WO2008067119A2 - Novel compounds - Google Patents
Novel compounds Download PDFInfo
- Publication number
- WO2008067119A2 WO2008067119A2 PCT/US2007/083568 US2007083568W WO2008067119A2 WO 2008067119 A2 WO2008067119 A2 WO 2008067119A2 US 2007083568 W US2007083568 W US 2007083568W WO 2008067119 A2 WO2008067119 A2 WO 2008067119A2
- Authority
- WO
- WIPO (PCT)
- Prior art keywords
- phenyl
- compound
- pyrrolo
- ethyl
- pyridin
- Prior art date
- Legal status (The legal status is an assumption and is not a legal conclusion. Google has not performed a legal analysis and makes no representation as to the accuracy of the status listed.)
- Ceased
Links
- LFQJFPVQFHMGSL-UHFFFAOYSA-N CC[n](cc1[Br]=C)nc1-c1cccc([N+]([O-])=O)c1 Chemical compound CC[n](cc1[Br]=C)nc1-c1cccc([N+]([O-])=O)c1 LFQJFPVQFHMGSL-UHFFFAOYSA-N 0.000 description 2
- RGMMCHHIKSNFDE-UHFFFAOYSA-N C=[Br]c1c[nH]nc1-c1cccc([NH+]([O-])[OH2+])c1 Chemical compound C=[Br]c1c[nH]nc1-c1cccc([NH+]([O-])[OH2+])c1 RGMMCHHIKSNFDE-UHFFFAOYSA-N 0.000 description 1
- NQRZQBVAIQRYPA-UHFFFAOYSA-N CC[n]1c(-c2nc(-c(cc3)ccc3C(NCCNC(c3ccc(C(c(ccc(N)c4)c4Oc4c5)(c4ccc5N)OC4=O)c4c3)=O)=O)cnc2N)nc2cnccc12 Chemical compound CC[n]1c(-c2nc(-c(cc3)ccc3C(NCCNC(c3ccc(C(c(ccc(N)c4)c4Oc4c5)(c4ccc5N)OC4=O)c4c3)=O)=O)cnc2N)nc2cnccc12 NQRZQBVAIQRYPA-UHFFFAOYSA-N 0.000 description 1
- UGUDQJPPVNSYCP-UHFFFAOYSA-N CN(C)Cc(cc1)ccc1-c([nH]c1ncc2)cc1c2Br Chemical compound CN(C)Cc(cc1)ccc1-c([nH]c1ncc2)cc1c2Br UGUDQJPPVNSYCP-UHFFFAOYSA-N 0.000 description 1
Classifications
-
- C—CHEMISTRY; METALLURGY
- C07—ORGANIC CHEMISTRY
- C07D—HETEROCYCLIC COMPOUNDS
- C07D471/00—Heterocyclic compounds containing nitrogen atoms as the only ring hetero atoms in the condensed system, at least one ring being a six-membered ring with one nitrogen atom, not provided for by groups C07D451/00 - C07D463/00
- C07D471/02—Heterocyclic compounds containing nitrogen atoms as the only ring hetero atoms in the condensed system, at least one ring being a six-membered ring with one nitrogen atom, not provided for by groups C07D451/00 - C07D463/00 in which the condensed system contains two hetero rings
- C07D471/04—Ortho-condensed systems
-
- C—CHEMISTRY; METALLURGY
- C07—ORGANIC CHEMISTRY
- C07D—HETEROCYCLIC COMPOUNDS
- C07D519/00—Heterocyclic compounds containing more than one system of two or more relevant hetero rings condensed among themselves or condensed with a common carbocyclic ring system not provided for in groups C07D453/00 or C07D455/00
Definitions
- the present invention relates to azaindole derivatives, compositions and medicaments containing the same, as well as processes for the preparation and use of such compounds, compositions and medicaments.
- Such azaindole derivatives are potentially useful in the treatment of diseases associated with inappropriate c-Met activity and/or B-Raf kinase activity.
- Protein kinases represent a large family of enzymes that catalyse the phosphorylation of proteins, and play a central role in the regulation of a wide variety of cellular processes. Abnormal protein kinase activity has been related to a wide range of disorders.
- kinases and their ligands play critical roles in various cellular activities.
- deregulation of kinase enzymatic activity can lead to altered cellular properties such as uncontrolled cell growth that is associated with cancers.
- a number of pathological diseases have been linked to altered kinase signalling, including immunological disorders and degenerative, inflammatory and cardiovascular diseases. Therefore the kinase enzyme family has become an important and interesting therapeutic target.
- HGFR hepatocyte growth factor receptor
- c-Met receptor tyrosine kinase
- RTK receptor tyrosine kinase
- c-Met is expressed in numerous tissues such as epithelial, endothelial and mesenchymal cells, although primarily cells of epithelial origin [Maulik et al., Cytokine and Growth Factor Rev., 13:41-59, (2002)].
- Activation of the c-Met enzyme induces proliferation, motility, invasion and angiogenesis. It has also been shown to be important in morphogenic differentiation and organisation of three-dimensional tubular structures, for example gland formation and renal tubular cells [Ma et al., Cancer and Metastasis Rev., 22:309-325, (2003)].
- HGF hepatocyte growth factor
- HGF scatter factor
- HGF and c-Met are expressed at abnormally high levels in a number of human cancers (particularly sarcomas).
- new blood vessels must be recruited into the tumour from pre-existing vessels in conjunction with invasion, adhesion and proliferation of malignant cells.
- c-Met gene amplification, mutation and rearrangement have also been observed in a subset of human cancers.
- Activating mutations in the kinase domain of the c-Met gene have been implicated as the cause of hereditary papillary renal carcinoma and have been observed in sporatic papillary renal carcinoma, ovarian cancer, childhood hepatocellular carcinoma, gastric cancer, lung cancer and squamous cell carcinoma [Langati et al., Curr.
- angiogenesis has been shown to be linked to the suppression or reversion of tumour progression [Boehm et ai, Nature, 390:404-407, (1997)], especially if multiple inhibitors are employed compared to just one.
- Angiogenesis can be stimulated by HGF as well as vascular endothelial growth factor (VEGF) and basic fibroblast growth factor (bFGF).
- VEGF vascular endothelial growth factor
- bFGF basic fibroblast growth factor
- Angiogenesis is the development of new blood vessels, generally capilliaries from pre-existing vasculature.
- Arteriogenesis is the process of remodelling small vessels into larger conduit vessels. These processes of vascular growth are required during beneficial processes such as tissue repair, wound healing and at certain stages of the female reproductive cycle.
- Inappropriate angiogenesis has been associated with several disease states including retionopathies, ischemic disease, neoplasias, rheumatoid arthritis, psoriasis, artherosolerosis, certain forms of chronic inflammatory disorders and certain forms of mascular degeneration [Middleton et ai, Arthritis Res. Ther., 6(2):60-72, (2004)].
- the inhibition of angiogenesis may result in blocking the development of pathological pannus tissue in rheumatoid arthritis.
- Stimulation of vascular growth has potential utility for treatment of ischemia-induced pathologies such as myocardial infarction, coronary artery disease, stroke and peripheral vascular disease [Ono et ai., Circulation, 95:2552-2558, (1997)].
- the sprouting of new vessels and/or the expansion of smaller vessels in ischemic tissues prevents the death of ischemic tissue and encourages tissue repair.
- Certain diseases are well-known to be associated with deregulated angiogenesis such as retinopathies (including diabetic retinopathy) ocular neovascularisation, psoriasis, hemangioma, hermangioblastoma, age-related macular degeneration, arteriosclerosis, inflammatory disease for example rheumatoid or rheumatic inflammatory disease especially arthritis (including rheumatoid arthritis) or other chronic inflammatory disorders such as chronic asthma, arterial or post- transplantational atherosclerosis, endometriosis and neoplastic diseases such as so- called solid tumours and liquid tumours (e.g. leukemias).
- HGF non-oncological diseases and disorders that have been linked to elevated levels of c-Met and HGF include hypertension, rheumatoid arthritis and myocardial infarction. Increased levels of HGF have been observed in patients with hepatic failure [Gohda et al., Exp. Cell Res., 166:139-150 (1986)] and it has been shown to be a mitogen for certain cell types such as melanocytes, keratinocytes, renal tubular cells, cells of epithelial origin and certain endothelial cells [Igawa et al., Biochem. Biophys. Res. Comm., 174(2):831-838 (1991 )].
- the c-Met oncogene has postulated to play a role in microglial reactions to CNS injuries [Oncogene, 8:219-222, (1993)].
- Plasmodium the causative agent of malaria causes an increase in HGF secretion. Inhibition of the c-Met kinase has also been shown to induce a specific increase in apoptosis of infected cells and thus a significant decrease in infection [Leirinao et. al., Cell. Microbiol., 7(4):603-609, (2005)] Infection with Helicobacter pylori is assumed to lead to invasive gastric cancer, and has also been shown to activate c-Met [Churin et al., J. Cell Bio., 161 (2):249-255, (2003)].
- c-Met inhibitors may be useful in treating diseases such as cancer and other diseases related to abnormal cell growth and c-Met activation.
- Raf protein kinases are key components of signal transduction pathways by which specific extracellular stimuli elicit precise cellular responses in mammalian cells.
- Activated cell surface receptors activate ras/rap proteins at the inner aspect of the plasmamembrane which in turn recruit and activate Raf proteins.
- Activated Raf proteins phosphorylate and activate the intracellular protein kinases MEK1 and MEK2.
- activated MEKs catalyse phosphorylation and activation of p42/p44 mitogen-activated protein kinase (MAPK).
- MAPK mitogen-activated protein kinase
- a variety of cytoplasmic and nuclear substrates of activated MAPK are known which directly or indirectly contribute to the cellular response to environmental change.
- Raf-1 Raf-1 kinases
- Inhibitors of Raf kinases have been suggested for use in disruption of tumor cell growth and hence in the treatment of cancers, e.g.
- histiocytic lymphoma histiocytic lymphoma, lung adenocarcinoma, small cell lung cancer and pancreatic and breast carcinoma; and also in the treatment and/or prophylaxis of disorders associated with neuronal degeneration resulting from ischemic events, including cerebral ischemia after cardiac arrest, stroke and multi-infarct dementia and also after cerebral ischemic events such as those resulting from head injury, surgery and/or during childbirth.
- the present invention relates to azaindoles derivatives or salts or solvates thereof that are histamine c-Met kinase inhibitors, and/or B-Raf kinase inhibitors.
- Such compounds or salts or solvates thereof may be useful in the treatment of disorders in cancer, certain viral diseases, cardiovascular disorders, rheumatoid arthritis, malaria and other disorders described herein that are associated with inappropriate B-Raf and/or c-Met kinase activity.
- R 2 represents H or a group -XY
- X is a bond (ie is absent) or -CO-, -CONH-, -COCH 2 -;
- Y is a 5 membered heteroaryl group or a phenyl (wherein the phenyl is optionally substituted by one or two substituents independently selected from
- R 3 represents -C 1-3 alkyl
- R 4 represents -Ci -3 alkylene-NR 5 R 6
- R 5 and R 6 independently represent H or Ci -3 alkyl
- a compound of formula (I), or a pharmaceutically acceptable salt or solvate thereof for use in therapy, and particularly in the treatment of disorders mediated by inappropriate B-Raf and/or c- Met activity, such as cancer, certain viral diseases and cardiovascular disorders.
- a pharmaceutical composition comprising a compound of formula (I) or a pharmaceutically acceptable salt or solvate thereof and one or more pharmaceutically acceptable carriers, diluents and excipients.
- a combination comprising a compound of formula (I) or a pharmaceutically acceptable salt or solvate thereof and one or more therapeutic agents, such as one or more anti-cancer agents, e.g. one or more antineoplastic agents.
- a combination comprising a compound of formula (I) and one or more therapeutic agents such as one or more anticancer agents for use in therapy, in particular the treatment of disorders mediated by inappropriate c-Met and/or B-Raf kinase activity such as cancer, certain viral diseases and cardiovascular disorders.
- a compound of formula (I), or a pharmaceutically acceptable salt or solvate thereof in the preparation of a medicament for use in the treatment of a disorder mediated by inappropriate B-Raf and/or c-Met activity kinase activity such as cancer, certain viral diseases and cardiovascular disorders.
- a compound of formula (I) or a pharmaceutically acceptable salt or solvate thereof in the preparation of a medicament for the treatment of cancer.
- a method of treating a disorder mediated by inappropriate B-Raf and/or c-Met kinase activity including administering a compound of formula (I), or a pharmaceutically acceptable salt or solvate thereof
- a method of treating cancer including administering a compound of formula (I), or a pharmaceutically acceptable salt or solvate thereof.
- a method of treating cancer including administering (i) a compound of formula (I), or a pharmaceutically acceptable salt or solvate thereof and (ii) at least one additional anti-cancer therapy.
- the term "effective amount” means that amount of a drug or pharmaceutical agent that will elicit the biological or medical response of a tissue, system, animal or human that is being sought, for instance, by a researcher or clinician.
- therapeutically effective amount means any amount which, as compared to a corresponding subject who has not received such amount, results in improved treatment, healing, prevention, or amelioration of a disease, disorder, or side effect, or a decrease in the rate of advancement of a disease or disorder.
- the term also includes within its scope amounts effective to enhance normal physiological function.
- the inappropriate c-Met or B-Raf activity referred to herein is any activity that deviates from the normal activity expected.
- Inappropriate b Raf or c-Met activity may take the form of, for instance, an abnormal increase in activity, or an aberration in the timing and or control of activity. Such inappropriate activity may result then, for example, from overexpression or mutation of the protein kinase or ligand leading to inappropriate or uncontrolled activation of the receptor. Furthermore, it is also understood that unwanted activity may reside in an abnormal source, such as a malignancy. That is, the level of activity does not have to be abnormal to be considered inappropriate, rather the activity derives from an abnormal source.
- the inappropriate angiogenesis referred to herein is any angiogenic activity that deviates from the normal angiogenic activity expected in a particular mammalian subject.
- Inappropriate angiogenesis may take the form of, for instance, an abnormal increase in activity, or an aberration in the timing and or control of angiogenic activity.
- Such inappropriate activity may result then, for example, from overexpression or mutation of a protein kinase or ligand leading to inappropriate or uncontrolled activation of angiogenesis.
- unwanted angiogenic activity may reside in an abnormal source, such as a malignancy. That is, the level of angiogenic activity does not have to be abnormal to be considered inappropriate, rather the activity derives from an abnormal source.
- alkyl refers to a straight- or branched-chain hydrocarbon radical having the specified number of carbon atoms.
- the terms "Ci- C 3 alkyl” refer to an alkyl group, as defined above, containing at least 1 , and at most 3 carbon atoms respectively. Examples of “alkyl” as used herein include methyl, ethyl, n-propyl, isopropyl.
- alkylene refers to a straight or branched chain divalent hydrocarbon radical having the specified number of carbon atoms.
- Ci_C3 alkylene refer to an alkylene group, as defined above, which contains at least 1 and at most 3 carbon atoms respectively. Examples of “alkylene” as used herein include, but are not limited to methylene, ethylene, n-propylene.
- halogen refers to fluorine (F), chlorine (Cl), bromine (Br), or iodine (I) and the term “halo” refers to the halogen radicals: fluoro (-F), chloro (-Cl), bromo(-Br), and iodo(-l).
- haloalkyl refers to an alkyl group as defined above, substituted with at least one halo group, halo being as defined herein.
- branched or straight chained haloalkyl groups useful in the present invention include, but are not limited to, methyl, ethyl, propyl, isopropyl and n-butyl substituted independently with one or more halos, e.g., fluoro, chloro, bromo and iodo.
- alkoxy refers to the group R a O-, where R a is alkyl as defined above and the terms "Ci_C3 alkoxy” refer to an alkoxy group as defined herein wherein the alkyl moiety contains at least 1 , and at most 3, carbon atoms.
- Exemplary "Ci-C 3 alkoxy” groups useful in the present invention include, but are not limited to, methoxy, ethoxy, n-propoxy, isopropoxy, n-butoxy, and t-butoxy.
- 5 membered heteroaryl is intended to mean a 5 membered monocyclic aromatic ring containing 1 to 3 heteroatoms selected from oxygen, nitrogen and sulphur.
- monocyclic aromatic rings include thienyl, furyl, pyrrolyl, triazolyl, tetrazolyl, imidazolyl, oxazolyl, thiazolyl, oxadiazolyl, and isothiazolyl, isoxazolyl, thiadiazolyl, pyrazolyl.
- the term "optionally” means that the subsequently described event(s) may or may not occur, and includes both event(s), which occur, and events that do not occur.
- c-Met inhibitor is used to mean a compound which inhibits c-Met kinase.
- B-Raf inhibitor is used to mean a compound which inhibits B-Raf kinase.
- c-Met mediated disorder is used to mean any disease state mediated or modulated by c-Met kinase mechanisms, in particular cancer, certain viral diseases and cardiovascular disorders.
- B-Raf mediated disorder is used to mean any disease state mediated or modulated by B-Raf kinase mechanisms, in particular a neurotraumatic condition or a susceptibale neoplasm.
- Neurotraumatic conditions include both open or penetrating head trauma, such as caused by surgery, or a closed head trauma injury, such as caused by an injury to the head region. Also included within this definition is ischemic stroke, particularly to the brain area, transient ischemic attacks following coronary by-pass and cognitive decline following other transient ischemic conditions.
- Ischemic stroke may be defined as a focal neurologic disorder that results from insufficient blood supply to a particular brain area, usually as a consequence of an embolus, thrombi, or local atheromatous closure of the blood vessel.
- Roles for stress stimuli such as anoxia
- redox injury a focal neurologic disorder that results from insufficient blood supply to a particular brain area, usually as a consequence of an embolus, thrombi, or local atheromatous closure of the blood vessel.
- redox injury redox injury
- excessive neuronal excitatory stimulation and inflammatory cytokines in this area have been emerging and the present invention provides a means for the potential treatment of these injuries. Relatively little treatment for acute injuries such as these has been available.
- the term "pharmaceutically acceptable” refers to those compounds, materials, compositions, and dosage forms which are, within the scope of sound medical judgment, suitable for use in contact with the tissues of human beings and animals without excessive toxicity, irritation, or other problem or complication, commensurate with a reasonable benefit/risk ratio.
- the present invention covers the compounds of formula (I) as the free base and as salts and solvates thereof, for example a pharmaceutically acceptable salt or solvate.
- a compound of the invention means a compound of formula (I) or a salt, or solvate thereof.
- R 1 is H.
- R 2 is H or -CO-phenyl (wherein the phenyl group is substituted one or two times with substituents independently selected from -F, -OCH 3 , -CF 3 -CN) -CONH-phenyl (wherein the phenyl is optionally substituted by one or two substituents independently selected from -CF 3 , -Cl, -CN, -OCH 3 ) or -COCH 2 -furyl
- R 2 is H,
- R 3 is -CH 2 CH 3 .
- R 4 is -CH 2 N(CH 3 ) 2 .
- compounds of the present invention include [(4- ⁇ 4-[3-(3-Aminophenyl)-1 -ethyl-1 H-pyrazol-4-yl]-1 /-/-pyrrolo[2,3-6]pyridin-2- yl ⁇ phenyl)methyl]dimethylamine;
- the compound of the present invention may be in the form of a salt.
- the salt is a pharmaceutically acceptable salt.
- Pharmaceutically acceptable salts include acid and base addition salts.
- suitable salts see Berge et al., J. Pharm. ScL, 66:1-19, (1977).
- pharmaceutically acceptable salts refers to salts that retain the desired biological activity of the subject compound and exhibit minimal undesired toxicological effects. These pharmaceutically acceptable salts may be prepared in situ during the final isolation and purification of the compound, or by separately reacting the purified compound in its free acid or free base form with a suitable base or acid respectively. Indeed, in certain embodiments of the invention, pharmaceutically acceptable salts may be preferred over the respective free base or free acid because such salts impart greater stability or solubility to the molecule thereby facilitating formulation into a dosage.
- Suitable pharmaceutically acceptable salts can include acid or base additions salts.
- a pharmaceutically acceptable acid addition salt can be formed by reaction of a compound of formula (I) with a suitable inorganic or organic acid (such as hydrobromic, hydrochloric, formic, sulfuric, nitric, phosphoric, succinic, maleic, acetic, fumaric, citric, tartaric, benzoic, p-toluenesulfonic, methanesulfonic or naphthalenesulfonic acid), optionally in a suitable solvent such as an organic solvent, to give the salt.
- a suitable inorganic or organic acid such as hydrobromic, hydrochloric, formic, sulfuric, nitric, phosphoric, succinic, maleic, acetic, fumaric, citric, tartaric, benzoic, p-toluenesulfonic, methanesulfonic or naphthalenesulfonic acid
- a pharmaceutically acceptable acid addition salt of a compound of formula (I) can be for example a hydrobromide, hydrochloride, formate, sulfate, nitrate, phosphate, succinate, maleate, acetate, fumarate, citrate, tartrate, benzoate, p-toluenesulfonate, methanesulfonate or naphthalenesulfonate salt.
- salts include the following salts: benzenesulfonate, bicarbonate, bisulfate, bitartrate, borate, bromide, calcium edetate, camsylate, carbonate, chloride, clavulanate, dihydrochloride, edetate, edisylate, estolate, esylate, gluceptate, gluconate, glutamate, glycollylarsanilate, hexylresorcinate, hydrabamine, hydroxynaphthoate, iodide, isethionate, lactate, lactobionate, laurate, malate, mandelate, mesylate, methylbromide, methylnitrate, methylsulfate, monopotassium maleate, mucate, napsylate, ⁇ /-methylglucamine, oxalate, pamoate (embonate), palmitate, pantothenate, diphosphate, polygalacturonate
- Suitable pharmaceutically acceptable base salts include ammonium salts, alkali metal salts such as those of sodium and potassium, alkaline earth metal salts such as those of calcium and magnesium, and salts with organic bases, including salts of primary, secondary and tertiary amines such as isopropylamine, diethylamine, ethanolamine, trimethylamine, dicyclohexylamine and ⁇ /-methyl-D-glucamine.
- non-pharmaceutically acceptable salts e.g. oxalates or trifluoroacetates
- oxalates or trifluoroacetates may be used, for example in the isolation of the compound of the invention, and are included within the scope of this invention.
- the invention includes within its scope all possible stoichiometric and non-stoichiometric forms of the salts of the compounds of formula (I).
- the compounds of the invention may have the ability to crystallize in more than one form, a characteristic, which is known as polymorphism, and it is understood that such polymorphic forms (“polymorphs”) are within the scope of formula (I).
- Polymorphism generally can occur as a response to changes in temperature or pressure or both and can also result from variations in the crystallization process.
- Polymorphic forms of compounds of formula (I) may be characterized and differentiated using a number of conventional analytical techniques, including, but not limited to, X-ray powder diffraction (XRPD) patterns, infrared (IR) spectra, Raman spectra, differential scanning calorimetry (DSC), thermogravimetric analysis (TGA) and solid state nuclear magnetic resonance (NMR).
- XRPD X-ray powder diffraction
- IR infrared
- Raman spectra Raman spectra
- DSC differential scanning calorimetry
- TGA thermogravimetric analysis
- NMR solid state nuclear magnetic resonance
- Certain compounds of formula (I) may exist in one of several tautomeric forms. It will be understood that the present invention encompasses all tautomers of the compounds of formula (I) whether as individual tautomers or as mixtures thereof.
- the compounds of formula (I) and salts and solvates thereof, are believed to have therapeutic potential as a result of inhibition of the protein kinase c-Met and /or B- Raf.
- the invention thus provides compounds of formula (I) and salts and solvates derivatives thereof for use in therapy, particularly in the treatment of disorders mediated by inappropriate B-Raf and/or C-Met kinase activity.
- the invention also provides compounds of formula (I) for use in the treatment of disorders mediated by inappropriate B-Raf and or/ C-Met kinase activity.
- a method of treating a disorder associated with inappropriate B-Raf and/or c-Met kinase activity comprising administering to said mammal a compound of formula (I) or a salt or solvate thereof.
- Examples of disease states in which compounds of formula (I), or pharmaceutically acceptable salts or solvates thereof may have potentially beneficial antitumour effects include, but are not limited to, cancers of the lung, bone, pancreas, skin, head, neck, uterus, ovaries, stomach, colon, breast, esophagus, small intestine, bowel, endocrine system, thyroid glad, parathyroid gland, adrenal gland, urethra, prostate, penis, testes, ureter, bladder, kidney or liver; rectal cancer; cancer of the anal region; carcinomas of the fallopian tubes, endometrium, cervix, vagina, vulva, renal pelvis, renal cell; sarcoma of soft tissue; myxoma; rhabdomyoma; fibroma; lipoma; teratoma; cholangiocarcinoma; hepatoblastoma; angiosarcoma; hemagioma; hepatoma; fibros
- the compounds of the present invention may also be useful in the treatment of one or more diseases afflicting mammals which are characterized by cellular proliferation in the area of disorders associated with neo-vascularization and/or vascular permeability including blood vessel proliferative disorders including arthritis (rheumatoid arthritis) and restenosis; fibrotic disorders including hepatic cirrhosis and atherosclerosis; mesangial cell proliferative disorders include glomerulonephritis, diabetic nephropathy, malignant nephrosclerosis, thrombotic microangiopathy syndromes, proliferative retinopathies, organ transplant rejection and glomerulopathies; and metabolic disorders include psoriasis, diabetes mellitus, chronic wound healing, inflammation and neurodegenerative diseases.
- diseases afflicting mammals which are characterized by cellular proliferation in the area of disorders associated with neo-vascularization and/or vascular permeability including blood vessel proliferative disorders including arthritis (rheumatoid arthritis)
- the compounds of the invention may be of use in the treatment of viral diseases related to activation of c-Met kinase, including, but not limited to malaria and Helicobacter pylori infection.
- cardiovascular disorders such as myocardial infarction, coronary artery disease, stroke and peripheral vascular disease.
