an ether (e.g. methoxy, ethoxy), a leaving group (e.g. chloride or bromide), or an acid anhydride in the presence of appropriate reagents, (for example in the case when LG7 is an etherbromide the reaction proceeds us ing a base such as sodium hydridediisopropylethylamine in a solvent such as toluene dichloromethane at a temperature ranging from 600 to 135°C, with a compound of formula (XXVIII)
wherein W is as defined in compound of formula (I), when R1 does not represent hydrogen, P9 represents R4; when R1 represents hydrogen then P9 represents an appropriate nitrogen protecting group, such as te/t-butoxycarbonyl,
- for compound of formula (VII), P9 represents R4, P10 represents
wherein L, L1, L2, L3, L4 and P3 are as defined in compound of formula (VII); - for compound of formula (Xl), P9 represents P2, P10 represents
- for compound of formula (XIII), P9 and P10 represents represents an appropriate nitrogen protecting group, such as terf-butoxycarbonyl, followed by suitable deprotection (e.g. trifluoroacetic acid acid);
- for compound of formula (XVII), P9 represents R4, P10 represents
P and P represent an acyclic or cyclic carbonyl protective group (e.g. dimethoxy or diethoxy acetal, 1 ,3-dioxolane or 1 ,3-dioxane), followed by suitable deprotection (e.g. diluted hydrochloric acid or amberlyst-15 resin in methanol);
- for compound of formula (XIX), P9 represents P2, P10 represents
wherein L, L , and L are as defined in compound of formula (XIX), wherein P and
P12 represent an acyclic or cyclic carbonyl protective group (e.g. dimethoxy or diethoxy acetal, 1 ,3-dioxolane or 1 ,3-dioxane), followed by suitable deprotection (e.g. diluted hydrochloric acid or amberlyst-15 resin in methanol);
- for compound of formula (XX), P9 represents R4, P10 represents
wherein L, L1, L2, L3, and L4 are as defined in compound of formula (XX), wherein P14 represent an acid protective group (e.g. methyl, ethyl or tert-butyl), followed by suitable deprotection (e.g. lithium hydroxide or sodium hydroxide, trifluoroacetic acid, hydrochloric acid); - for compound of formula (XXI), P9 represents P2, P10 represents
wherein L, L1, L2, L3, and L4 are as defined in compound of formula (XXI), wherein P14 represent an acid protective group (e.g. methyl, ethyl or tert-butyl), followed by suitable deprotection (e.g. lithium hydroxide or sodium hydroxide, trifluoroacetic acid, hydrochloric acid);
- for compound of formula (XXVI), P9 represents P8, P10 represents
wherein L, L3, and L4 are as defined in compound of formula (XXVI), wherein P14 represent an acid protective group (e.g. methyl, ethyl or tert-butyl), followed by suitable deprotection (e.g. lithium hydroxide or sodium hydroxide, trifluoroacetic acid, hydrochloric acid);
Compounds of formula (XIII) and (XXVII) may be prepared using methods described in the following schemes.Those skilled in the art will appreciate that R1, R2 and R3 in Schemes 1-8 and Rc, Rd and Re in Schemes 9- may represent any appropraite group or a lone pair, and that the nitrogen to which they are attached may be a primary, secondary, tertiary or quaternary nitrogen carrying a positive charge,
depending on the identity of these groups,
W = NH1V = N1A = N W = NH1V = N1A=N W = NH1V=N1A = N W = N1V = N1A=O W = N1V = N1A = O W = N1V=N1A = O
R3D
W = NH1V = N1A=N W = N1V = N1A = O
Scheme 1
Scheme 2
Scheme 3
Scheme 6"
W = C1V = N1A = S W = C1V = N, A = S W = C1V = N1A = S
W = N1V = C,A = N-Me W = N1V = C1A= N-Me
W= N, V= C, A = N-Me V = -. N, W = C, A = S .
W = N, V = C1A = N-Me
Scheme 8
(LX-f) D
(LX-k)
Scheme 10
1/ > O
O
(LXXI) (LXX)
(LXXV)
Scheme 11
Compounds of general formula (LX-a), may be prepared from compounds of general formula (LXI) using methods described below for the preparation of compounds of formula (LXII) from compounds of formula (LXIII).
Typically, compounds of formula (LX-a) are prepared from compounds of formula (LXIV) as described below.
Compounds of general formula (LXl) can be prepared from compounds of general formula (LXV):
wherein LG represents a leaving group such as bromide, chloride, iodide, by reaction with an amine of formula (LXVl):
RcRdReN (LXVI)
wherein RcRdReN represents appropriately substituted amine. The reaction is performed in a range of solvents, typically a mixture of THF/DCM or acetonitrile/chloroform at a range of temperatures, typically between 0 and the reflux temperature, or more typically,' in acetonitrile at a temperature between 0 and 50° C, most typically at 50°C.
Compounds of formula (LXV) wherein LG is bromide can be prepared from compounds of general formula (LXIII):
by reaction with a brominating agent such as N-bromosuccinimide in the presence of a radical initiator such as AlBN or benzoyl peroxide. The. reaction can be carried out in. suitable solvents, such as CCI4, at a range of temperatures, typically between ambient
temperature and the reflux temperature of the solvent.
Compounds of formula (LXIII) can be prepared from compounds of general formula (LXVII):
by reaction with an acid such as hydrochloric acid, sulphuric acid, or more typically methanesulfonic or trifluoromethansulfonic acid in a range of solvents such as THF, DCM, water, and typically 1 ,4-dioxan at a range of temperatures, typically between ambient temperature and the reflux temperature of the solvent.
Alternatively compounds of formula (LXIII) can be prepared from compounds of general formula (LXVII) by palladium-catalysed cyclisation using a palladium catalyst such as bis(dibenzylideneacetone)palladium in the presence of a ligand such as triphenylphosphine and a base such as sodium tert-butoxide in a solvent such as THF from room temperature to the reflux temperature of the solvent.
Alternatively compounds of formula (LXlII) can be prepared from compounds of formula (LXVIII):
according to the method described in J. Chem. Soc. 1948, 1960. Compounds of general formula (LXVIII) are known in the art and can be prepared for example from compounds of formula (LXIX), according to known methods such as those described in Tetrahedron 2002, 58(14), 2813.
Alternatively compounds of formula (LXIII) can be prepared from compounds of formula (LXX):
R4V ° ° (LXX)
according to the method described in J. Org. Chem., 1938, 2, 319. Compounds of general formula (LXX) are well known in the art and can be prepared by known methods such as those described in GB2214180. . .
Compounds of general formula (LXVII) can be prepared from compounds of general formula (LXXI):
by reaction with propargylamine in the presence of a suitable coupling agent, such as DCC/HOBt or many other known coupling methodologies. Alternatively compounds of formula (LXXI) may be converted to, for example, the acid chloride and amide formation effected optionally in the presence of a suitable non-nucleophilic base and compatible solvent under well-known conditions. Compounds of general formula (LXXI) are readily available or can be prepared by known methods.
Alternatively compounds of general formula (LX-a) can be prepared from compounds of general formula. (LXIV) wherein LG is a leaving group: •
according to methods described above for the preparation of compounds of formula (LXI) from compounds of formula (LXV)
Compounds of general formula (LXIV) can be prepared from compounds of formula (LXII):
according to methods similar to those used to prepare compounds of formula (LXV) from compounds of formula (LXIII) as described above.
Compounds of general formula (LXII) can be prepared from compounds of formula (LXIII) by reaction with a compound of general formula (LXXII):
R5M (LXXII) .
wherein M represents a metallic counterion such as Li or MgBr. The reaction may take place in an aprotic organic solvent such as THF or diethyl ether at a range of temperatures, typically between -78 0C and the reflux temperature of the solvent.
Compounds of general formula (LXXII) are well known in the art and are readily available or can be prepared by known methods, ' • . • .
Alternatively compounds of formula (LXII) may be prepared from compounds of formula (LXXIII): '
using methods described above for the preparation of compounds of formula (LXIII) from compounds of formula (LXX). Compounds of general formula (LXXIII) can be prepared by known methods such as those described in GB2214180.
Alternatively compounds of formula (LXIl) may be prepared from compounds of formula (LXXV):
using methods described above for the preparation of compounds of formula (LXIIl) from compounds of formula (LXVII).
Compounds of general formula (LXXV) can be prepared from compounds of formula (LXXlV) using methods described above for the preparation of compounds of formula
(LXVII) from compounds of formula (LXXI).
Compounds of formula (LX-f) can be prepared from compounds of formula (LX-a) by reaction with a reducing agent such as triethylsilane in the presence of an acid such as trifluoroacetic acid in a solvent such as DCM from room temperature to the reflux temperature of the solvent.
Compounds of formula (LX-h) can be prepared from compounds of formula (LX-a) by reaction with an alkylating agent of formula (LXXVI):
RfLG (LXXVI)
wherein Rf is CrC6-alkyl and LG is a leaving group such as halogen, tosylate, mesylate. The reaction is performed in the presence of a base such as sodium hydride in a solvent such as THF from O0C to the reflux temperature of the solvent.
Compounds of formula (LX-k), may be prepared directly from compounds of formula (LXXVII) by reaction with a suitably substituted tertiary amine as described above.
Compounds of general formula (LXXVII) can be prepared from compounds of formula (LXXVIII) using methods described above for the preparation of compounds of formula (LXV) from compounds of formula (LXIII).
Compounds of general formula (LXXVIII) may be prepared from compounds of general formula (LXXIX):
by reaction with a reducing agent such as Raney Nickel in a solvent such as ethanol at a temperature from room temperature to the reflux temperature of the solvent according to the method described in J. Org. Chem. 2006, 71(8), 3026.
Compounds of general formula (LXXIX) may be prepared from compounds of general
formula (LXXX):
by reaction with 1 -(methylthio)acetone in the presence of trifluoromethanesulfonic anhydride in a solvent such as DCM at a temperature from 00C to the reflux temperature of the solvent according to the method described in J. Org. Chem. 2006, 71(8), 3026.
Compounds of general formula (LXXX) are well known in the art and can be prepared by known methods, or are commercially available.
Alternatively, compounds of formula (LXIV) may be prepared from compounds of formula (LXXIV) as illustrated in Scheme 12 below;
Scheme 12
Compounds of formula (LXIV) wherein LG is bromide may be prepared from compounds of formula (LXXXI); J ' ■
(LXXXI) wherein R4 and R5 are as defined above, by reaction with bromine in a compatible solvent such as carbon tetrachloride, at a temperature of 0° C to the reflux temperature of the solvent, typically at a temperature between 0 and 250C.
Compounds of formula (LXXXI) may be prepared from compounds of formula (LXXXII);
(LXXXII) wherein R4 and R5 are as defined above, by treatment with a non-nucleophilic base such as 1 ,5-diazabicyc!o[4.3.0]non-5-ene (DBN) or 1 ,.8-diazabicyclo[5.4.0]undec-7-ene (DBU) in a compatible solvent, for example toluene, at a temperature from 0-60 0C, typically 0-10 0C.
Compounds of formula (LXXXII) may be prepared from compounds of formula (LXXXIII); ■
(LXXXVIII) wherein R4 and R5 are as defined above, by cyclisation in the presence of iodine and a base such as potassium t-butoxide or potassium carbonate in a compatible solvent such as toluene. The reaction is typically conducted at a temperature of 10-30 0C.
Compounds of formula (LXXXIII) may be prepared from compounds of formula (LXXIV) using methods analogous to those used in the preparation of compounds of formula (V) from compounds of formula (Vl) as described above.
It will be appreciated that compounds of formula (LXXlV) in schemes 11 and 12 are chiral when R4 and R5 are non-identical. When compounds of formula (LXXIV) are scalemic (a single enantiomer) then schemes 11 and 12 constitute methods for the preparation of compounds of formula (LX-a) that' are themselves homochiral. Scalemic- examples of compounds of formula (LXXIV) are known in the literature, or may be prepared from the racemic form by separation of enantiomers using chiral chromatographic methods, or by separation of diastereomeric salts formed with scalemic bases, or by asymmetric synthesis; see for example US2004192962, WO2000023414, WO9636584, J. Chromatog. (1988), 450(2), 255-269, J. Cherfi. Soc C (Organic) (1968), 13, 1693-9.
(LX-b) Scheme 13
Compounds of Formula (LX-b) may be prepared from compounds of Formula (LXXXIV) by employing a similar sequence of reactions as used to prepare compounds of Formula (LX-a) from compounds of Formula (LXII) in Scheme 1 above.
Compounds of formula (LXXXIV) wherein R4 and R5 are the same maybe prepared from compounds of Formula (LXXV) where R is a suitable alkyl group (such as ethyl or methyl) by treatment with an appropriate organometallic reagent such as a Grignard reagent, in a suitable solvent such as THF or diethyl ether. Compounds of Formula (LXXXIV) wherein R4 and R5 are dissimilar may be prepared from compounds of Formula (LXXV) by converting to an intermediate amide, typically a Weinreb amide, and performing the introduction of R4 and R5 through their respective organometallic reagents in a stepwise manner.
Compounds of Formula (LXXV) are known in the literature - for example, HeIv. Chim. Acta 1946, 29, 1957.
Compounds of formula (I) can be converted into further compounds of formula (I) using standard procedures.
The present invention also comprises intermediate compounds having utility in the synthesis of the compounds of formula (I). In a first embodiment, such intermediate compounds are selected from the group including cyclohexyl-(5-methyl-oxazol-2-yl)- phenyl-methanol; (5-bromomethyl-oxazol-2-yl)-cyclohexyl-phenyl-methanol; (5- bromomethyl-oxazol-2-yl)-cyclopentyI-phenyl-methanoI; (5-bromomethyl-oxazol-2-yl)-
diphenyl-methanol; (5-dimethylaminomethyl-oxazol-2-yl)-diphenyl-methanol; (5- methylaminomethyl-oxazol^-yO-diphenyl-methanoli cyclopentyl-Cδ-methylaminomethyl- oxazol-2-yl)-phenyl-methanoI; [5-({[3-(4-[1 ,3]dioxolan-2-yl-phenoxy)-propylj-methyl- amino}-methyl)-oxazol-2-yl]-diphenyl-methanol; 4-(3-{[2-(Hydroxy-diphenyhmethyIj- oxazol-5-ylmethyl]-methyl-amino}-propoxy)-benzaldehyde; and 5-{(R)-1 -(tert-Butyl- dimethyl-silanyloxy)-2-[4-(3-{[2-(hydroxy-diphenyl-methyl)-oxazol-5-ylmethyl]-methyl- amino}-propoxy)-benzylamino]-ethyl}-8-(4-methoxy-benzyloxy)-1 H-quinolin-2-one.
In an alternative embodiment such intermediate compounds are selected from the group including cyclopentyl-(5-methylaminomethyl-oxazol-2-yl)-phenyl-methanol; [5-({[3-(4- [1 ,3]dioxolan-2-yl-phenoxy)-propyl]-methyl-amino}-methyl)-oxazol-2-yl]-diphenyl- methanol; 4-(3-{[2-(Hydroxy-diphenyl-methyl)-oxazol-5-ylmethyl]-methyl-amino}-propoxy)- benzaldehyde; and 5-{(R)-1 -(tert-Butyl-dimethyl-silanyloxy)-2-[4-(3-{[2-(hydroxy-diphenyl- - methyl)-oxazol-5-ylmethyl]-methyl-arhino}-propoxy)-benzylamino]-ethyl}-8-(4-methoxy- benzyloxy)-1 H-quinolin-2-one.
The compounds of formula I have activity as pharmaceuticals, in particular as dual adrenergic β2 receptor agonists and anticholinergic agents including muscarinic receptor (M1 , M2, and M3) antagonists, in particular M3 antagonists. Diseases and conditions which may be treated with the compounds of formula (I) and their pharmaceutically acceptable salts include:
1. respiratory tract: obstructive diseases of the airways including: asthma, including bronchial, allergic, intrinsic, extrinsic, exercise-induced, drug-induced (including aspirin arid NSAID-induced) and dust-induced asthma, both intermittent and persistent and of all severities, and other causes of airway, hyper-responsiveness; chronic obstructive pulmonary disease (COPD); bronchitis, including infectious and eosinophilic bronchitis; emphysema; bronchiectasis; cystic fibrosis; sarcoidosis; farmer's lung and related diseases; hypersensitivity pneumonitis; lung fibrosis, including cryptogenic fibrosing alveolitis, idiopathic interstitial pneumonias, fibrosis complicating anti-neoplastic therapy and chronic infection, including tuberculosis and aspergillosis and other fungal infections;
" complications of lung transplantation; vasculitic and thrombotic disorders of the lung vasculature, and pulmonary hypertension; antitussive activity including treatment of chronic cough associated with inflammatory and secretory conditions of the airways, and iatrogenic cough; acute and chronic rhinitis including rhinitis medicamentosa, and vasomotor rhinitis; perennial and seasonal allergic rhinitis including rhinitis nervosa (hay fever); nasal polyposis; acute viral infection including the common cold, and infection due
to respiratory syncytial virus, influenza, coronavirus (including SARS) or adenovirus; or eosinophilic esophagitis;
2. bone and joints: arthritides associated with or including osteoarthritis/osteoarthrosis, both primary and secondary to, for example, congenital hip dysplasia; cervical and lumbar spondylitis, and low back and neck pain; osteoporosis; rheumatoid arthritis and Still's disease; seronegative spondyloarthropathies including ankylosing spondylitis, psoriatic arthritis, reactive arthritis and undifferentiated spondarthropathy; septic arthritis and other infection-related arthopathies and bone disorders such as tuberculosis, including Potts' disease and Poncet's syndrome; acute and chronic crystal-induced synovitis including urate gout, calcium pyrophosphate deposition disease, and calcium apatite related tendon, bursal and synovial inflammation; Behcet's disease; primary and secondary Sjogren's syndrome; systemic sclerosis and limited scleroderma; systemic lupus erythematosus, mixed connective tissue disease, and undifferentiated connective tissue disease; inflammatory myopathies including dermatomyositits and polymyositis; polymalgia rheumatica;. juvenile arthritis including idiopathic inflammatory arthritides of whatever joint distribution and associated syndromes, and rheumatic fever and its systemic complications; vasculitides including gjant cell arteritis, Takayasu's arteritis, Churg-Strauss syndrome, polyarteritis nodosa, microscopic polyarteritis, and vasculitides associated with viral infection, hypersensitivity reactions, cryoglobulins, and paraproteins; low back pain; Familial Mediterranean fever, Muckle-Wells syndrome, and Familial Hibernian Fever, Kikuchi disease; drug-induced arthalgias, tendonititides, and myopathies; .
3. pain and connective tissue remodelling of musculoskeletal disorders due to injury [for example sports injury] or disease: arthitides (for example rheumatoid arthritis, osteoarthritis, gout or crystal arthropathy), other joint disease (such as intervertebral disc degeneration or temporomandibular joint degeneration), bone remodelling disease (such as osteoporosis, Paget's disease or osteonecrosis), polychondritits, scleroderma, mixed connective tissue disorder, spondyloarthropathies or periodontal disease (such as periodontitis); 4. skin: psoriasis, atopic dermatitis, contact dermatitis or other eczematous dermatoses, and delayed-type hypersensitivity reactions; phyto- and photodermatitis; seborrhoeic dermatitis, dermatitis herpetiformis, lichen planus, lichen sclerosus et atrophica, pyoderma gangrenosum, skin sarcoid, discoid lupus erythematosus, pemphigus, pemphigoid, epidermolysis bullosa, urticaria, angioedema, vasculitides, toxic erythemas, cutaneous eosinophilias, alopecia areata, male-pattern baldness, Sweet's syndrome, Weber-Christian syndrome, erythema multiforme; cellulitis, both infective and
non-infective; panniculitis;cutaneous lymphomas, non-melanoma skin cancer and other dysplastic lesions; drug-induced disorders including fixed drug eruptions;
5. eyes: blepharitis; conjunctivitis, including perennial and vernal allergic conjunctivitis; iritis; anterior and posterior uveitis; choroiditis; autoimmune; degenerative or inflammatory disorders affecting the retina; ophthalmitis including sympathetic ophthalmitis; sarcoidosis; infections including viral , fungal, and bacterial;
6. gastrointestinal tract: glossitis, gingivitis, periodontitis; oesophagitis, including reflux; eosinophilic gastro-enteritis, mastocytosis, Crohn's disease, colitis including ulcerative colitis, proctitis, pruritis ani; coeliac disease, irritable bowel syndrome, and food-related allergies which may have effects remote from the gut (for example migraine, rhinitis or eczema);
7. abdominal: hepatitis, including autoimmune, alcoholic and viral; fibrosis and cirrhosis of the liver; cholecystitis; pancreatitis, both acute and chronic;
8. genitourinary: nephritis including interstitial and glomerulonephritis; nephrotic syndrome; cystitis including acute and chronic (interstitial) cystitis and Hunner's ulcer; acute and chronic urethritis, prostatitis, epididymitis, oophoritis and salpingitis; vulvovaginitis; Peyronie's disease; erectile dysfunction (both male and female);
9. allograft rejection: acute and chronic following, for example, transplantation of kidney, heart, liver,. lung, bone marrow, skin or cornea or following blood transfusion; or chronic graft versus host disease;
10. . CNS; Alzheimer's disease and other dementing disorders including CJD and nvCJD; amyloidosis; multiple sclerosis and other demyelinating syndromes; cerebral atherosclerosis and vasculitis; temporal arteritis; myasthenia gravis; acute and chronic pain (acute, intermittent or persistent, whether of central or peripheral origin) including visceral pain, headache, migraine, trigeminal neuralgia, atypical facial pain, joint and bone pain, pain arising from cancer and tumor invasion, neuropathic pain syndromes including diabetic, post-herpetic, and HIV-associated neuropathies; neurosarcoidosis; central and peripheral nervous system complications of malignant, infectious or autoimmune processes; 11. other auto-immune and allergic disorders including Hashimoto's thyroiditis, Graves' disease, Addison's disease, diabetes mellitus, idiopathic thrombocytopaenic purpura, eosinophilic fasciitis, hyper-lgE syndrome, antiphosphόlipid syndrome;
12. other disorders with an inflammatory or immunological component; including acquired immune deficiency syndrome (AIDS), leprosy, Sezary syndrome, and paraneoplastic syndromes;
13. cardiovascular: atherosclerosis, affecting the coronary and peripheral circulation;
pericarditis; myocarditis , inflammatory and auto-immune cardiomyopathies including myocardial sarcoid; ischaemic reperfusioη injuries; endocarditis, valvulitis, and aortitis including infective (for example syphilitic); vasculitides; disorders of the proximal and peripheral veins including phlebitis and thrombosis, including deep vein thrombosis and complications of varicose veins;
14. oncology: treatment of common cancers including prostate, breast, lung, ovarian, pancreatic, bowel and colon, stomach, skin and brain tumors and malignancies affecting the bone marrow (including the leukaemias) and lymphoproliferative systems, such as . Hodgkin's and non-Hodgkin's lymphoma; including the prevention and treatment of metastatic disease and tumour recurrences, and paraneoplastic syndromes; and,
15. gastrointestinal tract: Coeliac disease, proctitis, eosinopilic gastro-enteritis, mastocytosis, Crohn's disease, ulcerative colitis, microscopic colitis, indeterminant colitis, irritable bowel disorder, irritable bowel syndrome, non-inflammatory diarrhea, food-related allergies which have effects remote from the gut, e.g., migraine, rhinitis and eczema. Thus, the present invention provides a compound of formula (I) or a pharmaceutically-acceptable salt thereof as hereinbefore defined for use in therapy.
In a further aspect, the present invention provides the use of a compound of formula (I) or a pharmaceutically acceptable salt thereof as hereinbefore defined in the manufacture of a medicament for use in therapy. In the context of the present specification, the term "therapy" also includes
"prophylaxis" unless there are specific indications to the contrary. The terms
"therapeutic" and "therapeutically" should be construed accordingly.
Prophylaxis is expected to be particularly relevant to the treatment of persons who have suffered a previous episode of, or are otherwise considered to be at increased risk of, the disease or condition in question. Persons at risk of developing a particular disease or condition generally include those having a family history of the disease or condition, or those who have been identified by genetic testing or screening to be particularly susceptible to developing the disease or condition.
The invention still further provides a method of treating, or reducing the risk of, an inflammatory disease or condition (including a reversible obstructive airways disease or condition) which comprises administering to a patient in need thereof a therapeutically effective amount of a compound of formula (I) or a pharmaceutically acceptable salt thereof as hereinbefore defined.
In particular, the compounds of this invention may be used in the treatment of adult respiratory distress syndrome (ARDS), pulmonary emphysema, bronchitis, bronchiectasis, chronic obstructive pulmonary disease (COPD), asthma and rhinitis.
For the above-mentioned therapeutic uses the dosage administered will, of course, vary with the compound employed, the mode of administration, the treatment desired and the disorder indicated. For example, the daily dosage of the compound of the invention, if inhaled, may be in the range from 0.05 micrograms per kilogram body weight (μg/kg) to 100 micrograms per kilogram body weight (μg/kg). Alternatively, if the compound is administered orally, then the daily dosage of the compound of the invention maybe in the range from 0.01 micrograms per kilogram body weight (μg/kg) to 100 milligrams per kilogram body weight (mg/kg).
The compounds of formula (I) and pharmaceutically acceptable salts thereof may be used on their own but will generally be administered in the form of a pharmaceutical composition in which the formula (I) compound/salt (active ingredient) is in association with, a pharmaceutically . acceptable adjuvant, diluent or carrier. Conventional procedures for the selection and preparation of suitable pharmaceutical formulations are described in, for example, "Pharmaceuticals - The Science of Dosage Form Designs", M. E. Aulton, Churchill Livingstone, 1988.
Depending on the mode of administration, the pharmaceutical composition will preferably comprise from 0.05 to 99 %w (per cent by weight), more preferably from 0.05 to 80 %w, still more preferably from 0.10 to 70 %w, and even more preferably from 0.10 to 50 %w, of active ingredient, all percentages by weight being based on total composition.
The present invention also provides a pharmaceutical composition comprising a . compound -of formula (I) or a pharmaceutically acceptable salt thereof as hereinbefore defined, in association with a pharmaceutically acceptable adjuvant, diluent or carrier. The invention further provides a process for the preparation of a pharmaceutical. composition of the invention which comprises mixing a compound of formula (I) or a pharmaceutically acceptable salt thereof as hereinbefore defined with a pharmaceutically acceptable adjuvant, diluent or carrier.
. The pharmaceutical compositions may be administered topically (e.g. to the skin . or to the lung and/or airways) in the form, e.g., of creams, solutions, suspensions, heptafluoroalkane (HFA) aerosols and dry powder formulations, for example, formulations in the inhaler device known as the Turbuhaler®; or systemically, e.g. by oral administration in the form of tablets, capsules, syrups, powders or granules; or by parenteral administration in the form of solutions or suspensions; or by subcutaneous administration; or by rectal administration in the form of suppositories; or transdermally. Dry powder formulations and pressurized HFA aerosols of the compounds of the invention may be administered by oral or nasal inhalation. For inhalation, the
compound is desirably finely divided. The finely divided compound preferably has a mass median diameter of less than 10 μm, and may be suspended in a propellant mixture with the assistance of a dispersant, such as a C8-C20 fatty acid or salt thereof, (for example, oleic acid), a bile salt, a phospholipid, an alkyl saccharide, a perfluorinated or polyethoxylated surfactant, or other pharmaceutically acceptable dispersant.
The compounds of the invention may also be administered by means of a dry powder inhaler. The inhaler may be a single or a multi dose inhaler, and may be a breath actuated dry powder inhaler.
One possibility is to mix the finely divided compound of the invention with a carrier substance, for example, a mono-, di- or polysaccharide, a sugar alcohol, or another polyol. Suitable carriers are sugars, for example, lactose, glucose, raffinose, melezitose, lactitol, maltitol, trehalose, sucrose, mannitol; and starch. Alternatively the finely divided compound may be coated by another substance. The powder mixture may also be dispensed into hard gelatine capsules, each containing the desired dose of the active compound.
Another possibility is to process the finely divided powder into spheres which break up during the inhalation procedure. This spheronized powder may be filled into the drug reservoir of a multidose inhaler, for example, that known as the Turbuhaler® in which a dosing unit meters the desired dose which is then inhaled by the patient. With this system the active ingredient, with or without a carrier substance, is delivered to the patient.
For oral administration the compound of the invention may be admixed with an adjuvant or a carrier, for example, lactose, saccharose, sorbitol, mannitol; a starch, for example, potato starch, corn starch or amylopectin; a cellulose derivative; a binder, for example, gelatine or polyvinylpyrrolidone; and/or a lubricant, for example, magnesium stearate, calcium stearate, polyethylene glycol, a wax, paraffin, and the like, and then compressed into tablets. If coated tablets are required, the cores, prepared as described above, may be coated with a concentrated sugar solution which may contain, for example, gum arabic, gelatine, talcum and titanium dioxide. Alternatively, the tablet may be coated with a suitable polymer dissolved in a readily volatile organic solvent.
