WO2008074450A2 - Non-peptidic renin inhibitors nitroderivatives - Google Patents
Non-peptidic renin inhibitors nitroderivatives Download PDFInfo
- Publication number
- WO2008074450A2 WO2008074450A2 PCT/EP2007/011078 EP2007011078W WO2008074450A2 WO 2008074450 A2 WO2008074450 A2 WO 2008074450A2 EP 2007011078 W EP2007011078 W EP 2007011078W WO 2008074450 A2 WO2008074450 A2 WO 2008074450A2
- Authority
- WO
- WIPO (PCT)
- Prior art keywords
- alkyl
- alkoxy
- hydrogen
- group
- alk
- Prior art date
- Legal status (The legal status is an assumption and is not a legal conclusion. Google has not performed a legal analysis and makes no representation as to the accuracy of the status listed.)
- Ceased
Links
- 0 CC(*)(C(**)C(OC)=O)*1NC1 Chemical compound CC(*)(C(**)C(OC)=O)*1NC1 0.000 description 53
Classifications
-
- C—CHEMISTRY; METALLURGY
- C07—ORGANIC CHEMISTRY
- C07D—HETEROCYCLIC COMPOUNDS
- C07D413/00—Heterocyclic compounds containing two or more hetero rings, at least one ring having nitrogen and oxygen atoms as the only ring hetero atoms
- C07D413/14—Heterocyclic compounds containing two or more hetero rings, at least one ring having nitrogen and oxygen atoms as the only ring hetero atoms containing three or more hetero rings
-
- A—HUMAN NECESSITIES
- A61—MEDICAL OR VETERINARY SCIENCE; HYGIENE
- A61P—SPECIFIC THERAPEUTIC ACTIVITY OF CHEMICAL COMPOUNDS OR MEDICINAL PREPARATIONS
- A61P1/00—Drugs for disorders of the alimentary tract or the digestive system
- A61P1/16—Drugs for disorders of the alimentary tract or the digestive system for liver or gallbladder disorders, e.g. hepatoprotective agents, cholagogues, litholytics
-
- A—HUMAN NECESSITIES
- A61—MEDICAL OR VETERINARY SCIENCE; HYGIENE
- A61P—SPECIFIC THERAPEUTIC ACTIVITY OF CHEMICAL COMPOUNDS OR MEDICINAL PREPARATIONS
- A61P13/00—Drugs for disorders of the urinary system
-
- A—HUMAN NECESSITIES
- A61—MEDICAL OR VETERINARY SCIENCE; HYGIENE
- A61P—SPECIFIC THERAPEUTIC ACTIVITY OF CHEMICAL COMPOUNDS OR MEDICINAL PREPARATIONS
- A61P29/00—Non-central analgesic, antipyretic or antiinflammatory agents, e.g. antirheumatic agents; Non-steroidal antiinflammatory drugs [NSAID]
-
- A—HUMAN NECESSITIES
- A61—MEDICAL OR VETERINARY SCIENCE; HYGIENE
- A61P—SPECIFIC THERAPEUTIC ACTIVITY OF CHEMICAL COMPOUNDS OR MEDICINAL PREPARATIONS
- A61P3/00—Drugs for disorders of the metabolism
-
- A—HUMAN NECESSITIES
- A61—MEDICAL OR VETERINARY SCIENCE; HYGIENE
- A61P—SPECIFIC THERAPEUTIC ACTIVITY OF CHEMICAL COMPOUNDS OR MEDICINAL PREPARATIONS
- A61P9/00—Drugs for disorders of the cardiovascular system
-
- C—CHEMISTRY; METALLURGY
- C07—ORGANIC CHEMISTRY
- C07D—HETEROCYCLIC COMPOUNDS
- C07D211/00—Heterocyclic compounds containing hydrogenated pyridine rings, not condensed with other rings
- C07D211/04—Heterocyclic compounds containing hydrogenated pyridine rings, not condensed with other rings with only hydrogen or carbon atoms directly attached to the ring nitrogen atom
- C07D211/06—Heterocyclic compounds containing hydrogenated pyridine rings, not condensed with other rings with only hydrogen or carbon atoms directly attached to the ring nitrogen atom having no double bonds between ring members or between ring members and non-ring members
- C07D211/36—Heterocyclic compounds containing hydrogenated pyridine rings, not condensed with other rings with only hydrogen or carbon atoms directly attached to the ring nitrogen atom having no double bonds between ring members or between ring members and non-ring members with hetero atoms or with carbon atoms having three bonds to hetero atoms with at the most one bond to halogen, e.g. ester or nitrile radicals, directly attached to ring carbon atoms
- C07D211/40—Oxygen atoms
- C07D211/42—Oxygen atoms attached in position 3 or 5
-
- C—CHEMISTRY; METALLURGY
- C07—ORGANIC CHEMISTRY
- C07D—HETEROCYCLIC COMPOUNDS
- C07D241/00—Heterocyclic compounds containing 1,4-diazine or hydrogenated 1,4-diazine rings
- C07D241/02—Heterocyclic compounds containing 1,4-diazine or hydrogenated 1,4-diazine rings not condensed with other rings
- C07D241/04—Heterocyclic compounds containing 1,4-diazine or hydrogenated 1,4-diazine rings not condensed with other rings having no double bonds between ring members or between ring members and non-ring members
-
- C—CHEMISTRY; METALLURGY
- C07—ORGANIC CHEMISTRY
- C07D—HETEROCYCLIC COMPOUNDS
- C07D401/00—Heterocyclic compounds containing two or more hetero rings, having nitrogen atoms as the only ring hetero atoms, at least one ring being a six-membered ring with only one nitrogen atom
- C07D401/02—Heterocyclic compounds containing two or more hetero rings, having nitrogen atoms as the only ring hetero atoms, at least one ring being a six-membered ring with only one nitrogen atom containing two hetero rings
- C07D401/12—Heterocyclic compounds containing two or more hetero rings, having nitrogen atoms as the only ring hetero atoms, at least one ring being a six-membered ring with only one nitrogen atom containing two hetero rings linked by a chain containing hetero atoms as chain links
-
- C—CHEMISTRY; METALLURGY
- C07—ORGANIC CHEMISTRY
- C07D—HETEROCYCLIC COMPOUNDS
- C07D413/00—Heterocyclic compounds containing two or more hetero rings, at least one ring having nitrogen and oxygen atoms as the only ring hetero atoms
- C07D413/02—Heterocyclic compounds containing two or more hetero rings, at least one ring having nitrogen and oxygen atoms as the only ring hetero atoms containing two hetero rings
- C07D413/12—Heterocyclic compounds containing two or more hetero rings, at least one ring having nitrogen and oxygen atoms as the only ring hetero atoms containing two hetero rings linked by a chain containing hetero atoms as chain links
Definitions
- the present invention relates to nitroderivatives of non-peptidic renin inhibitors, pharmaceutical compositions containing them and their use for the treatment or prophylaxis of cardiovascular, renal and chronic liver diseases, inflammatory processes and metabolic syndrome.
- Renin is a proteolytic enzyme which is predominantly released into the blood from the kidney. It cleaves its natural substrate, angiotensinogen, releasing the decapeptide, angiotensin I. In turn this is cleaved by the converting enzyme (ACE) in the lung, kidney and other tissues to the octapeptide angiotensin II, which has an effect on blood pressure.
- ACE converting enzyme
- Angiotensin II raises blood pressure both directly by causing arteriolar constriction and indirectly by stimulating release of the sodium- retaining hormone aldosterone from the adrenal gland causing a rise in extracellular fluid volume.
- the activity of the renin-angiotensin system can be manipulated pharmacologically by the inhibition of the activity of renin (renin inhibitors) , or by the inhibition of the angiotensin converting enzyme (ACE inhibitors) or by blockade of angiotensin II receptors (angiotensin II receptor blockers) .
- renin inhibitors renin inhibitors
- ACE inhibitors angiotensin converting enzyme
- angiotensin II receptor blockers angiotensin II receptor blockers
- Renin inhibitors have been developed as agents for control of hypertension, congestive heart failure, and hyperaldosteronism. Inefficient absorption, high first-pass metabolism and biliary excretion have constituted an obstacle to the clinical development of this group of drugs. The insufficient oral activity are due to their peptidomimetic character.
- WO 01/35961 describes methods of treating and/or preventing vascular diseases where nitric oxide insufficiency is a contributing factor by administering a therapeutically effective amount of at least one antioxidant, or a pharmaceutically acceptable salt thereof, and at least one of isosorbide dinitrate and isosorbide mononitrate, and, optionally, at least one nitrosated angiotensin-converting enzyme inhibitor, nitrosated beta- adrenegic blocker, nitrosated calcium channel blocker, nitrosated endothelin antagonist, nitrosated angiotensin II receptor antagonist, nitrosated renin inhibitor, and/or at least one compound used to treat cardiovascular diseases.
- WO 2005/023182 describes novel nitrosated and/or nitrosylated cardiovascular compounds or pharmaceutically acceptable salts thereof, and novel compositions comprising at least one nitrosated and/or nitrosylated cardiovascular compound, and, optionally, at least one nitric oxide donor and/or at least one therapeutic agent.
- the nitrosated and/or nitrosylated cardiovascular compounds are selected from: aldosterone antagonists, angiotensin II antagonists, calcium channel blockers, nitrosated and/or nitrosylated endothelin antagonists, hydralazine compounds, neutral endopeptidase inhibitors and renin inhibitors.
- WO 2006/093864 describes compositions and kits comprising at least one cardiovascular compound and at least one nitric oxide enhancing group, or pharmaceutically acceptable salts thereof, and, optionally, at least one nitric oxide enhancing compound and/or at least one therapeutic agent.
- the cardiovascular compounds are angiotensin II antagonists, aldosterone antagonists, endothelin antagonists, hydralazine compounds, neutral endopeptidase inhibitors and renin inhibitors.
- the nitric oxide enhancing groups are nitroxides and/or heterocyclic nitric oxide donors.
- non- peptidic renin inhibitors nitroderivatives of the present invention exhibit an anti-inflammatory, antithrombotic and antiplatelet activity and can be furthermore employed for treating or preventing congestive heart failure, coronary diseases, left ventricular dysfunction and hypertrophy, cardiac fibrosis, myocardial ischemia, stroke, atherosclerosis, restenosis post angioplasty, renal ischemia, renal failure, renal fibrosis, glomerulonephritis, renal colic, ocular and pulmonary hypertension, glaucoma, systemic hypertension, diabetic complications such as nephropathy, vasculopathy and neuropathy, peripheral vascular diseases, liver fibrosis, portal hypertension, metabolic syndromes, erectile dysfunction, complications after vascular or cardiac surgery, complications of treatment with immunosuppressive agents after organ transplantation, hyperaldosteronism, lung fibrosis, scleroderma, anxiety, cognitive disorders.
- Object of the present invention are, therefore, non- peptidic renin inhibitors nitroderivatives of general formula (I) and pharmaceutically acceptable salts or stereoisomers thereof: wherein: j is an integer equal to 1, 2 , or 3;
- a 1 is selected from the group consisting of formula (Ia), (Ib), (Ic), (Id), (Ie), (If), (Ig), (Ih) and (Ii):
- R 1 is aryl when R 2 is tetrazolyl or imidazolyl which may be substituted by 1-3 halogen, hydroxyl, cyano, trif luoromethyl, Ci- 6 -alkyl, halo- Ci- 6 -alkyl, hydroxy- Ci- 6 -alkyl, Ci- 6 -alkoxy-Ci- 6 -alkyl, cyano-Ci_ 6 -alkyl, carboxy-Ci- 6 -alkyl, Ci- 6 -alkanoyloxy-Ci- 6 -alkyl, C ⁇ - ⁇ - alkoxycarbonyloxy- Ci- 6 -alkyl, Ci- 6 -alkoxycarbonyl or
- Ci- 6 -alkoxy groups or a Ci_ 6 -alkylenedioxy group, and/or by an L1-T1-L2-T2-L3-T3-L4-T4-L5-U radical; or
- R 1 is aryl when X is -0-CH-R 11 O)-NR 9 -;
- R 1 is aryl when Z is -alk-NR 9 - where alk denotes Ci- ⁇ - alkylene, and n is 1;
- R 1 is phenyl which is substituted by 1-4-acetamidinyl- Ci- 6 -alkoxy, acetamidinyl-Ci- 6 -alkyl, acyl-Ci- 6 -alkoxy- Ci- 6 -alkyl, (N-acyl) -Ci_ 6 -alkoxy-Ci- 6 -alkylamino, Ci-6 ⁇ alkoxy, Ci_ 6 - alkoxy-Ci- ⁇ -alkoxy, Ci-6-alkoxy-Ci_ 6 -alkoxy- Ci- 6 -alkyl, Ci- 6 -alkoxy-Ci- 6 -alkyl, (N-Ci_ 6 -alkoxy) -Ci- 6 - alkylaminocarbonyl-Ci- 6 -alkoxy, (N-Ci_ 6 -alkoxy) -Ci-6- alkylaminocarbonyl-Ci-6-alkyl, Ci-6-alkyl
- Ci- 6 -alkoxy carbamoyl-Ci- ⁇ -alkyl, carboxy-Ci- 6 -alkoxy, carboxy-Ci- ⁇ -alkoxy-Ci-e-alkyl, carboxy-Ci- 6 -alkyl, cyano, cyano-Ci- 6 -alkoxy, cyano-C ⁇ - 6 -alkyl, C 3 -6- cycloal kylcarbonylamino-Ci- 6 -alkoxy, C 3 - 6 ⁇ cycloal kylcarbonylamino-Ci- 6 -alkyl , cyclopropyl-Ci-6- al kyl , O, N-dimethylhydroxylamino-Ci- 6 -al kyl , halo-Ci- 6 - al koxy, halo-Ci_ 6 -al kyl , halogen, hydroxy-Ci- 6 -al koxy- Ci_ 6
- R 1 is aryl which is substituted by 3- acetamidomethylpyrrolidinyl 3-Ci_ 6 -alkoxy-Ci- 6 -alkyl- pyrrolidinyl, 3, 4-dihydroxypyrrolidinyl, 2,6-dimethyl morpholinyl, 3, 5-dimethylmorpholinyl, dioxanyl, dioxolanyl, 4, 4-dioxothiomorpholinyl, dithianyl, dithiolanyl, 2-hydroxymethylpyrrolidinyl, 4- hydroxypiperidinyl, 3-hydroxy pyrrolidinyl, imidazolylalkoxy, imidazolylalkyl, 2- methylimidazolylalkoxy, 2-methylimidazolylalkyl, 3- methyl [1, 2 , 4] oxadiazol-5-ylalkoxy, 5- methyl [1,2,4] oxadiazol-3-ylalkoxy, 3-methyl-
- R 1 is heterocyclyl, optionally substituted, in particular as specified under (D) or (E) , in particular benzo [1, 3] dioxoyl, benzofuranyl, benzoxazolyl, dihydrobenzofuranyl, 3, 4-dihydro-2H- benzo [1, 4] oxazinyl, dihydro-3H-benzo [1, 4] oxazinyl, dihydro-2H-benzo [1,4] thiazinyl, 2, 3-dihydroindolyl, dihydro-lH-pyrido [2, 3-b] [1, 4 ] oxazinyl, 1,1- dioxodihydro-2H-benzo [1,4] thiazinyl, indazolyl, indolyl, [1, 5] naphthpyridyl, oxazolyl, 2-oxoazepanyl, 3-oxo-4H-benzo [1, 4 ] o
- R 2 is phenyl, naphthyl, acenaphthyl, cyclohexyl, pyridyl, pyrimidinyl, pyrazinyl, oxopyridinyl, diazinyl, triazolyl, thienyl, oxazolyl, oxadiazolyl
- R 3 is hydrogen, Ci- 6 -alkoxy, Ci- 6 -alkenyloxy, -OH, -0-, with the proviso that when R 3 is -O-, it is bound to one group - X 3 -ONO 2 ;
- R 4 is Ci_ 6 -alkoxy, Ci- 6 -alkoxy-Ci- 6 -alkoxy, optionally N-mono- or N, N-di-Ci-C ⁇ -alkylated amino, optionally N-mono- or N, N- di-Ci-C 6 -alkylated amino-Ci- 6 -alkoxy, optionally N-C ⁇ -6- alkylated Ci- ⁇ -alkoxycarbonylamino-Ci-e-alkoxy, optionally N- Ci_ 6 -alkylated Ci- ⁇ -alkylcarbonylamino-Ci-e-alkoxy, optionally N-Ci-6-alkylated C3-.8-cycloalkyl-C1-6-alkylcarbonylamino-C1-.6- alkoxy, Ci- ⁇ -alkylcarbonyl-Ci-e-alkoxy, Ci-6-alkylcarbonyloxy, aryl-Ci_ 6 -alkoxy
- R 5 and R 6 are each independently hydrogen, Ci- 6 ⁇ alkyl, C2-6- alkenyl, aryl-Ci- 6 -alkyl or acyl, or, together with the N atom to which they are bonded, are a 5- to 6-membered heterocyclic ring which may contain an additional N, 0 or S atom or an -SO- or -SO 2 - group, where the additional N atom may optionally be substituted by Ci- 6 -alkyl radicals; R 7 and R 8 , together with the carbon atom to which they are bonded, are a 3-7-membered ring which may contain one or two -0- or -S- atoms or -SO- or -SO2- groups; R 9 is hydrogen, Ci- 6 -alkyl, Ci- 6 -alkoxy-Ci- 6 -alkyl, acyl, aryl-Ci- 6 -alkyl, C 3 - 8 -cycloalkyl or C 3
- R 10 is carboxy-Ci- 6 -alkyl, Ci- ⁇ -alkoxycarbonyl-Ci-e-alkyl, Ci- 6 ⁇ lkyl or hydrogen;
- R 11 is hydrogen, halogen or Ci_ 6 -alkyl
- R 12 is hydrogen, halogen or Ci_ 6 -alkyl
- R 11 and R 12 together with the C-atom to which they are attached, may also be C 3 _ 8 -cycloalkyl;
- U is hydrogen, Ci- 6 -alkyl, cyano, trifluoromethyl, optionally substituted C 3 _i 2 -cycloalkyl, aryl, or heterocyclyl;
- W is oxygen or sulphur
- Z is Ci- 6 -alkylene, C 2 - 6 ⁇ alkenylene, hydroxy-Ci- 6 -alkylidene, -0-, -N-, -S-, -O-alk-, -NR 9 -alk, -S-alk-, -alk-O-, -alk-S- or -alk-NR 9 -, where alk denotes C ⁇ - 6 -alkylene; and where a) if Z is -0- or -S-, X is -CR 11 R 12 - and either R 2 contains an L1-T1-L2-T2-L3-T3-L4-T4-L5-U substituent or R 4 is a substituent other than hydrogen as defined above; b) if Z is -O-alk- or -S-alk-, X is -CR 11 R 12 -; and c) if X is a bond, Z is Ci- 6 -alky
- Ni is -NH- or -N-; when Ni is -N-, it is bound to one group - X 3 -ONO 2 ;
- Rio is aryl; heteroaryl; heterocycloalkyl; heterocycloalkenyl;
- Rn is phenyl,; naphtyl; acenaphtyl; cyclohexyl; pyridyl; pyrimidyl; pyrazinyl; oxopyridinyl; diazinyl; triazolyl; thienyl; oxazolyl; oxadiazolyl; thiazolyl; pyrrolyl; furyl which are unsubstituted or substituted by from one to three halogen, hydroxyl, cyano, trifluoromethyl, lower alkyl, halo-lower alkyl, hydroxyl-lower alkyl, lower alkoxy-lower alkyl, cyano-lower alkyl, carboxyl-lower alkyl, lower alkanoyloxy-lower alkyl, lower alkoxycarbonyloxy-lower alkyl, lower alkoxycarbonyl, lower alkoxy groups, lower alkylenedioxy group, and/
- Li, L2, L 3 , L 4 , and L 5 are, independent of each other, a bond; Ci_ 8 -alkylene;C 2 - 8 ⁇ alkenylene; C2- 8 ⁇ alkynylene or are absent;
- Ti, T 2 , T 3 , T 4 , and T 5 are, independent of each other,
- heteroaryl-lower alkyl heterocycloalkyl-lower alkyl; heterocycloalkenyl-lower alkyl
- aryloxy- lower alkyl (1) heteroaryloxy-lower alkyl; heterocycloalkyloxy- lower alkyl; heterocycloalkenyloxy-lower alkyl
- Ri 4 and R 15 are hydrogen; lower alkyl; lower alkenyl; aryl-lower alkyl; acyl or together with the N atom to which they are bonded, are a five-membered or six- membered heterocyclic ring which can contain an additional N, 0, or S atom, with the additional N atom optionally being substituted by lower alkyl;
- R 16 and Ri 7 together with the C atom to which they are bonded, are a three-membered to seven-membered ring which can contain one or two O, or S atom, or -0- or -
- Rig is hydrogen or lower alkyl
- R 20 is hydrogen or lower alkyl; acyl or aralkyl;
- R 21 is carboxyalkyl; alkoxycarbonyl; alkyl or hydrogen; U is or hydrogen; lower alkyl; cycloalkyl; cyano; optionally substituted cycloalkyl; aryl; heteroaryl; heterocycloalkyl; heterocycloalkenyl;
- Q is ethylene or is absent
- W is oxygen or sulphur
- Z is lower alkylene; lower alkenylene; hydroxyl-lower alkylidene; -0-; -S-; -0-AIk-; -S-AIk; -AIk-O-; AIk-S- where AIk is lower alkylene; and where a) if Z is -0- or -S-, X is -CH-Ri 9 and either Rn contains a substituent Li-Ti-L 2 -T 2 -L 3 -T 3 -L 4 -T 4 -L 5 -T 5 -U or Ri 3 is a substituent which is defined as above and which is different from hydrogen; b) if Z is -O-Alk or -S-AIk-, X is -CH-Ri 9 ; and c) if X is a bond, Z is lower alkylene, lower alkenylene, -AIk-O- or -AIk-S-;
- Ni is -N-or -NH-; when Ni is -N-, it is bound to one group -
- R 22 is: a) - (CH 2 ) Ic -Ni(R 24 ) z (R 25 ) z - ; k is 0, 2, 3 or 4 with the proviso that when k is 0, then Ni is -N- and it is bound to -X a -
- R 23 is cycloalkyl-lower alkyl, 1, 1, 1. trifluoroethyl, phenyl or benzyl, or phenyl or benzyl which is substituted by one to three halogen, cyano, Ci-C 3 -alkoxy or nitro;
- R 24 is hydrogen or Ci-C 3 ⁇ alkyl;
- R 25 is hydrogen or Ci-C 3 -alkyl;
- R 26 is Ci-C 3 -alkoxycarbonyl; aminocarbonyl, C1-C3- alkylaminocarbonyl, di-Ci-Cs-al
- R 27 is imidazolyl or triazolyl, with the proviso that i is 2 or 3 when imidazolyl or triazolyl is bonded by way of a C-N bond.