- therapeutically effective amounts of a compound of formula (I), as well as pharmaceutically acceptable salts or solvates thereof may be administered as the raw chemical, it is possible to present the active ingredient as a pharmaceutical composition.
- the compounds of the formula (I) and pharmaceutically acceptable salts or solvates thereof are as described above.
- the carrier(s), diluent(s) or excipient(s) must be acceptable in the sense of being compatible with the other ingredients of the composition and not deleterious to the recipient thereof.
- a process for the preparation of a pharmaceutical composition including admixing a compound of the formula (I), or pharmaceutically acceptable salts or solvates thereof, with one or more pharmaceutically acceptable carriers, diluents or excipients.
- compositions may be presented in unit dose forms containing a predetermined amount of active ingredient per unit dose.
- a unit may contain, for example, 0.5 mg to 1 g, preferably 1 mg to 700 mg, of a compound of the formula
- Preferred unit dosage compositions are those containing a daily dose or sub-dose, as herein above recited, or an appropriate fraction thereof, of an active ingredient.
- Such pharmaceutical compositions may be prepared by any of the methods well known in the pharmacy art.
- compositions may be adapted for administration by any appropriate route, for example by the oral (including buccal or sublingual), rectal, nasal, topical (including buccal, sublingual or transdermal), vaginal or parenteral (including subcutaneous, intramuscular, intravenous or intradermal) route.
- Such compositions may be prepared by any method known in the art of pharmacy, for example by bringing into association the active ingredient with the carrier(s) or excipient(s).
- compositions adapted for oral administration may be presented as discrete units such as capsules or tablets; powders or granules; solutions or suspensions in aqueous or non-aqueous liquids; edible foams or whips; or oil-in- water liquid emulsions or water-in-oil liquid emulsions.
- the active drug component can be combined with an oral, non-toxic pharmaceutically acceptable inert carrier such as ethanol, glycerol, water and the like.
- Powders are prepared by comminuting the compound to a suitable fine size and mixing with a similarly comminuted pharmaceutical carrier such as an edible carbohydrate, as, for example, starch or mannitol. Flavoring, preservative, dispersing and coloring agent can also be present.
- Capsules are made by preparing a powder mixture as described above, and filling formed gelatin sheaths.
- Glidants and lubricants such as colloidal silica, talc, magnesium stearate, calcium stearate or solid polyethylene glycol can be added to the powder mixture before the filling operation.
- a disintegrating or solubilizing agent such as agar-agar, calcium carbonate or sodium carbonate can also be added to improve the availability of the medicament when the capsule is ingested.
- suitable binders include starch, gelatin, natural sugars such as glucose or beta-lactose, corn sweeteners, natural and synthetic gums such as acacia, tragacanth or sodium alginate, carboxymethylcellulose, polyethylene glycol, waxes and the like.
- Lubricants used in these dosage forms include sodium oleate, sodium stearate, magnesium stearate, sodium benzoate, sodium acetate, sodium chloride and the like.
- Disintegrators include, without limitation, starch, methyl cellulose, agar, bentonite, xanthan gum and the like.
- Tablets are formulated, for example, by preparing a powder mixture, granulating or slugging, adding a lubricant and disintegrant and pressing into tablets.
- a powder mixture is prepared by mixing the compound, suitably comminuted, with a diluent or base as described above, and optionally, with a binder such as carboxymethylcellulose, an aliginate, gelatin, or polyvinyl pyrrolidone, a solution retardant such as paraffin, a resorption accelerator such as a quaternary salt and/or an absorption agent such as bentonite, kaolin or dicalcium phosphate.
- a binder such as carboxymethylcellulose, an aliginate, gelatin, or polyvinyl pyrrolidone
- a solution retardant such as paraffin
- a resorption accelerator such as a quaternary salt
- an absorption agent such as bentonite, kaolin or dicalcium phosphate.
- the powder mixture can be granulated by wetting with a binder such as syrup, starch paste, acadia mucilage or solutions of cellulosic or polymeric materials and forcing through a screen.
- a binder such as syrup, starch paste, acadia mucilage or solutions of cellulosic or polymeric materials and forcing through a screen.
- the powder mixture can be run through the tablet machine and the result is imperfectly formed slugs broken into granules.
- the granules can be lubricated to prevent sticking to the tablet forming dies by means of the addition of stearic acid, a stearate salt, talc or mineral oil.
- the lubricated mixture is then compressed into tablets.
- the compounds of the present invention can also be combined with a free flowing inert carrier and compressed into tablets directly without going through the granulating or slugging steps.
- a clear or opaque protective coating consisting of a sealing coat of shellac, a coating of
- Oral fluids such as solution, syrups and elixirs can be prepared in dosage unit form so that a given quantity contains a predetermined amount of the compound.
- Syrups can be prepared by dissolving the compound in a suitably flavored aqueous solution, while elixirs are prepared through the use of a non-toxic alcoholic vehicle.
- Suspensions can be formulated by dispersing the compound in a non-toxic vehicle.
- Solubilizers and emulsifiers such as ethoxylated isostearyl alcohols and polyoxy ethylene sorbitol ethers, preservatives, flavor additives such as peppermint oil or natural sweeteners or saccharin or other artificial sweeteners, and the like can also be added.
- dosage unit compositions for oral administration can be microencapsulated.
- the composition can also be prepared to prolong or sustain the release as for example by coating or embedding particulate material in polymers, wax or the like.
- the compounds of formula (I) and pharmaceutically acceptable salts or solvates thereof can also be administered in the form of liposome delivery systems, such as small unilamellar vesicles, large unilamellar vesicles and multilamellar vesicles.
- Liposomes can be formed from a variety of phospholipids, such as cholesterol, stearylamine or phosphatidylcholines.
- the compounds of formula (I) and pharmaceutically acceptable salts or solvates thereof may also be delivered by the use of monoclonal antibodies as individual carriers to which the compound molecules are coupled.
- the compounds may also be coupled with soluble polymers as targetable drug carriers.
- Such polymers can include polyvinylpyrrolidone, pyran copolymer, polyhydroxypropylmethacrylamide- phenol, polyhydroxyethylaspartamidephenol, or polyethyleneoxidepolylysine substituted with palmitoyl residues.
- the compounds may be coupled to a class of biodegradable polymers useful in achieving controlled release of a drug, for example, polylactic acid, polepsilon caprolactone, polyhydroxy butyric acid, polyorthoesters, polyacetals, polydihydropyrans, polycyanoacrylates and cross-linked or amphipathic block copolymers of hydrogels.
- a class of biodegradable polymers useful in achieving controlled release of a drug, for example, polylactic acid, polepsilon caprolactone, polyhydroxy butyric acid, polyorthoesters, polyacetals, polydihydropyrans, polycyanoacrylates and cross-linked or amphipathic block copolymers of hydrogels.
- compositions adapted for transdermal administration may be presented as discrete patches intended to remain in intimate contact with the epidermis of the recipient for a prolonged period of time.
- the active ingredient may be delivered from the patch by iontophoresis as generally described in Pharm. Res., 3(6):318 (1986).
- compositions adapted for topical administration may be formulated as ointments, creams, suspensions, lotions, powders, solutions, pastes, gels, sprays, aerosols or oils.
- compositions are preferably applied as a topical ointment or cream.
- the active ingredient may be employed with either a paraffinic or a water-miscible ointment base.
- the active ingredient may be formulated in a cream with an oil-in-water cream base or a water-in-oil base.
- compositions adapted for topical administrations to the eye include eye drops wherein the active ingredient is dissolved or suspended in a suitable carrier, especially an aqueous solvent.
- compositions adapted for topical administration in the mouth include lozenges, pastilles and mouth washes.
- compositions adapted for rectal administration may be presented as suppositories or as enemas.
- compositions adapted for nasal administration wherein the carrier is a solid include a coarse powder having a particle size for example in the range 20 to 500 microns which is administered in the manner in which snuff is taken, i.e., by rapid inhalation through the nasal passage from a container of the powder held close up to the nose.
- suitable compositions wherein the carrier is a liquid, for administration as a nasal spray or as nasal drops, include aqueous or oil solutions of the active ingredient.
- compositions adapted for administration by inhalation include fine particle dusts or mists, which may be generated by means of various types of metered, dose pressurised aerosols, nebulizers or insufflators.
- compositions adapted for vaginal administration may be presented as pessaries, tampons, creams, gels, pastes, foams or spray compositions.
- compositions adapted for parenteral administration include aqueous and non-aqueous sterile injection solutions which may contain anti-oxidants, buffers, bacteriostats and solutes which render the composition isotonic with the blood of the intended recipient; and aqueous and non-aqueous sterile suspensions which may include suspending agents and thickening agents.
- the compositions may be presented in unit-dose or multi-dose containers, for example sealed ampules and vials, and may be stored in a freeze-dried (lyophilized) condition requiring only the addition of the sterile liquid carrier, for example water for injections, immediately prior to use.
- Extemporaneous injection solutions and suspensions may be prepared from sterile powders, granules and tablets.
- compositions may include other agents conventional in the art having regard to the type of composition in question, for example those suitable for oral administration may include flavouring agents.
- a pharmaceutical composition comprising a compound of formula (I) or a pharmaceutically acceptable salt or solvate thereof and one or more pharmaceutically acceptable carriers, diluents and excipients.
- a therapeutically effective amount of a compound of the present invention will depend upon a number of factors including, for example, the age and weight of the animal, the precise condition requiring treatment and its severity, the nature of the composition, and the route of administration, and will ultimately be at the discretion of the attendant physician or veterinarian.
- an effective amount of a compound of formula (I) for the treatment of disorders or diseases associated with inappropriate c-Met activity will generally be in the range of 0.1 to 100 mg/kg body weight of recipient (mammal) per day and more usually in the range of 1 to 10 mg/kg body weight per day.
- the actual amount per day would usually be from 70 to 700 mg and this amount may be given in a single dose per day or more usually in a number (such as two, three, four, five or six) of sub- doses per day such that the total daily dose is the same.
- An effective amount of a pharmaceutically acceptable salt thereof may be determined as a proportion of the effective amount of the compound of formula (I) per se. It is envisaged that similar dosages would be appropriate for treatment of the other conditions referred to above.
- the compounds of the present invention and their pharmaceutically acceptable salts or solvates may be employed alone or in combination with other therapeutic agents.
- the invention provides a combination comprising a compound of formula (I) or a pharmaceutically acceptable salt or solvate thereof and one or more therapeutic agents.
- Combination therapies according to the present invention thus comprise the administration of at least one compound of formula (I) or a pharmaceutically acceptable salt thereof and the use of at least one other cancer treatment method.
- combination therapies according to the present invention comprise the administration of at least one compound of formula (I) or a pharmaceutically acceptable salt thereof and at least one other pharmaceutically active agent, such as an anti-neoplastic agent.
- the compound(s) of formula (I) and the other pharmaceutically active agent(s) may be administered together or separately and, when administered separately this may occur simultaneously or sequentially in any order.
- the amounts of the compound(s) of formula (I) and the other pharmaceutically active agent(s) and the relative timings of administration will be selected in order to achieve the desired combined therapeutic effect.
- the compounds of formula (I) or pharmaceutically acceptable salts or solvates thereof and at least one additional cancer treatment therapy may be employed in combination concomitantly or sequentially in any therapeutically appropriate combination with such other anti-cancer therapies.
- the other anti-cancer therapy is at least one additional chemotherapeutic therapy including administration of at least one anti-neoplastic agent.
- the administration in combination of a compound of formula (I) or pharmaceutically acceptable salts or solvates thereof with other anti-neoplastic agents may be in combination in accordance with the invention by administration concomitantly in (1 ) a unitary pharmaceutical composition including both compounds, or (2) separate pharmaceutical compositions each including one of the compounds.
- the combination may be administered separately in a sequential manner wherein one anti-neoplastic agent is administered first and the other second or vice versa. Such sequential administration may be close in time or remote in time.
- Anti-neoplastic agents may induce anti-neoplastic effects in a cell-cycle specific manner, i.e., are phase specific and act at a specific phase of the cell cycle, or bind DNA and act in a non cell-cycle specific manner, i.e., are non-cell cycle specific and operate by other mechanisms.
- Anti-neoplastic agents useful in combination with the compounds and pharmaceutically acceptable salt of formula I include, but are not limited to the following classes, modes of action and substances:
- Antimetabolite-type/thymidilate synthase inhibitor antineoplastic agents which are exemplified by, but are not limited to: allopurinol, carmofur, cladrabine, cytarabine, cytosine arabinoside, dezaguanine, fludurabine, fluorodeoxyuridine, 5- fluorouracil, hydroxyurea, isopropyl pyrrolizine, methotrexate, mercaptopurine, plicamycin, raltitrexed, tegafur, thioguanine and trimetrexate.
- Alkylating-type antineoplastic agents which are exemplified by, but are not limited to: anaxirone, busulfan, carmustine, carboplatin, cisplatin, chlorambucil, cyclophosphamide, dacarbazine, elmustine, hexamethylmelamine, iproplatin, lomustine, mechlorethamine, melphalan, nitrogen mustards, nitrosoureas, oxaliplatin, tauromustine, temozolomide, teroxirone, tetraplatin and trimelamol; (3) Antibiotic-type antineoplastic agents, which are exemplified by, but not limited to: aclarubicin, adriamycin, azino-mycin-A, bleomycin, calichemycin, chromoximycin, dactinomycin, doxorubicin, daunomycin, epirubicin, idarubicin, fostriecin
- Hormonal anti-neoplastic agents such as antiprogestogens, topoisomerase I and Il inbiting agents and tubulin-interacting agents, which are exemplified by, but not limited to: ⁇ -carotene, acitretin, alstonine, amsacrine, anastrozole, ankinomycin, aphidicolin glycinate, asparaginase, baccharin, batracylin, benfiuron, benzotript,9- aminocamptothecin, camptothecin, caracemide, carmethizole hydrochloride, clan- fenur, claviridenone, CPT-11 , crisnatol, curaderm, cytochalasin B, cytarabine, cytocytin, dacarbazine, datelliptinium, didemnin-B, dmaematoporphyrin ether, dihydrol
- Cytostatic agents for example aromatase inhibitors such as antiandrogens such as bicalutamide, cyproterone acetate, flutamide, and nilutamide; LHRH agonists and antagagonists such as buserelin, goserelin acetate leuprorelin and luprolide; and testosterone 5 ⁇ -dihydroreductase inhibitors such as finasteride;
- aromatase inhibitors such as antiandrogens such as bicalutamide, cyproterone acetate, flutamide, and nilutamide
- LHRH agonists and antagagonists such as buserelin, goserelin acetate leuprorelin and luprolide
- testosterone 5 ⁇ -dihydroreductase inhibitors such as finasteride
- Agents that inhibit cancer cell invasion which are exemplified by but not limited to, for example, metalloproteinase inhibitors such as marimastat; and inhibitors of urokinase plasminogen activator receptor function;
- Inhibitors of growth factor function include growth factor antibodies, growth factor receptor antibodies, such as anti-erb-B2 antibody trastuzumab [HerceptinTM] and the anti-erb-B1 antibody cetuximab [C225], farnesyl transferase inhibitors, tyrosine kinase inhibitors and serine-threonine kinase inhibitors such as inhibitors of the epidermal growth factor receptor (EGFr) family e.
- EGFr epidermal growth factor receptor
- Antiangiogenic agents for example those which inhibit the effects of vascular endothelial growth factor receptor (VEGFR) inhibitors such as the anti-VEGFR antibody bevacizumab [AvastinTM]; TIE-2 inhibitors and compounds that work by other mechanisms, such as linomide, inhibitors of integrin ⁇ v ⁇ 3 function and angiostatin;
- VEGFR vascular endothelial growth factor receptor
- Vascular damaging agents such as Combretastin A4
- Antisense therapies for example those which are directed to the targets listed above, such as ISIS 2503;
- Gene therapy approaches for example, approaches to replace aberrant genes, such as aberrant p53, abberant BRCA1 or BRCA2; gene-directed enzyme pro-drug therapy (GDEPT); virus-directed enzyme pro-drug therapy (VDEPT); approaches such as those using cytosine deaminase, thymidine kinase or a bacterial nitroreductase enzyme and approaches to increase patient tolerance to chemotherapy or radiotherapy such as multi-drug resistance gene therapy;
- GDEPT gene-directed enzyme pro-drug therapy
- VDEPT virus-directed enzyme pro-drug therapy
- Immunotherapy approaches including, for example ex-vivo and in-vivo approaches in increase the immunogenecity of patient tumour cells, for example transfection with cyctokines such as interleukin 2, interleukin 4 or granulocyte- macrophage stimulating factor, approaches to decreased T-cell anergy, approaches using transfected immune cells, such as cytokine-transfected dendritic cells, approaches using cytokine-transfected tumour cell lines and approaches using anti- idiotypic antibodies;
- cyctokines such as interleukin 2, interleukin 4 or granulocyte- macrophage stimulating factor
- Cyclooxygenase Types 2 (COX-2) inhibitors such as celecoxib and etoricoxib.
- each compound of the invention When a compound of the invention is used in combination with a second therapeutic agent active against the same disease, the dose of each compound may differ from that when the compound is used alone. Appropriate doses will be readily appreciated by those skilled in the art.
- a combination comprising a therapeutically effective amount of a compound of formula (I) or a pharmaceutically acceptable salt thereof and one or more therapeutic agents, such as one or more anti-cancer agents, e.g. one or more antineoplastic agents.
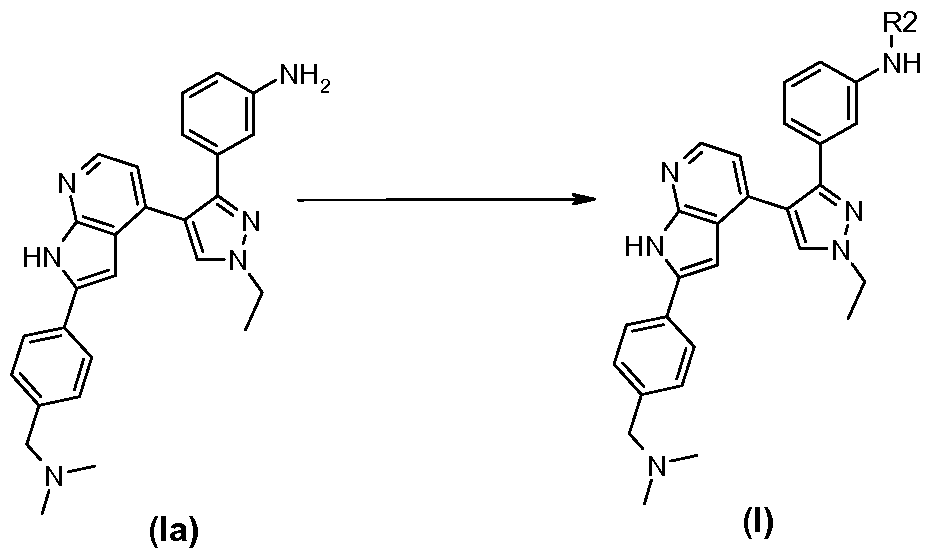
- compounds of formula (I) may be synthesized from compound (Ia) (shown here as the compound of formula I where R 4 is dimethylaminomethylene, R 3 is -CH 2 CH 3 , R 1 and R 2 are H, where R 1 , R 2 , R 3 , R 4 are as defined hereinabove) by adding R-NCO or R-COCI to a solution of compound (Ia) in pyridine, with the molar ratio of compound (Ia) to compound R-NCO or R-COCI being from 1 :1 to 1 :1.5, preferably 1 :1.1.
- reaction mixture is stirred at room temperature for 1 to 2 hours. As will be understood by those skilled in the art, various temperatures such as O to 60 0 C and times such as 0.1 to 12 hours may be used.
- Compounds of formula (I) may also be prepared by the condensation reaction by reacting a suitable carboxylic acid and compound (Ia).
- the condensation reaction may typically be carried out in an appropriate solvent, such as N, N- dimethylformamide, dichloromethane, dichloroethane or chloroform with a suitable coupling agent for example, O-benzotriazole- ⁇ /, ⁇ /, ⁇ /', ⁇ /-tetramethyluronium hexafluorophosphate, O-benzotriazole-1-yl-1 ,1 ,3,3-tetramethyluronium tetrafluoro borate, 1-hydroxybenzotriazole or O-(7-azabenzotriazol-1-yl)- ⁇ /, ⁇ /, ⁇ /', ⁇ /'- tetramethyluronium hexafluorophosphate may be used, optionally with the addition of a suitable base such as diisopropylethylamine.
- a suitable base such as diisoprop
- Various temperatures and times may be employed, for example 0 to 60 0 C.
- the reaction may be carried out at room temperature for 3 hours.
- the molar ratio of a compound of formula (Ia) : carboxylic acid may be 1 :1 , for example.
- Compounds of formula (I) can be obtained by concentration in vacuo and purification by mass directed LC/MS, for example.
- Compound (Ia) (shown here as the compound of formula I where R 4 is dimethylaminomethylene, R 1 and R 2 are H, R 3 is -CH 2 CH 3 , where R 1 , R 2 , R 3 , R 4 are as defined hereinabove) may be synthesized via either of the following procedures or alternatively may be prepared by methods well known to those skilled in the art.
- Compound (Ia) can be prepared by the reduction of compound (II) with a reductant such as tin, iron or zinc in an appropriate solvent such as ethanol at temperatures between rt and 250 0 C, optionally with an acid catalyst such as hydrogen chloride or acetic acid. For example, heating compound (II) with tin in EtOH and aqueous HCI at 60 0 C for 1 h provides compound (Ia).
- a reductant such as tin, iron or zinc
- an appropriate solvent such as ethanol
- an acid catalyst such as hydrogen chloride or acetic acid
- compound (II), compound (IV) and compound (III), in a molar ratio that is typically 1 :1 , but can vary from 1 :1 to 1 :3 are dissolved in DME and 2M aqueous Na 2 CO 3 , in the presence of a palladium catalyst and heated at an elevated temperature.
- 2M Na 2 CO 3 can be used from 0.25 to 10 equivalence with respect to compound (III).
- other bases such as K 2 CO 3 , K 3 PO 4 , Cs 2 CO 3 , CsF, Ba(OH) 2 , NaOH, NaHCO 3 may be used.
- the catalyst is preferably Pd(PPh 3 ) 4 ; however, it is understood that other catalysts such as Pd(OAc) 2 , PdCI 2 (PPh 3 ) 2 , Pd 2 (dba) 3 , [PdCI(allyl)] 2 , with a suitable ligand such as PPh 3 , PCy 3 , (f-Bu) 2 POH, (f-Bu) 3 P may be used.
- phosphine-free palladium such as Pd/C, and polymer bound palladium may be used.
- the use of a different catalyst may alter the time, temperature, and/or solvent to be used as will be understood by one skilled in the art.
- the reaction is preferably performed using microwave heating at 120 0 C for 60 minutes. However, other modes of heating such as oil baths or hot plates may also be used. Also, other temperatures of 60 to 180 0 C and times of 0.1 to 24 h may be utilized, with the general understanding that higher reaction temperatures typically will require shorter reaction times.
- the residue may be purified by SCX cartridge via capture-and-release, for example.
- Ethylation of compound (Vl) reaction of compound (Vl) with ethyl iodide in a solvent such as dichloromethane in the presence of an appropriate base such as aqueous NaOH. Addition of tetrabutylammonium bromide is also preferred. For example, stirring compound (Vl) with EtI, TBAB at rt for 1 h provides compound (V).
- compound (III) To prepare compound (III), compound (V) and commercially available 4,4,4',4',5,5,5',5'-octamethyl-2,2'-bi-1 ,3,2-dioxaborolane, in a molar ratio that is typically 1 :2, but can vary from 1 :1 to 1 :3, and KOAc are dissolved in DMF and heated at an elevated temperature in the presence of a palladium catalyst. KOAc can be used from 1 to 10 equivalence with respect to 4,4,4',4',5,5,5',5'-octamethyl- 2,2'-bi-1 ,3,2-dioxaborolane.
- the catalyst is preferably Pd(dppf)CI 2 .
- the reaction is preferably performed at 90 0 C for 12 h. Also, other temperatures of 60 to 180 0 C and times of 0.1 to 100 hours may be utilized, with the general understanding that higher reaction temperatures typically will require shorter reaction times.
- Compound (V) may be synthesized by a reaction of compound (Vl) with ethyl iodide in a solvent such as dichloromethane in the presence of an appropriate base such as aqueous NaOH. Addition of tetrabutylammonium bromide is also preferred. For example, stirring compound (Vl) with EtI, TBAB at rt for 1 h provides compound (V).
- Compound (Vl) can be prepared according to WO2002088107.
- the tosyl group illustrated as a nitrogen-protecting group in Scheme 4 may be removed, for example, by treatment with aqueous NaOH, or other methods known to one skilled in the art.
- Other suitable nitrogen protecting groups may also be employed in this synthetic scheme.
- reaction of compound (VII), with aqueous NaOH in a solvent such as MeOH at 50 0 C for 1 h yields compound (IV).
- Compound (VII) may be prepared via Suzuki coupling reaction of tosyl- protected 4-bromo-2-iodo-7-azaindole (WO03/000690A1 ) and appropriate boronic acids or boronate esters (such as for example ⁇ 4- [(dimethylamino)methyl]phenyl ⁇ boronic acid), as is described in Scheme 4.
- Compound (VIII) and an appropriate boronic acid or an ester, in a molar ratio that is typically 1 :1 , but can vary from 1 :1 to 1 :1.5 are dissolved in DME and 2M aqueous Na 2 CO 3 , in the presence of a palladium catalyst and heated at an elevated temperature.
- 2M Na 2 CO 3 may be used from 0.25 to 10 equivalence with respect to the boronic acid or ester.
- other bases such as K 2 CO 3 , K 3 PO 4 , Cs 2 CO 3 , CsF, Ba(OH) 2 , NaOH, NaHCO 3 may be used.