For the preparation of soft gelatine capsules, the compound of the invention may be admixed with, for example, a vegetable oil or polyethylene glycol. Hard gelatine capsules may contain granules of the compound using either the above-mentioned excipients for tablets. Also liquid or semisolid formulations of the compound of the invention may be filled into hard gelatine capsules.
Liquid preparations for oral application may be in the form of syrups or
suspensions, for example, solutions containing the compound of the invention, the balance being sugar and a mixture of ethanol, water, glycerol and propylene glycol. Optionally such liquid preparations may contain colouring agents, flavouring agents, saccharine and/or carboxymethylcellulose as a thickening agent or other excipients known to those skilled in art.
The compounds of the invention may also be administered in conjunction with other compounds used for the treatment of the above conditions.
The invention therefore further relates to combination therapies wherein a compound of the invention, or a pharmaceutically acceptable salt thereof, or a pharmaceutical composition or formulation comprising a compound of the invention, is administered concurrently or sequentially or as a combined preparation with another therapeutic agent or agents, for the treatment of one or more of the conditions listed.
In particular, for the treatment of the inflammatory diseases such as (but not restricted to) rheumatoid arthritis, osteoarthritis, asthma, allergic rhinitis, chronic obstructive pulmonary disease (COPD), psoriasis, and inflammatory bowel disease, the compounds of the invention may be combined with the following agents: non-steroidal anti-inflammatory agents (hereinafter NSAIDs) including non-selective cyclo-oxygenase COX-1 / COX-2 inhibitors whether applied topically or systemically (such as piroxicam, diclofenac, propionic acids such as naproxen, flurbiprofen, fenoprofen, ketoprofen and ibuprofen, fenamates such as mefenamic acid, indomethacin, sulindac, azapropazone, pyrazolones such as phenylbutazone, salicylates such as aspirin); selective COX-2 inhibitors (such as meloxicam, celecoxib, rofecoxib, valdecoxib, lumarocoxib, parecoxib and etoricoxib); cyclo-oxygenase inhibiting nitric oxide donors (CINODs); glucocorticosteroids (whether administered by topical, oral, intramuscular, intravenous, or intra-articular routes); methotrexate; leflunomide; hydroxychloroquine; d-penicillamine; auranofin or other parenteral or oral gold preparations; analgesics; diacerein; intra- articular therapies such as hyaluronic acid derivatives; and nutritional supplements such as glucosamine.
The present invention still further relates to the combination of a compound of the invention, or a pharmaceutically acceptable salt thereof, together with a cytokine or agonist or antagonist of cytokine function, (including agents which act on cytokine signalling pathways such as modulators of the SOCS system) including alpha-, beta-, and gamma-interferons; insulin-like growth factor type I (IGF-1); interleukins (IL) including IL1 to 17, and interleukin antagonists or inhibitors such as anakinra; tumour necrosis factor alpha (TNF-α) inhibitors such as anti-TNF monoclonal antibodies (for example infliximab; adalimumab, and CDP-870) and TNF receptor antagonists including
immunoglobulin molecules (such as etanercept) and low-molecular-weight agents such as pentoxyfylline.
In addition the invention relates to a combination of a compound of the invention, or a pharmaceutically acceptable salt thereof, with a monoclonal antibody targeting B- Lymphocytes (such as CD20 (rituximab), MRA-alLI6R). or T-Lymphocytes (CTLA4-lg,
HuMax 11-15). •
The present invention still further relates to the combination of a compound of the invention, or a pharmaceutically acceptable salt thereof, with a modulator of chemokine receptor function such as an antagonist of CCR1 , CCR2, CCR2A, CCR2B, CCR3, CCR4, CCR5, CCR6, CCR7, CCR8, CCR9, CCR10 and CCR11 (for the C-C family);
CXCR1 , CXCR2, CXCR3, CXCR4 and CXCR5 (for the C-X-C family) and CX3CRI for the
C-X3-C family.
The present invention further relates to the combination of a compound of the invention, or a pharmaceutically acceptable salt thereof, with an inhibitor of matrix metalloprotease (MMPs), i.e., the stromelysins, the collagenases, and the gelatinases, as well as aggrecanase; especially collagenase-1 (MMP-1 ), collagenase-2 (MMP-8), collagenase-3 (MMP-13), stromelysin-1 (MMP-3), stromelysin-2 (MMP-10), and stromelysin-3 (MMP-1 1 ) and MMP-9 and MMP-12, including agents such as doxycycline.
The present invention still further relates to the combination of a compound of the invention, or a pharmaceutically acceptable salt thereof, and a leukotriene biosynthesis inhibitor, 5-lipoxygenase (5-LO) inhibitor or 5-lipoxygenase activating protein (FLAP) antagonist such as; zileuton; ABT-761 ; fenleuton; tepoxalin; Abbott-79175; Abbott-85761 ; a N-(5-substituted)-thiophene-2-alkylsulfonamide; 2,6-di-tert-butylphenolhydrazones; a methoxytetrahydropyrans such as Zeneca ZD-2138; the compound SB-210661 ; a pyridinyl-substituted 2-cyanpnaphthalene compound such as L-739,010; a .2- cyanoquinoline compound such as L-746,530; or anϊndole or quinoline compound such as MK-591 , MK-886, and BAY x 1005.
The present invention further relates to the combination of a compound of the invention, or a pharmaceutically acceptable salt thereof, and a receptor antagonist for leukotrienes (LT) B4, LTC4,. LTD4, and LTE4. selected from the group consisting of the phenothiazin-3-1 s such as L-651 ,392; amidino compounds such as CGS-25019c; benzoxalamines such as ontazolast; benzenecarboximidamides such as BIIL 284/260; and compounds such as zafirlukast, ablukast, montelukast, pranlukast, verlukast (MK-
679), RG-12525, Ro-245913, iralukast (CGP 45715A), and BAY x 7195. The present invention still further relates to the combination of a compound of the invention, or a pharmaceutically acceptable salt thereof, and a phosphodiesterase (PDE)
inhibitor such as a methylxanthanine including theophylline and aminophylline; a selective PDE isoenzyme inhibitor including a PDE4 inhibitor an inhibitor of the isoform PDE4D, or an inhibitor of PDE5.
The present invention further relates to the combination of a compound of the invention, or a pharmaceutically acceptable salt thereof, and a histamine type 1 receptor antagonist such as cetirizine, loratadine, desloratadine, fexofenadine, acrivastine, terfenadine, astemizole, azelastine, levocabastine, chlorpheniramine, promethazine, cyclizine, or mizolastine; applied orally, topically or parenterally.
The present invention still further relates to the combination of a compound of the invention, or a pharmaceutically acceptable salt thereof, and a proton pump inhibitor (such as omeprazole) or a gastroprotective histamine type 2 receptor antagonist. i The present invention further relates to the combination of a compound of the invention, or a pharmaceutically acceptable salt thereof, and an antagonist of the histamine type 4 receptor. The present invention still further relates. to the combination of a compound of the invention, or a pharmaceutically acceptable salt thereof, and an .alpha-1/alpha-2 adrenoceptor agonist vasoconstrictor sympathomimetic agent, such as propylhexedrine, phenylephrine, phenylpropanolamine, ephedrine, pseudoephedrine, naphazoline hydrochloride, oxymetazoline hydrochloride, tetrahydrozoline hydrochloride, xylometazoline hydrochloride, tramazoline hydrochloride or ethylnorepinephrine hydrochloride.
The present invention further relates to the combination of a compound of the invention, or a pharmaceutically acceptable salt thereof, and a chromone, such as sodium cromoglycate or nedocromil sodium. The present invention still further relates to the combination of a compound of the invention, or a pharmaceutically acceptable salt thereof, with a glucocorticoid, such as flunisolide, triamcinolone acetonide, beclomethasone dipropionate, budesonide, fluticasone propionate, ciclesonide or mometasone furoate.
The present invention further relates to the combination of a compound of the invention, or a pharmaceutically acceptable salt thereof, with an agent that modulates a nuclear hormone receptor such as PPARs.
The present invention still further relates to the combination of a compound of the invention, or a pharmaceutically acceptable salt thereof, together with an immunoglobulin (Ig) or Ig preparation or an antagonist or antibody modulating Ig function such as anti-lgE (for example omalizumab).
The present invention further relates to the combination of a compound of the
invention, or a pharmaceutically acceptable salt thereof, and another systemic or topically-applied antiinflammatory agent, such as thalidomide or a derivative thereof, a retinoid, dithranol or calcipotriol.
The present invention still further relates to the combination of a compound of the invention, or a pharmaceutically acceptable salt thereof, and combinations of aminosalicylates and sulfapyridine such as sulfasalazine, mesalazine, balsalazide, and olsalazine; and immunomodulatory agents such as the thiopurines, and corticosteroids such as budesonide.
The present invention further relates to the combination of a compound of the invention, or a pharmaceutically acceptable salt thereof, together with an antibacterial agent such as a penicillin derivative, a tetracycline, a macrolide, a beta-lactam, a fluoroquinolone, metronidazole, an inhaled aminoglycoside; an antiviral agent including acyclovir, famciclovir, valaciclovir, ganciclovir, cidofovir, amantadine, rimantadine, ribavirin, zanamavir and oseltamavir; a protease inhibitor such as indinavir, .nelfinavir, ritonavir, and saquinavir; a nucleoside reverse transcriptase inhibitor such as didanosine, lamivudine, stavudine, zalcitabine or zidovudine; or a non-nucleoside reverse transcriptase inhibitor such as nevirapine or efavirenz.
The present invention still further relates to the combination of a compound of the invention, or a pharmaceutically acceptable salt thereof, and a cardiovascular agent such as a calcium channel blocker, a beta-adrenoceptor blocker, an angiotensin-converting enzyme (ACE) inhibitor, an angiotensin-2 receptor antagonist; a lipid lowering agent such as a statin or a fibrate; a modulator of blood cell morphology such as pentoxyfylline; thrombolytic, or an anticoagulant such as a platelet aggregation inhibitor.
The present invention further relates to the combination of a compound of, the invention, or a pharmaceutically acceptable salt thereof, and a CNS agent such as an antidepressant (such as sertraline), an anti-Parkinsonian drug (such as deprenyl, L-dopa, ropiiiirole, pramipexole, a MAOB inhibitor such as selegine and rasagiline, a comP inhibitor such as tasmar, an A-2 inhibitor, a dopamine reuptake inhibitor, an NMDA antagonist, a nicotine agonist, a dopamine agonist or an inhibitor of neuronal nitric oxide synthase), or an anti-Alzheimer's drug such as donepezil, rivastigmine, tacrine, a COX-2 inhibitor, propentofylline or metrifonate. . . .
The present invention still further relates to the combination of a compound of the invention, or a pharmaceutically acceptable salt thereof, and an agent for the treatment of acute or chronic pain, such as a centrally or peripherally-acting analgesic (for example an opioid or derivative thereof), carbamazepine, phenytoin, sodium valproate, amitryptiline or other anti-depressant agent-s, paracetamol, or a non-steroidal anti-inflammatory agent.
The present invention further relates to the combination of a compound of the invention, or a pharmaceutically acceptable salt thereof, together with a parenterally or topically-applied (including inhaled) local anaesthetic agent such as lignocaine or a derivative thereof. A compound of the present invention, or a pharmaceutically acceptable salt thereof, can also be used in combination with an anti-osteoporosis agent including a hormonal agent such as raloxifene, or a biphosphonate such as alendronate.
The present invention still further relates to the combination of a compound of the invention, or a pharmaceutically acceptable salt thereof, together with a: (i) tryptase inhibitor; (ii) platelet activating factor (PAF) antagonist; (iii) interleukin converting enzyme (ICE) inhibitor; (iv) IMPDH inhibitor; (v) adhesion molecule inhibitors including VLA-4 antagonist; (vi) cathepsin; (vii) kinase inhibitor such as an inhibitor of tyrosine kinase (such as Btk, Itk, Jak3 or MAP, for example Gefitinib or lmatinib mesylate), a serine / threonine kinase, (such as an inhibitor of a MAP kinase such as p38, JNK, protein kinase A, B or C, or IKK), or a kinase involved in cell cycle regulation (such as a cylin dependent kinase); (viii) glucose-6 phosphate dehydrogenase inhibitor; (ix) kinirv-B.subi . - or B.sub2. -receptor antagonist; (x) anti-gout agent, for example colchicine; (xi) xanthine oxidase inhibitor, for example allopurinol; (xii) uricosuric agent, for example probenecid, sulfinpyrazone or benzbromarone; (xiii) growth hormone secretagogue; (xiv) transforming . growth factor (TGFβ); (xv) platelet-derived growth factor (PDGF); (xvi) fibroblast growth factor for example basic fibroblast growth factor (bFGF); (xvii) granulocyte macrophage colony stimulating factor (GM-CSF); (xviii) capsaicin cream; (xix) tachykinin NK.subi . or NK.sub3. receptor antagonist such as NKP-608C, SB-233412 (talnetant) or D-4418; (xx) elastase inhibitor such as UT-77 or ZD-0892; (xxi) TNF-alpha converting enzyme inhibitor (TACE); (xxii) induced nitric oxide synthase (iNOS) inhibitor; (xxiii) chemoattractant receptor-homologous molecule expressed on TH2 cells, (such as a CRTH2 antagonist);
(xxiv) inhibitor of P38; (xxv) agent modulating the function of Toll-like receptors (TLR), (xxvi) agent modulating the activity of purinergic receptors such as P2X7; (xxvii) inhibitor of transcription factor activation such as NFkB, API or STATS; or (xxviii) a glucocorticoid receptor (GR-receptor) agonist.
In a further aspect the present invention provides a combination (for example for the treatment of COPD, asthma or allergic rhinitis) of a compound of formula (I) and one or more agents selected from the list comprising: o a non-steroidal glucocorticoid receptor (GR-receptor) agonist; o a PDE4 inhibitor including an inhibitor of the isofόrm PDE4D; o a modulator of chemokine receptor function (such as a CCR1 receptor
antagonist); o a steroid (such as budesonide); and o an inhibitor of p38 kinase function.
A compound of the invention, or a pharmaceutically acceptable salt thereof, can also be used in combination with an existing therapeutic agent for the treatment of cancer, for example suitable agents include:
(i) an antiproliferative/antineoplastic drug or a combination thereof, as used in medical oncology, such as an alkylating agent (for example cis-platin, carboplatin, cyclophosphamide, nitrogen mustard, melphalan, chlorambucil, busulphan or a nitrosourea); an antimetabolite (for example an antifolate such as a fluόropyrimidine like 5-fluorouracil or tegafur, raltitrexed, methotrexate, cytosine arabinoside, hydroxyurea, gemcitabine or paclitaxel); an antitumour.antibiotic (for example an anthracycline such as adriamycin, bleomycin, doxorubicin, daunomycin, epirubicin, idarubicin, mitomycin-C, dactinomycin or mithramycin); an antimitotic agent (for example ayinca alkaloid such as vincristine, vinblastine, vindesine or vinorelbine, or a taxoid such as taxol or taxotere); or a topoisomerase inhibitor (for example an epipodophyllotoxin such as etoposide, teniposide, amsacrine, topotecan or a camptothecin);
(ii) a cytostatic agent such as an antioestrogen (for example tamoxifen, toremifene, raloxifene, droloxifene or iodoxyfene), an oestrogen receptor down regulator (for example fulvestrant), an a'ntiandrogen (for example bicalutamide, flutamide, nilutamide or cyproterone acetate), a LHRH antagonist or LHRH agonist (for example goserelin, leuprorelin or buserelin), a progestogen (for example megestrol acetate), an aromatase inhibitor (for example as anastrozole, letrozole, vorazole or exemestane) or an inhibitor of 5α-reductase such as finasteride; (Hi) an agent which inhibits cancer cell invasion (for example a metalloproteinase inhibitor like marimastat or an inhibitor of urokinase plasminogen activator receptor function); (iv) an inhibitor of growth factor function, for example: a growth factor antibody (for example the anti-erbb2 antibody trastuzumab, or the anti-erbb1 antibody cetuximab [C225]), a farnesyl transferase inhibitor, a tyrosine kinaseϊnhibitor or a serine/threonine kinase inhibitor, an inhibitor of the epidermal growth factor family (for example an EGFR family tyrosine kinase inhibitor such as N[-(3-chloro-4-fluorophenyl)-7-methoxy-6-(3- morpholinopropoxy)quinazolin-4-amine (gefitinib, AZD1839), N-(3-ethynylphenyl)-6,7- bis(2-methoxyethoxy)quinazolin-4-amine (erlotinib, OSI-774) or 6-acrylamido-N-(3-chloro- 4-fluorophenyl)-7-(3-morpholinopropoxy)quinazolin-4-amine (Cl 1033)), an inhibitor of the platelet-derived growth factor family, or an inhibitor of the hepatocyte growth factor family; (v) an antiangiogenic agent such as one which inhibits the effects of vascular endothelial
growth factor (for example the anti-vascular endothelial cell growth factor antibody bevacizumab, a compound disclosed in WO 97/22596,.WO 97/30035, WO 97/32856 or WO 98/13354), or a compound that works by another mechanism (for example linomide, an inhibitor of integrin αvβ3 function or an angiostatin); (vi) avascular damaging agent such as combretastatin A4, or a compound disclosed in WO 99/02166, WO 00/40529, WO 00/41669, WO 01/92224, WO 02/04434 or WO 02/08213;
(vii) an agent used in antisense therapy, for example one. directed, to one of the targets listed above, such as ISIS 2503, an anti-ras antisense; (viii) an agent used in' a gene therapy approach, for example approaches to replace aberrant genes such as aberrant p53 or aberrant BRCA1 or BRCA2, GDEPT (gene-directed enzyme pro-drug therapy) approaches such as those using cytosine deaminase, thymidine kinase or a bacterial nitroreductase enzyme and approaches to increase patient tolerance to chemotherapy or radiotherapy such as multi-drug resistance gene therapy; or
(ix) an agent used in an immunotherapeutic approach, for example ex-vivo and in-vivo approaches to increase the immunogenicity of patient tumour cells, such as transfection with cytokines such as interleukin 2, interleukin 4 or granulocyte-macrophage colony stimulating factor, approaches to decrease T-cell anergy, approaches using transfected immune cells such as cytokine-transfected dendritic cells, approaches using cytokine-transfected tumour cell lines and approaches using anti-idiotypic antibodies.
The non-limiting Examples provided herein below illustrate the invention. Further non- limiting examples of compounds that may illustrate the invention can be found, in co- pending international patent application PCT/GB2007/003170, which is hereby incorporated by reference.
General Experimental Details: Silica gel used for medium pressure column chromatography is 0.035 to 0.070 mm (220 to 440 mesh) (e.g. Fluka silica gel 60), and an applied pressure up to 10 psi accelerated column elution. Where thin layer chromatography (TLC) has been used, it refers to silica gel TLC using plates, typically 3 x 6 cm silica gel on aluminium foil plates with a fluorescent indicator (254 nm) (e.g. Fluka 60778). All solvents and commercial reagents were used as received. Purification by prepacked SCX-2 cartridge refers to Isolute® SCX-2, a strong cation exchange sorbent (Argonaut/IST). Purification over NH2 :silica gel refers to Isolute® flash NH2 prepacked cartridges
(Argonaut/IST).
All compounds containing a basic centre(s) and purified by reversed-phase HPLC were obtained as the TFA salt, unless stated otherwise.
Preparative HPLC conditions: HPLC system 1
G18-reverse-phase column (100 x 22.5 mm Ld. Genesis column with 7 μm particle size), eluting using linear gradients of mixtures of solvent A (water with 0.1 % TFA) and solvent B (acetonitrile with 0.1% TFA) at a flow rate of 5 ml_/min with UV detection set at 230 nm.
HPLC system 2
Phenyl hexyl column (250 x 21.20 mm Ld. Luna column with 5 μm particle size), eluting using linear gradients of mixtures of solvent A (water with 0.1% TFA) and solvent B (acetonitrile with 0.1 % TFA) at a flow rate of 18 ml_/min with UV detection set at 254 nm.
HPLC system 3
C18-reverse-phase column (250 x 21.20 mm Phenomenex Gemini column with 5 μm particle size), eluting using linear gradients of mixtures of solvent A (water with 0.1 % formic acid) and solvent B (acetonitrile with 0.1 % formic acid) at a flow rate of 5-10 mL/min with UV detection set at 230 nm.
HPLC system 4 C8-reverse-phase column (50 x 19 mm Ld." Symmetry column with 5.0 μm particle size), eluting using linear gradients of mixtures of solvent A (water with 0.1 % TFA) and solvent B (acetonitrile with 0.1 % TFA) at a flow rate of 20 mL/min with UV detection set at 220 nm.
HPLC system 5
Purification was by reversed phase preparative HPLC using a SunFire™ Prep C18 OBD™ 5 micron 19 x 50 mm column (Waters Corporation) eluting using linear gradients of mixtures of solvent A (water with 0.1 % TFA) and solvent B (acetonitrile with 0.1 % TFA) over 11 minutes at a flow rate of 20 mL/min with UV detection set at 220 nm.
The Liquid Chromatography Mass Spectroscopy (LC-MS) systems used: LC-MS method 1
Micromass Platform LCT with a C18-reverse-phase column (100 x 3.0 mm i.d. Higgins Clipeus with 5 μm particle size), elution with solvent A (water with 0.1 % formic acid) and solvent B (acetonitrile with 0.1 % formic acid). Gradient:
Gradient - Timeflow mL/min %A %B
0.00 1.0 95 5
1.00 1.0 95 5
15.00 1.0 5 95
20.00 1.0 5 95
22.00 1.0 95 5
25.00 1.0 95 5
Detection - MS, ELS, UV (100 μL split to MS with in-line UV detector). MS ionisation method - Electrospray (positive ion).
LC-MS method 2
> Micromass Platform LCT with a C18-reverse-phase column (30 x 4.6 mm i.d. Phenomenex Luna 3 μm particle size), elution with solvent A (water with 0.1 % formic acid) and solvent B (acetonitrile with 0.1 % formic acid). Gradient:
Gradient - Timeflow mL/min %A %B
0.00 2.0 95 5
0.50 . 2.0 .95 5
4.50 2.0 5 95
5.50 2.0 5 95
6.00 2.0 95 5
Detection - MS, ELS, UV (100 μL split to MS with in-line UV detector). MS ionisation method - Electrospray (positive and negative ion).
LC-MS method 3
Waters Micromass ZQ with a C18-reverse-phase column (30 x 4.6 mm i.d. Phenomenex Luna 3 μm particle size), elution with solvent A (water with 0.1 % formic acid) and solvent B (acetonitrile with 0.1 % formic acid). Gradient:
Gradient - Timeflow mL/min %A %B 0.00 2.0 95 5
0.50 2.0 95 5
4.50 2.0 5 95
5.50 2.0 5 95
6.00 2.0 95 5
Detection - MS, ELS, UV (100 μl_ split to MS with in-line UV detector). MS ionisation method - Electrospray (positive and negative ion).
LC-MS method 4
Waters ZMD with a C18-reverse-phase column (30 x 4.6 mm i.d. Phenomenex Luna with 3 μm particle size), elution with solvent A (water with 0.1 % formic acid) and solvent B (acetonitrile with 0.1 % formic acid). Gradient:
Gradient - Timeflow mL/min %A %B 0.00 2.0 95 5
0.50 2.0 95 5 4.50 2.0 5 95
5.50 2.0 5 95
6.00 2.0 95 5
Detection - MS, ELS, UV (200μl_/min split to MS with in-line Waters 996 DAD detection).
MS ionisation method - Electrospray (positive and negative ion).
LC-MS method 5
Waters Micromass ZQ with a C18-reverse-phase column (100 x 3.0 mm Higgins Clipeus with 5 μm particle size), elution with A: water + 0.1 % formic acid; B: acetonitrile + 0.1 % formic acid. Gradient:
Gradient - Time flow ml/mm %A %B
0.00 1.0 95 5
1 .00 1.0 95 5
15.00 1.0 5 95
20.00 1.0 5 95
22.00 1.0 95 5
25.00 1.0 95 5
Detection - MS, ELS, UV (100 μl split to MS with in-line UV detector.at 254nm) MS ionisation method - Electrospray (positive ion).
LC-MS method 6
Hewlett Packard 1100 MSD using C8-reverse-phase column (50 x 2.1 mm Ld. XBridge with 3.5 μm particle size), elution with solvent A (water with 5% methanol and 0.1 % ammonium acetate) and solvent B (acetonitrile). Gradient:
Gradient - Time flow mL/min %A %B
0.00 1.0 95 5 2.50 1.0 5 95
3.00 . 1.0 5 95
3.10 ■ 1.0 95 5
3.50 1.0 95 5
' Detection - MS, UV (in-line UV detector).
MS ionisation method - APCI (positive ion and negative ions).
LCMS 7/7'
Agilent 1100 series LG/MSD with C18-reverse-phase column (50 x 2.1 mm i.d. Waters Symmetry column with 3.5 μm particle size), eluting using linear gradients of mixtures of solvent A (water with 0.1% TFA) and solvent B (acetonitrile with 0.1 % TFA) at a flow rate of 1 mL/min.
System 7 System T
Gradient - Time flow mL/min %A % B %A %B 0.00 1.0 95 5 5 95
1.00 1.0 95 5 5 95
9.00 . 1.0 5 95 50 50
10.00 1.0 5 95 50 50
Detection - Mass APCI or multimode (APCI + ESI) with UV detection set at 220 nm.
LCMS 8
Agilent 1100 series using a Waters Sunfire C18 reverse-phase column (30 x 4.6 mm, 2.5 μm particle size), eluting using linear gradients of mixtures of solvent A (water with 0.1 % TFA) and solvent B (acetonitrile with 0.1 % TFA) at a flow rate of 2.5 ml_/min.
Gradient - Time flow ml_/min %A %B,
0.00 2.5 95 5
0.30 , 2.5 95 5 2.70 2.5 5 95
2.80 2.5 5 95
2.90 . 2.5 95 5
Detection - MS, UV (in-line UV detector). MS ionisation method - APCI (positive ion and negative ions).
Abbreviations used in the experimental section:
AIBN = (2,2'-azobis(2-methylproprionitrile) BOC-anhydride = Di-tø/t-butyl dicarbonate .
CDI = 1 ,1 '-carbonyl diimidazole
DCE = 1 ,2-dichloroethane
DCM = dichloromethane
DIPEA = diisopropylethylamine DMF = /V, Λ/-di methyl formamide
DMSO = dimethylsulfoxide
EtOAc = ethyl acetate
EtOH = ethanol
HCI = hydrochloric, acid IMS = industrially methylated spirit
HATU = O-(7-azabenzotriazol-1 -yl)-Λ/,Λ/,Λ/'Λ/-tetramethyluroniumhexafluoro- phosphate
HPLC = high performance' liquid chromatography
MeOH = methanol Min = minutes
NaHCO3 = sodium hydrogen carbonate
NaOH = Sodium hydroxide
Na2SO4 = Sodium sulphate
NH4CI = Ammonium chloride
NMP = N-methyl pyrrolidone PMB = para-methoxybenzyl pTSA = para-toluenesulphonic acid
RT = room temperature
Rf = retention factor (TLC)
Rt = retention time (LCMS or HPLC) SCX-2 = strong cation exchange resin
. TBDMS (-Cl) = terf-butyldimethyl silyl (chloride)
TEMPO = 2,2,6,6-tetramethyl-1 -piperidinyloxy free radical
TFA = trifluoroacetic acid
THF = tetrahydrofuran TLC = thin layer chromatography
Intermediates
Intermediate 1 (5-Bromomethyl-oxazol-2-yI)-diphenyl-methanol
The title compound was prepared from (5-methyl-oxazol-2-yl)-diphenyl-methanol by a similar method to. that disclosed in WO200.7/017669.
LC-MS (method 2): Rt 3.53 min, m/z 344, 346 [MH]+.
The title compound was prepared from (5-bromomethyl-oxazol-2-yl)-diphenyl- methanol and methylamine by a similar method to that disclosed in WO2007/017669. LC-MS (method 4): Rt 1.91 min, m/z 295 [MH+], 336 [MH-MeCN+].
intermediate 3 (R)-(5-BromomethyI-oxazol-2-yl)-cycIohexyl-phenyl-methanoI
To a DCM solution of cyanogen bromide (3 M in DCM; 0.32 mL, 0.96 mmol) was added, portion wise, a solution in DCM (2 mL) of (R)-cyclohexyl-(δ- dimethylaminomethyl-oxazol-2-yl)-phenyl-methanol (150 mg, 0.48 mmol), (prepared according to WO2007/017669). After 45 minutes the reaction mixture was applied to a silica-gel cartridge and purified by gradient elution from petrol ether (40-60 0C) to DCM and afford the title compound as a clear oil that solidified on standing. Yield: 168 mg (65%).
LC-MS (Method 4): Rt 4.15 min, m/z 350, 352 [MH]+. Rf = 0.24 (10% ethyl acetate/cyclohexane).
The title compound was prepared from (R)-(5-bromomethyl-oxazol-2-yl)-cyclohexyl- phenyl-methanol (Intermediate 3) and methylamine by a similar method to that disclosed in WO2007/017669.
