WO2008091681A2 - Theramutein modulators - Google Patents
Theramutein modulators Download PDFInfo
- Publication number
- WO2008091681A2 WO2008091681A2 PCT/US2008/000960 US2008000960W WO2008091681A2 WO 2008091681 A2 WO2008091681 A2 WO 2008091681A2 US 2008000960 W US2008000960 W US 2008000960W WO 2008091681 A2 WO2008091681 A2 WO 2008091681A2
- Authority
- WO
- WIPO (PCT)
- Prior art keywords
- alkyl
- aryl
- aralkyl
- heterocyclic ring
- cycloalkyl
- Prior art date
- Legal status (The legal status is an assumption and is not a legal conclusion. Google has not performed a legal analysis and makes no representation as to the accuracy of the status listed.)
- Ceased
Links
- 0 CC1(*)C=*C(C(*)C=C(C)NC(*C2)=*CCCCC2(C)N**)=CC=C1 Chemical compound CC1(*)C=*C(C(*)C=C(C)NC(*C2)=*CCCCC2(C)N**)=CC=C1 0.000 description 13
- GDLPCICNIFCQQR-UHFFFAOYSA-N CCOC(c(nc1)ccc1Br)OCC Chemical compound CCOC(c(nc1)ccc1Br)OCC GDLPCICNIFCQQR-UHFFFAOYSA-N 0.000 description 2
- PSTFHCAOZPUVHD-UHFFFAOYSA-N Cc1cc(NCCCN2CCOCC2)nc(NNC(c(cc2)ncc2Nc2cccc(C(F)(F)F)c2)=O)n1 Chemical compound Cc1cc(NCCCN2CCOCC2)nc(NNC(c(cc2)ncc2Nc2cccc(C(F)(F)F)c2)=O)n1 PSTFHCAOZPUVHD-UHFFFAOYSA-N 0.000 description 2
- YOKPDLNJXZCZPD-XAZZYMPDSA-O C/C(/c(cc1)ncc1Nc1cc(C(F)(F)F)ccc1)=[NH+]\Nc(nc1N2CCOCC2)ncc1F Chemical compound C/C(/c(cc1)ncc1Nc1cc(C(F)(F)F)ccc1)=[NH+]\Nc(nc1N2CCOCC2)ncc1F YOKPDLNJXZCZPD-XAZZYMPDSA-O 0.000 description 1
- IGHOAXZPSNKPOU-UHFFFAOYSA-N CC(C)Cc(cc(cc1)Nc2cccc(C(F)(F)F)c2)c1C(NNc(nc1N2CCOCC2)ncc1F)=O Chemical compound CC(C)Cc(cc(cc1)Nc2cccc(C(F)(F)F)c2)c1C(NNc(nc1N2CCOCC2)ncc1F)=O IGHOAXZPSNKPOU-UHFFFAOYSA-N 0.000 description 1
- SKIRVMBAKBFNGW-UHFFFAOYSA-N CC(C)c(nc(cc1)C(NNc(nc2N3CCOCC3)ncc2F)=O)c1Nc1cc(C(F)(F)F)ccc1 Chemical compound CC(C)c(nc(cc1)C(NNc(nc2N3CCOCC3)ncc2F)=O)c1Nc1cc(C(F)(F)F)ccc1 SKIRVMBAKBFNGW-UHFFFAOYSA-N 0.000 description 1
- VIQAUXICQJAKDT-UHFFFAOYSA-N CC(C)c1c(C(NNc(nc2N3CCOCC3)ncc2F)O)ccc(Nc2cccc(C(F)(F)F)c2)c1 Chemical compound CC(C)c1c(C(NNc(nc2N3CCOCC3)ncc2F)O)ccc(Nc2cccc(C(F)(F)F)c2)c1 VIQAUXICQJAKDT-UHFFFAOYSA-N 0.000 description 1
- IKJYDKYEXVMPEX-UHFFFAOYSA-N CC(CNc1nc(NNC(c(cc2)ncc2Nc2cccc(C(F)(F)I)c2)=O)ncc1F)=O Chemical compound CC(CNc1nc(NNC(c(cc2)ncc2Nc2cccc(C(F)(F)I)c2)=O)ncc1F)=O IKJYDKYEXVMPEX-UHFFFAOYSA-N 0.000 description 1
- SLNVQJRAWPJIRF-UHFFFAOYSA-N CC(COCC1)N1c1nc(NNC(c(cc2)ncc2Nc2cccc(C(F)(F)F)c2)=O)ncc1F Chemical compound CC(COCC1)N1c1nc(NNC(c(cc2)ncc2Nc2cccc(C(F)(F)F)c2)=O)ncc1F SLNVQJRAWPJIRF-UHFFFAOYSA-N 0.000 description 1
- WJASSRDGICSPHZ-UHFFFAOYSA-N CC1(C=NC(Cl)=NC(Cl)=C1)N=C Chemical compound CC1(C=NC(Cl)=NC(Cl)=C1)N=C WJASSRDGICSPHZ-UHFFFAOYSA-N 0.000 description 1
- USANAMQHENJSQS-UHFFFAOYSA-N CC1C(C(F)(F)F)=CC(NC(c(cc2Cl)ccc2O)=O)=CC1 Chemical compound CC1C(C(F)(F)F)=CC(NC(c(cc2Cl)ccc2O)=O)=CC1 USANAMQHENJSQS-UHFFFAOYSA-N 0.000 description 1
- NDMFWIVCHVKFBI-UHFFFAOYSA-N CCCc(cc(cc1)Nc2cccc(C(F)(F)F)c2)c1C(NNc(nc1N2CCOCC2)ncc1F)=O Chemical compound CCCc(cc(cc1)Nc2cccc(C(F)(F)F)c2)c1C(NNc(nc1N2CCOCC2)ncc1F)=O NDMFWIVCHVKFBI-UHFFFAOYSA-N 0.000 description 1
- QZVOJJWDGDOUTP-UHFFFAOYSA-N CCCc(nc(cc1)C(NNc(nc2N3CCOCC3)ncc2F)=O)c1Nc1cccc(C(F)(F)F)c1 Chemical compound CCCc(nc(cc1)C(NNc(nc2N3CCOCC3)ncc2F)=O)c1Nc1cccc(C(F)(F)F)c1 QZVOJJWDGDOUTP-UHFFFAOYSA-N 0.000 description 1
- PUPOJUHOIXHJEM-UHFFFAOYSA-N CCN1CN(CC2C3)CC2N3C1 Chemical compound CCN1CN(CC2C3)CC2N3C1 PUPOJUHOIXHJEM-UHFFFAOYSA-N 0.000 description 1
- GBKBAFQHTDEGLX-UHFFFAOYSA-N CCOC(CC(NC(C1)=CC=CC1C(F)(F)F)=O)OCC Chemical compound CCOC(CC(NC(C1)=CC=CC1C(F)(F)F)=O)OCC GBKBAFQHTDEGLX-UHFFFAOYSA-N 0.000 description 1
- ZHKTVYKEVIDBBT-UHFFFAOYSA-N CCOC(CC(Nc1cccc(C(F)(F)F)c1)=O)OCC Chemical compound CCOC(CC(Nc1cccc(C(F)(F)F)c1)=O)OCC ZHKTVYKEVIDBBT-UHFFFAOYSA-N 0.000 description 1
- RKJRTKFVNHOCLY-UHFFFAOYSA-N CCOC(c(c(C)c1)ccc1Br)OCC Chemical compound CCOC(c(c(C)c1)ccc1Br)OCC RKJRTKFVNHOCLY-UHFFFAOYSA-N 0.000 description 1
- MMPSYMWSVWZNMP-UHFFFAOYSA-N CCc(nc(cc1)C(NNc(nc2N3CCOCC3)ncc2F)=O)c1Nc1cccc(C(F)(F)F)c1 Chemical compound CCc(nc(cc1)C(NNc(nc2N3CCOCC3)ncc2F)=O)c1Nc1cccc(C(F)(F)F)c1 MMPSYMWSVWZNMP-UHFFFAOYSA-N 0.000 description 1
- WEBNTKILZTVPBE-UHFFFAOYSA-N CN(C)c1cc(OC)cc([N+]([O-])=O)c1 Chemical compound CN(C)c1cc(OC)cc([N+]([O-])=O)c1 WEBNTKILZTVPBE-UHFFFAOYSA-N 0.000 description 1
- BGWUXZLHDLNYHW-UHFFFAOYSA-N COc1cc(N)cc([N+]([O-])=O)c1 Chemical compound COc1cc(N)cc([N+]([O-])=O)c1 BGWUXZLHDLNYHW-UHFFFAOYSA-N 0.000 description 1
- ZPTVNYMJQHSSEA-UHFFFAOYSA-N Cc(cc1)ccc1[N+]([O-])=O Chemical compound Cc(cc1)ccc1[N+]([O-])=O ZPTVNYMJQHSSEA-UHFFFAOYSA-N 0.000 description 1
- RZOKQIPOABEQAM-UHFFFAOYSA-N Cc(nc1)ccc1C(O)=O Chemical compound Cc(nc1)ccc1C(O)=O RZOKQIPOABEQAM-UHFFFAOYSA-N 0.000 description 1
- BCFOKAHAXOWGGE-UHFFFAOYSA-N Cc1c(-c(cc2)ccc2N)c(Cl)ccc1 Chemical compound Cc1c(-c(cc2)ccc2N)c(Cl)ccc1 BCFOKAHAXOWGGE-UHFFFAOYSA-N 0.000 description 1
- NVGCIFAPMGSIJI-UHFFFAOYSA-N Cc1cc(N2CCN(CCO)CC2)nc(NNC(c(cc2)ncc2Nc2cccc(C(F)(F)F)c2)=O)n1 Chemical compound Cc1cc(N2CCN(CCO)CC2)nc(NNC(c(cc2)ncc2Nc2cccc(C(F)(F)F)c2)=O)n1 NVGCIFAPMGSIJI-UHFFFAOYSA-N 0.000 description 1
- TXZPFITWGOCOGS-UHFFFAOYSA-O Cc1cc(Nc(cc2)cnc2C(N[NH2+]c(nc2N3CCOCC3)ncc2F)=O)ccc1-c1cncnc1 Chemical compound Cc1cc(Nc(cc2)cnc2C(N[NH2+]c(nc2N3CCOCC3)ncc2F)=O)ccc1-c1cncnc1 TXZPFITWGOCOGS-UHFFFAOYSA-O 0.000 description 1
- KACOSBAVCNMFIM-WCMJOSRZSA-N Fc1cnc(N[IH]/N=C/c(cc2)ncc2Nc(cc2)ccc2-c2cnccc2)nc1N1CCOCC1 Chemical compound Fc1cnc(N[IH]/N=C/c(cc2)ncc2Nc(cc2)ccc2-c2cnccc2)nc1N1CCOCC1 KACOSBAVCNMFIM-WCMJOSRZSA-N 0.000 description 1
- YPXBWJQYUWELMV-UHFFFAOYSA-N N#Cc(cc1)ncc1Nc1cccc(C(F)(F)F)c1 Chemical compound N#Cc(cc1)ncc1Nc1cccc(C(F)(F)F)c1 YPXBWJQYUWELMV-UHFFFAOYSA-N 0.000 description 1
- GUQPHPDSFPNIPH-UHFFFAOYSA-N NNc(nc1)nc(N2CCOCC2)c1F Chemical compound NNc(nc1)nc(N2CCOCC2)c1F GUQPHPDSFPNIPH-UHFFFAOYSA-N 0.000 description 1
- UDYSLKGLBZLELZ-UHFFFAOYSA-N Nc(cc1)cc(Cl)c1-c1ccccn1 Chemical compound Nc(cc1)cc(Cl)c1-c1ccccn1 UDYSLKGLBZLELZ-UHFFFAOYSA-N 0.000 description 1
- VIUDTWATMPPKEL-UHFFFAOYSA-N Nc1cccc(C(F)(F)F)c1 Chemical compound Nc1cccc(C(F)(F)F)c1 VIUDTWATMPPKEL-UHFFFAOYSA-N 0.000 description 1
- ZQVLPMNLLKGGIU-UHFFFAOYSA-N O=Cc(nc1)ccc1Br Chemical compound O=Cc(nc1)ccc1Br ZQVLPMNLLKGGIU-UHFFFAOYSA-N 0.000 description 1
- MPYHNXBEBRWAGR-UHFFFAOYSA-N OC(CCc(nc1)nc(N2CCOCC2)c1F)c(cc1)ncc1Nc1cccc(C(F)(F)F)c1 Chemical compound OC(CCc(nc1)nc(N2CCOCC2)c1F)c(cc1)ncc1Nc1cccc(C(F)(F)F)c1 MPYHNXBEBRWAGR-UHFFFAOYSA-N 0.000 description 1
- HUKKPLXRKMSULM-UHFFFAOYSA-N OCCN(CC1)CCN1c1nc(NNC(c(cc2)ncc2Nc2cc(C(F)(F)F)ccc2)=O)ncc1F Chemical compound OCCN(CC1)CCN1c1nc(NNC(c(cc2)ncc2Nc2cc(C(F)(F)F)ccc2)=O)ncc1F HUKKPLXRKMSULM-UHFFFAOYSA-N 0.000 description 1
- CVGGHYMZRMQWLX-QHHAFSJGSA-N Oc(c(C=O)cc(C(/C=C/Cc1cc(C(F)(F)F)ccc1)=O)c1)c1Cl Chemical compound Oc(c(C=O)cc(C(/C=C/Cc1cc(C(F)(F)F)ccc1)=O)c1)c1Cl CVGGHYMZRMQWLX-QHHAFSJGSA-N 0.000 description 1
- JTKHKMCPZZBYOE-UHFFFAOYSA-N Oc(c(C=O)cc(C(NC1C=C(C(F)(F)F)C=CC1)=O)c1)c1Cl Chemical compound Oc(c(C=O)cc(C(NC1C=C(C(F)(F)F)C=CC1)=O)c1)c1Cl JTKHKMCPZZBYOE-UHFFFAOYSA-N 0.000 description 1
- XMAQZBSIOGLXJM-OKCVXOCRSA-N Oc1cc(-c2cccc(Nc3cnc(/C=N/Nc(nc4N5CCOCC5)ncc4F)cc3)c2)ccc1 Chemical compound Oc1cc(-c2cccc(Nc3cnc(/C=N/Nc(nc4N5CCOCC5)ncc4F)cc3)c2)ccc1 XMAQZBSIOGLXJM-OKCVXOCRSA-N 0.000 description 1
- DKWZMBYPPLMXQO-UHFFFAOYSA-N [O-][N+](c(cc1)ccc1-c1cccnc1)=O Chemical compound [O-][N+](c(cc1)ccc1-c1cccnc1)=O DKWZMBYPPLMXQO-UHFFFAOYSA-N 0.000 description 1
Classifications
-
- C—CHEMISTRY; METALLURGY
- C07—ORGANIC CHEMISTRY
- C07D—HETEROCYCLIC COMPOUNDS
- C07D239/00—Heterocyclic compounds containing 1,3-diazine or hydrogenated 1,3-diazine rings
- C07D239/02—Heterocyclic compounds containing 1,3-diazine or hydrogenated 1,3-diazine rings not condensed with other rings
- C07D239/24—Heterocyclic compounds containing 1,3-diazine or hydrogenated 1,3-diazine rings not condensed with other rings having three or more double bonds between ring members or between ring members and non-ring members
- C07D239/28—Heterocyclic compounds containing 1,3-diazine or hydrogenated 1,3-diazine rings not condensed with other rings having three or more double bonds between ring members or between ring members and non-ring members with hetero atoms or with carbon atoms having three bonds to hetero atoms with at the most one bond to halogen, directly attached to ring carbon atoms
- C07D239/46—Two or more oxygen, sulphur or nitrogen atoms
- C07D239/48—Two nitrogen atoms
-
- C—CHEMISTRY; METALLURGY
- C07—ORGANIC CHEMISTRY
- C07D—HETEROCYCLIC COMPOUNDS
- C07D401/00—Heterocyclic compounds containing two or more hetero rings, having nitrogen atoms as the only ring hetero atoms, at least one ring being a six-membered ring with only one nitrogen atom
- C07D401/02—Heterocyclic compounds containing two or more hetero rings, having nitrogen atoms as the only ring hetero atoms, at least one ring being a six-membered ring with only one nitrogen atom containing two hetero rings
- C07D401/12—Heterocyclic compounds containing two or more hetero rings, having nitrogen atoms as the only ring hetero atoms, at least one ring being a six-membered ring with only one nitrogen atom containing two hetero rings linked by a chain containing hetero atoms as chain links
-
- C—CHEMISTRY; METALLURGY
- C07—ORGANIC CHEMISTRY
- C07D—HETEROCYCLIC COMPOUNDS
- C07D401/00—Heterocyclic compounds containing two or more hetero rings, having nitrogen atoms as the only ring hetero atoms, at least one ring being a six-membered ring with only one nitrogen atom
- C07D401/14—Heterocyclic compounds containing two or more hetero rings, having nitrogen atoms as the only ring hetero atoms, at least one ring being a six-membered ring with only one nitrogen atom containing three or more hetero rings
-
- C—CHEMISTRY; METALLURGY
- C07—ORGANIC CHEMISTRY
- C07D—HETEROCYCLIC COMPOUNDS
- C07D403/00—Heterocyclic compounds containing two or more hetero rings, having nitrogen atoms as the only ring hetero atoms, not provided for by group C07D401/00
- C07D403/02—Heterocyclic compounds containing two or more hetero rings, having nitrogen atoms as the only ring hetero atoms, not provided for by group C07D401/00 containing two hetero rings
- C07D403/12—Heterocyclic compounds containing two or more hetero rings, having nitrogen atoms as the only ring hetero atoms, not provided for by group C07D401/00 containing two hetero rings linked by a chain containing hetero atoms as chain links
-
- C—CHEMISTRY; METALLURGY
- C07—ORGANIC CHEMISTRY
- C07D—HETEROCYCLIC COMPOUNDS
- C07D403/00—Heterocyclic compounds containing two or more hetero rings, having nitrogen atoms as the only ring hetero atoms, not provided for by group C07D401/00
- C07D403/14—Heterocyclic compounds containing two or more hetero rings, having nitrogen atoms as the only ring hetero atoms, not provided for by group C07D401/00 containing three or more hetero rings
Definitions
- P-gp P-glycoprotein
- P-gp protein known as P-glycoprotein
- the protein is capable of pumping toxic chemical agents, including many classical anti-cancer drugs, out of the cell. Consequently, upregulation of P-glycoprotein usually results in resistance to multiple drugs. Upregulation of P-glycoprotein in tumor cells may represent a defense mechanism which has evolved in mammalian cells to prevent damage from toxic chemical agents.
- Other related drug resistance proteins have now been identified with similar functions to P-gp, including multidrug-resistance-associated protein family members such as MRPl and ABCG2. In any event, with the advent of the development of compounds that are specific for a given target protein, and less toxic, the importance of P-glycoprotein and related ATP -binding cassette (ABC) transporter proteins in clinically significant drug resistance has lessened.
- ABSC ATP -binding cassette
- Another possible molecular mechanism of acquired drug resistance is that alternative signal pathways are responsible for continued survival and metabolism of cells, even though the original drug is still effective against its target. Furthermore, alterations in intracellular metabolism of the drug can lead to loss of therapeutic efficacy as well. In addition, changes in gene expression as well as gene amplification events can occur, resulting in increased or decreased expression of a given target protein and frequently requiring increasing dosages of the drug to maintain the same effects. (Adcock and Lane, 2003)
- Mutation induced drug resistance is a frequently occurring event in the infectious disease area.
- several drugs have been developed that inhibit either the viral reverse transcriptase or the viral protease encoded in the human immunodeficiency (HIV) viral genome.
- HIV human immunodeficiency
- New evidence shows that drug resistance can also arise from a mutational event involving the gene encoding the drug target (Gorre et al., Science, 2001; PCT/US02/18729).
- a specific therapeutic substance such as a given cancer drug that targets a specific protein-of-interest (POI, or "target” protein) may be followed by the outgrowth of a group of cells harboring a mutation occurring in the gene encoding the protein that is the target of the therapeutic substance.
- POI protein-of-interest
- Chronic myelogenous leukemia is characterized by excess proliferation of myeloid progenitors that retain the capacity for differentiation during the stable or chronic phase of the disease.
- Multiple lines of evidence have established deregulation of the AbI tyrosine kinase as the causative oncogene in certain forms of CML.
- the deregulation is commonly associated with a chromosomal translocation known as the Philadelphia chromosome (Ph), which results in expression of a fusion protein comprised of the BCR gene product fused to the Abelson tyrosine kinase, thus forming p210 Bcr" ⁇ bl which has tyrosine kinase activity.
- pl90 Bcr A related fusion protein, termed pl90 Bcr"Abl , that arises from a different breakpoint in the BCR gene, has been shown to occur in patients with Philadelphia chromosome positive (Ph+) Acute Lymphoblastic Leukemia (ALL) (MeIo, 1994; Ravandi et al., 1999). Transformation appears to result from activation of multiple signal pathways including those involving RAS, MYC, and JUN.
- Imatinib mesylate (“STI-571" or "Gleevec®” is a 2-phenylamino pyrimidine that targets the ATP binding site of the kinase domain of AbI (Druker et al, NEJM 2001, p. 1038).
- PDGF platelet-derived growth factor
- Kit tyrosine kinase the latter of which is involved in the development of gastrointestinal stromal tumors (see below).
- the mutations that emerged conferred upon the mutant protein a relative resistance to the effects of the protein kinase inhibitor drug, while maintaining a certain degree of the original substrate specificity of the mutant protein kinase.
- a compound which inhibited the Abelson protein kinase such as STI-571, would have resulted from one or more of the other mechanisms of drug resistance listed above, or by some other as yet unknown mechanism, but that in any event said resistance would involve a target (protein or otherwise) which was distinct from the drug's target POI.
- mutated proteins are beginning to be recognized and understood to be important targets in recurring cancers, and will become important in other diseases as well.
- therapeutic agents that are active against such drug resistant variant forms of cellular proteins that may arise before, during or following normally effective drug therapies.
- a key purpose of this invention is to provide compounds that may serve as potential therapeutic agents useful in overcoming mutation-induced drug resistance in endogenously occurring proteins.
- This invention relates to agents that are inhibitors or activators of variant forms of proteins.
- the invention also relates to agents that are inhibitors or activators of certain variant forms of endogenous proteins.
- inhibitors and activators of endogenous protein variants encoded by genes which have mutated, which variants often arise or are at least first identified as having arisen following exposure to a chemical agent which is known to be an inhibitor or activator of the corresponding unmutated endogenous protein.
- mutant proteins Such protein variants (mutant proteins) are herein termed “theramuteins,” and may occur either spontaneously in an organism (and be pre-existing mutations in some cases), or said mutants may arise as a result of selective pressure which results when the organism is treated with a given chemical agent capable of inhibiting the non-mutated form of said theramutein (herein termed a "prototheramutein”). It will be understood that in some cases a prototheramutein may be a "wild type" form of a POI (e.g., a protein that gives rise to a disease due to disregulation).
- POI wild type form of a POI
- the prototheramutein will be a disease causing variant of a "wild type” protein, having already mutated and thereby contributing to the development of the diseased state as a result of said prior mutation.
- One example of the latter type of prototheramutein is the P210 BCR'ABL oncoprotein, and a mutant form of this protein harboring a threonine (T) to isoleucine (I) mutation at position 315 is termed p2io BCR'ABL ⁇ T3151 and is one example of a theramutein.
- T threonine
- I isoleucine
- Theramuteins are a rare class of endogenous proteins that harbor mutations that render said proteins resistant to drugs that are known to inhibit or activate in a therapeutically effective manner their non-mutated counterparts.
- the endogenous genes encoding a few such proteins are presently known to exhibit such mutations under certain circumstances.
- this invention is directed toward compositions that inhibit certain drug-resistant mutants (theramuteins) of the Abelson tyrosine kinase protein, originally termed P210-Bcr-Abl in the literature, that is involved in the development of chronic myelogenous leukemia.
- the present invention is particularly directed toward the identification of specific inhibitors or specific activators of proteins.
- Use of the term “specific” in the context of the terms “inhibitor” or “activator” means that said inhibitor or activator binds to the protein and inhibits or activates the cellular functioning of the protein without also binding to and activating or inhibiting a wide variety of other proteins or nonprotein targets in the cell.
- the skilled investigator is well aware that there is a certain degree of variability in the medical literature with respect to the concept of a specific inhibitor or a specific activator, and of the related concept of target protein "specificity" when discussing the actions of inhibitors or activators of a protein.
- a substance is a specific inhibitor or a specific activator of a given protein if said substance is capable of inhibiting or activating said protein at a given concentration such that a corresponding phenoresponse is modulated in the appropriate manner, without having an appreciable effect at the same given concentration upon the phenoresponse (if any) of a corresponding control cell that essentially does not express either the protein.
- a substance may be a modulator of two closely relted proteins such as a prototheramutein and one of its corresponding theramuteins.
- a substance in addition to being a modulator of the prototheramutein and theramutein, a substance may also modulate the activities of proteins that have similar functions.
- imatinib mesylate is also capable of inhibiting the c-kit oncogene product (also a tyrosine kinase) which is overexpressed in certain gastrointestinal stromal tumors, as well as the PDGF ⁇ receptor (also a tyrosine kinase), which is expressed in certain chronic myelomonocytic leukemias (CMML).
- CMML chronic myelomonocytic leukemias
- the invention also provides a general method that can be used to identify substances that will activate or inhibit a theramutein, to the same extent, and preferably to an even greater extent than a known drug substance is capable of inhibiting the corresponding "wild type" form of that protein. (The skilled artisan is well aware, however, that said "wild type” forms of such proteins may have already mutated in the course of giving rise to the corresponding disease in which said protein participates.) [0015] In a preferred embodiment, the present invention provides inhibitors of the p 210 BCR - ABL - ⁇ 3 i 5 i theramutein having the formula I
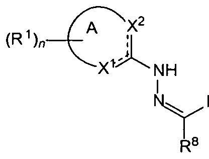
- ring A is a 5-, 6-, or 7- membered ring or a 7- to 12-membered fused bicyclic ring
- X 1 is selected from N, N-R 0 or C-R 1
- X 2 is selected from N, N-R 0 or C-R 1
- the dotted lines represent optional double bonds
- each R 1 is independently selected from the group consisting of H, alkyl, cycloalkyl, alkenyl, alkynyl, aralkyl, CN, CF 3 , NO 2 , OR 11 , -(CH ⁇ QOXCH ⁇ R 1 ' , -(CH 2 ) ⁇ C(O)N(R 12 )(R 13 ), -(CH 2 ) P C(O)O(CH 2 ) 9 R 11 ,-(CH 2 ) P N(R 11 )(CH 2 ),C(O)R 1 1 , -(CH 2 ) P N(R 12 )(R 13 ),
- each R 22 is independently selected from H and Ci -3 alkyl;
- R 23 is selected from O, S, N-R 0 , and N-OR 0 ;
- each R 31 group is selected from H, halo, -NH 2 , -N(H)(R 0 ), -N(R°) 2 , -O-R 0 , OH and Ci -3 alkyl;
- each R 32 group is selected from H, alkyl, cycloalkyl, alkenyl, alkynyl, aralkyl, CO 2 R 0 ,
- R 33 is selected from O, S, N-R 34 , and N-OR 0 ;
- R 34 is selected from H, NO 2 , CN, alkyl, cycloalkyl, alkenyl, alkynyl, aralkyl, aryl and a heterocyclic ring;
- Y is selected from a chemical bond, O, NR 0 ,
- R 6 is selected from alkyl, cycloalkyl, alkenyl, alkynyl, aralkyl, aryl, and a heterocyclic ring;
- Z is a hydrocarbon chain having from 1 to 4 carbon atoms, and optionally substituted with one or more of halo, alkyl, cycloalkyl, alkenyl, alkynyl, aralkyl, CO 2 R 0 , C(O)R 0 , C(0)N(R°) 2 , CN, CF 3 , N(R°) 2 , NO 2 , and OR 0 ;
- R 7 is H or is selected from aryl and a heterocyclic ring; each R 0 is independently selected from H, alkyl, cycloalkyl, aralkyl, aryl and a heterocyclic ring; a is 1 or 2; b is O or 1 ; c is 1 or 2; d ⁇ s O or 1; e is 1 or 2; and is O or 1.
- the invention provides for a fundamentally new way of treating cancer and other diseases where treatment with an existing drug compound, by whatever mechanism, is followed by identifiable (clinically significant) theramutein-mediated drug resistance, by providing alternative drugs that can be administered as theramuteins arise and are identified as such (Wakai et al., 2004, reports an example wherein a theramutein may arise during the course of an on-going treatment regimen), or preemptively before the outgrowth of clinically significant populations of theramutein expressing cells.
- the invention enables the tailoring of treatments for those subjects by providing alternative drug substances that will be effective against said theramutein.
- the invention provides a method of determining whether a chemical agent is at least as effective a modulator of a theramutein in a cell as a known substance is a modulator of a corresponding prototheramutein.
- One embodiment of the method involves contacting a control cell that expresses the prototheramutein and is capable of exhibiting a responsive phenotypic characteristic (linked to the functioning of the prototheramutein in the cell) with the known modulator of the prototheramutein, contacting a test cell that expresses the theramutein and is also capable of exhibiting the responsive phenotypic characteristic (linked to the functioning of the theramutein in the cell) with the chemical agent, and comparing the response of the treated test cell with the response of the treated control cell; to determine that the chemical agent is at least as effective a modulator of the theramutein as the known substance is a modulator of the prototheramutein.
- one type of control cell may not express the prototheramutein at all.
- the control cell may express about the same amount of the prototheramutein as the test cell expresses of the theramutein.
- the control cell may be capable of exhibiting the responsive phenotypic characteristic to about the same extent as the test cell under certain conditions.
- the test cell may express a given protein, whereas the control cell expresses little or essentially none of the protein.
- Proteins of the invention that are of particular interest are those involved in regulatory function, such as enzymes, protein kinases, tyrosine kinases, receptor tyrosine kinases, serine threonine protein kinases, dual specificity protein kinases, proteases, matrix metalloproteinases, phosphatases, cell cycle control proteins, docking proteins such as the IRS family members, cell-surface receptors, G-proteins, ion channels, DNA- and RNA- binding proteins, polymerases, and the like.
- regulatory function such as enzymes, protein kinases, tyrosine kinases, receptor tyrosine kinases, serine threonine protein kinases, dual specificity protein kinases, proteases, matrix metalloproteinases, phosphatases, cell cycle control proteins, docking proteins such as the IRS family members, cell-surface receptors, G-proteins, ion channels, DNA- and RNA- binding proteins, polymer
- Any responsive phenotypic characteristic that can be linked to the presence of the protein (including, e.g., a theramutein or proto theramutein) in the cell can be employed for use in the method, including, for example, growth or culture properties, the phosphorylation state (or other modification) of a substrate of the theramutein, and any type of transient characteristic of the cell, as will be defined and discussed in detail.
- Figure 1 shows the effect on growth and viability of different concentrations of Compound 2 (C2) for non-transformed vector control Ba/F3 cells (which are IL-3 dependent) as well as Ba/F3 cells expressing the "wild type" p210 Bcr Abl (designated p210 Bcr" Abl"wt ), and Ba/F3 cells expressing the p 2io Bcr"Abl"T3151 drug resistant mutant.
- C2 Compound 2
- STI-571 potently inhibits growth of the P210 cell line (grey bar) whereas it is unable to inhibit the growth of the T315I cell line (white bar) even at 10 ⁇ M concentration.
- 500 nM C2 shows the largest specificity gap within this dose-response series. Compare STI-571 at 10 ⁇ M to C2 at 500 nM on the T315I cell line (white bars).
- Figure 2 shows the effect on growth and viability of different concentrations of Compound 6 (C6) for non-transformed vector control Ba/F3 cells as well as Ba/F3 cells expressing the p2io Bcr"Abl'T3151 drug resistant mutant. All other details are as per Fig. 1.
- Figure 3 shows various determinations of the specificity gap by comparing the effects of various compounds identified in the screen in terms of their effects on the prototheramutein- and theramutein-expressing cell lines.
- Compound 3 (C3) shows the best example of the ability of the method to identify a compound that exerts an even greater effect on the theramutein than on its corresponding prototheramutein.
- Panel E Panel A: control DMSO treatments; B: negative heterologous specificity gap; C: slightly positive heterologous specificity gap; D: large positive homologous specificity gap; E: positive heterologous specificity gap. See text for explanations.
- FIG. 4 shows an autoradiograph of recombinant P210 Bcr-Abl wild type and T315I mutant kinase domains assayed for autophosphorylation activity.
- 200 ng of protein were preincubated with test substances for 10 minutes under standard autophosphoryation reaction conditions and then radiolabeled ATP was added and the reactions proceeded for 30 minutes at 3O 0 C, after which the samples were separated by SDS-PAGE.
- the gels were silver-stained, dried down under vacuum and exposed to X-ray film. Note that whereas 10 ⁇ M STI 571 is effective against wild type P210 Bcr-Abl, it is virtually ineffective against the T315I kinase domain, even at concentrations up to 100 ⁇ M.
- P210 cell line refers to cells expressing p210 BCR - ABL"wt .
- T315I cell line refers to cells expressing p210 BCR"ABL -
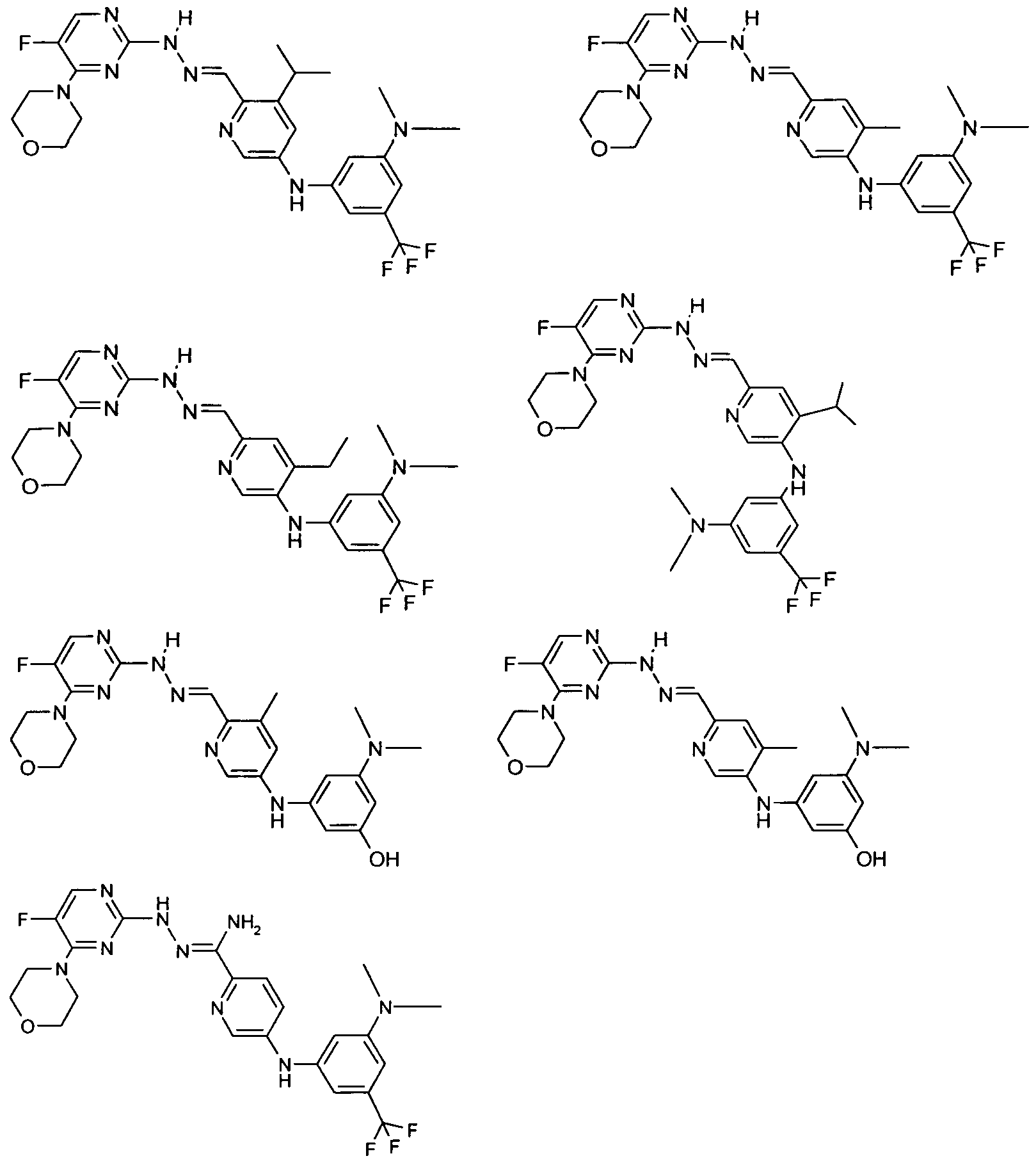
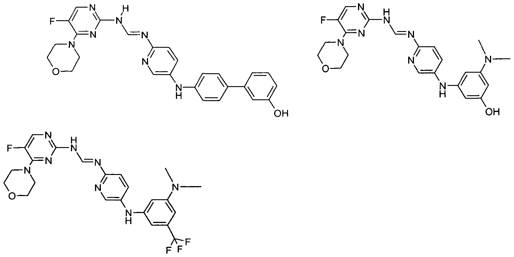
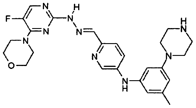
- Figure 5 shows the chemical structures of representative compounds of the present invention.
- Figure 6 shows the chemical structures of representative compounds of the present invention.
- Figure 7 shows the chemical structures of representative compounds of the present invention.
- Figure 8 shows the chemical structures of representative compounds of the present invention.
- Figure 9 shows the chemical structures of representative compounds of the present invention.
- Figure 10 shows the chemical structures of representative compounds of the present invention.
- Figure 11 shows the chemical structures of representative compounds of the present invention.
- Figure 12 shows the chemical structures of representative compounds of the present invention.
- Figure 13 shows the chemical structures of representative compounds of the present invention.
- Figure 14 shows the inhibitory effect on growth rate of a hypothetical compound having a cellular specificity gap of 1 with respect to a test cell and a control cell.
- Figure 15 shows the inhibitory effect on growth rate of a hypothetical compound having a cellular specificity gap of 40 with respect to a test cell and a control cell.
- Figure 16 shows the growth inhibitory effect of imatinib mesylate at concentrations significantly below the apparent IC 50 for cellular toxicity.
- Figure 17 shows the effect on growth of different concentrations of C2 and various C2 analogues for Ba/F3 cells expressing the p2io Bcr ⁇ Abl"T3151 drug resistant mutant.
- Figure 18 shows the results of a standard cell free protein kinase autophosphorylation assay for T315I mutant kinase domains in the presence of C2 and various C2 analogues at a concentration of 20 ⁇ M.
- halo or halogen as used herein includes fluorine, chlorine, bromine and iodine.
- alkyl as used herein contemplates substituted and unsubstituted, straight and branched chain alkyl radicals having from 1 to 6 carbon atoms.
- Preferred alkyl groups include methyl, ethyl, propyl, isopropyl, butyl, isobutyl, tert-butyl, and the like. Additionally, the alkyl group may be optionally substituted with one or more substituents selected from halo, CN, CO 2 R, C(O)R, C(O)NR 2 , NR 2 , cyclic-amino, NO 2 , and OR.
- cycloalkyl as used herein contemplates substituted and unsubstituted cyclic alkyl radicals.
- Preferred cycloalkyl groups are those with a single ring containing 3 to 7 carbon atoms and include cyclopropyl, cyclopentyl, cyclohexyl, and the like.
- Other cycloalkyl groups may be selected from C 7 to Ci 0 bicyclic systems or from C 9 to Ci 4 tricyclic systems.
- cycloalkyl group may be optionally substituted with one or more substituents selected from halo, CN, CO 2 R, C(O)R, C(O)NR 2 , NR 2 , cyclic- amino, NO 2 , and OR.
- alkenyl as used herein contemplates substituted and unsubstituted, straight and branched chain alkene radicals. Preferred alkenyl groups are those containing two to six carbon atoms. Additionally, the alkenyl group may be optionally substituted with one or more substituents selected from halo, CN, CO 2 R, C(O)R, C(O)NR 2 , NR 2 , cyclic- amino, NO 2 , and OR.
- alkynyl as used herein contemplates substituted and unsubstituted, straight and branched chain alkyne radicals. Preferred alkynyl groups are those containing two to six carbon atoms. Additionally, the alkynyl group may be optionally substituted with one or more substituents selected from halo, CN, CO 2 R, C(O)R, C(O)NR 2 , NR 2 , cyclic- amino, NO 2 , and OR.
- aralkyl as used herein contemplates an alkyl group which has as a substituent an aromatic group, which aromatic group may be substituted and unsubstituted.
- the aralkyl group may be optionally substituted on the aryl with one or more substituents selected from halo, CN, CF 3 , NR 2 , cyclic-amino, NO 2 , OR, CF 3 , -(CH 2 ) ⁇ R, -N(R)SO 2 R, -0(CH 2 ) ⁇ C(O)N(R 1 XR"), -SO 2 N(R')(R"), -(CH 2 ),N(R)-(CH 2 ) r R, -(CH 2 ),N(R)-C(O)-(CH 2 ) r R, -(CH 2 ) ⁇ N(R)-C(O)-O-(CH 2 VR, -(CH 2 ),-C(O)-N(CH 2 ),
- heterocyclic group or "heterocyclic ring” as used herein contemplates aromatic and non-aromatic cyclic radicals having at least one heteroatom as a ring member.
- Preferred heterocyclic groups are those containing 5 or 6 ring atoms which includes at least one hetero atom, and includes cyclic amines such as morpholino, piperidino, pyrrolidino, and the like, and cyclic ethers, such as tetrahydrofuran, tetrahydropyran, and the like.
- Aromatic heterocyclic groups also termed "heteroaryl” groups contemplates single-ring hetero-aromatic groups that may include from one to three heteroatoms, for example, pyrrole, furan, thiophene, imidazole, oxazole, thiazole, triazole, pyrazole, pyridine, pyrazine, pyridazine, pyrimidine, and the like.
- heteroaryl also includes polycyclic hetero- aromatic systems having two or more rings in which two atoms are common to two adjoining rings (the rings are "fused") wherein at least one of the rings is a heteroaryl, e.g., the other rings can be cycloalkyls, cycloalkenyls, aryl, heterocycles and/or heteroaryls.
- polycyclic heteroaromatic systems include quinoline, isoquinoline, tetrahydroisoquinoline, quinoxaline, quinaxoline, benzimidazole, benzofuran, purine, imidazopyridine, benzotriazole, and the like.
- heterocyclic groups may be optionally substituted with halo, CN, CF 3 , NR 2 , cyclic-amino, NO 2 , OR, CF 3 , -(CH 2 ) ⁇ C(O)(CH 2 VR, -(CH 2 ) ⁇ C(O)N(R 1 XR"), -(CH 2 ),C(O)O(CH 2 ) ⁇ R, -(CH 2 ),N(R')(R"), -N(R)SO 2 R, -0(CH 2 ) ⁇ C(O)N(R 1 XR"), -SO 2 N(R 1 XR"), -(CH 2 ) ⁇ N(R)-(CH 2 VR, -(CH 2 ) ⁇ N(R)-C(O)-(CH 2 VR, -(CH 2 ) x N(R)-C(O)-O-(CH 2 ) r R, -(CH 2 VC(O)-N(R)
- cyclic-amino contemplates aromatic and non- aromatic cyclic radicals having at least one nitrogen as a ring member.
- Preferred cyclic amino groups are those containing 5 or 6 ring atoms, which includes at least one nitrogen, and includes morpholino, piperidino, pyrrolidino, piperazino, imidazole, oxazole, thiazole, triazole, pyrazole, pyridine, pyrazine, pyridazine, pyrimidine and the like.
- the cyclic-amino may be optionally substituted with halo, CN, CF 3 , NR 2 , NO 2 , OR, CF 3 , substituted and unsubstituted alkyl, substituted and unsubstituted cycloalkyl, substituted and unsubstituted aralkyl, substituted and unsubstituted alkenyl, substituted and unsubstituted alkynyl, substituted and unsubstituted aryl, and a substituted and unsubstituted heterocyclic ring, wherein the substituted alkyl, substituted cycloalkyl, substituted aralkyl, substituted alkenyl, substituted alkynyl, substituted aryl, and substituted heterocyclic ring may be substituted with one or more of halo, CN, CF 3 , CO 2 R, C(O)R, C(O)NR 2 , NR 2 , NO 2 , and OR.
- aryl or "aromatic group” as used herein contemplates single-ring aromatic groups (for example, phenyl, pyridyl, pyrazole, etc.) and polycyclic ring systems (naphthyl, quinoline, etc.).
- the polycyclic rings may have two or more rings in which two atoms are common to two adjoining rings (the rings are "fused") wherein at least one of the rings is aromatic, e.g., the other rings can be cycloalkyls, cycloalkenyls, aryl, heterocycles and/or heteroaryls.
- the aryl groups may be optionally substituted with one or more substituents selected from halo, CN, CF 3 , NR 2 , cyclic-amino, NO 2 , OR, CF 3 , -(CH 2 ) J C(O)(CH 2 ) ⁇ R, -(CH 2 ) ⁇ C(O)N(R 1 XR"), -(CH 2 ),C(O)O(CH 2 ) ⁇ R, -(CH 2 XN(RO(R"), -N(R)SO 2 R, -0(CH 2 ⁇ C(O)N(R 1 XR"), -SO 2 N(RO(R"), -(CH 2 ⁇ N(R)-(CH 2 VR, -(CH 2 ) X N(R)-C(O)-(CH 2 VR, -(CH 2 ⁇ N(R)-C(O)-O-(CH 2 VR, -(CH 2 VC(O)-N(R)
- heteroatom particularly as a ring heteroatom, refers to N, O, and S.
- Each R is independently selected from H, substituted and unsubstituted alkyl, substituted and unsubstituted cycloalkyl, substituted and unsubstituted aralkyl, substituted and unsubstituted aryl and a substituted and unsubstituted heterocyclic ring, wherein the substituted alkyl, substituted cycloalkyl, substituted aralkyl, substituted aryl and substituted heterocyclic ring may be substituted with one or more halo, CN, CF 3 , OH, CO 2 H, NO 2 , Ci.
- R 1 and R" are independently selected from H, or substituted and unsubstituted alkyl, substituted and unsubstituted cycloalkyl, substituted and unsubstituted aralkyl, substituted and unsubstituted aryl and a substituted and unsubstituted heterocyclic ring, wherein the substituted alkyl, substituted cycloalkyl, substituted aralkyl, substituted aryl and substituted heterocyclic ring may be substituted with one or more halo, CN, CF 3 , OH, CO 2 H, NO 2 , Ci -6 alkyl, -O-(Ci -6 alkyl), -NH 2 , -NH(Ci -6 alkyl) and -N(C ]
- the present invention provides inhibitors of the P 210 BCR - ABL - T315I theramutein having the formula I
- ring A is a 5-, 6-, or 7- membered ring or a 7- to 12-membered fused bicyclic ring;
- X 1 is selected from N, N-R 0 or C-R 1 ;
- X 2 is selected from N, N-R 0 or C-R 1 ;
- the dotted lines represent optional double bonds;
- each R 1 is independently selected from the group consisting of H, alkyl, cycloalkyl, alkenyl, alkynyl, aralkyl, CN, CF 3 , NO 2 , OR 1 1 , -(CH ⁇ QOXCH ⁇ R 1 ' , -(CH 2 ) ⁇ C(O)N(R 12 )(R 13 ), -(CH 2 ) p C(O)O(CH 2 ) 17 R 1 1 r (CH 2 ) p N(R 11 )(CH 2 ) 9 C(O)R 1 1 , -(CH 2 ) / ,N(R 12 )(R 13 ), -N(R 1 ⁇ SO 2 R 11 , -OC(O)N(R 12 )
- each R 22 is independently selected from H and Ci -3 alkyl
- R 23 is selected from O, S, N-R 0 , and N-OR 0
- each R 31 group is selected from H, halo, -NH 2 , -N(H)(R 0 ), -N(R°) 2 , -O-R 0 , OH and
- each R 32 group is selected from H, alkyl, cycloalkyl, alkenyl, alkynyl, aralkyl, CO 2 R 0 ,
- R 33 is selected from O, S, N-R 34 , and N-OR 0 ;
- R 34 is selected from H, NO 2 , CN, alkyl, cycloalkyl, alkenyl, alkynyl, aralkyl, aryl and a heterocyclic ring;
- Y is selected from a chemical bond, O, NR 0 ,
- R 6 is selected from alkyl, cycloalkyl, alkenyl, alkynyl, aralkyl, aryl, and a heterocyclic ring;
- Z is a hydrocarbon chain having from 1 to 4 carbon atoms, and optionally substituted with one or more of halo, alkyl, cycloalkyl, alkenyl, alkynyl, aralkyl, CO 2 R 0 , C(O)R 0 , C(0)N(R°) 2 , CN, CF 3 , N(R°) 2 , NO 2 , and OR 0 ;
- R 7 is H or is selected from aryl and a heterocyclic ring; each R 0 is independently selected from H, alkyl, cycloalkyl, aralkyl, aryl and a heterocyclic ring; a is 1 or 2; ⁇ is O or 1; c is 1 or 2; d is O or 1 ; e is 1 or 2; and is O or 1.
- R 2 nor the R 3 positions of the compounds of this invention are members of any aromatic or non-aromatic ring structure.
- compounds having the R 2 and/or the R 3 positions as members of any aromatic or non- aromatic ring structure do not effectively inhibit the T315I theramutein, whereas the compounds of the invention that lack such a ring component at these positions, in addition to having other preferred chemical groups, are potent inhibitors of the T315I theramutein.
- ring A is an aromatic ring.
- X 1 or X 2 is N. In another preferred embodiment, both X 1 and X 2 are N.
- Ring A is a pyridine ring or a pyrimidine ring. In still further preferred embodiments, Ring A is selected from the structures provided below:
- R 5 is a group having the formula
- X 3 is N or CH
- R 61 is selected from aryl and a heterocyclic ring
- Q is selected from a chemical bond or a group having the formula -O-, -(CH 2 ),-,
- R 2 is selected from H, alkyl, aryl, and a heterocyclic ring; each R 0 is independently selected from H, alkyl, cycloalkyl, aralkyl, aryl and a heterocyclic ring; h is 0 to 4; i is 0 to 4; and j is 0 to 4.
- R 5 is a group having the formula
- X 3 is N or CH;
- Q 1 is selected from a chemical bond or a group having the formula -O-, -CH 2 -, -NH-,
- each R 70 is selected from halo, alkyl, CN, N(R 71 ) 2 , cyclic-amino, NO 2 , OR 71 , and CF 3 , each R 71 is selected from H, alkyl, aryl, aralkyl and a heterocyclic ring; and
- A: is O to 4.
- R 5 is a group having the formula
- X 3 is N or CH
- Q 1 is selected from a chemical bond or a group having the formula -O-, -CH 2 -, -NH-,
- R 70 is selected from halo, alkyl, CN, N(R 71 ) 2 , cyclic-amino, NO 2 , OR 71 , and CF 3 ; and each R 71 is selected from H, alkyl, aryl, aralkyl and a heterocyclic ring.
- each R 71 is independently selected from H, methyl, and ethyl, and preferably each R 71 is methyl; and/or R 70 is selected from OH, OCH 3 , halo, and CF 3 .
- R 31 is not selected from halo, -NH 2 , -N(H)(R 0 ), -N(R°) 2 , -O-R 0 , or OH.
- the present invention provides inhibitors of the p2io BCR - ABL"T3151 theramutein having the formula I a
- ring A is a 5-, 6-, or 7- membered ring or a 7- to 12-membered fused bicyclic ring;
- X 1 is selected from N, N-R 0 or C-R 1 ;
- X 2 is selected from N, N-R 0 or C-R 1 ; the dotted lines represent optional double bonds; each R 1 is independently selected from the group consisting of H, alkyl, cycloalkyl, alkenyl, alkynyl, aralkyl, CN, CF 3 , NO 2 , OR 1 1 , -(CH 2 ) p C(O)(CH 2 ) g R ⁇ , -(CH 2 ) ⁇ C(O)N(R 12 )(R 13 ), -(CH 2 ) /) C(O)O(CH 2 ) 9 R I 1 , -(CH 2 ) / ,N(R 11 )(CH 2 ) (7 C(O)R 11 , -(CH 2 ) ; ,N(R 12 )(R 13 ), -N(R 1 ⁇ SO 2 R 1 1 , -OC(O)N(R 12 )(R 13 ), -SO 2 N(R
- R 33 is selected from O, S, N-R 34 , and N-OR 0 ;
- R 34 is selected from H, NO 2 , CN, alkyl, cycloalkyl, alkenyl, alkynyl, aralkyl, aryl and a heterocyclic ring;
- Y is selected from a chemical bond, O, N-R 0 ,
- R 6 is selected from alkyl, cycloalkyl, alkenyl, alkynyl, aralkyl, aryl, and a heterocyclic ring;
- Z is a hydrocarbon chain having from 1 to 4 carbon atoms, and optionally substituted with one or more of halo, alkyl, cycloalkyl, alkenyl, alkynyl, aralkyl, CO 2 R 0 , C(O)R 0 , C(0)N(R°) 2 , CN, CF 3 , N(R°) 2 , NO 2 , and OR 0 ;
- R 7 is H or is selected from aryl and a heterocyclic ring; each R 0 is independently selected from H, alkyl, cycloalkyl, aralkyl, aryl and a heterocyclic ring; a is 1 or 2; b is O or 1; c is 1 or 2; d is O or 1; e is 1 or 2; and is O or 1.
- the present invention provides inhibitors of the p2io BCR - ABL - T3151 theramutein having the formula I b
- ring A is a 5-, 6-, or 7- membered ring or a 7- to 12-membered fused bicyclic ring;
- X 1 is selected from N, N-R 0 or C-R 1 ;
- X 2 is selected from N, N-R 0 or C-R 1 ; the dotted lines represent optional double bonds; each R 1 is independently selected from the group consisting of H, alkyl, cycloalkyl, alkenyl, alkynyl, aralkyl, CN, CF 3 , NO 2 , OR 11 , -(CH 2 ) / ,C(O)(CH 2 ) 9 R 11 , -(CH 2 ) P C(O)N(R 12 )(R 13 ), -(CH 2 ) / ,C(O)O(CH 2 ) 9 R 11 , -(CH 2 ) P N(R 11 )(CH 2 ) (?
- Y is selected from a chemical bond, O, N-R 0 ,
- R 6 is selected from alkyl, cycloalkyl, alkenyl, alkynyl, aralkyl, aryl, and a heterocyclic ring;
- Z is a hydrocarbon chain having from 1 to 4 carbon atoms, and optionally substituted with one or more of halo, alkyl, cycloalkyl, alkenyl, alkynyl, aralkyl, CO 2 R 0 , C(O)R 0 , C(O)N(R°) 2 , CN, CF 3 , N(R°) 2 , NO 2 , and OR 0 ; R 7 is H or is selected from aryl and a heterocyclic ring; each R 0 is independently selected from H, alkyl, cycloalkyl, aralkyl, aryl and a heterocyclic ring; a is 1 or 2; ⁇ is O or 1; c is 1 or 2; d is 0 or 1 ; e is 1 or 2; and is O or 1.
- the present invention provides inhibitors of the P21O BCR - ABL"T3! 51 theramutein having the formula I 0
- ring A is a 5-, 6-, or 7- membered ring or a 7- to 12-membered fused bicyclic ring
- X 1 is selected from N, N-R 0 or C-R 1
- X 2 is selected from N, N-R 0 or C-R 1
- the dotted lines represent optional double bonds
- each R 1 is independently selected from the group consisting of H, alkyl, cycloalkyl, alkenyl, alkynyl, aralkyl, CN, CF 3 , NO 2 , OR 11 , -(CH 2 ) P C(O)(CH 2 ) 1?
- R 21 is selected from H, alkyl, cycloalkyl, alkenyl, alkynyl, aralkyl, aryl, and a heterocyclic ring;
- R 22 and R 23 are independently selected from H, alkyl, cycloalkyl, alkenyl, alkynyl, aralkyl, aryl, and a heterocyclic ring; or R 22 and R 23 may be taken together with the nitrogen to which they are attached form a 5- to 7- membered ring which may optionally contain a further heteroatom, wherein the 5- to 7- membered ring may optionally be substituted with one to three substituents that are independently selected from alkyl, cycloalkyl, alkenyl, alkynyl, aralkyl, CN, CF 3 , NO 2 , OR 0 , CO 2 R 0 , C(O)R 0 , halo, aryl, and a heterocyclic ring; r is O to 4; 5 is O to 4; m is O to 4; R 4 is selected from H, alkyl, cycloalkyl, alkenyl, alkynyl, aralky
- each R 3 is independently selected from the group consisting of H, -N(R°) 2 , alkyl, cycloalkyl, alkenyl, alkynyl, CO 2 R 0 , C(O)R 0 , aralkyl, aryl, and a heterocyclic ring
- R 3 ' is selected from H, -N(R°) 2 , alkyl, cycloalkyl, aralkyl, aryl and a heterocyclic ring
- each R 0 is independently selected from H, alkyl, cycloalkyl, aralkyl, aryl and a heterocyclic ring.
- R 2 , R 3 and R 4 of formula I are selected to give the following chemical groups:
- R 2 , R 3 and R 4 include:
- R 6 or R 7 is an aryl group, which may be optionally substituted.
- Particularly preferred aryl groups include substituted or unsubstituted phenyl and pyridyl.
- R 21 and R 22 are independently selected from groups which have small steric bulk and are preferably selected from H and CH 3 , and more preferably are H.
- the present invention provides inhibitors of the p2io BCR - ABL - T3151 theramutein having the formula II
- ring A is a 5-, 6-, or 7- membered ring or a 7- to 12-membered fused bicyclic ring;
- X 1 is selected from N, N-R 0 or C-R 1 ;
- X 2 is selected from N, N-R 0 or C-R 1 ; the dotted lines represent optional double bonds; each R 1 is independently selected from the group consisting of H, alkyl, cycloalkyl, alkenyl, alkynyl, aralkyl, CN, CF 3 , NO 2 , OR 11 , -(CH 2 ) ⁇ C(O)(CH-O 9 R 11 , -(CH 2 ) ⁇ C(O)N(R 12 XR 13 ), -(CH 2 ) ⁇ C(O)O(CH 2 X 7 R 11 , -(CH 2 ) ⁇ N(R 11 )(CH 2 ) g C(O)R 1 ' , -(CH 2 VN(R 12 XR 13 ), -N(R ⁇ )SO 2 R ⁇ , -OC(O)N(R 12 )(R 13 ), -SO 2 N(R 12 )(R 13 ), halo, ary
- R is selected from the group consisting of is selected from H, alkyl, cycloalkyl, alkenyl, alkynyl, CO 2 R 0 , C(O)R 0 , N(R°) 2 , aralkyl, aryl, and a heterocyclic ring; R 9 is selected from -Y-R 6 and -Z-R 7 ;
- Y is selected from a chemical bond, O, N-R 0 ,
- R 6 is selected from alkyl, cycloalkyl, alkenyl, alkynyl, aralkyl, aryl, and a heterocyclic ring;
- Z is a hydrocarbon chain having from 1 to 4 carbon atoms, and optionally substituted with one or more of halo, alkyl, cycloalkyl, alkenyl, alkynyl, aralkyl, CO 2 R 0 , C(O)R 0 , C(0)N(R°) 2 , CN, CF 3 , N(R°) 2 , NO 2 , and OR 0 ;
- R 7 is H or is selected from aryl and a heterocyclic ring; and each R 0 is independently selected from H, alkyl, cycloalkyl, aralkyl, aryl and a heterocyclic ring.
- the present invention provides inhibitors of the P210 BCR"ABL ⁇ T315I theramutein having the formula II a
- ring A is a 5-, 6-, or 7- membered ring or a 7- to 12-membered fused bicyclic ring;
- X 1 is selected from N, N-R 0 or C-R 1 ;
- X 2 is selected from N, N-R 0 or C-R 1 ;
- the dotted lines represent optional double bonds;
- each R 1 is independently selected from the group consisting of H, alkyl, cycloalkyl, alkenyl, alkynyl, aralkyl, CN, CF 3 , NO 2 , OR 11 , -(CH 2 ) P C(O)(CH 2 ) 9 R 1 ' , -(CH 2 ) ⁇ C(O)N(R 12 )(R 13 ), -(CH 2 ) P C(O)O(CH 2 ) 9 R U , -(CH 2 ) ⁇ N(R 11 XXO)R 1 1 , -(CH 2 ) ⁇ N(R 12 XR 13 ), -N(R 1 ⁇ SO 2 R 11 , -OC(O)N(R 12 )(R 13 ),
- R 51 is selected from H, alkyl, cycloalkyl, alkenyl, alkynyl, aralkyl, aryl, and a heterocyclic ring;
- R 52 and R 53 are independently selected from H, alkyl, cycloalkyl, alkenyl, alkynyl, aralkyl, aryl, and a heterocyclic ring; or R 52 and R 53 may be taken together with the nitrogen to which they are attached form a 5- to 7- membered ring which may optionally contain a further heteroatom, wherein the 5- to 7- membered ring may optionally be substituted with one to three substituents that are independently selected from alkyl, cycloalkyl, alkenyl, alkynyl, aralkyl, CN, CF 3 , NO 2 , OR 0 , CO 2 R 0 , C(O)R 0 , halo, aryl, and a heterocyclic ring; r is 0 to 4; s is 0 to 4; m is 0 to 4; and each R 0 is independently selected from H, alkyl, cycloalkyl, aralkyl,
- the present invention provides inhibitors of the P210 BCR ABL"T315I theramutein having the formula II b
- R 14 is selected from H and F;
- R 8 is selected from the group consisting of is selected from H, alkyl, cycloalkyl, alkenyl, alkynyl, CO 2 R 0 , C(O)R 0 , N(R°) 2 , aralkyl, aryl, and a heterocyclic ring;
- X 3 is N, CH or C-R 60 ; each R 60 is independently selected from the group consisting of alkyl, cycloalkyl, alkenyl, alkynyl, aralkyl, CN, CF 3 , NO 2 , OR 0 , halo, aryl, and a heterocyclic ring;
- R 61 is selected from aryl and a heterocyclic ring;
- Q is selected from a chemical bond or a group having the formula -0-, -(CH 2 ),-, -(CH 2 ),C(O)(CH 2 ) y -, -(CH 2 ),-N(R 62 )-(CH 2 ) r , -(CH 2 ),C(O)-N(R 62 )-(CH 2 ) 7 -, -(CH 2 )AO)O(CH 2 ),-, -(CH 2 ),N(R 62 )C(O)-(CH 2 ) 7 -, -(CH 2 ),OC(O)N(R 62 )-(CH 2 ) 7 -, and - O-(CH 2 ),-C(O)N(R 62 )-(CH 2 ) r ;
- R 62 is selected from H, alkyl, aryl, and a heterocyclic ring; each R 0 is independently selected from H, alkyl, cycloalkyl, aralkyl, aryl and a heterocyclic ring; h is O to 4; / is O to 4; and j is O to 4. [0065]
- R 60 is selected from halo, CF 3 , and OH.
- R 8 is selected from H and CH 3 .
- X is N.
- Q is selected to be -(CH 2 ),-N(R 62 )-(CH 2 ) y -, and particularly in preferred embodiments, Q is -N(R 62 )-.
- the present invention provides inhibitors of the P210 BCR"ABL"T315I theramutein having the formula II C
- ring A is a 5-, 6-, or 7- membered ring or a 7- to 12-membered fused bicyclic ring
- X 1 is selected from N, N-R 0 or C-R 1
- X 2 is selected from N, N-R 0 or C-R 1
- the dotted lines represent optional double bonds
- each R 1 is independently selected from the group consisting of H, alkyl, cycloalkyl, alkenyl, alkynyl, aralkyl, CN, CF 3 , NO 2 , OR 11 , -(CH 2 ) ⁇ C(O)(CH 2 X 7 R 11 , -(CH 2 ) ⁇ C(O)N(R 12 XR 13 ), -(CH 2 ) ⁇ C(O)O(CH 2 X 7 R 11 , -(CH 2 ) ⁇ N(R 1 ⁇ C(O)R 1 1 , -(CH 2 ) P N(R 12 )(R 13 ),
- R is selected from H and methyl; X 3 is N or CH;
- R 61 is selected from aryl and a heterocyclic ring
- Q is selected from a chemical bond or a group having the formula -O-, -(CH 2 ),-, -(CH 2 ),C(O)(CH 2 ),-, -(CH 2 ),-N(R 62 )-(CH 2 ) / -, -(CH 2 ) ; C(O)-N(R 62 )-(CH 2 ) r , -(CH 2 )AO)O(CH 2 ),-, -(CH 2 ),N(R 62 )C(O)-(CH 2 ) r , -(CH 2 ),OC(O)N(R 62 )-(CH 2 ) / -, and -0-(CH 2 VC(O)N(R 62 V(CH 2 V;
- R 62 is selected from H, alkyl, aryl, and a heterocyclic ring; each R 0 is independently selected from H, alkyl, cycloalkyl, aralkyl, aryl and a heterocyclic ring; h is O to 4; i is O to 4; and j is O to 4.
- the present invention provides inhibitors of the P210 BCR'ABL"T315I theramutein having the formula II d
- ring A is a 5-, 6-, or 7- membered ring or a 7- to 12-membered fused bicyclic ring;
- X 1 is selected from N, N-R 0 or C-R 1 ;
- X 2 is selected from N, N-R 0 or C-R 1 ; the dotted lines represent optional double bonds; each R 1 is independently selected from the group consisting of H, alkyl, cycloalkyl, alkenyl, alkynyl, aralkyl, CN, CF 3 , NO 2 , OR 11 , -(CH 2 ),,C(O)(CH 2 ) (?
- R 11 -(CH 2 ) P C(O)N(R 12 )(R 13 ), -(CH 2 ) P C(O)O(CH 2 ) ⁇ R 11 , -(CH 2 ) P N(R 1 1 K(O)R 1 ⁇ -(CH 2 ) ⁇ N(R 12 )(R 13 ), -N(R 1 ⁇ SO 2 R 1 1 , -OC(O)N(R 12 XR 13 ), -SO 2 N(R 12 )(R 13 ), halo, aryl, and a heterocyclic ring, and additionally or alternatively, two R 1 groups on adjacent ring atoms form a 5- or 6-membered fused ring which contains from O to 3 heteroatoms; n is 0 to 6, each R 1 ' is independently selected from H, alkyl, cycloalkyl, alkenyl, alkynyl, aralkyl, aryl, and a heterocyclic ring; each R 12
- R 8 is selected from H and CH 3 ;
- X 3 is N or CH
- Q 1 is selected from a chemical bond or a group having the formula -0-, -CH 2 -, -NH-,
- each R 70 is selected from halo, alkyl, CN, N(R 71 ) 2 , cyclic-amino, NO 2 , OR 71 , and CF 3 , each R 71 is selected from H, alkyl, aryl, aralkyl and a heterocyclic ring; and k is O to 4.
- the present invention provides inhibitors of the P210 BCR"ABL"T315I theramutein having the formula II e
- ring A is a 5-, 6-, or 7- membered ring or a 7- to 12-membered fused bicyclic ring;
- X 1 is selected from N, N-R 0 or C-R 1 ;
- X 2 is selected from N, N-R 0 or C-R 1 ; the dotted lines represent optional double bonds; each R 1 is independently selected from the group consisting of H, alkyl, cycloalkyl, alkenyl, alkynyl, aralkyl, CN, CF 3 , NO 2 , OR 11 , -(CH 2 ) p C(O)(CH 2 ) 9 R n , -(CH 2 ) ⁇ C(O)N(R 12 )(R 13 ), -(CH 2 ) P C(O)O(CK2) q R U , -(CH 2 ) ⁇ N(R 11 )C(O)R ⁇ , -(CH 2 ) ⁇ N(R 12 )(R 13 ), -N(R 1 ⁇ SO 2 R 11 , -OC(O)N(R 12 )(R 13 ), -SO 2 N(R 12 )(R 13 ), halo, aryl, and
- R is selected from H and CH 3 ; X 3 is N or CH;
- Q 1 is selected from a chemical bond or a group having the formula -O-, -CH 2 -, -NH-, -C(O)-NH-, -C(O)O-, -NH-C(O)-, -OC(O)NH-, and -0-C(O)NH-; each R 70 is selected from halo, alkyl, CN, N(R 71 ) 2 , cyclic-amino, NO 2 , OR 71 , and CF 3 ; and each R 71 is selected from H and alkyl.
- the present invention provides inhibitors of the p2io BCR - ABL - T3151 theramutein having the formula II f wherein
- R 14 is selected from H and F
- R 8 is selected from H and CH 3 ; each R , 7 / 0 ⁇ is selected from halo, alkyl, CN, N(R 7U ) 2 , cyclic-amino, NO 2 , OR » 71 , and CF 3 , each R > 71 i • s selected from H, alkyl, aryl, aralkyl and a heterocyclic ring; and A: is 0 to 4.
- Exemplary compounds of the formula II, II a , H b , II C , Hd, H e or Hf includes the following structures:
- the present invention provides inhibitors of the P210 BCR-ABL-T 3 I 5 I theramutein having the formula III
- ring A is a 5-, 6-, or 7- membered ring or a 7- to 12-membered fused bicyclic ring;
- X 1 is selected from N, N-R 0 or C-R 1 ;
- X 2 is selected from N, N-R 0 or C-R 1 ;
- the dotted lines represent optional double bonds;
- each R 1 is independently selected from the group consisting of H, alkyl, cycloalkyl, alkenyl, alkynyl, aralkyl, CN, CF 3 , NO 2 , OR 11 , -(CH 2 ) p C(O)(CH 2 ) 9 R ⁇ , -(CH 2 ) P C(O)N(R 12 )(R 13 ), -OC(O)N(R I2 )(R 13 ), -SO 2 N(R 12 )(R 13 ), halo, aryl, and a heterocyclic ring, and additionally or alternatively, two R 1 groups on adjacent ring atoms form a 5- or 6-membered fused ring which contains from O to 3 heteroatoms; n is O
- R 10 is selected from -Y'-R 18 ;
- Y' is selected from a chemical bond, O, NR -, and a hydrocarbon chain having from 1 to 4 carbon atoms, and optionally substituted with one or more of halo, alkyl, cycloalkyl, alkenyl, alkynyl, aralkyl, CO 2 R 0 , C(O)R 0 , C(O)N(R°) 2 , CN, CF 3 , N(R°) 2 , NO 2 , and OR 0 ;
- R 18 is selected from the group consisting of H, alkyl, cycloalkyl, alkenyl, alkynyl, aralkyl,
- each R 0 is independently selected from H, alkyl, cycloalkyl, aralkyl, aryl and a heterocyclic ring.
