WO2008070358A2 - N-cyclopropyl-hydroxyproline-based tripeptidic hepatitis c serine protease inhibitors containing an isoindole, pyrrolopyridine, pyrrolopyrimidine or pyrrolopyrazine heterocycle in the side chain - Google Patents
N-cyclopropyl-hydroxyproline-based tripeptidic hepatitis c serine protease inhibitors containing an isoindole, pyrrolopyridine, pyrrolopyrimidine or pyrrolopyrazine heterocycle in the side chain Download PDFInfo
- Publication number
- WO2008070358A2 WO2008070358A2 PCT/US2007/083034 US2007083034W WO2008070358A2 WO 2008070358 A2 WO2008070358 A2 WO 2008070358A2 US 2007083034 W US2007083034 W US 2007083034W WO 2008070358 A2 WO2008070358 A2 WO 2008070358A2
- Authority
- WO
- WIPO (PCT)
- Prior art keywords
- compound
- substituted
- cycloalkyl
- groups
- heterocyclyl
- Prior art date
- Legal status (The legal status is an assumption and is not a legal conclusion. Google has not performed a legal analysis and makes no representation as to the accuracy of the status listed.)
- Ceased
Links
- 0 CC(NC1(*)CCC1)OC Chemical compound CC(NC1(*)CCC1)OC 0.000 description 3
- DSPNFIXOCBKBJW-IRLDBZIGSA-N CC(C)(C)COC(NC(C(N(C[C@@H](C1)OC(N(C2)Cc3c2cccn3)=O)[C@@H]1C(OC)=O)=O)=C1CCCCC1)=O Chemical compound CC(C)(C)COC(NC(C(N(C[C@@H](C1)OC(N(C2)Cc3c2cccn3)=O)[C@@H]1C(OC)=O)=O)=C1CCCCC1)=O DSPNFIXOCBKBJW-IRLDBZIGSA-N 0.000 description 1
- SLVMDUUSWOVGSD-NSHDSACASA-N CC(C)(C)COC(N[C@@H](C1CCCCC1)C(O)=O)=O Chemical compound CC(C)(C)COC(N[C@@H](C1CCCCC1)C(O)=O)=O SLVMDUUSWOVGSD-NSHDSACASA-N 0.000 description 1
- USTUNPDOZUWCJT-FDTLHKACSA-N CC(C)(C)OC(N[C@@H](C1CCCCC1)C(N(C[C@@H](C1)OC(N2Cc3cnccc3C2)=O)[C@@H]1C(N[C@](C1)(C1C=C)C(NS(C1CC1)(=O)=O)=O)=O)=O)=O Chemical compound CC(C)(C)OC(N[C@@H](C1CCCCC1)C(N(C[C@@H](C1)OC(N2Cc3cnccc3C2)=O)[C@@H]1C(N[C@](C1)(C1C=C)C(NS(C1CC1)(=O)=O)=O)=O)=O)=O USTUNPDOZUWCJT-FDTLHKACSA-N 0.000 description 1
- YCDDSGCVCXWGHN-UPSBNXRSSA-N CC(C)(C)OC(N[C@@H](C1CCCCC1)C(N(C[C@@H](C1)OC(N2Cc3ncccc3C2)=O)[C@@H]1C(N[C@](C1)(C1C=C)C(O)=O)=O)=O)=O Chemical compound CC(C)(C)OC(N[C@@H](C1CCCCC1)C(N(C[C@@H](C1)OC(N2Cc3ncccc3C2)=O)[C@@H]1C(N[C@](C1)(C1C=C)C(O)=O)=O)=O)=O YCDDSGCVCXWGHN-UPSBNXRSSA-N 0.000 description 1
- FFLNGFJKSGHOPH-CQSZACIVSA-N CC(C)(C)[C@@H](CN(C(c1ccccc11)=O)C1=O)NC(OC(C)(C)C)=O Chemical compound CC(C)(C)[C@@H](CN(C(c1ccccc11)=O)C1=O)NC(OC(C)(C)C)=O FFLNGFJKSGHOPH-CQSZACIVSA-N 0.000 description 1
- OTEYWPSVXGBGEV-SSDOTTSWSA-N CC(C)(C)[C@@H](CN(C)S(C)(=O)=O)N Chemical compound CC(C)(C)[C@@H](CN(C)S(C)(=O)=O)N OTEYWPSVXGBGEV-SSDOTTSWSA-N 0.000 description 1
- UGOCQRSSNQIVBI-SECBINFHSA-N CC(C)(C)[C@@H](CN(C)S=O)NC(OC(C)(C)C)=O Chemical compound CC(C)(C)[C@@H](CN(C)S=O)NC(OC(C)(C)C)=O UGOCQRSSNQIVBI-SECBINFHSA-N 0.000 description 1
- PZCDWEOQKBSMMC-MRVPVSSYSA-N CC(C)(C)[C@@H](CN)NC(OC(C)(C)C)=O Chemical compound CC(C)(C)[C@@H](CN)NC(OC(C)(C)C)=O PZCDWEOQKBSMMC-MRVPVSSYSA-N 0.000 description 1
- VUUDBGPMBXNNHV-UHFFFAOYSA-N CN1Cc2cnncc2C1 Chemical compound CN1Cc2cnncc2C1 VUUDBGPMBXNNHV-UHFFFAOYSA-N 0.000 description 1
- WWHXQXIDVLOILO-UHFFFAOYSA-N CN1Cc2nnccc2C1 Chemical compound CN1Cc2nnccc2C1 WWHXQXIDVLOILO-UHFFFAOYSA-N 0.000 description 1
- RIJZHTHFCPGXKV-UHFFFAOYSA-N CS(N1Cc2ncncc2C1)S Chemical compound CS(N1Cc2ncncc2C1)S RIJZHTHFCPGXKV-UHFFFAOYSA-N 0.000 description 1
- UKXFJUDHGHAEIA-KEVHRDCZSA-N C[C@@](CC=C)(C(NC(C1CC1)=O)=O)NC([C@H](C[C@H](C1)OC(N2Cc3cnccc3C2)=O)N1C([C@H](C1CCCCC1)NC(OC1CCCC1)=O)=O)=O Chemical compound C[C@@](CC=C)(C(NC(C1CC1)=O)=O)NC([C@H](C[C@H](C1)OC(N2Cc3cnccc3C2)=O)N1C([C@H](C1CCCCC1)NC(OC1CCCC1)=O)=O)=O UKXFJUDHGHAEIA-KEVHRDCZSA-N 0.000 description 1
- CHOKVKGEGWFHLC-UHFFFAOYSA-N SN(C1)Cc2c1nccn2 Chemical compound SN(C1)Cc2c1nccn2 CHOKVKGEGWFHLC-UHFFFAOYSA-N 0.000 description 1
Classifications
-
- C—CHEMISTRY; METALLURGY
- C07—ORGANIC CHEMISTRY
- C07K—PEPTIDES
- C07K5/00—Peptides containing up to four amino acids in a fully defined sequence; Derivatives thereof
- C07K5/04—Peptides containing up to four amino acids in a fully defined sequence; Derivatives thereof containing only normal peptide links
- C07K5/08—Tripeptides
- C07K5/0802—Tripeptides with the first amino acid being neutral
- C07K5/0812—Tripeptides with the first amino acid being neutral and aromatic or cycloaliphatic
-
- A—HUMAN NECESSITIES
- A61—MEDICAL OR VETERINARY SCIENCE; HYGIENE
- A61P—SPECIFIC THERAPEUTIC ACTIVITY OF CHEMICAL COMPOUNDS OR MEDICINAL PREPARATIONS
- A61P31/00—Antiinfectives, i.e. antibiotics, antiseptics, chemotherapeutics
- A61P31/12—Antivirals
-
- C—CHEMISTRY; METALLURGY
- C07—ORGANIC CHEMISTRY
- C07D—HETEROCYCLIC COMPOUNDS
- C07D209/00—Heterocyclic compounds containing five-membered rings, condensed with other rings, with one nitrogen atom as the only ring hetero atom
- C07D209/02—Heterocyclic compounds containing five-membered rings, condensed with other rings, with one nitrogen atom as the only ring hetero atom condensed with one carbocyclic ring
- C07D209/44—Iso-indoles; Hydrogenated iso-indoles
-
- C—CHEMISTRY; METALLURGY
- C07—ORGANIC CHEMISTRY
- C07D—HETEROCYCLIC COMPOUNDS
- C07D403/00—Heterocyclic compounds containing two or more hetero rings, having nitrogen atoms as the only ring hetero atoms, not provided for by group C07D401/00
- C07D403/02—Heterocyclic compounds containing two or more hetero rings, having nitrogen atoms as the only ring hetero atoms, not provided for by group C07D401/00 containing two hetero rings
- C07D403/12—Heterocyclic compounds containing two or more hetero rings, having nitrogen atoms as the only ring hetero atoms, not provided for by group C07D401/00 containing two hetero rings linked by a chain containing hetero atoms as chain links
-
- C—CHEMISTRY; METALLURGY
- C07—ORGANIC CHEMISTRY
- C07D—HETEROCYCLIC COMPOUNDS
- C07D487/00—Heterocyclic compounds containing nitrogen atoms as the only ring hetero atoms in the condensed system, not provided for by groups C07D451/00 - C07D477/00
- C07D487/02—Heterocyclic compounds containing nitrogen atoms as the only ring hetero atoms in the condensed system, not provided for by groups C07D451/00 - C07D477/00 in which the condensed system contains two hetero rings
- C07D487/04—Ortho-condensed systems
-
- C—CHEMISTRY; METALLURGY
- C07—ORGANIC CHEMISTRY
- C07K—PEPTIDES
- C07K5/00—Peptides containing up to four amino acids in a fully defined sequence; Derivatives thereof
- C07K5/04—Peptides containing up to four amino acids in a fully defined sequence; Derivatives thereof containing only normal peptide links
- C07K5/06—Dipeptides
- C07K5/06191—Dipeptides containing heteroatoms different from O, S, or N
Definitions
- the present invention relates to novel compounds that are useful as protease inhibitors, particularly as inhibitors of serine proteases, and more particularly as inhibitors of the NS3 serine protease from hepatitis C virus.
- the compounds find utility as antiviral agents, especially for treatment of hepatitis C virus infections.
- Hepatitis C virus is the causative agent for hepatitis C, a chronic infection characterized by jaundice, fatigue, abdominal pain, loss of appetite, nausea, and darkening of the urine.
- HCV belonging to the hepacivirus genus of the Flaviviriae family, is an enveloped, single-stranded positive-sense RNA-containing virus.
- the long-term effects of hepatitis C infection as a percentage of infected subjects include chronic infection (55-85%), chronic liver disease (70%), and death (1-5%).
- HCV is the leading indication for liver transplant. In chronic infection, there usually presents progressively worsening liver inflammation, which often leads to more severe disease states such as cirrhosis and hepatocellular carcinoma.
- the HCV genome (Choo et al., Science 1989, 244, 359-362; Simmonds et al., Hepatology 1995, 21, 570-583) is a highly variable sequence exemplified by GenBank accession NC_004102 as a 9646 base single-stranded RNA comprising the following constituents at the parenthetically indicated positions: 5' NTR (i.e., non-transcribed region) (1-341); core protein (i.e., viral capsid protein involved in diverse processes including viral morphogenesis or regulation of host gene expression) (342-914); El protein (i.e., viral envelope) (915-1490); E2 protein (i.e., viral envelope) (1491-2579); p7 protein (2580- 2768); NS2 protein (i.e., non-structural protein 2) (2769-3419); NS3 protease (3420-5312); NS4a protein (5313-5474); NS4b protein (5475-6257);
- the NS3 (i.e., non-structural protein 3) protein of HCV exhibits serine protease activity, the N-terminus of which is produced by the action of aNS2- NS3 metal-dependent protease, and the C-terminus of which is produced by auto-proteolysis.
- the HCV NS3 serine protease and its associated cofactor, NS4a process all of the other non-structural viral proteins of HCV. Accordingly, the HCV NS3 protease is essential for viral replication.
- An embodiment according to the present invention provides compounds of formula (I) that are adapted to inhibit the viral protease NS 3 of the Hepatitis C Virus (HCV).
- the compounds of formula (I) are adapted to bind to, and thus block the action of, an HCV-encoded protease enzyme that is required by the virus for the production of intact, mature, functional viral proteins from the viral polyprotein as translated from the viral RNA, and therefore for the formation of infectious particles, and ultimately for viral replication.
- the compounds of the invention can be considered as mimics or analogs of the peptide domain immediately N-terminal of the substrate site where the viral protease cleaves its native substrate viral polyprotein.
- Another embodiment provides a method of treatment of a patient for whom inhibition of Hepatitis C protease is medically indicated, or a patient infected with Hepatitis C, using a compound of formula (I).
- Another embodiment provides methods of synthesis of the compounds of formula (I), and further embodiments provide pharmaceutical compositions and combinations including a compound of formula (I), useful for the treatment of Hepatitis C. Accordingly, an embodiment of the present invention is directed to a compound of formula (I):
- R c at each occurrence is independently H, or a substituted or unsubstituted alkyl, alkenyl, aryl, aralkyl, aralkenyl, cycloalkyl, cycloalkylalkyl, cycloalkenyl, cycloalkenylalkyl, heterocyclyl, heterocyclylalkyl, heterocyclylalkenyl, heteroaryl, or heteroarylalkyl; wherein any carbon atom can be substituted with a J group; or two R° groups together with a nitrogen atom to which they are bound form together with the nitrogen atom a 5-11 membered mono- or bicyclic heterocyclic ring system that is unsubstituted or is substituted with 1 -3 J groups;
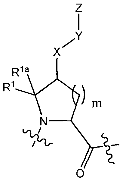
- A is
- a wavy line signifies a point of attachment
- m is 1 or 2
- X is a bond, C(R 4 ) 2 , N(R 5 ), O or S;
- Y is C(O), S(O) or S(O) 2 ;
- Z is alkyl, aryl, aralkyl, cycloalkyl, cycloalkylalkyl, heterocyclyl, heterocyclylalkyl, heteroaryl, heteroarylalkyl, OR 5 , or N(R 5 ) 2 , wherein any carbon atom is unsubstituted or is substituted with J;
- R 1 and R la are independently H, or a substituted or unsubstituted alkyl, alkenyl, aryl, aralkyl, aralkenyl, cycloalkyl, cycloalkylalkyl, cycloalkenyl, cycloalkenylalkyl, heterocyclyl, heterocyclylalkyl, heteroaryl, or heteroarylalkyl; wherein any alkyl, alkenyl, aryl, aralkyl, aralkenyl, cycloalkyl, cycloalkylalkyl, cycloalkenyl
- R 2 and R 2a are independently H, or a substituted or unsubstituted alkyl, alkenyl, aryl, aralkyl, aralkenyl, cycloalkyl, cycloalkylalkyl, cycloalkenyl, cycloalkenylalkyl, heterocyclyl, heterocyclylalkyl, heteroaryl, or heteroarylalkyl; wherein any alkyl, alkenyl, aryl, aralkyl, aralkenyl, cycloalkyl, cycloalkylalkyl, cycloalkenyl, cycloalkenylalkyl, heterocyclyl, heterocyclylalkyl, heteroaryl, or heteroarylalkyl can be unsubstituted or substituted with 1-3 J groups;
- R 3 is alkyl, alkenyl, alkynyl, cycloalkyl, cycloalkylalkyl, cycloalkylalkenyl, cycloalkylalkynyl, cycloalkenyl, cycloalkenylalkyl, cycloalkenylalkenyl, or cycloalkenylalkynyl; wherein any R 3 can be unsubstituted or substituted with 1-3 J groups; n is 1, 2 or 3; R 4 is at each occurrence independently H, or a substituted or unsubstituted alkyl, cycloalkyl, cycloalkenyl, cycloalkylalkyl, cycloalkenylalkyl, cycloalkylalkenyl, aryl, aralkyl, aralkenyl, heterocyclyl, heterocyclylalkyl, heterocyclylalkenyl, heteroaryl, heteroarylalky
- R 5 is H, or unsubstituted or substituted alkyl, alkenyl, aryl, aralkyl, aralkenyl, cycloalkyl, cycloalkylalkyl, cycloalkenyl, cycloalkenylalkyl, heterocyclyl, heterocyclylalkyl, heterocyclylalkenyl, heteroaryl, or heteroarylalkyl, wherein any alkyl, alkenyl, aryl, aralkyl, aralkenyl, cycloalkyl, cycloalkylalkyl, cycloalkenyl, cycloalkenylalkyl, heterocyclyl, heterocyclylalkyl, heterocyclylalkenyl, heteroaryl, or heteroarylalkyl group can be substituted with 0-3 J groups; or two R 5 groups together with a nitrogen atom to which they are attached form together with the nitrogen atom a C 3 -C 8 hetero
- J is halogen, OR', OC(O)N(R') 2 , NO 2 , CN, CF 3 , OCF 3 , R', N(R) 2 , SR, SOR', SO 2 R, SO 2 N(R) 2 , SO 3 R, C(O)R', C(O)C(O)R', C(O)CH 2 C(O)R, C(S)R, C(O)OR', OC(O)R 1 , C(0)N(R') 2 , 0C(0)N(R') 2 , C(S)N(R') 2 , (CH 2 ) 0-
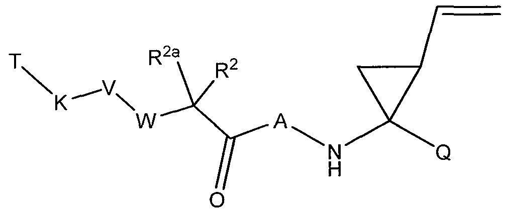
- W is C(R 10 ) 2 , O, S, NH, or NR';
- V is a bond, C( R 10 ) 2 , C(O), S(O), or S(O) 2 ; provided that when W is C(R I0 ) 2 , V is not also C(R 10 ) 2 ;
- R 10 is independently at each occurrence H, or alkyl, cycloalkyl, cycloalkylalkyl, aryl, aralkyl, heterocyclyl, heterocyclylalkyl, heteroaryl or heteroarylalkyl, wherein any carbon atom can be substituted with J; or two R 10 groups together with a carbon atom to which they are bound form a 3-8 membered cycloalkyl, which can be unsubstituted or substituted with 1 -3 J, wherein the 3-8 membered cycloalkyl can contain 1-3 heteroatoms selected from the group consisting of O, NH, NR', S, S(O), or S(O) 2 , wherein the 3-8 membered cycloalky
- K is a bond, O, S, C(O), S(O), S(O) 2 , S(O)(NR 10 ), or N(R 10 );
- T is R 11 , alkyl-R 11 , alkenyl-R 11 , alkynyl-R 11 , OR 11 , N(R 11 ) 2 , C(O) R 11 , or
- R 11 is independently H, or alkyl, aryl, aralkyl, alkoxy, cycloalkyl, cycloalkylidenyl, heterocyclyl, heterocyclylalkyl, heterocyclylalkylidenyl, or heteroaryl, wherein any R 11 except hydrogen is substituted with 0-3 J groups, or a first R 1 ] and a second R 11 together with a nitrogen atom to which they are bound form together with the nitrogen atom a mono- or bicyclic heterocyclyl ring system substituted with 0-3 J groups.
- Z is
- R 12 , R 13 , R 14 , R 15 , R 18 , and R 19 are independently H, F, or a substituted or unsubstituted alkyl, cycloalkyl, cycloalkenyl, cycloalkylalkyl, cycloalkenylalkyl, cycloalkylalkenyl, aryl, aralkyl, aralkenyl, heterocyclyl, heterocyclylalkyl, heterocyclylalkenyl, heteroaryl, heteroarylalkyl, or heteroarylalkenyl group; or R 12 and R 13 or R 14 and R 15 or R 18 and R 19 , together with a carbon atom to which they are attached, form a C 3-8 cycloalkyl group; and R 16 and R 17 are independently H or a substituted or unsubstituted alkyl,
- R 12 , R 13 , R 14 and R 15 are independently H, F, or a substituted or unsubstituted alkyl, cycloalkyl, cycloalkenyl, cycloalkylalkyl, cycloalkenylalkyl, cycloalkylalkenyl, aryl, aralkyl, aralkenyl, heterocyclyl, heterocyclylalkyl, heterocyclylalkenyl, heteroaryl, heteroarylalkyl, or heteroarylalkenyl group; or R 12 and R 13 together with a carbon atom to which they are attached or R 14 and R 15 together with a carbon atom to which they are attached form together with the carbon atom a C 3-8 cycloalkyl group which can be unsubstituted or substituted with 1-3 J groups; R >2 z 0 ⁇ , r R>21 , R >22 , and R
- the invention further provides a pharmaceutical composition comprising a compound of formula (I) and a suitable excipient.
- the invention further provides a pharmaceutical combination comprising a compound of formula (I) in a therapeutically effective amount and a second medicament in a therapeutically effective amount.
- the combination can further comprise a third medicament in a therapeutically effective amount.
- a pharmaceutical combination of the invention may be formulated as a pharmaceutical composition of the invention.
- the present invention further provides a method of treatment of a HCV infection in a patient in need thereof, or in a patient when inhibition of an HCV viral protease is medically indicated, comprising administering a therapeutically effective amount of a compound of formula (I) to the patient, or administering a pharmaceutical combination of the invention comprising a compound of formula (I) and second medicament, and, optionally, a third medicament, all in therapeutically effective doses, to the patient.
- HCV NS3 serine protease denotes all active forms of the serine protease encoded by the NS3 region of the hepatitis C virus, including all combinations thereof with other proteins in either covalent or noncovalent association.
- other proteins in this context include without limitation the protein encoded by the NS4a region of the hepatitis C virus. Accordingly, the terms “NS3/4a” and “NS3/4a protease” denote the NS3 protease in combination with the HCV NS4a protein.
- other type(s) of therapeutic agents refers to one or more antiviral agents (other than HCV NS3 serine protease inhibitors of the invention).
- Subject as used herein, includes mammals such as humans, non-human primates, rats, mice, dogs, cats, horses, cows and pigs.
- treatment is defined as the management and care of a patient for the purpose of combating the disease, condition, or disorder and includes administering a compound of the present invention to prevent the onset of the symptoms or complications, or alleviating the symptoms or complications, or eliminating the disease, condition, or disorder.
- Treating within the context of the instant invention means an alleviation of symptoms associated with a disorder or disease, or inhibition of further progression or worsening of those symptoms, or prevention or prophylaxis of the disease or disorder.
- treating a hepatitis C viral infection includes slowing, halting or reversing the growth of the virus and/or the control, alleviation or prevention of symptoms of the infection.
- an "effective amount” or a “therapeutically effective amount” of a compound of the invention refers to an amount of the compound that alleviates, in whole or in part, symptoms associated with the disorder or condition, or halts or slows further progression or worsening of those symptoms, or prevents or provides prophylaxis for the disorder or condition.
- a “therapeutically effective amount” refers to an amount effective, at dosages and for periods of time necessary, to achieve the desired therapeutic result by inhibition of HCV NS3 serine protease activity.
- a therapeutically effective amount is also one in which any toxic or detrimental effects of compounds of the invention are outweighed by the therapeutically beneficial effects.
- a therapeutically effective amount of a HCV NS 3 serine protease inhibitor of the invention is an amount sufficient to control HCV viral infection. All chiral, diastereomeric, racemic forms of a structure are intended, unless the specific stereochemistry or isomeric form is specifically indicated.
- amino protecting group or "N-protected” as used herein refers to those groups intended to protect an amino group against undesirable reactions during synthetic procedures and which can later be removed to reveal the amine. Commonly used amino protecting groups are disclosed in Protective Groups in Organic Synthesis, Greene, T.W.; Wuts, P. G. M., John Wiley & Sons, New York, NY, (3rd Edition, 1999), incorporated herein by reference.
- Amino protecting groups include acyl groups such as formyl, acetyl, propionyl, pivaloyl, t-butylacetyl, 2-chloroacetyl, 2-bromoacetyl, trifluoroacetyl, trichloroacetyl, o-nitrophenoxyacetyl, ⁇ -chlorobutyryl, benzoyl, 4- chlorobenzoyl, 4-bromobenzoyl, 4-nitrobenzoyl, and the like; sulfonyl groups such as benzenesulfonyl, p-toluenesulfonyl and the like; acyloxy groups (which form urethanes with the protected amine) such as benzyloxycarbonyl (Cbz), p- chlorobenzyloxycarbonyl, p-methoxybenzyloxycarbonyl, p- nitrobenzyloxycarbonyl, 2-nitrobenzyloxycarbon
- Amine protecting groups also include cyclic amino protecting groups such as phthaloyl and dithiosuccinimidyl, which incorporate the amino nitrogen into a heterocycle.