- Ni is -N- or -NH-; when Ni is -N-, it is bound to one group - X 3 -ONO 2 ;
- R 1 is aryl or heterocyclyl
- R 2 is phenyl, naphthyl, acenaphthyl, cyclohexyl, pyridyl, pyrimidinyl, pyrazinyl, oxopyridinyl, diazinyl, triazolyl, thienyl, oxazolyl, oxadiazolyl, thiazolyl, pyrrolyl, furyl, tetrazolyl or imidazolyl, which radicals may be substituted by 1-3 halogen, hydroxyl, cyano, trifluoromethyl, C ⁇ -6- alkyl, halo-C ⁇ - 6 -alkyl, hdyroxy-Ci_ 6 -alkyl, Ci- 6 -alkoxy- C 1 -S- alkyl, cyano- Ci- 6 -alkyl, carboxy-C ⁇ - 6 -alkyl, C 1 -6- alkanoyloxy-Ci- 6 -
- R 3 is hydrogen, Ci- 6 -al kyl , C 2 - 6 ⁇ alkenyl , Ci- 6 -alkoxy, hydroxy-Ci- 6 -alkyl , Ci_ 6 -al koxy-Ci- 6 -alkyl , benzyl or an
- R 4 -Z l-Xl-group where R 4 is ( a ) H-
- R 5 and R 6 are each independently hydrogen, Ci_ 6 -alkyl, C 2 -6- alkenyl, aryl-Ci_ 6 -alkyl or acyl, or, together with the nitrogen atom to which they are bonded, are a 5- or 6- membered heterocyclic ring which may contain an additional nitrogen, oxygen or sulphur atom or a -SO- or -SO 2 - group, and the additional nitrogen atom may optionally be substituted by Ci_ 6 - alkyl radicals;
- R 7 and R 8 together with the carbon atom to which they are bonded, are a 3-7-membered ring which may contain one or two oxygen or sulphur atoms or -SO- or -SO 2 - groups ;
- R 9 is hydrogen, Ci- 6 -alkyl, C 3 _ 8 -cycloalkyl, Ci- 6 -alkoxy-Ci_ 6 - alkyl, acyl or arylalkyl;
- R 10 is carboxyalkyl, alkoxycarbonylalkyl, alkyl or hydrogen;
- R 12 is hydrogen or Ci_ 6 -alkyl;
- U is hydrogen, Ci- 6 -alkyl, cycloalkyl, cyano, optionally substituted cycloalkyl, aryl, or heterocyclyl;
- Q is ethylene or is absent (formula (Ic)) or is ethylene or methylene (formula (Id));
- Z is absent or is Ci- 6 ⁇ alkylene, C 2 - 6 -alkenylene, hydroxy- Ci- 6 -alkylidene, -CH-R U -CO-NR 9 -, -0-, -S-, -NR 9 -, -O-alk-, -S- alk-, -NR 9 -alk-, -alk-O-, -alk-S-or-alk-NR 9 -, where alk is Ci- 6 ⁇ alkylen ; and where
- Ni is -N- or -NH-; when Ni is -N-, it is bound to one group - X 3 -ONO 2 ;
- R 1 Is -CH 2 -X, -O-X or -S(O) 0 -2"X; or R 1 is -NR 8 -X, -NR 8 C(O)-X or -NR 8 S(O) 2 -X in which R 8 is hydrogen or lower alkyl ; and X is - (CH 2 ) m - (CR 9 R 10 ) P -(CH 2 ) n -Z- (CH 2 ) q -W in which m, n and q are independently zero or an integer from 1 to 5; p is zero or 1;
- R 9 and R 10 are independently hydrogen, hydroxy, halogen, lower alkyl, lower alkoxy or cycloalkyl ; or
- R 9 and R 10 combined are alkylene which together with the carbon atom to which they are attached form a 3- to 6- membered ring; Z is a bond; or
- Z is 0, S(O) o-2 / or -NR 11 - in which
- R 11 is hydrogen or lower alkyl, provided that R 1 is -CH 2 -X when m, n and p are all zero; W is aryl or heterocyclyl;
- R 2 is hydrogen, halogen, cyano, hydroxy or lower alkoxy ;
- L is a bond
- L is - (CH 2 ) s-0- (CH 2 ) v in which s and v are independently zero or an integer from 1 to 3; or
- L is -C(O)-, -C(O)O-, -OC(O)-, -OC(O)NR 12 -, -NR 12 -,
- R 12 and R 13 are independently hydrogen or lower alkyl ;
- R 3 is hydrogen, hydroxy, halogen or cyano provided that L is a bond; or
- R 3 is optionally substituted lower alkyl, aralkyl, heteroaralkyl, aryl or heterocyclyl ; or
- R 3 and R 12 combined are alkylene which together with the nitrogen atom to which they are attached form a 5-to 6- membered ring;
- R 4 is hydrogen, optionally substituted lower alkyl or aryl;
- R 5 and R 6 are independently hydrogen, halogen, hydroxy, trifluoromethyl, optionally substituted lower alkyl, lower alkoxy or cycloalkyl; or
- R 5 and R 6 combined together with the carbon atoms to which they are attached form a fused 5- to 6-membered aromatic or heteroaromatic ring provided that R 5 and R 6 are attached to carbon atoms adjacent to each other; or
- R 5 and R 6 combined are alkylene which together with the carbon atoms to which they are attached form a fused 5- to
- R 7 is hydrogen, halogen, hydroxy, trifluoromethyl, optionally substituted lower alkyl, lower alkoxy, cycloalkyl, alkanoyl, alkyloxyalkoxy, alkanoyloxy, amino, alkylamino, dialkylamino, acylamino, carbamoyl, thiol, alkylthio, alkylthiono, sulfonyl, sulfonamido, sulfamoyl, nitro, cyano, carboxy, alkoxycarbonyl, aryl, alkenyl, alkynyl, aralkoxy, heterocyclyl including indolyl, imidazolyl, furyl, thienyl, thiazolyl, pyrrolidyl, pyridyl, pyrimidyl, piperidyl, morpholinyl and tetrazolyl ; or R 7 and R 6 combined are 0, S(O
- C-R 7 may be replaced with nitrogen
- Y is - (CH 2 ) r", -0- (CH 2 ) r", - (CH 2 ) r -0-, -So-2- (CH 2 ) r - or - (CH 2 ) r So- 2 - i- n which r is zero or an integer from 1 to 3; W is zero or 1;
- Q combined with the atoms to which it is attached form a 5- to 6-membered monocyclic aromatic or heteroaromatic ring; or Q combined with the atoms to which it is attached form a 7- to 12 -membered bicyclic aromatic or heterocyclic ring.
- Ni is -N- or -NH-; when Ni is -N-, it is bound to one group - X 3 -ONO 2 ; R 1 is -CH 2 -X, -O-X or -S-X; or
- R 1 is -NR 8 -X, -NR 8 C(O)-X or -NR 8 S(O) 2 -X in which R 8 is hydrogen or lower alkyl ; and X is - (CH 2 ) m - (CR 9 R 10 ) p - (CH 2 J n -Z-W in which m and n and p are independently zero or 1; R 9 is hydrogen; R 10 is hydrogen or lower alkyl;
- Z is a bond
- Z is 0, S (O) o-2/ or -NR 11- in which R 11 is hydrogen or lower alkyl, provided that R 1 , is -CH 2 -X when m, n and p are all zero;
- W is aryl or heterocyclyl
- R 2 is hydrogen
- R 3 is hydrogen or halogen
- R 5 and R 6 are independently hydrogen, halogen, hydroxy, trifluoromethyl, optionally substituted lower alkyl, lower alkoxy or cycloalkyl;
- R 7 is hydrogen, halogen, hydroxy, trifluoromethyl, optionally substituted lower alkyl, lower alkoxy or cycloalkyl; or
- R 7 and R 6 combined are 0, S(O) 0 -2, -NR 14 -, (CH 2 ) i_ 2 -, -0-CH 2 -,
- R 14 is hydrogen or lower alkyl, provided R 6 is located at the 2 '-position;
- R 15 is hydrogen, halogen, hydroxy, trifluoromethyl, optionally substituted lower alkyl, lower alkoxy or cycloalkyl.
- Ni is -N- or -NH-; when Ni is -N-, it is bound to one group
- R 1 in formula (Ih) is substituted or unsubstituted oxazolyl, indolyl, pyrrolyl, pyrazolyl, triazinyl, 2-oxodihydrobenzo [d] [1, 3] oxazinyl, 4- oxodihydroimidazolyl, 5-oxo-4H- [1, 2, 4 ] triazinyl, 3- oxo-4H-benzo [1,4] thiazinyl, tetrahydroquinoxalinyl, 1, l,3-trioxodihydro-2H-l ⁇ 6 -benzo[l, 4] thiazinyl, 1- oxo-pyridyl, dihydro-2H-benzo [1, 4] oxazinyl, 2- oxotetrahydrobenzo [e] [1, 4] diazepinyl, 2- oxodihydrobenzo [e] [1, 1,
- R 1 in formula (Ih) is aryl or heterocyclyl which is substituted by at least one substituent selected from Ci- 6 -alkoxy-Ci- 6 -alkoxy-Ci- 6 -alk:yl, C 3 -S- cycloalkyl-Ci_ 6 -alkyl, Ci-6-alkoxycarbonyl, Co-6 ⁇ alkylcarbonylamino, C 0 -6-alkylcarbonylamino-Ci-6- alkyl, C 0 - 6 -alkylcarbonylamino-Ci- 6 -alcoxy, (N-Ci-6- alkyl) -Co- ⁇ -alkylcarbonylamino-Ci-e-alkyl, (N-Ci-6- alkyl) -Co-e-alkylcarbonylamino-Ci- ⁇ -alcoxy, C3-8- cycloalkylcarbonylamino-Ci- 6 -alkyl, C3-8
- R 1 in formula (Ih) is aryl or heterocyclyl which is substituted by at least one substituent selected from [1,2, 4] -triazol-1-ylalkyl, [1, 2, 4 ] -triazol-1- ylalkoxy, [1, 2, 4 ] -triazol-4-ylalkyl, [1,2,4]- triazol-4-ylalkoxy, [1,2,4] -oxadiazol-5-ylalkyl, [1,2, 4]-oxadiazol-5-ylalkoxy, 3-methyl- [1, 2, 4]- oxadiazol-5-ylalkyl, 3-methyl- [1,2,4] -oxadiazol-5- ylalkoxy, 5-methyl- [1, 2, 4] -oxadiazol-3-ylalkyl, 5- methyl- [1, 2, 4] -oxadiazol-3-ylalkoxy, tetrazol-1- ylalkyl, tetrazol-1-ylal
- R 1 in formula (Ih) is aryl, heterocyclyl if n is 0 and X is -O-CH-R U -CO-NR 9 -, or if n and m are each 0 and X is -O-CH-R 11 - and R 2 is phenyl substituted by Ci- 6 -alkoxybenzyloxy-Ci_ 6 -alkoxy; or
- R 1 in formula (Ih) is aryl or heterocyclyl if n is 1 and Z is -alk-NR 9 -, where alk is Ci- 6 -alkylene; or (F) R 1 in formula (Ih) is aryl or heterocyclyl if R 2 is tetrazolyl or imidazolyl which may be substituted by 1-3-halogen, hydroxyl, cyano, trifluoromethyl, Ci- 6 -alkyl, halo-Ci- 6 -alkyl, hydroxyl-Ci_ 6 -alkyl, C 1 -Q- alkoxy-Ci- 6 -alkyl, cyano-Ci_ 6 -alkyl, carboxy-Ci-6- alkyl, Ci- 6 -alkanoyloxy-Ci- 6 -alkyl, Ci- ⁇ - alkoxycarbonyloxy-Ci- 6 -alkyl, Ci- 6 -alkoxycarbonyl or
- R 2 is phenyl, naphthyl, acenaphthyl, cyclohexyl, pyridyl, pyrimidinyl, pyrazinyl, oxopyridinyl, diazinyl, triazolyl, thienyl, oxazolyl, oxadiazolyl, thiazolyl, pyrrolyl, furyl, tetrazolyl or imidazolyl which radicals may be substituted by 1-3-halogen, hydroxyl, cyano, trifluoromethyl, Ci- 6 -alkyl, halo-C ⁇ - 6 -alkyl, hydroxy- Ci- 6 -alkyl, Ci-.
- R 3 is hydrogen, hydroxyl, Ci-6-alkoxy or C2-6 ⁇ alkenyloxy
- R 4 is hydrogen, Ci_ 6 -alkyl, C 2 - 6 -alkenyl, Ci- 6 -alkoxy, hydroxy-Ci- 6 -alkyl, Ci- 6 -alkoxy-Ci- 6 -alkyl, benzyl, oxo, or a: R 4a -Zl-Xl- group where R 4a is
- (a) is a bond, is absent, or is one of the groups (b) -O-
- R 5 and R 6 are each independently hydrogen, Ci_ 6 -alkyl, C 2 - 6 -alkenyl, aryl-Ci_ 6 -alkyl or acyl, or, together with the nitrogen atom to which they are bonded, are a 5- or 6- membered heterocyclic ring which may contain an additional nitrogen, oxygen or sulphur atom or a -SO- or -SO 2 - group, and the additional nitrogen atom may optionally be substituted by Ci- 6 -alkyl radicals; R 7 and R 8 , together with the carbon atom to which they are bonded, are a 3-7-membered ring which may contain one or two -0- or -S- atoms or -SO- or -SO 2 - groups;
- R 9 is hydrogen, Ci- 6 -alkyl, Ci- 6 -alkoxy-Ci- 6 -alkyl, acyl or arylalkyl;
- R 10 is carboxyalkyl, alkoxycarbonylalkyl, alkyl or hydrogen;
- R 11 is hydrogen or Ci- 6 -alkyl
- R 12 is hydrogen or C ⁇ - 6 -alkyl
- U is hydrogen, Ci- 6 -alkyl, C 3 _ 8 -cycloalkyl, cyano, optionally substituted C 3 - 8 -cycloalkyl, aryl, or heterocyclyl ;
- Q is ethylene or is absent (formula Ih) or is ethylene or methylene (formula Ii);
- W is oxygen or sulphur
- Z is Ci- 6 -alkylene, C2- 6 ⁇ alkenylene, hydroxy-Ci-6- alkylidene, -0-, -S-, -O-alk-, -S-alk-, -alk-O-, -alk-S- or -alk-NR 9 -, where alk is Ci- 6 -alkylene ; and where
- R 2 contains an L1-T1-L2-T2-L3-T3-L4-T4-L5-U substituent or R4 is a substituent other than hydrogen as defined above;
- Y 3 is a bivalent radical having the following meaning: a)
- Ci-C 2O alkylene preferably Ci-Cio, being optionally substituted with one or more of the substituents selected from the group consisting of: halogen atoms, hydroxy, -ONO 2 or T 3 , wherein T a is
- T b is straight or branched alkyl with from 1 to 10 carbon atoms, preferably CH 3 ;
- n 0 is an integer from 0 to 20, and n 1 is an integer from 1 to 20;
- n 1 is as defined above and n 2 is an integer from 0 to 2;
- n 1 , n 2 , R 2 and X c are as defined above ;
- f wherein : n 1 and R 2 are as defined above, R 3 is H or -COCH 3 ; with the proviso that when Y a is selected from the bivalent radicals mentioned under b) -f) , the -ONO 2 group is linked to a -(CH 2 )H 1 group;
- X d is -0- or -S-, n 3 is an integer from 1 to 6, preferably from 1 to 4, R 2 is as defined above; h)
- R 4 , R 5 , Re, R 7 are the same or different, and are H or straight or branched Ci-C 4 alkyl, preferably R 4 , R5/ Re, R7 are H; wherein the -ONO 2 group is linked to -[C] 5
- n 5 is as defined above;
- Y c is an heterocyclic saturated, unsaturated or aromatic 5 or 6 members ring, containing one or more heteroatoms selected from nitrogen, oxygen, sulfur, and is selected from the group consisting in:
- Ci-C 2O alkylene refers to branched or straight chain C 1 -C 2 0 hydrocarbon, preferably having from 1 to 10 carbon atoms such as methylene, ethylene, propylene, isopropylene, n-butylene, pentylene, n-hexylene and the like.
- Ci-Ci 0 alkyl refers to branched or straight chain alkyl groups comprising one to ten carbon atoms, including methyl, ethyl, n-propyl, isopropyl, n-butyl, isobutyl, t-butyl, pentyl, hexyl, octyl and the like.
- cycloalkylene refers to ring having from 5 to 7 carbon atoms including, but not limited to, cyclopentylene, cyclohexylene optionally substituted with side chains such as straight or branched (Ci-Cio)- alkyl, preferably CH 3 .
- heterocyclic refers to saturated, unsaturated or aromatic 5 or 6 members ring, containing one or more heteroatoms selected from nitrogen, oxygen, sulphur, such as for example pyridine, pyrazine, pyrimidine, pyrrolidine, morpholine, imidazole and the like.
- Another aspect of the present invention provides the use of the compounds of formula (I) in combination with at least a compound used to treat cardiovascular disease selected from the group consisting of: aldosterone antagonists, angiotensin II receptor blockers, ACE inhibitors, HMGCoA reductase inhibitors, beta-adrenergic blockers, alpha-adrenergic antagonists, sympatholytics, calcium channel blockers, endothelin antagonists, neutral endopeptidase inhibitors, potassium activators, diuretics, vasodilators, antithrombotics such as aspirin. Also it is contemplated the combination with nitrosated compounds of the above reported compounds.
- Suitable aldosterone antagonists, angiotensin II receptor blockers, ACE inhibitors, HMGCoA reductase inhibitors, beta-adrenergic blockers, alpha-adrenergic antagonists, calcium channel blockers, potassium activators, diuretics, vasodilators and antithrombotics are described in the literature such as The Merck Index (13 th edition) .
- Suitable nitrosated compounds are disclosed in WO 98/21193, WO 97/16405, WO 98/09948, WO 2004/105754, WO 2004/106300, WO 2004/110432, WO 2005/011646, WO 2005/053685, WO 2005/054218.
- the present invention also provides pharmaceutical kits comprising one or more containers filled with one or more of the compounds and/or compositions of the present invention and one or more of the compounds used to treat cardiovascular diseases reported above.
- the invention includes also the pharmaceutically acceptable salts of the compounds of formula (I) and stereoisomers thereof.
- Examples of pharmaceutically acceptable salts are either those with inorganic bases, such as sodium, potassium, calcium and aluminium hydroxides, or with organic bases, such as lysine, arginine, triethylamine, dibenzylamine, piperidine and other acceptable organic amines .
- the compounds according to the present invention when they contain in the molecule one salifiable nitrogen atom, can be transformed into the corresponding salts by reaction in an organic solvent such as acetonitrile, tetrahydrofuran with the corresponding organic or inorganic acids.
- organic acids are: oxalic, tartaric, maleic, succinic, citric acids.
- Examples of inorganic acids are: nitric, hydrochloric, sulphuric, phosphoric acids. Salts with nitric acid are preferred.
- the compounds of the invention which have one or more asymmetric carbon atoms can exist as optically pure enantiomers, pure diastereomers, enantiomers mixtures, diastereomers mixtures, enantiomer racemic mixtures, racemates or racemate mixtures.
- optically pure enantiomers pure diastereomers, enantiomers mixtures, diastereomers mixtures, enantiomer racemic mixtures, racemates or racemate mixtures.
- Preferred compounds are those of formula (I) wherein Y a has the following meaning: a)
- n 0 is 0 or 1, n 1 is 1; with the proviso that the -ONO 2 group is linked to -(CH 2 )Ii 1 group; g ) wherein X d is -0- or -S-, n 3 is 1 and R 2 is H;
- object of the present invention are also pharmaceutical compositions containing at least a compound of the present invention of formula (I) together with non toxic adiuvants and/or carriers usually employed in the pharmaceutical field.
- the daily dose of active ingredient that should be administered can be a single dose or it can be an effective amount divided into several smaller doses that are to be administered throughout the day.
- the dosage regimen and administration frequency for treating the mentioned diseases with the compound of the invention and/or with the pharmaceutical compositions of the present invention will be selected in accordance with a variety of factors, including for example age, body weight, sex and medical condition of the patient as well as severity of the disease, route of administration, pharmacological considerations and eventual concomitant therapy with other drugs. In some instances, dosage levels below or above the aforesaid range and/or more frequent may be adequate, and this logically will be within the judgment of the physician and will depend on the disease state.
- the compounds of the invention may be administered orally, parenterally, rectally or topically, by inhalation or aerosol, in formulations eventually containing conventional non-toxic pharmaceutically acceptable carriers, adjuvants and vehicles as desired.
- Topical administration may also involve the use of transdermal administration such as transdermal patches or iontophoresis devices.
- transdermal administration such as transdermal patches or iontophoresis devices.
- parenteral includes subcutaneous injections, intravenous, intramuscular, intrasternal injection or infusion techniques.
- Injectable preparations for example sterile injectable aqueous or oleaginous suspensions may be formulated according to known art using suitable dispersing or wetting agents and suspending agents.
- the sterile injectable preparation may also be a sterile injectable solution or suspension in a non-toxic parenterally acceptable diluent or solvent.
- the acceptable vehicles and solvents are water, Ringer's solution and isotonic sodium chloride.
- sterile, fixed oils are conventionally employed as a solvent or suspending medium.
- any bland fixed oil may be employed including synthetic mono or diglycerides, in addition fatty acids such as oleic acid find use in the preparation of injectables.
- Suppositories for rectal administration of the drug can be prepared by mixing the active ingredient with a suitable non-irritating excipient, such as cocoa butter and polyethylene glycols.
- Solid dosage forms for oral administration may include capsules, tablets, pills, powders, granules and gels.
- the active compound may be admixed with at least one inert diluent such as sucrose, lactose or starch.
- Such dosage forms may also comprise, as in normal practice, additional substances other than inert diluents, e.g. lubricating agents such as magnesium stearate.
- the dosage forms may also comprise buffering agents. Tablets and pills can additionally be prepared with enteric coatings.
- Liquid dosage forms for oral administration may include pharmaceutically acceptable emulsions, solutions, suspensions, syrups and elixirs containing inert diluents commonly used in the art, such as water. Such compositions may also comprise adjuvants, such as wetting agents, emulsifying and suspending agents, and sweetening, flavouring and the like.
- adjuvants such as wetting agents, emulsifying and suspending agents, and sweetening, flavouring and the like.
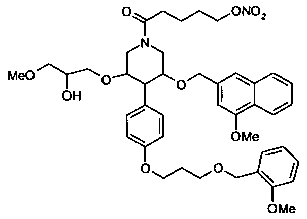
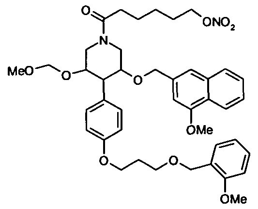
- the compounds of the present invention can be synthesized as follows.
- a 1 and j are as above defined;
- X 3 is -Xt,-Y a - wherein X b is - CO- and Y a is as above defined, can be obtained by a process comprising:
- Y a is as above defined;
- B 1 has the same meaning as A 1 with N 1 equal to -NH- and, if in A 1 a group -0- is linked to -X 3 -ONO 2 , then in B 1 this group corresponds to -OH; in presence of a condensing agent like dicyclohexylcarbodiimide (DCC) or N, N' -carbonyldiimidazol (CDI) or other known condensing reagents such as HATU in solvent such as DMF, THF, chloroform at a temperature in the range from -5°C to 50 0 C in the presence or not of a base as for example DMAP.
- DCC dicyclohexylcarbodiimide
- CDI N, N' -carbonyldiimidazol
- the nitric acid ester compounds of formula (Ilia) can be obtained from the corresponding alcohols of formula HOOC- Y a -OH (HIb), that are commercially available, by reaction with nitric acid and acetic anhydride in a temperature range from -5O 0 C to 0 0 C or reacting the corresponding halogen derivatives of formula HOOC-Y 3 -HaI (IIIc) wherein Hal is an alogen atom preferable Cl, Br, I, that are commercially available, with AgNO 3 as already described in WO 2006/008196.
- Act is an Halogen atom or a carboxylic acid activating group used in peptide chemistry as:
- the reaction is generally carried out in presence of a inorganic or organic base in an aprotic polar/non-polar solvent such as DMF, THF or CH 2 CI2 at temperatures ranging between 0°-65°C or in a double phase system H 2 OZEt 2 O at temperatures ranging between 20°-40°C; or in the presence of DMAP and a Lewis acid such as Sc(OTf) 3 or Bi(OTf) 3 in solvents such as DMF, CH 2 Cl 2 .
- aprotic polar/non-polar solvent such as DMF, THF or CH 2 CI2
- Y a is as above defined; C 1 has the same meaning as A 1 with Ni equal to >N-PG wherein PG is a N-protecting group like BOC, in presence of a condensing agent like dicyclohexylcarbodiimide (DCC) or N, N' -carbonyldiimidazol (CDI) or other known condensing reagents such as HATU in solvent such as DMF, THF, chloroform at a temperature in the range from -5°C to 50 0 C in the presence or not of a base as for example DMAP.
- DCC dicyclohexylcarbodiimide
- CDI N, N' -carbonyldiimidazol
- HATU solvent
- solvent such as DMF, THF, chloroform
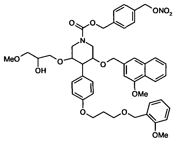
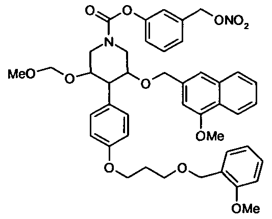
- a 1 and j are as above defined; X 3 is -X b -Y a - wherein X b is - C(O)O- and Y 3 is as above defined, can be obtained by a process comprising: 2a. reacting a compound of formula B 1 with a compound of formula (Via) in the molar ratio 1:1, 1:2 or 1:3 dependent on value of the integer j in the general formula (I) :
- the reaction is generally carried out in presence of a inorganic or organic base in an aprotic polar/non-polar solvent such as DMF, THF or CH 2 Cl 2 at temperatures ranging between 0°-65°C or in a double phase system H 2 0/Et 2 0 at temperatures ranging between 20°-40°C; or in the presence of DMAP and a Lewis acid such as Sc(OTf) 3 or Bi(OTf) 3 in solvents such as DMF, CH 2 Cl 2 .
- an aprotic polar/non-polar solvent such as DMF, THF or CH 2 Cl 2
- the reaction is generally carried out in presence of a inorganic or organic base in an aprotic polar/non-polar solvent such as DMF, THF or CH 2 Cl 2 at temperatures ranging between 0°-65°C or in a double phase system H 2 0/Et 2 0 at temperatures ranging between 20°- 40 0 C; or in the presence of DMAP and a Lewis acid such as Sc(OTf) 3 or Bi(OTf) 3 in solvents such as DMF, CH 2 Cl 2 .
- aprotic polar/non-polar solvent such as DMF, THF or CH 2 Cl 2
- the compounds of formula (Vila) can be obtained by reacting a compound B 1 with a compound of formula Act-C0-0-Y a -Hal (VIIb) in the molar ratio 1:1, 1:2 or 1:3 dependent on value of the integer j in the general formula (I) .
