WO2008071455A1 - Bicyclic acyltryptophanols - Google Patents
Bicyclic acyltryptophanols Download PDFInfo
- Publication number
- WO2008071455A1 WO2008071455A1 PCT/EP2007/011222 EP2007011222W WO2008071455A1 WO 2008071455 A1 WO2008071455 A1 WO 2008071455A1 EP 2007011222 W EP2007011222 W EP 2007011222W WO 2008071455 A1 WO2008071455 A1 WO 2008071455A1
- Authority
- WO
- WIPO (PCT)
- Prior art keywords
- carboxylic acid
- indol
- ethyl
- amide
- hydroxymethyl
- Prior art date
- Legal status (The legal status is an assumption and is not a legal conclusion. Google has not performed a legal analysis and makes no representation as to the accuracy of the status listed.)
- Ceased
Links
- 0 CN1CCN(C[*-])CC1 Chemical compound CN1CCN(C[*-])CC1 0.000 description 14
- ZIXYYCBQOVEADB-UHFFFAOYSA-N CC(N(CC1)CCS1(=O)=O)=O Chemical compound CC(N(CC1)CCS1(=O)=O)=O ZIXYYCBQOVEADB-UHFFFAOYSA-N 0.000 description 1
- KEVKXUZQHIMSCM-UHFFFAOYSA-N CC(N1CCCC1)O Chemical compound CC(N1CCCC1)O KEVKXUZQHIMSCM-UHFFFAOYSA-N 0.000 description 1
- KYWXRBNOYGGPIZ-UHFFFAOYSA-N CC(N1CCOCC1)=O Chemical compound CC(N1CCOCC1)=O KYWXRBNOYGGPIZ-UHFFFAOYSA-N 0.000 description 1
- LSKMHOJTZLJJQW-UHFFFAOYSA-N CC(N1CCSCC1)=O Chemical compound CC(N1CCSCC1)=O LSKMHOJTZLJJQW-UHFFFAOYSA-N 0.000 description 1
- YIDWICPARBSAAB-UHFFFAOYSA-N CS(CN1CCSCC1)(=O)=O Chemical compound CS(CN1CCSCC1)(=O)=O YIDWICPARBSAAB-UHFFFAOYSA-N 0.000 description 1
- GBGJMFGDUAUHSX-UHFFFAOYSA-N CS(N(CC1)CCS1(=O)=O)(=O)=O Chemical compound CS(N(CC1)CCS1(=O)=O)(=O)=O GBGJMFGDUAUHSX-UHFFFAOYSA-N 0.000 description 1
- GMQPIGJXSZAXSJ-UHFFFAOYSA-N CS(N1CCCC1)(=O)=O Chemical compound CS(N1CCCC1)(=O)=O GMQPIGJXSZAXSJ-UHFFFAOYSA-N 0.000 description 1
- GVZKQMUSVBGSIZ-UHFFFAOYSA-N CS(N1CCOCC1)(=O)=O Chemical compound CS(N1CCOCC1)(=O)=O GVZKQMUSVBGSIZ-UHFFFAOYSA-N 0.000 description 1
Classifications
-
- C—CHEMISTRY; METALLURGY
- C07—ORGANIC CHEMISTRY
- C07D—HETEROCYCLIC COMPOUNDS
- C07D307/00—Heterocyclic compounds containing five-membered rings having one oxygen atom as the only ring hetero atom
- C07D307/77—Heterocyclic compounds containing five-membered rings having one oxygen atom as the only ring hetero atom ortho- or peri-condensed with carbocyclic rings or ring systems
- C07D307/78—Benzo [b] furans; Hydrogenated benzo [b] furans
- C07D307/79—Benzo [b] furans; Hydrogenated benzo [b] furans with only hydrogen atoms, hydrocarbon or substituted hydrocarbon radicals, directly attached to carbon atoms of the hetero ring
-
- A—HUMAN NECESSITIES
- A61—MEDICAL OR VETERINARY SCIENCE; HYGIENE
- A61P—SPECIFIC THERAPEUTIC ACTIVITY OF CHEMICAL COMPOUNDS OR MEDICINAL PREPARATIONS
- A61P15/00—Drugs for genital or sexual disorders; Contraceptives
-
- C—CHEMISTRY; METALLURGY
- C07—ORGANIC CHEMISTRY
- C07D—HETEROCYCLIC COMPOUNDS
- C07D311/00—Heterocyclic compounds containing six-membered rings having one oxygen atom as the only hetero atom, condensed with other rings
- C07D311/02—Heterocyclic compounds containing six-membered rings having one oxygen atom as the only hetero atom, condensed with other rings ortho- or peri-condensed with carbocyclic rings or ring systems
- C07D311/04—Benzo[b]pyrans, not hydrogenated in the carbocyclic ring
-
- C—CHEMISTRY; METALLURGY
- C07—ORGANIC CHEMISTRY
- C07D—HETEROCYCLIC COMPOUNDS
- C07D313/00—Heterocyclic compounds containing rings of more than six members having one oxygen atom as the only ring hetero atom
- C07D313/02—Seven-membered rings
- C07D313/06—Seven-membered rings condensed with carbocyclic rings or ring systems
- C07D313/08—Seven-membered rings condensed with carbocyclic rings or ring systems condensed with one six-membered ring
-
- C—CHEMISTRY; METALLURGY
- C07—ORGANIC CHEMISTRY
- C07D—HETEROCYCLIC COMPOUNDS
- C07D407/00—Heterocyclic compounds containing two or more hetero rings, at least one ring having oxygen atoms as the only ring hetero atoms, not provided for by group C07D405/00
- C07D407/14—Heterocyclic compounds containing two or more hetero rings, at least one ring having oxygen atoms as the only ring hetero atoms, not provided for by group C07D405/00 containing three or more hetero rings
Definitions
- the present invention relates to novel bicyclic acyltryptophanols, process for their preparation, pharmaceutical compositions comprising the compounds according to the invention, and the use thereof for fertility control in men or in women as well as for treatment and prevention of osteoporosis.
- Follicle-stimulating hormone (FSH) and luteinizing hormone (LH) are together responsible for the control of male and female fertility and of the production of sex steroids.
- FSH controls the early ripening of ovarian primary follicles and the biosynthesis of sex steroids. In the advanced stage of differentiation (preantral follicles), the influence of LH becomes increasingly important for further development of the follicles until ovulation occurs.
- FSH is primarily responsible for the differentiation and stimulation of Sertoli cells. Their function consists of assisting spermatogenesis on many levels. LH is primarily responsible for stimulating the Leydig cells and thus androgen production.
- FSH, LH and TSH (thyrotropic hormone) together form the group of glycoprotein hormones which are formed in the pituitary and are secreted from there. Whereas the alpha subunit is common to the three hormones, their specificity of action is determined by the beta chain which is unique in each case.
- the molecular weight of FSH including the sugar portion is about 30 kD.
- FSH and the other glycoprotein hormones act specifically via their selectively expressed G protein-coupled receptor (GPCR).
- GPCR G protein-coupled receptor
- FSH stimulates, through binding to its receptor, the association thereof with a stimulating G protein (G s ) which is thereby stimulated to hydrolyse guanosine triphosphate (GTP) and to activate the membrane-associated adenylate cyclase.
- G s stimulating G protein
- GTP hydrolyse guanosine triphosphate
- Cyclic adenosine monophosphate (cAMP) is accordingly an important and readily quantifiable secondary messenger substance of FSH (G. Vassart, L. Pardo, S. Costagliola, Trends Biochem. Sci. 2004, 29, 119-126).
- the importance of FSH for male fertility is the subject of intensive research.
- FSH influences several processes of spermatogenesis such as the proliferation of spermatogonia, the antiapoptotic effect on spermatogonia and spermatocytes and the stimulation of sperm maturation including motility thereof.
- the following arguments are also in favour of the FSH receptor as target for male fertility control:
- the FSH receptor is exclusively expressed on Sertoli cells (high specificity). 2. Contraceptive vaccination against FSH beta chain or the FSH receptor induces infertility in male primates (N. R. Mougdal, M. Jeyakumar, H. N. Krishnamurthy, S.
- FSH antagonists are expected to be suitable for spermatogenesis inhibition (prevention) in men. Moreover, a suitable FSH antagonist may just as well lead to infertility in women, because it suppresses follicle ripening and thus also ovulation.
- the skilled person expects advantages from non- peptidergic FSH agonists when used to promote fertility in women (stimulation of follicle ripening).
- FSH or FSH agonists in male infertility, but specific indications are also conceivable in this connection. New findings demonstrate that there is also a direct effect of FSH on cells of bone metabolism.
- osteoclasts There are two fundamentally different cell types in bones: osteoclasts and osteoblasts. While osteoclasts play a central role in bone resorption (breakdown of bone), osteoblasts simulate bone density (anabolic effect). FSH receptors have been detected in osteoclasts but not in osteoblasts. In vitro, FSH stimulates bone resorption by mouse osteoclasts ( Li Sun et al. Cell 2006; 125: 247-60). A clinical correlation between the height of the serum FSH levels and low bone density has been observed in postmenopausal women (Devleta et al, J. Bone Miner. Metab. 2004, 22: 360-4).
- FSH stimulates loss of bone mass
- FSH antagonists will display an antiresorptive effect on bone and are therefore suitable for the therapy and/or prevention of peri- and postmenopausal loss of bone mass and osteoporosis.
- FSH receptor modulators are compounds that have a mixed profile of both FSH receptor antagonistic and FSH receptor agonistic properties. FSH receptor modulators of various compound classes of low molecular weight, have been reported on recently. FSH receptor modulators are disclosed in WO 2004/056779, WO 2004/056780; J. Med. Chem. 2005, 48, 1697 [tetrahydroquinolines]; WO 02/70493, Bioorg. Med. Chem. Lett. 2004, 14, 1713 and 1717 [diketopiperazines]; and WO 01/47875 [sulphonamides]. FSH receptor agonists are disclosed in WO 02/09706; J. Comb. Chem.
- FSH receptor antagonists are disclosed in WO 03/004028 [tetrahydroquinolines], WO 02/09705 [thiazolidinones], WO 00/58277, Bioorg. Med. Chem. 2002, 10, 639 [sulphonic acids]; WO 00/58276, Endocr. 2002, 143, 3822; Synth. Comm.
- R1 is hydrogen, Ci-Ce-alkyl, C 3 -C 6 -alkenyl, C 3 -C 6 -alkynyl, C 3 -C 7 -cycloalkyl,
- Ci-C ⁇ -alkyloxy-Ci-C ⁇ -alkylene Ca-Cy-cycloalkyloxy-Ci-C ⁇ -alkylene, Ci-
- R2 is hydrogen, halogen, cyano, -SO 2 Me, Ci-Qj-alkyl, C 2 -C 6 -alkenyl, C 2 -C 6 - alkynyl, C ⁇ C ⁇ -alkyloxy or benzyloxy, wherein the hydrocarbon chains may optionally be fluorinated once or more times;
- R3 is hydrogen, hydroxy, halogen, nitro, amino, cyano, Ci-C ⁇ -alkyl, C 2 -C 6 - alkenyl or C 2 -C 6 -alkynyl, C 3 -C 7 -cycloalkyl, hydroxy-Ci-C 6 -alkylene, hy- droxy-C 3 -C 6 -alkenylene, hydroxy-C 3 -C 6 -alkynylene, Ci-Ce-alkyloxy, C 1 -
- R4, R5, R6 are independently of one another hydrogen, hydroxy, halogen, nitro, amino, cyano, phenyl, Ci-C ⁇ -alkyl, C 2 -C 6 -alkenyl or C 2 -C 6 -alkynyl, C 3 - C 7 -cycloalkyl, C 3 -C 7 -cycloalkyl-Ci-C 6 -alkylene, C 3 -C 7 -heterocycloalkyl, where the hydrocarbon chains therein may optionally be substituted one or more times by fluorine, cyano or the groups: or independently of one another hydroxy-d-C ⁇ -alkylene, hydroxy-C 3 -C 6 - alkenylene, hydroxy-C 3 -C 6 -alkynylene, d-Ce-alkyloxy, C 3 -C 7 -cycloalkyl- oxy, C 3 -C 7 -cycloalkyl-Ci-C 6 -
- Ci-C ⁇ -alkylaminocarbonyl di(C 1 -C 6 - alkyl)aminocarbonyl, (C 3 -C 7 -cycloalkyl)aminocarbonyl, di(C 3 -C 7 -cyclo- alkyl)aminocarbonyl, Cs-C ⁇ cycloalkyl-Ci-Ce-alkyleneaminocarbonyl, Ci-C ⁇ -alkylcarbonyl, C 3 -C 7 -cycloalkylcarbonyl, carboxy, carboxamido [-C(O)NH 2 ], Ci-Ce-alkyloxycarbonyl, Ci-C 3 -alkylsulphanyl, Ci-C 6 -alkysulphonyl, Cs-C ⁇ cycloalkylsulphonyl, Cs-Cy-cycloalkyl-Ci-C ⁇
- R7, R8 may be independently of one another hydrogen, methyl, ethyl, where the methyl and ethyl radicals may be fluorinated one or more times;
- R2 may substitute one or more positions of the aryl or heteroaryl ring in the indole residue;
- R3 may substitute one or more positions of the monocyclic aryl or monocyclic heteroaryl ring of Q and/or V;
- R5 and R6 may together form a heterocycloalkyl or cycloalkyl group
- Q is a monocyclic aryl or a monocyclic heteroaryl group
- V is a cycloalkylen, cycloalkenylen, heterocycloalkylen or heterocycloalkenylen group
- W is an aryl or heteroaryl group
- X is a bond, C 1 -C 4 -alkylene, C 2 -C 4 -alkenyIene or C 2 -C 4 -alkynylene group.
- the present invention relates to both possible enantiomerics of compounds of the formula I with respect to the chira! centre in the tryptophanol moiety.
- the unbranched C ⁇ C ⁇ -alky! groups for the radicals R1 to R6 may be for example a methyl, ethyl, propyl, butyl, pentyl or a hexyl group; and the branched C 3 -C 6 -alkyl groups for the radicals R1 to R6 may be an /sopropyl, /sobutyl, sec-butyl, tert-butyl,
- the branched or unbranched C 3 -C 6 -alkenyl groups for the radical R1 may be for example an allyl, (£)-2-methylvinyl, (Z)-2-methylvinyl, homoallyl, (E)-but-2-enyl, (Z)-but- 2-enyl, (E)-but-i-enyl, (Z)-but-i-enyl, pent-4-enyl, (E)-pent-3-enyl, (Z)-pent-3-enyl, (E)- pent-2-enyl, (Z)-pent-2-enyl, (E)-pent-1-enyl, (Z)-pent-i-enyl, hex-5-enyl, (E)-hex-4- enyl, (Z)-hex-4-enyl, (E)-hex-3-enyl, (Z)-hex-3-enyl, (E)-hex-2-eny
- the C 3 -C 6 -alkynyl groups for the radical R1 may be for example a prop-1-ynyl, prop-2- ynyl, but-1-ynyl, but-2-ynyl, but-3-ynyl, pent-1-ynyl, pent-2-ynyl, pent-3-ynyl, pent-4-ynyl, hex-1-ynyl, hex-2-ynyl, hex-3-ynyl, hex-4-ynyl, hex-5-ynyl, 1-methylprop-2-ynyl, 2- methylbut-3-ynyl, 1-methylbut-3-ynyl, 1-methylbut-2-ynyl, 3-methylbut-i-ynyl, 1-ethyl- prop-2-ynyl, 3-methylpent-4-ynyl, 2-methylpent-4-ynyl, 1-methylpent-4-ynyl, 2-methyl
- the C 2 -C 6 -alkenyl groups for the radicals R2 to R6 may, in addition to the C 3 -C 6 - alkenyl groups mentioned for the radical R1 , be for example a vinyl group.
- the C 2 -C 6 -alkynyl groups for the radicals R2 to R6 may, in addition to the C 3 -C 6 - alkynyl groups mentioned for the radical R1 , be for example an ethynyl group.
- the d-C ⁇ -alkyloxy groups for the radicals R2 to R6 may be for example a methyloxy, ethyloxy, propyloxy, /sopropyloxy, butyloxy, /sobutyloxy, sec-butyloxy, fert-butyloxy, pentyloxy, /sopentyloxy, (2-methylbutyl)oxy, (i-methylbutyl)oxy, (i-ethylpropyl)oxy, neopentyloxy, (1 ,1-dimethylpropyl)oxy, hexyloxy, (4-methylpentyl)oxy, (3-methylpentyl)- oxy, (2-methylpentyl)oxy, (i-methylpentyl)oxy, (i-ethylbutyl)oxy, (2-ethylbutyl)oxy, (3,3- dimethylbutyl)oxy, (2,2-dimethylbutyl)oxy, (1 ,
- halogens for the radicals R2 to R6 are fluorine, chlorine, bromine or iodine.
- Ci-C 3 -alkylsulphanyl groups for the radicals R4 to R6 may be for example a methylsulphanyl (CH 3 S-), ethylsulphanyl (CH 3 CH 2 S-), propylsulphanyl, /sopropyl- sulphanyl group.
- the Ci-C 6 -alkylaminocarbonyl groups for the radicals R4 to R6 may be for example a methylaminocarbonyl-, ethylaminocarbonyl-, propylaminocarbonyl-, /sopropylamino- carbonyl-, butylaminocarbonyl-, /sobutylaminocarbonyl-, sec-butylaminocarbonyl-, tert- butylaminocarbonyl-, pentylaminocarbonyl-, /sopentylaminocarbonyl-, (2-methylbutyl)- aminocarbonyl-, (i-methylbutyl)aminocarbonyl-, (i-ethylpropyl)aminocarbonyl-, neo- pentylaminocarbonyl-, (1 ,1-dimethylpropyl)aminocarbonyl-, hexylaminocarbonyl-, (4- methyl
- the hydroxy-C ⁇ Ce-alkylene groups for the radicals R3 to R6 may be a hydroxymethyl (HOCH 2 -), 2-hydroxyethyl (HOCH 2 CH 2 -), 1-hydroxyethyl [CH 3 CH(OH)-], 3-hydroxy- propyl (HOCH 2 CH 2 CH 2 -), 2-hydroxypropyl [CH 3 CH(OH)CH 2 -], 1-hydroxypropyl [CH 3 CH 2 CH(OH)-], 2-hydroxy-1-methylethyl [HOCH 2 CH(CH 3 )-], 1-hydroxy-1 -methyl- ethyl [(CHa) 2 C(OH)-], 4-hydroxybutyl (HOCH 2 CH 2 CH 2 CH 2 -), 3-hydroxybutyl [CH 3 CH(OH)CH 2 CH 2 -], 2-hydroxybutyl [CH 3 CH 2 CH(OH)CH 2 -], 1-hydroxybutyl [CH 3 CH 2 CH(OH)-], 3-hydroxy-1-methylpropyl [HOCH 2 CH 2 CH(CH 3 )
- cycloalkyl groups which may be formed by the groups R5 and R6 together include for example the following (biradical) groups:
- the C 3 -C 7 -cycloalkyl groups for the groups R1 to R6 may be for example a cyclopropyl, cyclobutyl, cyclopentyl, cyclohexyl, cycloheptyl group.
- the C 3 -C 7 -heterocycloalkyl groups for the radicals R1 to R6 may be for example a cyclopropyl, cyclobutyl, cycopentyl, cyclohexyl, cycloheptyl group in which one or two carbon atoms of the ring are replaced independently of one another by an oxygen, ni- trogen or sulphur atom.
- the monocyclic aryl group for Q may be for example a phenyl group which is linked via substitutable positions
- the aryl group for W may be for example a phenyl, naphthyl group which is linked via substitutable positions.
- the monocytic heteroaryl group for Q may be for example a pyridinyl, pyrimidinyl, furanyl, thienyl, oxazolyl, isoxazolyl, thiazolyl, pyrrolyl, pyrazolyl or an imidazolyl group which is linked via substitutable positions.
- the heteroaryl group for W may be for example a pyridinyl, pyrimidinyl, quinolinyl, isoquinolinyl, quinazolinyl, quinoxalinyl, phthalazinyl, 1.5-naphthyridinyl, 1 ,6- naphthyridinyl, 1 ,7-naphthyridinyl, 1 ,8-naphthyridinyl, benzofuranyl, benzothienyl, 1 ,3- benzodioxolyl, 2,1 ,3-benzothiadiazolyl, indolyl, indazolyl, furanyl, thienyl, oxazolyl, isoxazolyl, thiazolyl, pyrrolyl, pyrazolyl or an imidazolyl group which is linked via substitutable positions.
- heterocycloalkylen groups for V may be for example the following groups:
- heterocycloalkenylen groups for V may be for example the following groups:
- the cycloalkylen groups for V may be for example the following groups:
- the cycloalkenylen groups for V may be for example the following groups:
- the Ci-C 4 -alkylene groups for X and Y may be for example a methylene (-CH 2 -), ethylidene [-CH(CH 3 )-], ethylene (-CH 2 CH 2 -), prop-1 ,3-ylene (-CH 2 CH 2 CH 2 -), prop-1 ,2- ylene [-CH 2 CH(CH 3 )-], but-1 ,4-ylene (-CH 2 CH 2 CH 2 CH 2 -), but-1 ,3-ylene [- CH 2 CH 2 CH(CH 3 )-], but-1 ,2-ylene [-CH 2 CH(CH 2 CH 3 )-], but-2,3-ylene [-CHCH(CH 3 )-], 2- methylprop-1 ,2-ylene [-CH 2 C(CH 3 ) 2 -] or a 2-methylprop-1 ,3-ylene group [- CH 2 CH(CH 3 )CH 2 -].
- the C 2 -C 4 -alkynylene groups for X may be for example an ethyn-1 ,2-ylidene (-C ⁇ C-), prop-2-yn-1 ,3-ylidene (-CH 2 -C ⁇ C-), prop-1-yn-1 ,3-ylidene (-C ⁇ C-CH 2 -), but-1-yn-1 ,4- ylidene (-C ⁇ C-CH 2 -CH 2 -), but-2-yn-1 ,4-ylidene (-CH 2 -C ⁇ C-CH 2 -) or a but-3-yn-1 ,4- ylidene group (-CH 2 -CH 2 -C ⁇ C-).
- the C 3 -C 7 -cycloalkyloxy groups for the groups R1 to R6 may be for example a cyclo- propyloxy, cyclobutyloxy, cyclopentyloxy, cyclohexyloxy, cycloheptyloxy group.
- the Ci-C 6 -alkylamino groups for the groups R1 to R6 may be for example methyl- amino, ethylamino, propylamino, /sopropylamino, butylamino, /sobutylamino, sec-butyl- amino, te/f-butylamino, pentylamino, /sopentylamino, (2-methylbutyl)amino, (1-methyl- butyl)amino, (i-ethylpropyl)amino, neopentylamino, (1 ,1-dimethylpropyl)amino, hexyl- amino, (4-methylpentyl)amino, (3-methylpentyl)amino, (2-methyipentyl)amino, (1- methylpentyl)amino, (i-ethylbutyl)amino, (2-ethylbuty
- each of the two C 1 -C 6 - alkyl substituents may be chosen independently of one another from the following groups: possible examples are a methyl, ethyl, propyl, /sopropyl, butyl, /sobutyl, sec- butyl, terf-butyl, pentyl, /sopentyl, (2-methylbutyl), (1-methylbutyl), (1-ethylpropyl), neopentyl, (1 ,1-dimethylpropyl), hexyl, (4-methylpentyl), (3-methylpentyl), (2-methyl- pentyl), (1-methylpentyl), (1-ethylbutyl), (2-ethylbutyl), (3,3-dimethylbutyl), (2,2-dimethyl- butyl), (1,1-dimethyl
- each of the C 3 -C 7 -cycloalkyl groups of the C 3 -C 7 -cycloalkyl-Ci-C 6 -alkylene- oxy group for example of a cyclopropyl, cyclobutyl, cyclopentyl, cyclohexyl or cyclohep- tyl group, independently of one another with each CrC ⁇ -alkyleneoxy group, for example with a methyleneoxy, ethyleneoxy, propyleneoxy, butyleneoxy, pentyleneoxy, hexylene- oxy group.
- hydroxy-C 3 -C 6 -alkenylene groups for the radicals R1 to R6 it is possible for the hydroxy group to be located on any desired position of the C 3 -C 6 -alkenyl group, for example of an allyl, (E)-2-methylvinyl, (Z)-2-methylvinyl, homoallyl, (E)-but-2-enyl, (Z)-but- 2-enyl, (E)-but-1-enyl, (Z)-but-1-enyl, pent-4-enyl, (E)-pent-3-enyl, (Z)-pent-3-enyl, (E)- Pent-2-enyl-, (Z)-Pent-2-enyl-, (E)-Pent-1-enyl-, (Z)-Pent-i-enyl-, hex-5-enyl-, (E)-hex- 4-enyl, (Z)-hex-4-enyl, (E)
- the hydroxy group in the hydroxy-C 3 -C 6 -alkynyl groups for the radicals R1 to R6 it is possible for the hydroxy group to be located at any desired position of the C 3 -C 6 -alkynyl group, for example of a prop-1-ynyl, prop-2-ynyl, but-1-ynyl, but-2-ynyl, but-3-ynyl, pent-1-ynyl, pent-2- ynyl, pent-3-ynyl, pent-4-ynyl, hex-1-ynyl, hex-2-ynyl, hex-3-ynyl, hex-4-ynyl, hex-5-ynyl, 1-methylprop-2-ynyl, 2-methylbut-3-ynyl, 1-methylbut-3-ynyl, 1-methylbut-2-ynyl, 3- methylbut-1-ynyl, 1-ethylprop-2
- Ci-C ⁇ -alkyloxy group for example a methyloxy, ethyloxy, propyloxy, /sopropyloxy, butyloxy, /sobutyloxy, sec-butyloxy, tert-butyloxy, pentyloxy, /sopentyloxy, (2-methyl- butyl)oxy, (i-methylbutyl)oxy, (i-ethylpropyl)oxy, neopentyloxy, (1 ,1-dimethylpropyl)oxy, hexyloxy, (4-methylpentyl)oxy, (3-methylpentyl)oxy, (2-methylpentyl)oxy, (1-methyl- pentyl)oxy, (i-ethylbutyl)oxy, (2-ethylbutyl)oxy, (3,3-d
- the d-Ce-alkyloxy group for example a methyloxy, ethyloxy, propyloxy, /sopropyloxy, butyloxy, /sobutyloxy, sec-butyloxy, tert-butyloxy, pentyloxy, /sopentyloxy, (2-methyl- butyl)oxy, (i-methylbutyl)oxy, (i-ethylpropyl)oxy, neopentyloxy, (1 ,1-dimethylpropyl)oxy, hexyloxy, (4-methylpentyl)oxy, (3-methylpentyl)oxy, (2-methylpentyl)oxy, (1-methyl- pentyl)oxy, (i-ethylbutyl)oxy, (2-ethylbutyl)oxy, (3,3
- the Ci-C 6 -alkyloxy group is selected independently of one another from methy- loxy, ethyloxy, propyloxy, /sopropyloxy, butyloxy, /sobutyloxy, sec-butyloxy, te/t-butyl- oxy, pentyloxy, /sopentyloxy, (2-methylbutyl)oxy, (i-methylbutyl)oxy, (1 -ethyl propyl )oxy, neopentyloxy, (1 ,1-dimethylpropyl)oxy, hexyloxy, (4-methylpentyl)oxy, (3-methylpentyl)- oxy, (2-methylpentyl)oxy, (i-methylpentyl)oxy, (i-ethylbutyl)oxy,
- each of the C 3 -C 7 -cycloalkyl groups of the C 3 -C 7 -cycloalkyl-(Co-C 6 )-alkylene- amino group for example of a cyclopropyl, cyclobutyl, cyclopentyl, cyclohexyl or cyclo- heptyl group, to be combined independently of one another with each C0-C6-alkylene group, for example with a bond, a methylene, ethylene, propylene, butylene, pentylene, hexylene group.
- the d-C ⁇ -alkyloxy group is selected independently for example from methyloxy, ethyloxy, propyloxy, /sopropyloxy, butyloxy, /sobutyloxy, sec-butyloxy, te/f-butyloxy, pentyloxy, /sopentyloxy, (2-methylbutyl)oxy, (i-methylbutyl)oxy, (i-ethylpropyl)oxy, neopentyloxy, (1 ,1-dimethylpropyl)oxy, hexyloxy, (4-methylpentyl)oxy, (3-methylpentyl)- oxy, (2-methylpentyl)oxy, (i-methylpentyl)oxy, (i-ethylbutyl)oxy, (2-ethylbutyl)oxy, (2-ethylbutyl)
- each of the two radicals on the nitrogen atom of the amino group it is possible for each of the two radicals on the nitrogen atom of the amino group to be selected inde- pendently for example from methyl, ethyl, propyl, /sopropyl, butyl, /sobutyl, sec-butyl, tert-butyl, pentyl, /sopentyl, (2-methylbutyl), (1-methylbutyl), (1-ethylpropyl), ⁇ eopentyl, (1 ,1-dimethylpropyl), hexyl, (4-methylpentyl), (3-methylpentyl), (2-methylpentyl), (1- methylpentyl), (1-ethylbutyl), (2-ethylbutyl), (3,3-dimethylbutyl), (2,2-dimethylbutyl), (1 ,
- the C 3 -C 7 -cycloalkyl-CrC 6 -alkylene groups for the radicals R1 to R6 may be for example a cyclopropyloxymethylene, cyclopropyloxyethylene, cyclopropyloxypropylene, cyclopropyloxybutylene, cyclopropyloxypentylene, cyclopropyloxyhexylene, cyclobuty- loxymethylene, cyclobutyloxyethylene, cyclobutyloxypropylene, cyclobutyloxybutylene, cyclobutyloxypentylene, cyclobutyloxyhexylene, cyclopentyloxymethylene, cyclopenty- loxyethylene, cyclopentyloxypropylene, cyclopentyloxybutylene, cyclopentyloxypenty- lene, cyclopentyloxyhexylene, cyclohexyloxymethylene, cycl
- Ci-Ce-alkylamino-CrCe-alkylene groups for the radicals R1 to R6 it is possible for the Ci-C 6 -alkylamino group to be selected independently for example from methyl- amino, ethylamino, propylamine /sopropylamino, butylamino, /sobutylamino, sec-butyl- amino, tert-butylamino, pentylamino, /sopentylamino, (2-methylbutyl)amino, (1-methyl- butyl)amino, (i-ethylpropyl)amino, neopentylamino, (1 ,1-dimethylpropyl)amino, hexyl- amino, (4-methylpentyl)amino, (3-methylpentyl)amino, (2-methylpentyl)amino, (1- methylpentyl)amino, (
- the phenyloxy-C ⁇ C ⁇ -alkylene groups for the radicals R1 to R6 may be for example a phenyloxymethyl, phenyloxyethyl, phenyloxypropyl, phenyloxybutyl, phenyloxypentyl, phenyloxyhexyl group.
- Ci-C 6 -acyl-(Co-C 6 -alkyl)amido groups for the radicals R4 to R6, it is possible for each of the Ci-C 6 -acyl groups, for example a formyl, acetyl, propionyl, 2-methylpro- pionyl, 2,2-dimethylpropionyl, butyryl, 2-methylbutyryl, 3-methylbutyryl, 2,2-dimethyl- butyryl, 2-ethylbutyryl, pentanoyl, 2-methylpentanoyl, 3-methylpentanoyl, 4-methyl- pentanoyl or a hexanoyl group, to be combined independently of one another with each (C 0 -C 6 -alkyl)amido group, for example a hydrogen atom, a methylamido, ethylamido, propylamido, isopropylamido, butylamido, isobutylamido, sec-buty
- the d-C ⁇ -alkylaminocarbonyl groups for the radicals R4 to R6 may be for example a methylaminocarbonyl, ethylaminocarbonyl, propylaminocarbonyl, isopropylamino- carbonyl, butylaminocarbonyl, isobutylaminocarbonyl, sec-butylaminocarbonyl, tert- butylaminocarbonyl, pentylaminocarbonyl, isopentylaminocarbonyl, (2-methylbutyl)- aminocarbonyl, (i-methylbutyl)aminocarbonyl, (i-ethylpropyl)aminocarbonyl, neopen- tylaminocarbonyl, (1 ,1-dimethylpropyl)aminocarbonyl, hexylaminocarbonyl, (4-methyl- pentyl)aminocarbonyl, (3-methylpentyl)amin
- each of the two C r C 6 -alkyl radicals on the nitrogen atom of the di(C 1 -C 6 -alkyl)aminocarbonyl group may be independently of one another for example a methyl, ethyl, propyl, isopropyl, butyl, isobutyl, sec-butyl, tert-butyl, pentyl, isopentyl, (2-methylbutyl), (1-methylbutyl), (1-ethyl- propyl), neopentyl, (1 ,1-dimethylpropyl), hexyl, (4-methylpentyl), (3-methylpentyl), (2- methylpentyl), (1-methylpentyl), (1-ethylbutyl), (2-ethylbutyl), (3,3-dimethylbutyl), (2,
- the (C 3 -C 7 -cycloalkyl)aminocarbonyl groups for the radicals R4 to R6 may be for example a cyclopropylaminocarbonyl, cyclobutylaminocarbonyl, cyclopentylaminocar- bonyl, cyclohexylaminocarbonyl or cycloheptylaminocarbonyl group.
- each of the two C 3 -C 7 -cycloalkyl radicals on the nitrogen atom of the di(C 3 -C 7 -cycloalkyl)amino- carbonyl group may be independently of one another for example a cyclopropyl, cyclo- butyl, cyclopentyl, cyclohexyl or cycloheptyl group.
- each of the C 3 -C 7 -cycloalkyl groups of the C 3 -C 7 -cycloalkyl-CrC 6 - alkyleneaminocarbonyl groups for example of a cyclopropyl, cyclobutyl, cyclopentyl, cyclohexyl or cycloheptyl group, to be combined independently of one another with each C ⁇ Ce-alkyleneaminocarbonyl group, for example with a methyleneaminocarbonyl, ethyleneaminocarbonyl, propyleneaminocarbonyl, butyleneaminocarbonyl, pentylene- aminocarbonyl, hexyleneaminocarbonyl group.
- the d-C ⁇ -alkylcarbonyl groups for the radicals R4 to R6 may be for example a methyl- carbonyl, ethylcarbonyl, propylcarbonyl, isopropylcarbonyl, butylcarbonyl, isobutylcar- bonyl, sec-butylcarbonyl, tert-butylcarbonyl, pentylcarbonyl, isopentylcarbonyl, (2- methylbutyl)carbonyl, (i-methylbutyl)carbonyl, (i-ethylpropyl)carbonyl, neopentylcar- bonyl, (1 ,1-dimethylpropyl)carbonyl, hexylcarbonyl, (4-methylpentyl)carbonyl, (3-methyl- pentyl)carbonyl, (2-methylpentyl)carbonyl, (i-methylpentyl)carbonyl, (1-ethylbutyl)-
- the C 3 -C 7 -cycloalkylcarbonyl groups for the radicals R4 to R6 may be for example a cyclopropylcarbonyl, cyclobutylcarbonyl, cyclopentylcarbonyl, cyclohexylcarbonyl or cycloheptylcarbonyl group.
- the CrC ⁇ -alkyloxycarbonyl groups for the radicals R4 to R6 may be for example a methyloxycarbonyl, ethyloxycarbonyl, propyloxycarbonyl, isopropyloxycarbonyl, buty- loxycarbonyl, isobutyloxycarbonyl, sec-butyloxycarbonyl, tert-butyloxycarbonyl, penty- loxycarbonyl, isopentyloxycarbonyl, (2-methylbutyl)oxycarbonyl, (1-methylbutyl)- oxycarbonyl, (i-ethylpropyl)oxycarbonyl, neopentyloxycarbonyl, (1 ,1-dimethylpropyl)- oxycarbonyl, hexyloxycarbonyl, (4-methylpentyl)oxycarbonyl, (3-methylpentyl)oxy- carbonyl, (2-methylpentyl)oxycarbonyl, (i-methylp
- the Ci-C 6 -alkylsulphonyl groups for the radicals R4 to R6 may be for example a me- thylsulphonyl, ethylsulphonyl, propylsulphonyl, isopropylsulphonyl, butylsulphonyl, iso- butylsulphonyl, sec-butylsulphonyl, tert-butylsulphonyl, pentylsulphonyl, isopentyl- sulphonyl, (2-methylbutyl)sulphonyl, (i-methylbutyl)sulphonyl, (i-ethylpropyl)sulphonyl, neopentylsulphonyl, (1 ,1-dimethylpropyl)sulphonyl, hexylsulphonyl, (4-methylpentyl)- sulphonyl, (3-methylpentyl)sul
- the C 3 -C 7 -cycloalkylsulphonyl groups for the radicals R4 to R6 may be for example a cyclopropylsulphonyl, cyclobutylsulphonyl, cyclopentylsulphonyl, cyclohexylsulphonyl or cycloheptylsulphonyl group.
- each of the C 3 -C 7 -cycloalkyl groups of the C 3 -C 7 -cycloalkyl-CrC 6 -alkylene- sulphonyl groups for example of a cyclopropyl, cyclobutyl, cyclopentyl, cyclohexyl or cycloheptyl group, to be combined independently of one another with each Ci-C 6 - alkylenesulphonyl group, for example with a methylenesulphonyl, ethylenesulphonyl, propylenesulphonyl, butylenesulphonyl, pentylenesulphonyl, hexylenesulphonyl group.
- the CrC 6 -alkylaminosulphonyl groups for the radicals R4 to R6 may be for example a methylaminosulphonyl, ethylaminosulphonyl, propylaminosulphonyl, isopropylaminosul- phonyl, butylaminosulphonyl, isobutylaminosulphonyl, sec-butylaminosulphonyl, tert-butylaminosulphonyl, pentylaminosulphonyl, isopentylaminosulphonyl, (2-methyl- butyl)aminosulphonyl, (i-methylbutyl)aminosulphonyl, (i-ethylpropyl)aminosulphonyl, neopentylaminosulphonyl, (1,1-dimethylpropyl)aminosulphonyl, hexylaminosulphonyl, (4-methylpentyl)aminosulphonyl,
- each of the two Ci-C 6 -alkyl radicals on the nitrogen atom of the di(Ci-C 6 -alkyl)aminosulphonyl group may be independently of one another for example a methyl, ethyl, propyl, isopropyl, butyl, isobutyl, sec-butyl, tert-butyl, pentyl, isopentyl, (2-methylbutyl), (1-methylbutyl), (1- ethylpropyl), neopentyl, (1 ,1-dimethylpropyl), hexyl, (4-methylpentyl), (3-methylpentyl), (2-methylpentyl), (1-methylpentyl), (1-ethylbutyl), (2-ethylbutyl), (3,3-dimethylbutyl), (2,2-d
- the (C 3 -C 7 -cycloalkyl)aminosulphonyl groups for the radicals R4 to R6 may be for example a cyclopropylaminosulphonyl, cyclobutylaminosulphonyl, cyclopentylaminosul- phonyl, cyclohexylaminosulphonyl or cycloheptylaminosulphonyl group.
- each of the two C 3 -C 7 -cycloalkyl radicals on the nitrogen atom of the di(C 3 -C 7 -cycloalkyl)amino- sulphonyl group may be independently of one another for example a cyclopropyl, cyclo- butyl, cyclopentyl, cyclohexyl or cycloheptyl group.
- each of the C 3 -C 7 -cycloalkyl groups of the Cs-C ⁇ -cycloalkyl-Ci-CValkyleneamino- sulphonyl groups can be combined independently of one another with each Ci-C 6 - alkyleneaminosulphonyl group, for example with a methyleneaminosulphonyl, ethyl- eneaminosulphonyl, propyleneaminosulphonyl, butyleneaminosulphonyl, pentyleneami- nosulphonyl, hexyleneaminosulphonyl group.
- the CrCe-alkylsulphonylamido groups for the radicals R4 to R6 may be for example a methylsulphonylamido, ethylsulphonylamido, propylsulphonylamido, isopropylsulphon- ylamido, butylsulphonylamido, isobutylsulphonylamido, sec-butylsulphonylamido, tert- butylsulphonylamido, pentylsulphonylamido, isopentylsulphonylamido, (2-methylbutyl)- sulphonylamido, (i-methylbutyl)sulphonylamido, (i-ethylpropyl)sulphonylamido, neopentylsulphonylamido, (1 ,1-dimethylpropyl)sulphonylamido, hexylsulphonyla
- each of the (C 0 -C 6 -alkyl) groups on the nitrogen atom of the -N(C 0 -C 6 -alkyl)-C(O)-CrC 6 -alkyl groups for example a hydrogen, a methyl, ethyl, propyl, isopropyl, butyl, isobutyl, sec- butyl, tert-butyl, pentyl, isopentyl, (2-methylbutyl), (1-methylbutyl), (1-ethylpropyl), neopentyl, (1 ,1-dimethylpropyl), hexyl, (4-methylpentyl), (3-methylpentyl), (2-methyl- pentyl), (1-methylpentyl), (1-ethyl), (1-ethy
- each of the (C 0 -C 6 -alkyl) groups on the nitrogen atom of the -N(C 0 -C 6 -alkyl)-C(O)-C 1 -C 6 -alkyl groups for example a hydrogen, a methyl, ethyl, propyl, isopropyl, butyl, isobutyl, sec- butyl, tert-butyl, pentyl, isopentyl, (2-methylbutyl), (1-methylbutyl), (1-ethylpropyl), neopentyl, (1 ,1-dimethylpropyl), hexyl, (4-methylpentyl), (3-methylpentyl), (2-methylpentyl), (1-methylpentyl), (1-methylpentyl), (1-methylpentyl), (1-methylpentyl), (1-methylpentyl), (1-methylpentyl), (1-methylpentyl), (1-
- all three (C 0 -C 6 -alkyl) groups may be independently of one another a hydrogen, a methyl, ethyl, propyl, isopropyl, butyl, isobutyl, sec-butyl, tert-butyl, pentyl, isopentyl, (2-methylbutyl), (1-methylbutyl), (1-ethylpropyl), neopentyl, (1 ,1-dimethylpropyl), hexyl, (4-methylpentyl), (3-methylpentyl), (2-methylpentyl), (1-methylpentyl), (1-ethylbutyl), (2-ethylbutyl), (3,3- dimethylbutyl), (2,2-dimethylbut
- (C 0 -C 6 -alkyl) groups may be independently of one another a hydrogen, a methyl, ethyl, propyl, isopropyl, butyl, isobutyl, sec-butyl, tert-butyl, pentyl, isopentyl, (2-methylbutyl), (1-methylbutyl), (1-ethylpropyl), neopentyl, (1 ,1-dimethylpropyl), hexyl, (4-methylpentyl), (3-methylpentyl), (2-methylpentyl), (1-methylpentyl), (1-ethylbutyl), (2-ethylbutyl), (3,3- dimethylbutyl), (2,2-dimethylbutyl), (1 ,1-dimethylbutyl), (2,3-dimethylbutyl), (1 ,3-di- methylbutyl) or a (1 ,2-dimethylbutyl)
- each of the (C 0 -C 6 -alkyl) groups on the nitrogen atom of the -N(Co-C 6 -alkyl)-C(0)-NH-(C 3 -C 7 - cycloalkyl) groups for example a hydrogen, a methyl, ethyl, propyl, isopropyl, butyl, isobutyl, sec-butyl, tert-butyl, pentyl, isopentyl, (2-methylbutyl), (1-methylbutyl), (1-ethylpropyl), neopentyl, (1 ,1-dimethylpropyl), hexyl, (4-methylpentyl), (3-methylpentyl), (2- methylpentyl), (1-methylpentyl), (1-methylpentyl),
- each of the (C 0 -C 6 -alkyl) groups on the nitrogen atom of the -N(Co-C 6 -alkyl)-S0 2 -(Ci-C 6 -alkyl) group for example a hydrogen, a methyl, ethyl, propyl, isopropyl, butyl, isobutyl, sec- butyl, tert-butyl, pentyl, isopentyl, (2-methylbutyl), (1-methylbutyl), (1-ethylpropyl), neopentyl, (1 ,1-dimethylpropyl), hexyl, (4-methylpentyl), (3-methylpentyl), (2-methylpentyl), (1-methylpentyl), (1-ethylbut
- each of the (C 0 -C 6 -alkyl) groups on the nitrogen atom of the -N(C 0 -C 6 -alkyl)-S ⁇ 2 -C 3 -C 7 -cycloalkyl group for example a hydrogen, a methyl, ethyl, propyl, isopropyl, butyl, isobutyl, sec- butyl, tert-butyl, pentyl, isopentyl, (2-methylbutyl), (1-methylbutyl), (1-ethylpropyl), neo- pentyl, (1 ,1-dimethylpropyl), hexyl, (4-methylpentyl), (3-methylpentyl), (2-methylpentyl), (1-methylpentyl), (1-methylpentyl), (1-methylpentyl), (1-methylpentyl), (1-methylpentyl), (1-methylpentyl), (1-methylpenty
- all three (Co-Ce-alkyl) groups may be independently of one another a hydrogen, a methyl, ethyl, propyl, isopropyl, butyl, isobutyl, sec-butyl, tert-butyl, pentyl, isopentyl, (2-methylbutyl), (1-methylbutyl), (1-ethylpropyl), neopentyl, (1,1-dimethylpropyl), hexyl, (4-methylpentyl), (3-methylpentyl), (2-methylpentyl), (1-methylpentyl), (1-ethylbutyl), (2-ethylbutyl), (3,3- dimethylbutyl), (2,2-dimethylbutyl), (1 ,1-
- the Co-C 6 -alkyl group of the -N(C 0 -C 6 -alkyl)-S ⁇ 2 -NH-(C 3 -C 7 )-cycloalkyl group for example a hydrogen, a methyl, ethyl, propyl, isopropyl, butyl, isobutyl, sec-butyl, tert-butyl, pentyl, isopentyl, (2-methylbutyl), (1-methylbutyl), (1-ethylpropyl), neopentyl, (1 ,1-dimethylpropyl), hexyl, (4-methylpentyl), (3-methylpentyl), (2-methylpentyl), (1-methylpentyl), (1-methylpentyl), (1-e
- each of the C 2 -C 6 -alkylene groups on the nitrogen atom of the -C(O)-N(H)-C 2 -C 6 - alkylene-(Ci-C 6 -alkyl)amine group for example an ethylene, propylene, butylene, penty- lene or hexylene group, may be combined independently of one another with each C 1 - C 6 -alkyl group on the amino group, for example with a methyl, ethyl, propyl, isopropyl, butyl, isobutyl, sec-butyl, tert-butyl, pentyl, isopentyl, (2-methylbutyl), (1-methylbutyl), (1- ethylpropyl), neopentyl
- each of the C 2 -C 6 -alkylene groups on the nitrogen atom of the -C(O)-N(H)-C 2 -C 6 - alkylene-[di(C 1 -C 6 -alkyl)]amine group for example an ethylene, propylene, butylene, pentylene or hexylene group, may be combined independently of one another with each of the two identically or different CrC ⁇ -alkyl groups on the amino group, for example with a methyl, ethyl, propyl, isopropyl, butyl, isobutyl, sec-butyl, tert-butyl, pentyl, isopentyl, (2-methylbutyl), (1-methylbutyl), (1-ethylprop
- each of the (C 2 -C 6 -alkylene) groups of the -C(O)-N(H)-C 2 -C 6 -alkylene-(C 3 -C 7 -cyclo- alkyl)amine group for example an ethylene, propylene, butylene, pentylene or hexylene group, may be combined independently of one another with each C 3 -C 7 -cycloalkyl group on the amine, for example with a cyclopropyl, cyclobutyl, cyclopentyl, cyclohexyl or cycloheptyl group.