- DME other solvent systems such as DMF, dioxane, THF, toluene, xylene, MeOH, ethanol, H 2 O, MeCN, NMP or a mixture of two or more of them may be used.
- the catalyst is preferably Pd(PPh 3 ) 4 ; however, it is understood that other catalysts such as Pd(OAc) 2 , PdCI 2 (PPh 3 ) 2 , Pd 2 (dba) 3 , [PdCI(allyl)] 2 , with a suitable ligand such as PPh 3 , PCy 3 , (f-Bu) 2 POH, (f-Bu) 3 P may be used. Also, phosphine-free palladium such as Pd/C, and polymer bound palladium may be used.
- the use of a different catalyst may alter the time, temperature, and/or solvent to be used as will be understood by one skilled in the art.
- the reaction is preferably performed using microwave heating at 120 0 C for 2 hours. However, other modes of heating such as oil baths or hot plates may also be used. Also, other temperatures of 60 to 180 0 C and times of 0.1 to 24 h may be utilized, with the general understanding that higher reaction temperatures typically will require shorter reaction times.
- Reagents and conditions i) Suzuki coupling reaction, ii) Compound (Xl) and commercially available 4,4,4',4',5,5,5',5'-octamethyl-2,2'-bi-1 ,3,2-dioxaborolane, in a molar ratio that is typically 1 :2, but can vary from 1 :1 to 1 :3, and KOAc are dissolved in dioxane and heated at an elevated temperature in the presence of a palladium catalyst.
- the catalyst is preferably Pd(dppf)CI 2 .
- the reaction is preferably performed at 100 0 C for 12 h.
- Compound (Ia) can be prepared from Compound (IX) via the following steps.
- Reductive amination of formyl group by the treatment of dimethylamine and sodium triacetoxyborohydride Typically, THF is used as solvent and the addition of an acid such as acetic acid can promote the reaction. For example, reaction at rt for 1.5 h yields the desired product (Ic).
- Reprotection of benzenesulfonyl group with aqueous NaOH The benzenesulfonyl group illustrated as a nitrogen-protecting group in Scheme 5 may be removed, for example, by treatment with aqueous NaOH, or other methods known to one skilled in the art. Other suitable nitrogen protecting groups may also be employed in this synthetic scheme.
- reaction of compound (Ic), with aqueous 6 N NaOH in a solvent such as MeOH at 50 0 C for 1 h yields the desired product (Ib).
- a solvent such as MeOH
- This reaction can be conducted with an appropriate reductant, such as Fe, Sn and Zn, in an appropriate solvent at temperatures between rt and 250 0 C.
- an appropriate reductant such as Fe, Sn and Zn
- heating with iron powder in acetic acid at 65 0 C for 1 h provides compound (Ia).
- compound (IX) and compound (X) in a molar ratio that is typically 1 :1 , are dissolved in dioxane and water followed by the addition of Na 2 CO 3 , in the presence of a palladium catalyst and heated at an elevated temperature.
- Na 2 CO 3 other bases such as K 2 CO 3 , K 3 PO 4 , Cs 2 CO 3 , CsF, Ba(OH) 2 , NaOH, NaHCO 3 may be used.
- dioxane other solvent systems such as DME, DMF, THF, toluene, xylene, MeOH, ethanol, H 2 O, MeCN, NMP or a mixture of two or more of them may be used.
- the catalyst is preferably PdCI 2 (PPh 3 ) 2 ; however, it is understood that other catalysts such as Pd(PPh 3 ) 4 , Pd(OAc) 2 , Pd 2 (dba) 3 , [PdCI(allyl)] 2 , with a suitable ligand such as PPh 3 , PCy 3 , (f-Bu) 2 POH, (f-Bu) 3 P may be used. Also, phosphine-free palladium such as Pd/C, and polymer bound palladium may be used. The use of a different catalyst may alter the time, temperature, and/or solvent to be used as will be understood by one skilled in the art.
- the reaction is preferably performed in an inert atmosphere such as N 2 atmosphere at 120 0 C for 1.5 hours.
- an inert atmosphere such as N 2 atmosphere at 120 0 C for 1.5 hours.
- other modes of heating such as microwave or hot plates may also be used.
- other temperatures of 60 to 180 0 C and times of 0.1 to 24 h may be utilized, with the general understanding that higher reaction temperatures typically will require shorter reaction times.
- compound (X) To prepare compound (X), compound (Xl) and commercialyl available 4,4,4',4',5,5,5',5'-octamethyl-2,2'-bi-1 ,3,2-dioxaborolane, in a molar ratio that is typically 1 :2, but can vary from 1 :1 to 1 :3, and KOAc are dissolved in dioxane and heated at an elevated temperature in the presence of a palladium catalyst. KOAc may be used from 1 to 10 equivalence with respect to 4,4,4',4',5,5,5',5'-octamethyl- 2,2'-bi-1 ,3,2-dioxaborolane.
- the catalyst is preferably Pd(dppf)CI 2 .
- the reaction is preferably performed at 100 0 C for 12 h. Also, other temperatures of 60 to 180 0 C and times of 0.1 to 100 hours may be utilized, with the general understanding that higher reaction temperatures typically will require shorter reaction times.
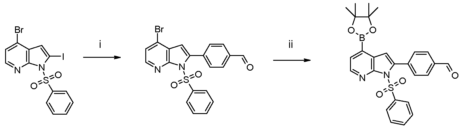
- Compound (Xl) can be prepared via Suzuki coupling reaction of benzenesulphonyl-protected 4-bromo-2-iodo-7-azaindole (WO03/000690A1 with a minor modification by replacing para-toluenesulfonyl chloride by benzenesulfonyl chloride,) and appropriate boronic acids or boronate esters (such as for example (4- formylphenyl)boronic acid), as is described in Scheme 5.
- benzenesulphonyl-protected 4-bromo-2-iodo-7-azaindole WO03/000690A1
- appropriate boronic acids or boronate esters such as for example (4- formylphenyl)boronic acid
- Compound (XII) and an appropriate boronic acid or an ester, in a molar ratio that is typically 1 :1 , but can vary from 1 :1 to 1 :1.5 are dissolved in dioxane and water followed by the addition of Na 2 CO 3 , in the presence of a palladium catalyst and heated at elevated temperature.
- Na 2 CO 3 other bases such as K 2 CO 3 , K 3 PO 4 , Cs 2 CO 3 , CsF, Ba(OH) 2 , NaOH, NaHCO 3 may be used.
- the catalyst is preferably PdCI 2 (PPh 3 ) 2 ; however, it is understood that other catalysts such as Pd(PPh 3 ) 4 , Pd(OAc) 2 , Pd 2 (dba) 3 , [PdCI(allyl)] 2 , with a suitable ligand such as PPh 3 , PCy 3 , (t- Bu) 2 POH, (f-Bu) 3 P may be used.
- phosphine-free palladium such as Pd/C, and polymer bound palladium may be used.
- the use of a different catalyst may alter the time, temperature, and/or solvent to be used as will be understood by one skilled in the art.
- the reaction is preferably performed in an inert atmosphere such as N 2 atmosphere at 95 0 C for 3 hours.
- inert atmosphere such as N 2 atmosphere at 95 0 C for 3 hours.
- other modes of heating such as microwave or hot plates may also be used.
- other temperatures of 60 to 180 0 C and times of 0.1 to 24 h may be utilized, with the general understanding that higher reaction temperatures typically will require shorter reaction times.
- L (liters); ml. (milliliters); ⁇ l_ (microliters); M (molar); mM (millimolar); Hz (Hertz); mol (moles);i. mmol (millimoles); rt (room temperature); min (minutes); h (h); MeOH (methanol); THF (tetrahydrofuran); DMSO (dimethylsulfoxide);
- ATP adenosine triphosphate
- HRP horseradish peroxidase
- DMEM Dulbecco's modified Eagle medium
- HPLC high pressure liquid chromatography
- TBAF tetra-n-butylammonium fluoride
- HBTU O-Benzotriazole-1-yl- ⁇ /, ⁇ /, ⁇ /', ⁇ /'- tetramethyluronium hexafluorophosphate
- HEPES (4-(2-hydroxyethyl)-1-piperazine ethane sulfonic acid); EDTA (ethylenediaminetetraacetic acid); NMP (1-methyl-2-pyrrolidinone)
- PBS phosphate buffered saline
- DMEM Dulbecco's modified Eagle medium
- SCX purification Varian Mega Bond Elut SCX; General procedure: A SCX cartridge was rinsed with MeOH, and then crude mixture was dissolved into a suitable solvent such as MeOH, DCM etc. and loaded on the cartridge. And then the cartridge was rinsed with methanol and dichloromethane successively. The product was isolated by elution with a 2M ammonia solution in methanol (for some cases, mixed with DCM), followed by concentration in vacuo.
- the aqueous layer was washed with CH 2 CI 2 , carefully acidified to pH 4 with 1 ⁇ / aqueous HCI, and extracted with CH 2 CI 2 (20 ml. X 3 times).
- the organic layer was dried with Na 2 SO 4 , and concentrated under reduced pressure to give the desired boronic ester as a brown solid.
- Step A [(4- ⁇ 4-Bromo-1-[(4-methylphenyl)sulfonyl]-1 /-/-pyrrolo[2,3-6]pyridin-2- yl ⁇ phenyl)methyl]dimethylamine
- Step B ⁇ [4-(4-Bromo-1 H-pyrrolo[2,3-6]pyridin-2-yl)phenyl]methyl ⁇ dimethylamine
- Example 1 was prepared with two different procedures. Procedure 1 is described as follows. Procedure 1 :
- Step A [(4- ⁇ 4-[1 -Ethyl-3-(3-nitrophenyl)-1 H-pyrazol-4-yl]-1 H-pyrrolo[2,3-6]pyridin-2- yl ⁇ phenyl)methyl]dimethylamine
- Step B [(4- ⁇ 4-[3-(3-Aminophenyl)-1-ethyl-1H-pyrazol-4-yl]-1 H-pyrrolo[2,3-6]pyridin-2- yl ⁇ phenyl)methyl]dimethylamine
- Step A 4-[4-bromo-1 -(phenylsulfonyl)-i H-pyrrolo[2,3-6]pyridin-2 yl]benzaldehyde
- Step B 4-[1-(phenylsulfonyl)-4-(4,4,5,5-tetramethyl-1 ,3,2-dioxaborolan-2-yl)-1 /-/- pyrrolo[2,3-6]pyridin-2-yl]benzaldehyde
- Step C 4-[4-[1 -ethyl-3-(3-nitrophenyl)-1 H-pyrazol-4-yl]-1 -(phenylsulfonyl)-i H- pyrrolo[2,3-6]pyridin-2-yl]benzaldehyde
- reaction tube was sealed with a rubber septum and placed under high vacuum, followed by the addition of dioxane (6 ml.) and water (2 ml.) and nitrogen was bubbled through.
- the reaction mixture was stirred at 120 0 C for 1.5 h.
- the reaction mixture was diluted with methanol and filtered.
- the filtrate was concentrated onto silica and column chromatographed with ethyl acetate:hexane (5% to 90%) to afford 0.74 g, 74%) of the title compound.
- Step D [(4- ⁇ 4-[3-(3-aminophenyl)-1 -ethyl-1 H-pyrazol-4-yl]-1 H-pyrrolo[2,3-6]pyridin-2- yl ⁇ phenyl)methyl]dimethylamine
- Phenyl isocyanate (5.9 mg, 0.05 mmol) was added to a solution of [(4- ⁇ 4-[3-(3- aminophenyl)-1 -ethyl-1 H-pyrazol-4-yl]-1 H-pyrrolo[2,3-i)]pyridin-2- yl ⁇ phenyl)methyl]dimethylamine (Example 1, 20.0 mg, 0.05 mmol) in pyridine (1 ml_), and the reaction mixture was stirred at rt for 1 h. After removing the solvent in vacuo, the residue was purified by LC/MS to give the title compound.
- CSF1 R colony stimulating factor 1 receptor
- c-Met cDNA was cloned into pCR2.1-TOPO vector (c-Met/ pCR2.1- TOPO).
- the extracellular domain fragment of cFms (nucleotides 1 to 512) containing BamHI site at 5'-end and Notl site at 3'-end was generated from human placenta cDNA by PCR using two oligonucleotides; 5'primer:
- cFms/pcDNA3.1 The resulting cFms cDNA was cloned into pcDNA3.1 vector (Invitrogen) using the BamHI and Notl sites (cFms/pcDNA3.1 ).
- the c-Met fragment transmembrane and cytoplasmic domain
- Notl sites in c-Met/pCR2.1-TOPO vector
- subcloned into cFms /pCDNA3.1 vector by Notl site c-Met/cFms/pcDNA3.1
- NIH3T3 cells were grown in DMEM supplemented with 10% fetal bovine serum.
- NIH3T3 cells were transfected with c-Met/cFms/pcDNA3.1 vector alone using the calcium phosphate method according to the manufacturer's instructions.
- Three days after transfection cells were selected with G418 (0.4 rrigml "1 ) for 14 days and the expression of c-Met chimeric receptor in the G418-resistant colonies of NIH3T3 (c- Met/cFms/NIH3T3) cells was analyzed by immunoblot.
- IMMUNOPRECIPITATION AND IMMUNOBLOT ANALYSIS c-Met/cFms/NIH3T3 cells were grown to confluence in DMEM supplemented with 10% fetal bovine serum, 0.4 mgml "1 G418 and serum starved in serum-free DMEM for 1 hour at 37 0 C. Cells were stimulated with M-CSF at 300 ngml "1 for 10 min.
- TNE lysis buffer (10 mM Tris-HCI pH7.4, 150 mM NaCI, 1 mM EDTA, 1% NP-40, 10 mM NaF, 2 mM Na 3 VO 4 , 10 mM Na 4 P 2 O 7 and Protease Inhibitor Cocktail (Complete mini EDTA-free, Roche)). Debris and undissolved proteins were removed from cell lysates by centrifugation (15,000 rpm for 20 min at 4 0 C). Cell lysates for immunoprecipitation were cleared with Protein G-Sepharose for 1 h at 4 0 C and immunoprecipitated using the anti-cFms antibody overnight at 4 0 C.
- Immune complexes were then incubated with Protein G- Sepharose for 1 h at 4 0 C. Protein G immunoprecipitates were washed five times in TNE lysis buffer. Immunoprecipitates were resolved on 4-20% SDS-PAGE gels, and the proteins were transferred to PVDF membrane. For anti-phosphotyrosine immunoblot analysis, membranes were blocked with 3% BSA/PBS and blotted with anti-phosphotyrosine (clone 4G10, biotinylated) followed by HRP-conjugated streptavidin (PIERCE). Detection of protein was done by chemiluminescence using ECL plus reagent (Amersham) through exposing on X-ray films.
- the media was removed and the cells were lysed with 120 ul/well of lysis buffer (20 mM Tris-HCI pH8.0, 137 mM NaCI, 2 mM EDTA, 10% glycerol, 1% Triton X-100, 1 mM Na 3 VO 4 and Protease Inhibitor Cocktail (Complete mini EDTA-free, Roche)). Then 100 ul/well of lysate was transferred to the antibody-coated (50 ng/well goat anti-cFms antibody in PBS) ELISA plate and incubated overnight at 4 0 C. Plates were washed five times with PBST (PBS containing 0.05% Tween-20).
- PBST PBS containing 0.05% Tween-20
- the IC50 was determined by using XLfit software (IDBS) with four-parameters, sigmoidal dose-response equation.
- IDBS XLfit software
- KINASE ASSAY OF PURIFIED MET KINASE Assays are performed in 96 well (Costar, Catalog No. 3789) or 384 well plates (Costar, Catalog No. 3705).
- Assay conditions for the peptide phosphorylation reaction are 100 mM Hepes buffer, pH 7.4; 0.1 mgml "1 BSA; 5 mM MgCI 2 ; 1 mM DTT; 10 ⁇ M ATP; purified Met (1 nM final); and 1 ⁇ M peptide substrate.
- Compounds, titrated in DMSO, are evaluated at concentrations ranging from 50 ⁇ M to 0.2 nM.
- Concentrations of DMSO do not exceed 5%, resulting in less than 15% loss of Met activity relative to controls without DMSO. Reactions are incubated for 1 hour at room temperature and are stopped by addition of detection reagents containing, at final detection volume, 12.5 mM EDTA; 100 mM Hepes; 0.1 mg/ml BSA; 8 nM Streptavidin APC (Perkin Elmer catalog # CR130-150); 1 nM Europium-labelled anti-phosphotyrosine antibody (Perkin Elmer catalog #AD0067). Under the assay conditions defined above, the Km (apparent) for ATP is determined to be 40 ⁇ M.
- Test compounds were serially diluted in DMSO and 0.1 DL was plated in low volume black 384-well plates.
- the assay was initiated by the addition of 10 DL of an enzyme/ligand mix with a final assay composition of 50 mM HEPES (pH 7.3), 10 mM MgC12, 1 mM CHAPS, 1 mM DTT, 1 nM fluorescent ligand, 2 nM competent
- B-Raf Competncy determined as fraction of enzyme able to bind fluorescent ligand
- 0.169 nM - 10 DM test compound 0.169 nM - 10 DM test compound.
- the fluorescence anisotropy was read on a LJL Acquest with excitation at 485 nM and emission at 530 nM.
- Recombinant, His-tagged B-Raf (residues 462-770) that had been expressed in baculovirus was used for these experiments.
- K 1 dissociation constant for inhibitor binding
- K f dissociation constant for fluorescent ligand binding
- the fluorescent ligand was the following compound:
- GeneS witch3T3 cells were cultured in low glucose DMEM (Sigma D6046) containing 10% fetal bovine serum (FBS), 100,000 units/Lpenicillin, 100,000 units/L streptomycin and 50 ug/ml hygromycine at 37oC in a humidified 10% CO2, 90% air incubator. Cells were harvested using trypsin/EDTA, counted using a haemocytometer, and plated in a 96-well tissue culture plate (Becton Dickinson 354407) at 20,000 cells /well. After 6 hours, both B-Raf (V581E) and FLAG tagged MEKl were transfected into cells by fugene 6 (Roche Diagnostics 1 814 443).
- Cells were incubated at 37 0 C, 10% CO2 for 18-20 hours. The next day, cells were stimulated by mifepristone (In vitro gene), inducer of gene expression, for 4 hours at a final concentration of 10 nM. Compounds were diluted in DMEM at the final required concentration, from 1OmM stock solutions in DMSO. 100uL/well of these dilutions were added to the each cell plates after removing medium. Medium containing 0.1% DMSO was added to control wells. After 2 hours, medium was removed by aspiration.
- mifepristone In vitro gene
- Cells were lysed by ice cold lysis buffer (20 mM Tris-HCl (pH8.0) containing 137 mM NaCl, 2 mM EDTA, 10% glycerol, 1% triton X-100, 1 mM NaF, ImM Na3VO4 and protease inhibitors). Cell lysate was transferred to 96 well immunoassay black plate (Corning 3694), which were coated by 5 ug/ml of anti- FLAG antibody M2 (Sigma F3165) in PBS(-) and blocked by 5% BSA in PBST (PBS(-) containing 0.05% tween 20) for 2 hours.
- the compounds of the present invention were tested in one or more of the assays recited above and have been found to be active cMet and/or B-Raf inhibitors.
Landscapes
- Chemical & Material Sciences (AREA)
- Organic Chemistry (AREA)
- Pharmaceuticals Containing Other Organic And Inorganic Compounds (AREA)
Abstract
The present invention relates to azaindole derivatives, compositions and medicaments containing the same, as well as processes for the preparation and use of such compounds, compositions and medicaments. Such azaindole derivatives are potentially useful in the treatment of diseases associated with inappropriate c-Met activity and/or B-Raf kinase activity. A compound of Formula (I):
Description
NOVEL COMPOUNDS
FIELD OF THE INVENTION The present invention relates to azaindole derivatives, compositions and medicaments containing the same, as well as processes for the preparation and use of such compounds, compositions and medicaments. Such azaindole derivatives are potentially useful in the treatment of diseases associated with inappropriate c-Met activity and/or B-Raf kinase activity.
BACKGROUND OF THE INVENTION
Protein kinases represent a large family of enzymes that catalyse the phosphorylation of proteins, and play a central role in the regulation of a wide variety of cellular processes. Abnormal protein kinase activity has been related to a wide range of disorders.
Kinases and their ligands play critical roles in various cellular activities. Thus deregulation of kinase enzymatic activity can lead to altered cellular properties such as uncontrolled cell growth that is associated with cancers. A number of pathological diseases have been linked to altered kinase signalling, including immunological disorders and degenerative, inflammatory and cardiovascular diseases. Therefore the kinase enzyme family has become an important and interesting therapeutic target.
The hepatocyte growth factor receptor ("HGFR" or "c-Met") is a receptor tyrosine kinase (RTK) which is an attractive target for oncological, antiangiogenic and antiproliferative activity [Birchmeier et al, Nature Reviews, 4:915-925 (2003)]. c-Met RTK is encoded by the Met proto-oncogene. It is a member of a subfamily of heterodimeric RTKs which include Met, Ron and Sea. c-Met is expressed in numerous tissues such as epithelial, endothelial and mesenchymal cells, although primarily cells of epithelial origin [Maulik et al., Cytokine and Growth Factor Rev., 13:41-59, (2002)].
Activation of the c-Met enzyme induces proliferation, motility, invasion and angiogenesis. It has also been shown to be important in morphogenic differentiation
and organisation of three-dimensional tubular structures, for example gland formation and renal tubular cells [Ma et al., Cancer and Metastasis Rev., 22:309-325, (2003)].
The endogenous ligand for c-Met is hepatocyte growth factor (HGF), also known as
"scatter factor" (SF). HGF is a heterodimeric protein which is secreted by mescenchymal or stromal cells and is a potent inducer of angiogenesis and survival factor for endothelial cells [Bussolino et al., J. Cell Biol., 119(3):629-642, (1992),
Birchmeier et al. Trends Cell Biol, 8:404-410 (1998)]. For an in-depth review and discussions on HGF and c-Met interactions see Goldberg and Rosen, "Hepatocyte
Growth Factor-Scatter Factor and the c-Met Receptor", Birkhauser Verlag-Basel, (1993).
Various biological activities have been reported for HGF through its interactions with c-Met. Binding of HGF induces activation of c-Met via autophosphorylation which results in an increase of receptor-dependent signalling which consequently promotes cell growth and invasion. Thus, signal transduction through the activation of the c- Met receptor is responsible for many of the characteristics of tumour cells.
Both HGF and c-Met are expressed at abnormally high levels in a number of human cancers (particularly sarcomas). For tumour growth to occur, new blood vessels must be recruited into the tumour from pre-existing vessels in conjunction with invasion, adhesion and proliferation of malignant cells. c-Met gene amplification, mutation and rearrangement have also been observed in a subset of human cancers. Activating mutations in the kinase domain of the c-Met gene have been implicated as the cause of hereditary papillary renal carcinoma and have been observed in sporatic papillary renal carcinoma, ovarian cancer, childhood hepatocellular carcinoma, gastric cancer, lung cancer and squamous cell carcinoma [Langati et al., Curr. Drug Targets, 2:41-55, (2001 ), Danilkovitch-Miagkova et al., J. Clin. Invest. 109:863-867 (2002)]. Numerous studies have correlated the expression of c-Met and/or HGF with disease progression in a variety of tumour types including breast, colon, renal, lung, prostate, pancreas, brain, liver, ovaries, bone, stomach, skin bladder and gall bladder cancers in addition to squamous cell myeloid leukaemia, hemangiomas, melanomas, astrocytomas and glioblastomas. Furthermore, over expression of the c-Met oncogene has also been suggested to play a role in the progression and
pathogenesis of in a number of human cancers, such as thyroid tumours [Oncogene, 7:2549-2553, (1992)].
Inhibition of angiogenesis has been shown to be linked to the suppression or reversion of tumour progression [Boehm et ai, Nature, 390:404-407, (1997)], especially if multiple inhibitors are employed compared to just one. Angiogenesis can be stimulated by HGF as well as vascular endothelial growth factor (VEGF) and basic fibroblast growth factor (bFGF). Thus, modulation of c-Met is desirable as a means to treat cancer and cancer-related diseases.
Angiogenesis is the development of new blood vessels, generally capilliaries from pre-existing vasculature. Arteriogenesis is the process of remodelling small vessels into larger conduit vessels. These processes of vascular growth are required during beneficial processes such as tissue repair, wound healing and at certain stages of the female reproductive cycle. Inappropriate angiogenesis has been associated with several disease states including retionopathies, ischemic disease, neoplasias, rheumatoid arthritis, psoriasis, artherosolerosis, certain forms of chronic inflammatory disorders and certain forms of mascular degeneration [Middleton et ai, Arthritis Res. Ther., 6(2):60-72, (2004)]. The inhibition of angiogenesis may result in blocking the development of pathological pannus tissue in rheumatoid arthritis.
Stimulation of vascular growth has potential utility for treatment of ischemia-induced pathologies such as myocardial infarction, coronary artery disease, stroke and peripheral vascular disease [Ono et ai., Circulation, 95:2552-2558, (1997)]. The sprouting of new vessels and/or the expansion of smaller vessels in ischemic tissues prevents the death of ischemic tissue and encourages tissue repair. Certain diseases are well-known to be associated with deregulated angiogenesis such as retinopathies (including diabetic retinopathy) ocular neovascularisation, psoriasis, hemangioma, hermangioblastoma, age-related macular degeneration, arteriosclerosis, inflammatory disease for example rheumatoid or rheumatic inflammatory disease especially arthritis (including rheumatoid arthritis) or other chronic inflammatory disorders such as chronic asthma, arterial or post- transplantational atherosclerosis, endometriosis and neoplastic diseases such as so- called solid tumours and liquid tumours (e.g. leukemias). For a discussion on the role of angiogenesis in a various disease states see, for example. Fan et. al. Trends
in Pharm. ScL, 16:54-66; Shawver et. al., DDT Vol. 2(2), (1997); Folkman, Nature Medicine, 1 :27:31 , (1995). Felmeden et al., European Heart Journal, 24:586-603 (2002).