LC-MS (method 4): Rt 1.91 min, m/z 295 [MH+], 336 [MKMeCN+].
intermediate 5 (RJ-fδ^-Amino-ethylJ-oxazol^-yπ-cycIohexyl-phenyl-methanol
The title compound was prepared from (R)-(5-bromomethyl-oxazol-2-yl)-cyclohexyl- phenyl-methanol (Intermediate 3) according to WO2007/017669.
LC-MS (method 1 ): Rt 5.49 min, m/z 675 [MH]+.
Intermediate 6 (R)-[5-(2-Benzylamino-ethyl)-oxazoI-2-yl]-cyclohexyI-phenyl-methanol
Benzaldehyde (2.90 g, 27.3 mmol) was added to a mixture of (R)-[5-(2-amino-ethyl)- oxazol-2-yl]-cyclohexyl-phenyl-methanol (4.26 g, 14.2 mmol) and 3A molecular sieves in dry methanol (200 mL) and the reaction mixture stirred at RT for 18 hours. Sodium borohydride (2.19 g, 57.9 mmol) was added to the resulting cooled (0 0C) brown
suspension. The reaction mixture was treated with saturated aqueous NaHCO3 and vigorously stirred for 1 hour. Water and DCM were added and the mixture was filtered over Celite, washed with DCM, and the phases separated. The aqueous layer was extracted with DCM and the combined organic extracts were washed with brine, dried (Na2SO4) then concentrated in vacuo to afford the title compound. LC-MS (method 3): Rt 2.61 min, m/z 391 [MH]+.
Intermediate 7 ((RJ-lδ-^Benzyl-methyl-aminoJ-ethylj-oxazol^-yll-cycIohexyl-phenyl-methanol
To a stirred solution of (R)-[5-(2-benzylamino-ethyl)-oxazol-2-yl]-cyclohexyl-phenyl- methanol (10.9 g, 28 mmol) in DCM (150 mL) was added formaldehyde (37 wt% (aq): 10.60 mL, 142 mmol), followed by sodium triacetoxyborohydride (9.06 g, 42.7 mmol). The RM was stirred vigorously at RT for 1 hour and was then treated with saturated aqueous NaHCO3 (75 mL) and vigorous stirred for a further for 15 min, then left unstirred overnight. The phases were separated and the aqueous layer was extracted with DCM. The combined organic extracts were washed with brine, dried (Na2SO4), and concentrated to dryness to afford a brown gum which was purified over silica-gel (330 g, Companion) eluting from 0-50% EtOAc/DCM to give the desired product as a yellow/brown viscous oil.
LC-MS (method 3): Rt 2.60 min, m/z 405 [MH]+.
Intermediate 8
(RJ-CyclohexyKδ-^-methylamino-ethyO-oxazol-a-yπ-phenyl-methanol
NH
A mixture of ((R)-{5-[2-(benzyl-methyl-amino)-ethyl]-oxazol-2-yl}-cyclohexyl-phenyl- methanol (2.92 g, 7.23 mmol) and palladium(ll) hydroxide on carbon (505 mg) in ethanol (75 ml_) was stirred under a hydrogen atmosphere at RT for 18 hours. The reaction mixture was filtered over Celite, washed with ethanol, and the filtrate concentrated in vacuo to afford a light yellow/brown gum. Analytical chiral HPLC (Chiralpak IA, 5% EtOH/heptane + 0.1 % DEA) gave an enatiomeric excess of >99% (other enantiomer not observed - racemic sample used as reference). LC-MS (method 3): Rt 2.42 min, m/z 315 [MH]+.
intermediate 9 [5-(2-Amino-ethyl)-oxazol-2-yl]-diphenyl-methanol
The title compound was prepared from (R)-(5-bromomethyl-oxazoI-2-yl)-cyclohexyI- phenyl-methanol (Intermediate 1 ) using a similar procedure to that disclosed in ■ WO2007/017669.
LC-MS (method 2): Rt 1.82 min, m/z 295 [MH]+.
Intermediate 10 [5-(2-BenzyIamino-ethyl)-oxazol-2-yl]-diphenyl-methanol
The title compound was prepared from [5-(2-amino-ethyI)-oxazol-2-yl]-diphenyl- methanol using a similar procedure to that disclosed in WO2007/017669. LC-MS (method 2): Rt 2.21 min, m/z 385 [MH]+.
Intermediate 11 [5-(2-Methylamino-ethyl)-oxazol-2-yl]-diphenyl-methanol
The title compound was prepared from [5-(2-benzylamino-ethyl)-oxazol-2-yl]-diphenyl- methanol using a similar procedure to that disclosed in WO2007/017669.
LC-MS (method 2): Rt 0.33 & 1.99 min, m/z 309 [MH]+.
Intermediate 12 (5-Methyl-isoxazol-3-yl)-diphenyl-methanol
To a solution of δ-methyl-isoxazole-S-carboxylic acid methyl ester (Prepared Maybridge) (45 g, 0.32 mol) in anhydrous in THF (400 ml) under an atmosphere of nitrogen at 0 0C was added drop-wise a 1 M solution of phenyl magnesium bromide in THF (418 ml, 0.42 mol). As soon as the addition was complete, the solution was allowed to warm to room temperature. After stirring for 18 hours at room temperature, the solution was again cooled to 0 0C and further phenyl magnesium bromide solution (260 ml_, 0.26 mol) was added. After stirring to RT overnight the reaction mixture was quenched via addition of saturated ammonium chloride solution (600 mL) and extracted into EtOAc (3 x 300 mL). The organic layer was separated and washed with successively with saturated aqueous NaHCO3, water and brine, prior to drying (MgSO4) and concentration in vacuo. The residue was purified by column chromatography (Companion, 300 g), eluting from 0-50% EtOAc/cyclohexane to give the title compound.
LC-MS (method 3): Rt 3.42 min, m/z 265 [MH]+.
Intermediate 13 (5-Bromomethyl-isoxazol-3-yl)-diphenyl-methanol
The title compound was prepared from (5-methyl-isoxazol-3-yl)-diphenyl-methanol by a similar method to that described for intermediate 1 LC-MS (method 3): Rt 3.66 min, m/z 344, 346 [MH]+.
Intermediate 14 (5-Methylaminomethyl-isoxazol-3-yl)-diphenyl-methanol
The title compound was prepared from (5-bromomethyl-isoxazol-3-yl)-diphenyl- methanol and methylamine by a similar method employed in intermediate 3.
LC-MS (method 2): Rt 2.05 min, m/z 295 [MH]+.
Intermediate 15 5-Chloromethyl-[1,2,4]oxadiazole-3-carboxylic acid ethyl ester
To an ice cold suspension of ethyl 2-oximino-oxamate (1.17 g, 8.86 mmol) in
chloroform (20 mL) was added pyridine (0.70 ml, 9.74 mmol) followed by chloroacetyl chloride (0.78 ml, 9.74 mmol) drop-wise over 5 minutes. Upon completion of the addition the suspension was allowed to warm to room temperature and stirred for 1 hour. The suspension was poured onto a mixture of DCM and water, the layers separated and the aqueous extracted with DCM (note: this resulted in a lot of precipitate that would not dissolve). The organic phase was washed with water and brine, dried (MgSO4) and concentrated in. vacuo. The solid residue (-900 mg) was dissolved in AcOH (8 mL) and heated at reflux for 1 hour. After this time, the hot solution was poured onto a mixture of EtOAc and saturated aqueous Na2CO3 (aq.) and the layers separated. The organic layer was washed with further aqueous saturated Na2CO3, water and brine, dried (MgSO4) and evaporated to give the title compound as a brown oil
Yield: 0.29 g (17%). . LCMS (Method 2): Rt 2.97 min,. m/z 190 [no MH]+.. 1H NMR (400 MHz, DMSO-d6): 5 5.17 (s, 2 H), 4.45 (q, 2 H), 1.28 (t, 3 H).
Intermediate 16
(5-Chloromethyl-[1 ,2,4]oxadiazol~3-yl)-diphenyl-methanol
To a solution of δ-chloromethyl-t^^-oxadiazole-S-carboxylic acid ethyl ester (0.29 g, 1.52 mmol) in dry THF (7 mL) under an atmosphere of nitrogen at -78 0C was added in a single portion a 3M solution of phenyl magnesium bromide in diethyl ether (1.014 ml, 3.04 mmol). As soon as the addition- was complete, the dark solution was allowed to warm to room temperature. After 10 min at room temperature, the solution was poured onto a mixture of 1 M HCI and EtOAc, the layers separated and the organic layer washed with satd. NaHCO3 (aq.), water and brine, dried (MgSO4) and concentrated in vacuo. The residue was purified by column chromatography eluting from 10-18% EtOAc/iso-hexane to give the title. compound. Yield: 0.13 g (26%). LCMS (Method 2): 3.64 min (no [MH]+). ' .
1H NMR (400 MHz, DMSO-d6): δ 7.34-7.24 (m, 10 H), 7.09-7.05 (m, 1 H), 5.10 (s, 2 H).
Intermediate 17 (5-Methylaminomethyl-ri,2,41oxadiazol-3-yl)-diphenyl-methanol
The title compound was prepared from 5-chloromethyl-[1 ,2,4]oxadiazole-3-carboxylic acid ethyl and methylamine by a similar method employed in intermediate 3. LC-MS (method 1 ): Rt 5.92 min, m/z 296 [MH]+.
Intermediate 18 Rac-Cyclohexyl-(5-methylaminomethyl-[1,2,4]oxadiazol-3-yl)-phenyl-methanol
The title compound was prepared from (5-chloromethyl-[1 ,2,4]oxadiazol-3-yl)- diphenyl-methanol (Intermediate 15) and chexyl magnesium bromide by similar methods to those employed in intermediates 16 and 17a, respectively. LC-MS (method 5): Rt 5.43 min, m/z 302 [MH]+.
A cooled 5 0C mixture of 7-(2-Amino-ethyl)-4-hydroxy-3H-benzothiazol-2-one hydrochloride (2.0 g, 8.11 mmol) in MeOH/NMP [3:7], (50 ml_) was stirred for 20 minutes until complete dissolution had occurred. (4-Nitro-phenyl)-acetaldehyde (1.40 g, 8.11 mmol) was then added and stirring continued for a further 20 minutes. Sodium cyanoborohydride (1.02 g, 13.30 mmol) was added portion-wise and the resulting mixture stirred for 30 minutes at 5 °C then RT overnight. The reaction mixture was filtered and the solid residue washed with MeOH. The combined organic extracts were concentrated in vacuo the residue was adjusted to pH 3-4 via addition of 1 M aqueous HCI and washed with diethyl ether. The aqueous layer was separated, basified to pH 8 with saturated aqueous NaHCO3 and then extracted again with EtOAc. The organic phase was washed with brine (30OmL), dried (Na2SO4), filtered and concentrated in vacuo to give the desired product as a solution in NMP. ' LC-MS (method 2): Rt 2.13 min, m/z 360 [MH]+.
Intermediate 20
[2-(4-Hydroxy-2-oxo-2,3-dihydro-benzothiazol-7-yl)-ethyl]-[2-(4-nitro phenyl)- ethyl]-carbamic acid tert-butyl ester
To a cooled 0 0C solution in NMP (40 mL) of 4-hydroxy-7-{2-[2-(4-nitro-phenyl)- ethylamino]-ethyl}-3H-benzothiazol-2-one (2.92 g, 8.11 mmol), was added BoC2O (1.78 g, 8.11 mmol) and the resulting mixture stirred for 20 minutes at this temperature before being allowed to warm to RT overnight. The reaction was poured into water and then extracted with ethyl acetate (2 x 250 mL). The combined organic layers were washed with water (200 mL), brine (200 mL), dried (Na2SO4), filtered and
concentrated in vacuo to afford the crude product as a solution in NMP (also containing some bis-Boc by-product). The crude reaction mixture was treated with a mixture of MeCN (40 ml.) and concentrated ammonia solution (880 Ammonia; 40 ML) and then warmed to 45 0C for 1 hour. The reaction was concentrated in vacuo then triturated with saturated aqueous NaHCO3, which was aided by extensive sonication to give, after collection by filtration, and drying in vacuo the title product as a beige solid.
LC-MS (method 3): Rt 3.75 min, m/z 458 [M-H].
Intermediate 21
[2-(4-Amino-phenyI)-ethyl]-[2-(4-hydroxy-2-oxo-2,3-dihydro-benzothiazol-7-yl)- ethylj-carbamic acid tert-butyl ester
A solution of [2-(4-hydroxy-2-oxo-2,3-dihydro-benzothiazol-7-yl)-ethyl]-[2-(4-nitro phenyl)-ethyl]-carbamic acid tert-buty! ester (1.61 g, 3.51 mmol) in IMS (75 mL) was evacuated with nitrogen prior to addition of 1.0% Pd/C (3.80 g). The reaction mixture was hydrogenated over hydrogen balloon for 18 hours then filtered through Celite and the pad washed with MeOH. The combined. organic extracts were concentrated in vacuo to give the desired product as a beige solid.
LC-MS (method 2): Rt 2.56 min, m/z 430 [M-H].
Intermediate 22
{2-[4-(2-Bromo-acetylamino)-phenyl]-ethyl}-[2-(4-hydroxy-2-oxo-2,3-dihydro- benzothiazol-7-yI)-ethyl]-carbamic acid tert-butyl ester
A cooled 0 0C solution of [2-(4-amino-phenyl)-ethyl]-[2-(4-hydroxy-2-oxo-2,3-dihydro- benzothiazol-7-yl)-ethyl]-carbamic acid tert-butyl ester (2.25 g, 5.25 mmol) in DMF (25 5 ml_) was treated with solid NaHCO3 (485 mg, 5.78 mmol) and allowed to stir for 10 minutes prior to drop-wise addition of bromo-acetyl bromide (0.92 ml_, 10.5 mmol) over 10 minutes at 0 0C. The reaction mixture was allowed to stir to RT overnight and was then partitioned between water (250 mL) and EtOAc (2 x 200 mL) and the combined organic extracts were concentrated in vacuo. The crude product was
10. triturated with saturated aqueous NaHCO3 with the aid of prolonged sonication and then collected by filtration. The solid residue was further purified by Companion automated chromatograpghy system, loading in EtOAc/MeOH and eluting from DCM to 5% MeOH/DCM to afford the title product. Yield: 1.15 g (40%) .
15 LC-MS (method 2): Rt 3.46 min, m/z 550, 552 [M-H].
Intermediate 23 .
(4-AcryIoylamino-benzyl)-[2-(4-hydroxy-2-oxo-2,3-dihydro-benzothia2ol- 7-yl)-ethyl]-carbamic acid tert-butyl ester
20
The title compound was prepared from 4-nitro-benzaldehyde and 7-(2-amino-ethyl)-4- hydroxy-3H-benzothiazol-2-one hydrochloride by similar methods to those employed
in intermediates 19-21 , respectively.
1H NMR (400 MHz, d6-DMSO) δ 10.13 (s, 1 H), 7.63 (d, J = 8.5 Hz, 2H), 7.21 - 7.15 (m, 2H), 6.80 - 6.66 (m, 2H), 6.43 (dd, J = 17.0, 10.1 Hz1 1 H), 6.25 (dd, J = 17.0, 1.9 Hz, 1 H), 5.74 (dd, J = 10.0, 2.1 Hz, 1 H), 4.36 - 4.17 (m, 2H), 3.41 - 3.21 (m, 2H), 2.66 - 2.56 (m, 2H), 1.42 - 1.24 (m, 9H) + 2 exchangeable H not observed.
Intermediate 24 4-[2-(tert-Butyl-dimethyl-silanyloxy)-ethyl]-N-(2,2-dimethoxy-ethyl)-benzamide
To a stirred solution of 4-(2-(tert-butyldimethylsilyloxy)ethyl)benzoic acid (0.70 g, 2.50 mmol), (Nucleic Acids Research 1997, 25(12), 2352-2358) in dry DMF (10 ml_) was added di(1 H-imidazol-1 -yl)methanone (0.52 g, 3.21 mmol). After 1 hour 2,2- dimethoxyethanamine (0.69 g, 6.56 mmol) was added and the solution allowed to stir at RT for a further 30 minutes. The solution was diluted with ethyl acetate, washed with water (x3) and brine then evaporated in vacuo. Purification was undertaken by silica gel chromatography, eluting with ethyl acetate: iso-hexanes, [1 :2] to afford the title compound.
Yield: 0.85 g (93%).
1H NMR (400 MHz, CDCL3) δ 7.72 (d, J = 8.2 Hz, 2H), 7.30 (d, J = 8.2 Hz, 2H), 6.35 - 6.27 (m,' 1 H), 4.52 (t, J = 5.3 Hz, 1 H), 3.84 (t, J = 6.8 Hz, 2H), 3.63 (t, J = 5.6 Hz, 2H), 3.47 (s, 6H), 2.88 (t, J = 6.8 Hz, 2H), 0.89 (s, 9H), 0.00 (s, 6H).
Intermediate 25 Λ/-(2,2-Dimethoxy-ethyl)-4-(2-hydroxy-ethyl)-benzamide
4-[2-(tert-Butyl-dimethyl-silanyloxy)-ethyl]-A/-(2,2-dimethoxy-ethyl)-benzamide (0.83 g, 2.26 mmol) was dissolved in tetrabutylammonium fluoride (10 ml of a 1 M solution in THF). After 0.5 hours, the solution was diluted with EtOAc and washed with a little water and brine. The aqueous washings were combined, extracted with ethyl acetate and the combined ethyl acetate solution was evaporated in vacuo. Purification was by silica gel chromatography eluting with DCM/MeOH, [10:1]. Yield 0.55 g (96%)
1H NMR (400 MHz1 CDCI3) δ 7.72 (d, J = 38.1 Hz, 2H), 7.32 (d, J = 38.1 Hz, 2H), 6.34 - 6.25 (m, 1 H), 4.49 (t, J = 19.9 Hz, 1 H), 3.94 - 3.84 (m, 2H), 3.60 (t, J = 19.9 Hz, 2H), 3.44 (s, 6H), 2.92 (t, J = 17.4 Hz, 4H.
Intermediate 26
{2-[4-(2,2-Dimethoxy-ethyIcarbamoyl)-phenyl]-ethyl}-[2-(4-hydroxy-2-oxo-2,3- dihydro-benzothiazol-7-yl)-ethyl]-carbamic acid tert-butyl ester
Dess-Martin periodinane (1.22 g, 2.88 mmol) was added to /V-(2,2-dimethoxy-ethyl)-4- (2-hydroxy-ethyl)-benzamide (0.55 g, 2.17 mmol) in DCM (15 mL. After 1 hour, saturated aqueous NaHCO3 (25 mL), sodium thiosulphate (25 mL) and EtOAc (80 mL) were added and the mixture shaken vigorously for 1 minute then separated. The EtOAc solution was washed with saturated aqueous NaHCO3 (25 ml) and brine, dried (Na2SO4), filtered and evaporated in vacuo (bath temperature <30 0C) to give the crude intermediate aldehyde 0.48g (88%). A solution of 7-(2-aminoethyl)-4- hydroxybenzo[d]thiazol-2(3H)-one hydrochloride (0.54 g, 2.19 mmol) and acetic acid (0.12 mL) in NMP (15 mL) and water (5 mL) was added to the crude /V-(2,2- dimethoxyethyl)-4-(2-oxoethyI)benzamide (0.48 g, 1.91 mmol). Sodium triacetoxyborohydride (0.70 g) was then added and the mixture stirred at room temperature for 30 minutes. The reaction mixture was partitioned between EtOAc and saturated aqueous NaHCO3 {50 mL). The aqueous layer was further extracted with
EtOAc (x4) and the combined organic extracts were washed with brine, dried (Na2SO4), filtered and concentrated in vacuo to give the crude amine intermediate compound in NMP (~5 ml_). BoC2O (0.57 ml, 2.5 mmol) was added to the crude /V- (2,2-dimethoxyethyl)-4-(2-(2-(4-hydroxy-2-oxo-2,3-dihydrόbenzo[d]thiazol-7- yl)ethylamino)ethyl)benzamide in NMP (~5 ml_) and DCM (10 ml_). After 1 hour, the reaction mixture was diluted with EtOAc and washed with water and dried (Na2SO4), filtered and concentrated in vacuo. Purification was by silica gel chromatography eluting with EtOAc/iso-hexanes, [2:1] afforded the title product. Yield 0.38 g (32%, 3 steps).
1H NMR (400 MHz, d6-DMSO, 90 0C) δ 8.01 - 8.11 (m, 1 H), 7-75 (d, J = 8.2 Hz, 2H), 7.22 (d, J = 8.2 Hz, 2H), 6.76 (d, J = 8.4 Hz, 1 H), 6.68 (d, J = 8.4 Hz, 1 H), 4.51 (t, J =■ 5.5 Hz, 1 H), 3.36 (t, J = 5.6 Hz, 2H), 3.27 - 3.33 (m, 4H), 3.30 (s, 6H), 2.77 (t, J = 7.6 Hz, 2H), 2.64 (t, J = 7.3 Hz, 2H), 1.34 (s, 9H)
Intermediate 27
[2-(4-Hydroxy-2-oxo-2,3-dihydro-benzothiazol-7-yI)-ethyl]-{2-[4-(2-oxo- ethylcarbamoyl)-phenyl]-ethyl}-carbamic acid tert-butyl ester
{2-[4-(2,2-dimethoxy-ethylcarbamoyl)-phenyl]-ethyl}-[2-(4-hydroxy-2-oxo-2,3-dihydro- benzothiazol-7-yl)-ethyl]-carbamic acid tert-butyl ester (2.1 g, 3.8 mmol) in acetic acid (20 mL) and water (20 ml_) was heated at 50 0C for 6 hours. After cooling, the reaction mixture was diluted with ethyl acetate (300 mL), washed with water (4 x 10OmL), dried (Na2SO4), filtered and concentrated in vacuo to give the title compound.
Intermediate 28
2-(3-bromo-phenyl)-ethanol (5.00 g, 24.87 mmol), 1 ,1 '-bis(diphenylphosphino) ferrocene-palladium dichloride (0.70 g, 0.85 mmol) and triethylamine (7.00 g, 69.18 mmol) in MeOH (30. mL) was heated at 90 0C (internal temperature) over a period of 10 hours under carbon monoxide (5 Bar). After cooling, the methanol solution was concentrated in vacuo then partitioned between ethyl acetate and water. The organic layer was washed with brine and evaporated in vacuo. The crude product was purified by flash silica chromatography eluting with ethyl acetate/iso-hexanes, [1 :1]. . Yield 3.3 g (74%).
1H NMR (400 MHz, CDCI3) δ 7.93 - 7.90 (m, 2H), 7.44 (d, J = 7.2 Hz, 1 H), 7.39 (t, J = 8.1 Hz, 1 H), 3.92 (s, 3H), 3.89 (t, J = 6.2 Hz, 2H), 2.93 (t, J = 6.4 Hz, 2H), OH not observed.
Intermediate 29
3-[2-(tert-Butyl-dimethyl-silanyloxy)-ethyI]-benzoic acid methyl ester
tert-Butyldimethylchlorosilane (4.07 mL, 21 .89 mmo!) was added to a stirred solution of methyl 3-(2-hydroxyethyl)benzoate (3.30 g, 18.31 mmol) aηd Imidazole (3.70 g, 54.35 mmol) in dry DMF (30 mL) cooled in an ice bath. After 45 minutes, the reaction mixture was diluted with ethyl acetate, washed with water (x 3) and evaporated in vacuo. The resulting gum was dissolved in iso-hexanes and passed through a pad of silica-gβl eluting with iso-hexanes followed by EtOAc/DCM [1 :10] to afford the title compound.
Yield: 5.1 g (95%).
1H NMR (400 MHz, CDCI3) δ 7.95 - 7.90 (m, 2H), 7.48 - 7.42 (m, 1 H), 7.38 (t, J = 6.8 Hz, 1 H), 3.95 (s, 3H), 3.86 (t, J = 6.8 Hz, 2H), 2.90 (t, J = 6.8 Hz, 2H), 0.90 (s,.9H), 0.00 (s, 6H).
Intermediate 30 S-^-Ctert-Butyl-dimethyl-silanyloxyJ-ethylJ-benzoic acid
Lithium hydroxide (2.0 g, 83 mmol) as a suspension in water (20 ml_) was added to methyl 3-(2-(tert-butyldimethylsilyloxy)ethyl)benzoate (5.1 g, 20.04 mmol) in MeOH (60 mL). The resulting suspension was stirred at room temperature for 16 hours. The mixture was then partitioned between 10% aqueous acetic acid (200 mL) and EtOAc (300 mL). The EtOAc solution was washed with water (x 3), dried (Na2SO4), filtered and concentrated in vacuo. The crude product was purified by flash silica chromatography, eluting with diethyl ether/iso-hexanes, [1 :4] to afford the desired product as a gum. Yield: 3.1 g (64 %). 1H NMR (300 MHz, CDCI3) δ 8.01 - 7.97 (m, 2H), 7.50 (d, J = 7.5 Hz, 1 H), 7.42
(t, J = 7.4 Hz, 1 H), 3.87 (t, J = 6.7 Hz, 2H), 2.92 (t, J = 6.5 Hz, 2H), 0.89 (s, 9H), 0.00 (s, 6H).
Intermediate 31 {2-[3-(2,2-Dimethoxy-ethylcarbamoyl)-phenyI]-ethyl}-[2-(4-hydroxy-2-oxo-2,3- dihydro-benzothiazol-7-yl)-ethyl]-carbamic acid tert-butyl ester
The title compound was prepared from 3-[2-(tert-butyl-dimethyl-silanyloxy)-ethyl]- benzoic acid and 7-(2-amino-ethyl)-4-hydroxy-3H-benzothiazol-2-one hydro chloride by similar methods to those employed in intermediates 23-25.
1H NMR (400 MHz, d6-DMSO, 90 0C) δ 8.14 - 8.05 (m, 1 H), 7.67 - 7.62 (m,
2H), 7.36 - 7.26 (m, 2H), 6.76 (d, J = 8.2 Hz, 1 H), 6.68 (d, J = 8.8 Hz, 1 H), 4.51 (t, J = 5.6 Hz, 1 H), 3.39 - 3.27 (m, 12H), 2.78 (t, J = 7.5 Hz, 2H), 2.64 (t, J = 7.5 Hz, 2H), 1.33 (s, 9H).
Intermediate 32
[2-(4-Hydroxy-2-oxo-2,3-dihydro-benzothiazol-7-yl)-ethyl]-{2-[3-(2-oxo- ethylcarbamoyl)-phenyl]-ethyl}-carbamic acid tert-butyl ester
The title compound was prepared from {2-[3-(2,2-dimethoxy-ethylcarbamoyl)-phenyl]- ethyl}-[2-(4-hydroxy-2-oxo-2,3-dihydro-benzothiazol-7-yl)-ethyl] carbamic acid tert- butyl ester hydro chloride by a similar method to. that used in intermediate 26.
Intermediate 33 yV-(2,2-Dimethoxy-ethyl)-4-hydroxymethyl-benzamide
HATU (8.30 g, 21.83 mmol) was added portion-wise over 10 minutes to a cooled 0 0C stirred solution of 4-(hydroxymethyl)benzoic acid (2.60 g, 17.09 mmol), 2,2- dimethoxyethanamine (3.00 g, 28.53 mmol) and triethylamine (8.00 g, 79.06 mmol) in DMF (40 ml_). After 1 hour the reaction mixture was quenched with water (200 mL) and extracted with EtOAc (6 x 350 mL). The organic extracts were combined, dried (MgSO4), filtered and evaporated in vacuo. The crude product was purified by flash silica chromatography, eluting with EtOAc/iso-hexanes {3:1] to afford the title compound.
1H NMR (300. MHz, CDCI3) δ 7.77 (d, J = 8.0 Hz, 2H), 7.43 (d, J = 8.0 Hz, 2H),
6.40 - 6.27 (m, 1 H), 4.76 (s, 2H), 4.50 (t, J = 5.4 Hz, 1 H), 3.61 (t, J = 5.4 Hz,
2H), 3.44 (s, 6H)
LC-MS (method 2): Rt 2.19 min, m/z 240 [MH]+.
Intermediate 34
W-(2,2-Dlmethoxy-ethyl)-4-formyl-benzamide
Manganese(lV) oxide (3.38 ml_, 195.54 mmol) was added to stirred solution of Λ/-(2,2- dimethoxy-ethyl)-4-hydroxymethyl-benzamide. (4.00 g, 16.72 mmol) in DCM (200 ml_) at room temperature. After 2 hours the mixture was filtered through a pad of Celite eluting with DCM and the solution evaporated in vacuo to give the crude aldehyde. Yield: 3.9 g (98%).
Intermediate 35
[2-(4-Hydroxy-2-oxo-2,3-dihydro-behzothiazol-7-yl)-ethyl]-[4-(2-oxo- ethylcarbamoyl)-benzyl]-carbamic acid tert-butyl ester
The title compound was prepared from /V-(2,2-dimethoxy-ethyl)-4-formyl-benzamide and 7-(2-amino-ethyl)-4-hydroxy-3H-benzothiazol-2-one hydro chloride by similar methods to those employed in intermediates 25 and 26. . .