- each of the (C 2 -C 6 -alkylene) groups of the -C(O)-N(H)-C2-C6- alkylene-(C3-C6-cycloalkyl-C1-C6-alkylene)amine group for example an ethylene, propylene, butylene, pentylene or hexylene group, may be combined independently of one another with each C 3 -C 7 -cycloalkyl-C 1 -C 6 -alkylene group on the amine, for example with a cyclopropylmethylene, cyclopropylethylene, cyclopropylpropylene, cyclopropylbuty- lene, cyclopropylpentylene, cyclopropylmethylene, cyclopropylethylene, cyclopropylpropylene, cyclopropylbuty- lene, cyclopropylpentylene, cyclopropylmethylene, cyclopropylethylene,
- the (C 2 -C 6 -alkylene) groups of the -S(O 2 )-N(H)-C 2 -C 6 -alkylene-(CrC 6 -alkyl)amine group for example an ethylene, propylene, butylene, pentylene or hexylene group, may be combined independently of one another with each Ci-C 6 -alkyl group on the amino group, for example with a methyl, ethyl, propyl, isopropyl, butyl, isobutyl, sec- butyl, tert-butyl, pentyl, isopentyl, (2-methylbutyl), (1-methylbutyl), (1-ethylpropyl), neopentyl, (1 ,1-
- the C 2 -C 6 -alkylene group of the -S(O 2 )-N(H)-C 2 -C 6 -alkylene-[di(C 1 -C 6 -alkyl)]amine group for example an ethylene, propylene, butylene, pentylene or hexylene group, may be combined independently of one another with each of the two groups on the amino group, for example with a methyl, ethyl, propyl, isopropyl, butyl, isobutyl, sec- butyl, tert-butyl, pentyl, isopentyl, (2-methylbutyl), (1-methylbutyl), (1-ethylpropyl), neopentyl, (1 ,1
- the C 2 -C 6 -alkylene group of the -S(O 2 )-N(H)-C 2 -C 6 -alkylene-(C 3 -C 7 -cycloalkyl)- amine group for example an ethylene, propylene, butylene, pentylene or hexylene group, may be combined independently of one another with each C 3 -C 7 -cycloalkyl group on the amino group, for example with a cyclopropyl, cyclobutyl, cyclopentyl, cyclohexyl or cycloheptyl group.
- each C 2 -C 6 -alkylene group of the -S(O 2 )-N(H)-C 2 -C 6 -alkylene- (C 3 -C 7 -cycloalkyl-Ci-C 6 -alkylene)amine group for example an ethylene, propylene, bu- tylene, pentylene or hexylene group, may be combined independently of one another with each Cs-Crcycloalkyl-C ⁇ -Ce-alkylene group on the amine, for example with a cyclopropylmethylene, cyclopropylethylene, cyclopropylpropylene, cyclopropylbutylene, cyclopropylpentylene, cycl
- the C 2 -C 6 - alkylene group of the -O-C 2 -C 6 -alkylene-(C 1 -C 6 -alkyl)amine group for example an ethylene, propylene, butylene, pentylene or hexylene group
- each C r C 6 -alkyl group on the amino group for example a methyl, ethyl, propyl, isopropyl, butyl, isobutyl, sec-butyl, tert-butyl, pentyl, isopentyl, (2- methylbutyl), (1-methylbutyl), (1-ethylpropyl), neopentyl, (1 ,1-dimethylpropyl), hexyl, (4- methylpentyl
- the C 2 - C 6 -alkylene group of the -O-C 2 -C 6 -alkylene-[di(Ci-C 6 -alkyl)]amine group for example an ethylene, propylene, butylene, pentylene or hexylene group
- the C 2 - C 6 -alkylene group of the -O-C 2 -C 6 -alkylene-[di(Ci-C 6 -alkyl)]amine group for example an ethylene, propylene, butylene, pentylene or hexylene group
- T1 , T2, T3 are each independently of one another a nitrogen atom or an R3-C group.
- 112 7-(3,4-Difluoro-phenyl)-2,3-dihydro-benzo[1 ,4]dioxine-5-carboxylic acid [(R)-I- hydroxymethyl-2-(1 H-indol-3-yl)-ethyl]-amide;
- the present invention also relates to a process for preparing the compounds according to the invention.
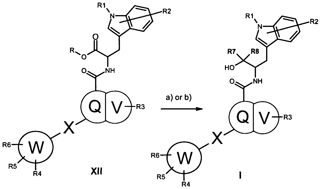
- Compounds of the general formula I can be prepared as shown in Scheme 1 by an amide forming reaction between the tryptophanol derivative IV and the carboxylic acid V.
- Reagents suitable for this purpose are all suitable peptide-coupling reagents which are known to the skilled person and which convert the carboxylic acid, where appropriate in the presence of a base, into an intermediate active ester, for example PyBOP ([(1H-benzotriazol-1-yl)oxy]tris(pyrrolidin-1-yl)phosphonium hexa- fluorophosphate), HATU (2-(7-aza-1H-benzotriazol-1-yl)-1 ,1 ,3,3-tetramethyluronium hexafluorophosphate), HBTU (2-(1 H-benzotriazol-1-yl)-1 ,1 ,3,3-tetramethyluronium hex
- carboxylic acid it is possible as alternative for the carboxylic acid to be converted, where appropriate in the presence of a base, into the carbonyl chloride and reacted with the tryptophanol IV to give the product of the general formula I.
- Suitable reagents for preparing the intermediate carbonyl chloride are for example thionyl chloride, oxalyl chloride, phosgene or derivatives thereof.
- Compounds of general formula Il can be prepared as shown in Scheme 2 by an amide forming reaction between the tryptophanol derivative IV and the appropriate carboxylic acid Vl.
- Reagents suitable for this purpose are all known peptide-coupling reagents which convert the carboxylic acid, where appropriate in the presence of a base, into an intermediate active ester, for example PyBOP ([(1H-benzotriazol-1-yl)oxy]tris(pyrrolidin- 1-yl)phosphonium hexafluorophosphate), HATU (2-(7-aza-1H-benzotriazol-1-yl)-1 , 1,3,3- tetramethyluronium hexafluorophosphate), HBTU (2-(1/-/-benzotriazol-1-yl)-1 , 1 ,3,3- tetramethyluronium hexafluorophosphate), EDC ( ⁇ /-[3-(dimethylamino)propyl]-
- carboxylic acid it is possible as alternative for the carboxylic acid to be converted, where appropriate in the presence of a base, into the carbonyl chloride and reacted with the tryptophanol IV to give the product of the general formula II.
- Suitable reagents for preparing the intermediate carbonyl chloride are for example thionyl chloride, oxalyl chloride, phosgene or derivatives thereof.
- carboxylic acid it is possible as alternative for the carboxylic acid to be converted, where appropriate in the presence of a base, into the carbonyl chloride and reacted with the tryptophanol IV to give the product of the general formula III.
- Suitable reagents for preparing the intermediate carbonyl chloride are for example thionyl chloride, oxalyl chloride, phosgene or derivatives thereof.
- Preferred metal catalysts used are typically those containing palladium or nickel, depending on the nature of the cross- coupling reaction.
- the present invention further relates to the carboxylic acids of the formulae V, Vl and VII as intermediates of the process according to the invention for preparing the compounds according to the invention, namely:
- the present invention further relates to the aryl halides of the formulae VIII 1 IX and X as intermediates of the process according to the invention for preparing the compounds according to the invention, namely:
- the method is based on a competitive immunoassay between native cAMP, which has been produced by the cells, and cAMP which is labelled with XL665.
- the specific signal is inversely proportional to the cAMP concentration of the samples employed.
- the 665nm/ 620nm fluorescence ratio was evaluated.
- 96-well plates for the tissue culture 96-well plates with black edge and black base (e.g. Fluotrac 600 from Greiner), 96-well plates for the substance dilutions of polypropylene and cAMP Femtomolar (4000wells Kit, CIS Bio International # 62AM1PEC).
- BSA bovine serum albumin
- IBMX 3-isobutyl-1-methylxanthine
- hFSH human follicle stimulating hormone
- Triton X-100 analytical grade potassium fluoride analytical grade
- G 418 Geneeticin
- Accutase The following reagents were used: BSA (bovine serum albumin) Fraction V protease-free, IBMX (3-isobutyl-1-methylxanthine), hFSH (human follicle stimulating hormone), Triton X-100 analytical grade, potassium fluoride analytical grade, G 418 (Geneticin) and Accutase.
- Buffer 1 (washing and testing buffer) contained PBS, 1 mM CaCI2, 1 mM MgCI 2 , 0.2% glucose; 0.1% BSA, 1 mM IBMX.
- Buffer 2 (2x lysis buffer) contained 1 % Triton X-100 in PBS (without CaCI 2 and MgCI 2 ).
- Buffer 3 (assay buffer) contained 50 mM potassium phosphate buffer (pH 7.0); 800 mM potassium fluoride; 0.2% BSA (always added fresh). Procedure:
- the cells were seeded in 96-well plates (3x10 4 cells per well hFSHR clone 16 cells (CHO cells stably transfected with the human FSH receptor in 150 ⁇ l of medium). The next day, test substance dilutions were made up. For this purpose, all the substances were diluted in ice-cold buffer 1 (with or without hFSH), and the substance dilutions were placed on ice until applied to the cells.
- the cell supernatant was then aspirated off, and the cells were washed 2x with 200 ⁇ l of buffer 1.
- the cells were treated with 60 ⁇ l of the appropriate substance concentrations at 37 0 C for 2h.
- the cells were then lysed with 60 ⁇ l of buffer 2 (put onto the supernatant) (on a plate shaker at RT for 30 min).
- test conjugates (XL-665 and anti-cAMP cryptate) were diluted in buffer 3 in accordance with the manufacturers' information.
- the actual mixture for measurement was pipetted into a black 96-well plate (in each case 15 ⁇ l of the cell lysate diluted with 35 ⁇ l of buffer 1; firstly 25 ⁇ l of XL-665 conjugate were pipetted and, after 10 min, 25 ⁇ l of the anti-cAMP cryptate were added). This is followed by incubation at RT for 90 minutes.
- the measurement was carried out in a PheraStar (BMG).
- Dose-effect curve (hFSH) for the human receptor 1e-8, 3e-9, 1e-9, 3e-10, 1e-10, 3e- 11 , 1e-11 , 3e-12 mol/l.
- test substances were employed in suitable dilutions in the absence (test for agonism) and in the presence of 1e-9 mol/l hFSH.
- test results show that the compounds according to the invention have an FSH-antagonistic effect.
- Table 1 FSH-antagonistic effect of selected compounds in the HTRF assay
- compounds of the general formula I or pharmaceutically acceptable salts thereof can thus be used for the manufacture of medicaments to be used for the fertility control in male and/or in a female animals, in particular in men and/or women; as well as for the treatment and/or prevention of osteoporosis.
- the invention further relates to compounds of the general formula I or pharmaceutically acceptable salts thereof as therapeutic active ingredients, and to pharmaceutical compositions comprising at least one compound of the general formula I or pharmaceutically acceptable salts thereof, where appropriate together with pharmaceutically suitable excipients and/or carriers.
- salts of the compounds of the general formula I can be prepared by methods known to the skilled person, depending on the nature of the compound of formula I 1 either by using as inorganic acids inter alia hydrochloric acid, hydrobromic acid, sulphuric acid and phosphoric acid, nitric acid, as carboxylic acids inter alia acetic acid, propionic acid, hexanoic acid, octanoic acid, decanoic acid, oleic acid, stearic acid, maleic acid, fumaric acid, succinic acid, benzoic acid, ascorbic acid, oxalic acid, salicylic acid, tartaric acid, citric acid, lactic acid, glycolic acid, malic acid, mandelic acid, cinnamic acid, glutamic acid, aspartic acid, and as sulphonic acids inter alia methanesulphonic acid, ethanesulphonic acid, toluenesulphonic acid, benzenesulphonic acid and
- compositions and medicaments may be intended for oral, rectal, subcutaneous, transdermal, percutaneous, intravenous or intramuscular administration. They comprise besides conventional carriers and/or diluents at least one compound of the general formula I.
- the medicaments of the invention are formulated using the customary solid or liquid carriers or diluents and the excipients customarily used in pharmaceutical technology, in accordance with the desired mode of administration with a suitable dosage in a known manner: i.e. by processing the active ingredient with the carrier substances, fillers, substances which influence disintegration, binders, humectants, lubricants, absorbents, diluents, test modifiers, colorants etc.
- compositions according to the present invention are preferably administered orally. Suitable for oral administration are in particular tablets, (film)- coated tablets, sugar-coated tablets capsules, pills, powders, granules, pastilles, suspensions, emulsions, solutions or depot forms.
- Appropriate tablets can be obtained for example by mixing the active ingredient with known excipients, for example inert diluents such as dextrose, sugar, sorbitol, mannitol, polyvinylpyrrolidone, disintegrants such as maize starch or alginic acid, binders such as starch or gelatine, lubricants such as magnesium stearate or talc and/ or agents to achieve a depot effect such as carboxylpolymethylene, carboxylmethylcellulose, cellulose acetate phthalate or polyvinyl acetate.
- the tablets may also consist of a plurality of layers.
- coated tablets can be produced by coating cores which have been produced in analogy to the tablets with agents normally used in tablet coatings, for example polyvinylpyrrolidone or shellac, gum Arabic, talc, titanium oxide or sugar.
- the tablet coating may also consist of a plurality of layers, it being possible to use the excipients mentioned above for tablets.
- Solutions or suspensions with the compounds according to the invention of the general formula I may additionally comprise taste-improving agents such as saccharin, cyclamate or sugar and, for example, flavourings such as vanillin or orange extract. They may additionally comprise suspending aids such as sodium carboxymethylcellulose or preservatives such as p-hydroxybenzoates.
- Capsules comprising the compounds of the general formula I can be produced for example by the compound(s) of the general formula I being mixed with an inert carrier such as lactose or sorbitol and encapsulated in gelatine capsules.
- Parenteral preparations such as solutions for injection are also suitable. Preparations for injection and infusion are possible for parenteral administration. Appropriately prepared crystal suspensions can be used for intraarticular injection. Aqueous and oily solutions for injection or suspensions and corresponding depot preparations can be used for intramuscular injection.
- the novel compounds can be used for rectal administration in the form of suppositories, capsules, solutions (e.g. in the form of enemas) and ointments both for systemic and for local therapy. Suitable suppositories can be produced for example by mixing with carriers intended for this purpose, such as neutral fats or polyethylene glycol or derivatives thereof.
- Formulations suitable for topical application include gels, ointments, greasy ointments, creams, pastes, dusting powders, milk and tinctures. Topical use can also take place by means of a transdermal system, for example a patch.
- concentration of the compounds of the general formula I in these preparations should typically be in the range of 0.01% - 20% in order to achieve an adequate pharmacological effect.
- the invention further relates to pharmaceutical compositions in combination with packaging material suitable for said composition, wherein said packaging material including instructions for the use of the composition.
- Suitable doses for the compounds according to the present invention may vary from 0.005 mg to 50 mg per day per kg of body weight, depending on the age and constitution of the patient. It is possible to administer the necessary daily dose by single or multiple delivery.
- the preferred daily dose for larger mammals, for example humans may vary in the range from 10 ⁇ g to 30 mg per kg of body weight.
- the exact dose and regimen of administration of the drug substance (active ingredient, or a pharmaceutical composition thereof, may however vary with the particular compound, the route of administration, and the age, sex and condition of the individual to whom the medicament is administered.
- the dose, the dosage as well as the regimen of the administration may thus differ between a male and a female considerably.
- ( ) Reagents a) FMOC-CI, dioxane, 10% Na 2 CO 3 solution in water, O 0 C-RT; b) i) EtOC(O)CI, THF, NMM, -10 0 C; ii) NaBH 4 , MeOH, O 0 C; c) piperidine, NaOH, RT.
- Reagents a) R7/R8-U or R7/R8MgX; b) LiBH 4 , THF.
- Carboxylic acids of the general formula XVII can in principle be prepared as shown in Scheme 11 via a Sonogashira type reaction between an acetylene derivative XV or XVIII and an aryl halide XIV or XIX, followed by ester hydrolysis.
- Scheme 11
- Reagents a) Pd(PPh 3 ) 2 Cl 2 , TBAF, THF, microwave; b) Pd(PPh 3 ) 2 Cl 2 , diethylamine, CuI; c) KOH, methanol.
- Esters of the general formula XV can in principle be prepared as shown in Scheme 12 via a Sonogashira type reaction between trimethylsilylacetylene and aryl halide XIX.
- Carboxylic acids of the general formula V can in principle be prepared as shown in Scheme 13 via a Suzuki type reaction of an boronic acid derivative XX or XXI and an aryl halide XIV or XIX, followed by ester hydrolysis.
- Scheme 13
- Reagents a) Pd(PPh 3 ) 4 , sodium carbonate, water, ethanol, toluene; b) KOH, methanol.
- Reagents a) Pd(PPh 3 ) 4 , sodium carbonate, water, ethanol, toluene.
- acetylene derivatives of formula I can in principle also be prepared according to Scheme 15 via a Sonogashira type coupling of terminal acetylene XVIII or XXV with the corresponding aryl halides XIV or XXIII.
- Reagents a) Pd(PPh 3 ) 2 Cl 2 , TBAF 1 neat or THF; b) Pd(PPh 3 ) 2 CI 2 , CuI, Et 2 NH.
- acetylene derivatives of formula XXVI can in principle also be prepared according to Scheme 16 via a Sonogashira type coupling from terminal acetylene XXIII.
- the aryl halide XXIII itself can be prepared via an amide forming reaction from the tryptophanol derivative IV and carboxylic acid XXV.
- Example 14 Example 14
- the title compound was prepared from 3-Allyl-2-allyloxy-5-bromo-benzoic acid methyl ester in analogy to the described literature procedure via an olefin metathesis reaction. See Heterocycles 2002, 57, page 1997.
- 2-(1 H-indol-3-yl)-ethyl]-amide (0.2 M in THF) in a microwave vessel are added 1.5 eq of thiopen-3-boronic acid (0.4 M in THF), 3 eq of K 2 CO 3 (1 M in H 2 O), 0.1 eq Pd(OAc) 2 (0.0375 M in THF), 0.2 eq Tri(o-tolylphosphin) (0.5 M in THF) and 100 ⁇ l of H 2 O.
- the mixture is heated to 130 c C under stirring in a microwave oven for 1 h. After cooling, the solution is evaporated, redissolved in DMSO, filtered and subjected to preparative
Landscapes
- Chemical & Material Sciences (AREA)
- Organic Chemistry (AREA)
- Health & Medical Sciences (AREA)
- Engineering & Computer Science (AREA)
- Bioinformatics & Cheminformatics (AREA)
- Endocrinology (AREA)
- Reproductive Health (AREA)
- Chemical Kinetics & Catalysis (AREA)
- General Chemical & Material Sciences (AREA)
- Medicinal Chemistry (AREA)
- Nuclear Medicine, Radiotherapy & Molecular Imaging (AREA)
- Pharmacology & Pharmacy (AREA)
- Life Sciences & Earth Sciences (AREA)
- Animal Behavior & Ethology (AREA)
- General Health & Medical Sciences (AREA)
- Public Health (AREA)
- Veterinary Medicine (AREA)
- Plural Heterocyclic Compounds (AREA)
- Pharmaceuticals Containing Other Organic And Inorganic Compounds (AREA)
Abstract
The present invention relates to acyltryptophanols of the general formula (I), in which Q, V, X, W, R1, R2, R3, R4, R5, R6, R7 and R8 have the meaning as defined in the description. The compounds according to the invention are effective FSH antagonists and can be used for example for fertility control in men or in women, or for the prevention and/or treatment of osteoporosis.
Description
Bicyclic Acyltryptophanols
The present invention relates to novel bicyclic acyltryptophanols, process for their preparation, pharmaceutical compositions comprising the compounds according to the invention, and the use thereof for fertility control in men or in women as well as for treatment and prevention of osteoporosis.
Follicle-stimulating hormone (FSH) and luteinizing hormone (LH) are together responsible for the control of male and female fertility and of the production of sex steroids.
In the female mammal, FSH controls the early ripening of ovarian primary follicles and the biosynthesis of sex steroids. In the advanced stage of differentiation (preantral follicles), the influence of LH becomes increasingly important for further development of the follicles until ovulation occurs. In male mammals, FSH is primarily responsible for the differentiation and stimulation of Sertoli cells. Their function consists of assisting spermatogenesis on many levels. LH is primarily responsible for stimulating the Leydig cells and thus androgen production. FSH, LH and TSH (thyrotropic hormone) together form the group of glycoprotein hormones which are formed in the pituitary and are secreted from there. Whereas the alpha subunit is common to the three hormones, their specificity of action is determined by the beta chain which is unique in each case. The molecular weight of FSH including the sugar portion is about 30 kD.
FSH and the other glycoprotein hormones act specifically via their selectively expressed G protein-coupled receptor (GPCR). FSH stimulates, through binding to its receptor, the association thereof with a stimulating G protein (Gs) which is thereby stimulated to hydrolyse guanosine triphosphate (GTP) and to activate the membrane-associated adenylate cyclase. Cyclic adenosine monophosphate (cAMP) is accordingly an important and readily quantifiable secondary messenger substance of FSH (G. Vassart, L. Pardo, S. Costagliola, Trends Biochem. Sci. 2004, 29, 119-126). The importance of FSH for male fertility is the subject of intensive research. It has been possible to show that FSH influences several processes of spermatogenesis such as the proliferation of spermatogonia, the antiapoptotic effect on spermatogonia and spermatocytes and the stimulation of sperm maturation including motility thereof.
The following arguments are also in favour of the FSH receptor as target for male fertility control:
1. The FSH receptor is exclusively expressed on Sertoli cells (high specificity). 2. Contraceptive vaccination against FSH beta chain or the FSH receptor induces infertility in male primates (N. R. Mougdal, M. Jeyakumar, H. N. Krishnamurthy, S.
Sridhar, H. Krishnamurthy, F. Martin, Human Reproduction Update 1997, 3, 335-
346).
3. Naturally occurring mutations in the FSH receptor or the FSH beta chain may lead to sub- or infertility in men (I. Huhtaniemi, Journal of Reproduction and Fertility
2000, 119, 173-186; L C. Layman, P. G. McDonough, Molecular and Cellular Endocrinology 2000, 161 , 9-17).
4. Neutralizing FSH antiserum has no effect on testis weight and testosterone production (V. Sriraman, A. J. Rao, Molecular and Cellular Endocrionology 2004, 224, 73-82). Adverse effects of FSH blockade on androgen production therefore appear unlikely.
In line with these arguments, FSH antagonists are expected to be suitable for spermatogenesis inhibition (prevention) in men. Moreover, a suitable FSH antagonist may just as well lead to infertility in women, because it suppresses follicle ripening and thus also ovulation. On the other hand, the skilled person expects advantages from non- peptidergic FSH agonists when used to promote fertility in women (stimulation of follicle ripening). There are no reports of experience on the use of FSH or FSH agonists in male infertility, but specific indications are also conceivable in this connection. New findings demonstrate that there is also a direct effect of FSH on cells of bone metabolism. There are two fundamentally different cell types in bones: osteoclasts and osteoblasts. While osteoclasts play a central role in bone resorption (breakdown of bone), osteoblasts simulate bone density (anabolic effect). FSH receptors have been detected in osteoclasts but not in osteoblasts. In vitro, FSH stimulates bone resorption by mouse osteoclasts ( Li Sun et al. Cell 2006; 125: 247-60). A clinical correlation between the height of the serum FSH levels and low bone density has been observed in postmenopausal women (Devleta et al, J. Bone Miner. Metab. 2004, 22: 360-4).
These findings among others suggest that FSH stimulates loss of bone mass, and accordingly FSH antagonists will display an antiresorptive effect on bone and are therefore suitable for the therapy and/or prevention of peri- and postmenopausal loss of bone mass and osteoporosis.
FSH receptor modulators are compounds that have a mixed profile of both FSH receptor antagonistic and FSH receptor agonistic properties. FSH receptor modulators of various compound classes of low molecular weight, have been reported on recently. FSH receptor modulators are disclosed in WO 2004/056779, WO 2004/056780; J. Med. Chem. 2005, 48, 1697 [tetrahydroquinolines]; WO 02/70493, Bioorg. Med. Chem. Lett. 2004, 14, 1713 and 1717 [diketopiperazines]; and WO 01/47875 [sulphonamides]. FSH receptor agonists are disclosed in WO 02/09706; J. Comb. Chem. 2004, 6, 196 [Thiazolidinones]; WO 2003/020726 and WO 03/20727, Chem. Biochem. 2002, 10, 1023 {thieno[2,3-d] pyrimidines)}; WO 01/87287 [pyrazoles]; WO 00/08015 [carbazoles]; WO 06/117023, WO 06/117368, WO 06/117370, WO 06/117371 , [hexahydroquino- lines].
FSH receptor antagonists are disclosed in WO 03/004028 [tetrahydroquinolines], WO 02/09705 [thiazolidinones], WO 00/58277, Bioorg. Med. Chem. 2002, 10, 639 [sulphonic acids]; WO 00/58276, Endocr. 2002, 143, 3822; Synth. Comm. 2002, 32, 2695 [azo compounds]; US 2006/0199806, US 2006/0258644, US 2006/0258645, US 2006/0287522 [pyrrolobenzodiazepines], WO 2007/017289 [acyltryptophanols], EP06090223.6 [1 ,2-diarylacetylene derivatives of acyltryptophanols], EP06077263.9 [bicyclic acyltryptophanols], EP07090034.5 [sulfonyltryptophanols], EP07090059.2 [tetrahydrocarbazoles], EP07090087.3 [hydroxyethyltrytamines], EP07075641.6 [alkylactylene substituted acyltryptophanols], EP07075645.7 [arylmethylene substituted N-Acyl-β-amino alcohols], EP07075662.2 [cyanomethyl substituted N-acyl tryptamines] and EP07075683.8 [α-alkyl substituted N-acyltryptophanols].
In view of the prior art, the objective technical problem to be solved according to the present invention may therefore be seen in providing alternative compounds having an FSH receptor antagonistic effect.
The technical problem has been solved according to the present invention by the provision of novel compounds of the formula I
in which R1 is hydrogen, Ci-Ce-alkyl, C3-C6-alkenyl, C3-C6-alkynyl, C3-C7-cycloalkyl,
Ci-Cβ-alkyloxy-Ci-Cβ-alkylene, Ca-Cy-cycloalkyloxy-Ci-Cβ-alkylene, Ci-
C6-alkylamino-Ci-C6-alkylene, di(Ci-C6-alkyl)amino-Ci-C6-alkylene, phenyloxy-Ci-Cβ-alkylene; wherein the hydrocarbon chains may optionally be substituted once or more times by fluorine, cyano, hydroxy, amino or the groups:
R2 is hydrogen, halogen, cyano, -SO2Me, Ci-Qj-alkyl, C2-C6-alkenyl, C2-C6- alkynyl, C^Cβ-alkyloxy or benzyloxy, wherein the hydrocarbon chains may optionally be fluorinated once or more times;
R3 is hydrogen, hydroxy, halogen, nitro, amino, cyano, Ci-Cβ-alkyl, C2-C6- alkenyl or C2-C6-alkynyl, C3-C7-cycloalkyl, hydroxy-Ci-C6-alkylene, hy- droxy-C3-C6-alkenylene, hydroxy-C3-C6-alkynylene, Ci-Ce-alkyloxy, C1-
C6-alkyloxy-Ci-C6-alkylene, C3-C7-cycloalkyloxy, C3-C7-cycloalkyl-Ci- C6-alkylenoxy, CH^-cycloalkyloxy-Ci-Ce-alkylene, Ci-Ce-alkyloxy-Qr- Ce-alkenylene, d-Ce-alkyloxy-Cs-Ce-alkynylene, Ci-Cβ-alkyloxyphenyl- Ci-Cβ-alkylene, Ci-Ce-alkylamino-Ci-Ce-alkylene, di(C1-C6-alkyl)amino- Ci-Cβ-alkylene, phenyloxy-Cn-Cβ-alkylene; where the hydrocarbon chains therein may optionally be substituted one or more times by fluorine, cyano, hydroxy, amino or the groups
R4, R5, R6 are independently of one another hydrogen, hydroxy, halogen, nitro, amino, cyano, phenyl, Ci-Cβ-alkyl, C2-C6-alkenyl or C2-C6-alkynyl, C3- C7-cycloalkyl, C3-C7-cycloalkyl-Ci-C6-alkylene, C3-C7-heterocycloalkyl, where the hydrocarbon chains therein may optionally be substituted one or more times by fluorine, cyano or the groups:
or independently of one another hydroxy-d-Cβ-alkylene, hydroxy-C3-C6- alkenylene, hydroxy-C3-C6-alkynylene, d-Ce-alkyloxy, C3-C7-cycloalkyl- oxy, C3-C7-cycloalkyl-Ci-C6-alkylenoxy, Ci-Cβ-alkyloxy-Ci-Cβ-alkylene,
Cs-Cr-cycloalkyloxy-Ci-Ce-alkylene, d-Ce-alkyloxy-Cs-Ce-alkenylene, Ci-Cβ-alkyloxy-Cs-Ce-alkynylene, d-Ce-alkyloxyphenyl-Ci-Cβ-alkylene, phenyloxy-C^Cβ-alkylene, Ci-Cβ-alkylamino, di(Ci-C6-alkyl)amino, d-Ce-alkylamino-d-Cβ- alkylene, di(C1-C6)-alkylamino-C1-C6-alkylene, C3-C7-cycloalkyl-(C0-C6- alkyl)amino,
C1-C6-acyl-(Co-C6-alkyl)amido, Ci-Cβ-alkylaminocarbonyl, di(C1-C6- alkyl)aminocarbonyl, (C3-C7-cycloalkyl)aminocarbonyl, di(C3-C7-cyclo- alkyl)aminocarbonyl, Cs-C^cycloalkyl-Ci-Ce-alkyleneaminocarbonyl, Ci-Cβ-alkylcarbonyl, C3-C7-cycloalkylcarbonyl, carboxy, carboxamido [-C(O)NH2], Ci-Ce-alkyloxycarbonyl, Ci-C3-alkylsulphanyl, Ci-C6-alkysulphonyl, Cs-C^cycloalkylsulphonyl, Cs-Cy-cycloalkyl-Ci-Cβ-alkylenesulphonyl, d-Cβ-alkylaminosulphonyl, di(C1-C6-alkyl)aminosulphonyl, (C3-C7- cycloalkyl)aminosulphonyl, di(C3-C7-cycloalkyl)aminosulphonyl, C3-C7- cycloalkyl-Ci-Ce-alkyleneaminosulphonyl, Ci-Ce-alkylsulphonylamido, -N(Co-C6-alkyl)-C(0)-C1-C6-alkyl, -N(Co-C6-alkyl)-C(0)-C3-C7-cycloalkyl, -N(Co-C6-alkyl)-C(0)-N-di(Co-C6-alkyl), -N(Co-C6-alkyl)-C(0)-0-(Co- C6)alkyl, -N(C0-C6-alkyl)-C(O)-NH-C3-C7-cycloalkyl, -N(C0-C6-alkyl)-Sθ2-C1-C6-alkyl, -N(Co-C6-alkyl)-S02-C3-C7-cycloalkyl,
-N(C0-C6-alkyl)-S02-N-di(Co-C6-alkyl), -N(C0-C6-alkyl J-SO2-NH-(C3-C7)- cycloalkyl,
-C(O)-N(H)-C2-C6-alkylene-(Ci-C6-alkyl)amine, -C(O)-N(H)-C2-C6- alkylene-[di(C1-C6-alkyl)]amine, -C(O)-N(H)-C2-C6-alkylene-( C3-C7- cycloalkyl)amine, -C(O)-N(H)-C2-C6-alkylene-(C3-C7-cycloalkyl-C1-C6- alkyl)amine,
-S(O2)-N(H)-C2-C6-alkylene-(C1-C6-alkyl)amine, -S(Oz)-N(H)-C2-C6- alkylene-[di(C1-C6-alkyl)]amine, -S(O2)-N(H)-C2-C6-alkylene-(C3-C7- cycloalkyl)amine, -S(O2)-N(H)-C2-C6-alkylene-(C3-C7-cycloalkyl-C1-C6- alkylene)amine,
-O-C2-C6-alkylene-(C1-C6-alkyl)amine, -O-C2-C6-alkylene-[di(C1-C6- alkylene)]amine, or the groups:
R7, R8 may be independently of one another hydrogen, methyl, ethyl, where the methyl and ethyl radicals may be fluorinated one or more times;
wherein
R2 may substitute one or more positions of the aryl or heteroaryl ring in the indole residue; R3 may substitute one or more positions of the monocyclic aryl or monocyclic heteroaryl ring of Q and/or V;
R5 and R6 may together form a heterocycloalkyl or cycloalkyl group;
Q is a monocyclic aryl or a monocyclic heteroaryl group;
V is a cycloalkylen, cycloalkenylen, heterocycloalkylen or heterocycloalkenylen group;
W is an aryl or heteroaryl group;
X is a bond, C1-C4-alkylene, C2-C4-alkenyIene or C2-C4-alkynylene group.
The present invention relates to both possible enantiomerics of compounds of the formula I with respect to the chira! centre in the tryptophanol moiety.
The unbranched C^Cβ-alky! groups for the radicals R1 to R6 may be for example a methyl, ethyl, propyl, butyl, pentyl or a hexyl group; and the branched C3-C6-alkyl groups for the radicals R1 to R6 may be an /sopropyl, /sobutyl, sec-butyl, tert-butyl,
/sopentyl, 2-methylbutyl, 1-methylbutyl, 1-ethylpropyl, neopenty\, 1 ,1-dimethylpropyl, 4- methylpentyl, 3-methylpentyl, 2-methylpentyl, 1-methylpentyl, 2-ethylbutyl, 1-ethylbutyl, 3,3-dimethylbutyl, 2,2-dimethylbutyl, 1 ,1-dimethylbutyl, 2,3-dimethylbutyl, 1 ,3-dimethyl- butyl or a 1 ,2-dimethylbutyl group. The branched or unbranched C3-C6-alkenyl groups for the radical R1 may be for example an allyl, (£)-2-methylvinyl, (Z)-2-methylvinyl, homoallyl, (E)-but-2-enyl, (Z)-but- 2-enyl, (E)-but-i-enyl, (Z)-but-i-enyl, pent-4-enyl, (E)-pent-3-enyl, (Z)-pent-3-enyl, (E)- pent-2-enyl, (Z)-pent-2-enyl, (E)-pent-1-enyl, (Z)-pent-i-enyl, hex-5-enyl, (E)-hex-4- enyl, (Z)-hex-4-enyl, (E)-hex-3-enyl, (Z)-hex-3-enyl, (E)-hex-2-enyl, (Z)-hex-2-enyl, (E)- hex-1-enyl, (Z)-hex-i-enyl, isopropenyl, 2-methylprop-2-enyl, 1-methylprop-2-enyl, 2- methylprop-1-enyl, (E)-1-methylprop-1-enyl, (Z)-1-methylprop-1-enyl, 3-methylbut-3- enyl, 2-methylbut-3-enyl, 1-methylbut-3-enyl, 3-methylbut-2-enyl, (E)-2-methylbut-2- enyl, (Z)-2-methylbut-2-enyl, (E)-1-methylbut-2-enyl, (Z)-1-methylbut-2-enyl, (E)-3- methylbut-1-enyl, (Z)-3-methylbut-1-enyl, (E)-2-methylbut-1-enyl, (Z)-2-methylbut-1- enyl, (E)-1-methylbut-1-enyl, (Z)-1-methylbut-1-enyl, 1 ,1-dimethylprop-2-enyl,
1 -ethylprop-1 -enyl, 1-propylvinyl, 1-isopropylvinyl, 4-methylpent-4-enyl, 3-methylpent-4- enyl, 2-methylpent-4-enyl, 1 -methyl pent-4-enyl, 4-methylpent-3-enyl, (E)-3-methylpent- 3-enyl, (Z)-3-methylpent-3-enyl, (E)-2-methylpent-3-enyl, (Z)-2-methylpent-3-enyl, (E)-1- methylpent-3-enyl, (Z)-1-methylpent-3-enyl, (E)-4-methylpent-2-enyl, (Z)-4-methylpent- 2-enyl, (£)-3-methylpent-2-enyl, (Z)-3-methylpent-2-enyl, (E)-2-methylpent-2-enyl, (Z)-2- methylpent-2-enyl, (E)-1-methylpent-2-enyl, (Z)-1-methylpent-2-enyl, (E)-4-methylpent- 1-enyl, (Z)-4-methylpent-1-enyl, (E)-3-methylpent-1-enyl, (Z)-3-methylpent-1-enyl, (E)-2- methylpent-1-enyl, (Z)-2-methylpent-1-enyl, (E)-1-methylpent-1-enyl, (Z)-i-methylpent- 1-enyl, 3-ethylbut-3-enyl, 2-ethylbut-3-enyl, 1-ethylbut-3-enyl, (£)-3-ethylbut-2-enyl, (Z)- 3-ethylbut-2-enyl, (E)-2-ethylbut-2-enyl, (Z)-2-ethylbut-2-enyl, (E)-1-ethylbut-2-enyl, (Z)- i-ethylbut-2-enyl, (E)-3-ethylbut-1-enyl, (Z)-3-ethylbut-1-enyl, 2-ethylbut-1-enyl, (E)-1- ethylbut-1-enyl, (Z)-1-ethylbut-1-enyl, 2-propylprop-2-enyl, i-propylprop-2-enyl, 2-iso- propylprop-2-enyl, 1-isopropylprop-2-enyl, (E)-2-propylprop-1-enyl, (Z)-2-propylprop-1- enyl, (E)-1-propylprop-1-enyl, (Z)-1-propylprop-1-enyl, (E)-2-isopropylprop-1-enyl, (Z)-2- isopropylprop-1-enyl, (E)-1-isopropylprop-1-enyl, (Z)-1-isopropylprop-1-enyl, (E)-3,3- dimethylprop-1-enyl, (Z)-3,3-dimethylprop-1-enyl- or a 1-(1 ,1-dimethylethyi)ethenyl group.
The C3-C6-alkynyl groups for the radical R1 may be for example a prop-1-ynyl, prop-2- ynyl, but-1-ynyl, but-2-ynyl, but-3-ynyl, pent-1-ynyl, pent-2-ynyl, pent-3-ynyl, pent-4-ynyl, hex-1-ynyl, hex-2-ynyl, hex-3-ynyl, hex-4-ynyl, hex-5-ynyl, 1-methylprop-2-ynyl, 2- methylbut-3-ynyl, 1-methylbut-3-ynyl, 1-methylbut-2-ynyl, 3-methylbut-i-ynyl, 1-ethyl- prop-2-ynyl, 3-methylpent-4-ynyl, 2-methylpent-4-ynyl, 1-methylpent-4-ynyl, 2-methyl- pent-3-ynyl, 1-methylpent-3-ynyl, 4-methylpent-2-ynyl, 1-methylpent-2-ynyl, 4-methyl- pent-1-ynyl, 3-methylpent-1-ynyl, 2-ethylbut-3-ynyl, 1-ethylbut-3-ynyl, i-ethylbut-2-ynyl, 1-propylprop-2-ynyl, i-isopropylprop-2-ynyl, 2,2-dimethylbut-3-ynyl, 1 ,1-dimethylbut-3- ynyl, 1 ,1-dimethylbut-2-ynyl or a 3,3-dimethylbut-1-ynyl group.
The C2-C6-alkenyl groups for the radicals R2 to R6 may, in addition to the C3-C6- alkenyl groups mentioned for the radical R1 , be for example a vinyl group.
The C2-C6-alkynyl groups for the radicals R2 to R6 may, in addition to the C3-C6- alkynyl groups mentioned for the radical R1 , be for example an ethynyl group. The d-Cβ-alkyloxy groups for the radicals R2 to R6 may be for example a methyloxy, ethyloxy, propyloxy, /sopropyloxy, butyloxy, /sobutyloxy, sec-butyloxy, fert-butyloxy,
pentyloxy, /sopentyloxy, (2-methylbutyl)oxy, (i-methylbutyl)oxy, (i-ethylpropyl)oxy, neopentyloxy, (1 ,1-dimethylpropyl)oxy, hexyloxy, (4-methylpentyl)oxy, (3-methylpentyl)- oxy, (2-methylpentyl)oxy, (i-methylpentyl)oxy, (i-ethylbutyl)oxy, (2-ethylbutyl)oxy, (3,3- dimethylbutyl)oxy, (2,2-dimethylbutyl)oxy, (1 ,1-dimethylbutyl)oxy, (2,3-dimethylbutyl)- oxy, (1 ,3-dimethylbutyl)oxy or a (1 ,2-dimethylbutyl)oxy group.
The halogens for the radicals R2 to R6 are fluorine, chlorine, bromine or iodine.
The Ci-C3-alkylsulphanyl groups for the radicals R4 to R6 may be for example a methylsulphanyl (CH3S-), ethylsulphanyl (CH3CH2S-), propylsulphanyl, /sopropyl- sulphanyl group.
The Ci-C6-alkylaminocarbonyl groups for the radicals R4 to R6 may be for example a methylaminocarbonyl-, ethylaminocarbonyl-, propylaminocarbonyl-, /sopropylamino- carbonyl-, butylaminocarbonyl-, /sobutylaminocarbonyl-, sec-butylaminocarbonyl-, tert- butylaminocarbonyl-, pentylaminocarbonyl-, /sopentylaminocarbonyl-, (2-methylbutyl)- aminocarbonyl-, (i-methylbutyl)aminocarbonyl-, (i-ethylpropyl)aminocarbonyl-, neo- pentylaminocarbonyl-, (1 ,1-dimethylpropyl)aminocarbonyl-, hexylaminocarbonyl-, (4- methylpentyl)aminocarbonyl-, (3-methylpentyl)aminocarbonyl-, (2-methylpentyl)amino- carbonyl-, (i-methylpentyl)aminocarbonyl-, (i-ethylbutyl)aminocarbonyl-, (2-ethylbutyl)- aminocarbonyl-, (3,3-dimethylbutyl)aminocarbonyl-, (2,2-dimethylbutyl)aminocarbonyl-, (1 ,1-dimethylbutyl)aminocarbonyl-, (2,3-dimethylbutyl)aminocarbonyl-, (1 ,3-dimethyl- butyl)aminocarbonyl- or a (1 ,2-dimethylbutyl)aminocarbonyl group. The hydroxy-C^Ce-alkylene groups for the radicals R3 to R6 may be a hydroxymethyl (HOCH2-), 2-hydroxyethyl (HOCH2CH2-), 1-hydroxyethyl [CH3CH(OH)-], 3-hydroxy- propyl (HOCH2CH2CH2-), 2-hydroxypropyl [CH3CH(OH)CH2-], 1-hydroxypropyl [CH3CH2CH(OH)-], 2-hydroxy-1-methylethyl [HOCH2CH(CH3)-], 1-hydroxy-1 -methyl- ethyl [(CHa)2C(OH)-], 4-hydroxybutyl (HOCH2CH2CH2CH2-), 3-hydroxybutyl [CH3CH(OH)CH2CH2-], 2-hydroxybutyl [CH3CH2CH(OH)CH2-], 1-hydroxybutyl [CH3CH2CH2CH(OH)-], 3-hydroxy-1-methylpropyl [HOCH2CH2CH(CH3)-], 2-hydroxy-1- methylpropyl [CH3CH(OH)CH(CH3)-], 1-hydroxy-1-methylpropyl [CH3CH2C(CH3)(OH)-], 1-(hydroxymethyl)propyl [CH3CH(CH2OH)-], 3-hydroxy-2-methylpropyl [HOCH2CH(CH3)CH2-], 2-hydroxy-2-methylpropyl [(CH3)2C(OH)CH2-], 1-hydroxy-2- methylpropyl [CH3CH(CH3)CH(OH)-] or a 2-hydroxy-1 ,1-dimethylethyl group [HOCH2C(CHs)2-].
The heterocycloalkyl groups which may be formed by the groups R5 and R6 together include for example the following (biradical) groups:
The cycloalkyl groups which may be formed by the groups R5 and R6 together include for example the following (biradical) groups:
The C3-C7-cycloalkyl groups for the groups R1 to R6 may be for example a cyclopropyl, cyclobutyl, cyclopentyl, cyclohexyl, cycloheptyl group.
The C3-C7-heterocycloalkyl groups for the radicals R1 to R6 may be for example a cyclopropyl, cyclobutyl, cycopentyl, cyclohexyl, cycloheptyl group in which one or two carbon atoms of the ring are replaced independently of one another by an oxygen, ni- trogen or sulphur atom.
The monocyclic aryl group for Q may be for example a phenyl group which is linked via substitutable positions
The aryl group for W may be for example a phenyl, naphthyl group which is linked via substitutable positions. The monocytic heteroaryl group for Q may be for example a pyridinyl, pyrimidinyl, furanyl, thienyl, oxazolyl, isoxazolyl, thiazolyl, pyrrolyl, pyrazolyl or an imidazolyl group which is linked via substitutable positions.
The heteroaryl group for W may be for example a pyridinyl, pyrimidinyl, quinolinyl, isoquinolinyl, quinazolinyl, quinoxalinyl, phthalazinyl, 1.5-naphthyridinyl, 1 ,6- naphthyridinyl, 1 ,7-naphthyridinyl, 1 ,8-naphthyridinyl, benzofuranyl, benzothienyl, 1 ,3- benzodioxolyl, 2,1 ,3-benzothiadiazolyl, indolyl, indazolyl, furanyl, thienyl, oxazolyl, isoxazolyl, thiazolyl, pyrrolyl, pyrazolyl or an imidazolyl group which is linked via substitutable positions.