- the reaction is generally carried out in presence of an inorganic or organic base in an aprotic polar/non-polar solvent such as DMF, THF or CH 2 Cl 2 at temperatures ranging between 0°-65°C as above described.
Landscapes
- Chemical & Material Sciences (AREA)
- Organic Chemistry (AREA)
- Health & Medical Sciences (AREA)
- Life Sciences & Earth Sciences (AREA)
- General Health & Medical Sciences (AREA)
- Veterinary Medicine (AREA)
- Chemical Kinetics & Catalysis (AREA)
- General Chemical & Material Sciences (AREA)
- Medicinal Chemistry (AREA)
- Nuclear Medicine, Radiotherapy & Molecular Imaging (AREA)
- Public Health (AREA)
- Pharmacology & Pharmacy (AREA)
- Animal Behavior & Ethology (AREA)
- Bioinformatics & Cheminformatics (AREA)
- Engineering & Computer Science (AREA)
- Diabetes (AREA)
- Cardiology (AREA)
- Pain & Pain Management (AREA)
- Rheumatology (AREA)
- Heart & Thoracic Surgery (AREA)
- Hematology (AREA)
- Obesity (AREA)
- Urology & Nephrology (AREA)
- Gastroenterology & Hepatology (AREA)
- Medicines That Contain Protein Lipid Enzymes And Other Medicines (AREA)
- Pharmaceuticals Containing Other Organic And Inorganic Compounds (AREA)
Abstract
Non-peptidic renin inhibitors nitroderivatives of general formula (I) : A<SUP>1</SUP>-(X<SUB>a</SUB>-ONO<SUB>2</SUB>)<SUB>j</SUB> having wider pharmacological activity and enhanced tolerability. They can be employed for treating or preventing cardiovascular, renal and chronic liver diseases, inflammatory processes and metabolic syndrome.
Description
TITLE OF THE INVENTION "NON-PEPTIDIC RENIN INHIBITORS NITRODERIVATIVES"
******
The present invention relates to nitroderivatives of non-peptidic renin inhibitors, pharmaceutical compositions containing them and their use for the treatment or prophylaxis of cardiovascular, renal and chronic liver diseases, inflammatory processes and metabolic syndrome. Renin is a proteolytic enzyme which is predominantly released into the blood from the kidney. It cleaves its natural substrate, angiotensinogen, releasing the decapeptide, angiotensin I. In turn this is cleaved by the converting enzyme (ACE) in the lung, kidney and other tissues to the octapeptide angiotensin II, which has an effect on blood pressure. Angiotensin II raises blood pressure both directly by causing arteriolar constriction and indirectly by stimulating release of the sodium- retaining hormone aldosterone from the adrenal gland causing a rise in extracellular fluid volume.
The activity of the renin-angiotensin system can be manipulated pharmacologically by the inhibition of the activity of renin (renin inhibitors) , or by the inhibition of the angiotensin converting enzyme (ACE inhibitors) or by blockade of angiotensin II receptors (angiotensin II receptor blockers) .
Renin inhibitors have been developed as agents for control of hypertension, congestive heart failure, and hyperaldosteronism. Inefficient absorption, high first-pass metabolism and biliary excretion have constituted an obstacle to the clinical development of this group of drugs. The insufficient oral activity are due to their peptidomimetic character.
WO 01/35961 describes methods of treating and/or preventing vascular diseases where nitric oxide insufficiency is a contributing factor by administering a therapeutically effective amount of at least one antioxidant, or a pharmaceutically acceptable salt thereof, and at least one of isosorbide dinitrate and isosorbide mononitrate, and, optionally, at least one nitrosated angiotensin-converting enzyme inhibitor, nitrosated beta- adrenegic blocker, nitrosated calcium channel blocker, nitrosated endothelin antagonist, nitrosated angiotensin II receptor antagonist, nitrosated renin inhibitor, and/or at least one compound used to treat cardiovascular diseases.
WO 2005/023182 describes novel nitrosated and/or nitrosylated cardiovascular compounds or pharmaceutically acceptable salts thereof, and novel compositions comprising at least one nitrosated and/or nitrosylated cardiovascular compound, and, optionally, at least one nitric oxide donor and/or at least one therapeutic agent. The nitrosated and/or nitrosylated cardiovascular compounds are selected from: aldosterone antagonists, angiotensin II antagonists, calcium channel blockers, nitrosated and/or nitrosylated endothelin antagonists, hydralazine compounds, neutral endopeptidase inhibitors and renin inhibitors.
WO 2006/093864 describes compositions and kits comprising at least one cardiovascular compound and at least one nitric oxide enhancing group, or pharmaceutically acceptable salts thereof, and, optionally, at least one nitric oxide enhancing compound and/or at least one therapeutic agent. The cardiovascular compounds are angiotensin II antagonists, aldosterone antagonists, endothelin antagonists, hydralazine compounds, neutral endopeptidase inhibitors and renin inhibitors. The nitric
oxide enhancing groups are nitroxides and/or heterocyclic nitric oxide donors.
The need was felt to have available new renin inhibitors with good oral bioavailability and long duration of action. It has been so surprisingly found that nitroderivatives of renin inhibitors of a non-peptidic nature have a significantly improved overall profile as compared to the compounds above mentioned both in term of wider pharmacological activity and enhanced tolerability. In particular, it has been recognized that the non- peptidic renin inhibitors nitroderivatives of the present invention exhibit an anti-inflammatory, antithrombotic and antiplatelet activity and can be furthermore employed for treating or preventing congestive heart failure, coronary diseases, left ventricular dysfunction and hypertrophy, cardiac fibrosis, myocardial ischemia, stroke, atherosclerosis, restenosis post angioplasty, renal ischemia, renal failure, renal fibrosis, glomerulonephritis, renal colic, ocular and pulmonary hypertension, glaucoma, systemic hypertension, diabetic complications such as nephropathy, vasculopathy and neuropathy, peripheral vascular diseases, liver fibrosis, portal hypertension, metabolic syndromes, erectile dysfunction, complications after vascular or cardiac surgery, complications of treatment with immunosuppressive agents after organ transplantation, hyperaldosteronism, lung fibrosis, scleroderma, anxiety, cognitive disorders.
Object of the present invention are, therefore, non- peptidic renin inhibitors nitroderivatives of general formula (I) and pharmaceutically acceptable salts or stereoisomers thereof:
wherein:
j is an integer equal to 1, 2 , or 3;
A1 is selected from the group consisting of formula (Ia), (Ib), (Ic), (Id), (Ie), (If), (Ig), (Ih) and (Ii):
(Ia) wherein Ni is -NH-, -N-, when Ni is -N-, it is bound to one group - X3-ONO2; (A) R1 is aryl when R2 is tetrazolyl or imidazolyl which may be substituted by 1-3 halogen, hydroxyl, cyano, trif luoromethyl, Ci-6-alkyl, halo- Ci-6-alkyl, hydroxy- Ci-6-alkyl, Ci-6-alkoxy-Ci-6-alkyl, cyano-Ci_6-alkyl, carboxy-Ci-6-alkyl, Ci-6-alkanoyloxy-Ci-6-alkyl, Cχ-β- alkoxycarbonyloxy- Ci-6-alkyl, Ci-6-alkoxycarbonyl or
Ci-6-alkoxy groups, or a Ci_6-alkylenedioxy group, and/or by an L1-T1-L2-T2-L3-T3-L4-T4-L5-U radical; or
(B) R1 is aryl when X is -0-CH-R11O)-NR9-; or
(C) R1 is aryl when Z is -alk-NR9- where alk denotes Ci-β- alkylene, and n is 1; or
(D) R1 is phenyl which is substituted by 1-4-acetamidinyl- Ci-6-alkoxy, acetamidinyl-Ci-6-alkyl, acyl-Ci-6-alkoxy- Ci-6-alkyl, (N-acyl) -Ci_6-alkoxy-Ci-6-alkylamino, Ci-6~ alkoxy, Ci_6- alkoxy-Ci-β-alkoxy, Ci-6-alkoxy-Ci_6-alkoxy- Ci-6-alkyl, Ci-6-alkoxy-Ci-6-alkyl, (N-Ci_6-alkoxy) -Ci-6- alkylaminocarbonyl-Ci-6-alkoxy, (N-Ci_6-alkoxy) -Ci-6- alkylaminocarbonyl-Ci-6-alkyl, Ci-6-alkoxy-Ci_6- alkylcarbamoyl, Ci-e-alkoxy-Ci-β-alkylcarbonyl, Ci_6~ alkoxy-Ci-6-alkylcarbonyl amino, 1- Ci-6-alkoxy-Ci-6-alkylimidazol-2-yl, 4-oxoimidazol-l-yl,
l-Ci-6~slkoxy-Ci-.6-alkyltetrazol-5-yl, 5-Ci-6-alkoxy-Ci-6- alkyltetrazol-1-yl, 6-alkoxyaminocarbonyl- Ci_6-alkoxy, Ci-e-alkoxyaminocarbonyl-Ci-β-alkyl, Ci-6-alkoxycarbonyl, Ci_6-alkoxycarbonyl-Ci-6-alkoxy, Ci_6-alkoxycarbonyl-Ci_6- alkyl, di-Ci-β-alkoxycarbonylamino-Ci-e-alkoxy, Ci-6- alkoxycarbonyl amino-Ci-6-alkyl, Ci-6-alkyl, (N-Ci-6- alkyl) -Ci-β-alkoxy-Ci-e-alkylcarbamoyl, (N-Ci_6-alkyl) - Ci-e-alkoxy-Ci-e-alkylcarbonyl amino, (N-Ci-6-alkyl) -Ci-6- alkoxycarbonylamino, (N-Cχ-6-alkyl) -Co-6~ alkylcarbonylamino-Ci-6-alkoxy, (N-Ci-6-alkyl) -Co-6~ alkylcarbonylamino-Ci-6-alkyl, (N-Ci_6-alkyl) -Ci-6-alkyl sulphonylamino-Ci-6-alkoxy, (N-Ci-6-alkyl) -Ci_6- alkylsulphonyl-amino-Ci-6-alkyl, Ci-6-alkylamidinyl, Ci- 6-alkylaminocarbonyl-Ci-6-alkoxy, di-Ci-6~ alkylaminocarbonyl-Ci-6-alkoxy, Ci_6-alkylaminocarbonyl-
Ci-6-alkoxy, Ci-θ-alkylamino-Ci-e-alkyl, di-Ci-6- alkylamino-Ci-6-alkyl-Ci-6-alkyl, Ci-6-alkylamino carbonyl-Ci-6-alkyl, Ci-g-alkylaminocarbonylamino-Ci-δ- alkoxy, Ci-e-alkylaminocarbonylamino-Ci-e-alkyl, di-Ci-6- alkylaminocarbonyl-Ci-6-alkyl, Ci_6-alkylamino-C2-6~ alkoxy, di-Ci-e-alkylamino-Ca-β-alkoxy, Ci-6-alkylamino- Ci-6-alkyl, di-Ci-e-alkylamino-Ci-e-alkyl, Ci-6~ alkylcarbamoyl, di-Ci-6-alkylcarbamoyl, Co-6~ alkylcarbonyl, Co-6-alkylcarbonylamino- Ci-6-alkoxy, C0- 6~alkylcarbonylamino, Co-6-alkylcarbonylamino- Ci_6- alkyl, Ci-e-alkylcarbonyloxy-Ci-δ-alkoxy, Ci-6-alkyl- carbonyloxy-Ci-6-alkyl, Ci-6-alkylsulphonyl, Ci-6~ alkyl sulphonyl -Ci-6-alkoxy, Ci-6-a Iky 1 sulphonyl -Cχ_6- alkyl, Ci-e-alkylsulphonylamino-Ci-δ-alkoxy, Cχ_6- alkylsulphonylamino -Ci_6-alkyl, carbamoyl, carbamoyl-
Ci-6-alkoxy, carbamoyl-Ci-β-alkyl, carboxy-Ci-6-alkoxy, carboxy-Ci-β-alkoxy-Ci-e-alkyl, carboxy-Ci-6-alkyl, cyano, cyano-Ci-6-alkoxy, cyano-Cχ-6-alkyl, C3-6-
cycloal kylcarbonylamino-Ci-6-alkoxy, C3-6~ cycloal kylcarbonylamino-Ci-6-alkyl , cyclopropyl-Ci-6- al kyl , O, N-dimethylhydroxylamino-Ci-6-al kyl , halo-Ci-6- al koxy, halo-Ci_6-al kyl , halogen, hydroxy-Ci-6-al koxy- Ci_6-al koxy, hydroxy-Ci-e-al koxy-Ci-β-alkyl , hydroxy-Ci-6- alkyl, (N-hydroxy) -Ci-β-alkylaminocarbonyl-Ci-e-alkoxy,
(N-hydroxy) -Ci-e-alkylaminocarbonyl-Ci-e-alkyl, (N- hydroxy) aminocarbonyl-Cχ-6-alkoxy, (N- hydroxy) aminocarbonyl-Ci-6-alkyl, 2-oxooxazolidinyl-Ci- 6-alkoxy, 2-oxooxazolidinyl-Ci-6-alkyl, O-methyloximyl-
Ci-6-alkyl or trifluoromethyl; or
(E) R1 is aryl which is substituted by 3- acetamidomethylpyrrolidinyl 3-Ci_6-alkoxy-Ci-6-alkyl- pyrrolidinyl, 3, 4-dihydroxypyrrolidinyl, 2,6-dimethyl morpholinyl, 3, 5-dimethylmorpholinyl, dioxanyl, dioxolanyl, 4, 4-dioxothiomorpholinyl, dithianyl, dithiolanyl, 2-hydroxymethylpyrrolidinyl, 4- hydroxypiperidinyl, 3-hydroxy pyrrolidinyl, imidazolylalkoxy, imidazolylalkyl, 2- methylimidazolylalkoxy, 2-methylimidazolylalkyl, 3- methyl [1, 2 , 4] oxadiazol-5-ylalkoxy, 5- methyl [1,2,4] oxadiazol-3-ylalkoxy, 3-methyl-
[1, 2, 4] oxadiazol-5-ylalkyl, 5-methyl [1, 2, 4 ] oxadiazol-
3-ylalkyl, 4-methylpiperazinyl, 5-methyltetrazol-l- ylalkoxy, 5-methyltetrazol-l-ylalkyl, morpholinyl, [1,2,4] oxadiazol-5-ylalkoxy, [1,2,4] oxadiazol-5- ylalkyl, oxazol-4-ylalkoxy, oxazol-4-ylalkyl, 2-oxo- [1, 3] oxazinyl, 2-oxooxazolidinyl, 2-oxoimidazolidinyl, 2-oxopyrrolidinyl, 4-oxopiperidinyl, 2- oxopyrrolidinylalkoxy, 2-oxopyrrolidinylalkyl, 2- oxotetrahydro-pyrimidinyl 4-oxothiomorpholinyl, piperazinyl, piperidinyl, pyrrolidinyl, pyrrolyl, [1,2, 4] triazol-1-ylalkoxy, [1,2,4] triazol-4-ylalkoxy,
[1,2, 4]triazol-l-ylalkyl, [1,2, 4] triazol-4-ylalkyl, tetrazol-1-ylalkoxy, tetrazol-2-ylalkoxy, tetrazol-5- ylalkoxy, tetrazol-1-ylalkyl, tetrazol-2-ylalkyl, tetrazol-5-ylalkyl, thiazol-4-ylalkoxy, thiazo-4- ylalkyl, thiomorpholinyl; or
(F) R1 is heterocyclyl, optionally substituted, in particular as specified under (D) or (E) , in particular benzo [1, 3] dioxoyl, benzofuranyl, benzoxazolyl, dihydrobenzofuranyl, 3, 4-dihydro-2H- benzo [1, 4] oxazinyl, dihydro-3H-benzo [1, 4] oxazinyl, dihydro-2H-benzo [1,4] thiazinyl, 2, 3-dihydroindolyl, dihydro-lH-pyrido [2, 3-b] [1, 4 ] oxazinyl, 1,1- dioxodihydro-2H-benzo [1,4] thiazinyl, indazolyl, indolyl, [1, 5] naphthpyridyl, oxazolyl, 2-oxoazepanyl, 3-oxo-4H-benzo [1, 4 ] oxazinyl, 2-oxobenzoxazolyl, 3-oxo- 4H-benzo[l, 4] thiazinyl, 2- oxodihydrobenzo [e] [1, 4] diazepinyl, 2- oxodihydrobenzo [d] [1, 3] oxazinyl, 2-oxodihydro-lH- quinazolinyl, 4-oxodihydroimidazolyl, 2-oxo-l,3- dihydroindolyl, l-oxo-3H-isobenzofuranyl, 2- oxopiperidinyl 2-oxo-lH-pyrido [2 , 3-b] [1, 4] oxazinyl, 1- oxopyridyl, 2-oxotetrahydrobenzo [e] [1, 4 ] diazepinyl, 4- oxo-3H-thieno [2, 3-d] pyrimidinyl, 5-oxo-4H-
[1, 2, 4] triazinyl, phthalazinyl, pyrazolyl, IH- pyrrolizinyl, lH-pyrrolo [2, 3-b] pyridyl, pyrrolyl, tetrahydroquinoxalinyl, tetrahydropyranyl, triazinyl, imidazo [1, 5-a] pyridinyl, tetrahydro-imidazo [1,5- a]pyridinyl or 1, 1, 3-trioxodihydro-2H-lλ6- benzo [1,4] thiazinyl; R2 is phenyl, naphthyl, acenaphthyl, cyclohexyl, pyridyl, pyrimidinyl, pyrazinyl, oxopyridinyl, diazinyl, triazolyl, thienyl, oxazolyl, oxadiazolyl, thiazolyl, pyrrolyl, furyl, tetrazolyl or imidazolyl, which radicals may be substituted
by 1-3-halogen, hydroxyl, cyano, trifluoromethyl, Ci-6- alkyl, halo-Ci-6-alkyl, hydroxy-Ci-6-alkyl, Ci-6-alkoxy-Ci-6- alkyl, cyano-Ci-6-alkyl, carboxy-Ci-6-alkyl, Ci-β-alkanoyloxy-Ci-e-alkyl, Ci-6-alkoxycarbonyloxy-Ci-6-alkyl, Ci-6-alkoxycarbonyl, or Cχ-6-alkoxy groups, or a Cχ-6- alkylenedioxy group, and/or by an Ll -Tl -L2-T2-L3-T3-L4- T4-L5-U radical;
Ll, L2, L3, L4 and L5 are each independently a bond, Ci-β- alkylene, C2-β~alkenylene or C2-8~alkynylene, or are absent; Tl, T2, T3 and T4 are each independently: a) a bond, or are absent, or are one of the groups
(b) -CH(OH)-
(c) -CH(OR6)-
(d) -CH(NR5R6)- (e) -CO-
(f)-CR7R8-
(g) -0- or -NR6-
(h) -S(0)o-2-
(i) -SO2NR6- (J)-NR6SO2-
(k) -CONR6-
(1) -NR6CO-
(m) -0-C0-
(n) -CO-O- (o)-O-CO-O-
(p) -O-CO-NR6-
(q) -N (R6) -CO-N (R6) -
(r) -N (R6) -CO-O-
(s) pyrrolidinylene, piperidinylene or piperazinylene (t) -C(R11R12)-, where the bonds starting from (b)-(t) lead to a saturated or aromatic carbon atom of the adjacent group if the bond starts from a heteroatom, and where not more than two
groups (b)-(f), three groups (g)-(h) and one group (i)-(t) is/are present;
R3 is hydrogen, Ci-6-alkoxy, Ci-6-alkenyloxy, -OH, -0-, with the proviso that when R3 is -O-, it is bound to one group - X3-ONO2;
R4 is Ci_6-alkoxy, Ci-6-alkoxy-Ci-6-alkoxy, optionally N-mono- or N, N-di-Ci-Cβ-alkylated amino, optionally N-mono- or N, N- di-Ci-C6-alkylated amino-Ci-6-alkoxy, optionally N-Cχ-6- alkylated Ci-β-alkoxycarbonylamino-Ci-e-alkoxy, optionally N- Ci_6-alkylated Ci-β-alkylcarbonylamino-Ci-e-alkoxy, optionally N-Ci-6-alkylated C3-.8-cycloalkyl-C1-6-alkylcarbonylamino-C1-.6- alkoxy, Ci-β-alkylcarbonyl-Ci-e-alkoxy, Ci-6-alkylcarbonyloxy, aryl-Ci_6-alkoxy, aryloxy, optionally N-mono- or N,N-di-Ci~ C6-alkylated carbamoyl-Ci-6-alkoxy, optionally N-mono- or N, N-di-C3_8-cycloalkyl-Ci-C6-alkylated carbamoyl-Ci-6-alkoxy, optionally N-mono- or N,N-di-Ci~C6-alkylated carbamoyloxy, cyanoalkyloxy, C3_8-Cycloalkyloxy, C3-.8-cycloalkyl-C1-.6- alkoxy, Cs-s-cycloalkyloxy-Ci-e-alkoxy, hydroxy-Ci_6-alkoxy, hydroxy-Ci-6-alkoxy-Ci_6-alkoxy, heterocyclyl-Ci-6-alkoxy, heterocyclyloxy, heterocyclyloxy-Ci-6-alkoxy or oxo; R4 can be -NH-, -NH2, -OH or -0- with the proviso that when R4 is -NH- or -0-, it is bound to one group -Xi-ONO2. R5 and R6 are each independently hydrogen, Ci-6~alkyl, C2-6- alkenyl, aryl-Ci-6-alkyl or acyl, or, together with the N atom to which they are bonded, are a 5- to 6-membered heterocyclic ring which may contain an additional N, 0 or S atom or an -SO- or -SO2- group, where the additional N atom may optionally be substituted by Ci-6-alkyl radicals; R7 and R8, together with the carbon atom to which they are bonded, are a 3-7-membered ring which may contain one or two -0- or -S- atoms or -SO- or -SO2- groups;
R9 is hydrogen, Ci-6-alkyl, Ci-6-alkoxy-Ci-6-alkyl, acyl, aryl-Ci-6-alkyl, C3-8-cycloalkyl or C3-8-cycloalkyl-Ci-6-alkyl;
R10 is carboxy-Ci-6-alkyl, Ci-β-alkoxycarbonyl-Ci-e-alkyl, Ci- 6~^lkyl or hydrogen;
R11 is hydrogen, halogen or Ci_6-alkyl;
R12 is hydrogen, halogen or Ci_6-alkyl;
R11 and R12, together with the C-atom to which they are attached, may also be C3_8-cycloalkyl; U is hydrogen, Ci-6-alkyl, cyano, trifluoromethyl, optionally substituted C3_i2-cycloalkyl, aryl, or heterocyclyl;
X is a bond, oxygen or sulphur or is >CRX1R12, >CHOR9, -CD- CO-, >CO, >C=NOR10, -0- CR11R12-, -O-CR^R^-CO-NR9-, -CO-NR9- or -NR9-, where a bond starting from a nitrogen, oxygen or sulphur atom leads to a saturated C atom of the Z group or to R1;
W is oxygen or sulphur;
Z is Ci-6-alkylene, C2-6~alkenylene, hydroxy-Ci-6-alkylidene, -0-, -N-, -S-, -O-alk-, -NR9-alk, -S-alk-, -alk-O-, -alk-S- or -alk-NR9-, where alk denotes Cχ-6-alkylene; and where a) if Z is -0- or -S-, X is -CR11R12- and either R2 contains an L1-T1-L2-T2-L3-T3-L4-T4-L5-U substituent or R4 is a substituent other than hydrogen as defined above; b) if Z is -O-alk- or -S-alk-, X is -CR11R12-; and c) if X is a bond, Z is Ci-6-alkylene, C2-6~alkenylene, - NR9-alk-, -alk-NR9-, -alk-O- or -alk-S-; n is 1 or, when X is -0-C0-, is 0 or 1; m is 0 or 1.