Intermediate 36
A solution of methyl 2-(3-(bromomethyl)phenyl)acetate (1 g, 4.11 mmol) and sodium acetate (0.337 g, 4.11 mmol) in DMA (15 ml_) were heated under microwave at irradiation at 120 0C (powermax) for 40 minutes. The procedure was repeated a further 5 times (6 g in total 2-(3-(bromomethyl)phenyl)acetate reacted). The combined reaction mixtures were diluted with EtOAc (70 mL) and washed with water (3x70ml) and the organics were dried (Na2SO4), filtered and concentrated in vacuo to give the title compound as a gum.
Yield: 4.77g (93%)
1H NMR (400 MHz, de-DMSO) δ 7.35 - 7.29 (m, 1 H), 7.28 - 7.21 (m, 3H), 5.05
(s, 2H), 3.69 (s, 2H), 3.61 (s, 3H), 2.08 - 2.04 (m, 3H).
Intermediate 37
(3-Hydroxymethyl-phenyl)-acetic acid
The title compound was prepared from (3-acetoxymethyl-phenyl)-acetic acid methyl ester by a similar method to that used in intermediate 30 to give the title compound, as a coloured gum.
Yield: 3.30 g (quant.)
1H NMR (400 MHz, d6-DMSO) δ 7.26 (t, J = 7.6 Hz, 1 H), 7.22 - 7.16 (m, 2H), . 7.1 1 (d, J = 7.2 Hz, 1 H), 4.47 (s, 2H), 3.54 (s, 2H).
The title compound was prepared from (3-hydroxymethyl-phenyl)-acetic acid by a similar method to that used in intermediate 29 to give the title compound as an orange gum.
Yield: 4g (75%)
1H NMR (400 MHz, d6-DMSO) δ 7.34 - 7.28 (m, 1 H), 7.26 - 7.20 (m, 2H), 7.19 -
7.14 (m, 1 H), 4.75 - 4.70 (m, 2H), 3.60 - 3.54 (m, 2H), 0.97 - 0.91 (m, 9H),
0.13 - 0.08 (m, 6H).
Intermediate 39
2-[3-(tert-Butyl-dimethyl-sIlanyloxymethyl)-phenyl]-yV-[2-(4-hydroxy-2-oxo-2,3- dihydro-benzothiazol-7-yl)-ethyl]-acetamide
The title compound was prepared from [3-(tert-butyl-dimethyl-silanyloxyrnethyl)- phenyl]-acetic acid and 7-(2-amino-ethyl)-4-hydroxy-3H-benzothiazol-2-one hydrochloride by a similar method to that employed in intermediate 33. Yield: 5.9 g (90%).
1H NMR (400 MHz, d6-DMSO) δ 8.14 (t, J = 5.5 Hz, 1 H), 7.28 (t, J = 7.6 Hz, 1 H), 7.23 - 7.17 (m, 2H), 7.13 (d, J = 7.4 Hz, 1 H), 6.79 (d, J = 8.2 Hz, 1 H), 6.71 (d, J = 8.2 Hz, 1 H), 4.72 (s, 2H), 3.40 (s, 2H), 2.73 (s, 2H), 2.63 (t, J = 7.3 Hz, 2H), 0.96 - 0.87 (m, 9H), 0.13 - 0.04 (m, 6H).
Intermediate 40
Carbonic acid 7-(2-{tert-butoxycarbonyl-[2-(3-hydroxymethyl-phenyl)-et hyl]-amino}-ethyl)-2-oxo-2,3-dihydro-benzothiazol-4-yl ester tert-butyl ester
Borane tetrahydrofuran complex (1 M in THF; 49.1 ml_, 49.08 mmol) was added drop- wise over a period of 15 minutes to a stirred suspension in THF (60 mL) of 2-[3-(tert- butyl-dimethyl-silanyloxymethyl)-phenyl]-N-[2-(4-hydroxy-2-oxo-2,3-dihydro- 5 benzothiazol-7-yl)-ethyl]-acetamide (5.8 g, 12.27 mmol) at 50 0C. The resulting solution was then refluxed for 75 minutes, cooled to RT and MeOH added cautiously until effervescence ceased (60 mL). The solvents were removed in vacuo and the residue was taken up in MeOH and 3 mL of concentrated aqueous HCI were added and the reaction mixture was refluxed for 1 hour. The solvents were removed in vacuo 10. to give title intermediate amino alcohol as a yellow foam. (4.93 g, quant.). The residue was taken up in MeOH (50 mL) and triethylamine (6.35 ml, 45.52 mmol) and Boc2O (7.27 mL, 31 .30 mmol) were added. The resulting solution was stirred at room temperature for 30 minutes then the MeOH was removed in vacuo and the residue was partitioned between EtOAc and water. The organics were washed with water, 15 brine, dried (Na2SO4), filtered and concentrated in vacuo. The crude product was purified by silica-gel chromatography, eluting with [2:1 ] hexane/EtOAc to give title compound as a white foam.
Yield: 3.18 g (41 %). . . .
1H NMR (400 MHz, de-DMSO) 5 7.26 - 7.20 (m, 1 H), 7.18 - 7.11 (m, 2H), 7.10 20 - 7.04 (m, 1 H), 7.04 - 6.93 (m, 2H), 5.16 - 5.09 (m, 1 H), 4.51 - 4.44 (m, 2H),
3.38 - 3.33 (m, 2H), 3.31 - 3.23 (m, 2H), 2.77 - 2.65 (m, 4H), 1.52 - 1 .46 (m,
9H), 1.37 - 1 .24 (m, 9H).
intermediate 41
25 Carbonic acid 7-[2-(tert-butoxycarbonyl-{2-[4-(2-hydroxy-ethyl)-phenyl]-ethyl}- amino)-ethyl]-2-oxo-2,3-dihydro-benzothiazol-4-yI ester tert-butyl ester
The title compound was prepared from carbonic acid 7-(2-{tert-butoxycarbonyl-[2-(3- hydroxymethyl-phenyl)-ethyl]-amino}-ethyl)-2-oxo-2,3-dihydro-benzothiazol-4-yl ester tert-butyl ester by a similar method to that employed in intermediate 34. Yield: 1.3g (42%) LC-MS (Method 6): Rt 2.35 min, m/z 541 [M-H].
Intermediate 42 {4-[2-(tert-ButyI-dimethyl-silanyloxy)-ethyl]-phenyl}-acetaldehyde
The title compound was synthesied from 2-{4-[2-(tert-butyl-dimethyl-silanyloxy)ethyl]- phenyl}-ethanol (prepared according to WO9843956) by a similar Dess-Martin oxidation method used in the synthesis of intermediate 26.
Intermediate 43
Carbonic acid 7-[2-(tert-butoxycarbonyI-{2-[4-(2-hydroxy-ethyI)-phenyl]-ethyI}- amino)-ethyl]-2-oxo-2,3-dihydro-benzothiazoI-4-yl ester tert-butyl ester
The title compound was prepared from {4-[2-(tert-butyl-dimethyl-siianyIoxy)-ethyl]- phenyl}-acetaldehyde and 7-(2-amino-ethyl)-4-hydroxy-3H-benzothiazol -2-one hydrochloride by similar methods to the reductive amination and Boc-protection steps in intermediate 26. Prior to bis-Boc protection to give the title compound, a solution of the intermediate amino TBDMS ether in MeOH (20 ml_) was converted to the amino alcohol by addition of concentrated aqueous HCI (2 ml_). After 20 minutes, the mixture was concentrated in vacuo to give the crude de-silylated intermediate which was taken on to the BoC2O reaction to give the title compound.
1H NMR (400 MHz, d6-DMSO, 90 0C) δ 12.02 - 11.94 (m, 1 H), 7.16 - 6.90 (m, 6H), 4.28 - 4.18 (m, 1 H), 3.64 - 3.54 (m, 2H), 3.36 (t, J = 7.0 Hz, 2H), 3.29 (t, J = 7.3 Hz, 2H),'2.76 - 2.64 (m, 6H), 1.49 (s, 9H), 1.33 (s, 9H).
Intermediate 44
Carbonic acid 7-[2-(tert-butoxycarbonyl-{2-[4-(2-oxo-ethyl)-phenyl]-ethyl}- amino)-ethyl]-2-oxo-2,3-dihydro-benzothiazoI-4-yl ester tert-butyl ester
The title compound was prepared from carbonic acid 7-[2-(tert-butoxycarbonyl-{2-[4- (2-hydroxy-ethyl)-phenyl]-ethyl}-amino)-ethyl]-2-oxo-2,3-dihydro-benzothiazol-4-yI ester tert-butyl ester by a similar Dess-Martin oxidation method used in the synthesis . of intermediate 26.
Intermediate 45 Carbonic acid 7-(2-{tert-butoxycarbonyl-[2-(4-formyl-phenyl)-ethyl]-amino}-ethyl)-2- oxo-2,3-dihydro-benzothiazol-4-yI ester tert-butyl ester
The title compound was prepared.from [4-(tert-butyl-dimethyl-silanyloxymethyl)- phenyl]-acetic (Fluorochem) acid and 7-(2-amino-ethyl)-4-hydroxy-3H-benzothiazol -2- one hydrochloride by similar methods used in the synthesis in intermediates 32, 39 and 33.
1H NMR (400 MHz, d6-DMSO) δ 9.96 (s, 1 H), 7.83 (d, J = 8.2 Hz, 2H), 7.46 - 7.36 (m, 2H), 7.07 (d, J = 8.2 Hz, 1 H), 7.03 - 6,93 (m, 1 H), 3.43 - 3.33 (m, 4H), 2.89 - 2.69 (m, 4H), 1.53 - 1.45 (m, 9H), 1.32 - 1.22 (m, 9H) .
Intermediate 46
2-{3-[2-(tert-Butyl-dimethyl-silanyIoxy)-ethoxy]-phenyl}-ethanol
To a solution of 3-(2-hydroxyethyl)phenol (2.23 g, 16.14 mmol), (Aldrich) and (2- bromoethoxy)(tert-butyl)dimethylsilane (3.86 g, 16.14 mmol) in DMF (40 ml_) was added caesium carbonate (6.31 g, 19.36 mmol). The resulting suspension was heated at 90 0C for 72 hours. The reaction mixture was poured into water (200 ml_) and the aqueous layer was extracted with EtOAc (3 x 150 ml_). The combined organics were washed with water, brine and dried (Na2SO4), prior to filtering and concentration in vacuo. The crude material was purified by column chromatography on Companion using eluting.from 0-100% ethyl acetate in iso-hexane to afford the title compound as a yellow gum. . Yield: 943 mg (20%).
' 1H NMR (300 MHz, d6-DMSO) 67.15 - 7.02 (m, 1 H), 6.74 - 6.63 (m, 3H), 4.80 - 4.71 (m, 1 H), 3.93 - 3.81 (m, 2H), 3.74 - 3.57 (m, 4H), 2.69 - 2.57 (m, 2H), 0.76 (s, 9H), -0.11 (s, 6H).
Intermediate 47
Carbonic acid 7-[2-(tert-butoxycarbonyl-{2-[3-(2-hydroxy-ethoxy)-pheny l]-ethyl}- amino)-ethyl]-2-oxo-2,3-dihydro-benzothiazol-4-yl ester tert-butyl ester
The title compound was prepared from 2-{3-[2-(tert-butyl-dimethyl-silanyloxy)-ethoxy]- phenyl}-ethanol and 7-(2-amino-ethyl)-4-hydroxy-3H-benzothiazol-2-one hydrochloride by similar methods to those employed for intermediate 43. LC-MS (Method 6): m/z 573 [M-H].
Intermediate 48
Carbonic acid 7-[2-(tert-butoxycarbonyl-{2-[3-(2-oxo-ethoxy)-phenyl]-ethyl}- amino)-ethyl]-2-oxo-2,3-dihydro-benzothiazol-4-yl ester tert-butyl ester
The title compound was prepared from carbonic acid 7-[2-(tert-butoxycarbonyl-{2-[3- (2-hydroxy-ethoxy)-phenyl]-ethyl}-amiho)-ethyl]-2-oxo-2,3-dihydro-benzothiazol-4-yl ester tert-butyl ester by a similar Dess-Martin oxidation method used in the synthesis of intermediate 26.
Intermediate 49
2-[3-(3-Bromo-propoxy)-phenyl]-ethanol
A solution of 3-(2-hydroxy-ethyl)-phenol (10 g, 72.46 mmol), 1 ,3-dibromopropane (22 mL, 0.218 mol) and K2CO3 (16 g, 0.115 mol) in acetone (80 ml_) was warmed to 60 0C overnight. The reaction mixture was cooled, filtered then concentrated in vacuo. The residue was purified by silica-gel chromatography, eluting from 25-50% EtOAc/pentane to give the title compound as a colourless oil. Yield: 16.69 g (89%).
TLC Rf (25% EtOAc/pentane) = 0.33.
1H NMR (400 MHz, CDCI3) δ 7.21 (m, 1 H), 6.84-6.73 (m, 3H), 4.08 (t, J = 6 Hz, .2H), 3.81 (m, 2H), 3.58 (t, J = 6.5 Hz, 2H), 2.81 (t, J = 6.5 Hz, 2H), 2.29 (m, 2H), 1.81 (br s, 1 H).
Intermediate 50 [3-(3-Bromo-propoxy)-phenyl]-acetaldehyde
Dess-Martin periodinane (25 g, 58.90 mmol) was added to 2-[3-(3-bromo-prbpoxy)- phenylj-ethanol (13.8 g, 53.20 mmol) in DCM (300 ml_)r After 1 hour, saturated aqueous NaHCO3 (25 mL) and sodium thiosulphate (25 mL) were added and the mixture stirred vigorously for 30 minutes then separated. The DCM extract dried (Na2SO4), filtered and evaporated in vacuo to give the crude aldehyde as a white solid. This material was purified by chromatography, gradient eluting from 2.5-10% EtOAc/pentane to afford the title compound as a yellow oil.
Yield: 8.5 g (90%) "
TLC Rf (10% EtOAc/pentane) = 0.46. 1H NMR (400 MHz, CDCI3) δ 9.71 (t, J = 2.4 Hz, 1 H), 7.25 (m, 1 H), 6.86-6.70
(rri, 3H), 4.08 (t, J = 6 Hz, 2H), 3.62 (d, J = 2.4 Hz, 2H), 3.58 (J1 J = 6 Hz, 2H),
2.29 (m, 2H).
Intermediate 51
{2-[3-(3-Bromo-propoxy)-phenyI]-ethyl}-[2-(4-hydroxy-2-oxo-2,3-dihydro- benzothiazol-7-yl)-ethyl]-carbamicacid tert-butyl ester
The title compound was prepared from [3-(3-bromo-propoxy)-phenyl]-acetal dehyde and 7-(2-amino-ethyl)-4-hydroxy-3H-benzothiazol-2-one hydro chloride by similar methods to those employed for intermediate 26. The crude product was purified by HPLC (HPLC system 3) to give the desired product as a white solid. LC-MS (method 5): Rt 12.36 min, m/z 551 , 553 [MH]+.
Intermediate 52 2-[4-(3-Bromo-propoxy)-phenyl]-ethanol
The title compound was prepared from 4-(2-hydroxy-ethyl)-phenol by a similar method to that employed in intermediate 49.
TLC Rf (10% EtOAc/pentane) = 0.16.
1H NMR (400 MHz, CDCI3) δ 7.12 (m, 2H), 6.84 (m, 2H), 4.07 (t, J = 5.8 Hz,
2H), 3.78 (t, J = 6.4 Hz, 2H), 3.59 (t, J = 6.4 Hz, 2H), 2.79 (t, J = 6.4 Hz, 2H),
2.29 (m, 2H), 1.71 (br s, 1 H).
The title compound was prepared from 2-[4-(3-bromo-propoxy)-phenyl]-ethanol by a similar method to that employed in intermediate 50. TLC Rf (10% EtOAc/pentane) = 0.58.
1H NMR (400 MHz, CDCI3) δ 9.71 (t, J = 2.4 Hz, 1 H), 7.12 (m, 2H), 6.90 (m, 2H), 4.09 (t, J = 5.8 Hz, 2H), 3.62 (d, J = 2.4 Hz, 2H), 3.61 (t, J = 6.4 Hz, 2H), 2.31 (m, 2H), .
Intermediate 54
{2-[4-(3-Bromo-propoxy)-phenyl]-ethyl}-[2-(4-hydroxy-2-oxb-2,3-dihydro- benzothiazol-7-yl)-ethyl]-carbamic acid tert-butyl ester
The title compound was prepared from [4-(3-bromo-propoxy)-phenyl]-acetaldehyde and 7-(2-amino-ethyl)-4-hydroxy-3H-benzothiazol-2-one hydro chloride by similar methods to those employed for intermediate 26. The crude product was purified by HPLC (HPLC system 3) to give the desired product as a white solid. LC-MS (method 5): Rt 12.30 min, m/z 551 , 553 [MH]+.
Intermediate 55 2-[4-(2,2-Dimethoxy-ethoxy)-phenyl]-ethanoI
The title compound was prepared from 4-(2-hydroxyethyl)phenol and 2-bromo-1 ,1- diethoxyethane by a similar method to that employed for intermediate 49.
1H NMR (300 MHz, CDCI3) δ 7.14 (d, J = 6.9 Hz, 2H), 6.88 (d, J = 6.9 Hz, 2H), 4.83 (t, J = 5.0 Hz, 1 H), 4.00 (d, J = 5.0 Hz, 2H), 3.87 - 3.70 (m, 4H), 3.70 - 3.56 (m, 2H), 2.81 (t, J = 6.4 Hz, 2H), 1.25 (t, J = 6.9 Hz, 6H).
Intermediate 56
Carbonic acid 7-[2-(tert-butoxycarbonyI-{2-[4-(2-oxo-ethoxy)-phenyl]-ethyl}- amino)-ethyI]-2-oxo-2,3-dihydro-benzothiazol-4-yl ester tert-butyl ester
The intermediate dimethylacetal of the title compound was prepared from [2-[4-(2,2- dimethoxy-ethoxy)-phenyl]~ethanol and 7-(2-amino-ethyl)-4-hydroxy-3H-benzothiazol- 2-one acetate by similar methods to those employed for intermediates 26 and 50, respectively..
1H NMR (400 MHz, d6-DMSO) δ 1 1 .9 (s, 1 H) d 7.06 (d, J = 8.5 Hz, 2H), 7.01 (d, J = 8.5 Hz, 1 H), 6.93 (d, J = 8.5 Hz, 1 H), 6.84 (d, J = 8.5 Hz, 2H), 4.74 (t, J = 5.0 Hz, 1 H), 3.91 (d, J = 4.9 Hz, 2H), 3.70 - 3.60 (m, 2H), 3.60 - 3.50 (m, .2H), 3.34 (t, J = 7.0 Hz, 2H), 3.27 (t, J = 7.3 Hz, 2H), 2.75 - 2.63 (m, 4H), 1.49
(s, 9H), 1 .34 (s, 9H), 1.13 (t, J = 6.9 Hz, 6H). the dimethyl acetal was converted into the title aldehyde following hydrolysis as for intermediate 27, and was used directly.
Intermediate 57
The title compound was prepared from 4-hydroxymethyl-phenol and 2-bromo-1 ,1 - diethoxyethane by a similar method to that employed for intermediate 49. 1H NMR (400 MHz, CDCI3) δ 7.29 - 7.25 (m, 2H), 6.93 - 6.88 (m, 2H), 4.83 (t,
J = 5.2 Hz, 1 H), 4.61 (s, 2H), 4.00 (d, J = 5.2 Hz, 2H), 3.81 - 3.72 (m, 2H), 3.68 - 3.58 (m, 2H), 1 .25 (t, J = 7.0 Hz, 6H) + 1 exchangeable H not observed.
Intermediate 58 [2-(4-Hydroxy-2-oxo-2,3-dihydro-benzothiazol-7-yl)-ethyl]-[4-(2-oxo-ethoxy)- benzyl]-carbamic acid tert-butyl ester
The intermediate dimethylacetal of the title compound was prepared from [4-(2,2- dimethoxy-ethoxy)-phenyl]-methanol and 7-(2-amino-ethyl)-4-hydroxy-3H- benzothiazol-2-one hydrochloride by similar methods to those employed for intermediates 34, 19 and 20, respectively.
1H NMR (400 MHz, d6-DMSO) δ 1 1 .59 (s, 1 H), 9.88 (s, 1 H), 7.18 - 7.09 (m, 2H), 6.94 - 6.89 (m, 2H), 6.72 - 6.66 (m, 2H), 4.78 (t, J = 5.3 Hz, 1 H), 4.33 -
4.16 (m, 2H), 3.93 (d, J = 5.4 Hz, 2H), 3.71 - 3.61 (m, 2H), 3.60 - 3.50 (m, 2H), 3.31 - 3.21 (m, 2H), 2.65 - 2.55 (m, 2H), 1.41 - 1.30 (m, 9H), 1.13 (t, J = 7.0 Hz, 6H)
The dimethyl acetal was converted into the title aldehyde following hydrolysis as for intermediate 27, and was used directly.
Intermediate 59
Methanesulfonic acid 2-(3-formyl-phenoxy)-ethyl ester
2-Bromoethanol(10.23 g, 81.89 mmol) and K2CO3 (11 .32 g, 81 .89 mmol) were added to 3-hydroxybenzaldehyde (5 g, 40.94 mmol) in acetonitrile (100 ml_). The resulting mixture was stirred at reflux for 3 days under nitrogen. The reaction mixture was cooled to room temperature and partitioned between EtOAc and ice-cold, dilute aqueous sodium hydroxide, the organic layer was washed with aqueous brine, dried over sodium sulphate, filtered and the solvent removed in vacuo. The residue was dissolved in DCM (30 ml_) and treated with triethylamine (3.44 ml_, 24.71 mmol). The solution was cooled to 0 0C and treated drop-wise with methanesulphonyl chloride (1.878 mL, 24.09 mmol). The reaction mixture was stirred at 0 0C for 10 minutes and then at room temperature for 1 hour. The mixture was washed twice with aqueous brine, dried, filtered and the solvent evaporated under reduced pressure. The crude product was purified by flash silica chromatography eluting with 40% EtOAc in iso- hexane to afford the title product as a colourless oil. Yield: 3.50 g, (35%).
1H NMR (400 MHz, CDCI3) δ 9.98 (d, J = 8.2 Hz, 1 H), 7.53 - 7.46 (m, 2H), 7.41 - 7.39 (m, 1 H), 7.22 - 7.19 (m, 1 H), 4.62 - 4.59 (m, 2H), 4.34 - 4.30 (m, 2H),
3.10 (s, 3H).
intermediate 60
Methanesulfonic acid 2-[3-({tert-butoxycarbonyI-[2-(4-hydroxy-2-oxo-2, 3-dihydro-benzothiazol-7-yl)-ethyl]-amino}-rαethyl)-phenoxy]-ethyl ester
The title compound was prepared from methanesulfonic acid 2-(3-formyl-phenoxy)- ethyl ester and 7-(2-amino-ethyl)-4-hydroxy-3H-benzothiazol-2-one hydrochloride by similar methods to those employed for intermediates 19 and 20, respectively. LC-MS (method 6): Rt 1.95 min, m/z 537 [M-H].
Intermediate 61
Methanesulfonic acid 3-(3-formyI-phenoxy)-propyl ester
The title compound was prepared from 3-bromo-1 -propanol and 3- hydroxybenzaldehyde by similar methods to those employed in intermediate 59.
1H NMR (400 MHz, CDCI3) δ 9.98 (s, 1 H), 7.50 - 7.43 (m, 2H), 7.40 - 7.39 (m, 1 H), 7.20 - 7.16 (m, 1 H), 4.46 (t, J = 6.2 Hz, 2H), 4.17 (t, J = 5.9 Hz, 2H), 3.01 (S1 3H), 2.30 - 2.23 (m, 2H).
Intermediate 62
Methanesulfonic acid 3-[3-({tert-butoxycarbonyI-[2-(4-hydroxy-2-oxo-2,
3-dihydro-benzothiazol-7-yl)-ethyl]-amino}-methyl)-phenoxy]-propyl ester
The title compound was prepared from methanesulfonic acid 3-(3-formyl-phenoxy)- propyl ester and 7-(2-amino-ethyl)-4-hydroxy-3H-benzothiazol-2-one hydrochloride by similar methods to those employed for intermediates 19 and 20, respectively. LC-MS (method 6): Rt 2.01 min, m/z 551 [M-H].
The title compound was prepared from 2-(2-thienyl)ethanol by similar a method to that 5 employed in intermediate 29.
1H NMR (400 MHz, CDCI3) δ 7.13 (d, 1 H), 6.92 (dd, J = 5.0, 3.2 Hz, 1 H), 6.83- 6.82 (m, 1 H)1 3.82 (t, J = 6.7 Hz, 2H), 3.03 (t, J = 6.8 Hz, 2H), 0.97 (d, J = 62.3 Hz, 9H), 0.03 (s, 6H).
10 intermediate 64
5-[2-(tert-Butyl-dimethyl-silanyloxy)-ethyl]-thiophene-2-carbaldehyde
15 n-Butyl lithium (2.5 M in hexanes; 30 mL, 75 mmol) was added drop-wise to a, solution of tert-butyl-dimethyl-(2-thiophen-2-yl-ethoxy)-silane (16 g, 66 mmol) in THF (250 mL) stirred at -78 °C under nitrogen. The reaction mixture was stirred at 0 0C for 1 hour and then cooled to -78 0C. DMF (34 mL, 439.1 1 mmol) was then added over 10 minutes, the cooling bath was removed and the reaction mixture stirred at room 20. temperature for 18 hours. The reaction mixture was partitioned between water and EtOAc, the organic layer was washed with water dried. (Na2SO4) and the solvent removed in vacuo. The crude product was. purified by flash silica chromatography, eluting with 7% EtOAc in iso-hexane to afford the title product as a colourless oil. . Yield: 15.4 g (76 %). 25 ■ 1H NMR (400 MHz, CDCI3) δ 9.83 (s, 1 H), 7.61 (d, J = 3.6 Hz, 1 H), 6.96 (d,
1 H), 3.86 (t, J = 6.3 Hz, 2H), 3.06 (td, J = 6.1 , 0.1 Hz, 2H), 0.88 (t, J = 2.9 Hz, 9H), 0.02 (s, 6H).
NaBH4 (1.735 g, 45.85 mmol)) was added to 5-[2-(tert-butyl-dimethyl-silanyloxy)- ethyl]-thiophene-2-carbaldehyde (12.4 g, 45.85 mmol) in ethanol (120 ml_) at 0 0C. The resulting solution was stirred at 0 0C for 1 hour. The reaction mixture was . partitioned between saturated aqueous brine and EtOAc, the organic layer was separated, dried (Na2SO4) and the solvent in vacuo the desired product. Yield: 12.1 g (97%).
1H NMR (400 MHz, CDCI3) δ 6.82 (d, J = 3.6 Hz, 1 H), 6.69 (d, J = 3.3 Hz, 1 H), 4.75 (d, J = 4.9 Hz, 2H), 3.81 (t, J = 6.7 Hz, 2H), 2.99 (t, J = 6.8 Hz, 2H), 1.65
(t, J = 5.5 Hz, 1 H), 0.89 (d, J = 2.8 Hz, 9H), 0.03 (d, J = 3.1 Hz, 6H).
Intermediate 66 {5-[2-(tert-Butyl-dimethyl-siIanyloxy)-ethyl]-thiophen-2-yl}-acetonitrile
Triphenylphosphine (13.04 g, 49.71 mmol), followed by carbon tetrabromide (15.71 g, 47.38 mmol) were added in one portion to {5-[2-(tert-butyl-dimethyl-silanyloxy)-ethyl]- thiophen-2-yl}-methanol (10.94 g, 40.15 mmol) in DCM (20 mL) at 0 0C under nitrogen. The resulting solution was stirred at room temperature for 1 hour. The reaction mixture was cooled to 0 0C and treated with tetraethylammonium cyanide (8.96 g, 57.34 mmol), added in one portion. The mixture was diluted with further DCM (10 mL) and stirred at room temperature for 40 minutes. The reaction mixture was partitioned between DCM and aqueous brine, the organic layer was separated, dried (Na2SO4) and the solvent removed in vacuo. The crude product was purified by flash silica chromatography, gradient eluting from 5-6% EtOAc in iso-hexane to afford title compound as a yellow liquid. Yield : 7.6 g (67%). 1H NMR (400 MHz, CDCI3) δ 6.87 - 6.84 (m, 1 H), 6.70 - 6.68 (m, 1 H), 3.84 (d,
J = 0.8 Hz, 2H), 3.80 (t, J = 6.4 Hz, 2H), 2.97 (t, J = 6.5 Hz, 2H), 0.89 (s, 9H), 0.03 (s, 6H).
