WO2008058178A1 - N-hydroxyamidinoheterocycles as modulators of indoleamine 2,3-dioxygenase - Google Patents
N-hydroxyamidinoheterocycles as modulators of indoleamine 2,3-dioxygenase Download PDFInfo
- Publication number
- WO2008058178A1 WO2008058178A1 PCT/US2007/083905 US2007083905W WO2008058178A1 WO 2008058178 A1 WO2008058178 A1 WO 2008058178A1 US 2007083905 W US2007083905 W US 2007083905W WO 2008058178 A1 WO2008058178 A1 WO 2008058178A1
- Authority
- WO
- WIPO (PCT)
- Prior art keywords
- alkyl
- alkynyl
- alkenyl
- haloalkyl
- heterocycloalkyl
- Prior art date
- Legal status (The legal status is an assumption and is not a legal conclusion. Google has not performed a legal analysis and makes no representation as to the accuracy of the status listed.)
- Ceased
Links
- 0 CC(*)C(*)(*)c1n[o]nc1C(N(*)I*)=* Chemical compound CC(*)C(*)(*)c1n[o]nc1C(N(*)I*)=* 0.000 description 1
Classifications
-
- C—CHEMISTRY; METALLURGY
- C07—ORGANIC CHEMISTRY
- C07D—HETEROCYCLIC COMPOUNDS
- C07D271/00—Heterocyclic compounds containing five-membered rings having two nitrogen atoms and one oxygen atom as the only ring hetero atoms
- C07D271/02—Heterocyclic compounds containing five-membered rings having two nitrogen atoms and one oxygen atom as the only ring hetero atoms not condensed with other rings
- C07D271/08—1,2,5-Oxadiazoles; Hydrogenated 1,2,5-oxadiazoles
Definitions
- N-HYDROXYAMIDINOHETEROCYCLES AS MODULATORS OF INDOLEAMINE 2,3-DIOXYGENASE
- the present invention is directed to modulators of indoleamine 2,3-dioxygenase (IDO), as well as compositions and pharmaceutical methods thereof.
- IDO indoleamine 2,3-dioxygenase
- Trp Tryptophan
- IDO 5-hydroxytryptamine
- Trp is an essential amino acid required for the biosynthesis of proteins, niacin and the neurotransmitter 5-hydroxytryptamine (serotonin).
- the enzyme indoleamine 2,3-dioxygenase also known as INDO or IDO
- IDO indoleamine 2,3-dioxygenase
- a depletion of Trp resulting from IDO activity is a prominent gamma interferon (IFN - ⁇ ) -inducible antimicrobial effector mechanism.
- IFN- ⁇ stimulation induces activation of IDO, which leads to a depletion of Trp, thereby arresting the growth of Trp-dependent intracellular pathogens such as Toxoplasma gondii and Chlamydia trachomatis.
- IDO activity also has an antiproliferative effect on many tumor cells, and IDO induction has been observed in vivo during rejection of allogeneic tumors, indicating a possible role for this enzyme in the tumor rejection process (Daubener, et ah, 1999, Adv. Exp. Med. Biol., A ⁇ l: 517-24; Taylor, et ah, 1991, FASEB J., 5: 2516-22).
- IDO is involved in induction of immune tolerance.
- Studies of mammalian pregnancy, tumor resistance, chronic infections and autoimmune diseases have shown that cells expressing IDO can suppress T-cell responses and promote tolerance. Accelerated Trp catabolism has been observed in diseases and disorders associated i with cellular immune activation, such as infection, malignancy, autoimmune diseases and AIDS, as well as during pregnancy.
- Increased levels of IFNs and elevated levels of urinary Trp metabolites have been observed in autoimmune diseases; it has been postulated that systemic or local depletion of Trp occurring in autoimmune diseases may relate to the degeneration and wasting symptoms of these diseases.
- high levels of IDO were observed in cells isolated from the synovia of arthritic joints.
- IFNs are also elevated in human immunodeficiency virus (HIV) patients and increasing IFN levels are associated with a worsening prognosis.
- HIV human immunodeficiency virus
- IDO is induced chronically by HIV infection, and is further increased by opportunistic infections, and that the chronic loss of Trp initiates mechanisms responsible for cachexia, dementia and diarrhea and possibly immunosuppression of AIDS patients (Brown, et al., 1991, Adv. Exp. Med. Biol., 294: 425-35).
- IDO inhibition can enhance the levels of virus-specific T cells and, concomitantly, reduce the number of virally-infected macrophages in a mouse model of HIV (Portula et al., 2005, Blood, 106:2382-90).
- IDO is believed to play a role in the immunosuppressive processes that prevent fetal rejection in utero. More than 40 years ago, it was observed that, during pregnancy, the genetically disparate mammalian conceptus survives in spite of what would be predicted by tissue transplantation immunology (Medawar, 1953, Symp. Soc. Exp. Biol. 7: 320-38). Anatomic separation of mother and fetus and antigenic immaturity of the fetus cannot fully explain fetal allograft survival. Recent attention has focused on immunologic tolerance of the mother.
- IDO is expressed by human syncytiotrophoblast cells and systemic tryptophan concentration falls during normal pregnancy, it was hypothesized that IDO expression at the maternal-fetal interface is necessary to prevent immunologic rejection of the fetal allografts.
- pregnant mice carrying syngeneic or allogeneic fetuses
- T cell-induced rejection of all allogeneic concepti was observed.
- the mammalian conceptus appears to suppresses T-cell activity and defends itself against rejection, and blocking tryptophan catabolism during murine pregnancy allows maternal T cells to provoke fetal allograft rejection (Munn, et al., 1998, Science 281 : 1191-3).
- IDO inhibitor 1-MT
- chemotherapeutic agents to reduce tumor growth in mice, suggesting that IDO inhibition may also enhance the anti-tumor activity of conventional cytotoxic therapies (Muller et al, 2005, Nature Med., 11 :312-9).
- TDLNs mouse tumor-draining lymph nodes
- pDCs plasmacytoid dendritic cells
- IDO degrades the indole moiety of tryptophan, serotonin and melatonin, and initiates the production of neuroactive and immunoregulatory metabolites, collectively known as kynurenines.
- kynurenines neuroactive and immunoregulatory metabolites
- IDO expressed by dendritic cells (DCs) can greatly affect T-cell proliferation and survival. IDO induction in DCs could be a common mechanism of deletional tolerance driven by regulatory T cells.
- tryptophan metabolism and kynurenine production might represent a crucial interface between the immune and nervous systems (Grohmann, et al., 2003, Trends Immunol., 24: 242-8).
- availability of free serum Trp is diminished and, as a consequence of reduced serotonin production, serotonergic functions may also be affected (Wirleitner, et al., 2003, Curr. Med. Chem., 10: 1581-91).
- interferon- ⁇ has been observed to induce neuropsychiatric side effects, such as depressive symptoms and changes in cognitive function. Direct influence on serotonergic neurotransmission may contribute to these side effects.
- IDO activation leads to reduced levels of tryptophan, the precursor of serotonin (5-HT), IDO may play a role in these neuropsychiatric side effects by reducing central 5-HT synthesis.
- kynurenine metabolites such as 3-hydroxy- kynurenine (3 -OH-KYN) and quinolinic acid (QUIN) have toxic effects on brain function.
- 3- OH-KYN is able to produce oxidative stress by increasing the production of reactive oxygen species (ROS), and QUIN may produce overstimulation of hippocampal N-methyl-D- aspartate (NMDA) receptors, which leads to apoptosis and hippocampal atrophy.
- ROS reactive oxygen species
- NMDA hippocampal N-methyl-D- aspartate
- Both ROS overproduction and hippocampal atrophy caused by NMDA overstimulation have been associated with depression (Wichers and Maes, 2004, J. Psychiatry Neurosci., 29: 11-17).
- IDO activity may play a role in depression.
- Small molecule inhibitors of IDO are being developed to treat or prevent IDO-related diseases such as those described above.
- PCT Publication WO 99/29310 reports methods for altering T cell-mediated immunity comprising altering local extracellular concentrations of tryptophan and tryptophan metabolites, using an inhibitor of IDO such as 1- methyl-DL-tryptophan, p-(3-benzofuranyl)-DL- alanine, p-[3 -benzo(b)thienyl] -DL-alanine, and 6-nitro-L-tryptophan) (Munn, 1999).
- an inhibitor of IDO such as 1- methyl-DL-tryptophan, p-(3-benzofuranyl)-DL- alanine, p-[3 -benzo(b)thienyl] -DL-alanine, and 6-nitro-L-tryptophan
- IDO in immunosuppression, tumor resistance and/or rejection, chronic infections, HIV-infection, AIDS (including its manifestations such as cachexia, dementia and diarrhea), autoimmune diseases or disorders (such as rheumatoid arthritis), and immunologic tolerance and prevention of fetal rejection in utero
- therapeutic agents aimed at suppression of tryptophan degradation by inhibiting IDO activity are desirable.
- Inhibitors of IDO can be used to activate T cells and therefore enhance T cell activation when the T cells are suppressed by pregnancy, malignancy or a virus such as HIV. Inhibition of IDO may also be an important treatment strategy for patients with neurological or neuropsychiatric diseases or disorders such as depression.
- the compounds, compositions and methods herein help meet the current need for IDO modulators.
- the present invention provides compounds which are modulators of IDO having Formula I:
- the present invention further provides compositions comprising a compound of the invention, or pharmaceutically acceptable salt thereof, and at least one pharmaceutically acceptable carrier.
- the present invention further provides methods of modulating activity of indoleamine
- 2,3-dioxygenase by contacting the indoleamine 2,3-dioxygenase with a compound of the invention, or pharmaceutically acceptable salt thereof.
- the present invention further provides methods of inhibiting immunosuppression in a patient by administering to the patient an effective amount of a compound of the invention, or pharmaceutically acceptable salt thereof.
- the present invention further provides methods of treating cancer, viral infection, depression, a neurodegenerative disorder, trauma, age-related cataracts, organ transplant rejection, an autoimmune disease, or the like, in a patient comprising administering to the patient a therapeutically effective amount of a compound of the invention, or pharmaceutically acceptable salt thereof.
- the present invention further provides the compounds herein for use in therapy.
- the present invention further provides use of the compounds herein for the production of a medicament for use in therapy.
- the present invention provides compounds which are modulators of IDO having Formula I:
- V, and W are each, independently, N, O, S, CR 2 , or NR 3 , wherein the f ⁇ ve-membered ring containing U, V, and W is an aromatic heterocycle;
- A is aryl, cycloalkyl, heteroaryl, or heterocycloalkyl, each optionally substituted by 1,
- L is Ci_6 alkylene, C 2 -6 alkenylene, C 2 -6 alkynylene, (C 1-6 alkylene) r -O-( Ci_6 alkylene) s , (C1.6 alkylene) r -S-(Ci_6 alkylene) s , (Ci_ 6 alkylene) r -NR J -(Ci_ 6 alkylene) s , (Ci_ 6 alkylene) r -CO- (Ci_ 6 alkylene) s , (d_ 6 alkylene) r -COO-(Ci_ 6 alkylene) s , (d_ 6 alkylene) r -CONR J -(Ci_ 6 alkylene) s , (Ci_6 alkylene) r -SO-(Ci_6 alkylene) s , (Ci_6 alkylene) r -SO 2 -(Ci_6 alkylene) s ,
- R A and R B are independently selected from H, F, Ci_6 alkyl, C2-6 alkenyl, C2-6 alkynyl, Ci_6 haloalkyl, aryl, cycloalkyl, heteroaryl, heterocycloalkyl, arylalkyl, cycloalkylalkyl, heteroarylalkyl, heterocycloalkylalkyl, CN, NO 2 , OR al , SR al , C(0)R bl , C(0)NR cl R dl , C(0)0R al , 0C(0)R bl , 0C(0)NR cl R dl , NR cl R dl , NR cl C(O)R bl , NR cl C(0)NR cl R dl ,
- Ci_ 6 alkyl, C 2 _ 6 alkenyl, C 2 _ 6 alkynyl, aryl, cycloalkyl, heteroaryl, heterocycloalkyl, arylalkyl, cycloalkylalkyl, heteroarylalkyl, or heterocycloalkylalkyl is optionally substituted
- Q is OR Q , 0C(0)R Q , 0C(0)NR 4 R Q , NR 4 R Q , NR 4 C(O)R Q , NR 4 C(O)NR 4 R Q , NR 4 C(0)0R Q , NR 4 S(O)R Q , NR 4 S(O) 2 R Q , SR Q , S(O)R Q , S(0)NR 4 R Q , S(O) 2 R Q , S(O) 2 NR 4 R Q , C(0)R Q , C(0)0R Q , C(O)NR 4 R Q , halo, cyano, azido, or nitro; or Q is H, Ci_6 alkyl, C 2 -6 alkenyl, C 2 -6 alkynyl, aryl, heteroaryl, cycloalkyl, heterocycloalkyl, each optionally substituted by 1, 2, 3, 4, or 5 substituents selected from halo, Ci_4 alkyl, C 2 -6
- R Q is H, Ci_ 6 alkyl, C 2 _ 6 alkenyl, C 2 _ 6 alkynyl, d_ 6 haloalkyl, aryl, cycloalkyl, heteroaryl, heterocycloalkyl, arylalkyl, cycloalkylalkyl, heteroarylalkyl, or heterocycloalkylalkyl, wherein said C L6 alkyl, C 2 _ 6 alkenyl, C 2 _ 6 alkynyl, aryl, cycloalkyl, heteroaryl, heterocycloalkyl, arylalkyl, cycloalkylalkyl, heteroarylalkyl, or heterocycloalkylalkyl is optionally substituted by 1, 2, 3, 4, or 5 substituents selected from halo, Ci_6 alkyl, C 2 _6 alkenyl, C 2 _6 alkynyl, Ci_6 haloalkyl, Ci_6 hydroxyalky
- R 2 is H, halo, C 1-4 alkyl, C 1-4 haloalkyl, C 2 _ 4 alkenyl, C 2 _ 4 alkynyl, CN, NO 2 , OH, C 1-4 alkoxy, amino, C L4 alkylamino, or C 2 _8 dialkylamino;
- R 3 is H, Ci_4 alkyl, C2-4 alkenyl, or C2-4 alkynyl;
- R 4 is H, C 1.4 alkyl, C 2 . 4 alkenyl, C 2 . 4 alkynyl, C(O)-R 4a , SO 2 -R 4a , aryl, cycloalkyl, heteroaryl, heterocycloalkyl, arylalkyl, cycloalkylalkyl, heteroarylalkyl, or heterocycloalkylalkyl, wherein said Ci_ 4 alkyl, C 2 _ 4 alkenyl, C 2 - 4 alkynyl, aryl, cycloalkyl, heteroaryl, heterocycloalkyl, arylalkyl, cycloalkylalkyl, heteroarylalkyl, or heterocycloalkylalkyl is optionally substituted by 1, 2, 3, 4, or 5 substituents selected from halo, Ci_6 alkyl, C 2 -6 alkenyl, C 2 -6 alkynyl, Ci_6 haloalkyl, Ci
- R 4a is H, Ci_ 4 alkyl, C 2 _ 4 alkenyl, C 2 - 4 alkynyl, aryl, cycloalkyl, heteroaryl, heterocycloalkyl, arylalkyl, cycloalkylalkyl, heteroarylalkyl, or heterocycloalkylalkyl;
- R 5 and R 6 are independently selected from H, Ci_ 8 alkyl, aryl, heteroaryl, cycloalkyl, heterocycloalkyl, arylalkyl, heteroarylalkyl, cycloalkylalkyl, or heterocycloalkylalkyl, each optionally substituted by one or more halo, CN, NO 2 , OH, Ci_ 4 alkoxy, Ci_ 4 haloalkoxy, amino, Ci_4 alkylamino, C 2 -8 dialkylamino, Ci_6 alkyl, C 2 -6 alkenyl, and C 2 -6 alkynyl;
- R 6a and R 6b are independently selected from H, Ci_ 8 alkyl, aryl, heteroaryl, cycloalkyl, heterocycloalkyl, arylalkyl, heteroarylalkyl, cycloalkylalkyl, or heterocycloalkylalkyl, each optionally substituted by one or more halo, CN, NO 2 , OH, Ci_4 alkoxy, Ci_4 haloalkoxy, amino, Ci_4 alkylamino, C 2 -8 dialkylamino, Ci_6 alkyl, C 2 -6 alkenyl, and C 2 -6 alkynyl;
- R a , R al , R a3 , R a4 , and R a5 are each, independently, H, Ci_ 6 alkyl, Ci_ 6 haloalkyl, C 2 - 6 alkenyl, C 2 - 6 alkynyl, aryl, cycloalkyl, heteroaryl, heterocycloalkyl, arylalkyl, heteroarylalkyl, cycloalkylalkyl or heterocycloalkylalkyl, wherein said Ci_6 alkyl, Ci_6 haloalkyl, C 2 -6 alkenyl, C 2 - 6 alkynyl, aryl, cycloalkyl, heteroaryl, heterocycloalkyl, arylalkyl, heteroarylalkyl, cycloalkylalkyl or heterocycloalkylalkyl is optionally substituted with OH, amino, halo, Ci_ 6 alkyl, aryl, arylalkyl
- R b , R bl , R b3 , R b4 , and R b5 are each, independently, H, C 1-6 alkyl, C 1-6 haloalkyl, C 2 . 6 alkenyl, C 2 _ 6 alkynyl, aryl, cycloalkyl, heteroaryl, heterocycloalkyl, arylalkyl, heteroarylalkyl, cycloalkylalkyl or heterocycloalkylalkyl, wherein said Ci_6 alkyl, Ci_6 haloalkyl, C 2 -6 alkenyl, C 2 - 6 alkynyl, aryl, cycloalkyl, heteroaryl, heterocycloalkyl, arylalkyl, heteroarylalkyl, cycloalkylalkyl or heterocycloalkylalkyl is optionally substituted with OH, amino, halo, Ci_ 6 alkyl, C 1-6 haloalky
- R b2 is H, Ci_6 alkyl, Ci_ 6 haloalkyl, C 2 . 6 alkenyl, C 2 . 6 alkynyl, Cy 2 , Cy 2 -(Ci_ 6 alkyl)-, wherein said Ci_6 alkyl, Ci_6 haloalkyl, C 2 _6 alkenyl, or C 2 _6 alkynyl, is optionally substituted with 1, 2, 3, 4, or 5 substituents selected from halo, Ci_6 alkyl, C 2 _6 alkenyl, C 2 _6 alkynyl, Ci_6 haloalkyl, C 1-6 hydroxyalkyl, C 1-6 cyanoalkyl, Cy 2 , CN, NO 2 , OR a5 , SR a5 , C(O)R b5 , C(O)NR c5 R d5 , C(O)OR a5 , OC(O)R b5 ,
- R c and R d are each, independently, H, C 1-10 alkyl, Ci_6 haloalkyl, C 2 _6 alkenyl, C 2 _6 alkynyl, aryl, heteroaryl, cycloalkyl, heterocycloalkyl, arylalkyl, heteroarylalkyl, cycloalkylalkyl or heterocycloalkylalkyl, wherein said C 1-10 alkyl, Ci_ 6 haloalkyl, C 2 _ 6 alkenyl, C 2 _ 6 alkynyl, aryl, heteroaryl, cycloalkyl, heterocycloalkyl, arylalkyl, heteroarylalkyl, cycloalkylalkyl or heterocycloalkylalkyl is optionally substituted with OH, amino, halo, Ci_ 6 alkyl, C 1-6 haloalkyl, aryl, arylalkyl, heteroaryl, heteroaryl
- R cl and R dl are each, independently, H, C 1-10 alkyl, Ci_6 haloalkyl, C 2 _6 alkenyl, C 2 _6 alkynyl, aryl, heteroaryl, cycloalkyl, heterocycloalkyl, arylalkyl, heteroarylalkyl, cycloalkylalkyl or heterocycloalkylalkyl, wherein said C 1-10 alkyl, Ci_ 6 haloalkyl, C 2 _ 6 alkenyl, C 2 _ 6 alkynyl, aryl, heteroaryl, cycloalkyl, heterocycloalkyl, arylalkyl, heteroarylalkyl, cycloalkylalkyl or heterocycloalkylalkyl is optionally substituted with OH, amino, halo, Ci_ 6 alkyl, C 1-6 haloalkyl, aryl, arylalkyl, heteroaryl, hetero
- R c3 and R d3 are each, independently, H, C 1-10 alkyl, Ci_6 haloalkyl, C2-6 alkenyl, C2-6 alkynyl, aryl, heteroaryl, cycloalkyl, heterocycloalkyl, arylalkyl, heteroarylalkyl, cycloalkylalkyl or heterocycloalkylalkyl, wherein said C 1-10 alkyl, Ci_6 haloalkyl, C2-6 alkenyl, C 2 - 6 alkynyl, aryl, heteroaryl, cycloalkyl, heterocycloalkyl, arylalkyl, heteroarylalkyl, cycloalkylalkyl or heterocycloalkylalkyl is optionally substituted with OH, amino, halo, Ci_ 6 alkyl, C 1-6 haloalkyl, aryl, arylalkyl, heteroaryl, heteroarylalkyl,
- R c4 and R d4 are independently selected from H, C 1-10 alkyl, Ci_6 haloalkyl, C2-6 alkenyl, C 2 - 6 alkynyl, aryl, heteroaryl, cycloalkyl, heterocycloalkyl, arylalkyl, heteroarylalkyl, cycloalkylalkyl or heterocycloalkylalkyl, wherein said C 1-10 alkyl, Ci_6 haloalkyl, C2-6 alkenyl, C 2 - 6 alkynyl, aryl, heteroaryl, cycloalkyl, heterocycloalkyl, arylalkyl, heteroarylalkyl, cycloalkylalkyl and heterocycloalkylalkyl is optionally substituted with OH, amino, halo, Ci_ 6 alkyl, C 1-6 haloalkyl, aryl, arylalkyl, heteroaryl, heteroarylalkyl
- R c5 and R d5 are independently selected from H, C 1-10 alkyl, Ci_6 haloalkyl, C2-6 alkenyl, C 2 - 6 alkynyl, aryl, heteroaryl, cycloalkyl, heterocycloalkyl, arylalkyl, heteroarylalkyl, cycloalkylalkyl or heterocycloalkylalkyl, wherein said C 1-10 alkyl, Ci_ 6 haloalkyl, C 2 - 6 alkenyl, C 2 - 6 alkynyl, aryl, heteroaryl, cycloalkyl, heterocycloalkyl, arylalkyl, heteroarylalkyl, cycloalkylalkyl and heterocycloalkylalkyl is optionally substituted with OH, amino, halo, Ci_ 6 alkyl, C 1-6 haloalkyl, aryl, arylalkyl, heteroaryl, heteroarylal
- R e , R el , R e2 , R e3 , R e4 , and R e5 are independently selected from H, C 1-6 alkyl, Ci_ 6 haloalkyl, C 2 - 6 alkenyl, (C 1-6 alkoxy)-Ci_ 6 alkyl, C 2 - 6 alkynyl, aryl, cycloalkyl, heteroaryl, heterocycloalkyl, arylalkyl, cycloalkylalkyl, heteroarylalkyl and heterocycloalkylalkyl;
- R f , R fl , R G , R ⁇ , R f4 , and R f5 are independently selected from H, Ci_ 6 alkyl, Ci_ 6 haloalkyl, C 2 - 6 alkenyl, C 2 _ 6 alkynyl, aryl, cycloalkyl, heteroaryl and heterocycloalkyl;
- R 1 is H, CN, or NO 2 ;
- R J and R k are independently selected from H and Ci_6 alkyl;
- R' is H, halo, C 1-10 alkyl, C 2 . 6 alkenyl, C 2 . 6 alkynyl, Cy, Cy-(C 1-6 alkyl)-, CN, NO 2 ,
- R" is H, C 1-10 alkyl, C 2 . 6 alkenyl, C 2 . 6 alkynyl, Cy, Cy-(C 1-6 alkyl)-, C(O)R b3 , C(O)NR c3 R d3 , C(O)OR 33 , S(O)R b3 , S(O)NR c3 R d3 , S(O) 2 R b3 , or S(O) 2 NR c3 R d3 ; wherein said Ci_io alkyl, C 2 _6 alkenyl, or C 2 _6 alkynyl is optionally substituted with 1, 2, 3, 4, or 5 substituents selected from CN, NO 2 , Cy, -(C 1-6 alkyl)-Cy, OR a3 , SR a3 , C(O)R b3 , C(O)NR c3 R d3 , C(O)OR a3 , OC(O
- V is O. In some embodiments, U is N.
- W is N. In some embodiments, U and W are both N. In some embodiments, U and W are both N and V is O. In some embodiments, at least one of U, V and W is N. In some embodiments, at least one of U, V and W is N and another of U, V, and W is O or S.
- U is CR
- V is N
- W is O
- L is Ci_ 6 alkylene, C 2 - 6 alkenylene, C 2 - 6 alkynylene, wherein each of the Ci_6 alkylene, C2-6 alkenylene, and C2-6 alkynylene is optionally substituted by 1, 2 or 3 substituents independently selected from halo, CN, NO2, N 3 , SCN, OH, Ci_6 alkyl, Ci_6 haloalkyl, C2-8 alkoxyalkyl, Ci_6 alkoxy, Ci_6 haloalkoxy, amino, Ci_6 alkylamino, and C2-8 dialkylamino.
- L is Ci_6 alkylene. In some embodiments, L is CH2.
- C 2 _ 6 alkenyl, and C 2 _ 6 alkynyl is optionally substituted with 1, 2, or 3 substitutents selected from Cy 1 , CN, NO 2 , OR a , SR a , C(O)R b , C(O)NR c R d , C(O)OR a , OC(O)R b , OC(O)NR c R d , NR c R d ,
- A is phenyl optionally substituted by 1, 2, 3, 4, or 5 substituents selected from halo, Ci_6 alkyl, C 2 _6 alkenyl, C 2 _6 alkynyl, Ci_6 haloalkyl, CN, NO 2 , and OR a .
- A is phenyl optionally substituted by 1, 2, or 3 substituents selected from halo and Ci_6 alkyl.
- Q is OR ⁇ . In some embodiments, Q is OH.
- R ⁇ is H, Ci_ 6 alkyl, C 2 _ 6 alkenyl, C 2 _ 6 alkynyl, aryl, cycloalkyl, heteroaryl, heterocycloalkyl, wherein said Ci_6 alkyl, C 2 _6 alkenyl, C 2 _6 alkynyl, aryl, cycloalkyl, heteroaryl, and heterocycloalkyl is optionally substituted by 1, 2, 3, 4, or 5 substituents selected from halo, Ci_6 alkyl, C 2 _6 alkenyl, C 2 _6 alkynyl, Ci_6 haloalkyl, Ci_6 hydroxyalkyl, Ci_ 6 cyanoalkyl, Cy, -(C L4 alkyl)-Cy, CN, NO 2 , OR a2 , SR a2 , C(O)R b2 , C(O)NR c2 R d2 , C(O)
- R ⁇ is H or Ci_ 6 alkyl, wherein said Ci_ 6 alkyl is optionally substituted by 1, 2, 3, 4, or 5 substituents selected from halo, Ci_6 alkyl, C 2 _6 alkenyl, C 2 _6 alkynyl, C 1-6 haloalkyl, C 1-6 hydroxyalkyl, C 1-6 cyanoalkyl, Cy, -(C L4 alkyl)-Cy, CN, NO 2 , 0R a2 , SR a2 , C(O)R b2 , C(O)NR c2 R d2 , C(O)OR a2 , OC(O)R b2 , OC(O)NR c2 R d2 , NR c2 R d2 , NR c2 C(O)R b2 , NR c2 C(O)NR c2 R d2 , NR c2 C(O)NR c
- R ⁇ is H or Ci_6 alkyl.
- R 4 is H.
- R A and R B are independently selected from H, F, and Ci_6 alkyl.
- R A and R B are both H.
- R 1 is H. In some embodiments, R is H.
- R 2 is H. In some embodiments, R is H. In some embodiments, p is 1, 2, 3, 4 or 5. In some embodiments, p is 1 or 2. In some embodiments, p is 1.
- the compounds of the invention have Formula II:
- the compounds of the invention have Formula III:
- Ci_6 alkyl is specifically intended to individually disclose methyl, ethyl, C 3 alkyl, C 4 alkyl, C 5 alkyl, and C 6 alkyl. It is further intended that the compounds of the invention are stable. As used herein "stable” refers to a compound that is sufficiently robust to survive isolation to a useful degree of purity from a reaction mixture, and preferably capable of formulation into an efficacious therapeutic agent. It is further appreciated that certain features of the invention, which are, for clarity, described in the context of separate embodiments, can also be provided in combination in a single embodiment.
- alkyl is meant to refer to a saturated hydrocarbon group which is straight-chained or branched.
- Example alkyl groups include methyl (Me), ethyl (Et), propyl (e.g., n-propyl and isopropyl), butyl (e.g., n-butyl, isobutyl, t-butyl), pentyl (e.g., n- pentyl, isopentyl, neopentyl), and the like.
- An alkyl group can contain from 1 to about 20, from 2 to about 20, from 1 to about 10, from 1 to about 8, from 1 to about 6, from 1 to about 4, or from 1 to about 3 carbon atoms.
- alkenyl refers to an alkyl group having one or more carbon-carbon double bonds.
- Example alkenyl groups include ethenyl, propenyl, and the like.
- alkynyl refers to an alkyl group having one or more carbon-carbon triple bonds.
- Example alkynyl groups include ethynyl, propynyl, and the like.
- haloalkyl refers to an alkyl group having one or more halogen substituents.
- Example haloalkyl groups include CF 3 , C 2 F 5 , CHF 2 , CCl 3 , CHCl 2 , C 2 Cl 5 , and the like.
- aryl refers to monocyclic or polycyclic (e.g., having 2, 3 or 4 fused rings) aromatic hydrocarbons such as, for example, phenyl, naphthyl, anthracenyl, phenanthrenyl, indanyl, indenyl, and the like. In some embodiments, aryl groups have from 6 to about 20 carbon atoms.
- cycloalkyl refers to non-aromatic carbocycles including cyclized alkyl, alkenyl, and alkynyl groups.
- Cycloalkyl groups can include mono- or polycyclic (e.g., having 2, 3 or 4 fused rings) ring systems, including spirocycles.
- cycloalkyl groups can have from 3 to about 20 carbon atoms, 3 to about 14 carbon atoms, 3 to about 10 carbon atoms, or 3 to 7 carbon atoms. Cycloalkyl groups can further have 0, 1, 2, or 3 double bonds and/or 0, 1, or 2 triple bonds.
- cycloalkyl moieties that have one or more aromatic rings fused (i.e., having a bond in common with) to the cycloalkyl ring, for example, benzo derivatives of cyclopentane, cyclopentene, cyclohexane, and the like.
- a cycloalkyl group having one or more fused aromatic rings can be attached though either the aromatic or non-aromatic portion.
- One or more ring-forming carbon atoms of a cycloalkyl group can be oxidized, for example, having an oxo or sulfido substituent.
- Example cycloalkyl groups include cyclopropyl, cyclobutyl, cyclopentyl, cyclohexyl, cycloheptyl, cyclopentenyl, cyclohexenyl, cyclohexadienyl, cycloheptatrienyl, norbornyl, norpinyl, norcarnyl, adamantyl, and the like.
- heteroaryl refers to an aromatic heterocycle having at least one heteroatom ring member such as sulfur, oxygen, or nitrogen.
- Heteroaryl groups include monocyclic and polycyclic (e.g., having 2, 3 or 4 fused rings) systems. Any ring-forming N atom in a heteroaryl group can also be oxidized to form an N-oxo moiety.
- heteroaryl groups include without limitation, pyridyl, N-oxopyridyl, pyrimidinyl, pyrazinyl, pyridazinyl, triazinyl, furyl, quinolyl, isoquinolyl, thienyl, imidazolyl, thiazolyl, indolyl, pyrryl, oxazolyl, benzofuryl, benzothienyl, benzthiazolyl, isoxazolyl, pyrazolyl, triazolyl, tetrazolyl, indazolyl, 1,2,3-thiadiazolyl, 1,2,4-thiadiazolyl, isothiazolyl, benzothienyl, purinyl, carbazolyl, benzimidazolyl, indolinyl, xanthene, and the like.
- the heteroaryl group has from 1 to about 20 carbon atoms, and in further embodiments from about 3 to about 20 carbon atoms. In some embodiments, the heteroaryl group contains 3 to about 14, 3 to about 7, or 5 to 6 ring-forming atoms. In some embodiments, the heteroaryl group has 1 to about 4, 1 to about 3, or 1 to 2 heteroatoms.
- heterocycloalkyl refers to a non-aromatic heterocycle where one or more of the ring-forming atoms is a heteroatom such as an O, N, or S atom.
- Heterocycloalkyl groups can include mono- or polycyclic (e.g., having 2, 3 or 4 fused rings) ring systems as well as spirocycles. Any ring-forming C, N or S atom in a heterocycloalkyl group can be substituted by 1 or 2 oxo groups to form a carbonyl, N-oxo, sulfmyl, or sulfonyl moiety.