The heterocycloalkylen groups for V may be for example the following groups:
The cycloalkylen groups for V may be for example the following groups:
The cycloalkenylen groups for V may be for example the following groups:
The Ci-C4-alkylene groups for X and Y may be for example a methylene (-CH2-), ethylidene [-CH(CH3)-], ethylene (-CH2CH2-), prop-1 ,3-ylene (-CH2CH2CH2-), prop-1 ,2- ylene [-CH2CH(CH3)-], but-1 ,4-ylene (-CH2CH2CH2CH2-), but-1 ,3-ylene [- CH2CH2CH(CH3)-], but-1 ,2-ylene [-CH2CH(CH2CH3)-], but-2,3-ylene [-CHCH(CH3)-], 2- methylprop-1 ,2-ylene [-CH2C(CH3)2-] or a 2-methylprop-1 ,3-ylene group [- CH2CH(CH3)CH2-].
The C2-C4-alkenylene groups for X may be for example an ethen-1,2-ylidene (-CH=CH- ), prop-2-en-1 ,3-ylidene (-CH2-CH=CH-), prop-1-en-1 ,3-ylidene (-CH=CH-CH2-), but-1- en-1 ,4-ylidene (-CH=CH-CH2-CH2-), but-2-en-1 ,4-ylidene (-CH2-CH=CH-CH2-) or a but- 3-en-1 ,4-ylidene group (-CH2-CH2-CH=CH-).
The C2-C4-alkynylene groups for X may be for example an ethyn-1 ,2-ylidene (-C≡C-), prop-2-yn-1 ,3-ylidene (-CH2-C≡C-), prop-1-yn-1 ,3-ylidene (-C≡C-CH2-), but-1-yn-1 ,4- ylidene (-C≡C-CH2-CH2-), but-2-yn-1 ,4-ylidene (-CH2-C≡C-CH2-) or a but-3-yn-1 ,4- ylidene group (-CH2-CH2-C≡C-). The C3-C7-cycloalkyloxy groups for the groups R1 to R6 may be for example a cyclo- propyloxy, cyclobutyloxy, cyclopentyloxy, cyclohexyloxy, cycloheptyloxy group. The Ci-C6-alkylamino groups for the groups R1 to R6 may be for example methyl- amino, ethylamino, propylamino, /sopropylamino, butylamino, /sobutylamino, sec-butyl- amino, te/f-butylamino, pentylamino, /sopentylamino, (2-methylbutyl)amino, (1-methyl- butyl)amino, (i-ethylpropyl)amino, neopentylamino, (1 ,1-dimethylpropyl)amino, hexyl- amino, (4-methylpentyl)amino, (3-methylpentyl)amino, (2-methyipentyl)amino, (1- methylpentyl)amino, (i-ethylbutyl)amino, (2-ethylbutyl)amino, (3,3-dimethylbutyl)amino, (2,2-dimethylbutyl)amino, (1 ,1-dimethylbutyl)amino, (2,3-dimethylbutyl)amino, (1 ,3-di- methylbutyl)amino or a (1 ,2-dimethylbutyl)amino group.
Within the di(C1-C6-alkyl)amino groups for the groups R1 to R6, each of the two C1-C6- alkyl substituents may be chosen independently of one another from the following groups: possible examples are a methyl, ethyl, propyl, /sopropyl, butyl, /sobutyl, sec- butyl, terf-butyl, pentyl, /sopentyl, (2-methylbutyl), (1-methylbutyl), (1-ethylpropyl), neopentyl, (1 ,1-dimethylpropyl), hexyl, (4-methylpentyl), (3-methylpentyl), (2-methyl- pentyl), (1-methylpentyl), (1-ethylbutyl), (2-ethylbutyl), (3,3-dimethylbutyl), (2,2-dimethyl- butyl), (1,1-dimethylbutyl), (2,3-dimethylbutyl), (1 ,3-dimethylbutyl) or a (1 ,2-dimethyl- butyl) group.
In the C3-C7-cycloalkyl-Ci-C6-alkyleneoxy groups for the radicals R1 to R6 it is possible to combine each of the C3-C7-cycloalkyl groups of the C3-C7-cycloalkyl-Ci-C6-alkylene- oxy group, for example of a cyclopropyl, cyclobutyl, cyclopentyl, cyclohexyl or cyclohep- tyl group, independently of one another with each CrCβ-alkyleneoxy group, for example with a methyleneoxy, ethyleneoxy, propyleneoxy, butyleneoxy, pentyleneoxy, hexylene- oxy group.
In the hydroxy-C3-C6-alkenylene groups for the radicals R1 to R6 it is possible for the hydroxy group to be located on any desired position of the C3-C6-alkenyl group, for example of an allyl, (E)-2-methylvinyl, (Z)-2-methylvinyl, homoallyl, (E)-but-2-enyl, (Z)-but- 2-enyl, (E)-but-1-enyl, (Z)-but-1-enyl, pent-4-enyl, (E)-pent-3-enyl, (Z)-pent-3-enyl, (E)- Pent-2-enyl-, (Z)-Pent-2-enyl-, (E)-Pent-1-enyl-, (Z)-Pent-i-enyl-, hex-5-enyl-, (E)-hex- 4-enyl, (Z)-hex-4-enyl, (E)-hex-3-enyl, (Z)-hex-3-enyl, (E)-hex-2-enyl, (Z)-hex-2-enyl, (E)-hex-1-enyl, (Z)-hex-1-enyl, isopropenyl, 2-methylprop-2-enyl, i-methylprop-2-enyl, 2-methylprop-i-enyl, (E)-1-methylprop-1-enyl, (Z)-1-methylprop-1-enyl, 3-methylbut-3- enyl, 2-methylbut-3-enyl, 1-methylbut-3-enyl, 3-methylbut-2-enyl, (E)-2-methylbut-2- enyl, (Z)-2-methylbut-2-enyl, (E)-1-methylbut-2-enyl, (Z)-1-methylbut-2-enyl, (E)-3- methylbut-1-enyl, (Z)-3-methylbut-1-enyl, (E)-2-methylbut-1-enyl, (Z)-2-methylbut-1- enyl, (E)-1-methylbut-1-enyl, (Z)-1-methylbut-1-enyl, 1 ,1-dimethylprop-2-enyl, 1- ethylprop-1-enyl, 1-propylvinyl, 1-isopropylvinyl, 4-methylpent-4-enyl, 3-methylpent-4- enyl, 2-methylpent-4-enyl, 1-methylpent-4-enylF 4-methylpent-3-enyl, (E)-3-methylpent- 3-enyl, (Z)-3-methylpent-3-enyl, (E)-2-methylpent-3-enyl, (Z)-2-methylpent-3-enyl, (E)-1- methylpent-3-enyl, (Z)-1-methylpent-3-enyl, (E)-4-methylpent-2-enyl, (Z)-4-methylpent- 2-enyl, (E)-3-methylpent-2-enyl, (Z)-3-methylpent-2-enyl, (E)-2-methylpent-2-enyl, (Z)-2- methylpent-2-enyl, (E)-1-methylpent-2-enyl, (Z)-1-methylpent-2-enyl, (E)-4-methylpent- 1-enyl, (Z)-4-methylpent-1-enyl, (E)-3-methylpent-1-enyl, (Z)-3-methylpent-1-enyl, (E)-2- methylpent-1-enyl, (Z)-2-methylpent-1-enyl, (E)-1-methylpent-1-enyl, (Z)-i-methylpent- 1-enyl, 3-ethylbut-3-enyl, 2-ethylbut-3-enyl, 1-ethylbut-3-enyl, (E)-3-ethylbut-2-enyl, (Z)- 3-ethylbut-2-enyl, (E)-2-ethylbut-2-enyl, (Z)-2-ethylbut-2-enyl, (E)-1-ethylbut-2-enyl, (Z)- 1 -ethyl but-2-enyl, (E)-3-ethylbut-1-enyl, (Z)-3-ethylbut-1-enyl, 2-ethyl but- 1-enyl, (E)-1- ethylbut-1-enyl, (Z)-1-ethylbut-1-enyl, 2-propylprop-2-enyl, 1-propylprop-2-enyl, 2-iso- propylprop-2-enyl, 1-isopropylprop-2-enyl, (E)-2-propylprop-1-enyl, (Z)-2-propylprop-1- enyl, (E)-1-propylprop-1-enyl, (Z)-1-propylprop-1-enyl, (E)-2-isopropylprop-1-enyl, (Z)-2- isopropylprop-1-enyl, (E)-1-isopropylprop-1-enyl, (Z)-1-isopropylprop-1-enyl, (E)-3,3- dimethylprop-1-enyl, (Z)-3,3-dimethylprop-1-enyl or a 1-(1 ,1-dimethylethyl)ethenyl group, and to be combined independently of one another.
In the hydroxy-C3-C6-alkynyl groups for the radicals R1 to R6 it is possible for the hydroxy group to be located at any desired position of the C3-C6-alkynyl group, for example of a prop-1-ynyl, prop-2-ynyl, but-1-ynyl, but-2-ynyl, but-3-ynyl, pent-1-ynyl, pent-2- ynyl, pent-3-ynyl, pent-4-ynyl, hex-1-ynyl, hex-2-ynyl, hex-3-ynyl, hex-4-ynyl, hex-5-ynyl, 1-methylprop-2-ynyl, 2-methylbut-3-ynyl, 1-methylbut-3-ynyl, 1-methylbut-2-ynyl, 3- methylbut-1-ynyl, 1-ethylprop-2-ynyl, 3-methylpent-4-ynyl, 2-methylpent-4-ynyl,
1 -methylpent-4-ynyl, 2-methylpent-3-ynyl, 1-methylpent-3-ynyl, 4-methylpent-2-ynyl, i-methylpent-2-ynyl, 4-methylpent-i-ynyl, 3-methylpent-1-ynyl, 2-ethylbut-3-ynyl, 1-ethylbut-3-ynyl, 1-ethylbut-2-ynyl, 1-propylprop-2-ynyl, 1-isopropylprop-2-ynyl, 2,2-di- methylbut-3-ynyl, 1 ,1-dimethylbut-3-ynyl, 1 ,1-dimethylbut-2-ynyl or a 3,3-dimethylbut-1- ynyl group.
In the CTCe-alkyloxy-Ca-Cβ-alkenylene groups for the radicals R1 to R6 it is possible for the Ci-Cβ-alkyloxy group, for example a methyloxy, ethyloxy, propyloxy, /sopropyloxy, butyloxy, /sobutyloxy, sec-butyloxy, tert-butyloxy, pentyloxy, /sopentyloxy, (2-methyl- butyl)oxy, (i-methylbutyl)oxy, (i-ethylpropyl)oxy, neopentyloxy, (1 ,1-dimethylpropyl)oxy, hexyloxy, (4-methylpentyl)oxy, (3-methylpentyl)oxy, (2-methylpentyl)oxy, (1-methyl- pentyl)oxy, (i-ethylbutyl)oxy, (2-ethylbutyl)oxy, (3,3-dimethylbutyl)oxy, (2,2-dimethyl- butyl)oxy, (1 ,1-dimethylbutyl)oxy, (2,3-dimethylbutyl)oxy, (1 ,3-dimethylbutyl)oxy or a (1 ,2-dimethylbutyl)oxy group, to be located on any desired position of the C3-C6-alkenyl group, for example of an allyl, (E)-2-methylvinyl, (Z)-2-methyl vinyl, homoallyl, (E)-but-2- enyl, (Z)-but-2-enyl, (E)-but-1-enyl, (Z)-but-i-enyl, pent-4-enyl, (E)-pent-3-enyl, (Z)- pent-3-enyl, (E)-pent-2-enyl, (Z)-pent-2-enyl, (£)-pent-1-enyi, (Z)-pent-i-enyl, hex-5- enyl, (E)-hex-4-enyl, (Z)-hex-4-enyl, (E)-hex-3-enyl, (Z)-hex-3-enyl, (E)-hex-2-enyl, (Z)- hex-2-enyl, (E)-hex-1-enyl, (Z)-hex-i-enyl, isopropenyl, 2-methylprop-2-enyl, 1-methyl- prop-2-enyl, 2-methylprop-1-enyl, (£)-1-methylprop-1-enyl, (Z)-1-methylprop-1-enyl, 3- methylbut-3-enyl, 2-methylbut-3-enyl, 1-methylbut-3-enyl, 3-methylbut-2-enyl, (E)-2- methylbut-2-enyl, (Z)-2-methylbut-2-enyl, (E)-1-methylbut-2-enyl, (Z)-1-methylbut-2- enyl, (E)-3-methylbut-1-enyl, (Z)-3-methylbut-1-enyl, (E)-2-methylbut-1-enyl, (Z)-2- methylbut-1-enyl, (E)-1-methylbut-1-enyl, (Z)-1-methylbut-1-enyl, 1 ,1-dimethylprop-2- enyl, 1-ethylprop-i-enyl, 1-propylvinyl, 1-isopropylvinyl, 4-methylpent-4-enyl, 3-methylpent-4-enyl, 2-methylpent-4-enyl, 1-methylpent-4-enyl, 4-methylpent-3-enyl, (E)-3-methylpent-3-enyl, (Z)-3-methylpent-3-enyl, (E)-2-methylpent-3-enyl, (Z)-2- methylpent-3-enyl, (E)-1-methylpent-3-enyl, (Z)-1-methylpent-3-enyl, (E)-4-methylpent- 2-enyl, (Z)-4-methylpent-2-enyl, (E)-3-methylpent-2-enyl, (Z)-3-methylpent-2-enyl, (E)-2- methylpent-2-enyl, (Z)-2-methylpent-2-enyl, (E)-1-methylpent-2-enyl, (Z)-i-methylpent- 2-enyl, (E)-4-methylpent-1-enyl, (Z)-4-methylpent-1-enyl, (E)-3-methylpent-1-enyl, (Z)-3- methylpent-1-enyl, (E)-2-methylpent-1-enyl, (Z)-2-methylpent-1-enyl, (E)-1-methylpent- 1-enyl, (Z)-1-methylpent-1-enyl, 3-ethylbut-3-enyl, 2-ethylbut-3-enyl, 1-ethylbut-3-enyl, (E)-3-ethylbut-2-enyl, (Z)-3-ethylbut-2-enyl, (E)-2-ethylbut-2-enyl, (Z)-2-ethylbut-2-enyl, (E)-1-ethylbut-2-enyl, (Z)-1-ethylbut-2-enyl, (E)-3-ethylbut-1-enyl, (Z)-3-ethylbut-1-enyl, 2-ethylbut-1-enyl, (E)-1-ethylbut-1-enyl, (Z)-1-ethylbut-1-enyl, 2-propylprop-2-enyl,
1 -propyIprop-2-enyl, 2-isopropylprop-2-enyl, i-isopropylprop-2-enyl, (E)-2-propylprop-1- enyl, (Z)-2-propylprop-1-enyl, (E)-1-propylprop-1-enyl, (Z)-1-propylprop-1-enyl, (E)-2- isopropylprop-1-enyl, (Z)-2-isopropylprop-1-enyl, (£)-1-isopropylprop-1-enyl, (Z)-1- isopropylprop-1-enyl, (E)-3,3-dimethylprop-1-enyl, (Z)-3,3-dimethylprop-1-enyl or a 1-(1,1-dimethylethyl)ethenyl group and to be combined independently of one another. In the (VCβ-alkyloxy-Ca-Ce-alkynylene groups for the radicals R1 to R6 it is possible for the d-Ce-alkyloxy group, for example a methyloxy, ethyloxy, propyloxy, /sopropyloxy, butyloxy, /sobutyloxy, sec-butyloxy, tert-butyloxy, pentyloxy, /sopentyloxy, (2-methyl- butyl)oxy, (i-methylbutyl)oxy, (i-ethylpropyl)oxy, neopentyloxy, (1 ,1-dimethylpropyl)oxy, hexyloxy, (4-methylpentyl)oxy, (3-methylpentyl)oxy, (2-methylpentyl)oxy, (1-methyl- pentyl)oxy, (i-ethylbutyl)oxy, (2-ethylbutyl)oxy, (3,3-dimethylbutyl)oxy, (2,2-dimethyl- butyl)oxy, (1 ,1-dimethylbutyl)oxy, (2,3-dimethylbutyl)oxy, (1 ,3-dimethylbutyl)oxy or a (1 ,2-dimethylbutyl)oxy group, to be located at any desired position of the C3-C6-alkynyl group, for example of a prop-1-ynyl, prop-2-ynyl, but-1-ynyl, but-2-ynyl, but-3-ynyl, pent- 1-ynyl, pent-2-ynyl, pent-3-ynyl, pent-4-ynyl, hex-1-ynyl, hex-2-ynyl, hex-3-ynyl, hex-4- ynyl, hex-5-ynyl, 1-methylprop-2-ynyl, 2-methylbut-3-ynyl, 1-methylbut-3-ynyl, 1-methyl- but-2-ynyl, 3-methylbut-i-ynyl, 1-ethylprop-2-ynyl, 3-methylpent-4-ynyl, 2-methylpent-4- ynyl, i-methylpent-4-ynyl, 2-methylpent-3-ynyl, 1-methylpent-3-ynyl, 4-methylpent-2- ynyl, 1-methylpent-2-ynyl, 4-methylpent-1-ynyl, 3-methylpent-1-ynyl, 2-ethylbut-3-ynyl, 1-ethylbut-3-ynyl, 1-ethylbut-2-ynyl, i-propylprop-2-ynyl, 1-isopropylprop-2-ynyl, 2,2-di- methylbut-3-ynyl, 1 ,1-dimethylbut-3-ynyl, 1 ,1-dimethylbut-2-ynyl or a 3,3-dimethylbut-1- ynyl group, and to be combined independently of one another.
In the CrC6-alkyloxyphenyl-Ci-C6-alkylene groups for the radical R1 to R6 it is possible for the Ci-C6-alkyloxy group to be selected independently of one another from methy- loxy, ethyloxy, propyloxy, /sopropyloxy, butyloxy, /sobutyloxy, sec-butyloxy, te/t-butyl- oxy, pentyloxy, /sopentyloxy, (2-methylbutyl)oxy, (i-methylbutyl)oxy, (1 -ethyl propyl )oxy, neopentyloxy, (1 ,1-dimethylpropyl)oxy, hexyloxy, (4-methylpentyl)oxy, (3-methylpentyl)- oxy, (2-methylpentyl)oxy, (i-methylpentyl)oxy, (i-ethylbutyl)oxy, (2-ethylbutyl)oxy, (3,3- dimethylbutyl)oxy, (2,2-dimethylbutyl)oxy, (1 ,1-dimethylbutyl)oxy, (2,3-dimethylbutyl)- oxy, (1 ,3-dimethylbutyl)oxy or a (1 ,2-dimethylbutyl)oxy, and to be combined independently of one another with CrCβ-alkylene groups such as, for example, methylene, ethylene, propylene, butylene, pentylene, hexylene.
In the C3-C7-cycloalkyl-(Co-C6)-alkyleneamino groups of the radicals R3 to R6 it is possible for each of the C3-C7-cycloalkyl groups of the C3-C7-cycloalkyl-(Co-C6)-alkylene- amino group, for example of a cyclopropyl, cyclobutyl, cyclopentyl, cyclohexyl or cyclo- heptyl group, to be combined independently of one another with each C0-C6-alkylene group, for example with a bond, a methylene, ethylene, propylene, butylene, pentylene, hexylene group.
In the Ci-C6-alkyloxy-Ci-C6-alkylene groups for the radical R1 to R6, it is possible for the d-Cβ-alkyloxy group to be selected independently for example from methyloxy, ethyloxy, propyloxy, /sopropyloxy, butyloxy, /sobutyloxy, sec-butyloxy, te/f-butyloxy, pentyloxy, /sopentyloxy, (2-methylbutyl)oxy, (i-methylbutyl)oxy, (i-ethylpropyl)oxy, neopentyloxy, (1 ,1-dimethylpropyl)oxy, hexyloxy, (4-methylpentyl)oxy, (3-methylpentyl)- oxy, (2-methylpentyl)oxy, (i-methylpentyl)oxy, (i-ethylbutyl)oxy, (2-ethylbutyl)oxy, (3,3- dimethylbutyl)oxy, (2,2-dimethylbutyl)oxy, (1 ,1-dimethylbutyl)oxy, (2,3-dimethylbutyl)- oxy, (1,3-dimethylbutyl)oxy or a (1,2-dimethylbutyl)oxy and to be combined independently of one another with CrC6-alkylene groups such as, for example, methylene, ethylene, propylene, butylene, pentylene, hexylene.
In the di(Ci-C6-alkyl)amino-C1-C6-alkylene group for the radical R1 it is possible for each of the two radicals on the nitrogen atom of the amino group to be selected inde- pendently for example from methyl, ethyl, propyl, /sopropyl, butyl, /sobutyl, sec-butyl, tert-butyl, pentyl, /sopentyl, (2-methylbutyl), (1-methylbutyl), (1-ethylpropyl), πeopentyl, (1 ,1-dimethylpropyl), hexyl, (4-methylpentyl), (3-methylpentyl), (2-methylpentyl), (1- methylpentyl), (1-ethylbutyl), (2-ethylbutyl), (3,3-dimethylbutyl), (2,2-dimethylbutyl), (1 ,1- dimethylbutyl), (2,3-dimethylbutyl), (1 ,3-dimethylbutyl) or a (1 ,2-dimethylbutyl) group, and to be combined with d-Cβ-alkylene groups such as, for example, methylene, ethylene, propylene, butylene, pentylene, hexylene.
The C3-C7-cycloalkyl-CrC6-alkylene groups for the radicals R1 to R6 may be for example a cyclopropyloxymethylene, cyclopropyloxyethylene, cyclopropyloxypropylene, cyclopropyloxybutylene, cyclopropyloxypentylene, cyclopropyloxyhexylene, cyclobuty- loxymethylene, cyclobutyloxyethylene, cyclobutyloxypropylene, cyclobutyloxybutylene, cyclobutyloxypentylene, cyclobutyloxyhexylene, cyclopentyloxymethylene, cyclopenty- loxyethylene, cyclopentyloxypropylene, cyclopentyloxybutylene, cyclopentyloxypenty- lene, cyclopentyloxyhexylene, cyclohexyloxymethylene, cyclohexyloxyethylene, cyclo- hexyloxypropylene, cyclohexyloxybutylene, cyclohexyloxypentylene, cyclohexyloxy- hexylene, cycloheptyloxymethylene, cycloheptyloxyethylene, cycloheptyloxypropylene, cycloheptyloxybutylene, cycloheptyloxypentylene, cycloheptyloxyhexylen group.
In the Ci-Ce-alkylamino-CrCe-alkylene groups for the radicals R1 to R6 it is possible for the Ci-C6-alkylamino group to be selected independently for example from methyl- amino, ethylamino, propylamine /sopropylamino, butylamino, /sobutylamino, sec-butyl- amino, tert-butylamino, pentylamino, /sopentylamino, (2-methylbutyl)amino, (1-methyl- butyl)amino, (i-ethylpropyl)amino, neopentylamino, (1 ,1-dimethylpropyl)amino, hexyl- amino, (4-methylpentyl)amino, (3-methylpentyl)amino, (2-methylpentyl)amino, (1- methylpentyl)amino, (i-ethylbutyl)amino, (2-ethylbutyl)amino, (3,3-dimethylbutyl)amino, (2,2-dimethylbutyl)amino, (1 ,1-dimethylbutyl)amino, (2,3-dimethylbutyl)amino, (1 ,3-di- methylbutyl)amino or a (1 ,2-dimethylbutyl)amino and to be combined with Ci-C6- alkylene groups such as, for example, methylene, ethylene, propylene, butylene, penty- lene, hexylene.
The phenyloxy-C^Cβ-alkylene groups for the radicals R1 to R6 may be for example a phenyloxymethyl, phenyloxyethyl, phenyloxypropyl, phenyloxybutyl, phenyloxypentyl, phenyloxyhexyl group.
In the Ci-C6-acyl-(Co-C6-alkyl)amido groups for the radicals R4 to R6, it is possible for each of the Ci-C6-acyl groups, for example a formyl, acetyl, propionyl, 2-methylpro- pionyl, 2,2-dimethylpropionyl, butyryl, 2-methylbutyryl, 3-methylbutyryl, 2,2-dimethyl- butyryl, 2-ethylbutyryl, pentanoyl, 2-methylpentanoyl, 3-methylpentanoyl, 4-methyl- pentanoyl or a hexanoyl group, to be combined independently of one another with each (C0-C6-alkyl)amido group, for example a hydrogen atom, a methylamido, ethylamido, propylamido, isopropylamido, butylamido, isobutylamido, sec-butylamido, tert-butylamido, pentylamido, isopentylamido, (2-methylbutyl)amido, (1-methylbutyl)- amido, (i-ethylpropyl)amido, neopentylamido, (1,1-dimethylpropyl)amido, hexylamido, (4-methylpentyl)amido, (3-methylpentyl)amido, (2-methylpentyl)amido, (1-methylpentyl)- amido, (i-ethylbutyl)amido, (2-ethylbutyl)amido, (3,3-dimethylbutyl)amido, (2,2-di- methylbutyl)amido, (1 ,1-dimethylbutyl)amido, (2,3-dimethylbutyl)amido, (1 ,3-dimethyl- butyl)amido or a (1 ,2-dimethylbutyl)amido group. The d-Cβ-alkylaminocarbonyl groups for the radicals R4 to R6 may be for example a methylaminocarbonyl, ethylaminocarbonyl, propylaminocarbonyl, isopropylamino- carbonyl, butylaminocarbonyl, isobutylaminocarbonyl, sec-butylaminocarbonyl, tert- butylaminocarbonyl, pentylaminocarbonyl, isopentylaminocarbonyl, (2-methylbutyl)- aminocarbonyl, (i-methylbutyl)aminocarbonyl, (i-ethylpropyl)aminocarbonyl, neopen- tylaminocarbonyl, (1 ,1-dimethylpropyl)aminocarbonyl, hexylaminocarbonyl, (4-methyl- pentyl)aminocarbonyl, (3-methylpentyl)aminocarbonyl, (2-methylpentyl)aminocarbonyl, (i-methylpentyl)aminocarbonyl, (i-ethylbutyl)aminocarbonyl,
(2-ethylbutyl)aminocarbonyl, (3,3-dimethylbutyl)aminocarbonyl, (2,2-dimethylbutyl)- aminocarbonyl, (1 ,1-dimethylbutyl)aminocarbonyl, (2,3-dimethylbutyl)aminocarbonyl, (1 ,3-dimethylbutyl)aminocarbonyl or a (1 ,2-dimethylbutyl)aminocarbonyl group. In the di(CrC6-alkyl)aminocarbonyl groups for the radicals R4 to R6, each of the two CrC6-alkyl radicals on the nitrogen atom of the di(C1-C6-alkyl)aminocarbonyl group may be independently of one another for example a methyl, ethyl, propyl, isopropyl, butyl, isobutyl, sec-butyl, tert-butyl, pentyl, isopentyl, (2-methylbutyl), (1-methylbutyl), (1-ethyl- propyl), neopentyl, (1 ,1-dimethylpropyl), hexyl, (4-methylpentyl), (3-methylpentyl), (2- methylpentyl), (1-methylpentyl), (1-ethylbutyl), (2-ethylbutyl), (3,3-dimethylbutyl), (2,2- dimethylbutyl), (1 ,1-dimethylbutyl), (2,3-dimethylbutyl), (1 ,3-dimethylbutyl) or a (1 ,2- dimethylbutyl) group.
The (C3-C7-cycloalkyl)aminocarbonyl groups for the radicals R4 to R6 may be for example a cyclopropylaminocarbonyl, cyclobutylaminocarbonyl, cyclopentylaminocar- bonyl, cyclohexylaminocarbonyl or cycloheptylaminocarbonyl group.
In the di(C3-C7-cycloalkyl)aminocarbonyl groups for the radicals R4 to R6, each of the two C3-C7-cycloalkyl radicals on the nitrogen atom of the di(C3-C7-cycloalkyl)amino- carbonyl group may be independently of one another for example a cyclopropyl, cyclo- butyl, cyclopentyl, cyclohexyl or cycloheptyl group.
In the Cs-C^-cycloalkyl-CrCβ-alkyleneaminocarbonyl groups of the radicals R4 to R6 it is possible for each of the C3-C7-cycloalkyl groups of the C3-C7-cycloalkyl-CrC6- alkyleneaminocarbonyl groups, for example of a cyclopropyl, cyclobutyl, cyclopentyl, cyclohexyl or cycloheptyl group, to be combined independently of one another with each C^Ce-alkyleneaminocarbonyl group, for example with a methyleneaminocarbonyl, ethyleneaminocarbonyl, propyleneaminocarbonyl, butyleneaminocarbonyl, pentylene- aminocarbonyl, hexyleneaminocarbonyl group.
The d-Cβ-alkylcarbonyl groups for the radicals R4 to R6 may be for example a methyl- carbonyl, ethylcarbonyl, propylcarbonyl, isopropylcarbonyl, butylcarbonyl, isobutylcar- bonyl, sec-butylcarbonyl, tert-butylcarbonyl, pentylcarbonyl, isopentylcarbonyl, (2- methylbutyl)carbonyl, (i-methylbutyl)carbonyl, (i-ethylpropyl)carbonyl, neopentylcar- bonyl, (1 ,1-dimethylpropyl)carbonyl, hexylcarbonyl, (4-methylpentyl)carbonyl, (3-methyl- pentyl)carbonyl, (2-methylpentyl)carbonyl, (i-methylpentyl)carbonyl, (1-ethylbutyl)- carbonyl, (2-ethylbutyl)carbonyl, (3,3-dimethylbutyl)carbonyl, (2,2-dimethylbutyl)- carbonyl, (1 ,1-dimethylbutyl)carbonyl, (2,3-dimethylbutyl)carbonyl, (1 ,3-dimethylbutyl)- carbonyl or a (1 ,2-dimethylbutyl)carbonyl group.
The C3-C7-cycloalkylcarbonyl groups for the radicals R4 to R6 may be for example a cyclopropylcarbonyl, cyclobutylcarbonyl, cyclopentylcarbonyl, cyclohexylcarbonyl or cycloheptylcarbonyl group. The CrCβ-alkyloxycarbonyl groups for the radicals R4 to R6 may be for example a methyloxycarbonyl, ethyloxycarbonyl, propyloxycarbonyl, isopropyloxycarbonyl, buty- loxycarbonyl, isobutyloxycarbonyl, sec-butyloxycarbonyl, tert-butyloxycarbonyl, penty- loxycarbonyl, isopentyloxycarbonyl, (2-methylbutyl)oxycarbonyl, (1-methylbutyl)- oxycarbonyl, (i-ethylpropyl)oxycarbonyl, neopentyloxycarbonyl, (1 ,1-dimethylpropyl)- oxycarbonyl, hexyloxycarbonyl, (4-methylpentyl)oxycarbonyl, (3-methylpentyl)oxy- carbonyl, (2-methylpentyl)oxycarbonyl, (i-methylpentyl)oxycarbonyl, (i-ethylbutyl)oxy- carbonyl, (2-ethylbutyl)oxycarbonyl, (3,3-dimethylbutyl)oxycarbonyl, (2,2-dimethylbutyl)- oxycarbonyl, (1 ,1-dimethylbutyl)oxycarbonyl, (2,3-dimethylbutyl)oxycarbonyl, (1 ,3- dimethylbutyl)oxycarbonyl or a (1 ,2-dimethylbutyl)oxycarbonyl group. The Ci-C6-alkylsulphonyl groups for the radicals R4 to R6 may be for example a me- thylsulphonyl, ethylsulphonyl, propylsulphonyl, isopropylsulphonyl, butylsulphonyl, iso- butylsulphonyl, sec-butylsulphonyl, tert-butylsulphonyl, pentylsulphonyl, isopentyl- sulphonyl, (2-methylbutyl)sulphonyl, (i-methylbutyl)sulphonyl, (i-ethylpropyl)sulphonyl, neopentylsulphonyl, (1 ,1-dimethylpropyl)sulphonyl, hexylsulphonyl, (4-methylpentyl)- sulphonyl, (3-methylpentyl)sulphonyl, (2-methylpentyl)sulphonyl, (1-methylpentyl)- sulphonyl, (i-ethylbutyl)sulphonyl, (2-ethylbutyl)sulphonyl, (3,3-dimethylbutyl)sulphonyl, (2,2-dimethylbutyl)sulphonyl, (1 ,1-dimethylbutyl)sulphonyl, (2,3-dimethylbutyl)sulphonyl, (1 ,3-dimethylbutyl)sulphonyl or a (1 ,2-dimethylbutyl)sulphonyl group. The C3-C7-cycloalkylsulphonyl groups for the radicals R4 to R6 may be for example a cyclopropylsulphonyl, cyclobutylsulphonyl, cyclopentylsulphonyl, cyclohexylsulphonyl or cycloheptylsulphonyl group.
In the Cs-Cz-cycloalkyl-Cn-Cβ-alkylenesulphonyl groups of the radicals R4 to R6 it is possible for each of the C3-C7-cycloalkyl groups of the C3-C7-cycloalkyl-CrC6-alkylene- sulphonyl groups, for example of a cyclopropyl, cyclobutyl, cyclopentyl, cyclohexyl or cycloheptyl group, to be combined independently of one another with each Ci-C6- alkylenesulphonyl group, for example with a methylenesulphonyl, ethylenesulphonyl, propylenesulphonyl, butylenesulphonyl, pentylenesulphonyl, hexylenesulphonyl group. The CrC6-alkylaminosulphonyl groups for the radicals R4 to R6 may be for example a methylaminosulphonyl, ethylaminosulphonyl, propylaminosulphonyl, isopropylaminosul- phonyl, butylaminosulphonyl, isobutylaminosulphonyl, sec-butylaminosulphonyl,
tert-butylaminosulphonyl, pentylaminosulphonyl, isopentylaminosulphonyl, (2-methyl- butyl)aminosulphonyl, (i-methylbutyl)aminosulphonyl, (i-ethylpropyl)aminosulphonyl, neopentylaminosulphonyl, (1,1-dimethylpropyl)aminosulphonyl, hexylaminosulphonyl, (4-methylpentyl)aminosulphonyl, (3-methylpentyl)aminosulphonyl, (2-methylpentyl)- aminosulphonyl, (i-methylpentyl)aminosulphonyl, (i-ethylbutyl)aminosulphonyl, (2- ethylbutyl)aminosulphonyl, (3,3-dimethylbutyl)aminosulphonyl, (2,2-dimethylbutyl)- aminosulphonyl, (1 ,1-dimethylbutyl)aminosulphonyl, (2,3-dimethylbutyl)aminosulphonyl, (1 ,3-dimethylbutyl)aminosulphonyl or a (1,2-dimethylbutyl)aminosulphonyl group. In the di(Ci-C6-alkyl)aminosulphonyl groups for the radicals R4 to R6, each of the two Ci-C6-alkyl radicals on the nitrogen atom of the di(Ci-C6-alkyl)aminosulphonyl group may be independently of one another for example a methyl, ethyl, propyl, isopropyl, butyl, isobutyl, sec-butyl, tert-butyl, pentyl, isopentyl, (2-methylbutyl), (1-methylbutyl), (1- ethylpropyl), neopentyl, (1 ,1-dimethylpropyl), hexyl, (4-methylpentyl), (3-methylpentyl), (2-methylpentyl), (1-methylpentyl), (1-ethylbutyl), (2-ethylbutyl), (3,3-dimethylbutyl), (2,2-dimethylbutyl), (1 ,1-dimethylbutyl), (2,3-dimethylbutyl), (1,3-dimethylbutyl) or a (1,2- dimethylbutyl) group.
The (C3-C7-cycloalkyl)aminosulphonyl groups for the radicals R4 to R6 may be for example a cyclopropylaminosulphonyl, cyclobutylaminosulphonyl, cyclopentylaminosul- phonyl, cyclohexylaminosulphonyl or cycloheptylaminosulphonyl group. In the di(C3-C7-cycloalkyl)aminosulphonyl groups for the radicals R4 to R6, each of the two C3-C7-cycloalkyl radicals on the nitrogen atom of the di(C3-C7-cycloalkyl)amino- sulphonyl group may be independently of one another for example a cyclopropyl, cyclo- butyl, cyclopentyl, cyclohexyl or cycloheptyl group. In the C3-C7-cycloalkyl-Ci-C6-alkyleneaminosulphonyl groups of the radicals R4 to R6, each of the C3-C7-cycloalkyl groups of the Cs-C^-cycloalkyl-Ci-CValkyleneamino- sulphonyl groups, for example of a cyclopropyl, cyclobutyl, cyclopentyl, cyclohexyl or cycloheptyl group, can be combined independently of one another with each Ci-C6- alkyleneaminosulphonyl group, for example with a methyleneaminosulphonyl, ethyl- eneaminosulphonyl, propyleneaminosulphonyl, butyleneaminosulphonyl, pentyleneami- nosulphonyl, hexyleneaminosulphonyl group.
The CrCe-alkylsulphonylamido groups for the radicals R4 to R6 may be for example a methylsulphonylamido, ethylsulphonylamido, propylsulphonylamido, isopropylsulphon- ylamido, butylsulphonylamido, isobutylsulphonylamido, sec-butylsulphonylamido, tert- butylsulphonylamido, pentylsulphonylamido, isopentylsulphonylamido, (2-methylbutyl)- sulphonylamido, (i-methylbutyl)sulphonylamido, (i-ethylpropyl)sulphonylamido,
neopentylsulphonylamido, (1 ,1-dimethylpropyl)sulphonylamido, hexylsulphonylamido, (4-methylpentyl)sulphonylamido, (3-methylpentyl)sulphonylamido, (2-methylpentyl)- sulphonylamido, (i-methylpentyl)sulphonylamido, (i-ethylbutyl)sulphonylamido, (2- ethylbutyl)sulphonylamido, (3,3-dimethylbutyl)sulphonylamido, (2,2-dimethylbutyl)- sulphonylamido, (1 ,1-dimethylbutyl)sulphonylamido, (2,3-dimethylbutyl)sulphonylamido, (1 ,3-dimethylbutyl)sulphonylamido or a (1 ,2-dimethylbutyl)sulphonylamido group. In the -N(C0-C6-alkyl)-C(O)-C1-C6-alkyl groups of the radicals R4 to R6, each of the (C0-C6-alkyl) groups on the nitrogen atom of the -N(C0-C6-alkyl)-C(O)-CrC6-alkyl groups, for example a hydrogen, a methyl, ethyl, propyl, isopropyl, butyl, isobutyl, sec- butyl, tert-butyl, pentyl, isopentyl, (2-methylbutyl), (1-methylbutyl), (1-ethylpropyl), neopentyl, (1 ,1-dimethylpropyl), hexyl, (4-methylpentyl), (3-methylpentyl), (2-methyl- pentyl), (1-methylpentyl), (1-ethylbutyl), (2-ethylbutyl), (3,3-dimethylbutyl), (2,2-dimethyl- butyl), (1 ,1-dimethylbutyl), (2,3-dimethylbutyl), (1 ,3-dimethylbutyl) or a (1 ,2-dimethyl- butyl) group, may be combined independently of one another with each C^Cβ-alky! group on the carbonyl group of the amide, for example with a methyl, ethyl, propyl, isopropyl, butyl, isobutyl, sec-butyl, tert-butyl, pentyl, isopentyl, (2-methylbutyl), (1-methylbutyl), (1-ethylpropyl), neopentyl, (1 ,1-dimethylpropyl), hexyl, (4-methylpentyl), (3- methylpentyl), (2-methylpentyl), (1-methylpentyl), (1-ethylbutyl), (2-ethylbutyl), (3,3- dimethylbutyl), (2,2-dimethylbutyl), (1 ,1-dimethylbutyl), (2,3-dimethylbutyl), (1,3-di- methylbutyl) or a (1 ,2-dimethylbutyl) group.
In the -N-(C0-C6-alkyl)-C(O)-C3-C7-cycloalkyl groups of the radicals R4 to R6, each of the (C0-C6-alkyl) groups on the nitrogen atom of the -N(C0-C6-alkyl)-C(O)-C1-C6-alkyl groups, for example a hydrogen, a methyl, ethyl, propyl, isopropyl, butyl, isobutyl, sec- butyl, tert-butyl, pentyl, isopentyl, (2-methylbutyl), (1-methylbutyl), (1-ethylpropyl), neopentyl, (1 ,1-dimethylpropyl), hexyl, (4-methylpentyl), (3-methylpentyl), (2-methylpentyl), (1-methylpentyl), (1-ethylbutyl), (2-ethylbutyl), (3,3-dimethylbutyl), (2,2-dimethylbutyl), (1 ,1-dimethylbutyl), (2,3-dimethylbutyl), (1 ,3-dimethylbutyl) or a (1 ,2-dimethyl- butyl) group, may be combined independently of one another with each C3-C7-cycloalkyl group on the carbonyl group of the amide, for example with a cyclopropyl, cyclobutyl, cyclopentyl, cyclohexyl or cycloheptyl group.
In the -N(C0-C6-alkyl)-C(O)-N-di(C0-C6-alkyl) groups of the radicals R4 to R6, all three (C0-C6-alkyl) groups may be independently of one another a hydrogen, a methyl, ethyl, propyl, isopropyl, butyl, isobutyl, sec-butyl, tert-butyl, pentyl, isopentyl, (2-methylbutyl), (1-methylbutyl), (1-ethylpropyl), neopentyl, (1 ,1-dimethylpropyl), hexyl, (4-methylpentyl),
(3-methylpentyl), (2-methylpentyl), (1-methylpentyl), (1-ethylbutyl), (2-ethylbutyl), (3,3- dimethylbutyl), (2,2-dimethylbutyl), (1 ,1-dimethylbutyl), (2,3-dimethylbutyl), (1,3- dimethylbutyl) or a (1,2-dimethylbutyl) group.
In the -N(C0-C6-alkyl)-C(O)-O-(C0-C6-alkyl) groups of the radicals R4 to R6, both
(C0-C6-alkyl) groups may be independently of one another a hydrogen, a methyl, ethyl, propyl, isopropyl, butyl, isobutyl, sec-butyl, tert-butyl, pentyl, isopentyl, (2-methylbutyl), (1-methylbutyl), (1-ethylpropyl), neopentyl, (1 ,1-dimethylpropyl), hexyl, (4-methylpentyl), (3-methylpentyl), (2-methylpentyl), (1-methylpentyl), (1-ethylbutyl), (2-ethylbutyl), (3,3- dimethylbutyl), (2,2-dimethylbutyl), (1 ,1-dimethylbutyl), (2,3-dimethylbutyl), (1 ,3-di- methylbutyl) or a (1 ,2-dimethylbutyl) group.
In the -N(Co-C6-alkyl)-C(0)-NH-(C3-C7-cycloalkyl) groups of the radicals R4 to R6, each of the (C0-C6-alkyl) groups on the nitrogen atom of the -N(Co-C6-alkyl)-C(0)-NH-(C3-C7- cycloalkyl) groups, for example a hydrogen, a methyl, ethyl, propyl, isopropyl, butyl, isobutyl, sec-butyl, tert-butyl, pentyl, isopentyl, (2-methylbutyl), (1-methylbutyl), (1-ethylpropyl), neopentyl, (1 ,1-dimethylpropyl), hexyl, (4-methylpentyl), (3-methylpentyl), (2- methylpentyl), (1-methylpentyl), (1-ethylbutyl), (2-ethylbutyl), (3,3-dimethylbutyl), (2,2- dimethylbutyl), (1 ,1-dimethylbutyl), (2,3-dimethylbutyl), (1 ,3-dimethylbutyl) or a (1,2-dimethylbutyl) group, may independently of one another be combined with each C3-C7- cycloalkyl group on the terminal nitrogen atom of the urea, for example with a cyclopro- pyl, cyclobutyl, cyclopentyl, cyclohexyl or cycloheptyl group.
In the -N(Co-C6-alkyl)-S02-(C1-C6-alkyl) groups of the radicals R4 to R6, each of the (C0-C6-alkyl) groups on the nitrogen atom of the -N(Co-C6-alkyl)-S02-(Ci-C6-alkyl) group, for example a hydrogen, a methyl, ethyl, propyl, isopropyl, butyl, isobutyl, sec- butyl, tert-butyl, pentyl, isopentyl, (2-methylbutyl), (1-methylbutyl), (1-ethylpropyl), neopentyl, (1 ,1-dimethylpropyl), hexyl, (4-methylpentyl), (3-methylpentyl), (2-methylpentyl), (1-methylpentyl), (1-ethylbutyl), (2-ethylbutyl), (3,3-dimethylbutyl), (2,2-dimethylbutyl), (1 ,1-dimethylbutyl), (2,3-dimethylbutyl), (1 ,3-dimethylbutyl) or a (1 ,2-di- methylbutyl) group, may independently of one another be combined with each C1-C6- alkyl group on the sulphonyl group of the sulphonamide, for example with a methyl, ethyl, propyl, isopropyl, butyl, isobutyl, sec-butyl, tert-butyl, pentyl, isopentyl, (2-methylbutyl), (1-methylbutyl), (1-ethylpropyl), neopentyl, (1 ,1-dimethylpropyl), hexyl, (4-methylpentyl), (3-methylpentyl), (2-methylpentyl), (1-methylpentyl), (1-ethylbutyl), (2-ethyl- butyl), (3,3-dimethylbutyl), (2,2-dimethylbutyl), (1 ,1-dimethylbutyl), (2,3-dimethylbutyl), (1 ,3-dimethylbutyl) or a (1 ,2-dimethylbutyl) group.
In the -N(C0-C6-alkyl)-Sθ2-C3-C7-cycloalkyl groups of the radicals R4 to R6, each of the (C0-C6-alkyl) groups on the nitrogen atom of the -N(C0-C6-alkyl)-Sθ2-C3-C7-cycloalkyl group, for example a hydrogen, a methyl, ethyl, propyl, isopropyl, butyl, isobutyl, sec- butyl, tert-butyl, pentyl, isopentyl, (2-methylbutyl), (1-methylbutyl), (1-ethylpropyl), neo- pentyl, (1 ,1-dimethylpropyl), hexyl, (4-methylpentyl), (3-methylpentyl), (2-methylpentyl), (1-methylpentyl), (1-ethylbutyl), (2-ethylbutyl), (3,3-dimethylbutyl), (2,2-dimethylbutyl), (1 ,1-dimethylbutyl), (2,3-dimethylbutyl), (1 ,3-dimethylbutyl) or a (1 ,2-dimethylbutyl) group, may be combined independently of one another with each C3-C7-cycloalkyl group on the sulphonyl group, for example with a cyclopropyl, cyclobutyl, cyclopentyl, cyclohexyl or cycloheptyl group.