Intermediate 67 [5-(2-Hydroxy-ethyl)-thiophen-2-yl]-acetic acid
A solution of 2{5-[2-(tert-butyl-dimethyl-silanyloxy)-ethyl]-thiophen-2-yl}-acetonitrile (3 g, 10.66 mmol) dissolved in ethanol (30 mL) was added to a stirred solution of KOH (1.196 g, 21.32 mmol) in water (3O mL). The resulting mixture was stirred at 100 0C for 4 hours. Most of the ethanol was removed in vacuo and the mixture was partitioned between aqueous brine and EtOAc, the aqueous layer was cooled with ice and acidified by drop-wise addition of concentrated aqueous HCI. The aqueous layer was then extracted with EtOAc (x 3), the combined organic extracts were washed with aqueous brine, dried (Na2SO4) and the solvent evaporated in vacuo to yield the title compound as a yellow solid.
Yield: 1.75 g (88 %). .
1H NMR (399.826 MHz, DMSO) δ 12.44 (s, 1 H), 6.72 (d, J = 3.3 Hz, 1 H), 6.67
(d, J = 3.3 Hz, 1 H), 4.76 (s, 1 H), 3.71 (s, 2H),.3.61 - 3.55 (m, 2H), 2.86 (t, J =
6.8 Hz1 2H). . • ' ■ •' • . • ' . ■
Intermediate 68
Carbonic acid 7-[2-(tert-butoxycarbonyl-{2-[5-(2-oxo-ethyl)-thiophen-2-yI]-ethyl}- amino)-ethyI]-2-oxo-2,3-dihydro-benzothiazol-4-yl ester tert-butyl ester
The title compound was prepared from [5-(2-hydroxy-ethyl)-thiophen-2-yl]-acetic acid and 7-(2-amino-ethyl)-4-hydroxy-3H-benzothiazol-2-one hydrobromide by similar methods to those employed in intermediates 33, 40 and 50, respectively.
LC-MS.(method 6): m/z 561 [M-H]. .
Intermediate 69 2-Hydroxymethyl-1H-benzoimidazoIe-5-carboxylic acid
A solution of glycolic acid (9,75 g, 128.16 mmol) dissolved in aqueous 4 M hydrochloric acid (100 ml_) was added to a stirred suspension of 3,.4-diaminobenzoic acid (13 g, 85.44 mmol), in aqueous 4 M hydrochloric acid (140 ml_). The resulting mixture was stirred at 120 0C for 8 hours. Reaction mixture cooled to RT, resultant solid filtered off, washed with water followed by acetonitrile and then ether to yield 2- (hydroxymethyl)-i H-benzo[d] imidazole-5-carboxylic acjd as a brown solid.
Yield: 16 g (97 %). 1H NMR (400 MHz, d6-DMSO) δ 8.27 (t, J = 0.8 Hz, 1 H), 8.07 (dd, J = 8.5, 1.5
Hz, 1 H), 7.83 (dd, J = 8.6, 0.6 Hz, 1 H), 5.01 (s, 2H) OH's not observed.
Intermediate 70 2-(tert-Butyl-dimethyl-silanyloxymethyI)-1H-benzoimidazoIe-5-carboxylic acid - .
TBDMS-CI (10.35 g, 68.69 mmol) was added to a stirred solution of imidazole (4.68 g, 68.69 mmol), and 2-hydroxymethyl-1 H-benzoimidazoie-5-carboxylic acid (6.00 g, 31 .22 mmol) in DMF (50 ml_) at 20 0C. The resulting solution was stirred at 20 0C for 1 hour. To the mixture was then added THF (50 ml_) followed with ice-bath cooling by a solution.of K2CO3 (6.04 g, 43.71. mmol) in Water (50 mL). The mixture was stirred at 0 0C for 20 minutes and then diluted with water (200 mL) and extracted with diethyl ether. The aqueous layer was acidified by addition of acetic acid and then extracted with EtOAc, the organic layers were combined, washed twice with water before being ' dried (NasO4) and filtered. The solvent was removed in vacuo until solid precipitated
out; the solid was filtered off and washed with a little ether to yield 2.15 g of product. The mother liquors were diluted with iso-hexane to precipitate a further 4.35 g of the desired product.
Yield: 6.5 g (68%) LC-MS (method 6): m/z 307 [MH]+.
Intermediate 71 [2-(tert-Butyl-dimethyl-silanyloxymethyl)-1H-benzoimidazol-5-yl]-methanol
A solution of borane-dimethyl sulfide complex (17.30 ml_, 34.59 mmol) was added to a stirred solution of 2-(tert-butyl-dimethyl-silanyloxymethyl)-1 H-benzoimidazole-5- carboxylic acid (5.3 g, 17.30 mmol), in THF (80 ml_) at 20 0C, over a period of 5 minutes. The resulting solution was stirred at 20 0C for 30 minutes. The reaction mixture was then treated with further borane dimethyl sulfide complex (17.30 ml_, 34.59 mmol) and the resultant solution heated at 5O0C for 45 minutes under a nitrogen atmosphere. Further borane dimethyl sulfide complex (8.65 ml_, 17.30 mmol) was added and heating at 50 0C continued for 2 hours. The reaction mixture was cooled to RT and quenched by drop-wise addition of MeOH, MeOH (150 mL) and ethylendiamine (10 mL, 148.09 mmol) were then added and the resultant solution refluxed for 20 minutes. Further ethylendiamine (5 mL, 74,05 mmol) was added and refluxihg continued for 6 hours. The mixture was cooled to RT and the solvents were evaporated in vacuo and the residue was azeotroped twice with toluene. The residue was partitioned between EtOAc and saturated aqueous NaHCO3, the organic layer was separated, dried (Na2SO4), filtered and the solvent removed in vacuo. Purification by trituration with ether (20 mL) yielded the title compound as a white solid Yield: 2.5 g (49%). LC-MS (method 6): Rt 1.86 min, m/z 293 [MH]+.. .
The title compound was prepared from [2-(tert-butyl-dimethyl-silanyloxymethyl)-1 H- benzoimidazol-5-yl]-methanol by a similar method to that employed in intermediates 33.
LC-MS (method 6): Rt 2.02 min, m/z 291 [MH]+.
Intermediate 73
4-Hydroxy-7-{2-[(2-hydroxymethyl-1H-benzoimidazol-5-ylmethyl)-amino]-ethyl}- 3H-benzothiazol-2-one
Sodium triacetoxyborohydride (2.66 g, 12.55 mmol) was added portion-wise to a stirred solution of 7-(2-aminoethyl)-4-hydroxybenzo[d]thiazol-2(3H)-one hydrochloride (2.2 g, 8.92 mmol) and 2-(tert-butyl-dimethyl-silanyloxymethyl)-1 H-benzoimidazole-5- carbaldehyde (2.4 g, 8.26 mmol) and acetic acid (0.53 ml_, 9.26 mmol) in NMP (20 ml_) and MeOH (5 ml_) at 0 0C, over a period of 20 minutes. The resulting mixture was stirred at 20 0C for 18 hours. The reaction mixture was treated with BoC2O (2.30 ml_, 9.92 mmol) and stirred for 1 hour. The mixture was diluted with EtOAc (400 ml_) and washed with aqueous NaHCO3 followed by aqueous brine (x 2), the organic layer was dried (Na2SO4), filtered and the solvent removed in vacuo. The residue was treated with aqueous HBr (30 ml_, 265.18 mmol) and the resultant mixture stirred at room temperature for 1 hour. The resultant solid was filtered off under nitrogen and washed with acetonitrile followed by ether to yield the title product as a yellow solid. Yield: 4.1 g (93 %).
LC-MS (method 6): Rt 1.02 min, m/z 371 [MH]+.
Intermediate 74
Carbonic acid 7-{2-[tert-butoxycarbonyl-(2-formyl-1 H-benzoimidazol-5-yl
methyl)-amino]-ethyl}-2-oxo-2,3-dihydro-benzothia2ol-4-yl ester tert- butyl ester
The title compound was prepared from 4-hydroxy-7-{2-[(2-hydroxymethyl-1 H- benzoimidazol-5-ylmethyl)-amino]-ethyl}-3H-benzothiazol-2-one by a similar method to that employed in intermediate 20.
LC-MS (method 6): Rt 1.63 min, m/z 471 [MH]+.
Intermediate 75
Carbonic acid 7-{2-[tert-butoxycarbonyl-(2-formyl-1 H-benzoimidazol-5-yl methyl)-amino]-ethyl}-2-oxo-2,3-dihydro-benzothiazol-4-yl ester tert- butyl ester
A solution of pyridine sulfur trioxide (1.93 g, 12.11 mmol) dissolved in DMSO (10 mL) was added drop-wise to a stirred solution of tert-butyl 2-(4-hydroxy-2-oxo-2,3- dihydrobenzo[d]thiazol-7-yl)ethyl((2-(hydroxymethyl)-1 H-benzo[d] imidazol-5- yl)methyl)carbamate (1.9 g, 4.04 mmol) and triethylamine (1.69 mL, 12.11 mmol) in DMSO (10 mL) and DCM (20 mL) at 0 0C, over a period of 3 minutes. The resulting solution was stirred at 200C for 30 minutes. Further triethylamine (0.281 mL, 2.02 mmol) and pyridine sulfur trioxide (0.321 g, 2.02 mmol) were added. The mixture was stirred at 200C for 30 minutes. The reaction mixture was then partitioned between EtOAc and saturated aqueous NaHCO3 and the organic layer was washed with aqueous brine (x 2), dried (Na2SO4), filtered and the solvent removed in vacuo. The
crude product was purified by flash silica chromatography, eluting with 8% MeOH/DCM to afford the title compound as a white solid. Yield: 0.65 g (34 %).
1H NMR (400 MHz, d6-DMSO) δ 9.93 (s, 1 H), 7.81 - 7.40 (m, 2H), 7.29 - 7.21 (m, 1 H), 6.72 (d, J = 8.2 Hz, 1 H), 6.67 (d, J = 8.2 Hz, 1 H), 4.45 (s, J = 16.9
Hz, 2H), 3.36 (t, J = 7.3 Hz, 2H), 2.65 (t, J = 7.3 Hz, 2H), 1 .38 (s, J = 12.8 Hz, 9H).
Intermediate 76 N-[2-(4-Hydroxy-2-oxo-2,3-dihydro-benzothiazol-7-yl)-ethyl]-2-(4-iodo-phenyl)- acetamide
A solution of (4-iodo-phenyl)-acetic acid (5 g, 19.08 mmol) in MeCN was treated with CDI (3.40 g, 21 mmol) and allowed to stir at RT for 10 minutes after which a voluminous precipitate was evolved. Et3N (5.80 ml_, 42 mmol) was added followed 7- (2-aminoethyl)-4-hydroxybenzo[d]thiazol-2(3H)-one hydrobromide (5.56 g, 19.08 mmol) and the reaction slurry stirred at RT for18 hours. The reaction mixture was then partitioned between water (200 mL) and EtOAc (2 x 300 ml_). The combined organic extracts were washed with 10% aqueous Na2SO4 (2 x 100 mL) and saturated brine (100 mL), prior to drying (Na2SO4), filtering and concentration in vacuo to afford the title product.
Yield: 6.18 g (71 %). LC-MS (method 2): Rt 2.98 min, m/z 455 [MH]+, 496 [M+MeCN]+.
Intermediate 77
[2-(4-Hydroxy-2-oxo-2,3-dihydro-benzothiazol-7-yl)-ethyl]-[2-(4-iodo-phenyl)- ethylj-carbamic acid tert-butyl ester
The title compound was prepared from 4 N-[2-(4-hydroxy-2-oxo-2,3-dihydro- benzothiazol-7-yl)-ethy!]-2-(4-iodo-phenyl)-acetamide by similar methods to those employed in intermediates 40.
LC-MS (method 2): Rt 4.15 min, m/z 541 [MH]+, 582 [M+MeCN]+.
Intermediate 78
{2-[4-(2-Formyl-thiazol-5-yl)-phenyl]-ethyl}-[2-(4-hydroxy-2-oxo-2,3-dihydro- benzothiazoI-7-yl)-ethyI]-carbamic acid tert-butyl ester
A solution of [2-(4-hydroxy-2-oxo-2,3-dihydro-benzothiazol-7-yl)-ethyl]-[2-(4-iodo- phenyl)-ethyl]-carbamic acid tert-butyl ester (850 mg, 1.58 mmol), 5-tributylstannanyl- thiazole-2-carbaldehyde (950 mg, 2.36 mmol) and lithium chloride (200 mg, 4.73 mmol) in THF (10 ml.) were degassed under argon. PdCI2(PPh3)2 (110 mg, 0.16 mmol) was added and the reaction warmed to 85 0C in a sealed microwave vial for 18 hours. The reaction was cooled and stirred with an aqueous solution of KF (10 ml_) for 30 minutes. The solid Bu3SnF was removed by filtration and the mother liquor partitioned between water (50 ml_) and DCM (2 x 50 ml_). The combined organic extracts were washed with water (50 ml_) and brine prior to drying (MgSO4), filtering and concentrating in vacuo. The crude product was isolated after careful chromatography on flash silica-gel (250 ml_), eluting from 0-2% MeOH/DCM to give the desired product as a tan solid.
LC-MS (method 2): Rt 3.93 min, m/z 526 [MH]+.
Intermediate 79
(4-{[2-(4-Hydroxy-2-oxo-2,3-dihydro-benzothiazol-7-yl)-ethylamino]-methyl}- thiazol-2-yl)-carbamic acid tert-butyl ester
The title compound was prepared from (4-formylthiazol-2-yl) carbamic acid tert-butyl ester and 7-(2-aminoethyl)-4-hydroxybenzo[d]thiazol-2(3H)-one hydrochloride by a . similar method to that employed in intermediate 19.
LC-MS (method 2): Rt 2.21 min, m/z 421 [M-H].
Intermediate 80 7-{2-[(2-Amino-thiazoI-4-ylmethyl)-amino]-ethyl}-4-hydroxy-3H-benzothiazol-2- one
A solution of (4-formylthiazol-2-yl) carbamic acid tert-butyl ester 4.67 g, 11.5 mmol) in DCM (13 mL) was treated drop-wise with TFA. After stirring at RT for 2 hours the reaction mixture was concentrated in vcuo and the crude residue was passed down a. MeOH-equilibrated SCX-2 cartridge, eluting with DCM/MeOH [1 :1], then 2 M NH3 in MeOH) to elute the desired product which was used without further purification. Yield: 3.58 g (quantitative).
LC-MS (method 3): Rt 0.38 & 1.54 min, m/z 323 [MH]+.
Intermediate 81 (2-Amino-thiazoI-4-ylmethyl)-[2-(4-hydroxy-2-oxo-2,3-dihydro-benzothiazol-7-yl)-
ethyl]-carbamic acid tert-butyl ester
The title compound was prepared from (4-formylthiazoI-2-yl) carbamic acid tert-butyl ester by a similar method to that employed in intermediate 20. LC-MS (method 3): Rt 2.29 min, m/z 423 [M-H]. .
Intermediate 82 [2-(2-Bromo-acetylamino)-thiazol-4-ylmethyl]-[2-(4-hydroxy-2-oxo-2,3-dihydro- benzothiazol-7-yl)-ethyl]-carbamic acid tert-butyl ester
The title compound was prepared from (2-amino-thiazol-4-ylmethyl)-[2-(4-hydroxy-2- oxo-2,3-dihydro-benzothiazol-7-yl)-ethyl]-carbamic acid tert-butyl ester by a similar method to that employed in intermediate 21.
LC-MS (method 5): Rt 9.17 min, m/z 543, 545 [M-H].
intermediate 83
{5-[2-(tert-Butyl-dimethyl-silanyloxy)-ethyl]-furan-2-yl}-acetic acid methyl ester
The title compound was prepared from [5-(2-hydroxy-ethyl)-furan-2-yl]-acetic acid
methyl ester by a similar method to that employed in intermediate 29. LC-MS. (method 6): Rt 2.51 min, m/z 299 [MH]+.
1H NMR (400 MHz, GDCI3) δ 6.11 (d, J = 3.1 Hz, 1 H), 5.99 (d, J = 3.1 Hz, 1 H), 3.83 (t, J = 6.9 Hz, 2H), 3.72 (s, 3H), 3.64 (s, 2H), 2.81 (t, J = .6.9 Hz, 2H), 0.87 (s, 9H), 0.01 (s, 6H).
Intermediate 84 {5-[2-(tert-Butyl-dimethyl-silanyloxy)-ethyI]-furan-2-yI}-acetic acid
The title compound was prepared from [5{5-[2-(tert-Butyl-dimethyl-silanyloxy)-ethyl]- furan-2-yI}-acetic acid methyl ester by a similar method to that employed in intermediate 30. LC-MS (method' 6): Rt 1.72 min, m/z 283 [M-H].
1H NMR (400 MHz, CDCl3) δ 6.14 (d, J = 2.8 Hz, 1 H), 6.00 (d, J = 3.1 Hz, 1 H), 3.83 (t, J = 6.8 Hz, 2H), 3.68 (s, 2H), 2.82 (t, J = 6.9 Hz, 2H), 0.87 (s, 9H), 0.01 (s, 6H).
Intermediate 85
Carbonic acid 7-[2-(tert-butoxycarbonyI-{2-[5-(2-oxd-ethyl)-furan-2-yl]-ethyI}- amino)-rethyli-2-oxo-2,3-dihydro-benzothiazol-4-yl ester tert-butyl ester
The title compound was prepared from {5-[2-(tert-butyl-dimethyl-silanyloxy)-ethyl]- furan-2-yl}-acetic acid and 7-(2-aminoethyl)-4-hydroxybenzo[d]thiazol-2(3H)-one hydrobromide by similar methods to those employed in intermediates 33, 40 and 50, respectively.
LC-MS (method 6): Rt 2.17 min, m/z 545 [M-H].
Intermediate 86 2-[4-(3-Bromo-propoxy)-phenyl]-[1,3]dioxolane
To a solution in ethylene glycol (20 ml_) of of 4-(3-bromo-propoxy)-benzaldehyde (2.43 g, 10 mmol) (Intermediate and trimethylorthoformate (2.62 g, 2.47 mmol) was added 1.25 M HCI in MeOH (0.20 ml_, 0.25 mmol) and allowed to stir at RT for 72 hours then heated to 60 0C for 5 days. The reaction mixture was concentrated in vacuo and the residue partitioned between saturated NaHCO3 (aq) and DCM and the combined organic extracts were washed with saturated brine, (MgSO4), filtered and concentrated in vacuo. The residue was purified by silica gel column chromatography (Companion automated system; 40 g cartridge) and gradient elutihg from 5-100% EtOAc in cyclohexane to afford the title compound as a colourless oil. Yield: 2.48 g (86%). Rf = 0.30 (8% ethyl acetate/cyclohexane).
Intermediate 87
[5-({[3-(4-[1,3]DioxoIan-2-yl-phenoxy)-propyl]-methyl-amino}-methyl)-oxazol-2- yl]-diphenyl-methanol
A mixture in DMF (2 ml_) of (5-methylaminomethyl-oxazol-2-yl)-diphenyl-methanol (0.20 g, 0.68 mmol) (Intermediated), 2-[4-(3-bromo-propoxy)-phenyl]-[1 ,3]dioxolane (0.20 g, 0.69 mmol), caesium carbonate (0.58 g, 1.38 mmol) and water (40 μL, 2.22 mmol) was stirred at RT for 48 hours. The resulting solution was concentrated in
vacuo and the residue was partitioned between water and DCM. The aqueous layer was further extracted with DCM and the combined organic layers were dried (MgSO4), filtered, and concentrated in vacuo. The residue was purified by silica gel column chromatography (1O g lsolute cartridge), eluting 0-5% MeOH in DCM to afford the title compound as a pale yellow gum.
Yield: 0.26 g (76%).
LC-MS (Method 2): Rt 2.30 min, m/z 501 [MH]+
intermediate 88 4-(3-{[2-(Hydroxy-diphenyl-methyl)-oxa2ol-5-ylmethyl]-methyl-amino}-propoxy)- benzaldehyde
[5-({[3-(4-[1 ,3]dioxolan-2-yl-phenoxy)-propyl]-methyl-amino}-methyl)-oxazol-2-yl]- diphenyl-methanol (0.26 g, 0.52 mmol) was dissolved in acetonitrile (12 mL) and 1 M HCI (aq) (8 mL) was added. The solution was stirred at RT for 2 hours and then the acetonitrile was removed in vacuo and the aqueous solution was basified by the addition of saturated NaHCO3 (aq). The product was extracted with DCM and the combined organic extracts were washed with saturated brine, dried (MgSO4), filtered and concentrated in vacuo to afford the title compound as an orange gum. Yield: 0.15 g (63%). LC-MS (Method 2): Rt 2.28 min, m/z 457 [MH]+.
intermediate 89
[(f?)-2-(tert-Butyl-dimethylsilanyloxy)-2-(8-hydroxy-2-oxo-1,2-dihydro quinolin-5- yl) ethyljcarbamic acid benzyl ester
A suspension of 5-[(R)-2-amino-1-(terf-butyl-dimethyl-silanyloxy)-ethyl]-8-hydroxy-1 H- quinolin-2-one (prepared according to US20040167167), (1.00 g, 3.0 mmol) in THF (30 mL) was treated with Λ/-(benzyloxycarbonyloxy)succinimide (0.75 g, 3.0 mmol) and the mixture was stirred at RT for 4 hours. After diluting with aqueous saturated ammonium chloride (100 mL), water was added to dissolve the solid which had . precipitated and the phases were separated. The aqueous was further extracted with EtOAc and the combined organics were washed with 10% aqueous citric acid, saturated aqueous NaHCO3 and brine, dried (Na2SO4) and concentrated in vacuo. The resulting brown gum was purified by flash silica. gel chromatography eluting with 3-5% MeOH in DCM, to give the product as a brown foam.
Yield: 1.19g (85%). - .
LC-MS (Method 2): Rt 3.79 min, m/z 469 [MH]+.
Intermediate 90
{(R)-2-(tert-ButyI-dimethyI-silanyloxy)-2-[8-(4-methoxy-benzyloxy)-2-oxo-1,2- dihydro-quinolin-5-yl]-ethyl}-carbamic acid benzyl ester
The title compound was prepared from [(R)-2-(tert-butyl-dimethylsilanyloxy)-2-(8- • hydroxy-2-oxo-1 ,2-dihydro quinolin-5-yl) ethyljcarbamic acid benzyl ester and 1 - chloromethyl-4-methoxy-benzene by a similar method to that employed in intermediates 49. . . .
Yield: 446mg (71 %).
LC-MS (Method 2): Rt 4.55 min, m/z 589 [MH]+.
Intermediate 91 5-[(f?)r2-Amino-1-(tert-butyl-dimethylsilanyloxy)ethyl]-8-(4-methoxy-benzyloxy)- 1H-quinolin-2-one
To a solution of {(fi)-2-(tert-butyl-dimethylsilanyloxy)-2-[8-(4-nϊethoxybenzyl oxy)-2- oxo-1 ,2-dihydrόquinolin-5-yl]ethyl}carbamic acid benzyl ester (0.41 g, 0.69 mmol) in IMS (7 ml_) was added pyridine (28 μl_, 0.35 rhmol) and 5% palladium on carbon (40 mg). The flask was evacuated and back-filled with hydrogen three times. The reaction mixture was stirred under a hydrogen atmosphere for 2 days and the catalyst was removed by filtration. The volatiles were evaporated to give a bright yellow gum which was purified on an lsolute Si Il SPE. cartridge (10 g) eluting with 0-10% MeOH in DCM. The desired product.was obtained as a yellow solid. Yield: 161 mg (51 %). . .
LC-MS (Method 3): Rt 2.72 min, m/z 455 [MH]+.. .
Intermediate 92
5-{(/?)-1-(tert-Butyl-dimethyl-silanyloxy)-2-[4-(3-{[2-(hydroxy-diphenyl-methyl)- oxazol-5-ylmethyl]-methyl-amino}-propoxy)-benzylamino]-ethyl}-8-(4-methoxy- benzyloxy)-1 H-quinolin-2-one • ' '
A solution in MeOH (5 ml_) of 4-(3-{[2-(hydroxy-diphenyl-methyl)-oxazol-5-ylmethyl]- methyl-amino}-propoxy)-benzaldehyde (0.15 g, 0.33 mmol) (Intermediate 88) was added to a solution in MeOH (2.5 mL) of 5-[(f?)-2-amino-1 -(tert-butyl-dimethyl- silanyloxy)-ethyl]-8-(4-methoxy-benzyloxy)-1 /-/-quinolin-2-one (0.15 g, 0.33 mmol) and the reaction mixture was stirred over 3A molecular sieves for 4 days at RT. The solution was treated portion-wise with sodium borohydride (27 mg, 0.72 mmol) and allowed to stir at RT for 3 hours. The reaction' mixture was quenched by addition of water and the residual extracted into DCM, the phases separated, and the organic layer was dried (Na2SO4), filtered, and concentrated in vacuo to give the title compound. This material was used in the next step without further purification. ' Yield: 0.27 g (93%).
LC-MS (method 2): Rt 2.52 min, m/z 895 [MH]+.
Intermediate 93
5-{(R)-1-Hydroxy-2-[4-(3-{[2-(hydroxy-diphenyI-methyl)-oxazol-5-ylmethyl]- methyl-amino}-propoxy)-benzylamino]-ethyl}-8-(4-methoxy-ben2yloxy)-1H- quinoIin-2-one
A solution of 5-((R)-I -(tert-butyl-dimethyl-silanyloxy)-2-[4-(3-{[2-(hydroxy-diphenyl- methyl)-oxazol-5-ylmethyl]-methyl-amino}-propoxy)-benzylamino]-ethyl}-8-(4-methoxy- benzyloxy)-1 H-quinolin-2-one (0.27 g, 0.30 mmol) in THF (1 O mL) under nitrogen was treated with triethylamine trihydrofluoride (0.12 mL, 0.75 mmol). After stirring at RT overnight, the reaction mixture was neutralised with saturated NaHCO3 (aq) and extracted with DCM. The combined organic extracts were washed with brine, dried (Na2SO4), filtered, and concentrated to dryness.
LC-MS (method 2): Rt 2.14 min, m/z 781 [MH]+.
Intermediate 94
1-(3-Bromo-propoxy)-4-(2,2-dimethoxy-ethyl)-benzerte
A solution of [4-(3-bromo-propoxy)-phenyl]-acetaldehyde (1.80 g, 9.2 mmol)
(Intermediate 53) and trimethyl orthoformate (3.80 mL, 35 mmol) in MeOH (20 mL) was treated with pTSA (70 mg, 0.39 mol) and stirred at RT for 4 hours. A solution of NaHCO3 (aq) (10 mL) was added and the reaction mixture stirred rapidly for 10 minutes. The resulting mixture was extracted with EtOAc and the organic layer separated, dried (MgSO4), filtered, and concentrated in vacuo. The crude product was purified by silica-gel chromatography, eluting with 15% EtOAc/cyclohexane to give the desired product as a colourless oil. ■ Yield: 1.77 g (83%).. , ' .
Rf = 0.67 (30% ethyl acetate/cyclohexane).
Intermediate 95
[4-(3-{[2-(Hydroxy-diphenyl-methyl)-oxazol-5-ylmethyI]-methyl-amino}-propoxy)- phenyl]-acetaldehyde
The title compound was prepared from (5-methylaminomethyl-oxazol-2-yl)-diphenyl- methanol (Intermediate 2) and 1-(3-bromo-propoxy)-4-(2,2-dimethoxy-ethyl)-benzene by similar methods to those employed in intermediates 87 and 88, respectively. LC-MS (method 2): Rt 2.35 min, m/z 471 {MH]+.
Intermediate 96
5-((R)-1-(tert-Butyl-dimethyl-silanyloxy)-2-{2-[4-(3-{[2-(hydroxy-diphenyI-methyl)- oxazoI-5-ylmethyI]-methyl-amino}-propoxy)-phenyl] ethylamino}-ethyI)-8-(4- methoxy-benzyloxy)-1 H-quinolin-2-one
A mixture of [4-(3-{[2-(hydroxy-diphenyl-methyl)-ox'azol-5-ylm.ethyl]-methyl-amino}- propoxy)-phenyl]-acetaldehyde (126 mg, 0.27 mmol), 5-[(f?)-2-arnino-1 -(tert-butyl- . dimethylsilanyloxy) ethyl]-8-(4-methoxybenzyloxy)-1 H-quinolin-2-one (124 mg, 0.27. mmol) (Intermediate 93), in dry DCE (20 ml_) was stirred under nitrogen at RT for 15 minutes. Sodium triacetόxyborohydride (68 mg, .0.32 mmol) was added, in one portion and the reaction mixture was allowed to stir at RT overnight. The reaction mixture was treated with saturated NaHCO3 (aq) and stirred for 15 minutes and the organic phase was washed with brine, dried (Na2SQ4) then filtered and concentration in vacuo. The crude product was purified by chromatography, eluting from 1-5% MeOH/DGM and afforded the title product as a colourless oil.
Yield: 140 mg, 57%. LC-MS (method 2): Rt 2.60 min, m/z 909 [MH]+.
Intermediate 97
The title compound was prepared from (5-methyIaminomethyl-oxazol-2-yl)-diphenyl- methanol (Intermediate 2) and 3-bromo-propionic acid methyl ester by a similar method to that employed in intermediate 87.