- heterocycloalkyl groups include morpholino, thiomorpholino, piperazinyl, tetrahydrofuranyl, tetrahydrothienyl, 2,3-dihydrobenzofuryl, 1,3-benzodioxole, benzo-1,4- dioxane, piperidinyl, pyrrolidinyl, isoxazolidinyl, isothiazolidinyl, pyrazolidinyl, oxazolidinyl, thiazolidinyl, imidazolidinyl, and the like.
- heterocycloalkyl moieties that have one or more aromatic rings fused (i.e., having a bond in common with) to the nonaromatic heterocyclic ring, for example phthalimidyl, naphthalimidyl, and benzo derivatives of heterocycles such as indolene, isoindolene, tetrahydroquinoline, and tetrahydroisoquinoline groups.
- a heterocycloalkyl group having one or more fused aromatic rings can be attached though either the aromatic or non-aromatic portion.
- the heterocycloalkyl group has from 1 to about 20 carbon atoms, and in further embodiments from about 3 to about 20 carbon atoms.
- the heterocycloalkyl group contains 3 to about 20, 3 to about 14, 3 to about 7, or 5 to 6 ring-forming atoms. In some embodiments, the heterocycloalkyl group has 1 to about 4, 1 to about 3, or 1 to 2 heteroatoms. In some embodiments, the heterocycloalkyl group contains 0 to 3 double bonds. In some embodiments, the heterocycloalkyl group contains 0 to 2 triple bonds.
- halo or halogen includes fluoro, chloro, bromo, and iodo.
- hydroxyalkyl refers to an alkyl group substituted with a hydroxyl group.
- cyanoalkyl refers to an alkyl group substituted with a cyano group.
- alkoxy refers to an -O-alkyl group.
- Example alkoxy groups include methoxy, ethoxy, propoxy (e.g., n-propoxy and isopropoxy), t-butoxy, and the like.
- arylalkyl refers to alkyl substituted by aryl and "cycloalkylalkyl” refers to alkyl substituted by cycloalkyl.
- An example arylalkyl group is benzyl.
- heteroarylalkyl refers to alkyl substituted by heteroaryl and
- heterocycloalkylalkyl refers to alkyl substituted by heterocycloalkyl.
- amino refers to NH 2 .
- alkylamino refers to an amino group substituted by an alkyl group.
- dialkylamino refers to an amino group substituted by two alkyl groups.
- the compounds described herein can be asymmetric (e.g., having one or more stereocenters). All stereoisomers, such as enantiomers and diastereomers, are intended unless otherwise indicated.
- Cis and trans geometric isomers of the compounds of the present invention are described and may be isolated as a mixture of isomers or as separated isomeric forms.
- a bond in a structure diagram represented by a wavy line "v/vwr"' is intended to indicate that the structure represents the cis or the trans isomer, or a mixture of the cis and trans isomers in any proportion.
- Compounds of the invention also include all tautomeric forms. Tautomeric forms result from the swapping of a single bond with an adjacent double bond together with the concomitant migration of a proton. Tautomeric forms include prototropic tautomers which are isomeric protonation states having the same empirical formula and total charge.
- Example prototropic tautomers include ketone - enol pairs, amide - imidic acid pairs, lactam - lactim pairs, amide - imidic acid pairs, enamine - imine pairs, and annular forms where a proton can occupy two or more positions of a heterocyclic system, for example, IH- and 3H-imidazole,
- Tautomeric forms can be in equilibrium or sterically locked into one form by appropriate substitution.
- Compounds of the invention can also include different atomic isotopes.
- Isotopes include those atoms having the same atomic number but different mass numbers.
- isotopes of hydrogen include tritium and deuterium.
- compound as used herein is meant to include all stereoisomers, geometric iosomers, tautomers, and isotopes of the structures depicted.
- the compounds of the invention, and salts thereof, are isolated.
- Partial separation can include, for example, a composition enriched in the compound of the invention.
- Substantial separation can include compositions containing at least about 50%, at least about 60%, at least about 70%, at least about 80%, at least about 90%, at least about 95%, and at least about 99% by weight of the compound of the invention, or salt thereof. Methods for isolating compounds and their salts are routine in the art.
- the present invention also includes pharmaceutically acceptable salts of the compounds described herein.
- pharmaceutically acceptable salts refers to derivatives of the disclosed compounds wherein the parent compound is modified by converting an existing acid or base moiety to its salt form.
- examples of pharmaceutically acceptable salts include, but are not limited to, mineral or organic acid salts of basic residues such as amines; alkali or organic salts of acidic residues such as carboxylic acids; and the like.
- the pharmaceutically acceptable salts of the present invention include the conventional non-toxic salts of the parent compound formed, for example, from non-toxic inorganic or organic acids.
- the pharmaceutically acceptable salts of the present invention can be synthesized from the parent compound which contains a basic or acidic moiety by conventional chemical methods.
- such salts can be prepared by reacting the free acid or base forms of these compounds with a stoichiometric amount of the appropriate base or acid in water or in an organic solvent, or in a mixture of the two; generally, nonaqueous media like ether, ethyl acetate, ethanol, isopropanol, or ACN are preferred. Lists of suitable salts are found in Remington 's Pharmaceutical Sciences, 17 th ed., Mack Publishing Company, Easton, Pa., 1985, p. 1418 and Journal of Pharmaceutical Science, 66, 2 (1977), each of which is incorporated herein by reference in its entirety.
- prodrugs refer to any covalently bonded carriers which release the active parent drug when administered to a mammalian subject. Prodrugs can be prepared by modifying functional groups present in the compounds in such a way that the modifications are cleaved, either in routine manipulation or in vivo, to the parent compounds.
- Prodrugs include compounds wherein hydroxyl, amino, sulfhydryl, or carboxyl groups are bonded to any group that, when administered to a mammalian subject, cleaves to form a free hydroxyl, amino, sulfhydryl, or carboxyl group respectively.
- Examples of prodrugs include, but are not limited to, acetate, formate and benzoate derivatives of alcohol and amine functional groups in the compounds of the invention. Preparation and use of prodrugs is discussed in T. Higuchi and V. Stella, "Pro-drugs as Novel Delivery Systems," Vol. 14 of the A.C.S. Symposium Series, and in Bioreversible Carriers in Drug Design, ed. Edward B. Roche, American Pharmaceutical Association and Pergamon Press, 1987, both of which are hereby incorporated by reference in their entirety.
- the compounds of the present invention can be prepared in a variety of ways known to one skilled in the art of organic synthesis.
- the compounds of the present invention can be synthesized using the methods as hereinafter described below, together with synthetic methods known in the art of synthetic organic chemistry or variations thereon as appreciated by those skilled in the art.
- the compounds of this invention can be prepared from readily available starting materials using the following general methods and procedures. It will be appreciated that where typical or preferred process conditions (i.e., reaction temperatures, times, mole ratios of reactants, solvents, pressures, etc.) are given; other process conditions can also be used unless otherwise stated. Optimum reaction conditions may vary with the particular reactants or solvent used, but such conditions can be determined by one skilled in the art by routine optimization procedures. The processes described herein can be monitored according to any suitable method known in the art.
- product formation can be monitored by spectroscopic means, such as nuclear magnetic resonance spectroscopy (e.g., 1 H or 13 C) infrared spectroscopy, spectrophotometry (e.g., UV-visible), or mass spectrometry, or by chromatography such as high performance liquid chromatography (HPLC) or thin layer chromatography.
- spectroscopic means such as nuclear magnetic resonance spectroscopy (e.g., 1 H or 13 C) infrared spectroscopy, spectrophotometry (e.g., UV-visible), or mass spectrometry
- chromatography such as high performance liquid chromatography (HPLC) or thin layer chromatography.
- Preparation of compounds can involve the protection and deprotection of various chemical groups. The need for protection and deprotection, and the selection of appropriate protecting groups can be readily determined by one skilled in the art. The chemistry of protecting groups can be found, for example, in Greene, et al, Protective Groups in Organic Synthesis, 2d
- Suitable solvents can be substantially nonreactive with the starting materials (reactants), the intermediates, or products at the temperatures at which the reactions are carried out, i.e., temperatures which can range from the solvent's freezing temperature to the solvent's boiling temperature.
- a given reaction can be carried out in one solvent or a mixture of more than one solvent.
- suitable solvents for a particular reaction step can be selected.
- Resolution of racemic mixtures of compounds can be carried out by any of numerous methods known in the art.
- An example method includes fractional recrystallization using a "chiral resolving acid" which is an optically active, salt-forming organic acid.
- Suitable resolving agents for fractional recrystallization methods are, for example, optically active acids, such as the D and L forms of tartaric acid, diacetyltartaric acid, dibenzoyltartaric acid, mandelic acid, malic acid, lactic acid or the various optically active camphorsulfonic acids.
- Resolution of racemic mixtures can also be carried out by elution on a column packed with an optically active resolving agent (e.g., dinitrobenzoylphenylglycine). Suitable elution solvent composition can be determined by one skilled in the art.
- intermediates 1-5 (such as 6H-furo[3,4-c][l,2,5]oxadiazol-4- one) can be prepared starting with cleavage of bicyclic compounds 1-1 with an amine to yield hydroxymethyl derivatives 1-2.
- the hydroxyl group can be protected in any suitable manner such as by alklysilylchloride, ester, ether or other suitable protecting group (see, e.g., Greene, et al, Protective Groups in Organic Synthesis, supra) to yield protected compounds 1-3.
- the protected compounds 1-3 can be converted to the corresponding N-hydroxyamidines 1-4 by thionation with an appropriate reagent such as CS 2 or Laweson's reagent followed by S- alkylation (e.g., S-methylation) with an appropriate reagent such as methyliodide or methyltriflate followed by treatment with NH 2 OH.
- an appropriate reagent such as CS 2 or Laweson's reagent followed by S- alkylation (e.g., S-methylation) with an appropriate reagent such as methyliodide or methyltriflate followed by treatment with NH 2 OH.
- the N-hydroxyamidine group can be protected using, for example, phosgene, triphosgene, carbonyldiimidazole, etc., and the protected hydroxymethyl group can then be deprotected (such as by treatment with acid for alkylsilylethers) for further modification if desired.
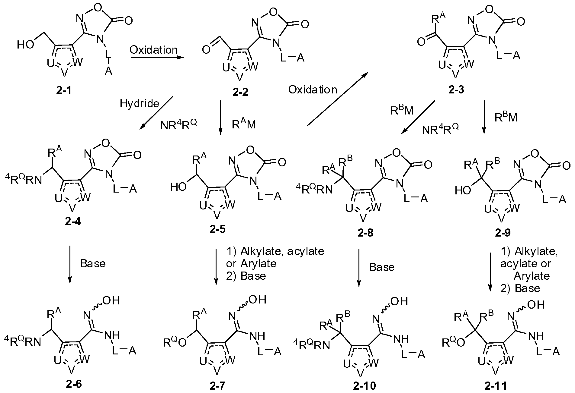
- compounds of the invention can be prepared starting with the intermediate 2-1 (which can be prepared according to Scheme 1) which can be oxidized at the hydroxymethyl group according to standard procedures for conversion of an alcohol to an aldehyde to yield intermediates 2-2.
- the aldehydes (2-2) can be further reacted with appropriate nucleophiles to yield hydroxyl (2-5) or amino (2-4) intermediates with optional substitution (R A ) on the methylene.
- These intermediates can be further modified by reaction of the hydroxyl groups with suitable electrophiles (e.g., alkylation, acylate, arylation) optionally in the presence of catalytic amounts of base or acid followed by deprotection to yield compounds of the invention 2-7 and 2-11.
- intermediate 2-5 can be oxidized to afford ketone 2-3 which can be further reacted with appropriate nucleophiles to yield hydroxyl (2-9) or amino (2-8) intermediates with optional substitution (R A and R B ) on the methylene.
- amines 2-4 and 2-8 can be directly deprotected to yield further compounds of the invention 2-6 and 2-10.
- Amino methyl compounds of the invention can be prepared according to the methods of Scheme 4 where the hydroxymethyl group of a protected N-hydroxyamidine intermediate 4-1 is treated with mesylchloride or other suitable reagent to produce a good leaving group such as mesylate as exemplified in intermediate 4-2.
- the intermediate 4-2 is then reacted with amine NHR 4 R ⁇ followed by treatment with base (such as hydroxide) to yield amino methyl compounds 4-3.
- the amino methyl compounds can be further derivatized to make various amides, ureas, sulfonamides, carbamates and the like by reaction of the amino moiety with R Q C(0)-X, R Q S(O) 2 -X, R Q 0C(0)-X and the like (X is, e.g., a leaving group like halo).
- Additional amino methyl compounds of the invention can be prepared according to the methods of Scheme 5 where the intermediate 4-2 is reacted with sodium azide followed by reduction (such as hydrogen over palladium or triphenylphosphine) to yield amino methyl compounds 4-6.
- the amino methyl compounds 4-6 can be further derivatized to make various compounds 4-7, such as amides, ureas, sulfonamides, carbamates and the like, by reaction of the amino moiety with R Q C(O)-X, R Q S(O) 2 -X, R Q OC(O)-X and the like (X is a leaving group).
- Alkoxy compounds 6-2 can be prepared, for example, according the route shown in
- hydroxyalkyl or related compounds 6-1 are reacted with various electrophiles such as alkyl halides ("alkyl-X,” where X is halo) followed by reaction with base such as hydroxide to form alkylated and similar compounds of formula 6-2.
- alkyl halides can be optionally substituted with other various functional groups.
- Compounds of the invention can modulate activity of the enzyme indoleamine-2,3- dioxygenase (IDO).
- IDO indoleamine-2,3- dioxygenase
- modulate is meant to refer to an ability to increase or decrease activity of an enzyme or receptor.
- compounds of the invention can be used in methods of modulating IDO by contacting the enzyme with any one or more of the compounds or compositions described herein.
- compounds of the present invention can act as inhibitors of IDO.
- the compounds of the invention can be used to modulate activity of IDO in cell or in an individual in need of modulation of the enzyme by administering a modulating (e.g., inhibiting) amount of a compound of the invention.
- the present invention further provides methods of inhibiting the degradation of tryptophan in a system containing cells expressing IDO such as a tissue, living organism, or cell culture.
- the present invention provides methods of altering (e.g., increasing) extracellular tryptophan levels in a mammal by administering an effective amount of a compound of composition provided herein. Methods of measuring tryptophan levels and tryptophan degradation are routine in the art.
- the present invention further provides methods of inhibiting immunosuppression such as IDO-mediated immunosuppression in a patient by administering to the patient an effective amount of a compound or composition recited herein.
- immunosuppression has been associated with, for example, cancers, tumor growth, metastasis, viral infection, viral replication, etc.
- the present invention further provides methods of treating diseases associated with activity or expression, including abnormal activity and/or overexpression, of IDO in an individual ⁇ e.g., patient) by administering to the individual in need of such treatment a therapeutically effective amount or dose of a compound of the present invention or a pharmaceutical composition thereof.
- Example diseases can include any disease, disorder or condition that is directly or indirectly linked to expression or activity of the IDO enzyme, such as over expression or abnormal activity.
- An IDO-associated disease can also include any disease, disorder or condition that can be prevented, ameliorated, or cured by modulating enzyme activity.
- IDO-associated diseases include cancer, viral infection such as HIV infection, depression, neurodegenerative disorders such as Alzheimer's disease and Huntington's disease, trauma, age-related cataracts, organ transplantation (e.g., organ transplant rejection), and autoimmune diseases including asthma, rheumatoid arthritis, multiple sclerosis, inflammatory bowel disease, psoriasis and systemic lupus erythematosusor.
- Example cancers treatable by the methods herein include cancer of the colon, pancreas, breast, prostate, lung, brain, ovary, cervix, testes, renal, head and neck, lymphoma, leukemia, melanoma, and the like.
- an ex vivo cell can be part of a tissue sample excised from an organism such as a mammal.
- an in vitro cell can be a cell in a cell culture.
- an in vivo cell is a cell living in an organism such as a mammal.
- the term "contacting" refers to the bringing together of indicated moieties in an in vitro system or an in vivo system.
- contacting the IDO enzyme with a compound of the invention includes the administration of a compound of the present invention to an individual or patient, such as a human, having IDO, as well as, for example, introducing a compound of the invention into a sample containing a cellular or purified preparation containing the IDO enzyme.
- the term "individual” or “patient,” used interchangeably, refers to any animal, including mammals, preferably mice, rats, other rodents, rabbits, dogs, cats, swine, cattle, sheep, horses, or primates, and most preferably humans.
- terapéuticaally effective amount refers to the amount of active compound or pharmaceutical agent that elicits the biological or medicinal response that is being sought in a tissue, system, animal, individual or human by a researcher, veterinarian, medical doctor or other clinician, which includes one or more of the following:
- preventing the disease for example, preventing a disease, condition or disorder in an individual who may be predisposed to the disease, condition or disorder but does not yet experience or display the pathology or symptomatology of the disease;
- inhibiting the disease for example, inhibiting a disease, condition or disorder in an individual who is experiencing or displaying the pathology or symptomatology of the disease, condition or disorder; and (3) ameliorating the disease; for example, ameliorating a disease, condition or disorder in an individual who is experiencing or displaying the pathology or symptomatology of the disease, condition or disorder (i.e., reversing the pathology and/or symptomatology) such as decreasing the severity of disease.
- One or more additional pharmaceutical agents or treatment methods such as, for example, anti-viral agents, chemotherapeutics or other anti-cancer agents, immune enhancers, immunosuppressants, radiation, anti-tumor and anti-viral vaccines, cytokine therapy (e.g., IL2, GM-CSF, etc.), and/or tyrosine kinase inhibitors can be used in combination with the compounds of the present invention for treatment of IDO-associated diseases, disorders or conditions.
- the agents can be combined with the present compounds in a single dosage form, or the agents can be administered simultaneously or sequentially as separate dosage forms.
- Suitable antiviral agents contemplated for use in combination with the compounds of the present invention can comprise nucleoside and nucleotide reverse transcriptase inhibitors (NRTIs), non-nucleoside reverse transcriptase inhibitors (NNRTIs), protease inhibitors and other antiviral drugs.
- NRTIs nucleoside and nucleotide reverse transcriptase inhibitors
- NRTIs non-nucleoside reverse transcriptase inhibitors
- protease inhibitors and other antiviral drugs.
- Example suitable NRTIs include zidovudine (AZT); didanosine (ddl); zalcitabine (ddC); stavudine (d4T); lamivudine (3TC); abacavir (1592U89); adefovir dipivoxil [bis(POM)-PMEA]; lobucavir (BMS-180194); BCH-10652; emitricitabine [(-)-FTC]; beta-L- FD4 (also called beta-L-D4C and named beta-L-2', 3'-dicleoxy-5-fluoro-cytidene); DAPD, ((- )-beta-D-2,6,-diamino-purine dioxolane); and lodenosine (FddA).
- ZT zidovudine
- ddl didanosine
- ddC zalcitabine
- stavudine d4T
- NNRTIs include nevirapine (BI-RG-587); delaviradine (BHAP, U-90152); efavirenz (DMP-266); PNU- 142721; AG-1549; MKC-442 (l-(ethoxy-methyl)-5-(l-methylethyl)-6-(phenylmethyl)- (2,4(1 H,3H)-pyrimidinedione); and (+)-calanolide A (NSC-675451) and B.
- Typical suitable protease inhibitors include saquinavir (Ro 31-8959); ritonavir (ABT-538); indinavir (MK- 639); nelfnavir (AG-1343); amprenavir (141W94); lasinavir (BMS-234475); DMP-450; BMS-2322623; ABT-378; and AG-I 549.
- Other antiviral agents include hydroxyurea, ribavirin, IL-2, IL-12, pentafuside and Yissum Project No.11607.
- Suitable chemotherapeutic or other anti-cancer agents include, for example, alkylating agents (including, without limitation, nitrogen mustards, ethylenimine derivatives, alkyl sulfonates, nitrosoureas and triazenes) such as uracil mustard, chlormethine, cyclophosphamide (CytoxanTM), ifosfamide, melphalan, chlorambucil, pipobroman, triethylene-melamine, triethylenethiophosphoramine, busulfan, carmustine, lomustine, streptozocin, dacarbazine, and temozolomide.
- alkylating agents including, without limitation, nitrogen mustards, ethylenimine derivatives, alkyl sulfonates, nitrosoureas and triazenes
- alkylating agents including, without limitation, nitrogen mustards, ethylenimine derivatives, alkyl sulfonates, nitrosoure
- Suitable chemotherapeutic or other anti-cancer agents include, for example, antimetabolites (including, without limitation, folic acid antagonists, pyrimidine analogs, purine analogs and adenosine deaminase inhibitors) such as methotrexate, 5-fluorouracil, floxuridine, cytarabine, 6-mercaptopurine, 6-thioguanine, fludarabine phosphate, pentostatine, and gemcitabine.
- antimetabolites including, without limitation, folic acid antagonists, pyrimidine analogs, purine analogs and adenosine deaminase inhibitors
- methotrexate including, without limitation, folic acid antagonists, pyrimidine analogs, purine analogs and adenosine deaminase inhibitors
- methotrexate including, without limitation, folic acid antagonists, pyrimidine analogs, purine analogs and adenosine deaminase inhibitors
- Suitable chemotherapeutic or other anti-cancer agents further include, for example, certain natural products and their derivatives (for example, vinca alkaloids, antitumor antibiotics, enzymes, lymphokines and epipodophyllotoxins) such as vinblastine, vincristine, vindesine, bleomycin, dactinomycin, daunorubicin, doxorubicin, epirubicin, idarubicin, ara- C, paclitaxel (TaxolTM), mithramycin, deoxycoformycin, mitomycin-C, L-asparaginase, interferons (especially IFN-a), etoposide, and teniposide.
- certain natural products and their derivatives for example, vinca alkaloids, antitumor antibiotics, enzymes, lymphokines and epipodophyllotoxins
- vinblastine vincristine, vindesine
- bleomycin dactinomycin
- daunorubicin da
- cytotoxic agents include navelbene, CPT-I l, anastrazole, letrazole, capecitabine, reloxafme, cyclophosphamide, ifosamide, and droloxafme.
- cytotoxic agents such as epidophyllotoxin; an antineoplastic enzyme; a topoisomerase inhibitor; procarbazine; mitoxantrone; platinum coordination complexes such as cis-platin and carboplatin; biological response modifiers; growth inhibitors; antihormonal therapeutic agents; leucovorin; tegafur; and haematopoietic growth factors.
- anti-cancer agent(s) include antibody therapeutics such as trastuzumab (Herceptin), antibodies to costimulatory molecules such as CTLA-4, 4- IBB and PD-I, or antibodies to cytokines (IL-IO, TGF- ⁇ , etc.).
- trastuzumab Herceptin
- costimulatory molecules such as CTLA-4, 4- IBB and PD-I
- cytokines IL-IO, TGF- ⁇ , etc.
- anti-cancer agents also include those that block immune cell migration such as antagonists to chemokine receptors, including CCR2 and CCR4.
- anti-cancer agents also include those that augment the immune system such as adjuvants or adoptive T cell transfer.
- Anti-cancer vaccines include dendritic cells, synthetic peptides, DNA vaccines and recombinant viruses. Compounds of the invention may also be used in combination with vaccine therapy in the treatment of melanoma. Antimelanoma vaccines are, in some ways, similar to the antivirus vaccines which are used to prevent diseases caused by viruses such as polio, measles, and mumps. Weakened melanoma cells or parts of melanoma cells called antigens may be injected into a patient to stimulate the body's immune system to destroy melanoma cells.
- Melanomas that are confined to the arms or legs may also be treated with a combination of agents including one or more compounds of the invention, using a hyperthermic isolated limb perfusion technique.
- This treatment protocol temporarily separates the circulation of the involved limb from the rest of the body and injects high doses of chemotherapy into the artery feeding the limb, thus providing high doses to the area of the tumor without exposing internal organs to these doses that might otherwise cause severe side effects.
- the fluid is warmed to 102° to 104° F.
- Melphalan is the drug most often used in this chemotherapy procedure. This can be given with another agent called tumor necrosis factor (TNF) (see section on cytokines).
- TNF tumor necrosis factor
- compositions When employed as pharmaceuticals, the compounds of the invention can be administered in the form of a pharmaceutical composition which is a combination of a compound of the invention and a pharmaceutically acceptable carrier.
- a pharmaceutical composition which is a combination of a compound of the invention and a pharmaceutically acceptable carrier.
- These compositions can be prepared in a manner well known in the pharmaceutical art, and can be administered by a variety of routes, depending upon whether local or systemic treatment is desired and upon the area to be treated.
- Administration may be topical (including ophthalmic and to mucous membranes including intranasal, vaginal and rectal delivery), pulmonary ⁇ e.g., by inhalation or insufflation of powders or aerosols, including by nebulizer; intratracheal, intranasal, epidermal and transdermal), ocular, oral or parenteral.
- Methods for ocular delivery can include topical administration (eye drops), subconjunctival, periocular or intravitreal injection or introduction by balloon catheter or ophthalmic inserts surgically placed in the conjunctival sac.
- Parenteral administration includes intravenous, intraarterial, subcutaneous, intraperitoneal or intramuscular injection or infusion; or intracranial, e.g., intrathecal or intraventricular, administration.
- Parenteral administration can be in the form of a single bolus dose, or may be, for example, by a continuous perfusion pump.
- Pharmaceutical compositions and formulations for topical administration may include transdermal patches, ointments, lotions, creams, gels, drops, suppositories, sprays, liquids and powders. Conventional pharmaceutical carriers, aqueous, powder or oily bases, thickeners and the like may be necessary or desirable.
- compositions which contain, as the active ingredient, one or more of the compounds of the invention above in combination with one or more pharmaceutically acceptable carriers.
- the active ingredient is typically mixed with an excipient, diluted by an excipient or enclosed within such a carrier in the form of, for example, a capsule, sachet, paper, or other container.
- the excipient serves as a diluent, it can be a solid, semi-solid, or liquid material, which acts as a vehicle, carrier or medium for the active ingredient.
- compositions can be in the form of tablets, pills, powders, lozenges, sachets, cachets, elixirs, suspensions, emulsions, solutions, syrups, aerosols (as a solid or in a liquid medium), ointments containing, for example, up to 10 % by weight of the active compound, soft and hard gelatin capsules, suppositories, sterile injectable solutions, and sterile packaged powders.
- the active compound can be milled to provide the appropriate particle size prior to combining with the other ingredients. If the active compound is substantially insoluble, it can be milled to a particle size of less than 200 mesh. If the active compound is substantially water soluble, the particle size can be adjusted by milling to provide a substantially uniform distribution in the formulation, e.g. about 40 mesh.
- the compounds of the invention may be milled using known milling procedures such as wet milling to obtain a particle size appropriate for tablet formation and for other formulation types.
- Finely divided (nanoparticulate) preparations of the compounds of the invention can be prepared by processes known in the art, for example see International Patent Pub. No. WO 2002/000196.
- excipients include lactose, dextrose, sucrose, sorbitol, mannitol, starches, gum acacia, calcium phosphate, alginates, tragacanth, gelatin, calcium silicate, microcrystalline cellulose, polyvinylpyrrolidone, cellulose, water, syrup, and methyl cellulose.
- the formulations can additionally include: lubricating agents such as talc, magnesium stearate, and mineral oil; wetting agents; emulsifying and suspending agents; preserving agents such as methyl- and propylhydroxy-benzoates; sweetening agents; and flavoring agents.
- compositions of the invention can be formulated so as to provide quick, sustained or delayed release of the active ingredient after administration to the patient by employing procedures known in the art.
- the compositions can be formulated in a unit dosage form, each dosage containing from about 5 to about 100 mg, more usually about 10 to about 30 mg, of the active ingredient.
- unit dosage forms refers to physically discrete units suitable as unitary dosages for human subjects and other mammals, each unit containing a predetermined quantity of active material calculated to produce the desired therapeutic effect, in association with a suitable pharmaceutical excipient.
- the active compound can be effective over a wide dosage range and is generally administered in a pharmaceutically effective amount. It will be understood, however, that the amount of the compound actually administered will usually be determined by a physician, according to the relevant circumstances, including the condition to be treated, the chosen route of administration, the actual compound administered, the age, weight, and response of the individual patient, the severity of the patient's symptoms, and the like.
- the principal active ingredient is mixed with a pharmaceutical excipient to form a solid preformulation composition containing a homogeneous mixture of a compound of the present invention.
- a solid preformulation composition containing a homogeneous mixture of a compound of the present invention.
- the active ingredient is typically dispersed evenly throughout the composition so that the composition can be readily subdivided into equally effective unit dosage forms such as tablets, pills and capsules.
- This solid preformulation is then subdivided into unit dosage forms of the type described above containing from, for example, 0.1 to about 500 mg of the active ingredient of the present invention.
- the tablets or pills of the present invention can be coated or otherwise compounded to provide a dosage form affording the advantage of prolonged action.
- the tablet or pill can comprise an inner dosage and an outer dosage component, the latter being in the form of an envelope over the former.
- the two components can be separated by an enteric layer which serves to resist disintegration in the stomach and permit the inner component to pass intact into the duodenum or to be delayed in release.
- enteric layers or coatings such materials including a number of polymeric acids and mixtures of polymeric acids with such materials as shellac, cetyl alcohol, and cellulose acetate.
- liquid forms in which the compounds and compositions of the present invention can be incorporated for administration orally or by injection include aqueous solutions, suitably flavored syrups, aqueous or oil suspensions, and flavored emulsions with edible oils such as cottonseed oil, sesame oil, coconut oil, or peanut oil, as well as elixirs and similar pharmaceutical vehicles.
- compositions for inhalation or insufflation include solutions and suspensions in pharmaceutically acceptable, aqueous or organic solvents, or mixtures thereof, and powders.
- the liquid or solid compositions may contain suitable pharmaceutically acceptable excipients as described supra.
- the compositions are administered by the oral or nasal respiratory route for local or systemic effect.
- Compositions in can be nebulized by use of inert gases. Nebulized solutions may be breathed directly from the nebulizing device or the nebulizing device can be attached to a face masks tent, or intermittent positive pressure breathing machine. Solution, suspension, or powder compositions can be administered orally or nasally from devices which deliver the formulation in an appropriate manner.
- compositions administered to a patient will vary depending upon what is being administered, the purpose of the administration, such as prophylaxis or therapy, the state of the patient, the manner of administration, and the like.
- compositions can be administered to a patient already suffering from a disease in an amount sufficient to cure or at least partially arrest the symptoms of the disease and its complications. Effective doses will depend on the disease condition being treated as well as by the judgment of the attending clinician depending upon factors such as the severity of the disease, the age, weight and general condition of the patient, and the like.
- the compositions administered to a patient can be in the form of pharmaceutical compositions described above. These compositions can be sterilized by conventional sterilization techniques, or may be sterile filtered.
- Aqueous solutions can be packaged for use as is, or lyophilized, the lyophilized preparation being combined with a sterile aqueous carrier prior to administration.
- the pH of the compound preparations typically will be between 3 and 11, more preferably from 5 to 9 and most preferably from 7 to 8. It will be understood that use of certain of the foregoing excipients, carriers, or stabilizers will result in the formation of pharmaceutical salts.
- the therapeutic dosage of the compounds of the present invention can vary according to, for example, the particular use for which the treatment is made, the manner of administration of the compound, the health and condition of the patient, and the judgment of the prescribing physician.
- the proportion or concentration of a compound of the invention in a pharmaceutical composition can vary depending upon a number of factors including dosage, chemical characteristics (e.g., hydrophobicity), and the route of administration.
- the compounds of the invention can be provided in an aqueous physiological buffer solution containing about 0.1 to about 10% w/v of the compound for parenteral administration. Some typical dose ranges are from about 1 ⁇ g/kg to about 1 g/kg of body weight per day.
- the dose range is from about 0.01 mg/kg to about 100 mg/kg of body weight per day.
- the dosage is likely to depend on such variables as the type and extent of progression of the disease or disorder, the overall health status of the particular patient, the relative biological efficacy of the compound selected, formulation of the excipient, and its route of administration. Effective doses can be extrapolated from dose- response curves derived from in vitro or animal model test systems.
- the compounds of the invention can also be formulated in combination with one or more additional active ingredients which can include any pharmaceutical agent such as antiviral agents, chemotherapeutics or other anti-cancer agents, vaccines, antibodies, immune enhancers, immune suppressants, anti-inflammatory agents, and the like as discussed herein.
- additional active ingredients can include any pharmaceutical agent such as antiviral agents, chemotherapeutics or other anti-cancer agents, vaccines, antibodies, immune enhancers, immune suppressants, anti-inflammatory agents, and the like as discussed herein.
- Labeled Compounds and Assay Methods Another aspect of the present invention relates to fluorescent dye, spin lable, heavy metal or radio-labeled compounds of the invention that would be useful not only in imaging but also in assays, both in vitro and in vivo, for localizing and quantitating the IDO enzyme in tissue samples, including human, and for identifying IDO enzyme ligands by inhibition binding of a labeled compound. Accordingly, the present invention includes IDO enzyme assays that contain such labeled compounds.