Other non-oncological diseases and disorders that have been linked to elevated levels of c-Met and HGF include hypertension, rheumatoid arthritis and myocardial infarction. Increased levels of HGF have been observed in patients with hepatic failure [Gohda et al., Exp. Cell Res., 166:139-150 (1986)] and it has been shown to be a mitogen for certain cell types such as melanocytes, keratinocytes, renal tubular cells, cells of epithelial origin and certain endothelial cells [Igawa et al., Biochem. Biophys. Res. Comm., 174(2):831-838 (1991 )]. The c-Met oncogene has postulated to play a role in microglial reactions to CNS injuries [Oncogene, 8:219-222, (1993)].
Plasmodium, the causative agent of malaria causes an increase in HGF secretion. Inhibition of the c-Met kinase has also been shown to induce a specific increase in apoptosis of infected cells and thus a significant decrease in infection [Leirinao et. al., Cell. Microbiol., 7(4):603-609, (2005)] Infection with Helicobacter pylori is assumed to lead to invasive gastric cancer, and has also been shown to activate c-Met [Churin et al., J. Cell Bio., 161 (2):249-255, (2003)].
Therefore c-Met inhibitors may be useful in treating diseases such as cancer and other diseases related to abnormal cell growth and c-Met activation.
Raf protein kinases are key components of signal transduction pathways by which specific extracellular stimuli elicit precise cellular responses in mammalian cells. Activated cell surface receptors activate ras/rap proteins at the inner aspect of the plasmamembrane which in turn recruit and activate Raf proteins. Activated Raf proteins phosphorylate and activate the intracellular protein kinases MEK1 and MEK2. In turn, activated MEKs catalyse phosphorylation and activation of p42/p44 mitogen-activated protein kinase (MAPK). A variety of cytoplasmic and nuclear substrates of activated MAPK are known which directly or indirectly contribute to the cellular response to environmental change. Three distinct genes have been identified in mammals that encode Raf proteins; A-Raf, B-Raf and C-Raf (also known as Raf-1 ) and isoformic variants that result from differential splicing of mRNA are known.
Inhibitors of Raf kinases have been suggested for use in disruption of tumor cell growth and hence in the treatment of cancers, e.g. histiocytic lymphoma, lung adenocarcinoma, small cell lung cancer and pancreatic and breast carcinoma; and also in the treatment and/or prophylaxis of disorders associated with neuronal degeneration resulting from ischemic events, including cerebral ischemia after cardiac arrest, stroke and multi-infarct dementia and also after cerebral ischemic events such as those resulting from head injury, surgery and/or during childbirth.
The present invention relates to azaindoles derivatives or salts or solvates thereof that are histamine c-Met kinase inhibitors, and/or B-Raf kinase inhibitors. Such compounds or salts or solvates thereof may be useful in the treatment of disorders in cancer, certain viral diseases, cardiovascular disorders, rheumatoid arthritis, malaria and other disorders described herein that are associated with inappropriate B-Raf and/or c-Met kinase activity.
BRIEF SUMMARY OF THE INVENTION
In one aspect of the present invention, there is provided a compound of Formula (I):
(I) wherein Wherein R1 represents H or C1-3 alkyl;
R2 represents H or a group -XY;
X is a bond (ie is absent) or -CO-, -CONH-, -COCH2-; Y is a 5 membered heteroaryl group or a phenyl (wherein the phenyl is optionally substituted by one or two substituents independently selected from
-CN, -Ci-3 alkyl, -Ci-3 haloalkyl, -Ci-3 alkoxy, -halogen);
R3 represents -C1-3 alkyl;
R4 represents -Ci-3 alkylene-NR5R6
R5 and R6 independently represent H or Ci-3 alkyl;
or a salt or solvate thereof.
In a further aspect of the present invention, there is provided a compound of formula (I), or a pharmaceutically acceptable salt or solvate thereof for use in therapy, and particularly in the treatment of disorders mediated by inappropriate B-Raf and/or c- Met activity, such as cancer, certain viral diseases and cardiovascular disorders.
In a further aspect of the present invention, there is provided a pharmaceutical composition comprising a compound of formula (I) or a pharmaceutically acceptable salt or solvate thereof and one or more pharmaceutically acceptable carriers, diluents and excipients.
In a further aspect of the present invention, there is provided a combination comprising a compound of formula (I) or a pharmaceutically acceptable salt or solvate thereof and one or more therapeutic agents, such as one or more anti-cancer agents, e.g. one or more antineoplastic agents.
In a further aspect of the present invention there is provided a combination comprising a compound of formula (I) and one or more therapeutic agents such as one or more anticancer agents for use in therapy, in particular the treatment of disorders mediated by inappropriate c-Met and/or B-Raf kinase activity such as cancer, certain viral diseases and cardiovascular disorders.
In a further aspect of the present invention, there is provided the use of a compound of formula (I), or a pharmaceutically acceptable salt or solvate thereof in the preparation of a medicament for use in the treatment of a disorder mediated by inappropriate B-Raf and/or c-Met activity kinase activity such as cancer, certain viral diseases and cardiovascular disorders.
In a further aspect there is provided the use of a compound of formula (I) or a pharmaceutically acceptable salt or solvate thereof in the preparation of a medicament for the treatment of cancer.
In a further aspect of the present invention, there is provided a method of treating a disorder mediated by inappropriate B-Raf and/or c-Met kinase activity, such as cancer, certain viral diseases and cardiovascular disorders including administering a compound of formula (I), or a pharmaceutically acceptable salt or solvate thereof
In a further aspect of the present invention, there is provided a method of treating cancer including administering a compound of formula (I), or a pharmaceutically acceptable salt or solvate thereof.
In an further aspect of the present invention, there is provided a method of treating cancer including administering (i) a compound of formula (I), or a pharmaceutically acceptable salt or solvate thereof and (ii) at least one additional anti-cancer therapy.
In a further aspect of the present invention there is provided the use of a (i) compound of formula (I) or a pharmaceutically acceptable salt or solvate thereof and (ii) at least one additional cancer therapy for the manufacture of a medicament for the treatment of cancer.
In a further aspect of the present invention, there is provided processes for the synthesis of compounds of formula (I) and salts or solvates thereof.
DETAILED DESCRIPTION OF THE INVENTION
As used herein, the term "effective amount" means that amount of a drug or pharmaceutical agent that will elicit the biological or medical response of a tissue, system, animal or human that is being sought, for instance, by a researcher or clinician. Furthermore, the term "therapeutically effective amount" means any amount which, as compared to a corresponding subject who has not received such amount, results in improved treatment, healing, prevention, or amelioration of a disease, disorder, or side effect, or a decrease in the rate of advancement of a disease or disorder. The term also includes within its scope amounts effective to enhance normal physiological function.
The inappropriate c-Met or B-Raf activity referred to herein is any activity that deviates from the normal activity expected. Inappropriate b Raf or c-Met activity may take the form of, for instance, an abnormal increase in activity, or an aberration in the timing and or control of activity. Such inappropriate activity may result then, for example, from overexpression or mutation of the protein kinase or ligand leading to inappropriate or uncontrolled activation of the receptor. Furthermore, it is also understood that unwanted activity may reside in an abnormal source, such as a malignancy. That is, the level of activity does not have to be abnormal to be considered inappropriate, rather the activity derives from an abnormal source.
In a like manner, the inappropriate angiogenesis referred to herein is any angiogenic activity that deviates from the normal angiogenic activity expected in a particular mammalian subject. Inappropriate angiogenesis may take the form of, for instance, an abnormal increase in activity, or an aberration in the timing and or control of angiogenic activity. Such inappropriate activity may result then, for example, from overexpression or mutation of a protein kinase or ligand leading to inappropriate or uncontrolled activation of angiogenesis. Furthermore, it is also understood that unwanted angiogenic activity may reside in an abnormal source, such as a malignancy. That is, the level of angiogenic activity does not have to be abnormal to be considered inappropriate, rather the activity derives from an abnormal source.
As used herein the term "alkyl" refers to a straight- or branched-chain hydrocarbon radical having the specified number of carbon atoms. As used herein, the terms "Ci- C3 alkyl" refer to an alkyl group, as defined above, containing at least 1 , and at most 3 carbon atoms respectively. Examples of "alkyl" as used herein include methyl, ethyl, n-propyl, isopropyl.
As used herein, the term "alkylene" refers to a straight or branched chain divalent hydrocarbon radical having the specified number of carbon atoms. As used herein, the terms "Ci_C3 alkylene" refer to an alkylene group, as defined above, which contains at least 1 and at most 3 carbon atoms respectively. Examples of "alkylene" as used herein include, but are not limited to methylene, ethylene, n-propylene.
As used herein, the term "halogen" refers to fluorine (F), chlorine (Cl), bromine (Br), or iodine (I) and the term "halo" refers to the halogen radicals: fluoro (-F), chloro (-Cl), bromo(-Br), and iodo(-l).
As used herein, the term "haloalkyl" refers to an alkyl group as defined above, substituted with at least one halo group, halo being as defined herein. Examples of such branched or straight chained haloalkyl groups useful in the present invention include, but are not limited to, methyl, ethyl, propyl, isopropyl and n-butyl substituted independently with one or more halos, e.g., fluoro, chloro, bromo and iodo.
As used herein, the term "alkoxy" refers to the group RaO-, where Ra is alkyl as defined above and the terms "Ci_C3 alkoxy" refer to an alkoxy group as defined herein wherein the alkyl moiety contains at least 1 , and at most 3, carbon atoms. Exemplary "Ci-C3 alkoxy" groups useful in the present invention include, but are not limited to, methoxy, ethoxy, n-propoxy, isopropoxy, n-butoxy, and t-butoxy.
The term "5 membered heteroaryl" is intended to mean a 5 membered monocyclic aromatic ring containing 1 to 3 heteroatoms selected from oxygen, nitrogen and sulphur. Suitable examples of such monocyclic aromatic rings include thienyl, furyl, pyrrolyl, triazolyl, tetrazolyl, imidazolyl, oxazolyl, thiazolyl, oxadiazolyl, and isothiazolyl, isoxazolyl, thiadiazolyl, pyrazolyl.
As used herein, the term "optionally" means that the subsequently described event(s) may or may not occur, and includes both event(s), which occur, and events that do not occur.
The term "c-Met inhibitor" is used to mean a compound which inhibits c-Met kinase.
The term "B-Raf inhibitor" is used to mean a compound which inhibits B-Raf kinase.
The term "c-Met mediated disorder" is used to mean any disease state mediated or modulated by c-Met kinase mechanisms, in particular cancer, certain viral diseases and cardiovascular disorders.
The term "B-Raf mediated disorder" is used to mean any disease state mediated or modulated by B-Raf kinase mechanisms, in particular a neurotraumatic condition or a susceptibale neoplasm. "Neurotraumatic conditions" as defined herein include both open or penetrating head trauma, such as caused by surgery, or a closed head trauma injury, such as caused by an injury to the head region. Also included within this definition is ischemic stroke, particularly to the brain area, transient ischemic attacks following coronary by-pass and cognitive decline following other transient ischemic conditions. Ischemic stroke may be defined as a focal neurologic disorder that results from insufficient blood supply to a particular brain area, usually as a consequence of an embolus, thrombi, or local atheromatous closure of the blood vessel. Roles for stress stimuli (such as anoxia), redox injury, excessive neuronal excitatory stimulation and inflammatory cytokines in this area have been emerging and the present invention provides a means for the potential treatment of these injuries. Relatively little treatment for acute injuries such as these has been available.
When used herein, the term "pharmaceutically acceptable" refers to those compounds, materials, compositions, and dosage forms which are, within the scope of sound medical judgment, suitable for use in contact with the tissues of human beings and animals without excessive toxicity, irritation, or other problem or complication, commensurate with a reasonable benefit/risk ratio.
It is to be understood that the present invention covers the compounds of formula (I) as the free base and as salts and solvates thereof, for example a pharmaceutically acceptable salt or solvate.
As used herein, "a compound of the invention" means a compound of formula (I) or a salt, or solvate thereof.
In one aspect R1 is H.
In one aspect R2 is H or -CO-phenyl (wherein the phenyl group is substituted one or two times with substituents independently selected from -F, -OCH3, -CF3 -CN) -CONH-phenyl (wherein the phenyl is optionally substituted by one or two substituents independently selected from -CF3, -Cl, -CN, -OCH3) or -COCH2-furyl
In a further aspect, R2 is H,
In one aspect R3 is -CH2CH3.
In one aspect, R4 is -CH2N(CH3)2.
While the embodiments for each variable have generally been listed above separately for each variable this invention includes those compounds in which several or each embodiment in formula (I) is selected from each of the embodiments listed above. Therefore, this invention is intended to include all combinations of embodiments for each variable.
Specific examples of compounds of the present invention include [(4-{4-[3-(3-Aminophenyl)-1 -ethyl-1 H-pyrazol-4-yl]-1 /-/-pyrrolo[2,3-6]pyridin-2- yl}phenyl)methyl]dimethylamine;
/\/-{3-[4-(2-{4-[(Dimethylamino)methyl]phenyl}-1 /-/-pyrrolo[2,3-6]pyridin-4-yl)-1-ethyl-
1 /-/-pyrazol-3-yl]phenyl}-Λ/'-phenylurea;
/\/-{3-[4-(2-{4-[(Dimethylamino)methyl]phenyl}-1 /-/-pyrrolo[2,3-6]pyridin-4-yl)-1-ethyl- 1 H-pyrazol-3-yl]phenyl}-Λ/'-[4-(trifluoromethyl)phenyl]urea;
/\/-{3-[4-(2-{4-[(dimethylamino)methyl]phenyl}-1 /-/-pyrrolo[2,3-6]pyridin-4-yl)-1-ethyl-
1 /-/-pyrazol-3-yl]phenyl}-2,6-difluorobenzamide;
/\/-{3-[4-(2-{4-[(dimethylamino)methyl]phenyl}-1 /-/-pyrrolo[2,3-6]pyridin-4-yl)-1-ethyl-
1 /-/-pyrazol-3-yl]phenyl}-2-(2-thienyl)acetamide;
Λ/-(4-cyanophenyl)-Λ/I-{3-[4-(2-{4-[(dimethylamino)methyl]phenyl}-1/-/-pyrrolo[2,3- 6]pyridin-4-yl)-1-ethyl-1 H-pyrazol-3-yl]phenyl}urea;
/\/-[4-chloro-3-(trifluoromethyl)phenyl]-/\/'-{3-[4-(2-{4-[(dimethylamino)methyl]phenyl}- 1 H-pyrrolo[2,3-ιb]pyridin-4-yl)-1 -ethyl-1 H-pyrazol-3-yl]phenyl}urea; /\/-{3-[4-(2-{4-[(dimethylamino)methyl]phenyl}-1 H-pyrrolo[2,3-ό]pyridin-4-yl)-1 -ethyl- 1 H-pyrazol-3-yl]phenyl}-Λ/'-[4-(methyloxy)phenyl]urea.
The compound of the present invention may be in the form of a salt. Typically, the salt is a pharmaceutically acceptable salt. Pharmaceutically acceptable salts include acid and base addition salts. For a review on suitable salts see Berge et al., J. Pharm. ScL, 66:1-19, (1977).
As used herein, the term "pharmaceutically acceptable salts" refers to salts that retain the desired biological activity of the subject compound and exhibit minimal undesired toxicological effects. These pharmaceutically acceptable salts may be prepared in situ during the final isolation and purification of the compound, or by separately reacting the purified compound in its free acid or free base form with a suitable base or acid respectively. Indeed, in certain embodiments of the invention, pharmaceutically acceptable salts may be preferred over the respective free base or free acid because such salts impart greater stability or solubility to the molecule thereby facilitating formulation into a dosage.
Suitable pharmaceutically acceptable salts can include acid or base additions salts.
A pharmaceutically acceptable acid addition salt can be formed by reaction of a compound of formula (I) with a suitable inorganic or organic acid (such as hydrobromic, hydrochloric, formic, sulfuric, nitric, phosphoric, succinic, maleic, acetic, fumaric, citric, tartaric, benzoic, p-toluenesulfonic, methanesulfonic or naphthalenesulfonic acid), optionally in a suitable solvent such as an organic solvent, to give the salt. Thus, a pharmaceutically acceptable acid addition salt of a compound of formula (I) can be for example a hydrobromide, hydrochloride, formate, sulfate, nitrate, phosphate, succinate, maleate, acetate, fumarate, citrate, tartrate, benzoate, p-toluenesulfonate, methanesulfonate or naphthalenesulfonate salt. Other representative salts include the following salts: benzenesulfonate, bicarbonate, bisulfate, bitartrate, borate, bromide, calcium edetate, camsylate,
carbonate, chloride, clavulanate, dihydrochloride, edetate, edisylate, estolate, esylate, gluceptate, gluconate, glutamate, glycollylarsanilate, hexylresorcinate, hydrabamine, hydroxynaphthoate, iodide, isethionate, lactate, lactobionate, laurate, malate, mandelate, mesylate, methylbromide, methylnitrate, methylsulfate, monopotassium maleate, mucate, napsylate, Λ/-methylglucamine, oxalate, pamoate (embonate), palmitate, pantothenate, diphosphate, polygalacturonate, potassium, salicylate, sodium, stearate, subacetate, tannate, teoclate, tosylate, triethiodide, trimethylammonium and valerate.
Suitable pharmaceutically acceptable base salts include ammonium salts, alkali metal salts such as those of sodium and potassium, alkaline earth metal salts such as those of calcium and magnesium, and salts with organic bases, including salts of primary, secondary and tertiary amines such as isopropylamine, diethylamine, ethanolamine, trimethylamine, dicyclohexylamine and Λ/-methyl-D-glucamine.
Other non-pharmaceutically acceptable salts, e.g. oxalates or trifluoroacetates, may be used, for example in the isolation of the compound of the invention, and are included within the scope of this invention. The invention includes within its scope all possible stoichiometric and non-stoichiometric forms of the salts of the compounds of formula (I).
It will be appreciated that many organic compounds can form complexes with solvents in which they are reacted or from which they are precipitated or crystallized. These complexes are known as "solvates". For example, a complex with water is known as a "hydrate". Solvents with high boiling points and/or solvents with a high propensity to form hydrogen bonds such as water, xylene, Λ/-methyl pyrrolidinone methanol may be used to form solvates. Methods for identification of solvates include, but are not limited to, NMR and microanalysis. Solvates of the compound of the invention are within the scope of the invention.
The compounds of the invention may have the ability to crystallize in more than one form, a characteristic, which is known as polymorphism, and it is understood that such polymorphic forms ("polymorphs") are within the scope of formula (I). Polymorphism generally can occur as a response to changes in temperature or pressure or both and can also result from variations in the crystallization process.
Polymorphic forms of compounds of formula (I) may be characterized and differentiated using a number of conventional analytical techniques, including, but not limited to, X-ray powder diffraction (XRPD) patterns, infrared (IR) spectra, Raman spectra, differential scanning calorimetry (DSC), thermogravimetric analysis (TGA) and solid state nuclear magnetic resonance (NMR).
Certain compounds of formula (I) may exist in one of several tautomeric forms. It will be understood that the present invention encompasses all tautomers of the compounds of formula (I) whether as individual tautomers or as mixtures thereof.
It will be appreciated from the foregoing that included within the scope of the invention are all solvates, hydrates, complexes, isomers and polymorphic forms of the compound of the invention and salts thereof.
The compounds of formula (I) and salts and solvates thereof, are believed to have therapeutic potential as a result of inhibition of the protein kinase c-Met and /or B- Raf.
The invention thus provides compounds of formula (I) and salts and solvates derivatives thereof for use in therapy, particularly in the treatment of disorders mediated by inappropriate B-Raf and/or C-Met kinase activity.
The invention also provides compounds of formula (I) for use in the treatment of disorders mediated by inappropriate B-Raf and or/ C-Met kinase activity.
In a further aspect of the present invention, there is provided a method of treating a disorder associated with inappropriate B-Raf and/or c-Met kinase activity comprising administering to said mammal a compound of formula (I) or a salt or solvate thereof.
In a further aspect of the present invention there is provided the use of a compound of formula (I) or a salt or solvate thereof in the manufacture of a medicament for use in the treatment of a disorder associated with inappropriate B-Raf and/or c-Met kinase activity.
Examples of disease states in which compounds of formula (I), or pharmaceutically acceptable salts or solvates thereof may have potentially beneficial antitumour effects include, but are not limited to, cancers of the lung, bone, pancreas, skin, head, neck, uterus, ovaries, stomach, colon, breast, esophagus, small intestine, bowel, endocrine system, thyroid glad, parathyroid gland, adrenal gland, urethra, prostate, penis, testes, ureter, bladder, kidney or liver; rectal cancer; cancer of the anal region; carcinomas of the fallopian tubes, endometrium, cervix, vagina, vulva, renal pelvis, renal cell; sarcoma of soft tissue; myxoma; rhabdomyoma; fibroma; lipoma; teratoma; cholangiocarcinoma; hepatoblastoma; angiosarcoma; hemagioma; hepatoma; fibrosarcoma; chondrosarcoma; myeloma; chronic or acute leukemia; lymphocytic lymphomas; primary CNS lymphoma; neoplasms of the CNS; spinal axis tumours; squamous cell carcinomas; synovial sarcoma; malignant pleural mesotheliomas; brain stem glioma; pituitary adenoma; bronchial adenoma; chondromatous hanlartoma; inesothelioma; Hodgkin's Disease or a combination of one or more of the foregoing cancers.
The compounds of the present invention may also be useful in the treatment of one or more diseases afflicting mammals which are characterized by cellular proliferation in the area of disorders associated with neo-vascularization and/or vascular permeability including blood vessel proliferative disorders including arthritis (rheumatoid arthritis) and restenosis; fibrotic disorders including hepatic cirrhosis and atherosclerosis; mesangial cell proliferative disorders include glomerulonephritis, diabetic nephropathy, malignant nephrosclerosis, thrombotic microangiopathy syndromes, proliferative retinopathies, organ transplant rejection and glomerulopathies; and metabolic disorders include psoriasis, diabetes mellitus, chronic wound healing, inflammation and neurodegenerative diseases.
Furthermore, the compounds of the invention may be of use in the treatment of viral diseases related to activation of c-Met kinase, including, but not limited to malaria and Helicobacter pylori infection.
Further conditions include cardiovascular disorders, such as myocardial infarction, coronary artery disease, stroke and peripheral vascular disease.
While it is possible that, for use in therapy, therapeutically effective amounts of a compound of formula (I), as well as pharmaceutically acceptable salts or solvates thereof, may be administered as the raw chemical, it is possible to present the active ingredient as a pharmaceutical composition. The compounds of the formula (I) and pharmaceutically acceptable salts or solvates thereof are as described above. The carrier(s), diluent(s) or excipient(s) must be acceptable in the sense of being compatible with the other ingredients of the composition and not deleterious to the recipient thereof. In accordance with another aspect of the invention there is also provided a process for the preparation of a pharmaceutical composition including admixing a compound of the formula (I), or pharmaceutically acceptable salts or solvates thereof, with one or more pharmaceutically acceptable carriers, diluents or excipients.
Pharmaceutical compositions may be presented in unit dose forms containing a predetermined amount of active ingredient per unit dose. Such a unit may contain, for example, 0.5 mg to 1 g, preferably 1 mg to 700 mg, of a compound of the formula
(I) depending on the condition being treated, the route of administration and the age, weight and condition of the patient. Preferred unit dosage compositions are those containing a daily dose or sub-dose, as herein above recited, or an appropriate fraction thereof, of an active ingredient. Furthermore, such pharmaceutical compositions may be prepared by any of the methods well known in the pharmacy art.
Pharmaceutical compositions may be adapted for administration by any appropriate route, for example by the oral (including buccal or sublingual), rectal, nasal, topical (including buccal, sublingual or transdermal), vaginal or parenteral (including subcutaneous, intramuscular, intravenous or intradermal) route. Such compositions may be prepared by any method known in the art of pharmacy, for example by bringing into association the active ingredient with the carrier(s) or excipient(s).
Pharmaceutical compositions adapted for oral administration may be presented as discrete units such as capsules or tablets; powders or granules; solutions or suspensions in aqueous or non-aqueous liquids; edible foams or whips; or oil-in- water liquid emulsions or water-in-oil liquid emulsions.
For instance, for oral administration in the form of a tablet or capsule, the active drug component can be combined with an oral, non-toxic pharmaceutically acceptable inert carrier such as ethanol, glycerol, water and the like. Powders are prepared by comminuting the compound to a suitable fine size and mixing with a similarly comminuted pharmaceutical carrier such as an edible carbohydrate, as, for example, starch or mannitol. Flavoring, preservative, dispersing and coloring agent can also be present.
Capsules are made by preparing a powder mixture as described above, and filling formed gelatin sheaths. Glidants and lubricants such as colloidal silica, talc, magnesium stearate, calcium stearate or solid polyethylene glycol can be added to the powder mixture before the filling operation. A disintegrating or solubilizing agent such as agar-agar, calcium carbonate or sodium carbonate can also be added to improve the availability of the medicament when the capsule is ingested.