In the -N(Co-C6-alkyl)-Sθ2-N-di(C0-C6-alkyl) groups of the radicals R4 to R6, all three (Co-Ce-alkyl) groups may be independently of one another a hydrogen, a methyl, ethyl, propyl, isopropyl, butyl, isobutyl, sec-butyl, tert-butyl, pentyl, isopentyl, (2-methylbutyl), (1-methylbutyl), (1-ethylpropyl), neopentyl, (1,1-dimethylpropyl), hexyl, (4-methylpentyl), (3-methylpentyl), (2-methylpentyl), (1-methylpentyl), (1-ethylbutyl), (2-ethylbutyl), (3,3- dimethylbutyl), (2,2-dimethylbutyl), (1 ,1-dimethylbutyl), (2,3-dimethylbutyl), (1 ,3-dimethylbutyl) or a (1 ,2-dimethylbutyl) group. In the -N(C0-C6-alkyl)-Sθ2-NH-(C3-C7)-cycloalkyl groups of the radicals R4 to R6, the Co-C6-alkyl group of the -N(C0-C6-alkyl)-Sθ2-NH-(C3-C7)-cycloalkyl group, for example a hydrogen, a methyl, ethyl, propyl, isopropyl, butyl, isobutyl, sec-butyl, tert-butyl, pentyl, isopentyl, (2-methylbutyl), (1-methylbutyl), (1-ethylpropyl), neopentyl, (1 ,1-dimethylpropyl), hexyl, (4-methylpentyl), (3-methylpentyl), (2-methylpentyl), (1-methylpentyl), (1- ethylbutyl), (2-ethylbutyl), (3,3-dimethylbutyl), (2,2-dimethylbutyl), (1 ,1-dimethylbutyl), (2,3-dimethylbutyl), (1 ,3-dimethylbutyl) or a (1 ,2-dimethylbutyl) group, may be combined independently of one another with each C3-C7-cycloalkyl group, for example with a cyclopropyl, cyclobutyl, cyclopentyl, cyclohexyl or cycloheptyl group. In the -C(O)-N(H)-C2-C6-alkylene-(Ci-C6-alkyl)amine groups of the radicals R4 to R6, each of the C2-C6-alkylene groups on the nitrogen atom of the -C(O)-N(H)-C2-C6- alkylene-(Ci-C6-alkyl)amine group, for example an ethylene, propylene, butylene, penty- lene or hexylene group, may be combined independently of one another with each C1- C6-alkyl group on the amino group, for example with a methyl, ethyl, propyl, isopropyl, butyl, isobutyl, sec-butyl, tert-butyl, pentyl, isopentyl, (2-methylbutyl), (1-methylbutyl), (1- ethylpropyl), neopentyl, (1 ,1-dimethylpropyl), hexyl, (4-methylpentyl), (3-methylpentyl), (2-methylpentyl), (1-methylpentyl), (1-ethylbutyl), (2-ethylbutyl), (3,3-dimethylbutyl),
(2,2-dimethylbutyl), (1 ,1-dimethylbutyl), (2,3-dimethylbutyl), (1 ,3-dimethylbutyl) or a (1 ,2- dimethylbutyl) group.
In the -C(O)-N(H)-C2-C6-alkylene-[di(C1-C6-alkyl)]amine groups of the radicals R4 to R6, each of the C2-C6-alkylene groups on the nitrogen atom of the -C(O)-N(H)-C2-C6- alkylene-[di(C1-C6-alkyl)]amine group, for example an ethylene, propylene, butylene, pentylene or hexylene group, may be combined independently of one another with each of the two identically or different CrCβ-alkyl groups on the amino group, for example with a methyl, ethyl, propyl, isopropyl, butyl, isobutyl, sec-butyl, tert-butyl, pentyl, isopentyl, (2-methylbutyl), (1-methylbutyl), (1-ethylpropyl), neopentyl, (1 ,1-dimethyl- propyl), hexyl-, (4-methylpentyl), (3-methylpentyl), (2-methylpentyl), (1-methylpentyl), (1-ethylbutyl), (2-ethylbutyl), (3,3-dimethylbutyl), (2,2-dimethylbutyl), (1,1-dimethylbutyl), (2,3-dimethylbutyl), (1 ,3-dimethylbutyl) or a (1 ,2-dimethylbutyl) group. In the -C(O)-N(H)-C2-C6-alkylene-(C3-C7-cycloalkyl)amine groups of the radicals R4 to R6, each of the (C2-C6-alkylene) groups of the -C(O)-N(H)-C2-C6-alkylene-(C3-C7-cyclo- alkyl)amine group, for example an ethylene, propylene, butylene, pentylene or hexylene group, may be combined independently of one another with each C3-C7-cycloalkyl group on the amine, for example with a cyclopropyl, cyclobutyl, cyclopentyl, cyclohexyl or cycloheptyl group. In the -C(O)-N(H)-C2-C6-alkylene-(C3-C7-cycloalkyl-C1-C6-alkylene)amine groups of the radicals R4 to R6, each of the (C2-C6-alkylene) groups of the -C(O)-N(H)-C2-C6- alkylene-(C3-C6-cycloalkyl-C1-C6-alkylene)amine group, for example an ethylene, propylene, butylene, pentylene or hexylene group, may be combined independently of one another with each C3-C7-cycloalkyl-C1-C6-alkylene group on the amine, for example with a cyclopropylmethylene, cyclopropylethylene, cyclopropylpropylene, cyclopropylbuty- lene, cyclopropylpentylene, cyclopropylhexylene, cyclobutylmethylene, cyclobutylethyl- ene, cyclobutylpropylene, cyclobutylbutylene, cyclobutylpentylene, cyclobutylhexylene, cyclopentylmethylene, cyclopentylethylene, cyclopentylpropylene, cyclopentylhexylene, cyclohexylmethylene, cyclohexylethylene, cyclohexylpropylene, cyclohexylbutylene, cyclohexylpentylene, cyclohexylhexylene, cycloheptylmethylene, cycloheptylethylene, cycloheptylpropylene, cycloheptylbutylene, cycloheptylpentylene or cycloheptylhexylene group.
In the -S(O2)-N(H)-C2-C6-alkylene-(C1-C6-alkyl)amine groups of the radicals R4 to R6, the (C2-C6-alkylene) groups of the -S(O2)-N(H)-C2-C6-alkylene-(CrC6-alkyl)amine group, for example an ethylene, propylene, butylene, pentylene or hexylene group, may be combined independently of one another with each Ci-C6-alkyl group on the amino group, for example with a methyl, ethyl, propyl, isopropyl, butyl, isobutyl, sec-
butyl, tert-butyl, pentyl, isopentyl, (2-methylbutyl), (1-methylbutyl), (1-ethylpropyl), neopentyl, (1 ,1-dimethylpropyl), hexyl, (4-methylpentyl), (3-methylpentyl), (2-methyl- pentyl), (1-methylpentyl), (1-ethylbutyl), (2-ethylbutyl), (3,3-dimethylbutyl), (2,2-dimethyl- butyl), (1 ,1-dimethylbutyl), (2,3-dimethylbutyl), (1 ,3-dimethylbutyl) or a (1 ,2-dimethyl- butyl) group.
In the -S(O2)-N(H)-C2-C6-alkylene-[di(Ci-C6-alkyl)]amine groups of the radicals R4 to R6, the C2-C6-alkylene group of the -S(O2)-N(H)-C2-C6-alkylene-[di(C1-C6-alkyl)]amine group, for example an ethylene, propylene, butylene, pentylene or hexylene group, may be combined independently of one another with each of the two
groups on the amino group, for example with a methyl, ethyl, propyl, isopropyl, butyl, isobutyl, sec- butyl, tert-butyl, pentyl, isopentyl, (2-methylbutyl), (1-methylbutyl), (1-ethylpropyl), neopentyl, (1 ,1-dimethylpropyl), hexyl-, (4-methylpentyl), (3-methylpentyl), (2-methylpentyl), (1-methylpentyl), (1-ethylbutyl), (2-ethylbutyl), (3,3-dimethylbutyl), (2,2-dimethylbutyl), (1 ,1-dimethylbutyl), (2,3-dimethylbutyl), (1 ,3-dimethylbutyl) or a (1 ,2-dimethylbutyl) group.
In the -S(θ2)-N(H)-C2-C6-alkylene-(C3-C7-cycloalkyl)amine groups of the radicals R4 to R6, the C2-C6-alkylene group of the -S(O2)-N(H)-C2-C6-alkylene-(C3-C7-cycloalkyl)- amine group, for example an ethylene, propylene, butylene, pentylene or hexylene group, may be combined independently of one another with each C3-C7-cycloalkyl group on the amino group, for example with a cyclopropyl, cyclobutyl, cyclopentyl, cyclohexyl or cycloheptyl group.
In the -S(O2)-N(H)-C2-C6-alkylene-(C3-C7-cycloalkyl-C1-C6-alkylene)amine groups of the radicals R4 to R6, each C2-C6-alkylene group of the -S(O2)-N(H)-C2-C6-alkylene- (C3-C7-cycloalkyl-Ci-C6-alkylene)amine group, for example an ethylene, propylene, bu- tylene, pentylene or hexylene group, may be combined independently of one another with each Cs-Crcycloalkyl-C^-Ce-alkylene group on the amine, for example with a cyclopropylmethylene, cyclopropylethylene, cyclopropylpropylene, cyclopropylbutylene, cyclopropylpentylene, cyclopropylhexylene, cyclobutylmethylene, cyclobutylethylene, cyclobutylpropylene, cyclobutylbutylene, cyclobutylpentylene, cyclobutylhexylene, cyclopentylmethylene, cyclopentylethylene, cyclopentylpropylene, cyclopentylhexylene, cyclohexylmethylene, cyclohexylethylene, cyclohexylpropylene, cyclohexylbutylene, cyclohexylpentylene, cyclohexylhexylene, cycloheptylmethylene, cycloheptylethylene, cycloheptylpropylene, cycloheptylbutylene, cycloheptylpentylen or cycloheptylhexylene group.
In the -O-C2-C6-alkylene-(CrC6-alkyl)amine groups of the radicals R4 to R6, the C2-C6- alkylene group of the -O-C2-C6-alkylene-(C1-C6-alkyl)amine group, for example an ethylene, propylene, butylene, pentylene or hexylene group, may be combined independently of one another with each CrC6-alkyl group on the amino group, for example a methyl, ethyl, propyl, isopropyl, butyl, isobutyl, sec-butyl, tert-butyl, pentyl, isopentyl, (2- methylbutyl), (1-methylbutyl), (1-ethylpropyl), neopentyl, (1 ,1-dimethylpropyl), hexyl, (4- methylpentyl), (3-methylpentyl), (2-methylpentyl), (1-methylpentyl), (1-ethylbutyl), (2- ethylbutyl), (3,3-dimethylbutyl), (2,2-dimethylbutyl), (1 ,1-dimethylbutyl), (2,3-dimethyl- butyl), (1 ,3-dimethylbutyl) or a (1,2-dimethylbutyl) group. In the -O-C2-C6-alkylene-[di(C1-C6-alkyl)]amine groups of the radicals R4 to R6, the C2- C6-alkylene group of the -O-C2-C6-alkylene-[di(Ci-C6-alkyl)]amine group, for example an ethylene, propylene, butylene, pentylene or hexylene group, may be combined independently of one another with two freely selectable CrC6-alkyl groups on the amino group, for example with a methyl, ethyl, propyl, isopropyl, butyl, isobutyl, sec-butyl, tert- butyl, pentyl, isopentyl, (2-methylbutyl), (1-methylbutyl), (1-ethylpropyl), neopentyl, (1,1- dimethylpropyl), hexyl-, (4-methylpentyl), (3-methylpentyl), (2-methylpentyl), (1-methylpentyl), (1-ethylbutyl), (2-ethylbutyl), (3,3-dimethylbutyl), (2,2-dimethylbutyl), (1 ,1-dimethylbutyl), (2,3-dimethylbutyl), (1 ,3-dimethylbutyl) or a (1 ,2-dimethylbutyl) group.
Compounds preferred according to the present invention are those of the formula Il
in which the radicals R1 to R8, X, V and W have the same meaning as in formula I and
T1 , T2, T3 are each independently of one another a nitrogen atom or an R3-C group.
Compounds particularly preferred according to the present invention are those of the formula III
in which the radicals R1 to R8, X, V and W have the same meaning as in formula I.
The following compounds are very particularly preferred:
1 6-(3,4I5-Trimethoxy-phenyl)-2H-chromene-8-carboxylic acid [(R)-I -hydroxy- methyl-2-( 1 H-indol-3-yl)-ethyl]-amide;
2 6-(3-Chloro-4-methylcarbamoyl-phenyl)-2H-chromene-8-carboxylic acid [(R)-2- hydroxy-1-(1H-indol-3-ylmethyl)-ethyl]-amide;
3 6-(3-Chloro-4-methylcarbamoyl-phenyl)-chroman-8-carboxylic acid [(R)-2- hydroxy-1-(1 H-indol-3-ylmethyl)-ethyl]-amide;
4 6-o-Tolylethynyl-2H-chromene-8-carboxylic acid [(R)-I -hydroxymethyl-2-(1 H- indol-3-yl)-ethyl]-amide;
5 6-(2-Methoxy-phenylethynyl)-2H-chromene-8-carboxylic acid [(R)-I -hydroxy- methyl-2-(1 H-indol-3-yl)-ethyl]-amide;
6 2-Methyl-6-(3)4)5-trimethoxy-phenyl)-2H-chromene-8-carboxylic acid [(R)-I- hydroxymethyi-2-(1 H-indol-3-yl)-ethyl]-amide;
7 θ-^-Chloro^-methylcarbamoyl-phenyl^^-dimethyl^H-chromene- 8-carboxylic acid [(R)-2-hydroxy-1-(1H-indol-3-ylmethyl)-ethyl]-amide;
8 6-(3-Fluoro-5-methylcarbamoyl-phenyl)-2,2-dimethyl-2H-chromene- 8-carboxylic acid [(R)-2-hydroxy-1-(1 H-indol-3-ylmethyl)-ethyl]-amide;
9 2,2-Dimethyl-6-(3)4,5-trimethoxy-phenyl)-2H-chromene-8-carboxylic acid [(R)- 2-hydroxy-1-(1 H-indol-3-ylmethyl)-ethyl]-amide;
10 2I2-Dimethyl-6-(4-methylcarbamoyl-phenylethynyl)-2H-chromene-8-carboxylic acid [(R)-I -hydroxymethyl-2-( 1 H-indol-3-yl)-ethyl]-amide;
11 2,2-Dimethyl-6-(3-methylcarbamoyl-phenylethynyl)-2H-chromene-8-carboxylic acid [(R)-I -hydroxymethyl-2-(1 H-indol-3-yl)-ethyl]-amide;
12 5-(3,4-Dimethoxy-phenyl)-2-vinyl-2,3-dihydro-benzofuran-7-carboxylic acid [(R)-I -hydroxymethyl-2-(1 H-indol-3-yl)-ethyl]-amide;
13 S^S^-Dimethoxy-phenyl^-ethyl^.S-dihydro-benzofuran-Z-carboxylic acid
[(R)-1-hydroxymethyl-2-(1 H-indol-3-yl)-ethyl]-amide;
y^S-Chloro-A-methylcarbamoyl-phenyl^.S-dihydro-benzoti .^dioxine- 5-carboxylic acid [(R)-2-hydroxy-1-(1 H-indol-3-ylmethyl)-ethyl]-amide;
7-(3,4,5-Trimethoxy-phenyl)-2,3-dihydro-benzo[1 ,4]dioxine-5-carboxylic acid [(R)-I -hydroxymethyl-2-(1 H-indol-3-yl)-ethyl]-amide;
7-(3-Fluoro-5-methylcarbamoyl-phenyl)-2,3-dihydro-benzo[1 ,4]dioxine-5- carboxylic acid [(R)-2-hydroxy-1 -(1 H-indol-3-ylmethyl)-ethyl]-amide;
7-(3-Fluoro-5-methylcarbamoyl-phenyl)-2,3-dihydro-benzo[1 ,4]dioxine- 5-carboxylic acid [2-(6-fluoro-1 H-indol-3-yl)-1 -hydroxymethyl-ethyl]-amide;
7-(3I4,5-Trimethoxy-phenyl)-2l3-dihydro-benzo-[1 ,4]dioxine-5-carboxylic acid [2-(6-fluoro-1 H-indol-3-yl)-1 -hydroxymethyl-ethyl]-amide;
7-(3-Chloro-4-methylcarbamoyl-phenyl)-2,3-dihydro-benzo[1 ,4]dioxine- 5-carboxylic acid [2-(6-fluoro-1 H-indol-3-yl)-1-hydroxymethyl-ethyl]-amide;
5-(3,4-Difluoro-5-methoxy-phenyl)-2,3-dihydro-benzofuran-7-carboxylic acid [(R)-2-hydroxy-1-(1 H-indol-3-ylmethyl)-ethyl]-amide;
5-(3,4-Dimethoxy-phenyl)-2,3-dihydro-benzofuran-7-carboxylic acid [(R)-I- hydroxymethyl-2-(1 H-indol-3-yl)-ethyl]-amide;
5-(3-Methoxy-phenyl)-2,3-dihydro-benzofuran-7-carboxylic acid [(R)-I -hydroxy- methyl-2-(1 H-indol-3-yl)-ethyl]-amide;
5-Benzo[1 ,3]dioxol-5-yl-2,3-dihydro-benzofuran-7-carboxylic acid [(R)-I- hydroxymethyl-2-(1 H-indol-3-yl)-ethyl]-amide;
5-(3-Fluoro-4-methoxy-phenyl)-2,3-dihydro-benzofuran-7-carboxylic acid [(R)- 2-hydroxy-1-(1 H-indol-3-ylmethyl)-ethyl]-amide;
5-(3,4,5-Trimethoxy-phenyl)-2,3-dihydro-benzofuran-7-carboxylic acid [(R)-I- hydroxymethyl-2-( 1 H-indol-3-yl)-ethyl]-amide;
7-(3-Chloro-4-methylcarbamoyl-phenyl)-2,3,4,5-tetrahydro-benzo[b]oxepine-9- carboxylic acid [(R)-2-hydroxy-1-(1 H-indol-3-ylmethyl)- ethyl]-amide;
7-(4-Carbamoyl-3-chloro-phenyl)-213,4,5-tetrahydro-benzo[b]oxepine- 9-carboxylic acid [(R)-2-hydroxy-1-(1 H-indol-3-ylmethyl)-ethyl]-amide;
/-[S-Chloro-^morpholine-A-carbonyO-phenyll^.S^.S-tetrahydro-benzotb]- oxepine-9-carboxylic acid [(R)-2-hydroxy-1-(1H-indol-3-ylmethyl)-ethyl]-amide;
y-CS-Chloro-^methylcarbamoyl-phenyO-Z.S^.δ-tetrahydro-benzolbloxepine- 9-carboxylic acid [1-(6-fluoro-1 H-indol-3-ylmethyl)-2-hydroxy-ethyl]-amide;
7-(4-Carbamoyl-3-chloro-phenyl)-2,3,4,5-tetrahydro-benzo[b]oxepine- 9-carboxylic acid [1-(6-fluoro-1 H-indol-3-ylmethyl)-2-hydroxy-ethyl]-amide;
7-[3-Chloro-4-(morpholine-4-carbonyl)-phenyl]-2,3,4,5-tetrahydro-benzo[b]- oxepine-9-carboxylic acid [(R)-I -(6-fluoro-1 H-indol-3-ylmethyl)-2-hydroxy- ethyl]-amide;
7-(3-Fluoro-5-methylcarbamoyl-phenyl)-2,3,4,5-tetrahydro-benzo[b]oxepine- 9-carboxylic acid [2-(4-fluoro-1 H-indol-3-yl)-1-hydroxymethyl-ethyl]-amide;
7-(3-Fluoro-5-methylcarbamoyl-phenyl)-2,3,4,5-tetrahydro-benzo[b]oxepine- 9-carboxylic acid [2-(5-fluoro-1 H-indol-3-yl)-1-hydroxymethyl-ethyl]-amide;
7-(3-Fluoro-5-methylcarbamoyl-phenyl)-2,3,4,5-tetrahydro-benzo[b]oxepine- 9-carboxylic acid [2-(6-fluoro-1 H-indol-3-yl)-1-hydroxymethyl-ethyl]-amide;
7-(3-Fluoro-5-methylcarbamoyl-phenyl)-2,3,4,5-tetrahydro-benzo[b]oxepine- 9-carboxylic acid [(R)-2-hydroxy-1-(1 H-indol-3-ylmethyl)-ethyl]-amide;
7-(4-Methylcarbamoyl-phenylethynyl)-2,3,4,5-tetrahydro-benzo[b]oxepine- 9-carboxylic acid [(R)-I -hydroxymethyl-2-(1 H-indol-3-yl)-ethyl]-amide;
7-(3-Methylcarbamoyl-phenylethynyl)-2,3,4.5-tetrahydro-benzo[b]oxepine- 9-carboxylic acid [(R)-I -hydroxymethyl-2-(1 H-indol-3-yl)-ethyl]-amide;
7-(3-Fluoro-5-methylcarbamoyl-phenyl)-2,3,4,5-tetrahydro-benzo[b]oxepine- 9-carboxylic acid [2-(5,6-difluoro-1 H-indol-3-yl)-1 -hydroxymethyl-ethyl]-amide;
7-(3-Fluoro-5-methylcarbamoyl-phenyl)-2,3,4,5-tetrahydro-benzo[b]oxepine- 9-carboxylic acid [2-(5,7-difluoro-1 H-indol-3-yl)-1 -hydroxymethyl-ethyl]-amide;
40 7-((E)-Styryl)-2,3,4,5-tetrahydro-benzo[b]oxepine-9-carboxylic acid [(R)-I- hydroxymethyl-2-(1H-indol-3-yl)-ethyl]-amide.
The following compounds are also very particularly preferred:
41 δ-Thiophen-S-yl^.S-dihydro-benzofuran^-carboxylic acid [(R)-I- hydroxymethyl-2-(1 H-indol-3-yl)-ethyl]-amide;
42 5-(4-Methoxy-phenyl)-2,3-dihydro-benzofuran-7-carboxylic acid [(R)-I- hydroxymethyl-2-(1 H-indol-3-yl)-ethyl]-amide;
43 5-Naphthalen-2-yl-2,3-dihydro-benzofuran-7-carboxylic acid [(R)-I- hydroxymethyl-2-(1 H-indol-3-yl)-ethyl]-amide;
44 2',3'-Dihydro-[2,5']bibenzofuranyl-71-carboxylic acid [(R)-I -hydroxymethyl-2- (1 H-indol-3-yl)-ethyl]-amide;
45 5-(3-Chloro-phenyl)-2,3-dihydro-benzofuran-7-carboxylic acid [(R)-I- hydroxymethyl-2-(1 H-indol-3-yl)-ethyl]-amide;
46 5-p-Tolyl-2,3-dihydro-benzofuran-7-carboxylic acid [(R)-I -hydroxymethyl-2- (1 H-indol-3-yl)-ethyl]-amide;
47 5-Benzo[b]thiophen-2-yl-2,3-dihydro-benzofuran-7-carboxylic acid [(R)-I- hydroxymethyl-2-(1 H-indol-3-yl)-ethyl]-amide;
48 5-Naphthalen-1-yl-2,3-dihydro-benzofuran-7-carboxylic acid [(R)-I- hydroxymethyl-2-(1 H-indol-3-yl)-ethyl]-amide;
49 5-(4-Cyano-phenyl)-2,3-dihydro-benzofuran-7-carboxylic acid [(R)-I- hydroxymethyl-2-(1 H-indol-3-yl)-ethyl]-amide;
50 5-(4-Fluoro-phenyl)-2,3-dihydro-benzofuran-7-carboxylic acid [(R)-I- hydroxymethyl-2-(1 H-indol-3-yl)-ethyl]-amide;
51 5-(4-Hydroxy-phenyl)-2,3-dihydro-benzofuran-7-carboxylic acid [(R)-I- hydroxymethyl-2-(1 H-indol-3-yl)-ethyl]-amide;
52 5-(3-Trifluoromethyl-phenyl)-2,3-dihydro-benzofuran-7-carboxylic acid [(R)-I- hydroxymethyl-2-(1 H-indol-3-yl)-ethyl]-amide;
53 5-(4-Methylsulfanyl-phenyl)-2,3-dihydro-benzofuran-7-carboxylic acid [(R)-I- hydroxymethyl-2-(1 H-indol-3-yl)-ethyl]-amide;
54 5-(4-Acetyl-phenyl)-2,3-dihydro-benzofuran-7-carboxylic acid [(R)-I-
hydroxymethyl-2-(1 H-indol-3-yl)-ethyl]-amide; 5-(3-Amino-phenyl)-2,3-dihydro-benzofuran-7-carboxylic acid [(R)-I- hydroxymethyl-2-(1 H-indol-3-yl)-ethyl]-amide; δ-^-Acetyl-phenyl^.S-dihydro-benzofuran^-carboxylic acid [(R)-I- hydroxymethyl-2-(1 H-indol-3-yl)-ethyl]-amide; 5-(3-Fluoro-phenyl)-2,3-dihydro-benzofuran-7-carboxylic acid [(R)-I- hydroxymethyl-2-(1 H-indol-3-yl)-ethyl]-amide; 5-Biphenyl-3-yl-2,3-dihydro-benzofuran-7-carboxylic acid [(R)-I- hydroxymethyl-2-(1 H-indol-3-yl)-ethyl]-amide; 5-(3-Hydroxymethyl-phenyl)-2,3-dihydro-benzofuran-7-carboxylic acid [(R)-I- hydroxymethyl-2-(1 H-indol-3-yl)-ethyl]-amide; 5-Benzo[b]thiophen-3-yl-2,3-dihydro-benzofuran-7-carboxylic acid [(R)-I- hydroxymethyl-2-( 1 H-indol-3-yl)-ethyl]-amide; 5-(4-Trifluoromethyl-phenyl)-2,3-dihydro-benzofuran-7-carboxylic acid [(R)-I- hydroxymethyl-2-(1 H-indoI-3-yl)-ethyl]-amide; 5-((E)-Styryl)-2,3-dihydro-benzofuran-7-carboxylic acid [(R)-I -hydroxymethyl- 2-(1 H-indol-3-yl)-ethyl]-amide; 5-Quinolin-6-yl-2,3-dihydro-benzofuran-7-carboxylic acid [(R)-I -hydroxymethyl- 2-(1 H-indol-3-yl)-ethyl]-amide; 5-(6-Methoxy-pyridin-3-yl)-2,3-dihydro-benzofuran-7-carboxylic acid [(R)-I- hydroxymethyl-2-(1 H-indol-3-yl)-ethyl]-amide; 5-(4-Methylcarbamoyl-phenyl)-2,3-dihydro-benzofuran-7-carboxylic acid [(R)-I- hydroxymethyl-2-(1 H-indol-3-yl)-ethyl]-amide; 5-(2-Carbamoyl-phenyl)-2,3-dihydro-benzofuran-7-carboxylic acid [(R)-I- hydroxymethyl-2-( 1 H-indol-3-yl)-ethyl]-amide; 5-(2-Fluoro-phenyl)-2,3-dihydro-benzofuran-7-carboxylic acid [(R)-I- hydroxymethyl-2-(1 H-indol-3-yl)-ethyl]-amide; 5-o-Tolyl-2,3-dihydro-benzofuran-7-carboxylic acid [(R)-1-hydroxymethyl-2- (1 H-indol-3-yl)-ethyl]-amide; 5-(4-Chloro-phenyl)-2,3-dihydro-benzofuran-7-carboxylic acid [(R)-I- hydroxymethyl-2-(1 H-indol-3-yl)-ethyl]-amide;
5-Biphenyl-2-yl-2,3-dihydro-benzofuran-7-carboxylic acid [(R)-I- hydroxymethyl-2-(1H-indol-3-yl)-ethyl]-amide; 5-(3-Acetylamino-phenyl)-2,3-dihydro-benzofuran-7-carboxylic acid [(R)-I- hydroxymethyl-2-(1H-indol-3-yl)-ethyl]-amide; 5-(3-Cyano-phenyl)-2,3-dihydro-benzofuran-7-carboxylic acid [(R)-I -hydroxy- methyl-2-(1 H-indol-3-yl)-ethyl]-amide; 5-(4-Cyanomethyl-phenyl)-2,3-dihydro-benzofuran-7-carboxylic acid [(R)-I- hydroxymethyl-2-(1 H-indol-3-yl)-ethyl]-amide; 5-(5-Cyano-thiophen-2-yl)-2,3-dihydro-benzofuran-7-carboxylic acid [(R)-I- hydroxymethyl-2-(1H-indol-3-yl)-ethyl]-amide; 5-(2-Methoxy-pyrimidin-5-yl)-2,3-dihydro-benzofuran-7-carboxylic acid [(R)-I- hydroxymethyl-2-(1 H-indol-3-yl)-ethyl]-amide; 5-(2-Fluoro-pyridin-3-yl)-2,3-dihydro-benzofuran-7-carboxylic acid [(R)-I- hydroxymethy!-2-(1 H-indol-3-yl)-ethyl]-amide; 5-(3-Carbamoyl-phenyl)-2,3-dihydro-benzofuran-7-carboxylic acid [(R)-I- hydroxymethyl-2-(1 H-indol-3-yl)-ethyl]-amide; 5-(3,5-Dimethyl-phenyl)-2,3-dihydro-benzofuran-7-carboxylic acid [(R)-I- hydroxymethyl-2-(1 H-indol-3-yl)-ethyl]-amide; 5-Quinolin-3-yl-2,3-dihydro-benzofuran-7-carboxylic acid [(R)-I -hydroxymethyl- 2-(1 H-indol-3-yl)-ethyl]-amide; 5-(4-Acetylamino-phenyl)-2,3-dihydro-benzofuran-7-carboxylic acid [(R)-I- hydroxymethyl-2-(1 H-indol-3-yl)-ethyl]-amide; 5-(3-Fluoro-5-methoxy-phenyl)-2,3-dihydro-benzofuran-7-carboxylic acid [(R)- 1-hydroxymethyl-2-(1 H-indol-3-yl)-ethyl]-amide; 5-(3-Fluoro-5-methylcarbamoyl-phenyl)-2,3-dihydro-benzofuran-7-carboxylic acid [(R)-I -hydroxymethyl-2-(1 H-indol-3-yl)-ethyl]-amide; 7-((E)-Styryl)-2,3,4,5-tetrahydro-benzo[b]oxepine-9-carboxylic acid [2-(6-fluoro- 1 H-indol-3-yl)-1 -hydroxymethyl-ethyl]-amide; 7-(4-Methylcarbamoyl-phenylethynyl)-2,3,4,5-tetrahydro-benzo[b]oxepine-9- carboxylic acid [2-(6-f luoro-1 H-indol-3-yl)-1 -hydroxymethyl-ethyl]-amide; 7-(2-Methoxy-phenylethynyl)-2,3-dihydro-benzo[1 ,4]dioxine-5-carboxylic acid
[(R)-I -hydroxymethyl-2-(1 H-indol-3-yl)-ethyl]-amide;
86 /-(S-Fluoro-δ-methylcarbamoyl-phenyl^.S^.δ-tetrahydro-benzoIbloxepine-θ- carboxylic acid [2-hydroxy-1-(4-methyl-1 H-indol-3-ylmethyl)-ethyl]-amide;
87 7-(3-Fluoro-5-methylcarbamoyl-phenyl)-213>415-tetrahydro-benzo[b]oxepine-9- carboxylic acid [(R)-2-hydroxy-1-(1 H-indol-3-ylmethyl)-2-methyl-propyl]-amide;
88 6-(3-Chloro-4-methylcarbamoyl-phenyl)-2,2-dimethyl-2H-chromene-8- carboxylic acid [2-(4-fluoro-1 H-indol-3-yl)-1-hydroxymethyl-ethyl]-amide;
89 6-(3-Chloro-4-methylcarbamoyl-phenyl)-2,2-dimethyl-2H-chromene-8- carboxylic acid [2-(5-fluoro-1 H-indol-3-yl)-1-hydroxymethyl-ethyl]-amide;
90 Θ^S-Chloro^-methylcarbamoyl-phenyl^^-dimethyl^H-chromene-δ- carboxylic acid [2-(6-fluoro-1 H-indol-3-yl)-1-hydroxymethyl-ethyl]-amide;
91 7-(3-Methylcarbamoyl-phenylethynyl)-2,3,4,5-tetrahydro-benzo[b]oxepine-9- carboxylic acid [2-(6-fluoro-1 H-indol-3-yl)-1-hydroxymethyl-ethyl]-amide;
92 7-Biphenyl-4-yl-2,3-dihydro-benzo[1 ,4]dioxine-5-carboxylic acid [(R)-I- hydroxymethyl-2-(1 H-indol-3-yl)-ethyl]-amide;
93 7-m-Tolyl-2,3-dihydro-benzo[1 ,4]dioxine-5-carboxylic acid [(R)-I - hydroxymethyl-2-(1 H-indol-3-yl)-ethyl]-amide;
94 7-(3-Fluoro-4-methyl-phenyl)-2,3-dihydro-benzo[1 ,4]dioxine-5-carboxylic acid [(R)-I -hydroxymethyl-2-(1 H-indol-3-yl)-ethyl]-amide;
95 7-(2-Fluoro-4-methyl-phenyl)-2>3-dihydro-benzo[1 ,4]dioxine-5-carboxylic acid [(R)-I -hydroxymethyl-2-(1 H-indol-3-yl)-ethyl]-amide;
96 7-(4-Hydroxymethyl-phenyl)-2,3-dihydro-benzo[1 ,4]dioxine-5-carboxylic acid [(R)-I -hydroxymethyl-2-(1 H-indol-3-yl)-ethyl]-amide;
97 7-(4-tert-Butyl-phenyl)-2,3-dihydro-benzo[1 ,4] dioxine-5-carboxylic acid [(R)-I- hydroxymethyl-2-(1 H-indol-3-yl)-ethyl]-amide;
98 7-(4-Chloro-phenyl)-2,3-dihydro-benzo[1 ,4] dioxine-5-carboxylic acid [(R)-I- hydroxymethyl-2-(1 H-indol-3-yl)-ethyl]-amide;
99 7-(3-Trifluoromethoxy-phenyl)-2,3-dihydro-benzo[1 ,4]dioxine-5-carboxylic acid [(R)-I -hydroxymethyl-2-(1 H-indol-3-yl)-ethyl]-amide;
100 7-(3-Methylsulfanyl-phenyl)-2,3-dihydro-benzo[1 ,4]dioxine-5-carboxylic acid [(R)-I -hydroxymethyl-2-(1 H-indol-3-yl)-ethyl]-amide;
101 7-Pyridin-3-yl-2,3-dihydro-benzo[1 ,4]dioxine-5-carboxylic acid [(R)-I- hydroxymethyl-2-(1H-indol-3-yl)-ethyl]-amide;
102 7-(4-Trifluoromethoxy-phenyl)-2,3-dihydro-benzo[1 ,4]dioxine-5-carboxylic acid [(R)-I -hydroxymethyl-2-(1 H-indol-3-yl)-ethyl]-amide;
103 7-(3-Hydroxy-phenyl)-2,3-dihydro-benzo[1 ,4]dioxine-5-carboxylic acid [(R)-I- hydroxymethyl-2-(1 H-indol-3-yl)-ethyl]-amide;
104 7-(3-Cyano-4-fluoro-phenyl)-2,3-dihydro-benzo[1 ,4]dioxine-5-carboxylic acid [(R)-I -hydroxymethyl-2-(1 H-indol-3-yl)-ethyl]-amide;
105 7-(4-Methanesulfinyl-phenyl)-2,3-dihydro-benzo[1 ,4]dioxine-5-carboxylic acid [(R)-I -hydroxymethyl-2-(1 H-indol-3-yl)-ethyl]-amide;
106 7-(3-Cyanomethyl-phenyl)-2,3-dihydro-benzo[1 ,4]dioxine-5-carboxylic acid [(R)-I -hydroxymethyl-2-(1 H-indol-3-yl)-ethyl]-amide;
107 7-(2-Acetylamino-phenyl)-2,3-dihydro-benzo[1 ,4]dioxine-5-carboxylic acid [(R)- 1-hydroxymethyl-2-(1 H-indol-3-yi)-ethyl]-amide;
108 7-(5-Methyl-furan-2-yl)-2,3-dihydro-benzo[1 ,4]dioxine-5-carboxylic acid [(R)-I- hydroxymethyl-2-(1 H-indol-3-yl)-ethyl]-amide;
109 7-(3-Fluoro-4-methoxy-phenyl)-2,3-dihydro-benzo[1 ,4]dioxine-5-carboxylic acid [(R)-I -hydroxymethyl-2-(1 H-indol-3-yl)-ethyl]-amide;
110 7-Pyridin-4-yl-2,3-dihydro-benzo[1 ,4]dioxine-5-carboxylic acid [(R)-I - hydroxymethyl-2-(1 H-indol-3-yl)-ethyl]-amide;
111 7-(3-Chloro-4-fluoro-phenyl)-2,3-dihydro-benzo[1 ,4]dioxine-5-carboxylic acid [(R)-I -hydroxymethyl-2-(1 H-indol-3-yl)-ethyl]-amide;
112 7-(3,4-Difluoro-phenyl)-2,3-dihydro-benzo[1 ,4]dioxine-5-carboxylic acid [(R)-I- hydroxymethyl-2-(1 H-indol-3-yl)-ethyl]-amide;
113 7-(3,5-Difluoro-phenyl)-2,3-dihydro-benzo[1 ,4]dioxine-5-carboxylic acid [(R)-I- hydroxymethyl-2-(1 H-indol-3-yl)-ethyl]-amide;
114 7-(2,4-Dimethoxy-pyrimidin-5-yl)-2,3-dihydro-benzo[1 ,4]dioxine-5-carboxylic acid [(R)-I -hydroxymethyl-2-( 1 H-indol-3-yl)-ethyl]-amide;
115 7-(4-Methyl-thiophen-2-yl)-2,3-dihydro-benzo[1 ,4]dioxine-5-carboxylic acid [(R)-I -hydroxymethyl-2-(1 H-indol-3-yl)-ethyl]-amide;
116 7-(3-Methanesulfonyl-phenyl)-2,3-dihydro-benzo[1 ,4]dioxine-5-carboxylic acid
[(R)-I -hydroxymethyl-2-(1 H-indol-3-yl)-ethyl]-amide;
117 2-Fluoro-5-{8-[(R)-1-hydroxymethyl-2-(1 H-indol-3-yl)-ethylcarbamoyl]-2,3- dihydro-benzo[1 ,4]dioxin-6-yl}-benzoic acid;
118 4-{8-[(R)-1-Hydroxymethyl-2-(1 H-indol-3-yl)-ethylcarbamoyl]-2,3-dihydro- benzo[1 ,4]dioxin-6-yl}-2-methoxy-benzoic acid methyl ester;
119 7-(4-Carbamoyl-3-chloro-phenyl)-2,3-dihydro-benzo[1 ,4]dioxine-5-carboxylic acid [(R)-1-hydroxymethyl-2-(1 H-indol-3-yl)-ethyl]-amide;
120 7-(3-Dimethylsulfamoyl-phenyl)-2,3-dihydro-benzo[1 ,4]dioxine-5-carboxylic acid [(R)-1-hydroxymethyl-2-(1H-indol-3-yl)-ethyl]-amide;
121 7-[3-(Thiazol-2-ylcarbamoyl)-phenyl]-2,3-dihydro-benzo[1 ,4]dioxine-5- carboxylic acid [(R)-I -hydroxymethyl-2-( 1 H-indol-3-yl)-ethyl]-amide;
122 7-(4-Methylsulfamoyl-phenyl)-2,3-dihydro-benzo[1 ,4]dioxine-5-carboxylic acid [(R)-I -hydroxymethyl-2-(1H-indol-3-yl)-ethyl]-amide;
123 7-(4-Dimethylsulfamoyl-phenyl)-2,3-dihydro-benzo[1 ,4]dioxine-5-carboxylic acid [(R)-I -hydroxymethyl-2-( 1 H-indol-3-yl)-ethyl]-amide;
124 7-(3-Diethylcarbamoyl-phenyl)-2,3-dihydro-benzo[1 ,4]dioxine-5-carboxylic acid [(R)-I -hydroxymethyl-2-(1 H-indol-3-yl)-ethyl]-amide;
125 7-(4-Diethylcarbamoyl-phenyl)-2,3-dihydro-benzo[1 ,4]dioxine-5-carboxylic acid [(R)-I -hydroxymethyl-2-(1 H-indol-3-yl)-ethyl]-amide;
126 S-iδ-KRJ-i-Hydroxymethyl^i H-indol-S-yO-ethylcarbamoy^.S-dihydro- benzo[1 ,4]dioxin-6-yl}-benzoic acid;
127 7-(4-Carbamoyl-phenyl)-2,3-dihydro-benzo[1 ,4]dioxine-5-carboxylic acid [(R)- 1-hydroxymethyl-2-(1 H-indol-3-yl)-ethyl]-amide;
128 7-(3-Methylsulfamoyl-phenyl)-2,3-dihydro-benzo[1 ,4]dioxine-5-carboxylic acid [(R)-I -hydroxymethyl-2-(1 H-indol-3-yl)-ethyl]-amide;
129 7-Naphthalen-2-yl-2,3-dihydro-benzo[1 ,4]dioxine-5-carboxylic acid [(R)-I- hydroxymethyl-2-(1 H-indol-3-yl)-ethyl]-amide;
130 7-(3-Chloro-phenyl)-2,3-dihydro-benzo[1 ,4]dioxine-5-carboxylic acid [(R)-I- hydroxymethyl-2-(1 H-indol-3-yl)-ethyl]-amide;
131 7-p-Tolyl-2,3-dihydro-benzo[1 ,4]dioxine-5-carboxylic acid [(R)-I- hydroxymethyl-2-(1 H-indol-3-yl)-ethyl]-amide;
7-Benzo[b]thiophen-2-yl-2,3-dihydro-benzo[1 ,4]dioxine-5-carboxylic acid [(R)- 1 -hydroxymethyl-2-( 1 H-indol-3-yl)-ethyl]-amide; 7-Naphthalen-1 -yl-2,3-dihydro-benzo[1 ,4]dioxine-5-carboxylic acid [(R)-I- hydroxymethyl-2-(1 H-indol-3-yl)-ethyl]-amide; 7-(4-Cyano-phenyl)-2,3-dihydro-benzo[1 ,4]dioxine-5-carboxylic acid [(R)-I- hydroxymethyl-2-(1 H-indol-3-yl)-ethyl]-amide; 7-(3-Amino-phenyl)-2,3-dihydro-benzo[1 ,4]dioxine-5-carboxylic acid [(R)-I- hydroxymethyl-2-(1 H-indol-3-yl)-ethyl]-amide; 7-(3-Acetyl-phenyl)-2,3-dihydro-benzo[1 ,4]dioxine-5-carboxylic acid [(R)-I- hydroxymethyl-2-(1 H-indol-3-yl)-ethyl]-amide; 7-(3-Fluoro-phenyl)-2,3-dihydro-benzo[1 ,4]dioxine-5-carboxylic acid [(R)-I - hydroxymethyl-2-(1H-indol-3-yl)-ethyl]-amide; 7-(4-Trifluoromethyl-phenyl)-2,3-dihydro-benzo[1 ,4]dioxine-5-carboxylic acid [(R)-1-hydroxymethyl-2-(1 H-indol-3-yl)-ethyl]-amide; 7-Quinolin-6-yl-2,3-dihydro-benzo[1 ,4]dioxine-5-carboxylic acid [(R)-I- hydroxymethyl-2-(1H-indol-3-yl)-ethyl]-amide; 7-(6-Methoxy-pyridin-3-yl)-2,3-dihydro-benzo[1 ,4]dioxine-5-carboxylic acid [(R)-I -hydroxymethyl-2-(1 H-indol-3-yl)-ethyl]-amide; 7-(3-Methylcarbamoyl-phenyl)-2,3-dihydro-benzo[1 ,4]dioxine-5-carboxylic acid [(R)-I -hydroxymethyl-2-(1 H-indol-3-yl)-ethyl]-amide; 7-(4-Methylcarbamoyl-phenyl)-2,3-dihydro-benzo[1 ,4]dioxine-5-carboxylic acid [(R)-I -hydroxymethyl-2-(1 H-indol-3-yl)-ethyl]-amide; 7-o-Tolyl-2,3-dihydro-benzo[1 ,4]dioxine-5-carboxylic acid [(R)-I- hydroxymethyl-2-(1 H-indol-3-yl)-ethyl]-amide; 7-[3-(Acetylamino-methyl)-phenyl]-2,3-dihydro-benzo[1 ,4]dioxine-5-carboxylic acid [(R)-I -hydroxymethyl-2-( 1 H-indol-3-yl)-ethyl]-amide; 7-(1-Methyl-1 H-indol-5-yl)-2,3-dihydro-benzo[1 ,4]dioxine-5-carboxylic acid [(R)-I -hydroxymethyl-2-(1 H-indol-3-yl)-ethyl]-amide; 7-Thiophen-3-yl-2,3-dihydro-benzo[1 ,4]dioxine-5-carboxylic acid [(R)-2- hydroxy-1-(1 H-indol-3-ylmethyl)-ethyl]-annide;
147 7-(4-Methoxy-phenyl)-2,3-dihydro-benzo[1 ,4]dioxine-5-carboxylic acid [(R)-I- hydroxymethyl-2-(1H-indol-3-yl)-ethyl]-amide;
148 7-(3-Methoxy-phenyl)-2,3-dihydro-benzo[1 ,4]dioxine-5-carboxylic acid [(R)-I- hydroxymethyl-2-(1 H-indol-3-yl)-ethyl]-amide;
149 7-(4-Hydroxy-phenyl)-2,3-dihydro-benzo[1 ,4]dioxine-5-carboxylic acid [(R)-I- hydroxymethyl-2-(1H-indol-3-yl)-ethyl]-amide;
150 7-(4-Acetyl-phenyl)-2,3-dihydro-benzo[1 ,4]dioxine-5-carboxylic acid [(R)-I- hydroxymethyl-2-(1 H-indol-3-yl)-ethyl]-amide;
151 7-Biphenyl-3-yl-2,3-dihydro-benzo[1 ,4]dioxine-5-carboxylic acid [(R)-I- hydroxymethyl-2-(1 H-indol-3-yl)-ethyl]-amide;
152 7-(3-Hydroxymethyl-phenyl)-2,3-dihydro-benzo[1 ,4]dioxine-5-carboxylic acid [(R)-I -hydroxymethyl-2-(1 H-indol-3-yl)-ethyl]-amide;
153 7-(2-Fluoro-phenyl)-2,3-dihydro-benzo[1 ,4]dioxine-5-carboxylic acid [(R)-I- hydroxymethy!-2-(1H-indo!-3-yl)-ethyl]-amide;
154 7-(3-MethanesuIfonylamino-phenyl)-2,3-dihydro-benzo[1 ,4]dioxine-5-carboxylic acid [(R)-I -hydroxymethyl-2-(1H-indol-3-yl)-ethyl]-amide;
155 7-Benzo[1 ,3]dioxol-5-yl-2,3-dihydro-benzo[1 ,4]dioxine-5-carboxylic acid [(R)-I- hydroxymethyl-2-(1 H-indol-3-yl)-ethyl]-amide;
156 7-(3-Cyano-phenyl)-2,3-dihydro-benzo[1 ,4]dioxine-5-carboxylic acid [(R)-I- hydroxymethyl-2-(1 H-indol-3-yl)-ethyl]-amide;
157 7-(4-Cyanomethyl-phenyl)-2,3-dihydro-benzo[1 ,4]dioxine-5-carboxylic acid [(R)-I -hydroxymethyl-2-(1 H-indol-3-yl)-ethyl]-amide;
158 3-{8-[(R)-1-Hydroxymethyl-2-(1H-indol-3-yl)-ethylcarbamoyl]-2,3-dihydro-benzo [1 ,4]dioxin-6-yl}-benzoic acid methyl ester;
159 7-(2-Fluoro-pyridin-3-yl)-2,3-dihydro-benzo[1 ,4]dioxine-5-carboxylic acid [(R)- 1-hydroxymethyl-2-(1 H-indol-3-yl)-ethyl]-amide;
160 7-(3-Carbamoyl-phenyl)-2,3-dihydro-benzo[1 ,4]dioxine-5-carboxylic acid [(R)- 1-hydroxymethyl-2-(1 H-indol-3-yl)-ethyl]-amide;
161 7-(3,5-Dimethyl-phenyl)-2,3-dihydro-benzo[1 ,4]dioxine-5-carboxylic acid [(R)-I- hydroxymethyl-2-(1 H-indol-3-yl)-ethyl]-amide;
162 7-(4-Acetylamino-phenyl)-2,3-dihydro-benzo[1 ,4]dioxine-5-carboxylic acid [(R)-
1 -hydroxymethyl-2-(1 H-indol-3-yl)-ethyl]-amide; 7-(3-Fluoro-5-hydroxy-phenyl)-2,3-dihydro-benzo[1 ,4]dioxine-5-carboxylic acid [(R)-I -hydroxymethyl-2-(1 H-indol-3-yl)-ethyl]-amide; 7-[3-Chloro-4-(pyrrolidine-1-carbonyl)-phenyl]-2,3-dihydro-benzo[1 ,4]dioxine-5- carboxylic acid [(R)-I -hydroxymethyl-2-( 1 H-indol-3-yl)-ethyl]-amide; y-tS-Chloro^piperidine-i-carbonylJ-phenyll^.S-dihydro-benzoti ^Jdioxine-δ- carboxylic acid [(R)-I -hydroxymethyl-2-(1 H-indol-3-yl)-ethyl]-amide; 7-[3-Chloro-4-(morpholine-4-carbonyl)-phenyl]-2,3-dihydro-benzo[1 ,4]dioxine- 5-carboxylic acid [(R)-I -hydroxymethyl-2-(1 H-indol-3-yl)-ethyl]-amide; 7-(3-Chloro-4-diethylcarbamoyl-phenyl)-2,3-dihydro-benzo[1 ,4]dioxine-5- carboxylic acid [(R)-I -hydroxymethyl-2-(1 H-indol-3-yl)-ethyl]-amide; 7-(3-Chloro-4-dimethylcarbamoyl-phenyl)-2,3-dihydro-benzo[1 ,4]dioxine-5- carboxylic acid [(R)-I -hydroxymethyl-2-(1 H-indol-3-yl)-ethyl]-amide; 7-(4-tert-Butylcarbamoyl-3-chloro-phenyl)-2,3-dihydro-benzo[1 ,4]dioxine-5- carboxylic acid [(R)-I -hydroxymethyl-2-(1 H-indol-3-yl)-ethyl]-amide; 7-(3-Chloro-4-cyclopropylcarbamoyl-phenyl)-2,3-dihydro-benzo[1 ,4]dioxine-5- carboxylic acid [(R)-I -hydroxymethyl-2-(1 H-indol-3-yl)-ethyl]-amide; 7-(3-Chloro-4-isopropylcarbamoyl-phenyl)-2,3-dihydro-benzo[1 ,4]dioxine-5- carboxylic acid [(R)-1-hydroxymethyl-2-(1 H-indol-3-yl)-ethyl]-amide; 7-(3-Chloro-4-ethylcarbamoyl-phenyl)-2,3-dihydro-benzo[1 ,4]dioxine-5- carboxylic acid [(R)-1-hydroxymethyl-2-(1 H-indol-3-yl)-ethyl]-amide; 7-[4-(Thiomorpholine-4-sulfonyl)-phenyl]-2,3-dihydro-benzo[1 ,4]dioxine-5- carboxylic acid [(R)-1-hydroxymethyl-2-(1 H-indol-3-yl)-ethyl]-amide; 7-(4-Ethylsulfamoyl-phenyl)-2,3-dihydro-benzo[1 ,4]dioxine-5-carboxylic acid [(R)-I -hydroxymethyl-2-(1 H-indol-3-yl)-ethyl]-amide; 2-Chloro-4-{8-[(R)-1-hydroxymethyl-2-(1 H-indol-3-yl)-ethylcarbamoyl]-2,3- dihydro-benzo[1 ,4]dioxin-6-yl}-benzoic acid methyl ester; 7-[4-(Acetylamino-methyl)-phenyl]-2,3-dihydro-benzo[1 ,4]dioxine-5-carboxylic acid [(R)-1-hydroxymethyl-2-(1 H-indol-3-yl)-ethyl]-amide; 7-[3-Methanesulfonylamino-methyl)-phenyl]-2,3-dihydro-benzo[1 ,4]dioxine-5- carboxylic acid [(R)-I -hydroxymethyl-2-(1 H-indol-3-yl)-ethyl]-amide;
179 7-(3-Cyclopentylcarbamoyl-phenyl)-2,3-dihydro-benzo[1 ,4]dioxine-5-carboxylic acid [(R)-I -hydroxymethyl-2-( 1 H-indol-3-yl)-ethyl]-amide;
180 7-(3-lsobutylcarbamoyl-phenyl)-2,3-dihydro-benzo[1 ,4]dioxine-5-carboxylic acid [(R)-1-hydroxymethyl-2-(1 H-indol-3-yl)-ethyl]-amide;
181 7-(3-Ethylcarbamoyl-phenyl)-2,3-dihydro-benzo[1 ,4]dioxine-5-carboxylic acid [(R)-I -hydroxymethyl-2-(1 H-indol-3-yl)-ethyl]-amide;
182 7-[3-(Pyrrolidine-1 -carbonyl)-phenyl]-2,3-dihydro-benzo[1 ,4]dioxine-5- carboxylic acid [(R)-I -hydroxymethyl-2-( 1 H-indol-3-yl)-ethyl]-amide;
184 7-[4-(Pyrrolidine-1 -carbonyl)-phenyl]-2,3-dihydro-benzo[1 ,4]dioxine-5- carboxylic acid [(R)-I -hydroxymethyl-2-( 1 H-indol-3-yl)-ethyl]-amide;
187 7-(4-Morpholin-4-yl-phenyl)-2,3-dihydro-benzo[1 ,4]dioxine-5-carboxylic acid [(R)-I -hydroxymethyl-2-(1 H-indol-3-yl)-ethyl]-amide;
188 2-{8-[(R)-1-Hydroxymethyl-2-(1H-indol-3-yl)-ethylcarbamoyl]-2,3-dihydro- benzo[1 ,4]dioxin-6-yl}-pyrrole-1-carboxylic acid tert-butyi ester;
189 7-(1 -Methyl- 1 H-pyrazol-4-yl)-2,3-dihydro-benzo[1 ,4]dioxine-5-carboxylic acid [(R)-I -hydroxymethyl-2-(1H-indol-3-yl)-ethyl]-amide;
190 6-(3-Chloro-4-methylcarbamoyl-phenyl)-2,2-dimethyl-chroman-8-carboxylic acid [2-(5,7-difluoro-1 H-indol-3-yl)-1 -hydroxymethyl-ethyl]-amide;
191 6-(3-Chloro-4-methylcarbamoyl-phenyl)-2,2-dimethyl-chroman-8-carboxylic acid [2-(5,6-difluoro-1H-indol-3-yl)-1-hydroxymethyl-ethyl]-amide;
The present invention also relates to a process for preparing the compounds according to the invention. Compounds of the general formula I can be prepared as shown in Scheme 1 by an amide forming reaction between the tryptophanol derivative IV and the carboxylic acid V. Reagents suitable for this purpose are all suitable peptide-coupling reagents which are known to the skilled person and which convert the carboxylic acid, where appropriate in the presence of a base, into an intermediate active ester, for example PyBOP ([(1H-benzotriazol-1-yl)oxy]tris(pyrrolidin-1-yl)phosphonium hexa- fluorophosphate), HATU (2-(7-aza-1H-benzotriazol-1-yl)-1 ,1 ,3,3-tetramethyluronium hexafluorophosphate), HBTU (2-(1 H-benzotriazol-1-yl)-1 ,1 ,3,3-tetramethyluronium hexafluorophosphate), EDC (Λ/-[3-(dimethylamino)propyl]-Λ/'-ethylcarbodiimide hydrochloride) / HOBt (1-hydroxy-1H-benzotriazole). It is possible as alternative for the carboxylic acid to be converted, where appropriate in the presence of a base, into the
carbonyl chloride and reacted with the tryptophanol IV to give the product of the general formula I. Suitable reagents for preparing the intermediate carbonyl chloride are for example thionyl chloride, oxalyl chloride, phosgene or derivatives thereof.