- the present invention provides inhibitors of the p2io BCR - ABL T3151 theramutein having the formula HI 1 a wherein:
- ring A is a 5-, 6-, or 7- membered ring or a 7- to 12-membered fused bicyclic ring;
- X 1 is selected from N, N-R 0 or C-R 1 ;
- X 2 is selected from N, N-R 0 or C-R 1 ; the dotted lines represent optional double bonds;
- each R 1 is independently selected from the group consisting of H, alkyl, cycloalkyl, alkenyl, alkynyl, aralkyl, CN, CF 3 , NO 2 , OR 11 , -(CH ⁇ QOXCH ⁇ R 11 , -(CH 2 ) P C(O)N(R 12 )(R 13 ), -(CH 2 ) P C(O)O(CH 2 ) 9 R I ' ,-(CH 2 ) ⁇ N(R 11 JC(O)R 1 ' , -(CH 2 ) ⁇ N(R 12 )(R 13 ), -
- X 3 is N, CH or C-R 50 ; each R 50 is independently selected from the group consisting of alkyl, cycloalkyl, alkenyl, alkynyl, aralkyl, CN, CF 3 , NO 2 , OR 51 , -(CH 2 ) r C(O)(CH 2 ),R 51 , -(CH 2 ) r C(O)N(R 52 )(R 53 ), -(CH 2 ) r C(O)O(CH 2 ),R 51 ,-(CH 2 ) r N(R 51 )C(O)R 51 , -(CH 2 ) r N(R 52 )(R 53 ), -N(R 51 )SO 2 R 51 , -OC(O)N(R 52 XR 53 ), -SO 2 N(R 52 XR 53 ), halo, aryl, and a heterocyclic ring, and additionally or alternatively, two R 50 groups on adjacent
- R 51 is selected from H, alkyl, cycloalkyl, alkenyl, alkynyl, aralkyl, aryl, and a heterocyclic ring;
- R 52 and R 53 are independently selected from H, alkyl, cycloalkyl, alkenyl, alkynyl, aralkyl, aryl, and a heterocyclic ring; or R 52 and R 53 may be taken together with the nitrogen to which they are attached form a 5- to 7- membered ring which may optionally contain a further heteroatom, wherein the 5- to 7- membered ring may optionally be substituted with one to three substituents that are independently selected from alkyl, cycloalkyl, alkenyl, alkynyl, aralkyl, CN, CF 3 , NO 2 , OR 0 , CO 2 R 0 , C(O)R 0 , halo, aryl, and a heterocyclic ring; r is O to 4; s is O to 4; ' m is 0 to 4; and each R 0 is independently selected from H, alkyl, cycloalkyl, aralkyl,
- the present invention provides inhibitors of the P210 BCR ⁇ ABL ⁇ T315I theramutein having the formula III b
- ring A is a 5-, 6-, or 7- membered ring or a 7- to 12-membered fused bicyclic ring;
- X 1 is selected from N, N-R 0 or C-R 1 ;
- X 2 is selected from N, N-R 0 or C-R 1 ; the dotted lines represent optional double bonds; each R 1 is independently selected from the group consisting of H, alkyl, cycloalkyl, alkenyl, alkynyl, aralkyl, CN, CF 3 , NO 2 , OR 1 1 , -(CH ⁇ QOXCH ⁇ R 1 1 , -(CH 2 ) ⁇ C(O)N(R 12 XR 13 ), -(CH 2 ) P C(O)O(CH 2 ) ⁇ R 11 , -(CH.y ⁇ R ⁇ CtOR 11 , -(CH 2 ) ⁇ N(R 12 XR 13 ), -N(R 1 ⁇ SO 2 R 11 , -OC(O)N(R 12 )(R 13 ), -SO 2 N(R 12 )(R 13 ), halo, aryl, and a heterocyclic ring, and additionally or alternatively, two R 1 groups
- R 61 is selected from aryl and a heterocyclic ring
- Q is selected from a chemical bond or a group having the formula -O-, -(CH 2 ),-, -(CH 2 )AO)(CH 2 ),-, -(CH 2 ),-N(R 62 )-(CH 2 ) 7 -, -(CH 2 ),C(O)-N(R 62 )-(CH 2 ) / -, -(CH 2 XC(O)O(CH 2 ),-, -(CH 2 ) i N(R 62 )C(O)-(CH 2 ) r , -(CH 2 ),OC(O)N(R 62 )-(CH 2 ) y -, and -0-(CHz) 1 -C(O)N(R 62 MCH 2 ),-;
- R 62 is selected from H, alkyl, aryl, and a heterocyclic ring; each R 0 is independently selected from H, alkyl, cycloalkyl, aralkyl, aryl and a heterocyclic ring; h is O to 4; i is O to 4; and j is O to 4.
- the present invention provides inhibitors of the P210 BCR ABL - T315I theramutein having the formula III C
- ring A is a 5-, 6-, or 7- membered ring or a 7- to 12-membered fused bicyclic ring
- X 1 is selected from N, N-R 0 or C-R 1
- X 2 is selected from N, N-R 0 or C-R 1
- the dotted lines represent optional double bonds
- each R 1 is independently selected from the group consisting of H, alkyl, cycloalkyl, alkenyl, alkynyl, aralkyl, CN, CF 3 , NO 2 , OR 11 , -(CH 2 VC(O)(CH 2 ), ⁇ 1 1 , -(CH 2 VC(O)N(R 12 )(R 13 ), -(CH 2 VC(O)O(CH 2 VR 11 , -(CH 2 VN(R n )C(O)R ⁇ , -(CH 2 VN(R 12 )(R 13 ), -N(R 1 ⁇ SO 2 R
- the present invention provides inhibitors of the P210 BCR"ABL T315l theramutein having the formula Wl 4 wherein: ring A is a 5-, 6-, or 7- membered ring or a 7- to 12-membered fused bicyclic ring; X 1 is selected from N, N-R 0 or C-R 1 ; X 2 is selected from N, N-R 0 or C-R 1 ; the dotted lines represent optional double bonds; each R 1 is independently selected from the group consisting of H, alkyl, cycloalkyl, alkenyl, alkynyl, aralkyl, CN, CF 3 , NO 2 , OR 11 , -(CH 2 ) P C(O)(CH 2 ) (?
- R 1 ' -(CH 2 ) ⁇ C(O)N(R 12 )(R 13 ), -(CH 2 ) ⁇ C(O)O(CH 2 ) ?
- R U , -(CH 2 ) P N(R 1 ⁇ C(O)R 11 , -(CH 2 ) P N(R 12 XR 13 ), -N(R 1 ⁇ SO 2 R 11 , -OC(O)N(R 12 XR 13 ), -SO 2 N(R 12 XR 13 ), halo, aryl, and a heterocyclic ring, and additionally or alternatively, two R 1 groups on adjacent ring atoms form a 5- or 6-membered fused ring which contains from O to 3 heteroatoms; n is O to 6, each R 1 ' is independently selected from H, alkyl, cycloalkyl, alkenyl, alkynyl, aralkyl, aryl, and a heterocyclic ring; each R
- R is selected from H and CH 3 ;
- X 3 is N or CH
- Q 1 is selected from a chemical bond or a group having the formula -0-, -CH 2 -, -NH-,
- each R 70 is selected from halo, alkyl, CN, N(R 71 ) 2 , cyclic-amino, NO 2 , OR 71 , and CF 3 ; and each R »71 is selected from H and alkyl.
- the present invention provides inhibitors of the P210 BCR"ABL T315I theramutein having the formula III e
- R 14 is selected from H and F; each R ,7 / 0 ⁇ i • s selected from halo, alkyl, CN, N(R 7"U) 2 , cyclic-amino, NO 2 , OR »7"1, and CF 3 , each R » 71 i ⁇ s selected from H, alkyl, aryl, aralkyl and a heterocyclic ring; and & is 0 to 4.
- Exemplary compounds of the formula III, HI n , IH ⁇ , III C , Hi d , or III e includes the following structures:
- the present invention provides inhibitors of the
- ring A is a 5-, 6-, or 7- membered ring or a 7- to 12-membered fused bicyclic ring
- X 1 is selected from N, N-R 0 or C-R 1
- X 2 is selected from N, N-R 0 or C-R 1
- the dotted lines represent optional double bonds
- each R 1 is independently selected from the group consisting of H, alkyl, cycloalkyl, alkenyl, alkynyl, aralkyl, CN, CF 3 , NO 2 , OR 11 , -(CH 2 ) P C(O)(CH 2 ) (?
- R 11 -(CH 2 ) ⁇ C(O)N(R 12 XR 13 ), -(CH 2 ) P C(O)O(CH 2 ) ⁇ R 1 ' ,-(CH 2 ⁇ N(R 1 ⁇ C(O)R 1 ' , -(CH 2 ) ⁇ N(R 12 )(R 13 ), -N(R 1 ⁇ SO 2 R 1 ⁇ -OC(O)N(R 12 )(R 13 ), -SO 2 N(R 12 )(R 13 ), halo, aryl, and a heterocyclic ring, and additionally or alternatively, two R 1 groups on adjacent ring atoms form a 5- or 6-membered fused ring which contains from O to 3 heteroatoms; n is O to 6, each R 1 ' is independently selected from H, alkyl, cycloalkyl, alkenyl, alkynyl, aralkyl, aryl, and a heterocyclic ring; each R 1
- R 34 is selected from H, NO 2 , CN, alkyl, cycloalkyl, alkenyl, alkynyl, aralkyl, aryl and a heterocyclic ring;
- R 45 is selected from -Y"-R ] 9 ;
- Y" is selected from a chemical bond, O, NR 0 -, and a hydrocarbon chain having from 1 to 4 carbon atoms, and optionally substituted with one or more of halo, alkyl, cycloalkyl, alkenyl, alkynyl, aralkyl, CO 2 R 0 , C(O)R 0 ,
- each R 0 is independently selected from H, alkyl, cycloalkyl, aralkyl, aryl and a heterocyclic ring.
- Exemplary compounds of the formula FV include the following structures:
- the present invention provides inhibitors of the P210 BCR"ABL - T315I theramutein having the formula V
- ring A is a 5-, 6-, or 7- membered ring or a 7- to 12-membered fused bicyclic ring;
- X 1 is selected from N, N-R 0 or C-R 1 ;
- X 2 is selected from N, N-R 0 or C-R 1 ;
- the dotted lines represent optional double bonds;
- each R 1 is independently selected from the group consisting of H, alkyl, cycloalkyl, alkenyl, alkynyl, aralkyl, CN, CF 3 , NO 2 , OR 11 , -(CH 2 ) p C(O)(CH 2 ),R ⁇ , -(CH 2 ) ⁇ C(O)N(R 12 )(R 13 ), -(CH 2 ) /7 C(O)O(CH 2 ) (7 R 11 ,-(CH 2 ) P N(R 11 )C(O)R 1 1 , -(CH 2 ) / ,N(R 12 )(R 13 ), -N(R 11 )SO 2 R 11 , -OC(O)N(R 12 )(
- R 22 is selected from H and Ci -3 alkyl
- R 34 is selected from H, NO 2 , CN, alkyl, cycloalkyl, alkenyl, alkynyl, aralkyl, aryl and a heterocyclic ring;
- R 55 is selected from H, alkyl, cycloalkyl, alkenyl, alkynyl, aralkyl, aryl, and a heterocyclic ring;
- R 56 is selected from -V-R 19 ;
- Y" is selected from a chemical bond, O, NR 0 -, and a hydrocarbon chain having from 1 to 4 carbon atoms, and optionally substituted with one or more of halo, alkyl, cycloalkyl, alkenyl, alkynyl, aralkyl, CO 2 R 0 , C(O)R 0 , C(O)N(R°) 2 , CN, CF 3 , N(R°) 2 , NO 2 , and OR 0 ;
- R 19 is selected from the group consisting of H, alkyl, cycloalkyl, alkenyl, alkynyl, aralkyl,
- the present invention provides inhibitors of the P 2 1 O BCR - ABL - T3 I 5 I theramute i n having the formula V a
- ring A is a 5-, 6-, or 7- membered ring or a 7- to 12-membered fused bicyclic ring
- X 1 is selected from N, N-R 0 or C-R 1
- X 2 is selected from N, N-R 0 or C-R 1
- the dotted lines represent optional double bonds
- each R 1 is independently selected from the group consisting of H, alkyl, cycloalkyl, alkenyl, alkynyl, aralkyl, CN, CF 3 , NO 2 , OR 11 , -(CH ⁇ QOXCH ⁇ R 11 , -(CH 2 ) P C(O)N(R 12 )(R 13 ), -(CH 2 ) ;) C(O)O(CH 2 ),R ⁇ ,-(CH 2 ) / ,N(R n )C(O)R 11 , -(CH 2 ) p N(R 12 )(R 13 ), -
- X 3 is N or C-R 50 ; each R 50 is independently selected from the group consisting of alkyl, cycloalkyl, alkenyl, alkynyl, aralkyl, CN, CF 3 , NO 2 , OR 51 , -(CH 2 ) r C(O)(CH 2 ),R 51 , -(CH 2 ) r C(O)N(R 52 )(R 53 ), -(CH 2 ) r C(O)O(CH 2 ),R 51 ,-(CH 2 ) r N(R 51 )C(O)R 51 , -(CH 2 ) r N(R 52 )(R 53 ), -N(R 51 )SO 2 R 51 , -OC(O)N(R 52 XR 53 ), -SO 2 N(R 52 XR 53 ), halo, aryl, and a heterocyclic ring, and additionally or alternatively, two R 50 groups on adjacent ring
- R 51 is selected from H, alkyl, cycloalkyl, alkenyl, alkynyl, aralkyl, aryl, and a heterocyclic ring;
- R 52 and R 53 are independently selected from H, alkyl, cycloalkyl, alkenyl, alkynyl, aralkyl, aryl, and a heterocyclic ring; or R 52 and R 53 may be taken together with the nitrogen to which they are attached form a 5- to 7- membered ring which may optionally contain a further heteroatom; r is 0 to 4; s is 0 to 4; m is 0 to 4; and each R 0 is independently selected from H, alkyl, cycloalkyl, aralkyl, aryl and a heterocyclic ring.
- Exemplary compounds of the formula V or V fl include the following structures:
- the present invention provides inhibitors of the p 210 BCR - ABL - ⁇ 3 i 5 i t ⁇ eramutein having the formula VI wherein: ring A is a 5-, 6-, or 7- membered ring or a 7- to 12-membered fused bicyclic ring; X 1 is selected from N, N-R 0 or C-R 1 ; X 2 is selected from N, N-R 0 or C-R 1 ; the dotted lines represent optional double bonds; each R 1 is independently selected from the group consisting of H, alkyl, cycloalkyl, alkenyl, alkynyl, aralkyl, CN, CF 3 , NO 2 , OR 11 , -(CH ⁇ CCOXCH ⁇ R 1 ' , -(CH 2 ) ⁇ C(O)N(R 12 XR 13 ), -(CH 2 ) P C(O)O(CH 2 ) 9 R 1 ]
- R 55 is selected from H, alkyl, cycloalkyl, alkenyl, alkynyl, aralkyl, aryl, and a heterocyclic ring;
- R 56 is selected from -Y"-R 19 ;
- Y" is selected from a chemical bond, O, NR 0 -, and a hydrocarbon chain having from 1 to 4 carbon atoms, and optionally substituted with one or more of halo, alkyl, cycloalkyl, alkenyl, alkynyl, aralkyl, CO 2 R 0 , C(O)R 0 , C(0)N(R°) 2 , CN, CF 3 , N(R°) 2 , NO 2 , and OR 0 ;
- R 19 is selected from the group consisting of H, alkyl, cycloalkyl, alkenyl, alkynyl, aralkyl,
- each R 0 is independently selected from H, alkyl, cycloalkyl, aralkyl, aryl and a heterocyclic ring.
- the present invention provides inhibitors of the p21 0 BCR-ABL-T31 5 I theramutein having ⁇ G f orm ⁇ ⁇ a V I n
- ring A is a 5-, 6-, or 7- membered ring or a 7- to 12-membered fused bicyclic ring
- X 1 is selected from N, N-R 0 or C-R 1
- X 2 is selected from N, N-R 0 or C-R 1
- the dotted lines represent optional double bonds
- each R 1 is independently selected from the group consisting of H, alkyl, cycloalkyl, alkenyl, alkynyl, aralkyl, CN, CF 3 , NO 2 , OR 11 , -(CH 2 ) p C(O)(CH 2 ),R n , -(CH 2 ) ⁇ C(O)N(R 12 )(R 13 ), -(CH 2 ) p C(O)O(CH 2 ) 9 R ⁇ , -(CH 2 ) p N(R ⁇ )C(0)R n , -(CH 2 ) ⁇ N(R 12 XR
- R 51 is selected from H, alkyl, cycloalkyl, alkenyl, alkynyl, aralkyl, aryl, and a heterocyclic ring;
- R 52 and R 53 are independently selected from H, alkyl, cycloalkyl, alkenyl, alkynyl, aralkyl, aryl, and a heterocyclic ring; or R 52 and R 53 may be taken together with the nitrogen to which they are attached form a 5- to 7- membered ring which may optionally contain a further heteroatom; r is 0 to 4; s is 0 to 4; m is 0 to 4; and each R 0 is independently selected from H, alkyl, cycloalkyl, aralkyl, aryl and a heterocyclic ring.
- Exemplary compounds of the formula VI or VI n include the following structures:
- the present invention provides inhibitors of the P21O BCR ABL T3151 theramutein having the formula VII
- ring A is a 5-, 6-, or 7- membered ring or a 7- to 12-membered fused bicyclic ring
- X 1 is selected from N, N-R 0 or C-R 1 ;
- no X 2 is selected from N, N-R 0 or C-R 1 ; the dotted lines represent optional double bonds; each R 1 is independently selected from the group consisting of H, alkyl, cycloalkyl, alkenyl, alkynyl, aralkyl, CN, CF 3 , NO 2 , OR 11 , -(CH 2 ) p C(O)(CH 2 ) (?
- R 51 is selected from H, alkyl, cycloalkyl, alkenyl, alkynyl, aralkyl, aryl, and a heterocyclic ring;
- R 52 and R 53 are independently selected from H, alkyl, cycloalkyl, alkenyl, alkynyl, aralkyl, aryl, and a heterocyclic ring; or R 52 and R 53 may be taken together with the nitrogen to which they are attached form a 5- to 7- membered ring which may optionally contain a further heteroatom; r is O to 4; s is O to 4; m is O to 4; and each R ⁇ is independently selected from H, alkyl, cycloalkyl, aralkyl, aryl and a heterocyclic ring.
- Exemplary compounds of the formula VII include the following structures:
- the present invention provides inhibitors of the p2io BCR ABL T3151 theramutein having the formula VIII 3
- ring A is a 5-, 6-, or 7- membered ring or a 7- to 12-membered fused bicyclic ring
- X 1 is selected from N, N-R 0 or C-R 1
- X 2 is selected from N, N-R 0 or C-R 1
- the dotted lines represent optional double bonds
- each R 1 is independently selected from the group consisting of H, alkyl, cycloalkyl, alkenyl, alkynyl, aralkyl, CN, CF 3 , NO 2 , OR 11 , -(CH 2 ) P C(O)(CH 2 ) (?
- R 11 , -(CH 2 ) Z7 C(O)N(R 12 XR 13 ), -(CH 2 ) p C(O)O(CH 2 ) 9 R ⁇ , -(CH 2 ) ⁇ N(R 1 ⁇ C(O)R 1 1 , -(CH 2 ) ⁇ N(R 12 )(R 13 ), -N(R 1 ⁇ SO 2 R 11 , -OC(O)N(R 12 )(R 13 ), -SO 2 N(R 12 XR 13 ), halo, aryl, and a heterocyclic ring, and additionally or alternatively, two R 1 groups on adjacent ring atoms form a 5- or 6-membered fused ring which contains from O to 3 heteroatoms; n is O to 6, each R 1 ' is independently selected from H, alkyl, cycloalkyl, alkenyl, alkynyl, aralkyl, aryl, and a heterocyclic ring;
- R 51 is selected from H, alkyl, cycloalkyl, alkenyl, alkynyl, aralkyl, aryl, and a heterocyclic ring;
- R 52 and R 53 are independently selected from H, alkyl, cycloalkyl, alkenyl, alkynyl, aralkyl, aryl, and a heterocyclic ring; or R 52 and R 53 may be taken together with the nitrogen to which they are attached form a 5- to 7- membered ring which may optionally contain a further heteroatom, wherein the 5- to 7- membered ring may optionally be substituted with one to three substituents that are independently selected from alkyl, cycloalkyl, alkenyl, alkynyl, aralkyl, CN, CF 3 , NO 2 , OR 0 , CO 2 R 0 , C(O)R 0 , halo, aryl, and a heterocyclic ring; r is O to 4; s is O to 4; m is O to 4; and each R 0 is independently selected from H, alkyl, cycloalkyl, aralkyl, aryl and
- the present invention provides inhibitors of the P210 BCR ⁇ ABL ⁇ T315I theramutein having the formula VIII b
- R 14 is selected from H and F;
- R 8 is selected from the group consisting of is selected from H, alkyl, cycloalkyl, alkenyl, alkynyl, CO 2 R 0 , C(O)R 0 , N(R°) 2 , aralkyl, aryl, and a heterocyclic ring;
- X 3 is N, CH or C-R 60 ; each R 60 is independently selected from the group consisting of alkyl, cycloalkyl, alkenyl, alkynyl, aralkyl, CN, CF 3 , NO 2 , OR 0 , halo, aryl, and a heterocyclic ring;
- R 61 is selected from aryl and a heterocyclic ring;
- Q is selected from a chemical bond or a group having the formula -O-, -(CH 2 ),-, -(CH 2 ),C(O)(CH 2 ) r , -
- R is selected from H, alkyl, aryl, and a heterocyclic ring; each R 0 is independently selected from H, alkyl, cycloalkyl, aralkyl, aryl and a heterocyclic ring; h is 0 to 4; i is 0 to 4; and j is 0 to 4.
- R 60 is selected from halo, CF 3 , and OH.
- R 8 is selected from H and CH 3 .
- X 3 is N.
- Q is selected to be -(CH 2 ),-N(R 62 )-(CH 2 ) r , and particularly in preferred embodiments, Q is -N(R 62 )-.
- the present invention provides inhibitors of the P210 BCR"ABL"T315I theramutein having the formula VIII C
- R 14 is selected from H and F;
- R 8 is selected from the group consisting of is selected from H, alkyl, cycloalkyl, alkenyl, alkynyl, CO 2 R 0 , C(O)R 0 , N(R°) 2 , aralkyl, aryl, and a heterocyclic ring;
- R 60 is independently selected from the group consisting of alkyl, cycloalkyl, alkenyl, alkynyl, aralkyl, CN, CF 3 , NO 2 , OR 0 , halo, aryl, and a heterocyclic ring; each R 0 is independently selected from H, alkyl, cycloalkyl, aralkyl, aryl and a heterocyclic ring;
- R 70 is selected from N(R 71 ) 2 , CF 3 , and OH.
- R is selected from H and CH 3 .
- Q 1 is -NH-.
- Q is selected to be -(CH 2 ),-N(R 62 )-(CH 2 ) / -, and particularly in preferred embodiments, Q is -N(R 62 )-.
- Exemplary compounds of the formula VIII ⁇ , VUh, or VIII C include the following structures:
- the present invention provides inhibitors of the p2io BCR ABL T3151 theramutein having the formula IX a
- ring A is a 5-, 6-, or 7- membered ring or a 7- to 12-membered fused bicyclic ring;
- X 1 is selected from N, N-R 0 or C-R 1 ;
- X 2 is selected from N, N-R 0 or C-R 1 ;
- the dotted lines represent optional double bonds;
- each R 1 is independently selected from the group consisting of H, alkyl, cycloalkyl, alkenyl, alkynyl, aralkyl, CN, CF 3 , NO 2 , OR 11 , -(CH 2 ) P C(O)(CH 2 ) ⁇ R 11 , -(CH 2 ) ⁇ C(O)N(R 12 )(R 13 ), -(CH 2 ) P C(O)O(CH 2 ⁇ R 11 , -(CH 2 ) ⁇ N(R 11 JC(O)R 1 ⁇ -(CH 2 ) ⁇ N(R 12 J(R
- R 51 is selected from H, alkyl, cycloalkyl, alkenyl, alkynyl, aralkyl, aryl, and a heterocyclic ring;
- R 52 and R 53 are independently selected from H, alkyl, cycloalkyl, alkenyl, alkynyl, aralkyl, aryl, and a heterocyclic ring; or R 52 and R 53 may be taken together with the nitrogen to which they are attached form a 5- to 7- membered ring which may optionally contain a further heteroatom, wherein the 5- to 7- membered ring may optionally be substituted with one to three substituents that are independently selected from alkyl, cycloalkyl, alkenyl, alkynyl, aralkyl, CN, CF 3 , NO 2 , OR 0 , CO 2 R 0 , C(O)R 0 , halo, aryl, and a heterocyclic ring; r is O to 4; 5 is O to 4; m is O to 4; and each R 0 is independently selected from H, alkyl, cycloalkyl, aralkyl, aryl and
- the present invention provides inhibitors of the p2io BCR ABL "T3151 theramutein having the formula IX b wherein:
- R 14 is selected from H and F
- R is selected from the group consisting of is selected from H, alkyl, cycloalkyl, alkenyl, alkynyl, CO 2 R 0 , C(O)R 0 , N(R°) 2 , aralkyl, aryl, and a heterocyclic ring;
- X 3 is N, CH or C-R 60 ; each R 60 is independently selected from the group consisting of alkyl, cycloalkyl, alkenyl, alkynyl, aralkyl, CN, CF 3 , NO 2 , OR 0 , halo, aryl, and a heterocyclic ring;
- R 61 is selected from aryl and a heterocyclic ring
- Q is selected from a chemical bond or a group having the formula -0-, -(CH 2 ),-,
- R 62 is selected from H, alkyl, aryl, and a heterocyclic ring; each R 0 is independently selected from H, alkyl, cycloalkyl, aralkyl, aryl and a heterocyclic ring; h is O to 4; i is O to 4; and j is O to 4.
- R 6 ° is selected from halo, CF 3 , and OH.
- R 8 is selected from H and CH 3 .
- X 3 is N.
- Q is selected to be -(CH 2 ),-N(R 62 )-(CH 2 ) / -, and particularly in preferred embodiments, Q is -N(R 62 )-.
- the present invention provides inhibitors of the P210 BCR ABL T3l 5I theramutein having the formula IX C
- R 14 is selected from H and F
- R 8 is selected from the group consisting of is selected from H, alkyl, cycloalkyl, alkenyl, alkynyl, CO 2 R 0 , C(O)R 0 , N(R°) 2 , aralkyl, aryl, and a heterocyclic ring;
- R 60 is independently selected from the group consisting of alkyl, cycloalkyl, alkenyl, alkynyl, aralkyl, CN, CF 3 , NO 2 , OR 0 , halo, aryl, and a heterocyclic ring; each R 0 is independently selected from H, alkyl, cycloalkyl, aralkyl, aryl and a heterocyclic ring;
- R 70 is selected from N(R 71 ) 2 , CF 3 , and OH.
- R 8 is selected from H and CH 3 .
- Q 1 is -NH-.
- Q is selected to be -(CH 2 ),-N(R 62 )-(CH 2 )y-, and particularly in preferred embodiments, Q is -N(R 62 )-.
- Exemplary compounds of the formula IX 0 , IX & , or IX C include the following structures:
- the present invention provides inhibitors of the P210 BCR"ABL T315I theramutein having the formula X a
- ring A is a 5-, 6-, or 7- membered ring or a 7- to 12-membered fused bicyclic ring;
- X 1 is selected from N, N-R 0 or C-R 1 ;
- X 2 is selected from N, N-R 0 or C-R 1 ;
- the dotted lines represent optional double bonds;
- each R 1 is independently selected from the group consisting of H, alkyl, cycloalkyl, alkenyl, alkynyl, aralkyl, CN, CF 3 , NO 2 , OR 11 , -(CH 2 ) ⁇ C(O)(CH 2 ) 9 R n , -(CH 2 ) ⁇ C(O)N(R 12 XR 13 ), -(CH ⁇ QOWCH ⁇ R 11 , -(CH.y ⁇ R' ⁇ C ⁇ R 11 , -(CH 2 ) P N(R 12 )(R 13 ), -N(R u )SO 2 R n , -OC(O)N(R 12 )(R 13 ), -SO 2 N(R 12 )(R 13 ),
- X 3 is N, CH or C-R 50 ; each R 50 is independently selected from the group consisting of alkyl, cycloalkyl, alkenyl, alkynyl, aralkyl, CN, CF 3 , NO 2 , OR 51 , -(CH 2 ) r C(O)(CH 2 ),R 51 , -(CH 2 ) r C(O)N(R 52 )(R 53 ), -(CH 2 ) r C(O)O(CH 2 ) s R 51 , -(CH 2 ),N(R 51 )C(O)R 51 , -(CH 2 ) r N(R 52 )(R 53 ), -N(R 51 )SO 2 R 51 , -OC(O)N(R 52 XR 53 ), -SO 2 N(R 52 XR 53 ), halo, aryl, and a heterocyclic ring, and additionally or alternatively, two R 50 groups on
- R 51 is selected from H, alkyl, cycloalkyl, alkenyl, alkynyl, aralkyl, aryl, and a heterocyclic ring;
- R 52 and R 53 are independently selected from H, alkyl, cycloalkyl, alkenyl, alkynyl, aralkyl, aryl, and a heterocyclic ring; or R 52 and R 53 may be taken together with the nitrogen to which they are attached form a 5- to 7- membered ring which may optionally contain a further heteroatom, wherein the 5- to 7- membered ring may optionally be substituted with one to three substituents that are independently selected from alkyl, cycloalkyl, alkenyl, alkynyl, aralkyl, CN, CF 3 , NO 2 , OR 0 , CO 2 R 0 , C(O)R 0 , halo, aryl, and a heterocyclic ring; r is O to 4; s is 0 to 4; m is 0 to 4; and each R 0 is independently selected from H, alkyl, cycloalkyl, aralkyl, ary
- the present invention provides inhibitors of the p2io BCR - ABL"T3151 theramutein having the formula X b
- R 14 is selected from H and F
- X 3 is N, CH or C-R 60 ; each R 60 is independently selected from the group consisting of alkyl, cycloalkyl, alkenyl, alkynyl, aralkyl, CN, CF 3 , NO 2 , OR 0 , halo, aryl, and a heterocyclic ring; R 61 is selected from aryl and a heterocyclic ring;
- Q is selected from a chemical bond or a group having the formula -0-, -(CH 2 ),-, -(CH 2 ),C(O)(CH 2 ) r , -(CH 2 ),-N(R 62 )-(CH 2 ) / -, -(CH 2 ),C(O)-N(R 62 )-(CH 2 ) y -, -(CHa) 1 C(O)O(CH 2 ),-, -(CH 2 ),N(R 62 )C(O)-(CH 2 ),-, -(CH 2 ),OC(O)N(R 62 )-(CH 2 ) r , and - O-(CH 2 ),-C(O)N(R 62 )-(CH 2 ) / -;
- R 62 is selected from H, alkyl, aryl, and a heterocyclic ring; each R 0 is independently selected from H, alkyl, cycloalkyl, aralkyl, aryl and a heterocyclic ring; h is O to 4; i is O to 4; and j is O to 4.
- R 60 is selected from halo, CF 3 , and OH.
- X 3 is N.
- Q is selected to be -(CH 2 ),-N(R 62 )-(CH 2 ) 7 -, and particularly in preferred embodiments, Q is -N(R 62 )-.
- the present invention provides inhibitors of the P210 BCR"ABL"T315I theramutein having the formula X c
- R 14 is selected from H and F
- R 8 is selected from the group consisting of is selected from H, alkyl, cycloalkyl, alkenyl, alkynyl, CO 2 R 0 , C(O)R 0 , N(R°) 2 , aralkyl, aryl, and a heterocyclic ring;
- R 60 is independently selected from the group consisting of alkyl, cycloalkyl, alkenyl, alkynyl, aralkyl, CN, CF 3 , NO 2 , OR 0 , halo, aryl, and a heterocyclic ring; each R 0 is independently selected from H, alkyl, cycloalkyl, aralkyl, aryl and a heterocyclic ring;
- R 70 is selected from N(R 71 ) 2 , CF 3 , and OH.
- R 8 is selected from H and CH 3 .
- Q 1 is -NH-.
- Q is selected to be -(CH 2 ),-N(R 62 )-(CH 2 ) 7 -, and particularly in preferred embodiments, Q is -N(R 62 )-.
- Exemplary compounds of the formula X n , X ⁇ ,, or X c include the following structures:
- the present invention provides inhibitors of the P21O BCR ABL T3151 theramutein having the formula XI a
- ring A is a 5-, 6-, or 7- membered ring or a 7- to 12-membered fused bicyclic ring;
- X 1 is selected from N, N-R 0 or C-R 1 ;
- X 2 is selected from N, N-R 0 or C-R 1 ; the dotted lines represent optional double bonds; each R 1 is independently selected from the group consisting of H, alkyl, cycloalkyl, alkenyl, alkynyl, aralkyl, CN, CF 3 , NO 2 , OR 11 , -(CH ⁇ QOXCH ⁇ R 11 , -(CH 2 ) P C(O)N(R 12 )(R 13 ), -(CH ⁇ CCOPCCH ⁇ R 11 , -(CH 2 ) ⁇ N(R 1 ⁇ C(O)R 1 1 , -(CH 2 ) ⁇ N(R 12 XR 13 ), -N(R 1 ⁇ SO 2 R 11 , -OC(O)N(R 12 )(R 13 ), -SO 2 N(R 12 )(R 13 ), halo, aryl, and a heterocyclic ring, and additionally or alternatively, two R 1 groups on adjacent
- R 31 is selected from H, halo, -NH 2 , -N(H)(R 0 ), -N(R°) 2 , -O-R 0 , OH and C 1-3 alkyl;
- R 8 is selected from the group consisting of is selected from H, alkyl, cycloalkyl, alkenyl, alkynyl, CO 2 R 0 , C(O)R 0 , N(R°) 2 , aralkyl, aryl, and a heterocyclic ring;
- X 3 is N, CH or C-R 50 ; each R 50 is independently selected from the group consisting of alkyl, cycloalkyl, alkenyl, alkynyl, aralkyl, CN, CF 3 , NO 2 , OR 51 , -(CH 2 ) r C(O)(CH 2 ),R 51 , -(CH 2 ) r C(O)N(R 52 )(
- R 51 is selected from H, alkyl, cycloalkyl, alkenyl, alkynyl, aralkyl, aryl, and a heterocyclic ring;
- R 52 and R 53 are independently selected from H, alkyl, cycloalkyl, alkenyl, alkynyl, aralkyl, aryl, and a heterocyclic ring; or R 52 and R 53 may be taken together with the nitrogen to which they are attached form a 5- to 7- membered ring which may optionally contain a further heteroatom, wherein the 5- to 7- membered ring may optionally be substituted with one to three substituents that are independently selected from alkyl, cycloalkyl, alkenyl, alkynyl, aralkyl, CN, CF 3 , NO 2 , OR 0 , CO 2 R 0 , C(O)R 0 , halo, aryl, and a heterocyclic ring; r is O to 4; 5 is O to 4; m is O to 4; and each R 0 is independently selected from H, alkyl, cycloalkyl, aralkyl, aryl and
- R 14 is selected from H and F
- R 31 is selected from H, halo, -NH 2 , -N(H)(R 0 ), -N(R°) 2 , -O-R 0 , OH and C 1-3 alkyl;
- R 8 is selected from the group consisting of is selected from H, alkyl, cycloalkyl, alkenyl, alkynyl, CO 2 R 0 , C(O)R 0 , N(R°) 2 , aralkyl, aryl, and a heterocyclic ring;
- X 3 is N, CH or C-R 60 ; each R 60 is independently selected from the group consisting of alkyl, cycloalkyl, alkenyl, alkynyl, aralkyl, CN, CF 3 , NO 2 , OR 0 , halo, aryl, and a heterocyclic ring;
- R 61 is selected from aryl and a heterocyclic ring;
- Q is selected from a chemical bond or a group having the formula -O-, -(CH 2 ),-, -(CH 2 ),C(O)(CH 2 ) r , -(CH 2 ) r N(R 62 )-(CH 2 ) r , -(CH 2 ) / C(O)-N(R 62 )-(CH 2 ) / -, -(CH 2 )AO)O(CH 2 V, -(CH 2 ),N(R 62 )C(O)-(CH 2 ) r , -(CH 2 ),OC(O)N(R 62 )-(CH 2 ) r , and - O-(CH 2 ),-C(O)N(R 62 )-(CH 2 ) / -;
- R 62 is selected from H, alkyl, aryl, and a heterocyclic ring; each R is independently selected from H, alkyl, cycloalkyl, aralkyl, aryl and a heterocyclic ring;
- R 60 is selected from halo, CF 3 , and OH.
- R 8 is selected from H and CH 3 .
- X 3 is N.
- Q is selected to be -(CH 2 ),-N(R 62 )-(CH 2 ) 7 -, and particularly in preferred embodiments, Q is -N(R 62 )-.
- R 31 is selected from H and Ci -3 alkyl.
- the present invention provides inhibitors of the p2io BCR - ABL"T3151 theramutein having the formula XI 0
- R 14 is selected from H and F
- R 31 is selected from H and Ci -3 alkyl
- R 8 is selected from the group consisting of is selected from H, alkyl, cycloalkyl, alkenyl, alkynyl, CO 2 R 0 , C(O)R 0 , N(R°) 2 , aralkyl, aryl, and a heterocyclic ring;
- R 60 is independently selected from the group consisting of alkyl, cycloalkyl, alkenyl, alkynyl, aralkyl, CN, CF 3 , NO 2 , OR 0 , halo, aryl, and a heterocyclic ring; each R 0 is selected from H, alkyl, cycloalkyl, aralkyl, aryl and a heterocyclic ring;
- Q 1 is selected from a chemical bond or a group having the formula -O-, -CH 2 -, -NH-, -C(O)-NH-, -C(O)O-, -NH-C(O
- R 70 is selected from N(R 71 ) 2 , CF 3 , and OH.
- R is selected from H and CH 3 .
- Q 1 is -NH-.
- Q is selected to be -(CH 2 ),-N(R 62 )-(CH 2 )y-, and particularly in preferred embodiments, Q is -N(R 62 )-.
- Exemplary compounds of the formula XI 0 , XI / ,, or XI C include the following structures:
- the present invention provides inhibitors of the P210 BCR"ABL"T3I5I theramutein having the formula XII a
- ring A is a 5-, 6-, or 7- membered ring or a 7- to 12-membered fused bicyclic ring;
- X 1 is selected from N, N-R 0 or C-R 1 ;
- X 2 is selected from N, N-R 0 or C-R 1 ; the dotted lines represent optional double bonds; each R 1 is independently selected from the group consisting of H, alkyl, cycloalkyl, alkenyl, alkynyl, aralkyl, CN, CF 3 , NO 2 , OR 11 , -(CH 2 ) p C(O)(CH 2 ) 9 R ⁇ , -(CH 2 ) ⁇ C(O)N(R 12 )(R 13 ), -(CH 2 ) P C(O)O(CH 2 ) ⁇ R 1 1 , -(CH 2 ⁇ N(R n )C(O)R ⁇ , -(CH 2 ⁇ N(R 12 )(R 13 ), -N(R 1 ⁇ SO 2 R 1 1 , -OC(O)N(R 12 XR 13 ), -SO 2 N(R 12 )(R 13 ), halo, aryl, and
- R 31 is selected from H, halo, -NH 2 , -N(H)(R 0 ), -N(R°) 2 , -O-R 0 , OH and C 1-3 alkyl;
- R 8 is selected from the group consisting of is selected from H, alkyl, cycloalkyl, alkenyl, alkynyl, CO 2 R 0 , C(O)R 0 , N(R°) 2 , aralkyl, aryl, and a heterocyclic ring;
- X 3 is N, CH or C-R 50 ; each R 50 is independently selected from the group consisting of alkyl, cycloalkyl, alkenyl, alkynyl, aralkyl, CN, CF 3 , NO 2 , OR 51 , -(CH 2 ) r C(O)(CH 2 ),R 51 , -(CH 2 ),C(O)N(R 52 )(R 53
- R 51 is selected from H, alkyl, cycloalkyl, alkenyl, alkynyl, aralkyl, aryl, and a heterocyclic ring;
- R 52 and R 53 are independently selected from H, alkyl, cycloalkyl, alkenyl, alkynyl, aralkyl, aryl, and a heterocyclic ring; or R and R may be taken together with the nitrogen to which they are attached form a 5- to 7- membered ring which may optionally contain a further heteroatom, wherein the 5- to 7- membered ring may optionally be substituted with one to three substituents that are independently selected from alkyl, cycloalkyl, alkenyl, alkynyl, aralkyl, CN, CF 3 , NO 2 , OR 0 , CO 2 R 0 , C(O)R 0 , halo, aryl, and a heterocyclic ring; r is O to 4; s is 0 to 4; m is 0 to 4; and each R 0 is independently selected from H, alkyl, cycloalkyl, aralkyl, aryl and
- the present invention provides inhibitors of the P2l ⁇ BCR ABL - T3151 theramutein having the formula XII b
- R 14 is selected from H and F
- R 31 is selected from H, halo, -NH 2 , -N(H)(R 0 ), -N(R°) 2 , -O-R 0 , OH and Q -3 alkyl;
- R 8 is selected from the group consisting of is selected from H, alkyl, cycloalkyl, alkenyl, alkynyl, CO 2 R 0 , C(O)R 0 , N(R°) 2 , aralkyl, aryl, and a heterocyclic ring;
- X 3 is N, CH or C-R 60 ; each R 60 is independently selected from the group consisting of alkyl, cycloalkyl, alkenyl, alkynyl, aralkyl, CN, CF 3 , NO 2 , OR 0 , halo, aryl, and a heterocyclic ring;
- R 61 is selected from aryl and a heterocyclic ring;
- Q is selected from a chemical bond or a group having the formula -O-, -(CH 2 ),-, -(CH 2 ),C(O)(CH 2 ) r , -(CH 2 ),-N(R 62 )-(CH 2 ) / -, -(CH 2 ) / C(O)-N(R 62 )-(CH 2 ) / -, -(CHz) 1 C(O)O(CH 2 ),-, -(CH 2 ),N(R 62 )C(O)-(CH 2 ),-, -(CH 2 ),OC(O)N(R 62 )-(CH 2 ) r , and - O-(CH 2 ) r C(O)N(R 62 )-(CH 2 ) r ;
- R 62 is selected from H, alkyl, aryl, and a heterocyclic ring; each R 0 is independently selected from H, alkyl, cycloalkyl, aralkyl, aryl and a heterocyclic ring; h is O to 4; i is O to 4; and j is O to 4.
- R 60 is selected from halo, CF 3 , and OH. In other preferred embodiments, R 8 is selected from H and CH 3 .
- X 3 is N.
- Q is selected to be -(CH 2 ),-N(R 62 )-(CH 2 ) / -, and particularly in preferred embodiments, Q is -N(R 62 )-.
- the present invention provides inhibitors of the p2io BCR A8L"T3151 theramutein having the formula XII C .
- R31 is selected from H and C 1-3 alkyl.
- R 14 is selected from H and F;
- R 31 is selected from H and Ci -3 alkyl;
- R 8 is selected from the group consisting of is selected from H, alkyl, cycloalkyl, alkenyl, alkynyl, CO 2 R 0 , C(O)R 0 , N(R°) 2 , aralkyl, aryl, and a heterocyclic ring;
- R 60 is independently selected from the group consisting of alkyl, cycloalkyl, alkenyl, alkynyl, aralkyl, CN, CF 3 , NO 2 , OR 0 , halo, aryl, and a heterocyclic ring; each R 0 is selected from H, alkyl, cycloalkyl, aralkyl, aryl and a heterocyclic ring;
- Q 1 is selected from a chemical bond or a group having the formula -O-, -CH 2 -, -NH-
- R 70 is selected from N(R 71 ) 2 , CF 3 , and OH.
- R 8 is selected from H and CH 3 .
- Q 1 is -NH-.
- Q is selected to be -(CH 2 ),-N(R 62 )-(CH 2 ) / -, and particularly in preferred embodiments, Q is -N(R )-.
- Exemplary compounds of the formula XII n , XU b , or XII C include the following structures:
- the present invention provides inhibitors of the P210 BCR"ABL"T3151 theramutein having the formula XIII 3
- ring A is a 5-, 6-, or 7- membered ring or a 7- to 12-membered fused bicyclic ring;
- X 1 is selected from N, N-R 0 or C-R 1 ;
- X 2 is selected from N, N-R 0 or C-R 1 ; the dotted lines represent optional double bonds; each R 1 is independently selected from the group consisting of H, alkyl, cycloalkyl, alkenyl, alkynyl, aralkyl, CN, CF 3 , NO 2 , OR 11 , -(CH ⁇ CCOXCH ⁇ R 1 1 , -(CH 2 ) ⁇ C(O)N(R 12 XR 13 ), -(CH 2 ) / ,C(O)O(CH 2 ) 9 R 1 1 , -(CH 2 ) ⁇ N(R 1 ')C(O)R M , -(CH 2 ) ⁇ N(R 12 )(R 13 ), -N(R ⁇ )SO 2 R n , -OC(O)N(R 12 )(R 13 ), -SO 2 N(R 12 XR 13 ), halo, aryl, and a heterocyclic
- R 51 is selected from H, alkyl, cycloalkyl, alkenyl, alkynyl, aralkyl, aryl, and a heterocyclic ring;
- R 52 and R 53 are independently selected from H, alkyl, cycloalkyl, alkenyl, alkynyl, aralkyl, aryl, and a heterocyclic ring; or R 52 and R 53 may be taken together with the nitrogen to which they are attached form a 5- to 7- membered ring which may optionally contain a further heteroatom, wherein the 5- to 7- membered ring may optionally be substituted with one to three substituents that are independently selected from alkyl, cycloalkyl, alkenyl, alkynyl, aralkyl, CN, CF 3 , NO 2 , OR 0 , CO 2 R 0 , C(O)R 0 , halo, aryl, and a heterocyclic ring; r is O to 4; 5 is 0 to 4; m is 0 to 4; and each R 0 is independently selected from H, alkyl, cycloalkyl, aralkyl, aryl
- the present invention provides inhibitors of the P21O BCR ABL T3151 theramutein having the formula XIII b
- R 14 is selected from H and F
- R 8 is selected from the group consisting of is selected from H, alkyl, cycloalkyl, alkenyl, alkynyl, CO 2 R 0 , C(O)R 0 , N(R°) 2 , aralkyl, aryl, and a heterocyclic ring;
- X 3 is N, CH or C-R 60 ; each R 60 is independently selected from the group consisting of alkyl, cycloalkyl, alkenyl, alkynyl, aralkyl, CN, CF 3 , NO 2 , OR 0 , halo, aryl, and a heterocyclic ring;
- R 61 is selected from aryl and a heterocyclic ring;
- Q is selected from a chemical bond or a group having the formula -O-, -(CH 2 ),-, -(CH 2 ),C(O)(CH 2 ) 7 -, -(CH 2 ),-N(R 62 )-(CH 2 ) / -, -(CH 2 ),C(O)-N(R 62 )-(CH 2 ) / -, -(CH 2 )AO)O(CH 2 ),-, -(CH 2 ),N(R 62 )C(O)-(CH 2 ) r , -(CH 2 ),OC(O)N(R 62 )-(CH 2 ) 7 -, and - O-(CH 2 ),-C(O)N(R 62 )-(CH 2 ) r ;
- R 62 is selected from H, alkyl, aryl, and a heterocyclic ring; each R 0 is independently selected from H, alkyl, cycloalkyl, aralkyl, aryl and a heterocyclic ring; h is O to 4; / is O to 4; and j is O to 4.
- R 60 is selected from halo, CF 3 , and OH. In other preferred embodiments, R 8 is selected from H and CH 3 .
- X 3 is N.
- Q is selected to be -(CH 2 ),-N(R 62 )-(CH 2 ) / -, and particularly in preferred embodiments, Q is -N(R 62 )-.
- the present invention provides inhibitors of the P21O BCR - ABL T3151 theramutein having the formula XIII c
- R 14 is selected from H and F;
- R 8 is selected from the group consisting of is selected from H, alkyl, cycloalkyl, alkenyl, alkynyl, CO 2 R 0 , C(O)R 0 , N(R°) 2 , aralkyl, aryl, and a heterocyclic ring;
- R 60 is independently selected from the group consisting of alkyl, cycloalkyl, alkenyl, alkynyl, aralkyl, CN, CF 3 , NO 2 , OR 0 , halo, aryl, and a heterocyclic ring; each R 0 is selected from H, alkyl, cycloalkyl, aralkyl, aryl and a heterocyclic ring;
- Q 1 is selected from a chemical bond or a group having the formula -O-, -CH 2 -, -NH-, -C(O)-NH-, -C(O
- R 70 is selected from N(R 71 ) 2 , CF 3 , and OH.
- R 8 is selected from H and CH 3 .
- Q 1 is -NH-.
- Q is selected to be -(CH 2 ),-N(R 62 )-(CH 2 ) y -, and particularly in preferred embodiments, Q is -N(R 62 )-.
- Exemplary compounds of the formula XIII n , XIIIz,, or XIII C include the following structures:
- the present invention provides inhibitors of the P210 BCR ⁇ ABL"T3151 theramutein having the formula XIV a
- ring A is a 5-, 6-, or 7- membered ring or a 7- to 12-membered fused bicyclic ring;
- X 1 is selected from N, N-R 0 or C-R 1 ;
- X 2 is selected from N, N-R 0 or C-R 1 ; the dotted lines represent optional double bonds; each R 1 is independently selected from the group consisting of H, alkyl, cycloalkyl, alkenyl, alkynyl, aralkyl, CN, CF 3 , NO 2 , OR 11 , -(CH ⁇ QOXCH ⁇ R 11 , -(CH 2 ) P C(O)N(R 12 )(R 13 ), -(CH 2 ) p C(O)O(CH 2 ) 9 R ⁇ , -(CH ⁇ NCR ⁇ CCCOR 1 1 , -(CH 2 ) ⁇ N(R 12 XR 13 ), -N(R 1 ⁇ SO 2 R 11 , -OC(O)N(R 12 XR 13 ), -SO 2 N(R 12 )(R 13 ), halo, aryl, and a heterocyclic ring, and additionally or alternatively, two R groups on
- R 51 is selected from H, alkyl, cycloalkyl, alkenyl, alkynyl, aralkyl, aryl, and a heterocyclic ring;
- R 52 and R 53 are independently selected from H, alkyl, cycloalkyl, alkenyl, alkynyl, aralkyl, aryl, and a heterocyclic ring; or R 52 and R 53 may be taken together with the nitrogen to which they are attached form a 5- to 7- membered ring which may optionally contain a further heteroatom, wherein the 5- to 7- membered ring may optionally be substituted with one to three substituents that are independently selected from alkyl, cycloalkyl, alkenyl, alkynyl, aralkyl, CN, CF 3 , NO 2 , OR 0 , CO 2 R 0 , C(O)R 0 , halo, aryl, and a heterocyclic ring; r is O to 4; 5 is O to 4; m is 0 to 4; and each R 0 is independently selected from H, alkyl, cycloalkyl, aralkyl, aryl and
- the present invention provides inhibitors of the P21O BCR"ABL - T3151 theramutein having the formula XIV b
- R 14 is selected from H and F;
- R 8 is selected from the group consisting of is selected from H, alkyl, cycloalkyl, alkenyl, alkynyl, CO 2 R 0 , C(O)R 0 , N(R°) 2 , aralkyl, aryl, and a heterocyclic ring;
- X 3 is N, CH or C-R 60 ; each R 60 is independently selected from the group consisting of alkyl, cycloalkyl, alkenyl, alkynyl, aralkyl, CN, CF 3 , NO 2 , OR 0 , halo, aryl, and a heterocyclic ring;
- R 61 is selected from aryl and a heterocyclic ring;
- Q is selected from a chemical bond or a group having the formula -0-, -(CH 2 ),-, -(CH 2 )AO)(CH 2 ),-, -(CH 2 ),-N(R 62 )-(CH 2 ) r , -(CH 2 ),C(O)-N(R 62 )-(CH 2 ) / -, -(CH 2 J 1 C(O)O(CH 2 ),-, -(CH 2 ),N(R 62 )C(O)-(CH 2 )r, -(CH 2 ),OC(O)N(R 62 )-(CH 2 ),-, and - O-(CH 2 ),-C(O)N(R 62 )-(CH 2 ) 7 -;
- R 62 is selected from H, alkyl, aryl, and a heterocyclic ring; each R 0 is independently selected from H, alkyl, cycloalkyl, aralkyl, aryl and a heterocyclic ring; h is O to 4; i is O to 4; and j is O to 4.
- R 60 is selected from halo, CF 3 , and OH. In other preferred embodiments, R is selected from H and CH 3 .
- X 3 is N.
- Q is selected to be -(CH 2 ),-N(R 62 )-(CH 2 ) / -, and particularly in preferred embodiments, Q is -N(R )-.
- the present invention provides inhibitors of the p2i ⁇ BCR"ABL - T3151 theramutein having the formula XrV c
- R 14 is selected from H and F;
- R 8 is selected from the group consisting of is selected from H, alkyl, cycloalkyl, alkenyl, alkynyl, CO 2 R 0 , C(O)R 0 , N(R 0 J 2 , aralkyl, aryl, and a heterocyclic ring;
- R 60 is independently selected from the group consisting of alkyl, cycloalkyl, alkenyl, alkynyl, aralkyl, CN, CF 3 , NO 2 , OR 0 , halo, aryl, and a heterocyclic ring; each R 0 is selected from H, alkyl, cycloalkyl, aralkyl, aryl and a heterocyclic ring;
- Q 1 is selected from a chemical bond or a group having the formula -0-, -CH 2 -, -NH-, -C(O)-NH-, -C(O
- R 70 is selected from N(R 71 J 2 , CF 3 , and OH.
- R is selected from H and CH 3 .
- Q 1 is -NH-.
- Q 1 is selected to be -(CH 2 ),-N(R 62 )-(CH 2 )y-, and particularly in preferred embodiments, Q 1 is -N(R 62 )-.
- Exemplary compounds of the formula XIV n , XTV b , or XIV C include the following structures:
- the present invention provides inhibitors of the P210 BCR ABL T3151 theramutein having the formula XV 3
- ring A is a 5-, 6-, or 7- membered ring or a 7- to 12-membered fused bicyclic ring;
- X 1 is selected from N, N-R 0 or C-R 1 ;
- X 2 is selected from N, N-R 0 or C-R 1 ; the dotted lines represent optional double bonds; each R 1 is independently selected from the group consisting of H, alkyl, cycloalkyl, alkenyl, alkynyl, aralkyl, CN, CF 3 , NO 2 , OR 11 , -(CH ⁇ QOXCH ⁇ R 11 , -(CH 2 ) ⁇ C(O)N(R 12 XR 13 ), -(CH 2 ) p C(O)O(CH 2 ) 9 R n , -(CH 2 ) P N(R' ⁇ C(O)R 1 ', -(CH 2 ) P N(R 12 )(R 13 ), -N(R 1 ⁇ SO 2 R 11 , -OC(O)N(R 12 )(R 13 ), -SO 2 N(R 12 )(R 13 ), halo, aryl, and a heterocyclic ring, and
- X 3 is N, CH or C-R 50 ; each R 50 is independently selected from the group consisting of alkyl, cycloalkyl, alkenyl, alkynyl, aralkyl, CN, CF 3 , NO 2 , OR 51 , -(CH 2 ) r C(O)(CH 2 ),R 51 , -(CH 2 ),C(O)N(R 52 )(R 53 ), -(CH 2 ) r C(O)O(CH 2 ),R 51 , -(CH 2 ) r N(R 51 )C(O)R 51 , -(CH 2 ) r N(R 52 )(R 53 ), -N(R 51 )SO 2 R 51 , -OC(O)N(R 52 XR 53 ), -SO 2 N(R 52 XR 53 ), halo, aryl, and a heterocyclic ring, and additionally or alternatively, two R 50 groups on adjacent
- R 51 is selected from H, alkyl, cycloalkyl, alkenyl, alkynyl, aralkyl, aryl, and a heterocyclic ring;
- R 52 and R 53 are independently selected from H, alkyl, cycloalkyl, alkenyl, alkynyl, aralkyl, aryl, and a heterocyclic ring; or R 52 and R 53 may be taken together with the nitrogen to which they are attached form a 5- to 7- membered ring which may optionally contain a further heteroatom, wherein the 5- to 7- membered ring may optionally be substituted with one to three substituents that are independently selected from alkyl, cycloalkyl, alkenyl, alkynyl, aralkyl, CN, CF 3 , NO 2 , OR 0 , CO 2 R 0 , C(O)R 0 , halo, aryl, and a heterocyclic ring; r is O to 4; 5 is O to 4; m is O to 4; and each R 0 is independently selected from H, alkyl, cycloalkyl, aralkyl, aryl and
- the present invention provides inhibitors of the P210 BCR"ABL T315I theramutein having the formula XV b wherein:
- R 14 is selected from H and F
- X 3 is N, CH or C-R 60 ; each R 60 is independently selected from the group consisting of alkyl, cycloalkyl, alkenyl, alkynyl, aralkyl, CN, CF 3 , NO 2 , OR 0 , halo, aryl, and a heterocyclic ring; R 61 is selected from aryl and a heterocyclic ring;
- Q is selected from a chemical bond or a group having the formula -O-, -(CH 2 ),-, -(CH 2 ),C(O)(CH 2 ) y -, -(CH 2 ),-N(R 62 )-(CH 2 ) r , -(CH 2 ),C(O)-N(R 62 )-(CH 2 ) 7 -, -(CHz) 1 C(O)O(CH 2 ),-, -(CH 2 ),N(R 62 )C(O)-(CH 2 ) r , -(CH 2 ) ( OC(O)N(R 62 )-(CH 2 ) r , and -
- R 62 is selected from H, alkyl, aryl, and a heterocyclic ring; each R 0 is independently selected from H, alkyl, cycloalkyl, aralkyl, aryl and a heterocyclic ring; h is O to 4; i is O to 4; and j is O to 4.
- R 60 is selected from halo, CF 3 , and OH.
- X 3 is N.
- Q is selected to be -(CH 2 ),-N(R 62 )-(CH 2 ) 7 -, and particularly in preferred embodiments, Q is -N(R 62 )-.
- the present invention provides inhibitors of the p2io BCR ABL - T3151 theramutein having the formula XV C
- R 14 is selected from H and F;
- R 8 is selected from the group consisting of is selected from H, alkyl, cycloalkyl, alkenyl, alkynyl, CO 2 R 0 , C(O)R 0 , N(R°) 2 , aralkyl, aryl, and a heterocyclic ring;
- R 60 is independently selected from the group consisting of alkyl, cycloalkyl, alkenyl, alkynyl, aralkyl, CN, CF 3 , NO 2 , OR 0 , halo, aryl, and a heterocyclic ring; each R 0 is independently selected from H, alkyl, cycloalkyl, aralkyl, aryl and a heterocyclic ring;
- R 70 is selected from N(R 71 ) 2 , CF 3 , and OH.
- R 8 is selected from H and CH 3 .
- Q 1 is -NH-.
- Q is selected to be -(CH 2 ),-N(R 62 )-(CH 2 ) 7 -, and particularly in preferred embodiments, Q is -N(R 62 )-.
- Exemplary compounds of the formula XV 0 , XV ⁇ , or XV C include the following structures:
- the present invention provides inhibitors of the P210 BCR"ABL T315I theramutein having the formula XVI 3
- ring A is a 5-, 6-, or 7- membered ring or a 7- to 12-membered fused bicyclic ring;
- X 1 is selected from N, N-R 0 or C-R 1 ;
- X 2 is selected from N, N-R 0 or C-R 1 ;
- the dotted lines represent optional double bonds;
- each R 1 is independently selected from the group consisting of H, alkyl, cycloalkyl, alkenyl, alkynyl, aralkyl, CN, CF 3 , NO 2 , OR 11 , -(CH ⁇ CCOXCH ⁇ R 11 , -(CH 2 ) ⁇ C(O)N(R 12 XR 13 ), -(CH 2 ) p C(O)O(CH 2 ) 9 R n , -(CH 2 ) P N(R 1 ⁇ C(O)R 11 , -(CH ⁇ N ⁇ XR 13 ), -N(R 1 ⁇
- R 51 is selected from H, alkyl, cycloalkyl, alkenyl, alkynyl, aralkyl, aryl, and a heterocyclic ring;
- R 52 and R 53 are independently selected from H, alkyl, cycloalkyl, alkenyl, alkynyl, aralkyl, aryl, and a heterocyclic ring; or R 52 and R 53 may be taken together with the nitrogen to which they are attached form a 5- to 7- membered ring which may optionally contain a further heteroatom, wherein the 5- to 7- membered ring may optionally be substituted with one to three substituents that are independently selected from alkyl, cycloalkyl, alkenyl, alkynyl, aralkyl, CN, CF 3 , NO 2 , OR 0 , CO 2 R 0 , C(O)R 0 , halo, aryl, and a heterocyclic ring; r is O to 4; s is O to 4; m is O to 4; and each R 0 is independently selected from H, alkyl, cycloalkyl, aralkyl, aryl and
- the present invention provides inhibitors of the p2io BCR ABL T3151 theramutein having the formula XVI b wherein:
- R 14 is selected from H and F;
- R 8 is selected from the group consisting of is selected from H, alkyl, cycloalkyl, alkenyl, alkynyl, CO 2 R 0 , C(O)R 0 , N(R°) 2 , aralkyl, aryl, and a heterocyclic ring;
- X 3 is N, CH or C-R 60 ; each R 60 is independently selected from the group consisting of alkyl, cycloalkyl, alkenyl, alkynyl, aralkyl, CN, CF 3 , NO 2 , OR 0 , halo, aryl, and a heterocyclic ring;
- R 61 is selected from aryl and a heterocyclic ring;
- Q is selected from a chemical bond or a group having the formula -O-, -(CH 2 ),-, -(CH 2 ),C(O)(CH 2 ) r , -(CH 2 ),-N(R 62 )-(CH 2 ) / -, -(CH 2 ),C(O)-N(R 62 )-(CH 2 ) 7 -, -(CH 2 )AO)O(CH 2 ),-, -(CH 2 ),N(R 62 )C(O)-(CH 2 ) r , -(CH 2 ),OC(O)N(R 62 )-(CH 2 ) r , and - O-(CH 2 ),-C(O)N(R 62 )-(CH 2 ),-;
- R 62 is selected from H, alkyl, aryl, and a heterocyclic ring; each R 0 is independently selected from H, alkyl, cycloalkyl, aralkyl, aryl and a heterocyclic ring; h is O to 4; i is O to 4; and j is O to 4.
- R 60 is selected from halo, CF 3 , and OH.
- R 8 is selected from H and CH 3 .
- X 3 is N.
- Q is selected to be -(CH 2 ),-N(R 62 )-(CH 2 ) / -, and particularly in preferred embodiments, Q is -N(R 62 )-.
- the present invention provides inhibitors of the P21O BCR - ABL T3151 theramutein having the formula XVI C
- R 14 is selected from H and F
- R 8 is selected from the group consisting of is selected from H, alkyl, cycloalkyl, alkenyl, alkynyl, CO 2 R 0 , C(O)R 0 , N(R°) 2 , aralkyl, aryl, and a heterocyclic ring;
- R 60 is independently selected from the group consisting of alkyl, cycloalkyl, alkenyl, alkynyl, aralkyl, CN, CF 3 , NO 2 , OR 0 , halo, aryl, and a heterocyclic ring; each R 0 is selected from H, alkyl, cycloalkyl, aralkyl, aryl and a heterocyclic ring;
- Q 1 is selected from a chemical bond or a group having the formula -0-, -CH 2 -, -NH-, -C(O)-NH-, -C(O)O-, -NH-C(O)
- R 70 is selected from N(R 71 ) 2 , CF 3 , and OH.
- R 8 is selected from H and CH 3 .
- Q 1 is -NH-.
- Q is selected to be -(CH 2 ) r N(R 62 )-(CH 2 ),-, and particularly in preferred embodiments, Q is -N(R 62 )-.
- Exemplary compounds of the formula XVI n , XVI ⁇ , or XVI C include the following structures:
- each expression e.g. alkyl, m, n, R, R' etc., when it occurs more than once in any structure, is intended to be independent of its definition elsewhere in the same structure.
- each recitation of the terms halo, alkyl, cycloalkyl, alkenyl, alkynyl, aralkyl, aryl, heterocyclic group or heterocyclic ring are independently selected from the definitions of these terms as provided in the beginning of this section.
- both the cis- and trans- isomers are intended to be encompassed by the formulae depicted herein.
- chemical structures such as, for example, structures II, II a , V, V a , VI, and VI 8
- both configurations are meant to be encompassed by the each of the formulae.
- compounds of the invention may exist in several tautomeric forms. Accordingly, the chemical structures depicted herein encompass all possible tautomeric forms of the illustrated compounds.
- the compounds of the invention may generally be prepared from commercially available starting materials and known chemical techniques. Embodiments of the invention may be synthesized as follows. One of skill in the art of medicinal or synthetic chemistry would be readily familiar with the procedures and techniques necessary to accomplish the synthetic approaches given below.
- Compounds of the formula II may be prepared by reaction of an appropriate hydrazine compound, such as ,4, and an appropriate aldehyde, such as B, under conditions similar to those described on p. 562 of Gineinah, et al. (Arch. Pharm. Med. Chem. 2002, 11, 556-562).
- a B C For example, heating ⁇ with 1.1 equivalents of B for 1 to 24 hours in a pro tic solvent such as a Ci to C 6 alcohol, followed by cooling and collection of the precipitate, would afford C.
- a pro tic solvent such as a Ci to C 6 alcohol
- product C may be isolated by evaporation of the solvent and purification by chromatography using silica gel, alumina, or C 4 to Ci 8 reverse phase medium. Similar methodology would be applicable in the cases where "Aryl" is replaced by other groups defined under R 5 .
- Compounds of the formula III ring may be prepared by reaction of an appropriate hydrazine compound, such as D, and an activated carboxylic acid such as E, wherein LG is a leaving group such as halo, 1-oxybenztriazole, pentafluorophenoxy, p- nitrophenoxy, or the like, or Compound E may also be a symmetrical carboxylic acid anhydride, whereby conditions similar to those described on p. 408 of Nair and Mehta (Indian J. Chem. 1967 5, 403-408) may be used.
- Precursors such as A and D may be prepared by reaction of an appropriate nucleophile, for example, a hydrazine derivative, with a heteroaromatic compound bearing a halo substituent at a position adjacent to a nitrogen atom.
- an appropriate nucleophile for example, a hydrazine derivative
- a heteroaromatic compound bearing a halo substituent at a position adjacent to a nitrogen atom for example, using methods analogous to those described by Wu, et al. (J. Heterocyclic Chem. 1990, 27, 1559-1563), Breshears, et al. (J. Am. Chem. Soc. 1959, 81, 3789-3792), or Gineinah, et al. (Arch. Pharm. Med. Chem.
- examples of compounds A and D may be prepared starting from, for example, a 2,4-dihalopyrimidine derivative, many of which are commercially available or are otherwise readily prepared by one skilled in the art.
- a 2,4-dihalopyrimidine derivative G treatment of an appropriate 2,4-dihalopyrimidine derivative G with an amine or other nucleophile (Z), optionally in the presence of an added base, selectively displaces the 4-halo substituent on the pyrimidine ring.
- the synthesis may be conducted starting from an appropriate ring A derivative /that bears a leaving group (LG) adjacent to the requisite ring nitrogen.
- LG leaving group
- Structure G above and the product of reaction of structure G with nucleophile Z, as illustrated above, are examples of such appropriate Ring A derivatives J.
- Suitable LG' groups are halo, alkylthio, alkylsulfonyl, alky 1 sulfonate or arylsulfonate.
- Treatment of /with an amine R 12 NH 2 effects displacement of LG' to afford intermediates K.
- Intermediates of structure K are transformed to compounds of the invention by simultaneous or sequential introduction of the elements, of R 3 , R 4 , and R 5 .
- intermediates K are converted, respectively, to compounds represented by P or Q, which are further embodiments of the invention.
- the non-guanidino carbon-nitrogen double bond of U can be selectively reduced by an appropriate reducing agent such as a metal (boron, aluminum, silicon, etc.) hydride reagents, preferably one with basic properties, to afford compounds V of the invention.
- an appropriate reducing agent such as a metal (boron, aluminum, silicon, etc.) hydride reagents, preferably one with basic properties, to afford compounds V of the invention.
- Treatment of the activated carboxylic acid with hydrazine affords the corresponding hydrazide Y.
- Treatment of Y with an aldehyde or ketone affords the desired final product Z. , . _,. . . . u aldehyde H (or hydrocarbon chain)
- Ring A-derived carboxylic acids W may be prepared by treatment of starting material J above with cyanide ion, optionally with heating or transition metal catalysis, to replace the leaving group LG' with a cyano residue. Basic or acidic hydrolysis of the cyano group affords the desired carboxylic acid intermediate W.
- R 32 is not H
- a protected form of monosubstituted hydrazine may be used in the above scheme in place of hydrazine,.
- treatment of the activated carboxylic acid from W with R 32 NHNH-PG, where PG is a nitrogen protecting group such as benzyloxycarbonyl or t-butyloxycarbonyl, followed by deprotection and treatment with an appropriate aldehyde or ketone as above affords Z ⁇ a further embodiment of the invention. hydrocarbon chain) Z 1
- the reaction may be carried out in a suitable organic solvent, optionally with heating.
- the reaction conditions may be selected to remove water as it is formed, and optionally a Lewis acid may be added to the mixture.
- A-NH-C( O)-CH(R 8 )-B + X-R ⁇
- Compounds of Formula (XIII) or (XVI) may be prepared by conventional condensation reaction well known to those skilled in the art. Amine (DD) or hydroxyl amine (EE) may be condensed with a compound of general form (FF) to give compounds of formula (XIII) or (XVI). These reactions may be carried out in typical organic solvents, optionally with heating. The reaction conditions may be selected to remove water as it is formed, and optionally a Lewis acid may be added to the mixture.
- A-NH 2 + O C(R 8 )B ⁇
- A-O-N C(R 8 )B
- A-O-NH 2 + O C(R 8 )B ⁇
- A-O-N C(R 8 )B
- Compounds of Formula (XV) may be prepared by condensation of the appropriate amine compound (DD) with a pyruvic aldehyde derivative of formula (GG). These reactions may be carried out in typical organic solvents, optionally with heating. The reaction conditions may be selected to remove water as it is formed, and optionally a Lewis acid may be added to the mixture.
- protecting group means temporary modifications of a potentially reactive functional group which protect it from undesired chemical transformations.
- protecting groups include esters of carboxylic acids, silyl ethers of alcohols, and acetals and ketals of aldehydes and ketones, respectively.
- the field of protecting group chemistry has been reviewed (Greene, T. W.; Wuts, P. G. M. Protective Groups in Organic Synthesis, 2 nd ed.; Wiley: New York, 1991).
- One embodiment of this invention is directed to any endogenously occurring mammalian target protein selected by the skilled investigator to be of interest for the identification and/or optimization of a compound as an inhibitor or activator of said protein.
- selected proteins will already be known to be involved in the etiology or pathogenesis of a human disease.
- the invention is also directed toward mutant forms of such mammalian proteins.
- a "mutein” is a protein having an amino acid sequence that is altered as a result of a mutation that has occurred in its corresponding gene (Wei gel et al, 1989). Such mutations may result in changes in one or more of the characteristics of the encoded protein.
- an enzyme variant that has modified catalytic activity resulting from a change in one or more amino acids is a mutein.
- This invention is concerned with proteins harboring an alteration of at least one amino acid residue (the terms "amino acid sequence change” or “amino acid sequence alteration” include changes, deletions, or additions, of at least one amino acid residue, or any combination of deletions, additions, changes) such that the resulting mutein has become (as a result of the mutation) resistant to a known therapeutic agent relative to the sensitivity of the non-mutated version of said protein to the therapeutic agent.
- This specialized class of muteins is hereinafter referred to as a theramutein, and the corresponding protein lacking the mutation is referred to herein as a. prototheramutein .
- prototheramutein refers to an endogenously occurring protein in a cell that is susceptible to mutation that confers relative insensitivity (i.e. resistance) to a therapeutic compound which otherwise inhibits or activates the protein.
- theramutein refers to an endogenously occurring protein or portion of a protein in a cell that contains at least one amino acid sequence alteration relative to an endogenous form of the protein, wherein the amino acid sequence change is or was identified or becomes identifiable, and is or has been shown to be clinically significant for the development or progression of a given disease, following exposure of at least one human being to a substance that is known to inhibit or activate the prototheramutein.
- a substance need not be limited to a chemical agent for the purposes of first defining the existence of a theramutein.
- a theramutein is a protein which harbors a mutation in its corresponding endogenous gene, wherein said mutation is associated with the development of clinical resistance in a patient to a drug that is normally able to activate or inhibit the non-mutated protein.
- the term "corresponding prototheramutein” refers to the prototheramutein which, through mutation, gives rise to said theramutein.
- the “corresponding theramutein” refers to the theramutein which has arisen by mutation from said prototheramutein.
- the definition of a theramutein excludes proteins encoded by disease-causing infectious agents such as viruses and bacteria.
- endogenous gene refers to a gene that has been present in the chromosomes of the organism at least in its unmutated form, since inception.
- cell refers to a living eukaryotic cell whether in an organism or maintained under appropriate laboratory tissue or organ culture conditions outside of an organism.
- the target protein may be any endogenously encoded mammalian protein
- the POI is a theramutein, which is a protein that is altered for the first time with respect to a commonly occurring "wild type" form of the protein (i.e., a wild type protein is the prototheramutein from which the theramutein arises)
- a theramutein is a variant of a protein that is, itself, already a mutein (i.e., a mutein is the prototheramutein from which the theramutein arises).
- a theramutein may be further mutated as compared to a previously existing theramutein.
- the first theramutein such as the T315I mutant of p210 BCR-ABL (see below)
- the first theramutein such as the T315I mutant of p210 BCR-ABL (see below)
- T315I mutant such as the T315I mutant of p210 BCR-ABL (see below)
- subsequent mutations of the (already mutated) T315I variant may be termed a secondary theramutein, tertiary theramutein, etc.