Moreover, when desired or necessary, suitable binders, lubricants, disintegrating agents and coloring agents can also be incorporated into the mixture. Suitable binders include starch, gelatin, natural sugars such as glucose or beta-lactose, corn sweeteners, natural and synthetic gums such as acacia, tragacanth or sodium alginate, carboxymethylcellulose, polyethylene glycol, waxes and the like. Lubricants used in these dosage forms include sodium oleate, sodium stearate, magnesium stearate, sodium benzoate, sodium acetate, sodium chloride and the like. Disintegrators include, without limitation, starch, methyl cellulose, agar, bentonite, xanthan gum and the like. Tablets are formulated, for example, by preparing a powder mixture, granulating or slugging, adding a lubricant and disintegrant and pressing into tablets. A powder mixture is prepared by mixing the compound, suitably comminuted, with a diluent or base as described above, and optionally, with a binder such as carboxymethylcellulose, an aliginate, gelatin, or polyvinyl pyrrolidone, a solution retardant such as paraffin, a resorption accelerator such as a quaternary salt and/or an absorption agent such as bentonite, kaolin or dicalcium phosphate. The powder mixture can be granulated by wetting with a binder such as syrup, starch paste, acadia mucilage or solutions of cellulosic or polymeric materials and forcing through a screen. As an alternative to granulating, the powder mixture can be run through the tablet machine and the result is imperfectly formed slugs broken into granules. The granules can be lubricated to prevent sticking to the tablet
forming dies by means of the addition of stearic acid, a stearate salt, talc or mineral oil. The lubricated mixture is then compressed into tablets. The compounds of the present invention can also be combined with a free flowing inert carrier and compressed into tablets directly without going through the granulating or slugging steps. A clear or opaque protective coating consisting of a sealing coat of shellac, a coating of sugar or polymeric material and a polish coating of wax can be provided. Dyestuffs can be added to these coatings to distinguish different unit dosages.
Oral fluids such as solution, syrups and elixirs can be prepared in dosage unit form so that a given quantity contains a predetermined amount of the compound. Syrups can be prepared by dissolving the compound in a suitably flavored aqueous solution, while elixirs are prepared through the use of a non-toxic alcoholic vehicle.
Suspensions can be formulated by dispersing the compound in a non-toxic vehicle.
Solubilizers and emulsifiers such as ethoxylated isostearyl alcohols and polyoxy ethylene sorbitol ethers, preservatives, flavor additives such as peppermint oil or natural sweeteners or saccharin or other artificial sweeteners, and the like can also be added.
Where appropriate, dosage unit compositions for oral administration can be microencapsulated. The composition can also be prepared to prolong or sustain the release as for example by coating or embedding particulate material in polymers, wax or the like.
The compounds of formula (I) and pharmaceutically acceptable salts or solvates thereof can also be administered in the form of liposome delivery systems, such as small unilamellar vesicles, large unilamellar vesicles and multilamellar vesicles. Liposomes can be formed from a variety of phospholipids, such as cholesterol, stearylamine or phosphatidylcholines.
The compounds of formula (I) and pharmaceutically acceptable salts or solvates thereof may also be delivered by the use of monoclonal antibodies as individual carriers to which the compound molecules are coupled. The compounds may also be coupled with soluble polymers as targetable drug carriers. Such polymers can include polyvinylpyrrolidone, pyran copolymer, polyhydroxypropylmethacrylamide- phenol, polyhydroxyethylaspartamidephenol, or polyethyleneoxidepolylysine
substituted with palmitoyl residues. Furthermore, the compounds may be coupled to a class of biodegradable polymers useful in achieving controlled release of a drug, for example, polylactic acid, polepsilon caprolactone, polyhydroxy butyric acid, polyorthoesters, polyacetals, polydihydropyrans, polycyanoacrylates and cross-linked or amphipathic block copolymers of hydrogels.
Pharmaceutical compositions adapted for transdermal administration may be presented as discrete patches intended to remain in intimate contact with the epidermis of the recipient for a prolonged period of time. For example, the active ingredient may be delivered from the patch by iontophoresis as generally described in Pharm. Res., 3(6):318 (1986).
Pharmaceutical compositions adapted for topical administration may be formulated as ointments, creams, suspensions, lotions, powders, solutions, pastes, gels, sprays, aerosols or oils.
For treatments of the eye or other external tissues, for example mouth and skin, the compositions are preferably applied as a topical ointment or cream. When formulated in an ointment, the active ingredient may be employed with either a paraffinic or a water-miscible ointment base. Alternatively, the active ingredient may be formulated in a cream with an oil-in-water cream base or a water-in-oil base.
Pharmaceutical compositions adapted for topical administrations to the eye include eye drops wherein the active ingredient is dissolved or suspended in a suitable carrier, especially an aqueous solvent.
Pharmaceutical compositions adapted for topical administration in the mouth include lozenges, pastilles and mouth washes.
Pharmaceutical compositions adapted for rectal administration may be presented as suppositories or as enemas.
Pharmaceutical compositions adapted for nasal administration wherein the carrier is a solid include a coarse powder having a particle size for example in the range 20 to 500 microns which is administered in the manner in which snuff is taken, i.e., by rapid
inhalation through the nasal passage from a container of the powder held close up to the nose. Suitable compositions wherein the carrier is a liquid, for administration as a nasal spray or as nasal drops, include aqueous or oil solutions of the active ingredient.
Pharmaceutical compositions adapted for administration by inhalation include fine particle dusts or mists, which may be generated by means of various types of metered, dose pressurised aerosols, nebulizers or insufflators.
Pharmaceutical compositions adapted for vaginal administration may be presented as pessaries, tampons, creams, gels, pastes, foams or spray compositions.
Pharmaceutical compositions adapted for parenteral administration include aqueous and non-aqueous sterile injection solutions which may contain anti-oxidants, buffers, bacteriostats and solutes which render the composition isotonic with the blood of the intended recipient; and aqueous and non-aqueous sterile suspensions which may include suspending agents and thickening agents. The compositions may be presented in unit-dose or multi-dose containers, for example sealed ampules and vials, and may be stored in a freeze-dried (lyophilized) condition requiring only the addition of the sterile liquid carrier, for example water for injections, immediately prior to use. Extemporaneous injection solutions and suspensions may be prepared from sterile powders, granules and tablets.
It should be understood that in addition to the ingredients particularly mentioned above, the compositions may include other agents conventional in the art having regard to the type of composition in question, for example those suitable for oral administration may include flavouring agents.
Therefore, there is provided a pharmaceutical composition comprising a compound of formula (I) or a pharmaceutically acceptable salt or solvate thereof and one or more pharmaceutically acceptable carriers, diluents and excipients.
A therapeutically effective amount of a compound of the present invention will depend upon a number of factors including, for example, the age and weight of the animal, the precise condition requiring treatment and its severity, the nature of the
composition, and the route of administration, and will ultimately be at the discretion of the attendant physician or veterinarian. However, an effective amount of a compound of formula (I) for the treatment of disorders or diseases associated with inappropriate c-Met activity, will generally be in the range of 0.1 to 100 mg/kg body weight of recipient (mammal) per day and more usually in the range of 1 to 10 mg/kg body weight per day. Thus, for a 70 kg adult mammal, the actual amount per day would usually be from 70 to 700 mg and this amount may be given in a single dose per day or more usually in a number (such as two, three, four, five or six) of sub- doses per day such that the total daily dose is the same. An effective amount of a pharmaceutically acceptable salt thereof may be determined as a proportion of the effective amount of the compound of formula (I) per se. It is envisaged that similar dosages would be appropriate for treatment of the other conditions referred to above.
The compounds of the present invention and their pharmaceutically acceptable salts or solvates may be employed alone or in combination with other therapeutic agents. Thus the invention provides a combination comprising a compound of formula (I) or a pharmaceutically acceptable salt or solvate thereof and one or more therapeutic agents.
Particularly, combination with at last one other anti-cancer therapy is envisaged. In particular, in anti-cancer therapy, combination with other chemotherapeutic, hormonal or antibody agents is envisaged, as well as combination with surgical therapy and radiotherapy. Combination therapies according to the present invention thus comprise the administration of at least one compound of formula (I) or a pharmaceutically acceptable salt thereof and the use of at least one other cancer treatment method. For example, combination therapies according to the present invention comprise the administration of at least one compound of formula (I) or a pharmaceutically acceptable salt thereof and at least one other pharmaceutically active agent, such as an anti-neoplastic agent. The compound(s) of formula (I) and the other pharmaceutically active agent(s) may be administered together or separately and, when administered separately this may occur simultaneously or sequentially in any order. The amounts of the compound(s) of formula (I) and the other pharmaceutically active agent(s) and the relative timings of administration will be selected in order to achieve the desired combined therapeutic effect.
The compounds of formula (I) or pharmaceutically acceptable salts or solvates thereof and at least one additional cancer treatment therapy may be employed in combination concomitantly or sequentially in any therapeutically appropriate combination with such other anti-cancer therapies. In one embodiment, the other anti-cancer therapy is at least one additional chemotherapeutic therapy including administration of at least one anti-neoplastic agent. The administration in combination of a compound of formula (I) or pharmaceutically acceptable salts or solvates thereof with other anti-neoplastic agents may be in combination in accordance with the invention by administration concomitantly in (1 ) a unitary pharmaceutical composition including both compounds, or (2) separate pharmaceutical compositions each including one of the compounds. Alternatively, the combination may be administered separately in a sequential manner wherein one anti-neoplastic agent is administered first and the other second or vice versa. Such sequential administration may be close in time or remote in time.
Anti-neoplastic agents may induce anti-neoplastic effects in a cell-cycle specific manner, i.e., are phase specific and act at a specific phase of the cell cycle, or bind DNA and act in a non cell-cycle specific manner, i.e., are non-cell cycle specific and operate by other mechanisms.
Anti-neoplastic agents useful in combination with the compounds and pharmaceutically acceptable salt of formula I include, but are not limited to the following classes, modes of action and substances:
(1 ) Antimetabolite-type/thymidilate synthase inhibitor antineoplastic agents, which are exemplified by, but are not limited to: allopurinol, carmofur, cladrabine, cytarabine, cytosine arabinoside, dezaguanine, fludurabine, fluorodeoxyuridine, 5- fluorouracil, hydroxyurea, isopropyl pyrrolizine, methotrexate, mercaptopurine, plicamycin, raltitrexed, tegafur, thioguanine and trimetrexate.
(2) Alkylating-type antineoplastic agents, which are exemplified by, but are not limited to: anaxirone, busulfan, carmustine, carboplatin, cisplatin, chlorambucil, cyclophosphamide, dacarbazine, elmustine, hexamethylmelamine, iproplatin, lomustine, mechlorethamine, melphalan, nitrogen mustards, nitrosoureas, oxaliplatin, tauromustine, temozolomide, teroxirone, tetraplatin and trimelamol;
(3) Antibiotic-type antineoplastic agents, which are exemplified by, but not limited to: aclarubicin, adriamycin, azino-mycin-A, bleomycin, calichemycin, chromoximycin, dactinomycin, doxorubicin, daunomycin, epirubicin, idarubicin, fostriecin, glidobactin, grincamycin, herbimycin, idarubicin, mitomycin-C, mithramycin, neoenactin, oxaunomycin, peplomycin, pilatin, rodorubicin, sibanomicin, steffimycin B, talisomycin, terpentecin, and zorubicin;
(4) Hormonal anti-neoplastic agents, such as antiprogestogens, topoisomerase I and Il inbiting agents and tubulin-interacting agents, which are exemplified by, but not limited to: α-carotene, acitretin, alstonine, amsacrine, anastrozole, ankinomycin, aphidicolin glycinate, asparaginase, baccharin, batracylin, benfiuron, benzotript,9- aminocamptothecin, camptothecin, caracemide, carmethizole hydrochloride, clan- fenur, claviridenone, CPT-11 , crisnatol, curaderm, cytochalasin B, cytarabine, cytocytin, dacarbazine, datelliptinium, didemnin-B, dmaematoporphyrin ether, dihydrolenperone, dinaline, distamycin, docetaxel, droloxifene, elliprabin, elliptinium acetate, ergotamine, etoposide, etretinate, exemestane, fenretinide, gallium nitrate, hexadecylphosphocholine, iodoxyfene, ilmofosine, irinotecan, isoglutamine, isotretinoin, letrozole, leukoregulin, lonidamine, megestrol acetate, merbarone, (optical forms of) 7-(4-methylpiperazino-methylene)-10,11-ethylenedioxy-20- camptothecin, methylaoilinoacridine, minactivin, mitonafide, mitoquidone mopidamol, motretinide, nafazatrom, nocodazole derivative, ocreotide, oquizanocine, paclitaxel, pancratistatin, pazelliptine, piroxaotrone, polyhaematoporphyrin, polypreic acid, Efamol porphyrin, probimane, procarbazine, proglumide, raloxifene, razoxane, retelliptine, retinoic acid, spatol, spirogermarnum, superoxide dismutase, tamoxifen, taxol, taxotere, teniposide, thaliblastine, tocotrienol, topotecan, Topostin, toremifene, vinblastine sulfate, vincristine, vindesine, vinestramide, vinorelbine, vintriptol, vinzolidine, vorazole, and withanolides;
(5) Cytostatic agents, for example aromatase inhibitors such as antiandrogens such as bicalutamide, cyproterone acetate, flutamide, and nilutamide; LHRH agonists and antagagonists such as buserelin, goserelin acetate leuprorelin and luprolide; and testosterone 5α-dihydroreductase inhibitors such as finasteride;
(6) Agents that inhibit cancer cell invasion which are exemplified by but not
limited to, for example, metalloproteinase inhibitors such as marimastat; and inhibitors of urokinase plasminogen activator receptor function;
(7) Inhibitors of growth factor function, for example such inhibitors include growth factor antibodies, growth factor receptor antibodies, such as anti-erb-B2 antibody trastuzumab [Herceptin™] and the anti-erb-B1 antibody cetuximab [C225], farnesyl transferase inhibitors, tyrosine kinase inhibitors and serine-threonine kinase inhibitors such as inhibitors of the epidermal growth factor receptor (EGFr) family e.g. Λ/-(3- chloro-4-fluorophenyl-7-methoxy-6-(3-morpholinopropoxy)quinazolin-4-amine [gefitinib, AZD1839], Λ/-(3-ethynylphenyl)-6,7-bis(2-methoxyethoxy)quinazolin-4- amine [erlotinib, OSI-774] and 6-acrylamido-Λ/-(3-chloro-4-fluorophenyl)-7-(3- morpholinopropoxy)quinazolin-4-amine [CI-1033], cyclin dependent inhibitors such as CDK2 and CDK4 inhibitors, platelet derived growth factor receptor (PDGFr) inhibitors and other protein kinase inhibitors such as c-Raf and B-Raf;
(8) Antiangiogenic agents for example those which inhibit the effects of vascular endothelial growth factor receptor (VEGFR) inhibitors such as the anti-VEGFR antibody bevacizumab [Avastin™]; TIE-2 inhibitors and compounds that work by other mechanisms, such as linomide, inhibitors of integrin αvβ3 function and angiostatin;
(9) Vascular damaging agents, such as Combretastin A4;
(10) Antisense therapies, for example those which are directed to the targets listed above, such as ISIS 2503;
(1 1 ) Gene therapy approaches, for example, approaches to replace aberrant genes, such as aberrant p53, abberant BRCA1 or BRCA2; gene-directed enzyme pro-drug therapy (GDEPT); virus-directed enzyme pro-drug therapy (VDEPT); approaches such as those using cytosine deaminase, thymidine kinase or a bacterial nitroreductase enzyme and approaches to increase patient tolerance to chemotherapy or radiotherapy such as multi-drug resistance gene therapy;
(12) Immunotherapy approaches including, for example ex-vivo and in-vivo approaches in increase the immunogenecity of patient tumour cells, for example transfection with cyctokines such as interleukin 2, interleukin 4 or granulocyte-
macrophage stimulating factor, approaches to decreased T-cell anergy, approaches using transfected immune cells, such as cytokine-transfected dendritic cells, approaches using cytokine-transfected tumour cell lines and approaches using anti- idiotypic antibodies;
(13) Cyclooxygenase Types 2 (COX-2) inhibitors, such as celecoxib and etoricoxib.
When a compound of the invention is used in combination with a second therapeutic agent active against the same disease, the dose of each compound may differ from that when the compound is used alone. Appropriate doses will be readily appreciated by those skilled in the art.
Therefore, there is provided a combination comprising a therapeutically effective amount of a compound of formula (I) or a pharmaceutically acceptable salt thereof and one or more therapeutic agents, such as one or more anti-cancer agents, e.g. one or more antineoplastic agents.
GENERAL PROCESSES The compounds of this invention may be made by a variety of methods, including standard chemistry. Any previously defined variable will continue to have the previously defined meaning unless otherwise indicated. Illustrative general synthetic methods are set out below and then specific compounds of the invention are prepared in the working Examples.
Scheme 1 - Synthesis of compounds of formula (I)
As illustrated in Scheme 1 , compounds of formula (I) (shown here as the compound of formula I where R4 is dimethylaminomethylene, R3 is -CH2CH3, R1 is H, and R2 is a group of -XY, where R1, R2, R3, R4, -XY are as defined hereinabove) may be synthesized from compound (Ia) (shown here as the compound of formula I where R4 is dimethylaminomethylene, R3 is -CH2CH3, R1 and R2 are H, where R1, R2, R3, R4 are as defined hereinabove) by adding R-NCO or R-COCI to a solution of compound (Ia) in pyridine, with the molar ratio of compound (Ia) to compound R-NCO or R-COCI being from 1 :1 to 1 :1.5, preferably 1 :1.1. While the preferred solvent is pyridine, those skilled in the art will understand that other solvents, such as THF, CH2CI2, CHCI3, CH2CICH2CI, may be used. The reaction mixture is stirred at room temperature for 1 to 2 hours. As will be understood by those skilled in the art, various temperatures such as O to 60 0C and times such as 0.1 to 12 hours may be used.
Compounds of formula (I) may also be prepared by the condensation reaction by reacting a suitable carboxylic acid and compound (Ia). The condensation reaction may typically be carried out in an appropriate solvent, such as N, N- dimethylformamide, dichloromethane, dichloroethane or chloroform with a suitable coupling agent for example, O-benzotriazole-Λ/,Λ/,Λ/',Λ/-tetramethyluronium hexafluorophosphate, O-benzotriazole-1-yl-1 ,1 ,3,3-tetramethyluronium tetrafluoro borate, 1-hydroxybenzotriazole or O-(7-azabenzotriazol-1-yl)-Λ/,Λ/,Λ/',Λ/'- tetramethyluronium hexafluorophosphate may be used, optionally with the addition of a suitable base such as diisopropylethylamine. Various temperatures and times may be employed, for example 0 to 60 0C. For example, the reaction may be carried out at room temperature for 3 hours. The molar ratio of a compound of formula (Ia) : carboxylic acid may be 1 :1 , for example.
Compounds of formula (I) can be obtained by concentration in vacuo and purification by mass directed LC/MS, for example.
Compound (Ia) (shown here as the compound of formula I where R4 is dimethylaminomethylene, R1 and R2 are H, R3 is -CH2CH3, where R1, R2, R3, R4 are as defined hereinabove) may be synthesized via either of the following procedures or alternatively may be prepared by methods well known to those skilled in the art.
Procedure 1 is described in Scheme 2-4.
Scheme 2 - Synthesis of compound (Ia)
Reagents and conditions: i) Suzuki coupling reaction, ii) Reduction of the nitro group.
Compound (Ia) can be prepared by the reduction of compound (II) with a reductant such as tin, iron or zinc in an appropriate solvent such as ethanol at temperatures between rt and 250 0C, optionally with an acid catalyst such as hydrogen chloride or acetic acid. For example, heating compound (II) with tin in EtOH and aqueous HCI at 60 0C for 1 h provides compound (Ia).
To prepare compound (II), compound (IV) and compound (III), in a molar ratio that is typically 1 :1 , but can vary from 1 :1 to 1 :3 are dissolved in DME and 2M aqueous Na2CO3, in the presence of a palladium catalyst and heated at an elevated temperature. 2M Na2CO3 can be used from 0.25 to 10 equivalence with respect to compound (III). In place of Na2CO3, other bases such as K2CO3, K3PO4, Cs2CO3, CsF, Ba(OH)2, NaOH, NaHCO3 may be used. Instead of or in addition to DME, other
solvent systems such as DMF, dioxane, THF, toluene, xylene, MeOH, ethanol, H2O, MeCN, NMP or a mixture of two or more of them may be used. The catalyst is preferably Pd(PPh3)4; however, it is understood that other catalysts such as Pd(OAc)2, PdCI2(PPh3)2, Pd2(dba)3, [PdCI(allyl)]2, with a suitable ligand such as PPh3, PCy3, (f-Bu)2POH, (f-Bu)3P may be used. Also, phosphine-free palladium such as Pd/C, and polymer bound palladium may be used. The use of a different catalyst may alter the time, temperature, and/or solvent to be used as will be understood by one skilled in the art. The reaction is preferably performed using microwave heating at 120 0C for 60 minutes. However, other modes of heating such as oil baths or hot plates may also be used. Also, other temperatures of 60 to 180 0C and times of 0.1 to 24 h may be utilized, with the general understanding that higher reaction temperatures typically will require shorter reaction times. The residue may be purified by SCX cartridge via capture-and-release, for example.
Scheme 3 - Synthesis of compound (III)
(Vl) (V) (III)
Reagents and Conditions: i) Ethylation of compound (Vl): reaction of compound (Vl) with ethyl iodide in a solvent such as dichloromethane in the presence of an appropriate base such as aqueous NaOH. Addition of tetrabutylammonium bromide is also preferred. For example, stirring compound (Vl) with EtI, TBAB at rt for 1 h provides compound (V). ii) Compound (V) and commercially available 4,4,4',4',5,5,5',5'-octamethyl-2,2'-bi-1 ,3,2-dioxaborolane, in a molar ratio that is typically 1 :2, but can vary from 1 :1 to 1 :3, and KOAc are dissolved in DMF and heated at an elevated temperature in the presence of a palladium catalyst. The catalyst is preferably Pd(dppf)CI2. The reaction is preferably performed at 90 0C for 12 h.
To prepare compound (III), compound (V) and commercially available 4,4,4',4',5,5,5',5'-octamethyl-2,2'-bi-1 ,3,2-dioxaborolane, in a molar ratio that is
typically 1 :2, but can vary from 1 :1 to 1 :3, and KOAc are dissolved in DMF and heated at an elevated temperature in the presence of a palladium catalyst. KOAc can be used from 1 to 10 equivalence with respect to 4,4,4',4',5,5,5',5'-octamethyl- 2,2'-bi-1 ,3,2-dioxaborolane. The catalyst is preferably Pd(dppf)CI2. The reaction is preferably performed at 90 0C for 12 h. Also, other temperatures of 60 to 180 0C and times of 0.1 to 100 hours may be utilized, with the general understanding that higher reaction temperatures typically will require shorter reaction times.
Compound (V) may be synthesized by a reaction of compound (Vl) with ethyl iodide in a solvent such as dichloromethane in the presence of an appropriate base such as aqueous NaOH. Addition of tetrabutylammonium bromide is also preferred. For example, stirring compound (Vl) with EtI, TBAB at rt for 1 h provides compound (V). Compound (Vl) can be prepared according to WO2002088107.
Scheme 4 - Synthesis of compound (IV)
Reagents and Conditions: i) Suzuki coupling reaction, ii) Removal of protecting group using an appropriate base such as aqueous sodium hydroxide, in an appropriate solvent such as methanol, and optionally at an elevated temperature such as 50 0C, for an appropriate time, for example, 1 hour.
The tosyl group illustrated as a nitrogen-protecting group in Scheme 4 may be removed, for example, by treatment with aqueous NaOH, or other methods known to one skilled in the art. Other suitable nitrogen protecting groups may also be employed in this synthetic scheme. For example, reaction of compound (VII), with aqueous NaOH in a solvent such as MeOH at 50 0C for 1 h yields compound (IV).
Compound (VII) may be prepared via Suzuki coupling reaction of tosyl- protected 4-bromo-2-iodo-7-azaindole (WO03/000690A1 ) and appropriate boronic acids or boronate esters (such as for example {4-
[(dimethylamino)methyl]phenyl}boronic acid), as is described in Scheme 4. Compound (VIII) and an appropriate boronic acid or an ester, in a molar ratio that is typically 1 :1 , but can vary from 1 :1 to 1 :1.5 are dissolved in DME and 2M aqueous Na2CO3, in the presence of a palladium catalyst and heated at an elevated temperature. 2M Na2CO3 may be used from 0.25 to 10 equivalence with respect to the boronic acid or ester. In place of Na2CO3, other bases such as K2CO3, K3PO4, Cs2CO3, CsF, Ba(OH)2, NaOH, NaHCO3 may be used. Instead of or in addition to DME, other solvent systems such as DMF, dioxane, THF, toluene, xylene, MeOH, ethanol, H2O, MeCN, NMP or a mixture of two or more of them may be used. The catalyst is preferably Pd(PPh3)4; however, it is understood that other catalysts such as Pd(OAc)2, PdCI2(PPh3)2, Pd2(dba)3, [PdCI(allyl)]2, with a suitable ligand such as PPh3, PCy3, (f-Bu)2POH, (f-Bu)3P may be used. Also, phosphine-free palladium such as Pd/C, and polymer bound palladium may be used. The use of a different catalyst may alter the time, temperature, and/or solvent to be used as will be understood by one skilled in the art. The reaction is preferably performed using microwave heating at 120 0C for 2 hours. However, other modes of heating such as oil baths or hot plates may also be used. Also, other temperatures of 60 to 180 0C and times of 0.1 to 24 h may be utilized, with the general understanding that higher reaction temperatures typically will require shorter reaction times.
Procedure 2 is described in Scheme 5.
Scheme 5 - Synthesis of compound (Ia)
(XII) (Xl) (X)
(Ib) (Ia)
Reagents and conditions: i) Suzuki coupling reaction, ii) Compound (Xl) and commercially available 4,4,4',4',5,5,5',5'-octamethyl-2,2'-bi-1 ,3,2-dioxaborolane, in a molar ratio that is typically 1 :2, but can vary from 1 :1 to 1 :3, and KOAc are dissolved in dioxane and heated at an elevated temperature in the presence of a palladium catalyst. The catalyst is preferably Pd(dppf)CI2. The reaction is preferably performed at 100 0C for 12 h. iii) Suzuki coupling reaction, iv) Reductive amination of formyl group by the treatment of dimethylamine and sodium triacetoxyborohydride: Typically, THF is used as solvent and the addition of an acid such as acetic acid can promote the reaction. For example, a reaction of compound (IX) with the reagents described above at rt for 1.5 hours yields compound (Ic). v) Deprotection of benzenesulfonyl group with aqueous NaOH: The benzenesulfonyl group illustrated as a nitrogen-protecting group in Scheme 5 may be removed, for example, by treatment with aqueous NaOH, or other methods known to one skilled in the art.