(Ib) wherein:
Ni is -NH- or -N-; when Ni is -N-, it is bound to one group - X3-ONO2;
Rio is aryl; heteroaryl; heterocycloalkyl; heterocycloalkenyl;
Rn is phenyl,; naphtyl; acenaphtyl; cyclohexyl; pyridyl; pyrimidyl; pyrazinyl; oxopyridinyl; diazinyl; triazolyl; thienyl; oxazolyl; oxadiazolyl; thiazolyl; pyrrolyl; furyl which are unsubstituted or substituted by from one to three halogen, hydroxyl, cyano, trifluoromethyl, lower alkyl, halo-lower alkyl, hydroxyl-lower alkyl, lower alkoxy-lower alkyl, cyano-lower alkyl, carboxyl-lower alkyl, lower alkanoyloxy-lower alkyl, lower alkoxycarbonyloxy-lower alkyl, lower alkoxycarbonyl, lower alkoxy groups, lower alkylenedioxy group, and/or by radical L1-T1-L2-T2-L3-T3-L4-
T4-L5-T5-U;
Li, L2, L3, L4, and L5 are, independent of each other, a bond; Ci_8-alkylene;C2-8~alkenylene; C2-8~alkynylene or are absent;
Ti, T2, T3, T4, and T5 are, independent of each other,
(a) a bond, or are absent, or are one of the groups:
(b) -CH(OH)- (c) -(CHOR15)-
(d) -(CHNR14R15)-
(e) -CO-
(f) -CR16Ri7-
(g) -0- or -NR15-
( h ) -S (O ) 0-2
( i ) -SO2NRi5-
( j ) -NRi5SO2-
( k) -CONRi5- ( 1 ) -NRi5CO-
(m) -O-CO-
( n ) -CO-O-
( o ) -0-CO-O-
(p ) -0-CO-NRi5- ( q) -NRi5CO-NR15-
( r) -NRi5CO-O- , where the bonds issuing from (b) , (d) , (e) and (g) to (r) lead to a C atom of the adjacent group and this C atom is saturated if the bond issues from a heteroatom and where not more than two groups (b) to (f) , three groups (g) to
(h) and one group (i) to (r) are present;
Ri2 is hydrogen, hydroxyl, lower alkoxy; lower alkenoyloxy; Ri3 is hydrogen; lower alkyl; lower alkenyl; lower alkoxy; hydroxyl-lower alkyl, benzyl; oxo or a group Ri8Zi-Xi- where Ri8 is:
(a) Hydrogen
(b) lower alkyl
(c) lower alkenyl
(d) 0-lower alkyl, -OH or -0- with the proviso that when is -0-, it is bound to one group -X3-ONO2
(e) poli-0-lower alkyl
(f) lower alkyl-O-lower alkyl
(g) aryl
(h) heteroaryl; heterocycloalkyl; heterocycloalkenyl (i) aralkyl
(j) heteroaryl-lower alkyl; heterocycloalkyl-lower alkyl; heterocycloalkenyl-lower alkyl (k) aryloxy- lower alkyl
(1) heteroaryloxy-lower alkyl; heterocycloalkyloxy- lower alkyl; heterocycloalkenyloxy-lower alkyl
(m) Ri4Ri5N-(CH2) 1-3-
( n ) R14R15N- (o) lower alkyl-S (0) 0-2- ;
(p ) aryl-S (O ) 0-2-
(q) heteroaryl-S (O) 0-2-; heterocycloalkyl-S (O) o-2~; heterocycloalkenyl-S (0) 0-2-
(r) HO-SO3- or its salts (S) H2N-C(NH)-NH-
(t) -NC- and the bonds issuing from (n) to (t) lead to a C atom of the adjacent groups and this C atom is saturated if the bond issues from a heteroatom; Zi is
(a) hydrogen
(b) lower alkylene
(c) lower alkenylene
(d) -0-; -NRi9-; -S(O) 0-2 (e) -CO-
(f) -CO-O-
(g) -0-CO-O- (h) -0-CO-NRi9- (i) -NRi9-CO-O- (j) -CO-NRi9- (k) -NRi9-CO- (1) -NRi9-CO-NRi9- (m) -CH(OR20)- and the bonds issuing from (d) and (f) to (m) lead to a C atom of the adjacent group and this C atom is saturated if the bond issues from a heteroatom; Xi is (a) a bond; is absent or is one of the groups
( b ) -0-
( C ) -NR19-
( d ) -S ( O ) 0-2-
( e ) - ( CH2 ) 1-3- ; or Rχ2 and Ri3 are together a bond;
Ri4 and R15 are hydrogen; lower alkyl; lower alkenyl; aryl-lower alkyl; acyl or together with the N atom to which they are bonded, are a five-membered or six- membered heterocyclic ring which can contain an additional N, 0, or S atom, with the additional N atom optionally being substituted by lower alkyl;
R16 and Ri7 together with the C atom to which they are bonded, are a three-membered to seven-membered ring which can contain one or two O, or S atom, or -0- or -
SO2- groups;
Rig is hydrogen or lower alkyl;
R20 is hydrogen or lower alkyl; acyl or aralkyl;
R21 is carboxyalkyl; alkoxycarbonyl; alkyl or hydrogen; U is or hydrogen; lower alkyl; cycloalkyl; cyano; optionally substituted cycloalkyl; aryl; heteroaryl; heterocycloalkyl; heterocycloalkenyl;
Q is ethylene or is absent;
X is a bond; oxygen; sulphur; or groups -CH-R19; -CHOR20; -0-C0-; -CO-; or -C=NOR2I,* where the bond issuing from an oxygen atom or sulphur atom leads to a saturated C atom of the group Z or to Rio;
W is oxygen or sulphur;
Z is lower alkylene; lower alkenylene; hydroxyl-lower alkylidene; -0-; -S-; -0-AIk-; -S-AIk; -AIk-O-; AIk-S- where AIk is lower alkylene; and where a) if Z is -0- or -S-, X is -CH-Ri9 and either Rn contains a substituent Li-Ti-L2-T2-L3-T3-L4-T4-L5-T5-U or
Ri3 is a substituent which is defined as above and which is different from hydrogen; b) if Z is -O-Alk or -S-AIk-, X is -CH-Ri9; and c) if X is a bond, Z is lower alkylene, lower alkenylene, -AIk-O- or -AIk-S-;
n is 1 or, if X is -0-C0-, is 0 or 1; m is 0 or 1.
Ni is -N-or -NH-; when Ni is -N-, it is bound to one group -
X3-ONO2;
R22 is: a) - (CH2) Ic-Ni(R24) z (R25) z- ; k is 0, 2, 3 or 4 with the proviso that when k is 0, then Ni is -N- and it is bound to -Xa-
ONO2; z and z' are equal or different and are 0 or 1, with the proviso that when z or z' are 0, Ni is bound to -Xa~
ONO2; b) - (CH2) k-O(R24) z; k is 2, 3 or 4; z is equal to 0 or 1 with the proviso that when z is 0, -0- is bound to -X9-ONO2; c) - (CH2)m-OR26; m is 1 or 2; d) - (CH2) i-R27; i is 1, 2 or 3;
R23 is cycloalkyl-lower alkyl, 1, 1, 1. trifluoroethyl, phenyl or benzyl, or phenyl or benzyl which is substituted by one to three halogen, cyano, Ci-C3-alkoxy or nitro; R24 is hydrogen or Ci-C3~alkyl;
R25 is hydrogen or Ci-C3-alkyl; Ci-C3-alkylsulphonyl, aminosulphonyl, Ci-C3-alkylaminosulphonyl; C1-C3- alkylaminocarbonyl, Ci-C3-alkylcarbonyl; trifluoromethyl- carbonyl, trifluoromethyl-sulfonyl or aminocarbonyl; R26 is Ci-C3-alkoxycarbonyl; aminocarbonyl, C1-C3- alkylaminocarbonyl, di-Ci-Cs-alkylaminocarbonyl or cyano;
R27 is imidazolyl or triazolyl, with the proviso that i is 2 or 3 when imidazolyl or triazolyl is bonded by way of a C-N bond.
(Id) (Ie) wherein: Ni is -N- or -NH-; when Ni is -N-, it is bound to one group - X3-ONO2;
R1 is aryl or heterocyclyl;
R2 is phenyl, naphthyl, acenaphthyl, cyclohexyl, pyridyl, pyrimidinyl, pyrazinyl, oxopyridinyl, diazinyl, triazolyl, thienyl, oxazolyl, oxadiazolyl, thiazolyl, pyrrolyl, furyl, tetrazolyl or imidazolyl, which radicals may be substituted by 1-3 halogen, hydroxyl, cyano, trifluoromethyl, Cχ-6- alkyl, halo-Cχ-6-alkyl, hdyroxy-Ci_6-alkyl, Ci-6-alkoxy- C1-S- alkyl, cyano- Ci-6-alkyl, carboxy-Cχ-6-alkyl, C1-6- alkanoyloxy-Ci-6-alkyl, C1-.6-alkoxycarbonyloxy-C1-.6-aIky1, Ci-6-alkoxycarbonyl, or Ci-6-alkoxy, or a Ci-6-alkylenedioxy group, and/or by an L1-T1-L2-T2-L3-T3-L4-T4-L5- U radical;
Ll, L2, L3, L4 and L5 are each independently a bond, Ci_8- alkylene, C2-8-alkenylene or C2-8~alkynylene, or are absent; Tl, T2, T3 and T4 are each independently
(a) a bond, or are absent, or are one of the groups
(b) -CH(Oi)- wherein Oi is -OH or -0- with the proviso that when Oi is -0-, it is bound to one group -X3-ONO2;
(c) -CH(OR6)- with the proviso that R6 is never hydrogen; (d) -CH(NR5R6)
(e) -CO-
(f) -CR7R8-
(g) -0- or -NR6- (h) -S(O) 0-2- (i) -SO2NR6-
(j) -NR6SO2-
(k) -CONR6-
(i) -NR6CO-
(m) -0-C0- (n) -CO-O-
(o) -0-CO-O-
(p) -0-CO-NR6-
(q) -N(R6) -CO-N(R6)-
(r) -N (R6) -CO-O- (s) pyrrolidinylene, piperidinylene or piperazinylene
(t) -C(R11) (R12)-, where the bonds starting from (b)-(t) lead to a saturated or aromatic carbon atom of the adjacent group if the bond starts from a heteroatom, and where not more than two (b) - (f) groups, three (g)-(h) groups and one (i)-(t) group are present;
R3 is hydrogen, Ci-6-al kyl , C2-6~alkenyl , Ci-6-alkoxy, hydroxy-Ci-6-alkyl , Ci_6-al koxy-Ci-6-alkyl , benzyl or an
R4-Z l-Xl-group where R4 is ( a ) H-
(b ) Ci-6-al kyl-
( c ) C2-6~al kenyl-
( d) hydroxy-Ci-6-alkyl-
( e ) polyhydroxy-Ci-6-al kyl-
( f ) Ci-β-al kyl-O-Ci-e-al kyl-
( g ) aryl-
(h) heterocyclyl- (i) arylalkyl-
(j) heterocyclylalkyl-
(k) aryloxyalkyl-
(1) heterocyclyloxyalkyl-
(m) (R5, R6) N- (CH2) χ-3- (n) (R5,R6)N-
(0) Ci_6-alkyl-S(0)o-2- (P) aryl-S(0)0-2-
(q) heterocyclyl-S (0 ) o-2~
(r) HO-SO3- or salts thereof (S)H2N-C(NH)-NH-
(t) -NC-, and the bonds starting from (n)-(t) lead to a carbon atom of the adjacent group and this carbon atom is saturated if the bond starts from a heteroatom; Zl is:
(a) a bond, is absent, or is one of the groups
(b) Ci-6-alkylene-
(c) C2-6~alkenylene- (d)-0-,-N(Ru)-, -S(0)o-2- (e)-CO-
(fJ-O-CO- (g)-O-CO-O- (h) -0-CO-N(R11)
(1) -N(R11J-CO-O- (k) -N (R11) -CO-
(I)-N(R11J-CO-N(R11)- (m) -CH(OR9)-
and the bonds starting from (d) and (f)-(m) lead to a carbon atom of the adjacent group and this carbon atom is saturated if the bond starts from a heteroatom; Xl is a bond, is absent, or is - (CH2) 1-3-; or, in formula (Ic) R3 is also oxo;
R5 and R6 are each independently hydrogen, Ci_6-alkyl, C2-6- alkenyl, aryl-Ci_6-alkyl or acyl, or, together with the nitrogen atom to which they are bonded, are a 5- or 6- membered heterocyclic ring which may contain an additional nitrogen, oxygen or sulphur atom or a -SO- or -SO2- group, and the additional nitrogen atom may optionally be substituted by Ci_6- alkyl radicals;
R7 and R8, together with the carbon atom to which they are bonded, are a 3-7-membered ring which may contain one or two oxygen or sulphur atoms or -SO- or -SO2- groups ;
R9 is hydrogen, Ci-6-alkyl, C3_8-cycloalkyl, Ci-6-alkoxy-Ci_6- alkyl, acyl or arylalkyl;
R10 is carboxyalkyl, alkoxycarbonylalkyl, alkyl or hydrogen; R12 is hydrogen or Ci_6-alkyl;
U is hydrogen, Ci-6-alkyl, cycloalkyl, cyano, optionally substituted cycloalkyl, aryl, or heterocyclyl; Q is ethylene or is absent (formula (Ic)) or is ethylene or methylene (formula (Id)); X is a bond or a >CH-Rn, >CR9R11, >CHOR9, >C0 or >C=NOR10 group;
Z is absent or is Ci-6~alkylene, C2-6-alkenylene, hydroxy- Ci-6-alkylidene, -CH-RU-CO-NR9-, -0-, -S-, -NR9-, -O-alk-, -S- alk-, -NR9-alk-, -alk-O-, -alk-S-or-alk-NR9-, where alk is Ci- 6~alkylen ; and where
(a) if Z is -0- or -S-, X is >CR9RX1 and either R2 contains an L1-T1-L2-T2-L3-T3-L4-T4-L5-U substituent or R3 is a substituent other than hydrogen as defined above;
(b) if Z is -O-alk-, -S-alk-, or -NR9-alk-, X is >CR9RU; and
(c) if X is a bond, Z is C2_6-alkenylene, -alk-O-, -alk-S-or -alk-NR9-.
(If) wherein:
Ni is -N- or -NH-; when Ni is -N-, it is bound to one group - X3-ONO2;
R1Is -CH2-X, -O-X or -S(O)0-2"X; or R1 is -NR8-X, -NR8C(O)-X or -NR8S(O)2-X in which R8 is hydrogen or lower alkyl ; and X is - (CH2) m- (CR9R10) P-(CH2) n-Z- (CH2) q-W in which m, n and q are independently zero or an integer from 1 to 5; p is zero or 1;
R9 and R10 are independently hydrogen, hydroxy, halogen, lower alkyl, lower alkoxy or cycloalkyl ; or
R9 and R10 combined are alkylene which together with the carbon atom to which they are attached form a 3- to 6- membered ring; Z is a bond; or
Z is 0, S(O) o-2/ or -NR11- in which
R11 is hydrogen or lower alkyl, provided that R1 is -CH2-X when m, n and p are all zero;
W is aryl or heterocyclyl;
R2 is hydrogen, halogen, cyano, hydroxy or lower alkoxy ;
L is a bond; or
L is - (CH2) s-0- (CH2) v in which s and v are independently zero or an integer from 1 to 3; or
L is -C(O)-, -C(O)O-, -OC(O)-, -OC(O)NR12-, -NR12-,
-NR13C(O)-, -NR13C(O)O- or -NR13C(O)NR12- in which
R12 and R13 are independently hydrogen or lower alkyl ; R3 is hydrogen, hydroxy, halogen or cyano provided that L is a bond; or
R3 is optionally substituted lower alkyl, aralkyl, heteroaralkyl, aryl or heterocyclyl ; or
R3 and R12 combined are alkylene which together with the nitrogen atom to which they are attached form a 5-to 6- membered ring; R4 is hydrogen, optionally substituted lower alkyl or aryl;
R5 and R6 are independently hydrogen, halogen, hydroxy, trifluoromethyl, optionally substituted lower alkyl, lower alkoxy or cycloalkyl; or
R5 and R6 combined together with the carbon atoms to which they are attached form a fused 5- to 6-membered aromatic or heteroaromatic ring provided that R5 and R6 are attached to carbon atoms adjacent to each other; or
R5 and R6 combined are alkylene which together with the carbon atoms to which they are attached form a fused 5- to
7-membered ring provided that R5 and R6 are attached to carbon atoms adjacent to each other; or C-R5 and C-R6 may be replaced with nitrogen;
R7 is hydrogen, halogen, hydroxy, trifluoromethyl, optionally substituted lower alkyl, lower alkoxy, cycloalkyl, alkanoyl, alkyloxyalkoxy, alkanoyloxy, amino,
alkylamino, dialkylamino, acylamino, carbamoyl, thiol, alkylthio, alkylthiono, sulfonyl, sulfonamido, sulfamoyl, nitro, cyano, carboxy, alkoxycarbonyl, aryl, alkenyl, alkynyl, aralkoxy, heterocyclyl including indolyl, imidazolyl, furyl, thienyl, thiazolyl, pyrrolidyl, pyridyl, pyrimidyl, piperidyl, morpholinyl and tetrazolyl ; or R7 and R6 combined are 0, S(O)0-2, -NR14-, - (CH2) i-2 ~, -0-CH2-, -CH2-O-, -S(O) 0-2-CH2-, -CH2-S(O) o-2, -NR14-CH2-, -CH2-NR14-, -S(0)o-2-NR14- or -NR14-S(0)o-2- in which R14 is hydrogen or lower alkyl, provided R6 is located at the 21 position; or
C-R7 may be replaced with nitrogen;
Y is - (CH2) r", -0- (CH2) r", - (CH2) r-0-, -So-2- (CH2) r- or - (CH2) rSo-2- i-n which r is zero or an integer from 1 to 3; W is zero or 1;
Q combined with the atoms to which it is attached form a 5- to 6-membered monocyclic aromatic or heteroaromatic ring; or Q combined with the atoms to which it is attached form a 7- to 12-membered bicyclic aromatic or heterocyclic ring.
(ig) wherein:
Ni is -N- or -NH-; when Ni is -N-, it is bound to one group - X3-ONO2;
R1 is -CH2-X, -O-X or -S-X; or
R1 is -NR8-X, -NR8C(O)-X or -NR8S(O)2-X in which R8 is hydrogen or lower alkyl ; and X is - (CH2) m- (CR9R10) p- (CH2Jn-Z-W in which m and n and p are independently zero or 1; R9 is hydrogen; R10 is hydrogen or lower alkyl;
Z is a bond; or
Z is 0, S (O) o-2/ or -NR 11- in which R11 is hydrogen or lower alkyl, provided that R1, is -CH2-X when m, n and p are all zero;
W is aryl or heterocyclyl;
R2 is hydrogen;
R3 is hydrogen or halogen; R5 and R6 are independently hydrogen, halogen, hydroxy, trifluoromethyl, optionally substituted lower alkyl, lower alkoxy or cycloalkyl;
R7 is hydrogen, halogen, hydroxy, trifluoromethyl, optionally substituted lower alkyl, lower alkoxy or cycloalkyl; or
R7 and R6 combined are 0, S(O)0-2, -NR14-, (CH2) i_2-, -0-CH2-,
-CH2-O-, -S(O) 0-2-CH2-, -CH2-S (O)o-2-, -NR14-CH2-, -CH2-NR14-,
-S (0)o-2-NR14- or -NR14-S(0)o-2- in which
R 14 is hydrogen or lower alkyl, provided R6 is located at the 2 '-position;
R15 is hydrogen, halogen, hydroxy, trifluoromethyl, optionally substituted lower alkyl, lower alkoxy or cycloalkyl.