LC-MS (method 2): Rt 2.06 min, m/z 381 [MH],+.
Intermediate 98
3-{[2-(Hydroxy-diphenyI-rnethyl)-oxazol-5-ylmethyl]-methyl-amino}-propionic acid
The title compound was prepared from 3-{[2-(hydroxy-diphenyl-methyl)-oxazol-5- ylmethyl]-methyl-amino}-propionic acid methyl ester by a similar method to that employed in intermediate 30.
LC-MS (method 2): Rt 2.03 min, m/z 367 [M-H]
Intermediate 99 3-{[2-(Hydroxy-diphenyl-methyl)-oxazol-5-ylmethyl]-methyl-amino}-yV-(5-oxo- pentyl)-propionamide
The title compound was prepared from 3-{[2-(hydroxy-diphenyl-methyl)-oxazol-5- ylmethyl]-methyl-amino}-propionic acid and 4-[1 ,3]dioxolan-2-yl-butylamine (prepared according WO/2000/000487) by similar methods to those employed in intermediates 33 and 27, respectively. LC-MS (method 2): Rt 2.14 min, m/z 450 [MH]+.
Intermediate 100
Λ^(4-FormyI-phenyl)-3-{[2-(hydroxy-diphenyl-methyl)-oxazoI-5-ylmethyl]-methyl- amino}-propionamide
The title compound was prepared from 3-{[2-(hydroxy-diphenyl-methyl)-oxazol-5- ylmethyl]-methyl-amino}-propionic acid (Intermediate 98) and 4-[1 ,3]dioxolan-2-yl- phenylamine (prepared according Synthesis 2006, 19, 3316) by similar methods to those employed in intermediates 33 and 34, respectively. LC-MS (method 2): Rt 2,29 min, m/z 470 [MH]+.
intermediate 101 (Φ-Diethoxymethyl-benzyloxyy-acetic acid tert-butyl ester
To a vigorously stirred bi-phasic mixture of (4-diethoxymethyl-phenyl)-methanol (2.10 g, 9.99 mmol) in toluene (100 mL) and aqueous 10 M NaOH was added
, tetrabutylammonium hydrogen sulphate (0.34 g, 1.00 mmol). The resulting mixture was stirred at RT for 18 hours then diluted with water and extracted with EtOAc. The combined organic extract was washed with sat. brine, dried (Na2SO4), filtered and concentrated in vacuo to give the title compound as a pale yellow viscous oil.
Yield: 3.24 g, quantitative
Rf = 0.81 (20% ethyl acetate/cyclohexane).
Intermediate 102 2-(4-Diethoxymethyl-benzyloxy)-ethanol
Lithium aluminium hydride (0.84 g, 22.13 mmol) was added portion-wise to a stirred solution in THF (50 mL) of (4-diethoxymethyl-benzyloxy)-acetic acid tert-butyl ester (3.24 g, 9.99 mmol). The reaction mixture was stirred at RT for 2 hours then poured cautiously into a half saturated aqueous solution of Rochelle's salt (100 mL) and extracted into EtOAc. The combined organic extract was washed with saturated brine, dried (Na2SO4), filtered and concentrated in vacuo. The residue was purified by.silica- gel column chromatography (Companion automated system; 80 g cartridge) and gradient eluting from 0-50% EtOAc in cyclohexane to afford the title compound as a colourless mobile oil.
Yield: 2.29 g, 90%
• 1H NMR. (CDCI3): δ 1.23 (t, J = 7.1 • Hz, 6H)r 1 .80 (br. s, 1 H), 3.50-3.78 (m, 4H), 3.70 (q, J = 7.1 Hz, 4H), 4.57 (s, 2H), 5.50 (s, 1 H), 7.33 (m, 2H), 7.46 (m, 2H).
Intermediate 103
Methanesulfonic acid 2-(4-diethoxymethyl-benzyloxy)-ethyl ester
Methane sulphonyl chloride (0.83 mL, 10.72 mmol) was added to a cooled 0 0C solution of 2-(4-diethoxymethyl-benzyloxy)-ethanol (2.27 g, 8.93 mmol) and triethylamine (1 .27 g, 12.55 mmol) in DCM (40 mL). After stirring at RT for 35 minutes
the reaction mixture was partitioned between saturated aqueous NaHCO3 and DCM. The organic extract was washed with saturated brine, dried (Na2SO4), filtered and concentrated in vacuo to afford the title compound as a yellow gum.
1H NMR (CDCI3): δ 1.23 (t, J = 7.1 Hz, 6H), 3.03 (s, 3H), 3.49-3.57 (m, 2H), 3.57-3.66 (m, 2H), 3.74 (m, 2H), 4.39 (m, 2H), 4.58 (s, 2H), 5.50 (s, 1 H), 7.32
(m, 2H), 7.46 (m, 2H).
Intermediate 104
4-(2-{[2-(Hydroxy-diphenyl-methyl)-oxazol-5-ylmethyl]-methyI-amino}- ethoxymethyl)-benzaldehyde
The title compound was prepared from (5-methylaminomethyl-oxazol-2-yl)-diphenyl- methanol (Intermediate 2) and methanesulfonic acid 2-(4-diethoxymethyl-benzyloxy)- ethyl ester by similar methods to those employed in intermediates 87 and 88, respectively.
LC-MS (method 2): Rt 2.32 min, m/z 457 [MH]+.
Intermediate 105
(5-{[(2-Amino-ethyl)-methyl-amino]-methyl}-oxa2ol-2-yl)-diphenyl-methanol
A solution in MeOH (15 mL) of (5-methylaminomethyl-oxazol-2-yl)-diphenyl-methanol (Intermediate 1), (686 mg, 2 mmol) and Λ/-methylethylenediamine (740 mg, 10 mmol) was stirred at RT for 3 hours under argon. The reaction mixture was concentrated in vacuo and purified by chromatography, eluting from 1 -10% MeOH/DCM to give the title compound as an oil.
LC-MS (method 2): Rt 1.73 min, m/z 338 [MH]+.
Intermediate 106
4-Formyl-Λf-(2-{[2-(hydroxy-diphenyl-methyl)-oxazol-5-ylmethyl] methyl-amino}- ethyl)-benzamide
The title compound was prepared from (5-{[(2-amino-ethyl)-methyl-amino]-methyl}- oxazol-2-yl)-diphenyl-methanol and 4-dimethoxymethyl-benzoic acid (Tetrahedron 1998, 54(51), 15679) by similar methods to those employed in intermediates 33 and 88, respectively.
LC-MS (method 2): Rt 2.23 min, m/z 470 [MH]+. .
Intermediate 107 yV-(2-{[2-(Hydroxy-diphenyl-methyl)-oxazol-5-ylmethyl]-methyl-amino}-ethyI)-4-(2- oxo-ethyl)-benzamide
The title compound was prepared from (5-{[(2-amino-ethyl)-methyl-amino]-methyl}- oxazpl-2-yl)-diphenyl-methanol (Intermediate 105) and 4-[1 ,3]dioxόlan-2-ylmethyl- benzoic acid (Rieke Metals, Inc.) by similar methods to those employed in intermediates 33 and 88, respectively.
LC-MS (method 2): Rt 2.18 min, m/z 484 [MH]+.
The title compound was prepared from 2-(4-[1 ,3]dioxan-2-yl-phenyl)-ethanol (J. Med. Chem. 1995, 38(10), 1608) by a similar method to that employed in intermediate 102.
LC-MS (method 4): Rt 2.58 min, m/z 253 [MH]+..
Intermediate 109 2-{4-[2-(2-Bromo-ethoxy)-ethyl]-phenyl}-[1,3]dioxane
To a solution of 2-[2-(4-[1 ,3]dioxan-2-yl-phenyl)-ethoxy]-ethanol (0.71 g, 2.82 mmols) in DCM (10 ml_) was added carbon tetrabromide (2.07 g, 6.20 mmol) and triphenylphosphine (1.63 g, 6.20 mmol).The reaction mixture was stirred at RT for 18 hours then concentrated in vacuo. The reaction mixture was partitioned between water and EtOAc and the combined organic extract was washed with saturated brine, dried (Na2SO4), filtered and concentrated in vacuo. The residue was purified by silica gel column chromatography (Companion automated system; 25 g cartridge) and eluting from 0-20% EtOAc in cyclohexane to afford the title compound as a colourless mobile oil.
LC-MS (method 4): Rt 3.58 min, m/z 315, 31.7 [MH]+.
Intermediate 110
The title compound was prepared from (5-methylaminomethyl-oxazol-2-yl)-diphenyl- methanol (Intermediate 2) and 2-{4-[2-(2-bromo-ethoxy)-ethyl]-phenyl}-[1 ,3]dioxane by similar methods to those employed in intermediates 87 and 88, respectively. LC-MS (method 3): Rt 2.38 min, m/z 471 [MH]+.
intermediate 111 4-Hydroxymethyl-Λ/-(2-oxo-ethyl)-benzamide
The title compound was prepared from Λ/-(2,2-dimethoxy-ethyl)-4-hydroxymethyl- benzamide (Intermediate 33) by a similar method to that employed in intermediate 27.
Yield: 9.5 g (quantitative).
LC-MS (method 2): Rt 1.80 min, m/z 194 [MH]+.
Intermediate 112 yV-p-^-p-^RJ-Cyclohexyl-hydroxy-phenyl-methyO-oxazol-δ-yπ-ethy^-methyl- amino)-ethyl]-4-formyl-benzamide
The title compound was prepared from (R)-cyclohexyl-[5-(2-methylamino-ethyl)- oxazol-2-yl]-phenyl-methanol (Intermediate 8) and 4-hydroxymethyl-Λ/-(2-oxo-ethyl)- benzamide by similar methods to those employed in intermediates 18 and 33,
respectively.
LC-MS (method 2): Rt 2.57 min, m/z 490 [MH]+.
Intermediate 113 yV-[2-(Benzyl-{2-[2-((R)-cyclohexyl-hydroxy-phenyl-methyl)-oxazol-5-yl]-ethyl}- amino)-ethyl]-4-hydroxymethyl-benzamide
The title compound was prepared from (R)-[5-(2-benzylamino-ethyl)-oxazol-2-yl]- cyclohexyl-phenyl-methanol (Intermediate 6) and 4-hydroxymethyl-Λ/-(2-oxo-ethyl)- benzamide (Intermediate 111 ) by a similar method to that employed in intermediate 19.
LC-MS (method 2): Rt 2.76 min, m/z 568 [MH]+. . intermediate 114
Λ/-(2-{2-[2-((R)-CycIohexyl-hydroxy-phenyl-methyI)-oxazol-5-yI] ethylamϊno}- ethyI)-4-hydroxymethyl-benzamide
A mixture in EtOH (5 mL) of /V-[2-(benzyl-{2-[2-((R)-cyclohexyl-hydroxy-phenyl- methyl)-oxazol-5-yl]-ethyl}-amino)-ethyl]-4-hydroxymethyl-benzamide (142 mg, 0.25 mmol), 10% Pd/C (-15 mg) and acetic acid (1 drop) was vigorously stirred under a hydrogen atmosphere at RT for 1 hour. Further 10% Pd/C (15 mg) and two drops of acetic acid were added and reaction time extended for 18 hours RT. The reaction mixture was filtered over Celite, washed with ethanol, and concentrated in vacuo to
afford the title product as a light brown oil/film which was used without further purification.
Yield: 114 mg (95%).
LC-MS (method 2): Rt 2.48 min, m/z 478 [MH]+.
Intermediate 115
{2-[2-((R)-Cyclohexyl-hydroxy-phenyI-methyl)-oxazol-5-yl]-ethyl}-[2-(4-formyl- benzoylamino)-ethyl]-carbamic acid tert-butyl ester
The title compound was prepared from Λ/-(2-{2-[2-((R)-cyclohexyl-hydroxy-phenyl- methyl)-oxazol-5-yl]-ethylamino}-ethyl)-4-hydroxy methyl-benzamide by similar methods to those employed in intermediates 20 and 34, respectively. LC-MS (method 3): Rt 4.24 min, m/z 576 [MH]+.
Intermediate 116 Λ/-(4-Hydroxymethyl-phenyI)-acrylamide
To a solution of 4-aminobenzyl alcohol (2.5 g, 20.0 mmol) and triethylamine (5.6 mL, 41.0 mmol) in DCM (40 mL) at 0 0C was added drop-wise acryloyl chloride (1.60 mL, 20.0 mmol). An exotherm was observed and the mixture was then stirred at 0 0C for 2 days. The reaction was quenched by careful addition of methanol and concentrated in vacuo. The residue was partitioned between 2M HCI and ethyl acetate and the aqueous was re-extracted with ethyl acetate. The combined organic extracts were washed with water and brine, dried (Na2SO4), then filtered and concentrated in vacuo. The residue was purified by column chromatography eluting from 5-100%
EtOAc/pentane to give the desired product as a yellow solid (NB: 1.22 g of the acrylamide/acylic ester was also obtained).
Yield: 1.13 g (32%).
LC-MS (method 2): Rt 2.20 min, m/z 176 [MH]+.
Intermediate 117
3-({2-[2-((R)-Cyclohexyl-hydroxy-phenyl-methyl)-oxazol-5-yl]-ethyl}-methyl- amino)-Λ/-(4-hydroxymethyl-phenyl)-propionamide
To a solution of Λ/-(4-hydroxymethyl-phenyl)-acrylamide (68 mg, 0.38 mmol) in NMP (1 ml_) was added (R)-cyclohexyl-[5-(2-methylamino-ethyl)-oxazol-2-yl]-phenyl- methanol (100 mg, 1 mmol) (Intermediate 8), and the resulting mixture stirred for 3 days at 70 0C. The reaction mixture was cooled, diluted with methanol and applied to a pre-equilibrated (methanol) SCX-2 cartridge (5 g, Isolute). The cartridge was washed with methanol (10OmL) and then eluted with 2 M NH3 in methanol solution. After concentrating in vacuo the residue was further purified by column chromatography (Companion, 4 g), eluting from 0-10% (1 % triethylamine/MeOH)/DCM to give the required product as a colourless glass. Yield: 63 mg (34%). LC-MS (method 2): Rt 2.54 min, m/z 492 [MH]+.
Intermediate 118 3-({2-[2-((R)-Cyclohexyl-hydroxy-phenyl-methyl)-oxazol-5-yl]-ethyl}-methyl- amino)-/V-(4-formyl-phenyl)-propionamide
The title compound was prepared from 3-({2-[2-((R)-cyclohexyl-hydroxy-phenyl- methyi)-oxazol-5-yl]-ethyl}-methyl-amino)-Λ/-(4-hydroxymethyl-phenyl)-propionamide by a similar method to that employed in intermediate 34. LC-MS (method 2): Rt 2.65 min, m/z 490 [MH]+.
Intermediate 119
2-{3-[({2-[2-((R)-Cyclohexyl-hydroxy-phenyl-methyl)-oxazol-5-yl]-ethyl}-methyl- amino)-methyl]-phenyl}-ethanol
A solution of 2-(3-(bromomethyl)phenyl)-ethanol (96 mg, 0.45 mmol), (prepared according to EP472449) in acetonitrile (1 ml_) was added to a solution of (R)- cyclohexyl-[5-(2-methylamino-ethyl)-oxazol-2-yl]-phenyl-methanol (140 mg, 0.45 mmol)-(lntermediate 8) and triethylamine (74 μl_, 0.53 mmol) in acetonitrile (2 ml_) and the reaction mixture stirred for 2 hours at 20 °C. The solvent was evaporated and the residue purified by flash silica chromatography, gradient eluting from 1.5-2% MeOH/(DCM with 1 % triethylamine) to afford the title compound as a colourless gum. Yield: 130 mg (65%).
LC-MS (method 6): Rt 2.18 min, m/z 449 [MH]+.
Intermediate 120
{2-[2-((R)-Cyclohexyl-hydroxy-phenyl-methyl)-oxazol-5-yl]-ethyl}-[3-(2-oxo-ethyl)- benzyl]-carbamic acid tert-butyl ester
the title compound was prepared from (R)-cyclohexyl-[5-(2-methylamino-ethyl)- oxazol-2-yl]-phenyl-methanol (Intermediate 5) and 2-(3-(bromomethyl)phenyl)-ethanol (prepared according to EP472449) by similar methods to those employed in intermediates 119, 20 and 50, respectively.
LC-MS (method 6): Rt 2.42 min, m/z 531 [M-H].
Intermediate 121
{2-[2-((R)-Cyclohexyl-hydroxy-phenyl-methyl)-oxazol-5-yI]-ethyl}-(3-{2-[(R)-2- hydroxy-2-(4-hydroxy-2-oxo-2,3-dihydro-benzόthiazol-7-yl)-ethylamino]-ethyI}- benzyl)-carbamic acid tert-butyl ester
A solution of 7-((R)-2-amino-1 -hydroxy-ethyl)-4-hydroxy-3H-benzothiazol-2-one acetate (97 mg, 0.33 mmol) in methanol (10 ml_) was cooled to 0 0C and treated with acetic acid (13 μl_, 0.22 mmol) followed by, drop-wise addition of 1 M HCI in ether (0.22 ml_, 0.22 mmol). Sodium cyanoborohydride (21 mg, 0.33 mmol) was then added followed by a solution of {2-[2-((R)-cyclohexyl-hydroxy-phenyl-methyl)-oxazol-5-yl]- ethyl}-[3-(2-oxo-ethyl)-benzyl]-carbamic acid tert-butyl ester (118 mg, 0.22 mmol) (Intermediate 120) in methanol (2 ml_). The mixture was stirred for 1 hour and then treated with sodium triacetoxyborohydride (47.0 mg, 0.22 mmol). Stirring was continued for a further hour, most of the methanol was then removed in vacuo and the remainder partitioned between EtOAc and phosphate buffer (pH = 7.2). The organic layer was dried (Na2SO4), filtered and the solvent removed in vacuo. The crude product was purified by flash silica-gel chromatography, eluting with [9:1 :90] MeOH/concentrated aqueous ammonia/DCM to afford the title compound as a white solid. .
Yield: 53 mg (33%). LC-MS (method 6): Rt 2.20 min, m/z 743 [MH]+.
Intermediate 122
2-{4-[({2-[2-((R)-Cyclohexyl-hydroxy-phenyl-methyl)-oxazol-5-yl]-ethyl}-methyl- amino)-methyl]-phenyl}-ethanol
The title compound was prepared from (R)-cyclohexyl-[5-(2-methylamino-ethyl)- oxazol-2-yl]-phenyl-methanol (Intermediate 8) and 2-(4-(bromomethyl)phenyl)-ethanol (prepared according to Tetrahedroιτ\987 , 28(13), 1401) by a similar method to that employed in intermediate 119.
LC-MS (method 6): Rt 2.14 min, m/z 449 [MH]+.
Intermediate 123 3-(3-Bromo-propoxy)-benzaldehyde
The title compound was prepared from 3-hydroxy-benzaldehyde and 1 ,3- dibromopropane by a similar method to that employed in intermediate 49. , LC-MS (method 2): Rt 3.77 min, m/z 243 & 245 [MH]+.
Intermediate 124
3-[3-({2-[2-((R)-Cyclohexyl-hydroxy-phenyl-methyl)-oxazol-5-yl]-ethyl}-methyI- amino)-propoxy]~benzaldehyde
The title compound was prepared from (R)-cyclohexyl-[5-(2-methylamino-ethyl)- oxazol-2-yl]-phenyl-methanol (Intermediate 8) and 3-(3-bromo-propoxy)-benzaldehyde by a similar method to that employed in intermediate 119. LC-MS (method 2): Rt 2.72 min, m/z 477 [MH]+.
Intermediate 125 3-(2-Hydroxy-ethyl)-benzoic acid methyl ester
The title compound was prepared from 2-(3-bromo-phenyl)-ethanol (Aldrich) and carbon monoxide gas by a similar method to that employed in intermediate 28. LC-MS (method 2): Rt 2.67 min, m/z 180 [M]+.
Intermediate 126 3-(2-Hydroxy-ethyl)-benzoic acid
The title compound was prepared from 3-(2-hydroxy-ethyl)-benzoic acid methyl ester by a similar method to that employed in intermediate 30. LC-MS (method 3): Rt 2.08 min, m/z 165 [M-H].
Intermediate 127
The title compound was prepared from (R)-cyclohexyl-[5-(2-methylamino-ethyI)- oxazol-2-yI]-phenyl-methanol (Intermediate 8) and (2-oxo-ethyl)-carbamic acid tert- butyl ester by similar methods to those employed in intermediates 19 and 80, respectively.
LC-MS (method 3): Rt 2.06 min, m/z 358 [MH]+.
Intermediate 128 Λ/-[2-({2-[2-((R)-CyclohexyI-hydroxy-phenyl-methyI)-oxazol-5-yI]-ethyI}-methyI- amino)-ethyI]-3-(2-hydroxy-ethyl)-benzatnide
The title compound was prepared from (R)-(5-{2-[(2-amino-ethyl)-methyl-amino]- ethyl}-oxazol-2-yl)-cyclohexyl-phenyI-methanol and 3-(2-hydroxy-ethyl)-benzoic acid (Intermediate 126) by a similar method to that employed in intermediate 32. LC-MS (method 3): Rt 2.43 min, m/z 506 [MH]+.
Compounds A1- A56
Compound A1 yV-{2-[({2-[cyclohexyl(hydroxy)phenylmethyI]-1,3-oxazol-5- yl}methyI)(methyl)amino]ethyl}-3-(2-{[2-(4-hydroxy-2-oxo-2,3-dihydro-1,3- benzothiazol-7-yl)ethyl]amino}ethyl)benzarnide trifluoacetate
[2-(4-hydroxy-2-oxo-2,3-dihydro-benzothiazol-7-yl)-ethyl]-{2-[3-(2-oxo-ethyl- carbamoyl)-phenyl]-ethyl}-carbamic acid tert-butyl ester (3.8 mmol) (Intermediate 32) was dissolved in NMP (10 ml_) and acetic acid (0.23 ml_) was added. An aliquot of this solution (0.29 ml_) was added to the reaction vessel containing cyclohexyl-(5- methylaminomethyl-oxazoI-2-yl)-phenyl-methanol (0.075 mmol) (rac-lntermediate 4) in NMP (0.1 ml_). The reaction was shaken for 5 minutes and then sodium triacetoxyborohydride (0.15 mL of a 1.14 molar solution in NMP, 0.17 mmol) was added and the reaction mixture shaken for 16 hours. MeOH (0.5 ml_) was added and the solution applied to TsOH-65 resin (0.2 g) loading with MeOH, then eluting with 2 M ammonia in methanol to give the crude Boc-intermediate after concentration in vacuo. 20% TFA in DCM (0.3 ml_) was added to the crude reaction mixture and the solution was stirred at RT for 2 hours. The reaction was concentrated in vacuo, dissolved in DMSO (0.4 ml_) then purified by HPLC (system 5) LC-MS (method 8): Rt 1.41 min, m/z 685 [MH]+.
The following compounds shown in table were prepared using a similar method to that described for Compound A1 using the appropriate β2-substituted aldehyde intermediates and M3 bearing amine to give the title compounds as TFA salts (analysis undertaken using LC-MS method 8):
^^-({a-IcyclohexyKhydroxyJphenylmethyll-ijS-oxazol-S-y^methyO-N-i-^^-lp^- hydroxy-2-oxo-2,3-dihydro-1 ,3-benzothiazol-7 yl)ethyl] amino}ethyl)phenyl]-Λ/-2- methylglycinamide trifluoacetate
(4-Acryloylamino-benzyl)-[2-(4-hydroxy-2-oxo-2,3-dihydro-benzothiazol- 7-yl)-ethyl]-carbamic acid tert-butyl ester (3.8 mmol) (Intermediate 23) was dissolved in NMP (10 ml_) and acetic acid (0.23 ml_) added. An aliquot of this solution (0.29 mL) was added to the reaction vessel containing cyclohexyl-(5-methylaminomethyl- oxazol-2-yl)-phenyl-methanol (rac-lntermediate 4) in NMP (0.1 mL). The reaction was shaken for for 5 days at 70 0C. MeOH (0.5 mL) was added and the solution applied to TsOH-65 resin (0.2 g) loading with MeOH, then eluting with 2 M ammonia in methanol to give the crude Boc-intermediate after concentration in vacuo. 20% TFA in DCM (0.3 mL) was added to the crude reaction mixture and the solution was stirred at RT for 2 hours. The reaction was concentrated in vacuo, dissolved in DMSO (0.4 mL) then purified by HPLC (system 5) .
LC-MS (method 8): Rt 1.41 min, m/z 671 [MH]+.
The following compounds shown in table were prepared using a similar method to- that described for Example A39 using the appropriate β2-substituted acylamide intermediates and M3 bearing amine to give the title compounds as TFA salts (analysis undertaken using LC-MS method 8):
Compound A42
Z-f^CycIohexyl-hydroxy-phenyl-methylJ-oxazoI-S-ylmethyπ-methyl-aminol-Λ/^- {2-[2-(4-hydroxy-2-oxo-2,3-dihydro-benzothiazol-7-yI)-ethylamiho]-ethyl}-phenyl)- acetamide trifluoacetate
{2-[4-(2-Bromo-acetylamino)-phenyl]-ethyl}-[2-(4-hydroxy-2-oxo-2,3-dihydro-
benzothiazol-7-yl)-ethyl]-carbamic acid tert-butyl ester (1.2 mmol) (Intermediate 22) was dissolved in NMP (4 ml_) and an aliquot (100 uL) of this solution were added to the reaction vessel containing cyclohexyl-(5-methylaminomethyl-oxazol-2-yl)-phenyl- methanol (0.025 mmol) (rac-lntermediate 4) and triethylamine (0.066 mmol) in NMP (200 uL). The reaction mixture was allowed to stand at 20 0C for 6 hours. MeOH (0.6 ml_) was added and the solution applied to TsO-H65 resin (0.2 g) eluting with methanol, then with 3.5 M ammonia in MeOH to elute the Boc-intermediate. TFA in DCM (0.3 imL) was added to the crude reaction mixture and the solution was stirred at RT for 2 hours. The reaction was concentrated in vacuo, dissolved in DMSO (0.4 ml_) then purified by HPLC (system 5)
LC-MS (method 8): Rt 1.54 min, m/z 671 [MH]+.
The following compounds shown in table were prepared using a similar method to that described for Compound A42 using the appropriate β2-substituted bromo acetamide intermediates and M3 bearing amine to give the title compounds as TFA salts (analysis undertaken using LC-MS method 8):
Compound A46
4-hydroxy-7-(2-{[2-(4-{3-[(2:{2-[hydroxy(diphenyl)methyl]-1,3-6xazol-5- yl}ethyl)(methyl)amino]propoxy}phenyl)ethyl]amino}ethyl)-1,3-benzothiazoI-2(3H)- one
{2-[4-(3-Bromo-propoxy)-phenyI]-ethyl}-[2-(4-hydroxy-2-oxo-2,3-dihydro-benzothiazol- 7-yl)-ethyl]-carbamic acid tert-butyl ester (1.076 g) (Intermediate 54) and triethylamine (0.404 g) were dissolved in sufficient NMP to give 2 mL of solution. An aliquot (50 μl_) of this solution was added to a reaction vessel containing [5-(2-Methylamino-ethyl)- oxazol-2-yl]-diphenyl-methanoI (0.0375 mmol) (Intermediate 11 ) in NMP (100 μl_). The reaction mixture was heated at 85 0C for 18 hours. MeOH (0.7 mL) was added and the solution was applied to TsOH-65 resin (0.2 g) eluting with methanol, then with 3.5 M ammonia in MeOH to elute the Boc-intermediate. The fractions containing the products were evaporated. TFA in DCM (0.3 mL) was added to the crude reaction mixture and the solution was stirred at RT for 2 hours. The reaction was concentrated in vacuo, dissolved in DMSO (0.4 mL) then purified by HPLC (system 5)
LC-MS (method 8): Rt 1 .35 min, m/z 680 [MH]+.
The following compounds shown in table were prepared using a similar method to that described for Compound A46 using the appropriate β2-substituted bromo acetamide intermediates and M3 bearing amine to give the title compounds as TFA salts (analysis undertaken using LC-MS method 8):
The invention will now be illustrated by reference to the following Examples 1 - 21 :
Example 1
8-Hydroxyτ5-{(/?)-1-hydroxy-2-[4-(3-{[2-(hydroxy-diphenyl-methyl)-oxazol-5- ylmethyl]-methyl-amino}-propoxy)-benzyIamino]-ethyl}-1 /jr-quinolin-2-one diformic acid , .
A solution of 5-{(R)-1 -hydroxy-2-[4-(3-{[2-(hydroxy-diphenyl-methyl)-oxazol-5- ylmethyl]-methyl-amino}-propoxy)-benzylamino]-ethyl}-8-(4-methoxy benzyloxy)-1 H- quino!in-2-one (120 mg, 0.154 mmol) (Intermediate 93) was then dissolved in a solution ot30% TFA in DCM (1.5 mL). After stirring at RT for 1 hour the solution was
concentrated in vacuo then partitioned between aqueous saturated NaHCO3 and DCM. The organic phase was separated and the aqueous phase was further extracted with DCM. The combined organic layers were dried (Na2SO4), filtered, and concentrated in vacuo. The crude product was purified by HPLC (system 3) to give the desired product as a diformic acid salt.