- a mutein of the invention is a variant of Bcr-Abl tyrosine kinase that escapes inhibition by an inhibitor of the "wild type" Bcr-Abl.
- Such a Bcr-Abl mutein is altered with respect to a more common or "wild type” form of Bcr-Abl (which is also a mutein as well) in
- a protein of interest is an endogenously encoded mammalian protein.
- a mutein of primary interest is a theramutein that may have the same, increased, or decreased specific activity relative to its prototheramutein, and that it is not inhibited or is poorly inhibited by an agent that is used to inhibit the prototheramutein.
- another theramutein of primary interest is one that has the same, increased or decreased specific activity (relative to its prototheramutein) and that is not activated or is poorly activated by an agent that is used to activate the prototheramutein.
- Other variations are obvious to the skilled artisan.
- theramuteins can include naturally occurring or commonly observed variants of a protein, for example, variants that are expressed from different alleles of a particular gene. In some cases such variants may be unremarkable with respect to their normal cellular function, with functional differences becoming apparent only in the presence of agents that differentially inhibit or activate the cellular function of the variants.
- naturally occurring variants of a particular enzyme may have activity profiles that are not substantially different, but a therapeutic agent that modulates one may be ineffective in modulating the other.
- one aspect of the invention is the identification of an agent that is active against a selected POI whose cellular function contributes to a given disease state such that activators or inhibitors of said POI would be expected to be therapeutically effective during the course of treatment for the disease.
- No limitation of any kind or nature is intended on the type of disease that may be treated, nor on the type of protein that may be targeted for modulation according to the teachings herein, provided that all other limitations stated herein are met, including the fact that any such protein that is selected for targeting must be an endogenous protein.
- the skilled investigator may use non-endogenously occurring nucleic acids such as cDNAs in order to practice the method taught herein provided that the amino acid sequence corresponds to an endogenously occurring POL
- one aspect of the invention is the identification of an agent that is active against a protein or theramutein that arises or becomes dominant (by any mechanism) prior to or during the course of a treatment for a given disease
- another aspect is the identification of an agent that is active against a mutein that is common within a population of unafflicted individuals, but wherein said mutein is less susceptible to modulation by an approved drug, and where the variation in the activity profile of the mutein becomes important (and is therefore first identified as being a theramutein) in a disease state such as where it is overexpressed or participates in a signaling process which has otherwise become abnormally regulated.
- a neoplastic disease may be caused by abnormal regulation of a cellular component other than the theramutein or its prototheramutein, and still be treatable with an inhibitor of the prototheramutein, whereas the same treatment would be less effective or ineffective where the theramutein was present.
- This can be an issue where it is observed that the response of a particular tumor type to an anticancer agent varies among individuals that express different variants of an enzyme against which the anticancer agent is directed (Lynch et al., 2004).
- the variants would not have arisen or become predominant during the course of treatment of the disease, but are preexisting in the healthy population and are detected only by their altered responsiveness to a particular course of established therapeutic treatment.
- agonist and “activator” of a protein are used interchangeably.
- An activator is limited to a substance that binds to and activates the functioning of a given protein.
- an “activator”, an “agonist”, and an “activator of a protein” are identical in meaning. The activation by an activator may be partial or complete.
- the terms “antagonist” and “inhibitor” of a protein are used interchangeably.
- An inhibitor is limited to a substance that binds to and inhibits the functioning of a given protein.
- a substance "inhibit(s)" a protein means the substance binds to the protein and reduce(s) the protein's activity in the cell without materially reducing the amount of the protein in the cell.
- a substance "activate(s)" a protein such as a prototheramutein or theramutein, is to state that the substance increases the defined function of the protein in the cell without substantially altering the level of the protein in the cell.
- an "inhibitor”, an “antagonist” and an “inhibitor of a protein” are also synonymous.
- the inhibition by an inhibitor may be partial or complete.
- a modulator is an activator or an inhibitor.
- an “activator of PKC ⁇ i” should be construed to mean a substance that binds to and activates PKCpi.
- an “inhibitor of p210 Bcr ⁇ Abl” is a substance that binds to and inhibits the functioning of p210 Bcr”Abl .
- To state that a substance "inhibits a protein” requires that the substance bind to the protein in order to exert its inhibitory effect.
- a substance “activates protein X” is to state that the substance binds to and activates protein X.
- binding has their ordinary meanings in the field of biochemistry in terms of describing the interaction between two substances (e.g., enzyme-substrate, protein-DNA, receptor-ligand, etc.).
- the term “binds to” is synonymous with “interacts with” in the context of discussing the relationship between a substance and its corresponding target protein.
- the specificity gap refers to the difference between the ability of a given substance, under comparable conditions to inhibit the theramutein in a cell- based assay system of the invention as compared to either: a) the ability of the same substance under comparable conditions to inhibit the prototheramutein; or b) the ability of a second substance (usually a known inhibitor of the prototheramutein) to inhibit the theramutein under comparable conditions; or c) the ability of the second substance to inhibit the prototheramutein under comparable conditions.
- the comparison is made between the effects of two distinct substances (tested individually) on the theramutein alone, the result is termed a homologous specificity gap determination.
- heterologous specificity gap (SG) determination when a comparison is made between the effects of two distinct substances (generally, but not always), one of which is tested on the theramutein and the other on the prototheramutein, respectively, the result is termed a heterologous specificity gap (SG) determination.
- SG heterologous specificity gap
- substances that are more effective against a theramutein have a "positive specificity gap.”
- a "zero, null or no” specificity gap indicates that there is no significant measurable difference between the effect of a substance on the theramutein as compared to its effect on the prototheramutein (however such compounds may be quite useful in their ability to inhibit or activate both a theramutein and its corresponding prototheramutein), and a "negative specificity gap" indicates a substance that at a given concentration is less effective against the given theramutein than against a form of the corresponding prototheramutein or other comparative form of the theramutein (such as one that may harbor a different mutation).
- the latter category is generally of lesser interest than the former categories of compounds, except in the case where the compound is so potent that its relatively lesser effect on the theramutein is of no real concern from the perspective of therapeutic efficacy.
- the skilled investigator can easily recognize a variety of approaches to quantifying the specificity gap assessment in a manner tailored to his or her needs. Such an analysis may assist the skilled investigator in classifying various compounds into discrete categories that may be helpful in guiding further lead optimization or biological profiling studies on such compounds.
- the invention also provides a means for identifying compounds that exhibit a desired specificity gap. Such compounds can be identified and their ability to inhibit or activate the theramutein determined using an in vitro cell-based assay system where the effect of a substance on the cellular functioning of the mutated endogenous form of the protein is compared to the effect of the same drug on the cellular functioning of a non-mutated endogenous form of the protein.
- the system enables the discovery of compounds capable of binding to a theramutein and exerting a greater modulatory effect on the cellular functioning of said theramutein than on its corresponding prototheramutein. Further, the system enables the discovery of compounds capable of binding to a theramutein and exerting at least as great or greater modulatory effect on the cellular functioning of a theramutein than previously known compounds are able to exert on the corresponding prototheramutein.
- a compound may be screened for and identified that 1) is at least as effective against the theramutein as the original drug is against the prototheramutein, and/or 2) is similarly effective against the prototheramutein as against the theramutein (i.e., displays a small or essentially zero specificity gap).
- cells that overexpress a theramutein of interest are used to identify chemical agents that are inhibitors or activators of (i.e., that bind to and inhibit or that bind to and activate) at least the selected theramutein.
- the chemical agents may also be inhibitors or activators of the prototheramutein or even other theramuteins of the same prototheramutein.
- the terms "chemical agent” and “compound” are used interchangeably, and both terms refer exclusively to substances that have a molecular weight up to, but not including, 2000 atomic mass units (Daltons).
- biological agents are molecules which include proteins, polypeptides, and nucleic acids, and have molecular weights equal to or greater than 2000 atomic mass units (Daltons).
- a theramutein is selected and used in a phenoresponse-based cellular assay system of the present invention designed to identify agents that are inhibitors or activators of the theramutein.
- two or more distinct theramuteins originating from the same prototheramutein are known, it is preferable to select the most resistant theramutein available for use in the assay system, hi general, the degree of resistance of a theramutein to a given chemical agent is determined relative to its non- mutated counterpart (prototheramutein) using the drug that was first administered and known to inhibit or activate the prototheramutein and against which the theramutein "arose.”
- the methods of determining the degree of such resistance for example by analysis of IC 50 or AC 50 values, are well known and standard in the art and will not be reiterated herein.
- the compound was still markedly less effective on the p21 o Bcr"Abl theramuteins than it was against the wild-type p2 10 Bcr - Abi T 1 Yj 16n tne compound was tested against p 2io Bcr"Abl ⁇ T3151 mutant activity, it was unable to inhibit the activity to any appreciable extent (p. 1270, left hand column, second paragraph; see also Fig. 4.).
- the disclosed compound was able to inhibit a theramutein that is partially resistant to STI-571, but had no activity against the T315I mutant of Bcr-Abl., which was already known at that time to be the theramutein that exhibited the most resistance to STI-571.
- a test cell that displays a carefully selected phenotypic characteristic (as defined below) which is linked to the presence and functional activity of the particular protein-of-interest (POI) or theramutein-of-interest (TOI) in the cell under appropriate conditions.
- POI protein-of-interest
- TOI theramutein-of-interest
- a phenotypic characteristic i.e. a non-genotypic characteristic of the cell
- a phenotypic characteristic is a property which is observed (measured), selected and/or defined for subsequent use in an assay method as described herein.
- phenotypic characteristic is responsive to the total activity of the protein in the cell, and is a result of the absolute amount of the protein and its specific activity. Often, the phenotypic characteristic is observable as a result of elevated levels of protein activity and is not apparent in cells that express low amounts of the protein, or if the protein is also a theramutein, then the phenotypic characteristic will often not be apparent in cells expressing low amounts of either the theramutein or its corresponding prototheramutein.
- the phenotypic characteristic is modulated by modulating the specific activity of the protein with an inhibitor or activator of the theramutein , although this is not always the case since an inhibitor or activator of the TOI may not always be available at the time the skilled investigator undertakes such a project.
- the skilled investigator may also use a substance capable of increasing or decreasing the expression of the gene encoding a given POI (such as a theragene in the case of a theramutein), which will in turn lead to increases or decreases of the level of the corresponding theramutein.
- the selected phenotypic characteristic is linked to the activity of the theramutein in the test cell.
- the selected phenotypic characteristic is usually also displayed by a cell that overexpresses the prototheramutein and in which the phenotypic characteristic is modulated by known inhibitors or activators of the prototheramutein.
- a phenotypic characteristic is simply a characteristic of a cell other than a genotypic characteristic of the cell. Except for the specific requirements of a properly defined phenotypic characteristic as disclosed herein for the purposes of creating useful cellular assay systems according to the teachings of certain of the embodiments of the invention, no other limitation of the term phenotypic characteristic of any kind or nature is intended or appropriate in order to properly and effectively practice the invention. Indeed, the skilled artisan must be able to select any characteristic of the cell that maximizes the utility of establishing the proper cell-based assay for his or her needs.
- the phenotypic characteristic can be quantitative or qualitative and be observable or measurable directly (e.g.
- observable means that a characteristic may be measured or is otherwise detectable under appropriate conditions by any means whatsoever, including the use of any type of laboratory instrumentation available.
- detecttable is not the same as “detected.” A characteristic may be detectable to a skilled artisan without being detected at any given time, depending upon how the investigator chooses to design the assay system.
- a POI such as a prototheramutein (or theramutein)
- Phenotypic characteristics include but are not limited to growth characteristics, transformation state, differentiation state, substrate phosphorylation state, catalytic activity, ion flux across the cell membrane (calcium, sodium, chloride, potassium, hydrogen ions, etc.), pH changes, fluctuations of second messenger molecules or other intracellular chemical species such as cAMP, phosphoinositides, cyclic nucleotides, modulations of gene expression, and the like.
- the characteristic of the cell may be observable or measurable continuously (e.g., growth rate of a cell), or after a period of time (e.g., terminal density of a cell culture), or transiently (e.g., modulation of a protein causes a transient change in phosphorylation of a substrate of the protein, or a transient flux in ion flow across the membrane, or elevations or reductions in intracellular cAMP levels).
- a selected phenotypic characteristic may be detected only in the presence of a modulator of the protein. No limitations are intended with respect to a characteristic that may be selected for measurement.
- a phenotypic characteristic can be focus formation that becomes observable when a cell that over expresses a selected protein is cultured in the presence of an activator of the protein, or it may be a transient increase or decrease in the level of an intracellular metabolite or ion, such as cAMP, calcium, sodium, chloride, potassium, lithium, phosphatidylinositol, cGMP, bicarbonate, etc.
- the characteristic so measured may be determined on a sub-cellular fraction of the cell.
- the initial treatment of the cell with a substance which thereby causes the substance to come into contact with the cell, must be performed on the intact cell, not a subcellular fraction.
- the characteristic selected for measurement within the cell must not be an intrinsic physical or chemical property of the protein (or theramutein or prototheramutein) itself (such as the mere amount (mass) of the protein inside the cell), but rather must be a characteristic that results from the activity of the protein (or theramutein or prototheramutein) inside the cell, thus affecting a characteristic of the cell which is distinct from the theramutein itself, as discussed in detail above.
- theramutein is a protein kinase that is capable of undergoing autophosphorylation
- a process whereby the enzyme is capable of catalyzing the phosphorylation of itself by transferring a terminal phosphate group from ATP onto itself it would NOT be appropriate to select the phosphorylation state of the TOI as an appropriate phenotypic characteristic of the cell for measurement. This is because such a characteristic does not reflect the activity of the TOI on other cellular components.
- autophosphorylation is not necessarily reflective of the activity of a protein kinase in a cell, since mutants of protein kinases are known that retain enzymatic activity sufficient to undergo autophosphorylation, yet have lost the capability to engage in signal transduction events within the cell.
- the classic paper by White et al. (1988) is both educational and noteworthy in this respect.
- responsive phenotypic characteristic means a characteristic of the cell which is responsive to inhibitors or activators of a given protein (including, e.g., a prototheramutein or theramutein).
- known therapeutic agent is defined as any agent that has been administered to a human being for the treatment of a disease in a country of the world.
- a useful phenotypic characteristic is disregulation of cell growth and proliferation. It is noted that the same or similar assay may be appropriate for use with many different proteins of interest. For example, disregulations of growth, proliferation, and/or differentiation are common phenotypic characteristics that may result from overexpression of a variety of different cellular proteins. It is an important teaching of this invention that by overexpressing a selected protein in order to cause the appearance of such a phenotypic characteristic, the characteristic becomes linked to the presence, amount, and specific activity of that selected protein under suitable conditions, and this linkage allows the skilled investigator to identify inhibitors or activators of a protein of interest (POI) as desired.
- POI protein of interest
- the phenotypic characteristic is responsive to changes in the level and/or specific activity of the selected protein.
- a responsive phenotypic characteristic when also demonstrated to be responsive to a known modulator of the POI is referred to herein as a "phenoresponse."
- a modulator of the prototheramutein In the special case of a theramutein which has no known modulator, a modulator of the prototheramutein must be utilized to establish a phenorespone to be used with the theramutein.
- the conception and recognition of this highly useful property of a cell represents one of the substantial advances of this invention over the prior art, including Applicant's own prior original work in the general area of cell-based assays (U.S. Pat. Nos.
- the protein is stably expressed in a test cell.
- Stable expression results in a level of the protein in the cell that remains relatively unchanged during the course of an assay.
- stimulation or activation of a component of a signaling pathway may be followed by a refractory period during which signaling is inhibited due to down- regulation of the component.
- down-regulation is usually sufficiently overcome by artificially overexpressing the protein.
- the expression is sufficiently maintained that changes in a phenotypic characteristic that are observed during the course of an assay are due primarily to inhibition or activation of the protein, rather than a change in its level, even if down-modulation of the protein subsequently occurs.
- transfection followed by transient expression of the protein may be employed provided that the selected phenotypic characteristic is measurable and the duration of the assay system is short relative to the progressive decline in the levels of the transiently expressed protein that is to be expected in such systems over time.
- stably expressing cell lines are preferred (U.S. Patent No. 4,980,281).
- the term "cellular specificity” means the ability of a compound, at a given concentration, to modulate a selected phenoresponse of the Test cell without affecting the Control Cell to the same extent, if at all.
- the term "cellular specificity gap" (“CSG”) means a measurement of the ability of a selected compound to modulate the selected phenoresponse corresponding to a given target protein (not limited to a theramutein) in a test cell relative to the ability of said compound to modulate the same phenoresponse in a corresponding control cell.
- the selected phenoresponse must have been previously defined using a known inhibitor or activator of the target protein.
- Determination of the CSG provides the skilled investigator with a method of comparing the relative potential therapeutic value of different compounds within a group of compounds (two or more) by comparing their relative cross-reactivity with control cells irrespective of the potency against the target protein of any given compound within the group.
- Compounds that exhibit the greatest "specificity" in their activity against test cells relative to control cells are generally the most desirable compounds, since a "wide" CSG will assist in selecting a compound that may reasonably be assumed to have minimal potential side effects in patients as compared to other compounds within the aforementioned group that have "narrow" CSGs.
- the effects of the CSG measurement are seen most easily when comparing cell-based assay generated dose-response curves in their entirety, however the following hypothetical example is also instructive.
- a standard approach in the art at the present time is to identify compounds that exhibit a high degree of potency with respect to inhibition of the target protein kinase's enzymatic activity in a cell-free assay system without showing significant inhibitory activity against a distinct but closely related protein kinase.
- compound A is the most potent of the series of compounds (A,B,C,D) and also shows the largest difference between its IC 50 against the target protein relative to its effect on the non-target protein.
- compound C is the least potent compound, it is the most specific in its ability to inhibit the Test cells while leaving the Control cells relatively unaffected over wide concentration range. This is reflected in its CSG of 40, and demonstrates that compound C, rather than compound A, is the compound that should be given the highest priority for further pre-clinical and clinical development efforts.
- compound profiling is used to identify and/or minimize side effects associated with administration of a compound to a patient.
- the cell-based lead optimization method allows early identification of potential side effects as compared to the cell-free approach.
- imatinib shows a wide cellular specificity gap according to the methods of the invention described herein. This is consistent with imatinib' s significant advance in the area of anti-cancer drugs. However, it is not without side effects.
- Recent evidence demonstrates that imatinib is associated with cardiac toxicity in a small percentage of patients (Kerkela et al., 2006). This group may increase over time as patients take imatinib for longer periods of time.
- Figure 16 shows that imatinib tested at various concentrations on the wild type Ba/F3 cell line shows a slight but significant growth inhbitory effect at concentrations that are substantially below the apparent IC 50 for cellular toxicity (about 10 ⁇ M) on the control cell line that imatinib exhibits at markedly higher concentrations. Such results become even more evident when the comparison of the effects of other compounds on the Control cell line are compared to those of imatinib.
- a preferred drug screening method for identification and optimization of compounds of the present invention involves the following: [0243] 1) Identification of a protein of interest (POI), such as a theramutein for which a novel inhibitor or activator is desired. Often, the POI is implicated or suspected to be implicated in establishment or maintenance of a disease state, perhaps due to inappropriate expression or a mutation-induced change in specific activity. Identification of an appropriate theramutein, for example, may be performed using standard techniques (See, Gorre et al., Science, 2001; see also PCT/US02/18729).
- POI protein of interest
- said one or more confirmed mutants comprise a defined theramutein which may be used in the subsequent methods as described herein.
- the theramutein of particular interest is p210 Bcr"Abl"T3151 , although the reactivities of the compounds with other theramuteins of p210 Bcr'Abl are also of interest.
- phenoresponse Such a phenotypic characteristic that is linked to expression of the POI and has been previously shown to be responsive to inhibitors or activators of the POI (or the prototheramutein-of-interest (pTOI)) is defined herein as a "phenoresponse.”
- One embodiment of this invention is the definitive use of the phenoresponse for the purpose of identifying compounds that are likely to be inhibitors or activators of the TOI. This may be accomplished through the use of a high-throughput screen using a cell line overproducing a given TOI and for which an appropriate phenoresponse has been identified and characterized.
- a high-throughput primary screen using a more generic phenotypic characteristic of a cell line (that does not qualify as a phenoresponse according to the teachings herein) and then utilize a secondary screen according to the teachings herein to distinguish between compounds that are true positive "hits", i.e. inhibitors or activators of the theramutein of interest, from false positive compounds that are not inhibitors or activators of the theramutein of interest.
- a cell is selected that naturally expresses the theramutein such that a responsive phenotypic characteristic is present under suitable culture conditions which are obvious to one of ordinary skill in the art.
- the theramutein is overexpressed, in some instances in a host cell that does not otherwise express the theramutein at all. This usually involves construction of an expression vector from which the theramutein can be introduced into a suitable host cell and overexpressed using standard vector systems and methodology. (Gorre et al., 2001; Housey et al., 1988).
- overexpression results in a level of the theramutein that is at least about 3 times the amount of the protein usually present in a cell.
- the amount is at least about 10 times the amount usually present in a cell.
- the amount is at least about 20 times or more preferably at least about 50 times the amount usually present in a cell.
- control cell that expresses the POI to a lesser extent or not at all (e.g., an unmodified host cell or host cell harboring an expression vector that does not express the POI).
- the control cell can also be a cell expressing the prototheramutein corresponding to the theramutein of interest.
- the control cell usually displays substantially the same phenotypic characteristic as the test cell.
- the phenotypic characteristic need not be quantitatively alike in both cells, however.
- a mutation that leads to reactivation of the prototheramutein may also increase, decrease, or otherwise affect its specific activity with respect to one or more of its substrates in the cell. As a result, it may exhibit the selected phenotypic characteristic to a greater or lesser extent. Accordingly, it may be desirable in some cases to adjust expression of either or both of the prototheramutein and the theramutein such that test and control cells exhibit the phenotypic characteristic to approximately the same degree.
- the selected phenoresponse is qualitatively the same in both cell types.
- the skilled investigator may choose to normalize the activity of the theramutein-expressing cell line to that of the prototheramutein- expressing cell line, or vice versa.
- Such normalization methods are standard in the art. See, for example, Bolstad et al. (2003).
- the skilled investigator may also wish to use unmodified host cells or host cells harboring the expression vector only as control cells for certain experimental procedures.
- the host cells are the cells into which an expression vector encoding the theramutein was introduced in order to generate the test cells.
- This may be the case where the investigator is only interested in identifying a specific inhibitor or activator of the theramutein of interest, irrespective of whether or not said compound is also effective against the prototheramutein of interest (pTOI).
- test and control cells are then maintained or propagated (although not necessarily at the same time) in growth media (or even in intact animals) under suitable conditions such that the phenoresponse may be expressed and assayed.
- Control cells that are expressing the prototheramutein may be treated with a known modulator of the prototheramutein, or with a test substance, and test cells are treated with test compounds to determine whether they are active against the theramutein, as measured by the ability of said substances to modulate the phenoresponse in the expected manner.
- control cells not expressing the prototheramutein may also be substituted, depending upon the particular phenoresponse that the skilled investigator has chosen for study. Substances may then be assayed on the test cells and, optionally, on the control cells at the same time, or at another time, and the results compared.
- substances that are active with regard to the test cells can be rapidly identified by their ability to modulate the phenoresponse of the test cells in the same manner as, for example, the known modulator of the prototheramutein alters the phenoresponse of prototheramutein-expressing control cells.
- active substances may be identified by their ability to modulate the activity of the theramutein in the test cells while having little or no effect on the unmodified (prototheramutein and/or theramutein non-expressing) control cells.
- modulators that are more effective against the theramutein, or that are equally effective against both the prototheramutein and one or more corresponding specific theramuteins.
- phenoresponses can be observed and/or measured and include, for example, detection of substrates of the prototheramutein, and detection of gene expression changes that are regulated by the activity of the theramutein.
- any characteristic of the cell that the skilled investigator has previously correlated with the functional activity of the theramutein may be suitable for use with such methods.
- the skilled investigator must first verify that said characteristic fulfills the criteria of being a phenoresponse according the teachings as given in detail herein.
- the skilled investigator may also wish to normalize the phenoresponse with the theramutein expressing cells to that of the prototheramutein expressing cells.
- Characteristics suitable for detection may be measured by a variety of methods very well known to those of skill in the art. Such methods include, but are not limited to, detection of fluorescence of suitably labeled proteins (FACS), immunohistochemistry (IHC) for detection of protein expression, competitive radioligand binding assays, solid matrix blotting techniques, such as Northern, Southern, and Western blots of cell extracts, reverse transcriptase polymerase chain reaction (RT-PCR), enzyme linked immunosorbent assays (ELISA), phosphorylation assays, gel retardation assays, membrane potential perturbations, and the like.
- FACS fluorescence of suitably labeled proteins
- IHC immunohistochemistry
- solid matrix blotting techniques such as Northern, Southern, and Western blots of cell extracts, reverse transcriptase polymerase chain reaction (RT-PCR), enzyme linked immunosorbent assays (ELISA), phosphorylation assays, gel retardation assays, membrane potential perturbations, and the like.
- the p210 Bcr"Abl prototheramutein and p 2i0 Bcr Abl"T3151 (or other) theramutein can each be expressed in Ba/F3 (murine) cells using standard methodology and the phenoresponses that are observed are growth characteristics (terminal cell density for a carefully defined cell culture, and growth in the absence of Interleukin-3 (IL-3). Unmodified host cells, or host cells containing the expression vector only or both, may optionally also be used. In still another embodiment, the test cells alone may be used with or without reference to a known inhibitor or activator.
- Another useful assay is the determination of the state of phosphorylation of a direct substrate of p210 Bcr Abl"T3151 .
- a direct substrate of p210 Bcr Abl a direct substrate of p210 Bcr Abl
- One such substrate is Crkl (Gorre et al., Science 293:876- 80 (2001)), an adapter protein which mediates the connection between Bcr-Abl and Ras.
- the phosphorylation state of CRKL is representative of the signaling activity of p210 Bcr" ⁇ bl in a cell.
- Another downstream substrate is p62DOK. Any such substrate would suffice for these purposes, provided of course that phosphorylation of said substrate has been shown to occur inside the cell, and is not simply an autophosphorylation event of the TOI or PTOI as discussed above.
- Signal transduction cascade components may also be monitored, including src family kinases, STAT5, PI3 Kinase, raf kinase, RAS, MEK, ERKl and ERK2, JNKl, 2 and 3, MLKl, 2 and 3, MKK4, MKK7, AKT, mTOR, HSP90, and others.
- src family kinases STAT5, PI3 Kinase, raf kinase, RAS, MEK, ERKl and ERK2, JNKl, 2 and 3, MLKl, 2 and 3, MKK4, MKK7, AKT, mTOR, HSP90, and others.
- a therapeutically effective amount of one or more compounds that modulate the functional activity of a p210 Bcr"Abl theramutein is administered to a mammal in need thereof.
- administering means delivering the compounds of the present invention to a mammal by any method that may achieve the result sought. They may be administered, for example, orally, parenterally (intravenously or intramuscularly), topically, transdermally or by inhalation.
- mammal as used herein is intended to include, but is not limited to, humans, laboratory animals, domestic pets and farm animals.
- “Therapeutically effective amount” means an amount of a compound that, when administered to a mammal, is effective in producing the desired therapeutic effect, such as inhibiting kinase activity, inhibiting cancer cell growth and division, etc.
- the invention provides a method of treating disease in a mammal by administering to the mammal an effective amount of a modulator of a theramutein.
- Suitable diseases to be treated according to the present invention include, but are not limited to, relapsing neoplastic or other proliferative disorders that have become resistant to previously administered drugs.
- the method is also useful for overcoming variation among individuals with respect to susceptibility to drug treatment that results from allelic differences among therapy targets. For example, the role of p210 Bcr Abl tyrosine kinase signaling in CML has been extensively demonstrated, as has the role of theramuteins of p210 Bcr Abl in drug resistant recurrence of CML.
- p210 Bcr Ab1 exhibit varying sensitivity to inhibitors of p210 Bcr"Abl .
- theramuteins arise during drug therapy, others may preexist in the population. These latter examples will not be recognized as theramuteins until such time as the disease state ensues and is followed by treatment with a known class of therapeutic agents. Only after said treatment will such preexisting theramuteins reveal themselves as being clinically significant in terms of relative non-responsiveness leading to the progression of the disease in the patient harboring the theramutein.
- theramutein modulators are administered in combination with one or more other anti-neoplastic agents.
- Any suitable anti-neoplastic agent can be used, such as a chemotherapeutic agent, radiation or combinations thereof.
- the anti-neoplastic agent can be an alkylating agent or an anti-metabolite. Examples of alkylating agents include, but are not limited to, cisplatin, cyclophosphamide, melphalan, and dacarbazine.
- anti-metabolites include, but not limited to, doxorubicin, daunorubicin, and paclitaxel, gemcitabine, and topoisomerase inhibitors irinotecan (CPT-I l), aminocamptothecin, camptothecin, DX-8951f, topotecan (topoisomerase I inhibitor), and etoposide (VP- 16; topoisomerase II inhibitor) and teniposide (VM-26; topoisomerase II inhibitor).
- the anti-neoplastic agent is radiation
- the source of the radiation can be either external (external beam radiation therapy - EBRT) or internal (brachytherapy - BT) to the patient being treated.
- the dose of anti-neoplastic agent administered depends on numerous factors, including, for example, the type of agent, the type and severity of the tumor being treated and the route of administration of the agent. It should be emphasized, however, that the present invention is not limited to any particular dose, route of administration, or combination of chemotherapeutic agents or other therapeutic regimens that are combined with the administration of protein modulators.
- Anti-neoplastic agents which are presently known in the art or being evaluated can be grouped into a variety of classes including, for example, mitotic inhibitors, alkylating agents, anti-metabolites, intercalating antibiotics, growth factor inhibitors, cell cycle inhibitors, enzymes, topoisomerase inhibitors, anti survival agents, biological response modifiers, anti-hormones, and anti-angiogenesis agents, all of which can be administered with inhibitors or activators of theramuteins.
- a modulator of a theramutein can be administered with antibodies that neutralize other receptors involved in tumor growth. Further, a modulator of a theramutein can be administered with a compound that otherwise modulates a component of a signal transduction pathway, preferably a component of the signal transduction pathway in which the theramutein is active and which is common to one or more other signal transduction pathways. In an embodiment of the invention, a theramutein modulator is used in combination with a receptor antagonist that binds specifically to the Epidermal Growth Factor Receptor (EGFR).
- EGFR Epidermal Growth Factor Receptor
- antigen-binding proteins that bind to the extracellular domain of EGFR and block binding of one or more of its ligands and/or neutralize ligand-induced activation of EGFR.
- An EGFR antagonist can be an antibody that binds to EGFR or a ligand of EGFR and inhibits binding of EGFR to its ligand.
- Ligands for EGFR include, for example, EGF, TGF- ⁇ , amphiregulin, heparin-binding EGF (HB-EGF) and betacellulin.
- EGF and TGF- ⁇ are thought to be the main endogenous ligands that result in EGFR-mediated stimulation, although TGF- ⁇ has been shown to be more potent in promoting angiogenesis.
- the EGFR antagonist can bind externally to the extracellular portion of EGFR, which can or can not inhibit binding of the ligand, or internally to the tyrosine kinase domain in the case of chemical agents.
- EGFR antagonists that bind EGFR include, without limitation, biological agents such as antibodies (and functional equivalents thereof) specific for EGFR, and chemical agents (small molecules), such as synthetic kinase inhibitors that act directly on the cytoplasmic domain of EGFR.
- growth factor receptors involved in tumorigenesis are the receptors for vascular endothelial growth factor (VEGFR-I and VEGFR-2), platelet-derived growth factor (PDGFR), nerve growth factor (NGFR), fibroblast growth factor (FGFR), and others.
- VEGFR-I and VEGFR-2 vascular endothelial growth factor
- PDGFR platelet-derived growth factor
- NGFR nerve growth factor
- FGFR fibroblast growth factor
- the theramutein inhibitor is administered before, during, or after commencing therapy with another agent, as well as any combination thereof, i.e., before and during, before and after, during and after, or before, during and after commencing the anti-neoplastic agent therapy.
- the theramutein inhibitor can be administered between 1 and 30 days, preferably 3 and 20 days, more preferably between 5 and 12 days before commencing radiation therapy.
- chemotherapy is administered prior to, concurrently with or, more preferably, subsequent to antibody therapy.
- any suitable method or route can be used to administer theramutein inhibitors of the invention, and optionally, to co-administer antineoplastic agents and/or antagonists of other receptors.
- the anti-neoplastic agent regimens utilized according to the invention include any regimen believed to be optimally suitable for the treatment of the patient's neoplastic condition. Different malignancies can require use of specific anti-tumor antibodies and specific anti-neoplastic agents, which will be determined on a patient to patient basis.
- Routes of administration include, for example, oral, intravenous, intraperitoneal, subcutaneous, or intramuscular administration.
- the dose of antagonist administered depends on numerous factors, including, for example, the type of antagonists, the type and severity of the tumor being treated and the route of administration of the antagonists. It should be emphasized, however, that the present invention is not limited to any particular method or route of administration.
- Suitable carriers include, for example, one or more of water, saline, phosphate buffered saline, dextrose, glycerol, ethanol and the like, as well as combinations thereof. Carriers can further comprise minor amounts of auxiliary substances, such as wetting or emulsifying agents, preservatives or buffers, which enhance the shelf life or effectiveness of the theramutein modulator as the active ingredient.
- the compositions can, as is well known in the art, be formulated so as to provide quick, sustained or delayed release of the active ingredient after administration to the mammal.
- compositions of this invention can be in a variety of forms. These include, for example, solid, semi-solid and liquid dosage forms, such as tablets, pills, powders, liquid solutions, dispersions or suspensions, liposomes, suppositories, injectable and infusible solutions.
- solid, semi-solid and liquid dosage forms such as tablets, pills, powders, liquid solutions, dispersions or suspensions, liposomes, suppositories, injectable and infusible solutions.
- the preferred form depends on the intended mode of administration and therapeutic application.
- compositions of the present invention are prepared in a manner well known in the pharmaceutical art.
- the active ingredient will usually be mixed with a carrier, or diluted by a carrier and/or enclosed within a carrier which can, for example, be in the form of a capsule, sachet, paper or other container.
- a carrier which can, for example, be in the form of a capsule, sachet, paper or other container.
- the carrier serves as a diluent, it can be a solid, semi-solid, or liquid material, which acts as a vehicle, excipient or medium for the active ingredient.
- the composition can be in the form of tablets, lozenges, sachets, cachets, elixirs, suspensions, aerosols (as a solid or in a liquid medium), ointments containing, for example, up to 10% by weight of the active compound, soft and hard gelatin capsules, suppositories, injection solutions, suspensions, sterile packaged powders and as a topical patch.
- compositions of the present invention can be administered to any suitable mammal, such as a rabbit, rat, or mouse. More preferably, the mammal is a human.
- the compounds according to the invention may also be present as salts.
- Pharmaceutically acceptable salts refers to an acid addition salt or a basic addition salt of a compound of the invention in which the resulting counter ion is understood in the art to be generally acceptable for pharmaceutical uses.
- Pharmaceutically acceptable salts can be salts of the compounds according to the invention with inorganic or organic acids.
- salts with inorganic acids such as, for example, hydrochloric acid, hydrobromic acid, phosphoric acid or sulfuric acid
- organic carboxylic or sulfonic acids such as, for example, acetic acid, maleic acid, fumaric acid, malic acid, citric acid, tartaric acid, lactic acid, benzoic acid, or methanesulfonic acid, ethanesulfonic acid, phenylsulfonic acid, toluenesulfonic acid or naphthalenedisulfonic acid.
- Pharmaceutically acceptable salts can also be metal or ammonium salts of the compounds according to the invention.
- ammonium salts which are derived from ammonia or organic amines, such as, for example, ethylamine, di- or triethylamine, di- or triethanolamine, dicyclohexylamine, dimethylaminoethanol, arginine, lysine, ethylenediamine or 2-phenylethylamine. (see, Berge et al. J. Pharm. ScL 1977, 66, 1-19).
- p21 o Bcr Abl - T3 ' 5I is a theramutein of the p21 OBcr- AbI protein (p210 Bcr"Abl ) that is resistant to inhibition by imatinib mesylate (Gleevec, STI-571).
- the mutation at position 315 converts a threonine to an isoleucine residue and is one of several mutations that are observed among resistant or relapsed patients. This particular mutant, however, is the most resistant such theramutein yet identified.
- a phenoresponse was determined for a Ba/F3 cell line engineered to overexpress the p2io Bcr"Abl ⁇ T3151 theramutein.
- the phenoresponse was determined relative to non-transformed Ba/F3 cells and Ba/F3 cells that express the p210 Bcr"Abl"wt prototheramutein.
- the phenoresponse was the ability of the T315I mutants to grow to a higher cell saturation density under analogous culture conditions as compared to the control non-transformed Ba/F3 cell line, and to grow in the absence of interleukin 3 (IL-3), which is required for maintenance of the control non-transformed Ba/F3 cell line.
- the phenoresponse was defined and characterized according to the teachings given above.
- the detection system utilized was a high speed cell imaging and counting system in which 3 ⁇ l sample volumes of cells were sequentially injected through a 5 ⁇ l optical microcell, digitally imaged and electronically stored, scanned, and then counted, all under a microcomputer-based control system.
- the system has the capacity to perform direct cell counts on samples from cultures as small as 500 ⁇ l and provides statistically significant total cell counts from culture samples containing as few as 12,500 cells. All of the figures displaying cell count and viability assays utilized this system for data acquisition and analysis.
- the system is also capable of determining overall cell viability by distinguishing counted, imaged cells that have excluded trypan blue (counted as “viable” cells) from cells which have taken up the trypan blue dye (counted as "non-viable” cells). Injection of trypan blue into the cell sample occurs immediately prior to the sample being sequentially injected into the microcell for simultaneous cell counting and imaging.
- the system may be integrated into the workflow of high-throughput screening devices to provide a sensitive and precise cell counting and cell viability assay system that is more reliable and less prone to confounding effects of metabolic viability-based cellular assays such as XTT or Alamar blue.
- a total of approximately 11 ,760 compounds showed greater than 50% growth inhibition, which were thought to correspond to approximately 4500 distinct chemical classes. Retesting of these compounds with the same cell line yielded a database of compound responsiveness which was then sorted and rank ordered according to those compounds exhibiting the highest overall growth inhibition. From this rank ordered database, the highest scoring 130 compounds (based upon the greatest degree of growth inhibition observed at the lowest concentrations that compounds were tested) were then rescreened in a defined cell-based assay system using Ba/F3 T315I as test cells and wild type Ba/F3 as control cells according to the methods of the present invention.
- the remaining five compounds were independently evaluated in additional cell-based assays using the aforementioned cell lines as well as in a cell-free purified protein kinase assay using human recombinantly produced 120 Kd kinase domain fragments isolated from both wild type P210 Bcr-Abl as well as P210 T315I mutant kinase domain.
- FIG. 1 Representative examples of the cell-based assay results demonstrating selective inhibition of growth of the Ba/F3 T315I cell line relative to the wild type non- transformed Ba/F3 cells are shown in Figures 1 and 2.
- the compounds inhibited growth and reduced the viability of cells expressing the T315I theramutein at concentrations under which the growth and viability of the wild type Ba/F3 non-transformed cells (not expressing either p210 Bcr - Abi - wt or P 210 BCr - AbI - TSiSi ) were relatively una ffected, whereas cells expressing both the prototheramutein as well as the theramutein were substantially inhibited.
- the T315I expressing cells were inhibited to an even greater extent than the P210 prototheramutein expressing cells. (See, for example, Figure 3, right hand side, Compound 3 results against P210 and T315I cells.
- the methods presented herein provide a fundamental advance in the form of a generalizable approach for creating or identifying modulators of any given theramutein.
- the results demonstrate conclusively the power of the method to identify critically needed compounds to overcome a specific type of acquired drug resistance that is uniformly fatal in certain patient populations and is presently untreatable.
- the techniques and methods described herein may, using obvious modifications, be straightforwardly generalized to any potential theramutein or other disease associated protein of clinical significance.
- a compound previously identified according to the teachings of this invention is optimized for activity against its selected protein target.
- the optimization process herein is also performed entirely through the use of the phenoresponse-based cellular assay system.
- a cell-free assay system using recombinantly produced target enzyme is also used to independently demonstrate that the compounds that score positively in the phenoresponse-based cellular assay indeed also score positively in a cell-free assay system format that is standard in the art and uses recombinantly produced enzyme.
- the present invention provides the skilled investigator with a powerful and rapid method for lead optimization which supplants the necessity for repeated cell free in vitro verifications of the ability of a compound to hit its corresponding target.
- the optimization process may be performed essentially entirely with reliance upon the phenoresponse-based assay systems results, obviating the need for repetitive confirmatory cell free assay determinations. While such confirmatory experiments may be performed if the skilled investigator chooses to do so, they are generally unnecessary with this method, as the results given above unequivocally demonstrate.
- the phenoresponse-based assay system of the invention can be used to profile the biological activity of a given compound with respect to its ability to inhibit or activate multiple distinct protein targets to differing extents.
- the skilled artisan may be interested in identifying or optimizing modulators of a given target protein where additional proteins are known that are distinct but highly related to the target POI.
- Such protein families may consist of two or more members that share a high degree of homology at both the DNA and amino acid sequence levels, yet the family members may have distinct functions within the cell.
- the skilled artisan may also choose to express two or three or even four distinct protein targets in a single Test Cell (or Test Cell line) and create a phenoresponse-based assay system useful for identifying compounds that are NOT selective among individual isozymes of a given protein family.
- lack of selectivity among individual family members may be preferable.
- Ibuprofen for example, is an established, low-cost safe and effective nonsteroidal anti-inflammatory drug that does not significantly discriminate between the cyclooxygenase type 1 (COX-I) and COX-2 family members. Such lack of discrimination may in some instances be beneficial and may reduce the likelihood of certain unwanted side effects that may occur with an overly selective chemical agent.
- this cross- reactive inhibition of the kit oncoprotein is serendipitous, because gastrointestinal stromal tumors (GIST), a type of tumor arising in the small intestine, are driven by kit activity and are thus responsive to imatinib treatment as well (NEJM paper).
- GIST gastrointestinal stromal tumors
- NJM paper a type of tumor arising in the small intestine
- Compounds tested on a given cell line that exhibited an IC 50 value that was ⁇ lO ⁇ M (less than 10 micromolar) were designated as Category "C” compounds.
- Compounds tested on a given cell line that exhibited an IC 5O value that was > lO ⁇ M (greater than or equal to 10 micromolar) were designated as Category "D” compounds.
Landscapes
- Chemical & Material Sciences (AREA)
- Organic Chemistry (AREA)
- Investigating Or Analysing Biological Materials (AREA)
- Measuring Or Testing Involving Enzymes Or Micro-Organisms (AREA)
- Pharmaceuticals Containing Other Organic And Inorganic Compounds (AREA)
Abstract
This invention relates to agents that are inhibitors or activators of variant forms of endogenous proteins and novel methods of identifying such variants. Of particular interest are inhibitors and activators of endogenous protein variants, encoded by genes which have mutated, which variants often arise or are at least first identified as having arisen following exposure to a chemical agent which is known to be an inhibitor or activator of the corresponding unmutated endogenous protein.
Description
THERAMUTEIN MODULATORS
BACKGROUND OF THE INVENTION
[0001] The progressive development of drug resistance in a patient is the hallmark of chronic treatment with many classes of drugs, especially in the therapeutic areas of cancer and infectious diseases. Molecular mechanisms have been identified which mediate certain types of drug resistance phenomena, whereas in other cases the mechanisms of acquired as well as de novo resistance remain unknown today.
[0002] One mechanism of induced (acquired) drug resistance originally thought to be relevant in the area of cancer therapy involves increased expression of a protein known as P-glycoprotein (P-gp). P-gp is located in the cell membrane and functions as a drug efflux pump. The protein is capable of pumping toxic chemical agents, including many classical anti-cancer drugs, out of the cell. Consequently, upregulation of P-glycoprotein usually results in resistance to multiple drugs. Upregulation of P-glycoprotein in tumor cells may represent a defense mechanism which has evolved in mammalian cells to prevent damage from toxic chemical agents. Other related drug resistance proteins have now been identified with similar functions to P-gp, including multidrug-resistance-associated protein family members such as MRPl and ABCG2. In any event, with the advent of the development of compounds that are specific for a given target protein, and less toxic, the importance of P-glycoprotein and related ATP -binding cassette (ABC) transporter proteins in clinically significant drug resistance has lessened.
[0003] Another possible molecular mechanism of acquired drug resistance is that alternative signal pathways are responsible for continued survival and metabolism of cells, even though the original drug is still effective against its target. Furthermore, alterations in intracellular metabolism of the drug can lead to loss of therapeutic efficacy as well. In addition, changes in gene expression as well as gene amplification events can occur, resulting in increased or decreased expression of a given target protein and frequently requiring increasing dosages of the drug to maintain the same effects. (Adcock and Lane, 2003)
[0004] Mutation induced drug resistance is a frequently occurring event in the infectious disease area. For example, several drugs have been developed that inhibit either the viral reverse transcriptase or the viral protease encoded in the human immunodeficiency (HIV) viral genome. It is well established in the literature that repeated treatment of HIV-
infected AIDS patients using, for example, a reverse transcriptase inhibitor eventually gives rise to mutant forms of the virus that have reduced sensitivity to the drug. Mutations that have arisen in the gene encoding reverse transcriptase render the mutant form of the enzyme less affected by the drug.
[0005] The appearance of drug resistance during the course of HIV treatment is not surprising considering the rate at which errors are introduced into the HIV genome. The HIV reverse transcriptase enzyme is known to be particularly error prone, with a forward mutation rate of about 3.4 x 10"5 mutations per base pair per replication cycle (Mansky et al., J Virol. 69:5087-94 (1995)). However, analogous mutation rates for endogenous genes encoded in mammalian cells are more than an order of magnitude lower.
[0006] New evidence shows that drug resistance can also arise from a mutational event involving the gene encoding the drug target (Gorre et al., Science, 2001; PCT/US02/18729). hi this case, exposure of the patient to a specific therapeutic substance such as a given cancer drug that targets a specific protein-of-interest (POI, or "target" protein) may be followed by the outgrowth of a group of cells harboring a mutation occurring in the gene encoding the protein that is the target of the therapeutic substance. Whether the outgrowth of this population of cells results from a small percentage of pre-existing cells in the patient which already harbor a mutation which gives rise to a drug-resistant POI, or whether such mutations arise de novo during or following exposure of the animal or human being to a therapeutic agent capable of activating or inhibiting said POI, is presently unknown, hi either case, such mutation events may result in a mutated protein (defined below as a theramutein) which is less affected, or perhaps completely unaffected, by said therapeutic substance.
[0007] Chronic myelogenous leukemia (CML) is characterized by excess proliferation of myeloid progenitors that retain the capacity for differentiation during the stable or chronic phase of the disease. Multiple lines of evidence have established deregulation of the AbI tyrosine kinase as the causative oncogene in certain forms of CML. The deregulation is commonly associated with a chromosomal translocation known as the Philadelphia chromosome (Ph), which results in expression of a fusion protein comprised of the BCR gene product fused to the Abelson tyrosine kinase, thus forming p210Bcr"Λbl which has tyrosine kinase activity. A related fusion protein, termed pl90Bcr"Abl, that arises from a different breakpoint in the BCR gene, has been shown to occur in patients with Philadelphia
chromosome positive (Ph+) Acute Lymphoblastic Leukemia (ALL) (MeIo, 1994; Ravandi et al., 1999). Transformation appears to result from activation of multiple signal pathways including those involving RAS, MYC, and JUN. Imatinib mesylate ("STI-571" or "Gleevec®") is a 2-phenylamino pyrimidine that targets the ATP binding site of the kinase domain of AbI (Druker et al, NEJM 2001, p. 1038). Subsequently it has also been found by other methods to be an inhibitor of platelet-derived growth factor (PDGF) β receptor, and the Kit tyrosine kinase, the latter of which is involved in the development of gastrointestinal stromal tumors (see below).
[0008] Until recently, it had not been observed that during the course of treatment with a specific inhibitor of a given endogenous cellular protein that a mutation in its corresponding endogenous gene could lead to the expression of protein variants whose cellular functioning was resistant to the inhibitor. Work by Charles Sawyers and colleagues (Gorre et al., Science 293:876-80 (2001); PCT/US02/18729) demonstrated for the first time that treatment of a patient with a drug capable of inhibiting the p210Bcr Abl tyrosine kinase (i.e., STI-571) could be followed by the emergence of a clinically significant population of cells within said patient harboring a mutation in the gene encoding the p210Bcr Abl cancer causing target protein which contains the Abelson tyrosine kinase domain. Various such mutations gave rise to mutant forms of p210Bcr"Abl which were less responsive to Gleevec treatment than was the original cancer causing version. Notably, the mutations that emerged conferred upon the mutant protein a relative resistance to the effects of the protein kinase inhibitor drug, while maintaining a certain degree of the original substrate specificity of the mutant protein kinase. Prior to the work of Gorre et al., it was generally believed by those skilled in the art that the types of resistance that would be observed in patients exposed to a compound which inhibited the Abelson protein kinase, such as STI-571, would have resulted from one or more of the other mechanisms of drug resistance listed above, or by some other as yet unknown mechanism, but that in any event said resistance would involve a target (protein or otherwise) which was distinct from the drug's target POI.
[0009] Accordingly, the ability to treat clinically relevant resistant mutant forms of proteins that are otherwise the targets of an existing therapy would be extremely useful. Such mutated proteins (theramuteins as defined below) are beginning to be recognized and understood to be important targets in recurring cancers, and will become important in other diseases as well. There exists a need for therapeutic agents that are active against such drug
resistant variant forms of cellular proteins that may arise before, during or following normally effective drug therapies. A key purpose of this invention is to provide compounds that may serve as potential therapeutic agents useful in overcoming mutation-induced drug resistance in endogenously occurring proteins.
BRIEF SUMMARY OF THE INVENTION
[0010] This invention relates to agents that are inhibitors or activators of variant forms of proteins. The invention also relates to agents that are inhibitors or activators of certain variant forms of endogenous proteins. Of particular interest are inhibitors and activators of endogenous protein variants, encoded by genes which have mutated, which variants often arise or are at least first identified as having arisen following exposure to a chemical agent which is known to be an inhibitor or activator of the corresponding unmutated endogenous protein. Such protein variants (mutant proteins) are herein termed "theramuteins," and may occur either spontaneously in an organism (and be pre-existing mutations in some cases), or said mutants may arise as a result of selective pressure which results when the organism is treated with a given chemical agent capable of inhibiting the non-mutated form of said theramutein (herein termed a "prototheramutein"). It will be understood that in some cases a prototheramutein may be a "wild type" form of a POI (e.g., a protein that gives rise to a disease due to disregulation). In other cases, the prototheramutein will be a disease causing variant of a "wild type" protein, having already mutated and thereby contributing to the development of the diseased state as a result of said prior mutation. One example of the latter type of prototheramutein is the P210BCR'ABL oncoprotein, and a mutant form of this protein harboring a threonine (T) to isoleucine (I) mutation at position 315 is termed p2ioBCR'ABL~T3151 and is one example of a theramutein. As used herein, the designation "P210 BCR-ABL " is synonymous with the term "p210Bcr-Abl ", the "wild-type Bcr- AbI protein", and the like.
[0011] Theramuteins are a rare class of endogenous proteins that harbor mutations that render said proteins resistant to drugs that are known to inhibit or activate in a therapeutically effective manner their non-mutated counterparts. The endogenous genes encoding a few such proteins are presently known to exhibit such mutations under certain circumstances. In one embodiment, this invention is directed toward compositions that inhibit certain drug-resistant mutants (theramuteins) of the Abelson tyrosine kinase protein,
originally termed P210-Bcr-Abl in the literature, that is involved in the development of chronic myelogenous leukemia.
[0012] The present invention is particularly directed toward the identification of specific inhibitors or specific activators of proteins. Use of the term "specific" in the context of the terms "inhibitor" or "activator" (see definitions below) means that said inhibitor or activator binds to the protein and inhibits or activates the cellular functioning of the protein without also binding to and activating or inhibiting a wide variety of other proteins or nonprotein targets in the cell. The skilled investigator is well aware that there is a certain degree of variability in the medical literature with respect to the concept of a specific inhibitor or a specific activator, and of the related concept of target protein "specificity" when discussing the actions of inhibitors or activators of a protein. Accordingly, for the purposes of this invention, a substance is a specific inhibitor or a specific activator of a given protein if said substance is capable of inhibiting or activating said protein at a given concentration such that a corresponding phenoresponse is modulated in the appropriate manner, without having an appreciable effect at the same given concentration upon the phenoresponse (if any) of a corresponding control cell that essentially does not express either the protein.
[0013] In certain embodiments, a substance may be a modulator of two closely relted proteins such as a prototheramutein and one of its corresponding theramuteins. In other embodiments, in addition to being a modulator of the prototheramutein and theramutein, a substance may also modulate the activities of proteins that have similar functions. As discussed above, in addition to inhibiting the p210Bcr Abl tyrosine kinase, imatinib mesylate is also capable of inhibiting the c-kit oncogene product (also a tyrosine kinase) which is overexpressed in certain gastrointestinal stromal tumors, as well as the PDGF β receptor (also a tyrosine kinase), which is expressed in certain chronic myelomonocytic leukemias (CMML). Such a compound is sometimes termed a "moderately specific" inhibitor.
[0014] The invention also provides a general method that can be used to identify substances that will activate or inhibit a theramutein, to the same extent, and preferably to an even greater extent than a known drug substance is capable of inhibiting the corresponding "wild type" form of that protein. (The skilled artisan is well aware, however, that said "wild type" forms of such proteins may have already mutated in the course of giving rise to the corresponding disease in which said protein participates.)
[0015] In a preferred embodiment, the present invention provides inhibitors of the p210 BCR-ABL-τ3i 5 i theramutein having the formula I
wherein: ring A is a 5-, 6-, or 7- membered ring or a 7- to 12-membered fused bicyclic ring; X1 is selected from N, N-R0 or C-R1; X2 is selected from N, N-R0 or C-R1; the dotted lines represent optional double bonds; each R1 is independently selected from the group consisting of H, alkyl, cycloalkyl, alkenyl, alkynyl, aralkyl, CN, CF3, NO2, OR11, -(CH^QOXCH^R1 ' , -(CH2)^C(O)N(R12)(R13), -(CH2)PC(O)O(CH2)9R11,-(CH2)PN(R11)(CH2),C(O)R1 1, -(CH2)PN(R12)(R13), -(CH2)^N(R1 'XCH^R11, -N(R1 ^SO2R11, -OC(O)N(R12)(R13), -SO2N(R12)(R13), halo, aryl, and a heterocyclic ring, and additionally or alternatively, two R1 groups on adjacent ring atoms form a 5- or 6-membered fused ring which contains from O to 3 heteroatoms; n is O to 6, each R1 ' is independently selected from H, alkyl, cycloalkyl, alkenyl, alkynyl, aralkyl, aryl, and a heterocyclic ring; each R12 and R13 are independently selected from H, alkyl, cycloalkyl, alkenyl, alkynyl, aralkyl, aryl, and a heterocyclic ring; or R12 and R13 may be taken together with the nitrogen to which they are attached form a 5- to 7- membered ring which may optionally contain a further heteroatom; wherein the 5- to 7- membered ring may optionally be substituted with one to three substituents that are independently selected from alkyl, cycloalkyl, alkenyl, alkynyl, aralkyl, CN, CF3, NO2, OR0, CO2R0, C(O)R0, halo, aryl, and a heterocyclic ring; p is O to 4; q is O to 4; R2 is selected from -CR2V, -NR2V, -0-, and -(C=R23)-; each R21 is independently selected from H, halo, -NH2, -N(H)(Ci-3 alkyl), -N(Ci-3 alkyl)2,
-0-(Ci-3 alkyl), OH and C,-3 alkyl; each R22 is independently selected from H and Ci-3 alkyl;
R23 is selected from O, S, N-R0, and N-OR0;
R3 is selected from -CR31 C- , -NR3V, -SO2-, and -(C=R33)-; each R31 group is selected from H, halo, -NH2, -N(H)(R0), -N(R°)2, -O-R0, OH and Ci-3 alkyl; each R32 group is selected from H, alkyl, cycloalkyl, alkenyl, alkynyl, aralkyl, CO2R0,
C(O)R0, aryl, and a heterocyclic ring; R33 is selected from O, S, N-R34, and N-OR0; R34 is selected from H, NO2, CN, alkyl, cycloalkyl, alkenyl, alkynyl, aralkyl, aryl and a heterocyclic ring; R4 is selected from -CR4V, -NR4V, -(C-R43)-, -SO2-, and -0-; each R41 is selected from H, alkyl, cycloalkyl, alkenyl, alkynyl, CO2R0, C(O)R0, N(R°)2, aralkyl, aryl, and a heterocyclic ring; each R42 group is selected from H, alkyl, cycloalkyl, alkenyl, alkynyl, aralkyl, CO2R0,
C(O)R0, aryl, and a heterocyclic ring; each R43 is selected from O, S, N-R0, and N-OR0; with the provisos that when R2 is -NR2V and R4 is -NR4V, then R3 is not -NR3V; that both R3 and R4 are not simultaneously selected from -(C=R33)- and -(C=R43)-, respectively; and that R3 and R4 are not simultaneously selected from -SO2-; R5 is selected from -Y-R6 and -Z-R7;
Y is selected from a chemical bond, O, NR0,
R6 is selected from alkyl, cycloalkyl, alkenyl, alkynyl, aralkyl, aryl, and a heterocyclic ring;
Z is a hydrocarbon chain having from 1 to 4 carbon atoms, and optionally substituted with one or more of halo, alkyl, cycloalkyl, alkenyl, alkynyl, aralkyl, CO2R0, C(O)R0, C(0)N(R°)2, CN, CF3, N(R°)2, NO2, and OR0; R7 is H or is selected from aryl and a heterocyclic ring; each R0 is independently selected from H, alkyl, cycloalkyl, aralkyl, aryl and a heterocyclic ring; a is 1 or 2; b is O or 1 ; c is 1 or 2; d \s O or 1; e is 1 or 2; and is O or 1.
[0016] The invention provides for a fundamentally new way of treating cancer and other diseases where treatment with an existing drug compound, by whatever mechanism, is followed by identifiable (clinically significant) theramutein-mediated drug resistance, by providing alternative drugs that can be administered as theramuteins arise and are identified as such (Wakai et al., 2004, reports an example wherein a theramutein may arise during the course of an on-going treatment regimen), or preemptively before the outgrowth of clinically significant populations of theramutein expressing cells. Further, where a drug treatment for a particular disease is less effective in a subset of individuals that express a certain theramutein of a protein that the drug targets, the invention enables the tailoring of treatments for those subjects by providing alternative drug substances that will be effective against said theramutein.
[0017] The invention provides a method of determining whether a chemical agent is at least as effective a modulator of a theramutein in a cell as a known substance is a modulator of a corresponding prototheramutein. One embodiment of the method involves contacting a control cell that expresses the prototheramutein and is capable of exhibiting a responsive phenotypic characteristic (linked to the functioning of the prototheramutein in the cell) with the known modulator of the prototheramutein, contacting a test cell that expresses the theramutein and is also capable of exhibiting the responsive phenotypic characteristic (linked to the functioning of the theramutein in the cell) with the chemical agent, and comparing the response of the treated test cell with the response of the treated control cell; to determine that the chemical agent is at least as effective a modulator of the theramutein as the known substance is a modulator of the prototheramutein. In certain other embodiments, one type of control cell may not express the prototheramutein at all. In other embodiments, the control cell may express about the same amount of the prototheramutein as the test cell expresses of the theramutein. In still other embodiments, the control cell may be capable of exhibiting the responsive phenotypic characteristic to about the same extent as the test cell under certain conditions. In additional embodiments, the test cell may express a given protein, whereas the control cell expresses little or essentially none of the protein.
[0018] Proteins of the invention that are of particular interest are those involved in regulatory function, such as enzymes, protein kinases, tyrosine kinases, receptor tyrosine kinases, serine threonine protein kinases, dual specificity protein kinases, proteases, matrix metalloproteinases, phosphatases, cell cycle control proteins, docking proteins such as the
IRS family members, cell-surface receptors, G-proteins, ion channels, DNA- and RNA- binding proteins, polymerases, and the like. No limitation is intended on the type of theramutein or other protein that may be used in the invention. At the present time, three theramuteins are known: BCR-ABL, c-Kit, and EGFR.
[0019] Any responsive phenotypic characteristic that can be linked to the presence of the protein (including, e.g., a theramutein or proto theramutein) in the cell can be employed for use in the method, including, for example, growth or culture properties, the phosphorylation state (or other modification) of a substrate of the theramutein, and any type of transient characteristic of the cell, as will be defined and discussed in detail.
DESCRIPTION OF THE FIGURES
[0020] Figure 1 shows the effect on growth and viability of different concentrations of Compound 2 (C2) for non-transformed vector control Ba/F3 cells (which are IL-3 dependent) as well as Ba/F3 cells expressing the "wild type" p210Bcr Abl (designated p210Bcr" Abl"wt), and Ba/F3 cells expressing the p2ioBcr"Abl"T3151 drug resistant mutant. Cell counts and viability were determined on an automated cell counter as discussed in detail in the specification. Cell counts are shown by the solid color bars; cell viability is shown by the hashed bars. Note that STI-571 potently inhibits growth of the P210 cell line (grey bar) whereas it is unable to inhibit the growth of the T315I cell line (white bar) even at 10 μM concentration. 500 nM C2 shows the largest specificity gap within this dose-response series. Compare STI-571 at 10 μM to C2 at 500 nM on the T315I cell line (white bars). Abbreviations: DMSO: dimethylsulfoxide (solvent used for drug dissolution).
[0021] Figure 2 shows the effect on growth and viability of different concentrations of Compound 6 (C6) for non-transformed vector control Ba/F3 cells as well as Ba/F3 cells expressing the p2ioBcr"Abl'T3151 drug resistant mutant. All other details are as per Fig. 1.
[0022] Figure 3 shows various determinations of the specificity gap by comparing the effects of various compounds identified in the screen in terms of their effects on the prototheramutein- and theramutein-expressing cell lines. Compound 3 (C3) shows the best example of the ability of the method to identify a compound that exerts an even greater effect on the theramutein than on its corresponding prototheramutein. (Panel E). Panel A: control DMSO treatments; B: negative heterologous specificity gap; C: slightly positive heterologous specificity gap; D: large positive homologous specificity gap; E: positive heterologous specificity gap. See text for explanations.
[0023] Figure 4 shows an autoradiograph of recombinant P210 Bcr-Abl wild type and T315I mutant kinase domains assayed for autophosphorylation activity. 200 ng of protein were preincubated with test substances for 10 minutes under standard autophosphoryation reaction conditions and then radiolabeled ATP was added and the reactions proceeded for 30 minutes at 3O0C, after which the samples were separated by SDS-PAGE. The gels were silver-stained, dried down under vacuum and exposed to X-ray film. Note that whereas 10 μM STI 571 is effective against wild type P210 Bcr-Abl, it is virtually ineffective against the T315I kinase domain, even at concentrations up to 100 μM. "P210 cell line" refers to cells expressing p210 BCR-ABL"wt. "T315I cell line" refers to cells expressing p210 BCR"ABL-
T315I
[0024] Figure 5 shows the chemical structures of representative compounds of the present invention.
[0025] Figure 6 shows the chemical structures of representative compounds of the present invention.
[0026] Figure 7 shows the chemical structures of representative compounds of the present invention.
[0027] Figure 8 shows the chemical structures of representative compounds of the present invention.
[0028] Figure 9 shows the chemical structures of representative compounds of the present invention.
[0029] Figure 10 shows the chemical structures of representative compounds of the present invention.
[0030] Figure 11 shows the chemical structures of representative compounds of the present invention.
[0031] Figure 12 shows the chemical structures of representative compounds of the present invention.
[0032] Figure 13 shows the chemical structures of representative compounds of the present invention.
[0033] Figure 14 shows the inhibitory effect on growth rate of a hypothetical compound having a cellular specificity gap of 1 with respect to a test cell and a control cell.
[0034] Figure 15 shows the inhibitory effect on growth rate of a hypothetical compound having a cellular specificity gap of 40 with respect to a test cell and a control cell.
[0035] Figure 16 shows the growth inhibitory effect of imatinib mesylate at concentrations significantly below the apparent IC50 for cellular toxicity.
[0036] Figure 17 shows the effect on growth of different concentrations of C2 and various C2 analogues for Ba/F3 cells expressing the p2ioBcr~Abl"T3151 drug resistant mutant.
[0037] Figure 18 shows the results of a standard cell free protein kinase autophosphorylation assay for T315I mutant kinase domains in the presence of C2 and various C2 analogues at a concentration of 20 μM.
DETAILED DESCRIPTION OF THE INVENTION
[0038] The term "halo" or "halogen" as used herein includes fluorine, chlorine, bromine and iodine.
[0039] The term "alkyl" as used herein contemplates substituted and unsubstituted, straight and branched chain alkyl radicals having from 1 to 6 carbon atoms. Preferred alkyl groups include methyl, ethyl, propyl, isopropyl, butyl, isobutyl, tert-butyl, and the like. Additionally, the alkyl group may be optionally substituted with one or more substituents selected from halo, CN, CO2R, C(O)R, C(O)NR2, NR2, cyclic-amino, NO2, and OR.
[0040] The term "cycloalkyl" as used herein contemplates substituted and unsubstituted cyclic alkyl radicals. Preferred cycloalkyl groups are those with a single ring containing 3 to 7 carbon atoms and include cyclopropyl, cyclopentyl, cyclohexyl, and the like. Other cycloalkyl groups may be selected from C7 to Ci0 bicyclic systems or from C9 to Ci4 tricyclic systems. Additionally, the cycloalkyl group may be optionally substituted with one or more substituents selected from halo, CN, CO2R, C(O)R, C(O)NR2, NR2, cyclic- amino, NO2, and OR.
[0041] The term "alkenyl" as used herein contemplates substituted and unsubstituted, straight and branched chain alkene radicals. Preferred alkenyl groups are those containing two to six carbon atoms. Additionally, the alkenyl group may be optionally substituted with one or more substituents selected from halo, CN, CO2R, C(O)R, C(O)NR2, NR2, cyclic- amino, NO2, and OR.
[0042] The term "alkynyl" as used herein contemplates substituted and unsubstituted, straight and branched chain alkyne radicals. Preferred alkynyl groups are those containing two to six carbon atoms. Additionally, the alkynyl group may be optionally substituted with
one or more substituents selected from halo, CN, CO2R, C(O)R, C(O)NR2, NR2, cyclic- amino, NO2, and OR.
[0043] The term "aralkyl" as used herein contemplates an alkyl group which has as a substituent an aromatic group, which aromatic group may be substituted and unsubstituted. The aralkyl group may be optionally substituted on the aryl with one or more substituents selected from halo, CN, CF3, NR2, cyclic-amino, NO2, OR, CF3, -(CH2)^R,
-N(R)SO2R, -0(CH2)^C(O)N(R1XR"), -SO2N(R')(R"), -(CH2),N(R)-(CH2)rR, -(CH2),N(R)-C(O)-(CH2)rR, -(CH2)^N(R)-C(O)-O-(CH2VR, -(CH2),-C(O)-N(R)-(CH2)rR, -(CH2)^C(O)N(R)-(CH2)V-R, -0-(CH2VC(O)-N(R)-(CH2VR, substituted and unsubstituted alkyl, substituted and unsubstituted cycloalkyl, substituted and unsubstituted aralkyl, substituted and unsubstituted alkenyl, substituted and unsubstituted alkynyl, substituted and unsubstituted aryl, and a substituted and unsubstituted heterocyclic ring, wherein the substituted alkyl, substituted cycloalkyl, substituted aralkyl, substituted alkenyl, substituted alkynyl, substituted aryl, and substituted heterocyclic ring may be substituted with one of more halo, CN, CF3, CO2R, C(O)R, C(O)NR2, NR2, cyclic-amino, NO2, and OR.
[0044] The term "heterocyclic group" or "heterocyclic ring" as used herein contemplates aromatic and non-aromatic cyclic radicals having at least one heteroatom as a ring member. Preferred heterocyclic groups are those containing 5 or 6 ring atoms which includes at least one hetero atom, and includes cyclic amines such as morpholino, piperidino, pyrrolidino, and the like, and cyclic ethers, such as tetrahydrofuran, tetrahydropyran, and the like. Aromatic heterocyclic groups, also termed "heteroaryl" groups contemplates single-ring hetero-aromatic groups that may include from one to three heteroatoms, for example, pyrrole, furan, thiophene, imidazole, oxazole, thiazole, triazole, pyrazole, pyridine, pyrazine, pyridazine, pyrimidine, and the like. The term heteroaryl also includes polycyclic hetero- aromatic systems having two or more rings in which two atoms are common to two adjoining rings (the rings are "fused") wherein at least one of the rings is a heteroaryl, e.g., the other rings can be cycloalkyls, cycloalkenyls, aryl, heterocycles and/or heteroaryls. Examples of polycyclic heteroaromatic systems include quinoline, isoquinoline, tetrahydroisoquinoline, quinoxaline, quinaxoline, benzimidazole, benzofuran, purine, imidazopyridine, benzotriazole, and the like. Additionally, the heterocyclic groups may be optionally substituted with halo, CN, CF3, NR2, cyclic-amino, NO2, OR, CF3, -(CH2)^C(O)(CH2VR, -(CH2)^C(O)N(R1XR"),
-(CH2),C(O)O(CH2)^R, -(CH2),N(R')(R"), -N(R)SO2R, -0(CH2)^C(O)N(R1XR"), -SO2N(R1XR"), -(CH2)^N(R)-(CH2VR, -(CH2)^N(R)-C(O)-(CH2VR, -(CH2)xN(R)-C(O)-O-(CH2)rR, -(CH2VC(O)-N(R)-(CH2VR, -(CH2)^C(O)N(R)-(CH2VR, -0-(CH2VC(O)-N(R)-(CH2VR, substituted and unsubstituted alkyl, substituted and unsubstituted cycloalkyl, substituted and unsubstituted aralkyl, substituted and unsubstituted alkenyl, substituted and unsubstituted alkynyl, substituted and unsubstituted aryl, and a substituted and unsubstituted heterocyclic ring, wherein the substituted alkyl, substituted cycloalkyl, substituted aralkyl, substituted alkenyl, substituted alkynyl, substituted aryl, and substituted heterocyclic ring may be substituted with one of more halo, CN, CF3, CO2R, C(O)R, C(O)NR2, NR2, cyclic-amino, NO2, and OR.
[0045] The term "cyclic-amino" as used herein contemplates aromatic and non- aromatic cyclic radicals having at least one nitrogen as a ring member. Preferred cyclic amino groups are those containing 5 or 6 ring atoms, which includes at least one nitrogen, and includes morpholino, piperidino, pyrrolidino, piperazino, imidazole, oxazole, thiazole, triazole, pyrazole, pyridine, pyrazine, pyridazine, pyrimidine and the like. Additionally, the cyclic-amino may be optionally substituted with halo, CN, CF3, NR2, NO2, OR, CF3, substituted and unsubstituted alkyl, substituted and unsubstituted cycloalkyl, substituted and unsubstituted aralkyl, substituted and unsubstituted alkenyl, substituted and unsubstituted alkynyl, substituted and unsubstituted aryl, and a substituted and unsubstituted heterocyclic ring, wherein the substituted alkyl, substituted cycloalkyl, substituted aralkyl, substituted alkenyl, substituted alkynyl, substituted aryl, and substituted heterocyclic ring may be substituted with one or more of halo, CN, CF3, CO2R, C(O)R, C(O)NR2, NR2, NO2, and OR.