Scheme 1
Compounds of general formula Il can be prepared as shown in Scheme 2 by an amide forming reaction between the tryptophanol derivative IV and the appropriate carboxylic acid Vl. Reagents suitable for this purpose are all known peptide-coupling reagents which convert the carboxylic acid, where appropriate in the presence of a base, into an intermediate active ester, for example PyBOP ([(1H-benzotriazol-1-yl)oxy]tris(pyrrolidin- 1-yl)phosphonium hexafluorophosphate), HATU (2-(7-aza-1H-benzotriazol-1-yl)-1 , 1,3,3- tetramethyluronium hexafluorophosphate), HBTU (2-(1/-/-benzotriazol-1-yl)-1 , 1 ,3,3- tetramethyluronium hexafluorophosphate), EDC (Λ/-[3-(dimethylamino)propyl]-Λ/'- ethylcarbodiimide hydrochloride) / HOBt (1-hydroxy-1H-benzotriazole). It is possible as alternative for the carboxylic acid to be converted, where appropriate in the presence of a base, into the carbonyl chloride and reacted with the tryptophanol IV to give the product of the general formula II. Suitable reagents for preparing the intermediate carbonyl chloride are for example thionyl chloride, oxalyl chloride, phosgene or derivatives thereof.
Scheme 2
Compounds of general formula III can be prepared as shown in Scheme 3 by an amide forming reaction between the tryptophanol derivative IV and the appropriate carboxylic acid VII. Reagents suitable for this purpose are all suitable peptide-coupling reagents which are known to the skilled person and which convert the carboxylic acid, where appropriate in the presence of a base, into an intermediate active ester, for example PyBOP ([(1H-benzotriazol-1-yl)oxy]tris(pyrrolidin-1-yl)phosphonium hexafluoro- phosphate), HATU (2-(7-aza-1H-benzotriazol-1-yl)-1 ,1 ,3,3-tetramethyluronium hexa- fluorophosphate), HBTU (2-(1/-/-benzotriazol-1-yl)-1 ,1 ,3,3-tetramethyluronium hexa- fluorophosphate), EDC (Λ/-[3-(dimethylamino)propyl]-Λ/'-ethylcarbodiimide hydrochloride) / HOBt (1-hydroxy-1H-benzotriazole). It is possible as alternative for the carboxylic acid to be converted, where appropriate in the presence of a base, into the carbonyl chloride and reacted with the tryptophanol IV to give the product of the general formula III. Suitable reagents for preparing the intermediate carbonyl chloride are for example thionyl chloride, oxalyl chloride, phosgene or derivatives thereof.
Scheme 3
Alternatively, compounds of the general formula I can also be prepared as shown in Scheme 4 by a metal catalyzed cross coupling reaction between the aryl halide VIII (wherein Hal stands for chlorine, bromine or iodine) and the correspondingly functionalized building block Xl known to the skilled person, for example: a Suzuki reaction (R = -B(OH)2), a Sonogashira coupling (R = H, X = -C≡C-), a Negishi coupling (R = Zn-HaI) or a Stille coupling (R = Sn(alkyl)3). Preferred metal catalysts used are typically those containing palladium or nickel, depending on the nature of the cross- coupling reaction. For a more detailed description of the metal catalyzed cross-coupling reactions applied and applicable for the synthesis of compounds of the formula I1 see e.g. S. Takahashi, Y. Kuroyama, K. Sonogashira and N. Hagihara, Synthesis, 1980, 627; Metal catalyzed Cross-coupling Reactions, ed. F. Diederich and P. J. Stang, Wiley- VCH, Weinheim, 1998; K. Sonogashira, J. Organomet. Chem., 2002, 653 (1-2), 46.
Scheme 4
Likewise, compounds of the general formula Il can be prepared as shown in Scheme 5 by a metal catalyzed cross coupling reaction between the aryl halide IX and the correspondingly functionalized building block Xl known to the skilled person.
Scheme 5
Likewise, compounds of the general formula III can be prepared as shown in Scheme 6 by a metal catalyzed cross coupling reaction between the aryl halide X and the correspondingly functionalized building block Xl known to the skilled person.
Scheme 6
The present invention further relates to the carboxylic acids of the formulae V, Vl and VII as intermediates of the process according to the invention for preparing the compounds according to the invention, namely:
6-(3,4,5-Trimethoxy-phenyl)-2H-chromene-8-carboxylic acid;
6-o-Tolylethynyl-2H-chromene-8-carboxylic acid;
6-(2-Methoxy-phenylethynyl)-2H-chromene-8-carboxylic acid;
5-(3,4-Dimethoxy-phenyl)-2-vinyl-2,3-dihydro-benzofuran-7-carboxylic acid;
5-(3,4-Dimethoxy-phenyl)-2-ethyl-2,3-dihydro-benzofuran-7-carboxylic acid;
5-(3,4-Difluoro-5-methoxy-phenyl)-2,3-dihydro-benzofuran-7-carboxylic acid;
5-(3,4-Dimethoxy-phenyl)-2,3-dihydro-benzofuran-7-carboxylic acid;
5-(3-Methoxy-phenyl)-2,3-dihydro-benzofuran-7-carboxylic acid;
δ-BenzoII .Sjdioxol-δ-yl^.S-dihydro-benzofuran^-carboxylic acid;
5-(3-Fluoro-4-methoxy-phenyl)-2,3-dihydro-benzofuran-7-carboxylic acid;
5-(3,4,5-Trimethoxy-phenyl)-2,3-dihydro-benzofuran-7-carboxylic acid;
7-(3-Fluoro-5-methylcarbamoyl-phenyl)-2,3,4,5-tetrahydro-benzo[b]oxepine-9- carboxylic acid and the methyl, ethyl, propyl and butyl esters thereof.
The present invention further relates to the aryl halides of the formulae VIII1 IX and X as intermediates of the process according to the invention for preparing the compounds according to the invention, namely:
6-lodo-2H-chromene-8-carboxylic acid [(R)-2-hydroxy-1 -(1 H-indol-3-ylmethyl)-ethyl]- amide;
6-lodo-2-methyl-2H-chromene-8-carboxylic acid [(R)-I -hydroxymethyl-2-( 1 H-indol-3- yl)-ethyl]-amide;
6-lodo-2,2-dimethyl-2H-chromene-8-carboxylic acid [(R)-2-hydroxy-1-(1 H-indol-3- ylmethyl)-ethyl]-amide;
7-Bromo-2,3-dihydro-benzo[1 ,4]dioxine-5-carboxylic acid [(R)-2-hydroxy-1-(1H-indol-3- ylmethyl)-ethyl]-amide;
7-Bromo-2,3-dihydro-benzo[1 ,4]dioxine-5-carboxylic acid [2-(6-fluoro-1 H-indo!-3-yl)-1- hydroxymethyl-ethyl]-amide;
7-Bromo-2,3,4,5-tetrahydro-benzo[b]oxepine-9-carboxylic acid [(R)-2-hydroxy-1-(1 H- indol-3-ylmethyl)-ethyl]-amide;
7-Bromo-2,3,4,5-tetrahydro-benzo[b]oxepine-9-carboxylic acid [1 -(6-fluoro-1 H-indol-3- ylmethyl )-2-hyd roxy-ethyl]-a m ide.
Pharmacological data
HTRF assay for measuring cAMP in cells
The method is based on a competitive immunoassay between native cAMP, which has been produced by the cells, and cAMP which is labelled with XL665. The tracer binding was visualized by a monoclonal antibody, anti-cAMP labelled with cryptate [HTRF = homogeneous time-resolved fluorescence].
The specific signal is inversely proportional to the cAMP concentration of the samples employed.
The 665nm/ 620nm fluorescence ratio was evaluated.
The following material was used: 96-well plates for the tissue culture, 96-well plates with black edge and black base (e.g. Fluotrac 600 from Greiner), 96-well plates for the substance dilutions of polypropylene and cAMP Femtomolar (4000wells Kit, CIS Bio International # 62AM1PEC).
The following reagents were used: BSA (bovine serum albumin) Fraction V protease- free, IBMX (3-isobutyl-1-methylxanthine), hFSH (human follicle stimulating hormone), Triton X-100 analytical grade, potassium fluoride analytical grade, G 418 (Geneticin) and Accutase.
Buffer 1 (washing and testing buffer) contained PBS, 1 mM CaCI2, 1 mM MgCI2, 0.2% glucose; 0.1% BSA, 1 mM IBMX.
Buffer 2 (2x lysis buffer) contained 1 % Triton X-100 in PBS (without CaCI2 and MgCI2).
Buffer 3 (assay buffer) contained 50 mM potassium phosphate buffer (pH 7.0); 800 mM potassium fluoride; 0.2% BSA (always added fresh).
Procedure:
On day 1 , the cells were seeded in 96-well plates (3x104 cells per well hFSHR clone 16 cells (CHO cells stably transfected with the human FSH receptor in 150 μl of medium). The next day, test substance dilutions were made up. For this purpose, all the substances were diluted in ice-cold buffer 1 (with or without hFSH), and the substance dilutions were placed on ice until applied to the cells.
The cell supernatant was then aspirated off, and the cells were washed 2x with 200 μl of buffer 1. The cells were treated with 60 μl of the appropriate substance concentrations at 370C for 2h. The cells were then lysed with 60 μl of buffer 2 (put onto the supernatant) (on a plate shaker at RT for 30 min).
The test conjugates (XL-665 and anti-cAMP cryptate) were diluted in buffer 3 in accordance with the manufacturers' information. The actual mixture for measurement was pipetted into a black 96-well plate (in each case 15 μl of the cell lysate diluted with 35 μl of buffer 1; firstly 25 μl of XL-665 conjugate were pipetted and, after 10 min, 25 μl of the anti-cAMP cryptate were added). This is followed by incubation at RT for 90 minutes. The measurement was carried out in a PheraStar (BMG).
Tissue culture conditions 1 ) hFSHr clone 16 Ham's F12
PSG
10% FCS 700 μg/ml G 418 (Geneticin) from PAA.
Dose-effect curve (hFSH) for the human receptor: 1e-8, 3e-9, 1e-9, 3e-10, 1e-10, 3e- 11 , 1e-11 , 3e-12 mol/l.
The test substances were employed in suitable dilutions in the absence (test for agonism) and in the presence of 1e-9 mol/l hFSH.
Evaluation
The values of the well ratio were averaged and then entered directly in SigmaPlot versus the concentrations. The maximum and minimum values were determined for each plate, and half the difference is to be regarded as IC50.
The test results (Table 1 ) show that the compounds according to the invention have an FSH-antagonistic effect.
Table 1. FSH-antagonistic effect of selected compounds in the HTRF assay
Table 2 continued.
FSH-antagonistic effect of selected compounds in the HTRF assay
Being potent antagonists of the FSH receptor, compounds of the general formula I or pharmaceutically acceptable salts thereof can thus be used for the manufacture of medicaments to be used for the fertility control in male and/or in a female animals, in particular in men and/or women; as well as for the treatment and/or prevention of osteoporosis.
Pharmaceutical compositions
The invention further relates to compounds of the general formula I or pharmaceutically acceptable salts thereof as therapeutic active ingredients, and to pharmaceutical compositions comprising at least one compound of the general formula I or pharmaceutically acceptable salts thereof, where appropriate together with pharmaceutically suitable excipients and/or carriers.
Pharmaceutically acceptable salts of the compounds of the general formula I can be prepared by methods known to the skilled person, depending on the nature of the compound of formula I1 either by using as inorganic acids inter alia hydrochloric acid, hydrobromic acid, sulphuric acid and phosphoric acid, nitric acid, as carboxylic acids inter alia acetic acid, propionic acid, hexanoic acid, octanoic acid, decanoic acid, oleic acid, stearic acid, maleic acid, fumaric acid, succinic acid, benzoic acid, ascorbic acid, oxalic acid, salicylic acid, tartaric acid, citric acid, lactic acid, glycolic acid, malic acid, mandelic acid, cinnamic acid, glutamic acid, aspartic acid, and as sulphonic acids inter alia methanesulphonic acid, ethanesulphonic acid, toluenesulphonic acid, benzenesulphonic acid and naphthalenesulphonic acid; or by using an appropriate base as inorganic base inter alia alkalimetal hydroxide, carbonate, or hydrogencarbonate, as organic base inter alia tertiary amines and N- heterocycles.
These pharmaceutical compositions and medicaments may be intended for oral, rectal, subcutaneous, transdermal, percutaneous, intravenous or intramuscular administration. They comprise besides conventional carriers and/or diluents at least one compound of the general formula I. The medicaments of the invention are formulated using the customary solid or liquid carriers or diluents and the excipients customarily used in pharmaceutical technology, in accordance with the desired mode of administration with a suitable dosage in a known manner: i.e. by processing the active ingredient with the carrier substances, fillers, substances which influence disintegration, binders, humectants, lubricants, absorbents, diluents, test modifiers, colorants etc. which are used in pharmaceutical technology, and converting into the desired administration form. Reference should be made in this connection to Remington's Pharmaceutical Science, 15*n ed. Mack Publishing Company, East Pennsylvania (1980) and to Gennaro, A. R. et al., Remington: The Science and Practice of Pharmacy (20th Edition., Lippincott Williams & Wilkins 2000, see especially Part 5: Pharmaceutical Manufactoring).
Pharmaceutical compositions according to the present invention are preferably administered orally. Suitable for oral administration are in particular tablets, (film)- coated tablets, sugar-coated tablets capsules, pills, powders, granules, pastilles, suspensions, emulsions, solutions or depot forms.
Appropriate tablets can be obtained for example by mixing the active ingredient with known excipients, for example inert diluents such as dextrose, sugar, sorbitol, mannitol, polyvinylpyrrolidone, disintegrants such as maize starch or alginic acid, binders such as starch or gelatine, lubricants such as magnesium stearate or talc and/ or agents to achieve a depot effect such as carboxylpolymethylene, carboxylmethylcellulose, cellulose acetate phthalate or polyvinyl acetate. The tablets may also consist of a plurality of layers.
Correspondingly, coated tablets can be produced by coating cores which have been produced in analogy to the tablets with agents normally used in tablet coatings, for example polyvinylpyrrolidone or shellac, gum Arabic, talc, titanium oxide or sugar. The tablet coating may also consist of a plurality of layers, it being possible to use the excipients mentioned above for tablets.
Solutions or suspensions with the compounds according to the invention of the general formula I may additionally comprise taste-improving agents such as saccharin, cyclamate or sugar and, for example, flavourings such as vanillin or orange extract. They may additionally comprise suspending aids such as sodium carboxymethylcellulose or preservatives such as p-hydroxybenzoates. Capsules comprising the compounds of the general formula I can be produced for example by the compound(s) of the general formula I being mixed with an inert carrier such as lactose or sorbitol and encapsulated in gelatine capsules.
Parenteral preparations such as solutions for injection are also suitable. Preparations for injection and infusion are possible for parenteral administration. Appropriately prepared crystal suspensions can be used for intraarticular injection. Aqueous and oily solutions for injection or suspensions and corresponding depot preparations can be used for intramuscular injection. The novel compounds can be used for rectal administration in the form of suppositories, capsules, solutions (e.g. in the form of enemas) and ointments both for systemic and for local therapy. Suitable suppositories can be produced for example by mixing with carriers intended for this purpose, such as neutral fats or polyethylene glycol or derivatives thereof.
Formulations suitable for topical application include gels, ointments, greasy ointments, creams, pastes, dusting powders, milk and tinctures. Topical use can also take place by means of a transdermal system, for example a patch. The concentration of the compounds of the general formula I in these preparations should typically be in the range of 0.01% - 20% in order to achieve an adequate pharmacological effect.
The invention further relates to pharmaceutical compositions in combination with packaging material suitable for said composition, wherein said packaging material including instructions for the use of the composition.
Dose
Suitable doses for the compounds according to the present invention may vary from 0.005 mg to 50 mg per day per kg of body weight, depending on the age and constitution of the patient. It is possible to administer the necessary daily dose by single or multiple delivery. The preferred daily dose for larger mammals, for example humans, may vary in the range from 10 μg to 30 mg per kg of body weight. The exact dose and regimen of administration of the drug substance (active ingredient, or a pharmaceutical composition thereof, may however vary with the particular compound, the route of administration, and the age, sex and condition of the individual to whom the medicament is administered. The dose, the dosage as well as the regimen of the administration may thus differ between a male and a female considerably.
The compounds according to the invention of the general formula I can be prepared as described below.
Abbreviations used:
ACN Acetonitrile
DIBAC Diisobutylaluminium hydride
DMF Λ/,Λ/-Dimethylformamide
EDC Λ/-Ethyl-Λ/'-(3-dimethylaminopropyl)carbodiimide
EtOH Ethanol
HATU O-(7-Azabenzotriazol-1-yl)-N,N,N\N'-tetramethyluronium hexafluorophosphate
FMOC (9/-/-Fluoren-9-ylmethoxy)carbonyl
HOBt 1 -Hydroxy-1 H-benzotriazoIe
MeCN Acetonitrile
MeOH Methanol
MTBE Methyl tert-butyl ether
NMM 4-methylmorpholine
NMP N-Methylpyrrolidinone
Rf Reflux
RT Room temperature
TBAF Tetrabutylammonium fluoride
TFA Trifluoroacetic acid
THF Tetrahydrofuran
Compounds of the general formula I can in principle be prepared as shown in Scheme 7 by an amide forming reaction between a tryptophanol derivative IV and a carboxylic acid V. The reagents typically used for the coupling are EDC and HOBt.
Scheme 7
Reagents: a) EDC, HOBt, DMF, Et3N.
The tryptophanol derivatives of the formula IV with R7 = R8 = H can be prepared as shown in Scheme 8 from the corresponding amino acids which can be purchased or are known from the literature.
Scheme 8
( ) Reagents: a) FMOC-CI, dioxane, 10% Na2CO3 solution in water, O0C-RT; b) i) EtOC(O)CI, THF, NMM, -100C; ii) NaBH4, MeOH, O0C; c) piperidine, NaOH, RT.
Compounds of the general formula I can in principle also be prepared as shown in Scheme 9 via an Grignard reaction from the corresponding esters XII.
Scheme 9
Reagents: a) R7/R8-U or R7/R8MgX; b) LiBH4, THF.
Compounds of the general formula XII can in principle be prepared as shown in Scheme 10 by an amide forming reaction between a tryptophan ester derivative XIII and a carboxylic acid V. The reagents typically used for the coupling are EDC and HOBt. The tryptophan ester derivatives XIII are commercially available or known from the literature.
Scheme 10
Reagents: a) EDC, HOBt, DMF, Et3N
Carboxylic acids of the general formula XVII can in principle be prepared as shown in Scheme 11 via a Sonogashira type reaction between an acetylene derivative XV or XVIII and an aryl halide XIV or XIX, followed by ester hydrolysis.
Scheme 11
Reagents: a) Pd(PPh3)2Cl2, TBAF, THF, microwave; b) Pd(PPh3)2Cl2, diethylamine, CuI; c) KOH, methanol.
Esters of the general formula XV can in principle be prepared as shown in Scheme 12 via a Sonogashira type reaction between trimethylsilylacetylene and aryl halide XIX.
Scheme 12
Reagents: a) Pd(PPh3J2CI2, diethylamine, CuI, trimethylsilylacetylene; b) TBAF
Carboxylic acids of the general formula V can in principle be prepared as shown in Scheme 13 via a Suzuki type reaction of an boronic acid derivative XX or XXI and an aryl halide XIV or XIX, followed by ester hydrolysis.
Scheme 13
Reagents: a) Pd(PPh3)4, sodium carbonate, water, ethanol, toluene; b) KOH, methanol.
Compounds of the general formula I can in principle also be prepared as shown in Scheme 14 via Suzuki reaction of aryl halide XXIII and boronic acid XXI.
Scheme 14
Reagents: a) Pd(PPh3)4, sodium carbonate, water, ethanol, toluene.
The acetylene derivatives of formula I can in principle also be prepared according to Scheme 15 via a Sonogashira type coupling of terminal acetylene XVIII or XXV with the corresponding aryl halides XIV or XXIII.
Scheme 15
Reagents: a) Pd(PPh3)2Cl2, TBAF1 neat or THF; b) Pd(PPh3)2CI2, CuI, Et2NH.
The acetylene derivatives of formula XXVI can in principle also be prepared according to Scheme 16 via a Sonogashira type coupling from terminal acetylene XXIII. The aryl halide XXIII itself can be prepared via an amide forming reaction from the tryptophanol derivative IV and carboxylic acid XXV.
Scheme 16
Reagents: a) a) EDC, HOBt, DMF, Et3N; b) Pd(PPh3)2CI2, CuI, Et2NH, trimethylsilylacetylene; c) TBAF.
Synthesis of the compounds according to the invention
Example 1
1a) 5-lodo-2-prop-2-ynyloxy-benzoic acid methyl ester
A suspension of 2-Hydroxy-5-iodo-benzoic acid methyl ester (20 g), potassium carbonate (29.8 g), propargylic bromide (27 ml_) in acetone (200 mL) was stirred under reflux overnight. The reaction mixture was filtrated, the solvent evaporated and the crude product was recrystallized from ethyl acetate / petrol ether to yield the title compound (17.67 g, 78%). 1H-NMR (DMSO-d6): 7.87 d (J = 2.3 Hz, 1 H); 7.83 dd (J = 2.3 Hz / 8.8 Hz, 1 H); 7.03 d ( J = 8.8 Hz, 1 H); 4.84 d ( J = 2.3 Hz, 1 H); 3.75 s (3H); 3.59 m (1 H).
1 b) 6-lodo-2H-chromene-8-carboxylic acid methyl ester
5-lodo-2-prop-2-ynyloxy-benzoic acid methyl ester (10 g) in diethylamide (50 mL) was stirred in a metal bath under reflux for 4 hours. The mixture was poured in a water / ice mixture and acidified by addition of concentrated HCI. The water phase was extracted with ethylacetate and dried over sodium sulphate. After evaporation of the solvent the title compound was obtained after flash chromatography in 19 % yield (1.9 g). 1H-NMR (DMSO-dβ): 7.73 d (J = 2.3 Hz, 1 H); 7.59 (J = 2.3 Hz, 1 H); 6.51 m (1 H); 6.02 m (1 H); 4.89 m (2H); 3.78 s (3H).
1c) 6-(3,4,5-Trimethoxy-phenyl)-2H-chromene-8-carboxylic acid methyl ester 6-lodo-2H-chromene-8-carboxylic acid methyl ester (500 mg), 3,4,5-Trimethoxy phenyl boronic acid (371 mg), Pd(PPh3)4 (92 mg) in ethanol (5 ml_), toluene (5 mL) and sodium carbonate solution in water (2 molar, 2 mL) were stirred at 1000C for 12 hours. The solvents were distilled off and the material was purified by flash chromatography to yield the title compound in 42% yield (240 mg). 1H-NMR (DMSO-d6): 7.73 d (J = 2.5 Hz, 1 H); 7.59 d (J = 2.5 Hz, 1 H); 6.87 s (2H); 6.62 m (1 H); 6.04 m (1 H); 4.90 m (2H); 3.86 s (6H); 3.82 s (3H); 3.69 s (3H).
1d) 6-(3,4,5-Trimethoxy-phenyl)-2H-chromene-8-carboxylic acid A solution of 6-(3,4,5-Trimethoxy-phenyl)-2H-chromene-8-carboxylic acid methyl ester (240 mg) in methanolic KOH (10%, 10 mL) was stirred at 500C for 2 hours. The solvent was distilled off under vacuum and the residue extracted with water / ether. The water phase was acidified by the addition of HCI (2N) and extracted with ether. The solvent was distilled off under vacuum and the title compound was isolated in 74% yield (170 mg). 1H-NMR (DMSO-d6): 12.74 s (1 H); 7.67 d (J = 2.5 Hz, 1 H); 7.51 d (J = 2.5 Hz, 1H); 6.81 s (2H); 6.57 m (1 H); 5.97 m (1 H); 4.84 m (2H); 3.82 s (6H); 3.64 s (3H).
1e) 6-(3,4,5-Trimethoxy-phenyl)-2H-chromene-8-carboxylic acid [(R)-I -hydroxymethyl- 2-(1 H-indol-3-yl)-ethyl]-amide
A solution of θ-^AS-Trimethoxy-phenyl^H-chromene-δ-carboxylic acid (100 mg), HOBt hydrate (153 mg), EDC (192 mg) and (D) tryptophan (190 mg) in DMF (5 ml) was stirred at ambient temperature overnight. The reaction mixture was poured in wa- ter, extracted with ethyl acetate and the combined organic layers dried over magnesium sulphate. The title compound was obtained in 75% yield (112 mg) after flash chromatography. 1H-NMR (DMSO-d6): 10,81 s (1 H); 8.06 d (J = 7.8 Hz, 1 H); 7.84 d (J = 2.3 Hz, 1 H); 7.65 d (J = 7.8 Hz, 1 H); 7.48 d (J = 2.5 Hz, 1 H); 7.29 d (J = 8.1 Hz, 1 H); 7.16 d (J = 2.3 Hz, 1 H); 7.03 m (1 H); 6.94 m (1 H); 6.80 s (2H); 6.59 m (1 H); 5.98 m (1 H); 4.88 m (1 H); 4.87 m (1 H); 4.19 m (1 H); 3.82 s (6H); 3.65 s (3H); 3.51 m (1 H); 3.40 m (1 H); 2.96 m (2H).
Example 2
2a) 6-lodo-2H-chromene-8-carboxylic acid
A solution of β-lodo^H-chromene-δ-carboxylic acid methyl ester (440 mg) in methano- lic KOH (10%, 2.1 mL) was stirred at ambient temperature overnight. The solvent was evaporated and the residue was extracted with water / ethyl acetate. The water phase was acidified by addition of HCI (1N) and extracted with ether. The organic phase was dried over sodium sulphate and the solvent was evaporated to yield 88% of the tilte compound (372 mg). 1H-NMR (DMSO-d6): 12.84 s (1 H); 7.67 d (J = 2.3 Hz, 1 H); 7.51 d (J = 2.3 Hz, 1 H); 6.48 m (1 H); 6.44 m (1 H); 5.96 m (1 H); 5.92 m (1H); 4.83 m (2H).
2b) 6-lodo-2H-chromene-8-carboxylic acid [(R)-2-hydroxy-1-(1 H-indol-3-ylmethyl)- ethyl]-amide A soluion of θ-lodo^H-chromene-δ-carboxylic acid (345 mg), (D)-tryptophanol (261 mg), EDC (263 mg), HOBt (185 mg) in DMF (5 mL) was stirred at ambient temperature overnight. The reaction mixture was poured into water and the precipitate was filtered off. The title compound was obtained after flash chromatography in 46% yield (250 mg).
1H-NMR (DMSO-d6): 10.79 s (1 H); 7.96 d (J = 7.9 Hz, 1 H); 7.78 d (J = 2.3 Hz, 1 H); 7.60 d (J = 7.7 Hz, 1 H); 7.47 d (J = 2.3 Hz, 1 H); 7.29 d (J = 7.9 Hz, 1 H); 7.13 d (J = 2.1 Hz,
1 H); 7.02 m (1 H); 6.94 m (1 H); 6.46 m (1 H); 5.95 m (1 H); 4.85 m (1 H); 4.79 m (1 H);
4.13 m (1 H); 3.44 m (1 H); 3.36 m (1 H); 2.92 m (2H).
2c) 6-(3-Chioro-4-methylcarbamoyl-phenyl)-2H-chromene-8-carboxylic acid [(R)-2- hydroxy-1 -(1 H-indol-3-ylmethyl)-ethyl]-amide
A solution of δ-lodo^H-chromene-δ-carboxylic acid [(R)-2-hydroxy-1-(1H-indol-3- ylmethyl)-ethyl]-amide (200 mg), S-Chloro-Φmethylcarbannoyl-phenyl boronic acid (99 mg), Pd(PPh3J4 (24 mg) in ethanol (5 ml_), toluene (5 mL) and an aqueous sodium carbonate solution (2M1 0.5 mL) was stirred at 1000C for 3 hours. The solvent was evaporated and the solid purified by flash chromatography to yield 46% of the title compound (100 mg). 1H-NWIR (DMSO-d6): 10,80 s (1 H); 8.35 d (J = 4.6 Hz1 1 H); 8.06 d (J = 7.8 Hz, 1 H); 7.86 d (J = 2.3 Hz, 1 H); 7.69 d (J = 1.8 Hz, 1 H); 7.64 d (J = 7.8 Hz, 1 H); 7.58 m (1 H); 7.47 d (J = 7.8 Hz, 1 H); 7.29 d (J = 8.1 Hz, 1 H); 7.17 d (J = 2.3 Hz, 1H); 7.03 m (1 H); 6.95 m (1 H); 6.59 m (1 H); 5.99 m (1 H); 4.88 m (2H); 4.84 m (1 H); 4.19 m (1 H); 3.48 m (1 H); 3.41 m (2H); 2.96 m (2H); 2.73 d (J = 4.6 Hz, 3H).
Example 3
Hydrogenation of 6-(3-Chloro-4-methylcarbamoyl-phenyl)-2H-chromene-8-carboxylic acid [(R)-2-hydroxy-1-(1 H-indol-3-ylmethyl)-ethyl]-amide (100 mg) in MeOH (3 mL) with
Pd / C (10%) at ambient temperature yielded the title compound in 37% yield (37 mg) after filtration and evaporation of the solvent. 1H-NMR (MeOD): 8.41 d (J = 8.1 Hz, 1 H);
7.94 d ( J = 2.5 Hz1 1 H); 7.64 d ( J = 7.7 Hz, 1 H); 7.57 d ( J = 1.5 Hz, 1 H); 7.41 m (3H);
7.13 s (1 H); 7.06 m (1 H); 6.96 m (1 H); 4.43 m (1 H); 4.03 m (1 H); 3.90 m (1 H); 3.64 m (2H); 3.09 m (2H); 2.89 s (3H); 2.76 m (2H); 1.87 m (2H).
Example 4
4a) δ-o-Tolylethynyl^H-chromene-δ-carboxylic acid methyl ester A mixture of 6-lodo-2H-chromene-8-carboxylic acid methyl ester (500 mg), 1-Ethynyl-2- methyl-benzene (0.4 ml_), Pd(PPh3)2CI2 (11 mg) and CuI (5 mg) in diethylamine (10 mL) was stirred at 6O0C for 12 hours. The solvent was distilled off and the residue was extracted with water / ethyl acetate. The solvent of the organic phase was evaporated and the title compound was obtained after flash chromatography in 91% yield (440 mg). 1H- NMR (DMSOd6): 7.85 d (J = 2.1 Hz1 1 H); 7.51 d (J = 7.4 Hz1 1 H); 7.28 m (3H); 7.23 m (1 H); 6.45 m (1 H); 5.93 m (1 H); 5.03 m (2H); 3.94 s (3H); 2.55 s (3H).
4b) 6-o-Tolylethynyl-2H-chromene-8-carboxylic acid
A solution of 6-o-Tolylethynyl-2H-chromene-8-carboxylic acid methyl ester (180 mg) in methanolic KOH (10%, 10 mL) was refluxed for 10 minutes. The solvent was evaporated and the residue was extracted with water / ethyl acetate. The water phase was acidified by addition of HCI (2N) and extracted with ether. The organic phase was dried over sodium sulphate and the solvent was evaporated to yield 50 % of the tilte compound (86 mg). 1H-NMR (DMSO-d6): 12.86 s (1 H); 7.58 d ( J = 2.3 Hz1 1 H); 7.43 d (J = 7.1 Hz1 1 H); 7.37 d (J = 2.3 Hz1 1 H); 7.27 m (2H); 7.19 m (1 H); 6.53 m (1H); 5.97 m (1 H); 4.89 m (2H); 2.41 s (3H).
4c) 6-o-Tolylethynyl-2H-chromene-8-carboxylic acid [(R)-I -hydroxymethyl-2-(1 H-indol- 3-yl)-ethyl]-amideA soluion of θ-o-Tolylethynyl^H-chromene-δ-carboxylic acid (200 mg), (D)-tryptophanol (131 mg), EDC (132 mg), HOBt (106 mg) in DMF (10 mL) was stirred at ambient temperature overnight. The reaction mixture was poured into water and the precipitate was filtered off. The title compound was obtained after flash chromatography in 54 % yield (172 mg). 1H-NMR (DMSO-d6): 10,84 s (1 H); 8.05 d (J = 7.9 Hz, 1 H); 7.73 d ( J = 2.3 Hz, 1 H); 7.68 d ( J = 7.7 Hz, 1 H); 7.50 d (J = 7.2 Hz, 1 H); 7.38 d (J = 2.1 Hz, 1 H); 7.36 m (3H); 7.26 m (1 H); 7.20 d (J = 2.3 Hz, 1 H); 7.07 m (1 H); 6.99 m (1H); 6.58 m (1H); 6.00 m (1 H); 4.90 m (3H); 4.21 m (1 H); 3.53 m (1 H); 3.43 m (1 H); 2.99 m (2H); 2.47 s (3H).
The following compounds were obtained in analogy to the preparation methods described in detail:
6a) 5-lodo-2-(1-methyl-prop-2-ynyloxy)-benzoic acid methyl ester
Ethynylcarbinol (10.0 g, 0.0358 mol), methyl-5-iodosalicylate ( 2.51 g, 0.0359 mol) and Ph3P (9.43 g, 0.0360 mol) were dissolved in 15 ml of dry toluene under argon atmosphere with stirring. Diisopropyl azodicarboxylate (7.27 g, 0.036 mol) was added drop- wise at 10 0C. The mixture was stirred overnight under argon atmosphere. The precipitate was filtered off and washed with 15 ml of dry, cooled toluene. The solvent was removed under reduced pressure. The residue was purified by column chromatography over silica gel (hexane/EtOAc 99:1 ). Yield of the title compound was 70 %. ESI-MS: 331 [M+1].
6b) 6-lodo-2-methyl-2H-chromene-8-carboxylic acid methyl ester A solution of 5-lodo-2-(1-methyl-prop-2-ynyloxy)-benzoic acid methyl ester (1 g) in di- ethylamino benzene (10 ml_) was stirred in a preheated metal bath at 2500C for 10 minutes. The reaction mixture was cooled to ambient temperature and poured onto ice / concentrated HCI. The mixture was extracted with ethyl acetate and the solvent was removed under reduced pressure. The title compound was obtained in 31 % yield (310 mg) after flash chromatography. 1H-NMR (CDCI3): 7.90 d (J = 2.3 Hz, 1 H); 7.35 d (J = 2.3 Hz1 1 H); 6.30 dd (J = 1.7 Hz / 10.0 Hz, 1 H); 5.77 dd (J = 3.4 Hz / 10.0 Hz, 1 H); 5.11 m (1 H); 3.87 s (3H); 1.46 d ( J = 6.6 Hz, 3H).
6c) 6-lodo-2-methyl-2H-chromene-8-carboxylic acid
A solution of θ-lodo^-methyl^H-chromene-δ-carboxylic acid methyl ester (300 mg) in methanolic KOH (10%, 10 mL) was stirred at ambient temperature overnight. The solvent was distilled off under reduced pressure and the residue was extracted with water / ether. The water phase was acidified by addition of HCI (4N) and the precipitate filtered off. The title compound was obtained in 71% yield (205 mg) after recrystallization from ethanol. 1H-NMR (CDCI3): 8.25 d (J = 2.3 Hz1 1 H); 7.48 d (J = 2.3 Hz, 1 H); 6.39 dd (J = 1.7 Hz / 10.1 Hz1 1 H); 5.85 dd (J = 3.2 Hz / 10.1 Hz, 1 H); 5.29 m (1 H); 1.57 d (J = 6.8 Hz1 3H).
6d) β-lodo^-methyl^H-chromene-δ-carboxylic acid [(R)-I -hydroxymethyl-2-( 1 H-indol-3-yl)-ethyl]-amide
A solution of 6-lodo-2-methyl-2H-chromene-8-carboxylic acid (180 mg), (D)- tryptophanol (130 mg), EDC (218 mg), HOBt (174 mg) in DMF (5 mL) was stirred at ambient temperature overnight. The reaction mixture was poured into water and the precipitate was filtered off. The title compound was obtained after flash chromatography in 68% yield (190 mg) as a 1 :1 mixture of diastereomers. ESI-MS: 489 [M+1].