LC-MS (method 1 ): Rt 5.17 min, m/z 661 [MH]+.
Example 2
8-Hydroxy-5-((f?)-1-hydroxy-2-{2-[4-(3-{[2-(hydroxy-diphenyl-methyl)-oxazoI-5- ylmethyl]-methyl-amino}-propoxy)-phenyl]-ethylamino}-ethyl)-1 H-quinoIin-2-one diformic acid
The title compound was prepared from [5-((R)-1 -(tert-butyl-dimethyl-silanyloxy)-2-{2- [4-(3-{[2-(hydroxy-diphenyI-methyl)-oxazol-5-ylmethyl]methyl-amino}-propoxy)- phenyl]ethylamino}-ethyl)-8-(4-methoxy-benzyloxy)-1 H-quinolin-2-one (Intermediate 96) by similar methods to those employed in intermediate 93 and Example 1 , respectively. The crude product was purified by HPLC (system 3) to give the desired product as a diformic acid salt.
LC-MS (method 1 ): Rt 5.39 min, m/z 675 [MH]+.
Example 3
3-{[2-(Hydroxy-diphenyl-methyl)-oxazol-5-ylmethyl]-methyl-amino}-Λ/-{5-[(/?)-2- hydroxy-2-(8-hydroxy-2-oxo-1,2-dihydro-quinolin-5-yl)-ethylamino]-pentyl}- propionamide diformic acid
The title compound was prepared from 3-{[2-(hydroxy-diphenyl-methyl)-oxazol-5- yImethyl]-methyl-amino}-Λ/-(5-oxo-pentyl)-propionamide (Intermediate 99) and 5-[(R)- 2-amino-1 -(tert-butyl-dimethylsilanyloxy) ethyl]-8-(4-methoxybenzyloxy)-1 H-quinolin-2- one (Intermediate 91 ) by similar methods to those employed in intermediates 92, 93 and Example 1 , respectively. The crude product was purified by HPLC (system 3) to give the desired product as a diformic acid salt.
LC-MS (method 5): Rt 1.85 min, m/z 654 [MH]+.
Example 4
3-{[2-(Hydroxy-diphenyl-methyl)-oxazol-5-ylmethyl]-methyl-amino}-/V-(4-{[(/?)-2- hydroxy-2-(8-hydroxy-2-oxo-1,2-dihydro-quinolin-5-yI) ethylamino]-methyl}- pheny|)-propionamide diformic acid
The title compound was prepared from Λ/-(4-formyl-phenyl)-3-{[2-(hydroxy- diphenyl-methyl)-oxazol-5-ylmethyl]-methyl-amino}-propionamide (Intermediate 100) and 5-[(f?)-2-amino-1 -(tert-butyl-dimethylsilanyloxy) ethyl]-8-(4-methoxybenzyloxy)-1 H- quinolin-2-one (Intermediate 91) by similar methods to those employed in intermediates 92 and 93, and Example 1 , respectively. LC-MS (method 1 ): Rt 5.09 min, m/z 674 [MH]+.
Example 5
8-Hydroxy-5-{(/?)-1-hydroxy-2-[4-(2-{[2-(hydroxy-diphenyI-methyl)-oxazol-5- ylmethyI]-methyl-amino}-ethoxymethyl)-benzylamino]-ethyI}-1H-quinolin-2-one diformic acid
The title compound was prepared from 4-(2-{[2-(hydroxy-diphenyl-methyl)-oxazol-5- ylmethyl]-methyl-amino}-ethoxymethyl)-benzaldehyde (Intermediate 104) and 5-[(Z=?)^- amino-1 -(tert-butyl-dimethylsilanyloxy) ethyl]-8-(4-methoxybenzyloxy)-1 H-quinolin-2- one (Intermediate 91) by similar methods to those employed in intermediates 92 and
93, and Example 1 , respectively.
The crude product was purified by HPLC (system 3) to give the desired product as a formic acid salt.
LC-MS (method 1 ): Rt 5.22 min, m/z 661 [MH]+.
Example 6
/V-(2-{[2-(Hydroxy-diphenyl-methyl)-oxazol-5-ylmethyI]-methyl-amino}-ethyl)-4- {[(R)-2-hydroxy-2-(8-hydroxy-2-oxo-1,2-dihydro-quinolin-5-yl)-ethylamino]- methyl}-benzamide diformic acid
The title compound was prepared from 4-formyl-/V-(2-{[2-(hydrόxy-diphenyl-methyl)- oxazol-5-ylmethyl]methyl-amino}-ethyl)-benzamide (Intermediate 106) and 5-[(R)-2- amino-i-(tert-butyl-dimethylsilanyloxy) ethyl]-8-(4-methoxy benzyloxy)-1 H-quinoIin-2- one (Intermediate 91 ) by similar methods to those employed in intermediates 92 and 93, and Example 1 , respectively.
The crude product was purified by HPLC (system 3) to give the desired product as a formic acid salt.
10 LC-MS (method 1 ): Rt 4.97 min, m/z 674 [MH]+.
Example 7
Λ/-(2-{[2-(Hydroxy-diphenyl-methyI)-oxazoI-5-ylmethyl]-methyl-amino}-ethyl)-4- {2-[(/?)-2"hydroxy-2-(8-hydroxy-2-oxo-1,2-dihydro-quinolin-5-yl)-ethyIamino]-
15 ethyl}-benzamide formic acid
The title compound was prepared from Λ/-(2-{[2-(hydroxy-diphenyl-methyl)-oxazol-5- 2.0 ylmethyl]-methyl-amino}-ethyl)-4-(2-oxo-ethyl)-benzamide (Intermediate 107) and 5- [(F?)-2-amino-1 -(tert-butyl-dimethylsilanyloxy) ethyl]-8-(4-methoxybenzyloxy)-1 H- quinolin-2-one (Intermediate 91 ) by similar methods to those employed in intermediates 92 and 93, and Example 1 , respectively. The crude product was purified by HPLC (system 3) to give the desired product as a formate salt. 25 LC-MS (method 1): Rt 5.24 min, m/z 688 [MH]+.
Example 8
8-Hydroxy-5-((/?)-1-hydroxy-2-{4-[2-(2-{[2-(hydroxy-diphenyl-methyl)-oxazol-5- ylmethyl]-methyl-amino}-ethoxy)-ethyl]-ben2ylamino}-ethyl)-1 /y-quinoIin-2-one diformic acid
The title compound was prepared from 4-[2-(2-{[2-(hydroxy-diphenyl-methyl)-oxazol-5- ylmethyl]-methyl-amino}-ethoxy)-ethyl]-benzaldehyde (Intermediate 110) and 5-[(fl)-2- amino-1 -(tert-butyl-dimethylsilanyloxy) ethyl]-8-(4-methoxybenzyloxy)-1 H-quinolin-2- one (Intermediate 91) by similar methods to those employed in intermediates 92 and 93, and Example 1 , respectively. The crude product was purified by HPLC (system 3) to give the desired product as a diformic acid salt. LC-MS (method 1): Rt 5.49 min, m/z 675. [MH]+.
Example 9 yV-[2-({2-[2-((R)-CycIoheχyI-hydroxy-phenyl-methyI)-oxazol-5-yl]-ethyl}-methyl- amino)-ethyl]-4-{[(R)-2-hydroxy-2-(4-hydroxy-2-oxo-2,3-dihydro-benzothiazol-7- yl)-ethylamino]-methyl}-benzamide diformic acid
The title compound was prepared from N-[2-({2-[2-((R)-cyclohexyl-hydroxy-phenyl- methyl)-oxazol-5-yl]-ethyI}-methyl-amino)-ethyl]-4-formyl-benzamide (Intermediate 112) and 7-((R)-2-amino-1 -hydroxy-ethyl)-4-hydroxy-3H-benzothiazol-2-one hydrochloride (prepared according to WO2007/027133) by a similar method to that employed in intermediate 92. The crude product was purified by HPLC (system 3) eluting from 5-25% MeCN/water (+0.1% HCO2H) over 20 min. Freeze-drying afforded the title compound as a white fluffy solid. Yield: 42 mg (26%). LC-MS (method 5): Rt 5.66 min, m/z 700 [MH]+.
Example 10
/V-(2-{2-[2-((R)-CyclohexyI-hydroxy-phenyl-methyl)-oxazol-5-yI]-ethyIamino}- ethyl)-4-{[(R)-2-hydroxy-2-(4-hydroxy-2-oxo-2,3-dihydro-benzothiazol-7-yl)- ethylamino]-methyl}-benzamide ditrifluoroacetic acid
The title compound was prepared from {2-[2-((R)-cyclohexyl-hydroxy-phenyl-methyl)- oxazol-5-yl]-ethyl}-[2-(4-{[(R)-2-hydroxy-2-(4-hydroxy-2-oxo-2,3 dihydro-benzothiazol- 7-yl)-ethylamino]-methyl}-benzoylamino)-ethyl]-carbamic acid tert-butyl ester (Intermediate 115) and 7-((R)-2-amino-1 -hydroxy-ethyl)-4-hydroxy-3H-benzothiazol-2- one hydrochloride by similar methods to those employed in intermediates 92 and 80, respectively. The product oil was dissolved in water and following freeze-drying afforded the title compound as a white fluffy solid.
LC-MS (method 5): Rt 5.76 min, m/z 686 [MH]+.
Example 11
. . ' 171 . '
3-({2-[2-((R)-Cyclphexy l-hyd roxy-phenyl-methyl)-oxazol-5-yl]-ethyI}-methy I- amino)-N-(4-{[(R)-2-hydroxy-2-(4-hydroxy-2-oxo-2,3-dihydro benzothiazol-7-yl)- ethylamino]-methyl}-phenyl)-propionamide diformic acid
The title compound was prepared from 3-({2-[2-((R)-cyclohexyl-hydroxy-phenyl- methyl)-oxazol-5-yl]-ethyl}-methyl-amino)-N-(4-formyl-phenyl)-propionamide (Intermediate 118) and 7-((R)-2-amino-1-hydroxy-ethyl)-4-hydroxy-3H-benzothiazol-2- one hydrochloride by a similar method to that employed in intermediate 19. The crude product was purified by HPLC (system 3) eluting from 10-25% MeCN/water (+0.1 % HCO2H) over 20 min. Freeze-drying afforded the tit|e compound as a white fluffy solid. Yield: 18.5 mg (40%). ■ .
LC-MS (method 5): Rt 5.82 min, m/z 700 [MHj+.. • ' • '
Example 12
7-[(R)-2-(2-{3-[({2-[2-(CycIohexyI-hydroxy-phenyl-methyl)-oxazoI-5-yl]-ethyl}- methyl-amino)-methyl]-phenyl}-ethylamino)-1-hydroxy-ethyI]-4-hydroxy-3H- benzothiazol-2-one ditrifluoroacetic acid
A solution of 2-{3-[({2-[2-((R)-cyclohexyl-hydroxy-phenyl-methyl)-oxazol-5-yl]-ethyl}- methyl-amino)-methyl]-phenyl}-ethanol (130 mg, 0.29 mmol) (Intermediate 119) in DCM (10 imL) at 0 °C was treated with TFA (22 μl_, 0.29 mmol) and the cooling bath then removed. Dess-Martin periddinane (184 mg, 0.43 mmol) was added and the mixture stirred for 20 minutes at RT, further Dess-Martin periodinane (123 mg, 0.29 mmol) was added and stirring continued for 15 minutes. The mixture was treated with saturated aqueous NaHCO3 (10 ml_) and saturated aqueous sodium thiosulphate (10 ml_) and the whole then stirred vigorously for 10 minutes. The mixture was extracted into EtOAc and the organic layer washed with saturated aqueous NaHCO3. The organic layer was dried (Na2SO4), filtered and the solvent removed in vacuo. The title compound was prepared from the intermediate aldehyde and 7-((R)-2ramino-1- hydroxy-ethyl)-4-hydroxy-3H-benzothiazol-2-one hydrochloride by a similar method to that employed in intermediate 19. The crude product was purified by HPLC (system 4) eluting from 20-65% acetonitrile/(0.2% aqueous TFA) to afford the desired product as a white solid after triturating with diethyl ether.
Yield: 70 mg (27%).
HPLC (method 7): Rt 2.96 min; LC-MS (method 6) m/z 657 [MH]+.
Example 13 7-((R)-2-{2-[3-({2-[2-(CycIohexyl-hydroxy-phenyl-methyl)-oxazoI-5-yl]- ethylamino}-methyI)-phenyl]-ethy)amino}-1-hydroxy-ethyl)-4-hydroxy-3H- benzothiazol-2-one ditrifluoroacetic acid
The title compound was prepared from {2-[2-((R)-cyclohexyl-hydroxy-phenyl-methyl)- oxazol-5-yl]-ethyl}-(3-{2-[(R)-2-hydroxy-2-(4-hydroxy-2-oxo-2,3 dihydrό-benzothiazol-7- yl)-ethylamino]-ethyl}-benzyl)-carbamic acid tert-butyl ester (Intermediate 121 ) by a similar method to that employed in intermediate 80. The crude product was purified by HPLC (system 4), eluting from 25-60% acetonitrile/(0.2% aqueous TFA) to provide
the desired product as a white solid ditrifluoroacetic acid salt.
HPLC (method 7): Rt 2.97 min; LC-MS (method 6) m/z 643 [MH]+.
Example 14
7-[(R)-2-(2-{4-[({2-[2-((R)-Cyclohexyl-hydroxy-phenyl-methyl)-oxazol-5-yl]-ethyl}- methyI-amino)-methyl]-phenyl}-ethylamino)-1-hydroxy-ethyl]-4-hydroxy-3H- benzothiazol-2-one ditrifluoroacetic acid
The title compound was prepared from 2-{4-[({2-[2-((R)-cyclohexyl-hydroxy-phenyl- methyl)-oxazol-5-yl]-ethyl}-methyl-amino)-methyl]-phenyl}-ethanol and 7-((R)-2-amino- 1 -hydroxy-ethyl)-4-hydroxy-3H-benzothiazol-2-one acetate (Intermediate 122) by a similar method to that employed in example 12. The crude product was purified by HPLC (System 4) eluting from 20-65% acetonitrile/(0.2% aqueous TFA) to afford the desired product as a white solid after triturating with ether. LC-MS (method 7'): Rt 5.11 min, m/z 657 [MH]+.
Example 15
7-((R)-2-{3-[3-({2-[2-((R)-Cyclohexyl-hydroxy-phenyl-methyl)-oxazol-5-yl]-ethyl}- methyl-amino)-propoxy]-benzylamino}-1-hydroxy-ethyl)-4-hydroxy-3H- benzothiazol-2-one
The title compound was prepared from 3-[3-({2-[2-((R)-cyclohexyI-hydroxy-phenyl- • methyl)-oxazol-5-yl]-ethyl}-methyl-amino)-propoxy]-benzaldehyde (Intermediate 124) and 7-((R)-2-amino-1 -hydroxy-ethyl)-4-hydroxy-3H-benzothiazol-2-one hydrochloride by a similar method to that employed in intermediate 92. The desired compound was obtained after purification by.silica-gel chromatography (Companion, 4Og silica), eluting from DCM to [87:13] DCM/(2M NH3 in MeOH)
LC-MS (method 5): Rt 6.02 min, m/z 687 [MH]+.
Example 16 5-((R)-2-{3-[3-({2-[2-((R)-CycIohexyl-hydroxy-phenyl-methyl)-oxazoI-5-yl]-ethyl}- methyl-amino)-propoxy]-benzylamino}-1-hydroxy-ethyl)-8-hydroxy-1H-quinolin- 2-one
The title compound was prepared from 3-[3-({2-[2-((R)-cyclohexyl-hydroxy-phenyl- methyl)-oxazol-5-yl]-ethyl}-methyl-amino)-propoxy]-benzaldehyde (Intermediate 124) and 5-[(R)-2-amino-1 -(tert-butyl-dimethyl-silanyloxy)-ethyl]-β-hydroxy-1 H-quinolin-2- one (prepared according to WO2007/102771 ) by similar methods to those employed in intermediates 92 and 93. The desired compound was obtained after purification by silica-gel chromatography (Companion, 4Og silica), eluting from DCM to [88:12] DCM/(2M NH3 in MeOH)
LC-MS (method 5): Rt.5.87 min, m/z 680 [MH]+.
Example 17
Λ/-(2-{2-[2-((R)-Cyclohexyl-hydroxy-phenyI-methyl)-oxazol-5-yl]-ethyl amino}- ethyl)-4-{[(R)-2-hydroxy-2-(8-hydroxy-2-oxo-1,2-dihydro-quinolin-5-yl)- ethylamino]-methyl}-benzamide ditrifluoroacetic acid
The title compound was prepared from {2-[2-((R)-cyclohexyl-hydroxy-phenyl-methyl)- oxazol-5-yl]-ethyl}-[2-(4-formyl-benzoylamino)-ethyl]-carbamic acid tert-butyl ester (Intermediate 1 15) and 5-[(R)-2-amino-1-(tert-butyl-dimethyl-silanyloxy)-ethyl]-8- hydroxy-1H-quinolin-2-one by similar methods to those employed in intermediates 92, 80 and 93. The product oil was dissolved in water and following freeze-drying afforded the title compound as a white fluffy solid.
LC-MS (method 5): Rt 5.63 min, m/z 680 [MH]+.
Example 18
Λ/-[2-({2-[2-((R)-CycIohexyl-hydroxy-phenyl-methyl)-oxazol-5-yl]-ethyl}-methyl- amino)-ethyI]-3-{2-[(R)-2-hydroxy-2-(4-hydroxy-2-oxo-2,3-dihydro-benzothiazol- 7-yI)-ethyIamino]-ethyl}-benzamide formic acid
The title compound was prepared from A/-[2-({2-[2-((R)-cyclohexyl-hydroxy-phenyl- methyl)-oxazol-5-yl]-ethyl}-methyl-amino)-ethyl]-3-(2-hydroxy-ethyl)-benzamide (Intermediate 128) and 7-((R)-2-amino-1-hydroxy-ethyl)-4-hydroxy-3H-benzothiazol-2- one hydrochloride by a similar methods to those employed in example 12 The crude product was purified by HPLC (system 3) eluting from 5-60% MeCN/water (+0.1%
HCO2H). Freeze-drying afforded the title compound as a white fluffy solid formic acid. LC-MS (method 5): Rt 6.01 min, m/z 714 [MH]+.
Example 19
3-({2-[2-((R)-Cyclohexyl-hydroxy-phenyl-methyl)-oxazol-5-yl]-ethyl}-methyl- amino)-N-(4-{[(R)-2-hydroxy-2-(8-hydroxy-2-oxo-1,2-dihydro-quinolin-5-yl)- ethylamino]-methyl}-phenyl)-propionamide diformic acid
The title compound was prepared from 3-({2-[2-((R)-cyclohexyl-hydroxy-phenyl-methyl)- oxazol-5-yl]-ethyl}-methyl-amino)-N-(4-formyl-phenyl)-propionamide (Intermediate 118) and 5-[(R)-2-amino-1 -(tert-butyl-dimethyl-silanyloxy)-ethyl]-8-hydroxy-1 H-quinolin-2-one by similar methods to those employed in intermediates 92 and 93, respectively. The product oil was dissolved in water and following freeze-drying afforded the title compound as a white fluffy solid.
LC-MS (method 5): Rt 5.65 min, m/z 694 [MH]+.
Example 20 5-[(R)-2-(2-{3-[({2-[2-((R)-CyclohexyI-hydroxy-phenyl-methyl)-oxazol-5-yl]-ethyl}- methyl-amino)-methyl]-phenyl}-ethylamino)-1-hydroxy-ethyl]-8-hydroxy-1H- quinolin-2-one
The title compound was prepared from 2-{3-[({2-[2-((R)-cyclohexyl-hydroxy-phenyl- methyl)-oxazol-5-yl]-ethyl}-methyl-amino)-methyl]-phenyl}-ethanol (Intermediate 119) and 5-[(R)-2-amino-1 -(tert-butyl-dimethyl-silanyloxy)-ethyl]-8-hydroxy-1 H-quinolin-2-one by similar methods to those used to prepare Example 12 and Intermediate 93. The crude product was purified by HPLC (system 3) eluting from 5-55% MeCN/water (+0.1% HCO2H). Freeze-drying afforded the title compound as a white fluffy solid formic acid. LC-MS (method 5): Rt 5.78 min, m/z 651 [MH]+.
Example 21
5-((R)-2-{2-[3-({2-[2-((R)-CyclohexyI-hydroxy-phenyl-methyl)-oxazol-5-y|]- ethylarriino}-methyl)-phenyl]-ethylamino}-1-hydroxy-ethyI)-8-hydroxy-1H- quinolin-2-one
The title compound was prepared from {2-[2-((R)-cyclohexyl-hydroxy-phenyl-methyl)- oxazol-5-yl]-ethyl}-[3-(2-oxo-ethyl)-beήzyl]-carbamic acid tert-butyl ester (Intermediate 120) and 5-[(R)-2-amino-1 -(tert-butyl-dimethyl-silanyloxy)-ethyl]-8-hydroxy-1 H-quinolin-2- one by similar methods to those employed in intermediates 92, 80 and 93, respectively. The crude product was purified by HPLC (system 3) eluting from 5-55% MeCN/water (+0.1 % HCO2H). Freeze-drying afforded the title compound as a.white fluffy solid formic acid. ' • .
LC-MS (method 5): Rt 5.71 min, m/z 637 [MH]+.
Biological Assays
The activity of compounds of the present invention at the M3 muscarinic receptor and the β2 adrenergic receptor, may be determined by the following assays:
M3 receptor binding assays (plCsn and single concentration activity determinations) The activity of compounds at the M3 receptor is determined by competition .
•binding of [3H]N.-methyl scopolamine (NMS) to GHO-K1 (Chinese Hamster Ovary) cell membranes expressing the human muscarinic acetylcholine M3 receptor (M3-ACh) in a scintillation proximity assay (SPA) format.
SPA beads are precoated with membranes and then incubated at 2mg of beads per well with compounds of the invention, [3H]NMS at 0.2nM, half Kd
(experimentally determined dissociation constant) and assay buffer (20 mM HEPES pH 7.4 containing 5 mM MgCI2). The assay is conducted in a final volume of 200 μL, in the presence of 1 % (v/v) dimethyl sulphoxide (DMSO). Total binding of [3H]NMS is determined in the absence of competing compound and non-specific binding of [3H]NMS is determined in the presence of 1 μM atropine. The plates are incubated for 16 hours at room temperature and then read on Wallac Microbeta™ using a normalised 3H protocol.
For plC50 determinations the assay is conducted using serial dilutions of compounds of the invention. The plC50 is defined as the negative logarithm of the concentration of compound required for 50% reduction in specific [3H]-NMS binding. For spot test activity determinations compounds of the invention are incubated at a single 10 nM concentration using the protocol described above. The percentage inhibition of specific [3H]NMS binding is. reported.
The following compounds A1 - A56.were tested in the M3 receptor binding assay:
β- Adrenergic Receptor Radioligand Binding Assay
Radioligand binding studies utilising [125l]-lodocyanopindolol and commercially available cell membranes expressing the human β2 adrenergic receptor are used to assess the affinity of antagonists for β2-adrenergic receptor. Membranes and SPA- beads are incubated with [125l]-lodocyanopindolol and β2 antagonist at various concentrations for 3 hours at ambient temperature in TRIS buffer. The assay is performed in 96-well plates which are read using the Wallac Microbeta counter. Where tested, Compounds A1 - A56 were found to have a β2 plC50 of >5 in the β2 binding assay.
Assay for adrenergic β2 mediated cAMP production
Cell preparation
H292 cells are grown in 225cm2 flasks incubator at 37°C, 5% CO2 in. RPMI medium containing10% (v/v) FBS (foetal bovine serum) and 2 mM L-glutamine. Experimental Method Adherent H292 cells re removed from tissue culture flasks by treatment with
Accutase™ cell detachment solution for 15 minutes. Flasks are incubated for 15 minutes in a humidified incubator at 37QC, 5% CO2. Detached cells are re-suspended in RPMI media (containing 10% (v/v) FBS and 2 mM L-glutamine) at 0.05 x 106 cells per ml_. 5000 cells in 100 μl_ are added to each well of a tissue-culture-treated 96- well plate and the cells incubated overnight in a humidified incubator at 37°C, 5% CO2. The culture media is removed and cells are washed twice with 100 μl_ assay buffer and replaced with 50 μL assay buffer (HBSS solution containing 1 OmM HEPES pH7.4-and 5 mM glucose). Cells are rested at room temperature for 20 minutes after which time 25 μL of rolipram (1.2 mM made up in assay buffer containing 2.4% (v/v) dimethylsulphoxide) is added. Cells are incubated with rolipram for 10 minutes after which time test compounds are added and the cells are incubated for 60 minutes at room temperature. The final rolipram concentration in the assay is 300 μM and final . vehicle concentration is 1.6% (v/v) dimethylsulphoxide. The reaction is stopped by removing supematants, washing once with 100 μL assay buffer and replacing with 50 μL lysis buffer. The cell monolayer is frozen at -80 0C for 30 minutes (or overnight).
AlphaScreen™ cAMP detection
The concentration of cAMP (cyclic adenosine monophosphate) in the cell lysate is determined using AlphaScreen™ methodology. The frozen cell plate is thawed for 20 minutes on a plate shaker then 10 μL of the cell lysate is transferred to a 96-well white plate. 40 μL of mixed AlphaScreen™ detection beads pre-incubated with biotinylated cAMP, is added to each well and the plate incubated at room temperature for 10 hours in the dark. The AlphaScreen™ signal is measured using an EnVision spectrophotometer (Perkin-Elmer Inc.) with the recommended manufacturer's settings. cAMP concentrations are determined by reference to a calibration curve determined in the same experiment using standard cAMP concentrations. Concentration response curves for agonists are constructed and data is fitted to a four parameter logistic equation to determine both the pEC50 and Intrinsic Activity. Intrinsic Activity is expressed as a fraction relative to the maximum activity determined for formoterol in each experiment. ' .
Examples 1-21
The following examples were tested in the M3 receptor binding and β2 cAMP functional assays.
* pKi (nM) reported. " Intrinsic activity relative to Formoterol is shown in parenthesis. NT = Not Tested
Claims
1. A compound of formula (I):
(i) R1 is H or CrC6-alkyl; and R3 is lone pair or CrC6-alkyl; or
(ii) R1 and R3 together with the nitrogen to which they are attached form a heterocycloalkyl ring;
R4 and R5 are independently selected from the group consisting of aryl, aryl-fused- heterocycloalkyl, heteroaryl, CrC6-alkyl, cycloalkyl;
R6 is -OH, CrC6-alkyl, CrC6-alkoxy, hydroxy-CrC6-alkyl, nitrile, a group CON(R12)2 or a hydrogen atom;
one of W, V and A is N or NR11; another of W, V and A is N, O, S or CR8; and the last one of W, V and A is N or CR8;
X is an CrC6alkylene, C2-C6alkenylene or C2-C6alkynylene group;
R8, R11 and R12 are, independently, hydrogen atom or CrC6-alkyl group;
La is a divalent linker radical of formula (Ia); L3 L1
L-2 (Ia)
wherein L represents a linker comprising a hydrocarbyl chain of up to 14 carbon atoms, wherein up to three carbon atoms of the chain are replaced by groups independently selected from O, NR45, S, S(O), S(O)2, C(O)O, OC(O),
NR46C(O), C(O)NR47, NR48S(O)2, S(O)2NR49, NR50C(O)NR51, NR52S(O)2NR53, OC(O)NR54, NR55C(O)O, provided that any heteroatoms in the chain are separated by at least 2 carbon atoms; and/or up to four carbon atoms of the chain form part of a mono- or bicyclic aliphatic, heteroaliphatic, aromatic or heteroaromatic ring having up to fourheteroatoms independently selected from N, O or S, said ring comprising up to 10 ring atoms, and wherein the ring is optionally substituted by up to three substituents independently selected from halogen, S(O)0-2R56, NR57R58, S(O)2NR59R60, C(O)NR61R62, C(O)OR63, NR64S(O)2R65, NR66C(O)R67, NR68C(O)OR69, NR70C(O)NR71R72, OR73, C1-6 alkyl and C3-6 cycloalkyl, and wherein
C1-6 alkyl and C3.6 cycloalkyl may be optionally substituted by up to three substituents independently selected from halogen, hydroxyl and C1-6 alkoxy; and the chain may comprise up to three of such rings each selected independently, and;
wherein R56, R65 and R69 each independently represent C1-6 alkyl or C3-6 cycloalkyl, wherein C1-6 alkyl and C3.6 cycloalkyl may be optionally substituted by up to three substituents independently selected from halogen, hydroxyl, C1-6 alkoxy; and
wherein R45, R46, R47, R48, R49, R50, R51, R52, R53, R54, R55, R57, R58, R59, R60, R61, R62, R63, R64, R66, R67, R68 , R70, R71, R72 and R73 each independently represent hydrogen, C1-6 alkyl or C3-6 cycloalkyl, wherein C1-6 alkyl and C3.6 cycloalkyl may be optionally substituted by up to three substituents independently selected from halogen, hydroxyl, C1-6 alkoxy; or any of R57 and R58, R59 and R60, R61 and R62 or R71 and R72, together with the nitrogen atom to which they are both attached, may form a 4 to 8 membered aliphatic heterocyclic ring, wherein the aliphatic heterocyclic ring may comprise up to three heteroatoms independently selected from N1O and S, wherein the ring may be optionally substituted by up to three substituents independently selected from halogen, hydroxyl and. C1-6 alkyl or C3-6 cycloalkyl, wherein C1-6 alkyl and C3-6 cycloalkyl may be optionally substituted by one or more substituents independently selected from halogen and hydroxyl; and
wherein the chain may additionally comprise up to three carbon-carbon double
bonds; and,
wherein the chain may additionally comprise up to three carbon-carbon triple bonds;
L1 and L2 each independently represent hydrogen, C1-6 alkyl or C3-B cycloalkyl;
L3 and L4 each independently represent hydrogen, C1-6 alkyl or C3-6 cycloalkyl, wherein Ct-6 alkyl and C3-6 cycloalkyl may be optionally substituted by one or more substituents independently selected from halogen and hydroxyl;
and in addition L1 and/or L3 may be linked to a carbon atom of the hydrocarbyl chain in linker L to form an aliphatic ring of up to 6 ring atoms, wherein the ring may comprise up to three heteroatoms independently selected from N, O and S; and
wherein * denotes the point of attachement of the group of formula (Ia) to the non-aromatic nitrogen bearing R1 and R3, and ** denotes the point of attachment to the group Z1;
Z1 is a moiety having β2- adrenoreceptor binding activity;
wherein, unless otherwise specified, each occurrence of alkyl, heterocycloalkyl, aryl, aryl-fused-heterocycloalkyl, heteroaryl, cycloalkyl, alkoxy, alkylene, alkenylene, alkynylene or aryl-fused-cycloalkyl may be optionally substituted; and wherein each alkenylene chain contains, where possible, up to 2 carbon-carbon double bonds and each alkynylene chain contains, where possible, up to 2 carbon-carbon triple bonds; or a pharmaceutically acceptable salt thereof.