[0046] The term "aryl" or "aromatic group" as used herein contemplates single-ring aromatic groups (for example, phenyl, pyridyl, pyrazole, etc.) and polycyclic ring systems (naphthyl, quinoline, etc.). The polycyclic rings may have two or more rings in which two atoms are common to two adjoining rings (the rings are "fused") wherein at least one of the rings is aromatic, e.g., the other rings can be cycloalkyls, cycloalkenyls, aryl, heterocycles and/or heteroaryls. Additionally, the aryl groups may be optionally substituted with one or more substituents selected from halo, CN, CF3, NR2, cyclic-amino, NO2, OR, CF3, -(CH2)JC(O)(CH2)^R, -(CH2)^C(O)N(R1XR"), -(CH2),C(O)O(CH2)^R, -(CH2XN(RO(R"), -N(R)SO2R, -0(CH2^C(O)N(R1XR"), -SO2N(RO(R"), -(CH2^N(R)-(CH2VR, -(CH2)XN(R)-C(O)-(CH2VR, -(CH2^N(R)-C(O)-O-(CH2VR, -(CH2VC(O)-N(R)-(CH2VR,
-CH2)^C(O)N(R)-(CH2VR, -0-(CH2X-C(O)-N(R)-(CH2)^-R, substituted and unsubstituted alkyl, substituted and unsubstituted cycloalkyl, substituted and unsubstituted aralkyl, substituted and unsubstituted alkenyl, substituted and unsubstituted alkynyl, substituted and unsubstituted aryl, and a substituted and unsubstituted heterocyclic ring, wherein the substituted alkyl, substituted cycloalkyl, substituted aralkyl, substituted alkenyl, substituted alkynyl, substituted aryl, and substituted heterocyclic ring may be substituted with one of more halo, CN, CF3, CO2R, C(O)R, C(O)NR2, NR2, cyclic-amino, NO2, and OR.
[0047] The term "heteroatom", particularly as a ring heteroatom, refers to N, O, and S.
[0048] Each R is independently selected from H, substituted and unsubstituted alkyl, substituted and unsubstituted cycloalkyl, substituted and unsubstituted aralkyl, substituted and unsubstituted aryl and a substituted and unsubstituted heterocyclic ring, wherein the substituted alkyl, substituted cycloalkyl, substituted aralkyl, substituted aryl and substituted heterocyclic ring may be substituted with one or more halo, CN, CF3, OH, CO2H, NO2, Ci.6alkyl, -O-(Ci-6alkyl), -NH2, -NH(Ci-6alkyl) and -N(Ci-6alkyl)2. Each R1 and R" are independently selected from H, or substituted and unsubstituted alkyl, substituted and unsubstituted cycloalkyl, substituted and unsubstituted aralkyl, substituted and unsubstituted aryl and a substituted and unsubstituted heterocyclic ring, wherein the substituted alkyl, substituted cycloalkyl, substituted aralkyl, substituted aryl and substituted heterocyclic ring may be substituted with one or more halo, CN, CF3, OH, CO2H, NO2, Ci-6alkyl, -O-(Ci-6alkyl), -NH2, -NH(Ci-6alkyl) and -N(C] -6alkyl)2; or R' and R" may be taken together with the nitrogen to which they are attached form a 5- to 7- membered ring which may optionally contain up to three further heteroatoms, which heteroatoms may be substituted by Ci-6alkyl. Each x and each y are independently selected from O to 4.
[0049] In a preferred embodiment, the present invention provides inhibitors of the P210 BCR-ABL-T315I theramutein having the formula I
X1 is selected from N, N-R0 or C-R1;
X2 is selected from N, N-R0 or C-R1; the dotted lines represent optional double bonds; each R1 is independently selected from the group consisting of H, alkyl, cycloalkyl, alkenyl, alkynyl, aralkyl, CN, CF3, NO2, OR1 1, -(CH^QOXCH^R1 ' , -(CH2)^C(O)N(R12)(R13), -(CH2)pC(O)O(CH2)17R1 1 r(CH2)pN(R11)(CH2)9C(O)R1 1, -(CH2)/,N(R12)(R13), -N(R1 ^SO2R11, -OC(O)N(R12)(R13), -SO2N(R12)(R13), halo, aryl, and a heterocyclic ring, and additionally or alternatively, two R1 groups on adjacent ring atoms form a 5- or 6- membered fused ring which contains from O to 3 heteroatoms; n is O to 6, each R11 is independently selected from H, alkyl, cycloalkyl, alkenyl, alkynyl, aralkyl, aryl, and a heterocyclic ring; each R12 and R13 are independently selected from H, alkyl, cycloalkyl, alkenyl, alkynyl, aralkyl, aryl, and a heterocyclic ring; or R12 and R13 may be taken together with the nitrogen to which they are attached form a 5- to 7- membered ring which may optionally contain a further heteroatom; wherein the 5- to 7- membered ring may optionally be substituted with one to three substituents that are independently selected from alkyl, cycloalkyl, alkenyl, alkynyl, aralkyl, CN, CF3, NO2, OR0, CO2R0, C(O)R0, halo, aryl, and a heterocyclic ring; p is O to 4; q is O to 4; R2 is selected from -CR2V, -NR2V, -0-, and -(C=R23)-; each R21 is independently selected from H, halo, -NH2, -N(H)(Ci-3 alkyl), -N(Ci-3 alkyl)2,
-0-(Ci-3 alkyl), OH and Ci-3 alkyl; each R22 is independently selected from H and Ci-3 alkyl; R23 is selected from O, S, N-R0, and N-OR0; R3 is selected from -CR3V, -NR3V, -SO2-, and -(C=R33)-; each R31 group is selected from H, halo, -NH2, -N(H)(R0), -N(R°)2, -O-R0, OH and
C1 -3 alkyl; each R32 group is selected from H, alkyl, cycloalkyl, alkenyl, alkynyl, aralkyl, CO2R0,
C(O)R0, aryl, and a heterocyclic ring; R33 is selected from O, S, N-R34, and N-OR0; R34 is selected from H, NO2, CN, alkyl, cycloalkyl, alkenyl, alkynyl, aralkyl, aryl and a heterocyclic ring; R4 is selected from -CR41 e-, -NR42^, -(C=R43)- , -SO2-, and -0-;
each R41 is selected from H, alkyl, cycloalkyl, alkenyl, alkynyl, CO2R0, C(O)R0, N(R°)2, aralkyl, aryl, and a heterocyclic ring; each R42 group is selected from H, alkyl, cycloalkyl, alkenyl, alkynyl, aralkyl, CO2R0,
C(O)R0, aryl, and a heterocyclic ring; each R43 is selected from O, S, N-R0, and N-OR0; with the provisos that when R2 is -NR2V and R4 is -NR42/-, then R3 is not -NR32 rf-; that both R3 and R4 are not simultaneously selected from -(C=R33)- and -(C=R43)-, respectively; and that R3 and R4 are not simultaneously selected from -SO2-; R5 is selected from -Y-R6 and -Z-R7;
Y is selected from a chemical bond, O, NR0,
R6 is selected from alkyl, cycloalkyl, alkenyl, alkynyl, aralkyl, aryl, and a heterocyclic ring;
Z is a hydrocarbon chain having from 1 to 4 carbon atoms, and optionally substituted with one or more of halo, alkyl, cycloalkyl, alkenyl, alkynyl, aralkyl, CO2R0, C(O)R0, C(0)N(R°)2, CN, CF3, N(R°)2, NO2, and OR0; R7 is H or is selected from aryl and a heterocyclic ring; each R0 is independently selected from H, alkyl, cycloalkyl, aralkyl, aryl and a heterocyclic ring; a is 1 or 2; ό is O or 1; c is 1 or 2; d is O or 1 ; e is 1 or 2; and is O or 1.
[0050] An important component and conceptual teaching of the invention described herein is that neither the R2 nor the R3 positions of the compounds of this invention are members of any aromatic or non-aromatic ring structure. We have discovered that compounds having the R2 and/or the R3 positions as members of any aromatic or non- aromatic ring structure do not effectively inhibit the T315I theramutein, whereas the compounds of the invention that lack such a ring component at these positions, in addition to having other preferred chemical groups, are potent inhibitors of the T315I theramutein.
[0051] In preferred embodiments of the invention, ring A is an aromatic ring.
[0052] In preferred embodiments of the invention, X1 or X2 is N. In another preferred embodiment, both X1 and X2 are N. In particularly preferred embodiments of the invention Ring A is a pyridine ring or a pyrimidine ring. In still further preferred embodiments, Ring A is selected from the structures provided below:
[0053] In preferred embodiments of the invention, R5 is a group having the formula
wherein:
X3 is N or CH;
R61 is selected from aryl and a heterocyclic ring;
Q is selected from a chemical bond or a group having the formula -O-, -(CH2),-,
-(CH2),C(O)(CH2)7-, -(CH2),-N(R62)-(CH2)7-, -(CH2),C(O)-N(R62)-(CH2)7-,
-(CHz)1C(O)O(CH2),-, -(CH2),N(R62)C(O)-(CH2)r, -(CH2),OC(O)N(R62)-(CH2)r, and
-O-(CH2),-C(O)N(R62)-(CH2)r;
R 2 is selected from H, alkyl, aryl, and a heterocyclic ring; each R0 is independently selected from H, alkyl, cycloalkyl, aralkyl, aryl and a heterocyclic ring; h is 0 to 4; i is 0 to 4; and j is 0 to 4.
wherein:
X3 is N or CH;
Q1 is selected from a chemical bond or a group having the formula -O-, -CH2-, -NH-,
-C(O)-NH-, -C(O)O-, -NH-C(O)-, -OC(O)NH-, and -0-C(O)NH-; each R70 is selected from halo, alkyl, CN, N(R71)2, cyclic-amino, NO2, OR71, and CF3, each R71 is selected from H, alkyl, aryl, aralkyl and a heterocyclic ring; and
A: is O to 4.
[0055] In further preferred embodiments of the invention, R5 is a group having the formula
wherein
X3 is N or CH;
Q1 is selected from a chemical bond or a group having the formula -O-, -CH2-, -NH-,
-C(O)-NH-, -C(O)O-, -NH-C(O)-, -OC(O)NH-, and -0-C(O)NH-;
R70 is selected from halo, alkyl, CN, N(R71)2, cyclic-amino, NO2, OR71, and CF3; and each R71 is selected from H, alkyl, aryl, aralkyl and a heterocyclic ring.
In particularly preferred embodiments one or more of the following selections is made: Q1 is
-NH-; X3 is N; each R71 is independently selected from H, methyl, and ethyl, and preferably each R71 is methyl; and/or R70 is selected from OH, OCH3, halo, and CF3.
[0056] In a preferred embodiment, if R2 or R4 is selected to be -NR2V or -NR42-, respectively, then R31 is not selected from halo, -NH2, -N(H)(R0), -N(R°)2, -O-R0, or OH.
[0057] In a further preferred embodiment, the present invention provides inhibitors of the p2ioBCR-ABL"T3151 theramutein having the formula Ia
X1 is selected from N, N-R0 or C-R1;
X2 is selected from N, N-R0 or C-R1; the dotted lines represent optional double bonds;
each R1 is independently selected from the group consisting of H, alkyl, cycloalkyl, alkenyl, alkynyl, aralkyl, CN, CF3, NO2, OR1 1, -(CH2)pC(O)(CH2)gRπ, -(CH2)^C(O)N(R12)(R13), -(CH2)/)C(O)O(CH2)9RI 1, -(CH2)/,N(R11)(CH2)(7C(O)R11, -(CH2);,N(R12)(R13), -N(R1 ^SO2R1 1, -OC(O)N(R12)(R13), -SO2N(R12)(R13), halo, aryl, and a heterocyclic ring, and additionally or alternatively, two R1 groups on adjacent ring atoms form a 5- or 6- membered fused ring which contains from O to 3 heteroatoms; n is O to 6, each R1 ' is independently selected from H, alkyl, cycloalkyl, alkenyl, alkynyl, aralkyl, aryl, and a heterocyclic ring; each R12 and R13 are independently selected from H, alkyl, cycloalkyl, alkenyl, alkynyl, aralkyl, aryl, and a heterocyclic ring; or R12 and R13 may be taken together with the nitrogen to which they are attached form a 5- to 7- membered ring which may optionally contain a further heteroatom; wherein the 5- to 7- membered ring may optionally be substituted with one to three substituents that are independently selected from alkyl, cycloalkyl, alkenyl, alkynyl, aralkyl, CN, CF3, NO2, OR0, CO2R0, C(O)R0, halo, aryl, and a heterocyclic ring; p is O to 4; q is O to 4; each R22 is independently selected from H and Ci-3 alkyl; R3 is selected from -CR3 'c- , -NR3V, -SO2-, and -(C=R33)-; each R31 group is selected from H, halo, -NH2, -N(H)(R0), -N(R°)2, -O-R0, OH and C1 -3 alkyl; each R32 group is selected from H, alkyl, cycloalkyl, alkenyl, alkynyl, aralkyl, CO2R0,
C(O)R0, aryl, and a heterocyclic ring; R33 is selected from O, S, N-R34, and N-OR0; R34 is selected from H, NO2, CN, alkyl, cycloalkyl, alkenyl, alkynyl, aralkyl, aryl and a heterocyclic ring; R4 is selected from -CR4V, -NR42 r, -(C=R43)-, -SO2-, and -0-; each R41 is selected from H, alkyl, cycloalkyl, alkenyl, alkynyl, CO2R0, C(O)R0, N(R°)2, aralkyl, aryl, and a heterocyclic ring; each R42 group is selected from H, alkyl, cycloalkyl, alkenyl, alkynyl, aralkyl, CO2R0,
C(O)R0, aryl, and a heterocyclic ring; each R43 is selected from O, S, N-R0, and N-OR0;
with the provisos that when R4 is -NR42/- then R3 is not -NR3V; and that both R3 and R4 are not simultaneously selected from -(C=R33)- and -(C=R43)-, respectively; and that R3 and R4 are not simultaneously selected from -SO2-; R5 is selected from -Y-R6 and -Z-R7;
Y is selected from a chemical bond, O, N-R0,
R6 is selected from alkyl, cycloalkyl, alkenyl, alkynyl, aralkyl, aryl, and a heterocyclic ring;
Z is a hydrocarbon chain having from 1 to 4 carbon atoms, and optionally substituted with one or more of halo, alkyl, cycloalkyl, alkenyl, alkynyl, aralkyl, CO2R0, C(O)R0, C(0)N(R°)2, CN, CF3, N(R°)2, NO2, and OR0;
R7 is H or is selected from aryl and a heterocyclic ring; each R0 is independently selected from H, alkyl, cycloalkyl, aralkyl, aryl and a heterocyclic ring; a is 1 or 2; b is O or 1; c is 1 or 2; d is O or 1; e is 1 or 2; and is O or 1.
[0058] In a further preferred embodiment, the present invention provides inhibitors of the p2ioBCR-ABL-T3151 theramutein having the formula Ib
(Ib) wherein: ring A is a 5-, 6-, or 7- membered ring or a 7- to 12-membered fused bicyclic ring;
X1 is selected from N, N-R0 or C-R1;
X2 is selected from N, N-R0 or C-R1; the dotted lines represent optional double bonds; each R1 is independently selected from the group consisting of H, alkyl, cycloalkyl, alkenyl, alkynyl, aralkyl, CN, CF3, NO2, OR11, -(CH2)/,C(O)(CH2)9R11, -(CH2)PC(O)N(R12)(R13), -(CH2)/,C(O)O(CH2)9R11, -(CH2)PN(R11)(CH2)(?C(O)R1 1, -(CH2)/,N(RI2)(R13),
-N(R1 ')SO2R' \ -OC(O)N(R12)(R13), -SO2N(R12)(R13), halo, aryl, and a heterocyclic ring, and additionally or alternatively, two R1 groups on adjacent ring atoms form a 5- or 6- membered fused ring which contains from 0 to 3 heteroatoms; n is 0 to 6, each R1 ' is independently selected from H, alkyl, cycloalkyl, alkenyl, alkynyl, aralkyl, aryl, and a heterocyclic ring; each R12 and R13 are independently selected from H, alkyl, cycloalkyl, alkenyl, alkynyl, aralkyl, aryl, and a heterocyclic ring; or R12 and R13 may be taken together with the nitrogen to which they are attached form a 5- to 7- membered ring which may optionally contain a further heteroatom; wherein the 5- to 7- membered ring may optionally be substituted with one to three substituents that are independently selected from alkyl, cycloalkyl, alkenyl, alkynyl, aralkyl, CN, CF3, NO2, OR0, CO2R0, C(O)R0, halo, aryl, and a heterocyclic ring; p is O to 4; q is O to 4; each R22 is independently selected from H and C1-3 alkyl; each R32 group is selected from H, alkyl, cycloalkyl, alkenyl, alkynyl, aralkyl, CO2R0,
C(O)R0, aryl, and a heterocyclic ring; R4 is selected from -CR4V, -(C=R43)-, -SO2-, and -O-; each R41 is selected from H, alkyl, cycloalkyl, alkenyl, alkynyl, CO2R0, C(O)R0, N(R°)2, aralkyl, aryl, and a heterocyclic ring; each R43 is selected from O, S, N-R0, and N-OR0; R5 is selected from -Y-R6 and -Z-R7;
Y is selected from a chemical bond, O, N-R0,
R6 is selected from alkyl, cycloalkyl, alkenyl, alkynyl, aralkyl, aryl, and a heterocyclic ring;
Z is a hydrocarbon chain having from 1 to 4 carbon atoms, and optionally substituted with one or more of halo, alkyl, cycloalkyl, alkenyl, alkynyl, aralkyl, CO2R0, C(O)R0, C(O)N(R°)2, CN, CF3, N(R°)2, NO2, and OR0; R7 is H or is selected from aryl and a heterocyclic ring; each R0 is independently selected from H, alkyl, cycloalkyl, aralkyl, aryl and a heterocyclic ring; a is 1 or 2; ό is O or 1;
c is 1 or 2; d is 0 or 1 ; e is 1 or 2; and is O or 1.
[0059] In a further preferred embodiment, the present invention provides inhibitors of the P21OBCR-ABL"T3! 51 theramutein having the formula I0
wherein ring A is a 5-, 6-, or 7- membered ring or a 7- to 12-membered fused bicyclic ring; X1 is selected from N, N-R0 or C-R1; X2 is selected from N, N-R0 or C-R1; the dotted lines represent optional double bonds; each R1 is independently selected from the group consisting of H, alkyl, cycloalkyl, alkenyl, alkynyl, aralkyl, CN, CF3, NO2, OR11, -(CH2)PC(O)(CH2)1?R1 ' , -(CH2)^C(O)N(R12XR13), -(CH2)PC(O)O(CH2)9R11, -(CH2)PN(R11)(CH2)(?C(O)R11, -(CH2)PN(R12)(R13), -N(R1 ^SO2R1 1, -OC(O)N(R12)(R13), -SO2N(R12)(R13), halo, aryl, and a heterocyclic ring, and additionally or alternatively, two R1 groups on adjacent ring atoms form a 5- or 6- membered fused ring which contains from 0 to 3 heteroatoms; n is 0 to 6, each R1 ' is independently selected from H, alkyl, cycloalkyl, alkenyl, alkynyl, aralkyl, aryl, and a heterocyclic ring; each R12 and R13 are independently selected from H, alkyl, cycloalkyl, alkenyl, alkynyl, aralkyl, aryl, and a heterocyclic ring; or R12 and R13 may be taken together with the nitrogen to which they are attached form a 5- to 7- membered ring which may optionally contain a further heteroatom, wherein the 5- to 7- membered ring may optionally be substituted with one to three substituents that are independently selected from alkyl, cycloalkyl, alkenyl, alkynyl, aralkyl, CN, CF3, NO2, OR0, CO2R0, C(O)R0, halo, aryl, and a heterocyclic ring; p is O to 4; q is O to 4; X3 is N, CH or C-R2;
each R2 is independently selected from the group consisting of alkyl, cycloalkyl, alkenyl, alkynyl, aralkyl, CN, CF3, NO2, OR21, -(CH2)rC(O)(CH2)5R21, -(CH2)rC(O)N(R22)(R23), -(CH2)rC(O)O(CH2)5R21, -(CH2),N(R21)C(O)R21, -(CH2)rN(R22)(R23), -N(R21)SO2R21, -OC(O)N(R22)(R23), -SO2N(R22)(R23), halo, aryl, and a heterocyclic ring, and additionally or alternatively, two R2 groups on adjacent ring atoms form a 5- or 6-membered fused ring which contains from 0 to 3 heteroatoms;
R21 is selected from H, alkyl, cycloalkyl, alkenyl, alkynyl, aralkyl, aryl, and a heterocyclic ring;
R22 and R23 are independently selected from H, alkyl, cycloalkyl, alkenyl, alkynyl, aralkyl, aryl, and a heterocyclic ring; or R22 and R23 may be taken together with the nitrogen to which they are attached form a 5- to 7- membered ring which may optionally contain a further heteroatom, wherein the 5- to 7- membered ring may optionally be substituted with one to three substituents that are independently selected from alkyl, cycloalkyl, alkenyl, alkynyl, aralkyl, CN, CF3, NO2, OR0, CO2R0, C(O)R0, halo, aryl, and a heterocyclic ring; r is O to 4; 5 is O to 4; m is O to 4; R4 is selected from H, alkyl, cycloalkyl, alkenyl, alkynyl, aralkyl, CO2R0, C(O)R0, aryl, and a heterocyclic ring; a is O or 1 ; X4 is selected from
^0/ ^C^
,' \_ , I ,.
R3' VR3 R3' and I each R3 is independently selected from the group consisting of H, -N(R°)2, alkyl, cycloalkyl, alkenyl, alkynyl, CO2R0, C(O)R0, aralkyl, aryl, and a heterocyclic ring, R3' is selected from H, -N(R°)2, alkyl, cycloalkyl, aralkyl, aryl and a heterocyclic ring, and each R0 is independently selected from H, alkyl, cycloalkyl, aralkyl, aryl and a heterocyclic ring.
[0060] In preferred embodiments of the invention, R2, R3 and R4 of formula I are selected to give the following chemical groups:
-N(R22)-N=C(R41)-
-N(R22)-N(R32)-C(=O)-
-N(R22)-N(R32)-C(R4 !)(R41)-
-N(R22)-C(R31)(R31)-C(R41)(R41)-
-N(R22)-C(R31)=C(R41)-
-N(R22)-C(R3 ' )(R3 ' )-C(=O)-
-N=N-C(R41)(R41)-
-N=N-CC=O)-
-N=C(R31)-C(R41)(R41)-
-N=C(R31KX=O)-
-C(R21)=C=C(R41)-
-C(R21)=C(R31)-C(=O)-
-C(R21)=C(R31)-C(R41)(R41)-
-C(R21)(R21)-C(R31)=C(R41)-
-C(R21)(R21)-C(R31)(R31)-C(=O)-
-C(R21)(R21)-C(R31)(R31)-C(R41)(R41)-
-C(R2 ' )(R2 ' )-N(R32)-C(=O)- -C(R21)(R21)-N(R32)-C(R41)(R41)-
-C(R21)(R21)-N=C(R41)-
-N(R22)-C(=O)-C(R41)(R41)-
-N(R22)-C(=O)-N(R41)-
-N(R22)-C(R31)=N-
-N(R22)-C(=O)-O-
-C(R21)(R21)-C(=O)-C(R41)(R41)-
-C(R21)(R21)-C(=O)-N(R42)-
-N(R22)-C(=NR34)-N(R42)-
-C(=O)-N(R32)-N(R42)
-0-N=C(R41)-. Particularly preferred chemical groups for R2, R3 and R4 include:
-N(R22)-N=C(R41)-
-N(R22)-N(R32)-C(=O)-
-N(R22)-C(R31)(R31)-C(R41)(R41)-
-N(R22)-C(R31XR31 )-CC=O)-
-C(R21)(R21)-C(=O)-C(R41)(R41)-
-C(R2 ' )(R2 ' )-C(=O)-N(R42)-
-N(R22)-C(=NR34)-N(R42)- -C(=O)-N(R32)-N(R42)- -N(R22)-C(R31)=C(R41)-
-N=N-C(O)- -N=C(R31)-C(R41)(R41)-
-N=C(R31K(O)-
-C(R21)(R21)-N=C(R41)-
-N(R22)-C(R31)=N-
-0-N=C(R41)-.
[0061] In further preferred embodiment, R6 or R7 is an aryl group, which may be optionally substituted. Particularly preferred aryl groups include substituted or unsubstituted phenyl and pyridyl. In additional or alternative embodiments, it is preferred that the substituents R21 and R22 are independently selected from groups which have small steric bulk and are preferably selected from H and CH3, and more preferably are H.
[0062] In a further preferred embodiment, the present invention provides inhibitors of the p2ioBCR-ABL-T3151 theramutein having the formula II
(H) wherein ring A is a 5-, 6-, or 7- membered ring or a 7- to 12-membered fused bicyclic ring;
X1 is selected from N, N-R0 or C-R1;
X2 is selected from N, N-R0 or C-R1; the dotted lines represent optional double bonds; each R1 is independently selected from the group consisting of H, alkyl, cycloalkyl, alkenyl, alkynyl, aralkyl, CN, CF3, NO2, OR11, -(CH2)^C(O)(CH-O9R11, -(CH2)^C(O)N(R12XR13), -(CH2)^C(O)O(CH2X7R11, -(CH2)^N(R11)(CH2)gC(O)R1 ' , -(CH2VN(R12XR13), -N(Rπ)SO2Rπ, -OC(O)N(R12)(R13), -SO2N(R12)(R13), halo, aryl, and a heterocyclic ring, and additionally or alternatively, two R1 groups on adjacent ring atoms form a 5- or 6- membered fused ring which contains from 0 to 3 heteroatoms; n is 0 to 6,
each R1 ' is independently selected from H, alkyl, cycloalkyl, alkenyl, alkynyl, aralkyl, aryl, and a heterocyclic ring; each R12 and R13 are independently selected from H, alkyl, cycloalkyl, alkenyl, alkynyl, aralkyl, aryl, and a heterocyclic ring; or R12 and R13 may be taken together with the nitrogen to which they are attached form a 5- to 7- membered ring which may optionally contain a further heteroatom; wherein the 5- to 7- membered ring may optionally be substituted with one to three substituents that are independently selected from alkyl, cycloalkyl, alkenyl, alkynyl, aralkyl, CN,
CF3, NO2, OR0, CO2R0, C(O)R0, halo, aryl, and a heterocyclic ring; p is 0 to 4; q is 0 to 4; R is selected from the group consisting of is selected from H, alkyl, cycloalkyl, alkenyl, alkynyl, CO2R0, C(O)R0, N(R°)2, aralkyl, aryl, and a heterocyclic ring; R9 is selected from -Y-R6 and -Z-R7;
Y is selected from a chemical bond, O, N-R0,
R6 is selected from alkyl, cycloalkyl, alkenyl, alkynyl, aralkyl, aryl, and a heterocyclic ring;
Z is a hydrocarbon chain having from 1 to 4 carbon atoms, and optionally substituted with one or more of halo, alkyl, cycloalkyl, alkenyl, alkynyl, aralkyl, CO2R0, C(O)R0, C(0)N(R°)2, CN, CF3, N(R°)2, NO2, and OR0; R7 is H or is selected from aryl and a heterocyclic ring; and each R0 is independently selected from H, alkyl, cycloalkyl, aralkyl, aryl and a heterocyclic ring.
[0063] In a further preferred embodiment, the present invention provides inhibitors of the P210BCR"ABL~T315Itheramutein having the formula IIa
X1 is selected from N, N-R0 or C-R1;
X2 is selected from N, N-R0 or C-R1; the dotted lines represent optional double bonds; each R1 is independently selected from the group consisting of H, alkyl, cycloalkyl, alkenyl, alkynyl, aralkyl, CN, CF3, NO2, OR11, -(CH2)PC(O)(CH2)9R1 ' , -(CH2)^C(O)N(R12)(R13), -(CH2)PC(O)O(CH2)9RU, -(CH2)^N(R11XXO)R1 1, -(CH2)^N(R12XR13), -N(R1 ^SO2R11, -OC(O)N(R12)(R13), -SO2N(R12)(R13), halo, aryl, and a heterocyclic ring, and additionally or alternatively, two R1 groups on adjacent ring atoms form a 5- or 6-membered fused ring which contains from O to 3 heteroatoms; n is O to 6, each R1 ' is independently selected from H, alkyl, cycloalkyl, alkenyl, alkynyl, aralkyl, aryl, and a heterocyclic ring; each R12 and R13 are independently selected from H, alkyl, cycloalkyl, alkenyl, alkynyl, aralkyl, aryl, and a heterocyclic ring; or R12 and R13 may be taken together with the nitrogen to which they are attached form a 5- to 7- membered ring which may optionally contain a further heteroatom, wherein the 5- to 7- membered ring may optionally be substituted with one to three substituents that are independently selected from alkyl, cycloalkyl, alkenyl, alkynyl, aralkyl, CN, CF3, NO2, OR0, CO2R0, C(O)R0, halo, aryl, and a heterocyclic ring; p is O to 4; q is O to 4; R8 is selected from the group consisting of is selected from H, alkyl, cycloalkyl, alkenyl, alkynyl, CO2R0, C(O)R0, N(R°)2, aralkyl, aryl, and a heterocyclic ring; X3 is N, CH or C-R50; each R50 is independently selected from the group consisting of alkyl, cycloalkyl, alkenyl, alkynyl, aralkyl, CN, CF3, NO2, OR51, -(CH2)rC(O)(CH2)5R51, -(CH2)rC(O)N(R52)(R53), -(CH2)rC(O)O(CH2),R51, -(CH2)rN(R51)C(O)R51, -(CH2)rN(R52)(R53), -N(R51)SO2R51, -OC(O)N(R52XR53), -SO2N(R52XR53), halo, aryl, and a heterocyclic ring, and additionally or alternatively, two R50 groups on adjacent ring atoms form a 5- or 6-membered fused ring which contains from O to 3 heteroatoms;
R51 is selected from H, alkyl, cycloalkyl, alkenyl, alkynyl, aralkyl, aryl, and a heterocyclic ring;
R52 and R53 are independently selected from H, alkyl, cycloalkyl, alkenyl, alkynyl, aralkyl, aryl, and a heterocyclic ring; or R52 and R53 may be taken together with the nitrogen to which they are attached form a 5- to 7- membered ring which may
optionally contain a further heteroatom, wherein the 5- to 7- membered ring may optionally be substituted with one to three substituents that are independently selected from alkyl, cycloalkyl, alkenyl, alkynyl, aralkyl, CN, CF3, NO2, OR0, CO2R0, C(O)R0, halo, aryl, and a heterocyclic ring; r is 0 to 4; s is 0 to 4; m is 0 to 4; and each R0 is independently selected from H, alkyl, cycloalkyl, aralkyl, aryl and a heterocyclic ring.
[0064] In a further preferred embodiment, the present invention provides inhibitors of the P210BCR ABL"T315Itheramutein having the formula IIb
R14 is selected from H and F; R8 is selected from the group consisting of is selected from H, alkyl, cycloalkyl, alkenyl, alkynyl, CO2R0, C(O)R0, N(R°)2, aralkyl, aryl, and a heterocyclic ring; X3 is N, CH or C-R60; each R60 is independently selected from the group consisting of alkyl, cycloalkyl, alkenyl, alkynyl, aralkyl, CN, CF3, NO2, OR0, halo, aryl, and a heterocyclic ring; R61 is selected from aryl and a heterocyclic ring;
Q is selected from a chemical bond or a group having the formula -0-, -(CH2),-, -(CH2),C(O)(CH2)y-, -(CH2),-N(R62)-(CH2)r, -(CH2),C(O)-N(R62)-(CH2)7-, -(CH2)AO)O(CH2),-, -(CH2),N(R62)C(O)-(CH2)7-, -(CH2),OC(O)N(R62)-(CH2)7-, and - O-(CH2),-C(O)N(R62)-(CH2)r;
R62 is selected from H, alkyl, aryl, and a heterocyclic ring; each R0 is independently selected from H, alkyl, cycloalkyl, aralkyl, aryl and a heterocyclic ring; h is O to 4; / is O to 4; and j is O to 4.
[0065] In preferred embodiments of compounds of the formula lib, R60 is selected from halo, CF3, and OH. In other preferred embodiments, R8 is selected from H and CH3.
[0066] In preferred embodiments of compounds of the formula lib, X is N. In further preferred embodiments, Q is selected to be -(CH2),-N(R62)-(CH2)y-, and particularly in preferred embodiments, Q is -N(R62)-.
[0067] In a further preferred embodiment, the present invention provides inhibitors of the P210BCR"ABL"T315Itheramutein having the formula IIC
wherein: ring A is a 5-, 6-, or 7- membered ring or a 7- to 12-membered fused bicyclic ring; X1 is selected from N, N-R0 or C-R1; X2 is selected from N, N-R0 or C-R1; the dotted lines represent optional double bonds; each R1 is independently selected from the group consisting of H, alkyl, cycloalkyl, alkenyl, alkynyl, aralkyl, CN, CF3, NO2, OR11, -(CH2)^C(O)(CH2X7R11, -(CH2)^C(O)N(R12XR13), -(CH2)^C(O)O(CH2X7R11, -(CH2)^N(R1 ^C(O)R1 1, -(CH2)PN(R12)(R13), -N(R1 ^SO2R11, -OC(O)N(R12XR13), -SO2N(R12XR13), halo, aryl, and a heterocyclic ring, and additionally or alternatively, two R1 groups on adjacent ring atoms form a 5- or 6-membered fused ring which contains from O to 3 heteroatoms; n is 0 to 6, each R1 ' is independently selected from H, alkyl, cycloalkyl, alkenyl, alkynyl, aralkyl, aryl, and a heterocyclic ring; each R12 and R13 are independently selected from H, alkyl, cycloalkyl, alkenyl, alkynyl, aralkyl, aryl, and a heterocyclic ring; or R12 and R13 may be taken together with the nitrogen to which they are attached form a 5- to 7- membered ring which may optionally contain a further heteroatom, wherein the 5- to 7- membered ring may optionally be substituted with one to three substituents that are independently selected from alkyl, cycloalkyl, alkenyl, alkynyl, aralkyl, CN, CF3, NO2, OR0, CO2R0, C(O)R0, halo, aryl, and a heterocyclic ring;
p is 0 to 4; q is 0 to 4;
R is selected from H and methyl; X3 is N or CH;
R61 is selected from aryl and a heterocyclic ring;
Q is selected from a chemical bond or a group having the formula -O-, -(CH2),-, -(CH2),C(O)(CH2),-, -(CH2),-N(R62)-(CH2)/-, -(CH2);C(O)-N(R62)-(CH2)r, -(CH2)AO)O(CH2),-, -(CH2),N(R62)C(O)-(CH2)r, -(CH2),OC(O)N(R62)-(CH2)/-, and -0-(CH2VC(O)N(R62V(CH2V;
R62 is selected from H, alkyl, aryl, and a heterocyclic ring; each R0 is independently selected from H, alkyl, cycloalkyl, aralkyl, aryl and a heterocyclic ring; h is O to 4; i is O to 4; and j is O to 4.
[0068] In a further preferred embodiment, the present invention provides inhibitors of the P210BCR'ABL"T315I theramutein having the formula IId
wherein: ring A is a 5-, 6-, or 7- membered ring or a 7- to 12-membered fused bicyclic ring;
X1 is selected from N, N-R0 or C-R1;
X2 is selected from N, N-R0 or C-R1; the dotted lines represent optional double bonds; each R1 is independently selected from the group consisting of H, alkyl, cycloalkyl, alkenyl, alkynyl, aralkyl, CN, CF3, NO2, OR11, -(CH2),,C(O)(CH2)(?R11, -(CH2)PC(O)N(R12)(R13), -(CH2)PC(O)O(CH2)^R11, -(CH2)PN(R1 1K(O)R1 \ -(CH2)^N(R12)(R13), -N(R1 ^SO2R1 1, -OC(O)N(R12XR13), -SO2N(R12)(R13), halo, aryl, and a heterocyclic ring, and additionally or alternatively, two R1 groups on adjacent ring atoms form a 5- or 6-membered fused ring which contains from O to 3 heteroatoms;
n is 0 to 6, each R1 ' is independently selected from H, alkyl, cycloalkyl, alkenyl, alkynyl, aralkyl, aryl, and a heterocyclic ring; each R12 and R13 are independently selected from H, alkyl, cycloalkyl, alkenyl, alkynyl, aralkyl, aryl, and a heterocyclic ring; or R12 and R13 may be taken together with the nitrogen to which they are attached form a 5- to 7- membered ring which may optionally contain a further heteroatom, wherein the 5- to 7- membered ring may optionally be substituted with one to three substituents that are independently selected from alkyl, cycloalkyl, alkenyl, alkynyl, aralkyl, CN, CF3, NO2, OR0, CO2R0, C(O)R0, halo, aryl, and a heterocyclic ring; p is 0 to 4; q is 0 to 4; each R0 is independently selected from H, alkyl, cycloalkyl, aralkyl, aryl and a heterocyclic ring;
R8 is selected from H and CH3;
X3 is N or CH;
Q1 is selected from a chemical bond or a group having the formula -0-, -CH2-, -NH-,
-C(O)-NH-, -C(O)O-, -NH-C(O)-, -OC(O)NH-, and -0-C(O)NH-; each R70 is selected from halo, alkyl, CN, N(R71)2, cyclic-amino, NO2, OR71, and CF3, each R71 is selected from H, alkyl, aryl, aralkyl and a heterocyclic ring; and k is O to 4.
[0069] In a further preferred embodiment, the present invention provides inhibitors of the P210BCR"ABL"T315Itheramutein having the formula IIe
X1 is selected from N, N-R0 or C-R1;
X2 is selected from N, N-R0 or C-R1; the dotted lines represent optional double bonds;
each R1 is independently selected from the group consisting of H, alkyl, cycloalkyl, alkenyl, alkynyl, aralkyl, CN, CF3, NO2, OR11, -(CH2)pC(O)(CH2)9Rn, -(CH2)^C(O)N(R12)(R13), -(CH2)PC(O)O(CK2)qRU, -(CH2)^N(R11 )C(O)Rπ, -(CH2)^N(R12)(R13), -N(R1 ^SO2R11, -OC(O)N(R12)(R13), -SO2N(R12)(R13), halo, aryl, and a heterocyclic ring, and additionally or alternatively, two R1 groups on adjacent ring atoms form a 5- or 6-membered fused ring which contains from O to 3 heteroatoms; n is O to 6, each R1 ' is independently selected from H, alkyl, cycloalkyl, alkenyl, alkynyl, aralkyl, aryl, and a heterocyclic ring; each R12 and R13 are independently selected from H, alkyl, cycloalkyl, alkenyl, alkynyl, aralkyl, aryl, and a heterocyclic ring; or R12 and R13 may be taken together with the nitrogen to which they are attached form a 5- to 7- membered ring which may optionally contain a further heteroatom, wherein the 5- to 7- membered ring may optionally be substituted with one to three substituents that are independently selected from alkyl, cycloalkyl, alkenyl, alkynyl, aralkyl, CN, CF3, NO2, OR0, CO2R0, C(O)R0, halo, aryl, and a heterocyclic ring; p is O to 4; q is O to 4; each R0 is independently selected from H, alkyl, cycloalkyl, aralkyl, aryl and a heterocyclic ring;
R is selected from H and CH3; X3 is N or CH;
Q1 is selected from a chemical bond or a group having the formula -O-, -CH2-, -NH-, -C(O)-NH-, -C(O)O-, -NH-C(O)-, -OC(O)NH-, and -0-C(O)NH-; each R70 is selected from halo, alkyl, CN, N(R71)2, cyclic-amino, NO2, OR71, and CF3; and each R71 is selected from H and alkyl.
[0070] In a further preferred embodiment, the present invention provides inhibitors of the p2ioBCR-ABL-T3151 theramutein having the formula IIf
wherein
R14 is selected from H and F;
R8 is selected from H and CH3; each R , 7/0υ is selected from halo, alkyl, CN, N(R 7U )2, cyclic-amino, NO2, OR » 71 , and CF3, each R > 71 i •s selected from H, alkyl, aryl, aralkyl and a heterocyclic ring; and A: is 0 to 4.
[0071] Exemplary compounds of the formula II, IIa, Hb, IIC, Hd, He or Hf includes the following structures:
[0072] In a further preferred embodiment, the present invention provides inhibitors of the P210 BCR-ABL-T3I5I theramutein having the formula III
X1 is selected from N, N-R0 or C-R1;
X2 is selected from N, N-R0 or C-R1; the dotted lines represent optional double bonds; each R1 is independently selected from the group consisting of H, alkyl, cycloalkyl, alkenyl, alkynyl, aralkyl, CN, CF3, NO2, OR11, -(CH2)pC(O)(CH2)9Rπ, -(CH2)PC(O)N(R12)(R13),
-OC(O)N(RI2)(R13), -SO2N(R12)(R13), halo, aryl, and a heterocyclic ring, and additionally or alternatively, two R1 groups on adjacent ring atoms form a 5- or 6-membered fused ring which contains from O to 3 heteroatoms; n is O to 6, each R1 ' is independently selected from H, alkyl, cycloalkyl, alkenyl, alkynyl, aralkyl, aryl, and a heterocyclic ring; each R12 and R13 are independently selected from H, alkyl, cycloalkyl, alkenyl, alkynyl, aralkyl, aryl, and a heterocyclic ring; or R12 and R13 may be taken together with the nitrogen to which they are attached form a 5- to 7- membered ring which may optionally contain a further heteroatom; wherein the 5- to 7- membered ring may optionally be substituted with one to three substituents that are independently selected from alkyl, cycloalkyl, alkenyl, alkynyl, aralkyl, CN, CF3, NO2, OR0, CO2R0, C(O)R0, halo, aryl, and a heterocyclic ring; p is O to 4; q is O to 4;
R10 is selected from -Y'-R18;
Y' is selected from a chemical bond, O, NR -, and a hydrocarbon chain having from 1 to 4 carbon atoms, and optionally substituted with one or more of halo, alkyl, cycloalkyl, alkenyl, alkynyl, aralkyl, CO2R0, C(O)R0, C(O)N(R°)2, CN, CF3, N(R°)2, NO2, and OR0; R18 is selected from the group consisting of H, alkyl, cycloalkyl, alkenyl, alkynyl, aralkyl,
CF3, aryl, and a heterocyclic ring; and each R0 is independently selected from H, alkyl, cycloalkyl, aralkyl, aryl and a heterocyclic ring.
[0073] In a further preferred embodiment, the present invention provides inhibitors of the p2ioBCR-ABL T3151 theramutein having the formula HI1 a
wherein:
ring A is a 5-, 6-, or 7- membered ring or a 7- to 12-membered fused bicyclic ring; X1 is selected from N, N-R0 or C-R1; X2 is selected from N, N-R0 or C-R1; the dotted lines represent optional double bonds; each R1 is independently selected from the group consisting of H, alkyl, cycloalkyl, alkenyl, alkynyl, aralkyl, CN, CF3, NO2, OR11, -(CH^QOXCH^R11, -(CH2)PC(O)N(R12)(R13), -(CH2)PC(O)O(CH2)9RI ' ,-(CH2)^N(R11JC(O)R1 ' , -(CH2)^N(R12)(R13), -N(R1 ^SO2R1 ] , -OC(O)N(R12XR13), -SO2N(R12XR13), halo, aryl, and a heterocyclic ring, and additionally or alternatively, two R1 groups on adjacent ring atoms form a 5- or 6-membered fused ring which contains from O to 3 heteroatoms; n is O to 6, each R1 ' is independently selected from H, alkyl, cycloalkyl, alkenyl, alkynyl, aralkyl, aryl, and a heterocyclic ring; each R12 and R13 are independently selected from H, alkyl, cycloalkyl, alkenyl, alkynyl, aralkyl, aryl, and a heterocyclic ring; or R12 and R13 may be taken together with the nitrogen to which they are attached form a 5- to 7- membered ring which may optionally contain a further heteroatom, wherein the 5- to 7- membered ring may optionally be substituted with one to three substituents that are independently selected from alkyl, cycloalkyl, alkenyl, alkynyl, aralkyl, CN, CF3, NO2, OR0, CO2R0, C(O)R0, halo, aryl, and a heterocyclic ring;; p is O to 4; q is O to 4;
X3 is N, CH or C-R50; each R50 is independently selected from the group consisting of alkyl, cycloalkyl, alkenyl, alkynyl, aralkyl, CN, CF3, NO2, OR51, -(CH2)rC(O)(CH2),R51, -(CH2)rC(O)N(R52)(R53), -(CH2)rC(O)O(CH2),R51,-(CH2)rN(R51)C(O)R51, -(CH2)rN(R52)(R53), -N(R51)SO2R51, -OC(O)N(R52XR53), -SO2N(R52XR53), halo, aryl, and a heterocyclic ring, and additionally
or alternatively, two R50 groups on adjacent ring atoms form a 5- or 6-membered fused ring which contains from 0 to 3 heteroatoms;
R51 is selected from H, alkyl, cycloalkyl, alkenyl, alkynyl, aralkyl, aryl, and a heterocyclic ring;
R52 and R53 are independently selected from H, alkyl, cycloalkyl, alkenyl, alkynyl, aralkyl, aryl, and a heterocyclic ring; or R52 and R53 may be taken together with the nitrogen to which they are attached form a 5- to 7- membered ring which may optionally contain a further heteroatom, wherein the 5- to 7- membered ring may optionally be substituted with one to three substituents that are independently selected from alkyl, cycloalkyl, alkenyl, alkynyl, aralkyl, CN, CF3, NO2, OR0, CO2R0, C(O)R0, halo, aryl, and a heterocyclic ring; r is O to 4; s is O to 4; ' m is 0 to 4; and each R0 is independently selected from H, alkyl, cycloalkyl, aralkyl, aryl and a heterocyclic ring.
[0074] In a further preferred embodiment, the present invention provides inhibitors of the P210BCR~ABL~T315I theramutein having the formula IIIb
X1 is selected from N, N-R0 or C-R1;
X2 is selected from N, N-R0 or C-R1; the dotted lines represent optional double bonds; each R1 is independently selected from the group consisting of H, alkyl, cycloalkyl, alkenyl, alkynyl, aralkyl, CN, CF3, NO2, OR1 1, -(CH^QOXCH^R1 1, -(CH2)^C(O)N(R12XR13), -(CH2)PC(O)O(CH2)^R11, -(CH.y^R^CtOR11, -(CH2)^N(R12XR13), -N(R1^SO2R11, -OC(O)N(R12)(R13), -SO2N(R12)(R13), halo, aryl, and a heterocyclic ring, and additionally or alternatively, two R1 groups on adjacent ring atoms form a 5- or 6-membered fused ring which contains from O to 3 heteroatoms;
n is 0 to 6, each R1 ' is independently selected from H, alkyl, cycloalkyl, alkenyl, alkynyl, aralkyl, aryl, and a heterocyclic ring; each R12 and R13 are independently selected from H, alkyl, cycloalkyl, alkenyl, alkynyl, aralkyl, aryl, and a heterocyclic ring; or R12 and R13 may be taken together with the nitrogen to which they are attached form a 5- to 7- membered ring which may optionally contain a further heteroatom, wherein the 5- to 7- membered ring may optionally be substituted with one to three substituents that are independently selected from alkyl, cycloalkyl, alkenyl, alkynyl, aralkyl, CN, CF3, NO2, OR0, CO2R0, C(O)R0, halo, aryl, and a heterocyclic ring; p is 0 to 4; q is 0 to 4; X3 is N or CH;
R61 is selected from aryl and a heterocyclic ring;
Q is selected from a chemical bond or a group having the formula -O-, -(CH2),-, -(CH2)AO)(CH2),-, -(CH2),-N(R62)-(CH2)7-, -(CH2),C(O)-N(R62)-(CH2)/-, -(CH2XC(O)O(CH2),-, -(CH2)iN(R62)C(O)-(CH2)r, -(CH2),OC(O)N(R62)-(CH2)y-, and -0-(CHz)1-C(O)N(R62MCH2),-;
R62 is selected from H, alkyl, aryl, and a heterocyclic ring; each R0 is independently selected from H, alkyl, cycloalkyl, aralkyl, aryl and a heterocyclic ring; h is O to 4; i is O to 4; and j is O to 4.
[0075] In a further preferred embodiment, the present invention provides inhibitors of the P210BCR ABL-T315Itheramutein having the formula IIIC
wherein:
ring A is a 5-, 6-, or 7- membered ring or a 7- to 12-membered fused bicyclic ring; X1 is selected from N, N-R0 or C-R1; X2 is selected from N, N-R0 or C-R1; the dotted lines represent optional double bonds; each R1 is independently selected from the group consisting of H, alkyl, cycloalkyl, alkenyl, alkynyl, aralkyl, CN, CF3, NO2, OR11, -(CH2VC(O)(CH2),^1 1, -(CH2VC(O)N(R12)(R13), -(CH2VC(O)O(CH2VR11, -(CH2VN(Rn)C(O)Rπ, -(CH2VN(R12)(R13), -N(R1 ^SO2R11, -OC(O)N(R12)(R13), -SO2N(R12XR13), halo, aryl, and a heterocyclic ring, and additionally or alternatively, two R1 groups on adjacent ring atoms form a 5- or 6-membered fused ring which contains from O to 3 heteroatoms; n is O to 6, each R1 ' is independently selected from H, alkyl, cycloalkyl, alkenyl, alkynyl, aralkyl, aryl, and a heterocyclic ring; each R12 and R13 are independently selected from H, alkyl, cycloalkyl, alkenyl, alkynyl, aralkyl, aryl, and a heterocyclic ring; or R12 and R13 may be taken together with the nitrogen to which they are attached form a 5- to 7- membered ring which may optionally contain a further heteroatom, wherein the 5- to 7- membered ring may optionally be substituted with one to three substituents that are independently selected from alkyl, cycloalkyl, alkenyl, alkynyl, aralkyl, CN, CF3, NO2, OR0, CO2R0, C(O)R0, halo, aryl, and a heterocyclic ring; p is O to 4; q is O to 4; X3 is N or CH; each R0 is independently selected from H, alkyl, cycloalkyl, aralkyl, aryl and a heterocyclic ring;
Q1 is selected from a chemical bond or a group having the formula -O-, -CH2-, -NH-, -C(O)-NH-, -C(O)O-, -NH-C(O)-, -OC(O)NH-, and -0-C(O)NH-; each R70 is selected from halo, alkyl, CN, N(R71)2, cyclic-amino, NO2, OR71, and CF3, each R7' is selected from H, alkyl, aryl, aralkyl and a heterocyclic ring; and & is O to 4.
[0076] In a further preferred embodiment, the present invention provides inhibitors of the P210BCR"ABL T315l theramutein having the formula Wl4
wherein: ring A is a 5-, 6-, or 7- membered ring or a 7- to 12-membered fused bicyclic ring; X1 is selected from N, N-R0 or C-R1; X2 is selected from N, N-R0 or C-R1; the dotted lines represent optional double bonds; each R1 is independently selected from the group consisting of H, alkyl, cycloalkyl, alkenyl, alkynyl, aralkyl, CN, CF3, NO2, OR11, -(CH2)PC(O)(CH2)(?R1 ' , -(CH2)^C(O)N(R12)(R13), -(CH2)^C(O)O(CH2)?RU, -(CH2)PN(R1 ^C(O)R11, -(CH2)PN(R12XR13), -N(R1^SO2R11, -OC(O)N(R12XR13), -SO2N(R12XR13), halo, aryl, and a heterocyclic ring, and additionally or alternatively, two R1 groups on adjacent ring atoms form a 5- or 6-membered fused ring which contains from O to 3 heteroatoms; n is O to 6, each R1 ' is independently selected from H, alkyl, cycloalkyl, alkenyl, alkynyl, aralkyl, aryl, and a heterocyclic ring; each R and R are independently selected from H, alkyl, cycloalkyl, alkenyl, alkynyl, aralkyl, aryl, and a heterocyclic ring; or R12 and R13 may be taken together with the nitrogen to which they are attached form a 5- to 7- membered ring which may optionally contain a further heteroatom, wherein the 5- to 7- membered ring may optionally be substituted with one to three substituents that are independently selected from alkyl, cycloalkyl, alkenyl, alkynyl, aralkyl, CN, CF3, NO2, OR0, CO2R0, C(O)R0, halo, aryl, and a heterocyclic ring; p is O to 4; q is O to 4; each R0 is independently selected from H, alkyl, cycloalkyl, aralkyl, aryl and a heterocyclic ring;
R is selected from H and CH3;
X3 is N or CH;
Q1 is selected from a chemical bond or a group having the formula -0-, -CH2-, -NH-,
-C(O)-NH-, -C(O)O-, -NH-C(O)-, -OC(O)NH-, and -0-C(O)NH-; each R70 is selected from halo, alkyl, CN, N(R71)2, cyclic-amino, NO2, OR71, and CF3; and
each R »71 is selected from H and alkyl.
[0077] In a further preferred embodiment, the present invention provides inhibitors of the P210BCR"ABL T315I theramutein having the formula IIIe
R14 is selected from H and F; each R ,7/0υ i •s selected from halo, alkyl, CN, N(R 7"U)2, cyclic-amino, NO2, OR »7"1, and CF3, each R » 71 i ■s selected from H, alkyl, aryl, aralkyl and a heterocyclic ring; and & is 0 to 4.
[0078] Exemplary compounds of the formula III, HIn, IH^, IIIC, Hid, or IIIe includes the following structures:
[0079] In a further embodiment, the present invention provides inhibitors of the
P210 BCR-ABL-T31SI theramutem haying tøg foτmu\a jy
(IV) wherein: ring A is a 5-, 6-, or 7- membered ring or a 7- to 12-membered fused bicyclic ring; X1 is selected from N, N-R0 or C-R1; X2 is selected from N, N-R0 or C-R1; the dotted lines represent optional double bonds; each R1 is independently selected from the group consisting of H, alkyl, cycloalkyl, alkenyl, alkynyl, aralkyl, CN, CF3, NO2, OR11, -(CH2)PC(O)(CH2)(?R11, -(CH2)^C(O)N(R12XR13), -(CH2)PC(O)O(CH2)^R1 ' ,-(CH2^N(R1 ^C(O)R1 ' , -(CH2)^N(R12)(R13), -N(R1 ^SO2R1 \ -OC(O)N(R12)(R13), -SO2N(R12)(R13), halo, aryl, and a heterocyclic ring, and additionally or alternatively, two R1 groups on adjacent ring atoms form a 5- or 6-membered fused ring which contains from O to 3 heteroatoms; n is O to 6, each R1 ' is independently selected from H, alkyl, cycloalkyl, alkenyl, alkynyl, aralkyl, aryl, and a heterocyclic ring; each R12 and R13 are independently selected from H, alkyl, cycloalkyl, alkenyl, alkynyl, aralkyl, aryl, and a heterocyclic ring; or R12 and R13 may be taken together with the nitrogen to which they are attached form a 5- to 7- membered ring which may optionally contain a further heteroatom; p is O to 4; q is O to 4;
R , 22 i ■s selected from H and C] -3 alkyl;
R34 is selected from H, NO2, CN, alkyl, cycloalkyl, alkenyl, alkynyl, aralkyl, aryl and a heterocyclic ring; R44 is selected from H, alkyl, cycloalkyl, -(C=O)R0, alkenyl, alkynyl, aralkyl, aryl, and a heterocyclic ring; R45 is selected from -Y"-R] 9; Y" is selected from a chemical bond, O, NR0-, and a hydrocarbon chain having from 1 to 4 carbon atoms, and optionally substituted with one or more of halo, alkyl, cycloalkyl, alkenyl, alkynyl, aralkyl, CO2R0, C(O)R0, C(O)N(R0J2, CN, CF3, N(R°)2, NO2, and OR0; R19 is selected from the group consisting of H, alkyl, cycloalkyl, alkenyl, alkynyl, aralkyl,
CF3, aryl, and a heterocyclic ring; and each R0 is independently selected from H, alkyl, cycloalkyl, aralkyl, aryl and a heterocyclic ring.
[0080] Exemplary compounds of the formula FV include the following structures:
[0081] In a further embodiment, the present invention provides inhibitors of the P210BCR"ABL-T315I theramutein having the formula V
X1 is selected from N, N-R0 or C-R1;
X2 is selected from N, N-R0 or C-R1; the dotted lines represent optional double bonds; each R1 is independently selected from the group consisting of H, alkyl, cycloalkyl, alkenyl, alkynyl, aralkyl, CN, CF3, NO2, OR11, -(CH2)pC(O)(CH2),Rπ , -(CH2)^C(O)N(R12)(R13), -(CH2)/7C(O)O(CH2)(7R11,-(CH2)PN(R11)C(O)R1 1, -(CH2)/,N(R12)(R13), -N(R11)SO2R11, -OC(O)N(R12)(R13), -SO2N(R12XR13), halo, aryl, and a heterocyclic ring, and additionally or alternatively, two R1 groups on adjacent ring atoms form a 5- or 6-membered fused ring which contains from O to 3 heteroatoms; n is O to 6, each R1 ' is independently selected from H, alkyl, cycloalkyl, alkenyl, alkynyl, aralkyl, aryl, and a heterocyclic ring; each R12 and R13 are independently selected from H, alkyl, cycloalkyl, alkenyl, alkynyl, aralkyl, aryl, and a heterocyclic ring; or R12 and R13 may be taken together with the nitrogen to which they are attached form a 5- to 7- membered ring which may optionally contain a further heteroatom; p is O to 4; q is O to 4;
R22 is selected from H and Ci-3 alkyl;
R34 is selected from H, NO2, CN, alkyl, cycloalkyl, alkenyl, alkynyl, aralkyl, aryl and a heterocyclic ring; R55 is selected from H, alkyl, cycloalkyl, alkenyl, alkynyl, aralkyl, aryl, and a heterocyclic ring;
R56 is selected from -V-R19; Y" is selected from a chemical bond, O, NR0-, and a hydrocarbon chain having from 1 to 4 carbon atoms, and optionally substituted with one or more of halo, alkyl, cycloalkyl, alkenyl, alkynyl, aralkyl, CO2R0, C(O)R0, C(O)N(R°)2, CN, CF3, N(R°)2, NO2, and OR0; R19 is selected from the group consisting of H, alkyl, cycloalkyl, alkenyl, alkynyl, aralkyl,
CF3, aryl, and a heterocyclic ring; and each R0 is independently selected from H, alkyl, cycloalkyl, aralkyl, aryl and a heterocyclic ring.
[0082] In a further embodiment, the present invention provides inhibitors of the P2 1 O BCR-ABL-T3 I 5 I theramutein having the formula Va
wherein: ring A is a 5-, 6-, or 7- membered ring or a 7- to 12-membered fused bicyclic ring; X1 is selected from N, N-R0 or C-R1; X2 is selected from N, N-R0 or C-R1; the dotted lines represent optional double bonds; each R1 is independently selected from the group consisting of H, alkyl, cycloalkyl, alkenyl, alkynyl, aralkyl, CN, CF3, NO2, OR11, -(CH^QOXCH^R11, -(CH2)PC(O)N(R12)(R13), -(CH2);)C(O)O(CH2),Rπ,-(CH2)/,N(Rn)C(O)R11, -(CH2)pN(R12)(R13), -N(R11)SO2R11, -OC(O)N(R12)(R13), -SO2N(R12XR13), halo, aryl, and a heterocyclic ring, and additionally or alternatively, two R1 groups on adjacent ring atoms form a 5- or 6-membered fused ring which contains from O to 3 heteroatoms; n is 0 to 6, each R1 ] is independently selected from H, alkyl, cycloalkyl, alkenyl, alkynyl, aralkyl, aryl, and a heterocyclic ring; each R12 and R13 are independently selected from H, alkyl, cycloalkyl, alkenyl, alkynyl, aralkyl, aryl, and a heterocyclic ring; or R12 and R13 may be taken together with the nitrogen to which they are attached form a 5- to 7- membered ring which may optionally contain a further heteroatom; p is 0 to 4; q is 0 to 4; R5 is selected from H, alkyl, cycloalkyl, alkenyl, alkynyl, aralkyl, aryl, and a heterocyclic ring;
X3 is N or C-R50; each R50 is independently selected from the group consisting of alkyl, cycloalkyl, alkenyl, alkynyl, aralkyl, CN, CF3, NO2, OR51, -(CH2)rC(O)(CH2),R51, -(CH2)rC(O)N(R52)(R53), -(CH2)rC(O)O(CH2),R51,-(CH2)rN(R51)C(O)R51, -(CH2)rN(R52)(R53), -N(R51)SO2R51,
-OC(O)N(R52XR53), -SO2N(R52XR53), halo, aryl, and a heterocyclic ring, and additionally or alternatively, two R50 groups on adjacent ring atoms form a 5- or 6-membered fused ring which contains from O to 3 heteroatoms;
R51 is selected from H, alkyl, cycloalkyl, alkenyl, alkynyl, aralkyl, aryl, and a heterocyclic ring;
R52 and R53 are independently selected from H, alkyl, cycloalkyl, alkenyl, alkynyl, aralkyl, aryl, and a heterocyclic ring; or R52 and R53 may be taken together with the nitrogen to which they are attached form a 5- to 7- membered ring which may optionally contain a further heteroatom; r is 0 to 4; s is 0 to 4; m is 0 to 4; and each R0 is independently selected from H, alkyl, cycloalkyl, aralkyl, aryl and a heterocyclic ring.
[0083] Exemplary compounds of the formula V or Vfl include the following structures:
[0084] In a further embodiment, the present invention provides inhibitors of the p210 BCR-ABL-τ3 i 5 i tøeramutein having the formula VI
wherein: ring A is a 5-, 6-, or 7- membered ring or a 7- to 12-membered fused bicyclic ring; X1 is selected from N, N-R0 or C-R1; X2 is selected from N, N-R0 or C-R1; the dotted lines represent optional double bonds; each R1 is independently selected from the group consisting of H, alkyl, cycloalkyl, alkenyl, alkynyl, aralkyl, CN, CF3, NO2, OR11, -(CH^CCOXCH^R1 ' , -(CH2)^C(O)N(R12XR13), -(CH2)PC(O)O(CH2)9R1 ] ,-(CH2^N(R1 ' )C(O)R] ' , -(CH2)^N(R12XR13), -N(R1 ^SO2R1 ' , -OC(O)N(R12)(R13), -SO2N(R12)(R13), halo, aryl, and a heterocyclic ring, and additionally or alternatively, two R1 groups on adjacent ring atoms form a 5- or 6-membered fused ring which contains from O to 3 heteroatoms; n is O to 6, each R1 ' is independently selected from H, alkyl, cycloalkyl, alkenyl, alkynyl, aralkyl, aryl, and a heterocyclic ring; each R12 and R13 are independently selected from H, alkyl, cycloalkyl, alkenyl, alkynyl, aralkyl, aryl, and a heterocyclic ring; or R12 and R13 may be taken together with the nitrogen to which they are attached form a 5- to 7- membered ring which may optionally contain a further heteroatom; p is O to 4; q is O to 4;
R55 is selected from H, alkyl, cycloalkyl, alkenyl, alkynyl, aralkyl, aryl, and a heterocyclic ring;
R56 is selected from -Y"-R19; Y" is selected from a chemical bond, O, NR0-, and a hydrocarbon chain having from 1 to 4 carbon atoms, and optionally substituted with one or more of halo, alkyl, cycloalkyl, alkenyl, alkynyl, aralkyl, CO2R0, C(O)R0, C(0)N(R°)2, CN, CF3, N(R°)2, NO2, and OR0; R19 is selected from the group consisting of H, alkyl, cycloalkyl, alkenyl, alkynyl, aralkyl,
CF3, aryl, and a heterocyclic ring; and
each R0 is independently selected from H, alkyl, cycloalkyl, aralkyl, aryl and a heterocyclic ring.
[0085] In a further embodiment, the present invention provides inhibitors of the p21 0BCR-ABL-T315I theramutein having ±G formχχ\a VIn
wherein: ring A is a 5-, 6-, or 7- membered ring or a 7- to 12-membered fused bicyclic ring; X1 is selected from N, N-R0 or C-R1; X2 is selected from N, N-R0 or C-R1; the dotted lines represent optional double bonds; each R1 is independently selected from the group consisting of H, alkyl, cycloalkyl, alkenyl, alkynyl, aralkyl, CN, CF3, NO2, OR11, -(CH2)pC(O)(CH2),Rn, -(CH2)^C(O)N(R12)(R13), -(CH2)pC(O)O(CH2)9Rπ, -(CH2)pN(Rπ)C(0)Rn, -(CH2)^N(R12XR13), -N(R1 ^SO2R11, -OC(O)N(R12)(R13), -SO2N(R12XR13), halo, aryl, and a heterocyclic ring, and additionally or alternatively, two R1 groups on adjacent ring atoms form a 5- or 6-membered fused ring which contains from O to 3 heteroatoms; n is 0 to 6, each R1 ' is independently selected from H, alkyl, cycloalkyl, alkenyl, alkynyl, aralkyl, aryl, and a heterocyclic ring; each R12 and R13 are independently selected from H, alkyl, cycloalkyl, alkenyl, alkynyl, aralkyl, aryl, and a heterocyclic ring; or R12 and R13 may be taken together with the nitrogen to which they are attached form a 5- to 7- membered ring which may optionally contain a further heteroatom; p is 0 to 4; q is 0 to 4; R55 is selected from H, alkyl, cycloalkyl, alkenyl, alkynyl, aralkyl, aryl, and a heterocyclic ring; X3 is N or C-R50;
each R50 is independently selected from the group consisting of alkyl, cycloalkyl, alkenyl, alkynyl, aralkyl, CN, CF3, NO2, OR51, -(CH2)rC(O)(CH2),R51, -(CH2),C(O)N(R52)(R53), -(CH2)rC(O)O(CH2),R51, -(CH2)rN(R51)C(O)R51, -(CH2)rN(R52)(R53), -N(R51)SO2R51, -OC(O)N(R52)(R53), -SO2N(R52)(R53), halo, aryl, and a heterocyclic ring, and additionally or alternatively, two R50 groups on adjacent ring atoms form a 5- or 6-membered fused ring which contains from O to 3 heteroatoms;
R51 is selected from H, alkyl, cycloalkyl, alkenyl, alkynyl, aralkyl, aryl, and a heterocyclic ring;
R52 and R53 are independently selected from H, alkyl, cycloalkyl, alkenyl, alkynyl, aralkyl, aryl, and a heterocyclic ring; or R52 and R53 may be taken together with the nitrogen to which they are attached form a 5- to 7- membered ring which may optionally contain a further heteroatom; r is 0 to 4; s is 0 to 4; m is 0 to 4; and each R0 is independently selected from H, alkyl, cycloalkyl, aralkyl, aryl and a heterocyclic ring.
[0086] Exemplary compounds of the formula VI or VIn include the following structures:
[0087] In a further preferred embodiment, the present invention provides inhibitors of the P21OBCR ABL T3151 theramutein having the formula VII
wherein: ring A is a 5-, 6-, or 7- membered ring or a 7- to 12-membered fused bicyclic ring; X1 is selected from N, N-R0 or C-R1;
no
X2 is selected from N, N-R0 or C-R1; the dotted lines represent optional double bonds; each R1 is independently selected from the group consisting of H, alkyl, cycloalkyl, alkenyl, alkynyl, aralkyl, CN, CF3, NO2, OR11, -(CH2)pC(O)(CH2)(?Rπ, -(CH2)^C(O)N(R12)(R13), -(CH2)pC(O)O(CH2)gR11^(CH2)PN(R1 ^C(O)R1 ' , -(CH2)^N(R12)(R13), -N(R1 ^SO2R1 ' , -OC(O)N(R12)(R13), -SO2N(R12)(R13), halo, aryl, and a heterocyclic ring, and additionally or alternatively, two R1 groups on adjacent ring atoms form a 5- or 6-membered fused ring which contains from O to 3 heteroatoms; n is O to 6, each R11 is independently selected from H, alkyl, cycloalkyl, alkenyl, alkynyl, aralkyl, aryl, and a heterocyclic ring; each R12 and R13 are independently selected from H, alkyl, cycloalkyl, alkenyl, alkynyl, aralkyl, aryl, and a heterocyclic ring; or R12 and R13 may be taken together with the nitrogen to which they are attached form a 5- to 7- membered ring which may optionally contain a further heteroatom; p is O to 4; q is O to 4; ring B is selected from a cycloalkyl group having 5 or 6 ring atoms, and a heterocyclic group containing 5 or 6 ring atoms which includes one to three hetero atoms; each R50 is independently selected from the group consisting of alkyl, cycloalkyl, alkenyl, alkynyl, aralkyl, CN, CF3, NO2, OR51, -(CH2)rC(O)(CH2)5R51, -(CH2)rC(O)N(R52)(R53), -(CH2)rC(O)O(CH2)iR51,-(CH2)rN(R51)C(O)R51, -(CH2)rN(R52)(R53), -N(R51)SO2R51, -OC(O)N(R52XR53), -SO2N(R52XR53), halo, aryl, and a heterocyclic ring, and additionally or alternatively, two R50 groups on adjacent ring atoms form a 5- or 6-membered fused ring which contains from O to 3 heteroatoms;
R51 is selected from H, alkyl, cycloalkyl, alkenyl, alkynyl, aralkyl, aryl, and a heterocyclic ring;
R52 and R53 are independently selected from H, alkyl, cycloalkyl, alkenyl, alkynyl, aralkyl, aryl, and a heterocyclic ring; or R52 and R53 may be taken together with the nitrogen to which they are attached form a 5- to 7- membered ring which may optionally contain a further heteroatom; r is O to 4; s is O to 4; m is O to 4; and
each Rυ is independently selected from H, alkyl, cycloalkyl, aralkyl, aryl and a heterocyclic ring.
[0088] Exemplary compounds of the formula VII include the following structures:
[0089] In a further preferred embodiment, the present invention provides inhibitors of the p2ioBCR ABL T3151 theramutein having the formula VIII3
(Villa) wherein ring A is a 5-, 6-, or 7- membered ring or a 7- to 12-membered fused bicyclic ring; X1 is selected from N, N-R0 or C-R1; X2 is selected from N, N-R0 or C-R1; the dotted lines represent optional double bonds; each R1 is independently selected from the group consisting of H, alkyl, cycloalkyl, alkenyl, alkynyl, aralkyl, CN, CF3, NO2, OR11, -(CH2)PC(O)(CH2)(?R11, -(CH2)Z7C(O)N(R12XR13), -(CH2)pC(O)O(CH2)9Rπ, -(CH2)^N(R1 ^C(O)R1 1, -(CH2)^N(R12)(R13), -N(R1 ^SO2R11, -OC(O)N(R12)(R13), -SO2N(R12XR13), halo, aryl, and a heterocyclic ring, and additionally or alternatively, two R1 groups on adjacent ring atoms form a 5- or 6-membered fused ring which contains from O to 3 heteroatoms; n is O to 6, each R1 ' is independently selected from H, alkyl, cycloalkyl, alkenyl, alkynyl, aralkyl, aryl, and a heterocyclic ring; each R12 and R13 are independently selected from H, alkyl, cycloalkyl, alkenyl, alkynyl, aralkyl, aryl, and a heterocyclic ring; or R12 and R13 may be taken together with the nitrogen to which they are attached form a 5- to 7- membered ring which may optionally contain a further heteroatom, wherein the 5- to 7- membered ring may optionally be substituted with one to three substituents that are independently selected from alkyl, cycloalkyl, alkenyl, alkynyl, aralkyl, CN, CF3, NO2, OR0, CO2R0, C(O)R0, halo, aryl, and a heterocyclic ring; p is O to 4; q is O to 4; R8 is selected from the group consisting of is selected from H, alkyl, cycloalkyl, alkenyl, alkynyl, CO2R0, C(O)R0, N(R°)2, aralkyl, aryl, and a heterocyclic ring; X3 is N, CH or C-R50; each R50 is independently selected from the group consisting of alkyl, cycloalkyl, alkenyl, alkynyl, aralkyl, CN, CF3, NO2, OR51, -(CH2)rC(O)(CH2),R51, -(CH2)rC(O)N(R52)(R53), -(CH2)rC(O)O(CH2),R51, -(CH2)rN(R51)C(O)R51, -(CH2),N(R52)(R53), -N(R51)SO2R51,
-OC(O)N(R52)(R53), -SO2N(R52XR53), halo, aryl, and a heterocyclic ring, and additionally or alternatively, two R50 groups on adjacent ring atoms form a 5- or 6-membered fused ring which contains from 0 to 3 heteroatoms;
R51 is selected from H, alkyl, cycloalkyl, alkenyl, alkynyl, aralkyl, aryl, and a heterocyclic ring;
R52 and R53 are independently selected from H, alkyl, cycloalkyl, alkenyl, alkynyl, aralkyl, aryl, and a heterocyclic ring; or R52 and R53 may be taken together with the nitrogen to which they are attached form a 5- to 7- membered ring which may optionally contain a further heteroatom, wherein the 5- to 7- membered ring may optionally be substituted with one to three substituents that are independently selected from alkyl, cycloalkyl, alkenyl, alkynyl, aralkyl, CN, CF3, NO2, OR0, CO2R0, C(O)R0, halo, aryl, and a heterocyclic ring; r is O to 4; s is O to 4; m is O to 4; and each R0 is independently selected from H, alkyl, cycloalkyl, aralkyl, aryl and a heterocyclic ring.