- the present invention further includes isotopically-labeled compounds of the invention.
- An “isotopically” or “radio-labeled” compound is a compound of the invention where one or more atoms are replaced or substituted by an atom having an atomic mass or mass number different from the atomic mass or mass number typically found in nature (i.e., naturally occurring).
- Suitable radionuclides that may be incorporated in compounds of the present invention include but are not limited to 2 H (also written as D for deuterium), 3 H (also written as T for tritium), 11 C, 13 C, 14 C, 13 N, 15 N, 15 O, 17 O, 18 O, 18 F, 35 S, 36 Cl, 82 Br, 75 Br, 76 Br, 77 Br, 123 I, 124 I, 125 I and 131 I.
- the radionuclide that is incorporated in the instant radio-labeled compounds will depend on the specific application of that radio-labeled compound.
- radionuclide is a compound that has incorporated at least one radionuclide. In some embodiments the radionuclide is selected from the group consisting of 3 H, 14 C, 125 1 , 35 S and 82 Br.
- Synthetic methods for incorporating radio-isotopes into organic compounds are applicable to compounds of the invention and are well known in the art.
- a radio-labeled compound of the invention can be used in a screening assay to identify/evaluate compounds.
- a newly synthesized or identified compound i.e., test compound
- kits useful for example, in the treatment or prevention of IDO-associated diseases or disorders, obesity, diabetes and other diseases referred to herein which include one or more containers containing a pharmaceutical composition comprising a therapeutically effective amount of a compound of the invention.
- kits can further include, if desired, one or more of various conventional pharmaceutical kit components, such as, for example, containers with one or more pharmaceutically acceptable carriers, additional containers, etc., as will be readily apparent to those skilled in the art.
- kit components such as, for example, containers with one or more pharmaceutically acceptable carriers, additional containers, etc., as will be readily apparent to those skilled in the art.
- Instructions, either as inserts or as labels, indicating quantities of the components to be administered, guidelines for administration, and/or guidelines for mixing the components, can also be included in the kit.
- the compounds of the Examples were found to be inhibitors of IDO according to one or more of the assays provided herein.
- Example 1 7V-(5-chloro-2-methylbenzyl)-7V'-hydroxy-4-(hydroxymethyl)- 1,2,5- oxadiazole-3-carboximidamide
- Stepl N-(5-chloro-2-methylbenzyl)-4-(hydroxymethyl)-l ,2 ,5-oxadiazole-3-carboxamide
- Step 2 N-(5-chloro-2-methylbenzyl)-4- [(triisopropylsilyl)oxy] methyl- 1 ,2 ,5-oxadiazole-3- carboxamide
- Step 3 N-(5-chloro-2-methylbenzyl)-N'-hydroxy-4-[(trtisopropylsilyl)oxy]m,ethyl-l,2,5- oxadiazole-3-carboximidamide
- Table 1 The examples of Table 1 were prepared according to the method of Example 1. Table 1
- Example A Human indoleamine 2,3-dioxygenasae (IDO) enzyme assay Human indoleamine 2,3-dioxygenasae (IDO) with an N-terminal His tag was expressed in E.coli and purified to homogeneity. IDO catalyzes the oxidative cleavage of the pyrrole ring of the indole nucleus of tryptophan to yield JV'-formylkynurenine.
- IDO Human indoleamine 2,3-dioxygenasae
- Example B Determination of inhibitor activity in HeLa cell-based indoleamine 2,3- dioxygenase (IDO)/Kynurenine assay
- HeLa cells can be obtained from the American Type Tissue Culture Collection (ATCC, Manassas, VA) and routinely maintained in minimum essential medium (eagle) with 2 mM L-glutamine and Earle's BSS adjusted to contain 1.5 g/L sodium bicarbonate, 0.1 mM non-essential amino acids, 1 mM sodium pyruvate and 10 % fetal bovine serum (all from Invitrogen). Cells are kept at 37 0 C in a humidified incubator supplied with 5 % CO 2 . The assay is performed as follows: HeLa cells are seeded in a 96 well culture plate at a density of 5 x 10 3 per well and grown overnight.
- IFN- ⁇ 50 ng/mL final concentration
- serial dilutions of compounds in total volume of 200 ⁇ L culture medium
- 140 ⁇ L of the supernatant per well is transferred to a new 96 well plate.
- 10 ⁇ L of 6.1 N trichloroacetic acid (#T0699, Sigma) is mixed into each well and incubated at 50 0 C for 30 min to hydrolyze N- formylkynurenine produced by indoleamine 2,3-dioxygenase to kynurenine.
- the reaction mixture is then centrifuged for 10 min at 2500 rpm to remove sediments.
- Example C Determination of effect of IDO inhibitors on T cell proliferation that is suppressed by IDO-expressing dendritic cells
- Monocytes are collected from human peripheral mononuclear cells by leukophoresis. Monocytes are then seeded at a density of 1 x 10 6 cells/well in a 96 well plate, using RPMI 1640 medium supplemented with 10 % fetal bovine serum and 2 mM L-glutamine (all from Invitrogen). Adherent cells are retained on the plate after overnight culture at 37 0 C.
- Adherent monocytes are then stimulated for 5-7 days with 100 ng/ml GM-CSF (# 300-03, PeproTech) and 250 ng/ml IL-4 (#200-04, PeproTech), followed by activation with 5 ⁇ g/mL LPS from Salmonella typhimurium (#437650, Sigma) and 50 ng/mL IFN- ⁇ (# 285-IF, R&D Systems) for additional 2 days to induce dendritic cell maturation.
- T cell proliferation is measured by BrdU incorporation assay, using a colorimetric Cell Proliferation ELISA kit per manufacturer's instruction (#1647229, Roche Molecular Biochemicals). Cells are continuously cultured for 16-18 hrs in presence of 10 ⁇ M BrdU labeling solution.
- the labeling medium is removed, and 200 ⁇ L FixDenat per well is added to the cells and incubated for 30 minutes at room temperature.
- the FixDenat solution is removed and 100 ⁇ L/well anti-BrdU-POD antibody conjugate working solution is added.
- the reaction is carried out for 90 minutes at room temperature.
- the antibody conjugate is then removed, and cells are rinsed three times with 200 ⁇ L/well washing solution.
- 100 ⁇ L/well of substrate solution is added and the results are obtained using a microplate reader (Spectra Max PLUS, Molecular Devices) during color development. Multiple readings at various time points are obtained to ensure the data is within the linear range.
- the data is routinely obtained from replicated experiments, and appropriate controls are included. See: Terness P, et al.
- Example D In vivo testing of IDO inhibitors for antitumor activity
- IDO inhibition can syngerize with cytotoxic chemotherapy in immune-competent mice (Muller, A.J., et at). This synergy was shown to be dependent on T-cells by comparison of the synergistic effects of an investigational IDO inhibitor in murine tumor xenograft models (e.g. B16 and related variants, CT-26, LLC) grown in immune competent syngenic mice to that observed in syngenic mice treated with neutralizing anti-CD4 antibodies, or the same tumors grown in immune-compromised mice (e.g. nu/nu).
- murine tumor xenograft models e.g. B16 and related variants, CT-26, LLC
- tumor-mediated immune suppressive activity of IDO will likely differ depending on the immunogenic potential of different tumor models, genetic modifications can be made to the tumor cells to increase their immunogenic potential. For instance, expression of GM-CSF in Bl 6.F 10 cells increases their immunogenic potential (Dranoff, G., et at). As such, in some tumor models (e.g. Bl 6.F 10) one can generate [poly]clones that express immune stimulatory proteins such as GM-CSF and test the growth inhibitory effects of IDO inhibitors against tumors established from these tumor cells in both immune-competent and -compromised mice.
- immune stimulatory proteins such as GM-CSF
- a third avenue for assessing the efficacy of IDO inhibitors in vivo employs 'pre- immunization' murine tumor allograft/xenograft models.
- immune- competent mice are sensitized to a specific tumor antigen or antigens to mimic a therapeutic anti-tumor vaccination. This primes the mice for an anti-tumor response mediated by the immune system when mice are subsequently challenged with murine tumor cell lines (possessing similar tumor antigens to those used for immunization) in xenograft experiments.
- Expression of IDO has been shown to blunt the anti-tumor response and allow xenografts to grow more rapidly.
- IDO inhibitor 1-MT Uyttenhove, C, et al.
- therapeutic immunization may be used to evaluate the impact of IDO inhibitors in vivo.
- IDO inhibitors e.g. TRP -2
- TRP -2 well characterized immunogenic peptide
- immune system modifiers such as anti- CTL-4 antibody, can improve responses to such therapeutic immunizations.
- the impact of IDO inhibitors may be evaluated in a similar manner - tumor peptide immunization with or without IDO inhibitor. Efficacy is assess by animal survival (time to morbididity) or by the measurement of tumor metastases to the lungs and/or other organs at defined timepoints.
- any/all of the above mentioned models it may also be possible to directly and/or indirectly measure the number and/or activity of tumor reactive immune cells.
- Methods for measuring the number and/or activity of tumor reactive immune cells are well established and can be performed using techniques familiar to those schooled in the art (Current Protocols in Immunology, vol 4, Coligan, J.E., et al; Immunotherapy of Cancer, Human Press, 2006, Disis, MX. and references therein).
- a reduction in the immune suppressive effects of IDO may result in increased numbers or reactivity of tumor specific immune cells.
- IDO inhibition may further increase the number or reactivity of tumor reactive immune cells when combined with other therapeutics, for example chemotherapeutics and/or immune modulators (e.g. anti-CTLA4 antibody).
- All allograft/xenograft experiments can be performed using standard tumor techniques (reviewed by Corbett, et al).
- the cloning and introduction of genes (e.g. IDO, GM-CSF) into tumor cell lines can be performed using techniques familiar to those schooled in the art (reviewed in Sambrook, J, et al). See: Corbett, T., Polin, L., et al. In vivo methods for screening and preclinical testing. Cancer Drug Discovery and Development: Anticancer Drug Development Guide: Preclinical Screening, Clinical Trials, and Approval, 2 nd Ed. Teicher, B.A.
- Example E In vivo testing of IDO inhibitors in human immunodeficiency virus-1 (HIV- 1) encephalitis model
- Monocytes and PBL can be obtained by countercurrent centrifugal elutriation of leukopheresis packs from HIV-I, 2 and hepatitis B seronegative donors.
- Monocytes are cultivated in suspension culture using Teflon flasks in Dulbecco's Modified Eagle's Medium
- MDM are infected with HIV- 1 ADA at multiplicity of infection of 0.01.
- mice Four-wk old male NOD/C.B-17 SCID mice can be purchased (Jackson Laboratory). Animals are maintained in sterile microisolator cages under pathogen-free conditions. All animals are injected intraperitoneally with rat anti-CD 122 (0.25 mg/mouse) three days before PBL transplantation and twice with rabbit asialo-GMl antibodies (0.2 mg/mouse) (Wako) one day before and three days after PBL injection (20 x 10 6 cells/mouse). HIV-lADA-infected MDM (3 x 10 5 cells in 10 ⁇ L) are injected intracranially (i.e.) eight days following PBL reconstitution generating hu-PBL-NOD/SCID HIVE mice.
- mice are subcutaneously (s.c) implanted with control (vehicle) or compound pellets (14 or 28 day slow release, Innovative Research).
- IDO compounds 14 or 28 day slow release, Innovative Research.
- Initial experiments are designed to confirm the induction of virus- specific CTL in the hu PBL-NOD/SCID HIVE animals treated with IDO compounds. This is confirmed by tetramer staining and neuropathologic analyses of MDM elimination from the brain tissue. Then, the experiment is designed to analyze human lymphocyte reconstitution, humoral immune responses, and neuropathological alterations. In these experiments, animals are bled on day 7 and sacrificed at 14 and 21 days after i.e. injection of human MDM.
- HIV-I -specific antibodies are detected by Western blot tests according to the manufacturer instructions (Cambridge Biotech HIV-I Western blot kit, Calypte Biomedical). Similar amount of virus-specific antibodies are detected in control and compound-treated animals. A total of three independent experiments can be performed using three different human leukocyte donors.
- Two-color FACS analysis can be performed on peripheral blood at wk 1-3 and splenocytes at wk 2 and 3 after i.e. injection of human MDM.
- Cells are incubated with fluorochrome-conjugated monoclonal Abs (mAbs) to human CD4, CD8, CD56, CD3, IFN- ⁇ (eBioscience) for 30 min at 4 0 C.
- mAbs monoclonal Abs
- IFN- ⁇ intracellular staining is performed in combination with anti-human CD8 and FITC- conjugated anti-mouse CD45 to exclude murine cells.
- Brain tissue is collected at days 14 and 21 after i.e. injection of MDM, fixed in 4 % phosphate-buffered paraformaldehyde and embedded in paraffin or frozen at -80 0 C for later use. Coronal sections from the embedded blocks are cut in order to identify the injection site. For each mouse, 30-100 (5- ⁇ m-thick) serial sections are cut from the human MDM injection site and 3-7 slides (10 sections apart) are analyzed. Brain sections are deparaffmized with xylene and hydrated in gradient alcohols. Immunohistochemical staining follows a basic indirect protocol, using antigen retrieval by heating to 95 0 C in 0.01 mol/L citrate buffer for 30 min for antigen retrieval.
- mAb to vimentin (1 :50, clone 3B4, Dako Corporation), which identifies all human leukocytes is used.
- Human MDM and CD8 + lymphocytes are detected with CD68 (1 :50 dilution, clone KP 1) and CD8 (1 :50 dilution, clone 144B) antibodies, respectively.
- Virus-infected cells are labeled with mAb to HIV-I p24 (1 :10, clone KaI-I, all from Dako).
- Reactive murine microglial cells are detected with Iba-1 antibody (1 :500, Wako).
- huIDO human IDO
- Abs obtained from the Department of Cell Pharmacology, Central Research Institute, graduate School of Medicine, Hokkaido University, Sapporo, Japan.
- Primary antibodies are detected with the appropriate biotinylated secondary antibodies and visualized with avidin- biotin complexes (Vectastain Elite ABC kit, Vector Laboratories) and horseradish peroxidase (HRP) coupled dextran polymer (EnVision, Dako Corporation). Immunostained sections are counterstained with Mayer's hematoxylin. Sections from which primary antibody is deleted or irrelevant IgG isotype is incorporated served as controls.
Landscapes
- Chemical & Material Sciences (AREA)
- Organic Chemistry (AREA)
- Pharmaceuticals Containing Other Organic And Inorganic Compounds (AREA)
Abstract
The present invention is directed to modulators of indoleamine 2,3-dioxygenase (IDO), as well as pharmaceutical compositions containing the same and methods of use thereof related to the treatment of cancer and other diseases. Formula (I).
Description
N-HYDROXYAMIDINOHETEROCYCLES AS MODULATORS OF INDOLEAMINE 2,3-DIOXYGENASE
FIELD OF THE INVENTION
The present invention is directed to modulators of indoleamine 2,3-dioxygenase (IDO), as well as compositions and pharmaceutical methods thereof.
BACKGROUND OF THE INVENTION
Tryptophan (Trp) is an essential amino acid required for the biosynthesis of proteins, niacin and the neurotransmitter 5-hydroxytryptamine (serotonin). The enzyme indoleamine 2,3-dioxygenase (also known as INDO or IDO) catalyzes the first and rate limiting step in the degradation of L-tryptophan to N-formyl-kynurenine. In human cells, a depletion of Trp resulting from IDO activity is a prominent gamma interferon (IFN -γ) -inducible antimicrobial effector mechanism. IFN-γ stimulation induces activation of IDO, which leads to a depletion of Trp, thereby arresting the growth of Trp-dependent intracellular pathogens such as Toxoplasma gondii and Chlamydia trachomatis. IDO activity also has an antiproliferative effect on many tumor cells, and IDO induction has been observed in vivo during rejection of allogeneic tumors, indicating a possible role for this enzyme in the tumor rejection process (Daubener, et ah, 1999, Adv. Exp. Med. Biol., Aβl: 517-24; Taylor, et ah, 1991, FASEB J., 5: 2516-22).
It has been observed that HeLa cells co-cultured with peripheral blood lymphocytes (PBLs) acquire an immuno-inhibitory phenotype through up-regulation of IDO activity. A reduction in PBL proliferation upon treatment with interleukin-2 (IL2) was believed to result from IDO released by the tumor cells in response to IFNG secretion by the PBLs. This effect was reversed by treatment with 1-methy l-tryptophan (IMT), a specific IDO inhibitor. It was proposed that IDO activity in tumor cells may serve to impair antitumor responses (Logan, et al, 2002, Immunology, 105: 478-87). Recently, an immunoregulatory role of Trp depletion has received much attention.
Several lines of evidence suggest that IDO is involved in induction of immune tolerance. Studies of mammalian pregnancy, tumor resistance, chronic infections and autoimmune diseases have shown that cells expressing IDO can suppress T-cell responses and promote tolerance. Accelerated Trp catabolism has been observed in diseases and disorders associated i
with cellular immune activation, such as infection, malignancy, autoimmune diseases and AIDS, as well as during pregnancy. For example, increased levels of IFNs and elevated levels of urinary Trp metabolites have been observed in autoimmune diseases; it has been postulated that systemic or local depletion of Trp occurring in autoimmune diseases may relate to the degeneration and wasting symptoms of these diseases. In support of this hypothesis, high levels of IDO were observed in cells isolated from the synovia of arthritic joints. IFNs are also elevated in human immunodeficiency virus (HIV) patients and increasing IFN levels are associated with a worsening prognosis. Thus, it was proposed that IDO is induced chronically by HIV infection, and is further increased by opportunistic infections, and that the chronic loss of Trp initiates mechanisms responsible for cachexia, dementia and diarrhea and possibly immunosuppression of AIDS patients (Brown, et al., 1991, Adv. Exp. Med. Biol., 294: 425-35). To this end, it has recently been shown that IDO inhibition can enhance the levels of virus-specific T cells and, concomitantly, reduce the number of virally-infected macrophages in a mouse model of HIV (Portula et al., 2005, Blood, 106:2382-90).
IDO is believed to play a role in the immunosuppressive processes that prevent fetal rejection in utero. More than 40 years ago, it was observed that, during pregnancy, the genetically disparate mammalian conceptus survives in spite of what would be predicted by tissue transplantation immunology (Medawar, 1953, Symp. Soc. Exp. Biol. 7: 320-38). Anatomic separation of mother and fetus and antigenic immaturity of the fetus cannot fully explain fetal allograft survival. Recent attention has focused on immunologic tolerance of the mother. Because IDO is expressed by human syncytiotrophoblast cells and systemic tryptophan concentration falls during normal pregnancy, it was hypothesized that IDO expression at the maternal-fetal interface is necessary to prevent immunologic rejection of the fetal allografts. To test this hypothesis, pregnant mice (carrying syngeneic or allogeneic fetuses) were exposed to IMT, and a rapid, T cell-induced rejection of all allogeneic concepti was observed. Thus, by catabolizing tryptophan, the mammalian conceptus appears to suppresses T-cell activity and defends itself against rejection, and blocking tryptophan catabolism during murine pregnancy allows maternal T cells to provoke fetal allograft rejection (Munn, et al., 1998, Science 281 : 1191-3).
Further evidence for a tumoral immune resistance mechanism based on tryptophan degradation by IDO comes from the observation that most human tumors constitutively express IDO, and that expression of IDO by immunogenic mouse tumor cells prevents their rejection by preimmunized mice. This effect is accompanied by a lack of accumulation of
specific T cells at the tumor site and can be partly reverted by systemic treatment of mice with an inhibitor of IDO, in the absence of noticeable toxicity. Thus, it was suggested that the efficacy of therapeutic vaccination of cancer patients might be improved by concomitant administration of an IDO inhibitor (Uyttenhove et al, 2003, Nature Med., 9: 1269-74). It has also been shown that the IDO inhibitor, 1-MT, can synergize with chemotherapeutic agents to reduce tumor growth in mice, suggesting that IDO inhibition may also enhance the anti-tumor activity of conventional cytotoxic therapies (Muller et al, 2005, Nature Med., 11 :312-9).
One mechanism contributing to immunologic unresponsiveness toward tumors may be presentation of tumor antigens by tolerogenic host APCs. A subset of human IDO- expressing antigen-presenting cells (APCs) that coexpressed CD 123 (IL3RA) and CCR6 and inhibited T-cell proliferation have also been described. Both mature and immature CD 123- positive dendritic cells suppressed T-cell activity, and this IDO suppressive activity was blocked by IMT (Munn, et al., 2002, Science 297: 1867-70). It has also been demonstrated that mouse tumor-draining lymph nodes (TDLNs) contain a subset of plasmacytoid dendritic cells (pDCs) that constitutively express immunosuppressive levels of IDO. Despite comprising only 0.5% of lymph node cells, in vitro, these pDCs potently suppressed T cell responses to antigens presented by the pDCs themselves and also, in a dominant fashion, suppressed T cell responses to third-party antigens presented by nonsuppressive APCs. Within the population of pDCs, the majority of the functional IDO-mediated suppressor activity segregated with a novel subset of pDCs coexpressing the B-lineage marker CD 19. Thus, it was hypothesized that IDO-mediated suppression by pDCs in TDLNs creates a local microenvironment that is potently suppressive of host antitumor T cell responses (Munn, et al., 2004, J. Clin. Invest., 114(2): 280-90). IDO degrades the indole moiety of tryptophan, serotonin and melatonin, and initiates the production of neuroactive and immunoregulatory metabolites, collectively known as kynurenines. By locally depleting tryptophan and increasing proapoptotic kynurenines, IDO expressed by dendritic cells (DCs) can greatly affect T-cell proliferation and survival. IDO induction in DCs could be a common mechanism of deletional tolerance driven by regulatory T cells. Because such tolerogenic responses can be expected to operate in a variety of physiopathological conditions, tryptophan metabolism and kynurenine production might represent a crucial interface between the immune and nervous systems (Grohmann, et al., 2003, Trends Immunol., 24: 242-8). In states of persistent immune activation, availability of free serum Trp is diminished and, as a consequence of reduced serotonin production,
serotonergic functions may also be affected (Wirleitner, et al., 2003, Curr. Med. Chem., 10: 1581-91).
Interestingly, administration of interferon-α has been observed to induce neuropsychiatric side effects, such as depressive symptoms and changes in cognitive function. Direct influence on serotonergic neurotransmission may contribute to these side effects. In addition, because IDO activation leads to reduced levels of tryptophan, the precursor of serotonin (5-HT), IDO may play a role in these neuropsychiatric side effects by reducing central 5-HT synthesis. Furthermore, kynurenine metabolites such as 3-hydroxy- kynurenine (3 -OH-KYN) and quinolinic acid (QUIN) have toxic effects on brain function. 3- OH-KYN is able to produce oxidative stress by increasing the production of reactive oxygen species (ROS), and QUIN may produce overstimulation of hippocampal N-methyl-D- aspartate (NMDA) receptors, which leads to apoptosis and hippocampal atrophy. Both ROS overproduction and hippocampal atrophy caused by NMDA overstimulation have been associated with depression (Wichers and Maes, 2004, J. Psychiatry Neurosci., 29: 11-17). Thus, IDO activity may play a role in depression.
Small molecule inhibitors of IDO are being developed to treat or prevent IDO-related diseases such as those described above. For example, PCT Publication WO 99/29310 reports methods for altering T cell-mediated immunity comprising altering local extracellular concentrations of tryptophan and tryptophan metabolites, using an inhibitor of IDO such as 1- methyl-DL-tryptophan, p-(3-benzofuranyl)-DL- alanine, p-[3 -benzo(b)thienyl] -DL-alanine, and 6-nitro-L-tryptophan) (Munn, 1999). Reported in WO 03/087347, also published as European Patent 1501918, are methods of making antigen-presenting cells for enhancing or reducing T cell tolerance (Munn, 2003). Compounds having indoleamine-2,3-dioxygenase (IDO) inhibitory activity are further reported in WO 2004/094409; and U.S. Patent Application Publication No. 2004/0234623 is directed to methods of treating a subject with a cancer or an infection by the administration of an inhibitor of indoleamine-2,3-dioxygenase in combination with other therapeutic modalities.
In light of the experimental data indicating a role for IDO in immunosuppression, tumor resistance and/or rejection, chronic infections, HIV-infection, AIDS (including its manifestations such as cachexia, dementia and diarrhea), autoimmune diseases or disorders (such as rheumatoid arthritis), and immunologic tolerance and prevention of fetal rejection in utero, therapeutic agents aimed at suppression of tryptophan degradation by inhibiting IDO activity are desirable. Inhibitors of IDO can be used to activate T cells and therefore enhance T cell activation when the T cells are suppressed by pregnancy, malignancy or a virus such as
HIV. Inhibition of IDO may also be an important treatment strategy for patients with neurological or neuropsychiatric diseases or disorders such as depression. The compounds, compositions and methods herein help meet the current need for IDO modulators.
SUMMARY OF THE INVENTION
The present invention provides compounds which are modulators of IDO having Formula I:
I or pharmaceutically acceptable salts or prodrugs thereof, wherein constituent members are defined herein.
The present invention further provides compositions comprising a compound of the invention, or pharmaceutically acceptable salt thereof, and at least one pharmaceutically acceptable carrier. The present invention further provides methods of modulating activity of indoleamine
2,3-dioxygenase by contacting the indoleamine 2,3-dioxygenase with a compound of the invention, or pharmaceutically acceptable salt thereof.
The present invention further provides methods of inhibiting immunosuppression in a patient by administering to the patient an effective amount of a compound of the invention, or pharmaceutically acceptable salt thereof.
The present invention further provides methods of treating cancer, viral infection, depression, a neurodegenerative disorder, trauma, age-related cataracts, organ transplant rejection, an autoimmune disease, or the like, in a patient comprising administering to the patient a therapeutically effective amount of a compound of the invention, or pharmaceutically acceptable salt thereof.
The present invention further provides the compounds herein for use in therapy. The present invention further provides use of the compounds herein for the production of a medicament for use in therapy.