- amino protecting groups include formyl, acetyl, benzoyl, pivaloyl, t-butylacetyl, phenylsulfonyl, Alloc, Teoc, benzyl, Fmoc, Boc and Cbz. It is well within the skill of the ordinary artisan to select and use the appropriate amino protecting group for the synthetic task at hand.
- substituted refers to an organic group as defined herein in which one or more bonds to a hydrogen atom contained therein are replaced by a bond to non-hydrogen or non-carbon atoms such as, but not limited to, a halogen (i.e., F, Cl, Br, and I); an oxygen atom in groups such as hydroxyl groups, alkoxy groups, aryloxy groups, aralkyloxy groups; a sulfur atom in groups such as thiol groups, alkyl and aryl sulfide groups, sulfoxide groups, sulfone groups, sulfonyl groups, and sulfonamide groups; a nitrogen atom in groups such as amines, hydroxylamines, N-oxides, hydrazides, azides, and enamines; and other heteroatoms in various other groups.
- a halogen i.e., F, Cl, Br, and I
- an oxygen atom in groups such as hydroxyl groups, alk
- Substituted alkyl, alkenyl, alkynyl, cycloalkyl, and cycloalkenyl groups as well as other substituted groups also include groups in which one or more bonds to a carbon(s) or hydrogen(s) atom are replaced by one or more bonds, including double or triple bonds, to a heteroatom such as, but not limited to, oxygen in carbonyl (oxo), carboxyl, ester, amide, imide, urethane, and urea groups; and nitrogen in imines, hydroxyimines, oximes, hydrazones, amidines, guanidines, and nitriles.
- Substituted ring groups such as substituted aryl, heterocyclyl and heteroaryl groups also include rings and fused ring systems in which a bond to a hydrogen atom is replaced with a bond to a carbon atom. Therefore, substituted aryl, heterocyclyl and heteroaryl groups may also be substituted with alkyl, alkenyl, and alkynyl groups as defined herein.
- Alkyl groups include straight chain and branched alkyl groups and cycloalkyl groups having from 1 to about 20 carbon atoms, and typically from 1 to 12 carbons or, in some embodiments, from 1 to 8 carbon atoms.
- straight chain alkyl groups include those with from 1 to 8 carbon atoms such as methyl, ethyl, n-propyl, n-butyl, n-pentyl, n-hexyl, n-heptyl, and n-octyl groups.
- branched alkyl groups include, but are not limited to, isopropyl, iso-butyl, sec-butyl, t-butyl, neopentyl, isopentyl, and 2,2-dimethylpropyl groups.
- Representative substituted alkyl groups may be substituted one or more times with any of the groups listed above, for example, amino, hydroxy, cyano, carboxy, nitro, thio, alkoxy, and halogen groups.
- Cycloalkyl groups are cyclic alkyl groups such as, but not limited to, cyclopropyl, cyclobutyl, cyclopentyl, cyclohexyl, cycloheptyl, and cyclooctyl groups.
- the cycloalkyl group has 3 to 8 ring members, whereas in other embodiments the number of ring carbon atoms range from 3 to 5, 6, or 7.
- Cycloalkyl groups further include polycyclic cycloalkyl groups such as, but not limited to, norbornyl, adamantyl, bornyl, camphenyl, isocamphenyl, and carenyl groups, and fused rings such as, but not limited to, decalinyl, and the like. Cycloalkyl groups also include rings that are substituted with straight or branched chain alkyl groups as defined above.
- Representative substituted cycloalkyl groups may be mono-substituted or substituted more than once, such as, but not limited to, 2,2-, 2,3-, 2,4- 2,5- or 2,6-disubstituted cyclohexyl groups or mono-, di- or tri-substituted norbornyl or cycloheptyl groups, which may be substituted with, for example, amino, hydroxy, cyano, carboxy, nitro, thio, alkoxy, and halogen groups.
- cycloalkenyl alone or in combination denotes a cyclic alkenyl group.
- carbocyclic and “carbocycle” denote a ring structure wherein the atoms of the ring are carbon.
- the carbocycle has 3 to 8 ring members, whereas in other embodiments the number of ring carbon atoms is 4, 5, 6, or 7.
- the carbocyclic ring may be substituted with as many as N-I substituents wherein N is the size of the carbocyclic ring with for example, amino, hydroxy, cyano, carboxy, nitro, thio, alkoxy, and halogen groups.
- (Cycloalkyl)alkyl groups are alkyl groups as defined above in which a hydrogen or carbon bond of the alkyl group is replaced with a bond to a cycloalkyl group as defined above.
- Alkenyl groups include straight and branched chain and cyclic alkyl groups as defined above, except that at least one double bond exists between two carbon atoms.
- alkenyl groups have from 2 to about 20 carbon atoms, and typically from 2 to 12 carbons or, in some embodiments, from 2 to 8 carbon atoms.
- Cycloalkenyl groups include cycloalkyl groups having at least one double bond between 2 carbons.
- cycloalkenyl groups include but are not limited to cyclohexenyl, cyclopentenyl, and cyclohexadienyl groups.
- (Cycloalkenyl)alkyl groups are alkyl groups as defined above in which a hydrogen or carbon bond of the alkyl group is replaced with a bond to a cycloalkenyl group as defined above.
- Alkynyl groups include straight and branched chain alkyl groups, except that at least one triple bond exists between two carbon atoms. Thus, alkynyl groups have from 2 to about 20 carbon atoms, and typically from 2 to 12 carbons or, in some embodiments, from 2 to 8 carbon atoms.
- Examples include, but are not limited to -CkCH, -C ⁇ C(CH3), -C ⁇ C(CH2CH3), -CH2C ⁇ CH, -CH2C ⁇ C(CH3), and -CH2C ⁇ C(CH2CH3) among others.
- Aryl groups are cyclic aromatic hydrocarbons that do not contain heteroatoms.
- aryl groups include, but are not limited to, phenyl, azulenyl, heptalenyl, biphenyl, indacenyl, fluorenyl, phenanthrenyl, triphenylenyl, pyrenyl, naphthacenyl, chrysenyl, biphenylenyl, anthracenyl, and naphthyl groups.
- aryl groups contain 6-14 carbons in the ring portions of the groups.
- aryl groups includes groups containing fused rings, such as fused aromatic-aliphatic ring systems (e.g., indanyl, tetrahydronaphthyl, and the like), it does not include aryl groups that have other groups, such as alkyl or halogen groups, bonded to one of the ring members. Rather, groups such as tolyl are referred to as substituted aryl groups.
- Representative substituted aryl groups may be mono-substituted or substituted more than once, such as, but not limited to, 2-, 3-, 4-, 5-, or 6-substituted phenyl or naphthyl groups, which may be substituted with groups such as those listed above.
- Aralkyl groups are alkyl groups as defined above in which a hydrogen or carbon bond of an alkyl group is replaced with a bond to an aryl group as defined above.
- Representative aralkyl groups include benzyl and phenylethyl groups and fused (cycloalkylaryl)alkyl groups such as 4-ethyl-indanyl.
- Aralkenyl group are alkenyl groups as defined above in which a hydrogen or carbon bond of an alkyl group is replaced with a bond to an aryl group as defined above.
- Heterocyclyl groups include aromatic and non-aromatic ring compounds containing 3 or more ring members, of which, one or more is a heteroatom such as, but not limited to, N, O, and S. In some embodiments, heterocyclyl groups include 3 to 20 ring members, whereas other such groups have 3 to 15 ring members.
- the phrase "heterocyclyl group” includes fused ring species including those comprising fused aromatic and non-aromatic groups.
- the phrase also includes polycyclic ring systems containing a heteroatom such as, but not limited to, quinuclidyl.
- the phrase does not include heterocyclyl groups that have other groups, such as alkyl or halogen groups, bonded to one of the ring members. Rather, these are referred to as "substituted heterocyclyl groups”.
- Heterocyclyl groups include, but are not limited to, pyrrolidinyl, piperidinyl, piperazinyl, morpholinyl, pyrrolyl, pyrazolyl, triazolyl, tetrazolyl, oxazolyl, isoxazolyl, thiazolyl, pyridinyl, thiophenyl, benzothiophenyl, benzofuranyl, dihydrobenzofuranyl, indolyl, dihydroindolyl, azaindolyl, indazolyl, benzimidazolyl, azabenzimidazolyl, benzoxazolyl, benzothiazolyl, benzothiadiazolyl, imidazopyridinyl, isoxazolopyridinyl, thianaphthalenyl, purinyl, xanthinyl, adeninyl, guaninyl, quinolinyl, isoquino
- Representative substituted heterocyclyl groups may be mono-substituted or substituted more than once, such as, but not limited to, piperidinyl or quinolinyl groups, which are 2-, 3-, 4-, 5-, or 6-substituted, or disubstituted with groups such as those listed above.
- Heteroaryl groups are aromatic ring compounds containing 5 or more ring members, of which, one or more is a heteroatom such as, but not limited to, N, O, and S.
- Heteroaryl groups include, but are not limited to, groups such as pyrrolyl, pyrazolyl, triazolyl, tetrazolyl, oxazolyl, isoxazolyl, thiazolyl, pyridinyl, thiophenyl, benzothiophenyl, benzofuranyl, indolyl, azaindolyl, indazolyl, benzimidazolyl, azabenzimidazolyl, benzoxazolyl, benzothiazolyl, benzothiadiazolyl, imidazopyridinyl, isoxazolopyridinyl, thianaphthalenyl, purinyl, xanthinyl, adeninyl, guaninyl, quinolin
- heteroaryl groups includes fused ring compounds such as indolyl and 2,3-dihydro indolyl, the phrase does not include heteroaryl groups that have other groups bonded to one of the ring members, such as alkyl groups. Rather, heteroaryl groups with such substitution are referred to as "substituted heteroaryl groups”. Representative substituted heteroaryl groups may be substituted one or more times with groups such as those listed above.
- aryl and heteroaryl groups include but are not limited to phenyl, biphenyl, indenyl, naphthyl (1-naphthyl, 2-naphthyl), N- hydroxytetrazolyl, N-hydroxytriazolyl, N-hydroxyimidazolyl, anthracenyl ( 1 - anthracenyl, 2-anthracenyl, 3 -anthracenyl), thiophenyl (2-thienyl, 3-thienyl), furyl (2-furyl, 3-furyl) , indolyl, oxadiazolyl, isoxazolyl, quinazolinyl, fluorenyl, xanthenyl, isoindanyl, benzhydryl, acridinyl, thiazolyl, pyrrolyl (2-pyrrolyl), pyrazolyl (3 -pyrazolyl), imidazolyl (1-imid
- Heterocyclylalkyl groups are alkyl groups as defined above in which a hydrogen or carbon bond of an alkyl group is replaced with a bond to a heterocyclyl group as defined above.
- Representative heterocyclyl alkyl groups include, but are not limited to, furan-2-yl methyl, furan-3-yl methyl, pyridine-3- yl methyl, tetrahydrofuran-2-yl ethyl, and indol-2-yl propyl.
- Heteroarylalkyl groups are alkyl groups as defined above in which a hydrogen or carbon bond of an alkyl group is replaced with a bond to a heteroaryl group as defined above.
- alkoxy refers to an oxygen atom connected to an alkyl group as defined above.
- linear alkoxy groups include but are not limited to methoxy, ethoxy, propoxy, butoxy, pentyloxy, hexyloxy, and the like.
- branched alkoxy include but are not limited to isopropoxy, sec- butoxy, tert-butoxy, isopentyloxy, isohexyloxy, and the like.
- cyclic alkoxy include but are not limited to cyclopropyloxy, cyclobutyloxy, cyclopentyloxy, cyclohexyloxy, and the like.
- aryloxy and arylalkoxy refer to, respectively, an aryl group bonded to an oxygen atom and an aralkyl group bonded to the oxygen atom at the alkyl. Examples include but are not limited to phenoxy, naphthyloxy, and benzyloxy.
- amine (or “amino”) includes primary, secondary, and tertiary amines having, e.g., the formula -NR 2 . Amines include but are not limited to -NH 2 , alkylamines, dialkylamines, arylamines, alkylarylamines, diarylamines, aralkylamines, heterocyclylamines and the like.
- amide includes C- and N-amide groups, i.e., -C(O)NR 2 , and -NRC(O)R groups, respectively.
- Amide groups therefore include but are not limited to carbamoyl groups (-C(O)NH 2 ) and formamide groups (-NHC(O)H).
- urethane (or “carbamyl”) includes N- and O-urethane groups, i.e., -NRC(O)OR and -OC(O)NR 2 groups, respectively.
- sulfonamide (or “sulfonamido”) includes S- and N- sulfonamide groups, i.e., -SO 2 NR 2 and -NRSO 2 R groups, respectively. Sulfonamide groups therefore include but are not limited to sulfamoyl groups (- SO 2 NH 2 ).
- amidine or “amidino” includes groups of the formula -C(NR)NR 2 .
- an amidino group is -C(NH)NH 2 .
- guanidine or "guanidino” includes groups of the formula -NRC(NR)NR 2 . Typically, a guanidino group is -NHC(NH)NH 2 .
- a guanidino group is -NHC(NH)NH 2 .
- X is described as selected from the group consisting of bromine, chlorine, and iodine, claims for X being bromine and claims for X being bromine and chlorine are fully described.
- R c at each occurrence is independently H, or a substituted or unsubstituted alkyl, alkenyl, aryl, aralkyl, aralkenyl, cycloalkyl, cycloalkylalkyl, cycloalkenyl, cycloalkenylalkyl, heterocyclyl, heterocyclylalkyl, heterocyclylalkenyl, heteroaryl, or heteroarylalkyl; wherein any carbon atom can be substituted with a J group; or two R c groups together with a nitrogen atom to which they are bound form together with the nitrogen atom a 5-11 membered mono- or bicyclic heterocyclic ring system that is unsubstituted or is substituted with 1-3 J groups;
- a wavy line signifies a point of attachment
- m is 1 or 2
- X is a bond, C(R 4 ) 2 , N(R 5 ), O or S;
- Y is C(O), S(O) or S(O) 2 ;
- Z is alkyl, aryl, aralkyl, cycloalkyl, cycloalkylalkyl, heterocyclyl, heterocyclylalkyl, heteroaryl, heteroarylalkyl, OR 5 , or N(R 5 ) 2 , wherein any carbon atom is unsubstituted or is substituted with J;
- R 1 and R la are independently H, or a substituted or unsubstituted alkyl, alkenyl, aryl, aralkyl, aralkenyl, cycloalkyl, cycloalkylalkyl, cycloalkenyl, cycloalkenylalkyl, heterocyclyl, heterocyclylalkyl, heteroaryl, or heteroarylalkyl; wherein any alkyl, alkenyl, aryl, aralkyl, aralkenyl, cycloalkyl, cycloalkylalkyl, cycloalkenyl, cycloalkenylalkyl, heterocyclyl, heterocyclylalkyl, heteroaryl, or heteroarylalkyl can unsubstituted or substituted with 1-3 J groups;
- R 2 and R 2a are independently H, or a substituted or unsubstituted alkyl, alkenyl, aryl, aralkyl, aralkenyl, cycloalkyl, cycloalkylalkyl, cycloalkenyl, cycloalkenylalkyl, heterocyclyl, heterocyclylalkyl, heteroaryl, or heteroarylalkyl; wherein any alkyl, alkenyl, aryl, aralkyl, aralkenyl, cycloalkyl, cycloalkylalkyl, cycloalkenyl, cycloalkenylalkyl, heterocyclyl, heterocyclylalkyl, heteroaryl, or heteroarylalkyl can be unsubstituted or substituted with 1-3 J groups;
- R is alkyl, alkenyl, alkynyl, cycloalkyl, cycloalkylalkyl, cycloalkylalkenyl, cycloalkylalkynyl, cycloalkenyl, cycloalkenylalkyl, cycloalkenylalkenyl, or cycloalkenylalkynyl; wherein any R 3 can be unsubstituted or substituted with 1-3 J groups; n is 1, 2 or 3;
- R 4 is at each occurrence independently H, or a substituted or unsubstituted alkyl, cycloalkyl, cycloalkenyl, cycloalkylalkyl, cycloalkenylalkyl, cycloalkylalkenyl, aryl, aralkyl, aralkenyl, heterocyclyl, heterocyclylalkyl, heterocyclylalkenyl, heteroaryl, heteroarylalkyl, or heteroarylalkenyl, or two R 4 groups together with a carbon atom to which they are attached form together with the carbon atom a C 3- C 8 cycloalkyl group; wherein any carbon atom can be substituted with J;
- R 5 is H, or unsubstituted or substituted alkyl, alkenyl, aryl, aralkyl, aralkenyl, cycloalkyl, cycloalkylalkyl, cycloalkenyl, cyclo
- J is halogen, OR', 0C(0)N(R') 2 , NO 2 , CN, CF 3 , OCF 3 , R', N(R) 2 , SR 1 , SOR 1 , SO 2 R 1 , SO 2 N(R) 2 , SO 3 R, C(O)R 1 , C(O)C(O)R, C(O)CH 2 C(O)R, C(S)R 1 , C(O)OR 1 , OC(O)R 1 , C(0)N(R') 2 , OC(O)N(R) 2 , C(S)N(RO 2 , (CH 2 )o- 2N(If)C(O)R 1 , N(R)N(ROC(O)R', N(R')N(R)C(0)0R', N(RON(ROCON(RO 2 , N(R)SO 2 R 1 , N(ROSO 2 N(RO 2 , N(R)C(O)OR,
- W is C(R 10 ) 2 , O, S, NH, or NR 1 ;
- V is a bond, C( R 10 ) 2 , C(O), S(O), or S(O) 2 ; provided that when W is C(R 10 ) 2 , V is not also C(R 10 ) 2 ;
- R 10 is independently at each occurrence H, or alkyl, cycloalkyl, cycloalkylalkyl, aryl, aralkyl, heterocyclyl, heterocyclylalkyl, heteroaryl or heteroarylalkyl, wherein any carbon atom can be substituted with J; or two R 10 groups together with a carbon atom to which they are bound form a 3-8 membered cycloalkyl, which can be unsubstituted or substituted with 1-3 J, wherein the 3-8 membered cycloalkyl can contain 1-3 heteroatoms selected from the group consisting of O, NH, NR', S, S(O), or S(O) 2 , wherein the 3-8 membered cycloalkyl can
- K is a bond, O, S, C(O), S(O), S(O) 2 , S(O)(NR 10 ), or N(R 10 );
- R 11 is independently H, or alkyl, aryl, aralkyl, alkoxy, cycloalkyl, cycloalkylidenyl, heterocyclyl, heterocyclylalkyl, heterocyclylalkylidenyl, or heteroaryl, wherein any R 11 except hydrogen is substituted with 0-3 J groups, or a first R 1 ' and a second R 1 ! together with a nitrogen atom to which they are bound form together with the nitrogen atom a mono- or bicyclic heterocyclyl ring system substituted with 0-3 J groups.
- a compound of the invention can be a compound of formula (I) wherein Q is , wherein R c is unsubstituted or substituted cyclopropyl or aryl.
- R c can be cyclopropyl, or R c can be phenyl.
- a compound of the invention can be a compound of formula (I) wherein R 3 is alkenyl.
- R 3 can be C 2 H 3 (ethenyl).
- a compound of the invention can be a compound of formula (I) wherein X is O. More specifically, a compound of the invention can be a compound of formula (I) wherein Y is C(O).
- a compound of the invention can be a compound of formula (I) wherein Z is heterocyclyl or heteroaryl.
- Z can be
- R 12 , R 13 , R 14 , R 15 , R 18 , and R 19 are independently H, F, or a substituted or unsubstituted alkyl, cycloalkyl, cycloalkenyl, cycloalkylalkyl, cycloalkenylalkyl, cycloalkylalkenyl, aryl, aralkyl, aralkenyl, heterocyclyl, heterocyclylalkyl, heterocyclylalkenyl, heteroaryl, heteroarylalkyl, or heteroarylalkenyl group; or R 12 and R 13 or R 14 and R 15 or R 18 and R 19 , together with the carbon to which they are attached, form a C 3-8 cycloalkyl group; and R 16 and R 17 are independently H or a substituted or unsubstituted alkyl, cyclo
- a compound of the invention can be a compound of formula (I) wherein Z is
- a compound of formula (I) can also comprise a compound wherein Z is
- a compound of the invention can be a compound of formula (I) wherein W is CH 2 or NH.
- a compound of the invention can be a compound of formula (I) wherein V is C(O).
- a compound of the invention can be a compound of formula (I) wherein K is O.
- a compound of the invention can be a compound of formula (I) wherein T is R 11 or alkyl-R 11 .
- a compound of the invention can be a compound of formula (I) wherein T is /-butyl, neopentyl, or cyclopentyl. More specifically, a compound of the invention can be a compound of formula (I) wherein R 2 is cycloalkyl.
- a compound of the invention can be a compound of formula (I) wherein R 2 is cyclohexyl and R 2a is H.
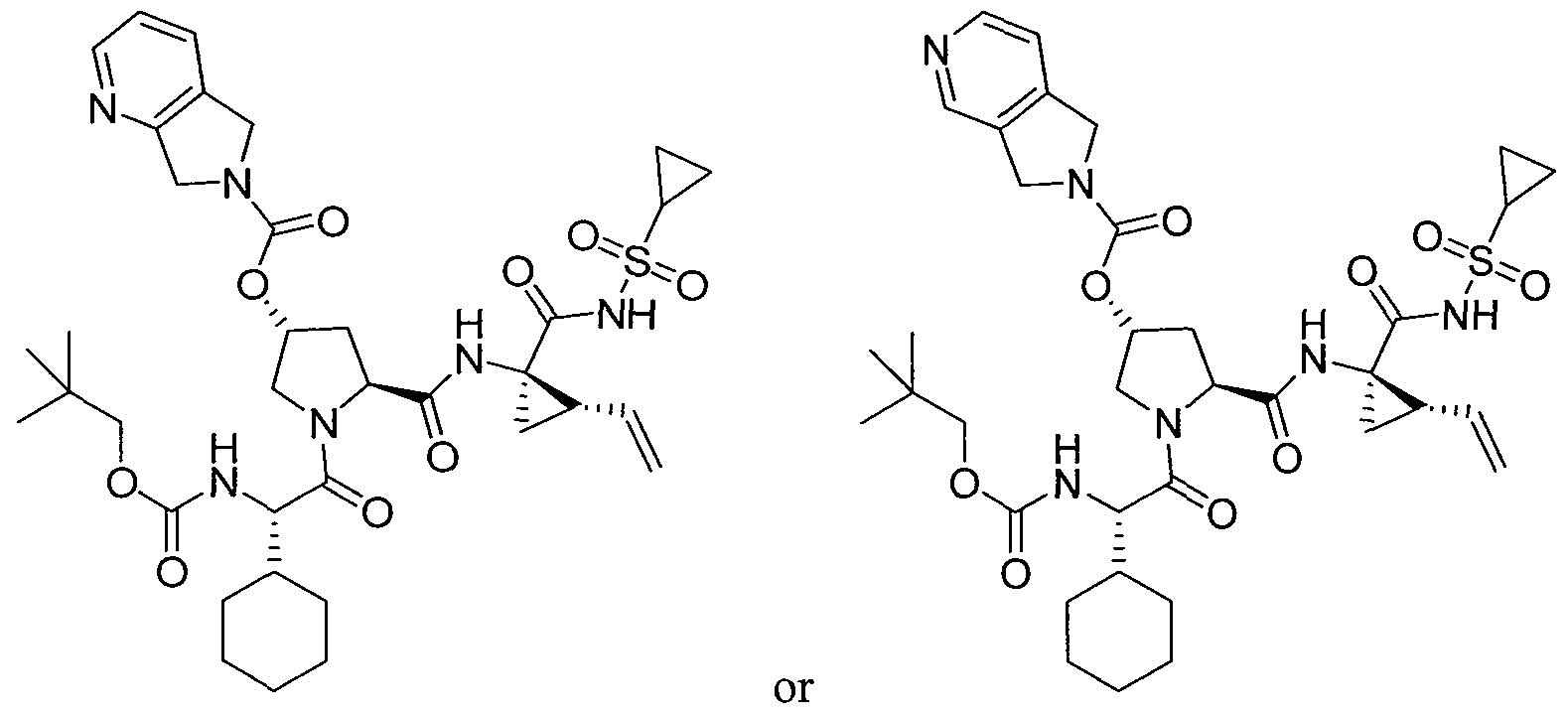
- a compound of the invention can be a compound of formula (I) wherein the stereochemistry of the compound is:
- a compound of the invention can be a compound of formula (I) wherein the stereochemistry of the compound is:
- a compound of the invention can be a compound of formula (I) wherein the compound is:
- a compound of the invention can be a compound of formula (I) wherein the compound is:
- a compound of the invention can be a compound of formula (I) wherein the compound is:
- An embodiment according to the invention provides a method for synthesis of a compound of formula (I):
- the conditions effective to bring about formation of the compound of formula (I) include
- An embodiment according to the invention further provides a method of synthesis of a compound of formula (IA):
- An embodiment of the invention further comprises preparing a compound of formula (IA):
- Q comprises: S O2N(R0)2 R' wherein a wavy line signifies a point of attachment, the method comprising contacting a compound of formula (IA), wherein Q is CO 2 H, with HN(R C ) 2 , HN(R C )SO 2 R C , or HN(R C )SO 2 N(R C ) 2 respectively under conditions effective to provide the compound of formula (IA) wherein Q comprises:
- the invention provides methods of inhibiting HCV NS3 protease.