[0090] In a further preferred embodiment, the present invention provides inhibitors of the P210BCR~ABL~T315Itheramutein having the formula VIIIb
R14 is selected from H and F; R8 is selected from the group consisting of is selected from H, alkyl, cycloalkyl, alkenyl, alkynyl, CO2R0, C(O)R0, N(R°)2, aralkyl, aryl, and a heterocyclic ring; X3 is N, CH or C-R60; each R60 is independently selected from the group consisting of alkyl, cycloalkyl, alkenyl, alkynyl, aralkyl, CN, CF3, NO2, OR0, halo, aryl, and a heterocyclic ring; R61 is selected from aryl and a heterocyclic ring;
Q is selected from a chemical bond or a group having the formula -O-, -(CH2),-, -(CH2),C(O)(CH2)r, -(CH2)rN(R62)-(CH2),-, -(CH2),C(O)-N(R62)-(CH2)r, -(CHz)1C(O)O(CH2),-, -(CH2),N(R62)C(O)-(CH2),-, -(CH2),OC(O)N(R62)-(CH2)r, and - O-(CH2),-C(O)N(R62)-(CH2)7-; cry
R is selected from H, alkyl, aryl, and a heterocyclic ring; each R0 is independently selected from H, alkyl, cycloalkyl, aralkyl, aryl and a heterocyclic ring; h is 0 to 4; i is 0 to 4; and j is 0 to 4.
[0091] In preferred embodiments of compounds of the formula VIIIb, R60 is selected from halo, CF3, and OH. hi other preferred embodiments, R8 is selected from H and CH3.
[0092] In preferred embodiments of compounds of the formula VIIIb, X3 is N. In further preferred embodiments, Q is selected to be -(CH2),-N(R62)-(CH2)r, and particularly in preferred embodiments, Q is -N(R62)-.
[0093] In a further preferred embodiment, the present invention provides inhibitors of the P210BCR"ABL"T315Itheramutein having the formula VIIIC
R14 is selected from H and F; R8 is selected from the group consisting of is selected from H, alkyl, cycloalkyl, alkenyl, alkynyl, CO2R0, C(O)R0, N(R°)2, aralkyl, aryl, and a heterocyclic ring; R60 is independently selected from the group consisting of alkyl, cycloalkyl, alkenyl, alkynyl, aralkyl, CN, CF3, NO2, OR0, halo, aryl, and a heterocyclic ring; each R0 is independently selected from H, alkyl, cycloalkyl, aralkyl, aryl and a heterocyclic ring;
Q1 is selected from a chemical bond or a group having the formula -O-, -CH2-, -NH-, -C(O)-NH-, -C(O)O-, -NH-C(O)-, -OC(O)NH-, and -0-C(O)NH-; each R70 is selected from halo, alkyl, CN, N(R71)2, cyclic-amino, NO2, OR71, and CF3; each R71 is selected from H, alkyl, aryl, aralkyl and a heterocyclic ring; and
£ is 0 to 4.
[0094] In preferred embodiments of compounds of the formula VIIIC, R70 is selected from N(R71 )2, CF3, and OH.
[0095] In other preferred embodiments of compounds of the formula VIIIC, R is selected from H and CH3.
[0096] In preferred embodiments of compounds of the formula VIIIC, Q1 is -NH-. In further preferred embodiments, Q is selected to be -(CH2),-N(R62)-(CH2)/-, and particularly in preferred embodiments, Q is -N(R62)-.
[0097] Exemplary compounds of the formula VIIIα, VUh, or VIIIC include the following structures:
[0098] In a further preferred embodiment, the present invention provides inhibitors of the p2ioBCR ABL T3151 theramutein having the formula IXa
wherein ring A is a 5-, 6-, or 7- membered ring or a 7- to 12-membered fused bicyclic ring; X1 is selected from N, N-R0 or C-R1; X2 is selected from N, N-R0 or C-R1; the dotted lines represent optional double bonds; each R1 is independently selected from the group consisting of H, alkyl, cycloalkyl, alkenyl, alkynyl, aralkyl, CN, CF3, NO2, OR11, -(CH2)PC(O)(CH2)^R11, -(CH2)^C(O)N(R12)(R13), -(CH2)PC(O)O(CH2^R11, -(CH2)^N(R11JC(O)R1 \ -(CH2)^N(R12J(R13), -N(R11JSO2R11, -OC(O)N(R12)(R13), -SO2N(R12XR13), halo, aryl, and a heterocyclic ring, and additionally or alternatively, two R1 groups on adjacent ring atoms form a 5- or 6-membered fused ring which contains from O to 3 heteroatoms; n is O to 6, each R1 ' is independently selected from H, alkyl, cycloalkyl, alkenyl, alkynyl, aralkyl, aryl, and a heterocyclic ring; each R12 and R13 are independently selected from H, alkyl, cycloalkyl, alkenyl, alkynyl, aralkyl, aryl, and a heterocyclic ring; or R12 and R13 may be taken together with the nitrogen to which they are attached form a 5- to 7- membered ring which may optionally contain a further heteroatom, wherein the 5- to 7- membered ring may optionally be substituted with one to three substituents that
are independently selected from alkyl, cycloalkyl, alkenyl, alkynyl, aralkyl, CN, CF3, NO2, OR0, CO2R0, C(O)R0, halo, aryl, and a heterocyclic ring; p is O to 4; q is 0 to 4; R8 is selected from the group consisting of is selected from H, alkyl, cycloalkyl, alkenyl, alkynyl, CO2R0, C(O)R0, N(R°)2, aralkyl, aryl, and a heterocyclic ring; X3 is N, CH or C-R50; each R50 is independently selected from the group consisting of alkyl, cycloalkyl, alkenyl, alkynyl, aralkyl, CN, CF3, NO2, OR51, -(CH2)rC(O)(CH2),R51, -(CH2)rC(O)N(R52)(R53), -(CH2),C(O)O(CH2),R51, -(CH2)rN(R51)C(O)R51, -(CH2)rN(R52)(R53), -N(R51)SO2R51, -OC(O)N(R52XR53), -SO2N(R52XR53), halo, aryl, and a heterocyclic ring, and additionally or alternatively, two R50 groups on adjacent ring atoms form a 5- or 6-membered fused ring which contains from O to 3 heteroatoms;
R51 is selected from H, alkyl, cycloalkyl, alkenyl, alkynyl, aralkyl, aryl, and a heterocyclic ring;
R52 and R53 are independently selected from H, alkyl, cycloalkyl, alkenyl, alkynyl, aralkyl, aryl, and a heterocyclic ring; or R52 and R53 may be taken together with the nitrogen to which they are attached form a 5- to 7- membered ring which may optionally contain a further heteroatom, wherein the 5- to 7- membered ring may optionally be substituted with one to three substituents that are independently selected from alkyl, cycloalkyl, alkenyl, alkynyl, aralkyl, CN, CF3, NO2, OR0, CO2R0, C(O)R0, halo, aryl, and a heterocyclic ring; r is O to 4; 5 is O to 4; m is O to 4; and each R0 is independently selected from H, alkyl, cycloalkyl, aralkyl, aryl and a heterocyclic ring.
[0099] In a further preferred embodiment, the present invention provides inhibitors of the p2ioBCR ABL "T3151 theramutein having the formula IXb
wherein:
R14 is selected from H and F;
R is selected from the group consisting of is selected from H, alkyl, cycloalkyl, alkenyl, alkynyl, CO2R0, C(O)R0, N(R°)2, aralkyl, aryl, and a heterocyclic ring;
X3 is N, CH or C-R60; each R60 is independently selected from the group consisting of alkyl, cycloalkyl, alkenyl, alkynyl, aralkyl, CN, CF3, NO2, OR0, halo, aryl, and a heterocyclic ring;
R61 is selected from aryl and a heterocyclic ring;
Q is selected from a chemical bond or a group having the formula -0-, -(CH2),-,
-(CH2),C(O)(CH2)/-, -(CH2)rN(R62)-(CH2)r, -(CH2)iC(O)-N(R62)-(CH2)/-,
-(CH2)AO)O(CH2),-, -(CH2),N(R62)C(O)-(CH2)7-, -(CH2),OC(O)N(R62)-(CH2)r, and -
O-(CH2),-C(O)N(R62)-(CH2)7-;
R62 is selected from H, alkyl, aryl, and a heterocyclic ring; each R0 is independently selected from H, alkyl, cycloalkyl, aralkyl, aryl and a heterocyclic ring; h is O to 4; i is O to 4; and j is O to 4.
[0100] In preferred embodiments of compounds of the formula IXb5 R6° is selected from halo, CF3, and OH. In other preferred embodiments, R8 is selected from H and CH3.
[0101] In preferred embodiments of compounds of the formula IXb, X3 is N. In further preferred embodiments, Q is selected to be -(CH2),-N(R62)-(CH2)/-, and particularly in preferred embodiments, Q is -N(R62)-.
[0102] In a further preferred embodiment, the present invention provides inhibitors of the P210BCR ABL T3l 5I theramutein having the formula IXC
R14 is selected from H and F;
R8 is selected from the group consisting of is selected from H, alkyl, cycloalkyl, alkenyl, alkynyl, CO2R0, C(O)R0, N(R°)2, aralkyl, aryl, and a heterocyclic ring; R60 is independently selected from the group consisting of alkyl, cycloalkyl, alkenyl, alkynyl, aralkyl, CN, CF3, NO2, OR0, halo, aryl, and a heterocyclic ring; each R0 is independently selected from H, alkyl, cycloalkyl, aralkyl, aryl and a heterocyclic ring;
Q1 is selected from a chemical bond or a group having the formula -0-, -CH2-, -NH-, -C(O)-NH-, -C(O)O-, -NH-C(O)-, -OC(O)NH-, and -0-C(O)NH-; each R70 is selected from halo, alkyl, CN, N(R71)2, cyclic-amino, NO2, OR71, and CF3; each R71 is selected from H, alkyl, aryl, aralkyl and a heterocyclic ring; and k is O to 4.
[0103] In preferred embodiments of compounds of the formula IXC, R70 is selected from N(R71 )2, CF3, and OH.
[0104] In other preferred embodiments of compounds of the formula IXC, R8 is selected from H and CH3.
[0105] In preferred embodiments of compounds of the formula IXC, Q1 is -NH-. In further preferred embodiments, Q is selected to be -(CH2),-N(R62)-(CH2)y-, and particularly in preferred embodiments, Q is -N(R62)-.
[0106] Exemplary compounds of the formula IX0, IX&, or IXC include the following structures:
[0107] In a further preferred embodiment, the present invention provides inhibitors of the P210BCR"ABL T315Itheramutein having the formula Xa
X1 is selected from N, N-R0 or C-R1;
X2 is selected from N, N-R0 or C-R1; the dotted lines represent optional double bonds; each R1 is independently selected from the group consisting of H, alkyl, cycloalkyl, alkenyl, alkynyl, aralkyl, CN, CF3, NO2, OR11, -(CH2)^C(O)(CH2)9Rn , -(CH2)^C(O)N(R12XR13), -(CH^QOWCH^R11, -(CH.y^R'^C^R11, -(CH2)PN(R12)(R13), -N(Ru)SO2Rn, -OC(O)N(R12)(R13), -SO2N(R12)(R13), halo, aryl, and a heterocyclic ring, and additionally or alternatively, two R1 groups on adjacent ring atoms form a 5- or 6-membered fused ring which contains from O to 3 heteroatoms; n is 0 to 6, each R1 ' is independently selected from H, alkyl, cycloalkyl, alkenyl, alkynyl, aralkyl, aryl, and a heterocyclic ring; each R12 and R13 are independently selected from H, alkyl, cycloalkyl, alkenyl, alkynyl, aralkyl, aryl, and a heterocyclic ring; or R12 and R13 may be taken together with the nitrogen to which they are attached form a 5- to 7- membered ring which may optionally contain a further heteroatom, wherein the 5- to 7- membered ring may optionally be substituted with one to three substituents that are independently selected from alkyl, cycloalkyl, alkenyl, alkynyl, aralkyl, CN, CF3, NO2, OR0, CO2R0, C(O)R0, halo, aryl, and a heterocyclic ring; p is O to 4; q is O to 4;
X3 is N, CH or C-R50; each R50 is independently selected from the group consisting of alkyl, cycloalkyl, alkenyl, alkynyl, aralkyl, CN, CF3, NO2, OR51, -(CH2)rC(O)(CH2),R51, -(CH2)rC(O)N(R52)(R53), -(CH2)rC(O)O(CH2)sR51, -(CH2),N(R51)C(O)R51, -(CH2)rN(R52)(R53), -N(R51)SO2R51, -OC(O)N(R52XR53), -SO2N(R52XR53), halo, aryl, and a heterocyclic ring, and additionally or alternatively, two R50 groups on adjacent ring atoms form a 5- or 6-membered fused ring which contains from O to 3 heteroatoms;
R51 is selected from H, alkyl, cycloalkyl, alkenyl, alkynyl, aralkyl, aryl, and a heterocyclic ring;
R52 and R53 are independently selected from H, alkyl, cycloalkyl, alkenyl, alkynyl, aralkyl, aryl, and a heterocyclic ring; or R52 and R53 may be taken together with the nitrogen to which they are attached form a 5- to 7- membered ring which may optionally contain a further heteroatom, wherein the 5- to 7- membered ring may optionally be substituted with one to three substituents that are independently
selected from alkyl, cycloalkyl, alkenyl, alkynyl, aralkyl, CN, CF3, NO2, OR0, CO2R0, C(O)R0, halo, aryl, and a heterocyclic ring; r is O to 4; s is 0 to 4; m is 0 to 4; and each R0 is independently selected from H, alkyl, cycloalkyl, aralkyl, aryl and a heterocyclic ring.
[0108] In a further preferred embodiment, the present invention provides inhibitors of the p2ioBCR-ABL"T3151 theramutein having the formula Xb
R14 is selected from H and F;
X3 is N, CH or C-R60; each R60 is independently selected from the group consisting of alkyl, cycloalkyl, alkenyl, alkynyl, aralkyl, CN, CF3, NO2, OR0, halo, aryl, and a heterocyclic ring; R61 is selected from aryl and a heterocyclic ring;
Q is selected from a chemical bond or a group having the formula -0-, -(CH2),-, -(CH2),C(O)(CH2)r, -(CH2),-N(R62)-(CH2)/-, -(CH2),C(O)-N(R62)-(CH2)y-, -(CHa)1C(O)O(CH2),-, -(CH2),N(R62)C(O)-(CH2),-, -(CH2),OC(O)N(R62)-(CH2)r, and - O-(CH2),-C(O)N(R62)-(CH2)/-;
R62 is selected from H, alkyl, aryl, and a heterocyclic ring; each R0 is independently selected from H, alkyl, cycloalkyl, aralkyl, aryl and a heterocyclic ring; h is O to 4; i is O to 4; and j is O to 4.
[0109] In preferred embodiments of compounds of the formula Xb, R60 is selected from halo, CF3, and OH.
[0110] In preferred embodiments of compounds of the formula Xb, X3 is N. In further preferred embodiments, Q is selected to be -(CH2),-N(R62)-(CH2)7-, and particularly in preferred embodiments, Q is -N(R62)-.
[0111] In a further preferred embodiment, the present invention provides inhibitors of the P210BCR"ABL"T315Itheramutein having the formula Xc
R14 is selected from H and F;
R8 is selected from the group consisting of is selected from H, alkyl, cycloalkyl, alkenyl, alkynyl, CO2R0, C(O)R0, N(R°)2, aralkyl, aryl, and a heterocyclic ring; R60 is independently selected from the group consisting of alkyl, cycloalkyl, alkenyl, alkynyl, aralkyl, CN, CF3, NO2, OR0, halo, aryl, and a heterocyclic ring; each R0 is independently selected from H, alkyl, cycloalkyl, aralkyl, aryl and a heterocyclic ring;
Q1 is selected from a chemical bond or a group having the formula -O-, -CH2-, -NH-, -C(O)-NH-, -C(O)O-, -NH-C(O)-, -OC(O)NH-, and -0-C(O)NH-; each R70 is selected from halo, alkyl, CN, N(R71)2, cyclic-amino, NO2, OR71, and CF3; each R71 is selected from H, alkyl, aryl, aralkyl and a heterocyclic ring; and A: is O to 4.
[0112] In preferred embodiments of compounds of the formula Xc, R70 is selected from N(R71)2, CF3, and OH.
[0113] In other preferred embodiments of compounds of the formula Xc, R8 is selected from H and CH3.
[Ol 14] In preferred embodiments of compounds of the formula X0, Q1 is -NH-. hi further preferred embodiments, Q is selected to be -(CH2),-N(R62)-(CH2)7-, and particularly in preferred embodiments, Q is -N(R62)-.
[0116] In a further preferred embodiment, the present invention provides inhibitors of the P21OBCR ABL T3151 theramutein having the formula XIa
X1 is selected from N, N-R0 or C-R1;
X2 is selected from N, N-R0 or C-R1; the dotted lines represent optional double bonds; each R1 is independently selected from the group consisting of H, alkyl, cycloalkyl, alkenyl, alkynyl, aralkyl, CN, CF3, NO2, OR11, -(CH^QOXCH^R11, -(CH2)PC(O)N(R12)(R13), -(CH^CCOPCCH^R11, -(CH2)^N(R1 ^C(O)R1 1, -(CH2)^N(R12XR13), -N(R1^SO2R11, -OC(O)N(R12)(R13), -SO2N(R12)(R13), halo, aryl, and a heterocyclic ring, and additionally or alternatively, two R1 groups on adjacent ring atoms form a 5- or 6-membered fused ring which contains from O to 3 heteroatoms; n is O to 6, each R1 ' is independently selected from H, alkyl, cycloalkyl, alkenyl, alkynyl, aralkyl, aryl, and a heterocyclic ring;
each R12 and R13 are independently selected from H, alkyl, cycloalkyl, alkenyl, alkynyl, aralkyl, aryl, and a heterocyclic ring; or R12 and R13 may be taken together with the nitrogen to which they are attached form a 5- to 7- membered ring which may optionally contain a further heteroatom, wherein the 5- to 7- membered ring may optionally be substituted with one to three substituents that are independently selected from alkyl, cycloalkyl, alkenyl, alkynyl, aralkyl, CN, CF3, NO2, OR0, CO2R0, C(O)R0, halo, aryl, and a heterocyclic ring; p is 0 to 4; q is 0 to 4;
R31 is selected from H, halo, -NH2, -N(H)(R0), -N(R°)2, -O-R0, OH and C1-3 alkyl; R8 is selected from the group consisting of is selected from H, alkyl, cycloalkyl, alkenyl, alkynyl, CO2R0, C(O)R0, N(R°)2, aralkyl, aryl, and a heterocyclic ring; X3 is N, CH or C-R50; each R50 is independently selected from the group consisting of alkyl, cycloalkyl, alkenyl, alkynyl, aralkyl, CN, CF3, NO2, OR51, -(CH2)rC(O)(CH2),R51, -(CH2)rC(O)N(R52)(R53), -(CH2)rC(O)O(CH2)xR51, -(CH2)rN(R51)C(O)R51, -(CH2)rN(R52)(R53), -N(R51)SO2R51, -OC(O)N(R52XR53), -SO2N(R52XR53), halo, aryl, and a heterocyclic ring, and additionally or alternatively, two R50 groups on adjacent ring atoms form a 5- or 6-membered fused ring which contains from O to 3 heteroatoms;
R51 is selected from H, alkyl, cycloalkyl, alkenyl, alkynyl, aralkyl, aryl, and a heterocyclic ring;
R52 and R53 are independently selected from H, alkyl, cycloalkyl, alkenyl, alkynyl, aralkyl, aryl, and a heterocyclic ring; or R52 and R53 may be taken together with the nitrogen to which they are attached form a 5- to 7- membered ring which may optionally contain a further heteroatom, wherein the 5- to 7- membered ring may optionally be substituted with one to three substituents that are independently selected from alkyl, cycloalkyl, alkenyl, alkynyl, aralkyl, CN, CF3, NO2, OR0, CO2R0, C(O)R0, halo, aryl, and a heterocyclic ring; r is O to 4; 5 is O to 4; m is O to 4; and each R0 is independently selected from H, alkyl, cycloalkyl, aralkyl, aryl and a heterocyclic ring.
[0117] In a further preferred embodiment, the present invention provides inhibitors of the P210BCR-ABL"T315Itheramutein having the formula XIb
R14 is selected from H and F;
R31 is selected from H, halo, -NH2, -N(H)(R0), -N(R°)2, -O-R0, OH and C1-3 alkyl;
R8 is selected from the group consisting of is selected from H, alkyl, cycloalkyl, alkenyl, alkynyl, CO2R0, C(O)R0, N(R°)2, aralkyl, aryl, and a heterocyclic ring; X3 is N, CH or C-R60; each R60 is independently selected from the group consisting of alkyl, cycloalkyl, alkenyl, alkynyl, aralkyl, CN, CF3, NO2, OR0, halo, aryl, and a heterocyclic ring; R61 is selected from aryl and a heterocyclic ring;
Q is selected from a chemical bond or a group having the formula -O-, -(CH2),-, -(CH2),C(O)(CH2)r, -(CH2)rN(R62)-(CH2)r, -(CH2)/C(O)-N(R62)-(CH2)/-, -(CH2)AO)O(CH2V, -(CH2),N(R62)C(O)-(CH2)r, -(CH2),OC(O)N(R62)-(CH2)r, and - O-(CH2),-C(O)N(R62)-(CH2)/-;
R62 is selected from H, alkyl, aryl, and a heterocyclic ring; each R is independently selected from H, alkyl, cycloalkyl, aralkyl, aryl and a heterocyclic ring;
A is O to 4; i is O to 4; and j is O to 4.
[0118] In preferred embodiments of compounds of the formula XIb, R60 is selected from halo, CF3, and OH. hi other preferred embodiments, R8 is selected from H and CH3.
[0119] In preferred embodiments of compounds of the formula XIb, X3 is N. In further preferred embodiments, Q is selected to be -(CH2),-N(R62)-(CH2)7-, and particularly in preferred embodiments, Q is -N(R62)-.
[0120] In preferred embodiments of compounds of the formula XI3 and XIb, R31 is selected from H and Ci-3 alkyl.
[0121] In a further preferred embodiment, the present invention provides inhibitors of the p2ioBCR-ABL"T3151 theramutein having the formula XI0
R14 is selected from H and F;
R31 is selected from H and Ci-3 alkyl;
R8 is selected from the group consisting of is selected from H, alkyl, cycloalkyl, alkenyl, alkynyl, CO2R0, C(O)R0, N(R°)2, aralkyl, aryl, and a heterocyclic ring; R60 is independently selected from the group consisting of alkyl, cycloalkyl, alkenyl, alkynyl, aralkyl, CN, CF3, NO2, OR0, halo, aryl, and a heterocyclic ring; each R0 is selected from H, alkyl, cycloalkyl, aralkyl, aryl and a heterocyclic ring; Q1 is selected from a chemical bond or a group having the formula -O-, -CH2-, -NH-, -C(O)-NH-, -C(O)O-, -NH-C(O)-, -OC(O)NH-, and -0-C(O)NH-; each R70 is selected from halo, alkyl, CN, N(R71)2, cyclic-amino, NO2, OR71, and CF3; each R71 is selected from H, alkyl, aryl, aralkyl and a heterocyclic ring; and k is O to 4.
[0122] In preferred embodiments of compounds of the formula XI0, R70 is selected from N(R71)2, CF3, and OH.
[0123] In other preferred embodiments of compounds of the formula XIC, R is selected from H and CH3.
[0124] In preferred embodiments of compounds of the formula XI0, Q1 is -NH-. In further preferred embodiments, Q is selected to be -(CH2),-N(R62)-(CH2)y-, and particularly in preferred embodiments, Q is -N(R62)-.
[0126] In a further preferred embodiment, the present invention provides inhibitors of the P210BCR"ABL"T3I5Itheramutein having the formula XIIa
X1 is selected from N, N-R0 or C-R1;
X2 is selected from N, N-R0 or C-R1; the dotted lines represent optional double bonds; each R1 is independently selected from the group consisting of H, alkyl, cycloalkyl, alkenyl, alkynyl, aralkyl, CN, CF3, NO2, OR11, -(CH2)pC(O)(CH2)9Rπ, -(CH2)^C(O)N(R12)(R13), -(CH2)PC(O)O(CH2)^R1 1, -(CH2^N(Rn)C(O)Rπ, -(CH2^N(R12)(R13), -N(R1^SO2R1 1, -OC(O)N(R12XR13), -SO2N(R12)(R13), halo, aryl, and a heterocyclic ring, and additionally
or alternatively, two R1 groups on adjacent ring atoms form a 5- or 6-membered fused ring which contains from 0 to 3 heteroatoms; n is 0 to 6, each R1 ' is independently selected from H, alkyl, cycloalkyl, alkenyl, alkynyl, aralkyl, aryl, and a heterocyclic ring; each R12 and R13 are independently selected from H, alkyl, cycloalkyl, alkenyl, alkynyl, aralkyl, aryl, and a heterocyclic ring; or R12 and R13 may be taken together with the nitrogen to which they are attached form a 5- to 7- membered ring which may optionally contain a further heteroatom, wherein the 5- to 7- membered ring may optionally be substituted with one to three substituents that are independently selected from alkyl, cycloalkyl, alkenyl, alkynyl, aralkyl, CN, CF3, NO2, OR0, CO2R0, C(O)R0, halo, aryl, and a heterocyclic ring; p is O to 4; q is O to 4;
R31 is selected from H, halo, -NH2, -N(H)(R0), -N(R°)2, -O-R0, OH and C1-3 alkyl; R8 is selected from the group consisting of is selected from H, alkyl, cycloalkyl, alkenyl, alkynyl, CO2R0, C(O)R0, N(R°)2, aralkyl, aryl, and a heterocyclic ring; X3 is N, CH or C-R50; each R50 is independently selected from the group consisting of alkyl, cycloalkyl, alkenyl, alkynyl, aralkyl, CN, CF3, NO2, OR51, -(CH2)rC(O)(CH2),R51, -(CH2),C(O)N(R52)(R53), -(CH2)rC(O)O(CH2)5R51, -(CH2)rN(R51)C(O)R51, -(CH2)rN(R52)(R53), -N(R51)SO2R51, -OC(O)N(R52XR53), -SO2N(R52XR53), halo, aryl, and a heterocyclic ring, and additionally or alternatively, two R50 groups on adjacent ring atoms form a 5- or 6-membered fused ring which contains from O to 3 heteroatoms;
R51 is selected from H, alkyl, cycloalkyl, alkenyl, alkynyl, aralkyl, aryl, and a heterocyclic ring;
R52 and R53 are independently selected from H, alkyl, cycloalkyl, alkenyl, alkynyl, aralkyl, aryl, and a heterocyclic ring; or R and R may be taken together with the nitrogen to which they are attached form a 5- to 7- membered ring which may optionally contain a further heteroatom, wherein the 5- to 7- membered ring may optionally be substituted with one to three substituents that are independently selected from alkyl, cycloalkyl, alkenyl, alkynyl, aralkyl, CN, CF3, NO2, OR0, CO2R0, C(O)R0, halo, aryl, and a heterocyclic ring; r is O to 4;
s is 0 to 4; m is 0 to 4; and each R0 is independently selected from H, alkyl, cycloalkyl, aralkyl, aryl and a heterocyclic ring.
[0127] In a further preferred embodiment, the present invention provides inhibitors of the P2lθBCR ABL-T3151 theramutein having the formula XIIb
R14 is selected from H and F;
R31 is selected from H, halo, -NH2, -N(H)(R0), -N(R°)2, -O-R0, OH and Q-3 alkyl; R8 is selected from the group consisting of is selected from H, alkyl, cycloalkyl, alkenyl, alkynyl, CO2R0, C(O)R0, N(R°)2, aralkyl, aryl, and a heterocyclic ring; X3 is N, CH or C-R60; each R60 is independently selected from the group consisting of alkyl, cycloalkyl, alkenyl, alkynyl, aralkyl, CN, CF3, NO2, OR0, halo, aryl, and a heterocyclic ring; R61 is selected from aryl and a heterocyclic ring;
Q is selected from a chemical bond or a group having the formula -O-, -(CH2),-, -(CH2),C(O)(CH2)r, -(CH2),-N(R62)-(CH2)/-, -(CH2)/C(O)-N(R62)-(CH2)/-, -(CHz)1C(O)O(CH2),-, -(CH2),N(R62)C(O)-(CH2),-, -(CH2),OC(O)N(R62)-(CH2)r, and - O-(CH2)rC(O)N(R62)-(CH2)r;
R62 is selected from H, alkyl, aryl, and a heterocyclic ring; each R0 is independently selected from H, alkyl, cycloalkyl, aralkyl, aryl and a heterocyclic ring; h is O to 4; i is O to 4; and j is O to 4.
[0128] In preferred embodiments of compounds of the formula XIIb, R60 is selected from halo, CF3, and OH. In other preferred embodiments, R8 is selected from H and CH3.
[0129] In preferred embodiments of compounds of the formula XIIb, X3 is N. In further preferred embodiments, Q is selected to be -(CH2),-N(R62)-(CH2)/-, and particularly in preferred embodiments, Q is -N(R62)-.
[0130] In a further preferred embodiment, the present invention provides inhibitors of the p2ioBCR A8L"T3151 theramutein having the formula XIIC.
[0131] hi preferred embodiments of compounds of the formula XII3 and XIIb, R31 is selected from H and C1-3 alkyl.
R14 is selected from H and F; R31 is selected from H and Ci-3 alkyl; R8 is selected from the group consisting of is selected from H, alkyl, cycloalkyl, alkenyl, alkynyl, CO2R0, C(O)R0, N(R°)2, aralkyl, aryl, and a heterocyclic ring; R60 is independently selected from the group consisting of alkyl, cycloalkyl, alkenyl, alkynyl, aralkyl, CN, CF3, NO2, OR0, halo, aryl, and a heterocyclic ring; each R0 is selected from H, alkyl, cycloalkyl, aralkyl, aryl and a heterocyclic ring; Q1 is selected from a chemical bond or a group having the formula -O-, -CH2-, -NH-, -C(O)-NH-, -C(O)O-, -NH-C(O)-, -OC(O)NH-, and -0-C(O)NH-; each R70 is selected from halo, alkyl, CN, N(R7 ')2, cyclic-amino, NO2, OR71, and CF3; each R71 is selected from H, alkyl, aryl, aralkyl and a heterocyclic ring; and A: is O to 4.
[0132] In preferred embodiments of compounds of the formula XIIC, R70 is selected from N(R71)2, CF3, and OH.
[0133] In other preferred embodiments of compounds of the formula XIIc, R8 is selected from H and CH3.
[0134] In preferred embodiments of compounds of the formula XIIC, Q1 is -NH-. In further preferred embodiments, Q is selected to be -(CH2),-N(R62)-(CH2)/-, and particularly in preferred embodiments, Q is -N(R )-.
[0135] Exemplary compounds of the formula XIIn, XUb, or XIIC include the following structures:
[0136] In a further preferred embodiment, the present invention provides inhibitors of the P210BCR"ABL"T3151theramutein having the formula XIII3
(XIIIa) wherein ring A is a 5-, 6-, or 7- membered ring or a 7- to 12-membered fused bicyclic ring;
X1 is selected from N, N-R0 or C-R1;
X2 is selected from N, N-R0 or C-R1; the dotted lines represent optional double bonds; each R1 is independently selected from the group consisting of H, alkyl, cycloalkyl, alkenyl, alkynyl, aralkyl, CN, CF3, NO2, OR11, -(CH^CCOXCH^R1 1, -(CH2)^C(O)N(R12XR13), -(CH2)/,C(O)O(CH2)9R1 1, -(CH2)^N(R1 ')C(O)RM, -(CH2)^N(R12)(R13), -N(Rπ)SO2Rn,
-OC(O)N(R12)(R13), -SO2N(R12XR13), halo, aryl, and a heterocyclic ring, and additionally or alternatively, two R1 groups on adjacent ring atoms form a 5- or 6-membered fused ring which contains from 0 to 3 heteroatoms; n is 0 to 6, each R1 ' is independently selected from H, alkyl, cycloalkyl, alkenyl, alkynyl, aralkyl, aryl, and a heterocyclic ring; each R12 and R13 are independently selected from H, alkyl, cycloalkyl, alkenyl, alkynyl, aralkyl, aryl, and a heterocyclic ring; or R12 and R13 may be taken together with the nitrogen to which they are attached form a 5- to 7- membered ring which may optionally contain a further heteroatom, wherein the 5- to 7- membered ring may optionally be substituted with one to three substituents that are independently selected from alkyl, cycloalkyl, alkenyl, alkynyl, aralkyl, CN, CF3, NO2, OR0, CO2R0, C(O)R0, halo, aryl, and a heterocyclic ring; p is O to 4; q is O to 4; R8 is selected from the group consisting of is selected from H, alkyl, cycloalkyl, alkenyl, alkynyl, CO2R0, C(O)R0, N(R°)2, aralkyl, aryl, and a heterocyclic ring; X3 is N, CH or C-R50; each R50 is independently selected from the group consisting of alkyl, cycloalkyl, alkenyl, alkynyl, aralkyl, CN, CF3, NO2, OR51, -(CH2)rC(O)(CH2),R51, -(CH2)rC(O)N(R52)(R53), -(CH2)rC(O)O(CH2),R51, -(CH2)rN(R51)C(O)R51, -(CH2)rN(R52)(R53), -N(R51)SO2R51, -OC(O)N(R52XR53), -SO2N(R52XR53), halo, aryl, and a heterocyclic ring, and additionally or alternatively, two R50 groups on adjacent ring atoms form a 5- or 6-membered fused ring which contains from O to 3 heteroatoms;
R51 is selected from H, alkyl, cycloalkyl, alkenyl, alkynyl, aralkyl, aryl, and a heterocyclic ring;
R52 and R53 are independently selected from H, alkyl, cycloalkyl, alkenyl, alkynyl, aralkyl, aryl, and a heterocyclic ring; or R52 and R53 may be taken together with the nitrogen to which they are attached form a 5- to 7- membered ring which may optionally contain a further heteroatom, wherein the 5- to 7- membered ring may optionally be substituted with one to three substituents that are independently selected from alkyl, cycloalkyl, alkenyl, alkynyl, aralkyl, CN, CF3, NO2, OR0, CO2R0, C(O)R0, halo, aryl, and a heterocyclic ring; r is O to 4;
5 is 0 to 4; m is 0 to 4; and each R0 is independently selected from H, alkyl, cycloalkyl, aralkyl, aryl and a heterocyclic ring.
[0137] In a further preferred embodiment, the present invention provides inhibitors of the P21OBCR ABL T3151 theramutein having the formula XIIIb
(XIIIb) wherein:
R14 is selected from H and F;
R8 is selected from the group consisting of is selected from H, alkyl, cycloalkyl, alkenyl, alkynyl, CO2R0, C(O)R0, N(R°)2, aralkyl, aryl, and a heterocyclic ring; X3 is N, CH or C-R60; each R60 is independently selected from the group consisting of alkyl, cycloalkyl, alkenyl, alkynyl, aralkyl, CN, CF3, NO2, OR0, halo, aryl, and a heterocyclic ring; R61 is selected from aryl and a heterocyclic ring;
Q is selected from a chemical bond or a group having the formula -O-, -(CH2),-, -(CH2),C(O)(CH2)7-, -(CH2),-N(R62)-(CH2)/-, -(CH2),C(O)-N(R62)-(CH2)/-, -(CH2)AO)O(CH2),-, -(CH2),N(R62)C(O)-(CH2)r, -(CH2),OC(O)N(R62)-(CH2)7-, and - O-(CH2),-C(O)N(R62)-(CH2)r;
R62 is selected from H, alkyl, aryl, and a heterocyclic ring; each R0 is independently selected from H, alkyl, cycloalkyl, aralkyl, aryl and a heterocyclic ring; h is O to 4; / is O to 4; and j is O to 4.
[0138] In preferred embodiments of compounds of the formula XIIIb, R60 is selected from halo, CF3, and OH. In other preferred embodiments, R8 is selected from H and CH3.
[0139] In preferred embodiments of compounds of the formula XIIIb, X3 is N. In further preferred embodiments, Q is selected to be -(CH2),-N(R62)-(CH2)/-, and particularly in preferred embodiments, Q is -N(R62)-.
[0140] In a further preferred embodiment, the present invention provides inhibitors of the P21OBCR-ABL T3151 theramutein having the formula XIIIc
R14 is selected from H and F; R8 is selected from the group consisting of is selected from H, alkyl, cycloalkyl, alkenyl, alkynyl, CO2R0, C(O)R0, N(R°)2, aralkyl, aryl, and a heterocyclic ring; R60 is independently selected from the group consisting of alkyl, cycloalkyl, alkenyl, alkynyl, aralkyl, CN, CF3, NO2, OR0, halo, aryl, and a heterocyclic ring; each R0 is selected from H, alkyl, cycloalkyl, aralkyl, aryl and a heterocyclic ring; Q1 is selected from a chemical bond or a group having the formula -O-, -CH2-, -NH-, -C(O)-NH-, -C(O)O-, -NH-C(O)-, -OC(O)NH-, and -0-C(O)NH-; each R70 is selected from halo, alkyl, CN, N(R7 x)2, cyclic-amino, NO2, OR71, and CF3; each R71 is selected from H, alkyl, aryl, aralkyl and a heterocyclic ring; and & is O to 4.
[0141] In preferred embodiments of compounds of the formula XIIIC, R70 is selected from N(R71)2, CF3, and OH.
[0142] In other preferred embodiments of compounds of the formula XIIIC, R8 is selected from H and CH3.
[0143] In preferred embodiments of compounds of the formula XIIIC, Q1 is -NH-. In further preferred embodiments, Q is selected to be -(CH2),-N(R62)-(CH2)y-, and particularly in preferred embodiments, Q is -N(R62)-.
[0144] Exemplary compounds of the formula XIIIn, XIIIz,, or XIIIC include the following structures:
[0145] In a further preferred embodiment, the present invention provides inhibitors of the P210BCR~ABL"T3151theramutein having the formula XIVa
(XIVa) wherein ring A is a 5-, 6-, or 7- membered ring or a 7- to 12-membered fused bicyclic ring;
X1 is selected from N, N-R0 or C-R1;
X2 is selected from N, N-R0 or C-R1; the dotted lines represent optional double bonds; each R1 is independently selected from the group consisting of H, alkyl, cycloalkyl, alkenyl, alkynyl, aralkyl, CN, CF3, NO2, OR11, -(CH^QOXCH^R11, -(CH2)PC(O)N(R12)(R13), -(CH2)pC(O)O(CH2)9Rπ, -(CH^NCR^CCCOR1 1, -(CH2)^N(R12XR13), -N(R1 ^SO2R11, -OC(O)N(R12XR13), -SO2N(R12)(R13), halo, aryl, and a heterocyclic ring, and additionally
or alternatively, two R groups on adjacent ring atoms form a 5- or 6-membered fused ring which contains from 0 to 3 heteroatoms; n is 0 to 6, each R1 1 is independently selected from H, alkyl, cycloalkyl, alkenyl, alkynyl, aralkyl, aryl, and a heterocyclic ring; each R12 and R13 are independently selected from H, alkyl, cycloalkyl, alkenyl, alkynyl, aralkyl, aryl, and a heterocyclic ring; or R12 and R13 may be taken together with the nitrogen to which they are attached form a 5- to 7- membered ring which may optionally contain a further heteroatom, wherein the 5- to 7- membered ring may optionally be substituted with one to three substituents that are independently selected from alkyl, cycloalkyl, alkenyl, alkynyl, aralkyl, CN, CF3, NO2, OR0, CO2R0, C(O)R0, halo, aryl, and a heterocyclic ring; p is 0 to 4; q is 0 to 4; R8 is selected from the group consisting of is selected from H, alkyl, cycloalkyl, alkenyl, alkynyl, CO2R0, C(O)R0, N(R°)2, aralkyl, aryl, and a heterocyclic ring; X3 is N, CH or C-R50; each R50 is independently selected from the group consisting of alkyl, cycloalkyl, alkenyl, alkynyl, aralkyl, CN, CF3, NO2, OR51, -(CH2)rC(O)(CH2),R51, -(CH2)rC(O)N(R52)(R53), -(CH2)rC(O)O(CH2)5R51, -(CH2)rN(R51)C(O)R51, -(CH2)rN(R52)(R53), -N(R5 ^SO2R51, -OC(O)N(R52XR53), -SO2N(R52XR53), halo, aryl, and a heterocyclic ring, and additionally or alternatively, two R50 groups on adjacent ring atoms form a 5- or 6-membered fused ring which contains from O to 3 heteroatoms;
R51 is selected from H, alkyl, cycloalkyl, alkenyl, alkynyl, aralkyl, aryl, and a heterocyclic ring;
R52 and R53 are independently selected from H, alkyl, cycloalkyl, alkenyl, alkynyl, aralkyl, aryl, and a heterocyclic ring; or R52 and R53 may be taken together with the nitrogen to which they are attached form a 5- to 7- membered ring which may optionally contain a further heteroatom, wherein the 5- to 7- membered ring may optionally be substituted with one to three substituents that are independently selected from alkyl, cycloalkyl, alkenyl, alkynyl, aralkyl, CN, CF3, NO2, OR0, CO2R0, C(O)R0, halo, aryl, and a heterocyclic ring; r is O to 4; 5 is O to 4;
m is 0 to 4; and each R0 is independently selected from H, alkyl, cycloalkyl, aralkyl, aryl and a heterocyclic ring.
[0146] In a further preferred embodiment, the present invention provides inhibitors of the P21OBCR"ABL-T3151 theramutein having the formula XIVb
R14 is selected from H and F; R8 is selected from the group consisting of is selected from H, alkyl, cycloalkyl, alkenyl, alkynyl, CO2R0, C(O)R0, N(R°)2, aralkyl, aryl, and a heterocyclic ring; X3 is N, CH or C-R60; each R60 is independently selected from the group consisting of alkyl, cycloalkyl, alkenyl, alkynyl, aralkyl, CN, CF3, NO2, OR0, halo, aryl, and a heterocyclic ring; R61 is selected from aryl and a heterocyclic ring;
Q is selected from a chemical bond or a group having the formula -0-, -(CH2),-, -(CH2)AO)(CH2),-, -(CH2),-N(R62)-(CH2)r, -(CH2),C(O)-N(R62)-(CH2)/-, -(CH2J1C(O)O(CH2),-, -(CH2),N(R62)C(O)-(CH2)r, -(CH2),OC(O)N(R62)-(CH2),-, and - O-(CH2),-C(O)N(R62)-(CH2)7-;
R62 is selected from H, alkyl, aryl, and a heterocyclic ring; each R0 is independently selected from H, alkyl, cycloalkyl, aralkyl, aryl and a heterocyclic ring; h is O to 4; i is O to 4; and j is O to 4.
[0147] In preferred embodiments of compounds of the formula XIVb, R60 is selected from halo, CF3, and OH. In other preferred embodiments, R is selected from H and CH3.
[0148] In preferred embodiments of compounds of the formula XIVb, X3 is N. In further preferred embodiments, Q is selected to be -(CH2),-N(R62)-(CH2)/-, and particularly in preferred embodiments, Q is -N(R )-.
[0149] In a further preferred embodiment, the present invention provides inhibitors of the p2iθBCR"ABL-T3151 theramutein having the formula XrVc
R14 is selected from H and F; R8 is selected from the group consisting of is selected from H, alkyl, cycloalkyl, alkenyl, alkynyl, CO2R0, C(O)R0, N(R0J2, aralkyl, aryl, and a heterocyclic ring; R60 is independently selected from the group consisting of alkyl, cycloalkyl, alkenyl, alkynyl, aralkyl, CN, CF3, NO2, OR0, halo, aryl, and a heterocyclic ring; each R0 is selected from H, alkyl, cycloalkyl, aralkyl, aryl and a heterocyclic ring; Q1 is selected from a chemical bond or a group having the formula -0-, -CH2-, -NH-, -C(O)-NH-, -C(O)O-, -NH-C(O)-, -OC(O)NH-, and -0-C(O)NH-; each R70 is selected from halo, alkyl, CN, N(R71)2, cyclic-amino, NO2, OR71, and CF3; each R71 is selected from H, alkyl, aryl, aralkyl and a heterocyclic ring; and k is O to 4.
[0150] In preferred embodiments of compounds of the formula XIVC, R70 is selected from N(R71J2, CF3, and OH.
[0151] In other preferred embodiments of compounds of the formula XIVC, R is selected from H and CH3.
[0152] In preferred embodiments of compounds of the formula XIVC, Q1 is -NH-. In further preferred embodiments, Q1 is selected to be -(CH2),-N(R62)-(CH2)y-, and particularly in preferred embodiments, Q1 is -N(R62)-.
[0153] Exemplary compounds of the formula XIVn, XTVb, or XIVC include the following structures:
[0154] In a further preferred embodiment, the present invention provides inhibitors of the P210BCR ABL T3151theramutein having the formula XV3
X1 is selected from N, N-R0 or C-R1;
X2 is selected from N, N-R0 or C-R1; the dotted lines represent optional double bonds; each R1 is independently selected from the group consisting of H, alkyl, cycloalkyl, alkenyl, alkynyl, aralkyl, CN, CF3, NO2, OR11, -(CH^QOXCH^R11, -(CH2)^C(O)N(R12XR13), -(CH2)pC(O)O(CH2)9Rn, -(CH2)PN(R' ^C(O)R1 ', -(CH2)PN(R12)(R13), -N(R1^SO2R11, -OC(O)N(R12)(R13), -SO2N(R12)(R13), halo, aryl, and a heterocyclic ring, and additionally or alternatively, two R1 groups on adjacent ring atoms form a 5- or 6-membered fused ring which contains from 0 to 3 heteroatoms; n is 0 to 6, each R1 ' is independently selected from H, alkyl, cycloalkyl, alkenyl, alkynyl, aralkyl, aryl, and a heterocyclic ring;
each R12 and R13 are independently selected from H, alkyl, cycloalkyl, alkenyl, alkynyl, aralkyl, aryl, and a heterocyclic ring; or R12 and R13 may be taken together with the nitrogen to which they are attached form a 5- to 7- membered ring which may optionally contain a further heteroatom, wherein the 5- to 7- membered ring may optionally be substituted with one to three substituents that are independently selected from alkyl, cycloalkyl, alkenyl, alkynyl, aralkyl, CN, CF3, NO2, OR0, CO2R0, C(O)R0, halo, aryl, and a heterocyclic ring; p is 0 to 4; q is 0 to 4;
X3 is N, CH or C-R50; each R50 is independently selected from the group consisting of alkyl, cycloalkyl, alkenyl, alkynyl, aralkyl, CN, CF3, NO2, OR51, -(CH2)rC(O)(CH2),R51, -(CH2),C(O)N(R52)(R53), -(CH2)rC(O)O(CH2),R51, -(CH2)rN(R51)C(O)R51, -(CH2)rN(R52)(R53), -N(R51)SO2R51, -OC(O)N(R52XR53), -SO2N(R52XR53), halo, aryl, and a heterocyclic ring, and additionally or alternatively, two R50 groups on adjacent ring atoms form a 5- or 6-membered fused ring which contains from O to 3 heteroatoms;
R51 is selected from H, alkyl, cycloalkyl, alkenyl, alkynyl, aralkyl, aryl, and a heterocyclic ring;
R52 and R53 are independently selected from H, alkyl, cycloalkyl, alkenyl, alkynyl, aralkyl, aryl, and a heterocyclic ring; or R52 and R53 may be taken together with the nitrogen to which they are attached form a 5- to 7- membered ring which may optionally contain a further heteroatom, wherein the 5- to 7- membered ring may optionally be substituted with one to three substituents that are independently selected from alkyl, cycloalkyl, alkenyl, alkynyl, aralkyl, CN, CF3, NO2, OR0, CO2R0, C(O)R0, halo, aryl, and a heterocyclic ring; r is O to 4; 5 is O to 4; m is O to 4; and each R0 is independently selected from H, alkyl, cycloalkyl, aralkyl, aryl and a heterocyclic ring.
[0155] In a further preferred embodiment, the present invention provides inhibitors of the P210BCR"ABL T315Itheramutein having the formula XVb
wherein:
R14 is selected from H and F;
X3 is N, CH or C-R60; each R60 is independently selected from the group consisting of alkyl, cycloalkyl, alkenyl, alkynyl, aralkyl, CN, CF3, NO2, OR0, halo, aryl, and a heterocyclic ring; R61 is selected from aryl and a heterocyclic ring;
Q is selected from a chemical bond or a group having the formula -O-, -(CH2),-, -(CH2),C(O)(CH2)y-, -(CH2),-N(R62)-(CH2)r, -(CH2),C(O)-N(R62)-(CH2)7-, -(CHz)1C(O)O(CH2),-, -(CH2),N(R62)C(O)-(CH2)r, -(CH2)(OC(O)N(R62)-(CH2)r, and -
O-(CH2),-C(O)N(R62)-(CH2)r;
R62 is selected from H, alkyl, aryl, and a heterocyclic ring; each R0 is independently selected from H, alkyl, cycloalkyl, aralkyl, aryl and a heterocyclic ring; h is O to 4; i is O to 4; and j is O to 4.
[0156] In preferred embodiments of compounds of the formula XVb, R60 is selected from halo, CF3, and OH.
[0157] In preferred embodiments of compounds of the formula XVb, X3 is N. In further preferred embodiments, Q is selected to be -(CH2),-N(R62)-(CH2)7-, and particularly in preferred embodiments, Q is -N(R62)-.
[0158] In a further preferred embodiment, the present invention provides inhibitors of the p2ioBCR ABL-T3151 theramutein having the formula XVC
R8 is selected from the group consisting of is selected from H, alkyl, cycloalkyl, alkenyl, alkynyl, CO2R0, C(O)R0, N(R°)2, aralkyl, aryl, and a heterocyclic ring; R60 is independently selected from the group consisting of alkyl, cycloalkyl, alkenyl, alkynyl, aralkyl, CN, CF3, NO2, OR0, halo, aryl, and a heterocyclic ring; each R0 is independently selected from H, alkyl, cycloalkyl, aralkyl, aryl and a heterocyclic ring;
Q1 is selected from a chemical bond or a group having the formula -0-, -CH2-, -NH-, -C(O)-NH-, -C(O)O-, -NH-C(O)-, -OC(O)NH-, and -0-C(O)NH-; each R70 is selected from halo, alkyl, CN, N(R71)2, cyclic-amino, NO2, OR71, and CF3; each R71 is selected from H, alkyl, aryl, aralkyl and a heterocyclic ring; and A: is O to 4.
[0159] In preferred embodiments of compounds of the formula XVC, R70 is selected from N(R71)2, CF3, and OH.
[0160] In other preferred embodiments of compounds of the formula XVC, R8 is selected from H and CH3.
[0161] In preferred embodiments of compounds of the formula XVC, Q1 is -NH-. In further preferred embodiments, Q is selected to be -(CH2),-N(R62)-(CH2)7-, and particularly in preferred embodiments, Q is -N(R62)-.
[0162] Exemplary compounds of the formula XV0, XV^, or XVC include the following structures:
[0163] In a further preferred embodiment, the present invention provides inhibitors of the P210BCR"ABL T315Itheramutein having the formula XVI3
wherein ring A is a 5-, 6-, or 7- membered ring or a 7- to 12-membered fused bicyclic ring; X1 is selected from N, N-R0 or C-R1; X2 is selected from N, N-R0 or C-R1; the dotted lines represent optional double bonds; each R1 is independently selected from the group consisting of H, alkyl, cycloalkyl, alkenyl, alkynyl, aralkyl, CN, CF3, NO2, OR11, -(CH^CCOXCH^R11, -(CH2)^C(O)N(R12XR13), -(CH2)pC(O)O(CH2)9Rn, -(CH2)PN(R1 ^C(O)R11, -(CH^N^XR13), -N(R1^SO2R11, -OC(O)N(R12XR13), -SO2N(R12XR13), halo, aryl, and a heterocyclic ring, and additionally or alternatively, two R1 groups on adjacent ring atoms form a 5- or 6-membered fused ring which contains from O to 3 heteroatoms; n is O to 6, each R1 ' is independently selected from H, alkyl, cycloalkyl, alkenyl, alkynyl, aralkyl, aryl, and a heterocyclic ring; each R12 and R13 are independently selected from H, alkyl, cycloalkyl, alkenyl, alkynyl, aralkyl, aryl, and a heterocyclic ring; or R12 and R13 may be taken together with the nitrogen to which they are attached form a 5- to 7- membered ring which may optionally contain a further heteroatom, wherein the 5- to 7-
membered ring may optionally be substituted with one to three substituents that are independently selected from alkyl, cycloalkyl, alkenyl, alkynyl, aralkyl, CN, CF3, NO2, OR0, CO2R0, C(O)R0, halo, aryl, and a heterocyclic ring; p is O to 4; q is 0 to 4; R8 is selected from the group consisting of is selected from H, alkyl, cycloalkyl, alkenyl, alkynyl, CO2R0, C(O)R0, N(R°)2, aralkyl, aryl, and a heterocyclic ring; X3 is N, CH or C-R50; each R50 is independently selected from the group consisting of alkyl, cycloalkyl, alkenyl, alkynyl, aralkyl, CN, CF3, NO2, OR51, -(CH2)rC(O)(CH2),R51, -(CH2)rC(O)N(R52)(R53), -(CH2)rC(O)O(CH2)sR51, -(CH2)rN(R51)C(O)R51, -(CH2)rN(R52)(R53), -N(R51)SO2R51, -OC(O)N(R52XR53), -SO2N(R52XR53), halo, aryl, and a heterocyclic ring, and additionally or alternatively, two R50 groups on adjacent ring atoms form a 5- or 6-membered fused ring which contains from O to 3 heteroatoms;
R51 is selected from H, alkyl, cycloalkyl, alkenyl, alkynyl, aralkyl, aryl, and a heterocyclic ring;
R52 and R53 are independently selected from H, alkyl, cycloalkyl, alkenyl, alkynyl, aralkyl, aryl, and a heterocyclic ring; or R52 and R53 may be taken together with the nitrogen to which they are attached form a 5- to 7- membered ring which may optionally contain a further heteroatom, wherein the 5- to 7- membered ring may optionally be substituted with one to three substituents that are independently selected from alkyl, cycloalkyl, alkenyl, alkynyl, aralkyl, CN, CF3, NO2, OR0, CO2R0, C(O)R0, halo, aryl, and a heterocyclic ring; r is O to 4; s is O to 4; m is O to 4; and each R0 is independently selected from H, alkyl, cycloalkyl, aralkyl, aryl and a heterocyclic ring.
[0164] In a further preferred embodiment, the present invention provides inhibitors of the p2ioBCR ABL T3151 theramutein having the formula XVIb
wherein:
R14 is selected from H and F; R8 is selected from the group consisting of is selected from H, alkyl, cycloalkyl, alkenyl, alkynyl, CO2R0, C(O)R0, N(R°)2, aralkyl, aryl, and a heterocyclic ring; X3 is N, CH or C-R60; each R60 is independently selected from the group consisting of alkyl, cycloalkyl, alkenyl, alkynyl, aralkyl, CN, CF3, NO2, OR0, halo, aryl, and a heterocyclic ring; R61 is selected from aryl and a heterocyclic ring;
Q is selected from a chemical bond or a group having the formula -O-, -(CH2),-, -(CH2),C(O)(CH2)r, -(CH2),-N(R62)-(CH2)/-, -(CH2),C(O)-N(R62)-(CH2)7-, -(CH2)AO)O(CH2),-, -(CH2),N(R62)C(O)-(CH2)r, -(CH2),OC(O)N(R62)-(CH2)r, and - O-(CH2),-C(O)N(R62)-(CH2),-;
R62 is selected from H, alkyl, aryl, and a heterocyclic ring; each R0 is independently selected from H, alkyl, cycloalkyl, aralkyl, aryl and a heterocyclic ring; h is O to 4; i is O to 4; and j is O to 4.
[0165] In preferred embodiments of compounds of the formula XVIb, R60 is selected from halo, CF3, and OH. hi other preferred embodiments, R8 is selected from H and CH3.
[0166] In preferred embodiments of compounds of the formula XVIb, X3 is N. In further preferred embodiments, Q is selected to be -(CH2),-N(R62)-(CH2)/-, and particularly in preferred embodiments, Q is -N(R62)-.
[0167] In a further preferred embodiment, the present invention provides inhibitors of the P21OBCR-ABL T3151 theramutein having the formula XVIC
R14 is selected from H and F;
R8 is selected from the group consisting of is selected from H, alkyl, cycloalkyl, alkenyl, alkynyl, CO2R0, C(O)R0, N(R°)2, aralkyl, aryl, and a heterocyclic ring; R60 is independently selected from the group consisting of alkyl, cycloalkyl, alkenyl, alkynyl, aralkyl, CN, CF3, NO2, OR0, halo, aryl, and a heterocyclic ring; each R0 is selected from H, alkyl, cycloalkyl, aralkyl, aryl and a heterocyclic ring; Q1 is selected from a chemical bond or a group having the formula -0-, -CH2-, -NH-, -C(O)-NH-, -C(O)O-, -NH-C(O)-, -OC(O)NH-, and -0-C(O)NH-; each R70 is selected from halo, alkyl, CN, N(R71)2, cyclic-amino, NO2, OR71, and CF3; each R71 is selected from H, alkyl, aryl, aralkyl and a heterocyclic ring; and Hs O to 4.
[0168] In preferred embodiments of compounds of the formula XVIC, R70 is selected from N(R71)2, CF3, and OH.
[0169] hi other preferred embodiments of compounds of the formula XVI0, R8 is selected from H and CH3.
[0170] In preferred embodiments of compounds of the formula XVIC, Q1 is -NH-. hi further preferred embodiments, Q is selected to be -(CH2)rN(R62)-(CH2),-, and particularly in preferred embodiments, Q is -N(R62)-.
[0171] Exemplary compounds of the formula XVIn, XVI^, or XVIC include the following structures:
[0172] As used herein, the definition of each expression, e.g. alkyl, m, n, R, R' etc., when it occurs more than once in any structure, is intended to be independent of its definition elsewhere in the same structure.
[0173] For each of the above descriptions of compounds of the structures I, I3, Ib, H, IIa, etc., each recitation of the terms halo, alkyl, cycloalkyl, alkenyl, alkynyl, aralkyl, aryl, heterocyclic group or heterocyclic ring, are independently selected from the definitions of these terms as provided in the beginning of this section.
[0174] It will be understood that chemical structures provided herein include the implicit proviso that substitution is in accordance with permitted valence of the substituted atom and the substituent(s), and that the substitution results in a stable compound, e.g., which does not spontaneously undergo transformation such as by rearrangement, cyclization, elimination, etc.
[0175] When one or more chiral centers are present in the compounds of the present invention, the individual isomers and mixtures thereof (e.g., racemates, etc.) are intended to be encompassed by the formulae depicted herein.
[0176] When one or more double bonds are present in the compounds of the present invention, both the cis- and trans- isomers are intended to be encompassed by the formulae depicted herein. Although chemical structures (such as, for example, structures II, IIa, V, Va, VI, and VI8) are depicted herein in either cis of trans configuration, both configurations are meant to be encompassed by the each of the formulae.
[0177] In certain embodiments, compounds of the invention may exist in several tautomeric forms. Accordingly, the chemical structures depicted herein encompass all possible tautomeric forms of the illustrated compounds.
[0178] The compounds of the invention may generally be prepared from commercially available starting materials and known chemical techniques. Embodiments of the invention may be synthesized as follows. One of skill in the art of medicinal or synthetic chemistry would be readily familiar with the procedures and techniques necessary to accomplish the synthetic approaches given below.
[0179] Compounds of the formula II may be prepared by reaction of an appropriate hydrazine compound, such as ,4, and an appropriate aldehyde, such as B, under conditions similar to those described on p. 562 of Gineinah, et al. (Arch. Pharm. Med. Chem. 2002, 11, 556-562).
Ring A^NH2 + j? ^ Ring A^ ^ N^ Aryl
H l-r ^Aryl H
A B C
For example, heating ^ with 1.1 equivalents of B for 1 to 24 hours in a pro tic solvent such as a Ci to C6 alcohol, followed by cooling and collection of the precipitate, would afford C. Alternatively, product C may be isolated by evaporation of the solvent and purification by chromatography using silica gel, alumina, or C4 to Ci8 reverse phase medium. Similar methodology would be applicable in the cases where "Aryl" is replaced by other groups defined under R5.
[0180] Compounds of the formula III ring may be prepared by reaction of an appropriate hydrazine compound, such as D, and an activated carboxylic acid such as E, wherein LG is a leaving group such as halo, 1-oxybenztriazole, pentafluorophenoxy, p- nitrophenoxy, or the like, or Compound E may also be a symmetrical carboxylic acid anhydride, whereby conditions similar to those described on p. 408 of Nair and Mehta (Indian J. Chem. 1967 5, 403-408) may be used.
o R32
Rin9 Υ%3. ♦ LGΛHetercyde ~ Ring A^^ Hβterocyde
D E F
[0181] For example, treatment of D with an active ester such as Aryl-C(O)-OC6F5 in an inert solvent such as dichloromethane, 1,2-dichloroethane, or N,N-dimethylformamide, optionally in the presence of a base such as pyridine or another tertiary amine, and optionally in the presence of a catalyst such as 4-N,7V-dimethylaminopyridine, at an appropriate temperature ranging from 0° C to the boiling point of the solvent, would afford F, which may be isolated by evaporation of the solvent followed by chromatography using silica gel, alumina, or C4 to Ci8 reverse phase medium. The above active ester example of E would be readily prepared from the corresponding carboxylic acid and pentafluorophenol using a carbodiimide such as dicyclohexylcarbodiimide as a condensing agent.
[0182] Precursors such as A and D may be prepared by reaction of an appropriate nucleophile, for example, a hydrazine derivative, with a heteroaromatic compound bearing a halo substituent at a position adjacent to a nitrogen atom. For example, using methods analogous to those described by Wu, et al. (J. Heterocyclic Chem. 1990, 27, 1559-1563), Breshears, et al. (J. Am. Chem. Soc. 1959, 81, 3789-3792), or Gineinah, et al. (Arch. Pharm. Med. Chem. 2002, 11, 556-562), examples of compounds A and D may be prepared starting
from, for example, a 2,4-dihalopyrimidine derivative, many of which are commercially available or are otherwise readily prepared by one skilled in the art. Thus, treatment of an appropriate 2,4-dihalopyrimidine derivative G with an amine or other nucleophile (Z), optionally in the presence of an added base, selectively displaces the 4-halo substituent on the pyrimidine ring. Subsequent treatment of the product with a second nucleophilic reagent such as hydrazine or a hydrazine derivative, optionally in a solvent such as a Ci to C6 alcohol and optionally in the presence of an added base, displaces the 2-halo substituent on the pyrimidine ring, to afford compounds that are examples of structures A and D above.
[0183] Embodiments wherein R2 is -NR22 and R3 is -C(=R33) can be synthesized by methods such as the following, or straightforward modifications thereof. The synthesis may be conducted starting from an appropriate ring A derivative /that bears a leaving group (LG) adjacent to the requisite ring nitrogen. Structure G above and the product of reaction of structure G with nucleophile Z, as illustrated above, are examples of such appropriate Ring A derivatives J. Suitable LG' groups are halo, alkylthio, alkylsulfonyl, alky 1 sulfonate or arylsulfonate. Treatment of /with an amine R12NH2 effects displacement of LG' to afford intermediates K. An example of this chemical transformation wherein R12 is H and LG' is CH3SO2- is reported by Capps, et al. J. Agric. Food Chem. 1993, 41, 2411-2415, and an example wherein R12 is H and LG' is Cl is reported in Marshall, et al. J. Chem. Soc. 1951, 1004-1015.
Rin9\ + R22_NH2 „ ^ K^22
LG H
J K
[0184] Intermediates of structure K are transformed to compounds of the invention by simultaneous or sequential introduction of the elements, of R3, R4, and R5. For example, treatment of intermediates of structure A" with individual isocyanates R6-N=C=O affords in a single step compounds of structure M, which are compounds of the invention wherein R2 =
-NR22-, R3 = -C=O- , R4 = -NH-, and R5 = -chemical bond-R6. Alternative methods to convert compounds of structure K to compounds of structure M are well known to those skilled in the art, wherein R3 together with a leaving group (for example /?-nitrophenoxy or chloro) is first introduced, followed by subsequent displacement of the leaving group by, for example, an amine R6-NH2, to introduce R5 and R6 . o
k* H
M
[0185] Alternatively, treatment of intermediates of structure K with a reagent such as cyanamide (NH2-CN), typically under conditions of heating and optionally in the presence of acid in a solvent such as ethyl acetate or dioxane, affords intermediates N. Alternatives to cyanamide are nitroguanidine or amidinosulfonic acid (NH2-C(=NH)-SO3H). An example of such a transformation using cyanamide is reported by Latham et al., J. Org. Chem. 1950, 15, 884. An example using nitroguanidine is reported by Davis, Proc. Natl. Acad. Sci. USA 1925, 11, 72. Use of amidinosulfonic acid was reported by Shearer, et al. Bioorg. Med. Chem. Lett. 1997, 7, 1763.
A/
[0186] In analogy to the conversion of intermediates A or D to embodiments represented by C or F, intermediates K are converted, respectively, to compounds represented by P or Q, which are further embodiments of the invention.
[0187] Treatment of A or K with a ketone S, wherein R is as defined above, in place of an aldehyde B in the schemes above, affords compounds of structure T or U, respectively, which are further embodiments of the invention.
FT^Aryl H \
S T
[0188] The non-guanidino carbon-nitrogen double bond of U can be selectively reduced by an appropriate reducing agent such as a metal (boron, aluminum, silicon, etc.) hydride reagents, preferably one with basic properties, to afford compounds V of the invention.
U V
[0189] Embodiments of the invention wherein R2 = CO, R3 = -NR32", R4 = N-, and R5 = ZR7, wherein Z is a hydrocarbon chain and R7 is as defined above, may be prepared as follows. When R32 = H, a Ring A-derived carboxylic acid W is activated by conversion to the corresponding acid chloride, or alternatively to an active ester, or to an analogous activated derivative, many of which are well known in the art. Treatment of the activated carboxylic acid with hydrazine affords the corresponding hydrazide Y. Treatment of Y with an aldehyde or ketone (under conditions of heating and/or mild acid catalysis if necessary) affords the desired final product Z.
, . _,. . . . u aldehyde H (or hydrocarbon chain)
Rinπ Δ OH 1 ■ Activate carboxyl group H or ketone H I
Ring A^-OH ^ Ring A^N^^ ^ Ring A^ . N-^A R7
° 2. NH2NH2 ° O w Y z
[0190] If not commercially available, Ring A-derived carboxylic acids W may be prepared by treatment of starting material J above with cyanide ion, optionally with heating or transition metal catalysis, to replace the leaving group LG' with a cyano residue. Basic or acidic hydrolysis of the cyano group affords the desired carboxylic acid intermediate W.
[0191] When R32 is not H, then a protected form of monosubstituted hydrazine may be used in the above scheme in place of hydrazine,. Thus, treatment of the activated carboxylic acid from W with R32NHNH-PG, where PG is a nitrogen protecting group such as benzyloxycarbonyl or t-butyloxycarbonyl, followed by deprotection and treatment with an appropriate aldehyde or ketone as above affords Z\ a further embodiment of the invention. hydrocarbon chain)
Z1
[0192] Compounds of Formula (XI) where R3 ' = halogen, OR, NR or NH2 may be prepared by condensation of amides of general structure (AA) with the appropriate nucleophile M-R31, wherein M may be either H, metal, or suitable equivalent thereof. The reaction may be carried out in a suitable organic solvent, optionally with heating. The reaction conditions may be selected to remove water as it is formed, and optionally a Lewis acid may be added to the mixture.
A-NH-C(=O)-CH(R8)-B + MR31 → A-N=C(R3 ')CH(R8)-B
(AA) (XI) R31 = halogen, OR5NR or NH2
[0193] Compounds of Formula (XI) where R31 = OR may alternately be prepared by trapping the deprotonated enolate of formula (AA) with an appropriate electrophile X-R wherein X is a suitable leaving group such as chloride, bromine, tosylate, mesylate or equivalent thereof. This reaction is preferably carried out in an organic solvent with a weak to moderate bulky base.
A-NH-C(=O)-CH(R8)-B + X-R → A-N=C(R31 )CH(R8)-B (AA) (XI) R31 = OR
[0194] Compounds of Formula (XI) where R31 = alkyl may be prepared by condensation of the appropriate amine compound with a carbonyl compound of general formula (CC). These reactions may be carried out in typical organic solvents, optionally with heating. The reaction conditions may be selected to remove water as it is formed, and optionally a Lewis acid may be added to the mixture.
A-NH2 + (O=)C(R31)CH(R8)-B → A-N=C(R3 ')CH(R8)-B
(CC) (XI) R31 = alkyl
[0195] Compounds of Formula (XIII) or (XVI) may be prepared by conventional condensation reaction well known to those skilled in the art. Amine (DD) or hydroxyl amine (EE) may be condensed with a compound of general form (FF) to give compounds of formula (XIII) or (XVI). These reactions may be carried out in typical organic solvents, optionally with heating. The reaction conditions may be selected to remove water as it is formed, and optionally a Lewis acid may be added to the mixture.
A-NH2 + O=C(R8)B → A-O-N=C(R8)B
(DD) (FF) (XII)
A-O-NH2 + O=C(R8)B → A-O-N=C(R8)B
(EE) (FF) (XVI)
[0196] Compounds of Formula (XV) may be prepared by condensation of the appropriate amine compound (DD) with a pyruvic aldehyde derivative of formula (GG). These reactions may be carried out in typical organic solvents, optionally with heating. The reaction conditions may be selected to remove water as it is formed, and optionally a Lewis acid may be added to the mixture.
A-NH2 + HC(=O)C(=O)-B→ A-N=CH-C(O)-B (DD) (GG) (XV)
[0197] It will be apparent to a practitioner skilled in the art of organic molecule synthesis that the reaction processes illustrated above are representative of a broader set of methods that are logical extensions of the illustrated processes. Thus, additional embodiments of the invention that incorporate additional variants in R2, R3, R4, and R5 claimed by this invention are prepared by obvious modifications of the above processes.
[0198] As would be recognized by a person of ordinary skill, it may be advantageous to employ a temporary protecting group in achieving the final product. The phrase "protecting group" as used herein means temporary modifications of a potentially reactive functional group which protect it from undesired chemical transformations. Examples of such protecting groups include esters of carboxylic acids, silyl ethers of alcohols, and acetals and ketals of aldehydes and ketones, respectively. The field of protecting group chemistry has been reviewed (Greene, T. W.; Wuts, P. G. M. Protective Groups in Organic Synthesis, 2nd ed.; Wiley: New York, 1991).
[0199] One embodiment of this invention is directed to any endogenously occurring mammalian target protein selected by the skilled investigator to be of interest for the identification and/or optimization of a compound as an inhibitor or activator of said protein. In general such selected proteins will already be known to be involved in the etiology or pathogenesis of a human disease. In another embodiment, the invention is also directed toward mutant forms of such mammalian proteins. A "mutein" is a protein having an amino acid sequence that is altered as a result of a mutation that has occurred in its corresponding gene (Wei gel et al, 1989). Such mutations may result in changes in one or more of the characteristics of the encoded protein. For example, an enzyme variant that has modified catalytic activity resulting from a change in one or more amino acids is a mutein.
[0200] This invention is concerned with proteins harboring an alteration of at least one amino acid residue (the terms "amino acid sequence change" or "amino acid sequence alteration" include changes, deletions, or additions, of at least one amino acid residue, or any combination of deletions, additions, changes) such that the resulting mutein has become (as a result of the mutation) resistant to a known therapeutic agent relative to the sensitivity of the non-mutated version of said protein to the therapeutic agent. This specialized class of
muteins is hereinafter referred to as a theramutein, and the corresponding protein lacking the mutation is referred to herein as a. prototheramutein .
[0201] As used herein, "prototheramutein" refers to an endogenously occurring protein in a cell that is susceptible to mutation that confers relative insensitivity (i.e. resistance) to a therapeutic compound which otherwise inhibits or activates the protein. Accordingly, "theramutein" refers to an endogenously occurring protein or portion of a protein in a cell that contains at least one amino acid sequence alteration relative to an endogenous form of the protein, wherein the amino acid sequence change is or was identified or becomes identifiable, and is or has been shown to be clinically significant for the development or progression of a given disease, following exposure of at least one human being to a substance that is known to inhibit or activate the prototheramutein. Solely for the purposes of defining the preceding sentence, a substance need not be limited to a chemical agent for the purposes of first defining the existence of a theramutein. Thus, by definition, a theramutein is a protein which harbors a mutation in its corresponding endogenous gene, wherein said mutation is associated with the development of clinical resistance in a patient to a drug that is normally able to activate or inhibit the non-mutated protein. With respect to a given theramutein, the term "corresponding prototheramutein" refers to the prototheramutein which, through mutation, gives rise to said theramutein. Similarly, with respect to a given prototheramutein, the "corresponding theramutein" refers to the theramutein which has arisen by mutation from said prototheramutein.