Other suitable nitrogen protecting groups may also be employed in this synthetic scheme. For example, reaction of compound (IX), with aqueous 6 N NaOH in a solvent such as MeOH at 50 0C for 1 h yields the desired product (Ib). vi) Reduction of nitro group: This reaction is conducted with an appropriate reductant, such as Fe, Sn and Zn, in an appropriate solvent at temperatures between rt and 250 0C. For example, heating with iron powder in acetic acid at 65 0C for 1 h provides compound (Ia).
Compound (Ia) can be prepared from Compound (IX) via the following steps. 1 ) Reductive amination of formyl group by the treatment of dimethylamine and sodium triacetoxyborohydride: Typically, THF is used as solvent and the addition of an acid such as acetic acid can promote the reaction. For example, reaction at rt for 1.5 h yields the desired product (Ic). 2) Deprotection of benzenesulfonyl group with aqueous NaOH: The benzenesulfonyl group illustrated as a nitrogen-protecting group in Scheme 5 may be removed, for example, by treatment with aqueous NaOH, or other methods known to one skilled in the art. Other suitable nitrogen protecting groups may also be employed in this synthetic scheme. For example, reaction of compound (Ic), with aqueous 6 N NaOH in a solvent such as MeOH at 50 0C for 1 h yields the desired product (Ib). 3) Reduction of nitro group: This reaction can be conducted with an appropriate reductant, such as Fe, Sn and Zn, in an appropriate solvent at temperatures between rt and 250 0C. For example, heating with iron powder in acetic acid at 65 0C for 1 h provides compound (Ia).
To prepare compound (IX), compound (V) and compound (X), in a molar ratio that is typically 1 :1 , are dissolved in dioxane and water followed by the addition of Na2CO3, in the presence of a palladium catalyst and heated at an elevated temperature. In place of Na2CO3, other bases such as K2CO3, K3PO4, Cs2CO3, CsF, Ba(OH)2, NaOH, NaHCO3 may be used. Instead of or in addition to dioxane, other solvent systems such as DME, DMF, THF, toluene, xylene, MeOH, ethanol, H2O, MeCN, NMP or a mixture of two or more of them may be used. The catalyst is preferably PdCI2(PPh3)2; however, it is understood that other catalysts such as Pd(PPh3)4, Pd(OAc)2, Pd2(dba)3, [PdCI(allyl)]2, with a suitable ligand such as PPh3, PCy3, (f-Bu)2POH, (f-Bu)3P may be used. Also, phosphine-free palladium such as Pd/C, and polymer bound palladium may be used. The use of a different catalyst may alter the time, temperature, and/or solvent to be used as will be understood by
one skilled in the art. The reaction is preferably performed in an inert atmosphere such as N2 atmosphere at 120 0C for 1.5 hours. However, other modes of heating such as microwave or hot plates may also be used. Also, other temperatures of 60 to 180 0C and times of 0.1 to 24 h may be utilized, with the general understanding that higher reaction temperatures typically will require shorter reaction times.
To prepare compound (X), compound (Xl) and commercialyl available 4,4,4',4',5,5,5',5'-octamethyl-2,2'-bi-1 ,3,2-dioxaborolane, in a molar ratio that is typically 1 :2, but can vary from 1 :1 to 1 :3, and KOAc are dissolved in dioxane and heated at an elevated temperature in the presence of a palladium catalyst. KOAc may be used from 1 to 10 equivalence with respect to 4,4,4',4',5,5,5',5'-octamethyl- 2,2'-bi-1 ,3,2-dioxaborolane. The catalyst is preferably Pd(dppf)CI2. The reaction is preferably performed at 100 0C for 12 h. Also, other temperatures of 60 to 180 0C and times of 0.1 to 100 hours may be utilized, with the general understanding that higher reaction temperatures typically will require shorter reaction times.
Compound (Xl) can be prepared via Suzuki coupling reaction of benzenesulphonyl-protected 4-bromo-2-iodo-7-azaindole (WO03/000690A1 with a minor modification by replacing para-toluenesulfonyl chloride by benzenesulfonyl chloride,) and appropriate boronic acids or boronate esters (such as for example (4- formylphenyl)boronic acid), as is described in Scheme 5. Compound (XII) and an appropriate boronic acid or an ester, in a molar ratio that is typically 1 :1 , but can vary from 1 :1 to 1 :1.5 are dissolved in dioxane and water followed by the addition of Na2CO3, in the presence of a palladium catalyst and heated at elevated temperature. In place of Na2CO3, other bases such as K2CO3, K3PO4, Cs2CO3, CsF, Ba(OH)2, NaOH, NaHCO3 may be used. Instead of or in addition to dioxane, other solvent systems such as DME, DMF, THF, toluene, xylene, MeOH, ethanol, H2O, MeCN, NMP or a mixture of two or more of them may be used. The catalyst is preferably PdCI2(PPh3)2; however, it is understood that other catalysts such as Pd(PPh3)4, Pd(OAc)2, Pd2(dba)3, [PdCI(allyl)]2, with a suitable ligand such as PPh3, PCy3, (t- Bu)2POH, (f-Bu)3P may be used. Also, phosphine-free palladium such as Pd/C, and polymer bound palladium may be used. The use of a different catalyst may alter the time, temperature, and/or solvent to be used as will be understood by one skilled in the art. The reaction is preferably performed in an inert atmosphere such as N2 atmosphere at 95 0C for 3 hours. However, other modes of heating such as
microwave or hot plates may also be used. Also, other temperatures of 60 to 180 0C and times of 0.1 to 24 h may be utilized, with the general understanding that higher reaction temperatures typically will require shorter reaction times.
Certain embodiments of the present invention will now be illustrated by way of example only. The physical data given for the compounds exemplified is consistent with the assigned structure of those compounds.
EXAMPLES
As used herein, the symbols and conventions used in these processes, schemes and examples are consistent with those used in the contemporary scientific literature, for example, the Journal of the American Chemical Society or the Journal of Biological Chemistry. Standard single-letter or three-letter abbreviations are generally used to designate amino acid residues, which are assumed to be in the L-configuration unless otherwise noted. Unless otherwise noted, all starting materials were obtained from commercial suppliers and used without further purification. Specifically, the following abbreviations may be used in the examples and throughout the specification:
g (grams); mg (milligrams);
L (liters); ml. (milliliters); μl_ (microliters); M (molar); mM (millimolar); Hz (Hertz); mol (moles);i. mmol (millimoles); rt (room temperature); min (minutes); h (h); MeOH (methanol); THF (tetrahydrofuran); DMSO (dimethylsulfoxide);
DME (1 ,2-dimethoxyethane); DMF (Λ/,Λ/-dimethylformamide);
Ac (acetyl); BSA (bovine serum albumin)
ATP (adenosine triphosphate); HRP (horseradish peroxidase);
DMEM (Dulbecco's modified Eagle medium); HPLC (high pressure liquid chromatography);
TBAF (tetra-n-butylammonium fluoride);
HBTU (O-Benzotriazole-1-yl-Λ/,Λ/,Λ/',Λ/'- tetramethyluronium hexafluorophosphate);
HEPES (4-(2-hydroxyethyl)-1-piperazine ethane sulfonic acid); EDTA (ethylenediaminetetraacetic acid); NMP (1-methyl-2-pyrrolidinone)
PBS (phosphate buffered saline)
HEPES (4-(2-hydroxyethyl)-1-piperaze ethane sulfonic acid)) DTT ditiothreitol
TBAB tetrabutylammonium chloride DMEM (Dulbecco's modified Eagle medium)
CHAPS 3 [(S-cholamidopropyOdimethylammoniopropanesulfonic acid EtOH (ethanol) MeOH (methanol)
All references to ether are to diethyl ether; brine refers to a saturated aqueous solution of NaCI. Unless otherwise indicated, all temperatures are expressed in 0C (degrees Centigrade). All reactions are conducted under an inert atmosphere at room temperature unless otherwise noted.
1H NMR spectra were recorded on a Varian VXR-300, a Varian Unity-300, a Varian Unity-400 instrument, a Brucker AVANCE-400, or a General Electric QE-300. Chemical shifts are expressed in parts per million (ppm, δ units). Coupling constants are in units of hertz (Hz). Splitting patterns describe apparent multiplicities and are designated as s (singlet), d (doublet), t (triplet), q (quartet), quint (quintet), m (multiplet), br (broad).
Low-resolution mass spectra (MS) were recorded on a Waters micromass ZQ2000; 2695 Alliance; 2996 Photodiode Array Detector. Preparative LC/MS purification uses the following condition:
Waters FractionLynx LC/MS condition
• Autosampler/Fractioncollector: 2767 inject collector
• Waste collector: waters fraction collector 2
• HPLC: 2525 pump • Detector: 2996 Photodiode Array Detector
• MS: ZQ2000
• Make up pump: waters reagent manager Purification protocol
• Loading: 5-100 mg,
• 4 gradient methods, Cycle time: 15 min
• Flow rate: 40 mL/min
• Column: XTerra™MSCi8, 30 X 150 mm (10 μmm)
• Injection Volume: 1800 μl_
• Temperature: rt Basic condition mobile phase
A- (Pure H2O: 3 L+ 28% Ammonia solution 11 ml.)
B- 100% Acetonitrile Acidic condition mobile phase
A- (Pure H2O:3 L+ 100% Formic acid 3 ml.)
B- (Acetonitrile: 3 L + 100% Formic acid 3 ml.) Make up solvent
20% H2O + 80% Methanol + 10 mM ammonium acetate Gradient: 6 gradient methods for purification (Solvent B ratio)
All mass spectra were taken under electrospray ionization (ESI), chemical ionization (Cl), and electron impact (El) or by fast atom bombardment (FAB) methods. All reactions were monitored by thin-layer chromatography on 0.25 mm E. Merck silica gel plates (60F-254), visualized with UV light, 5% ethanolic phosphomolybdic acid or p-anisaldehyde solution or mass spectrometry (electrospray or AP). Flash column chromatography was performed on silica gel (230-400 mesh, Merck) or using automated silica gel chromatography (Yamazen Fast Flow Liquid Chromatography, UV detection triggering sample collection).
Microwave irradiation was performed on a Personal Chemistry Smithsynthesizer or Creator.
SCX purification: Varian Mega Bond Elut SCX; General procedure: A SCX cartridge was rinsed with MeOH, and then crude mixture was dissolved into a suitable solvent such as MeOH, DCM etc. and loaded on the cartridge. And then the cartridge was rinsed with methanol and dichloromethane successively. The product was isolated by elution with a 2M ammonia solution in methanol (for some cases, mixed with DCM), followed by concentration in vacuo.
Intermediate 1 :
4-Bromo-1 -ethyl -3-(3-nitrophenyl)-1 H-pyrazole
To a solution of 4-bromo-3-(3-nitrophenyl)-1 AZ-pyrazole (7.1 g, 24.1 mmol), which was prepared according to WO2002088107, in dichloromethane (570 ml_), was added aqueous NaOH (2Λ/, 114 ml_). Then, tetrabutylammonium bromide (9.6 g, 29.8 mmol) was added to the resulting mixture under vigorously stirring, followed by ethyl iodide (6.8 ml_). After stirring at rt for 1 h, the organic phase was separated, washed with 0.5 N aqueous HCI (250 ml_), 5 % aqueous NaHCO3, and dried over MgSO4. Concentration in vacuo and purification by column chromatography on silica gel (eluted with hexane/ethyl acetate = 7/1) afforded the major regioisomer (5.8 g) as a pale yellow solid. 1H NMR (400MHz, CDCI3) ppm 1.55 (t, 3H, J= 7.3Hz), 4.22 (q, 2H,
J = 7.3Hz), 7.54 (s, 1 H), 7.59 (t, 1 H, J = 8.1 Hz), 8.20 (m, 1 H), 8.28 (m, 1 H), 8.82 (m, 1 H). LC/MS: m/z 296, 298 (M+1 )+.
The other minor regioisomer of 4-bromo-1-ethyl-5-(3-nitrophenyl)-1 AZ-pyrazole (0.58 g) was also isolated as a solid. 1H NMR (400MHz, CDCI3) ppm 1.39 (t, 3H, J = 7.3Hz), 4.13 (q, 2H, J= 7.3Hz), 7.60 (s, 1 H), 7.71-7.77 (m, 2H), 8.29 (m, 1 H), 8.35 (m, 1 H). LC/MS: m/z 296, 298 (M+1)+.
Intermediate 2: 1-Ethyl-3-(3-nitrophenyl)-4-(4,4,5,5-tetramethyl-1,3,2- dioxaborolan-2-yl)-1 H-pyrazole
A mixture of 4-bromo-1-ethyl-3-(3-nitrophenyl)-1 AZ-pyrazole (2.5 g, 8.6 mmol), 4,4,4',4',5,5,5',5'-octamethyl-2,2'-bi-1 ,3,2-dioxaborolane (4.3 g, 17.1 mmol), KOAc (2.5 g, 25.7 mmol) and Pd(dppf)CI2 (0.6 g, 0.9 mmol) in DMF (150 ml.) was heated at 90 0C overnight under inert atmosphere. After cooling to rt, 1 Λ/ aqueous NaOH was added till the aqueous layer was taken to pH 10. The aqueous layer was washed with CH2CI2, carefully acidified to pH 4 with 1 Λ/ aqueous HCI, and extracted with CH2CI2 (20 ml. X 3 times). The organic layer was dried with Na2SO4, and concentrated under reduced pressure to give the desired boronic ester as a brown solid. 1H NMR (400MHz, DMSO-06) ppm 1.30 (s, 12H), 1.42 (t, J =7.20 Hz, 3H), 4.22 (q, J =7.33 Hz, 2H), 7.68 (dd, J =7.8, 7.8 Hz, 1 H), 8.1 1 (s, 1 H), 8.18 (ddd, J = 1.0, 2.4, 7.8 Hz, 1 H), 8.33 (ddd, J = 1.0, 1.5, 7.8 Hz, 1 H), 8.94 (dd, J= 1.5, 2.4 Hz, 2H). MS (ESI): m/z 344 (M+1 )+
Intermediate 3: {[4-(4-Bromo-1H-pyrrolo[2,3-b]pyridin-2-yl)phenyl] methyl} - dimethylamine
Step B
Step A: [(4-{4-Bromo-1-[(4-methylphenyl)sulfonyl]-1 /-/-pyrrolo[2,3-6]pyridin-2- yl}phenyl)methyl]dimethylamine
{4-[(Dimethylamino)methyl]phenyl}boronic acid (157 mg, 0.6 mmol) and 4-bromo-2- iodo-1-[(4-methylphenyl)sulfonyl]-1 /-/-pyrrolo[2,3-6]pyridine (270 mg, 0.6 mmol), which was prepared according to WO2003000690, were dissolved in DME (2 ml.) and aqueous Na2CO3 (2 M, 0.2 ml_). The resulting solution and Pd(PPh3)4 (69.3 mg,
0.06 mmol) were added to a microwave vial. After capping, the mixture was heated with SmithSynthesizer at 120 0C for 2 hours. The reaction mixture was filtered and washed with MeOH. Concentration in vacuo gave the residue, which was directly used for the Step B.
6Λ/ aqueous NaOH (0.1 ml.) was added to a solution of the above residue in MeOH (20 ml_). The mixture was stirred at 50 0C for 1 h. The reaction mixture was diluted with aqueous NH4CI and extracted with CH2CI2. The organic layer underwent SCX purification to give {[4-(4-bromo-1/-/-pyrrolo[2,3-6]pyridin-2- yl)phenyl]methyl}dimethylamine, which was used in the next step without further purification.
Example 1 : [(4-{4-[3-(3-Aminophenyl)-1-ethyl-1H-pyrazol-4-yl]-1H-pyrrolo[2,3- /j]pyridin-2-yl}phenyl)methyl]dimethylamine
Example 1 was prepared with two different procedures. Procedure 1 is described as follows. Procedure 1 :
Step A: [(4-{4-[1 -Ethyl-3-(3-nitrophenyl)-1 H-pyrazol-4-yl]-1 H-pyrrolo[2,3-6]pyridin-2- yl}phenyl)methyl]dimethylamine
{[4-(4-Bromo-1 /-/-pyrrolo[2,3-6]pyridin-2-yl)phenyl]methyl}dimethylamine (general intermediate 3, 94 mg, 0.3 mmol) and 1-ethyl-3-(3-nitrophenyl)-4-(4,4,5,5- tetramethyl-1 ,3,2-dioxaborolan-2-yl)-1 H-pyrazole (general intermediate 2, 117.2 mg, 0.3 mmol) were dissolved in DME (18 ml.) and aqueous Na2CO3 (2 M, 0.5 ml_). The resulting solution and Pd(PPh3)4 (34.7 mg, 0.03 mmol) were added to a microwave vial. After capping, the mixture was heated with microwave (Creator) at 120 0C for 1 hour. The reaction was diluted with saturated aqueous NH4CI, and extracted with CH2CI2 (2OmL X 3 times). The organic layer was washed with brine, dried over Na2SO4, and then evaporated to dryness under reduced pressure. The residue underwent SCX purification to give the corresponding product (103.6 mg, 79 %). MS (ESI): m/z 467 (M+1 )+
Step B: [(4-{4-[3-(3-Aminophenyl)-1-ethyl-1H-pyrazol-4-yl]-1 H-pyrrolo[2,3-6]pyridin-2- yl}phenyl)methyl]dimethylamine
To a suspension of [(4-{4-[1-ethyl-3-(3-nitrophenyl)-1 H-pyrazol-4-yl]-1 /-/-pyrrolo[2,3- 6]pyridin-2-yl}phenyl)methyl]dimethylamine (103.6 mg, 2.2 mmol) and tin (130.6 mg,
11.0 mmol) in EtOH (50 ml_), was added 6Λ/ HCI aqueous (1 ml_). After stirring at 6O0C for 1 h, the mixture underwent SCX purification. The residue was purified by Yamazen Fast Flow Liquid Chromatography on a silica gel column (EtOAc:Hexane = 1 :1 to 1 :0) to furnish the desired product. 1H NMR (400MHz, DMSO-c/6) ppm 1.50 (t, J = 7.3 Hz, 3H), 2.16 (s, 6H), 3.38 - 3.43 (m, 2H), 4.25 (q, J = 7.3 Hz, 2H), 5.02 (brs, 2H), 6.45 - 6.51 (m, 2H), 6.72 - 6.75 (m, 1 H), 6.77 (d, J = 5.1 Hz, 1 H), 6.82 (s, 1 H), 6.92 (dd, J = 7.8, 7.8 Hz, 1 H), 7.35 (d, J = 7.8 Hz, 2H), 7.8 (d, J = 7.8 Hz, 2H), 8.03 (d, J = 5.1 Hz, 1 H), 8.24 (s, 1 H), 12.06 (brs, 1 H). MS (ESI): m/z 437 (M+1 )+
Procedure 2 is described as follows.
Procedure 2:
Step A : 4-[4-bromo-1 -(phenylsulfonyl)-i H-pyrrolo[2,3-6]pyridin-2 yl]benzaldehyde
In a microwave reaction vial was placed 4-bromo-2-iodo-1-(phenylsulfonyl)-1 H- pyrrolo[2,3-6]pyridine (5 g, 10.80 mmol), which was prepared according to WO2003000690 with a minor modification by replacing para-toluenesulfonyl chloride by benzenesulfonyl chloride, (4-formyl phenyl )boronic acid (1.62 g, 10.80 mmol), trans-dichlorobis(triphenylphosphine)palladium (II) (1.34 g, 1.62 mmol) and sodium
bicarbonate (1.81 g, 21.60 mmol). Then dioxane (32 mL) and water (11 ml.) were added and the vial was sealed and then three cycles of high vac/nitrogen were performed and the reaction mixture was heated at 95 0C for 3 h. After cooling to room temperature the reaction mixture was filtered through celite and washed with methanol. Silica was added and the volatiles were evaporated under reduced pressure and the residue was purified by flash chromatography (5% to 60%) ethyl acetate: hexanes to afford 2.16 g (45%) of the title compound. 1H NMR (400 MHz, DMSOd6) δ 10.12 (s, 1 H) 8.28 (d, J = 5.1 Hz, 1 H) 8.04 (d, J = 8.1 Hz, 2 H) 7.86 (dd, J = 10.4, 7.9 Hz, 4 H) 7.69 (t, J = 7.5 Hz, 1 H) 7.64 (d, J = 5.5 Hz, 1 H) 7.57 (t, J = 7.9 Hz, 2 H) 6.95 (s, 1 H), MS (ESI): 442 [M+H]+.
Step B: 4-[1-(phenylsulfonyl)-4-(4,4,5,5-tetramethyl-1 ,3,2-dioxaborolan-2-yl)-1 /-/- pyrrolo[2,3-6]pyridin-2-yl]benzaldehyde
To a 250 mL round bottom flask was placed 4-[4-bromo-1-(phenylsulfonyl)-1 H- pyrrolo[2,3-6]pyridin-2-yl]benzaldehyde (prepared by step A, 5 g, 1 1.3 mmol), commercially available 4,4,4',4',5,5,5',5'-octamethyl-2,2'-bi-1 ,3,2-dioxaborolane (8.75 g, 33.90 mmol), Pd(dppf)CI2 (0.837 g, 1.13 mmol) and potassium acetate (3.4 g, 34.44 mmol). The flask was sealed with a septum. The entire content was placed under high vacuum (using a needle specially connected to the vacuum tubing vial a one mL syringe). After 5 minutes, dioxane (anhydrous, 65 mL) was added via syringe and nitrogen was bubbled through. The reaction mixture was stirred at 100 0C for 12 hours. Cooled to room temperature and filtered off insolubles, the filterate was concentrate onto silica and column chromatographed with ethyl acetate:hexane (10% to 100%) and then followed by 20% methanol in dichloromethane to afford 1 g of the title compound. 1H NMR (400 MHz, CHLOROFORM-d) δ 10.12 (s, 1 H) 8.51 (d, J = 4.0 Hz, 1 H) 8.00 (d, J = 8.1 Hz, 2 H) 7.87 (d, J = 7.3 Hz, 2 H) 7.80 (d, J = 8.1 Hz, 2 H) 7.58 (d, J = 4.4 Hz, 1 H) 7.50 (t, J = 7.7 Hz, 1 H) 7.38 (t, J = 8.1 Hz, 2 H) 7.04 (s, 1 H) 1.35 (s, 12 H).
Step C: 4-[4-[1 -ethyl-3-(3-nitrophenyl)-1 H-pyrazol-4-yl]-1 -(phenylsulfonyl)-i H- pyrrolo[2,3-6]pyridin-2-yl]benzaldehyde
To a reaction tube was placed 4-[1-(phenylsulfonyl)-4-(4,4,5,5-tetramethyl-1 ,3,2- dioxaborolan-2-yl)-1 /-/-pyrrolo[2,3-6]pyridin-2-yl]benzaldehyde (0.085 g, 1.74 mmol), 4-bromo-1-ethyl-3-(3-nitrophenyl)-1H-pyrazole (general intermediate 1, 0.49 g, 1.66 mmol), Pd(PPh3)4 (Strem, 0.20 g, 0.17 mmol) and Na2CO3 (0.44 g, 4.15 mmol). The reaction tube was sealed with a rubber septum and placed under high vacuum, followed by the addition of dioxane (6 ml.) and water (2 ml.) and nitrogen was bubbled through. The reaction mixture was stirred at 120 0C for 1.5 h. The reaction mixture was diluted with methanol and filtered. The filtrate was concentrated onto silica and column chromatographed with ethyl acetate:hexane (5% to 90%) to afford 0.74 g, 74%) of the title compound. MS (ESI): 578 [M+H]+.
Step D: [(4-{4-[3-(3-aminophenyl)-1 -ethyl-1 H-pyrazol-4-yl]-1 H-pyrrolo[2,3-6]pyridin-2- yl}phenyl)methyl]dimethylamine
To a stirred solution of 4-[4-[1-ethyl-3-(3-nitrophenyl)-1 H-pyrazol-4-yl]-1- (phenylsulfonyl)-1 /-/-pyrrolo[2,3-6]pyridin-2-yl]benzaldehyde (0.73 g, 1.26 mmol) in
THF (12 ml.) was added acetic acid (0.78 g, 13 mmol) followed by 2M dimethylamine in THF (3.2 ml_, 6.4 mmol). Sodium triacetoxyborohydride (Aldrich, 0.97 g, 4.58 mmol) was added. After 1.5 hours stirring at room temperature, reaction was quenched with water and diluted with ethyl acetate. The organic phase was separated and dried over Na2SO4 and concentrated. To this residue was added 6Λ/ aqueous NaOH (1.5 ml.) was added to a solution of the above residue in MeOH (20
ml_). The mixture was stirred at 50 0C for 1 h. The reaction mixture was diluted with aqueous NH4CI and extracted with twice CH2Cb and twice further with chloroform/isopropanol (3:1 ). The combined organics were dried over Na2SO4 and concentrated. To the residue was added acetic acid (4 ml.) and iron powder (0.25 g, 6.3 mmol) and the resulting mixture was heated to 65 0C for 1 h and methanol was added and then filtered with methanol washings and concentrated onto silica gel. Column chromatography eluting with CH2CI2 to CH2CI2 / MeOH / NH4OH(aq) (84:15:1 ) afforded the title compound (0.27 g). MS (ESI): 437 [M+H]+.