2. A compound of formula (I) as claimed in claim 1 , or a pharmaceutically acceptable salt thereof, wherein R1 is CrC6-alkyl; and R3 is a lone pair.
3. A compound of formula (I) as claimed in claim 1 or 2, or a pharmaceutically
acceptable salt thereof, wherein X is C1-C2 alkylene.
4. A compound of formula (I) as claimed in claim 1 , 2 or 3, or a pharmaceutically acceptable salt thereof, wherein the 5-membered ring containing W, V and A is:
wherein the bond marked * is attached to the group R4R5R6C-, and the bond marked ** is attached to the group -XNR1 (LΛZ1)R3.
5. A compound as claimed in claim 1 , 2, 3 or 4, or a pharmaceutically acceptable salt thereof, wherein R8 is hydrogen.
6. A compound as claimed in any one of the preceding claims, or a pharmaceutically acceptable salt thereof, wherein R6 is hydroxy, C1-C4 alkyl, C1-C4 alkoxy or nitrile.
7. A compound as claimed in any one of the preceding claims, or a pharmaceutically acceptable.salt thereof, wherein R4 and R5 are, independently, aryl, C4-C8 cycloalkyl or heteroaryl.
8. A compound as claimed in any one of the preceding claims, or a pharmaceutically acceptable salt thereof, wherein La is a group of formula (Ia);
wherein * denotes the point of attachement of the group of formula (Ia) to the non-aromatic nitrogen bearing R1 and R3, and ** denotes the point of attachment to the group Z1; and .
. wherein the moiety -C(L1)(L2J-L-C(L3)(L4)- is selected from: (i) -(CH2)s-O-(CH2)t-B-(CH2)u-, wherein B is a phenylene or heteroarylene radical and s is 2 or 3, t is 0, 1 or 2, and u is 1 or 2;
(ii) -(CH2)V-C(O)N R47-B-(CH2)u-, wherein v is 1 or 2 and R47 is hydrogen, C1-6alkyl or C3.6cycloalkyl, B is a phenylene or heteroarylene radical, and u is 1 or 2;
(iii) -(CH2)V-NR47C(O)-B-(CH2)U-, wherein v is 1 or 2, R47, B and u are as defined in case (ii);
(iv) -(CH2)V-C(O)N R47-(CH2)w-; wherein w is 3-8 and v and R47 are as defined in case (iii); and
(v) -(CH2)V-B-(CH2)U-, wherein v is 1 or 2, B is a phenylene or heteroarylene radical, and u is 1 or 2.
A compound as claimed in any one of the preceding claims,. or a pharmaceutically acceptable salt thereof, wherein Z1 is a group of formula (Ib): Ar>
I
OH H (|b) wherein Ar represents a group selected from the following;
wherein
M1 is S, C(O), NA5, CA6A7, CH2CH2, CH=CH, CH2O or OCH2;
M2 is S, C(O), NA5, CA6A7, CH2CH2, CH=CH, CH2O or OCH2;
A1, A2, A3 and A4 are, independently, hydrogen, halogen, trifluoromethyl, cyano, carboxy, hydroxy, nitro, S(O)2A8, NA9S(O)2A10, C(O)NA11A12, NA13C(O)A14, C1-6 alkyl, C1-6 alkoxy, C(O)(C1-6 alkyl) or C(O)OC1-6 alkyl; and A3 can also be CH2OH, NHCHO, NHS(O)2NA15A16 or NHSO2A17;
A5, A6, A7, A9, A11, A12, A13, A14, A15 or A16 are, independently, hydrogen or C1-, alkyl;
A8, A10 and A17'are, independently; C1-6 alkyl; and .
*** represents the attachment point of the group of formula (Ib) to the group of formula (Ia).
10. A compound according to claim 1 , selected from: 8-Hydroxy-5-{(f?)-1 -hydroxy-2-[4-(3-{[2-(hydroxy-diphenyl-methyl)-oxazol-5- ylmethyl]-methyl-amino}-propoxy)-benzylaminoj-ethyl}-1 H-quinoIin-2-one;
8-Hydroxy-5-((R)-1 -hydroxy-2-{2-[4-(3-{[2-(hydroxy-diphenyl-methyl)-oxazol-5- ylmethyl]-methyl-amino}-propoxy)-phenyl]-ethylamino}-ethyl)-1 H-quinolin-2-one; !
3-{[2-(Hydroxy-diphenyl-methyl)-oxazol-5-ylmethyl]-methyl-amino}-N-{5-[(R)-2- hydroxy-2-(8-hydroxy-2-oxo-1 ,2-dihydro-quinolin-5-yl)-ethylamino]-pentyl}- propionamide;
3-{[2-(Hydroxy-diphenyl-methyl)-oxazol-5-ylmethyl]-methyl-amino}-Λ/-(4-{[(/?)-2- hydroxy-2-(8-hydroxy-2-oxo-1 ,2-dihydro-quinolin-5-yl) ethylamino]-methyl}-phenyl)- propionamide; , 8-Hydroxy-5-{(R)-1 -hydroxy-2-[4-(2-{[2-(hydroxy-diphenyi-methyl)-oxazol-5- ylmethyl]-methyl-amino}-ethoxymethyl)τbenzylamino]-ethyl}-1 H-quinolin-2-one;
N-(2-{[2-(Hydroxy-diphenyl-methyl)-oxazol-5-ylmethyl]-methyl-amino}-ethyl)-4- {[(R)-2-hydroxy-2-(8-hydroxy-2-oxo-1 ,2-dihydro-quinolin-5-yl)-ethylamino]-methyl}- benzamide; N-(2-{[2-(Hydroxy-diphenyl-methyl)-oxazol-5-ylmethyl]-methyl-amino}-ethyl)-4-
{2-[(R)-2-hydroxy-2-(8-hydroxy-2-oxo-1 ,2-dihydro-quinolin-5-yl)-ethylamino]-ethyl}- benzamide;
8-Hydroxy-5-((R)-1 -hydroxy-2-{4-[2-(2-{[2-(hydroxy-diphenyl-methyl)-oxazol-5- . ylmethyl]-methyl-amino}-ethoxy)-ethyl]-benzyiamino}-ethyl)-1 H-quinolin-2-one; Λ/-[2-({2-[2-((R)-Cyclohexyl-hydroxy-phenyl-methyl)-oxazol-5-yl]-ethyl}-methyl- amino)-ethyl]-4-{[(R)-2-hydrpxy-2-(4-hydroxy-2-oxo-2,3-dihydro-benzothiazol-7-yl)- ethylamino]-methyl}-benzamide;
Λ/-(2-{2-[2-((R)-Cyclohexyl-hydroxy-phenyl-methyl)-oxazol-5-yl]-ethylamino}- ethyl)-4-{[(R)-2-hydroxy-2-(4-hydroxy-2-oxo-2,3-dihydro-benzothiazol-7-yl)- ethylamino]-methyl}-benzamide;
3-({2-[2-((R)-Cyclohexyl-hydroxy-phenyl-methyl)-oxazol-5-yl]-ethyl}-methyl- amino)-N-(4-{[(R)-2-hydroxy-2-(4-hydroxy-2-oxo-2,3-dihydro benzothiazol-7-yl)- ethylamino]-methyl}-phenyl)-propionamide;
7-[(R)-2-(2-{3-[({2-[2-(Cyclohexyl-hydroxy-phenyl-methyl)-oxazol-5-yl]-ethyl}- methyl-amino)-methyl]-phenyl}-ethylamino)-1 -hydroxy-ethyl]-4-hydroxy-3H- benzothiazol-2-one;
7-((R)-2-{2-[3-({2-[2-(Cyclohexyl-hydroxy-phenyl-methyl)-oxazol-5-yl]- ethylamino}-methyl)-phenyl]-ethylamino}-1 -hydroxy-ethyl)-4-hydroxy-3H-bθnzothiazol- 2-one;
7-[(R)-2-(2-{4-[({2-[2-((R)-Cyclohexyl-hydroxy-phenyl-methyl)-oxazol-5-yl]- ethyl}-methyl-amino)-methyl]-phenyl}-ethylamino)-1-hydroxy-ethyl]-4-hydroxy-3H- benzothiazol-2-one;
7-((R)-2-{3-[3-({2-[2-((R)-Cyclohexyl-hydroxy-phenyl-methyl)-oxazol-5-yl]-ethyl}- methyl-amino)-propoxy]-benzylamino}-1-hydroxy-ethyl)-4-hydroxy-3H-benzothiazol-2- one; 5-((R)-2-{3-[3-({2-[2-((R)-Cyclohexyl-hydroxy-phenyl-methyl)-oxazol-5-yl]-ethyl}- methyl-amino)-propoxy]-benzylamino}-1-hydroxy-ethyl)-8-hydroxy-1 H-quinolin-2-one;
Λ/-(2-{2-[2-((R)-Cyclohexyl-hydroxy-phenyl-methyl)-oxazol-5-yl]-ethyI amino}- ethyl)-4-{[(R)-2-hydroxy-2-(8-hydroxy-2-oxo-1 ,2-dihydro-quinolin-5-yl)-ethylamino]- methyl}-benzamide; Λ/-[2-({2-[2-((R)-Cyclohexyl-hydroxy-phenyl-methyl)-oxazol-5-yl]-ethyl}-methyl- amino)-ethyl]-3-{2-[(R)-2-hydroxy-2-(4-hydroxy-2-oxo-2,3-dihydro-benzothiazol-7-yi)- ethylamino]-ethyl}-benzamide; and pharmaceutically acceptable salts thereof.
11. A process for the preparation of a compound of formula (I), as claimed in claim 1, or a pharmaceutically, acceptable salt thereof, comprising a reaction selected .from: a) the reaction of a compound of formula (II)
wherein LG1 is a leaving group and L, L2, L3, L4, R4, R5, R6, 1A, W, V and X are as defined in claim 1 , and R1 is as defined in claim 1 or is a suitable protecting group, with a compound of formula (III), or a suitable salt thereof,
wherein P1 is hydrogen or a protective group, followed by removal of the protective groups, if present; or
b) the reaction of a compound of formula (IV), or a suitable salt thereof,
wherein L, L2, L3, L4, R1, R4, R5, R6, A, W, V and X are as defined in claim 1 , with a compound of formula (III), or a suitable salt thereof, as defined in reaction a) above, in the presence of a suitable reducing agent, followed by removal of the protective groups, if present; or
c) the reaction of a compound of formula (XII)
wherein L, L1, and L2 are as defined in claim 1 , P1 is as defined in reaction a) above, P3 represents a protective group, with a compound of formula (XIII), or a suitable salt thereof,
wherein R4, R5, R6, R1, A' W, V and X are as defined jn claim 1 , in the presence of a suitable reducing agent, followed by removal of the protective groups; or
d) the reaction of a compound of formula (XIV) .
wherein L, L1, and L2 are as defined in claim 1 , P1 is as defined in reaction a) above, P3 represents a protective group and LG3 represents a leaving group, with a
compound of formula (XIII) or a suitable salt thereof, in the presence of a base followed by removal of the protective groups.
12. A pharmaceutical composition comprising a compound as claimed in any of claims 1 to 10, or a pharmaceutically acceptable salt thereof, and a pharmaceutically acceptable carrier or excipient.
13. A pharmaceutical composition as claimed in claim 12 in a form suitable for inhalation.
14. A compound of formula (I) as claimed in claim 1 , or a pharmaceutically acceptable salt thereof, for use in therapy. ■
15. A compound as claimed in any of claims 1 to 10, or a pharmaceutically acceptable salt thereof, for use in the manufacture of a medicament for the treatment of prevention of a disease or condition in which M3 muscarinic receptor activity and β-adrenergic activity is implicated.
16. A method of treatment of a disease or condition in which M3 muscarinic receptor activity is implicated comprising administration to a subject in need thereof of an effective amount of a compound of formula (I), or a . pharmaceutically acceptable salt thereof, as claimed in any of claims 1 to 10.
17. Use as claimed in claim 14 or 15 or a method of treatment as claimed in claim 16, wherein the disease or condition is a respiratory-tract disorder.
18. Use as claimed in claim 14 or 15 or a method of treatment as claimed in claim 16, wherein the disease or condition is chronic obstructive lung disease, chronic bronchitis, asthma, chronic respiratory obstruction, bronchial hyperactivity, pulmonary fibrosis, pulmonary emphysema, or allergic rhinitis.
19 A combination comprising a compound of formula (I) , or a pharmaceutically acceptable salt thereof, and an inhaled corticosteroid, or an inhaled PDE4 inhibitor.
Applications Claiming Priority (4)
| Application Number | Priority Date | Filing Date | Title |
|---|---|---|---|
| GB0702381.5 | 2007-02-07 | ||
| GB0702381A GB0702381D0 (en) | 2007-02-07 | 2007-02-07 | Compounds and their use |
| GB0702415A GB0702415D0 (en) | 2007-02-07 | 2007-02-07 | New chemical compound |
| GB0702415.1 | 2007-02-07 |
Publications (1)
| Publication Number | Publication Date |
|---|---|
| WO2008096129A1 true WO2008096129A1 (en) | 2008-08-14 |
Family
ID=39454140
Family Applications (1)
| Application Number | Title | Priority Date | Filing Date |
|---|---|---|---|
| PCT/GB2008/000407 Ceased WO2008096129A1 (en) | 2007-02-07 | 2008-02-06 | Nitrogen containing hetrocyclic compounds useful as bifunctional modulators of m3 receptors and beta- 2 receptors |
Country Status (1)
| Country | Link |
|---|---|
| WO (1) | WO2008096129A1 (en) |
Cited By (15)
| Publication number | Priority date | Publication date | Assignee | Title |
|---|---|---|---|---|
| WO2010123766A1 (en) | 2009-04-23 | 2010-10-28 | Theravance, Inc. | DIAMIDE COMPOUNDS HAVING MUSCARINIC RECEPTOR ANTAGONIST AND β2 ADRENERGIC RECEPTOR AGONIST ACTIVITY |
| WO2011012896A2 (en) | 2009-07-31 | 2011-02-03 | Astrazeneca Ab | Compounds - 801 |
| WO2011081937A1 (en) | 2009-12-15 | 2011-07-07 | Gilead Sciences, Inc. | Corticosteroid-beta-agonist-muscarinic antagonist compounds for use in therapy |
| US8148373B2 (en) | 2008-02-06 | 2012-04-03 | Astrazeneca Ab | Compounds |
| US8207193B2 (en) | 2006-11-14 | 2012-06-26 | Astrazeneca Ab | Quiniclidine derivatives of (hetero) arylcycloheptanecarboxylic acid as muscarinic receptor antagonists |
| US8329729B2 (en) | 2008-05-13 | 2012-12-11 | Astrazeneca Ab | Quinuclidine derivatives as muscarinic M3 receptor antagonists |
| JP2014519508A (en) * | 2011-06-10 | 2014-08-14 | キエスィ ファルマチェウティチ エス.ピー.エー. | Muscarinic receptor antagonist and compound having β2 adrenergic receptor agonist activity |
| US9233108B2 (en) | 2011-11-11 | 2016-01-12 | Almirall, S.A. | Cyclohexylamine derivatives having β2 adrenergic agonist and M3 muscarinic antagonist activities |
| US9315463B2 (en) | 2010-05-13 | 2016-04-19 | Almirall, S.A. | Cyclohexylamine derivatives having β2 adrenergic agonist and M3 muscarinic antagonist activities |
| US9518050B2 (en) | 2012-12-18 | 2016-12-13 | Almirall, S.A. | Cyclohexyl and quinuclidinyl carbamate derivatives having β2 adrenergic agonist and M3 muscarinic antagonist activity |
| US9562039B2 (en) | 2013-02-27 | 2017-02-07 | Almirall, S.A. | Salts of 2-amino-1-hydroxyethyl-8-hydroxyquinolin-2(1H)-one derivatives having both β2 adrenergic receptor agonist and M3 muscarinic receptor antagonist activities |
| US9579316B2 (en) | 2013-07-25 | 2017-02-28 | Almirall, S.A. | Salts of 2-amino-1-hydroxyethyl-8-hydroxyquinolin-2(1H)-one derivatives having both muscarinic receptor antagonist and β2 adrenergic receptor agonist activities |
| US9643961B2 (en) | 2010-05-13 | 2017-05-09 | Almirall, S.A. | Cyclohexylamine derivatives having β2 adrenergic antagonist and M3 muscarinic antagonist activities |
| US10005771B2 (en) | 2014-09-26 | 2018-06-26 | Almirall, S.A. | Bicyclic derivatives having β2 adrenergic agonist and M3 muscarinic antagonist activities |
| US10456390B2 (en) | 2013-07-25 | 2019-10-29 | Almirall, S.A. | Combinations comprising MABA compounds and corticosteroids |
Citations (5)
| Publication number | Priority date | Publication date | Assignee | Title |
|---|---|---|---|---|
| WO2004089892A2 (en) * | 2003-04-01 | 2004-10-21 | Theravance, Inc. | Diarylmethyl and related compounds having beta2 andrenergic receptor agonist and muscarinic receptor antagonist activity |
| WO2006023460A2 (en) * | 2004-08-16 | 2006-03-02 | Theravance, Inc. | COMPOUNDS HAVING β2 ADRENERGIC RECEPTOR AGONIST AND MUSCARINIC RECEPTOR ANTAGONIST ACTIVITY |
| WO2007017669A1 (en) * | 2005-08-08 | 2007-02-15 | Argenta Discovery Ltd. | Azole and thiazole derivatives and their use |
| WO2008017827A2 (en) * | 2006-08-08 | 2008-02-14 | Argenta Discovery Limited | Azole and thiazole derivatives and their uses |
| WO2008023157A1 (en) * | 2006-08-21 | 2008-02-28 | Argenta Discovery Limited | Nitrogen containing heterocyclic compounds useful as m3-receptor modulators |
-
2008
- 2008-02-06 WO PCT/GB2008/000407 patent/WO2008096129A1/en not_active Ceased
Patent Citations (5)
| Publication number | Priority date | Publication date | Assignee | Title |
|---|---|---|---|---|
| WO2004089892A2 (en) * | 2003-04-01 | 2004-10-21 | Theravance, Inc. | Diarylmethyl and related compounds having beta2 andrenergic receptor agonist and muscarinic receptor antagonist activity |
| WO2006023460A2 (en) * | 2004-08-16 | 2006-03-02 | Theravance, Inc. | COMPOUNDS HAVING β2 ADRENERGIC RECEPTOR AGONIST AND MUSCARINIC RECEPTOR ANTAGONIST ACTIVITY |
| WO2007017669A1 (en) * | 2005-08-08 | 2007-02-15 | Argenta Discovery Ltd. | Azole and thiazole derivatives and their use |
| WO2008017827A2 (en) * | 2006-08-08 | 2008-02-14 | Argenta Discovery Limited | Azole and thiazole derivatives and their uses |
| WO2008023157A1 (en) * | 2006-08-21 | 2008-02-28 | Argenta Discovery Limited | Nitrogen containing heterocyclic compounds useful as m3-receptor modulators |
Cited By (22)
| Publication number | Priority date | Publication date | Assignee | Title |
|---|---|---|---|---|
| US8207193B2 (en) | 2006-11-14 | 2012-06-26 | Astrazeneca Ab | Quiniclidine derivatives of (hetero) arylcycloheptanecarboxylic acid as muscarinic receptor antagonists |
| US8629271B2 (en) | 2008-02-06 | 2014-01-14 | Astrazeneca Ab | Compounds |
| US8148373B2 (en) | 2008-02-06 | 2012-04-03 | Astrazeneca Ab | Compounds |
| US8329729B2 (en) | 2008-05-13 | 2012-12-11 | Astrazeneca Ab | Quinuclidine derivatives as muscarinic M3 receptor antagonists |
| EP3210981A1 (en) | 2009-04-23 | 2017-08-30 | Theravance Respiratory Company, LLC | Diamide compounds having muscarinic receptor antagonist and beta 2 adrenergic receptor agonist activity |
| WO2010123766A1 (en) | 2009-04-23 | 2010-10-28 | Theravance, Inc. | DIAMIDE COMPOUNDS HAVING MUSCARINIC RECEPTOR ANTAGONIST AND β2 ADRENERGIC RECEPTOR AGONIST ACTIVITY |
| US8455483B2 (en) | 2009-07-31 | 2013-06-04 | Astrazeneca Ab | Compounds—801 |
| US8476265B2 (en) | 2009-07-31 | 2013-07-02 | Astrazeneca Ab | Compounds-801 |
| WO2011012896A2 (en) | 2009-07-31 | 2011-02-03 | Astrazeneca Ab | Compounds - 801 |
| WO2011081937A1 (en) | 2009-12-15 | 2011-07-07 | Gilead Sciences, Inc. | Corticosteroid-beta-agonist-muscarinic antagonist compounds for use in therapy |
| US9643961B2 (en) | 2010-05-13 | 2017-05-09 | Almirall, S.A. | Cyclohexylamine derivatives having β2 adrenergic antagonist and M3 muscarinic antagonist activities |
| US9315463B2 (en) | 2010-05-13 | 2016-04-19 | Almirall, S.A. | Cyclohexylamine derivatives having β2 adrenergic agonist and M3 muscarinic antagonist activities |
| JP2014519508A (en) * | 2011-06-10 | 2014-08-14 | キエスィ ファルマチェウティチ エス.ピー.エー. | Muscarinic receptor antagonist and compound having β2 adrenergic receptor agonist activity |
| US9233108B2 (en) | 2011-11-11 | 2016-01-12 | Almirall, S.A. | Cyclohexylamine derivatives having β2 adrenergic agonist and M3 muscarinic antagonist activities |
| US9549934B2 (en) | 2011-11-11 | 2017-01-24 | Almirall, S.A. | Cyclohexylamine derivatives having β2 adrenergic agonist and M3 muscarinic antagonist activities |
| US9757383B2 (en) | 2011-11-11 | 2017-09-12 | Almirall, S.A. | Cyclohexylamine derivatives having β2 adrenergic agonist and M3 muscarinic antagonist activities |
| US10300072B2 (en) | 2011-11-11 | 2019-05-28 | Almirall, S.A. | Cyclohexylamine derivatives having β2 adrenergic agonist and M3 muscarinic antagonist activities |
| US9518050B2 (en) | 2012-12-18 | 2016-12-13 | Almirall, S.A. | Cyclohexyl and quinuclidinyl carbamate derivatives having β2 adrenergic agonist and M3 muscarinic antagonist activity |
| US9562039B2 (en) | 2013-02-27 | 2017-02-07 | Almirall, S.A. | Salts of 2-amino-1-hydroxyethyl-8-hydroxyquinolin-2(1H)-one derivatives having both β2 adrenergic receptor agonist and M3 muscarinic receptor antagonist activities |
| US9579316B2 (en) | 2013-07-25 | 2017-02-28 | Almirall, S.A. | Salts of 2-amino-1-hydroxyethyl-8-hydroxyquinolin-2(1H)-one derivatives having both muscarinic receptor antagonist and β2 adrenergic receptor agonist activities |
| US10456390B2 (en) | 2013-07-25 | 2019-10-29 | Almirall, S.A. | Combinations comprising MABA compounds and corticosteroids |
| US10005771B2 (en) | 2014-09-26 | 2018-06-26 | Almirall, S.A. | Bicyclic derivatives having β2 adrenergic agonist and M3 muscarinic antagonist activities |
Similar Documents
| Publication | Publication Date | Title |
|---|---|---|
| WO2008096129A1 (en) | Nitrogen containing hetrocyclic compounds useful as bifunctional modulators of m3 receptors and beta- 2 receptors | |
| US8148373B2 (en) | Compounds | |
| WO2008017827A2 (en) | Azole and thiazole derivatives and their uses | |
| WO2008096127A2 (en) | Bicyclo[2.2.1]hept-7-ylamine derivatives and their use as m3 muscarinic receptor modulators | |
| WO2010015792A1 (en) | Nitrogen containing heterocyclic compounds useful as bifunctional modulators of m3 receptors and beta-2 receptors | |
| US7951954B2 (en) | Bezothiazol derivatives as Beta2 adrenoreceptor agonists | |
| AU2010202319B2 (en) | Novel benzothiazolone derivatives | |
| WO2008149110A1 (en) | Bicyclor [2.2.1] hept-7-ylamine derivatives and their use in the treatment of diseases and conditions in which m3 muscarinic receptor activity and beta-adrenergic activity are implicated | |
| US7700782B2 (en) | Compounds 569 | |
| US8476265B2 (en) | Compounds-801 | |
| WO2008017824A1 (en) | Bicyclo [2. 2. 1] hept-7-ylamine derivatives and their use | |
| US20090221653A1 (en) | 7-(2-amino-1-hydroxy-ethyl)-4-hydroxybenzothiazol-2(3H)-one-derivatives as beta2 adrenoreceptor agonists | |
| US20100056508A1 (en) | Amine derivatives and their use in beta-2-adrenoreceptor mediated diseases | |
| WO2011048409A1 (en) | Cyclic amine derivatives having beta2 adrenergic receptor agonist and muscarinic receptor antagonist activity | |
| US20090203753A1 (en) | 7-(2-amino-1-hydroxy-ethyl)-4-hydroxybenzothiazol-2(3H)-one-derivatives as beta2 adrenoreceptor agonists | |
| WO2008041914A1 (en) | 5-(2-AMINO-L-HYDROXYETHYL)-8-HYDROXY-2-OXOQUINOLINE DERIVATIVES AND OTHER COMPOUNDS AS β2 -ADRENERGIC AGONISTS | |
| WO2011154678A1 (en) | Compounds | |
| HK1171755B (en) | Spirocyclic amide derivatives | |
| HK1136572B (en) | 4-hydroxy-2-oxo-2, 3 -dihydro- 1, 3-benzothiazol- 7yl compounds for modulation of b2-adrenoreceptor activity |
Legal Events
| Date | Code | Title | Description |
|---|---|---|---|
| 121 | Ep: the epo has been informed by wipo that ep was designated in this application |
Ref document number: 08702065 Country of ref document: EP Kind code of ref document: A1 |
|
| NENP | Non-entry into the national phase |
Ref country code: DE |
|
| 122 | Ep: pct application non-entry in european phase |
Ref document number: 08702065 Country of ref document: EP Kind code of ref document: A1 |













































































































































































































































