- the methods include contacting the hepatitis C viral serine protease with a compound as described herein.
- the methods of inhibiting HCV NS3 protease include administering a compound as described herein to a subject infected with hepatitis C virus.
- the invention provides methods for treating hepatitis C viral infection.
- the methods include administering to a subject in need of such treatment an effective amount of a compound of the invention as described herein.
- a compound can refer to a single compound or a plurality of compounds.
- the methods for treating hepatitis C viral infection include administering to a subject in need of such treatment an effective amount of a composition comprising a compound of the invention and a pharmaceutically acceptable carrier.
- the invention provides methods for treating hepatitis C viral infection comprising administering to a subject in need of such treatment an effective amount of a compound of the invention in combination with another anti-viral agent.
- anti-viral agent denotes a compound which interferes with any stage of the viral life cycle to slow or prevent HCV reproduction.
- Representative anti-viral agents include, without limitation, NS3 protease inhibitors, INTRON-A, (interferon alfa-2b available from Schering Corporation, Kenilworth, N.J.), PEG-INTRON (peginteferon alfa-2b, available from Schering Co ⁇ oration, Kenilworth, N.J.), ROFERON-A (recombinant interferon alfa-2a available Hoffmann-La Roche, Nutley, N.J.), PEGASYS (peginterferon alfa-2a available Hoffmann-La Roche, Nutley, N.J.), INFERGEN A (Schering Plough, inteferon-alpha 2B+Ribavirin), WELLFERON (interferon alpha-nl), nucleoside analogues, IRES inhibitors, NS5b inhibitors, El inhibitors, E2 inhibitors, IMPDH inhibitors, NS5 polymerase inhibitors and/or NTPase/helicase inhibitors.
- the methods of treating HCV infection include administering to a subject in need of such treatment an effective amount of a compound of the invention in combination with another NS3 protease inhibitor.
- NS3 protease inhibitors which can be administered in combination with compounds of the present invention include, without limitation, VX950 and BILN2061 (Lin C, Lin K, Luong Y, Rao BG, Wei YY, Brennan DL, Fulghum JR, Hsiao HM, Ma S, Maxwell JP, Cottrell KM, Perni RB, Gates CA, Kwong AD, "In Vitro
- Still other antiviral agents that may be used in conjunction with inventive compounds for the treatment of HCV infection include, but are not limited to, ribavirin (l-beta-D-ribofuranosyl-lH-l,2,4-triazole-3-carboxamide, available from ICN Pharmaceuticals, Inc., Costa Mesa, Calif; described in the Merck Index, entry 8365, Twelfth Edition); REBETROL.RTM. (Schering Corporation, Kenilworth, N.J.), COPEGASUS. RTM. (Hoffmann-La Roche, Nutley, N.J.); BEREFOR.RTM.
- interleukin 12 (Davis, G. L. et al., "Future Options for the Management of Hepatitis C.” Seminars in Liver Disease, 19, pp. 103-112 (1999); and compounds that enhance the development of type 1 helper T cell response (Davis et al., "Future Options for the Management of hepatitis C.” Seminars in Liver Disease, 19, pp. 103-112 (1999)).
- compounds that stimulate the synthesis of interferon in cells (Tazulakhova, E. B. et al., "Russian Experience in Screening, analysis, and Clinical Application of Novel Interferon Inducers" J. Interferon Cytokine Res., 21 pp.
- the invention provides a method for treating hepatitis C viral infection, comprising administering to a subject in need of such treatment an effective amount of a compound of the invention in combination with an antiproliferative agent.
- antiproliferative agent denotes a compound which inhibits cellular proliferation. Cellular proliferation can occur, for example without limitation, during carcinogenesis, metastasis, and immune responses.
- Representative antiproliferative agents include, without limitation, 5-fluorouracil, daunomycin, mitomycin, bleomycin, dexamethasone, methotrexate, cytarabine, mercaptopurine.
- the invention provides a method for treating hepatitis C viral infection, comprising administering to a subject in need of such treatment an effective amount of a compound of the invention in combination with an immune modulator.
- immune modulator denotes a compound or composition comprising a plurality of compounds which changes any aspect of the functioning of the immune system.
- immune modulator includes without limitation anti-inflammatory agents and immune suppressants.
- Representative immune modulator include without limitation steroids, non-steroidal antiinflammatories, COX2 inhibitors, anti- TNF compounds, anti-IL-1 compounds, methotrexate, leflunomide, cyclosporin, FK506 and combinations of any two or more thereof.
- Representative steroids in this context include without limitation prednisone, prednisolone, and dexamethasone.
- Representative non-steroidal anti-inflammatory agents in this context include without limitation ibuprofen, naproxen, diclofenac, and indomethacin.
- Representative COX2 inhibitors in this context include without limitation rofecoxib and celecoxib.
- Representative Anti-TNF compounds in this context include without limitation enbrel, infliximab, and adalumimab.
- Representative anti-IL-1 compounds in this context include without limitation anakinra.
- Representative immune suppressants include without limitation cyclosporin and FK506.
- Compounds of the invention include mixtures of stereoisomers such as mixtures of diastereomers and/or enantiomers.
- the compound e.g. of Formula I, is 90 weight percent (wt %) or greater of a single diastereomer of enantiomer.
- the compound is 92, 94, 96, 98 or even 99 wt % or more of a single diastereomer or single enantiomer.
- a variety of uses of the invention compounds are possible along the lines of the various methods of treating a subject as described above.
- Exemplary uses of the invention methods include, without limitation, use of a compound of the invention in a medicament or for the manufacture of a medicament for treating a condition that is regulated or normalized via inhibition of the HCV NS3 serine protease.
- Fluorescence resonance energy transfer (FRET; see e.g., Heim et al., (1996) Curr. Biol. 6:178-182; Mitra et al., (1996) Gene 173:13-17; and Selvin et al., (1995) Meth. Enzymol. 246:300-345) is an extremely sensitive method for detecting energy transfer between two fluorophoric probes.
- probes are given the designations "donor” and "acceptor” depending on the relative positions of the maxima in the absorption and emission spectra characterizing the probes. If the emission spectrum of the acceptor overlaps the absorption spectrum of the donor, energy transfer can occur.
- FRET measurements correlate with distance. For example, when the probes are in proximity, such as when the probes are attached to the N- and C- termini of a peptide substrate, and the sample is illuminated in a spectrofluorometer, resonance energy can be transferred from one excited probe to the other resulting in observable signal. Upon scission of the peptide linking the probes, the average distance between probes increases such that energy transfer between donor and accept probe is not observed.
- the degree of hydrolysis of the peptide substrate, and the level of activity of the protease catalyzing hydrolysis of the peptide substrate can be quantitated. Accordingly, using methods known in the arts of chemical and biochemical kinetics and equilibria, the effect of inhibitor on protease activity can be quantitated.
- compositions of the compounds of the invention alone or in combination with another NS3 protease inhibitor or another type of antiviral agent and/or another type of therapeutic agent.
- compounds of the invention include stereoisomers, tautomers, solvates, prodrugs, pharmaceutically acceptable salts and mixtures thereof.
- Compositions containing a compound of the invention may be prepared by conventional techniques, e.g. as described in Remington: The Science and Practice of Pharmacy, 19th Ed., 1995. The compositions may appear in conventional forms, for example capsules, tablets, aerosols, solutions, suspensions or topical applications.
- compositions include a compound of the invention which inhibits the enzymatic activity of the HCV NS3 protease, and a pharmaceutically acceptable excipient which may be a carrier or a diluent.
- a pharmaceutically acceptable excipient which may be a carrier or a diluent.
- the active compound will usually be mixed with a carrier, or diluted by a carrier, or enclosed within a carrier which may be in the form of an ampoule, capsule, sachet, paper, or other container.
- the active compound When the active compound is mixed with a carrier, or when the carrier serves as a diluent, it may be solid, semi-solid, or liquid material that acts as a vehicle, excipient, or medium for the active compound.
- the active compound can be adsorbed on a granular solid carrier, for example contained in a sachet.
- suitable carriers are water, salt solutions, alcohols, polyethylene glycols, polyhydroxyethoxylated castor oil, peanut oil, olive oil, gelatin, lactose, terra alba, sucrose, dextrin, magnesium carbonate, sugar, cyclodextrin, amylose, magnesium stearate, talc, gelatin, agar, pectin, acacia, stearic acid or lower alkyl ethers of cellulose, silicic acid, fatty acids, fatty acid amines, fatty acid monoglycerides and diglycerides, pentaerythritol fatty acid esters, polyoxyethylene, hydroxymethylcellulose and polyvinylpyrrolidone.
- the carrier or diluent may include any sustained release material known in the art, such as glyceryl monostearate or glyceryl distearate
- the formulations can be mixed with auxiliary agents which do not deleteriously react with the active compounds.
- auxiliary agents which do not deleteriously react with the active compounds.
- Such additives can include wetting agents, emulsifying and suspending agents, salt for influencing osmotic pressure, buffers and/or coloring substances preserving agents, sweetening agents or flavoring agents.
- the compositions can also be sterilized if desired.
- the route of administration may be any route which effectively transports the active compound of the invention which inhibits the enzymatic activity of the HCV NS3 protease to the appropriate or desired site of action, such as oral, nasal, pulmonary, buccal, subdermal, intradermal, transdermal or parenteral, e.g., rectal, depot, subcutaneous, intravenous, intraurethral, intramuscular, intranasal, ophthalmic solution or an ointment, the oral route being preferred.
- a solid carrier is used for oral administration, the preparation may be tabletted, placed in a hard gelatin capsule in powder or pellet form or it can be in the form of a troche or lozenge.
- a liquid carrier is used, the preparation may be in the form of a syrup, emulsion, soft gelatin capsule or sterile injectable liquid such as an aqueous or non-aqueous liquid suspension or solution.
- Injectable dosage forms generally include aqueous suspensions or oil suspensions which may be prepared using a suitable dispersant or wetting agent and a suspending agent Injectable forms may be in solution phase or in the form of a suspension, which is prepared with a solvent or diluent.
- Acceptable solvents or vehicles include sterilized water, Ringer's solution, or an isotonic aqueous saline solution.
- sterile oils may be employed as solvents or suspending agents.
- the oil or fatty acid is non- volatile, including natural or synthetic oils, fatty acids, mono-, di- or tri-glycerides.
- the formulation may also be a powder suitable for reconstitution with an appropriate solution as described above. Examples of these include, but are not limited to, freeze dried, rotary dried or spray dried powders, amorphous powders, granules, precipitates, or particulates.
- the formulations may optionally contain stabilizers, pH modifiers, surfactants, bioavailability modifiers and combinations of these.
- the compounds may be formulated for parenteral administration by injection such as by bolus injection or continuous infusion.
- a unit dosage form for injection may be in ampoules or in multi-dose containers.
- the formulations of the invention may be designed to provide quick, sustained, or delayed release of the active ingredient after administration to the patient by employing procedures well known in the art. Thus, the formulations may also be formulated for controlled release or for slow release.
- compositions contemplated by the present invention may comprise, for example, micelles or liposomes, or some other encapsulated form, or may be administered in an extended release form to provide a prolonged storage and/or delivery effect. Therefore, the formulations may be compressed into pellets or cylinders and implanted intramuscularly or subcutaneously as depot injections or as implants such as stents. Such implants may employ known inert materials such as silicones and biodegradable polymers, e.g., polylactide-polyglycolide. Examples of other biodegradable polymers include poly(orthoesters) and poly (anhydrides) .
- the preparation may contain a compound of the invention which inhibits the enzymatic activity of the HCV NS3 protease, dissolved or suspended in a liquid carrier, preferably an aqueous carrier, for aerosol application.
- a liquid carrier preferably an aqueous carrier
- the carrier may contain additives such as solubilizing agents, e.g., propylene glycol, surfactants, absorption enhancers such as lecithin (phosphatidylcholine) or cyclodextrin, or preservatives such as parabenes.
- injectable solutions or suspensions preferably aqueous solutions with the active compound dissolved in polyhydroxylated castor oil.
- Tablets, dragees, or capsules having talc and/or a carbohydrate carrier or binder or the like are particularly suitable for oral application.
- Preferable carriers for tablets, dragees, or capsules include lactose, corn starch, and/or potato starch.
- a syrup or elixir can be used in cases where a sweetened vehicle can be employed.
- a typical tablet that may be prepared by conventional tabletting techniques may contain:
- Active compound 250 mg Colloidal silicon dioxide (Aerosil)® 1.5 mg Cellulose, microcryst. (Avicel)® 70 mg
- a typical capsule for oral administration contains compounds of the invention (250 mg), lactose (75 mg) and magnesium stearate (15 mg). The mixture is passed through a 60 mesh sieve and packed into a No. 1 gelatin capsule.
- a typical injectable preparation is produced by aseptically placing 250 mg of compounds of the invention into a vial, aseptically freeze-drying and sealing. For use, the contents of the vial are mixed with 2 niL of sterile physiological saline, to produce an injectable preparation.
- the compounds of the invention may be administered to a mammal, especially a human in need of such treatment, prevention, elimination, alleviation or amelioration of the various diseases as mentioned above, e.g.,
- Such mammals include also animals, both domestic animals, e.g. household pets, farm animals, and non-domestic animals such as wildlife.
- the compounds of the invention are effective over a wide dosage range.
- dosages from about 0.5 to about 5000 mg, preferably from about 1 to about 2000 mg, and more preferably between about 2 and about 2000 mg per day may be used.
- a typical dosage is about 10 mg to about 1000 mg per day.
- the exact dosage will depend upon the activity of the compound, mode of administration, on the therapy desired, form in which administered, the subject to be treated and the body weight of the subject to be treated, and the preference and experience of the physician or veterinarian in charge.
- HCV NS3 protease inhibitor activity of the compounds of the invention may be determined by use of an in vitro assay system which measures the potentiation of inhibition of the HCV NS3 protease.
- Inhibition constants i.e., K, or IC 50 values as known in the art
- K K, or IC 50 values as known in the art
- the compounds of the invention are dispensed in unit dosage form comprising from about 0.5 mg to about 5000 mg of active ingredient together with a pharmaceutically acceptable carrier per unit dosage.
- dosage forms suitable for oral, nasal, pulmonal or transdermal administration comprise from about 125 ⁇ g to about 1250 mg, preferably from about 250 ⁇ g to about 500 mg, and more preferably from about 2.5 mg to about 250 mg, of the compounds admixed with a pharmaceutically acceptable carrier or diluent.
- the invention also encompasses prodrugs of a compound of the invention which on administration undergo chemical conversion by metabolic or other physiological processes before becoming active pharmacological substances. Conversion by metabolic or other physiological processes includes without limitation enzymatic (e.g, specific enzymatically catalyzed) and non- enzymatic (e.g., general or specific acid or base induced) chemical transformation of the prodrug into the active pharmacological substance.
- prodrugs will be functional derivatives of a compound of the invention which are readily convertible in vivo into a compound of the invention. Conventional procedures for the selection and preparation of suitable prodrug derivatives are described, for example, in Design of Prodrugs, ed. H. Bundgaard, Elsevier, 1985.
- compositions of a compound described herein comprising formulating a compound of the invention with a pharmaceutically acceptable carrier or diluent.
- the pharmaceutically acceptable carrier or diluent is suitable for oral administration.
- the methods may further comprise the step of formulating the composition into a tablet or capsule.
- the pharmaceutically acceptable carrier or diluent is suitable for parenteral administration.
- the methods further comprise the step of lyophilizing the composition to form a lyophilized preparation.
- the compounds of the invention may be used in combination with i) one or more other NS3 protease inhibitors and/or ii) one or more other types of antiviral agents (employed to treat viral infection and related diseases) and/or one or more other types of therapeutic agents which may be administered orally in the same dosage form, in a separate oral dosage form (e.g., sequentially or non-sequentially) or by injection together or separately (e.g., sequentially or non- sequentially).
- the invention provides pharmaceutical combinations, comprising: a) a compound of the invention as described herein; and b) one or more compounds comprising: i) other compounds of the present invention ii) anti-viral agents including, but not limited to, other NS3 protease inhibitors iii) antiproliferative agents iv) immune modulators.
- Combinations of the invention include mixtures of compounds from (a) and (b) in a single formulation and compounds from (a) and (b) as separate formulations. Some combinations of the invention may be packaged as separate formulations in a kit. In some embodiments, two or more compounds from (b) are formulated together while a compound of the invention is formulated separately.
- Combinations of the invention can further comprise a pharmaceutically acceptable carrier.
- the compound of the invention is 90 wt % or more of a single diastereomer or single enantiomer.
- the compound of the invention can be 91 , 92, 93, 94, 95, 96, 97, 98, or 99 wt % or more of a single diastereomer or single enantiomer.
- the dosages and formulations for the other antiviral agent to be employed, where applicable, will be as set out in the latest edition of the Physicians' Desk Reference.
- a composition may be employed containing the compounds of the invention, with or without another antiviral agent and/or other type therapeutic agent, in association with a pharmaceutical vehicle or diluent.
- the composition can be formulated employing conventional solid or liquid vehicles or diluents and pharmaceutical additives of a type appropriate to the mode of desired administration.
- the compounds can be administered to mammalian species including humans, monkeys, dogs, etc. by an oral route, for example, in the form of tablets, capsules, granules or powders, or they can be administered by a parenteral route in the form of injectable preparations.
- the dose for adult humans is preferably between 10 and 1,000 mg per day, which can be administered in a single dose or in the form of individual doses from 1-4 times per day.
- Compound 60 was prepared according to the procedure outlined for compound 59. Phenylsulfonamide was used in place of cyclopropylsulfonamide.
- HCV NS3/4a of genotype Ib, 5-FAM/QXL520 fluorescence resonance energy transfer (FRET) peptide, and buffer were purchased from Anaspec, San Jose. The sequence of this FRET peptide is derived from the cleavage site of NS4a/NS4b. IC 5O/9 o calculations were performed by non-linear regression analysis using Prism software (GraphPad). Methods Biochemical assay. Either 5 ⁇ L of DMSO or 5 ⁇ L of compound solution in DMSO at various concentrations is added to 45 ⁇ L of buffer containing 5 ng of NS3/4a per well in a 96 well plates for "enzyme only" and "compound testing" wells.
- FRET fluorescence resonance energy transfer
Landscapes
- Chemical & Material Sciences (AREA)
- Organic Chemistry (AREA)
- Health & Medical Sciences (AREA)
- Life Sciences & Earth Sciences (AREA)
- General Health & Medical Sciences (AREA)
- Medicinal Chemistry (AREA)
- Proteomics, Peptides & Aminoacids (AREA)
- Molecular Biology (AREA)
- Genetics & Genomics (AREA)
- Biophysics (AREA)
- Biochemistry (AREA)
- Chemical Kinetics & Catalysis (AREA)
- Animal Behavior & Ethology (AREA)
- Pharmacology & Pharmacy (AREA)
- Public Health (AREA)
- Veterinary Medicine (AREA)
- Nuclear Medicine, Radiotherapy & Molecular Imaging (AREA)
- General Chemical & Material Sciences (AREA)
- Oncology (AREA)
- Communicable Diseases (AREA)
- Virology (AREA)
- Medicines That Contain Protein Lipid Enzymes And Other Medicines (AREA)
- Pharmaceuticals Containing Other Organic And Inorganic Compounds (AREA)
- Peptides Or Proteins (AREA)
Abstract
The present invention provides novel compounds that mimic peptides with a C-terminal penultimate proline, such compounds being useful as protease inhibitors, particularly as inhibitors of serine proteases, and more particularly as inhibitors of the NS3 serine protease from hepatitis C virus. The compounds find utility as antiviral agents directed at hepatitis C.
Description
HEPATITIS C SERINE PROTEASE INHIBITORS
AND USES THEREFOR
CROSS-REFERENCES TO RELATED APPLICATIONS
This application claims the priority of U.S. provisional patent applications Ser. No. 60/859,433, filed Nov. 16, 2006, and to Ser. No. 60/884,592, filed Jan. 11, 2007, which are incorporated by reference herein in their entireties.
FIELD OF THE INVENTION
The present invention relates to novel compounds that are useful as protease inhibitors, particularly as inhibitors of serine proteases, and more particularly as inhibitors of the NS3 serine protease from hepatitis C virus.
Because these inhibitors interfere with protease activity necessary for hepatitis C virus survival, the compounds find utility as antiviral agents, especially for treatment of hepatitis C virus infections.
BACKGROUND OF THE INVENTION
Hepatitis C virus ("HCV") is the causative agent for hepatitis C, a chronic infection characterized by jaundice, fatigue, abdominal pain, loss of appetite, nausea, and darkening of the urine. HCV, belonging to the hepacivirus genus of the Flaviviriae family, is an enveloped, single-stranded positive-sense RNA-containing virus. The long-term effects of hepatitis C infection as a percentage of infected subjects include chronic infection (55-85%), chronic liver disease (70%), and death (1-5%). Furthermore, HCV is the leading indication for liver transplant. In chronic infection, there usually presents progressively worsening liver inflammation, which often leads to more severe disease states such as cirrhosis and hepatocellular carcinoma.
The HCV genome (Choo et al., Science 1989, 244, 359-362; Simmonds et al., Hepatology 1995, 21, 570-583) is a highly variable sequence exemplified by GenBank accession NC_004102 as a 9646 base single-stranded RNA comprising the following constituents at the parenthetically indicated positions:
5' NTR (i.e., non-transcribed region) (1-341); core protein (i.e., viral capsid protein involved in diverse processes including viral morphogenesis or regulation of host gene expression) (342-914); El protein (i.e., viral envelope) (915-1490); E2 protein (i.e., viral envelope) (1491-2579); p7 protein (2580- 2768); NS2 protein (i.e., non-structural protein 2) (2769-3419); NS3 protease (3420-5312); NS4a protein (5313-5474); NS4b protein (5475-6257); NS5a protein (6258-7601); NS5b RNA-dependent RNA polymerase (7602-9372); and 3' NTR (9375-9646). Additionally, a 17-kDalton -2/+1 frameshift protein, "protein F", comprising the joining of positions (342-369) with (371-828) may provide functionality originally ascribed to the core protein.
The NS3 (i.e., non-structural protein 3) protein of HCV exhibits serine protease activity, the N-terminus of which is produced by the action of aNS2- NS3 metal-dependent protease, and the C-terminus of which is produced by auto-proteolysis. The HCV NS3 serine protease and its associated cofactor, NS4a, process all of the other non-structural viral proteins of HCV. Accordingly, the HCV NS3 protease is essential for viral replication.
Several compounds have been shown to inhibit the hepatitis C serine protease, but all of these have limitations in relation to the potency, stability, selectivity, toxicity, and/or pharmacodynamic properties. Such compounds have been disclosed, for example, in published U.S. patent application Nos. 2004/0266731, 2002/0032175, 2005/0137139, 2005/0119189, and 2004/9977600A1, and in published PCT patent applications WO 2005/037214 and WO 2005/035525. Accordingly, a need exists for new compounds that are useful for inhibiting the serine protease of HCV.