DETAILED DESCRIPTION
The present invention provides compounds which are modulators of IDO having Formula I:
V, and W are each, independently, N, O, S, CR2, or NR3, wherein the fϊve-membered ring containing U, V, and W is an aromatic heterocycle; A is aryl, cycloalkyl, heteroaryl, or heterocycloalkyl, each optionally substituted by 1,
2, 3, 4, or 5 substituents selected from halo, Ci_6 alkyl, C2-6 alkenyl, C2-6 alkynyl, Ci_6 haloalkyl, C1-6 hydroxyalkyl, C1-6 cyanoalkyl, Cy1, CN, NO2, ORa, SRa, C(O)Rb, C(0)NRcRd, C(O)ORa, OC(O)Rb, 0C(0)NRcRd, NRcRd, NRcC(0)Rb, NRcC(0)NRcRd, NRcC(0)0Ra, C(=NR')NRcRd, NRcC(=NR')NRcRd, P(Rf)2, P(ORe)2, P(O)ReRf, P(O)OReORf, S(O)Rb, S(O)NRcRd, S(O)2Rb, NRcS(O)2Rb, and S(O)2NRcRd, wherein said Ci_6 alkyl, C2-6 alkenyl, and C2-6 alkynyl is optionally substituted with 1, 2, or 3 substitutents selected from Cy1, CN, NO2, ORa, SRa, C(O)Rb, C(0)NRcRd, C(O)ORa, OC(O)Rb, 0C(0)NRcRd, NRcRd, NRcC(0)Rb, NRcC(0)NRcRd, NRcC(0)0Ra, C(=NR')NRcRd, NRcC(=NR')NRcRd, P(Rf)2, P(ORe)2, P(O)ReRf, P(O)OReORf, S(O)Rb, S(O)NRcRd, S(O)2Rb, NRcS(O)2Rb, and S(O)2NRcRd;
L is Ci_6 alkylene, C2-6 alkenylene, C2-6 alkynylene, (C1-6 alkylene)r-O-( Ci_6 alkylene)s, (C1.6 alkylene)r-S-(Ci_6 alkylene)s, (Ci_6 alkylene)r-NRJ-(Ci_6 alkylene)s, (Ci_6 alkylene)r-CO- (Ci_6 alkylene)s, (d_6 alkylene)r-COO-(Ci_6 alkylene)s, (d_6 alkylene)r-CONRJ-(Ci_6 alkylene)s, (Ci_6 alkylene)r-SO-(Ci_6 alkylene)s, (Ci_6 alkylene)r-SO2-(Ci_6 alkylene)s, (Ci_6 alkylene)r-SONRJ-(C i_6 alkylene)s, and (C 1-6 alkylene)r-NRJCONRk-(C i_6 alkylene)s, wherein each of the Ci_6 alkylene, C2-6 alkenylene, and C2-6 alkynylene is optionally substituted by 1, 2 or 3 substituents independently selected from halo, CN, NO2, N3, SCN, OH, Ci_6 alkyl, Ci_6 haloalkyl, C2-8 alkoxyalkyl, Ci_6 alkoxy, Ci_6 haloalkoxy, amino, Ci_6 alkylamino, and C2-8 dialkylamino;
R is H, C(O)R5, C(O)OR6, or C(O)NR6aR6b;
RA and RB are independently selected from H, F, Ci_6 alkyl, C2-6 alkenyl, C2-6 alkynyl, Ci_6 haloalkyl, aryl, cycloalkyl, heteroaryl, heterocycloalkyl, arylalkyl, cycloalkylalkyl, heteroarylalkyl, heterocycloalkylalkyl, CN, NO2, ORal, SRal, C(0)Rbl, C(0)NRclRdl, C(0)0Ral, 0C(0)Rbl, 0C(0)NRclRdl, NRclRdl, NRclC(O)Rbl, NRclC(0)NRclRdl,
NRclC(0)0Ral, C(=NR')NRclRdl, NRclC(=NR')NRclRdl, P(Rfl)2, P(ORel)2, P(0)RelRfl, P(0)0Rel0Rfl, S(O)Rbl, S(O)NRclRdl, S(O)2Rbl, NRclS(0)2Rbl, and S (0)2NRclRdl; wherein said Ci_6 alkyl, C2_6 alkenyl, C2_6 alkynyl, aryl, cycloalkyl, heteroaryl, heterocycloalkyl, arylalkyl, cycloalkylalkyl, heteroarylalkyl, or heterocycloalkylalkyl is optionally substituted by 1, 2, 3, 4, or 5 substituents selected from halo, Ci_4 alkyl, C2-4 alkenyl, C2-4 alkynyl, Ci_4 haloalkyl, C1-4 hydroxyalkyl, C1-4 cyanoalkyl, CN, NO2, ORal, SRal, C(0)Rbl, C(0)NRclRdl, C(0)0Ral, 0C(0)Rbl, 0C(0)NRclRdl, NRclRdl, NRclC(O)Rbl, NRclC(0)NRclRdl, NRclC(0)0Ral, C(=NR')NRclRdl, NRclC(=NR')NRclRdl, P(Rfl)2, P(ORel)2, P(O)RelRfl, P(0)0Rel0Rfl, S(O)Rbl, S(O)NRclRdl, S(O)2Rbl, NRclS(0)2Rbl, and S(0)2NRclRdl; or RA and RB together with the carbon atom to which they are attached form a 3-, A-,
5-, 6-, or 7- membered cycloalkyl group or 3-, A-, 5-, 6-, or 7- membered heterocycloalkyl group, each optionally substituted with 1, 2, or 3 substituents selected from halo, Ci_4 alkyl, C2-4 alkenyl, C2-4 alkynyl, Ci_4 haloalkyl, Ci_4 hydroxyalkyl, Ci_4 cyanoalkyl, CN, NO2, ORal, SRal, C(0)Rbl, C(0)NRclRdl, C(0)0Ral, 0C(0)Rbl, 0C(0)NRclRdl, NRclRdl, NRclC(O)Rbl, NRclC(0)NRclRdl, NRclC(0)0Ral, C(=NR')NRclRdl, NRclC(=NR')NRclRdl, P(Rfl)2,
P(ORel)2, P(0)RelRfl, P(0)0Rel0Rfl, S(O)Rbl, S(O)NRclRdl, S(O)2Rbl, NRclS(0)2Rbl, and S(0)2NRclRdl;
Q is ORQ, 0C(0)RQ, 0C(0)NR4RQ, NR4RQ, NR4C(O)RQ, NR4C(O)NR4RQ, NR4C(0)0RQ, NR4S(O)RQ, NR4S(O)2RQ, SRQ, S(O)RQ, S(0)NR4RQ, S(O)2RQ, S(O)2NR4RQ, C(0)RQ, C(0)0RQ, C(O)NR4RQ, halo, cyano, azido, or nitro; or Q is H, Ci_6 alkyl, C2-6 alkenyl, C2-6 alkynyl, aryl, heteroaryl, cycloalkyl, heterocycloalkyl, each optionally substituted by 1, 2, 3, 4, or 5 substituents selected from halo, Ci_4 alkyl, C2-6 alkenyl, C2-6 alkynyl, Ci_6 haloalkyl, Ci_6 hydroxyalkyl, Ci_6 cyanoalkyl, Cy, -(C1-4 alkyl)-Cy, CN, NO2, ORa2, -(d.4 alkyl)-ORa2, SRa2, -(Ci_4 alkyl)-SRa2, C(0)Rb2, - (C1.4 alkyl)-C(O)Rb2, C(O)NRc2Rd2, -(d_4 alkyl)-C(O)NRc2Rd2, C(O)ORa2, -(d_4 alkyl)-
C(O)ORa2, OC(O)Rb2, -(Ci_4 alkyl)-OC(O)Rb2, OC(O)NRc2Rd2, -(CL4 alkyl)-OC(O)NRc2Rd2, NRc2Rd2, -(CL4 alkyl)-NRc2Rd2, NRc2C(O)Rb2, -(CL4 alkyl)-NRc2C(O)Rb2, NRc2C(O)NRc2Rd2, -(CL4 alkyl)-NRc2C(O)NRc2Rd2, NRc2C(O)ORa2, -(d_4 alkyl)-NRc2C(O)ORa2, C(=NR')NRc2Rd2, NRc2C(=NR')NRc2Rd2, P(RG)2, P(ORe2)2, P(0)Re2RG, P(0)0Re20RG,
S(O)Rb2, -(Ci_4 alkyl)-S(O)Rb2, S(O)NRc2Rd2, -(CL4 alkyl)-S(O)NRc2Rd2, S(O)2Rb2, -(CL4 alkyl)-S(O)2Rb2, NRc2S(O)2Rb2, -(CL4 alkyl)-NRc2S(O)2Rb2, S(O)2NRc2Rd2 , and -(CL4 alkyl)- S(O)2NRc2Rd2;
RQ is H, Ci_6 alkyl, C2_6 alkenyl, C2_6 alkynyl, d_6 haloalkyl, aryl, cycloalkyl, heteroaryl, heterocycloalkyl, arylalkyl, cycloalkylalkyl, heteroarylalkyl, or heterocycloalkylalkyl, wherein said CL6 alkyl, C2_6 alkenyl, C2_6 alkynyl, aryl, cycloalkyl, heteroaryl, heterocycloalkyl, arylalkyl, cycloalkylalkyl, heteroarylalkyl, or heterocycloalkylalkyl is optionally substituted by 1, 2, 3, 4, or 5 substituents selected from halo, Ci_6 alkyl, C2_6 alkenyl, C2_6 alkynyl, Ci_6 haloalkyl, Ci_6 hydroxyalkyl, Ci_6 cyanoalkyl, Cy, -(CL4 alkyl)-Cy, CN, NO2, ORa2, SRa2, C(O)Rb2, C(O)NRc2Rd2, C(O)ORa2, OC(O)Rb2, OC(O)NRc2Rd2, NRc2Rd2, NRc2C(O)Rb2, NRc2C(O)NRc2Rd2, NRc2C(O)ORa2, C(=NR')NRc2Rd2, NRc2C(=NR')NRc2Rd2, P(RG)2, P(ORe2)2, P(O)Re2RG, P(O)ORe2ORG, S(O)Rb2, S(O)NRc2Rd2, S(O)2Rb2, NRc2S(O)2Rb2, and S(O)2NRc2Rd2; or R4 and R^ together with the N atom to which they are attached form a 4-20 membered heterocycloalkyl group or 5-20 membered heteroaryl group, each optionally substituted by 1, 2, 3, 4, or 5 substituents selected from halo, CL6 alkyl, C2_6 alkenyl, C2_6 alkynyl, CL6 haloalkyl, CL6 hydroxyalkyl, CL6 cyanoalkyl, Cy, -(CL4 alkyl)-Cy, CN, NO2, ORa2, -(Ci_4 alkyl)-ORa2, SRa2, -(Ci_4 alkyl)-SRa2, C(O)Rb2, -(Ci_4 alkyl)-C(O)Rb2, C(O)NRc2Rd2, -(CL4 alkyl)-C(O)NRc2Rd2, C(O)ORa2, -(CL4 alkyl)-C(O)ORa2, OC(O)Rb2, - (CL4 alkyl)-OC(O)Rb2, OC(O)NRc2Rd2, -(CL4 alkyl)-OC(O)NRc2Rd2, NRc2Rd2, -(CL4 alkyl)- NRc2Rd2, NRc2C(O)Rb2, -(C1-4 alkyl)-NRc2C(O)Rb2, NRc2C(O)NRc2Rd2, -(C1-4 alkyl)- NRc2C(O)NRc2Rd2, NRc2C(O)ORa2, -(Ci_4 alkyl)-NRc2C(O)ORa2, C(=NR')NRc2Rd2, NRc2C(=NR')NRc2Rd2, P(RG)2, P(ORe2)2, P(O)Re2RG, P(O)ORe2ORG, S(O)Rb2, -(CL4 alkyl)- S(O)Rb2, S(O)NRc2Rd2, -(Ci_4 alkyl)-S(O)NRc2Rd2, S(O)2Rb2, -(Ci_4 alkyl)-S(O)2Rb2, NRc2S(O)2Rb2, -(CL4 alkyl)-NRc2S(O)2Rb2, S(O)2NRc2Rd2 , and -(C1-4 alkyl)-S(O)2NRc2Rd2; Cy, Cy1, and Cy2 are independently selected from aryl, heteroaryl, cycloalkyl, and heterocycloalkyl, each optionally substituted by 1, 2, 3, 4 or 5 substituents selected from halo, CL4 alkyl, C2.4 alkenyl, C2.4 alkynyl, C1-4 haloalkyl, CN, NO2, ORa3, SRa3, C(O)Rb3, C(O)NRc3Rd3, C(O)OR33, OC(O)Rb3, OC(O)NRc3Rd3, NRc3Rd3, NRc3C(O)Rb3, NRc3C(O)ORa3, C(=NR')NRc3Rd3, NRc3C(=NR')NRc3Rd3, P(Rβ)2, P(ORe3)2, P(O)Re3Rβ, P(O)ORe3ORβ, S(O)Rb3, S(O)NRc3Rd3, S(O)2Rb3, and S(O)2NRc3Rd3; R1 is H or CL4 alkyl;
R2 is H, halo, C1-4 alkyl, C1-4 haloalkyl, C2_4 alkenyl, C2_4 alkynyl, CN, NO2, OH, C1-4 alkoxy, amino, CL4 alkylamino, or C2_8 dialkylamino;
R3 is H, Ci_4 alkyl, C2-4 alkenyl, or C2-4 alkynyl;
R4 is H, C 1.4 alkyl, C2.4 alkenyl, C2.4 alkynyl, C(O)-R4a, SO2-R4a, aryl, cycloalkyl, heteroaryl, heterocycloalkyl, arylalkyl, cycloalkylalkyl, heteroarylalkyl, or heterocycloalkylalkyl, wherein said Ci_4 alkyl, C2_4 alkenyl, C2-4 alkynyl, aryl, cycloalkyl, heteroaryl, heterocycloalkyl, arylalkyl, cycloalkylalkyl, heteroarylalkyl, or heterocycloalkylalkyl is optionally substituted by 1, 2, 3, 4, or 5 substituents selected from halo, Ci_6 alkyl, C2-6 alkenyl, C2-6 alkynyl, Ci_6 haloalkyl, Ci_6 hydroxyalkyl, Ci_6 cyanoalkyl, aryl, heteroaryl, cycloalkyl, heterocycloalkyl, CN, NO2, ORa4, SRa4, C(O)Rb4, C(O)NRc4Rd4, C(O)ORa4, OC(O)RM, OC(O)NRc4Rd4, NRc4Rd4, NRc4C(0)RM, NRc4C(O)NRc4Rd4, NRc4C(O)ORa4, C(=NR')NRc4Rd4, NRc4C(=NR')NRc4Rd4, P(Rf4)2, P(ORe4)2, P(O)Re4Rf4, P(O)ORe4ORf4, S(O)RM, S(O)NRc4Rd4, S(O)2Rb4, NRc4S(O)2RM, and S(O)2NRc4Rd4;
R4a is H, Ci_4 alkyl, C2_4 alkenyl, C2-4 alkynyl, aryl, cycloalkyl, heteroaryl, heterocycloalkyl, arylalkyl, cycloalkylalkyl, heteroarylalkyl, or heterocycloalkylalkyl;
R5 and R6 are independently selected from H, Ci_8 alkyl, aryl, heteroaryl, cycloalkyl, heterocycloalkyl, arylalkyl, heteroarylalkyl, cycloalkylalkyl, or heterocycloalkylalkyl, each optionally substituted by one or more halo, CN, NO2, OH, Ci_4 alkoxy, Ci_4 haloalkoxy, amino, Ci_4 alkylamino, C2-8 dialkylamino, Ci_6 alkyl, C2-6 alkenyl, and C2-6 alkynyl;
R6a and R6b are independently selected from H, Ci_8 alkyl, aryl, heteroaryl, cycloalkyl, heterocycloalkyl, arylalkyl, heteroarylalkyl, cycloalkylalkyl, or heterocycloalkylalkyl, each optionally substituted by one or more halo, CN, NO2, OH, Ci_4 alkoxy, Ci_4 haloalkoxy, amino, Ci_4 alkylamino, C2-8 dialkylamino, Ci_6 alkyl, C2-6 alkenyl, and C2-6 alkynyl;
Ra, Ral, Ra3, Ra4, and Ra5 are each, independently, H, Ci_6 alkyl, Ci_6 haloalkyl, C2-6 alkenyl, C2-6 alkynyl, aryl, cycloalkyl, heteroaryl, heterocycloalkyl, arylalkyl, heteroarylalkyl, cycloalkylalkyl or heterocycloalkylalkyl, wherein said Ci_6 alkyl, Ci_6 haloalkyl, C2-6 alkenyl, C2-6 alkynyl, aryl, cycloalkyl, heteroaryl, heterocycloalkyl, arylalkyl, heteroarylalkyl, cycloalkylalkyl or heterocycloalkylalkyl is optionally substituted with OH, amino, halo, Ci_6 alkyl, aryl, arylalkyl, heteroaryl, heteroarylalkyl, cycloalkyl or heterocycloalkyl;
Rb, Rbl, Rb3, Rb4, and Rb5 are each, independently, H, C1-6 alkyl, C1-6 haloalkyl, C2.6 alkenyl, C2_6 alkynyl, aryl, cycloalkyl, heteroaryl, heterocycloalkyl, arylalkyl, heteroarylalkyl, cycloalkylalkyl or heterocycloalkylalkyl, wherein said Ci_6 alkyl, Ci_6 haloalkyl, C2-6 alkenyl, C2-6 alkynyl, aryl, cycloalkyl, heteroaryl, heterocycloalkyl, arylalkyl, heteroarylalkyl, cycloalkylalkyl or heterocycloalkylalkyl is optionally substituted with OH, amino, halo, Ci_6 alkyl, C 1-6 haloalkyl, aryl, arylalkyl, heteroaryl, heteroarylalkyl, cycloalkyl or heterocycloalkyl;
Ra2 is H, Ci_6 alkyl, Ci_6 haloalkyl, C2.6 alkenyl, C2.6 alkynyl, Cy2, Cy2-(Ci_6 alkyl)-, wherein said Ci_6 alkyl, Ci_6 haloalkyl, C2-6 alkenyl, or C2_6 alkynyl, is optionally substituted with 1, 2, 3, 4, or 5 substituents selected from halo, Ci_6 alkyl, C2_6 alkenyl, C2_6 alkynyl, Ci_6 haloalkyl, d_6 hydroxyalkyl, C1-6 cyanoalkyl, Cy2, CN, NO2, ORa5, SRa5, C(O)Rb5, C(O)NRc5Rd5, C(O)ORa5, OC(O)Rb5, OC(O)NRc5Rd5, NRc5Rd5, NRc5C(O)Rb5,
NRc5C(O)NRc5Rd5, NRc5C(O)ORa5, C(=NR1)NRc5Rd5, NRc5C(=NR1)NRc5Rd5, P(Rf5)2, P(ORe5)2, P(O)Re5Rf5, P(O)ORe5ORf5, S(O)Rb5, S(O)NRc5Rd5, S(O)2Rb5, NRc5S(O)2Rb5, and S(O)2NRc5Rd5;
Rb2 is H, Ci_6 alkyl, Ci_6 haloalkyl, C2.6 alkenyl, C2.6 alkynyl, Cy2, Cy2-(Ci_6 alkyl)-, wherein said Ci_6 alkyl, Ci_6 haloalkyl, C2_6 alkenyl, or C2_6 alkynyl, is optionally substituted with 1, 2, 3, 4, or 5 substituents selected from halo, Ci_6 alkyl, C2_6 alkenyl, C2_6 alkynyl, Ci_6 haloalkyl, C1-6 hydroxyalkyl, C1-6 cyanoalkyl, Cy2, CN, NO2, ORa5, SRa5, C(O)Rb5, C(O)NRc5Rd5, C(O)ORa5, OC(O)Rb5, OC(O)NRc5Rd5, NRc5Rd5, NRc5C(O)Rb5, NRc5C(O)NRc5Rd5, NRc5C(O)ORa5, C(=NR1)NRc5Rd5, NRc5C(=NR1)NRc5Rd5, P(Rf5)2, P(ORe5)2, P(O)Re5Rf5, P(O)ORe5ORf5, S(O)Rb5, S(O)NRc5Rd5, S(O)2Rb5, NRc5S(O)2Rb5, and S(O)2NRc5Rd5;
Rc and Rd are each, independently, H, C1-10 alkyl, Ci_6 haloalkyl, C2_6 alkenyl, C2_6 alkynyl, aryl, heteroaryl, cycloalkyl, heterocycloalkyl, arylalkyl, heteroarylalkyl, cycloalkylalkyl or heterocycloalkylalkyl, wherein said C1-10 alkyl, Ci_6 haloalkyl, C2_6 alkenyl, C2_6 alkynyl, aryl, heteroaryl, cycloalkyl, heterocycloalkyl, arylalkyl, heteroarylalkyl, cycloalkylalkyl or heterocycloalkylalkyl is optionally substituted with OH, amino, halo, Ci_6 alkyl, C 1-6 haloalkyl, aryl, arylalkyl, heteroaryl, heteroarylalkyl, cycloalkyl or heterocycloalkyl; or Rc and Rd together with the N atom to which they are attached form a 4-, 5-, 6- or 7-membered heterocycloalkyl group;
Rcl and Rdl are each, independently, H, C1-10 alkyl, Ci_6 haloalkyl, C2_6 alkenyl, C2_6 alkynyl, aryl, heteroaryl, cycloalkyl, heterocycloalkyl, arylalkyl, heteroarylalkyl, cycloalkylalkyl or heterocycloalkylalkyl, wherein said C1-10 alkyl, Ci_6 haloalkyl, C2_6 alkenyl, C2_6 alkynyl, aryl, heteroaryl, cycloalkyl, heterocycloalkyl, arylalkyl, heteroarylalkyl, cycloalkylalkyl or heterocycloalkylalkyl is optionally substituted with OH, amino, halo, Ci_6 alkyl, C 1-6 haloalkyl, aryl, arylalkyl, heteroaryl, heteroarylalkyl, cycloalkyl or heterocycloalkyl; or Rcl and Rdl together with the N atom to which they are attached form a 4-, 5-, 6- or 7-membered heterocycloalkyl group;
Rc2 and Rd2 are independently selected from H, C1-10 alkyl, Ci_6 haloalkyl, C2-6 alkenyl, C2-6 alkynyl, Cy2 and Cy2-(Ci_6 alkyl)-, wherein said C1-10 alkyl, Ci_6 haloalkyl, C2-6 alkenyl, and C2-6 alkynyl, is optionally substituted with OH, amino, halo, Ci_6 alkyl, Ci_6 haloalkyl, aryl, arylalkyl, heteroaryl, heteroarylalkyl, cycloalkyl or heterocycloalkyl; or Rc2 and Rd2 together with the N atom to which they are attached form a 4-, 5-, 6- or
7-membered heterocycloalkyl group optionally substituted with Cy2 and Cy2-(Ci_6 alkyl)-, OH, amino, halo, Ci_6 alkyl, Ci_6 haloalkyl, aryl, arylalkyl, heteroaryl, heteroarylalkyl, cycloalkyl or heterocycloalkyl;
Rc3 and Rd3 are each, independently, H, C1-10 alkyl, Ci_6 haloalkyl, C2-6 alkenyl, C2-6 alkynyl, aryl, heteroaryl, cycloalkyl, heterocycloalkyl, arylalkyl, heteroarylalkyl, cycloalkylalkyl or heterocycloalkylalkyl, wherein said C1-10 alkyl, Ci_6 haloalkyl, C2-6 alkenyl, C2-6 alkynyl, aryl, heteroaryl, cycloalkyl, heterocycloalkyl, arylalkyl, heteroarylalkyl, cycloalkylalkyl or heterocycloalkylalkyl is optionally substituted with OH, amino, halo, Ci_6 alkyl, C1-6 haloalkyl, aryl, arylalkyl, heteroaryl, heteroarylalkyl, cycloalkyl or heterocycloalkyl; or Rc3 and Rd3 together with the N atom to which they are attached form a 4-, 5-, 6- or 7-membered heterocycloalkyl group;
Rc4 and Rd4 are independently selected from H, C1-10 alkyl, Ci_6 haloalkyl, C2-6 alkenyl, C2-6 alkynyl, aryl, heteroaryl, cycloalkyl, heterocycloalkyl, arylalkyl, heteroarylalkyl, cycloalkylalkyl or heterocycloalkylalkyl, wherein said C1-10 alkyl, Ci_6 haloalkyl, C2-6 alkenyl, C2-6 alkynyl, aryl, heteroaryl, cycloalkyl, heterocycloalkyl, arylalkyl, heteroarylalkyl, cycloalkylalkyl and heterocycloalkylalkyl is optionally substituted with OH, amino, halo, Ci_6 alkyl, C1-6 haloalkyl, aryl, arylalkyl, heteroaryl, heteroarylalkyl, cycloalkyl, or heterocycloalkyl; or Rc4 and Rd4 together with the N atom to which they are attached form a 4-, 5-, 6- or
7-membered heterocycloalkyl group;
Rc5 and Rd5 are independently selected from H, C1-10 alkyl, Ci_6 haloalkyl, C2-6 alkenyl, C2-6 alkynyl, aryl, heteroaryl, cycloalkyl, heterocycloalkyl, arylalkyl, heteroarylalkyl, cycloalkylalkyl or heterocycloalkylalkyl, wherein said C1-10 alkyl, Ci_6 haloalkyl, C2-6 alkenyl, C2-6 alkynyl, aryl, heteroaryl, cycloalkyl, heterocycloalkyl, arylalkyl, heteroarylalkyl, cycloalkylalkyl and heterocycloalkylalkyl is optionally substituted with OH, amino, halo, Ci_6 alkyl, C1-6 haloalkyl, aryl, arylalkyl, heteroaryl, heteroarylalkyl, cycloalkyl, or heterocycloalkyl;
or Rc5 and Rd5 together with the N atom to which they are attached form a A-, 5-, 6- or 7-membered heterocycloalkyl group;
Re, Rel, Re2, Re3, Re4, and Re5 are independently selected from H, C1-6 alkyl, Ci_6 haloalkyl, C2-6 alkenyl, (C1-6 alkoxy)-Ci_6 alkyl, C2-6 alkynyl, aryl, cycloalkyl, heteroaryl, heterocycloalkyl, arylalkyl, cycloalkylalkyl, heteroarylalkyl and heterocycloalkylalkyl;
Rf, Rfl, RG, Rβ, Rf4, and Rf5 are independently selected from H, Ci_6 alkyl, Ci_6 haloalkyl, C2-6 alkenyl, C2_6 alkynyl, aryl, cycloalkyl, heteroaryl and heterocycloalkyl;
R1 is H, CN, or NO2;
RJ and Rk are independently selected from H and Ci_6 alkyl; R' is H, halo, C1-10 alkyl, C2.6 alkenyl, C2.6 alkynyl, Cy, Cy-(C1-6 alkyl)-, CN, NO2,
ORa3, SRa3, C(O)Rb3, C(O)NRc3Rd3, C(O)ORa3, OC(O)Rb3, OC(O)NRc3Rd3, NRc3Rd3, NRc3C(O)Rb3, NRc3C(O)ORa3, S(O)Rb3, S(O)NRc3Rd3, S(O)2Rb3, or S(O)2NRc3Rd3; wherein said C1-10 alkyl, C2_6 alkenyl, or C2_6 alkynyl is optionally substituted with 1, 2, 3, 4, or 5 substituents selected from CN, NO2, Cy, Cy-(C1-6 alkyl)-, ORa3, SRa3, C(O)Rb3, C(O)NRc3Rd3, C(O)ORa3, OC(O)Rb3, OC(O)NRc3Rd3, NRc3Rd3, NRc3C(O)Rb3, NRc3C(O)ORa3,
C(=NR')NRc3Rd3, NRc3C(=NR')NRc3Rd3, P(Rβ)2, P(ORe3)2, P(0)Re3Rβ, P(0)0Re30Rβ, S(O)Rb3, S(O)NRc3Rd3, S(O)2Rb3, and S(O)2NRc3Rd3;
R" is H, C1-10 alkyl, C2.6 alkenyl, C2.6 alkynyl, Cy, Cy-(C1-6 alkyl)-, C(O)Rb3, C(O)NRc3Rd3, C(O)OR33, S(O)Rb3, S(O)NRc3Rd3, S(O)2Rb3, or S(O)2NRc3Rd3; wherein said Ci_io alkyl, C2_6 alkenyl, or C2_6 alkynyl is optionally substituted with 1, 2, 3, 4, or 5 substituents selected from CN, NO2, Cy, -(C1-6 alkyl)-Cy, ORa3, SRa3, C(O)Rb3, C(O)NRc3Rd3, C(O)ORa3, OC(O)Rb3, OC(O)NRc3Rd3, NRc3Rd3, NRc3C(O)Rb3, NRc3C(O)ORa3, C(=NR')NRc3Rd3, NRc3C(=NR')NRc3Rd3, P(Rβ)2, P(ORe3)2, P(O)Re3Rβ, P(O)ORe3ORβ, S(O)Rb3, S(O)NRc3Rd3, S(O)2Rb3, and S(O)2NRc3Rd3; p is 1, 2, 3, 4, 5, 6, 7, 8, 9 or 10; r is 0 or 1 ; and s is 0 or 1.
In some embodiments, V is O. In some embodiments, U is N.
In some embodiments, W is N. In some embodiments, U and W are both N. In some embodiments, U and W are both N and V is O. In some embodiments, at least one of U, V and W is N.
In some embodiments, at least one of U, V and W is N and another of U, V, and W is O or S.
In some embodiments, U is CR , V is N, and W is O.
In some embodiments, L is Ci_6 alkylene, C2-6 alkenylene, C2-6 alkynylene, wherein each of the Ci_6 alkylene, C2-6 alkenylene, and C2-6 alkynylene is optionally substituted by 1, 2 or 3 substituents independently selected from halo, CN, NO2, N3, SCN, OH, Ci_6 alkyl, Ci_6 haloalkyl, C2-8 alkoxyalkyl, Ci_6 alkoxy, Ci_6 haloalkoxy, amino, Ci_6 alkylamino, and C2-8 dialkylamino.
In some embodiments, L is Ci_6 alkylene. In some embodiments, L is CH2.
In some embodiments, A is aryl or heteroaryl, each optionally substituted by 1, 2, 3, 4, or 5 substituents selected from halo, Ci_6 alkyl, C2-6 alkenyl, C2-6 alkynyl, Ci_6 haloalkyl, C1-6 hydroxyalkyl, Ci_6 cyanoalkyl, Cy1, CN, NO2, ORa, SRa, C(O)Rb, C(O)NRcRd, C(O)ORa, OC(O)Rb, OC(O)NRcRd, NRcRd, NRcC(O)Rb, NRcC(O)NRcRd, NRcC(O)ORa, C(=NR')NRcRd, NRcC(=NR')NRcRd, P(Rf)2, P(ORe)2, P(O)ReRf, P(O)OReORf, S(O)Rb, S(O)NRcRd, S(O)2Rb, NRcS(O)2Rb, and S(O)2NRcRd, wherein said d_6 alkyl, C2-6 alkenyl, and C2-6 alkynyl is optionally substituted with 1, 2, or 3 substitutents selected from Cy1, CN, NO2, ORa, SRa, C(O)Rb, C(O)NRcRd, C(O)ORa, OC(O)Rb, OC(O)NRcRd, NRcRd, NRcC(O)Rb, NRcC(0)NRcRd, NRcC(O)ORa, C(=NR')NRcRd, NRcC(=NR')NRcRd, P(Rf)2, P(ORe)2, P(O)ReRf, P(O)OReORf, S(O)Rb, S(O)NRcRd, S(O)2Rb, NRcS(O)2Rb, and S(O)2NRcRd.
In some embodiments, A is aryl optionally substituted by 1, 2, 3, 4, or 5 substituents selected from halo, Ci_6 alkyl, C2-6 alkenyl, C2-6 alkynyl, Ci_6 haloalkyl, Ci_6 hydroxyalkyl, C1.6 cyanoalkyl, Cy1, CN, NO2, ORa, SRa, C(O)Rb, C(O)NRcRd, C(O)ORa, OC(O)Rb, OC(O)NRcRd, NRcRd, NRcC(O)Rb, NRcC(0)NRcRd, NRcC(O)ORa, C(=NR')NRcRd,
NRcC(=NR')NRcRd, P(Rf)2, P(ORe)2, P(O)ReRf, P(O)OReORf, S(O)Rb, S(O)NRcRd, S(O)2Rb, NRcS(O)2Rb, and S(O)2NRcRd, wherein said C1-6 alkyl, C2.6 alkenyl, and C2.6 alkynyl is optionally substituted with 1, 2, or 3 substitutents selected from Cy1, CN, NO2, 0Ra, SRa, C(O)Rb, C(O)NRcRd, C(O)ORa, OC(O)Rb, OC(O)NRcRd, NRcRd, NRcC(O)Rb, NRcC(O)NRcRd, NRcC(O)ORa, C(=NR')NRcRd, NRcC(=NR')NRcRd, P(Rf)2, P(ORe)2, P(O)ReRf, P(O)OReORf, S(O)Rb, S(O)NRcRd, S(O)2Rb, NRcS(O)2Rb, and S(O)2NRcRd.
In some embodiments, A is phenyl optionally substituted by 1, 2, 3, 4, or 5 substituents selected from halo, Ci_6 alkyl, C2-6 alkenyl, C2_6 alkynyl, Ci_6 haloalkyl, Ci_6 hydroxyalkyl, C1-6 cyanoalkyl, Cy1, CN, NO2, ORa, SRa, C(O)Rb, C(O)NRcRd, C(O)ORa,
OC(O)Rb, OC(O)NRcRd, NRcRd, NRcC(O)Rb, NRcC(O)NRcRd, NRcC(O)ORa, C(=NR')NRcRd, NRcC(=NR')NRcRd, P(Rf)2, P(ORe)2, P(O)ReRf, P(O)OReORf, S(O)Rb, S(O)NRcRd, S(O)2Rb, NRcS(O)2Rb, and S(O)2NRcRd, wherein said Ci_6 alkyl, C2.6 alkenyl, and C2_6 alkynyl is optionally substituted with 1, 2, or 3 substitutents selected from Cy1, CN, NO2, ORa, SRa, C(O)Rb, C(O)NRcRd, C(O)ORa, OC(O)Rb, OC(O)NRcRd, NRcRd,
NRcC(O)Rb, NRcC(O)NRcRd, NRcC(O)ORa, C(=NR')NRcRd, NRcC(=NR')NRcRd, P(Rf)2, P(ORe)2, P(O)ReRf, P(O)OReORf, S(O)Rb, S(O)NRcRd, S(O)2Rb, NRcS(O)2Rb, and S(O)2NRcRd.
In some embodiments, A is phenyl optionally substituted by 1, 2, 3, 4, or 5 substituents selected from halo, Ci_6 alkyl, C2_6 alkenyl, C2_6 alkynyl, Ci_6 haloalkyl, CN, NO2, and ORa.
In some embodiments, A is phenyl optionally substituted by 1, 2, or 3 substituents selected from halo and Ci_6 alkyl.
In some embodiments, Q is OR^. In some embodiments, Q is OH.
In some embodiments, R^ is H, Ci_6 alkyl, C2_6 alkenyl, C2_6 alkynyl, aryl, cycloalkyl, heteroaryl, heterocycloalkyl, wherein said Ci_6 alkyl, C2_6 alkenyl, C2_6 alkynyl, aryl, cycloalkyl, heteroaryl, and heterocycloalkyl is optionally substituted by 1, 2, 3, 4, or 5 substituents selected from halo, Ci_6 alkyl, C2_6 alkenyl, C2_6 alkynyl, Ci_6 haloalkyl, Ci_6 hydroxyalkyl, Ci_6 cyanoalkyl, Cy, -(CL4 alkyl)-Cy, CN, NO2, ORa2, SRa2, C(O)Rb2, C(O)NRc2Rd2, C(O)ORa2, OC(O)Rb2, OC(O)NRc2Rd2, NRc2Rd2, NRc2C(O)Rb2, NRc2C(O)NRc2Rd2, NRc2C(O)ORa2, C(=NR')NRc2Rd2, NRc2C(=NR')NRc2Rd2, P(RG)2, P(ORe2)2, P(O)Re2RG, P(O)ORe2ORG, S(O)Rb2, S(O)NRc2Rd2, S(O)2Rb2, NRc2S(O)2Rb2, and S(O)2NRc2Rd2. In some embodiments, R^ is H or Ci_6 alkyl, wherein said Ci_6 alkyl is optionally substituted by 1, 2, 3, 4, or 5 substituents selected from halo, Ci_6 alkyl, C2_6 alkenyl, C2_6 alkynyl, C1-6 haloalkyl, C1-6 hydroxyalkyl, C1-6 cyanoalkyl, Cy, -(CL4 alkyl)-Cy, CN, NO2, 0Ra2, SRa2, C(O)Rb2, C(O)NRc2Rd2, C(O)ORa2, OC(O)Rb2, OC(O)NRc2Rd2, NRc2Rd2, NRc2C(O)Rb2, NRc2C(O)NRc2Rd2, NRc2C(O)ORa2, C(=NR')NRc2Rd2, NRc2C(=NR')NRc2Rd2, P(RG)2, P(ORe2)2, P(O)Re2RG, P(O)ORe2ORG, S(O)Rb2, S(O)NRc2Rd2, S(O)2Rb2, NRc2S(O)2Rb2, and S(O)2NRc2Rd2.
In some embodiments, R^ is H or Ci_6 alkyl.
In some embodiments, R4 is H.
In some embodiments, RA and RB are independently selected from H, F, and Ci_6 alkyl.
In some embodiments, RA and RB are both H. In some embodiments, R1 is H. In some embodiments, R is H.
In some embodiments, R2 is H. In some embodiments, R is H. In some embodiments, p is 1, 2, 3, 4 or 5. In some embodiments, p is 1 or 2. In some embodiments, p is 1.
In some embodiments, the compounds of the invention have Formula II:
II or pharmaceutically acceptable salts thereof.
In some embodiments, the compounds of the invention have Formula III:
III or pharmaceutically acceptable salts thereof.
At various places in the present specification, substituents of compounds of the invention are disclosed in groups or in ranges. It is specifically intended that the invention include each and every individual subcombination of the members of such groups and ranges.
For example, the term "Ci_6 alkyl" is specifically intended to individually disclose methyl, ethyl, C3 alkyl, C4 alkyl, C5 alkyl, and C6 alkyl.
It is further intended that the compounds of the invention are stable. As used herein "stable" refers to a compound that is sufficiently robust to survive isolation to a useful degree of purity from a reaction mixture, and preferably capable of formulation into an efficacious therapeutic agent. It is further appreciated that certain features of the invention, which are, for clarity, described in the context of separate embodiments, can also be provided in combination in a single embodiment. Conversely, various features of the invention which are, for brevity, described in the context of a single embodiment, can also be provided separately or in any suitable subcombination. As used herein, the term "alkyl" is meant to refer to a saturated hydrocarbon group which is straight-chained or branched. Example alkyl groups include methyl (Me), ethyl (Et), propyl (e.g., n-propyl and isopropyl), butyl (e.g., n-butyl, isobutyl, t-butyl), pentyl (e.g., n- pentyl, isopentyl, neopentyl), and the like. An alkyl group can contain from 1 to about 20, from 2 to about 20, from 1 to about 10, from 1 to about 8, from 1 to about 6, from 1 to about 4, or from 1 to about 3 carbon atoms.
As used herein, "alkenyl" refers to an alkyl group having one or more carbon-carbon double bonds. Example alkenyl groups include ethenyl, propenyl, and the like.
As used herein, "alkynyl" refers to an alkyl group having one or more carbon-carbon triple bonds. Example alkynyl groups include ethynyl, propynyl, and the like. As used herein, "haloalkyl" refers to an alkyl group having one or more halogen substituents. Example haloalkyl groups include CF3, C2F5, CHF2, CCl3, CHCl2, C2Cl5, and the like.