( Ih) ( Ii )
wherein
Ni is -N- or -NH-; when Ni is -N-, it is bound to one group
- X3-ONO2;
(A) R1 in formula (Ih) is substituted or unsubstituted oxazolyl, indolyl, pyrrolyl, pyrazolyl, triazinyl, 2-oxodihydrobenzo [d] [1, 3] oxazinyl, 4- oxodihydroimidazolyl, 5-oxo-4H- [1, 2, 4 ] triazinyl, 3- oxo-4H-benzo [1,4] thiazinyl, tetrahydroquinoxalinyl, 1, l,3-trioxodihydro-2H-lλ6-benzo[l, 4] thiazinyl, 1- oxo-pyridyl, dihydro-2H-benzo [1, 4] oxazinyl, 2- oxotetrahydrobenzo [e] [1, 4] diazepinyl, 2- oxodihydrobenzo [e] [1, 4 ] diazepinyl, lH-pyrrolizinyl, phthalazinyl, l-oxo-3H-isobenzofuranyl, 4-oxo-3H- thieno [2, 3-d] pyrimidinyl, 3-oxo-4H- benzo [1, 4] oxazinyl, [1, 5] naphthyridyl, dihydro-2H- benzo [1,4] thiazinyl, 1, l-dioxodihydro-2H- benzo [1, 4 ] thiazinyl, 2-oxo-lH-pyrido [2, 3-b] [1- 4] oxazinyl, dihydro-lH-pyrido [2, 3-b] [1, 4 ] oxazinyl, lH-pyrrolo [2, 3-b] pyridyl, benzo [1, 3] dioxolyl, benzooxazolyl, 2-oxobenzooxazolyl, 2-oxo-l,3- dihydroindolyl, 2, 3-dihydroindolyl, indazolyl, benzofurany1, dihydrobenzofuranyl, tetrahydropyranyl, 2-oxopiperidinyl or 2- oxoazepanyl; or
(B) R1 in formula (Ih) is aryl or heterocyclyl which is substituted by at least one substituent selected from Ci-6-alkoxy-Ci-6-alkoxy-Ci-6-alk:yl, C3-S- cycloalkyl-Ci_6-alkyl, Ci-6-alkoxycarbonyl, Co-6~ alkylcarbonylamino, C0-6-alkylcarbonylamino-Ci-6- alkyl, C0-6-alkylcarbonylamino-Ci-6-alcoxy, (N-Ci-6- alkyl) -Co-β-alkylcarbonylamino-Ci-e-alkyl, (N-Ci-6- alkyl) -Co-e-alkylcarbonylamino-Ci-β-alcoxy, C3-8-
cycloalkylcarbonylamino-Ci-6-alkyl, C3-8-cycloalkyl carbonylamino-Ci-6-alkoxy, Ci_6-alkoxy-Ci-6-alkyl, hydroxy-Ci-6-alkyl, hydroxy-Ci-e-alkoxy-Ci-β-alkyl, hydroxy-Ci-6-alkoxy-Ci-e-alkoxy, Ci-6-alkoxycarbonyl amino-Ci-6-alkyl, Ci-δ-alkoxycarbonylamino-Ci-e- alkoxy, Ci-e-alkylaminocarbonylamino-Ci-e-alkyl, Cχ-6- alkylaminocarbonylamino-Ci-6-alkoxy, Ci-6-alkylamino carbonyl-Ci-6-alkyl, Ci-6-alkylaminocarbonyl-Ci_6- alkoxy, C1-.6-alkylaminocarbonyl-C1-6-alkoxy-C1-.6- alkyl, di-Ci-e-alkylaminocarbonyl-Ci-δ-alkyl, di-Ci-6- alkylaminocarbonyl-Ci_6-alkoxy, Ci_6-alkyl carbonyloxy-Ci-6-alkyl, Ci-δ-alkoxycarbonyloxy-Ci-e- alkyl, Ci-β-alkylcarbonyloxy-Ci-e-alkoxy, cyano-Ci-6~ alkyl, cyano-Ci-6-alkoxy, Ci-.6-alkoxycarbonyl-Ci-.6- alkyl, Ci-e-alkoxycarbonyl-Ci-e-alkoxy, Ci-6~ alkylsulphonylamino-Ci-6-alkyl, Ci_6-alkyl sulphonyl amino-Ci-6-alkoxy, (N-Ci-6-alkyl) -Ci_6-alkylsulphonyl amino-Ci-6-alkyl, (N-Ci_6-alkyl) -Ci-6-alkylsulphonyl amino-Ci-6-alkoxy, amino-Ci-6-alkyl, amino-Ci-6- alkoxy, Ci-e-alkylamino-Ci-e-alkyl, Ci_6-alkylamino-Ci-
6-alkoxy, di-Ci-e-alkylamino-Ci-β-alkyl, di-Ci-6- alkylamino-Ci-6-alkoxy, Ci-6-alkyl sulphonyl -Ci-6- alkyl, Ci_6-alkylsulphonyl-Ci_6-alkoxy, carboxy-Ci-e- alkyl, carboxy-Ci-6-alkoxy, carboxy-Ci-6-alkoxy-Ci_6- alkyl, Ci-6-alkoxy-Ci-e-alkylcarbonyl, acyl-Ci-β- alkoxy-Ci-6-alkyl, (N-Ci-6-alkyl) -Ci-6- alkoxycarbonylamino, (N-hydroxy) -Ci-6~ alkylaminocarbonyl-Ci-6-alkyl, (N-hydroxy) -Cχ-6- alkylaminocarbonyl-Ci-6-alkoxy, (N-hydroxy) aminocarbonyl-Ci-6-alkyl, (N-hydroxy) aminocarbonyl-
Ci-6-alkoxy, Ci-e-alkoxyaminocarbonyl-Ci-δ-alkyl, Ci_6- alkoxyaminocarbonyl-Ci-6-alkoxy, (N-Ci-6-alkoxy) -C1-S- alkylaminocarbonyl-Ci-6-alkyl, (N-Ci-6-alkoxy) -Ci-β-
alkylaminocarbonyl-Ci-6-alkoxy, (N-acyl) -Ci-6-alkoxy- Ci-6-alkylamino, Ci-e-alkoxy-Ci-e-alkylcarbamoyl, (N- Ci-6-alkyl) -Cx-β-alkoxy-Ci-e-alkylcarbamoyl, Ci_6~ alkoxy-Ci-6-alkylcarbonyl, Ci-6-alkoxy-Ci-6- alkylcarbonylamino, (N-Ci-6-alkyl) -Ci-6-alkoxy-Ci-6- alkylcarbonylamino, carbamoyl-Ci-6-alkyl, carbamoyl- Ci-6-alkoxy, Ci-6-alkylcarbamoyl, di-Ci-6- alkylcarbamoyl, Ci-6-alkylsulphonyl, Cχ-6- alkylamidinyl, acetamidinyl-Ci-6-alkyl, 0- methyloximyl-Ci-6-alkyl and 0,N- dimethylhydroxylamino-Ci-6-alkyl; or
(C) R1 in formula (Ih) is aryl or heterocyclyl which is substituted by at least one substituent selected from [1,2, 4] -triazol-1-ylalkyl, [1, 2, 4 ] -triazol-1- ylalkoxy, [1, 2, 4 ] -triazol-4-ylalkyl, [1,2,4]- triazol-4-ylalkoxy, [1,2,4] -oxadiazol-5-ylalkyl, [1,2, 4]-oxadiazol-5-ylalkoxy, 3-methyl- [1, 2, 4]- oxadiazol-5-ylalkyl, 3-methyl- [1,2,4] -oxadiazol-5- ylalkoxy, 5-methyl- [1, 2, 4] -oxadiazol-3-ylalkyl, 5- methyl- [1, 2, 4] -oxadiazol-3-ylalkoxy, tetrazol-1- ylalkyl, tetrazol-1-ylalkoxy, tetrazol-2-ylalkyl, tetrazol-2-ylalkoxy, tetrazol-5-ylalkyl, tetrazol- 5-ylalkoxy, 5-methyltetrazol-l-ylalkyl, 5- methy1tetrazol-1-ylalkoxy, thiazol-4-ylalkyl, thiazol-4-ylalkoxy, oxazol-4ylalkyl, oxazol-4- ylalkoxy, 2-oxopyrrolidinylalkyl, 2- oxopyrrolidinylalkoxy, imidazolylalkyl, imidazolylalkoxy, 2-methylimidazolylalkyl, 2- methylimidalylalkoxy, dioxolanyl, dioxanyl, dithiolanyl, dithianyl, pyrrolidinyl, piperidinyl, piperazinyl, pyrrolyl, 4-methylpiperazinyl, morpholinyl, thiomorpholinyl, 2- hydroxymethylpyrrolidinyl, 3-hydroxypyrrolidinyl,
3, 4-dihydroxypyrrolidinyl, 3- acetamidomethylpyrrolidinyl, 3-Ci-6-alkoxy-Ci_6- alkylpyrrolidinyl, 4-hydroxypiperidinyl, 4- oxopiperidinyl, 3, 5-dimethylmorpholinyl, 4,4- dioxothiomorpholinyl, 4-oxothiomorpholinyl, 2,6- dimethylmorpholinyl, 2-oxoimidazolidinyl, 2- oxooxazolidinyl, 2-oxopyrrolidinyl, 2-oxo- [1, 3] oxazinyl, 2-oxotetrahydropyrimidinyl, 2- oxooxaxolidinyl-Ci-6-alkyl, 2-oxooxazolidinyl-Ci_6- alkoxy, l-Ci-6-alkoxy-Ci-.6-alkylimidazol-2-yl, l-Cχ-6- alkoxy-Ci-6-alkyltetrazol-5-yl, 5-Ci_6-alkoxy-Ci_6- alkyltetrazol-1-yl, 2-Ci-6-alkoxy-Ci-6-alkyl-4- oxoimidazol-1-yl; or
(D) R1 in formula (Ih) is aryl, heterocyclyl if n is 0 and X is -O-CH-RU-CO-NR9-, or if n and m are each 0 and X is -O-CH-R11- and R2 is phenyl substituted by Ci-6-alkoxybenzyloxy-Ci_6-alkoxy; or
(E) R1 in formula (Ih) is aryl or heterocyclyl if n is 1 and Z is -alk-NR9-, where alk is Ci-6-alkylene; or (F) R1 in formula (Ih) is aryl or heterocyclyl if R2 is tetrazolyl or imidazolyl which may be substituted by 1-3-halogen, hydroxyl, cyano, trifluoromethyl, Ci-6-alkyl, halo-Ci-6-alkyl, hydroxyl-Ci_6-alkyl, C1-Q- alkoxy-Ci-6-alkyl, cyano-Ci_6-alkyl, carboxy-Ci-6- alkyl, Ci-6-alkanoyloxy-Ci-6-alkyl, Ci-β- alkoxycarbonyloxy-Ci-6-alkyl, Ci-6-alkoxycarbonyl or Ci-6-alkoxy groups, or a Ci-6-alkylenedioxy group, and/or maybe substituted by an L1-T1-L2-T2-L3-T3- L4-T4-L5-U radical; or (G) R1 in formula (Ii) is aryl or heterocyclyl;
R2 is phenyl, naphthyl, acenaphthyl, cyclohexyl, pyridyl, pyrimidinyl, pyrazinyl, oxopyridinyl, diazinyl, triazolyl, thienyl, oxazolyl, oxadiazolyl, thiazolyl,
pyrrolyl, furyl, tetrazolyl or imidazolyl which radicals may be substituted by 1-3-halogen, hydroxyl, cyano, trifluoromethyl, Ci-6-alkyl, halo-Cχ-6-alkyl, hydroxy- Ci-6-alkyl, Ci-.6-alkoxy-Ci-6-alkyl, cyano-Ci-6-alkyl, carboxy-Ci-6-alkyl, Ci-e-alkanoyloxy-Ci-δ-alkyl, Cχ-6- alkoxycarbonyloxy-Ci-6-alkyl, Cχ_6-alkoxycarbonyl, or Ci-6~ alkoxy groups, or a Ci_6-alkylenedioxy group, and/or by an L1-T1-L2-T2-L3-T3-L4-T4-L5-U radical; Ll, L2, L3, L4 and L5 are each independently a bond, Ci- 8-alkylene, C2-e-alkenylene or C2-8~alkynylene, or are absent; Tl, T2, T3 and T4 are each independently
(a) a bond, or are absent, or are one of the groups
(b) -CH(OH)- (c) -CH(OR6)-
(d) -CH (NR5R6) - (e)-CO-
(f) -CR7R8
(g) -0- or -NR6- (h) -S(0)o-2-
(i) -SO2NR6-
(J)-NR6SO2-
(k) -CONR6-
(I)-NR6CO- (m) -0-C0-
(n) -CO-O-
(o)-O-CO-O-
(p) -O-CO-NR6-
(q) -N (R6) -CO-N (R6)- (r) -N (R6) -CO-O-
(s) pyrrolidinylene, piperidinylene or piperazinylene
(t) -C(R11) (R12)-,
where the bonds starting from (b)-(t) lead to a saturated or aromatic carbon atom of the adjacent group if the bond starts from a heteroatom, and where not more than two (b)-(f) groups, three (g)-(h) groups and one (i)-(t) group are present;
R3 is hydrogen, hydroxyl, Ci-6-alkoxy or C2-6~alkenyloxy; R4 is hydrogen, Ci_6-alkyl, C2-6-alkenyl, Ci-6-alkoxy, hydroxy-Ci-6-alkyl, Ci-6-alkoxy-Ci-6-alkyl, benzyl, oxo, or a: R4a-Zl-Xl- group where R4a is
(a) H-
(b) Ci-6-alkyl-
(c) C2-6-alkenyl-
(d) hydroxy-Ci-6-alkyl- ( e ) polyhydroxy-C1_6-alkyl-
(f) Ci-e-alkyl-O-d-e-alkyl-
(g) aryl-
(h) heterocyclyl-
(i) arylalkyl- ( j ) heterocyclylalkyl-
(k) aryloxyalkyl-
(1) heterocyclyloxyalkyl-
(m) (R5, R6) N- (CH2) 1-3-
(n) (R5,R6)N- (o) C1-6-alkyl-S(0)o_2-
(P) aryl-S(O)0-2-
(q) heterocyclyl-S (0) o-2~
(r) HO-SO3- or salts thereof
(s) H2N-C(NH)-NH- (t) -NC- and the bonds starting from (n)-(t) lead to a carbon atom of the adjacent group and this carbon atom is saturated if the bond starts from a heteroatom;
Z l
(a) is a bond, is absent, or is one of the groups
( b ) Ci-6-al kylene-
( c ) C2-6-al kenylene- (d)-O-, -N (R11) -,-S(O) 0-2-
(e)-CO- f) -O-CO-
(g)-O-CO-O-
(h) -0-CO-N(R11) - (i) -N (R11) -CO-O-
(j) -CO-N(R11)-
(k) -N(R11J-CO-
(I)-N(R11J-CO-N(R11)-
(m) -CH(OR9)- and the bonds starting from (d) and (f)-(m) lead to a carbon atom of the adjacent group and this carbon atom is saturated if the bond starts from a heteroatom;
Xl
(a) is a bond, is absent, or is one of the groups (b) -O-
(c)-N(R11)-
(d) -S(O) 0-2- (e)- (CH2) 1-3-; or R3 and R4 in formula (Ih) together are a bond; R5 and R6 are each independently hydrogen, Ci_6-alkyl, C2- 6-alkenyl, aryl-Ci_6-alkyl or acyl, or, together with the nitrogen atom to which they are bonded, are a 5- or 6- membered heterocyclic ring which may contain an additional nitrogen, oxygen or sulphur atom or a -SO- or -SO2- group, and the additional nitrogen atom may optionally be substituted by Ci-6-alkyl radicals; R7 and R8, together with the carbon atom to which they
are bonded, are a 3-7-membered ring which may contain one or two -0- or -S- atoms or -SO- or -SO2- groups;
R9 is hydrogen, Ci-6-alkyl, Ci-6-alkoxy-Ci-6-alkyl, acyl or arylalkyl; R10 is carboxyalkyl, alkoxycarbonylalkyl, alkyl or hydrogen;
R11 is hydrogen or Ci-6-alkyl;
R12 is hydrogen or Cχ-6-alkyl;
U is hydrogen, Ci-6-alkyl, C3_8-cycloalkyl, cyano, optionally substituted C3-8-cycloalkyl, aryl, or heterocyclyl ;
Q is ethylene or is absent (formula Ih) or is ethylene or methylene (formula Ii);
X is a bond, oxygen or sulphur, or is a >CH-Rn, >CHOR9, -0-C0-, >C0, >C=NOR10, -O-CHR11- or -O-CHRU-CO-NR9- group and the bond starting from an oxygen or sulphur atom leads to a saturated carbon atom of the Z group or to
R1;
W is oxygen or sulphur; Z is Ci-6-alkylene, C2-6~alkenylene, hydroxy-Ci-6- alkylidene, -0-, -S-, -O-alk-, -S-alk-, -alk-O-, -alk-S- or -alk-NR9-, where alk is Ci-6-alkylene ; and where
(a) if Z is -0- or -S-, X is >CH-RU and either R2 contains an L1-T1-L2-T2-L3-T3-L4-T4-L5-U substituent or R4 is a substituent other than hydrogen as defined above;
(b) if Z is -O-alk- or -S-alk-, X is >CH-Rn ; and
(c) if X is a bond, Z is C2-6-alkenylene, -alk-O- or - alk-S-, n is 0 or 1; m is 0 or 1.
is equal to -Xb-Ya- wherein Xb is -CO- or -COO-;
Y3 is a bivalent radical having the following meaning: a)
- straight or branched Ci-C2O alkylene, preferably Ci-Cio, being optionally substituted with one or more of the substituents selected from the group consisting of: halogen atoms, hydroxy, -ONO2 or T3, wherein Ta is
-OC(O) (Ci-Ci0 alkyl)-ONO2 or -0(Ci-Ci0 alkyl)-ONO2;
- cycloalkylene with 5 to 7 carbon atoms into cycloalkylene ring, the ring being optionally substituted with side chains Tb, wherein Tb is straight or branched alkyl with from 1 to 10 carbon atoms, preferably CH3; b)
Xc = -OCO- or -COO- and R2 is H or CH3; e)
wherein:
n1 , n2 , R2 and Xc are as defined above ; Yb is -CH2-CH2- or -CH=CH- (CH2 ) n 2 ~ ; f )
wherein : n1 and R2 are as defined above, R3 is H or -COCH3; with the proviso that when Ya is selected from the bivalent radicals mentioned under b) -f) , the -ONO2 group is linked to a -(CH2)H1 group; g)
wherein Xd is -0- or -S-, n3 is an integer from 1 to 6, preferably from 1 to 4, R2 is as defined above; h)
R4, R5, Re, R7 are the same or different, and are H or straight or branched Ci-C4 alkyl, preferably R4, R5/ Re, R7 are H; wherein the -ONO2 group is linked to
-[C] 5
wherein n5 is as defined above;
Yc is an heterocyclic saturated, unsaturated or aromatic 5 or 6 members ring, containing one or more heteroatoms selected from nitrogen, oxygen, sulfur, and is selected from the group consisting in:
(YK) (YL) (YM)
The term "Ci-C2O alkylene" as used herein refers to branched or straight chain C1-C20 hydrocarbon, preferably having from 1 to 10 carbon atoms such as methylene, ethylene, propylene, isopropylene, n-butylene, pentylene, n-hexylene and the like.
The term "Ci-Ci0 alkyl" as used herein refers to branched or straight chain alkyl groups comprising one to ten carbon atoms, including methyl, ethyl, n-propyl,
isopropyl, n-butyl, isobutyl, t-butyl, pentyl, hexyl, octyl and the like.
The term "cycloalkylene" as used herein refers to ring having from 5 to 7 carbon atoms including, but not limited to, cyclopentylene, cyclohexylene optionally substituted with side chains such as straight or branched (Ci-Cio)- alkyl, preferably CH3.
The term "heterocyclic" as used herein refers to saturated, unsaturated or aromatic 5 or 6 members ring, containing one or more heteroatoms selected from nitrogen, oxygen, sulphur, such as for example pyridine, pyrazine, pyrimidine, pyrrolidine, morpholine, imidazole and the like.
Another aspect of the present invention provides the use of the compounds of formula (I) in combination with at least a compound used to treat cardiovascular disease selected from the group consisting of: aldosterone antagonists, angiotensin II receptor blockers, ACE inhibitors, HMGCoA reductase inhibitors, beta-adrenergic blockers, alpha-adrenergic antagonists, sympatholytics, calcium channel blockers, endothelin antagonists, neutral endopeptidase inhibitors, potassium activators, diuretics, vasodilators, antithrombotics such as aspirin. Also it is contemplated the combination with nitrosated compounds of the above reported compounds.
Suitable aldosterone antagonists, angiotensin II receptor blockers, ACE inhibitors, HMGCoA reductase inhibitors, beta-adrenergic blockers, alpha-adrenergic antagonists, calcium channel blockers, potassium activators, diuretics, vasodilators and antithrombotics are described in the literature such as The Merck Index (13th edition) . Suitable nitrosated compounds are disclosed in WO 98/21193,
WO 97/16405, WO 98/09948, WO 2004/105754, WO 2004/106300, WO 2004/110432, WO 2005/011646, WO 2005/053685, WO 2005/054218.
The administration of the compounds above reported can be carried out simultaneously or successively.
The present invention also provides pharmaceutical kits comprising one or more containers filled with one or more of the compounds and/or compositions of the present invention and one or more of the compounds used to treat cardiovascular diseases reported above.
As stated above, the invention includes also the pharmaceutically acceptable salts of the compounds of formula (I) and stereoisomers thereof.
Examples of pharmaceutically acceptable salts are either those with inorganic bases, such as sodium, potassium, calcium and aluminium hydroxides, or with organic bases, such as lysine, arginine, triethylamine, dibenzylamine, piperidine and other acceptable organic amines . The compounds according to the present invention, when they contain in the molecule one salifiable nitrogen atom, can be transformed into the corresponding salts by reaction in an organic solvent such as acetonitrile, tetrahydrofuran with the corresponding organic or inorganic acids. Examples of organic acids are: oxalic, tartaric, maleic, succinic, citric acids. Examples of inorganic acids are: nitric, hydrochloric, sulphuric, phosphoric acids. Salts with nitric acid are preferred.
The compounds of the invention which have one or more asymmetric carbon atoms can exist as optically pure enantiomers, pure diastereomers, enantiomers mixtures, diastereomers mixtures, enantiomer racemic mixtures,
racemates or racemate mixtures. Within the object of the invention are also all the possible isomers, stereoisomers and their mixtures of the compounds of formula (I).
Preferred compounds are those of formula (I) wherein Ya has the following meaning: a)
- straight or branched Ci-Cio alkylene; b)
wherein n0 is 0 or 1, n1 is 1; with the proviso that the -ONO2 group is linked to -(CH2)Ii1 group; g)
wherein Xd is -0- or -S-, n3 is 1 and R2 is H;
The following are preferred compounds according to the present invention:
13
14
15
17
18
19
20
27
28
29
31
32
33
34
36
37
38
39
41
42
43
44
46
47
48
49
51
52
53
54
56
57
58
61
62
63
65
66
67
68
71
72
73
79
82
83
84
85
88
89
90
92
93
94
95
102
108
117
118
119
120
10
152
162
168
183
10 186
189
214
223
255
264
356
As mentioned above, object of the present invention are also pharmaceutical compositions containing at least a compound of the present invention of formula (I) together with non toxic adiuvants and/or carriers usually employed in the pharmaceutical field. The daily dose of active ingredient that should be administered can be a single dose or it can be an effective amount divided into several smaller doses that are to be administered throughout the day. The dosage regimen and administration frequency for treating the mentioned diseases with the compound of the invention and/or with the pharmaceutical compositions of the present invention will be selected in accordance with a variety of factors, including for example age, body weight, sex and medical condition of the patient as well as severity of the disease, route of administration, pharmacological considerations and eventual concomitant therapy with other drugs. In some instances, dosage levels below or above the aforesaid range and/or more frequent may be adequate, and this logically will be within the judgment of the physician and will depend on the disease state.
The compounds of the invention may be administered orally, parenterally, rectally or topically, by inhalation
or aerosol, in formulations eventually containing conventional non-toxic pharmaceutically acceptable carriers, adjuvants and vehicles as desired. Topical administration may also involve the use of transdermal administration such as transdermal patches or iontophoresis devices. The term "parenteral" as used herein, includes subcutaneous injections, intravenous, intramuscular, intrasternal injection or infusion techniques.
Injectable preparations, for example sterile injectable aqueous or oleaginous suspensions may be formulated according to known art using suitable dispersing or wetting agents and suspending agents. The sterile injectable preparation may also be a sterile injectable solution or suspension in a non-toxic parenterally acceptable diluent or solvent. Among the acceptable vehicles and solvents are water, Ringer's solution and isotonic sodium chloride. In addition, sterile, fixed oils are conventionally employed as a solvent or suspending medium. For this purpose any bland fixed oil may be employed including synthetic mono or diglycerides, in addition fatty acids such as oleic acid find use in the preparation of injectables.
Suppositories for rectal administration of the drug can be prepared by mixing the active ingredient with a suitable non-irritating excipient, such as cocoa butter and polyethylene glycols.
Solid dosage forms for oral administration may include capsules, tablets, pills, powders, granules and gels. In such solid dosage forms, the active compound may be admixed with at least one inert diluent such as sucrose, lactose or starch. Such dosage forms may also comprise, as in normal practice, additional substances other than inert diluents, e.g. lubricating agents such as magnesium stearate. In the case of capsules, tablets and pills, the dosage forms may
also comprise buffering agents. Tablets and pills can additionally be prepared with enteric coatings.
Liquid dosage forms for oral administration may include pharmaceutically acceptable emulsions, solutions, suspensions, syrups and elixirs containing inert diluents commonly used in the art, such as water. Such compositions may also comprise adjuvants, such as wetting agents, emulsifying and suspending agents, and sweetening, flavouring and the like. The compounds of the present invention can be synthesized as follows.
Synthesis procedure l.The compound of general formula (I) as above defined wherein:
A1 and j are as above defined; X3 is -Xt,-Ya- wherein Xb is - CO- and Ya is as above defined, can be obtained by a process comprising:
Ia. reacting a compound of formula B1 with a compound of formula (Ilia) in the molar ratio 1:1, 1:2 or 1:3 dependent on value of the integer j in the general formula (I) :
B1 + HOOC-Ya-ONO2
(HIa)
wherein Ya is as above defined; B1 has the same meaning as A1 with N1 equal to -NH- and, if in A1 a group -0- is linked to -X3-ONO2, then in B1 this group corresponds to -OH; in presence of a condensing agent like dicyclohexylcarbodiimide (DCC) or N, N' -carbonyldiimidazol (CDI) or other known condensing reagents such as HATU in solvent such as DMF, THF, chloroform at a temperature in
the range from -5°C to 500C in the presence or not of a base as for example DMAP.
The nitric acid ester compounds of formula (Ilia) can be obtained from the corresponding alcohols of formula HOOC- Ya-OH (HIb), that are commercially available, by reaction with nitric acid and acetic anhydride in a temperature range from -5O0C to 00C or reacting the corresponding halogen derivatives of formula HOOC-Y3-HaI (IIIc) wherein Hal is an alogen atom preferable Cl, Br, I, that are commercially available, with AgNO3 as already described in WO 2006/008196.
Compounds of formula B1 wherein B1 has formula (Ia) with Ni equal to -NH- are known compounds and can be prepared as described in WO 2006/005741. Compounds of formula B1 wherein B1 has formula (Ib) , (Ic) with Ni equal to -NH- are known compounds and can be prepared as described in WO 2004/002466.
Compounds of formula B1 wherein B1 has formula (Id), (Ie) with Ni equal to -NH- are known compounds and can be prepared as described in WO 2005/037803.
Compounds of formula B1 wherein B1 has formula (If) , (Ig) with Ni equal to -NH- are known compounds and can be prepared as described in WO 2005/051911. Compounds of formula B1 wherein B1 has formula (Ih), (Ii) with Nx equal to -NH- are known compounds and can be prepared as described in WO 2005/061457.
Ib. reacting a compound of formula B1 as above defined with a compound of formula (HId) in the molar ratio 1:1, 1:2 or 1:3 dependent on value of the integer j in the general formula (I) :
B1 + ACt-CO-Y3-ONO2
(HId)
wherein Y3 is as above defined; Act is an Halogen atom or a carboxylic acid activating group used in peptide chemistry as:
The reaction is generally carried out in presence of a inorganic or organic base in an aprotic polar/non-polar solvent such as DMF, THF or CH2CI2 at temperatures ranging between 0°-65°C or in a double phase system H2OZEt2O at temperatures ranging between 20°-40°C; or in the presence of DMAP and a Lewis acid such as Sc(OTf)3 or Bi(OTf)3 in solvents such as DMF, CH2Cl2. The compounds of formula (HId) can be obtained as described in WO 2006/008196.
Ic. Reacting a compound of formula C1 with a compound of formula (Ilia) in the molar ratio 1:1, 1:2 or 1:3 dependent on value of the free -OH groups present in the general formula (I) :
C1 + HOOC-Ya-ONO2
(Ilia)
wherein Ya is as above defined; C1 has the same meaning as A1 with Ni equal to >N-PG wherein PG is a N-protecting group like BOC, in presence of a condensing agent like
dicyclohexylcarbodiimide (DCC) or N, N' -carbonyldiimidazol (CDI) or other known condensing reagents such as HATU in solvent such as DMF, THF, chloroform at a temperature in the range from -5°C to 500C in the presence or not of a base as for example DMAP. Optionally acid hydrolysing the N-BOC protective group as known in the literature and salifying if required.
Id. reacting a compound of formula A1^-(CO-Y9-HaI)J (IVa), wherein A1, Ya, Hal and j are as above defined, with AgNO3 as already described. Compounds (IVa) can be obtained by reacting a compound B1 with a compound of formula (IIIc), as above defined, in the molar ratio 1:1, 1:2 or 1:3 dependent on value of the integer j in the general formula (I), with a condensing reagent such as DCC or CDI as above described.
Ie. reacting a compound of formula A1- (CO-Y9-OH) j (Va), wherein A1, Y3 and j are as above defined, with triflic anhydride/tetraalkylammonium nitrate salt in an aprotic polar/non-polar solvent such as DMF, THF or CH2Cl2 at temperatures ranging between -60° and 65°C as already described. Compounds (Va) can be obtained by reacting a compound B1 with a compound of formula (HIb), as above defined, in the molar ratio 1:1, 1:2 or 1:3 dependent on value of the integer j in the general formula (I), with a condensing reagent as above described.
2. The compounds of general formula (I) as above defined
wherein:
A1 and j are as above defined; X3 is -Xb-Ya- wherein Xb is - C(O)O- and Y3 is as above defined, can be obtained by a process comprising:
2a. reacting a compound of formula B1 with a compound of formula (Via) in the molar ratio 1:1, 1:2 or 1:3 dependent on value of the integer j in the general formula (I) :
B1 + Act-CO-O-Ya-ONO2
(Via)
wherein B1, Act and Ya are as above defined.
The reaction is generally carried out in presence of a inorganic or organic base in an aprotic polar/non-polar solvent such as DMF, THF or CH2Cl2 at temperatures ranging between 0°-65°C or in a double phase system H20/Et20 at temperatures ranging between 20°-40°C; or in the presence of DMAP and a Lewis acid such as Sc(OTf)3 or Bi(OTf)3 in solvents such as DMF, CH2Cl2.
The synthesis of compounds (Via) is described in WO 2006/008196.
