WO2008039882A1 - A combination of niacin and a prostaglandin d2 receptor antagonist - Google Patents
A combination of niacin and a prostaglandin d2 receptor antagonist Download PDFInfo
- Publication number
- WO2008039882A1 WO2008039882A1 PCT/US2007/079614 US2007079614W WO2008039882A1 WO 2008039882 A1 WO2008039882 A1 WO 2008039882A1 US 2007079614 W US2007079614 W US 2007079614W WO 2008039882 A1 WO2008039882 A1 WO 2008039882A1
- Authority
- WO
- WIPO (PCT)
- Prior art keywords
- methoxy
- phenyl
- pyrimidin
- ethylamino
- ethyl
- Prior art date
- Legal status (The legal status is an assumption and is not a legal conclusion. Google has not performed a legal analysis and makes no representation as to the accuracy of the status listed.)
- Ceased
Links
- 0 Cc1cc(*)n[o]1 Chemical compound Cc1cc(*)n[o]1 0.000 description 19
- GKGMWPMIXTWMSQ-OBGWFSINSA-N C/C(/N(C)C)=C\C(c1cccc(-c2cc(NCCc(cc3)ccc3OC)nc(OC)n2)c1)=O Chemical compound C/C(/N(C)C)=C\C(c1cccc(-c2cc(NCCc(cc3)ccc3OC)nc(OC)n2)c1)=O GKGMWPMIXTWMSQ-OBGWFSINSA-N 0.000 description 1
- AVJUTAMMINWDOQ-UHFFFAOYSA-N CC(C)(C(N)=O)c1cccc(-c2cc(NCCc(ccc(Cl)c3)c3Cl)nc(OC)n2)c1 Chemical compound CC(C)(C(N)=O)c1cccc(-c2cc(NCCc(ccc(Cl)c3)c3Cl)nc(OC)n2)c1 AVJUTAMMINWDOQ-UHFFFAOYSA-N 0.000 description 1
- BQZOACSDDWVPIG-UHFFFAOYSA-N CC(C)(C(O)=O)c1cccc(-c2cc(NCC(C3)Oc4c3cccc4)nc(OC)n2)c1 Chemical compound CC(C)(C(O)=O)c1cccc(-c2cc(NCC(C3)Oc4c3cccc4)nc(OC)n2)c1 BQZOACSDDWVPIG-UHFFFAOYSA-N 0.000 description 1
- UHNRVFDOLATGHT-UHFFFAOYSA-N CC(c1nnn[nH]1)(F)F Chemical compound CC(c1nnn[nH]1)(F)F UHNRVFDOLATGHT-UHFFFAOYSA-N 0.000 description 1
- DNUJSJDVPMCJDE-UHFFFAOYSA-N CC1(CCOCC1)C(NS(C)(=O)=O)=O Chemical compound CC1(CCOCC1)C(NS(C)(=O)=O)=O DNUJSJDVPMCJDE-UHFFFAOYSA-N 0.000 description 1
- HTTBYJIGTXJSSH-UHFFFAOYSA-N CCc1cc(-c2cc(NCCc(c(F)ccc3)c3Cl)nc(OC)n2)ccc1 Chemical compound CCc1cc(-c2cc(NCCc(c(F)ccc3)c3Cl)nc(OC)n2)ccc1 HTTBYJIGTXJSSH-UHFFFAOYSA-N 0.000 description 1
- IPFRJRQDYKFUPG-UHFFFAOYSA-N COC(COc1cccc(-c2cc(NCCc(cc3)ccc3OC)nc(OC)n2)c1)=O Chemical compound COC(COc1cccc(-c2cc(NCCc(cc3)ccc3OC)nc(OC)n2)c1)=O IPFRJRQDYKFUPG-UHFFFAOYSA-N 0.000 description 1
- IIRYMMCEBGLKFH-UHFFFAOYSA-N COC(c1cc(NCCc(cc2)ccc2OC)nc(Cl)n1)=O Chemical compound COC(c1cc(NCCc(cc2)ccc2OC)nc(Cl)n1)=O IIRYMMCEBGLKFH-UHFFFAOYSA-N 0.000 description 1
- UHDMPFGEHIYEJM-KRWDZBQOSA-N COc1ccc(C[C@@H](C(O)=O)Nc2nc(C(I)=O)nc(-c3cccc(O)c3)c2)cc1 Chemical compound COc1ccc(C[C@@H](C(O)=O)Nc2nc(C(I)=O)nc(-c3cccc(O)c3)c2)cc1 UHDMPFGEHIYEJM-KRWDZBQOSA-N 0.000 description 1
- HIOIGVQTLIDZOZ-UHFFFAOYSA-N COc1nc(-c2cc(C(O)=O)ccc2)cc(NCCc(c(Cl)ccc2)c2F)n1 Chemical compound COc1nc(-c2cc(C(O)=O)ccc2)cc(NCCc(c(Cl)ccc2)c2F)n1 HIOIGVQTLIDZOZ-UHFFFAOYSA-N 0.000 description 1
- RADNMCGCMBSLHM-UHFFFAOYSA-N COc1nc(-c2cc(C=O)ccc2)cc(NCCc(c(Cl)ccc2)c2F)n1 Chemical compound COc1nc(-c2cc(C=O)ccc2)cc(NCCc(c(Cl)ccc2)c2F)n1 RADNMCGCMBSLHM-UHFFFAOYSA-N 0.000 description 1
- ZJTOAQUNBYJCHL-UHFFFAOYSA-N COc1nc(-c2cccc(O)c2)cc(NCCc2cccnc2)n1 Chemical compound COc1nc(-c2cccc(O)c2)cc(NCCc2cccnc2)n1 ZJTOAQUNBYJCHL-UHFFFAOYSA-N 0.000 description 1
- WDELVDLDINRUQF-UHFFFAOYSA-N COc1nc(Cl)cc(Cl)n1 Chemical compound COc1nc(Cl)cc(Cl)n1 WDELVDLDINRUQF-UHFFFAOYSA-N 0.000 description 1
- HTIHAISEAJLKQD-UHFFFAOYSA-N COc1nc(Cl)cc(NCCc(cc2)ccc2F)n1 Chemical compound COc1nc(Cl)cc(NCCc(cc2)ccc2F)n1 HTIHAISEAJLKQD-UHFFFAOYSA-N 0.000 description 1
- TWCVFANBWVBQJJ-UHFFFAOYSA-N COc1nc(N(CCC2)CC2C(O)=O)cc(NCCc(cc2)ccc2OC(F)(F)F)n1 Chemical compound COc1nc(N(CCC2)CC2C(O)=O)cc(NCCc(cc2)ccc2OC(F)(F)F)n1 TWCVFANBWVBQJJ-UHFFFAOYSA-N 0.000 description 1
- CKLFJWXRWIQYOC-UHFFFAOYSA-N NCCc(cc1)ccc1F Chemical compound NCCc(cc1)ccc1F CKLFJWXRWIQYOC-UHFFFAOYSA-N 0.000 description 1
- HLHDNLVNYWRXQB-UHFFFAOYSA-N O=C(c1ccc(CCNc2nc(C(I)=O)nc(-c3ccc[o]3)c2)cc1C(I)=O)I Chemical compound O=C(c1ccc(CCNc2nc(C(I)=O)nc(-c3ccc[o]3)c2)cc1C(I)=O)I HLHDNLVNYWRXQB-UHFFFAOYSA-N 0.000 description 1
- HIMKWMSBWDZYRB-UHFFFAOYSA-N O=Cc1nc(Cl)cc(Cl)n1 Chemical compound O=Cc1nc(Cl)cc(Cl)n1 HIMKWMSBWDZYRB-UHFFFAOYSA-N 0.000 description 1
- PKTLGIDEPCJYMA-UHFFFAOYSA-N OC(CN(C=C(C=C1)c2cc(CCCCCc(c(Cl)ccc3)c3F)nc(C(I)=O)n2)C1=O)=O Chemical compound OC(CN(C=C(C=C1)c2cc(CCCCCc(c(Cl)ccc3)c3F)nc(C(I)=O)n2)C1=O)=O PKTLGIDEPCJYMA-UHFFFAOYSA-N 0.000 description 1
Classifications
-
- A—HUMAN NECESSITIES
- A61—MEDICAL OR VETERINARY SCIENCE; HYGIENE
- A61K—PREPARATIONS FOR MEDICAL, DENTAL OR TOILETRY PURPOSES
- A61K31/00—Medicinal preparations containing organic active ingredients
- A61K31/33—Heterocyclic compounds
- A61K31/395—Heterocyclic compounds having nitrogen as a ring hetero atom, e.g. guanethidine or rifamycins
- A61K31/435—Heterocyclic compounds having nitrogen as a ring hetero atom, e.g. guanethidine or rifamycins having six-membered rings with one nitrogen as the only ring hetero atom
- A61K31/44—Non condensed pyridines; Hydrogenated derivatives thereof
- A61K31/455—Nicotinic acids, e.g. niacin; Derivatives thereof, e.g. esters, amides
-
- A—HUMAN NECESSITIES
- A61—MEDICAL OR VETERINARY SCIENCE; HYGIENE
- A61K—PREPARATIONS FOR MEDICAL, DENTAL OR TOILETRY PURPOSES
- A61K31/00—Medicinal preparations containing organic active ingredients
- A61K31/33—Heterocyclic compounds
- A61K31/395—Heterocyclic compounds having nitrogen as a ring hetero atom, e.g. guanethidine or rifamycins
- A61K31/495—Heterocyclic compounds having nitrogen as a ring hetero atom, e.g. guanethidine or rifamycins having six-membered rings with two or more nitrogen atoms as the only ring heteroatoms, e.g. piperazine or tetrazines
- A61K31/505—Pyrimidines; Hydrogenated pyrimidines, e.g. trimethoprim
-
- A—HUMAN NECESSITIES
- A61—MEDICAL OR VETERINARY SCIENCE; HYGIENE
- A61P—SPECIFIC THERAPEUTIC ACTIVITY OF CHEMICAL COMPOUNDS OR MEDICINAL PREPARATIONS
- A61P3/00—Drugs for disorders of the metabolism
Definitions
- the present invention is directed to a pharmaceutical composition
- a pharmaceutical composition comprising Niacin or a pharmaceutically acceptable salt, solvate or N-oxide thereof, or a nicotinic acid receptor agnist, and a prostaglandin D2 receptor inhibitor, and its pharmaceutical use in the treatment of atherosclerosis, dyslipidemias or diabetes without causing the side effect of flushing.
- Niacin (nicotinic acid) is a drug commonly known for the treatment of hyperlipidemia.
- the beneficial effects of niacin on the lipid profile include the lowering of plasma levels of cholesterol, triglycerides, free fatty acids and lipoprotein(a) in human.
- niacin has the special benefit of increasing plasma HDL cholesterol while decreasing LDL and VLDL cholesterol.
- niacin could potentially be beneficial as an additive therapy to the statins in treating patients with low HDL cholesterol levels.
- niacin treatment The major common side effect associated with niacin treatment is flushing. This consists of unpleasant symptoms such as the redness of the skin accompanied by burning sensation, itchiness or irritation mainly affecting upper body and face. These symptoms have a negative impact on patient compliance, and in severe cases, resulted in the discontinuation of niacin treatment.
- the flushing effect of niacin is transient and lasts for about an hour after taking the drug.
- patients develop tolerance to niacin-induced flushing within days while the effects of niacin on improving lipid profile remain stable over time.
- the niacin-induced flushing is a result of cutaneous vasodilation (Turenne, SD; Seeman, M; Ross, B. Schizophrenia Research 2001.
- GPRl 09A HM74A in humans, or PUMA-G in mice
- PPD2 prostaglandin D2
- PGD2 subsequently acts on its plasma membrane receptor DP (PGD2 receptor) to stimulate the activation of adenylyl cyclase and result in vasodilation/flushing.
- PGD2 receptor plasma membrane receptor DP
- the involvement of the DP in niacin-induced flushing was further supported by studies using a genetic mouse model lacking the DP receptor (Benyo, Z; Gille, A, et al. The Journal of Clinical Investigation 2005. 115:3634-3640). More recently it was shown that specific DP antagonists inhibited both PGD2 and nicotinic acid- mediated vasodilation in rodents (US Patent Publication No. 20040229844).
- a pyrimidine DP receptor antagonists could potentially prevent or minimize niacin-induced flushing, or that coadministration of niacin (or another GPRl 09A agonist) with such DP antagonist could provide an effective therapy for the treatment of atherosclerosis, dyslipidemias, diabetes and related conditions without or with minimal side effect of flushing.
- the present invention is directed to a pharmaceutical composition
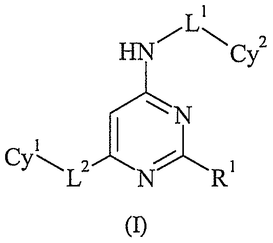
- a pharmaceutical composition comprising pharmaceutically effective amounts of niacin or a pharmaceutically acceptable salt, solvate or N-oxide thereof, or a nicotinic acid receoptor agonist, and a compound of formula (I):
- Cy 1 is cycloalkyl, heterocyclyl, cycloalkenyl, heterocyclenyl, heteroaryl, aryl, or multicyclic alkaryl, each of which is optionally substituted by one to three of same or different following Cy 1 substituent groups consisting of: acyl, cyano, halogen, nitro, carboxy, hydroxy, alkylthio, alkylsulfonyl, alkylsulfinyl, cycloalkyl, heterocyclyl, cycloalkenyl, heterocyclenyl, aryl, heteroaryl, multicyclic alkaryl, aroyl, arylalkoxycarbonyl, arylalkylthio, aryloxy, aryloxycarbonyl, arylsulfinyl, arylsulfonyl, arylthio, heteroaryloxy, heteroarylalkoxycarbonyl, N- methoxysulfam
- (C) L 1 is a straight- or branched-chain alkylene containing from 1 to about 6 carbon atoms and is optionally substituted by carboxy or hydroxy; or
- L 1 is -CH 2 -(C i-C 3 )haloalkylene, or
- L 1 is cycloalkylene containing from 1 to about 7 carbon atoms and is optionally substituted by hydroxy;
- R 1 is (Ci-C 4 )-alkylthio, Y 4 Y 5 N-; (C r C 4 )-alkoxy which is optionally substituted by one to three halogen; or (Ci-C 4 )-alkyl, which is optionally substituted by one to three of halogen, hydroxy or alkoxy;
- L 2 is bond, -O- or -CH 2 -O-; and wherein:
- R 2 , R 3 , R 4 and R 5 are each independently H or alkyl
- R 6 is alkyl, which is optionally substituted by hydroxy or alkoxy;
- R 7 is H or alkyl
- R 8 is alkyl, aryl, arylalkyl, heteroaryl, heteroarylalkyl, wherein the aryl or heteroaryl moiety is optionally substituted by halogen;
- Y 1 and Y 2 are each independently hydrogen, or alkyl, which is optionally substituted by one to three of same or different of carboxy, alkoxycarbonyl, alkoxy, hydroxy, amino, alkylamino, dialkylamino, cycloalkyl, cycloalkenyl, heterocyclyl, heterocyclenyl, aryl, heteroaryl or multicyclic alkaryl; wherein the aryl and heteroaryl independently is optionally substituted by hydroxy, amino, alkyl or alkoxy, and wherein the cycloalkyl, heterocyclyl, cycloalkenyl, heterocyclenyl and multicyclic alkaryl independently is optionally substituted by hydroxy, amino, alkyl, alkoxy or oxo; or
- Y 1 and Y 2 taken together with the nitrogen atom to which they are attached, form a nitrogen- containing three to seven member saturated heterocyclyl that optionally contains a further heteroatom selected from O, S, or NY 3 , wherein Y 3 is hydrogen or alkyl, and wherein the heterocyclyl is optionally substituted by one to three of same or different of carboxy, hydroxy, hydroxyalkyl, oxo, amino, alkylamino or dialkylamino;
- DP antagonist-Niacin composition a pharmaceutically acceptable carrier
- Another aspect of the invention is a method of treating atherosclerosis, dyslipidemia, diabetes or a related condition while reducing substantial flushing in a patient in need thereof, comprising administering to the patient the DP antagonist-Niacin composition.
- acyl means H-CO- or (aliphatic or cyclyl)-CO-. Particular acyl includes lower alkanoyl that contains a lower alkyl. Exemplary acyl includes formyl, acetyl, propanoyl, 2-methylpropanoyl, butanoyl, palmitoyl, acryloyl, propynoyl, and cyclohexylcarbonyl.
- Aliphatic means alkyl, alkenyl or alkynyl.
- Alkenyl means a straight or branched aliphatic hydrocarbon group containing a carbon-carbon double bond and can behaving 2 to about 15 carbon atoms. Particular alkenyl has 2 to about 12 carbon atoms. More particular alkenyl has 2 to about 4 carbon atoms. Branched means that one or more lower alkyl groups such as methyl, ethyl or propyl are attached to a linear alkenyl chain. "Lower alkenyl” means about 2 to about 4 carbon atoms in the chain that can be straight or branched.
- Exemplary alkenyl includes ethenyl, propenyl, rc-butenyl, z-butenyl, 3-methylbut-2-enyl, ⁇ -pentenyl, heptenyl, octenyl, cyclohexylbutenyl, and decenyl.
- Alkoxy means alkyl-O-. Exemplary alkoxy includes methoxy, ethoxy, n-propoxy, z-propoxy, n- butoxy, and heptoxy.
- Alkoxyalkylene means alkyl-O-alkylene.
- Exemplary alkoxyalkylene includes methoxymethylene and ethoxymethylene.
- Alkoxycarbonyl means alkyl-O-CO-.
- Exemplary alkoxycarbonyl includes methoxycarbonyl, ethoxycarbonyl, and f-butyloxycarbonyl.
- Alkyl means straight or branched aliphatic hydrocarbon can behaving 1 to about 20 carbon atoms. Particular alkyl has 1 to about 12 carbon atoms. More particular is lower alkyl. Branched means that one or more lower alkyl groups such as methyl, ethyl or propyl are attached to a linear alkyl chain. "Lower alkyl” means 1 to about 4 carbon atoms in a linear alkyl chain that can be straight or branched.
- Alkylamino means alkyl-NH-. Particular alkylamino is (Ci-Q)-alkylamino. Exemplary alkylamino includes methylamino and ethylamino.
- Alkylene means a straight or branched bivalent hydrocarbon having from 1 to about 15 carbon atoms. Particular alkylene is the lower alkylene having from 1 to about 6 carbon atoms. Exemplary alkenylene includes methylene, ethylene, propylene, and butylene.
- Alkylsulfmyl means alkyl-SO-. Particular alkylsulfinyl is (C]-C 6 )-alkylsulfmyl. Exemplary alkylsulfmyl groups include CH 3 -SO-.
- Alkylsulfonyl means alkyl-SO 2 -. Particular alkylsulfonyl is (C]-C 6 )-alkylsulfonyl. Exemplary alkylsulfonyl includes CH 3 -SO 2 -, and CH 3 CH 2 -SO 2 -.
- Alkylthio means an alkyl-S- .
- Exemplary alkylthio includes CH 3 -S-.
- Alkynyl means straight or branched aliphatic hydrocarbon containing a carbon-carbon triple bond and can behaving 2 to about 15 carbon atoms. Preferred alkynyl has 2 to about 12 carbon atoms.
- More preferred alkynyl has 2 to about 6 carbon atoms.
- Branched means that one or more lower alkyl such as methyl, ethyl or propyl are attached to a linear alkynyl chain.
- Lower alkynyl means 2 to about 4 carbon atoms in a linear alkynyl chain that can be straight or branched, can beExemplary alkynyl includes ethynyl, propynyl, n-butynyl, 2-butynyl, 3-methylbutynyl, «-pentynyl, heptynyl, octynyl, and decynyl.
- Aroyl means aryl-CO-.
- Exemplary aroyl includes benzoyl, and 1-and 2-naphthoyl.
- Aryl means an aromatic monocyclic or multicyclic ring system of about 6 to about 14 carbon atoms. Particular aryl include about 6 to about 10 carbon atoms. Exemplary aryl include phenyl and naphthyl. "Arylalkyl” means aryl-alkyl-. Particular arylalkyl contains a (C]-C 6 )-alkyl moiety. Exemplary arylalkyl includes benzyl, 2-phenethyl and naphthlenemethyl.
- Arylalkoxy means arylalkyl-O-.
- exemplary arylalkoxy includes benzyloxy and 1- or 2-naphthalenemethoxy.
- Arylalkoxycarbonyl means arylalkyl-O-CO-.
- exemplary arylalkoxycarbonyl includes phenoxycarbonyl and naphthoxycarbonyl.
- Arylalkylthio means arylalkyl-S-.
- Exemplary arylalkylthio includes benzylthio.
- Arylcycloalkenyl means a fused aryl and cycloalkenyl. Particular arylcycloalkenyl is one wherein the aryl thereof is phenyl and the cycloalkenyl consists of about 5 to about 7 ring atoms. An arylcycloalkenyl is bonded through any atom of the cycloalkenyl moiety thereof capable of such bonding. Exemplary arylcycloalkenyl includes 1 ,2-dihydronaphthylene and indene.
- Arylcycloalkyl means a fused aryl and cycloalkyl. Particular arylcycloalkyl is one wherein the aryl thereof is phenyl and the cycloalkyl consists of about 5 to about 6 ring atoms. An arylcycloalkyl is bonded through any atom of the cycloalkyl moiety thereof capable of such bonding. Exemplary arylcycloalkyl includes 1,2,3,4-tetrahydro-naphthylene.
- Arylheterocyclenyl means a fused aryl and heterocyclenyl. Particular arylheterocyclenyl is one wherein the aryl thereof is phenyl and the heterocyclenyl consists of about 5 to about 6 ring atoms. An arylheterocyclenyl is bonded through any atom of the heterocyclenyl thereof capable of such bonding.
- the designation of the aza, oxa or thio as a prefix before the heterocyclenyl portion of the arylheterocyclenyl defines that at least a nitrogen, oxygen or sulfur atom is present, respectively, as a ring atom.
- the nitrogen atom of an arylheterocyclenyl can be a basic nitrogen atom.
- the nitrogen or sulfur atom of the heterocyclenyl portion of the arylheterocyclenyl may also be optionally oxidized to the corresponding N-oxide, S-oxide or S,S-dioxide.
- Exemplary arylheterocyclenyl includes 3H- indolinyl, lH-2-oxoquinolyl, 2H-l-oxoisoquinolyl, 1 ,2-di-hydroquinolinyl, 3,4-dihydroquinolinyl, 1,2- dihydroisoquinolinyl, and 3,4-dihydroisoquinolinyl.
- Arylheterocyclyl means a fused aryl and heterocyclyl.
- Particular heterocyclylaryl is one wherein the aryl thereof is phenyl and the heterocyclyl consists of about 5 to about 6 ring atoms.
- An arylheterocyclyl is bonded through any atom of the heterocyclyl moiety thereof capable of such bonding.
- the designation of the aza, oxa or thio as a prefix before heterocyclyl portion of the arylheterocyclyl defines that at least a nitrogen, oxygen or sulfur atom is present, respectively, as a ring atom.
- the nitrogen atom of an arylheterocyclyl can be a basic nitrogen atom.
- the nitrogen or sulfur atom of the heterocyclyl portion of the arylheterocyclyl may also be optionally oxidized to the corresponding N-oxide, S-oxide or S,S-dioxide.
- exemplary arylheterocyclyl includes indolinyl, 1,2,3,4-tetrahydroisoquinoline, 1,2,3,4-tetrahydroquinoline, lH-2,3-dihydroisoindol-2-yl, 2,3- dihydrobenz[f]isoindol- 2-yl, and 1,2,3,4- tetrahydrobenz[g]-isoquinolin-2-yl.
- Aryloxy means an aryl-O-.
- Exemplary aryloxy includes phenoxy and naphthoxy.
- Aryloxycarbonyl means aryl-O-CO-.
- exemplary aryloxycarbonyl includes phenoxycarbonyl and naphthoxycarbonyl .
- Arylsulfinyl means aryl-SO-.
- Exemplary arylsulfmyl includes phenylsulfmyl and naphthylsulfmyl.
- Arylsulfonyl means aryl-SO 2 -.
- Exemplary arylsulfonyl includes phenylsulfonyl and naphthylsulfonyl .
- Arylthio means aryl-S-.
- Exemplary arylthio includes phenylthio and naphthylthio.
- Atherosclerosis means a form of vascular disease characterized by the deposition of atheromatous plaques containing cholesterol and lipids on the innermost layer of the walls of large and medium- sized arteries.
- Atherosclerosis encompasses vascular diseases and conditions that are recognized and understood by physicians practicing in the relevant fields of medicine.
- Atherosclerotic cardiovascular disease including restenosis following revascularization procedures, coronary heart disease (also known as coronary artery disease or ischemic heart disease), cerebrovascular disease including multi- infarct dementia, and peripheral vessel disease including erectile dysfunction, are all clinical manifestations of atherosclerosis and are therefore encompassed by the terms "atherosclerosis” and "atherosclerotic disease.”
- Cycloalkenyl means a non-aromatic mono- or multicyclic ring system of about 3 to about 10 carbon atoms, particular of about 5 to about 10 carbon atoms, and which contains at least one carbon-carbon double bond. Particular rings of the ring system include about 5 to about 6 ring atoms; and such preferred ring sizes are also referred to as "lower”. Exemplary monocyclic cycloalkenyl includes cyclopentenyl, cyclohexenyl, and cycloheptenyl. An exemplary multicyclic cycloalkenyl is norbornylenyl. "Cycloalkenylaryl” means a fused aryl and cycloalkenyl.
- Particular cycloalkenylaryl is one wherein the aryl thereof is phenyl and the cycloalkenyl consists of about 5 to about 6 ring atoms.
- a cycloalkenylaryl is bonded through any atom of the aryl moiety thereof capable of such bonding.
- Exemplary cycloalkenylaryl includes 1 ,2-dihydronaphthylene and indene.
- Cycloalkenylheteroaryl means a fused heteroaryl and cycloalkenyl. Particular cycloalkenylheteroaryl is one wherein the heteroaryl thereof consists of about 5 to about 6 ring atoms and the cycloalkenyl consists of about 5 to about 6 ring atoms. A cycloalkenylheteroaryl is bonded through any atom of the heteroaryl thereof capable of such bonding.
- the designation of the aza, oxa or thio as a prefix before heteroaryl portion of the cycloalkenylheteroaryl defines that at least a nitrogen, oxygen or sulfur atom is present, respectively, as a ring atom.
- the nitrogen atom of a cycloalkenylheteroaryl can be a basic nitrogen atom.
- the nitrogen atom of the heteroaryl portion of the cycloalkenylheteroaryl may also be optionally oxidized to the corresponding N-oxide.
- Exemplary cycloalkenylheteroaryl includes 5,6- dihydroquinolyl, 5,6-dihydroisoquinolyl, 5,6- dihydroquinoxalinyl, 5,6-dihydroquinazolinyI, 4,5- dihydro-lH -benzimidazolyl, and 4,5-di- hydrobenzoxazolyl.
- Cycloalkyl means a non-aromatic mono- or multicyclic saturated ring system of about 3 to about 10 carbon atoms, particular of about 5 to about 10 carbon atoms. Particular ring systems include about 5 to about 7 ring atoms; and such preferred ring systems are also referred to as "lower”.
- Exemplary monocyclic cycloalkyl includes cyclopentyl, cyclohexyl, and cycloheptyl.
- Exemplary multicyclic cycloalkyl includes 1-decalin, norbornyl, and adamant-(l- or 2-)yl.
- Cycloalkylaryl means a fused aryl and cycloalkyl. Particular cycloalkylaryl is one wherein the aryl thereof is phenyl and the cycloalkyl consists of about 5 to about 6 ring atoms. A cycloalkylaryl is bonded through any atom of the cycloalkyl moiety thereof capable of such bonding. Exemplary cycloalkylaryl includes 1,2,3,4-tetrahydro-naphthylene.
- Cycloalkylene means a bivalent cycloalkyl group having about 4 to about 8 carbon atoms. Preferred cycloalkylene includes about 5 to about 7 ring atoms; and such preferred ring systems are also referred to as "lower".
- the points of binding on the cycloalkylene group include 1,1-, 1,2-, 1,3-, or 1,4- binding patterns, and where applicable the stereochemical relationship of the points of binding is either cis or trans.
- Exemplary monocyclic cycloalkylene includes (1,1-, 1,2-, or l,3-)cyclohexylene and (1,1- or 1 ,2-)cyclopentylene.
- Cycloalkylheteroaryl means a fused heteroaryl and cycloalkyl.
- Preferred cycloalkylheteroaryl is one wherein the heteroaryl thereof consists of about 5 to about 6 ring atoms and the cycloalkyl consists of about 5 to about 6 ring atoms.
- a cycloalkylheteroaryl is bonded through any atom of the heteroaryl thereof capable of such bonding.
- the designation of the aza, oxa or thio as a prefix before heteroaryl portion of the fused cycloalkylheteroaryl defines that at least a nitrogen, oxygen or sulfur atom is present, respectively, as a ring atom.
- the nitrogen atom of a cycloalkylheteroaryl can be a basic nitrogen atom.
- the nitrogen atom of the heteroaryl portion of the cycloalkylheteroaryl may also be optionally oxidized to the corresponding N-oxide.
- Exemplary cycloalkylheteroaryl includes 5,6,7,8- tetrahydroquinolinyl, 5,6,7,8-tetra-hydroisoquinolyl, 5,6,7,8-tetrahydroquinoxalinyl, 5,6,7,8- tetrahydroquinazolyl, 4,5,6,7-tetrahydro-lH-benzimidazolyl, and 4,5,6,7-tetrahydrobenzoxazolyl.
- Cyclyl means cycloalkyl, cycloalkenyl, heterocyclyl or heterocyclenyl.
- Dialkylamino means (alkyl) 2 -N-. Preferred dialkylamino is (C r C 6 alky I) 2 -N-. Exemplary dialkylamino groups include dimethylamino, diethylamino and methyl ethylamino.
- “Dyshipidemia” means abnormal levels of plasma lipids, such as HDL (low), LDL (high), VLDL (high), triglycerides (high), lipoprotein (a) (high), FFA (high) and other serum lipids, or combinations thereof. It can be an uncomplicated condition or part of a particular related disease or condition such as diabetes (diabetic dyslipidemia), metabolic syndrome and the like. Thus, uncomplicated dyslipidemias as well as those that are associated with underlying conditions are included in the present invention.
- Halo or halogen means fluoro, chloro, bromo, or iodo. Particular are fluoro or chloro.
- Haloalkoxy means alkoxy substituted by one to three halo groups. Particular are loweralkoxy substituted by one to three halogens. More particular are loweralkoxy substituted by one halogen.
- Haloalkyl means alkyl substituted by one to three halo groups. Particular are loweralkyl substituted by one to three halogens. More particular are loweralkyl substituted by one halogen.
- Haloalkyl ene means alkylene substituted by one to three halo groups. Particular are loweralkyl ene substituted by one to three halogens. More particular are loweralkyl substituted by one halogen. Examplary haloalkylene includes -CHF-, -CF 2 -, -CH 2 -CHF- and -CH 2 -CF 2 -.
- Heteroaroyl means heteroaryl-CO-.
- Exemplary heteroaroyl includes thiophenoyl, nicotinoyl, pyrrol- 2-ylcarbonyl, 1- and 2-naphthoyl, and pyridinoyl.
- Heteroaryl means an aromatic monocyclic or multicyclic ring system of about 5 to about 14 carbon atoms, in which one or more of the carbon atoms in the ring system is/are hetero element(s) other than carbon, for example nitrogen, oxygen or sulfur.
- Particular aromatic ring systems include about 5 to about 10 carbon atoms, and include 1 to 3 heteroatoms. More particular ring sizes of rings of the ring system include about 5 to about 6 ring atoms.
- heteroaryl The designation of the aza, oxa or thio as a prefix before heteroaryl defines that at least a nitrogen, oxygen or sulfur atom is present, respectively, as a ring atom.
- a nitrogen atom of an heteroaryl can be a basic nitrogen atom and may also be optionally oxidized to the corresponding N-oxide.
- a heteroaryl When a heteroaryl is substituted by a hydroxy group, it also includes its corresponding tautomer where such hydroxy substituted heteroaryl is capable of such.
- heteroaryl includes pyrazinyl, thienyl, isothiazolyl, oxazolyl, pyrazolyl, furazanyl, pyrrolyl, 1,2,4-thiadiazolyl, pyridazinyl, quinoxalinyl, phthalazinyl, imidazo[l,2-a]pyridine, imidazo[2,l- b]thiazolyl, benzofurazanyl, azaindolyl, benzimidazolyl, benzothienyl, thienopyridyl, thienopyrimidyl, pyrrolopyridyl, imidazopyridyl, benzoazaindolyl, 1,2,4-triazinyl, benzthiazolyl, furanyl, imidazolyl, indolyl, indolizinyl, isoxazolyl, isoquinolinyl, isothiazolyl, oxazo
- Heteroarylalkyl means heteroaryl-alkyl-. Particular heteroarylalkyl contains a moiety. Exemplary heteroarylalkyl includes tetrazol-5-ylmethyl.
- Heteroarylalkoxy means heteroaryl-alkyl-O-.
- Heteroarylalkoxycarbonyl means heteroarylalkyl-O-CO-.
- Heteroarylcycloalkenyl means a fused heteroaryl and cycloalkenyl.
- Particular heteroarylcycloalkenyl is one wherein the heteroaryl thereof consists of about 5 to about 6 ring atoms and the cycloalkenyl consists of about 5 to about 6 ring atoms.
- a heteroarylcycloalkenyl is bonded through any atom of the cycloalkenyl thereof capable of such bonding.
- the designation of the aza, oxa or thio as a prefix before heteroaryl portion of the heteroarylcycloalkenyl defines that at least a nitrogen, oxygen or sulfur atom is present, respectively, as a ring atom.
- the nitrogen atom of a heteroarylcycloalkenyl can be a basic nitrogen atom.
- the nitrogen atom of the heteroaryl portion of the heteroarylcycloalkenyl may also be optionally oxidized to the corresponding N-oxide.
- Exemplary heteroarylcycloalkenyl includes 5,6- dihydroquinolyl, 5,6-dihydroisoquinolyl, 5,6- dihydroquinoxalinyl, 5,6-dihydroquinazolinyI, 4,5- dihydro-lH-benzimidazolyl, and 4,5-di- hydrobenzoxazolyl.
- "Heteroarylcycloalkyl” means a fused heteroaryl and cycloalkyl.
- Particular heteroarylcycloalkyl is one wherein the heteroaryl thereof consists of about 5 to about 6 ring atoms and the cycloalkyl consists of about 5 to about 6 ring atoms.
- a heteroarylcycloalkyl is bonded through any atom of the cycloalkyl thereof capable of such bonding.
- the designation of the aza, oxa or thio as a prefix before heteroaryl portion of the fused heteroarylcycloalkyl defines that at least a nitrogen, oxygen or sulfur atom is present, respectively, as a ring atom.
- the nitrogen atom of a heteroarylcycloalkyl can be a basic nitrogen atom.
- heteroarylcycloalkyl includes 5,6,7,8- tetrahydroquinolinyl, 5,6,7,8-tetra-hydroisoquinolyl, 5,6,7,8-tetrahydroquinoxalinyl, 5,6,7,8- tetrahydroquinazolyl, 4,5,6,7-tetrahydro-lH-benzimidazolyl, and 4,5,6,7-tetrahydrobenzoxazolyl
- Heteroarylheterocyclenyl means a fused heteroaryl and heterocyclenyl.
- Particular heteroarylheterocyclenyl is one wherein the heteroaryl thereof consists of about 5 to about 6 ring atoms and the heterocyclenyl consists of about 5 to about 6 ring atoms.
- a heteroarylheterocyclenyl is bonded through any atom of the heterocyclenyl thereof capable of such bonding.
- the designation of the aza, oxa or thio as a prefix before the heteroaryl or heterocyclenyl portion of the heteroarylheterocyclenyl defines that at least a nitrogen, oxygen or sulfur atom is present, respectively, as a ring atom.
- the nitrogen atom of a heteroarylazaheterocyclenyl can be a basic nitrogen atom.
- the nitrogen or sulfur atom of the heteroaryl portion of the heteroarylheterocyclyl may also be optionally oxidized to the corresponding N-oxide.
- the nitrogen or sulfur atom of the heteroaryl or heterocyclyl portion of the heteroarylheterocyclyl may also be optionally oxidized to the corresponding N-oxide, S- oxide or S, S- dioxide.
- Exemplary heteroarylheterocyclenyl includes 7,8-dihydro[l,7]naphthyridinyl, 1,2- dihydro[2,7]-naphthyridinyl, 6,7-dihydro-3H -imidazo [4,5-c]pyridyl, l,2-dihydro-l,5-naphthyridinyl, 1 ,2-dihydro-l,6-naphthyridinyl, l,2-dihydro-l,7 -naphthyridinyl, 1 ,2-dihydro-l ,8-naphthyridinyl, and 1 ,2-dihydro-2,6-naphthyridinyl.
- Heteroarylheterocyclyl means a fused heteroaryl and heterocyclyl.
- Particular heteroarylheterocyclyl is one wherein the heteroaryl thereof consists of about 5 to about 6 ring atoms and the heterocyclyl consists of about 5 to about 6 ring atoms.
- a heteroarylheterocyclyl is bonded through any atom of the heterocyclyl thereof capable of such bonding.
- the designation of the aza, oxa or thio as a prefix before the heteroaryl or heterocyclyl portion of the fused heteroarylheterocyclyl defines that at least a nitrogen, oxygen or sulfur atom is present, respectively, as a ring atom.
- the nitrogen atom of a fused heteroarylheterocyclyl can be a basic nitrogen atom.
- the nitrogen or sulfur atom of the heteroaryl portion of the heteroarylheterocyclyl may also be optionally oxidized to the corresponding N-oxide.
- heteroarylheterocyclyl includes 2,3-dihydro-lH-pyrrol[3,4-b]quinolin-2-yl, 1,2,3,4-tetrahydrobenz [b][l ,7]naphthyridin-2-yl, 1 ,2,3,4-tetrahydrobenz[b][l ,6]naphthyridin-2-yl, 1 ,2,3,4-tetra-hydro-9H- pyrido[3 5 4-b]indol-2yl, 1 ,2,3,4-tetrahydro-9H-pyrido[4 ; 3-b]indol-2yl, 2,3-dihydro-lH-pyrrolo[3,4-b
- Heteroaryloxy means heteroaryl-O-.
- exemplary heteroaryloxy includes pyridyloxy.
- Heterocyclenyl means a non-aromatic monocyclic or multicyclic hydrocarbon ring system of about 3 to about 10 carbon atoms, in which one or more of the carbon atoms in the ring system is/are hetero element(s) other than carbon, for example nitrogen, oxygen or sulfur atoms, and which contains at least one carbon-carbon double bond or carbon-nitrogen double bond.
- Particularlyhe non-aromatic ring system includes about 5 to about 10 carbon atoms, and 1 to 3 heteroatoms. More particular ring sizes of rings of the ring system include about 5 to about 6 ring atoms; and such ring sizes are also referred to as "lower”.
- heterocyclenyl The designation of the aza, oxa or thio as a prefix before heterocyclenyl defines that at least a nitrogen, oxygen or sulfur atom is present, respectively, as a ring atom.
- the nitrogen atom of a heterocyclenyl can be a basic nitrogen atom.
- the nitrogen or sulfur atom of the heterocyclenyl may also be optionally oxidized to the corresponding N-oxide, S-oxide or S,S-dioxide.
- Exemplary monocyclic azaheterocyclenyl includes 1,2,3,4-tetrahydrohydropyridine, 1,2- dihydropyridyl, 1 ,4-dihydropyridyl, 1,2,3,6-tetra-hydropyridine, 1,4,5,6-tetrahydro- pyrimidine, 2- pyrrolinyl, 3-pyrrolinyl, 2-imidazolinyl, and 2-pyrazolinyl.
- Exemplary oxaheterocyclenyl includes 3,4-dihydro-2H-pyran, dihydrofuranyl, and fluorodihydro-furanyl.
- An exemplary multicyclic oxaheterocyclenyl is 7-oxabicyclo[2.2.1]heptenyl.
- Exemplary monocyclic thioheterocyclenyl includes dihydrothiophenyl and dihydrothiopyranyl.
- Heterocyclenylaryl means a fused aryl and heterocyclenyl. Particular heterocyclenylaryl is one wherein the aryl thereof is phenyl and the heterocyclenyl consists of about 5 to about 6 ring atoms. A heterocyclenylaryl is bonded through any atom of the aryl thereof capable of such bonding.
- the designation of the aza, oxa or thio as a prefix before heterocyclenyl portion of the fused heterocyclenylaryl defines that at least a nitrogen, oxygen or sulfur atom is present, respectively, as a ring atom.
- the nitrogen atom of a heterocyclenylaryl can be a basic nitrogen atom.
- the nitrogen or sulfur atom of the heterocyclenyl portion of the heterocyclenylaryl may also be optionally oxidized to the corresponding N-oxide, S-oxide or S,S-dioxide.
- exemplary heterocyclenylaryl include 3H- indolinyl, IH-2-oxoquinolyl, 2H-l-oxoisoquinolyl, 1 ,2-di-hydroquinolinyl, 3,4-dihydroquinolinyl, 1,2- dihydroisoquinolinyl, and 3,4-dihydroisoquinolinyl.
- Heterocyclenylheteroaryl means a fused heteroaryl and heterocyclenyl.
- Particular heterocyclenylheteroaryl is one wherein the heteroaryl thereof consists of about 5 to about 6 ring atoms and the heterocyclenyl consists of about 5 to about 6 ring atoms.
- a heterocyclenylheteroaryl is bonded through any atom of the heteroaryl thereof capable of such bonding.
- the designation of the aza, oxa or thio as a prefix before the heteroaryl or heterocyclenyl portion of the heterocyclenylheteroaryl define that at least a nitrogen, oxygen or sulfur atom is present, respectively, as a ring atom.
- the nitrogen atom of an azaheterocyclenylheteroaryl can be a basic nitrogen atom.
- the nitrogen or sulfur atom of the heteroaryl portion of the heterocyclenylheteroaryl may also be optionally oxidized to the corresponding N-oxide.
- the nitrogen or sulfur atom of the heteroaryl or heterocyclyl portion of the heterocyclenylheteroaryl may also be optionally oxidized to the corresponding N-oxide, S- oxide or S,S-dioxide.
- Exemplary heterocyclenylheteroaryl includes 7,8-dihydro[l,7]naphthyridinyl, 1,2- dihydro[2,7]-naphthyridinyl, 6,7-dihydro-3H-imidazo[4,5-c]pyridyl, l,2-dihydro-l,5-naphthyridinyl, 1 ,2-dmydro-l,6-naphthyridinyl, l,2-dihydro-l,7-naphthyridinyl, l,2-dihydro-l,8-naphthyridinyl and 1 ,2- dihydro-2,6-naphthyridinyl.
- Heterocyclyl means a non-aromatic saturated monocyclic or multicyclic ring system of about 3 to about 10 carbon atoms, Particularin which one or more of the atoms in the ring system is/are hetero element(s) other than carbon, for example nitrogen, oxygen or sulfur.
- the ring system contains about 5 to about 10 carbon atoms, and from 1 to 3 heteroatoms. More particular ring sizes of rings of the ring system include about 5 to about 6 ring atoms; and such more particular ring sizes are also referred to as "lower”.
- the designation of the aza, oxa or thio as a prefix before heterocyclyl define that at least a nitrogen, oxygen or sulfur atom is present respectively as a ring atom.
- the nitrogen atom of a heterocyclyl can be a basic nitrogen atom.
- the nitrogen or sulfur atom of the heterocyclyl may also be optionally oxidized to 20 the corresponding N-oxide, S-oxide or S,S-dioxide.
- Exemplary monocyclic heterocyclyl includes piperidyl, pyrrolidinyl, piperazinyl, morpholinyl, thiomorpholinyl, thiazolidinyl, 1,3-dioxolanyl, 1 ,4-dioxanyl, THFyI, tetrahydrothiophenyl, and tetrahydrothiopyranyl .
- Heterocyclylaryl means a fused aryl and heterocyclyl. Particular heterocyclylaryl is one wherein the aryl thereof is phenyl and the heterocyclyl consists of about 5 to about 6 ring atoms. A heterocyclylaryl is bonded through any atom of the aryl moiety thereof capable of such bonding.
- the designation of the aza, oxa or thio as a prefix before heterocyclyl portion of the heterocyclylaryl defines that at least a nitrogen, oxygen or sulfur atom is present, respectively, as a ring atom.
- the nitrogen atom of a heterocyclylaryl can be a basic nitrogen atom.
- heterocyclylaryl includes indolinyl, 1,2,3,4- tetrahydroisoquinoline, 1,2,3,4-tetrahydroquinoline, lH-2,3-dihydroisoindol-2-yl, and 2,3- dihydrobenz[fJisoindol-2-yl, and 1,2,3,4- tetrahydrobenz[g]-isoquinolin-2-yl.
- Heterocyclylheteroaryl means a fused heteroaryl and heterocyclyl.
- Particular heterocyclylheteroaryl is one wherein the heteoraryl thereof consists of about 5 to about 6 ring atoms and the heterocyclyl consists of about 5 to about 6 ring atoms.
- a heterocyclylheteroaryl is bonded through any atom of the heterocyclyl thereof capable of such bonding.
- the designation of the aza, oxa or thio as a prefix before the heteroaryl or heterocyclyl portion of the heterocyclylheteroaryl defines that at least a nitrogen, oxygen or sulfur atom is present, respectively, as a ring atom.
- the nitrogen atom of a heterocyclylheteroaryl can be a basic nitrogen atom.
- the nitrogen or sulfur atom of the heteroaryl portion of the heterocyclylheteroaryl may also be optionally oxidized to the corresponding N-oxide.
- the nitrogen or sulfur atom of the heteroaryl or heterocyclyl portion of the heterocyclylheteroaryl may also be optionally oxidized to the corresponding N-oxide, S-oxide or S,S-dioxide.
- heterocyclylheteroaryl includes 2,3-dihydro-lH-pyrrol[3,4-b]quinolin-2-yl, 1,2,3,4-tetrahydrobenz [b][l,7]naphthyridin-2-yl, l,2,3,4-tetrahydrobenz[b][l,6]naphthyridin-2-yl, l,2,3,4-tetra-hydro-9H- pyrido[3,4-b]indol-2yl, 1 ,2,3,4-tetrahydro-9H-pyrido[4,3-b]indol-2yl, 2,3-dihydro-lH-pyrrolo[3,4-b ]indol-2-yl, lH-2,3,4,5-tetrahydroazepino[3,4-b]indol-2-yl, lH-2,3,4,5-tetrahydroazepino[3,4-
- “Hydroxyalkyl” means a HO-alkylene-. Examplary hydroxyalkyl include HO-CH 2 - and HO-CH 2 -CH 2 -
- Multicyclic alkaryl means a multicyclic ring system including at least one aromatic ring fused to at least one non-aromatic ring that can be saturated or unsaturated, and may also contain in the ring system one or more heteroatoms, such as nitrogen, oxygen or sulfur.
- Exemplary multicyclic alkaryl includes arylcycloalkenyl, arylcycloalkyl, arylheterocyclenyl, arylheterocyclyl, cycloalkenylaryl, cycloalkylaryl, cycloalkenylheteroaryl, cycloalkylheteroaryl, heteroarylcycloalkenyl, heteroarylcycloalkyl, heteroarylheterocyclenyl, heteroarylheterocyclyl, heterocyclenylaryl, heterocyclenylheteroaryl, heterocyclylaryl, and heterocyclylheteroaryl.
- Particular multicyclic alkaryl groups are bicyclic rings that include one aromatic ring fused to one non-aromatic ring and that also may contain in the ring system one or more heteroatoms, such as nitrogen, oxygen or sulfur.
- Niacin or “nicotinic acid” means pyridine-3-carboxylic acid.
- Natural acid receoptor agonist means 3-(lH-tetrazol-5-yl)-l,4,5,6-tetrahydro-cyclopentapyrazole or a pharmaceutically acceptable salt or solvate thereof, Acipimox or Agravn.
- Patient includes human and other mammals.
- prodrugs refers to those prodrugs of the compound of Formula (I) that are, within the scope of sound medical judgment, suitable for use in contact with the tissues of patients with undue toxicity, irritation, allergic response commensurate with a reasonable benefit/risk ratio, and effective for their intended use of the compounds of the invention.
- prodrug refers to compounds that are transformed in vivo to yield a parent compound of Formula (I), for example by hydrolysis in blood. Functional groups that can be rapidly transformed, by metabolic cleavage, in vivo form a class of groups reactive with the carboxyl group of the compounds of this invention.
- alkanoyl such as acetyl, propanoyl, butanoyl, and the like
- unsubstituted and substituted aroyl such as benzoyl and substituted benzoyl
- alkoxycarbonyl such as ethoxycarbonyl
- trialkylsilyl such as trimethyl and triethysilyl
- monoesters formed with dicarboxylic acids such as succinyl
- the compounds bearing the metabolically cleavable groups have the advantage that they may exhibit improved bioavailability as a result of enhanced solubility and/or rate of absorption conferred upon the parent compound by virtue of the presence of the metabolically cleavable group.
- a thorough discussion is provided in Design of Prodrugs, H. Bundgaard, ed., Elsevier (1985); Methods in Enzymology; K. Widder et al, Ed., Academic Press, 42, 309-396 (1985); A Textbook of Drug Design and Development, Krogsgaard-Larsen and H. Bandaged, ed., Chapter 5; "Design and Applications of Prodrugs” 113-191 (1991); Advanced Drug Delivery Reviews, H.
- Ester prodrug means a compound that is convertible in vivo by metabolic means (e.g., by hydrolysis) to a compound of Formula (I).
- an ester of a compound of Formula (I) containing a hydroxy group can be convertible by hydrolysis in vivo to the parent molecule.
- an ester of a compound of Formula (I) containing a carboxy group can be convertible by hydrolysis in vivo to the parent molecule.
- exemplary ester prodrugs are:
- Suitable esters of the compound of Formula (I) containing a hydroxy group are for example acetates, citrates, lactates, tartrates, malonates, oxalates, salicylates, propionates, succinates, fumarates, maleates, methylene-bis-b-hydroxynaphthoates, gentisates, isethionates, di-p-toluoyltartrates, methanesulfonates, ethanesulfonates, benzenesulfonates, p-toluenesulfonates, cyclohexylsulfamates and quinates.
- Suitable esters of the compound of Formula (I) containing a carboxy group are for example those described by FJ.Leinweber, Drug Metab. Res., 1987, 18, page 379.
- “Pharmaceutically acceptable salts” refers to the non-toxic, inorganic and organic acid addition salts, and base addition salts, of compounds of Formula (I). These salts can be prepared in situ during the final isolation and purification of the compounds.
- N-oxide is:
- Solvate means a physical association of a compound of this invention with one or more solvent molecules. This physical association includes hydrogen bonding. In certain instances the solvate will be capable of isolation, for example when one or more solvent molecules are incorporated in the crystal lattice of the crystalline solid. "Solvate” encompasses both solution-phase and isolable solvates. Representative solvates include hydrates, ethanolates and methanolates. “Substantial flushing” means the side effect that is often seen when nicotinic acid is administered in therapeutic amounts. The flushing effect of nicotinic acid usually becomes less frequent and less severe as the patient develops tolerance to the drug at therapeutic doses, but the flushing effect still occurs to some extent.
- reducing substantial flushing refers to reducing or completely alleviating severity of flushing when it occurs, or completely eliminating or reducing the number of flushing events than would otherwise occur.
- the incidence of flushing is reduced by at least about a third, more particuarly the incidence is reduced by half, and even more particularly, the flushing incidence is reduced by about two thirds or more.
- the severity is particularly reduced by at least about a third, more particularly by at least half, and even more particularly by at least about two thirds.
- Clearly a one hundred percent reduction in flushing incidence and severity is preferable, but is not required.
- esters of compounds of Formula (I) containing a hydroxy group can be formed from acid moieties selected from those described by Bundgaard et. al., J. Med. Chem., 1989, 32, pages 2503-2507, and include substituted (aminomethyl)-benzoates, for example dialkylamino-methylbenzoates in which the two alkyl groups can be joined together and/or interrupted by an oxygen atom or by an optionally substituted nitrogen atom, e.g., an alkylated nitrogen atom, more especially (morpholino-methyl)benzoates, e.g., 3- or 4-(morpholinomethyl)-benzoates, and (4-alkylpiperazin-l -yl)benzoates, e.g., 3- or 4-(4-alkylpiperazin-l -yl)benzoates.
- substituted (aminomethyl)-benzoates for example dialkylamino-methylbenzoates in which the two alkyl groups can be joined together and
- Some of the compounds of the present invention are basic, and such compounds are useful in the form of the free base or in the form of a pharmaceutically acceptable acid addition salt thereof.
- Acid addition salts are a more convenient form for use; and in practice, use of the salt form inherently amounts to use of the free base form.
- the acids which can be used to prepare the acid addition salts include particularly those which produce, when combined with the free base, pharmaceutically acceptable salts, that is, salts whose anions are non-toxic to the patient in pharmaceutical doses of the salts, so that the beneficial inhibitory effects inherent in the free base are not vitiated by side effects ascribable to the anions.
- acid addition salts of said basic compounds are preferred, all acid addition salts are useful as sources of the free base form even if the particular salt, per se, is desired only as an intermediate product as, for example, when the salt is formed only for purposes of purification, and identification, or when it is used as intermediate in preparing a pharmaceutically acceptable salt by ion exchange procedures.
- acid addition salts can be prepared by separately reacting the purified compound in its free base form with a suitable organic or inorganic acid and isolating the salt thus formed.
- Pharmaceutically acceptable salts within the scope of the invention include those derived from mineral acids and organic acids.
- Exemplary acid addition salts include the hydrobromide hydrochloride, sulfate, bisulfate, phosphate, nitrate, acetate, oxalate, valerate, oleate, palmitate, quinates, stearate, laurate, borate, benzoate, lactate, phosphate, tosylate, citrate, maleate, fumarate, succinate, tartrate, naphthylate, mesylate, glucoheptonate, lactiobionate, sulfamates, malonates, salicylates, propionates, methylene-bis- ⁇ -hydroxynaphthoates, gentisates, isethionates, di-p-toluoyltartrates, methanesulfonates, ethanesulfonates, benzenesulfonates, p- toluenesulfonates, cyclohexylsulfamates and la
- base addition salts can be formed and are simply a more convenient form for use; and in practice, use of the salt form inherently amounts to use of the free acid form.
- the bases which can be used to prepare the base addition salts include particularly those that produce, when combined with the free acid, pharmaceutically acceptable salts, that is, salts whose cations are non-toxic to the patient in pharmaceutical doses of the salts, so that the beneficial inhibitory effects inherent in the free base are not vitiated by side effects ascribable to the cations.
- Base addition salts can also be prepared by separately reacting the purified compound in its acid form with a suitable organic or inorganic base derived from alkali and alkaline earth metal salts and isolating the salt thus formed.
- Base addition salts include pharmaceutically acceptable metal and amine salts.
- Suitable metal salts include the sodium, potassium, calcium, barium, zinc, magnesium, and aluminum salts; more particular are the sodium and potassium salts.
- Suitable inorganic base addition salts are prepared from metal bases which include sodium hydride, sodium hydroxide, potassium hydroxide, calcium hydroxide, aluminum hydroxide, lithium hydroxide, magnesium hydroxide, zinc hydroxide and the like.
- Suitable amine base addition salts are prepared from amines which have sufficient basicity to form a stable salt, and particularly include those amines which are frequently used in medicinal chemistry because of their low toxicity and acceptability for medical use.
- Ammonia ethylenediamine, N-methyl-glucamine, lysine, arginine, ornithine, choline, N 1 N'- dibenzylethylenediamine, chloroprocaine, diethanolamine, procaine, N-benzylphenethylamine, diethylamine, piperazine, tris(hydroxymethyl)-aminomethane, tetramethylammonium hydroxide, triethylamine, dibenzylamine, ephenamine, dehydroabietylamine, N-ethylpiperidine, benzylamine, tetramethylammonium, tetraethylammonium, methylamine, dimethylamine, trimethylamine, ethylamine, basic amino acids
- salts of the compound of Formula (I) are useful for the purposes of purification of the compound, for example by exploitation of the solubility differences between the salts and the parent compound, side products and/or starting materials by techniques well known to those skilled in the art.
- the compound of the present invention may contain asymmetric centers. These asymmetric centers may independently be in either the R or S configuration. It will be apparent to those skilled in the art that certain compounds of Formula (I) may also exhibit geometrical isomerism. It is to be understood that the present invention includes individual geometrical isomers and stereoisomers and mixtures thereof, including racemic mixtures, of compounds of Formula (I) hereinabove.
- Such isomers can be separated from their mixtures, by the application or adaptation of known methods.
- Chiral chromatography techniques represent one means for separating isomers from mixtures thereof.
- Chiral recrystallization techniques can be tried as an alternative means for separating isomers from mixtures thereof.
- Individual isomeric compounds can also be prepared by employing, where applicable, chiral precursors.
- one particular embodiment of the invention is a pharmaceutical composition
- a pharmaceutical composition comprising pharmaceutically effective amounts of niacin or a pharmaceutically acceptable salt, solvate or N-oxide thereof, and a compound of formula (I), or an N-oxide thereof, or an ester prodrug thereof, or a pharmaceutically acceptable salt, hydrate, or solvate thereof.
- Another particular embodiment of the invention is a pharmaceutical composition
- niacin or a pharmaceutically acceptable salt, solvate or N-oxide thereof, or a nicotinic acid receptor agonist and a compound of Formula (I) wherein R 1 is amino, dimethylamino, methoxy, ethoxy, ethyl, methylthio, methylamino, or 2,2,2-trifluoroethoxy; or an N-oxide thereof, or an ester prodrug thereof, or a pharmaceutically acceptable salt, hydrate, or solvate thereof.
- Another particular embodiment of the invention is a pharmaceutical composition
- niacin or a pharmaceutically acceptable salt, solvate or N-oxide thereof, or a nicotinic acid receptor agonist is a pharmaceutical composition
- a pharmaceutical composition comprising niacin or a pharmaceutically acceptable salt, solvate or N-oxide thereof, or a nicotinic acid receptor agonist, and a compound of Formula (I) wherein Cy 1 is phenyl, benzimidazolyl, benzo[l,3]dioxolyl, benzothiazolyl, benzo[b]thiophenyl, lH-benzotriazolyl, 2,3-dihydro-benzo[l,4]dioxanyl, 2,3-dihydro- benzofuranyl, 3,4-dihydro-2H-benzo[l,4]oxazinyl, furanyl, imidazolyl, lH-indazolyl, indoliny
- Another particular embodiment of the invention is a pharmaceutical composition
- niacin or a pharmaceutically acceptable salt, solvate or N-oxide thereof, or a nicotinic acid receptor agonist is a pharmaceutical composition
- a pharmaceutical composition comprising niacin or a pharmaceutically acceptable salt, solvate or N-oxide thereof, or a nicotinic acid receptor agonist, and a compound of Formula (I) wherein Cy 1 is phenyl, benzimidazol-2-yl, benzimidazol-5-yl, benzo[l,3]dioxol-5-yl, benzothiazol-6-yl, benzo[b]thiophen-2-yl, benzo[b]thiophen-3-yl, lH-benzotriazol-6-yl, 2,3-dihydro-benzo[l,4]dioxin-6-yl, 2,3-dihydrobenzofuran-5-yl, 3,4-dihydr
- Another particular embodiment of the invention is a pharmaceutical composition
- niacin or a pharmaceutically acceptable salt, solvate or N-oxide thereof, or a nicotinic acid receptor agonist is a pharmaceutical composition
- a pharmaceutical composition comprising niacin or a pharmaceutically acceptable salt, solvate or N-oxide thereof, or a nicotinic acid receptor agonist, and a compound of Formula (I) wherein Cy 2 is phenyl, cyclohexenyl, benzo[l,3]dioxolyl, benzofuranyl, 2,3-dihydro-benzofuranyl, 3,4-dihydro-2H-benzo[l,4]oxazinyl, benzo[b]thiophenyl, imidazolyl, indolyl, isochromanyl, phenyl, naphthalenyl, pyridyl, or thienyl, each of which is optionally substituted by one to
- Another particular embodiment of the invention is a pharmaceutical composition
- a pharmaceutical composition comprising Niacin or a pharmaceutically acceptable salt, solvate or N-oxide thereof, or a nicotinic acid receptor agonist, and a compound of Formula (I) wherein Cy 2 is phenyl, cyclohex-1-enyl, benzo[l,3]dioxol-5-yl, benzofuran-6-yl, 2,3-dihydro-benzofuran-2-yl, 3,4-dihydro-2H-benzo[l ,4]oxazin-2-yl, benzo[b]thiophen-2-yl, imidazol-4-yl, lH-indol-3-yl, lH-indol-5-yl, naphthalene-2-yl, isochroman-1- yl, pyridin-2-yl, pyridin-3-yl , pyridin-4-yl, or
- Another particular embodiment of the invention is a pharmaceutical composition
- a pharmaceutical composition comprising Niacin or a pharmaceutically acceptable salt, solvate or N-oxide thereof, or a nicotinic acid receptor agonist, and a compound of Formula (I) wherein: L 1 is -CH 2 -, -CH 2 -CH 2 -, -CH 2 -CH 2 -CH 2 -, -CH 2 -CH 2 -CH 2 -, -CH 2 -CH(CH 3 )-, -CH 2 -C(CHs) 2 -, -CH(CH 3 )-CH 2 -, -CH 2 -CH(OH)-, -CH(CO 2 H)-CH 2 -, -CH 2 -CF 2 -,
- Another particular embodiment of the invention is a pharmaceutical composition
- a pharmaceutical composition comprising Niacin or a pharmaceutically acceptable salt, solvate or N-oxide thereof, or a nicotinic acid receptor agonist, and a compound of Formula (I) wherein L 1 and Cy 2 together represent indan-1-yl or indan-2-yl; or an N-oxide thereof, or an ester prodrug thereof, or a pharmaceutically acceptable salt, hydrate, or solvate thereof.
- Another particular embodiment of the invention is a pharmaceutical composition
- a pharmaceutical composition comprising Niacin or a pharmaceutically acceptable salt, solvate or N-oxide thereof, or a nicotinic acid receptor agonist, and a compound of Formula (I) wherein L 1 is -CH 2 -CH 2 -; or an N-oxide thereof, or an ester prodrug thereof, or a pharmaceutically acceptable salt, hydrate, or solvate thereof.
- Another particular embodiment of the invention is a pharmaceutical composition
- a pharmaceutical composition comprising Niacin or a pharmaceutically acceptable salt, solvate or N-oxide thereof, or a nicotinic acid receptor agonist, and a compound of Formula (I) wherein L 1 is -CH 2 -CF 2 -; or an N-oxide thereof, or an ester prodrug thereof, or a pharmaceutically acceptable salt, hydrate, or solvate thereof.
- Another particular embodiment of the invention is a pharmaceutical composition
- Another particular embodiment of the invention is a pharmaceutical composition
- a pharmaceutical composition comprising Niacin or a pharmaceutically acceptable salt, solvate or N-oxide thereof, or a nicotinic acid receptor agonist, and a compound of Formula (I) wherein Cy 1 is benzimidazol-2-yl, benzimidazol-5-yl, benzo[l,3]dioxol-5- yl, benzothiazol-6-yl, benzo[b]thiophen-2-yl, benzo[b]thiophen-3-yl, lH-benzotriazol-6-yl, 2,3-dihydro-benzo[l ,4]dioxin-6-yl, 2,3-dihydrobenzofuran-5-yl, 3,4-dihydro-2H-benzo[l ,4]oxazin-7- yl, furan-2-yl, furan-3-yl, imidazol-1-yl, lH
- Another particular embodiment of the invention is a pharmaceutical composition
- a pharmaceutical composition comprising Niacin or a pharmaceutically acceptable salt, solvate or N-oxide thereof, or a nicotinic acid receptor agonist, and a compound of Formula (I) wherein Cy 1 is benzimidazol-2-yl, benzimidazol-5-yl, benzo[l,3]dioxol-5- yl, benzothiazol-6-yl, benzo[b]thiophen-2-yl, benzo[b]thiophen-3-yl, 1 H-benzotriazol-6-yl, 2,3-dihydro-benzo[l ,4]dioxin-6-yl, 2,3-dihydrobenzofuran-5-yl, 3,4-dihydro-2H-benzo[l ,4]oxazin-7- yl, furan-2-yl, furan-3-yl, imidazol-1-yl, lH-
- Another particular embodiment of the invention is a pharmaceutical composition
- a pharmaceutical composition comprising Niacin or a pharmaceutically acceptable salt, solvate or N-oxide thereof, or a nicotinic acid receptor agonist, and a compound of Formula (T) wherein Cy 1 is phenyl or phenyl substituted by one to three of the same or different groups of formyl, acetyl, methoxy, chloro, fluoro, hydroxy, nitro, cyano, carboxy, CH 3 O-
- Another particular embodiment of the invention is a pharmaceutical composition
- a pharmaceutical composition comprising Niacin or a pharmaceutically acceptable salt, solvate or N-oxide thereof, or a nicotinic acid receptor agonist, and a compound of Formula (I) wherein Cy 2 is cyclohex-1-enyl; or an N-oxide thereof, or an ester prodrug thereof, or a pharmaceutically acceptable salt, hydrate, or solvate thereof.
- Another particular embodiment of the invention is a pharmaceutical composition
- a pharmaceutical composition comprising Niacin or a pharmaceutically acceptable salt, solvate or N-oxide thereof, or a nicotinic acid receptor agonist, and a compound of Formula (I) wherein Cy 2 is naphthyl or phenyl, each of which is optionally substituted by one to three of the same or different groups of alkoxy, (C r C 3 )-allcyl, hydroxy, cyano, halogen, haloalkoxy, haloalkyl, nitro, Y 1 Y 2 N-, Y 1 Y 2 N-SOi-, aryl or heteroaryl, wherein the aryl is optionally substituted by alkyl or hydroxyalkyl, and the heteroaryl is optionally substituted by alkyl; or an N-oxide thereof, or an ester prodrug thereof, or a pharmaceutically acceptable salt, hydrate, or solvate thereof.
- Cy 2 is naphthyl
- Another particular embodiment of the invention is a pharmaceutical composition
- Niacin or a pharmaceutically acceptable salt, solvate or N-oxide thereof, or a nicotinic acid receptor agonist and a compound of Formula (I) wherein Cy 2 is naphthyl or phenyl, each of which is optionally substituted by one to three of same or different groups of methoxy, ethoxy, methyl, ethyl, bromo, chloro, fluoro, F 2 HCO-, F 3 CO-, F 3 C-, amino, H 2 N-SO 2 -, cyano, hydroxy, nitro or 5-methyl-[l,3,4]oxadiazol-2-yl; or an N-oxide thereof, or an ester prodrug thereof, or a pharmaceutically acceptable salt, hydrate, or solvate thereof.
- Cy 2 is naphthyl or phenyl, each of which is optionally substituted by one to three of same or different groups of methoxy, ethoxy, methyl,
- Another particular embodiment of the invention is a pharmaceutical composition
- a pharmaceutical composition comprising Niacin or a pharmaceutically acceptable salt, solvate or N-oxide thereof, or a nicotinic acid receptor agonist, and a compound of Formula (I) wherein Cy 2 is benzo[l,3]dioxol-5-yl, lH-indol-3-yl, lH-indol-5-yl, imidazol-4-yl, lH-indol-3-yl, pyridin-2-yl, pyridin-3-yl, pyridin-4-yl, or thien-2-yl, each of which is optionally substituted by one to three of same or different groups of alkoxy, halo, or hydroxy; or an N-oxide thereof, or an ester prodrug thereof, or a pharmaceutically acceptable salt, hydrate, or solvate thereof.
- Another particular embodiment of the invention is a pharmaceutical composition
- a pharmaceutical composition comprising Niacin or a pharmaceutically acceptable salt, solvate or N-oxide thereof, or a nicotinic acid receptor agonist, and a compound of Formula (I) wherein L 2 is a bond.
- Another particular embodiment of the invention is a pharmaceutical composition
- a pharmaceutical composition comprising Niacin or a pharmaceutically acceptable salt, solvate or N-oxide thereof, or a nicotinic acid receptor agonist, and a compound of Formula (II)
- Another particular embodiment of the invention is a pharmaceutical composition
- a pharmaceutical composition comprising Niacin or a pharmaceutically acceptable salt, solvate or N-oxide thereof, or a nicotinic acid receptor agonist, and a compound of Formula (II) wherein Cy' is phenyl or phenyl substituted by one to three of same or different substituent groups of formyl, acetyl, cyano, methoxy, chloro, fluoro, hydroxy, carboxy, 5- amino-[l,3,4]oxadiazol-2-yl, 3-methyl-isoxazol-5-yl, 3-methyl-[l,2,4]oxadiazol-5-yl, 5-methyl- [l,3,4]oxadiazol-2-yl, 2-methyl-2H-tetrazol-5-yl, 5-methyl-2H-[l,2,4]triazol-3-yl, oxazol-5-yl, tetrazol-5-yl, lH-tetrazol-5-y
- Another particular embodiment of the invention is a pharmaceutical composition
- a pharmaceutical composition comprising Niacin or a pharmaceutically acceptable salt, solvate or N-oxide thereof, or a nicotinic acid receptor agonist, and a compound of Formula (II) wherein Cy 1 is benzimidazol-2-yl, benzimidazol-5-yl, benzo[l,3]dioxol-5- yl, benzothiazol-6-yl, benzo[b]thiophen-2-yl, benzo[b]thiophen-3-yl, lH-benzotriazol-6-yl,
- Another particular embodiment of the invention is a pharmaceutical composition
- a pharmaceutical composition comprising Niacin or a pharmaceutically acceptable salt, solvate or N-oxide thereof, or a nicotinic acid receptor agonist, and a compound of Formula (II) wherein Cy 1 is benzimidazol-2-yl, benzimidazol-5-yl, benzo[l,3]dioxol-5- yl, benzothiazol-6-yl, benzo[b]thiophen-2-yl, benzo[b]thiophen-3-yl, lH-benzotriazol-6-yl, 2,3-dihydro-benzo[l,4]dioxin-6-yl, 2,3-dihydrobenzofuran-5-yl, 3,4-dihydro-2H-benzo[l,4]oxazin-7- yl, furan-2-yl, furan-3-yl, imidazol-1-yl, lH-
- Another particular embodiment of the invention is a pharmaceutical composition
- Niacin or a pharmaceutically acceptable salt, solvate or N-oxide thereof, or a nicotinic acid receptor agonist and a compound of Formula (II) wherein Cy 2 is naphthyl or phenyl, each of which is optionally substituted with one to three of same or different substituent groups of alkoxy, (Ci-C 3 )-alkyl, hydroxy, cyano, halogen, haloalkoxy, haloalkyl, nitro, Y 1 Y 2 N-, Y 1 Y 2 N-SO 2 -, aryl or heteroaryl, wherein the aryl is optionally substituted by alkyl or hydroxyalkyl, and the heteroaryl is optionally substituted by alkyl; or an N-oxide thereof, or an ester prodrug thereof, or a pharmaceutically acceptable salt, hydrate, or solvate thereof.
- Cy 2 is naphthyl or phenyl
- Another particular embodiment of the invention is a pharmaceutical composition
- Niacin or a pharmaceutically acceptable salt, solvate or N-oxide thereof, or a nicotinic acid receptor agonist and a compound of Formula (U) wherein Cy 2 is naphthyl or phenyl, each of which is optionally substituted with one to three of same or different substituent groups of methoxy, methyl, ethyl, cyano, bromo, chloro, fluoro, F 2 HCO-, F 3 CO-, F 3 C-, nitro or 5-methyl-[l ,3,4]oxadiazol-2-yl; or an N-oxide thereof, or an ester prodrug thereof, or a pharmaceutically acceptable salt, hydrate, or solvate thereof.
- Cy 2 is naphthyl or phenyl, each of which is optionally substituted with one to three of same or different substituent groups of methoxy, methyl, ethyl, cyano, bromo, chloro, fluor
- Another particular embodiment of the invention is a pharmaceutical composition
- a pharmaceutical composition comprising Niacin or a pharmaceutically acceptable salt, solvate or N-oxide thereof, or a nicotinic acid receptor agonist, and a compound of Formula (II) wherein Cy 2 is cyclohex-1-enyl, benzo[l,3]dioxol-5-yl, benzofuran-6-yl, 2,3-dihydro-benzofuran-2-yl, 3,4-dihydro-2H-benzo[l,4]oxazin-2-yl, benzo[b]thiophen-2-yl, imidazol- 4-yl, lH-indol-3-yl, lH-indol-5-yl, naphthalene-2-yl, isochroman-1-yl, pyridin-2-yl, pyridin-3-yl , pyridin-4-yl, or thien-2-yl
- Another particular embodiment of the invention is a pharmaceutical composition
- a pharmaceutical composition comprising Niacin or a pharmaceutically acceptable salt, solvate or N-oxide thereof, or a nicotinic acid receptor agonist, and a compound of Formula (II) wherein Cy 2 is benzo[l,3]dioxol-5-yl, 2,2-difluoro-benzo[l,3]dioxol-5-yl pyridin-4-yl or thien-2-yl; or an N-oxide thereof, or an ester prodrug thereof, or a pharmaceutically acceptable salt, hydrate, or solvate thereof.
- Another particular embodiment of the invention is a pharmaceutical composition
- Another particular embodiment of the invention is a pharmaceutical composition
- Another particular embodiment of the invention is a pharmaceutical composition
- a pharmaceutical composition comprising Niacin or a pharmaceutically acceptable salt, solvate or N-oxide thereof, or a nicotinic acid receptor agonist, and a compound of Formula (II) wherein Cy 1 is:
- Another particular embodiment of the invention is a pharmaceutical composition
- Another particular embodiment of the invention is a pharmaceutical composition
- Another particular embodiment of the invention is a pharmaceutical composition
- a pharmaceutical composition comprising Niacin or a pharmaceutically acceptable salt, solvate or N-oxide thereof, or a nicotinic acid receptor agonist, and a compound of Formula (II) wherein Cy 1 is:
- Another particular embodiment of the invention is a pharmaceutical composition
- a pharmaceutical composition comprising Niacin or a pharmaceutically acceptable salt, solvate or N-oxide thereof, or a nicotinic acid receptor agonist, and a compound of Formula (II) wherein Cy 2 is 4-chlorophenyl, 2,4-dichlorophenyl, 2,6-dichlorophenyl, 2,6-difluorophenyl, 2-fluoro-6-chlorophenyl, 3-fluoro-4-methoxyphenyl, 4-fluorophenyl, 2-fluoro-4- trifluoromethylphenyl, 4-methoxyphenyl, 4-nitrophenyl, 2,2-difluoro-benzo[l,3]dioxol-5-yl or 4- trifluoromethoxyphenyl; or an N-oxide thereof, or an ester prodrug thereof, or a pharmaceutically acceptable salt, hydrate, or solvate thereof.
- Another particular embodiment of the invention is a pharmaceutical composition
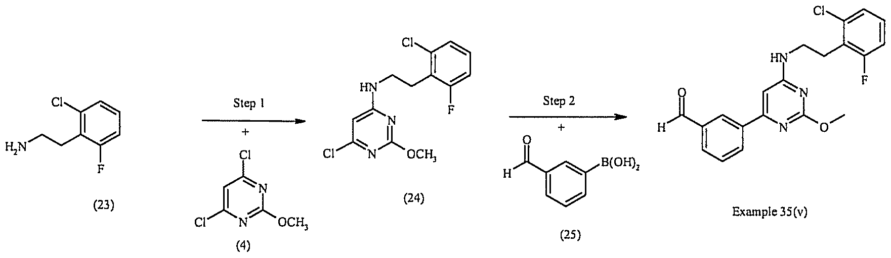
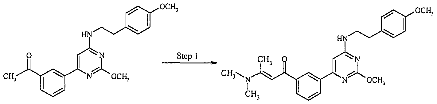
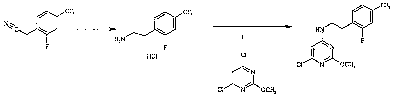
- N,N-dimethylamide-2-sulfonic acid [2-(3- ⁇ 6-[2-(2,4-dichloro-phenyl)-ethylamino]-2-methoxy- pyrimidin-4-yl ⁇ -phenyl)-2-methyl-propionyl]-amide, 2-(3- ⁇ 6-[2-(2,4-Dichloro-phenyl)-ethylamino]-2-methoxy-pyrimidin-4-yl ⁇ -phenyl)-2-methyl-l- thiomorpholin-4-yl-propan- 1 -one,
- Another particular embodiment of the invention is a pharmaceutical composition
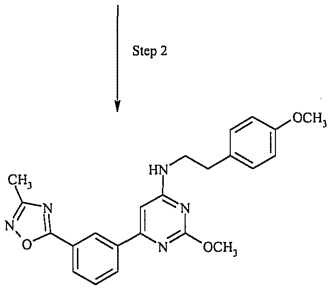
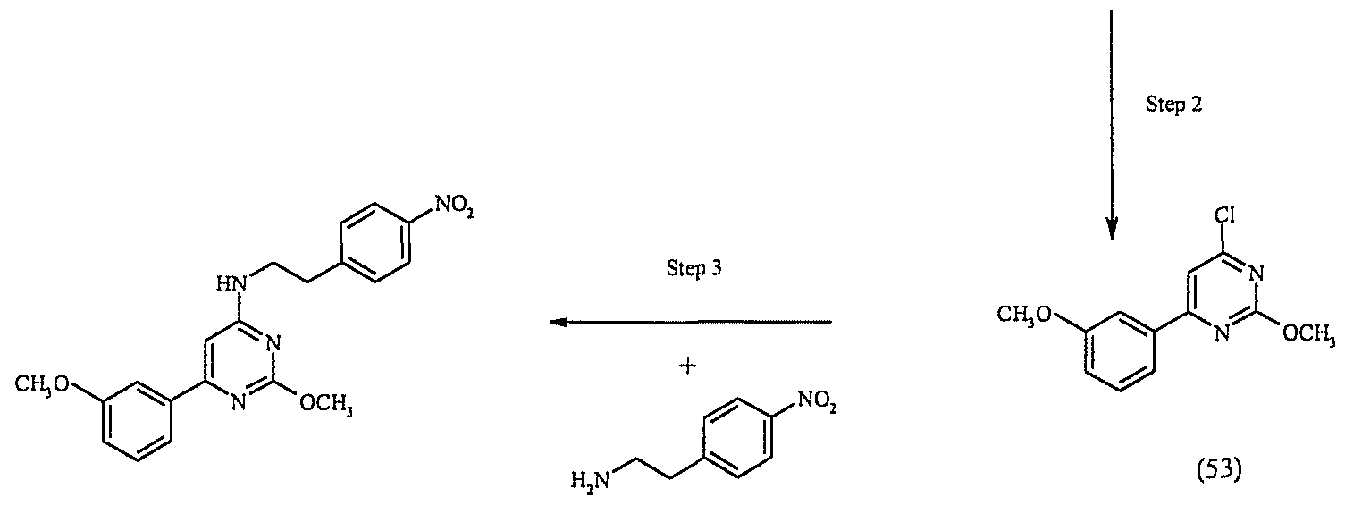
- a pharmaceutical composition comprising Niacin or a pharmaceutically acceptable salt, solvate or N-oxide thereof, or a nicotinic acid receptor agonist, and a compound of Formula (I) or a pharmaceutical acceptable salt or ester prodrug thereof, which is 3- ⁇ 6-[2-(3-fluoro-4-methoxy-phenyl)-ethylamino]-2-methoxy-pyrimidin-4-yl ⁇ -benzonitrile, [6-(3 -amino-phenyl)-2-methoxy-pyrimidin-4-yl] -[2-(4-methoxy-phenyl)-ethyl] amine, 3- ⁇ 2-methoxy-6-[2-(4-methoxy-phenyl)-ethylamino]-pyrimidin-4-yl ⁇ -benzenesulfonamide, 3- ⁇ 2-methoxy-6-[2-(4-methoxy-phenyl)-eth
- Another particular embodiment of the invention is a pharmaceutical composition
- a pharmaceutical composition comprising Niacin or a pharmaceutically acceptable salt, solvate or N-oxide thereof, or a nicotinic acid receptor agonist, and a compound of Formula (I) or a pharmaceutically acceptable salt or ester prodrug thereof, which is N-methoxycarbonyl-3- ⁇ 2-methoxy-6-[2-(4-methoxy-phenyl)-ethylamino]-pyrimidin-4-yl ⁇ - benzenesulfonamide,
- the compounds of Formula (I) exhibit prostaglandin D2 receptor antagonist activity according to tests described in the literature and described in pharmacological testing section hereinafter, and which tests results are believed to correlate to pharmacological activity in humans and other mammals.
- the compounds of Formula (I) are useful a pharmacological acting agents. Accordingly, they are incorporated into pharmaceutical compositions and used in the treatment of patients suffering from certain medical disorders.
- the pharmaceutical composition of the present invention can be administered in pharmaceutically acceptable dosage form to humans and other animals by topical or systemic administration, including oral, inhalational, rectal, nasal, buccal, sublingual, vaginal, colonic, parenteral (including subcutaneous, intramuscular, intravenous, intradermal, intrathecal and epidural), intracisternal and intraperitoneal. It will be appreciated that the particular route may vary with for example the condition of the recipient.
- “Pharmaceutically acceptable dosage forms” refers to dosage forms of the compound of the invention, and includes, for example, tablets, dragees, powders, elixirs, syrups, liquid preparations, including suspensions, sprays, inhalants tablets, lozenges, emulsions, solutions, granules, capsules and suppositories, as well as liquid preparations for injections, including liposome preparations. Techniques and formulations generally can be found in Remington's Pharmaceutical Sciences, Mack Publishing Co., Easton, PA, latest edition.
- compositions may comprise pharmaceutically acceptable carriers.
- Pharmaceutically acceptable carriers include at least one component selected from the group comprising pharmaceutically acceptable carriers, diluents, coatings, adjuvants, excipients, or vehicles, such as preserving agents, fillers, disintegrating agents, wetting agents, emulsifying agents, emulsion stabilizing agents, suspending agents, isotonic agents, sweetening agents, flavoring agents, perfuming agents, coloring agents, antibacterial agents, antifungal agents, other therapeutic agents, lubricating agents, adsorption delaying or promoting agents, and dispensing agents, depending on the nature of the mode of administration and dosage forms.
- pharmaceutically acceptable carriers such as preserving agents, fillers, disintegrating agents, wetting agents, emulsifying agents, emulsion stabilizing agents, suspending agents, isotonic agents, sweetening agents, flavoring agents, perfuming agents, coloring agents, antibacterial agents, antifungal agents, other therapeutic agents, lubricating agents, adsorption delaying or promoting agents, and dispensing agents,
- suspending agents include ethoxylated isostearyl alcohols, polyoxyethylene sorbitol and sorbitan esters, microcrystalline cellulose, aluminum metahydroxide, bentonite, agar-agar and tragacanth, or mixtures of these substances.
- antibacterial and antifungal agents for the prevention of the action of microorganisms include parabens, chlorobutanol, phenol, sorbic acid, and the like.
- Exemplary isotonic agents include sugars, sodium chloride and the like.
- Exemplary adsorption delaying agents to prolong absorption include aluminum monostearate and gelatin.
- Exemplary adsorption promoting agents to enhance absorption include dimethyl sulfoxide and related analogs.
- Exemplary diluents, solvents, vehicles, solubilizing agents, emulsifiers and emulsion stabilizers include water, chloroform, sucrose, ethanol, isopropyl alcohol, ethyl carbonate, ethyl acetate, benzyl alcohol, tetrahydrofurfuryl alcohol, benzyl benzoate, polyols, propylene glycol, 1,3-butylene glycol, glycerol, polyethylene glycols, dimethylformamide, Tween® 60, Span® 60, cetostearyl alcohol, myristyl alcohol, glyceryl mono-stearate and sodium lauryl sulfate, fatty acid esters of sorbitan, vegetable oils (such as cottonseed oil, groundnut oil, com germ oil, olive oil, castor oil and sesame oil) and injectable organic esters such as ethyl oleate, and the like, or suitable mixtures of these substances.
- Exemplary excipients include lactose, milk sugar, sodium citrate, calcium carbonate and dicalcium phosphate.
- Exemplary disintegrating agents include starch, alginic acids and certain complex silicates.
- Exemplary lubricants include magnesium stearate, sodium lauryl sulfate, talc, as well as high molecular weight polyethylene glycols.
- compositions of the present invention suitable for oral administration can be presented as discrete units such as a solid dosage form, such as capsules, cachets or tablets each containing a predetermined amount of the active ingredient, or as a powder or granules; as a liquid dosage form such as a solution or a suspension in an aqueous liquid or a non-aqueous liquid, or as an oil-in-water liquid emulsion or a water-in-oil liquid emulsion.
- the active ingredient may also be presented as a bolus, electuary or paste.
- Solid dosage form means the dosage form of the compound of the invention is solid form, for example capsules, tablets, pills, powders, dragees or granules.
- the compound of the invention is admixed with at least one inert customary excipient (or carrier) such as sodium citrate or dicalcium phosphate or (a) fillers or extenders, as for example, starches, lactose, sucrose, glucose, mannitol and silicic acid, (b) binders, as for example, carboxymethylcellulose, alginates, gelatin, polyvinylpyrrolidone, sucrose and acacia, (c) humectants, as for example, glycerol, (d) disintegrating agents, as for example, agar-agar, calcium carbonate, potato or tapioca starch, alginic acid, certain complex silicates and Na 2 CO 3 , (e) solution retarders, as for example paraffin, (f) absorption accelerator, as for example paraffin
- a tablet can be made by compression or molding, optionally with one or more accessory ingredients.
- Compressed tables can be prepared by compressing in a suitable machine the active ingredient in a free-flowing form such as a powder or granules, optionally mixed with a binder, lubricant, inert diluent, preservative, surface active or dispersing agent.
- Excipients such as lactose, sodium citrate, calcium carbonate, dicalcium phosphate and disintegrating agents such as starch, alginic acids and certain complex silicates combined with lubricants such as magnesium stearate, sodium lauryl sulfate and talc can be used.
- a mixture of the powdered compounds moistened with an inert liquid diluent can be molded in a suitable machine to make molded tablets.
- the tablets can optionally be coated or scored and can be formulated so as to provide slow or controlled release of the active ingredient therein.
- Solid compositions may also be employed as fillers in soft and hard-filled gelatin capsules using such excipients as lactose or milk sugar as well as high molecular weight polyethylene glycols, and the like.
- the compounds can be microencapsulated in, or attached to, a slow release or targeted delivery systems such as a biocompatible, biodegradable polymer matrices (e.g., poly(d,l-lactide co-glycolide)), liposomes, and microspheres and subcutaneously or intramuscularly injected by a technique called subcutaneous or intramuscular depot to provide continuous slow release of the compound(s) for a period of 2 weeks or longer.
- a biocompatible, biodegradable polymer matrices e.g., poly(d,l-lactide co-glycolide)
- liposomes e.g., liposomes
- microspheres e.g., liposomes, and microspheres and subcutaneously or intramuscularly injected by a technique called subcutaneous or intramuscular depot to provide continuous slow release of the compound(s) for a period of 2 weeks or longer.
- the compounds can be sterilized, for example, by filtration through a bacteria
- Liquid dosage form means the dose of the active compound to be administered to the patient is in liquid form, for, example, pharmaceutically acceptable emulsions, solutions, suspensions, syrups and elixirs.
- the liquid dosage forms may contain inert diluents commonly used in the art, such solvents, solubilizing agents and emulsifiers. When aqueous suspensions are used they can contain emulsifying agents or agents which facilitate suspension.
- compositions suitable for topical administration means formulations that are in a form suitable to be administered topically to a patient.
- the formulation can be presented as a topical ointment, salves, powders, sprays and inhalants, gels (water or alcohol based), creams, as is generally known in the art, or incorporated into a matrix base for application in a patch, which would allow a controlled release of compound through the transdermal barrier.
- the active ingredients can be employed with either a paraffrnic or a water-miscible ointment base.
- the active ingredients can be formulated in a cream with an oil-in-water cream base.
- Formulations suitable for topical administration in the eye include eye drops wherein the active ingredient is dissolved or suspended in a suitable carrier, especially an aqueous solvent for the active ingredient.
- Formulations suitable for topical administration in the mouth include lozenges comprising the active ingredient in a flavored basis, usually sucrose and acacia or tragacanth; pastilles comprising the active ingredient in an inert basis such as gelatin and glycerin, or sucrose and acacia; and mouthwashes comprising the active ingredient in a suitable liquid carrier.
- the oily phase of the emulsion pharmaceutical composition can be constituted from known ingredients in a known manner. While the phase may comprise merely an emulsifier (otherwise known as an emulgent), it desirably comprises a mixture of at least one emulsifier with a fat or an oil or with both a fat and an oil. In a particular embodiment, a hydrophilic emulsifier is included together with a lipophilic emulsifier that acts as a stabilizer. Together, the emulsifier(s) with or without stabilizer(s) make up the emulsifying wax, and the way together with the oil and fat make up the emulsifying ointment base that forms the oily dispersed phase of the cream formulations.
- an emulsifier also known as an emulgent
- a hydrophilic emulsifier is included together with a lipophilic emulsifier that acts as a stabilizer.
- the aqueous phase of the cream base may include, for example, a least 30% w/w of a polyhydric alcohol, i.e. an alcohol having two or more hydroxyl groups such as propylene glycol, butane 1,3-diol, mannitol, sorbitol, glycerol and polyethylene glycol (including PEG 400) and mixtures thereof.
- a polyhydric alcohol i.e. an alcohol having two or more hydroxyl groups such as propylene glycol, butane 1,3-diol, mannitol, sorbitol, glycerol and polyethylene glycol (including PEG 400) and mixtures thereof.
- the topical formulations may desirably include a compound that enhances absorption or penetration of the active ingredient through the skin or other affected areas.
- a cream should particularly be a non-greasy, non-staining and washable product with suitable consistency to avoid leakage from tubes or other containers.
- Straight or branched chain, mono- or dibasic alkyl esters such as di-isopropyl myristate, decyl oleate, isopropyl palmitate, butyl stearate, 2-ethylhexyl palmitate or a blend of branched chain esters known as Crodamol CAP can be used. These can be used alone or in combination depending on the properties required.
- high melting point lipids such as white soft paraffin and/or liquid paraffin or other mineral oils can be used.
- compositions suitable for rectal or vaginal administrations means formulations that are in a form suitable to be administered rectally or vaginally to a patient and containing at least one compound of the invention.
- Suppositories are a particular form for such formulations that can be prepared by mixing the compounds of this invention with suitable non-irritating excipients or carriers such as cocoa butter, polyethylene glycol or a suppository wax, which are solid at ordinary temperatures but liquid at body temperature and therefore, melt in the rectum or vaginal cavity and release the active component.
- composition administered by injection can be by transmuscular, intravenous, intraperitoneal, and/or subcutaneous injection.
- the compositions of the present invention are formulated in liquid solutions, in particular in physiologically compatible buffers such as Hank's solution or Ringer's solution.
- the compositions can be formulated in solid form and redissolved or suspended immediately prior to use. Lyophilized forms are also included.
- the formulations are sterile and include emulsions, suspensions, aqueous and non-aqueous injection solutions, which may contain suspending agents and thickening agents and anti-oxidants, buffers, bacteriostats and solutes which render the formulation isotonic, and have a suitably adjusted pH, with the blood of the intended recipient.
- compositions suitable for nasal or inhalational administration means compositions that are in a form suitable to be administered nasally or by inhalation to a patient.
- the composition may contain a carrier, in a powder form, having a particle size for example in the range 1 to 500 microns (including particle sizes in a range between 20 and 500 microns in increments of 5 microns such as 30 microns, 35 microns, etc.).
- Suitable compositions wherein the carrier is a liquid, for administration as for example a nasal spray or as nasal drops include aqueous or oily solutions of the active ingredient.
- Compositions suitable for aerosol administration can be prepared according to conventional methods and can be delivered with other therapeutic agents. Metered dose inhalers are useful for administering compositions according to the invention for an inhalational therapy.
- Actual dosage levels of active ingredient(s) in the compositions of the invention can be varied so as to obtain an amount of active ingredient(s) that is (are) effective to obtain a desired therapeutic response for a particular composition and method of administration for a patient.
- a selected dosage level for any particular patient therefore depends upon a variety of factors including the desired therapeutic effect, on the route of administration, on the desired duration of treatment, the etiology and severity of the disease, the patient's condition, weight, sex, diet and age, the type and potency of each active ingredient, rates of absorption, metabolism and/or excretion and other factors.
- Total daily dose of the compounds of this invention administered to a patient in single or divided doses can be in amounts, for example, of from about 0.001 to about 100 mg/kg body weight daily and particularly 0.01 to 10 mg/kg/day.
- the doses are generally from about 0.01 to about 100, particularly about 0.01 to about 10, mg/kg body weight per day by inhalation, from about 0.01 to about 100, particularly 0.1 to 70, more especially 0.5 to 10, mg/kg body weight per day by oral administration, and from about 0.01 to about 50, particularly 0.01 to 10, mg/kg body weight per day by intravenous administration.
- the percentage of active ingredient in a composition can be varied, though it should constitute a proportion such that a suitable dosage shall be obtained.
- Dosage unit compositions may contain such amounts of such submultiples thereof as can be used to make up the daily dose.
- several unit dosage forms can be administered at about the same time.
- a dosage can be administered as frequently as necessary in order to obtain the desired therapeutic effect.
- Some patients may respond rapidly to a higher or lower dose and may find much weaker maintenance doses adequate.
- it can be necessary to have long-term treatments at the rate of 1 to 4 doses per day, in accordance with the physiological requirements of each particular patient. It goes without saying that, for other patients, it will be necessary to prescribe not more than one or two doses per day.
- the formulations can be prepared in unit dosage form by any of the methods well known in the art of pharmacy. Such methods include the step of bringing into association the active ingredient with the carrier that constitutes one or more accessory ingredients. In general the formulations are prepared by uniformly and intimately bringing into association the active ingredient with liquid carriers or finely divided solid carriers or both, and then, if necessary, shaping the product.
- the formulations can be presented in unit-dose or multi-dose containers, for example sealed ampoules and vials with elastomeric stoppers, and can be stored in a freeze-dried (lyophilized) condition requiring only the addition of the sterile liquid carrier, for example water for injections, immediately prior to use.
- sterile liquid carrier for example water for injections, immediately prior to use.
- Extemporaneous injection solutions and suspensions can be prepared from sterile powders, granules and tablets of the kind previously described.
- Suitable amine protecting groups include sulfonyl (e.g., tosyl), acyl (e.g., benzyloxycarbonyl or t-butoxycarbonyl) and arylalkyl (e.g., benzyl), which can be removed by hydrolysis or hydrogenolysis as appropriate.
- a compound of Formula (T), wherein R 1 , Cy 1 , Cy 2 , L 1 and L 2 are as hereinbefore defined can be prepared by reaction of a compound of Formula (IEQ, wherein L 2 , R 1 and Cy 1 are as hereinbefore defined and X 1 is a halogen, particularly chlorine, or a triflate group, with an amine of Formula (IV), wherein L 1 and Cy 2 are as hereinbefore defined.
- the reaction can conveniently be carried out for example in the presence of a suitable base, such as sodium bicarbonate, in an inert solvent, such as 1 -methyl -2 -pyrrolidinone, and at a temperature at about 16O 0 C.
- a suitable base such as sodium bicarbonate
- an inert solvent such as 1 -methyl -2 -pyrrolidinone
- a compound of Formula (I), wherein L 2 is a bond and R 1 , Cy 1 , Cy 2 and L 1 are as hereinbefore defined may also be prepared by reaction of a compound of Formula (V), wherein R 1 , L 1 and Cy 2 are as hereinbefore defined and X 2 is a halogen, particularly chlorine, or a triflate group, with a boronic acid of Formula (VI), or a boronic acid pinacol ester of formula (XVII), wherein Cy 1 is as hereinbefore defined. (xv ⁇ )
- the coupling reaction can conveniently be carried out for example in the presence of a complex metal catalyst such as tetrakis(triphenylphosphine)palladium (0) and Cs 2 CO 3 , in an inert solvent, such as aqueous ethylene glycol dimethyl ether, and at a temperature at about 100 0 C.
- This reaction may also be conveniently carried out in a microwave oven at about 140°C.
- the coupling reaction may also be carried out in the presence of 1 , 1 '-bis(diphenylphosphino)ferrocene-palladium (II) dichloride DCM complex and Cs 2 CO 3 , in an inert solvent, such as aqueous acetonitrile at a temperature up to about reflux temperature.
- a compound of Formula (I), wherein L 2 is -CH 2 -O- and R 1 , Cy 1 , Cy 2 and L 1 are as hereinbefore defined may also be prepared by reaction of a compound of Formula (V), wherein R 1 , L 1 and Cy 2 are as hereinbefore defined and X 3 is a halogen, particularly chlorine, or a triflate group, with a compound of Formula (XIV), wherein Cy 1 is as hereinbefore defined.
- the reaction can be carried out in the presence of sodium hydride in an inert solvent, such as dimethylformamide, at a temperature up to reflux.
- a compound of Formula (T), wherein L 2 is -O-, R 1 is or (Q-GO-alkyl, which is optionally substituted by one to three of same or different of halogen, hydroxy or alkoxy, Cy 1 , Cy 2 and L 1 are as hereinbefore defined may also be prepared by reaction of a compound of Formula (XV), wherein Cy 1 is as hereinbefore defined and X 4 is a halogen, particularly chlorine, or a triflate group, with a compound of Formula (XVI), wherein Cy 1 is as hereinbefore defined.
- the reaction can conveniently be carried out for example in the presence of a suitable base, such as sodium bicarbonate or CS 2 CO 3 , in an inert solvent, such as dimethylformamide, at a temperature up to reflux.
- a compound of Formula (I), wherein L 2 is -O-, R ! is -NY 4 Y 5 or (Ci-C 4 )-alkoxy, which is optionally substituted by one to three halogen, Cy 1 , Cy 2 and L 1 are as hereinbefore defined may also be prepared by (i) oxidizing the corresponding compound of Formula (T), wherein R 1 is methylthio with an oxidizing reagent, such as 3-chloro-peroxybenzoic acid in an inert solvent, such as DCM, and at a temperature at about room temperature, and (ii) then reacting with an alkali metal alkoxide, such as a sodium alkoxide, or HN 4 Y 5 , in an inert solvent.
- an oxidizing reagent such as 3-chloro-peroxybenzoic acid in an inert solvent, such as DCM
- a compound of Formula (I), wherein L 2 is a bond, Cy 1 nitrogen-containing heterocyclyl that connects to the pyrimidine ring through its nitrogen ring atom, wherein the Cy 1 is optionally substituted one to three times by same or different Cy 1 substituents groups as hereinbefore defined, and L 1 , Cy 2 and R 1 are as hereinbefore defined can be prepared by reaction of a corresponding compound of Formula (V), wherein R 1 , L 1 and Cy 2 are as hereinbefore defined and X 2 is a halogen, particularly chlorine, with a corresponding compound of formula (XVIH), wherein Cy 1 is as hereinbefore defined.
- the reaction can conveniently be carried out for example in the presence of a suitable base, such as sodium bicarbonate or K 2 CO 3 , in an inert solvent, such as l-methyl-2-pyrrolidinone, and at a temperature at about 140°C.
- a suitable base such as sodium bicarbonate or K 2 CO 3
- an inert solvent such as l-methyl-2-pyrrolidinone
- the compound of Formula (I) can also be prepared by interconversion of other compounds of Formula (I)-
- the compound of Formula (I) in which Cy 1 is substituted by a carboxy group can be prepared by hydrolysis of the corresponding esters.
- the hydrolysis can conveniently be carried out by alkaline hydrolysis using a base, such as an alkali metal hydroxide, e.g. lithium hydroxide, or an alkali metal carbonate, e.g. K 2 CO 3 , in the presence of an aqueous/organic solvent mixture, using organic solvents such as dioxane, THF or methanol, at a temperature from about ambient to about reflux.
- a base such as an alkali metal hydroxide, e.g. lithium hydroxide, or an alkali metal carbonate, e.g. K 2 CO 3
- organic solvents such as dioxane, THF or methanol
- the hydrolysis of the esters may also be carried out by acid hydrolysis using an inorganic acid, such as hydrochloric acid, in the presence of an aqueous/inert organic solvent mixture, using organic solvents such as dioxane or THF, at a temperature from about 50°C to about 8O 0 C.
- an inorganic acid such as hydrochloric acid
- an aqueous/inert organic solvent mixture using organic solvents such as dioxane or THF, at a temperature from about 50°C to about 8O 0 C.
- the compound of Formula (I) in which Cy 1 is substituted by a carboxy group cany be prepared by acid catalyzed removal of the tert-butyl group of the corresponding tert-butyl esters using standard reaction conditions, for example reaction with trifluoroacetic acid at a temperature at about room temperature.
- the compound of Formula (I) in which Cy 1 is substituted by a carboxy group can be prepared by hydrogenation of the corresponding benzyl esters.
- the reaction can be carried out in the presence of ammonium formate and a suitable metal catalyst, e.g. palladium, supported on an inert carrier such as carbon, more particularly in a solvent such as MeOH or EtOH and at a temperature at about reflux temperature.
- a suitable metal catalyst e.g. platinum or palladium optionally supported on an inert carrier such as carbon, more particularly in a solvent such as MeOH or EtOH.
- the compound of Formula (I) in which Cy 1 is substituted by a carboxy group can be prepared by oxidation of the corresponding compound of Formula (I) in which Cy 1 is substituted by a formyl group.
- the reaction can be carried out using sodium dihydrogen phosphate monohydrate and sodium chlorite at a temperature at about room temperature.
- Examples include (i) coupling in the presence of O-(7-azabenzotriazol-l-yl)-l,l,3,3-tetramethyluronium hexafluorophosphate and triethylamine (or diisopropylethylamine) in THF (or dimethylformamide) at room temperature, (ii) coupling in the presence of a carbodiimide, for example dicyclohexylcarbodiimide in the presence of triethylamine,
- a suitable base such as diisopropylethylamine
- an inert solvent such as dimethylformamide
- an inert solvent such as DCM
- the compound of Formula (I) in which Cy 1 is substituted by a Y 1 Y 2 NSO 2 - group can be prepared by (i) reaction of the compound of Formula (I) in which Cy 1 is substituted by H 2 N- with sodium nitrite in the presence of hydrochloric acid at a temperature at about 0 0 C, followed by treatment of the resulting diazonium salt with sulfur dioxide in the presence of copper chloride, and (ii) subsequent treatment of the resulting the compound of Formula (I) in which Cy 1 is substituted by a Cl-SO 2 - with an amine of Formula Y 1 Y 2 NH at a temperature at about O 0 C.
- the compound of Formula (I) in which Cy 1 is substituted by HOCH 2 - group can be prepared by the reduction of corresponding compound of
- the reduction can conveniently be carried out by means of reaction with sodium borohydride, in an inert solvent, such as THF, and at a temperature from about O 0 C to about room temperature.
- a suitable base such as pyridine
- an inert solvent such as THF
- 0 V HN - » 0 VV- group can be prepared by reaction of the corresponding compound of Formula (I) containing a NC-CH 2 - group by (i) reaction with hydroxylamine hydrochloride in the presence of sodium methoxide, in an inert solvent, such as a mixture of MeOH and DCM, and at room temperature; (ii) reaction of the resulting N-hydroxy-acetamidine with 1 , 1 -carbonyldiimidazole in the presence of l,8-diazabicyclo[5,4,0]undec-7-ene, in an inert solvent, such as N-methyl pyrrolidine, and at room temperature.
- an inert solvent such as N-methyl pyrrolidine
- R V N ⁇ -V ' - group substituted by a R V N ⁇ -V ' - group, wherein R a is alkyl
- R a is alkyl
- R a is alkyl
- R a is alkyl
- the compound of Formula (I) containing sulfoxide linkages can be prepared by the oxidation of corresponding compound containing -S- linkages.
- the oxidation can conveniently be carried out by means of reaction with a peroxyacid, e.g. 3-chloroperbenzoic acid, Particular in an inert solvent, e.g. DCM, Particular at or near room temperature, or alternatively by means of potassium hydrogen peroxomonosulfate in a medium such as aqueous methanol, buffered to about pH5, at temperatures between about O 0 C and room temperature.
- a peroxyacid e.g. 3-chloroperbenzoic acid
- an inert solvent e.g. DCM
- the compound of Formula (I) containing sulfone linkages can be prepared by the oxidation of corresponding compound containing -S- or sulfoxide linkages.
- the oxidation can conveniently be carried out by means of reaction with a peroxyacid, e.g. 3-chloroperbenzoic acid, Particular in an inert solvent, e.g. DCM, Particular at or near room temperature.
- the compound of Formula (I) in which there is a N- oxide group can be prepared by oxidation of the corresponding compounds containing a suitable tertiary nitrogen atom.
- the oxidation can conveniently be carried out by means of reaction with a peroxyacid, e.g. 3-chloroperbenzoic acid, Particular in an inert solvent, e.g. DCM, Particular at or near room temperature.
- the reaction can conveniently be carried out in an inert solvent, such as THF, and at a temperature at about reflux temperature.
- the compound of Formula (I) containing a tetrazolyl group can be prepared by reaction of the corresponding compound of Formula (I) containing a cyano group with azidotributyltin.
- the reaction can conveniently be carried out in an inert solvent, such as toluene, and at a temperature at about reflux temperature.
- the reaction can be carried out using trimethylsilylazide and dibutyltinoxide in an inert solvent, such as toluene, and at a temperature at about 95 0 C.
- the compound of Formula (I), in which Cy 1 is substituted by hydroxy can be prepared by reaction of the corresponding compound of Formula (T), in which Cy 1 is substituted by methoxy, with a Lewis acid, such as boron tribromide, in an inert solvent, such as DCM and at a temperature from about O 0 C to about room temperature.
- a Lewis acid such as boron tribromide
- the compound of Formula (I) in which Cy 1 is substituted by -OR a in which R a is alkyl, which is optionally substituted by cycloalkyl, heterocyclyl, cycloalkenyl, heterocyclenyl, aryl, heteroaryl, or multicyclic alkaryl
- R a is alkyl, which is optionally substituted by cycloalkyl, heterocyclyl, cycloalkenyl, heterocyclenyl, aryl, heteroaryl, or multicyclic alkaryl
- R a is as just hereinbefore defined and X 3 is a halogen, Particular bromo atom, or a tosyl group, using standard alkylation conditions.
- the alkylation can for example be carried out in the presence of a base, such as an alkali metal carbonate (e.g. K 2 CO 3 or Cs 2 CO 3 ), an alkali metal alkoxide (e.g. potassium tertiary butoxide) or alkali metal hydride (e.g. sodium hydride), in dimethylformamide, or dimethyl sulfoxide, at a temperature from about O 0 C to about 100 0 C.
- a base such as an alkali metal carbonate (e.g. K 2 CO 3 or Cs 2 CO 3 ), an alkali metal alkoxide (e.g. potassium tertiary butoxide) or alkali metal hydride (e.g. sodium hydride), in dimethylformamide, or dimethyl sulfoxide, at
- R a is aryl, multicyclic alkaryl, cycloalkyl, heteroaryl, heterocyclyl; or alkyl, which is optionally substituted by cycloalkyl, cycloalkenyl, heterocyclyl, heterocyclenyl, aryl, heteroaryl or multicyclic alkaryl
- R a is aryl, multicyclic alkaryl, cycloalkyl, heteroaryl, heterocyclyl; or alkyl, which is optionally substituted by cycloalkyl, cycloalkenyl, heterocyclyl, heterocyclenyl, aryl, heteroaryl or multicyclic alkaryl
- the alkylation can for example be carried out in the presence of a base, such as an alkali metal carbonate (e.g. K 2 CO 3 or Cs 2 CO 3 ), an alkali metal alkoxide (e.g. potassium tertiary butoxide) or alkali metal hydride (e.g. sodium hydride), in dimethylformamide, or dimethyl sulfoxide, at a temperature from about O 0 C to about 100°C.
- a base such as an alkali metal carbonate (e.g. K 2 CO 3 or Cs 2 CO 3 ), an alkali metal alkoxide (e.g. potassium tertiary butoxide) or alkali metal hydride (e.g. sodium
- the reductive amination can also be carried out in the presence of sodium cyanoborohydride or lithium cyanoborohydride, in methanol, and at a temperature at about room temperature.
- the reduction can be carried out using zinc in the presence of acetic acid at room temperature.
- the compound of Formula (I) in which R 1 is alkoxy can be prepared by reaction of the corresponding compound of Formula (I) in which R 1 is methanesulfonyl with the appropriate alcohol in the presence of sodium hydride.
- the reaction can conveniently be carried out in an inert solvent, such as dimethylformamide, and at a temperature form about O 0 C to about 20°C.
- the compound of Formula (I) in which R 1 is alkyl can be prepared by reaction of the corresponding compound of Formula (I) in which R 1 is methanesulfonyl with the appropriate alkyl magnesium bromide.
- the reaction can conveniently be carried out in an inert solvent, such as THF, and at a temperature form about -5O 0 C to about 2O 0 C.
- the compound of Formula (I) in which R 1 is dialkylamino can be prepared by reaction of the corresponding compound of Formula (I) in which R 1 is methanesulfonyl with the appropriate dialkylamino.
- the reaction can conveniently be carried out in a microwave oven at a temperature at about 150°C, in inert solvent, such as methanol.
- the compound of the present invention may contain asymmetric centers. These asymmetric centers may independently be in either the R or S configuration. It will be apparent to those skilled in the art that certain compounds of the invention may also exhibit geometrical isomerism. It is to be understood that the present invention includes individual geometrical isomers and stereoisomers and mixtures thereof, including racemic mixtures, of the compound of Formula (I) hereinabove. Such isomers can be separated from their mixtures, by the application or adaptation of known methods, for example chromatographic techniques and recrystallization techniques, or they are separately prepared from the appropriate isomers of their intermediates.
- the intermediate of Formula (II), wherein Cy 1 is as hereinbefore defined, R 1 is (C r C 4 )-alkoxy and X 1 is a chlorine atom, can be prepared from the corresponding intermediate of Formula (H) in which R 1 is (Ci-C 4 )-alkylthio by (i) treatment of with meta-chloroperoxybenzoic acid in an inert solvent, such as DCM, and at a temperature at about room temperature, and (ii) reaction with an alkali metal alkoxide, such as a sodium alkoxide, in an inert solvent, such as ethylene glycol dimethyl ether.
- an inert solvent such as DCM
- the intermediates of Formula (V), wherein L 1 and Cy 2 are as hereinbefore defined, and R 1 is (Ci-C 4 )- alkylthio or (Ci-C 4 )-alkoxy, can be prepared by reaction of a dichloropyrimidine of Formula (X), wherein R is alkyl, with an amine of Formula (IV), wherein L 1 and Cy 2 are as hereinbefore defined, in the presence of a suitable base, such as sodium bicarbonate, in an inert solvent, such as ethanol, and at a temperature up to reflux temperature.
- a suitable base such as sodium bicarbonate
- an inert solvent such as ethanol
- aryl- or heteroaryl aldehyde of Formula (XT) in which Cy 2 is as defined hereinbefore
- ammonium acetate in glacial acetic acid at a temperature at about HO 0 C
- reduction of the resulting 2-nitro-vinyl derivatives of Formula (XII) with lithium aluminum hydride in an inert solvent
- the intermediate of Formula (IV) in which Cy 2 is as hereinbefore defined and L 1 is ethylene can also be prepared by reduction of an acetonitrile of Formula (XUI) using Raney nickel and ammonia. The reduction is conveniently carried out in water, at a temperature at about 5O 0 C in a Parr shaker at 50 PSI.
- acid addition salts of the compound of this invention can be prepared by reaction of the free base with the appropriate acid, by the application or adaptation of known methods.
- the acid addition salts of the compound of this invention can be prepared either by dissolving the free base in water or aqueous alcohol solution or other suitable solvents containing the appropriate acid and isolating the salt by evaporating the solution, or by reacting the free base and acid in an organic solvent, in which case the salt separates directly or can be obtained by concentration of the solution.
- a choline salt of a compound of Formula (I), particulary of species described herein can be prepared by the following method:
- a phosphoric acid salt of a compound of Formula (I), particulary of species described herein can be prepared by the following method:
- Phosphoric acid (3.21 mL, 1.49 N aqueous solution) is added to a solution of a compound of Formula (I) (4.56 mmol) in THF (45 mL).
- the mixture can become cloudy and is stirred for 10 minutes. If necessary, water is added drop-wise in intervals until the mixture is turned into clear solution. The mixture is continued for 1.5 hours at room temperature. The mixture is concentrated in vacuo, and the residue is recrystalized from acetone to afford the desired phosphoric acid salt of the compound.
- a sulfuric salt of a compound of Formula (I), particulary of species described herein can be prepared by the following method:
- a compound of Formula (I) (0.122 mmol) is dissolved in acetone (2 mL) with heat. Standard 1 N H 2 SO 4 (1252 ⁇ L) is added to the solution. The mixture is heated with stirring and water is added dropwise to just give a clear solution while hot. The solution is allowed to cool to room temperature and the solvent is evaporated under a stream of nitrogen gas. The residue is dried in vacuo overnight at room temperature to afford the desired sulfuric acid salt of the compound.
- the acid addition salts of the compound of this invention can be regenerated from the salts by the application or adaptation of known methods.
- parent compound of the invention can be regenerated from their acid addition salts by treatment with an alkali, e.g. aqueous sodium bicarbonate solution or aqueous ammonia solution.
- Compounds of Formula (I) can be regenerated from their base addition salts by the application or adaptation of known methods.
- parent compounds of the invention can be regenerated from their base addition salts by treatment with an acid, e.g. hydrochloric acid.
- Compounds of Formula (I) can be conveniently prepared, or formed during the process of the invention, as solvates (e.g. hydrates). Hydrates of compounds of Formula (I) can be conveniently prepared by recrystallization from an aqueous/organic solvent mixture, using organic solvents such as dioxane, THF or methanol.
- base addition salts of the compounds of Formula (I) can be prepared by reaction of the free acid with the appropriate base, by the application or adaptation of known methods.
- the base addition salts of the compounds of Formula (I) can be prepared either by dissolving the free acid in water or aqueous alcohol solution or other suitable solvents containing the appropriate base and isolating the salt by evaporating the solution, or by reacting the free acid and base in an organic solvent, in which case the salt separates directly or can be obtained by concentration of the solution.
- the starting materials and intermediates can be prepared by the application or adaptation of known methods, for example methods as described in the Reference Examples or their obvious chemical equivalents.
- the present invention is further exemplified, but not limited by, the following illustrative Examples and Intermediates.
- LCMS High Pressure Liquid Chromatography - Mass Spectrometry
- Method A Experiments are performed on a Micromass Platform LC spectrometer with positive and negative ion electrospray and ELS/Diode array detection using a Phenomenex Luna Cl 8(2) 30 x 4.6 mm column and a 2 mL / minute flow rate.
- the solvent system is 95% solvent A and 5% solvent B for the first 0.5 minutes followed by a gradient up to 5% solvent A and 95% solvent B over the next 4 minutes.
- the final solvent system is held constant for a further 0.5 minutes.
- NMR nuclear magnetic resonance spectra
- Method A is applied to Examples 8(a)-(g), 9(a)-(b), 10(a)-(m), 11 (a), 12, 13(a), 14(a)-(c), 26(d)-(f), 35(l)-(m), 61 and 62 to provide corresponding analytical data.
- MethodB Mass Spectra (MS) are recorded using a Micromass LCT mass spectrometer. The method is positive electrospray ionization, scanning mass m/z from 100 to 1000.
- ELS Evaporative Light Scattering
- NMR nuclear magnetic resonance spectra
- Method B is applied to the rest of Examples to provide corresponding analytical data.
- Step 1 A solution of 3-fluoro-4-methoxybenzaldehyde [5.05 g, Intermediate (I)], nitromethane (5.3 mL) and ammonium acetate (6.3 g) in glacial acetic acid (60 niL) is heated at 110°C for 16 hours, allowed to cool and poured into water (300 mL). The aqueous solution is extracted twice with EtOAc (200 mL). The combined extracts are washed with sodium bicarbonate solution (10%), with water, dried over sodium sulfate and evaporated affording 2-fluoro-l-methoxy-4-(2-nitro-vinyl)benzene [4.2 g, Intermediate (2)].
- Step 2 A solution of 2-fluoro-l-methoxy-4-(2-nitro-vinyl)benzene (1.5 g, Intermediate (2)] in THF (50 mL) is treated dropwise with a solution of lithium aluminum hydride in ether (23 mL, IM). The mixture is heated at 4O 0 C for 3 hours, cooled to room temperature, diluted with ether and quenched with Na 2 SO 4 1 IO H 2 O (104 g). After standing at room temperature overnight the reaction mixture is filtered and the filtrate is evaporated.
- Step 3 A solution of 4,6-dichloro-2-methoxypyrimidine [0.7 g, Intermediate (4)], 2-(3-fluoro-4- methoxy-phenyl)-ethylamine [0.66 g, Intermediate (3)] and sodium bicarbonate (0.88 g) in EtOH (25 mL) is heated at 8O 0 C for three hours and poured into water (400 mL). The resulting solid is filtered and air dried affording (6-cMoro-2-methoxy-pyrimidin-4-yl)-f2-(3-fluoro-4-methoxyphenyl)- ethyliamine [1.1 g, Intermediate (5)].
- Step 4 (6-cUoro-2-methoxy-pyrimidin-4-yl)-[2-(3-fluoro-4-methoxyphenyl)-ethyl]amine [1.6 g, Intermediate (5)], 3-cyano-phenylboronic acid [1.5 g, Intermediate (6)], Cs2CO 3 (8.3 g) and tetrakis(triphenylphosphine) palladium (45 mg) in a solution of water (8 mL) and ethylene glycol dimethyl ether (32 mL) is heated at 9O 0 C for 16 hours. The solution is poured into water and extracted twice with EtOAc (200 mL). The combined extracts are dried over sodium sulfate, filtered, and evaporated.
- Step 1 Following procedures similar to those of Example 1, step 3, but using 4,6-dichloro-2- methoxypyrimidine [3.1 g, Intermediate (4)], 2-(4-methoxy-phenyl)-ethylamine [0.66 g, Intermediate (7)] and sodium bicarbonate (0.88 g) there is prepared (6-chloro-2-methoxy-pyrimidin-4-yl)-[2-(4- methoxyVphenvn-amine [5 g, Intermediate (8)].