As used herein, "aryl" refers to monocyclic or polycyclic (e.g., having 2, 3 or 4 fused rings) aromatic hydrocarbons such as, for example, phenyl, naphthyl, anthracenyl, phenanthrenyl, indanyl, indenyl, and the like. In some embodiments, aryl groups have from 6 to about 20 carbon atoms.
As used herein, "cycloalkyl" refers to non-aromatic carbocycles including cyclized alkyl, alkenyl, and alkynyl groups. Cycloalkyl groups can include mono- or polycyclic (e.g., having 2, 3 or 4 fused rings) ring systems, including spirocycles. In some embodiments, cycloalkyl groups can have from 3 to about 20 carbon atoms, 3 to about 14 carbon atoms, 3 to about 10 carbon atoms, or 3 to 7 carbon atoms. Cycloalkyl groups can further have 0, 1, 2, or 3 double bonds and/or 0, 1, or 2 triple bonds. Also included in the definition of cycloalkyl are moieties that have one or more aromatic rings fused (i.e., having a bond in common with) to the cycloalkyl ring, for example, benzo derivatives of cyclopentane, cyclopentene,
cyclohexane, and the like. A cycloalkyl group having one or more fused aromatic rings can be attached though either the aromatic or non-aromatic portion. One or more ring-forming carbon atoms of a cycloalkyl group can be oxidized, for example, having an oxo or sulfido substituent. Example cycloalkyl groups include cyclopropyl, cyclobutyl, cyclopentyl, cyclohexyl, cycloheptyl, cyclopentenyl, cyclohexenyl, cyclohexadienyl, cycloheptatrienyl, norbornyl, norpinyl, norcarnyl, adamantyl, and the like.
As used herein, a "heteroaryl" group refers to an aromatic heterocycle having at least one heteroatom ring member such as sulfur, oxygen, or nitrogen. Heteroaryl groups include monocyclic and polycyclic (e.g., having 2, 3 or 4 fused rings) systems. Any ring-forming N atom in a heteroaryl group can also be oxidized to form an N-oxo moiety. Examples of heteroaryl groups include without limitation, pyridyl, N-oxopyridyl, pyrimidinyl, pyrazinyl, pyridazinyl, triazinyl, furyl, quinolyl, isoquinolyl, thienyl, imidazolyl, thiazolyl, indolyl, pyrryl, oxazolyl, benzofuryl, benzothienyl, benzthiazolyl, isoxazolyl, pyrazolyl, triazolyl, tetrazolyl, indazolyl, 1,2,3-thiadiazolyl, 1,2,4-thiadiazolyl, isothiazolyl, benzothienyl, purinyl, carbazolyl, benzimidazolyl, indolinyl, xanthene, and the like. In some embodiments, the heteroaryl group has from 1 to about 20 carbon atoms, and in further embodiments from about 3 to about 20 carbon atoms. In some embodiments, the heteroaryl group contains 3 to about 14, 3 to about 7, or 5 to 6 ring-forming atoms. In some embodiments, the heteroaryl group has 1 to about 4, 1 to about 3, or 1 to 2 heteroatoms. As used herein, "heterocycloalkyl" refers to a non-aromatic heterocycle where one or more of the ring-forming atoms is a heteroatom such as an O, N, or S atom. Heterocycloalkyl groups can include mono- or polycyclic (e.g., having 2, 3 or 4 fused rings) ring systems as well as spirocycles. Any ring-forming C, N or S atom in a heterocycloalkyl group can be substituted by 1 or 2 oxo groups to form a carbonyl, N-oxo, sulfmyl, or sulfonyl moiety. Example "heterocycloalkyl" groups include morpholino, thiomorpholino, piperazinyl, tetrahydrofuranyl, tetrahydrothienyl, 2,3-dihydrobenzofuryl, 1,3-benzodioxole, benzo-1,4- dioxane, piperidinyl, pyrrolidinyl, isoxazolidinyl, isothiazolidinyl, pyrazolidinyl, oxazolidinyl, thiazolidinyl, imidazolidinyl, and the like. Also included in the definition of heterocycloalkyl are moieties that have one or more aromatic rings fused (i.e., having a bond in common with) to the nonaromatic heterocyclic ring, for example phthalimidyl, naphthalimidyl, and benzo derivatives of heterocycles such as indolene, isoindolene, tetrahydroquinoline, and tetrahydroisoquinoline groups. A heterocycloalkyl group having one or more fused aromatic rings can be attached though either the aromatic or non-aromatic portion. In some embodiments, the heterocycloalkyl group has from 1 to about 20 carbon
atoms, and in further embodiments from about 3 to about 20 carbon atoms. In some embodiments, the heterocycloalkyl group contains 3 to about 20, 3 to about 14, 3 to about 7, or 5 to 6 ring-forming atoms. In some embodiments, the heterocycloalkyl group has 1 to about 4, 1 to about 3, or 1 to 2 heteroatoms. In some embodiments, the heterocycloalkyl group contains 0 to 3 double bonds. In some embodiments, the heterocycloalkyl group contains 0 to 2 triple bonds.
As used herein, "halo" or "halogen" includes fluoro, chloro, bromo, and iodo.
As used herein, "hydroxyalkyl" refers to an alkyl group substituted with a hydroxyl group. As used herein, "cyanoalkyl" refers to an alkyl group substituted with a cyano group.
As used herein, "alkoxy" refers to an -O-alkyl group. Example alkoxy groups include methoxy, ethoxy, propoxy (e.g., n-propoxy and isopropoxy), t-butoxy, and the like.
As used herein, "arylalkyl" refers to alkyl substituted by aryl and "cycloalkylalkyl" refers to alkyl substituted by cycloalkyl. An example arylalkyl group is benzyl. As used herein, "heteroarylalkyl" refers to alkyl substituted by heteroaryl and
"heterocycloalkylalkyl" refers to alkyl substituted by heterocycloalkyl.
As used herein, "amino" refers to NH2.
As used herein, "alkylamino" refers to an amino group substituted by an alkyl group.
As used herein, "dialkylamino" refers to an amino group substituted by two alkyl groups.
The compounds described herein can be asymmetric (e.g., having one or more stereocenters). All stereoisomers, such as enantiomers and diastereomers, are intended unless otherwise indicated. Compounds of the present invention that contain asymmetrically substituted carbon atoms can be isolated in optically active or racemic forms. Methods on how to prepare optically active forms from optically active starting materials are known in the art, such as by resolution of racemic mixtures or by stereoselective synthesis. Many geometric isomers of olefins, C=N double bonds, and the like can also be present in the compounds described herein, and all such stable isomers are contemplated in the present invention. Cis and trans geometric isomers of the compounds of the present invention are described and may be isolated as a mixture of isomers or as separated isomeric forms. A bond , in a structure diagram represented by a wavy line "v/vwr"' is intended to indicate that the structure represents the cis or the trans isomer, or a mixture of the cis and trans isomers in any proportion.
Compounds of the invention also include all tautomeric forms. Tautomeric forms result from the swapping of a single bond with an adjacent double bond together with the concomitant migration of a proton. Tautomeric forms include prototropic tautomers which are isomeric protonation states having the same empirical formula and total charge. Example prototropic tautomers include ketone - enol pairs, amide - imidic acid pairs, lactam - lactim pairs, amide - imidic acid pairs, enamine - imine pairs, and annular forms where a proton can occupy two or more positions of a heterocyclic system, for example, IH- and 3H-imidazole,
IH-, 2H- and 4H- 1,2,4-triazole, IH- and 2H- isoindole, and IH- and 2H-pyrazole.
Tautomeric forms can be in equilibrium or sterically locked into one form by appropriate substitution.
Compounds of the invention can also include different atomic isotopes. Isotopes include those atoms having the same atomic number but different mass numbers. For example, isotopes of hydrogen include tritium and deuterium.
The term, "compound," as used herein is meant to include all stereoisomers, geometric iosomers, tautomers, and isotopes of the structures depicted.
All compounds, and pharmaceutical acceptable salts thereof, can found together with other substances such as water and solvents (e.g. hydrates and solvates) or can be isolated.
In some embodiments, the compounds of the invention, and salts thereof, are isolated.
By "isolated" or "substantially isolatead" is meant that the compound is at least partially or substantially separated from the environment in which is was formed or discovered. Partial separation can include, for example, a composition enriched in the compound of the invention. Substantial separation can include compositions containing at least about 50%, at least about 60%, at least about 70%, at least about 80%, at least about 90%, at least about 95%, and at least about 99% by weight of the compound of the invention, or salt thereof. Methods for isolating compounds and their salts are routine in the art.
The present invention also includes pharmaceutically acceptable salts of the compounds described herein. As used herein, "pharmaceutically acceptable salts" refers to derivatives of the disclosed compounds wherein the parent compound is modified by converting an existing acid or base moiety to its salt form. Examples of pharmaceutically acceptable salts include, but are not limited to, mineral or organic acid salts of basic residues such as amines; alkali or organic salts of acidic residues such as carboxylic acids; and the like. The pharmaceutically acceptable salts of the present invention include the conventional non-toxic salts of the parent compound formed, for example, from non-toxic inorganic or
organic acids. The pharmaceutically acceptable salts of the present invention can be synthesized from the parent compound which contains a basic or acidic moiety by conventional chemical methods. Generally, such salts can be prepared by reacting the free acid or base forms of these compounds with a stoichiometric amount of the appropriate base or acid in water or in an organic solvent, or in a mixture of the two; generally, nonaqueous media like ether, ethyl acetate, ethanol, isopropanol, or ACN are preferred. Lists of suitable salts are found in Remington 's Pharmaceutical Sciences, 17th ed., Mack Publishing Company, Easton, Pa., 1985, p. 1418 and Journal of Pharmaceutical Science, 66, 2 (1977), each of which is incorporated herein by reference in its entirety. The phrase "pharmaceutically acceptable" is employed herein to refer to those compounds, materials, compositions, and/or dosage forms which are, within the scope of sound medical judgment, suitable for use in contact with the tissues of human beings and animals without excessive toxicity, irritation, allergic response, or other problem or complication, commensurate with a reasonable benefit/risk ratio. The present invention also includes prodrugs of the compounds described herein. As used herein, "prodrugs" refer to any covalently bonded carriers which release the active parent drug when administered to a mammalian subject. Prodrugs can be prepared by modifying functional groups present in the compounds in such a way that the modifications are cleaved, either in routine manipulation or in vivo, to the parent compounds. Prodrugs include compounds wherein hydroxyl, amino, sulfhydryl, or carboxyl groups are bonded to any group that, when administered to a mammalian subject, cleaves to form a free hydroxyl, amino, sulfhydryl, or carboxyl group respectively. Examples of prodrugs include, but are not limited to, acetate, formate and benzoate derivatives of alcohol and amine functional groups in the compounds of the invention. Preparation and use of prodrugs is discussed in T. Higuchi and V. Stella, "Pro-drugs as Novel Delivery Systems," Vol. 14 of the A.C.S. Symposium Series, and in Bioreversible Carriers in Drug Design, ed. Edward B. Roche, American Pharmaceutical Association and Pergamon Press, 1987, both of which are hereby incorporated by reference in their entirety.
Synthesis
The compounds of the present invention can be prepared in a variety of ways known to one skilled in the art of organic synthesis. The compounds of the present invention can be synthesized using the methods as hereinafter described below, together with synthetic
methods known in the art of synthetic organic chemistry or variations thereon as appreciated by those skilled in the art.
The compounds of this invention can be prepared from readily available starting materials using the following general methods and procedures. It will be appreciated that where typical or preferred process conditions (i.e., reaction temperatures, times, mole ratios of reactants, solvents, pressures, etc.) are given; other process conditions can also be used unless otherwise stated. Optimum reaction conditions may vary with the particular reactants or solvent used, but such conditions can be determined by one skilled in the art by routine optimization procedures. The processes described herein can be monitored according to any suitable method known in the art. For example, product formation can be monitored by spectroscopic means, such as nuclear magnetic resonance spectroscopy (e.g., 1H or 13C) infrared spectroscopy, spectrophotometry (e.g., UV-visible), or mass spectrometry, or by chromatography such as high performance liquid chromatography (HPLC) or thin layer chromatography. Preparation of compounds can involve the protection and deprotection of various chemical groups. The need for protection and deprotection, and the selection of appropriate protecting groups can be readily determined by one skilled in the art. The chemistry of protecting groups can be found, for example, in Greene, et al, Protective Groups in Organic Synthesis, 2d. Ed., Wiley & Sons, 1991, which is incorporated herein by reference in its entirety.
The reactions of the processes described herein can be carried out in suitable solvents which can be readily selected by one of skill in the art of organic synthesis. Suitable solvents can be substantially nonreactive with the starting materials (reactants), the intermediates, or products at the temperatures at which the reactions are carried out, i.e., temperatures which can range from the solvent's freezing temperature to the solvent's boiling temperature. A given reaction can be carried out in one solvent or a mixture of more than one solvent. Depending on the particular reaction step, suitable solvents for a particular reaction step can be selected.
Resolution of racemic mixtures of compounds can be carried out by any of numerous methods known in the art. An example method includes fractional recrystallization using a "chiral resolving acid" which is an optically active, salt-forming organic acid. Suitable resolving agents for fractional recrystallization methods are, for example, optically active acids, such as the D and L forms of tartaric acid, diacetyltartaric acid, dibenzoyltartaric acid, mandelic acid, malic acid, lactic acid or the various optically active camphorsulfonic acids.
Resolution of racemic mixtures can also be carried out by elution on a column packed with an optically active resolving agent (e.g., dinitrobenzoylphenylglycine). Suitable elution solvent composition can be determined by one skilled in the art.
Compounds of the invention can be synthesized according to routine methods by those skilled in the art and as shown in the below Schemes.
According to Scheme 1, intermediates 1-5 (such as 6H-furo[3,4-c][l,2,5]oxadiazol-4- one) can be prepared starting with cleavage of bicyclic compounds 1-1 with an amine to yield hydroxymethyl derivatives 1-2. The hydroxyl group can be protected in any suitable manner such as by alklysilylchloride, ester, ether or other suitable protecting group (see, e.g., Greene, et al, Protective Groups in Organic Synthesis, supra) to yield protected compounds 1-3. The protected compounds 1-3 can be converted to the corresponding N-hydroxyamidines 1-4 by thionation with an appropriate reagent such as CS2 or Laweson's reagent followed by S- alkylation (e.g., S-methylation) with an appropriate reagent such as methyliodide or methyltriflate followed by treatment with NH2OH. The N-hydroxyamidine group can be protected using, for example, phosgene, triphosgene, carbonyldiimidazole, etc., and the protected hydroxymethyl group can then be deprotected (such as by treatment with acid for alkylsilylethers) for further modification if desired.
Scheme 1
1-1 1-2 1-3
According to Scheme 2, compounds of the invention can be prepared starting with the intermediate 2-1 (which can be prepared according to Scheme 1) which can be oxidized at the hydroxymethyl group according to standard procedures for conversion of an alcohol to an
aldehyde to yield intermediates 2-2. The aldehydes (2-2) can be further reacted with appropriate nucleophiles to yield hydroxyl (2-5) or amino (2-4) intermediates with optional substitution (RA) on the methylene. These intermediates can be further modified by reaction of the hydroxyl groups with suitable electrophiles (e.g., alkylation, acylate, arylation) optionally in the presence of catalytic amounts of base or acid followed by deprotection to yield compounds of the invention 2-7 and 2-11. Additionally, intermediate 2-5 can be oxidized to afford ketone 2-3 which can be further reacted with appropriate nucleophiles to yield hydroxyl (2-9) or amino (2-8) intermediates with optional substitution (RA and RB) on the methylene. Similarly, amines 2-4 and 2-8 can be directly deprotected to yield further compounds of the invention 2-6 and 2-10.
Scheme 2
Various compounds of the invention can be prepared according to the method shown in Scheme 3 where protected N-hydroxyamidines 3-1 are modified by Mitsonubu reaction with various aryl or heteroaryl alcohols (e.g., phenol or substituted phenol) followed by treatment with a base such as hydroxide to give aryloxy and heteroaryloxy derivatives 3-2. Additionally, protected N-hydroxyamidines 3-1 can be reacted with suitable reagents R4R^NC(O)X (where X is halo) or isocyanates R^-N=C=O followed by treatment with base
such as hydroxide to give compounds of the invention 3-3. In the case of reaction with the isocyanates, R4 of 3-3 would typically be H.
Scheme 3
3-3
Amino methyl compounds of the invention can be prepared according to the methods of Scheme 4 where the hydroxymethyl group of a protected N-hydroxyamidine intermediate 4-1 is treated with mesylchloride or other suitable reagent to produce a good leaving group such as mesylate as exemplified in intermediate 4-2. The intermediate 4-2 is then reacted with amine NHR4R^ followed by treatment with base (such as hydroxide) to yield amino methyl compounds 4-3. The amino methyl compounds can be further derivatized to make various amides, ureas, sulfonamides, carbamates and the like by reaction of the amino moiety with RQC(0)-X, RQS(O)2-X, RQ0C(0)-X and the like (X is, e.g., a leaving group like halo).
Scheme 4
Additional amino methyl compounds of the invention can be prepared according to
the methods of Scheme 5 where the intermediate 4-2 is reacted with sodium azide followed by reduction (such as hydrogen over palladium or triphenylphosphine) to yield amino methyl compounds 4-6. The amino methyl compounds 4-6 can be further derivatized to make various compounds 4-7, such as amides, ureas, sulfonamides, carbamates and the like, by reaction of the amino moiety with RQC(O)-X, RQS(O)2-X, RQOC(O)-X and the like (X is a leaving group).
Scheme 5
Alkoxy compounds 6-2 can be prepared, for example, according the route shown in
Scheme 6. Here, hydroxyalkyl or related compounds 6-1 are reacted with various electrophiles such as alkyl halides ("alkyl-X," where X is halo) followed by reaction with base such as hydroxide to form alkylated and similar compounds of formula 6-2. The alkyl halides can be optionally substituted with other various functional groups.
6-1 6-2
An alternative method for the synthesis of N-hydroxyamidines (e.g., Example 33) is shown in Scheme 7 where an amide 7-1 is chlorinated with suitable chlorination reagent (such as PCl5, POCl3, SO2Cl2, or alike) followed by addition OfNH2OH to the crude reaction mixture to afford the desired products 7-2.
Scheme 7
Methods of Use
Compounds of the invention can modulate activity of the enzyme indoleamine-2,3- dioxygenase (IDO). The term "modulate" is meant to refer to an ability to increase or decrease activity of an enzyme or receptor. Accordingly, compounds of the invention can be used in methods of modulating IDO by contacting the enzyme with any one or more of the compounds or compositions described herein. In some embodiments, compounds of the present invention can act as inhibitors of IDO. In further embodiments, the compounds of the invention can be used to modulate activity of IDO in cell or in an individual in need of modulation of the enzyme by administering a modulating (e.g., inhibiting) amount of a compound of the invention.
The present invention further provides methods of inhibiting the degradation of tryptophan in a system containing cells expressing IDO such as a tissue, living organism, or cell culture. In some embodiments, the present invention provides methods of altering (e.g., increasing) extracellular tryptophan levels in a mammal by administering an effective amount of a compound of composition provided herein. Methods of measuring tryptophan levels and tryptophan degradation are routine in the art.
The present invention further provides methods of inhibiting immunosuppression such as IDO-mediated immunosuppression in a patient by administering to the patient an effective amount of a compound or composition recited herein. IDO-mediated immunosuppression has been associated with, for example, cancers, tumor growth, metastasis, viral infection, viral replication, etc.
The present invention further provides methods of treating diseases associated with activity or expression, including abnormal activity and/or overexpression, of IDO in an individual {e.g., patient) by administering to the individual in need of such treatment a therapeutically effective amount or dose of a compound of the present invention or a pharmaceutical composition thereof. Example diseases can include any disease, disorder or condition that is directly or indirectly linked to expression or activity of the IDO enzyme, such as over expression or abnormal activity. An IDO-associated disease can also include
any disease, disorder or condition that can be prevented, ameliorated, or cured by modulating enzyme activity. Examples of IDO-associated diseases include cancer, viral infection such as HIV infection, depression, neurodegenerative disorders such as Alzheimer's disease and Huntington's disease, trauma, age-related cataracts, organ transplantation (e.g., organ transplant rejection), and autoimmune diseases including asthma, rheumatoid arthritis, multiple sclerosis, inflammatory bowel disease, psoriasis and systemic lupus erythematosusor. Example cancers treatable by the methods herein include cancer of the colon, pancreas, breast, prostate, lung, brain, ovary, cervix, testes, renal, head and neck, lymphoma, leukemia, melanoma, and the like. As used herein, the term "cell" is meant to refer to a cell that is in vitro, ex vivo or in vivo. In some embodiments, an ex vivo cell can be part of a tissue sample excised from an organism such as a mammal. In some embodiments, an in vitro cell can be a cell in a cell culture. In some embodiments, an in vivo cell is a cell living in an organism such as a mammal. As used herein, the term "contacting" refers to the bringing together of indicated moieties in an in vitro system or an in vivo system. For example, "contacting" the IDO enzyme with a compound of the invention includes the administration of a compound of the present invention to an individual or patient, such as a human, having IDO, as well as, for example, introducing a compound of the invention into a sample containing a cellular or purified preparation containing the IDO enzyme.
As used herein, the term "individual" or "patient," used interchangeably, refers to any animal, including mammals, preferably mice, rats, other rodents, rabbits, dogs, cats, swine, cattle, sheep, horses, or primates, and most preferably humans.
As used herein, the phrase "therapeutically effective amount" refers to the amount of active compound or pharmaceutical agent that elicits the biological or medicinal response that is being sought in a tissue, system, animal, individual or human by a researcher, veterinarian, medical doctor or other clinician, which includes one or more of the following:
(1) preventing the disease; for example, preventing a disease, condition or disorder in an individual who may be predisposed to the disease, condition or disorder but does not yet experience or display the pathology or symptomatology of the disease;
(2) inhibiting the disease; for example, inhibiting a disease, condition or disorder in an individual who is experiencing or displaying the pathology or symptomatology of the disease, condition or disorder; and
(3) ameliorating the disease; for example, ameliorating a disease, condition or disorder in an individual who is experiencing or displaying the pathology or symptomatology of the disease, condition or disorder (i.e., reversing the pathology and/or symptomatology) such as decreasing the severity of disease.
Combination Therapy
One or more additional pharmaceutical agents or treatment methods such as, for example, anti-viral agents, chemotherapeutics or other anti-cancer agents, immune enhancers, immunosuppressants, radiation, anti-tumor and anti-viral vaccines, cytokine therapy (e.g., IL2, GM-CSF, etc.), and/or tyrosine kinase inhibitors can be used in combination with the compounds of the present invention for treatment of IDO-associated diseases, disorders or conditions. The agents can be combined with the present compounds in a single dosage form, or the agents can be administered simultaneously or sequentially as separate dosage forms.
Suitable antiviral agents contemplated for use in combination with the compounds of the present invention can comprise nucleoside and nucleotide reverse transcriptase inhibitors (NRTIs), non-nucleoside reverse transcriptase inhibitors (NNRTIs), protease inhibitors and other antiviral drugs.
Example suitable NRTIs include zidovudine (AZT); didanosine (ddl); zalcitabine (ddC); stavudine (d4T); lamivudine (3TC); abacavir (1592U89); adefovir dipivoxil [bis(POM)-PMEA]; lobucavir (BMS-180194); BCH-10652; emitricitabine [(-)-FTC]; beta-L- FD4 (also called beta-L-D4C and named beta-L-2', 3'-dicleoxy-5-fluoro-cytidene); DAPD, ((- )-beta-D-2,6,-diamino-purine dioxolane); and lodenosine (FddA). Typical suitable NNRTIs include nevirapine (BI-RG-587); delaviradine (BHAP, U-90152); efavirenz (DMP-266); PNU- 142721; AG-1549; MKC-442 (l-(ethoxy-methyl)-5-(l-methylethyl)-6-(phenylmethyl)- (2,4(1 H,3H)-pyrimidinedione); and (+)-calanolide A (NSC-675451) and B. Typical suitable protease inhibitors include saquinavir (Ro 31-8959); ritonavir (ABT-538); indinavir (MK- 639); nelfnavir (AG-1343); amprenavir (141W94); lasinavir (BMS-234475); DMP-450; BMS-2322623; ABT-378; and AG-I 549. Other antiviral agents include hydroxyurea, ribavirin, IL-2, IL-12, pentafuside and Yissum Project No.11607. Suitable chemotherapeutic or other anti-cancer agents include, for example, alkylating agents (including, without limitation, nitrogen mustards, ethylenimine derivatives, alkyl sulfonates, nitrosoureas and triazenes) such as uracil mustard, chlormethine, cyclophosphamide (Cytoxan™), ifosfamide, melphalan, chlorambucil, pipobroman,
triethylene-melamine, triethylenethiophosphoramine, busulfan, carmustine, lomustine, streptozocin, dacarbazine, and temozolomide.
Suitable chemotherapeutic or other anti-cancer agents include, for example, antimetabolites (including, without limitation, folic acid antagonists, pyrimidine analogs, purine analogs and adenosine deaminase inhibitors) such as methotrexate, 5-fluorouracil, floxuridine, cytarabine, 6-mercaptopurine, 6-thioguanine, fludarabine phosphate, pentostatine, and gemcitabine.
Suitable chemotherapeutic or other anti-cancer agents further include, for example, certain natural products and their derivatives (for example, vinca alkaloids, antitumor antibiotics, enzymes, lymphokines and epipodophyllotoxins) such as vinblastine, vincristine, vindesine, bleomycin, dactinomycin, daunorubicin, doxorubicin, epirubicin, idarubicin, ara- C, paclitaxel (Taxol™), mithramycin, deoxycoformycin, mitomycin-C, L-asparaginase, interferons (especially IFN-a), etoposide, and teniposide.
Other cytotoxic agents include navelbene, CPT-I l, anastrazole, letrazole, capecitabine, reloxafme, cyclophosphamide, ifosamide, and droloxafme.
Also suitable are cytotoxic agents such as epidophyllotoxin; an antineoplastic enzyme; a topoisomerase inhibitor; procarbazine; mitoxantrone; platinum coordination complexes such as cis-platin and carboplatin; biological response modifiers; growth inhibitors; antihormonal therapeutic agents; leucovorin; tegafur; and haematopoietic growth factors.
Other anti-cancer agent(s) include antibody therapeutics such as trastuzumab (Herceptin), antibodies to costimulatory molecules such as CTLA-4, 4- IBB and PD-I, or antibodies to cytokines (IL-IO, TGF-β, etc.).
Other anti-cancer agents also include those that block immune cell migration such as antagonists to chemokine receptors, including CCR2 and CCR4.
Other anti-cancer agents also include those that augment the immune system such as adjuvants or adoptive T cell transfer.
Anti-cancer vaccines include dendritic cells, synthetic peptides, DNA vaccines and recombinant viruses. Compounds of the invention may also be used in combination with vaccine therapy in the treatment of melanoma. Antimelanoma vaccines are, in some ways, similar to the antivirus vaccines which are used to prevent diseases caused by viruses such as polio, measles,
and mumps. Weakened melanoma cells or parts of melanoma cells called antigens may be injected into a patient to stimulate the body's immune system to destroy melanoma cells.
Melanomas that are confined to the arms or legs may also be treated with a combination of agents including one or more compounds of the invention, using a hyperthermic isolated limb perfusion technique. This treatment protocol temporarily separates the circulation of the involved limb from the rest of the body and injects high doses of chemotherapy into the artery feeding the limb, thus providing high doses to the area of the tumor without exposing internal organs to these doses that might otherwise cause severe side effects. Usually the fluid is warmed to 102° to 104° F. Melphalan is the drug most often used in this chemotherapy procedure. This can be given with another agent called tumor necrosis factor (TNF) (see section on cytokines).
Methods for the safe and effective administration of most of these chemotherapeutic agents are known to those skilled in the art. In addition, their administration is described in the standard literature. For example, the administration of many of the chemotherapeutic agents is described in the "Physicians' Desk Reference" (PDR, e.g., 1996 edition, Medical Economics Company, Montvale, NJ), the disclosure of which is incorporated herein by reference as if set forth in its entirety.
Pharmaceutical Formulations and Dosage Forms When employed as pharmaceuticals, the compounds of the invention can be administered in the form of a pharmaceutical composition which is a combination of a compound of the invention and a pharmaceutically acceptable carrier. These compositions can be prepared in a manner well known in the pharmaceutical art, and can be administered by a variety of routes, depending upon whether local or systemic treatment is desired and upon the area to be treated. Administration may be topical (including ophthalmic and to mucous membranes including intranasal, vaginal and rectal delivery), pulmonary {e.g., by inhalation or insufflation of powders or aerosols, including by nebulizer; intratracheal, intranasal, epidermal and transdermal), ocular, oral or parenteral. Methods for ocular delivery can include topical administration (eye drops), subconjunctival, periocular or intravitreal injection or introduction by balloon catheter or ophthalmic inserts surgically placed in the conjunctival sac. Parenteral administration includes intravenous, intraarterial, subcutaneous, intraperitoneal or intramuscular injection or infusion; or intracranial, e.g., intrathecal or intraventricular, administration. Parenteral administration can be in the form of a single bolus dose, or may be, for example, by a continuous perfusion pump. Pharmaceutical compositions
and formulations for topical administration may include transdermal patches, ointments, lotions, creams, gels, drops, suppositories, sprays, liquids and powders. Conventional pharmaceutical carriers, aqueous, powder or oily bases, thickeners and the like may be necessary or desirable. This invention also includes pharmaceutical compositions which contain, as the active ingredient, one or more of the compounds of the invention above in combination with one or more pharmaceutically acceptable carriers. In making the compositions of the invention, the active ingredient is typically mixed with an excipient, diluted by an excipient or enclosed within such a carrier in the form of, for example, a capsule, sachet, paper, or other container. When the excipient serves as a diluent, it can be a solid, semi-solid, or liquid material, which acts as a vehicle, carrier or medium for the active ingredient. Thus, the compositions can be in the form of tablets, pills, powders, lozenges, sachets, cachets, elixirs, suspensions, emulsions, solutions, syrups, aerosols (as a solid or in a liquid medium), ointments containing, for example, up to 10 % by weight of the active compound, soft and hard gelatin capsules, suppositories, sterile injectable solutions, and sterile packaged powders.
In preparing a formulation, the active compound can be milled to provide the appropriate particle size prior to combining with the other ingredients. If the active compound is substantially insoluble, it can be milled to a particle size of less than 200 mesh. If the active compound is substantially water soluble, the particle size can be adjusted by milling to provide a substantially uniform distribution in the formulation, e.g. about 40 mesh.
The compounds of the invention may be milled using known milling procedures such as wet milling to obtain a particle size appropriate for tablet formation and for other formulation types. Finely divided (nanoparticulate) preparations of the compounds of the invention can be prepared by processes known in the art, for example see International Patent Pub. No. WO 2002/000196.
Some examples of suitable excipients include lactose, dextrose, sucrose, sorbitol, mannitol, starches, gum acacia, calcium phosphate, alginates, tragacanth, gelatin, calcium silicate, microcrystalline cellulose, polyvinylpyrrolidone, cellulose, water, syrup, and methyl cellulose. The formulations can additionally include: lubricating agents such as talc, magnesium stearate, and mineral oil; wetting agents; emulsifying and suspending agents; preserving agents such as methyl- and propylhydroxy-benzoates; sweetening agents; and flavoring agents. The compositions of the invention can be formulated so as to provide quick, sustained or delayed release of the active ingredient after administration to the patient by employing procedures known in the art.
The compositions can be formulated in a unit dosage form, each dosage containing from about 5 to about 100 mg, more usually about 10 to about 30 mg, of the active ingredient. The term "unit dosage forms" refers to physically discrete units suitable as unitary dosages for human subjects and other mammals, each unit containing a predetermined quantity of active material calculated to produce the desired therapeutic effect, in association with a suitable pharmaceutical excipient.
The active compound can be effective over a wide dosage range and is generally administered in a pharmaceutically effective amount. It will be understood, however, that the amount of the compound actually administered will usually be determined by a physician, according to the relevant circumstances, including the condition to be treated, the chosen route of administration, the actual compound administered, the age, weight, and response of the individual patient, the severity of the patient's symptoms, and the like.
For preparing solid compositions such as tablets, the principal active ingredient is mixed with a pharmaceutical excipient to form a solid preformulation composition containing a homogeneous mixture of a compound of the present invention. When referring to these preformulation compositions as homogeneous, the active ingredient is typically dispersed evenly throughout the composition so that the composition can be readily subdivided into equally effective unit dosage forms such as tablets, pills and capsules. This solid preformulation is then subdivided into unit dosage forms of the type described above containing from, for example, 0.1 to about 500 mg of the active ingredient of the present invention.
The tablets or pills of the present invention can be coated or otherwise compounded to provide a dosage form affording the advantage of prolonged action. For example, the tablet or pill can comprise an inner dosage and an outer dosage component, the latter being in the form of an envelope over the former. The two components can be separated by an enteric layer which serves to resist disintegration in the stomach and permit the inner component to pass intact into the duodenum or to be delayed in release. A variety of materials can be used for such enteric layers or coatings, such materials including a number of polymeric acids and mixtures of polymeric acids with such materials as shellac, cetyl alcohol, and cellulose acetate.