SUMMARY OF THE INVENTION
An embodiment according to the present invention provides compounds of formula (I) that are adapted to inhibit the viral protease NS 3 of the Hepatitis C Virus (HCV). The compounds of formula (I) are adapted to bind to, and thus block the action of, an HCV-encoded protease enzyme that is required by the virus for the production of intact, mature, functional viral proteins from the viral polyprotein as translated from the viral RNA, and therefore for the formation of infectious particles, and ultimately for viral replication. The compounds of the
invention can be considered as mimics or analogs of the peptide domain immediately N-terminal of the substrate site where the viral protease cleaves its native substrate viral polyprotein. Another embodiment provides a method of treatment of a patient for whom inhibition of Hepatitis C protease is medically indicated, or a patient infected with Hepatitis C, using a compound of formula (I). Another embodiment provides methods of synthesis of the compounds of formula (I), and further embodiments provide pharmaceutical compositions and combinations including a compound of formula (I), useful for the treatment of Hepatitis C. Accordingly, an embodiment of the present invention is directed to a compound of formula (I):
I and stereoisomers, solvates, hydrates, tautomers, prodrugs, salts, pharmaceutically acceptable salts, and mixtures thereof, wherein: Q is
Rc at each occurrence is independently H, or a substituted or unsubstituted alkyl, alkenyl, aryl, aralkyl, aralkenyl, cycloalkyl, cycloalkylalkyl, cycloalkenyl, cycloalkenylalkyl, heterocyclyl, heterocyclylalkyl, heterocyclylalkenyl, heteroaryl, or heteroarylalkyl; wherein any carbon atom can be substituted with a J group; or two R° groups together with a nitrogen atom to which they are bound form together with the nitrogen atom a 5-11 membered mono- or bicyclic heterocyclic ring system that is unsubstituted or is substituted with 1 -3 J groups;
A is
wherein a wavy line signifies a point of attachment; m is 1 or 2; X is a bond, C(R4) 2, N(R5), O or S;
Y is C(O), S(O) or S(O)2;
Z is alkyl, aryl, aralkyl, cycloalkyl, cycloalkylalkyl, heterocyclyl, heterocyclylalkyl, heteroaryl, heteroarylalkyl, OR5, or N(R5)2, wherein any carbon atom is unsubstituted or is substituted with J; R1 and Rla are independently H, or a substituted or unsubstituted alkyl, alkenyl, aryl, aralkyl, aralkenyl, cycloalkyl, cycloalkylalkyl, cycloalkenyl, cycloalkenylalkyl, heterocyclyl, heterocyclylalkyl, heteroaryl, or heteroarylalkyl; wherein any alkyl, alkenyl, aryl, aralkyl, aralkenyl, cycloalkyl, cycloalkylalkyl, cycloalkenyl, cycloalkenylalkyl, heterocyclyl, heterocyclylalkyl, heteroaryl, or heteroarylalkyl can unsubstituted or substituted with 1-3 J groups;
R2 and R2a are independently H, or a substituted or unsubstituted alkyl, alkenyl, aryl, aralkyl, aralkenyl, cycloalkyl, cycloalkylalkyl, cycloalkenyl, cycloalkenylalkyl, heterocyclyl, heterocyclylalkyl, heteroaryl, or heteroarylalkyl; wherein any alkyl, alkenyl, aryl, aralkyl, aralkenyl, cycloalkyl, cycloalkylalkyl, cycloalkenyl, cycloalkenylalkyl, heterocyclyl, heterocyclylalkyl, heteroaryl, or heteroarylalkyl can be unsubstituted or substituted with 1-3 J groups;
R3 is alkyl, alkenyl, alkynyl, cycloalkyl, cycloalkylalkyl, cycloalkylalkenyl, cycloalkylalkynyl, cycloalkenyl, cycloalkenylalkyl, cycloalkenylalkenyl, or cycloalkenylalkynyl; wherein any R3 can be unsubstituted or substituted with 1-3 J groups; n is 1, 2 or 3;
R4 is at each occurrence independently H, or a substituted or unsubstituted alkyl, cycloalkyl, cycloalkenyl, cycloalkylalkyl, cycloalkenylalkyl, cycloalkylalkenyl, aryl, aralkyl, aralkenyl, heterocyclyl, heterocyclylalkyl, heterocyclylalkenyl, heteroaryl, heteroarylalkyl, or heteroarylalkenyl, or two R groups together with a carbon atom to which they are attached form together with the carbon atom a C3-C8 cycloalkyl group; wherein any carbon atom can be substituted with J;
R5 is H, or unsubstituted or substituted alkyl, alkenyl, aryl, aralkyl, aralkenyl, cycloalkyl, cycloalkylalkyl, cycloalkenyl, cycloalkenylalkyl, heterocyclyl, heterocyclylalkyl, heterocyclylalkenyl, heteroaryl, or heteroarylalkyl, wherein any alkyl, alkenyl, aryl, aralkyl, aralkenyl, cycloalkyl, cycloalkylalkyl, cycloalkenyl, cycloalkenylalkyl, heterocyclyl, heterocyclylalkyl, heterocyclylalkenyl, heteroaryl, or heteroarylalkyl group can be substituted with 0-3 J groups; or two R5 groups together with a nitrogen atom to which they are attached form together with the nitrogen atom a C3-C8 heterocyclyl group comprising 0-3 additional heteroatoms selected from N, O, S, S(O) or S(O)2 and substituted with 0-3 J groups;
J is halogen, OR', OC(O)N(R')2, NO2, CN, CF3, OCF3, R', N(R)2, SR, SOR', SO2R, SO2N(R)2, SO3R, C(O)R', C(O)C(O)R', C(O)CH2C(O)R, C(S)R, C(O)OR', OC(O)R1, C(0)N(R')2, 0C(0)N(R')2, C(S)N(R')2, (CH2)0-
2N(R)C(0)R, N(R)N(R')C(0)R', N(R')N(R)C(0)0R', N(R')N(R')C0N(R')2, N(R)SO2R, N(R')SO2N(R')2, N(R')C(0)0R', N(R')C(O)R', N(R)C(S)R1, N(R')C(0)N(R')2, N(R')C(S)N(R')2, N(C0R')C0R, N(OR')R, C(=NR')N(R')2, C(0)N(0R')R, C(=NOR')R', OP(O)(OR')2, P(O)(R')2, P(O)(OR')2, or P(O)(H)(OR'); or two J groups together can be O, S, C(O), S(O), methylenedioxy, or ethylenedioxy; wherein each R' is independently selected from hydrogen, (C1- Ci2)aliphatic, (C3-C10)cycloalkyl or cycloalkenyl, [(C3-C io)cycloalkyl or (C3- C 10)cycloalkenyl] (C i -C 12)aliphatic, (C6-C 10)aryl, (C6-C i o)aryl(C \ -C 12)aliphatic, (C3-C10)heterocyclyl, (C3-C10)heterocyclyl(C1-C12)aliphatic, (C5-C 10)heteroaryl, or (C5-Cio)heteroaryl(C1-C12)aliphatic; wherein R' can be unsubstituted or substituted with 1-3 substituents selected independently from J; or,
wherein two R' groups together with a nitrogen atom to which they are bound form together with the nitrogen atom a 3- to 20-membered monocyclic or an 8- to 20-membered bi- or tricyclic heterocyclic ring system comprising 0-4 additional heteroatoms; wherein in the bi- and tricyclic ring system each ring is linearly fused, bridged, or spirocyclic; wherein each mono-, bi-, or tricyclic ring is either aromatic or nonaromatic; wherein each additional heteroatom in the heterocyclic ring system is selected from the group consisting of N, O, S, S(O) and S(O)2; wherein each ring can be fused to a (C6-C10)aryl, (C5-C 10)heteroaryl, (C3-C 10)cycloalkyl or (C3-C10)heterocyclyl; and wherein each ring is unsubstituted or is substituted with 1-3 substituents selected independently from
J;
W is C(R10)2, O, S, NH, or NR';
V is a bond, C( R10)2, C(O), S(O), or S(O)2; provided that when W is C(RI0)2, V is not also C(R10)2; R10 is independently at each occurrence H, or alkyl, cycloalkyl, cycloalkylalkyl, aryl, aralkyl, heterocyclyl, heterocyclylalkyl, heteroaryl or heteroarylalkyl, wherein any carbon atom can be substituted with J; or two R10 groups together with a carbon atom to which they are bound form a 3-8 membered cycloalkyl, which can be unsubstituted or substituted with 1 -3 J, wherein the 3-8 membered cycloalkyl can contain 1-3 heteroatoms selected from the group consisting of O, NH, NR', S, S(O), or S(O)2, wherein the 3-8 membered cycloalkyl can be fused with a cycloalkyl, cycloalkenyl, aryl, heterocyclyl, or heteroaryl ring; or any combination thereof;
K is a bond, O, S, C(O), S(O), S(O)2, S(O)(NR10), or N(R10); T is R11 , alkyl-R11, alkenyl-R11, alkynyl-R11, OR11, N(R11 )2, C(O) R11, or
C(=NOalkyl) Rπ ; and
R11 is independently H, or alkyl, aryl, aralkyl, alkoxy, cycloalkyl, cycloalkylidenyl, heterocyclyl, heterocyclylalkyl, heterocyclylalkylidenyl, or heteroaryl, wherein any R11 except hydrogen is substituted with 0-3 J groups, or a first R1 ] and a second R11 together with a nitrogen atom to which they are bound form together with the nitrogen atom a mono- or bicyclic heterocyclyl ring system substituted with 0-3 J groups.
In an embodiment of the invention, Z is
wherein a wavy line indicates a point of attachment; p is 0 or 1 and q is 0 or 1; R12, R13, R14, R15, R18, and R19 are independently H, F, or a substituted or unsubstituted alkyl, cycloalkyl, cycloalkenyl, cycloalkylalkyl, cycloalkenylalkyl, cycloalkylalkenyl, aryl, aralkyl, aralkenyl, heterocyclyl, heterocyclylalkyl, heterocyclylalkenyl, heteroaryl, heteroarylalkyl, or heteroarylalkenyl group; or R12 and R13 or R14 and R15 or R18 and R19, together with a carbon atom to which they are attached, form a C3-8 cycloalkyl group; and R16 and R17 are independently H or a substituted or unsubstituted alkyl, cycloalkyl, cycloalkenyl, cycloalkylalkyl, cycloalkenylalkyl, cycloalkylalkenyl, aryl, aralkyl, aralkenyl, heterocyclyl, heterocyclylalkyl, heterocyclylalkenyl, heteroaryl, heteroarylalkyl, or heteroarylalkenyl group; or R16 and R17 together with the atoms to which they are attached form a fused substituted or unsubstituted aryl or heteroaryl group. In another embodiment of the invention, Z is
wherein a wavy line indicates a point of attachment; R12, R13, R14 and R15 are independently H, F, or a substituted or unsubstituted alkyl, cycloalkyl, cycloalkenyl, cycloalkylalkyl, cycloalkenylalkyl, cycloalkylalkenyl, aryl, aralkyl, aralkenyl, heterocyclyl, heterocyclylalkyl, heterocyclylalkenyl, heteroaryl, heteroarylalkyl, or heteroarylalkenyl group; or R12 and R13 together with a carbon atom to which they are attached or R14 and R15 together with a carbon atom to which they are attached form together with the carbon atom a C3-8 cycloalkyl group which can be unsubstituted or substituted with 1-3 J groups; R >2z0υ, r R>21 , R >22 , and R >2Z3ό are independently H, F, Cl, Br, I, NO2, CN, CF3, OR24, O(CH2)rNR25R26, O(CH2)rOC(O)NR25R26, O(CH2)rNR25C(O)OR26, (CH2)rOR24, OCF3, NR25R26, (CH2)rNR25R26, SR24, (CH2)rSR24, C(O)R24, C(O)OR24, NR27C(O)R24, C(O)NR25R26, NR27C(O)NR25R26, OC(O)NR25R26, NR27C(O)OR24, NR27SO2R24, SO2NR25R26, or a substituted or unsubstituted alkyl, cycloalkyl, cycloalkenyl, cycloalkylalkyl, cycloalkenylalkyl, cycloalkylalkenyl, aryl, aralkyl, aralkenyl, heterocyclyl, heterocyclylalkyl, heterocyclylalkenyl, heteroaryl, heteroarylalkyl, or heteroarylalkenyl group; wherein r is 1-6; and each R24, R25, R26, and R27 is independently H, or a substituted or unsubstituted alkyl, cycloalkyl, cycloalkenyl, cycloalkylalkyl, cycloalkenylalkyl, cycloalkylalkenyl, aryl, aralkyl, arylalkenyl, heterocyclyl, heterocyclylalkyl, heterocyclylalkenyl, heteroaryl, heteroarylalkyl, or heteroarylalkenyl group; or R25 and R26 together with a nitrogen atom to which they are attached form a 3-7 membered heterocyclic ring.
The invention further provides a method for synthesis of a compound of formula
(I):
(H) and a compound of formula (III):
(III) under conditions effective to bring about formation of the compound of formula
(I)- The invention further provides a pharmaceutical composition comprising a compound of formula (I) and a suitable excipient.
The invention further provides a pharmaceutical combination comprising a compound of formula (I) in a therapeutically effective amount and a second medicament in a therapeutically effective amount. In another embodiment, the combination can further comprise a third medicament in a therapeutically effective amount. A pharmaceutical combination of the invention may be formulated as a pharmaceutical composition of the invention.
The present invention further provides a method of treatment of a HCV infection in a patient in need thereof, or in a patient when inhibition of an HCV viral protease is medically indicated, comprising administering a therapeutically effective amount of a compound of formula (I) to the patient, or administering a pharmaceutical combination of the invention comprising a compound of formula (I) and second medicament, and, optionally, a third medicament, all in therapeutically effective doses, to the patient.
DETAILED DESCRIPTION OF THE INVENTION Definitions
The terms "HCV NS3 serine protease", "HCV NS3 protease", "NS3 serine protease", and "NS3 protease" denote all active forms of the serine protease encoded by the NS3 region of the hepatitis C virus, including all combinations thereof with other proteins in either covalent or noncovalent association. For example, other proteins in this context include without limitation the protein encoded by the NS4a region of the hepatitis C virus. Accordingly, the terms "NS3/4a" and "NS3/4a protease" denote the NS3 protease in combination with the HCV NS4a protein.
The term "other type(s) of therapeutic agents" as employed herein refers to one or more antiviral agents (other than HCV NS3 serine protease inhibitors of the invention).
"Subject" as used herein, includes mammals such as humans, non-human primates, rats, mice, dogs, cats, horses, cows and pigs.
The term "treatment" is defined as the management and care of a patient for the purpose of combating the disease, condition, or disorder and includes administering a compound of the present invention to prevent the onset of the symptoms or complications, or alleviating the symptoms or complications, or eliminating the disease, condition, or disorder.
"Treating" within the context of the instant invention means an alleviation of symptoms associated with a disorder or disease, or inhibition of further progression or worsening of those symptoms, or prevention or prophylaxis of the disease or disorder. Thus, treating a hepatitis C viral infection includes slowing, halting or reversing the growth of the virus and/or the control,
alleviation or prevention of symptoms of the infection. Similarly, as used herein, an "effective amount" or a "therapeutically effective amount" of a compound of the invention refers to an amount of the compound that alleviates, in whole or in part, symptoms associated with the disorder or condition, or halts or slows further progression or worsening of those symptoms, or prevents or provides prophylaxis for the disorder or condition. In particular, a "therapeutically effective amount" refers to an amount effective, at dosages and for periods of time necessary, to achieve the desired therapeutic result by inhibition of HCV NS3 serine protease activity. A therapeutically effective amount is also one in which any toxic or detrimental effects of compounds of the invention are outweighed by the therapeutically beneficial effects. For example, in the context of treating HCV infection, a therapeutically effective amount of a HCV NS 3 serine protease inhibitor of the invention is an amount sufficient to control HCV viral infection. All chiral, diastereomeric, racemic forms of a structure are intended, unless the specific stereochemistry or isomeric form is specifically indicated. Compounds used in the present invention include enriched or resolved optical isomers at any or all asymmetric atoms as are apparent from the depictions. Both racemic and diastereomeric mixtures, as well as the individual optical isomers can be isolated or synthesized so as to be substantially free of their enantiomeric or diastereomeric partners, and these are all within the scope of the invention.
The term "amino protecting group" or "N-protected" as used herein refers to those groups intended to protect an amino group against undesirable reactions during synthetic procedures and which can later be removed to reveal the amine. Commonly used amino protecting groups are disclosed in Protective Groups in Organic Synthesis, Greene, T.W.; Wuts, P. G. M., John Wiley & Sons, New York, NY, (3rd Edition, 1999), incorporated herein by reference. Amino protecting groups include acyl groups such as formyl, acetyl, propionyl, pivaloyl, t-butylacetyl, 2-chloroacetyl, 2-bromoacetyl, trifluoroacetyl, trichloroacetyl, o-nitrophenoxyacetyl, α-chlorobutyryl, benzoyl, 4- chlorobenzoyl, 4-bromobenzoyl, 4-nitrobenzoyl, and the like; sulfonyl groups such as benzenesulfonyl, p-toluenesulfonyl and the like; acyloxy groups (which
form urethanes with the protected amine) such as benzyloxycarbonyl (Cbz), p- chlorobenzyloxycarbonyl, p-methoxybenzyloxycarbonyl, p- nitrobenzyloxycarbonyl, 2-nitrobenzyloxycarbonyl, p-bromobenzyloxycarbonyl, 3,4-dimethoxybenzyloxycarbonyl, 3,5-dimethoxybenzyloxycarbonyl, 2,4- dimethoxybenzyloxycarbonyl, 4-methoxybenzyloxycarbonyl, 2-nitro-4,5- dimethoxybenzyloxycarbonyl, 3,4,5-trimethoxybenzyloxycarbonyl, l-(p- biphenylyl)- 1 -methyl ethoxycarbonyl, α,α-dimethyl-3 ,5 - dimethoxybenzyloxycarbonyl, benzhydryloxycarbonyl, t-butyloxycarbonyl (Boc), diisopropylmethoxycarbonyl, isopropyloxycarbonyl, ethoxycarbonyl, methoxycarbonyl, allyloxycarbonyl (Alloc), 2,2,2-trichloroethoxycarbonyl, 2- trimethylsilylethyloxycarbonyl (Teoc), phenoxycarbonyl, A- nitrophenoxycarbonyl, fluorenyl-9-methoxycarbonyl (Fmoc), cyclopentyloxycarbonyl, adamantyloxycarbonyl, cyclohexyloxycarbonyl, phenylthiocarbonyl and the like; aralkyl groups such as benzyl, triphenylmethyl, benzyloxymethyl and the like; and silyl groups such as trimethylsilyl and the like. Amine protecting groups also include cyclic amino protecting groups such as phthaloyl and dithiosuccinimidyl, which incorporate the amino nitrogen into a heterocycle. Typically, amino protecting groups include formyl, acetyl, benzoyl, pivaloyl, t-butylacetyl, phenylsulfonyl, Alloc, Teoc, benzyl, Fmoc, Boc and Cbz. It is well within the skill of the ordinary artisan to select and use the appropriate amino protecting group for the synthetic task at hand.
In general, "substituted" refers to an organic group as defined herein in which one or more bonds to a hydrogen atom contained therein are replaced by a bond to non-hydrogen or non-carbon atoms such as, but not limited to, a halogen (i.e., F, Cl, Br, and I); an oxygen atom in groups such as hydroxyl groups, alkoxy groups, aryloxy groups, aralkyloxy groups; a sulfur atom in groups such as thiol groups, alkyl and aryl sulfide groups, sulfoxide groups, sulfone groups, sulfonyl groups, and sulfonamide groups; a nitrogen atom in groups such as amines, hydroxylamines, N-oxides, hydrazides, azides, and enamines; and other heteroatoms in various other groups. Substituted alkyl, alkenyl, alkynyl, cycloalkyl, and cycloalkenyl groups as well as other substituted groups also include groups in which one or more bonds to a carbon(s) or hydrogen(s) atom are replaced by one or more bonds, including double or triple bonds, to a
heteroatom such as, but not limited to, oxygen in carbonyl (oxo), carboxyl, ester, amide, imide, urethane, and urea groups; and nitrogen in imines, hydroxyimines, oximes, hydrazones, amidines, guanidines, and nitriles.
Substituted ring groups such as substituted aryl, heterocyclyl and heteroaryl groups also include rings and fused ring systems in which a bond to a hydrogen atom is replaced with a bond to a carbon atom. Therefore, substituted aryl, heterocyclyl and heteroaryl groups may also be substituted with alkyl, alkenyl, and alkynyl groups as defined herein.
Alkyl groups include straight chain and branched alkyl groups and cycloalkyl groups having from 1 to about 20 carbon atoms, and typically from 1 to 12 carbons or, in some embodiments, from 1 to 8 carbon atoms. Examples of straight chain alkyl groups include those with from 1 to 8 carbon atoms such as methyl, ethyl, n-propyl, n-butyl, n-pentyl, n-hexyl, n-heptyl, and n-octyl groups. Examples of branched alkyl groups include, but are not limited to, isopropyl, iso-butyl, sec-butyl, t-butyl, neopentyl, isopentyl, and 2,2-dimethylpropyl groups. Representative substituted alkyl groups may be substituted one or more times with any of the groups listed above, for example, amino, hydroxy, cyano, carboxy, nitro, thio, alkoxy, and halogen groups.
Cycloalkyl groups are cyclic alkyl groups such as, but not limited to, cyclopropyl, cyclobutyl, cyclopentyl, cyclohexyl, cycloheptyl, and cyclooctyl groups. In some embodiments, the cycloalkyl group has 3 to 8 ring members, whereas in other embodiments the number of ring carbon atoms range from 3 to 5, 6, or 7. Cycloalkyl groups further include polycyclic cycloalkyl groups such as, but not limited to, norbornyl, adamantyl, bornyl, camphenyl, isocamphenyl, and carenyl groups, and fused rings such as, but not limited to, decalinyl, and the like. Cycloalkyl groups also include rings that are substituted with straight or branched chain alkyl groups as defined above. Representative substituted cycloalkyl groups may be mono-substituted or substituted more than once, such as, but not limited to, 2,2-, 2,3-, 2,4- 2,5- or 2,6-disubstituted cyclohexyl groups or mono-, di- or tri-substituted norbornyl or cycloheptyl groups, which may be substituted with, for example, amino, hydroxy, cyano, carboxy, nitro, thio, alkoxy, and halogen groups. The term "cycloalkenyl" alone or in combination denotes a cyclic alkenyl group.
The terms "carbocyclic" and "carbocycle" denote a ring structure wherein the atoms of the ring are carbon. In some embodiments, the carbocycle has 3 to 8 ring members, whereas in other embodiments the number of ring carbon atoms is 4, 5, 6, or 7. Unless specifically indicated to the contrary, the carbocyclic ring may be substituted with as many as N-I substituents wherein N is the size of the carbocyclic ring with for example, amino, hydroxy, cyano, carboxy, nitro, thio, alkoxy, and halogen groups.
(Cycloalkyl)alkyl groups, also denoted cycloalkylalkyl, are alkyl groups as defined above in which a hydrogen or carbon bond of the alkyl group is replaced with a bond to a cycloalkyl group as defined above.
Alkenyl groups include straight and branched chain and cyclic alkyl groups as defined above, except that at least one double bond exists between two carbon atoms. Thus, alkenyl groups have from 2 to about 20 carbon atoms, and typically from 2 to 12 carbons or, in some embodiments, from 2 to 8 carbon atoms. Examples include, but are not limited to vinyl, -CH=CH(CH3), -CH=C(CH3)2, -C(CH3)=CH2, -C(CH3)=CH(CH3), -C(CH2CH3)=CH2, cyclohexenyl, cyclopentenyl, cyclohexadienyl, butadienyl, pentadienyl, and hexadienyl among others.
Cycloalkenyl groups include cycloalkyl groups having at least one double bond between 2 carbons. Thus for example, cycloalkenyl groups include but are not limited to cyclohexenyl, cyclopentenyl, and cyclohexadienyl groups.
(Cycloalkenyl)alkyl groups are alkyl groups as defined above in which a hydrogen or carbon bond of the alkyl group is replaced with a bond to a cycloalkenyl group as defined above. Alkynyl groups include straight and branched chain alkyl groups, except that at least one triple bond exists between two carbon atoms. Thus, alkynyl groups have from 2 to about 20 carbon atoms, and typically from 2 to 12 carbons or, in some embodiments, from 2 to 8 carbon atoms. Examples include, but are not limited to -CkCH, -C≡C(CH3), -C≡C(CH2CH3), -CH2C≡CH, -CH2C≡C(CH3), and -CH2C≡C(CH2CH3) among others.
Aryl groups are cyclic aromatic hydrocarbons that do not contain heteroatoms. Thus aryl groups include, but are not limited to, phenyl, azulenyl, heptalenyl, biphenyl, indacenyl, fluorenyl, phenanthrenyl, triphenylenyl,
pyrenyl, naphthacenyl, chrysenyl, biphenylenyl, anthracenyl, and naphthyl groups. In some embodiments, aryl groups contain 6-14 carbons in the ring portions of the groups. Although the phrase "aryl groups" includes groups containing fused rings, such as fused aromatic-aliphatic ring systems (e.g., indanyl, tetrahydronaphthyl, and the like), it does not include aryl groups that have other groups, such as alkyl or halogen groups, bonded to one of the ring members. Rather, groups such as tolyl are referred to as substituted aryl groups. Representative substituted aryl groups may be mono-substituted or substituted more than once, such as, but not limited to, 2-, 3-, 4-, 5-, or 6-substituted phenyl or naphthyl groups, which may be substituted with groups such as those listed above.