- Step 1 [6-(3-Amino-phenyl)-2-methoxy-pyrimidin-4-yl]-[2-(4-methoxy-phenyl)-ethyl]arnine [1.46 g, Example 2] in dimethylformamide (4 mL) is added to concentrated hydrochloric acid and crushed ice (8 mL), The mixture is cooled to O 0 C , treated with dropwise sodium nitrite (0.32 g) in water (3 mL). After stirring at O 0 C for 15 minutes this mixture is treated with a solution of copper chloride (0.36 g) in a saturated solution of sulfur dioxide in acetic acid (15 mL) previously cooled to O 0 C.
- Step 2 A mixture of 3- ⁇ 2-methoxy-6-[2-(4-methoxy-phenyl)-ethylamino]-pyrimidin-4-yl ⁇ - benzenesulfonylchloride [0.2 g, Intermediate (10)] and triethylamine (0.3 mL) in dimethylformamide (5 mL) is cooled to O 0 C and treated with a solution of ammonia in 1,4-dioxane (5 mL, 0.5M). The solution is allowed to reach room temperature overnight and poured into water (100 mL). The mixture is extracted twice with EtOAc (100 mL). The combined extracts are washed with water, dried over sodium sulfate, filtered, and evaporated.
- Method A A solution of (4-trifluoromethoxy-phenyl)-acetonitrile [5.05 g, Intermediate (11)] in MeOH (75 mL) is saturated with ammonia gas, and treated with Raney nickel in water (2 mL, 50%). The suspension is placed on Parr shaker at 50 PSI and 50° C for 3 hours, and filtered through celite. The filtrate is evaporated and the residual oil is portioned between water and ethyl acetate. The organic phase is dried over sodium sulfate, filtered and evaporated. The residue is dissolved in MeOH and the solution treated with concentrated hydrochloric acid (1 mL) is added.
- Method B A solution of 4- trifluoromethoxy benzaldehyde (I g, 5.26 mmol) and nitromethane (0.96 g, 15.8 mmol) in acetic acid (10.6 mL) is treated with ammonium acetate (1.01 g, 13.2 mmol) is heated under microwave to 150 0 C for 15 minutes. The reaction mixture is diluted with water, and extracted three times with DCM (50 mL). The combined extracts are washed sequentially with 2 N sodium hydroxide, water, and brine, dried over sodium sulfate and concentrated.
- Step 2 Following procedures similar to those of Example 1, step 3, but using 4,6-dichloro-2- methoxypyrimidine [0.39 g, Intermediate (4)], 2-(4-trifluoromethoxy-phenyl)-ethylamine hydrochloride [0.38 g, Intermediate (12)] and sodium bicarbonate (0.74 g) there is prepared (6-chloro- 2-methoxy-pyrimidm-4-yl)-[2-(4-trifluoromethoxy-phenyl)-ethyl]-amine [0.61 g, Intermediate (13)].
- Step 3 Following procedures similar to those of Example 1, step 4, but using (6-chloro-2-methoxy- pyrimidin-4-yl)-[2(4-trifluoromethoxyphenyl)-ethyl]amine [3.26 g, Intermediate (13)], 3-amino- phenylboronic acid [2.9 g, Intermediate (9)], Cs 2 CO 3 (12.43 g) and tetrakis(triphenylphosphine) palladium (21 mg) in a solution of water (20 mL) and ethylene glycol dimethyl ether (80 mL) there is prepared [6-(3-amino-phenyl)-2-methoxy-pyrimidin-4-yl]-[2-(4-trifluoromethoxy-phenyl)-ethyl]- amine [3.5 g, Example 5].
- Step 1 Following procedures similar to those of Example 5, step 1, but using (2,4-difluorophenyl)- acetonitrile [5.05 g, Intermediate (17)] there is prepared 2-(2,4-difiuorophenyl)-ethylamine hydrochloride [4.8 g, Intermediate (18)].
- Step 2 Following procedures similar to those of Example 1 , step 3, but using 4,6-dichloro-2- methoxypyrimidine [1.03 g, Intermediate (4)], 2-(2,4-difluorophenyl)-ethylamine hydrochloride [1.4 g, Intermediate (18)] and sodium bicarbonate (2.44 g) there is prepared (6-chloro-2-methoxy-pyrimidin- 4-ylH2-(2,4-difluoro-phen y l>ethvH-amine [1.4 g, Intermediate (19)].
- Example 8(c) By proceeding in a similar manner as above in Example 8(a) but substituting 5-formyl-3- thiopheneboronic acid for 5-(dihydroxylboryl)-2-thiophenecarboxylic acid there is prepared 4- ⁇ 2- methoxy-6-r2-(4-methoxy-phenyl)-ethylammo]-pyrimidin-4-yl ⁇ -thiophene-2-carbaldehyde [Example 8(c)].
- Example 9(b) By proceeding in a similar manner as above in Example 9(a) but substituting 3- ⁇ 2-methoxy-6-[2-(4- methoxy-phenyl)-ethylamino]-pyrimidin-4-yl ⁇ -thiophene-2-carbaldehyde [110 mg, 0.298 mmol, Example 35(1)] for 5- ⁇ 2-methoxy-6-[2-(4-methoxy-phenyl)-ethylainino]-pyrimidin-4-yl ⁇ -thiophene-2- carbaldehyde acid, and subjecting the crude product to chromatography on a SCX column eluting with ammonia (2M) in MeOH and ethyl acetate, there is prepared f3- ⁇ 2-methoxy-6-[2-(4-methoxy-phenyl)- ethylarriino]-pyrirnidin-4-yl ⁇ -thiophen-2-yl)-methanol [45 mg, 41%, Example 9
- Example 8(b) Example 12 A stirred mixture of 5- ⁇ 2-methoxy-6-[2-(4-methoxy-phenyl)-ethylamino]-pyrimidin-4-yl ⁇ -thiophene- 2-carbaldehyde [300 mg, 0.81 mmol, Example 8(b)] and diethylaminosulfur trifluoride (213 ⁇ L, 1.62 mmol) in DCM is heated to reflux for 4 hours. A further quantity of diethyaminosulfur trifluoride (106 ⁇ L, 0.81 mmol) is added and stirring at reflux is continued overnight. The reaction mixture is poured into water and extracted twice with DCM. The organic extracts are combined and dried over magnesium sulfate, filtered and concentrated.
- Example 8(b) Example 13(a) A mixture of 5- ⁇ 2-methoxy-6-[2-(4-methoxy-phenyl)-ethylamino]-pyrimidin-4-yl ⁇ -thio ⁇ hene-2- carbaldehyde [250 mg, 0.68 mmol, Example 8(b)], pyrrolidine (170 ⁇ L, 2.03 mmol) and sodium triacetoxyborohydride (502 mg, 2.37 mmol) in MeOH (10 mL) and 1 ,2-dichloroethane (10 mL) is treated with acetic Acid (116 mL, 2.03 mmol) to bring the pH to 6.0, stirred at ambient temperature for 6 hours, and treated with pyrrolidine (170 ⁇ L, 2.03 mmol) and sodium triacetoxyborohydride (502 mg, 2.37 mmol).
- the aqueous extract is extracted with DCM (50 mL).
- the new organic extract is washed with water (30 mL), with brine (30 mL), dried over sodium sulfate, filtered and concentrated by rotary evaporator.
- the resulting solid is subjected to flash column chromatography on silica (4.5 g) eluting with 0 to 8% MeOH in DCM gradient to afford a solid.
- IC 50 IO nM (d) N-(2-Fluoro-5- ⁇ 2-methoxy-6-[2-(4-methoxy-phenyl)-ethylardno]-pyriinidin-4-yl ⁇ -benzyl)- N',N'-dimethyl-ethane-L2-diamine hydrochloride
- the combined filtrate and washings are extracted water with (50 mL) and the aqueous is extracted with DCM (50 mL).
- the new organic extract is washed with water (30 mL), with brine (30 mL), dried over sodium sulfate, filtered and concentrated by rotary evaporator.
- the resulting solid is subjected to flash column chromatography on silica (4.5 g) eluting with 0 to 7% MeOH in DCM gradient to afford a solid that is dissolved in methanol.
- Step 1 A mixture of 5-bromo-l-trityl-lH-benzoimidazole [439 mg, 1 mmol, Intermediate (26), prepared as described in Tetrahedron 56, 3245-3253, 2000], bis(pinacolato)diboron (280 mg, 1.1 mmol), potassium acetate (393 mg, 4 mmol), 1 , r-bis(diphenylphosphino)ferrocene- palladium(II)dichloride DCM complex (82 mg, 0.1 mmol), and dimethylsulfoxide (8 mL) and degassed with vacuum/nitrogen several times, is stirred at 85°C for 2 hours. The reaction mixture is partitioned between EtOAc and water.
- Step 2 By proceeding in a similar manner as above in Example 1 but substituting 1-trityl-lH- benzoimidazol-5-ylboronic acid [Intermediate (27)] for 5-(dihydroxylboryl)-2-thiophenecarboxylic acid there is prepared
- Step 3 A mixture of [2-(4-methoxy-phenyl)-ethyl]-[2-methoxy-6-(l-trityl-lH-benzoimidazol-5-yl)- pyrimidin-4-yl] -amine [300 mg, 0.485 mmol, Intermediate (28)], DCM (5 mL), trifluoroacetic acid (2 mL) and water (5%) is stirred at ambient temperature. The reaction mixture is concentrated by rotary evaporator to remove the solvent. The residue is taken up in saturated sodium bicarbonate solution and this solution is extracted with ethyl acetate.
- Step 1 A mixture of 4,6-dichloro-2-methylsulfanyl-pyrimidine [1 g, 5.1 mmol, Intermediate (29)], 3,4-dimethoxy-phenylethylamine [0.98 g, 5.4 mmol, Intermediate (3O)], and sodium bicarbonate (0.86 g, 10 mmol) in EtOH (5 mL) is heated to reflux. After stirring at 85 0 C for 4 hours the mixture is diluted with water and filtered. The solid is washed with water, and dried to afford (6-chloro-2- methylsulfanyl ⁇ yrimidin-4-yl)-[2-r3,4-dimethoxy-phenyl)-ethyl1-amine [1.8 g, Intermediate (31)].
- LCMS: R ⁇ 3.25 minutes, MS: 340 (M+H).
- Step 2 By proceeding in a similar manner to Example 35(o) above but substituting commercially available 3,4-dimethoxy-phenyl-boronic acid [intermediate (32)] for 2-methoxy-5-pyridyl-boronic acid, and (6-chloro-2-methylsulfanyl-pyrimidin-4-yl)-[2-(3,4-dimethoxy-phenyl)-ethyl]-amine [0.57 g, Intermediate (31)] for (6-chloro-2-methoxy-pyrimidin-4-yl)-[2-(4-methoxy-phenyl)-ethyl]-amine, and subjecting the crude reaction product to flash column chromatography on silica gel eluting with 50% EtOAc in heptane, there is prepared [2-C3,4-dimethoxy-phenyl)-ethyl]-[6-f3,4-dimethoxy-phenyl)-2- methylsulfanyl-pyrimidin-4-yl]
- Step 1 A solution of [2-(3,4-dimethoxy-phenyl)-ethyl]-[6-(3,4-dimethoxy-phenyl)-2-methylsulfanyl- pyrimidin-4-yl] -amine [0.73 g, 1.68 mmol, Example 16(a)] in DCM (12 mL) is treated with 3- chloroperoxybenzoic acid (70%, 0.9 g, 3.6 mmol). After 3 hours at 2O 0 C, the mixture is quenched with 1 M sodium hydroxide solution (10 mL), and extracted twice with DCM (50 mL).
- Step 2 A solution of [2-(3,4-dimethoxy-phenyl)-ethyl]-[6-(3,4-dimethoxy-phenyl)-2- methanesulfonyl-pyrimidin-4-yl]-amine [200 mg, 0.42 mmol, Intermediate (33)], and isopropyl alcohol (1 mL) in N,N'-dimethylformamide (2 mL) at O 0 C is treated with sodium hydride (60%, 102 mg, 12.7 mmol). After 1 hour at 2O 0 C, the mixture is concentrated, and extracted twice with EtOAc (50 mL). The combined extracts are washed twice with water, dried over magnesium sulfate, filtered, and concentrated.
- Step 1 A solution of [2-(4-methoxy-phenyl)-ethyl]-[6-(3-methoxy-phenyl)-2-methylsulfanyl- pyrimidin-4-yl] -amine [1.5 g, 3.9 mmol, Example 16(c)] in DCM (30 mL) is treated with 3- chloroperoxybenzoic acid (70%, 2.1 g, 8.6 mmol). After 3 hours at 20 0 C, the mixture is filtered through basic alumina eluting with ethyl acetate, and the solution is concentrated.
- Step 2 A solution of [2-methanesulfonyl-6-(3-methoxy-phenyl)-pyrimidin-4-yl]-[2-(4-methoxy- phenyl)-ethyl]-amine [0.14 g, 0.34 mmol, Intermediate (34)] in THF (5 niL) is treated with a 1 M solution of ethyl magnesium bromide (5 mL, 5 mmol) at -50°C. The reaction mixture is allowed to warm to room temperature over 2 hours the treated with MeOH (0.5 mL), concentrated, and partitioned between EtOAc and water. The aqueous phase is further extracted with ethyl acetate.
- Example 29 Step 1 To a solution of (4-methoxy-phenyl)-acetonitrile [5 g, 34 mmol] in THF (40 mL), is added a 1.5 M solution of lithium diisopropylamide in cyclohexane (36 mL, 54 mmol) at -78 0 C. After 2 hours at -78°C, methyl iodide (3.4 g, 54 mmol) is added, and the mixture is allowed to warm to room temperature over 3 hours. After additional 12 hours at 2O 0 C, the mixture is diluted with aqueous ammonium chloride solution, and extracted with ethyl acetate. The extracts are dried over magnesium sulfate, filtered and concentrated.
- Step 2 A mixture of 2-(4-methoxy-phenyl)-2-methyl-propylamine [172 mg, 0.96 mmol, Intermediate (35)], sodium bicarbonate (0.12 g), and 4-chloro-2-methoxy-6-(3-methoxy-phenyl)-pyrimidine [120 mg, 0.48 mmol, Intermediate (53)] in N-methylpyrrolidine (3 mL), is heated to 175 0 C for 3 hours. The mixture is diluted with water, and extracted with ethyl acetate. The extracts are washed with water, dried over magnesium sulfate, filtered and concentrated.
- Step 1 A mixture of 2-methoxy-5-pyridyl-boronic acid (600 mg, 2.04 mmol, Intermediate (37), prepared according to the procedure described in J. Org. Chem., 67, 7541, 2002), 4,6-dichloro-2- methylsulfanyl-pyrimidine [700 mg, 3.59 mmol, Intermediate (29)], and Cs 2 CO 3 (2.9 g, 8.97 mmol) in ethylene glycol dimethyl ether (8 mL) and water (2 mL) is degassed by bubbling with Argon gas for 5 minutes, and treated with tetrakis(triphenylphosphine) palladium(O) (207 mg, 0.18 mmol) at room temperature.
- 2-methoxy-5-pyridyl-boronic acid 600 mg, 2.04 mmol, Intermediate (37), prepared according to the procedure described in J. Org. Chem., 67, 7541, 2002
- Step 2 A mixture of 2-(2-chloro-6-fluoro-phenyl)-ethylamine [1.02 g, 5.88 mmol, Intermediate (23)], Na 2 CO 3 (1.65 g, 19.6 mmol), and 4-chloro-6-(6-methoxy-pyridin-3-yl) -2-methylsulfanyl-pyrimidine [1.05 g, 3.92 mmol, Intermediate (38)] in N-methyl pyrrolidine (10 mL), is heated to 175°C for 3hours. The reaction mixture is diluted with water, and extracted with ethyl acetate. The extracts are washed with water, dried over magnesium sulfate, filtered, and concentrated.
Landscapes
- Health & Medical Sciences (AREA)
- Chemical & Material Sciences (AREA)
- Medicinal Chemistry (AREA)
- Pharmacology & Pharmacy (AREA)
- Life Sciences & Earth Sciences (AREA)
- Animal Behavior & Ethology (AREA)
- General Health & Medical Sciences (AREA)
- Public Health (AREA)
- Veterinary Medicine (AREA)
- Epidemiology (AREA)
- Engineering & Computer Science (AREA)
- Bioinformatics & Cheminformatics (AREA)
- Diabetes (AREA)
- Hematology (AREA)
- Obesity (AREA)
- Chemical Kinetics & Catalysis (AREA)
- General Chemical & Material Sciences (AREA)
- Nuclear Medicine, Radiotherapy & Molecular Imaging (AREA)
- Organic Chemistry (AREA)
- Pharmaceuticals Containing Other Organic And Inorganic Compounds (AREA)
- Plural Heterocyclic Compounds (AREA)
Abstract
The present invention is directed to a pharmaceutical composition comprising Niacin or a pharmaceutically acceptable salt, solvate or N-oxide thereof, or a nicotinic acid receptor agonist, and a compound of formula (I) as defined herein, or an N-oxide thereof, or an ester prodrug thereof, or a pharmaceutically acceptable salt, hydrate, or solvate thereof, and its use for treating atherosclerosis, dyslipidemia, diabetes or a related condition while reducing substantial flushing.
Description
A COMBINATION OF NIACIN AND A PROSTAGLANDIN
D2 RECEPTOR ANTAGONIST
FIELD OF THE INVENTION
The present invention is directed to a pharmaceutical composition comprising Niacin or a pharmaceutically acceptable salt, solvate or N-oxide thereof, or a nicotinic acid receptor agnist, and a prostaglandin D2 receptor inhibitor, and its pharmaceutical use in the treatment of atherosclerosis, dyslipidemias or diabetes without causing the side effect of flushing.
BACKGROUND OF THE INVENTION
Niacin (nicotinic acid) is a drug commonly known for the treatment of hyperlipidemia. The beneficial effects of niacin on the lipid profile include the lowering of plasma levels of cholesterol, triglycerides, free fatty acids and lipoprotein(a) in human. Compared to other lipid-lowering drug, niacin has the special benefit of increasing plasma HDL cholesterol while decreasing LDL and VLDL cholesterol.
As a consequence, niacin could potentially be beneficial as an additive therapy to the statins in treating patients with low HDL cholesterol levels.
The major common side effect associated with niacin treatment is flushing. This consists of unpleasant symptoms such as the redness of the skin accompanied by burning sensation, itchiness or irritation mainly affecting upper body and face. These symptoms have a negative impact on patient compliance, and in severe cases, resulted in the discontinuation of niacin treatment. The flushing effect of niacin is transient and lasts for about an hour after taking the drug. In addition, patients develop tolerance to niacin-induced flushing within days while the effects of niacin on improving lipid profile remain stable over time.
The niacin-induced flushing is a result of cutaneous vasodilation (Turenne, SD; Seeman, M; Ross, B. Schizophrenia Research 2001. 50:191-197). Recent studies indicate that the niacin-induced flushing is likely mediated by a G protein-coupled receptor named GPRl 09A (HM74A in humans, or PUMA-G in mice) (Benyo, Z; Gille, A, et al. The Journal of Clinical Investigation 2005. 115:3634-3640). The mouse ortholog of GPR109A is highly expressed in macrophages and other immune cells (Lorenzen, A; Stannek, C, et al. Biochemical Pharmacology 2002. 64:645-648). Activation of GPR109A by niacin induces the release of prostaglandins, in particular prostaglandin D2 (PGD2), likely from the skin immune cells. PGD2 subsequently acts on its plasma membrane receptor DP (PGD2 receptor) to stimulate the activation of adenylyl cyclase and result in vasodilation/flushing. The involvement of the DP in niacin-induced flushing was further supported by studies using a genetic mouse model lacking the DP receptor (Benyo, Z; Gille, A, et al. The Journal of Clinical Investigation 2005. 115:3634-3640). More recently it was shown that specific DP antagonists inhibited both PGD2 and nicotinic acid- mediated vasodilation in rodents (US Patent Publication No. 20040229844).
However there was no disclosure that a pyrimidine DP receptor antagonists could potentially prevent or minimize niacin-induced flushing, or that coadministration of niacin (or another GPRl 09A agonist) with such DP antagonist could provide an effective therapy for the treatment of atherosclerosis, dyslipidemias, diabetes and related conditions without or with minimal side effect of flushing.
SUMMARY OF THE INVENTION
The present invention is directed to a pharmaceutical composition comprising pharmaceutically effective amounts of niacin or a pharmaceutically acceptable salt, solvate or N-oxide thereof, or a nicotinic acid receoptor agonist, and a compound of formula (I):
(I) wherein: (A) Cy1 is cycloalkyl, heterocyclyl, cycloalkenyl, heterocyclenyl, heteroaryl, aryl, or multicyclic alkaryl, each of which is optionally substituted by one to three of same or different following Cy1 substituent groups consisting of:
acyl, cyano, halogen, nitro, carboxy, hydroxy, alkylthio, alkylsulfonyl, alkylsulfinyl, cycloalkyl, heterocyclyl, cycloalkenyl, heterocyclenyl, aryl, heteroaryl, multicyclic alkaryl, aroyl, arylalkoxycarbonyl, arylalkylthio, aryloxy, aryloxycarbonyl, arylsulfinyl, arylsulfonyl, arylthio, heteroaryloxy, heteroarylalkoxycarbonyl, N- methoxysulfamoyl, R2-C(=N-OR3)-, Y1Y2N-, Y1Y2NCC=O)-, Y1Y2NCC=O)-O-,
Y1Y2NSO2-, alkyl-O-C(=O)-(C2-C6)-alkylene-Z1-) Y1Y2N-CC=O)-(C1-C6)- alkylene-Z1-, YIY2N-(C2-C6)alkylene-Z1-, alkyl-C(=O)-N(R5)-SO2-, alkyl-O-C(=O)- N(R5)-, alkyl-O-C(=O)-N(R5)-SOr, alkyl-O-N(R5)-SO2-, alkyl-0-N(R5)-C(=0)-, alkyl-SO2-N(R5)-C(=O)-, aryl-SO2-N(R5)-C(=O)-, alkyl-SO2-N(R5)-, R6-C(=O)-N(R5)-, R7-NH-C(=0)-NH-; alkenyl, which is optionally substituted by alkoxy or hydroxy; alkoxycarbonyl, which is optionally substituted by Y1Y2N-; alkynyl, which is optionally substituted by hydroxy or alkoxy; alkyl, which is optionally substituted by one to three of same or different of halogen, carboxy, cyano, hydroxy, Y1Y2N-, Y1 Y2N-C(=0)-, H2N-C(=NH)-NH-0-,
R6-C(=O)-N(R5)-, alkyl-O-C(=O)-N(R5)-, alkyl-SO2-N(R5)-, R8-SO2-N(R5)- C(=0)-, aryl-N(R5)-C(=0)-; heteroaryl-N(R5)-C(=O)-, hetercyclyl-N(R5)- C(=0)-, alkoxycarbonyl, cycloalkyl, heterocyclyl, cycloalkenyl, heterocyclenyl, aryl, heteroaryl, multicyclic alkaryl; alkoxy, which is optionally substituted by carboxy, aryl or heteroaryl; or alkoxycarbonyl, which is optionally substituted by Y1Y2N-; and alkoxy, which is optionally substituted by one to three of same of different of carboxy, alkoxycarbonyl, cyano, halogen, -NY1Y2, Y'Y2N-C(=0)-, cycloalkyl, heterocyclyl, cycloalkenyl, heterocyclenyl, aryl, heteroaryl, or multicyclic alkaryl; wherein the aryl or heteroaryl moieties in the Cy1 substituent groups are optionally independently substituted by hydroxy, amino, alkyl, alkoxy, carboxy, alkoxycarbonyl or R8-SO2-N(R5)-C(=O)-; and, wherein the cycloalkyl, cycloalkenyl, heterocyclyl, heterocyclenyl or multicyclic alkaryl moieties in the Cy1 substituent groups independently is optionally substituted by hydroxy, amino, alkyl, alkoxy, oxo, carboxy, alkoxycarbonyl or R8-SO2- N(R5)-C(=O)-; and further provided that when Cy1 is cycloalkyl, cycloalkenyl, heterocyclyl, heterocyclenyl or multicyclic alkaryl, each of which independently may also be substituted by oxo;
(B) Cy2 is cycloalkenyl, heterocyclenyl, aryl, heteroaryl, or multicyclic alkaryl, each of which independently is optionally substituted by one to three of same or different of same or different of alkoxy, (Ci-C3)-alkyl, hydroxy, cyano, halogen, haloalkoxy, haloalkyl, nitro, Y1Y2N-, Y1Y2N-SOa-, &ryl or heteroaryl, wherein the aryl is optionally substituted by alkyl or hydroxyalkyl, and the heteroaryl is optionally substituted by alkyl;
(C) L1 is a straight- or branched-chain alkylene containing from 1 to about 6 carbon atoms and is optionally substituted by carboxy or hydroxy; or
L1 is -CH2-(C i-C3)haloalkylene, or
L1 is cycloalkylene containing from 1 to about 7 carbon atoms and is optionally substituted by hydroxy; or
L! and Cy2 together represent arylcycloalkyl or cycloalkylaryl;
(D) R1 is (Ci-C4)-alkylthio, Y4Y5N-; (CrC4)-alkoxy which is optionally substituted by one to three halogen; or (Ci-C4)-alkyl, which is optionally substituted by one to three of halogen, hydroxy or alkoxy; (E) L2 is bond, -O- or -CH2-O-; and wherein:
R2, R3, R4 and R5 are each independently H or alkyl,
R6 is alkyl, which is optionally substituted by hydroxy or alkoxy;
R7 is H or alkyl; R8 is alkyl, aryl, arylalkyl, heteroaryl, heteroarylalkyl, wherein the aryl or heteroaryl moiety is optionally substituted by halogen;
Y1 and Y2 are each independently hydrogen, or alkyl, which is optionally substituted by one to three of same or different of carboxy, alkoxycarbonyl, alkoxy, hydroxy, amino, alkylamino, dialkylamino, cycloalkyl, cycloalkenyl, heterocyclyl, heterocyclenyl, aryl, heteroaryl or multicyclic alkaryl; wherein the aryl and heteroaryl independently is optionally substituted by hydroxy, amino, alkyl or alkoxy, and wherein the cycloalkyl, heterocyclyl, cycloalkenyl, heterocyclenyl and multicyclic alkaryl independently is optionally substituted by hydroxy, amino, alkyl, alkoxy or oxo; or
Y1 and Y2 taken together with the nitrogen atom to which they are attached, form a nitrogen- containing three to seven member saturated heterocyclyl that optionally contains a further heteroatom selected from O, S, or NY3, wherein Y3 is hydrogen or alkyl, and wherein the heterocyclyl is optionally substituted by one to three of same or different of carboxy, hydroxy, hydroxyalkyl, oxo, amino, alkylamino or dialkylamino;
Y4 and Y5 are each independently H or (CrC4)-alkyl; Z1 is C(=O)-N(R4), NR4 or S(O)n; and n is 0, 1 or 2;
provided that when R1 is methoxy, L1 is -CH2-CH2-, L2 is a bond and Cy2 is 2,4-dichlorophenyl, then Cy1 is not 1 -methyl -2-ethyloxycarbonyl-indol-5-yl; or an N-oxide thereof, or an ester prodrug thereof, or a pharmaceutically acceptable salt, hydrate, or solvate thereof, and a pharmaceutically acceptable carrier (hereinafter "DP antagonist-Niacin composition").
Another aspect of the invention is a method of treating atherosclerosis, dyslipidemia, diabetes or a related condition while reducing substantial flushing in a patient in need thereof, comprising administering to the patient the DP antagonist-Niacin composition.
DETAILED DESCRIPTION OF THE INVENTION
As used above, and throughout the description of the invention, the following terms, unless otherwise indicated, shall be understood to have the following meanings:
"Acyl" means H-CO- or (aliphatic or cyclyl)-CO-. Particular acyl includes lower alkanoyl that contains a lower alkyl. Exemplary acyl includes formyl, acetyl, propanoyl, 2-methylpropanoyl, butanoyl, palmitoyl, acryloyl, propynoyl, and cyclohexylcarbonyl.
"Aliphatic" means alkyl, alkenyl or alkynyl.
"Alkenyl" means a straight or branched aliphatic hydrocarbon group containing a carbon-carbon double bond and can behaving 2 to about 15 carbon atoms. Particular alkenyl has 2 to about 12 carbon atoms. More particular alkenyl has 2 to about 4 carbon atoms. Branched means that one or more lower alkyl groups such as methyl, ethyl or propyl are attached to a linear alkenyl chain. "Lower alkenyl" means about 2 to about 4 carbon atoms in the chain that can be straight or branched. Exemplary alkenyl includes ethenyl, propenyl, rc-butenyl, z-butenyl, 3-methylbut-2-enyl, π-pentenyl, heptenyl, octenyl, cyclohexylbutenyl, and decenyl.
"Alkoxy" means alkyl-O-. Exemplary alkoxy includes methoxy, ethoxy, n-propoxy, z-propoxy, n- butoxy, and heptoxy.
"Alkoxyalkylene" means alkyl-O-alkylene. Exemplary alkoxyalkylene includes methoxymethylene and ethoxymethylene.
"Alkoxycarbonyl" means alkyl-O-CO-. Exemplary alkoxycarbonyl includes methoxycarbonyl, ethoxycarbonyl, and f-butyloxycarbonyl.
"Alkyl" means straight or branched aliphatic hydrocarbon can behaving 1 to about 20 carbon atoms. Particular alkyl has 1 to about 12 carbon atoms. More particular is lower alkyl. Branched means that one or more lower alkyl groups such as methyl, ethyl or propyl are attached to a linear alkyl chain. "Lower alkyl" means 1 to about 4 carbon atoms in a linear alkyl chain that can be straight or branched.
"Alkylamino" means alkyl-NH-. Particular alkylamino is (Ci-Q)-alkylamino. Exemplary alkylamino includes methylamino and ethylamino.
"Alkylene" means a straight or branched bivalent hydrocarbon having from 1 to about 15 carbon atoms. Particular alkylene is the lower alkylene having from 1 to about 6 carbon atoms. Exemplary alkenylene includes methylene, ethylene, propylene, and butylene.
"Alkylsulfmyl" means alkyl-SO-. Particular alkylsulfinyl is (C]-C6)-alkylsulfmyl. Exemplary alkylsulfmyl groups include CH3-SO-.
"Alkylsulfonyl" means alkyl-SO2-. Particular alkylsulfonyl is (C]-C6)-alkylsulfonyl. Exemplary alkylsulfonyl includes CH3-SO2-, and CH3CH2-SO2-.
"Alkylthio" means an alkyl-S- . Exemplary alkylthio includes CH3-S-.
"Alkynyl" means straight or branched aliphatic hydrocarbon containing a carbon-carbon triple bond and can behaving 2 to about 15 carbon atoms. Preferred alkynyl has 2 to about 12 carbon atoms.
More preferred alkynyl has 2 to about 6 carbon atoms. Branched means that one or more lower alkyl such as methyl, ethyl or propyl are attached to a linear alkynyl chain. "Lower alkynyl" means 2 to about 4 carbon atoms in a linear alkynyl chain that can be straight or branched, can beExemplary alkynyl includes ethynyl, propynyl, n-butynyl, 2-butynyl, 3-methylbutynyl, «-pentynyl, heptynyl, octynyl, and decynyl.
"Aroyl" means aryl-CO-. Exemplary aroyl includes benzoyl, and 1-and 2-naphthoyl.
"Aryl" means an aromatic monocyclic or multicyclic ring system of about 6 to about 14 carbon atoms. Particular aryl include about 6 to about 10 carbon atoms. Exemplary aryl include phenyl and naphthyl.
"Arylalkyl" means aryl-alkyl-. Particular arylalkyl contains a (C]-C6)-alkyl moiety. Exemplary arylalkyl includes benzyl, 2-phenethyl and naphthlenemethyl.
"Arylalkoxy" means arylalkyl-O-. Exemplary arylalkoxy includes benzyloxy and 1- or 2-naphthalenemethoxy.
"Arylalkoxycarbonyl" means arylalkyl-O-CO-. Exemplary arylalkoxycarbonyl includes phenoxycarbonyl and naphthoxycarbonyl.
"Arylalkylthio" means arylalkyl-S-. Exemplary arylalkylthio includes benzylthio.
"Arylcycloalkenyl" means a fused aryl and cycloalkenyl. Particular arylcycloalkenyl is one wherein the aryl thereof is phenyl and the cycloalkenyl consists of about 5 to about 7 ring atoms. An arylcycloalkenyl is bonded through any atom of the cycloalkenyl moiety thereof capable of such bonding. Exemplary arylcycloalkenyl includes 1 ,2-dihydronaphthylene and indene.
"Arylcycloalkyl" means a fused aryl and cycloalkyl. Particular arylcycloalkyl is one wherein the aryl thereof is phenyl and the cycloalkyl consists of about 5 to about 6 ring atoms. An arylcycloalkyl is bonded through any atom of the cycloalkyl moiety thereof capable of such bonding. Exemplary arylcycloalkyl includes 1,2,3,4-tetrahydro-naphthylene.
"Arylheterocyclenyl" means a fused aryl and heterocyclenyl. Particular arylheterocyclenyl is one wherein the aryl thereof is phenyl and the heterocyclenyl consists of about 5 to about 6 ring atoms. An arylheterocyclenyl is bonded through any atom of the heterocyclenyl thereof capable of such bonding. The designation of the aza, oxa or thio as a prefix before the heterocyclenyl portion of the arylheterocyclenyl defines that at least a nitrogen, oxygen or sulfur atom is present, respectively, as a ring atom. The nitrogen atom of an arylheterocyclenyl can be a basic nitrogen atom. The nitrogen or sulfur atom of the heterocyclenyl portion of the arylheterocyclenyl may also be optionally oxidized to the corresponding N-oxide, S-oxide or S,S-dioxide. Exemplary arylheterocyclenyl includes 3H- indolinyl, lH-2-oxoquinolyl, 2H-l-oxoisoquinolyl, 1 ,2-di-hydroquinolinyl, 3,4-dihydroquinolinyl, 1,2- dihydroisoquinolinyl, and 3,4-dihydroisoquinolinyl.
"Arylheterocyclyl" means a fused aryl and heterocyclyl. Particular heterocyclylaryl is one wherein the aryl thereof is phenyl and the heterocyclyl consists of about 5 to about 6 ring atoms. An arylheterocyclyl is bonded through any atom of the heterocyclyl moiety thereof capable of such bonding. The designation of the aza, oxa or thio as a prefix before heterocyclyl portion of the
arylheterocyclyl defines that at least a nitrogen, oxygen or sulfur atom is present, respectively, as a ring atom. The nitrogen atom of an arylheterocyclyl can be a basic nitrogen atom. The nitrogen or sulfur atom of the heterocyclyl portion of the arylheterocyclyl may also be optionally oxidized to the corresponding N-oxide, S-oxide or S,S-dioxide. Exemplary arylheterocyclyl includes indolinyl, 1,2,3,4-tetrahydroisoquinoline, 1,2,3,4-tetrahydroquinoline, lH-2,3-dihydroisoindol-2-yl, 2,3- dihydrobenz[f]isoindol- 2-yl, and 1,2,3,4- tetrahydrobenz[g]-isoquinolin-2-yl.
"Aryloxy" means an aryl-O-. Exemplary aryloxy includes phenoxy and naphthoxy.
"Aryloxycarbonyl" means aryl-O-CO-. Exemplary aryloxycarbonyl includes phenoxycarbonyl and naphthoxycarbonyl .
"Arylsulfinyl" means aryl-SO-. Exemplary arylsulfmyl includes phenylsulfmyl and naphthylsulfmyl.
"Arylsulfonyl" means aryl-SO2-. Exemplary arylsulfonyl includes phenylsulfonyl and naphthylsulfonyl .
"Arylthio" means aryl-S-. Exemplary arylthio includes phenylthio and naphthylthio.
"Atherosclerosis" means a form of vascular disease characterized by the deposition of atheromatous plaques containing cholesterol and lipids on the innermost layer of the walls of large and medium- sized arteries. Atherosclerosis encompasses vascular diseases and conditions that are recognized and understood by physicians practicing in the relevant fields of medicine. Atherosclerotic cardiovascular disease, including restenosis following revascularization procedures, coronary heart disease (also known as coronary artery disease or ischemic heart disease), cerebrovascular disease including multi- infarct dementia, and peripheral vessel disease including erectile dysfunction, are all clinical manifestations of atherosclerosis and are therefore encompassed by the terms "atherosclerosis" and "atherosclerotic disease."
"Cycloalkenyl" means a non-aromatic mono- or multicyclic ring system of about 3 to about 10 carbon atoms, particular of about 5 to about 10 carbon atoms, and which contains at least one carbon-carbon double bond. Particular rings of the ring system include about 5 to about 6 ring atoms; and such preferred ring sizes are also referred to as "lower". Exemplary monocyclic cycloalkenyl includes cyclopentenyl, cyclohexenyl, and cycloheptenyl. An exemplary multicyclic cycloalkenyl is norbornylenyl.
"Cycloalkenylaryl" means a fused aryl and cycloalkenyl. Particular cycloalkenylaryl is one wherein the aryl thereof is phenyl and the cycloalkenyl consists of about 5 to about 6 ring atoms. A cycloalkenylaryl is bonded through any atom of the aryl moiety thereof capable of such bonding. Exemplary cycloalkenylaryl includes 1 ,2-dihydronaphthylene and indene.
"Cycloalkenylheteroaryl" means a fused heteroaryl and cycloalkenyl. Particular cycloalkenylheteroaryl is one wherein the heteroaryl thereof consists of about 5 to about 6 ring atoms and the cycloalkenyl consists of about 5 to about 6 ring atoms. A cycloalkenylheteroaryl is bonded through any atom of the heteroaryl thereof capable of such bonding. The designation of the aza, oxa or thio as a prefix before heteroaryl portion of the cycloalkenylheteroaryl defines that at least a nitrogen, oxygen or sulfur atom is present, respectively, as a ring atom. The nitrogen atom of a cycloalkenylheteroaryl can be a basic nitrogen atom. The nitrogen atom of the heteroaryl portion of the cycloalkenylheteroaryl may also be optionally oxidized to the corresponding N-oxide. Exemplary cycloalkenylheteroaryl includes 5,6- dihydroquinolyl, 5,6-dihydroisoquinolyl, 5,6- dihydroquinoxalinyl, 5,6-dihydroquinazolinyI, 4,5- dihydro-lH -benzimidazolyl, and 4,5-di- hydrobenzoxazolyl.
"Cycloalkyl" means a non-aromatic mono- or multicyclic saturated ring system of about 3 to about 10 carbon atoms, particular of about 5 to about 10 carbon atoms. Particular ring systems include about 5 to about 7 ring atoms; and such preferred ring systems are also referred to as "lower". Exemplary monocyclic cycloalkyl includes cyclopentyl, cyclohexyl, and cycloheptyl. Exemplary multicyclic cycloalkyl includes 1-decalin, norbornyl, and adamant-(l- or 2-)yl.
"Cycloalkylaryl" means a fused aryl and cycloalkyl. Particular cycloalkylaryl is one wherein the aryl thereof is phenyl and the cycloalkyl consists of about 5 to about 6 ring atoms. A cycloalkylaryl is bonded through any atom of the cycloalkyl moiety thereof capable of such bonding. Exemplary cycloalkylaryl includes 1,2,3,4-tetrahydro-naphthylene.
"Cycloalkylene" means a bivalent cycloalkyl group having about 4 to about 8 carbon atoms. Preferred cycloalkylene includes about 5 to about 7 ring atoms; and such preferred ring systems are also referred to as "lower". The points of binding on the cycloalkylene group include 1,1-, 1,2-, 1,3-, or 1,4- binding patterns, and where applicable the stereochemical relationship of the points of binding is either cis or trans. Exemplary monocyclic cycloalkylene includes (1,1-, 1,2-, or l,3-)cyclohexylene and (1,1- or 1 ,2-)cyclopentylene.
"Cycloalkylheteroaryl" means a fused heteroaryl and cycloalkyl. Preferred cycloalkylheteroaryl is one wherein the heteroaryl thereof consists of about 5 to about 6 ring atoms and the cycloalkyl consists of about 5 to about 6 ring atoms. A cycloalkylheteroaryl is bonded through any atom of the heteroaryl thereof capable of such bonding. The designation of the aza, oxa or thio as a prefix before heteroaryl portion of the fused cycloalkylheteroaryl defines that at least a nitrogen, oxygen or sulfur atom is present, respectively, as a ring atom. The nitrogen atom of a cycloalkylheteroaryl can be a basic nitrogen atom. The nitrogen atom of the heteroaryl portion of the cycloalkylheteroaryl may also be optionally oxidized to the corresponding N-oxide. Exemplary cycloalkylheteroaryl includes 5,6,7,8- tetrahydroquinolinyl, 5,6,7,8-tetra-hydroisoquinolyl, 5,6,7,8-tetrahydroquinoxalinyl, 5,6,7,8- tetrahydroquinazolyl, 4,5,6,7-tetrahydro-lH-benzimidazolyl, and 4,5,6,7-tetrahydrobenzoxazolyl.
"Cyclyl" means cycloalkyl, cycloalkenyl, heterocyclyl or heterocyclenyl.
"Dialkylamino" means (alkyl)2-N-. Preferred dialkylamino is (C rC6alky I)2-N-. Exemplary dialkylamino groups include dimethylamino, diethylamino and methyl ethylamino.
"Dyshipidemia" means abnormal levels of plasma lipids, such as HDL (low), LDL (high), VLDL (high), triglycerides (high), lipoprotein (a) (high), FFA (high) and other serum lipids, or combinations thereof. It can be an uncomplicated condition or part of a particular related disease or condition such as diabetes (diabetic dyslipidemia), metabolic syndrome and the like. Thus, uncomplicated dyslipidemias as well as those that are associated with underlying conditions are included in the present invention.
"Halo" or "halogen" means fluoro, chloro, bromo, or iodo. Particular are fluoro or chloro.
"Haloalkoxy" means alkoxy substituted by one to three halo groups. Particular are loweralkoxy substituted by one to three halogens. More particular are loweralkoxy substituted by one halogen.
"Haloalkyl" means alkyl substituted by one to three halo groups. Particular are loweralkyl substituted by one to three halogens. More particular are loweralkyl substituted by one halogen.
"Haloalkyl ene" means alkylene substituted by one to three halo groups. Particular are loweralkyl ene substituted by one to three halogens. More particular are loweralkyl substituted by one halogen. Examplary haloalkylene includes -CHF-, -CF2-, -CH2-CHF- and -CH2-CF2-.
"Heteroaroyl" means heteroaryl-CO-. Exemplary heteroaroyl includes thiophenoyl, nicotinoyl, pyrrol- 2-ylcarbonyl, 1- and 2-naphthoyl, and pyridinoyl.
"Heteroaryl" means an aromatic monocyclic or multicyclic ring system of about 5 to about 14 carbon atoms, in which one or more of the carbon atoms in the ring system is/are hetero element(s) other than carbon, for example nitrogen, oxygen or sulfur. Particular aromatic ring systems include about 5 to about 10 carbon atoms, and include 1 to 3 heteroatoms. More particular ring sizes of rings of the ring system include about 5 to about 6 ring atoms. The designation of the aza, oxa or thio as a prefix before heteroaryl defines that at least a nitrogen, oxygen or sulfur atom is present, respectively, as a ring atom. A nitrogen atom of an heteroaryl can be a basic nitrogen atom and may also be optionally oxidized to the corresponding N-oxide. When a heteroaryl is substituted by a hydroxy group, it also includes its corresponding tautomer where such hydroxy substituted heteroaryl is capable of such.
Exemplary heteroaryl includes pyrazinyl, thienyl, isothiazolyl, oxazolyl, pyrazolyl, furazanyl, pyrrolyl, 1,2,4-thiadiazolyl, pyridazinyl, quinoxalinyl, phthalazinyl, imidazo[l,2-a]pyridine, imidazo[2,l- b]thiazolyl, benzofurazanyl, azaindolyl, benzimidazolyl, benzothienyl, thienopyridyl, thienopyrimidyl, pyrrolopyridyl, imidazopyridyl, benzoazaindolyl, 1,2,4-triazinyl, benzthiazolyl, furanyl, imidazolyl, indolyl, indolizinyl, isoxazolyl, isoquinolinyl, isothiazolyl, oxadiazolyl, pyrazinyl, pyridazinyl, pyrazolyl, pyridyl, pyrimidinyl, pyrrolyl, quinazolinyl, quinolinyl, 1,3,4-thiadiazolyl, thiazolyl, thienyl, and triazolyl.
"Heteroarylalkyl" means heteroaryl-alkyl-. Particular heteroarylalkyl contains a
moiety. Exemplary heteroarylalkyl includes tetrazol-5-ylmethyl.
"Heteroarylalkoxy" means heteroaryl-alkyl-O-.
"Heteroarylalkoxycarbonyl" means heteroarylalkyl-O-CO-.
"Heteroarylcycloalkenyl" means a fused heteroaryl and cycloalkenyl. Particular heteroarylcycloalkenyl is one wherein the heteroaryl thereof consists of about 5 to about 6 ring atoms and the cycloalkenyl consists of about 5 to about 6 ring atoms. A heteroarylcycloalkenyl is bonded through any atom of the cycloalkenyl thereof capable of such bonding. The designation of the aza, oxa or thio as a prefix before heteroaryl portion of the heteroarylcycloalkenyl defines that at least a nitrogen, oxygen or sulfur atom is present, respectively, as a ring atom. The nitrogen atom of a heteroarylcycloalkenyl can be a basic nitrogen atom. The nitrogen atom of the heteroaryl portion of the heteroarylcycloalkenyl may also be optionally oxidized to the corresponding N-oxide. Exemplary heteroarylcycloalkenyl includes 5,6- dihydroquinolyl, 5,6-dihydroisoquinolyl, 5,6- dihydroquinoxalinyl, 5,6-dihydroquinazolinyI, 4,5- dihydro-lH-benzimidazolyl, and 4,5-di- hydrobenzoxazolyl.
"Heteroarylcycloalkyl" means a fused heteroaryl and cycloalkyl. Particular heteroarylcycloalkyl is one wherein the heteroaryl thereof consists of about 5 to about 6 ring atoms and the cycloalkyl consists of about 5 to about 6 ring atoms. A heteroarylcycloalkyl is bonded through any atom of the cycloalkyl thereof capable of such bonding. The designation of the aza, oxa or thio as a prefix before heteroaryl portion of the fused heteroarylcycloalkyl defines that at least a nitrogen, oxygen or sulfur atom is present, respectively, as a ring atom. The nitrogen atom of a heteroarylcycloalkyl can be a basic nitrogen atom. The nitrogen atom of the heteroaryl portion of the heteroarylcycloalkyl may also be optionally oxidized to the corresponding N-oxide. Exemplary heteroarylcycloalkyl includes 5,6,7,8- tetrahydroquinolinyl, 5,6,7,8-tetra-hydroisoquinolyl, 5,6,7,8-tetrahydroquinoxalinyl, 5,6,7,8- tetrahydroquinazolyl, 4,5,6,7-tetrahydro-lH-benzimidazolyl, and 4,5,6,7-tetrahydrobenzoxazolyl
"Heteroarylheterocyclenyl" means a fused heteroaryl and heterocyclenyl. Particular heteroarylheterocyclenyl is one wherein the heteroaryl thereof consists of about 5 to about 6 ring atoms and the heterocyclenyl consists of about 5 to about 6 ring atoms. A heteroarylheterocyclenyl is bonded through any atom of the heterocyclenyl thereof capable of such bonding. The designation of the aza, oxa or thio as a prefix before the heteroaryl or heterocyclenyl portion of the heteroarylheterocyclenyl defines that at least a nitrogen, oxygen or sulfur atom is present, respectively, as a ring atom. The nitrogen atom of a heteroarylazaheterocyclenyl can be a basic nitrogen atom. The nitrogen or sulfur atom of the heteroaryl portion of the heteroarylheterocyclyl may also be optionally oxidized to the corresponding N-oxide. The nitrogen or sulfur atom of the heteroaryl or heterocyclyl portion of the heteroarylheterocyclyl may also be optionally oxidized to the corresponding N-oxide, S- oxide or S, S- dioxide. Exemplary heteroarylheterocyclenyl includes 7,8-dihydro[l,7]naphthyridinyl, 1,2- dihydro[2,7]-naphthyridinyl, 6,7-dihydro-3H -imidazo [4,5-c]pyridyl, l,2-dihydro-l,5-naphthyridinyl, 1 ,2-dihydro-l,6-naphthyridinyl, l,2-dihydro-l,7 -naphthyridinyl, 1 ,2-dihydro-l ,8-naphthyridinyl, and 1 ,2-dihydro-2,6-naphthyridinyl.
"Heteroarylheterocyclyl" means a fused heteroaryl and heterocyclyl. Particular heteroarylheterocyclyl is one wherein the heteroaryl thereof consists of about 5 to about 6 ring atoms and the heterocyclyl consists of about 5 to about 6 ring atoms. A heteroarylheterocyclyl is bonded through any atom of the heterocyclyl thereof capable of such bonding. The designation of the aza, oxa or thio as a prefix before the heteroaryl or heterocyclyl portion of the fused heteroarylheterocyclyl defines that at least a nitrogen, oxygen or sulfur atom is present, respectively, as a ring atom. The nitrogen atom of a fused heteroarylheterocyclyl can be a basic nitrogen atom. The nitrogen or sulfur atom of the heteroaryl portion of the heteroarylheterocyclyl may also be optionally oxidized to the corresponding N-oxide.
The nitrogen or sulfur atom of the heteroaryl or heterocyclyl portion of the heteroarylheterocyclyl may
also be optionally oxidized to the corresponding N-oxide, S-oxide or S,S-dioxide. Exemplary heteroarylheterocyclyl includes 2,3-dihydro-lH-pyrrol[3,4-b]quinolin-2-yl, 1,2,3,4-tetrahydrobenz [b][l ,7]naphthyridin-2-yl, 1 ,2,3,4-tetrahydrobenz[b][l ,6]naphthyridin-2-yl, 1 ,2,3,4-tetra-hydro-9H- pyrido[354-b]indol-2yl, 1 ,2,3,4-tetrahydro-9H-pyrido[4;3-b]indol-2yl, 2,3-dihydro-lH-pyrrolo[3,4-b ]indol-2-yl, lH-2,3,4,5-tetrahydroazepino[3,4-b]indol-2-yl, lH-2,3,4,5-tetra-hydroazepino[4,3- b]indol-3-yl, lH-2,3,4,5-tetrahydroazepino[4,5-b]indol-2 yl, 5,6,7,8-tetra-hydro[l ,7]naphthyridyl, 1 ,2,3,4-tetrhydro[2,7]naphthyridyl, 2,3-dihydro[l ,4]dioxino[2,3-b]pyridyl, 2,3-dihydro- [l,4]dioxino[2,3-b]pyridyl, 3,4-dihydro-2H-l-oxa[4,6]diazanaphthalenyl, 4,5,6,7- tetrahydro-3H- imidazo[4,5-c]pyridyl, 6,7-dihydro[5,8]diazanaphthalenyl, 1 ,2,3,4-tetrahydro[l ,5]-naphthyridinyl, l!2>3)4-tetrahydro[l,6]naphthyridinyl, l,2,3!4-tetrahydro[l,7]naphthyridinyl, 1,2,3,4- tetrahydro[l,8]naphthyridinyl, and l,2,3,4-tetra-hydro[2,6]naphthyτidinyl.
"Heteroaryloxy" means heteroaryl-O-. Exemplary heteroaryloxy includes pyridyloxy.
"Heterocyclenyl" means a non-aromatic monocyclic or multicyclic hydrocarbon ring system of about 3 to about 10 carbon atoms, in which one or more of the carbon atoms in the ring system is/are hetero element(s) other than carbon, for example nitrogen, oxygen or sulfur atoms, and which contains at least one carbon-carbon double bond or carbon-nitrogen double bond. Particularlyhe non-aromatic ring system includes about 5 to about 10 carbon atoms, and 1 to 3 heteroatoms. More particular ring sizes of rings of the ring system include about 5 to about 6 ring atoms; and such ring sizes are also referred to as "lower". The designation of the aza, oxa or thio as a prefix before heterocyclenyl defines that at least a nitrogen, oxygen or sulfur atom is present, respectively, as a ring atom. The nitrogen atom of a heterocyclenyl can be a basic nitrogen atom. The nitrogen or sulfur atom of the heterocyclenyl may also be optionally oxidized to the corresponding N-oxide, S-oxide or S,S-dioxide. Exemplary monocyclic azaheterocyclenyl includes 1,2,3,4-tetrahydrohydropyridine, 1,2- dihydropyridyl, 1 ,4-dihydropyridyl, 1,2,3,6-tetra-hydropyridine, 1,4,5,6-tetrahydro- pyrimidine, 2- pyrrolinyl, 3-pyrrolinyl, 2-imidazolinyl, and 2-pyrazolinyl. Exemplary oxaheterocyclenyl includes 3,4-dihydro-2H-pyran, dihydrofuranyl, and fluorodihydro-furanyl. An exemplary multicyclic oxaheterocyclenyl is 7-oxabicyclo[2.2.1]heptenyl. Exemplary monocyclic thioheterocyclenyl includes dihydrothiophenyl and dihydrothiopyranyl.
"Heterocyclenylaryl" means a fused aryl and heterocyclenyl. Particular heterocyclenylaryl is one wherein the aryl thereof is phenyl and the heterocyclenyl consists of about 5 to about 6 ring atoms. A heterocyclenylaryl is bonded through any atom of the aryl thereof capable of such bonding. The designation of the aza, oxa or thio as a prefix before heterocyclenyl portion of the fused heterocyclenylaryl defines that at least a nitrogen, oxygen or sulfur atom is present, respectively, as a
ring atom. The nitrogen atom of a heterocyclenylaryl can be a basic nitrogen atom. The nitrogen or sulfur atom of the heterocyclenyl portion of the heterocyclenylaryl may also be optionally oxidized to the corresponding N-oxide, S-oxide or S,S-dioxide. Exemplary heterocyclenylaryl include 3H- indolinyl, IH-2-oxoquinolyl, 2H-l-oxoisoquinolyl, 1 ,2-di-hydroquinolinyl, 3,4-dihydroquinolinyl, 1,2- dihydroisoquinolinyl, and 3,4-dihydroisoquinolinyl.
"Heterocyclenylheteroaryl" means a fused heteroaryl and heterocyclenyl. Particular heterocyclenylheteroaryl is one wherein the heteroaryl thereof consists of about 5 to about 6 ring atoms and the heterocyclenyl consists of about 5 to about 6 ring atoms. A heterocyclenylheteroaryl is bonded through any atom of the heteroaryl thereof capable of such bonding. The designation of the aza, oxa or thio as a prefix before the heteroaryl or heterocyclenyl portion of the heterocyclenylheteroaryl define that at least a nitrogen, oxygen or sulfur atom is present, respectively, as a ring atom. The nitrogen atom of an azaheterocyclenylheteroaryl can be a basic nitrogen atom. The nitrogen or sulfur atom of the heteroaryl portion of the heterocyclenylheteroaryl may also be optionally oxidized to the corresponding N-oxide. The nitrogen or sulfur atom of the heteroaryl or heterocyclyl portion of the heterocyclenylheteroaryl may also be optionally oxidized to the corresponding N-oxide, S- oxide or S,S-dioxide. Exemplary heterocyclenylheteroaryl includes 7,8-dihydro[l,7]naphthyridinyl, 1,2- dihydro[2,7]-naphthyridinyl, 6,7-dihydro-3H-imidazo[4,5-c]pyridyl, l,2-dihydro-l,5-naphthyridinyl, 1 ,2-dmydro-l,6-naphthyridinyl, l,2-dihydro-l,7-naphthyridinyl, l,2-dihydro-l,8-naphthyridinyl and 1 ,2- dihydro-2,6-naphthyridinyl.
"Heterocyclyl" means a non-aromatic saturated monocyclic or multicyclic ring system of about 3 to about 10 carbon atoms, Particularin which one or more of the atoms in the ring system is/are hetero element(s) other than carbon, for example nitrogen, oxygen or sulfur. Particular, the ring system contains about 5 to about 10 carbon atoms, and from 1 to 3 heteroatoms. More particular ring sizes of rings of the ring system include about 5 to about 6 ring atoms; and such more particular ring sizes are also referred to as "lower". The designation of the aza, oxa or thio as a prefix before heterocyclyl define that at least a nitrogen, oxygen or sulfur atom is present respectively as a ring atom. The nitrogen atom of a heterocyclyl can be a basic nitrogen atom. The nitrogen or sulfur atom of the heterocyclyl may also be optionally oxidized to 20 the corresponding N-oxide, S-oxide or S,S-dioxide. Exemplary monocyclic heterocyclyl includes piperidyl, pyrrolidinyl, piperazinyl, morpholinyl, thiomorpholinyl, thiazolidinyl, 1,3-dioxolanyl, 1 ,4-dioxanyl, THFyI, tetrahydrothiophenyl, and tetrahydrothiopyranyl .
"Heterocyclylaryl" means a fused aryl and heterocyclyl. Particular heterocyclylaryl is one wherein the aryl thereof is phenyl and the heterocyclyl consists of about 5 to about 6 ring atoms. A heterocyclylaryl is bonded through any atom of the aryl moiety thereof capable of such bonding. The
designation of the aza, oxa or thio as a prefix before heterocyclyl portion of the heterocyclylaryl defines that at least a nitrogen, oxygen or sulfur atom is present, respectively, as a ring atom. The nitrogen atom of a heterocyclylaryl can be a basic nitrogen atom. The nitrogen or sulfur atom of the heterocyclyl portion of the heterocyclylaryl may also be optionally oxidized to the corresponding N- oxide, S-oxide or S,S-dioxide. Exemplary heterocyclylaryl includes indolinyl, 1,2,3,4- tetrahydroisoquinoline, 1,2,3,4-tetrahydroquinoline, lH-2,3-dihydroisoindol-2-yl, and 2,3- dihydrobenz[fJisoindol-2-yl, and 1,2,3,4- tetrahydrobenz[g]-isoquinolin-2-yl.
"Heterocyclylheteroaryl" means a fused heteroaryl and heterocyclyl. Particular heterocyclylheteroaryl is one wherein the heteoraryl thereof consists of about 5 to about 6 ring atoms and the heterocyclyl consists of about 5 to about 6 ring atoms. A heterocyclylheteroaryl is bonded through any atom of the heterocyclyl thereof capable of such bonding. The designation of the aza, oxa or thio as a prefix before the heteroaryl or heterocyclyl portion of the heterocyclylheteroaryl defines that at least a nitrogen, oxygen or sulfur atom is present, respectively, as a ring atom. The nitrogen atom of a heterocyclylheteroaryl can be a basic nitrogen atom. The nitrogen or sulfur atom of the heteroaryl portion of the heterocyclylheteroaryl may also be optionally oxidized to the corresponding N-oxide. The nitrogen or sulfur atom of the heteroaryl or heterocyclyl portion of the heterocyclylheteroaryl may also be optionally oxidized to the corresponding N-oxide, S-oxide or S,S-dioxide. Exemplary heterocyclylheteroaryl includes 2,3-dihydro-lH-pyrrol[3,4-b]quinolin-2-yl, 1,2,3,4-tetrahydrobenz [b][l,7]naphthyridin-2-yl, l,2,3,4-tetrahydrobenz[b][l,6]naphthyridin-2-yl, l,2,3,4-tetra-hydro-9H- pyrido[3,4-b]indol-2yl, 1 ,2,3,4-tetrahydro-9H-pyrido[4,3-b]indol-2yl, 2,3-dihydro-lH-pyrrolo[3,4-b ]indol-2-yl, lH-2,3,4,5-tetrahydroazepino[3,4-b]indol-2-yl, lH-2,3,4,5-tetra-hydroazepino[4,3- b]indol-3-yl, lH-2,3,4,5-tetrahydroazepino[4,5-b]indol-2-yl, 5,6,7,8-tetra-hydro[l,7]naphthyridyl, 1 ,2,3,4-tetrhydro[2,7]naphthyridyl, 2,3-dihydro[l ,4]dioxino[2,3-b]pyridyl, 2,3-dihydro- [154]dioxino[2,3-b]pyridyl, 3,4-dihydro-2H-l-oxa[4,6]diazanaphthalenyl, 4,5,6,7- tetrahydro-3H- imidazo[4,5-c]pyridyl, 6,7-dihydro[5,8]diazanaphthalenyl, 1 ,2,3,4-tetrahydro[l ,5]-naphthyridinyl, 1 ,2,3,4-tetrahydro[l ,6]naphthyridinyl, 1 ,2,3,4-tetrahydro[l ,7]naphthyridinyl, 1 ,2,3,4- tetrahydro[l ,8]naphthyridinyl, and 1 ,2,3,4-tetra-hydro[2,6]naphthyridmyl.
"Hydroxyalkyl" means a HO-alkylene-. Examplary hydroxyalkyl include HO-CH2- and HO-CH2-CH2-
"Multicyclic alkaryl" means a multicyclic ring system including at least one aromatic ring fused to at least one non-aromatic ring that can be saturated or unsaturated, and may also contain in the ring system one or more heteroatoms, such as nitrogen, oxygen or sulfur. Exemplary multicyclic alkaryl includes arylcycloalkenyl, arylcycloalkyl, arylheterocyclenyl, arylheterocyclyl, cycloalkenylaryl,
cycloalkylaryl, cycloalkenylheteroaryl, cycloalkylheteroaryl, heteroarylcycloalkenyl, heteroarylcycloalkyl, heteroarylheterocyclenyl, heteroarylheterocyclyl, heterocyclenylaryl, heterocyclenylheteroaryl, heterocyclylaryl, and heterocyclylheteroaryl. Particular multicyclic alkaryl groups are bicyclic rings that include one aromatic ring fused to one non-aromatic ring and that also may contain in the ring system one or more heteroatoms, such as nitrogen, oxygen or sulfur.
"Niacin" or "nicotinic acid" means pyridine-3-carboxylic acid.
"Nicotinic acid receoptor agonist" means 3-(lH-tetrazol-5-yl)-l,4,5,6-tetrahydro-cyclopentapyrazole or a pharmaceutically acceptable salt or solvate thereof, Acipimox or Acifran.
"Patient" includes human and other mammals.
"Pharmaceutically acceptable prodrugs" as used herein refers to those prodrugs of the compound of Formula (I) that are, within the scope of sound medical judgment, suitable for use in contact with the tissues of patients with undue toxicity, irritation, allergic response commensurate with a reasonable benefit/risk ratio, and effective for their intended use of the compounds of the invention. The term "prodrug" refers to compounds that are transformed in vivo to yield a parent compound of Formula (I), for example by hydrolysis in blood. Functional groups that can be rapidly transformed, by metabolic cleavage, in vivo form a class of groups reactive with the carboxyl group of the compounds of this invention. They include, but are not limited to such groups as alkanoyl (such as acetyl, propanoyl, butanoyl, and the like), unsubstituted and substituted aroyl (such as benzoyl and substituted benzoyl), alkoxycarbonyl (such as ethoxycarbonyl), trialkylsilyl (such as trimethyl and triethysilyl), and monoesters formed with dicarboxylic acids (such as succinyl). Because of the ease with which the metabolically cleavable groups of the compounds of this invention are cleaved in vivo, the compounds bearing such groups act as pro-drugs. The compounds bearing the metabolically cleavable groups have the advantage that they may exhibit improved bioavailability as a result of enhanced solubility and/or rate of absorption conferred upon the parent compound by virtue of the presence of the metabolically cleavable group. A thorough discussion is provided in Design of Prodrugs, H. Bundgaard, ed., Elsevier (1985); Methods in Enzymology; K. Widder et al, Ed., Academic Press, 42, 309-396 (1985); A Textbook of Drug Design and Development, Krogsgaard-Larsen and H. Bandaged, ed., Chapter 5; "Design and Applications of Prodrugs" 113-191 (1991); Advanced Drug Delivery Reviews, H. Bundgard, 8 , 1-38, (1992); J. Pharm. ScL, 77,285 (1988); Chem. Pharm. Bull, N. Nakeya et al, 32, 692 (1984); Pro-drugs as Novel Delivery Systems, T. Higuchi and V. Stella, 14 A.C.S. Symposium Series, and Bioreversible Carriers in Drug Design, E.B. Roche, ed., American Pharmaceutical Association and Pergamon Press, 1987, which are incorporated herein by reference.
"Ester prodrug" means a compound that is convertible in vivo by metabolic means (e.g., by hydrolysis) to a compound of Formula (I). For example an ester of a compound of Formula (I) containing a hydroxy group can be convertible by hydrolysis in vivo to the parent molecule. Alternatively an ester of a compound of Formula (I) containing a carboxy group can be convertible by hydrolysis in vivo to the parent molecule. Exemplary ester prodrugs are:
3-{6-[2-(2-chloro-6-fluoro-phenyl)-ethylamino]-2-methoxy-pyrimidin-4-yl} -benzoic acid, 1-ethoxycarbonyloxy-ethyl ester, and its enantiomers thereof;
2-(3-{6-[2-(2,4-dichloro-phenyl)-ethylamino]-2-methoxy-pyrimidin-4-yl}-phenyl)-2-methyl-propionic acid, 1-ethoxycarbonyloxy-ethyl ester, and its enantiomers thereof;
2-(3-{6-[2-(2,4-dichloro-phenyl)-ethylamino]-2-methoxy-pyrimidin-4-yl}-phenyl)-2-methyl-propionic acid, 2-dimethylamino-ethyl ester; and
(3-{6-[2-(2,4-dicUoro-phenyl)-ethylamino]-2-methoxy-pyrimidin-4-yl}-phenoxy)-acetic acid, methyl ester.
Suitable esters of the compound of Formula (I) containing a hydroxy group, are for example acetates, citrates, lactates, tartrates, malonates, oxalates, salicylates, propionates, succinates, fumarates, maleates, methylene-bis-b-hydroxynaphthoates, gentisates, isethionates, di-p-toluoyltartrates, methanesulfonates, ethanesulfonates, benzenesulfonates, p-toluenesulfonates, cyclohexylsulfamates and quinates.
Suitable esters of the compound of Formula (I) containing a carboxy group, are for example those described by FJ.Leinweber, Drug Metab. Res., 1987, 18, page 379.
"Pharmaceutically acceptable salts" refers to the non-toxic, inorganic and organic acid addition salts, and base addition salts, of compounds of Formula (I). These salts can be prepared in situ during the final isolation and purification of the compounds.
An exemplary N-oxide is:
"Solvate" means a physical association of a compound of this invention with one or more solvent molecules. This physical association includes hydrogen bonding. In certain instances the solvate will be capable of isolation, for example when one or more solvent molecules are incorporated in the crystal lattice of the crystalline solid. "Solvate" encompasses both solution-phase and isolable solvates. Representative solvates include hydrates, ethanolates and methanolates.
"Substantial flushing" means the side effect that is often seen when nicotinic acid is administered in therapeutic amounts. The flushing effect of nicotinic acid usually becomes less frequent and less severe as the patient develops tolerance to the drug at therapeutic doses, but the flushing effect still occurs to some extent. Thus, "reducing substantial flushing" refers to reducing or completely alleviating severity of flushing when it occurs, or completely eliminating or reducing the number of flushing events than would otherwise occur. Particularly, the incidence of flushing is reduced by at least about a third, more particuarly the incidence is reduced by half, and even more particularly, the flushing incidence is reduced by about two thirds or more. Likewise, the severity is particularly reduced by at least about a third, more particularly by at least half, and even more particularly by at least about two thirds. Clearly a one hundred percent reduction in flushing incidence and severity is preferable, but is not required.
An especially useful class of esters of compounds of Formula (I) containing a hydroxy group, can be formed from acid moieties selected from those described by Bundgaard et. al., J. Med. Chem., 1989, 32, pages 2503-2507, and include substituted (aminomethyl)-benzoates, for example dialkylamino-methylbenzoates in which the two alkyl groups can be joined together and/or interrupted by an oxygen atom or by an optionally substituted nitrogen atom, e.g., an alkylated nitrogen atom, more especially (morpholino-methyl)benzoates, e.g., 3- or 4-(morpholinomethyl)-benzoates, and (4-alkylpiperazin-l -yl)benzoates, e.g., 3- or 4-(4-alkylpiperazin-l -yl)benzoates.
Some of the compounds of the present invention are basic, and such compounds are useful in the form of the free base or in the form of a pharmaceutically acceptable acid addition salt thereof.
Acid addition salts are a more convenient form for use; and in practice, use of the salt form inherently amounts to use of the free base form. The acids which can be used to prepare the acid addition salts include particularly those which produce, when combined with the free base, pharmaceutically acceptable salts, that is, salts whose anions are non-toxic to the patient in pharmaceutical doses of the salts, so that the beneficial inhibitory effects inherent in the free base are not vitiated by side effects ascribable to the anions. Although pharmaceutically acceptable salts of said basic compounds are preferred, all acid addition salts are useful as sources of the free base form even if the particular salt, per se, is desired only as an intermediate product as, for example, when the salt is formed only for purposes of purification, and identification, or when it is used as intermediate in preparing a pharmaceutically acceptable salt by ion exchange procedures. In particular, acid addition salts can be prepared by separately reacting the purified compound in its free base form with a suitable organic or inorganic acid and isolating the salt thus formed. Pharmaceutically acceptable salts within the scope of
the invention include those derived from mineral acids and organic acids. Exemplary acid addition salts include the hydrobromide hydrochloride, sulfate, bisulfate, phosphate, nitrate, acetate, oxalate, valerate, oleate, palmitate, quinates, stearate, laurate, borate, benzoate, lactate, phosphate, tosylate, citrate, maleate, fumarate, succinate, tartrate, naphthylate, mesylate, glucoheptonate, lactiobionate, sulfamates, malonates, salicylates, propionates, methylene-bis-β-hydroxynaphthoates, gentisates, isethionates, di-p-toluoyltartrates, methanesulfonates, ethanesulfonates, benzenesulfonates, p- toluenesulfonates, cyclohexylsulfamates and laurylsulfonate salts. See, for example S.M. Berge, et al., "Pharmaceutical Salts," J. Pharm. Sd1 6O1 1-19 (1977), which is incorporated herein by reference.
Where the compound of Formula (I) is substituted with an acidic moiety, base addition salts can be formed and are simply a more convenient form for use; and in practice, use of the salt form inherently amounts to use of the free acid form. The bases which can be used to prepare the base addition salts include particularly those that produce, when combined with the free acid, pharmaceutically acceptable salts, that is, salts whose cations are non-toxic to the patient in pharmaceutical doses of the salts, so that the beneficial inhibitory effects inherent in the free base are not vitiated by side effects ascribable to the cations. Base addition salts can also be prepared by separately reacting the purified compound in its acid form with a suitable organic or inorganic base derived from alkali and alkaline earth metal salts and isolating the salt thus formed. Base addition salts include pharmaceutically acceptable metal and amine salts. Suitable metal salts include the sodium, potassium, calcium, barium, zinc, magnesium, and aluminum salts; more particular are the sodium and potassium salts. Suitable inorganic base addition salts are prepared from metal bases which include sodium hydride, sodium hydroxide, potassium hydroxide, calcium hydroxide, aluminum hydroxide, lithium hydroxide, magnesium hydroxide, zinc hydroxide and the like. Suitable amine base addition salts are prepared from amines which have sufficient basicity to form a stable salt, and particularly include those amines which are frequently used in medicinal chemistry because of their low toxicity and acceptability for medical use. Ammonia, ethylenediamine, N-methyl-glucamine, lysine, arginine, ornithine, choline, N1N'- dibenzylethylenediamine, chloroprocaine, diethanolamine, procaine, N-benzylphenethylamine, diethylamine, piperazine, tris(hydroxymethyl)-aminomethane, tetramethylammonium hydroxide, triethylamine, dibenzylamine, ephenamine, dehydroabietylamine, N-ethylpiperidine, benzylamine, tetramethylammonium, tetraethylammonium, methylamine, dimethylamine, trimethylamine, ethylamine, basic amino acids, e.g., lysine and arginine, and dicyclohexylamine.
As well as being useful in themselves as active compounds, salts of the compound of Formula (I) are useful for the purposes of purification of the compound, for example by exploitation of the solubility differences between the salts and the parent compound, side products and/or starting materials by techniques well known to those skilled in the art.
It will be appreciated that the compound of the present invention may contain asymmetric centers. These asymmetric centers may independently be in either the R or S configuration. It will be apparent to those skilled in the art that certain compounds of Formula (I) may also exhibit geometrical isomerism. It is to be understood that the present invention includes individual geometrical isomers and stereoisomers and mixtures thereof, including racemic mixtures, of compounds of Formula (I) hereinabove. Such isomers can be separated from their mixtures, by the application or adaptation of known methods. Chiral chromatography techniques represent one means for separating isomers from mixtures thereof. Chiral recrystallization techniques can be tried as an alternative means for separating isomers from mixtures thereof. Individual isomeric compounds can also be prepared by employing, where applicable, chiral precursors.
Regarding a more detailed description of the present invention, one particular embodiment of the invention is a pharmaceutical composition comprising pharmaceutically effective amounts of niacin or a pharmaceutically acceptable salt, solvate or N-oxide thereof, and a compound of formula (I), or an N-oxide thereof, or an ester prodrug thereof, or a pharmaceutically acceptable salt, hydrate, or solvate thereof.
Another particular embodiment of the invention is a pharmaceutical composition comprising niacin or a pharmaceutically acceptable salt, solvate or N-oxide thereof, or a nicotinic acid receptor agonist, and a compound of Formula (I) wherein R1 is amino, dimethylamino, methoxy, ethoxy, ethyl, methylthio, methylamino, or 2,2,2-trifluoroethoxy; or an N-oxide thereof, or an ester prodrug thereof, or a pharmaceutically acceptable salt, hydrate, or solvate thereof.
Another particular embodiment of the invention is a pharmaceutical composition comprising niacin or a pharmaceutically acceptable salt, solvate or N-oxide thereof, or a nicotinic acid receptor agonist, and a compound of Formula (I) wherein Cy1 is phenyl, benzimidazolyl, benzo[l,3]dioxolyl, benzothiazolyl, benzo[b]thiophenyl, lH-benzotriazolyl, 2,3-dihydro-benzo[l,4]dioxanyl, 2,3-dihydro- benzofuranyl, 3,4-dihydro-2H-benzo[l,4]oxazinyl, furanyl, imidazolyl, lH-indazolyl, indolinyl, indolyl, isoquinolinyl, isoxazolyl, oxadiazolyl, oxazolyl, 2-oxo-lH-pyridinyl, phenyl, pyrazolyl, pyridyl, thiazolyl, quinolinyl, thienyl or piperidinyl, wherein each of which independently is optionally substituted by one to three of the same or different Cy1 substituent groups; or an N-oxide thereof, or an ester prodrug thereof, or a pharmaceutically acceptable salt, hydrate, or solvate thereof.
Another particular embodiment of the invention is a pharmaceutical composition comprising niacin or a pharmaceutically acceptable salt, solvate or N-oxide thereof, or a nicotinic acid receptor agonist, and
a compound of Formula (I) wherein Cy1 is phenyl, benzimidazol-2-yl, benzimidazol-5-yl, benzo[l,3]dioxol-5-yl, benzothiazol-6-yl, benzo[b]thiophen-2-yl, benzo[b]thiophen-3-yl, lH-benzotriazol-6-yl, 2,3-dihydro-benzo[l,4]dioxin-6-yl, 2,3-dihydrobenzofuran-5-yl, 3,4-dihydro- 2H-benzo[l,4]oxazin-7-yl, furan-2-yl, furan-3-yl, imidazol-1-yl, lH-indazol-6-yl, indolin-5-yl, indol- 3-yl, indol-5-yl, indol-6-yl isoquinolin-5-yl, isoxazol-4-yl, [l,2,4]oxadiazol-5-yl, [l,3,4]oxadiazol-2-yl, oxazol-5-yl, 2-oxo-lH-pyridin-5-yl, phenyl, pyrazol-1-yl, pyrazol-3-yl, pyrazol-4-yl, pyrid-3-yl, pyrid- 4-yl, thiazol-2-yl, quinolin-3-yl, quinolin-6-yl, quinolin-8-yl, thien-2-yl, thien-3-yl or piperidin-1-yl, each of which is optionally substituted by one to three of the same or different Cy1 substituent groups; or an N-oxide thereof, or an ester prodrug thereof, or a pharmaceutically acceptable salt, hydrate, or solvate thereof.
Another particular embodiment of the invention is a pharmaceutical composition comprising niacin or a pharmaceutically acceptable salt, solvate or N-oxide thereof, or a nicotinic acid receptor agonist, and a compound of Formula (I) wherein Cy2 is phenyl, cyclohexenyl, benzo[l,3]dioxolyl, benzofuranyl, 2,3-dihydro-benzofuranyl, 3,4-dihydro-2H-benzo[l,4]oxazinyl, benzo[b]thiophenyl, imidazolyl, indolyl, isochromanyl, phenyl, naphthalenyl, pyridyl, or thienyl, each of which is optionally substituted by one to three of same or different substituents of alkoxy, (Ci-C3)-alkyl, hydroxy, cyano, halogen, haloalkoxy, haloalkyl, nitro, Y1Y2N-, Y1Y2N-SO?-, aryl or heteroaryl, wherein the aryl is optionally substituted by alkyl or hydroxyalkyl, and the heteroaryl is optionally substituted by alkyl; or an N-oxide thereof, or an ester prodrug thereof, or a pharmaceutically acceptable salt, hydrate, or solvate thereof.
Another particular embodiment of the invention is a pharmaceutical composition comprising Niacin or a pharmaceutically acceptable salt, solvate or N-oxide thereof, or a nicotinic acid receptor agonist, and a compound of Formula (I) wherein Cy2 is phenyl, cyclohex-1-enyl, benzo[l,3]dioxol-5-yl, benzofuran-6-yl, 2,3-dihydro-benzofuran-2-yl, 3,4-dihydro-2H-benzo[l ,4]oxazin-2-yl, benzo[b]thiophen-2-yl, imidazol-4-yl, lH-indol-3-yl, lH-indol-5-yl, naphthalene-2-yl, isochroman-1- yl, pyridin-2-yl, pyridin-3-yl , pyridin-4-yl, or thien-2-yl, each of which is optionally substituted by one to three of the same or different substituents of alkoxy, (Ci-C3)-alkyl, hydroxy, cyano, halogen, haloalkoxy, haloalkyl, nitro, Y1Y2N-, Y1Y2N-SO2-, aryl or heteroaryl, wherein the aryl is optionally substituted by alkyl or hydroxyalkyl, and the heteroaryl is optionally substituted by alkyl; or an N-oxide thereof, or an ester prodrug thereof, or a pharmaceutically acceptable salt, hydrate, or solvate thereof.
Another particular embodiment of the invention is a pharmaceutical composition comprising Niacin or a pharmaceutically acceptable salt, solvate or N-oxide thereof, or a nicotinic acid receptor agonist, and
a compound of Formula (I) wherein: L1 is -CH2-, -CH2-CH2-, -CH2-CH2-CH2-, -CH2-CH2-CH2-CH2-, -CH2-CH(CH3)-, -CH2-C(CHs)2-, -CH(CH3)-CH2-, -CH2-CH(OH)-, -CH(CO2H)-CH2-, -CH2-CF2-,
; or an N-oxide thereof, or an ester prodrug thereof, or a
pharmaceutically acceptable salt, hydrate, or solvate thereof.
Another particular embodiment of the invention is a pharmaceutical composition comprising Niacin or a pharmaceutically acceptable salt, solvate or N-oxide thereof, or a nicotinic acid receptor agonist, and a compound of Formula (I) wherein L1 and Cy2 together represent indan-1-yl or indan-2-yl; or an N-oxide thereof, or an ester prodrug thereof, or a pharmaceutically acceptable salt, hydrate, or solvate thereof.
Another particular embodiment of the invention is a pharmaceutical composition comprising Niacin or a pharmaceutically acceptable salt, solvate or N-oxide thereof, or a nicotinic acid receptor agonist, and a compound of Formula (I) wherein L1 is -CH2-CH2-; or an N-oxide thereof, or an ester prodrug thereof, or a pharmaceutically acceptable salt, hydrate, or solvate thereof.
Another particular embodiment of the invention is a pharmaceutical composition comprising Niacin or a pharmaceutically acceptable salt, solvate or N-oxide thereof, or a nicotinic acid receptor agonist, and a compound of Formula (I) wherein L1 is -CH2-CF2-; or an N-oxide thereof, or an ester prodrug thereof, or a pharmaceutically acceptable salt, hydrate, or solvate thereof.
Another particular embodiment of the invention is a pharmaceutical composition comprising Niacin or a pharmaceutically acceptable salt, solvate or N-oxide thereof, or a nicotinic acid receptor agonist, and a compound of Formula (I) wherein Cy1 is unsubstituted phenyl or phenyl substituted by one to three of same or different substituent groups of acyl, alkylsulfinyl, alkylsulfonyl, carboxy, cyano, halo, heteroaroyl, heterocyclenyl, hydroxy, nitro, R2-C(=N-OR3)-, Y1Y2N-, Y1Y2NQ=O)-, Y'Y2NC(=O)-O-, Y1Y2NSO2-, Y1Y2N-C(=O)-(C1-C6)-alkylene-Z1-, alkyl-C(=O)-N(R5)-SO2-, alkyl-O-C(=O)-N(R5)-, alkyl-O-C(=O)-N(R5)-SO2-, alkyl-O-N(R5)-C(=O>, alkyl-O-N(R5)-SO2-, alkyl-SO2-N(R5)-C(=O)-, aryl-SO2-N(R5)-C(=O)-, alkyl-SO2-N(R5)-, R6-C(=O)-N(R5)-, alkyl-NH-C(=O)-NH-; alkoxy, which is optionally substituted by one to three of same or different of carboxy or heteroaryl; or alkyl, which is optionally substituted by one to three of same or different of halogen, carboxy, aryl, heteroaryl multicyclic alkaryl, cyano, hydroxy, Y1Y2N-, H2N-C(=NH)-NH-0-,
R6-C(=O)-N(R5)-, R6-N(R5)-C=O)-, alkyl-O-C(=O)-N(R5)-, alkyl-SO2-N(R5)- , R8- SO2-N(R5)-C(=O)-; H2N-C(=NH)-NH-O-; or alkoxy, which is optionally substituted by carboxy or heteroaryl; wherein the aryl or heteroaryl moieties in the substituent groups are optionally independently substituted by hydroxy, amino, alkyl, alkoxy, carboxy, alkoxycarbonyl or R8-SO2- N(R5)-C(=O)-; and, wherein the heterocyclenyl or multicyclic alkaryl moieties in the substituent groups independently is optionally substituted by hydroxy, amino, alkyl, alkoxy, carboxy, alkoxycarbonyl, R8-
SO2-N(R5)-C(=O)- or oxo; or an N-oxide thereof, or an ester prodrug thereof, or a pharmaceutically acceptable salt, hydrate, or solvate thereof.
Another particular embodiment of the invention is a pharmaceutical composition comprising Niacin or a pharmaceutically acceptable salt, solvate or N-oxide thereof, or a nicotinic acid receptor agonist, and a compound of Formula (I) wherein Cy1 is benzimidazol-2-yl, benzimidazol-5-yl, benzo[l,3]dioxol-5- yl, benzothiazol-6-yl, benzo[b]thiophen-2-yl, benzo[b]thiophen-3-yl, lH-benzotriazol-6-yl, 2,3-dihydro-benzo[l ,4]dioxin-6-yl, 2,3-dihydrobenzofuran-5-yl, 3,4-dihydro-2H-benzo[l ,4]oxazin-7- yl, furan-2-yl, furan-3-yl, imidazol-1-yl, lH-indazol-6-yl, indolin-5-yl, indol-3-yl, indol-5-yl, indol-6- yl isoquinolin-5-yl, isoxazol-4-yl, [l,2,4]oxadiazol-5-yl, [l,3,4]oxadiazol-2-yl, oxazol-5-yl, 2-oxo-lH- pyridin-5-yl), phenyl, pyrazol-1-yl, pyrazol-3-yl, pyrazol-4-yl, pyrid-3-yl, pyrid-4-yl, thiazol-2-yl, quinolin-3-yl, quinolin-6-yl, quinolin-8-yl, thien-2-yl, thien-3-yl or piperidin-1-yl, each of which is optionally substituted by one to three of the same or different substituent groups of lower alkanoyl, lower alkoxy, carboxy, cyano, halogen, R2-C(=N-OR3)- Y1Y2N-, Y1Y2NC(O)-, heteroaryl; or loweralkyl, which is optionally substituted by one to three of same or different of halogen, carboxy, heteroaryl, hydroxy, or Y1Y2N-; wherein the heteroaryl moieties in substituent groups are optionally independently substituted by hydroxy, amino, alkyl or alkoxy; or an N-oxide thereof, or an ester prodrug thereof, or a pharmaceutically acceptable salt, hydrate, or solvate thereof.
Another particular embodiment of the invention is a pharmaceutical composition comprising Niacin or a pharmaceutically acceptable salt, solvate or N-oxide thereof, or a nicotinic acid receptor agonist, and a compound of Formula (I) wherein Cy1 is benzimidazol-2-yl, benzimidazol-5-yl, benzo[l,3]dioxol-5- yl, benzothiazol-6-yl, benzo[b]thiophen-2-yl, benzo[b]thiophen-3-yl, 1 H-benzotriazol-6-yl, 2,3-dihydro-benzo[l ,4]dioxin-6-yl, 2,3-dihydrobenzofuran-5-yl, 3,4-dihydro-2H-benzo[l ,4]oxazin-7- yl, furan-2-yl, furan-3-yl, imidazol-1-yl, lH-indazol-6-yl, indolin-5-yl, indol-3-yl, indol-5-yl, indol-6-
yl isoquinolin-5-yl, isoxazol-4-yl, [l ,2,4]oxadiazol-5-yl, [l ,3,4]oxadiazol-2-yl, oxazol-5-yl, 2-oxo-lH- pyridin-5-yl), phenyl, pyrazol-1-yl, pyrazol-3-yl, pyrazol-4-yl, pyrid-3-yl, pyrid-4-yl, thiazol-2-yl, quinolin-3-yl, quinolin-6-yl, quinolin-8-yl, thien-2-yl, thien-3-yl or piperidin-1-yl, each of which is optionally substituted by one to three of the same or different substituent groups of formyl, acetyl, methoxy, carboxy, cyano, chloro, methyl, -CHF2-, oxazol-5-yl, tetrazol-5-yl, HOaC-CH2-, HOCH2-, HO-CH(CH3)-, H-C(=N-OH)-, H-C(=N-OCH3)- , CH3-C(=N-0H)-, CH3-C(=N-OCH3)-, H2N-CH2-,
or 0 r^ N-CH2- ; Or an N-oxide thereof, or an
ester prodrug thereof, or a pharmaceutically acceptable salt, hydrate, or solvate thereof.
Another particular embodiment of the invention is a pharmaceutical composition comprising Niacin or a pharmaceutically acceptable salt, solvate or N-oxide thereof, or a nicotinic acid receptor agonist, and a compound of Formula (T) wherein Cy1 is phenyl or phenyl substituted by one to three of the same or different groups of formyl, acetyl, methoxy, chloro, fluoro, hydroxy, nitro, cyano, carboxy, CH3O-
CH=CH-, CH3-SO-, CH3SO2-, CH3CH2SO2-, HO2C-CH2-O-, HO2C-C(CH3)2-O-, [| J>— C(=θ)- , 5-
amino-[l,3,4]oxadiazol-2-yl, 3-methyl-isoxazol-5-yl, 3-methyl-[l,2,4]oxadiazol-5-yl, 5-methyl- [l,3,4]oxadiazol-2-yl, 2-methyl-2H-tetrazol-5-yl, 1 -methyl- lH-tetrazol-5-yl, 5-methyl-2H- [l,2,4]triazol-3-yl, 3H-[1, 3,4]oxadiazol-2 -one, oxazol-5-yl, tetrazol-5-yl, lH-tetrazol-5-ylmethyl, 1-
CH3CH2SO2NHC(=O)-CF2-, H2N-C(=0)-, CH3NHC(=0)-, (CH3)2NC(=O)-, (CH3)2NCH2CH2NH- C(=0)-, HO2CCH2NH-C(=O)-, HO2CCH(CH3)NH-C(=O)-, HO2CCH(CH (CH3 }2)NH-C(=0)-,
HO2CCH(CH2CH{CH3}2)NH-C(=O)-, , [ YCH2CH2NH-C(=O)- ,
CH3-N \— NH-CX=O)- , [^ / N~( N-C(=0)- , 0 N-Q-O)- , CH3CH2NH-C(O)-O-, H2N-
SO2-, CH3NHSO2-, CH3CH2NHSO2-, (CH3)2CHNH-SO2-, CH3CH2NH-CC=O)-CH2-O-, (CH3)2CHNH- C(=0)-CH2-0-, (CH3)2NCH2CH2NH-C(=O)-C(CH3)2-O-, CH3-C(=O)-NH-SO2-, CH3CH2-O-C(=O)- NH-, CH3-O-CC=O)-NH-SO2-, CH3-O-N(CH3)-C(=O)-, CH3-O-NH-SO2-, CH3-SO2-NH-CC=O)-, CH3-
NH-, CH3CH2NH-CC=O)-NH-, HO2C-CH2CH2-, HO2C-CH(CH3)-, HO2C-C(CH3)r, HO2C-CH2-O-
HOCH2CH2-, HO-CH(CH3)-, HO-C(CH3)2-, H2NCH2-, (CH3)2NCH2CH2NHCH2-, HO2C-CH(CH2Ph)-
NHCH2-, HO2C-CH(CH2OH)-NHCH2-, \ ( ^ V —- CCHH72NNHH--CCHH,.-- , NNv J V —— C CH2NH-CH2- , -CH2- , H2N-C(=NH)-NH-O-CH2-,
CH3OCH2-C(=O)-NH-CH2-, HOCH2-NH-C(=O)-CH2-, CH3-C(=O)-NH-CH2-, CH3-C(=O)-NH- CH2CH2-, HOCH2CH2-NH-C(=O)-CH2CH2-, CH3-O-C(=O)-NH-CHr, CH3SO2-NH-CH2-, H2N-
C(=NH)-NH-O-CH2-, OΓ an N-oxide thereof, or an
ester prodrug thereof, or a pharmaceutically acceptable salt, hydrate, or solvate thereof.
Another particular embodiment of the invention is a pharmaceutical composition comprising Niacin or a pharmaceutically acceptable salt, solvate or N-oxide thereof, or a nicotinic acid receptor agonist, and a compound of Formula (I) wherein Cy2 is cyclohex-1-enyl; or an N-oxide thereof, or an ester prodrug thereof, or a pharmaceutically acceptable salt, hydrate, or solvate thereof.
Another particular embodiment of the invention is a pharmaceutical composition comprising Niacin or a pharmaceutically acceptable salt, solvate or N-oxide thereof, or a nicotinic acid receptor agonist, and a compound of Formula (I) wherein Cy2 is naphthyl or phenyl, each of which is optionally substituted by one to three of the same or different groups of alkoxy, (CrC3)-allcyl, hydroxy, cyano, halogen,
haloalkoxy, haloalkyl, nitro, Y1Y2N-, Y1Y2N-SOi-, aryl or heteroaryl, wherein the aryl is optionally substituted by alkyl or hydroxyalkyl, and the heteroaryl is optionally substituted by alkyl; or an N-oxide thereof, or an ester prodrug thereof, or a pharmaceutically acceptable salt, hydrate, or solvate thereof.
Another particular embodiment of the invention is a pharmaceutical composition comprising Niacin or a pharmaceutically acceptable salt, solvate or N-oxide thereof, or a nicotinic acid receptor agonist, and a compound of Formula (I) wherein Cy2 is naphthyl or phenyl, each of which is optionally substituted by one to three of same or different groups of methoxy, ethoxy, methyl, ethyl, bromo, chloro, fluoro, F2HCO-, F3CO-, F3C-, amino, H2N-SO2-, cyano, hydroxy, nitro or 5-methyl-[l,3,4]oxadiazol-2-yl; or an N-oxide thereof, or an ester prodrug thereof, or a pharmaceutically acceptable salt, hydrate, or solvate thereof.
Another particular embodiment of the invention is a pharmaceutical composition comprising Niacin or a pharmaceutically acceptable salt, solvate or N-oxide thereof, or a nicotinic acid receptor agonist, and a compound of Formula (I) wherein Cy2 is benzo[l,3]dioxol-5-yl, lH-indol-3-yl, lH-indol-5-yl, imidazol-4-yl, lH-indol-3-yl, pyridin-2-yl, pyridin-3-yl, pyridin-4-yl, or thien-2-yl, each of which is optionally substituted by one to three of same or different groups of alkoxy, halo, or hydroxy; or an N-oxide thereof, or an ester prodrug thereof, or a pharmaceutically acceptable salt, hydrate, or solvate thereof.
Another particular embodiment of the invention is a pharmaceutical composition comprising Niacin or a pharmaceutically acceptable salt, solvate or N-oxide thereof, or a nicotinic acid receptor agonist, and a compound of Formula (I) wherein L2 is a bond.
Another particular embodiment of the invention is a pharmaceutical composition comprising Niacin or a pharmaceutically acceptable salt, solvate or N-oxide thereof, or a nicotinic acid receptor agonist, and a compound of Formula (II)
(EQ wherein Cy1 and Cy2 are as defined hereinabove, or a N-oxide thereof, or a ester prodrug thereof, or a pharmaceutically acceptable salt, hydrate or solvate thereof.
Another particular embodiment of the invention is a pharmaceutical composition comprising Niacin or a pharmaceutically acceptable salt, solvate or N-oxide thereof, or a nicotinic acid receptor agonist, and a compound of Formula (II) wherein Cy1 is phenyl or phenyl substituted by one to three of same or different substituent groups of: acyl, alkylsulfonyl, carboxy, cyano, halo, heteroaryl, hydroxy, heterocyclyl, R2-C(=N-OR3)-, Y1Y2N-, Y'Y2NC(=O)-, Y'Y2NC(=O)-O-, Y1Y2N-SO2-, Y1Y2N-C(=O)-(C,-C6)-alkylene-Z1-, alkyl-C(=O)-N(R5)-SO2-, alkyl-O-C(=O)-N(R5)-SO2-, alkyl-O-N(R5)-SO2-, alkyl-SO2-N(R5)-C(=O)-, alkyl-SO2-N(R5)-, R6-C(=O)-N(R5)-, alkyl-NH-C(=O)-NH-; alkenyl, which is optionally substituted by alkoxy; alkoxy, which is optionally substituted by carboxy or heteroaryl; or alkyl, which is optionally substituted by halogen, carboxy, cyano, heteroaryl, hydroxy,
R6-C(=O)-N(R5)-, R8-SO2-N(R5)-C(=O)-; or alkoxy, which is optionally substituted by carboxy; wherein the heterocyclyl moieties in the substituent groups are optionally' independently substituted by hydroxy, amino, alkyl, alkoxy, oxo, carboxy, alkoxycarbonyl or R8-SO2-N(R5)-C(=O)- ; and the heteroaryl moieties in the substituent groups are optionally independently substituted by hydroxy, amino, alkyl, alkoxy, carboxy, alkoxycarbonyl or R8-SO2-N(R5)-C(=O)-; or an N-oxide thereof, or an ester prodrug thereof, or a pharmaceutically acceptable salt, hydrate, or solvate thereof.
Another particular embodiment of the invention is a pharmaceutical composition comprising Niacin or a pharmaceutically acceptable salt, solvate or N-oxide thereof, or a nicotinic acid receptor agonist, and a compound of Formula (II) wherein Cy' is phenyl or phenyl substituted by one to three of same or different substituent groups of formyl, acetyl, cyano, methoxy, chloro, fluoro, hydroxy, carboxy, 5- amino-[l,3,4]oxadiazol-2-yl, 3-methyl-isoxazol-5-yl, 3-methyl-[l,2,4]oxadiazol-5-yl, 5-methyl- [l,3,4]oxadiazol-2-yl, 2-methyl-2H-tetrazol-5-yl, 5-methyl-2H-[l,2,4]triazol-3-yl, oxazol-5-yl, tetrazol-5-yl, lH-tetrazol-5-ylmethyl, l-methyl-l-(lH-tetrazol-5-yl)-ethyl, H2N-, CH3-NHC(=O)-, CH3CH2NH-C(=O)-O-CH3O-CH=CH-, CH3SO2-, CH3CH2SO2-, HO2C-CH2-O-, HO2C-C(CH3)2-O-, H-C(=N-0H)-, CH3-C(=N-0H)-, CH3OCH2CH2NH-, H2N-SO2-, CH3NHSO2-, CH3CH2NHSO2-, (CHs)2CHNH-SO2-, CH3CH2NH-C(=O)-CH2-O-, (CH3)2CHNH-C(=O)-CH2-O-, CH3-C(O)-NH-SO2- , CH3-O-C(=O)-NH-SO2-, CH3-O-NH-SO2-, CH3-SO2-NH-C(=O)-, CH3-SO2-N(CH3)-C(=O)-, CH3- SO2-NH-, CH3-C(=0)-NH-, CH3O-CH2-C(=O)-NH-, CH3CH2NΗ-C(=O)-NΗ-, HO2C-CH2CH2-,
CH3CH2SO2NHC(=O)-C(CH3)2-J PhCH2SO2NHC(=O)-C(CH3)2-, CH3CH2SO2NHCC=O)-CF2-,
CH3- ; or an N-oxide thereof, or an ester
prodrug thereof, or a pharmaceutically acceptable salt, hydrate, or solvate thereof.
Another particular embodiment of the invention is a pharmaceutical composition comprising Niacin or a pharmaceutically acceptable salt, solvate or N-oxide thereof, or a nicotinic acid receptor agonist, and a compound of Formula (II) wherein Cy1 is benzimidazol-2-yl, benzimidazol-5-yl, benzo[l,3]dioxol-5- yl, benzothiazol-6-yl, benzo[b]thiophen-2-yl, benzo[b]thiophen-3-yl, lH-benzotriazol-6-yl,
2,3-dihydro-benzo[l ,4]dioxin-6-yl, 2,3-dihydrobenzofuran-5-yl, 3,4-dihydro-2H-benzo[l ,4]oxazin-7- yl, furan-2-yl, furan-3-yl, imidazol-1-yl, lH-indazol-6-yl, indolin-5-yl, indol-3-yl, indol-5-yl, indol-6- yl isoquinolin-5-yl, isoxazol-4-yl, [l,2,4]oxadiazol-5-yl, [l,3,4]oxadiazol-2-yl, oxazol-5-yl, 2-oxo-lH- pyridin-5-yl), phenyl, pyrazol-1-yl, pyrazol-3-yl, pyrazol-4-yl, pyrid-3-yl, pyrid-4-yl, thiazol-2-yl, quinolin-3-yl, quinolin-6-yl, quinolin-8-yl, thien-2-yl, thien-3-yl or piperidin-1-yl, each of which is optionally substituted with one to three of same or different substituent groups of: acyl, carboxy, heteroaryl, R2-C(=N-OR3)-, Y'Y2NC(=0)-; or alkyl, which is optionally substituted by carboxy, heteroaryl or hydroxy; wherein the heteroaryl moieties in the substituent groups are optionally independently substituted by hydroxy, amino, alkyl or alkoxy, or an N-oxide thereof, or an ester prodrug thereof, or a pharmaceutically acceptable salt, hydrate, or solvate thereof.
Another particular embodiment of the invention is a pharmaceutical composition comprising Niacin or a pharmaceutically acceptable salt, solvate or N-oxide thereof, or a nicotinic acid receptor agonist, and a compound of Formula (II) wherein Cy1 is benzimidazol-2-yl, benzimidazol-5-yl, benzo[l,3]dioxol-5- yl, benzothiazol-6-yl, benzo[b]thiophen-2-yl, benzo[b]thiophen-3-yl, lH-benzotriazol-6-yl, 2,3-dihydro-benzo[l,4]dioxin-6-yl, 2,3-dihydrobenzofuran-5-yl, 3,4-dihydro-2H-benzo[l,4]oxazin-7- yl, furan-2-yl, furan-3-yl, imidazol-1-yl, lH-indazol-6-yl, indolin-5-yl, indol-3-yl, indol-5-yl, indol-6-
yl isoquinolin-5-yl, isoxazol-4-yl, [l,2,4]oxadiazol-5-yl, [l,3,4]oxadiazol-2-yl, oxazol-5-yl, 2-oxo-lH- pyridin-5-yl), phenyl, pyrazol-1-yl, pyrazol-3-yl, pyrazol-4-yl, pyrid-3-yl, pyrid-4-yl, thiazol-2-yl, quinolin-3-yl, quinolin-6-yl, quinolin-8-yl, thien-2-yl, thien-3-yl or piperidin-1-yl, each of which is optionally substituted with one to three of same or different substituent groups of formyl, acetyl, methyl, methoxy, carboxy, oxazol-5-yl, tetrazol-5-yl, HO2C-CH2-, HOCH2-, HO-CH(CH3)-H-C(=N-
OH)-, H-C(=N-0CH3)- , CH3-C(=N-0H)-, CH3-CC=N-OCH3)-, CH3NH-C(=0)-, Q N-C(=O)-
or V I °\ />— CH2- ; or an N-oxide thereof, or an ester prodrug thereof, or a pharmaceutically acceptable
HN-~.N salt, hydrate, or solvate thereof.
Another particular embodiment of the invention is a pharmaceutical composition comprising Niacin or a pharmaceutically acceptable salt, solvate or N-oxide thereof, or a nicotinic acid receptor agonist, and a compound of Formula (II) wherein Cy2 is naphthyl or phenyl, each of which is optionally substituted with one to three of same or different substituent groups of alkoxy, (Ci-C3)-alkyl, hydroxy, cyano, halogen, haloalkoxy, haloalkyl, nitro, Y1Y2N-, Y1Y2N-SO2-, aryl or heteroaryl, wherein the aryl is optionally substituted by alkyl or hydroxyalkyl, and the heteroaryl is optionally substituted by alkyl; or an N-oxide thereof, or an ester prodrug thereof, or a pharmaceutically acceptable salt, hydrate, or solvate thereof.
Another particular embodiment of the invention is a pharmaceutical composition comprising Niacin or a pharmaceutically acceptable salt, solvate or N-oxide thereof, or a nicotinic acid receptor agonist, and a compound of Formula (U) wherein Cy2 is naphthyl or phenyl, each of which is optionally substituted with one to three of same or different substituent groups of methoxy, methyl, ethyl, cyano, bromo, chloro, fluoro, F2HCO-, F3CO-, F3C-, nitro or 5-methyl-[l ,3,4]oxadiazol-2-yl; or an N-oxide thereof, or an ester prodrug thereof, or a pharmaceutically acceptable salt, hydrate, or solvate thereof.
Another particular embodiment of the invention is a pharmaceutical composition comprising Niacin or a pharmaceutically acceptable salt, solvate or N-oxide thereof, or a nicotinic acid receptor agonist, and a compound of Formula (II) wherein Cy2 is cyclohex-1-enyl, benzo[l,3]dioxol-5-yl, benzofuran-6-yl, 2,3-dihydro-benzofuran-2-yl, 3,4-dihydro-2H-benzo[l,4]oxazin-2-yl, benzo[b]thiophen-2-yl, imidazol- 4-yl, lH-indol-3-yl, lH-indol-5-yl, naphthalene-2-yl, isochroman-1-yl, pyridin-2-yl, pyridin-3-yl , pyridin-4-yl, or thien-2-yl; or an N-oxide thereof, or an ester prodrug thereof, or a pharmaceutically acceptable salt, hydrate, or solvate thereof.
Another particular embodiment of the invention is a pharmaceutical composition comprising Niacin or a pharmaceutically acceptable salt, solvate or N-oxide thereof, or a nicotinic acid receptor agonist, and a compound of Formula (II) wherein Cy2 is benzo[l,3]dioxol-5-yl, 2,2-difluoro-benzo[l,3]dioxol-5-yl pyridin-4-yl or thien-2-yl; or an N-oxide thereof, or an ester prodrug thereof, or a pharmaceutically acceptable salt, hydrate, or solvate thereof.
Another particular embodiment of the invention is a pharmaceutical composition comprising Niacin or a pharmaceutically acceptable salt, solvate or N-oxide thereof, or a nicotinic acid receptor agonist, and a compound of Formula (II) wherein Cy1 is phenyl, which is optionally substituted with one to three of same or different substituent groups of: acyl, carboxy, cyano, halo, heteroaryl, heterocyclyl, hydroxy, R2-C(=N-OR3)-, Y'Y2NC(=O)-, Y1Y2NCt=O)-O-, alkyl-O-C(=O)-N(R5)-SO2-, alkyl-SO2-N(R5)-C(=O)-; alkoxy, which is optionally substituted by carboxy or heteroaryl; or alkyl, which is optionally substituted by halogen, carboxy, heteroaryl, hydroxy, R6-C(=O)-N(R5)-, R8-SO2-N(R5)-C(=O)-; or alkoxy, which is optionally substituted by carboxy; wherein the heterocyclyl moieties in the substituent groups are optionally independently substituted by hydroxy, amino, alkyl, alkoxy, oxo, carboxy, alkoxycarbonyl or R8-S02-N(R5)-C(O)- ; the heteroaryl moieties in the substituent groups are optionally independently substituted by hydroxy, amino, alkyl, alkoxy, carboxy, alkoxycarbonyl or R8-SO2-N(R5)-C(=O)-; or an N-oxide thereof, or an ester prodrug thereof, or a pharmaceutically acceptable salt, hydrate, or solvate thereof.
Another particular embodiment of the invention is a pharmaceutical composition comprising Niacin or a pharmaceutically acceptable salt, solvate or N-oxide thereof, or a nicotinic acid receptor agonist, and a compound of Formula (II) wherein Cy1 is phenyl, which is optionally substituted with one to three of same or different substituent groups of formyl, methoxy, carboxy, chloro, fluoro, cyano, tetrazol-5-yl, 1 H-tetrazol-5-ylmethyl, HO2C-CH2-O-, HO2C-C(CH3)2-O-, H-C(=N-0H)-, CH3NHC(=O)-,
CH3CH2NH-C(=O)-O-, CH3-O-C(O)-NH-SO2-, CH3-SO2-NH-C(O)-, HO2C-CH(CH3)-, HO2C-
CH3CH2S02NHC(O)-C(CH3)2-, PhCH2S02NHC(=0)-C(CH3)2-, CH3CH2SO2NHC(O)-CF2-,
; o an N-oxide thereof, or an ester prodrug thereof, or a
pharmaceutically acceptable salt, hydrate, or solvate thereof.
Another particular embodiment of the invention is a pharmaceutical composition comprising Niacin or a pharmaceutically acceptable salt, solvate or N-oxide thereof, or a nicotinic acid receptor agonist, and a compound of Formula (II) wherein Cy1 is:
N-oxide thereof, or an ester prodrug thereof, or a pharmaceutically acceptable salt, hydrate, or solvate thereof.
Another particular embodiment of the invention is a pharmaceutical composition comprising Niacin or a pharmaceutically acceptable salt, solvate or N-oxide thereof, or a nicotinic acid receptor agonist, and a compound of Formula (II) wherein Cy1 is lH-benzotriazol-6-yl, lH-indazol-6-yl, indol-5-yl, indol-6- yl, 2-oxo- lH-pyridin-5-yl, quinolin-6-yl, quinolin-3-yl, thien-2-yl, thien-3-yl or 1-piperidin-l-yl, each of which is optionally substituted by one to three of same or different groups of acyl, carboxy, tetrazol- 5-yl; R2-C(=N-OR3)-, Y'Y2NC(=0)-; or alkyl, which is optionally substituted by carboxy or hydroxy; or an N-oxide thereof, or an ester prodrug thereof, or a pharmaceutically acceptable salt, hydrate, or solvate thereof.
Another particular embodiment of the invention is a pharmaceutical composition comprising Niacin or a pharmaceutically acceptable salt, solvate or N-oxide thereof, or a nicotinic acid receptor agonist, and a compound of Formula (II) wherein Cy1 is lH-benzotriazol-6-yl, lH-indazol-6-yl, indol-5-yl, indol-6- yl, 2-oxo-lH-pyridin-5-yl, quinolin-6-yl, quinolin-3-yl, thien-2-yl, thien-3-yl or 1-piperidin-l-yl, each of which is optionally substituted by one to three of same or different groups of formyl, carboxy, tetrazol-5-yl, H-C(=N-0H)-, CH3-C(=N-0H)-, CH3-NH-C(=O)-, HO2C-CH2-, or HO-CH2-.
Another particular embodiment of the invention is a pharmaceutical composition comprising Niacin or a pharmaceutically acceptable salt, solvate or N-oxide thereof, or a nicotinic acid receptor agonist, and a compound of Formula (II) wherein Cy1 is:
; or an N-oxide thereof, or an ester prodrug thereof, or a
pharmaceutically acceptable salt, hydrate, or solvate thereof.
Another particular embodiment of the invention is a pharmaceutical composition comprising Niacin or a pharmaceutically acceptable salt, solvate or N-oxide thereof, or a nicotinic acid receptor agonist, and a compound of Formula (II) wherein Cy2 is 4-chlorophenyl, 2,4-dichlorophenyl, 2,6-dichlorophenyl, 2,6-difluorophenyl, 2-fluoro-6-chlorophenyl, 3-fluoro-4-methoxyphenyl, 4-fluorophenyl, 2-fluoro-4- trifluoromethylphenyl, 4-methoxyphenyl, 4-nitrophenyl, 2,2-difluoro-benzo[l,3]dioxol-5-yl or 4- trifluoromethoxyphenyl; or an N-oxide thereof, or an ester prodrug thereof, or a pharmaceutically acceptable salt, hydrate, or solvate thereof.