6e) 2-Methyl-6-(3,4,5-trimethoxy-phenyl)-2H-chromene-8-carboxylic acid [(R)-I- hydroxymethyl-2-(1 H-indol-3-yl)-ethyl]-amide
A solution of 6-lodo-2-methyl-2H-chromene-8-carboxylic acid [(R)-I -hydroxymethyl-2-( 1 H-indol-3-yl)-ethyl]-amide (160 mg), 3,4,5-Trimethoxy-phenyl boronic acid (78 mg), Pd(PPh3)4 (19 mg) in ethanol (5 mL), toluene (10 mL) and an aqueous sodium carbonate solution (2M, 2 mL) was stirred at 1000C for 3 hours. The solvent was evaporated and the solid purified by flash chromatography to yield 89% of the title compound (155 mg). The two diastereomers were separated via HPLC: 1H-NMR (DMSO-d6), Diastereomer A: 10.79 s (1 H); 8.27 d (J = 7.8 Hz, 1 H); 7.92 d (J = 2.5 Hz1 1 H); 7.67 d (J = 7.8 Hz1 1 H); 7.52 d (J = 2.5 Hz1 1 H); 7.30 d (J = 8.1 Hz1 1H); 7.14 d (J = 2.0 Hz, 1 H); 7.03 m (1 H); 6.94 m (1 H); 6.81 s (2H); 6.58 dd (J = 9.9 Hz / 1.8 Hz1 1 H); 5.90 dd (J = 9.9 Hz / 3.0 Hz1 1 H); 5.10 m (1 H); 4.93 m (1 H); 4.20 m (1 H); 3.82 s (6H); 3.65 s (3H); 3.49 m (1 H); 3.42 m (1 H); 2.98 m (2H); 1.29 d (J = 6.6 Hz1 3H); 1H-NMR (DMSO-d6), Diastereomer B: 10,81 s (1 H); 8.27 d (J = 8.1 Hz1 1 H); 7.94 d (J = 2.3 Hz, 1 H); 7.66 d (J = 7.8 Hz, 1 H); 7.52 d (J = 2.5 Hz1 1 H); 7.30 d (J = 8.1 Hz, 1 H); 7.15 d (J = 2.0 Hz, 1 H); 7.03 m (1 H); 6.94 m (1 H); 6.81 s (2H); 6.57 dd (J = 10.1 Hz / 1.8 Hz1 1 H); 5.89 dd (J = 9.9 Hz / 3.0 Hz1 1 H); 4.93 m (2H); 4.22 m (1 H); 3.82 s (6H); 3.65 s (3H); 3.46 m (1 H); 3.40 m (1 H); 2.98 m (2H); 1.26 d (J = 6.8 Hz, 3H).
Example 7
7a) 2-(1,1-Dimethyl-prop-2-ynyloxy)-5-iodo-benzoic acid methyl ester Ethynylcarbinol (10.0 g, 0.0358 mol), methyl-5-iodosalicylate (2.51 g, 0.0359 mol) and Ph3P (9.43 g, 0.0360 mol) were dissolved in 15 ml of dry toluene under argon atmosphere with stirring. Diisopropyl azodicarboxylate 7.27 g (0.036 mol) was added drop- wise at 10 0C. The mixture was stirred overnight under argon atmosphere. The precipitate was filtered off and washed with 15 ml of dry, cooled toluene. The solvent was removed under reduced pressure. The residue was purified by column chromatography over silica gel (hexane/EtOAc 99:1 ). Yield of the title compound was 46.8 %. ESI-MS: 345 [M+1].
7b) θ-lodo^^-dimethyl^H-chromene-δ-carboxylic acid methyl ester A solution of 2-(1,1-Dimethyl-prop-2-ynyloxy)-5-iodo-benzoic acid methyl ester (1.37 g) in diethylamino benzene (18 mL) was stirred in a preheated metal bath at 25O0C for 90 minutes. The reaction mixture was cooled to ambient temperature and poured onto ice / concentrated HCI. The mixture was extracted with ethyl acetate and the solvent was removed under reduced pressure. The title compound was obtained in 86 % yield (1.19 g) after flash chromatography. 1H-NMR (CDCI3): 7.91 d (J = 2.3 Hz, 1 H); 7.37 d (J = 2.3 Hz1 1 H); 6.24 d (J = 10.0 Hz, 1 H); 5.71 d (J = 10.0 Hz1 1 H); 3.87 s (3H); 1.46 s (6H).
7c) 6-lodo-2,2-dimethyl-2H-chromene-8-carboxylic acid
A solution of 6-lodo-2,2-dimethyl-2H-chromene-8-carboxylic acid methyl ester (2.54 g), KOH (4 g) in methanol (30 mL) was stirred at ambient temperature overnight. The solvent was distilled off under reduced pressure and the residue was extracted with water / ether. The water phase was acidified by addition of HCI (4N) and the precipitate filtered off. The title compound was obtained in 69% yield (1.68 g). 1H-NMR (CDCI3): 8.27 d (J = 2.3 Hz, 1 H); 7.50 d (J = 2.3 Hz1 1 H); 6.32 d (J = 10.0 Hz1 1 H); 5.78 d (J = 10.0 Hz, 1 H); 1.57 s (6H).
7d) e-lodo^-dimethyl^H-chromene-δ-carboxylic acid [(R)-2-hydroxy-1-(1 H-indol-3- ylmethyl)-ethyl]-amide
A solution of -lodo^^-dimethyl^H-chromene-δ-carboxylic acid (1.68g), (D)- tryptophanol (1.15 g), EDC (1.17 g), HOBt (825 mg), triethylamine (1.41 mL) in DMF (40 mL) was stirred at ambient temperature overnight. The solvent was distilled off under reduced pressure. The title compound was obtained after flash chromatography in 60% yield (1.53 g). 1H-NMR (DMSO-d6): 10.82 s (1 H); 8.45 d (J = 7.9 Hz1 1 H); 8.02 d (J = 2.3 Hz1 1 H); 7.69 d (J = 7.7 Hz, 1 H); 7.61 d (J = 2.3 Hz, 1 H); 7.33 d (J = 7.9 Hz1 1 H); 7.16 m (1 H); 7.07 m (1 H); 6.98 m (1 H); 6.48 d (J = 10.0 Hz1 1 H); 5.90 d (J = 10.0 Hz, 1 H); 5.03 m (1 H); 4.20 m (1H); 3.51 m (2H); 2.97 m (2H); 1.40 s (3H); 1.36 s (3H).
7e) 6-(3-Chloro-4-methylcarbamoyl-phenyl)-2,2-dimethyl-2H-chromene-8-carboxylic acid [(R)-2-hydroxy-1 -(1 H-indol-3-ylmethyl)-ethyl]-amide
A solution of 6-lodo-2,2-dimethyl-2H-chromene-8-carboxylic acid [(R)-2-hydroxy-1-(1 H- indol-3-ylmethyl)-ethyl]-amide (200 mg), 3-Chloro-4-methylcarbamoyl-phenyl boronic acid (104 mg), Pd(PPh3)4 (12 mg) in ethanol (1.32 mL), toluene (2 mL) and an aqueous sodium carbonate solution (2M1 0.45 mL) was stirred in a sealed microwave reactor at 100cC for 30 minutes at 200W. The solvent was evaporated and the solid purified by flash chromatography to yield 49 % of the title compound (107 mg). 1H-NMR (DMSO- d6): 10,78 s (1 H); 8.51 d (J = 7.9 Hz1 1 H); 8.36 d (J = 4.7 Hz, 1 H); 8.05 d (J = 2.5 Hz, 1 H); 7.72 m (2H); 7.66 m (2H); 7.47 d (J = 7.9 Hz, 1 H); 7.30 d (J = 7.9 Hz1 1 H); 7.12 d (J = 1.9 Hz1 1 H); 7.03 m (1 H); 6.95 m (1 H); 6.54 d (J = 10.0 Hz1 1 H); 5.89 d (J = 10.0 Hz1 1 H); 5.72 s (2H); 5.00 m (1 H); 4.20 m (1 H); 3.49 m (1 H); 3.44 m (1 H); 2.95 m (2H); 2.73 d (J = 4.5 Hz, 3H); 1.40 s (3H); 1.36 s (3H).
The following compounds were obtained in analogy to the preparation methods described in detail:
Example 10
10a) 2,2-Dimethyl-6-(4-methylcarbamoyl-phenylethynyl)-2H-chromene-8-carboxylic acid [(R)-I -hydroxymethyl-2-(1 H-indol-3-yl)-ethyl]-amide
A solution of e-lodo^^-dimethyl^H-chromene-δ-carboxylic acid [(R)-2-hydroxy-1-(1H- indol-3-ylmethyl)-ethyl]-amide (120 mg), Pd(PPh3)2CI2 (5.5 mg), 4-Ethynyl-N-methyl- benzamide (42 mg), TBAF x 3 water (190 mg) in THF (3 ml.) and ethanol (0.3 ml_) was stirred at 1000C in a sealed microwave reactor for 30 min (200W). The solvents were distilled off under reduced pressure, the crude mixture was taken up in dichlormethane and extracted with water. The solvent of the organic phase was removed and the title compound was obtained in 27% yield (35 mg) after flash chromatography. 1H-NMR (DMSO-de): 10,78 s (1 H); 8.50 d (J = 4.7 Hz, 1 H); 8.43 d (J = 8.1 Hz1 1 H); 7.89 d (J = 2.3 Hz, 1 H); 7.83 d ( J = 8.5 Hz, 1 H); 7.67 d ( J = 7.5 Hz, 1 H); 7.60 d ( J = 8.5 Hz, 1 H); 7.44 d (J = 2.3 Hz, 1 H); 7.29 d (J = 7.9 Hz, 1 H); 7.12 d (J = 2.3 Hz, 1 H); 7.03 m (1 H); 6.94 m (1 H); 6.48 d (J = 10.0 Hz, 1 H); 5.89 d (J = 10.0 Hz, 1 H); 4.99 m (1 H); 4.19 m (1 H); 3.48 m (2H); 2.95 m (2H); 2.75 d (J = 4.5 Hz, 3H); 1.39 s (3H); 1.34 s (3H).
Example 12
12a) (R)-2-{[5-(3,4-Dimethoxy-phenyl)-2-vinyl-2,3-dihydro-benzofuran-7-carbonyl]- amino}-3-(1 H-indol-3-yl)-propionic acid methyl ester
A solution of 5-(3,4-Dimethoxy-phenyl)-2-vinyl-2,3-dihydro-benzofuran-7-carboxylic acid (300 mg), (D)-tryptophan methyl ester hydrochloride (280 mg), EDC (210 mg), triethy- lamine (0.78 ml.) and HOBt (170 mg) in DMF (25 ml_) was stirred at ambient temperature overnight. The solvent was distilled off under reduced pressure. The title compound was obtained after flash chromatography in 64% yield (308 mg) as a 1 :1 mixture of di- astereomers. ESI-MS [M+1]: 527.
12b) 5-(3,4-Dimethoxy-phenyl)-2-vinyl-2,3-dihydro-benzofuran-7-carboxylic acid [(R)-I- hydroxymethyl-2-(1 H-indol-3-yl)-ethyl]-amide To a solution of (R)-2-{[5-(3,4-Dimethoxy-phenyl)-2-vinyl-2,3-dihydro-benzofuran-7- carbonyl]-amino}-3-(1 H-indol-3-yl)-propionic acid methyl ester (135 mg) in THF (5 mL) was added slowly via a syringe a solution of lithiumborohydride in THF (2M, 0.26 mL).
The reaction was allowed to stir at ambient temperature overnight and quenched by the addition of HCI (1 N). The reaction mixture was extracted with ethyl acetate / water and the combined organic phases were dried over sodium sulphate. The title compound was obtained as a 1 :1 mixture of diastereomers after flash chromatography in 80% yield
(102 mg). ESI-MS [M+1]: 499.
Example 13
13a) 5-(3,4-Dimethoxy-phenyl)-2-ethyl-2,3-dihydro-benzofuran-7-carboxylic acid
A suspension of 5-(3,4-Dimethoxy-phenyl)-2-vinyl-2,3-dihydro-benzofuran-7-carboxylic acid (100 mg) and palladium on charcoal (50 mg) in THF (6 mL) were hydrogenated at ambient temperature for 40 minutes. The catalyst was removed by filtration, the sovent was distilled off under reduced pressure. The title compound was obtained in 35 % yield (35 mg) after flash chromatography.1H-NMR (CDCI3: 8.02 m (1H); 7.58 m (1H); 7.09 m (1H); 7.05 m (1H); 6.93 d (J= 8.3 Hz, 1H); 5.07 m (1H); 3.95 s (3H); 3.92 s (3H); 3.42 m (1H); 3.05 m (1H); 1.97 m (1H); 1.85 m (1H); 1.09 m (3H).
13b) 5-(3,4-Dimethoxy-phenyl)-2-ethyl-2,3-dihydro-benzofuran-7-carboxylic acid [(R)-I- hydroxymethyl-2-(1 H-indol-3-yl)-ethyl]-amide
A solution of 5-(3,4-Dimethoxy-phenyl)-2-ethyl-2,3-dihydro-benzofuran-7-carboxylic a cid (35 mg), (D)-tryptophanol (21 mg), EDC (22 mg) and HOBt (17 mg) in DMF (2 mL) was stirred at ambient temperature overnight. The solvent was distilled off under reduced pressure. The title compound was obtained after flash chromatography in 84% yield (84 mg) as a 1:1 mixture of stereoisomers. The two diastereomers were separated via HPLC.1H-NMR (DMSO-d6): Diastereomer A: 10,78 s (1 H); 7.93 d (J = 7.9 Hz, 1 H); 7.84d(J=2.1 Hz, 1H); 7.66 d (J= 7.9 Hz, 1H); 7.61 d (J= 1.7 Hz, 1H); 7.29 d (J= 7.9 Hz, 1H); 7.09 m (4H); 6.99 m (2H); 4.93 m (2H); 4.22 m (1H); 3.80 s (3H); 3.74 s (3H); 3.48 m (1H); 3.40 m (1H); 2.94 m (3H); 1.69 m (2H); 0.93 m (3H). Diastereomer B: 10,80 s (1H); 7.95 d (J= 8.1 Hz, 1H); 7.84 d (J= 2.1 Hz, 1H); 7.66 d (J = 7.9 Hz, 1H); 7.6Od (J =1.9 Hz, 1H); 7.3Od (J = 8.1 Hz, 1H); 7.13 d (J= 2.1 Hz, 1H); 7.09 s (1H); 6.99 m (4H); 4.92 m (1H); 4.79 m (1H); 4.21 m (1H); 3.38 m (1H); 3.33 m (1H); 2.96 m (2H); 2.89 m (1H); 1.66 m (2H); 0.93 m (3H).
Example 14
The title compound was prepared according to a literature procedure by V. K. Daukshas et. al. in Chem. Heterocyclic Compds. Engl Transl. 1978, 1188.
14b) 7-Bromo-2,3-dihydro-benzo[1 ,4]dioxine-5-carboxylic acid [(R)-2-hydroxy-1-(1H- indol-3-ylmethyl)-ethyl]-amide
A solution of 7-Bromo-2,3-dihydro-benzo[1 ,4]dioxine-5-carboxylic acid (1 g), (D)- tryptophanol (808 mg), EDC (814 mg) and HOBt (650 mg) in DMF (15 mL) was stirred at ambient temperature overnight. The solvent was distilled off under reduced pressure.
The title compound was obtained after flash chromatography in 76% yield (1.27 g). 1H- NMR (DMSO-CJ6): 10.84 s (1 H); 7.99 m (1 H); 7.66 d (J = 7.9 Hz1 1 H); 7.37 m (2H); 7.20 d (J = 2.6 Hz, 1 H); 7.19 d (J = 2.3 Hz, 1 H); 7.07 m (1 H); 6.99 m (1 H); 4.89 m (1 H); 4.28 m (4H); 4.23 m (1 H); 3.53 m (1 H); 3.47 m (1H); 2.99 m (2H).
14c) 7-(3-Chloro-4-methylcarbamoyl-phenyl)-2,3-dihydro-benzo[1 ,4]dioxine-5-carboxylic acid [(R)-2-hydroxy-1-(1 H-indol-3-ylmethyl)-ethyl]-amide
A solution of 7-Bromo-2,3-dihydro-benzo[1 ,4]dioxine-5-carboxylic acid [(R)-2-hydroxy-1- (1 H-indol-3-ylmethyl)-ethyl]-amide (200 mg), 3-Chloro-4-methylcarbamoyl-phenyl bo- ronic acid (109 mg), Pd(PPh3J4 (54 mg) in ethanol (6.2 mL), toluene (6.2 mL) and an aqueous sodium carbonate solution (1 M, 1.16 mL) was stirred at 1000C overnight. The solvent was evaporated and the solid purified by flash chromatography to yield 43 % of the title compound (103 mg). 1H-NMR (DMSO-d6): 10,80 s (1 H); 8.33 d (J = 4.7 Hz, 3H); 7.99 d (J = 7.9 Hz, 3H); 7.67 m (2H); 7.55 m (3H); 7.43 ά (J = 7.9 Hz, 3H); 7.33 d (J = 2.5 Hz, 3H); 7.31 d (J = 8.1 Hz, 3H); 7.16 d (J = 2.3 Hz, 3H); 7.03 m (1 H); 6.95 m (1 H); 4.86 m (1 H); 4.28 m (4H); 4.23 m (1 H); 3.47 m (1 H); 3.41 m (1 H); 2.96 m (2H); 2.73 d (J = 4.5 Hz, 3H).
The following compounds were obtained in analogy to the preparation methods described in detail:
20a) δ-tS^-Difluoro-δ-methoxy-phenyO^.S-dihydro-benzofuran^-carboxylic acid methyl ester
A solution of 5-Bromo-2,3-dihydro-benzofuran-7-carboxylic acid methyl ester (150 mg), 3,4-Difluoro-5-methoxy-phenyl boronic acid (132 mg), Pd(PPh3J4 (67 mg) in ethanol (6.3 ml_), toluene (6.3 ml_) and an TBAF solution in THF (1M1 1.17 mL) was stirred at reflux overnight. The solvents were evaporated and the solid purified by flash chromatography to yield 42 % of the title compound (79 mg). 1H-NMR (DMSO-d6): 7.82 s (2H); 7.20 m (2H); 4.69 m (2H); 3.96 s (3H); 3.82 s (3H); 3.27 m (2H).
20b) 5-(3,4-Difluoro-5-methoxy-phenyl)-2,3-dihydro-benzofuran-7-carboxylic acid A solution of 5-(3,4-Difluoro-5-methoxy-phenyl)-2,3-dihydro-benzofuran-7-carboxylic acid methyl ester (67 mg) and KOH (175 mg) in methanol (2.3 mL) was stirred at ambient temperature for four days. The solvent was distilled off under reduced pressure and the residue was extracted with water / ether. The water phase was acidified by addition of HCI (4N) and the precipitate filtered off. The title compound was obtained in 91 % yield (58 mg). 1H-NMR (DMSO-d6): 12.80 s (1 H); 7.79 m (2H); 7.17 m (2H); 4.67 m (2H); 3.96 S (3H); 3.26 m (2H).
20c) 5-(3,4-Difluoro-5-methoxy-phenyl)-2,3-dihydro-benzofuran-7-carboxylic acid [(R)-2- hydroxy-1-(1 H-indol-3-ylmethyl)-ethyl]-arnide
A solution of 5-(3,4-Difluoro-5-methoxy-phenyl)-2,3-dihydro-benzofuran-7-carboxylic acid (58 mg), (D)-tryptophanol (33 mg), EDC (40 mg) and HOBt (28 mg) in DMF (1.6 mL) was stirred at ambient temperature overnight. The solvent was distilled off under
reduced pressure. The title compound was obtained after flash chromatography in 50% yield (41 mg). 1H-NMR (DMSO-d6): 10,83 s (1 H); 7.89 m (2H); 7.74 s (1 H); 7.70 d (J = 7.8 Hz, 1 H); 7.33 d (J = 8.2 Hz1 1H); 7.19 m (3H); 7.06 m (1H); 6.98 m (1 H); 4.98 m (1 H); 4.72 m (2H); 4.25 m (1 H); 3.96 s (3H); 3.51 m (1 H); 3.41 m (1 H); 3.26 m (2H); 2.98 m (2H).
The following compounds were obtained in analogy to the preparation methods described in detail:
A solution of 7-Bromo-2,3,4,5-tetrahydro-benzo[b]oxepine-9-carboxylic acid methyl ester (10 g, preparation described in example 32) and KOH (10 g) in methanol (100 ml.) was stirred at ambient temperature overnight. The solvent was distilled off under reduced pressure and the residue was extracted with water / ether. The water phase was acidified by addition of HCI (4N) and the precipitate filtered off. The title compound was obtained in 95% yield (9 g). 1H-NMR (DMSO-d6): 12.96 s (1 H); 7.53 d (J = 2.8 Hz, 1 H); 7.48 d (J = 2.8 Hz, 1 H); 3.90 m (2H); 2.72 m (2H); 1.85 m (2H); 1.60 m (2H).
26b) 7-Bromo-2,3,4,5-tetrahydro-benzo[b]oxepine-9-carboxylic acid [(R)-2-hydroxy-1- (1 H-indol-3-ylmethyl)-ethyl]-amide
A solution of 7-Bromo-2,3,4,5-tetrahydro-benzo[b]oxepine-9-carboxylic acid (2.2 g), (D)- tryptophanol (1.54 g), EDC (1.87 g), HOBt (1.49 g) and triethylamine (2.25 mL) in DMF (8 mL) was stirred at ambient temperature overnight. The solvent was distilled off under reduced pressure. The title compound was obtained after flash chromatography in 69 % yield (3.6 g). 1H-NMR (DMSO-d6): 10.78 s (1 H); 8.33 d (J = 8.1 Hz, 1H); 7.63 m (2H); 7.51 d (J = 2.5 Hz, 1 H); 7.29 d (J = 8.1 Hz, 1 H); 7.12 d (J = 2.3 Hz, 1 H); 7.02 m (1 H); 6.94 m (1 H); 4.87 m (1 H); 4.15 m (1 H); 3.81 m (2H); 3.49 m (1 H); 3.41 m (1 H); 2.96 m (1 H); 2.89 m (1 H); 2.71 m (2H); 1.83 m (2H); 1.58 m (2H).
26c) 7-(3-Chloro-4-methylcarbamoyl-phenyl)-2,3,4,5-tetrahydro-benzo[b]oxepine-9- carboxylic acid [(R)-2-hydroxy-1-(1 H-indol-3-ylmethyl)-ethyl]-amide A solution of 7-Bromo-2,3 ,4,5-tetrahydiO-benzo[b]oxepine-9-carboxylic acid [(R)-2- hydroxy-1-(1H-indol-3-ylmethyl)-ethyl]-amide (100 mg), 3-Chloro-4-methylcarbamoyl- phenyl boronic acid (49 mg), Pd(PPh3J4 (8 mg) in ethanol (1 ml_), toluene (1 ml_) and an aqueous sodium carbonate solution (2M1 0.23 ml_) was stirred in a sealed microwave reactor at 1000C for 30 minutes at 200W. The solvent was evaporated and the solid purified by flash chromatography to yield 58 % of the title compound (69 mg). 1H-NMR 0 (DMSO-Cl6): 10,79 s (1 H); 8.38 m (1 H); 7.84 d (J = 2.3 Hz, 1 H); 7.72 d (J = 1.5 Hz1 1 H); 7.70 d (J = 2.3 Hz, 1 H); 7.66 d (J = 7.8 Hz1 1 H); 7.62 m (1 H); 7.46 d (J = 8.1 Hz, 1H); 7.3O d (J = 7.8 Hz, 1 H); 7.14 m (1 H); 7.03 m (1 H); 6.95 m (1 H); 4.89 m (1H); 4.21 m (1 H); 3.87 m (2H); 3.49 m (1 H); 3.43 m (1 H); 2.98 m (2H); 2.82 m (2H); 2.73 d ( J = 4.0 Hz, 3H); 1.87 m (2H); 1.65 m (2H). 5
The following compounds were obtained in analogy to the preparation methods described in detail:
The title compound was prepared from 2-Hydroxy-5-bromo-benzoic acid methyl ester in analogy to the described literature procedure via an O-alkylation. See Eur. J. Med. Chem. 1997, 32, page 385.
32b) 3-Allyl-5-bromo-2-hydroxy-benzoic acid methyl ester
The title compound was prepared via a Claisen rearrangement from 2-Allyloxy-5-bromo- benzoic acid methyl ester in analogy to the described literature procedure. See J. Med. Chem. 1992, 35, page 310.
32c) 3-Allyl-2-allyloxy-5-bromo-benzoic acid methyl ester
The title compound was prepared from -Allyl-5-bromo-2-hydroxy-benzoic acid methyl ester in analogy to the described literature procedure via an O-alkylation. See Eur. J. Med. Chem. 1997, 32, page 385.
32d) 7-Bromo-2,5-dihydro-benzo[b]oxepine-9-carboxylic acid methyl ester
The title compound was prepared from 3-Allyl-2-allyloxy-5-bromo-benzoic acid methyl ester in analogy to the described literature procedure via an olefin metathesis reaction. See Heterocycles 2002, 57, page 1997.
32e) 7-Bromo-2,3,4,5-tetrahydro-benzo[b]oxepine-9-carboxylic acid methyl ester The title compound was prepared from 7-Bromo-2,5-dihydro-benzo[b]oxepine-9- carboxylic acid methyl ester in analogy to the described literature procedure via a hy- drogenation reaction. See Org. Lett. 2006, 15, page 3279.
32f) 7-(3-Fluoro-5-methylcarbamoyl-phenyl)-2,3,4,5-tetrahydro-benzo[b]oxepine-9- carboxylic acid methyl ester
A solution of 7-Bromo-2,3,4,5-tetrahydro-benzo[b]oxepine-9-carboxylic acid methyl es- ter (2.52 g), S-Fluoro-δ-methylcarbamoyl-phenyl boronic acid (1.82 g), Pd(PPh3J4 (306 mg) in ethanol (35 mL), toluene (35 mL) and an aqueous sodium carbonate solution (2M, 8.83 mL) was stirred under reflux for 2 hours. The solvent was evaporated and the solid purified by flash chromatography to yield 97 % of the title compound (3.06 g). 1H- NMR (DMSO-d6): 8.63 d (J = 4.6 Hz1 1 H); 7.93 m (1 H); 7.78 d (J = 2.5 Hz, 1 H); 7.75 d (J = 2.5 Hz, 1 H); 7.66 m (1 H); 7.55 m (1H); 3.97 m (2H); 3.80 s (3H); 2.86 m (2H); 2.78 d (J = 4.6 Hz1 3H); 1.89 m (2H); 1.67 m (2H).
32g) 7-(3-Fluoro-5-methylcarbamoyl-phenyl)-2,3,4,5-tetrahydro-benzo[b]oxepine-9- carboxylic acid A solution of 7-(3-Fluoro-5-methylcarbamoyl-phenyl)-2,3,4,5-tetrahydro- benzo[b]oxepine-9-carboxylic acid methyl ester (3.05 g) and KOH (2.39 g) in methanol (25 mL) was stirred at ambient temperature overnight. The solvent was distilled off under reduced pressure and the residue was extracted with water / ether. The water phase was acidified by addition of HCI (4N) and the precipitate filtered off. The title compound was obtained in 90% yield (2.62 g). 1H-NMR (DMSO-d6): 12.83 s (1 H); 8.63 d (J = 4.5 Hz, 1 H); 7.93 m (1 H); 7.74 m (2H); 7.68 m (1 H); 7.55 m (1 H); 3.98 m (2H); 2.82 m (2H); 2.78 d (J = 4.5 Hz1 3H); 1.87 m (2H); 1.66 m (2H).
32h) 7-(3-Fluoro-5-methylcarbamoyl-phenyl)-2,3,4,5-tetrahydro-benzo[b]oxepine-9- carboxylic acid [2-(4-fluoro-1H-indol-3-yl)-1-hydroxymethyl-ethyl]-amide A solution of 7-(3-Fluoro-5-methylcarbamoyl-phenyl)-2,3,4,5-tetrahydro- benzo[b]oxepine-9-carboxylic acid (100 mg), 2-Amino-3-(4-fluoro-1 H-indol-3-yl)- propan-1-ol (61 mg), EDC (61 mg), HOBt (45 mg) and triethylamine (81 μL) in DMF (4 mL) was stirred at ambient temperature overnight. The solvent was distilled off under reduced pressure. The title compound was obtained after flash chromatography in 68 % yield (106 mg). 1H-NMR (DMSO-d6): 11.10 s (1 H); 8.68 d (J = 4.5 Hz, 1 H); 8.29 d (J = 8.5 Hz, 1 H); 7.96 s (1 H); 7.87 d (J = 2.5 Hz, 1 H); 7.73 d (J = 2.5 Hz, 1 H); 7.67 d (J = 10.0 Hz, 1 H); 7.59 d (J = 9.6 Hz, 1 H); 7.20 d (J = 1.9 Hz, 1 H); 7.17 d (J = 8.1 Hz, 1 H); 7.00 m (2H); 6.72 d (J = 7.7 Hz, 1 H); 6.68 d (J = 7.7 Hz, 1 H); 4.88 m (1 H); 4.36 m (1 H); 3.90 m (2H); 3.57 m (2H); 3.16 m (1 H); 3.04 m (1H); 2.87 m (2H); 2.83 d (J = 4.5 Hz, 3H); 1.90 m (2H); 1.70 m (2H).
The following compounds were obtained in analogy to the preparation methods described in detail:
Example 36
A solution of 7-Bromo-2,3,4,5-tetrahydro-benzo[b]oxepine-9-carboxylic acid [(R)-2- hydroxy-1-(1 H-indol-3-ylmethyl)-ethyl]-amide (100 mg), Pd(PPh3J2CI2 (7 mg), 4-Ethynyl- N-methyl-benzamide (37 mg), TBAF x 3 water (290 mg) in THF (2 mL) and ethanol (0.2 mL) was stirred at 11O0C in a sealed microwave reactor for 30 min (200W). The solvents were distilled off under reduced pressure, the crude mixture was taken up in di- chlormethane and extracted with water. The solvent of the organic phase was removed and the title compound was obtained in 43% yield (51 mg) after flash chromatography.
1H-NMR (DMSO-d6): 10.78 s (1H); 8.49 d (J = 4.6 Hz, 1H); 8.31 d (J = 8.1 Hz11H); 7.84 d ( J = 8.3 Hz, 2H); 7.69 d ( J = 2.3 Hz, 1 H); 7.65 d (J = 7.8 Hz, 1 H); 7.59 d ( J = 8.3 Hz, 2H); 7.50 d (J= 2.0 Hz, 1H); 7.29 d (J= 8.0 Hz, 1H); 7.14 d (J = 2.3 Hz, 1H); 7.03 m (1H); 6.95 m (1H); 4.87 m (1H); 4.20 m (1H); 3.85 m (2H); 3.48 m (1H); 3.40 m (1H); 2.98 m (1 H); 2.90 m (1 H); 2.75 d ( J = 4.6 Hz, 3H); 1.85 m (2H); 1.61 m (1 H).
The following compounds were obtained in analogy to the preparation methods described in detail:
Example 38
38a) (5,6-Difluoro-1 H-indol-3-yl)-acetaldehyde
At 00C, phosphoryl chloride (22.03 g) was slowly added dropwise to DMF (19.1 g), and the mixture was stirred at 0-50C for half an hour and then at room temperature for one hour. The mixture was cooled again to 00C, and a solution of 5,6-difluoro-1 H-indole (20 g) in DMF (20 g) was slowly added dropwise. The mixture was stirred at 00C for 30 minutes and then at room temperature for a further 15 hours. The reaction mixture was poured onto ice (200 g) and basified to pH 10 with NaOH. The crystalline title compound was filtered off, washed with water and dried in vacuo (yield 22.7 g, 96%). MS (ESI,+): 196 (M+1 ).
38b) [2-(5,6-Difluoro-1 H-indol-3-yl)ethyl]diethylamine
Sodium triacetoxyborohydride (26.3 g) was added in portions to a solution of (5,6- difluoro-1 H-indol-3-yl)acetaldehyde (15 g) and diethylamine (6.66 g) in absolute di- chloromethane (300 ml) with 2 drops of trifluoroacetic acid, and the mixture was stirred at room temperature for 24 hours. The solvent was distilled off in a rotary evaporator, and the residue was mixed with 10% strength aqueous sodium bicarbonate solution and extracted with ethyl acetate. The combined organic phases were dried over sodium sulphate and concentrated in a rotary evaporator. The crude product was purified by flash chromatography, and the title compound was obtained in 68% yield (13.5 g). MS (ESI,+): 253 (M+1 ).
38c) Ethyl 3-(5,6-difluoro-1H-indol-3-yl)-2-nitropropionate
A mixture of gramine (8 g) and ethyl 2-nitroacetate (8.9 g) was stirred in absolute toluene at 90-100cC for 4 hours. The reaction mixture was concentrated in a rotary evaporator, and the crude product was purified by flash chromatography (chloroform : metha- nol 19 : 1 ), after which the title compound was obtained in a yield of 11.7 g as a 1 :2 mixture with ethyl 2-nitroacetate. MS (ESI,+): 299 (M+1 ).
38d) Ethyl 2-amino-3-(5,6-difluoro-1 H-indol-3-yl)propionate
The mixture from the above stage was stirred with ammonium formate (9.9 g) and Pd (4.1 g, 10% on activated carbon) in 300 ml of ethanol under reflux for 15 hours. The reaction mixture was concentrated in a rotary evaporator, diluted with water (100 ml) and extracted with ethyl acetate. The combined organic phases were dried over sodium sulphate and concentrated in a rotary evaporator. The residue was purified by flash chromatography (silica, chloroform : methanol 19 :1 ) and recrystallized as HCI salt from ethanol. The title compound was obtained in a yield of 2.7 g. WlS (ESI,+): 269 (M+1 ).
38e) 3-(5,6-Difluoro-1 H-indol-3-yl)-2-{[7-(3-fluoro-5-methylcarbamoyl-phenyl)-2,3,4,5- tetrahydro-benzo[b]oxepine-9-carbonyl]-amino}-propionic acid ethyl ester A solution of 7-(3-Fluoro-5-methylcarbamoyl-phenyl)-2,3,4,5-tetrahydro- benzo[b]oxepine-9-carboxylic acid (100 mg), Ethyl 2-amino-3-(5,6-difluoro-1H-indol-3- yl)propionate (86 mg), EDC (61 mg), HOBt (45 mg) and triethylamine (81 μl_) in DMF (4 ml.) was stirred at ambient temperature overnight. The solvent was distilled off under reduced pressure. The title compound was obtained after flash chromatography in 78 % yield (134 mg). 1H-NMR (DMSO-d6): 11.55 s (1 H); 8.72 d (J = 7.3 Hz, 1 H); 8.65 d (J = 4.6 Hz, 1 H); 7.92 d ( J = 2.3 Hz, 2H); 7.74 s (1 H); 7.60 m (1 H); 7.75 m (1 H); 7.30 d (J = 2.0 Hz, 1 H); 7.12 dd (J = 2.3 Hz / 9.6 Hz, 1 H); 6.90 m (1 H); 4.78 m (1 H); 4.06 m (2H); 3.70 m (2H); 3.26 m (2H); 2.85 m (2H); 2.78 d (J = 4.6 Hz, 3H); 1.83 m (2H); 1.70 m (2H); 1.12 m (3H).
38f) 7-(3-Fluoro-5-methylcarbamoyl-phenyl)-2,3,4,5-tetrahydro-benzo[b]oxepine-9- carboxylic acid [2-(5,6-difluoro-1 H-indol-3-yl)-1-hydroxymethyl-ethyl]-amide A solution of 3-(5,6-Difluoro-1 H-indol-3-yl)-2-{[7-(3-fluoro-5-methylcarbamoyl-phenyl)- 2,3,4,5-tetrahydro-benzo[b]oxepine-9-carbonyl]-amino}-propionic acid ethyl ester (129 mg) was dissolved in THF (10 mL) and a solution of lithium borohydride (2M in THF, 326 μl_) and methanol (48 μl_) was added at ambient temperature.
The reaction was stirred overnight, then quenched with methanol and water. The solvent was distilled off under reduced pressure and the title compound was obtained after flash chromatography in 66 % yield (79 mg). 1H-NMR (DMSO-d6): 11.00 s (1 H); 8.71 d (J = 4.3 Hz, 1 H); 8.45 d (J = 8.1 Hz1 1 H); 7.98 m (1 H); 7.96 d (J = 2.5 Hz, 1 H); 7.76 d (J = 2.5 Hz, 1 H); 7.68 m (2H); 7.59 m (1H); 7.34 m (1 H); 7.26 m (1 H); 4.96 m (1 H); 4.19 m (1H); 3.95 m (2H); 3.53 m (1 H); 3.48 m (1 H); 2.97 m (2H); 2.89 m (2H); 2.83 d (J = 4.3 Hz, 3H); 1.94 m (2H); 1.72 m (2H).
Example 39
39a) 2-Acetylamino-2-{3-[(2,4-difluoro-phenyl)-hydrazono]-propyl}-malonic acid diethyl ester The solution of diethyl (acetylamino)malonate (20 mmol) in toluene (30 ml) stirred at 00C was treated under Ar with NaOMe (0.057 g, 1.1 mmol) in MeOH and freshly distilled acrylaldehyde (1.5 ml) in toluene was added dropwise in 30 minutes. The solution was stirred at O0C. After 1 hr acetic acid (0.2 ml) and (2,4-Difluoro-phenyl)-hydrazine (20 mmol) were added. The reaction mixture was refluxed for 1.5 hr, cooled and left in the freezer (00C) overnight. Toluene was evaporated under reduced pressure and hex- ane was added to give a solid residue. This was filtered off and washed with hexane to give the title compound (75-80%). This compound was immediately used in the next step without further purification.
39b) 2-Acetylamino-2-(5,7-difluoro-1 H-indol-3-ylmethyl)-malonic acid diethyl ester The solution of 2-Acetylamino-2-{3-[(2,4-difluoro-phenyl)-hydrazono]-propyl}-malonic acid diethyl ester (0.42 mol) in 5% H2SO4 (750 ml) was refluxed for 6 hr under Ar.
After cooling at rt the oil formed was washed with water at 600C and residue was dissolved in CH2CI2, washed with water and brine, the organic phase was dried (Na2SO4) and concentrated to give a gummy residue. This was chromatographed on silica gel (toluene) to give the title compound (65%) as brown solid.
39c) 2-Acetylamino-2-(5,7-difluoro-1 H-indol-3-ylmethyl)-malonic acid The solution of 2-Acetylamino-2-(5,7-difluoro-1 H-indol-3-ylmethyl)-malonic acid diethyl ester (0.1 mol) in water (190 ml) and NaOH (20 g) was heated at 900C for 4 hr under Ar. After cooling to 00C HCI (50 ml) was added portionwise at stirring. The reaction mix- ture was left in the freezer (0°C) overnight. The obtained solid was filtered and oven dried at 45°C at reduced pressure yielding the title compound (~50%).
39d) 2-Acetylamino-3-(5,7-difluoro-1 H-indol-3-yl)-propionic acid The solution of 2-Acetylamino-2-(5,7-difluoro-1H-indol-3-ylmethyl)-malonic acid (3.2 g) in water (15 ml) was refluxed for 3 hr under Ar. The black oil formed was extracted with hot water (3x50 ml). The water extracts were combined and treated with activated charcoal. After cooling at rt the reaction mixture was left in the freezer (O0C) overnight. The solid formed was filtered off, washed with water and dried yielding 1.1 g of the title compound. MS (ESI1+): 283 (M+1 ).
39e) 2-Amino-3-(5,7-difluoro-1 H-indol-3-yl)-propionic acid
The solution of 2-Acetylamino-3-(5,7-difluoro-1 H-indol-3-yl)-propionic acid (2.8 g) in 2N HCI (25 ml) was refluxed for 4 hr under Ar. After cooling at rt the solvent was removed under reduced pressure at 500C. The residue (-2.7 g) was dissolved in water (6 ml) and sodium acetate (0.85 g) was added at 500C. After cooling at rt the reaction mixture was left in the freezer (O0C) overnight. The solid formed was filtered off, washed with cold water (2 ml) and dried yielding after recrystallization from abs. EtOH 2.0 g of the title compound. MS (ESI,+): 241 (M+1 ).
39f) 2-Amino-3-(5,7-difluoro-1 H-indol-3-yl)-propionic acid ethyl ester
2-Amino-3-(5,7-difluoro-1 H-indol-3-yl)-propionic acid (3.0 g) was added portionwise at - 100C to the stirred solution of SOCI2 (2.2 ml) in abs. EtOH (30 ml) uder Ar. The reaction mixture was stirred for 2 hr at -100C and 48 hr at rt. The solid formed was filtered off, washed with ethyl ether and dried yielding 2.5 g of the title compound as hydrochloride. MS (ESI,+): 269 (M+1 ).
39g) 3-(5>7-Difluoro-1 H-indol-3-yl)-2-{[7-(3-fluoro-5-methylcarbamoyl-phenyl)-2,3,4,5- tetrahydro-benzo[b]oxepine-9-carbonyl]-amino}-propionic acid ethyl ester A solution of 7-(3-Fluoro-5-methylcarbamoyl-phenyl)-2,3,4,5-tetrahydro- benzo[b]oxepine-9-carboxylic acid (100 mg), Ethyl 2-Amino-3-(5,7-difluoro-1H-indol-3- yl)-propionic acid ethyl ester (86 mg), EDC (61 mg), HOBt (45 mg) and triethylamine (81 μl_) in DMF (4 ml_) was stirred at ambient temperature overnight. The solvent was distilled off under reduced pressure. The title compound was obtained after flash chromatography in 78 % yield (134 mg). 1H-NMR (DMSO-d6): 11.55 s (1 H); 8.73 d (J = 7.3 Hz, 1 H); 8.65 d (J = 4.6 Hz1 1 H); 7.92 s (1H); 7.89 d (J = 2.5 Hz, 1 H); 7.74 d (J = 2.3 Hz, 1 H); 7.60 m (1H); 7.57 m (1H); 7.30 d (J = 2.0 Hz, 1 H); 7.12 dd (J = 9.6 Hz / 2.0 Hz, 1 H); 6.90 m (1 H); 4.78 m (1 H); 4.06 m (2H); 3.70 m (2H); 3.26 m (2H); 2.85 m (2H); 2.79 d (J = 4.6 Hz, 3H); 1.83 m (2H); 1.69 m (2H); 1.12 m (3H).
39h) 7-(3-Fluoro-5-methylcarbamoyl-phenyl)-2,3,4,5-tetrahydro-benzo[b]oxepine-9- carboxylic acid [2-(5,7-difluoro-1 H-indo!-3-yl)-1-hydroxymethyl-ethyl]-amide A solution of 3-(5,7-Difluoro-1 H-indol-3-yl)-2-{[7-(3-fluoro-5-methylcarbamoyl-phenyl)- 2,3,4,5-tetrahydro-benzo[b]oxepine-9-carbonyl]-amino}-propionic acid ethyl ester (124 mg) was dissolved in THF (10 mL) and a solution of lithium borohydride (2M in THF, 313 μL) and methanol (47 μl_) was added at ambient temperature. The reaction was stirred overnight, then quenched with methanol and water. The solvent was distilled off under reduced pressure and the title compound was obtained after flash chromatography in 72 % yield (83 mg). 1H-NMR (DMSO-d6): 11.46 s (1 H); 8.69 d (J = 4.5 Hz, 1 H); 8.44 d (J = 8.1 Hz, 1 H); 7.98 s (1 H); 7.94 d (J = 2.5 Hz, 1 H); 7.76 d (J = 2.5 Hz, 1 H); 7.68 m (1 H); 7.61 m (1 H); 7.35 dd (J = 9.8 Hz / 2.1 Hz, 1 H); 7.34 d (J = 2.1 Hz, 1 H);
6.93 m (1 H); 4.96 m (1 H); 4.20 m (1 H); 3.95 m (2H); 3.53 m (2H); 2.94 m (2H); 2.84 d (J = 4.5 Hz, 3H); 1.94 m (2H); 1.72 m (2H).
Example 40
A solution of 7-Bromo-2,3,4,5-tetrahydro-benzo[b]oxepine-9-carboxylic acid [(R)-2- hydroxy-1-(1H-indol-3-ylmethyl)-ethyl]-amide (100 mg), (E)-2-Phenyl-ethene boronic acid (35 mg), Pd(PPh3)4 (8.3 mg) in ethanol (1 mL), toluene (1 mL) and an aqueous sodium carbonate solution (2M, 0.23 mL) was stirred in a sealed microwave reactor at 1000C for 30 minutes. The solvent was evaporated and the solid purified by flash chromatography to yield 69 % of the title compound (73 mg). 1H-NMR (DMSO-d6): 10.79 s (1 H); 8.36 d (J = 7.8 Hz, 1 H); 7.78 d (J = 2.5 Hz, 1 H); 7.67 d (J = 7.8 Hz, 1 H); 7.56 m (3H); 7.34 m (3H); 7.23 m (1 H); 7.18 m (3H); 7.03 m (1 H); 6.95 m (1 H); 4.88 m (1 H); 4.21 m (1 H); 3.83 m (2H); 3.49 m (1 H); 3.43 m (1 H); 2.98 m (2H); 2.77 m (2H); 1.85 m (2H); 1.63 m (2H).
Example 41
41a) 5-Bromo-2,3-dihydro-benzofuran-7-carboxylic acid [(R)-I -hydroxymethyl- 2-(1 H-indol-3-yl)-ethyl]-amide
Commercially available 5-Bromo-2,3-dihydro-benzofuran-7-carbonyl chloride (15.8 mmole) and (f?)-Tryptophanol (15.8 mmole) were dissolved in CH2CI2, NMM was added and the reaction mixture was stirred overnight at ambient temperature. EDCI (0.8 eq.) was added and the reaction mixture was stirred overnight. The organic phase was washed with sodium carbonate solution (10% in water) and KHSO4 (1 M in water), the solvent was removed and the title compound was obtained in quantitative yield. MS [M+1] = 417.
41 b) 5-Thiophen-3-yl-2,3-dihydro-benzofuran-7-carboxylic acid [(R)-I -hydroxymethyl-2- (1H-indol-3-yl)-ethyl]-amide
To 0.1 mmol of 5-Bromo-2,3-dihydro-benzofuran-7-carboxylic acid [(R)-I- hydroxymethyl-
2-(1 H-indol-3-yl)-ethyl]-amide (0.2 M in THF) in a microwave vessel are added 1.5 eq of thiopen-3-boronic acid (0.4 M in THF), 3 eq of K2CO3 (1 M in H2O), 0.1 eq Pd(OAc)2 (0.0375 M in THF), 0.2 eq Tri(o-tolylphosphin) (0.5 M in THF) and 100 μl of H2O. The mixture is heated to 130cC under stirring in a microwave oven for 1 h. After cooling, the solution is evaporated, redissolved in DMSO, filtered and subjected to preparative
HPLC. Column Purospher Star RP C18 4.6x125 5μm; detection wavelength 214 nm; flow rate 2 ml/min; eluents A): 0.1% TFA in H2O, B): 0.1% TFA in ACN; gradients based on B: 1% to 99% (5') to 99% (11) to 1% (0.251) to 1% (1.751). Molecular peak (ESI, M+1 ):
420; retention time: 3.84 min.