[0202] Accordingly, it is apparent to a skilled artisan that, as the genes which encode theramuteins are limited to endogenously occurring genes, the definition of a theramutein excludes proteins encoded by disease-causing infectious agents such as viruses and bacteria. As used herein, the term "endogenous gene" refers to a gene that has been present in the chromosomes of the organism at least in its unmutated form, since inception. The term "cell" as used herein refers to a living eukaryotic cell whether in an organism or maintained under appropriate laboratory tissue or organ culture conditions outside of an organism.
[0203] In one embodiment of the invention, the target protein (POI) may be any endogenously encoded mammalian protein, hi another aspect of the invention, the POI is a theramutein, which is a protein that is altered for the first time with respect to a commonly occurring "wild type" form of the protein (i.e., a wild type protein is the prototheramutein from which the theramutein arises), hi yet another aspect of the invention, a theramutein is a
variant of a protein that is, itself, already a mutein (i.e., a mutein is the prototheramutein from which the theramutein arises). In still another embodiment, a theramutein may be further mutated as compared to a previously existing theramutein. In such instances, the first theramutein (such as the T315I mutant of p210 BCR-ABL (see below), may be thought of as a "primary" theramutein, whereas subsequent mutations of the (already mutated) T315I variant may be termed a secondary theramutein, tertiary theramutein, etc. As exemplified below, a mutein of the invention is a variant of Bcr-Abl tyrosine kinase that escapes inhibition by an inhibitor of the "wild type" Bcr-Abl. Such a Bcr-Abl mutein is altered with respect to a more common or "wild type" form of Bcr-Abl (which is also a mutein as well) in such a way that a property of the protein is altered.
[0204] It is understood that a protein of interest (POI) is an endogenously encoded mammalian protein. It will also be understood that a mutein of primary interest is a theramutein that may have the same, increased, or decreased specific activity relative to its prototheramutein, and that it is not inhibited or is poorly inhibited by an agent that is used to inhibit the prototheramutein. Likewise, another theramutein of primary interest is one that has the same, increased or decreased specific activity (relative to its prototheramutein) and that is not activated or is poorly activated by an agent that is used to activate the prototheramutein. Other variations are obvious to the skilled artisan. It will be further appreciated that theramuteins can include naturally occurring or commonly observed variants of a protein, for example, variants that are expressed from different alleles of a particular gene. In some cases such variants may be unremarkable with respect to their normal cellular function, with functional differences becoming apparent only in the presence of agents that differentially inhibit or activate the cellular function of the variants. For example, naturally occurring variants of a particular enzyme may have activity profiles that are not substantially different, but a therapeutic agent that modulates one may be ineffective in modulating the other.
[0205] It will be appreciated that one aspect of the invention is the identification of an agent that is active against a selected POI whose cellular function contributes to a given disease state such that activators or inhibitors of said POI would be expected to be therapeutically effective during the course of treatment for the disease. No limitation of any kind or nature is intended on the type of disease that may be treated, nor on the type of protein that may be targeted for modulation according to the teachings herein, provided that
all other limitations stated herein are met, including the fact that any such protein that is selected for targeting must be an endogenous protein. Obviously, the skilled investigator may use non-endogenously occurring nucleic acids such as cDNAs in order to practice the method taught herein provided that the amino acid sequence corresponds to an endogenously occurring POL
[0206] It will also be appreciated that, whereas one aspect of the invention is the identification of an agent that is active against a protein or theramutein that arises or becomes dominant (by any mechanism) prior to or during the course of a treatment for a given disease, another aspect is the identification of an agent that is active against a mutein that is common within a population of unafflicted individuals, but wherein said mutein is less susceptible to modulation by an approved drug, and where the variation in the activity profile of the mutein becomes important (and is therefore first identified as being a theramutein) in a disease state such as where it is overexpressed or participates in a signaling process which has otherwise become abnormally regulated. For example, a neoplastic disease may be caused by abnormal regulation of a cellular component other than the theramutein or its prototheramutein, and still be treatable with an inhibitor of the prototheramutein, whereas the same treatment would be less effective or ineffective where the theramutein was present. This can be an issue where it is observed that the response of a particular tumor type to an anticancer agent varies among individuals that express different variants of an enzyme against which the anticancer agent is directed (Lynch et al., 2004). Here, the variants would not have arisen or become predominant during the course of treatment of the disease, but are preexisting in the healthy population and are detected only by their altered responsiveness to a particular course of established therapeutic treatment.
[0207] As used herein, the terms "agonist" and "activator" of a protein are used interchangeably. An activator (agonist) is limited to a substance that binds to and activates the functioning of a given protein. Unless explicitly stated otherwise, an "activator", an "agonist", and an "activator of a protein" are identical in meaning. The activation by an activator may be partial or complete. Likewise, as used herein, the terms "antagonist" and "inhibitor" of a protein are used interchangeably. An inhibitor (antagonist) is limited to a substance that binds to and inhibits the functioning of a given protein. To state that a substance "inhibit(s)" a protein means the substance binds to the protein and reduce(s) the protein's activity in the cell without materially reducing the amount of the protein in the cell.
Similarly, to state that a substance "activate(s)" a protein, such as a prototheramutein or theramutein, is to state that the substance increases the defined function of the protein in the cell without substantially altering the level of the protein in the cell. Unless explicitly stated otherwise, an "inhibitor", an "antagonist" and an "inhibitor of a protein" are also synonymous. The inhibition by an inhibitor may be partial or complete. A modulator is an activator or an inhibitor. By way of example, an "activator of PKCβi" should be construed to mean a substance that binds to and activates PKCpi. Similarly, an "inhibitor of p210Bcr~Abl" is a substance that binds to and inhibits the functioning of p210Bcr"Abl. To state that a substance "inhibits a protein" requires that the substance bind to the protein in order to exert its inhibitory effect. Similarly, to state that a substance "activates protein X" is to state that the substance binds to and activates protein X. The terms "bind(s)," "binding," and "binds to" have their ordinary meanings in the field of biochemistry in terms of describing the interaction between two substances (e.g., enzyme-substrate, protein-DNA, receptor-ligand, etc.). As used herein, the term "binds to" is synonymous with "interacts with" in the context of discussing the relationship between a substance and its corresponding target protein. As used herein, to state that a substance "acts on" a protein, "affects" a protein, "exerts its effect on" a protein, etc., and all such related terms uniformly mean (as the skilled investigator is well aware) that said substance activates or inhibits said protein.
[0208] The concept of inhibition or activation of a mutated form of an endogenous protein to a greater extent than the corresponding non-mutated counterpart protein is defined for the first time and referred to herein as a positive "specificity gap." In general terms, and using an inhibitor case as an example, the specificity gap refers to the difference between the ability of a given substance, under comparable conditions to inhibit the theramutein in a cell- based assay system of the invention as compared to either: a) the ability of the same substance under comparable conditions to inhibit the prototheramutein; or b) the ability of a second substance (usually a known inhibitor of the prototheramutein) to inhibit the theramutein under comparable conditions; or c) the ability of the second substance to inhibit the prototheramutein under comparable conditions.
[0209] When the comparison is made between the effects of two distinct substances (tested individually) on the theramutein alone, the result is termed a homologous specificity gap determination.
[0210] Alternatively, when a comparison is made between the effects of two distinct substances (generally, but not always), one of which is tested on the theramutein and the other on the prototheramutein, respectively, the result is termed a heterologous specificity gap (SG) determination. Thus, (a) and (c) as given above are examples of heterologous specificity gap (SG) determinations (although (a) uses the same substance in both instances), whereas (b) is an example of a homologous specificity gap determination.
[0211] Reference to Figure 3 is informative in understanding and elucidating these concepts.
[0212] Analogous issues apply when the case concerns an activator. It will be immediately obvious to the skilled artisan that the term "comparable conditions" includes testing two different compounds, for example, at the same concentration (such as comparing two closely related compounds to determine relative potency), or by comparing the effects of two different compounds tested at their respective IC50 values on the corresponding prototheramutein and theramutein. The skilled investigator will easily recognize other useful variations and comparable conditions.
[0213] Thus, in one embodiment of the application of this approach, substances that are more effective against a theramutein have a "positive specificity gap." A "zero, null or no" specificity gap indicates that there is no significant measurable difference between the effect of a substance on the theramutein as compared to its effect on the prototheramutein (however such compounds may be quite useful in their ability to inhibit or activate both a theramutein and its corresponding prototheramutein), and a "negative specificity gap" indicates a substance that at a given concentration is less effective against the given theramutein than against a form of the corresponding prototheramutein or other comparative form of the theramutein (such as one that may harbor a different mutation). The latter category is generally of lesser interest than the former categories of compounds, except in the case where the compound is so potent that its relatively lesser effect on the theramutein is of no real concern from the perspective of therapeutic efficacy. The skilled investigator can easily recognize a variety of approaches to quantifying the specificity gap assessment in a manner tailored to his or her needs. Such an analysis may assist the skilled investigator in
classifying various compounds into discrete categories that may be helpful in guiding further lead optimization or biological profiling studies on such compounds.
[0214] The invention also provides a means for identifying compounds that exhibit a desired specificity gap. Such compounds can be identified and their ability to inhibit or activate the theramutein determined using an in vitro cell-based assay system where the effect of a substance on the cellular functioning of the mutated endogenous form of the protein is compared to the effect of the same drug on the cellular functioning of a non-mutated endogenous form of the protein.
[0215] Thus, the system enables the discovery of compounds capable of binding to a theramutein and exerting a greater modulatory effect on the cellular functioning of said theramutein than on its corresponding prototheramutein. Further, the system enables the discovery of compounds capable of binding to a theramutein and exerting at least as great or greater modulatory effect on the cellular functioning of a theramutein than previously known compounds are able to exert on the corresponding prototheramutein. In a particular embodiment of the invention, a compound may be screened for and identified that 1) is at least as effective against the theramutein as the original drug is against the prototheramutein, and/or 2) is similarly effective against the prototheramutein as against the theramutein (i.e., displays a small or essentially zero specificity gap).
[0216] In an embodiment of the invention, cells that overexpress a theramutein of interest are used to identify chemical agents that are inhibitors or activators of (i.e., that bind to and inhibit or that bind to and activate) at least the selected theramutein. The chemical agents may also be inhibitors or activators of the prototheramutein or even other theramuteins of the same prototheramutein. As used herein, the terms "chemical agent" and "compound" are used interchangeably, and both terms refer exclusively to substances that have a molecular weight up to, but not including, 2000 atomic mass units (Daltons). Such substances are sometimes referred to as "small molecules." Unless otherwise stated herein, the term substance as used herein refers exclusively to chemical agents/compounds, and does not refer to biological agents. As used herein, "biological agents," are molecules which include proteins, polypeptides, and nucleic acids, and have molecular weights equal to or greater than 2000 atomic mass units (Daltons).
[0217] In one embodiment of the invention, a theramutein is selected and used in a phenoresponse-based cellular assay system of the present invention designed to identify
agents that are inhibitors or activators of the theramutein. Where two or more distinct theramuteins originating from the same prototheramutein are known, it is preferable to select the most resistant theramutein available for use in the assay system, hi general, the degree of resistance of a theramutein to a given chemical agent is determined relative to its non- mutated counterpart (prototheramutein) using the drug that was first administered and known to inhibit or activate the prototheramutein and against which the theramutein "arose." The methods of determining the degree of such resistance, for example by analysis of IC50 or AC50 values, are well known and standard in the art and will not be reiterated herein. However, no causal relationship is necessary or should be inferred between the treatment of the patient with a given therapeutic agent per se and the subsequent appearance of a theramutein. Rather, what is required in order to practice the invention as it pertains to theramuteins is that a true theramutein be properly selected according to the teachings herein.
[0218] Thus, for example, randomly generated site directed mutants of known proteins that are created in the laboratory but that have not been shown to be clinically relevant are not appropriate muteins for use within the scope of this invention. Such muteins would not, of course, be properly classified as theramuteins either.
[0219] For example, in an effort to obtain potential inhibitors of mutants of p210Bcr Abl, Huron et al. (2003) used a recombinant c-abl preparation and screened a series of compounds known to inhibit c-src tyrosine kinase activity. The authors performed c-abl kinase assays on their compounds and identified the most potent compound as an 8 nM inhibitor against c-abl. When this compound (PD 166326) was tested against various p210Bcr Abl theramuteins, however, it showed activity against some of the mutants such as p210Bcr-Abi-E255κ but the p21 ()Bcr-Abi-T3i5i theramutein was found t0 remain 10 fold more resistant (Huron et al. 2003, Table 3). Furthermore, in each case the compound was still markedly less effective on the p21 oBcr"Abl theramuteins than it was against the wild-type p210 Bcr-Abi T1Yj16n tne compound was tested against p2ioBcr"Abl~T3151 mutant activity, it was unable to inhibit the activity to any appreciable extent (p. 1270, left hand column, second paragraph; see also Fig. 4.). Thus, the disclosed compound was able to inhibit a theramutein that is partially resistant to STI-571, but had no activity against the T315I mutant of Bcr-Abl., which was already known at that time to be the theramutein that exhibited the most resistance to STI-571. Hence, the Huron methodology failed to identify an effective inhibitor of the p2lθBcr-Abmi 51 theramutein.
[0220] It cannot be overemphasized that such compounds would be immensely useful, because at the present time there is no alternative for patients who progress to p210 Abl~T315Itheramutein-mediated imatinib mesylate-resistant status. Once patients develop such resistance, there is no other effective alternative treatment available, and death is certain. The method described herein provides the first reported approach to identify, pharmacologically characterize and chemically synthesize effective inhibitors of the p2iθBcr"AbKr3151 theramutein. Moreover, the skilled investigator will immediately recognize the applicability and generalizability of this approach to any highly drug-resistant theramutein. Finally, the skilled investigator will further recognize that linking a phenoresponse as defined herein to the increased presence and functional activity of a particular POI in the cell under appropriate conditions allows one to utilize the method with any given endogenous target protein for which a therapeutically effective compound is sought.
[0221] In the present invention, a test cell is used that displays a carefully selected phenotypic characteristic (as defined below) which is linked to the presence and functional activity of the particular protein-of-interest (POI) or theramutein-of-interest (TOI) in the cell under appropriate conditions. With respect to a theramutein, this should be qualitatively the same as the phenotypic characteristic displayed by a cell that expresses the prototheramutein. A phenotypic characteristic (i.e. a non-genotypic characteristic of the cell) is a property which is observed (measured), selected and/or defined for subsequent use in an assay method as described herein. Expression of the phenotypic characteristic is responsive to the total activity of the protein in the cell, and is a result of the absolute amount of the protein and its specific activity. Often, the phenotypic characteristic is observable as a result of elevated levels of protein activity and is not apparent in cells that express low amounts of the protein, or if the protein is also a theramutein, then the phenotypic characteristic will often not be apparent in cells expressing low amounts of either the theramutein or its corresponding prototheramutein. Further, it can often be demonstrated that the phenotypic characteristic is modulated by modulating the specific activity of the protein with an inhibitor or activator of the theramutein , although this is not always the case since an inhibitor or activator of the TOI may not always be available at the time the skilled investigator undertakes such a project. (However, clearly a known inhibitor or activator of a given prototheramutein will always exist as a result of the intrinsic definition of the nature of a theramutein itself.) Thus, for the purpose of defining the phenotypic characteristic to be subsequently used with a given test
cell for assay purposes, the skilled investigator may also use a substance capable of increasing or decreasing the expression of the gene encoding a given POI (such as a theragene in the case of a theramutein), which will in turn lead to increases or decreases of the level of the corresponding theramutein. This allows the skilled investigator to simulate the effects of certain types of activators or inhibitors of the theramutein (such as a suicide inhibitor of the theramutein, which is a class of chemical agent which binds irreversibly and covalently modifies the TOI, rendering it permanently inactive), without actually having access to such a compound, for the purposes of refining the appropriate phenotypic characteristic for subsequently establishing a useful cellular assay system. Examples known to one of ordinary skill that would be helpful for such purposes include the use of anti-sense DNA oligonucleotides, small interfering RNAs, other RNA interference-based methodologies, and vector constructs containing inducible promoter systems. In this manner, the selected phenotypic characteristic is linked to the activity of the theramutein in the test cell. Notably for theramuteins, the selected phenotypic characteristic is usually also displayed by a cell that overexpresses the prototheramutein and in which the phenotypic characteristic is modulated by known inhibitors or activators of the prototheramutein.
[0222] A phenotypic characteristic is simply a characteristic of a cell other than a genotypic characteristic of the cell. Except for the specific requirements of a properly defined phenotypic characteristic as disclosed herein for the purposes of creating useful cellular assay systems according to the teachings of certain of the embodiments of the invention, no other limitation of the term phenotypic characteristic of any kind or nature is intended or appropriate in order to properly and effectively practice the invention. Indeed, the skilled artisan must be able to select any characteristic of the cell that maximizes the utility of establishing the proper cell-based assay for his or her needs. The phenotypic characteristic can be quantitative or qualitative and be observable or measurable directly (e.g. , observable with the naked eye or with a microscope), but most commonly the characteristic is measured indirectly using standard automated laboratory equipment and assay procedures which are known to those of skill in the art. The term "observable" means that a characteristic may be measured or is otherwise detectable under appropriate conditions by any means whatsoever, including the use of any type of laboratory instrumentation available. The term "detectable" is not the same as "detected." A characteristic may be detectable to a skilled artisan without being detected at any given time, depending upon how
the investigator chooses to design the assay system. For example, in searching for activators of a POI such as a prototheramutein (or theramutein), it may be desirable to have the relevant phenotypic characteristic detected only after the addition of a known activator or test substance capable of activating the POL This provides the ability to maximize the intensity of the signal that is generated by the test cell in the assay.
[0223] Phenotypic characteristics include but are not limited to growth characteristics, transformation state, differentiation state, substrate phosphorylation state, catalytic activity, ion flux across the cell membrane (calcium, sodium, chloride, potassium, hydrogen ions, etc.), pH changes, fluctuations of second messenger molecules or other intracellular chemical species such as cAMP, phosphoinositides, cyclic nucleotides, modulations of gene expression, and the like. The characteristic of the cell may be observable or measurable continuously (e.g., growth rate of a cell), or after a period of time (e.g., terminal density of a cell culture), or transiently (e.g., modulation of a protein causes a transient change in phosphorylation of a substrate of the protein, or a transient flux in ion flow across the membrane, or elevations or reductions in intracellular cAMP levels). In certain embodiments, a selected phenotypic characteristic may be detected only in the presence of a modulator of the protein. No limitations are intended with respect to a characteristic that may be selected for measurement. As used herein, the terms "characteristic of a cell" and "phenotypic characteristic", and simply "characteristic", when used to refer to the particular measurable property of the intact cell or a subcellular fraction of the cell following the treatment of a test cell with a substance, are identical. For example, a phenotypic characteristic can be focus formation that becomes observable when a cell that over expresses a selected protein is cultured in the presence of an activator of the protein, or it may be a transient increase or decrease in the level of an intracellular metabolite or ion, such as cAMP, calcium, sodium, chloride, potassium, lithium, phosphatidylinositol, cGMP, bicarbonate, etc. It is obvious to one of ordinary skill in the art that after a cell is exposed to a test substance, the characteristic so measured (assayed) may be determined on a sub-cellular fraction of the cell. However, the initial treatment of the cell with a substance, which thereby causes the substance to come into contact with the cell, must be performed on the intact cell, not a subcellular fraction.
[0224] The characteristic selected for measurement within the cell must not be an intrinsic physical or chemical property of the protein (or theramutein or prototheramutein)
itself (such as the mere amount (mass) of the protein inside the cell), but rather must be a characteristic that results from the activity of the protein (or theramutein or prototheramutein) inside the cell, thus affecting a characteristic of the cell which is distinct from the theramutein itself, as discussed in detail above. For example, where the theramutein is a protein kinase that is capable of undergoing autophosphorylation, a process whereby the enzyme is capable of catalyzing the phosphorylation of itself by transferring a terminal phosphate group from ATP onto itself, it would NOT be appropriate to select the phosphorylation state of the TOI as an appropriate phenotypic characteristic of the cell for measurement. This is because such a characteristic does not reflect the activity of the TOI on other cellular components. As the skilled investigator knows, autophosphorylation is not necessarily reflective of the activity of a protein kinase in a cell, since mutants of protein kinases are known that retain enzymatic activity sufficient to undergo autophosphorylation, yet have lost the capability to engage in signal transduction events within the cell. The classic paper by White et al. (1988) is both educational and noteworthy in this respect.
[0225] The term "responsive phenotypic characteristic" means a characteristic of the cell which is responsive to inhibitors or activators of a given protein (including, e.g., a prototheramutein or theramutein). The term "known therapeutic agent" is defined as any agent that has been administered to a human being for the treatment of a disease in a country of the world.
[0226] A useful phenotypic characteristic, as exemplified herein in association with p210Bcr Abl and theramuteins thereof, is disregulation of cell growth and proliferation. It is noted that the same or similar assay may be appropriate for use with many different proteins of interest. For example, disregulations of growth, proliferation, and/or differentiation are common phenotypic characteristics that may result from overexpression of a variety of different cellular proteins. It is an important teaching of this invention that by overexpressing a selected protein in order to cause the appearance of such a phenotypic characteristic, the characteristic becomes linked to the presence, amount, and specific activity of that selected protein under suitable conditions, and this linkage allows the skilled investigator to identify inhibitors or activators of a protein of interest (POI) as desired. Accordingly, the phenotypic characteristic is responsive to changes in the level and/or specific activity of the selected protein. Such a responsive phenotypic characteristic, when also demonstrated to be responsive to a known modulator of the POI is referred to herein as a "phenoresponse." In
the special case of a theramutein which has no known modulator, a modulator of the prototheramutein must be utilized to establish a phenorespone to be used with the theramutein. The conception and recognition of this highly useful property of a cell represents one of the substantial advances of this invention over the prior art, including Applicant's own prior original work in the general area of cell-based assays (U.S. Pat. Nos. 4,980,281 ; 5,266,464; 5,688,655; 5,877,007). The identification and selection of the phenoresponse provides the skilled investigator with a cellular assay system that is extremely sensitive in terms of its ability to identify inhibitors or activators of the POI, and therefore identifies such chemical agents with a much higher degree of assurance than any other related assay method disclosed in the prior art.
[0227] Though not always necessary, it will often be advantageous to employ cells that express high levels of the POI, and to select a phenotypic characteristic that results from overexpression of the POI. This is because phenotypic characteristics linked to the functioning of the POI generally become more distinguishable (easier to measure) as a POI is overexpressed to a greater extent. Further, phenoresponses that are observed in response to modulators of the POI are often amplified as the functional level of the POI is increased. Expressed another way, the selected phenoresponse observed in cells that overexpress the protein (or theramutein) is particularly sensitive to modulators of the protein (or theramutein).
[0228] Preferably, the protein is stably expressed in a test cell. Stable expression results in a level of the protein in the cell that remains relatively unchanged during the course of an assay. For example, stimulation or activation of a component of a signaling pathway may be followed by a refractory period during which signaling is inhibited due to down- regulation of the component. For proteins of the invention, such down-regulation is usually sufficiently overcome by artificially overexpressing the protein. Expressed another way, the expression is sufficiently maintained that changes in a phenotypic characteristic that are observed during the course of an assay are due primarily to inhibition or activation of the protein, rather than a change in its level, even if down-modulation of the protein subsequently occurs. For these reasons, although stable expression of the protein is preferred, transfection followed by transient expression of the protein may be employed provided that the selected phenotypic characteristic is measurable and the duration of the assay system is short relative to the progressive decline in the levels of the transiently expressed protein that is to be
expected in such systems over time. For these reasons, stably expressing cell lines are preferred (U.S. Patent No. 4,980,281).
[0229] The term "cellular specificity" means the ability of a compound, at a given concentration, to modulate a selected phenoresponse of the Test cell without affecting the Control Cell to the same extent, if at all. The term "cellular specificity gap" ("CSG") means a measurement of the ability of a selected compound to modulate the selected phenoresponse corresponding to a given target protein (not limited to a theramutein) in a test cell relative to the ability of said compound to modulate the same phenoresponse in a corresponding control cell. For the purposes of applying the CSG technique to non-theramutein endogenous target proteins, the selected phenoresponse must have been previously defined using a known inhibitor or activator of the target protein.
[0230] Determination of the CSG provides the skilled investigator with a method of comparing the relative potential therapeutic value of different compounds within a group of compounds (two or more) by comparing their relative cross-reactivity with control cells irrespective of the potency against the target protein of any given compound within the group. Compounds that exhibit the greatest "specificity" in their activity against test cells relative to control cells are generally the most desirable compounds, since a "wide" CSG will assist in selecting a compound that may reasonably be assumed to have minimal potential side effects in patients as compared to other compounds within the aforementioned group that have "narrow" CSGs. The effects of the CSG measurement are seen most easily when comparing cell-based assay generated dose-response curves in their entirety, however the following hypothetical example is also instructive.
[0231] Consider the following table of hypothetical compounds and their corresponding IC50 values using a cell-free assay system. This example uses a protein kinase as the target protein. This is the sort of situation that investigators skilled in the art are faced with on a daily basis when dealing with the problem of trying to perform lead optimization on a selected compound or group of compounds for the purpose of identifying a potential optimized lead candidate compound for subsequent pre-clinical (animal) and clinical studies.
[0232] A standard approach in the art at the present time is to identify compounds that exhibit a high degree of potency with respect to inhibition of the target protein kinase's enzymatic activity in a cell-free assay system without showing significant inhibitory activity against a distinct but closely related protein kinase. As the results of the cell-free assay system shown above in Table 1 indicate, compound A is the most potent of the series of compounds (A,B,C,D) and also shows the largest difference between its IC50 against the target protein relative to its effect on the non-target protein. For example, if one were interested in identifying inhibitors of the AbI kinase, one might use another protein kinase, such as the EGF receptor, c-kit, or c-Src, as a "negative" control kinase in such an assay. As with c-Abl, all of these latter enzymes are tyrosine protein kinases. Indeed, it is commonplace in the field at the present time to use so-called "panels" of protein kinases, including serine/threonine kinases, tyrosine kinases, and dual-specificity kinases, in order to identify compounds that inhibit as few protein kinases as possible (other than the target protein kinase itself). The reasoning behind this approach is that the fewer the number of kinases that are inhibited in a cell-free system by a given compound, the less likely the compound is to have untoward side effects in the patient. However, there is very little clinical evidence that actually supports this view.
[0233] Furthermore, in some cases it has been argued by others that compounds that target more than one kinase may have additional therapeutic effects as compared to those compounds that are highly specific for only a single target protein. There is some evidence for this being true in the case of imatinib, whose cross-reactivity with c-kit has resulted in beneficial effects for patients with certain histologic types of carcinoma of the small intestine, as discussed previously herein. Despite this cross-reactivity with c-kit, however, imatinib displays a high degree of cellular specificity in the assay systems of the present invention, which is consistent with its high degree of clinical efficacy and relatively modest side effect profile within the first three years of treatment. However, as the specificity of a given
compound drops in the cellular systems of the present invention, the increased cross- reactivity with other targets such as (in this example) other protein kinase family members may result in untoward side effects in the patient. This is discussed in further detail below.
[0234] The conclusion that would be drawn by the investigator from the results of the cell-free assay shown in Table 1 above is that compound A is the most potent compound, showing a 50% inhibitory concentration (IC5o) value of 0.2 nanomolar (0.2 nM). As shown in Table 2 and Fig. 14, however, this compound, shows no specificity for the Test cells relative to the Control Cells, since it's IC5O for the Control cells is also 1 nanomolar. Similarly, compounds B and D are still quite potent, with both having IC5o's of 10 nM against the Test cells, whereas compound D is more specific than B since its IC5O for the Control cells is higher (200 nM). The CSG measurements of compounds B and D immediately reflect that compound D would be the preferred compound between these two, all other considerations being equal. Most importantly, however, is that compound C is shown in this example to be the best compound of the group in terms of its CSG, at 40 (Table 2, Fig. 15). This means that compound C shows the greatest specificity for the Test cells relative the the Control cells, and would be expected to have the lowest incidence of inducing unwanted side effects in patients, since this finding is derived from a direct testing of the compound in a living cellular system, the ultimate point of pharmacological action for the overwhelming majority of medicines. The important point in this example is that the CSG measurement allows the skilled investigator to rank order the potential therapeutic value of a series of compounds independently of their potency in cell-free systems. Thus, although compound C is the least potent compound, it is the most specific in its ability to inhibit the Test cells while leaving the Control cells relatively unaffected over wide concentration range. This is reflected in its CSG of 40, and demonstrates that compound C, rather than compound A, is
the compound that should be given the highest priority for further pre-clinical and clinical development efforts.
[0235] Thus, one can rank order and prioritize the pharmaceutical discovery and development process. Through iterative application of the approach given above, the skilled investigator working together with medicinal chemists may synthesizes analogs of compounds that score positively in the assay systems such as described herein, tests such compounds in the assay methods of the invention, rank orders the compounds according to their CSG values, selects the best ones for further development, and repeats the process as many times as necessary in order to fully develop and optimize compounds that exhibit a high degree of specificity against a given Test cell relative to its corresponding Control cell. Once a given compound has been optimized using the system described herein, which generally means that the CSG between Control and Test cells (if measured using the cellular IC50 ratio method described above) is at least three to five fold, the skilled investigator can then proceed to complete the lead optimization process through additional chemical modifications of the compound selected in this way and tested for properties such as plasma half-life, oral bioavailability, and related parameters using appropriate animal models. Of course, the likelihood of such compounds having the desired effects on the target protein in the cellular environment is virtually assured as a result of the process of optimizing said compounds according to the methods described herein, rather than with older, cell-free methods.
[0236] It will be immediately apparent to the skilled investigator that analogous approaches may also be utilized with activators of a given target protein. It will also be apparent to the skilled investigator that there are other ways of determining the CSG. For example, using the inhibitor example given above, another useful approach to determine the CSG is to measure the ratio of the highest concentration of a compound which results in 50% growth inhibition of the control cell line, divided by the lowest concentration of the compound at which at least 90% of the test cell line is inhibited. Other obvious modifications of this approach may be utilized as well, including computing the logarithm of the concentrations at which compounds show a given percentage of activity, normalization of either the control or test cell responses relative to one another, etc. No limitation is intended on the nature of the computed or observed comparison of the control cell responsiveness to the test cell responsiveness for the purposes of determining the CSG.
[0237] If one uses the IC50-ratio of control cells/test cells method as described above, then compounds with CSG values less than or equal to 1 would not generally be considered to be good clinical candidate compounds, whereas compounds with CSG values of greater than approximately 10 would be quite promising and worthy of further consideration.
[0238] This example also highlights the distinctions between the effects of a given compound in a cell-free system versus the more medically and physiologically relevant cell- based system of the present invention.
[0239] In an embodiment of the invention, compound profiling is used to identify and/or minimize side effects associated with administration of a compound to a patient. The cell-based lead optimization method allows early identification of potential side effects as compared to the cell-free approach. For example, imatinib shows a wide cellular specificity gap according to the methods of the invention described herein. This is consistent with imatinib' s significant advance in the area of anti-cancer drugs. However, it is not without side effects. Recent evidence demonstrates that imatinib is associated with cardiac toxicity in a small percentage of patients (Kerkela et al., 2006). This group may increase over time as patients take imatinib for longer periods of time.
[0240] Figure 16 shows that imatinib tested at various concentrations on the wild type Ba/F3 cell line shows a slight but significant growth inhbitory effect at concentrations that are substantially below the apparent IC50 for cellular toxicity (about 10 μM) on the control cell line that imatinib exhibits at markedly higher concentrations. Such results become even more evident when the comparison of the effects of other compounds on the Control cell line are compared to those of imatinib.
[0241] Compounds which may show promising activity in a cell-free system but have small CSG values (as discussed above) would be expected to have higher potential side effects in patients, especially over longer treatment periods. Compounds having low CSG values have been reported by others with respect to certain targets such at p2ioBcr'Abl"T3151 mutant (Carter et al., 2005), and still other groups have even entered such compounds into clinical trials. However, based upon the teachings of this invention it may be expected that such compounds will have an increased incidence of untoward side effects in patients.
[0242] A preferred drug screening method for identification and optimization of compounds of the present invention involves the following:
[0243] 1) Identification of a protein of interest (POI), such as a theramutein for which a novel inhibitor or activator is desired. Often, the POI is implicated or suspected to be implicated in establishment or maintenance of a disease state, perhaps due to inappropriate expression or a mutation-induced change in specific activity. Identification of an appropriate theramutein, for example, may be performed using standard techniques (See, Gorre et al., Science, 2001; see also PCT/US02/18729). Briefly, patients that have been given a course of a therapeutically effective treatment using an activator or inhibitor of a known or suspected prototheramutein and have subsequently shown clinical signs and symptoms consistent with disease relapse are identified, and cells or tissue samples derived from such patients are obtained. Using standard laboratory techniques such as RT-PCR, the sequence of the prototheramutein is determined and compared to the previously determined nucleic acid sequence of the known prototheramutein gene or cDNA sequence. Mutations, if present, are identified and are correlated with functional resistance of the prototheramutein's function either in cell-based or, more commonly, cell-free assay systems, again using standard methodology. Once resistance-inducing mutations are confirmed, then said one or more confirmed mutants comprise a defined theramutein which may be used in the subsequent methods as described herein. For the compounds disclosed herein, the theramutein of particular interest is p210Bcr"Abl"T3151, although the reactivities of the compounds with other theramuteins of p210Bcr'Abl are also of interest.
[0244] 2) Provision of a test cell that expresses the POI and displays an observable (measurable) phenotypic characteristic that is linked to expression of the POL In the case of a theramutein, the phenotypic characteristic is usually one which has been previously shown to be responsive to inhibitors or activators of the theramutein or, more commonly, the corresponding prototheramutein. Such a phenotypic characteristic that is linked to expression of the POI and has been previously shown to be responsive to inhibitors or activators of the POI (or the prototheramutein-of-interest (pTOI)) is defined herein as a "phenoresponse." One embodiment of this invention is the definitive use of the phenoresponse for the purpose of identifying compounds that are likely to be inhibitors or activators of the TOI. This may be accomplished through the use of a high-throughput screen using a cell line overproducing a given TOI and for which an appropriate phenoresponse has been identified and characterized. Alternatively, one may utilize a high-throughput primary screen using a more generic phenotypic characteristic of a cell line (that does not qualify as a phenoresponse
according to the teachings herein) and then utilize a secondary screen according to the teachings herein to distinguish between compounds that are true positive "hits", i.e. inhibitors or activators of the theramutein of interest, from false positive compounds that are not inhibitors or activators of the theramutein of interest. In one embodiment, a cell is selected that naturally expresses the theramutein such that a responsive phenotypic characteristic is present under suitable culture conditions which are obvious to one of ordinary skill in the art. In other embodiments, the theramutein is overexpressed, in some instances in a host cell that does not otherwise express the theramutein at all. This usually involves construction of an expression vector from which the theramutein can be introduced into a suitable host cell and overexpressed using standard vector systems and methodology. (Gorre et al., 2001; Housey et al., 1988). In one embodiment, overexpression results in a level of the theramutein that is at least about 3 times the amount of the protein usually present in a cell. Alternatively, the amount is at least about 10 times the amount usually present in a cell. In another embodiment, the amount is at least about 20 times or more preferably at least about 50 times the amount usually present in a cell.
[0245] 3) Provision of a control cell that expresses the POI to a lesser extent or not at all (e.g., an unmodified host cell or host cell harboring an expression vector that does not express the POI). In the case of a theramutein of interest, the control cell can also be a cell expressing the prototheramutein corresponding to the theramutein of interest.
[0246] As some of the muteins that are described herein are also enzymes, they usually retain catalytic activity, and therefore the control cell usually displays substantially the same phenotypic characteristic as the test cell. The phenotypic characteristic need not be quantitatively alike in both cells, however. For example, a mutation that leads to reactivation of the prototheramutein may also increase, decrease, or otherwise affect its specific activity with respect to one or more of its substrates in the cell. As a result, it may exhibit the selected phenotypic characteristic to a greater or lesser extent. Accordingly, it may be desirable in some cases to adjust expression of either or both of the prototheramutein and the theramutein such that test and control cells exhibit the phenotypic characteristic to approximately the same degree. This may be done, for example, by expressing the proteins from promoters whose activity can be adjusted by adjusting the amount of inducer present, all using standard methodology (see, for example, Sambrook et al. 1989 and 2001).
[0247] It will be obvious to one of ordinary skill in the art that a properly defined phenoresponse may be quantitatively different between the prototheramutein- and the theramutein-expressing cell lines as a result of differences in the specific activity (if any) between the theramutein and its corresponding prototheramutein. Theramutein-inducing mutations may increase or decrease the specific activity of said theramutein relative to the corresponding prototheramutein. When comparing a theramutein expressing cell line with a prototheramutein expressing cell line, it is preferable that the selected phenoresponse is qualitatively the same in both cell types. Thus, the skilled investigator may choose to normalize the activity of the theramutein-expressing cell line to that of the prototheramutein- expressing cell line, or vice versa. Such normalization methods are standard in the art. See, for example, Bolstad et al. (2003).
[0248] Alternatively, the skilled investigator may also wish to use unmodified host cells or host cells harboring the expression vector only as control cells for certain experimental procedures. (The host cells are the cells into which an expression vector encoding the theramutein was introduced in order to generate the test cells.) This may be the case where the investigator is only interested in identifying a specific inhibitor or activator of the theramutein of interest, irrespective of whether or not said compound is also effective against the prototheramutein of interest (pTOI).
[0249] 4) The test and control cells are then maintained or propagated (although not necessarily at the same time) in growth media (or even in intact animals) under suitable conditions such that the phenoresponse may be expressed and assayed. Control cells that are expressing the prototheramutein may be treated with a known modulator of the prototheramutein, or with a test substance, and test cells are treated with test compounds to determine whether they are active against the theramutein, as measured by the ability of said substances to modulate the phenoresponse in the expected manner. Alternatively, control cells not expressing the prototheramutein may also be substituted, depending upon the particular phenoresponse that the skilled investigator has chosen for study. Substances may then be assayed on the test cells and, optionally, on the control cells at the same time, or at another time, and the results compared.
[0250] In one embodiment of the invention, substances that are active with regard to the test cells can be rapidly identified by their ability to modulate the phenoresponse of the test cells in the same manner as, for example, the known modulator of the prototheramutein
alters the phenoresponse of prototheramutein-expressing control cells. In another embodiment, active substances may be identified by their ability to modulate the activity of the theramutein in the test cells while having little or no effect on the unmodified (prototheramutein and/or theramutein non-expressing) control cells. The skilled investigator will readily appreciate the many variations of this approach that may be utilized to identify, for example, modulators that are more effective against the theramutein, or that are equally effective against both the prototheramutein and one or more corresponding specific theramuteins.
[0251] Other phenoresponses can be observed and/or measured and include, for example, detection of substrates of the prototheramutein, and detection of gene expression changes that are regulated by the activity of the theramutein. In the simplest terms, any characteristic of the cell that the skilled investigator has previously correlated with the functional activity of the theramutein may be suitable for use with such methods. However, in selecting a given characteristic, the skilled investigator must first verify that said characteristic fulfills the criteria of being a phenoresponse according the teachings as given in detail herein. The skilled investigator may also wish to normalize the phenoresponse with the theramutein expressing cells to that of the prototheramutein expressing cells.
[0252] Characteristics suitable for detection may be measured by a variety of methods very well known to those of skill in the art. Such methods include, but are not limited to, detection of fluorescence of suitably labeled proteins (FACS), immunohistochemistry (IHC) for detection of protein expression, competitive radioligand binding assays, solid matrix blotting techniques, such as Northern, Southern, and Western blots of cell extracts, reverse transcriptase polymerase chain reaction (RT-PCR), enzyme linked immunosorbent assays (ELISA), phosphorylation assays, gel retardation assays, membrane potential perturbations, and the like. The relevant phenotypic characteristic may be detected either on the intact cell after treatment with a test substance or, alternatively, on a subcellular fraction of the cell after treatment of the intact cell with a test substance.
[0253] Once compounds are identified that have the desired effect on the theramutein expressing test cells, it may be desirable (but not necessary) to independently verify that the compounds identified are exerting their effects on the theramutein through a direct binding mechanism, i.e. that the compounds fulfill the criteria of being inhibitors or activators (as desired) of the theramutein according to the teachings of the invention (the reader is referred
to the definitions of the terms "activator" and "inhibitor" as given above). This may be accomplished with numerous Standard binding assays that are known to one of ordinary skill in the art, involving either purified protein samples or intact cellular binding assays using cells transfected with the appropriate prototheramutein or theramutein together with appropriate controls as dictated by sound scientific methods. Since such methods are well established in the art they will not be reiterated here. Numerous reference texts comprehensively discuss such techniques (see, for example, Foreman and Johansen, 2002; Enna S.J. et al. (1991) Current Protocols in Pharmacology, Wiley & Sons, Incorporated; Bonifacino, J. S. et al. (1999) Current Protocols in Cell Biology, Wiley & Sons, Incorporated). See also Housey, G.M. 1988, Chapter 4, and references therein; see also Horowitz et al., 1981.
[0254] The p210Bcr"Abl prototheramutein and p2i0Bcr Abl"T3151 (or other) theramutein can each be expressed in Ba/F3 (murine) cells using standard methodology and the phenoresponses that are observed are growth characteristics (terminal cell density for a carefully defined cell culture, and growth in the absence of Interleukin-3 (IL-3). Unmodified host cells, or host cells containing the expression vector only or both, may optionally also be used. In still another embodiment, the test cells alone may be used with or without reference to a known inhibitor or activator.
[0255] Another useful assay is the determination of the state of phosphorylation of a direct substrate of p210Bcr Abl"T3151. One such substrate is Crkl (Gorre et al., Science 293:876- 80 (2001)), an adapter protein which mediates the connection between Bcr-Abl and Ras. The phosphorylation state of CRKL is representative of the signaling activity of p210Bcr"Λbl in a cell. Another downstream substrate is p62DOK. Any such substrate would suffice for these purposes, provided of course that phosphorylation of said substrate has been shown to occur inside the cell, and is not simply an autophosphorylation event of the TOI or PTOI as discussed above. Other signal transduction cascade components may also be monitored, including src family kinases, STAT5, PI3 Kinase, raf kinase, RAS, MEK, ERKl and ERK2, JNKl, 2 and 3, MLKl, 2 and 3, MKK4, MKK7, AKT, mTOR, HSP90, and others.
[0256] As exemplified herein, inhibitors of the T3151 theramutein have been identified. Furthermore, these inhibitors are also active to differing extents against the wild type prototheramutein p210Bcr Abl"wt.
[0257] According to the present invention, a therapeutically effective amount of one or more compounds that modulate the functional activity of a p210Bcr"Abl theramutein is administered to a mammal in need thereof. The term "administering" as used herein means delivering the compounds of the present invention to a mammal by any method that may achieve the result sought. They may be administered, for example, orally, parenterally (intravenously or intramuscularly), topically, transdermally or by inhalation. The term "mammal" as used herein is intended to include, but is not limited to, humans, laboratory animals, domestic pets and farm animals. "Therapeutically effective amount" means an amount of a compound that, when administered to a mammal, is effective in producing the desired therapeutic effect, such as inhibiting kinase activity, inhibiting cancer cell growth and division, etc.
[0258] The invention provides a method of treating disease in a mammal by administering to the mammal an effective amount of a modulator of a theramutein. Suitable diseases to be treated according to the present invention include, but are not limited to, relapsing neoplastic or other proliferative disorders that have become resistant to previously administered drugs. The method is also useful for overcoming variation among individuals with respect to susceptibility to drug treatment that results from allelic differences among therapy targets. For example, the role of p210Bcr Abl tyrosine kinase signaling in CML has been extensively demonstrated, as has the role of theramuteins of p210Bcr Abl in drug resistant recurrence of CML. Further, different muteins of p210Bcr Ab1 exhibit varying sensitivity to inhibitors of p210Bcr"Abl. Although some theramuteins arise during drug therapy, others may preexist in the population. These latter examples will not be recognized as theramuteins until such time as the disease state ensues and is followed by treatment with a known class of therapeutic agents. Only after said treatment will such preexisting theramuteins reveal themselves as being clinically significant in terms of relative non-responsiveness leading to the progression of the disease in the patient harboring the theramutein.
[0259] In an embodiment of the invention, theramutein modulators are administered in combination with one or more other anti-neoplastic agents. Any suitable anti-neoplastic agent can be used, such as a chemotherapeutic agent, radiation or combinations thereof. The anti-neoplastic agent can be an alkylating agent or an anti-metabolite. Examples of alkylating agents include, but are not limited to, cisplatin, cyclophosphamide, melphalan, and dacarbazine. Examples of anti-metabolites include, but not limited to, doxorubicin,
daunorubicin, and paclitaxel, gemcitabine, and topoisomerase inhibitors irinotecan (CPT-I l), aminocamptothecin, camptothecin, DX-8951f, topotecan (topoisomerase I inhibitor), and etoposide (VP- 16; topoisomerase II inhibitor) and teniposide (VM-26; topoisomerase II inhibitor). When the anti-neoplastic agent is radiation, the source of the radiation can be either external (external beam radiation therapy - EBRT) or internal (brachytherapy - BT) to the patient being treated. The dose of anti-neoplastic agent administered depends on numerous factors, including, for example, the type of agent, the type and severity of the tumor being treated and the route of administration of the agent. It should be emphasized, however, that the present invention is not limited to any particular dose, route of administration, or combination of chemotherapeutic agents or other therapeutic regimens that are combined with the administration of protein modulators.
[0260] Anti-neoplastic agents which are presently known in the art or being evaluated can be grouped into a variety of classes including, for example, mitotic inhibitors, alkylating agents, anti-metabolites, intercalating antibiotics, growth factor inhibitors, cell cycle inhibitors, enzymes, topoisomerase inhibitors, anti survival agents, biological response modifiers, anti-hormones, and anti-angiogenesis agents, all of which can be administered with inhibitors or activators of theramuteins.
[0261] A modulator of a theramutein can be administered with antibodies that neutralize other receptors involved in tumor growth. Further, a modulator of a theramutein can be administered with a compound that otherwise modulates a component of a signal transduction pathway, preferably a component of the signal transduction pathway in which the theramutein is active and which is common to one or more other signal transduction pathways. In an embodiment of the invention, a theramutein modulator is used in combination with a receptor antagonist that binds specifically to the Epidermal Growth Factor Receptor (EGFR). Particularly preferred are antigen-binding proteins that bind to the extracellular domain of EGFR and block binding of one or more of its ligands and/or neutralize ligand-induced activation of EGFR. An EGFR antagonist can be an antibody that binds to EGFR or a ligand of EGFR and inhibits binding of EGFR to its ligand. Ligands for EGFR include, for example, EGF, TGF-α, amphiregulin, heparin-binding EGF (HB-EGF) and betacellulin. EGF and TGF-α are thought to be the main endogenous ligands that result in EGFR-mediated stimulation, although TGF-α has been shown to be more potent in promoting angiogenesis. It should be appreciated that the EGFR antagonist can bind
externally to the extracellular portion of EGFR, which can or can not inhibit binding of the ligand, or internally to the tyrosine kinase domain in the case of chemical agents. Examples of EGFR antagonists that bind EGFR include, without limitation, biological agents such as antibodies (and functional equivalents thereof) specific for EGFR, and chemical agents (small molecules), such as synthetic kinase inhibitors that act directly on the cytoplasmic domain of EGFR.
[0262] Other examples of growth factor receptors involved in tumorigenesis are the receptors for vascular endothelial growth factor (VEGFR-I and VEGFR-2), platelet-derived growth factor (PDGFR), nerve growth factor (NGFR), fibroblast growth factor (FGFR), and others.
[0263] In a combination therapy, the theramutein inhibitor is administered before, during, or after commencing therapy with another agent, as well as any combination thereof, i.e., before and during, before and after, during and after, or before, during and after commencing the anti-neoplastic agent therapy. For example, the theramutein inhibitor can be administered between 1 and 30 days, preferably 3 and 20 days, more preferably between 5 and 12 days before commencing radiation therapy. In a preferred embodiment of the invention, chemotherapy is administered prior to, concurrently with or, more preferably, subsequent to antibody therapy.
[0264] In the present invention, any suitable method or route can be used to administer theramutein inhibitors of the invention, and optionally, to co-administer antineoplastic agents and/or antagonists of other receptors. The anti-neoplastic agent regimens utilized according to the invention, include any regimen believed to be optimally suitable for the treatment of the patient's neoplastic condition. Different malignancies can require use of specific anti-tumor antibodies and specific anti-neoplastic agents, which will be determined on a patient to patient basis. Routes of administration include, for example, oral, intravenous, intraperitoneal, subcutaneous, or intramuscular administration. The dose of antagonist administered depends on numerous factors, including, for example, the type of antagonists, the type and severity of the tumor being treated and the route of administration of the antagonists. It should be emphasized, however, that the present invention is not limited to any particular method or route of administration.
[0265] Suitable carriers include, for example, one or more of water, saline, phosphate buffered saline, dextrose, glycerol, ethanol and the like, as well as combinations thereof.
Carriers can further comprise minor amounts of auxiliary substances, such as wetting or emulsifying agents, preservatives or buffers, which enhance the shelf life or effectiveness of the theramutein modulator as the active ingredient. The compositions can, as is well known in the art, be formulated so as to provide quick, sustained or delayed release of the active ingredient after administration to the mammal.
[0266] The compositions of this invention can be in a variety of forms. These include, for example, solid, semi-solid and liquid dosage forms, such as tablets, pills, powders, liquid solutions, dispersions or suspensions, liposomes, suppositories, injectable and infusible solutions. The preferred form depends on the intended mode of administration and therapeutic application.
[0267] Such compositions of the present invention are prepared in a manner well known in the pharmaceutical art. In making the composition the active ingredient will usually be mixed with a carrier, or diluted by a carrier and/or enclosed within a carrier which can, for example, be in the form of a capsule, sachet, paper or other container. When the carrier serves as a diluent, it can be a solid, semi-solid, or liquid material, which acts as a vehicle, excipient or medium for the active ingredient. Thus, the composition can be in the form of tablets, lozenges, sachets, cachets, elixirs, suspensions, aerosols (as a solid or in a liquid medium), ointments containing, for example, up to 10% by weight of the active compound, soft and hard gelatin capsules, suppositories, injection solutions, suspensions, sterile packaged powders and as a topical patch.
[0268] It should be appreciated that the methods and compositions of the present invention can be administered to any suitable mammal, such as a rabbit, rat, or mouse. More preferably, the mammal is a human.
[0269] The compounds according to the invention may also be present as salts. In the context of the invention, preference is given to pharmaceutically acceptable salts. Pharmaceutically acceptable salts refers to an acid addition salt or a basic addition salt of a compound of the invention in which the resulting counter ion is understood in the art to be generally acceptable for pharmaceutical uses. Pharmaceutically acceptable salts can be salts of the compounds according to the invention with inorganic or organic acids. Preference is given to salts with inorganic acids, such as, for example, hydrochloric acid, hydrobromic acid, phosphoric acid or sulfuric acid, or to salts with organic carboxylic or sulfonic acids, such as, for example, acetic acid, maleic acid, fumaric acid, malic acid, citric acid, tartaric
acid, lactic acid, benzoic acid, or methanesulfonic acid, ethanesulfonic acid, phenylsulfonic acid, toluenesulfonic acid or naphthalenedisulfonic acid. Pharmaceutically acceptable salts can also be metal or ammonium salts of the compounds according to the invention. Particular preference is given to, for example, sodium, potassium, magnesium or calcium salts, and also to ammonium salts which are derived from ammonia or organic amines, such as, for example, ethylamine, di- or triethylamine, di- or triethanolamine, dicyclohexylamine, dimethylaminoethanol, arginine, lysine, ethylenediamine or 2-phenylethylamine. (see, Berge et al. J. Pharm. ScL 1977, 66, 1-19).
[0270] Throughout this application, various publications, reference texts, textbooks, technical manuals, patents, and patent applications have been referred to. The teachings and disclosures of these publications, patents, patent applications and other documents in their entireties are hereby incorporated by reference into this application to more fully describe the state of the art to which the present invention pertains.
[0271] It is to be understood and expected that variations in the principles of invention herein disclosed may be made by one skilled in the art and it is intended that such modifications are to be included within the scope of the present invention.
[0272] The following examples further illustrate the invention, but should not be construed to limit the scope of the invention in any way. Detailed descriptions of conventional methods, such as those employed in the construction of vectors and plasmids, the insertion of genes encoding polypeptides into such vectors and plasmids, the introduction of plasmids into host cells, and the expression and determination thereof of genes and gene products can be obtained from numerous publications, including Sambrook, J et al., (1989) Molecular Cloning: A Laboratory Manual, 2nd ed., Cold Spring Harbor Laboratory Press; Coligan, J. et al. (1994) Current Protocols in Immunology, Wiley & Sons, Incorporated; Enna, SJ. et al. (1991) Current Protocols in Pharmacology, Wiley & Sons, Bonifacino, J. S. et al. (1999) Current Protocols in Cell Biology, Wiley & Sons, and U.S. Patent 4,980,281. All references mentioned herein are incorporated in their entirety.
EXAMPLES
[0273] It is to be understood and expected that variations in the principles of the invention herein disclosed may be made by one skilled in the art and it is intended that such modifications are to be included within the scope of the present invention.
[0274] Examples of the invention which follow are set forth to further illustrate the invention and should not be construed to limit the invention in any way.
EXAMPLE 1: IDENTIFICATION OF A PROTEIN MODULATOR
[0275] p21 oBcr Abl-T3 ' 5I is a theramutein of the p21 OBcr- AbI protein (p210Bcr"Abl) that is resistant to inhibition by imatinib mesylate (Gleevec, STI-571). The mutation at position 315 converts a threonine to an isoleucine residue and is one of several mutations that are observed among resistant or relapsed patients. This particular mutant, however, is the most resistant such theramutein yet identified.
[0276] A phenoresponse was determined for a Ba/F3 cell line engineered to overexpress the p2ioBcr"Abl~T3151 theramutein. The phenoresponse was determined relative to non-transformed Ba/F3 cells and Ba/F3 cells that express the p210Bcr"Abl"wt prototheramutein. The phenoresponse was the ability of the T315I mutants to grow to a higher cell saturation density under analogous culture conditions as compared to the control non-transformed Ba/F3 cell line, and to grow in the absence of interleukin 3 (IL-3), which is required for maintenance of the control non-transformed Ba/F3 cell line. The phenoresponse was defined and characterized according to the teachings given above.
[0277] The detection system utilized was a high speed cell imaging and counting system in which 3 μl sample volumes of cells were sequentially injected through a 5 μl optical microcell, digitally imaged and electronically stored, scanned, and then counted, all under a microcomputer-based control system. The system has the capacity to perform direct cell counts on samples from cultures as small as 500 μl and provides statistically significant total cell counts from culture samples containing as few as 12,500 cells. All of the figures displaying cell count and viability assays utilized this system for data acquisition and analysis. Simultaneously with the cell count performed, the system is also capable of determining overall cell viability by distinguishing counted, imaged cells that have excluded trypan blue (counted as "viable" cells) from cells which have taken up the trypan blue dye (counted as "non-viable" cells). Injection of trypan blue into the cell sample occurs immediately prior to the sample being sequentially injected into the microcell for simultaneous cell counting and imaging.
[0278] The system may be integrated into the workflow of high-throughput screening devices to provide a sensitive and precise cell counting and cell viability assay system that is
more reliable and less prone to confounding effects of metabolic viability-based cellular assays such as XTT or Alamar blue.
[0279] Initially, approximately 113,000 compounds were screened at concentrations generally ranging from 10 to 20μM to identify a subset that was capable of affecting growth of Ba/F3 cells (Ba/F3 T315I cells) overexpressing the p210Bcr'Abl"T3151 theramutein by any means.
[0280] A total of approximately 11 ,760 compounds showed greater than 50% growth inhibition, which were thought to correspond to approximately 4500 distinct chemical classes. Retesting of these compounds with the same cell line yielded a database of compound responsiveness which was then sorted and rank ordered according to those compounds exhibiting the highest overall growth inhibition. From this rank ordered database, the highest scoring 130 compounds (based upon the greatest degree of growth inhibition observed at the lowest concentrations that compounds were tested) were then rescreened in a defined cell-based assay system using Ba/F3 T315I as test cells and wild type Ba/F3 as control cells according to the methods of the present invention. Compounds of interest were those that differentially inhibited growth of Ba/F3 cells expressing the p210Bcr" Abi-τ3i 5 i meramutein relative to non-transformed wild type Ba/F3 cells. Six compounds were identified that fulfilled the desired criteria, and some of these compounds were analyzed in further detail using the Ba/F3 p210Bcr"Abl wt cells line (Ba/F3 P210 cells) as well. One compound was unavailable for further testing due to lack of availability of additional material from the chemical supplier. The remaining five compounds were independently evaluated in additional cell-based assays using the aforementioned cell lines as well as in a cell-free purified protein kinase assay using human recombinantly produced 120 Kd kinase domain fragments isolated from both wild type P210 Bcr-Abl as well as P210 T315I mutant kinase domain.
[0281] All five compounds inhibited p2ioBcr Ab|-T3151 120 Kd activity as measured by inhibition of autophosphorylation activity. Thus, of the 6 highest scoring compounds out of more than 113,000 compounds screened, at least 5 of the six directly inhibited the p210Bcr" A 3151 mutant directly. One compound appeared to spread the recombinant protein band out on the SDS page gel. This was also evident on the silver-stained gel (data not shown). It is possible that this compound may actually be a "suicide" inhibitor that is able to covalently
cross-link the POI in order to permanently inhibit its activity, but this will require further study.
[0282] Taken together, the teachings and the results described herein provide conclusive proof that the system is capable of identifying inhibitors or activators of the selected theramutein, and the skilled investigator will immediately recognize that such a system may be easily applied to any other theramutein or other protein with only obvious, minor modifications.
[0283] Representative examples of the cell-based assay results demonstrating selective inhibition of growth of the Ba/F3 T315I cell line relative to the wild type non- transformed Ba/F3 cells are shown in Figures 1 and 2. The compounds inhibited growth and reduced the viability of cells expressing the T315I theramutein at concentrations under which the growth and viability of the wild type Ba/F3 non-transformed cells (not expressing either p210 Bcr-Abi-wt or P210 BCr-AbI-TSiSi) were relatively unaffected, whereas cells expressing both the prototheramutein as well as the theramutein were substantially inhibited. In some instances, the T315I expressing cells were inhibited to an even greater extent than the P210 prototheramutein expressing cells. (See, for example, Figure 3, right hand side, Compound 3 results against P210 and T315I cells.
[0284] In summary, the methods presented herein provide a fundamental advance in the form of a generalizable approach for creating or identifying modulators of any given theramutein. The results demonstrate conclusively the power of the method to identify critically needed compounds to overcome a specific type of acquired drug resistance that is uniformly fatal in certain patient populations and is presently untreatable. Furthermore, it is evident to one of skill in this art that the techniques and methods described herein may, using obvious modifications, be straightforwardly generalized to any potential theramutein or other disease associated protein of clinical significance.
[0285] It is remarkable that out of a primary screen of more than 100,000 compounds where approximately 10,000 compounds exhibited some degree of growth inhibition, when the most potent growth inhibitory substances were rescreened using the Method described in detail herein, 6 distinct compounds were identified and all of the compounds that were subsequently tested exhibited inhibitory activity in a cell-free purified protein kinase assay using the T3151 mutant (one compound was unavailable for further testing). Based upon such remarkable results, it becomes immediately clear to the skilled artisan that the method
may be effectively applied toward the identification of inhibitors or activators of any protein based upon the proper selection and definition of the phenoresponse according to the teachings in the sections given above and the documents incorporated by reference herein. For example, with knowledge of the foregoing, one of ordinary skill in the art could easily design an assay system to identify inhibitors of theramuteins derived from other prototheramuteins known to exhibit mutations that confer drug resistance such as the c-kit gene product or the Epidermal Growth Factor (EGF) Receptor (EGFR), or the Platelet Derived Growth Factor (PDGF) Receptor α and β. No limitation should be inferred upon the utility of the method with respect to its ability to be utilized with any given protein, including theramuteins and protothermuteins, expressed in any mammalian cell type for which a corresponding phenoresponse is detectable.
EXAMPLE 2: PHENORESPONSE-BASED OPTIMIZATION OF A PROTEIN MODULATOR
[0286] In this example, a compound previously identified according to the teachings of this invention is optimized for activity against its selected protein target. However, unlike methods typically used in the prior art, the optimization process herein is also performed entirely through the use of the phenoresponse-based cellular assay system. For completeness sake and to demonstrate the power of the methodology to refine , a cell-free assay system using recombinantly produced target enzyme is also used to independently demonstrate that the compounds that score positively in the phenoresponse-based cellular assay indeed also score positively in a cell-free assay system format that is standard in the art and uses recombinantly produced enzyme.
[0287] Compound C2 which was originally identified as an inhibitor of the T315I theramutein was subjected to a novel lead optimization program as follows. Various chemical modifications were introduced into the basic scaffold structure of compound C2 using standard medicinal chemistry synthetic methods. Once synthesized, the various analogues (chemical variants) were tested using the phenoresponse-based cellular assay system described above in Example 1.
[0288] Based upon the original structure of compound C2, the contribution(s) to pharmacological activity arising from the phenyl ring that contained the bromo, chloro, and hydroxyl substituents were analyzed. An initial series of analogues were synthesized that
consisted of either the unsubstituted phenyl ring (C2-01), or various substituents on the phenyl ring, such as bromo, chloro, and hydroxyl, etc. located various positions around the phenyl ring. Detailed chemical structures are shown in Table 3.
[0289] These compounds were then tested in the phenoresponse-based cellular assay system, as shown in Figure 17. Each of the compounds was also tested in a standard cell free protein kinase autophosphorylation assay at a concentration of 20 μM as shown in Figure 18. As a comparison of Figure 17 and Figure 18 will indicate, there was a striking, essentially complete qualitative correlation between the activity of the compounds in the phenoresponse- based (cellular) assay system and their corresponding activity in the cell free purified protein kinase autophosphorylation assay.
[0290] Additional chemical modifications were made to the same phenyl ring discussed above for a variety of medicinal chemistry purposes and for reasons that are beyond the scope of this invention, but were related to enhancing potency againt the p210Bcr" Abi-τ3i5i target wm "ie simultaneously limiting cross-reactivity with the control wild type Ba/F3 non-transformed cells (not expressing either P210Bcr"Abl"wt or p210Bcr"Abl"T3151), as well as to improve selectivity, minimize potential side effects in the patient, etc. As shown in Figure 17 and 18 taken together with Table 3, additional compounds synthesized and tested included C2-109, C2-112, C2-122, and C2-128. A detailed comparison of Figures 17 and 18 reveals once again that all of the compounds that score positively in the cellular assay system also exhibited protein kinase inhibitory activity in the cell free system, whereas those that were essentially inactive in the phenoresponse-based cellular assay were also essentially inactive in the cell-free system. These results conclusively demonstrate that the compounds showing inhibitory activity in the phenoresponse-based assay system were entirely consistent qualitatively with the results obtained in the cell free protein kinase autophosphorylation assay.
[0291] Furthermore, where there are modest differences in relative potency between the cell free assay results and the phenoresponse-based assay results (see for example, compound C2-122 which appears to be more potent in th cell-free assay than in the phenoresponse-based cellular system, such distinctions point out the enhanced ability of the cellular assay system to predict in vivo efficacy of a given compound as compared to
classical cell-free assay systems. Using a classical cell-free screen, one might have considered C2-122 to be an important compound, yet the phenoresponse-based assay immediately rules it out as being less potent than several of the other compounds tested. This type of lead optimization strategy employing a cellular system without dependence and reliance upon a cell-free radioligand or other binding assay has not been reported before in the prior art.
[0292] In summary, the present invention provides the skilled investigator with a powerful and rapid method for lead optimization which supplants the necessity for repeated cell free in vitro verifications of the ability of a compound to hit its corresponding target. Thus the optimization process may be performed essentially entirely with reliance upon the phenoresponse-based assay systems results, obviating the need for repetitive confirmatory cell free assay determinations. While such confirmatory experiments may be performed if the skilled investigator chooses to do so, they are generally unnecessary with this method, as the results given above unequivocally demonstrate.
[0293] The skilled investigator is well aware that no assay system of any kind or nature, whether it be a radioligand binding assay, ELISA, ligand binding assay, or cellular assay, is free of false-positive results. This assay system, while surprisingly robust, will not be free of the possibility of false positive results either, and the skilled investigator knows that independent verification of unusual results is simply good science and should be taken into consideration where appropriate.
EXAMPLE 3: PHENORESPONSE-BASED PROFILING OF A PROTEIN MODULATOR
[0294] The phenoresponse-based assay system of the invention can be used to profile the biological activity of a given compound with respect to its ability to inhibit or activate multiple distinct protein targets to differing extents. For example, in certain instances the skilled artisan may be interested in identifying or optimizing modulators of a given target protein where additional proteins are known that are distinct but highly related to the target POI. Such protein families may consist of two or more members that share a high degree of homology at both the DNA and amino acid sequence levels, yet the family members may have distinct functions within the cell. Through iterative application of the phenoresponse- based system described herein, one could create individual Test Cells expressing each of the
distinct family members and then utilize three or four or more distinct Test Cell lines with corresponding defined phenoresponses to identify or optimize compounds that are selective for one particular family member.
[0295] In yet another embodiment of the present invention, the skilled artisan may also choose to express two or three or even four distinct protein targets in a single Test Cell (or Test Cell line) and create a phenoresponse-based assay system useful for identifying compounds that are NOT selective among individual isozymes of a given protein family. In certain therapeutic situations, lack of selectivity among individual family members may be preferable. Ibuprofen, for example, is an established, low-cost safe and effective nonsteroidal anti-inflammatory drug that does not significantly discriminate between the cyclooxygenase type 1 (COX-I) and COX-2 family members. Such lack of discrimination may in some instances be beneficial and may reduce the likelihood of certain unwanted side effects that may occur with an overly selective chemical agent.
[0296] Profiling the biological effects of a given compound with respect to its ability to inhibit or activate certain related protein targets, whether or not such targets are members of the same protein family, also has substantial value from the perspective of understanding the molecular and cellular mechanism(s) of action of a given chemical agent. For example, in the case of imatinib, not only does the compound inhibit the wild type version of the P210 Bcr/Abl protein (p210Bcr"Abl"wt), it also cross reacts with and is capable of inhibiting the c-kit oncoprotein as well. As discussed above in the background of the invention, this cross- reactive inhibition of the kit oncoprotein is serendipitous, because gastrointestinal stromal tumors (GIST), a type of tumor arising in the small intestine, are driven by kit activity and are thus responsive to imatinib treatment as well (NEJM paper). Thus, such cross reactivity with other related proteins need not always be associated with toxicity of a drug. In some instances such cross-reactivities can be therapeutically effective.
[0297] Representative Compounds of the Invention corresponding to the various chemical formulae given above were tested in the cellular assay system described elsewhere herein (see Example 1) and assigned activity categories as shown in Table 4. The assigned activity categories are represented by the following designations, wherein the IC50 for a given cell line is the concentration at which a given compound inhibits the growth of that cell line by 50% in the cellular assay system. Compounds tested on a given cell line that exhibited an IC50 value that was < 300 nM (less than 300 nanomolar) were designated as Category "A"
compounds. Compounds tested on a given cell line that exhibited an IC50 value that was <lμM (less than lmicromolar) were designated as Category "B" compounds. Compounds tested on a given cell line that exhibited an IC50 value that was < lOμM (less than 10 micromolar) were designated as Category "C" compounds. Compounds tested on a given cell line that exhibited an IC5O value that was > lOμM (greater than or equal to 10 micromolar) were designated as Category "D" compounds.
Table 4.
[0299] Experimental Details: The mixture of compound 1 (25 g) and N, N- dimethylaniline (24.2 g) in POCl3 (110 niL) was reflux ed for 5 h. POCl3 was removed by evaporation at reduced pressure and the residue was poured into ice-water (500 g) cautiously and stirred for Ih. The mixture was then filtered and the solid was washed with water to give compound 2 as a yellow solid.
[0300] 2. Reaction Scheme:
2 3
[0301] Experimental Details: To a solution of compound 2 (1.04 g) in 15 ml of ethanol, 1.08 g (2 eq) of morphine was added dropwise at -100C in 15 min. The mixture was stirred for 0.5 h and heated at 50 °C for 15 min. After cooling and dilution with water (50 ml), compound 3 was obtained as a yellow solid powder after filtration.
[0302] 3. Reaction Scheme:
3 4
[0303] Experimental Details: To 1.1 g of compound 3 was added 8 ml of NH2NH2-H2O. The mixture was refluxed for 2h. After cooling, the crude product was obtained after filtration. Purification by column chromatography gave pure compound 4 as a light yellow solid.
[0304] 4. Reaction Scheme:
[0305] Experimental Details: To the solution of compound 5 (1.O g, 1.0 eq) and DMF (0.05 g, cat. amount) in 20 mL of dichloromethane was added (COCl)2 (0.81 g, 1.1 eq) dropwise. The reaction mixture was stirred at r.t. for 2 h and then concentrated to give 1.2 g of crude product of compound 6, which was used for the next step without further purification.
[0306] 5. Reaction Scheme:
[0307] Experimental Details: To the crude product of compound 6 (1.2 g, 1.0 eq) in 20 mL of dichloromethane was added 3-trifluoromethyl-phenylamine (0.94 g, 1.0 eq) and triethylamine (0.71 g, 1.2 eq). The reaction mixture was stirred at r.t. overnight, washed with 1 N NaOH solution, 1 N HCl solution and brine. The organic layer was collected, dried over Na2SO4, and concentrated to give crude product of compound 7. After purification by column chromatography, 1.1 g of compound 7 was obtained.
[0308] 6. Reaction Scheme:
[0309] Experimental Details: To the mixture of compound 7 (0.3 g, 1.0 eq) and 3 mL of trifluoroacetic acid was added hexamethylenetetramine (0.53 g, 4.0 eq). The reaction mixture was immediately sealed and heated to 90°C for 20 h. After cooling, the reaction mixture was adjusted to pH 8 with 1 N NaOH solution, extracted with dichloromethane and the organic phase was dried, concentrated to give a brown solid. Purification by preparative TLC gave compound 8 as a yellow solid.
[0311] Experimental Details: The mixture of compound 4 (30 mg, 1.0 eq) and compound 8 (19 mg, 1.0 eq) in 5 mL of dichloromethane was stirred at r.t. overnight. The precipitates were collected and washed with dichloromethane thoroughly, dried under vacuum to give the desired compound.
EXAMPLE 5:
[0312] 1. Reaction Scheme:
[0313] Experimental Details: To the mixture of compound 1 (1.0 g, 1.0 eq), compound 2 (0.92 g, 1.0 eq), Na2CO3 (0.77 g, 1.5 eq) in 15 mL of dioxane was added Pd(PPh3)4 (0.56 g, 0.1 eq), and the reaction mixture was refluxed under N2 for 16 h. After cooling, the mixture was filtered and the filtrate was evaporated to dryness and purified by column chromatography to give compound 3.
[0314] 2. Reaction Scheme:
3 4
[0315] Experimental Details: To the mixture of compound 3 (0.3 g, 1.0 eq) and 3 mL of trifluoroacetic acid was added hexamethylenetetramine (0.62 g, 4.0 eq). The reaction mixture was immediately sealed and heated to 90°C for 20 h. After cooling, the reaction mixture was adjusted to pH 8 with 1 N NaOH solution, extracted with dichloromethane and
the organic phase was dried, concentrated to give a brown solid. Purification by preparative TLC gave compound 4 as a yellow solid. [0316] 3. Reaction Scheme:
[0317] Experimental Details: The mixture of compound 4 (30 mg, 1.0 eq) and compound 5 (19 mg, 1.0 eq) in 5 mL of dichloromethane was stirred at r.t. overnight. The precipitates were collected and washed with dichloromethane, dried under vacuum to give the desired compound.
EXAMPLE 6.