2b. Reacting a compound of formula C1 with a compound of formula (Via) in the molar ratio 1:1, 1:2 or 1:3 dependent on value of the integer j in the general formula (I) :
C1 + ACt-CO-O-Ya-ONO2
(Via)
wherein C1, Act and Ya are as above defined.
The reaction is generally carried out in presence of a inorganic or organic base in an aprotic polar/non-polar solvent such as DMF, THF or CH2Cl2 at temperatures ranging between 0°-65°C or in a double phase system H20/Et20 at temperatures ranging between 20°- 400C; or in the presence of DMAP and a Lewis acid such as Sc(OTf)3 or Bi(OTf)3 in solvents such as DMF, CH2Cl2.
The synthesis of compounds (Via) is described in WO 2006/008196. Optionally acid hydrolizing the BOC protective group and salifiing is required.
2c. reacting a compound of formula A1- (COO-Ya-Hal) j (Vila) wherein A1, Ya, Hal and j are as above defined, with AgNO3 as above described.
The compounds of formula (Vila) can be obtained by reacting a compound B1 with a compound of formula Act-C0-0-Ya-Hal (VIIb) in the molar ratio 1:1, 1:2 or 1:3 dependent on value of the integer j in the general formula (I) . The reaction is generally carried out in presence of an inorganic or organic base in an aprotic polar/non-polar solvent such as DMF, THF or CH2Cl2 at temperatures ranging between 0°-65°C as above described.
Compounds (VIIb) are commercially available or can be synthesized as already described in WO 2006/008196.
Claims
1. A compound of general formula (I) or a pharmaceutically acceptable salt or stereoisomer thereof: A1- (Xa-ONO2) D (I) wherein: j is an integer equal to 1, 2 , or 3;
A1 is selected from the group consisting of formula (Ia), (Ib), (Ic), (Id), (Ie), (If), (Ig), (Ih) and (Ii):
(Ia) wherein Ni is -NH-, -N-, when Ni is -N-, it is bound to one group - X3-ONO2;
(A) R1 is aryl when R2 is tetrazolyl or imidazolyl which may be substituted by 1-3 halogen, hydroxyl, cyano, trifluoromethyl, Ci-6-alkyl, halo- Ci-6-alkyl, hydroxy- Ci-6-alkyl, Ci-6-alkoxy-Ci-6-alkyl, cyano-Ci-6-alkyl, carboxy-Ci-6-alkyl, Ci-6-alkanoyloxy-Ci-6-alkyl, Ci-β- alkoxycarbonyloxy- Ci_6-alkyl, Ci-6-alkoxycarbonyl or Ci-6-alkoxy groups, or a Ci-6-alkylenedioxy group, and/or by an L1-T1-L2-T2-L3-T3-L4-T4-L5-U radical; or
(B) R1 is aryl when X is -0-CH-R11XO-NR9-; or
(C) R1 is aryl when Z is -alk-NR9- where alk denotes Ci_6- alkylene, and n is 1; or
(D) R1 is phenyl which is substituted by 1-4-acetamidinyl- Ci-6-alkoxy, acetamidinyl-Ci-6-alkyl, acyl-Ci_6-alkoxy-
Ci-6-alkyl, (N-acyl) -Ci-e-alkoxy-Ci-e-alkylamino, Ci-6~ alkoxy, Ci-6~ alkoxy-Ci-6-alkoxy, Ci-6-alkoxy-Ci-6-alkoxy- Ci-6-alkyl, Ci-.6-alkoxy-Ci-6-alkyl, (N-Ci-6-alkoxy) -Ci-6~ alkylaminocarbonyl-Ci-6-alkoxy, (N-Ci-6-alkoxy) -Ci-β- alkylaminocarbonyl-Ci-6-alkyl, Ci-6-alkoxy-Ci-6- alkylcarbamoyl, Ci-β-alkoxy-Ci-e-alkylcarbonyl, Ci-6- alkoxy-Ci-6-alkylcarbonylamino, 1-
Ci-6-alkoxy-Ci-6-alkylimidazol-2-yl, 4-oxoimidazol-l-yl, l~Ci-6-alkoxy-Ci-6-alkyltetrazol-5-yl, 5-Ci_6-alkoxy-Ci-6- alkyltetrazol-1-yl, 6-alkoxyaminocarbonyl- Ci-6-alkoxy, Ci-e-alkoxyaminocarbonyl-Ci-δ-alkyl, Ci_6-alkoxycarbonyl, Ci-g-alkoxycarbonyl-Ci-β-alkoxy, Ci_6-alkoxycarbonyl-Ci-6- alkyl, di-Ci-e-alkoxycarbonylamino-Ci-e-alkoxy, Ci-6~ alkoxycarbonyl amino-Ci_6-alkyl, Cχ-6-alkyl, (N-Ci-6~ alkyl) -Ci-e-alkoxy-Ci-e-alkylcarbamoyl, (N-Ci_6-alkyl) - Ci-g-alkoxy-Ci-β-alkylcarbonyl amino, (N-Ci-6-alkyl) -Ci-6- alkoxycarbonylamino, (N-Ci-6-alkyl) -Co-6~ alkylcarbonylamino-Ci-6-alkoxy, (N-Ci-6-alkyl) -Co-6- alkylcarbonylamino-Cχ-6-alkyl, (N-Ci-6-alkyl) -Ci_6-alkyl sulphonylamino-Ci-6-alkoxy, (N-Ci-6-alkyl) -Ci-6- alkylsulphonyl-amino-Ci-6-alkyl, Ci_6-alkylamidinyl, Ci- 6~alkylaminocarbonyl-Ci_6-alkoxy, di-Ci-6- alkylaminocarbonyl-Ci-6-alkoxy, Ci-β-alkylaminocarbonyl- Ci-6-alkoxy, Ci-e-alkylamino-Ci-β-alkyl, di-Ci-6- alkylamino-Ci-6-alkyl-Ci_6-alkyl, Ci-6-alkylamino carbonyl-Ci-6-alkyl, Ci-e-alkylaminocarbonylamino-Ci-e- alkoxy, Ci-δ-alkylaminocarbonylamino-Ci-e-alkyl, di-Ci-6~ alkylaminocarbonyl-Ci-6-alkyl, Ci_6-alkylamino-C2-6- alkoxy, di-Ci_6-alkylamino-C2-6-alkoxy, Ci-6-alkylamino- Ci-6-alkyl, di-Ci-e-alkylamino-Ci-e-alkyl, Ci-6~ alkylcarbamoyl, di-Ci-6-alkylcarbamoyl, Co-β~ alkylcarbonyl, Co-6~alkylcarbonylamino- Cχ-6-alkoxy, C0-
6-alkylcarbonylamino, Co-6-alkylcarbonylamino- Ci-6- alkyl, Ci-β-alkylcarbonyloxy-Ci-e-alkoxy, Ci-6-alkyl- carbonyloxy-Cx-g-alkyl, Ci_6-alkylsulphonyl, Ci-6- al kyl sulphonyl -Ci_6-al koxy, Ci-6-al kyl sulphonyl -Ci-β- alkyl , Ci-β-alkylsulphonylamino-Ci-β-alkoxy, Ci-6- alkylsulphonylamino -Ci-6-al kyl , carbamoyl , carbamoyl- Ci-6-al koxy, carbamoyl-Ci-6-alkyl , carboxy-Ci-6-al koxy, carboxy-Ci-β-alkoxy-Ci-g-alkyl , carboxy-Ci-6-al kyl , cyano, cyano-Cχ-6-alkoxy, cyano-Ci-e-alkyl , C3-6- cycloal kylcarbonylamino-Ci-6-alkoxy, C3-6- cycloal kylcarbonylamino-Ci-6-alkyl , cyclopropyl-Ci-6- al kyl , O, N-dimethylhydroxylamino-Ci-6-alkyl , halo-Ci-6- alkoxy, halo-Ci_6-alkyl , halogen, hydroxy-Ci-6-alkoxy-
Ci-6-al koxy, hydroxy-Ci_6-al koxy-Ci-6-al kyl , hydroxy-Ci-6- alkyl, (N-hydroxy) -Ci-e-alkylaminocarbonyl-Ci-e-alkoxy,
(N-hydroxy) -Ci-e-alkylaminocarbonyl-Ci-e-alkyl, (N- hydroxy) aminocarbonyl-Ci-6-alkoxy, (N- hydroxy) aminocarbonyl-Ci-6-alkyl, 2-oxooxazolidinyl-Cα- 6-alkoxy, 2-oxooxazolidinyl-Ci-6-alkyl, O-methyloximyl- Ci-6-alkyl or trifluoromethyl; or
(E) R1 is aryl which is substituted by 3- acetamidomethylpyrrolidinyl 3-Ci-6-alkoxy-Ci_6-alkyl- pyrrolidinyl, 3, 4-dihydroxypyrrolidinyl, 2, 6-dimethyl morpholinyl, 3, 5-dimethylmorpholinyl, dioxanyl, dioxolanyl, 4 , 4-dioxothiomorpholinyl, dithianyl, dithiolanyl, 2-hydroxymethylpyrrolidinyl, 4- hydroxypiperidinyl, 3-hydroxy pyrrolidinyl, imidazolylalkoxy, imidazolylalkyl, 2- methylimidazolylalkoxy, 2-methylimidazolylalkyl, 3- methyl [1, 2, 4 ] oxadiazol-5-ylalkoxy, 5- methyl [1,2,4] oxadiazol-3-ylalkoxy, 3-methyl-
[1, 2, 4] oxadiazol-5-ylalkyl, 5-methyl [1, 2, 4 ] oxadiazol- 3-ylalkyl, 4-methylpiperazinyl, 5-methyltetrazol-l- ylalkoxy, 5-methyltetrazol-l-ylalkyl, morpholinyl, [1,2, 4] oxadiazol-5-ylalkoxy, [1,2, 4 ] oxadiazol-5- ylalkyl, oxazol-4-ylalkoxy, oxazol-4-ylalkyl, 2-oxo- [1, 3] oxazinyl, 2-oxooxazolidinyl, 2-oxoimidazolidinyl,
2-oxopyrrolidinyl, 4-oxopiperidinyl, 2- oxopyrrolidinylalkoxy, 2-oxopyrrolidinylalkyl, 2- oxotetrahydro-pyrimidinyl 4-oxothiomorpholinyl, piperazinyl, piperidinyl, pyrrolidinyl, pyrrolyl,
[1,2, 4] triazol-1-ylalkoxy, [1,2, 4 ] triazol-4-ylalkoxy,
[l,2,4]triazol-l-ylalkyl, [1, 2, 4 ] triazol-4-ylalkyl, tetrazol-1-ylalkoxy, tetrazol-2-ylalkoxy, tetrazol-5- ylalkoxy, tetrazol-1-ylalkyl, tetrazol-2-ylalkyl, tetrazol-5-ylalkyl, thiazol-4-ylalkoxy, thiazo-4- ylalkyl, thiomorpholinyl; or
(F) R1 is heterocyclyl, optionally substituted, in particular as specified under (D) or (E) , in particular benzo [1, 3] dioxoyl, benzofuranyl, benzoxazolyl, dihydrobenzofuranyl, 3, 4-dihydro-2H- benzo [1,4] oxazinyl, dihydro-3H-benzo [1,4] oxazinyl, dihydro-2H-benzo [1,4] thiazinyl, 2, 3-dihydroindolyl, dihydro-lH-pyrido [2, 3-b] [1, 4] oxazinyl, 1,1- dioxodihydro-2H-benzo [1,4] thiazinyl, indazolyl, indolyl, [1, 5] naphthpyridyl, oxazolyl, 2-oxoazepanyl, 3-oxo-4H-benzo [1, 4] oxazinyl, 2-oxobenzoxazolyl, 3-oxo- 4H-benzo[l, 4] thiazinyl, 2- oxodihydrobenzo [e] [1, 4 ] diazepinyl, 2- oxodihydrobenzo [d] [1, 3] oxazinyl, 2-oxodihydro-lH- quinazolinyl, 4-oxodihydroimidazolyl, 2-oxo-l,3- dihydroindolyl, l-oxo-3H-isobenzofuranyl, 2- oxopiperidinyl 2-oxo-lH-pyrido [2, 3-b] [1, 4] oxazinyl, 1- oxopyridyl, 2-oxotetrahydrobenzo [e] [1, 4 ] diazepinyl, 4- oxo-3H-thieno [2, 3-d] pyrimidinyl, 5-oxo-4H- [1, 2, 4 ] triazinyl, phthalazinyl, pyrazolyl, IH- pyrrolizinyl, lH-pyrrolo [2, 3-b] pyridyl, pyrrolyl, tetrahydroquinoxalinyl, tetrahydropyranyl, triazinyl, imidazo [1, 5-a] pyridinyl, tetrahydro-imidazo [1,5- a]pyridinyl or 1, 1, 3-trioxodihydro-2H-lλ6- benzo [1,4] thiazinyl;
R2 is phenyl, naphthyl, acenaphthyl, cyclohexyl, pyridyl, pyrimidinyl, pyrazinyl, oxopyridinyl, diazinyl, triazolyl, thienyl, oxazolyl, oxadiazolyl, thiazolyl, pyrrolyl, furyl, tetrazolyl or imidazolyl, which radicals may be substituted by 1-3-halogen, hydroxyl, cyano, trifluoromethyl, Ci-6~ alkyl, halo-Ci-6-alkyl, hydroxy-Ci-6-alkyl, Ci-6-alkoxy-Ci_6- alkyl, cyano-Ci-6-alkyl, carboxy-Ci_6-alkyl, Ci-e-alkanoyloxy-Ci-β-alkyl, Ci-β-alkoxycarbonyloxy-Ci-e-alkyl, Ci-6-alkoxycarbonyl, or Ci_6-alkoxy groups, or a Cχ-β- alkylenedioxy group, and/or by an Ll -Tl -L2-T2-L3-T3-L4- T4-L5-U radical;
Ll, L2, L3, L4 and L5 are each independently a bond, Ci-β- alkylene, C2_8-alkenylene or C2-8-alkynylene, or are absent; Tl, T2, T3 and T4 are each independently: a) a bond, or are absent, or are one of the groups (b) -CH(OH)- (C) -CH(OR6)- (d) -CH(NR5R6)- (e) -CO- (f)-CR7R8- (g) -0- or -NR6- (h) -S(0)o-2- (i)-SO2NR6- (J)-NR6SO2- (k) -CONR6- (1) -NR6CO- (m) -0-C0- (n) -CO-O- (o) -0-CO-O- (p) -O-CO-NR6- (q) -N(R6J-CO-N(R6)- ( r ) -N ( R6 ) -CO-O-
(s) pyrrolidinylene, piperidinylene or piperazinylene (t) -C(R11R12)-, where the bonds starting from (b)-(t) lead to a saturated or aromatic carbon atom of the adjacent group if the bond starts from a heteroatom, and where not more than two groups (b)-(f), three groups (g)-(h) and one group (i)-(t) is/are present;
R3 is hydrogen, Ci-6-alkoxy, Ci-6-alkenyloxy, -OH, -0-, with the proviso that when R3 is -0-, it is bound to one group - X3-ONO2;
R4 is Ci-6-alkoxy, Ci-6-alkoxy-Ci_6-alkoxy, optionally N-mono- or N, N-di-Cχ-C6-alkylated amino, optionally N-mono- or N, N- di-Ci-Cβ-alkylated amino-Ci_6-alkoxy, optionally N-Ci-6- alkylated Ci-e-alkoxycarbonylamino-Ci-e-alkoxy, optionally N- Ci-6-alkylated Ci-e-alkylcarbonylamino-Ci-e-alkoxy, optionally N-Ci-6-alkylated C3-.8-cycloalkyl-C1-6-alkylcarbonylamino-C1-.6- alkoxy, Ci_6-alkylcarbonyl-Ci_6-alkoxy, Ci-6-alkylcarbonyloxy, aryl-Ci-6-alkoxy, aryloxy, optionally N-mono- or N,N-di-Ci- C6-alkylated carbamoyl-Ci-6-alkoxy, optionally N-mono- or N, N-di-C3-8-cycloalkyl-Ci-C6-alkylated carbamoyl-Ci-6-alkoxy, optionally N-mono- or N, N-di-Ci-Cβ-alkylated carbamoyloxy, cyanoalkyloxy, C3_8-Cycloalkyloxy, C3-8-cycloalkyl-Ci_6- alkoxy, C3-8-cycloalkyloxy-Ci-6-alkoxy, hydroxy-Ci-6-alkoxy, hydroxy-Ci-β-alkoxy-Ci-e-alkoxy, heterocyclyl-Ci_6-alkoxy, heterocyclyloxy, heterocyclyloxy-Ci-6-alkoxy or oxo; R4 can be -NH-, -NH2, -OH or -0- with the proviso that when R4 is -NH- or -0-, it is bound to one group -Xi-ONO2. R5 and R6 are each independently hydrogen, Ci-6-alkyl, C2-β~ alkenyl, aryl-Ci-6-alkyl or acyl, or, together with the N atom to which they are bonded, are a 5- to 6-membered heterocyclic ring which may contain an additional N, 0 or S atom or an -SO- or -SO2- group, where the additional N atom may optionally be substituted by Ci-6-alkyl radicals; R7 and R8, together with the carbon atom to which they are bonded, are a 3-7-membered ring which may contain one or two -O- or -S- atoms or -SO- or -SO2- groups;
R9 is hydrogen, Ci_6-alkyl, Ci-6-alkoxy-Ci-6-alkyl, acyl, aryl-Ci-6-alkyl, C3-8-cycloalkyl or Ca-β-cycloalkyl-Ci-β-alkyl;
R10 is carboxy-Ci-6-alkyl, Ci-e-alkoxycarbonyl-Ci-s-alkyl, Ci- 6-alkyl or hydrogen;
R11 is hydrogen, halogen or Ci-6-alkyl;
R12 is hydrogen, halogen or Ci_6-alkyl;
R11 and R12, together with the C-atom to which they are attached, may also be C3-8-cycloalkyl; U is hydrogen, Ci-e-alkyl, cyano, trifluoromethyl, optionally substituted C3_i2-cycloalkyl, aryl, or heterocyclyl;
X is a bond, oxygen or sulphur or is >CRnR12, >CHOR9, -0-
CO-, >C0, >C=NOR10, -0- CR11R12-, -O-CR^R^-CO-NR9-, -CO-NR9- or -NR9-, where a bond starting from a nitrogen, oxygen or sulphur atom leads to a saturated C atom of the Z group or to R1;
W is oxygen or sulphur;
Z is Ci-6-alkylene, C2-6~alkenylene, hydroxy-Ci-6-alkylidene, -0-, -N-, -S-, -O-alk-, -NR9-alk, -S-alk-, -alk-O-, -alk-S- or -alk-NR9-, where alk denotes Ci_6~alkylene; and where a) if Z is -0- or -S-, X is -CR11R12- and either R2 contains an L1-T1-L2-T2-L3-T3-L4-T4-L5-U substituent or R4 is a substituent other than hydrogen as defined above; b) if Z is -O-alk- or -S-alk-, X is -CR11R12-; and c) if X is a bond, Z is Ci-6-alkylene, C2-6-alkenylene, - NR9-alk-, -alk-NR9-, -alk-O- or -alk-S-; n is 1 or, when X is -0-C0-, is 0 or 1; m is 0 or 1;
(Ib) wherein:
Ni is -NH- or -N-; when Nx is -N-, it is bound to one group - Xa-ONO2;
R10 is aryl; heteroaryl; heterocycloalkyl; heterocycloalkenyl ; Rn is phenyl, ; naphtyl; acenaphtyl; cyclohexyl; pyridyl; pyrimidyl; pyrazinyl; oxopyridinyl; diazinyl; triazolyl; thienyl; oxazolyl; oxadiazolyl; thiazolyl; pyrrolyl; furyl which are unsubstituted or substituted by from one to three halogen, hydroxyl, cyano, trifluoromethyl, lower alkyl, halo-lower alkyl, hydroxyl-lower alkyl, lower alkoxy-lower alkyl, cyano-lower alkyl, carboxyl-lower alkyl, lower alkanoyloxy-lower alkyl, lower alkoxycarbonyloxy-lower alkyl, lower alkoxycarbonyl, lower alkoxy groups, lower alkylenedioxy group, and/or by radical Li-Ti-L2-T2-L3-T3-L4- T4-L5-T5-U;
Li , L2 , L3 , L4 , and L5 are , independent of each other , a bond; Ci-8-al kylene ; C2-8-al kenylene ; C2-8~al kynylene or are absent ;
Ti, T2, T3, T4, and T5 are, independent of each other, (a) a bond, or are absent, or are one of the groups: (b) -CH(OH)- (C) -(CHOR15)-
(d) -(CHNR14R15)-
(e) -CO- (f) -CRi6Ri7-
(g) -O- or -NRi5-
(h) -S(O) 0-2
(i) -SO2NRi5- (j) -NRi5SO2-
(k) -CONRi5-
(1) -NRi5CO-
(m) -0-C0-
(n) -CO-O- (o) -0-CO-O-
(p) -0-CO-NRi5-
(q) -NRi5CO-NR15-
(r) -NRi5CO-O-, where the bonds issuing from (b) , (d) , (e) and (g) to (r) lead to a C atom of the adjacent group and this C atom is saturated if the bond issues from a heteroatom and where not more than two groups (b) to (f) , three groups (g) to (h) and one group (i) to (r) are present;
Ri2 is hydrogen, hydroxyl, lower alkoxy; lower alkenoyloxy; Ri3 is hydrogen; lower alkyl; lower alkenyl; lower alkoxy; hydroxyl-lower alkyl, benzyl; oxo or a group RiβZi-Xi- where Ri8 is:
(a) Hydrogen
(b) lower alkyl (c) lower alkenyl
(d) 0-lower alkyl, -OH or -0- with the proviso that when is -0-, it is bound to one group -X3-ONO2
(e) poli-0-lower alkyl
(f) lower alkyl-O-lower alkyl (g) aryl
(h) heteroaryl; heterocycloalkyl; heterocycloalkenyl (i) aralkyl (j) heteroaryl-lower alkyl; heterocycloalkyl-lower alkyl; heterocycloalkenyl-lower alkyl
(k) aryloxy- lower alkyl
(1) heteroaryloxy-lower alkyl; heterocycloalkyloxy- lower alkyl; heterocycloalkenyloxy-lower alkyl
(m) Ri4Ri5N- (CH2) 1-3-
(n) R14Ri5N-
(0) lower alkyl-S (0) 0-2~; (p) aryl-S(O)0-2- (q) heteroaryl-S (O) o-2~; heterocycloalkyl-S (O) o-2~»" heterocycloalkenyl-S (0) 0-2~
(r) HO-SO3- or its salts
(s) H2N-C(NH)-NH-
(t) -NC- and the bonds issuing from (n) to (t) lead to a C atom of the adjacent groups and this C atom is saturated if the bond issues from a heteroatom;
Zi is
(a) hydrogen (b) lower alkylene
(c) lower alkenylene
(d) -0-; -NRi9-; -S(O) 0-2
(e) -CO-
(f) -CO-O- (g) -0-CO-O-
(h) -O-CO-NR19-
(1) -NRi9-CO-O- (j) -CO-NR19- (k) -NR19-CO- (1) -NR19-CO-NR19- (m) -CH(OR20)- and the bonds issuing from (d) and (f) to (m) lead to a C atom of the adjacent group and this C atom is saturated if the bond issues from a heteroatom; Xi is (a) a bond; is absent or is one of the groups
(b) -0-
(c) -NRi9-
(d) -S(0)o-2-
(e) - (CH2) 1-3- ; or R12 and Ri3 are together a bond;
Ri4 and R15 are hydrogen; lower alkyl; lower alkenyl; aryl-lower alkyl; acyl or together with the N atom to which they are bonded, are a five-membered or six- membered heterocyclic ring which can contain an additional N, O, or S atom, with the additional N atom optionally being substituted by lower alkyl;
Ri6 and Ri7 together with the C atom to which they are bonded, are a three-membered to seven-membered ring which can contain one or two O, or S atom, or -0- or -
SO2- groups;
R19 is hydrogen or lower alkyl;
R20 is hydrogen or lower alkyl; acyl or aralkyl;
R21 is carboxyalkyl; alkoxycarbonyl; alkyl or hydrogen; U is or hydrogen; lower alkyl; cycloalkyl; cyano; optionally substituted cycloalkyl; aryl; heteroaryl; heterocycloalkyl; heterocycloalkenyl;
Q is ethylene or is absent;
X is a bond; oxygen; sulphur; or groups -CH-Ri9; -CHOR20; -0-C0-; -CO-; or -C=NOR2I; where the bond issuing from an oxygen atom or sulphur atom leads to a saturated C atom of the group Z or to Rio;
W is oxygen or sulphur; Z is lower alkylene; lower alkenylene; hydroxyl-lower alkylidene; -O- ; -S-; -0-AIk-; -S-AIk; -AIk-O-; AIk-S- where AIk is lower alkylene; and where a) if Z is -0- or -S-, X is -CH-Ri9 and either Rn contains a substituent Li-Ti-L2-T2-L3-T3-L4-T4-L5-T5-U or Ri3 is a substituent which is defined as above and which is different from hydrogen; b) if Z is -O-Alk or -S-AIk-, X is -CH-Ri9; and c) if X is a bond, Z is lower alkylene, lower alkenylene, -AIk-O- or -AIk-S-;
n is 1 or, if X is -0-C0-, is 0 or 1; m is 0 or 1;
Ni is -N-or -NH-; when Ni is -N-, it is bound to one group -
Xa-ONO2;
R22 is: a) - (CH2) k-Ni (R24) z (R25) z- ; k is 0, 2, 3 or 4 with the proviso that when k is 0, then Ni is -N- and it is bound to -Xa~
ONO2; z and z' are equal or different and are 0 or 1, with the proviso that when z or z' are 0, Ni is bound to -Xa~
ONO2; b) -(CH2)k-0 (R24) z; k is 2, 3 or 4; z is equal to 0 or 1 with the proviso that when z is 0, -0- is bound to -X3-ONO2; c) - (CH2) m-OR26; m is 1 or 2; d ) - ( CHz ) 1-R2? ; i i s 1 , 2 or 3 ;
R23 is cycloalkyl-lower alkyl, 1, 1, 1. trifluoroethyl, phenyl or benzyl, or phenyl or benzyl which is substituted by one to three halogen, cyano, Ci-C3-alkoxy or nitro; R24 is hydrogen or Ci-C3~alkyl;