Another particular embodiment of the invention is a pharmaceutical composition comprising Niacin or a pharmaceutically acceptable salt, solvate or N-oxide thereof, or a nicotinic acid receptor agonist, and a compound of Formula (I), or a pharmaceutically acceptable salt or ester prodrug thereof, which is 3 - {6-[2-(3 -fluoro-4-methoxy-phenyl)-ethylamino] -2-methoxy-pyrimidin-4-yl } -benzonitrile, [6-(3-amino-phenyl)-2-methoxy-pyrimidin-4-yl]-[2-(4-methoxy-phenyl)-ethyl]amine, 3-{2-methoxy-6-[2-(4-methoxy-phenyl)-ethylamino]-pyrimidin-4-yl}-benzenesulfonamide,
3-{2-methoxy-6-[2-(4-methoxy-phenyl)-ethylanimo]-pyrimidin-4-yl}-N-methyl-benzenesulfonamide, N-ethyl-3-{2-methoxy-6-[2-(4-methoxy-phenyl)-ethylamino]-pyrimidin-4-yl}-benzenesulfonamide, N-methoxycarbonyl-3-{2-methoxy-6-[2-(4-methoxy-phenyl)-ethylamino]-pyrimidin-4-yl}- benzenesulfonamide, 6-(3-amino-phenyl)-2-methoxy-pyrimidin-4-yl]-[2-(4-trifluoromethoxy-phenyl)-ethyl]-amine,
N-(3-{2-methoxy-6-[2-(44rifluoromethoxy-phenyl)-ethylamino]-pyrimidin-4-yl}-phenyl)-acetamideJ N-(3-{2-methoxy-6-[2-(4-methoxy-phenyl)-ethylamino]-pyrimidin-4-yl}-phenyl)-acetamide, (3-{2-methoxy-6-[2-(4-methoxy-phenyl)-ethylamino]-pyriinidin-4-yl}-phenyl)-carbainic acid ethyl ester, 3-{6-[2-(2,4-difluoro-phenyl)-ethylamino]-2-methoxy-pyrimidin-4-yl} -benzoic acid,
5-{2-methoxy-6-[2-(4-methoxy-phenyl)-ethylamino]-pyrimidin-4-yl}-tbiophene-2-carboxylic acid 5-{2-methoxy-6-[2-(4-methoxy-phenyl)-ethylainino]-pyrimidin-4-yl}-thiophene-2-carbaldehyde, 4-{2-methoxy-6-[2-(4-methoxy-phenyl)-ethylaimno]-pyrimidin-4-yl}-thiophene-2-carbaldehyde, [6-(3,5-dimethyl-isoxazol-4-yl)-2-methoxy-pyrimidin-4-yl]-[2-(4-methoxy-phenyl)-ethyl]-amine, [2-methoxy-6-(5-methyl-thiophen-2-yl)-pyriniidin-4-yl]-[2-(4-methoxy-phenyl)-ethyl]-arnine, [2-(4-methoxy-phenyl)-ethyl]-[2-methoxy-6-(lH-pyrazol-4-yl)-pyrimidin-4-yl]-amine, (6-isoquinolin-5-yl-2-methoxy-pyrimidin-4-yl)-[2-(4-methoxy-phenyl)-ethyl]-amine, (5-{2-methoxy-6-[2-(4-methoxy-phenyl)-ethylamino]-pyrirnidin-4-yl}-tbiophen-2-yl)-methanol, (3-{2-methoxy-6-[2-(4-methoxy-phenyl)-ethylamino]-pyrimidin-4-yl}-thiophen-2-yl)-methanol, (3- {2-methoxy-6-[2-(4-methoxy-phenyl)-ethylamino]-pyrimidin-4-yl} -phenyl)-methanol,
(3- {6-[2-(2-chloro-6-fluoro-phenyl) -ethylamino]-2-methoxy-pyrimidin-4-yl} -phenyl)-methanol, [2-(4-methoxy-phenyl)-ethyl]-(2-methoxy-6-quinolin-6-yl-pyrimidin-4-yl)-amine, [2-(4-methoxy-phenyl)-ethyl]-(2-methoxy-6-quinolin-3-yl-pyrirnidin-4-yl)-amine, [6-(lH-indol-5-yl)-2-methoxy-pyrimidin-4-yl]-[2-(4-methoxy-phenyl)-ethyl]-amine, N-(2-{2-methoxy-6-[2-(4-methoxy-phenyl)-ethylamino]-pyrimidin-4-yl} -phenyl)- methanesulfonamide,
4-{2-methoxy-6-[2-(4-methoxy-phenyl)-ethylamino]-pyrimidin-4-yl}-benzamide, [2-methoxy-6-(l-methyl-lH-indol-5-yl)-pyrirnidin-4-yl]-[2-(4-methoxy-phenyl)-ethyl]-anτine, (6-benzo[b]thiophen-2-yl-2-methoxy-pyrirnidin-4-yl)-[2-(4-methoxy-phenyl)-ethyl]-amine, 1 -(4- {2-methoxy-6-[2-(4-methoxy-phenyl)-ethylamino]-pyrimidin-4-yl} -phenyl)-ethanone,
[6-(3-methanesulfonyl-phenyl)-2-methoxy-pyrimidin-4-yl]-[2-(4-methoxy-phenyl)-ethyl]-amine, [6-(2,3-dihydro-berizofuran-5-yl)-2-methoxy-pyrimidin-4-yl]-[2-(4-methoxy-phenyl)-ethyl]-amine, [2-methoxy-6-(4-morpholin-4-yl-phenyl)-pyrimidin-4-yl]-[2-(4-methoxy-phenyl)-ethyl]-amine, [6-(4-dimethylamino-phenyl)-2-methoxy-pyrimidin-4-yl]-[2-(4-methoxy-phenyl)-ethyl]-amine, 2,2'-dimethoxy-N*6*,N*6'*-bis-[2-(4-methoxy-phenyl)-ethyl]-[4,4']bipyrinTidinyl-6,6'-dianiine, [2-methoxy-6-(5-oxazol-5-yl-thiophen-2-yl)-pyrimidin-4-yl]-[2-(4-methoxy-phenyl)-ethyl]-amine,
2-methoxy-6-(3-oxazol-5-yl-ρhenyl)-pyrimidin-4-yl]-[2-(4-methoxy-phenyl)-ethyl]-amine,
[6-(5-difluoromethyl-tkiophen-2-yl)-2-methoxy-pyrimidin-4-yl]-[2-(4-methoxy-phenyl)-ethyl]-amine;
[2-(4-methoxy-phenyl)-ethyl]-[2-methoxy-6-(5-pyrrolidin-l-ylmethyl-thiophen-2-yl)-pyrimidin-4-yl]- amine, 6-{4-fluoro-3-[(2-methoxy-ethylamino)-methyl]-phenyl}-2-methoxy-pyrimidin-4-yl)-[2-(4-methoxy- phenyl)-ethyl] -amine,
4-[2-(3-{2-methoxy-6-[2-(4-methoxy-phenyl)-ethylamino]-pyrimidin-4-yl}-benzylamino)-ethyl]- phenol,
N-(2-fluoro-5-{2-methoxy-6-[2-(4-methoxy-phenyl)-ethylairιmo]-pyrimidin-4-yl}-benzyl)-N',N'- dimethyl-ethane- 1,2-diamine,
[6-(lH-benzoimidazol-5-yl)-2-methoxy-pyrimidin-4-yl]-[2-(4-methoxy-phenyl)-ethyl]-amine,
[6-(lH-benzotriazol-5-yl)-2-methoxy-pyrimidin-4-yl]-[2-(4-methoxy-phenyl)-ethyl]-amineJ
6-{2-methoxy-6-[2-(4-methoxy-phenyl)-ethylamino]-pyrimidin-4-yl}-3H-benzooxazol-2-one,
[2-(3,4-dimethoxy-phenyl)-ethyl]-[6-(3!4-dimethoxy-phenyl)-2-methylsulfanyl-pyrimidin-4-yl]-amine, 3- {6-[2-(3,4-dimethoxy-phenyl)-ethylamino]-2-methylsulfanyl-pyrimidin-4-yl} -benzoic acid,
[2-(4-methoxy-phenyl)-ethyl]-[6-(3-methoxy-phenyl)-2-methylsulfanyl-pyrimidin-4-yl]-amine,
[2-(3,4-dimethoxy-phenyl)-ethyl]-[6-(3,4-dimethoxy-phenyl)-2-isopropoxy-pyrimidin-4-yl]-amine,
[6-(3,4-dimethoxy-phenyl)-2-ethoxy-pyrimidin-4-yl]-[2-(3,4-dimethoxy-phenyl)-ethyl]-amine,
[2-ethyl-6-(3-methoxy-phenyl)-pyrimidin-4-yl]-[2-(4-methoxy-phenyl)-ethyl]-amine, 6-(3-methoxy-phenyl)-N*4*-[2-(4-methoxy-phenyl)-ethyl]-N:(=2*JN!|c2*-dimethyl-pyrimidine-2)4- diamine,
2-fluoro-5-{2-methoxy-6-[2-(4-methoxy-phenyl)-ethylamino]-pyrimidin-4-yl} -benzoic acid,
3- {6-[2-(2-chloro-6-fluoro-phenyl)-ethylamino]-2-methoxy-pyrimidin-4-yl} -benzoic acid,
2-methoxy-5-{2-methoxy-6-[2-(4-methoxy-phenyl)-ethylamino]-pyrimidin-4-yl}-benzoic acid, [2-methoxy-6-(l-oxy-pyridin-3-yl)-pyrimidin-4-yl]-[2-(4-methoxy-phenyl)-ethyl]-amine,
[2-(2,2-difluoro-benzo[l,3]dioxol-5-yl)-ethyl]-[2-methoxy-6-(l-oxy-pyridin-3-yl)-pyrimidin-4-yl]- amine,
2-(3 - {2-methoxy-6-[2-(4-methoxy-phenyl)-ethylamino] -pyrimidin-4-yl } -phenoxy)-2 -methyl -propionic acid ethyl ester, (3-{2-methoxy-6-[2-(4-methoxy-phenyl)-ethylamino]-pyrimidin-4-yl}-phenoxy)-acetic acid methyl ester,
(3-{6-[2-(2,4-dichloro-phenyl)-ethylamino]-2-methoxy-pyrimidin-4-yl}-phenoxy)-acetic acid methyl ester,
(5-{6-[2-(2-cMoro-6-fluoro-phenyl)-ethylarnino]-2-methoxy-pyrimidin-4-yl}-2-oxo-2H-pyridin-l-yl)- acetic acid methyl ester,
(3-{6-[2-(2,4-dicUoro-phenyl)-ethylammo]-2-methoxy-pyrirnidin-4-yl}-phenoxy)-acetonitrile,
(3-{6-[2-(2-chloro-6-fluoro-phenyl)-ethylamino]-2-methoxy-pyrimidin-4-yl}-phenoxy)-acetonitrile,
2-(3-{2-methoxy-6-[2-(4-methoxy-phenyl)-ethylamino]-pyrimidin-4-yl}-phenoxy)-2-methyl-propionic acid,
(3- {2-methoxy-6-[2-(4-methoxy-phenyl)-ethylamino]-pyrimidin-4-yl} -phenoxy)-acetic acid, (5-{6-[2-(2-chloro-6-fluoro-phenyl)-ethylamino]-2-methoxy-pyriniidin-4-yl}-2-oxo-2H-pyridin-l-yl)- acetic acid,
2-(3-{6-[2-(2,4-dichloro-phenyl)-ethylamino]-2-methoxy-pyrimidin-4-yl}-phenoxy)-2-methyl- propionic acid,
2-cUoro-5-{2-methoxy-6-[2-(4-methoxy-phenyl)-ethylamino]-pyrimidin-4-yl} -benzoic acid, [2-(4-methoxy-phenyl)-ethyl]- {2-methoxy-6-[3 -( 1 H-tetrazol-5-yl)-phenyl] -pyrimidin-4-yl } -amine,
[2-(4-methoxy-phenyl)-ethyl]-{2-methoxy-6-[3-(lH-tetrazol-5-ylmethyl)-phenyl]-pyrimidin-4-yl}- amine,
{2-methoxy-6-[4-methoxy-3-(lH-tetrazol-5-yl)-phenyl]-pyrimidin-4-yl}-[2-(4-methoxy-phenyl)- ethyl] -amine, N-(3-{2-methoxy-6-[2-(4-methoxy-phenyl)-ethylamino]-pyrimidin-4-yl}-benzoyl)- methanesulfonamide,
3- {6-[2-(3,4-dimethoxy-phenyl)-ethylamino]-2-methoxy-pyrimidin-4-yl} -N-(2-pyrrolidin-l -yl-ethyl)- benzamide,
2-fluoro-5-{2-methoxy-6-[2-(4-methoxy-phenyl)-ethylamino]-pyrimidin-4-yl}-benzaldehyde oxime, 3-{2-methoxy-6-[2-(4-methoxy-phenyl)-ethylamino]-pyrimidin-4-yl}-benzaldeb.yde oxime,
2-methoxy-5-{2-methoxy-6-[2-(4-methoxy-phenyl)-ethylamino]-pyrimidin-4-yl}-benzaldehyde oxime,
3-{2-methoxy-6-[2-(4-methoxy-phenyl)-ethylamino]-pyrimidin-4-yl}-thiophene-2-carbaldehyde oxime, l-(5-{2-methoxy-6-[2-(4-methoxy-phenyl)-ethylammo]-pyrimidin-4-yl}-thiophen-2-yl)-ethanone oxime,
5-{2-methoxy-6-[2-(4-methoxy-phenyl)-ethylamino]-pyrimidin-4-yl}-thiophene-2-carbaldehyde oxime,
[6-(3-aminomethyl-4-fluoro-phenyl)- 2-methoxy-pyrimidin-4-yl]-[2-(4-methoxy-phenyl)-ethyl]-amine, N-(2-Fluoro-5- {2-methoxy-6-[2-(4-methoxy-phenyl)-ethylamino]-pyrimidin-4-yl} -benzyl)-2- methoxy-acetamide,
[2-methoxy-6-(3-methoxy-phenyl)-pyrimidin-4-yl]-[2-(4-methoxy-phenyl)-2-methyl-propyl]-amine,
[2-(2-chloro-6-fluoro-phenyl)-ethyl]-[6-(6-methoxy-pyridin-3-yl)-2-methylsulfanyl-pyrimidin-4-yl]- amine, 5-{6-[2-(2-cWoro-6-fluoro-phenyl)-ethylamino]-2-methylsulfanyl-pyrimidin-4-yl}-lH-pyridin-2-one,
5-{6-[2-(2-chloro-6-fluoro-phenyl)-ethylamino]-2-methoxy-pyrimidin-4-yl}-lH-pyridin-2-one,
S-lδ-P^-cUoro-δ-fluoro-pheny^-ethylaniinoj^-methoxy-pyrimidin^-ylJ-l-CS-oxo^^-dihydro- [l,3,4]oxadiazol-2-ylmethyl)-lH-pyridin-2-one,
3-(3-{6-[2-(2,4-dicUoro-phenyl)-ethylamino]-2-methoxy-pyriniidin-4-yl-phenoxymethyl)-4H- [ 1 ,2,4]oxadiazol-5 -one, 3-(3- {6-[2-(2-chloro-6-fluoro-phenyl)-ethylamino]-2-methoxy-pyrimidin-4-yl} -benzyl)-4H- [ 1 ,2,4]oxadiazol-5 -one,
3-(3-{6-[2-(2-chloro-6-fluoro-phenyl)-ethylamino]-2-methoxy-pyrimidin-4-yl}-phenoxymethyl)-4H- [1 ,2,4]oxadiazol-5-one, 3-{2-methoxy-6-[2-(4-methoxy-phenyl)-ethylamino]-pyrimidin-4-yl} -benzoic acid, 3- {2-methoxy-6-[2-(4-trifluoromethoxy-phenyl)-ethylamino]-pyrimidin-4-yl} -benzoic acid, [2-(3,4-dimethoxy-phenyl)-ethyl]-(2-methoxy-6-thiophen-2-yl-pyrimidin-4-yl)amine, [2-(3,4-dimethoxy-phenyl)-ethyl]-(6-furan-2-yl-2-methoxy-pyrimidin-4-yl)-amine, (6-biphenyl-4-yl-2-methoxy-pyrimidin-4-yl)-[2-(3,4-dimethoxy-phenyl)-ethyl]-amine, 3- {6-[2-(4-fluoro-phenyl)-ethylamino]-2-methoxy-pyrimidin-4-yl} -benzoic acid, 3-{2-methoxy-6-[2-(4-methoxy-phenyl)-ethylamino]-pyrimidin-4-yl}-benzamide,
1 -(3- {2-methoxy-6-[2-(4-methoxy-phenyl)-ethylamino]-pyrimidin-4-yl} -phenyl)-ethanone, 3-{6-[2-(2,4-dichloro-phenyl)-ethylamino]-2-methoxy-pyrimidin-4-yl} -phenol, 2-fluoro-5-{2-methoxy-6-[2-(4-methoxy-phenyl)-ethylamino]-pyrimidin-4-yl}-benzaldehyde, 3-{6-[2-(3,4-dimethoxy-phenyl)-ethylamino]-2-methoxy-pyrimidin-4-yl} -benzoic acid, 3-{2-methoxy-6-[2-(4-methoxy-phenyl)-ethylamino]-pyrimidin-4-yl}-thiophene-2-carbaldehyde, 1 -(5- {2-methoxy-6-[2-(4-methoxy-phenyl)-ethylamino]-pyrimidin-4-yl} -thiophen-2-yl)-ethanone, 3-{6-[2-(4-cMorophenyl)-ethylamino]-2-methoxy-pyrimidin-4-yl} -benzoic acid, [2-methoxy-6-(6-methoxy-pyridin-3-yl)-pyrimidin-4-yl]-[2-(4-methoxy-phenyl)-ethyl]-amine, 3-{2-methoxy-6-[2-(4-methoxy-phenyl)-ethylamino]-pyrimidin-4-yl} -phenol, [2-(4-methoxy-phenyl)-ethyl]-(2-methoxy-6-pyridin-4-yl-pyrimidin-4-yl)-amine, 2-{2-methoxy-6-[2-(4-methoxy-phenyl)-ethylamino]-pyrimidin-4-yl} -phenol, (3-{2-methoxy-6-[2-(4-methoxy-ph.enyl)-ethylamino]-pyrimidin-4-yl}-phenyl)-acetonitrile, 3-{2-methoxy-6-[2-(4-methoxy-phenyl)-ethylamino]-pyrimidm-4-yl}-benzonitrile, 3-{2-methoxy-6-[2-(4-methoxy-phenyl)-ethylamino]-pyrimidin-4-yl}-benzaldehyde, 3-{6-[2-(2-chloro-6-fluoro-phenyl)-ethylamino]-2-methoxy-pyrimidin-4-yl}-benzaldehyde, 3- {6-[2-(2,4-dichloro-phenyl)-ethylamino]-2-methoxy-pyrimidin-4-yl} -benzoic acid, [2-methoxy-6-(pyridin-3-yl)-pyrimidin-4-yl]-[2-(4-methoxy-phenyl)-ethyl]-amine, 2-methoxy-5-{2-methoxy-6-[2-(4-methoxy-phenyl)-ethylamino]-pyrimidin-4-yl}-benzaldehyde, 2-chloro-5-{2-methoxy-6-[2-(4-methoxy-phenyl)-ethylamino]-pyrimidin-4-yl} -benzoic acid ethyl ester,
{2-methoxy-6-[3-(3-methyl-[l,2)4]oxadiazol-5-yl)-phenyl]-pyrirmdin-4-yl}-[2-(4-methoxy-phenyl)- ethyl] -amine,
{2-methoxy-6-[3-(5-methyl-2H-[l,2,4]triazol-3-yl)-phenyl]-pyrimidin-4-yl}-[2-(4-methoxy-phenyl)- ethyl] -amine, {2-methoxy-6-[3-(3-methyl-isoxazol-5-yl)-phenyl]-pyrimidin-4-yl}-[2-(4-methoxy-phenyl)-ethyl]- amine,
{2-methoxy-6-[3-(5-methyl-2H-pyrazol-3-yl)-phenyl]-pyrimidin-4-yl}-[2-(4-methoxy-phenyl)-ethyl]- amine, [2-(3 -fluoro-4-methoxy-phenyl)-ethyl] - {2-methoxy-6 - [3 -(2H-tetrazol-5 -yl)-phenyl] -pyrimidin-4-yl } - amine,
1 -ethyl-3 -(3 - {2-methoxy-6- [2-(4-methoxy-phenyl)-ethylamino] -pyrimidin-4-yl } -phenyl)-urea, 2-(3-{6-[2-(2,4-dichloro-phenyl)-ethylamino]-2-methoxy-pyrimidin-4-yl}-phenoxy)-2 -methyl- propionic acid ethyl ester, [2-(4-chloro-phenyl)-l-methyl-ethyl]-[6-(3,4-dimethoxy-phenyl)-2-methoxy-pyrimidin-4-yl]-amine, [2-methoxy-6-(3-methoxy-phenyl)-pyrimidin-4-yl]-[2-(4-nitro-phenyl)-ethyl]-amine,
[2-methoxy-6-(3-methoxy-phenyl)-pyrirnidin-4-yl]-[2-(4-trifluoromethoxy-phenyl)-ethyl]-amine) [2-(2-chloro-6-fluoro-phenyl)-ethyl]-[2-methoxy-6-(3-methoxy-phenyl)-pyrimidm-4-yl]-amine, [2-methoxy-6-(3-methoxy-phenyl)-pyrimidin-4-yl]-(2-thiophen-2-yl-ethyl)-amine, 3-{2-[2-methoxy-6-(3-methoxy-phenyl)-pyrimidin-4-ylamino]-ethyl}-lH-indol-5-ol, [2-(6-methoxy- 1 H-indol-3 -yl)-ethyl] -[2-methoxy-6-(3-methoxy-phenyl)-pyrimidin-4-yl] -amin, [2-(5-methoxy-lH-indol-3-yl)-ethyl]-[2-methoxy-6-(3-methoxy-phenyl)-pyrimidin-4-yl]-amine, [2-methoxy-6-(3-methoxy-phenyl)-pyrimidin-4-yl]-(2-pyridin-3-yl-ethyl)-amine, [2-(4-amino-phenyl)-ethyl]-[2-methoxy-6-(3-methoxy-phenyl)-pyrimidin-4-yl]-amine, (4-methoxy-benzyl)-[2-methoxy-6-(3-methoxy-phenyl)-pyrimidin-4-yl]-amine, [2-methoxy-6-(3-methoxy-phenyl)-pyrimidm-4-yl]-(3-phenyl-propyl)-amine,
[2-(lH-imidazol-4-yl)-ethyl]-[2-methoxy-6-(3-methoxy-phenyl)-pyrirnidin-4-yl]-amine, (25/)-2-[2-methoxy-6-(3-methoxy-phenyl)-pyrimidin-4-ylamino]-3-(4-methoxy-phenyl)-propionic acid, [2-methoxy-6-(3-methoxy-phenyl)-pyrimidin-4-yl]-[2-(4-methoxy-phenyl)-ethyl]-amine, [2-methoxy-6-(5 -methyl-[ 1 ,3,4] oxadiazol-2-yl)-pyrimidin-4-yl] -[2-(4-methoxy-phenyl)-ethyl] -amine, (2-methoxy-6-oxazol-5-yl-pyrimidin-4-yl)-[2-(4-methoxy-phenyl)-ethyl]-amine, Example 45;
3-{6-[2-(2,2-difluoro-benzo[l,3]dioxol-5-yl)-ethylamino]-2-methoxy-pyrirnidin-4-yl} -benzoic acid, [2-(2,2-difluoro-benzo[l,3]dioxol-5-yl)-ethyl]-(2-methoxy-6-pyridin-3-yl-pyrimidin-4-yl)-amine, N-(3-{6-[2-(4-difluoromethoxy-phenyl)-ethylamino]-2-methoxy-pyrimidin-4-yl}-phenyl)-acetamide, [2-(4-difluoromethoxy-phenyl)-ethyl]-[6-(3-methanesulfonyl-phenyl)-2-methoxy-pyrimidin-4-yl]- amine,
3-{6-[2-(2-chloro-6-fluoro-phenyl)-ethylamino]-2-methoxy-pyrimidin-4-yl} -phenol,
[2-(2,4-dichloro-phenyl)-ethyl]-(2-methyl-6-{3-[l-methyl-l-(lH-tetrazol-5-yl)-ethyl]-phenyl}- pyrimidin-4-yl)-amine,
[2-Methoxy-6-(2-methoxy-benzyloxy)-pyrimidin-4-yl]-[2-(4-methoxy-phenyl)-ethyl]-amine,
2-(3- {6-[2-(2,4-dicWoro-phenyl)-ethylamino]-2-methoxy-pyrimidin-4-yl} -phenyl)-propionic acid, 2-(3-{6-[2-(2,4-dicUoro-phenyl)-ethylamino]-2-methoxy-pyrimidin-4-yl}-phenyl)-2-methyl-propionic acid,
2-(3-{6-[2-(2,4-dicUoro-phenyl)-ethylainino]-2-methoxy-pyrimidin-4-yl}-phenyl)-2-inethyl-propionic acid 1-ethoxycarbonyloxy-ethyl ester,
2-(3-{6-[2-(2,4-dicUoro-phenyl)-ethylamino]-2-methoxy-pyrimidin-4-yl}-phenyl)-2-methyl-propionic acid 2-dimethylamino-ethyl ester,
(5-{6-[2-(2-fluoro-4-trifluoromethyl-phenyl)-ethylairύno]-2-methoxy-pyrimidin-4-yl}-lH-indol-3-yl)- acetic acid,
[6-(lH4ndol-6-yl)-2-methoxy^yrirrddin-4-yl]-[2-(4-methoxy-phenyl)-ethyl]-ammonium,
[6-( 1 H-indazol-6-yl)-2-methoxy-pyrimidin-4-yl] -[2-(4-methoxy-phenyl)-ethyl] -amine, 3-{6-[2-(2,6-dicUoro-phenyl)-ethylamino]-2-methoxy-pyrimidin-4-yl} -benzoic acid,
2-methoxy-5-{2-methoxy-6-[2-(4-methoxy-phenyl)-ethylamino]-pyrimidin-4-yl}-benzonitrile,
(3-{6-[2-(2-cUoro-6-fluoro-phenyl)-ethylarnino]-2-methoxy-pyrimidin-4-yl}-benzyloxy)-acetic acid,
(3-{6-[2-(2,4-dicUoro-phenyl)-ethylamino]-2-methoxy-pyrirnidin-4-yl}-benzoylamino)-acetic acid ethyl ester, (3-{6-[2-(2,4-dicMoro-phenyl)-ethylammo]-2-methoxy-p acid, ethyl-carbamic acid 3- {6-[2-(2,4-dichloro-phenyl)-ethylamino]-2-methoxy-pyrimidin-4-yl} -phenyl ester,
5- {2-methoxy-6-[2-(4-methoxy-phenyl)-ethylamino]-pyrimidin-4-yl} -thiophene-2-carboxylic acid,
5-{2-methoxy-6-[2-(4-methoxy-phenyl)-ethylamino]-pyrimidin-4-yl}-thiophene-2-carboxylic acid methylamide,
(3-{6-[2-(3,4-dimethoxy-phenyl)-ethylamino]-2-methoxy-pyrimidin-4-yloxy} -benzoic acid methyl ester,
N-[2-(3-{6-[2-(2-fluoro-4-trifluoromethyl-phenyl)-ethylamino]-2-methoxy-pyrirnidin-4-yl} -phenyl)- ethyl]-2-methoxy-acetamide, N-[2-(3-{6-[2-(2-fluoro-4-trifluoromethyl-phenyl)-ethylamino]-2-methoxy-pyrimidin-4-yl} -phenyl)- ethyl]-acetamide,
[2-(2-fluoro-4-trifluoromethyl-phenyl)-ethyl]-[2-methoxy-6-(3-oxiranylmethoxy-phenyl)-pyrimidin-4- yl] -amine,
2-{3-[6-(2,2-difluoro-2-phenyl-ethylamino)-2-methoxy-pyrimidin-4-yl]-phenyl}-2-methyl-propionic acid, 2-[3-(2-methoxy-6- {2-[4-(5-methyl-[l ,3,4]oxadiazol-2-yl)-phenyl]-ethylamino} -pyrimidin-4-yl)- phenyl]-2-methyl-propionic acid,
5-(3-{6-[2-(3,4-difluoro-phenyl)-ethylamino]-2-methoxy-pyriiiύdin-4-yl}-phenoxymethyl)-l-ethyl^
2,4-dihydro-[l,2,4]triazol-3-one,
2-(2-fluoro-5-{2-methoxy-6-[2-(4-trifluoromethoxy-phenyl)-ethylamino]-pyrimidin-4-yl}-phenyl)-2- methyl -propionic acid,
2-(3-{2-methoxy-6-[(tm'ophen-3-ylmethyl)-amino]-pyrimidin-4-yl}-phenyl)-2-methyl-propionic acid,
2-(3-{6-[(benzo[b]thiophen-2-ylmethyl)-amino]-2-methyl-pyrimidin-4-yl}-phenyl)-2 -methyl- propionic acid,
1 - {6-[2-(2!4-dichloro-phenyl)-ethylamino]-2-methoxy-pyrimidin-4-yl} -piperidine-3-carboxylic acid, l-(3-{6-[2-(2,4-dichloro-phenyl)-ethylamino]-2-methoxy-pyrimidin-4-yl}-phenyl)- cyclopentanecarboxylic acid,
3-{6-[2-(2,4-dicnloro-phenyl)-ethylamino]-2-methoxy-pyrimidin-4-yl} -benzoic acid 2-morpholin-4-yl- ethyl ester,
3-{6-[2-(2,4-dicUoro-phenyl)-ethylamino]-2-methoxy-pyrirnidin-4-yl}-benzoic acid 2-(4-methyl- piperazin-l-yl)-ethyl ester,
3-{6-[2-(2,4-dicUoro-phenyl)-ethylamino]-2-methoxy-pyrimidin-4-yl}-benzoic acid ethyl ester,
(3-{6-[2-(2,4-dicUoro-phenyl)-ethylamino]-2-methoxy-pyrimidin-4-yl}-phenyl)-methanol,
(3'-Chloro-4'-{2-[6-(3-hydroxymethyl-phenyl)-2-methoxy-pyrimidin-4-ylamino]-ethyl}-biphenyl-3- yl)-methanol, 2-(3-{6-[2-(2,4-dichloro-phenyl)-ethylamino]-2-methoxy-pyrimidin-4-yl}-phenyl)-2-methyl-propionic acid methyl ester,
4-(3-{6-[2-(2,4-dicUoro-phenyl)-ethylarnmo]-2-methoxy-pyrimidin-4-yl}-phenyl)-tetrahydro-pyran-4- carboxylic acid,
N-[4-(3-{6-[2-(2,4-dicUoro-phenyl)-ethylamino]-2-methoxy-pyrimidin-4-yl}-phenyl)-tetrahydro- pyran-4-carbonyl] -methanesulfonamide,
4-(3-{6-[2-(2,4-dichloro-phenyl)-ethylamino]-2-methoxy-pyrimidin-4-yl}-phenyl)-tetrahydro-pyran-
4-carboxylic acid ethyl ester,
(3-{6-[2-(2,4-dicUoro-phenyl)-ethylamino]-2-methoxy-pyrimidin-4-yl}-phenyl)-difluoro-acetic acid, ethanesulfonic acid [2-(3-{6-[2-(2,4-dichloro-phenyl)-ethylamino]-2-methoxy-pyrimidin-4-yl}- phenyl)-2,2-difluoro-acetyl]-amide,
(3- {6-[2-(2,4-dichloro-phenyl)-ethylamino]-2-methoxy-pyrimidin-4-yl} -phenyl)-difluoro-acetic acid ethyl ester,
(3-{6-[2-(2]4-dicUoro-phenyl)-ethylamino]-2-methoxy-pyrimidin-4-yl}-phenyl)-acetonitrile,
(3-{6-[2-(2,4-dicUoro-phenyl)-ethylaniino]-2-methoxy-pyrimidin-4-yl}-phenyl)-difluoro-acetonitrile,
[2-(2,4-dichloro-phenyl)-ethyl]-(6-{3-[difluoro-(lH-tetrazol-5-yl)-methyl]-phenyl}-2-methoxy- pyrimidin-4-yl)-amine, 2- {3 -[6-(indan- 1 -ylamino)-2-methoxy-pyrimidin-4-yl] -phenyl } -2-methyl-propionic acid,
2- {3-[6-(indan-2-ylamino)-2-methoxy-pyrimidin-4-yl]-phenyl} -2-methyl-propionic acid,
N-[4-(3-{2-methoxy-6-[2-(4-trifluoromethoxy-phenyl)-ethylamino]-pyrimidin-4-yl}-phenyl)- tetrahydro-pyran-4-carbonyl]-methanesulfonamide,
4-(3-{2-methoxy-6-[2-(4-trifluoromethoxy-phenyl)-ethylamino]-pyrimidin-4-yl}-phenyl)-tetrahydro- pyran-4-carboxylic acid methyl ester,
2-(3-{6-[2-(2,4-dicnloro-phenyl)-ethylamino]-2-methoxymethyl-pyrimidin-4-yl}-phenyl)-2 -methyl- propionic acid,
2-(3-{6-[2-(2,4-dicUoro-phenyl)-ethylamino]-2-hydroxymethyl-pyrirnidin-4-yl}-phenyl)-2 -methyl- propionic acid, 5-{6-[2-(2,4-dicMoro-phenyl)-ethylamino]-2-methoxy-pyrimidin-4-yl}-thiophene-2-carboxylic acid,
5-{2-methoxy-6-[2-(4-trifluoromethoxy-phenyl)-ethylammo]-pyrimidin-4-yl}-2,3-dihydro- benzofuran-2-carboxylic acid,
2-(3-{6-[2-(2,4-dicUoro-phenyl)-ethylamino]-2-methoxy-pyrimidin-4-yl}-phenyl)-2-methyl-propioriic acid 2,3-dihydroxy-propyl ester, 2-(3-{6-[(2,3-dmydro-benzofuran-2-ylmethyl)-arnino]-2-methoxy-pyrimidin-4-yl}-phenyl)-2-methyl- propionic acid,
2-(3 - {6-[(isochroman- 1 -ylmethyl)-amino] -2-methoxy-pyrimidin-4-yl } -phenyl)-2 -methyl -propionic acid,
2-(3-{2-methoxy-6-[(4-methyl-3,4-dihydro-2H-benzo[l,4]oxazin-2-ylmethyl)-amino]-pyrimidin-4- yl } -phenyl)-2-methyl-propionic acid,
2-(3-{6-[(benzofuran-5-ylmethyl)-amino]-2-methoxy-pyrimidin-4-yl}-phenyl)-2-methyl-propionic acid,
N-(6-{6-[2-(2,4-dichloro-phenyl)-ethylamino]-2-methoxy-pyrimidin-4-yl}-benzothiazol-2-yl)- acetamide, ethanesulfonic acid [2-(3-{6-[2-(2,4-dichloro-phenyl)-ethylamino]-2-methoxy-pyrimidin-4-yl}- phenyl)-2-methyl-propionyl]-amide,
N-[2-(3-{6-[2-(2,4-dicUoro-phenyl)-ethylairdno]-2-methoxy-pyrimidin-4-yl}-phenyl)-2 -methyl- propionyl]-C-phenyl-methanesulfonamide,
2-(3-{6-[2-(2,4-dichloro-phenyl)-ethylamino]-2-methoxy-pyrimidin-4-yl}-phenyl)-2-methyl-l- morpholin-4-yl-propan-l -one, 2-(3-{6-[2-(2,4-dicUoro-phenyl)-ethylamino]-2-methoxy-pyrimidin-4-yl}-phenyl)-N-(tetrahydro- pyran-4-yl)-isobutyramide,
2-(3-{6-[2-(2,4-dicUoro-phenyl)-ethylaiiiino]-2-methoxy-pyrimidin-4-yl}-phenyl)-N-(lH-tetrazol-5- yl)-isobutyramide,
[2-(2,4-dichloro-phenyl)-ethyl]-{2-methoxy-6-[3-(2H-tetrazol-5-yl)-piperidin-l-yl]-pyrimidin-4-yl}- amine,
1 - {6-[2-(2;4-dichloro-phenyl)-ethylamino]-2-methoxy-pyrimidin-4-yl} -piperidine-4-carboxylic acid,
2-(2-CUoro-5-{6-[2-(2,4-dichloro-phenyl)-ethylamino]-2-methoxy-pyrimidin-4-yl}-phenyl)-propan-2- ol,
2-(3-{6-[2-(2,4-dicUoro-phenyl)-ethylaixύno]-2-methoxy-pyrimidin-4-yl}-4-fluoro-phenyl)-2 -methyl- propionic acid, l-{6-[2-(2,4-DicUoro-phenyl)-ethylamdno]-2-methyl-pyrimidin-4-yl}-pyrrolidine-3-carboxylic acid,
2-(l - {2-Methoxy-6-[2-(4-trifluoromethoxy-phenyl)-ethylamino]-pyrimidin-4-yl} -piperidin-3-yl)-2- methyl-propionic acid,
2-[3-{6-[2-(2,4-DicUoro-phenyl)-ethylamino]-2-methoxy-pyrimidin-4-yl}-5-(l-hydroxy-l -methyl- ethyl)-phenyl]-propan-2-ol,
[6-(3-Animo-piperidin-l-yl)-2-methoxy-pyrimidin-4-yl]-[2-(2,4-dichloro-phenyl)-ethyl]-amine,
[6-(4-Amino-piperidin-l-yl)-2-methoxy-pyrimidin-4-yl]-[2-(2,4-dichloro-phenyl)-ethyl]-amine,
N-(l-{6-[2-(2,4-DicUoro-phenyl)-ethylammo]-2-methoxy-pyrimidin-4-yl}-piperidin-4-yl)-acetamide,
5-{6-[2-(2,4-DicUoro-phenyl)-ethylarnmo]-2-methoxy-pyrimidm-4-yl}-l-methyl-2,3-dihydro-lH- indole-2-carboxylic acid,
2-Methyl-propane-2-sulfonic acid [2-(3- {6-[2-(2,4-dichloro-phenyl)-ethylamino]-2-methoxy- pyrimidin-4-yl } -phenyl)-2-methyl-propionyl] -amide,
N,N-dimethylamide-2-sulfonic acid [2-(3-{6-[2-(2,4-dichloro-phenyl)-ethylamino]-2-methoxy- pyrimidin-4-yl}-phenyl)-2-methyl-propionyl]-amide, 2-(3-{6-[2-(2,4-Dichloro-phenyl)-ethylamino]-2-methoxy-pyrimidin-4-yl}-phenyl)-2-methyl-l- thiomorpholin-4-yl-propan- 1 -one,
2-(3-{6-[2-(2,4-Dichloro-phenyl)-ethylamino]-2-methoxy-pyrimidin-4-yl}-phenyl)-isobutyr amide,
2-(3-{6-[2-(2,4-Dichloro-phenyl)-ethylamino]-2-methoxy-pyrimidin-4-yl}-phenyl)-N,N-dimethyl- isobutyramide, (l-{6-[2-(2,4-Dicnloro-phenyl)-ethylamino]-2-methoxy-pyrimidin-4-yl}-piperidin-3-yl)-acetic acid,
1 - {2-Methoxy-6-[2-(4-trifluoromethoxy-phenyl)-ethylamino]-pyrimidin-4-yl} -piperidine-3-carboxylic acid,
N-(I- {2-Methoxy-6-[2-(4-trifluoromethoxy-phenyl)-ethylamino]-pyrimidin-4-yl} -piperidine-3- carbonyl)-methanesulfonamide, N-(I- {6-[2-(2,4-Dichloro-phenyl)-ethylamino]-2-methoxy-pyrimidin-4-yl} -piperidine-3-carbonyl)- methanesulfonamide,
Ethanesulfonic acid (l-{6-[2-(2,4-dicUoro-phenyl)-ethylamino]-2-methoxy-pyrimidin-4-yl}- piperidine-3 -carbonyl)-amide,
2-Methyl-propane-2-sulfonic acid (l-{6-[2-(2,4-dichloro-phenyl)-ethylamino]-2-methoxy-pyrimidin- 4-yl}-piperidine-3-carbonyl)-amide,
N-(l-{6-[2-(2,4-Dichloro-phenyl)-ethylamino]-2-methoxy-pyrimidin-4-yl}-piperidine-3-carbonyl)-
C;C,C-trifluoro-methanesulfonamide, l-{6-[2-(2,4-Dichloro-phenyl)-ethylamino]-2-methoxy-pyrimidin-4-yl} -piperidine-3-carboxylic acid
( 1 H-tetrazol-5-yl)-amide, 1 - {6-[2-(2,4-Dichloro-phenyl)-ethylamino]-2-methoxy-pyrimidin-4-yl} -piperidine-3-carboxylic acid amide, l-{6-[2-(2,4-Dichloro-phenyl)-ethylamino]-2-methoxy-pyrimidin-4-yl} -piperidine-3-carboxylic acid dimethylamide,
N,N-Dimethylamide-2-sulfonic acid 1 - {6-[2-(2,4-dichloro-phenyl)-ethylamino]-2-methoxy-pyrimidin- 4-yl}-piperidine-3-carboxamide,
5-{2-Methoxy-6-[2-(4-trifluoromethoxy-phenyl)-ethylarnino]-pyrimidin-4-yl}-thiophene-2-carboxylic acid, or
5-{6-[2-(2,4-DicUoro-phenyl)-ethylamino]-2-methoxy-pyriinidin-4-yl}-2,3-dihydro-benzofuran-2- carboxylic acid, or an N-oxide thereof, or an ester prodrug thereof, or a pharmaceutically acceptable salt, hydrate, or solvate thereof.
Another particular embodiment of the invention is a pharmaceutical composition comprising Niacin or a pharmaceutically acceptable salt, solvate or N-oxide thereof, or a nicotinic acid receptor agonist, and a compound of Formula (I) or a pharmaceutical acceptable salt or ester prodrug thereof, which is 3-{6-[2-(3-fluoro-4-methoxy-phenyl)-ethylamino]-2-methoxy-pyrimidin-4-yl}-benzonitrile, [6-(3 -amino-phenyl)-2-methoxy-pyrimidin-4-yl] -[2-(4-methoxy-phenyl)-ethyl] amine, 3-{2-methoxy-6-[2-(4-methoxy-phenyl)-ethylamino]-pyrimidin-4-yl}-benzenesulfonamide, 3-{2-methoxy-6-[2-(4-methoxy-phenyl)-ethylamino]-pyrimidin-4-yl}-N-methyl-benzenesulfonamide, N-ethyl-3-{2-methoxy-6-[2-(4-methoxy-phenyl)-ethylamino]-pyrimidin-4-yl}-benzenesulfonamide,
N-methoxycarbonyl-3-{2-methoxy-6-[2-(4-methoxy-phenyl)-ethylamino]-pyrimidm-4-yl}- benzenesulfonamide,
6-(3 -amino-phenyl)-2-methoxy-pyrimidin-4-yl] -[2-(4-trifluoromethoxy-phenyl)-ethyl] -amine, N-(3-{2-methoxy-6-[2-(4-trifluoromethoxy-phenyl)-ethylainino]-pyrimidin-4-yl}-phenyl)-acetamide, N-(3- {2-methoxy-6-[2-(4-methoxy-phenyl)-ethylamino]-pyrimidin-4-yl} -phenyl)-acetamide,
(3-{2-methoxy-6-[2-(4-methoxy-phenyl)-ethylamino]-pyrimidin-4-yl}-phenyl)-carbamic acid ethyl ester,
3- {6-[2-(2,4-difluoro-phenyl)-ethylamino]-2-methoxy-pyrimidin-4-yl} -benzoic acid,
5- {2-methoxy-6-[2-(4-methoxy-phenyl)-ethylamino]-pyrimidin-4-yl} -thiophene-2-carboxylic acid trifluoroacetate,
5-{2-methoxy-6-[2-(4-methoxy-phenyl)-ethylamino]-pyrimidin-4-yl}-thiophene-2-carbaldehyde, 4-{2-methoxy-6-[2-(4-methoxy-phenyl)-ethylamino]-pyrimidin-4-yl}-thiophene-2-carbaldehyde, [6-(3;5-dimethyl-isoxazol-4-yl)-2-methoxy-pyrimidin-4-yl]-[2-(4-methoxy-phenyl)-ethyl]-arnine, [2-methoxy-6-(5-methyl-thiophen-2-yl)-pyrimidin-4-yl]-[2-(4-methoxy-phenyl)-ethyl]-amine; [2-(4-methoxy-phenyl)-ethyl]-[2-metb.oxy-6-(lH-pyrazol-4-yl)-pyrimidin-4-yl]-amineJ (6-isoquinolin-5-yl-2-methoxy-pyrimidin-4-yl)-[2-(4-methoxy-phenyl)-ethyl]-amine, (5-{2-methoxy-6-[2-(4-methoxy-phenyl)-ethylamino]-pyrimidin-4-yl}-thiophen-2-yl)-methanol, (3-{2-methoxy-6-[2-(4-methoxy-phenyl)-ethylamino]-pyrinτidin-4-yl}-thiophen-2-yl)-methanol, (3-{2-methoxy-6-[2-(4-methoxy-pb.enyl)-ethylarnino]-pyrimidin-4-yl}-phenyl)-metb.anolJ (3-{6-[2-(2-chloro-6-fluoro-phenyl) -ethylamino]-2-methoxy-pyrimidin-4-yl}-phenyl)-methanol, [2-(4-methoxy-phenyl)-ethyl]-(2-methoxy-6-quinolin-6-yl-pyrirnidin-4-yl)-arnine, [2-(4-methoxy-phenyl)-ethyl]-(2-methoxy-6-quinolin-3-yl-pyrimidin-4-yl)-amine, [6-(lH-indol-5-yl)-2-methoxy-pyrimidin-4-yl]-[2-(4-methoxy-phenyl)-ethyl]-amine, N-(2- {2-methoxy-6-[2-(4-methoxy-phenyl)-ethylamino] -pyrimidin-4-yl } -phenyl)- methanesulfonamide,
4-{2-methoxy-6-[2-(4-methoxy-phenyl)-ethylamino]-pyrimidin-4-yl}-benzamide, [2-methoxy-6-(l-methyl-lH-indol-5-yl)-pyrimidin-4-yl]-[2-(4-methoxy-phenyl)-ethyl]-amine, (6-berizo|^]tMophen-2-yl-2-methoxy-pyrimidm-4-yl)-[2-(4-methoxy-phenyl)-ethyl]-arnine, 1 -(4- {2-methoxy-6-[2-(4-methoxy-phenyl)-ethylarnino]-pyrimidin-4-yl} -phenyl)-ethanone, [6-(3-methanesulfonyl-phenyl)-2-methoxy-pyrimidin-4-yl]-[2-(4-methoxy-phenyl)-ethyl]-amine, [6-(2,3-dihydro-berizofuran-5-yl)-2-methoxy-pyritnidin-4-yl]-[2-(4-methoxy-phenyl)-ethyl]-amine, [2-methoxy-6-(4-morpholin-4-yl-phenyl)-pyrimidin-4-yl]-[2-(4-methoxy-phenyl)-ethyl]-amine, [6-(4-dimethylamino-phenyl)-2-methoxy-pyrirnidin-4-yl]-[2-(4-methoxy-phenyl)-ethyl]-amine, 2,2'-dimethoxy-N*6*]N*6'*-bis-[2-(4-methoxy-phenyl)-ethyl]44!4qbipyrimidinyl-6,6'-diamine, [2-methoxy-6-(5-oxazol-5-yl-thiophen-2-yl)-pyrimidin-4-yl]-[2-(4-methoxy-phenyl)-ethyl]-amine, 2-methoxy-6-(3-oxazol-5-yl-phenyl)-pyrimidm-4-yl]-[2-(4-methoxy-phenyl)-ethyl]-amine,
[6-(5-difluoromethyl-thiophen-2-yl)-2-methoxy-pyrimidin-4-yl]-[2-(4-methoxy-phenyl)-ethyl]-amine,
[2-(4-methoxy-phenyl)-ethyl]-[2-methoxy-6-(5-pyrrolidin-l-ylmethyl-thiophen-2-yl)-pyrimidin-4-yl]- amine,
6-{4-fluoro-3-[(2-methoxy-ethylamino)-methyl]-phenyl}-2-methoxy-pyrimidin-4-yl)-[2-(4-methoxy- phenyl)-ethyl] -amine hydrochloride,
4-[2-(3-{2-methoxy-6-[2-(4-methoxy-phenyl)-ethylarnmo]-pyrimidm-4-yl}-berizylamino)-ethyl]- phenol hydrochloride,
N-(2-fluoro-5-{2-methoxy-6-[2-(4-methoxy-phenyl)-ethylamino]-pyrimidin-4-yl}-benzyl)-N',N'- dimethyl-ethane- 1 ,2-diamine hydrochloride, [6-( 1 H-benzoimidazol-5 -yl)-2-methoxy-pyrimidin-4-yl] -[2-(4-methoxy-phenyl)-ethyl]-arnine,
[6-(lH-berizotriazol-5-yl)-2-methoxy-pyrimidm-4-yl]-[2-(4-methoxy-phenyl)-ethyl]-arnine,
6-{2-methoxy-6-[2-(4-methoxy-phenyl)-ethylamino]-pyrimidin-4-yl}-3H-benzooxazol-2-one,
3- {2-methoxy-6-[2-(4-methoxy-phenyl)-ethylamino]-pyrimidin-4-yl} -phenol hydrochloride,
3- {6-[2-(2,4-dichloro-phenyl)-ethylamino]-2-methoxy-pyrimidin-4-yl} -benzoic acid hydrochloride, 3- {6-[2-(2-chloro-6-fluoro-phenyl)-ethylamino]-2-methoxy-pyrimidin-4-yl} -benzoic acid hydrochloride,
2-(3-{6-[2-(2,4-dichloro-phenyl)-ethylamino]-2-methoxy-pyrimidin-4-yl}-phenyl)-2-methyl-propionic acid hydrochloride,
[2-(3,4-dimethoxy-phenyl)-ethyl]-[6-(3,4-dimethoxy-phenyl)-2-methylsulfanyl-pyrimidin-4-yl]-amine, 3- {6-[2-(3,4-dimethoxy-phenyl)-ethylamino]-2-methylsulfanyl-pyrimidin-4-yl} -benzoic acid,
[2-(4-methoxy-phenyl)-ethyl]-[6-(3-methoxy-phenyl)-2-methylsulfanyl-pyrimidin-4-yl]-amine,
[2-(3,4-dimethoxy-phenyl)-ethyl]-[6-(3,4-dimethoxy-phenyl)-2-isopropoxy-pyrimidin-4-yl]-amine,
[6-(3,4-dimethoxy-phenyl)-2-ethoxy-pyrimidin-4-yl]-[2-(3,4-dimethoxy-phenyl)-ethyl]-amine,
[2-ethyl-6-(3-methoxy-phenyl)-pyrimidin-4-yl]-[2-(4-methoxy-phenyl)-ethyl]-amine, 6-(3-methoxy-phenyl)-N*4*-[2-(4-methoxy-phenyl)-ethyl]-N*2*,N*2*-dimethyl-pyrimidine-2,4- diamine hydrochloride,
2-fluoro-5- {2-methoxy-6-[2-(4-methoxy-phenyl)-ethylamino]-pyrimidin-4-yl} -benzoic acid,
3-{6-[2-(2-chloro-6-fluoro-phenyl)-ethylamino]-2-methoxy-pyrimidin-4-yl} -benzoic acid,
2-methoxy-5-{2-methoxy-6-[2-(4-methoxy-phenyl)-ethylamino]-pyrimidin-4-yl} -benzoic acid, [2-methoxy-6-(l-oxy-pyridin-3-yl)-pyrimidin-4-yl]-[2-(4-methoxy-phenyl)-ethyl]-amine,
[2-(2,2-difluoro-benzo[l,3]dioxol-5-yl)-ethyl]-[2-methoxy-6-(l-oxy-pyridin-3-yl)-pyrimidin-4-yl]- amine,
2-(3-{2-methoxy-6-[2-(4-methoxy-phenyl)-ethylamino]-pyrimidin-4-yl}-phenoxy)-2-methyl-propionic acid ethyl ester, (3-{2-methoxy-6-[2-(4-methoxy-phenyl)-ethylamino]-pyrimidin-4-yl}-phenoxy)-acetic acid methyl ester,
(3- {6-[2-(2,4-dichloro-phenyl)-ethylamino]-2-methoxy-pyrimidin-4-yl} -phenoxy)-acetic acid methyl ester,
(5-{6-[2-(2-chloro-6-fluoro-phenyl)-ethylamino]-2-methoxy-pyrimidin-4-yl}-2-oxo-2H-pyridin-l-yl)- acetic acid methyl ester, (3- {6-[2-(2,4-dicUoro-phenyl)-ethylamino]-2-methoxy-pyrimidin-4-yl} -phenoxy)-acetonitrile,
(3-{6-[2-(2-cMoro-6-fluoro-phenyl)-ethylarnino]-2-methoxy-pyrimidin-4-yl}-phenoxy)-acetonitrile,
2-(3-{2-methoxy-6-[2-(4-methoxy-phenyl)-ethylammo]-pyrirnidin-4-yl}-phenoxy)-2-methyl-propionic acid,
(3- {2-methoxy-6-[2-(4-methoxy-phenyl)-ethylamino]-pyrimidin-4-yl} -phenoxy)-acetic acid, (5-{6-[2-(2-cUoro-6-fluoro-phenyl)-ethylarnino]-2-methoxy-pyrimidin-4-yl}-2-oxo-2H-pyridin-l-yl)- acetic acid,
2-(3-{6-[2-(2,4-dichloro-phenyl)-ethylamino]-2-methoxy-pyrimidin-4-yl}-phenoxy)-2 -methyl- propionic acid,
2-chloro-5-{2-methoxy-6-[2-(4-methoxy-phenyl)-ethylamino]-pyrimidin-4-yl} -benzoic acid hydrochloride salt,
[2-(4-methoxy-phenyl)-ethyl]- {2-methoxy-6-[3-(l H-tetrazol-5-yl)-phenyl]-pyrimidin-4-yl} -amine,
[2-(4-methoxy-phenyl)-ethyl]-{2-methoxy-6-[3-(lH-tetrazol-5-ylmethyl)-phenyl]-pyrimidin-4-yl}- amine hydrochloride,
{2-methoxy-6-[4-methoxy-3-(lH-tetrazol-5-yl)-phenyl]-pyrimidin-4-yl}-[2-(4-methoxy-phenyl)- ethyl]-amine,
N-(3-{2-methoxy-6-[2-(4-methoxy-phenyl)-ethylamino]-pyrimidin-4-yl}-benzoyl)- methanesulfonamide,
3-{6-[2-(3,4-dimethoxy-phenyl)-ethylamino]-2-methoxy-pyiirnidin-4-yl}-N-(2-pyrrolidin-l-yl-ethyl)- benzamide, 2-fluoro-5- {2-methoxy-6-[2-(4-methoxy-phenyl)-ethylamino]-pyrimidin-4-yl} -benzaldehyde oxime,
3- {2-methoxy-6-[2-(4-methoxy-phenyl)-ethylamino]-pyrimidin-4-yl} -benzaldehyde oxime,
2-methoxy-5-{2-methoxy-6-[2-(4-methoxy-phenyl)-ethylamino]-pyrimidin-4-yl} -benzaldehyde oxime,
3-{2-methoxy-6-[2-(4-methoxy-phenyl)-ethylamino]-pyrimidin-4-yl}-thiophene-2-carbaldehyde oxime,
1 -(5- {2-methoxy-6-[2-(4-methoxy-phenyl)-ethylammo]-pyrimidin-4-yl} -thiophen-2-yl)-ethanone oxime,
5-{2-methoxy-6-[2-(4-methoxy-phenyl)-ethylamino]-pyrimidin-4-yl}-thiophene-2-carbaldehyde oxime, [6-(3-aminomethyl-4-fluoro-phenyl)- 2-methoxy-pyrimidin-4-yl]-[2-(4-methoxy-phenyl)-ethyl]-amine hydrochloride,
N-(2-Fluoro-5-{2-methoxy-6-[2-(4-methoxy-phenyl)-ethylamino]-pyrimidin-4-yl}-benzyl)-2- methoxy-acetamide hydrochloride,
[2-methoxy-6-(3-methoxy-phenyl)-pyrimidin-4-yl]-[2-(4-methoxy-phenyl)-2-methyl-propyl]-amine, [2-(2-cUoro-6-fluoro-phenyl)-ethyl]-[6-(6-methoxy-pyridin-3-yl)-2-methylsulfanyl-pyrimidin-4-yl]- amine,
5-{6-[2-(2-cUoro-6-fluoro-phenyl)-ethylarnino]-2-methylsulfanyl-pyrimidin-4-yl}-lH-pyridin-2-one, 5- {6-[2-(2-cUoro-6-fluoro-phenyl)-ethylamino]-2-methoxy-pyrimidin-4-yl} -1 H-pyridin-2-one, 5-{6-[2-(2-cUoro-6-fluoro-phenyl)-ethylamino]-2-methoxy-pyrimidin-4-yl}-l-(5-oxo-4,5-dihydro- [1,3,4] oxadiazol-2-ylmethyl)- 1 H-pyridin-2-one, 3-(3-{6-[2-(2,4-dicUoro-phenyl)-ethylamino]-2-methoxy-pyrimidin-4-yl-phenoxymethyl)-4H- [l,2,4]oxadiazol-5-one hydrochloride,
3-(3-{6-[2-(2-chloro-6-fluoro-phenyl)-ethylamino]-2-methoxy-pyrimidin-4-yl}-benzyl)-4H- [1 ,2,4]oxadiazol-5-one hydrochloride, 3-(3-{6-[2-(2-cUoro-6-fluoro-phenyl)-ethylarnino]-2-methoxy-pyrimidin-4-yl}-phenoxymethyl)-4H- [l,2,4]oxadiazol-5-one hydrochloride,
3-{2-methoxy-6-[2-(4-methoxy-phenyl)-ethylamino]-pyrimidin-4-yl} -benzoic acid, 3-{2-methoxy-6-[2-(4-trifluoromethoxy-phenyl)-ethylamino]-pyrimidin-4-yl} -benzoic acid, [2-(3,4-dimethoxy-phenyl)-ethyl]-(2-methoxy-6-thiophen-2-yl-pyrimidin-4-yl)amine, [2-(3,4-dimethoxy-phenyl)-ethyl]-(6-furan-2-yl-2-methoxy-pyrimidin-4-yl)-amine, (6-biphenyl-4-yl-2-methoxy-pyrirnidm-4-yl)-[2-(3,4-dimethoxy-phenyl)-ethyl]-amine,
3- {6-[2-(4-fluoro-phenyl)-ethylamino]-2-methoxy-pyrimidin-4-yl} -benzoic acid hydrochloride, 3-{2-methoxy-6-[2-(4-methoxy-phenyl)-ethylamino]-pyrimidin-4-yl}-benzarnide, l-(3-{2-methoxy-6-[2-(4-methoxy-phenyl)-ethylamino]-pyrirnidin-4-yl}-phenyl)-ethanone, 3-{6-[2-(2,4-dichloro-phenyl)-ethylamino]-2-methoxy-pyrimidin-4-yl} -phenol, 2-fluoro-5-{2-methoxy-6-[2-(4-methoxy-phenyl)-ethylamino]-pyrimidin-4-yl}-benzaldehyde, 3- {6-[2-(3,4-dimethoxy-phenyl)-ethylamino]-2-methoxy-pyrimidin-4-yl} -benzoic acid, 3-{2-methoxy-6-[2-(4-methoxy-phenyl)-ethylamino]-pyrimidin-4-yl}-thiophene-2-carbaldehyde, l-(5-{2-methoxy-6-[2-(4-methoxy-phenyl)-ethylamino]-pyrimidin-4-yl}-thiophen-2-yl)-ethanone, 3-{6-[2-(4-chlorophenyl)-ethylamino]-2-methoxy-pyrimidin-4-yl} -benzoic acid hydrochloride, [2-methoxy-6-(6-methoxy-pyridin-3-yl)-pyrirnidin-4-yl]-[2-(4-methoxy-phenyl)-ethyl]-amine, 3- {2-methoxy-6-[2-(4-methoxy-phenyl)-ethylamino]-pyrimidin-4-yl} -phenol, [2-(4-methoxy-phenyl)-ethyl]-(2-methoxy-6-pyridin-4-yl-pyrimidin-4-yl)-amine, 2- {2-methoxy-6-[2-(4-methoxy-phenyl)-ethylamino]-pyrimidin-4-yl} -phenol, (3-{2-methoxy-6-[2-(4-methoxy-phenyl)-ethylamino]-pyrimidin-4-yl}-phenyl)-acetonitrile, 3-{2-methoxy-6-[2-(4-methoxy-phenyl)-ethylamino]-pyrimidin-4-yl}-benzonitrile, 3-{2-methoxy-6-[2-(4-methoxy-phenyl)-ethylamino]-pyrimidin-4-yl}-benzaldehyde,
3-{6-[2-(2-cUoro-6-fluoro-phenyl)-ethylamino]-2-methoxy-pyriiiiidm-4-yl}-benzaldehyde, 3- {6-[2-(2,4-dichloro-phenyl)-ethylamino]-2-methoxy-pyrimidin-4-yl} -benzoic acid, [2-methoxy-6-(pyridin-3-yl)-pyrimidin-4-yl]-[2-(4-methoxy-phenyl)-ethyl]-amine, 2-methoxy-5-{2-methoxy-6-[2-(4-methoxy-phenyl)-ethylamino]-pyrimidin-4-yl}-benzaldehyde, 2-chloro-5-{2-methoxy-6-[2-(4-methoxy-phenyl)-ethylamino]-pyrimidin-4-yl}-benzoic acid ethyl ester,
{2-meϋαoxy-6-[3-(3-raethyl-[l,2,4]oxadiazol-5-yl)-phenyl]-pyrimidin-4-yl}-[2-(4-methoxy-phenyl)- ethyl] -amine, {2-methoxy-6-[3-(5-methyl-2H-[l,2,4]triazol-3-yl)-phenyl]-pyrimidin-4-yl}-[2-(4-methoxy-phenyl)- ethyl] -amine,
{2-methoxy-6-[3-(3-methyl-isoxazol-5-yl)-phenyl]-pyrimidin-4-yl}-[2-(4-methoxy-phenyl)-ethyl]- amine,
{2-methoxy-6-[3-(5-methyl-2H-pyrazol-3-yl)-phenyl]-pyrimidin-4-yl}-[2-(4-methoxy-phenyl)-ethyl]- amine, [2-(3-fluoro-4-methoxy-phenyl)-ethyl]-{2-methoxy-6-[3-(2H-tetrazol-5-yl)-phenyl]-pyrimidin-4-yl}- amine, l-ethyl-3-(3-{2-methoxy-6-[2-(4-methoxy-phenyl)-ethylaniino]-pyrimidin-4-yl}-phenyl)-urea1 2-(3-{6-[2-(2,4-dichloro-phenyl)-ethylamino]-2-methoxy-pyrimidin-4-yl}-phenoxy)-2 -methyl- propionic acid ethyl ester, [2-(4-chloro-phenyl)-l-methyl-ethyl]-[6-(3,4-dimethoxy-phenyl)-2-methoxy-pyrimidin-4-yl]-amine, [2-methoxy-6-(3-methoxy-phenyl)-pyrimidin-4-yl]-[2-(4-nitro-phenyl)-ethyl]-amine, [2-methoxy-6-(3-methoxy-phenyl)-pyrimidin-4-yl]-[2-(4-trifluoromethoxy-phenyl)-ethyl]-amine, [2-(2-chloro-6-fluoro-phenyl)-ethyl]-[2-methoxy-6-(3-methoxy-phenyl)-pyrimidin-4-yl]-amine hydrochloride, [2-methoxy-6-(3-methoxy-phenyl)-pyrimidin-4-yl]-(2-thiophen-2-yl-ethyl)-amine hydrochloride, 3 - {2-[2-methoxy-6-(3 -methoxy-phenyl)-pyrimidin-4-ylamino]-ethyl } - 1 H-indol-5 -ol, [2-(6-methoxy-lH-indol-3-yl)-ethyl]-[2-methoxy-6-(3-methoxy-phenyl)-pyrimidin-4-yl]-amine hydrochloride, [2-(5-methoxy-lH-indol-3-yl)-ethyl]-[2-methoxy-6-(3-methoxy-phenyl)-pyrimidm-4-yl]-amine hydrochloride,
[2-methoxy-6-(3-methoxy-phenyl)-pyrimidin-4-yl]-(2-pyridin-3-yl-ethyl)-amine hydrochloride, [2-(4-amino-phenyl)-ethyl]-[2-methoxy-6-(3-methoxy-phenyl)-pyrimidin-4-yl]-amine hydrochloride, (4-methoxy-benzyl)-[2-methoxy-6-(3-methoxy-phenyl)-pyrimidin-4-yl]-amine hydrochloride, [2-methoxy-6-(3-methoxy-phenyl)-pyrimidin-4-yl]-(3-phenyl-propyl)-amine hydrochloride, [2-( 1 H-imidazol-4-yl)-ethyl] -[2-methoxy-6-(3 -methoxy-phenyl)-pyrimidin-4-yl] -amine,
(2S/)-2-[2-methoxy-6-(3-methoxy-phenyl)-pyrimidin-4-ylamino]-3-(4-methoxy-phenyl)-propionic acid,
[2-methoxy-6-(3-methoxy-phenyl)-pyrimidin-4-yl]-[2-(4-methoxy-phenyl)-ethyl]-amine,
[2-methoxy-6-(5-methyl-[l,3,4]oxadiazol-2-yl)-pyrimidin-4-yl]-[2-(4-methoxy-phenyl)-ethyl]-amine!
(2-methoxy-6-oxazol-5-yl-pyrimidin-4-yl)-[2-(4-methoxy-phenyl)-ethyl]-arnineJ
3- {6-[2-(2,2-difluoro-benzo[l ,3]dioxol-5-yl)-ethylamino]-2-methoxy-pyrimidin-4-yl} -benzoic acid, [2-(2,2-difluoro-benzo[l,3]dioxol-5-yl)-ethyl]-(2-methoxy-6-pyridin-3-yl-pyrimidin-4-yl)-amine hydrochloride,
N-(3-{6-[2-(4-difluoromethoxy-phenyl)-ethylamino]-2-methoxy-pyrimidin-4-yl}-phenyl)-acetamide hydrochloride,
[2-(4-difluoromethoxy-phenyl)-ethyl]-[6-(3-methanesulfonyl-phenyl)-2-methoxy-pyrimidin-4-yl]- amine hydrochloride,
3- {6-[2-(2-cUoro-6-fluoro-phenyl)-ethylamino]-2-methoxy-pyrimidin-4-yl} -phenol,
[2-(2,4-dichloro-phenyl)-ethyl]-(2-methyl-6- {3-[l -methyl-1 -(lH-tetrazol-5-yl)-ethyl]-phenyl} - pyrimidin-4-yl)-amine hydrochloride,
[2-Methoxy-6-(2-methoxy-beri2yloxy)-pyrirrύdin-4-yl]-[2-(4-methoxy-phenyl)-ethyl]-amine hydrochloride,
2-(3-{6-[2-(2,4-dichloro-phenyl)-ethylamino]-2-methoxy-pyrimidin-4-yl}-phenyl)-propionic acid hydrochloride,
2-(3-{6-[2-(2,4-dichloro-phenyl)-ethylamino]-2-methoxy-pyrimidin-4-yl}-phenyl)-2-methyl-propionic acid, 2-(3-{6-[2-(2,4-dichloro-phenyl)-ethylamino]-2-methoxy-pyrimidin-4-yl}-phenyl)-2-methyl-propioiiic acid 1 -ethoxycarbonyloxy-ethyl ester hydrochloride,
2-(3-{6-[2-(2,4-dicUoro-phenyl)-ethylamino]-2-methoxy-pyrimidin-4-yl}-phenyl)-2-methyl-propionic acid 2-dimethylamino-ethyl ester dihydrochloride,
(5-{6-[2-(2-fluoro-44rifluoromethyl-phenyl)-ethylamino]-2-methoxy-pyrimidin-4-yl}-lH-indol-3-yl)- acetic acid,
[6-(lH-indol-6-yl)-2-methoxy-pyriimdin-4-yl]-[2-(4-methoxy-phenyl)-ethyl]-ammonium trifluoroacetate,
[6-(lH-indazol-6-yl)-2-methoxy-pyrirnidin-4-yl]-[2-(4-methoxy-phenyl)-ethyl]-amine,
3-{6-[2-(2,6-dichloro-phenyl)-ethylamino]-2-methoxy-pyrimidin-4-yl}-benzoic acid, Example 53(c); [2-(4-methoxy-phenyl)-ethyl]-{2-methoxy-6-[3-(lH-tetrazol-5-yl)-phenyl]-pyrimidin-4-yl} -amine, sodium salt,
2-methoxy-5-{2-methoxy-6-[2-(4-methoxy-phenyl)-ethylamino]-pyrimidin-4-yl}-benzonitrile,
(3-{6-[2-(2-cUoro-6-fluoro-phenyl)-ethylarnino]-2-methoxy-pyrimidin-4-yl}-benzyloxy)-acetic acid,
Sodium 2-(3-{6-[2-(2,4-dicMoro-phenyl)-ethylamino]-2-methoxy-pyrimidin-4-yl}-phenyl)-2 -methyl- propionate,
(3-{6-[2-(2,4-dicUoro-phenyl)-ethylamino]-2-methoxy-pyrimidin-4-yl}-benzoylamino)-acetic acid ethyl ester,
(3-{6-[2-(2,4-dicUoro-phenyl)-ethylamino]-2-methoxy-pyrimidin-4-yl}-benzoylainino)-acetic acid, ethyl-carbamic acid 3-{6-[2-(2,4-dichloro-phenyl)-ethylamino]-2-methoxy-pyrimidin-4-yl} -phenyl ester,
5-{2-methoxy-6-[2-(4-methoxy-phenyl)-ethylamino]-pyrimidin-4-yl}-thiophene-2-carboxylic acid,
5- {2-methoxy-6-[2-(4-methoxy-phenyl)-ethylamino]-pyrimidin-4-yl} -thiophene-2-carboxylic acid
Diethylamide trifluoroacetate,
(3-{6-[2-(3,4-dimethoxy-phenyl)-ethylarnino]-2-methoxy-pyrimidin-4-yloxy} -benzoic acid methyl ester,
N-[2-(3-{6-[2-(2-fluoro-4-trifluoromethyl-phenyl)-ethylamino]-2-methoxy-pyrimidin-4-yl} -phenyl)- ethyl]-2-methoxy-acetamide,
N-[2-(3-{6-[2-(2-fluoro-44rifluoromethyl-phenyl)-ethylarnino]-2-methoxy-pyrimidin-4-yl}-phenyl)- ethyl] -acetamide hydrochloride, [2-(2-Fluoro-4-trifluoromethyl-phenyl)-ethyl]-[2-methoxy-6-(3-oxiranylmethoxy-phenyl)-pyrimidin-4- yl] -amine,
2-{3-[6-(2,2-difluoro-2-phenyl-ethylamino)-2-methoxy-pyrimidin-4-yl]-phenyl}-2-methyl-propionic acid,
2-[3-(2-methoxy-6-{2-[4-(5-methyl-[l,3,4]oxadiazol-2-yl)-phenyl]-ethylamino}-pyrimidin-4-yl)- phenyl]-2-methyl-propionic acid,
5-(3- {6-[2-(3,4-difluoro-phenyl)-ethylamino]-2-methoxy-pyrimidin-4-yl} -phenoxymethyl)-l -ethyl-
2J4-dihydro-[l,2,4]triazol-3-one,
2-(2-fluoro-5-{2-methoxy-6-[2-(44rifluoromethoxy-phenyl)-ethylamino]-pyrimidin-4-yl}-phenyl)-2- methyl-propionic acid, 2-(3-{2-Methoxy-6-[(thiophen-3-ylmethyl)-amino]-pyrimidin-4-yl}-phenyl)-2-methyl-propionic acid,
2-(3-{6-[(benzo[b]thiophen-2-ylmethyl)-amino]-2-methyl-pyrimidin-4-yl}-phenyl)-2 -methyl- propionic acid, l-{6-[2-(2,4-dicMoro-phenyl)-ethylamino]-2-methoxy-pyrimidin-4-yl}-piperidine-3-carboxylic acid, l-(3-{6-[2-(2,4-dicUoro-phenyl)-ethylamino]-2-methoxy-pyrimidin-4-yl} -phenyl)- cyclopentanecarboxylic acid hydrochloride,
3- {6-[2-(2,4-dicUoro-phenyl)-ethylamino]-2-methoxy-pyrimidin-4-yl} -benzoic acid 2-morpholin-4-yl- ethyl ester,
3-{6-[2-(2,4-dichloro-phenyl)-ethylamino]-2-methoxy-pyrimidin-4-yl} -benzoic acid 2-(4-methyl- piperazin-l-yl)-ethyl ester, 3- {6-[2-(2,4-dichloro-phenyl)-ethylamino]-2-methoxy-pyrimidin-4-yl} -benzoic acid ethyl ester,
(3 - { 6-[2-(2,4-dichloro-phenyl)-ethylamino] -2-methoxy-pyrimidin-4-yl } -phenyl)-methanol,
(3'-cUoro-4'-{2-[6-(3-hydroxymethyl-phenyl)-2-methoxy-pyrimidin-4-ylamino]-ethyl}-biphenyl-3-yl)- methanol,
2-(3-{6-[2-(2,4-dicUoro-phenyl)-ethylamino]-2-methoxy-pyrimidin-4-yl}-phenyl)-2-methyl-propionic acid methyl ester, 4-(3-{6-[2-(2,4-dicUoro-phenyl)-ethylammo]-2-methoxy-pyrimidin-4-yl}-phenyl)-tetrahydro-pyran-4- carboxylic acid,
N-[4-(3-{6-[2-(2,4-dicmoro-phenyl)-ethylaπiino]-2-methoxy-pyrimidin-4-yl}-phenyl)-tetrahydro- pyran-4-carbonyl]-methanesulfonamide,
4-(3-{6-[2-(2,4-dicMoro-phenyl)-ethylainmo]-2-methoxy-pyrimidin-4-yl}-phenyl)-tetrahydro-pyran- 4-carboxylic acid ethyl ester,
(3-{6-[2-(2,4-dichloro-phenyl)-ethylamino]-2-methoxy-pyrimidin-4-yl}-phenyl)-difluoro-acetic acid,
ethanesulfonic acid [2-(3-{6-[2-(2,4-dichloro-phenyl)-ethylamino]-2-methoxy-pyrimidin-4-yl}- phenyl)-2,2-difluoro-acetyl]-amide, (3-{6-[2-(2,4-dichloro-phenyl)-ethylamino]-2-methoxy-pyrimidin-4-yl}-phenyl)-difluoro-acetic acid ethyl ester,
(3-{6-[2-(2,4-dicWoro-phenyl)-ethylamino]-2-methoxy-pyiirnidin-4-yl}-phenyl)-acetonitrile,
(3-{6-[2-(2,4-dicUoro-phenyl)-ethylarnmo]-2-methoxy-pyrimidin-4-yl}-phenyl)-difluoro-acetoriitrile,
[2-(2!4-dichloro-phenyl)-ethyl]-(6-{3-[difluoro-(lH-tetrazol-5-yl)-methyl]-phenyl}-2-methoxy- pyrimidin-4-yl)-amine,
2-{3-[6-(indan-l-ylamino)-2-methoxy-pyrimidin-4-yl]-phenyl}-2-methyl-propionic acid,
2- {3-[6-(indan-2-ylamino)-2-methoxy-pyrimidin-4-yl]-phenyl} -2-methyl-propionic acid,
N-[4-(3-{2-methoxy-6-[2-(4-trifluoromethoxy-phenyl)-ethylamino]-pyrimidin-4-yl} -phenyl)- tetrahydro-pyran-4-carbonyl]-methanesulfonamide, 4-(3-{2-methoxy-6-[2-(4-trifluoromethoxy-phenyl)-ethylamino]-pyrimidin-4-yl}-phenyl)-tetrahydro- pyran-4-carboxylic acid methyl ester,
2-(3-{6-[2-(2,4-dicUoro-phenyl)-ethylarnino]-2-methoxymethyl-pyrimidin-4-yl}-phenyl)-2 -methyl- propionic acid,
2-(3-{6-[2-(2,4-dicmoro-phenyl)-ethylamino]-2-hydroxymethyl-pyrimidin-4-yl}-phenyl)-2 -methyl- propionic acid,
5- {6-[2-(2,4-dichloro-phenyl)-ethylamino]-2-methoxy-pyrimidin-4-yl} -thiophene-2-carboxylic acid,
5-{2-methoxy-6-[2-(4-trifluoromethoxy-phenyl)-ethylammo]-pyrimidin-4-yl}-2,3-dihydro- benzofiiran-2 -carboxylic acid hydrochloride,
2-(3-{6-[2-(2,4-dichloro-phenyl)-ethylamino]-2-methoxy-pyrimidin-4-yl}-phenyl)-2-methyl-propionic acid 2,3-dihydroxy-propyl ester,
2-(3-{6-[(2,3-dihydro-benzofuran-2-ylmethyl)-amino]-2-methoxy-pyrimidin-4-yl}-phenyl)-2 -methyl- propionic acid,
2-(3-{6-[(isochroman-l-ylmethyl)-amino]-2-methoxy-pyrimidin-4-yl}-phenyl)-2-methyl-propionic acid, 2-(3- {2-methoxy-6-[(4-methyl-3,4-dihydro-2H-benzo[l ,4]oxazin-2-ylmethyl)-amino]-pyrimidin-4- yl} -phenyl)-2-methyl-propionic acid,
2-(3-{6-[(berizofLiran-5-ylmethyl)-amino]-2-methoxy-pyrimidin-4-yl}-phenyl)-2-methyl-propionic acid,
N-(6-{6-[2-(2,4-dichloro-phenyl)-ethylamino]-2-methoxy-pyrimidin-4-yl}-benzothiazol-2-yl)- acetamide, ethanesulfonic acid [2-(3-{6-[2-(2,4-dicUoro-phenyl)-ethylamino]-2-methoxy-pyrimidin-4-yl}- phenyl)-2-methyl-propionyl]-amide,
N-[2-(3-{6-[2-(2,4-dicUoro-phenyl)-ethylamino]-2-methoxy-pyrimidin-4-yl}-phenyl)-2 -methyl- propionyl]-C-phenyl-methanesulfonamide, 2-(3-{6-[2-(2,4-dichloro-phenyl)-ethylamino]-2-methoxy-pyrimidin-4-yl}-phenyl)-2-methyl-l- morpholin-4-yl-propan-l -one,
2-(3-{6-[2-(2,4-dichloro-phenyl)-ethylamino]-2-methoxy-pyrimidin-4-yl}-phenyl)-N-(tetrahydro- pyran-4-yl)-isobutyr amide,
2-(3-{6-[2-(2,4-dichloro-phenyl)-ethylamino]-2-methoxy-pyrimidin-4-yl}-phenyl)-N-(lH-tetrazol-5- yl)-isobutyramide,
[2-(2,4-dichloro-phenyl)-ethyl]-{2-methoxy-6-[3-(2H-tetrazol-5-yl)-piperidin-l-yl]-pyrimidm-4-yl}- amine, l-{6-[2-(2,4-dicUoro-phenyl)-ethylamino]-2-methoxy-pyrimidin-4-yl}-piperidine-4-carboxylic acid,
2-(2-cmoro-5-{6-[2-(2,4-dicUoro-phenyl)-ethylarnmo]-2-methoxy-pyrimidin-4-yl}-phenyl)-propan-2- ol,
2-(3-{6-[2-(2,4-dicUoro-phenyl)-ethylarnino]-2-methoxy-pyrimidin-4-yl}-4-fluoro-phenyl)-2-methyl- propionic acid hydrochloride,
1 - {6-[2-(2,4-Dichloro-phenyl)-ethylamino]-2-methyl-pyrimidin-4-yl} -pyrrolidine-3-carboxylic acid,
2-( 1 - {2-Methoxy-6-[2-(4-trifluoromethoxy-phenyl)-ethylamino] -pyrimidin-4-yl } -piperidin-3 -yl)-2- methyl-propionic acid,
2-[3-{6-[2-(2,4-Dicmoro-phenyl)-ethylamino]-2-methoxy-pyrimidin-4-yl}-5-(l-hydroxy-l -methyl- ethyl)-phenyl]-propan-2-ol,
[6-(3-Arrimo-piperidm-l-yl)-2-methoxy-pyrirrύdm-4-yl]-[2-(2,4-dicMoro-phenyl)-ethyl]-amine,
[6-(4-Arrimo-piperidm-l-yl)-2-methoxy-pyrimidin-4-yl]-[2-(2,4-dichloro-phenyl)-ethyl]-amine, N-(l-{6-[2-(2,4-DicUoro-phenyl)-ethylamino]-2-methoxy-pyrirddm-4-yl}-piperidin-4-yl)-acetamide,
5-{6-[2-(2,4-DicUoro-phenyl)-ethylamino]-2-methoxy-pyriniidin-4-yl}-l-methyl-2,3-dihydro-lH- indole-2-carboxylic acid,
2-Methyl-propane-2 -sulfonic acid [2-(3-{6-[2-(2,4-dichloro-phenyl)-ethylamino]-2-methoxy- pyrimidin-4-yl}-phenyl)-2-methyl-propionyl]-amide, N,N-dimethylamide-2-sulfonic acid [2-(3-{6-[2-(2,4-dichloro-phenyl)-ethylamino]-2-methoxy- pyrimidin-4-yl}-phenyl)-2-methyl-propionyl]-amide,
2-(3-{6-[2-(2,4-DicMoro-phenyl)-ethylamino]-2-methoxy-pyritnidin-4-yl}-phenyl)-2-methyl-l- thiomoφholin-4-yl-propan- 1 -one,
2-(3-{6-[2-(2,4-DicUoro-phenyl)-ethylamino]-2-methoxy-pyrimidin-4-yl}-phenyl)-isobutyraniide, 2-(3-{6-[2-(2,4-DicUoro-phenyl)-ethylarniαo]-2-methoxy-pyrimidin-4-yl}-phenyl)-N,N-dimethyl- isobutyramide,
(l-{6-[2-(2,4-Dichloro-phenyl)-ethylamino]-2-methoxy-pyrimidin-4-yl}-piperidin-3-yl)-acetic acid, l-{2-Methoxy-6-[2-(4-trifluoromethoxy-phenyl)-ethylamino]-pyrimidin-4-yl}-piperidine-3-carboxylic acid, N-(l-{2-Methoxy-6-[2-(4-trifluoromethoxy-phenyl)-ethylamino]-pyrimidin-4-yl}-piperidine-3- carbonyl)-methanesulfonamide,
5-{6-[2-(2,4-dicUoro-phenyl)-ethylaraino]-2-methoxy-pyrimidin-4-yl}-l-methyl-2,3-dihydro-lH- indole-2-carboxylic acid ethyl ester,
(l-{6-[2-(2,4-dicMoro-phenyl)-ethylamino]-2-methoxy-pyrimidin-4-yl}-piperidin-3-yl)-acetic acid ethyl ester,
N-(l-{6-[2-(2,4-Dichloro-phenyl)-ethylamino]-2-methoxy-pyrimidin-4-yl}-piperidine-3-carbonyl)- methanesulfonamide,
Ethanesulfonic acid (l-{6-[2-(2,4-dichloro-phenyl)-ethylamino]-2-methoxy-pyrimidin-4-yl}- piperidine-3-carbonyl)-amide, 2-Methyl-propane-2 -sulfonic acid (l-{6-[2-(2,4-dichloro-phenyl)-ethylamino]-2-methoxy-pyrimidin-
4-yl}-piperidine-3-carbonyl)-amide,
N-(l-{6-[2-(2,4-DicUoro-phenyl)-ethylamino]-2-methoxy-pyrraiidin-4-yl}-piperidine-3-carbonyl)-
CjCjC-trifluoro-methanesulfonamide, l-{6-[2-(2,4-Dichloro-phenyl)-ethylamino]-2-methoxy-pyrimidin-4-yl}-piperidine-3-carboxylic acid (lH-tetrazol-5-yl)-amide,
1 - {6-[2-(2,4-Dichloro-phenyl)-ethylamino]-2-methoxy-pyrimidin-4-yl} -piperidine-3-carboxylic acid amide, l-{6-[2-(2,4-Dichloro-phenyl)-ethylamino]-2-methoxy-pyrimidin-4-yl} -piperidine-3-carboxylic acid dimethylamide, N,N-Dimethylamide-2-sulfonic acid l-{6-[2-(2,4-dichloro-phenyl)-ethylamino]-2-methoxy-pyrimidin-
4-yl} -piperidine-3-carboxamide,
5-{2-Methoxy-6-[2-(4-trifluoromethoxy-phenyl)-ethylamino]-pyriinidin-4-yl}-thiophene-2-carboxylic acid, or
5-{6-[2-(2,4-DicUoro-phenyl)-ethylamino]-2-methoxy-pyrirnidin-4-yl}-2,3-dihydro-benzofuran-2- carboxylic acid.
Another particular embodiment of the invention is a pharmaceutical composition comprising Niacin or a pharmaceutically acceptable salt, solvate or N-oxide thereof, or a nicotinic acid receptor agonist, and a compound of Formula (I) or a pharmaceutically acceptable salt or ester prodrug thereof, which is N-methoxycarbonyl-3-{2-methoxy-6-[2-(4-methoxy-phenyl)-ethylamino]-pyrimidin-4-yl}- benzenesulfonamide,
3- {6-[2-(2,4-difluoro-phenyl)-ethylamino]-2-methoxy-pyrirnidin-4-yl} -benzoic acid,
5- {2-methoxy-6-[2-(4-methoxy-phenyl)-ethylammo]-pvrimidin-4-yl} -thiophene-2-carboxylic acid trifluoroacetate,
5-{2-methoxy-6-[2-(4-methoxy-phenyl)-ethylamino]-pyrimidin-4-yl}-thiophene-2-carbaldehyde, (5- {2-methoxy-6-[2-(4-methoxy-phenyl)-ethylamino]-pyrimidin-4-yl} -thiophen-2-yl)-methanol, (3-{2-methoxy-6-[2-(4-methoxy-phenyl)-ethylamino]-pyrimidin-4-yl}-phenyl)-methanol, [2-(4-methoxy-phenyl)-ethyl]-(2-methoxy-6-quinolin-6-yl-pyrimidin-4-yl)-amine, [2-(4-methoxy-phenyl)-ethyl]-(2-methoxy-6-quinolin-3-yl-pyrimidin-4-yl)-amine, [6-(lH-indol-5-yl)-2-methoxy-pyrimidin-4-yl]-[2-(4-methoxy-phenyl)-ethyl]-amine, [6-(lH-benzotriazol-5-yl)-2-methoxy-pyrimidin-4-yl]-[2-(4-methoxy-phenyl)-ethyl]-amine, 3-{2-methoxy-6-[2-(4-methoxy-phenyl)-ethylammo]-pyrimidin-4-yl} -phenol hydrochloride, 3-{6-[2-(214-dichloro-phenyl)-ethylamino]-2-methoxy-pyrimidin-4-yl} -benzoic acid hydrochloride, 3- {6-[2-(2-chloro-6-fluoro-phenyl)-ethylamino]-2-methoxy-pyrimidin-4-yl} -benzoic acid hydrochloride, 2-(3-{6-[2-(2,4-dichloro-phenyl)-ethylamino]-2-methoxy-pyrimidm-4-yl}-phenyl)-2-methyl-propionic acid hydrochloride,
2-fluoro-5- {2-methoxy-6-[2-(4-methoxy-phenyl)-ethylamino]-pyrimidin-4-yl} -benzoic acid, 3-{6-[2-(2-cMoro-6-fluoro-phenyl)-ethylarnino]-2-methoxy-pyrimidin-4-yl} -benzoic acid, 2-methoxy-5-{2-methoxy-6-[2-(4-methoxy-phenyl)-ethylamino]-pyrimidin-4-yl} -benzoic acid, (3-{2-methoxy-6-[2-(4-methoxy-phenyl)-ethylamino]-pyrimidin-4-yl}-phenoxy)-acetic acid methyl ester,
(3- {6-[2-(2,4-dichloro-phenyl)-ethylamino]-2-methoxy-pyrimidin-4-yl} -phenoxy)-acetic acid methyl ester, (3- {2-methoxy-6-[2-(4-methoxy-phenyl)-ethylamino]-pyrimidin-4-yl} -phenoxy)-acetic acid, (5-{6-[2-(2-chloro-6-fluoro-phenyl)-ethylamino]-2-methoxy-pyrimidin-4-yl}-2-oxo-2H-pyridin-l-yl)- acetic acid,
2-(3-{6-[2-(2,4-dichloro-phenyl)-ethylamino]-2-methoxy-pyrimidin-4-yl}-phenoxy)-2 -methyl- propionic acid,
2-chloro-5- {2-methoxy-6-[2-(4-methoxy-phenyl)-ethylamino]-pyrimidin-4-yl} -benzoic acid hydrochloride salt, [2-(4-methoxy-phenyl)-ethyl]-{2-methoxy-6-[3-(lH-tetrazol-5-yl)-phenyl]-pyrimidin-4-yl} -amine,
[2-(4-methoxy-phenyl)-ethyl]-{2-methoxy-6-[3-(lH-tetrazol-5-ylmethyl)-phenyl]-pyrimidin-4-yl}- amine hydrochloride,
{2-methoxy-6-[4-methoxy-3-(lH-tetrazol-5-yl)-phenyl]-pyrimidin-4-yl}-[2-(4-methoxy-phenyl)- ethyl] -amine, N-(3-{2-methoxy-6-[2-(4-methoxy-phenyl)-ethylamino]-pyrimidin-4-yl}-benzoyl)- methanesulfonamide,
3- {2-methoxy-6-[2-(4-methoxy-phenyl)-ethylamino]-pyrimidin-4-yl} -benzaldehyde oxime,
3-{2-methoxy-6-[2-(4-methoxy-phenyl)-ethylamino]-pyrimidin-4-yl}-thiophene-2-carbaldehyde oxime, 1 -(5- {2-methoxy-6-[2-(4-methoxy-phenyl)-ethylamino]-pyrimidin-4-yl} -thiophen-2-yl)-ethanone oxime,
5-{2-methoxy-6-[2-(4-methoxy-phenyl)-ethylamino]-pyrimidin-4-yl}-thiophene-2-carbaldehyde oxime,
3-(3-{6-[2-(2,4-dichloro-phenyl)-ethylamino]-2-methoxy-pyrimidin-4-yl-phenoxymethyl)-4H- [l,2,4]oxadiazol-5-one hydrochloride,
3-(3-{6-[2-(2-chloro-6-fluoro-phenyl)-ethylamino]-2-methoxy-pyrimidin-4-yl}-benzyl)-4H-
[1 ,2,4]oxadiazol-5-one hydrochloride,
3-(3-{6-[2-(2-chloro-6-fluoro-phenyl)-ethylamino]-2-methoxy-pyrimidin-4-yl}-phenoxymethyl)-4H-
[1 ,2,4]oxadiazol-5-one hydrochloride, 3- {2-methoxy-6-[2-(4-methoxy-phenyl)-ethylamino]-pyrimidin-4-yl} -benzoic acid,
3- {6-[2-(4-fluoro-phenyl)-ethylamino]-2-methoxy-pyrimidin-4-yl} -benzoic acid hydrochloride,
3-{6-[2-(2,4-dichloro-phenyl)-ethylamino]-2-methoxy-pyrimidin-4-yl} -phenol,
3-{2-methoxy-6-[2-(4-methoxy-phenyl)-ethylamino]-pyrimidin-4-yl}-thiophene-2-carbaldehyde,
3-{6-[2-(4-chlorophenyl)-ethylamino]-2-methoxy-pyrimidin-4-yl} -benzoic acid hydrochloride, 3- {2-methoxy-6-[2-(4-methoxy-phenyl)-ethylamino]-pyrimidin-4-yl} -benzonitrile,
3- {2-methoxy-6-[2-(4-methoxy-phenyl)-ethylammo]-pyrimidin-4-yl} -benzaldehyde,
3- {6-[2-(2,4-dichloro-phenyl)-ethylamino]-2-methoxy-pyrimidin-4-yl} -benzoic acid hydrochloride,
[2-(3-fluoro-4-methoxy-phenyl)-ethyl]-{2-methoxy-6-[3-(2H-tetrazol-5-yl)-phenyl]-pyrimidin-4-yl}- amine, [2-methoxy-6-(3-methoxy-phenyl)-pyrimidin-4-yl]-[2-(4-nitro-phenyl)-ethyl]-amine,
[2-methoxy-6-(3-methoxy-phenyl)-pyrimidin-4-yl]-[2-(4-methoxy-phenyl)-ethyl]-amine,
[2-(2,4-dichloro-phenyl)-ethyl]-(2-methyl-6-{3-[l-methyl-l-(lH-tetrazol-5-yl)-ethyl]-phenyl}- pyrimidin-4-yl)-amine hydrochloride,
2-(3-{6-[2-(2,4-dicUoro-phenyl)-ethylamino]-2-methoxy-pyrimidin-4-yl}-phenyl)-propionic acid hydrochloride, (5-{6-[2-(2-fluoro-44rifluoromethyl-phenyl)-ethylamino]-2-methoxy-pyrimidin-4-yl}-lH-indol-3-yl)- acetic acid,
[6-(lH-indol-6-yl)-2-methoxy-pyrimidin-4-yl]-[2-(4-methoxy-phenyl)-ethyl]-ammonium trifluoroacetate, Example 53 (a);
[6-(lH-indazol-6-yl)-2-methoxy-pyrimidin-4-yl]-[2-(4-methoxy-phenyl)-ethyl]-arnine, 3-{6-[2-(2,6-dicUoro-phenyl)-ethylamino]-2-methoxy-pyrimidin-4-yl} -benzoic acid,
[2-(4-methoxy-phenyl)-ethyl]-{2-methoxy-6-[3-(lH-tetrazol-5-yl)-phenyl]-pyrimidin-4-yl} -amine, sodium salt
(3-{6-[2-(2-chloro-6-fluoro-phenyl)-ethylamino]-2-methoxy-pyrimidin-4-yl}-benzyloxy)-acetic acid,
(3- {6-[2-(2,4-dichloro-phenyl)-ethylamino]-2-methoxy-pyrimidin-4-yl} -benzoylamino)-acetic acid, ethyl-carbamic acid 3- {6-[2-(2,4-dichloro-phenyl)-ethylamino]-2-methoxy-pyrimidin-4-yl} -phenyl ester,
5-{2-methoxy-6-[2-(4-methoxy-phenyl)-ethylamino]-pyrimidin-4-yl}-thiophene-2-carboxylic acid methylamide trifluoroacetate,
1 - {6-[2-(2,4-dichloro-phenyl)-ethylamino]-2-methoxy-pyrimidin-4-yl} -piperidine-3-carboxylic acid, 4-(3-{6-[2-(2,4-dicUoro-phenyl)-ethylamino]-2-methoxy-pyrimidin-4-yl}-phenyl)-tetrahydro-pyran-4- carboxylic acid,
N-[4-(3-{6-[2-(2,4-dichloro-phenyl)-ethylamino]-2-methoxy-pyrimidin-4-yl}-phenyl)-tetrahydro- pyran-4-carbonyl]-methanesulfonamide,
(3 - {6-[2-(2,4-dichloro-phenyl)-ethylamino] -2-methoxy-pyrimidin-4-yl } -phenyl)-difluoro-acetic acid, ethanesulfonic acid [2-(3-{6-[2-(2,4-dichloro-phenyl)-ethylamino]-2-methoxy-pyrimidin-4-yl}- phenyl)-2,2-difluoro-acetyl]-amide,
[2-(2,4-dichloro-phenyl)-ethyl]-(6-{3-[difluoro-(lH-tetrazol-5-yl)-methyl]-phenyl}-2-methoxy- pyrimidin-4-yl)-amine,
N-[4-(3-{2-methoxy-6-[2-(4-trifluoromethoxy-phenyl)-ethylamino]-pyrimidin-4-yl} -phenyl)- tetrahydro-pyran-4-carbonyl]-methanesulfonamide, ethanesulfonic acid [2-(3-{6-[2-(2,4-dicMoro-phenyl)-ethylamino]-2-methoxy-pyrimidin-4-yl}- phenyl)-2-methyl-propionyl]-amide,
N-[2-(3-{6-[2-(2,4-dichloro-phenyl)-ethylamino]-2-methoxy-pyrimidin-4-yl}-phenyl)-2 -methyl- propionyl]-C-phenyl-methanesulfonamide, 2-(3-{6-[2-(2,4-dichloro-phenyl)-ethylamino]-2-methoxy-pyrimidin-4-yl}-phenyl)-2-methyl-l- morpholin-4-yl-propan-l -one,
2-(3-{6-[2-(2,4-dicUoro-phenyl)-ethylamino]-2-methoxy-pyrimidin-4-yl}-phenyl)-N-(tetrahydro- pyran-4-yl)-isobutyramide,
2-(3- {6-[2-(2,4-dichloro-phenyl)-ethylamino]-2-methoxy-pyrimidin-4-yl} -phenyl)-N-(l H-tetrazol-5- yl)-isobutyramide, or
[2-(2,4-dicUoro-phenyl)-ethyl]-{2-methoxy-6-[3-(2H-tetrazol-5-yl)-piperidin-l-yl]-pyrimidin-4-yl}- amine.
The compounds of Formula (I) and the intermediates and starting materials used in their preparation are named in accordance with IUPAC rules of nomenclature in which the characteristic groups have decreasing priority for citation as the principle group as follows: acids, esters, amides, etc. Alternatively, the compounds are named by AutoNom 4 (Beilstein Information Systems, Inc.). [For example, a compound of Formula (I) wherein R1 is methoxy, L1 is ethylene, L2 is a bond, Cy1 is 3-(2H- tetrazol-5-yl)-phenyl, Cy2 is 3-fluoro-4-methoxy-phenyl; that is, a compound having the following structure:
is named [2-(3-fluoro-4-methoxy-phenyl)-ethyl]- {2-methoxy-6-[3-(2H-tetrazol-5-yl)-phenyl]- pyrimidin-4-yl} -amine.
However, it is understood that, for a particular compound referred to by both a structural Formula and a nomenclature name, if the structural Formula and the nomenclature name are inconsistent with each other, the structural Formula takes the precedence over the nomenclature name.
The compounds of Formula (I) exhibit prostaglandin D2 receptor antagonist activity according to tests described in the literature and described in pharmacological testing section hereinafter, and which tests results are believed to correlate to pharmacological activity in humans and other mammals. Thus, the compounds of Formula (I) are useful a pharmacological acting agents. Accordingly, they are incorporated into pharmaceutical compositions and used in the treatment of patients suffering from certain medical disorders.
In practice, the pharmaceutical composition of the present invention can be administered in pharmaceutically acceptable dosage form to humans and other animals by topical or systemic administration, including oral, inhalational, rectal, nasal, buccal, sublingual, vaginal, colonic, parenteral (including subcutaneous, intramuscular, intravenous, intradermal, intrathecal and epidural), intracisternal and intraperitoneal. It will be appreciated that the particular route may vary with for example the condition of the recipient.
"Pharmaceutically acceptable dosage forms" refers to dosage forms of the compound of the invention, and includes, for example, tablets, dragees, powders, elixirs, syrups, liquid preparations, including suspensions, sprays, inhalants tablets, lozenges, emulsions, solutions, granules, capsules and suppositories, as well as liquid preparations for injections, including liposome preparations. Techniques and formulations generally can be found in Remington's Pharmaceutical Sciences, Mack Publishing Co., Easton, PA, latest edition.
Pharmaceutical compositions, according to the present invention, may comprise pharmaceutically acceptable carriers.
Pharmaceutically acceptable carriers include at least one component selected from the group comprising pharmaceutically acceptable carriers, diluents, coatings, adjuvants, excipients, or vehicles, such as preserving agents, fillers, disintegrating agents, wetting agents, emulsifying agents, emulsion stabilizing agents, suspending agents, isotonic agents, sweetening agents, flavoring agents, perfuming agents, coloring agents, antibacterial agents, antifungal agents, other therapeutic agents, lubricating agents, adsorption delaying or promoting agents, and dispensing agents, depending on the nature of the mode of administration and dosage forms.
Exemplary suspending agents include ethoxylated isostearyl alcohols, polyoxyethylene sorbitol and sorbitan esters, microcrystalline cellulose, aluminum metahydroxide, bentonite, agar-agar and tragacanth, or mixtures of these substances.
Exemplary antibacterial and antifungal agents for the prevention of the action of microorganisms include parabens, chlorobutanol, phenol, sorbic acid, and the like.
Exemplary isotonic agents include sugars, sodium chloride and the like.
Exemplary adsorption delaying agents to prolong absorption include aluminum monostearate and gelatin.
Exemplary adsorption promoting agents to enhance absorption include dimethyl sulfoxide and related analogs.
Exemplary diluents, solvents, vehicles, solubilizing agents, emulsifiers and emulsion stabilizers, include water, chloroform, sucrose, ethanol, isopropyl alcohol, ethyl carbonate, ethyl acetate, benzyl alcohol, tetrahydrofurfuryl alcohol, benzyl benzoate, polyols, propylene glycol, 1,3-butylene glycol, glycerol, polyethylene glycols, dimethylformamide, Tween® 60, Span® 60, cetostearyl alcohol, myristyl alcohol, glyceryl mono-stearate and sodium lauryl sulfate, fatty acid esters of sorbitan, vegetable oils (such as cottonseed oil, groundnut oil, com germ oil, olive oil, castor oil and sesame oil) and injectable organic esters such as ethyl oleate, and the like, or suitable mixtures of these substances.
Exemplary excipients include lactose, milk sugar, sodium citrate, calcium carbonate and dicalcium phosphate.
Exemplary disintegrating agents include starch, alginic acids and certain complex silicates.
Exemplary lubricants include magnesium stearate, sodium lauryl sulfate, talc, as well as high molecular weight polyethylene glycols.
The choice of pharmaceutical acceptable carrier is generally determined in accordance with the chemical properties of the active compound such as solubility, the particular mode of administration and the provisions to be observed in pharmaceutical practice. Pharmaceutical compositions of the present invention suitable for oral administration can be presented as discrete units such as a solid dosage form, such as capsules, cachets or tablets each containing a predetermined amount of the active ingredient, or as a powder or granules; as a liquid dosage form such as a solution or a suspension in an aqueous liquid or a non-aqueous liquid, or as an oil-in-water liquid emulsion or a water-in-oil liquid emulsion. The active ingredient may also be presented as a bolus, electuary or paste.
"Solid dosage form" means the dosage form of the compound of the invention is solid form, for example capsules, tablets, pills, powders, dragees or granules. In such solid dosage forms, the compound of the invention is admixed with at least one inert customary excipient (or carrier) such as sodium citrate or dicalcium phosphate or (a) fillers or extenders, as for example, starches, lactose, sucrose, glucose, mannitol and silicic acid, (b) binders, as for example, carboxymethylcellulose, alginates, gelatin, polyvinylpyrrolidone, sucrose and acacia, (c) humectants, as for example, glycerol,
(d) disintegrating agents, as for example, agar-agar, calcium carbonate, potato or tapioca starch, alginic acid, certain complex silicates and Na2CO3, (e) solution retarders, as for example paraffin, (f) absorption accelerators, as for example, quaternary ammonium compounds, (g) wetting agents, as for example, cetyl alcohol and glycerol monostearate, (h) adsorbents, as for example, kaolin and bentonite, (i) lubricants, as for example, talc, calcium stearate, magnesium stearate, solid polyethylene glycols, sodium lauryl sulfate, Q) opacifying agents, (k) buffering agents, and agents which release the compound(s) of the invention 'in a certain part of the intestinal tract in a delayed manner.
A tablet can be made by compression or molding, optionally with one or more accessory ingredients. Compressed tables can be prepared by compressing in a suitable machine the active ingredient in a free-flowing form such as a powder or granules, optionally mixed with a binder, lubricant, inert diluent, preservative, surface active or dispersing agent. Excipients such as lactose, sodium citrate, calcium carbonate, dicalcium phosphate and disintegrating agents such as starch, alginic acids and certain complex silicates combined with lubricants such as magnesium stearate, sodium lauryl sulfate and talc can be used. A mixture of the powdered compounds moistened with an inert liquid diluent can be molded in a suitable machine to make molded tablets. The tablets can optionally be coated or scored and can be formulated so as to provide slow or controlled release of the active ingredient therein.
Solid compositions may also be employed as fillers in soft and hard-filled gelatin capsules using such excipients as lactose or milk sugar as well as high molecular weight polyethylene glycols, and the like.
If desired, and for more effective distribution, the compounds can be microencapsulated in, or attached to, a slow release or targeted delivery systems such as a biocompatible, biodegradable polymer matrices (e.g., poly(d,l-lactide co-glycolide)), liposomes, and microspheres and subcutaneously or intramuscularly injected by a technique called subcutaneous or intramuscular depot to provide continuous slow release of the compound(s) for a period of 2 weeks or longer. The compounds can be sterilized, for example, by filtration through a bacteria-retaining filter, or by incorporating sterilizing agents in the form of sterile solid compositions that can be dissolved in sterile water, or some other sterile injectable medium immediately before use.
"Liquid dosage form" means the dose of the active compound to be administered to the patient is in liquid form, for, example, pharmaceutically acceptable emulsions, solutions, suspensions, syrups and elixirs. In addition to the active compounds, the liquid dosage forms may contain inert diluents commonly used in the art, such solvents, solubilizing agents and emulsifiers.
When aqueous suspensions are used they can contain emulsifying agents or agents which facilitate suspension.
Pharmaceutical compositions suitable for topical administration means formulations that are in a form suitable to be administered topically to a patient. The formulation can be presented as a topical ointment, salves, powders, sprays and inhalants, gels (water or alcohol based), creams, as is generally known in the art, or incorporated into a matrix base for application in a patch, which would allow a controlled release of compound through the transdermal barrier. When formulated in an ointment, the active ingredients can be employed with either a paraffrnic or a water-miscible ointment base. Alternatively, the active ingredients can be formulated in a cream with an oil-in-water cream base. Formulations suitable for topical administration in the eye include eye drops wherein the active ingredient is dissolved or suspended in a suitable carrier, especially an aqueous solvent for the active ingredient. Formulations suitable for topical administration in the mouth include lozenges comprising the active ingredient in a flavored basis, usually sucrose and acacia or tragacanth; pastilles comprising the active ingredient in an inert basis such as gelatin and glycerin, or sucrose and acacia; and mouthwashes comprising the active ingredient in a suitable liquid carrier.
The oily phase of the emulsion pharmaceutical composition can be constituted from known ingredients in a known manner. While the phase may comprise merely an emulsifier (otherwise known as an emulgent), it desirably comprises a mixture of at least one emulsifier with a fat or an oil or with both a fat and an oil. In a particular embodiment, a hydrophilic emulsifier is included together with a lipophilic emulsifier that acts as a stabilizer. Together, the emulsifier(s) with or without stabilizer(s) make up the emulsifying wax, and the way together with the oil and fat make up the emulsifying ointment base that forms the oily dispersed phase of the cream formulations.
If desired, the aqueous phase of the cream base may include, for example, a least 30% w/w of a polyhydric alcohol, i.e. an alcohol having two or more hydroxyl groups such as propylene glycol, butane 1,3-diol, mannitol, sorbitol, glycerol and polyethylene glycol (including PEG 400) and mixtures thereof. The topical formulations may desirably include a compound that enhances absorption or penetration of the active ingredient through the skin or other affected areas.
The choice of suitable oils or fats for a composition is based on achieving the desired properties. Thus a cream should particularly be a non-greasy, non-staining and washable product with suitable consistency to avoid leakage from tubes or other containers. Straight or branched chain, mono- or dibasic alkyl esters such as di-isopropyl myristate, decyl oleate, isopropyl palmitate, butyl stearate, 2-ethylhexyl palmitate or a blend of branched chain esters known as Crodamol CAP can be used.
These can be used alone or in combination depending on the properties required. Alternatively, high melting point lipids such as white soft paraffin and/or liquid paraffin or other mineral oils can be used.
Pharmaceutical compositions suitable for rectal or vaginal administrations means formulations that are in a form suitable to be administered rectally or vaginally to a patient and containing at least one compound of the invention. Suppositories are a particular form for such formulations that can be prepared by mixing the compounds of this invention with suitable non-irritating excipients or carriers such as cocoa butter, polyethylene glycol or a suppository wax, which are solid at ordinary temperatures but liquid at body temperature and therefore, melt in the rectum or vaginal cavity and release the active component.
Pharmaceutical composition administered by injection can be by transmuscular, intravenous, intraperitoneal, and/or subcutaneous injection. The compositions of the present invention are formulated in liquid solutions, in particular in physiologically compatible buffers such as Hank's solution or Ringer's solution. In addition, the compositions can be formulated in solid form and redissolved or suspended immediately prior to use. Lyophilized forms are also included. The formulations are sterile and include emulsions, suspensions, aqueous and non-aqueous injection solutions, which may contain suspending agents and thickening agents and anti-oxidants, buffers, bacteriostats and solutes which render the formulation isotonic, and have a suitably adjusted pH, with the blood of the intended recipient.
Pharmaceutical composition of the present invention suitable for nasal or inhalational administration means compositions that are in a form suitable to be administered nasally or by inhalation to a patient. The composition may contain a carrier, in a powder form, having a particle size for example in the range 1 to 500 microns (including particle sizes in a range between 20 and 500 microns in increments of 5 microns such as 30 microns, 35 microns, etc.). Suitable compositions wherein the carrier is a liquid, for administration as for example a nasal spray or as nasal drops, include aqueous or oily solutions of the active ingredient. Compositions suitable for aerosol administration can be prepared according to conventional methods and can be delivered with other therapeutic agents. Metered dose inhalers are useful for administering compositions according to the invention for an inhalational therapy.
Actual dosage levels of active ingredient(s) in the compositions of the invention can be varied so as to obtain an amount of active ingredient(s) that is (are) effective to obtain a desired therapeutic response for a particular composition and method of administration for a patient. A selected dosage level for any particular patient therefore depends upon a variety of factors including the desired therapeutic
effect, on the route of administration, on the desired duration of treatment, the etiology and severity of the disease, the patient's condition, weight, sex, diet and age, the type and potency of each active ingredient, rates of absorption, metabolism and/or excretion and other factors.
Total daily dose of the compounds of this invention administered to a patient in single or divided doses can be in amounts, for example, of from about 0.001 to about 100 mg/kg body weight daily and particularly 0.01 to 10 mg/kg/day. For example, in an adult, the doses are generally from about 0.01 to about 100, particularly about 0.01 to about 10, mg/kg body weight per day by inhalation, from about 0.01 to about 100, particularly 0.1 to 70, more especially 0.5 to 10, mg/kg body weight per day by oral administration, and from about 0.01 to about 50, particularly 0.01 to 10, mg/kg body weight per day by intravenous administration. The percentage of active ingredient in a composition can be varied, though it should constitute a proportion such that a suitable dosage shall be obtained. Dosage unit compositions may contain such amounts of such submultiples thereof as can be used to make up the daily dose. Obviously, several unit dosage forms can be administered at about the same time. A dosage can be administered as frequently as necessary in order to obtain the desired therapeutic effect. Some patients may respond rapidly to a higher or lower dose and may find much weaker maintenance doses adequate. For other patients, it can be necessary to have long-term treatments at the rate of 1 to 4 doses per day, in accordance with the physiological requirements of each particular patient. It goes without saying that, for other patients, it will be necessary to prescribe not more than one or two doses per day.
The formulations can be prepared in unit dosage form by any of the methods well known in the art of pharmacy. Such methods include the step of bringing into association the active ingredient with the carrier that constitutes one or more accessory ingredients. In general the formulations are prepared by uniformly and intimately bringing into association the active ingredient with liquid carriers or finely divided solid carriers or both, and then, if necessary, shaping the product.
The formulations can be presented in unit-dose or multi-dose containers, for example sealed ampoules and vials with elastomeric stoppers, and can be stored in a freeze-dried (lyophilized) condition requiring only the addition of the sterile liquid carrier, for example water for injections, immediately prior to use. Extemporaneous injection solutions and suspensions can be prepared from sterile powders, granules and tablets of the kind previously described.
Compounds of the invention can be prepared by the application or adaptation of known methods, by which is meant methods used heretofore or described in the literature, for example those described by R.C. Larock in Comprehensive Organic Transformations, VCH publishers, 1989.
In the reactions described hereinafter it can be necessary to protect reactive functional groups, for example hydroxy, amino, imino, thio or carboxy groups, where these are desired in the final product, to avoid their unwanted participation in the reactions. Conventional protecting groups can be used in accordance with standard practice, for examples see T.W. Greene and P. G. M. Wuts, Protecting Groups in Organic Synthesis, 3rd edition, John Wiley & Sons, Inc., 1999. Suitable amine protecting groups include sulfonyl (e.g., tosyl), acyl (e.g., benzyloxycarbonyl or t-butoxycarbonyl) and arylalkyl (e.g., benzyl), which can be removed by hydrolysis or hydrogenolysis as appropriate. Other suitable amine protecting groups include trifluoroacetyl [-C(=O)CF3] which can be removed by base catalyzed hydrolysis, or a solid phase resin bound benzyl group, such as a Merrifield resin bound 2,6-dimethoxybenzyl group (Ellman linker) or a 2,6-dimethoxy-4-[2-
(polystyrylmethoxy)ethoxy]benzyl, which can be removed by acid catalyzed hydrolysis, for example with trifluoroacetic acid.
A compound of Formula (T), wherein R1, Cy1, Cy2, L1 and L2 are as hereinbefore defined can be prepared by reaction of a compound of Formula (IEQ, wherein L2, R1 and Cy1 are as hereinbefore defined and X1 is a halogen, particularly chlorine, or a triflate group, with an amine of Formula (IV), wherein L1 and Cy2 are as hereinbefore defined.
The reaction can conveniently be carried out for example in the presence of a suitable base, such as sodium bicarbonate, in an inert solvent, such as 1 -methyl -2 -pyrrolidinone, and at a temperature at about 16O0C.
A compound of Formula (I), wherein L2 is a bond and R1, Cy1, Cy2 and L1 are as hereinbefore defined may also be prepared by reaction of a compound of Formula (V), wherein R1, L1 and Cy2 are as hereinbefore defined and X2 is a halogen, particularly chlorine, or a triflate group, with a boronic acid of Formula (VI), or a boronic acid pinacol ester of formula (XVII), wherein Cy1 is as hereinbefore defined.
(xvπ)
The coupling reaction can conveniently be carried out for example in the presence of a complex metal catalyst such as tetrakis(triphenylphosphine)palladium (0) and Cs2CO3, in an inert solvent, such as aqueous ethylene glycol dimethyl ether, and at a temperature at about 1000C. This reaction may also be conveniently carried out in a microwave oven at about 140°C. The coupling reaction may also be carried out in the presence of 1 , 1 '-bis(diphenylphosphino)ferrocene-palladium (II) dichloride DCM complex and Cs2CO3, in an inert solvent, such as aqueous acetonitrile at a temperature up to about reflux temperature.
A compound of Formula (I), wherein L2 is -CH2-O- and R1, Cy1, Cy2 and L1 are as hereinbefore defined may also be prepared by reaction of a compound of Formula (V), wherein R1, L1 and Cy2 are as hereinbefore defined and X3 is a halogen, particularly chlorine, or a triflate group, with a compound of Formula (XIV), wherein Cy1 is as hereinbefore defined. The reaction can be carried out in the presence of sodium hydride in an inert solvent, such as dimethylformamide, at a temperature up to reflux.
A compound of Formula (T), wherein L2 is -O-, R1 is
or (Q-GO-alkyl, which is optionally substituted by one to three of same or different of halogen, hydroxy or alkoxy, Cy1, Cy2 and L1 are as hereinbefore defined may also be prepared by reaction of a compound of Formula (XV), wherein Cy1 is as hereinbefore defined and X4 is a halogen, particularly chlorine, or a triflate group, with a compound of Formula (XVI), wherein Cy1 is as hereinbefore defined. The reaction can
conveniently be carried out for example in the presence of a suitable base, such as sodium bicarbonate or CS2CO3, in an inert solvent, such as dimethylformamide, at a temperature up to reflux.
A compound of Formula (I), wherein L2 is -O-, R! is -NY4Y5 or (Ci-C4)-alkoxy, which is optionally substituted by one to three halogen, Cy1 , Cy2 and L1 are as hereinbefore defined may also be prepared by (i) oxidizing the corresponding compound of Formula (T), wherein R1 is methylthio with an oxidizing reagent, such as 3-chloro-peroxybenzoic acid in an inert solvent, such as DCM, and at a temperature at about room temperature, and (ii) then reacting with an alkali metal alkoxide, such as a sodium alkoxide, or HN4Y5, in an inert solvent.
A compound of Formula (I), wherein L2 is a bond, Cy1 nitrogen-containing heterocyclyl that connects to the pyrimidine ring through its nitrogen ring atom, wherein the Cy1 is optionally substituted one to three times by same or different Cy1 substituents groups as hereinbefore defined, and L1, Cy2 and R1 are as hereinbefore defined can be prepared by reaction of a corresponding compound of Formula (V), wherein R1, L1 and Cy2 are as hereinbefore defined and X2 is a halogen, particularly chlorine, with a corresponding compound of formula (XVIH), wherein Cy1 is as hereinbefore defined.
(V) (I)
The reaction can conveniently be carried out for example in the presence of a suitable base, such as sodium bicarbonate or K2CO3, in an inert solvent, such as l-methyl-2-pyrrolidinone, and at a temperature at about 140°C.
The compound of Formula (I) can also be prepared by interconversion of other compounds of Formula (I)-
Thus, for example, the compound of Formula (I) in which Cy1 is substituted by a carboxy group can be prepared by hydrolysis of the corresponding esters. The hydrolysis can conveniently be carried out by alkaline hydrolysis using a base, such as an alkali metal hydroxide, e.g. lithium hydroxide, or an alkali metal carbonate, e.g. K2CO3, in the presence of an aqueous/organic solvent mixture, using organic solvents such as dioxane, THF or methanol, at a temperature from about ambient to about reflux. The hydrolysis of the esters may also be carried out by acid hydrolysis using an inorganic acid, such as hydrochloric acid, in the presence of an aqueous/inert organic solvent mixture, using organic solvents such as dioxane or THF, at a temperature from about 50°C to about 8O0C.
As another example the compound of Formula (I) in which Cy1 is substituted by a carboxy group cany be prepared by acid catalyzed removal of the tert-butyl group of the corresponding tert-butyl esters using standard reaction conditions, for example reaction with trifluoroacetic acid at a temperature at about room temperature.
As another example the compound of Formula (I) in which Cy1 is substituted by a carboxy group can be prepared by hydrogenation of the corresponding benzyl esters. The reaction can be carried out in the presence of ammonium formate and a suitable metal catalyst, e.g. palladium, supported on an inert carrier such as carbon, more particularly in a solvent such as MeOH or EtOH and at a temperature at about reflux temperature. The reaction can alternatively be carried out in the presence of a suitable metal catalyst, e.g. platinum or palladium optionally supported on an inert carrier such as carbon, more particularly in a solvent such as MeOH or EtOH.
As another example the compound of Formula (I) in which Cy1 is substituted by a carboxy group can be prepared by oxidation of the corresponding compound of Formula (I) in which Cy1 is substituted by a formyl group. The reaction can be carried out using sodium dihydrogen phosphate monohydrate and sodium chlorite at a temperature at about room temperature.
As another example of the interconversion process, the compound of Formula (I) in which Cy1 is substituted by a Y'Y2N-C(=O)- group can be prepared by coupling compounds of Formula (I), in which Cy1 is substituted by a carboxy group, with an amine of Formula Y1Y2NH, to give an amide bond using standard peptide coupling procedures. Examples include (i) coupling in the presence of O-(7-azabenzotriazol-l-yl)-l,l,3,3-tetramethyluronium hexafluorophosphate and triethylamine (or diisopropylethylamine) in THF (or dimethylformamide) at room temperature, (ii) coupling in the presence of a carbodiimide, for example dicyclohexylcarbodiimide in the presence of triethylamine,
(iii) treatment with 1 -hydroxybenzotriazole and a carbodiimide, such as l-(3-dimethylaminopropyl)-3-
ethylcarbodiimide, in an inert solvent such as dimethylformamide and at a temperature at about room temperature. The coupling may also be brought about by reaction of compounds of Formula (I), in which Cy1 is substituted by a carboxy group, with N-{(dimethylamino)(lH-l,2,3-triazaolo[4,5- b]pyridin-l-yl)methylene}-N-methylmethanaminium hexafluorophosphate N-oxide in the presence of a suitable base, such as diisopropylethylamine, in an inert solvent, such as dimethylformamide, and at a temperature at about room temperature, followed by reaction with an amine of Formula Y1Y2NH (ammonium chloride can be used for the preparation of compounds of Formula (I) in which Cy1 is substituted by a H2N-C(=O)- group).
As another example of the interconversion process, the compound of Formula (I) in which Cy1 is substituted by an alkyl-SO2-NH-C(=O)- group can be prepared by coupling the compound of Formula (I), in which Cy1 is substituted by a carboxy group, with an alkyl sulfonamide of Formula alkyl-SO2- NH2, to give an amide bond using standard peptide coupling procedures.
As another example of the interconversion process, the compound of Formula (I) in which Cy1 is substituted by a R6-C(=O)-N(R5)- group can be prepared by reaction of the compound of Formula (I), in which Cy1 is substituted by a HN(R5)- group, with an acid chloride of Formula R6-C(=O)-C1 in an inert solvent, such as DCM, and in the presence of a suitable base, such as triethylamine, at a temperature at about O0C.
As another example of the interconversion process, the compound of Formula (I) in which Cy1 is substituted by a Y1Y2NSO2- group can be prepared by (i) reaction of the compound of Formula (I) in which Cy1 is substituted by H2N- with sodium nitrite in the presence of hydrochloric acid at a temperature at about 00C, followed by treatment of the resulting diazonium salt with sulfur dioxide in the presence of copper chloride, and (ii) subsequent treatment of the resulting the compound of Formula (I) in which Cy1 is substituted by a Cl-SO2- with an amine of Formula Y1Y2NH at a temperature at about O0C.
As another example of the interconversion process, compounds of Formula (I) in which Cy1 is substituted by an alkoxy-C(=O)-NH-SO2- group can be prepared by reaction of compounds of Formula (I) in which Cy1 is substituted by H2N-SO2- with an alkyl chloroformate in the presence of sodium hydride, in an inert solvent, such as THF, and at a temperature at about O0C.
As another example of the interconversion process, the compound of Formula (I) in which Cy1 is substituted by HOCH2- group can be prepared by the reduction of corresponding compound of
Formula (I) in which Cy1 is substituted by a CMalkylO-C(=O)- group. The reductioncan conveniently
be carried out by means of reaction with lithium aluminum hydride, in an inert solvent, such as THF, and at a temperature from about room temperature to about reflux temperature.
As another example of the interconversion process, the compound of Formula (I) in which Cy1 is substituted by HOCH2- group can be prepared by the reduction of corresponding compound of Formula (I) in which Cy1 is substituted by a H-C(=O)- group. The reduction can conveniently be carried out by means of reaction with sodium borohydride, in an inert solvent, such as THF, and at a temperature from about O0C to about room temperature.
As another example of the interconversion process, the compound of Formula (I) in which Cy1 is substituted by F2CH- group can be prepared by reaction of corresponding compound of Formula (I) in which Cy1 is substituted by a H-C(=O)- group with diethylaminosulfur trifluoride, in an inert solvent, such as DCM, and at reflux temperature.
As another example of the interconversion process, the compound of Formula (T) in which Cy1 is substituted by a R2-C(=N-OR3)- group, in which R2 and R3 are both H, can be prepared by reaction corresponding compound of Formula (I) in which Cy1 is substituted by a formyl group with hydroxylamine hydrochloride in the presence of a suitable base, such as pyridine, and at a temperature at about room temperature. The compound of Formula (I) in which Cy1 is substituted by a R2-C(=N-OR3)- group, in which R3 is H and R2 is alkyl can be similarly prepared from the compound of Formula (T) in which Cy1 is substituted by a alkyl-CO- group.
As another example of the interconversion process, the compound of Formula (T) in which Cy1 is substituted by a R7-NH-C(=O)-NH- group, in which R7 is as hereinbefore defined, can be prepared by reaction of the corresponding compound of Formula (T), in which Cy1 is substituted by an amino group, with an isocyanate of Formula R7N=C=O in an inert solvent, such as THF, and at a temperature at about room temperature.
As another example of the interconversion process, the compound of Formula (I) in which Cy1 is
substituted by ^ ' // can be prepared by reaction of the corresponding compound of Formula (T), in which Cy1 is substituted by H-C(=O)- with tosylmethylisocyanide in the presence of K2CO3, in an inert solvent, such as MeOH and at a temperature at about reflux temperature.
As another example of the interconversion process, the compound of Formula (I) in which Cy1 is
(I), in which Cy1 is substituted by CH3θ-C(=O)-CH2- with hydrazine, in an inert solvent, such as a mixture of MeOH and DCM, and at a temperature at about room temperature followed by treatment of the resulting hydrazide with 1 , 1 -carbonyldiimidazole in the presence of triethylamine, in an inert solvent, such as N-methyl pyrrolidine, and at room temperature.
As another example of the interconversion process, the compound of Formula (I) containing a
0V HN-» 0 VV- group can be prepared by reaction of the corresponding compound of Formula (I) containing a NC-CH2- group by (i) reaction with hydroxylamine hydrochloride in the presence of sodium methoxide, in an inert solvent, such as a mixture of MeOH and DCM, and at room temperature; (ii) reaction of the resulting N-hydroxy-acetamidine with 1 , 1 -carbonyldiimidazole in the presence of l,8-diazabicyclo[5,4,0]undec-7-ene, in an inert solvent, such as N-methyl pyrrolidine, and at room temperature.
As another example of the interconversion process, the compound of Formula (I), wherein Cy1 is
substituted by a RV N~-V ' - group, wherein Ra is alkyl, can be prepared by reaction of the corresponding compound of Formula (I), wherein Cy1 is substituted by carboxy group, with the compound of Formula Ra-C(=NH)-NHOH in the presence of TBTU followed by irradiation in a microwave oven at a temperature at about 14O0C.
As another example of the interconversion process, the compound of Formula (I), wherein Cy1 is
substituted by a group, wherein Ra is alkyl, can be prepared by reaction of the
corresponding compound of Formula (I), wherein Cy1 is substituted by H2N-C(=O)-, with the compound of Formula Ra-C(OCH3)2-N(CH3)2 at a temperature at about 1100C followed by reaction with hydrazine.
As another example of the interconversion process, the compound of Formula (I), wherein Cy1 is
substituted by a group, wherein Ra is alkyl, can be prepared by reaction of the
corresponding compound of Formula (I), wherein Cy1 is substituted by CH3-C(=O)-, with the compound of Formula Ra-C(OCH3)2-N(CH3)2 at a temperature at about 90°C followed by reaction with hydroxylamine.
As another example of the interconversion process, the compound of Formula (I) containing sulfoxide linkages can be prepared by the oxidation of corresponding compound containing -S- linkages. For example, the oxidation can conveniently be carried out by means of reaction with a peroxyacid, e.g. 3-chloroperbenzoic acid, Particular in an inert solvent, e.g. DCM, Particular at or near room temperature, or alternatively by means of potassium hydrogen peroxomonosulfate in a medium such as aqueous methanol, buffered to about pH5, at temperatures between about O0C and room temperature. This latter method is preferred for compounds containing an acid-labile group.
As another example of the interconversion process, the compound of Formula (I) containing sulfone linkages can be prepared by the oxidation of corresponding compound containing -S- or sulfoxide linkages. For example, the oxidation can conveniently be carried out by means of reaction with a peroxyacid, e.g. 3-chloroperbenzoic acid, Particular in an inert solvent, e.g. DCM, Particular at or near room temperature.