[0318] 1. Reaction Scheme:
[0319] Experimental Details: To the solution of compound 1 (0.6 g, 1.0 eq) in 10 mL of methanol was added 4 mL of 1 N NaOH solution, and the mixture was stirred at r.t. overnight. Solvent was evaporated and the residue was acidified to pH 6 with 5 % citric acid, extracted with dichloromethane. The organic layer was dried, concentrated to give compound 2.
[0320] 2. Reaction Scheme:
[0321] Experimental Details: The mixture of compound 2 (0.4 g, 1.0 eq), trifluoromethyl phenylamine (0.39 g, 1.0 eq), EDC (0.71 g, 1.5 eq), HOBt (33 mg, 0.1 eq) in 10 mL of dichloromethane was stirred at r.t. overnight. The mixture was washed with 1 N
NaOH solution, water, extracted with dichloromethane. The organic layer was dried over Na2SO4, concentrated to dryness, and purified by column chromatography to give compound 3.
[0323] Experimental Details: The solution of compound 3 (0.2 g, 1.0 eq) in 10 mL of dioxane was treated with 4 mL of 1 N HCl, and the mixture was heated to 600C for 2 h. After cooled, pH was adjusted to 8 by addition OfNaHCO3. The mixture was extracted with dichloromethane, washed the organic layer with water, dried with Na2SO4 and evaporated to dryness. The crude product was purified by column chromatography to give compound 4.
[0324] 4. Reaction Scheme:
[0325] Experimental Details: The mixture of compound 4 (40 mg, 1.0 eq) and compound 5 (30 mg, 1.0 eq) in 5 mL of dichloromethane was stirred at r.t. overnight. The mixture was concentrated to dryness and purified by preparative HPLC to give the desired compound.
EXAMPLE 7.
[0326] 1. Reaction Scheme:
2 3
[0327] Experimental Details: The mixture of compound 2 (0.3 g, 1.0 eq), 2-chloro- 6-methyl-phenylamine (0.26 g, 1.0 eq), EDC (0.53 g, 1.5 eq), HOBt (25 mg, 0.1 eq) in 10 mL of dichloromethane was stirred at r.t. overnight. The mixture was washed with 1 N NaOH
solution, water, and extracted with dichloromethane. The organic layer was dried over Na2SO4, concentrated to dryness, purified by column chromatography to give compound 3. [0328] 2. Reaction Scheme:
4
[0329] Experimental Details: The solution of compound 3 (0.2 g, 1.0 eq) in 10 mL of dioxane was treated with 4 mL of 1 N HCl, and the mixture was heated to 60oC for 2 h. After cooling, the pH was adjusted to 8 by addition OfNaHCO3. The mixture was extracted with dichloromethane, washed the organic layer with water, dried with Na2SO4 and evaporated to dryness. The crude product was purified by column chromatography to give compound 4.
[0330] 3. Reaction Scheme:
4 5
[0331] Experimental Details: The mixture of compound 4 (40 mg, 1.0 eq) and compound 5 (30 mg, 1.0 eq) in 5 mL of dichloromethane was stirred at r.t. overnight. The mixture was concentrated to dryness and purified by preparative HPLC to give the desired compound.
EXAMPLE 8.
[0332] 1. Reaction Scheme:
1 2
[0333] Experimental Details: To a solution of Ig (5.5mmol) of 5-bromo-2- cyanopyridine, 0.97g of (6.05mmol l .leq ) 3-(trifluoromethyl)aniline in 100ml of toluene was added 3eq of t-BuONa, 0.2eq of BINAP and 0.1 eq of Pd2(dba)3. Then the solution was
heated to reflux overnight. The reaction was monitored by LC/MS. The volatiles were removed under reduced pressure. The crude product was purified by flash chromatography to afford compound 2.
[0334] 2. Reaction Scheme:
[0335] Experimental Details: 250mg (0.95mmol) of compound 2 was added to 2OmL of concentrated HCl , then the solution was heated to reflux until the starting material disappeared. The mixture was concentrated under reduced pressure to obtain compound 3 as a yellow solid without purification.
[0336] 3. Reaction Scheme:
[0337] Experimental Details: A solution of 50mg (0.18mmol) of compound 3 in 3mL of dichloromethane was added to 0.5mL of thionyl dichloride. The mixture was heated and stirred for 3h. Finally the solution was evaporated under reduced pressure. Compound 4 was obtained and used in next step without purification.
[0338] 4. Reaction Scheme:
[0339] Experimental Details: A solution of 50mg of compound 4 and 43mg(1.2eq) of hydrazine in 5mL of DCM was stirred at 25°C for 3 hours. The reaction mixture was concentrated and the residue was purified by preparative HPLC to give the desired compound.
EXAMPLE 9.
O 1 2
[0341] Experimental Details: A suspension of compound 1 (25 g, 0.145 mol) and SeO2 (27.5 g, 0.247 mol) in acetic acid (1200 mL) was heated to reflux for 12 h. The reaction mixture was concentrated under reduced pressure to dryness. The residue was dissolved into water and brought to pH = 9 by adding K2CO3. The resulted mixture was extracted with EA (100 mL * 3). The combined EA was dried over Na2SO4. After filtrating off the Na2SO4, the filtrate was concentrated under reduced pressure to give the crude product 2, which was used in next step without purification.
[0342] 2. Reaction Scheme:
[0343] Experimental Details: A solution of 2 above prepared in ethanol tri ethyl orthoformate (10 mL) was refluxed 4 h. After removing off the solvent, the residue was separated by column to give the product 3 as oil.
[0344] 3. Reaction Scheme:
[0345] Experimental Details: To a stirred and degassed mixture of compound 3 (73 mg, 0.28 mmol) and compound 4 (50 mg, 0.28 mmol), and tBuONa (27 mg, 0.56 mmol) and BINAP (70.4 mg, 1.12 mol) in toluene (15 mL) was added Pd2(dba)3 (26 mg, 0.028 mmol) under N2 atmosphere and stirred at 80 °C for 48 h. After filtering off the solid, the filtrate was concentrated to give the crude product 5 which was used in the next step without purification.
[0346] 4. Reaction Scheme:
[0347] Experimental Details: A solution of compound 5 (335 mg, 0.1 mmol) in dichloromethane (10 mL) was treated with BBr3 (146 mg, 0.6 mmol) at - 300C under N2 atmosphere, then was stirred at room temperature for 4 h. The reaction was poured unto ice- water and then was brought by adding Na2CO3. The resulting mixture was extracted with dichloromethane (25 mL * 3), the combined organic layer was dried over Na2SO4. After filtrating off the Na2SO4, the filtrate was concentrated to give the crude product 6 which was done next step without purification.
[0348] 5. Reaction Scheme:
[0349] Experimental Details: A solution of compound 6 (27.74 mg, 0.1 mmol) and compound 7 (21 mg, 0.1 mmol) in anhydrous CH2Cl2 (300 mL) was stirred under reflux for 6 h. The solvent was removed under reduced pressure. The residue was separated by prep-TLC to give the desired compound.
EXAMPLE 10.
[0351] Experimental Details: To a stirred and degassed mixture of compound 1 (5 g, 25 mmol) and compound 2 (3.4g, 27 mmol) in DMF (50 mL) and aqueous Na2CO3 (20 mL, 2 M) was added Pd2(dbbf)3 (26 mg, 0.028 mmol) under N2 atmosphere and stirred at 100 °C for 18 h. After cooling to room temperature and filtrating off the solid, the filtrate was extracted with EA (200 mL). The organic layer was concentrated to dryness. The residue was purified by column to give the crude product 3.
[0352] 2. Reaction Scheme:
[0353] Experimental Details: A mixture of compound 3 (2 g, 0.1 mol) and Na2S2O4 (5.2 g, 0.3 mol) in methanol (80 mL) and H2O (20 mL) was heated to reflux for 3 h. The reaction was concentrated to dryness under reduced pressure. The residue was dissolved into water and then was extracted with EA (150 mL). The organic layer was washed with brine twice and dried over Na2SO4. After filtrating off the Na2SO4, the filtrate was concentrated to give the product 4.
[0354] 3. Reaction Scheme:
[0355] Experimental Details: To a stirred and degassed mixture of compound 5 (228 mg, 88 mmol) and compound 4 (150 mg, 88 mmol), and tBuONa (170 mg, 176 mmol) and BINAP (210 mg, 176 mmol) in toluene (25 mL) was added Pd2(dba)3 (79 mg, 0.88 mmol) under N2 atmosphere and stirred at 80 °C for 48 h. After filtering off the solid, the filtrate was concentrated to give the crude product 6.
[0356] 4. Reaction Scheme:
[0357] Experimental Details: A solution of compound 6 (140 mg, 4 mmol) in dichloromethane (20 mL) was treated with BBr3 (600 mg, 10.6 mmol) at - 30°C under N2 atmosphere, then was stirred at room temperature for 4 h. The reaction was poured unto ice- water and then was brought pH = 9 by adding Na2CO3. The resulting mixture was extracted with dichloromethane (25 mL * 3), the combined organic layer was dried over Na2SO4. After filtrating off the Na2SO4, the filtrate was concentrated to dryness. The residue was purified by column to give the product 7.
[0359] Experimental Details: A solution of compound 7 (98 mg, 0.36 mmol) and compound 8 (64 mg, 0.3 mmol) in anhydrous CH2Cl2 (300 mL) was stirred under reflux for 6 h. The solvent was removed under reduced pressure. The residue was separated by prep- TLC to give the desired compound.
EXAMPLE 11.
[0360] 1. Reaction Scheme:
[0361] Experimental Details: To a stirred and degassed mixture of compound 1 (5.9 g, 25 mmol) and compound 2 (3.3 g, 27 mmol) in DMF (50 mL) and aqueous Na2CO3 (20 mL, 2 M) was added Pd2(dbbf)3 (26 mg, 0.028 mmol) under N2 atmosphere and stirred at 100 °C for 18 h. After cooling to room temperature and filtrating off the solid, the filtrate was extracted with EA (200 mL). The organic layer was concentrated to give the crude product 3 which is done next step without purification.
[0362] 2. Reaction Scheme:
[0363] Experimental Details: A mixture of 3 (6.5 g, 27.9 mmol) and Pd(OH)2 (10 %, 0.5 g) in ethanol (200 mL) was stirred under hydrogen atmosphere (20 psi) at room
temperature for 2 hour. The catalyst was filtrated off, and the filtrate was removed under vacuum to afford the product 4 as a colorless oil. [0364] 3. Reaction Scheme:
4 6
[0365] Experimental Details: To a stirred and degassed mixture of compound 4 (406 mg, 20 mmol) and compound 5 (520 mg, 20 mmol), and tBuONa (170 mg, 176 mmol) and BINAP (210 mg, 176 mmol) in toluene (25 mL) was added Pd2(dba)3 (79 mg, 0.88 mmol) under N2 atmosphere and stirred at 80 °C for 48 h. After filtrating off the solid, the filtrate was concentrated to give the crude product 6 which is used in next step without purification.
[0366] 4. Reaction Scheme:
6 7
[0367] Experimental Details: A solution of compound 6 (383 mg, 10 mmol) in dichloromethane (20 mL) was treated with BBr3 (600 mg, 10.6 mmol) at — 30°C under N2 atmosphere, then was stirred at room temperature for 4 h. The reaction was poured unto ice- water and then was brought to pH 9 by adding Na2CO3. The resulting mixture was extracted with dichloromethane (25 mL x 3), the combined organic layer was dried over Na2SO4. After filtrating off the Na2SO4, the filtrate was concentrated to dryness. The residue was purified by column to give the product 7.
[0368] 5. Reaction Scheme:
[0369] Experimental Details: A mixture of 7 (60 mg, 0.22 mmol) nicotinaldehyde (33 mg, 0.15 m mol) in dichloromethane (10 mL) was heated to reflux for 3 hr. After
removing off solvent, the residue was purified by chromatography to give the desired compound.
EXAMPLE 12.
[0371] Experimental Details: A solution of DMAP (9.3 g, 0.077 mol) and compound 1 (10 g, 0.051 mol) and BoC2O (12 g, 0.051 mol) in tBuOH (200 rnL) was stirred at room temperature overnight. The solvent was removed under reduced pressure and the residue was purified by flash chromatography on silica gel. (ethyl acetate/ petroleum ether = 10:1) to give 2 as a colorless oil.
[0372] 2. Reaction Scheme:
2 3
[0373] Experimental Details: A mixture of 2 (6.17 g, 27.9 mmol) and Pd(OH)2 (10 %, 1 g) in ethanol (200 mL) was stirred under hydrogen atmosphere (50 psi) at room temperature for 4 hour. The catalyst was filtrated off, and the filtrate was removed under vacuum to afford the product 3 as a colorless oil.
[0374] 3. Reaction Scheme:
[0375] Experimental Details: A mixture of compound 3 (2.65 g, 12 mmol) and compound 4 (2.6 g, 10 mmol) and tBuONa (1.34 g, 14 mmol,) and Pd2(dba)3 (46.5 mg, 50 mmol, ) and DCHPB (70 mg, 0.2 mmol) in dry toluene (50 mL) was heated to 80-90 °C
under N2 for 24 hours. The precipitation was filtrated and the filtrate was removed in vacuo and the residue was purified by chromatography on silica gel (ethyl acetate/ petroleum ether = 10:1) to give afford 5 as a yellow oil. [0376] 4. Reaction Scheme:
5 6
[0377] Experimental Details: To a solution of 5 (0.9 g, 2.24 mmol) in CHCl3 (50 mL), CF3COOH (40 mL) was added at 0°C. After addition complete, the resulting mixture was stirred at room temperature overnight. The solvent was removed under reduced pressure to dryness. The residue was recrystallized from ether to yield an off -white solid. The solid was dissolve in ammonia (10 mL). The mixture was brought the pH = 7.0 by adding IM HCl and precipitated. The precipitate was collected and washed with cold water (5 mL), and dried under reduced pressure to afford 6 as a dark solid.
[0378] 5. Reaction Scheme:
[0379] Experimental Details: A mixture of 6 (60 mg, 0.22 mmol), nicotinaldehyde (33 mg, 0.15 m mol) in dichloromethane (10 mL) was heated to reflux for 3 hr. After removing off solvent, the residue was purified by chromatography to give the desired compound as a yellow solid.
EXAMPLE 13.
[0381] Experimental Details: To a stirred and degassed mixture of compound 1 (6.7 g, 25 mmol) and compound 2 (4.1 g, 27 mmol) in DMF (50 mL) and aqueous Na2CO3 (20 mL, 2 M) was added Pd2(dbbf)3 (26 mg, 0.028 mmol) under N2 atmosphere and stirred at 100 °C for 18 h. After cooling to room temperature and filtrating off the solid, the filtrate was extracted with EA (200 mL). The organic layer was concentrated to give the crude product 3.
[0382] 2. Reaction Scheme:
[0383] Experimental Details: A mixture of 3 (3.2 g, 10 mmol) and Pd(OH)2 (10 %, 0.5 g) in ethanol (200 mL) was stirred under hydrogen atmosphere (20 psi) at room temperature for2 hour. The catalyst was filtrated off, and the filtrate was removed under vacuum to afford the product 4 as colorless oil.
[0384] 3. Reaction Scheme:
[0385] Experimental Details: To a stirred and degassed mixture of compound 4 (297 mg, 10 mmol) and compound 5 (259 mg, 10 mmol), and tBuONa (170 mg, 17.6 mmol) and BINAP (210 mg, 17.6 mmol) in toluene (25 mL) was added Pd2(dba)3 (79 mg, 0.88 mmol) under N2 atmosphere and stirred at 80 0C for 48 h. After filtrating off the solid, the filtrate was concentrated to give the crude product 6 which is done next step without purification.
[0386] 4. Reaction Scheme:
[0387] Experimental Details: A solution of compound 6 (446 mg, 10 mmol) in dichloromethane (20 mL) was treated with BBr3 (600 mg, 10.6 mmol) at - 30oC under N2 atmosphere, then was stirred at room temperature for 4 h. The reaction was poured unto ice- water and then was brought pH = 9 by adding Na2CO3. The resulting mixture was extracted with dichloromethane (25 mL * 3), the combined organic layer was dried over Na2SO4. After filtrating off the Na2SO4, the filtrate was concentrated to dryness. The residue was purified by column to give the product 7.
[0389] Experimental Details: A mixture of 7 (67 mg, 0.15 mmol), nicotinaldehyde (33 mg, 0.15 m mol) in dichloromethane (10 mL) was heated to reflux for 3 hr. After removing off solvent, the residue was purified by chromatography to give the desired compound as a yellow solid.
EXAMPLE 14.
[0390] 1. Reaction Scheme:
1 3
[0391] Experimental Details: To a stirred and degassed mixture of compound 1 (3 g, 0.02 mol) and compound 2 (3.4 g, 0.02 mol), and KOH (5.28 g, 0.1 mol) and TBBA (6.44 g, 0.02 mol) in anhydrous THF (100 mL) was added Pd (PPh3)4 (2.31 g, 2 mmol) under N2 atmosphere and stirred under reflux for 12 h. After filtrating off the solid, the filtrate was
concentrated to dryness. The residue was purified by column to give the product 3, which is used in next step without purification. [0392] 2. Reaction Scheme:
3 5
[0393] Experimental Details: To a stirred and degassed mixture of compound 3 (334 mg, 1.7 mmol) and compound 4 (434 mg, 1.7 mmol), and t-BuONa (322 mg, 3.4 mmol) and BINAP (420 mg, 0.67 mol) in toluene (60 mL) was added Pd2(dba)3 (156 mg, 0.017 mmol) under N2 atmosphere and stirred at 80 °C for 48 h. After filtrating off the solid, the filtrate was concentrated to dryness. The residue was purified by column to give the product 5.
[0394] 3. Reaction Scheme:
[0395] Experimental Details: A solution of compound 5 (100 mg, 0.3 mmol) in dichloromethane (10 mL) was treated with BBr3 (393 mg, 0.6 mmol) at - 30°C under N2 atmosphere, then was stirred at room temperature for 4 h. The reaction was poured unto ice- water and then was brought by adding Na2CO3. The resulting mixture was extracted with dichloromethane (25 mL χ 3), the combined organic layer was dried over Na2SO4. After filtrating off the Na2SO4, the filtrate was concentrated to give the crude product 6. [0396] 4. Reaction Scheme:
[0397] Experimental Details: A mixture of 6 (39 mg, 0.13 mmol), nicotinaldehyde (29 mg, 0.13 mmol) in dichloromethane (10 mL) was heated to reflux for 3 hr. After removing off solvent, the residue was purified by chromatography to give the desired compound as a yellow solid.
EXAMPLE 15.
[0398] 1. Reaction Scheme:
1 2
[0399] Experimental Details: Paraformaldehyde^.8g, 59.3mmol) was added to a solution of compound 1 (1.0 g, 5.9 mmol) in acetic acid (4OmL), followed by NaCNBH3(l .8 g, 28.8 mmol) at 10°C. After stirring of 16h at room temperature, the solution was poured into ice/water (10OmL), and the PH adjusted to 10 with concentrated NaOH. The solution was extracted with DCM(3*100mL). The combined organic layers were dried (MgSO4), filtrated and concentrated in vacuo to give compound 2.
[0400] 2. Reaction Scheme:
2 3
[0401] Experimental Details: 0.84g (4.3mmol) of compound 2 was hydrogenated under latm hydrogen with Pd/C for 16 hour. The reaction mixture was filtered and the filtrate was concentrated to afford compound 3 without further purification.
[0402] 3. Reaction Scheme:
[0403] Experimental Details: A solution of 250mg (1.51mmol) of compound 3, 0.2eq of BINAP, 0.1 eq of Pd2(dba)3, 3eq OfCs2CO3 and 5-Bromo-2-diethoxymethyl- pyridine(0.783g, 3.01mmol) in 1OmL of 1 ,4-dioxane was reacted at 150°C under microwave
for 2 hours. The reaction was monitored by LC-Ms. The mixture was concentrated and the residue was purified by preparative TLC to afford compound 4. [0404] 4. Reaction Scheme:
[0405] Experimental Details: A solution of 300mg(0.55mmol) of compound 4 in 5mL of DCM was added 4mL of TFA. The reaction mixture was stirred for 30min at r.t. The mixture was added ice/water and basified by NaHCO3 to PH=IO and extracted with DCM (15mL*3). The combined organic layer was washed with water and brine, dried over MgSO4, filtered and concentrated to afford compound 5.
[0406] 5. Reaction Scheme:
[0407] Experimental Details: A solution of 80mg(0.295mmol) of compound 5 and (5-Fluoro-4-morpholin-4-yl-pyrimidin-2-yl)-hydrazine (125mg, 0.59mmol) in 1OmL of DCM was stirred at 25°C for 15 hours. The reaction mixture was concentrated and the residue was purified by preparative HPLC to afford compound 6.
[0408] 6. Reaction Scheme:
[040 Experimental Details: To a solution of compound (40 mg, 0.086 mmol) in dry DCM (5 mL) was added drop wise BBr (22 mg, 0.258 mmol) at 0°C. The reaction mixture was stirred for 3 h at r.t. The reaction was quenched with methanol, and the mixture was concentrated. The residue was purified by preparative HPLC to give the desired compound.
EXAMPLE 16.
[0410] 1. Reaction scheme:
[0411] Experimental details: To a stirred solution of 3-Bromoaniline (0.86g) in 30ml of toluene were added 0.1 eq of Pd(PPh3)4, 5 ml of sat. aq. OfNa2CO3 and a solution of 3-methoxyphenyl boronic acid (0.75 g) in 10 ml of EtOH under N2 atmosphere. The mixture was vigorously stirred under reflux for 15 h and cooled, 10 ml of H2O was added, and the mixture was extracted with CH2Cl2 (20 ml*3). The combined organic layers were dried over Na2SO4 and concentrated. The residue was purified by column chromatography (PE/EA=10:l) to get pure compound 2.
[0412] 2. Reaction scheme:
[0413] Reaction details: A mixture of compound 2 (59.5 mg), 5-bromo-2- diethoxymethyl-pyridine (116.7 mg), t-BuONa (86.4 mg), BINAP (36.7mg) and Pd2(dba)3 (27.4 mg) in dioxane (2 ml) was microwaved for 2 hs at 150°C, the solution was filtered and concentrated. The residue was purified by preparative TLC to afford compound 3.
[0414] 3. Reaction scheme:
[0415] Reaction details: To a solution of compound 3(120 mg) in 5 ml of DCM was added 1 ml of BBr3, the reaction was stirred overnight at r.t. Then added 5 ml of H2O to the mixture, extracted with EtOAc and concentrated. The crude product was purified by pre. TLC to afford compound 4.
[0416] 4. Reaction scheme:
[0417] Experimental details: A mixture of 43.5 mg of compound 4 and 32 mg of hydrazine in 5 ml DCM was stirred overnight at r.t. and concentrated. The crude product was purified by prereparative TLC to afford the desired compound.
EXAMPLE 17.
[0419] Experimental Details: A solution of 2.0 g (16.2 mmol, 1.0 eq) of compound 1, 0.05 eq of BINAP, 0.05 eq of Pd2(dba)3, 1.2 eq of t-BuONa and l-Bromo-3-nitro-benzene (3.28 g, 16.2 mmol, 1.0 eq) in 20 mL of anhydrous toluene was reacted at lOOoC for 24 hours. The reaction was monitored by LC-MS. The mixture was concentrated and the residue was purified by column chromatography to afford compound 2.
2 3
[0421] Experimental Details: 2.5 g of compound 2 was hydrogenated under latm of hydrogen with Pd/C (0.25 g) for 16 hour. The reaction mixture was filtered and the filtrate was concentrated to afford compound 3 without further purification.
[0422] 3. Reaction Scheme:
3 4
[0423] Experimental Details: A solution of 500 mg (2.33 mmol) of compound 3, 5- Bromo-2-diethoxymethylpyridine (607 mg, 2.33 mmol), 0.05 eq of xantphos, 0.05 eq of Pd2(dba)3 and 1.5 eq of t-BuONa in 10 mL of toluene was refluxed at 100°C for 24 hours. The reaction was monitored by LC-MS. The mixture was concentrated and the residue was purified by column chromatography to afford compound 4.
[0424] 4. Reaction Scheme:
4 5
[0425] Experimental Details: 100 mg of compound 4 was treated with 1 mL of HCl (IN aqueous solution) and 10 mL of dioxane. The mixture was stirred at rt for 4 h, adjusted to pH 8-9 with 0.5 N NaOH solution. After extracted with DCM, dried organic layer with Na2SO4 and concentrated to give compound 5.
[0426] 5. Reaction Scheme:
[0427] Experimental Details: A solution of 50 mg (0.16 mmol) of compound 5 and (5-Fluoro-4-morpholin-4- ylpyrimidin-2-yl)-hydrazine (50 mg, 0.23 mmol) in 5 mL of DCM was stirred at 25°C for 15 hours. The reaction mixture was concentrated and the residue was purified by preparative HPLC to afford compound 6.
[0428] 6. Reaction Scheme:
[0429] Experimental Details: To a solution of compound 6 (50 mg, 0.09 mmol) in dry DCM(5mL) was added dropwise BBr3 (20 mg, 0.25 mmol) at 0°C. The reaction mixture was stirred for 3hr at r.t. The reaction was quenched with methanol, and the mixture was concentrated. The residue was purified by preparative HPLC to give the desired compound.
EXAMPLE 18.
[0430] 1. Reaction Scheme:
[0431] Experimental Details: A solution of 10 g (70.92mmol) of 3-fluoro- nitrobenzene, leq imidazole and 2eq K2CO3 in 100ml of DMSO was heated at 130°C for 5 hours. The reaction was monitored by LC-MS. Then 50OmL of water was added and the precipitate was filtered and the solid was washed with water and dried to afford compound 2 without further purification.
[0432] 2. Reaction Scheme:
[0433] Experimental Details: 5g (31.4mmol) of compound 2 was hydrogenated under latm hydrogen with Pd/C for 0.5 hour. The reaction mixture was filtered and the filtrate was concentrated to afford compound 3 without further purification.
[0434] 3. Reaction Scheme:
[0435] Experimental Details: A solution of 500mg (3.14mmol) of compound 3,
O.leq of xantphose, O.leq of Pd2(dba)3 and 1.5eq of t-BuONa in 1OmL of toluene was refluxed at 130°C for 15 hours. The reaction was monitored by LC-Ms and washed with
water and extracted with EtOAc. The combined organic layer was washed with brine and dried over MgSO4. Filtered and concentrated, residue was purified by preparative TLC to afford compound 4.
[0436] 4. Reaction Scheme:
[0437] Experimental Details: A solution of 200mg of compound 4 in 5mL of 1,4- dioxane was added 8mL of 4N HCl and heated at 80°C for 2 hours. The reaction mixture was basified by 2N NaOH to ph=10 and extracted with DCM (15mL*3). The combined organic layer was washed with water and brine, dried over MgSO4, filtered and concentrated to afford 250mg of crude product. The crude product was purified by preparative TLC to afford compound 5.
[0438] 5. Reaction Scheme:
[0439] Experimental Details: A solution of 80 mg of compound 5 and leq of compound 6 in 5mL of DCM was stirred at 25°C for 15 hours. The reaction mixture was concentrated and the residue was purified by preparative HPLC to afford the desired compound.
EXAMPLE 19.
[0441] Experimental Details: A solution of 1.5Og of l-Bromo-3-methyl-5 -nitrobenzene and 1.6Og (1.2eq)of Piperazine-1-carboxylic acid tert-butyl ester , O.leq of xantphos, 0.1 eq of Pd2(dba)3 and 1.5eq of t-BuONa in 2OmL of toluene was refluxed at 130°C for 4 hours. The reaction was monitored by LC-Ms and washed with water and extracted with EtOAc. The combined organic layer was washed with brine and dried over Na2SO4. Filtered and concentrated, residue was purified with column chromatography on silica gel using 10:1 PA:EA as an eluant. The appropriate fractions were combined and concentrated under reduced pressure, to give intermediate 1.
[0442] 2. Reaction Scheme:
[0443] Experimental Details: 1.6g of intermediate of 1 was hydrogenated under latm hydrogen with Raney/Ni for 2 hours. The reaction mixture was filtered and the filtrate was concentrated to afford intermediate 2 without further purification.
[0444] 3. Reaction Scheme:
2 3
[0445] Experimental Details: A solution of 1.2Og of Intermediate of 2, andl.30g (1.20eq) of 5-Bromo-2-diethoxymethyl-pyridine, O.leq of xantphose, O.leq of Pd2(dba)3 and 1.5eq of t-BuONa in 2OmL of toluene was refluxed at 130°C for 4 hours. The reaction was monitored by LC-MS and washed with water and extracted with EtOAc. The combined organic layer was washed with brine and dried over Na2SO4. Filtered and concentrated,
residue was purified with column chromatography on silica gel using 4:1 PA:EA as an eluant. The appropriate fractions were combined and concentrated under reduced pressure to give intermediate 3.
[0446] 4. Reaction Scheme:
[0447] Experimental Details: 200mg of intermediate 3 was dissolved in 10ml of DCM. 130mg of TFA was added to the reaction mixture solution dropwise and stirred for 3h at r.t. The reaction mixture was based with NaHCO3 solution to neutral and brine,dried over Na2SO4, filtered and concentrated to afford 220mg of crude product. The crude product was purified by preparative TLC to afford intermediate 4.
[0448] 5. Reaction Scheme:
[0449] Experimental Details: A solution of 50mg of intermediate 4 and l.Oeq of (5- Fluoro-4-morpholin-4-ylpyrimidin-2-yl)-hydrazine in 5mL of DCM was stirred at r.t. for 3 hours. The reaction mixture was washed with water and brine, concentrated it to give the residue and purified by preparative HPLC to afford the desired compound.
EXAMPLE 20.
[0450] 1. Reaction Scheme:
[0451] Experimental Details: 15ml of IM BH3/THF was added dropwise into a solution of 3g (13.95mmol) of 4- bromo-2-methyl-benzoic acid in 20ml of THF at 0°C. The reaction solution was allowed to reach room temperature for lhour and quenched by the dropwise addition of 50ml of 50% aqueous THF. The mixture was treated with Na2CO3 and concentrated. The residue was extracted with Et2O. The organic layer was dried to give compound 2.
[0452] 2. Reaction Scheme:
[0453] Experimental Details: A solution of 2.4g (11.9mmol) of compound 2 in
20ml of DCM was added a slurry of 5.1g(23.8mmol) of PCC in 60ml of DCM. The reaction solution was stirred for lhour at r.t. diluted with 300ml OfEt2O and filtered. The filtrate was concentrated to give compound 3. [0454] 3. Reaction Scheme:
[0455] Experimental Details: A solution of 2.1 g (14 mmol) was added into a solution of ethanol which containing 1.9 g (9.55 mmol) of compound 3. The reaction solution was heated to reflux for 3hours, and then concentrated. The solid was washed with NaHCO3 and extracted with acetic ether. The organic layer was dried to give compound 4.
4 S
[0457] Experimental Details: 0.7 g of compound 4, 0.41 g of 3-trifluromethyl- phenylamine 0.32 g of Pd2(dba)3, 0.21 g of binap and 0.02 g of t-BuONa were added into 35 ml of toluene. The reaction solution was heated to reflux overnight, and concentrated. The crude product was purified by column chromatography (ethyl acetate/hexane=l :1) to give compound 5.
[0458] 5. Reaction Scheme:
5 6
[0459] Experimental Details: The solution of compound 5 (0.2 g, 1.0 eq) in 10 mL of dioxane was treated with 4 mL of 1 N HCl, and the mixture was heated to 60°C for 2 h. After cooling, the pH was adjusted to 8 by addition OfNaHCO3. The mixture was extracted with dichloromethane, washed the organic layer with water, dried with Na2SO4 and evaporated to dryness. The crude product was purified by column chromatography to give compound 6.
[0460] 6. Reaction Scheme:
[0461] Experimental Details: A solution of 80 mg of compound 6 and 1 eq of compound 7 in 5 mL of DCM was stirred at 25°C for 15 hours. The reaction mixture was
concentrated and the residue was purified by preparative HPLC to afford the desired compound.
EXAMPLE 21.
[0462] 1. Reaction Sche
[0463] Experimental Details: To the mixture of compound 1 (0.5 g, 1.0 eq), 3- trifluoromethyl phenyl boronic acid (0.63 g, 1.0 eq), Na2CO3 (0.46 g, 1.5 eq) in 15 mL of dioxane was added Pd(PPh3)4 (0.33 g, 0.1 eq), and the reaction mixture was refluxed under N2 for 16 h. After cooling, the mixture was filtered and the filtrate was evaporated to dryness and purified by column chromatography to give compound 2.
[0464] 2. Reaction Scheme:
[0465] Experimental Details: A mixture of compound 2 (0.2 g, 1.0 eq), SeO2 (0.19 g, 2.0 eq) in 10 mL of acetic acid was refluxed under N2 for 48 h. Solvent was removed by evaporation and the residue was dissolved in water and adjusted to pH 6 with saturated NaHCO3 solution, extracted with dichloromethane. The organic layers were collected, dried and evaporated to dryness. The crude product was purified by column chromatography to give compound 3.
[0467] Experimental Details: The mixture of compound 3 (30 mg, 1.0 eq) and compound 4 (19 mg, 1.0 eq) in 5 mL of dichloromethane was stirred at r.t. overnight. The mixture was concentrated to dryness and purified by preparative HPLC to give the desired compound.
EXAMPLE 22.
[0468] 1. Reaction Scheme:
[0469] Experimental Details: The mixture of compound 1 (0.5 g, 1.0 eq), trifiuoromethyl phenylamine (0.58 g, 1.0 eq), EDC (1.05 g, 1.5 eq), HOBt (50 mg, 0.1 eq) in 15 mL of dichloromethane was stirred at r.t. overnight. The mixture was washed with 1 N NaOH solution, water, extracted with dichloromethane. The organic layer was dried over Na2SO4, concentrated to dryness, purified by column chromatography to give compound 2.
[0470] 2. Reaction Scheme:
2 3
[0471] Experimental Details: A mixture of compound 2 (0.2 g, 1.0 eq), SeO2 (0.16 g, 2.0 eq) in 10 mL of acetic acid was refluxed under N2 for 48 h. Solvent was removed by evaporation and the residue was dissolved in water and adjusted to pH 6 with saturated NaHCO3 solution, extracted with dichloromethane. The organic layers were collected, dried
and evaporated to dryness. The crude product was purified by column chromatography to give compound 3.
[0472] 3. Reaction Scheme:
3 4
[0473] Experimental Details: The mixture of compound 3 (40 mg, 1.0 eq) and compound 4 (30 mg, 1.0 eq) in 5 mL of dichloromethane was stirred at r.t. overnight. The precipitates were collected and washed with dichloromethane, dried under vacuum to give the desired compound.
1 2
[0475] Experimental Details: The solution of compound 1 (3.0 g, 1.0 eq) and 2 mL 98% H2SO4 in 10 mL of EtOH was refluxed for 4 h, cooled to r.t., evaporated to dryness, diluted with water, adjusted to pH 8 with NaHCO3, extracted with dichloromethane. The organic layer was dried and concentrated to give compound 2.
[0476] 2. Reaction Scheme:
2 3
[0477] Experimental Details: A mixture of compound 2 (1.7 g, 1.0 eq), SeO2 (2.29 g, 2.0 eq) in 80 mL of acetic acid was refluxed under N2 for 48 h. Solvent was removed by evaporation and the residue was dissolved in water and adjusted to pH 6 with saturated NaHCO3 solution, extracted with dichloromethane. The organic layers were collected, dried and evaporated to dryness. The crude product was purified by column chromatography to give compound 3.
[0478] 3. Reaction Scheme:
3 4
[0479] Experimental Details: The solution of compound 3 (1.1 g, 1.0 eq), diethoxymethoxy-ethane (2.3 g, 2.5 eq) and TsOH-H2O (0.12 g, 0.1 eq) in 20 mL of ethanol was refluxed for 5 h. The solvent was evaporated and the solid was dissolved in EtOAc, washed with water. The organic layer was dried over Na2SO4 and evaporated to give compound 4.
[0480] 4. Reaction Scheme:
4 5
[0481] Experimental Details: To the solution of compound 4 (0.6 g, 1.0 eq) in 10 mL of methanol was added 4 mL of 1 N NaOH solution, and the mixture was stirred at r.t. overnight. Solvent was evaporated and the residue was acidified to pH 6 with 5 % citric acid, extracted with dichloromethane. The organic layer was dried, concentrated to give compound 5.
[0482] 5. Reaction Scheme:
5 6
[0483] Experimental Details: The mixture of compound 5 (0.4 g, 1.0 eq), trifluoromethyl phenylamine (0.29 g, 1.0 eq), EDC (0.51 g, 1.5 eq), HOBt (25 mg, 0.1 eq) in 10 mL of dichloromethane was stirred at r.t. overnight. The mixture was washed with 1 N NaOH solution, water, extracted with dichloromethane. The organic layer was dried over Na2SO4, concentrated to dryness, purified by column chromatography to give compound 6.
[0484] 6. Reaction Scheme:
[0485] Experimental Details: The solution of compound 6 (0.2 g, 1.0 eq) in 10 mL of dioxane was treated with 4 mL of 1 N HCl, and the mixture was heated to 600C for 2 h. After cooling, pH was adjusted to 8 by addition OfNaHCO3. The mixture was extracted with dichloromethane, washed the organic layer with water, dried with Na2SO4 and evaporated to dryness. The crude product was purified by column chromatography to give compound 7.
[0486] 7. Reaction Scheme:
[0487] Experimental Details: The mixture of compound 7 (30 mg, 1.0 eq) and compound 8 (19 mg, 1.0 eq) in 5 mL of dichloromethane was stirred at r.t. overnight. The precipitates were collected and washed with dichloromethane, dried under vacuum to give the desired compound.
EXAMPLE 24.
[0489] Experimental Details: A mixture of compound 1 (2.0 g, 1.0 eq), SeO2 (2.6 g, 2.0 eq) in 80 mL of acetic acid was refluxed under N2 for 36 h. Solvent was removed by evaporation and the residue was dissolved in water and adjusted to pH 6 with saturated NaHCO3 solution, extracted with dichloromethane. The organic layers were collected, dried and evaporated to dryness. The crude product was purified by column chromatography to give compound 2.
[0491] Experimental Details: The solution of compound 2 (0.5 g, 1.0 eq), diethoxymethoxy-ethane (1.0 g, 2.5 eq) and TsOH-H2O (0.05 g, 0.1 eq) in 8 mL of ethanol was refluxed for 3 h. The solvent was evaporated and the solid was dissolved in EtOAc, washed with water. The organic layer was dried over Na2SO4 and evaporated to give compound 3.
[0492] 3. Reaction Scheme:
[0493] Experimental Details: To the mixture of compound 3 (0.6 g, 1.0 eq), 3- trifluoromethyl-phenylamine (0.37 g, 1.0 eq), t-BuONa (0.26 g, 1.2 eq) in 15 mL of toluene was added under N2 Pd2(dba)3 (42 mg, 0.02 eq) and xantphos (28 mg, 0.02 eq). The mixture was refluxed under N2 for 16 h, cooled, filtered. The filtrate was concentrated and purified by column chromatography to give compound 4.
[0494] 4. Reaction Scheme:
[0495] Experimental Details: The solution of compound 4 (0.25 g, 1.0 eq) in 10 mL of dioxane was treated with 4 mL of 1 N HCl, and the mixture was heated to 60°C for 2 h. After cooling, the pH was adjusted to 8 by addition OfNaHCO3. The mixture was extracted with dichloromethane, washed the organic layer with water, dried with Na2SO4 and evaporated to dryness. The crude product was purified by column chromatography to give compound 5.
[0497] Experimental Details: The mixture of compound 5 (30 mg, 1.0 eq) and compound 6 (19 mg, 1.0 eq) in 5 niL of dichloromethane was stirred at r.t. overnight. The precipitates were collected and washed with dichloromethane, dried under vacuum to give the desired compound.
EXAMPLE 25.
[0499] Experimental Details: To a solution of compound 1 (14 g, 0.1 mol) in aqueous HBr (30 mL) was added a solution OfNaNO2 (8.3 g 0.15 mol) in H2O (10 mL) at 0 0C over a period of 30 min. After stirring for 60 min, the reaction mixture was added to a solution of CuBr (14 g, 0.1 mol) in aqueous HBr (16 mL) at 80 °C. After complete addition, the reaction mixture was stirred at the same temperature for 2 h. After cooling to room temperature, the reaction mixture was extracted with EA (100 mL * 3). The combined organic layer were washed with brine and dried over Na2SO4. After filtrating off the Na2SO4, the filtrate was concentrated to dryness. The residue was purified by column to give the product 2.
[0500] 2. Reaction Scheme:
[0501] Experimental Details: To a stirred and degassed mixture of compound 2 (4.11 g, 0.02 mol) and compound 3 (4.74 g, 0.02 mol), and KOH (5.28 g, 0.1 mol) and TBBA (6.44 g, 0.02 mol) in anhydrous THF (100 mL) was added Pd (PPh3)4 (2.31 g, 2 mmol) under N2 atmosphere and stirred under reflux for 12 h. After filtrating off the solid, the filtrate was concentrated to dryness. The residue was purified by column to give the product 4.
[0502] 3. Reaction Scheme:
[0503] Experimental Details: A solution of 4 (1 g, 3 mmol) in dichloromethane (10 mL) was treated with TFA (1 mL) and then stirred for 6 h at room temperature. The solvent was removed under reduced pressure to give the product 5 which is done next step without purification.
[0504] 4. Reaction Scheme:
[0505] Experimental Details: To a stirred and degassed mixture of compound 5 (619 mg, 2.4 mmol) and compound 6 (520 mg, 2.4 mmol), and t BuONa (460 mg, 4.8 mmol) and BINAP (599 mg, 6.9 mol) in toluene (60 mL) was added Pd2(dba)3 (221 mg, 0.024 mmol) under N2 atmosphere and stirred at 80 0C for 48 h. After filtrating off the solid, the filtrate was concentrated to dryness. The residue was purified by column to give the product 7.
[0506] 5. Reaction Scheme:
[0507] Experimental Details: A solution of compound 7 (396 mg, 0.1 mmol) in dichloromethane (10 mL) was treated with BBr3 (146 mg, 0.6 mmol) at - 30 oC under N2 atmosphere, then was stirred at room temperature for 4 h. The reaction was poured unto ice- water and then was brought by adding Na2CO3. The resulting mixture was extracted with
dichloromethane (25 mL * 3), the combined organic layer was dried over Na2SO4. After filtrating off the Na2SO4, the filtrate was concentrated to give the crude product 8, which was done next step without purification. [0508] 6. Reaction Scheme:
[0509] Experimental Details: A solution of compound 8 (32.2 mg, 0.1 mmol) and compound 9 (21 mg, 0.1 mmol) in anhydrous CH2Cl2 (300 mL) was stirred under reflux for 6 h. The solvent was removed under reduced pressure. The residue was separated by prep- TLC to give the desired compound.
EXAMPLE 26.
1 2
[0511] Experimental Details: A solution of 5-fluoro-lH-pyrimidine-2,4-dione (113 g, 0.5 mol) in N,N-dimethylaniline (70 mL) was treated with POCb (500 mL), then was reflux for 2 h. After cooling to room temperature, the reaction mixture was poured onto ice- water. The resulting mixture was extracted with ethyl acetate (100 mL x 3). The combined organic layers were washed with saturated aqueous OfNaHCO3, then brine. The solvent was removed under reduced pressure to give compound 2.
[0513] Experimental Details: To a solution of compound 2 (20.8 g, 0.194 mol) in ethanol (300 mL) was added morpholine (21.6g, 0.25 mol) drop wise at -10 °C over a period of 15 min. This mixture was stirred at room temperature for 0.5 h, heated then to 50 °C for 15 min. After cooling to room temperature and dilution with water, solid was precipitated. The solid was collected by filtrate and washed with water to give compound 3.
[0514] 3. Reaction Scheme:
[0515] Experimental Details: A solution of 3 (4.6 g, 17.5 mmol) and hydrazine (8.75 g, 87.5 mmol) in ethanol (40 mL) was heated to reflux for 6 h. After cooling and precipitating, the precipitate was collected by filtrate and washed with ethanol to give compound 4.
[0516] 4. Reaction Scheme:
[0517] Experimental Details: A solution of compound 5 (14 g, 50 mmol) in anhydrous THF (100 mL) was treated with BuMgCl (37.5 mL, 60 mmol) at - 15 0C under N2 atmosphere. After complete addition, this mixture was stirred at this temperature for 1 h. Anhydrous DMF (0.54 g, 75 mmol) was added to the reaction mixture at 0 oC over a period of 30 min, warmed then to room temperature for 1 h. The reaction mixture was quenched by adding 2 M HCl (80 mL). The result mixture was extracted with ethyl acetate (50 mL x 3). The combined organic layers were dried over Na2SO4. The solvent was concentrated to dryness. The residue was separated by column to give compound 6.
[0519] Experimental Details: A solution of compound 6 (4.5 g, 22.5 mmol) in triethyl orthoformate (15 mL) was heated in the presence of a trace of TsOH over night. The reaction mixture was diluted with ethyl acetate (100 mL) and washed with an aqueous of 5% Na2CO3. The organic layer was separated and dried over Na2SO4. The solvent was concentrated to give compound 7.
[0520] 6. Reaction Scheme:
7
[0521] Experimental Details: To a stirred and degassed mixture of compound 7 (1.3 g, 5 mmol) and compound 8 (0.97 g, 6 mmol), and t BuONa (0.7 g, 7 mmol) and P(t-Bu)3 (15 mg) in toluene (60 mL) was added Pd2(dba)3 (23 mgl) under N2 atmosphere and stirred under reflux for 12 h. After filtrating off the solid, the filtrate was concentrated to dryness. The residue was purified by column to give product 9.
[0522] 7. Reaction Scheme:
9 10
[0523] Experimental Details: A solution of compound 9 (200 mg, 0.58 mmol) in dichloromethane (10 mL) was treated with BBr3 (146 mg, 0.6 mmol) at - 30 °C under N2 atmosphere, then was stirred at room temperature for 4 h. The reaction was poured unto ice- water and then was brought by adding Na2CO3. The resulting mixture was extracted with dichloromethane (25 mL * 3), the combined organic layer was dried over Na2SO4. After filtrating off the Na2SO4, the filtrate was concentrated to give the crude product 10.
[0524] 8. Reaction Scheme:
[0525] Experimental Details: A solution of compound 10 (48.7 mg, 0.2 mmol) and compound 4 (63 mg, 0.2 mmol) in anhydrous CH2CI2 (300 mL) was stirred under reflux for 6 h. The solvent was removed under reduced pressure. The residue was separated by prep- TLC to give the desired compound.
EXAMPLE 27.
[0526] 1. Reaction Scheme:
[0527] Experimental Details: A solution of 3 (2.4 g, 11 mmol) and methylhydrazine (2 g, 45 mmol) in ethanol (40 mL) was heated to reflux for 6 h. After cooling and precipitating, the precipitate was collected by filtrate and washed with ethanol to give compound 2.
[0528] 2. Reaction Scheme:
[0529] Experimental Details: A solution of compound 2 (28 mg, 0.1 mmol) and compound 3 (37 mg, 0.1 mmol) in anhydrous CH2Cl2 (300 mL) was stirred under reflux for 6 h. The solvent was removed under reduced pressure. The residue was separated by prep- TLC to give the desired compound.
EXAMPLE 28.
[0531] Experimental Details: A solution of 1 (2 g, 0.011 mol) in anhydrous THF (100 mL) was treated with MeMgCl (15 mL. 0.038 mol), at -20 °C and stirred for 2 h at this temperature. This reaction mixture was quenched by adding the saturated aqueous OfNH4Cl. The resulting mixture was extracted with ethyl acetate (100 mL χ 3). The combined organic layers were washed with brine. The solvent was removed under reduced pressure to give compound 2.
[0532] 2. Reaction Scheme:
[0533] Experimental Details: A solution of compound 2 (2 g, 0.01 mol) and ethylene glycol (3 g, 0.048 mol) in anline (100 mL) was heated in the presence of a trace of TsOH for 3 h. The reaction mixture was diluted with ethyl acetate (100 mL) and washed with an aqueous of 5% Na2CO3. The organic layer was separated and dried over Na2SO4. The solvent was concentrated to give compound 3.
[0534] 3. Reaction Scheme:
[0535] Experimental Details: To a stirred and degassed mixture of compound 3 (0.4 g, 1.6 mmol) and compound 4 (0.3 g, 1.9 mmol), and t BuONa (0.22 g, 2 mmol) and P(t-Bu)3 (59 mg) in toluene (30 mL) was added Pd2(dba)3 (29 mgl) under N2 atmosphere and stirred under reflux for 12 h. After filtrating off the solid, the filtrate was concentrated to dryness. The residue was purified by column to give product 5.
[0536] 4. Reaction Scheme:
[0537] Experimental Details: A solution of compound 5 (100 mg, 0.3 mmol) in dichloromethane (10 mL) was treated with BBr3 (146 mg, 0.6 mmol) at - 30 °C under N2 atmosphere, then was stirred at room temperature for 4 h. The reaction was poured unto ice- water and then was brought by adding Na2CO3. The resulting mixture was extracted with dichloromethane (25 mL x 3), the combined organic layer was dried over Na2SO4. After filtrating off the Na2SO4, the filtrate was concentrated to give the crude product 6.
[0538] 5. Reaction Scheme:
[0539] Experimental Details: A solution of compound 6 (64 mg, 0.2 mmol) and compound 7 (45 mg, 0.2 mmol) in anhydrous CH2Cl2 (300 mL) was stirred under reflux for 6 h. The solvent was removed under reduced pressure. The residue was separated by prep- TLC to give the desired compound.
EXAMPLE 29.
[0540] 1. Reaction Scheme:
[0541] Experimental Details: A mixture of 1 (5.2 g, 22 mmol) and 2 (2.44 g, 20 mmol) in an aqueous of 2 M Na2CO3 (25 mL) and toluene (40 mL) was stirred with Pd(PPh3)4 (0.57 g, 0.05 mmol) under reflux over night. The reaction mixture was extracted with ethyl acetate (100 mL x 3). The combined organic layers were washed with brine. The solvent was removed under reduced pressure to dryness. The residue was purified by column to give 3.
[0542] 2. Reaction Scheme:
[0543] Experimental Details: A solution of compound 3 (0.78 g, 3.3 mmol) and triisopropyl borate (1 mL, 4 mmol) in anhydrous toluene ( 50 mL) was treated with n-BuLi ( 1.5 mL, 3.75 mmol) at -60 °C under N2 atmosphere. After complete addition, theis mixture was stirred at -10 °C for 1 h. The reaction mixture was quenched by adding aqueous of 2 M HCl, and washed with toluene. The aqueous layer was brought pH = 8 by adding Na2CO3, extracted then with ethyl acetate (50 mL * 3). The combined organic layers were washed with brine. The solvent was removed under reduced pressure to dryness. The residue was separated by column to give 4.
[0544] 3. Reaction Scheme:
[0545] Experimental Details: To a stirred and degassed mixture of compound 4 (2.8 g, 14 mmol) and compound 5 (7 g, 42 mmol) in an aqueous of 2 M Na2CO3 (250 mL) and toluene (40 mL) was stirred with Pd(PPh3)4 (0.57 g, 0.05 mmol) under reflux over night. The reaction mixture was extracted with ethyl acetate (100 mL x 3). The combined organic layers were washed with brine. The solvent was removed under reduced pressure to dryness. The residue was separated by column to give 6.
[0546] 4. Reaction Scheme:
[0547] Experimental Details: A solution of 6 (0.53 g, 1.9 mmol) and hydrazine (0.52 g, 8.8 mmol) in ethanol (50 mL) was stirred under reflux for 6 h. After cooling and precipitating, the precipitate was collected by filtrate and washed with ethanol to give compound 7.
[0548] 5. Reaction Scheme:
[0549] Experimental Details: A solution of compound 7 (53 mg, 0.13 mmol) and compound 8 (79 mg, 0.13 mmol) in anhydrous CH2Cl2 (300 mL) was stirred under reflux for 6 h. The solvent was removed under reduced pressure. The residue was purified by prep- TLC to give the desired compound.
EXAMPLE 30.
[0550] 1. Reaction Scheme:
1 3
[0551] Experimental Details: A mixture of 1 (3.1 g, 13 mmol) and 2 (1 g, 12 mmpl) in an aqueous of 2 M Na2CO3 (15 mL) and toluene (30 mL) was stirred with Pd(PPh3 )4 (0.4 g, 0.029 mmol) under reflux over night. The reaction mixture was extracted with ethyl acetate (100 mL x 3). The combined organic layers were washed with brine. The solvent was removed under reduced pressure to dryness. The residue was separated by column to give 3.
3 4
[0553] Experimental Details: A solution of compound 3 (2.0 g, 10 mmol) and triisopropyl borate ( 7 mL, 30 mmol) in anhydrous toluene ( 50 mL) was treated with n-BuLi ( 12 mL, 30 mmol) at -60 °C under N2 atmosphere. After complete addition, this mixture was stirred at -10 °C for 1 h. The reaction mixture was quenched by adding an aqueous of 2 m HCl, and washed with toluene. The aqueous layer was brought pH = 8 by adding Na2CO3, extracted then with ethyl acetate (50 mL x 3). The combined organic layers were washed with brine. The solvent was removed under reduced pressure to dryness. The residue was separated by column to give 4.
[0554] 3. Reaction Scheme:
[0555] Experimental Details: To a stirred and degassed mixture of compound 4 (0.5 g, 3 mmol) and compound 5 (1.5 g, 9 mmol) in an aqueous of 2 M Na2CO3 (3.5 mL) and toluene (40 mL) was stirred with Pd(PPh3)4 (94 mg, 0.003 mmol) under reflux over night. The reaction mixture was extracted with ethyl acetate (100 mL χ 3). The combined organic layers were washed with brine. The solvent was removed under reduced pressure to dryness. The residue was purified by column to give 6.
[0556] 4. Reaction Scheme:
[0557] Experimental Details: A solution of 6 (0.24 g, 1 mmol) and hydrazine (0.3g, 4.7 mmol) in ethanol (50 mL) was stirred under reflux for 6 h. After cooling and precipitating, the precipitate was collected by filtrate and washed with ethanol to give compound 7.
[0559] Experimental Details: A solution of compound 7 (70 mg, 0.29 mmol) and compound 8 (83 mg, 0.3 mmol) in anhydrous CH2Cl2 (300 mL) was stirred under reflux for 6 h. The solvent was removed under reduced pressure. The residue was purified by prep-TLC to give the desired compound.
EXAMPLE 31.
[0560] 1. Reaction Scheme:
[0561] Experimental Details: To a solution of compound 2 (0.83 g, 5 mmol) in ethanol (100 mL) was added benzylamine (0.54 g, 5 mmol) drop wise. After stirring for 2 h, the reaction mixture was diluted with water. The resulting mixture was extracted wit ethyl acetate (50 mL * 3). The combined organic layers were dried over Na2SO4. The solvent was concentrated to give compound 3.
[0562] 2. Reaction Scheme:
[0563] Experimental Details: A solution of 3 (1.18 g, 5 mmol) and hydrazine (5ml) in ethanol (40 mL) was heated to reflux for 6 h. After cooling and precipitating, the precipitate was collected by filtrate and washed with ethanol to give compound 4.
[0564] 3. Reaction Scheme:
[0565] Experimental Details: A solution of compound 4 (48.7 mg, 2 mmol) and compound 5 (63 mg, 0.2 mmol) in anhydrous CH2Cl2 (300 mL) was stirred under reflux for 6 h. The solvent was removed under reduced pressure. The residue was separated by prep- TLC to give the desired compound.
EXAMPLE 32.
[0566] 1. Reaction Scheme:
[0567] Experimental Details: To a solution of compound 2 (0.83 g, 5 mmol) in ethanol (100 mL) was added compound 2 (0.35 g, 5 mmol) dropwise. After stirring for 2 h, the reaction mixture was diluted with water. The resulting mixture was extracted with ethyl acetate (50 mL * 3). The combined organic layers were dried over Na2SO4. The solvent was concentrated to give compound 3.
[0568] 2. Reaction Scheme:
[0569] Experimental Details: A solution of 3 (1.0 g, 5 mmol) and hydrazine (5 mL) in ethanol (40 mL) was heated to reflux for 6 h. After cooling and precipitating, the precipitate was collected by filtrate and washed with ethanol to give compound 4.
[0570] 3. Reaction Scheme:
[0571] Experimental Details: A solution of compound 4 (480 mg, 2 mmol) and compound 5 (60 mg, 0.2 mmol) in anhydrous CH2Cl2 (300 mL) was stirred under reflux for 6 h. The solvent was removed under reduced pressure. The residue was separated by prep- TLC to give the desired compound.
EXAMPLE 33.
[0572] 1. Reaction Scheme:
[0573] Experimental Details: To a solution of compound 1 (1.2 g, 4.2 mmol) in methanol (50 mL) was added BINAP (30 mg, 0.042 mmol), PdCl2 (20 mg, 0.042 mmol) and triethylamine (1 g, 8.4 mmol). This mixture was sealed in an autoclave, and heated at 100 0C for 24 h. The reaction mixture was filtered, and the filtrate was concentrated to give a crude product. The crude product was purified by column chromatography on silica gel to give compound 2 as a white solid.
[0574] 2. Reaction Scheme:
[0575] Experimental Details: To a solution of compound 2 (0.8 g, 2.58 mmol) in THF (30 mL) was added a solution of 1 M diisobutylaluminum hydride (8 mL, 7.74 mmol) while cooling with ice bath. The ice bath was removed, and an additional solution of IM diisobutylaluminum hydride (2.6 mL, 2.58 mmol) was added. After stirring for 2 hours, the reaction was quenched by addition of MeOH (10 mL) dropwise. The mixture was diluted with CH2Cl2 (50 mL). The organic layer was separated and dried. Solvent was removed under reduced pressure to give crude compound 3. The crude product was purified by column chromatography on silica gel to give compound 3 as a yellow solid.
[0576] 3. Reaction Scheme:
4 5
[0577] Experimental Details: A solution of n-BuLi (2.5 M, 11 mL) was added dropwise to a solution of 4 (4 g, 12.6 mmol) in THF (150 mL) at -78 0C and then stirred for 90 minutes. Weinreb amide of acetic acid (2.6 g, 25.2 mmol) was then added dropwise to this mixture and the mixture was stirred for 6 hours. The mixture was allowed to warm to room temperature, diluted with aqueous NaHCO3 (30 mL) and extracted with Et2O (100 mL). The organic layers were combined, dried over Na2SO4. After filtrating off the solid, the filtrate was concentrated to dryness. The residue was purified by column to give product 5.
[0578] 4. Reaction Scheme:
[0579] Experimental Details: To a solution of NaOH (0.4 g, 10 mmol) in water (10 mL) were sequentially added a solution of 5 (0.56 g, 2 mmol) in EtOH (20 mL) and a solution of 3 (0.46 g, 2.2 mmol) in EtOH (20 mL). The resulting mixture was stirred for 16 hours at room temperature. Water (20 mL) was added and the product extracted with ethyl acetate. The combined organic layers were dried over Na2SO4 and evaporated to yield the crude product, which was used without further purification.
[0581] Experimental Details: To a solution of 6 (0.4 g, 0.84 mmol) in 1,2- dichloromethane (40 mL) and triethylsilane (116 mg, 1 mmol) was slowly added TFA (2 mL). The resulting mixture was stirred at 60°C for 4 h. The volatiles were removed in vacuo and the residue was purified by column to give the product 7.
[0582] 6. Reaction Scheme:
[0583] Experimental Details: A solution of 7 (160 mg, 0.337 mmol) in EtOH (50 mL) at 0 0C was treated with NaBH4 (25 mg, 0.67 mmol). The solution was stirred for 4 hours, extracted with ethyl acetate, the organic layers were combined, washed with water and dried with Na2SO4. The organic layer was concentrated under reduced pressure to afford compound 8 as a yellow solid, which was used without further purification.
[0584] 7. Reaction Scheme:
[0585] Experimental Details: A solution of compound 8 (100 mg, 0.21 mmol) and TsOH (51 mg, 0.3 mmol) in toluene (40 mL) was heated at reflux for 6 hr. The reaction mixture was evaporated under reduced pressure to dryness. The residue was dissolved into ethyl acetate (40 mL), and washed with sat. NaHCO3 (20 mL), dried to afford the desired compound as a yellow oil.
[0586] All references to any publication, patent, or other citation are hereby incorporated by reference.
REFERENCES
Adcock, I.M., Lane, SJ. Mechanisms of Steroid Action and Resistance in Inflammation.
Journal of Endocrinology, Volume 178 (September 2003) Pages 347-355
Allen, P.B., Wiedemann, L.M. An Activating Mutation in the ATP Binding Site of the ABL Kinase Domain. The Journal of Biological Chemistry, Volume 271 (August 9, 1996) Pages 19585-19591
Barthe, C, Cony-Makhoul, P., MeIo, J.V., Reiffers, J., Mahon, F5X. Roots of Clinical Resistance to STI- 571 Cancer Therapy. Science, Volume 293 (September 21, 2001) Page 2163a
Branford, S., Rudzki, Z., Walsh, S., Grigg, A., Arthur, C, Taylor, K., Hermann, R., Lynch, K.P., Hughes, T.P. High Frequency of Point Mutations Clustered Within the Adenosine Triphosphate-Binding Region of BCR/ ABL in Patients with Chronic Myeloid Leukemia or Ph-positive Acute Lymphoblastic Leukemia Who Develop Imatinib (STI571) Resistance. Blood, Volume 99 (May 1, 2002) Pages 3472-3475
Burbaum, JJ. , Ohlmeyer, M.H., Reader, J. C, Henderson, L, Dillard, L. W., Li, G., Randle, T.L., Sigal, N.H., Chelsky, D., Baldwin, JJ. A paradigm for drug discovery employing encoded combinatorial libraries. Proceedings of the National Academy of Science U S A, Volume 92 (June 20, 1995) Pages 6027-6031.
Carter, T.A., Wodicka, L.M., Shah, N.P., Velasco, A.M., Fabian, M.A., Treiber, D.K., Milanov, Z.V., Atteridge, C.E., Biggs, W.H. 3rd, Edeen, P.T., Floyd, M., Ford, J.M., Grotzfeld, R.M., Herrgard, S., Insko, D.E., Mehta, S.A., Patel, H.K., Pao, W., Sawyers, C.L., Varmus, H., Zarrinkar, P.P., Lockhart, DJ. Inhibition of drug-resistant mutants of ABL, KIT, and EGF receptor kinases. Proceedings of the National Academy of Science U S A, Volume 102 (August 2, 2005) Pages 11011-11016.
Corbin, A. S., Buchdunger, E., Pascal, F., Druker, B. J. Analysis of the Structural Basis of Specificity of Inhibition of the AbI Kinase by STI571. The Journal of Biological Chemistry, Volume 277 (August 30, 2002) Pages 32214-32219
Cunningham, B.C., De Vos, A.M., Mulkerrin, M.G., Ultsch, M, Wells, J.A. Selecting Ligand Agonists and Antagonists. U.S. Patent 5,506,107 (April 9,1996)
Cunningham, B.C., Wells, J.A., Clark, R. G., Olson, K., Fuh, G.G. Method for Inhibiting Growth Hormone Action. U.S. Patent 6,004,931 (December 21,1999)
Daley, G. Q., Van Etten, R. A., Baltimore, D. Induction of Chronic Myelogenous Leukemia in Mice by the P210 brc/abl Gene of the Philadelphia Chromosome. Science, Volume 247 (February 16, 1990) Pages 824-830
Druker, B. J., M.D., Talpaz, M., M.D., Resta, DJ., R.N., Peng, B., Ph.D., Buchdunger, E., Ph.D., Ford, J.M., M.D., Lydon, N. B., Ph.D., Kantarjian, H., M.D., Capdeville, R., M.D., Ohno-Jones, S., B. S., Sawyers, C. L., M.D. Efficacy and Safety of a Specific Inhibitor of the BCR-ABL Tyrosine Kinase in Chronic Myeloid Leukemia. The New England Journal of Medicine, Volume 344 (April 5, 2001) Pages 1031-1037
Druker, B. J., Tamura, S., Buchdunger, E., Ohno, S., Segal, G.M., Fanning, S., Zimmermann, J., Lydon, N B. Effects of a Selective Inhibitor of the AbI Tyrosine Kinase on the Growth of Bcr-Abl Positive Cells. Nature Medicine, Volume 2 (May 1996) Pages 561-566
Druker, BJ., M.D., Sawyers, C.L., M.D., Kantarjian, H., M.D., Resta, D. J., R.N., Reese, S.F., M.D., Ford, J.M., M.D., Capdeville, R., M.D., Talpaz, M., M.D. Activity of a Specific Inhibitor of the BCR-ABL Tyrosine Kinase in the Blast Crisis of Chronic Myeloid Leukemia and Acute Lymphoblastic Leukemia with the Philadelphia Chromosome.
The New England Journal of Medicine, Volume 344 (April 5, 2001) Pages 1038-1042
Faderl, S., M.D., Talpaz, M., M.D., Estrov, Z., M.D., O'Brien, S., M.D., Kurzrock, R., M.D., Kantarjian, H. M., M.D. The Biology of Chronic Myeloid Leukemia. The New England Journal of Medicine, Volume 341 (July 15,1999) Pages 164-172
Foreman, J. C. and Johansen, T. Textbook of Receptor Pharmacology. CRC Press, 2002; Boca Raton
Gambacorti-Passerini, C, Barni, R., Le Coutre, P., Zucchetti, M., Cabrita, G., Cleris, L., Rossi, F., Gianazza, E., Brueggen, J., Cozens, R., Pioltelli, P., Pogliani, E., Corneo, G., Formelli, F., D'Incalci, M. Role of αl Acid Glycoprotein in the In Vivo Resistance of Human BCR-ABL+ . Leukemic Cells to the AbI Inhibitor STI571. Journal of the National Cancer Institute, Volume 92 (October 18, 2000) Pages 1641-1650.
Goodnow, R.A., Jr., Guba, W., Haap, W. Library design practices for success in lead generation with small molecule libraries. Combinatorial Chemistry and High Throughput Screening, Volume 6 (November 2003) Pages 649-660.
Gorre, M. E., Mohammed, M., Ellwood, K., Hsu, N., Paquette, R., Rao, P.N., Sawyers, CL. Clinical Resistance to STI- 571 Cancer Therapy Caused by BCR- ABL Gene Mutation or Amplification. Science, Volume 293 (August 3, 2001) Pages 876-880.
Hanke, J.H., Gardner, J.P., Dow, R.L., Changelian, P. S., Brissette, W.H., Weringer, E.J., Pollok, B.A., Connelly, P.A. Discovery of a novel, potent, and Src family-selective tyrosine kinase inhibitor. Study of Lck- and FynT-dependent T cell activation. Journal of Biological Chemistry, Volume 271 (January 1996) Pages 695-701.
Hofrnann, W. K., Jones, L.C., Lemp, N.A., DeVos, S., Gschaidmeier, H., Hoelzer, D., Ottmann, O. G., Koeffler, H. P. Ph+ Acute Lymphoblastic Leukemia Resistant to the Tyrosine Kinase Inhibitor STI571 has a Unique BCR-ABL Gene Mutation. Blood, Volume 99 (March 1, 2002) Pages 1860-1862.
Hou, Y.Y., Tan, Y.S., Sun, M.H., Wei, Y.K., Xu, J.F., Lu, S.H., A-Ke-Su, S.J., Zhou, Y.N., Gao, F., Zheng, A.H., Zhang, T.M., Hou, W.Z., Wang, J., Du, X., Zhu, X.Z. C-kit Gene Mutation in Human Gastrointestinal Stromal Tumors. World Journal of Gastroenterology, Volume 10 (May 1, 2004) Pages 1310-1314.
Housey GM. Method of Screening for Protein Inhibitors and Activators.
U.S. Patent 4, 980, 281 (December 25, 1990)
Housey GM, Johnson MD, Hsiao WL, O'Brian CA, Murphy JP, Kirschmeier P, Weinstein IB. Overproduction of protein kinase C causes disordered growth control in rat fibroblasts. Cell, Volume 52 (February 12, 1988) Pages 343-54.
Kerkela, R., Grazette, L., Yacobi, R., Iliescu, C, Patten, R., Beahm, C, Walters, B., Shevtsov, S., Pesant, S., Clubb, F. J., Rosenzweig, A., Salomon, R.N., Van Etten, R.A., Alroy, J., Durand, J. B., Force, T. Cardiotoxicity of the cancer therapeutic agent imatinib mesylate. Nature Medicine, Volume 12 (August 2006) Pages 908-916.
Knight, Z. A., Shokat, K.M. Features of Selective Kinase Inhibitors. Chemistry and Biology, Volume 12 (June 2005) Pages 621-637.
La Rosee, P., Corbin, A. S., Stoffregen, E. P., Deininger, M.W., Druker, B. J. Activity of the Bcr-Abl Kinase Inhibitor PDl 80970 Against Clinically Relevant Bcr-Abl Isoforms That Cause Resistance to Imatinib Mesylate (Gleevec, STI-571). Cancer Research, Volume 62 (December 15, 2002) Pages 7149-7153
Le Coutre, P., Tassi, E., Varella-Garcia, M., Barni, R., Mologni, L., Cabrita, G., Marchesi, E., Supino, R., Gambacorti-Passerini, C. Induction of Resistance to the Abelson Inhibitor STI571 in Human Leukemic Cells Through Gene Amplification. Blood, Volume 95 (March 1, 2000) Pages 1758-1766
Leonard, G.D., Fojo, T., Bates, S.E. The Role of ABC Transporters in Clinical Practice.
The Oncologist, Volume 8 (2003) Pages 411-424
Loutfy, M.R., Walmsley, S. L. Salvage Antiretroviral Therapy in HIV Infection. Expert Opinion, Volume 3 (February 2002) Pages 81-90
Lynch, T.J., M.D., Bell, D.W., Ph.D., Sordella, R., Ph.D., Gurubhagavatula, S., M.D., Okimoto, R.A., B.S., Brannigan, B.W., B.A., Harris, P.L., M.S., Haserlat, S.M., B.A., Supko, J.G., Ph.D., Haluska, F.G., M.D., Ph.D., Louis, D.N., M.D., Christiani, D.C., M.D., Settleman, J., Ph.D., Haber, D.A., M.D., Ph.D. Activating Mutations in the Epidermal Growth Factor Receptor Underlying Responsiveness of Non-Small-Cell Lung Cancer to Gefitinib. The New England Journal of Medicine, Volume 350 (May 20, 2004) Pages 2129- 2139
Mahon, F. X., Deininger, M. W.N., Schultheis, B., Chabrol, J., Reiffers, J., Goldman, J.M., MeIo, J.V. Selection and Characterization of BCR-ABL Positive Cell Lines with Differential Sensitivity to the Tyrosine Kinase Inhibitor STI571 : Diverse Mechanisms of Resistance. Blood, Volume 96 (August 1, 2000) Pages 1070-1079
Marx, J. Why a New Cancer Drug Works Well in Some Patients. Science, Volume 304 (April 30, 2004) Pages 658-659
MeIo JV, Myint H, Galton DA, Goldman JM. P190BCR-ABL chronic myeloid leukaemia: the missing link with chronic myelomonocytic leukaemia? Leukemia, Volume 8 (January 1994) Pages 208-11
Noble, M.E.M., Endicott, J.A., Johnson, L.N. Protein Kinase Inhibitors: Insights into Drug Design from Structure. Science, Volume 303 (March 19, 2004) Pages 1800-1805
O'Hare T, Pollock R, Stoffregen EP, Keats JA, Abdullah OM, Moseson EM, Rivera VM, Tang H, Metcalf CA 3rd, Bohacek RS, Wang Y, Sundaramoorthi R, Shakespeare WC, Dalgarno D, Clackson T, Sawyer TK, Deininger MW, Druker BJ. Inhibition of wild-type and mutant Bcr-Abl by AP23464, a potent ATP-based oncogenic protein kinase inhibitor: implications for CML. Blood, Volume 104 (October 15, 2004) Pages 2532-2539
Paez, J. G., Janne, P. A., Lee, J. C, Tracy, S., Greulich, H., Gabriel, S., Herman, P., Kaye, F.J., Lindeman, N., Boggon, T.J., Naoki, K., Sasaki, H., Fujii, Y., Eck, M.J., Sellers, W.R., Johnson, B. E., Meyerson, M. EGFR Mutations in Lung Cancer: Correlation with Clinical Response to Gefitinib Therapy. Sciencexpress (April 29, 2004) Pages 1 -4
Ravandi F, Cortes J, Albitar M, Arlinghaus R, Qiang Guo J, Talpaz M, Kantarjian HM. Chronic myelogenous leukaemia with pl85(BCR/ABL) expression: characteristics and clinical significance. British Journal of Haematology, Volume 107 (December 1999) Pages 581-586
Sambrook and Russell, Molecular Cloning: A Laboratory Manual. Cold Spring Harbor Laboratory Press, New York, 2001, Volumes 1-3
Sawyers,C.L. M.D. Chronic Myeloid Leukemia. The New England Journal of Medicine, Volume 340 (April 29,1999) Pages 1330-1340.