The liquid forms in which the compounds and compositions of the present invention can be incorporated for administration orally or by injection include aqueous solutions, suitably flavored syrups, aqueous or oil suspensions, and flavored emulsions with edible oils
such as cottonseed oil, sesame oil, coconut oil, or peanut oil, as well as elixirs and similar pharmaceutical vehicles.
Compositions for inhalation or insufflation include solutions and suspensions in pharmaceutically acceptable, aqueous or organic solvents, or mixtures thereof, and powders. The liquid or solid compositions may contain suitable pharmaceutically acceptable excipients as described supra. In some embodiments, the compositions are administered by the oral or nasal respiratory route for local or systemic effect. Compositions in can be nebulized by use of inert gases. Nebulized solutions may be breathed directly from the nebulizing device or the nebulizing device can be attached to a face masks tent, or intermittent positive pressure breathing machine. Solution, suspension, or powder compositions can be administered orally or nasally from devices which deliver the formulation in an appropriate manner.
The amount of compound or composition administered to a patient will vary depending upon what is being administered, the purpose of the administration, such as prophylaxis or therapy, the state of the patient, the manner of administration, and the like. In therapeutic applications, compositions can be administered to a patient already suffering from a disease in an amount sufficient to cure or at least partially arrest the symptoms of the disease and its complications. Effective doses will depend on the disease condition being treated as well as by the judgment of the attending clinician depending upon factors such as the severity of the disease, the age, weight and general condition of the patient, and the like. The compositions administered to a patient can be in the form of pharmaceutical compositions described above. These compositions can be sterilized by conventional sterilization techniques, or may be sterile filtered. Aqueous solutions can be packaged for use as is, or lyophilized, the lyophilized preparation being combined with a sterile aqueous carrier prior to administration. The pH of the compound preparations typically will be between 3 and 11, more preferably from 5 to 9 and most preferably from 7 to 8. It will be understood that use of certain of the foregoing excipients, carriers, or stabilizers will result in the formation of pharmaceutical salts.
The therapeutic dosage of the compounds of the present invention can vary according to, for example, the particular use for which the treatment is made, the manner of administration of the compound, the health and condition of the patient, and the judgment of the prescribing physician. The proportion or concentration of a compound of the invention in a pharmaceutical composition can vary depending upon a number of factors including dosage, chemical characteristics (e.g., hydrophobicity), and the route of administration. For example, the compounds of the invention can be provided in an aqueous physiological buffer
solution containing about 0.1 to about 10% w/v of the compound for parenteral administration. Some typical dose ranges are from about 1 μg/kg to about 1 g/kg of body weight per day. In some embodiments, the dose range is from about 0.01 mg/kg to about 100 mg/kg of body weight per day. The dosage is likely to depend on such variables as the type and extent of progression of the disease or disorder, the overall health status of the particular patient, the relative biological efficacy of the compound selected, formulation of the excipient, and its route of administration. Effective doses can be extrapolated from dose- response curves derived from in vitro or animal model test systems.
The compounds of the invention can also be formulated in combination with one or more additional active ingredients which can include any pharmaceutical agent such as antiviral agents, chemotherapeutics or other anti-cancer agents, vaccines, antibodies, immune enhancers, immune suppressants, anti-inflammatory agents, and the like as discussed herein.
Labeled Compounds and Assay Methods Another aspect of the present invention relates to fluorescent dye, spin lable, heavy metal or radio-labeled compounds of the invention that would be useful not only in imaging but also in assays, both in vitro and in vivo, for localizing and quantitating the IDO enzyme in tissue samples, including human, and for identifying IDO enzyme ligands by inhibition binding of a labeled compound. Accordingly, the present invention includes IDO enzyme assays that contain such labeled compounds.
The present invention further includes isotopically-labeled compounds of the invention. An "isotopically" or "radio-labeled" compound is a compound of the invention where one or more atoms are replaced or substituted by an atom having an atomic mass or mass number different from the atomic mass or mass number typically found in nature (i.e., naturally occurring). Suitable radionuclides that may be incorporated in compounds of the present invention include but are not limited to 2H (also written as D for deuterium), 3H (also written as T for tritium), 11C, 13C, 14C, 13N, 15N, 15O, 17O, 18O, 18F, 35S, 36Cl, 82Br, 75Br, 76Br, 77Br, 123I, 124I, 125I and 131I. The radionuclide that is incorporated in the instant radio-labeled compounds will depend on the specific application of that radio-labeled compound. For example, for in vitro IDO enzyme labeling and competition assays, compounds that incorporate 3H, 14C, 82Br, 125I , 131I, 35S or will generally be most useful. For radio-imaging applications 11C, 18F, 125I, 123I, 124I, 131I, 75Br, 76Br or 77Br will generally be most useful.
It is understood that a "radio-labeled " or "labeled compound" is a compound that has incorporated at least one radionuclide. In some embodiments the radionuclide is selected from the group consisting of 3H, 14C, 1251 , 35S and 82Br.
Synthetic methods for incorporating radio-isotopes into organic compounds are applicable to compounds of the invention and are well known in the art.
A radio-labeled compound of the invention can be used in a screening assay to identify/evaluate compounds. In general terms, a newly synthesized or identified compound (i.e., test compound) can be evaluated for its ability to reduce binding of the radio-labeled compound of the invention to the IDO enzyme. Accordingly, the ability of a test compound to compete with the radio-labeled compound for binding to the IDO enzyme directly correlates to its binding affinity.
Kits
The present invention also includes pharmaceutical kits useful, for example, in the treatment or prevention of IDO-associated diseases or disorders, obesity, diabetes and other diseases referred to herein which include one or more containers containing a pharmaceutical composition comprising a therapeutically effective amount of a compound of the invention.
Such kits can further include, if desired, one or more of various conventional pharmaceutical kit components, such as, for example, containers with one or more pharmaceutically acceptable carriers, additional containers, etc., as will be readily apparent to those skilled in the art. Instructions, either as inserts or as labels, indicating quantities of the components to be administered, guidelines for administration, and/or guidelines for mixing the components, can also be included in the kit.
The invention will be described in greater detail by way of specific examples. The following examples are offered for illustrative purposes, and are not intended to limit the invention in any manner. Those of skill in the art will readily recognize a variety of noncritical parameters which can be changed or modified to yield essentially the same results.
The compounds of the Examples were found to be inhibitors of IDO according to one or more of the assays provided herein.
EXAMPLES
Example 1 : 7V-(5-chloro-2-methylbenzyl)-7V'-hydroxy-4-(hydroxymethyl)- 1,2,5- oxadiazole-3-carboximidamide
Stepl : N-(5-chloro-2-methylbenzyl)-4-(hydroxymethyl)-l ,2 ,5-oxadiazole-3-carboxamide
A solution of 4H,6H-furo[3,4-c][l,2,5]oxadiazol-4-one (500 mg, 3.97 mmol) and 1- (5-chloro-2-methylphenyl)methanamine (648 mg, 4.16 mmol) in chloroform (5.4 mL) was stirred at 25 0C overnight. The suspension was filtered and washed with chloroform. The filtrate was concentrated to give the desired product as a white powder (750 mg, 67%).
LCMS calculated for C12H13ClN3O3(M-HH)+: m/z = 282.1.
Step 2: N-(5-chloro-2-methylbenzyl)-4- [(triisopropylsilyl)oxy] methyl- 1 ,2 ,5-oxadiazole-3- carboxamide
To a solution of Λ/-(5-chloro-2-methylbenzyl)-4-(hydroxymethyl)-l,2,5-oxadiazole- 3-carboxamide (203 mg, 0.721 mmol) in dichloromethane (DCM) (2.0 mL) at 0 0C was added 2,6-lutidine (210 μL, 1.8 mmol) followed by triisopropylsilyl Inflate (250 μL, 0.94 mmol). The solution was stirred at 0 0C for 30 min and was then allowed to warm to room temperature overnight. The reaction was diluted with water and extracted with ethyl acetate. The combined organic solutions were dried with sodium sulfate, filtered, and concentrated in vacuo. The crude residue was purified by flash column chromatography to yield the desired product (295 mg, 93%). LCMS calculated for C21H33ClN3O3Si(M-HH)+: m/z = 438.2.
Step 3: N-(5-chloro-2-methylbenzyl)-N'-hydroxy-4-[(trtisopropylsilyl)oxy]m,ethyl-l,2,5- oxadiazole-3-carboximidamide
Λ/-(5-Chloro-2-methylbenzyl)-4-[(triisopropylsilyl)oxy]methyl-l,2,5-oxadiazole-3- carboxamide (67.2 mg, 0.153 mmol) was suspended in toluene (1 niL) and pyridine (50 μL, 0.61 mmol) under an atmosphere of nitrogen. Phosphorus pentachloride (64 mg, 0.31 mmol) was added and the solution was heated at 60 0C for 2.5 h. The volatiles were then removed in vacuo. The crude was dissolved in ethanol (1.0 mL) and cooled to 0 0C and hydroxylamine (0.2 mL) (50% solution in water) was added to the reaction solution until a pH of 9 was reached. The reaction solution was concentrated to remove ethanol and diluted with ethyl acetate, the aqueous layer was extracted with ethyl acetate. The combined organic solution was concentrated in vacuo and purified by silica gel chromatography (20%-50% ethyl acetate/hexs) to give the desired product as yellow solid (35 mg, 50%). LCMS calculated for C2IH34ClN4O3Si(M+^: m/z = 453.2.
Step 4: N-(5-chloro-2-methylbenzyl)-N'-hydroxy-4-(hydroxymethyl)-l,2,5-oxadiazole-3- carboximidamide
To a solution of Λ/-(5-chloro-2-methylbenzyl)-N'-hydroxy-4-[(triisopropylsilyl)oxy]- methyl-l,2,5-oxadiazole-3-carboximidamide (35 mg, 77.2 mmol) in methanol (1 mL) was added 4.0 M hydrogen chloride in 1,4-dioxane (96.6 ml, 386 mmol). The resulting solution was stirred at rt for 4 h. The reaction solution was diluted with methanol and purified by preparative LCMS to afford the desired product as a white solid (19.2 mg, 84%). 1H NMR (400 MHz, d6 DMSO): δ 10.89 (s, 1 H), 7.15-7.10 (m, 3 H), 6.98 (t, J = 6.9 Hz, 1 H), 5.58 (bs, 1 H), 4.63 (s, 2 H), 4.41 (d, J = 6.9 Hz, 2 H), 2.12 (s, 3 H); LCMS calculated for Ci2Hi4ClN4O3(M+H)+: m/z = 297.1.
The examples of Table 1 were prepared according to the method of Example 1.
Table 1
Example A: Human indoleamine 2,3-dioxygenasae (IDO) enzyme assay Human indoleamine 2,3-dioxygenasae (IDO) with an N-terminal His tag was expressed in E.coli and purified to homogeneity. IDO catalyzes the oxidative cleavage of the pyrrole ring of the indole nucleus of tryptophan to yield JV'-formylkynurenine. The assays were performed at room temperature as described in the literature using 95 nM IDO and 2 mM D-Trp in the presence of 20 mM ascorbate, 5 μM methylene blue and 0.2 mg/mL catalase in 50 mM potassium phosphate buffer (pH 6.5). The initial reaction rates were recorded by continuously following the absorbance increase at 321 nm due to the formation of Λ^-formlylkynurenine. See: Sono, M., Taniguchi, T., Watanabe, Y., and Hayaishi, O. (1980) J. Biol Chem. 255, 1339-1345. Compound activity is provided in Table 2 below.
Table 2
Example B: Determination of inhibitor activity in HeLa cell-based indoleamine 2,3- dioxygenase (IDO)/Kynurenine assay
HeLa cells (#CCL-2) can be obtained from the American Type Tissue Culture Collection (ATCC, Manassas, VA) and routinely maintained in minimum essential medium (eagle) with 2 mM L-glutamine and Earle's BSS adjusted to contain 1.5 g/L sodium bicarbonate, 0.1 mM non-essential amino acids, 1 mM sodium pyruvate and 10 % fetal bovine serum (all from Invitrogen). Cells are kept at 37 0C in a humidified incubator supplied with 5 % CO2. The assay is performed as follows: HeLa cells are seeded in a 96 well culture plate at a density of 5 x 103 per well and grown overnight. On the next day, IFN-γ (50 ng/mL final concentration) and serial dilutions of compounds (in total volume of 200 μL culture medium) are added into cells. After 48 hours of incubation, 140 μL of the supernatant per well is transferred to a new 96 well plate. 10 μL of 6.1 N trichloroacetic acid (#T0699, Sigma) is mixed into each well and incubated at 50 0C for 30 min to hydrolyze N- formylkynurenine produced by indoleamine 2,3-dioxygenase to kynurenine. The reaction mixture is then centrifuged for 10 min at 2500 rpm to remove sediments. 100 μL of the supernatant per well is transferred to another 96 well plate and mixed with 100 μl of 2% (w/v) /?-dimethylaminobenzaldehyde (#15647-7, Sigma-Aldrich) in acetic acid. The yellow color derived from Kynurenine is measured at 480 nm using a SPECTRAmax 250 microplate reader (Molecular Devices). L-kynurenine (#K8625, Sigma) is used as standard. The standards (240, 120, 60, 30, 15, 7.5, 3.75, 1.87 μM) are prepared in 100 μL culture media and mixed with equal volume of 2 % (w/v)/?-dimethylaminobenzaldehyde. The percent inhibition at individual concentrations is determined and the average values of duplicates are obtained. The data is analyzed by using nonlinear regression to generate IC50 values (Prism Graphpad). See: Takikawa O, et al. (1988). Mechanism of interferon-gamma action. Characterization of indoleamine 2,3-dioxygenase in cultured human cells induced by interferon-gamma and
evaluation of the enzyme-mediated tryptophan degradation in its anticellular activity. J. Biol. Chem. 263(4):2041-8. Compound data is provided below in Table 3.
Table 3
Example C: Determination of effect of IDO inhibitors on T cell proliferation that is suppressed by IDO-expressing dendritic cells
Monocytes are collected from human peripheral mononuclear cells by leukophoresis. Monocytes are then seeded at a density of 1 x 106 cells/well in a 96 well plate, using RPMI 1640 medium supplemented with 10 % fetal bovine serum and 2 mM L-glutamine (all from Invitrogen). Adherent cells are retained on the plate after overnight culture at 37 0C. Adherent monocytes are then stimulated for 5-7 days with 100 ng/ml GM-CSF (# 300-03, PeproTech) and 250 ng/ml IL-4 (#200-04, PeproTech), followed by activation with 5 μg/mL LPS from Salmonella typhimurium (#437650, Sigma) and 50 ng/mL IFN-γ (# 285-IF, R&D Systems) for additional 2 days to induce dendritic cell maturation. After dendritic cell activation, the medium is replaced with completed RPMI 1640 supplemented with 100-200 LVmL IL-2 (#CYT-209, ProSpec-Tany TechnoGene) and 100 ng/mL anti-CD3 antibody (#555336, PharMingen), T cells (2-3 X 105 cells/well), and serial dilutions of IDO compounds. After incubation for 2 more days, T cell proliferation is measured by BrdU incorporation assay, using a colorimetric Cell Proliferation ELISA kit per manufacturer's instruction (#1647229, Roche Molecular Biochemicals). Cells are continuously cultured for 16-18 hrs in presence of 10 μM BrdU labeling solution. Then, the labeling medium is removed, and 200 μL FixDenat per well is added to the cells and incubated for 30 minutes at room temperature. The FixDenat solution is removed and 100 μL/well anti-BrdU-POD antibody conjugate working solution is added. The reaction is carried out for 90 minutes at room temperature. The antibody conjugate is then removed, and cells are rinsed three times with 200 μL/well washing solution. Finally, 100 μL/well of substrate solution is added and the results are obtained using a microplate reader (Spectra Max PLUS, Molecular Devices) during color development. Multiple readings at various time
points are obtained to ensure the data is within the linear range. The data is routinely obtained from replicated experiments, and appropriate controls are included. See: Terness P, et al. (2002). Inhibition of allogeneic T cell proliferation by indoleamine 2,3-dioxygenase- expressing dendritic cells: mediation of suppression by tryptophan metabolites. J. Exp. Med. 196(4):447-57; and Hwu P, et al. (2000). Indoleamine 2,3-dioxygenase production by human dendritic cells results in the inhibition of T cell proliferation. J. Immunol. 164(7):3596-9. Compounds of the invention having an IC50 less than about 100 μM are considered active.
Example D: In vivo testing of IDO inhibitors for antitumor activity In vivo anti-tumor efficacy can be tested using modified tumor allograft/xenograft protocols. For instance, it has been described in the literature that IDO inhibition can syngerize with cytotoxic chemotherapy in immune-competent mice (Muller, A.J., et at). This synergy was shown to be dependent on T-cells by comparison of the synergistic effects of an investigational IDO inhibitor in murine tumor xenograft models (e.g. B16 and related variants, CT-26, LLC) grown in immune competent syngenic mice to that observed in syngenic mice treated with neutralizing anti-CD4 antibodies, or the same tumors grown in immune-compromised mice (e.g. nu/nu).
The concept of differential anti-tumor effects in immune-competent versus immune- compromised mice may also permit testing of investigational IDO inhibitors as single agents. For instance, LLC tumors grow well in their syngenic host strain, C57B1/6. However, if these mice are treated with the IDO inhibitor 1-MT (versus placebo) the formation of tumors is markedly delayed, implying that IDO inhibition was growth inhibitory (Friberg, M., et al). Following this logic, one can examine the efficacy of IDO inhibition in the LLC xenograft tumor model grown in C57B1/6 immune competent mice and compare that to the effects of IDO inhibitors on LLC tumor growth in nude or SCID mice (or C57B1/6 mice treated with antibodies that neutralize T-cell activity). As the effects of relieving the tumor-mediated immune suppressive activity of IDO will likely differ depending on the immunogenic potential of different tumor models, genetic modifications can be made to the tumor cells to increase their immunogenic potential. For instance, expression of GM-CSF in Bl 6.F 10 cells increases their immunogenic potential (Dranoff, G., et at). As such, in some tumor models (e.g. Bl 6.F 10) one can generate [poly]clones that express immune stimulatory proteins such as GM-CSF and test the growth inhibitory effects of IDO inhibitors against tumors established from these tumor cells in both immune-competent and -compromised mice.
A third avenue for assessing the efficacy of IDO inhibitors in vivo employs 'pre- immunization' murine tumor allograft/xenograft models. In these models, immune- competent mice are sensitized to a specific tumor antigen or antigens to mimic a therapeutic anti-tumor vaccination. This primes the mice for an anti-tumor response mediated by the immune system when mice are subsequently challenged with murine tumor cell lines (possessing similar tumor antigens to those used for immunization) in xenograft experiments. Expression of IDO has been shown to blunt the anti-tumor response and allow xenografts to grow more rapidly. Importantly, the growth of tumors in this model is inhibited by the IDO inhibitor 1-MT (Uyttenhove, C, et al). This model is particularly attractive as IDO activity is permissive for P815 tumor growth and specific inhibition of IDO should therefore growth inhibitory.
Lastly, therapeutic immunization may be used to evaluate the impact of IDO inhibitors in vivo. For example, it has been demonstrated using B16-BL6 cells that one can challenge Blk/6 mice with an intravenous injection of tumor cells followed by treatment with a well characterized immunogenic peptide (e.g. TRP -2) expressed by the tumor cells (Ji, et al., J. Immunol, 2005, 175:1456-63). Importantly, immune system modifiers, such as anti- CTL-4 antibody, can improve responses to such therapeutic immunizations. The impact of IDO inhibitors may be evaluated in a similar manner - tumor peptide immunization with or without IDO inhibitor. Efficacy is assess by animal survival (time to morbididity) or by the measurement of tumor metastases to the lungs and/or other organs at defined timepoints.
In any/all of the above mentioned models, it may also be possible to directly and/or indirectly measure the number and/or activity of tumor reactive immune cells. Methods for measuring the number and/or activity of tumor reactive immune cells are well established and can be performed using techniques familiar to those schooled in the art (Current Protocols in Immunology, vol 4, Coligan, J.E., et al; Immunotherapy of Cancer, Human Press, 2006, Disis, MX. and references therein). Conceptually, a reduction in the immune suppressive effects of IDO may result in increased numbers or reactivity of tumor specific immune cells. Further, IDO inhibition may further increase the number or reactivity of tumor reactive immune cells when combined with other therapeutics, for example chemotherapeutics and/or immune modulators (e.g. anti-CTLA4 antibody).
All allograft/xenograft experiments can be performed using standard tumor techniques (reviewed by Corbett, et al). The cloning and introduction of genes (e.g. IDO, GM-CSF) into tumor cell lines, can be performed using techniques familiar to those schooled in the art (reviewed in Sambrook, J, et al). See: Corbett, T., Polin, L., et al. In vivo methods
for screening and preclinical testing. Cancer Drug Discovery and Development: Anticancer Drug Development Guide: Preclinical Screening, Clinical Trials, and Approval, 2nd Ed. Teicher, B.A. and Andrews, P.A., Gumana Press Inc., Totowa, NJ, 2004; Dranoff, G., Jaffee, E., et al. Vaccination with irradiated tumor cells engineered to secrete murine granulocyte- macrophage colony-stimulating factor stimulates potent, specific, and long-lasting anti-tumor immunity. Proc. Natl. Acad. Sci, USA. 90:3539-3543, 1993; Friberg, M., Jennings, R., et al. Indoleamine 2,3-dioxygenase contributes to tumor cell evasion of T cell-mediated rejection. Int. J. Cancer: 101 :151-155, 2002; Muller, A. J., DuHadaway, J.B., et al. Inhibition of indoleamine 2,3-dioxygenase, an immunoregulatory target of the cancer suppression gene Binl, potentiates cancer chemotherapy. Nat. Med. 11 :312-319, 2005; Sambrook, J, Russel, D. Molecular Cloning: A laboratory Manual (3rd edition). Cold Spring Harbor Laboratory Press. Cold Spring Harbor, NY, USA. 2001; and Uyttenhove, C, Pilotte, L., et al. Evidence for a tumoral immune resistance mechanism based on tryptophan degradation by indoleamine 2,3-dioxygenase. Nat. Med. 9:1269-1274, 2003.
Example E: In vivo testing of IDO inhibitors in human immunodeficiency virus-1 (HIV- 1) encephalitis model
1. Cell isolation and viral infection
Monocytes and PBL can be obtained by countercurrent centrifugal elutriation of leukopheresis packs from HIV-I, 2 and hepatitis B seronegative donors. Monocytes are cultivated in suspension culture using Teflon flasks in Dulbecco's Modified Eagle's Medium
(DMEM, Sigma-Aldrich) supplemented with 10 % heat-inactivated pooled human serum, 1
% glutamine, 50 μg/mL gentamicin, 10 μg/mL ciprofloxacin (Sigma), and 1000 LVmL highly purified recombinant human macrophage colony stimulating factor. After seven days in culture, MDM are infected with HIV- 1 ADA at multiplicity of infection of 0.01.
2. Hu-PBL-NOD/SCID HIVE mice
Four-wk old male NOD/C.B-17 SCID mice can be purchased (Jackson Laboratory). Animals are maintained in sterile microisolator cages under pathogen-free conditions. All animals are injected intraperitoneally with rat anti-CD 122 (0.25 mg/mouse) three days before PBL transplantation and twice with rabbit asialo-GMl antibodies (0.2 mg/mouse) (Wako) one day before and three days after PBL injection (20 x 106 cells/mouse). HIV-lADA-infected MDM (3 x 105 cells in 10 μL) are injected intracranially (i.e.) eight days following PBL
reconstitution generating hu-PBL-NOD/SCID HIVE mice. Immediately following i.e. injection of HIV-I infected MDM the hu-PBL-NOD/SCID HIVE mice are subcutaneously (s.c) implanted with control (vehicle) or compound pellets (14 or 28 day slow release, Innovative Research). Initial experiments are designed to confirm the induction of virus- specific CTL in the hu PBL-NOD/SCID HIVE animals treated with IDO compounds. This is confirmed by tetramer staining and neuropathologic analyses of MDM elimination from the brain tissue. Then, the experiment is designed to analyze human lymphocyte reconstitution, humoral immune responses, and neuropathological alterations. In these experiments, animals are bled on day 7 and sacrificed at 14 and 21 days after i.e. injection of human MDM. Blood collected in EDTA-containing tubes is used for flow cytometry and plasma is used for detection of HIV-I p24 using ELISA (Beckman Coulter™). HIV-I -specific antibodies are detected by Western blot tests according to the manufacturer instructions (Cambridge Biotech HIV-I Western blot kit, Calypte Biomedical). Similar amount of virus-specific antibodies are detected in control and compound-treated animals. A total of three independent experiments can be performed using three different human leukocyte donors.
3. FACScan of peripheral blood and spleen in hu PBL-NOD/SCID HIVE mice
Two-color FACS analysis can be performed on peripheral blood at wk 1-3 and splenocytes at wk 2 and 3 after i.e. injection of human MDM. Cells are incubated with fluorochrome-conjugated monoclonal Abs (mAbs) to human CD4, CD8, CD56, CD3, IFN-γ (eBioscience) for 30 min at 4 0C. To evaluate the cellular immune response, IFN-γ intracellular staining is performed in combination with anti-human CD8 and FITC- conjugated anti-mouse CD45 to exclude murine cells. To determine the Ag-specific CTL, allophycocyanin-conjugated tetramer staining for HIV- lgag (pi 7 (aa77-85) SLYNTVATL, SL-9) and HIV- lpo1 [(aa476-485) ILKEPVHGV, IL-9] is performed on phytohemaglutinin/interleukin-2 (PHA/IL-2)- stimulated splenocytes. Cells are stained following the recommendation of the NIH/National Institute of Allergy and Infections Disease, National Tetramer Core Facilities. Data are analyzed with a FACS Calibur™ using CellQuest software (Becton Dickinson Immunocytometry System).
4. Histopathology and image analyses
Brain tissue is collected at days 14 and 21 after i.e. injection of MDM, fixed in 4 % phosphate-buffered paraformaldehyde and embedded in paraffin or frozen at -80 0C for later
use. Coronal sections from the embedded blocks are cut in order to identify the injection site. For each mouse, 30-100 (5-μm-thick) serial sections are cut from the human MDM injection site and 3-7 slides (10 sections apart) are analyzed. Brain sections are deparaffmized with xylene and hydrated in gradient alcohols. Immunohistochemical staining follows a basic indirect protocol, using antigen retrieval by heating to 95 0C in 0.01 mol/L citrate buffer for 30 min for antigen retrieval. To identify human cells in mouse brains, mAb to vimentin (1 :50, clone 3B4, Dako Corporation), which identifies all human leukocytes is used. Human MDM and CD8+ lymphocytes are detected with CD68 (1 :50 dilution, clone KP 1) and CD8 (1 :50 dilution, clone 144B) antibodies, respectively. Virus-infected cells are labeled with mAb to HIV-I p24 (1 :10, clone KaI-I, all from Dako). Reactive murine microglial cells are detected with Iba-1 antibody (1 :500, Wako). Expression of human IDO (huIDO) is visualized with Abs obtained from the Department of Cell Pharmacology, Central Research Institute, Graduate School of Medicine, Hokkaido University, Sapporo, Japan. Primary antibodies are detected with the appropriate biotinylated secondary antibodies and visualized with avidin- biotin complexes (Vectastain Elite ABC kit, Vector Laboratories) and horseradish peroxidase (HRP) coupled dextran polymer (EnVision, Dako Corporation). Immunostained sections are counterstained with Mayer's hematoxylin. Sections from which primary antibody is deleted or irrelevant IgG isotype is incorporated served as controls. Two independent observers in a blinded fashion count the numbers of CD8+ lymphocytes, CD68+ MDM and HIV-I p24+ cells in each section from each mouse. Light microscopic examination is performed with a Nikon Eclipse 800 microscope (Nikon Instruments Inc). Semi-quantitative analysis for Ibal (percentage of area occupied by immunostaining) is carried out by computer-assisted image analysis (Image-Pro®Plus, Media Cybernetics) as previously described.
5. Statistic analysis
Data can be analyzed using Prism (Graph Pad) with Student t-test for comparisons and ANOVA. P-values < 0.05 were considered significant.
6. Reference Poluektova LY, Munn DH, Persidsky Y, and Gendelman HE (2002). Generation of cytotoxic T cells against virus-infected human brain macrophages in a murine model of HIV- 1 encephalitis. J. Immunol 168(8):3941-9.
Various modifications of the invention, in addition to those described herein, will be apparent to those skilled in the art from the foregoing description. Such modifications are also intended to fall within the scope of the appended claims. Each reference, including all patent, patent applications, and publications, cited in the present application is incorporated herein by reference in its entirety.