Aralkyl groups are alkyl groups as defined above in which a hydrogen or carbon bond of an alkyl group is replaced with a bond to an aryl group as defined above. Representative aralkyl groups include benzyl and phenylethyl groups and fused (cycloalkylaryl)alkyl groups such as 4-ethyl-indanyl.
Aralkenyl group are alkenyl groups as defined above in which a hydrogen or carbon bond of an alkyl group is replaced with a bond to an aryl group as defined above. Heterocyclyl groups include aromatic and non-aromatic ring compounds containing 3 or more ring members, of which, one or more is a heteroatom such as, but not limited to, N, O, and S. In some embodiments, heterocyclyl groups include 3 to 20 ring members, whereas other such groups have 3 to 15 ring members. The phrase "heterocyclyl group" includes fused ring species including those comprising fused aromatic and non-aromatic groups. The phrase also includes polycyclic ring systems containing a heteroatom such as, but not limited to, quinuclidyl. However, the phrase does not include heterocyclyl groups that have other groups, such as alkyl or halogen groups, bonded to one of the ring members. Rather, these are referred to as "substituted heterocyclyl groups". Heterocyclyl groups include, but are not limited to, pyrrolidinyl, piperidinyl, piperazinyl, morpholinyl, pyrrolyl, pyrazolyl, triazolyl, tetrazolyl, oxazolyl, isoxazolyl, thiazolyl, pyridinyl, thiophenyl, benzothiophenyl, benzofuranyl, dihydrobenzofuranyl, indolyl, dihydroindolyl, azaindolyl, indazolyl, benzimidazolyl, azabenzimidazolyl, benzoxazolyl, benzothiazolyl,
benzothiadiazolyl, imidazopyridinyl, isoxazolopyridinyl, thianaphthalenyl, purinyl, xanthinyl, adeninyl, guaninyl, quinolinyl, isoquinolinyl, tetrahydroquinolinyl, quinoxalinyl, and quinazolinyl groups. Representative substituted heterocyclyl groups may be mono-substituted or substituted more than once, such as, but not limited to, piperidinyl or quinolinyl groups, which are 2-, 3-, 4-, 5-, or 6-substituted, or disubstituted with groups such as those listed above.
Heteroaryl groups are aromatic ring compounds containing 5 or more ring members, of which, one or more is a heteroatom such as, but not limited to, N, O, and S. Heteroaryl groups include, but are not limited to, groups such as pyrrolyl, pyrazolyl, triazolyl, tetrazolyl, oxazolyl, isoxazolyl, thiazolyl, pyridinyl, thiophenyl, benzothiophenyl, benzofuranyl, indolyl, azaindolyl, indazolyl, benzimidazolyl, azabenzimidazolyl, benzoxazolyl, benzothiazolyl, benzothiadiazolyl, imidazopyridinyl, isoxazolopyridinyl, thianaphthalenyl, purinyl, xanthinyl, adeninyl, guaninyl, quinolinyl, isoquinolinyl, tetrahydroquinolinyl, quinoxalinyl, and quinazolinyl groups. Although the phrase "heteroaryl groups" includes fused ring compounds such as indolyl and 2,3-dihydro indolyl, the phrase does not include heteroaryl groups that have other groups bonded to one of the ring members, such as alkyl groups. Rather, heteroaryl groups with such substitution are referred to as "substituted heteroaryl groups". Representative substituted heteroaryl groups may be substituted one or more times with groups such as those listed above.
Additional examples of aryl and heteroaryl groups include but are not limited to phenyl, biphenyl, indenyl, naphthyl (1-naphthyl, 2-naphthyl), N- hydroxytetrazolyl, N-hydroxytriazolyl, N-hydroxyimidazolyl, anthracenyl ( 1 - anthracenyl, 2-anthracenyl, 3 -anthracenyl), thiophenyl (2-thienyl, 3-thienyl), furyl (2-furyl, 3-furyl) , indolyl, oxadiazolyl, isoxazolyl, quinazolinyl, fluorenyl, xanthenyl, isoindanyl, benzhydryl, acridinyl, thiazolyl, pyrrolyl (2-pyrrolyl), pyrazolyl (3 -pyrazolyl), imidazolyl (1-imidazolyl, 2-imidazolyl, 4-imidazolyl, 5- imidazolyl), triazolyl (1,2,3-triazol-l-yl, l,2,3-triazol-2-yl l,2,3-triazol-4-yl, l,2,4-triazol-3-yl), oxazolyl (2-oxazolyl, 4-oxazolyl, 5-oxazolyl), thiazolyl (2- thiazolyl, 4-thiazolyl, 5-thiazolyl), pyridyl (2-pyridyl, 3-pyridyl, 4-pyridyl), pyrimidinyl (2-pyrimidinyl, 4-pyrimidinyl, 5-pyrimidinyl, 6-pyrimidinyl),
pyrazinyl, pyridazinyl (3- pyridazinyl, 4-pyridazinyl, 5-pyridazinyl), quinolyl (2- quinolyl, 3-quinolyl, 4-quinolyl, 5-quinolyl, 6-quinolyl, 7-quinolyl, 8-quinolyl), isoquinolyl (1-isoquinolyl, 3-isoquinolyl, 4-isoquinolyl, 5-isoquinolyl, 6- isoquinolyl, 7-isoquinolyl, 8-isoquinolyl), benzo[b]furanyl (2-benzo[b]furanyl, 3-benzo[b]furanyl, 4-benzo[b]furanyl, 5-benzo[b]furanyl, 6-benzo[b]furanyl, 7- benzo[b]furanyl), 2,3-dihydro-benzo[b]furanyl (2-(2,3-dihydro- benzo[b]furanyl), 3-(2,3-dihydro-benzo[b]furanyl), 4-(2,3-dihydro- benzo[b]furanyl), 5-(2,3-dihydro-benzo[b]furanyl), 6-(2,3-dihydro- benzo[b]furanyl), 7-(2,3-dihydro-benzo[b]furanyl), benzo[b]thiophenyl (2- benzo[b]thiophenyl, 3-benzo[b]thiophenyl, 4-benzo[b]thiophenyl, 5-benzo[b]thiophenyl, 6-benzo[b]thiophenyl, 7-benzo[b]thiophenyl), 2,3-dihydro-benzo[b]thiophenyl, (2-(2,3-dihydro-benzo[b]thiophenyl), 3-(2,3- dihydro-benzo[b]thiophenyl), 4-(2,3-dihydro-benzo[b]thiophenyl), 5-(2,3- dihydro-benzo[b]thiophenyl), 6-(2,3-dihydro-benzo[b]thiophenyl), 7-(2,3- dihydro-benzo[b]thiophenyl), indolyl (1-indolyl, 2-indolyl, 3-indolyl, 4-indolyl, 5-indolyl, 6-indolyl, 7-indolyl), indazole (1-indazolyl, 3-indazolyl, 4-indazolyl, 5-indazolyl, 6-indazolyl, 7-indazolyl), benzimidazolyl (1-benzimidazolyl, 2-benzimidazolyl, 4-benzimidazolyl, 5-benzimidazolyl, 6-benzimidazolyl, 7-benzimidazolyl, 8-benzimidazolyl), benzoxazolyl (1-benzoxazolyl, 2- benzoxazolyl), benzothiazolyl (1-benzothiazolyl, 2-benzothiazolyl, 4- benzothiazolyl, 5-benzothiazolyl, 6-benzothiazolyl, 7-benzothiazolyl), carbazolyl (1-carbazolyl, 2-carbazolyl, 3-carbazolyl, 4-carbazolyl), 5H-dibenz[b,f]azepine (5H-dibenz[b,f]azepin-l-yl, 5H-dibenz[b,f]azepine-2-yl, 5H-dibenz[b,f]azepine-3-yl, 5H-dibenz[b,f]azepine-4-yl, 5H-dibenz[b,f]azepine- 5-yl), 10, 11 -dihydro-5H-dibenz[b,f]azepine (10, 11 -dihydro-5H- dibenz[b,f]azepine-l-yl, 10,1 l-dihydro-5H-dibenz[b,f]azepine-2-yl, 10,11- dihydro-5H-dibenz[b,f]azepine-3-yl, 10,11 -dihydro-5H-dibenz[b,f]azepine-4-yl, 10,1 l-dihydro-5H-dibenz[b,f]azepine-5-yl), and the like.
Heterocyclylalkyl groups are alkyl groups as defined above in which a hydrogen or carbon bond of an alkyl group is replaced with a bond to a heterocyclyl group as defined above. Representative heterocyclyl alkyl groups include, but are not limited to, furan-2-yl methyl, furan-3-yl methyl, pyridine-3- yl methyl, tetrahydrofuran-2-yl ethyl, and indol-2-yl propyl.
Heteroarylalkyl groups are alkyl groups as defined above in which a hydrogen or carbon bond of an alkyl group is replaced with a bond to a heteroaryl group as defined above.
The term "alkoxy" refers to an oxygen atom connected to an alkyl group as defined above. Examples of linear alkoxy groups include but are not limited to methoxy, ethoxy, propoxy, butoxy, pentyloxy, hexyloxy, and the like. Examples of branched alkoxy include but are not limited to isopropoxy, sec- butoxy, tert-butoxy, isopentyloxy, isohexyloxy, and the like. Examples of cyclic alkoxy include but are not limited to cyclopropyloxy, cyclobutyloxy, cyclopentyloxy, cyclohexyloxy, and the like.
The terms "aryloxy" and "arylalkoxy" refer to, respectively, an aryl group bonded to an oxygen atom and an aralkyl group bonded to the oxygen atom at the alkyl. Examples include but are not limited to phenoxy, naphthyloxy, and benzyloxy. The term "amine" (or "amino") includes primary, secondary, and tertiary amines having, e.g., the formula -NR2. Amines include but are not limited to -NH2, alkylamines, dialkylamines, arylamines, alkylarylamines, diarylamines, aralkylamines, heterocyclylamines and the like.
The term "amide" (or "amido") includes C- and N-amide groups, i.e., -C(O)NR2, and -NRC(O)R groups, respectively. Amide groups therefore include but are not limited to carbamoyl groups (-C(O)NH2) and formamide groups (-NHC(O)H).
The term "urethane" (or "carbamyl") includes N- and O-urethane groups, i.e., -NRC(O)OR and -OC(O)NR2 groups, respectively. The term "sulfonamide" (or "sulfonamido") includes S- and N- sulfonamide groups, i.e., -SO2NR2 and -NRSO2R groups, respectively. Sulfonamide groups therefore include but are not limited to sulfamoyl groups (- SO2NH2).
The term "amidine" or "amidino" includes groups of the formula -C(NR)NR2. Typically, an amidino group is -C(NH)NH2.
The term "guanidine" or "guanidino" includes groups of the formula -NRC(NR)NR2. Typically, a guanidino group is -NHC(NH)NH2.
In addition, where features or aspects of the invention are described in terms of Markush groups, those skilled in the art will recognize that the invention is also thereby described in terms of any individual member or subgroup of members of the Markush group. For example, if X is described as selected from the group consisting of bromine, chlorine, and iodine, claims for X being bromine and claims for X being bromine and chlorine are fully described. Moreover, where features or aspects of the invention are described in terms of Markush groups, those skilled in the art will recognize that the invention is also thereby described in terms of any combination of individual members or subgroups of members of Markush groups. Thus, for example, if X is described as selected from the group consisting of bromine, chlorine, and iodine, and Y is described as selected from the group consisting of methyl, ethyl, and propyl, claims for X being bromine and Y being methyl are fully described. Detailed Description Without wishing to be bound by theory, the standard nomenclature of
Schechter & Berger (Biochem. Biophys. Res. Comm., 1967, 27, 157-162) regarding the identification of residues in the polypeptide substrate of serine proteases will be employed herein unless other indicia of identification are specifically provided. Within the nomenclature of Schechter & Berger , the residues of the substrate, in the direction from the N-terminal toward the C- terminal, are labeled (Pi, ..., P3, P2, Pl, Pl', P2', Pr' ..., Pj), wherein cleavage is catalyzed between Pl and Pl '. Within the context of this nomenclature, compounds of formula (I) can be considered as mimics of at least the tripeptide P3-Pro-Pl, wherein the analog of Pl is:
wherein Q is -C(O)OH, -SO2R0, -SO2N(RC)2, -C(O)N(R0) S O2R0, -
C(O)N(R°)SO2N(RC)2, or
-C(0)N(R°)2 and R°, R3, and n are as defined below.
The present invention provides a compound of formula (I):
I and stereoisomers, solvates, hydrates, tautomers, prodrugs, salts, pharmaceutically acceptable salts, and mixtures thereof, wherein: Q is
Rc at each occurrence is independently H, or a substituted or unsubstituted alkyl, alkenyl, aryl, aralkyl, aralkenyl, cycloalkyl, cycloalkylalkyl, cycloalkenyl, cycloalkenylalkyl, heterocyclyl, heterocyclylalkyl, heterocyclylalkenyl, heteroaryl, or heteroarylalkyl; wherein any carbon atom can be substituted with a J group; or two Rc groups together with a nitrogen atom to which they are bound form together with the nitrogen atom a 5-11 membered mono- or bicyclic heterocyclic ring system that is unsubstituted or is substituted with 1-3 J groups;
A is
wherein a wavy line signifies a point of attachment; m is 1 or 2;
X is a bond, C(R4) 2, N(R5), O or S;
Y is C(O), S(O) or S(O)2;
Z is alkyl, aryl, aralkyl, cycloalkyl, cycloalkylalkyl, heterocyclyl, heterocyclylalkyl, heteroaryl, heteroarylalkyl, OR5, or N(R5)2, wherein any carbon atom is unsubstituted or is substituted with J;
R1 and Rlaare independently H, or a substituted or unsubstituted alkyl, alkenyl, aryl, aralkyl, aralkenyl, cycloalkyl, cycloalkylalkyl, cycloalkenyl, cycloalkenylalkyl, heterocyclyl, heterocyclylalkyl, heteroaryl, or heteroarylalkyl; wherein any alkyl, alkenyl, aryl, aralkyl, aralkenyl, cycloalkyl, cycloalkylalkyl, cycloalkenyl, cycloalkenylalkyl, heterocyclyl, heterocyclylalkyl, heteroaryl, or heteroarylalkyl can unsubstituted or substituted with 1-3 J groups;
R2 and R2a are independently H, or a substituted or unsubstituted alkyl, alkenyl, aryl, aralkyl, aralkenyl, cycloalkyl, cycloalkylalkyl, cycloalkenyl, cycloalkenylalkyl, heterocyclyl, heterocyclylalkyl, heteroaryl, or heteroarylalkyl; wherein any alkyl, alkenyl, aryl, aralkyl, aralkenyl, cycloalkyl, cycloalkylalkyl, cycloalkenyl, cycloalkenylalkyl, heterocyclyl, heterocyclylalkyl, heteroaryl, or heteroarylalkyl can be unsubstituted or substituted with 1-3 J groups;
R is alkyl, alkenyl, alkynyl, cycloalkyl, cycloalkylalkyl, cycloalkylalkenyl, cycloalkylalkynyl, cycloalkenyl, cycloalkenylalkyl, cycloalkenylalkenyl, or cycloalkenylalkynyl; wherein any R3 can be unsubstituted or substituted with 1-3 J groups; n is 1, 2 or 3;
R4 is at each occurrence independently H, or a substituted or unsubstituted alkyl, cycloalkyl, cycloalkenyl, cycloalkylalkyl, cycloalkenylalkyl, cycloalkylalkenyl, aryl, aralkyl, aralkenyl, heterocyclyl, heterocyclylalkyl, heterocyclylalkenyl, heteroaryl, heteroarylalkyl, or heteroarylalkenyl, or two R4 groups together with a carbon atom to which they are attached form together with the carbon atom a C3-C8 cycloalkyl group; wherein any carbon atom can be substituted with J; R5 is H, or unsubstituted or substituted alkyl, alkenyl, aryl, aralkyl, aralkenyl, cycloalkyl, cycloalkylalkyl, cycloalkenyl, cycloalkenylalkyl, heterocyclyl, heterocyclylalkyl, heterocyclylalkenyl, heteroaryl, or heteroarylalkyl, wherein any alkyl, alkenyl, aryl, aralkyl, aralkenyl, cycloalkyl,
cycloalkylalkyl, cycloalkenyl, cycloalkenylalkyl, heterocyclyl, heterocyclylalkyl, heterocyclylalkenyl, heteroaryl, or heteroarylalkyl group can be substituted with 0-3 J groups; or two R5 groups together with a nitrogen atom to which they are attached form together with the nitrogen atom a C3-C8 heterocyclyl group comprising 0-3 additional heteroatoms selected from N, O, S, S(O) or S(O)2 and substituted with 0-3 J groups;
J is halogen, OR', 0C(0)N(R')2, NO2, CN, CF3, OCF3, R', N(R)2, SR1, SOR1, SO2R1, SO2N(R)2, SO3R, C(O)R1, C(O)C(O)R, C(O)CH2C(O)R, C(S)R1, C(O)OR1, OC(O)R1, C(0)N(R')2, OC(O)N(R)2, C(S)N(RO2, (CH2)o- 2N(If)C(O)R1, N(R)N(ROC(O)R', N(R')N(R)C(0)0R', N(RON(ROCON(RO2, N(R)SO2R1, N(ROSO2N(RO2, N(R)C(O)OR, N(ROC(O)R1, N(ROC(S)R1, N(R)C(O)N(R)2, N(R)C(S)N(R)2, N(COROCOR1, N(OROR1, C(=NR')N(R)2, C(O)N(OROR', C(=NOR')R', OP(O)(ORO2, P(O)(R)2, P(O)(ORO2, or P(O)(H)(OR'); or two J groups together can be O, S, C(O), S(O), methylenedioxy, or ethylenedioxy; wherein each R1 is independently selected from hydrogen, (C1- C12)aliphatic, (C3-Cio)cycloalkyl or cycloalkenyl, [(C3-C10)cycloalkyl or (C3- C io)cycloalkenyl] (C i -C 12)aliphatic, (C6-C 10)aryl, (C6-Ci 0)aryl(C i -C 12)aliphatic, (C3-C i o)heterocyclyl, (C3-C 10)heterocyclyl(C i -C i2)aliphatic, (C5-Ci o)heteroaryl, or (C5-Cio)heteroaryl(Ci-Ci2)aliphatic; wherein R' can be unsubstituted or substituted with 1-3 substituents selected independently from J; or, wherein two R1 groups together with a nitrogen atom to which they are bound form together with the nitrogen atom a 3- to 20-membered monocyclic or an 8- to 20-membered bi- or tricyclic heterocyclic ring system comprising 0-4 additional heteroatoms; wherein in the bi- and tricyclic ring system each ring is linearly fused, bridged, or spirocyclic; wherein each mono-, bi-, or tricyclic ring is either aromatic or nonaromatic; wherein each additional heteroatom in the heterocyclic ring system is selected from the group consisting of N, O, S, S(O) and S(O)2; wherein each ring can be fused to a (C6-Ci0)aryl, (C5-Cio)heteroaryl, (C3-Cio)cycloalkyl or (C3-Ci0)heterocyclyl; and wherein each ring is unsubstituted or is substituted with 1-3 substituents selected independently from
J;
W is C(R10)2, O, S, NH, or NR1;
V is a bond, C( R10)2, C(O), S(O), or S(O)2; provided that when W is C(R10)2, V is not also C(R10)2; R10 is independently at each occurrence H, or alkyl, cycloalkyl, cycloalkylalkyl, aryl, aralkyl, heterocyclyl, heterocyclylalkyl, heteroaryl or heteroarylalkyl, wherein any carbon atom can be substituted with J; or two R10 groups together with a carbon atom to which they are bound form a 3-8 membered cycloalkyl, which can be unsubstituted or substituted with 1-3 J, wherein the 3-8 membered cycloalkyl can contain 1-3 heteroatoms selected from the group consisting of O, NH, NR', S, S(O), or S(O)2, wherein the 3-8 membered cycloalkyl can be fused with a cycloalkyl, cycloalkenyl, aryl, heterocyclyl, or heteroaryl ring; or any combination thereof;
K is a bond, O, S, C(O), S(O), S(O)2, S(O)(NR10), or N(R10);
T is R11 , alkyl-R11, alkenyl-R11, alkynyl-R11, OR11, N(R11 )2, C(O) R11, or C(=NOalkyl) Rπ ; and
R11 is independently H, or alkyl, aryl, aralkyl, alkoxy, cycloalkyl, cycloalkylidenyl, heterocyclyl, heterocyclylalkyl, heterocyclylalkylidenyl, or heteroaryl, wherein any R11 except hydrogen is substituted with 0-3 J groups, or a first R1 ' and a second R1 ! together with a nitrogen atom to which they are bound form together with the nitrogen atom a mono- or bicyclic heterocyclyl ring system substituted with 0-3 J groups.
More specifically, a compound of the invention can be a compound of formula (I) wherein Q is
, wherein Rc is unsubstituted or substituted cyclopropyl or aryl. For example, Rc can be cyclopropyl, or Rc can be phenyl.
More specifically, a compound of the invention can be a compound of formula (I) wherein R3 is alkenyl. For example, R3 can be C2H3 (ethenyl).
More specifically, a compound of the invention can be a compound of formula (I) wherein n = 1 , such that the ring on the carbon atom also bearing the Q group is a cyclopropane ring.
More specifically, a compound of the invention can be a compound of formula (I) wherein X is O.
More specifically, a compound of the invention can be a compound of formula (I) wherein Y is C(O).
More specifically, a compound of the invention can be a compound of formula (I) wherein Z is heterocyclyl or heteroaryl. For example, Z can be
wherein a wavy line indicates a point of attachment; p is 0 or 1 and q is 0 or 1; R12, R13, R14, R15, R18, and R19 are independently H, F, or a substituted or unsubstituted alkyl, cycloalkyl, cycloalkenyl, cycloalkylalkyl, cycloalkenylalkyl, cycloalkylalkenyl, aryl, aralkyl, aralkenyl, heterocyclyl, heterocyclylalkyl, heterocyclylalkenyl, heteroaryl, heteroarylalkyl, or heteroarylalkenyl group; or R12 and R13 or R14 and R15 or R18 and R19, together with the carbon to which they are attached, form a C3-8 cycloalkyl group; and R16 and R17 are independently H or a substituted or unsubstituted alkyl, cycloalkyl, cycloalkenyl, cycloalkylalkyl, cycloalkenylalkyl, cycloalkylalkenyl, aryl, aralkyl, aralkenyl, heterocyclyl, heterocyclylalkyl, heterocyclylalkenyl, heteroaryl, heteroarylalkyl, or heteroarylalkenyl group; or R16 and R17 together with the atoms to which they are attached form a fused substituted or unsubstituted aryl or heteroaryl group.
For example, a compound of the invention can be a compound of formula (I) wherein Z is
wherein a wavy line indicates a point of attachment; R12, R13, R14 and R15 are independently H, F, or a substituted or unsubstituted alkyl, cycloalkyl, cycloalkenyl, cycloalkylalkyl, cycloalkenylalkyl, cycloalkylalkenyl, aryl, aralkyl, aralkenyl, heterocyclyl, heterocyclylalkyl, heterocyclylalkenyl, heteroaryl, heteroarylalkyl, or heteroarylalkenyl group; or R12 and R13 together with a carbon atom to which they are attached or R14 and R15 together with a carbon atom to which they are attached form together with the carbon atom a C3-8 cycloalkyl group which can be unsubstituted or substituted with 1 -3 J groups; R20, R21, R22, and R23 are independently H, F, Cl, Br, I, NO2, CN, CF3, OR24, O(CH2)rNR25R26, O(CH2)rOC(O)NR25R26, O(CH2)rNR25C(O)OR26, (CH2)rOR24, OCF3, NR25R26, (CH2)rNR25R26, SR24, (CH2)rSR24, C(O)R24, C(O)OR24, NR27C(O)R24, C(O)NR25R26, NR27C(O)NR25R26, OC(O)NR25R26, NR27C(O)OR24, NR27SO2R24, SO2NR25R26, or a substituted or unsubstituted alkyl, cycloalkyl, cycloalkenyl, cycloalkylalkyl, cycloalkenylalkyl, cycloalkylalkenyl, aryl, aralkyl, aralkenyl, heterocyclyl, heterocyclylalkyl, heterocyclylalkenyl, heteroaryl, heteroarylalkyl, or heteroarylalkenyl group; wherein r is 1-6; and each R24, R25, R26, and R27 is independently H, or a substituted or unsubstituted alkyl, cycloalkyl, cycloalkenyl, cycloalkylalkyl, cycloalkenylalkyl, cycloalkylalkenyl, aryl, aralkyl, arylalkenyl, heterocyclyl,
heterocyclylalkyl, heterocyclylalkenyl, heteroaryl, heteroarylalkyl, or heteroarylalkenyl group; or R25 and R26 together with a nitrogen atom to which they are attached form a 3-7 membered heterocyclic ring.