The following compounds were obtained in analogy to the preparation methods described in detail:
85a) 7-Bromo-2,3-dihydro-benzo[1 ,4]dioxine-5-carboxylic acid [(R)-2-hydroxy-1-(1 H- indol-3-ylmethyl )-ethyl]-am ide
The title compound was prepared according to example 14a and 14b.
85b) 7-(2-Methoxy-phenylethynyl)-2,3-dihydro-benzo[1 ,4]dioxine-5-carboxylic acid [(R)- 1-hydroxymethyl-2-(1 H-indol-3-yl)-ethyl]-amide
7-Bromo-2,3-dihydro-benzo[1 ,4]dioxine-5-carboxylic acid [(R)-2-hydroxy-1 -(1 H-indol-3- ylmethyl)-ethyl]-amide (139 mg), 1-Ethynyl-2-methoxy-benzene (84 μL), Pd(PPh3)2CI2 (7 mg) and TBAF x 3 water (253 mg) were dissolved in THF (3 mL) and dimethoxyethan (300 μL) and heated in a microwave oven at 1300C for one hour. The reaction mixture was diluted with ethyl acetate and the organic phase was washed with brine. The organic phase was dried over sodium sulphate, the solvent removed and the crude product was purified by HPLC chromatography to obtain the title compound in 21 % yield (32 mg). 1H-NMR (DMSO-d6): 10.81 s (1 H); 7.97 d (J = 8.1 Hz, 1 H); 7.62 d (J = 7.6 Hz, 1 H); 7.42 d (J = 7.6 Hz, 1 H); 7.35 m (2H); 7.31 m (1 H); 7.15 s (1 H); 7.05 m (3H); 6.95 m (2H); 4.86 m (1 H); 4.28 m (1 H); 3.81 s (3H); 3.47 m (1 H); 3.99 m (1 H); 2.96 m (2H).
The following compounds were obtained in analogy to the preparation methods described in detail:
Example 87
87a) 7-(3-Fluoro-5-methylcarbamoyl-phenyl)-2,3,4,5-tetrahydro-benzo[b]oxepine-9- carboxylic acid
The title compound was prepared according to the procedures described in example 32a - 32g.
87b) (R)-2-{[7-(3-Fluoro-5-methylcarbamoyl-phenyl)-2,3,4,5-tetrahydro- benzotbJoxepine-θ-carbonyll-aminoJ-S-O H-indol-S-yO-propionic acid methyl ester
(R)-2-Amino-3-(1 H-indol-3-yl)-propionic acid methyl ester hydrochloride (223 mg), 7-(3- Fluoro-5-methylcarbamoyl-phenyl)-2,3,4,5-tetrahydro-benzo[b]oxepine-9-carboxylic acid (300 mg), HOBt hydrate (134 mg), EDCI (184 mg) and triethylamin (243 μl_) were dissolved in DMF (6 ml_) and stirred for 16 hours at ambient temperature. The reaction was quenched by the addition of water, brine and sulphuric acid (2M) and extracted with ethyl acetate. The organic layer was dried over sodium sulphate, the solvent was distilled off and the crude product was purified via flash chromatography to yield 88% of the title compound. 1H-NMR (DMSO-d6): 10.92 s (1H); 8.68 m (2H); 7.93 m (2H); 7.73 d (J = 7.5 Hz, 1 H); 7.60 m (1 H); 7.54 m (1 H); 7.45 d (J = 7.9 Hz, 1H); 7.31 d (J = 8.1 Hz, 1 H); 7.15 d (J = 2.3 Hz, 1 H); 7.02 m (1H); 6.92 m (1H); 4.83 m (1 H); 3.64 s (3H); 3.59 m (2H); 3.24 m (2H); 2.78 m (5H); 1.78 m (2H); 1.61 m (2H).
87c) 7-(3-Fluoro-5-methylcarbamoyl-phenyl)-2,3,4,5-tetrahydro-benzo[b]oxepine-9- carboxylic acid [(R)-2-hydroxy-1-(1 H-indol-3-ylmethyl)-2-methyl-propyl]-amide(R)-2-{[7- (3-Fluoro-5-methylcarbamoyl-phenyl)-2,3,4,5-tetrahydro-benzo[b]oxepine-9-carbonyl]- amino}-3-(1 H-indol-3-yl)-propionic acid methyl ester (200 mg) was dissolved in THF (10 mL) and cooled to -5CC. MeMgBr (3 M in ether, 1.84 mL) was added under Argon. The ice bath was removed and the reaction mixture was stirred for 2 hours at ambient temperature. After addition of aq. ammonium chloride solution the reaction mixture was extracted with ethyl acetate. The organic layers were dried over sodium sulphate and the solvent was removed under vacuum. The title compound was obtained after flash chromatography in 84% yield. 1H-NMR (DMSO-d6): 10.64 s (1 H); 8.64 d (J = 4.7 Hz, 1 H); 8.22 d (J = 9.8 Hz, 1 H); 7.87 s (1 H); 7.65 d (J = 2.3 Hz, 1 H); 7.54 m (4H); 7.25 d (J = 7.9 Hz, 1 H); 7.07 d (J = 1.9 Hz, 1 H); 6.98 m (1 H); 6.89 m (1 H); 4.66 s (1 H); 4.24 m (1 H); 3.93 m (1 H); 3.82 m (1 H); 3.14 m (2H); 2.77 m (5H); 1.88 m (2H); 1.65 m (2H); 1.26 s (3H); 1.15 s (3H).
The following compounds were obtained in analogy to the preparation methods described in detail:
Example 92
92a) 7-Bromo-2,3-dihydro-benzo[1 ,4]dioxine-5-carboxylic acid [(R)-2-hydroxy-1-(1 H- indol-3-ylmethyl)-ethyl]-amide The title compound was prepared according to example 14a and 14b.
92b) 7-Biphenyl-4-yl-2,3-dihydro-benzo[1 ,4]dioxine-5-carboxylic acid [(R)-I- hydroxymethyl-2-(1 H-indol-3-yl)-ethyl]-amide
To 0.1 mmol of 7-Bromo-2,3-dihydro-benzo[1 ,4]dioxine-5-carboxylic acid [(R)-2- hydroxy-1-(1 H-indol-3-ylmethyl)-ethyl]-amide (0.2 M in THF) in a microwave vessel are added 1.5 eq of biphenyl-4-boronic acid (0.4M in THF)1 3 eq of K2CO3 (1M in H2O)1 0.1 eq Pd(OAc)2 (0.0375 M in THF), 0.2 eq Tri(o-tolylphosphin) (0.5 M in THF) and 100 μl of H2O. The mixture is heated to 1300C under stirring in a microwave oven for 1h. After cooling, the solution is evaporated, redissolved in DMSO, filtered and subjected to preparative HPLC. Column Purospher Star RP C18 4.6x125 5μm; detection wavelength 214 nm; flow rate 2 ml/min; eluents A): 0.1% TFA in H2O, B): 0.1% TFA in ACN; gradients based on B: 1 % to 99% (5') to 99% (1 ') to 1 % (0.25') to 1 % (1.75'). Molecular peak (ESI, M+1): 506; retention time: 4.46 min.
The following compounds were obtained in analogy to the preparation methods described in detail:
6-(3-Chloro-4-methylcarbamoyl-phenyl)-2,2-dimethyl-chroman-8-carboxylic acid [2-(5,7-difluoro-1 H-indol-3-yl)-1 -hydroxymethyl-ethyl]-
190a) β-lodo^^-dimethyl^H-chromene-δ-carboxylic acid methyl ester
The title compound was prepared according to the procedures described in example
7a-7b.
190b) 6-(3-Chloro-4-methylcarbamoyl-phenyl)-2,2-dimethyl-2H-chromene-8-carboxylic acid methyl ester
A mixture of θ-lodo^^-dimethyl^H-chromene-δ-carboxylic acid methyl ester (1g), 3- Chloro-4-methylcarbamoyl benzene boronic acid (682 mg), Pd(PPh3J4 (67 mg), sodium carbonate solution (2M in water, 2.91 ml) in ethanol (6 ml) and toluene (6 ml) was heated in a microwave vessel for 20 minutes at 11O0C. The reaction mixture was evaporated and the residue was extracted with water / ethyl acetate (3x). The combined organic layers were dried over sodium sulphate. The title compound was obtained in 74% yield after flash chromatography. 1H-NMR (CDCI3): 7.85 d (J = 2.5 Hz, 1 H); 7.75 (J = 8.1 Hz, 1 H); 7.56 (J = 1.7 Hz1 1 H); 7.50 dd (J = 1.7 Hz / 8.1 Hz, 1 H); 7.30 (J = 2.5 Hz1 1 H); 6.36 (J = 10.0 Hz, 2H); 5.75 d (J = 9.8 Hz, 1 H); 3.91 s (3H); 3.04 d (J = 4.9 Hz, 3H); 1.50 s (6H).
190c) 6-(3-Chloro-4-methylcarbamoyl-phenyl)-2,2-dimethyl-2H-chromene-8-carboxylic acid A solution of e^S-Chloro^-methylcarbamoyl-phenyl^^-dimethyl^H-chromene-δ- carboxylic acid methyl ester (880 mg) in methanolic KOH (10%, 10 ml) was stirred at ambient temperature overnight. The solvent was distilled off under reduced pressure and the residue was dissolved in water. The solution was acidified by addition of HCI
(1 N) and the title compound was isolated by filtration. Yield after drying in vacuum: 85%. 1H-NMR (DMSO-d6): 12.72 s (1 H); 8.35 m (1H); 7.74 m (2H); 7.63 m (2H); 7.43 d (J = 8.1 Hz, 1H); 6.5O d (J = 10.0 Hz, 1 H); 5.86 d (J = 10.0 Hz1 1 H); 2.72 d (J = 4.7 Hz, 3H); 1.38 s (6H).
19Od) 2-Amino-3-(5,7-difluoro-1 H-indol-3-yl)-propionic acid ethyl ester
The title compound was prepared according to the procedures described in examples
39a-39f.
19Oe) 2-{[6-(3-Chloro-4-methylcarbamoyl-phenyl)-2,2-dimethyl-2H-chromene-8- carbonyl]-amino}-3-(5,7-difluoro-1 H-indol-3-yl)-propionic acid ethyl ester A solution of 6-(3-Chloro-4-methylcarbamoyl-phenyl)-2,2-dimethyl-2H-chromene-8- carboxylic acid (200 mg), 2-Amino-3-(5,7-difluoro-1H-indol-3-yl)-propionic acid ethyl ester (159 mg), EDC (113 mg), HOBt x water (91 mg) and triethylamine (0.11 ml) in DMF (5 ml.) was stirred at ambient temperature overnight. The solvent was distilled off under reduced pressure. The title compound was obtained after flash chromatography in 63 % yield (134 mg). ESI-MS [M+1] = 623.
190f) 6-(3-Chloro-4-methylcarbamoyl-phenyl)-2,2-dimethyl-2H-chromene-8-carboxylic acid [2-(5,7-difluoro-1 H-indol-3-yl)-1 -hydroxymethyl-ethyl]-amide
To a solution of 2-{[6-(3-Chloro-4-methylcarbamoyl-phenyl)-2,2-dimethyl-2H-chromene- 8-carbonyl]-amino}-3-(5,7-difluoro-1 H-indol-3-yl)-propionic acid ethyl ester (200 mg) in THF (5 ml) was added under ice bath cooling a solution of lithium borohydride (2M in THF, 0.48 ml). The ice bath was removed and the reaction was stirred at ambient tem- perature overnight. The reaction was stopped by addition of HCI (1N), extracted with ethyl acetate / water (3x) and the combined organic layers were dried over sodium sulphate. The title compound was obtained after flash chromatography in 24% yield. ESI-MS [M+1] = 581.
19Og) 6-(3-Chloro-4-methylcarbamoyl-phenyl)-2,2-dimethyl-chroman-8-carboxylic acid [2-(5,7-difluoro-1 H-indol-3-yl)-1-hydroxymethyl-ethyl]-amide A mixture of 6-(3-Chloro-4-methylcarbamoyl-phenyl)-2,2-dimethyl-2H-chromene-8- carboxylic acid [2-(5,7-difluoro-1 H-indol-3-yl)-1-hydroxymethyl-ethyl]-amide (44 mg) and palladium on charcoal (10 mg) in methanol (5 ml) was hydrogenated at ambient tem- perature and 1 atm. The mixture was filtered and the solvent of the filtrate was removed under reduced pressure to obtain the title compound in 68% yield. 1H-NMR (MeOD):
8.20 d ( J = 2.6 Hz1 1 H); 7.90 m (2H); 7.72 m (2H); 7.61 d (J = 2.5 Hz, 1 H); 7.55 dd (J = 8.1 Hz / 11.5 Hz, 1 H); 7.20 m (2H); 4.44 m (1 H); 3.70 m (2H); 3.11 d (J = 6.6 Hz, 1H); 2.97 m (5H); 1.91 m (2H); 1.38 s (3H); 1.30 s (3H).
The following compounds were obtained in analogy to the preparation methods described in detail:
Claims
Claims
1. Compounds of the formula I
in which R1 is hydrogen, d-C6-alkyl, C3-C6-alkenyl, C3-C6-alkynyl, C3-C7-cycloalkyl,
Ci-Ce-alkyloxy-Ci-Ce-alkylene, Ca-Cy-cycloalkyloxy-d-Ce-alkylene, C1-
C6-alkylamino-Ci-C6-alkylene, di(C1-C6-alkyl)amino-C1-C6-alkylene, phenyloxy-Ci-C6-alkylene; wherein the hydrocarbon chains may optionally be substituted once or more times by fluorine, cyano, hydroxy, amino or the groups:
R2 is hydrogen, halogen, cyano, -SO2Me, Ci-C6-alkyl, C2-C6-alkenyl, C2-C6- alkynyl, Ci-C6-alkyloxy or benzyloxy, wherein the hydrocarbon chains may optionally be fluorinated once or more times;
R3 is hydrogen, hydroxy, halogen, nitro, amino, cyano, Ci-C6-alkyl, C2-C6- alkenyl or Cr-C6-alkynyl, C3-C7-cycloalkyl, hydroxy-d-Cβ-alkylene, hy- droxy-C3-C6-alkenylene, hydroxy-C3-C6-alkynylene, d-C6-alkyloxy, Ci-
Ce-alkyloxy-d-C6-alkylene, d-d-cycloalkyloxy, C3-C7-cycloalkyl-Ci- Ce-alkylenoxy, Cs-d-cycloalkyloxy-d-Cβ-alkylene, C1-C6-alkyloxy-C3- C6-alkenylene, d-Cβ-alkyloxy-Cs-Cβ-alkynylene, d-C6-alkyloxyphenyl- d-Ce-alkylene, d-Cβ-alkylamino-d-Ce-alkylene, di(C1-C6-alkyl)amino- Ci-C6-alkylene, phenyloxy-Ci-C6-alkylene; where the hydrocarbon chains therein may optionally be substituted one or more times by fluorine, cyano, hydroxy, amino or the groups
R4, R5, R6 are independently of one another hydrogen, hydroxy, halogen, nitro, amino, cyano, phenyl, Ci-C6-alkyl, C2-C6-alkenyl or C2-C6-alkynyl, C3- C7-cycloalkyl, Cs-C^cycloalkyl-Ci-Cβ-alkylene, C3-C7-heterocycloalkyl, where the hydrocarbon chains therein may optionally be substituted one or more times by fluorine, cyano or the groups:
or independently of one another hydroxy-d-Ce-alkylene, hydroxy-C3-C6- alkenylene, hydroxy-C3-C6-alkynylene, Ci-C6-alkyloxy, C3-C7-cycloalkyl- oxy, C3-C7-cycloalkyl-Ci-C6-alkylenoxy, d-Cβ-alkyloxy-Ci-Cβ-alkylene,
Cs-d-cycloalkyloxy-d-Ce-alkylene, d-Cβ-alkyloxy-Cs-Ce-alkenylene, Ci-Cβ-alkyloxy-Ca-Cβ-alkynylene, d-Cβ-alkyloxyphenyl-d-Ce-alkylene, phenyloxy-Ci-C6-alkylene, Ci-C6-alkylamino, di(C1-C6-alkyl)amino, d-Ce-alkylamino-Ci-Ce- alkylene, di(Ci-C6)-alkylamino-Ci-C6-alkylene, C3-C7-cycloalkyl-(C0-C6- alkyl)amino,
C1-C6-acyl-(Co-C6-alkyl)amido, Ci-Ce-alkylaminocarbonyl, di(C1-C6- alkyl)aminocarbonyl, (C3-C7-cycloalkyl)aminocarbonyl, di(C3-C7-cyclo- alkyl)aminocarbonyl, Cs-d-cycloalkyl-Ci-Cβ-alkyleneaminocarbonyl, d-Cβ-alkylcarbonyl, Cs-d-cycloalkylcarbonyl, carboxy, carboxamido [-C(O)NH2], d-Cβ-alkyloxycarbonyl, Ci-Cs-alkylsulphanyl, Ci-C6-alkysulphonyl, Cs-d-cycloalkylsulphonyl, Cr-d-cycloalkyl-Ci-Ce-alkylenesulphonyl, Ci-Ce-alkylaminosulphonyl, diCd-Ce-alky^aminosulphonyl, (C3-C7- cycloalkyl)aminosulphonyl, di(C3-C7-cycloalkyl)aminosulphonyl, C3-C7- cycloalkyl-d-Cβ-alkyleneaminosulphonyl, C^Ce-alkylsulphonylamido, -N(C0-C6-alkyl)-C(O)-d-C6-alkyl, -N(Co-C6-alkyl)-C(0)-C3-C7-cycloalkyl, -N(C0-C6-alkyl)-C(0)-N-di(Co-C6-alkyl)I -N(Co-C6-alkyl)-C(0)-0-(Co- C6)alkyl, -N(Co-C6-alkyl)-C(0)-NH-C3-C7-cycloalkyl, -N(C0-C6-alkyl)-SO2-d-C6-alkyl, -N(C0-C6-alkyl)-SO2-C3-C7-cycloalkyl,
-N(C0-C6-alkyl)-S02-N-di(Co-C6-alkyl), -N(Co-C6-alkyl)-S02-NH-( C3-C7)- cycloalkyl,
-C(O)-N(H)-C2-C6-alkylene-(d-C6-alkyl)amine, -C(O)-N(H)-C2-C6- alkylene-[di(C1-C6-alkyl)]amine, -C(O)-N(H)-C2-C6-alkylene-(C3-C7- cycloalkyl)amine, -C(0)-N(H)-C2-C6-alkylene-(C3-C7-cycloalkyl-CrC6- alkyl)amine,
-S(O2)-N(H)-C2-C6-alkylene-(d-C6-alkyl)amine, -S(O2)-N(H)-C2-C6- alkylene-[di(C1-C6-alkyl)]amine, -S(O2)-N(H)-C2-C6-alkylene-( C3-C7- cycloalkyl)amine, -S(O2)-N(H)-C2-C6-alkylene-(C3-C7-cycloalkyl-C1-C6- alkylene)amine,
-O-C2--C6-alkylene-(C1-C6-alkyl)amine, -O-C2-C6-alkylene-[di(C1-C6- alkylene)]amine, or the groups:
R7, R8 may be independently of one another hydrogen, methyl, ethyl, where the methyl and ethyl radicals may be fluorinated one or more times; wherein
R2 may substitute one or more positions of the aryl or heteroaryl ring in the indole residue;
R3 may substitute one or more positions of the monocyclic aryl or monocyclic heteroaryl ring of Q and/or V;
R5 and R6 may together form a heterocycloalkyl or cycloalkyl group;
Q is a monocyclic aryl or a monocyclic heteroaryl group;
V is a cycloalkylen, cycloalkenylen, heterocycloalkylen or heterocycloalkenylen group;
W is an aryl or heteroaryl group; X is a bond, C1-C4-alkylene, C2-C4-alkenylene or C2-C4-alkynylene group.
2. Compounds according to claim 1 , namely acyltryptophanols of the formula Il
in which the radicals R1 to R8, X, V and W have the same meaning as defined in claim 1 and
T1 , T2, T3 are each independently of one another a nitrogen atom or an
R3-C group.
3. Compounds according to claim 1 , namely acyltryptophanols of the formula III
in which R1 to R8, X, V and W have the same meaning as defined in claim 1.
4. Compounds according to any of the preceding claims, namely
1 θ-^Aδ-Trimethoxy-phenyl^H-chromene-δ-carboxylic acid [(R)-I -hydroxy- methyl-2-(1 H-indol-3-yl)-ethyl]-amide;
2 6-(3-Chloro-4-methylcarbamoyl-phenyl)-2H-chromene-8-carboxylic acid [(R)-2- hydroxy-1-(1 H-indol-3-ylmethyl)-ethyl]-amide;
3 6-(3-Chloro-4-methylcarbamoyl-phenyl)-chroman-8-carboxylic acid [(R)-2- hydroxy-1-(1 H-indol-3-ylmethyl)-ethyl]-amide;
4 θ-o-Tolylethynyl^H-chromene-δ-carboxylic acid [(R)-I -hydroxymethyl-2-(1 H- indol-3-yl)-ethyl]-amide;
5 6-(2-Methoxy-phenylethynyl)-2H-chromene-8-carboxylic acid [(R)-I -hydroxy- methyl-2-(1 H-indol-3-yl)-ethyl]-amide;
6 2-Methyl-6-(3,4,5-trimethoxy-phenyl)-2H-chromene-8-carboxylic acid [(R)-I- hydroxymethyl-2-(1 H-indol-3-yl)-ethyl]-amide;
6-(3-Chloro-4-methylcarbamoyl-phenyl)-2,2-dinnethyl-2H-chromene- 8-carboxylic acid [(R)-2-hydroxy-1-(1 H-indol-3-ylmethyl)-ethyl]-amide;
Θ^S-Fluoro-δ-methylcarbamoyl-phenyO^^-dimethyl^H-chromene- 8-carboxylic acid [(R)-2-hydroxy-1-(1H-indol-3-ylmethyl)-ethyl]-amide;
2,2-Dimethyl-6-(3,4,5-trimethoxy-phenyl)-2H-chromene-8-carboxylic acid [(R)- 2-hydroxy-1 -(1 H-indol-3-ylmethyl)-ethyl]-amide;
2,2-Dimethyl-6-(4-methylcarbamoyl-phenylethynyl)-2H-chromene-8-carboxylic acid [(R)-I -hydroxymethyl-2-(1 H-indol-3-yl)-ethyl]-amide;
2,2-Dimethyl-6-(3-methylcarbamoyl-phenylethynyl)-2H-chromene-8-carboxylic acid [(R)-I -hydroxymethyl-2-(1H-indol-3-yl)-ethyl]-amide;
S-^^-Dimethoxy-phenyl^-vinyl^.S-dihydro-benzofuran^-carboxylic acid [(R)-I -hydroxymethyl-2-(1 H-indol-3-yl)-ethyl]-amide;
5-(3,4-Dimethoxy-phenyl)-2-ethyl-2,3-dihydro-benzofuran-7-carboxylic acid [(R)-I -hydroxymethyl-2-(1 H-indol-3-yl)-ethyl]-amide;
7-(3-Chloro-4-methylcarbamoyl-phenyl)-2,3-dihydiO-benzo[1 ,4]dioxine- 5-carboxylic acid [(R)-2-hydroxy-1-(1 H-indol-3-ylmethyl)-ethyl]-amide;
7-(3,4,5-Trimethoxy-phenyl)-2,3-dihydro-benzo[1 ,4]dioxine-5-carboxylic acid [(R)-I -hydroxymethyl-2-(1 H-indol-3-yl)-ethyl]-amide;
7-(3-Fluoro-5-methylcarbamoyl-phenyl)-2,3-dihydro-benzo[1 ,4]dioxine-5- carboxylic acid [(R)-2-hydroxy-1-(1 H-indol-3-ylmethyl)-ethyl]-amide;
7-(3-Fluoro-5-methylcarbamoyl-phenyl)-2,3-dihydro-benzo[1 ,4]dioxine- 5-carboxylic acid [2-(6-fluoro-1 H-indol-3-yl)-1-hydroxymethyl-ethyl]-amide;
7-(3,4,5-Trimethoxy-phenyl)-2,3-dihydro-benzo-[1 ,4]dioxine-5-carboxylic acid [2-(6-fluoro-1 H-indol-3-yl)-1 -hydroxymethyl-ethyl]-amide;
7-(3-Chloro-4-methylcarbamoyl-phenyl)-2,3-dihydro-benzo[1 ,4]dioxine- 5-carboxylic acid [2-(6-fluoro-1 H-indol-3-yl)-1-hydroxymethyl-ethyl]-amide;
5-(3,4-Difluoro-5-methoxy-phenyl)-2,3-dihydro-benzofuran-7-carboxylic acid [(R)-2-hydroxy-1-(1 H-indol-3-ylmethyl)-ethyl]-amide;
5-(3,4-Dinrιethoxy-phenyl)-2F3-dihydro-benzofuran-7-carboxylic acid [(R)-I- hydroxymethyl-2-( 1 H-indol-3-yl)-ethyl]-amide;
5-(3-Methoxy-phenyl)-2,3-dihydro-benzofuran-7-carboxylic acid [(R)-I -hydroxy- methyl-2-(1 H-indol-3-yl)-ethyl]-amide;
5-Benzo[1 ,3]dioxol-5-yl-2,3-dihydro-benzofuran-7-carboxylic acid [(R)-I- hydroxymethyl-2-(1 H-indol-3-yl)-ethyl]-amide;
5-(3-Fluoro-4-methoxy-phenyl)-2,3-dihydro-benzofuran-7-carboxylic acid [(R)- 2-hydroxy-1-(1 H-indol-3-ylmethyl)-ethyl]-amide;
5-(3,4,5-Trimethoxy-phenyl)-2,3-dihydro-benzofuran-7-carboxylic acid [(R)-I- hydroxymethyl-2-(1 H-indol-3-yl)-ethyl]-amide;
7-(3-Chloro-4-methylcarbamoyl-phenyl)-2,3,4,5-tetrahydro-benzo[b]oxepine-9- carboxylic acid [(R)-2-hydroxy-1-(1 H-indol-3-ylmethyl)- ethyl]-amide;
7-(4-Carbamoyl-3-chloro-phenyl)-2,3,4,5-tetrahydro-benzo[b]oxepine- 9-carboxylic acid [(R)-2-hydroxy-1-(1 H-indol-3-ylmethyl)-ethyl]-amide;
7-[3-Chloro-4-(morpholine-4-carbonyl)-phenyl]-2,3,4,5-tetrahydro-benzo[b]- oxepine-9-carboxylic acid [(R)-2-hydroxy-1 -(1 H-indol-3-ylmethyl)-ethyl]-amide;
7-(3-Chloro-4-methylcarbamoyl-phenyl)-2,3,4,5-tetrahydro-benzo[b]oxepine- 9-carboxylic acid [1-(6-fluoro-1 H-indol-3-ylmethyl)-2-hydroxy-ethyl]-amide;
7-(4-Carbamoyl-3-chloro-phenyl)-2,3,4,5-tetrahydro-benzo[b]oxepine- 9-carboxylic acid [1-(6-fluoro-1 H-indol-3-ylmethyl)-2-hydroxy-ethyl]-amide;
7-[3-Chloro-4-(morpholine-4-carbonyl)-phenyl]-2,3,4,5-tetrahydro-benzo[b]- oxepine-9-carboxylic acid [(R)-I -(6-fluoro-1 H-indol-3-ylmethyl)-2-hydroxy- ethyl]-amide;
7-(3-Fluoro-5-methylcarbamoyl-phenyl)-2,3,4,5-tetrahydro-benzo[b]oxepine- 9-carboxylic acid [2-(4-fluoro-1 H-indol-3-yl)-1 -hydroxymethyl-ethyl]-amide;
33 7-(3-Fluoro-5-methylcarbamoyl-phenyl)-2,3,4,5-tetrahydro-benzo[b]oxepine- 9-carboxylic acid [2-(5-fluoro-1 H-indol-3-yl)-1-hydroxymethyl-ethyl]-amide;
34 7-(3-Fluoro-5-methylcarbamoyl-phenyl)-2,3,415-tetrahydro-benzo[b]oxepine- 9-carboxylic acid [2-(6-fluoro-1 H-indol-3-yl)-1 -hydroxymethyl-ethyl]-amide;
35 7-(3-Fluoro-5-methylcarbamoyl-phenyl)-2,3,4,5-tetrahydro-benzo[b]oxepine- 9-carboxylic acid [(R)-2-hydroxy-1-(1 H-indol-3-ylmethyl)-ethyl]-amide;
36 7-(4-Methylcarbamoyl-phenylethynyl)-2,3,4,5-tetrahydro-benzo[b]oxepine- 9-carboxylic acid [(R)-I -hydroxymethyl-2-(1H-indol-3-yl)-ethyl]-amide;
37 7-(3-Methylcarbamoyl-phenylethynyl)-2,3,4,5-tetrahydro-benzo[b]oxepine- 9-carboxylic acid [(R)-I -hydroxymethyl-2-(1 H-indol-3-yl)-ethyl]-amide;
38 7-(3-Fluoro-5-methylcarbamoyl-phenyl)-2,3,4,5-tetrahydro-benzo[b]oxepine- 9-carboxylic acid [2-(5,6-difluoro-1 H-indol-3-yl)-1 -hydroxymethyl-ethyl]-amide;
39 7-(3-Fluoro-5-methylcarbamoyl-phenyl)-2,3,4,5-tetrahydro-benzo[b]oxepine- 9-carboxylic acid [2-(5,7-difluoro-1 H-indol-3-yl)-1 -hydroxymethyl-ethyl]-amide;
40 7-((E)-Styryl)-2,3,4,5-tetrahydro-benzo[b]oxepine-9-carboxylic acid [(R)-I- hydroxymethyl-2-(1 H-indol-3-yl)-ethyl]-amide.
5. Compounds according to any of the claims 1-3, namely
41 5-Thiophen-3-yl-2,3-dihydro-benzofuran-7-carboxylic acid [(R)-I- hydroxymethyl-2-(1 H-indol-3-yl)-ethyl]-amide;
42 5-(4-Methoxy-phenyl)-2,3-dihydro-benzofuran-7-carboxylic acid [(R)-I- hydroxymethyl-2-(1 H-indol-3-yl)-ethyl]-amide;
43 5-Naphthalen-2-yl-2,3-dihydro-benzofuran-7-carboxylic acid [(R)-I- hydroxymethyl-2-(1 H-indol-3-yl)-ethyl]-amide;
44 2',3'-Dihydro-[2,5']bibenzofuranyl-7'-carboxylic acid [(R)-I -hydroxymethyl-2- (1 H-indol-3-yl)-ethyl]-amide;
45 5-(3-Chloro-phenyl)-2,3-dihydro-benzofuran-7-carboxylic acid [(R)-I- hydroxymethyl-2-(1 H-indol-3-yl)-ethyl]-amide;
δ-p-Tolyl^.S-dihydro-benzofuran-Z-carboxylic acid [(R)-I -hydroxymethyl-2- (1 H-indol-3-yl)-ethyl]-amide; 5-Benzo[b]thiophen-2-yl-2,3-dihydro-benzofuran-7-carboxylic acid [(R)-I- hydroxymethyl-2-(1 H-indol-3-yl)-ethyl]-amide; 5-Naphthalen-1-yl-2,3-dihydro-benzofuran-7-carboxylic acid [(R)-I- hydroxymethyl-2-(1H-indol-3-yl)-ethyl]-amide; 5-(4-Cyano-phenyl)-2,3-dihydro-benzofuran-7-carboxylic acid [(R)-I- hydroxymethyl-2-(1 H-indol-3-yl)-ethyl]-amide; 5-(4-Fluoro-phenyl)-2,3-dihydro-benzofuran-7-carboxylic acid [(R)-I- hydroxymethyl-2-(1 H-indol-3-yl)-ethyl]-amide; 5-(4-Hydroxy-phenyl)-2,3-dihydro-benzofuran-7-carboxylic acid [(R)-I- hydroxymethyl-2-(1 H-indol-3-yl)-ethyl]-amide; 5-(3-Trifluoromethyl-phenyl)-2,3-dihydro-benzofuran-7-carboxylic acid [(R)-I- hydroxymethyl-2-(1 H-indo!-3-yl)-ethyl]-amide; 5-(4-Methylsulfanyl-phenyl)-2,3-dihydro-benzofuran-7-carboxylic acid [(R)-I- hydroxymethyl-2-(1 H-indol-3-yl)-ethyl]-amide; 5-(4-Acetyl-phenyl)-2,3-dihydro-benzofuran-7-carboxylic acid [(R)-I- hydroxymethyl-2-(1 H-indol-3-yl)-ethyl]-amide; 5-(3-Amino-phenyl)-2,3-dihydro-benzofuran-7-carboxylic acid [(R)-I- hydroxymethyl-2-(1 H-indol-3-yl)-ethyl]-annide; 5-(3-Acetyl-phenyl)-2,3-dihydro-benzofuran-7-carboxylic acid [(R)-I- hydroxymethyl-2-(1 H-indol-3-yl)-ethyl]-amide; 5-(3-Fluoro-phenyl)-2,3-dihydro-benzofuran-7-carboxylic acid [(R)-I- hydroxymethyl-2-(1 H-indol-3-yl)-ethyl]-amide; 5-Biphenyl-3-yl-2,3-dihydro-benzofuran-7-carboxylic acid [(R)-I- hydroxymethyl-2-(1 H-indol-3-yl)-ethyl]-amide; 5-(3-Hydroxymethyl-phenyl)-2,3-dihydro-benzofuran-7-carboxylic acid [(R)-I- hydroxymethyl-2-(1 H-indol-3-yl)-ethyl]-amide; 5-Benzo[b]thiophen-3-yl-2,3-dihydro-benzofuran-7-carboxylic acid [(R)-I- hydroxymethyl-2-(1 H-indol-3-yl)-ethyl]-amide; 5-(4-Trifluoromethyl-phenyl)-2,3-dihydro-benzofuran-7-carboxylic acid [(R)-I-
hydroxymethyl-2-(1 H-indol-3-yl)-ethyl]-amide; 5-((E)-Styryl)-2,3-dihydro-benzofuran-7-carboxylic acid [(R)-I -hydroxymethyl- 2-(1 H-indol-3-yl)-ethyl]-amide; 5-Quinolin-6-yl-2,3-dihydro-benzofuran-7-carboxylic acid [(R)-I -hydroxymethyl- 2-(1 H-indol-3-yl)-ethyl]-amide; 5-(6-Methoxy-pyridin-3-yl)-2,3-dihydro-benzofuran-7-carboxylic acid [(R)-I- hydroxymethyl-2-(1 H-indol-3-yl)-ethyl]-amide; δ-^-Methylcarbamoyl-phenyl^.S-dihydro-benzofuran^-carboxylic acid [(R)-I- hydroxymethyl-2-(1 H-indol-3-yl)-ethyl]-amide; 5-(2-Carbamoyl-phenyl)-2,3-dihydro-benzofuran-7-carboxylic acid [(R)-I- hydroxymethyl-2-(1 H-indol-3-yl)-ethyl]-amide; 5-(2-Fluoro-phenyl)-2,3-dihydro-benzofuran-7-carboxylic acid [(R)-I- hydroxymethyl-2-(1 H-indol-3-yl)-ethyl]-amide; 5-o-To!y!-2,3-dihydro-benzofuran-7-carboxylic acid [(R)-I -hydroxymethyl-2- (1 H-indol-3-yl)-ethyl]-amide; 5-(4-Chloro-phenyl)-2,3-dihydro-benzofuran-7-carboxylic acid [(R)-I- hydroxymethyl-2-(1 H-indol-3-yl)-ethyl]-amide; 5-Biphenyl-2-yl-2,3-dihydro-benzofuran-7-carboxylic acid [(R)-I- hydroxymethyl-2-(1 H-indol-3-yl)-ethyl]-amide; 5-(3-Acetylamino-phenyl)-2,3-dihydro-benzofuran-7-carboxylic acid [(R)-I- hydroxymethyl-2-(1 H-indol-3-yl)-ethyl]-amide; 5-(3-Cyano-phenyl)-2,3-dihydro-benzofuran-7-carboxylic acid [(R)-I -hydroxy- methyl-2-(1 H-indol-3-yl)-ethyl]-amide; 5-(4-Cyanomethyl-phenyl)-2,3-dihydro-benzofuran-7-carboxylic acid [(R)-I- hydroxymethyl-2-(1 H-indol-3-yl)-ethyl]-amide; 5-(5-Cyano-thiophen-2-yl)-2,3-dihydro-benzofuran-7-carboxylic acid [(R)-I- hydroxymethyl-2-(1 H-indol-3-yl)-ethyl]-amide; 5-(2-Methoxy-pyrimidin-5-yl)-2,3-dihydro-benzofuran-7-carboxylic acid [(R)-I- hydroxymethyl-2-(1 H-indol-3-yl)-ethyl]-amide; 5-(2-Fluoro-pyridin-3-yl)-2,3-dihydro-benzofuran-7-carboxylic acid [(R)-I- hydroxymethyl-2-(1 H-indol-3-yl)-ethyl]-amide;
77 5-(3-Carbamoyl-phenyl)-2,3-dihydro-benzofuran-7-carboxylic acid [(R)-I- hydroxymethyl-2-(1 H-indol-3-yl)-ethyl]-amide;
78 5-(3,5-Dimethyl-phenyl)-2,3-dihydro-benzofuran-7-carboxylic acid [(R)-I- hydroxymethyl-2-(1H-indol-3-yl)-ethyl]-amide;
79 5-Quinolin-3-yl-2,3-dihydro-benzofuran-7-carboxylic acid [(R)-I -hydroxymethyl- 2-(1 H-indol-3-yl)-ethyl]-amide;
80 5-(4-Acetylamino-phenyl)-2,3-dihydro-benzofuran-7-carboxylic acid [(R)-I- hydroxymethyl-2-(1H-indol-3-yl)-ethyl]-amide;
81 5-(3-Fluoro-5-methoxy-phenyl)-2,3-dihydro-benzofuran-7-carboxylic acid [(R)- 1 -hydroxymethyl-2-( 1 H-indol-3-yl)-ethyl]-amide;
82 5-(3-Fluoro-5-methylcarbamoyl-phenyl)-2,3-dihydro-benzofuran-7-carboxylic acid [(R)-I -hydroxymethyl-2-(1H-indol-3-yl)-ethyl]-amide;
83 7-((E)-Styryl)-2,3,4,5-tetrahydro-benzo[b]oxepine-9-carboxylic acid [2-(6-fluoro- 1 H-indol-3-yl)-1 -hydroxymethyl-ethyl]-amide;
84 7-(4-Methylcarbamoyl-phenylethynyl)-2,3,4,5-tetrahydro-benzo[b]oxepine-9- carboxylic acid [2-(6-fluoro-1 H-indol-3-yl)-1-hydroxymethyl-ethyl]-amide;
85 7-(2-Methoxy-phenylethynyl)-2,3-dihydro-benzo[1 ,4]dioxine-5-carboxylic acid [(R)-I -hydroxymethyl-2-(1 H-indol-3-yl)-ethyl]-amide;
86 7-(3-Fluoro-5-methylcarbamoyl-phenyl)-2,3,4I5-tetrahydro-benzo[b]oxepine-9- carboxylic acid [2-hydroxy-1-(4-methyl-1 H-indol-3-ylmethyl)-ethyl]-amide;
87 7-(3-Fluoro-5-methylcarbamoyl-phenyl)-2I3I4,5-tetrahydro-benzo[b]oxepine-9- carboxylic acid [(R)-2-hydroxy-1 -(1 H-indol-3-ylmethyl)-2-methyl-propyl]-amide;
88 Θ^S-Chloro^-methylcarbamoyl-phenyl^^-dimethyl^H-chromene-δ- carboxylic acid [2-(4-fluoro-1 H-indol-3-yl)-1-hydroxymethyl-ethyl]-amide;
89 6-(3-Chloro-4-methylcarbamoyl-phenyl)-2,2-dimethyl-2H-chromene-8- carboxylic acid [2-(5-fluoro-1 H-indol-3-yl)-1 -hydroxymethyl-ethyl]-amide;
90 Θ^S-Chloro^-methylcarbamoyl-phenyl^^-dimethyl^H-chromene-δ- carboxylic acid [2-(6-fluoro-1 H-indol-3-yl)-1 -hydroxymethyl-ethyl]-amide;
91 7-(3-Methylcarbamoyl-phenylethynyl)-2,3,4,5-tetrahydro-benzo[b]oxepine-9- carboxylic acid [2-(6-fluoro-1 H-indol-3-yl)-1 -hydroxymethyl-ethyl]-amide;
92 7-Biphenyl-4-yl-2,3-dihydro-benzo[1 ,4]dioxine-5-carboxylic acid [(R)-I-
hydroxymethyl-2-(1 H-indol-3-yl)-ethyl]-amide;
93 7-m-Tolyl-2,3-dihydro-benzo[1 ,4]dioxine-5-carboxylic acid [(R)-I- hydroxymethyl-2-( 1 H-indol-3-yl)-ethyl]-amide;
94 7-(3-Fluoro-4-methyl-phenyl)-2,3-dihydro-benzo[1 ,4]dioxine-5-carboxylic acid [(R)-I -hydroxymethyl-2-(1 H-indol-3-yl)-ethyl]-amide;
95 7-(2-Fluoro-4-methyl-phenyl)-2,3-dihydro-benzo[1 ,4]dioxine-5-carboxylic acid [(R)-I -hydroxymethyl-2-(1 H-indol-3-yl)-ethyl]-amide;
96 7-(4-Hydroxymethyl-phenyl)-2,3-dihydro-benzo[1 ,4]dioxine-5-carboxylic acid [(R)-I -hydroxymethyl-2-(1 H-indol-3-yl)-ethyl]-amide;
97 7-(4-tert-Butyl-phenyl)-2,3-dihydro-benzo[1 ,4] dioxine-5-carboxylic acid [(R)-I- hydroxymethyl-2-(1 H-indol-3-yl)-ethyl]-amide;
98 7-(4-Chloro-phenyl)-2,3-dihydro-benzo[1 ,4] dioxine-5-carboxylic acid [(R)-I- hydroxymethyl-2-(1H-indol-3-yl)-ethyl]-amide;
99 7-(3-Trif!uoromethoxy-phenyl)-2,3-dihydro-benzo[1 ,4]dioxine-5-carboxylic acid [(R)-I -hydroxymethyl-2-(1 H-indol-3-yl)-ethyl]-amide;
100 7-(3-Methylsulfanyl-phenyl)-2,3-dihydro-benzo[1 ,4]dioxine-5-carboxylic acid [(R)-1-hydroxymethyl-2-(1 H-indol-3-yl)-ethyl]-amide;
101 7-Pyridin-3-yl-2,3-dihydro-benzo[1 ,4]dioxine-5-carboxylic acid [(R)-I- hydroxymethyl-2-(1 H-indol-3-yl)-ethyl]-amide;
102 7-(4-Trifluoromethoxy-phenyl)-2,3-dihydro-benzo[1 ,4]dioxine-5-carboxylic acid [(R)-I -hydroxymethyl-2-(1 H-indol-3-yl)-ethyl]-amide;
103 7-(3-Hydroxy-phenyl)-2,3-dihydro-benzo[1 ,4]dioxine-5-carboxylic acid [(R)-I - hydroxymethyl-2-(1 H-indol-3-yl)-ethyl]-amide;
104 7-(3-Cyano-4-fluoro-phenyl)-2,3-dihydro-benzo[1 ,4]dioxine-5-carboxylic acid [(R)-I -hydroxymethyl-2-(1 H-indol-3-yl)-ethyl]-amide;
105 7-(4-Methanesulfinyl-phenyl)-2,3-dihydro-benzo[1 ,4]dioxine-5-carboxylic acid [(R)-I -hydroxymethyl-2-(1H-indol-3-yl)-ethyl]-amide;
106 7-(3-Cyanomethyl-phenyl)-2,3-dihydro-benzo[1 ,4]dioxine-5-carboxylic acid [(R)-I -hydroxymethyl-2-(1 H-indol-3-yl)-ethyl]-amide;
107 7-(2-Acetylamino-phenyl)-2,3-dihydro-benzo[1 ,4]dioxine-5-carboxylic acid [(R)- 1-hydroxymethyl-2-(1 H-indol-3-yl)-ethyl]-amide;
108 7-(5-Methyl-furan-2-yl)-2,3-dihydro-benzo[1 ,4]dioxine-5-carboxylic acid [(R)-I - hydroxymethyl-2-(1H-indol-3-yl)-ethyl]-amide;
109 7-(3-Fluoro-4-methoxy-phenyl)-2,3-dihydro-benzo[1 ,4]dioxine-5-carboxylic acid [(R)-I -hydroxymethyl-2-(1 H-indol-3-yl)-ethyl]-amide;
110 7-Pyridin-4-yl-2,3-dihydro-benzo[1 ,4]dioxine-5-carboxylic acid [(R)-I- hydroxymethyl-2-(1H-indol-3-yl)-ethyl]-amide;
111 7-(3-Chloro-4-fluoro-phenyl)-2,3-dihydro-benzo[1 ,4]dioxine-5-carboxylic acid [(R)-I -hydroxymethyl-2-(1 H-indol-3-yl)-ethyl]-amide;
112 7-(3,4-Difluoro-phenyl)-2,3-dihydro-benzo[1 ,4]dioxine-5-carboxylic acid [(R)-I- hydroxymethyl-2-(1H-indol-3-yl)-ethyl]-amide;
113 7-(3,5-Difluoro-phenyl)-2,3-dihydro-benzo[1 ,4]dioxine-5-carboxylic acid [(R)-I - hydroxymethyl-2-(1H-indol-3-yl)-ethyl]-amide;
114 7-(2>4-Dimethoxy-pyrimidin-5-yl)-2,3-dihydro-benzo[1 ,4]dioxine-5-carboxylic acid [(R)-1-hydroxymethyl-2-(1 H-indol-3-yl)-ethyi]-amide;
115 7-(4-Methyl-thiophen-2-yl)-2,3-dihydro-benzo[1 ,4]dioxine-5-carboxylic acid [(R)-I -hydroxymethyl-2-(1 H-indol-3-yl)-ethyl]-amide;
116 7-(3-Methanesulfonyl-phenyl)-2,3-dihydro-benzo[1 ,4]dioxine-5-carboxylic acid [(R)-I -hydroxymethyl-2-(1 H-indol-3-yl)-ethyl]-amide;
117 2-Fluoro-5-{8-[(R)-1-hydroxymethyl-2-(1H-indol-3-yl)-ethylcarbamoyl]-2,3- dihydro-benzo[1 ,4]dioxin-6-yl}-benzoic acid;
118 4-{8-[(R)-1-Hydroxymethyl-2-(1 H-indol-3-yl)-ethylcarbamoyl]-2,3-dihydro- benzo[1 ,4]dioxin-6-yl}-2-methoxy-benzoic acid methyl ester;
119 7-(4-Carbamoyl-3-chloro-phenyl)-2,3-dihydro-benzo[1 ,4]dioxine-5-carboxylic acid [(R)-I -hydroxymethyl-2-(1H-indol-3-yl)-ethyl]-amide;
120 7-(3-Dimethylsulfamoyl-phenyl)-2,3-dihydro-benzo[1 ,4]dioxine-5-carboxylic acid [(R)-1-hydroxymethyl-2-(1 H-indol-3-yl)-ethyl]-amide;
121 7-[3-(Thiazol-2-ylcarbamoyl)-phenyl]-2,3-dihydro-benzo[1 ,4]dioxine-5- carboxylic acid [(R)-I -hydroxymethyl-2-(1 H-indol-3-yl)-ethyl]-amide;
122 7-(4-Methylsulfamoyl-phenyl)-2,3-dihydro-benzo[1 ,4]dioxine-5-carboxylic acid [(R)-I -hydroxymethyl-2-(1 H-indol-3-yl)-ethyl]-amide;
123 7-(4-Dimethylsulfamoyl-phenyl)-2,3-dihydro-benzo[1 ,4]dioxine-5-carboxylic
acid [(R)-1-hydroxymethyl-2-(1 H-indol-3-yl)-ethyl]-amide;
124 7-(3-Diethylcarbamoyl-phenyl)-2,3-dihydro-benzo[1 ,4]dioxine-5-carboxylic acid [(R)-I -hydroxymethyl-2-(1 H-indol-3-yl)-ethyl]-amide;
125 7-(4-Diethylcarbamoyl-phenyl)-2,3-dihydro-benzo[1 ,4]dioxine-5-carboxylic acid [(R)-I -hydroxymethyl-2-(1 H-indol-3-yl)-ethyl]-amide;
126 3-{8-[(R)-1-Hydroxymethyl-2-(1 H-indol-3-yl)-ethylcarbamoyl]-2,3-dihydro- benzo[1 ,4]dioxin-6-yl}-benzoic acid;
127 7-(4-Carbamoyl-phenyl)-2,3-dihydro-benzo[1 ,4]dioxine-5-carboxylic acid [(R)- 1-hydroxymethyl-2-(1 H-indol-3-yl)-ethyl]-amide;
128 7-(3-Methylsulfamoyl-phenyl)-2,3-dihydro-benzo[1 ,4]dioxine-5-carboxylic acid [(R)-I -hydroxymethyl-2-(1 H-indol-3-yl)-ethyl]-amide;