R25 is hydrogen or Ci-C3-alkyl; Cχ-C3-alkylsulphonyl, aminosulphonyl, Ci-C3-alkylaminosulphonyl; C1-C3- alkylaminocarbonyl, Ci-C3-alkylcarbonyl; trifluoromethyl- carbonyl, trifluoromethyl-sulfonyl or aminocarbonyl; R26 is Ci-C3-alkoxycarbonyl; aminocarbonyl, C1-C3- alkylaminocarbonyl, di-Ci-Cs-alkylaminocarbonyl or cyano;
R27 is imidazolyl or triazolyl, with the proviso that i is 2 or 3 when imidazolyl or triazolyl is bonded by way of a C-N bond;
(Id) (Ie) wherein: Nx is -N- or -NH-; when Ni is -N-, it is bound to one group - X3-ONO2;
R1 is aryl or heterocyclyl;
R2 is phenyl, naphthyl, acenaphthyl, cyclohexyl, pyridyl, pyrimidinyl, pyrazinyl, oxopyridinyl, diazinyl, triazolyl, thienyl, oxazolyl, oxadiazolyl, thiazolyl, pyrrolyl, furyl, tetrazolyl or imidazolyl, which radicals may be substituted by 1-3 halogen, hydroxyl, cyano, trifluoromethyl, Ci_6~ alkyl, halo-Ci_6-alkyl, hdyroxy-Ci-6~alkyl, Ci_6-alkoxy- Ci_6~ alkyl, cyano- Ci-6-alkyl, carboxy-Ci-6-alkyl, Ci-6~ alkanoyloxy-Ci-6-alkyl, Ci-β-alkoxycarbonyloxy-Ci-e-alkyl, Ci-e-alkoxycarbonyl, or Cχ-6-alkoxy, or a Ci-6-alkylenedioxy group, and/or by an L1-T1-L2-T2-L3-T3-L4-T4-L5- U radical;
Ll, L2, L3, L4 and L5 are each independently a bond, Ci-8- alkylene, C2-8~alkenylene or C2-8~alkynylene, or are absent; Tl, T2, T3 and T4 are each independently
(a) a bond, or are absent, or are one of the groups
(b) -CH(Oi)- wherein Oi is -OH or -0- with the proviso that when Oi is -0-, it is bound to one group -Xa-ONθ2; (c) -CH(OR6)- with the proviso that R6 is never hydrogen;
(d) -CH(NR5R6)
(e) -CO-
(f) -CR1R8-
(g) -0- or -NR6- (h) -S(0)o-2-
(i) -SO2NR6-
(j) -NR6SO2-
(k) -CONR6-
(i) -NR6CO- (m) -0-C0-
(n) -CO-O-
(o) -0-CO-O-
(p) -0-CO-NR6-
(q) -N (R6) -CO-N (R6)- (r) -N (R6) -CO-O-
(s) pyrrolidinylene, piperidinylene or piperazinylene
(t) -C(R11) (R12)-, where the bonds starting from (b)-(t) lead to a saturated or aromatic carbon atom of the adjacent group if the bond starts from a heteroatom, and where not more than two (b)-
(f) groups, three (g) - (h) groups and one (i)-(t) group are present; R3 is hydrogen, Ci-6-alkyl, C2-6~alkenyl, Ci_6-alkoxy, hydroxy-Ci-6-alkyl, Ci-6-alkoxy-Ci-6-alkyl, benzyl or an R4-Zl-Xl-group where R4 is (a) H- (b) Ci-6-alkyl-
(c) C2-6~alkenyl-
(d) hydroxy-Ci-6-alkyl-
(e) polyhydroxy-Ci-6-alkyl-
(f) Ci-e-alkyl-O-d-s-alkyl- (g) aryl-
(h) heterocyclyl-
(i) arylalkyl-
(j) heterocyclylalkyl-
(k) aryloxyalkyl- (1) heterocyclyloxyalkyl-
(m) (R5, R6) N- (CH2) 1-3-
(n) (R5,R6)N-
(o) Ci-6-alkyl-S(0)o-2-
(p) aryl-S(0)0-2- (q) heterocyclyl-S(0)0-2-
(r) HO-SO3- or salts thereof
(S)H2N-C(NH)-NH-
(t) -NC-, and the bonds starting from (n)-(t) lead to a carbon atom of the adjacent group and this carbon atom is saturated if the bond starts from a heteroatom;
Zl is:
(a) a bond, is absent, or is one of the groups
(b) Ci-6-alkylene- (c) C2-6-alkenylene-
(d)-0-,-N(R11)-, -S(0)o-2-
(e)-CO-
(f)-O-CO- (g ) -O-CO-O-
(h) -0-CO-N (R11)
( i ) -N (R11 ) -CO-O-
( k) -N ( R11 J -CO- ( I ) -N ( R11 J -CO-N ( R11 ) -
(m) -CH (OR9) - and the bonds starting from (d) and (f)-(rn) lead to a carbon atom of the adjacent group and this carbon atom is saturated if the bond starts from a heteroatom; Xl is a bond, is absent, or is - (CH2) 1-3-; or, in formula (Ic) R3 is also oxo;
R5 and R6 are each independently hydrogen, Ci-6-alkyl, C2-6- alkenyl, aryl-Ci_6-alkyl or acyl, or, together with the nitrogen atom to which they are bonded, are a 5- or 6- membered heterocyclic ring which may contain an additional nitrogen, oxygen or sulphur atom or a -SO- or -SO2- group, and the additional nitrogen atom may optionally be substituted by Ci-6- alkyl radicals;
R7 and R8, together with the carbon atom to which they are bonded, are a 3-7-membered ring which may contain one or two oxygen or sulphur atoms or -SO- or -SO2- groups ;
R9 is hydrogen, Ci_6-alkyl, C3_8-cycloalkyl, Ci-6-alkoxy-Ci-6- alkyl, acyl or arylalkyl;
R10 is carboxyalkyl, alkoxycarbonylalkyl, alkyl or hydrogen;
R12 is hydrogen or Ci-6-alkyl;
U is hydrogen, Ci_6-alkyl, cycloalkyl, cyano, optionally substituted cycloalkyl, aryl, or heterocyclyl;
Q is ethylene or is absent (formula (Ic)) or is ethylene or methylene (formula (Id));
X is a bond or a >CH-RU, >CR9Rn, >CHOR9, >C0 or >C=NOR10 group; Z is absent or is Ci-6-alkylene, C2-6-alkenylene, hydroxy- Ci-e-alkylidene, -CH-RU-CO-NR9-, -0-, -S-, -NR9-, -O-alk-, -S- alk-, -NR9-alk-, -alk-O-, -alk-S-or-alk-NR9-, where alk is Ci- 6-alkylen ; and where
(a) if Z is -0- or -S-, X is >CR9Rn and either R2 contains an L1-T1-L2-T2-L3-T3-L4-T4-L5-U substituent or R3 is a substituent other than hydrogen as defined above;
(b) if Z is -O-alk-, -S-alk-, or -NR9-alk-, X is >CR9RU; and
(c) if X is a bond, Z is C2-6-alkenylene, -alk-O-, -alk-S-or -alk-NR9-;
(If) wherein:
Ni is -N- or -NH-; when Ni is -N-, it is bound to one group
- X3-ONO2;
R1 is -CH2-X, -O-X or -S(O)0-2-X; or R1 is -NR8-X, -NR8C(O)-X or -NR8S(O)2-X in which
R8 is hydrogen or lower alkyl ; and
X is -(CH2)m- (CR9R10) p- (CH2) n-Z- (CH2) q-W in which m, n and q are independently zero or an integer from 1 to
5; p is zero or 1;
R9 and R10 are independently hydrogen, hydroxy, halogen, lower alkyl, lower alkoxy or cycloalkyl ; or R9 and R10 combined are alkylene which together with the carbon atom to which they are attached form a 3- to 6- membered ring;
Z is a bond; or Z is 0, S(O) o-2/ or -NR11- in which
R11 is hydrogen or lower alkyl, provided that R1 is -CH2-X when m, n and p are all zero;
W is aryl or heterocyclyl;
R2 is hydrogen, halogen, cyano, hydroxy or lower alkoxy ; L is a bond; or
L is -(CH2)s-0- (CH2) v in which s and v are independently zero or an integer from 1 to 3; or
L is -C(O)-, -C(O)O-, -OC(O)-, -OC(O)NR12-, -NR12-, -NR13C(O)-, -NR13C(O)O- or -NR13C(O)NR12- in which
R12 and R13 are independently hydrogen or lower alkyl ;
R3 is hydrogen, hydroxy, halogen or cyano provided that L is a bond; or
R3 is optionally substituted lower alkyl, aralkyl, heteroaralkyl, aryl or heterocyclyl ; or
R3 and R12 combined are alkylene which together with the nitrogen atom to which they are attached form a 5-to 6- membered ring;
R4 is hydrogen, optionally substituted lower alkyl or aryl;
R5 and R6 are independently hydrogen, halogen, hydroxy, trifluoromethyl, optionally substituted lower alkyl, lower alkoxy or cycloalkyl; or
R5 and R6 combined together with the carbon atoms to which they are attached form a fused 5- to 6-membered aromatic or heteroaromatic ring provided that R5 and R6 are attached to carbon atoms adjacent to each other; or R5 and R6 combined are alkylene which together with the carbon atoms to which they are attached form a fused 5- to 7-membered ring provided that R5 and R6 are attached to carbon atoms adjacent to each other; or C-R5 and C-R6 may be replaced with nitrogen;
R7 is hydrogen, halogen, hydroxy, trifluoromethyl, optionally substituted lower alkyl, lower alkoxy, cycloalkyl, alkanoyl, alkyloxyalkoxy, alkanoyloxy, amino, alkylamino, dialkylamino, acylamino, carbamoyl, thiol, alkylthio, alkylthiono, sulfonyl, sulfonamido, sulfamoyl, nitro, cyano, carboxy, alkoxycarbonyl, aryl, alkenyl, alkynyl, aralkoxy, heterocyclyl including indolyl, imidazolyl, furyl, thienyl, thiazolyl, pyrrolidyl, pyridyl, pyrimidyl, piperidyl, morpholinyl and tetrazolyl ; or R7 and R6 combined are O, S(O)0-2, -NR14-, - (CH2) i-2~, -0-CH2-, -CH2-O-, -S(O) 0-2-CH2-, -CH2-S(O) o-2, -NR14-CH2-, -CH2-NR14-, -S(0)o-2-NR14- or -NR14-S(0)o-2- in which
R14 is hydrogen or lower alkyl, provided R6 is located at the 2' position; or C-R7 may be replaced with nitrogen;
Y is -(CH2Ir-, -0- (CH2) r-, -(CH2)r-O-, -S0-2- (CH2) r- or
- (CH2) rSo-2- in which r is zero or an integer from 1 to 3;
W is zero or 1; Q combined with the atoms to which it is attached form a 5- to 6-membered monocyclic aromatic or heteroaromatic ring; or
Q combined with the atoms to which it is attached form a 7- to 12-membered bicyclic aromatic or heterocyclic ring;
(Ig) wherein: Ni is -N- or -NH-; when Ni is -N-, it is bound to one group
- X3-ONO2;
R1 is -CH2-X, -0-X or -S-X; or
R1Is -NR8-X, -NR8C(O)-X or -NR8S(O)2-X in which
R8 is hydrogen or lower alkyl ; and X is - (CH2) m- (CR9R10Jp- (CH2) n-Z-W in which m and n and p are independently zero or 1;
R9 is hydrogen;
R10 is hydrogen or lower alkyl;
Z is a bond; or Z is 0, S(O) o-2/ or -NR11- in which
R11 is hydrogen or lower alkyl, provided that R1, is -CH2-X when m, n and p are all zero;
W is aryl or heterocyclyl;
R2 is hydrogen; R3 is hydrogen or halogen;
R5 and R6 are independently hydrogen, halogen, hydroxy, trifluoromethyl, optionally substituted lower alkyl, lower alkoxy or cycloalkyl;
R7 is hydrogen, halogen, hydroxy, trifluoromethyl, optionally substituted lower alkyl, lower alkoxy or cycloalkyl; or R7 and R6 combined are 0, S(O) 0-2, -NR14-, (CH2) 1-2-, -0-CH2-, -CH2-O-, -S(O) 0-2"CH2-, -CH2-S (O)o-2-# -NR14-CH2-, -CH2-NR14-, -S(0)o-2-NR14- or -NR14-S(0)o-2- in which
R14 is hydrogen or lower alkyl, provided R6 is located at the 2 ' -position;
R15 is hydrogen, halogen, hydroxy, trifluoromethyl, optionally substituted lower alkyl, lower alkoxy or cycloalkyl;
Ni is -N- or -NH-; when Ni is -N-, it is bound to one group - Xa-ONO2;
(A) R1 in formula (Ih) is substituted or unsubstituted oxazolyl, indolyl, pyrrolyl, pyrazolyl, triazinyl, 2-oxodihydrobenzo [d] [1, 3] oxazinyl, 4- oxodihydroimidazolyl, 5-oxo-4H- [1, 2, 4 ] triazinyl, 3- oxo-4H-benzo [1,4] thiazinyl, tetrahydroguinoxalinyl, 1, 1, 3-trioxodihydro-2H-lλ6-benzo[l, 4] thiazinyl, 1- oxo-pyridyl, dihydro-2H-benzo [1, 4] oxazinyl, 2- oxotetrahydrobenzo [e] [1, 4] diazepinyl, 2- oxodihydrobenzo [e] [1, 4] diazepinyl, lH-pyrrolizinyl, phthalazinyl, l-oxo-3H-isobenzofuranyl, 4-oxo-3H- thieno[2, 3-d] pyrimidinyl, 3-oxo-4H- benzo [1, 4] oxazinyl, [1, 5] naphthyridyl, dihydro-2H- benzo [1, 4] thiazinyl, 1, l-dioxodihydro-2H- benzo[l, 4] thiazinyl, 2-oxo-lH-pyrido [2, 3-b] [1- 4]oxazinyl, dihydro-lH-pyrido [2, 3-b] [1, 4] oxazinyl, lH-pyrrolo[2, 3-b]pyridyl, benzo [1 , 3] dioxolyl, benzooxazolyl, 2-oxobenzooxazolyl, 2-oxo-l,3- dihydroindolyl, 2, 3-dihydroindolyl, indazolyl, benzofuranyl, dihydrobenzofuranyl, tetrahydropyranyl, 2-oxopiperidinyl or 2- oxoazepanyl; or
(B) R1 in formula (Ih) is aryl or heterocyclyl which is substituted by at least one substituent selected from Ci-6-alkoxy-Ci-6-alkoxy-Ci-6-alkyl, C3-8- cycloalkyl-Ci_6-alkyl, Ci-6-alkoxycarbonyl, Co-6~ alkylcarbonylamino, Co-β-alkylcarbonylamino-Ci-e- alkyl, Co-6-alkylcarbonylamino-Ci_6-alcoxy, (N-C1-6- alkyl) -Co-e-alkylcarbonylamino-Ci-e-alkyl, (N-C1-6- alkyl) -Co-e-alkylcarbonylamino-Ci-β-alcoxy, C3-8- cycloalkylcarbonylamino-Ci-6-alkyl, C3-8-cycloalkyl carbonylamino-Ci-6-alkoxy, Ci-6-alkoxy-Ci_6-alkyl, hydroxy-Ci-6-alkyl, hydroxy-Ci-6-alkoxy-Ci_6-alkyl, hydroxy-Ci-.e-alkoxy-Ci-6-alkoxy, Ci-6-alkoxycarbonyl amino-Ci-6-alkyl, Ci_6-alkoxycarbonylamino-Ci_6- alkoxy, Ci-β-alkylaminocarbonylamino-Ci-e-alkyl, C1-6- alkylaminocarbonylamino-Cχ-6-alkoxy, Ci_6-alkylamino carbonyl-Ci-6-alkyl, Ci-e-alkylaminocarbonyl-Ci-e- alkoxy, Ci-6-alkylaminocarbonyl-Ci_6-alkoxy-Ci_6- alkyl, di-Ci-e-alkylaminocarbonyl-Ci-β-alkyl, di-Ci-6- alkylaminocarbonyl-Ci-6-alkoxy, Ci-6-alkyl carbonyloxy-Ci-6-alkyl, Ci-6-alkoxycarbonyloxy-Ci-6- alkyl, Ci-e-alkylcarbonyloxy-Ci-g-alkoxy, cyano-Ci-6- alkyl, cyano-Ci-6-alkoxy, Ci_6-alkoxycarbonyl-Ci-6- alkyl, Ci-δ-alkoxycarbonyl-Ci-δ-alkoxy, Ci-6~ alkylsulphonylamino-Ci-6-alkyl, Ci-6-alkyl sulphonyl amino-Ci-6-alkoxy, (N-Ci_6-alkyl) -Ci-6-alkylsulphonyl amino-Ci-6-alkyl, (N-Cχ-6-alkyl) -Ci-6-alkylsulphonyl amino-Ci-6-alkoxy, amino-Ci_6-alkyl, amino-Ci-6- alkoxy, Ci-6-alkylamino-Ci-6-alkyl, Ci-6-alkylamino-Ci- 6-alkoxy, di-Ci-e-alkylamino-Ci-e-alkyl, di-Ci-6- alkylamino-Ci-6-alkoxy, Ci_6-alkyl sulphonyl -Ci_6- alkyl, d-e-alkylsulphonyl-Ci-β-alkoxy, carboxy-Ci_6- alkyl, carboxy-Ci_6-alkoxy, carboxy-Ci-6-alkoxy-Ci_6- alkyl, Ci-e-alkoxy-Ci-δ-alkylcarbonyl, acyl-Ci_6- alkoxy-Ci-6-alkyl, (N-Ci_6-alkyl) -Ci_6- alkoxycarbonylamino, (N-hydroxy) -Cχ_6- alkylaminocarbonyl-Ci-6-alkyl, (N-hydroxy) -Ci_6~ alkylaminocarbonyl-Ci-6-alkoxy, (N-hydroxy) aminocarbonyl-Ci-6-alkyl, (N-hydroxy) aminocarbonyl-
Ci-6-alkoxy, Ci-β-alkoxyaminocarbonyl-Ci-e-alkyl, Ci_6~ alkoxyaminocarbonyl-Ci-θ-alkoxy, (N-Ci_6-alkoxy) -Ci-6~ alkylaminocarbonyl-Ci-6-alkyl, (N-Cχ-6-alkoxy) -Ci-β- alkylaminocarbonyl-Ci-6-alkoxy, (N-acyl) -Cχ_6-alkoxy- Ci-6-alkylamino, Ci-β-alkoxy-Ci-β-alkylcarbamoyl, (N-
Ci-6-alkyl) -Ci-g-alkoxy-Ci-e-alkylcarbamoyl, Ci-6~ alkoxy-Ci-6-alkylcarbonyl, Ci-6-alkoxy-Ci-6- alkylcarbonylamino, (N-Ci-6-alkyl) -Ci_6-alkoxy-Ci_6- alkylcarbonylamino, carbamoyl-Ci-β-alkyl, carbamoyl- Ci-6-alkoxy, Ci-6-alkylcarbamoyl, di-Ci_6~ alkylcarbamoyl, Ci_6-alkylsulphonyl, Ci_6- alkylamidinyl, acetamidinyl-Ci-6-alkyl, 0- methyloximyl-Ci-6-alkyl and 0,N- dimethylhydroxylamino-Ci-6-alkyl; or (C) R1 in formula (Ih) is aryl or heterocyclyl which is substituted by at least one substituent selected from [1,2, 4 ] -triazol-1-ylalkyl, [1, 2, 4] -triazol-1- ylalkoxy, [1, 2, 4 ] -triazol-4-ylalkyl, [1,2,4]- triazol-4-ylalkoxy, [1,2,4] -oxadiazol-5-ylalkyl, [l,2,4]-oxadiazol-5-ylalkoxy, 3-methyl- [1, 2, 4 ] - oxadiazol-5-ylalkyl, 3-methyl- [1,2,4] -oxadiazol-5- ylalkoxy, 5-methyl- [1, 2, 4] -oxadiazol-3-ylalkyl, 5- methyl- [1,2,4] -oxadiazol-3-ylalkoxy, tetrazol-1- ylalkyl, tetrazol-1-ylalkoxy, tetrazol-2-ylalkyl, tetrazol-2-ylalkoxy, tetrazol-5-ylalkyl, tetrazol- 5-ylalkoxy, 5-methyltetrazol-l-ylalkyl, 5- methyltetrazol-1-ylalkoxy, thiazol-4-ylalkyl, thiazol-4-ylalkoxy, oxazol-4ylalkyl, oxazol-4- ylalkoxy, 2-oxopyrrolidinylalkyl, 2- oxopyrrolidinylalkoxy, imidazolylalkyl, imidazolylalkoxy, 2-methylimidazolylalkyl, 2- methylimidalylalkoxy, dioxolanyl, dioxanyl, dithiolanyl, dithianyl, pyrrolidinyl, piperidinyl, piperazinyl, pyrrolyl, 4-methylpiperazinyl, morpholinyl, thiomorpholinyl, 2- hydroxymethylpyrrolidinyl, 3-hydroxypyrrolidinyl, 3, 4-dihydroxypyrrolidinyl, 3- acetamidomethylpyrrolidinyl, 3-Ci-6-alkoxy-Ci-6- alkylpyrrolidinyl, 4-hydroxypiperidinyl, 4- oxopiperidinyl, 3, 5-dimethylmorpholinyl, 4,4- dioxothiomorpholinyl, 4-oxothiomorpholinyl, 2,6- dimethylmorpholinyl, 2-oxoimidazolidinyl, 2- oxooxazolidinyl, 2-oxopyrrolidinyl, 2-oxo- [1, 3]oxazinyl, 2-oxotetrahydropyrimidinyl, 2- oxooxaxolidinyl-Ci-6-alkyl, 2-oxooxazolidinyl-Ci_6- alkoxy, l-Ci_6-alkoxy-Ci-6-alkylimidazol-2-yl, l-Cχ-6- alkoxy-Ci-6-alkyltetrazol-5-yl, 5-Ci-6-alkoxy-Ci_6- alkyltetrazol-1-yl, 2-Ci-6-alkoxy-Ci-6-alkyl-4- oxoimidazol-1-yl; or
(D) R1 in formula (Ih) is aryl, heterocyclyl if n is 0 and X is -O-CH-RU-CO-NR9-, or if n and m are each 0 and X is -O-CH-R11- and R2 is phenyl substituted by Ci-6-alkoxybenzyloxy-Ci_6-alkoxy; or
(E) R1 in formula (Ih) is aryl or heterocyclyl if n is 1 and Z is -alk-NR9-, where alk is Ci_6-alkylene; or (F) R1 in formula (Ih) is aryl or heterocyclyl if R2 is tetrazolyl or imidazolyl which may be substituted by 1-3-halogen, hydroxyl, cyano, trifluoromethyl, Ci-6-alkyl, halo-Ci-6-alkyl, hydroxyl-Ci_6-alkyl, Ci-6~ alkoxy-Ci-6-alkyl, cyano-Cχ-6-alkyl, carboxy-Ci_6- alkyl, Ci-δ-alkanoyloxy-Ci-δ-alkyl, Ci-6~ alkoxycarbonyloxy-Ci-6-alkyl, Ci_6-alkoxycarbonyl or Ci-6-alkoxy groups, or a Ci-6-alkylenedioxy group, and/or maybe substituted by an L1-T1-L2-T2-L3-T3- L4-T4-L5-U radical; or
(G) R1 in formula (Ii) is aryl or heterocyclyl;
R2 is phenyl, naphthyl, acenaphthyl, cyclohexyl, pyridyl, pyrimidinyl, pyrazinyl, oxopyridinyl, diazinyl, triazolyl, thienyl, oxazolyl, oxadiazolyl, thiazolyl, pyrrolyl, furyl, tetrazolyl or imidazolyl which radicals may be substituted by 1-3-halogen, hydroxyl, cyano, trifluoromethyl, Ci-6-alkyl, halo-Ci-6-alkyl, hydroxy- Ci-6-alkyl, Ci-6-alkoxy-Ci_6-alkyl, cyano-Ci-6-alkyl, carboxy-Ci_6-alkyl, Ci-6-alkanoyloxy-Ci-e-alkyl, Cχ-6- alkoxycarbonyloxy-Ci-6-alkyl, Ci_6-alkoxycarbonyl, or Ci_6~ alkoxy groups, or a Ci-6-alkylenedioxy group, and/or by an L1-T1-L2-T2-L3-T3-L4-T4-L5-U radical; Ll, L2, L3, L4 and L5 are each independently a bond, Ci- 8-alkylene, C2-8-alkenylene or C2-s-alkynylene, or are absent;
Tl, T2, T3 and T4 are each independently
(a) a bond, or are absent, or are one of the groups
(b) -CH(OH)-
(c) -CH(OR6)- (d) -CH (NR5R6) -
(e)-CO-
(f) -CR7R8
(g) -0- or -NR6- (h) -S (O) 0-2-
(D-SO2NR6-
(J)-NR6SO2-
(k) -CONR6- (I)-NR6CO-
(m) -0-C0-
(n) -CO-O-
(o)-O-CO-O-
(p) -0-CO-NR6- (q) -N (R6) -CO-N (R6)-
(r) -N (R6) -CO-O-
(s) pyrrolidinylene, piperidinylene or piperazinylene
(t) -C(R11) (R12)-, where the bonds starting from (b)-(t) lead to a saturated or aromatic carbon atom of the adjacent group if the bond starts from a heteroatom, and where not more than two (b)-(f) groups, three (g)-(h) groups and one
(i)-(t) group are present;
R3 is hydrogen, hydroxyl, Ci-6-alkoxy or C2-6-alkenyloxy; R4 is hydrogen, Ci-6-alkyl, C2_6-alkenyl, Ci_6-alkoxy, hydroxy-Ci-6-alkyl, Ci_6-alkoxy-Ci-6-alkyl, benzyl, oxo, or a:
R4a-Zl-Xl- group where R4a is
(a) H- (b) Ci-6-alkyl-
(c) C2-6-alkenyl-
(d) hydroxy-Ci-6-alkyl-
( e ) polyhydroxy-Ci-6-alkyl-
(f) Ci-e-alkyl-O-d-e-alkyl- (g) aryl-
(h) heterocyclyl-
(i) arylalkyl-
( j ) heterocyclylalkyl- (k) aryloxyalkyl-
(1) heterocyclyloxyalkyl-
(m) (R5, R6) N- (CH2) !_3-
(n) (R5,R6)N- (o) Ci-6-alkyl-S(0)o-2-
(p) aryl-S(O)0-2-
(q) heterocyclyl-S (0) 0-2~
(r) HO-SO3- or salts thereof
(S) H2N-C(NH)-NH- (t) -NC- and the bonds starting from (n)-(t) lead to a carbon atom of the adjacent group and this carbon atom is saturated if the bond starts from a heteroatom;
Zl (a) is a bond, is absent, or is one of the groups
(b) Ci-6-alkylene-
(c) C2-6~alkenylene- (d)-O-, -N (R11) -,-S(O) 0-2- (e)-CO- f) -0-C0-
(g)-O-CO-O-
(h) -0-CO-N(R11) -
(i) -N (R11) -CO-O-
(j) -CO-N(R11)- (k) -N(R11J-CO-
(I)-N(R11J-CO-N(R11)-