For example, a compound of formula (I) can also comprise a compound wherein Z is
More specifically, a compound of the invention can be a compound of formula (I) wherein W is CH2 or NH.
More specifically, a compound of the invention can be a compound of formula (I) wherein V is C(O).
More specifically, a compound of the invention can be a compound of formula (I) wherein K is O.
More specifically, a compound of the invention can be a compound of formula (I) wherein T is R11 or alkyl-R11.
More specifically, a compound of the invention can be a compound of formula (I) wherein T is /-butyl, neopentyl, or cyclopentyl.
More specifically, a compound of the invention can be a compound of formula (I) wherein R2 is cycloalkyl.
More specifically, a compound of the invention can be a compound of formula (I) wherein R2 is cyclohexyl and R2a is H.
More specifically, a compound of the invention can be a compound of formula (I) wherein the stereochemistry of the compound is:
More specifically, a compound of the invention can be a compound of formula (I) wherein the stereochemistry of the compound is:
More specifically, a compound of the invention can be a compound of formula (I) wherein the compound is:
More specifically, a compound of the invention can be a compound of formula (I) wherein the compound is:
More specifically, a compound of the invention can be a compound of formula (I) wherein the compound is:
Methods of Synthesis
An embodiment according to the invention provides a method for synthesis of a compound of formula (I):
(H) and a compound of formula (III):
(III) under conditions effective to bring about formation of the compound of formula
(I)-
More specifically, the conditions effective to bring about formation of the compound of formula (I) include
An embodiment according to the invention further provides a method of synthesis of a compound of formula (IA):
(IA) wherein Q is CO2H,
comprising contacting a compound of formula (II):
(H) and a compound of formula (III A):
(IIIA) wherein E is (Ci-C6)alkyl, under conditions effective to bring about formation of the compound of formula (IA):
(IB), then cleaving E from the compound of formula (IB) to provide the compound of formula (IA) wherein Q is CO2H.
An embodiment of the invention further comprises preparing a compound of formula (IA):
wherein Q comprises: SO2N(R0)2
R' wherein a wavy line signifies a point of attachment, the method comprising contacting a compound of formula (IA), wherein Q is CO2H, with HN(RC)2, HN(RC)SO2RC, or HN(RC)SO2N(RC)2 respectively under conditions effective to provide the compound of formula (IA) wherein Q comprises:
Methods of Use In one aspect, the invention provides methods of inhibiting HCV NS3 protease. The methods include contacting the hepatitis C viral serine protease with a compound as described herein. In other embodiments, the methods of inhibiting HCV NS3 protease include administering a compound as described herein to a subject infected with hepatitis C virus. In another aspect, the invention provides methods for treating hepatitis C viral infection. The methods include administering to a subject in need of such treatment an effective amount of a compound of the invention as described herein. As used herein, "a compound" can refer to a single compound or a plurality of compounds. In some embodiments, the methods for treating hepatitis C viral infection include administering to a subject in need of such treatment an effective amount of a composition comprising a compound of the invention and a pharmaceutically acceptable carrier.
In another embodiment, the invention provides methods for treating hepatitis C viral infection comprising administering to a subject in need of such treatment an effective amount of a compound of the invention in combination with another anti-viral agent. The term "anti-viral agent" as used herein denotes a compound which interferes with any stage of the viral life cycle to slow or prevent HCV reproduction. Representative anti-viral agents include, without limitation, NS3 protease inhibitors, INTRON-A, (interferon alfa-2b available
from Schering Corporation, Kenilworth, N.J.), PEG-INTRON (peginteferon alfa-2b, available from Schering Coφoration, Kenilworth, N.J.), ROFERON-A (recombinant interferon alfa-2a available Hoffmann-La Roche, Nutley, N.J.), PEGASYS (peginterferon alfa-2a available Hoffmann-La Roche, Nutley, N.J.), INFERGEN A (Schering Plough, inteferon-alpha 2B+Ribavirin), WELLFERON (interferon alpha-nl), nucleoside analogues, IRES inhibitors, NS5b inhibitors, El inhibitors, E2 inhibitors, IMPDH inhibitors, NS5 polymerase inhibitors and/or NTPase/helicase inhibitors. In certain embodiments, the methods of treating HCV infection include administering to a subject in need of such treatment an effective amount of a compound of the invention in combination with another NS3 protease inhibitor. Examples of other NS3 protease inhibitors which can be administered in combination with compounds of the present invention include, without limitation, VX950 and BILN2061 (Lin C, Lin K, Luong Y, Rao BG, Wei YY, Brennan DL, Fulghum JR, Hsiao HM, Ma S, Maxwell JP, Cottrell KM, Perni RB, Gates CA, Kwong AD, "In Vitro
Resistance Studies of Hepatitis C Virus Serine Protease Inhibitors VX950 and BILN2061", J. Biol. Chem., 2004, 279, 17508-514).
Still other antiviral agents that may be used in conjunction with inventive compounds for the treatment of HCV infection include, but are not limited to, ribavirin (l-beta-D-ribofuranosyl-lH-l,2,4-triazole-3-carboxamide, available from ICN Pharmaceuticals, Inc., Costa Mesa, Calif; described in the Merck Index, entry 8365, Twelfth Edition); REBETROL.RTM. (Schering Corporation, Kenilworth, N.J.), COPEGASUS. RTM. (Hoffmann-La Roche, Nutley, N.J.); BEREFOR.RTM. (interferon alfa 2 available from Boehringer Ingelheim Pharmaceutical, Inc., Ridgefield, Conn.); SUMIFERON.RTM. (a purified blend of natural alpha interferons such as Sumiferon available from Sumitomo, Japan); ALFERON.RTM. (a mixture of natural alpha interferons made by Interferon Sciences, and available from Purdue Frederick Co., CT); alpha.-interferon; natural alpha interferon 2a; natural alpha interferon 2b; pegylated alpha interferon 2a or 2b; consensus alpha interferon (Amgen, Inc., Newbury Park,
Calif); VIRAFERON.RTM.; INFERGEN. RTM.; REBETRON.RTM. (Schering Plough, Inteferon-alpha 2B+Ribavirin); pegylated interferon alpha (Reddy, K. R. et al. "Efficacy and Safety of Pegylated (40-kd) Interferon alpha-2a Compared
with Interferon alpha-2a in Noncirrhotic Patients with Chronic Hepatitis C (Hepatology, 33, pp. 433-438 (2001); consensus interferon (Kao, J. H., et al, " Efficacy of Consensus Interferon in the Treatment of Chronic Hepatitis" J. Gastroenterol. Hepatol. 15, pp. 1418-1423 (2000); lymphoblastoid or "natural" interferon; interferon tau (Clayette, P. et al., "IFN-tau, A New Interferon Type I with Antiretroviral activity" Pathol. Biol. (Paris) 47, pp. 553-559 (1999); interleukin 2 (Davis, G. L. et al., "Future Options for the Management of Hepatitis C." Seminars in Liver Disease, 19, pp. 103-112 (1999); Interleukin 6 (Davis et al. "Future Options for the Management of Hepatitis C." Seminars in Liver Disease 19, pp. 103-112 (1999); interleukin 12 (Davis, G. L. et al., "Future Options for the Management of Hepatitis C." Seminars in Liver Disease, 19, pp. 103-112 (1999); and compounds that enhance the development of type 1 helper T cell response (Davis et al., "Future Options for the Management of hepatitis C." Seminars in Liver Disease, 19, pp. 103-112 (1999)). Also included are compounds that stimulate the synthesis of interferon in cells (Tazulakhova, E. B. et al., "Russian Experience in Screening, analysis, and Clinical Application of Novel Interferon Inducers" J. Interferon Cytokine Res., 21 pp. 65-73) including, but are not limited to, double stranded RNA, alone or in combination with tobramycin, and Imiquimod (3M Pharmaceuticals; Sauder, D. N. "Immunomodulatory and Pharmacologic Properties of Imiquimod" J. Am. Acad. Dermatol., 43 pp. S6-11 (2000)
In another embodiment, the invention provides a method for treating hepatitis C viral infection, comprising administering to a subject in need of such treatment an effective amount of a compound of the invention in combination with an antiproliferative agent. The term "antiproliferative agent" as used herein denotes a compound which inhibits cellular proliferation. Cellular proliferation can occur, for example without limitation, during carcinogenesis, metastasis, and immune responses. Representative antiproliferative agents include, without limitation, 5-fluorouracil, daunomycin, mitomycin, bleomycin, dexamethasone, methotrexate, cytarabine, mercaptopurine.
In another embodiment, the invention provides a method for treating hepatitis C viral infection, comprising administering to a subject in need of such treatment an effective amount of a compound of the invention in combination
with an immune modulator. The term "immune modulator" as used herein denotes a compound or composition comprising a plurality of compounds which changes any aspect of the functioning of the immune system. In this context, immune modulator includes without limitation anti-inflammatory agents and immune suppressants. Representative immune modulator include without limitation steroids, non-steroidal antiinflammatories, COX2 inhibitors, anti- TNF compounds, anti-IL-1 compounds, methotrexate, leflunomide, cyclosporin, FK506 and combinations of any two or more thereof. Representative steroids in this context include without limitation prednisone, prednisolone, and dexamethasone. Representative non-steroidal anti-inflammatory agents in this context include without limitation ibuprofen, naproxen, diclofenac, and indomethacin. Representative COX2 inhibitors in this context include without limitation rofecoxib and celecoxib. Representative Anti-TNF compounds in this context include without limitation enbrel, infliximab, and adalumimab. Representative anti-IL-1 compounds in this context include without limitation anakinra. Representative immune suppressants include without limitation cyclosporin and FK506.
Compounds of the invention include mixtures of stereoisomers such as mixtures of diastereomers and/or enantiomers. In some embodiments, the compound, e.g. of Formula I, is 90 weight percent (wt %) or greater of a single diastereomer of enantiomer. In other embodiments, the compound is 92, 94, 96, 98 or even 99 wt % or more of a single diastereomer or single enantiomer.
A variety of uses of the invention compounds are possible along the lines of the various methods of treating a subject as described above. Exemplary uses of the invention methods include, without limitation, use of a compound of the invention in a medicament or for the manufacture of a medicament for treating a condition that is regulated or normalized via inhibition of the HCV NS3 serine protease.
Biochemical methods
Fluorescence resonance energy transfer (FRET; see e.g., Heim et al., (1996) Curr. Biol. 6:178-182; Mitra et al., (1996) Gene 173:13-17; and Selvin et al., (1995) Meth. Enzymol. 246:300-345) is an exquisitely sensitive method for
detecting energy transfer between two fluorophoric probes. As known in the art, such probes are given the designations "donor" and "acceptor" depending on the relative positions of the maxima in the absorption and emission spectra characterizing the probes. If the emission spectrum of the acceptor overlaps the absorption spectrum of the donor, energy transfer can occur. Because of the known and highly non-linear relationship of energy transfer and distance between fluorophores, approximated by an inverse sixth power dependence on distance, FRET measurements correlate with distance. For example, when the probes are in proximity, such as when the probes are attached to the N- and C- termini of a peptide substrate, and the sample is illuminated in a spectrofluorometer, resonance energy can be transferred from one excited probe to the other resulting in observable signal. Upon scission of the peptide linking the probes, the average distance between probes increases such that energy transfer between donor and accept probe is not observed. As a result, the degree of hydrolysis of the peptide substrate, and the level of activity of the protease catalyzing hydrolysis of the peptide substrate, can be quantitated. Accordingly, using methods known in the arts of chemical and biochemical kinetics and equilibria, the effect of inhibitor on protease activity can be quantitated.
Compositions and Combination Treatments
A. Compositions.
Another aspect of the invention provides compositions of the compounds of the invention, alone or in combination with another NS3 protease inhibitor or another type of antiviral agent and/or another type of therapeutic agent. As set forth herein, compounds of the invention include stereoisomers, tautomers, solvates, prodrugs, pharmaceutically acceptable salts and mixtures thereof. Compositions containing a compound of the invention may be prepared by conventional techniques, e.g. as described in Remington: The Science and Practice of Pharmacy, 19th Ed., 1995. The compositions may appear in conventional forms, for example capsules, tablets, aerosols, solutions, suspensions or topical applications.
Typical compositions include a compound of the invention which inhibits the enzymatic activity of the HCV NS3 protease, and a pharmaceutically
acceptable excipient which may be a carrier or a diluent. For example, the active compound will usually be mixed with a carrier, or diluted by a carrier, or enclosed within a carrier which may be in the form of an ampoule, capsule, sachet, paper, or other container. When the active compound is mixed with a carrier, or when the carrier serves as a diluent, it may be solid, semi-solid, or liquid material that acts as a vehicle, excipient, or medium for the active compound. The active compound can be adsorbed on a granular solid carrier, for example contained in a sachet. Some examples of suitable carriers are water, salt solutions, alcohols, polyethylene glycols, polyhydroxyethoxylated castor oil, peanut oil, olive oil, gelatin, lactose, terra alba, sucrose, dextrin, magnesium carbonate, sugar, cyclodextrin, amylose, magnesium stearate, talc, gelatin, agar, pectin, acacia, stearic acid or lower alkyl ethers of cellulose, silicic acid, fatty acids, fatty acid amines, fatty acid monoglycerides and diglycerides, pentaerythritol fatty acid esters, polyoxyethylene, hydroxymethylcellulose and polyvinylpyrrolidone. Similarly, the carrier or diluent may include any sustained release material known in the art, such as glyceryl monostearate or glyceryl distearate, alone or mixed with a wax.
The formulations can be mixed with auxiliary agents which do not deleteriously react with the active compounds. Such additives can include wetting agents, emulsifying and suspending agents, salt for influencing osmotic pressure, buffers and/or coloring substances preserving agents, sweetening agents or flavoring agents. The compositions can also be sterilized if desired.
The route of administration may be any route which effectively transports the active compound of the invention which inhibits the enzymatic activity of the HCV NS3 protease to the appropriate or desired site of action, such as oral, nasal, pulmonary, buccal, subdermal, intradermal, transdermal or parenteral, e.g., rectal, depot, subcutaneous, intravenous, intraurethral, intramuscular, intranasal, ophthalmic solution or an ointment, the oral route being preferred. If a solid carrier is used for oral administration, the preparation may be tabletted, placed in a hard gelatin capsule in powder or pellet form or it can be in the form of a troche or lozenge. If a liquid carrier is used, the preparation may be
in the form of a syrup, emulsion, soft gelatin capsule or sterile injectable liquid such as an aqueous or non-aqueous liquid suspension or solution.
Injectable dosage forms generally include aqueous suspensions or oil suspensions which may be prepared using a suitable dispersant or wetting agent and a suspending agent Injectable forms may be in solution phase or in the form of a suspension, which is prepared with a solvent or diluent. Acceptable solvents or vehicles include sterilized water, Ringer's solution, or an isotonic aqueous saline solution. Alternatively, sterile oils may be employed as solvents or suspending agents. Preferably, the oil or fatty acid is non- volatile, including natural or synthetic oils, fatty acids, mono-, di- or tri-glycerides.
For injection, the formulation may also be a powder suitable for reconstitution with an appropriate solution as described above. Examples of these include, but are not limited to, freeze dried, rotary dried or spray dried powders, amorphous powders, granules, precipitates, or particulates. For injection, the formulations may optionally contain stabilizers, pH modifiers, surfactants, bioavailability modifiers and combinations of these. The compounds may be formulated for parenteral administration by injection such as by bolus injection or continuous infusion. A unit dosage form for injection may be in ampoules or in multi-dose containers. The formulations of the invention may be designed to provide quick, sustained, or delayed release of the active ingredient after administration to the patient by employing procedures well known in the art. Thus, the formulations may also be formulated for controlled release or for slow release.
Compositions contemplated by the present invention may comprise, for example, micelles or liposomes, or some other encapsulated form, or may be administered in an extended release form to provide a prolonged storage and/or delivery effect. Therefore, the formulations may be compressed into pellets or cylinders and implanted intramuscularly or subcutaneously as depot injections or as implants such as stents. Such implants may employ known inert materials such as silicones and biodegradable polymers, e.g., polylactide-polyglycolide. Examples of other biodegradable polymers include poly(orthoesters) and poly (anhydrides) .
For nasal administration, the preparation may contain a compound of the invention which inhibits the enzymatic activity of the HCV NS3 protease, dissolved or suspended in a liquid carrier, preferably an aqueous carrier, for aerosol application. The carrier may contain additives such as solubilizing agents, e.g., propylene glycol, surfactants, absorption enhancers such as lecithin (phosphatidylcholine) or cyclodextrin, or preservatives such as parabenes.
For parenteral application, particularly suitable are injectable solutions or suspensions, preferably aqueous solutions with the active compound dissolved in polyhydroxylated castor oil. Tablets, dragees, or capsules having talc and/or a carbohydrate carrier or binder or the like are particularly suitable for oral application. Preferable carriers for tablets, dragees, or capsules include lactose, corn starch, and/or potato starch. A syrup or elixir can be used in cases where a sweetened vehicle can be employed.
A typical tablet that may be prepared by conventional tabletting techniques may contain:
Core:
Active compound (as free compound or salt thereof) 250 mg Colloidal silicon dioxide (Aerosil)® 1.5 mg Cellulose, microcryst. (Avicel)® 70 mg
Modified cellulose gum (Ac-Di-Sol)® 7.5 mg Magnesium stearate Ad. Coatinfi:
HPMC approx. 9 mg *Mywacett 9-40 T approx. 0.9 mg
*Acylated monoglyceride used as plasticizer for film coating.
A typical capsule for oral administration contains compounds of the invention (250 mg), lactose (75 mg) and magnesium stearate (15 mg). The mixture is passed through a 60 mesh sieve and packed into a No. 1 gelatin capsule. A typical injectable preparation is produced by aseptically placing 250 mg of compounds of the invention into a vial, aseptically freeze-drying and
sealing. For use, the contents of the vial are mixed with 2 niL of sterile physiological saline, to produce an injectable preparation.
The compounds of the invention may be administered to a mammal, especially a human in need of such treatment, prevention, elimination, alleviation or amelioration of the various diseases as mentioned above, e.g.,
HCV infection. Such mammals include also animals, both domestic animals, e.g. household pets, farm animals, and non-domestic animals such as wildlife.
The compounds of the invention are effective over a wide dosage range. For example, in the treatment of adult humans, dosages from about 0.5 to about 5000 mg, preferably from about 1 to about 2000 mg, and more preferably between about 2 and about 2000 mg per day may be used. A typical dosage is about 10 mg to about 1000 mg per day. In choosing a regimen for patients it may frequently be necessary to begin with a higher dosage and when the condition is under control to reduce the dosage. The exact dosage will depend upon the activity of the compound, mode of administration, on the therapy desired, form in which administered, the subject to be treated and the body weight of the subject to be treated, and the preference and experience of the physician or veterinarian in charge. HCV NS3 protease inhibitor activity of the compounds of the invention may be determined by use of an in vitro assay system which measures the potentiation of inhibition of the HCV NS3 protease. Inhibition constants (i.e., K, or IC50 values as known in the art) for the HCV NS3 protease inhibitors of the invention may be determined by the method described in the Examples.
Generally, the compounds of the invention are dispensed in unit dosage form comprising from about 0.5 mg to about 5000 mg of active ingredient together with a pharmaceutically acceptable carrier per unit dosage.
Usually, dosage forms suitable for oral, nasal, pulmonal or transdermal administration comprise from about 125 μg to about 1250 mg, preferably from about 250 μg to about 500 mg, and more preferably from about 2.5 mg to about 250 mg, of the compounds admixed with a pharmaceutically acceptable carrier or diluent.
The invention also encompasses prodrugs of a compound of the invention which on administration undergo chemical conversion by metabolic or
other physiological processes before becoming active pharmacological substances. Conversion by metabolic or other physiological processes includes without limitation enzymatic (e.g, specific enzymatically catalyzed) and non- enzymatic (e.g., general or specific acid or base induced) chemical transformation of the prodrug into the active pharmacological substance. In general, such prodrugs will be functional derivatives of a compound of the invention which are readily convertible in vivo into a compound of the invention. Conventional procedures for the selection and preparation of suitable prodrug derivatives are described, for example, in Design of Prodrugs, ed. H. Bundgaard, Elsevier, 1985.
In another aspect, there are provided methods of making a composition of a compound described herein comprising formulating a compound of the invention with a pharmaceutically acceptable carrier or diluent. In some embodiments, the pharmaceutically acceptable carrier or diluent is suitable for oral administration. In some such embodiments, the methods may further comprise the step of formulating the composition into a tablet or capsule. In other embodiments, the pharmaceutically acceptable carrier or diluent is suitable for parenteral administration. In some such embodiments, the methods further comprise the step of lyophilizing the composition to form a lyophilized preparation.
B. Combinations.
The compounds of the invention may be used in combination with i) one or more other NS3 protease inhibitors and/or ii) one or more other types of antiviral agents (employed to treat viral infection and related diseases) and/or one or more other types of therapeutic agents which may be administered orally in the same dosage form, in a separate oral dosage form (e.g., sequentially or non-sequentially) or by injection together or separately (e.g., sequentially or non- sequentially). Accordingly, in another aspect the invention provides pharmaceutical combinations, comprising: a) a compound of the invention as described herein; and b) one or more compounds comprising:
i) other compounds of the present invention ii) anti-viral agents including, but not limited to, other NS3 protease inhibitors iii) antiproliferative agents iv) immune modulators.
Combinations of the invention include mixtures of compounds from (a) and (b) in a single formulation and compounds from (a) and (b) as separate formulations. Some combinations of the invention may be packaged as separate formulations in a kit. In some embodiments, two or more compounds from (b) are formulated together while a compound of the invention is formulated separately.
Combinations of the invention can further comprise a pharmaceutically acceptable carrier. In some embodiments, the compound of the invention is 90 wt % or more of a single diastereomer or single enantiomer. Alternatively, the compound of the invention can be 91 , 92, 93, 94, 95, 96, 97, 98, or 99 wt % or more of a single diastereomer or single enantiomer. The dosages and formulations for the other antiviral agent to be employed, where applicable, will be as set out in the latest edition of the Physicians' Desk Reference. In carrying out the methods of the invention, a composition may be employed containing the compounds of the invention, with or without another antiviral agent and/or other type therapeutic agent, in association with a pharmaceutical vehicle or diluent. The composition can be formulated employing conventional solid or liquid vehicles or diluents and pharmaceutical additives of a type appropriate to the mode of desired administration. The compounds can be administered to mammalian species including humans, monkeys, dogs, etc. by an oral route, for example, in the form of tablets, capsules, granules or powders, or they can be administered by a parenteral route in the form of injectable preparations. The dose for adult humans is preferably between 10 and 1,000 mg per day, which can be administered in a single dose or in the form of individual doses from 1-4 times per day.
EXAMPLES
The following abbreviations are used throughout this document. BOP Benzotriazol-1-yl-oxy-tris-
(dimethylamino)phosphonium hexa- fluorophosphate
CDI Carbonyl dumidazole
DBU Diazabicycloundecane
DCM Dichloromethane
DIEA, 1Pr2EtN N, /V-Diisoproylethylamine
DMAP 4-(N,N-dimethylamino)pyridine
DMF TV, Λf-Dimethylformamide
DMSO Dimethylsulfoxide
EDC l-Ethyl-3-[3- dimethylaminopropy 1] carbodiimide hydrochloride
EtOAc Ethyl acetate
HATU O-(7-Azabenzotriazole-l-yl)-N, N,N'N'- tetramethyluronium hexafluorophosphate
HOAT Hydroxyazabenztriazole
HOBT Hydroxybenzotriazole
MS Mass spectroscopy
MeOH Methanol
NMM /V-Methylmorpholine
THF Tetrahydrofuran
The syntheses of compounds 9 and 12 through 19 were performed according to the syntheses outlined in Schemes 1 to 6, substituting the appropriate reagents as necessary.