Claims
1. A compound of Formula I:
I or pharmaceutically acceptable salt or prodrug thereof, wherein:
U is N, O, S, CR , or NR";
V, and W are each, independently, N, O, S, CR2, or NR3, wherein the fϊve-membered ring containing U, V, and W is an aromatic heterocycle;
A is aryl, cycloalkyl, heteroaryl, or heterocycloalkyl, each optionally substituted by 1 , 2, 3, 4, or 5 substituents selected from halo, Ci_6 alkyl, C2-6 alkenyl, C2-6 alkynyl, Ci_6 haloalkyl, C1-6 hydroxyalkyl, C1-6 cyanoalkyl, Cy1, CN, NO2, ORa, SRa, C(O)Rb, C(0)NRcRd, C(O)ORa, OC(O)Rb, 0C(0)NRcRd, NRcRd, NRcC(O)Rb, NRcC(0)NRcRd, NRcC(0)0Ra, C(=NR')NRcRd, NRcC(=NR')NRcRd, P(Rf)2, P(ORe)2, P(O)ReRf, P(O)OReORf, S(O)Rb, S(0)NRcRd, S(O)2Rb, NRcS(0)2Rb, and S(0)2NRcRd, wherein said Ci_6 alkyl, C2.6 alkenyl, and C2_6 alkynyl is optionally substituted with 1, 2, or 3 substitutents selected from Cy1, CN, NO2, 0Ra, SRa, C(0)Rb, C(0)NRcRd, C(0)0Ra, 0C(0)Rb, 0C(0)NRcRd, NRcRd, NRcC(0)Rb, NRcC(0)NRcRd, NRcC(0)0Ra, C(=NR')NRcRd, NRcC(=NR')NRcRd, P(Rf)2, P(ORe)2, P(0)ReRf, P(0)0Re0Rf, S(O)Rb, S(O)NRcRd, S(O)2Rb, NRcS(0)2Rb, and S(0)2NRcRd;
L is Ci_6 alkylene, C2_6 alkenylene, C2_6 alkynylene, (C1-6 alkylene)r-O-( Ci_6 alkylene)s, (Ci_6 alkylene)r-S-(Ci_6 alkylene)s, (C1-6 alkylene)r-NRJ-(Ci_6 alkylene)s, (Ci_6 alkylene)r-CO- (C1-6 alkylene)s, (Ci_6 alkylene)r-COO-(Ci_6 alkylene)s, (C1-6 alkylene)r-CONRJ-(Ci_6 alkylene)s, (C1-6 alkylene)r-SO-(C1.6 alkylene)s, (C1-6 alkylene)r-SO2-(C1.6 alkylene)s, (C1-6 alkylene)r-SONRJ-(Ci_6 alkylene)s, and (C1-6 alkylene)r-NRJCONRk-(C1-6 alkylene)s, wherein each of the C1-6 alkylene, C2-6 alkenylene, and C2-6 alkynylene is optionally substituted by 1, 2 or 3 substituents independently selected from halo, CN, NO2, N3, SCN, OH, C1-6 alkyl, C1-6 haloalkyl, C2_g alkoxyalkyl, C1-6 alkoxy, C1-6 haloalkoxy, amino, C1-6 alkylamino, and C2_g dialkylamino;
R is H, C(O)R5, C(O)OR6, or C(O)NR6aR6b; RA and RB are independently selected from H, F, Ci_6 alkyl, C2-6 alkenyl, C2-6 alkynyl, Ci_6 haloalkyl, aryl, cycloalkyl, heteroaryl, heterocycloalkyl, arylalkyl, cycloalkylalkyl, heteroarylalkyl, heterocycloalkylalkyl, CN, NO2, ORal, SRal, C(O)Rbl, C(0)NRclRdl, C(O)ORal, OC(O)Rbl, 0C(0)NRclRdl, NRclRdl, NRclC(O)Rbl, NRclC(0)NRclRdl, NRclC(0)0Ral, C(=NR')NRclRdl, NRclC(=NR')NRclRdl, P(Rfl)2, P(ORel)2, P(O)RelRfl, P(O)ORelORfl, S(O)Rbl, S(O)NRclRdl, S(O)2Rbl, NRclS(O)2Rbl, and S (0)2NRclRdl; wherein said Ci_6 alkyl, C2-6 alkenyl, C2-6 alkynyl, aryl, cycloalkyl, heteroaryl, heterocycloalkyl, arylalkyl, cycloalkylalkyl, heteroarylalkyl, or heterocycloalkylalkyl is optionally substituted by 1, 2, 3, 4, or 5 substituents selected from halo, Ci_4 alkyl, C2-4 alkenyl, C2-4 alkynyl, Ci_4 haloalkyl, C1-4 hydroxyalkyl, C1-4 cyanoalkyl, CN, NO2, ORal, SRal, C(0)Rbl, C(0)NRclRdl, C(0)0Ral, 0C(0)Rbl, 0C(0)NRclRdl, NRclRdl, NRclC(O)Rbl, NRclC(0)NRclRdl, NRclC(0)0Ral, C(=NR')NRclRdl, NRclC(=NR')NRclRdl, P(Rfl)2, P(ORel)2, P(O)RelRfl, P(0)0Rel0Rfl, S(O)Rbl, S(O)NRclRdl, S(O)2Rbl, NRclS(0)2Rbl, and S(0)2NRclRdl; or RA and RB together with the carbon atom to which they are attached form a 3-, A-, 5-, 6-, or 7- membered cycloalkyl group or 3-, A-, 5-, 6-, or 7- membered heterocycloalkyl group, each optionally substituted with 1, 2, or 3 substituents selected from halo, Ci_4 alkyl, C2-4 alkenyl, C2-4 alkynyl, Ci_4 haloalkyl, Ci_4 hydroxyalkyl, Ci_4 cyanoalkyl, CN, NO2, ORal, SRal, C(0)Rbl, C(0)NRclRdl, C(0)0Ral, 0C(0)Rbl, 0C(0)NRclRdl, NRclRdl, NRclC(O)Rbl, NRclC(0)NRclRdl, NRclC(0)0Ral, C(=NR')NRclRdl, NRclC(=NR')NRclRdl, P(Rfl)2, P(ORel)2, P(0)RelRfl, P(0)0Rel0Rfl, S(O)Rbl, S(O)NRclRdl, S(O)2Rbl, NRclS(0)2Rbl, and S(0)2NRclRdl;
Q is ORQ, 0C(0)RQ, 0C(0)NR4RQ, NR4RQ, NR4C(O)RQ, NR4C(O)NR4RQ, NR4C(0)0RQ, NR4S(O)RQ, NR4S(O)2RQ, SRQ, S(O)RQ, S(0)NR4RQ, S(O)2RQ, S(O)2NR4RQ, C(0)RQ, C(0)0RQ, C(O)NR4RQ, halo, cyano, azido, or nitro; or Q is H, Ci_6 alkyl, C2-6 alkenyl, C2-6 alkynyl, aryl, heteroaryl, cycloalkyl, heterocycloalkyl, each optionally substituted by 1, 2, 3, 4, or 5 substituents selected from halo, Ci_4 alkyl, C2-6 alkenyl, C2-6 alkynyl, Ci_6 haloalkyl, Ci_6 hydroxyalkyl, Ci_6 cyanoalkyl, Cy, -(C1-4 alkyl)-Cy, CN, NO2, ORa2, -(CL4 alkyl)-ORa2, SRa2, -(Ci_4 alkyl)-SRa2, C(0)Rb2, - (Ci_4 alkyl)-C(O)Rb2, C(O)NRc2Rd2, -(Ci.4 alkyl)-C(O)NRc2Rd2, C(0)0Ra2, -(C1-4 alkyl)- C(0)0Ra2, 0C(0)Rb2, -(Ci_4 alkyl)-OC(O)Rb2, OC(O)NRc2Rd2, -(d_4 alkyl)-OC(O)NRc2Rd2, NRc2Rd2, -(CL4 alkyl)-NRc2Rd2, NRc2C(O)Rb2, -(CL4 alkyl)-NRc2C(O)Rb2, NRc2C(O)NRc2Rd2, -(CL4 alkyl)-NRc2C(O)NRc2Rd2, NRc2C(O)ORa2, -(CL4 alkyl)-NRc2C(O)ORa2, C(=NR')NRc2Rd2, NRc2C(=NR')NRc2Rd2, P(RG)2, P(ORe2)2, P(0)Re2RG, P(0)0Re20RG, S(O)Rb2, -(Ci_4 alkyl)-S(O)Rb2, S(O)NRc2Rd2, -(CL4 alkyl)-S(O)NRc2Rd2, S(O)2Rb2, -(CL4 alkyl)-S(O)2Rb2, NRc2S(O)2Rb2, -(CL4 alkyl)-NRc2S(O)2Rb2, S(O)2NRc2Rd2 , and -(CL4 alkyl)- S(O)2NRc2Rd2;
RQ is H, Ci_6 alkyl, C2_6 alkenyl, C2_6 alkynyl, Ci_6 haloalkyl, aryl, cycloalkyl, heteroaryl, heterocycloalkyl, arylalkyl, cycloalkylalkyl, heteroarylalkyl, or heterocycloalkylalkyl, wherein said CL6 alkyl, C2_6 alkenyl, C2_6 alkynyl, aryl, cycloalkyl, heteroaryl, heterocycloalkyl, arylalkyl, cycloalkylalkyl, heteroarylalkyl, or heterocycloalkylalkyl is optionally substituted by 1, 2, 3, 4, or 5 substituents selected from halo, Ci_6 alkyl, C2_6 alkenyl, C2_6 alkynyl, CL6 haloalkyl, CL6 hydroxyalkyl, CL6 cyanoalkyl, Cy, -(Ci_4 alkyl)-Cy, CN, NO2, ORa2, SRa2, C(0)Rb2, C(O)NRc2Rd2, C(0)0Ra2, 0C(0)Rb2, OC(O)NRc2Rd2, NRc2Rd2, NRc2C(O)Rb2, NRc2C(O)NRc2Rd2, NRc2C(O)ORa2, C(=NR')NRc2Rd2, NRc2C(=NR')NRc2Rd2, P(RG)2, P(ORe2)2, P(0)Re2RG, P(0)0Re20RG, S(O)Rb2, S(O)NRc2Rd2, S(O)2Rb2, NRc2S(O)2Rb2, and S(O)2NRc2Rd2; or R4 and R^ together with the N atom to which they are attached form a 4-20 membered heterocycloalkyl group or 5-20 membered heteroaryl group, each optionally substituted by 1, 2, 3, 4, or 5 substituents selected from halo, CL6 alkyl, C2_6 alkenyl, C2_6 alkynyl, CL6 haloalkyl, CL6 hydroxyalkyl, CL6 cyanoalkyl, Cy, -(CL4 alkyl)-Cy, CN, NO2, ORa2, -(Ci_4 alkyl)-ORa2, SRa2, -(Ci_4 alkyl)-SRa2, C(O)Rb2, -(Ci_4 alkyl)-C(O)Rb2, C(O)NRc2Rd2, -(CL4 alkyl)-C(O)NRc2Rd2, C(O)ORa2, -(CL4 alkyl)-C(O)ORa2, OC(O)Rb2, - (CL4 alkyl)-OC(O)Rb2, OC(O)NRc2Rd2, -(CL4 alkyl)-OC(O)NRc2Rd2, NRc2Rd2, -(CL4 alkyl)- NRc2Rd2, NRc2C(O)Rb2, -(CL4 alkyl)-NRc2C(O)Rb2, NRc2C(O)NRc2Rd2, -(CL4 alkyl)- NRc2C(O)NRc2Rd2, NRc2C(O)ORa2, -(Ci.4 alkyl)-NRc2C(O)ORa2, C(=NR')NRc2Rd2, NRc2C(=NR')NRc2Rd2, P(RG)2, P(ORe2)2, P(O)Re2RG, P(O)ORe2ORG, S(O)Rb2, -(CL4 alkyl)- S(O)Rb2, S(O)NRc2Rd2, -(Ci_4 alkyl)-S(O)NRc2Rd2, S(O)2Rb2, -(Ci_4 alkyl)-S(O)2Rb2, NRc2S(O)2Rb2, -(CL4 alkyl)-NRc2S(O)2Rb2, S(O)2NRc2Rd2 , and -(CL4 alkyl)-S(O)2NRc2Rd2;
Cy, Cy1, and Cy2 are independently selected from aryl, heteroaryl, cycloalkyl, and heterocycloalkyl, each optionally substituted by 1, 2, 3, 4 or 5 substituents selected from halo, CL4 alkyl, C2.4 alkenyl, C2.4 alkynyl, C1-4 haloalkyl, CN, NO2, ORa3, SRa3, C(O)Rb3, C(O)NRc3Rd3, C(O)OR33, 0C(0)Rb3, OC(O)NRc3Rd3, NRc3Rd3, NRc3C(O)Rb3, NRc3C(O)ORa3, C(=NR')NRc3Rd3, NRc3C(=NR')NRc3Rd3, P(Rβ)2, P(ORe3)2, P(0)Re3Rβ, P(0)0Re30Rβ, S(O)Rb3, S(O)NRc3Rd3, S(O)2Rb3, and S(O)2NRc3Rd3;
R1 is H or CL4 alkyl;
R2 is H, halo, C1-4 alkyl, C1-4 haloalkyl, C2_4 alkenyl, C2_4 alkynyl, CN, NO2, OH, C1-4 alkoxy, amino, CL4 alkylamino, or C2_g dialkylamino;
R3 is H, CL4 alkyl, C2_4 alkenyl, or C2_4 alkynyl; R4 is H, CM alkyl, C2.4 alkenyl, C2.4 alkynyl, C(O)-R4a, SO2-R4a, aryl, cycloalkyl, heteroaryl, heterocycloalkyl, arylalkyl, cycloalkylalkyl, heteroarylalkyl, or heterocycloalkylalkyl, wherein said Ci_4 alkyl, C2_4 alkenyl, C2_4 alkynyl, aryl, cycloalkyl, heteroaryl, heterocycloalkyl, arylalkyl, cycloalkylalkyl, heteroarylalkyl, or heterocycloalkylalkyl is optionally substituted by 1, 2, 3, 4, or 5 substituents selected from halo, Ci_6 alkyl, C2_6 alkenyl, C2_6 alkynyl, Ci_6 haloalkyl, Ci_6 hydroxyalkyl, Ci_6 cyanoalkyl, aryl, heteroaryl, cycloalkyl, heterocycloalkyl, CN, NO2, ORa4, SRa4, C(O)Rb4, C(O)NRc4Rd4, C(O)ORa4, OC(O)Rb4, OC(O)NRc4Rd4, NRc4Rd4, NRc4C(O)Rb4, NRc4C(O)NRc4Rd4, NRc4C(O)ORa4, C(=NR')NRc4Rd4, NRc4C(=NR')NRc4Rd4, P(Rf4)2, P(ORe4)2, P(O)R6V4, P(O)ORe4ORf4, S(O)Rb4, S(O)NRc4Rd4, S(O)2Rb4, NRc4S(O)2Rb4, and S(O)2NRc4Rd4;
R4a is H, Ci_4 alkyl, C2_4 alkenyl, C2_4 alkynyl, aryl, cycloalkyl, heteroaryl, heterocycloalkyl, arylalkyl, cycloalkylalkyl, heteroarylalkyl, or heterocycloalkylalkyl;
R5 and R6 are independently selected from H, Ci_8 alkyl, aryl, heteroaryl, cycloalkyl, heterocycloalkyl, arylalkyl, heteroarylalkyl, cycloalkylalkyl, or heterocycloalkylalkyl, each optionally substituted by one or more halo, CN, NO2, OH, Ci_4 alkoxy, Ci_4 haloalkoxy, amino, Ci_4 alkylamino, C2_g dialkylamino, Ci_6 alkyl, C2_6 alkenyl, and C2_6 alkynyl;
R6a and R6b are independently selected from H, Ci_8 alkyl, aryl, heteroaryl, cycloalkyl, heterocycloalkyl, arylalkyl, heteroarylalkyl, cycloalkylalkyl, or heterocycloalkylalkyl, each optionally substituted by one or more halo, CN, NO2, OH, Ci_4 alkoxy, Ci_4 haloalkoxy, amino, Ci_4 alkylamino, C2_g dialkylamino, Ci_6 alkyl, C2_6 alkenyl, and C2_6 alkynyl;
Ra, Ral, Ra3, Ra4, and Ra5 are each, independently, H, C1-6 alkyl, C1-6 haloalkyl, C2 :-.66 alkenyl, C2_6 alkynyl, aryl, cycloalkyl, heteroaryl, heterocycloalkyl, arylalkyl, heteroarylalkyl, cycloalkylalkyl or heterocycloalkylalkyl, wherein said Ci_6 alkyl, Ci_6 haloalkyl, C2_6 alkenyl, C2_6 alkynyl, aryl, cycloalkyl, heteroaryl, heterocycloalkyl, arylalkyl, heteroarylalkyl, cycloalkylalkyl or heterocycloalkylalkyl is optionally substituted with OH, amino, halo, Ci_6 alkyl, aryl, arylalkyl, heteroaryl, heteroarylalkyl, cycloalkyl or heterocycloalkyl;
Rb, Rbl, Rb3, Rb4, and Rb5 are each, independently, H, C1-6 alkyl, C1-6 haloalkyl, C2.6 alkenyl, C2_6 alkynyl, aryl, cycloalkyl, heteroaryl, heterocycloalkyl, arylalkyl, heteroarylalkyl, cycloalkylalkyl or heterocycloalkylalkyl, wherein said Ci_6 alkyl, Ci_6 haloalkyl, C2_6 alkenyl, C2_6 alkynyl, aryl, cycloalkyl, heteroaryl, heterocycloalkyl, arylalkyl, heteroarylalkyl, cycloalkylalkyl or heterocycloalkylalkyl is optionally substituted with OH, amino, halo, Ci_6 alkyl, C 1-6 haloalkyl, aryl, arylalkyl, heteroaryl, heteroarylalkyl, cycloalkyl or heterocycloalkyl; Ra2 is H, Ci_6 alkyl, Ci_6 haloalkyl, C2.6 alkenyl, C2.6 alkynyl, Cy2, Cy2-(Ci_6 alkyl)-, wherein said Ci_6 alkyl, Ci_6 haloalkyl, C2-6 alkenyl, or C2_6 alkynyl, is optionally substituted with 1, 2, 3, 4, or 5 substituents selected from halo, Ci_6 alkyl, C2_6 alkenyl, C2_6 alkynyl, Ci_6 haloalkyl, d_6 hydroxyalkyl, C1-6 cyanoalkyl, Cy2, CN, NO2, ORa5, SRa5, C(O)Rb5, C(O)NRc5Rd5, C(O)ORa5, OC(O)Rb5, OC(O)NRc5Rd5, NRc5Rd5, NRc5C(O)Rb5, NRc5C(O)NRc5Rd5, NRc5C(O)ORa5, C(=NR1)NRc5Rd5, NRc5C(=NR1)NRc5Rd5, P(Rf5)2, P(ORe5)2, P(O)Re5Rf5, P(O)ORe5ORf5, S(O)Rb5, S(O)NRc5Rd5, S(O)2Rb5, NRc5S(O)2Rb5, and S(O)2NRc5Rd5;
Rb2 is H, Ci_6 alkyl, Ci_6 haloalkyl, C2.6 alkenyl, C2.6 alkynyl, Cy2, Cy2-(Ci_6 alkyl)-, wherein said Ci_6 alkyl, Ci_6 haloalkyl, C2_6 alkenyl, or C2_6 alkynyl, is optionally substituted with 1, 2, 3, 4, or 5 substituents selected from halo, Ci_6 alkyl, C2_6 alkenyl, C2_6 alkynyl, Ci_6 haloalkyl, d_6 hydroxyalkyl, C1-6 cyanoalkyl, Cy2, CN, NO2, ORa5, SRa5, C(O)Rb5, C(O)NRc5Rd5, C(O)ORa5, OC(O)Rb5, OC(O)NRc5Rd5, NRc5Rd5, NRc5C(O)Rb5, NRc5C(O)NRc5Rd5, NRc5C(O)ORa5, C(=NR1)NRc5Rd5, NRc5C(=NR1)NRc5Rd5, P(Rf5)2, P(ORe5)2, P(O)Re5Rf5, P(O)ORe5ORf5, S(O)Rb5, S(O)NRc5Rd5, S(O)2Rb5, NRc5S(O)2Rb5, and S(O)2NRc5Rd5;
Rc and Rd are each, independently, H, Ci_io alkyl, Ci_6 haloalkyl, C2_6 alkenyl, C2_6 alkynyl, aryl, heteroaryl, cycloalkyl, heterocycloalkyl, arylalkyl, heteroarylalkyl, cycloalkylalkyl or heterocycloalkylalkyl, wherein said Ci_io alkyl, Ci_6 haloalkyl, C2_6 alkenyl, C2_6 alkynyl, aryl, heteroaryl, cycloalkyl, heterocycloalkyl, arylalkyl, heteroarylalkyl, cycloalkylalkyl or heterocycloalkylalkyl is optionally substituted with OH, amino, halo, Ci_6 alkyl, C i_6 haloalkyl, aryl, arylalkyl, heteroaryl, heteroarylalkyl, cycloalkyl or heterocycloalkyl; or Rc and Rd together with the N atom to which they are attached form a 4-, 5-, 6- or 7-membered heterocycloalkyl group;
Rcl and Rdl are each, independently, H, Ci_io alkyl, Ci_6 haloalkyl, C2_6 alkenyl, C2_6 alkynyl, aryl, heteroaryl, cycloalkyl, heterocycloalkyl, arylalkyl, heteroarylalkyl, cycloalkylalkyl or heterocycloalkylalkyl, wherein said Ci_io alkyl, Ci_6 haloalkyl, C2_6 alkenyl, C2_6 alkynyl, aryl, heteroaryl, cycloalkyl, heterocycloalkyl, arylalkyl, heteroarylalkyl, cycloalkylalkyl or heterocycloalkylalkyl is optionally substituted with OH, amino, halo, Ci_6 alkyl, C i_6 haloalkyl, aryl, arylalkyl, heteroaryl, heteroarylalkyl, cycloalkyl or heterocycloalkyl; or Rcl and Rdl together with the N atom to which they are attached form a 4-, 5-, 6- or 7-membered heterocycloalkyl group; Rc2 and Rd2 are independently selected from H, C1-10 alkyl, Ci_6 haloalkyl, C2-6 alkenyl, C2-6 alkynyl, Cy2 and Cy2-(Ci_6 alkyl)-, wherein said C1-10 alkyl, Ci_6 haloalkyl, C2-6 alkenyl, and C2-6 alkynyl, is optionally substituted with OH, amino, halo, Ci_6 alkyl, Ci_6 haloalkyl, aryl, arylalkyl, heteroaryl, heteroarylalkyl, cycloalkyl or heterocycloalkyl; or Rc2 and Rd2 together with the N atom to which they are attached form a 4-, 5-, 6- or 7-membered heterocycloalkyl group optionally substituted with Cy2 and Cy2-(Ci_6 alkyl)-, OH, amino, halo, Ci_6 alkyl, Ci_6 haloalkyl, aryl, arylalkyl, heteroaryl, heteroarylalkyl, cycloalkyl or heterocycloalkyl;
Rc3 and Rd3 are each, independently, H, C1-10 alkyl, Ci_6 haloalkyl, C2-6 alkenyl, C2-6 alkynyl, aryl, heteroaryl, cycloalkyl, heterocycloalkyl, arylalkyl, heteroarylalkyl, cycloalkylalkyl or heterocycloalkylalkyl, wherein said C1-10 alkyl, Ci_6 haloalkyl, C2-6 alkenyl, C2-6 alkynyl, aryl, heteroaryl, cycloalkyl, heterocycloalkyl, arylalkyl, heteroarylalkyl, cycloalkylalkyl or heterocycloalkylalkyl is optionally substituted with OH, amino, halo, Ci_6 alkyl, C1-6 haloalkyl, aryl, arylalkyl, heteroaryl, heteroarylalkyl, cycloalkyl or heterocycloalkyl; or Rc3 and Rd3 together with the N atom to which they are attached form a 4-, 5-, 6- or 7-membered heterocycloalkyl group;
Rc4 and Rd4 are independently selected from H, C1-10 alkyl, Ci_6 haloalkyl, C2-6 alkenyl, C2-6 alkynyl, aryl, heteroaryl, cycloalkyl, heterocycloalkyl, arylalkyl, heteroarylalkyl, cycloalkylalkyl or heterocycloalkylalkyl, wherein said C1-10 alkyl, Ci_6 haloalkyl, C2-6 alkenyl, C2-6 alkynyl, aryl, heteroaryl, cycloalkyl, heterocycloalkyl, arylalkyl, heteroarylalkyl, cycloalkylalkyl and heterocycloalkylalkyl is optionally substituted with OH, amino, halo, Ci_6 alkyl, C1-6 haloalkyl, aryl, arylalkyl, heteroaryl, heteroarylalkyl, cycloalkyl, or heterocycloalkyl; or Rc4 and Rd4 together with the N atom to which they are attached form a 4-, 5-, 6- or 7-membered heterocycloalkyl group;
Rc5 and Rd5 are independently selected from H, C1-10 alkyl, Ci_6 haloalkyl, C2-6 alkenyl, C2-6 alkynyl, aryl, heteroaryl, cycloalkyl, heterocycloalkyl, arylalkyl, heteroarylalkyl, cycloalkylalkyl or heterocycloalkylalkyl, wherein said C1-10 alkyl, Ci_6 haloalkyl, C2-6 alkenyl, C2-6 alkynyl, aryl, heteroaryl, cycloalkyl, heterocycloalkyl, arylalkyl, heteroarylalkyl, cycloalkylalkyl and heterocycloalkylalkyl is optionally substituted with OH, amino, halo, Ci_6 alkyl, C1-6 haloalkyl, aryl, arylalkyl, heteroaryl, heteroarylalkyl, cycloalkyl, or heterocycloalkyl; or Rc5 and Rd5 together with the N atom to which they are attached form a A-, 5-, 6- or 7-membered heterocycloalkyl group;
Re, Rel, Re2, Re3, Re4, and Re5 are independently selected from H, C1-6 alkyl, Ci_6 haloalkyl, C2-6 alkenyl, (C1-6 alkoxy)-Ci_6 alkyl, C2-6 alkynyl, aryl, cycloalkyl, heteroaryl, heterocycloalkyl, arylalkyl, cycloalkylalkyl, heteroarylalkyl and heterocycloalkylalkyl;
Rf, Rfl, RG, Rβ, Rf4, and Rf5 are independently selected from H, Ci_6 alkyl, Ci_6 haloalkyl, C2-6 alkenyl, C2_6 alkynyl, aryl, cycloalkyl, heteroaryl and heterocycloalkyl;
R1 is H, CN, or NO2;
RJ and Rk are independently selected from H and Ci_6 alkyl;
R' is H, halo, C i.io alkyl, C2.6 alkenyl, C2.6 alkynyl, Cy, Cy-(Ci-6 alkyl)-, CN, NO2, ORa3, SRa3, C(O)Rb3, C(O)NRc3Rd3, C(O)ORa3, OC(O)Rb3, OC(O)NRc3Rd3, NRc3Rd3, NRc3C(O)Rb3, NRc3C(O)ORa3, S(O)Rb3, S(O)NRc3Rd3, S(O)2Rb3, or S(O)2NRc3Rd3; wherein said C1-10 alkyl, C2_6 alkenyl, or C2_6 alkynyl is optionally substituted with 1, 2, 3, 4, or 5 substituents selected from CN, NO2, Cy, Cy-(Ci-6 alkyl)-, ORa3, SRa3, C(O)Rb3, C(O)NRc3Rd3, C(O)ORa3, OC(O)Rb3, OC(O)NRc3Rd3, NRc3Rd3, NRc3C(O)Rb3, NRc3C(O)ORa3, C(=NR')NRc3Rd3, NRc3C(=NR')NRc3Rd3, P(Rβ)2, P(ORe3)2, P(O)Re3Rβ, P(O)ORe3ORβ, S(O)Rb3, S(O)NRc3Rd3, S(O)2Rb3, and S(O)2NRc3Rd3;
R" is H, CLIO alkyl, C2-6 alkenyl, C2-6 alkynyl, Cy, Cy-(Ci-6 alkyl)-, C(O)Rb3, C(O)NRc3Rd3, C(O)OR33, S(O)Rb3, S(O)NRc3Rd3, S(O)2Rb3, or S(O)2NRc3Rd3; wherein said Ci_io alkyl, C2_6 alkenyl, or C2_6 alkynyl is optionally substituted with 1, 2, 3, 4, or 5 substituents selected from CN, NO2, Cy, -(C1-6 alkyl)-Cy, ORa3, SRa3, C(O)Rb3, C(O)NRc3Rd3, C(O)ORa3, OC(O)Rb3, OC(O)NRc3Rd3, NRc3Rd3, NRc3C(O)Rb3, NRc3C(O)ORa3, C(=NR')NRc3Rd3, NRc3C(=NR')NRc3Rd3, P(Rβ)2, P(ORe3)2, P(O)Re3Rβ, P(O)ORe3ORβ, S(O)Rb3, S(O)NRc3Rd3, S(O)2Rb3, and S(O)2NRc3Rd3; p is 1, 2, 3, 4, 5, 6, 7, 8, 9 or 10; r is 0 or 1 ; and s is 0 or 1.
2. The compound of claim 1, or pharmaceutically acceptable salt thereof, wherein V is O.
3. The compound of claim 1, or pharmaceutically acceptable salt thereof, wherein U is
N.
4. The compound of claim 1, or pharmaceutically acceptable salt thereof, wherein W is
N.
5. The compound of claim 1 , or pharmaceutically acceptable salt thereof, wherein U and W are both N.
6. The compound of claim 1, or pharmaceutically acceptable salt thereof, wherein U and W are both N and V is O.
7. The compound of claim 1, or pharmaceutically acceptable salt thereof, wherein at least one of U, V and W is N.
8. The compound of claim 1, or pharmaceutically acceptable salt thereof, wherein at least one of U, V and W is N and another of U, V, and W is O or S.
9. The compound of claim 1, or pharmaceutically acceptable salt thereof, wherein L is Ci_6 alkylene, C2-6 alkenylene, C2-6 alkynylene, wherein each of the Ci_6 alkylene, C2-6 alkenylene, and C2-6 alkynylene is optionally substituted by 1, 2 or 3 substituents independently selected from halo, CN, NO2, N3, SCN, OH, C1-6 alkyl, Ci_6 haloalkyl, C2-8 alkoxyalkyl, Ci_6 alkoxy, Ci_6 haloalkoxy, amino, Ci_6 alkylamino, and C2-8 dialkylamino.
10. The compound of claim 1, or pharmaceutically acceptable salt thereof, wherein L is Ci_6 alkylene.
11. The compound of claim 1 , or pharmaceutically acceptable salt thereof, wherein L is CH2.
12. The compound of claim 1, or pharmaceutically acceptable salt thereof, wherein A is aryl or heteroaryl, each optionally substituted by 1, 2, 3, 4, or 5 substituents selected from halo, Ci_6 alkyl, C2_6 alkenyl, C2_6 alkynyl, Ci_6 haloalkyl, Ci_6 hydroxyalkyl, Ci_6 cyanoalkyl, Cy1, CN, NO2, ORa, SRa, C(O)Rb, C(0)NRcRd, C(O)ORa, OC(O)Rb, 0C(0)NRcRd, NRcRd, NRcC(0)Rb, NRcC(0)NRcRd, NRcC(0)0Ra, C(=NR')NRcRd, NRcC(=NR')NRcRd, P(Rf)2, P(ORe)2, P(O)ReRf, P(O)OReORf, S(O)Rb, S(O)NRcRd, S(O)2Rb, NRcS(O)2Rb, and S(O)2NRcRd, wherein said Ci_6 alkyl, C2_6 alkenyl, and C2_6 alkynyl is optionally substituted with 1, 2, or 3 substitutents selected from Cy1, CN, NO2, 0Ra, SRa, C(O)Rb, C(O)NRcRd, C(O)ORa, OC(O)Rb, OC(O)NRcRd, NRcRd, NRcC(O)Rb, NRcC(O)NRcRd, NRcC(O)ORa, C(=NR')NRcRd, NRcC(=NR')NRcRd, P(Rf)2, P(ORe)2, P(O)ReRf, P(O)OReORf, S(O)Rb, S(O)NRcRd, S(O)2Rb, NRcS(O)2Rb, and S(O)2NRcRd.
13. The compound of claim 1, or pharmaceutically acceptable salt thereof, wherein A is aryl optionally substituted by 1, 2, 3, 4, or 5 substituents selected from halo, Ci_6 alkyl, C2_6 alkenyl, C2_6 alkynyl, Ci_6 haloalkyl, Ci_6 hydroxyalkyl, Ci_6 cyanoalkyl, Cy1, CN, NO2, ORa, SRa, C(O)Rb, C(0)NRcRd, C(O)ORa, OC(O)Rb, 0C(0)NRcRd, NRcRd, NRcC(0)Rb, NRcC(0)NRcRd, NRcC(0)0Ra, C(=NR')NRcRd, NRcC(=NR')NRcRd, P(Rf)2, P(ORe)2, P(O)ReRf, P(O)OReORf, S(O)Rb, S(O)NRcRd, S(O)2Rb, NRcS(O)2Rb, and S(O)2NRcRd, wherein said Ci_6 alkyl, C2_6 alkenyl, and C2_6 alkynyl is optionally substituted with 1, 2, or 3 substitutents selected from Cy1, CN, NO2, 0Ra, SRa, C(O)Rb, C(0)NRcRd, C(O)ORa, OC(O)Rb, 0C(0)NRcRd, NRcRd, NRcC(0)Rb, NRcC(0)NRcRd, NRcC(0)0Ra, C(=NR')NRcRd, NRcC(=NR')NRcRd, P(Rf)2, P(ORe)2, P(O)ReRf, P(O)OReORf, S(O)Rb, S(O)NRcRd, S(O)2Rb, NRcS(O)2Rb, and S(O)2NRcRd.
14. The compound of claim 1, or pharmaceutically acceptable salt thereof, wherein A is phenyl optionally substituted by 1, 2, 3, 4, or 5 substituents selected from halo, Ci_6 alkyl, C2. 6 alkenyl, C2_6 alkynyl, Ci_6 haloalkyl, Ci_6 hydroxyalkyl, Ci_6 cyanoalkyl, Cy1, CN, NO2, 0Ra, SRa, C(O)Rb, C(0)NRcRd, C(O)ORa, OC(O)Rb, 0C(0)NRcRd, NRcRd, NRcC(0)Rb, NRcC(0)NRcRd, NRcC(0)0Ra, C(=NR')NRcRd, NRcC(=NR')NRcRd, P(Rf)2, P(ORe)2, P(O)ReRf, P(O)OReORf, S(O)Rb, S(O)NRcRd, S(O)2Rb, NRcS(O)2Rb, and S(O)2NRcRd, wherein said Ci_6 alkyl, C2_6 alkenyl, and C2_6 alkynyl is optionally substituted with 1, 2, or 3 substitutents selected from Cy1, CN, NO2, 0Ra, SRa, C(O)Rb, C(0)NRcRd, C(O)ORa, OC(O)Rb, 0C(0)NRcRd, NRcRd, NRcC(0)Rb, NRcC(0)NRcRd, NRcC(0)0Ra, C(=NR')NRcRd, NRcC(=NR')NRcRd, P(Rf)2, P(ORe)2, P(0)ReRf, P(0)0Re0Rf, S(O)Rb, S(0)NRcRd, S(O)2Rb, NRcS(0)2Rb, and S(0)2NRcRd.
15. The compound of claim 1, or pharmaceutically acceptable salt thereof, wherein A is phenyl optionally substituted by 1, 2, 3, 4, or 5 substituents selected from halo, Ci_6 alkyl, C2. 6 alkenyl, C2_6 alkynyl, Ci_6 haloalkyl, CN, NO2, and 0Ra.
16. The compound of claim 1, or pharmaceutically acceptable salt thereof, wherein A is phenyl optionally substituted by 1, 2, or 3 substituents selected from halo and Ci_6 alkyl.
17. The compound of claim 1, or pharmaceutically acceptable salt thereof, wherein Q is ORQ
18. The compound of claim 1, or pharmaceutically acceptable salt thereof, wherein Q is OH.
19. The compound of claim 1, or pharmaceutically acceptable salt thereof, wherein R^ is H, Ci_6 alkyl, C2-6 alkenyl, C2-6 alkynyl, aryl, cycloalkyl, heteroaryl, heterocycloalkyl, wherein said Ci_6 alkyl, C2-6 alkenyl, C2-6 alkynyl, aryl, cycloalkyl, heteroaryl, and heterocycloalkyl is optionally substituted by 1, 2, 3, 4, or 5 substituents selected from halo, Ci_6 alkyl, C2-6 alkenyl, C2-6 alkynyl, Ci_6 haloalkyl, Ci_6 hydroxyalkyl, Ci_6 cyanoalkyl, Cy, - (Ci_4 alkyl)-Cy, CN, NO2, ORa2, SRa2, C(O)Rb2, C(O)NRc2Rd2, C(O)ORa2, OC(O)Rb2, OC(O)NRc2Rd2, NRc2Rd2, NRc2C(O)Rb2, NRc2C(O)NRc2Rd2, NRc2C(O)ORa2, C(=NR')NRc2Rd2, NRc2C(=NR')NRc2Rd2, P(RG)2, P(ORe2)2, P(O)Re2RG, P(O)ORe2ORG, S(O)Rb2, S(O)NRc2Rd2, S(O)2Rb2, NRc2S(O)2Rb2, and S(O)2NRc2Rd2.