As another example of the interconversion process, the compound of Formula (I) in which there is a N- oxide group can be prepared by oxidation of the corresponding compounds containing a suitable tertiary nitrogen atom. For example, the oxidation can conveniently be carried out by means of reaction with a peroxyacid, e.g. 3-chloroperbenzoic acid, Particular in an inert solvent, e.g. DCM, Particular at or near room temperature.
As another example of the interconversion process, the compound of Formula (I) containing a cyano group can be prepared by reaction of the corresponding compound of Formula (I) containing a -C(=O)- NH2 group with phosphorus pentachloride in the presence of triethylamine. The reaction can conveniently be carried out in an inert solvent, such as THF, and at a temperature at about reflux temperature.
As another example of the interconversion process, the compound of Formula (I) containing a tetrazolyl group can be prepared by reaction of the corresponding compound of Formula (I) containing
a cyano group with azidotributyltin. The reaction can conveniently be carried out in an inert solvent, such as toluene, and at a temperature at about reflux temperature. Alternatively the reaction can be carried out using trimethylsilylazide and dibutyltinoxide in an inert solvent, such as toluene, and at a temperature at about 950C.
As another example of the interconversion process, the compound of Formula (I), in which Cy1 is substituted by hydroxy, can be prepared by reaction of the corresponding compound of Formula (T), in which Cy1 is substituted by methoxy, with a Lewis acid, such as boron tribromide, in an inert solvent, such as DCM and at a temperature from about O0C to about room temperature.
As another example of the interconversion process, the compound of Formula (I) in which Cy1 is substituted by -ORa (in which Ra is alkyl, which is optionally substituted by cycloalkyl, heterocyclyl, cycloalkenyl, heterocyclenyl, aryl, heteroaryl, or multicyclic alkaryl) can be prepared by alkylation the corresponding compound of Formula (I) in which Cy1 is substituted by hydroxy, with the compound of Formula (VII):
Ra-X3 (VlT)
wherein Ra is as just hereinbefore defined and X3 is a halogen, Particular bromo atom, or a tosyl group, using standard alkylation conditions. The alkylation can for example be carried out in the presence of a base, such as an alkali metal carbonate (e.g. K2CO3 or Cs2CO3), an alkali metal alkoxide (e.g. potassium tertiary butoxide) or alkali metal hydride (e.g. sodium hydride), in dimethylformamide, or dimethyl sulfoxide, at a temperature from about O0C to about 1000C.
As another example of the interconversion process, the compound of Formula (T) in which Cy1 is
(in which Ra is aryl, multicyclic alkaryl, cycloalkyl, heteroaryl, heterocyclyl; or alkyl,
which is optionally substituted by cycloalkyl, cycloalkenyl, heterocyclyl, heterocyclenyl, aryl, heteroaryl or multicyclic alkaryl) can be prepared by alkylation the corresponding compound of
Formula (T) in which Cy J : is~ with the compound of Formula (VII), wherein Ra is as just
hereinbefore defined and X3 is a halogen, Particular bromo atom, or a tosyl group, using standard alkylation conditions. The alkylation can for example be carried out in the presence of a base, such as an alkali metal carbonate (e.g. K2CO3 or Cs2CO3), an alkali metal alkoxide (e.g. potassium tertiary
butoxide) or alkali metal hydride (e.g. sodium hydride), in dimethylformamide, or dimethyl sulfoxide, at a temperature from about O0C to about 100°C.
As another example of the interconversion process, the compound of Formula (I) in which Cy1 is substituted by Y1 Y2N-CEk- can be prepared by reductive amination of the corresponding compounds of Formula (I), in which Cy1 is substituted by H-C(=O)-, with an amine of Formula Y1Y2NH in the presence of sodium triacetoxyborohydride and acetic acid, in an inert solvent, such as a mixture of MeOH and 1 ,2-dichloroethane and at a temperature at about room temperature. The reductive amination can also be carried out in the presence of sodium cyanoborohydride or lithium cyanoborohydride, in methanol, and at a temperature at about room temperature.
As another example of the interconversion process, the compound of Formula (I) in which Cy1 is substituted by H2N-CH2- can be prepared by reduction of the corresponding compound of Formula (I), in which Cy1 is substituted by H-C(=N-OH)-. The reduction can be carried out using zinc in the presence of acetic acid at room temperature.
As another example of the interconversion process, the compound of Formula (I) in which R1 is alkoxy can be prepared by reaction of the corresponding compound of Formula (I) in which R1 is methanesulfonyl with the appropriate alcohol in the presence of sodium hydride. The reaction can conveniently be carried out in an inert solvent, such as dimethylformamide, and at a temperature form about O0C to about 20°C.
As another example of the interconversion process, the compound of Formula (I) in which R1 is alkyl can be prepared by reaction of the corresponding compound of Formula (I) in which R1 is methanesulfonyl with the appropriate alkyl magnesium bromide. The reaction can conveniently be carried out in an inert solvent, such as THF, and at a temperature form about -5O0C to about 2O0C.
As another example of the interconversion process, the compound of Formula (I) in which R1 is dialkylamino can be prepared by reaction of the corresponding compound of Formula (I) in which R1 is methanesulfonyl with the appropriate dialkylamino. The reaction can conveniently be carried out in a microwave oven at a temperature at about 150°C, in inert solvent, such as methanol.
It will be appreciated that the compound of the present invention may contain asymmetric centers. These asymmetric centers may independently be in either the R or S configuration. It will be apparent to those skilled in the art that certain compounds of the invention may also exhibit geometrical isomerism. It is to be understood that the present invention includes individual geometrical isomers
and stereoisomers and mixtures thereof, including racemic mixtures, of the compound of Formula (I) hereinabove. Such isomers can be separated from their mixtures, by the application or adaptation of known methods, for example chromatographic techniques and recrystallization techniques, or they are separately prepared from the appropriate isomers of their intermediates.
Intermediates of Formula (II), wherein Cy1 is as hereinbefore defined, R! is alkylthio and X1 is a chlorine atom, can be prepared by reaction of a dichloropyrimidine of Formula (IX), wherein R is (Cr C4)-alkyl, with a boronic acid of Formula (VI), wherein Cy1 is as hereinbefore defined, in the presence of a complex metal catalyst such as tetrakis(triphenylphosphine)palladium (0) and Cs2CC>3, using conditions described hereinbefore.
The intermediate of Formula (II), wherein Cy1 is as hereinbefore defined, R1 is (CrC4)-alkoxy and X1 is a chlorine atom, can be prepared from the corresponding intermediate of Formula (H) in which R1 is (Ci-C4)-alkylthio by (i) treatment of with meta-chloroperoxybenzoic acid in an inert solvent, such as DCM, and at a temperature at about room temperature, and (ii) reaction with an alkali metal alkoxide, such as a sodium alkoxide, in an inert solvent, such as ethylene glycol dimethyl ether.
The intermediate of Formula (V), wherein L1 and Cy2 are as hereinbefore defined, R1 is (C1-C4)- alkoxy and X2 is a chlorine atom, can be similarly prepared from the corresponding intermediate of Formula (V) in which R1 is (CrC4)-alkylthio.
The intermediates of Formula (V), wherein L1 and Cy2 are as hereinbefore defined, and R1 is (Ci-C4)- alkylthio or (Ci-C4)-alkoxy, can be prepared by reaction of a dichloropyrimidine of Formula (X), wherein R is alkyl, with an amine of Formula (IV), wherein L1 and Cy2 are as hereinbefore defined, in the presence of a suitable base, such as sodium bicarbonate, in an inert solvent, such as ethanol, and at a temperature up to reflux temperature.
A subgenus of the intermediate of Formula (FV) in which Cy2 is as hereinbefore defined and L1 is ethylene, i.e. the intermediate of Formula (IV')can be prepared by (i) reaction of aryl- or heteroaryl aldehyde of Formula (XT), in which Cy2 is as defined hereinbefore, with ammonium acetate in glacial acetic acid at a temperature at about HO0C and (ii) reduction of the resulting 2-nitro-vinyl derivatives of Formula (XII) with lithium aluminum hydride, in an inert solvent, such as ether, and at a temperature at about 4O0C.
(XI) (XH) (IV)
The intermediate of Formula (IV) in which Cy2 is as hereinbefore defined and L1 is ethylene can also be prepared by reduction of an acetonitrile of Formula (XUI) using Raney nickel and ammonia. The reduction is conveniently carried out in water, at a temperature at about 5O0C in a Parr shaker at 50 PSI.
NCv^^Cy2
H2N'
(xm) (IV)
According to a further feature of the invention, acid addition salts of the compound of this invention can be prepared by reaction of the free base with the appropriate acid, by the application or adaptation of known methods. For example, the acid addition salts of the compound of this invention can be prepared either by dissolving the free base in water or aqueous alcohol solution or other suitable solvents containing the appropriate acid and isolating the salt by evaporating the solution, or by reacting the free base and acid in an organic solvent, in which case the salt separates directly or can be obtained by concentration of the solution.
For example, a choline salt of a compound of Formula (I), particulary of species described herein, can be prepared by the following method:
To a solution of a compound of Formula (I) (0.283 mmol) in MeOH (10 mL) is added 50% (w/w) aqueous choline solution (67 μL) and the mixture is stirred at room temperature for a few minutes. The mixture is concentrated in vacuo. The residue is dissolved in acetonitrile (2 mL). If necessary, the solution is filtered to remove any insoluble solid. The filtrate is concentrated in vacuo until crystals start to appear. EtOAc (~ 2 mL) is added and the mixture is warmed to 50 - 6O0C and then cooled down to room temperature. The crystals are filtered, washed with EtOAc and dried under vacuum at room temperature to afford the desired choline salt of the compound.
For example, a phosphoric acid salt of a compound of Formula (I), particulary of species described herein, can be prepared by the following method:
Phosphoric acid (3.21 mL, 1.49 N aqueous solution) is added to a solution of a compound of Formula (I) (4.56 mmol) in THF (45 mL). The mixture can become cloudy and is stirred for 10 minutes. If necessary, water is added drop-wise in intervals until the mixture is turned into clear solution. The mixture is continued for 1.5 hours at room temperature. The mixture is concentrated in vacuo, and the residue is recrystalized from acetone to afford the desired phosphoric acid salt of the compound.
For example, a sulfuric salt of a compound of Formula (I), particulary of species described herein, can be prepared by the following method:
A compound of Formula (I) (0.122 mmol) is dissolved in acetone (2 mL) with heat. Standard 1 N H2SO4 (1252 μL) is added to the solution. The mixture is heated with stirring and water is added dropwise to just give a clear solution while hot. The solution is allowed to cool to room temperature and the solvent is evaporated under a stream of nitrogen gas. The residue is dried in vacuo overnight at room temperature to afford the desired sulfuric acid salt of the compound.
The acid addition salts of the compound of this invention can be regenerated from the salts by the application or adaptation of known methods. For example, parent compound of the invention can be regenerated from their acid addition salts by treatment with an alkali, e.g. aqueous sodium bicarbonate solution or aqueous ammonia solution.
Compounds of Formula (I) can be regenerated from their base addition salts by the application or adaptation of known methods. For example, parent compounds of the invention can be regenerated from their base addition salts by treatment with an acid, e.g. hydrochloric acid.
Compounds of Formula (I) can be conveniently prepared, or formed during the process of the invention, as solvates (e.g. hydrates). Hydrates of compounds of Formula (I) can be conveniently prepared by recrystallization from an aqueous/organic solvent mixture, using organic solvents such as dioxane, THF or methanol.
Furthermore, base addition salts of the compounds of Formula (I) can be prepared by reaction of the free acid with the appropriate base, by the application or adaptation of known methods. For example, the base addition salts of the compounds of Formula (I) can be prepared either by dissolving the free acid in water or aqueous alcohol solution or other suitable solvents containing the appropriate base and isolating the salt by evaporating the solution, or by reacting the free acid and base in an organic solvent, in which case the salt separates directly or can be obtained by concentration of the solution.
The starting materials and intermediates can be prepared by the application or adaptation of known methods, for example methods as described in the Reference Examples or their obvious chemical equivalents.
The present invention is further exemplified, but not limited by, the following illustrative Examples and Intermediates.
High Pressure Liquid Chromatography - Mass Spectrometry (LCMS) experiments to determine retention times (Rx) and associated mass ions are performed using one of the following methods.
Method A: Experiments are performed on a Micromass Platform LC spectrometer with positive and negative ion electrospray and ELS/Diode array detection using a Phenomenex Luna Cl 8(2) 30 x 4.6 mm column and a 2 mL / minute flow rate. The solvent system is 95% solvent A and 5% solvent B for the first 0.5 minutes followed by a gradient up to 5% solvent A and 95% solvent B over the next 4 minutes. The final solvent system is held constant for a further 0.5 minutes.
400MHz 1H nuclear magnetic resonance spectra (NMR) are recorded at ambient temperature using a Varian Unity Inova (400MHz) spectrometer with a triple resonance 5mm probe. In the NMR chemical shifts (δ) are expressed ppm relative to tetramethylsilane. Chemical shifts values are indicated in parts per million (ppm) with reference to tetramethylsilane (TMS) as the internal standard.
Method A is applied to Examples 8(a)-(g), 9(a)-(b), 10(a)-(m), 11 (a), 12, 13(a), 14(a)-(c), 26(d)-(f), 35(l)-(m), 61 and 62 to provide corresponding analytical data.
MethodB: Mass Spectra (MS) are recorded using a Micromass LCT mass spectrometer. The method is positive electrospray ionization, scanning mass m/z from 100 to 1000. Liquid chromatography is performed on a Hewlett Packard 1100 Series Binary Pump & Degasser; stationary phase: phenomenex Synergi 2μ Hydro-RP 20 X 4.0mm column, mobile phase: A = 0.1% formic acid (FA) in water, B = 0.1% FA in acetonitrile. Injection volume of 5μL by CTC Analytical PAL System. Flow is 1 mL/minute. Gradient is 10% B to 90% B in 3 minutes and 90% B to 100% B in 2 minutes. Auxiliary detectors are: Hewlett Packard 1100 Series UV detector, wavelength = 220 nm and Sedere SEDEX 75 Evaporative Light Scattering (ELS) detector temperature = 46°C, Nitrogen pressure = 4bar.
300MHz 1H nuclear magnetic resonance spectra (NMR) are recorded at ambient temperature using a Varian Mercury (300 MHz) spectrometer with an ASW 5 mm probe. In the NMR chemical shifts (δ) are expressed ppm relative to tetramethylsilane. Chemical shifts values are indicated in parts per million (ppm) with reference to tetramethylsilane (TMS) as the internal standard.
Method B is applied to the rest of Examples to provide corresponding analytical data.
As used in the examples and preparations that follow, the terms used therein shall have the meanings indicated: "kg" refers to kilograms, "g" refers to grams, "mg" refers to milligrams, "μg" refers to micrograms, "mol" refers to moles, "mmol" refers to millimoles, "M" refers to molar, "mM" refers to millimolar, "μM" refers to micromolar, "nM" refers to nanomolar, "L" refers to liters, "mL" or "ml" refers to milliliters, "μL" refers to microliters, "0C" refers to degrees Celsius, "mp" or "m.p." refers to melting point, "bp" or "b.p." refers to boiling point, "mm of Hg" refers to pressure in millimeters of mercury, "cm" refers to centimeters, "nm" refers to nanometers, "abs." refers to absolute, "cone." refers to concentrated, "c" refers to concentration in g/mL, "it" refers to room temperature, "TLC" refers to thin layer chromatography, "HPLC" refers to high performance liquid chromatography, "i.p." refers to intraperitoneally, "i.v." refers to intravenously, "s" = singlet, "d" = doublet; "t" = triplet; "q" = quartet; "m" = multiplet, "dd" = doublet of doublets; "br" = broad, "LC" = liquid chromatograph, "MS" = mass spectrograph, "ESI/MS" = electrospray ionization/mass spectrograph, "Rτ" = retention time, "M" = molecular ion, "PSI" = pounds per square inch, "DMSO" = Dimethyl sulfoxide, "DMF" = Dimethylformamide, "CDI" = 1 , 1 '-carbonyldiimidazole, "DCM" = dichloromethane, "HCl" = hydrochloric acid, "TBTU = O-(benzotriazol-l-yl)-N,N,N',N'-tetramethyluronium tetrafluoroborate", "PS-TBD" = l,5,7-triazabicyclo[4.4.0]dec-5-ene polystyrene, "PS-BEMP" = 2- tert-butylimino-2-diethylamino-l ,3-dimethyl-perhydro-l ,3,2-diazaphosphorine polystyrene; "MP- carbonate" = Macroporous triethylammonium methylpolystyrene carbonate, "SPA" = Scintillation Proximity Assay, "ATTC" = American Type Culture Collection, "FBS" = Foetal Bovine Serum, "MEM" = Minimal Essential Medium, "CPM" = Counts Per Minute, "EtOAc" = ethyl acetate, "THF" = tetrahydrofuran,"MeOH" = methanol, "EtOH" = ethanol, "PBS"= Phosphate Buffered Saline,
"TMD" = transmembrane domain, "IBMX" = 3 -isobutyl- 1 -methylxanthine, "c AMP" = cyclic adenosine monophosphate, "pddf = l,r-Bis(diphenylphosphino)ferrocene-palladium(II)dichloride DCM complex. "bis-(pinacolato)-diboron" = 4,4,5,5,4',4',5',5'-Octamethyl- [2,2']bi[[l,3,2]dioxaborolanyl].
EXAMPLES Example 1 3-{6-r2-(3-fluoro-4-methoxy-phenvπ-ethylaminol-2-methoxy-pyrimidin-4-yll-benzonitrile
Example 1 (6)
Step 1. A solution of 3-fluoro-4-methoxybenzaldehyde [5.05 g, Intermediate (I)], nitromethane (5.3 mL) and ammonium acetate (6.3 g) in glacial acetic acid (60 niL) is heated at 110°C for 16 hours, allowed to cool and poured into water (300 mL). The aqueous solution is extracted twice with EtOAc (200 mL). The combined extracts are washed with sodium bicarbonate solution (10%), with water, dried over sodium sulfate and evaporated affording 2-fluoro-l-methoxy-4-(2-nitro-vinyl)benzene [4.2 g, Intermediate (2)]. MS: 198 (M+H); 1H NMR (CDCl3): δ 7.9 (IH, d, J=IO Hz); 7.5 (IH5 d, 10Hz); 7.3 (2H, m); 6.95-7.15 (IH, m); 4 (3H, s).
Step 2. A solution of 2-fluoro-l-methoxy-4-(2-nitro-vinyl)benzene (1.5 g, Intermediate (2)] in THF (50 mL) is treated dropwise with a solution of lithium aluminum hydride in ether (23 mL, IM). The mixture is heated at 4O0C for 3 hours, cooled to room temperature, diluted with ether and quenched with Na2SO4 1IO H2O (104 g). After standing at room temperature overnight the reaction mixture is filtered and the filtrate is evaporated. The residue is subjected to chromatography on silica gel eluting
with EtOAc to give 2-(3-fluoro-4-methoxy-phenyl)-ethyIamine [0.81 g, Intermediate (3)] as an oil. MS: 170 (M+H); 1H NMR (CDCl3): 6.9-7 (3H, m); 3.85 (3H, s); 2.95 (2H, t); 2.7 (2H, t).
Step 3. A solution of 4,6-dichloro-2-methoxypyrimidine [0.7 g, Intermediate (4)], 2-(3-fluoro-4- methoxy-phenyl)-ethylamine [0.66 g, Intermediate (3)] and sodium bicarbonate (0.88 g) in EtOH (25 mL) is heated at 8O0C for three hours and poured into water (400 mL). The resulting solid is filtered and air dried affording (6-cMoro-2-methoxy-pyrimidin-4-yl)-f2-(3-fluoro-4-methoxyphenyl)- ethyliamine [1.1 g, Intermediate (5)]. MS: 312 (M+H); 1H NMR (CDCl3): δ 6.9-7 (3H, m); 6.05 (IH, s); 3.95 (3H1 s); 3.85 (3H, s); 3.6-3.7 (2H, m); 2.95 (2H, t).
Step 4. (6-cUoro-2-methoxy-pyrimidin-4-yl)-[2-(3-fluoro-4-methoxyphenyl)-ethyl]amine [1.6 g, Intermediate (5)], 3-cyano-phenylboronic acid [1.5 g, Intermediate (6)], Cs2CO3 (8.3 g) and tetrakis(triphenylphosphine) palladium (45 mg) in a solution of water (8 mL) and ethylene glycol dimethyl ether (32 mL) is heated at 9O0C for 16 hours. The solution is poured into water and extracted twice with EtOAc (200 mL). The combined extracts are dried over sodium sulfate, filtered, and evaporated. The residue is subjected to chromatography on silica gel eluting with EtOAc to give 3-{6- r2-(3-fluoro-4-methoxy-phenyl)-ethylamino1-2-methoxy-pyrimidin-4-yl}-benzonitrile [1.1 g, Example I]. MS: 379 (M+H); 1H NMR (CDCl3): δ 8.3 (lH,s); 8.2 (IH, d (J= 5.1 Hz)); 7.9 (IH, d (J= 5.1 Hz)); 7.6 (IH, t); 7-7.2 (4H, m); 6.4 (IH, s); 5 (IH, m); 3.95 (3H, s); 3.8 (3H, s); 3.7 (2H, t); 3 (2H, t).
Example 2 r6-(3-Amino-phenyl)-2-methoxy-pyrimidin-4-vn-[2-(4-methoxy-phenyl)-ethvnamine
Step 1. Following procedures similar to those of Example 1, step 3, but using 4,6-dichloro-2- methoxypyrimidine [3.1 g, Intermediate (4)], 2-(4-methoxy-phenyl)-ethylamine [0.66 g, Intermediate (7)] and sodium bicarbonate (0.88 g) there is prepared (6-chloro-2-methoxy-pyrimidin-4-yl)-[2-(4- methoxyVphenvn-amine [5 g, Intermediate (8)]. MS: 294 (M+H); 1H NMR (CDCl3): δ 7.1 (2H, d, J=7); 6.8 (2H, d, J=7); 6 (IH, s); 3.95 (3H, s); 3.8 (3H, s); 3.5-3.6 (2H, m); 2.8 (2H, t).
Step 2. Following procedures similar to those of Example 1, step 4, but using (6-chloro-2-methoxy- pyrimidin-4-yl)-[2-(4-methoxyphenyl)-ethyl]amine [0.26 g, Intermediate (8)], 3-amino-phenylboronic acid [0.27 g, Intermediate (9)], Cs2CO3 (1.43 g), and tetrakis(triphenylphosphine) palladium (0) (6 mg) and carrying out the reaction at 9O0C for 16 hours there is prepared [6-f3-amino-phenyl)-2- methoxy-pyrimidin-4-yll-["2-f4-methoxy-phenyl)-ethyl1amine [0.22 g, Example 2]. MS: 351 (M+H), 1H NMR (CDCl3): δ 7.2 (IH, s); 7-7.1 (4H, m); 6.8 (2H, d, J=7.0); 6 (IH, s); 3.95 (3H, s); 3.75 (3H, s); 3.5-3.6 (2H, m); 2.8 (2H, t).
Example 3 3-{2-Methoxy-6-r2-(4-methoxy-phenyl')-ethylamino1-pyrimidin-4-yl)-benzenesulfonamide
Example 2 (10) Example 3
Step 1. [6-(3-Amino-phenyl)-2-methoxy-pyrimidin-4-yl]-[2-(4-methoxy-phenyl)-ethyl]arnine [1.46 g, Example 2] in dimethylformamide (4 mL) is added to concentrated hydrochloric acid and crushed ice (8 mL), The mixture is cooled to O0C , treated with dropwise sodium nitrite (0.32 g) in water (3 mL). After stirring at O0C for 15 minutes this mixture is treated with a solution of copper chloride (0.36 g) in a saturated solution of sulfur dioxide in acetic acid (15 mL) previously cooled to O0C. The reaction mixture is allowed to reach room temperature over 30 minutes and poured into water. The resulting precipitate is filtered and air dried affording 3-{2-methoxy-6-[2-r4-methoxy-phenyl)-ethylamino]- pyrimidin-4-yl 1 -benzenesulfonylchloride [0.4 g, Intermediate (10)]. 1H NMR [(CD3J2SO]: δ 8 (IH, s); 7.7-7.8 (IH, m); 7.5 (IH, m); 7.2 (IH, s); 7.1 (2H, d, J=7.0); 6.8 (2H1 d, J=7.0); 6.6 (IH, s); 4 (3H, s); 3.85 (3H, s); 3.7-3.8 (2H, m); 2.8 (2H, t).
Step 2. A mixture of 3-{2-methoxy-6-[2-(4-methoxy-phenyl)-ethylamino]-pyrimidin-4-yl}- benzenesulfonylchloride [0.2 g, Intermediate (10)] and triethylamine (0.3 mL) in dimethylformamide (5 mL) is cooled to O0C and treated with a solution of ammonia in 1,4-dioxane (5 mL, 0.5M). The solution is allowed to reach room temperature overnight and poured into water (100 mL). The mixture is extracted twice with EtOAc (100 mL). The combined extracts are washed with water, dried over sodium sulfate, filtered, and evaporated. The residue is subjected to chromatography on silica gel eluting with EtOAc to give 3-{2-methoxy-6-r2-(4-methoxy-phenyl)-ethylaminol-pyrimidin-4-yl|-
benzenesulfonamide [140 mg, Example 3]. MS: 415 (M+H), 1H NMR [(CD3)2SO]: δ 8.4 (IH, s); 8.2 (IH, m); 7.9 (IH, d, J=3 Hz); 7.7 (IH, m); 7.4 (2H, m); 7.1 (2H, d, J=7 Hz); 6.8 (2H,d, J=7 Hz); 6.6 (IH, s); 3.9 (3H, s); 3.7 (3H, s); 3.5-3.6 (2H, m); 2.8 (2H, t). IC50 = 2.9 nM
Example 4
(a) 3-{2-Methoxy-6-["2-('4-methoxy-phenyl)-ethylaminQ]-pyrimidin-4-yl|-N-methyl- benzenesulfonamide
A mixture of 3-{2-methoxy-6-[2-(4-methoxy-phenyl)-ethylamino]-pyrimidin-4-yl}- benzenesulfonylchloride [0.05 g, Intermediate (10)] and triethylamine (0.064 mL) in dimethylformamide (5 mL) is cooled to O0C and the treated with a solution of methylamine in THF (5 mL, 2M). The mixture is allowed to reach room temperature overnight, poured into water (100 mL). This mixture is extracted twice with EtOAc (100 mL). The combined extracts are washed with water, dried over sodium sulfate, filtered and evaporated. The residue is subjected to chromatography on silica gel eluting with EtOAc to give 3-{2-methoxy-6-[2-("4-methoxy-phenyl)-ethylamino]-pyrimidin- 4-yl) -N-methyl-benzenesulfonamide [21.5 mg, Example 4(a)]. MS: 429 (M+H), 1H NMR [(CD3)2SO]: δ 8.4 (IH, s); 8.2 (IH, m); 7.85(1H, d, J=3 Hz); 7.75-7.8 (IH, m); 7.5-7.6 (2H, m); 7.2 (2H, d, J=7 Hz); 6.95 (2H, d, J=7 Hz); 6.6 (IH, s); 3.9 (3H, s); 3.7 (3H, s); 3.5-3.6 (2H, m); 2.8 (2H, t); 2.45 (3H1 d, J=2 Hz).
(b) N-Ethyl-3 - (2-methoxy-6-[2-f 4-methoxy-phenyl)-ethylammo] -pyrimidin-4-yl } - benzenesulfonamide
A mixture of 3- {2-methoxy-6-[2-(4-methoxy-phenyl)-ethylamino]-pyrimidin-4-yl} - benzenesulfonylchloride [0.065 g, Intermediate (10)] and triethylamine (0.25 mL) in dimethylformamide (3 mL) is cooled to O0C and the treated with a solution of ethylamine in MeOH (3 mL, 2 M). The mixture is allowed to reach room temperature overnight and poured into water (100 mL). This mixture is extracted twice with EtOAc (100 mL). The combined extracts are washed with water, dried over sodium sulfate, filtered and evaporated. The residue is subjected to chromatography on silica gel eluting with EtOAc to give N-ethyl-3-|2-memoxy-6-[2-(4-methoxy-phenylVethylamino]- pyrimidin-4-yli -benzenesulfonamide [20 mg, Example 4(b)]. MS: 443 (M+H), 1H NMR [(CD3J2SO]: δ 8.4 (IH, s); 8.2 (IH, m); 7.85(1H, d, J=3 Hz); 7.75-7.8 (IH, m); 7.5-7.6 (2H, m); 7.2 (2H, d , J=7 Hz); 6.95 (2H,d, J=7 Hz); 6.6 (IH, s); 3.9 (3H, s); 3.7 (3H, s); 3.5-3.6 (2H, m); 2.8 (4H, m); 1 (3H, t). IC50 = 6.6 nM
(c) N-methoxycarbonyl-3-(2-methoxy-6-[2-(4-methoxy-phenyl)-ethylamino]-pyrimidin-4-yl}- benzenesulfonamide
A solution of 3- {2-methoxy-6-[2-(4-methoxy-phenyl)-ethylamino]-pyrimidin-4-yl} - benzenesulfonamide [100 mg, Example 3] in THF (10 mL) is treated with sodium hydride (20 mg). The mixture is stirred at O0C for 60 minutes, treated with methyl chloroformate (1 mL) and stirring is continued O0C for a further 60 minutes. The reaction mixture is poured into water and extracted twice with EtOAc (50 mL). The combined extracts are washed with water, dried over sodium sulfate, filtered, and evaporated. The residue is subjected to chromatography on silica gel eluting with EtOAc in heptanes (1 :1, v/v) to give N-methoxycarbonyl-3-{2-methoxy-6-[2-(4-methoxy-phenyl)- ethylamino]-pyrimidin-4-yll -benzenesulfonamide [41 mg, Example 4(c)] as a solid. MS: 473 (M+H), 1H NMR [(CDa)2SO]: δ 12.2 (IH, s); 8.4 (IH, s); 8.15 (IH, m); 8 (IH, d, J=3 Hz); 7.65-7.8 (IH, m); 7.2 (2H, d, J=7 Hz); 6.9 (2H,d, J=7 Hz); 6.7 (IH, s); 3.9 (3H, s); 3.7 (3H, s); 3.5-3.6 (2H, m); 3.6 (3H, s); 2.8 (2H, t).
Example 5
Example 5
Step 1.
Method A. A solution of (4-trifluoromethoxy-phenyl)-acetonitrile [5.05 g, Intermediate (11)] in MeOH (75 mL) is saturated with ammonia gas, and treated with Raney nickel in water (2 mL, 50%). The suspension is placed on Parr shaker at 50 PSI and 50° C for 3 hours, and filtered through celite. The filtrate is evaporated and the residual oil is portioned between water and ethyl acetate. The organic phase is dried over sodium sulfate, filtered and evaporated. The residue is dissolved in MeOH and the solution treated with concentrated hydrochloric acid (1 mL) is added. The solution is evaporated in vacuo to a solid which is triturated with ether and air dried to give 2-(4- trifluoromethoxy-phenvD-ethylamine hydrochloride [5.15 g, Intermediate (12)]. MS: 206 (M+H), 1H NMR (CDCl3): δ 8.2 (2H, m); 7.4 (2H, d, J= 5 Hz); 7.3 (2H, d, J= 5 Hz); 3-3.1 (2H, m); 2.9-3 (2H, m).
Method B. A solution of 4- trifluoromethoxy benzaldehyde (I g, 5.26 mmol) and nitromethane (0.96 g, 15.8 mmol) in acetic acid (10.6 mL) is treated with ammonium acetate (1.01 g, 13.2 mmol) is heated under microwave to 150 0C for 15 minutes. The reaction mixture is diluted with water, and extracted three times with DCM (50 mL). The combined extracts are washed sequentially with 2 N sodium hydroxide, water, and brine, dried over sodium sulfate and concentrated. The residue is subjected to silica gel chromatography to yield 4-trifluoromethoxy-(2-nitro-vinyl)-benzene (1.23 g) as a solid. A portion of 4-trifluoromethoxy-(2-nitro-vinyl)-benzene (0.504 g, 2.16 mmol) is hydrogenated with hydrogen in a balloon, 10% PaVC (115 mg, 5 mol%) in MeOH (22 mL) containing concentrated hydrochloric acid (0.27 mL) at room temperature for 15 hours. The mixture is filtered and filtrate is
concentrated to a solid that is washed with diethyl ether to obtain 2-(4-trifluoromethoxy-phenyl)- ethylamine hydrochloride [0.3 g, 57%, Intermediate (12)] as a solid. LC/MS: MS: 206 (M+H).
Step 2. Following procedures similar to those of Example 1, step 3, but using 4,6-dichloro-2- methoxypyrimidine [0.39 g, Intermediate (4)], 2-(4-trifluoromethoxy-phenyl)-ethylamine hydrochloride [0.38 g, Intermediate (12)] and sodium bicarbonate (0.74 g) there is prepared (6-chloro- 2-methoxy-pyrimidm-4-yl)-[2-(4-trifluoromethoxy-phenyl)-ethyl]-amine [0.61 g, Intermediate (13)]. MS: 360 (M+H), 1H NMR (CDCl3): δ 7.4 (2H, d, J=7 Hz); 7.3 (2H, d, J=7 Hz); 6.2 (IH, s); 3.8 (3H, s); 3.5-3.6 (2H, m); 2.8 (2H, t).
Step 3. Following procedures similar to those of Example 1, step 4, but using (6-chloro-2-methoxy- pyrimidin-4-yl)-[2(4-trifluoromethoxyphenyl)-ethyl]amine [3.26 g, Intermediate (13)], 3-amino- phenylboronic acid [2.9 g, Intermediate (9)], Cs2CO3 (12.43 g) and tetrakis(triphenylphosphine) palladium (21 mg) in a solution of water (20 mL) and ethylene glycol dimethyl ether (80 mL) there is prepared [6-(3-amino-phenyl)-2-methoxy-pyrimidin-4-yl]-[2-(4-trifluoromethoxy-phenyl)-ethyl]- amine [3.5 g, Example 5]. MS: 405 (M+H), 1H NMR [(CD3)2SO]: δ 9.6 (2H, m); 8.2 (IH, s); 7.8 (IH1 In); 7.6-7.7 (3H, m); 7.3-7.4 (3H, m); 7.2 (2H1 d, J=3Hz) 6.8 (IH, s); 4 (3H, s); 3.7-3.7 (2H, m); 2.9 (2H, t). IC50 = 9.6 nM
Example 6
(a) N-(3-{2-Methoxy-6-r2-(4-trifluoromethoxy-phenyl)-ethylamino1-pyrimidin-4-yl}-phenyl)- acetamide
Example 5 Example 6(a)
A solution of 6-(3-amino-phenyl)-2-methoxy-pyrimidin-4-yl]-[2-(4-trifluoromethoxy-phenyl)-ethyl]- amine [850 mg, Example 5] and triethylamine (0.32 mL) in DCM (10 mL) at O0C is treated with acetyl chloride (0.17 mL). After stirring at O0C for 1 hour the reaction mixture is poured into water and extracted twice with EtOAc (50 mL). The combined extracts are washed with water, dried over sodium sulfate, filtered, and evaporated. The residue is subjected to chromatography on silica gel eluting with EtOAc in heptanes (1 :1, v/v) to give N-(3-(2-methoxy-6-[2-(4-trifluoromethoxy-phenyl)-
ethylamino1-pyrimidin-4-yl}-phenyl)-acetamide [550 mg, Example 6(a)] as a solid. MS: 447 (M+H), 1H NMR [(CDa)2SO]: δ 10.4 (IH, s); 9.6 (IH, m); 8.2 (IH, s); 7.8 (IH1 m); 7.7-7.8 (3H, m); 7.4-7.5 (3H, m); 7.2 (2H5 d, J=3Hz) 6.6 (IH, s); 4.05 (3H, s); 3.7-3.8 (2H, m); 3 (2H, t); 2.05 (3H1 s). IC50
= 4.8 nM
(b) N-(3-|2-Methoxy-6-[2-(4-methoxy-phenyl)-ethylamino]-pyrimidin-4-yl}-phenvπ-acetamide
Example 2 Example 6(b)
To a solution of [6-(3-amino-phenyl)-2-methoxy-pyrimidin-4-yl]-[2-(4-methoxy-phenyl)-ethyl]-amine acetate [156 mg, 0.38 mmol, Example 2] in pyridine (1.3 mL) is added acetyl chloride (32 μL, 0.45 mmol). The reaction mixture is stirred for 3 hours at ambient temperature, quenched with the addition of water (20 mL), and extracted three times with EtOAc (20 mL). The combined extracts are washed four times with aqueous copper sulfate solution (10 mL), with water (10 mL), with brine (10 mL), dried over magnesium sulfate, filtered and concentrated by rotary evaporator. The resulting solid is subjected to flash column chromatography on silica gel (4.5 g) eluting with 3% MeOH in DCM to afford N-(3 - {2-methoxy-6- [2-(4-methoxy-phenyl)-ethylamino] -pyrimidin-4-yl I -phenyD-acetamide [51 mg, 34%, Example 6(b)]. LCMS: Rτ = 2.3 minutes, MS: 393 (M+H).
(c) (3-{2-Methoxy-6-[2-(4-methoxy-phenyl)-ethylaniino]-pyrimidin-4-yl}-phenyl)-carbamic acid ethyl ester
Example 2 Example 6(c)
By proceeding in a similar manner to Example 6(b) but using [6-(3-amino-phenyl)-2-methoxy- pyrimidin-4-yl]-[2-(4-methoxy-phenyl)-ethyl]-amine [169 mg, Example 2] and ethyl chloroformate
(47 μL), and subjected the reaction product to flash column chromatography on silica gel (10 g) eluting with 20 to 40% EtOAc in heptane) there is prepared (3-|2-methoxy-6-[2-(4-methoxy-phenyl)- ethylamino]-pyrimidin-4-yl}-phenyl)-carbamic acid ethyl ester [40.1 mg, 23%, Example 6(c)]. LCMS: RT = 2.84 minutes, MS: 423 (M+H).
Example 7
3- (6-[2-(2,4-Difluoro-phenyl)-ethylamino1-2-methoxy-pyrirnidin-4-yl) -benzoic acid
Example 7
Step 1. Following procedures similar to those of Example 5, step 1, but using (2,4-difluorophenyl)- acetonitrile [5.05 g, Intermediate (17)] there is prepared 2-(2,4-difiuorophenyl)-ethylamine hydrochloride [4.8 g, Intermediate (18)]. MS: 158 (M+H), 1H NMR [(CD3)2SO]: δ 8.8 (IH, m); 7.3 (IH, s); 7.3 (IH5 1); 6.9 (IH, t); 3.5-3.6 (2H, m); 2.8 (2H, t),
Step 2. Following procedures similar to those of Example 1 , step 3, but using 4,6-dichloro-2- methoxypyrimidine [1.03 g, Intermediate (4)], 2-(2,4-difluorophenyl)-ethylamine hydrochloride [1.4 g, Intermediate (18)] and sodium bicarbonate (2.44 g) there is prepared (6-chloro-2-methoxy-pyrimidin- 4-ylH2-(2,4-difluoro-phenyl>ethvH-amine [1.4 g, Intermediate (19)]. MS: 300 (M+H), 1H NMR [(CDa)2SO]: δ 8.8 (IH1 m); 7.3-7.4 (IH, m); 7.3 (IH, t); 6.9 (IH, t); 6.2 (IH, s); 3.8 (3H, s); 3.5-3.6 (2H, m); 2.8 (2H, t).
Step 3. Following procedures similar to those of Example 1, step 3, but using (6-chloro-2-methoxy- pyrimidin-4-yl)-[2(4-trifluoromethoxyphenyl)-ethyl]amine [220 mg, Intermediate (19)], 3-carboxyphenylboronic acid [240 mg, Intermediate (20)], CS2CO3 (1.2 g) and tetrakis(triphenylphosphine) palladium(O) (0.4 mg) there is prepared 3-{6-[2-(2,4-difluoro-phenyD- ethylamino]-2-methoxy-pyrimidin-4-yU -benzoic acid [93 mg, Example 7]. MS: 386 (M+H), 1H NMR [(CD3)2SO]: δ 8.45 (2H, m); 8-8.1 (3H, m); 7.6 (IH, d, J=3 Hz); 6.2 (IH, s); 4 (3H, s); 3.5-3.6 (2H, m); 2.9 (2H, t). IC50 = 0.8 nM
Example 8 (a) 5-{2-Methoxy-6-[2-(4-methoxy-phenyl)-ethylamino]-pyrimidin-4-yl)-thiophene-2-carboxylic acid trifluoroacetate
(8) (21) Example 8(a)
A mixture of (6-chloro-2-methoxy-pyrimidin-4-yl)-[2-(4-methoxy-phenyl)-ethyl]-amine [250 mg, 0.85 mmol, Intermediate (8) prepared as described in Example 2 step 1], 5-(dihydroxylboryl)-2- thiophenecarboxylic acid [200 mg, 1.16 mmol, Intermediate (21)], Cs2CO3 (760 mg, 1.87 mmol) l,r-bis(diphenylphosphino)feπOcene-palladium(π)dichloride DCM complex (54 mg, 0.066 mmol) in acetonitrile (4 mL) and water (4 mL) is degassed with vacuum/nitrogen several times and stirred at 90°C for 4.5 hours. The reaction mixture is partitioned between EtOAc and water, separated the organic phase and dried over magnesium sulfate. The mixture is filtered and concentrated to provide a solid, which is subjected to flash column chromatography on silica gel eluting with a mixture of EtOAc and heptane. The material is recrystallized with MeOH and purified by HPLC (water / acetonitrile gradient) affording 5- {2-methoxy-6-[2-(4-methoxy-phenyl)-ethylamino]-pyrimidin-4-yl} - thiophene-2-carboxylic acid trifluoroacetate [34 mg. 10.4% yield, Example 8(a)]. LCMS: Rτ = 7.44 minutes; MS: 386 (M+H). IC50 = 0.33 nM
By proceeding in a similar manner as above in Example 8(a) but substituting 5-formyl-2- thiopheneboronic acid for 5-(dihydroxylboryl)-2-tbiophenecarboxylic acid there is prepared 5-{2- methoxy-6-[2-f4-methoxy-phenylVethylamino]-pyrimidin-4-yl|-thiophene-2-carbaldehvde [Example 8(b)]. IC50 = 0.6 nM
(c) 4-{2-Methoxy-6-[2-f4-methoxy-phenyl)-ethylarm^ol-pyrmiLdm-4-yl}4hiophene-2- carbaldehyde
By proceeding in a similar manner as above in Example 8(a) but substituting 5-formyl-3- thiopheneboronic acid for 5-(dihydroxylboryl)-2-thiophenecarboxylic acid there is prepared 4-{2- methoxy-6-r2-(4-methoxy-phenyl)-ethylammo]-pyrimidin-4-yl}-thiophene-2-carbaldehyde [Example 8(c)].
(d) r6-f3,5-Dimethyl4soxazol-4-yl)-2-methoxy-pyrimidin-4-yl]-[2-r4-methoxy-phenyl)-ethyl]- amine
By proceeding in a similar manner as above in Example 8(a) but using (6-chloro-2-methoxy- pyrimidin-4-yl)-[2-(4-methoxy-phenyl)-ethyl]-amine (250 mg), 3,5-dimethylisoxazole-4-boronic acid (120 mg), Cs^CCh (985 mg) and l;r-bis(diphenylphosphino)ferrocene-palladium(II)dichloride DCM complex (70 mg), there is prepared [6-(3,5-Dimethyl-isoxazol-4-yl)-2-methoxy-pyrimidin-4-yl]-[2-(4-
methoxy-phenyl)-ethyl]-amine [Example 8(d)]. LCMS: Rτ = 6.49 minutes, MS: 355 (M+H). IC50 = 1.9 nM
(e) [2-Methoxy-6-f 5 -methyl -thiophen-2 -yl)-pyrimidin-4-yll -F2-f 4-methoxy-phenvπ-ethyll -amine
By proceeding in a similar manner as above in Example 8(a) but using (6-chloro-2-methoxy- pyrimidin-4-yl)-[2-(4-methoxy-phenyl)-ethyl]-amine (293.76 mg), 5-methylthiophene-2-boronic acid (290 mg), Cs2CO3 (1.181 g) and l,r-bis(diphenylphosphino)ferrocene-palladium (II) dichloride DCM complex (75 mg), and heating the reaction mixture at reflux temperature overnight, and subjecting the crude reaction product to flash column chromatography on silica gel eluting with a mixture of EtOAc and cyclohexane, there is prepared |"2-methoxy-6-(5-methyl-thiophen-2-yl)-pyrimidin-4-yl1-[2-(4- methoxy-phenvD-ethyll -amine [252 mg, 70%, Example 8(e)]. LCMS: Rτ = 7.87 minutes, MS: 356 (M+H). IC50 = 8.2 nM
(f) [2-(4-Methoxy-phenyl)-ethyl]-[2-methoxy-6-(lH-pyrazol-4-yl)-pyrimidin-4-yl]-amine
By proceeding in a similar manner as above in Example 8 (a) but using (6-chloro-2-methoxy- pyrimidin-4-yl)-[2-(4-methoxy-phenyl)-ethyl]-amine (250 mg), 4-(4,4,5,5-tetramethyl-l,3,2- dioxaborolan-2-yl)-lH-pyrazole (329 mg), Cs2CO3 (985 mg) and 1,1'- bis(diphenylphosphino)ferrocene-palladium(π)dichloride DCM complex (70 mg), and heating the reaction mixture at 9O0C for 5 hours, and subjecting the crude reaction product to flash column chromatography on silica gel eluting with a mixture of EtOAc and cyclohexane, there is prepared [2- (4-methoxy-phenyl)-ethyl1-[2-methoxy-6-(lH-pyrazol-4-yl)-pyrimidin-4-yl]-amine [50 mg, 18%, Example 8(f)]. LCMS: Rτ = 5.04 minutes, MS: 326 (M+H). IC50 = 26 nM
By proceeding in a similar manner as above in Example 8(a) but using (6-chloro-2-methoxy- pyrimidin-4-yl)-[2-(4-methoxy-phenyl)-ethyl]-amine (250 mg), 5-isoquinolineboronic acid (249 mg), Cs2CO3 (985 mg) and l,r-bis(diphenylphosphino)ferrocene-palladium(II)dichloride DCM complex (70 mg), and heating the reaction mixture at 9O0C for 5 hours, and subjecting the crude reaction product to flash column chromatography on silica gel eluting with a mixture of EtOAc and cyclohexane, there is prepared (6-isoquinolin-5-yl-2-methoxy-pyrimidin-4-yl)-r2-(4-methoxy-phenyl)- ethyll-amine [163 mg, 50%, Example 8(g)]. LCMS: Rτ = 5.05 minutes, MS: 387 (M+H). IC50 = 64 nM
Example 9
(a) (5-{2-Methoxy-6-[2-(4-methoxy-phenyl)-ethylamino]-pyrimidin-4-yl}-triiophen-2-ylV methanol
Example 8(b) Example 9(a)
A mixture of 5-{2-methoxy-6-[2-(4-methoxy-phenyl)-ethylamino]-pyrimidin-4-yl}-thiophene-2- carbaldehyde [200 mg, 0.54 mmol, Example 8(b)] in MeOH (5 raL) and THF (5 mL) at O0C is treated with sodium borohydride (41 mg, 1.08 mmol). The mixture is stirred at ambient temperature for 1 hour and concentrated by rotary evaporator to remove the solvent. The residual solid is dissolved in water and the solution is extracted with ethyl acetate. The organic extract is dried over magnesium sulfate, filtered and concentrated to afford a solid which is subjected to flash column chromatography on silica gel eluting with a mixture of EtOAc and cyclohexane) to afford (5- (2-methoxy-6-[2-(4- methoxy-phenyl) -ethylamino] -pyrimidin-4-yl } -thiophen-2-yl)-methanol [75 mg, 37%, Example 9(a)] as a solid. LCMS: Rx = 6.09 minutes; MS: 372 (M+H). IC50 = 0.55 nM
By proceeding in a similar manner as above in Example 9(a) but substituting 3-{2-methoxy-6-[2-(4- methoxy-phenyl)-ethylamino]-pyrimidin-4-yl}-thiophene-2-carbaldehyde [110 mg, 0.298 mmol, Example 35(1)] for 5-{2-methoxy-6-[2-(4-methoxy-phenyl)-ethylainino]-pyrimidin-4-yl}-thiophene-2- carbaldehyde acid, and subjecting the crude product to chromatography on a SCX column eluting with ammonia (2M) in MeOH and ethyl acetate, there is prepared f3-{2-methoxy-6-[2-(4-methoxy-phenyl)- ethylarriino]-pyrirnidin-4-yl}-thiophen-2-yl)-methanol [45 mg, 41%, Example 9(b)] as a solid. LCMS: Rτ = 5.87 minutes, MS: 372 (M+H). 1H NMR [400 MHz, (CD3)2SO] δ 7.48 (IH, s), 7.4 (IH, d, J = 5.6 Hz), 7.35 (IH, s), 7.18 (2H, d, J= 9.2 Hz)1 6.85 (2H, d, J= 9.2 Hz), 6.4 (IH, s), 5.9 (IH, t, J= 5.6 Hz), 3.85 (3H, s), 3.72 (3H, s), 3.45 (2H, m), 2.8 (2H, t, J= 6.8 Hz). IC50 = 1.7 nM
(c) (3-{2-Methoxy-6-[2-(4-methoxy-phenyl)-ethylamino]-pyrimidin-4-yl|-phenyl)-methanol
A solution of 3-{2-methoxy-6-[2-(4-methoxy-phenyl)-ethylamino]-pyrimidin-4-yl}-benzaldehyde [33 mg, 0.08 mmol, Example 35(u)] in a mixture of DCM (3 mL) and MeOH (1 mL) is treated with sodium borohydride (100 mg). After 10 minutes at 20°C, the mixture is concentrated, and extracted twice with EtOAc (10 mL). The combined extracts are dried over magnesium sulfate and filtered through a plug of silica gel to afford (3-|2-methoxy-6-[2-(4-methoxy-phenyl)-ethylamino1-pyrimidin- 4-yI I -phenyP-methanol [32 mg, 100%, Example 9(c)]. LCMS: Rτ = 2.18 minutes, MS: 366 (M+H).
A solution of 3- (6-[2-r2-cMoro-6-fluoro-phenyl)-ethylamino]-2-methoxy-pyrimidin-4-yl} - benzaldehvde [150 mg, 0.39 mmol, Example 35(v)], in DCM (4 mL) and MeOH (1 mL) is treated with sodium borohydride (74 mg, 1.95 mmol) at O0C. After 1 hour at 2O0C, the mixture is concentrated, and extracted twice with EtOAc (10 mL). The combined extracts are dried over magnesium sulfate and filtered through a plug of silica to afford (3-{6-[2-(2-chloro-6-fluoro-phenyl) -ethylamino]-2-methoxy- pyrimidin-4-yl } -phenylVmethanol [110 mg, 73%, Example 9(d)]. LCMS: Rτ = 2.79 minutes, MS: 388 (M+H). IC50 = 2.4 nM
Example 10
(a) [2-(4-Methoxy-phenyl)-ethyl1-(2-methoxy-6-quinolin-6-yl-pyrimidin-4-yl)-amine
(22) Example 10(a)
(8)
A mixture of (6-chloro-2-methoxy-pyrimidin-4-yl)-[2-(4-methoxy-phenyl)-ethyl]-amine (150 mg, 0.51 mmol, Intermediate (8) prepared as described in Example 2 step 1), quinoline-6-boronic acid [176 mg, 1.02 mmol, Intermediate (22)], Cs2CO3 (590 mg, 1.81 mmol) tetrakis(triphenylphosphine) palladium (0) (59 mg, 0.051 mmol), ethylene glycol dimethyl ether (4 mL) and water (ImL) is placed in a microwave tube, sealed and evacuated and flushed with argon three times and irradiated in a microwave oven at 14O0C for 10 minutes. The reaction mixture is partitioned between EtOAc and water. The organic phase is separated, washed with saturated sodium bicarbonate solution, dried over magnesium sulfate and evaporated. The residual solid is subjected to flash column chromatography on silica gel eluting with a mixture of EtOAc and heptane. The material is recrystallized from MeOH to afford [2-(4-methoxyφhenyl)-ethyll-(2-methoxy-6-qumolin-6-yl-pyrimidin-4-yl)-amine [140 mg, 71%, Example 10(a)] LCMS: Rx = 5.97 minutes, MS: 387 (M+H). IC50 = 0.6 nM
(b) [2-f4-Methoxy-phenyl)-ethyl]-(2-methoxy-6-quinolm-3-yl-pyrimidin-4-yl')-amine
By proceeding in a similar manner as above in Example 10(a) but using (6-chloro-2-methoxy- pyrimidin-4-yl)-[2-(4-methoxy-phenyl)-ethyl]-amine (200 mg), 3-quinolineboronic acid (235 mg), CS2CO3 (787 mg) and tetrakis(triphenylphosphine) palladium (0) (79 mg), and carrying out the reaction in a microwave oven at 14O0C for 6 minutes, there is prepared ["2-(4-methoxy-phenyl)-ethyl]- (2-methoxy-6-qumolin-3-yl-pyrimidin-4-yl)-amine [156 mg, 59%, Example 10(b)]. LCMS: Rτ = 7.44 minutes, MS: 387 (M+H). IC50 = 0.7 nM
(c) [6-(lH-mdol-5-yl)-2-methoxy-pyrimidin-4-yl1-[2-f4-methoxy-phenyl)-ethyl1-amine
By proceeding in a similar manner as above in Example 10(a) but using (6-chloro-2-methoxy- pyrimidin-4-yl)-[2-(4-methoxy-phenyl)-ethyl]-amine (150 mg), 5-indolylboronic acid (165 mg),
Cs2CO3 (590 mg) and tetrakis(triphenylphosphine) palladium(O) (58 mg), there is prepared [6-(IH- indol-5-yl)-2-methoxy-pyrimidin-4-yll-[2-(4-methoxy-phenyl)-ethyl]-amine [Example 10(c)]. LCMS: RT = 6.3 minutes, MS: 375 (M+H). 1H NMR [(CD3)2SO]: δ 8.22 (IH, s), 7.73 (IH, m), 7.45 (2H, d, J = 9.2 Hz), 7.39 (2H, m), 7.19 (2H, d, J= 9.2 Hz), 6.85 (2H, d, J= 9.2 Hz), 6.6 (IH, s), 6.55 (IH, s), 3.9 (3H, s), 3.72 (3H1 s), 3.55 (2H, m), 2.8 (2H, t, J= 6.8 Hz). IC50 = 0.7 nM
By proceeding in a similar manner as above in Example 10(a) but using (6-chloro-2-methoxy- pyrimidin-4-yl)-[2-(4-methoxy-phenyl)-ethyl]-amine (150 mg), 2-(methylsulfonylamino)phenylboronic acid (219 mg), CS2CO3 (590 mg) and tetrakis(triphenylphosphine) palladium(O) (59 mg), and subjecting the crude reaction product to flash column chromatography on silica gel eluting with a mixture of EtOAc and cyclohexane there is prepared N-(2-{2-methoxy-6-[2-('4-methoxy-phenyl)-ethylamino1-pyrimidin-4-yl} -phenyl)- methanesulfonamide [115 mg, 53%, Example 10(d)]. LCMS: Rτ = 8.17 minutes, MS: 429 (M+H). IC50 = 2 nM
(e) 4- {2-Methoxy-6-r2-(4-methoxy-phenyl)-ethylaminol-pyrimidin-4-yl ) -benzamide
By proceeding in a similar manner as above in Example 10(a) but using (6-chloro-2-methoxy- pyrimidin-4-yl)-[2-(4-methoxy-phenyl)-ethyl]-amine (150 mg), (4-aminocarbonylphenyl)boronic acid (168 mg), Cs2CO3 (590 mg) and tetrakis(triphenylphosphine) palladium(O) (58 mg), and subjecting the crude reaction product to flash column chromatography on silica gel eluting with a mixtures of 20 to 100% EtOAc and cyclohexane, there is prepared 4-{2-methoxy-6-r2-(4-methoxy-phenyl)-ethylaminol- pyrimidin-4-yl) -benzamide [30 mg, 15.5%, Example 10(e)]. LCMS: Rτ = 5.32 minutes, MS: 379 (M+H). IC50 = 2.3 nM
(f) r2-Methoxy-6-(l-methyl-lH-mdol-5-yl)-pyrimidin-4-yll-r2-(4-methoxy-phenyl)-ethyl1-amine
By proceeding in a similar manner as above in Example 10(a) but using (6-chloro-2-methoxy- pyrimidin-4-yl)-[2-(4-methoxy-phenyl)-ethyl]-amine (150 mg), N-methylindole-5-boronic acid (178.5 mg), CS2CO3 (590 mg) and tetrakis(triphenylphosphine) palladium (0) (58 mg), and subjecting the crude reaction product to flash column chromatography on silica gel eluting with a mixtures of 20 to 100% EtOAc and cyclohexane, there is prepared [2-methoxy-6-(l<nethyMH4ndol-5-yl)-pyrirridin-4- ylH2-f4-methoxy-phenyl)-ethyl1-amine [70 mg, 35%, Example 10(f)]. LCMS: Rτ = 6.75 minutes, MS: 389 (M+H). 1H NMR [(CD3)2SO]: δ 8.25 (IH, s), 7.78 (IH, s), 7.5 (IH, d, J= 9.2 Hz), 7.38 (IH, d, J= 2.3 Hz), 7.18 (2H, d, J= 9.2 Hz), 6.85 (2H, d, J = 9.2 Hz), 6.62 (IH, s), 6.55 (IH, d, J= 2.3 Hz)1 3.9 (3H, s), 3.82 (3H, s), 3.72 (3H, s), 3.45 (2H, m), 2.8 (2H, X, J= 6.8 Hz).
(g) (6-Benzo[b1thiophen-2-yl-2-methoxy-pyrimidin-4-yl)-[2-(4-methoxy-phenyl)-ethyl1-amine
By proceeding in a similar manner as above in Example 10(a) but using (6-chloro-2-methoxy- pyrimidin-4-yl)-[2-(4-methoxy-phenyl)-ethyl]-amine (150 mg), benzo[b]thiophene-2-boronic acid (182 mg), CS2CO3 (590 mg) and tetrakis(triphenylphosphine) palladium (0) (58 mg), and subjecting the crude reaction product to flash column chromatography on silica gel eluting with a mixtures of 20 to 100% EtOAc and cyclohexane, there is prepared (6-benzo[b]thiophen-2-yl-2-methoxy-pyrimidin-4- ylU2-C4-methoxy-phenyl)-emyl1-amine [85 mg, 42% yield, Example 10(g)]. LCMS: Rτ = 10.39 minutes, MS: 392 (M+H). IC50 = 5.1 nM
(h) l-(4-{2-Methoxy-6-[2-(4-methoxy-phenyπ-ethylamino]-pyrimidin-4-yl}-phenyl)-ethanone
By proceeding in a similar manner as above in Example 10(a) but using (6-chloro-2-methoxy- pyrimidin-4-yl)-[2-(4-methoxy-phenyl)-ethyl]-amine (200 mg), 4-acetylphenylboronic acid (223 mg), Cs2CO3 (787 mg) and tetrakis(triphenylphosphine) palladium (0) (79 mg), and carrying out the reaction in a microwave oven at 14O0C for 6 minutes, and subjecting the crude reaction product to flash column chromatography on silica gel eluting with a mixture of EtOAc and cyclohexane, there is
prepared 1 -("4- {2-methoxy-6-[2-f4-methoxy-phenylVethylamino]-pyrimidin-4-yl| -phenvD-ethanone [160 mg, 62%, Example 10(h)]. LCMS: R7 = 6.2 minutes, MS: 378 (M+H). 1H NMR [(CDj)2SO]: δ 8.1 (4H, m), 7.78 (IH, s), 7.62 (IH, s), 7.18 (2H, d, J = 9.2 Hz), 6.85 (2H, d, J= 9.2 Hz), 6.7 (IH, s), 3.9 (3H, s), 3.7 (3H, s), 3.55 (2H, m), 2.8 (2H, t, J= 6.8 Hz), 2.6 (3H, s). IC50 = 6.3 nM
(i) [6-(3-Methanesulfonyl-phenyl')-2-methoxy-pyrimidin-4-yl]-[2-(4-methoxy-phenyl')-ethyl1- amine
By proceeding in a similar manner as above in Example 10 (a) but using (6-chloro-2-methoxy- pyrimidin-4-yl)-[2-(4-methoxy-phenyl)-ethyl]-amine (150 mg), 3-(methanesulfonyl)phenylboronic acid (204 mg), Cs2CO3 (590 mg) and tetrakis(triphenylphosphine) palladium (0) (59 mg), and subjecting the crude reaction product to flash column chromatography on silica gel eluting with a mixture of EtOAc and cyclohexane, there is prepared [6-(3-methanesulfonyl-phenyl)-2-methoxy- pyrimidin-4-yl] -[2-(4-methoxy-phenylVethyl1 -amine [142 mg, 67% , Example 10(i)]. LCMS: R7 = 6.74 minutes, MS: 414 (M+H). 1H NMR [(CDj)2SO]: δ 8.45 (IH, s), 8.35 (IH, s), 8 (IH, d, J= 9.2 Hz), 7.78 (IH, t, J= 7.9 Hz), 7.65 (IH, s), 7.18 (2H5 d, J= 92 Hz), 6.85 (2H, d, J= 9.2 Hz), 3.9 (3H, s), 3.7 (3H, s), 3.55 (2H, m), 3.25 (3H, s), 2.8 (2H, t, J= 6.8 Hz). IC50 = 7.3 nM
G) r6-(23-Dihvdro-benzofuran-5-yl')-2-methoxy-pyrimidin-4-yl1-r2-(4-methoxy-phenyl)-ethyl1- amine
By proceeding in a similar manner as above in Example 10(a) but using (6-chloro-2-methoxy- pyrimidin-4-yl)-[2-(4-methoxy-phenyl)-ethyl]-amine (200 mg), 2,3-dihydro-l-benzofuran-5-ylboronic acid (223 mg), CS2CO3 (787 mg) and tetrakis(triphenylphosphine) palladium (0) (79 mg), and carrying out the reaction in a microwave oven at 1400C for 35 minutes, and subjecting the crude reaction product to flash column chromatography on silica gel eluting with a mixture of EtOAc and cyclohexane, there is prepared [6-(2J-dmvdro-benzofiiran-5-ylV2-methoxy-pyrimidin-4-yll-[2-('4-
methoxy-phenylVethyli-amine [165 mg, 64%, Example 10(j)]. LCMS: Rτ = 5.56 minutes, MS: 378 (M+H). 1H NMR [(CDa)2SO]: δ 8.9 (IH, s), 8.79 (IH, s), 7.4 (IH, s), 7.2 (IH1 d, J = 9.2 Hz), 6.85 (IH, t, J= 9.2 Hz), 6.83 (2H, d, J= 9.2 Hz), 6.5 (IH, s), 4.6 (2H, t, J= 8 Hz), 3.85 (3H, s), 3.7 (3H, s), 3.55 (2H, m), 3.22 (2H, t, J= 8 Hz), 2.8 (2H, t, J= 6.8 Hz). IC50 = 13 nM
(k) r2-Methoxy-6-(4-morpholin-4-yl-phenyl)-pyrimidin-4-yll-r2-f4-methoxy-phenyl)-ethvn- amine
By proceeding in a similar manner as above in Example 10(a) but using (6-chloro-2-methoxy- pyrimidin-4-yl)-[2-(4-methoxy-phenyl)-ethyl]-amine (150 mg), 4-(moφholino)-phenylboronic acid (211 mg), CS2CO3 (590 mg) and tetrakis(triphenylphosphine) palladium (0) (59 mg), and carrying out the reaction in a microwave oven at 140°C for 10 minutes and at 165°C for 10 minutes, and subjecting the crude reaction product to flash column chromatography on silica gel eluting with a mixture of EtOAc and cyclohexane, there is prepared f2-methoxy-6-(4-moφholin-4-yl-phenyl)-pyrimidin-4-yl]- [2-(4-methoxy-phenyl)-ethyl1-amine [130 mg, 61%, Example 10(k)]. LCMS: Rτ = 6,28 minutes, MS: 421 (M+H). IC50 = 13 nM
(1) r6-(4-Dimethylamino-phenyl)-2-methoxy-pyrimidin-4-yll-r2-(4-methoxy-phenyl)-ethyll- amine
By proceeding in a similar manner as above in Example 10(a) but using (6-chloro-2-methoxy- pyrimidin-4-yl)-[2-(4-methoxy-phenyl)-ethyl]-amine (200 mg), 4-(N,N-dimethylamino)phenylboronic acid (224.4 mg), Cs2CO3 (787 mg) and tetrakis(triphenylphosphine) palladium(O) (79 mg), and subjecting the crude reaction product to flash column chromatography on silica gel eluting with a mixture of EtOAc and cyclohexane, followed by trituration with methanol, there is prepared [6-(4- dimethylammo-phenyl)-2-methoxyφyrirmdm-4-yl1-[2-(4-methoxy-phenyl)-ethyl1-amine [50 mg, 19%, Example 10(1)]. LCMS: R7 = 5.77 minutes, MS: 379 (M+H). IC50 = 42 nM
(m) 2.2'-Dimethoxy-N*6*.N*6'*-bis-f2-f4-methoxy-phenylVethyll-[4.4'lbipyrimidinyl-6.6'- diamine
By proceeding in a similar manner as above in Example 10(a) but using (6-chloro-2-methoxy- pyrimidin-4-yl)-[2-(4-methoxy-phenyl)-ethyl]-amine (150 mg), (4-aminocarbonylphenyl)-boronic acid (168 mg), CS2CO3 (590 mg) and tetrakis(triphenylphosphine) palladium (0) (58 mg), and subjecting the crude reaction product to flash column chromatography on silica under gradient elution conditions with 20 to 100% EtOAc in cyclohexane, followed by recrystallisation from methanol, there is prepared 2.2'-dimethoxy-N*6*.N*6'*-bis42-r4-methoxy-phenvn-ethyl1-r4ΛHbipyrirmdinyl-6.6'-diarnme [20mg, 15%, Example 10(m)] as a side product. LCMS: Rx = 8.13 minutes, MS: 517 (M+H).
Example 11
(a) [2-Methoxy-6-(5-oxazol-5-yl-tMophen-2-yl)-pyrimidin-4-yl]-[2-('4-methoxy-phenyl)-ethyl1- amine
Example 8(b) Example 1 1 (a)
A stirred mixture of 5-{2-methoxy-6-[2-(4-methoxy-phenyl)-ethylammo]-pyrirnidin-4-yl}-thiophene- 2-carbaldehyde [300 mg, 0.81 mmol, Example 8(b)], tosylmethylisocyanide (174 mg, 0.89 mmol), K2CO3 (246 mg 1.78 mmol) and MeOH (30 mL) is heated at reflux for 4 hours. The mixture is allowed to cool to ambient temperature, concentrated by rotary evaporator to remove the solvent. The residue is partitioned between EtOAc and water. The organic phase is dried over magnesium sulfate, filtered and concentrated. The residual solid is subjected to flash column chromatography on silica gel eluting with EtOAc and cyclohexane to afford ["2-methoxy-6-(5-oxazol-5-yl-thiophen-2-yl)-pyrimidin-
4-yl1-[2-C4-methoxy-phenvn-ethyll-amine [240 mg, 73 %, Example 1 l(a)]. LCMS: Rx = 8.99 minutes, MS: 409 (M+H). IC50 = 2.3 nM
(b) [2-Methoxy-6-f 3 -oxazol-5 -yl-phenyl)-pyrimidin-4-yl1 -\2-( 4-methoxy-phenyl)-ethyl] -amine
Example 35(w) Example 1 1 (b)
In a tube is combined 3-{2-methoxy-6-[2-(4-methoxy-phenyl)-ethylamino]-pyrimidin-4-yl}- benzaldehyde (200 mg, 0.55 mmol), tosylmethylisocyanide (119 mg, 0.61 mmol), Ambersep 900 OH resin (1 g), ethylene glycol dimethyl ether (3.5 mL) and water (3.5 mL). The tube is sealed and the mixture is heated to 85°C and stirred for 18 hours. The mixture is allowed to cool to ambient temperature and filtered to remove the resin, and washed the resin with 10 mL methanol. The combined filtrate and washings are concentrated by rotary evaporator and the residue is subjected to flash column chromatography on silica gel eluting with 10 to 40% EtOAc in heptane gradient, to afford [2-methoxy-6-(3-oxazol-5-yl-phenyl')-pyrimidin-4-yll-[2-(4-methoxy-phenyl)-ethyl1-amine [65 mg, 29.4 %, Example 1 l(b)]. LCMS: Rτ = 2.59 minutes MS: 403 (M+H). IC50 = 2.6 nM
Example 12 r6-(5-Difluoromethyl-thiophen-2-vπ-2-methoxy-pwimidin-4-yll-r2-(4-methoxy-phenyl)-ethyl1-amine
Example 8(b) Example 12 A stirred mixture of 5-{2-methoxy-6-[2-(4-methoxy-phenyl)-ethylamino]-pyrimidin-4-yl}-thiophene- 2-carbaldehyde [300 mg, 0.81 mmol, Example 8(b)] and diethylaminosulfur trifluoride (213 μL, 1.62 mmol) in DCM is heated to reflux for 4 hours. A further quantity of diethyaminosulfur trifluoride (106 μL, 0.81 mmol) is added and stirring at reflux is continued overnight. The reaction mixture is poured into water and extracted twice with DCM. The organic extracts are combined and dried over
magnesium sulfate, filtered and concentrated. The residual solid is subjected to flash column chromatography on silica gel eluting with a mixture of EtOAc and cyclohexane to afford [6-f5- difluoromethyl-tmophen-2-yl)-2-methoxy-pyiirrύdm-4-yll-[2-f4-methoxy-phenyl')-ethyll-amine [65 mg, 17%, Example 12]. LCMS: Rx = 10.03 minutes, MS: 406 (M+H). IC50 = 11 nM
Example 13
(a) [2-(4-Methoxy-phenyl)-ethyl]-[2-methoxy-6-r5-pyrrolidin-l-ylmethyl-thiophen-2-yl)- pyrimidin-4-yl1 -amine
Example 8(b) Example 13(a) A mixture of 5-{2-methoxy-6-[2-(4-methoxy-phenyl)-ethylamino]-pyrimidin-4-yl}-thioρhene-2- carbaldehyde [250 mg, 0.68 mmol, Example 8(b)], pyrrolidine (170 μL, 2.03 mmol) and sodium triacetoxyborohydride (502 mg, 2.37 mmol) in MeOH (10 mL) and 1 ,2-dichloroethane (10 mL) is treated with acetic Acid (116 mL, 2.03 mmol) to bring the pH to 6.0, stirred at ambient temperature for 6 hours, and treated with pyrrolidine (170 μL, 2.03 mmol) and sodium triacetoxyborohydride (502 mg, 2.37 mmol). The reaction mixture is stirred at ambient temperature overnight concentrated by rotary evaporator. The residual gum is partitioned between EtOAc and saturated sodium bicarbonate solution. The organic phase is separated, dried over magnesium sulfate, filtered and concentrated to provide a solid, which is subjected to flash column chromatography on silica gel eluting with a mixture of EtOAc and cyclohexane to afford [2-("4-methoxy-phenyl)-ethyl]-[2-methoxy-6-(5-pyrrolidin-l- ylmethyl4hiophen-2-yl)-pyrimidin-4-yl1-amine [202 mg, 70%, Example 13(aϊ[. LCMS: Rτ = 5.37 minutes, MS: 425 (M+H). IC50 = 44 nM
(b) (6-{4-Fluoro-3-[(2-methoxy-ethylamino)-methyl]-phenyl|-2-methoxy-pyrimidin-4-yl)-[2-(4- methoxy-phenvD-ethyli-amine hydrochloride
A mixture of 2-fluoro-5- {2-methoxy-6-[2-(4-methoxy-phenyl)-ethylamino]-pyrimidin-4-yl} - benzaldehyde [300 mg, 0.787 mmol, Example 35(j)], 2-methoxyethylamine (170 μL, 1.97 mmol), sodium triacetoxyborohydride (500 mg, 2.36 mmol) and 3A sieves (500 mg) in DCM (7 mL) is stirred at room temperature under a nitrogen atmosphere for 5 hours. The reaction mixture is filtered and the filter cake is washed with DCM (50 mL). The combined filtrate and washings are extracted with water (50 mL). The aqueous extract is extracted with DCM (50 mL). The new organic extract is washed with water (30 mL), with brine (30 mL), dried over sodium sulfate, filtered and concentrated by rotary evaporator. The resulting solid is subjected to flash column chromatography on silica (4.5 g) eluting with 0 to 8% MeOH in DCM gradient to afford a solid. This material is treated with hydrogen chloride in EtOAc and concentrated to afford (6-(4-fluoro-3-[(2-memoxy-ethylamino)-methyl]- phenyl I -2-methoxy-pyrimidin-4-yl)-[2-(4-methoxy-phenyl)-ethyl1 -amine hydrochloride [260 mg, 75%, Example 13(b)] as a solid. LCMS: R7 = 1.98 minutes, MS: 441 (M+H). 1H NMR (300 MHz, CDCl3): δ 9.65 (IH, s), 8.27 (IH, s), 7.91 (IH, s), 7.47 (IH, t, J=0.03 Hz), 7.21 (2H, d, J=0.027 Hz), 6.85 (2H, d, J=0.027 Hz), 4.26 (2H, s), 4.03 (2H, s), 3.72 (6H, s), 3.31 (3H, s), 3.17 (2H, m), 2 (2H, t, J=0.024), 2.5 (2H, s).
(c) 4-[2-("3-{2-Methoxy-6-[2-(4-methoxy-phenyl)-ethylamino]-pyrimidin-4-yl)-benzylamino)- ethyl] -phenol hydrochloride
A mixture of 3-{2-methoxy-6-[2-(4-methoxy-phenyl)-ethylamino]-pyrimidin-4-yl}-benzaldehyde [80mg, 0.22 mmol, Example 35(u)], 2-(4-hydroxy-phenyl)-ethylamine (45 mg, 0.33 mmol), sodium cyanoborohydride (16.6 mg, 0.264 mmol) and acetic acid (15 μL, 0.264 mmol) in EtOH (2 mL) is stirred at room temperature under a nitrogen atmosphere for 17 hours. The reaction mixture is poured into saturated sodium bicarbonate solution (10 mL), and extracted with EtOAc (15 mL). The extract is concentrated and the residue subjected to chromatography on silica gel, eluting with 5% ammonia in methanol. The material is treated with hydrogen chloride in EtOAc and concentrated to afford 4-[2-(3- {2-methoxy-6-[2-(4-methoxy-phenyl)-ethylaminol-pyrimidin-4-yl}-benzylamino)-ethyl]-phenol hydrochloride [55 mg, 51.5%, Example 13(c)]as a solid. LCMS: R7 = 2.63 minutes, MS: 485 (M+H). IC50 = IO nM
(d) N-(2-Fluoro-5-{2-methoxy-6-[2-(4-methoxy-phenyl)-ethylardno]-pyriinidin-4-yl}-benzyl)- N',N'-dimethyl-ethane-L2-diamine hydrochloride
HCl
A mixture of 2-fluoro-5- {2-methoxy-6-[2-(4-methoxy-phenyl)-ethylamino]-pyrimidin-4-yl} - benzaldehyde [275 mg, 072 mmol, Example 35(j)], unsym-dimethylethylenediamine (217 μL, 1.97 mmol), sodium triacetoxyborohydride (500 mg, 2.36 mmol) and 3A sieves (500 mg) in DCM (7 mL) is stirred at room temperature under a nitrogen atmosphere for 5 hours. The reaction mixture is filtered and the filter cake is washed with DCM (50 mL). The combined filtrate and washings are extracted water with (50 mL) and the aqueous is extracted with DCM (50 mL). The new organic extract is washed with water (30 mL), with brine (30 mL), dried over sodium sulfate, filtered and concentrated by rotary evaporator. The resulting solid is subjected to flash column chromatography on silica (4.5 g) eluting with 0 to 7% MeOH in DCM gradient to afford a solid that is dissolved in methanol. This solution is treated with hydrogen chloride in EtOAc and concentrated to afford N-(2-fluoro-5-{2- methoxy-6-[2-(4-methoxy-phenyl)-ethylamino1-pyrimidin-4-yl}-benzyl)-N',N'-dimethyl-ethane-l,2- diamine hydrochloride [300 mg, 92%, Example 13(d)]. LCMS: Rx = 2.04 minutes, MS: 454 (M+H). IC50 = 56 nM
Example 14
(a) [6-(lH-BerLZoirmdazol-5-yl)-2-methoxy-pyrimidin-4-yl]-[2-(4-methoxy-phenyl)-ethyl]-amine
Example 14(a)
Step 1. A mixture of 5-bromo-l-trityl-lH-benzoimidazole [439 mg, 1 mmol, Intermediate (26), prepared as described in Tetrahedron 56, 3245-3253, 2000], bis(pinacolato)diboron (280 mg, 1.1 mmol), potassium acetate (393 mg, 4 mmol), 1 , r-bis(diphenylphosphino)ferrocene- palladium(II)dichloride DCM complex (82 mg, 0.1 mmol), and dimethylsulfoxide (8 mL) and degassed with vacuum/nitrogen several times, is stirred at 85°C for 2 hours. The reaction mixture is partitioned between EtOAc and water. The organic phase is separated and the aqueous phase further extracted with ethyl acetate. The combined organic phases are dried over magnesium sulfate, filtered and concentrated to provide a solid, which is subjected to flash column chromatography on silica gel eluting with EtOAc and cyclohexane to afford l-trityl-lH-benzoimidazol-5-ylboronic acid [500 mg, Intermediate (27)].
Step 2. By proceeding in a similar manner as above in Example 1 but substituting 1-trityl-lH- benzoimidazol-5-ylboronic acid [Intermediate (27)] for 5-(dihydroxylboryl)-2-thiophenecarboxylic acid there is prepared |"2-f4-methoxy-phenyl)-ethyl]-[2-methoxy-6-(l-trityl-lH-benzoimidazol-5-yl)- pyrimidin-4-yl] -amine [Intermediate (28)].
Step 3. A mixture of [2-(4-methoxy-phenyl)-ethyl]-[2-methoxy-6-(l-trityl-lH-benzoimidazol-5-yl)- pyrimidin-4-yl] -amine [300 mg, 0.485 mmol, Intermediate (28)], DCM (5 mL), trifluoroacetic acid (2 mL) and water (5%) is stirred at ambient temperature. The reaction mixture is concentrated by rotary evaporator to remove the solvent. The residue is taken up in saturated sodium bicarbonate solution and
this solution is extracted with ethyl acetate. The extract is dried over magnesium sulfate, filtered and concentrated to provide a solid, which is subjected to flash column chromatography on silica gel eluting with 5% MeOH in DCM to afford [6-( 1 H-benzoimidazol-5 -yl)-2-methoxy-pyrimidin-4-yl] -[2- (4-methoxy-phenyl)-ethyll-amine [90 mg, 49%, Example 14(a)]. LCMS: R7 = 4.73 minutes, MS: 376 (M+H). IC50 = 2.7 nM
(b) [6-dH-Benzotriazol-5-yl)-2-methoxy-pyrimidin-4-yll-[2-(4-methoxy-phenyl)-ethyl1-amine
By proceeding in a similar manner as above in Example 14(a) but (i) substituting 5-bromo-l -trityl-lH- benzotriazole for 5-bromo-l-trityl-lH-benzoimidazole in Step 1 to obtain l-trityl-lH-benzotriazol-5- ylboronic acid; (ii) substituting l-trityl-lH-benzotriazol-5-ylboronic acid for 1-trityl-lH- benzoimidazol-5-ylboronic acid in step 2 to obtain [2-(4-methoxy-phenyl)-ethyr|-[2-methoxy-6-(l- trityl-lH-benzotriazol-5-yl)-pyrimidin-4-yl1-amine (130 mg, 0.21 mmol); (iii) substituting [2-(4- methoxy-phenyl)-ethyl]-[2-methoxy-6-(l-trityl-lH-benzotriazol-5-yl)-pyrimidin-4-yl]-amine for [2- (4-methoxy-phenyl)-ethyl]-[2-methoxy-6-(l -trityl-1 H-benzoimidazol-5-yl)-pyrimidin-4-yl]-amine in step 3, there is prepared [6-(lH-benzotriazol-5-yl)-2-methoxy-pyrimidin-4-yl]-[2-('4-methoxy-phenyl')- ethyll-amine [25 mg, 32%, Example 14(b)]. LCMS: Rτ = 5.65 minutes, MS: 377 (M+H). 1H NMR [(CD3)2SO]: δ 8.55 (IH, s), 7 (2H, m), 7.58 (IH, s), 7.22 (2H, d, J = 9.2 Hz), 6.85 (2H, d, J = 9.2 Hz), 6.75 (IH, s), 3.95 (3H, s), 3.72 (3H, s), 3.55 (2H, m), 2.8 (2H, t, J= 6.8 Hz).
(C) 6-{2-Methoxy-6-[2-r4-methoxy-phenyl)-ethylaminol-pyrirnidin-4-yl|-3H-benzooxazol-2-one
By proceeding in a similar manner as above in Example 14(a) but (i) substituting 5-bromo-l -trityl-1, 3- dihydro-benzoimidazol-2-one for 5-bromo-l -trityl-1 H-benzoimidazole in Step 1 to obtain 2-oxo-2,3- dihydro-benzooxazole-6- boronic acid: (iii) substituting 2-oxo-2,3-dihydro-benzooxazole-6- boronic acid for l-trityl-lH-benzoimidazol-5-ylboronic acid in step 2 to obtain 6-{2-methoxy-6-[2-(4- methoxy-phenvπ-ethylamino]-pyrimidin-4-yl|-3-trityl-3H-benzooxazol-2-one; (iii) substituting 6- {2- methoxy-6-[2-(4-methoxy-phenyl)-ethylamino]-pyrimidin-4-yl}-3-trityl-3H-benzooxazol-2-one ((52
mg) for [2-(4-methoxy-phenyl)-ethyl]-[2-methoxy-6-(l-trityl-lH-benzoimidazol-5-yl)-pyrimidin-4- yl]-amine in step 3, and subjecting the crude product to flash column chromatography on silica gel eluting with a mixture of EtOAc and cyclohexane, there is prepared 6- {2-methoxy-6-["2-C4-methoxy- phenyl)-ethylamino1-pyrimidin-4-yll-3H-benzooxazol-2-one [19 mg, 59%, Example 14(c)]. LCMS: RT = 5.84 minutes. MS: 393 (M+H). 1H NMR [(CD3)2SO]: δ 11.8 (IH, s), 7.8 (IH, s), 7.5 (IH, s), 7.18 (IH, s), 7.18 (2H, d, J= 9.2 Hz), 6.85 (2H, d, J= 9.2 Hz), 6.6 (IH1 s), 3.9 (3H, s), 3.7 (3H, s), 3.55 (2H, m), 2.8 (2H, t, J= 6.8 Hz). IC50 = 7 nM
Example 15
(a) 3- (2-Methoxy-6-[2-f 4-methoxy-phenyl)-ethylamino]-pwimidin-4-yl| -phenol hydrochloride
To a solution of 3- |2-Methoxy-6-[2-(4-methoxy-phenyl')-ethylamino1-pyrimidin-4-yl} -phenol [0.3g, Example 35(p)] in EtOAc is added a saturated solution of hydrogen chloride in EtOAc (3mL) and the resulting precipitate is filtered, and dried to afford 3-(2-methoxy-6-[2-f4-methoxy-phenyl)- ethylamino]-pyrimidin-4-yl| -phenol hydrochloride [0.31 g, Example 15(a)] as a solid. LCMS: Rτ = 2.55 minutes, MS: 352 (M+H). 1H NMR [(CDs)2SO]: δ 10.1 (IH, brs), 9.6 (IH, brs), 7.64-7.54 (IH, m), 7.34 (IH5 1, J= 8.1 Hz), 7.21-7.12 (4H, m), 7.02 (IH, d, J= 7.5 Hz), 6.85 (2H, d, J= 8.4 Hz), 6.67 (IH, s), 4.06 (3H, s), 3.71 (3H, s), 3.7-3.6 (2H, m), 2.85 (2H, t, J= 7.2 Hz). IC50 = 0.1 nM
(b) 3- (6-[2-(2Λ-dicMoro-phenyl)-ethylamino]-2-methoxy-pyrimidin-4-yl} -benzoic acid hydrochloride
A suspension of 3-{6-[2-(2,4-dicUoro-phenyl)-ethylamino]-2-methoxy-pyrimidin-4-yl}-benzoic acid [0.2 g, Example 35(w)] in DCM and MeOH is treated with a saturated solution of hydrogen chloride in EtOAc (0.5 mL), and chromatographed on silica gel eluting with 10% MeOH in DCM to provide the
product, which is dissolved in acetonitrile / water / hydrochloric acid, and lyophilized to give 3-{6-["2- (2,4-dicmoro-phenyl)-ethylammo]-2-methoxy-pyrimidin-4-yl) -benzoic acid hydrochloride [172 mg, Example 15(b)] as a solid. LCMS: Rx = 2.72 minutes, MS: 417 (M+H).
(c) 3-|6-[2-f2-CMoro-6-fluoroφhenyl)-ethylamLnol-2-methoxy-pyrimidin-4-yll-benzoic acid hydrochloride
A solution of 3- (6-[2-("2-chloro-6-fluoro-phenyl)-ethylamino]-2-methoxy-pyrimidin-4-yl| -benzoic acid [0.1 g, Example 20(b)] in DCM and MeOH is treated with a saturated solution of hydrogen chloride in EtOAc (2 mL) and the mixture is concentrated, dissolved in acetonitrile and water, and lyophilized to afford 3-{6-[2-(2-chloro-6-fluoro-phenyl)-ethylamino]-2-methoxy-pyrimidin-4-yl}- benzoic acid hydrochloride [83 mg, Example 15(c)] as a solid. LCMS: Rτ = 2.85 minutes, MS: 402 (M+H).
(d) 2-r3-{6-[2-r2Λ-DicMoro-phenvπ-ethylammo]-2-methoxy-pyrimidin-4-yl}-phenyl)-2-methyl- propionic acid hydrochloride
A solution of 2-(3-{6-[2-(2,4-dicUoro-phenyl)-ethylammo]-2-methoxy-pvrimidin-4-yl}-phenyl)-2- methyl-propionic acid [4.3g, 9.35 mmol, Example 49(b)] in MeOH is treated with 1 M hydrogen chloride in ether (18 mL). The mixture is evaporated and the resulting oil is dissolved in acetone (10 mL). After 2 minutes a solid precipitated. This is filtered giving 2-(3-{6-[2-(2,4-Dichloro-phenyl)- ethylamino]-2-methoxy-pyrimidin-4-yl}-phenyl)-2 -methyl-propionic acid hydrochloride [4.043 g, 87%, Example 15(d)] as a solid. LC/MS: R7 = 2.42 minutes, MS: 460 (M+H). 1H NMR [(CDj)2SO]: δ 12.4 (IH, br s), 7.36 - 7.8 (7H, m), 6.6 (IH, s), 4 (3H, s), 3.7 (2H, m), 3.02 (2H, m), 1.54 (6H, s). IC50 = 0.3 nM
Example 16
(a) [2-r3.4-Dimethoxy-phenylVethyl1-[6-(3,4-dimethoxy-phenyπ-2-methylsulfanyl-pyrimidin-4- yll -amine
Example I 6(a)
Step 1. A mixture of 4,6-dichloro-2-methylsulfanyl-pyrimidine [1 g, 5.1 mmol, Intermediate (29)], 3,4-dimethoxy-phenylethylamine [0.98 g, 5.4 mmol, Intermediate (3O)], and sodium bicarbonate (0.86 g, 10 mmol) in EtOH (5 mL) is heated to reflux. After stirring at 850C for 4 hours the mixture is diluted with water and filtered. The solid is washed with water, and dried to afford (6-chloro-2- methylsulfanylφyrimidin-4-yl)-[2-r3,4-dimethoxy-phenyl)-ethyl1-amine [1.8 g, Intermediate (31)]. LCMS: Rτ = 3.25 minutes, MS: 340 (M+H).
Step 2. By proceeding in a similar manner to Example 35(o) above but substituting commercially available 3,4-dimethoxy-phenyl-boronic acid [intermediate (32)] for 2-methoxy-5-pyridyl-boronic acid, and (6-chloro-2-methylsulfanyl-pyrimidin-4-yl)-[2-(3,4-dimethoxy-phenyl)-ethyl]-amine [0.57 g, Intermediate (31)] for (6-chloro-2-methoxy-pyrimidin-4-yl)-[2-(4-methoxy-phenyl)-ethyl]-amine, and subjecting the crude reaction product to flash column chromatography on silica gel eluting with 50% EtOAc in heptane, there is prepared [2-C3,4-dimethoxy-phenyl)-ethyl]-[6-f3,4-dimethoxy-phenyl)-2- methylsulfanyl-pyrimidin-4-yl]-amme [0.73 g, Example 16(a)]. LCMS: Rτ = 2.72 minutes, MS: 442 (M+H).
By proceeding in a similar manner to Example 16(a) above but using commercially available 3- carboxy-phenyl-boronic acid, and (6-cUoro-2-methylsulfanyl-pyrimidin-4-yl)-[2-(3,4-dimethoxy- phenyl)-ethyl]-amine (0.57 g) in Step 2, and extracting the reaction mixture (adjusted to pH 2) with EtOAc followed by evaporation of the organic extract, there is prepared 3-{6-[2-(3.4-dimethoxy- phenyl)-ethylamino1-2-methylsulfanyl-pyrimidm-4-yl} -benzoic acid [0.48 g, Example 16(b)]. LCMS: Rτ = 2.75 minutes, MS: 426 (M+H). IC50 = 243 nM
(c) [2-f4-Methoxy-phenyl)-ethyl]-[6-f3-methoxy-phenyl)-2-methylsulfanyl-pyrimidin-4-yll-amine
By proceeding in a similar manner to Example 16(a) above but (i) substituting 4-methoxy- phenylethylamine for 3,4-dimethoxy-phenylethylamine, in Step 1, to obtain (6-chloro-2- methylsulfanyl-pyrirnidin-4-yl)-[2-(4-methoxy-phenyl)-ethyl]-amine [3 g, MS: 310 (M+H)] and (ii) substituting the (6-cMoro-2-methylsulfanyl-pvrimidin-4-yl)-[2-(4-methoxy-phenyl)-ethyl]-amine (1 g), for (6-chloro-2-methoxy-pyrirnidin-4-yl)-[2-(4-methoxy-phenyl)-ethyl]-amine, and substituting 3- methoxy-phenyl-boronic acid for 2-methoxy-5-pyridyl-boronic acid, in Step 2, and subjecting the crude product to short-path silica chromatography eluting with ethyl acetate, there is prepared [2-(4- methoxy-phenyl)-ethyl1-[6-(3-methoxy-phenyl)-2-methylsulfanyl-pyrimidin-4-yl]-amine [1.5 g, Example 16(c)]. MS: 382 (M+H).
Example 17
Example 17(a)
Step 1. A solution of [2-(3,4-dimethoxy-phenyl)-ethyl]-[6-(3,4-dimethoxy-phenyl)-2-methylsulfanyl- pyrimidin-4-yl] -amine [0.73 g, 1.68 mmol, Example 16(a)] in DCM (12 mL) is treated with 3- chloroperoxybenzoic acid (70%, 0.9 g, 3.6 mmol). After 3 hours at 2O0C, the mixture is quenched with 1 M sodium hydroxide solution (10 mL), and extracted twice with DCM (50 mL). The combined extracts are dried over magnesium sulfate, filtered, concentrated, and the residue subjected to chromatography on silica gel eluting with 70% EtOAc in heptane to afford [2-(3 ,4-dimethoxy-phenyl)- ethyl]-[6-(3,4-dimethoxy-phenyl)-2-methanesulfonyl-pyrimidin-4-yl1-amine [0.51 g, 64%, Intermediate (33)]. LCMS: Rτ = 2.97 minutes, MS: 474 (M+H).
Step 2. A solution of [2-(3,4-dimethoxy-phenyl)-ethyl]-[6-(3,4-dimethoxy-phenyl)-2- methanesulfonyl-pyrimidin-4-yl]-amine [200 mg, 0.42 mmol, Intermediate (33)], and isopropyl alcohol (1 mL) in N,N'-dimethylformamide (2 mL) at O0C is treated with sodium hydride (60%, 102 mg, 12.7 mmol). After 1 hour at 2O0C, the mixture is concentrated, and extracted twice with EtOAc (50 mL). The combined extracts are washed twice with water, dried over magnesium sulfate, filtered, and concentrated. The residue is subjected to chromatography on silica gel eluting with 60% EtOAc in heptane to afford [2-(314-dimethoxy-phenyl)-ethyl1-[6-(3,4-dimethoxy-phenyl)-2-isopropoxy- pyrimidin-4-yll -amine [0.15 g, 79%, Example 17(a)] LCMS: R7 = 2.57 minutes, MS: 454 (M+H). 1H NMR (300 MHz, CDCl3) δ 7.64 (IH, d, J= 2.1 Hz), 7.55 (IH, dd, J= 8.4, 2.4 Hz), 6.91 (IH, d, J= 8.4 Hz), 6.86-6.76 (3H, m), 6.3 (IH, s), 5.43-5.34 (IH, m), 4.83 (IH, brs), 3.99 (3H, s), 3.95 (3H, s), 3.89 (3H, s), 3.75-3.65 (2H, m), 2.91 (2H, t, J= 6.9 Hz) 1.45 (6H, d, J= 6 Hz). IC50 = 6728 nM
(b) [6-(3,4-Dimethoxy-phenylV2-ethoxy-pyriiiudin-4-yl]-[2-('3.4-dimethoxy-phenyl)-ethyl]-amine
By proceeding in a similar manner to Example 17(a) above but substituting EtOH for isopropyl alcohol and 1,2-dimethoxyethane for N,N'-dimethylformamide in Step 2, and subjecting the crude product to a short-path silica gel filtration, there is prepared [6-f 3 ,4-dmethoxy-phenvD-2-ethoxy-pyrimidin-4-yl] - r2-f3.4-dimethoxy-phenylVethyl1-amine [54 mg, Example 17(b)]. LCMS: Rτ = 2.62 minutes, MS: 440 (M+H). IC50 = 655 nM
Example 18 r2-Ethyl-6-(3-methoxy-phenyl)-pyrimidin-4-yll-r2-(4-methoxy-phenyl)-ethvn-amine
Example 16(c)
(34)
Step 2
Example 18
Step 1. A solution of [2-(4-methoxy-phenyl)-ethyl]-[6-(3-methoxy-phenyl)-2-methylsulfanyl- pyrimidin-4-yl] -amine [1.5 g, 3.9 mmol, Example 16(c)] in DCM (30 mL) is treated with 3- chloroperoxybenzoic acid (70%, 2.1 g, 8.6 mmol). After 3 hours at 200C, the mixture is filtered through basic alumina eluting with ethyl acetate, and the solution is concentrated. The residue is
subjected to chromatography on silica gel eluting with 50% EtOAc in heptane to afford [2- methanesulfonyl-6-(3 -methoxy-phenyl)-pyrimidin-4-yl] - [2 -(4-methoxy-phenyl) -ethyl] -amine [ 1 g, 62%, Intermediate (34)] MS: 414 (M+H).
Step 2. A solution of [2-methanesulfonyl-6-(3-methoxy-phenyl)-pyrimidin-4-yl]-[2-(4-methoxy- phenyl)-ethyl]-amine [0.14 g, 0.34 mmol, Intermediate (34)] in THF (5 niL) is treated with a 1 M solution of ethyl magnesium bromide (5 mL, 5 mmol) at -50°C. The reaction mixture is allowed to warm to room temperature over 2 hours the treated with MeOH (0.5 mL), concentrated, and partitioned between EtOAc and water. The aqueous phase is further extracted with ethyl acetate. The residue is subjected to chromatography on silica gel eluting with 40% EtOAc in heptane to afford [2- ethyl-6-(3-methoxy-phenyl)-pyrimidin-4-yl]-[2-('4-methoxy-phenyl)-ethyll-amine [89 mg, 72%, Example 18]. LCMS: Rτ = 2.38 minutes, MS: 364 (M+H). IC50 = 219 nM
Example 19 6-(3-Methoxy-phenyl)-N*4*-[2-(4-methoxy-phenyl)-ethyl]-N*2*,N*2*-dimethyl-pyrimidine-2,4- diamine hydrochloride
A solution of [2-methanesulfonyl-6-(3-methoxy-phenyl)-pyrimidm-4-yl]-[2-(4-methoxy-phenyl)- ethyl]-amine [200 mg, 0.42 mmol, Intermediate (34) prepared as in Example 18, step 1] in a 2M solution of dimethylamine in MeOH (2 mL, 4 mmol) is heated to 15O0C for 20 minutes in a
Microwave. The mixture is concentrated, and the residue is subjected to chromatography on silica gel eluting with 70% EtOAc in heptane to afford 6-(3-methoxy-phenyl)-N*4*-[2-(4-methoxy-phenyl)- ethyl]-N*2*,N*2*-dimethyl-pyrimidine-2.4-diamine, which is treated with a solution of saturated hydrogen chloride in EtOAc (1 mL). The resulting precipitate is filtered and dried to afford 6-(3- methoxy-phenyl)-N*4*-[2-(4-methoxy-phenyl)-ethyl]-N*2*,N*2*-dimethyl-pyrimidine-2,4-diamine hydrochloride [0.11 g, 70%, Example 19] as a solid. LCMS: Rx = 2.85 minutes, MS: 379 (M+H). 1H NMR (300 MHz, CD3OD) δ 7.46 (IH, t, J= 8.1 Hz), 7.26-7.1 (5H, m), 6.83 (2H, d, J = 8.1 Hz)1 6.27 (IH, s), 4.85 (IH, brs), 3.87 (3H, s), 3.74 (3H, s), 3.71 (2H, t, J= 7.2 Hz), 3.28 (6H, s), 2.89 (2H, t, J = 7.2 Hz). IC50 = 4652 nM
Example 20
(a) 2-Fluoro-5-{2-methoxy-6-r2-(4-methoxy-phenyl)-ethylamino]-pyrimidin-4-yl| -benzoic acid
A solution of 2-fluoro-5-(2-methoxy-6-[2-r4-methoxy-phenyl)-ethylamino1-pyrimidin-4-yl}- benzaldehvde [120 mg, 0.31 mmol, Example 35(J)] and 2-methyl-2-butene (2.93 mL, 28 mmol) in t- butanol (4mL) and THF (2 mL), is treated with a solution of sodium dihydrogen phosphate monohydrate (303 mg, 2.2 mmol) and sodium chlorite (0.28 g, 3.2 mmol) in water (2 mL) at room temperature. After 15 hours at 2O0C, the mixture is concentrated and diluted with water. The mixture is adjusted to pH 3 and the resulting solid is filtered and dried to afford 2-fluoro-5-{2-methoxy-6-[2-(4- methoxy-phenyl)-ethylamino]-pyrimidin-4-yl} -benzoic acid. [118 mg, 96%, Example 20(a)]. LCMS: RT = 2.38 minutes, MS: 398 (M+H). IC50 = 0.4 nM
(b) 3-{6-[2-(2-Chloro-6-fluoro-phenyl)-ethylammo1-2-methoxy-pyrirnidin-4-vU -benzoic acid
By proceeding in a similar manner to Example 20(a) above but substituting 3-{6-[2-(2-chloro-6-fluoro- phenyl)-ethylamino]-2-methoxy-pyrimidin-4-yl}-benzaldehyde [Example 35(v)] for 2-fluoro-5-{2- methoxy-6-[2-(4-methoxy-phenyl)-ethylamino]-pyrimidin-4-yl}-benzaldehyde, there is prepared 3-{6- [2-(2-chloro-6-fluoro-phenyl)-ethylamino]-2-methoxy-pyrimidin-4-yll -benzoic acid [1 g, Example 20(b)]. LCMS: Rτ = 2.92 minutes, MS: 402 (M+H).
(c) 2-Methoxy-5-{2-methoxy-6-[2-(4-methoxy-phenyl)-ethylammo]-pyrimidin-4-yl} -benzoic acid
By proceeding in a similar manner to Example 20(a) above but substituting 2-methoxy-5-{2-methoxy- 6-[2-(4-methoxy-phenyl)-ethylamino]-pyrimidin-4-yl}-benzaldehyde [120 mg, Example 35(y)] for 2- fluoro-5-{2-methoxy-6-[2-(4-methoxy-phenyl)-ethylaimno]-pyrimidin-4-yl}-benzaldehyde, there is prepared 2-methoxy-5-{2-methoxy-6-[2-(4-methoxy-phenyl)-etb.ylamino1-pyrimidin-4-yl} -benzoic acid [150 mg, Example 20(c)]. LCMS: Rτ = 2.22 minutes, MS: 410 (M+H).
Example 21
(a) [2-Methoxy-6-fl-oxyφyridm-3-yl)φyrirrudin-4-yl]-[2-('4-methoxy-phenyl)-ethyl]-amine
A solution of [2-methoxy-(6-pyridin-3-yl)-pyrimidin-4-yl]-[2-(4-methoxy-phenyl)-ethyl]-amine [0.24 g, 0.71 mmol, Example 35(x)] in DCM (10 mL) is treated with 3-chloroperoxybenzoic acid (70%, 0.21 g, 0.85 mmol). After 15 hours at 20°C, the mixture is quenched with 2 M sodium hydroxide solution (10 mL), and extracted twice with DCM (50 mL). The combined extracts are dried over magnesium sulfate, filtered, concentrated, and subjected to chromatography on silica gel eluting with 5% MeOH in DCM to afford [2-methoxy-6-(l-oxy-pyridm-3-yl)^yrimidin-4-yl]-[2-(4-methoxy-phenyl)-ethyl]- amine [0.14 g, 56%, Example 21(a)] LCMS: R1- = 2.69 minutes, MS: 353 (M+H). IC50 = 149 nM
(b) [2-(2,2-Difluoro-ben2:o[l,3]dioxol-5-yl)-ethyl]-[2-methoxy-6-(l-oxy-pyridin-3-yl)-pyrimidin- 4-yl] -amine
By proceeding in a similar manner to Example 21 (a) but substituting [2-(2,2-difluoro- benzo[l,3]dioxol-5-yl)-ethyl]-(2-methoxy-6-pyridm-3-yl-pyrimidin-4-yl)-amine [21 mg, 0.0544 mmol, see example 46(b)] for £2-(4-methoxy-phenyl)-ethyl]-(2-methoxy-6-pyridin-3-yl-pyrimidin-4-yl)- amine with chloroform as solvent and subjecting the product to silica gel chromatography eluting
with 0 - 10% MeOH in DCM, there is prepared [2-(2,2-difluoro-benzo[L31dioxol-5-yl)-ethyl1-[2- methoxy-6-( 1 -oxy-pyridin-3 -vD-pyrimidm-4-yli -amine [20 mg, Example 21(b)] as a solid. LC/MS: Rγ = 2.85 minutes, MS: 403 (M+H). 1H NMR (300 MHz, CDCl3): δ 8.8 (IH, s), 8.2 (IH, m), 7.84 (IH, m), 7.34 (IH, m), 6.86 - 7 (3H, m), 6.36 (IH, s), 5.36 (IH, br m), 3.99 (3H, s), 3.69 (2H, m), 2.96 (2H, m). IC50 = 2155 nM
Example 22
(a) 2-(3-|2-Methoxy-6-r2-(4-methoxyφhenylVethylarnino]-pyrimidin-4-yli-phenoxy)-2 -methyl- propionic acid ethyl ester
A mixture of 3-{2-methoxy-6-[2-(4-methoxy-phenyl)-ethylamino]-pyrimidin-4-yl}-phenol (400 mg, 1.14 mmol, Example 35(p)], CS2CO3 (1.1 g, 3.41 mmol), and ethyl 2-bromo-2-methylpropionate (0.5 mL, 3.41 mmol) in N,N'-dimethylformamide (4 mL) is heated to 60°C for 15 hours. The reaction mixture is diluted with water, and extracted with ethyl acetate. The extracts are dried over magnesium sulfate, filtered and concentrated. The residue is subjected to chromatography on silica gel eluting with 50% EtOAc in heptane to afford 2-(3-{2-methoxy-6-[2-(4-methoxy-phenyl)-ethylaminol- pyrimidin-4-yl|-phenoxy)-2-methyl-propionic acid ethyl ester [0.33 g, 62%, Example 22(a)]. LCMS: RT = 2.95 minutes, MS: 466 (M+H). IC50 = 60 nM
(b) (3-|2-Methoxy-6-[2-(4-methoxy-phenyl)-ethylamino]-pyrimidin-4-yl}-phenoxy)-acetic acid methyl ester
By proceeding in a similar manner to Example 22(a) but substituting methyl bromoacetate for ethyl 2- bromo-2-methylpropionate, and carrying out the reaction at room temperature, there is prepared (3-{2-
methoxy-6-r2-(4-methoxy-phenyl)-ethylamino1-pyrimidin-4-yl}-phenoxy)-acetic acid methyl ester [430 mg, Example 22(Jo)]. LCMS: Rτ = 2.52 minutes, MS: 424 (M+H).
(c) (3- {6-[2-(2Λ-DicMorQ-phenyl)-ethylamino]-2-methoxy-pyrimidin-4-yl| -phenoxyVacetic acid methyl ester
By proceeding in a similar manner to Example 22(a) but substituting methyl bromoacetate for ethyl 2- bromo-2-methylpropionate, and substituting 3-{6-[2-(2,4-dichloro-phenyl)-ethylamino]-2-methoxy- pyrimidin-4-yl} -phenol [Example 35(i)] for 3-{2-methoxy-6-[2-(4-methoxy-phenyl)-ethylamino]- pyrimidin-4-yl} -phenol, and carrying out the reaction at room temperature, there is prepared ("3-{6-[2- (2Λ-dichloro-phenvπ-ethylarrimol-2-methoxy-pyrimidin-4-yl|-phenoxyVacetic acid methyl ester [430 mg, Example 22(c)]. LCMS: Rτ = 2.88 minutes, MS: 462 (M+H). IC50 = 0.6 nM
(d) ("5-(6-[2-r2-Chloro-6-fluoro-phenyl')-ethylaminol-2-methoxy-pyrimidin-4-yl)-2-oxo-2H- pyridin-1-vπ-acetic acid methyl ester
By proceeding in a similar manner to Example 22(a) but substituting methyl bromoacetate for ethyl 2- bromo-2-methylpropionate, and substituting 5-{6-[2-(2-chloro-6-fluoro-phenyl)-ethylamino]-2- methoxy-pyrimidin-4-yl}-lH-pyridin-2-one [Example 32] for 3-{2-methoxy-6-[2-(4-methoxy-phenyl)- ethylamino]-pyrimidin-4-yl} -phenol, and carrying out the reaction at room temperature, there is prepared f5-{6-[2-("2-chloro-6-fluoro-phenyπ-ethylamino]-2-methoxy-pyrimidin-4-yl}-2-oxo-2H- pyridin-l-yl)-acetic acid methyl ester [400 mg, Example 22(d)]. LCMS: Rτ = 2.89 minutes, MS: 447 (M+H). IC50 = 14 nM
By proceeding in a similar manner to Example 22(a) but using bromoacetonitrile (0.11 mL, 1.5 mmol) and 3-{6-[2-(2J4-dichloro-phenyl)-ethylamino]-2-methoxy-pyrimidin-4-yl}-phenol (400 mg, 1.02 mmol, Example 35(i)], CS2CO3 (0.98 g, 3 mmol) and N,N'-dimethylformamide (2 mL) and carrying out the reaction at room temperature there is prepared (3-(6-[2-(2.4-dichloro-phenyl)-ethylamino]-2- methoxy-pyrimidin-4-yl } -phenoxyVacetonitrile [Example 22(e)]. MS: 429 (M+H). IC50 = 0.4 nM
(f) (3-{6-[2-(2-cMoro-6-fluoro-phenyl)-ethylarm'no1-2-methoxy-pyrimidin-4-yll-phenoxy)- acetonitrile
By proceeding in a similar manner to Example 22(a) but using bromoacetonitrile (0.11 mL, 1.5 mmol) and 3-{6-[2-(2-chloro-6-fluoro-phenyl)-ethylamino]-2-methoxy-pyrimidin-4-yl}-phenol [300 mg, Example 46(e)], CS2CO3 (0.785 g) and N,N'-dimethylformamide (2.7 mL) and carrying out the reaction at room temperature there is prepared (3-{6-[2-(2-chloro-6-fluoro-phenyl)-ethylamino]-2- methoxy-pyrimidin-4-yl)-phenoxy)-acetonitrile [300 mg, Example 22(f)] as a solid. LC/MS: 413 (M+H).
Example 23
(a) 2-f3-(2-Methoxy-6-[2-(4-methoxy-phenyl)-ethylamino]-pyrimidin-4-yl}-phenoxy)-2-methyl- propionic acid
A solution of 2-(3-{2-methoxy-6-[2-(4-methoxy-phenyl)-ethylamino]-pyrimidin-4-yl}-phenoxy)-2- methyl-propionic acid ethyl ester [330 mg, 0.7 mmol, Example 22(a)] in a 2M solution of sodium
hydroxide (5 mL, 10 mmol) in MeOH (4 mL), THF (2 mL) and water (4 mL) is heated to 60°C for 30 minutes. After an additional 5 hours at room temperature, the mixture is concentrated, and diluted with water and ethyl acetate. The solution is acidified with dilute hydrochloric acid to pH, 2.0, and extracted with ethyl acetate. The extracts are dried over magnesium sulfate, filtered, and concentrated to afford 2-π-{2-methoxy-6-[2-f4-methoxy-phenyπ-ethylarnino]-pyrimidin-4-yl}-phenoxy')-2-methyl-propiomc acid [0.21 g, 72%, Example 23(a)]. LCMS: R7 = 2.47 minutes, MS: 438 (M+H).
(b) (3-{2-Methoxy-6-[2-(4-methoxy-phenyl)-ethylamino]-pyrimidin-4-yl}-phenoxy')-acetic acid
By proceeding in a similar manner to Example 23(a) but substituting (3-{2-methoxy-6-[2-(4-methoxy- phenyl)-ethylamino]-pyrimidin-4-yl}-phenoxy)-acetic acid methyl ester [Example 22(b)] for 2-(3-{2- methoxy-6-[2-(4-methoxy-phenyl)-ethylamino]-pyrimidin-4-yl}-phenoxy)-2-methyl-propionic acid ethyl ester, and carrying out the reaction at room temperature, there is prepared (3- {2-methoxy-6-[2- f4-methoxy-phenyl)-ethylamino"|-pyrimidin-4-yl} -phenoxy)-acetic acid [297 mg, Example 23 (b)]. LCMS: Rτ = 2.22 minutes, MS: 410 (M+H).
(c) (5-l6-[2-(2-CMoro-6-fluoro-phenylVethylammo]-2-methoxy-pyrimidin-4-yl}-2-oxo-2H- pyridin-l-yl)-acetic acid
By proceeding in a similar manner to Example 23(a) but substituting (5-{6-[2-(2-chloro-6-fluoro- phenyl)-ethylammo]-2-methoxy-pyrirnidin-4-yl}-2-oxo-2H-pyridin-l-yl)-acetic acid methyl ester [Example 22(d)] for 2-(3-{2-methoxy-6-[2-(4-methoxy-phenyl)-ethylamino]-pyrimidin-4-yl}- phenoxy)-2-methyl-propionic acid ethyl ester, and carrying out the reaction at room temperature, there is prepared (5-{6-[2-(2-cMoro-6-fluoro-phenylVethylamino]-2-methoxy-pyrimidin-4-yl}-2-oxo-2H- pyridin-l-ylVacetic acid [79 mg, Example 23(c)]. LCMS: Rx = 2.28 minutes, MS: 433 (M+H). IC50 = 0.3 nM
(d) 2-(3-{6-[2-(2Λ-DicMoro-phenyl)-ethylamino1-2-methoxy-pyrimidin-4-vU-phenoxy')-2- methyl-propionic acid
By proceeding in a similar manner to Example 23(a) but substituting 2-(3-{6-[2-(2,4-dichloro-phenyl)- ethylamino]-2-methoxy-pyrimidin-4-yl}-phenoxy)-2-methyl-propionic acid ethyl ester [410 mg, 0.81 mmol, Example 42] for 2-(3-{2-methoxy-6-[2-(4-methoxy-phenyl)-ethylamino]-pyrimidin-4-yl}- phenoxy)-2 -methyl-propionic acid ethyl ester there is prepared 2-("3-{6-[2-(2,4-dichloro-phenyl)- ethylamino]-2-methoxy-pyrimidin-4-yl)-phenoxy)-2-methyl-propionic acid [386 mg, 100%, Example 23(d)] as a solid. LCMS: Rτ = 2.63 minutes, MS: 476 (M+H).
(e) 2-CMoro-5-{2-methoxy-6-[2-r4-methoxy-phenylVethylamino]-pyrimidin-4-yl|-benzoic acid hydrochloride salt
A solution of 2-chloro-5-{2-methoxy-6-[2-(4-methoxy-phenyl)-ethylamino]-pyrimidin-4-yl} -benzoic acid ethyl ester [120 mg, 0.27 mmol, Example 35(z)] and sodium hydroxide (2 mL, 4 mmol, 2M) in MeOH (8 mL) and water (2 mL) is stirred for 15 hours at 6O0C. The mixture is concentrated, and diluted with water and ethyl acetate. The mixture is acidified with dilute hydrochloric acid to pH, 3, and extracted with ethyl acetate. The combined extracts are dried over magnesium sulfate, filtered, and concentrated. The residue is treated with saturated hydrogen chloride in EtOAc and concentrated to afford 2-chloro-5-{2-methoxy-6-[2-f4-methoxy-phenyl)-ethylamino]-pyrimidin-4-yl}-benzoic acid hydrochloride salt riOl mg, 82%, Example 23(e)]. LCMS: Rx = 2.47 minutes, MS: 414 (M+H).
Example 24 (a) [2-(4-Methoxy-phenyπ-ethyl1-(2-methoxy-6-[3-flH-tetrazol-5-yl)-phenyl1-pyrimidin-4-yl|- amine
A solution of 3-{2-methoxy-6-[2-(4-methoxy-phenyl)-ethylamino]-pyrimidin-4-yl}-benzonitrile [0.12 g, 0.33 mmol, Example 35(t)], trimethylsilylazide (0.22 mL, 1.65 mmol) and dibutyltinoxide (41 mg, 0.16 mmol) in toluene (5 mL) is heated to 950C for 6 hours. The reaction mixture is concentrated, and partitioned between water and ethyl acetate. The aqueous phase solution is acidified with dilute hydrochloric acid to pH, 3.0, and extracted with ethyl acetate. The extracts are dried over magnesium sulfate, filtered and concentrated. The residue is subjected to chromatography on silica gel eluting with 5% MeOH in DCM to afford r2-f4-methoxy-phenviyethyl1-{2-methoxy-643-(lH4etrazol-5-vn- phenyll-pyrimidin-4-yl} -amine [60 mg, 45%, Example 24(a)]. LCMS: Rτ = 2.65 minutes, MS: 404 (M+H).
(b) [2-f4-Methoxy-phenyl)-ethyl1-{2-methoxy-6-[3-(lH-tetrazol-5-ylmethyl')-phenyll-pyrimidin- 4-yl) -amine hydrochloride
By proceeding in a similar manner to Example 24(a) above but substituting, (3-{2-methoxy-6-[2-(4- methoxy-phenyl)-ethylamino]-pyrimidin-4-yl}-phenyl)-acetonitrile [Example 35(s)] for 3-{2- methoxy-6-[2-(4-methoxy-phenyl)-ethylanύno]-pyrimidin-4-yl}-benzonitrile, there is prepared |"2-(4- methoxy-phenyl)-ethyl]-|2-methoxy-6-r3-(lH4etrazol-5-ylmethyl)-phenyl1-pyrimidin-4-yl}-amine. This material is treated with a solution of hydrochloric acid in EtOAc followed by lyophilization to afford r2-(4-methoxy-phenyl)-ethyll - {2-methoxy-6-|"3 -( 1 H-tetrazol-5 -ylmethyl)-phenyl]-pyrimidin-4- vU -amine hydrochloride (134 mg, Example 24(b)]. LCMS: Rτ = 2.62 minutes, MS: 418 (M+H). 1H NMR [300 MHz, (CD3)2SO]: δ 9.65 (IH, brs), 7.7-7.5 (4H, m), 7.2 (2H, d, J= 8.4 Hz), 6.87 (2H, d, J = 8.4 Hz), 6.68 (IH, s), 4.4 (2H, s), 4.08 (3H, s), 3.71 (3H5 s), 3.6 (2H, m), 2.85 (2H, t, J= 7.2 Hz). IC50 = O.! nM
(c) {2-Methoxy-6-r4-methoxy-3-flH4etrazol-5-yl)-phenyl]-pyrimidin-4-yl}-r2-f4-methoxy- phenyD-ethyl] -amine
By proceeding in a similar manner to Example 24(a) above but substituting 2-methoxy-5-{2-methoxy- 6-[2-(4-methoxy-phenyl)-ethylamino]-pyrimidin-4-yl}-benzonitrile [Example 55] for 3-{2-methoxy-6- [2-(4-methoxy-phenyl)-ethylarmno]-pyrimidin-4-yl}-benzonitrile, there is prepared (2-methoxy-6-[4- methoxy-3 -( 1 H-tetrazol-5 -ylVphenyl]-pyrimidin-4-yl } -\2-( 4-methoxy-phenyl)-ethyl1 -amine [310 mg, Example 24(c)]. LCMS: Rτ = 2.43 minutes, MS: 434 (M+H). IC50 = 0.5 nM
Example 25
(a) N-f3-{2-Methoxy-6-[2-("4-methoxy-phenylVethylaminol-pyrirnidin-4-yll -benzoyl)- methanesulfonamide
A solution of 3-{2-methoxy-6-[2-(4-methoxy-phenyl)-ethylamino]-pyrimidin-4-yl}-benzoic acid [100 mg, 0.26 mmol, Example 35(a)], methanesulfonamide (38 mg, 0.4 mmol), and dimethyl-pyridin-4-yl- amine (64 mg, 0.53 mmol) in DCM (5 mL) is treated with l-(3-dimethylaminopropyl)-3- ethylcarbodiimide hydrochloride (101 mg, 0.53 mmol). After 8 hours at 20°C, the mixture is diluted with water, acidified (pH2 with citric acid), and extracted with DCM. The extracts are dried over magnesium sulfate, filtered and concentrated. The residue is subjected to chromatography on silica gel eluting with 10% MeOH in DCM to afford N-(3-(2-methoxy-6-|"2-("4-methoxy-phenyl)-ethylaminol- pyrimidin-4-yl}-benzoyl)-methanesulfonamide [53 mg, 45%, Example 25(a)]. LCMS: Rτ = 2.35 minutes, MS: 457 (M+H). 1H NMR (300 MHz, CDCl3) δ 8.3 (IH, s), 8.08 (IH, brs), 7.9 (IH, d, J= 4.8 Hz), 7.34 (IH, brs), 7.12 (2H, d, J = 8.4 Hz), 6.82 (2H, d, J= 8.4 Hz), 6.46 (IH, brs), 6 (IH, brs), 3.91 (3H, s), 3.76 (3H, s), 3.61 (2H, brs), 3.31 (3H, s), 2.86 (2H, t, J= 6.9 Hz).