Scheme 1; Synthesis of compound 3
2-Cyclohexyl-N-terf-butyl-succinamic acid (3): A solution of (S)-2-cyclohexylsuccinic acid-1-methyl ester (1, 0.25Og,
1.17mmol), 2-bromo-l -ethyl -pyridine boron tetra fluoride (0.353g, 1.29mmol), HOAT (0.175, 1.29mmol) in dry dichloromethane was stirred for 20 minutes before the addition of tert-bntyl amine (137 μL, 1.29 mmol) was added followed by DIEA (51 lμL, 2.93mmol). The mixture was stirred at room temperature for two hours, diluted with EtOAc and quenched with aqueous 5% NaHCO3. The organic layer was washed with 5% citric acid, brine and dried over Na2SO4 without further purification. To the resulting compound 2 in THF, one equivalent of LiOH was added, the mixture stirred overnight. The resulting solution was acidified to pH of 5 with 1.0N HCl and extracted with EtOAc. The organic layer was washed with brine and dried with Na2SO4, which was filtered and the solvent removed to provide carboxylic acid 3.
Scheme 2: Synthesis of compound 6
4-Fluoro-l,3-dihydro-isoindoIe-2-carboxylic acid l-(3-tert-butylcarbamoyl- 2-cyclohexyl-propionyl)-5-carboxy-pyrrolidin-3-yl ester (6):
A solution of 2-cyclohexyl-N-fert-butyl-succinamic acid ((3, 0.089g, 0.349mmol), EDC (0.08Og, 0.418mmol), and HOBT (0.057g, 0.418mmol) in dichloromethane was stirred for 30 minutes. To the above solution 4-fluoro-l,3- dihydro-isoindole-2-carboxylic acid 5-methoxycarbonyl-pyrrolidin-3-yl ester hydrochloric acid salt (4, 0.12Og, 0.349mmol) was added followed by slow addition of DIEA (183 μL, 1.05mmol). The mixture was stirred at room temperature overnight, diluted with EtOAc washed with NaHCO3, 0.1N HCl, and brine. The organic layer was dried with Na2SO4, filtered and evaporated without further purification. To the resulting compound 5 in THF, one equivalent of LiOH was added, the mixture stirred overnight. The resulting solution was acidified to pH of 5 with 1.0N HCl and extracted with EtOAc. The organic layer was washed with brine and dried with Na2SO4 and the solution filtered and the solvent removed to provide compound 6.
Scheme 3: Synthesis of compound 8
4-Fluoro-l,3-dihydro-isoindoIe-2-carboxylic acid l-(3-tert-butyIcarbamoyl- 2-cyclohexyl-propionyl)-5-(l-carboxy-2-vinyl-cyclopropylcarbamoyl)- pyrrolidin-3-yl ester (8): A solution of 6 (0.149g, 0.280mmol), EDC (0.064g, 0.336 mmol), and
HOBT (0.045g, 0.336mmol) in dichloroniethane was stirred for 30 minutes. To the above solution commercially available 1 -amino-2-vinyl- cyclopropanecarboxylic acid ethyl ester hydrochloric acid salt (7, 0.05Og, 0.280 mmol) was added followed by slow addition of DIEA (146.8 μL, 0.840 mmol). The mixture was stirred at room temperature for five hours, diluted with EtOAc washed with NaHCO3, 0.1N HCl, and brine. The organic layer was dried with Na2SO4, filtered and evaporated. Purification by column chromatography (EtOAc/hexane 1:1) gave a white solid (22% yield). To the resulting compound in THF, MeOH and water (2:1 :1) six equivalent of LiOH was added, the mixture stirred over night. The resulting solution was neutralized with 1.0N HCl and extracted with EtOAc. The organic layer was washed with brine and dried with Na2SO4 which was filtered and the solvent removed to provide 8, which was used without further purification.
Scheme 4: Synthesis of compound 9, R = phenyl
8
4-Fluoro-l,3-dihydro-isoindole-2-carboxylic acid 5-(l- benzenesulfonylaminocarbonyl-2-vinyl-cyclopropylcarbamoyI)-l-(3- tertbutylcarbamoyl-2-cy clohexyl-propionyl)-pyrrolidin-3-yl ester (9) :
A solution of 8 (0.020 g, 0.0312 mmol), HATU (0.014 g, 0.037 mmol), and DIEA (21.8 μL, 0.125 mmol) in dry DMF was stirred for Ih before the addition of a solution containing benzenesulfonamide (0.020 g, 0.125 mmol), DMAP (0.016 g, 0.128 mmol), and DBU (19.14 μL, 0.128 mmol) in dry DMF. The mixture was stirred at room temperature overnight, diluted with EtOAc, and washed with saturated NH4Cl (pH 5), 5% aqueous NaHCO3, and brine. The organic layer was dried with Na2SO4, filtered and evaporated. Purification by column chromatography (EtOAc/hexane 1 :1) gave 9 (R = phenyl) as a white solid (17% yield).
Scheme 5: Synthesis of compound 4
4-(l,3-Dihydro-4-fIuoro-isoindole-2-carbonyloxy)-pyrrolidine-l,2- dicarboxylic acid 1-tert-butyl ester 2-methyl ester (11)
Compound 10 (397 mg, 1.6 mmol) was dissolved in CH2Cl2 (10 mL) and CDI (315 mg, 1.9 mmol) was added in one portion at room temperature. The reaction mixture was stirred for 20 h. 4-fluoro-isoindoline (0.55 ml, 4.8 mmol) was then added portion- wise over 8 h. After 20 h of additional stirring, the reaction was cooled down 00C, diluted with CH2Cl2 (8 mL) and sequentially washed with aqueous IN HCl (8 ml) and brine (8 ml). The organic layer was dried over Na2SO4 and evaporated under reduced pressure. The resulting oily residue was purified by silica gel column chromatography (solvent eluent gradient from 3:7 EtOAc/hexane to 6:4 EtOAc/hexane) to afford 11 (315 mg, 51%). MS mlz (rel intensity) 413 (M + 23)+ (6), 291 (23), 128 (100). l,3-Dihydro-4-fluoro-isoindole-2-carboxylic acid 5-methoxycarbonyl- pyrrolidin-3-yl ester hydrochloride salt (4) Compound 11 (315 mg, 0.81 mmol) was dissolved in 4N HCl in dioxane
(8 mL). The reaction was stirred at room temperature for 1.5 h. Solvents were removed under reduced pressure to yield 4 as a white solid which was used in the next reaction without further purification. MS mlz (rel intensity) 291 (M + I)+ (4), 146 (17), 128 (100).
Scheme 6: Synthesis of capping group for 16
Preparation of (l-Hydroxymethyl-2,2-dimethyl-propyl)-carbamic acid tert- butyl ester (20). LiAIH4 (BoC)2O
20 L-tert-butylglycine (3.93 g, 30 mmol) was slowly added to a suspension
OfLiAlH4 (2.28 g, 60 mmol). The reaction was refluxed for 6 hrs. After this time, the mixture was cooled to O0C and quenched by addition of NaOH (5 mL of a 10% aqueous solution) and water (5 mL). The mixture was stirred at room temperature for 10 minutes and then treated with di-tert-butylcarbonate (7.2 g, 33 mmol). The mixture was stirred at 6O0C overnight. The reaction mixture was
filtered through magnesium sulfate and the residue was chromatographed on silica gel to give compound 20 (3.6 g, 55% yield). LC-MS (ESI, positive): [M+l]+218
Preparation of [l-(l,3-Dioxo-l,3-dihydro-isoindoI-2-ylmethyl)-2,2-dimethyl- propyl]-carbamic acid tert-butyl ester (21).
20 21
To a solution of phthalimide (0.735 g, 5 mmol) in dry THF (40 mL) was added triphenylphosphine (3.93 g, 15 mmol) and alcohol 20 (1.085 g, 5 mmol). The mixture was cooled in an ice-water bath and diisopropyl azodicarboxylate (2.6 g, 12.5 mmol) was added dropwise. The resulting mixture was stirred at O0C for 10 minutes, warmed to room temperature and stirred for approximately 2.5 hours until no more starting material was detected by TLC (hexane/EtOAc 7:3, Rf=OJ). The mixture was concentrated under reduced pressure. The residue was resuspended in CH2Cl2 (60 mL) and the solids were filtered off. The filtrate was concentrated to half its volume and hexanes (30 mL) were added. The solids were filtered off. The filtrate was concentrated under reduced pressure and the residue was purified by silica gel column chromatography (solvent elution system hexane/EtOAc 9:1) to give compound 21 (1.4 g, 4 mmol) with 80% yield. LC-MS (ESI, positive): [M+l]+ 347 Preparation of (l-Aminomethyl-2,2-dimethyl-propyl)-carbamic acid tert- butyl ester (22).
21 22
To a solution of phthalimide 21 (1.4 g, 4 mmol) in MeOH (30 mL) was added hydrazine (0.7 mL, 20 mmol) and the mixture was refluxed under a nitrogen atmosphere overnight. TLC showed some starting material left and
more hydrazine (0.35 mL, 10 mmol) was added. The reaction mixture was cooled and stirred at room temperature for 4 hours. A white precipitate was formed. The solids were filtered off and the filtrate was concentrated to yield compound 22 (0.82 g, 94% yield) (TLC hexane/EtOAc 7:3, R^=0.2) as a solid. LC-MS (ESI, positive): [M+l]+217
Preparation of [l-(Methanesulfonylamino-methyI)-2,2-dimethyl-propyl]- carbamic acid tert-butyl ester (23).
22 23
A solution of amine 22 (0.82 g, 3.8 mmol) in CH2Cl2 (40 mL) was cooled to O0C and treated with triethylamine (0.77 mL, 7.6 mmol). Methanesulfonyl chloride (0.522 g, 4.5 mmol) was added dropwise. The mixture was allowed to warm up to room temperature and stirred overnight. The solids were filtered off and the filtrate was washed with aqueous ammonium chloride solution (50 mL) and brine (50 mL). The organic layer was dried over magnesium sulfate, filtered and concentrated. The residue was taken in the minimum amount of dichloromethane/ethyl acetate (approx 30 mL) and the insoluble white solids were filtered off. The filtrate was purified by silica gel column chromatography (solvent elution system PE:EA=7:1) (TLC hexane/EtOAc 7:3, R/=0.5) to give compound 23 (0.94 g, 84% yield). LC-MS (ESI, positive): [M+l]+295 Preparation of {l-[(MethanesuIfonyl-methyI-amino)-methyI]-2,2-dimethyl- propyl}-carbamic acid tert-butyl ester (24).
23 24
A solution of sulfonamide 23 (0.94 g, 3.2 mmol) in dry DMF (20 mL) was cooled to O0C and treated with K2CO3 (1.32 g, 9.6 mmol). Iodomethane (2.27 mL, 16 mmol) was added dropwise and the mixture was stirred for 45 minutes. The mixture was warmed up to room temperature and stirred for an additional 15 hours. The reaction was quenched by addition of aqueous
ammonium chloride solution (100 mL) and extracted with ethyl acetate (2x50 mL). The combined organic layers were washed with water (80 mL), brine (80 mL) and dried over sodium sulfate. The organic layer was filtered and solvents removed under reduced pressure. The residue was purified by silica gel column chromatography (solvent elution system hexane/EtOAc 8:1) (TLC hexane/EtOAc 7:3, R^=0.55) to afford 24 (0.94 g, 88% yield). LC-MS (ESI, positive): [M+l]+ 309
Preparation of N-(2-Amino-3,3-dimethyl-butyl)-N-methyl- methanesulfonamide (25).
The Boc-protected amine 24 (0.94 g, 3 mmol) was dissolved in a 4N HCl solution in dioxane (10 ml, 40 mmol) at room temperature. The mixture was stirred for 1 hour and then all solvents were removed under reduced pressure to afford compound 25 that was used in the next step without further purification. LC-MS (ESI, positive): [M+l]+209
Scheme 7
51 52
4-(5,7-Dihydro-pyrrolo[3,4-b]pyridine-6-carbonyloxy)-pyrrolidine-l,2- dicarboxylic acid 1-tert-butyl ester 2-methyl ester acid (52)
A solution of Boc-Trans-Hyp-Pro (51, 0.635 g, 2.59 mmol) and CDI (0.420 g, 2.59 mmol) in dry dichloromethane (0.3M) was stirred for two hours under nitrogen before the addition of 6,7-dihydro-5H-pyrrolo[3,4- b]pyridine.2HCl (0.500 g, 2.59 mmol) followed by NMM (854μL, 7.77 mmol).
The mixture was stirred at room temperature over night, diluted with 1OmL of DCM and washed with sat. NH4Cl, followed by NaHCO3, brine and dried over Na2SO4. Purification by column chromatography (EtOAc/hexane 1 :1) gave 52 as a white solid (0.810 g), LC/MS 1.51 min, M-264=127 (100%).
Scheme 8
52 53
5,7-Dihydro-py rrolo [3,4-b] py ridine-6-carboxylic acid 5-methoxy carbonyl- pyrrolidin-3-yl ester.2HCl (53)
A solution of 52 (0.700 g, 2.05 mmol) and 4N HCl in 1,4 dioxane (1.02 mL, 4.1 mmol) was stirred for 4 hours at room temperature. The reaction was monitored by LCMS and stopped when 100% conversion was observed. At completion, the solvent was stripped off to give a solid material.
Scheme 9
5,7-Dihydro-pyrrolo [3,4-b] pyridine-6-carboxy Hc acid l-[2-cyclohexyl-2- (2,2-dimethyl-propoxycarbonylamino)-acetyI]-5-methoxycarbonyl- pyrrolidin-3-yI ester (55)
A solution of cyclohexyl-(2,2-dimethyl-propoxycarbonylamino)-acetic acid (54) (0.368 g, 1.36 mmol), EDC (0.391 g, 2.04 mmol), and HOBT ( 0.276 g, 2.04 mmol) was stirred for 15 minutes in dry dichloromethane (0.3M). To the above solution, compound 53 (0.532 g, 1.36 mmol) was added followed by slow addition of DIEA (713 μL, 4.08 mmol). The mixture was stirred at room temperature for five hours, diluted with EtOAc, quenched with water, washed with NaHCO3> followed by brine. The organic layer was dried with Na2SO4, filtered and evaporated. Purification by column chromatography (EtOAc/hexane gradient 25-75%) gave a white solid (0.205 g). To the resulting compound 55 in THF and water (1:1) with one equivalent of LiOH was stirred overnight. The resulting solution was neutralized with 1.0N HCl and extracted with EtOAc. The organic layer was washed with brine and dried with Na2SO4 which was filtered and the solvent removed to provide 55, which was used without further purification.
Scheme 10
5,7-Dihydro-pyrrolo[3,4-b]pyridine-6-carboxylic acid l-[2-cyclohexyI-2- (2,2-dimethyl-propoxycarbonylamino)-acetyl]-5-(l-methoxycarbonyl-2- vinyl-cyclopropylcarbamoyl)-pyrrolidin-3-yl ester) (57)
A solution of the hydrolyzed derivative of 55 (0.155 g, 0.292 mmol),
EDC (0.0844 g, 0.438 mmol), and HOBT ( 0.0595 g, 0.438 mmol) was stirred for 15 minutes in dry dichloromethane (0.3M). To the above solution, commercially available l-amino-2-vinyl-cyclopropanecarboxylic acid ethyl ester
HCl (56) (0.0918 g, 0.292 mmol) was added followed by slow addition of DIEA
(154 μL, 0.876 mmol). The mixture was stirred at room temperature for five hours, diluted with EtOAc, quenched with water, washed with NaHCO3, followed by brine. The organic layer was dried with Na2SO4, filtered and evaporated. Purification by column chromatography (EtOAc/hexane gradient 25-75%) gave a solid (0.128 g). To the resulting compound (57) in THF and water (1 :1) with one equivalent of LiOH was stirred overnight. The resulting solution was neutralized with 1.0N HCl and extracted with EtOAc. The organic layer was washed with brine and dried with Na2SO4 which was filtered and the solvent removed to give carboxylic acid 58, which was used without further purification.
Scheme 11
5,7-Dihydro-py rrolo [3,4-b] pyridine-6-carboxylic acid 1 - [2-cy clohexyl-2- (2,2)dimethyl-propoxycarbonylamino)-acetyl] -5-(l - cyclopropanesulfonylaminocarbonyl-2-vinyl-cycIopropylcarbamoyl)- pyrrolidin-3-yl ester (59)
A solution of 58 (0.100 g, 0.155 mmol), HATU (0.071 g, 0.186 mmol), and DIEA (108 μL, 0.620 mmol) in dry DMF (0.3M) was stirred for one hour before the addition of a solution containing cyclopropylsulfonamide (0.075 g, 0.620 mmol), DMAP (0.077 g, 0.635 mmol), and DBU (95.0 μL, 0.635 mmol) in dry DMF. The mixture was stirred at room temperature overnight, diluted with EtOAc, and washed with saturated NH4Cl (pH 5), 5% aqueous NaHCO3, and brine. The organic layer was dried with Na2SO4, filtered and evaporated. Purification by preparative HPLC gave compound 59 as a white solid.
Scheme 12
5,7-Dihydro-py rrolo [3,4-b] pyridine-6-carboxylic acid 1 - [2-cy clohexyl-2- (2,2)dimethyl-propoxycarbonylamino)-acetyl]-5-(l- phenylsuIfonylaminocarbonyl-2-vinyl-cyclopropylcarbamoyl)-pyrrolidin-3- yl ester (60)
Compound 60 was prepared according to the procedure outlined for compound 59. Phenylsulfonamide was used in place of cyclopropylsulfonamide.
Exemplary Compounds
Compounds 31 to 44 can be prepared according to the procedures outlined in Schemes 7 through 12.
HCV-NS3/4a protease assay Materials
HCV NS3/4a of genotype Ib, 5-FAM/QXL520 fluorescence resonance energy transfer (FRET) peptide, and buffer were purchased from Anaspec, San Jose. The sequence of this FRET peptide is derived from the cleavage site of NS4a/NS4b. IC5O/9o calculations were performed by non-linear regression analysis using Prism software (GraphPad). Methods Biochemical assay. Either 5 μL of DMSO or 5 μL of compound solution in DMSO at various concentrations is added to 45 μL of buffer containing 5 ng of NS3/4a per well in a 96 well plates for "enzyme only" and "compound testing" wells. "No enzyme" wells contain 45 μL of reaction buffer without the enzyme and 5 μL of DMSO. Plates are preincubed at room temperature for 1 hour. Protease reaction is initiated by addition of 50 μL of NS3/4a protease substrate solution to give a final substrate concentration of 2 μM. After shaking gently for 60 second and incubating at room temperature for 5 min, each well is measured for fluorescence intensity at Ex/Em=490 nm/520 nM every 5 minutes for 30 min. IC5O and IC90 values are calculated by non-linear regression analysis using Prism software (GraphPad). Compounds of the invention will be found to have activity in this assay.
While the invention has been described and exemplified in sufficient detail for those skilled in this art to make and use it, various alternatives, modifications, and improvements will be apparent to those skilled in the art without departing from the spirit and scope of the claims.
Claims
1. A compound of formula (I) :
I and stereoisomers, solvates, hydrates, tautomers, prodrugs, salts, pharmaceutically acceptable salts, and mixtures thereof, wherein: Q is
Rc at each occurrence is independently H, or a substituted or unsubstituted alkyl, alkenyl, aryl, aralkyl, aralkenyl, cycloalkyl, cycloalkylalkyl, cycloalkenyl, cycloalkenylalkyl, heterocyclyl, heterocyclylalkyl, heterocyclylalkenyl, heteroaryl, or heteroarylalkyl; wherein any carbon atom can be substituted with a J group; or two Rc groups together with a nitrogen atom to which they are bound form together with the nitrogen atom a 5-11 membered mono- or bicyclic heterocyclic ring system that is unsubstituted or is substituted with 1-3 J groups;
A is
X is a bond, C(R4) 2, N(R5), O or S;
Y is C(O), S(O) or S(O)2; Z is alkyl, aryl, aralkyl, cycloalkyl, cycloalkylalkyl, heterocyclyl, heterocyclylalkyl, heteroaryl, heteroarylalkyl, OR5, or N(R5)2, wherein any carbon atom is unsubstituted or is substituted with J;
R1 and Rla are independently H, or a substituted or unsubstituted alkyl, alkenyl, aryl, aralkyl, aralkenyl, cycloalkyl, cycloalkylalkyl, cycloalkenyl, cycloalkenylalkyl, heterocyclyl, heterocyclylalkyl, heteroaryl, or heteroarylalkyl; wherein any alkyl, alkenyl, aryl, aralkyl, aralkenyl, cycloalkyl, cycloalkylalkyl, cycloalkenyl, cycloalkenylalkyl, heterocyclyl, heterocyclylalkyl, heteroaryl, or heteroarylalkyl can unsubstituted or substituted with 1-3 J groups;
R2 and R2a are independently H, or a substituted or unsubstituted alkyl, alkenyl, aryl, aralkyl, aralkenyl, cycloalkyl, cycloalkylalkyl, cycloalkenyl, cycloalkenylalkyl, heterocyclyl, heterocyclylalkyl, heteroaryl, or heteroarylalkyl; wherein any alkyl, alkenyl, aryl, aralkyl, aralkenyl, cycloalkyl, cycloalkylalkyl, cycloalkenyl, cycloalkenylalkyl, heterocyclyl, heterocyclylalkyl, heteroaryl, or heteroarylalkyl can be unsubstituted or substituted with 1-3 J groups; R3 is alkyl, alkenyl, alkynyl, cycloalkyl, cycloalkylalkyl, cycloalkylalkenyl, cycloalkylalkynyl, cycloalkenyl, cycloalkenylalkyl, cycloalkenylalkenyl, or cycloalkenylalkynyl; wherein any R3 can be unsubstituted or substituted with 1-3 J groups; n is 1,
2 or 3; R4 is at each occurrence independently H, or a substituted or unsubstituted alkyl, cycloalkyl, cycloalkenyl, cycloalkylalkyl, cycloalkenylalkyl, cycloalkylalkenyl, aryl, aralkyl, aralkenyl, heterocyclyl, heterocyclylalkyl, heterocyclylalkenyl, heteroaryl, heteroarylalkyl, or heteroarylalkenyl, or two R4 groups together with a carbon atom to which they are attached form together with the carbon atom a C3-C8 cycloalkyl group; wherein any carbon atom can be substituted with J;
R is H, or unsubstituted or substituted alkyl, alkenyl, aryl, aralkyl, aralkenyl, cycloalkyl, cycloalkylalkyl, cycloalkenyl, cycloalkenylalkyl,
heterocyclyl, heterocyclylalkyl, heterocyclylalkenyl, heteroaryl, or heteroarylalkyl, wherein any alkyl, alkenyl, aryl, aralkyl, aralkenyl, cycloalkyl, cycloalkylalkyl, cycloalkenyl, cycloalkenylalkyl, heterocyclyl, heterocyclylalkyl, heterocyclylalkenyl, heteroaryl, or heteroarylalkyl group can be substituted with 0-3 J groups; or two R5 groups together with a nitrogen atom to which they are attached form together with the nitrogen atom a C3-C8 heterocyclyl group comprising 0-3 additional heteroatoms selected from N, O, S, S(O) or S(O)2 and substituted with 0-3 J groups;
J is halogen, OR', OC(O)N(R')2, NO2, CN, CF3, OCF3, R', N(R)2, SR', SOR, SO2R, SO2N(R')2, SO3R, C(O)R, C(O)C(O)R', C(O)CH2C(O)R', C(S)R', C(O)OR, OC(O)R', C(0)N(R')2, 0C(0)N(R')2, C(S)N(R')2, (CH2)0- 2N(R)C(0)R', N(R')N(R')C(0)R', N(R')N(R)C(0)0R', N(R')N(R')C0N(R')2, N(R)SO2R', N(R)SO2N(R')2, N(R')C(0)0R, N(R)C(O)R', N(R')C(S)R', N(R')C(0)N(R')2, N(R')C(S)N(R')2, N(COR)COR, N(0R')R, C(=NR')N(R)2, C(0)N(0R')R', C(=N0R')R', OP(O)(OR)2, P(O)(R)2, P(O)(OR')2, or P(O)(H)(OR'); or two J groups together can be O, S, C(O), S(O), methylenedioxy, or ethylenedioxy; wherein each R' is independently selected from hydrogen, (Ci- Ci2)aliphatic, (C3-Cio)cycloalkyl or cycloalkenyl, [(C3-C i0)cycloalkyl or (C3- Cio)cycloalkenyl](Ci-Ci2)aliphatic, (C6-Ci0)aryl, (C6-Ci0)aryl(C1-Ci2)aliphatic, (C3-Cio)heterocyclyl, (C3-Ci0)heterocyclyl(Ci-Ci2)aliphatic, (C5-Cio)heteroaryl, or (C5-Ci0)heteroaryl(Ci-Ci2)aliphatic; wherein R' can be unsubstituted or substituted with 1-3 substituents selected independently from J; or, wherein two R' groups together with a nitrogen atom to which they are bound form together with the nitrogen atom a 3- to 20-membered monocyclic or an 8- to 20-membered bi- or tricyclic heterocyclic ring system comprising 0-4 additional heteroatoms; wherein in the bi- and tricyclic ring system each ring is linearly fused, bridged, or spirocyclic; wherein each mono-, bi-, or tricyclic ring is either aromatic or nonaromatic; wherein each additional heteroatom in the heterocyclic ring system is selected from the group consisting of N, O, S, S(O) and S(O)2; wherein each ring can be fused to a (C6-Cio)aryl, (C5-Cio)heteroaryl, (C3-Cio)cycloalkyl or (C3-C !o)heterocyclyl; and wherein each ring is
unsubstituted or is substituted with 1-3 substituents selected independently from
J;
W is C(R10)2, O, S, NH, or NR';
V is a bond, C( RI0)2, C(O), S(O), or S(O)2; provided that when W is C(R10)2, V is not also C(R10)2;
R1 is independently at each occurrence H, or alkyl, cycloalkyl, cycloalkylalkyl, aryl, aralkyl, heterocyclyl, heterocyclylalkyl, heteroaryl or heteroarylalkyl, wherein any carbon atom can be substituted with J; or two R1 groups together with a carbon atom to which they are bound form a 3-8 membered cycloalkyl, which can be unsubstituted or substituted with 1-3 J, wherein the 3-8 membered cycloalkyl can contain 1-3 heteroatoms selected from the group consisting of O, NH, NR1, S, S(O), or S(O)2, wherein the 3-8 membered cycloalkyl can be fused with a cycloalkyl, cycloalkenyl, aryl, heterocyclyl, or heteroaryl ring; or any combination thereof; K is a bond, O, S, C(O), S(O), S(O)2, S(O)(NR10), or N(R10);
T is R11 , alkyl-R11, alkenyl-R11, alkynyl-R11, OR11, N(R11 )2, C(O) R11, or C(=NOalkyl) Rn ; and
R1 ' is independently H, or alkyl, aryl, aralkyl, alkoxy, cycloalkyl, cycloalkylidenyl, heterocyclyl, heterocyclylalkyl, heterocyclylalkylidenyl, or heteroaryl, wherein any R1 ! except hydrogen is substituted with 0-3 J groups, or a first R1 ' and a second R1 ' together with a nitrogen atom to which they are bound form together with the nitrogen atom a mono- or bicyclic heterocyclyl ring system substituted with 0-3 J groups.