(m) -CH(OR9)- and the bonds starting from (d) and (f)-(m) lead to a carbon atom of the adjacent group and this carbon atom is saturated if the bond starts from a heteroatom;
Xl
(a) is a bond, is absent, or is one of the groups
(b) -O- (c)-N(R11)- (d) -S (O) 0-2-
(e)- (CH2) 1-3-; or R3 and R4 in formula (Ih) together are a bond; R5 and R6 are each independently hydrogen, Ci_6-alkyl, C2- 6-alkenyl, aryl-Ci_6-alkyl or acyl, or, together with the nitrogen atom to which they are bonded, are a 5- or 6- membered heterocyclic ring which may contain an additional nitrogen, oxygen or sulphur atom or a -SO- or -SO2- group, and the additional nitrogen atom may optionally be substituted by Ci-6~alkyl radicals; R7 and R8, together with the carbon atom to which they are bonded, are a 3-7-membered ring which may contain one or two -O- or -S- atoms or -SO- or -SO2- groups; R9 is hydrogen, Ci_6-alkyl, Ci-6-alkoxy-Ci-6-alkyl, acyl or arylalkyl;
R10 is carboxyalkyl, alkoxycarbonylalkyl, alkyl or hydrogen; R11 is hydrogen or Ci-6-alkyl; R12 is hydrogen or Ci_6-alkyl;
U is hydrogen, Ci_6-alkyl, C3-8-cycloalkyl, cyano, optionally substituted C3_8-cycloalkyl, aryl, or heterocyclyl ; Q is ethylene or is absent (formula Ih) or is ethylene or methylene (formula Ii) ;
X is a bond, oxygen or sulphur, or is a >CH-R1]", >CHOR9, -0-C0-, >C0, >C=NOR10, -O-CHR11- or -O-CHR11-CO-NR9- group and the bond starting from an oxygen or sulphur atom leads to a saturated carbon atom of the Z group or to R1;
W is oxygen or sulphur; Z is Ci-6-alkylene, C2-6-alkenylene, hydroxy-Ci_6~ alkylidene, -O-, -S-, -O-alk-, -S-alk-, -alk-O-, -alk-S- or -alk-NR9-, where alk is Ci-6-alkylene ; and where
(a) if Z is -O- or -S-, X is >CH-Rn and either R2 contains an L1-T1-L2-T2-L3-T3-L4-T4-L5-U substituent or
R4 is a substituent other than hydrogen as defined above;
(b) if Z is -0-alk- or -S-alk-, X is >CH-Rn ; and
(c) if X is a bond, Z is C2-6-alkenylene, -alk-O- or - alk-S-, n is 0 or 1; m is 0 or 1;
Xa is equal to -Xb-Ya- wherein Xb is -CO- or -COO-; Ya is a bivalent radical having the following meaning: a)
- straight or branched Ci-C2O alkylene, preferably Ci-Cio, being optionally substituted with one or more of the substituents selected from the group consisting of: halogen atoms, hydroxy, -ONO2 or Ta, wherein T3 is
-OC(O) (Ci-Cio alkyl)-ONO2 or -0(Ci-Ci0 alkyl) -ONO2;
- cycloalkylene with 5 to 7 carbon atoms into cycloalkylene ring, the ring being optionally substituted with side chains Tb, wherein Tb is straight or branched alkyl with from 1 to 10 carbon atoms, preferably CH3; b)
Xc = -OCO- or -COO- and R2 is H or CH3; e)
f)
wherein: n1 and R2 are as defined above, R3 is H or -COCH3; with the proviso that when Ya is selected from the bivalent radicals mentioned under b) -f) , the -ONO2 group is linked to a -(CH2Jn 1 group; g)
wherein Xd is -O- or -S-, n3 is an integer from 1 to 6, preferably from 1 to 4, R2 is as defined above; h)
R V,6 R7 wherein: n4 is an integer from 0 to 10; n5 is an integer from 1 to 10;
R4, R5, R6, R7 are the same or different, and are H or straight or branched Ci-C4 alkyl, preferably R4, R5, Re, R7 are H; wherein the -ONO2 group is linked to
I
-[C]
wherein n5 is as defined above;
Yc is an heterocyclic saturated, unsaturated or aromatic 5 or 6 members ring, containing one or more heteroatoms selected from nitrogen, oxygen, sulfur, and is selected from the group consisting in:
(YA) (YB) (YC) (YD) (YE)
(YK) (YL) (YM)
2. A compound of general formula (I) or a pharmaceutically acceptable salt or stereoisomer thereof according to claim
1, wherein Ya is a bivalent radical having the following meaning: a)
- straight or branched Ci-Cio alkylene; b)
3. A compound according to claims 1-2, selected from the group consisting of:
26
27
28
44
45
46
47
61
74
76
77
112
117
120
121
122
123
10
140
157
167
10 184
185
191
222
231
232
233
234
10
239
256
277
281
301
331
332
353
354
355
356
4. A compound of general formula (I) according to claims 1- 3 for use as a medicament.
5. Use of a compound according to claims 1-3 for preparing a drug having anti-inflammatory, antithrombotic and antiplatelet activity.
6. Use of a compound according to claims 1-3, for preparing a drug that can be employed in the treatment or prophylaxis of cardiovascular, renal and chronic liver diseases, inflammatory processes and metabolic syndrome.
7. Use of a compound according to claims 1-3, for preparing a drug that can be employed in the treatment or prophylaxis of congestive heart failure, coronary diseases, left ventricular dysfunction and hypertrophy, cardiac fibrosis, myocardial ischemia, stroke, atherosclerosis, restenosis post angioplasty, renal ischemia, renal failure, renal fibrosis, glomerulonephritis, renal colic, ocular and pulmonary hypertension, glaucoma, systemic hypertension, diabetic complications such as nephropathy, vasculopathy and neuropathy, peripheral vascular diseases, liver fibrosis, portal hypertension, metabolic syndrome, erectile dysfunction, complications after vascular or cardiac surgery, complications of treatment with immunosuppressive agents after organ transplantation, hyperaldosteronism, lung fibrosis, scleroderma, anxiety, cognitive disorders.
8. A pharmaceutical composition comprising a pharmaceutically acceptable carrier and a pharmaceutically effective amount of a compound of general formula (I) or a salt or stereoisomer thereof according to claims 1-3.
9. A pharmaceutical composition according to claim 8 in a suitable form for the oral, parenteral, rectal, topic and transdermic administration, by inhalation spray or aerosol or iontophoresis devices.
10. Liquid or solid pharmaceutical composition for oral, parenteral, rectal, topic and transdermic administration or inhalation in the form of tablets, capsules and pills eventually with enteric coating, powders, granules, gels, emulsions, solutions, suspensions, syrups, elixir, injectable forms, suppositories, in transdermal patches or liposomes, containing a compound of formula (I) or a salt or stereoisomer thereof according to claims 1-3 and a pharmaceutically acceptable carrier.
11. A pharmaceutical composition comprising a compound of general formula (I) according to claims 1-3, at least a compound used to treat cardiovascular disease and a pharmaceutically acceptable carrier.
12. Pharmaceutical composition according to claim 11 wherein the compound used to treat cardiovascular disease is selected from the group consisting of: aldosterone antagonists, angiotensin II receptor blockers, ACE inhibitors, HMGCoA reductase inhibitors, beta-adrenergic blockers, alpha-adrenergic antagonists, sympatholytics, calcium channel blockers, endothelin antagonists, neutral endopeptidase inhibitors, potassium activators, diuretics, vasodilators, antithrombotics such as aspirin or nitrosated compounds thereof.
13. A pharmaceutical kit comprising a compound of general formula (I) as defined in claim 1, a compound used to treat cardiovascular disease as combined preparation for simultaneous, separated or sequential use for the treatment of cardiovascular disease.
14. A pharmaceutical kit according to claim 13 wherein the compound used to treat cardiovascular disease is selected from the group consisting of: aldosterone antagonists, angiotensin II receptor blockers, ACE inhibitors, HMGCoA reductase inhibitors, beta-adrenergic blockers, alpha- adrenergic antagonists, sympatholytics, calcium channel blockers, endothelin antagonists, neutral endopeptidase inhibitors, potassium activators, diuretics, vasodilators, antithrombotics such as aspirin or nitrosated compounds thereof.
Applications Claiming Priority (2)
| Application Number | Priority Date | Filing Date | Title |
|---|---|---|---|
| US87581606P | 2006-12-20 | 2006-12-20 | |
| US60/875,816 | 2006-12-20 |
Publications (2)
| Publication Number | Publication Date |
|---|---|
| WO2008074450A2 true WO2008074450A2 (en) | 2008-06-26 |
| WO2008074450A3 WO2008074450A3 (en) | 2009-01-08 |
Family
ID=39406515
Family Applications (1)
| Application Number | Title | Priority Date | Filing Date |
|---|---|---|---|
| PCT/EP2007/011078 Ceased WO2008074450A2 (en) | 2006-12-20 | 2007-12-13 | Non-peptidic renin inhibitors nitroderivatives |
Country Status (1)
| Country | Link |
|---|---|
| WO (1) | WO2008074450A2 (en) |
Cited By (15)
| Publication number | Priority date | Publication date | Assignee | Title |
|---|---|---|---|---|
| WO2010120889A1 (en) * | 2009-04-14 | 2010-10-21 | Ampla Pharmaceuticals Inc. | Treatment of metabolic syndrome with cyclic amides |
| WO2011132171A1 (en) * | 2010-04-23 | 2011-10-27 | Piramal Life Sciences Limited | Nitric oxide releasing prodrugs of therapeutic agents |
| US8541424B2 (en) | 2008-12-23 | 2013-09-24 | Abbott Laboratories | Anti-viral compounds |
| US8546405B2 (en) | 2008-12-23 | 2013-10-01 | Abbott Laboratories | Anti-viral compounds |
| US8686026B2 (en) | 2010-06-10 | 2014-04-01 | Abbvie Inc. | Solid compositions |
| US8691938B2 (en) | 2009-06-11 | 2014-04-08 | Abbvie Inc. | Anti-viral compounds |
| US8716454B2 (en) | 2009-06-11 | 2014-05-06 | Abbvie Inc. | Solid compositions |
| FR3000063A1 (en) * | 2012-12-26 | 2014-06-27 | Chryso | PROCESS FOR THE SYNTHESIS OF LINEAR CARBON ESTERS OF GLYCEROL ALPHA / ALPHA PRIME-ALKOXYLS |
| US8937150B2 (en) | 2009-06-11 | 2015-01-20 | Abbvie Inc. | Anti-viral compounds |
| US9034832B2 (en) | 2011-12-29 | 2015-05-19 | Abbvie Inc. | Solid compositions |
| US9278922B2 (en) | 2009-04-15 | 2016-03-08 | Abbvie Inc. | Anti-viral compounds |
| US9333204B2 (en) | 2014-01-03 | 2016-05-10 | Abbvie Inc. | Solid antiviral dosage forms |
| US9394279B2 (en) | 2009-06-11 | 2016-07-19 | Abbvie Inc. | Anti-viral compounds |
| US10201584B1 (en) | 2011-05-17 | 2019-02-12 | Abbvie Inc. | Compositions and methods for treating HCV |
| US11484534B2 (en) | 2013-03-14 | 2022-11-01 | Abbvie Inc. | Methods for treating HCV |
Family Cites Families (7)
| Publication number | Priority date | Publication date | Assignee | Title |
|---|---|---|---|---|
| EP1336602A1 (en) * | 2002-02-13 | 2003-08-20 | Giovanni Scaramuzzino | Nitrate prodrugs able to release nitric oxide in a controlled and selective way and their use for prevention and treatment of inflammatory, ischemic and proliferative diseases |
| TW200513461A (en) * | 2003-10-01 | 2005-04-16 | Speedel Experimenta Ag | Organische verbindungen |
| AR045950A1 (en) * | 2003-10-09 | 2005-11-16 | Speedel Experimenta Ag | COMPOUNDS DERIVED FROM PIPERAZINE, PHARMACEUTICAL COMPOSITIONS THAT CONTAIN THEM AND THEIR USE IN THE MANUFACTURE OF MEDICINES. |
| ES2332053T3 (en) * | 2003-11-26 | 2010-01-25 | Novartis Ag | 4-PHENYLPIPERIDINE DERIVATIVES AS RENINE INHIBITORS. |
| AR053406A1 (en) * | 2004-07-09 | 2007-05-09 | Speedel Experimenta Ag | PIPERIDINE DERIVATIVES AS RENINE INHIBITORS. PHARMACEUTICAL COMPOSITIONS |
| EP1778617A1 (en) * | 2004-07-20 | 2007-05-02 | NicOx S.A. | Process for preparing nitrooxy esters, nitrooxy thioesters, nitrooxy carbonates and nitrooxy thiocarbonates, intermediates useful in said process and preparation thereof |
| TW200821303A (en) * | 2006-08-08 | 2008-05-16 | Speedel Experimenta Ag | Organic compounds |
-
2007
- 2007-12-13 WO PCT/EP2007/011078 patent/WO2008074450A2/en not_active Ceased
Cited By (27)
| Publication number | Priority date | Publication date | Assignee | Title |
|---|---|---|---|---|
| US8541424B2 (en) | 2008-12-23 | 2013-09-24 | Abbott Laboratories | Anti-viral compounds |
| US8546405B2 (en) | 2008-12-23 | 2013-10-01 | Abbott Laboratories | Anti-viral compounds |
| US9249138B2 (en) | 2008-12-23 | 2016-02-02 | Abbvie Inc. | Anti-viral compounds |
| US9163017B2 (en) | 2008-12-23 | 2015-10-20 | Abbvie Inc. | Anti-viral compounds |
| WO2010120889A1 (en) * | 2009-04-14 | 2010-10-21 | Ampla Pharmaceuticals Inc. | Treatment of metabolic syndrome with cyclic amides |
| US9278922B2 (en) | 2009-04-15 | 2016-03-08 | Abbvie Inc. | Anti-viral compounds |
| US8716454B2 (en) | 2009-06-11 | 2014-05-06 | Abbvie Inc. | Solid compositions |
| US9586978B2 (en) | 2009-06-11 | 2017-03-07 | Abbvie Inc. | Anti-viral compounds |
| US10039754B2 (en) | 2009-06-11 | 2018-08-07 | Abbvie Inc. | Anti-viral compounds |
| US8921514B2 (en) | 2009-06-11 | 2014-12-30 | Abbvie Inc. | Anti-viral compounds |
| US8937150B2 (en) | 2009-06-11 | 2015-01-20 | Abbvie Inc. | Anti-viral compounds |
| US10028937B2 (en) | 2009-06-11 | 2018-07-24 | Abbvie Inc. | Anti-viral compounds |
| US8691938B2 (en) | 2009-06-11 | 2014-04-08 | Abbvie Inc. | Anti-viral compounds |
| US9394279B2 (en) | 2009-06-11 | 2016-07-19 | Abbvie Inc. | Anti-viral compounds |
| WO2011132171A1 (en) * | 2010-04-23 | 2011-10-27 | Piramal Life Sciences Limited | Nitric oxide releasing prodrugs of therapeutic agents |
| US8686026B2 (en) | 2010-06-10 | 2014-04-01 | Abbvie Inc. | Solid compositions |
| US10201541B1 (en) | 2011-05-17 | 2019-02-12 | Abbvie Inc. | Compositions and methods for treating HCV |
| US10201584B1 (en) | 2011-05-17 | 2019-02-12 | Abbvie Inc. | Compositions and methods for treating HCV |
| US9034832B2 (en) | 2011-12-29 | 2015-05-19 | Abbvie Inc. | Solid compositions |
| FR3000063A1 (en) * | 2012-12-26 | 2014-06-27 | Chryso | PROCESS FOR THE SYNTHESIS OF LINEAR CARBON ESTERS OF GLYCEROL ALPHA / ALPHA PRIME-ALKOXYLS |
| US9950988B2 (en) | 2012-12-26 | 2018-04-24 | Chryso | Method for the synthesis of alpha/alpha-prime-alcoxylated glycerol linear carbonic esters |
| WO2014102495A1 (en) | 2012-12-26 | 2014-07-03 | Chryso | Method for the synthesis of alpha/alpha-prime-alcoxylated glycerol linear carbonic esters |
| US10071952B2 (en) | 2012-12-26 | 2018-09-11 | Chryso | Alpha/alpha-prime-alkoxylated glycerol linear carbonic esters |
| US11484534B2 (en) | 2013-03-14 | 2022-11-01 | Abbvie Inc. | Methods for treating HCV |
| US10105365B2 (en) | 2014-01-03 | 2018-10-23 | Abbvie Inc. | Solid antiviral dosage forms |
| US9744170B2 (en) | 2014-01-03 | 2017-08-29 | Abbvie Inc. | Solid antiviral dosage forms |
| US9333204B2 (en) | 2014-01-03 | 2016-05-10 | Abbvie Inc. | Solid antiviral dosage forms |
Also Published As
| Publication number | Publication date |
|---|---|
| WO2008074450A3 (en) | 2009-01-08 |
Similar Documents
| Publication | Publication Date | Title |
|---|---|---|
| WO2008074450A2 (en) | Non-peptidic renin inhibitors nitroderivatives | |
| CA3085645C (en) | Alk protein degraders and their use in cancer therapy | |
| US20220370416A1 (en) | Compounds and methods for targeted degradation of kras | |
| AU2016209349B2 (en) | Compounds and methods for the targeted degradation of the Androgen Receptor | |
| AU2025271466A1 (en) | Polycyclic TLR7/8 antagonists and use thereof in the treatment of immune disorders | |
| RU2672582C2 (en) | Bicyclic inhibitors | |
| AU2017343638B2 (en) | Heterocyclic apelin receptor (APJ) agonists and uses thereof | |
| BR112020001825A2 (en) | compounds and methods for targeted androgen receptor degradation | |
| IL302137A (en) | Compounds and methods for the targeted degradation of androgen receptor protein | |
| CA2988430A1 (en) | Mdm2-based modulators of proteolysis and associated methods of use | |
| WO2020033490A1 (en) | Substituted thienopyrroles as pad4 inhibitors | |
| AU2024202195B2 (en) | Chemokine CXCR4 receptor modulators and uses related thereto | |
| WO2021170627A1 (en) | Difluorocyclohexyl derivatives as il-17 modulators | |
| WO2022171140A1 (en) | Prodrug compound, preparation method therefor and use thereof | |
| JP2023551110A (en) | Dicyclopropylmethyl derivatives as IL-17 modulators | |
| EP2021324B1 (en) | Nitrated heterocyclic compounds as endothelin receptor antagonist | |
| WO2008128832A1 (en) | Nitroderivatives of non-peptidic renin inhibitors for the treatment of cardiovascular, renal and chronic liver disease, inflammations and metabolic syndrome | |
| CA3071992A1 (en) | Glycyrrhetinic acid derivatives for treating hyperkalemia | |
| EP1934186A2 (en) | Renin inhibitors nitroderivatives | |
| IL323948A (en) | History of imidotriazines as IL-17 modulators | |
| WO2024175927A1 (en) | Mc2r modulator compounds | |
| WO2024218032A1 (en) | Imidazotriazine derivatives as il-17 modulators | |
| CA2646235A1 (en) | Non-peptidic renin inhibitors nitroderivatives | |
| HK1132996A (en) | Nitrated heterocyclic compounds as endothelin receptor antagonist | |
| CA3006205A1 (en) | Substituted carbamoyl pyrazole compounds and use thereof as improved apelin receptor (apj) agonists |
Legal Events
| Date | Code | Title | Description |
|---|---|---|---|
| 121 | Ep: the epo has been informed by wipo that ep was designated in this application |
Ref document number: 07847072 Country of ref document: EP Kind code of ref document: A2 |
|
| NENP | Non-entry into the national phase |
Ref country code: DE |
|
| 122 | Ep: pct application non-entry in european phase |
Ref document number: 07847072 Country of ref document: EP Kind code of ref document: A2 |



































































































































































































































































































































































































































































































































































































































































