(b) 3-{6-[2-(3Λ-Dimethoxy-phenyl)-ethylamino]-2-methoxy-pyrimidin-4-yl}-N-(2-pyrrolidin-l- yl-ethyP-benzamide
A solution of 3- {6-[2-(3,4-dimethoxy-phenyl)-ethylamino]-2-methoxy-pyriinidin-4-yl} -benzoic acid [0.15 mmol, Example 35(k)]; hydroxybenzotriazole (41 mg, 0.3 mmol), l-(3-dimethylaminopropyl)-3- ethylcarbodiimide hydrochloride (58 mg, 0.3 mmol), N-(2-aminoethyl)pyrrolidine (38 μL, 0.3 mmol) and N,N-diisopropylethylamine (105 μL, 0.6 mmol) in DCM (3 mL) is stirred at ambient temperature under a nitrogen atmosphere for 18 hours. The reaction is poured into water (20 mL) and extracted twice with EtOAc (25 mL). The organic extracts are combined and dried over magnesium sulfate, filtered and concentrated by rotary evaporator. The resulting solid is subjected to flash column chromatography on silica gel eluting with 10 to 60% EtOAc in heptane gradient to afford 3-l6-[2-(3,4- dimethoxy-phenyl)-ethylammol-2-methoxy-pyrimidin-4-yU-N-(2-pyiτolidm-l-yl-ethyl)-benzamide [18 mg, 24%, Example 25(b)]. LCMS: Rτ = 2.1 minutes, MS: 506 (M+H). IC50 = 30 nM
Example 26
(a) 2-Fluoro-5-(2-methoxy-6-[2-(4-methoxy-phenyl)-ethylamino]-pyrimidin-4-yl}-benzaldehyde oxime
Example 35(j) ,- , ~,, ,
Example 26(a)
A mixture of 2-fluoro-5-{2-methoxy-6-[2-(4-methoxy-phenyl)-ethylamino]-pyrimidin-4-yl}- benzaldehyde [700 mg, 1.84 mmol, Example 35Q)], sodium acetate (2.5 g, 18.4 mmol) and hydroxylamine hydrochloride (1.3 g, 18.4 mmol) in EtOH (95%, 20 mL) is stirred for 20 hours at 2O0C. The reaction mixture is concentrated, diluted with water, and extracted with ethyl acetate. The extracts are dried over magnesium sulfate, filtered through a plug of silica, and concentrated to afford 2-fluoro-5-{2-methoxy-6-[2-(4-methoxy-phenyl)-ethylamino]-pyrimidin-4-yl} -benzaldehyde oxime [0.86 g, Example 26]. LCMS: Rτ = 2.53 minutes, MS: 397 (M+H). IC50 = 4.5 nM
(b) 3- {2-Methoxy-6-[2-f4-methoxy-phenyl)-ethylarnmo]-pyrimidin-4-vU -benzaldehyde oxime
By proceeding in a similar manner to Example 26(a) above but: (i) substituting 3-{2-methoxy-6-[2-(4- methoxy-phenyl)-ethylamino]-pyrimidin-4-yl} -benzaldehyde [25 mg, Example 35(u)], for 2-fiuoro-5- {2-methoxy-6-[2-(4-methoxy-phenyl)-ethylamLno]-pvrirnidin-4-yl} -benzaldehyde and carrying out the reaction for 6 hours at 20°C there is prepared 3-{2-methoxy-6-[2-(4-methoxy-phenyl')-ethylamino'l- pyrimidin-4-yl|-benzaldehvde oxime [15.2 mg, 58%, Example 26(b)]. LCMS: Rτ = 2.27 minutes, MS: 379 (M+H).
(c) 2-Methoxy-5-{2-methoxy-6-[2-r4-methoxy-phenyl)-ethylaminol-pyrimidin-4-yl)- benzaldehvde oxime
By proceeding in a similar manner to Example 26(a) above but substituting 2-methoxy-5-{2-methoxy- 6-[2-(4-methoxy-phenyl)-ethylamino]-pyrirnidin-4-yl}-benzaldehyde [510 mg, Example 35(y)] for 2- fluoro-5-{2-methoxy-6-[2-(4-methoxy-phenyl)-ethylammo]-pyrimidin-4-yl} -benzaldehyde and carrying out the reaction at 2O0C for 15 hours, there is prepared 2-methoxy-5- (2-methoxy-6-[2-f 4- methoxy-phenylVethylamino]-pyrimidin-4-yl| -benzaldehyde oxime [0.54 g, 100%, Example 26(c)]. LCMS: RT = 3.37 minutes, MS: 409 (M+H).
By proceeding in a similar manner to Example 26(a) above but substituting 3-{2-methoxy-6-[2-(4- methoxy-phenyl)-ethylamino]-pyrimidin-4-yl}-thiophene-2-carbaldehyde [105 mg, Example 35(1)] for 2-fluoro-5-{2-methoxy-6-[2-(4-methoxy-phenyl)-ethylarnino]-pyrimidin-4-yl}-benzaldehyde, carrying out the reaction at reflux and subjecting the reaction product to chromatography loading with EtOAc and flushed with 2M Ammonia in methanol, there is prepared
phenyD-ethylammol-pyrirmdm^-ylMhiophene-Σ-carbaldehyde oxime [45 mg, 41%, Example 26(d)]. LCMS: Rτ = 6.28 minutes. MS: 385 (M+H). IC50 = 0.4 nM
(e) 1 -(5- i2-Methoxy-6-[2-(4-methoxy-phenyD-ethylarnino]-pyrirm'din-4-yl) -thiophen-2-yl)- ethanone oxime
By proceeding in a similar manner to Example 26(a) above but substituting l-(5-{2-methoxy-6-[2-(4- methoxy-phenyl)-ethylamino]-pyrimidin-4-yl}-thiophen-2-yl)-ethanone [Example 35(m)] for 2-fluoro- 5-{2-methoxy-6-[2-(4-methoxy-phenyl)-ethylamino]-pyrimidin-4-yl}-benzaldehyde and carrying out the reaction at reflux for 4 hours there is prepared 1 -("5- {2-methoxy-6-[2-(4-methoxy-phenyl)- ethylamino]-pyrimidin-4-yl} -thiophen-2-ylVethanone oxime [88 mg, 85%, Example 26(e)]. LCMS: RT = 7.77 minutes. MS: 399 (M+H). IC50 = 0.8 nM
(f) 5-{2-Methoxy-6-[2-(4-methoxy-phenyl)-ethylammo]-pyrimidin-4-vU-thiophene-2- carbaldehyde oxime
By proceeding in a similar manner to Example 26(a) above but substituting 5-{2-methoxy-6-[2-(4- methoxy-phenyl)-ethylamino]-pyrimidin-4-yl}-thiophene-2-carbaldehyde [200 mg, Example 8(b)] for 2-fluoro-5-{2-methoxy-6-[2-(4-methoxy-phenyl)-ethylamino]-pyrirnidin-4-yl}-benzaldehyde, carrying out the reaction at reflux for 2 hours and subjecting the reaction product to chromatography on silica gel eluting with a mixture of EtOAc and cyclohexane there is prepared 5-{2-methoxy-6-[2-(4- methoxy-phenvπ-ethylaminol-pyrimidin-4-yl)-thiophene-2-carbaldehyde oxime [121 mg, 58%, Example 26(f)]. LCMS: Rτ = 7.2 minutes. MS: 385 (M+H).
Example 27 r6-f3-Aminomethyl-4-fluoro-phenyl)- 2-methoxy-pyrimidin-4-yll-[2-f4-methoxy-phenyl)-ethyll-amine hydrochloride
A mixture of 2-fluoro-5-{2-methoxy-6-[2-(4-methoxy-phenyl)-ethylamino]-pyrimidin-4-yl}- benzaldehyde oxime [860 mg, Example 26(a)] in acetic acid (10 mL) is treated with zinc powder (0.6 g, 9.2 mmol). After 1 hour at 2O0C, the reaction mixture is filtered through Celite, concentrated, diluted with 1 M sodium hydroxide solution, and extracted with ethyl acetate. The extracts are dried over magnesium sulfate, filtered, and subjected to chromatography on silica gel eluting with 10% MeOH in DCM to provide the free base, which is treated with saturated HCl in EtOAc afford [6-(3- aminomethyl-4-fluoro-phenyl)-2-methoxy-pyrimidin-4-yl]-[2-(4-methoxy-phenyl)-ethyl]-amine hydrochloride [720 mg, Example 27]. LCMS: R7 = 1.88 minutes, MS: 383 (M+H). IC50 = 41 nM
Example 28
N-(2-Fluoro-5-{2-methoxy-6-[2-(4-methoxy-phenyl)-ethylamino]-pyrimidin-4-yl|-benzyl)-2- methoxy-acetamide hydrochloride
A solution of [6-(3-aminomethyl-4-fluoro-phenyl)- 2-methoxy-pyrimidin-4-yl]-[2-(4-methoxy- phenyl)-ethyl]-amine [200 mg, 0.52 mmol, see example 27] and triethylamine (264 mg, 2.61 mmol) in DCM (5 mL) is treated with methoxyacetyl chloride (114 mg, 1.1 mmol) at O0C. After 15 hours at 4°C in a refrigerator, the mixture is quenched with water (10 mL) filtered through Chem-Elut. The filtrate is concentrated, and subjected to chromatography on silica gel eluting with 10% MeOH in DCM to give N-(2-fluoro-5-{2-methoxy-6-[2-(4-methoxy-phenvπ-ethylarrύno]-pyrimidin-4-yl}-benzyl)-2- methoxy-acetamide, which is treated with saturated solution of hydrogen chloride in EtOAc followed by lyophilization to afford N-(2-Fluoro-5-(2-methoxy-6-[2-(4-methoxy-phenyl)-ethylamino]- pyrimidin-4-yli-benzyl)-2-methoxy-acetamide hydrochloride [190 mg, 74%, Example 28]. LCMS: Rτ = 2.35 minutes, MS: 455 (M+H). IC50 = 9 nM
Example 29 r2-Methoxy-6-(3-methoxy-phenyl)-pyrimidin-4-yl1-r2-(4-methoxy-phenyl)-2-methyl-propyll-amine
Example 29
Step 1. To a solution of (4-methoxy-phenyl)-acetonitrile [5 g, 34 mmol] in THF (40 mL), is added a 1.5 M solution of lithium diisopropylamide in cyclohexane (36 mL, 54 mmol) at -780C. After 2 hours at -78°C, methyl iodide (3.4 g, 54 mmol) is added, and the mixture is allowed to warm to room temperature over 3 hours. After additional 12 hours at 2O0C, the mixture is diluted with aqueous ammonium chloride solution, and extracted with ethyl acetate. The extracts are dried over magnesium sulfate, filtered and concentrated. The residue is subjected to chromatography on silica gel eluting with 40% EtOAc in heptane to afford a mixture of 2-(4-ethoxy-phenyl)-propionitrile and 2-(4- methoxy-phenyπ-2-methyl-propionitrile. To above mixture (5 g) in THF (20 mL) is add a 2 M solution of lithium aluminum hydride (35 mL, 70 mmol) at O0C. After 12 hours at 200C, the mixture is carefully quenched with 10% sodium hydroxide solution, and the white slurry is diluted with ether. The mixture is dried over magnesium sulfate, filtered and concentrated. The residue is subjected to chromatography on silica to afford 2-(4-methoxy-phenyl)-2-methyl-propylamine [2 g, 33%, Intermediate (35)]. MS: 180 (M+H).
Step 2. A mixture of 2-(4-methoxy-phenyl)-2-methyl-propylamine [172 mg, 0.96 mmol, Intermediate (35)], sodium bicarbonate (0.12 g), and 4-chloro-2-methoxy-6-(3-methoxy-phenyl)-pyrimidine [120 mg, 0.48 mmol, Intermediate (53)] in N-methylpyrrolidine (3 mL), is heated to 1750C for 3 hours. The mixture is diluted with water, and extracted with ethyl acetate. The extracts are washed with water, dried over magnesium sulfate, filtered and concentrated. The residue is subjected to chromatography on silica gel eluting with 30% EtOAc in heptane to afford [2-methoxy-6-f3-methoxy-phenyl)- pyrimidin-4-yl]-[2-('4-methoxy-phenyl)-2-methyl-propyl1-amine [131 mg, 69%, Example 29]. LCMS: Rx = 2.73 minutes, MS: 394 (M+H). 1H NMR (300 MHz, CDCl3): δ 7.59 (IH, s), 7.51 (IH, d, J = 7.8 Hz), 7.35-7.27 (3H, m), 6.96 (IH, dd, J= 8.1, 2.4 Hz), 6.88 (2H, d, J= 9 Hz), 6.31 (IH, s), 4.02 (3H, s), 3.86 (3H, s), 3.79 (3H, s), 3.62 (2H, brs), 1.4 (6H, s). IC50 = 792 nM
Example 30
[2-(2-Chloro-6-fluoro-phenyl)-ethyl]-r6-(6-methoxy-pyridin-3-yl)-2-methylsulfanyl-pyrimidin-4-yl]- amine
(37) (29) (38)
Example 30
Step 1. A mixture of 2-methoxy-5-pyridyl-boronic acid (600 mg, 2.04 mmol, Intermediate (37), prepared according to the procedure described in J. Org. Chem., 67, 7541, 2002), 4,6-dichloro-2- methylsulfanyl-pyrimidine [700 mg, 3.59 mmol, Intermediate (29)], and Cs2CO3 (2.9 g, 8.97 mmol) in ethylene glycol dimethyl ether (8 mL) and water (2 mL) is degassed by bubbling with Argon gas for 5 minutes, and treated with tetrakis(triphenylphosphine) palladium(O) (207 mg, 0.18 mmol) at room temperature. After 3 hours at 850C, the mixture is diluted with water (50 mL), and extracted twice with EtOAc (50 mL). The extracts are dried over magnesium sulfate, filtered, and concentrated to afford 4; cMoro-6-(6-meiJioxy-pyridm-3-ylV2-methylsulfanyl-pyriinidine [1.1 g, Intermediate (38)] as an oil. LCMS: Rτ = 3.72 minutes, MS: 268 (M+H).
Step 2. A mixture of 2-(2-chloro-6-fluoro-phenyl)-ethylamine [1.02 g, 5.88 mmol, Intermediate (23)], Na2CO3 (1.65 g, 19.6 mmol), and 4-chloro-6-(6-methoxy-pyridin-3-yl) -2-methylsulfanyl-pyrimidine [1.05 g, 3.92 mmol, Intermediate (38)] in N-methyl pyrrolidine (10 mL), is heated to 175°C for 3hours. The reaction mixture is diluted with water, and extracted with ethyl acetate. The extracts are washed with water, dried over magnesium sulfate, filtered, and concentrated. The residue is subjected to short- path chromatography on silica gel eluting with EtOAc to afford [2-(2-chloro-6-fluoro-phenyl)-ethyl]- [6-(6-methoxy-pyridin-3-yl)-2-methylsulfanyl-pyrimidin-4-yl]-amine [1.5 g, Example 30], LCMS: Rj = 3.37 minutes, MS: 405 (M+H).
Example 31 5-{6-[2-(2-CMoro-6-fluoro-phenyl)-ethylammo]-2-methylsulfanyl-pyrimidin-4-yl}-lH-pyridin-2-one
Example 30 Example 31
A solution of [2-(2-chloro-6-fluoro-phenyl)-ethyl]-[6-(6-methoxy-pyridin-3-yl)-2-methylsulfanyl- pyrimidin-4-yl] -amine [1.5 g, 3.7 mmol, Example 30] and concentrated hydrochloric acid (5 mL) in EtOH (95%, 30 mL) is heated to 90°C for 15 hours, and concentrated. The residue is diluted with water, and the pH of the solution is adjusted to 7. The resulting solid is filtered and dried to afford 5; {6-r2-(2-cMoro-6-fluoro-phenylVethylan^o]-2-methylsulfanyl-pyrimidin-4-yl}-lH-pyridin-2-one [1.1 g, 76%, Example 31]. LCMS: RT = 3.12 minutes, MS: 391 (M+H).
Example 32
5-(6-r2-r2-cMoro-6-fluoro-phenyl)-ethylamino1-2-methoxy-pyrimidin-4-yl}-lH-pyridin-2-one
Example 31 Example 32
To a mixture of above 5-{6-[2-(2-cUoro-6-fluoro-phenyl)-ethylamino]-2-methylsulfanyl-pyrimidin-4- yl}-lH-pyridin-2-one [1 g, 2.56 mmol, Example 31] in a mixture of MeOH (30 mL) and DCM (20 mL), is added 3-chloro-peroxybenzoic acid (70%, 1.32 g, 7.68 mmol) at room temperature. After 3 hours at 2O0C, a 25% solution of sodium methoxide in MeOH (12 mL) is added at O0C. After additional 1 hour, the mixture is concentrated, diluted with water, and neutralized with 3 M hydrochloric acid (pH 7). The resulting solid is filtered, and re-dissolved in a basic solution (pH 12). After acidifying into pH 3, the precipitate is filtered, and dried to give 5-{6-[2-(2-chloro-6-fluoro- phenyl)-ethylamino]-2-methoxy-pyrimidin-4-yl}-lH-pyridin-2-one [0.92 g, 96%, Example 32] as a solid. LCMS: Rτ = 2.23 minutes, MS: 375 (M+H).
Example 33
S-lβ-^-r∑-Chloro-ό-fluoro-phenyπ-ethylaminol^-methoxy-pyriniidin^-yll-l-fS-oxo^.S-dihydro- [ 1.3 ,41oxadiazol-2-ylmethyl)-l H-pyridin-2-one
Step 1. A solution of (5-{6-[2-(2-chloro-6-fluoro-phenyl)-ethylamino]-2-methoxy-pyrimidin-4-yl}-2- oxo-2H-pyridin-l-yl)-acetic acid methyl ester [220 mg, 0.49 mmol, Example 22(d)] in a mixture of MeOH (5 mL) and DCM (2 mL) is treated with hydrazine hydrate (0.18 mL, 5.8 mmol). After 15 hours at 2O0C, the mixture is concentrated to give f54642-f2-cMoro-6-fluoro-phenyl)-ethylamino~]-2- methoxy-pyrirtidin-4-yl}-2-oxo-2H-pyridin-l-yl)-acetic acid hydrazide. MS: 447 (M+H). This material is used without further purification.
Step 2. A mixture of (5-{6-[2-(2-chloro-6-fluoro-phenyl)-ethylamino]-2-methoxy-pyrimidin-4-yl}-2- oxo-2H-pyridin-l-yl)-acetic acid hydrazide^ and triethylamine (0.33 mL, 2.35 mmol) in N-methyl pyrrolidine (2 mL) is added 1 , 1 -carbonyldiimidazole (0.29 g, 1.76 mmol) at room temperature. After 24 hours at 2O0C, the mixture is diluted with water, and acidified with 1 M hydrochloric acid (pH 5.5). The resulting solid is filtered, washed with water/and ether, and dried to give 5-{6-["2-(2-chloro-6- fluoro-phenyl)-ethylamino]-2-methoxy-pyrimidin-4-yl|-l-(5-oxo-4,5-dihydro-["L3,41oxadiazol-2- ylmethyl)- 1 H-pyridin-2-one [108 mg, 47%, Example 33] as a solid. LCMS: Rτ = 2.76 minutes, MS: 473 (M+H). IC50 = 1.2 nM
Example 34
(a) 3-(3-{6-[2-(2,4-DicMoro-phenyl)-ethylarnino]-2-methoxy-pyrimidin-4-yl-phenoxymethyl)- 4H-F1 ,2,41oxadiazol-5-one hydrochloride
(39)
Example 34(a)
Step 1. A mixture of (3-{6-[2-(2,4-dicMoro-phenyl)-ethylamino]-2-methoxy-pyrimidin-4-yl}- phenoxy)-acetonitrile [Example 22(e)] and hydroxylamine hydrochloride (1.4 g, 20 mmol) in MeOH (35 rnL) and DCM (15 mL) is treated with a 25% solution of sodium methoxide in MeOH (3.4 mL, 15 mmol) at room temperature. After 24 hours at 20°C, the mixture is concentrated, diluted with water, and filtered to give 2-(3-{6-[2-(2,4-dichloro-phenyl)-ethylamino1-2-methoxy-pyrimidin-4-yl- phenoxyVN-hydroxy-acetamidine [Intermediate (39)]. [MS: 462 (M+H)].
Step 2. A solution of 2-(3-{6-[2-(2,4-dichloro-phenyl)-ethylamino]-2-methoxy-pyrimidin-4-yl- phenoxy)-N-hydroxy-acetamidine [Intermediate (39)] and l,8-diazabicyclo[5,4,0]undec-7-ene (0.61 mL, 4.1 mmol) in N-methyl pyrrolidine (2 mL) is treated with 1 , 1 -carbonyldiimidazole (0.5 g, 3.1 mmol) at room temperature. After 20 hours at 2O0C, the reaction mixture is diluted with water, acidified with 1 M hydrochloric acid (pH 3.0), and extracted with ethyl acetate. The extracts are dried over magnesium sulfate, filtered, and concentrated to afford 3-(3-j6-[2-(2.4-dichloro-phenyl)- ethylamino]-2-methoxy-pyrimidin-4-yl-phenoxymethyl)-4H-[1.2,4]oxadiazol-5-one, which is treated with saturated hydrogen chloride in ethyl acetate lyophilized to provide 3-(3-{6-[2-(2,4-dichloro- phenyl)-ethylammo]-2-methoxy-pyrimidin-4-yl-phenoxymethyl)-4H-[l,2%4]oxadiazol-5-one hydrochloride [200 mg, Example 34(a)] as a solid. LCMS: Rτ = 2.73 minutes, MS: 488 (M+H).
(b) 3-(3-{6-[2-r2-CMoro-6-fluoro-phenyl)-ethylamino]-2-methoxy-pyrimidin-4-yl|-benzyl)-4H- [1.2,4"|oxadiazol-5-one hydrochloride
(40)
Example 34(b)
By proceeding in a similar manner to Example 34(a) above but: (i) substituting (3-{2-methoxy-6-[2-(2- cUoro-β-fluoro-phenyO-ethylarmnoJ-pyrirnidin^-yll-phenyO-acetonitrile for (3-{6-[2-(2,4-dichloro- phenyl)-ethylamino]-2-methoxy-pyrirnidin-4-yl}-phenoxy)-acetonitrile in Step 1, and carrying out the reaction at room temperature for 2 days (40% conversion) to give 2-f3-{6-[2-(2-chloro-6-fluoro- phenyl)-ethylardno]-2-methoxyφyrimidin-4-yll-phenyπ-N-hvdroxy-acetamidine [Intermediate (40), MS: 430 (M+H)]; and (ii) substituting 2-(3-{6-[2-(2-chloro-6-fluoro-phenyl)-ethylamino]-2-methoxy- pyrimidin-4-yl}-phenyl)-N-hydroxy-acetamidine [Intermediate (40)] for 2-(3-{6-[2-(2,4-dichloro- phenyl)-ethylarnmo]-2-methoxy-pyrimidin-4-yl-phenoxy)-N-hydroxy-acetamidine in Step 2 there is prepared 3-r3-(6-[2-(2-cmoro-6-fluoro-phenyl)-ethylamino1-2-methoxy-pyrimidin-4-yl}-benzyl)-4H- π .2.41oxadiazol-5-one hydrochloride [Example 34(b)]. LCMS: Rτ = 2.32 minutes, MS: 456 (M+H). IC50 = 1 nM
(c) 3-r3-(6-[2-(2-CMoro-6-fluoro-phenylVethylaminol-2-methoxy-pyrirnidin-4-yl}- phenoxymethyl)-4H-[l ,2,41oxadiazol-5-one hydrochloride
By proceeding in a similar manner to Example 34(a) above but: (i) substituting (3-{6-[2-(2-chloro-6- fluoro-phenyl)-ethylamino]-2-methoxy-pyrimidin-4-yl}-phenoxy)-acetonitrile [164 mg, Example 22(f)] for (3- {6-[2-(2,4-dicUoro-phenyl)-ethylamino]-2-methoxy-pyrimidin-4-yl} -phenoxy)- acetonitrile there is prepared 2-(3-(6-[2-f2-cMoro-6-fluoro-phenyl)-ethylarnino]-2-methoxy-pyrimidin- 4-yl } -phenoxy)-N-hydroxy-acetamidine( 166 mg, 94%), (ii) substituting 2-(3-{6-[2-(2-chloro-6-fluoro- phenyl)-ethylamino]-2-methoxy-pyrimidin-4-yl}-phenoxy)-N-hydroxy-acetamidine for 2-(3-{6-[2- (2,4-dichloro-phenyl)-ethylarrύno]-2-methoxy-pyrimidin-4-yl-phenoxy)-N-hydroxy-acetamidine, and (iii) subjecting the product to silica gel chromatography eluting with 0 to 7% MeOH in DCM there is prepared 3-("3-{6-[2-r2-chloro-6-fluoro-phenyl)-ethylamino1-2-methoxy-pyrimidin-4-yl|- phenoxymethyl)-4H-[l .2,41oxadiazol-5-one hydrochloride [Example 34(c)] as a solid. LC/MS: Rγ = 2.4 minutes, MS: 472 (M+H). 1H NMR (300 MHz, (CD3)2SO): δ 12.82 (IH, br s), 7.18 - 7.55 (7H, m), 6.6 (IH, s), 5.18 (2H, s), 4 (3H, s), 3.68 (2H, m), 3.08 (2H, m). IC50 = 0.3 nM
Example 35
(a) 3- {2-Methoxy-6-[2-f4-methoxy-phenyl)-ethylaminol-pyrimidin-4-yl} -benzoic acid
(8) (20) Example 35(a)
Argon is bubbled through a mixture of (6-chloro-2-methoxy-pyrimidin-4-yl)-[2-(4-methoxy-phenyl)- ethyl]-amine [300 mg, 1.02 mmol, Intermediate (8)], 3-carboxyphenyl boronic acid [339 mg, 2.04 mmol, Intermediate (20)], and CS2CO3 (1.66 g, 5.1 mmol) in ethylene glycol dimethyl ether (8 mL) and water (2 mL), for a period of 5 minutes. To this mixture is added tetrakis(triphenylphosphine) palladium (0) (59 mg, 0.051 mmol) and the reaction vessel is sealed and heated to 9O0C. After stirring for 17 hours the mixture is diluted with water (50 mL) and extracted with EtOAc (50 mL). The aqueous layer is acidified to pH 6 with 10% hydrochloric acid and extracted twice with EtOAc (50 mL). The organic extracts from the acidic solution are combined and dried over magnesium sulfate,
filtered and concentrated to provide 3-{2-methoxy-642-(4-methoxy-phenyl)-ethylammo]-pyrimidin-4- vU -benzoic acid [350 mg, 90.4%, Example 35(a)] as a solid. LCMS: Rτ = 2.69 minutes, MS: 380 (M+H). 1H NMR [(CDs)2SO]: δ 8.52 (IH, s), 8.28 (3H, m), 8 (2H, m), 7.61 (2H, t, J=0.027 Hz), 7.47 (IH, m), 7.17 (2H, d, J=0.027 Hz), 6.85 (2H, d, J=0.027 Hz), 6.69 (IH, s), 3.89 (3H, s), 3.71 (3H, s), 2.8 (2H, t, J=0.024 Hz).
(b) 3- {2-Methoxy-6-[2-(4-trifluorome1iioxy-phenyl)-ethylaminol-pyrimidin-4-yl} -benzoic acid
By proceeding in a similar manner as above in Example 35(a) but substituting (6-chloro-2-methoxy- pyrimidin-4-yl)-[2-(4-trifluoromethoxy-phenyl)-ethyl]-amine [503 mg, 1.45 mmol, Intermediate (13)] for (6-cUoro-2-methoxy-pyrimidin-4-yl)-[2-(4-methoxy-phenyl)-ethyl]-amine and recrystallizing from EtOH there is prepared 3-(2-metb.oxy-6-[2-(4-trifluoromethoxy-phenyl)-ethylamino]-pyrimidin-4-yl}- benzoic acid [95 mg, 15%, Example 35(b)]. LCMS: Rτ = 2.93 minutes, MS: 434 (M+H).
(c) [2-(3Λ-Dimethoxy-phenyl)-ethyl]-(2-methoxy-6-thiophen-2-yl-pyrimidin-4-yl')amine
(4)
Step 1. By proceeding in a similar manner to that described in Example 1, Step 3, but substituting 2- (3,4-dimethoxy-phenyl)-ethylamine [Intermediate (41)] for 2-(3-fluoro-4-methoxy-phenyl)-ethylamine there is prepared (6-cMoro-2-methoxy-pyrimidin-4-yl)-[2-(3,4-dimethoxy-phenyl')-ethyll-amine [Intermediate (42)].
Step 2. By proceeding in a similar manner as above in Example 35(a) but (i) substituting (6-chloro-2- methoxy-pyrimidin-4-yl)-[2-(3,4-dimethoxy-phenyl)-ethyl]-amine [132 mg, 0.41 mmol, Intermediate (42)] for (6-cUoro-2-methoxy-pvrimidin-4-yl)-[2-(4-methoxy-phenyl)-ethyl]-amine, and (ii)
substituting 2-thiophene boronic acid (63 mg, 0.49 mmol) for 3-carboxyphenyl boronic acid, and (iii) subjecting the crude reaction product to flash column chromatography on silica gel eluting with 0 to 30% EtOAc in heptane gradient, there is prepared [2-(3,4-dimethoxy-phenyl)-ethyl]-(2-methoxy-6- thiophen-2-yl-pyrimidin-4-yl)amine [9.1 mg, 6%, Example 35(c)]. LCMS: Rτ = 2.56 minutes, MS: 372 (M+H).
(d) [2-f3Λ-Dimethoxy-phenyl)-ethyl1-f6-furan-2-yl-2-methoxy-pyrirnidin-4-yl')-amine
By proceeding in a similar manner as above in Example 35(a) but (i) substituting (6-chloro-2- methoxy-pyrimidin-4-yl)-[2-(3,4-dimethoxy-phenyl)-ethyl]-amine [100 mg, Intermediate (42)] for (6- chloro-2-methoxy-pyrimidin-4-yl)-[2-(4-methoxy-phenyl)-ethyl]-amine, and (ii) substituting 2-furan boronic acid (69 mg) for 3-carboxyphenyl boronic acid, and (iii) subjecting the crude reaction product to flash column chromatography on silica gel eluting with 0 to 30% EtOAc in heptane gradient, there is prepared [2-(3,4-dimethoxy-phenyl)-ethyl1-(6-furan-2-yl-2-methoxy-pyrimidin-4-yl)-amine [32.4 mg, 30%, Example 35(d)]. LCMS: Rτ = 2.18 minutes, MS: 356 (M+H). IC50 = 256 nM
(e) (6-Biphenyl-4-yl-2-methoxy-pyrirnidin-4-yl)-[2-(3,4-dimethoxy-phenyl)-ethyl]-amine
By proceeding in a similar manner as above in Example 35(a) but (i) substituting (6-chloro-2- methoxy-pyrimidin-4-yl)-[2-(3,4-dimethoxy-phenyl)-ethyl]-amine [100 mg, Intermediate (42)] for (6- chloro-2-methoxy-pyrimidin-4-yl)-[2-(4-methoxy-phenyl)-ethyl] -amine, and (ii) substituting 4- Biphenylboronic acid (122 mg) for 3-carboxyphenyl boronic acid, and (iii) subjecting the crude reaction product to flash column chromatography on silica (1Og) eluting with 20 to 60% EtOAc in heptane gradient, there is prepared (6-biphenyl-4-yl-2-methoxy-pyrimidin-4-yl)-[2-(3,4-dimethoxy- phenylVethyll-amine [79.7 mg, 58.6%, Example 35(e)]. LCMS: Rτ = 3.05 minutes, MS: 442 (M+H). 1H NMR (300 MHz, CDCl3) δ 8.36 (IH, d, J=0.027 Hz), 8.09 (2H, d, J=0.027 Hz), 7.84 (IH, d, J=0.027 Hz), 7.78 (IH, d, J=0.027 Hz), 7.68 (9H, m), 7.45 (4H, m), 6.84 (IH, t, J=0.027 Hz), 6.79
(2H, m), 6.44 (IH, s), 4.93 (IH, s), 4.77 (IH, s), 4.07 (3H, s), 3.9 (6H, s), 3.72 (2H, m), 2.94 (2H, t, J=0.022 Hz). IC50 = 369 nM
(f) 3-{6-[2-f4-Fluoro-phenylVethylamino]-2-methoxy-pyrimidin-4-yl} -benzoic acid hydrochloride
(4)
Step 1. By proceeding in a similar manner to that described in Example 1, Step 3, but substituting 2- (4-fluoro-phenyl)-ethylamine for 2-(3-fluoro-4-methoxy-phenyl)-ethylamine there is prepared (6- chloro-2-methoxy-pyrimidin-4-yl)-["2-(4-fluoro-phenyl)-ethyl1-amine [Intermediate (43)]. LCMS: Rτ : 3.22 minutes, MS: 282 (M+H).
Step 2. By proceeding in a similar manner as above in Example 35(a) but (i) substituting ((6-chloro-2- methoxy-pyrimidin-4-yl)-[2-(4-fluoro-phenyl)-ethyl]-amine [132 mg, 0.41 mmol, Intermediate (43)] for (6-chloro-2-methoxy-pyrimidin-4-yl)-[2-(4-methoxy-phenyl)-ethyl]-amine; and (ii) treating the product with hydrogen chloride in ethyl acetate, there is prepared 3-{6-[2-(4-fluoro-phenyl)- ethylamino]-2-methoxy-pyrimidin-4-yU -benzoic acid hydrochloride [54 mg, 16.5%, Example 35(f)]. LCMS: R7 = 2.47 minutes, MS: 368 (M+H).
(g) 3-(2-Methoxy-6-[2-(4-methoxy-phenyD-ethylarnmo1-pyrimidin-4-yl}-benzamide
By proceeding in a similar manner as above in Example 35(a) but substituting (3-aminocarbonylphenyl)boronic acid for 3-carboxyphenyl boronic acid there is prepared 3-{2- methoxy-6-[2-(4-methoxy-phenyl)-ethylammo]-pyrimidin-4-yl|-benzamide [Example 35(g)].
By proceeding in a similar manner as above in Example 35(a) but substituting 3-acetylphenylboronic acid for 3-carboxyphenyl boronic acid there is prepared l-(342-methoxy-6-[2-(4-methoxy-phenyl)- ethylaminol-pyrimidin-4-yl}-phenyl)-ethanone [Example 35(h)]. LCMS: Rτ = 2.57 minutes, MS: 378 (M+H). IC50 = 5 nM
(i) 3 - 16-r2-(2,4-dichloro-phenyl)-ethylaminol -2-methoxy-pyrimidin-4-yl } -phenol
(4)
Step 1. By proceeding in a similar manner to that described in Example 1, Step 3, but substituting 2- (2,4-dichloro-phenyl)-ethylamine for 2-(3-fluoro-4-methoxy-phenyl)-ethylamine there is prepared ("6- cMoro-2-methoxy-pytimidin-4-vπ-r2-f2.4-dichloro-phenyl)-ethyl]-amine [Intermediate (44)].
Step 2. By proceeding in a similar manner as above in Example 35(a) but (i) substituting (6-chloro-2- methoxy-pγrimidin-4-yl)-[2-(2,4-dichloro-phenyl)-ethyl]-amine [Intermediate (44)] for (6-chloro-2- methoxy-pyrimidin-4-yl)-[2-(4-methoxy-phenyl)-ethyl]-amine, and (ii) 3-hydroxyphenylboronic acid for 3-carboxyphenyl boronic acid there is prepared 3-{6-[2-(2,4-dichloro-phenyl)-ethylamino]-2- methoxy-pyrimidin-4-yl} -phenol [Example 35(i)]. LCMS: Rτ = 2.57 minutes, MS: 390 (M+H).
By proceeding in a similar manner as above in Example 35 (a) but substituting 4-fluoro-3- formylbenzeneboronic acid for 3-carboxyphenyl boronic acid there is prepared 2-Fluoro-5-{2- methoxy-6-[2-f4-methoxy-phenyl')-ethylaminol-pyrimidin-4-vU-benzaldehyde [Example 35(j)]. LCMS: Rτ = 2.77 minutes, MS: 382 (M+H).
(k) 3-{6-[2-(3,4-Dimethoxy-phenyl)-ethylammo1-2-methoxy-pyrirnidin-4-yll -benzoic acid
By proceeding in a similar manner as above in Example 35(a) by substituting (6-chloro-2-methoxy- pyiimidin-4-yl)-[2-(3,4-dimethoxy-phenyl)-ethyl]-amine for (6-chloro-2-methoxy-pyrimidin-4-yl)-[2- (4-methoxy-phenyl)-ethyl]-amine there is prepared 3-j6-[2-(3,4-dimethoxy-phenyl)-ethylamino]-2- methoxy-pyrimidin-4-yl} -benzoic acid [Example 35(k)]. LCMS: R7 = 2.39 minutes, MS: 410 (M+H).
(1) 3-(2-Methoxy-6-[2-(4-methoxy-phenyl')-ethylamino]-pyrimidin-4-yl|-thiophene-2- carbaldehvde
By proceeding in a similar manner as above in Example 35 (a) by substituting 2-formyl-3-thiophene boronic acid (797 mg) for 3-carboxyphenyl boronic acid there is prepared 3-{2-methoxy-6-[2-(4- methoxy-phenyl)-ethylaminol-pyrimidin-4-yl}-thiophene-2-carbaldehvde [450 mg (36%, Example 35(1)]. LCMS: Rx = 7.42 minutes. MS: 370 (M+H).
(m) l-(5-{2-Methoxy-6-[2-(4-methoxy-phenyl)-ethylamino1-pyrimidin-4-yl}-thiophen-2-yπ- ethanone
By proceeding in a similar manner as above in Example 35(a) but substituting 5-Acetyl-2- thiopheneboronic acid for 3-carboxyphenyl boronic acid there is prepared l-(5-{2-methoxy-6-[2-(4- methoxy-phenyl)-ethylarnino]-pyrimidin-4-yl|-thiophen-2-yl')-ethanone [200mg, 51 %, Example 35(m)]. IC50 = 3.8 nM
(n) 3-(6-[2-f4-cMorophenyl)-ethylammo]-2-methoxy-pyrrmidin-4-yl} -benzoic acid hydrochloride
(4)
Example 35(π)
Step 1. A solution of 4,6-dichloro-2-methoxypyrimidine [0.7 g, Intermediate (4)], 2-(4-chlorophenyl)- ethylamine (0.66 g) and sodium bicarbonate (O.88g) in EtOH (25 ml) is heated at 8O0C for three hours, poured into water (400 mL) and the solid is filtered and air dried affording (6-chloro-2-methoxy- pyrimidin-4-yl)-[2-(4-chlorophenyl)-ethyl]amine [1.1 g, Intermediate (14)]. MS: 299 (M+H). 1H NMR (CD3)2SO]: δ 8 (d, 2H, J=3 Hz); 7.4 (2H1 d, J=3 Hz); 6.05 (IH, s); 4 (3H, s): 3.6-3.7 (2H1 m); 2.95 (2H, t).
Step 2. By proceeding in a similar manner as above in Example 35(a) but substituting 6-chloro-2- methoxy-pyrimidin-4-yl)-[2-(4-chlorophenyl)-ethyl]amine [Intermediate (14)] for (6-chloro-2- methoxy-pyrimidin-4-yl)-[2-(4-methoxy-phenyl)-ethyl]-amine and treating the reaction product with 1.2 equivalents of hydrogen chloride in ether (IM) followed by evaporation and trituration with ether to there is prepared 3-{6-r2-(4-cMorophenyl)-ethylamino1-2-methoxy-pyrimidin-4-yl} -benzoic acid hydrochloride [1.1 g, Example 35(n)] as a solid. MS: 384 (M+H). 1H NMR (CDCl3): δ 8.5 (IH, s); 8 (2H, d, J= 5.1 Hz); 7.9 (IH, m); 7.6 (IH, t); 7.2-7.4 (4H, m); 6.6 (IH, s); 3.95 (3H, s); 3.7 (2H, t); 3 (2H, t). IC50 = 0.6 nM
(o) [2-Methoxy-6-(6-methoxy-pyridin-3-yl)-pyrimidin-4-yl]-[2-r4-methoxy-phenyl)-ethyl]-amine
A mixture of (6-cmoro-2-methoxy-pyrimidin-4-yl)-[2-(4-methoxy-phenyl)-ethyl]-amine (600 mg, 2.04 mmol), 2-methoxy-5-pyridyl-boronic acid (469mg, 3.06mmol, prepared according to the procedure described in /. Org. Chem., 2002, 67, 7541), and Cs2CO3 (1.66 g, 5.11 mmol) in ethylene glycol dimethyl ether (8 mL) and water (2 mL), at room temperature, is degassed with argon gas for 5 minutes and treated with tetrakis(triphenylphosphine) palladium (0) (118 mg, 0.1 mmol). The mixture is heated at 850C for 5 hours, diluted with water (50 mL), and extracted twice with EtOAc (50 mL). The combined extracts are dried over magnesium sulfate, filtered and evaporated. The residue is subj ected to chromatography on silica gel eluting with a mixture of EtOAc and heptane (1 :1, v/v) affording [2-methoxy-6-(6-methoxy-pyridin-3-yl)-pyrimidin-4-yl1-[2-(4-methoxy-phenyl)-ethyl]- amine [0.75g, 100%, Example 35(o)] as an oil. LCMS: Rτ = 2.74 minutes, MS: 367 (M+H). 1H NMR (300 MHz, CDCl3): δ 8.78 (IH, d, J= 2.1 Hz), 8.21 (IH, dd, J= 8.7, 2.4 Hz), 7.16 (2H, d, J= 8.4 Hz), 6.88 (IH, dd, J= 8.7, 2.4 Hz), 6.82 (2H, d, J= 8.4 Hz), 6.3 (IH, s), 4.95 (IH, brs), 4.03 (3H, s), 4.02 (3H, s), 3.82 (3H, s), 3.72-3.63 (2H, m), 2.92 (2H, t, J= 6.9 Hz). IC50 = 1.7 nM
By proceeding in a similar manner as above in Example 35(o) but substituting commercially available 3-hydroxy-phenyl-boronic acid for 2-methoxy-5-pyridyl-boronic acid and subjecting the crude reaction product to short-path silica filtration, there is prepared 3-{2-methoxy-6-['2-(4-methoxy-phenyI')- ethylamino]-pyrimidin-4-yl} -phenol [l .lg, Example 35(p)].
(q) [2-(4-Methoxy-phenylVethyl]-(2-methoxy-6-pyridin-4-yl-pyrimidin-4-yπ-amine
By proceeding in a similar manner as above in Example 35(o) but substituting commercially available 4-pyridyl-boronic acid for 2-methoxy-5-pyridyl-boronic, and subjecting the crude product to chromatography on silica gel eluting with MeOH in DCM (5:95, v/v), there is prepared r2-f4-methoxy- phenylVethyl]-('2-methoxy-6-pyridm-4-yl^yrirnidin-4-yl)-amine [129 mg, Example 35(q)]. LCMS: Rτ = 2.35 minutes, MS: 337 (M+H). IC50 = 8 nM
(r) 2-(2-Methoxy-6-[2-f4-methoxyφhenylVethylammo]-pyrimidin-4-yll -phenol
By proceeding in a similar manner as above in Example 35(o) but substituting commercially available 2-(4,4,5,5-tetramethyl-l,3,2-dioxaborolan-2-yl)phenol for 2-methoxy-5-pyridyl-boronic acid, and triturating the crude reaction product with ether, there is prepared 2-{2-methoxy-6-[2-(4-methoxy- phenylVethylamino]-pyrirnidin-4-yl} -phenol (143 mg, Example 35(r)] as a solid. LCMS: Rτ = 3.08 minutes, MS: 352 (M+H). IC50 = 17 nM
(s) π-{2-Methoxy-6-[2-r4-methoxy-phenyπ-ethylamino1-pyrimidin-4-yl}-phenyl')-acetonitrile
By proceeding in a similar manner as above in Example 35(o) but substituting commercially available (3-cyanomethyl-phenyl)-boronic acid, pinacol ester for 2-methoxy-5-pyridyl-boronic acid, and subjecting the crude product to chromatography on silica gel eluting with a mixture of 60% EtOAc in heptane, there is prepared (3- {2-methoxy-6-[2-(4-methoxy-phenvπ-ethylambo]-pyrimidin-4-yl| - phenylVacetonitrile [350 mg, Example 35(s)]. LCMS: R7 = 2.48 minutes, MS: 375 (M+H). IC50 = 6 nM
(t) 3-(2-Methoxy-6-[2-(4-methoxy-phenylVethylamino1-pyrimidin-4-yl}-benzonitrile
By proceeding in a similar manner as above in Example 35(o) but substituting commercially available 3-cyano-phenyl-boronic acid for 2-methoxy-5-pyridyl-boronic acid, and subjecting the crude product to chromatography on silica gel eluting with a mixture of 40% EtOAc in heptane, there is prepared 3-{2-methoxy-6-r2-r4-methoxy-phenylVethylammo]-pyrimidin-4-yl}-benzonitrile [220 mg, Example 35(t)]. LCMS: R7 = 3.15 minutes, MS: 361 (M+H). IC50 = 0.9 nM
(u) 3-(2-Methoxy-6-[2-(4-methoxy-phenyl)-ethylaπiino1-pyrimidin-4-yl}-benzaldehyde
By proceeding in a similar manner as above in Example 35(o) but substituting commercially available 3-fomyl-phenyl-boronic acid for 2-methoxy-5-pyridyl-boronic acid, and subjecting the crude product to chromatography on silica gel eluting with a mixture of 460% EtOAc in heptane, there is prepared 3^ {2-methoxy-6-[2-f4-methoxy-phenyl)-ethylamino1-pyrimidin-4-yl}-benzaldehyde [12.4 mg, Example 35(u)]. LCMS: R7 = 3.05 minutes, MS: 364 (M+H).
(v) 3-{6-[2-(2-CMoro-6-fluoro-phenvπ-ethylammo]-2-methoxy-pyrirnidin-4-yl}-berizaldehyde
Step 1. Following procedures similar to those of Example 1, step 3, but using 4,6-dichloro-2- methoxypyrimidine [3.1 g, Intermediate (4)], 2-(2-chloro-6-fluoro-phenyl)-ethylamine (1.84 g,
Intermediate (23)] and sodium bicarbonate (2.02 g) there is prepared (6-chloro-2-methoxy-pyrimidin- 4-yl)-[2-(2-chloro-6-fluoro-phenyl)-ethyll-amine [3.2 g, Intermediate (24)] as a white solid. LCMS: Rτ = 3.63 minutes, MS: 317 (M+H).
Step 2. By proceeding in a similar manner as above in Example 35(o) but substituting commercially available 3-fomyl-phenyl-boronic acid [Intermediate (25)] for 2-methoxy-5-pyridyl-boronic acid, and (6-chloro-2-methoxy-pyrimidin-4-yl)-[2-(2-chloro-6-fluoro-phenyl)-ethyl]-amine [2 g, Intermediate (24) prepared in step 1], for (6-chloro-2-methoxy-pyrimidin-4-yl)-[2-(4-methoxy-phenyl)-ethyl]- amine, there is prepared 3-(6-[2-(2-chloro-6-fluoro-phenyl)-ethylamino]-2-methoxy-pyrimidin-4-yl|- benzaldehvde [2.76 g, Example 35(v)]. LCMS: Rτ = 3.2 minutes, MS: 386 (M+H). IC50 = 3.6 nM
(w) 3-l6-[2-(2Λ-DicMoro-phenyl)-ethylamino]-2-methoxy-pyrimidin-4-yl| -benzoic acid
By proceeding in a similar manner as above in Example 35(o) but substituting commercially available 3-carboxy-phenyl-boronic acid for 2-methoxy-5-pyridyl-boronic acid, and (6-chloro-2-methoxy- pyrimidin-4-yl)-[2-(2,4-dichloro-pb.enyl)-ethyl]-amine [2 g, Intermediate (44)] for (6-chloro-2- methoxy-pyrimidin-4-yl)-[2-(4-methoxy-phenyl)-ethyl]-amine, and extracting the crude reaction mixture, adjusted to pH 2, with EtOAc there is prepared 3-{6-[2-(2Λ-dichloro-phenyl)-ethylamino'|-2- methoxy-pyrimidin-4-yl) -benzoic acid [2.5 g, Example 35(w)]. IC5Q = 0.3 nM
(x) [~2-Methoxy-6-(pyridin-3 -vD-pyrimidin-4-yl'| -[2-(4-methoxy-phenyl)-ethyl] -amine
By proceeding in a similar manner as above in Example 35(o) but substituting commercially available 3-pyridyl-boronic acid for 2-methoxy-5-pyridyl-boronic acid, and subjecting the crude product to chromatography on silica gel eluting with 5% MeOH in DCM, there is prepared [2-methoxy-6- (pyridm-3-yl)-pyrimidin-4-yl]-[2-(4-methoxy-phenyl)-ethyl]-arrrine [45 mg, Example 35(x)]. LCMS: Rτ = 2.33 minutes, MS: 337 (M+H). IC50 = 10 nM
(y) 2-Methoxy-5-|2-methoxy-6-[2-f4-methoxy-phenyl)-ethylamino]-pyrimidin-4-vU- benzaldehyde
By proceeding in a similar manner as above in Example 35(o) but substituting commercially available 3-formyl-4-methoxy-boronic acid for 2-methoxy-5-pyridyl-boronic acid, and triturating the product with ether, there is prepared 2-methoxy-5-(2-methoxy-6-[2-(4-methoxy-phenyl)-ethylamino'1- pyrimidin-4-yl) -benzaldehyde [780 mg, Example 35(y)]. LCMS: Rx = 2.55 minutes, MS: 394 (M+H).
(z) 2-Chloro-5- |2-methoxy-6-[2-(4-methoxy-phenyl)-ethylamino]-pyrimidin-4-yll -benzoic acid ethyl ester
Example 35(z)
Step 1. Under a nitrogen atmosphere, a 50 mL round bottom flask is charged with bis(pinacolato)diborane (1.16 g, 4.55 mmol), potassium acetate (1.11 g, 11.4 mmol) and 5-bromo-2- chloro-benzoic acid ethyl ester (1 g, 3.79 mmol). After bubbling nitrogen through the mixture for 5 minutes, dichloro[l,r-bis(diphenylphosphino)ferrocene]palladium DCM adduct [PdCl2(dppf), 93 mg, 0.11 mmol] is added. The resulting mixture is heated to 60°C for 2 hours, cooled to room temperature and poured into EtOAc (50 mL). This mixture is washed with water, with brine, dried over sodium sulfate, filtered and concentrated to give 2-chloro-5-(4A5,5-tetramethyl-[l . 3,2"|dioxaborolan-2-yl)- benzoic acid ethyl ester [LCMS: Rτ = 5.1 minutes, MS: 311 (M+H)] and the dimerized side product, 4,3'-Dichloro-biphenyl-3,4'-dicarboxylic acid diethyl ester in 2:1 ratio (0.65 g total). The crude mixture is used for a next step without further purification.
Step 2. By proceeding in a similar manner to Example 35(o) above but substituting the crude 2- chloro-5-(4,4,5,5-tetramethyl-[l, 3,2]dioxaborolan-2-yl)-benzoic acid ethyl ester, prepared in step 1 above, for 2-methoxy-5-pyridyl-boronic acid, and carrying out a short-path silica gel filtration on the crude product, there is prepared 2-chloro-5-{2-methoxy-6-[2-(4-methoxy-phenyl)-ethylamino]- pyrimidin-4-vU -benzoic acid ethyl ester [0.21 g, Example 35(z)]. LCMS: Rτ = 3.28 minutes, MS: 442 (M+H). IC50 = 32 nM
Example 36
(2-Methoxy-6-[3-(3-methyl-[l,2,4]oxadiazol-5-yl)-phenyl1-pyrimidin-4-yl}-[2-(4-methoxy-phenyl)- ethyll -amine
Example 36
Step 1. To a solution of 3- {2-methoxy-6-[2-(4-methoxy-phenyl)-ethylamino]-pyrimidin-4-yl} -benzoic acid (200 mg, 0.53 mmol, Example 35(a)] in dimethylformamide (1.75 mL) is added diisopropylethylamine (0.23 mL, 1.33 mmol) followed by TBTU (205 mg, 0.64 mmol). Stirred the solution for 15 minutes before adding acetamide oxime (59 mg, 0.8 mmol). After 4 hours of stirring at ambient temperature the mixture is diluted with water (20 mL) and extracted twice with EtOAc (20 mL). The combined organic extracts are washed three times with water (20 mL), with brine (20 mL), dried over magnesium sulfate, filtered and concentrated by rotary evaporator to provide N-(l-imino- ethyl)-3-{2-methoxy-6-r2-(4-methoxy-phenyl)-ethylamino1-pyrimidin-4-yl}-benzamide[60 mg, 69%, Intermediate (45)].
Step 2. A solution of N-(l-imino-ethyl)-3-{2-methoxy-6-[2-(4-methoxy-phenyl)-ethylamino]- pyrimidin-4-yl}-benzamide [160 mg, 0.367 mmol, Intermediate (45)] in THF (2 mL) is irradiated in a microwave to 140°C twice for 4 minutes. The reaction mixture is absorbed onto silica gel and subjected to flash column chromatography on silica gel (9 g) eluting with 0 to 50% EtOAc in heptane gradient, to afford {2-methoxy-6-r3-(3-methyl-["L2,41oxadiazol-5-yl)-phenyl]-pyrimidin-4-yl}-[2-(4- methoxy-phenylVethvH -amine [41mg, 27%, Example 36]. LCMS: R7 = 2.9 minutes, MS: 418 (M+H). 1H NMR (300 MHz, CDCl3): δ 8.64 (IH, s), 8.26 (IH, dt, J=0.027, 0.0044 Hz), 8.15 (IH, dt, J=0.027, 0.0044 Hz), 7.59 (IH, t, J=0.026 Hz), 7.14 (2H, d, J=0.029 Hz), 6.86 (2H, d, J=0.029 Hz), 6.43 (IH, s), 4.94 (IH, s), 4.04 (3H, s), 3.78 (3H, s), 3.69 (2H1 m), 2.9 (2H, t, J=0.022 Hz), 2.49 (3H, s). IC50 = 2.6 nM
Example 37 {2-Methoxy-643-f5-methyl-2H-rL2,41triazol-3-yl")-phenyl1-pyrimidin-4-yli-r2-(4-methoxy-phenvπ- ethyli-amine
Example 37
Step 1. A mixture of 3-{2-methoxy-6-[2-(4-methoxy-phenyl)-ethylamino]-pyrimidin-4-yl}-benzamide [50 mg, 0.132 mmol, Example 35(g)] and dimethylacetamide dimethylacetal (2 mL) in a sealed tube and heated to 110σC for 45 minutes. The mixture is concentrated by rotary evaporator to provide N- ( 1 -dimethylamino-ethylidene)-3- {2-methoxy-6-[2-( 4-methoxy-phenyl)-ethylamino]-pyrimidin-4-yl I - benzamide [Intermediate (46)] in quantitative yield.
Step 2. A solution of N-(l-dimethylamino-ethylidene)-3-{2-methoxy-6-[2-(4-methoxy-phenyl)- ethylamino]-pyrimidin-4-yl} -benzamide [0.132 mmol, Intermediate (46)] and hydrazine hydrate (15 μL, 0.48 mmol) in acetic acid (1 mL) is heated to 90°C. After stirring for 30 minutes removed from heat, quenched with saturated sodium bicarbonate solution (20 mL) and extracted twice with EtOAc (20 mL). The organic extracts are dried over magnesium sulfate, filtered and concentrated by rotary evaporator. The resulting oil is subjected to flash column chromatography on silica gel eluting with 40% EtOAc in heptane gradient to afford {2-methoxy-6-[3-f5-methyl-2H-[l,2,4]triazol-3-yl)-phenyl]- pyrimidin-4-vU-|"2-(4-methoxy-phenyl)-ethvn-amine [38 mg, 69 %, Example 37]. LCMS: Rx = 2.59 minutes MS: 417 (M+H). IC50 = 3.7 nM
Example 38 {2-Methoxy-6-r3-f3-methyl-isoxazol-5-yl)-phenvn-pyrimidin-4-yl|-r2-(4-methoxy-phenyl)-ethyll- amine
Example 38
Step 1. A mixture of l-(3-{2-methoxy-6-[2-(4-methoxy-phenyl)-ethylamino]-pyrimidin-4-yl}- phenyl)-ethanone [125 mg, 0.33 mmol, Example 35(h)] and dimethylacetamide dimethylacetal (2 mL) in a round bottom flask is heated to 9O0C for 4 hours. The reaction mixture is treated with water (20 mL) and extracted three times with EtOAc (20 mL). The combined organics are dried over magnesium sulfate, filtered and concentrated by rotary evaporator to provide 3-dimethylamino-l-(3- |2-methoxy-6-r2-(4-methoxy-phenyl)-ethylanimol-pyrimidin-4-yl)-phenyl)-but-2-en-l-one [Intermediate (47)] in quantitative yield.
Step 2. In a sealed tube are combined 3-dimethylamino-l -(3-{2-methoxy-6-[2-(4-methoxy-phenyl)- ethylamino]-pyrimidin-4-yl}-phenyl)-but-2-en-l-one [60 mg, 0.134 mmol, Intermediate (47)], hydroxylamine hydrate (40 mg), and EtOH (3 mL). The mixture is heated at 950C with stirring for 6 hours concentrated. The resulting oil is subjected to flash column chromatography on silica gel eluting with 40% EtOAc in heptane to afford {Σ-methoxy-ό-rS-CS-methyl-isoxazol-S-vD-phenyli-pyrimidin^- ylH2-(4-methoxy-phenyl)-ethyl1-amine [56 mg, 100%, Example 38] as a solid. LCMS: Rτ = 2.82 minutes, MS: 417 (M+H). IC50 = 6 nM
Example 39 {2-Methoxy-6-[3-(5-methyl-2H-pyrazol-3-yl)-phenyl1-pyrirnidin-4-yl>-["2-(4-methoxy-phenyπ-ethyl1- amine
(47) Example 39
In a sealed tube are combined 3-dimethylamino-l-(3-{2-methoxy-6-[2-(4-methoxy-phenyl)- ethylamino]-pyrimidin-4-yl}-phenyl)-but-2-en-l-one [147 mg, 0.33 mmol, Intermediate (47) prepared as described in Example 38, Step 1], hydrazine hydrate (200 μL), and EtOH (3 mL). Heated the mixture to 850C and stirred for 1.5 hours. The reaction mixture is concentrated to provide an oil which is subjected to flash column chromatography on silica gel eluting with 20 to 60% EtOAc in heptane gradient, to afford {2-methoxy-6-r3-(5-methyl-2H-pyrazol-3-yl')-phenyl]-pyrimidin-4-yl}-r2-(4- methoxy-phenylVethyll-amine [136 mg, 99%, Example 39]. LCMS: R1- = 2.79 minutes, MS: 416 (M+H). 1H NMR (300 MHz, CDCl3) δ 8.29 (IH, s), 7.9 (IH, d, J=0.027 Hz), 7.72 (IH, d, JO.025 Hz), 7.4 (IH, t, J=0.026Hz), 7.09 (2H, d, J=0.028 Hz), 6.82 (2H, d, J=0.028 Hz), 6.35 (2H, d, J=0.024 Hz), 5.18 (IH, s), 3.98 (3H, s), 3.75 (3H, s), 3.59 (2H, m), 2.83 (2H, t, J=0.023), 2.3 (3H, s).
Example 40 r2-(3-Fluoro-4-methoxy-phenyl)-ethyll-(2-methoxy-6-r3-(2H-tetrazol-5-yl)-phenyll-pyrimidin-4-vU- amine
A solution of 3-{6-[2-(3-fluoro-4-methoxy-phenyl)-ethylamino]-2-methoxy-pyrimidin-4-yl}- benzonitrile [1.5 g, Example 1] and tributyl tinazide (1.66 mL) in toluene (80 mL) is heated at 115°C for 20 hours. The solution is cooled and treated with glacial acetic acid (20 mL) giving a white precipitate. The mixture is extracted twice with EtOAc (200 mL). The combined extracts are dried over sodium sulfate, filtered, and evaporated. The residue is subjected to chromatography on silica gel eluting with EtOAc to give [2-(3-fluoro-4-methoxy-phenyl)-ethyl]-(2-methoxy-6-[3-(2H-tetrazol-5- yli-phenyli -p yrimidin-4- yl I -amine (0.31 g, Example 40) as a solid. MS: 422 (M+H); 1H NMR (CDCl3): δ 8.6 (lH,s); 8.1 (IH, d (J= 5.1 Hz)); 7.9 (2H, m); 7.6 (IH, t); 7-7.2 (4H, m); 6.7 (IH, s); 3.95 (3H, s); 3.8 (3H, s); 3.6 (2H, t); 2.8 (2H, t); 1.6 (IH, m); 1.3 (IH, m). IC50 = 0.4 nM
Example 41
1 -Ethyl-3 -(3 - (2-methoxy-6-r2-(4-methoxy-phenyl)-ethylamino1 -pyrimidin-4-vU -phenylVurea
Example 2 Example 41
To a solution of [6-(3-amino-phenyl)-2-methoxy-pyrimidin-4-yl]-[2-(4-methoxy-phenyl)-ethyl]-amine (184 mg, 0.45 mmol, Example 2) in pyridine (1.5 mL) is added ethyl isocyanate (43 μL, 0.54 mmol). The reaction mixture is stirred for 18 hours at ambient temperature, quenched with the addition of water (25 mL), and extracted four times with EtOAc (25 mL). The combined extracts and washed four times with aqueous copper sulfate solution (25 mL), with water (25 mL), with brine (25 mL), dried over magnesium sulfate, filtered and concentrated by rotary evaporator. The resulting solid is subjected to flash column chromatography on silica (4.5 g) eluting with 20 to 40% EtOAc in heptane to afford 1 -ethyl-3 -(3- (2-methoxy-6-[2-(4-methoxy-phenyl)-ethylamino]-pyrimidin-4-yl} -phenyli- urea [98.3 mg, 52%, Example 41]. LCMS: Rτ = 2.68 minutes, MS: 422 (M+H). 1H NMR (300 MHz, CDCl3) δ 8.11 (IH, d, J=0.17 Hz), 7.88 (2H, s), 7.62 (IH, d, J=0.026 Hz), 7.49 (IH, d, J=0.026 Hz), 7.18 (4H, m), 6.81 (2H, m), 6.22 (IH, d, J=0.08 Hz), 5.83 (IH, s), 5.35 (IH, s), 3.93 (3H, d, J=0.04 Hz), 3.73 (3H, d, J=0.012 Hz), 3.55 (2H, m), 3.19 (2H, q, J=0.022 Hz), 2.81 (2H, m), 2.13 (IH, s), 1.04 (2H, t, J=0.022 Hz). IC50 = 7.6 nM
Example 42 2-(3-{6-[2-r2.4-Dichloro-phenyl)-ethylaminol-2-methoxy-pyrimidin-4-yU-phenoxy)-2 -methyl- propionic acid ethyl ester
Example 35(i) Example 42
A mixture of 3-{6-[2-(2,4-dichloro-phenyl)-ethylamino]-2-methoxy-pyrimidin-4-yl}-phenol [945 mg, 2.42 mmol, Example 35(i)], PS-TBD (3.38 g, 5 mmol), ethyl 2-bromoisobutyrate (888 mL, 605 mmol)
and acetonitrile (20 mL) is heated to reflux and stirred for 2 hours. The heating is turned off and the mixture is stirred overnight at ambient temperature. The reaction mixture is filtered to remove the resin and the resin is washed with MeOH (20 mL) and with acetonitrile (20 mL). The combined filtrate and washings are concentrated by rotary evaporator. The residue is subjected to flash column chromatography on silica (40 g) eluting with 20 to 50% EtOAc in heptane gradient to afford 2-(3-{6- [2-r2Λ-dicMoro-phenyl)-ethylaminol-2-methoxyφyrimidin-4-yl}-phenoxy)-2-methyl-propionic acid ethyl ester [450 mg, 37%, Example 42] as a solid. LCMS: Rτ = 2.9 minutes, MS: 504 (M+H).
Example 43
(a) |"2-r4-Chloro-phenyl)-l-methyl-ethyl]-[6-r3.4-dimethoxy-phenyl)-2-methoxy-pyrimidin-4-yl]- amine
(51)
Step 1. Argon is bubbled through a mixture of 4,6-dichloro-2-(methylthio)pyrimidine [4.98 g, 25.55 mmol, Intermediate (29)], 3,4-dimethoxyphenylboronic acid [3.874 g, 21.29 mmol, Intermediate (32)], and CS2CO3 (17.34 g, 53.23 mmol) in ethylene glycol dimethyl ether (56 mL) and water (14 mL), for a period of 15 minutes. To this mixture is added tetrakis(triphenylphosphine) palladium (0) (1.22 g, 1.06 mmol) the reaction vessel is heated to 1000C. After stirring overnight the mixture is diluted with water (250 mL) and extracted three times with EtOAc (100 mL). The organic extracts are combined, washed with brine (100 mL), and dried over magnesium sulfate. The mixture is filtered and concentrated to provide a solid that is dissolved in boiling isopropyl alcohol (40 mL) and allowed to cool to ambient temperature. After standing for 24 hours the solid is collected by filtration, washed with cold isopropyl alcohol and dried under high vacuum to afford 4-chloro-6-C3,4-dimethoxy-phenyl)-2- methylsulfanyl-pyrimidine [5.28 g, 83.5%, Intermediate (48)].
Step 2. A solution of 4-chloro-6-(3,4-dimethoxy-phenyl)-2-methylsulfanyl-pyrimidine [5.28 g, 0.0178 mol, Intermediate (48)] in DCM (120 mL) is chilled to O0C. To the chilled solution is added 3-chloro- peroxybenzoic acid (9.66 g, 0.0392 mol). After 30 minutes the cooling bath is removed and the mixture is allowed to stir at ambient temperature overnight. The precipitate that formed is collected by filtration, washed with DCM (50 mL). The organic filtrate is washed with aqueous sodium hydroxide solution (150 mL, 2 N) and dried over magnesium sulfate. The mixture is filtered and concentrated to provide 4-chloro-6-(3,4-dimethoxy-phenyl)-2-methanesulfonyl-pyrimidine [5.05 g, 86%, Intermediate (49)] as a solid.
Step 3. A mixture of 4-chloro-6-(3,4-dimethoxy-phenyl)-2-methanesulfonyl-pyrimidine [5.05 g,
0.0154 mol, Intermediate (49)] in ethylene glycol dimethyl ether (100 mL) is chilled to 0°C and added 25 wt% sodium methoxide in MeOH (1.32 mL, 0.0231 mol). After 15 minutes the reaction is allowed to warm to ambient temperature and stirred overnight. The mixture is concentrated to afford 4-chloro- 6-(3,4-dimethoxy-phenyl)-2-methoxy-pyrimidine [4.3 g, 100%, Intermediate (50)]
Step 4. To a solution of 4-chloro-6-(3,4-dimethoxy-phenyl)-2-methoxy-pyrimidine [140 mg, 0.5 mmol, Intermediate (50)] and N,N-diisopropylethylamine (392 μL, 2.25 mmol) in THF (1.7 mL) is added DL-p-chloroamphetamine hydrochloride (154.6 mg, 0.75 mmol, Intermediate (51)]. The mixture is heated to reflux for 2 hours and quenched with water (20 mL) and extracted twice with EtOAc (20 mL). The combined extracts are concentrated and the residue is subjected to flash column chromatography on silica gel eluting with 0 to 50% EtOAc in heptane gradient to afford f2-(4-chloro- phenyl)-l-methyl-ethyl]-[6-(3Λ-dimethoxy-phenyl)-2-methoxy-pyrimidm-4-yl]-amine [52.7 mg, 25.5%, Example 43(a)]. LCMS: R7 = 2.66 minutes, MS: 414 (M+H). 1H NMR (300 MHz, CDCl3): δ 7.65 (IH, d, J=0.066 Hz), 7.53 (IH, dd, .1=0.066, 0.028), 7.28 (2H, d, J=0.028 Hz), 7.14 (2H, d, J=0.028 Hz), 6.93 (IH, d, J=0.028 Hz), 6.31 (IH, s), 4.72 (IH, s), 4.34 (IH, s), 4.04 (3H, s), 3.99 (3H, s), 3.95 (3H, s), 2.89 (2H, qd, J=0.045, 0.022 Hz), 1.79 (IH, s), 1.24 (3H, d, J=0.22 Hz). IC50 = 1726 nM
(29)
(52)
Example 43(b)
Step 1. To a mixture of 4,6-dichloro-2-methylsulfanyl-pyrimidine [4.9 g, 25.12 mmol, Intermediate (29)] and 3-methoxyphenylboronic acid [3.47 g, 22.84 mmol] in ethylene glycol dimethyl ether (40 mL) and water (10 mL), is added CS2CO3 (18.6 g, 57.1 mmol). Nitrogen gas is bubbled through the mixture for 5 minutes before addition of tetrakis(triphenylphosphine) palladium (0) (1.32 g, 1.14 mmol). The reaction vessel is sealed and heated to 9O0C for 22 hours. The reaction mixture is quenched with 30 mL of water. Black precipitate is filtered, the filtrate is concentrated under vacuum and extracted three times with EtOAc (100 mL). The organic layers are combined and washed with 20 mL of brine and dried over sodium sulfate. The mixture is concentrated to provide an oil which is subjected to flash column chromatography (silica gel: 0 - 7% ethyl acetate/heptane) to afford 4-chloro- 6-(3-methoxy-phenyl)-2-methylsulfanyl-pyrimidine [3.92 g, 64%, Intermediate (52)] as a solid. LC/MS: Rτ = 4.14 minutes, MS: 267 (M+H).
Step 2. To a solution of 4-chloro-6-(3-methoxy-phenyl)-2-methylsulfanyl-pyrimidine (3.63 g, 13.61 mmol, Intermediate (52)] in DCM (70 mL) is added 3-chloroperoxybenzoic acid (10.06 g, 40.83 mmol) and stirred at room temperature for 4 hours. The reaction mixture is quenched with 2 N sodium hydroxide solution to pH=9, extracted with DCM (3 * 100 mL). The organic layers are combined and washed with 10 mL of brine and dried over sodium sulfate. The mixture is concentrated to provide 4; cmoro-2-methanesulfonyl-6-(3-methoxy-phenyl)-pyrimidine [4.35 g, LC/MS: Rτ = 3.3 minutes, MS: 299 (M+H)] as a solid. 4.25 g of this material is dissolved in a mixture of MeOH (70 mL) and DCM (40 mL) and the solution is treated dropwise with sodium methoxide (25% wt in methanol, 3.58 mL, 15.64 mmol). The mixture is stirred at room temperature for 2 hours quenched with water (20 mL), concentrated to remove MeOH and DCM, and extracted three times with EtOAc (100 mL). The combined extracts are washed with 10 mL of brine and dried over sodium sulfate. The mixture is
concentrated to provide a solid which is subjected to flash column chromatography (silica gel: 2 - 20% ethyl acetate/heptane) to afford 4-chloro-2-methoxy-6-('3-methoxy-phenyl)-pyrimidine [2.73 g, 80% yield for 2 steps, Intermediate (53)] as a solid. LC/MS: Rτ = 3.84 minutes MS: 251 (M+H).
Step 3. To a solution of 4-chloro-2-methoxy-6-(3-methoxy-phenyl)-pyrimidine [80 mg, 0.32 mmol, Intermediate (53)] and 2-(4-nitro-phenyl)-ethylamine hydrochloride (77.6 mg, 0.38 mmol) in EtOH (1.1 mL) is added diisopropyl-ethylamine (0.139 mL, 0.80mmol). The reaction mixture is heated under microwave at 17O0C for 45 minutes. Solvent is removed and residue is subjected to flash column chromatography (silica gel: 10 - 50% ethyl acetate/heptane) to afford [2-methoxy-6-(3 -methoxy- phenyl)-pyrimidin-4-yl]-[2-(4-nitro-phenyl)-ethyl]-arnine [62 mg, 51%, Example 43 (b)] as a solid. LC/MS: Rτ = 2.57 minute, MS: 381 (M+H). 1H NMR (300 MHz, (CD3)2SO): δ 8.14 (2H, d, J= 9.8 Hz), 7.53 (2H, d, J= 9.8 Hz), 7.52 (3H, m), 7.38 (IH, t, J= 8.6 Hz), 7.01 (IH, m), 6.58 (IH, s), 3.84 (3H, s), 3.79 (3H, s), 3.6 (2H, m), 2.99 (2H, m). IC50 = 0.9 nM
(c) ["2-Methoxy-6-(3-methoxy-phenyl)-pyrimidin-4-yl]-[2-(4-trifluoromethoxy-phenyl)-ethyl]- amine
By proceeding in a similar manner to Example 43 (b) above but substituting 2-(4-trifluoromethoxy- phenyl)-ethylamine [Intermediate 12] for 2-(4-nitro-phenyl)-ethylamine, acetonitrile for EtOH as solvent in Step 3, and carrying out the reaction in a microwave oven at 17O0C for 45 minutes, there is prepared [2-methoxy-6-(3-methoxy-phenyl)-pyrimidin-4-yl1-[2-(4-trifluoromethoxy-phenyπ-ethyl]- amine [88 mg, 44 %, Example 43(c)] as a solid. LC/MS: Rτ = 2.92 minutes, MS: 420 (M+H). 1H NMR (300 MHz, CDCl3): δ 7.6 (IH, m), 7.55 (IH, d, J= 9 Hz), 7.52 (IH1 1, J= 7.4 Hz), 7.24 (2H, d, J = 9.8 Hz), 7.16 (2H, d, J= 9.8 Hz), 6.99 (IH, m), 6.36 (IH, s), 4.86 (IH, br s), 4.01 (3H, s), 3.86 (3H, s), 3.7 (2H, m), 2.96 (2H, m).
(d) [2-(2-Chloro-6-fluoro-phenyl)-ethyl]-[2-methoxy-6-(3-methoxy-phenyl)-pyrimidin-4-yl]- amine hydrochloride
By proceeding in a similar manner to Example 43 (b) but (i) substituting 2-(2-chloro-6-fluoro-phenyl)- ethylamine for 2-(4-nitro-phenyl)-ethylamine, acetonitrile for EtOH as solvent in Step 3 there is prepared [2-("2-chloro-6-fluoro-phenyl')-etb.yl]-[2-methoxy-6-('3-meth.oxy-phenyl')-pyrimidin-4-vn- amine which is dissolved in ether and treated with 1 M hydrogen chloride in ether to afford [2-(2- chloro-6-fluoro-phenyl)-ethyll-r2-methoxy-6-('3-methoxy-phenyl)-pyrimidin-4-yl1-ainine hydrochloride [51 mg, 60%, Example 43 (d)] as a solid. LC/MS: Rτ = 2.82 minutes MS: 388 (M+H). 1H NMR [300 MHz, (CD3)2SO]: δ 7.12-7.48 (7H, m), 6.6 (IH, s), 3.99 (3H, s), 3.82 (3H1 s), 3.67 (2H1 m), 3.07 (2H, m).
(e) r2-Methoxy-6-(3-methoxy-phenyl)-pyrimidin-4-yl1-f2-thiophen-2-yl-ethvπ-amine hydrochloride
By proceeding in a similar manner to Example 43 (b) but substituting 2-thiophen-2-yl-ethylamine for 2- (4-nitro-phenyl)-ethylamine, and substituting acetonitrile for EtOH as solvent in Step 3 there is prepared [2-methoxy-6-(3-methoxy-phenyl)-pyrimidin-4-yl]-(2-thiophen-2-yl-ethyl')-amine which is dissolved in ether and treated with 1 M hydrogen chloride in ether affording [2-methoxy-6-(3- methoxy-phenylVpyrimidin-4-yl]-(2-thiophen-2-yl-ethyl)-amine hydrochloride [33.7 mg, 45%, Example 43(e)] as a solid. LC/MS: Rτ = 2.52 minutes MS: 342 (M+H). 1H NMR [300 MHz, (CDa)2SO]: δ 7.32-7.5 (4H, m), 7.13 (IH, m), 6.96 (2H, m), 6.64 (IH, s), 4 (3H, s), 3.8 (3H, s), 3.7 (2H, m), 3.12 (2H, m). IC50 = 9.7 nM
By proceeding in a similar manner to Example l(a) but substituting 3-(2-amino-ethyl)-lH-indol-5-ol hydrochloride for 2-(4-nitro-phenyl)-ethylamine, and substituting acetonitrile for EtOH as solvent in Step 3, there is prepared 3-{2-|'2-methoxy-6-('3-methoxy-phenyl)-pyrimidln-4-ylamino1-ethyl}-lH- indol-5-ol [19.5 mg, 25%, Example 43(f)] as a solid. LC/MS: Rτ = 2.13 minutes MS: 391 (M+H). 1H NMR [300 MHz, (CD3)2SO]: δ 10.46 (IH, s), 8.56 (IH, s), 7.48 (2H, m), 7.38 (IH, m), 6.99 - 7.12 (3H, m), 6.81 (IH, s), 6.58 (2H, m), 3.84 (3H, s), 3.79 (3H, s), 3.57 (2H, m), 2.84 (2H, m).
(g) [2-(6-Methoxy-lH-indol-3-yl)-ethyll-[2-methoxy-6-(3-methoxy-phenyl)-pyrimidin-4-yl]- amine hydrochloride
By proceeding in a similar manner to Example 43 (b) but substituting 2-(6-methoxy-lH-indol-3-yl)- ethylamine for 2-(4-nitro-phenyl)-ethylamine, and substituting acetonitrile for EtOH as solvent in Step 3 there is prepared [2-('6-methoxy-lH-indol-3-yl')-ethyl1-[2-methoxy-6-(3-methoxy-phenyl)-pyrimidin- 4-yl] -amine which is dissolved in ether and treated with 1 M hydrogen chloride in ether affording [2- (6-methoxy- 1 H-indol-3 -ylVethyl] -[2-methoxy-6-(3 -methoxy-phenyl)-pyrimidin-4-yl1 -amine hydrochloride [58.6 mg, 66%, Example 43(g)] as a solid. LC/MS: Rτ = 2.48 minutes MS: 405 (M+H). 1H NMR [300 MHz, (CD3)2SO]: δ 10.6 (IH, s), 7.3 - 7.5 (4H, m), 7.12 (IH, m), 7.02 (IH, m), 6.8 (IH, s), 6.61 (2H, m), 3.99 (3H, s), 3.8 (3H, s), 3.72 (3H, s), 3.58 (2H, m), 2.94 (2H, m). IC50 = 104 nM
(h) [2-(5-Methoxy-lH-indol-3-yl)-ethyl]-[2-methoxy-6-f3-methoxy-phenyl)-pyrimidin-4-yl1- amine hydrochloride
By proceeding in a similar manner to Example 43(b) but substituting 2-(5-methoxy-lH-indol-3-yl)- ethylamine for 2-(4-nitro-phenyl)-ethylamine, and substituting acetonitrile for EtOH as solvent in Step 3 there is prepared [2-('5-methoxy-lH-indol-3-yl)-ethyll-[2-methoxy-6-('3-methoxy-pb.enyl)-pyrimidm- 4-yl] -amine which is dissolved in ether and treated with 1 M hydrogen chloride in ether affording [2- r5-methoxy-lH-indol-3-yl)-ethyl1-[2-methoxy-6-(3-methoxy-phenyl')-pyrimidin-4-yl]-amine hydrochloride [52.1 mg, 59%, Example 43(h)] as a solid. LC/MS: Rτ = 2.45 minutes, MS: 405 (M+H). 1H NMR [300 MHz, (CD3)2SO]: δ 10.65 (IH, s), 7.41 (IH, m), 7.36 (2H, m), 7.2 (IH, m), 7.13 (2H, m), 7.01 (IH, m), 6.7 (IH, dd, J= 9.6, 1.2 Hz), 6.6 (IH, s), 3.98 (3H, s), 3.8 (3H, s), 3.72 (3H5 s), 3.56 (2H, m), 2.97 (2H, m).
(i) [2-Methoxy-6-(3-methoxy-phenyl)-pyrimidin-4-yl1-(2-pyridin-3-yl-ethyl)-amine hydrochloride
By proceeding in a similar manner to Example 43(b) but substituting 2-pyridin-3-yl-ethylamine for 2- (4-nitro-phenyl)-ethylamine, and substituting acetonitrile for EtOH as solvent in Step 3 there is prepared [2-methoxy-6-('3-methoxy-phenvπ-pyrimidin-4-yl]-('2-pyridin-3-yl-ethyl)-amine which is dissolved in ether and treated with 1 M hydrogen chloride in ether affording [2-methoxy-6-(3- methoxy-phenyl)-pyrimidin-4-yl]-('2-pyridin-3-yl-ethyl')-amine hydrochloride [33.2 mg, 45%, Example 43(i)] as a solid. LC/MS: Rτ = 1.53 minutes, MS: 337 (M+H). 1H NMR [300 MHz, (CD3)2SO]: δ 8.82 (IH, s), 8.76 (IH, m), 8.43 (IH, m), 7.95 (IH, m)5 7.32 - 7.45 (3H, m), 7.11 (IH, m), 6.64 (IH, s), 3.98 (3H, s), 3.79 (3H, s), 3.76 (2H, m), 3.09 (2H; m). IC50 = 248 nM
By proceeding in a similar manner to Example 43 (b) but substituting 2-(4-amino-phenyl)-ethylamine for 2-(4-nitro-phenyl)-ethylamine, and substituting acetonitrile for EtOH as solvent in Step 3 there is prepared [2-r4-arnmo-phenyl)-ethyl]-[2-methoxy-6-f3-methoxy-phenyl)^yrirnidm-4-yl]-amine which is dissolved in ether and treated with 1 M hydrogen chloride in ether affording [2-(4-amino-phenyl)- ethyll-[2-methoxy-6-(3-methoxyφhenylVpyrimidin-4-yll-amine hydrochloride [52.4 mg, 68%, Example 430)] as a solid. LC/MS: Rτ = 1.72 minutes, MS: 351 (M+H). 1H NMR [300 MHz, (CD3)2SO]: δ 7.24 - 7.5 (7H1 m), 7.08 (IH, m), 6.65 (IH, s); 4 (3H, s), 3.8 (3H, s), 3.64 (2H, m), 2.92 (2H, m).
(k) (4-Methoxy-benzyl)-[2-methoxy-6-(3-methoxy-phenyl')-pyrimidin-4-yl]-amine hydrochloride
By proceeding in a similar manner to Example 43(b) but substituting 4-methoxy-benzylamine for 2-(4- nitro-phenyl)-ethylamine, and substituting acetonitrile for EtOH as solvent in Step 3 there is prepared ('4-methoxy-benzyl)-r2-methoxy-6-('3-methoxy-phenyl)-pyrimidin-4-yll-amine which is dissolved in ether and treated with 1 M hydrogen chloride in ether affording f4-methoxy-benzyl)-[2-methoxy-6-(3- methoxy-phenyl)-pyrimidin-4-yl1 -amine hydrochloride [56.3 mg, 73%, Example 43(k)] as a solid. LC/MS: Rτ = 2.5 minutes, MS: 352 (M+H). 1H NMR [300 MHz, (CD3)2SO]: δ 7.36 - 7.5 (3H, m), 7.28 (2H, d, J= 9.2 Hz), 7.1 (IH, m), 6.9 (2H, d, J= 9.2 Hz), 6.65 (IH, s), 4.57 (2H, d, J= 5 Hz), 4 (3H, s), 3.8 (3H, s), 3.72 (3H, s). IC50 = 1073 nM
(1) [2-Methoxy-6-(3-methoxy-phenyD-pyrirrudin-4-yll-0-phenyl-propyl)-amine hydrochloride
By proceeding in a similar manner to Example 43(b) but substituting 3-phenyl-propylamine for 2-(4- nitro-phenyl)-ethylamine, and substituting acetonitrile for EtOH as solvent in Step 3 there is prepared [2-methoxy-6-(3-methoxy-phenyl)-pyrimidin-4-yl]-(3-phenyl-propyl)-amine which is dissolved in ether and treated with 1 M hydrogen chloride in ether affording [2-methoxy-6-(3-methoxy-phenyl)- pyrimidin-4-yl] -(3 -phenyl-propyD-amine hydrochloride [60.6 mg, 79%, Example 43(1)] as a solid. LC/MS: RT = 2.65 minutes, MS: 350 (M+H). 1H NMR [300 MHz, (CD3)2SO]: δ 7.1 - 7.5 (9H, m), 6.62 (IH, s), 3.95 (3H, s), 3.8 (3H, s), 3.42 (2H, m), 2.64 (2H, m), 1.88 (2H, m). IC50 = 1686 nM
(m) [2-OH-]midazol-4-yl)-ethyll-[2-methoxy-6-(3-methoxy-phenyl')-pyrimidin-4-yl]-amine
By proceeding in a similar manner to Example 43 (b) but substituting 2-(lH-imidazol-4-yl)-ethylamine for 2-(4-nitro-phenyl)-ethylamine, and substituting acetonitrile for EtOH as solvent in Step 3 there is prepared [2-(lH-irnidazol-4-yl)-ethyl1-[2-methoxy-6-(3-methoxy-phenyl)-pyrimidin-4-yl]-amine [39.2 mg, 54%, Example 43(m)] as a solid. LC/MS: Rτ = 1.45 minutes, MS: 326 (M+H). 1H NMR [300 MHz, (CD3)2SO]: δ 7.8 (IH, s), 7.52 (2H, m), 7.37 (IH, m), 7.01 (IH, m), 6.94 (IH, s), 6.6 (IH, s), 3.84 (3H, s), 3.79 (3H, s), 3.56 (2H, m), 2.79 (2H, m).
(n) (2Sj-2-[2-Methoxy-6-(3-methoxy-phenyl)-pyrimidin-4-ylamino]-3-(4-methoxy-phenyl)- propionic acid
By proceeding in a similar manner to Example 43(b) but substituting L-O-methyl tyrosine for 2-(4- nitro-phenyl)-ethylamine in Step 3 there is prepared (2S)-2-[2-Methoxy-6-(3-methoxy-phenyl)- pyrimidin-4-ylammo]-3-(4-methoxy-phenyl)-propionic acid [40.2 mg, 45%, Example 43(n)] as a solid. LC/MS: Rx = 2.38 minutes, MS: 410 (M+H). 1H NMR [300 MHz, (CD3)2SO]: δ 12 (IH, br s), 7.62 (IH, m), 7.49 (IH, m), 7.38 (IH, m), 7.18 (2H, m), 7 (IH, m), 6.8 (2H, m), 6.73 (IH, s), 4.59 (IH, m), 3.8 (3H, s), 3.78 (3H, s), 3.68 (3H, s), 3.1 (IH, m), 2.94 (IH, m). IC50 = 548 nM
(o) 2-Methoxy-6-(3 -methoxy-phenyl)-pyrimidin-4-yl] -["2-(4-methoxy-phenyl)-ethyl1 -amine
By proceeding in a similar manner to Example 43 (b) but substituting 4-methoxyphenyl-ethylamine for 2-(4-m'tro-phenyl)-ethylamine, and substituting acetonitrile for EtOH as solvent in Step 3 there is prepared r2-methoxy-6-(3-methoxy-phenyl)-pyrirnidin-4-yll-r2-('4-metriOxy-pb.enyl)-ethyl1-amine [58 mg, Example 43 (o)].
Example 44 r2-Methoxy-6-(5-methyl-ri3Λ1oxadiazol-2-yl)-pyrimidin-4-yll-r2-f4-methoxy-phenvπ-ethyl1-arnine
Example 44
Step 1. To a mixture of 2,6-dichloro-pyrimidine-4-carboxylic acid methyl ester [1 g, 4.83 mmol, Intermediate (54)] and N,N-diisopropylethylamine (1.27 mL, 7.25 mmol) in THF (16 rriL) is added 2- (4-methoxyphenyl)-ethylamine (707 μL, 4.83 mmol). The resulting mixture is stirred at ambient temperature for 20 hours and poured into 50 mL water and extracted three times with 40 mL ethyl acetate. The organic extracts are combined and washed with 20 mL brine, dried over magnesium sulfate, filtered and concentrated to afford a solid which is purified via flash column chromatography on silica gel (35 g) eluting with 5 to 50% EtOAc in heptane gradient to afford 2-chloro-6-[2-(4- methoxy-phenyl)-ethylamino]-pyrimidine-4-carboxylic acid methyl ester [1 g, 64.5%, Intermediate (55)]. LCMS: Rτ = 2.9 minutes, MS: 322 (M+H).
Step 2. A mixture of 2-chloro-6-[2-(4-methoxy-phenyl)-ethylamino]-pyrimidine-4-carboxylic acid methyl ester [650 mg, 2.02 mmol, Intermediate (55)] 5M sodium methoxide in MeOH (20 mL, 10.1 mmol), in MeOH (10 mL) is heated to reflux and stirred for 5 hours. The heating is turned off and the mixture is stirred for 15 hours at room temperature and concentrated by rotary evaporator to remove the solvent. The solid is dissolved in water and the solution is acidified to pH 2 with the addition of 1 N hydrochloric acid. Extracted three times with 75 mL EtOAc and concentrated the combined organic extracts to afford 2-methoxy-6-[2-r4-methoxy-phenyl)-ethylamino1-pyrimidine-4-carboxylic acid [390 mg, 64%, Intermediate (56)] as a solid. LCMS: Rτ = 1.99 minutes, MS: 304 (M+H).
Step 3. To a solution of 2-methoxy-6-[2-(4-methoxy-phenyl)-ethylamino]-pyrimidine-4-carboxylic acid [100 mg, 0.33 mmol, Intermediate (56)] in dimethylformamide (1 mL) is added N,N- diisopropylethylamine (145 μL, 0.83 mmol) followed by TBTU (128 mg, 0.4 mmol). Stirred the reaction mixture for 5 minutes before adding acetic hydrazide (37 mg, 0.5 mmol) and continued stirring the reaction mixture overnight at ambient temperature. The reaction mixture is poured into water (25 mL) and subsequently extracted three times with 25 mL ethyl acetate. The combined organic extracts are washed three times with 25 mL water, with 25 mL brine, dried over magnesium sulfate, filtered and concentrated by rotary evaporator. The material obtained is subjected to flash column chromatography on silica (1Og) eluting with 0 to 5% MeOH in DCM gradient to afford 2z methoxy-6-[2-(4-methoxy-phenyl)-ethylammo1-pyrirriidine-4-carboxylic acid N'-acetyl-hydrazide (42 mg). A mixture of 2-methoxy-6-[2-(4-methoxy-phenyl)-ethylamino]-pyrimidine-4-carboxylic acid N'- acetyl-hydrazide (42 mg, 0.12 mmol), p-toluenesulfonylchloride (34 mg, 0.18 mmol) and PS-BEMP (218 mg, 0.48 mmol) in THF (1.5 mL) is irradiated in a microwave to 140°C for 6 minutes. The material is filtered and absorbed onto silica gel and subjected to flash column chromatography on silica gel eluting with 10 to 50% EtOAc in heptane gradient to afford [2-methoxy-6 -f 5 -methyl -
[13.4]oxadiazol-2-yl)-pyrirrudm-4-yl]-[2-(4-methoxy^henyl)-ethyl]-amine [25.1mg, 63%, Example 44]. LCMS: Rτ = 2.64 minutes, MS: 342 (M+H). IC50 = 55 nM
(57) (58)
(55)
Example 45 (59)
Step 1. A mixture of 2-cMoro-6-[2-(4-methoxy-phenyl)-ethylamino]-pyrimidine-4-carboxylic acid methyl ester [7.43 g, 23.09 mmol, Intermediate (55)] in dimethoxyethane (100 mL) is chilled in an ice/water bath to 30C and treated dropwise via syringe with a solution of 2M lithium borohydride in THF (17.3 mL, 34.6 mmol) not allowing the reaction temperature to exceed 70C. After complete addition stirring is continued at 50C for 1 hour. The reaction mixture is poured into ice/water (250 mL) and extracted four times EtOAc (100 mL). The combined organic extracts are washed with water (100 mL), them with brine (100 mL), dried over magnesium sulfate, filtered and concentrated by rotary evaporator to afford {2-cMoro-6-[2-(4-methoxy-phenyl)-ethylamino]-pyrirnidin-4-yl}-methanol [6.51 g, 96%, Intermediate (57)].
Step 2. A mixture of {2-chloro-6-[2-(4-methoxy-phenyl)-ethylamino]-pyrimidin-4-yl} -methanol (6.5 g mg, 22.1 mmol, Intermediate (57)] 25 wt% sodium methoxide in MeOH (15.2 mL, 66.3 mmol), in MeOH (20 mL) is heated to 9O0C and stirred for 3 hours and concentrated by rotary evaporator to remove the solvent. The solid is dissolved in water and the solution is acidified to pH 8 with the addition of saturated ammonium chloride solution. Extracted twice with 150 mL ethyl acetate, combined the extracts, Dried over magnesium sulfate, filtered and concentrated to afford (2-methoxy- 6-[2-(4-methoxy-phenyl)-ethylamino]-pyrimidin-4-yl} -methanol [5.6g, 88%, Intermediate (58)] as a solid. LCMS: Rτ = 2.35 minutes, MS: 290 (M+H).
Step 3. A solution of oxalyl chloride (305 μL, 3.55 mmol) in DCM (10 mL) is chilled to -78°C. To the chilled solution is added dropwise, dimethyl sulfoxide (492 μL, 6.92 mmol). After 10 minutes of stirring a solution of {2-methoxy-6-[2-(4-methoxy-phenyl)-ethylamino]-pyrimidin-4-yl} -methanol
[500 mg, 1.73 mmol, Intermediate (58)] in DCM (7 mL) is added via syringe. The mixture is stirred at -78°C for 30 minutes before adding triethylamine (1.95 mL, 13.84 mmol) via syringe. After stirring for an additional 40 minutes at -780C the reaction is poured into water (30 mL) and this mixture is extracted twice with 30 mL DCM. The combined extracts are dried over magnesium sulfate, filtered and concentrated by rotary evaporator. The residue is taken up in toluene and re-concentrated and dried under high vacuum to afford 2-methoxy-6-[2-(4-methoxy-phenyl)-ethylamino]-pyrimidine-4- carbaldehvde [450 mg, 90.5%, Intermediate (59)].
Step 4. In a tube is combined 2-methoxy-6-[2-(4-methoxy-phenyl)-ethylamino]-pyrimidine-4- carbaldehyde [120 mg, 0.42 mmol, Intermediate (59)], tosylmethylisocyanide (90 mg, 0.46 mmol), Ambersep 900 OH resin (800 mg), ethylene glycol dimethyl ether (3.5 mL) and water (3.5 mL). The tube is sealed and the mixture is heated to 90°C and stirred for 18 hours. The mixture is allowed to cool to ambient temperature and filtered to remove the resin, and the resin is washed with MeOH (10 mL). The combined filtrate and washings are concentrated by rotary evaporator and the residue is subjected to flash column chromatography on silica gel eluting with 0 to 40% EtOAc in heptane gradient) to afford (2-methoxy-6-oxazol-5-yl-pyrimidm-4-yl)-[2-(4-methoxy-phenyl)-ethyl]-amine [11.6 mg, 8.5%, Example 45]. LCMS: Rτ = 2.57 minutes, MS: 327 (M+H). IC50 = 7.8 nM
Example 46
(a) 3-{6-[2-(2,2-Difluoro-berizo[l,3]dioxol-5-yl)-ethylamino]-2-methoxy-pyrimidin-4-yl|- benzoic acid
(20)
Example 46(a)
Step 1. To a solution of 2,2-difluoro-benzo[l,3]dioxole-5-carbaldehyde [5.48 g, 29.44 mmol, Intermediate (60)] and nitromethane (4.78 mL, 88.32 mmol) in acetic acid (90 mL) is added ammonium acetate (5.67 g, 73.6 mmol). The reaction mixture is heated to reflux for 5.5 hours. Acetic
acid is removed in vacuo and the residue is added water (20 mL) and extracted with DCM (3 x 50 mL), organic layers are combined and washed with 2 N sodium hydroxide, water and brine, dried over sodium sulfate and concentrated. The solid obtained is crystallized in methanol/DCM (1 : 1) to yield intermediate Σ^-difluoro-S-Ω-mtro-vinyD-benzori^dioxole [3.83 g, Intermediate (61)] as a solid.
Step 2. 2,2-difluoro-5-(2-nitro-vinyl)-benzo[l,3]dioxole (2 g, 8.73 mmol) is dissolved in THF (50 mL) and treated with lithium aluminum hydride (44 mL, 26.2 mmol, 1 M solution in THF) dropwise during 20 minutes at O0C. The mixture is heated to reflux for 2 hours, quenched with water (2 mL) and 2 N sodium hydroxide (4 mL). The mixture is stirred for 5 minutes, filtered through a pad of Celite. The filtrate is concentrated treated with water and extracted three times with EtOAc (50 mL). The combined extracts are washed with brine, dried over sodium sulfate and the evaporated. The residue is dissolved in ether and treated with 1 M hydrogen chloride in ether affording 2-(2,2-difluoro- berizo[l J]dioxol-5-viyethylamine hydrochloride [1.04 g, 50%, Intermediate (62)] as a solid. LC/MS: MS: 202 (M+H).
Step 3. To a solution of 4,6-dichloro-2-methoxy-pyrimidine (0.606 g, 3.38 mmol, Intermediate (4)] and 2-(2,2-difluoro-benzo[l,3]dioxol-5-yl)-ethylamine hydrochloride (0.884 g, 3.72 mmol, Intermediate (62)]) in EtOH (11 mL) is added sodium bicarbonate (0.85 g, 10.14 mmol) and heated to reflux for 4 hours. The reaction mixture is filtered and filtrate is concentrated, residue solid is washed with small amount of EtOH to yield (6-chloro-2-methoxy-pyrimidin-4-yl')-[2-(2,2-difluoro- benzo[l ,31dioxol-5ylVethyll-amine [0.918 g, 79%, Intermediate (63)] as a solid. LC/MS: MS: 344 (M+H).
Step 4. A solution of (6-chloro-2-methoxy-pyrimidin-4-yl)-[2-(2,2-difluoro-benzo[l,3]dioxol-5yl)- ethyl]-amine [150 mg, 0.437 mmol, Intermediate (63)] and 3-carboxyphenylboronic acid [87 mg,
0.524 mmol, Intermediate (20)] in acetonitrile (2 mL) and aqueous NaaCOa solution (0.4 M, 2 mL) is degassed with nitrogen for 5 minutes before addition of tetrakis(triphenylphosphine) palladium(O) (25.2 mg, 5 mol%). The reaction vessel is sealed and heated under microwave to 13O0C for 20 minutes. To the reaction mixture is added 2 mL of water and pH is adjusted to about 6 using 6 N aqueous hydrochloric acid. This mixture is extracted three times with EtOAc (50 mL). The combined extracts are washed with brine, dried over sodium sulfate and concentrated to provide a solid which is redissolved in MeOH and DCM is added to precipitate a solid, 3-l6-[2-(2,2-difluoro-benzo[l,3]dioxol- 5 -yl") -ethylamino] -2-methoxy-pyrimidin-4-yl } -benzoic acid [166 mg, 88%, Example 46(a)]. LC/MS: Rτ = 2.67 minutes, MS: 430 (M+H). 1H NMR [300 MHz, (CD3)2SO]: δ 13.2 (IH, br s), 8.4 (IH, s), 8.06 (2H, m), 7.61 (IH, t, J= 4.9 Hz), 7.36 (IH, s), 7.31 (IH, m), 7.06 (IH, m), 6.68 (IH, s), 3.99 (3H, s), 3.64 (2H, m), 2.9 (2H, m).
(b) β-CZ^-Difluoro-benzori.Sldioxol-S-vD-ethyli-^-methoxy-ό-pyridin-S-yl-pyrimidin^-yl)- amine hydrochloride
By proceeding in a similar manner to Example 46(a), but substituting 3-pyridylboronic acid for 3- carboxyphenylboronic acid in Step 4 and treating the crude reaction product with 1 M hydrogen chloride in ether, there is prepared [2-f2,2-difluoro-benzo[l,31dioxol-5-yπ-ethyl]-C2-methoxy-6- pyridin-3 -yl-pyrimidin-4-yl)-amine hydrochloride [132 mg, Example 46(b)] as a solid. LC/MS: Rτ = 2.72 minutes, MS: 387 (M+H). 1H NMR [300 MHz, (CD3)2SO]: δ 9.2 (IH1 s), 8.84 (IH, m), 8.6 (IH, m), 7.85 (IH, m), 7.4 (IH, s), 7.36 (IH, d, J= 9.6 Hz), 7.11 (IH, d, J= 9.6 Hz), 6.78 (IH, s), 3.98 (3H, s), 3.62 (2H, m), 2.96 (2H, m). IC50 = 212 nM
(c) N-(3-{6-[2-(4-Difluoromethoxy-phenyl)-ethylamino1-2-methoxy-pyrimidin-4-yU -phenyl)- acetamide hydrochloride
By proceeding in a similar manner to that described above for Steps 3 and 4 of Example 46(a), but (i) substituting 2-(4-difluoromethoxy-phenyl)-ethylamine hydrochloride [LC/MS: MS: 188, prepared by proceeding in a similar to Example 5, Step 1, method B, but substituting 4-difluoromethoxy benzaldehyde for 4-trifluoromethoxy benzaldehyde] for 2-(2,2-difluoro-benzo[l,3]dioxol-5-yl)- ethylamine hydrochloride in Step 3; (ii) substituting 3-acetamidophenylboronic acid for 3-carboxyphenylboronic acid in Step 4 and carrying out this reaction in a microwave oven at 130 0C for 23 minutes; and (iv) treating the reaction product with 1 M hydrogen chloride in ether, there is prepared N-(3-(6-r2-(4-difluoromethoxy-phenyl)-ethylarrdno1-2-methoxy-pyrimidin-4-yl)-phenyl)- acetamide hydrochloride [195 mg, Example 46(c)] as a solid. LC/MS: Rτ = 2.45 minutes, MS: 429 (M+H). 1H NMR [300 MHz, (CD3)2SO]: δ 10.22 (IH, br s), 8.18 (IH, s), 7.64 (IH, br s), 7.44 (IH,
m), 7.36 (2H, d, J= 9.2 Hz), 7.19 (IH, t, J = 67.3 Hz), 7.12 (2H, d, J= 9.2 Hz), 6.59 (IH, s), 4.01 (3H, s), 3.64 (2H, m), 2.9 (2H, m), 2.08 (3H, s). IC50 = 4 nM
(d) [2-(4-Difluoromethoxy-phenyl)-ethyl]-[6-(3-methanesulfonyl-phenyl)-2-methoxy-pyrimidin- 4-yli -amine hydrochloride
Example 46(d)
Step 1. By proceeding in a similar manner to Example 43 (b), Step 1 , but (i) substituting 3-methanesulfonyl-phenylboronic acid for 3-acetamidophenylboronic acid, and (ii) substituting 4,6- dichloro-2-methoxy-pyrimidine for 4,6-dichloro-2-methylsulfanyl-pyrimidine there is prepared 4; chloro-6-(3-methanesulfonyl-phenyl)-2-methoxy-pyrimidine [Intermediate (64)].
Step 2. By proceeding in a similar manner to Example 46(a), Step 3, but (i) substituting 4-chloro-6-(3- methanesulfonyl-phenyl)-2-methoxy-pyrimidine for 4!6-dichloro-2-methoxy-pyrimidine, (ii) substituting 2-(4-difluoromethoxy-phenyl)-ethylamine hydrochloride for 2-(2,2-difluoro- benzo[l,3]dioxol-5-yl)-ethylamine hydrochloride, and (iii) treating the product with 1 M hydrogen chloride in ether, there is prepared [2-(4-difluoromethoxy-phenyl)-ethyl1-[6-(3-methanesulfonyl- phenyl)-2-methoxy-pyrimidin-4-yl]-amine hydrochloride [188 mg, example 46(d)]) as a solid. LC/MS: Rτ = 2.73 minutes, MS: 450 (M+H). 1H NMR [300 MHz, (CDJ)2SO]: δ 8.39 (IH, br s), 8.21 (IH, br d, J= 9 Hz), 8.08 (IH, d, J= 9.4 Hz), 7.81 (IH, t, J= 9.4 Hz), 7.35 (2H, d, J= 9.6 Hz), 7.18 (IH, t, J= 74.5 Hz), 7.12 (2H, d, J= 9.6 Hz), 6.76 (IH, s), 4.01 (3H, s), 3.64 (2H, m), 3.28 (3H, s), 2.9 (2H, m). IC50 = H nM
(e) 3-(6-r2-r2-CMoro-6-fluorQ-phenyl)-ethylamino1-2-methQxy-pyrimidin-4-yl|-phenol
By proceeding in a similar manner to Example 46(a), Step 4, but (i) substituting [2-(2-chloro-6-fluoro- phenyl)-ethyl]-(6-chloro-2-methoxy-pyrimidin-4-yl)-amine [500 mg, 1.58 mmol, Intermediate (24)] for 4,6-dichloro-2-methoxy-pyrimidine and (ii) substituting 3-hydroxyphenyl boronic acid (240 mg, 1.74 mmol) for 3-carboxyphenylboronic acid there is prepared 3-l6-[2-(2-chloro-6-fluoro-phenyl)- ethylamino]-2-methoxy-pyrimidin-4-yl} -phenol [390 mg, 66%, Example 46(e)] as a solid.
Example 47 [2-(2,4-Dichloro-phenylVethyn-r2-methyl-6- 13-[1 -methyl- 1 -f lH-tetrazol-5-ylVethyli -phenyl I - pyrimidin-4-yl)-amine hydrochloride
Example 47
Step 1. To a solution of (3-bromo-phenyl)-acetonitrile (2.3 g, 11.77 mmol) in anhydrous THF (30 mL) is added potassium tert-butoxide (2.92 g, 25.89 mmol) at -4O0C. Methyl iodide (1.95 mL, 29.43 mmol) is added in portions. The reaction mixture is allowed to warm up to room temperature, stirred for 15 hours, and quenched with 2N hydrochloric acid (10 mL), extracted with ethyl acetate. The organic layer is washed with brine, dried over sodium sulfate, concentrated, and purified via silica gel chromatography eluting with 0 to 50% EtOAc in heptane to give 2-(3-bromo-phenyl)-2-methyl- propionitrile (1.7 g) [Intermediate (65)] as an oil. MS: 225 (M+H).
Step 2. A solution of 2-(3-bromo-phenyl)-2-methyl-propionitrile [0.5 g, 2.2 inmol, Intermediate (65)] in toluene (8 mL) and THF (2 mL) is added triisopropyl borate (0.61 mL, 2.68 mmol) at -780C. tert- Butyl lithium (1.7 M in pentane, 1.55 mL, 2.68 mmol) is added dropwise during 15 min. Reaction mixture is stirred at -780C for additional 1 hour, warmed up to -2O0C and quenched with 2N hydrochloric acid (10 mL). The reaction mixture is extracted with ether, combined ether layers are washed with brine, dried and concentrated to obtain 3-(cyano-dimethyl-methyl)-phenyl boronic acid (0.5 g) [Intermediate (66)] as an oil.
Step 3. By proceeding in a similar manner to Example 49(a), Step 3, but substituting 3-(cyano- dimethyl-methyl)-phenyl boronic acid [Intermediate (66)] for 3-(l-carboxy-ethyl)-phenyl boronic acid. 2-(3-{6-[2-(2,4-DicMoro-phenyl)-ethylamino]-2-methyl-pyrimidin-4-yl}-phenyl')-2-methyl- propionitrile [100 mg, Intermediate (67)] is obtained as a solid. LC/MS: RT = 2.74 minutes, MS: 441 (M+H).
Step 4. To a solution of 2-(3-{6-[2-(2,4-dichloro-phenyl)-ethylamino]-2-methyl-pyrimidin-4-yl}- phenyl)-2-methyl-propionitrile [50 mg, 0.11 mmol, Intermediate (67)] in α,α,α~trifluorotoluene (2 mL) is added azidotributyltin (0.251 mL, 0.88 mmol) and heated in microwave oven at 18O0C for 1.5 hours. Reaction mixture is concentrated and purified via silica gel chromatography eluting with 20 to 100% EtOAc in heptane to give [2-r2.4-dichloro-phenvn-ethvn-(2-methyl-6-{3-ri-methyl-l-(2H- tetrazol-5-yl)-ethyl]-phenyl|-pyrimidin-4-vπ-amine as a solid, which is treated with IM hydrogen chloride in ether affording [2-(2,4-dichloro-phenyl)-ethyl1-(2-methyl-6- 13-[1 -methyl-1 -(2H-tetrazol-5- yl)-ethyl] -phenyl } -pyrimidin-4-yl)-amine hydrochloride [47 mg, 80%, Example 47] as a solid. LC/MS: Rτ = 2.47 minutes, MS: 484 (M+H). 1H NMR [300 MHz, (CD3)2SO]: δ 8.64 (IH, br s), 7.3 - 7.8 (7H, m), 6.56 (IH, s), 3.98 (3H, s), 3.64 (2H, m), 3 (2H, m), 1.8 (6H, s). IC50 = 0.4 nM
Example 48 [2-Methoxy-6-(2-methoxy-benzyloxy)-pyrimidin-4-yl]-[2-(4-methoxy-phenyl)-ethyl]-amine hydrochloride
(8) Example 48
To a suspension of (2-Methoxy-phenyl)-methanol (860 mg, 6.22 mmol), and sodium hydride (60%, 0.3 g) in DMF (10 mL) is add (6-Chloro-2-methoxy-pyrimidin-4-yl)-[2-(4-methoxy-phenyl)-ethyl]- amine [0.54 g, 1.8 mmol, Intermediate (8)] at 1O0C. After 1 h at 600C, the mixture is diluted with H2O, and extracted with ethyl acetate. The extracts are dried (MgSO4), filtered, concentrated, and chromatographed (SiO2, 40% EtOAc in Heptane) to afford a non-separable mix of the product, [2- Methoxy-6-(2-methoxy-benzyloxy)-pyrirnidin-4-yl]-[2-(4-methoxy-phenyl)-ethyl]-amine, and the disubstituted side product, [2,6-Bis-(2-methoxy-benzyloxy)-pyrimidin-4-yl]-[2-(4-methoxy-phenyl)- ethyl] -amine. To above mixture in CH2Cl2 is added a solution of HCl in EtOAc, and the mixture is concentrated, triturated (ether), and filtered to give 141 mg (19%) of 4-(2-Methoxy-benzyloxy)-6-[2- (4-methoxy-phenyl)-ethylamino]-pyrimidin-2-ol hydrochloride as a solid. LCMS: Rτ = 2.07 minutes, MS: 382 (M+H). The filtrate is concentrated, and chromatographed (silica gel, 40% EtOAc in Heptane) to afford [2-Methoxy-6-(2-methoxy-benzyloxy)-pyrimidin-4-yl1-[2-(4-methoxy-phenyl)- ethyli-amine hydrochloride [39 mg, 5%, Example (48)] as an oil. LCMS: Rτ = 3.3 minutes, MS: 396 (M+H). IC50 = 12 nM
Example 49
(a) 2-(3-l6-[2-(2,4-DicMoro-phenyl)-ethylamino]-2-methoxy-pyrimidin-4-yl}-phenyl)-propionic acid hydrochloride
Example 49(a)
Step 1. A solution of LDA in THF/n-heptane/ethylbenzene (1.8M, 23.25 mL, 41.85 mmol) is cooled down to -78°C and added a solution of 3-bromophenylacetic acid [3 g, 13.95 mmol, Intermediate (68)] in THF (7 mL) dropwise over 15 minutes. The mixture is stirred for 1 h at -78°C and treated dropwise with methyl iodide (6.34 g, 44.64 mmol) over 15 minutes. The reaction mixture is warmed up to room temperature and after stirring overnight, the mixture is quenched with 2N hydrochloric acid and concentrated to remove THF. The residue is diluted with ether, washed twice with 2 N hydrochloric acid (20 mL) and extracted twice with 10% sodium hydroxide (20 mL). The combined sodium hydroxide extracts are acidified with 6 N hydrochloric acid to pH=l and extracted three times with ether (50 mL). Combined organic extracts are washed with brine, dried over sodium sulfate and concentrated to obtain 2-f3-bromo-phenyl)-propionic acid [3 g, 100%, Intermediate (69)] as a solid, which is used without further purification. LC/MS: 229 (M+H).
Step 2. A solution of 2-(3-bromo-phenyl)-propionic acid [500 mg, 2.18 mmol, Intermediate (69)] in anhydrous ether (20 mL) is added tert-butyl lithium (1.7 M in pentane, 5.4 mL, 9.16 mmol) dropwise at -78°C and this mixture is stirred for 30 minutes treated with tributyl borate (2.34 mL, 8.72 mmol). The reaction mixture is allowed to warm up to room temperature, stirred for 15 hours, diluted with ether, and quenched with 1 M H3PO4. After stirring for 30 minutes the ether layer is separated and extracted three times with 2 N sodium hydroxide (20 mL). The combined sodium hydroxide extracts are acidified with 6 N hydrochloric acid to pH=l and extracted three times with ether (50 mL). The combined organic extracts are washed with brine, dried over sodium sulfate and concentrated to obtain
3-(l-carboxy-ethyl)-phenyl boronic acid [Intermediate (70)] as a solid, which is used without further purification.
Step 3. A solution of (6-cUoro-2-methoxy-pyrimidin-4-yl)-[2-(2,4-dicrύoro-phenyl)-ethyl]-amine [170 mg, 0.51 mmol, Intermediate (44)] and 3-(l-carboxy-ethyl)-phenyl boronic acid [119 mg, 0.61 mmol, Intermediate (70)] in acetonitrile (2.5 mL) and aqueous Na2CU3 solution (0.4 M, 2.5 mL) is degassed with nitrogen for 5 minutes before addition of tetrakis(triphenylphosphine) palladium (0) (29.5 mg, 5 mol%). The reaction vessel is sealed and heated under microwave to 130 0C for 30 minutes. To the reaction mixture is added 2 mL of water, the pH is adjusted to about 7 using 2 N aqueous hydrochloric acid and this mixture is extracted three times with EtOAc (30 mL). The combined extracts are washed with brine, dried over sodium sulfate and concentrated. The resulting oil is subjected to silica gel chromatography eluting with 0 to 7% MeOH in DCM to give 2-(3-{6-[2-(2,4- dicmoroφhenyl)-ethylamino1-2-methoxy-pyrimidin-4-yl|-phenyl)-propionic acid as a solid, which is treated with IM hydrogen chloride in ether affording 2-(3-{6-[2-(2,4-dichloro-phenyl)-ethylamino]-2- methoxy-pyrimidin-4-yU-phenyD-propionic acid hydrochloride [122 mg, 50%, Example 49(a)] as a solid. LC/MS: Rτ = 2.47 minutes, MS: 446 (M+H). 1H NMR [300 MHz, (CD3)2SO]: δ 12.4 (IH, br s), 7.36 - 7.8 (7H, m), 6.6 (IH, s), 4 (3H, s), 3.78 (IH, q), 3.68 (2H, m), 3.02 (2H, m), 1.42 (3H, d). IC50 =
(b) 2-(3-{6-[2-(2,4-Dichloro-phenyl)-ethylamino1-2-methoxy-pyrimidin-4-yl}-phenyl)-2 -methyl- propionic acid
Step 1. To a solution of LDA in THF/n-heptane/ethylbenzene (1.8 M, 17 mL) at O0C is added a solution of 2-(3-bromo-phenyl)-propionic acid [3 g, 13.9 mmol, Intermediate (69)] in THF (5 mL) dropwise during 15 minutes. Stir for 1 hour, followed by addition of methyl iodide (4.93 g, 34.8 mmol) in THF (5 mL) dropwise during 10 min. The reaction mixture is stirred for 15 hours, quenched with 2N hydrochloric acid, concentrated in vacuo, and diluted with ether (150 mL). The ether layer is washed with 2N hydrochloric acid, extracted three times with 2N sodium hydroxide (50 mL), Combined sodium hydroxide layers are acidified with 6 N hydrochloric acid to pH=l and extracted three times with ether (75 mL). Combined organic layers are washed with brine, dried over sodium
sulfate and concentrated to obtain 2-(3-bromo-phenyl)-2-methyl-propionic acid as a solid (3.08 g, 91% yield), which is used without further purification. LC/MS: 243 (M+H)
Step 2. By proceeding in a similar manner to Example 49(a), Step 2, but substituting 2-(3-bromo- phenyl)-2 -methyl -propionic acid for 2-(3-bromo-phenyl)-propionic acid. 3-d -Carboxy- 1 -methyl - ethvD-phenyl boronic acid is obtained as a semi-solid, which is used without further purification. LC/MS: 209 (M+H).
Step 3. By proceeding in a similar manner to Example 49(a), Step 3, but substituting 3-(l-carboxy-l- methyl-ethyl)-phenyl boronic acid for 3-(l -carboxy-ethyl)-phenyl boronic acid,
2-(3-{6-[2-(2,4-dicMoro-phenyl)-ethylammo1-2-methoxy-pyrirnidin-4-yl)-phenyl)-2-methyl-propionic acid [205 mg, 75%, Example 49(b)] is obtained as a solid. LC/MS: Rτ = 2.39 minutes, MS: 460.2
(M+H). 1H NMR [300 MHz, (CD3J2SO]: δ 12.38 (IH, s), 7.36 - 8 (7H, m), 6.58 (IH, s), 3.84 (3H, s),
3.58 (2H, m), 2.98 (2H, m), 1.54 (6H, s).