Example 2: Λ/-{3-[4-(2-{4-[(Dimethylamino)methyl]phenyl}-1H-pyrrolo[2,3- b]pyridin-4-yl)-1 -ethyl-1 H-pyrazol-3-yl]phenyl}-W-phenylurea
Phenyl isocyanate (5.9 mg, 0.05 mmol) was added to a solution of [(4-{4-[3-(3- aminophenyl)-1 -ethyl-1 H-pyrazol-4-yl]-1 H-pyrrolo[2,3-i)]pyridin-2- yl}phenyl)methyl]dimethylamine (Example 1, 20.0 mg, 0.05 mmol) in pyridine (1 ml_), and the reaction mixture was stirred at rt for 1 h. After removing the solvent in vacuo, the residue was purified by LC/MS to give the title compound. 1H NMR (400MHz, DMSO-d6) ppm 1.52 (t, J = 7.3 Hz, 3H), 2.16 (s, 6H), 3.40 (s, 2H), 4.29 (q, J = 7.3 Hz, 2H), 6.78 (d, J = 5.1 Hz, 1 H), 6.80 (d, J = 1.8 Hz, 1 H), 6.93 - 6.98 (m, 2H), 7.20 (dd, J = 8.0, 8.0 Hz, 1 H), 7.23 - 7.29 (m, 2H), 7.35 (d, J = 8.3 Hz, 2H), 7.39 - 7.44 (m, 2H), 7.47 (ddd, J = 1.0, 2.2, 8.0 Hz, 1 H), 7.54 (dd, J = 2.2 Hz, 1 H), 7.84 (d, J = 8.3 Hz, 2H), 8.07 (d, J = 5.1 Hz, 1 H), 8.29 (s, 1 H), 8.58 (s, 1 H), 8.68 (s, 1 H), 12.10 (s, 1 H). MS (ESI): m/z 556 (M+1 )+
Example 3: Λ/-{3-[4-(2-{4-[(Dimethylamino)methyl]phenyl}-1H-pyrrolo[2,3- b]pyridin-4-yl)-1 -ethyl-1 H-pyrazol-3-yl]phenyl}-W-[4- (trifluoromethyl)phenyl]urea
A similar procedure as Example 2 was used, with 4-trifluorophenyl isocyanate substituting for phenyl isocyanate, to prepare the title compound. 1H NMR (400MHz, DMSO-d6) ppm 1.53 (t, J = 7.3 Hz, 3H), 3.44 (s, 2H), 4.29 (q, J = 7.3 Hz, 2H), 6.78 (d, J = 4.8 Hz, 1 H), 6.81 (d, J = 2.0 Hz, 1 H), 6.95 - 7.00 (m, 1 H), 7.21 (dd, J = 8.0, 8.0 Hz, 1 H), 7.35 (d, J = 8.3Hz, 2H), 7.48 (ddd, J = 1.0, 2.0, 8.0 Hz, 1 H), 7.57 - 7.66 (m, 5H), 7.85 (d, J = 8.3 Hz, 2H), 8.07 (d, J = 4.8 Hz, 1 H), 8.19 (s, 1 H), 8.30 (s, 1 H), 8.99 (s, 1 H), 9.19 (s, 1 H), 12.13 (brd, J = 1.8 Hz, 1 H). MS (ESI): m/z 624 (M+1 )+
Example 4: /V-{3-[4-(2-{4-[(dimethylamino)methyl]phenyl}-1 H-pyrrolo[2,3-6]pyridin-4- yl)-1 -ethyl-1 H-pyrazol-3-yl]phenyl}-2,6-difluorobenzamide
A similar procedure as Example 2 was used, with 2, 6-difluorobenzoyl chloride substituting for phenyl isocyanate, to prepare the title compound. 1 H NMR (400MHz,
DMSO-d6) ppm 1.52 (t, J = 7.2 Hz, 3 H), 2.16 (s, 6 H), 3.41 (s, 2 H), 4.29 (q, J = 7.2 Hz, 2 H), 6.77 (d, J = 4.8 Hz, 1 H), 6.82 (s, 1 H), 7.02 - 7.09 (m, 1 H), 7.19 - 7.30 (m, 3 H), 7.35 (d, J = 8.3 Hz, 2 H), 7.53 - 7.62 (m, 1 H), 7.65 - 7.71 (m, 1 H), 7.84 (d, J = 8.3 Hz, 2 H), 7.88 (dd, J = 1.3, 1.3 Hz, 1 H), 8.06 (d, J = 4.8 Hz, 1 H), 8.31 (s, 1 H), 10.79 (brs, 1 H), 12.10 (brs, 1 H). MS (ESI): m/z 577 (M+1 )+
Example 5: Λ/-{3-[4-(2-{4-[(dimethylamino)methyl]phenyl}-1 H-pyrrolo[2,3- b]pyridin-4-yl)-1-ethyl-1H-pyrazol-3-yl]phenyl}-2-(2-thienyl)acetamide
To a solution of [(4-{4-[3-(3-aminophenyl)-1-ethyl-1 /-/-pyrazol-4-yl]-1 /-/-pyrrolo[2,3- 6]pyridin-2-yl}phenyl)methyl]dimethylamine (Example 1 , 20 mg, 0.05 mmol) in DMF (1 ml.) were added commercially available HBTU (26 mg, 0.07 mmol), and then 2- thienyiacetic acid (7 mg, 0.05 mmol). The mixture was stirred for 3 h. DMF was removed under reduced pressure, and purified by LC/MS. 1 H NMR (400MHz, DMSO-d6) ppm 1.52 (t, J = 7.2 Hz, 3 H), 2.16 (s, 6 H), 3.40 (s, 2 H), 3.83 (s, 2 H), 4.28 (q, J = 7.2 Hz, 2 H), 6.75 (d, J = 4.8 Hz, 1 H), 6.78 (s, 1 H), 6.93 - 7.00 (m, 3 H), 7.20 (dd, J = 8.0 Hz, 1 H), 7.33 (d, J = 8.0 Hz, 2 H), 7.38 (dd, J = 1.8, 4.8 Hz, 1 H), 7.58 - 7.66 (m, 1 H), 7.75 (dd, J = 1.8, 1.8 Hz, 1 H), 7.83 (d, J = 8.0 Hz, 2 H), 8.05 (d, J = 4.8 Hz, 1 H), 8.29 (s, 1 H), 10.21 (brs, 1 H), 12.10 (brs, 1 H) . MS (ESI): m/z 561 (M+1 )+
Example θ: Λ/-[4-chloro-3-(trifluoromethyl)phenyl]-Λ/'-{3-[4-(2-{4- [(dimethylamino)methyl]phenyl}-1H-pyrrolo[2,3-/ϊ]pyridin-4-yl)-1 -ethyl-1H- pyrazol-3-yl]phenyl}urea
4-Chloro-3-(trifluoromethyl)phenyl isocyanate (27 mg, 0.12 mmol) was added to a solution of [(4-{4-[3-(3-aminophenyl)-1-ethyl-1/-/-pyrazol-4-yl]-1 /-/-pyrrolo[2,3- 6]pyridin-2-yl}phenyl)methyl]dimethylamine (Example 1, 50.0 mg, 0.11 mmol) in tetrahydrofuran (2 ml_), and the reaction mixture was stirred at rt for 2 h. After removing the solvent in vacuo, the residue was purified by HPLC to give the title compound. 1H NMR (400 MHz, CHLOROFORM-d) δ 12.43 (s, 1 H) 8.15 (s, 1 H) 7.90 (s, 1 H) 7.71 (s, 1 H) 7.59 (d, J=6.4 Hz, 3 H) 7.01 - 7.49 (m, 9 H) 6.82 (d, J=2.7 Hz, 1 H) 6.52 (s, 1 H) 4.15 - 4.33 (m, 2 H) 3.41 (s, 2 H) 2.25 (s, 6 H) 1.56 (t, J=6.7 Hz, 3 H), MS (ESI): 658 [M+H]+.
7: Λ/-(4<:yanophenyl)-Λr-{3-[4-(2-{4-[(dimethylamino)methyl]phenyl}- 1 H-pyrrolo[2,3-b]pyridin-4-yl)-1 -ethyl-1 H-pyrazol-3-yl]phenyl}urea
A similar procedure as Example 6 was used, with 4-cyanophenyl isocynate substituting for 4-chloro-3-(trifluoromethyl)phenyl isocyanate, to prepare the title compound. 1H NMR (400 MHz, CHLOROFORM-d) δ 12.57 (s, 1 H) 7.98 (d, J=4.2 Hz, 2 H) 7.74 (s, 1 H) 7.68 (s, 1 H) 7.62 (d, J=7.9 Hz, 2 H) 7.29 - 7.45 (m, 3 H) 7.14 - 7.25 (m, 4 H) 7.09 (d, J=8.4 Hz, 2 H) 6.85 (d, J=4.6 Hz, 2 H) 6.54 (s, 1 H) 4.24 (q, J=IA Hz, 2 H) 3.38 (s, 2 H) 2.22 (s, 6 H) 1.57 (t, J=7.3 Hz, 3 H), MS (ESI): 581 [M+H]+.
8:Λ/-{3-[4-(2-{4-[(dimethylamino)methyl]phenyl}-1H-pyrrolo[2,3- /j]pyridin-4-yl)-1-ethyl-1H-pyrazol-3-yl]phenyl}-W-[4-(methyloxy)phenyl]urea
A similar procedure as Example 8 was used, with 4-methoxyphenyl isocynate substituting for 4-chloro-3-(trifluoromethyl)phenyl isocyanate, to prepare the title compound. 1H NMR (400 MHz, CHLOROFORM-d) δ 12.04 (s, 1 H) 8.06 (d, J=5.1
Hz, 1 H) 7.76 (s, 1 H) 7.66 (d, J=8.1 Hz, 2 H) 7.52 (d, J=7.5 Hz, 1 H) 7.35 (d, J=7.9
Hz, 2 H) 7.24 (d, J=7.9 Hz, 3 H) 7.14 (s, 1 H) 7.04 (d, J=8.8 Hz, 2 H) 6.89 (d, J=5.1
Hz, 1 H) 6.82 (s, 1 H) 6.71 (d, J=8.8 Hz, 2 H) 6.56 (s, 1 H) 4.29 (q, J=7.2 Hz, 2 H) 3.66 (s, 3 H) 3.44 (s, 2 H) 2.26 (s, 6 H) 1.61 (t, J=7.3 Hz, 3 H), MS (ESI): 586 [M+H]+.
BIOLOGICAL DATA
CELL-BASED ASSAY FOR C-MET AUTOPHOSPHORYLATION
1. CONSTRUCTION OF THE HUMAN C-MET/CFMS CHIMERIC EXPRESSION VECTOR
To generate a chimeric cDNA clone of c-Met with cFms, the extracellular domain of colony stimulating factor 1 receptor (CSF1 R encoded by cFms gene) was fused with the transmembrane and cytoplasmic domain of c-Met. Reverse-transcribed RNA from human placenta was used as template to clone c-Met. The transmembrane/ cytoplasmic domain fragment of c-Met (nucleotides 933 to 1390) containing a Notl site at both 5'- and 3'-end was generated by polymerase chain reaction (PCR) using following two oligonucleotides; 5' primer:
5'-CCCCCCGCGGCCGCCGGATTGATTGCTGGTGTTGTCTCAATATCA-S'
3' primer:
5'-CCCCCCGCGGCCGCCCTATGATGTCTCCCAGAAGGAGGCTGGTCG-S'
The resulting c-Met cDNA was cloned into pCR2.1-TOPO vector (c-Met/ pCR2.1- TOPO). The extracellular domain fragment of cFms (nucleotides 1 to 512) containing BamHI site at 5'-end and Notl site at 3'-end was generated from human placenta cDNA by PCR using two oligonucleotides; 5'primer:
5'-CCCCCCGGATCCACCATGGGCCCAGGAGTTCTGCTGCTCCTGCTGGTGGCC- 3'
3'primer: 5'-AAAAAAGGCGGCCGCCTCATCCGGGGGATGCGTGTGGGCTCCTGC-S'
The resulting cFms cDNA was cloned into pcDNA3.1 vector (Invitrogen) using the BamHI and Notl sites (cFms/pcDNA3.1 ). To generate complete chimeric construct, the c-Met fragment (transmembrane and cytoplasmic domain) was digested with Notl sites (in c-Met/pCR2.1-TOPO vector) and then subcloned into cFms /pCDNA3.1 vector by Notl site (c-Met/cFms/pcDNA3.1 ).
2. ESTABLISHMENT OF C-MET/CFMS STABLE CELL LINES
NIH3T3 cells were grown in DMEM supplemented with 10% fetal bovine serum. NIH3T3 cells were transfected with c-Met/cFms/pcDNA3.1 vector alone using the calcium phosphate method according to the manufacturer's instructions. Three days after transfection, cells were selected with G418 (0.4 rrigml"1) for 14 days and the expression of c-Met chimeric receptor in the G418-resistant colonies of NIH3T3 (c- Met/cFms/NIH3T3) cells was analyzed by immunoblot. Autophosphorylation of c-Met induced by the stimulation with M-SCF, the ligand for CSF1 R, was analyzed by immunoprecipitation and immnoblot, and prominent stable transfectant was selected for c-Met autophosphorylation assay.
3. IMMUNOPRECIPITATION AND IMMUNOBLOT ANALYSIS c-Met/cFms/NIH3T3 cells were grown to confluence in DMEM supplemented with 10% fetal bovine serum, 0.4 mgml"1 G418 and serum starved in serum-free DMEM for 1 hour at 37 0C. Cells were stimulated with M-CSF at 300 ngml"1 for 10 min. Cells were washed once with cold PBS and lysed with TNE lysis buffer (10 mM Tris-HCI pH7.4, 150 mM NaCI, 1 mM EDTA, 1% NP-40, 10 mM NaF, 2 mM Na3VO4, 10 mM Na4P2O7 and Protease Inhibitor Cocktail (Complete mini EDTA-free, Roche)). Debris
and undissolved proteins were removed from cell lysates by centrifugation (15,000 rpm for 20 min at 4 0C). Cell lysates for immunoprecipitation were cleared with Protein G-Sepharose for 1 h at 4 0C and immunoprecipitated using the anti-cFms antibody overnight at 4 0C. Immune complexes were then incubated with Protein G- Sepharose for 1 h at 4 0C. Protein G immunoprecipitates were washed five times in TNE lysis buffer. Immunoprecipitates were resolved on 4-20% SDS-PAGE gels, and the proteins were transferred to PVDF membrane. For anti-phosphotyrosine immunoblot analysis, membranes were blocked with 3% BSA/PBS and blotted with anti-phosphotyrosine (clone 4G10, biotinylated) followed by HRP-conjugated streptavidin (PIERCE). Detection of protein was done by chemiluminescence using ECL plus reagent (Amersham) through exposing on X-ray films.
4. C-MET AUTOPHOSPHORYLATION ASSAY c-Met/cFms/NIH3T3 cells were plated at 1 x 105 cells/well in collagen-coated 96-well microtitre plates and grown 24 h under standard culture conditions, followed by serum starvation for 1 h. The cells were incubated with compounds for 1 h at 37 0C and followed by M-CSF (600 ngml"1) stimulation for 10 min at 37 0C. The media was removed and the cells were lysed with 120 ul/well of lysis buffer (20 mM Tris-HCI pH8.0, 137 mM NaCI, 2 mM EDTA, 10% glycerol, 1% Triton X-100, 1 mM Na3VO4 and Protease Inhibitor Cocktail (Complete mini EDTA-free, Roche)). Then 100 ul/well of lysate was transferred to the antibody-coated (50 ng/well goat anti-cFms antibody in PBS) ELISA plate and incubated overnight at 4 0C. Plates were washed five times with PBST (PBS containing 0.05% Tween-20). Primary antibody (biotin- conjugated anti-phosphotyrosine monoclonal antibody, PIERCE) was diluted 1 :10,000 in PBST containing 1% BSA, added (100 ul/well) and incubated for 2 h at room temperature. After washing the plates five times with washing buffer, 100 ul/well of HRP-conjugated streptavidin (PIERCE) in PBST containing 1 % BSA was added and incubated for 30 min at room temperature. After washing five times with PBST, 100 ul/well of SuperSignal ELISA Femto Substrate (PIERCE) was added and incubated for almost 1 min at room temperature. Chemiluminescence was measured using Wallac 1420 multilabel counter.
5. DATA ANALYSIS
The IC50 was determined by using XLfit software (IDBS) with four-parameters, sigmoidal dose-response equation.
IN VITRO SCREEN
1. SOURCE OF SUBSTRATE PEPTIDE The peptide substrate, Biotin-aminohexyl-EEEEYFELVAKKKK-amide was purchased from SynPep Solid sample is dissolved at approximately 2.5 mM in water (concentration determined by amino acid analysis) and aliquots stored at -20 0C.
2. SOURCE OF ENZYME Met Kinase: A fusion protein consisting of His6-tagged Glutathione-S-Transferase (GST) and amino acid residues 956-1390 of human Met Kinase (aa 956-1390 of Entrez Protein Accession # EAL24359.1 (met proto-oncogene (hepatocyte growth factor receptor) [Homo sapiens] )) from "www.ncbi.nlm.nih.gov/entrez/") is purified from baculovirus expression system in Sf9 cells using Ni chelate column, GSH column, followed by size exclusion chromatography. Purity greater than 90%, estimated by SDS-PAGE, is achieved. Samples in 25 mM HEPES pH 7.5, 100 mM NaCI, 0.1 mM EDTA are stored at -80 0C until use.
3. KINASE ASSAY OF PURIFIED MET KINASE Assays are performed in 96 well (Costar, Catalog No. 3789) or 384 well plates (Costar, Catalog No. 3705). Assay conditions for the peptide phosphorylation reaction (in 10, 20, 25, or 40 μl volume) mix are 100 mM Hepes buffer, pH 7.4; 0.1 mgml"1 BSA; 5 mM MgCI2; 1 mM DTT; 10 μM ATP; purified Met (1 nM final); and 1 μM peptide substrate. Compounds, titrated in DMSO, are evaluated at concentrations ranging from 50 μM to 0.2 nM. Concentrations of DMSO do not exceed 5%, resulting in less than 15% loss of Met activity relative to controls without DMSO. Reactions are incubated for 1 hour at room temperature and are stopped by addition of detection reagents containing, at final detection volume, 12.5 mM EDTA; 100 mM Hepes; 0.1 mg/ml BSA; 8 nM Streptavidin APC (Perkin Elmer catalog # CR130-150); 1 nM Europium-labelled anti-phosphotyrosine antibody (Perkin Elmer catalog #AD0067). Under the assay conditions defined above, the Km (apparent) for ATP is determined to be 40 μM.
4. DATA ANALYSIS
The data for compound dose responses were plotted as % Inhibition, calculated with the data reduction formula 100*(1-[(U1-C2)/(C1-C2)]), versus concentration of compound, where U is the unknown value, C1 is the average control value obtained for DMSO, and C2 is the average control value obtained for 0.05M EDTA. Data were fitted to the curve described by: y = ((Vmax * x) / (K + x)) where Vmax is the upper asymptote and K is the IC50. The results for each compound were recorded as plC50 calculated as follows: plC5o = -Log10(K).
B-Raf Assays A. Enzyme assays
Compounds of the present invention were tested against B-Raf in a fluorescence anisotropy binding assay. In general, the enzyme, fluorescent ligand, and test compound were allowed to come to equilibrium under conditions where there is a significant difference in the observed anisotropy, reflective of binding of the ligand to the enzyme, in the presence (>10x K1) or absence of test compound. The assay conditions were set so that the enzyme concentration is > Ix Kf and the ligand concentration is less than the enzyme concentration.
Test compounds were serially diluted in DMSO and 0.1 DL was plated in low volume black 384-well plates. The assay was initiated by the addition of 10 DL of an enzyme/ligand mix with a final assay composition of 50 mM HEPES (pH 7.3), 10 mM MgC12, 1 mM CHAPS, 1 mM DTT, 1 nM fluorescent ligand, 2 nM competent
B-Raf (competency determined as fraction of enzyme able to bind fluorescent ligand), and 0.169 nM - 10 DM test compound. After incubation for two hours, the fluorescence anisotropy was read on a LJL Acquest with excitation at 485 nM and emission at 530 nM. Recombinant, His-tagged B-Raf (residues 462-770) that had been expressed in baculovirus was used for these experiments.
The data for dose responses were plotted as %Inhibition versus compound concentration following normalization using the formula 1OO*((U-C1)/(C2-C1)) where U is the unknown value, Cl is the average control value obtained for 1%
DMSO, and C2 is the average control value for a known inhibitor. Curve fitting was
performed with the equation y = A+((B-A)/(l+(lOx/lθC)D)) where A is the y minimum, B is the y maximum, C is the log(XC5o), and D is the Hill slope. The results for each compound were recorded as PIC5Q values (-C in the above equation).
Definitions: K1 = dissociation constant for inhibitor binding
Kf = dissociation constant for fluorescent ligand binding
The fluorescent ligand was the following compound:
B. Cellular assays
MEKl phosphorylation by overexpressed B-Raf (V581E)
Human B-Raf cDNA and human MEKl cDNA were cloned by PCR, and inserted into expression vector pGene/V5-His (Invitrogen). Point mutation of each gene was induced by PCR mutagenesis. Both the substrate MEKl (kinase inactive mutant, D208A) and B-Raf (V581E) were overexpressed by GeneS witch system (Invitrogen) in GeneS witch3T3 cells. GeneS witch3T3 cells were cultured in low glucose DMEM (Sigma D6046) containing 10% fetal bovine serum (FBS), 100,000 units/Lpenicillin, 100,000 units/L streptomycin and 50 ug/ml hygromycine at 37oC in a humidified 10% CO2, 90% air incubator. Cells were harvested using trypsin/EDTA, counted using a haemocytometer, and plated in a 96-well tissue culture plate (Becton Dickinson 354407) at 20,000 cells /well. After 6 hours, both B-Raf (V581E) and FLAG tagged MEKl were transfected into cells by fugene 6 (Roche Diagnostics 1 814 443). Cells were incubated at 37 0C, 10% CO2 for 18-20 hours. The next day, cells were stimulated by mifepristone (In vitro gene), inducer of gene expression, for 4 hours at a final concentration of 10 nM. Compounds were diluted in DMEM at the final required concentration, from 1OmM stock solutions in DMSO. 100uL/well of these dilutions were added to the each cell plates after removing medium. Medium
containing 0.1% DMSO was added to control wells. After 2 hours, medium was removed by aspiration. Cells were lysed by ice cold lysis buffer (20 mM Tris-HCl (pH8.0) containing 137 mM NaCl, 2 mM EDTA, 10% glycerol, 1% triton X-100, 1 mM NaF, ImM Na3VO4 and protease inhibitors). Cell lysate was transferred to 96 well immunoassay black plate (Corning 3694), which were coated by 5 ug/ml of anti- FLAG antibody M2 (Sigma F3165) in PBS(-) and blocked by 5% BSA in PBST (PBS(-) containing 0.05% tween 20) for 2 hours. After overnight incubation, plates were washed 5 times with PBST and anti-phospho-MEKl/2 (Ser217/221) (Cell Signaling Technology) at 1:2000 diluted with 5% BSA in PBST was added. After incubation for 6 hours at room temperature, plates were washed 5 times with PBST, and HRP conjugated anti-rabbit IgG (Cell Signaling Technology) at 1:2000 diluted with 5% skim milk in PBST was added. After 1 hour incubation, plates were washed 5 times with PBST. For chemiluminescence detection, buffer was removed and BM chemiluminescence ELISA substrate (Roche Diagnostics 1 582 950) was added to wells. Following incubation for 3 min by mixing, chemiluminescence signal was measured using 1420 Multilabel Counter (Wallac).
Results
The compounds of the present invention were tested in one or more of the assays recited above and have been found to be active cMet and/or B-Raf inhibitors.
Claims
1. A compound of Formula (I):
R2 represents H or a group -XY;
X is a bond (ie is absent) or -CO-, -CONH-, -COCH2-; Y is a 5 membered heteroaryl group or a phenyl (wherein the phenyl is optionally substituted by one or two substituents independently selected from
-CN, -Ci-3 alkyl, -Ci-3 haloalkyl, -Ci-3 alkoxy, -halogen);
R3 represents -Ci-3 alkyl;
R4 represents -Ci-3 alkylene-NR5R6
R5 and R6 independently represent H or Ci-3 alkyl;
or a salt or solvate thereof.
2. A compound according to claim 1 which is a compound selected from
[(4-{4-[3-(3-Aminophenyl)-1 -ethyl-1 H-pyrazol-4-yl]-1 /-/-pyrrolo[2,3-6]pyridin-2- yl}phenyl)methyl]dimethylamine;
/\/-{3-[4-(2-{4-[(Dimethylamino)methyl]phenyl}-1 /-/-pyrrolo[2,3-6]pyridin-4-yl)-1-ethyl-
1 /-/-pyrazol-3-yl]phenyl}-Λ/'-phenylurea; /\/-{3-[4-(2-{4-[(Dimethylamino)methyl]phenyl}-1 /-/-pyrrolo[2,3-6]pyridin-4-yl)-1-ethyl-
1 H-pyrazol-3-yl]phenyl}-Λ/'-[4-(trifluoromethyl)phenyl]urea; /V-{3-[4-(2-{4-[(dimethylamino)methyl]phenyl}-1 /-/-pyrrolo[2,3-6]pyridin-4-yl)-1 -ethyl- 1 /-/-pyrazol-3-yl]phenyl}-2,6-difluorobenzamide;
/V-{3-[4-(2-{4-[(dimethylamino)methyl]phenyl}-1 /-/-pyrrolo[2,3-6]pyridin-4-yl)-1 -ethyl- 1 H-pyrazol-3-yl]phenyl}-2-(2-thienyl)acetamide; Λ/-(4-cyanophenyl)-Λ/'-{3-[4-(2-{4-[(dimethylamino)methyl]phenyl}-1/-/-pyrrolo[2,3- 6]pyridin-4-yl)-1-ethyl-1 /-/-pyrazol-3-yl]phenyl}urea;
Λ/-[4-chloro-3-(trifluoromethyl)phenyl]-Λ/'-{3-[4-(2-{4-[(dimethylamino)methyl]phenyl}- 1 /-/-pyrrolo[2,3-6]pyridin-4-yl)-1 -ethyl-1 H-pyrazol-3-yl]phenyl}urea; /V-{3-[4-(2-{4-[(dimethylamino)methyl]phenyl}-1 /-/-pyrrolo[2,3-6]pyridin-4-yl)-1 -ethyl- 1 H-pyrazol-3-yl]phenyl}-/\/'-[4-(methyloxy)phenyl]urea.