129 7-Naphthalen-2-yl-2,3-dihydro-benzo[1 ,4]dioxine-5-carboxylic acid [(R)-I - hydroxymethyl-2-(1H-indol-3-yl)-ethyl]-amide;
130 7-(3-Chloro-phenyi)-2,3-dihydro-benzo[1 ,4]dioxine-5-carboxyiic acid [(R)-I - hydroxymethyl-2-(1 H-indol-3-yl)-ethyl]-amide;
131 7-p-Tolyl-2,3-dihydro-benzo[1 ,4]dioxine-5-carboxylic acid [(R)-I- hydroxymethyl-2-(1 H-indol-3-yl)-ethyl]-amide;
132 7-Benzo[b]thiophen-2-yl-2,3-dihydro-benzo[1 ,4]dioxine-5-carboxylic acid [(R)- 1 -hydroxymethyl-2-(1 H-indol-3-yl)-ethyl]-amide;
133 7-Naphthalen-1 -yl-2,3-dihydro-benzo[1 ,4]dioxine-5-carboxylic acid [(R)-I - hydroxymethyl-2-(1 H-indol-3-yl)-ethyl]-amide;
134 7-(4-Cyano-phenyl)-2,3-dihydro-benzo[1 ,4]dioxine-5-carboxylic acid [(R)-I- hydroxymethyl-2-(1 H-indol-3-yl)-ethyl]-amide;
135 7-(3-Amino-phenyl)-2,3-dihydro-benzo[1 ,4]dioxine-5-carboxylic acid [(R)-I- hydroxymethyl-2-(1 H-indol-3-yl)-ethyl]-amide;
136 7-(3-Acetyl-phenyl)-2,3-dihydro-benzo[1 ,4]dioxine-5-carboxylic acid [(R)-I- hydroxymethyl-2-(1 H-indol-3-yl)-ethyl]-amide;
137 7-(3-Fluoro-phenyl)-2,3-dihydro-benzo[1 ,4]dioxine-5-carboxylic acid [(R)-I- hydroxymethyl-2-(1 H-indol-3-yl)-ethyl]-amide;
138 7-(4-Trifluoromethyl-phenyl)-2,3-dihydro-benzo[1 ,4]dioxine-5-carboxylic acid [(R)-I -hydroxymethyl-2-(1 H-indol-3-yl)-ethyl]-amide;
139 7-Quinolin-6-yl-2,3-dihydro-benzo[1 ,4]dioxine-5-carboxylic acid [(R)-I - hydroxymethyl-2-(1 H-indol-3-yl)-ethyl]-amide;
140 7-(6-Methoxy-pyridin-3-yl)-2,3-dihydro-benzo[1 ,4]dioxine-5-carboxylic acid [(R)-I -hydroxymethyl-2-(1 H-indol-3-yl)-ethyl]-amide;
141 7-(3-Methylcarbamoyl-phenyl)-2,3-dihydro-benzo[1 ,4]dioxine-5-carboxylic acid [(R)-I -hydroxymethyl-2-(1H-indol-3-yl)-ethyl]-amide;
142 7-(4-Methylcarbamoyl-phenyl)-2,3-dihydro-benzo[1 ,4]dioxine-5-carboxylic acid [(R)-I -hydroxymethyl-2-(1 H-indol-3-yl)-ethyl]-amide;
143 7-o-Tolyl-2,3-dihydro-benzo[1 ,4]dioxine-5-carboxylic acid [(R)-I- hydroxymethyl-2-(1 H-indol-3-yl)-ethyl]-amide;
144 7-[3-(Acetylamino-methyl)-phenyl]-2,3-dihydro-benzo[1 ,4]dioxine-5-carboxylic acid [(R)-I -hydroxymethyl-2-(1 H-indol-3-yl)-ethyl]-amide;
145 7-(1 -Methyl- 1 H-indol-5-yl)-2,3-dihydro-benzo[1 ,4]dioxine-5-carboxylic acid [(R)-I -hydroxymethyl-2-(1 H-indoi-3-yl)-ethyi]-amide;
146 7-Thiophen-3-yl-2,3-dihydro-benzo[1 ,4]dioxine-5-carboxylic acid [(R)-2- hydroxy-1-(1 H-indol-3-ylmethyl)-ethyl]-amide;
147 7-(4-Methoxy-phenyl)-2,3-dihydro-benzo[1 ,4]dioxine-5-carboxylic acid [(R)-I- hydroxymethyl-2-(1 H-indol-3-yl)-ethyl]-amide;
148 7-(3-Methoxy-phenyl)-2,3-dihydro-benzo[1 ,4]dioxine-5-carboxylic acid [(R)-I- hydroxymethyl-2-(1 H-indol-3-yl)-ethyl]-amide;
149 7-(4-Hydroxy-phenyl)-2,3-dihydro-benzo[1 ,4]dioxine-5-carboxylic acid [(R)-I- hydroxymethyl-2-(1 H-indol-3-yl)-ethyl]-amide;
150 7-(4-Acetyl-phenyl)-2,3-dihydro-benzo[1 ,4]dioxine-5-carboxylic acid [(R)-I- hydroxymethyl-2-(1 H-indol-3-yl)-ethyl]-amide;
151 7-Biphenyl-3-yl-2,3-dihydro-benzo[1 ,4]dioxine-5-carboxylic acid [(R)-I- hydroxymethyl-2-(1 H-indol-3-yl)-ethyl]-amide;
152 7-(3-Hydroxymethyl-phenyl)-2,3-dihydro-benzo[1 ,4]dioxine-5-carboxylic acid [(R)-I -hydroxymethyl-2-(1 H-indol-3-yl)-ethyl]-amide;
153 7-(2-Fluoro-phenyl)-2,3-dihydro-benzo[1 ,4]dioxine-5-carboxylic acid [(R)-I- hydroxymethyl-2-(1 H-indol-3-yl)-ethyl]-amide;
154 7-(3-Methanesulfonylamino-phenyl)-2,3-dihydro-benzo[1 ,4]dioxine-5-carboxylic acid [(R)-I -hydroxymethyl-2-( 1 H-indol-3-yl)-ethyl]-amide;
155 7-Benzo[1 ,3]dioxol-5-yl-2,3-dihydro-benzo[1 ,4]dioxine-5-carboxylic acid [(R)-I- hydroxymethyl-2-(1 H-indol-3-yl)-ethyl]-amide;
156 7-(3-Cyano-phenyl)-2,3-dihydro-benzo[1 Λ]dioxine-5-carboxylic acid [(R)-I- hydroxymethyl-2-(1 H-indol-3-yl)-ethyl]-amide;
157 7-(4-Cyanomethyl-phenyl)-2,3-dihydro-benzo[1 ,4]dioxine-5-carboxylic acid [(R)-I -hydroxymethyl-2-(1H-indol-3-yl)-ethyl]-amide;
158 3-{8-[(R)-1-Hydroxymethyl-2-(1 H-indol-3-yl)-ethylcarbamoyl]-2,3-dihydro-benzo [1 ,4]dioxin-6-yl}-benzoic acid methyl ester;
159 7-(2-Fluoro-pyridin-3-yl)-2,3-dihydro-benzo[1 ,4]dioxine-5-carboxylic acid [(R)- 1-hydroxymethyl-2-(1 H-indol-3-yl)-ethyl]-amide;
160 7-(3-Carbamoyl-phenyl)-2,3-dihydro-benzo[1 ,4]dioxine-5-carboxylic acid [(R)- 1-hydroxymethyl-2-(1 H-indol-3-yl)-ethyl]-amide;
161 7-(3,5-Dimethyl-phenyl)-2,3-dihydro-benzo[1 ,4]dioxine-5-carboxylic acid [(R)-I - hydroxymethyl-2-(1 H-indol-3-yl)-ethyl]-amide;
162 7-(4-Acetylamino-phenyl)-2,3-dihydro-benzo[1 I4]dioxine-5-carboxylic acid [(R)- 1-hydroxymethyl-2-(1 H-indol-3-yl)-ethyl]-amide;
163 7-(3-Fluoro-5-hydroxy-phenyl)-2,3-dihydro-benzo[1 ,4]dioxine-5-carboxylic acid [(R)-I -hydroxymethyl-2-(1 H-indol-3-yl)-ethyl]-amide;
164 7-[3-Chloro-4-(pyrrolidine-1 -carbonyl)-phenyl]-2,3-dihydro-benzo[1 ,4]dioxine-5- carboxylic acid [(R)-I -hydroxymethyl-2-(1 H-indol-3-yl)-ethyl]-amide;
165 7-[3-Chloro-4-(piperidine-1-carbonyl)-phenyl]-2,3-dihydro-benzo[1 ,4]dioxine-5- carboxylic acid [(R)-I -hydroxymethyl-2-(1 H-indol-3-yl)-ethyl]-amide;
166 7-[3-Chloro-4-(morpholine-4-carbonyl)-phenyl]-2,3-dihydro-benzo[1 ,4]dioxine- 5-carboxylic acid [(R)-I -hydroxymethyl-2-(1 H-indol-3-yl)-ethyl]-amide;
167 7-(3-Chloro-4-diethylcarbamoyl-phenyl)-2,3-dihydro-benzo[1 ,4]dioxine-5- carboxylic acid [(R)-I -hydroxymethyl-2-( 1 H-indol-3-yl)-ethyl]-amide;
168 7-(3-Chloro-4-dimethylcarbamoyl-phenyl)-2,3-dihydro-benzo[1 ,4]dioxine-5- carboxylic acid [(R)-I -hydroxymethyl-2-( 1 H-indol-3-yl)-ethyl]-amide;
169 7-(4-tert-Butylcarbamoyl-3-chloro-phenyl)-2,3-dihydro-benzo[1 ,4]dioxine-5-
carboxylic acid [(R)-I -hydroxymethyl-2-(1 H-indol-3-yl)-ethyl]-amide;
170 7-(3-Chloro-4-cyclopropylcarbamoyl-phenyl)-2,3-dihydro-benzo[1 ,4]dioxine-5- carboxylic acid [(R)-I -hydroxymethyl-2-( 1 H-indol-3-yl)-ethyl]-amide;
171 7-(3-ChIoro-4-isopropylcarbamoyl-phenyl)-2,3-dihydro-benzo[1 ,4]dioxine-5- carboxylic acid [(R)-I -hydroxymethyl-2-( 1 H-indol-3-yl)-ethyl]-amide;
172 7-(3-Chloro-4-ethylcarbamoyl-phenyl)-2,3-dihydro-benzo[1 ,4]dioxine-5- carboxylic acid [(R)-I -hydroxymethyl-2-(1 H-indol-3-yl)-ethyl]-amide;
173 7-[4-(Thiomorpholine-4-sulfonyl)-phenyl]-2,3-dihydro-benzo[1 ,4]dioxine-5- carboxylic acid [(R)-I -hydroxymethyl-2-(1H-indol-3-yl)-ethyl]-amide;
174 7-(4-Ethylsulfamoyl-phenyl)-2,3-dihydro-benzo[1 ,4]dioxine-5-carboxylic acid [(R)-I -hydroxymethyl-2-(1 H-indol-3-yl)-ethyl]-amide;
175 2-Chloro-4-{8-[(R)-1-hydroxymethyl-2-(1 H-indol-3-yl)-ethylcarbamoyl]-2,3- dihydro-benzo[1 ,4]dioxin-6-yl}-benzoic acid methyl ester;
176 7-[4-(Acetylamino-methyl)-phenyl3-2,3-dihydro-benzo[1 ,4]dioxine-5-carboxylic acid [(R)-I -hydroxymethyl-2-( 1 H-indol-3-yl)-ethyl]-amide;
177 7-[3-Methanesulfonylamino-methyl)-phenyl]-2,3-dihydro-benzo[1 ,4]dioxine-5- carboxylic acid [(R)-I -hydroxymethyl-2-(1H-indol-3-yl)-ethyl]-amide;
179 7-(3-Cyclopentylcarbamoyl-phenyl)-2,3-dihydro-benzo[1 ,4]dioxine-5-carboxylic acid [(R)-1-hydroxymethyl-2-(1 H-indol-3-yl)-ethyl]-amide;
180 7-(3-lsobutylcarbamoyl-phenyl)-2,3-dihydro-benzo[1 ,4]dioxine-5-carboxylic acid [(R)-I -hydroxymethyl-2-( 1 H-indol-3-yl)-ethyl]-amide;
181 7-(3-Ethylcarbamoyl-phenyl)-2,3-dihydro-benzo[1 ,4]dioxine-5-carboxylic acid [(R)-I -hydroxymethyl-2-(1 H-indol-3-yl)-ethyl]-amide;
182 7-[3-(Pyrrolidine-1 -carbonyl)-phenyl]-2,3-dihydro-benzo[1 ,4]dioxine-5- carboxylic acid [(R)-I -hydroxymethyl-2-(1 H-indol-3-yl)-ethyl]-amide;
184 7-[4-(Pyrrolidine-1-carbonyl)-phenyl]-2,3-dihydro-benzo[1 ,4]dioxine-5- carboxylic acid [(R)-I -hydroxymethyl-2-(1 H-indol-3-yl)-ethyl]-amide;
187 7-(4-Morpholin-4-yl-phenyl)-2,3-dihydro-benzo[1 ,4]dioxine-5-carboxylic acid [(R)-I -hydroxymethyl-2-(1 H-indol-3-yl)-ethyl]-amide;
188 2-{8-[(R)-1-Hydroxymethyl-2-(1 H-indol-3-yl)-ethylcarbamoyl]-2,3-dihydro- benzo[1 ,4]dioxin-6-yl}-pyrrole-1 -carboxylic acid tert-butyl ester;
189 7-(1-Methyl-1 H-pyrazol-4-yl)-2,3-dihydro-benzo[1 ,4]dioxine-5-carboxylic acid [(R)-I -hydroxymethyl-2-(1 H-indol-3-yl)-ethyl]-amide;
190 6-(3-Chloro-4-methylcarbamoyl-phenyl)-2,2-dimethyl-chroman-8-carboxylic acid [2-(5,7-difluoro-1 H-indol-3-yl)-1-hydroxymethyl-ethyl]-amide;
191 6-(3-Chloro-4-methylcarbamoyl-phenyl)-2,2-dimethyl-chroman-8-carboxylic acid [2-(5,6-difluoro-1 H-indol-3-yl)-1 -hydroxymethyl-ethyl]-amide;
6. Process for preparing compounds of the formula I of claim 1 , wherein a trypto- phanol derivative of the formula IV
in which the radicals R1 , R2, R7 and R8 have the same meaning as defined in claim 1 ,
is coupled with a carboxylic acid of the formula V
in which R3, R4, R5, R6, Q, X1 V and W have the same meaning as defined in claim 1 ,
in an amide forming reaction comprising a) conversion of said carboxylic acids into an intermediate active ester or car- bonyl chloride with a suitable peptide-coupling reagent, or with thionyl chloride, oxalyl chloride, phosgene or derivatives thereof, where appropriate in the presence of a base, b) reacting the active intermediate resulting from step a) with said tryptopha- nol.
Process according to claim 5 for preparing compounds of the formula Il of claim 2, wherein a tryptophanol derivative of the formula IV is coupled with a carboxylic acid of the formula Vl
Process according to claim 5 for preparing compounds of the formulae III of claim 3, wherein a tryptophanol derivative of the formula IV is coupled with a carboxylic acid of the formula VII
In which R3, R4, R5, R6, V, W and X have the same meaning as defined in claim 1.
9. Process for preparing compounds of the formula I of claim 1 , wherein the building block of the formula Xl
R is a -B(OH)2, -C≡C-H, -Zn-HaI or -Sn(alkyl)3) group,
is coupled in a metal catalyzed cross-coupling reaction with an aryl halide of the formula VIII
Hal stands for a chlorine, bromine or iodine.
10. Process according to claim 8 for preparing compounds of the formula Il of claim 2, wherein the building block of the formula Xl is coupled with an aryl hal- ide of the formula IX
and Hal stands for a chlorine, bromine or iodine.
11. Process according to claim 8 for preparing compounds of the formula III of claim 3, wherein the building block of the formula Xl is coupled with an aryl hal- ide of the formula X
Hal stands for a chlorine, bromine or iodine.
12. Carboxylic acids as intermediates in a process according to any of claims 5 to 7, namely
6-(3,4,5-Trimethoxy-phenyl)-2H-chromene-8-carboxylic acid;
6-o-Tolylethynyl-2H-chromene-8-carboxylic acid;
6-(2-Methoxy-phenylethynyl)-2H-chromene-8-carboxylic acid;
5-(3,4-Dimethoxy-phenyl)-2-vinyi-2,3-dihydro-benzofuran-7-carboxylic acid;
5-(3,4-Dimethoxy-phenyl)-2-ethyl-2,3-dihydro-benzofuran-7-carboxylic acid;
5-(3,4-Difluoro-5-methoxy-phenyl)-2,3-dihydro-benzofuran-7-carboxylic acid;
5-(3,4-Dimethoxy-phenyl)-2,3-dihydro-benzofuran-7-carboxylic acid;
5-(3-Methoxy-phenyl)-2,3-dihydro-benzofuran-7-carboxylic acid;
δ-Benzofi .Sldioxol-δ-yl^.S-dihydro-benzofuran^-carboxylic acid;
5-(3-Fluoro-4-methoxy-phenyl)-2,3-dihydro-benzofuran-7-carboxylic acid;
5-(3,4I5-Trimethoxy-phenyl)-2,3-dihydro-benzofuran-7-carboxylic acid;
7-(3-Fluoro-5-methylcarbamoyl-phenyl)-2,3,4,5-tetrahydro-benzo[b]oxepine- 9-carboxylic acid and the methyl, ethyl, propyl and butyl esters thereof.
13. Aryl halides as intermediates in a process according to any of claims 8 to 10, namely
6-lodo-2H-chromene-8-carboxylic acid [(R)-2-hydroxy-1-(1 H-indol-3-ylmethyl)- ethyl]-amide;
6-lodo-2-methyl-2H-chromene-8-carboxylic acid [(R)-I -hydroxymethyl-2-(1 H- indol-3-yl)-ethyl]-amide;
6-lodo-2,2-dimethyl-2H-chromene-8-carboxylic acid [(R)-2-hydroxy-1-(1 H-indol- 3-ylmethyl)-ethyl]-amide;
7-Bromo-2,3-dihydro-benzo[1 ,4]dioxine-5-carboxylic acid [(R)-2-hydroxy- 1-(1 H-indol-3-yimethyl)-ethyl]-amide;
7-Bromo-2,3-dihydro-benzo[1 ,4]dioxine-5-carboxyIic acid [2-(6-fluoro-1 H-indol- 3-yl)-1-hydroxymethyl-ethyl]-amide;
Z-Bromo^.S^.δ-tetrahydro-benzoIbJoxepine-θ-carboxylic acid [(R)-2-hydroxy- 1-(1 H-indol-3-ylmethyl)-ethyl]-amide;
7-Bromo-2,3,4,5-tetrahydro-benzo[b]oxepine-9-carboxylic acid [1-(6-fluoro-1 H- indol-3-ylmethyl)-2-hydroxy-ethyl]-amide.
14. Pharmaceutical compositions comprising at least one of the compounds according to any of claims 1 to 4 with pharmaceutically suitable excipients and/or carriers.
15. Use of the compounds of the general formula I according to any of claims 1 to 4 for the fertility control in men or in women.
16. Process for producing medicaments comprising at least one of the compounds of the general formula I according to any of claims 1 to 4 for the prevention and/or treatment of osteoporosis.
Applications Claiming Priority (4)
| Application Number | Priority Date | Filing Date | Title |
|---|---|---|---|
| US87496206P | 2006-12-15 | 2006-12-15 | |
| EP06077263A EP1956016A1 (en) | 2006-12-15 | 2006-12-15 | Bicyclic acyltryptophanols |
| EP06077263.9 | 2006-12-15 | ||
| US60/874,962 | 2006-12-15 |
Publications (1)
| Publication Number | Publication Date |
|---|---|
| WO2008071455A1 true WO2008071455A1 (en) | 2008-06-19 |
Family
ID=39247815
Family Applications (1)
| Application Number | Title | Priority Date | Filing Date |
|---|---|---|---|
| PCT/EP2007/011222 Ceased WO2008071455A1 (en) | 2006-12-15 | 2007-12-15 | Bicyclic acyltryptophanols |
Country Status (1)
| Country | Link |
|---|---|
| WO (1) | WO2008071455A1 (en) |
Cited By (40)
| Publication number | Priority date | Publication date | Assignee | Title |
|---|---|---|---|---|
| WO2013041458A1 (en) | 2011-09-22 | 2013-03-28 | Msd Oss B.V. | Fsh receptor antagonists |
| WO2013041461A1 (en) | 2011-09-22 | 2013-03-28 | Msd Oss B.V. | Fsh receptor antagonists |
| WO2013041457A1 (en) | 2011-09-22 | 2013-03-28 | Msd Oss B.V. | N-piperidin-4-yl derivatives |
| US9266892B2 (en) | 2012-12-19 | 2016-02-23 | Incyte Holdings Corporation | Fused pyrazoles as FGFR inhibitors |
| US9388185B2 (en) | 2012-08-10 | 2016-07-12 | Incyte Holdings Corporation | Substituted pyrrolo[2,3-b]pyrazines as FGFR inhibitors |
| US9533984B2 (en) | 2013-04-19 | 2017-01-03 | Incyte Holdings Corporation | Bicyclic heterocycles as FGFR inhibitors |
| US9533954B2 (en) | 2010-12-22 | 2017-01-03 | Incyte Corporation | Substituted imidazopyridazines and benzimidazoles as inhibitors of FGFR3 |
| US9580423B2 (en) | 2015-02-20 | 2017-02-28 | Incyte Corporation | Bicyclic heterocycles as FGFR4 inhibitors |
| US9611267B2 (en) | 2012-06-13 | 2017-04-04 | Incyte Holdings Corporation | Substituted tricyclic compounds as FGFR inhibitors |
| US9708318B2 (en) | 2015-02-20 | 2017-07-18 | Incyte Corporation | Bicyclic heterocycles as FGFR4 inhibitors |
| US9890156B2 (en) | 2015-02-20 | 2018-02-13 | Incyte Corporation | Bicyclic heterocycles as FGFR4 inhibitors |
| US10155259B2 (en) | 2011-09-11 | 2018-12-18 | Merck Sharp & Dohme B.V. | FSH receptor antagonists |
| US10611762B2 (en) | 2017-05-26 | 2020-04-07 | Incyte Corporation | Crystalline forms of a FGFR inhibitor and processes for preparing the same |
| US10851105B2 (en) | 2014-10-22 | 2020-12-01 | Incyte Corporation | Bicyclic heterocycles as FGFR4 inhibitors |
| US11174257B2 (en) | 2018-05-04 | 2021-11-16 | Incyte Corporation | Salts of an FGFR inhibitor |
| US11344510B2 (en) | 2019-12-26 | 2022-05-31 | Gilgamesh Pharmaceuticals, Inc. | Arylcyclohexylamine derivatives and their use in the treatment of psychiatric disorders |
| US11406619B2 (en) | 2020-08-28 | 2022-08-09 | Small Pharma Ltd | Injectable formulations |
| US11407750B2 (en) | 2019-12-04 | 2022-08-09 | Incyte Corporation | Derivatives of an FGFR inhibitor |
| US11440879B2 (en) | 2020-02-18 | 2022-09-13 | Gilgamesh Pharmaceuticals, Inc. | Methods of treating mood disorders |
| US11466004B2 (en) | 2018-05-04 | 2022-10-11 | Incyte Corporation | Solid forms of an FGFR inhibitor and processes for preparing the same |
| US11471417B2 (en) | 2020-06-02 | 2022-10-18 | Small Pharma Ltd | Deuterated N,N-dimethyltryptamine compounds |
| US11566028B2 (en) | 2019-10-16 | 2023-01-31 | Incyte Corporation | Bicyclic heterocycles as FGFR inhibitors |
| US11578039B2 (en) | 2019-11-07 | 2023-02-14 | Small Pharma Ltd. | Compounds |
| US11591329B2 (en) | 2019-07-09 | 2023-02-28 | Incyte Corporation | Bicyclic heterocycles as FGFR inhibitors |
| US11607416B2 (en) | 2019-10-14 | 2023-03-21 | Incyte Corporation | Bicyclic heterocycles as FGFR inhibitors |
| US11628162B2 (en) | 2019-03-08 | 2023-04-18 | Incyte Corporation | Methods of treating cancer with an FGFR inhibitor |
| US11660289B2 (en) | 2020-12-01 | 2023-05-30 | Small Pharma Ltd. | Deuterated or partially deuterated N,N-dimethyltryptamine compounds |
| US11697638B2 (en) | 2021-09-08 | 2023-07-11 | Small Pharma Ltd | 5-methoxy-N,N-dimethyltryptamine crystalline forms |
| US11773062B2 (en) | 2021-03-22 | 2023-10-03 | Small Pharma Ltd | Deuterated compounds |
| US11771681B2 (en) | 2019-06-03 | 2023-10-03 | Small Pharma Ltd | Therapeutic compounds |
| US11897891B2 (en) | 2019-12-04 | 2024-02-13 | Incyte Corporation | Tricyclic heterocycles as FGFR inhibitors |
| US11939331B2 (en) | 2021-06-09 | 2024-03-26 | Incyte Corporation | Tricyclic heterocycles as FGFR inhibitors |
| US12012409B2 (en) | 2020-01-15 | 2024-06-18 | Incyte Corporation | Bicyclic heterocycles as FGFR inhibitors |
| US12065494B2 (en) | 2021-04-12 | 2024-08-20 | Incyte Corporation | Combination therapy comprising an FGFR inhibitor and a Nectin-4 targeting agent |
| US12122767B2 (en) | 2019-10-01 | 2024-10-22 | Incyte Corporation | Bicyclic heterocycles as FGFR inhibitors |
| US12129234B1 (en) | 2023-08-03 | 2024-10-29 | Gilgamesh Pharmaceuticals, Inc. | Crystalline salts of N-ethyl-(5-fluoro-1H-indol-3-yl)-N-methylethan-1-amine |
| US12157722B1 (en) | 2023-08-03 | 2024-12-03 | Gilgamesh Pharmaceuticals, Inc. | Crystalline hydrochloride salts of N-ethyl-2-(5-fluoro-1H-indol-3-yl)-N-methylethan-1-amine |
| US12318477B2 (en) | 2021-11-18 | 2025-06-03 | Cybin Uk Ltd | Injectable and inhalable formulations |
| US12428420B2 (en) | 2021-06-09 | 2025-09-30 | Incyte Corporation | Tricyclic heterocycles as FGFR inhibitors |
| US12521370B2 (en) | 2020-12-01 | 2026-01-13 | Cybin Uk Ltd | Inhalable formulations |
Citations (4)
| Publication number | Priority date | Publication date | Assignee | Title |
|---|---|---|---|---|
| US6426357B1 (en) * | 1999-07-27 | 2002-07-30 | Affymax, Inc. | Antagonists of follicle stimulating hormone activity |
| WO2004056780A2 (en) * | 2002-12-20 | 2004-07-08 | Akzo Nobel N.V. | Tetrahydroquinoline derivatives |
| US20060258644A1 (en) * | 2005-05-12 | 2006-11-16 | Wyeth | Pyrrolobenzodiazepines and heteroaryl, aryl and cycloalkylamino ketone derivatives as follicle stimulating hormone receptor (FSH-R) antagonists |
| WO2007017289A2 (en) * | 2005-08-10 | 2007-02-15 | Bayer Schering Pharma Aktiengesellschaft | Acyltryptophanols for fertility control |
-
2007
- 2007-12-15 WO PCT/EP2007/011222 patent/WO2008071455A1/en not_active Ceased
Patent Citations (4)
| Publication number | Priority date | Publication date | Assignee | Title |
|---|---|---|---|---|
| US6426357B1 (en) * | 1999-07-27 | 2002-07-30 | Affymax, Inc. | Antagonists of follicle stimulating hormone activity |
| WO2004056780A2 (en) * | 2002-12-20 | 2004-07-08 | Akzo Nobel N.V. | Tetrahydroquinoline derivatives |
| US20060258644A1 (en) * | 2005-05-12 | 2006-11-16 | Wyeth | Pyrrolobenzodiazepines and heteroaryl, aryl and cycloalkylamino ketone derivatives as follicle stimulating hormone receptor (FSH-R) antagonists |
| WO2007017289A2 (en) * | 2005-08-10 | 2007-02-15 | Bayer Schering Pharma Aktiengesellschaft | Acyltryptophanols for fertility control |
Cited By (77)
| Publication number | Priority date | Publication date | Assignee | Title |
|---|---|---|---|---|
| US10813930B2 (en) | 2010-12-22 | 2020-10-27 | Incyte Corporation | Substituted imidazopyridazines and benzimidazoles as inhibitors of FGFR3 |
| US9533954B2 (en) | 2010-12-22 | 2017-01-03 | Incyte Corporation | Substituted imidazopyridazines and benzimidazoles as inhibitors of FGFR3 |
| US10213427B2 (en) | 2010-12-22 | 2019-02-26 | Incyte Corporation | Substituted imidazopyridazines and benzimidazoles as inhibitors of FGFR3 |
| US10155259B2 (en) | 2011-09-11 | 2018-12-18 | Merck Sharp & Dohme B.V. | FSH receptor antagonists |
| JP2015501288A (en) * | 2011-09-22 | 2015-01-15 | メルク・シャープ・エンド・ドーム・ベー・フェー | FSH receptor antagonist |
| US9044463B2 (en) | 2011-09-22 | 2015-06-02 | Merck Sharp & Dohme B.V. | FSH receptor antagonists |
| WO2013041458A1 (en) | 2011-09-22 | 2013-03-28 | Msd Oss B.V. | Fsh receptor antagonists |
| WO2013041461A1 (en) | 2011-09-22 | 2013-03-28 | Msd Oss B.V. | Fsh receptor antagonists |
| JP2014526531A (en) * | 2011-09-22 | 2014-10-06 | メルク・シャープ・エンド・ドーム・ベー・フェー | FSH receptor antagonist |
| WO2013041457A1 (en) | 2011-09-22 | 2013-03-28 | Msd Oss B.V. | N-piperidin-4-yl derivatives |
| AU2012311702B2 (en) * | 2011-09-22 | 2017-07-13 | Merck Sharp & Dohme B.V. | FSH receptor antagonists |
| US9611267B2 (en) | 2012-06-13 | 2017-04-04 | Incyte Holdings Corporation | Substituted tricyclic compounds as FGFR inhibitors |
| US11840534B2 (en) | 2012-06-13 | 2023-12-12 | Incyte Corporation | Substituted tricyclic compounds as FGFR inhibitors |
| US10131667B2 (en) | 2012-06-13 | 2018-11-20 | Incyte Corporation | Substituted tricyclic compounds as FGFR inhibitors |
| US12534463B2 (en) | 2012-06-13 | 2026-01-27 | Incyte Corporation | Substituted tricyclic compounds as FGFR inhibitors |
| US11053246B2 (en) | 2012-06-13 | 2021-07-06 | Incyte Corporation | Substituted tricyclic compounds as FGFR inhibitors |
| US9388185B2 (en) | 2012-08-10 | 2016-07-12 | Incyte Holdings Corporation | Substituted pyrrolo[2,3-b]pyrazines as FGFR inhibitors |
| US9745311B2 (en) | 2012-08-10 | 2017-08-29 | Incyte Corporation | Substituted pyrrolo[2,3-b]pyrazines as FGFR inhibitors |
| US9266892B2 (en) | 2012-12-19 | 2016-02-23 | Incyte Holdings Corporation | Fused pyrazoles as FGFR inhibitors |
| US10040790B2 (en) | 2013-04-19 | 2018-08-07 | Incyte Holdings Corporation | Bicyclic heterocycles as FGFR inhibitors |
| US11530214B2 (en) | 2013-04-19 | 2022-12-20 | Incyte Holdings Corporation | Bicyclic heterocycles as FGFR inhibitors |
| US9533984B2 (en) | 2013-04-19 | 2017-01-03 | Incyte Holdings Corporation | Bicyclic heterocycles as FGFR inhibitors |
| US10947230B2 (en) | 2013-04-19 | 2021-03-16 | Incyte Corporation | Bicyclic heterocycles as FGFR inhibitors |
| US10450313B2 (en) | 2013-04-19 | 2019-10-22 | Incyte Holdings Corporation | Bicyclic heterocycles as FGFR inhibitors |
| US10851105B2 (en) | 2014-10-22 | 2020-12-01 | Incyte Corporation | Bicyclic heterocycles as FGFR4 inhibitors |
| US10738048B2 (en) | 2015-02-20 | 2020-08-11 | Incyte Corporation | Bicyclic heterocycles as FGFR4 inhibitors |
| US9801889B2 (en) | 2015-02-20 | 2017-10-31 | Incyte Corporation | Bicyclic heterocycles as FGFR4 inhibitors |
| US9580423B2 (en) | 2015-02-20 | 2017-02-28 | Incyte Corporation | Bicyclic heterocycles as FGFR4 inhibitors |
| US11667635B2 (en) | 2015-02-20 | 2023-06-06 | Incyte Corporation | Bicyclic heterocycles as FGFR4 inhibitors |
| US10251892B2 (en) | 2015-02-20 | 2019-04-09 | Incyte Corporation | Bicyclic heterocycles as FGFR4 inhibitors |
| US10214528B2 (en) | 2015-02-20 | 2019-02-26 | Incyte Corporation | Bicyclic heterocycles as FGFR4 inhibitors |
| US11014923B2 (en) | 2015-02-20 | 2021-05-25 | Incyte Corporation | Bicyclic heterocycles as FGFR4 inhibitors |
| US10016438B2 (en) | 2015-02-20 | 2018-07-10 | Incyte Corporation | Bicyclic heterocycles as FGFR4 inhibitors |
| US11173162B2 (en) | 2015-02-20 | 2021-11-16 | Incyte Corporation | Bicyclic heterocycles as FGFR4 inhibitors |
| US9708318B2 (en) | 2015-02-20 | 2017-07-18 | Incyte Corporation | Bicyclic heterocycles as FGFR4 inhibitors |
| US9890156B2 (en) | 2015-02-20 | 2018-02-13 | Incyte Corporation | Bicyclic heterocycles as FGFR4 inhibitors |
| US10632126B2 (en) | 2015-02-20 | 2020-04-28 | Incyte Corporation | Bicyclic heterocycles as FGFR4 inhibitors |
| US11472801B2 (en) | 2017-05-26 | 2022-10-18 | Incyte Corporation | Crystalline forms of a FGFR inhibitor and processes for preparing the same |
| US10611762B2 (en) | 2017-05-26 | 2020-04-07 | Incyte Corporation | Crystalline forms of a FGFR inhibitor and processes for preparing the same |
| US11174257B2 (en) | 2018-05-04 | 2021-11-16 | Incyte Corporation | Salts of an FGFR inhibitor |
| US11466004B2 (en) | 2018-05-04 | 2022-10-11 | Incyte Corporation | Solid forms of an FGFR inhibitor and processes for preparing the same |
| US12024517B2 (en) | 2018-05-04 | 2024-07-02 | Incyte Corporation | Salts of an FGFR inhibitor |
| US12473286B2 (en) | 2018-05-04 | 2025-11-18 | Incyte Corporation | Salts of an FGFR inhibitor |
| US11628162B2 (en) | 2019-03-08 | 2023-04-18 | Incyte Corporation | Methods of treating cancer with an FGFR inhibitor |
| US11771681B2 (en) | 2019-06-03 | 2023-10-03 | Small Pharma Ltd | Therapeutic compounds |
| US12076311B2 (en) | 2019-06-03 | 2024-09-03 | Cybin UK Ltd. | Therapeutic compositions comprising deuterated or partially deuterated N,N-dimethyltryptamine compounds |
| US11591329B2 (en) | 2019-07-09 | 2023-02-28 | Incyte Corporation | Bicyclic heterocycles as FGFR inhibitors |
| US12122767B2 (en) | 2019-10-01 | 2024-10-22 | Incyte Corporation | Bicyclic heterocycles as FGFR inhibitors |
| US11607416B2 (en) | 2019-10-14 | 2023-03-21 | Incyte Corporation | Bicyclic heterocycles as FGFR inhibitors |
| US12083124B2 (en) | 2019-10-14 | 2024-09-10 | Incyte Corporation | Bicyclic heterocycles as FGFR inhibitors |
| US11566028B2 (en) | 2019-10-16 | 2023-01-31 | Incyte Corporation | Bicyclic heterocycles as FGFR inhibitors |
| US12084417B2 (en) | 2019-11-07 | 2024-09-10 | Cybin Uk Ltd | Synthesis of N,N-dimethyltryptamine-type compounds, methods, and uses |
| US11643390B2 (en) | 2019-11-07 | 2023-05-09 | Small Pharma Ltd | Synthesis of N,N-dimethyltryptamine-type compounds, methods, and uses |
| US11578039B2 (en) | 2019-11-07 | 2023-02-14 | Small Pharma Ltd. | Compounds |
| US12157723B2 (en) | 2019-11-07 | 2024-12-03 | Cybin Uk Ltd | Compounds |
| US11407750B2 (en) | 2019-12-04 | 2022-08-09 | Incyte Corporation | Derivatives of an FGFR inhibitor |
| US11897891B2 (en) | 2019-12-04 | 2024-02-13 | Incyte Corporation | Tricyclic heterocycles as FGFR inhibitors |
| US12168660B2 (en) | 2019-12-04 | 2024-12-17 | Incyte Corporation | Derivatives of an FGFR inhibitor |
| US11344510B2 (en) | 2019-12-26 | 2022-05-31 | Gilgamesh Pharmaceuticals, Inc. | Arylcyclohexylamine derivatives and their use in the treatment of psychiatric disorders |
| US12012409B2 (en) | 2020-01-15 | 2024-06-18 | Incyte Corporation | Bicyclic heterocycles as FGFR inhibitors |
| US11440879B2 (en) | 2020-02-18 | 2022-09-13 | Gilgamesh Pharmaceuticals, Inc. | Methods of treating mood disorders |
| US11471417B2 (en) | 2020-06-02 | 2022-10-18 | Small Pharma Ltd | Deuterated N,N-dimethyltryptamine compounds |
| US12042564B2 (en) | 2020-06-02 | 2024-07-23 | Cybin Uk Ltd | Therapeutic solid dosage forms |
| US11406619B2 (en) | 2020-08-28 | 2022-08-09 | Small Pharma Ltd | Injectable formulations |
| US12343327B2 (en) | 2020-08-28 | 2025-07-01 | Cybin Uk Ltd | Injectable formulations |
| US11660289B2 (en) | 2020-12-01 | 2023-05-30 | Small Pharma Ltd. | Deuterated or partially deuterated N,N-dimethyltryptamine compounds |
| US12521370B2 (en) | 2020-12-01 | 2026-01-13 | Cybin Uk Ltd | Inhalable formulations |
| US12251371B2 (en) | 2020-12-01 | 2025-03-18 | Cybin UK Ltd. | Deuterated or partially deuterated N,N-dimethyltryptamine compounds |
| US11773062B2 (en) | 2021-03-22 | 2023-10-03 | Small Pharma Ltd | Deuterated compounds |
| US12065494B2 (en) | 2021-04-12 | 2024-08-20 | Incyte Corporation | Combination therapy comprising an FGFR inhibitor and a Nectin-4 targeting agent |
| US12428420B2 (en) | 2021-06-09 | 2025-09-30 | Incyte Corporation | Tricyclic heterocycles as FGFR inhibitors |
| US11939331B2 (en) | 2021-06-09 | 2024-03-26 | Incyte Corporation | Tricyclic heterocycles as FGFR inhibitors |
| US11697638B2 (en) | 2021-09-08 | 2023-07-11 | Small Pharma Ltd | 5-methoxy-N,N-dimethyltryptamine crystalline forms |
| US12318477B2 (en) | 2021-11-18 | 2025-06-03 | Cybin Uk Ltd | Injectable and inhalable formulations |
| US12180158B1 (en) | 2023-08-03 | 2024-12-31 | Gilgamesh Pharmaceuticals, Inc. | Crystalline fumarate salts of n-ethyl-2-(5-fluoro-1H-indol-3-yl)-n-methylethan-1-amine |
| US12157722B1 (en) | 2023-08-03 | 2024-12-03 | Gilgamesh Pharmaceuticals, Inc. | Crystalline hydrochloride salts of N-ethyl-2-(5-fluoro-1H-indol-3-yl)-N-methylethan-1-amine |
| US12129234B1 (en) | 2023-08-03 | 2024-10-29 | Gilgamesh Pharmaceuticals, Inc. | Crystalline salts of N-ethyl-(5-fluoro-1H-indol-3-yl)-N-methylethan-1-amine |
Similar Documents
| Publication | Publication Date | Title |
|---|---|---|
| WO2008071455A1 (en) | Bicyclic acyltryptophanols | |
| US20090069321A1 (en) | Cyanomethyl substituted n-acyl tryptamines | |
| US20080287493A1 (en) | Arylmethylen substituted n-acyl-y-aminoalcohols | |
| WO2009013354A1 (en) | ARYLMETHYLENE SUBSTITUTED N-ACYL-β-AMINO ALCOHOLS | |
| EP1912970A2 (en) | Acyltryptophanols for fertility control | |
| US20070060573A1 (en) | Acyltryptophanols | |
| JP5070042B2 (en) | Novel indole compounds as selective androgen receptor modulators (SARMS) | |
| WO2008071453A1 (en) | 1,2-diarylacetylene derivatives of acyltryptophanols | |
| AU2005243239B2 (en) | Indole, benzofuran and benzothiophene derivatives as selective androgen receptor modulators (SARMS) | |
| AU2005243238A1 (en) | Novel indole derivatives as selective androgen receptor modulators (SARMS) | |
| JP2002522386A (en) | Indole sPLA2 inhibitor | |
| US20080004268A1 (en) | Inhibitors of soluble adenylate cyclase | |
| WO2008116671A1 (en) | 2,3,4,9-tetrahydro-1h-carbazoles | |
| EP1956016A1 (en) | Bicyclic acyltryptophanols | |
| US20080207728A1 (en) | Bicyclic acyltryptophanols | |
| US20080275083A1 (en) | 2,3,4,9-tetrahydro-1h-carbazoles | |
| EP1932831A1 (en) | 1,2-Diarylacetylene Derivatives of Acyltryptophanols | |
| US20090075987A1 (en) | Alkylacetylene substituted acyltryptophanols | |
| US20080255117A1 (en) | Sulfonyltryptophanols | |
| WO2008104597A2 (en) | Sulfonyltryptophanols | |
| US20090069328A1 (en) | Alpha-alkyl substituted n-acyltryptophanols | |
| JP2002512222A (en) | Method for producing 4-hydroxyindole, indazole and carbazole compound | |
| EP1220839B1 (en) | Hydroxyfunctional amide 1h-indole derivatives active as spla2 inhibitors | |
| DE102005038632B4 (en) | Acyltryptophanole | |
| US20070225284A1 (en) | Inhibitors of soluble adenylate cyclase |
Legal Events
| Date | Code | Title | Description |
|---|---|---|---|
| 121 | Ep: the epo has been informed by wipo that ep was designated in this application |
Ref document number: 07856945 Country of ref document: EP Kind code of ref document: A1 |
|
| NENP | Non-entry into the national phase |
Ref country code: DE |
|
| 122 | Ep: pct application non-entry in european phase |
Ref document number: 07856945 Country of ref document: EP Kind code of ref document: A1 |





















































































































































