20. The compound of claim 1, or pharmaceutically acceptable salt thereof, wherein R^ is H or Ci_6 alkyl, wherein said Ci_6 alkyl is optionally substituted by 1, 2, 3, 4, or 5 substituents selected from halo, Ci_6 alkyl, C2-6 alkenyl, C2-6 alkynyl, Ci_6 haloalkyl, Ci_6 hydroxyalkyl, C1-6 cyanoalkyl, Cy, -(C1-4 alkyl)-Cy, CN, NO2, ORa2, SRa2, C(O)Rb2, C(O)NRc2Rd2, C(O)ORa2, OC(O)Rb2, OC(O)NRc2Rd2, NRc2Rd2, NRc2C(O)Rb2, NRc2C(O)NRc2Rd2, NRc2C(O)ORa2, C(=NR')NRc2Rd2, NRc2C(=NR')NRc2Rd2, P(RG)2, P(ORe2)2, P(O)Re2RG, P(O)ORe2ORG, S(O)Rb2, S(O)NRc2Rd2, S(O)2Rb2, NRc2S(O)2Rb2, and S(O)2NRc2Rd2.
21. The compound of claim 1, or pharmaceutically acceptable salt thereof, wherein R^ is H or C1-6 alkyl.
22. The compound of claim 1, or pharmaceutically acceptable salt thereof, wherein R4 is H.
23. The compound of claim 1, or pharmaceutically acceptable salt thereof, wherein RA and RB are independently selected from H, F, and Ci_6 alkyl.
24. The compound of claim 1, or pharmaceutically acceptable salt thereof, wherein R A and R are both H.
25. The compound of claim 1, or pharmaceutically acceptable salt thereof, wherein R1 is H.
26. The compound of claim 1, or pharmaceutically acceptable salt thereof, wherein R is H.
27. The compound of claim 1, or pharmaceutically acceptable salt thereof, wherein R2 is H.
28. The compound of claim 1, or pharmaceutically acceptable salt thereof, wherein R is H.
29. The compound of claim 1, or pharmaceutically acceptable salt thereof, wherein p is 1, 2, 3, 4 or 5.
30. The compound of claim 1, or pharmaceutically acceptable salt thereof, wherein p is 1 or 2.
31. The compound of claim 1 , or pharmaceutically acceptable salt thereof, wherein p is 1.
II or pharmaceutically acceptable salt thereof.
33. The compound of claim 1 having Formula III:
III or pharmaceutically acceptable salt thereof.
34. The compound of claim 1 which is: Λ/-(5-chloro-2-methylbenzyl)-N-hydroxy-4-(hydroxymethyl)-l,2,5-oxadiazole-3- carboximidamide;
Λ/-(2,5-dichlorobenzyl)-N'-hydroxy-4-(hydroxymethyl)-l,2,5-oxadiazole-3- carboximidamide;
Λ/-(5-bromo-2-fluorobenzyl)-N'-hydroxy-4-(hydroxymethyl)-l,2,5-oxadiazole-3- carboximidamide; or
Λ/-(2,5-dimethylbenzyl)-N'-hydroxy-4-(hydroxymethyl)-l,2,5-oxadiazole-3- carboximidamide; or pharmaceutically acceptable salt thereof.
35. A composition comprising a compound according to any one of claims 1 to 34, or pharmaceutically acceptable salt thereof, and at least one pharmaceutically acceptable carrier.
36. A method of modulating activity of indoleamine 2,3-dioxygenase comprising contacting said indoleamine 2,3-dioxygenase with a compound of claim 1, or pharmaceutically acceptable salt thereof.
37. The method of claim 36 wherein said modulating is inhibiting.
38. A method of inhibiting immunosuppression in a patient comprising administering to said patient an effective amount of a compound of claim 1 , or pharmaceutically acceptable salt thereof.
39. A method of treating cancer, viral infection, depression, a neurodegenerative disorder, trauma, age-related cataracts, organ transplant rejection, or an autoimmune disease in a patient comprising administering to said patient a therapeutically effective amount of a compound of claim 1, or pharmaceutically acceptable salt thereof.
40. The method of claim 39 further comprising administering an anti-viral agent, a chemotherapeutic, an immunosuppressant, radiation, an anti-tumor vaccine, an anti-viral vaccine, cytokine therapy, or a tyrosine kinase inhibitor.
41. A method of treating melanoma in a patient comprising administering to said patient a therapeutically effective amount of a compound of claim 1 , or pharmaceutically acceptable salt thereof.
42. The method of claim 41 further comprising administering an anti-tumor vaccine or an anti- viral vaccine.
Applications Claiming Priority (2)
| Application Number | Priority Date | Filing Date | Title |
|---|---|---|---|
| US85763906P | 2006-11-08 | 2006-11-08 | |
| US60/857,639 | 2006-11-08 |
Publications (1)
| Publication Number | Publication Date |
|---|---|
| WO2008058178A1 true WO2008058178A1 (en) | 2008-05-15 |
Family
ID=39156159
Family Applications (1)
| Application Number | Title | Priority Date | Filing Date |
|---|---|---|---|
| PCT/US2007/083905 Ceased WO2008058178A1 (en) | 2006-11-08 | 2007-11-07 | N-hydroxyamidinoheterocycles as modulators of indoleamine 2,3-dioxygenase |
Country Status (2)
| Country | Link |
|---|---|
| US (1) | US20080182882A1 (en) |
| WO (1) | WO2008058178A1 (en) |
Cited By (24)
| Publication number | Priority date | Publication date | Assignee | Title |
|---|---|---|---|---|
| WO2010005958A3 (en) * | 2008-07-08 | 2010-06-24 | Incyte Corporation | 1,2,5-oxadiazoles as inhibitors of indoleamine 2,3-dioxygenase |
| US8034953B2 (en) | 2005-05-10 | 2011-10-11 | Incyte Corporation | Modulators of indoleamine 2,3-dioxygenase and methods of using the same |
| US8377976B2 (en) | 2006-09-19 | 2013-02-19 | Incyte Corporation | N-hydroxyamidinoheterocycles as modulators of indoleamine 2,3-dioxygenase |
| US8450351B2 (en) | 2005-12-20 | 2013-05-28 | Incyte Corporation | N-hydroxyamidinoheterocycles as modulators of indoleamine 2,3-dioxygenase |
| US8507541B2 (en) | 2006-09-19 | 2013-08-13 | Incyte Corporation | N-hydroxyamidinoheterocycles as modulators of indoleamine 2,3-dioxygenase |
| WO2014150677A1 (en) * | 2013-03-15 | 2014-09-25 | Bristol-Myers Squibb Company | Inhibitors of indoleamine 2,3-dioxygenase (ido) |
| WO2015002918A1 (en) * | 2013-07-01 | 2015-01-08 | Bristol-Myers Squibb Company | Ido inhibitors |
| WO2015031295A1 (en) * | 2013-08-27 | 2015-03-05 | Bristol-Myers Squibb Company | Ido inhibitors |
| US9321755B2 (en) | 2013-11-08 | 2016-04-26 | Incyte Corporation | Process for the synthesis of an indoleamine 2,3-dioxygenase inhibitor |
| WO2016155545A1 (en) * | 2015-03-31 | 2016-10-06 | 江苏恒瑞医药股份有限公司 | Sulfamyl-containing 1,2,5-oxadiazole derivative, preparation method therefor and use thereof in pharmaceuticals |
| CN106687450A (en) * | 2014-09-15 | 2017-05-17 | 中国科学院上海有机化学研究所 | Indoleamine-2,3-dioxygenase inhibitor and preparation method therefor |
| WO2017124822A1 (en) * | 2016-01-20 | 2017-07-27 | Yong Xu | Method for preparing ido inhibitor epacadostat |
| WO2017140835A1 (en) | 2016-02-19 | 2017-08-24 | INSERM (Institut National de la Santé et de la Recherche Médicale) | Methods and pharmaceutical compositions for the treatment of obesity |
| WO2017153459A1 (en) | 2016-03-09 | 2017-09-14 | Netherlands Translational Research Center B.V. | Inhibitors of indoleamine 2,3-dioxygenase |
| WO2017152857A1 (en) * | 2016-03-09 | 2017-09-14 | 中国科学院上海有机化学研究所 | Indoleamine-2,3-dioxygenase inhibitor containing nitrogen alkylated and arylated sulphoxide imines |
| WO2018071873A2 (en) | 2016-10-13 | 2018-04-19 | Juno Therapeutics, Inc. | Immunotherapy methods and compositions involving tryptophan metabolic pathway modulators |
| CN107954999A (en) * | 2016-10-17 | 2018-04-24 | 上海医药集团股份有限公司 | Han oxadiazole rings compound, preparation method, intermediate, composition and application |
| WO2018083241A1 (en) * | 2016-11-03 | 2018-05-11 | Phenex Discovery Verwaltungs-GmbH | Substituted n-hydroxyamidinoheterocycles as modulators of indoleamine 2,3- dioxygenase |
| CN108727361A (en) * | 2017-04-24 | 2018-11-02 | 南京药捷安康生物科技有限公司 | Indole amine 2,3-dioxygenase inhibitor and application |
| WO2019043103A1 (en) | 2017-09-01 | 2019-03-07 | Netherlands Translational Research Center B.V. | 3-hydroxy-imidazolidin-4-one compounds as inhibitors of indoleamine 2,3-dioxygenase |
| US10538497B2 (en) | 2015-12-15 | 2020-01-21 | Merck Sharp & Dohme Corp. | Compounds as indoleamine 2,3-dioxygenase inhibitors |
| JP2020512399A (en) * | 2017-04-07 | 2020-04-23 | シャンハイ ジョーユー ファーマテック エルティーディー. | IDO inhibiting compounds, their preparation and their use |
| US11046649B2 (en) | 2018-07-17 | 2021-06-29 | Board Of Regents, The University Of Texas System | Compounds useful as inhibitors of indoleamine 2,3-dioxygenase and/or tryptophan dioxygenase |
| US11173145B2 (en) | 2017-01-17 | 2021-11-16 | Board Of Regents, The University Of Texas System | Compounds useful as inhibitors of indoleamine 2,3-dioxygenase and/or tryptophan dioxygenase |
Families Citing this family (6)
| Publication number | Priority date | Publication date | Assignee | Title |
|---|---|---|---|---|
| CA2891412A1 (en) | 2012-11-20 | 2014-05-30 | Vertex Pharmaceuticals Incorporated | Compounds useful as inhibitors of indoleamine 2,3-dioxygenase |
| US10525035B2 (en) | 2014-12-18 | 2020-01-07 | Lankenau Institute For Medical Research | Methods and compositions for the treatment of retinopathy and other ocular diseases |
| TW201815766A (en) | 2016-09-22 | 2018-05-01 | 美商普雷辛肯公司 | Compounds and methods for IDO and TDO modulation, and indications therefor |
| MX378460B (en) | 2016-12-22 | 2025-03-10 | Calithera Biosciences Inc | Compositions and methods for inhibiting arginase activity |
| WO2019055786A1 (en) | 2017-09-14 | 2019-03-21 | Lankenau Institute For Medical Research | Methods and compositions for the treatment of cancer |
| WO2019183145A1 (en) | 2018-03-20 | 2019-09-26 | Plexxikon Inc. | Compounds and methods for ido and tdo modulation, and indications therefor |
Citations (1)
| Publication number | Priority date | Publication date | Assignee | Title |
|---|---|---|---|---|
| WO2006122150A1 (en) * | 2005-05-10 | 2006-11-16 | Incyte Corporation | Modulators of indoleamine 2,3-dioxygenase and methods of using the same |
Family Cites Families (14)
| Publication number | Priority date | Publication date | Assignee | Title |
|---|---|---|---|---|
| US3553228A (en) * | 1967-09-26 | 1971-01-05 | Colgate Palmolive Co | 3-substituted-4h(1)benzopyrano(3,4-d) isoxazoles |
| US3948928A (en) * | 1972-03-17 | 1976-04-06 | Dainippon Pharmaceutical Co., Ltd. | 3-Substituted-1,2-benzisoxazoles and pharmaceutically acceptable acid addition salts thereof |
| EP0132680B1 (en) * | 1983-07-22 | 1987-01-28 | Bayer Ag | Substituted furazans |
| FR2677019B1 (en) * | 1991-05-27 | 1994-11-25 | Pf Medicament | NOVEL PIPERIDINES DISUBSTITUEES-1,4, THEIR PREPARATION AND THEIR THERAPEUTIC APPLICATION. |
| FR2720396B1 (en) * | 1994-05-27 | 1996-06-28 | Adir | New N-pyridyl carboxamides and derivatives, their preparation process and the pharmaceutical compositions containing them. |
| WO2001051456A2 (en) * | 2000-01-13 | 2001-07-19 | Tularik Inc. | Antibacterial agents |
| US7598287B2 (en) * | 2003-04-01 | 2009-10-06 | Medical College Of Georgia Research Institute, Inc. | Use of inhibitors of indoleamine-2,3-dioxygenase in combination with other therapeutic modalities |
| IN2014CN03493A (en) * | 2004-09-08 | 2015-07-03 | Mitsubishi Tanabe Pharma Corp | |
| US7429667B2 (en) * | 2005-01-20 | 2008-09-30 | Ardea Biosciences, Inc. | Phenylamino isothiazole carboxamidines as MEK inhibitors |
| TWI382974B (en) * | 2005-12-20 | 2013-01-21 | 英塞特公司 | N-hydroxymethyl hydrazine heterocyclic compound as a guanamine 2,3-dioxygenase modulator |
| WO2007095050A2 (en) * | 2006-02-09 | 2007-08-23 | Incyte Corporation | N-hydroxyguanidines as modulators of indoleamine 2,3-dioxygenase |
| CA2663057C (en) * | 2006-09-19 | 2015-12-08 | Incyte Corporation | N-hydroxyamidinoheterocycles as modulators of indoleamine 2,3-dioxygenase |
| WO2008036643A2 (en) * | 2006-09-19 | 2008-03-27 | Incyte Corporation | Amidinoheterocycles as modulators of indoleamine 2,3-dioxygenase |
| US20080146624A1 (en) * | 2006-09-19 | 2008-06-19 | Incyte Corporation | Amidines as modulators of indoleamine 2,3-dioxygenase |
-
2007
- 2007-11-07 US US11/936,368 patent/US20080182882A1/en not_active Abandoned
- 2007-11-07 WO PCT/US2007/083905 patent/WO2008058178A1/en not_active Ceased
Patent Citations (1)
| Publication number | Priority date | Publication date | Assignee | Title |
|---|---|---|---|---|
| WO2006122150A1 (en) * | 2005-05-10 | 2006-11-16 | Incyte Corporation | Modulators of indoleamine 2,3-dioxygenase and methods of using the same |
Non-Patent Citations (1)
| Title |
|---|
| PETERSON ET AL: "Evaluation of functionalized tryptophan derivatives and related compounds as competitive inhibitors of indoleamine 2,3-dioxygenase", MEDICINAL CHEMISTRY RESEARCH, BIRKHAEUSER, BOSTON, US, vol. 3, no. 8, 1994, pages 531 - 544, XP002106395, ISSN: 1054-2523 * |
Cited By (82)
| Publication number | Priority date | Publication date | Assignee | Title |
|---|---|---|---|---|
| US8846726B2 (en) | 2005-05-10 | 2014-09-30 | Incyte Corporation | Modulators of indoleamine 2,3-dioxygenase and methods of using the same |
| US11192868B2 (en) | 2005-05-10 | 2021-12-07 | Incyte Corporation | Modulators of indoleamine 2,3-dioxygenase and methods of using the same |
| US8034953B2 (en) | 2005-05-10 | 2011-10-11 | Incyte Corporation | Modulators of indoleamine 2,3-dioxygenase and methods of using the same |
| US10208002B2 (en) | 2005-05-10 | 2019-02-19 | Incyte Corporation | Modulators of indoleamine 2,3-dioxygenase and methods of using the same |
| US8372870B2 (en) | 2005-05-10 | 2013-02-12 | Incyte Corporation | Modulators of indoleamine 2,3-dioxygenase and methods of using the same for treating cancer |
| US8951536B2 (en) | 2005-12-20 | 2015-02-10 | Incyte Corporation | N-hydroxyamidinoheterocycles as modulators of indoleamine 2,3-dioxygenase |
| US8450351B2 (en) | 2005-12-20 | 2013-05-28 | Incyte Corporation | N-hydroxyamidinoheterocycles as modulators of indoleamine 2,3-dioxygenase |
| US8377976B2 (en) | 2006-09-19 | 2013-02-19 | Incyte Corporation | N-hydroxyamidinoheterocycles as modulators of indoleamine 2,3-dioxygenase |
| US8507541B2 (en) | 2006-09-19 | 2013-08-13 | Incyte Corporation | N-hydroxyamidinoheterocycles as modulators of indoleamine 2,3-dioxygenase |
| US9789094B2 (en) | 2008-07-08 | 2017-10-17 | Incyte Holdings Corporation | 1,2,5-oxadiazoles as inhibitors of indoleamine 2,3-dioxygenase |
| WO2010005958A3 (en) * | 2008-07-08 | 2010-06-24 | Incyte Corporation | 1,2,5-oxadiazoles as inhibitors of indoleamine 2,3-dioxygenase |
| EP3360873A1 (en) * | 2008-07-08 | 2018-08-15 | Incyte Holdings Corporation | 1,2,5-oxadiazoles as inhibitors of indoleamine 2,3-dioxygenase |
| JP2014114299A (en) * | 2008-07-08 | 2014-06-26 | Incyte Corp | 1,2,5-oxadiazoles as inhibitors of indoleamine 2,3-dioxygenase |
| US10034864B2 (en) | 2008-07-08 | 2018-07-31 | Incyte Holdings Corporation | 1,2,5-oxadiazoles as inhibitors of indoleamine 2,3-dioxygenase |
| EP2824100A1 (en) * | 2008-07-08 | 2015-01-14 | Incyte Corporation | 1,2,5-Oxadiazoles as inhibitors of indoleamine 2,3-dioxygenase |
| US8088803B2 (en) | 2008-07-08 | 2012-01-03 | Incyte Corporation | 1,2,5-oxadiazoles as inhibitors of indoleamine 2,3-dioxygenase |
| EA029781B1 (en) * | 2008-07-08 | 2018-05-31 | Инсайт Корпорейшн | 1,2,5-oxadiazoles as inhibitors of indoleamine-2,3-dioxygenase |
| US8993605B2 (en) | 2008-07-08 | 2015-03-31 | Incyte Corporation | 1,2,5-oxadiazoles as inhibitors of indoleamine 2,3-dioxygenase |
| US8822511B2 (en) | 2008-07-08 | 2014-09-02 | Incyte Corporation | 1,2,5-oxadiazoles as inhibitors of indoleamine 2,3-dioxygenase |
| EA022669B1 (en) * | 2008-07-08 | 2016-02-29 | Инсайт Холдингс Корпорейшн | 1,2,5-oxadiazoles as inhibitors of indoleamine-2,3-dioxygenase |
| JP2011527686A (en) * | 2008-07-08 | 2011-11-04 | インサイト・コーポレイション | 1,2,5-oxadiazole as an inhibitor of indoleamine 2,3-dioxygenase |
| US9320732B2 (en) | 2008-07-08 | 2016-04-26 | Incyte Corporation | 1,2,5-oxadiazoles as inhibitors of indoleamine 2,3-dioxygenase |
| KR101847107B1 (en) | 2008-07-08 | 2018-04-10 | 인사이트 홀딩스 코포레이션 | 1,2,5-oxadiazoles as inhibitors of indoleamine 2,3-dioxygenase |
| KR101927291B1 (en) | 2008-07-08 | 2018-12-10 | 인사이트 홀딩스 코포레이션 | 1,2,5-oxadiazoles as inhibitors of indoleamine 2,3-dioxygenase |
| KR101783004B1 (en) | 2008-07-08 | 2017-09-28 | 인사이트 홀딩스 코포레이션 | 1,2,5-oxadiazoles as inhibitors of indoleamine 2,3-dioxygenase |
| KR101649548B1 (en) | 2008-07-08 | 2016-08-19 | 인사이트 홀딩스 코포레이션 | 1,2,5-oxadiazoles as inhibitors of indoleamine 2,3-dioxygenase |
| US10369137B2 (en) | 2008-07-08 | 2019-08-06 | Incyte Corporation | 1,2,5-Oxadiazoles as inhibitors of indoleamine 2,3-dioxygenase |
| US10653677B2 (en) | 2008-07-08 | 2020-05-19 | Incyte Holdings Corporation | 1,2,5-oxadiazoles as inhibitors of indoleamine 2,3-dioxygenase |
| KR20110031971A (en) * | 2008-07-08 | 2011-03-29 | 인사이트 코포레이션 | 1,2,5-oxadiazoles as inhibitors of indolamine 2,3-dioxygenase |
| US11207302B2 (en) | 2008-07-08 | 2021-12-28 | Incyte Corporation | 1,2,5-oxadiazoles as inhibitors of indoleamine 2,3-dioxygenase |
| US9675571B2 (en) | 2013-03-15 | 2017-06-13 | Bristol-Myers Squibb Company | Inhibitors of indoleamine 2,3-dioxygenase (IDO) |
| EA031470B1 (en) * | 2013-03-15 | 2019-01-31 | Бристол-Майерс Сквибб Компани | Ido inhibitors |
| WO2014150677A1 (en) * | 2013-03-15 | 2014-09-25 | Bristol-Myers Squibb Company | Inhibitors of indoleamine 2,3-dioxygenase (ido) |
| CN105209443A (en) * | 2013-03-15 | 2015-12-30 | 百时美施贵宝公司 | Inhibitors of indoleamine 2,3-dioxygenase (IDO) |
| AU2014235750B2 (en) * | 2013-03-15 | 2018-05-17 | Bristol-Myers Squibb Company | Inhibitors of indoleamine 2,3-dioxygenase (IDO) |
| JP2016519653A (en) * | 2013-03-15 | 2016-07-07 | ブリストル−マイヤーズ スクイブ カンパニーBristol−Myers Squibb Company | IDO inhibitor |
| EA029126B1 (en) * | 2013-07-01 | 2018-02-28 | Бристол-Майерс Сквибб Компани | Ido inhibitors |
| WO2015002918A1 (en) * | 2013-07-01 | 2015-01-08 | Bristol-Myers Squibb Company | Ido inhibitors |
| CN105473550B (en) * | 2013-07-01 | 2019-02-15 | 百时美施贵宝公司 | IDO inhibitors |
| US9765018B2 (en) | 2013-07-01 | 2017-09-19 | Bristol-Myers Squibb Company | IDO inhibitors |
| CN105473550A (en) * | 2013-07-01 | 2016-04-06 | 百时美施贵宝公司 | Ido inhibitors |
| CN105658643A (en) * | 2013-08-27 | 2016-06-08 | 百时美施贵宝公司 | Ido inhibitors |
| CN105658643B (en) * | 2013-08-27 | 2019-03-01 | 百时美施贵宝公司 | IDO inhibitors |
| WO2015031295A1 (en) * | 2013-08-27 | 2015-03-05 | Bristol-Myers Squibb Company | Ido inhibitors |
| EA029981B1 (en) * | 2013-08-27 | 2018-06-29 | Бристол-Майерс Сквибб Компани | Ido inhibitors |
| US9758492B2 (en) | 2013-08-27 | 2017-09-12 | Bristol-Myers Squibb Company | IDO inhibitors |
| JP2016530283A (en) * | 2013-08-27 | 2016-09-29 | ブリストル−マイヤーズ スクイブ カンパニーBristol−Myers Squibb Company | IDO inhibitor |
| US9873688B2 (en) | 2013-11-08 | 2018-01-23 | Incyte Holdings Corporation | Process for the synthesis of an indoleamine 2,3-dioxygenase inhibitor |
| US9321755B2 (en) | 2013-11-08 | 2016-04-26 | Incyte Corporation | Process for the synthesis of an indoleamine 2,3-dioxygenase inhibitor |
| CN109810104B (en) * | 2013-11-08 | 2022-05-03 | 因赛特控股公司 | Method for synthesizing indoleamine 2, 3-dioxygenase inhibitors |
| US10280157B2 (en) | 2013-11-08 | 2019-05-07 | Incyte Corporation | Process for the synthesis of an indoleamine 2,3-dioxygenase inhibitor |
| CN109810104A (en) * | 2013-11-08 | 2019-05-28 | 因赛特控股公司 | Method for synthesizing indoleamine 2,3-dioxygenase inhibitors |
| CN105899498A (en) * | 2013-11-08 | 2016-08-24 | 因赛特控股公司 | Method for the synthesis of indoleamine 2,3-dioxygenase inhibitors |
| CN106687450B (en) * | 2014-09-15 | 2019-08-16 | 中国科学院上海有机化学研究所 | A kind of indoleamine-2,3-dioxygenase inhibitor and preparation method thereof |
| CN106687450A (en) * | 2014-09-15 | 2017-05-17 | 中国科学院上海有机化学研究所 | Indoleamine-2,3-dioxygenase inhibitor and preparation method therefor |
| CN106660974A (en) * | 2015-03-31 | 2017-05-10 | 江苏恒瑞医药股份有限公司 | 1,2,5-oxadiazole derivatives containing sulfamoyl group, its preparation method and its application in medicine |
| WO2016155545A1 (en) * | 2015-03-31 | 2016-10-06 | 江苏恒瑞医药股份有限公司 | Sulfamyl-containing 1,2,5-oxadiazole derivative, preparation method therefor and use thereof in pharmaceuticals |
| CN106660974B (en) * | 2015-03-31 | 2019-08-30 | 江苏恒瑞医药股份有限公司 | 1,2,5-oxadiazole derivatives containing sulfamoyl group, their preparation method and their application in medicine |
| US10538497B2 (en) | 2015-12-15 | 2020-01-21 | Merck Sharp & Dohme Corp. | Compounds as indoleamine 2,3-dioxygenase inhibitors |
| CN108779086A (en) * | 2016-01-20 | 2018-11-09 | 许勇 | The method for preparing IDO inhibitor EPACADOSTAT |
| WO2017124822A1 (en) * | 2016-01-20 | 2017-07-27 | Yong Xu | Method for preparing ido inhibitor epacadostat |
| WO2017140835A1 (en) | 2016-02-19 | 2017-08-24 | INSERM (Institut National de la Santé et de la Recherche Médicale) | Methods and pharmaceutical compositions for the treatment of obesity |
| CN107176933A (en) * | 2016-03-09 | 2017-09-19 | 中国科学院上海有机化学研究所 | A kind of indoles amine -2,3- dioxygenase inhibitors containing N-alkylation and arylation sulphoxide imine |
| WO2017153459A1 (en) | 2016-03-09 | 2017-09-14 | Netherlands Translational Research Center B.V. | Inhibitors of indoleamine 2,3-dioxygenase |
| WO2017152857A1 (en) * | 2016-03-09 | 2017-09-14 | 中国科学院上海有机化学研究所 | Indoleamine-2,3-dioxygenase inhibitor containing nitrogen alkylated and arylated sulphoxide imines |
| CN107176933B (en) * | 2016-03-09 | 2020-10-09 | 中国科学院上海有机化学研究所 | Indoleamine-2,3-dioxygenase inhibitor of nitrogen-containing alkylated and arylated sulfoximines |
| CN108699014A (en) * | 2016-03-09 | 2018-10-23 | 中国科学院上海有机化学研究所 | A kind of indoles amine -2,3- dioxygenase inhibitors containing N-alkylation and arylation sulphoxide imine |
| EP4190335A1 (en) | 2016-10-13 | 2023-06-07 | Juno Therapeutics, Inc. | Immunotherapy methods and compositions involving tryptophan metabolic pathway modulators |
| WO2018071873A2 (en) | 2016-10-13 | 2018-04-19 | Juno Therapeutics, Inc. | Immunotherapy methods and compositions involving tryptophan metabolic pathway modulators |
| US11896615B2 (en) | 2016-10-13 | 2024-02-13 | Juno Therapeutics, Inc. | Immunotherapy methods and compositions involving tryptophan metabolic pathway modulators |
| CN107954999A (en) * | 2016-10-17 | 2018-04-24 | 上海医药集团股份有限公司 | Han oxadiazole rings compound, preparation method, intermediate, composition and application |
| CN107954999B (en) * | 2016-10-17 | 2023-01-24 | 上海医药集团股份有限公司 | Oxadiazole ring-containing compound, preparation method, intermediate, composition and application |
| US11078168B2 (en) | 2016-11-03 | 2021-08-03 | Phenex Discovery Verwaltungs-GmbH | Substituted N-hydroxyamidinoheterocycles as modulators of indoleamine 2,3-dioxygenase |
| WO2018083241A1 (en) * | 2016-11-03 | 2018-05-11 | Phenex Discovery Verwaltungs-GmbH | Substituted n-hydroxyamidinoheterocycles as modulators of indoleamine 2,3- dioxygenase |
| US11173145B2 (en) | 2017-01-17 | 2021-11-16 | Board Of Regents, The University Of Texas System | Compounds useful as inhibitors of indoleamine 2,3-dioxygenase and/or tryptophan dioxygenase |
| JP2020512399A (en) * | 2017-04-07 | 2020-04-23 | シャンハイ ジョーユー ファーマテック エルティーディー. | IDO inhibiting compounds, their preparation and their use |
| US11046679B2 (en) | 2017-04-24 | 2021-06-29 | Nanjing Transthera Biosciences Co. Ltd. | Indoleamine 2,3-dioxygenase inhibitor and application |
| EP3617204A4 (en) * | 2017-04-24 | 2020-03-04 | Nanjing Transthera Biosciences Co. Ltd. | Indoleamine 2,3-dioxygenase inhibitor and application |
| CN108727361A (en) * | 2017-04-24 | 2018-11-02 | 南京药捷安康生物科技有限公司 | Indole amine 2,3-dioxygenase inhibitor and application |
| US11053230B2 (en) | 2017-09-01 | 2021-07-06 | Netherlands Translational Research Center B.V. | 3-hydroxy-imidazolidin-4-one compounds as inhibitors of indoleamine 2,3-dioxygenase |
| WO2019043103A1 (en) | 2017-09-01 | 2019-03-07 | Netherlands Translational Research Center B.V. | 3-hydroxy-imidazolidin-4-one compounds as inhibitors of indoleamine 2,3-dioxygenase |
| US11046649B2 (en) | 2018-07-17 | 2021-06-29 | Board Of Regents, The University Of Texas System | Compounds useful as inhibitors of indoleamine 2,3-dioxygenase and/or tryptophan dioxygenase |
Also Published As
| Publication number | Publication date |
|---|---|
| US20080182882A1 (en) | 2008-07-31 |
Similar Documents
| Publication | Publication Date | Title |
|---|---|---|
| EP2064207B1 (en) | N-hydroxyamidinoheterocycles as modulators of indoleamine 2,3-dioxygenase | |
| EP2064194B1 (en) | N-hydroxyamidinoheterocyclic compounds as modulators of indoleamine 2,3-dioxygenase | |
| US20080182882A1 (en) | N-hydroxyamidinoheterocycles as modulators of indoleamine 2,3-dioxygenase | |
| US20080119491A1 (en) | Amidinoheterocycles as modulators of indoleamine 2,3-dioxygenase | |
| EP1971583B1 (en) | N-hydroxyamidinoheterocycles as modulators of indoleamine 2,3-dioxygenase | |
| US20070203140A1 (en) | N-hydroxyguanidines as modulators of indoleamine 2,3-dioxygenase | |
| US20080146624A1 (en) | Amidines as modulators of indoleamine 2,3-dioxygenase | |
| EP3066085B1 (en) | Process for the synthesis of an indoleamine 2,3-dioxygenase inhibitor | |
| AU2006244068B2 (en) | Modulators of indoleamine 2,3-dioxygenase and methods of using the same | |
| HK40042435A (en) | Process for the synthesis of an indoleamine 2,3-dioxygenase inhibitor | |
| HK1227857A1 (en) | Process for the synthesis of an indoleamine 2,3-dioxygenase inhibitor | |
| HK1227857B (en) | Process for the synthesis of an indoleamine 2,3-dioxygenase inhibitor |
Legal Events
| Date | Code | Title | Description |
|---|---|---|---|
| 121 | Ep: the epo has been informed by wipo that ep was designated in this application |
Ref document number: 07864029 Country of ref document: EP Kind code of ref document: A1 |
|
| NENP | Non-entry into the national phase |
Ref country code: DE |
|
| 122 | Ep: pct application non-entry in european phase |
Ref document number: 07864029 Country of ref document: EP Kind code of ref document: A1 |





