3. A compound according to claim 1 which is [(4-{4-[3-(3-Aminophenyl)-1-ethyl- 1 /-/-pyrazol-4-yl]-1 /-/-pyrrolo[2,3-6]pyridin-2-yl}phenyl)methyl]dimethylamine;
4. A compound according to any one of claims 1 to 3 for use in therapy.
5. A compound according to claim 16 for use in the treatment of diseases and/or disorders mediated by inappropriate B-Raf and/or c-Met activity.
6. A compound according to claim 5 for use in the treatment of cancer.
7. A pharmanceutical composition which comprises a compound according to any one of claims 1 to 3, optionally with one or more pharmaceutically acceptable carriers and/or excipients.
8 A combination comprising a compound according to any one of claims 1 to 3, and one or more other therapeutic agents.
9. The combination according to claim 8, further comprising at least one additional anti-cancer agent.
10. The use of a compound according to any one of claims 1 to 3 in the preparation of a medicament for the treatment or prophylaxis of diseases associated with inappropriate B-Raf and/or c-Met activity.
11. A method for the treatment of diseases associated with inappropriate B-Raf and/or c-Met activity which comprises administering to a patient in need thereof an effective amount of a compound of formula (I) as defined in any one of claims 1 to 3.
Applications Claiming Priority (2)
| Application Number | Priority Date | Filing Date | Title |
|---|---|---|---|
| US86724606P | 2006-11-27 | 2006-11-27 | |
| US60/867,246 | 2006-11-27 |
Publications (2)
| Publication Number | Publication Date |
|---|---|
| WO2008067119A2 true WO2008067119A2 (en) | 2008-06-05 |
| WO2008067119A3 WO2008067119A3 (en) | 2008-08-21 |
Family
ID=39468597
Family Applications (1)
| Application Number | Title | Priority Date | Filing Date |
|---|---|---|---|
| PCT/US2007/083568 Ceased WO2008067119A2 (en) | 2006-11-27 | 2007-11-05 | Novel compounds |
Country Status (1)
| Country | Link |
|---|---|
| WO (1) | WO2008067119A2 (en) |
Cited By (26)
| Publication number | Priority date | Publication date | Assignee | Title |
|---|---|---|---|---|
| WO2011041157A1 (en) * | 2009-09-30 | 2011-04-07 | Merck Sharp & Dohme Corp. | Crystalline hydrochloride salts of c-met kinase inhibitors |
| WO2012003338A1 (en) | 2010-07-01 | 2012-01-05 | Takeda Pharmaceutical Company Limited | COMBINATION OF A cMET INHIBITOR AND AN ANTIBODY TO HGF AND/OR cMET |
| US8691807B2 (en) | 2011-06-20 | 2014-04-08 | Incyte Corporation | Azetidinyl phenyl, pyridyl or pyrazinyl carboxamide derivatives as JAK inhibitors |
| US8722693B2 (en) | 2007-06-13 | 2014-05-13 | Incyte Corporation | Salts of the Janus kinase inhibitor (R)-3-(4-(7H-pyrrolo[2,3-d]pyrimidin-4-yl)-1H-pyrazol-1-yl)-3-cyclopentylpropanenitrile |
| US8933086B2 (en) | 2005-12-13 | 2015-01-13 | Incyte Corporation | Heteroaryl substituted pyrrolo[2,3-B]pyridines and pyrrolo[2,3-B]pyrimidines as Janus kinase inhibitors |
| US8933085B2 (en) | 2010-11-19 | 2015-01-13 | Incyte Corporation | Cyclobutyl substituted pyrrolopyridine and pyrrolopyrimidine derivatives as JAK inhibitors |
| US8987443B2 (en) | 2013-03-06 | 2015-03-24 | Incyte Corporation | Processes and intermediates for making a JAK inhibitor |
| US9034884B2 (en) | 2010-11-19 | 2015-05-19 | Incyte Corporation | Heterocyclic-substituted pyrrolopyridines and pyrrolopyrimidines as JAK inhibitors |
| US9193733B2 (en) | 2012-05-18 | 2015-11-24 | Incyte Holdings Corporation | Piperidinylcyclobutyl substituted pyrrolopyridine and pyrrolopyrimidine derivatives as JAK inhibitors |
| US9216984B2 (en) | 2009-05-22 | 2015-12-22 | Incyte Corporation | 3-[4-(7H-pyrrolo[2,3-D]pyrimidin-4-yl)-1H-pyrazol-1-yl]octane—or heptane-nitrile as JAK inhibitors |
| US9249145B2 (en) | 2009-09-01 | 2016-02-02 | Incyte Holdings Corporation | Heterocyclic derivatives of pyrazol-4-yl-pyrrolo[2,3-d]pyrimidines as janus kinase inhibitors |
| US9334274B2 (en) | 2009-05-22 | 2016-05-10 | Incyte Holdings Corporation | N-(hetero)aryl-pyrrolidine derivatives of pyrazol-4-yl-pyrrolo[2,3-d]pyrimidines and pyrrol-3-yl-pyrrolo[2,3-d]pyrimidines as janus kinase inhibitors |
| US9359358B2 (en) | 2011-08-18 | 2016-06-07 | Incyte Holdings Corporation | Cyclohexyl azetidine derivatives as JAK inhibitors |
| WO2016091891A1 (en) | 2014-12-09 | 2016-06-16 | INSERM (Institut National de la Santé et de la Recherche Médicale) | Human monoclonal antibodies against axl |
| WO2016135066A1 (en) | 2015-02-26 | 2016-09-01 | INSERM (Institut National de la Santé et de la Recherche Médicale) | Fusion proteins and antibodies comprising thereof for promoting apoptosis |
| US9464088B2 (en) | 2010-03-10 | 2016-10-11 | Incyte Holdings Corporation | Piperidin-4-yl azetidine derivatives as JAK1 inhibitors |
| US9487521B2 (en) | 2011-09-07 | 2016-11-08 | Incyte Holdings Corporation | Processes and intermediates for making a JAK inhibitor |
| US9498467B2 (en) | 2014-05-30 | 2016-11-22 | Incyte Corporation | Treatment of chronic neutrophilic leukemia (CNL) and atypical chronic myeloid leukemia (aCML) by inhibitors of JAK1 |
| US9655854B2 (en) | 2013-08-07 | 2017-05-23 | Incyte Corporation | Sustained release dosage forms for a JAK1 inhibitor |
| US10166191B2 (en) | 2012-11-15 | 2019-01-01 | Incyte Corporation | Sustained-release dosage forms of ruxolitinib |
| US10596161B2 (en) | 2017-12-08 | 2020-03-24 | Incyte Corporation | Low dose combination therapy for treatment of myeloproliferative neoplasms |
| US10758543B2 (en) | 2010-05-21 | 2020-09-01 | Incyte Corporation | Topical formulation for a JAK inhibitor |
| US10899736B2 (en) | 2018-01-30 | 2021-01-26 | Incyte Corporation | Processes and intermediates for making a JAK inhibitor |
| US11304949B2 (en) | 2018-03-30 | 2022-04-19 | Incyte Corporation | Treatment of hidradenitis suppurativa using JAK inhibitors |
| US11833155B2 (en) | 2020-06-03 | 2023-12-05 | Incyte Corporation | Combination therapy for treatment of myeloproliferative neoplasms |
| US12544381B2 (en) | 2025-04-05 | 2026-02-10 | Incyte Corporation | Topical formulation for JAK inhibitor |
Family Cites Families (1)
| Publication number | Priority date | Publication date | Assignee | Title |
|---|---|---|---|---|
| HRP970371A2 (en) * | 1996-07-13 | 1998-08-31 | Kathryn Jane Smith | Heterocyclic compounds |
-
2007
- 2007-11-05 WO PCT/US2007/083568 patent/WO2008067119A2/en not_active Ceased
Cited By (71)
| Publication number | Priority date | Publication date | Assignee | Title |
|---|---|---|---|---|
| US10398699B2 (en) | 2005-12-13 | 2019-09-03 | Incyte Holdings Corporation | Heteroaryl substituted pyrrolo[2,3-b]pyridines and pyrrolo[2,3-b]pyrimidines as janus kinase inhibitors |
| US11744832B2 (en) | 2005-12-13 | 2023-09-05 | Incyte Corporation | Heteroaryl substituted pyrrolo[2,3-b]pyridines and pyrrolo[2,3-b]pyrimidines as Janus kinase inhibitors |
| US11331320B2 (en) | 2005-12-13 | 2022-05-17 | Incyte Holdings Corporation | Heteroaryl substituted pyrrolo[2,3-b]pyridines and pyrrolo[2,3-b]pyrimidines as Janus kinase inhibitors |
| US9662335B2 (en) | 2005-12-13 | 2017-05-30 | Incyte Holdings Corporation | Heteroaryl substituted pyrrolo[2,3-B] pyridines and pyrrolo[2,3-B] pyrimidines as janus kinase inhibitors |
| US9814722B2 (en) | 2005-12-13 | 2017-11-14 | Incyte Holdings Corporation | Heteroaryl substituted pyrrolo[2,3-B] pyridines and pyrrolo[2,3-B] pyrimidines as janus kinase inhibitors |
| US9206187B2 (en) | 2005-12-13 | 2015-12-08 | Incyte Holdings Corporation | Heteroaryl substituted pyrrolo[2,3-B] pyridines and pyrrolo[2,3-B] pyrimidines as Janus kinase |
| US9974790B2 (en) | 2005-12-13 | 2018-05-22 | Incyte Corporation | Heteroaryl substituted pyrrolo[2,3-B] pyridines and pyrrolo[2,3-B] pyrimidines as janus kinase inhibitors |
| US8933086B2 (en) | 2005-12-13 | 2015-01-13 | Incyte Corporation | Heteroaryl substituted pyrrolo[2,3-B]pyridines and pyrrolo[2,3-B]pyrimidines as Janus kinase inhibitors |
| US10639310B2 (en) | 2005-12-13 | 2020-05-05 | Incyte Corporation | Heteroaryl substituted pyrrolo[2,3-b]pyridines and pyrrolo[2,3-b]pyrimidines as Janus kinase inhibitors |
| US8946245B2 (en) | 2005-12-13 | 2015-02-03 | Incyte Corporation | Heteroaryl substituted pyrrolo[2,3-b]pyridines and pyrrolo[2,3-b]pyrimidines as Janus kinase inhibitors |
| US9079912B2 (en) | 2005-12-13 | 2015-07-14 | Incyte Corporation | Heteroaryl substituted pyrrolo[2,3-B] pyridines and pyrrolo[2,3-B] pyrimidines as Janus kinase inhibitors |
| US8822481B1 (en) | 2007-06-13 | 2014-09-02 | Incyte Corporation | Salts of the janus kinase inhibitor (R)-3-(4-(7H-pyrrolo[2,3-d] pyrimidin-4-yl)-1H-pyrazol-1-yl)-3-cyclopentylpropanenitrile |
| US10016429B2 (en) | 2007-06-13 | 2018-07-10 | Incyte Corporation | Salts of the janus kinase inhibitor (R)-3-(4-(7H-pyrrolo[2,3-D]pyrimidin-4-yl)-1H-pyrazol-1-yl)-3-cyclopentylpropanenitrile |
| US10610530B2 (en) | 2007-06-13 | 2020-04-07 | Incyte Corporation | Salts of the Janus kinase inhibitor (R)-3-(4-(7H-pyrrolo[2,3-d]pyrimidin-4-yl)-1H-pyrazol-1-yl)-3-cyclopentylpropanenitrile |
| US8829013B1 (en) | 2007-06-13 | 2014-09-09 | Incyte Corporation | Salts of the Janus kinase inhibitor (R)-3-(4-(7H-pyrrolo[2,3-D]pyrimidin-4-yl)-1H-pyrazol-1-yl)-3-cyclopentylpropanenitrile |
| US9376439B2 (en) | 2007-06-13 | 2016-06-28 | Incyte Corporation | Salts of the janus kinase inhibitor (R)-3(4-(7H-pyrrolo[2,3-d]pyrimidin-4-yl)-1H-pyrazol-1-yl)-3-cyclopentylpropanenitrile |
| US8722693B2 (en) | 2007-06-13 | 2014-05-13 | Incyte Corporation | Salts of the Janus kinase inhibitor (R)-3-(4-(7H-pyrrolo[2,3-d]pyrimidin-4-yl)-1H-pyrazol-1-yl)-3-cyclopentylpropanenitrile |
| US11213528B2 (en) | 2007-06-13 | 2022-01-04 | Incyte Holdings Corporation | Salts of the janus kinase inhibitor (R)-3-(4-(7H-pyrrolo[2,3-d]pyrimidin-4-yl)-1H-pyrazol-1-yl)-3-cyclopentylpropanenitrile |
| US9216984B2 (en) | 2009-05-22 | 2015-12-22 | Incyte Corporation | 3-[4-(7H-pyrrolo[2,3-D]pyrimidin-4-yl)-1H-pyrazol-1-yl]octane—or heptane-nitrile as JAK inhibitors |
| US9334274B2 (en) | 2009-05-22 | 2016-05-10 | Incyte Holdings Corporation | N-(hetero)aryl-pyrrolidine derivatives of pyrazol-4-yl-pyrrolo[2,3-d]pyrimidines and pyrrol-3-yl-pyrrolo[2,3-d]pyrimidines as janus kinase inhibitors |
| US9623029B2 (en) | 2009-05-22 | 2017-04-18 | Incyte Holdings Corporation | 3-[4-(7H-pyrrolo[2,3-d]pyrimidin-4-yl)-1H-pyrazol-1-yl]octane- or heptane-nitrile as JAK inhibitors |
| US9249145B2 (en) | 2009-09-01 | 2016-02-02 | Incyte Holdings Corporation | Heterocyclic derivatives of pyrazol-4-yl-pyrrolo[2,3-d]pyrimidines as janus kinase inhibitors |
| WO2011041157A1 (en) * | 2009-09-30 | 2011-04-07 | Merck Sharp & Dohme Corp. | Crystalline hydrochloride salts of c-met kinase inhibitors |
| US8674105B2 (en) | 2009-09-30 | 2014-03-18 | Merck Sharp & Dohme Limited | Crystalline hydrochloride salts of c-Met kinase inhibitors |
| US11285140B2 (en) | 2010-03-10 | 2022-03-29 | Incyte Corporation | Piperidin-4-yl azetidine derivatives as JAK1 inhibitors |
| US9464088B2 (en) | 2010-03-10 | 2016-10-11 | Incyte Holdings Corporation | Piperidin-4-yl azetidine derivatives as JAK1 inhibitors |
| US9999619B2 (en) | 2010-03-10 | 2018-06-19 | Incyte Holdings Corporation | Piperidin-4-yl azetidine derivatives as JAK1 inhibitors |
| US10695337B2 (en) | 2010-03-10 | 2020-06-30 | Incyte Holdings Corporation | Piperidin-4-yl azetidine derivatives as JAK1 inhibitors |
| US10758543B2 (en) | 2010-05-21 | 2020-09-01 | Incyte Corporation | Topical formulation for a JAK inhibitor |
| US11590136B2 (en) | 2010-05-21 | 2023-02-28 | Incyte Corporation | Topical formulation for a JAK inhibitor |
| US11571425B2 (en) | 2010-05-21 | 2023-02-07 | Incyte Corporation | Topical formulation for a JAK inhibitor |
| US10869870B2 (en) | 2010-05-21 | 2020-12-22 | Incyte Corporation | Topical formulation for a JAK inhibitor |
| US12226419B2 (en) | 2010-05-21 | 2025-02-18 | Incyte Corporation | Topical formulation for a JAK inhibitor |
| US11219624B2 (en) | 2010-05-21 | 2022-01-11 | Incyte Holdings Corporation | Topical formulation for a JAK inhibitor |
| WO2012003338A1 (en) | 2010-07-01 | 2012-01-05 | Takeda Pharmaceutical Company Limited | COMBINATION OF A cMET INHIBITOR AND AN ANTIBODY TO HGF AND/OR cMET |
| US8933085B2 (en) | 2010-11-19 | 2015-01-13 | Incyte Corporation | Cyclobutyl substituted pyrrolopyridine and pyrrolopyrimidine derivatives as JAK inhibitors |
| US10640506B2 (en) | 2010-11-19 | 2020-05-05 | Incyte Holdings Corporation | Cyclobutyl substituted pyrrolopyridine and pyrrolopyrimidines derivatives as JAK inhibitors |
| US9034884B2 (en) | 2010-11-19 | 2015-05-19 | Incyte Corporation | Heterocyclic-substituted pyrrolopyridines and pyrrolopyrimidines as JAK inhibitors |
| US11214573B2 (en) | 2011-06-20 | 2022-01-04 | Incyte Holdings Corporation | Azetidinyl phenyl, pyridyl or pyrazinyl carboxamide derivatives as JAK inhibitors |
| US10513522B2 (en) | 2011-06-20 | 2019-12-24 | Incyte Corporation | Azetidinyl phenyl, pyridyl or pyrazinyl carboxamide derivatives as JAK inhibitors |
| US9023840B2 (en) | 2011-06-20 | 2015-05-05 | Incyte Corporation | Azetidinyl phenyl, pyridyl or pyrazinyl carboxamide derivatives as JAK inhibitors |
| US8691807B2 (en) | 2011-06-20 | 2014-04-08 | Incyte Corporation | Azetidinyl phenyl, pyridyl or pyrazinyl carboxamide derivatives as JAK inhibitors |
| US9611269B2 (en) | 2011-06-20 | 2017-04-04 | Incyte Corporation | Azetidinyl phenyl, pyridyl or pyrazinyl carboxamide derivatives as JAK inhibitors |
| US9359358B2 (en) | 2011-08-18 | 2016-06-07 | Incyte Holdings Corporation | Cyclohexyl azetidine derivatives as JAK inhibitors |
| US9718834B2 (en) | 2011-09-07 | 2017-08-01 | Incyte Corporation | Processes and intermediates for making a JAK inhibitor |
| US9487521B2 (en) | 2011-09-07 | 2016-11-08 | Incyte Holdings Corporation | Processes and intermediates for making a JAK inhibitor |
| US9193733B2 (en) | 2012-05-18 | 2015-11-24 | Incyte Holdings Corporation | Piperidinylcyclobutyl substituted pyrrolopyridine and pyrrolopyrimidine derivatives as JAK inhibitors |
| US11896717B2 (en) | 2012-11-15 | 2024-02-13 | Incyte Holdings Corporation | Sustained-release dosage forms of ruxolitinib |
| US10166191B2 (en) | 2012-11-15 | 2019-01-01 | Incyte Corporation | Sustained-release dosage forms of ruxolitinib |
| US11576865B2 (en) | 2012-11-15 | 2023-02-14 | Incyte Corporation | Sustained-release dosage forms of ruxolitinib |
| US11576864B2 (en) | 2012-11-15 | 2023-02-14 | Incyte Corporation | Sustained-release dosage forms of ruxolitinib |
| US10874616B2 (en) | 2012-11-15 | 2020-12-29 | Incyte Corporation | Sustained-release dosage forms of ruxolitinib |
| US11337927B2 (en) | 2012-11-15 | 2022-05-24 | Incyte Holdings Corporation | Sustained-release dosage forms of ruxolitinib |
| US9221845B2 (en) | 2013-03-06 | 2015-12-29 | Incyte Holdings Corporation | Processes and intermediates for making a JAK inhibitor |
| US8987443B2 (en) | 2013-03-06 | 2015-03-24 | Incyte Corporation | Processes and intermediates for making a JAK inhibitor |
| US9714233B2 (en) | 2013-03-06 | 2017-07-25 | Incyte Corporation | Processes and intermediates for making a JAK inhibitor |
| US9655854B2 (en) | 2013-08-07 | 2017-05-23 | Incyte Corporation | Sustained release dosage forms for a JAK1 inhibitor |
| US12151026B2 (en) | 2013-08-07 | 2024-11-26 | Incyte Corporation | Sustained release dosage forms for a JAK1 inhibitor |
| US11045421B2 (en) | 2013-08-07 | 2021-06-29 | Incyte Corporation | Sustained release dosage forms for a JAK1 inhibitor |
| US10561616B2 (en) | 2013-08-07 | 2020-02-18 | Incyte Corporation | Sustained release dosage forms for a JAK1 inhibitor |
| US9498467B2 (en) | 2014-05-30 | 2016-11-22 | Incyte Corporation | Treatment of chronic neutrophilic leukemia (CNL) and atypical chronic myeloid leukemia (aCML) by inhibitors of JAK1 |
| WO2016091891A1 (en) | 2014-12-09 | 2016-06-16 | INSERM (Institut National de la Santé et de la Recherche Médicale) | Human monoclonal antibodies against axl |
| WO2016135066A1 (en) | 2015-02-26 | 2016-09-01 | INSERM (Institut National de la Santé et de la Recherche Médicale) | Fusion proteins and antibodies comprising thereof for promoting apoptosis |
| US11278541B2 (en) | 2017-12-08 | 2022-03-22 | Incyte Corporation | Low dose combination therapy for treatment of myeloproliferative neoplasms |
| US10596161B2 (en) | 2017-12-08 | 2020-03-24 | Incyte Corporation | Low dose combination therapy for treatment of myeloproliferative neoplasms |
| US10899736B2 (en) | 2018-01-30 | 2021-01-26 | Incyte Corporation | Processes and intermediates for making a JAK inhibitor |
| US11304949B2 (en) | 2018-03-30 | 2022-04-19 | Incyte Corporation | Treatment of hidradenitis suppurativa using JAK inhibitors |
| US12280054B2 (en) | 2018-03-30 | 2025-04-22 | Incyte Corporation | Treatment of hidradenitis suppurativa using JAK inhibitors |
| US11833155B2 (en) | 2020-06-03 | 2023-12-05 | Incyte Corporation | Combination therapy for treatment of myeloproliferative neoplasms |
| US12440495B2 (en) | 2020-06-03 | 2025-10-14 | Incyte Corporation | Combination therapy for treatment of myeloproliferative neoplasms |
| US12544381B2 (en) | 2025-04-05 | 2026-02-10 | Incyte Corporation | Topical formulation for JAK inhibitor |
Also Published As
| Publication number | Publication date |
|---|---|
| WO2008067119A3 (en) | 2008-08-21 |
Similar Documents
| Publication | Publication Date | Title |
|---|---|---|
| WO2008067119A2 (en) | Novel compounds | |
| TWI725266B (en) | FGFR4 inhibitor, its preparation method and pharmaceutical application | |
| KR101871436B1 (en) | Novel 3,5-disubstitued-3h-imidazo[4,5-b]pyridine and 3,5- disubstitued -3h-[1,2,3]triazolo[4,5-b] pyridine compounds as modulators of protein kinases | |
| KR101086967B1 (en) | N4-phenyl-quinazolin-4-amine derivatives and related compounds as Erv type I receptor tyrosine kinase inhibitors for the treatment of hyperproliferative diseases | |
| KR102007056B1 (en) | Substituted benzylindazoles for use as bub1 kinase inhibitors in the treatment of hyperproliferative diseases | |
| AU2007296450B2 (en) | Kinase inhibitors useful for the treatment of proliferative diseases | |
| TWI464168B (en) | 1h-imidazo[4,5-c]quinolinone derivatives | |
| AU2006334721B2 (en) | Pyridopyrazine derivatives and use thereof as modulators of the signal transduction paths | |
| EP1807424B1 (en) | Novel kinase inhibitors | |
| CN102574842B (en) | Pyridyl imidazolone derivatives for inhibiting PI3 kinase | |
| CA2785749A1 (en) | Certain triazolopyridines and triazolopyrazines, compositions thereof and methods of use therefor | |
| TWI601724B (en) | Imidazo quinoline derivatives and salts thereof, preparation process and pharmaceutical use thereof | |
| AU2007296441A1 (en) | Kinase inhibitors useful for the treatment of proliferative diseases | |
| EA016028B1 (en) | Fused heterocyclic derivatives and use thereof | |
| AU2007224020A1 (en) | Heterobicyclic pyrazole compounds and methods of use | |
| WO2009007390A2 (en) | 2-pyraz inylbenz imidazole derivatives as receptor tyrosine kinase inhibitors | |
| CN116234549A (en) | Salt-Inducible Kinase Inhibitors | |
| CN113195471B (en) | Polysubstituted pyridone derivative and application thereof in medicine | |
| CN103313970B (en) | Novel bicyclic compound or salt thereof | |
| KR20140144726A (en) | Novel 3,5-disubstitued-3h-imidazo[4,5-b]pyridine and 3,5-disubstitued -3h-[1,2,3]triazolo[4,5-b] pyridine compounds as modulators of c-met protein kinases | |
| JP2013256532A (en) | Aminopyrimidines useful as kinase inhibitors | |
| CN119731177B (en) | Tricyclic heterocyclic derivatives, their compositions and applications | |
| EP4479380A1 (en) | Inhibitors of rna helicase dhx9 and uses thereof | |
| EP3966208A2 (en) | Compounds and methods for treating cancer | |
| WO2025051148A1 (en) | Nitrogen-containing heteroaryl compound, and preparation method therefor and use thereof |
Legal Events
| Date | Code | Title | Description |
|---|---|---|---|
| 121 | Ep: the epo has been informed by wipo that ep was designated in this application |
Ref document number: 07863866 Country of ref document: EP Kind code of ref document: A2 |
|
| NENP | Non-entry into the national phase |
Ref country code: DE |
|
| 122 | Ep: pct application non-entry in european phase |
Ref document number: 07863866 Country of ref document: EP Kind code of ref document: A2 |
