Example 50
2-(3-{6-[2-(2^-DicMoro-phenyl)-ethylamino]-2-methoxy-pyrimidin-4-yl|-phenyl)-2-methyl-propionic acid 1-ethoxycarbonyloxy-ethyl ester hydrochloride
To a solution of 2-(3-{6-[2-(2,4-dicUoro-phenyl)-ethylamino]-2-methoxy-pyrimidin-4-yl}-phenyl)-2- methyl-propionic acid [100 mg, 0.218 mmol, Example 49(b)] in dimethylformamide (2 mL) is added 1-chloroethyl ethyl carbonate (0.053 mL, 0.392 mmol) and Cs2CO3 (142 mg, 0.436 mmol). The mixture is heated under microwave at 11O0C for 10 minutes, quenched with water, and extracted with ethyl acetate. Combined organic layers are washed with brine, dried over sodium sulfate and concentrated. The residue is subjected to silica gel chromatography eluting with 0 to 40% EtOAc in heptane to obtain 2-(3-{6-[2-(2,4-dichloro-phenyl)-ethylamino]-2-methoxy-pyrimidin-4-yl}-phenyl)-2- methyl-propionic acid 1 -ethoxycarbonyloxy-ethyl ester as an oil which is treated with IM hydrogen chloride in ether affording 2-(3-{6-[2-(2Λ-dicMoro-phenyl)-ethylamino]-2-methoxy-pyrimidin-4-yl|- phenyl)-2-methyl-propionic acid 1-ethoxycarbonyloxy-ethyl ester hydrochloride [80 mg, 64%, Example 50] as a solid. LC/MS: R7 = 2.94 minutes, MS: 576 (M+H). 1H NMR [300 MHz, (CD3)2SO]:
δ 7.36 - 7.8 (7H, m), 6.64 (IH, q), 6.6 (IH, s), 4.05 (2H, q), 3.96 (3H, s), 3.68 (2H, m), 3 (2H, m); 1.57 (6H, s), 1.38 (3H, d), 1.15 (3H, t). IC50 = 4 nM
Example 51
2-f3-{6-[2-(2Λ-DicMoro-phenvπ-ethylamino]-2-methoxy-pyrimidin-4-yl}-phenylV2-methyl-propionic acid 2-dimethylamino-ethyl ester dihvdrochloride
A solution of 2-(3-{6-[2-(2,4-dichloro-phenyl)-ethylamino]-2-methoxy-pyrimidin-4-yl}-phenyl)-2- methyl-propionic acid [100 mg, 0.218 mmol, Example 49(b)] in DCM (2 mL) is treated with HBTU (515.2 mg, 1.35 mmol). The mixture is stirred at room temperature for 2 hours and treated with 2- dimethylamino-ethanol (0.154 mL, 1.53 mmol). After stirring overnight, the mixture is quenched with water and extracted with ethyl acetate. The combined organic layers are washed with brine, dried over sodium sulfate and concentrated. The residue is subjected to silica gel chromatography eluting with 0 to 7.5% MeOH in DCM to obtain 2-(3-{6-[2-(2,4-dicMoro-phenyl)-ethylammo]-2-methoxy-pyrirmdin- 4-yl)-phenyl)-2-methyl-propionic acid 2-dimethylamino-ethyl ester as an oil which is treated with IM hydrogen chloride in ether affording 2-(3-(6-r2-(2,4-dichloro-phenyl)-ethylaminol-2-methoxy- pyrimidin-4-yl|-phenyl)-2 -methyl -propionic acid 2-dimethylamino-ethyl ester dihvdrochloride [88 mg, 67%, Example 51] as a solid. LC/MS: Rτ = 2.1 minutes, MS: 531 (M+H). 1H NMR [300 MHz, (CD3)2SO]: δ 10.16 (IH, br s), 7.3 - 7.82 (7H, m), 6.62 (IH, s), 4.37 (2H, m), 3.96 (3H, s), 3.68 (2H, m), 3.32 (2H, m), 3 (2H, m), 2.63 (6H, s), 1.6 (6H, s).
Example 52
(5-(6-[2-(2-Fluoro-4-trifluoromethyl-phenyl')-ethylamino]-2-methoxy-pyrimidin-4-yl|-lH-indol-3-yl)- acetic acid
Step 1
(6-CMoro-2-methoxy-pyrimidin-4-ylVr2-(2-fluoro-4-trifluoromethyl-phenvπ-ethyl1-amine
2-Fluoro-4-trifluoromethyl-phenyl acetonitrile (2 g, 9.85 mmol) is hydrogenated with H2 in a balloon, 10% Pd/C (522 mg, 5 mol%) in 95% EtOH (50 mL) containing concentrated hydrochloric acid (1.64 mL) at room temperature for 15 hours. The mixture is filtered and filtrate is concentrated to a solid that is washed with diethyl ether to obtain 2-(2-fluoro-4-trifluoromethyl-phenyl)-ethylamine hydrochloride (1.88 g, 78%) as a solid. LC/MS: 208 (M+H). This compound (1.8 g, 8.7 mmol) is dissolved in EtOH (25 mL) and treated with 4,6-dichloro-2-methoxy-pyrimidine [1.3 g, 7.25 mmol, Intermediate (4)] and sodium bicarbonate (1.52 g, 18.13 mmol). The mixture is heated to reflux for 5 hours. Solid is filtered and EtOH is removed in vacuo. The residue is washed with small amount of DCM to obtain (6-chloro- 2-methoxyφyrimidm-4-yl)-[2-r2-fluoro-44rifluoromethylφhenyl)-ethyl1-amine (2.59 g, 76%) as a solid. LC/MS: 350 (M+H).
Step 2
3-Carboxymethyl-lH-indol-5-yl boronic acid
To a solution of (5-bromo-lH-indol-3-yl)-acetic acid (1 g, 3.94 mmol) in THF (66 mL) at -78 0C is added tert-butyl lithium (1.7 M in pentane, 11.6 mL, 19.7 mmol) dropwise and stirred at -780C for 30 minutes, at -3O0C for 1 hour. Cooled down to -780C again and treated dropwise with triisopropyl borate (4.53 mL, 19.7 mmol). The reaction mixture is allowed to warm to room temperature during 1 hour quenched with 2N hydrochloric acid. This mixture is extracted with ether. The extract is dried over sodium sulfate and concentrate to obtain an oil which is subjected to silica gel chromatography affording 3-carboxymethyl-lH-indol-5-yl boronic acid (185 mg, 20%) as a solid.
Step 3
(5-|6-r2-(2-Fluoro-4-trifluoromethyl-phenyl)-ethylaminol-2-methoxy-pyrimidin-4-yl)-lH-indol-3-yl)- acetic acid
A solution of (6-cUoro-2-methoxy-pyrimidin-4-yl)-[2-(2-fluoro-4-trifluoromethyl-phenyl)-ethyl]- amine (493 mg, 1.408 mmol) and 3-carboxymethyl-lH-indol-5-yl boronic acid (370 mg, 1.689 mmol) in toluene (9 niL), EtOH (4.5 mL) and water (1 mL) is added Cs2CO3 (1.146 g, 3.52 mmol) and degassed with nitrogen for 5 minutes before addition of tetrakis(triphenylphosphine) palladium (0) (81.3 mg, 5 mol%). The reaction vessel is sealed and heated under microwave to 13O0C for 15 minutes. To the reaction mixture is added IN hydrochloric acid to adjust pH to about 2. This mixture is extracted three times with EtOAc (40 mL). The combined, extracts are washed with brine, dried over sodium sulfate and concentrated. The residue is subjected to silica gel chromatography to give (5-{6- [2-(2-fluoro-4-trifluoromethyl-phenyl)-ethylarrimo]-2-methoxy-pyrimidin-4-yl|-lH-indol-3-yl)-acetic acid [116 mg, 17%, Example 52] as a solid. LC/MS: Rx = 2.57 minutes, MS: 489 (M+H). 1H NMR [300 MHz, (CDB)2SO]: δ 12.18 (IH, s), 11.05 (IH, s), 8.18 (IH, s), 7.24 - 7.76 (7H, m), 6.6 (IH1 s), 3.87 (3H5 s), 3.7 (2H, s), 3.6 (2H, m), 3 (2H, m). IC50 = 0.4 nM
Example 53
(a) [6-( 1 H-mdol-6-yl)-2-methoxyφyrimidin-4-yl] -[2-f 4-methoxy-phenvO-ethyl] -ammonium trifluoroacetate
Example 53(a)
Step 1. A solution of 6-bromoindole (200 mg, 1.02 mmol) in anhydrous ether (4 mL), at -780C, is treated dropwise with tert-butyllithium (1.7 M solution in pentane, 2 mL, 3.4 mmol). After stirring for 30 minutes the mixture is treated dropwise with tributyl borate (0.822 mL, 3.06 mmol) and allowed to warm up to room temperature. After stirring overnight the reaction mixture is diluted with ether, and this mixture is added in portions to phosphoric acid (15 mL, IM), stirred for 30 minutes and extracted three times with ether (20 mL). The combined extracts are extracted three times with sodium hydroxide solution (20 mL, IN). The combined sodium hydroxide extracts are acidified with phosphoric acid (1 M) to pH=2, extracted with ether. The combined ether extracts are washed with brine, dried over sodium sulfate and concentrated to obtain lH-indol-6-yl-boronic acid [Intermediate (77)] as a solid, which is used for the next step without further purification.
Step 2. A mixture of (6-chloro-2-methoxy-pyrimidin-4-yl)-[2-(4-methoxy-phenyl)-ethyl]-amine [205.3 mg, 0.698 mmol, Intermediate (8)] and lH-indol-6-yl-boronic acid [135 mg, 0.84 mmol, Intermediate (77)]) in acetonitrile (3.5 mL) and Na2CO3 solution (3.7 mL, 0.4 M) is degassed with nitrogen for 5 minutes and treated with tetrakis(triphenylphosphine) palladium (0) (40.5 mg, 0.035 mmol). The mixture is heated under microwave at 13O0C for 20 minutes and extracted three times with EtOAc (30 mL). The combined extracts are washed with saturated sodium bicarbonate solution, with brine, dried over sodium sulfate and concentrated to provide a residue which is subjected to Gilson
prep. HPLC (Cl 8 column, 5 - 100% acetonitrile/water, 0.1% trifluoroacetic acid) to afford [6-(1H- indol-6-yl)-2-methoxy-pyrrmidm-4-yl] -r2-(4-methoxy-phenyl)-ethyl] -ammonium trifluoroacetate [87 mg, 33%, Example 53(a)] as an oil. LC/MS: Rx = 2.47 minutes, MS: 375 (M+H). 1H NMR (300 MHz, CDCl3): δ 10 (IH, br s), 8.14 - 6.2 (1OH, m), 3.78 (3H, s), 3.73 (3H, s), 3.5 (2H, m), 2.8 (2H, m).
(b) r6-(lH-mdazol-6-yl)-2-methoxy-pyrimidin-4-yll-[2-(4-methoxy-phenyl)-eth.yl1-amine
Example 53(b)
Step 1. By proceeding in a similar manner to Example 53(a), but substituting 6-bromo-l H-indazole for 6-bromoindole in Step 1 there is prepared lH-indazol-6-yl-boronic acid [150 mg, Intermediate (79)] as a solid. This material is used for the next step without further purification.
Step 2. By proceeding in a similar manner to Example 53(a), but substituting lH-indazol-6-yl-boronic acid [Intermediate (79)] for 1 H-indol-6-yl-boronic acid in Step 2, and carrying out the reaction in toluene : EtOH : water (2.5 mL: 1.3 mL: 0.2 mL), there is prepared [6-( 1 H-Indazol-6-yl)-2-methoxy- pyrimidin-4-yl]-[2-(4-methoxy-phenyl)-ethyl]-arnine [60 mg, Example 53(b)] as a solid. LC/MS: Rx = 2.33 minutes, MS: 376 (M+H). 1H NMR [300 MHz, (CD3)2SO]: δ 13.2 (IH, s), 8.2 (IH, m), 8.1 (IH, s), 7.82 (IH, m), 7.68 (IH, m), 7.56 (IH, m), 7.2 (2H, d, J= 8.6 Hz), 6.84 (2H, d, J = 8.6 Hz), 6.7 (IH, s), 3.92 (3H, s), 3.7 (3H, s), 3.5 (2H, m), 2.8 (2H, m). IC50 = 0.95 nM
By proceeding in a similar manner to Example 53(a), Step 2, but substituting 3-carboxyboronic acid for lH-indol-6-yl-boronic acid, and (6-cliloro-2-methoxy-pyrimidin-4-yl)-[2-(2,6-dichloro-phenyl)- ethyl]-amine [Intermediate (44)] for (6-chloro-2-methoxy-pyrimidin-4-yl)-[2-(4-methoxy-phenyl)- ethyl] -amine, there is prepared 3- {6-[2-f2,6-dichloro-phenyl)-ethylammo1-2-methoxy-pyrimidin-4-vU - benzoic acid [110 mg, Example 53(c)] as a solid. LC/MS: Rτ = 2.64 minutes, MS: 418 (M+H). 1H NMR [300 MHz, (CD3)2SO]: δ 13.2 (IH, br s), 8.54 (IH, s), 8.1 (IH5 m), 8 (IH1 m), 7.76 (IH, m), 7.6 (IH, m), 7.44 (2H, m), 7.26 (IH, m), 6.62 (IH1 s), 3.86 (3H, s), 3.6 (2H, m), 3.22 (2H, m).
Example 54 r2-(4-Methoxy-phenyl)-ethyl1-(2-methoxy-6-r3-flH-tetrazol-5-yl)-phenyl1-pyriniidin-4-vU-amine, sodium salt
To a 0.5 M solution of sodium methoxide (10 mL, 5 mmol) in MeOH is added [2-(4-methoxy-phenyl)- ethyl]-{2-methoxy-6-[3-(lH-tetrazol-5-yl)-phenyl]-pyrimidin-4-yl}-amine [1.2 g, 2.97 mmol, Example 24(a)]. After 1 hour at room temperature the mixture is concentrated, filtered through a short pad of silica eluting with a mixture of MeOH and DCM (1 :4, v/v), and triturated with a mixture of heptane and ether to afford [2-r4-methoxy-phenyl)-ethyl]-{2-methoxy-6-[3-(lH-tetrazol-5-yl)-phenyl]- pyrimidin-4-yl} -amine, sodium salt [1.13 g, 89%, Example 54] as a solid. LCMS: RT = 2.37 minutes, MS: 404 (M+H). IC50 = 0.4 nM
To a solution of 2-methoxy-5- {2-methoxy-6-[2-(4-methoxy-phenyl)-ethylarmno]-pyrimidin-4-yll - benzaldehyde oxime [0.49 g, 1.2 mmol, Example 26(c)], and triphenylphosphine (0.63 g, 2.4 mmol) in DCM (20 mL) is added N-chloro-succinimide (0.32 g, 2.4 mmol) at 1O0C. After 2 hours at 20°C, the mixture is concentrated, and subjected to chromatography on silica gel eluting with 5% to 10 % MeOH in DCM to afford 2-methoxy-5-(2-methoxy-6-[2-f4-methoxy-phenyl)-ethylammo1-pyrimidin-4-yl}- benzonitrile [0.4 g, 85%, Example 55]. LCMS: Rτ = 2.75 minutes, MS: 391 (M+H).
Example 56 (3-{6-r2-(2-CMoro-6-fluoro-phenyl)-ethylamino1-2-methoxy-pyrimidin-4-vU-berizyloxy)-acetic acid
A solution of (3-{6-[2-(2-chloro-6-fluoro-phenyl) -ethylamino]-2-methoxy-pyrimidin-4-yl}-phenyl)- methanol (640 mg, 1.65 mmol) and bromo-acetic acid (0.25 g, 1.82 mmol) in N,N'- dimethylformamide (5 mL) is treated with sodium hydride (60%, 0.28 g, 6.94 mmol) at -3O0C. The mixture is allowed to warm to room temperature over 1 hour, stirred for an additional 1 hour and quenched with water. The mixture is diluted with water, and washed with ether. The aqueous phase is acidified to pH 3.8 and the resulting solid is filtered and dried to give (3-{6-[2-(2-chloro-6-fluoro- phenyl)-ethylamino]-2-methoxy-pyrimidin-4-yl) -benzyloxy)-acetic acid [3.9 g, 53%, Example 56], The filtrate is extracted with ethyl acetate, and the combined extracts are washed with water, dried over magnesium sulfate, and concentrated to afford additional quantity of (3-{6-[2-(2-chloro-6-fluoro- phenyl)-ethylamino]-2-methoxy-pyrimidin-4-yll -benzyloxyVacetic acid (0.43 g, Example 56). LCMS: RT = 2.43 minutes, MS: 446 (M+H). IC50 = 0.6 nM
Example 57 Sodium; 2-(3-{6-[2-(2,4-dichloro-phenyl)-ethylamino1-2-methoxy-pyrimidin-4-yl|-phenyl)-2-methyl- propionate
A solution of 2-(3-{6-[2-(2,4-dichloro-phenyl)-ethylaniLno]-2-methoxy-pyrimidin-4-yl}-phenyl)-2- methyl -propionic acid [540 mg, 1.17 mmol, Example 49(b)] in MeOH (60 mL) is treated with Na2CO3 (187 mg, 1.78 mmol) and the mixture is stirred for 15 hours. The reaction mixture is filtered and the filtrate is concentrated to dryness. To the residue is added a mixture of methanol, EtOAc and acetone. The insoluble material is filtered off and the filtrate is evaporated. The residue is again treated with a mixture of methanol, EtOAc and acetone, the insoluble material filtered off and the filtrate is evaporated. The residue is again treated with a mixture of methanol, EtOAc and acetone, the insoluble material filtered off and the filtrate is evaporated. To the residue is added MeOH (1 mL) and EtOAc (5 mL), followed by heptane until the solution turned cloudy and a solid is formed slowly. Heptane is repeatedly added until the solution stay clear. The mixture is filtered affording sodium 2-(3-{6-[2-(2,4- dichloro-phenyl)-ethylamino]-2-methoxy-pyrimidin-4-yl} -phenyl)-2-methyl-propionate as a crystalline. LC/MS: Rτ = 2.34 minutes, MS: 460 (M-Na+2H)+. 1H NMR [300 MHz, (CD3)2SO]: δ 7.97 (IH, br s), 7.24 - 7.7 (7H, m), 6.57 (IH, s), 3.86 (3H, s), 3.58 (2H, m), 2.98 (2H, m), 1.4 (6H, s).
Example 58 (3-{6-[2-(2Λ-DicMoro-phenvπ-ethylamino]-2-methoxy-pyrimidin-4-yl}-benzoylamino')-acetic acid ethyl ester
A mixture of 3- {6-[2-(2,4-dichloro-phenyl)-ethylamino]-2-methoxy-pyrimidin-4-yl} -benzoic acid [127 mg, 0.3 mmol, Example 35(w)], O-(benzotriazol-l-yl)-N,N,NTNP-tetramethyluronium tetrafiuoroborate (116 mg, 0.36 mmol), diisopropylethylamine (131 μL, 0.75 mmol) and glycine ethyl ester hydrochloride (63 mg, 0.45 mmol) in dimethylformamide (3 mL) is stirred at ambient temperature for 18 hours. The mixture is poured into water and extracted three times with EtOAc (20 mL). The organic extracts are combined and washed twice with water (20 mL), dried over magnesium sulfate, filtered and concentrated by rotary evaporator to provide a solid. The solid is absorbed onto silica and
subjected to flash column chromatography on silica (4Og) eluting with 0% to 50% ethyl acetate/heptane gradient, to afford f3-{6-[2-(2Λ-dicMoro-phenylVethylammo]-2-methoxy-pyrimidin- 4-yU-benzoylamino)-acetic acid ethyl ester [120 mg, 79%, Example 58]. MS: 503 (M+H).
Example 59 r3-{6-r2-(2Λ-DicMoro-phenvl)-ethvlarrύno1-2-methoxv-pyiimidin-4-yl|-benzoylamino)-acetic acid
A mixture of (3-{6-[2-(2,4-dicUoro-phenyl)-ethylamino]-2-methoxy-pyrimidin-4-yl}-benzoylamino)- acetic acid ethyl ester [120 mg, 0.24 mmol, Example 58], lithium hydroxide (20 mg, 0.48 mmol) in THF (1 mL), MeOH (1 mL) and water (1 mL) is stirred for 20 hours at ambient temperature. The mixture is acidified to pH 1 with 10% hydrochloric acid and extracted three times with EtOAc (25 mL). The organic extracts are combined and dried over magnesium sulfate, filtered and concentrated by rotary evaporator to provide (3-{6-[2-(2,4-dichloro-phenvπ-ethylamino]-2-methoxy-pyrimidin-4- vU-benzoylaminoVacetic acid [49 mg, 43%, Example 59]. LCMS: Rτ = 2.77 minutes, MS: 475 (M+H). IC50 = 0.8 nM
Example 60
Ethyl-carbamic acid 3-{6-[2-(2^-dicMoro-phenyl)-ethylamino]-2-methoxy-pyrimidin-4-yl}-phenyl ester
Example 60
Step 1. A mixture of 3- {6-[2-(2,4-dichloro-phenyl)-ethylamino]-2-methoxy-pyrimidin-4-yl} -phenol [220 mg, 0.51 mmol, Example 35(i)], diisopropylethylamine (178 μL, 0.75 mmol) and 4- nitrophenylchloroformate (123 mg, 0.61 mmol) in DCM (3 mL) is stirred at ambient temperature for 2 hours. The mixture is poured into water (25 mL) and extracted twice with EtOAc (25 mL). The organic extracts are combined and washed twice with water (25 mL) and once with brine (25 mL), the dried over magnesium sulfate, filtered and concentrated by rotary evaporator to provide carbonic acid 3- l6-[2-(2Λ-dicMoro-phenvπ-ethylarnino1-2-methoxy-pyrimidin-4-yl} -phenyl ester 4-nitro-phenyl ester [291 mg, 102%, Intermediate (80)]. MS: 555 (M+H).
Step 2. A mixture of carbonic acid 3-{6-[2-(2,4-dichloro-phenyl)-ethylamino]-2-methoxy-pyrimidin- 4-yl}-phenyl ester 4-nitro-phenyl ester [291 mg, 0.52 mmol, Intermediate (80)] and 2 M ethylamine in MeOH (0.65 mL, 1.3 mmol) in DCM is stirred for 20 hours at ambient temperature. The precipitate that formed is collected by filtration and washed with DCM and dried under vacuum to afford ethyl- carbamic acid 3-{6-[2-(214-dichloro-phenyl)-ethylaminol-2-methoxy-pyrimidin-4-yl|-phenyl ester [80 mg, 33.3%, Example 60]. LCMS: Rτ = 1.31 minutes MS: 461 (M+H). IC50 = 0.5 nM
Example 61
To a solution of 5-{2-methoxy-6-[2-(4-methoxy-phenyl)-ethylamino]-pyrimidin-4-yl}-thiophene-2- carbaldehyde [700 mg, 1.895 mmol, Example 8(b)] in acetone (20 mL) is added a solution of potassium permanganate (898 mg, 5.684 mmol) and NaH2PO^H2O (79 mg, 0.568 mmol) in water (20 mL) followed by the addition of silica gel (4 g). The mixture is allowed to stir at ambient temperature for 6 hours, allowed to stand overnight, evaporated to remove the acetone and extracted several times with ethyl acetate. The organic extracts are combined and dried over magnesium sulfate, filtered and concentrated. The residual crude product is dissolved in refluxing acetonitrile and the solids that formed upon cooling are collected by filtration to afford 5-(2-methoxy-6-[2-(4-methoxy-phenyl')- ethylamino]-pyrimidin-4-yl} -thiophene-2-carboxylic acid [362 mg, 50%, Example 61].
Example 62
5- {2-Methoxy-6-r2-(4-methoxy-rjhenyl)-ethylamino1-pyrimidin-4-yl| -thiophene-2-carboxylic acid methylamide trifluoroacetate
To a solution of 5-{2-methoxy-6-[2-(4-methoxy-phenyl)-ethylamino]-pyrimidin-4-yl}-thiophene-2- carboxylic acid [168 mg, 0.45 mmol, Example 61] in dimethylformamide (15 mL) and DCM (15 mL) is added 2.0M methylamine in THF (275 mL, 0.55 mmol) followed by the addition of 2-(7-aza-lH- benzotriazole-l-yl)-l,l,3,3-tetramethyluronium hexafluorophosphate (224 mg, 0.59 mmol) and diisopropylethylamine (254 mL, 1.46 mmol). The mixture is stirred at ambient temperature for 5 hours and diluted with DCM and washed several times with water. The organic layer is dried over magnesium sulfate, filtered and concentrated to afford the crude product. The material is purified twice by HPLC to afford 5- {2-methoxy-6-[2-(4-methoxy-phenyl)-ethylamino]-pyrimidin-4-yl| -
thiophene-2-carboxylic acid methylamide trifluoroacetate, [29 mg, 13%, Example 62]. LCMS: Rx = 6.96 minutes. MS: 399 (M+H). IC50 = 0.3 nM
Example 63 (3- (6-[2-(3 ,4-Dimethoxy-phenyl)-ethylairuno]-2-memoxy-pyrimidin-4-yloxy| -benzoic acid methyl ester
Step 1. A mixture of (6-dhloro-2-methylsulfanyl-pyrimidin-4-yl)-[2-(3,4-dimethoxy-phenyl)-ethyl]- amine [250 mg, 0.74 mmol, Intermediate (31)], 3-hydroxy-benzoic acid ethyl ester (0.18 g, 1.1 mmol), and Cs2CO3 (0.48 g, 1.48 mmol) in DMF (4 mL) is heated to 900C for 15 h. The mixture is diluted with water, and extracted with EtOAc. The extracts are washed (water), dried (MgSO^, filtered, concentrated, and chromatographed (silica gel, 30% EtOAc in Heptane) to afford 3-j6-[2-(3,4- dimethoxy-phenyl)-ethylamino]-2-methylsulfanyl-pyrimidin-4-yloxy| -benzoic acid ethyl ester [0.29 g, 83%, Intermediate (71)]. LCMS : Rx = 3.7 minutes, MS : 470 (M+H).
Step 2. To a mixture of above 3-{6-[2-(3,4-dimethoxy-phenyl)-ethylamino]-2-methylsulfanyl- pyrimidin-4-yloxy} -benzoic acid methyl ester [0.25 g, 0.53 mmol, Intermediate (71)] in CH2Cl2 (5 mL), is added 3-chloro-peroxybenzoic acid (70%, 0.26 g, 1.06 mmol). After 2 h at 2O0C, the mixture is treated with a resin-bound carbonate (MP carbonate, 3 mmol/g, 1 g, 3 mmol), and stirred for 2 h at 2O0C. A short-path silica gel chromatography (EtOAc) provided 3-{6-[2-(3,4-dimethoxy-phenyl)- ethylamino1-2-methanesulfonyl-pyrimidin-4-yloxy| -benzoic acid ethyl ester [0.2 g, 75%, Intermediate (72)]. LCMS: Rx = 3.2 minutes, MS: 502 (M+H).
Step 3
To a solution of above 3-{6-[2-(3,4-Dimethoxy-phenyl)-ethylamino]-2-methanesulfonyl-pyrimidin-4- yloxy} -benzoic acid ethyl ester [180 mg, 0.36 mmol, Intermediate (72)] in 1 ,2-dimethoxyethane (5 mL) is added a 25% solution of sodium methoxide (3 mL). After 1 h at 2O0C, the mixture is filtered through a plug of SiO2 (EtOAc). The filtrate is concentrated to give 3 - { 6-[2-(3 ,4-dimethoxy-phenyl)- ethylamino]-2-methoxy-pyrimidin-4-yloxy| -benzoic acid methyl ester [70 mg, 44%, Example (63)]. LCMS: Rx = 3.34 minutes, MS: 440 (M+H). IC50 = 6254 nM
Example 64 N-r2-f3-(6-r2-(2-Fluoro-4-trifluoromethyl-phenyl)-ethylaininol-2-methoxy-pyrimidin-4-vU-phenvD-
Step 1. A mixture of (6-cUoro-2-methoxy-pyriinidin-4-yl)-[2-(2-fluoro-4-trifluoromethyl-phenyl)- ethyl]-amine [800 mg, 2.29 mmol, see Example 52, step 1], (3-cyanomethyl-phenyl)-boronic acid, pinacol ester (563 mg, 3.43 mmol), and Cs2CO3 (1.86 g, 5.72 mmol) in ethylene glycol dimethyl ether (15 mL) and water (4 mL) is degassed by bubbling with Argon gas for 5 minutes, and treated with tetrakis(triphenylphosphine) palladium(O) (132 mg, 0.11 mmol) at room temperature. After 1 h at 85°C, the mixture is diluted with water (50 mL), and extracted with EtOAc (2 x 50 mL). The extracts are dried (MgSO4), filtered through a pad of SiO2, and concentrated to afford (3-{6-[2-(2-fluoro-4- trifluoromethyl-phenyl)-ethylammo]-2-methoxy-pyrimidin-4-yl}-phenyl)-acetonitrile (1.2 g). LCMS: RT = 2.47 minutes, 92% purity. MS: 431 (M+H).
Step 2. A solution of (3-{6-[2-(2-fluoro-4-trifluoromethyl-phenyl)-ethylamino]-2-methoxy- pyrimidin-4-yl}-phenyl)-acetonitrile (660 mg, 1.53 mmol) in MeOH (20 mL) and concentrated HCl (2 mL) is degassed by bubbling with Argon gas for 5 minutes, and treated with palladium hydroxide on carbon (0.4 g) at room temperature. The mixture is hydrogenated for 15 h at room temperature under hydrogen balloon, filtered through celite, and concentrated in a rotavap. The residue is diluted with water, basifϊed with NaOH solution, and extracted with EtOAc. The extracts are dried (MgSO4), filtered, and concentrated to afford {6-[3-(2-ammo-ethyl)-phenyll-2-methoxy-pyrirnidin-4-yl}-[2-('2- fluoro-4-trifluoromethyl-phenyl)-ethyl]-amine (0.55 g). LCMS: Rτ = 1.85 minutes; MS: 435 (M+H).
Step 3. A solution of {6-[3-(2-amino-ethyl)-phenyl]-2-methoxy-pyrimidin-4-yl}-[2-(2-fluoro-4- trifluoromethyl-phenyl)-ethyl]-amine (150 mg, 0.35 mmol) and triethylamine (0.24 mL, 1.73 mmol) in DCM (5 mL) is treated with methoxyacetyl chloride (75 mg, 0.69 mmol) at 1O0C. After 10 minutes at 100C, the mixture is quenched with aqueous NaHCO3 solution (8 mL), and filtered through Chem-Elut with CH2Cl2 washing (10 mL). The filtrate is concentrated, and subjected to chromatography on silica gel eluting with 80% EtOAc in heptane to 5% MeOH in CH2Cl2 to give N-[2-(3-{6-[2-(2-fluoro-4- trifluoromethyl-phenyl)-ethylamino]-2-methoxy-pyrimidin-4-yl}-phenyl)-ethyl]-2-methoxy- acetamide, which is treated with saturated solution of hydrogen chloride in EtOAc followed by
lyophilization to afford N-[2-f3-{6-[2-('2-fluoro-4-trifluoromethyl-phenyl)-ethylamino1-2-methoxy- pyrimidin-4-yl) -phenyl)-ethyll-2-methoxy-acetamide hydrochloride [76 mg, Example 64]. LCMS: RT = 2.24 minutes, MS: 507 (M+H). 1H NMR (300 MHz, CDC13) δ 9.35 (IH, s), 7.9 (IH, brs), 7.6-7.4 (7H, m), 6.65 (IH, s), 4 (3H, s), 3.76 (3H, s), 3.8-3.7 (2H, m), 3.4 (2H, q, J= 6.9 Hz), 3.25 (2H, s), 3.06 (2H, t, J= 6.6 Hz), 2.82 (2H, t, J= 7.5 Hz). IC50 = 56 nM
Example 65
N-[2-(3-{6-[2 -(2 -Fluoro-4-trifluoromethyl-phenyl)-ethylarnino1-2-methoxy-pyrirnidin-4-yl} -phenyl)- ethyl] -acetamide hydrochloride
A solution of {6-[3-(2-amino-ethyl)-phenyl]-2-methoxy-pyrimidin-4-yl}-[2-(2-fluoro-4- trifluoromethyl-phenyl)-ethyl]-amine [150 mg, 0.35 πraiol, see Example 64, step 2] and triethylamine (0.24 mL, 1.73 mmol) in DCM (5 mL) is treated with acetyl chloride (54 mg, 0.69 mmol) at 1O0C. After 10 min at 10°C, the mixture is quenched with aqueous NaHCO3 solution (8 mL), and filtered through Chem-Elut with CH2CI2 washing (10 mL). The filtrate is concentrated, and subjected to chromatography on silica gel eluting with 80% EtOAc in Heptane to 5% MeOH in CH2Cl2 to give N- [2-(3-{6-[2-(2-fluoro-4-trifluoromethyl-phenyl)-ethylamino]-2-methoxy-pyrimidin-4-yl} -phenyl)- ethyl] -acetamide, which is treated with saturated solution of hydrogen chloride in EtOAc followed by lyophilization to afford N-[2-(3-{6-[2-(2-fluoro-4-trifluoromethyl-phenyl)-ethylamino]-2-methoxy- pyrimidin-4-yl} -phenyl)-ethyl]-acetamide hydrochloride [70 mg, Example 65]. LCMS: Rτ = 2.2 minutes, MS: 477 (M+H); 1H NMR (300 MHz, CDC13) δ 9.1 (IH, s), 7.95 (IH, brs), 7.7-7.4 (7H, m), 6.65 (IH, s), 4 (3H, s), 3.8-3.75 (2H, m), 3.3 (2H, q, J= 6.9 Hz), 3.04 (2H, t, J= 6.6 Hz), 2.78 (2H, t, J = 7.5 Hz), 2.49 (3H, s). IC50 = 37 nM
Example 66
[2-(2-Fluoro-4-trifluoromethyl-phenyl)-ethyl]-['2-methoxy-6-r3-oxiranylmethoxy-phenyl)-pyrimidin-4- yll -amine
Step 1. A mixture of (6-chloro-2-methoxy-pyrimidin-4-yl)-[2-(2-fluoro-4-trifluoromethyl-phenyl)- ethyl]-amine [1.47 g, 4.2 mmol, see Example 52, step 1], (3-hydroxy-phenyl)-boronic acid, (637 mg, 4.62 mmol), and CS2CO3 (3.4 g, 10.5 mmol) in ethylene glycol dimethyl ether (20 mL) and water (4 mL) is degassed by bubbling with Argon gas for 5 minutes, and treated with tetrakis(triphenylphosphine) palladium(O) (243 mg, 0.21 mmol) at room temperature. After 15 h at 85°C, the mixture is diluted with water (50 mL), and extracted with EtOAc (2 x 50 mL). The extracts are dried (MgSO^, filtered through a pad of SiO2, and concentrated to afford 3-{6-[2-(2-fluoro-4- trifluoromethyl-phenyl)-ethylarnmo1-2-methoxy-pyrirnidin-4-yl)-phenol (2 g). LCMS: Rj = 2.32 minutes; MS: 408 (M+H).
Step 2. To a suspension of 3-{6-[2-(2-fluoro-4-trifluoromethyl-phenyl)-ethylamino]-2-methoxy- pyrimidin-4-yl} -phenol (280 mg, 0.68 mmol), and Cs2CO3 (0.44 g, 1.36 mmol) in DMF (2 mL) is added epichlorohydrin (80 μL, 1.02 mmol) at room temperature. After 4 h at 2O0C, the mixture is diluted with water (10 mL), and extracted with EtOAc (2 x 10 mL). The extracts are washed with water (2 x 20 mL), dried (MgSO^, filtered, and concentrated. The residue is chromatographed on SiO2 eluting with 50%EtOAc in heptane to afford r2-(2-fluoro-4-trifluoromethyl-phenyl)-ethyll-[2- methoxy-6-(3-oxiranylmethoxy-phenyl)-pyrimidin-4-yl]-amine [0.16 g, Example 66]. LCMS: Rγ = 2.62 minutes; MS: 464 (M+H).
Example 67
2-{3-r6-(2,2-Difluoro-2-phenyl-ethylammo)-2-methoxy-pyrimidin-4-yl]-phenyl}-2-methyl-propionic acid
Step 1. To a solution of ethyl benzoylformate (0.36 g, 2 mmol) in CH2Cl2 (10 mL) is added Deoxo- Fluor (1.1 mL, 6 mmol) at 10°C. After 20 h at 2O0C, the mixture is quenched with water (10 mL), and
poured into Chem-Elut with CH2CI2 washing (10 mL). The filtrate is concentrated to give difluoro- phenyl-acetic acid ethyl ester, which is used for next step without further purification.
Step 2. A solution of the above difluoro-phenyl-acetic acid ethyl ester and NH3 in MeOH (7 M, 10 mL) is heated to 6O0C for 2 h in a pressure tube. The mixture is cooled to room temperature, and concentrated to afford 2,2-difluoro-2-phenyl-acetamide (0.33 g). LCMS: Rτ = 1.7 minutes; MS: 172 (M+H).
Step 3. To a s solution of 2,2-difluoro-2-phenyl-acetamide (0.76 g, 4.4 mmol) in THF (5 mL) is added Borane in THF (1 M, 20 mL, 20 mmole) at 100C. After 7O0C for 20 h, the mixture is quenched with water (10 mL), concentrated, and chromatographed on SiO2 eluting with 90% EtOAc in heptane to afford 2.2-difluoro-2-phenyl-ethylamine (0.58 g). LCMS: Rτ = 0.92 minutes; MS: 158 (M+H); 1H NMR (300 MHz, CDCl3) δ 7.57-7.45 (5H, m), 3.2 (2H, t).
Step 4. A mixture of 4,6-dichloro-2-methoxy-pyrimidine (0,66 g, 3.69 mmol), 2,2-difluoro-2-phenyl- ethylamine (0.58 g, 3.69 mmol), and NaHCO3 (0.93 g, 11.1 mmol) in 95% EtOH (10 mL) is heated to reflux. After stirred at 850C for 5 h. The mixture is diluted with water, filtered, washed (water), and dried to afford (6-cMoro-2-methoxy-pyrimidm-4-yl)-(2,2-difluoro-2-phenyl-ethyl)-amine as a solid (0.58 g). LCMS: RT = 3.17 minutes, MS: 300 (M+H). 1H NMR (300 MHz, CDCl3) δ 7.57-7.45 (5H, m), 6.1 (IH, s), 5.2 (IH, s), 4.2-4 (2H, m), 3.92 (3H, s).
Step 5. A mixture of (6-chloro-2-methoxy-pyrimidin-4-yl)-(2,2-difluoro-2-phenyl-ethyl)-amine (0.19 g, 0.62 mmol), 3-(l-carboxy-l-methyl-ethyl)-phenyl boronic acid [190 mg, 0.94 mmol, see Example 49(b), step 2], and Cs2CO3 (0.51 g, 1.6 mmol) in ethylene glycol dimethyl ether (10 mL) and water (2 mL) is degassed by bubbling with Argon gas for 5 minutes, and treated with tetrakis(triphenylphosphine) palladium(O) (36 mg, 0.03 mmol) at room temperature. After 6 h at 850C, the mixture is diluted with water (15 mL), and extracted with EtOAc (2 x 20 mL). The extracts are dried (MgSO4), filtered, and concentrated. The residue is chromatographed on SiO2 eluting with 70% EtOAc in heptane to afford 2-{3-[6-(2,2-difluoro-2-phenyl-ethylamino)-2-methoxy-pyrimidin-4-yl]- phenyl) -2-methyl-propionic acid [0.28 g Example 67]. LCMS: Rτ = 2.82 minutes; MS: 428 (M+H);
1H NMR (300 MHz, CDCl3) δ 9.6 (IH, s), 8 (IH, s), 7.81 (IH, d, J= 7.5 Hz), 7.5-7.4 (7H, m), 6.4 (IH, s), 4.2-4 (2H, m), 3.96 (3H, s), 1.65 (6H, s). IC50 = 38 nM
Example 68 2-[3-(2-Methoxy-6-(2-[4-(5-methyl-[l,3,41oxadiazol-2-yl)-phenyl1-ethylamino}-pyrimidin-4-yl)- phenyl"]-2-methyl-propionic acid
Step 1. To a solution of 4-[2-(6-cUoro-2-methoxy-pyrimidin-4-ylamino)-ethyl]-benzoic acid (0.41 g, 1.33 mmol), acetic acid hydrazide (0.14 g, 2 mmol), and triethylamine (0.7 mL, 3.99 mmol) in DMF (3 mL) is added [(benzotriazol-l-yloxy)-dimethylamino-methylene]-ditnethyl-ammonium tetrafluoro borate (0.51 g, 1.6 mmol) at room temperature. After 15 h at 2O0C, the solid is filtered, and washed with water to afford 4-[2-(6-cMoro-2-methoxy-pyrirrύdm-4-ylamino)-ethyl1-benzoic acid N'-acetyl- hydrazide (267 mg). The filtrate is extracted with EtOAc, and concentrated to afford additional amount of 4-[2-(6-cUoro-2-methoxy-pyrirnidin-4-ylamino)-ethyl]-benzoic acid N'-acetyl-hydrazide (100 mg). LCMS: RT = 2 minutes; MS: 364 (M+H).
Step 2. A mixture of 4-[2-(6-ctøoro-2-methoxy-pyrimidin-4-ylamino)-ethyl] -benzoic acid N'-acetyl- hydrazide (0.2 g, 0.55 mmol), and Burgess reagent (0.39 g, 1.65 mmol) in THF (6 mL) is placed in a microwave reactor. After 5 min at 130°C, the mixture is concentrated in a rotavap, and subjected to a chromatography eluting withl 0% MeOH in CH2CU to afford (6-chloro-2-methoxy-pyrimidin-4-yl)-{2- r4-f5-methyl-ri.3.41oxadiazol-2-ylVphenyll-ethvU-amine (160 mg). LCMS: Rτ = 2.29 minutes; MS: 346 (M+H).
Step 3. A mixture of (6-cmoro-2-methoxy-pyrimidin-4-yl)-{2-[4-(5-methyl-[l,3,4]oxadiazol-2-yl)- phenyl] -ethyl} -amine (0.16 g, 0.46 mmol), 3-(l-carboxy-l-methyl-ethyl)-phenyl boronic acid, [125 mg, 0.6 mmol, see Example 49(b), step 2], and Cs2CO3 (0.37 g, 1.15 mmol) in ethylene glycol dimethyl ether (8 mL), acetonitrile (10 mL), and water (2 mL) is degassed by bubbling with Argon gas for 5 minutes, and treated with l,l'-bis(diphenylphosphino)ferrocene palladium (II) chloride (20 mg) at room temperature. After 3 h at 850C, the mixture is diluted with water (15 mL), and extracted with EtOAc (2 x 15 mL). The extracts are dried (MgSO4), filtered, and concentrated. The residue is chromatographed on SiO2 eluting with 80% EtOAc in heptane to afford 2-[3-("2-methoxy-6-{2-[4-(5- methyl-[l ,3,4]oxadiazol-2-yl)-phenyl]-ethylaminoi -pyrirmdin-4-yl)-phenyl]-2-methyl-propioriic acid [55 mg, Example 68]. LCMS: Rτ = 1.82 minutes; MS: 474 (M+H); 1H NMR (300 MHz, CDCl3) δ 7.98-7.81 (4H, m), 7.5-7.27 (4H, m), 6.33 (IH, s), 3.97 (3H, s), 3.72-3.6 (2H, m), 2.92 (2H, t, J= 6.5 Hz), 2.6 (3H, s), 1.6 (6H, s).
Example 69
5-π-{6-r2-r3Λ-Difluoro-phenylVethylarnino]-2-methoxy-pyriiiύdin-4-yl|φhenoxymethyl')-l-ethyl- 2.4-dihydro-[T,2,41triazol-3-one
Step 1. A solution of 3,4-difluorobenzaldehyde (5.05 g), nitromethane (5.3 mL) and ammonium acetate (6.3 g) in glacial acetic acid (60 mL) is heated at 11O0C for 16 hours, allowed to cool and poured into water (300 mL). The solution is extracted with EtOAc (2 X 200 mL). The combined extract is washed with 10% NaHCO3, water and dried over sodium sulfate, filtered and evaporated in vacuo to afford 1.2-difluoro-4-f2-nitro-vinvnbenzene (4.2 g). MS: 198 (M+H); 1H NMR (300 MHz, CDCl3) δ 7.9 (IH, d, J=IO Hz); 7.5 (IH, d, 10Hz); 7.3 (2H, m); 6.95-7.15 (IH, m).
Step 2. To a solution of 1 ,2-difluoro-4-(2-nitro-vinyl)benzene (1.5 g) in THF (50 mL) is added dropwise lithium aluminum hydride (23 mL, IM in ether) and the solution is heated at 4O0C for 3 hours. The solution is cooled, diluted with ether and quenched with Na2SO4-IO H2O (104 g) overnight. The solid is filtered, and the solution is evaporated in vacuo and chromatographed on silica gel eluting with EtOAc to afford 2-(3.4-difluoro-phenyl)-ethylamine (0.81 g). MS: 170 (M+H); 1H NMR (300 MHz, CDCl3) δ 6.9-7 (3H, m); 2.95 (2H, t); 2.7 (2H, t).
Step 3. A solution of 4,6-dichloro-2-methoxypyrimidine (0.7 g), 2-(3,4-difluoro-phenyl)-ethylamine (0.66 g) and sodiumbicarbonate (0.88 g) in EtOH (25 mL) is heated at 8O0C for three hours, poured into water (400 mL) and the solid is filtered and air dried to afford (6-chloro-2-methoxy-pyrimidin-4- viyr2-f3.4-difluoro-phenvD-ethyl1 -amine (1.1 g). MS: 312 (M+H); 1H NMR (300 MHz, CDCl3) δ 6.9- 7 (3H, m); 6.05 (lH,s); 3.95 (3H, s); 3.6-3.7 (2H, m); 2.95 (2H, t).
Step 4: A solution of (6-chloro-2-methoxy-pyrimidin-4-yl)-[2-(3,4-difluoro-phenyl)-ethyl]-amine (1.6 g), 3-cyano-phenylboronic acid (1.5 g), CS2CO3 (8.3 g) and tetrakis(triphenylphosphine) palladium (0) (45 mg) in water (8 mL) and DME (32 mL) is heated at 9O0C for 16 hours. The solution is poured into water and extracted with EtOAc (2 x 200 mL). The combined extract is dried over sodium sulfate,
filtered, evaporated in vacuo and chromatographed on silica gel eluting with EtOAc to afford 3-{6-[2- f 3Λ-difluoro-phenylVethylaminol-2-methoxy-pyrirnidin-4-yl| -phenol (1.1 g). MS: 379 (M+H); 1H NMR (300 MHz, CDCl3) δ 8.3 (IH, s); 8.2 (IH, d, J= 5.1 Hz); 7.9 (IH, d ( J= 5.1 Hz)); 7.6 (IH, t); 7-7.2 (4H, m); 6.4 (IH, s); 5 (IH, m); 3.95 (3H, s); 3.7 (2H, t); 3 (2H, t).
Step 5. A solution of methylglyoxylate (11 g) and hydrazine hydrate (4.7 g) in MeOH (10 mL) is stirred at room temperature for 16 hours. The solution is concentrated and put under high vacuum for 3 hours. The residue is suspended in THF (200 mL) and ethylisocyanate (8.5 mL) is added. The mixture is stirred at room temperature for 16 hours. The solid is filtered and washed with diethyl ether to afford N-(2-hvdroxyacetyl)-N-ethylcarbamidosemicarbazide (19 g). 1H NMR (300 MHz, DMSO-d6) δ 9.2 (m, IH); 8.6 (s, IH); 6.3 (m, IH); 3.9 (d, 2H, J=0.3); 3 (q, 2H); 1 (d, 3H, J= 0.4).
Step 6. N-(2-hydroxyacetyl)-N-ethylcarbamidosemicarbazide (19 g) is suspended in a solution of NaOH (5.32 g) in water (60 mL) and EtOH (240 mL). The suspension is heated at 820C for 20 hours. The solution is acidified to pH=6 with concentrated HCl (22 mL) and concentrated to an oil. A portion of the oil (1.51 g) is suspended in acetonitrile (60 mL) and thionyl chloride (0.94 mL) is added dropwise. The solution is stirred at room temperature for 20 hours and concentrated to a solid, which is triturated with Et2O/ heptanes and filtered under nitrogen to afford 5-chloromethyl-4-ethyl-2,4- dihvdro-π .2.41triazol-3-one (1.52 g). 1H NMR (300 MHz, CDC13) δ 9.9 (m, IH); 4.5 (s, 2H); 3.8 (t, 3H); 1.4 (d, 3H, J= 0.3).
Step 7. A mixture of 3-{6-[2-(3-fluoro-4-methoxy-phenyl)-ethylamino]-2-methoxy-pyrimidin-4-yl}- phenol (0.4 g) and K2CO3 (0.46 g) in MeOH (25 mL) is heated to reflux for 30 minutes. The suspension is cooled to O0C and 5-chloromethyl-4-ethyl-2,4-dihydro-[l,2,4]triazol-3-one (0.12 g) is added and the solution is stirred at O0C for 30 minutes. The solution is acidified to pH=6 with glacial acetic acid and is extracted with EtOAc (3 x 100 mL). The combined organic layer is dried over
Na2SO4, filtered and evaporated in vacuo. The residue is chromatographed on silica gel eluting with 5% MeOH in EtOAc to afford 5-(3-{6-[2-(3,4-difluoro-phenylVethylamino]-2-methoxy-pyrimidin-4- vU-phenoxymethyl)-l-ethyl-2,4-dihydro-[L2,4]triazol-3-one (185 mg. Example 69). MS: 483 (M+H); 1H NMR (300 MHz, DMSO-d6) δ 11.8 (s, IH); 7.5-7.8 (m, 3H); 7.2-7.4 (m, 2H); 7-7.2 (m, 2H); 6.6 (s, IH); 5.1 (s, 2H); 3.9 (s, 3H); 3.7 (q, 2H); 3.5 (m, 2H); 2.9 (t, 2H); 1.2 (d, 3H). IC50 = 143 nM
Example 70
2-(2-Fluoro-5-{2-methoxy-6-r2-(4-trifluoromethoxy-phenylVethylamino1-pyrimidin-4-yl)-phenyl)-2- methyl-propionic acid
Step 1. To a solution of 5-bromo-2-fluorophenylacetic acid (5 g) in MeOH (200 mL) is added concentrated sulfuric acid (2 mL) and the solution is heated at 640C for 16 hours. The solution is evaporated in vacuo and the residue is taken up in EtOAc and washed with 10% sodium bicarbonate, brine and dried over sodium sulfate. The solution is filtered and evaporated in vacuo to afford (5- bromo-2-fluoro-phenylVacetic acid methyl ester (5.1 g). 1H NMR (300 MHz, CDCl3) δ 7.3-7.5 (m, 2H); 6.9 (m, IH); 3.9 (s, 3H).
Step 2. A solution of (5-bromo-2-fluoro-phenyl)-acetic acid methyl ester (3.5 g) in THF (50 mL) is cooled to -7O0C and KOtBu (36 mL, IM in THF) is added dropwise while maintaining the temperature below -650C. At -78° C iodomethane (2.5 mL) is added in one portion and 18-crown-6 (0.45 g) is added. The solution is stirred at -78° C for 30 minutes and allowed to warm to room temperature for 16 hours. The solution is poured into water (300 mL) and extracted with EtOAc (2 x 150 mL). The combined organic extract is washed with brine, dried over sodium sulfate, filtered and evaporated in vacuo. The residue is chromatographed on silica gel eluting with 20% EtOAc in heptane to afford 2-(5- bromo-2-fluoro-phenyl)-2-methyl-propionic acid methyl ester (3.7 g). MS: 276 (M+H); 1H NMR (300 MHz, CDCl3) δ 7.3-7.5 (m, 2H); 6.9 (m, IH); 3.85 (s, 3H); 1.6 (s, 6H).
Step 3. A solution of 2-(5-bromo-2-fluoro-phenyl)-2-methyl-propionic acid methyl ester (5.15 g), bis- (pinacolato)-diboron (5.24 g), Pd dppf (0.3 g) and KOAc (3.67 g) in DMSO (2 mL) and THF (200 mL) is heated at 840C for 16 hours. The solution is cooled to 50C and a solution of potassium hydroxide (16.6 g) in water (150 mL) is added. The solution is stirred at room temperature for 30 minutes and filtered. The filtrate is acidified to pH=6 with glacial acetic acid (19 mL) and extracted with EtOAc (2 x 200 mL). The combined extract is washed with brine, dried over sodium sulfate, filtered and evaporated in vacuo to afford 2-[2-fluoro-5-(414,5,5-tetramethyl-[L3,2]dioxaborolan-2-yl)-phenyl]-2- methyl-propionic acid methyl ester (5.3 g). MS: 323 (M+H); 1H NMR (CDC13) δ 7.3-7.5 (m, 2H); 6.9 (m, IH); 3.85 (s, 3H); 1.6 (s, 6H); 1.4 (s, 12H).
Step 4. A solution of (6-chloro-2-methoxy-pyrimidin-4-yl)-[2-(4-trifluoromethoxyphenyl)- ethyl]amine (1.6 g), 2-[2-fluoro-5-(4,4,5,5-tetramethyl-[l ,3,2]dioxaborolan-2-yl)-phenyl]-2-methyl- propionic acid methyl ester (0.63 g), Cs2CO3 (11.6 g) and tetrakis(triphenylphosphine) palladium (0)
(33 mg) in water (8 mL) and DME (32 mL) is heated at 9O0C for 16 hours. The solution is poured into water and extracted with EtOAc (2 x 200 mL). The combined extract is dried over sodium sulfate, filtered, evaporated in vacuo and chromatographed on silica gel eluting with EtOAc to afford 2-(2- fluoro-5-{2-methoxy-6-[2-(4-trifluoromethoxy-phenyl)-ethylamino1-pyrimidin-4-yU-phenyl)-2- methyl-propionic acid methyl ester (300 mg). MS: 508 (M+H); 1H NMR (300 MHz, CD3OD) δ 7.8, (d, IH, J= 0.3 Hz); 7.7 (m, IH); 7.4 (d, 2H, J=0.4 Hz); 7.2-7.3 (m, 4H); 6.6 (s, IH); 4.2 (s, 3H); 4 (s, 3H); 3.9 (m, 2H); 3.05 (t, 2H); 1.65 (s, 6H).
Step 5: A mixture of 2-(2-fiuoro-5-{2-methoxy-6-[2-(4-trifluoromethoxy-phenyl)-ethylamino]- pyrimidin-4-yl}-phenyl)-2 -methyl -propionic acid methyl ester (should this be the right starting material? 1.9 g) and sodium hydroxide (2.46 g) in water (19 mL), MeOH (19 mL) and THF (19 mL) is stirred at 4O0C for 40 hours. The solution is evaporated in vacuo and acidified to pH=6 with concentrated HCl (1.6 mL). The solid is filtered, air dried and chromatographed on silica gel eluting with 50 % EtOAc in heptane to afford 2-(2-fluoro-5-{2-methoxy-6-[2-(4-trifluoromethoxy-phenyl)- ethylarnmol-pyrimidin-4-yll -phenyl)-2-methyl-propionic acid (1.12 g, Example 70). MS: 494 (M+H); 1H NMR (300 MHz, CD3OD) δ 7.8, (d, IH, J= 0.3 Hz); 7.7 (m, IH); 7.4 (d, 2H, J=0.4 Hz); 7.2-7.3 (m, 4H); 6.6 (s, IH); 4.2 (s, 3H); 3.9 (m, 2H); 3.05 (t, 2H); 1.65 (s, 6H). IC50 = 193 nM
Example 71 2-(3-(2-Methoxy-6-r(thiophen-3-ylmethyl)-aminol-pyrimidin-4-yl}-phenyl)-2 -methyl-propionic acid
Step 1. By proceeding in a similar manner to that described in Example 1 , Step 3, but substituting C- thiophen-3-yl-methylamine for 2-(3-fluoro-4-methoxy-phenyl)-ethylamine there is prepared (6-chloro- 2-methoxy-pyrimidin-4-yl)-thiophen-3-ylmethyl-amine.
Step 2. Argon is bubbled through a mixture of (6-chloro-2-methoxy-pyrimidin-4-yl)-thiophen-3- ylmethyl-amine (216 mg, 0.84 mmol), 3-(l-carboxy-l-methyl-ethyl)-phenyl boronic acid [312 mg, 1.5 mmol, see Example 49(b) step 2], Cs2CO3 (821 mg, 2.52 mmol), and tetrakis(triphenylphosphine) palladium (0) (92 mg, 0.08 mmol) in ethylene glycol dimethyl ether (2.5 mL) and water (0.5 mL), for a period of 10 minutes. The reaction vessel is sealed and heated to 9O0C. After stirring for 6 hours the heating is turned off and the mixture is allowed to cool to ambient temperature upon standing for 24 hours. The mixture is diluted with water (40 mL) and extracted twice with EtOAc (25 mL). The organic extracts are combined and dried over magnesium sulfate, filtered and concentrated to afford I1
(3-{2-methoxy-6-r(thiophen-3-ylmethyD-aminol^yrimidin-4-yl|-phenylV2-methyl-propionic acid [15 mg, 4.6%, Example 71] as a solid. LCMS Rx = 1.94 minutes, MS: 384 (M+H). IC50 = 393 nM
Example 72 2-(3-{6-r(Benzorb1thiophen-2-ylmethyπ-amino]-2-methyl-pyrimidin-4-yl}-phenyl)-2 -methyl- propionic acid
Step 1. By proceeding in a similar manner to that described in Example 1 , Step 3, but substituting benzo[b]thiophen-2-yl-methylamine for 2-(3-fluoro-4-methoxy-phenyl)-ethylamine there is prepared berlzoP3^t^ophen-2-ylmethyl-^6-c^oro-2-methyl-pyrimidm-4-ylVamine■
Step 2. Argon is bubbled through a mixture of benzo[b]thiophen-2-ylmethyl-(6-chloro-2-methyl- pyrimidin-4-yl)-amine [247 mg, 0.81 mmol], 3-(l-carboxy-l-methyl-ethyl)-phenyl boronic acid [304 mg, 1.46 mmol, see Example 49(b) step 2], Cs2CO3 (792 mg, 2.43 mmol), and tetrakis(triphenylphosphine) palladium (0) (92 mg, 0.08 mmol) in ethylene glycol dimethyl ether (2.5 mL) and water (0.5 mL), for a period of 10 minutes. The reaction vessel is sealed and heated to 9O0C. After stirring for 6 hours the heating is turned off and the mixture is allowed to cool to ambient temperature upon standing for 24 hours. The mixture is diluted with water (20 mL) and extracted twice with EtOAc (30 mL). The organic extracts are combined and dried over magnesium sulfate, filtered and concentrated to afford 2-(3-(6-[(benzo[blthiophen-2-ylmethyl)-amino1-2-methyl- pyrimidin-4-yl I -phenyl)-2 -methyl -propionic acid [51.6 mg, 14.7%, Example 72] as a solid. LCMS Rx = 2.27 minutes, MS: 434 (M+H).
Example 73 l-{6-r2-(2,4-DicMoro-phenyl)-ethylamino1-2-methoxy-pyrimidin-4-vU-piperidine-3-carboxylic acid
In a tube is combined (6-cUoro-2-methoxy-pyrimidin-4-yl)-[2-(2,4-dichloro-phenyl)-ethyl]-amine [200 mg, 0.6 mmol, Intermediate (44)], nipecotic acid (194 mg, 1.5 mmol), K2CO3 (249 mg, 1.8 mmol) and l-methyl-2-pyrrolidinone (2.5 mL). The tube is sealed and heated to 14O0C and stirred for 5 hours. The mixture is allowed to cool to ambient temperature, stand for 12 hours, diluted with water (20 mL) and acidified using 3M HCl. A precipitate forms and is collected by filtration and dried under high vacuum to afford l-{6-[2-(2Λ-dicMoro-phenyl)-ethylammol-2-methoxy-pyrimidin-4-yl)- piperidine-3-carboxylic acid [121 mg, 47%, Example 73] as a solid. LCMS Rj = 2.15 minutes, MS: 425 (M+H). IC50 = 0.8 nM
Example 74 l-(3-{6-r2-(2,4-Dichloro-phenyl)-ethylamino]-2-methoxy-pyrimidin-4-yl) -phenyl)- cyclopentanecarboxylic acid hydrochloride
Step 1. HCl is bubbled through a solution of 3-bromophenyl acetic acid (10.5 g, 46.5 mmol) in EtOH (70 mL) chilled at O0C for 5 minutes. The flask is capped and stirred at ambient temperature for 5 hours. The mixture is concentrated. The residue is taken up with water (80 mL) and extracted twice with EtOAc (70 mL). The organic extracts are combined and dried over magnesium sulfate, filtered and concentrated to afford f3-bromo-phenyl)-acetic acid ethyl ester [10.55 g, 93.4%] as an oil, which is used without further purification.
Step 2. Sodium hydride (60% in oil, 1.07 g, 26.8 mmol) is added to a solution of (3-bromo-phenyl)- acetic acid ethyl ester [2.59 g, 10.7 mmol] and 18-crown-6 (catalytic amount) in N,N'-
dimethylformamide (50 mL). The mixture is stirred for 25 minutes and 1 ,4-dibromobutane (1.41 mL, 11.8 mmol) is added dropwise via syringe. The mixture is stirred for 18 hours at ambient temperature, diluted with water (100 mL) and extracted thrice with EtOAc (60 mL). The organic extracts are combined and dried over magnesium sulfate, filtered and concentrated to afford 1 -(3-bromo-phenyl)- cyclopentanecarboxylic acid ethyl ester [2.9 g, 91%] as an oil, which is used without further purification.
Step 3. A mixture of l-(3-bromo-phenyl)-cyclopentanecarboxylic acid ethyl ester [3.42 g, 11.51 mmol], lithium hydroxide (579 mg, 13.81 mmol), THF (13 mL), MeOH (13 mL) and water (13 mL) is vigorously stirred for 18 hours. The mixture is concentrated and the residue is diluted with water (50 mL). The aqueous mixture is acidified with concentrated HCl to pH 1 and extracted twice with EtOAc (50 mL). The organic extracts are combined and dried over magnesium sulfate, filtered and concentrated to afford 1 -(3-bromo-phenyl)-cyclopentanecarboxylic acid [2.5 g, 80.6%] as a solid, which is used without further purification.
Step 4. A solution of n-butyl lithium (2.5 M in hexanes, 5 mL, 12.48 mmol) in THF (30 mL) is chilled to -780C, and a solution of l-(3-bromo-phenyl)-cyclopentanecarboxylic acid [1.05 g, 3.9 mmol] in THF (10 mL) is added dropwise via syringe. The solution is stirred at temperature for 45 minutes and treated with tributyl borate (3.2 mL, 11.7 mmol). The reaction mixture is allowed to stir for 2.5 hours and then diluted with water (60 mL), acidified with 3M HCl and extracted twice with EtOAc (50 mL). The organic extracts are combined and dried over magnesium sulfate, filtered and concentrated to afford 3-(l -carboxy-cyclopentyD-phenylboronic acid as a solid, which is used without further purification.
Step 5. Argon is bubbled through a mixture of (6-chloro-2-methoxy-pyrimidin-4-yl)-[2-(2,4-dichloro- phenyl)-ethyl] -amine [330 mg, 0.99 mmol], 3-(l-carboxy-cyclopentyl)-phenylboronic acid [580 mg, 2.48 mmol] and CS2CO3 (808 mg, 2.48 mmol) in ethylene glycol dimethyl ether (4 mL) and water (1 mL), for a period of 5 minutes. To this mixture is added tetrakis(triphenylphosphine) palladium (0) (116 mg, 0.1 mmol) and the reaction vessel is sealed and heated to 9O0C. After stirring for 8 hours the mixture is diluted with water (30 mL) acidified to pH 1 with concentrated HCl and extracted thrice with EtOAc (30 mL). The organic extracts are combined and dried over magnesium sulfate, filtered and concentrated to afford l-(3-(6-[2-(2,4-dichloro-phenyπ-ethylamino]-2-methoxy-pyrimidin-4-yl}- phenyD-cyclopentanecarboxylic acid as a solid that is treated with HCl in ethyl acetate. The material is then dissolved in acetone (5 mL) and heptane (15 mL) is added and allowed to stand at ambient temperature for 16 hours. The solvent is decanted from the crystals and dried under high vacuum to provide l-(3-(6-[2-f2,4-dichloro-phenyl)-ethylamino]-2-methoxy-pyrimidin-4-yl} -phenyl)-
cyclopentanecarboxylic acid hydrochloride [48 mg, 9%, Example 74] as a solid. LCMS Rτ = 2.54 minutes, MS: 486 (M+H). IC50 = 0.5 nM
Example 75
3-{6-[2-(2,4-DicMoro-phenyl)-ethylarmno1-2-methoxy-pyrimidin-4-yl} -benzoic acid 2-morpholin-4- yl-ethyl ester
4-Dimethylaminopyridine (4.4 mg, 0.036 mmol) is added to a stirred solution of 3-{6-[2-(2,4-dichloro- phenyl)-ethylamino]-2-methoxy-pyrirnidin-4-yl} -benzoic acid (100 mg, 0.24 mmol), N-(2- hydroxyethyl) morpholine (29.07 μL, 0.24 mmol) and l^-dicyclohexylcarbodiimide (0.31 mL, 1 M solution in DCM) in dry THF/DCM (6 mL, 1 : 1) and the reaction mixture is stirred for 5.5 hours at room tempetature under nitrogen atmosphere. The mixture is filtered over a pad of Celite and the filtrate concentrated under reduced pressure. The residue is dissolved EtOAc (30 mL), washed with saturated aqueous sodium bicarbonate and brine, dried over sodium sulfate, filtered and concentrated under reduced pressure. The crude residue is purified by chromatography (Siθ2 packed column) eluting with ethyl acetate/ heptane to afford 3-{6-[2-(2,4-dichloro-phenyl)-ethylaminol-2-methoxy- pyrimidin-4-ylj -benzoic acid 2-morpholin-4-yl-ethyl ester (56 mg, Example 75). LCMS: Rτ = 2.07 minutes, MS: 534 (M+H); 1H NMR, (300 MHz, CDCl3): δ 8.62 (IH, s), 8.3 (IH, d, J=3.5Hz), 8.1 (IH, d, J=3.5Hz), 7.55 (IH, t, J=3.5Hz), 7.42 (IH, s), 7.2 (2H, s), 6.48 (IH, s), 5.04 (IH, b), 4.5 (2H, t, J=2Hz), 4.05 (3H, s), 3.72 (6H, t, J=2Hz), 3.1 (2H, t, J=2Hz), 2.8 (2H, t, 2Hz), 2.6 (4H, t, 2Hz).
Example 76
3-(6-[2-(2,4-Dichloro-phenyl)-ethylaminol-2-methoxy-pyrimidin-4-ylj-benzoic acid 2-(4-methyl- piperazin-l-yl)-ethyl ester
By proceeding in a similar manner as Example 75 but substituting l-(2-hydroxyethyl)-4-methyl- piperazine for N-(2-hydroxyethyl) morpholine, there is prepared 3- (6-[2-(2.4-dichloro-phenyl)- ethylamino]-2-methoxy-pyrimidin-4-yl} -benzoic acid 2-(4-methyl-piperazin-l-yl)-ethyl ester (47 mg, Example 76). LCMS: R7 = 2.04 minutes, MS: 545 (M+H); 1H NMR, (300 MHz, CDCl3): δ 8.6 (IH, s), 8.3 (IH, d, J=3.5Hz), 8.1 (IH, d, J=3.5Hz), 7.55 (IH, t, J=3.5Hz), 7.42 (IH, s), 7.2 (2H, s), 6.48 (IH, s), 5.15 (IH, b), 4.5 (2H, t, J=2Hz), 4.05 (3H1 s), 3.72 (2H, b), 3.1 (2H, t, J=2Hz), 2.85 (2H, t, 2Hz)1 2.7 (4H, b), 2.5 (4H, b), 2.3 (3H, s). IC50 = 7 nM
Example 77 3- (6-r2-(2Λ-DicMoro-phenyl)-ethylamino]-2-methoxy-pyrimidin-4-yl} -benzoic acid ethyl ester
CS2CO3 solution (407 mg, 1.25 mmol in 2 mL water) is added to a stirred solution of (6-chloro-2- methoxy-pyrimidin-4-yl)-[2-(2,4-dichloro-phenyl)-ethyl]-amine (166 mg, 0.5 mmol) and ethylcarbonylphenyl boronic acid (135.8 mg, 0.7 mmol) in 1 ,2-dimethoxyethane (5 mL). The mixture is degassed over nitrogen for 10 minutes, tetrakis(triphenylphosphine)palladium (0) (23 mg, 0.02 mmol) is added and the reaction mixture is refluxed at 9O0C for 6 hours. The reaction is cooled to room temperature, diluted with water (10 mL), filtered over a pad of Celite and the volatiles are removed under reduced pressure. The aqueous pH is adjusted to neutral (0.1 N HCl) and extracted twice with ethyl acetate. The combined extracts are washed with brine and water, dried over magnesium sulfate, filtered and concentrated in reduced pressure. The crude residue is purified by chromatography (SiO2 packed column), eluting with 5-15% Ethyl acetate/DCM to afford 3-|6-['2-(2,4- dichloro-phenyl)-ethylamino]-2-methoxy-pyrimidin-4-yl) -benzoic acid ethyl ester (48 mg, Example 77). LCMS: Rτ = 2.95 minutes, MS: 447 (M+H); 1H NMR, (300 MHz, CDCl3): δ 8.65 (IH, s), 8.3 (IH, d, J=3.5Hz), 8.15 (IH, d, J=3.5Hz), 7.55 (IH, t, J=3.5Hz), 7.45 (IH, s), 7.25 (2H, s), 6.5 (IH, s), 4.95 (IH, b), 4.45 (2H, q, J=3.5Hz), 4.05 (3H, s), 3.75 (2H, b), 3.1 (2H, t, J=3.5Hz), 1.45 (3H, t, 3.5Hz). IC50 = 149 nM
Example 78
(b) (3'-CMoro-4'-{2-[6-f3-hydroxymethyl-phenylV2-methoxy-pyrimidin-4-ylaniino]-ethyl}- biphenyl-3 -vD-methanol
In a hard walled glass tube, a solution of (6-chloro-2-methoxy-pyrimidin-4-yl)-[2-(2,4-dichloro- phenyl)-ethyl] -amine (250 mg, 0.75 mmol), 3-(hydroxymethyl)phenylboronic acid (137 mg, 0.9 mmol) and Na?CQi (79.7 mg, 0.75 mmol) in acetonitrile/water (6 mL, 2:1) is degassed over nitrogen for 10 minutes. Tetrakis(triphenylphosphine)palladium (0) (43.5 mg, 0.04 mmol) is added and the tube is sealed and set in a microwave for 25 minutes at 13O0C. The reaction is dilute with 25 mL of water and extracted twice with ethyl acetate. The combined organic extracts are washed with brine, dried over sodium sulfate, filtered and concentrate in reduced pressure. The residue is purified by chromatography (SiO2 packed column), eluted with EtQAc / DCM to afford (3-(6-[2-(2.4-dichloro- phenyl)-ethylamino1-2-methoxy-pyrimidin-4-yl}-phenyl)-methanol [165 mg, Example 78 (a)]. LCMS: R7 = 2.24 minutes, MS: 405 (M+H); 1H NMR (300 MHz, CDCl3): δ 8.05 (IH, s), 7.95 (IH, b)), 7.48 (3H, b), 7.42 (IH, s), 7.2 (IH, s), 6.45 (IH, s), 4.95 (IH, b), 4.78 (2H, b), 4.05 (3H, s), 3.72 (2H, b), 3.1 (2H, t, J=3.5Hz); and to afford f3'-chloro-4'-(2-r6-r3-hvdroxymethyl-phenyl)-2-methoxy- pyrimidin-4-ylaminol-ethyli-biphenyl-3-yl)-methanol [110 mg, Example 78 (bϊ]. LCMS: Rτ = 2.12 minutes, MS: 477 (M+H).
Example 79
2-(3 - ( 6-[2-(2.4-Dichloro-phenyl)-ethylaminol -2-methoxy-pyrimidin-4-yl I -phenyl)-2-methyl-propionic acid methyl ester
Hydrochloric acid (81.46 μL, 4M solution in 1,4-dioxane, 0.33 mmol) is added to a stirred solution of 2-(3-{6-[2-(2,4-dichloro-phenyl)-ethylamino]-2-methoxy-pyrimidin-4-yl}-phenyl)-2-methyl-propionic acid [100 mg, 0.22 mmol, Example 49(b)] in MeOH (8 mL), and the reaction mixture is stirred overnight at 650C. The reaction is cooled to room temperature and concentrated in vacuo. The residue is purified by chromatography to afford 2-("3-{6-[2-("2,4-dichloro-phenyπ-ethylamino1-2-methoxy- pyrimidin-4-vU-phenyl)-2-methyl-propionic acid methyl ester (34 mg, Example 79). LCMS: Rτ = 2.79 minutes; MS: 475 (M+H); 1H NMR (300 MHz, CDCl3): δ 7.98 (IH, s), 7.88 (IH, b), 7.42 (3H, d, J=2Hz), 7.2 (2H, s), 6.4 (IH, s), 5.08 (IH, b), 4.05 (3H, s), 3.7 (2H, b), 3.65 (3H, s), 3.1 (2H, t, J=2Hz), 1.65 (6H, s).
Example 80
(a) 4-(3-{6-r2-(2Λ-DicMoro-phenyl)-ethylammo1-2-methoxy-pyrirnidin-4-yll-phenyl)-tetrahvdro- Pyran-4-carboxylic acid
Step 1. Hydrogen chloride is bubbled through MeOH (80 mL) and the solution is stirred at O0C for 10 minutes. (3-bromo-phenyl)-acetic acid (30 g, 139.5 mmol) is added in portions and the reaction is stirred overnight, while warming to room temperature. The solution is concentrated in vacuo and the residue is dissolved in EtOAc (200 mL), washed with saturated aqueous sodium bicarbonate and brine, dried over sodium sulfate, filtered and concentrated in vacuo to afford (3-bromo-phenyl)-acetic acid methyl ester (32 g) used in the next step without further purification. MS: 230 (M+H); 1H NMR (300 MHz, CDCl3): δ 7.45 (2H, m), 7.25 (2H, m), 3.72 (3H, s), 3.6 (2H, s).
Step 2. A solution of (3-bromo-phenyl)-acetic acid methyl ester (0.6 g, 2.62 mmol) in dry N,N'- dimethylformamide is added to a stirred suspension of sodium hydride (60% in mineral oil, 0.26 g, 6.55 mmol) in dry N,N'-dimethylformamide at O0C and stirring is continued for 20 minutes. A
solution of bis(2-bromoethyl) ether (0.39 mL, 3.14 mmol) in N,N-dimethylformamide is added drop- wise and the reaction mixture is stirred overnight, while warming to room temperature. The reaction is quenched with water, extracted twice with ethyl acetate, the combined extracts is washed with brine and water, dried over sodium sulfate, filtered and concentrated in vacuo to afford 4-(3-bromo-phenyl)- tetrarrydro-pyran-4-carboxylic acid methyl ester ("610 mg) used in the next step without further purification. LCMS: R7 = 2.81 minutes; MS: 299, 301 (M+H).
Step 3. Lithium hydroxide (0.21 g, 5.01 mmol) is added to a solution of 4-(3-bromo-phenyl)- tetrahydro-pyran-4-carboxylic acid methyl ester (0.5 g, 1.67 mmol) in methanol/water (8 mL, 3: 1) and the reaction mixture is stirred for 5 hours at 650C. The mixture is diluted with water and the volatiles are removed in vacuo. The aqueous is extracted once with diethyl ether, acidified to pH 2, and extracted twice with ethyl acetate. The combined extracts is dried over magnesium sulfate, filtered and concentrated in vacuo to afford 4-f 3 -bromo-phenyl)-tetrahydro-pyran-4-carboxylic acid (445 mg) sed in the next step without further purification. LCMS: Rτ = 1.9 minutes; MS: 283 (M-H).
Step 4. n-Butyllithium (2 M in pentane, 3.18 mL) is added to dry pentane (25 mL) at -780C, under nitrogen atmosphere followed by drop-wise addition of a solution of 4-(3-bromo-phenyl)-tetrahydro- pyran-4-carboxylic acid (0.7 g, 2.45 mmol) in THF and the mixture is stirred at -780C for 2 hours. The reaction is quenched with tributyl borate (1.97 mL, 7.35 mmol) and stirring is continued for 1.5 hours, while warming to -2O0C. The reaction is diluted with water and the volatiles are removed in vacuo.
The aqueous is extacted once with diethyl ether, acidified to pH 2 (1 N HCl) and extracted twice with ethyl acetate. The combined extracts is dried over magnesium sulfate, filtered and concentrated in vacuo. The residue is dissolved in DCM (15 mL), heptane (200 mL) is added drop-wise and the mixture is stirred for 1.5 hours. The precipitate is suction filtered and air dried to afford 3 -(4- tetrahydro-pyran-4-carboxylic acidVphenylboronic acid (420 mg). LCMS: Rτ = 1.16 minutes; MS: 249 (M-H).
Step 5. Cs2CO3 solution (1.5 g, 4.6 mmol in 15 mL of water) is added to a stirred solution of (6- chloro-2-methoxy-pyrimidin-4-yl)-[2-(2,4-dichloro-phenyl)-ethyl]-amine (0.61 g, 1.84 mmol) and 3- (4-tetrahydro-pyran-4-carboxylic acid)-phenylboronic acid (0.6 g, 2.4 mmol) in 1 ,2-dimethoxyethane (45 mL). The mixture is degassed over nitrogen for 10 minutes, tetrakis(triphenylphosphine)palladium (0) (64 mg, 0.03 mmol) is added and the reaction mixture is refiuxed at 9O0C overnight. The reaction is cooled to room temperature, diluted with water (150 mL), filtered over a pad of celite and the volatiles are removed in vacuo. The aqueous solution is slowly acidified (pH 4-5, 0.1N HCl) with vigorous stirring, which is continued for 2 hours. The formed precipitate is suction filtered and air dried to afford 4-(3-(6-r2-(2,4-dichloro-phenyl)-ethylamino1-2-methoxy-pyrimidin-4-yl)-phenyl)-tetrahydro-
pyran-4-carboxylic acid [605 mg, Example 80(a)]. LCMS: Rt = 2.26 minutes, MS: 502, 504 (M+H), H' NMR [300 MHz, (CD3SO)2SO]: δ 12.75 (IH, b) 8 (IH, s), 7.8 (IH, b), 7.55 (2H, b), 7.45 (2H, s), 7.35 (2H, s), 6.55 (IH, s), 3.85 (3H, s), 3.82 (2H, m), 3.5 (4H, m), 2.95 (2H, t, J=2Hz), 2.4 (2H, m), 1.85 (2H, m). IC50 = 0.05 nM
(b) N-[4-(3-{6-[2-(2,4-DicMoro-phenyl)-ethylamino]-2-methoxy^yrimidin-4-yl}-phenyl')- tetrahvdro-pyran-4-carbonyl]-methanesulfonamide
N-(3-dimethylaminopropyl)-N-ethylcarbodiimide hydrochloride (60.4 mg, 0.31 mmol) is added to a stirred ice cold solution of 4-(3-{6-[2-(2,4-dichloro-phenyl)-ethylamino]-2-methoxy-pyrimidin-4-yl}- phenyl)-tetrahydro-pyran-4-carboxylic acid [150 mg, 0.3 mmol, Example 80(a)], methanesulfonamide (30 mg, 0.31 mmol) and 4-dimethylaminopyridine (38.5 mg, 0.3 mmol) in dry DCM under nitrogen and the reaction mixture is stirred overnight, while warming to room temperature. The mixture is concentrated in vacuo, the residue is dissolved in ethyl acetate, washed with 0.1N HCl, brine and water, dried over sodium sulfate, filtered and concentrated in vacuo. The residue is purified by chromatography (SiO2 packed column), eluting with ethyl acetate/heptane to afford N-[4-(3-{6-[2- (2,4-dicMoro-phenyl)-ethylamino]-2-methoxy-pyrirnidin-4-yl}-phenyl)-tetrahydro-pyran-4-carbonyl1- methanesulfonamide [65 mg, Example 80(b)] . LCMS: Rτ = 2.54 minutes; MS: 579, 581 (M+H); 1H NMR (300 MHz, CDCl3): δ 8 (IH1 s), 7.85 (IH, d, J=3.5Hz), 7.45 (3H, m), 7.2 (2H, s), 6.4 (IH, s), 5.38 (IH, b), 4 (3H, s), 3.65-3.9 (6H, m), 3.2 (3H, s), 3.08 (2H, t, J=3.5Hz), 2.45 (2H, b), 2.18 (2H, m). IC50 < 1 nM
(c) 4-f3-{6-[2-(2,4-DicMoro-phenylVethylarnino]-2-methoxy-pyrimidin-4-yl}-phenyD- tetrahydro-pyran-4-carboxylic acid ethyl ester
Hydrogen chloride (4 M in 1,4-dioxane, 20 μL, 0.08 mmol) is added to a solution of 4-(3-{6-[2-(2,4- dichloro-phenyl)-ethylamino]-2-methoxy-pyrimidin-4-yl}-phenyl)-tetrahydro-pyran-4-carboxylic acid [20 mg, 0.04 mmol, Example 80(a)] in ethyl alcohol (4 mL) and the reaction mixture is stirred overnight at 750C. The reaction is cooled to room temperature, quenched with water, extracted twice with ethyl acetate. The combined extracts are dried over sodium sulfate, filtered and concentrated in vacuo. The residue is purified by chromatography (SiO2 packed column), eluting with ethyl acetate/heptane to afford 4-f3-{6-r2-r2.4-dichloro-phenyl)-ethylamino]-2-methoxy-pyrimidin-4-yU- phenyD-tetrahvdro-pyran-4-carboxylic acid ethyl ester [16 mg, Example 80(c)]. LCMS: Rτ = 2.74 minutes; MS: 530, 532 (M+H); 1H NMR (300 MHz, CDCl3): δ 8.05 (IH, s), 7.9 (IH, d, J=3.5Hz), 7.4- 7.55 (3H, m), 7.2 (2H, s), 6.4 (IH, s), 5 (IH, b), 4.18 (2H, q, J=2Hz), 4.05 (3H, s), 3.98 (2H, m), 3.75 (2H, b), 3.65 (2H, t, J=3.5Hz), 3.1 (2H, t, J=2Hz), 2.6 (2H, d, J=4Hz), 2.1 (2H, m), 1.2 (3H, t, J=2Hz). IC50 = 223 nM
Example 81
(a) (3 - { 6-[2-(2.4-Dichloro-phenyl)-ethylamino] -2-methoxy-pyrimidin-4-yl } -phenyP-difluoro- acetic acid
Step 1. By proceeding in a similar manner as Example 80 (a), step 1, but substituting ethyl alcohol for methyl alcohol to afford (3-bromo-phenyl)-acetic acid ethyl ester. LCMS: Rτ = 1.82 minutes; MS: 243, 245 (M+H).
Step 2. Sodium bis(trimethylsilyl)-amide (1 M in THF, 27.14 mL, 27.14 mmol) is added drop-wise to (3-bromo-phenyl)-acetic acid ethyl ester (3 g, 12.34 mmol) in dry THF at -780C under nitrogen and the
solution is stirred for 20 minutes. A solution of N-fluorobenzenesulfonimide (8.56 g, 27.14 mmol) in THF is added drop-wise and the reaction mixture is stirred at -780C for 3.5 hours. The reaction is quenched with HCl (0.02 N, 150 mL), extracted twice with DCM. The combined extracts are washed with water, dried over magnesium sulfate, filtered and concentrated in vacuo to afford (3-bromo- phenyD-difluoro-acetic acid ethyl ester (2.7 g), which is used in the next step without further purification. LCMS: Rx = 3.07 minutes; MS: 279, 281 (M+H); 1H NMR (300 MHz, CDCl3): δ 7.95 (IH1 s), 7.65 (IH, d, J=3.5Hz), 7.55 (IH, d, J=3.5Hz), 7.35 (IH, t, J=3.5Hz), 4.35 (2H, q, J=2.5Hz), 1.32 (3H, t, J=2.5Hz).
Step 3. Lithium hydroxide (0.13 g, 3.12 mmol) is added to a solution of (3-bromo-phenyl)-difluoro- acetic acid ethyl ester (0.29 g, 1.04 mmol) in methanol/water (8 mL, 3:1) and the reaction mixture is stirred overnight at room temperature. The mixture is diluted with water and volatiles are removed in vacuo. The aqueous is extracted once with diethyl ether, acidified to pH 2, and extracted twice with ethyl acetate. The combined extracts are dried over magnesium sulfate, filtered and concentrated in vacuo to afford (3 -bromo-phenyP-difluoro-acetic acid (250 mg), which is used in the next step without further purification. LCMS: Rτ = 2.26 minutes; MS: 249, 251(M-H).
Step 4. n-Butyllithium (2 M in pentane, 5.18 mL, 10.35mmol) is added to dry pentane (30 mL) at - 780C under nitrogen followed by drop-wise addition of a solution of (3-bromo-phenyl)-difiuoro-acetic acid (1 g, 3.98 mmol) in THF and the mixture is stirred at -780C for 2 hours. The reaction is quenched with tributyl borate (3.2 mL, 11.94 mmol) and stirred for 1.5 hours, while warming to -2O0C. The reaction is diluted with water and volatiles are removed in vacuo. The aqueous is extacted once with diethyl ether, acidified to pH 2 (1 N HCl) and extracted twice with ethyl acetate. The combined extracts are dried over magnesium sulfate, filtered and concentrated in vacuo. The residue is dissolved in DCM (15 mL), heptane (200 mL) is added dpro-wise and the mixture is stirred for 1.5 hours. The precipitate is suction filtered and air dried to afford 3-(difluoro-acetic acid)phenyl boronic acid (310 mg). LCMS: Rτ = 0.68 minutes, MS: 215 (M-H).
Step 5. Cs2CO3 solution (0.41 g, 1.25 mmol in 4 mL of water) is added to a stirred solution of (6- chloro-2-methoxy-pyrimidin-4-yl)-[2-(2,4-dichloro-phenyl)-ethyl]-amine (0.17 g, 0.5 mmol) and 3- (difluoro-acetic acid)phenyl boronic acid (0.13 g, 0.6 mmol) in 1 ,2-dimethoxyethane (20 mL). The mixture is degassed over nitrogen for 10 minutes, tetrakis(triphenylphosphine)palladium (0) (23 mg, 0.02 mmol) is added and the reaction mixture is refluxed at 9O0C overnight. The reaction is cooled to room temperature, diluted with water (150 mL), filtered over a pad of celite and the volatiles removed in vacuo. The aqueous is slowly acidified (pH 4-5, 0.1 N HCl) and the mixture is stirred for 2 hours. The formed precipitate is suction filtered and air dried to afford (3-{6-[2-(2.4-dichloro-phenyl)-
ethylamino]-2-methoxy-pyrimidin-4-yl} -phenyD-difluoro-acetic acid [160 mg, Example 81 (a)]. LCMS: Rτ = 2.19 minutes; MS: 468, 470 (M+H); 1H NMR [300 MHz, (CDj)2SO]: δ 8.08 (2H, b), 7.7 (2H, m), 7.55 (IH, s), 7.35 (2H, s), 6.65 (IH, s), 3.92 (3H, s), 3.65 (2H, b), 3 (2H, t, J=2Hz). IC50 = 0.02 nM
(b) Ethanesulfonic acid [2-(3-l6-[2-(2Λ-dicMoro-phenvπ-ethylamino]-2-methoxy-pyrimidin-4- yl|-phenyl)-2,2-difluoro-acetyl]-amide
N-(3-dimethylaminopropyl)-N-ethylcarbodiimide hydrochloride (43 mg, 0.22 mmol) is added to a stirred ice cold solution of (3-{6-[2-(2,4-dichloro-phenyl)-ethylamino]-2-methoxy-pyrimidin-4-yl}- phenyl)-difluoro-acetic acid [100 mg, 0.21 mmol, Example 81 (a)], ethanesulfonamide (24.5 mg, 0.22 mmol) and 4-dimethylaminopyridine (26.1 mg, 0.21 mmol) in dry DCM under nitrogen. The reaction mixture is stirred at room temperature overnight at 6O0C. The mixture is concentrated in vacuo, the residue is dissolved in ethyl acetate, washed with 0.1 N HCl, brine and water, dried over sodium sulfate, filtered and concentrated in vacuo. The residue is purified by chromatography to afford ethanesulfonic acid [2-(3- (6-[2-(2,4-dichloro-phenyl')-ethylamino]-2-methoxy-pyrimidin-4-yl} - phenylV2,2-difluoro-acetyl1-air-ide [35 mg, Exmaple 81(b)]. LCMS: R7 = 2.31 minutes; MS: 559, 561 (M+H); 1H NMR [300 MHz, CD3OD]: δ 8.18 (IH, b), 8.05 (IH, b), 7.75 (IH1 d, J=4Hz), 7.5 (IH, t, J=4Hz), 7.42 (IH, s), 7.28 (2H, q, J=4Hz), 6.55 (IH, s), 3.95 (3H, s), 3.7 (2H, b), 3.18 (2H, q, J=4Hz), 3.08 (2H, t, J=3.5Hz), 1.15 (3H, t, J=4Hz). IC50 = 0.1 nM
(c) (3-{6-[2-(2,4-DicMoro-phenyl)-ethylammol-2-methoxy-pyrimidm-4-yl|-phenyl)-difluoro- acetic acid ethyl ester
Hydrogen chloride (4 M in 1,4-dioxane, 52 μL, 2.1mmol) is added to a solution of (3-{6-[2-(2,4- dicUoro-phenyl)-ethylamino]-2-methoxy-pyrirnidin-4-yl}-phenyl)-difluoro-acetic acid [65 mg, 0.14 mmol, Example 81 (a)] in ethyl alcohol (6 mL) and the reaction mixture is stirred overnight at 650C. The reaction is cooled to room temperature, quenched with water, extracted twice with ethyl acetate. The combined extracts are dried over sodium sulfate, filtered and concentrated in vacuo. The residue is purified by chromatography to afford r3-{6-[2-("2,4-dichloro-phenyl)-ethylamino1-2-methoxy- pyrimidin-4-vU-phenyl)-difluoro-acetic acid ethyl ester [18 mg, Example 81(c)]. LCMS: Rτ = 3.19 minutes; MS: 496, 498 (M+H); 1H NMR [300 MHz, CDCl3]: δ 8.18 (2H, d, J=3.5Hz), 7.7 (IH, d, J=3.5Hz), 7.55 (IH, t, J=3.5Hz), 7.4 (IH, s), 7.42 (IH, s), 7.18 (2H, s), 6.45 (IH, s), 5.08 (IH, b), 4.3 (2H, q, J=4Hz), 4.05 (3H, s), 3.72 (2H, b), 3.08 (2H, t, J=3.5Hz), 1.3 (3H, t, J=4Hz).
Example 82 (a) (3-{6-[2-(2.4-Dichloro-phenyπ-ethylaminol-2-methoxy-pyrimidin-4-yl|-phenyl')-acetonitrile
CS2CO3 solution (1.63 g, 5 mmol in 4 mL of water) is added to a stirred solution of (6-chloro-2- methoxy-pvrimidm-4-yl)-[2-(2,4-dicMoro-phenyl)-ethyl]-amine (0.66 g, 2 mmol) and cyanomethylphenyl boronic acid (0.68 g, 2.8 mmol) in 1 ,2-dimethoxyethane (8 mL). The mixture is degassed over nitrogen for 10 minutes, tetrakis(triphenylphosphine)palladium (0) (46 mg, 0.04 mmol) is added and the reaction mixture is refluxed at 9O0C overnight. The reaction is cooled to room temperature, diluted with water (100 mL) and stirred for 45 minutes. The formed precipitate is filtered. The solid is purified by chromatography (Siθ2 packed column), eluting with ethyl acetate/heptane to
afford ("3-{6-r2-(2,4-dicMoro-phenyπ-ethylaminol-2-methoxy-pyrimidin-4-yl|-phenyl)-acetonitrile [585 mg, Example 82(a)]. LCMS: Rτ = 2.47 minutes; MS: 413,415 (M+H).
(b) ('3-(6-[2-('2,4-DicMoro-phenyl)-ethylammo]-2-methoxy-pyriinidin-4-yl}-phenyl)-difluoro- acetonitrile
Sodium bis(trimethylsilyl)-amide (1 M in THF, 0.53 mL, 0.53 mmol) is added drop-wise to a stirred solution of (3-{6-[2-(2,4-dichloro-phenyl)-ethylamino]-2-methoxy-pyrimidin-4-yl} -phenyl)- acetonitrile (0.1 g, 0.24 mmol) in dry THF at -780C under nitrogen atmosphere and stirring continued for 20 minutes. A solution of N-fluorobenzenesulfonimide (0.17 g, 0.53 mmol) in THF is then added drop-wise and the reaction mixture is stirred at -780C for 3 hours. The reaction is diluted with water, extracted twice with ethyl acetate. The combined extracts are dried over sodium sulfate, filtered and concentrated in vacuo. The residue is purified by chromatography (Siθ2 packed column), eluting with ethyl acetate/heptane to afford (3-{6-[2-(2,4-dichloro-phenyl)-ethylamino]-2-methoxy-pyrimidin-4- yl } -phenyl Vdifluoro-acetonitrile [15 mg, Example 82(b)]. LCMS: Rτ = 3.34 minutes; MS: 449, 451 (M+H).
(c) [2-(2,4-Dichloro-phenyn-ethyl1-(6-(3-[difluoro-(lH-tetrazol-5-yn-methyl1-phenyl)-2- methoxy-pyrimidin-4-yl)-amine
Sodium azide (10 mg, 0.15 mmol) is added to a stirred solution of (3-{6-[2-(2,4-dichloro-phenyl)- ethylamino]-2-methoxy-pyrimidin-4-yl}-phenyl)-difluoro-acetonitrile (50 mg, 0.11 mmol) in N.N'- dimethylformamide (4 mL) and the reaction is stirred for 4 hours at 8O0C. The reaction is quenched with water, acidified to pH 2 (0.05 N HCl), extracted twice with ethyl acetate. The combined extracts
is dried over sodium sulfate, filtered and concentrated in vacuo. The residue is diluted in toluene and concentrated in vacuo to afford [2-(2,4-dichloro-phenyl)-ethyl]-('6-{3-[difluoro-(lH-tetrazol-5-yl')- methyl]-phenyl}-2-methoxy-pyrirmdm-4-yl)-amme [45 mg, Example 82(c)]. LCMS: Rτ = 2.29 minutes, LCMS: 492, 494 (M+H). IC50 = 0.1 nM
Example 83
(a) 2-{3-[6-(hdan-l-ylammo)-2-methoxy-pyrimidin-4-yl]-phenyl}-2-methyl-propionic acid
Step 1. A solution of 4,6-dichloro-2-methoxypyrimidine (1 g, 5.59 mmol), 2-aminoindan (0.72 mL, 5.59 mmol) and sodium bicarbonate (0.7 g, 8.38 mmol) in EtOH (25 mL) is refluxed overnight. The reaction is cooled to room temperature, quenched with water (100 mL) and stirred for one hour. The formed precipitate is suction filtered and air dried to afford (6-chloro-2-methoxy-pyrimidin-4-yl)- indan-1-yl-amine (1.5 g). LCMS: Rτ = 3.35 minutes, LCMS: 276, 278 (M+H).
Step 2. Cs2CO3 solution (0.32 g, 1 mmol, in 2 mL of water) is added to a stirred solution of (6-chloro- 2-methoxy-pyrimidin-4-yl)-indan-l-yl -amine (0.11 g, 0.4 mmol) and 3-(2-methylpropionic acid)phenylboronic acid (0.1 g, 0.48 mmol) in 1 ,2-dimethoxyethane (8 mL). The mixture is degassed over nitrogen for 10 minutes, tetrakis(triphenylphosphine)palladium (0) (18.49 mg, 0.02 mmol) is added and the reaction mixture is refluxed overnight. The reaction is cooled to room temperature, diluted with water (60 mL), filtered over a pad of celite and the volatiles are removed in vacuo. The aqueous is acidified (pH 4-5, 0.1N HCl), extracted twice with ethyl acetate. The combined organic extracts are dried over magnesium sulfate, filtered and concentrated in vacuo. The residue is purified by chromatography (SiO2 packed column), eluting with ethyl acetate/DCM to afford 2-{3-["6-(indan-l- ylamino)-2-methoxy-pyrimidin-4-yl]-phenyl| -2-methyl-propionic acid [74 mg, Example 83(a)]. LCMS: Rτ = 2.27 minutes; LCMS: 404 (M+H). IC50 = 83 nM
(b) 2-{3-[6-(Indan-2-ylamino)-2-methoxy-pyrimidin-4-yl]-phenyl}-2-methyl-propionic acid
Step 1. By proceeding in a similar manner as on Example 83(a), step 1 , but substituting 1-aminoindan for 2-aminoindan to afford (6-cMoro-2-methoxy-pyrirrύdm-4-yl)-mdan-2-yl-arnine. LCMS: Rγ = 3.35 minutes; MS: 276, 278 (M+H).
Step 2. By proceeding in a similar manner as on Example 83(a), step 2, but substituting (6-chloro-2- methoxy-pyrimidin-4-yl)-indan-2-yl-amine for (6-chloro-2-methoxy-pyrimidin-4-yl)-indan-l -yl-amine to afford 2- {3-[6-(mdan-2-ylamino)-2-methoxy-pyiimidm-4-yl"j-phenyl| -2-methyl-propionic acid. LCMS: RT = 2.53 minutes, MS: 404 (M+H).
Example 84
(a) N-r4-(3-{2-Methoxy-6-[2-(4-trifluoromethoxy-phenylVethylarnino1-pyrirnidin-4-yl}-phenyl)- tetrahydro-pyran-4-carbonvn-methanesulfonamide
N-(3-dimethylaminopropyl)-N-ethylcarbodiimide hydrochloride (39 mg, 0.2 mmol) is added to a stirred ice cold solution of N-[4-(3-{2-methoxy-6-[2-(4-trifluoromethoxy-phenyl)-ethylamino]- pyrimidin-4-yl} -phenyl)-tetrahydro-pyran-4-carboxylic acid (100 mg, 0.19 mmol), methanesulfonamide (19.3 mg, 0.2 mmol) and 4-dimethylaminopyridine (23.6 mg, 0.19 mmol) in dry DCM under nitrogen. The reaction mixture is stirred overnight at room temperature and concentrated in vacuo. The residue is dissolved in ethyl acetate, washed with 0.1N HCl, brine and water, dried over sodium sulfate, filtered and concentrated in vacuo. The residue is purified by chromatography (SiOa packed column), eluting with ethyl acetate/heptane to afford N-[4-(3- {2-methoxy-6-r2-(4- trifluoromethoxy-phenyl)-ethylammo1-pyrimidin-4-yll-phenyl)-tetrahvdro-pyran-4-carbonyl]-
methanesulfonamide [86 mg, Example 84(a)]. LCMS: Rτ = 2.52 minutes, LCMS: 595 (M+H). IC50 : 0.7 nM
(b) 4-f3-{2-Methoxy-6-[2-('4-trifluoromethoxy-phenyl)-ethylaminol-pyrimidin-4-yl}-phenyl)- tetrahydro-pyran-4-carboxylic acid methyl ester
Hydrogen chloride (4 M in 1,4-dioxane, 43.5 μL, 0.17 mmol) is added to a solution of N-[4-(3-{2- methoxy-6-[2-(4-trifluoromethoxyφhenyl)-ethylamino]-pyrimidin-4-yl} -phenyl)-tetrahydro-pyran-4- carboxylic acid (45 mg, 0.09 mmol) in methyl alcohol (4 mL) and the reaction mixture is stirred overnight at 7O0C. The reaction is cooled to room temperature, quenched with water. The volatiles are removed in vacuo. The aqeous is extracted twice with ethyl acetate. The combined extracts are dried over sodium sulfate, filtered and concentrated in vacuo. The residue is purified by chromatography (SiO2 packed column), eluted with ethyl acetate/heptane to afford 4-(3-{2-methoxy-6-[2-(4- trifluoromethoxy-phenyl)-ethylammo1-pyrimidin-4-yl}-phenyl)-tetrahydro-pyran-4-carboxylic acid methyl ester [86 mg, Example 84(b)]. LCMS: Rτ = 2.48 minutes, MS: 532 (M+H). IC50 = 70 nM
Example 85 2-(3-{6-[2-(2Λ-DicMoro-phenyl)-ethylarjiino1-2-methoxymethyl-pyrimidin-4-yl|-phenyl)-2 -methyl- propionic acid
Step 1. Hydrochloric acid gas is bubbled through a solution of methoxyacetonitrile (26 g, 0.37 mol) in EtOH (22 mL) and diethyl ether (118 mL), which is chilled to -1O0C for twenty minutes. The reaction
vessel is capped and stirred for 17 hours at ambient temperature. The mixture is cooled to -100C. The solid that forms is collected by filtration, washed with diethyl ether and air dried to afford 2-methoxy- acetimidic acid ethyl ester hydrochloride (49.3 g, 87%) as a solid.
Step 2. Ammonia gas is bubbled through a solution of 2-methoxy-acetimidic acid ethyl ester hydrochloride (49.3 g, 0.32 mol) in EtOH (240 mL), which is chilled to -1O0C for twenty minutes. The reaction vessel is capped and stirred for 17 hours at ambient temperature. The mixture is concentrated in vacuo to afford 2-Methoxy-acetamidine hydrochloride (35 g, 88%) as a solid.
Step 3. To a solution of 2-methoxy-acetamidine hydrochloride (20.18 g, 0.16 mol) and diethylmalonate (24.6 mL, 0.16 mol) in EtOH (150 mL) is added 60% dispersion of sodium hydride in oil (14.3 g, 0.36 mol). The mixture is heated to reflux and stirred for 16 hours. The mixture is concentrated in vacuo and the residue is diluted with water (100 mL) and extracted with EtOAc (75 mL). The aqueous layer is acidified to pH 3 with HCl and extracted thrice with EtOAc (75 mL). The organic extracts from acidic solution are combined and dried over magnesium sulfate, filtered and concentrated to afford 2-methoxymethyl-pyrimidine-4,6-diol (20 g, 80%)as an oil.
Step 4. A solution of 2-methoxymethyl-pyrimidine-4,6-diol (2.3 g, 14.7 mmol), triethylamine (2.9 mL, 20.58 mmol), and phosphorous oxychloride (8.8 mL, 94.08 mmol) is heated to reflux for 1.5 hours. The mixture is concentrated in vacuo and the residue is poured onto ice (100 mL) and extracted three times with EtOAc (75 mL). The organic extracts are combined and dried over magnesium sulfate, filtered and concentrated to afford 4,6-dichloro-2-methoxymethyl-pyrimidine (2 g, 70%) as an oil.
Step 5. A solution of 4,6-dichloro-2-methoxymethyl-pyrimidine (250 mg, 1.3 mmol), 2-(2,4-dichloro- phenyl)-ethylamine (196 μL, 1.3 mmol), and sodium bicarbonate (218 mg, 2.6 mmol) in EtOH (5 mL) is heated at 8O0C for three hours and poured into water (20 mL) and extracted thrice with EtOAc (30 mL). The organic extracts are combined and dried over magnesium sulfate, filtered and evaporated. The residue is subjected to chromatography on silica gel eluting with 30% ethyl acetateiheptane to afford (6-chloro-2-methoxymethyl-pyrimidm-4-yl)-[2-(2.4-dichloro-phenyl)-ethyl]-amine (200 mg, 44%) as a solid.
Step 6. Argon is bubbled through a mixture of (6-chloro-2-methoxymethyl-pyrimidin-4-yl)-[2-(2,4- dichloro-phenyl)-ethyl]-amine (200 mg, 0.58 mmol), 3-(l-carboxy-l-methyl-ethyl)-phenyl boronic acid [266 mg, 1.28 mmol, see Example 49(b) step 2], Cs2CO3 (1.56 g, 2.52 mmol), and tetrakis(triphenylphosphine) palladium (0) (69 mg, 0.06 mmol) in ethylene glycol dimethyl ether (4
mL) and water (1 mL), for a period of 10 minutes. The reaction vessel is sealed and heated to 9O0C. After stirring for 16 hours the mixture is diluted with water (40 mL) and extracted twice with EtOAc (25 mL). The organic extracts are combined and dried over magnesium sulfate, filtered and evaporated. The residue is subjected to chromatography on silica gel eluting with 40% ethyl acetate:heptane to afford 2-("3-(6-[2-f2,4-dichloro-phenyl)-ethylamino]-2-methoxymethyl-pyrimidin-4- vU -phenylV2-methyl-propionic acid [165 mg, 60%, Example 85] as a solid. LCMS Rτ = 2.59 minutes, MS: 474 (M+H). IC50 = 2.7 nM
Example 86 2-(3-{6-[2-(2,4-DicMoro-phenyl)-ethylammo]-2-hydroxymethyl-pyrimidin-4-yl|-phenyl)-2-methyl- propionic acid
Step 1. A mixture of 4,6-dichloro-2-methylsulfanyl-pyrimidine (2.66 g, 13.6 mmol), 2-(2,4-dichloro- phenyl)-ethylamine (2.26 mL, 15 mmol) and sodium bicarbonate (2.29g, 27.2 mmol) in EtOH (35 mL) is heated to 850C for 1 hour and poured into water (100 mL). The solid precipitate is collected by filtration and dissolved in hot EtOH (75 mL). After cooling overnight the crystals that formed are collected by filtration and dried to afford (6-cMoro-2-methylsulfanyl-pyrirnidin-4-yl')-|'2-f2,4-dichloro- phenvD-ethyli-amine (3.43 g, 72%) as a solid.
Step 2. A mixture of (6-chloro-2-methylsulfanyl-pyrimidin-4-yl)-[2-(2,4-dichloro-phenyl)-ethyl]- amine (3.36 g, 9.64 mmol) in DCM (100 mL) is chilled to O0C and 70% 3-chloroperoxybenzoic acid (5.99 g, 24.29 mmol) is added portionwise. The mixture is stirred at O0C for 3 hours and warmed up to ambient temperature for 15 hours. The mixture is filtered to remove the precipitate and washed with DCM (100 mL). The filtrate is washed twice with 3N NaOH (40 mL), dried over magnesium sulfate, filtered and evaporated to afford (6-chloro-2-methanesulfonyl-pyrimidin-4-yl)-[2-('2,4-dichloro- phenyD-ethyli-amine (3.04 g, 83%) as a solid.
Step 3. A solution of (6-chloro-2-methanesulfonyl-pyrimidin-4-yl)-[2-(2,4-dichloro-phenyl)-ethyl]- amine (821 mg, 2.16 mmol) in THF (15 mL) is cooled to O0C. A 1 M solution of vinyl magnesium
bromide in THF (5.4 mL, 5.4 mmol) is added and the mixture is stirred for 30 minutes before adding water (30 mL) and extracted thrice with EtOAc (50 mL). The organic extracts are combined and dried over magnesium sulfate, filtered and evaporated. The residue is subjected to chromatography on silica gel eluting with 30% ethyl acetate:heptane to afford (6-cMoro-2-vmyl-pyrimidin-4-vD-["2-(2,4- dichloro-phenyD-ethyli -amine (600 mg) as a solid.
Step 4. To a solution of (6-cUoro-2-vmyl-pyrimidin-4-yl)-[2-(2,4-dichloro-phenyl)-ethyl]-amine (240 mg, 0.73 mmol) in THF (2 mL), acetone (2 mL) and water (2 mL) is added 4-methylmorpholine N- oxide (342 mg, 2.92 mmol) followed by osmium tetroxide (153 μL, 0.015 mmol). After stirring the mixture at room temperature for 17 hours a solution of sodium bisulfite (728 mg, 7 mmol) in water (15 mL) is added and extracted twice with EtOAc (25 mL). The organic extracts are combined and dried over magnesium sulfate, filtered and concentrated to afford 1 - {4-chloro-6-["2-(2,4-dichloro-phenyl)- ethylamino]-pyrimidin-2-yl}-ethane-l,2-diol (320 mg) as a solid.
Step 5. To a mixture of l-{4-chloro-6-[2-(2,4-dichloro-phenyl)-ethylamino]-pyrimidin-2-yl}-ethane- 1,2-diol (320 mg, 0.88 mmol) in MeOH (5 mL) and water (5 mL) is added sodium meta-periodate (567 mg, 2.65 mmol) and stirred for 16 hours before adding water (5OmL), and extracted thrice with EtOAc (30 mL). The organic extracts are combined and dried over magnesium sulfate, filtered and concentrated to afford 4-cMoro-6-r2-(2,4-dicMoro-phenyl)-ethylamino1-pyrimidine-2-carbaldehvde (270 mg, 93%) as a solid.
Step 6. To a solution of 4-chloro-6-[2-(2)4-dichloro-phenyl)-ethylamino]-pyrimidine-2-carbaldehyde (70 mg, 0.21 mmol) in MeOH (4 mL) is added sodium borohydride (24 mg, 0.63 mmol). The mixture is stirred for 4 hours at ambient temperature. Water (20 mL) is added and the mixture is extracted thrice with ethyl acatate (25 mL). The organic extracts are combined and dried over magnesium sulfate, filtered and concentrated to afford |4-chloro-6-[2-(2,4-dichloro-phenyl)-ethylamino1- pyrimidin-2-yl} -methanol (67 mg) as a solid.
Step 7. Argon is bubbled through a mixture of {4-chloro-6-[2-(2,4-dichloro-phenyl)-ethylamino]- pyrimidin-2-yl} -methanol (67 mg, 0.2 mmol), 3-(l-Carboxy-l-methyl-ethyl)-phenyl boronic acid [92 mg, 0.44 mmol, see Example 49(b) step 2], CS2CO3 (197 mg, 0.6 mmol), and tetrakis(triphenylphosphine) palladium (0) (16.3 mg, 0.014 mmol) in ethylene glycol dimethyl ether (1.6 mL) and water (0.4 mL), for a period of 10 minutes. The reaction vessel is sealed and heated to 9O0C. After stirring for 16 hours the mixture is diluted with water (25 mL, brought to pH 4 with HCl and extracted thrice with EtOAc (25 mL). The organic extracts are combined and dried over magnesium sulfate, filtered and concentrated to afford 2-("3-{6-["2-f2,4-dichloro-phenyl)-ethylamino]-
2-hvdroxymethyl-pyrimidin-4-yl} -phenyl)-2-methyl-propionic acid [16.5 mg, 18%, Example 86] as a solid. LCMS Rτ = 2.47 minutes, MS: 460 (M+H). IC50 = 71 nM
Example 87 5-{6-r2-(2Λ-DicMoroφhenvπ-ethylaminQl-2-methoxy-pyrimidin-4-yl}-thiophene-2-carboxylic acid
Step 1. 5-(Dihydroxyboryl)-2-thiophenecarboxylic acid (527 mg, 3.1 mmol) and 2,2-dimethyl- propane-l,3-diol (361 mg, 3.4 mmol) are stirred in THF (10 mL) for 19 hours and concentrated in vacuo to afford 5-(5,5-dimethyl-[L3,2]dioxaborinan-2-yl)-thiophene-2-carboxylic acid (748 mg) as a solid. LCMS: Rτ = 1.15 minutes; 1H NMR [300 MHz, (CD3)2SO]: δ 13.15 (IH, s); 7.7 (IH, m); 7.45 (IH, m); 3.75 (4H, s); 0.95 (6H, s).
Step 2. A mixture of (6-cUoro-2-methoxy-pyrmiidm-4-yl)-[2-(2,4-dicUoro-phenyl)-ethyl]-amine [277 mg, 0.83 mmol, Intermediate (44)], 5-(5,5-dimethyl-[l,3,2]dioxaborinan-2-yl)-thiophene-2-carboxylic acid (300 mg, 1.25 mmol), cesium fluoride (378 mg, 2.5 mmol) and tetrakis(triphenylphosphine) palladium (77 mg, 0.07 mmol) in water (2 mL) and ethylene glycol dimethyl ether (8 mL) is degassed with bubbling nitrogen for 5 minutes and is heated at 850C for 16 hours. The reaction mixture is cooled, diluted with water (150 mL) and brine (50 mL), and extracted three times with EtOAc (150 mL) and the extracts are concentrated in vacuo. The residue is subjected to flash column chromatography on silica (10 g) eluting with 0 to 15% MeOH in ethyl acetate. The product is triturated twice with heptanes (5 mL) and twice with ether (5 mL) and dried to afford 5-{6-[2-(2,4- dicMoro-phenyl)-ethylamino]-2-methoxy-pyrimidin-4-yl)-thiophene-2-carboxylic acid (189 mg, Example 87) as a solid. MS: 424 (M+H); 1H NMR [300 MHz, (CD3)2SO]: δ 13.2 (IH, s); 7.7 (3H, m); 7.6 (IH, s); 7.35 (2H, s); 6.6 (IH, s); 4.85 (3H, s); 3.6 (2H, m); 3 (2H, t). IC50 = 0.16 nM
Example 88
5-|2-Methoxy-6-[2-(4-trifluoromethoxy-phenyl)-ethylamino1-pyrimidin-4-yl}-2,3-dihydro- benzofuran-2-carboxylic acid hydrochloride
Step 1. To a solution of 2,3-dihydτo-benzofuran-2-carboxylic acid (510 mg, 3.11 mmol) in glacial acetic acid (4 mL) is added bromine (497 mg, 3.11 mmol) dropwise. After 16 hours, the reaction is quenched with water (100 mL) and sodium bisulfite (1 g, 9.6 mmol) and extracted twice with EtOAc (100 mL). The extracts are concentrated in vacuo and dried under high vacuum to afford 5-bromo-2,3- dihvdro-benzofuran-2-carboxylic acid (811 mg) as a solid. MS: 241 (M+H), 1H NMR [300 MHz, (CDj)2SO]: δ 13.05 (IH, s); 7.4 (IH, s); 7.25 (IH, d); 6.8 (IH, m); 5.25 (IH, q), 3.55 (IH, dd); 3.25 (IH, m).
Step 2. A mixture of 5-bromo-2,3-dihydro-benzofuran-2-carboxylic acid (0.74 g, 2.83 mmol), bis(pinacolato)diboron (1.51 g, 5.94 mmol), potassium acetate (1.47 g, 15 mmol), and 1 ,1'- bis(diphenylphosphino)ferrocene-palladium(II)dichloride DCM complex (115 mg, 0.14 mmol) in dimethylsulfoxide (10 mL) is degassed with bubbling nitrogen for 5 minutes. The mixture is heated to 900C for 16 hours. The reaction mixture is cooled, diluted with water (200 mL) and brine (25 mL), and filtered through Celite followed by water (200 mL) and EtOAc (200 mL). The filtrate is extracted twice with EtOAc (200 mL) and the extracts are concentrated in vacuo. The residue is subjected to flash column chromatography on silica (4 g) eluting with 80 to 100% EtOAc in heptane to afford 5^ (4,4,5, S-tetramethyl-ri^^idioxaborolan^-vD^.S-dihvdro-benzofuran^-carboxylic acid (715 mg) as an oil. MS: 289 (M-H), 1H NMR [300 MHz, (CD3J2SO]: δ 13.05 (IH, s); 7.5 (2H, m); 6.8 (IH, m); 5.2 (IH, m); 3.6 (IH, m); 3.3 (IH, m); 1.05 (12H, s).
Step 3. A mixture of (6-chloro-2-methoxy-pyrimidin-4-yl)-[2(4-trifluoromethoxyphenyl)-ethyl]amine [475 mg, 1.36 mmol, Intermediate (13)], 5-(4,4,5,5-tetramethyl-[l,3,2]dioxaborolan-2-yl)-2,3-dihydro- benzofuran-2-carboxylic acid (266 mg, 0.91 mmol), Cs2CO3 (1.19 g, 3.6 mmol) and tetrakis(triphenylphosphine) palladium (146 mg, 0.13 mmol) in water (2 mL) and ethylene glycol dimethyl ether (8 mL) is degassed with bubbling nitrogen for 5 minutes and heated at 60°C for 23 hours. The reaction mixture is cooled, diluted with water (200 mL) and brine (50 mL), and acidified with IN hydrochloric acid to pH 5. The mixture is extracted three times with EtOAc (150 mL) and the extracts are concentrated in vacuo. The residue is subjected to flash column chromatography on silica (5 g) eluting with 0 to 20% MeOH in ethyl acetate. The product is dissolved in ether and treated with
1 M hydrogen chloride in ether to afford 5-{2-methoxy-6-[2-(4-trifluoromethoxy-phenyl)-ethylamino]- pyrimidin-4-yl|-2,3-dihydro-benzofuran-2-carboxylic acid hydrochloride (148 mg, Example 88) as a solid. MS: 476 (M+H); LCMS: R7 = 2.78 minutes, MS: 474 (M-H). IC50 = 3.1 nM
Example 89
2-(3-{6-[2-(2Λ-DicMoro-phenyl)-ethylammol-2-methoxy-pyrimidin-4-yl}-phenyl)-2-methyl-propionic acid 2,3-dihydroxy-propyl ester
To a solution of 2-(3-{6-[2-(2,4-dicUoro-phenyl)-ethylamino]-2-methoxy-pyrimidin-4-yl}-phenyl)-2- methyl-propionic acid [145 mg, 0.315 mmol, Example 49(b)] in N,N!-dimethylformamide (4 mL) is added (2,2-dimethyl-[l,3]dioxolan-4-yl)-methanol [62 mg, 0.472 mmol] and TBTU (151 mg, 0.472 mmol) followed by triethylamine (1 mL). The reaction mixture is stirred for 16 hours at ambient temperature, quenched with the addition of water (200 mL) and brine (25 mL) and extracted twice with EtOAc (200 mL). The extracts are concentrated in vacuo and the residue is stirred in MeOH (4 mL). 1 N hydrochloric acid is added (4 mL). After one hour the reaction is poured into water (150 mL) and extracted twice with EtOAc (150 mL). The extracts are concentrated and the residue is subjected to flash column chromatography on silica (4 g) eluting with 60 to 80% EtOAc in heptane to afford 2-(3- {6-[2-f2,4-dicMoro-phenyl)-ethylarfimol-2-methoxy-pyrimidin-4-yl}-phenyl')-2 -methyl-propionic acid 2,3-dihvdroxy-propyl ester (135 mg, Example 89) as an oil. MS: 534 (M+H), 1H NMR [300 MHz, (CDs)2SO]: δ 7.9 (IH, s); 7.8 (IH, s); 7.6 (2H, s); 7.45 (2H, m); 7.35 (2H, s); 6.6 (IH, s); 4.8 (IH, d); 4.55 (IH, t); 4.05 (IH, m); 3.9 (IH, m); 3.85 (3H, s); 3.6 (3H, m); 3.25 (2H, t); 2.95 (2H, t), 1.5 (6H, s). IC50 = 18 nM
Example 90 2-(3-{6-[(2J-Dmydro-benzofuran-2-ylmethyl)-amino]-2-methoxy-pyrimidin-4-yl|-phenyl)-2 -methyl- propionic acid
Step 1. To a mixture of (2,3-dihydτo-benzofuran-2-yl)-methanol (1.65 g, 11 mmol), phthalimide (3.24 g, 22 mmol), and triphenylphosphine (5.77 g, 22 mmol) in THF (40 mL) is added diethyl azodicarboxylate (3.46 mL, 22 mmol) at -100C, and the mixture is allowed to warm to room temperture. After 20 h at it, the mixture is concentrated in vacuo, and the residue is chromatographed on SiO2 (40% EtOAc in heptane) to afford 2-(2,3-dihvdro-benzofuran-2-ylmethyl)-isoindole-K3-dione (3.58 g). LCMS: Rτ = 2.64 minutes; MS: 280 (M+H).