Sawyers, C.L., Gorre, M.E., Shah, N.P., Nicoll, J. Mutations in the BCR-ABL Tyrosine Kinase Associated with Resistance to STI-571. WO 02/102976 A2 Published December 27, 2002 (PCT/US02/18729 Filed June 14, 2002)
Schindler, T., Bornmann,W., Pellicena, P., Miller, W. T., Clarkson, B., Kuriyan, J. Structural Mechanism for STI-571 Inhibition of Abelson Tyrosine Kinase. Science, Volume 289 (September 15, 2000) Pages 1938-1942
Senechal, K., Halpern, J., Sawyers, CL. The CRKL Adaptor Protein Transforms Fibroblasts and Functions in Transformation by the BCR-ABL Onocogene. The Journal of Biological Chemistry, Volume 271 (September 20, 1996) Pages 23255-23261
Senechal, K., Heaney, C, Druker, B., Sawyers, CL. Structural Requirements for Function of the Crkl Adapter Protein in Fibroblasts and Hematopoietic Cells.
Molecular and Cellular Biology, Volume 18 (September 1998) Pages 5082-5090.
Tipping AJ, Baluch S, Barnes DJ, Veach DR, Clarkson BM, Bornmann WG, Mahon FX, Goldman JM, MeIo JV. Efficacy of dual-specific Bcr-Abl and Src-family kinase inhibitors in cells sensitive and resistant to imatinib mesylate. Leukemia, Volume 18 (August 2004) Pages 1352-1356
Von Bubnoff, N., Schneller, F., Peschel, C, Duyster, J. BCR-ABL Gene Mutations in Relation to Clinical Resistance of Philadelphia-Chromosome-Positive Leukemia to STI571: A Prospective Study. The Lancet, Volume 359 (February 9, 2002) Pages 487-491
Von Bubnoff, N., Veach DR, Van Der Kuip H, Aulitzky WE, Sanger J, Seipel P, Bornmann WG, Peschel C, Clarkson B, Duyster J. A cell-based screen for resistance of Bcr-Abl
positive leukemia identifies the mutation pattern for PDl 66326, an alternative AbI kinase inhibitor. Blood, Volume 105 (February 15, 2005) Pages 1652-1659
Wakai, T., Kanda, T., Hirota, S., Ohashi, A., Shirai, Y. Hatakeyama, K. Late Resistance to Imatinib Therapy in a Metastatic Gastrointestinal Stromal Tumour is Associated With a Second KIT Mutation. British Journal of Cancer, Volume 90 (June 1, 2004) Pages 2059- 2061
Warmuth, M., Mathes, R., Hallek, M. Method for Selecting Enzyme Inhibitors. U.S. Patent Application 2003/0162222 Al (August 28, 2003)
Weigel, U., Meyer, M., Sebald, W. Mutant Proteins of Human Interleukin 2: Renaturation Yield, Proliferative Activity and Receptor Binding. European Journal of Biochemistry, Volume 180 (March 15, 1989) Pages 295-300.
Weisberg E, Catley L, Kujawa J, Atadja P, Remiszewski S, Fuerst P, Cavazza C, Anderson K, Griffin JD. Histone deacetylase inhibitor NVP-LAQ824 has significant activity against myeloid leukemia cells in vitro and in vivo. Leukemia, Volume 18 (December 2004) Pages 1951-1963
Weisberg, E., Griffin, J. D. Mechanism of Resistance to the ABL Tyrosine Kinase Inhibitor STI 571 in BCR/ABL-Transformed Hematopoietic Cell Lines. Blood, Volume 95 (June 1, 2000) Pages 3498-3505
Weisberg E, Manley PW, Breitenstein W, Bruggen J, Cowan- Jacob SW, Ray A, Huntly B, Fabbro D, Fendrich G, Hall-Meyers E, Kung AL, Mestan J, Daley GQ, Callahan L, Catley L, Cavazza C, Azam M, Neuberg D, Wright RD, Gilliland DG, Griffin JD. Characterization of AMN107, a selective inhibitor of native and mutant Bcr-Abl. Cancer Cell, Volume 7 (February 2005) Pages 129-41
White, MF, Livingston, JM, Backer, Lauris, V, Dull, TJ, Ullrich A, Kahn, CR. Mutation of the Insulin Receptor at Tyrosine 960 Inhibits Signal Transmission but Does Not Affect Its Tyrosine Kinase Activity. Cell, Volume 54 (August 26, 1988) Pages 641-649
Claims
1. A compound of the formula VIII3
(Villa) wherein ring A is a 5-, 6-, or 7- membered ring or a 7- to 12-membered fused bicyclic ring; X1 is selected from N, N-R0 or C-R1; X2 is selected from N, N-R0 or C-R1; the dotted lines represent optional double bonds; each R1 is independently selected from the group consisting of H, alkyl, cycloalkyl, alkenyl, alkynyl, aralkyl, CN, CF3, NO2, OR11, -(CH^CCOXCH^R11, -(CH2)PC(O)N(R12)(R13), -(CH2)PC(O)O(CH2),^1, -(CH2)pN(Rn)C(0)Rπ, -(CH2)PN(R12)(R13), -N(Rn)SO2Rn, -OC(O)N(R12)(R13), -SO2N(R12XR13), halo, aryl, and a heterocyclic ring, and additionally or alternatively, two R1 groups on adjacent ring atoms form a 5- or 6-membered fused ring which contains from O to 3 heteroatoms; n is O to 6, each R1 x is independently selected from H, alkyl, cycloalkyl, alkenyl, alkynyl, aralkyl, aryl, and a heterocyclic ring; each R12 and R13 are independently selected from H, alkyl, cycloalkyl, alkenyl, alkynyl, aralkyl, aryl, and a heterocyclic ring; or R12 and R13 may be taken together with the nitrogen to which they are attached form a 5- to 7- membered ring which may optionally contain a further heteroatom, wherein the 5- to 7- membered ring may optionally be substituted with one to three substituents that are independently selected from alkyl, cycloalkyl, alkenyl, alkynyl, aralkyl, CN, CF3, NO2, OR0, CO2R0, C(O)R0, halo, aryl, and a heterocyclic ring; p is O to 4; q is O to 4; R8 is selected from the group consisting of H, alkyl, cycloalkyl, alkenyl, alkynyl, CO2R0,
C(O)R0, N(R°)2, aralkyl, aryl, and a heterocyclic ring; X3 is N, CH or C-R50; each R50 is independently selected from the group consisting of alkyl, cycloalkyl, alkenyl, alkynyl, aralkyl, CN, CF3, NO2, OR51, -(CH2)rC(O)(CH2),R51, -(CH2)rC(O)N(R52)(R53), -(CH2)rC(O)O(CH2),R51, -(CH2)rN(R51)C(O)R51, -(CH2)rN(R52)(R53), -N(R5I)SO2R51, -OC(O)N(R52)(R53), -SO2N(R52)(R53), halo, aryl, and a heterocyclic ring, and additionally or alternatively, two R50 groups on adjacent ring atoms form a 5- or 6-membered fused ring which contains from 0 to 3 heteroatoms;
R51 is selected from H, alkyl, cycloalkyl, alkenyl, alkynyl, aralkyl, aryl, and a heterocyclic ring;
R52 and R53 are independently selected from H, alkyl, cycloalkyl, alkenyl, alkynyl, aralkyl, aryl, and a heterocyclic ring; or R52 and R53 may be taken together with the nitrogen to which they are attached form a 5- to 7- membered ring which may optionally contain a further heteroatom, wherein the 5- to 7- membered ring may optionally be substituted with one to three substituents that are independently selected from alkyl, cycloalkyl, alkenyl, alkynyl, aralkyl, CN, CF3, NO2, OR0, CO2R0, C(O)R0, halo, aryl, and a heterocyclic ring; r is O to 4; 5 is O to 4; m is 0 to 4; and each R0 is independently selected from H, alkyl, cycloalkyl, aralkyl, aryl and a heterocyclic ring.
2. The compound of claim 1, having the formula VIIIb
R14 is selected from H and F; R is selected from the group consisting of H, alkyl, cycloalkyl, alkenyl, alkynyl, CO2R ,
C(O)R0, N(R°)2, aralkyl, aryl, and a heterocyclic ring; X3 is N, CH or C-R60; each R60 is independently selected from the group consisting of alkyl, cycloalkyl, alkenyl, alkynyl, aralkyl, CN, CF3, NO2, OR0, halo, aryl, and a heterocyclic ring;
R61 is selected from aryl and a heterocyclic ring; Q is selected from a chemical bond or a group having the formula -O-, -(CH2),-,
-(CH2),C(O)(CH2)/-, -(CH2),-N(R62)-(CH2)/-, -(CH2),C(O)-N(R62)-(CH2)7-,
-(CH2)AO)O(CH2),-, -(CH2),N(R62)C(O)-(CH2)r, -(CH2),OC(O)N(R62)-(CH2)r, and -
O-(CH2),-C(O)N(R62)-(CH2),-;
R62 is selected from H, alkyl, aryl, and a heterocyclic ring; each R0 is independently selected from H, alkyl, cycloalkyl, aralkyl, aryl and a heterocyclic ring; h is 0 to 4; i is 0 to 4; and j is 0 to 4.
3. The compound of claim 2, wherein R60 is selected from halo, CF3, and OH.
4. The compound of claim 2-3, wherein R8 is selected from H and CH3.
5. The compound of claim 2-4, wherein X3 is N.
6. The compound of claim 2-5, wherein Q is selected to be -(CH2),-N(R62)-(CH2)r.
7. The compound of claim 2-5, wherein Q is -N(R62)-.
8. The compound of claim 1, having the formula VIIIC
R14 is selected from H and F; R8 is selected from the group consisting of H, alkyl, cycloalkyl, alkenyl, alkynyl, CO2R0,
C(O)R0, N(R°)2, aralkyl, aryl, and a heterocyclic ring; R60 is independently selected from the group consisting of alkyl, cycloalkyl, alkenyl, alkynyl, aralkyl, CN, CF3, NO2, OR0, halo, aryl, and a heterocyclic ring; each R0 is independently selected from H, alkyl, cycloalkyl, aralkyl, aryl and a heterocyclic ring;
Q1 is selected from a chemical bond or a group having the formula -0-, -CH2-, -NH-,
-C(O)-NH-, -C(O)O-, -NH-C(O)-, -OC(O)NH-, and -0-C(O)NH-; each R70 is selected from halo, alkyl, CN, N(R71)2, cyclic-amino, NO2, OR71, and CF3; each R71 is selected from H, alkyl, aryl, aralkyl and a heterocyclic ring; and A: is 0 to 4.
9. The compound of claim 8, wherein R70 is selected from N(R7 ')2, CF3, and OH.
10. The compound of claim 8 or 9, wherein R8 is selected from H and CH3.
11. The compound of claim 8, 9 or 10 wherein Q1 is -NH-.
12. The compound of claim 2, wherein Q is -(CH2),-N(R62)-(CH2)7-.
13. The compound of claim 2, wherein Q is -N(R62)-.
14. The compound of claim 1, having the formula selected from:
15. A compound having the formula IXa wherein ring A is a 5-, 6-, or 7- membered ring or a 7- to 12-membered fused bicyclic ring; X1 is selected from N, N-R0 or C-R1; X2 is selected from N, N-R0 or C-R1; the dotted lines represent optional double bonds; each R1 is independently selected from the group consisting of H, alkyl, cycloalkyl, alkenyl, alkynyl, aralkyl, CN, CF3, NO2, OR11, -(CH2)pC(O)(CH2)9Rπ, -(CH2)PC(O)N(R12)(R13), -(CH2)ZXO)O(CH2),^1, -(CH2)pN(Rπ)C(O)Rn, -(CH2)^N(R12XR13), -N(Rn)SO2Ru, -OC(O)N(R12XR13), -SO2N(R12XR13), halo, aryl, and a heterocyclic ring, and additionally or alternatively, two R1 groups on adjacent ring atoms form a 5- or 6-membered fused ring which contains from O to 3 heteroatoms; n is O to 6, each R1 ' is independently selected from H, alkyl, cycloalkyl, alkenyl, alkynyl, aralkyl, aryl, and a heterocyclic ring; each R12 and R13 are independently selected from H, alkyl, cycloalkyl, alkenyl, alkynyl, aralkyl, aryl, and a heterocyclic ring; or R12 and R13 may be taken together with the nitrogen to which they are attached form a 5- to 7- membered ring which may optionally contain a further heteroatom, wherein the 5- to 7- membered ring may optionally be substituted with one to three substituents that are independently selected from alkyl, cycloalkyl, alkenyl, alkynyl, aralkyl, CN, CF3, NO2, OR0, CO2R0, C(O)R0, halo, aryl, and a heterocyclic ring; p is O to 4; q is O to 4; R8 is selected from the group consisting of H, alkyl, cycloalkyl, alkenyl, alkynyl, CO2R0,
C(O)R0, N(R°)2, aralkyl, aryl, and a heterocyclic ring; X3 is N, CH or C-R50; each R50 is independently selected from the group consisting of alkyl, cycloalkyl, alkenyl, alkynyl, aralkyl, CN, CF3, NO2, OR51, -(CH2)rC(O)(CH2),R51, -(CH2)rC(O)N(R52)(R53), -(CH2)rC(O)O(CH2),R51, -(CH2)rN(R51)C(O)R51, -(CH2)rN(R52)(R53), -N(R51)SO2R51, -OC(O)N(R52XR53), -SO2N(R52XR53), halo, aryl, and a heterocyclic ring, and additionally or alternatively, two R50 groups on adjacent ring atoms form a 5- or 6-membered fused ring which contains from 0 to 3 heteroatoms;
R51 is selected from H, alkyl, cycloalkyl, alkenyl, alkynyl, aralkyl, aryl, and a heterocyclic ring;
R52 and R53 are independently selected from H, alkyl, cycloalkyl, alkenyl, alkynyl, aralkyl, aryl, and a heterocyclic ring; or R52 and R53 may be taken together with the nitrogen to which they are attached form a 5- to 7- membered ring which may optionally contain a further heteroatom, wherein the 5- to 7- membered ring may optionally be substituted with one to three substituents that are independently selected from alkyl, cycloalkyl, alkenyl, alkynyl, aralkyl, CN, CF3, NO2, OR0, CO2R0, C(O)R0, halo, aryl, and a heterocyclic ring; r is O to 4; s is O to 4; m is O to 4; and each R0 is independently selected from H, alkyl, cycloalkyl, aralkyl, aryl and a heterocyclic ring.
16. A compound of claim 15, having the formula IXb
R14 is selected from H and F; R8 is selected from the group consisting of H, alkyl, cycloalkyl, alkenyl, alkynyl, CO2R0,
C(O)R0, N(R°)2, aralkyl, aryl, and a heterocyclic ring; X3 is N, CH or C-R60; each R60 is independently selected from the group consisting of alkyl, cycloalkyl, alkenyl, alkynyl, aralkyl, CN, CF3, NO2, OR0, halo, aryl, and a heterocyclic ring;
R61 is selected from aryl and a heterocyclic ring;
Q is selected from a chemical bond or a group having the formula -O-, -(CH2),-,
-(CH2),C(O)(CH2)7-, -(CH2),-N(R62)-(CH2)/-, -(CH2),C(O)-N(R62)-(CH2)7-, -(CHz)1C(O)O(CH2),-, -(CH2),N(R62)C(O)-(CH2)7-, -(CH2),OC(O)N(R62)-(CH2),-, and -
O-(CH2),-C(O)N(R62)-(CH2)/-;
R62 is selected from H, alkyl, aryl, and a heterocyclic ring; each R0 is independently selected from H, alkyl, cycloalkyl, aralkyl, aryl and a heterocyclic ring;
A is O to 4; i is 0 to 4; and j is 0 to 4.
17. The compound of claim 16, wherein R60 is selected from halo, CF3, and OH.
18. The compound of claim 16 or 17, wherein R is selected from H and CH3.
19. The compound of claim 16, 17 or 18 wherein X3 is N.
20. The compound of claim 16-19, wherein Q is selected to be -(CH2)rN(R62)-(CH2)7-.
21. The compound of claim 16-19, wherein Q is -N(R62)-.
22. The compound of claim 15 having the formula IXC
R14 is selected from H and F;
R8 is selected from the group consisting of H, alkyl, cycloalkyl, alkenyl, alkynyl, CO2R0,
C(O)R0, N(R0J2, aralkyl, aryl, and a heterocyclic ring; R is independently selected from the group consisting of alkyl, cycloalkyl, alkenyl, alkynyl, aralkyl, CN, CF3, NO2, OR0, halo, aryl, and a heterocyclic ring; each R0 is independently selected from H, alkyl, cycloalkyl, aralkyl, aryl and a heterocyclic ring;
Q1 is selected from a chemical bond or a group having the formula -0-, -CH2-, -NH-,
-C(O)-NH-, -C(O)O-, -NH-C(O)-, -OC(O)NH-, and -0-C(O)NH-; each R70 is selected from halo, alkyl, CN, N(R7l)2, cyclic-amino, NO2, OR71, and CF3; each R71 is selected from H, alkyl, aryl, aralkyl and a heterocyclic ring; and k is O to 4.
23. The compound of claim 22, wherein R70 is selected from N(R71)2, CF3, and OH.
24. The compound of claim 22 or 23, wherein R8 is selected from H and CH3.
25. The compound of claim 22 to 24, wherein formula IX0, wherein Q1 is -NH-.
26. The compound of claim 1, having the formula selected from:
27. A compound having the formula X3
wherein ring A is a 5-, 6-, or 7- membered ring or a 7- to 12-membered fused bicyclic ring; X1 is selected from N, N-R0 or C-R1; X2 is selected from N, N-R0 or C-R1; the dotted lines represent optional double bonds; each R1 is independently selected from the group consisting of H, alkyl, cycloalkyl, alkenyl, alkynyl, aralkyl, CN, CF3, NO2, OR11, -(CH2)/,C(O)(CH2)9R11, -(CH2)PC(O)N(R12XR13), -(CH2)PC(O)O(CH2),^11, -(CH2)PN(R] ^C(O)R1 1, -(CH2)PN(R12)(R13), -N(Rn)SO2Rn, -OC(O)N(R12)(R13), -SO2N(R12)(R13), halo, aryl, and a heterocyclic ring, and additionally or alternatively, two R1 groups on adjacent ring atoms form a 5- or 6-membered fused ring which contains from O to 3 heteroatoms; n is O to 6, each R1 ' is independently selected from H, alkyl, cycloalkyl, alkenyl, alkynyl, aralkyl, aryl, and a heterocyclic ring; each R12 and R13 are independently selected from H, alkyl, cycloalkyl, alkenyl, alkynyl, aralkyl, aryl, and a heterocyclic ring; or R12 and R13 may be taken together with the nitrogen to which they are attached form a 5- to 7- membered ring which may optionally contain a further heteroatom, wherein the 5- to 7- membered ring may optionally be substituted with one to three substituents that are independently selected from alkyl, cycloalkyl, alkenyl, alkynyl, aralkyl, CN, CF3, NO2, OR0, CO2R0, C(O)R0, halo, aryl, and a heterocyclic ring; p is O to 4; q is O to 4;
X3 is N, CH or C-R50; each R50 is independently selected from the group consisting of alkyl, cycloalkyl, alkenyl, alkynyl, aralkyl, CN, CF3, NO2, OR51, -(CH2)rC(O)(CH2),R51, -(CH2),C(O)N(R52)(R53), -(CH2)rC(O)O(CH2),R51, -(CH2)rN(R51)C(O)R51, -(CH2)rN(R52)(R53), -N(R51)SO2R51, -OC(O)N(R52XR53), -SO2N(R52XR53), halo, aryl, and a heterocyclic ring, and additionally or alternatively, two R50 groups on adjacent ring atoms form a 5- or 6-membered fused ring which contains from 0 to 3 heteroatoms;
R51 is selected from H, alkyl, cycloalkyl, alkenyl, alkynyl, aralkyl, aryl, and a heterocyclic ring;
R52 and R53 are independently selected from H, alkyl, cycloalkyl, alkenyl, alkynyl, aralkyl, aryl, and a heterocyclic ring; or R52 and R53 may be taken together with the nitrogen to which they are attached form a 5- to 7- membered ring which may optionally contain a further heteroatom, wherein the 5- to 7- membered ring may optionally be substituted with one to three substituents that are independently selected from alkyl, cycloalkyl, alkenyl, alkynyl, aralkyl, CN, CF3, NO2, OR0, CO2R0, C(O)R0, halo, aryl, and a heterocyclic ring; r is 0 to 4; s is 0 to 4; m is 0 to 4; and each R0 is independently selected from H, alkyl, cycloalkyl, aralkyl, aryl and a heterocyclic ring.
28. The compound of claim 27, having the formula Xb
R14 is selected from H and F; X3 is N, CH or C-R60; each R60 is independently selected from the group consisting of alkyl, cycloalkyl, alkenyl, alkynyl, aralkyl, CN, CF3, NO2, OR0, halo, aryl, and a heterocyclic ring;
R61 is selected from aryl and a heterocyclic ring;
Q is selected from a chemical bond or a group having the formula -O-, -(CH2),-,
-(CH2),C(O)(CH2)7-, -(CH2),-N(R62)-(CH2)/-, -(CH2),C(O)-N(R62)-(CH2)/-,
-(CH2),C(O)O(CH2),-, -(CH2),N(R62)C(O)-(CH2)/-, -(CH2),OC(O)N(R62)-(CH2)7-, and -
O-(CH2),-C(O)N(R62)-(CH2),-; R62 is selected from H, alkyl, aryl, and a heterocyclic ring; each R0 is independently selected from H, alkyl, cycloalkyl, aralkyl, aryl and a heterocyclic ring; h is 0 to 4; i is 0 to 4; and j is 0 to 4.
29. The compound of claim 28, wherein R60 is selected from halo, CF3, and OH.
30. The compound of claims 27-29, wherein X3 is N.
31. The compound of claims 28-30, wherein Q is -(CH2)rN(R62)-(CH2)r .
32. The compound of claims 28-30, wherein Q is -N(R62)-.
33. The compound of claim 27, having the formula X0
R14 is selected from H and F; R is selected from the group consisting of H, alkyl, cycloalkyl, alkenyl, alkynyl, CO2R ,
C(O)R0, N(R°)2, aralkyl, aryl, and a heterocyclic ring; R60 is independently selected from the group consisting of alkyl, cycloalkyl, alkenyl, alkynyl, aralkyl, CN, CF3, NO2, OR0, halo, aryl, and a heterocyclic ring; each R0 is independently selected from H, alkyl, cycloalkyl, aralkyl, aryl and a heterocyclic ring;
Q1 is selected from a chemical bond or a group having the formula -O-, -CH2-, -NH-,
-C(O)-NH-, -C(O)O-, -NH-C(O)-, -OC(O)NH-, and -0-C(O)NH-; each R70 is selected from halo, alkyl, CN, N(R71)2, cyclic-amino, NO2, OR71, and CF3; each R71 is selected from H, alkyl, aryl, aralkyl and a heterocyclic ring; and A: is O to 4.
34. The compound of claim 33, wherein R70 is selected from N(R71)2, CF3, and OH.
35. The compound of claims 33 or 34, wherein R is selected from H and CH3.
36. The compound of claims 33-35, wherein Q1 is -NH-.
37. The compound of claim 1, having the formula selected from
38. A compound having the formula XIa
X1 is selected from N, N-R0 or C-R1;
X2 is selected from N, N-R0 or C-R1; the dotted lines represent optional double bonds; each R1 is independently selected from the group consisting of H, alkyl, cycloalkyl, alkenyl, alkynyl, aralkyl, CN, CF3, NO2, OR11, -(CH2)^C(O)(CH2X7R11, -(CH2)^C(O)N(R12)(R13), -(CH2)^C(O)O(CH2)9Rn, -(CH^NCR'^C^R11, -(CH2)^N(R12XR13), -N(R1 ^SO2R11, -OC(O)N(R12XR13), -SO2N(R12XR13), halo, aryl, and a heterocyclic ring, and additionally or alternatively, two R1 groups on adjacent ring atoms form a 5- or 6-membered fused ring which contains from O to 3 heteroatoms; n is O to 6, each R1 ' is independently selected from H, alkyl, cycloalkyl, alkenyl, alkynyl, aralkyl, aryl, and a heterocyclic ring; each R12 and R13 are independently selected from H, alkyl, cycloalkyl, alkenyl, alkynyl, aralkyl, aryl, and a heterocyclic ring; or R12 and R13 may be taken together with the nitrogen to which they are attached form a 5- to 7- membered ring which may optionally contain a further heteroatom, wherein the 5- to 7- membered ring may optionally be substituted with one to three substituents that are independently selected from alkyl, cycloalkyl, alkenyl, alkynyl, aralkyl, CN, CF3, NO2, OR0, CO2R0, C(O)R0, halo, aryl, and a heterocyclic ring; p is 0 to 4; q is 0 to 4;
R31 is selected from H, halo, -NH2, -N(H)(R0), -N(R°)2, -O-R0, OH and C1-3 alkyl; R8 is selected from the group consisting of H, alkyl, cycloalkyl, alkenyl, alkynyl, CO2R0,
C(O)R0, N(R°)2, aralkyl, aryl, and a heterocyclic ring; X3 is N, CH or C-R50; each R50 is independently selected from the group consisting of alkyl, cycloalkyl, alkenyl, alkynyl, aralkyl, CN, CF3, NO2, OR51, -(CH2)rC(O)(CH2)iR51, -(CH2)rC(O)N(R52)(R53), -(CH2)rC(O)O(CH2),R51, -(CH2)rN(R51)C(O)R51, -(CH2)rN(R52)(R53), -N(R5 ^SO2R51, -OC(O)N(R52XR53), -SO2N(R52XR53), halo, aryl, and a heterocyclic ring, and additionally or alternatively, two R50 groups on adjacent ring atoms form a 5- or 6-membered fused ring which contains from O to 3 heteroatoms;
R51 is selected from H, alkyl, cycloalkyl, alkenyl, alkynyl, aralkyl, aryl, and a heterocyclic ring;
R52 and R53 are independently selected from H, alkyl, cycloalkyl, alkenyl, alkynyl, aralkyl, aryl, and a heterocyclic ring; or R52 and R53 may be taken together with the nitrogen to which they are attached form a 5- to 7- membered ring which may optionally contain a further heteroatom, wherein the 5- to 7- membered ring may optionally be substituted with one to three substituents that are independently selected from alkyl, cycloalkyl, alkenyl, alkynyl, aralkyl, CN, CF3, NO2, OR0, CO2R0, C(O)R0, halo, aryl, and a heterocyclic ring; r is O to 4; 5 is O to 4; m is O to 4; and each R0 is independently selected from H, alkyl, cycloalkyl, aralkyl, aryl and a heterocyclic ring.
39. The compound of claim 38 having the formula XIb
R14 is selected from H and F;
R31 is selected from H, halo, -NH2, -N(H)(R0), -N(R0J2, -O-R0, OH and Ci-3 alkyl; R8 is selected from the group consisting of H, alkyl, cycloalkyl, alkenyl, alkynyl, CO2R0,
C(O)R0, N(R0J2, aralkyl, aryl, and a heterocyclic ring; X3 is N, CH or C-R60; each R60 is independently selected from the group consisting of alkyl, cycloalkyl, alkenyl, alkynyl, aralkyl, CN, CF3, NO2, OR0, halo, aryl, and a heterocyclic ring;
R61 is selected from aryl and a heterocyclic ring;
Q is selected from a chemical bond or a group having the formula -0-, -(CH2),-,
-(CH2)AO)(CH2),-, -(CH2)/-N(R62)-(CH2)r, -(CH2),C(O)-N(R62)-(CH2)/-,
-(CH2)AO)O(CH2),-, -(CH2),N(R62)C(O)-(CH2)r, -(CH2),OC(O)N(R62)-(CH2)r, and -
O-(CH2)rC(O)N(R62)-(CH2),-;
R62 is selected from H, alkyl, aryl, and a heterocyclic ring; each R0 is independently selected from H, alkyl, cycloalkyl, aralkyl, aryl and a heterocyclic ring; h is O to 4; i is O to 4; and j is O to 4.
40. The compound of claim 39, wherein R60 is selected from halo, CF3, and OH.
41. The compound of claim 39 or 40, wherein R8 is selected from H and CH3.
42. The compound of claim 39-41 , wherein X3 is N.
43. The compound of claim 39-42, wherein Q is -(CH2),-N(R62)-(CH2)7-.
44. The compound of claim 39-42, wherein Q is -N(R62)-.
45. The compound of claim 38-42, wherein R31 is selected from H and Ci-3 alkyl.
R14 is selected from H and F;
R31 is selected from H and C1-3 alkyl;
R is selected from the group consisting of H, alkyl, cycloalkyl, alkenyl, alkynyl, CO2R ,
C(O)R0, N(R°)2, aralkyl, aryl, and a heterocyclic ring; R60 is independently selected from the group consisting of alkyl, cycloalkyl, alkenyl, alkynyl, aralkyl, CN, CF3, NO2, OR0, halo, aryl, and a heterocyclic ring; each R0 is selected from H, alkyl, cycloalkyl, aralkyl, aryl and a heterocyclic ring;
Q1 is selected from a chemical bond or a group having the formula -O-, -CH2-, -NH-,
-C(O)-NH-, -C(O)O-, -NH-C(O)-, -OC(O)NH-, and -0-C(O)NH-; each R70 is selected from halo, alkyl, CN, N(R71)2, cyclic-amino, NO2, OR71, and CF3; each R71 is selected from H, alkyl, aryl, aralkyl and a heterocyclic ring; and A: is O to 4.
47. The compound of claim 46, wherein R70 is selected from N(R71)2, CF3, and OH.
48. The compound of claims 46 or 47, wherein R8 is selected from H and CH3.
49. The compound of claims 46-48, wherein Q1 is -NH-.
50. The compound of claim 38, having the formula selected from:
51. A compound having the formula XII1
wherein ring A is a 5-, 6-, or 7- membered ring or a 7- to 12-membered fused bicyclic ring; X1 is selected from N, N-R0 or C-R1; X2 is selected from N, N-R0 or C-R1; the dotted lines represent optional double bonds; each R1 is independently selected from the group consisting of H, alkyl, cycloalkyl, alkenyl, alkynyl, aralkyl, CN, CF3, NO2, OR11, -(CH2)pC(O)(CH2)17Rπ, -(CH2)ZXO)N(R12XR13), -(CH2)pC(O)O(CH2),Rn, -(CH2)pN(Rπ)C(O)Rn, -(CH2)PN(R12)(R13), -N(R1 ^SO2R11, -OC(O)N(R12)(R13), -SO2N(R12XR13), halo, aryl, and a heterocyclic ring, and additionally or alternatively, two R1 groups on adjacent ring atoms form a 5- or 6-membered fused ring which contains from O to 3 heteroatoms; n is O to 6, each R1 ' is independently selected from H, alkyl, cycloalkyl, alkenyl, alkynyl, aralkyl, aryl, and a heterocyclic ring; each R12 and R13 are independently selected from H, alkyl, cycloalkyl, alkenyl, alkynyl, aralkyl, aryl, and a heterocyclic ring; or R12 and R13 may be taken together with the nitrogen to which they are attached form a 5- to 7- membered ring which may optionally contain a further heteroatom, wherein the 5- to 7- membered ring may optionally be substituted with one to three substituents that are independently selected from alkyl, cycloalkyl, alkenyl, alkynyl, aralkyl, CN, CF3, NO2, OR0, CO2R0, C(O)R0, halo, aryl, and a heterocyclic ring; p is 0 to 4; q is 0 to 4; R31 is selected from H, halo, -NH2, -N(H)(R0), -N(R°)2, -O-R0, OH and C1-3 alkyl;
R is selected from the group consisting of H, alkyl, cycloalkyl, alkenyl, alkynyl, CO2R ,
C(O)R0, N(R°)2, aralkyl, aryl, and a heterocyclic ring; X3 is N, CH or C-R50; each R50 is independently selected from the group consisting of alkyl, cycloalkyl, alkenyl, alkynyl, aralkyl, CN, CF3, NO2, OR51, -(CH2)rC(O)(CH2),R51, -(CH2)rC(O)N(R52)(R53), -(CH2)rC(O)O(CH2),R51, -(CH2)rN(R51)C(O)R51, -(CH2)rN(R52)(R53), -N(R5I)SO2R51, -OC(O)N(R52XR53), -SO2N(R52XR53), halo, aryl, and a heterocyclic ring, and additionally or alternatively, two R50 groups on adjacent ring atoms form a 5- or 6-membered fused ring which contains from O to 3 heteroatoms;
R51 is selected from H, alkyl, cycloalkyl, alkenyl, alkynyl, aralkyl, aryl, and a heterocyclic ring;
R52 and R53 are independently selected from H, alkyl, cycloalkyl, alkenyl, alkynyl, aralkyl, aryl, and a heterocyclic ring; or R52 and R53 may be taken together with the nitrogen to which they are attached form a 5- to 7- membered ring which may optionally contain a further heteroatom, wherein the 5- to 7- membered ring may optionally be substituted with one to three substituents that are independently selected from alkyl, cycloalkyl, alkenyl, alkynyl, aralkyl, CN, CF3, NO2, OR0, CO2R0, C(O)R0, halo, aryl, and a heterocyclic ring; r is O to 4; s is O to 4; m is O to 4; and each R0 is independently selected from H, alkyl, cycloalkyl, aralkyl, aryl and a heterocyclic ring.
R14 is selected from H and F;
R31 is selected from H, halo, -NH2, -N(H)(R0), -N(R°)2, -O-R0, OH and C1-3 alkyl; R is selected from the group consisting of H, alkyl, cycloalkyl, alkenyl, alkynyl, CO2R ,
C(O)R0, N(R°)2, aralkyl, aryl, and a heterocyclic ring; X3 is N, CH or C-R60; each R60 is independently selected from the group consisting of alkyl, cycloalkyl, alkenyl, alkynyl, aralkyl, CN, CF3, NO2, OR0, halo, aryl, and a heterocyclic ring;
R61 is selected from aryl and a heterocyclic ring;
Q is selected from a chemical bond or a group having the formula -0-, -(CH2),-,
-(CH2)AOXCH2),-, -(CH2);-N(R62)-(CH2)r, -(CH2),C(O)-N(R62)-(CH2)r,
-(CH2),C(O)O(CH2)7-, -(CH2),N(R62)C(O)-(CH2),-, -(CH2),OC(O)N(R62)-(CH2)r, and -
O-(CH2),-C(O)N(R62)-(CH2)r;
R62 is selected from H, alkyl, aryl, and a heterocyclic ring; each R0 is independently selected from H, alkyl, cycloalkyl, aralkyl, aryl and a heterocyclic ring; h is O to 4; i is O to 4; and j is O to 4.
53. The compound of claim 52, wherein R60 is selected from halo, CF3, and OH.
54. The compound of claims 52-53, wherein R8 is selected from H and CH3.
55. The compound of claims 52-54, wherein X3 is N.
56. The compound of claims 52-55, wherein Q is -(CH2),-N(R62)-(CH2)7-.
57. The compound of claims 52-55, wherein Q is -N(R62)-.
58. The compound of claims 51-57, wherein R31 is selected from H and Ci-3 alkyl.
R14 is selected from H and F;
R31 is selected from H and C1-3 alkyl;
R is selected from the group consisting of H, alkyl, cycloalkyl, alkenyl, alkynyl, CO2R ,
C(O)R0, N(R°)2, aralkyl, aryl, and a heterocyclic ring; R60 is independently selected from the group consisting of alkyl, cycloalkyl, alkenyl, alkynyl, aralkyl, CN, CF3, NO2, OR0, halo, aryl, and a heterocyclic ring; each R0 is selected from H, alkyl, cycloalkyl, aralkyl, aryl and a heterocyclic ring;
Q1 is selected from a chemical bond or a group having the formula -O-, -CH2-, -NH-,
-C(O)-NH-, -C(O)O-, -NH-C(O)-, -OC(O)NH-, and -0-C(O)NH-; each R70 is selected from halo, alkyl, CN, N(R71)2, cyclic-amino, NO2, OR71, and CF3; each R71 is selected from H, alkyl, aryl, aralkyl and a heterocyclic ring; and k is O to 4.
60. The compound of claim 59, wherein R70 is selected from N(R71)2, CF3, and OH.
61. The compound of claims 59-60, wherein R8 is selected from H and CH3.
62. The compound of claims 59-60, wherein Q1 is -NH-.
63. The compound of claim 51, having the formula selected from:
64. A compound of the formula XIII3
(XIIIa) wherein ring A is a 5-, 6-, or 7- membered ring or a 7- to 12-membered fused bicyclic ring; X1 is selected from N, N-R0 or C-R1; X2 is selected from N, N-R0 or C-R1; the dotted lines represent optional double bonds; each R1 is independently selected from the group consisting of H, alkyl, cycloalkyl, alkenyl, alkynyl, aralkyl, CN, CF3, NO2, OR11, -(CH2)pC(O)(CH2),R11, -(CH2)PC(O)N(R12XR13), -(CH2),C(O)O(CH2),Rn, -(CH2)pN(Ru)C(O)Rn, -(CH2)^N(R12XR13), -N(Rπ)SO2Ru, -OC(O)N(R12)(R13), -SO2N(R12XR13), halo, aryl, and a heterocyclic ring, and additionally or alternatively, two R1 groups on adjacent ring atoms form a 5- or 6-membered fused ring which contains from O to 3 heteroatoms; n is O to 6, each R1 λ is independently selected from H, alkyl, cycloalkyl, alkenyl, alkynyl, aralkyl, aryl, and a heterocyclic ring; each R12 and R13 are independently selected from H, alkyl, cycloalkyl, alkenyl, alkynyl, aralkyl, aryl, and a heterocyclic ring; or R12 and R13 may be taken together with the nitrogen to which they are attached form a 5- to 7- membered ring which may optionally contain a further heteroatom, wherein the 5- to 7- membered ring may optionally be substituted with one to three substituents that are independently selected from alkyl, cycloalkyl, alkenyl, alkynyl, aralkyl, CN, CF3, NO2, OR0, CO2R0, C(O)R0, halo, aryl, and a heterocyclic ring; p is O to 4; q is 0 to 4; R8 is selected from the group consisting of H, alkyl, cycloalkyl, alkenyl, alkynyl, CO2R0,
C(O)R0, N(R°)2, aralkyl, aryl, and a heterocyclic ring; X3 is N, CH or C-R50; each R50 is independently selected from the group consisting of alkyl, cycloalkyl, alkenyl, alkynyl, aralkyl, CN, CF3, NO2, OR51, -(CH2)rC(O)(CH2)5R51, -(CH2)rC(O)N(R52)(R53), -(CH2)rC(O)O(CH2),R51, -(CH2)rN(R51)C(O)R51, -(CH2),N(R52)(R53), -N(R51)SO2R51, -OC(O)N(R52XR53), -SO2N(R52XR53), halo, aryl, and a heterocyclic ring, and additionally or alternatively, two R50 groups on adjacent ring atoms form a 5- or 6-membered fused ring which contains from O to 3 heteroatoms;
R51 is selected from H, alkyl, cycloalkyl, alkenyl, alkynyl, aralkyl, aryl, and a heterocyclic ring;
R52 and R53 are independently selected from H, alkyl, cycloalkyl, alkenyl, alkynyl, aralkyl, aryl, and a heterocyclic ring; or R52 and R53 may be taken together with the nitrogen to which they are attached form a 5- to 7- membered ring which may optionally contain a further heteroatom, wherein the 5- to 7- membered ring may optionally be substituted with one to three substituents that are independently selected from alkyl, cycloalkyl, alkenyl, alkynyl, aralkyl, CN, CF3, NO2, OR0, CO2R0, C(O)R0, halo, aryl, and a heterocyclic ring; r is O to 4; 5 is O to 4; m is O to 4; and each R0 is independently selected from H, alkyl, cycloalkyl, aralkyl, aryl and a heterocyclic ring.
65. The compound of claim 64, having the formula XIIIb
R14 is selected from H and F; R8 is selected from the group consisting of H, alkyl, cycloalkyl, alkenyl, alkynyl, CO2R0,
C(O)R0, N(R°)2, aralkyl, aryl, and a heterocyclic ring; X3 is N, CH or C-R60; each R60 is independently selected from the group consisting of alkyl, cycloalkyl, alkenyl, alkynyl, aralkyl, CN, CF3, NO2, OR0, halo, aryl, and a heterocyclic ring; R61 is selected from aryl and a heterocyclic ring;
Q is selected from a chemical bond or a group having the formula -O-, -(CH2),-, -(CH2),C(O)(CH2)y-, -(CH2),-N(R62)-(CH2)y-, -(CH2)1C(O)-N(R62)-(CH2)7-, -(CH2)AO)O(CH2),-, -(CH2),N(R62)C(O)-(CH2)/-, -(CH2),OC(O)N(R62)-(CH2)r, and -
O-(CH2),-C(O)N(R62)-(CH2)r;
R62 is selected from H, alkyl, aryl, and a heterocyclic ring; each R0 is independently selected from H, alkyl, cycloalkyl, aralkyl, aryl and a heterocyclic ring;
A is O to 4;
/ is 0 to 4; and j is 0 to 4.
66. The compound of claim 65, wherein R60 is selected from halo, CF3, and OH.
67. The compound of claims 65-66, wherein R8 is selected from H and CH3.
68. The compound of claims 65-67, wherein X3 is N.
69. The compound of claims 65-68, wherein Q is -(CH2),-N(R62)-(CH2)/-.
70. The compound of claims 65-68, wherein Q is -N(R62)-.
71. The compound of claim 64, having the formula XIIIc
R14 is selected from H and F; R8 is selected from the group consisting of H, alkyl, cycloalkyl, alkenyl, alkynyl, CO2R0,
C(O)R0, N(R°)2, aralkyl, aryl, and a heterocyclic ring; R60 is independently selected from the group consisting of alkyl, cycloalkyl, alkenyl, alkynyl, aralkyl, CN, CF3, NO2, OR0, halo, aryl, and a heterocyclic ring; each R0 is selected from H, alkyl, cycloalkyl, aralkyl, aryl and a heterocyclic ring;
Q1 is selected from a chemical bond or a group having the formula -0-, -CH2-, -NH-, -C(O)-NH-, -C(O)O-, -NH-C(O)-, -OC(O)NH-, and -0-C(O)NH-; each R , 7/0υ is selected from halo, alkyl, CN, N(R")2, cyclic-amino, NO2, OR > 71 , and CF3; each R > 71 is selected from H, alkyl, aryl, aralkyl and a heterocyclic ring; and A: is O to 4.
72. The compound of claim 71, wherein R70 is selected from N(R71)2, CF3, and OH.
73. The compound of claims 71-72, wherein R is selected from H and CH3.
74. The compound of claims 71-73, wherein Q1 is -NH-.
75. The compound of claim 64, having the structure selected from
76. A compound of the formula XIV3
(XIVa) wherein ring A is a 5-, 6-, or 7- membered ring or a 7- to 12-membered fused bicyclic ring; X1 is selected from N, N-R0 or C-R1; X2 is selected from N, N-R0 or C-R1; the dotted lines represent optional double bonds; each R1 is independently selected from the group consisting of H, alkyl, cycloalkyl, alkenyl, alkynyl, aralkyl, CN, CF3, NO2, OR11, -(CH2)pC(O)(CH2)9Rπ, -(CH2)PC(O)N(R12)(R13), -(CH2)PC(O)O(CH2),^11, -(CH2)PN(R1 ^C(O)R11, -(CH2)PN(R^)(R13), -N(R1 ^SO2R1 \ -OC(O)N(R12XR13), -SO2N(R12XR13), halo, aryl, and a heterocyclic ring, and additionally or alternatively, two R1 groups on adjacent ring atoms form a 5- or 6-membered fused ring which contains from O to 3 heteroatoms; n is O to 6, each R1 ' is independently selected from H, alkyl, cycloalkyl, alkenyl, alkynyl, aralkyl, aryl, and a heterocyclic ring; each R12 and R13 are independently selected from H, alkyl, cycloalkyl, alkenyl, alkynyl, aralkyl, aryl, and a heterocyclic ring; or R12 and R13 may be taken together with the nitrogen to which they are attached form a 5- to 7- membered ring which may optionally contain a further heteroatom, wherein the 5- to 7- membered ring may optionally be substituted with one to three substituents that are independently selected from alkyl, cycloalkyl, alkenyl, alkynyl, aralkyl, CN, CF3, NO2, OR0, CO2R0, C(O)R0, halo, aryl, and a heterocyclic ring; p is O to 4; q is O to 4;
R is selected from the group consisting of H, alkyl, cycloalkyl, alkenyl, alkynyl, CO2R , C(O)R0, N(R°)2, aralkyl, aryl, and a heterocyclic ring;
X3 is N, CH or C-R50; each R50 is independently selected from the group consisting of alkyl, cycloalkyl, alkenyl, alkynyl, aralkyl, CN, CF3, NO2, OR51, -(CH2)rC(O)(CH2),R51, -(CH2)rC(O)N(R52)(R53), -(CH2)rC(O)O(CH2),R51, -(CH2),N(R51)C(O)R51, -(CH2)rN(R52)(R53), -N(R51)SO2R51, -OC(O)N(R52XR53), -SO2N(R52XR53), halo, aryl, and a heterocyclic ring, and additionally or alternatively, two R50 groups on adjacent ring atoms form a 5- or 6-membered fused ring which contains from O to 3 heteroatoms;
R51 is selected from H, alkyl, cycloalkyl, alkenyl, alkynyl, aralkyl, aryl, and a heterocyclic ring; R52 and R53 are independently selected from H, alkyl, cycloalkyl, alkenyl, alkynyl, aralkyl, aryl, and a heterocyclic ring; or R52 and R53 may be taken together with the nitrogen to which they are attached form a 5- to 7- membered ring which may optionally contain a further heteroatom, wherein the 5- to 7- membered ring may optionally be substituted with one to three substituents that are independently selected from alkyl, cycloalkyl, alkenyl, alkynyl, aralkyl, CN, CF3, NO2, OR0, CO2R0, C(O)R0, halo, aryl, and a heterocyclic ring; r is 0 to 4; s is 0 to 4; m is 0 to 4; and each R0 is independently selected from H, alkyl, cycloalkyl, aralkyl, aryl and a heterocyclic ring.
77. The compound of claim 76, having the formula XIVb
R14 is selected from H and F; R8 is selected from the group consisting of H, alkyl, cycloalkyl, alkenyl, alkynyl, CO2R0,
C(O)R0, N(R°)2, aralkyl, aryl, and a heterocyclic ring; X3 is N, CH or C-R60; each R60 is independently selected from the group consisting of alkyl, cycloalkyl, alkenyl, alkynyl, aralkyl, CN, CF3, NO2, OR0, halo, aryl, and a heterocyclic ring;
R61 is selected from aryl and a heterocyclic ring;
Q is selected from a chemical bond or a group having the formula -O-, -(CH2)r,
-(CH2)!C(O)(CH2)7-, -(CH2),-N(R62)-(CH2)r, -(CH2),C(O)-N(R62)-(CH2)r,
-(CH2)AO)O(CH2),-, -(CH2),N(R62)C(O)-(CH2)7-, -(CH2),OC(O)N(R62)-(CH2)r, and -
0-(CH2),-C(O)N(R62)-(CH2)y-;
R62 is selected from H, alkyl, aryl, and a heterocyclic ring; each R0 is independently selected from H, alkyl, cycloalkyl, aralkyl, aryl and a heterocyclic ring; h is O to 4; i is O to 4; and j is 0 to 4.
78. The compound of claim 77, wherein R60 is selected from halo, CF3, and OH.
79. The compound of claims 77-78, wherein R is selected from H and CH3.
80. The compound of claims 77-79, wherein X3 is N.
81. The compound of claims 77-80, wherein Q is -(CH2),-N(R62)-(CH2),-.
82. The compound of claims 77-80, wherein Q is -N(R62)-.
83. The compound of claim 76, having the formula XIVC
R14 is selected from H and F;
R8 is selected from the group consisting of H, alkyl, cycloalkyl, alkenyl, alkynyl, CO2R ,
C(O)R0, N(R°)2, aralkyl, aryl, and a heterocyclic ring; R60 is independently selected from the group consisting of alkyl, cycloalkyl, alkenyl, alkynyl, aralkyl, CN, CF3, NO2, OR0, halo, aryl, and a heterocyclic ring; each R0 is selected from H, alkyl, cycloalkyl, aralkyl, aryl and a heterocyclic ring;
Q1 is selected from a chemical bond or a group having the formula -O-, -CH2-, -NH-,
-C(O)-NH-, -C(O)O-, -NH-C(O)-, -OC(O)NH-, and -0-C(O)NH-; each R70 is selected from halo, alkyl, CN, N(R7 ')2, cyclic-amino, NO2, OR71, and CF3; each R71 is selected from H, alkyl, aryl, aralkyl and a heterocyclic ring; and & is O to 4.
84. The compound of claim 83, wherein R70 is selected from N(R71)2, CF3, and OH.
85. The compound of claims 83-84, wherein R8 is selected from H and CH3.
86. The compound of claims 83-85, wherein Q1 is -NH-.
88. A compound of the formula XV3
X1 is selected from N, N-R0 or C-R1;
X2 is selected from N, N-R0 or C-R1; the dotted lines represent optional double bonds; each R1 is independently selected from the group consisting of H, alkyl, cycloalkyl, alkenyl, alkynyl, aralkyl, CN, CF3, NO2, OR1 1, -(CH^CCOXCI^R1 ' , -(CH2)^C(O)N(R12XR13), -(CH2)ZAO)O(CH2),^11, -(CH2)^N(R1 ^C(O)R1 \ -(CH2)^N(R12)(R13), -N(Rπ)S02Rn, -OC(O)N(R12)(R13), -SO2N(R12XR13), halo, aryl, and a heterocyclic ring, and additionally or alternatively, two R1 groups on adjacent ring atoms form a 5- or 6-membered fused ring which contains from 0 to 3 heteroatoms; n is 0 to 6, each R1 ' is independently selected from H, alkyl, cycloalkyl, alkenyl, alkynyl, aralkyl, aryl, and a heterocyclic ring; each R12 and R13 are independently selected from H, alkyl, cycloalkyl, alkenyl, alkynyl, aralkyl, aryl, and a heterocyclic ring; or R12 and R13 may be taken together with the nitrogen to which they are attached form a 5- to 7- membered ring which may optionally contain a further heteroatom, wherein the 5- to 7- membered ring may optionally be substituted with one to three substituents that are independently selected from alkyl, cycloalkyl, alkenyl, alkynyl, aralkyl, CN, CF3, NO2, OR0, CO2R0, C(O)R0, halo, aryl, and a heterocyclic ring; p is O to 4; q is 0 to 4;
X3 is N, CH or C-R50; each R50 is independently selected from the group consisting of alkyl, cycloalkyl, alkenyl, alkynyl, aralkyl, CN, CF3, NO2, OR51, -(CH2),C(O)(CH2),R51, -(CH2)rC(O)N(R52)(R53), -(CH2)rC(O)O(CH2),R51, -(CH2)rN(R51)C(O)R51, -(CH2)rN(R52)(R53), -N(R51)SO2R51, -OC(O)N(R52)(R53), -SO2N(R52XR53), halo, aryl, and a heterocyclic ring, and additionally or alternatively, two R50 groups on adjacent ring atoms form a 5- or 6-membered fused ring which contains from O to 3 heteroatoms;
R51 is selected from H, alkyl, cycloalkyl, alkenyl, alkynyl, aralkyl, aryl, and a heterocyclic ring;
R52 and R53 are independently selected from H, alkyl, cycloalkyl, alkenyl, alkynyl, aralkyl, aryl, and a heterocyclic ring; or R52 and R53 may be taken together with the nitrogen to which they are attached form a 5- to 7- membered ring which may optionally contain a further heteroatom, wherein the 5- to 7- membered ring may optionally be substituted with one to three substituents that are independently selected from alkyl, cycloalkyl, alkenyl, alkynyl, aralkyl, CN, CF3, NO2, OR0, CO2R0, C(O)R0, halo, aryl, and a heterocyclic ring; r is O to 4; 5 is O to 4; m is O to 4; and each R0 is independently selected from H, alkyl, cycloalkyl, aralkyl, aryl and a heterocyclic ring.
89. The compound of claim 88, having the formula XVb
R14 is selected from H and F; X3 is N, CH or C-R60; each R60 is independently selected from the group consisting of alkyl, cycloalkyl, alkenyl, alkynyl, aralkyl, CN, CF3, NO2, OR0, halo, aryl, and a heterocyclic ring;
R61 is selected from aryl and a heterocyclic ring;
Q is selected from a chemical bond or a group having the formula -O-, -(CH2),-,
-(CH2),C(O)(CH2)r, -(CH2),-N(R62)-(CH2)/-, -(CH2),C(O)-N(R62)-(CH2)7-,
-(CH2)AO)O(CH2),-, -(CH2),N(R62)C(O)-(CH2)/-, -(CH2),OC(O)N(R62)-(CH2),-, and -
O-(CH2),-C(O)N(R62)-(CH2)r;
R62 is selected from H, alkyl, aryl, and a heterocyclic ring; each R is independently selected from H, alkyl, cycloalkyl, aralkyl, aryl and a heterocyclic ring; h is O to 4; i is O to 4; and j is O to 4.
90. The compound of claim 89, wherein R60 is selected from halo, CF3, and OH.
91. The compound of claims 89-90, wherein X3 is N.
92. The compound of claims 89-91 , wherein Q is selected to be -(CH2),-N(R62)-(CH2)r.
93. The compound of claims 89-91 , wherein Q is -N(R62)-.
R14 is selected from H and F;
R8 is selected from the group consisting of H, alkyl, cycloalkyl, alkenyl, alkynyl, CO2R0,
C(O)R0, N(R°)2, aralkyl, aryl, and a heterocyclic ring; R60 is independently selected from the group consisting of alkyl, cycloalkyl, alkenyl, alkynyl, aralkyl, CN, CF3, NO2, OR0, halo, aryl, and a heterocyclic ring; each R0 is independently selected from H, alkyl, cycloalkyl, aralkyl, aryl and a heterocyclic ring;
Q1 is selected from a chemical bond or a group having the formula -0-, -CH2-, -NH-,
-C(O)-NH-, -C(O)O-, -NH-C(O)-, -OC(O)NH-, and -0-C(O)NH-; each R70 is selected from halo, alkyl, CN, N(R71)2, cyclic-amino, NO2, OR71, and CF3; each R71 is selected from H, alkyl, aryl, aralkyl and a heterocyclic ring; and k is O to 4.
95. The compound of claim 94, wherein R70 is selected from N(R71)2, CF3, and OH.
96. The compound of claims 94-95, wherein R8 is selected from H and CH3.
97. The compound of claims 94-96, wherein Q1 is -NH-.
98. The compound of claim 88, having a structure selected from:
99. A compound of the formula XVI3
wherein ring A is a 5-, 6-, or 7- membered ring or a 7- to 12-membered fused bicyclic ring; X1 is selected from N, N-R0 or C-R1; X2 is selected from N, N-R0 or C-R1; the dotted lines represent optional double bonds; each R1 is independently selected from the group consisting of H, alkyl, cycloalkyl, alkenyl, alkynyl, aralkyl, CN, CF3, NO2, OR11, -(CH2)PC(O)(CH2),-*11, -(CH2)PC(O)N(R12)(R13), -(CH2)^C(O)O(CH2),.*11, -(CH2)PN(R11JC(O)R1 1, -(CH2)PN(R12J(R13), -N(R11JSO2R11, -OC(O)N(R12XR13), -SO2N(R12XR13), halo, aryl, and a heterocyclic ring, and additionally or alternatively, two R1 groups on adjacent ring atoms form a 5- or 6-membered fused ring which contains from O to 3 heteroatoms; n is O to 6, each R1 ' is independently selected from H, alkyl, cycloalkyl, alkenyl, alkynyl, aralkyl, aryl, and a heterocyclic ring; each R12 and R13 are independently selected from H, alkyl, cycloalkyl, alkenyl, alkynyl, aralkyl, aryl, and a heterocyclic ring; or R12 and R13 may be taken together with the nitrogen to which they are attached form a 5- to 7- membered ring which may optionally contain a further heteroatom, wherein the 5- to 7- membered ring may optionally be substituted with one to three substituents that are independently selected from alkyl, cycloalkyl, alkenyl, alkynyl, aralkyl, CN, CF3, NO2, OR0, CO2R0, C(O)R0, halo, aryl, and a heterocyclic ring; p is 0 to 4; q is 0 to 4; R8 is selected from the group consisting of H, alkyl, cycloalkyl, alkenyl, alkynyl, CO2R0,
C(O)R0, N(R°)2, aralkyl, aryl, and a heterocyclic ring; X3 is N, CH or C-R50; each R50 is independently selected from the group consisting of alkyl, cycloalkyl, alkenyl, alkynyl, aralkyl, CN, CF3, NO2, OR51, -(CH2),C(O)(CH2)5R51, -(CH2)rC(O)N(R52)(R53), -(CH2),C(O)O(CH2),R51, -(CH2)rN(R51)C(O)R51, -(CH2)rN(R52)(R53), -N(R51)SO2R51, -OC(O)N(R52XR53), -SO2N(R52XR53), halo, aryl, and a heterocyclic ring, and additionally or alternatively, two R50 groups on adjacent ring atoms form a 5- or 6-membered fused ring which contains from O to 3 heteroatoms;
R51 is selected from H, alkyl, cycloalkyl, alkenyl, alkynyl, aralkyl, aryl, and a heterocyclic ring;
R52 and R53 are independently selected from H, alkyl, cycloalkyl, alkenyl, alkynyl, aralkyl, aryl, and a heterocyclic ring; or R52 and R53 may be taken together with the nitrogen to which they are attached form a 5- to 7- membered ring which may optionally contain a further heteroatom, wherein the 5- to 7- membered ring may optionally be substituted with one to three substituents that are independently selected from alkyl, cycloalkyl, alkenyl, alkynyl, aralkyl, CN, CF3, NO2, OR0, CO2R0, C(O)R0, halo, aryl, and a heterocyclic ring; r is O to 4; 5 is O to 4; m is O to 4; and each R0 is independently selected from H, alkyl, cycloalkyl, aralkyl, aryl and a heterocyclic ring.
100. The compound of claim 99, having the formula XVIb
wherein: R14 is selected from H and F; R8 is selected from the group consisting of H, alkyl, cycloalkyl, alkenyl, alkynyl, CO2R0,
C(O)R0, N(R°)2, aralkyl, aryl, and a heterocyclic ring; X3 is N, CH or C-R60; each R60 is independently selected from the group consisting of alkyl, cycloalkyl, alkenyl, alkynyl, aralkyl, CN, CF3, NO2, OR0, halo, aryl, and a heterocyclic ring;
R61 is selected from aryl and a heterocyclic ring;
Q is selected from a chemical bond or a group having the formula -0-, -(CH2),-,
-(CH2),C(O)(CH2)r, -(CH2)rN(R62)-(CH2)7-, -(CH2),C(O)-N(R62)-(CH2)r,
-(CH2)AO)O(CH2),-, -(CH2),N(R62)C(O)-(CH2)y-, -(CH2),OC(O)N(R62)-(CH2)r, and -
O-(CH2),-C(O)N(R62)-(CH2)r;
R62 is selected from H, alkyl, aryl, and a heterocyclic ring; each R0 is independently selected from H, alkyl, cycloalkyl, aralkyl, aryl and a heterocyclic ring; h is O to 4; i is O to 4; and j is O to 4.
101. The compound of claim 99, wherein R60 is selected from halo, CF3, and OH.
102. The compound of claims 99-100, wherein R is selected from H and CH3.
103. The compound of claims 100-102, wherein X3 is N.
104. The compound of claims 100-103, wherein Q is selected to be -(CH2)rN(R62)-(CH2)y-
105. The compound of claims 100-103, wherein Q is -N(R62)-.
106. The compound of claim 99, having the formula XVI0
R14 is selected from H and F; R8 is selected from the group consisting of H, alkyl, cycloalkyl, alkenyl, alkynyl, CO2R0,
C(O)R0, N(R°)2, aralkyl, aryl, and a heterocyclic ring; R60 is independently selected from the group consisting of alkyl, cycloalkyl, alkenyl, alkynyl, aralkyl, CN, CF3, NO2, OR0, halo, aryl, and a heterocyclic ring; each R0 is selected from H, alkyl, cycloalkyl, aralkyl, aryl and a heterocyclic ring;
Q1 is selected from a chemical bond or a group having the formula -O-, -CH2-, -NH-,
-C(O)-NH-, -C(O)O-, -NH-C(O)-, -OC(O)NH-, and -0-C(O)NH-; each R70 is selected from halo, alkyl, CN, N(R71)2, cyclic-amino, NO2, OR71, and CF3; each R71 is selected from H, alkyl, aryl, aralkyl and a heterocyclic ring; and k is O to 4.
107. The compound of claim 106, wherein R70 is selected from N(R71)2, CF3, and OH.
108. The compound of claims 106-107, wherein R8 is selected from H and CH3.
109. The compound of claims 106-108, wherein Q1 is -NH-.
110. The compound of claim 99, having a structure selected from:
111. A method of treating a neoplastic disease or a proliferative disorder in a human comprising administering a therapeutically effective amount of a compound according to claims 1-110.
Applications Claiming Priority (2)
| Application Number | Priority Date | Filing Date | Title |
|---|---|---|---|
| US89728207P | 2007-01-23 | 2007-01-23 | |
| US60/897,282 | 2007-01-23 |
Publications (2)
| Publication Number | Publication Date |
|---|---|
| WO2008091681A2 true WO2008091681A2 (en) | 2008-07-31 |
| WO2008091681A3 WO2008091681A3 (en) | 2008-09-25 |
Family
ID=39645081
Family Applications (1)
| Application Number | Title | Priority Date | Filing Date |
|---|---|---|---|
| PCT/US2008/000960 Ceased WO2008091681A2 (en) | 2007-01-23 | 2008-01-23 | Theramutein modulators |
Country Status (1)
| Country | Link |
|---|---|
| WO (1) | WO2008091681A2 (en) |
Cited By (17)
| Publication number | Priority date | Publication date | Assignee | Title |
|---|---|---|---|---|
| CN102060782A (en) * | 2010-11-18 | 2011-05-18 | 孙智华 | Method for preparing chloropyrimidines or analogues thereof |
| WO2016196514A1 (en) * | 2015-06-01 | 2016-12-08 | Regents Of The University Of Minnesota | Thiourea catalysts |
| US9655821B2 (en) | 2013-04-05 | 2017-05-23 | The Procter & Gamble Company | Personal care composition comprising a pre-emulsified formulation |
| WO2017172368A1 (en) | 2016-03-31 | 2017-10-05 | Oncternal Therapeutics, Inc. | Indoline analogs and uses thereof |
| US9993404B2 (en) | 2015-01-15 | 2018-06-12 | The Procter & Gamble Company | Translucent hair conditioning composition |
| US10100020B2 (en) | 2013-01-10 | 2018-10-16 | United Kingdom Research And Innovation | Benzylideneguanidine derivatives and therapeutic use for the treatment of protein misfolding diseases |
| US10328053B2 (en) | 2016-08-26 | 2019-06-25 | Gilead Sciences, Inc. | Substituted pyrrolizine compounds and uses thereof |
| US10479960B2 (en) | 2015-07-10 | 2019-11-19 | The Procter & Gamble Company | Fibrous structures comprising a surface softening composition |
| US10806688B2 (en) | 2014-10-03 | 2020-10-20 | The Procter And Gamble Company | Method of achieving improved volume and combability using an anti-dandruff personal care composition comprising a pre-emulsified formulation |
| US10836769B2 (en) | 2018-02-26 | 2020-11-17 | Gilead Sciences, Inc. | Substituted pyrrolizine compounds and uses thereof |
| US10894932B2 (en) | 2016-08-18 | 2021-01-19 | The Procter & Gamble Company | Fabric care composition comprising glyceride copolymers |
| US10912723B2 (en) | 2016-01-20 | 2021-02-09 | The Procter And Gamble Company | Hair conditioning composition comprising monoalkyl glyceryl ether |
| US11492758B2 (en) | 2015-02-25 | 2022-11-08 | The Procter & Gamble Company | Fibrous structures comprising a surface softening composition |
| US11591544B2 (en) | 2020-11-25 | 2023-02-28 | Akagera Medicines, Inc. | Ionizable cationic lipids |
| WO2023127883A1 (en) | 2021-12-28 | 2023-07-06 | 日本新薬株式会社 | Indazole compound and pharmaceutical |
| US12064479B2 (en) | 2022-05-25 | 2024-08-20 | Akagera Medicines, Inc. | Lipid nanoparticles for delivery of nucleic acids and methods of use thereof |
| CN119823036A (en) * | 2025-01-07 | 2025-04-15 | 北京师范大学 | HYNIC modified 4- (2-aminoethyl) benzenesulfonamide derivative and application thereof |
Family Cites Families (1)
| Publication number | Priority date | Publication date | Assignee | Title |
|---|---|---|---|---|
| JP2008514547A (en) * | 2004-05-23 | 2008-05-08 | ハウシー・ファーマシューティカルズ・インコーポレーテッド | Theramutein modulator |
-
2008
- 2008-01-23 WO PCT/US2008/000960 patent/WO2008091681A2/en not_active Ceased
Cited By (26)
| Publication number | Priority date | Publication date | Assignee | Title |
|---|---|---|---|---|
| CN102060782A (en) * | 2010-11-18 | 2011-05-18 | 孙智华 | Method for preparing chloropyrimidines or analogues thereof |
| US10954198B2 (en) | 2013-01-10 | 2021-03-23 | United Kingdom Research And Innovation | Benzylideneguanidine derivatives and therapeutic use for the treatment of protein misfolding diseases |
| US10100020B2 (en) | 2013-01-10 | 2018-10-16 | United Kingdom Research And Innovation | Benzylideneguanidine derivatives and therapeutic use for the treatment of protein misfolding diseases |
| US10526297B2 (en) | 2013-01-10 | 2020-01-07 | Inflectis Bioscience | Benzylideneguanidine derivatives and therapeutic use for the treatment of protein misfolding diseases |
| US9655821B2 (en) | 2013-04-05 | 2017-05-23 | The Procter & Gamble Company | Personal care composition comprising a pre-emulsified formulation |
| US10806688B2 (en) | 2014-10-03 | 2020-10-20 | The Procter And Gamble Company | Method of achieving improved volume and combability using an anti-dandruff personal care composition comprising a pre-emulsified formulation |
| US9993404B2 (en) | 2015-01-15 | 2018-06-12 | The Procter & Gamble Company | Translucent hair conditioning composition |
| US11492758B2 (en) | 2015-02-25 | 2022-11-08 | The Procter & Gamble Company | Fibrous structures comprising a surface softening composition |
| WO2016196514A1 (en) * | 2015-06-01 | 2016-12-08 | Regents Of The University Of Minnesota | Thiourea catalysts |
| US10640735B2 (en) | 2015-07-10 | 2020-05-05 | The Procter & Gamble Company | Fabric care composition comprising metathesized unsaturated polyol esters |
| US10479960B2 (en) | 2015-07-10 | 2019-11-19 | The Procter & Gamble Company | Fibrous structures comprising a surface softening composition |
| US10912723B2 (en) | 2016-01-20 | 2021-02-09 | The Procter And Gamble Company | Hair conditioning composition comprising monoalkyl glyceryl ether |
| WO2017172368A1 (en) | 2016-03-31 | 2017-10-05 | Oncternal Therapeutics, Inc. | Indoline analogs and uses thereof |
| EP3795563A1 (en) | 2016-03-31 | 2021-03-24 | Oncternal Therapeutics, Inc. | Indoline analogs and uses thereof |
| US10894932B2 (en) | 2016-08-18 | 2021-01-19 | The Procter & Gamble Company | Fabric care composition comprising glyceride copolymers |
| US10328053B2 (en) | 2016-08-26 | 2019-06-25 | Gilead Sciences, Inc. | Substituted pyrrolizine compounds and uses thereof |
| US10874640B2 (en) | 2016-08-26 | 2020-12-29 | Gilead Sciences, Inc. | Substituted pyrrolizine compounds and uses thereof |
| US12161625B2 (en) | 2016-08-26 | 2024-12-10 | Gilead Sciences, Inc. | Substituted pyrrolizine compounds and uses thereof |
| US11420974B2 (en) | 2018-02-26 | 2022-08-23 | Gilead Sciences, Inc. | Substituted pyrrolizine compounds and uses thereof |
| US10836769B2 (en) | 2018-02-26 | 2020-11-17 | Gilead Sciences, Inc. | Substituted pyrrolizine compounds and uses thereof |
| US11591544B2 (en) | 2020-11-25 | 2023-02-28 | Akagera Medicines, Inc. | Ionizable cationic lipids |
| US12077725B2 (en) | 2020-11-25 | 2024-09-03 | Akagera Medicines, Inc. | Ionizable cationic lipids |
| US12331264B2 (en) | 2020-11-25 | 2025-06-17 | Akagera Medicines, Inc. | Lipid nanoparticles for delivery of nucleic acids and methods of use thereof |
| WO2023127883A1 (en) | 2021-12-28 | 2023-07-06 | 日本新薬株式会社 | Indazole compound and pharmaceutical |
| US12064479B2 (en) | 2022-05-25 | 2024-08-20 | Akagera Medicines, Inc. | Lipid nanoparticles for delivery of nucleic acids and methods of use thereof |
| CN119823036A (en) * | 2025-01-07 | 2025-04-15 | 北京师范大学 | HYNIC modified 4- (2-aminoethyl) benzenesulfonamide derivative and application thereof |
Also Published As
| Publication number | Publication date |
|---|---|
| WO2008091681A3 (en) | 2008-09-25 |
Similar Documents
| Publication | Publication Date | Title |
|---|---|---|
| WO2008091681A2 (en) | Theramutein modulators | |
| WO2008106202A1 (en) | Theramutein modulators | |
| US20240125769A1 (en) | Compounds and methods of identifying, synthesizing, optimizing and profiling protein modulators | |
| WO2007037898A2 (en) | Theramutein modulators | |
| EP2447252B1 (en) | Theramutein modulators | |
| JP6104877B2 (en) | Group of compounds and methods for identifying, synthesizing, optimizing and analyzing protein modulators | |
| AU2012203664B2 (en) | Theramutein modulators | |
| CN101296912B (en) | Theramutein modulators | |
| Class et al. | Patent application title: Compounds and Method of Identifying, Synthesizing, Optimizing and Profiling Protein Modulators Inventors: Gerard M. Housefly (Southfield, MI, US) Gerard M. Housefly (Southfield, MI, US) Hmi Medical Innovations, Llc. Assignees: HMI MEDICAL INNOVATIONS, LLC. | |
| CN101370944A (en) | Compounds and methods for identifying, synthesizing, optimizing and characterizing protein modulators | |
| BRPI0615615A2 (en) | pharmaceutical compositions and treatment of a neoplastic disease or proliferative disorder in humans based on theramutein modulators |
Legal Events
| Date | Code | Title | Description |
|---|---|---|---|
| 121 | Ep: the epo has been informed by wipo that ep was designated in this application |
Ref document number: 08713273 Country of ref document: EP Kind code of ref document: A2 |
|
| NENP | Non-entry into the national phase |
Ref country code: DE |
|
| 122 | Ep: pct application non-entry in european phase |
Ref document number: 08713273 Country of ref document: EP Kind code of ref document: A2 |





























































































































































































































































































































































