The compound of claim 1 , wherein Z is
R12, R13, R14, R15, R18, and R19 are independently H, F, or a substituted or unsubstituted alkyl, cycloalkyl, cycloalkenyl, cycloalkylalkyl, cycloalkenylalkyl,
cycloalkylalkenyl, aryl, aralkyl, aralkenyl, heterocyclyl, heterocyclylalkyl, heterocyclylalkenyl, heteroaryl, heteroarylalkyl, or heteroarylalkenyl group; or R12 and R13 or R14 and R15 or R18 and R19, together with a carbon atom to which they are attached form a C3-C8 cycloalkyl group; and
R1 and R17 are independently H or a substituted or unsubstituted alkyl, cycloalkyl, cycloalkenyl, cycloalkylalkyl, cycloalkenylalkyl, cycloalkylalkenyl, aryl, aralkyl, aralkenyl, heterocyclyl, heterocyclylalkyl, heterocyclylalkenyl, heteroaryl, heteroarylalkyl, or heteroarylalkenyl group; or R1 and R17 together with carbon atoms to which they are attached form a fused substituted or unsubstituted aryl or heteroaryl group.
3. The compound of claim 1 wherein Z is
R12, R13, R14 and R15 are independently H, F, or a substituted or unsubstituted alkyl, cycloalkyl, cycloalkenyl, cycloalkylalkyl, cycloalkenylalkyl, cycloalkylalkenyl, aryl, aralkyl, aralkenyl, heterocyclyl, heterocyclylalkyl, heterocyclylalkenyl, heteroaryl, heteroarylalkyl, or heteroarylalkenyl group; or R12 and R13 together with a carbon atom to which they are attached or R14 and R 5 together with a carbon atom to which they are attached form together with the carbon atom a C3-C8 cycloalkyl group which can be unsubstituted or substituted with 1-3 J groups;
R20, R21, R22, and R23 are independently H, F, Cl, Br, I, NO2, CN, CF3,
,24
(CH2XOR7
OCF3, NR23R20, (CH2)rNRZ3RZ0, SR/4, (CH2)rSRZ4, C(O)RZ\ C(O)OR" NR ,2Z7/,C(O)R ,24 , C(0)NR ,2Z 5 3 rR,26 , NR 2z7/,C(0)NR >2z 5 :) τRi2z6t>, 0C(0)NR >2Z53rR,2Z60, NR27C(O)OR24, NR27SO2R24,
SO2NR25R2 , or a substituted or unsubstituted alkyl, cycloalkyl, cycloalkenyl, cycloalkylalkyl, cycloalkenylalkyl, cycloalkylalkenyl, aryl, aralkyl, aralkenyl, heterocyclyl, heterocyclylalkyl, heterocyclylalkenyl, heteroaryl, heteroarylalkyl, or heteroarylalkenyl group; wherein r is 1-6; and each R24, R25, R26, and R27 is independently H, or a substituted or unsubstituted alkyl, cycloalkyl, cycloalkenyl, cycloalkylalkyl, cycloalkenylalkyl, cycloalkylalkenyl, aryl, aralkyl, arylalkenyl, heterocyclyl, heterocyclylalkyl, heterocyclylalkenyl, heteroaryl, heteroarylalkyl, or heteroarylalkenyl group; or R 5 and R together with a nitrogen atom to which they are attached form a 3-7 membered heterocyclic ring.
5. The compound of claim 4, wherein Rc is unsubstituted or substituted cyclopropyl or aryl.
6. The compound of claim 4 wherein Rc is cyclopropyl.
7. The compound of any one of claims 1-6 wherein R is alkenyl.
8. The compound of one of claims 1-6 wherein R is C2H3.
9. The compound of any one of claims 1-8 wherein n = 1.
10. The compound of any one of claims 1 -9 wherein X is O.
11. The compound of any one of claims 1-10 wherein Y is C(O).
12. The compound of any one of claims 3-11 wherein Z is
13. The compound of any one of claims 1-12 wherein W is NH, NR', or C(R!0)2.
14. The compound of any one of claims 1-13 wherein V is C(O).
15. The compound of any one of claims 1-14 wherein K is NR 10 , or O.
16. The compound of any one of claims 1-15 wherein T is R 11 or alkyl-R . π
17. The compound of any one of claims 1-16 wherein T is t-butyl, neopentyl, or cyclopentyl.
18. The compound of any one of claims 1-17 wherein R is cycloalkyl.
19. The compound of any one of claims 1-17 wherein R2 is cyclohexyl and R2a is H.
26. A pharmaceutical composition comprising a compound of any one of claims 1-25 and a suitable excipient.
27. A pharmaceutical combination comprising a compound of any one of claims 1-25 in a therapeutically effective dose and a second medicament in a therapeutically effective dose.
28. The pharmaceutical combination of claim 27 further comprising a third medicament in a therapeutically effective dose.
29. A pharmaceutical composition comprising the pharmaceutical combination of claim 27 or claim 28 and a suitable excipient.
30. A method of treatment of a malcondition in a patient in need thereof, wherein inhibition of a hepatitis C viral protease is medically indicated, comprising administering to the patient a compound of any one of claims 1-25 in a therapeutically effective amount.
31. A method of treatment of a malcondition in a patient, the malcondition comprising a hepatitis C viral infection, comprising administering to the patient a compound of any one of claims 1-25 in a therapeutically effective amount.
32. A method of treatment of a malcondition in a patient in need thereof, wherein inhibition of a hepatitis C viral protease is medically indicated, comprising administering to the patient a combination of claim 27 or claim 28 comprising respective therapeutically effective amounts of the compound of any one of claims 1-25, the second medicament, and optionally, the third medicament.
33. A method of treatment of a malcondition in a patient, the malcondition comprising a hepatitis C viral infection, comprising administering to the patient a combination of claim 27 or claim 28 comprising respective therapeutically effective amounts of the compound of any one of claims 1-25, the second medicament, and optionally, the third medicament.
34. A method of synthesis of a compound of formula (I) of claim 1 :
(D comprising contacting a compound of formula (II):
(H) and a compound of formula (III):
35. A method of synthesis of a compound of formula (IA):
(II) and a compound of formula (III A):
(UIA) wherein E is (CrC6)alkyl, under conditions effective to bring about formation of the compound of formula (IB):
36. The method of claim 34 or 35 wherein the conditions effective to bring about formation of the compound of formula (I) or (IA) respectively comprise a carbodiimide, an N-hydroxy compound, or both.
37. The method of claim 36 wherein the carbodiimide is EDC and the N- hydroxy compound is HOBT.
38. The method of claim 35 wherein cleaving E from the compound of formula (IB) is carried out using lithium hydroxide.
39. The method of claim 35 further comprising preparing a compound of formula (IA):
wherein a wavy line signifies a point of attachment, the method comprising contacting a compound of formula (IA), wherein Q is CO2H, with HN(RC)2, HN(RC)SO2RC, or HN(RC)SO2N(RC)2 respectively under conditions effective to provide the compound of formula (IA) wherein Q comprises:
40. The method of claim 39 wherein the conditions comprise HATU, DMAP, or both.
41. The method of claim 39 wherein HN(RC)SO2RC is cyclopropylsulfonamide or benzenesulfonamide.
Applications Claiming Priority (4)
| Application Number | Priority Date | Filing Date | Title |
|---|---|---|---|
| US85943306P | 2006-11-16 | 2006-11-16 | |
| US60/859,433 | 2006-11-16 | ||
| US88459207P | 2007-01-11 | 2007-01-11 | |
| US60/884,592 | 2007-01-11 |
Publications (2)
| Publication Number | Publication Date |
|---|---|
| WO2008070358A2 true WO2008070358A2 (en) | 2008-06-12 |
| WO2008070358A3 WO2008070358A3 (en) | 2008-11-06 |
Family
ID=39492946
Family Applications (1)
| Application Number | Title | Priority Date | Filing Date |
|---|---|---|---|
| PCT/US2007/083034 Ceased WO2008070358A2 (en) | 2006-11-16 | 2007-10-30 | N-cyclopropyl-hydroxyproline-based tripeptidic hepatitis c serine protease inhibitors containing an isoindole, pyrrolopyridine, pyrrolopyrimidine or pyrrolopyrazine heterocycle in the side chain |
Country Status (1)
| Country | Link |
|---|---|
| WO (1) | WO2008070358A2 (en) |
Cited By (17)
| Publication number | Priority date | Publication date | Assignee | Title |
|---|---|---|---|---|
| WO2010033443A1 (en) * | 2008-09-17 | 2010-03-25 | Boehringer Ingelheim International Gmbh | Combination of hcv ns3 protease inhibitor with interferon and ribavirin |
| WO2011053617A1 (en) * | 2009-10-30 | 2011-05-05 | Boehringer Ingelheim International Gmbh | Dosage regimens for hcv combination therapy comprising bi201335, interferon alpha and ribavirin |
| WO2012176715A1 (en) * | 2011-06-21 | 2012-12-27 | 三菱瓦斯化学株式会社 | 1-amino-2-vinyl cyclopropane carboxylic acid amide, salt of same, and method for producing same |
| CN103408559A (en) * | 2013-08-08 | 2013-11-27 | 南京大学 | Camptothecin and rapid synthesis method of derivative of camptothecin |
| US8691757B2 (en) | 2011-06-15 | 2014-04-08 | Bristol-Myers Squibb Company | Hepatitis C virus inhibitors |
| US8877929B2 (en) | 2008-09-04 | 2014-11-04 | Bristol-Myers Squibb Company | Process for synthesizing substituted isoquinolines |
| US8889871B2 (en) | 2002-05-20 | 2014-11-18 | Bristol-Myers Squibb Company | Hepatitis C virus inhibitors |
| US8957203B2 (en) | 2011-05-05 | 2015-02-17 | Bristol-Myers Squibb Company | Hepatitis C virus inhibitors |
| US8993595B2 (en) | 2009-04-08 | 2015-03-31 | Idenix Pharmaceuticals, Inc. | Macrocyclic serine protease inhibitors |
| US9284307B2 (en) | 2009-08-05 | 2016-03-15 | Idenix Pharmaceuticals Llc | Macrocyclic serine protease inhibitors |
| US9334279B2 (en) | 2012-11-02 | 2016-05-10 | Bristol-Myers Squibb Company | Hepatitis C virus inhibitors |
| US9353100B2 (en) | 2011-02-10 | 2016-05-31 | Idenix Pharmaceuticals Llc | Macrocyclic serine protease inhibitors, pharmaceutical compositions thereof, and their use for treating HCV infections |
| US9409943B2 (en) | 2012-11-05 | 2016-08-09 | Bristol-Myers Squibb Company | Hepatitis C virus inhibitors |
| US9499550B2 (en) | 2012-10-19 | 2016-11-22 | Bristol-Myers Squibb Company | Hepatitis C virus inhibitors |
| US9580463B2 (en) | 2013-03-07 | 2017-02-28 | Bristol-Myers Squibb Company | Hepatitis C virus inhibitors |
| US9598433B2 (en) | 2012-11-02 | 2017-03-21 | Bristol-Myers Squibb Company | Hepatitis C virus inhibitors |
| US9643999B2 (en) | 2012-11-02 | 2017-05-09 | Bristol-Myers Squibb Company | Hepatitis C virus inhibitors |
Family Cites Families (16)
| Publication number | Priority date | Publication date | Assignee | Title |
|---|---|---|---|---|
| CA2429359A1 (en) * | 2000-11-20 | 2002-08-08 | Bristol-Myers Squibb Company | Hepatitis c tripeptide inhibitors |
| CA2369970A1 (en) * | 2002-02-01 | 2003-08-01 | Boehringer Ingelheim (Canada) Ltd. | Hepatitis c inhibitor tri-peptides |
| MY140680A (en) * | 2002-05-20 | 2010-01-15 | Bristol Myers Squibb Co | Hepatitis c virus inhibitors |
| CA2516016C (en) * | 2003-03-05 | 2012-05-29 | Boehringer Ingelheim International Gmbh | Hepatitis c inhibiting compounds |
| ES2297424T3 (en) * | 2003-05-21 | 2008-05-01 | Boehringer Ingelheim International Gmbh | INHIBITING COMPOUNDS OF HEPATITIS C. |
| US7135462B2 (en) * | 2003-11-20 | 2006-11-14 | Bristol-Myers Squibb Company | Hepatitis C virus inhibitors |
| AP2461A (en) * | 2004-07-16 | 2012-09-14 | Gilead Sciences Inc | Antiviral compounds |
| US7323447B2 (en) * | 2005-02-08 | 2008-01-29 | Bristol-Myers Squibb Company | Hepatitis C virus inhibitors |
| US7592336B2 (en) * | 2005-05-10 | 2009-09-22 | Bristol-Myers Squibb Company | Hepatitis C virus inhibitors |
| US7601686B2 (en) * | 2005-07-11 | 2009-10-13 | Bristol-Myers Squibb Company | Hepatitis C virus inhibitors |
| GEP20105124B (en) * | 2005-07-25 | 2010-11-25 | Array Biopharma Inc | Novel macrocyclic inhibitors of hepatitis c virus replication |
| JO2768B1 (en) * | 2005-07-29 | 2014-03-15 | تيبوتيك فارماسيوتيكالز ليمتد | Macrocylic Inhibitors Hepatitis C Virus |
| CL2007001630A1 (en) * | 2006-06-06 | 2008-02-08 | Enanta Pharm Inc | COMPOUNDS DERIVED FROM PIRROLIDINAMIDE; PHARMACEUTICAL COMPOSITION; AND USE FOR THE TREATMENT OF HEPATITIS C. |
| KR20090024834A (en) * | 2006-07-05 | 2009-03-09 | 인터뮨, 인크. | New Inhibitors of Hepatitis C Virus Replication |
| US7935670B2 (en) * | 2006-07-11 | 2011-05-03 | Bristol-Myers Squibb Company | Hepatitis C virus inhibitors |
| US7605126B2 (en) * | 2006-08-11 | 2009-10-20 | Enanta Pharmaceuticals, Inc. | Acylaminoheteroaryl hepatitis C virus protease inhibitors |
-
2007
- 2007-10-30 WO PCT/US2007/083034 patent/WO2008070358A2/en not_active Ceased
Cited By (26)
| Publication number | Priority date | Publication date | Assignee | Title |
|---|---|---|---|---|
| US9636375B2 (en) | 2002-05-20 | 2017-05-02 | Bristol-Myers Squibb Company | Hepatitis C virus inhibitors |
| US9227940B2 (en) | 2002-05-20 | 2016-01-05 | Bristol-Myers Squibb Company | Hepatitis C virus inhibitors |
| US8889871B2 (en) | 2002-05-20 | 2014-11-18 | Bristol-Myers Squibb Company | Hepatitis C virus inhibitors |
| US8877929B2 (en) | 2008-09-04 | 2014-11-04 | Bristol-Myers Squibb Company | Process for synthesizing substituted isoquinolines |
| US8399484B2 (en) | 2008-09-17 | 2013-03-19 | Boehringer Ingelheim International Gmbh | Combination therapy for treating HCV infection |
| WO2010033443A1 (en) * | 2008-09-17 | 2010-03-25 | Boehringer Ingelheim International Gmbh | Combination of hcv ns3 protease inhibitor with interferon and ribavirin |
| EA019965B1 (en) * | 2008-09-17 | 2014-07-30 | Бёрингер Ингельхайм Интернациональ Гмбх | Combination of hcv ns3 protease inhibitor with interferon and ribavirin |
| AU2009293493B2 (en) * | 2008-09-17 | 2014-09-18 | Boehringer Ingelheim International Gmbh | Combination of HCV NS3 protease inhibitor with interferon and ribavirin |
| US8993595B2 (en) | 2009-04-08 | 2015-03-31 | Idenix Pharmaceuticals, Inc. | Macrocyclic serine protease inhibitors |
| US9284307B2 (en) | 2009-08-05 | 2016-03-15 | Idenix Pharmaceuticals Llc | Macrocyclic serine protease inhibitors |
| US8822496B2 (en) | 2009-10-30 | 2014-09-02 | Boehringer Ingelheim International Gmbh | Dosage regimens for HCV combination therapy |
| AU2010313497B2 (en) * | 2009-10-30 | 2013-08-01 | Boehringer Ingelheim International Gmbh | Dosage regimens for HCV combination therapy comprising BI201335, interferon alpha and ribavirin |
| WO2011053617A1 (en) * | 2009-10-30 | 2011-05-05 | Boehringer Ingelheim International Gmbh | Dosage regimens for hcv combination therapy comprising bi201335, interferon alpha and ribavirin |
| US9353100B2 (en) | 2011-02-10 | 2016-05-31 | Idenix Pharmaceuticals Llc | Macrocyclic serine protease inhibitors, pharmaceutical compositions thereof, and their use for treating HCV infections |
| US8957203B2 (en) | 2011-05-05 | 2015-02-17 | Bristol-Myers Squibb Company | Hepatitis C virus inhibitors |
| US9527885B2 (en) | 2011-05-05 | 2016-12-27 | Bristol-Myers Squibb Company | Hepatitis C virus inhibitors |
| US8691757B2 (en) | 2011-06-15 | 2014-04-08 | Bristol-Myers Squibb Company | Hepatitis C virus inhibitors |
| WO2012176715A1 (en) * | 2011-06-21 | 2012-12-27 | 三菱瓦斯化学株式会社 | 1-amino-2-vinyl cyclopropane carboxylic acid amide, salt of same, and method for producing same |
| US9499550B2 (en) | 2012-10-19 | 2016-11-22 | Bristol-Myers Squibb Company | Hepatitis C virus inhibitors |
| US9334279B2 (en) | 2012-11-02 | 2016-05-10 | Bristol-Myers Squibb Company | Hepatitis C virus inhibitors |
| US9598433B2 (en) | 2012-11-02 | 2017-03-21 | Bristol-Myers Squibb Company | Hepatitis C virus inhibitors |
| US9643999B2 (en) | 2012-11-02 | 2017-05-09 | Bristol-Myers Squibb Company | Hepatitis C virus inhibitors |
| US9409943B2 (en) | 2012-11-05 | 2016-08-09 | Bristol-Myers Squibb Company | Hepatitis C virus inhibitors |
| US9580463B2 (en) | 2013-03-07 | 2017-02-28 | Bristol-Myers Squibb Company | Hepatitis C virus inhibitors |
| CN103408559B (en) * | 2013-08-08 | 2016-06-29 | 南京大学 | A kind of fast synthesis method of camptothecin analogues |
| CN103408559A (en) * | 2013-08-08 | 2013-11-27 | 南京大学 | Camptothecin and rapid synthesis method of derivative of camptothecin |
Also Published As
| Publication number | Publication date |
|---|---|
| WO2008070358A3 (en) | 2008-11-06 |
Similar Documents
| Publication | Publication Date | Title |
|---|---|---|
| WO2008070358A2 (en) | N-cyclopropyl-hydroxyproline-based tripeptidic hepatitis c serine protease inhibitors containing an isoindole, pyrrolopyridine, pyrrolopyrimidine or pyrrolopyrazine heterocycle in the side chain | |
| US20100323953A1 (en) | Macrocyclic hepatitis c protease inhibitors | |
| US20090304631A1 (en) | Hepatitis c serine protease inhibitors and uses therefor | |
| US20100120716A1 (en) | Macrocyclic hepatitis c serine protease inhibitors and uses therefor | |
| US20090325889A1 (en) | Hepatitis c serine protease inhibitors and uses therefor | |
| WO2010033466A1 (en) | Macrocyclic inhibitors of hepatitis c protease | |
| JP5932929B2 (en) | Inhibitor of hepatitis C virus replication | |
| EP2041156B1 (en) | 4-amino-4-oxobutanoyl peptides as inhibitors of viral replication | |
| EP2219453B1 (en) | Quinoxaline-containing compounds as hepatitis c virus inhibitors | |
| CN102985439B9 (en) | IAP BIR domain binding compounds | |
| WO2004092161A1 (en) | Inhibitors of serine proteases, particularly hcv ns3-ns4a protease | |
| JP2011506329A (en) | Quinoxalinyl derivatives | |
| CA2538791A1 (en) | Inhibitors of serine proteases, particularly hcv ns3-ns4a protease | |
| CN101674844A (en) | Tetrazolyl macrocyclic hepatitis C serine protease inhibitors | |
| JP2009529544A (en) | Compounds that bind to the BIR domain of IAP | |
| CN105801467A (en) | Subsituted aliphanes, cyclophanes, heteraphanes, heterophanes, hetero-heterapahanes and meatllocenes useful for treating HCV infections | |
| CA2532664A1 (en) | Inhibitors of serine proteases, particularly hcv ns3-ns4a protease | |
| BRPI0714074A2 (en) | macrocyclic quinoxalinyl hepatitis c virus serine protease inhibitors | |
| CN101970457A (en) | IAP inhibitor | |
| CN101506223A (en) | 4-amino-4-oxobutanoyl peptides as inhibitors of viral replication | |
| WO2009102876A1 (en) | Macrocyclic inhibitors of hepatitis c protease | |
| HK1141233A (en) | Macrocyclic hepatitis c protease inhibitors | |
| KR20140000689A (en) | Salts and polymorphs of sulfamide ns3 inhibitors | |
| HK1132754B (en) | 4-amino-4-oxobutanoyl peptides as inhibitors of viral replication |
Legal Events
| Date | Code | Title | Description |
|---|---|---|---|
| NENP | Non-entry into the national phase |
Ref country code: DE |
|
| 121 | Ep: the epo has been informed by wipo that ep was designated in this application |
Ref document number: 07871294 Country of ref document: EP Kind code of ref document: A2 |
|
| 122 | Ep: pct application non-entry in european phase |
Ref document number: 07871294 Country of ref document: EP Kind code of ref document: A2 |



































































