Step 2. To a solution of 2-(2,3-dihydro-benzofuran-2-ylmethyl)-isoindole-l,3-dione (0.97 g, 3.47 mmol) in MeOH (15 mL) and CH2Cl2 (5 mL) is added hydrazine (0.55 mL, 17.4 mmol). After 20 h at rt, the mixture is filtered off and the filtrate is concentrated. The residue is diluted with water (50 mL), and extracted with CH2Cl2 (2 x 50 mL). The extracts are dried (MgSO4), filtered, and concentrated to afford C-(2,3-dihvdro-benzofuran-2-yl)-methylamine, which is used for a next step without further purification. LCMS: Rx = 1.25 minutes; MS: 150 (M+H).
Step 3. A mixture of 4,6-dichloro-2-methoxy-pyrimidine (0.41 g, 2.3 mmol), C-(2,3-dihydro- benzofuran-2-yl)-methylamine (0.52 g, 3.47 mmol), and NaHCO3 (0.97 g, 12 mmol) in EtOH (7 mL) is heated to reflux for 3 h. The mixture is diluted with water (8 mL), filtered, washed (water). The solid is dissolved in EtOAc, dried (MgSO4), filtered, and concentrated in vacuo to afford (6-chloro-2- methoxy-pyrimidin-4-yl)-(2.3-dihydro-benzofuran-2-ylmethyπ-amine (0.5 g) as a solid. LCMS: Rx = 2.59 minutes; MS: 292 (M+H).
Step 4. A mixture of (6-cmoro-2-methoxy-pγrimidin-4-yl)-(2,3-dihydro-benzofuran-2-ylmethyl)- amine (167 mg, 0.57 mmol), 3-(l-carboxy-l-methyl-ethyl)-phenyl-boronic acid (155 mg, 0.75 mmol), and Cs2Cθ3 (0.46 g, 1.43 mmol) in ethylene glycol dimethyl ether (8 mL) and water (2 mL) is degassed by bubbling with Ar gas for 5 minutes, and treated with tetrakis(triphenylphosphine) palladium(O) (33 mg, 0.03 mmol) at room temperature. The mixture is heated at 85 0C for 3 h. The mixture is diluted with H2O (20 mL), and extracted with EtOAc (10 mL). The aqueous layer is separated, acidified to pH 2.5 with IM HCl solution, and extracted with EtOAc (2 x 10 mL). The extracts are dried (MgSO4), filtered through a short pad of SiO2 to afford 2-(3-(6-rf2,3-dihydro- beiizofuran-2-ylmethyl)-amino]-2-methoxy-pyrimidin-4-yU-phenyl')-2-methyl-propionic acid (139 mg, Example 90). LCMS: Rτ = 2.05 minutes; MS: 420 (M+H); 1H NMR (300 MHz, DMSO-d6) δ 12.4
(IH, s), 8.05-7.8 (2H, m), 7.5-7.1 (5H, m), 6.8-6.75 (2H, m), 5 (IH, s), 4 (3H, brs), 3.65 (2H, brs), 3.4- 2.95 (2H, m), 1.48 (6H, s).
Example 91 2-C3 - { 6-|YIsochroman- 1 -ylmethyl)-amino]-2-methoxy-pyrimidin-4-yl } -phenyl)-2-methyl -propionic acid
Step 1 : A mixture of 4,6-dichloro-2-methoxy-pyrimidine (0.45 g, 2.5 mmol), C-isochroman-1-yl- methylamine (0.53 g, 3.2 mmol), and NaHCO3 (0.63 g, 7.5 mmol) in EtOH (5 mL) is heated to reflux for 4 h. The mixture is diluted with water, concentrated in vacuo. The residue is partitioned between EtOAc and water, and extracted with EtOAc. The extracts are dried (Na2SO4), and concentrated to afford (6-chloro-2-methoxy-pyrimidin-4-yl')-isochroman- 1 -yhnethyl-amine (0.84 g). LCMS: RT = 2.94 minutes; MS: 306 (M+H).
Step 2. A mixture of (6-chloro-2-methoxy-pyrimidin-4-yl)-isochroman-l-ylmethyl-amine (141 mg, 0.46 mmol), 3-(l-carboxy-l-methyl-ethyl)-phenyl-boronic acid (125 mg, 0.6 mmol), and Cs2CO3 (0.37 g, 1.15 mmol) in ethylene glycol dimethyl ether (8 mL) and water (2 mL) is degassed by bubbling with Ar gas for 5 minutes, and treated with tetrakis(triphenylphosphine) palladium(O) (27 mg, 0.023 mmol) at room temperature. The mixture is heated at 85 0C for 3 h. The mixture is diluted with H2O (20 mL), and extracted with EtOAc (20 mL). The aqueous layer is separated, acidified to pH 2.5 with IM HCl solution, and extracted with EtOAc (2 x 30 mL). The extracts are dried (MgSO4), filtered through a short pad of SiO2 to afford 2-(3-|6-[(isochroman-l-vLmethvπ-amino1-2-methoxy-pyrimidin-4-yll- phenvn-2-methyl-propionic acid (189 mg, Example 91). LCMS: R7 = 2.03 minutes; MS: 434 (M+H); 1H NMR (300 MHz, CDCl3) δ 9.8 (IH, s), 8.02 (IH, s), 7.82 (IH, d, J= 6 Hz), 7.5-7.1 (6H, m), 6.43 (IH, s) 5 (IH), 4 (3H, s), 3.85-3.75 (IH, m), 3.65-3.55 (IH, m), 3.04-2.95 (IH, m), 2.75 (IH), 1.8 (6H, s). IC50 = 23 nM
Example 92 2-(3-{2-Methoxy-6-[(4-methyl-3,4-dihvdro-2H-benzo["1.41oxazin-2-ylmethyl)-amino1-pyrimidin-4- yl) -phenyl)-2 -methyl -propionic acid
Step 1. A mixture of 4]6-dichloro-2-methoxy-pyrimidine (0.27 g, 1.48 mmol), C-(4-methyl-3,4- dihydro-2H-benzo[l,4]oxazin-2-yl)-methylamine (0.22 g, 1.23 mmol), and NaHCO3 (0.62 g, 7.4 mmol) in EtOH (7 mL) is heated to reflux for 5 h. The mixture is concentrated in vacuo. The residue is partitioned between EtOAc and water, and extracted with EtOAc. The extracts are dried (Na2SO4), and concentrated to afford (6-chloro-2-methoxy-pyrimidin-4-yl)-(4-methyl-3,4-dihydro-2H- benzori .41oxazin-2-ylmethvn-amine (0.39 g). LCMS: R7 = 3.27 minutes; MS: 321 (M+H).
Step 2. A mixture of (6-chloro-2-methoxy-pyrimidin-4-yl)-(4-methyl-3,4-dihydro-2H- benzo[l,4]oxazin-2-ylmethyl)-amine (200 mg, 0.62 mmol), 3-(l-carboxy-l-methyl-ethyl)-phenyl- boronic acid (190 mg, 0.94 mmol), and Cs2CO3 (0.51 g, 1.6 mmol) in ethylene glycol dimethyl ether (10 mL) and water (2 mL) is degassed by bubbling with Ar gas for 5 minutes, and treated with tetrakis(triphenylphosphine) palladium(O) (36 mg, 0.03 mmol) at room temperature. The mixture is heated at 85 0C for 6 h. The mixture is diluted with H2O (20 mL), and extracted with EtOAc (20 mL). The aqueous layer is separated, acidified to pH 3 with IM HCl solution, and extracted with EtOAc (2 x 30 mL). The extracts are dried (MgSO4), filtered, and concentrated. The residue is chromatographed on SiO2 (70% EtOAc in heptane) to afford 2-(3-{2-methoxy-6-('('4-methyl-3.4-dihvdro-2H- benzo[l,41oxazin-2-ylmethyl)-ammo]-pyrirnidin-4-yl}-phenyl)-2-methyl-propioriic acid (190 mg, Example 92). LCMS: Rτ = 2.59 minutes; MS: 449 (M+H). IC50 = 278 nM
Example 93
2-(3-{6-[(Benzofiiran-5-ymiethyl)-amino1-2-methoxy-pyrimidin-4-yl|-phenyl)-2-methyl-propionic acid
Step 1. By proceeding in a similar manner to that described in Example 1, Step 3, but substituting C- benzofuran-5-yl-methylamine for 2-(3-fluoro-4-methoxy-phenyl)-ethylamine there is prepared benzofuran-5-ylmethyl-('6-chloro-2-methoxy-pyrimidin-4-yl')-amine.
Step 2. Argon is bubbled through a mixture of benzofuran-5-ylmethyl-(6-chloro-2-methyoxy- pyrirnidin-4-yl)-amine (100 mg, 0.35 mmol), 3-(l-carboxy-l-methyl-ethyl)-phenyl boronic acid [131 mg, 0.63 mmol, see Example 49(b) step 2], Cs2CO3 (342 mg, 1.05 mmol), and tetrakis(triphenylphospbine) palladium (0) (46 mg, 0.04 mmol) in ethylene glycol dimethyl ether (1.7 mL) and water (0.3 mL), for a period of 10 minutes. The reaction vessel is sealed and heated to 9O0C. After stirring for 6 hours the heating is turned off and the mixture is allowed to cool to ambient temperature upon standing for 24 hours. The mixture is diluted with water (20 mL) and extracted twice with EtOAc (30 mL). The organic extracts are combined and dried over magnesium sulfate, filtered and concentrated to afford 2-(3-{6-[(benzofuran-5-ylmethyl)-amino1-2-methyoxy-pyrimidin-4- vU -phenyl)-2 -methyl -propionic acid [50 mg, 34%, Example 93] as a solid. LCMS Rτ = 2.05 minutes, MS: 418 (M+H).
Example 94
N-(6-{6-[2-(2,4-Dichloro-phenyl)-ethylaminol-2-methoxy-pyrimidin-4-yl|-benzothiazol-2-yl)- acetamide
Step 1 : To a solution of 2-amino-6-bromobenzothiazole (10 g, 43.65 mmol) and triethylamine (12.2 mL, 87.3 mmol) and N,N-dimethylaminopyridine (269 mg) in THF (100 mL) is added acetyl chloride (4.7 mL). After stirring for 17 hours water (100 mL) is added and the mixture is extracted twice with EtOAc (75 mL). The organic extracts are combined and dried over magnesium sulfate, filtered and concentrated to afford N-(6-bromo-benzothiazol-2-yl)-acetamide (8.79 g, 74%) as a solid.
Step 2: Argon is bubbled through a mixture of N-(6-bromo-benzothiazol-2-yl)-acetamide (5 g, 0.018 mol), bis(pinacolato)diboron (9.6 g, 0.038 mol), potassium acetate (9.3 g, 0.095 mol), and 1,1 '- bis(diphenylphosphino)ferrocene-palladium(π)dichloride (816 mg, 1 mmol) in dimethylsulfoxide (60
mL) for a period of 10 minutes. The reaction vessel is sealed and heated to 900C. After stirring for 18 hours the mixture is diluted with water (200 mL) and extracted twice with EtOAc (100 mL). The organic extracts are combined and dried over magnesium sulfate, filtered and evaporated. The residue is subjected to chromatography on silica gel eluting with 70% ethyl acetate:heptane to afford N-[6- (4,4,5,5-tetramethyl-|'l,3,21dioxaborolan-2-yl)-benzothiazol-2-yl1-acetamide (5.06 g, 88.3%) as a solid.
Step 3: Argon is bubbled through a mixture of N-[6-(4,4,5,5-tetramethyl-[l,3,2]dioxaborolan-2-γl)- benzothiazol-2-yl]-acetamide (1.12 g, 3.52 mmol), 2-methoxy-4,6-dichloropyrimidine (700 mg, 3.91 mmol), Na2COs (625 mg, 5.9 mmol), and bis(triphenylphosphine)palladium(π) chloride (280 mg, 0.4 mmol), in dimethoxyethane (8 mL), water (3.4 mL) and EtOH (2.2 mL) for 10 minutes. The mixture is irradiated by microwave at 16O0C for 10 minutes added water (20 mL) and extracted with EtOAc (40 mL). The organic extracts are combined-and dried over magnesium sulfate, filtered and concentrated to afford N-r6-(6-chloro-2-methoxy-pyrimidin-4-yl)-benzothiazol-2-yl1-acetamide (160 mg) as a solid.
Step 4: A mixture of N-[6-(6-chloro-2-methoxy-pyrimidin-4-yl)-benzothiazol-2-yl]-acetamide (160 mg, 0.48 mmol), 2-(2,4-dichloro-phenyl)-ethylamine (362 μL, 2.4 mmol), and K2CO3 (359 mg, 2.6 mmol) in N-methylpyrrolidinone (2.6 mL) is heated to 14O0C. Water (20 mL) is added after 1 hour of heating and extracted with EtOAc (20 mL). The organic extracts are combined and dried over magnesium sulfate, filtered and evaporated. This residue is subjected to chromatography on silica gel eluting with 90% ethyl acetateiheptane to afford a solid which is triturated with 1 :1 methanol: ethyl acetate. The solid is collected to afford N-(6-{6-[2-(2,4-dichloro-phenyl)-ethylamino1-2-methoxy- pyrimidin-4-yll-benzothiazol-2-yl)-acetamide [31 mg, 13%, Example 94]. LCMS Rj = 2.49 minutes, MS: 488 (M+H). IC50 = 11 nM
Example 95
(a) Ethanesulfonic acid [2-("3-{6-[2-(2.4-dichloro-phenyl)-ethylamino]-2-methoxy-pyrimidin-4- yl}-phenyl")-2-methyl-propionyl]-amide
N-(3-dimethylaminopropyl)-N-ethylcarbodiimide hydrochloride (44 mg, 0.23 mmol) is added to a stirred ice cold solution of 2-(3-{6-[2-(2,4-dichloro-phenyl)-ethylamino]-2-methoxy-pyrimidin-4-yl}- phenyl)-2 -methyl -propionic acid (100 mg, 0.22 mmol), ethanesulfonamide (25 mg, 0.23 mmol) and 4- Dimethylaminopyridine (27 mg, 0.22 mmol) in dry DCM under nitrogen atmosphere. The ice bath is removed and the reaction mixture is stirred overnight at 6O0C. The volatiles are removed under reduced pressure, the residue is dissolved in ethyl acetate, washed with 0.1 N HCl, brine and water, dried over sodium sulfate, filtered and concentrated under reduced pressure. The crude residue is purified by chromatography (SiO2 packed column), eluting with EtOAc / DCM to afford ethanesulfonic acid [2-(3- (6-r2-(2.4-dicMoro-phenyl)-ethylammo]-2-methoxy-pyrirnidin-4-yl)-phenyl)-2-methyl-propionyl]- amide [67 mg, Example95(a)]. LCMS: Rτ = 2.49 minutes, MS: 551, 553 (M+H).
(b) N-[2-r3-{642-(2Λ-DicMoro-phenyl)-ethylammo]-2-methoxy-pyrimidin-4-yl|-phenyl)-2- methyl-propionyl]-C-phenyl-methanesulfonamide
By proceeding in a similar manner as Example 95(a), but substituting phenyl-methanesulfonamide for ethanesulfonamide to afford N-[2-(3-{6-[2-(2,4-dicmoro-phenyl)-ethylarriino1-2-methoxy-pyrimidin-4- yl}-phenyl)-2-methyl-propionyl1-C-phenyl-methanesulfonamide [105 mg, Example 95(b)]LCMS: Rτ = 2.83 minutes, MS: 613, 615 (M+H). IC50 = 2 nM
(c) 2-(3-{6-[2-(2,4-DicMoro-phenyl)-ethylammo]-2-methoxy-pyrimidm-4-yl)-phenyl')-2 -methyl- 1 -morpholin-4-yl-propan- 1 -one
By proceeding in a similar manner as Example 95(a), but substituting morpholine for ethanesulfonamide to afford 2-(3-{6-r2-(2.4-dichloro-phenyl)-ethylamino1-2-methoxy-pyrimidin-4-
yl} -phenylV2-methyl-l -morpholin-4-yl-propan-l -one [93 mg, Example 95(c)]. LCMS: Rτ = 2.35 minutes, MS: 529, 531 (M+H). IC50 = 281 nM
(d) 2-r3-{6-[2-f2Λ-DicMoro-phenylVethylamino1-2-methoxy-pyrimidm-4-yl)-phenyl')-N- (tetrahydro-pyran-4-yD-isobutyramide
By proceeding in a similar manner as Example 95(a), but substituting tetrahydro-pyran-4-ylamine for ethanesulfonamide to afford 2-(3-{6-[2-(2,4-dichloro-phenylVethylarrdno]-2-methoxy-pyrimidin-4- yl)-phenyD-N-(tetrahydro-pyran-4-yl)-isobutwamide [55 mg, Example 95(d)]. LCMS: Rτ = 2.3 minutes, MS: 543, 545 (M+H). IC50 = 278 nM
(e) 2-O-{6-[2-(2Λ-Dichloro-phenylVethylarriino]-2-methoxy-pyrimidin-4-yl}-phenyl')-N-flH- tetrazol-5-yl)-isobutyramide
By proceeding in a similar manner as Example 95(a), but substituting lH-tetrazol-5-ylamine for ethanesulfonamide to afford 2-(3-{6-[2-(2,4-DicMoro-phenyl')-ethylamino]-2-methoxy-pyrimidin-4- yU-phenvπ-N-dH-tetrazol-5-vπ-isobutyramide [106 mg, Example 95(e)]. LCMS: Rτ = 2.02 minutes, MS: 527, 529 (M+H). IC50 < 1 nM
Example 96 r2-f2,4-Dicrύoro-phenyl)-ethyl]-{2-methoxy-6-[3-(2H4e1τazol-5-ylVpiperidm-l-yl1-pyrimidin-4-yl}- amine
Step 1. To a mixture of S-cyano-piperidine-l-carboxylic acid benzyl ester (1 g, 4.1 mmol), and dibutyltinoxide (153 mg, 0.6 mmol) in toluene (8 mL) is added trimethylsilylazide (1.1 mL, 8.2 mmol) at room temperature. After the mixture is heated at 950C for 15 h, more trimethylsilylazide (2 mL, 15 mmol) is added and the stirring is continued for 6 h at 95 0C. The mixture is concentrated, and the resulting solid is triturated with heptane (30 mL) and filtered to afford 3-( 1 H-tetrazol-5 -yl)-piperidine- 1-carboxylic acid benzyl ester (1 g). LCMS: Rτ = 2.31 minutes, MS: 288 (M+H).
Step 2. To a solution of 3-(lH-tetrazol-5-yl)-piperidine-l-carboxylic acid benzyl ester (1 g, 3.5 mmol) in MeOH (20 mL) is added Pd on carbon (10%, 150 mg) at room temperature. The mixture is charged with Ar gas a few times before attaching a hydrogen gas balloon. After 30 h at 2O0C, the mixture is filtered, and concentrated to afford 3-flH-tetrazol-5-yl)-piperidine. LCMS: Rγ = 0.54 minutes, MS: 154 (M+H).
Step 3: A mixture of (6-chloro-2-methoxy-pyrimidin-4-yl)-[2-(2,4-dichloro-phenyl)-ethyl]-amine [300 mg, 0.9 mmol], 3-(lH-tetrazol-5-yl)-piperidine [383 mg, 2.25 mmol] and K2CO3 (373 mg, 2.7 mmol) in N-methylpyrollidinone (5 mL) is heated at 14O0C for 16 hours. The mixture is diluted with water (50 mL), acidified to pH 3 with 10% HCl and extracted three times with EtOAc (40 mL). The organic extracts from the acidic layer are combined and dried over magnesium sulfate, filtered and concentrated. The residue is subjected to chromatography on silica gel eluting with 15% ethyl methanol:DCM to afford an oil which is diluted with water (20 mL). A solid is formed and collected by filtration to afford [2-(2,4-dichloro-phenyl)-ethyl]-{2-methoxy-6-[3-('2H-tetrazol-5-yl)-piperidin-l- yl]-pyrimidin-4-yl} -amine [303 mg, 75%, Example 96] as a solid. LCMS: Rτ = 1.95 minutes, MS: 449 (M+H). IC50 = 5 nM
Example 97
l-{6-r2-r2Λ-DicMoro-phenyl)-ethylamino1-2-methoxy-pyrimidin-4-yl}-piperidine-4-carboxylic acid
Step 1 : A mixture of 2-methoxy-3,6-dichloropyrimidine (635 mg, 3.55 mmol), isonipecotic hydrochloride (706 mg, 4.26 mmol) and sodium bicarbonate (895 mg, 10.65 mmol) in EtOH (12 mL) is heated at 9O0C for 15 hours. The mixture is concentrated, and the residue is taken up in water (30 mL) and extracted three times with EtOAc (25 mL). The aqueous solution is acidified to pH 3 with 10% citric acid and extracted three times with EtOAc (25 mL). The organic extracts from the acidic layer are combined and dried over magnesium sulfate, filtered and concentrated to afford l-(6-chloro- 2-methoxy-pyrimidm-4-yl)-piperidine-4-carboxylic acid [680 mg, 70%] as a solid.
Step 2: To a solution of l-(6-chloro-2-methoxy-pyrimidin-4-yl)-piperidine-4-carboxylic acid [131 mg, 0.48 mmol] in MeOH (1 mL) and toluene (1 mL) is added a solution of 2 M diazomethane in diethylether (0.48 mL, 0.96 mmol). The solution is stirred for 2 h at ambient temperature and concentrated. The residue is subjected to chromatography on silica gel eluting with 40% ethyl acetate:heptane to afford 1 -(6-chloro-2-methoxy-pyrimidin-4-yl)-piperidine-4-carboxylic acid methyl ester [103 mg, 75%] as a solid.
Step 3: In a tube is combined l-(6-chloro-2-methoxy-pyrimidin-4-yl)-piperidine-4-carboxylic acid methyl ester [103 mg, 0.36 mmol], 2-(2,4-dichloro-phenyl)-ethylamine (0.163 mL, 1.08 mmol), sodium bicarbonate (181 mg, 2.16 mmol) and N-methylpyrrolidinone (2 mL). The mixture is heated at 14O0C for 12 h. Additional 2-(2!4-dichloro-phenyl)-ethylamine (0.2 mL, 1.33 mmol) is added and heating at 14O0C is continuted for another 12 h. The mixture is diluted with water (30 mL) and extracted twice with EtOAc (30 mL). The organic extracts are washed twice with water (40 mL) and once with brine (30 mL), combined, dried over magnesium sulfate, filtered and concentrated. The residue is subjected to chromatography on silica gel eluting with 40% ethyl acetateiheptane to afford I^ {6-[2-(2Λ-dicMoro-phenyl)-ethylammo]-2-methoxy-pyrimidin-4-yll-piperidine-4-carboxylic acid methyl ester [70 mg, 44%] as a solid.
Step 4: A solution of l-{6-[2-(2,4-dichloro-phenyl)-ethylamino]-2-methoxy-pyrimidin-4-yl}- piperidine-4-carboxylic acid methyl ester [70 mg, 0.16 mmol] and a 2 M solution of lithium hydroxide (1 mL, 2 mmol) in MeOH (1 mL) and THF (1 mL) is stirred at ambient temperature for 15 hours. The
mixture is concentrated, and the residue is taken up with water, acidified to pH 2 with the addition of 10% HCl and extracted twice with EtOAc (20 mL). The organic extracts from the acidic layer are combined and dried over magnesium sulfate, filtered and concentrated to afford l-{6-[2-(2,4-dichloro- phenylVethylamino]-2-methoxy-pyrimidin-4-yl|-piperidine-4-carboxylic acid [26 mg, 38%, Example 97] as a solid. LCMS Rτ = 2.02 minutes, MS: 425 (M+H). IC50 = 7 nM
Example 98
2-r2-CMoro-5-l6-r2-r2Λ-dicMoro-phenyl)-ethylammo]-2-methoxy-pyrirnidin-4-yl}-phenvπ-propan-2- ol
Step 1. To a suspension of 5-bromo-2-chlorobenzoic acid (5 g) in MeOH (200 mL) is added concentrated sulfuric acid (2 mL) and the mixture is heated at 64° C for 16 h. The solution is evaporated in vacuo. The residue is taken up in EtOAc and washed with 10% sodium bicarbonate, brine and dried over sodium sulfate. The solution is filtered and evaporated in vacuo to afford 5; bromo-2-chloro-benzoic acid methyl ester (5.1 g). 1H NMR (300 MHz, CDCl3) δ 7.3-7.5 (m, 2H); 6.9 (m, IH); 3.9 (s, 3H).
Step 2. To a solution of 5-bromo-2-chloro-benzoic acid methyl ester (5 g) in diethyl ether (200 mL) cooled to -7O0C is added 3 M methylmagnesium bromide in THF (20 mL) dropwisely. The solution is stirred at -780C for 2 h and allowed to warm to room temperature for 16 hours. The solution is cooled to O0C and 1 N HCl (100 mL) is added dropwisely. The mixture is extracted with EtOAc (2 x 150 mL). The combined orgam'clayer is washed with brine, dried over sodium sulfate, filtered and evaporated in vacuo. The residue is chromatographed on silica gel eluting with 20% EtOAc in heptane to afford 2-(5- bromo-2-chloro-phenvn-propan-2-ol (4.56 g). MS: 250 (M+H); 1H NMR (300 MHz, CDCl3) δ 7.8 (m, IH); 7.5 (m, IH); 7.2 (m, IH); 4.4 (s, IH); 1.6 (s, 6H).
Step 3. A solution of 2-(5-bromo-2-chloro-phenyl)-propan-2-ol (1.72 g), bis-(pinacolato)-diboron (1.94 g), Pd dppf (10 g) and KOAc (1.33 g) in a solution of DMSO (30 mL) is heated at 9O0C for 16 hours. The solution is cooled to 50C and a solution of KOH (16.6 g) in water (150 mL) is added. The solution
is stirred at room temperature for 30 minutes and filtered. The solution is diluted with water (200 mL) and extracted with EtOAc (2 x 200 mL). The organic layer is washed with brine, dried over sodium sulfate, filtered and evaporated in vacuo to afford 2-[2-chloro-5-('4,4.5,5-tetramethyl- ri.3.21dioxaborolan-2-yl)-phenyll-proϋan-2-ol. 1H NMR (300 MHz, DMSO) δ 7.8 (m, IH); 7.5 (m, IH); 7.2 (m, IH); 4.4 (s, IH); 1.6 (s, 6H); 1.4 (s, 12H).
Step 4. A solution of (6-cMoro-2-methoxy-pyrmτidm-4-yl)-[2-(2,4-dicUorophenyl)ethyl]amine (0.58 g), 2-[2-chloro-5-(4,4,5,5-tetramethyl-[l,3,2]dioxaborolan-2-yl)-phenyl]-propan-2-ol (0.63 g), Cs2CO3 (1.36 g) and tetrakis(triphenylphosphine) palladium (0) (50 mg) in water (8 mL) / DME (32 mL) is heated at 9O0C for 16 h. The solution is poured into water and extracted with EtOAc (2 x 200 mL). The organic layer is dried over sodium sulfate, filtered, evaporated in vacuo. The residue is chromatographed on silica gel eluting with EtOAc to afford 2-(2-chloro-5-(6-|"2-(2,4-dichloro-phenyl)- ethylamino]-2-methoxy-pyrimidin-4-yl)-phenyl)-propan-2-ol (162 mg, Example 98). MS: 466 (M+H); 1H NMR (300 MHz, DMSO) δ 8.2 (m, IH); 7.8, (d, IH, J= 0.3 Hz); 7.5-7.7 (m, 2H); 7.4 (d, 2H, J=0.4 Hz); 7.3 (m, IH); 7.3 (s, IH); 6.6 (s, IH) 4.2 (s, 3H); 4 (s,3H); 3.8 (m, 2H); 3.05 (t, 2H); 1.55 (s, 6H). IC50 = I lO nM
Example 99
2-r3-{6-[2-('2.4-Dichloro-phenyl')-ethylamino]-2-methoxy-pyrimidin-4-yl|-4-fluoro-phenyl)-2-methyl- propionic acid hydrochloride
A solution of (6-cUoro-2-methoxy-pyrimidin-4-yl)-[2-(2,4-dichlorophenyl)-ethyl]amine (0.24 g), 2-[4- fluoro-3-(4,4,5,5-tetramethyl-[l,3,2]dioxaborolan-2-yl)-phenyl]-2-methyl-propionic acid (0.4 g), Cs2CO3 (1.01 g) and tetrakis(triphenylphosphine) palladium (0) (100 mg) in water (20 mL) / DME (80 mL) is heated at 9O0C for 16 h. The solution is poured into water and extracted with EtOAc (2 x 200 mL). The organic layer is dried over sodium sulfate, filtered, evaporated in vacuo. The residue is chromatographed on silica gel eluting with EtOAc to afford 2-f3-{6-[2-("2.4-dichloro-phenyl)- ethylarnino]-2-methoxy-pyrimidin-4-yl|-4-fluoro-phenyl)-2-methyl-propioriic acid (100 mg), which is dissolved in THF (4 mL) and treated with 4 N HCl in 1,4-dioxane (1 mL). The mixture is concentrated in vacuo and the residue is suspended in ether (25 mL). The solid is formed and filtered under nitrogen
to afford 2-G-(6-[2-f2Λ-DicMoro-phenyl)-ethylaininol-2-methoxy-pyrimidin-4-yl|-4-fiuoro-phenyl')- 2-methyl-propionic acid hydrochloride (67 mg, Example 99). MS: 478 (M+H); 1H NMR (300 MHz, NMR, CD3OD) δ 7.8, (d, IH, J= 0.3 Hz); 7.4 (m, 2H); 7.35 (s, IH); 7-7.15 (m, 4H); 6.6 (s, IH); 4.2 (s, 3H); 3.6 (m, 2H); 3.05 (t, 2H); 1.65 (s, 6H). IC50 = 0.5 nM
Example 100: l-(6-r2-(2Λ-DicMoro-phenyl)-ethylariiLno1-2-methyl-pyrirnidin-4-yl|-pyrrolidine-3-carboxylic acid
Step 1 : A solution of 4,6-dichloro-2-methoxypyrimidine (0.7 g), 2-(2,4-dichloro-phenyl)-ethylamine (0.74 g) and Na2CO3 (0.88 g) in EtOH (25 mL) is heated at 8O0C for 3 hours and poured into water (400 mL). The resulting solid is filtered and air dried to afford (6-chloro-2-methoxy-pyrimidin-4-yl)- [2-(2,4-dichloro-phenyl)-ethyl]-amine.
Step 2: In a tube is combined (6-chloro-2-methoxy-pyrirnidin-4-yl)-[2-(2,4-dichloro-phenyl)-ethyl]- amine (300 mg), 3-pyrrolidine carboxylic acid hydrochloride (341 mg), K2CO3 (373 mg) and 1- methyl-2-pyrrolidinone (5 mL). The tube is sealed and heated to 14O0C and stirred for 16 hours. The mixture is allowed to cool to ambient temperature, diluted with water (60 mL) and acidified using 3M HCl, extracted thrice with ethyl acetate (60 mL). The organic extracts are combined and dried over magnesium sulfate, concentrated, and purified via silica gel chromatography (40 g) eluting with 0 to 20% MeOH in dichloromethane to give l-(6-[2-(2,4-dichloro-phenyl)-ethylamino1-2-methyl- pyrimidin-4-yl} -pyrrolidϊne-3-carboxylic acid (190 mg) as a solid. LCMS Rτ = 2.22 minutes, MS: 411 (M+H). 1H NMR [300 MHz, (CD3)2SO]: δ 7.57 (IH, s); 7.36 (2H, s); 6.77 (IH, s); 5.01 (IH, s); 3.72 (3H, s); 3.5 (6H, m); 3.12 (IH, m); 2.91 (2H, t); 2.09 (2H, m). IC50 = 9 nM.
Example 101 :
2-( 1 - {2-Methoxy-6-[2-(4-trifluoromethoxy-phenyD-ethylainino] -pyrimidin-4-yl } -piperidin-3 -yl)-2- methyl-propionic acid
A solution of 2-methyl-2-piperidin-3-yl-propionic acid (0.6 g), (6-chloro-2-methoxy-pyrimidin-4-yl)- [2-(4-trifluoromethoxy-phenyl)-ethyl]-amine (0.46 g) and K2CO3 (0.46 g) in 1 -methylpyrrolidin-2-one (10 mL) is heated at 14O0C for 16 hours. The solution is cooled and poured into water (200 mL). The aqueous solution is acidified to pH ~ 6 with glacial acetic acid and extracted with EtOAc (3 X 100 mL). The combined organic layer is washed with brine, dried (Na2SO4), filtered and evaporated in vacuo. The residue is purified by chromatography on silica gel eluting with 5% MeOH in EtOAc to afford 2-(l-{2-methoxy-6-[2-(4-trifluoromethoxy-phenyl)-ethylaminol-pyrimidin-4-yl)-piperidin-3- yl)-2-methyl-propionic acid (105 mg). MS: 483 (M+H); 1H NMR (300 MHz, DMSO-d6) δ 7.45 (d, J=3, 2H); 7.3 (d, J=3, 2H); 5.5 (s, IH); 3.95 (s, 3H); 3.6 (m, 2H); 2.9 (t, 2H); 2.7 (m, IH); 1.7-1.9 (m, 4H); 1.3-1.4 (m, 3H); 1.1 (d, J=3, 6H). IC50 = 2 nM.
Example 102: 2-[3- (6-[2-(2Λ-DicMoro-phenyl)-ethylamino]-2-methoxy-pyrimidin-4-yl| -5 -(I -hydroxy- 1 -methyl- ethyl)-phenyl"l-propan-2-ol
Step 1 : A solution of dimethyl-5-bromo isophthalate (5 g) in THF (250 mL) is cooled to -780C, and a 3 M solution of methyl magnesium bromide in ether (36.6 mL) is added dropwise while maintaining the temperature below -7O0C. The solution is stirred at -780C for 2 hours and allowed to warm to room temperature overnight. The solution is diluted with ether (300 mL) and cooled to O0C. 1 N aqueous HCl (100 mL) is added dropwise. The combined organic layer is washed with brine, dried (Na2SO4), filtered and evaporated in vacuo. The residue is purified by chromatography on silica gel eluting with
60% EtOAc in heptane to afford 2-f 3-bromo-5-f 1 -hvdroxy-1 -methyl-ethviyphenyl"[-propan-2-ol (4.1 g). MS: 272 (M+H); 1H NMR (300 MHz, DMSOd6) δ 7.5 (s, IH); 7.4 (s, 2H); 5.15 (s, 2H); 1.4 (s, 12H).
Step 2: 2-[3-Bromo-5-(l-hydroxy-l-methyl-ethyl)-phenyl]-propan-2-ol (1.08 g), 4,4,5,5,4',4',5',5'- octamethyl-[2,2']bi[[l,3,2]-dioxaborolanyl] (1.12 g), potassium acetate (0.78 g) and PdCl2(dppf)2 (42 mg) are suspended in DMSO (20 mL) and degassed for 20 minutes. The suspension is heated at 9O0C for 16 hours. The solution is poured into water (300 mL) and extracted with EtOAc (2 X 150 mL). The combined organic layer is washed with brine, dried (Na2SO4), filtered and evaporated in vacuo, The residue is purified by chromatography on silica gel eluting with 50% EtOAc in heptane to afford 2-r3-(l-hydroxy-l-methyl-ethyl)-5-(4,4,5,5-tetramethyl-|"1.3.21dioxaborolan-2-yl)-phenyl]-propan-2-ol (0.9 g). MS: 285 (M+H); 1H NMR (300 MHz, DMSO-d6) δ 7.5 (s, IH); 7.2 (s, 2H); 5.15 (s, 2H); 1.6 (s, 12H); 1.4 (s, 12H).
Step 3: A solution of 2-[3-(l-hydroxy-l-methyl-ethyl)-5-(4,4!5,5-tetramethyl-[l,3,2]dioxaborolan-2- yl)-phenyl]-propan-2-ol (0.35 g), (6-chloro-2-methoxy-pyrimidin-4-yl)-[2-(2,4-dichloro-phenyl)- ethyl]-amine (0.2 g), cesium carbonate (0.58 g) and tetrakis(triphenylphosphine) palladium (0) (41 mg) in 20 mL water/80 mL dimethoxyethane is degassed for 20 minutes and heated at 9O0C for 16 hours. The solution is evaporated in vacuo. The residue is purified by chromatography eluting with 70 % EtOAc in heptane to afford to 2-[3-(6-[2-(2,4-dichloro-phenyl)-ethylamino1-2-methoxy-pyrimidin-4- vU-5-(l-hvdroxy-l-methyl-ethvn-phenyll-propan-2-ol (0.44 g). MS: 491 (M+H); 1H NMR (300 MHz, DMSO-d6) δ 7.9 (s, 2H), 7.8 (s, IH); 7.45 (s, IH); 7.2-7.3 (m, 2H); 6.5 (s, IH); 3.95 (s, 3H); 3.85 (m, 2H); 3.1 (t, 2H); 1.6 (s, 12H). IC50 = 73O nM.
Example 103:
[6-(3-Arnino-piperidin-l-yl)-2-methoxy-pyrimidin-4-yl1-[2-(2,4-dichloro-phenyl)-ethyl1-amine
Step 1 : By proceeding in a similar manner to Example 100, step 2, but substituting 3-N-Boc- aminopiperidine (450 mg) for 3-pyrrolidine carboxylic acid hydrochloride, and subjecting the reaction
product to flash column chromatography on silica gel (40 g) eluting with 20 to 50% EtOAc in heptane there is prepared (l-{6-r2-(2,4-dichloro-phenyl)-eiJiylarninoV2-methoxy-pyrimid-n-4-yl}-piperidin-3- vn-carbamic acid tert-butyl ester (281 mg). 1H NMR [300 MHz, (CD3J2SO]: δ 7.57 (IH, s); 7.36 (2H, s); 6.9 (2H, m); 5.29 (IH, s); 4 (2H, m); 3.71 (3H, s); 3.41 (5H, m); 2.91 (2H, t); 2.65 (2H, m); 1.82 (IH, s); 1.63 (IH, s); 1.39 (9H, s).
Step 2: A solution of (l-{6-[2-(2,4-Dichloro-phenyl)-ethylamino]-2-methoxy-pyrimidin-4-yl}- piperidin-3-yl)-carbamic acid tert-butyl ester (234 mg) in dichloromethane (4 mL) is treated with trifluoroacetic acid (4mL). The mixture is stirred at ambient temperature for 3 hours and concentrated in vacuo. The residue is dissolved in saturated sodium bicarbonate solution (25 mL) and extracted twice with ethyl acetate (25 mL). The organic extracts are combined, washed with brine (20 mL), and dried over magnesium sulfate, concentrated, and purified via silica gel chromatography (12 g) eluting with 0 to 10% MeOH in dichloromethane to give [6-(3-amino-piperidm-l-yl)-2-methoxy-pyrimidin-4- yll-[2-(2,4-dichloro-phenyl)-ethyll-amine (157 mg) as a solid. LCMS R7 = 1.77 minutes, MS: 396 (M+H). 1H NMR [300 MHz, (CD3)2SO]: δ 7.59 (IH, s); 7.36 (2H, s); 6.86 (2H, m); 5.93 (IH, b); 5.29 (IH, s); 4.16 (2H, d); 3.82 (2H, d); 3.73 (3H, s); 3.41 (4H, m); 2.91 (4H, m); 1.91 (IH, m); 1.69 (IH, m); 1.41 (2H, m); 1.23 (IH, s). IC50 = 985 nM.
Example 104:
(a) r6-(4-Ajmino-piperidin-l-yl)-2-methoxy-pyrimidin-4-yl1-[2-(2,4-dichloro-phenyl)-ethyll- amme
Step 1 : By proceeding in a similar manner to Example 100, step 2, but substituting 4-N-Boc- aminopiperidine (450 mg) for 3 -pyrrolidine carboxylic acid hydrochloride, and subjecting the reaction product to flash column chromatography on silica gel (40 g) eluting with 0 to 40% EtOAc in heptane there is prepared (l-(6-[2-(2Λ-dicMoro-phenyl)-ethylarmno1-2-methoxy-pyrirnidin-4-yl}-piperidin-4- yl)-carbamic acid tert-butyl ester (320 mg).
Step 2: A solution of ((l-{6-[2-(2,4-dichloro-phenyl)-ethylamino]-2-methoxy-pyrimidin-4-yl}- piperidin-4-yl)-carbamic acid tert-butyl ester (300 mg) in DCM (5 mL) is treated with triethylsilane (194 μL) followed by the addition of trifluoroacetic acid (106 μL). The mixture is stirred at ambient temperature for 20 hours and concentrated in vacuo. The residue is dissolved in saturated sodium bicarbonate solution (30 mL) and extracted twice with ethyl acetate (30 mL). The organic extracts are combined, washed with brine (20 mL), and dried over magnesium sulfate, and concentrated to give [6- (S-armno-piperidm-l-yπ-Σ-methoxyφyrύnidin^-yll-fΣ-^Λ-dichloro-phenyπ-ethylJ-amine (230 mg) as a solid.
(b) N-(l-{6-[2-(214-DicMoro-phenyl)-ethylamino1-2-methoxy-pyrimidin-4-yl|-piperidin-4-yl)- acetamide
To a mixture of [6-(3-amino-piperidin-l-yl)-2-methoxy-pyrimidin-4-yl]-[2-(2,4-dichloro-phenyl)- ethylj-amine (190 mg), triethylamine (134 μL, 0.96 mmol), and N,N-dimethylaminopyridine (6 mg) in tetrahydrofuran (6 mL) is added acetyl chloride (41 μL, 0.58 mmol). The reaction mixture is stirred for 17 hours, quenched with the addition of water (20 mL) and extracted twice with ethyl acetate (25 mL). The organic extracts are combined, dried over magnesium sulfate, concentrated, and purified via silica gel chromatography (12 g) eluting with 0 to 12% MeOH in CH2Cl2 to give N-(l-{6-r2-(2,4- dicMoro-phenyl)-ethylamino]-2-methoxy-pyrimidin-4-yl}-piperidin-4-yl)-acetamide (48 mg) as a solid. LCMS Rτ = 1.9 minutes, MS: 438 (M+H). 1H NMR [300 MHz, (CD3)2SO]: δ 7.81 (IH, d); 7.59 (IH, s); 7.36 (2H, s); 6.79 (2H, m); 5.31 (IH, s); 4.07 (2H1 m); 3.78 (IH, d); 3.71 (3H, s); 3.41 (2H, m); 2.91 (4H, m); 1.78 (3H, s); 1.73 (IH, m); 1.25 (4H m). IC50 = 26 nM.
Example 105:
5-{6-[2-(2Λ-Dicmoro-phenyl)-ethylamino]-2-methoxy-pyrimidin-4-yl}-l-methyl-2,3-dihvdro-lH- indole-2-carboxylic acid
Step 1. To a mixture of ethyl-5-bromoindole-2-carboxylate (2.5 g) in DMF (20 niL) is added a solution of 60% NaH (485 mg) in DMF (10 mL). The resulting mixture is stirred for 15 minutes and iodomethane (0.638 mL) is added by syringe. The reaction mixture is allowed to stir at ambient temperature for 20 hours. Water is added (200 mL) and the mixture is extracted twice with ethyl acetate (100 mL). The organic extracts are combined, washed with water (3 x 50 mL) and once with brine (50 mL), and dried over magnesium sulfate, and concentrated to give 5-bromo-l -methyl- IH- indole-2-carboxylic acid ethyl ester (1.28 g) as a solid. 1H NMR [300 MHz, CDCl3]: δ 7.79 (IH, d); 7.41 (IH, dd); 7.27 (IH, t); 7.2 (IH, s); 4.39 (2H, q); 4.05 (3H, s); 1.41 (3H, t).
Step 2. To a solution of 5-bromo-l-methyl-lH-indole-2-carboxylic acid ethyl ester (1.28 g) in trifluoroacetic acid (10 mL), is added sodiumcyanoborohydride (680 mg) at O0C. The reaction mixture is allowed to warm up to ambient temperature, stirred for 20 hours and quenched with water (100 mL). The mixture is made basic with NaOH, and extracted with Et2O (3 x 50 mL). The organic extracts are combined, washed with brine (30 mL), dried over magnesium sulfate, concentrated, and purified via silica gel chromatography (34 g) eluting with 0 to 25% ethyl acetate in heptane to give 5-bromo-l - methyl-2,3-dihvdro-lH-indole-2-carboxylic acid ethyl ester (800 mg) as a solid. 1H NMR [300 MHz, CDCl3]: δ 7.19 (IH, d); 7.21 (IH5 s); 6.34 (IH, d); 4.25 (2H, qd); 4.06 (IH, t); 3.21 (2H, m); 2.82 (3H, s); 1.30 (3H, t).
Step 3. A mixture of 5-bromo-l -methyl^^-dihydro-lH-indole^-carboxylic acid ethyl ester (800 mg), bis(pinacolato)diboron (1.5 g), potassium acetate (1.47 g), and PdCl2(dppf)2 (139 mg) in dimethylsulfoxide (10 mL) is degassed with bubbling nitrogen for 5 minutes. The mixture is heated to 90°C for 4 hours. The reaction mixture is cooled, diluted with water (75 mL) and ethyl acetate (100 mL), and stirred in decolorizing carbon. The biphasic mixture is filtered through celite and the filtrate is extracted twice with EtOAc (50 mL). The organic extracts are combined, washed thrice with water (50 mL), once with brine (30 mL), dried over magnesium sulfate, concentrated, and purified via silica gel chromatography (34 g) eluting with 0 to 20% ethyl acetate in heptane to give l-methyl-5-(4A5,5- tetramethyl-rU^ldioxaborolan-Σ-vD^^-dihvdro-lH-indole^-carboxylic acid ethyl ester (903 mg) as
a solid. 1H NMR [300 MHz, (CD3J2SO]: δ 7.39 (IH, d); 7.28 (IH, s); 6.46 (IH, d); 4.18 (3H, m); 3.3 (IH, d); 2.97 (IH, m); 2.79 (3H1 s); 1.24 (12H, s); 1.22 (3H, t).
Step 4. A mixture of (6-chloro-2-methoxy-pyrimidin-4-yl)-[2-(2,4-dichloro-phenyl)-ethyl]-amine (200 mg), l-methyl-5-(4,4,5,5-tetramethyl-[l,3,2]dioxaborolan-2-yl)-2,3-dihydro-lH-indole-2-carboxylic acid ethyl ester (300 mg), CS2CO3 (390 mg) and tetrakis(triphenylphosphine) palladium (35 mg) in water (0.4 mL) and ethylene glycol dimethyl ether (1.6 mL) is degassed with bubbling nitrogen for 5 minutes and heated at 90°C for 19 hours. The reaction mixture is cooled, diluted with water (50 mL) and extracted twice with ethyl acetate (50 mL). The organic extracts are combined, dried over magnesium sulfate, concentrated, and purified via silica gel chromatography (40 g) eluting with 0 to 40% ethyl acetate in heptane to give 5-|6-|"2-(2,4-dichloro-phenyl)-ethylaminol-2-methoxy-pyrimidin- 4-yl|-l-methyl-2,3-dihydro-lH-indole-2-carboxylic acid ethyl ester (110 mg) as a solid. LCMS Rτ = 5.57 minutes, MS: 501 (M+H). 1H NMR [300 MHz, (CD3)2SO]: δ 7.72 (2H, m); 7.59 (IH, s); 7.37 (3H, s); 6.54 (IH, d); 6.42(1H, s); 4.30 (IH5 m); 4.17 (2H, qd); 3.84 (3H, s); 3.54 (2H, b); 3.41 (IH, m); 3.06 (IH, m); 2.97 (2H, t); 2.83 (3H, s); 1.23 (3H, t).
Step 5: Lithium hydroxide monohydrate (1.28 mmol) is added to a stirred solution of 5-{6-[2-(2,4- dichloro-phenyl)-ethylamino]-2-methoxy-pyrimidin-4-yl} -1 -methyl-2,3-dihydro-l H-indole-2- carboxylic acid ethyl ester (0.43 mmol) in MeOH/H2O (10 mL, 9: 1). The reaction mixture is stirred overnight at room temperature. The reaction is diluted with water and volatiles are removed in vacuo. The aqueous residue is extracted once with Et2O, acidified (IN, HCl) to pH 4, and extracted twice with ethyl acetate. The combined organic layer is dried (MgSO4) and concentrated in vacuo to afford 5-{6- [2-(2,4-dicUoro-phenyl)-ethylammo]-2-methoxy-pyrirnidin-4-yl}-l-methyl-2,3-dihydro-lH-indole-2- carboxylic acid.
Example 106:
(a) 2 -Methyl -propane-2-sulfonic acid [2-(3-{6-[2-(2,4-dichloro-phenyl)-ethylamino]-2-methoxy- pyrimidin-4-yl}-phenyl)-2-methyl-propionyl]-amide
Step 1. To a solution of LDA in THF/n-heptane/ethylbenzene (1.8 M, 17 mL) at O0C is added a solution of 2-(3-bromo-phenyl)-propionic acid (3 g) in THF (5 mL) dropwise during 15 minutes. The mixture is stirred for 1 hour followed by addition of methyl iodide (4.93 g) in THF (5 mL) dropwise during 10 min. The reaction mixture is stirred for 15 hours, quenched with 2N hydrochloric acid, concentrated in vacuo, and diluted with ether (150 mL). The ether layer is washed with 2N hydrochloric acid, and extracted three times with 2N sodium hydroxide (50 mL). The combined sodium hydroxide layers are acidified with 6 N hydrochloric acid to pH ~ 1 and extracted three times with ether (75 mL). The combined organic layers are washed with brine, dried over sodium sulfate and concentrated to obtain 2-("3-bromo-phenyl)-2-methyl-propionic acid as a solid (3.08 g), which is used without further purification. LC/MS: 243 (M+H)
Step 2. A solution of 2-(3-bromo-phenyl)-2-methyl-propionic acid (2.18 mmol) in anhydrous ether (20 mL) is added tert-butyl lithium (1.7 M in pentane, 5.4 mL, 9.16 mmol) dropwise at -780C and this mixture is stirred for 30 minutes treated with tributyl borate (2.34 mL, 8.72 mmol). The reaction mixture is allowed to warm up to room temperature, stirred for 15 hours, diluted with ether, and quenched with 1 M H3PO4. After stirring for 30 minutes the ether layer is separated and extracted with 2 N aqueous sodium hydroxide (3 x 20 mL). The combined sodium hydroxide extracts are acidified with 6 N hydrochloric acid to pH - 1 and extracted three times with ether (50 mL). The combined organic extracts are washed with brine, dried over sodium sulfate and concentrated to obtain 3-(l- carboxy-l-methyl-ethvD-phenyl boronic acid, which is used without further purification.
Step 3. A solution of (6-chloro-2-methoxy-pyrirnidin-4-yl)-[2-(2,4-dichloro-phenyl)-ethyl] -amine (0.51 mmol) and 3-d-carboxy-l-methyl-ethyl)-phenyl boronic acid (0.61 mmol) in MeCN (2.5 mL) and aqueous NaaCOs solution (0.4 M, 2.5 mL) is degassed with nitrogen for 5 minutes before addition of tetrakis(triphenylphosphine) palladium (0) (29.5 mg). The reaction vessel is sealed and heated under microwave to 130 0C for 30 minutes. To the reaction mixture is added 2 mL of water, the pH is adjusted to ~ 7 using 2 N aqueous hydrochloric acid and this mixture is extracted three times with EtOAc (30 mL). The combined extracts are washed with brine, dried over sodium sulfate and concentrated. The resulting oil is subjected to silica gel chromatography eluting with 0 to 7% MeOH in DCM to give 2-r3-{6-|"2-(2,4-dichloro-phenyl)-ethylamino1-2-methoxy-pyrimidin-4-yl|-phenyl)-2- methyl-propionic acid (205 mg) as a solid. LC/MS: R7 = 2.39 minutes, MS: 460.2 (M+H). 1H NMR [300 MHz, (CD3J2SO]: δ 12.38 (IH, s), 7.36 - 8 (7H, m), 6.58 (IH, s), 3.84 (3H, s), 3.58 (2H, m), 2.98 (2H, m), 1.54 (6H, s).
Step 4: N-(3-dimethylaminopropyl)-N-ethylcarbodiimide hydrochloride (0.23 mmol) is added to a stirred ice cold solution of 2-(3-{6-[2-(2,4-dichloro-phenyl)-ethylamino]-2-methoxy-pyrimidin-4-yl}-
phenyl)-2-methyl-propionic acid (0.22 mmol), ført-butylsulfonamide (0.23 mmol) and A- dimethylaminopyridine (0.22 mmol) in dry DCM under nitrogen atmosphere. The ice bath is removed and the reaction mixture is stirred overnight at 6O0C. The volatiles are removed under reduced pressure, the residue is dissolved in ethyl acetate, washed with 0.1 N HCl, brine and water, dried over sodium sulfate, filtered and concentrated under reduced pressure. The crude residue is purified by chromatography (SiO2 packed column), eluting with EtOAc / DCM to afford 2-methyl-propane-2- sulfonic acid [2-(3-|6-[2-(2,4-dicMoro^henyl)-ethylarrimo]-2-methoxy-pyrirnidin-4-yl}-phenyl)-2- methyl-propionyl]-amide (25 mg). LCMS: Rτ = 2.67 minutes, MS: 579, 581 (M+H). IC50 = 2 nM.
(b) N.N-dimethylamide-2-sulfonic acid r2-(3-{6-r2-(2.4-dichloro-phenylVethylamino1-2- methoxy-pyrimidin-4-vU-phenyl')-2-methyl-propionvl1-amide
By proceeding in a similar manner as Example 106(a), step 4, but substituting N,N-dimethylsulfamide for teλt-butylsulfonamide, there is prepared N,N-dimethylamide-2-sulfonic acid |"2-(3-{6-["2-(2,4- dichloro-phenyl)-ethylamino]-2-methoxy-pyrimidin-4-yl| -phenyl)-2-methyl-propionyl]-amide (185 mg). LCMS: Rτ = 2.26 minutes, MS: 566, 568 (M+H).
(c) 2-(3-{6-[2-(2,4-DicMoro-phenyl)-ethylarmno]-2-methoxy-pyrimidin-4-yl}-phenyl)-2-rnethyl- 1 -thiomorpholin-4-yl-propan- 1 -one
By proceeding in a similar manner as Example 106(a), step 4, but substituting thiomorpholine for tert- butylsulfonamide, there is prepared 2-(3-{6-[2-(2,4-dichloro-phenyl)-ethylamino]-2-methoxy-
pyrimidin-4-yl|-phenyπ-2-methyl-l-thiomorpholin-4-yl-propan-l-one (120 mg). LCMS: Rτ = 2.68 minutes, MS: 545, 547 (M+H). IC50 = 383 nM
(d) 2-f3-{6-[2-f2,4-DicMoro-phenyl')-ethylamino1-2-methoxy-pyrimidin-4-yl}-phenyl)- isobutyramide
By proceeding in a similar manner as Example 106(a), step 4, but substituting ammonium bicarbonate for tert-butylsulfonamide, there is prepared 2-f3-{6-r2-f2.4-dichloro-phenyl)-ethylamino1-2-methoxy- pyrimidin-4-yl I -phenylHsobutyramide (120 mg). LCMS: Rτ = 2.01 minutes, MS: 459, 461 (M+H).
(e) 2-(3-(6-[2-f2Λ-DicMoro-phenyl)-ethylarrimo]-2-methoxy-pyrmiidin-4-yl|-phenyl)-N,N- dimethyl-isobutyramide
By proceeding in a similar manner as on Example 106(a), step 4, but substituting dimethylamine for tert-butylsulfonamide, there is prepared 2-(3-{6-[2-(2,4-dichloro-phenyl)-ethvIamino1-2-methoxy- pyrimidin-4-yl|-phenvπ-N,N-dimethyl-isobutyramide (186 mg). LCMS: Rτ = 2.44 minutes, MS: 487, 489 (M+H).
Example 107: (l-(6-r2-(2Λ-DicMoro-phenyl)-ethylaminol-2-methoxy-pyrirnidin-4-yl}-piperidin-3-yl)-acetic acid
Step 1 : A solution of (6-cUoro-2-methoxy-pyriniidin-4-yl)-[2-(2J4-dicUoro-phenyl)-ethyl]-amine (3 mmol), piperidine acetic acid ethyl ester (7.5 mmol) and K2CO3 (9 mmol) in 1 -methyl-2-pyrrolidinone (10 mL) is stirred overnight at 1450C. The reaction is cooled to room temperature, diluted with water (60 mL) and extracted twice with DCM. The aqueous layer is acidified slowly with IN hydrochloric acid to pH 4 while stirring vigorously, and the stirring is continued for 1.5 hours. The formed precipitate is suction filtered and air dried to afford (l-{6-[2-(2Λ-dicMoro-phenyl)-ethylamino"|-2- methoxy-pyrimidin-4-yl)-piperidin-3-vπ-acetic acid ethyl ester (1.42 g). LCMS: RT = 2.35 minutes, MS: 467, 469 (M+H).
Step 2: Lithium hydroxide monohydrate (54 mg) is added to a stirred solution of (l-{6-[2-(2,4- dicUoro-phenyl)-ethylamino]-2-methoxy-pyrimidin-4-yl}-piperidin-3-yl)-acetic acid ethyl ester (0.2 g) in MeOHTH2O (10 mL, 9: 1). The reaction mixture is stirred overnight at room temperature. The reaction is diluted with water and volatiles are removed in vacuo. The aqueous residue is extracted once with Et2O, acidified (IN, HCl) to pH 4, and extracted twice with ethyl acetate. The combined organic layer is dried (MgSO-O and concentrated in vacuo to afford (l-{6-r2-(2,4-dichloro-phenyl)- ethylamino1-2-methoxy-pyrimidin-4-yli -piperidin-3-yl)-acetic acid (180 mg). LCMS: Rτ = 2.08 minutes, MS: 439, 441 (M+H). IC50 = 0.5 nM.
Example 108:
1 - (2-Methoχy-6-r2-(4-trifluoromethoxy-phenyl)-ethylamino]-pyrimidin-4-yU -piperidine-3-carboxylic acid
A solution of (6-cUoro-2-methoxy-pyrimidin-4-yl)-[2-(4-trifluoromethoxy-phenyl)-ethyl]-arnine (1 g), nipecotic acid (0.93 g) and K2CO3 (1.19 g) in 1 -methyl-2-pyrrolidinone (10 mL) is stirred overnight at 1450C. The reaction is cooled to room temperature, diluted with water (60 mL) and extracted twice with dichloromethane. The aqueous layer is acidified slowly with IN hydrochloric acid to pH 4 while stirring vigorously, and the stirring is continued for 1.5 hours. The formed precipitate is suction filtered and air dried to afford 1 - (2-methoxy-6-[2-(4-trifluoromethoxy-phenyl)-ethylamino]-pyrimidin-4-yl| - piperidine-3-carboxylic acid as a powder (0.99 g). LCMS: Rτ = 2.07 minutes, MS: 441 (M+H). IC50 = 9 nM
Example 109:
N-(l-{2-Methoxy-6-[2-(4-trifluoromethoxy-phenyl)-ethylamino]-pyrimidin-4-yl}-piperidine-3- carbonylVmethanesulfonamide
N-(3-dimethylaminopropyl)-N-ethylcarbodiimide hydrochloride (68 mg) is added to a stirred ice cold solution of l-{2-methoxy-6-[2-(4-trifluoromethoxy-phenyl)-ethylamino]-pyrimidin-4-yl}-piperidine-3- carboxylic acid (150 mg), methanesulfonamide (48.6 mg) and 4-dimethylaminopyridine (50 mg) in dry DCM under N2. The ice bath is removed and the reaction mixture is stirred overnight, while warming to room temperature. The mixture is concentrated in vacuo. The residue is dissolved in ethyl acetate, washed with 0.1N HCl, brine and water, dried (Na2SO4), filtered and concentrated. The residue is purified by chromatography (SiO2 packed column), eluted with EtOAc / DCM to afford N-(I -(2- Methoxy-6-r2-(4-trifluoromethoxy-phenyl)-ethylaminol-pyrimidin-4-yl}-piperidine-3-carbonyl)- methanesulfonamide (65 mg). LCMS: R7 = 2.09 minutes, MS: 518 (M+H). IC50 = 22 nM.
Example 110:
(a) N-(l-{6-[2-(2,4-Dicmoro-phenvπ-ethylamino]-2-methoxy-pyrimidin-4-yl}-piperidine-3- carbonyD-methanesulfonamide
Step 1 : In a tube is combined (6-cliloro-2-methoxy-pyrimidin-4-yl)-[2-(2,4-dichloro-phenyl)-ethyl]- amine (200 mg), nipecotic acid (194 mg), K2CO3 (249 mg) and 1 -methyl-2-pyrrolidinone (2.5 mL). The tube is sealed and heated to 14O0C and stirred for 5 hours. The mixture is allowed to cool to ambient temperature, stand for 12 hours, diluted with water (20 mL) and acidified using 3M aqueous HCl. A precipitate forms and is collected by filtration and dried under high vacuum to afford l-{6-[2- (2Λ-dicriloro-phenyπ-ethylamino]-2-methoxy-pyrimidin-4-yl)-piperidine-3-carboxylic acid (121 mg) as a solid. LCMS Rτ = 2.15 minutes, MS: 425 (M+H).
Step 2: N-(3-dimethylaminopropyl)-N-ethylcarbodiimide hydrochloride (71 mg) is added to a stirred ice cold solution of l-{6-[2-(2,4-dicMoro-phenyl)-ethylamino]-2-methoxy-pyrimidin-4-yl}-piperidine- 3-carboxylic acid (150 mg), methanesulfonamide (43.6 mg) and 4-dimethylaminopyridine (52 mg) in dry dichloromethane under N2. The ice bath is removed and the reaction mixture is stirred overnight at room temperature. The mixture is concentrated in vacuo. The residue is dissolved in ethyl acetate, washed with 0.1N HCl, brine and water, dried (Na2SC>4), filtered and concentrated. The crude is purified by chromatography (SiC>2 packed column), eluting with EtOAc / DCM to give N-(l-{6-["2- (2Λ-dicMoro-phenyl)-ethylamino]-2-methoxy-pyrimidin-4-yll-piperidine-3-carbonyl)- methanesulfonamide (145 mg). LCMS: Rτ = 1.88 minutes, MS: 502, 504 (M+H). IC50 = 1 nM.
(b) Ethanesulfonic acid (l-{6-|"2-(2,4-dichloro-phenyl)-ethylamino]-2-methoxy-pyrimidin-4-yl)- piperidine-θ-carbonvD-amide
By proceeding in a similar manner as Example 110(a), step 2, but substituting ethanesulfonamide for methanesulfonamide, there is prepared ethanesulfonic acid (l-(6-[2-f2,4-dichloro-phenyl)- ethylarm'nol-2-methoxy-pyrirnidin-4-yl|-piperidine-3-carbonyl)-amide (125 mg). LCMS: Rχ = 2.12 minutes, MS: 516, 518 (M+H).
(c) 2 -Methyl-propane-2 -sulfonic acid (1 - {6-[2-(2,4-dichloro-phenyl')-ethylamino]-2-methoxy- ϋyrimidin-4-yl|-piperidine-3-carbonvl')-amide
By proceeding in a similar manner as Example 110(a), step 2, but substituting tert-butylsulfonamide for methanesulfonamide, there is prepared 2-methyl-propane-2-sulfonic acid d-{6-[2-(2,4-dichloro- phenyl)-ethylammo]-2-methoxy-pyrirnidin-4-yl}-piperidine-3-carbonyπ-amide (132 mg). LCMS: Rj : 2.2 minutes, MS: 544, 546 (M+H).
(d) N-(l-{642-(2,4-DicMoro-phenyl)-ethylamino1-2-methoxy-pyrimidin-4-yl}-piperidine-3- carbonyl)-C,C,C-trifluoro-methanesulfonamide
By proceeding in a similar manner as Example 110(a), step 2, but substituting trifluoromethyl sulfonamide for methanesulfonamide, there is prepared N-(l-{6-[2-(2,4-dichloro-phenyl)-ethylamino]- 2-methoxy-pyrimidin-4-yl|-piperidine-3-carbonyl)-C,C,C-trifluoro-methanesulfonamide (257 mg). LCMS: Rx = 2.3 minutes, MS: 556, 558 (M+H). IC50 = 18 nM.
(e) l-{6-[2-("2Λ-DicMoro-phenylVethylamino]-2-methoxy-pyrimidin-4-yl}-piperidine-3- carboxylic acid (lH-tetrazol-5-yl)-amide
By proceeding in a similar manner as Example 110(a), step 2, but substituting lH-tetrazol-5-ylamine for methanesulfonamide, there is prepared l-{6-[2-(2,4-dicMoro-phenyl)-emylainino]-2-methoxy- pyrimidin-4-yl|-piperidine-3-carboxylic acid f lH-tetrazol-5-yl)-amide (15 mg). LCMS: Rτ = 1.81 minutes, MS: 492, 494 (M+H). IC50 = 4.4 nM.
(f) 1 - {6-r2-(2,4-DicMoro-phenyl)-ethylamino1-2-methoxy-pyrimidin-4-yl| -piperidine-3- carboxylic acid amide
N-(3-dimethylaminopropyl)-N-ethylcarbodiimide hydrochloride (0.23 mmol) is added to a stirred ice cold solution of l-{6-[2-(2,4-dicUoro-phenyl)-ethylarnmo]-2-methoxy-pyrimidin-4-yl}-piperidine-3- carboxylic acid (0.22 mmol), ethanesulfonamide (0.23 mmol) and 4-dimethylaminopyridine (0.22 mmol) in dry dichloromethane under N2. The ice bath is removed and the reaction mixture is stirred overnight at 6O0C. The mixture is concentrated in vacuo. The residue is dissolved in ethyl acetate, washed with 0.1N HCl, brine and water, dried (Na2SO*)), filtered and concentrated under reduced pressure. The crude residue was purified by chromatography (SiO2 packed column), eluting with EtOAc/DCM to give l-{6-["2-(2,4-dichloro-phenyl)-ethylamino1-2-methoxy-pyrimidin-4-yl}- piperidine-3 -carboxylic acid amide (75 mgs). LCMS: R7 = 1.77 minutes, MS: 424, 426 (M+H).
(g) l-{6-r2-(2Λ-DicMoro-phenyl)-ethylaniino]-2-methoxy-pyrimi(iin-4-yl}-piperid-ne-3- carboxylic acid dimethylamide
By proceeding in a similar manner as Example 110(a), step 2, but substituting dimethylamine for methanesulfonamide, there is prepared l-|6-r2-r2,4-dichloro-phenyl)-ethylamino]-2-methoxy- pyrimidin-4-yl|-piperidine-3-carboxylic acid dimethylamide (65 mg). LCMS: Rτ = 1.88 minutes, MS: 452, 454 (M+H).
(h) N,N-Dimethylamide-2-sulfonic acid 1 - {6-r2-(2,4-dichloro-phenyl)-ethylamino1-2-methoxy- pyrimidin-4-yll -piperidine-3-carboxamide
By proceeding in a similar manner as Example 110(a), step 2, but substituting N,N-dimethylsulfamide for methanesulfonamide, there is prepared N,N-dimethylamide-2-sulfonic acid l-{6-[2-f2,4-dichloro- phenyD-ethylamino] -2-methoxy-pyrimidin-4-yl} -piperidine-3 -carboxamide (241 mgs). LCMS: Rτ = 2.5 minutes, MS: 531, 533 (M+H). IC50 = 14 nM.
Example 111 :
5-{2-Methoxy-6-r2-(4-trifluoromethoxy-phenylVethylarnino]-pyrimidin-4-yl}-thiophene-2-carboxylic acid
Step 1. 5-(Dihydroxyboryl)-2-thiophenecarboxylic acid (527 mg) and 2,2-dimethyl-propane-l,3-diol (361 mg) are stirred at room temperature in THF (10 mL) for 19 hours and concentrated in vacuo to afford 5-(5,5-dimethyl-[L3.2]dioxaborinan-2-yl)-thiophene-2-carboxylic acid (748 mg) as a solid. LCMS: Rτ = 1.15 minutes; 1H NMR [300 MHz, (CD3)2SO]: δ 13.15 (IH, s); 7.7 (IH, m); 7.45 (IH, m); 3.75 (4H, s); 0.95 (6H, s).
Step 2. A mixture of (6-chloro-2-methoxy-pyrimidin-4-yl)-[2-(4-trifiuoromethoxy-phenyl)-ethyl]- amine (267 mg), 5-(5,5-dimethyl-[l,3,2]dioxaborinan-2-yl)-thiophene-2-carboxylic acid (277 mg), cesium fluoride (351 mg), and tetrakis(triphenylphosphine) palladium (71 mg) in water (1.6 mL) and ethylene glycol dimethyl ether (6.4 mL) is degassed with bubbling nitrogen for 5 minutes and is heated to 850C for 16 hours. The reaction mixture is cooled, diluted with water (150 mL) and brine (25 mL), and extracted two times with EtOAc (100 mL) and the extracts are concentrated in vacuo. The residue is subjected to flash column chromatography on silica (10 g) eluting with 0 to 5% MeOH in EtOAc. The resulting crystalline solid is triturated with DCM (5 mL) and ether (5 mL) and dried to afford 5^ {2-methoxy-6-[2-(44rifluoromethoxy-phenyl)-ethylammo]-pyrimidin-4-yl|-thiophene-2-carboxylic acid (42 mg) as a solid. MS: 440; LCMS: R7 = 3.48 minutes; 1H NMR [300 MHz, (CD3)2SO]: δ 7.7 (3H, m); 7.35 (2H, m); 7.25 (2H, m), 6.6 (IH, s); 3.85 (3H, s); 2.55 (2H; m); 1.9 (2H, t, J=7Hz). IC50
Example 13:
S-jό-P^Λ-Dicmoro-phenvπ-ethylaniinoi-Σ-methoxyφyrimidin^-vU^^-dihydro-benzofuran-Σ- carboxylic acid hydrochloride
Step 1. To a solution of 2,3-dihydro-benzofuran-2-carboxylic acid (510 mg) in glacial acetic acid (4 mL) is added bromine (497 mg) dropwise. After 16 hours, the reaction is quenched with water (100 mL) and sodium bisulfite (1 g) and extracted twice with EtOAc (100 mL). The extracts are concentrated in vacuo and dried under high vacuum to afford 5 -bromo-2 , 3 -dihvdro-benzofuran-2- carboxylic acid (811 mg) as a solid. MS: 241 (M+H), 1H NMR [300 MHz, (CD3)2SO]: δ 13.05 (IH, s); 7.4 (IH, s); 7.25 (IH, d); 6.8 (IH, m); 5.25 (IH, q), 3.55 (IH, dd); 3.25 (IH, m).
Step 2. A mixture of 5-bromo-2,3-dihydro-benzofuran-2-carboxylic acid (0.74 g), fe(pinacolato)diboron (1.51 g), potassium acetate (1.47 g, 15 mmol), and PdCl2(dppf)2 (115 mg, 0.14 mmol) in dimethylsulfoxide (10 mL) is degassed with bubbling nitrogen for 5 minutes. The mixture is heated to 9O0C for 16 hours. The reaction mixture is cooled, diluted with water (200 mL) and brine (25 mL), and filtered through Celite followed by water (200 mL) and EtOAc (200 mL). The filtrate is extracted twice with EtOAc (200 mL) and the extracts are concentrated in vacuo. The residue is subjected to flash column chromatography on silica (4 g) eluting with 80 to 100% EtOAc in heptane to afford 5-(4,4.5,5-tetramethyl-[l ,3,2]dioxaborolan-2-yl)-2,3-dihydro-benzofuran-2-carboxylic acid (715 mg) as an oil. MS: 289 (M-H), 1H NMR [300 MHz, (CD3)2SO]: δ 13.05 (IH, s); 7.5 (2H, m); 6.8 (IH, m); 5.2 (IH, m); 3.6 (IH, m); 3.3 (IH, m); 1.05 (12H, s).
Step 3. A mixture of (6-cMoro-2-methoxy-pyriinidin-4-yl)-[2-(2,4-dichloro-phenyl)-ethyl]-amine (212 mg), 5-(4,4,5,5-tetramethyl-[l,3,2]dioxaborolan-2-yl)-2,3-dihydro-benzofuran-2-carboxylic acid (124 mg), cesium carbonate (414 mg), and tetrakis(triphenylphosphine) palladium (49 mg) in water (1.2 mL) and ethylene glycol dimethyl ether (4.8 mL) is degassed with bubbling nitrogen for 5 minutes and is heated to 7O0C for 64 hours. The reaction mixture is cooled, diluted with water (150 mL) and brine (25 mL), and extracted two times with EtOAc (150 mL) and the extracts are concentrated in vacuo.
The residue is subjected to flash column chromatography on silica (4 g) eluting with 0 to 25% MeOH in EtOAc to afford 5-{6-[2-(2.4-dichloro-phenyl)-ethylaminol-2-methoxy-pyrimidin-4-yl}-2,3- dihydro-benzofuran-2-carboxylic acid (80 mg) as an oil. MS: 460; LCMS: RT = 2.81 minutes.
Step 4. A portion of 5-{6-[2-(2,4-dichloro-phenyl)-ethylamino]-2-methoxy-pyrimidin-4-yl}-2,3- dihydro-benzofuran-2-carboxylic acid is subjected to flash column chromatography on silica (5 g) eluting with 0 to 25% MeOH in EtOAc. The product is dissolved in MeOH and treated with 0.5 M hydrogen chloride in MeOH and concentrated in vacuo. The product is dissolved in THF (3 mL) and ether (10 mL) is added. The precipitate is removed and dried to afford 5-{6-[2-(2,4-dichloro-phenyl)- ethylammo]-2-methoxy-pyrimidm-4-vU-23-dmydro-benzofuran-2-carboxylic acid hydrochloride (20 mg) as a solid. LCMS: Rτ = 2.79 minutes; MS: 460. IC50 = 2 nM.
PHARMACOLOGICAL TESTING
A. Determination of the Biological Activity of compounds against DP receptor
The inhibitory effects of the compounds of Fourmula (I) against DP receptor are assessed in a human DP functional assay. A cAMP assay is employed using the human cell line LS174T, which expresses the endogenous DP receptor. The protocol is similar to that described previously (Wright DH, Ford- Hutchinson AW, Chadee K, Metters KM, The human prostanoid DP receptor stimulates mucin secretion in LS174T cells, Br J Pharmacol. 131(8): 1537-45 (2000)). The IC50 values of some of the compounds exemplified herein are listed in the EXAMPLE section above following the preparation procedure of each of the compounds.
Protocol for SPA cAMP Assay in Human LS 174 T Cells
Materials
• PGD2 (Cayman Chemical Cat#l 2010)
• BBMX (Sigma Cat# 5879)
• cAMP SPA direct screening assay system (Amersham code RPA 559) • 96-well cell plates (Wallac Cat# 1450-516)
• Wallac 1450 Microplate Trilux scintillation counter (PerkinElmer)
• Plate sealers
• Eppendorf tubes
• Dulbecco's Phosphate-Buffered Saline (PBS) (Invitrogen Cat#14040-133) • Distilled water
• Vortex
• Magnetic stirrer and stirrer bars
Reagent Preparation:
All reagents should be allowed to equilibrate to room temperature before reconstitution.
IX assay buffer
Transfer the contents of the bottle to a 500 mL graduated cylinder by repeated washing with distilled water. Adjust the final volume to 500 mL with distilled water and mix thoroughly.
Lysis reagent 1 & 2
Dissolve each of the lysis reagents 1 and 2 in 200 mL assay buffer respectively. Leave at room temperature for 20 minutes to dissolve.
SPA anti-rabbit beads
Add 30 mL of lysis buffer 2 to the bottle. Gently shake the bottle for 5 minutes.
Antiserum
Add 15 mL of lysis buffer 2 to each vial, and gently mix until the contents are completely dissolved.
Tracer (I125-cAMP)
Add 14 mL lysis buffer 2 to each vial and gently mix until the contents are completely dissolved.
Preparation of immunoreagent 1) Add equal volumes of tracer, antiserum and SPA anti-rabbit reagent to a bottle, ensuring that a sufficient volume of this mixture is prepared for the desired number of wells (150 μL/well).
2) Mix thoroughly.
3) This immunoreagent solution should be freshly prepared before each assay and' not re-used.
Standard
1) Add 1 mL lysis buffer 1 and gently mix until contents are completely dissolved.
2) The final solution contains cAMP at a concentration of 512 pmol/mL.
3) Label 7 polypropylene or polystyrene tubes, 0.2 pmol, 0.4 pmol, 0.8 pmol, 1.6 pmol, 3.2 pmol, 6.4 pmol and 12.8 pmol. 4) Pipette 500 μL of lysis buffer 1 into all the tubes.
5) Into the 12.8 pmol tube pipette 500 μL of stock standard (512 pmol/mL) and mix thoroughly. Transfer 500 μL from 12.8 pmol tube to the 6.4 pmol tube and mix thoroughly. Repeat this doubling dilution successively with the remaining tubes.
6) 50 μL aliquots in duplicate from each serial dilution and the stock standard will give rise to 8 standard levels of cAMP ranging from 0.2-25.6 pmol standard
Compound dilution buffer
Add 50 μL of 1 mM DBMX into 100 mL PBS to make a final concentration of 100 μM and sonicate at
30° C for 20 minutes.
PGD2 preparation
Dissolve 1 mg PGD2 (FW, 352.5) in 284 μL DMSO to make 10 mM stock solution and store at 2O0C. Before each assay, it is freshly prepared. Add 3 μL of 10 mM stock solution to 20 mL DMSO, mix it thoroughly, and transfer 10 mL to 40 mL PBS.
Compound Dilution
Compound dilution is carried out in Biomex 2000 (Beckman) using Method l_cAMP DP 11 points.
5 μL of each compound from the 10 mM stock compound plates is transferred to the wells of a 96-well plate respectively as below.
Fill the plate with 45 μL of DMSO except column 7 is filled with 28 μL DMSO. Pipette column 1 thoroughly, and transfer 12 μL into column 7 parallel. Perform 1 : 10 serial dilution from column 1 to column 6 and from column 7 to column 11 by transfer 5 μL to 45 μL DMSO to make following concentrations:
Column 9 3 μM
Column 8 0.03 mM
Column 7 0.3 mM
Column 6 0.01 μM
Column 5 0.1 μM
Column 4 1 μM
Column 3 0.01 mM
Column 2 0.1 mM
Column 1 I mM
Fill a new 96-well plate with 247.5 μL of compound dilution buffer. Transfer 2.5 μL of serially diluted compounds from above plate to the new plate (1 :100 dilution) as following:
Cell Growth
1. LS 174 T are always grown in MEM (ATCC Cat# 30-2003), 10% FBS (ATCC Cat# 30-2020) and additional 2 mM L-glutamine, at 370C and 5% CO2.
2. Warm 0.05% Trypsin and Versine (Invitrogen Cat# 25300-054) at 370C water bath.
3. Remove growth medium from cells. Cells in T165 flask are washed twice with 4 mL Trypsin followed by incubation at 370C and 5% CO2 for 3 minutes.
4. Add 10 mL of medium and pipette thoroughly to separate the cells and count the cells.
5. Bring the cell density to 2.25 x 105 cells/ml and seed 200 μL cells/well (45,000 cells/well) in 96- well plates 1 day before the assay.
Assay Procedure
Day 1 Seed 45,000 cells/well in 200 μL medium in 96-well plates. Incubate the cell plate at 37°
C, 5% CO2 and 95% humidity overnight. Day 2
1. Perform compound dilution.
2. Prepare assay buffer, lysis buffer 1 & 2, PGD2 and standard. 3. Aspirate media from the cells and add 100 μL of compound solution using Zymark
Sciclone-ALH/FD protocol cAMP DP.
4. Incubate the cells at 370C, 5% CO2 and 95% humidity for 15 minutes.
5. Add 5 μL of 300 nM PGD2 (2OX 15 nM final concentration) into each well using Zymark protocol cAMP DP PGD2, and incubate the cells at 37° C, 5% CO2 and 95% humidity for additional 15 minutes.
6. Aspirate media from the cells and add 50 μL of lysis buffer 1 using Zymark protocol cAMP DP lysis, and incubate at room temperature with shaking for 30 minutes.
7. Add 150 μL immunoreagent to all wells (a total volume of 200 μL/well).
8. Seal the plates and shake for 2 minutes, put into the chamber of the Wallac microtitre plate μ scintillation counter for 16 hours.
Day 3
Count the amount of [125I] cAMP for 2 minutes in 1450 Trilux scitilation counter.
Data Processing
Set up standard curve of cAMP versus CPM.
The cAMP concentrations (praol/mL) of unknown samples are calculated from a Standard curve of cAMP versus CPM. % inhibition is calculated using the following formula:
% Inhibition = ("pmol of control - pmol of sample) XlOO pmol of control (cells + PGD2 only)
Results
Compounds of Formula (I) produce 50% inhibition in the SPA cAMP assay in human LS 174 T cells at concentrations within the range of about 0.1 nanomolar to about 10 micromolar. Preferred compounds within the scope of the invention produce 50% inhibition in the SPA cAMP assay in human LS 174 T cells at concentrations within the range of about 0.1 to about 100 nanomolar. More preferred compounds within the scope of the invention produce 50% inhibition in the SPA cAMP assay in human LS 174 T cells at concentrations within the range of about 0.1 to about 30 nanomolar.
B. Effect of Compounds on Nicontinic Acid-Induced Vasodilation in Mice
The flushing inhibitory effect of the compound of Formula (I) can be assessed according to the assay described in U.S. Patent Publication No. US20040229844 Al .
Claims
1. A pharmaceutical composition comprising Niacin or a pharmaceutically acceptable salt, solvate or N-oxide thereof, or a nicotinic acid receptor agonist, and a compound of Formula (I)
(A) Cy1 is cycloalkyl, heterocyclyl, cycloalkenyl, heterocyclenyl, heteroaryl, aryl, or multicyclic alkaryl, each of which is optionally substituted by one to three of same or different following
Cy1 substituent groups consisting of: acyl, cyano, halogen, nitro, carboxy, hydroxy, alkylthio, alkylsulfonyl, alkylsulfinyl, cycloalkyl, heterocyclyl, cycloalkenyl, heterocyclenyl, aryl, heteroaryl, multicyclic alkaryl, aroyl, arylalkoxycarbonyl, arylalkyltbio, aryloxy, aryloxycarbonyl, arylsulfmyl, arylsulfonyl, arylthio, heteroaryloxy, heteroarylalkoxycarbonyl, N- methoxysulfamoyl, R2-C(=N-OR3)-, Y1Y2N-, Y1Y2NCC=O)-, Y1Y2NCC=O)-O-, Y1Y2NSO2-, alkyl-O-C(=O)-(C2-C6)-alkylene-Z1-! Y1Y2N-C(O)-(C]-C6)- alkylene-Z1-, Y1Y2N-(C2-C6)alkylene-Z1-, alkyl-C(=O)-N(R5)-SO2-, alkyl-O-C(=O)- N(R5)-, alkyl-O-C(=O)-N(R5)-SO2-, alkyl-O-N(R5)-SO2-, alkyl-O-N(R5)-C(=O)-, alkyl-SO2-N(R5)-C(=O)-, aryl-SO2-N(R5)-C(=O)-, alkyl-SO2-N(R5)-,
R6-C(=O)-N(R5)-, R7-NH-C(=0)-NH-; alkenyl, which is optionally substituted by alkoxy or hydroxy; alkoxycarbonyl, which is optionally substituted by Y1Y2N-; alkynyl, which is optionally substituted by hydroxy or alkoxy; alkyl, which is optionally substituted by one to three of same or different of halogen, carboxy, cyano, hydroxy, Y1Y2N-, Y'Y2N-C(=0)-, H2N-C(=NH)-NH-0-, R6-C(=O)-N(R5)-, alkyl-O-C(=O)-N(R5)-, alkyl-SO2-N(R5)-, R8-SO2-N(R5)- C(=0)-, aryl-N(R5)-C(=O)-, heteroaryl-N(R5)-C(=O)-, hetercyclyl-N(R5)- C(=0)-, alkoxycarbonyl, cycloalkyl, heterocyclyl, cycloalkenyl, heterocyclenyl, aryl, heteroaryl, multicyclic alkaryl; alkoxy, which is optionally substituted by carboxy, aryl or heteroaryl; or alkoxycarbonyl, which is optionally substituted by Y1Y2N-; and alkoxy, which is optionally substituted by one to three of same of different of carboxy, alkoxycarbonyl, cyano, halogen, -NY1Y2, Y1Y2N-CC=O)-, cycloalkyl, heterocyclyl, cycloalkenyl, heterocyclenyl, aryl, heteroaryl, or multicyclic alkaryl; wherein the aryl or heteroaryl moieties in the Cy1 substituent groups are optionally independently substituted by hydroxy, amino, alkyl, alkoxy, carboxy, alkoxycarbonyl or R8-SO2-N(R5)-C(=O)-; and, wherein the cycloalkyl, cycloalkenyl, heterocyclyl, heterocyclenyl or multicyclic alkaryl moieties in the Cy1 substituent groups independently is optionally substituted by hydroxy, amino, alkyl, alkoxy, oxo, carboxy, alkoxycarbonyl or R8-SO2- N(R5)-C(=O)-; and further provided that when Cy1 is cycloalkyl, cycloalkenyl, heterocyclyl, heterocyclenyl or multicyclic alkaryl, each of which independently may also be substituted by oxo;
(B) Cy2 is cycloalkenyl, heterocyclenyl, aryl, heteroaryl, or multicyclic alkaryl, each of which independently is optionally substituted by one to three of same or different of same or different of alkoxy, (Ci-C3)-alkyl, hydroxy, cyano, halogen, haloalkoxy, haloalkyl, nitro, Y1Y2N-, Y1Y2N-SOi-, aryl or heteroaryl, wherein the aryl is optionally substituted by alkyl or hydroxyalkyl, and the heteroaryl is optionally substituted by alkyl;
(C) L1 is a straight- or branched-chain alkylene containing from 1 to about 6 carbon atoms and is optionally substituted by carboxy or hydroxy; or
L1 is -CH2-(Ci -C5)haloalkylene, or
L1 is cycloalkylene containing from 1 to about 7 carbon atoms and is optionally substituted by hydroxy; or
L1 and Cy2 together represent arylcycloalkyl or cycloalkylaryl;
(D) R1 is (CrC4)-alkyltbio, Y4Y5N-; (CrC4)-alkoxy which is optionally substituted by one to three halogen; or which is optionally substituted by one to three of halogen, hydroxy or alkoxy; (E) L2 is bond, -O- or -CH2-O-; and wherein:
R2, R3, R4 and R5 are each independently H or alkyl,
R6 is alkyl, which is optionally substituted by hydroxy or alkoxy;
R7 is H or alkyl; R8 is alkyl, aryl, arylalkyl, heteroaryl, heteroarylalkyl, wherein the aryl or heteroaryl moiety is optionally substituted by halogen; Y1 and Y2 are each independently hydrogen, or alkyl, which is optionally substituted by one to three of same or different of carboxy, alkoxycarbonyl, alkoxy, hydroxy, amino, alkylamino, dialkylamino, cycloalkyl, cycloalkenyl, heterocyclyl, heterocyclenyl, aryl, heteroaryl or multicyclic alkaryl; wherein the aryl and heteroaryl independently is optionally substituted by hydroxy, amino, alkyl or alkoxy, and wherein the cycloalkyl, heterocyclyl, cycloalkenyl, heterocyclenyl and multicyclic alkaryl independently is optionally substituted by hydroxy, amino, alkyl, alkoxy or oxo; or
Y1 and Y2 taken together with the nitrogen atom to which they are attached, form a nitrogen- containing three to seven member saturated heterocyclyl that optionally contains a further heteroatom selected from O, S, or NY3, wherein Y3 is hydrogen or alkyl, and wherein the heterocyclyl is optionally substituted by one to three of same or different of carboxy, hydroxy, hydroxyalkyl, oxo, amino, alkylamino or dialkylamino; Y4 and Y5 are each independently H or Z1 is C(=O)-N(R4), NR4 or S(O)n; and n is 0, 1 or 2; provided that when R1 is methoxy, L1 is -CH2-CH2-, L2 is a bond and Cy2 is 2,4-dichlorophenyl, then
Cy1 is not l-methyl-2-ethyloxycarbonyl-indol-5-yl; or an N-oxide thereof, or an ester prodrug thereof, or a pharmaceutically acceptable salt, hydrate, or solvate thereof.
2. The pharmaceutical composition according to claim 1 , comprising Niacin or a pharmaceutically acceptable salt, solvate or N-oxide thereof, and the compound of Formula (I), or an N-oxide thereof, or an ester prodrug thereof, or a pharmaceutically acceptable salt, hydrate, or solvate thereof.
3. The pharmaceutical composition according to claim 1 , wherein R1 is amino, dimethylamino, methoxy, ethoxy, ethyl, methylthio, methylamino, or 2,2,2-trifluoroethoxy.
4. The pharmaceutical composition according to claim 1, wherein Cy1 is phenyl, benzimidazolyl, benzo[l,3]dioxolyl, benzothiazolyl, benzo[b]thiophenyl, lH-benzotriazolyl, 2,3-dihydro- benzo[l,4]dioxanyl, 2,3-dihydro-benzofuranyl, 3,4-dihydro-2H-benzo[l,4]oxazinyl, furanyl, imidazolyl, lH-indazolyl, indolinyl, indolyl, isoquinolmyl, isoxazolyl, oxadiazolyl, oxazolyl, 2-oxo- 1 H-pyridinyl, phenyl, pyrazolyl, pyridyl, thiazolyl, quinolinyl, thienyl or piperidinyl, wherein each of which independently is optionally substituted by one to three of the same or different Cy1 substituent groups.
5. The pharmaceutical composition according to claim 1, wherein Cy1 is phenyl, benzimidazol-2- yl, benzimidazol-5-yl, benzo[l,3]dioxol-5-yl, benzothiazol-6-yl, benzo[b]thiophen-2-yl, benzo[b]thiophen-3-yl, lH-benzotriazol-6-yl, 2,3-dihydro-benzo[l,4]dioxin-6-yl, 2,3- dihydrobenzofuran-5-yl, 3,4-dihydro-2H-benzo[l,4]oxazin-7-yl, furan-2-yl, furan-3-yl, imidazol-1-yl, lH-indazol-6-yl, indolin-5-yl, indol-3-yl, indol-5-yl, indol-6-yl isoquinolin-5-yl, isoxazol-4-yl,
[l,2,4]oxadiazol-5-yl, [l,3,4]oxadiazol-2-yl, oxazol-5-yl, 2-oxo-lH-pyridin-5-yl, phenyl, pyrazol-1-yl, pyrazol-3-yl, pyrazol-4-yl, pyrid-3-yl, pyrid-4-yl, thiazol-2-yl, quinolin-3-yl, quinolin-6-yl, quinolin-8- yl, tbien-2-yl, thien-3-yl, or piperidin-1-yl, each of which is optionally substituted by one to three of the same or different Cy1 substituent groups.
6. The pharmaceutical composition according to claim 1 , wherein Cy2 is phenyl, cyclohexenyl, benzo[l,3]dioxolyl, benzofuranyl, 2,3-dihydro-benzofuranyl, 3,4-dihydro-2H-benzo[l,4]oxazinyl, benzo[b]thiophenyl, imidazolyl, indolyl, isochromanyl, phenyl, naphthalenyl, pyridyl or thienyl, each of which is optionally substituted by one to three of same or different substituents of alkoxy, (C]-C3)- alkyl, hydroxy, cyano, halogen, haloalkoxy, haloalkyl, nitro, Y1Y2N-, Y1Y2N-SO2-, aryl or heteroaryl, wherein the aryl is optionally substituted by alkyl or hydroxyalkyl, and the heteroaryl is optionally substituted by alkyl.
7. The pharmaceutical composition according to claim 1, wherein Cy2 is phenyl, cyclohex-1- enyl, benzo[l,3]dioxol-5-yl, benzofuran-6-yl, 2,3-dihydro-benzofuran-2-yl, 3,4-dihydro-2H- benzo[l,4]oxazin-2-yl, benzo[b]thiophen-2-yl, imidazol-4-yl, lH-indol-3-yl, lH-indol-5-yl, naphthalene-2-yl, isochroman-1-yl, pyridin-2-yl, pyridin-3-yl , pyridin-4-yl or thien-2-yl, each of which is optionally substituted by one to three of the same or different substituents of alkoxy, (Ci-C3)- alkyl, hydroxy, cyano, halogen, haloalkoxy, haloalkyl, nitro, Y1Y2N-, Y1Y2N-SO2-, aryl or heteroaryl, wherein the aryl is optionally substituted by alkyl or hydroxyalkyl, and the heteroaryl is optionally substituted by alkyl.
8. The pharmaceutical composition according to claim 1, wherein L1 is -CH2-, -CH2-CH2-, -CH2-CH2-CH2-, -CH2-CH2-CH2-CH2-, -CH2-CH(CH3)-, -CH2-C(CH3)2-, -CH(CH3)-CH2-, -CH2-
9. The pharmaceutical composition according to claim 1, wherein L1 and Cy2 together represent indan-1-yl or indan-2-yl.
10. The pharmaceutical composition according to claim 1, wherein L1 is -CH2-CH2-.
11. The pharmaceutical composition according to claim 1, wherein L1 is -CH2-CF2-.
12. The pharmaceutical composition according to claim 1 , wherein Cy1 is unsubstituted phenyl or phenyl substituted by one to three of same or different substituent groups of: acyl, alkylsulfinyl, alkylsulfonyl, carboxy, cyano, halo, heteroaroyl, heterocyclenyl, hydroxy, nitro, R2-C(=N-OR3)-, Y1Y2N-, Y1Y2NC(O)-, Y1Y2NCC=O)-O-, Y1Y2NSO2-, Y1Y2N-C(=O)-(C1-C6)-alkylene-Z1-, alkyl-C(=O)-N(R5)-SO2-I alkyl-O-C(=O)-N(R5)-, alkyl-O-C(=O)-N(R5)-SO2-, alkyl-O-N(R5)-C(=O)-, alkyl-O-N(R5)-SO2-, alkyl-SO2-N(R5)-C(=O)-, aryl-SO2-N(R5)-C(=O)-, alkyl-SO2-N(R5)-, R6-C(=O)-N(R5)-, alkyl-NH-C(=O)-NH-; alkoxy, which is optionally substituted by one to three of same or different of carboxy or heteroaryl; or alkyl, which is optionally substituted by one to three of same or different of halogen, carboxy, aryl, heteroaryl multicyclic alkaryl, cyano, hydroxy, Y1Y2N-J H2N-CC=NH)-NH-O-,
R6-C(=O)-N(R5)-, R6-N(R5)-C=O)-, alkyl-O-C(=O)-N(R5)-, alkyl-SO2-N(R5)- , R8- SSOO22--NN((RR55))--CC((==OO))--,, HH22NN--(CC=NH)-NH-O-; or alkoxy, which is optionally substituted by carboxy or heteroaryl; wherein the aryl or heteroaryl moieties in the substituent groups are optionally independently substituted by hydroxy, amino, alkyl, alkoxy, carboxy, alkoxycarbonyl or R8-SO2- N(R5)-C(=0)-; and, wherein the heterocyclenyl or multicyclic alkaryl moieties in the substituent groups independently is optionally substituted by hydroxy, amino, alkyl, alkoxy, carboxy, alkoxycarbonyl, R8-
SO2-N(R5)-C(=O)- or oxo.
13. The pharmaceutical composition according to claim 1, wherein Cy1 is benzimidazol-2-yl, benzimidazol-5-yl, benzo[l ,3]dioxol-5-yl, benzothiazol-6-yl, benzo[b]tbiophen-2-yl, benzo[b]thiophen-3-yl, lH-benzotriazol-6-yl, 2,3-dihydro-benzo[l ,4]dioxin-6-yl, 2,3- dihydrobenzofuran-5-yl, 3,4-dihydro-2H-benzo[l,4]oxazin-7-yl, furan-2-yl, furan-3-yl, imidazol-1-yl, lH-indazol-6-yl, indolin-5-yl, indol-3-yl, indol-5-yl, indol-6-yl isoquinolin-5-yl, isoxazol-4-yl, [l,2,4]oxadiazol-5-yl, [l ,3,4]oxadiazol-2-yl, oxazol-5-yl, 2-oxo-lH-pyridin-5-yl), phenyl, pyrazol-1 - yl, pyrazol-3-yl, pyrazol-4-yl, pyrid-3-yl, pyrid-4-yl, thiazol-2-yl, quinolin-3-yl, quinolin-6-yl, quinolin-8-yl, thien-2-yl, thien-3-yl or piperidin-1-yl, each of which is optionally substituted by one to three of the same or different substituent groups of lower alkanoyl, lower alkoxy, carboxy, cyano, halogen, R2-C(=N-OR3)- Y1Y2N-, Y'Y2NC(=0)-, heteroaryl; or loweralkyl, which is optionally substituted by one to three of same or different of halogen, carboxy, heteroaryl, hydroxy, or Y1Y2N-; wherein the heteroaryl moieties in substituent groups are optionally independently substituted by hydroxy, amino, alkyl or alkoxy.
14. The pharmaceutical composition according to claim 1, wherein Cy1 is benzimidazol-2-yl, benzimidazol-5-yl, benzo[l,3]dioxol-5-yl, benzothiazol-6-yl, benzo[b]thiophen-2-yl, benzo[b]thiophen-3-yl, lH-benzotriazol-6-yl, 2,3-dihydro-benzo[l,4]dioxin-6-yl, 2,3- dihydrobenzofuran-5-yl, 3,4-dihydro-2H-benzo[l,4]oxazin-7-yl, furan-2-yl, furan-3-yl, imidazol-1-yl, lH-indazol-6-yl, indolin-5-yl, indol-3-yl, indol-5-yl, indol-6-yl isoquinolin-5-yl, isoxazol-4-yl,
[l,2,4]oxadiazol-5-yl, [l,3,4]oxadiazol-2-yl, oxazol-5-yl, 2-oxo-lH-pyridin-5-yl, phenyl, pyrazol-1-yl, pyrazol-3-yl, pyrazol-4-yl, pyrid-3-yl, pyrid-4-yl, thiazol-2-yl, quinolin-3-yl, quinolin-6-yl, quinolin-8- yl, thien-2-yl, thien-3-yl or piperidin-1-yl, each of which is optionally substituted by one to three of the same or different substituent groups of formyl, acetyl, methoxy, carboxy, cyano, chloro, methyl, - CHF2-, oxazol-5-yl, tetrazol-5-yl, HO2C-CH2-, HOCH2-, HO-CH(CH3)-, H-C(=N-0H)-, H-C(=N- OCH3)- , CH3-C(=N-0H)-, CH3-CC=N-OCH3)-, H2N-CH2-, CH3NHCH2-, CH3OCH2CH2NHCH2- ,
15. The pharmaceutical composition according to claim 1 , wherein Cy1 is phenyl or phenyl substituted by one to three of the same or different groups of formyl, acetyl, methoxy, chloro, fluoro, hydroxy, nitro, cyano, carboxy, CH3O-CH=CH-, CH3-SO-, CH3SO2-, CH3CH2SO2-, HO2C-CH2-O-,
[l ,2,4]oxadiazol-5-yl, 5-methyl-[l ,3,4]oxadiazol-2-yl, 2-methyl-2H-tetrazol-5-yl, 1-methyl-lH- tetrazol-5-yl, 5-methyl-2H-[l ,2,4]triazol-3-yl, 3H-[l ,3,4]oxadiazol-2-one, oxazol-5-yl, tetrazol-5-yl,
PhCH2SO2NHC(=O)-C(CH3)2-, CH3CH2SO2NHC(=O)-CF2-, H2N-C(O)-, CH3NHC(O)-, (CH3J2NCC=O)-, (CH3)2NCH2CH2NH-C(=O)-, HO2CCH2NH-C(O)-, HO2CCH(CH3)NH-C(=O)-,
CH3CH2NH-C(=O)-O-, H2N-SO2-, CH3NHSO2-, CH3CH2NHSO2-, (CH3)2CHNH-SO2-, CH3CH2NH- CC=O)-CH2-O-, (CH3)2CHNH-C(=O)-CH2-O-, (CH3)2NCH2CH2NH-C(=O)-C(CH3)2-O-, CH3-C(=O)- NH-SO2-, CH3CH2-O-C(O)-NH-, CH3-O-C(=O)-NH-SO2-, CH3-O-N(CH3)-C(=O)-, CH3-O-NH-SO2-
, CH3-SO2-NH-C(=O)-, CH3-SO2-N(CH3)-C(=O)-, SO2-NH-CC=O)- , CH3-SO2-NH-, CH3-
CH,
CC=O)-NH-, CH3O-CH2-CC=O)-NH-, CH3CH2NH-C(=O)-NH-, HO2C-CH2CH2-, HO2C-CH(CH3)-,
(CH3)2NCH2CH2NHCH2-, HO2C-CH(CH2Ph)-NHCH2-, HO2C-CH(CH2OH)-NHCH2-,
CH3- N N-CH2- , H2N-C(=NH)-NH-O-CH2-, CH3OCH2-C(=O)-NH-CH2-, HOCH2-NH-C(O)-
CH2-, CH3-C(O)-NH-CH2-, CH3-C(O)-NH-CH2CH2-, HOCH2CH2-NH-C(O)-CH2CH2-, CH3-O-CC=O)-NH-CH2-, CH3SO2-NH-CH2-, H2N-C(=NH)-NH-O-CH2-, , or
OH
CH I37 —— NN N— CH- CH- .
16. The pharmaceutical composition according to claim 1 wherein Cy2 is cyclohex-1-enyl.
17. The pharmaceutical composition according to claim 1 wherein Cy2 is naphthyl or phenyl, each of which is optionally substituted by one to three of the same or different groups of alkoxy, (Ci-C3)- alkyl, hydroxy, cyano, halogen, haloalkoxy, haloalkyl, nitro, Y1Y2N-, Y1Y2N-SO2-, aryl or heteroaryl, wherein the aryl is optionally substituted by alkyl or hydroxyalkyl, and the heteroaryl is optionally substituted by alkyl.
18. The pharmaceutical composition according to claim 1 wherein Cy2 is naphthyl or phenyl, each of which is optionally substituted by one to three of same or different groups of methoxy, ethoxy, methyl, ethyl, bromo, chloro, fluoro, F2HCO-, F3CO-, F3C-, amino, H2N-SO2-, cyano, hydroxy, nitro or 5-methyl-[l ,3,4]oxadiazol-2-yl.
19. The pharmaceutical composition according to claim 1 wherein Cy2 is benzo[l ,3]dioxol-5-yl, lH-indol-3-yl, lH-indol-5-yl, imidazol-4-yl, lH-indol-3-yl, pyridin-2-yl, pyridin-3-yl, pyridin-4-yl, or thien-2-yl, each of which is optionally substituted by one to three of same or different groups of alkoxy, halo, or hydroxy.
20. The pharmaceutical composition according to claim 1 wherein L2 is a bond.
21. The pharmaceutical composition according to claim 1 wherein the compound is of Formula (II)
(EQ
22. The pharmaceutical composition according to claim 21 wherein Cy1 is phenyl or phenyl substituted by one to three of same or different substituent groups of: acyl, alkylsulfonyl, carboxy, cyano, halo, heteroaryl, hydroxy, heterocyclyl, R2-C(=N-OR3)-, Y1Y2N-, Y1Y2NCC=O)-, Y1Y2NCC=O)-O-, Y1Y2N-SO2-, Y1Y2N-C(=O)-(CI-C6)-alkylene-Z1-, alkyl-C(=O)-N(R5)-SO2-, alkyl-O-C(=O)-N(R5)-SO2-, alkyl-O-N(R5)-SO2-, alkyl-SO2-N(R5)-C(=O)-, alkyl-SO2-N(R5)-, R6-C(=O)-N(R5)-, alkyl-NH-C(=O)-NH-; alkenyl, which is optionally substituted by alkoxy; alkoxy, which is optionally substituted by carboxy or heteroaryl; or alkyl, which is optionally substituted by halogen, carboxy, cyano, heteroaryl, hydroxy,
R6-C(=O)-N(R5)-, RS-SO2-N(R5)-C(=O)-; or alkoxy, which is optionally substituted by carboxy; wherein the heterocyclyl moieties in the substituent groups are optionally independently substituted by hydroxy, amino, alkyl, alkoxy, oxo, carboxy, alkoxycarbonyl or R8-SO2-N(R5)-C(=O)-
; and the heteroaryl moieties in the substituent groups are optionally independently substituted by hydroxy, amino, alkyl, alkoxy, carboxy, alkoxycarbonyl or R8-SO2-N(R5)-C(=O)-.
23. The pharmaceutical composition according to claim 21 wherein Cy1 is phenyl or phenyl substituted by one to three of same or different substituent groups of formyl, acetyl, cyano, methoxy, chloro, fluoro, hydroxy, carboxy, 5-amino-[l,3,4]oxadiazol-2-yl, 3-methyl-isoxazol-5-yl, 3-methyl- [l,2,4]oxadiazol-5-yl, 5-methyl-[l,3,4]oxadiazol-2-yl, 2-methyl-2H-tetrazol-5-yl, 5-methyl-2H-
[l,2,4]triazol-3-yl, oxazol-5-yl, tetrazol-5-yl, lH-tetrazol-5-ylmethyl, l-methyl-l-(lH-tetrazol-5-yl)- ethyl, H2N-, CH3-NHC(=O)-, CH3CH2NH-C(=O)-O-CH3O-CH=CH-, CH3SO2-, CH3CH2SO2-, HO2C- CH2-O-, HO2C-C(CH3)2-O-, H-C(=N-0H)-, CH3-C(=N-OH)-, CH3OCH2CH2NH-, H2N-SO2-, CH3NHSO2-, CH3CH2NHSO2-, (CH3)2CHNH-SO2-, CH3CH2NH-C(=O)-CH2-O-, (CH3)2CHNH- CC=O)-CH2-O-, CH3-CC=O)-NH-SO2-, CH3-O-CC=O)-NH-SO2-, CH3-O-NH-SO2-, CH3-SO2-NH- C(=0)-, CH3-SO2-N(CH3)-C(=O)-, CH3-SO2-NH-, CH3-CC=O)-NH-, CH3O-CH2-CC=O)-NH-, CH3CH2NH-CC=O)-NH-, HO2C-CH2CH2-, HO2C-CH(CH3)-, HO2C-C(CHj)2-, HO^C-CH2-O-CH2-,
24. The pharmaceutical composition according to claim 21 wherein Cy1 is benzimidazol-2-yl, benzimidazol-5-yl, benzo[l,3]dioxol-5-yl, benzothiazol-6-yl, benzo[b]thiophen-2-yl, benzo[b]thiophen-3-yl, lH-benzotriazol-6-yl, 2,3-dihydro-benzo[l,4]dioxin-6-yl, 2,3- dihydrobenzofuran-5-yl, 3,4-dihydro-2H-benzo[l,4]oxazin-7-yl, furan-2-yl, furan-3-yl, imidazol-1-yl, lH-indazol-6-yl, indolin-5-yl, indol-3-yl, indol-5-yl, indol-6-yl isoquinolin-5-yl, isoxazol-4-yl, [l,2,4]oxadiazol-5-yl, [l,3,4]oxadiazol-2-yl, oxazol-5-yl, 2-oxo-lH-pyridin-5-yl, phenyl, pyrazol-1-yl, pyrazol-3-yl, pyrazol-4-yl, pyrid-3-yl, pyrid-4-yl, thiazol-2-yl, quinolin-3-yl, quinolin-6-yl, quinolin-8- yl, thien-2-yl, thien-3-yl or piperidin-1-yl, each of which is optionally substituted with one to three of same or different substituent groups of: acyl, carboxy, heteroaryl, R2-C(=N-OR3)-, Y1Y2NCC=O)-; or alkyl, which is optionally substituted by carboxy, heteroaryl or hydroxy; wherein the heteroaryl moieties in the substituent groups are optionally independently substituted by hydroxy, amino, alkyl or alkoxy.
25. The pharmaceutical composition according to claim 21 wherein Cy' is benzimidazol-2-yl, benzimidazol-5-yl, benzo[l,3]dioxol-5-yl, benzothiazol-6-yl, benzo[b]thiophen-2-yl, benzo[b]thiophen-3-yl, 1 H-benzotriazol-6-yl, 2,3-dihydro-benzo[l,4]dioxin-6-yl, 2,3- dihydrobenzofuran-5-yl, 3,4-dihydro-2H-benzo[l,4]oxazin-7-yl, furan-2-yl, furan-3-yl, imidazol-1-yl, lH-indazol-6-yl, indolin-5-yl, indol-3-yl, indol-5-yl, indol-6-yl isoquinolin-5-yl, isoxazol-4-yl, [l,2,4]oxadiazol-5-yl, [l,3,4]oxadiazol-2-yl, oxazol-5-yl, 2-oxo-lH-pyridin-5-yl, phenyl, pyrazol-1-yl, pyrazol-3-yl, pyrazol-4-yl, pyrid-3-yl, pyrid-4-yl, thiazol-2-yl, quinolin-3-yl, quinolin-6-yl, quinolin-8- yl, thien-2-yl, thien-3-yl or piperidin-1-yl, each of which is optionally substituted with one to three of same or different substituent groups of formyl, acetyl, methyl, methoxy, carboxy, oxazol-5-yl, tetrazol- 5-yl, HO2C-CH2-, HOCH2-, H0-CH(CH3)-H-C(=N-0H)-, H-C(=N-0CH3)- , CH3-C(=N-OH)-,
26. The pharmaceutical composition according to claim 21 wherein Cy2 is naphthyl or phenyl, each of which is optionally substituted with one to three of same or different substituent groups of alkoxy, (CrC3)-alkyl, hydroxy, cyano, halogen, haloalkoxy, haloalkyl, nitro, Y1Y2N-, Y1Y2N-SO2-, aryl or heteroaryl, wherein the aryl is optionally substituted by alkyl or hydroxyalkyl, and the heteroaryl is optionally substituted by alkyl.
27. The pharmaceutical composition according to claim 21 wherein Cy2 is naphthyl or phenyl, each of which is optionally substituted with one to three of same or different substituent groups of methoxy, methyl, ethyl, cyano, bromo, chloro, fluoro, F2HCO-, F3CO-, F3C-, nitro or 5-methyl- [l,3,4]oxadiazol-2-yl.
28. The pharmaceutical composition according to claim 21 wherein Cy2 is cyclohex-1-enyl, benzo[l,3]dioxol-5-yl, benzofuran-6-yl, 2,3-dihydro-benzofuran-2-yl, 3,4-dihydro-2H- benzo[l,4]oxazin-2-yl, benzo[b]thiophen-2-yl, imidazol-4-yl, lH-indol-3-yl, lH-indol-5-yl, naphthalene-2-yl, isochroman-1-yl, pyridin-2-yl, pyridin-3-yl , pyridin-4-yl or thien-2-yl.
29. The pharmaceutical composition according to claim 21 wherein Cy2 is benzo[l ,3]dioxol-5-yl, 2,2-difluoro-benzo[l,3]dioxol-5-yl pyridin-4-yl or thien-2-yl.
30. The pharmaceutical composition according to claim 21 wherein Cy1 is phenyl, which is optionally substituted with one to three same or different substituent groups of: acyl, carboxy, cyano, halo, heteroaryl, heterocyclyl, hydroxy, R2-C(=N-OR3)-, Y'Y2NC(=0)-, Y1Y2NCC=O)-O-, alkyl-O-C(=O)-N(R5)-SO2-, alkyl-SO2-N(R5)-C(=O)-; alkoxy, which is optionally substituted by carboxy or heteroaryl; or alkyl, which is optionally substituted by halogen, carboxy, heteroaryl, hydroxy,
R6-C(=O)-N(R5)-, R8-SO2-N(R5)-C(=O)-; or alkoxy, which is optionally substituted by carboxy; wherein the heterocyclyl moieties in the substituent groups are optionally independently substituted by hydroxy, amino, alkyl, alkoxy, oxo, carboxy, alkoxycarbonyl or R8-SO2-N(R5)-C(=O)-
the heteroaryl moieties in the substituent groups are optionally independently substituted by hydroxy, amino, alkyl, alkoxy, carboxy, alkoxycarbonyl or R8-SO2-N(R5)-C(=O)-.
31. The pharmaceutical composition according to claim 21 wherein Cy1 is phenyl, which is optionally substituted with one to three of same or different substituent groups of formyl, methoxy, carboxy, chloro, fluoro, cyano, tetrazol-5-yl, lH-tetrazol-5-ylmethyl, HO2C-CH2-O-, HO2C-C(CH3)2- O-, H-C(=N-0H)-, CH3NHC(=O)-, CH3CH2NH-C(=O)-O-, CH3-O-C(=O)-NH-SO2-, CH3-SO2-NH-
O H
PhCH2SO2NHC(=O)-C(CH3)2-, CH3CH2SO2NHC(=O)-CF2-, I V- -CH2- or CH,-O- •
32. The pharmaceutical composition according to claim 21 wherein Cy1 is:
33. The pharmaceutical composition according to claim 21 wherein Cy1 is lH-benzotriazol-6-yl, lH-indazol-6-yl, indol-5-yl, indol-6-yl, 2-oxo-lH-pyridin-5-yl, quinolin-6-yl, quinolin-3-yl, thien-2-yl, thien-3-yl or 1-piperidin-l-yl, each of which is optionally substituted by one to three of same or different groups of acyl, carboxy, tetrazol-5-yl; R2-C(=N-OR3)-, Y'Y2NC(=0)-; or alkyl, which is optionally substituted by carboxy or hydroxy.
34. The pharmaceutical composition according to claim 21 wherein Cy1 is lH-benzotriazol-6-yl, lH-indazol-6-yl, indol-5-yl, indol-6-yl, 2-oxo-lH-pyridin-5-yl, quinolin-6-yl, quinolin-3-yl, thien-2-yl, thien-3-yl or 1-piperidin-l-yl, each of which is optionally substituted by one to three of same or different groups of formyl, carboxy, tetrazol-5-yl, H-C(=N-0H)-, CH3-C(=N-0H)-, CH3-NH-C(=0)-, HO2C-CH2-, or HO-CH2-.
35. The pharmaceutical composition according to claim 21 wherein Cy is:
36. The pharmaceutical composition according to claim 21 wherein Cy2 is 4-chlorophenyl, 2,4-dichlorophenyl, 2,6-dichlorophenyl, 2,6-difluorophenyl, 2-fluoro-6-chlorophenyl, 3-fluoro-4- methoxyphenyl, 4-fluorophenyl, 2-fluoro-4-trifluoromethylphenyl, 4-methoxyphenyl, 4-nitrophenyl, 2,2-difiuoro-benzo[l,3]dioxol-5-yl or 4-trifluoromethoxyphenyl.
37. The pharmaceutical composition according to claim 1 , wherein the compound of formula (I) is 3 - { 6-[2-(3-fiuoro-4-methoxy-phenyl)-ethylamino] -2-methoxy-pyrimidin-4-yl } -benzonitrile, [6-(3-amino-phenyl)-2-methoxy-pyrimidin-4-yl]-[2-(4-methoxy-phenyl)-ethyl]amine, 3-{2-methoxy-6-[2-(4-methoxy-phenyl)-ethylamino]-pyrimidin-4-yl}-benzenesulfonamide, 3-{2-methoxy-6-[2-(4-methoxy-phenyl)-ethylammo]-pyrrrnidin-4-yl}-N-methyl-benzenesulfonamide, N-ethyl-3-{2-methoxy-6-[2-(4-methoxy-phenyl)-ethylanimo]-pyrmiidm-4-yl}-berizenesulfonamide! N-methoxycarbonyl-3- {2-methoxy-6-[2-(4-methoxy-phenyl)-ethylamino]-pyrimidin-4-yl} - benzenesulfonamide,
6-(3-amino-phenyl)-2-methoxy-pyrimidin-4-yl]-[2-(4-trifluoromethoxy-phenyl)-ethyl]-amine, N-(3-{2-methoxy-6-[2-(44rifluoromethoxy-phenyl)-ethylamino]-pyrirnidin-4-yl}-phenyl)-acetamide, N-(3-{2-methoxy-6-[2-(4-methoxy-phenyl)-ethylamino]-pyrimidin-4-yl}-phenyl)-acetamide, (3-{2-methoxy-6-[2-(4-methoxy-phenyl)-ethylamino]-pyrimidin-4-yl}-phenyl)-carbamic acid ethyl ester,
3- {6-[2-(2,4-difluoro-phenyl)-ethylamino]-2-methoxy-pyrimidin-4-yl} -benzoic acid, 5- {2-methoxy-6-[2-(4-methoxy-phenyl)-ethylamino]-pyrimidin-4-yl} -thiophene-2-carboxylic acid 5-{2-methoxy-6-[2-(4-methoxy-phenyl)-ethylamino]-pyrimidin-4-yl}-thiophene-2-carbaldehyde, 4- {2-methoxy-6-[2-(4-methoxy-phenyl)-ethylamino]-pyrimidin-4-yl} -thiophene-2-carbaldehyde, [6-(3,5-dimethyl-isoxazol-4-yl)-2-methoxy-pyrimidin-4-yl]-[2-(4-methoxy-phenyl)-ethyl]-amine, [2-methoxy-6-(5-methyl-thiophen-2-yl)-pyrimidin-4-yl]-[2-(4-methoxy-phenyl)-ethyl]-amine, [2-(4-methoxy-phenyl)-ethyl]-[2-methoxy-6-(lH-pyrazol-4-yl)-pyrimidin-4-yl]-amine, (6-isoquinolin-5-yl-2-methoxy-pyrimidin-4-yl)-[2-(4-methoxy-phenyl)-ethyl]-amine, (5-{2-methoxy-6-[2-(4-methoxy-phenyl)-ethylamino]-pyrimidin-4-yl}-thiophen-2-yl)-methanol, (3 - {2-methoxy-6-[2-(4-methoxy-phenyl)-ethylamino] -pyrimidin-4-yl } -thiophen-2-yl)-methanol, (3- {2-methoxy-6-[2-(4-methoxy-phenyl)-ethylamino]-pyrimidin-4-yl} -phenyl) -methanol,
(3- {6-[2-(2-chloro-6-fluoro-phenyl) -ethylamino]-2-methoxy-pyrimidin-4-yl} -phenyl)-raethanol, [2-(4-methoxy-phenyl)-ethyl]-(2-methoxy-6-quinolin-6-yl-pyrimidin-4-yl)-amine, [2-(4-methoxy-phenyl)-ethyl]-(2-methoxy-6-quinolin-3-yl-pyrimidin-4-yl)-amine, [6-(lH-indol-5-yl)-2-methoxy-pyrimidin-4-yl]-[2-(4-methoxy-phenyl)-ethyl]-amine, N-(2-{2-methoxy-6-[2-(4-methoxy-phenyl)-ethylamino]-pyrimidin-4-yl}-phenyl)- methanesulfonamide,
4-{2-methoxy-6-[2-(4-methoxy-phenyl)-ethylamino]-pyrimidin-4-yl}-benzamide, [2-methoxy-6-(l-methyl-lH-indol-5-yl)-pyrimidin-4-yl]-[2-(4-methoxy-phenyl)-ethyl]-amine, (6-benzo[b]thiophen-2-yl-2-methoxy-pyrimidin-4-yl)-[2-(4-methoxy-phenyl)-ethyl]-amine, l-(4-{2-methoxy-6-[2-(4-methoxy-phenyl)-ethylamino]-pyrimidin-4-yl}-phenyl)-ethanone,
[6-(3-methanesulfonyl-phenyl)-2-methoxy-pyrimidin-4-yl]-[2-(4-methoxy-phenyl)-ethyl]-amine, [6-(2,3-diJiydro-benzofuran-5-yl)-2-methoxy-pyrimidm-4-yl]-[2-(4-methoxy-phenyl)-ethyl]-arnine; [2-methoxy-6-(4-morpholin-4-yl-phenyl)-pyrimidin-4-yl]-[2-(4-methoxy-phenyl)-ethyl]-amine, [6-(4-dimethylamino-phenyl)-2-methoxy-pyrimidin-4-yl]-[2-(4-methoxy-phenyl)-ethyl]-amine, 2!2'-dimethoxy-N*6*,Nslc6'*-bis-[2-(4-methoxy-phenyl)-ethyl]-[4)4']bipyrimidinyl-6J6'-diamine; [2-methoxy-6-(5-oxazol-5-yl-thiophen-2-yl)-pyrimidin-4-yl]-[2-(4-methoxy-phenyl)-ethyl]-amine, 2-methoxy-6-(3-oxazol-5-yl-phenyl)-pyrimidin-4-yl]-[2-(4-methoxy-phenyl)-ethyl]-amine, [6-(5-difluoromethyl-thiophen-2-yl)-2-methoxy-pyrimidin-4-yl]-[2-(4-methoxy-phenyl)-ethyl]-amine, [2-(4-methoxy-phenyl)-ethyl]-[2-methoxy-6-(5-pyrrolidin-l-ylmethyl-thiophen-2-yl)-pyrimidin-4-yl]- amine,
6-{4-fluoro-3-[(2-methoxy-ethylamino)-methyl]-phenyl}-2-methoxy-pyrimidin-4-yl)-[2-(4-methoxy- phenyl)-ethyl]-amine,
4-[2-(3 - {2-methoxy-6-[2-(4-methoxy-phenyl)-ethylamino] -pyrimidin-4-yl } -benzylamino)-ethyl] - phenol, N-(2-fluoro-5-{2-methoxy-6-[2-(4-methoxy-phenyl)-ethylamino]-pyrimidin-4-yl}-benzyl)-N',N'- dimethyl-ethane- 1 ,2-diamine,
[6-(lH-benzoimidazol-5-yl)-2-methoxy-pyrimidin-4-yl]-[2-(4-methoxy-phenyl)-ethyl]-amine, [6-(lH-benzotriazol-5-yl)-2-methoxy-pyrimidin-4-yl]-[2-(4-methoxy-phenyl)-ethyl]-amine, 6-{2-methoxy-6-[2-(4-methoxy-phenyl)-ethylamino]-pyrimidin-4-yl}-3H-benzooxazol-2-one, [2-(3,4-dimethoxy-phenyl)-ethyl]-[6-(3,4-dimethoxy-phenyl)-2-methylsulfanyl-pyrimidin-4-yl]-amine, 3-{6-[2-(3,4-dimethoxy-phenyl)-ethylamino]-2-methylsulfanyl-pyrimidin-4-yl} -benzoic acid, [2-(4-methoxy-phenyl)-ethyl]-[6-(3-methoxy-phenyl)-2-methylsulfanyl-pyrimidin-4-yl]-amine,
[2-(3,4-dimethoxy-phenyl)-ethyl]-[6-(3,4-dimethoxy-phenyl)-2-isopropoxy-pyrimidin-4-yl]-amine,
[6-(3,4-dimethoxy-phenyl)-2-ethoxy-pyrimidin-4-yl]-[2-(3,4-dimethoxy-phenyl)-ethyl]-amine,
[2-ethyl-6-(3-methoxy-phenyl)-pyrimidin-4-yl]-[2-(4-methoxy-phenyl)-ethyl]-amine, 6-(3-methoxy-phenyl)-N*4*-[2-(4-methoxy-phenyl)-ethyl]-N*2*,N*2*-dimethyl-pyrimidine-2,4- diamine,
2-fluor»5- {2-methoxy-6-[2-(4-methoxy-phenyl)-ethylamino]-pyrimidin-4-yl} -benzoic acid,
3- {6-[2-(2-chloro-6-fluoro-phenyl)-ethylamino]-2-methoxy-pyrimidin-4-yl} -benzoic acid,
2-methoxy-5- {2-methoxy-6-[2-(4-methoxy-phenyl)-ethylamino]-pyrimidin-4-yl} -benzoic acid, [2-methoxy-6-(l-oxy-pyridin-3-yl)-pyrimidin-4-yl]-[2-(4-methoxy-phenyl)-ethyl]-amine,
[2-(2,2-difluoro-benzo[l,3]dioxol-5-yl)-ethyl]-[2-methoxy-6-(l-oxy-pyridin-3-yl)-pyrimidin-4-yl]- amine,
2-(3-{2-methoxy-6-[2-(4-metb.oxy-phenyl)-ethylamino]-pyrimidin-4-yl}-phenoxy)-2-methyl-propionic acid ethyl ester, (3-{2-methoxy-6-[2-(4-methoxy-phenyl)-ethylammo]-pyrimidin-4-yl}-phenoxy)-acetic acid methyl ester,
(3- {6-[2-(2,4-dichloro-phenyl)-ethylamino]-2-methoxy-pyrimidin-4-yl} -phenoxy)-acetic acid methyl ester,
(5-{6-[2-(2-cUoro-6-fluoro-phenyl)-ethylamino]-2-methoxy-pyrimidin-4-yl}-2-oxo-2H-pyridin-l-yl)- acetic acid methyl ester,
(3 - { 6-[2-(2,4-dichloro-phenyl)-ethylamino] -2-methoxy-pyrimidin-4-yl } -phenoxy)-acetonitrile,
(3-{6-[2-(2-cUoro-6-fluoro-phenyl)-ethylarrimo]-2-methoxy-pyrimidin-4-yl}-phenoxy)-acetonitrile,
2-(3-{2-methoxy-6-[2-(4-methoxy-phenyl)-ethylamino]-pyrimidin-4-yl}-phenoxy)-2-methyl-propionic acid, (3-{2-methoxy-6-[2-(4-methoxy-phenyl)-ethylamino]-pyrimidin-4-yl}-phenoxy)-acetic acid,
(5-{6-[2-(2-cUoro-6-fluoro-phenyl)-ethylarnmo]-2-methoxy-pyiimidin-4-yl}-2-oxo-2H-pyridin-l-yl)- acetic acid,
2-(3-{6-[2-(2,4-dicMoro-phenyl)-ethylammo]-2-methoxy-pyrimidin-4-yl}-phenoxy)-2-methyl- propionic acid, 2-chloro-5- {2-methoxy-6-[2-(4-methoxy-phenyl)-ethylamino]-pyrimidin-4-yl} -benzoic acid,
[2-(4-methoxy-phenyl)-ethyl]-{2-methoxy-6-[3-(lH-tetrazol-5-yl)-phenyl]-pyrirnidin-4-yl} -amine,
[2-(4-methoxy-phenyl)-ethyl]-{2-methoxy-6-[3-(lH-tetrazol-5-ylmethyl)-phenyl]-pyrimidin-4-yl}- amine,
{2-methoxy-6-[4-methoxy-3-(lH-tetrazol-5-yl)-phenyl]-pyrimidin-4-yl}-[2-(4-methoxy-phenyl)- ethyl] -amine, N-(3-{2-methoxy-6-[2-(4-methoxy-phenyl)-ethylamino]-pyrimidin-4-yl} -benzoyl)- methanesulfonamide,
3-{6-[2-(3,4-dimethoxy-phenyl)-ethylamino]-2-methoxy-pyriinidin-4-yl}-N-(2-pyrrolidin-l-yl-ethyl)- benzamide, 2-fluoro-5- {2-methoxy-6-[2-(4-methoxy-phenyl)-ethylamino]-pyrimidin-4-yl} -benzaldehyde oxime,
3-{2-methoxy-6-[2-(4-methoxy-phenyl)-ethylamino]-pyrimidin-4-yl}-benzaldehyde oxime,
2-methoxy-5-{2-methoxy-6-[2-(4-methoxy-phenyl)-ethylamino]-pyrimidin-4-yl} -benzaldehyde oxime,
3-{2-methoxy-6-[2-(4-methoxy-phenyl)-ethylammo]-pyrimidin-4-yl}-thiophene-2-carbaldehyde oxime, l-(5-{2-methoxy-6-[2-(4-methoxy-phenyl)-ethylarnino]-pyrimidin-4-yl}-thiophen-2-yl)-ethanone oxime,
5-{2-methoxy-6-[2-(4-methoxy-phenyl)-ethylamino]-pyrimidin-4-yl}-thiophene-2-carbaldehyde oxime, [6-(3 -aminomethyl-4-fluoro-phenyl)- 2-methoxy-pyrimidin-4-yl] -[2-(4-methoxy-phenyl)-ethyl] -amine,
N-(2-Fluoro-5-{2-methoxy-6-[2-(4-methoxy-phenyl)-ethylamino]-pyrimidin-4-yl}-benzyl)-2- methoxy-acetamide,
[2-methoxy-6-(3-methoxy-phenyl)-pyrimidin-4-yl]-[2-(4-methoxy-phenyl)-2-methyl-propyl]-amine,
[2-(2-chloro-6-fluoro-phenyl)-ethyl]-[6-(6-methoxy-pyridin-3-yl)-2-methylsulfanyl-pyrimidin-4-yl]- amine,
5-{6-[2-(2-chloro-6-fluoro-phenyl)-ethylamino]-2-methylsulfanyl-pyrimidin-4-yl}-lH-pyridin-2-one,
5-{6-[2-(2-cUoro-6-fluoro-phenyl)-ethylammo]-2-methoxy-pyrimidin-4-yl}-lH-pyridin-2-one,
S-fό-P^-cUoro-β-fluoro-phenyO-ethylaminoj^-methoxy-pyrimidm^-ylJ-l-CS-oxo^.S-dihydro-
[l,3,4]oxadiazol-2-ylmethyl)-lH-pyridin-2-one, 3-(3-{6-[2-(2,4-dicUoro-phenyl)-ethylamino]-2-methoxy-pyrimidin-4-yl-phenoxymethyl)-4H-
[l,2,4]oxadiazol-5-one,
3-(3-{6-[2-(2-chloro-6-fluoro-phenyl)-ethylamino]-2-methoxy-pyrimidin-4-yl}-benzyl)-4H-
[1 ,2,4]oxadiazol-5-one,
3-(3-{6-[2-(2-cUoro-6-fluoro-phenyl)-ethylainino]-2-methoxy-pyrimidin-4-yl}-phenoxymethyl)-4H- [l,2,4]oxadiazol-5-one,
3- {2-methoxy-6-[2-(4-methoxy-phenyl)-ethylamino]-pyrimidin-4-yl} -benzoic acid,
3-{2-methoxy-6-[2-(4-trifluoromethoxy-phenyl)-ethylamino]-pyrimidin-4-yl}-benzoic acid,
[2-(3,4-dimethoxy-phenyl)-ethyl]-(2-methoxy-6-thiophen-2-yl-pyrimidin-4-yl)amine,
[2-(3,4-dimethoxy-pb.enyl)-ethyl]-(6-furan-2-yl-2-methoxy-pyrimidin-4-yl)-amine, (6-biphenyl-4-yl-2-methoxy-pyrimidin-4-yl)-[2-(3,4-dimethoxy-phenyl)-ethyl]-amine,
3- {6-[2-(4-fluoro-phenyl)-ethylamino]-2-methoxy-pyrimidin-4-yl} -benzoic acid, 3-{2-methoxy-6-[2-(4-methoxy-phenyl)-ethylamino]-pyriinidin-4-yl}-berizamide, 1 -(3- {2-methoxy-6-[2-(4-methoxy-phenyl)-ethylamino]-pyrimidin-4-yl} -phenyl)-ethanone, 3-{6-[2-(2,4-dicUoro-phenyl)-ethylamino]-2-methoxy-pyrimidin-4-yl}-phenol, 2-fluoro-5-{2-methoxy-6-[2-(4-methoxy-phenyl)-ethylamino]-pyrimidin-4-yl}-benzaldehyde, 3-{6-[2-(3,4-dimethoxy-phenyl)-ethylarrύno]-2-methoxy-pyrimidin-4-yl} -benzoic acid,
3-{2-methoxy-6-[2-(4-methoxy-phenyl)-ethylamino]-pyrirnidin-4-yl}-thiophene-2-carbaldehyde, 1 -(5- {2-methoxy-6-[2-(4-methoxy-phenyl)-ethylamino]-pyrimidin-4-yl} -thiophen-2-yl)-ethanone, 3- {6-[2-(4-cUorophenyl)-ethylainino]-2-methoxy-pyrirnidin-4-yl} -benzoic acid, [2-methoxy-6-(6-methoxy-pyridin-3-yl)-pyrimidin-4-yl]-[2-(4-methoxy-phenyl)-ethyl]-amine, 3- {2-methoxy-6-[2-(4-methoxy-phenyl)-ethylamino]-pyrimidin-4-yl} -phenol,
[2-(4-methoxy-phenyl)-ethyl]-(2-methoxy-6-pyridin-4-yl-pyrimidin-4-yl)-amine, 2-{2-methoxy-6-[2-(4-methoxy-phenyl)-ethylamino]-pyrimidin-4-yl} -phenol, (3-{2-methoxy-6-[2-(4-methoxy-phenyl)-ethylamino]-pyrimidin-4-yl}-phenyl)-acetonitrile, 3-{2-methoxy-6-[2-(4-methoxy-phenyl)-ethylamino]-pyrimidin-4-yl}-benzonitrile, 3- {2-methoxy-6-[2-(4-methoxy-phenyl)-ethylamino]-pyrimidin-4-yl} -benzaldehyde,
3-{6-[2-(2-chloro-6-fluoro-phenyl)-ethylamino]-2-methoxy-pyrimidin-4-yl}-benzaldehyde, 3- {6-[2-(2,4-dichloro-phenyl)-ethylamino]-2-methoxy-pyrimidin-4-yl} -benzoic acid, [2-methoxy-6-(pyridin-3-yl)-pyrirnidin-4-yl]-[2-(4-methoxy-phenyl)-ethyl]-amine, 2-methoxy-5-{2-methoxy-6-[2-(4-methoxy-phenyl)-ethylamino]-pyrimidin-4-yl} -benzaldehyde, 2-chloro-5-{2-methoxy-6-[2-(4-methoxy-phenyl)-ethylamino]-pyrimidin-4-yl}-benzoic acid ethyl ester,
{2-methoxy-6-[3-(3-methyl-[l,2,4]oxadiazol-5-yl)-phenyl]-pyrimidin-4-yl}-[2-(4-methoxy-phenyl)- ethyl] -amine, {2-methoxy-6-[3-(5-methyl-2H-[l,2,4]triazol-3-yl)-phenyl]-pyrimidin-4-yl}-[2-(4-methoxy-phenyl)- ethyl]-amine,
{2-methoxy-6-[3-(3-methyl-isoxazol-5-yl)-phenyl]-pyrknidin-4-yl}-[2-(4-methoxy-phenyl)-ethyl]- amine,
{2-methoxy-6-[3-(5-methyl-2H-pyrazol-3-yl)-phenyl]-pyrimidin-4-yl}-[2-(4-methoxy-phenyl)-ethyl]- amine, [2-(3-fluoro-4-methoxy-phenyl)-ethyl]-{2-methoxy-6-[3-(2H-tetrazol-5-yl)-phenyl]-pyrimidin-4-yl}- amine, l-ethyl-3-(3-{2-methoxy-6-[2-(4-methoxy-phenyl)-ethylammo]-pyrimidin-4-yl}-phenyl)-urea, 2-(3-{6-[2-(2,4-dicUoro-phenyl)-ethylamino]-2-methoxy-pyrimidin-4-yl}-phenoxy)-2 -methyl- propionic acid ethyl ester, [2-(4-cUoro-phenyl)-l-methyl-ethyl]-[6-(3,4-dimethoxy-phenyl)-2-methoxy-pyrirriidin-4-yl]-arnine, [2-methoxy-6-(3-methoxy-phenyl)-pyrimidin-4-yl]-[2-(4-nitro-phenyl)-ethyl]-amine, [2-methoxy-6-(3-methoxy-phenyl)-pyrimidin-4-yl]-[2-(4-trifluoromethoxy-phenyl)-ethyl]-amine! [2-(2-chloro-6-fluoro-phenyl)-ethyl]-[2-methoxy-6-(3-methoxy-phenyl)-pyriraidin-4-yl]-amine, [2-methoxy-6-(3-methoxy-phenyl)-pyriπύdin-4-yl]-(2-thiophen-2-yl-ethyl)-ainine, 3 - {2-[2-methoxy-6-(3-methoxy-phenyl)-pyrimidin-4-ylamino]-ethyl } - 1 H-indol-5 -ol, [2-(6-methoxy-lH-indol-3-yl)-ethyl]-[2-methoxy-6-(3-methoxy-phenyl)-pyrimidin-4-yl]-amin, [2-(5 -methoxy- 1 H-indol-3 -yl)-ethyl] -[2-methoxy-6-(3-methoxy-phenyl)-pyrimidin-4-yl] -amine, [2-methoxy-6-(3 -methoxy-phenyl)-pyrimidin-4-yl] -(2-pyridin-3 -yl-ethyl)-amine, [2-(4-amino-phenyl)-ethyl]-[2-methoxy-6-(3-methoxy-phenyl)^yrimidin-4-yl]-amine, (4-methoxy-benzyl)-[2-methoxy-6-(3-methoxy-phenyl)-pyrimidin-4-yl]-amine, [2-methoxy-6-(3-methoxy-phenyl)-pyrimidin-4-yl]-(3-phenyl-propyl)-amine,
[2-(lH-imidazol-4-yl)-ethyl]-[2-methoxy-6-(3-methoxy-phenyl)-pyrimidin-4-yl]-amine, (2^-2-[2-methoxy-6-(3-methoxy-phenyl)-pyrimidin-4-ylamino]-3-(4-methoxy-phenyl)-propionic acid, [2-methoxy-6-(3-methoxy-phenyl)-pyrimidin-4-yl]-[2-(4-methoxy-phenyl)-ethyl]-amine, [2-methoxy-6-(5-methyl-[l,3,4]oxadiazol-2-yl)-pyriinidin-4-yl]-[2-(4-methoxy-phenyl)-ethyl]-amine, (2-methoxy-6-oxazol-5-yl-pyrimidin-4-yl)-[2-(4-methoxy-phenyl)-ethyl]-amine;
3-{6-[2-(2J2-difluoro-benzo[l,3]dioxol-5-yl)-ethylamino]-2-methoxy-pyrimidin-4-yl} -benzoic acid, [2-(2,2-difluoro-benzo[l,3]dioxol-5-yl)-ethyl]-(2-raethoxy-6-pyridin-3-yl-pyrimidin-4-yl)-amine1 N-(3-{6-[2-(4-difluoromethoxy-phenyl)-ethylamino]-2-methoxy-pyrimidin-4-yl}-phenyl)-acetamide, [2-(4-difluoromethoxy-phenyl)-ethyl] -[6-(3 -methanesulfonyl-phenyl)-2-methoxy-pyrimidin-4-yl] - amine,
3-{6-[2-(2-chloro-6-fluoro-phenyl)-ethylamino]-2-methoxy-pyrimidin-4-yl}-phenol, [2-(2,4-dichloro-phenyl)-ethyl]-(2-methyl-6-{3-[l-methyl-l-(lH-tetrazol-5-yl)-ethyl]-phenyl}- pyrimidin-4-yl)-amine, [2-Methoxy-6-(2-methoxy-benzyloxy)-pyrimidin-4-yl]-[2-(4-methoxy-phenyl)-ethyl]-amine, 2-(3- {6-[2-(2,4-dichloro-phenyl)-ethylamino]-2-methoxy-pyrimidin-4-yl} -phenyl)-propionic acid,
2-(3-{6-[2-(2,4-dicUoro-phenyl)-ethylamino]-2-methoxy-pyrimidin-4-yl}-phenyl)-2-methyl-propionic acid,
2-(3-{6-[2-(2,4-dichloro-phenyl)-ethylammo]-2-methoxy-pyrimidin-4-yl}-phenyl)-2-methyl-propionic acid 1-ethoxycarbonyloxy-ethyl ester, 2-(3-{6-[2-(2,4-dichloro-phenyl)-ethylamino]-2-methoxy-pyrimidin-4-yl}-phenyl)-2-methyl-propionic acid 2-dimethylamino-ethyl ester,
(5-{6-[2-(2-fluoro-4-trifluoromethyl-phenyl)-ethylaπiino]-2-methoxy-pyrimidin-4-yl}-lH-indol-3-yl)- acetic acid, [6-(lH-indol-6-yl)-2-methoxy-pyrimidin-4-yl]-[2-(4-methoxy-phenyl)-ethyl]-ammonium, [6-(lH-indazol-6-yl)-2-methoxy-pyrimidin-4-yl]-[2-(4-methoxy-phenyl)-ethyl]-amine, 3- {6-[2-(2,6-dichloro-phenyl)-ethylamino]-2-methoxy-pyrimidin-4-yl} -benzoic acid, 2-methoxy-5-{2-methoxy-6-[2-(4-methoxy-phenyl)-ethylamino]-pyrimidin-4-yl}-benzonitrile,
(3- {6-[2-(2-chloro-6-fluoro-phenyl)-ethylamino]-2-methoxy-pyrimidin-4-yl} -benzyloxy)-acetic acid,
(3-{6-[2-(2,4-dicWoro-phenyl)-ethylarnino]-2-methoxy-pyrimidin-4-yl}-benzoylamino)-acetic acid ethyl ester, (3-{6-[2-(2,4-dicWoro-phenyl)-ethylamino]-2-methoxy-pyrimidin-4-yl}-benzoylamino)-acetic acid, ethyl-carbamic acid 3-{6-[2-(2,4-dichloro-phenyl)-ethylamino]-2-methoxy-pyrimidin-4-yl} -phenyl ester,
5-{2-methoxy-6-[2-(4-methoxy-phenyl)-ethylamino]-pyrimidin-4-yl}-thiophene-2-carboxylic acid,
5- {2-methoxy-6-[2-(4-methoxy-phenyl)-ethylamino]-pyrimidin-4-yl} -thiophene-2-carboxylic acid methylamide,
(3-{6-[2-(3,4-dimethoxy-phenyl)-ethylamino]-2-methoxy-pyrirnidin-4-yloxy}-benzoic acid methyl ester,
N-[2-(3 - { 6-[2-(2-fluoro-4-trifluoromethyl-phenyl)-ethylamino] -2-methoxy-pyrimidin-4-yl } -phenyl)- ethyl]-2-methoxy-acetamide, N-[2-(3-{6-[2-(2-fluoro-4-trifluoromethyl-phenyl)-ethylarnino]-2-methoxy-pyrimidin-4-yl}-phenyl)- ethyl] -acetamide,
[2-(2-fluoro-4-trifluoromethyl-phenyl)-ethyl]-[2-methoxy-6-(3-oxiranylmethoxy-phenyl)-pyrimidin-4- yl] -amine,
2-{3-[6-(2,2-difluoro-2-phenyl-ethylamino)-2-rnethoxy-pyriniidin-4-yl]-phenyl}-2-methyl-propionic acid,
2-[3-(2-methoxy-6-{2-[4-(5-methyl-[l,3,4]oxadiazol-2-yl)-phenyl]-ethylamino}-pyrimidin-4-yl)- phenyl] -2 -methyl-propionic acid,
5-(3- {6-[2-(3,4-difluoro-phenyl)-ethylamino]-2-methoxy-pyrirnidin-4-yl} -phenoxymethyl)-l -ethyl -
2,4-dihydro-[l,2,4]triazol-3-one, 2-(2-fluoro-5-{2-methoxy-6-[2-(4-trifluoromethoxy-phenyl)-ethylamino]-pyrimidin-4-yl}-phenyl)-2- methyl-propionic acid,
2-(3-{2-methoxy-6-[(thiophen-3-ylmethyl)-amino]-pyrirnidin-4-yl}-phenyl)-2-methyl-propioriic acid,
2-(3-{6-[(benzo[b]thiophen-2-ylmethyl)-amino]-2-methyl-pyrimidin-4-yl}-phenyl)-2-methyl- propionic acid, l-{6-[2-(2,4-dicrύoro-phenyl)-ethylarnino]-2-methoxy-pyrimidin-4-yl}-piperidine-3-carboxylic acid, l-(3-{6-[2-(2,4-dichloro-phenyl)-ethylamino]-2-methoxy-pyrimidin-4-yl}-phenyl)- cyclopentanecarboxylic acid,
3-{6-[2-(2,4-dichloro-phenyl)-ethylarnino]-2-methoxy-pyrimidin-4-yl} -benzoic acid 2-morpholin-4-yl- ethyl ester, 3- {6-[2-(2,4-dichloro-phenyl)-ethylamino]-2-methoxy-pyrimidin-4-yl} -benzoic acid 2-(4-methyl- piperazin-l-yl)-ethyl ester, 3-{6-[2-(2,4-dichloro-phenyl)-ethylamino]-2-methoxy-pyrimidin-4-yl}-benzoic acid ethyl ester,
(3-{6-[2-(2,4-dicMoro-phenyl)-ethylamino]-2-methoxy-pyrimidm-4-yl}-phenyl)-methanol,
(3 '-chloro-4'- {2-[6-(3 -hydroxymethyl-phenyl)-2-methoxy-pyrimidin-4-ylamino]-ethyl } -biphenyl-3 -yl)- methanol, 2-(3-{6-[2-(2,4-dicUoro-phenyl)-ethylamino]-2-methoxy-pyrimidin-4-yl}-phenyl)-2-methyl-propionic acid methyl ester,
4-(3-{6-[2-(2]4-dicUoro-phenyl)-ethylamino]-2-methoxy-pyrimidin-4-yl}-phenyl)-tetrahydro-pyran-4- carboxylic acid,
N-[4-(3-{6-[2-(2,4-dicUoro-phenyl)-ethylamino]-2-methoxy-pyrirnidin-4-yl}-phenyl)-tetrahydro- pyran-4-carbonyl] -methanesulfonamide,
4-(3-{6-[2-(2,4-dicUoro-phenyl)-ethylaimno]-2-methoxy-pyrimidin-4-yl}-phenyl)-tetrahydro-pyran-
4-carboxylic acid ethyl ester,
(3-{6-[2-(2,4-dicUoro-phenyl)-ethylamLno]-2-methoxy-pyrimidin-4-yl}-phenyl)-difluoro-acetic ethanesulfonic acid [2-(3-{6-[2-(2,4-dichloro-phenyl)-ethylamino]-2-methoxy-pyrimidin-4-yl}- phenyl)-2,2-difluoro-acetyl]-amide,
(3-{6-[2-(2J4-dicUoro-phenyl)-ethylamino]-2-methoxy-pyrimidin-4-yl}-phenyl)-difluoro-acetic acid ethyl ester,
(3-{6-[2-(2,4-dicrdorθφhenyl)-ethylamino]-2-methoxy-pyrirnidin-4-yl}-phenyl)-acetonitrile,
(3-{6-[2-(2,4-dicMoro-phenyl)-ethylamino]-2-methoxy-pyrimidin-4-yl}-phenyl)-difluoro-acetoriitrile, [2-(2,4-dichloro-phenyl)-ethyl]-(6-{3-[difluoro-(lH-tetrazol-5-yl)-methyl]-phenyl}-2-methoxy- pyrimidin-4-yl)-amine,
2- {3-[6-(indan-l -ylamino)-2-methoxy-pyrimidin-4-yl] -phenyl} -2-methyl-propionic acid,
2-{3-[6-(indan-2-ylamino)-2-methoxy-pyrirriidin-4-yl]-phenyl}-2-methyl-propionic acid,
N-[4-(3-{2-methoxy-6-[2-(4-trifluoromethoxy-phenyl)-ethylarrύno]-pyrimidin-4-yl}-phenyl)- tetrahydro-pyran-4-carbonyl]-methanesulfonamide,
4-(3-{2-methoxy-6-[2-(4-trifluoromethoxy-phenyl)-ethylamino]-pyrimidin-4-yl}-phenyl)-tetrahydro- pyran-4-carboxylic acid methyl ester,
2-(3-{6-[2-(2,4-dichloro-phenyl)-ethylamino]-2-methoxymethyl-pyrimidin-4-yl}-phenyl)-2 -methyl- propionic acid, 2-(3-{6-[2-(2,4-dicMoro-phenyl)-ethylamino]-2-hydroxymethyl-pyrimidin-4-yl}-phenyl)-2 -methyl- propionic acid,
5-{6-[2-(2,4-dicUoro-phenyl)-ethylamino]-2-methoxy-pyrimidin-4-yl}-thiophene-2-carboxylic acid,
5-{2-Methoxy-6-[2-(4-trifluoromethoxy-phenyl)-ethylamino]-pyrimidin-4-yl}-2,3-dihydro- benzoftιran-2 -carboxylic acid, 2-(3-{6-[2-(2,4-dicUoro-phenyl)-ethylamino]-2-methoxy-pyrimidin-4-yl}-phenyl)-2-methyl-propionic acid 2,3-dihydroxy-propyl ester, 2-(3-{6-[(2,3-dihydro-benzofiu'an-2-ylmethyl)-amino]-2-methoxy-pyriimdin-4-yl}-phenyl)-2-methyl- propionic acid,
2-(3-{6-[(isoclκoman-l-ylmethyl)-amino]-2-methoxy-pyrimidin-4-yl}-phenyl)-2-methyl-propionic acid, 2-(3-{2-methoxy-6-[(4-methyl-3,4-dihydro-2H-benzo[l,4]oxazin-2-ylmethyl)-amino]-pyrimidin-4- yl} -phenyl)-2-methyl-propionic acid,
2-(3-{6-[(Eenzofuran-5-ylmethyl)-ainino]-2-methoxy-pyrimidin-4-yl}-phenyl)-2-methyl-propioiiic acid,
N-(6-{6-[2-(2,4-dicUoro-phenyl)-ethylamino]-2-methoxy-pyriinidin-4-yl}-benzothiazol-2-yl)- acetamide, ethanesυlfonic acid [2-(3-{6-[2-(2,4-dichloro-phenyl)-ethylamino]-2-methoxy-pyrimidin-4-yl}- phenyl)-2-methyl-propionyl]-amide,
N-[2-(3-{6-[2-(2,4-dichloro-phenyl)-ethylamino]-2-methoxy-pyrimidin--4-yl}-phenyl)-2 -methyl- propionyl]-C-phenyl-methanesulfonarnide, 2-(3-{6-[2-(2;4-dichloro-phenyl)-ethylamino]-2-methoxy-pyrimidin-4-yl}-phenyl)-2-methyl-l- moφholin-4-yl-propan-l -one,
2-(3-{6-[2-(2,4-dichloro-phenyl)-ethylamino]-2-methoxy-pyrimidin-4-yl}-phenyl)-N-(tetrahydro- pyran-4-yl)-isobutyramide,
2-(3-{6-[2-(2,4-dichloro-phenyl)-ethylamino]-2-methoxy-pyrimidin-4-yl}-phenyl)-N-(lH-tetrazol-5- yl)-isobutyramide, l-{6-[2-(2,4-dicUoro-phenyl)-ethylamino]-2-methoxy-pyrimidin-4-yl}-piperidine-4-carboxylic acid,
2-(2-cUoro-5-{6-[2-(2,4-dicMoro-phenyl)-ethylamino]-2-methoxy-pyrimidin-4-yl}-phenyl)-propan-2- ol,
2-(3-{6-[2-(2,4-dichloro-phenyl)-ethylarnino]-2-methoxy-pyrimidin-4-yl}-4-fluoro-phenyl)-2 -methyl- propionic acid,
1 - {6-[2-(2,4-DicUoro-phenyl)-ethylamino]-2-methyl-pyrimidin-4-yl} -pyrrolidine-3-carboxylic acid,
2-(l-{2-Methoxy-6-[2-(44rifluoromethoxy-phenyl)-ethylamino]-pyrimidin-4-yl}-piperidin-3-yl)-2- methyl-propionic acid,
2-[3-{6-[2-(2,4-DicMoro-phenyl)-ethylamino]-2-methoxy-pyrimidin-4-yl}-5-(l-hydroxy-l -methyl- ethyl)-phenyl]-propan-2-ol,
[6-(3-Ammo-piperidm-l-yl)-2-methoxy-pyriirddm-4-yl]-[2-(2,4-dichloro-phenyl)-ethyl]-amine,
[6-(4-Amino-piperidin-l-yl)-2-methoxy-pyrimidin-4-yl]-[2-(2,4-dichloro-phenyl)-ethyl]-amine,
N-(l-{6-[2-(2,4-DicUoro-phenyl)-ethylamino]-2-methoxy-pyrimidin-4-yl}-piperidin-4-yl)-acetamide,
5-{6-[2-(2,4-Dichloro-phenyl)-ethylamino]-2-methoxy-pyrimidin-4-yl}-l-methyl-2,3-dihydro-lH- indole-2-carboxylic acid, 2-Methyl-propane-2-sulfonic acid [2-(3-{6-[2-(2,4-dichloro-phenyl)-ethylamino]-2-methoxy- pyrimidin-4-yl}-phenyl)-2-methyl-propionyl]-amide,
N,N-dimethylamide-2-sulfonic acid [2-(3-{6-[2-(2,4-dichloro-phenyl)-ethylamino]-2-methoxy- pyrimidin-4-yl } -phenyl)-2-methyl-propionyl] -amide, 2-(3- {6-[2-(2,4-Dichloro-phenyl)-ethylamino]-2-methoxy-pyrimidin-4-yl} -phenyl)-2-methyl-l - thiomorpholin-4-yl-propan- 1 -one,
2-(3-{6-[2-(2,4-DicMoro-phenyl)-ethylamino]-2-methoxy-pyrimidin-4-yl}-phenyl)-isobutyramide,
2-(3-{6-[2-(2,4-DicUoro-phenyl)-ethylamino]-2-methoxy-pyrimidin-4-yl}-phenyl)-N,N-dimethyl- isobutyramide, (l-{6-[2-(2,4-DicUoro-phenyl)-ethylamino]-2-methoxy-pyrimidin-4-yl}-piperidin-3-yl)-acetic acid, l-{2-Methoxy-6-[2-(4-trifluoromethoxy-phenyl)-ethylamino]-pyrimidin-4-yl}-piperidine-3-carboxylic acid,
N-(l-{2-Methoxy-6-[2-(44rifluoromethoxy-phenyl)-ethylamino]-pyrimidin-4-yl}-piperidine-3- carbonyl)-methanesulfonamide, N-(l-{6-[2-(2,4-DicUoro-phenyl)-ethylamino]-2-methoxy-pyrimidin-4-yl}-piperidine-3-carbonyl)- methanesulfonamide,
Ethanesulfonic acid (l-{6-[2-(2,4-dicUoro-phenyl)-ethylamino]-2-methoxy-pyrimidin-4-yl}- piperidine-3-carbonyl)-amide,
2-Methyl-propane-2-sulfonic acid ( 1 - {6-[2-(2,4-dichloro-phenyl)-ethylamino]-2-methoxy-pyrimidin- 4-yl} -piperidine-3-carbonyl)-amide,
N-(l-{6-[2-(2,4-DicUoro-phenyl)-ethylamino]-2-methoxy-pyrixnidin-4-yl}-piperidine-3-carbonyl)-
CjCjC-trifluoro-methanesulfonamide, l-{6-[2-(2,4-DicUoro-phenyl)-ethylamino]-2-methoxy-pyrimidin-4-yl}-piperidine-3-carboxylic acid
(lH-tetrazol-5-yl)-amide, l-{6-[2-(2,4-DicUoro-phenyl)-ethylamino]-2-methoxy-pyrimidin-4-yl}-piperidine-3-carboxylic acid amide,
1 - {6-[2-(2,4-Dichloro-phenyl)-ethylamino]-2-methoxy-pyrimidin-4-yl} -piperidine-3-carboxylic acid dimethylamide,
N,N-Dimethylamide-2-sulfonic acid 1 - {6-[2-(2,4-dicUoro-phenyl)-ethylamino]-2-methoxy-pyrimidin- 4-yl}-piperidine-3-carboxamide,
5-{2-Methoxy-6-[2-(44rifluoromethoxy-phenyl)-ethylammo]-pyrimidin-4-yl}-thiophene-2-carboxylic acid, or
5-{6-[2-(2,4-DicUoro-phenyl)-ethylamino]-2-methoxy-pyrimidin-4-yl}-2,3-dihydro-benzofuran-2- carboxylic acid.
38. The pharmaceutical composition according to claim 1 , wherein the compound of formula (I) or the pharmaceutically acceptable salt or ester prodrug thereof is:
3-{6-[2-(3-fluoro-4-methoxy-phenyl)-ethylammo]-2-methoxy-pyrirnidin-4-yl}-benzonitrile;
[6-(3 -ammo-phenyl)-2-methoxy-pyrirnidin-4-yl] -[2-(4-methoxy-phenyl)-ethyl] amine; 3- {2-methoxy-6-[2-(4-methoxy-phenyl)-ethylamino]-pyrimidin-4-yl} -benzenesulfonamide;
3-{2-methoxy-6-[2-(4-methoxy-phenyl)-ethylarmno]-pyrimidin-4-yl}-N-methyl-benzenesulfonamide;
N-ethyl-3-{2-methoxy-6-[2-(4-methoxy-phenyl)-ethylamino]-pyrimidin-4-yl} -benzenesulfonamide;
N-methoxycarbonyl-3-{2-methoxy-6-[2-(4-methoxy-phenyl)-ethylamino]-pyrimidin-4-yl}- benzenesulfonamide; 6-(3-amino-phenyl)-2-methoxy-pyrimidin-4-yl]-[2-(4-trifluoromethoxy-phenyl)-ethyl]-amine;
N-(3-{2-methoxy-6-[2-(44rifluoromethoxy-phenyl)-ethylarmno]-pyiimidin-4-yl}-phenyl)-acetamide;
N-(3-{2-methoxy-6-[2-(4-methoxy-phenyl)-ethylamino]-pyrimidin-4-yl}-phenyl)-acetamide;
(3- {2-methoxy-6-[2-(4-methoxy-phenyl)-ethylamino]-pyrimidin-4-yl} -phenyl)-carbamic acid ethyl ester; 3-{6-[2-(2,4-difluoro-phenyl)-ethylamino]-2-methoxy-pyrimidin-4-yl} -benzoic acid;
5-{2-methoxy-6-[2-(4-methoxy-phenyl)-ethylamino]-pyrimidin-4-yl}-thiophene-2-carboxylic acid trifluoroacetate;
5-{2-methoxy-6-[2-(4-methoxy-phenyl)-ethylammo]-pyrimidin-4-yl}-thiophene-2-carbaldehyde;
4-{2-methoxy-6-[2-(4-methoxy-phenyl)-ethylamino]-pyrimidin-4-yl}-thiophene-2-carbaldehyde; [6-(3,5-dimethyl-isoxazol-4-yl)-2-methoxy-pyrimidin-4-yl]-[2-(4-methoxy-phenyl)-ethyl]-amine;
[2-methoxy-6-(5-methyl-thiophen-2-yl)-pyrimidin-4-yl]-[2-(4-methoxy-phenyl)-ethyl]-amine;
[2-(4-methoxy-phenyl)-ethyl]-[2-methoxy-6-(lH-pyrazol-4-yl)-pyrimidin-4-yl]-amine;
(6-isoquinolin-5-yl-2-methoxy-pyrimidin-4-yl)-[2-(4-methoxy-phenyl)-ethyl]-amine;
(5-{2-methoxy-6-[2-(4-methoxy-phenyl)-ethylanτino]-pyrimidin-4-yl}-thiophen-2-yl)-methanol; (3-{2-methoxy-6-[2-(4-methoxy-phenyl)-ethylamino]-pyrimidin-4-yl}-thiophen-2-yl)-methanol;
(3-{2-methoxy-6-[2-(4-methoxy-phenyl)-ethylamino]-pyrimidin-4-yl}-phenyl)-methanol;
(3-{6-[2-(2-chloro-6-fiuoro-phenyl) -ethylamino]-2-methoxy-pyrimidin-4-yl}-phenyl)-methanol;
[2-(4-methoxy-phenyl)-ethyl]-(2-methoxy-6-quinolin-6-yl-pyrimidin-4-yl)-amine;
[2-(4-methoxy-phenyl)-ethyl]-(2-methoxy-6-quinolin-3-yl-pyrimidin-4-yl)-amine; [6-(lH-indol-5-yl)-2-methoxy-pyrimidin-4-yl]-[2-(4-methoxy-phenyl)-ethyl]-amine;
N-(2-{2-methoxy-6-[2-(4-methoxy-phenyl)-ethylamino]-pyrimidin-4-yl}-phenyl)- methanesulfonamide;
4-{2-methoxy-6-[2-(4-methoxy-phenyl)-ethylarnmo]-pyrirnidin-4-yl}-benzamide;
[2-methoxy-6-(l-methyl-lH-indol-5-yl)-pyrimidin-4-yl]-[2-(4-methoxy-phenyl)-ethyl]-amine; (6-benzo[b]thiophen-2-yl-2-methoxy-pyrimidin-4-yl)-[2-(4-methoxy-phenyl)-ethyl]-amine; l-(4-{2-methoxy-6-[2-(4-methoxy-phenyl)-ethylamino]-pyrimidin-4-yl}-phenyl)-ethanone; [6-(3-methanesulfonyl-phenyl)-2-methoxy-pyrimidin-4-yl]-[2-(4-methoxy-phenyl)-ethyl]-amine;
[6-(23-dihydro-benzofuran-5-yl)-2-methoxy-pyrimidin-4-yl]-[2-(4-methoxy-phenyl)-ethyl]-amine;
[2-methoxy-6-(4-moφholin-4-yl-phenyl)-pyrimidin-4-yl]-[2-(4-methoxy-phenyl)-ethyl]-amine;
[6-(4-dimethylamino-phenyl)-2-methoxy-pyrimidin-4-yl]-[2-(4-methoxy-phenyl)-ethyl]-aτnine; 2,2'-dimethoxy-N*6*,N*6'*-bis^2-(4-methoxy-phenyl)-ethyl]44,4']bipyrimidinyl-6,6'-diamine;
[2-methoxy-6-(5-oxazol-5-yl-thiophen-2-yl)-pyrimidin-4-yl]-[2-(4-methoxy-phenyl)-ethyl]-amine;
2-methoxy-6-(3-oxazol-5-yl-phenyl)-pyrirnidin-4-yl]-[2-(4-methoxy-phenyl)-ethyl]-aniine;
[6-(5-difluoromethyl4Mophen-2-yl)-2-methoxy-pyriirddin-4-yl]-[2-(4-methoxy-phenyl)-ethyl]-amine;
[2-(4-methoxy-phenyl)-ethyl]-[2-methoxy-6-(5-pyrrolidin-l-ylmethyl-thiophen-2-yl)-pyrimidin-4-yl]- amine;
6-{4-fluoro-3-[(2-methoxy-ethylamino)-methyl]-phenyl}-2-methoxy-pyrimidin-4-yl)-[2-(4-methoxy- phenyl)-ethyl] -amine hydrochloride;
4-[2-(3-{2-methoxy-6-[2-(4-methoxy-phenyl)-ethylamino]-pyrimidin-4-yl}-benzylamino)-ethyl]- phenol hydrochloride; N-(2-fluoro-5-{2-methoxy-6-[2-(4-methoxy-phenyl)-ethylamino]-pyrimidin-4-yl}-benzyl)-N',N'- dimethyl-ethane- 1 ,2-diamine hydrochloride;
[6-(lH-benzoimidazol-5-yl)-2-methoxy-pyrimidin-4-yl]-[2-(4-methoxy-phenyl)-ethyl]-amine;
[6-(lH-benzotriazol-5-yl)-2-methoxy-pyrimidin-4-yl]-[2-(4-methoxy-phenyl)-ethyl]-amine;
6-{2-methoxy-6-[2-(4-methoxy-phenyl)-ethylarrύno]-pyrimidin-4-yl}-3H-benzooxazol-2-one; 3- {2-methoxy-6-[2-(4-methoxy-phenyl)-ethylamino]-pyrimidin-4-yl} -phenol hydrochloride;
3- {6-[2-(2,4-dicUoro-phenyl)-ethylarnino]-2-methoxy-pyrimidin-4-yl} -benzoic acid;
3- {6-[2-(2-chloro-6-fluoro-phenyl)-ethylamino]-2-methoxy-pyrimidin-4-yl} -benzoic acid hydrochloride;
2-(3-{6-[2-(2,4-dichloro-phenyl)-ethylamino]-2-methoxy-pyrimidin-4-yl}-phenyl)-2-methyl-propionic acid hydrochloride;
[2-(3)4-dimethoxy-phenyl)-ethyl]-[6-(3,4-dimethoxy-phenyl)-2-methylsulfanyl-pyrimidin-4-yl]-amine;
3- {6-[2-(3 ,4-dimethoxy-phenyl)-ethylamino]-2-methylsulfanyl-pyrimidin-4-yl} -benzoic acid;
[2-(4-methoxy-phenyl)-ethyl]-[6-(3-methoxy-phenyl)-2-methylsulfanyl-pyrimidin-4-yl]-amine;
[2-(3,4-dimethoxy-phenyl)-ethyl]-[6-(3J4-dimethoxy-phenyl)-2-isopropoxy-pyrimidin-4-yl]-amine; [6-(3,4-dimethoxy-phenyl)-2-ethoxy-pyrimidin-4-yl]-[2-(3,4-dimethoxy-phenyl)-ethyl]-amine;
[2-ethyl-6-(3-methoxy-phenyl)-pyrimidin-4-yl]-[2-(4-methoxy-phenyl)-ethyl]-amine, 1;
6-(3-methoxy-phenyl)-N*4*-[2-(4-methoxy-phenyl)-ethyl]-N*2*,N*2*-dimethyl-pyrimidine-2!4- diamine hydrochloride;
2-fluoro-5-{2-methoxy-6-[2-(4-methoxy-phenyl)-ethylarnino]-pyrimidin-4-yl}-benzoic acid; 3-{6-[2-(2-cUoro-6-fluoro-phenyl)-ethylammo]-2-methoxy-pyrimidin-4-yl} -benzoic acid;
2-methoxy-5-{2-methoxy-6-[2-(4-methoxy-phenyl)-ethylamino]-pyrimidin-4-yl} -benzoic acid; [2-methoxy-6-(l-oxy-pyridin-3-yl)-pyriinidin-4-yl]-[2-(4-methoxy-phenyl)-ethyl]-amine;
[2-(2,2-difluoro-benzo[l,3]dioxol-5-yl)-ethyl]-[2-methoxy-6-(l-oxy-pyridin-3-yl)-pyrimidin-4-yl]- amine;
2-(3-{2-methoxy-6-[2-(4-methoxy-phenyl)-ethylamino]-pyrimidin-4-yl}-phenoxy)-2-methyl-propionic acid ethyl ester;
(3- {2-methoxy-6-[2-(4-methoxy-phenyl)-ethylamino]-pyrimidin-4-yl} -phenoxy)-acetic acid methyl ester;
(3-{6-[2-(2,4-dicUoro-phenyl)-ethylarnmo]-2-methoxy-pyrimidin-4-yl}-phenoxy)-acetic acid methyl ester; (5-{6-[2-(2-cWoro-6-fluoro-phenyl)-ethylarnino]-2-methoxy-pyrimidin-4-yl}-2-oxo-2H-pyridin-l-yl)- acetic acid methyl ester;
(3-{6-[2-(2,4-dicWoro-phenyl)-ethylamino]-2-methoxy-pyrimidin-4-yl}-phenoxy)-acetoriitrile;
(3-{6-[2-(2-cUoro-6-fluoro-phenyl)-ethylamino]-2-methoxy-pyrimidin-4-yl}-phenoxy)-acetonitrile;
2-(3-{2-methoxy-6-[2-(4-methoxy-phenyl)-ethylamino]-pyrimidin-4-yl}-phenoxy)-2-methyl-propionic acid;
(3-{2-methoxy-6-[2-(4-methoxy-phenyl)-ethylamino]-pyrimidin-4-yl}-phenoxy)-acetic acid;
(5-{6-[2-(2-cUoro-6-fluoro-phenyl)-ethylamino]-2-methoxy-pyrimidin-4-yl}-2-oxo-2H-pyridin-l-yl)- acetic acid;
2-(3-{6-[2-(2,4-dichloro-phenyl)-ethylamino]-2-methoxy-pyrimidin-4-yl}-phenoxy)-2 -methyl- propionic acid;
2-chloro-5-{2-methoxy-6-[2-(4-methoxy-phenyl)-ethylamino]-pyrimidin-4-yl} -benzoic acid hydrochloride salt;
[2-(4-methoxy-phenyl)-ethyl]-{2-methoxy-6-[3-(lH-tetrazol-5-yl)-phenyl]-pyrimidin-4-yl} -amine;
[2-(4-methoxy-phenyl)-ethyl]-{2-methoxy-6-[3-(lH-tetrazol-5-ylmethyl)-phenyl]-pyrimidin-4-yl}- amine hydrochloride;
{2-methoxy-6-[4-methoxy-3-(lH-tetrazol-5-yl)-phenyl]-pyrimidin-4-yl}-[2-(4-methoxy-phenyl)- ethyl]-amine;
N-(3-{2-methoxy-6-[2-(4-methoxy-phenyl)-ethylamino]-pyrimidin-4-yl}-benzoyl)- methanesulfonamide; 3- {6-[2-(3,4-dimethoxy-phenyl)-ethylamino]-2-methoxy-pyrimidin-4-yl} -N-(2-pyrrolidin-l -yl-ethyl)- benzamide;
2-fluoro-5-{2-methoxy-6-[2-(4-methoxy-phenyl)-ethylamino]-pyrimidin-4-yl}-benzaldehyde oxime;
3- {2-methoxy-6-[2-(4-methoxy-phenyl)-ethylamino]-pyrimidin-4-yl} -benzaldehyde oxime;
2-methoxy-5-{2-methoxy-6-[2-(4-methoxy-phenyl)-ethylamino]-pyrimidin-4-yl}-benzaldehyde oxime; 3-{2-methoxy-6-[2-(4-methoxy-phenyl)-ethylarmno]-pyrirnidin-4-yl}-thiophene-2-carbaldehyde oxime; l-(5-{2-methoxy-6-[2-(4-methoxy-phenyl)-ethylamino]-pyrimidin-4-yl}-thiophen-2-yl)-ethanone oxime; 5-{2-methoxy-6-[2-(4-methoxy-phenyl)-ethylaπύno]-pyrimidin-4-yl}-thiophene-2-carbaldehyde oxime;
[6-(3-ammomethyl-4-fluoro-phenyl)- 2-methoxy-pyriniidin-4-yl]-[2-(4-methoxy-phenyl)-ethyl]-amine hydrochloride;
N-(2-Fluoro-5-{2-methoxy-6-[2-(4-methoxy-phenyl)-ethylamino]-pyrimidin-4-yl}-benzyl)-2- methoxy-acetamide hydrochloride;
[2-methoxy-6-(3-methoxy-phenyl)-pyrimidin-4-yl]-[2-(4-methoxy-phenyl)-2-methyl-propyl]-amine;
[2-(2-cUoro-6-fluoro-phenyl)-ethyl]-[6-(6-methoxy-pyridin-3-yl)-2-methylsulfanyl-pyrimidin-4-yl]- amine;
5- {6-[2-(2-cmoro-6-fluoro-phenyl)-ethylammo]-2-methylsulfanyl-pyrimidin-4-yl} -1 H-pyridin-2-one; 5-{6-[2-(2-cWoro-6-fluoro-phenyl)-ethylamino]-2-methoxy-pyrimidin-4-yl}-lH-pyridin-2-one;
5-{6-[2-(2-cMoro-6-fluoro-phenyl)-ethylammo]-2-methoxy-pyrimidin-4-yl}-l-(5-oxo-4,5-dihydro-
[ 1 ,3 ,4]oxadiazol-2-ylmethyl)- 1 H-pyridin-2-one;
3-(3-{6-[2-(2,4-dichloro-phenyl)-ethylamino]-2-methoxy-pyrimidin-4-yl-phenoxymethyl)-4H-
[1 ,2,4]oxadiazol-5-one hydrochloride; 3-(3-{6-[2-(2-cUoro-6-fluoro-phenyl)-ethylamino]-2-methoxy-pyrimidin-4-yl}-benzyl)-4H-
[1 ,2,4]oxadiazol-5-one hydrochloride;
3-(3-{6-[2-(2-cUoro-6-fluoro-phenyl)-ethylammo]-2-methoxy-pyrimidin-4-yl}-phenoxymethyl)-4H-
[1 ,2,4]oxadiazol-5-one hydrochloride;
3- {2-methoxy-6-[2-(4-methoxy-phenyl)-ethylammo]-pyrimidin-4-yl} -benzoic acid; 3- {2-methoxy-6-[2-(4-trifluoromethoxy-phenyl)-ethylanimo]-pyrirriidm-4-yl} -benzoic acid;
[2-(3,4-dimethoxy-phenyl)-ethyl]-(2-methoxy-6-thiophen-2-yl-pyrimidin-4-yl)amine;
[2-(3,4-dimethoxy-phenyl)-ethyl]-(6-fAiran-2-yl-2-methoxy-pyrirnidm-4-yl)-amine;
(6-biphenyl-4-yl-2-methoxy-pyrimidin-4-yl)-[2-(3,4-dimethoxy-phenyl)-ethyl]-amine;
3- {6-[2-(4-fluoro-phenyl)-ethylamino]-2-methoxy-pyrimidin-4-yl} -benzoic acid hydrochloride; 3-{2-methoxy-6-[2-(4-methoxy-phenyl)-ethylarriino]-pyrimidin-4-yl}-benzarnide;
1 -(3- {2-methoxy-6-[2-(4-methoxy-phenyl)-ethylamino]-pyrimidin-4-yl} -phenyl)-ethanone;
3-{6-[2-(2,4-dicUoro-phenyl)-ethylamino]-2-methoxy-pyrimidin-4-yl}-phenol hydrochloride;
2-fluoro-5-{2-methoxy-6-[2-(4-methoxy-phenyl)-ethylamino]-pyrimidin-4-yl}-benzaldehyde;
3-{6-[2-(3,4-dimethoxy-phenyl)-ethylamino]-2-methoxy-pyrimidin-4-yl} -benzoic acid; 3- {2-methoxy-6-[2-(4-methoxy-phenyl)-ethylamino]-pyrimidin-4-yl} -thiophene-2-carbaldehyde; l-(5-{2-methoxy-6-[2-(4-methoxy-phenyl)-ethylamino]-pyrimidin-4-yl}-thiophen-2-yl)-ethanone; 3-{6-[2-(4-cUorophenyl)-ethylamino]-2-methoxy-pyrimidin-4-yl} -benzoic acid hydrochloride;
[2-methoxy-6-(6-methoxy-pyridin-3-yl)-pyriniidin-4-yl]-[2-(4-methoxy-phenyl)-ethyl]-amine;
3-{2-methoxy-6-[2-(4-methoxy-phenyl)-ethylamino]-pyrimidin-4-yl} -phenol;
3-{6-[2-(2,4-dichloro-phenyl)-ethylamino]-2-methoxy-pyrimidm-4-yl} -phenol; [2-(4-methoxy-phenyl)-ethyl]-(2-methoxy-6-pyridin-4-yl-pyrimidin-4-yl)-amine;
2- {2-methoxy-6-[2-(4-methoxy-phenyl)-ethylamino]-pyrimidin-4-yl} -phenol;
(3-{2-methoxy-6-[2-(4-methoxy-phenyl)-ethylamino]-pyrimidin-4-yl}-phenyl)-acetonitrile;
3-{2-methoxy-6-[2-(4-methoxy-phenyl)-ethylamino]-pyrimidin-4-yl}-benzonitrile;
3-{2-methoxy-6-[2-(4-methoxy-phenyl)-ethylamino]-pyrimidin-4-yl}-benzaldehyde; 3-{6-[2-(2-cUoro-6-fluoro-phenyl)-ethylamino]-2-methoxy-pyrimidin-4-yl}-benzaldehyde;
3- {6-[2-(2,4-dichloro-phenyl)-ethylamino]-2-methoxy-pyrimidin-4-yl} -benzoic acid;
[2-methoxy-6-(pyridin-3-yl)-pyrimidin-4-yl]-[2-(4-methoxy-phenyl)-ethyl]-amine;
2-methoxy-5-{2-methoxy-6-[2-(4-methoxy-phenyl)-ethylamino]-pyrimidin-4-yl}-benzaldehyde;
2-chloro-5- {2-methoxy-6-[2-(4-methoxy-phenyl)-ethylamino]-pyrimidin-4-yl} -benzoic acid ethyl ester;
{2-methoxy-6-[3-(3-methyl-[l,2,4]oxadiazol-5-yl)-phenyl]-pyrimidin-4-yl}-[2-(4-methoxy-phenyl)- ethyl]-amine;
{2-methoxy-6-[3-(5-methyl-2H-[l,2,4]triazol-3-yl)-phenyl]-pyrimidin-4-yl}-[2-(4-methoxy-phenyl)- ethyl] -amine; {2-methoxy-6-[3-(3-methyl-isoxazol-5-yl)-phenyl]-pyrimidin-4-yl}-[2-(4-methoxy-phenyl)-ethyl]- amine;
{2-methoxy-6-[3-(5-methyl-2H-pyrazol-3-yl)-phenyl]-pyrimidin-4-yl}-[2-(4-methoxy-phenyl)-ethyl]- amine;
[2-(3-fluoro-4-methoxy-phenyl)-ethyl]-{2-methoxy-6-[3-(2H-tetrazol-5-yl)-phenyl]-pyrimidin-4-yl}- amine; l-ethyl-3-(3-{2-methoxy-6-[2-(4-methoxy-phenyl)-ethylammo]-pyrimidin-4-yl}-phenyl)-urea;
2-(3-{6-[2-(2,4-dicUoro-phenyl)-ethylarnmo]-2-methoxy-pyrirnidin-4-yl}-phenoxy)-2-methyl- propionic acid ethyl ester;
[2-(4-chloro-phenyl)-l-methyl-ethyl]-[6-(3,4-dimethoxy-phenyl)-2-methoxy-pyrimidin-4-yl]-amine; [2-methoxy-6-(3-methoxy-phenyl)-pyrimidin-4-yl]-[2-(4-nitro-phenyl)-ethyl]-amine;
[2-methoxy-6-(3-methoxy-phenyl)-pyrimidin-4-yl]-[2-(4-trifluoromethoxy-phenyl)-ethyl]-amine;
[2-(2-chloro-6-fluoro-phenyl)-ethyl]-[2-methoxy-6-(3-methoxy-phenyl)-pyrimidin-4-yl]-amine hydrochloride;
[2-methoxy-6-(3-methoxy-phenyl)-pyrimidin-4-yl]-(2-thiophen-2-yl-ethyl)-amine hydrochloride; 3-{2-[2-methoxy-6-(3-methoxy-phenyl)-pyrimidm-4-ylarnino]-ethyl}-lH-indol-5-ol; [2-(6-methoxy-lH-indol-3-yl)-ethyl]-[2-methoxy-6-(3-methoxy-phenyl)-pyriinidin-4-yl]-amine hydrochloride;
[2-(5 -methoxy- 1 H-indol-3 -yl)-ethyl] -[2-methoxy-6-(3 -methoxy-phenyl)-pyrimidin-4-yl]-amine hydrochloride; [2 -methoxy-6-(3-methoxy-phenyl)-pyrimidin-4-yl]-(2-pyridin-3-yl-ethyl)-amine hydrochloride;
[2-(4-amino-phenyl)-ethyl]-[2-methoxy-6-(3-methoxy-phenyl)-pyrimidin-4-yl] -amine hydrochloride;
(4-methoxy-benzyl)-[2-methoxy-6-(3 -methoxy-phenyl)-pyrimidin-4-yl] -amine hydrochloride;
[2-methoxy-6-(3 -methoxy-phenyl)-pyrimidin-4-yl] -(3 -phenyl -propyl)-amine hydrochloride;
[2-(lH-imidazol-4-yl)-ethyl]-[2-methoxy-6-(3-methoxy-phenyl)-pyrimidin-4-yl]-amine; (2SJ-2-[2-methoxy-6-(3-methoxy-phenyl)-pyrimidin-4-ylamino]-3-(4-methoxy-phenyl)-propionic acid;
[2-methoxy-6-(3-methoxy-phenyl)-pyrimidin-4-yl]-[2-(4-methoxy-phenyl)-ethyl]-amine;
[2-methoxy-6-(5-methyl-[l,3,4]oxadiazol-2-yl)-pyrimidin-4-yl]-[2-(4-methoxy-phenyl)-ethyl]-amine;
(2-methoxy-6-oxazol-5-yl-pyrimidin-4-yl)-[2-(4-methoxy-phenyl)-ethyl]-amine;
3-{6-[2-(2,2-difluoro-benzo[l,3]dioxol-5-yl)-ethylamino]-2-methoxy-pyrimidin-4-yl} -benzoic acid; [2-(2,2-difluoro-benzo[l ,3]dioxol-5-yl)-ethyl]-(2-methoxy-6-pyridm-3-yl-pyrimidin-4-yl)-amine hydrochloride;
N-(3-{6-[2-(4-difluoromethoxy-phenyl)-ethylarrύno]-2-methoxy-pyrimidin-4-yl}-phenyl)-acetamide hydrochloride;
[2-(4-difluoromethoxy-phenyl)-ethyl]-[6-(3-methanesulfonyl-phenyl)-2-methoxy-pyrimidin-4-yl]- amine hydrochloride;
3-{6-[2-(2-cMoro-6-fluoro-phenyl)-ethylamino]-2-methoxy-pyrirnidin-4-yl} -phenol;
2-(3-{6-[2-(2,4-dichloro-phenyl)-ethylamino]-2-methoxy-pyrimidin-4-yl}-phenyl)-propionic acid hydrochloride;
2-(3-{6-[2-(2]4-dichloro-phenyl)-ethylamino]-2-methoxy-pyrimidin-4-yl}-phenyl)-2-methyl-propionic acid;
2-(3-{6-[2-(2,4-dicUoro-phenyl)-ethylamino]-2-methoxy-pyrimidin-4-yl}-phenyl)-2-methyl-propionic acid 1-ethoxycarbonyloxy-ethyl ester hydrochloride;
2-(3-{6-[2-(2,4-dicUoro-phenyl)-ethylammo]-2-methoxy-pyrirnidin-4-yl}-phenyl)-2-methyl-propionic acid 2-dimethylamino-ethyl ester dihydrochloride; (5-{6-[2-(2-fluoro-4-trifluoromethyl-phenyl)-ethylarnino]-2-methoxy-pyritnidin-4-yl}-lH-indol-3-yl)- acetic acid;
[6-(lH-indol-6-yl)-2-methoxy-pyrimidin-4-yl]-[2-(4-methoxy-phenyl)-ethyl]-ammonium trifluoroacetate;
[6-( 1 H-indazol-6-yl)-2-methoxy-pyrimidin-4-yl] -[2-(4-methoxy-phenyl)-ethyl] -amine; 3-{6-[2-(2,6 -dichloro-phenyl)-ethylamino] -2-methoxy-pyrimidin-4-yl } -benzoic acid; [2-(4-methoxy-phenyl)-ethyl]- {2-methoxy-6-[3 -( 1 H-tetrazol-5 -yl)-phenyl]-pyrimidin-4-yl } -amine, sodium salt;
2-methoxy-5-{2-methoxy-6-[2-(4-methoxy-phenyl)-ethylammo]-pyrimidin-4-yl}-benzonitrile;
(3-{6-[2-(2-cUoro-6-fluoro-phenyl)-ethylammo]-2-methoxy-pyriinidin-4-yl}-benzyloxy)-acetic acid; sodium; 2-(3-{6-[2-(2,4-dicUoro-phenyl)-ethylamino]-2-methoxy-pyrimidin-4-yl}-phenyl)-2 -methyl- propionate;
(3- {6-[2-(2,4-dichloro-phenyl)-ethylamino]-2-methoxy-pyrimidin-4-yl} -benzoylamino)-acetic acid ethyl ester;
(3-{6-[2-(2,4-dichloro-phenyl)-ethylamino]-2-methoxy-pyrimidin-4-yl}-benzoylamino)-acetic acid; ethyl-carbamic acid 3-{6-[2-(2,4-dichloro-phenyl)-ethylamino]-2-methoxy-pyrimidin-4-yl}-phenyl ester;
5-{2-methoxy-6-f2-(4-methoxy-phenyl)-ethylamino]-pyrirnidin-4-yl}-thiophene-2-carboxylic acid;
5- {2-methoxy-6-[2-(4-methoxy-phenyl)-ethylamino]-pyrimidin-4-yl} -thiophene-2-carboxylic acid methylamide trifluoroacetate, [2-Methoxy-6-(2-methoxy-benzyloxy)-pyrimidin-4-yl]-[2-(4-methoxy-phenyl)-ethyl]-amine hydrochloride,
[2-(2,4-dichloro-phenyl)-ethyl]-(2-methyl-6- {3-[l -methyl- 1 -(I H-tetrazol-5 -yl)-ethyl] -phenyl} - pyrimidin-4-yl)-amine hydrochloride,
(3- {6-[2-(3,4-dimethoxy-phenyl)-ethylamino]-2-methoxy-pyrimidin-4-yloxy} -benzoic acid methyl ester,
N-[2-(3-{6-[2-(2-fluoro-4-trifluoromethyl-phenyl)-ethylamino]-2-methoxy-pyrimidin-4-yl} -phenyl)- ethyl] -2-methoxy-acetamide,
N-[2-(3-{6-[2-(2-fluoro-4-trifluoromethyl-phenyl)-ethylamino]-2-methoxy-pyrimidin-4-yl} -phenyl)- ethyl] -acetamide hydrochloride, [2-(2-fluoro-4-trifluoromethyl-phenyl)-ethyl]-[2-methoxy-6-(3-oxiranylmethoxy-phenyl)-pyrimidin-4- yl] -amine,
2-{3-[6-(2,2-difluoro-2-phenyl-ethylamino)-2-methoxy-pyrimidin-4-yl]-phenyl}-2-methyl-propionic acid,
2-[3-(2-methoxy-6- {2-[4-(5-methyl-[l ,3,4]oxadiazol-2-yl)-phenyl]-ethylamino} -pyrimidin-4-yl)- phenyl]-2-methyl-propionic acid,
5-(3-{6-[2-(3,4-difluoro-phenyl)-ethylamino]-2-methoxy-pyrimidin-4-yl}-phenoxymethyl)-l -ethyl-
2,4-dihydro-[l ,2,4]triazol-3-one,
2-(2-fluoro-5-{2-methoxy-6-[2-(4-trifluoromethoxy-phenyl)-ethylamino]-pyrimidin-4-yl}-phenyl)-2- methyl-propionic acid, 2-(3-{2-methoxy-6-[(thiophen-3-ylmethyl)-amino]-pyrimidin-4-yl}-phenyl)-2 -methyl-propionic acid, 2-(3-{6-[(^enzo[^]tWophen-2-ylmethyl)-amino]-2-methyl-pyrimidin-4-yl}-phenyl)-2 -methyl- propionic acid,
1 - {6-[2-(2,4-dichloro-phenyl)-ethylamino]-2-methoxy-pyrimidin-4-yl} -piperidine-3-carboxylic acid, l-(3-{6-[2-(2,4-dicUoro-phenyl)-ethylamino]-2-methoxy-pyrimidin-4-yl} -phenyl)- cyclopentanecarboxylic acid hydrochloride,
3- {6-[2-(2,4-dichloro-phenyl)-ethylamino]-2-methoxy-pyrimidin-4-yl} -benzoic acid 2-morpholin-4-yl- ethyl ester,
3- {6-[2-(2,4-dichloro-phenyl)-ethylamino]-2-methoxy-pyrimidin-4-yl} -benzoic acid 2-(4-methyl- piperazin-l-yl)-ethyl ester, 3-{6-[2-(2,4-dicMoro-phenyl)-ethylamino]-2-methoxy-pyrimidin-4-yl}-benzoic acid ethyl ester,
(3-{6-[2-(2,4-dichloro-phenyl)-ethylamino]-2-methoxy-pyrimidin-4-yl}-phenyl)-methanol,
(3'-cUoro-4'-{2-[6-(3-hydroxymethyl-phenyl)-2-methoxy-pyrimidm-4-ylamino]-ethyl}-biphenyl-3-yl)- methanol,
2-(3-{6-[2-(2,4-dichloro-phenyl)-ethylamino]-2-methoxy-pyrimidin-4-yl}-phenyl)-2-methyl-propionic acid methyl ester,
4-(3-{6-[2-(2,4-dicUoro-phenyl)-ethylamino]-2-methoxy-pyrimidin-4-yl}-phenyl)-tetrahydro-pyran-4- carboxylic acid,
N-[4-(3-{6-[2-(2,4-dicUoro-phenyl)-ethylamino]-2-methoxy-pyrimidin-4-yl}-phenyl)-tetrahydro- pyran-4-carbonyl]-methanesulfonamide, 4-(3-{6-[2-(2,4-dicUoro-phenyl)-ethylamino]-2-methoxy-pyrimidin-4-yl}-phenyl)-tetrahydro-pyran-
4-carboxylic acid ethyl ester,
(3- {6-[2-(2,4-dichloro-phenyl)-ethylamino]-2-methoxy-pyrimidin-4-yl} -phenyl)-difluoro-acetic acid, ethanesulfonic acid [2-(3-{6-[2-(2,4-dichloro-phenyl)-ethylamino]-2-methoxy-pyrimidin-4-yl}- phenyl)-2,2-difluoro-acetyl]-amide, [2-(3-{6-[2-(2,4-dichloro-phenyl)-ethylamino]-2-methoxy-pyrimidin-4-yl}-phenyl)-2,2-difluoro- acetyl] -amide,
(3- {6-[2-(2,4-dicUoro-phenyl)-ethylamino]-2-methoxy-pyrimidin-4-yl} -phenyl)-difluoro-acetic acid ethyl ester,
(3-{6-[2-(2,4-dichloro-phenyl)-ethylamino]-2-methoxy-pyrimidin-4-yl}-phenyl)-acetonitrile, (3-{6-[2-(2,4-dicUoro-phenyl)-ethylarnino]-2-methoxy-pyrimidin-4-yl}-phenyl)-difluoro-acetoriitrile,
[2-(2,4-dichloro-phenyl)-ethyl]-(6-{3-[difluoro-(lH-tetrazol-5-yl)-methyl]-phenyl}-2-methoxy- pyrimidin-4-yl)-amine,
2- {3-[6-(Indan-l -ylamino)-2-methoxy-pyrimidin-4-yl]-phenyl} -2-methyl-propionic acid,
2-{3-[6-(mdan-2-ylarnino)-2-methoxy-pyrimidin-4-yl]-phenyl}-2-methyl-propionic acid, N-[4-(3-{2-Methoxy-6-[2-(4-trifluoromethoxy-phenyl)-ethylamino]-pyrimidin-4-yl}-phenyl)- tetrahydro-pyran-4-carbonyl]-methanesulfonamide,
4-(3-{2-Methoxy-6-[2-(4-trifluoromethoxy-phenyl)-ethylamino]-pyrimidin-4-yl}-phenyl)-tetrahydro- pyran-4-carboxylic acid methyl ester, 2-(3-{6-[2-(2,4-dichloro-phenyl)-ethylairdno]-2-methoxymethyl^yrimidin-4-yl}-phenyl)-2 -methyl- propionic acid,
2-(3-{6-[2-(2,4-dichloro-phenyl)-ethylarrLmo]-2-hydroxymethyl-pyrimidin-4-yl}-phenyl)-2-methyl- propionic acid,
5- {6-[2-(2,4-dichloro-phenyl)-ethylamino]-2-methoxy-pyrimidin-4-yl} -thiophene-2-carboxylic acid, 5-{2-Methoxy-6-[2-(4-trifluoromethoxy-phenyl)-ethylarnino]-pyrimidin-4-yl}-2,3-dihydro- benzofuran-2-carboxylic acid hydrochloride,
2-(3-{6-[2-(2,4-dicUoro-phenyl)-ethylamino]-2-methoxy-pyrimidin-4-yl}-phenyl)-2-methyl-propionic acid 2,3-dihydroxy-propyl ester,
2-(3-{6-[(2,3-dihydro-benzofuran-2-ylmethyl)-amino]-2-methoxy-pyrimidin-4-yl}-phenyl)-2 -methyl- propionic acid,
2-(3-{6-[(isochroman-l-ylmethyl)-amino]-2-methoxy-pyrimidin-4-yl}-phenyl)-2-methyl-propionic acid,
2-(3-{2-methoxy-6-[(4-methyl-3,4-dmydro-2H-berizo[l,4]oxazm-2-ylmethyl)-amino]-pyrimidm-4- yl} -phenyl)-2-methyl-propionic acid, 2-(3-{6-[(benzofuran-5-ylmethyl)-amino]-2-methoxy-pyrimidin-4-yl}-phenyl)-2-methyl-propioriic acid,
N-(6-{6-[2-(2,4-dichloro-phenyl)-ethylarr±io]-2-methoxy-pyrimidin-4-yl}-berizothiazol-2-yl)- acetamide, ethanesulfonic acid [2-(3- {6-[2-(2,4-dichloro-phenyl)-ethylamino]-2-methoxy-pyrimidin-4-yl} - phenyl)-2-methyl-propionyl]-amide,
N-[2-(3-{6-[2-(2,4-dicUoro-phenyl)-ethylainino]-2-methoxy-pyrimidin-4-yl}-phenyl)-2-methyl- propionyl]-C-phenyl-methanesulfonamide,
2-(3-{6-[2-(2,4-dichloro-phenyl)-ethylamino]-2-methoxy-pyrimidin-4-yl}-phenyl)-2-methyl-l- moφholin-4-yl-propan-l -one, 2-(3-{6-[2-(2,4-dicUoro-phenyl)-ethylamino]-2-methoxy-pyrirnidin-4-yl}-phenyl)-N-(tetrahydro- pyran-4-yl)-isobutyramide,
2-(3-{6-[2-(2,4-dicUoro-phenyl)-ethylarnino]-2-methoxy-pyrimidin-4-yl}-phenyl)-N-(lH-tetrazol-5- yl)-isobutyramide,
1 - {6-[2-(2,4-dicMoro-phenyl)-ethylarnino]-2-methoxy-pyrimidin-4-yl} -piperidine-4-carboxylic acid, 2-(2-cUoro-5-{6-[2-(2,4-dicUoro-phenyl)-ethylamino]-2-methoxy-pyrimidin-4-yl}-phenyl)-propan-2- ol, 2-(3-{6-[2-(2,4-dichloro-phenyl)-ethylamino]-2-methoxy-pyrimidin-4-yl}-4-fluoro-phenyl)-2 -methyl- propionic acid hydrochloride,
1 - {6-[2-(2,4-DicUoro-phenyl)-ethylamino]-2-methyl-pyrimidin-4-yl} -pyrrolidine-3-carboxylic acid,
2-(l-{2-Methoxy-6-[2-(4-trifluoromethoxy-phenyl)-ethylamino]-pyrimidin-4-yl}-piperidin-3-yl)-2- methyl-propionic acid,
2-[3-{6-[2-(2,4-Dichloro-phenyl)-ethylamino]-2-methoxy-pyrimidin-4-yl}-5-(l-hydroxy-l -methyl - ethyl)-phenyl]-propan-2-ol,
[6-(3-Amino-piperidm-l-yl)-2-methoxy-pyrimidin-4-yl]-[2-(2,4-dichloro-phenyl)-ethyl]-amine,
[6-(4-Amino-piperidin-l-yl)-2-methoxy-pyrimidin-4-yl]-[2-(2,4-dichloro-phenyl)-ethyl]-arriine, N-(I - {6-[2-(2,4-DicUoro-phenyl)-ethylamino]-2-methoxy-pyrimidin-4-yl} -piperidin-4-yl)-acetamide,
5-{6-[2-(2,4-Dichloro-phenyl)-ethylarnino]-2-methoxy-pyrimidin-4-yl}-l-methyl-2,3-dihydro-lH- indole-2-carboxylic acid,
2-Methyl-propane-2-sulfonic acid [2-(3-{6-[2-(2,4-dichloro-phenyl)-ethylamino]-2-methoxy- pyrimidin-4-yl}-phenyl)-2-methyl-propionyl]-amide, N,N-dimethylamide-2-sulfonic acid [2-(3-{6-[2-(2,4-dichloro-phenyl)-ethylamino]-2-methoxy- pyrimidin-4-yl}-phenyl)-2-methyl-propionyl]-amide,
2-(3-{6-[2-(2,4-DicUoro-phenyl)-ethylamino]-2-methoxy-pyrirnidin-4-yl}-phenyl)-2-methyl-l- thiomorpholin-4-yl-propan- 1 -one,
2-(3-{6-[2-(2,4-DicUoro-phenyl)-ethylarnino]-2-methoxy-pyrimidin-4-yl}-phenyl)-isobutyramide, 2-(3- {6-[2-(2,4-Dichloro-phenyl)-ethylamino]-2-methoxy-pyrimidin-4-yl} -phenyl)-N,N-dimethyl- isobutyramide,
(1 - {6-[2-(2;4-Dichloro-phenyl)-ethylamino]-2-methoxy-pyrimidin-4-yl} -piperidin-3-yl)-acetic acid,
1 - {2-Methoxy-6-[2-(4-trifluoromethoxy-phenyl)-ethylamino]-pyrimidin-4-yl} -piperidine-3-carboxylic acid, N-(l-{2-Methoxy-6-[2-(4-trifluoromethoxy-phenyl)-ethylamino]-pyrimidin-4-yl}-piperidine-3- carbonyl)-methanesulfonamide,
5-{6-[2-(2,4-dicUoro-phenyl)-ethylamino]-2-methoxy-pyrimidin-4-yl}-l-methyl-2,3-dihydro-lH- indole-2-carboxylic acid ethyl ester,
(l-{6-[2-(2,4-dichloro-phenyl)-ethylamino]-2-methoxy-pyrimidin-4-yl}-piperidin-3-yl)-acetic acid ethyl ester,
N-( 1 - { 6-[2-(2,4-Dichloro-phenyl)-ethylamino] -2-methoxy-pyrimidin-4-yl } -piperidine-3 -carbonyl)- methanesulfonamide,
Ethanesulfonic acid (1 - {6-[2-(2,4-dichloro-phenyl)-ethylamino]-2-methoxy-pyrimidin-4-yl} - piperidine-3 -carbonyl)-amide, 2-Methyl-propane-2-sulfonic acid (l-{6-[2-(2,4-dichloro-phenyl)-ethylamino]-2-methoxy-pyrimidin-
4-yl} -piperidine-3 -carbonyl)-amide, N-(l-{6-[2-(2,4-Dichloro-phenyl)-ethylainino]-2-methoxy-pyrimidin-4-yl}-piperidine-3-carbonyl)-
C,C,C-trifluoro-methanesulfonamide, l-{6-[2-(2,4-DicUoro-phenyl)-ethylamino]-2-methoxy-pyrimidin-4-yl}-piperidine-3-carboxylic acid
(lH-tetrazol-5-yl)-amide, l-fό-P^^-DicMoro-phenyO-ethylaminoJ^-methoxy-pyrimidin^-ylJ-piperidine-S-carboxylic acid amide, l-{6-[2-(2,4-DicUoro-phenyl)-ethylanτino]-2-metb.oxy-pyrimidin-4-yl}-piperidme-3-carboxylic acid dimethylamide,
N,N-Dimethylamide-2-sulfonic acid 1 - {6-[2-(2,4-dichloro-phenyl)-ethylamino]-2-methoxy-pyrimidin- 4-yl}-piperidine-3-carboxamide,
5-{2-Methoxy-6-[2-(44rifluoromethoxy-phenyl)-ethylamino]-pyrimidin-4-yl}-thiophene-2-carboxylic acid, or
5-{6-[2-(2,4-DicUoro-phenyl)-ethylamino]-2-methoxy-pyrimidin-4-yl}-2,3-dihydro-benzofuran-2- carboxylic acid.
39. The pharmaceutical composition to according to claim 1, wherein the compound of Formula
(I) or the pharmaceutically acceptable salt or ester prodrug thereof is:
N-methoxycarbonyl-3-{2-methoxy-6-[2-(4-methoxy-phenyl)-ethylamino]-pyrimidin-4-yl}- benzenesulfonamide; 3-{6-[2-(2,4-difluoro-phenyl)-ethylamino]-2-methoxy-pyrimidin-4-yl}-benzoic acid;
5-{2-methoxy-6-[2-(4-methoxy-phenyl)-ethylamino]-pyrimidin-4-yl}-thiophene-2-carboxylic acid trifluoroacetate;
5-{2-methoxy-6-[2-(4-methoxy-phenyl)-ethylamino]-pyrimidin-4-yl}-thiophene-2-carbaldehyde;
(5-{2-methoxy-6-[2-(4-methoxy-phenyl)-ethylamino]-pyrimidin-4-yl}-thiophen-2-yl)-methanol; (3-{2-methoxy-6-[2-(4-methoxy-phenyl)-ethylamino]-pyrimidin-4-yl}-phenyl)-methanol;
[2-(4-methoxy-phenyl)-ethyl]-(2-methoxy-6-quinolin-6-yl-pyrimidin-4-yl)-amine;
[2-(4-methoxy-phenyl)-ethyl]-(2-methoxy-6-qumolm-3-yl-pyrimidin-4-yl)-amine;
[6-(lH-mdol-5-yl)-2-methoxy-pyrimidin-4-yl]-[2-(4-methoxy-phenyl)-ethyl]-amine;
[6-(lH-benzotriazol-5-yl)-2-methoxy-pyrimidin-4-yl]-[2-(4-methoxy-phenyl)-ethyl]-amine; 3- {2-methoxy-6-[2-(4-methoxy-phenyl)-ethylamino]-pyrimidin-4-yl} -phenol hydrochloride;
3-{6-[2-(2,4-dicUoro-phenyl)-ethylamino]-2-methoxy-pyrimidin-4-yl} -benzoic acid;
3-{6-[2-(2-chloro-6-fluoro-phenyl)-ethylamino]-2-methoxy-pyrimidin-4-yl} -benzoic acid hydrochloride;
2-(3-{6-[2-(2,4-dicUoro-phenyl)-ethylamino]-2-methoxy-pyrimidin-4-yl}-phenyl)-2-methyl-propionic acid hydrochloride;
2-fluoro-5- {2-methoxy-6-[2-(4-methoxy-phenyl)-ethylamino]-pyrimidin-4-yl} -benzoic acid; 3- {6-[2-(2-cUoro-6-fluoro-phenyl)-ethylamino]-2-methoxy-pyriinidin-4-yl} -benzoic acid;
2-methoxy-5-{2-methoxy-6-[2-(4-methoxy-phenyl)-ethylamino]-pyrimidin-4-yl} -benzoic acid;
(3- {2-methoxy-6-[2-(4-methoxy-phenyl)-ethylamino]-pyrimidin-4-yl} -phenoxy)-acetic acid methyl ester; (3-{6-[2-(2,4-dicUoro-phenyl)-ethylamino]-2-methoxy-pyrimidin-4-yl}-phenoxy)-acetic acid methyl ester;
(3- {2-methoxy-6-[2-(4-methoxy-phenyl)-ethylamino]-pyrimidin-4-yl} -phenoxy)-acetic acid;
(5-{6-[2-(2-cUoro-6-fluoro-phenyl)-ethylarnmo]-2-methoxy-pyrimidin-4-yl}-2-oxo-2H-pyridin-l-yl)- acetic acid; 2-(3-{6-[2-(2,4-dichloro-phenyl)-ethylamino]-2-methoxy-pyrimidin-4-yl}-phenoxy)-2 -methyl- propionic acid;
2-cUoro-5-{2-methoxy-6-[2-(4-methoxy-phenyl)-ethylarnino]-pyrimidin-4-yl} -benzoic acid hydrochloride salt;
[2-(4-methoxy-phenyl)-ethyl]-{2-methoxy-6-[3-(lH-tetrazol-5-yl)-phenyl]-pyrirmdm-4-yl}-amine; [2-(4-methoxy-phenyl)-ethyl]-{2-methoxy-6-[3-(lH-tetrazol-5-ylmethyl)-phenyl]-pyrimidin-4-yl}- amine hydrochloride;
{2-methoxy-6-[4-methoxy-3-(lH-tetrazol-5-yl)-phenyl]-pyrimidin-4-yl}-[2-(4-methoxy-phenyl)- ethyl]-amine;
N-(3-{2-methoxy-6-[2-(4-methoxy-phenyl)-ethylamino]-pyrimidin-4-yl}-benzoyl)- methanesulfonamide;
3- {2-methoxy-6-[2-(4-methoxy-phenyl)-ethylamino]-pyrimidin-4-yl} -benzaldehyde oxime;
3-{2-methoxy-6-[2-(4-methoxy-phenyl)-ethylamino]-pyrimidin-4-yl}-thiophene-2-carbaldehyde oxime; l-(5-{2-methoxy-6-[2-(4-methoxy-phenyl)-ethylamino]-pyrimidin-4-yl}-thiophen-2-yl)-ethanone oxime;
5-{2-methoxy-6-[2-(4-methoxy-phenyl)-ethylammo]-pyrimidin-4-yl}-thiophene-2-carbaldehyde oxime;
3-(3-{6-[2-(2,4-dicUoro-phenyl)-ethylarnino]-2-methoxy-pyrimidin-4-yl-phenoxymethyl)-4H-
[1 ,2,4]oxadiazol-5-one hydrochloride; 3-(3-{6-[2-(2-cUoro-6-fluoro-phenyl)-ethylamino]-2-methoxy-pyrimidin-4-yl}-benzyl)-4H-
[1 ,2,4]oxadiazol-5-one hydrochloride;
3-(3-{6-[2-(2-cUoro-6-fluoro-phenyl)-ethylamino]-2-methoxy-pyrimidin-4-yl}-phenoxymethyl)-4H-
[1 ,2,4]oxadiazol-5-one hydrochloride;
3-{2-methoxy-6-[2-(4-methoxy-phenyl)-ethylarrdno]-pyrimidin-4-yl} -benzoic acid; 3-{6-[2-(4-fluoro-phenyl)-ethylamino]-2-methoxy-pyrimidin-4-yl}-benzoic acid hydrochloride;
3-{6-[2-(2)4-dichloro-phenyl)-ethylamino]-2-methoxy-pyrimidin-4-yl} -phenol; 3-{2-methoxy-6-[2-(4-methoxy-phenyl)-ethylamino]-pyrknidin-4-yl}-thiophene-2-carbaldehyde;
3- {6-[2-(4-cUorophenyl)-ethylamino]-2-methoxy-pyrimidin-4-yl} -benzoic acid hydrochloride;
3-{2-methoxy-6-[2-(4-methoxy-phenyl)-ethylamino]-pyrimidin-4-yl}-benzonitrile;
3-{2-methoxy-6-[2-(4-methoxy-phenyl)-ethylamino]-pyriinidin-4-yl}-benzaldehyde; 3- {6-[2-(2,4-dicMoro-phenyl)-ethylarnino]-2-methoxy-pyrimidin-4-yl} -benzoic acid; [2-(3-fluoro-4-methoxy-phenyl)-ethyl]-{2-methoxy-6-[3-(2H-tetrazol-5-yl)-phenyl]-pyrimidin-4-yl}- amine;
[2-methoxy-6-(3-methoxy-phenyl)-pyrimidin-4-yl]-[2-(4-nitro-phenyl)-ethyl]-amine;
[2-methoxy-6-(3-methoxy-phenyl)-pyrimidin-4-yl]-[2-(4-methoxy-phenyl)-ethyl]-amine; 2-(3-{6-[2-(2)4-dicWoro-phenyl)-ethylarnino]-2-methoxy-pyrimidin-4-yl}-phenyl)-propionic acid hydrochloride;
(5-{6-[2-(2-fluoro-4-trifluoromethyl-phenyl)-ethylamino]-2-methoxy-pyrimidin-4-yl}-lH-indol-3-yl)- acetic acid;
[6-(lH-indol-6-yl)-2-methoxy-pyrimidin-4-yl]-[2-(4-methoxy-phenyl)-ethyl]-ammonium trifluoroacetate;
[6-(lH-indazol-6-yl)-2-methoxy-pyrimidin-4-yl]-[2-(4-methoxy-phenyl)-ethyl]-amine;
3- {6-[2-(2,6-dichloro-phenyl)-ethylamino]-2-methoxy-pyrimidin-4-yl} -benzoic acid;
[2-(4-methoxy-phenyl)-ethyl]-{2-methoxy-6-[3-(lH-tetrazol-5-yl)-phenyl]-pyrimidin-4-yl} -amine, sodium salt; (3-{6-[2-(2-chloro-6-fluoro-phenyl)-ethylamino]-2-methoxy-pyrimidin-4-yl}-benzyloxy)-acetic acid;
(3-{6-[2-(2,4-dichloro-phenyl)-ethylamino]-2-methoxy-pyrimidin-4-yl}-benzoylamino)-acetic acid; ethyl-carbamic acid 3-{6-[2-(2]4-dichloro-phenyl)-ethylamino]-2-methoxy-pyrimidin-4-yl} -phenyl ester;
[2-(2,4-dichloro-phenyl)-ethyl]-(2-methyl-6-{3-[l-methyl-l-(lH-tetrazol-5-yl)-ethyl]-phenyl}- pyrimidin-4-yl) -amine hydrochloride,
5- {2-methoxy-6-[2-(4-methoxy-phenyl)-ethylamino]-pyrimidin-4-yl} -thiophene-2-carboxylic acid methylamide trifluoroacetate,
1 -{6-[2-(2,4-dichloro-phenyl)-ethylamino]-2-methoxy-pyrimidin-4-yl} -piperidine-3-carboxylic acid,
4-(3-{6-[2-(2,4-dicUoro-phenyl)-ethylamino]-2-methoxy-pyrirnidin-4-yl}-phenyl)-tetrahydro-pyran-4- carboxylic acid,
N-[4-(3-{6-[2-(2,4-dicUoro-phenyl)-ethylammo]-2-methoxy-pyrimidin-4-yl}-phenyl)-tetrahydro- pyran-4-carbonyl]-methanesulfonamide,
(3-{6-[2-(2,4-dicmoro-phenyl)-ethylarnino]-2-methoxy-pyrimidin-4-yl}-phenyl)-difluoro-acetic acid, ethanesulfonic acid [2-(3-{6-[2-(2,4-dichloro-phenyl)-ethylamino]-2-methoxy-pyrimidin-4-yl}- phenyl)-2,2-difluoro-acetyl] -amide, [2-(2,4-dichloro-phenyl)-ethyl]-(6-{3-[difluoro-(lH-tetrazol-5-yl)-methyl]-phenyl}-2-methoxy- pyrimidin-4-yl)-amine,
N-[4-(3-{2-methoxy-6-[2-(4-trifluoromethoxy-phenyl)-ethylamino]-pyrimidin-4-yl}-phenyl)- tetrahydro-pyran-4-carbonyl]-methanesulfonaπiide, ethanesulfonic acid [2-(3-{6-[2-(2,4-dicMoro-phenyl)-ethylamino]-2-methoxy-pyrimidin-4-yl}- phenyl)-2-methyl-propionyl]-amide,
N-[2-(3-{6-[2-(2,4-dicUoro-phenyl)-ethylamino]-2-methoxy-pyrimidin-4-yl}-phenyl)-2 -methyl- propionyl]-C-phenyl-methanesulfonamide,
2-(3-{6-[2-(2,4-dichloro-phenyl)-ethylamino]-2-methoxy-pyrimidin-4-yl}-phenyl)-2-methyl-l- morpholin-4-yl-propan-l-one,
2-(3-{6-[2-(2,4-dichloro-phenyl)-ethylamino]-2-methoxy-pyrimidin-4-yl}-phenyl)-N-(tetrahydro- pyran-4-yl)-isobutyramide, or
2-(3-{6-[2-(2,4-dicUoro-phenyl)-ethylamino]-2-methoxy-pyriinidin-4-yl}-phenyl)-N-(lH-tetrazol-5- yl)-isobutyramide.
40. A method of treating treating atherosclerosis, dyslipidemia, diabetes or a related condition while reducing substantial flushing in a patient in need thereof, comprising administering to the patient the pharmaceutical composition according to claim 1.
Applications Claiming Priority (2)
| Application Number | Priority Date | Filing Date | Title |
|---|---|---|---|
| US84810406P | 2006-09-30 | 2006-09-30 | |
| US60/848,104 | 2006-09-30 |
Publications (1)
| Publication Number | Publication Date |
|---|---|
| WO2008039882A1 true WO2008039882A1 (en) | 2008-04-03 |
Family
ID=39046777
Family Applications (1)
| Application Number | Title | Priority Date | Filing Date |
|---|---|---|---|
| PCT/US2007/079614 Ceased WO2008039882A1 (en) | 2006-09-30 | 2007-09-27 | A combination of niacin and a prostaglandin d2 receptor antagonist |
Country Status (1)
| Country | Link |
|---|---|
| WO (1) | WO2008039882A1 (en) |
Cited By (45)
| Publication number | Priority date | Publication date | Assignee | Title |
|---|---|---|---|---|
| WO2009021740A2 (en) | 2007-08-15 | 2009-02-19 | Sanofis-Aventis | Substituted tetrahydronaphthalenes, process for the preparation thereof and the use thereof as medicaments |
| WO2011107494A1 (en) | 2010-03-03 | 2011-09-09 | Sanofi | Novel aromatic glycoside derivatives, medicaments containing said compounds, and the use thereof |
| WO2011115943A1 (en) * | 2010-03-16 | 2011-09-22 | Aventis Pharmaceuticals Inc. | A substituted pyrimidine as a prostaglandin d2 receptor antagonist |
| WO2011115940A1 (en) * | 2010-03-16 | 2011-09-22 | Aventis Pharmaceuticals Inc. | Substituted pyrimidines as prostaglandin d2 receptor antagonists |
| US20110245257A1 (en) * | 2010-04-02 | 2011-10-06 | Amgen Inc. | Heterocyclic compounds and their uses |
| WO2011157827A1 (en) | 2010-06-18 | 2011-12-22 | Sanofi | Azolopyridin-3-one derivatives as inhibitors of lipases and phospholipases |
| WO2011161030A1 (en) | 2010-06-21 | 2011-12-29 | Sanofi | Heterocyclic substituted methoxyphenyl derivatives having an oxo group, method for producing same, and use thereof as gpr40 receptor modulators |
| WO2012004270A1 (en) | 2010-07-05 | 2012-01-12 | Sanofi | Spirocyclically substituted 1,3-propane dioxide derivatives, methods for the production thereof and use of the same as medicament |
| WO2012004269A1 (en) | 2010-07-05 | 2012-01-12 | Sanofi | (2-aryloxy-acetylamino)-phenyl-propionic acid derivatives, method for producing same and use thereof as pharmaceuticals |
| WO2012010413A1 (en) | 2010-07-05 | 2012-01-26 | Sanofi | Aryloxy-alkylene substituted hydroxyphenyl hexynoic acids, methods for the production thereof and use of the same as medicament |
| WO2012107465A1 (en) * | 2011-02-09 | 2012-08-16 | F. Hoffmann-La Roche Ag | Heterocyclic compounds as pi3 kinase inhibitors |
| US8367863B2 (en) | 2007-12-20 | 2013-02-05 | Envivo Pharmaceuticals, Inc. | Tetrasubstituted benzenes |
| EP2567959A1 (en) | 2011-09-12 | 2013-03-13 | Sanofi | 6-(4-Hydroxy-phenyl)-3-styryl-1H-pyrazolo[3,4-b]pyridine-4-carboxylic acid amide derivatives as kinase inhibitors |
| WO2013037390A1 (en) | 2011-09-12 | 2013-03-21 | Sanofi | 6-(4-hydroxy-phenyl)-3-styryl-1h-pyrazolo[3,4-b]pyridine-4-carboxylic acid amide derivatives as kinase inhibitors |
| WO2013045413A1 (en) | 2011-09-27 | 2013-04-04 | Sanofi | 6-(4-hydroxy-phenyl)-3-alkyl-1h-pyrazolo[3,4-b]pyridine-4-carboxylic acid amide derivatives as kinase inhibitors |
| US20130158056A1 (en) * | 2010-09-30 | 2013-06-20 | Christopher D. Cox | Alkoxy pyrimidine pde10 inhibitors |
| CN103172548A (en) * | 2011-12-20 | 2013-06-26 | 天津市国际生物医药联合研究院 | Preparation method and application of methanesulfonamide compound |
| WO2013113715A1 (en) | 2012-02-03 | 2013-08-08 | Basf Se | Fungicidal pyrimidine compounds |
| WO2013113720A1 (en) | 2012-02-03 | 2013-08-08 | Basf Se | Fungicidal pyrimidine compounds |
| WO2013113788A1 (en) | 2012-02-03 | 2013-08-08 | Basf Se | Fungicidal pyrimidine compounds |
| WO2013113863A1 (en) | 2012-02-03 | 2013-08-08 | Basf Se | Fungicidal pyrimidine compounds |
| WO2013113716A1 (en) | 2012-02-03 | 2013-08-08 | Basf Se | Fungicidal pyrimidine compounds |
| WO2013113776A1 (en) | 2012-02-03 | 2013-08-08 | Basf Se | Fungicidal pyrimidine compounds |
| WO2013113773A1 (en) | 2012-02-03 | 2013-08-08 | Basf Se | Fungicidal pyrimidine compounds |
| US8697715B2 (en) | 2012-03-01 | 2014-04-15 | Array Biopharma, Inc. | Serine/threonine kinase inhibitors |
| US8785470B2 (en) | 2011-08-29 | 2014-07-22 | Infinity Pharmaceuticals, Inc. | Heterocyclic compounds and uses thereof |
| US8883799B2 (en) | 2010-12-16 | 2014-11-11 | Genentech, Inc. | Tricyclic PI3K inhibitor compounds and methods of use |
| WO2015084796A1 (en) | 2013-12-03 | 2015-06-11 | E. I. Du Pont De Nemours And Company | Pyrrolidinones as herbicides |
| US9133187B2 (en) | 2011-02-28 | 2015-09-15 | Array Biopharma Inc. | Serine/threonine kinase inhibitors |
| US9181221B2 (en) | 2010-05-21 | 2015-11-10 | Infinity Pharmaceuticals, Inc. | Chemical compounds, compositions and methods for kinase modulation |
| US9187462B2 (en) | 2011-08-04 | 2015-11-17 | Array Biopharma Inc. | Substituted quinazolines as serine/threonine kinase inhibitors |
| US9388171B2 (en) | 2012-08-27 | 2016-07-12 | Genetech, Inc. | Serine/threonine kinase inhibitors |
| US9481667B2 (en) | 2013-03-15 | 2016-11-01 | Infinity Pharmaceuticals, Inc. | Salts and solid forms of isoquinolinones and composition comprising and methods of using the same |
| WO2016199761A1 (en) * | 2015-06-08 | 2016-12-15 | 石原産業株式会社 | Difluoromethylene compounds |
| WO2017085198A1 (en) | 2015-11-20 | 2017-05-26 | Actelion Pharmaceuticals Ltd | N-substituted indole derivatives as pge2 receptor modulators |
| WO2018210987A1 (en) | 2017-05-18 | 2018-11-22 | Idorsia Pharmaceuticals Ltd | Benzofurane and benzothiophene derivatives as pge2 receptor modulators |
| WO2018210995A1 (en) | 2017-05-18 | 2018-11-22 | Idorsia Pharmaceuticals Ltd | N-substituted indole derivatives |
| WO2018210992A1 (en) | 2017-05-18 | 2018-11-22 | Idorsia Pharmaceuticals Ltd | Pyrimidine derivatives |
| WO2018210988A1 (en) | 2017-05-18 | 2018-11-22 | Idorsia Pharmaceuticals Ltd | Pyrimidine derivatives as pge2 receptor modulators |
| WO2018210994A1 (en) | 2017-05-18 | 2018-11-22 | Idorsia Pharmaceuticals Ltd | Phenyl derivatives as pge2 receptor modulators |
| JP2019513804A (en) * | 2016-04-18 | 2019-05-30 | セルジーン クオンティセル リサーチ,インク. | Therapeutic compounds |
| CN109867737A (en) * | 2019-02-27 | 2019-06-11 | 宁波大学 | A kind of double type hydrazides anionic initiator and its preparation and application method |
| US10617680B2 (en) | 2017-04-18 | 2020-04-14 | Celgene Quanticel Research, Inc. | Therapeutic compounds |
| WO2021063852A1 (en) * | 2019-09-30 | 2021-04-08 | F. Hoffmann-La Roche Ag | Substituted pyrimidine for the treatment and prophylaxis of hepatitis b virus infection |
| WO2025229177A1 (en) | 2024-05-02 | 2025-11-06 | Idorsia Pharmaceuticals Ltd | Crystalline forms of an n-substituted indole derivative |
Citations (3)
| Publication number | Priority date | Publication date | Assignee | Title |
|---|---|---|---|---|
| US20040229844A1 (en) * | 2003-05-15 | 2004-11-18 | Kang Cheng | Method of treating atherosclerosis, dyslipidemias and related conditions |
| WO2005056527A1 (en) * | 2003-12-15 | 2005-06-23 | Merck Frosst Canada Ltd. | Substituted tetrahydrocarbazole and cyclopentanoindole derivatives |
| WO2006044732A2 (en) * | 2004-10-15 | 2006-04-27 | Aventis Pharmaceuticals Inc. | 2, 6-substituted-4-monosubstitutedamino-pyrimidine as prostaglandin d2 receptor antagonists |
-
2007
- 2007-09-27 WO PCT/US2007/079614 patent/WO2008039882A1/en not_active Ceased
Patent Citations (3)
| Publication number | Priority date | Publication date | Assignee | Title |
|---|---|---|---|---|
| US20040229844A1 (en) * | 2003-05-15 | 2004-11-18 | Kang Cheng | Method of treating atherosclerosis, dyslipidemias and related conditions |
| WO2005056527A1 (en) * | 2003-12-15 | 2005-06-23 | Merck Frosst Canada Ltd. | Substituted tetrahydrocarbazole and cyclopentanoindole derivatives |
| WO2006044732A2 (en) * | 2004-10-15 | 2006-04-27 | Aventis Pharmaceuticals Inc. | 2, 6-substituted-4-monosubstitutedamino-pyrimidine as prostaglandin d2 receptor antagonists |
Cited By (73)
| Publication number | Priority date | Publication date | Assignee | Title |
|---|---|---|---|---|
| WO2009021740A2 (en) | 2007-08-15 | 2009-02-19 | Sanofis-Aventis | Substituted tetrahydronaphthalenes, process for the preparation thereof and the use thereof as medicaments |
| US8367863B2 (en) | 2007-12-20 | 2013-02-05 | Envivo Pharmaceuticals, Inc. | Tetrasubstituted benzenes |
| US8664249B2 (en) | 2007-12-20 | 2014-03-04 | Envivo Pharmaceuticals, Inc. | Tetrasubstituted benzenes |
| WO2011107494A1 (en) | 2010-03-03 | 2011-09-09 | Sanofi | Novel aromatic glycoside derivatives, medicaments containing said compounds, and the use thereof |
| WO2011115943A1 (en) * | 2010-03-16 | 2011-09-22 | Aventis Pharmaceuticals Inc. | A substituted pyrimidine as a prostaglandin d2 receptor antagonist |
| WO2011115940A1 (en) * | 2010-03-16 | 2011-09-22 | Aventis Pharmaceuticals Inc. | Substituted pyrimidines as prostaglandin d2 receptor antagonists |
| CN103038228A (en) * | 2010-03-16 | 2013-04-10 | 安万特药物公司 | Substituted pyrimidines as prostaglandin D2 receptor antagonists |
| CN103025726A (en) * | 2010-03-16 | 2013-04-03 | 安万特药物公司 | A substituted pyrimidine as a prostaglandin d2 receptor antagonist |
| US20110245257A1 (en) * | 2010-04-02 | 2011-10-06 | Amgen Inc. | Heterocyclic compounds and their uses |
| US8575183B2 (en) * | 2010-04-02 | 2013-11-05 | Amgen Inc. | Heterocyclic compounds and their uses |
| US9181221B2 (en) | 2010-05-21 | 2015-11-10 | Infinity Pharmaceuticals, Inc. | Chemical compounds, compositions and methods for kinase modulation |
| US9738644B2 (en) | 2010-05-21 | 2017-08-22 | Infinity Pharmaceuticals, Inc. | Chemical compounds, compositions and methods for kinase modulation |
| WO2011157827A1 (en) | 2010-06-18 | 2011-12-22 | Sanofi | Azolopyridin-3-one derivatives as inhibitors of lipases and phospholipases |
| WO2011161030A1 (en) | 2010-06-21 | 2011-12-29 | Sanofi | Heterocyclic substituted methoxyphenyl derivatives having an oxo group, method for producing same, and use thereof as gpr40 receptor modulators |
| WO2012004270A1 (en) | 2010-07-05 | 2012-01-12 | Sanofi | Spirocyclically substituted 1,3-propane dioxide derivatives, methods for the production thereof and use of the same as medicament |
| WO2012004269A1 (en) | 2010-07-05 | 2012-01-12 | Sanofi | (2-aryloxy-acetylamino)-phenyl-propionic acid derivatives, method for producing same and use thereof as pharmaceuticals |
| WO2012010413A1 (en) | 2010-07-05 | 2012-01-26 | Sanofi | Aryloxy-alkylene substituted hydroxyphenyl hexynoic acids, methods for the production thereof and use of the same as medicament |
| US20130158056A1 (en) * | 2010-09-30 | 2013-06-20 | Christopher D. Cox | Alkoxy pyrimidine pde10 inhibitors |
| US8785467B2 (en) * | 2010-09-30 | 2014-07-22 | Merck Sharp & Dohme Corp. | Alkoxy pyrimidine PDE10 inhibitors |
| US8883799B2 (en) | 2010-12-16 | 2014-11-11 | Genentech, Inc. | Tricyclic PI3K inhibitor compounds and methods of use |
| US9546182B2 (en) | 2010-12-16 | 2017-01-17 | Genentech, Inc. | Tricyclic PI3K inhibitor compounds and methods of use |
| US8653089B2 (en) | 2011-02-09 | 2014-02-18 | F. Hoffmann-La Roche Ag | Heterocyclic compounds and methods of use |
| WO2012107465A1 (en) * | 2011-02-09 | 2012-08-16 | F. Hoffmann-La Roche Ag | Heterocyclic compounds as pi3 kinase inhibitors |
| US9133187B2 (en) | 2011-02-28 | 2015-09-15 | Array Biopharma Inc. | Serine/threonine kinase inhibitors |
| US9187462B2 (en) | 2011-08-04 | 2015-11-17 | Array Biopharma Inc. | Substituted quinazolines as serine/threonine kinase inhibitors |
| US9546180B2 (en) | 2011-08-29 | 2017-01-17 | Infinity Pharmaceuticals, Inc. | Heterocyclic compounds and uses thereof |
| US8785470B2 (en) | 2011-08-29 | 2014-07-22 | Infinity Pharmaceuticals, Inc. | Heterocyclic compounds and uses thereof |
| EP2567959A1 (en) | 2011-09-12 | 2013-03-13 | Sanofi | 6-(4-Hydroxy-phenyl)-3-styryl-1H-pyrazolo[3,4-b]pyridine-4-carboxylic acid amide derivatives as kinase inhibitors |
| WO2013037390A1 (en) | 2011-09-12 | 2013-03-21 | Sanofi | 6-(4-hydroxy-phenyl)-3-styryl-1h-pyrazolo[3,4-b]pyridine-4-carboxylic acid amide derivatives as kinase inhibitors |
| WO2013045413A1 (en) | 2011-09-27 | 2013-04-04 | Sanofi | 6-(4-hydroxy-phenyl)-3-alkyl-1h-pyrazolo[3,4-b]pyridine-4-carboxylic acid amide derivatives as kinase inhibitors |
| CN103172548A (en) * | 2011-12-20 | 2013-06-26 | 天津市国际生物医药联合研究院 | Preparation method and application of methanesulfonamide compound |
| WO2013113788A1 (en) | 2012-02-03 | 2013-08-08 | Basf Se | Fungicidal pyrimidine compounds |
| WO2013113773A1 (en) | 2012-02-03 | 2013-08-08 | Basf Se | Fungicidal pyrimidine compounds |
| WO2013113787A1 (en) | 2012-02-03 | 2013-08-08 | Basf Se | Fungicidal pyrimidine compounds |
| WO2013113791A1 (en) | 2012-02-03 | 2013-08-08 | Basf Se | Fungicidal pyrimidine compounds |
| WO2013113715A1 (en) | 2012-02-03 | 2013-08-08 | Basf Se | Fungicidal pyrimidine compounds |
| WO2013113776A1 (en) | 2012-02-03 | 2013-08-08 | Basf Se | Fungicidal pyrimidine compounds |
| WO2013113716A1 (en) | 2012-02-03 | 2013-08-08 | Basf Se | Fungicidal pyrimidine compounds |
| WO2013113863A1 (en) | 2012-02-03 | 2013-08-08 | Basf Se | Fungicidal pyrimidine compounds |
| WO2013113720A1 (en) | 2012-02-03 | 2013-08-08 | Basf Se | Fungicidal pyrimidine compounds |
| US9259470B2 (en) | 2012-03-01 | 2016-02-16 | Array Biopharma Inc. | Serine/threonine kinase inhibitors |
| US10519126B2 (en) | 2012-03-01 | 2019-12-31 | Array Biopharma Inc. | Serine/threonine kinase inhibitors |
| US9708290B2 (en) | 2012-03-01 | 2017-07-18 | Array Biopharma Inc. | Serine/threonine kinase inhibitors |
| US8697715B2 (en) | 2012-03-01 | 2014-04-15 | Array Biopharma, Inc. | Serine/threonine kinase inhibitors |
| US9388171B2 (en) | 2012-08-27 | 2016-07-12 | Genetech, Inc. | Serine/threonine kinase inhibitors |
| US9481667B2 (en) | 2013-03-15 | 2016-11-01 | Infinity Pharmaceuticals, Inc. | Salts and solid forms of isoquinolinones and composition comprising and methods of using the same |
| EP4086240A1 (en) | 2013-12-03 | 2022-11-09 | FMC Corporation | Pyrrolidinone herbicides |
| WO2015084796A1 (en) | 2013-12-03 | 2015-06-11 | E. I. Du Pont De Nemours And Company | Pyrrolidinones as herbicides |
| EP3663282A1 (en) | 2013-12-03 | 2020-06-10 | FMC Corporation | Pyrrolidinone herbicides |
| WO2016199761A1 (en) * | 2015-06-08 | 2016-12-15 | 石原産業株式会社 | Difluoromethylene compounds |
| EP3928836A1 (en) | 2015-11-20 | 2021-12-29 | Idorsia Pharmaceuticals Ltd | N-substituted indole derivatives as pge2 receptor modulators |
| US12011444B2 (en) | 2015-11-20 | 2024-06-18 | Idorsia Pharmaceuticals Ltd | N-substituted indole derivatives as PGE2 receptor modulators |
| WO2017085198A1 (en) | 2015-11-20 | 2017-05-26 | Actelion Pharmaceuticals Ltd | N-substituted indole derivatives as pge2 receptor modulators |
| US11241431B2 (en) | 2015-11-20 | 2022-02-08 | Idorsia Pharmaceuticals Ltd | N-substituted indole derivatives as PGE2 receptor modulators |
| JP2019513804A (en) * | 2016-04-18 | 2019-05-30 | セルジーン クオンティセル リサーチ,インク. | Therapeutic compounds |
| EP3445750A4 (en) * | 2016-04-18 | 2019-11-27 | Celgene Quanticel Research, Inc. | THERAPEUTIC COMPOUNDS |
| US11020380B2 (en) | 2017-04-18 | 2021-06-01 | Celgene Quanticel Research, Inc. | Therapeutic compounds |
| US11890275B2 (en) | 2017-04-18 | 2024-02-06 | Celgene Quanticel Research, Inc. | Therapeutic compounds |
| US10617680B2 (en) | 2017-04-18 | 2020-04-14 | Celgene Quanticel Research, Inc. | Therapeutic compounds |
| WO2018210992A1 (en) | 2017-05-18 | 2018-11-22 | Idorsia Pharmaceuticals Ltd | Pyrimidine derivatives |
| US11839613B2 (en) | 2017-05-18 | 2023-12-12 | Idorsia Pharmaceuticals Ltd | Pyrimidine derivatives as PGE2 receptor modulators |
| WO2018210987A1 (en) | 2017-05-18 | 2018-11-22 | Idorsia Pharmaceuticals Ltd | Benzofurane and benzothiophene derivatives as pge2 receptor modulators |
| WO2018210995A1 (en) | 2017-05-18 | 2018-11-22 | Idorsia Pharmaceuticals Ltd | N-substituted indole derivatives |
| WO2018210994A1 (en) | 2017-05-18 | 2018-11-22 | Idorsia Pharmaceuticals Ltd | Phenyl derivatives as pge2 receptor modulators |
| US11325899B2 (en) | 2017-05-18 | 2022-05-10 | Idorsia Pharmaceuticals Ltd | Benzofurane and benzothiophene derivatives as PGE2 receptor modulators |
| US11446298B2 (en) | 2017-05-18 | 2022-09-20 | Idorsia Pharmaceuticals Ltd | Pyrimidine derivatives |
| WO2018210988A1 (en) | 2017-05-18 | 2018-11-22 | Idorsia Pharmaceuticals Ltd | Pyrimidine derivatives as pge2 receptor modulators |
| US11712438B2 (en) | 2017-05-18 | 2023-08-01 | Idorsia Pharmaceuticals Ltd | Phenyl derivatives as PGE2 receptor modulators |
| CN109867737A (en) * | 2019-02-27 | 2019-06-11 | 宁波大学 | A kind of double type hydrazides anionic initiator and its preparation and application method |
| CN109867737B (en) * | 2019-02-27 | 2022-03-18 | 宁波大学 | Gemini type hydrazide anion initiator and preparation and use method thereof |
| JP2022550394A (en) * | 2019-09-30 | 2022-12-01 | エフ.ホフマン-ラ ロシュ アーゲー | Substituted pyrimidines for the treatment and prevention of hepatitis B virus infection |
| WO2021063852A1 (en) * | 2019-09-30 | 2021-04-08 | F. Hoffmann-La Roche Ag | Substituted pyrimidine for the treatment and prophylaxis of hepatitis b virus infection |
| WO2025229177A1 (en) | 2024-05-02 | 2025-11-06 | Idorsia Pharmaceuticals Ltd | Crystalline forms of an n-substituted indole derivative |
Similar Documents
| Publication | Publication Date | Title |
|---|---|---|
| WO2008039882A1 (en) | A combination of niacin and a prostaglandin d2 receptor antagonist | |
| EP1891019B1 (en) | 2,6-substituted-4-monosubstitutedamino-pyrimidines as prostaglandin d2 receptor antagonists | |
| AU2024203366A1 (en) | Azolopyrimidine for the treatment of cancer-related disorders | |
| US10174029B2 (en) | Pyrimidine-2,4-diamine derivatives for treatment of cancer | |
| JP6586104B2 (en) | 5-Substituted indazole-3-carboxamides and methods for their preparation and use | |
| CN101421252B (en) | 2,6-substituted-4-monosubstituted aminopyrimidines as prostaglandin D2 receptor antagonists | |
| RU2627693C2 (en) | INDAZOLE-3-CARBOXAMIDES AND THEIR USE AS WNT/β-CATENIN SIGNAL INHIBITORS | |
| JP4880448B2 (en) | Composition comprising a plurality of antibiotics and method of using the same | |
| MXPA05005477A (en) | 2,4,6-trisubstituted pyrimidines as phosphotidylinositol (pi) 3-kinase inhibitors and their use in the treatment of cancer. | |
| EP1937652A1 (en) | Pyrimidine amide compounds as pgds inhibitors | |
| TW200533357A (en) | 2-(amino-substituted)-4-aryl pyrimidines and related compounds useful for treating inflammatory diseases | |
| JP2003516320A (en) | Substituted 5-benzyl-2,4-diaminopyrimidine | |
| HK1108429B (en) | 2,6-substituted-4-monosubstitutedamino-pyrimidine as prostaglandin d2 receptor antagonists |
Legal Events
| Date | Code | Title | Description |
|---|---|---|---|
| 121 | Ep: the epo has been informed by wipo that ep was designated in this application |
Ref document number: 07853645 Country of ref document: EP Kind code of ref document: A1 |
|
| NENP | Non-entry into the national phase |
Ref country code: DE |
|
| 122 | Ep: pct application non-entry in european phase |
Ref document number: 07853645 Country of ref document: EP Kind code of ref document: A1 |






































































































































































































































































































































