WO2008013618A1 - Process for preparing alkyne intermediates for dendritic polymers - Google Patents
Process for preparing alkyne intermediates for dendritic polymers Download PDFInfo
- Publication number
- WO2008013618A1 WO2008013618A1 PCT/US2007/014404 US2007014404W WO2008013618A1 WO 2008013618 A1 WO2008013618 A1 WO 2008013618A1 US 2007014404 W US2007014404 W US 2007014404W WO 2008013618 A1 WO2008013618 A1 WO 2008013618A1
- Authority
- WO
- WIPO (PCT)
- Prior art keywords
- reagents
- propargyl
- reacting
- ethyl
- aryl
- Prior art date
- Legal status (The legal status is an assumption and is not a legal conclusion. Google has not performed a legal analysis and makes no representation as to the accuracy of the status listed.)
- Ceased
Links
- NYEZZYQZRQDLEH-UHFFFAOYSA-N CCC1=NCCO1 Chemical compound CCC1=NCCO1 NYEZZYQZRQDLEH-UHFFFAOYSA-N 0.000 description 4
- 0 CCC1NCC*1C Chemical compound CCC1NCC*1C 0.000 description 3
Classifications
-
- C—CHEMISTRY; METALLURGY
- C07—ORGANIC CHEMISTRY
- C07D—HETEROCYCLIC COMPOUNDS
- C07D295/00—Heterocyclic compounds containing polymethylene-imine rings with at least five ring members, 3-azabicyclo [3.2.2] nonane, piperazine, morpholine or thiomorpholine rings, having only hydrogen atoms directly attached to the ring carbon atoms
- C07D295/16—Heterocyclic compounds containing polymethylene-imine rings with at least five ring members, 3-azabicyclo [3.2.2] nonane, piperazine, morpholine or thiomorpholine rings, having only hydrogen atoms directly attached to the ring carbon atoms acylated on ring nitrogen atoms
- C07D295/20—Heterocyclic compounds containing polymethylene-imine rings with at least five ring members, 3-azabicyclo [3.2.2] nonane, piperazine, morpholine or thiomorpholine rings, having only hydrogen atoms directly attached to the ring carbon atoms acylated on ring nitrogen atoms by radicals derived from carbonic acid, or sulfur or nitrogen analogues thereof
- C07D295/205—Radicals derived from carbonic acid
-
- C—CHEMISTRY; METALLURGY
- C07—ORGANIC CHEMISTRY
- C07D—HETEROCYCLIC COMPOUNDS
- C07D249/00—Heterocyclic compounds containing five-membered rings having three nitrogen atoms as the only ring hetero atoms
- C07D249/02—Heterocyclic compounds containing five-membered rings having three nitrogen atoms as the only ring hetero atoms not condensed with other rings
- C07D249/04—1,2,3-Triazoles; Hydrogenated 1,2,3-triazoles
Definitions
- This invention relates to a process for preparing acetylene or alkyne intermediates to make dendritic polymers.
- the present invention provides an improved process to generate inexpensive acetylene intermediates based on commercially available propargyl alcohol. These intermediates can then be reacted by click chemistry using azides to form desired dendrimers, such a PEHAM dendrimers or other dendritic polymers.
- the present process prepares an alkyne compounds, useful as "clickable intermediates" to produce novel core reagents, branch cell reagents, surface group reagents, dendron reagents, oligomeric extender reagents, dendrimer core reagents, or dendrimer shell reagents suitable for preparing dendritic polymers, which comprises:
- BR branch cell reagent (C) or C means core cm means centimeter(s)
- C branch cell reagent
- C core cm means centimeter(s)
- Dendritic polymer means all dendritic architectures, including but not limited to PAMAM and PEHAM dendrimers, and dendronized polymers
- Dendronized polymers means where the (C) moiety has dendons on its surface, where such cores include, but are not limited to, linear polymers, latex particles, cage molecules such as macrocycles, cyclodextrins, and others, and the dendron can be a portion of a dendritic polymer
- Dendron means a portion of a dendrimer DETA means diethylenetriamine DI water means deionized water Equiv. means equivalents)
- G means dendrimer generation, which is indicated by the number of concentric branch cell shells surrounding the core (usually counted sequentially from the core)
- g means gram(s)
- h means hour(s)
- HCI hydrochloric acid
- HPLC means high pressure liquid chromatography IF or (IF) means interior functionality
- MALDI-TOF matrix-assisted laser desorption ionization time of flight mass spectroscopy
- MeOH means methanol mg means milligram(s) min. means minute(s) mL means milliliters)
- MWCO molecular weight cut off nm means nanometers
- NMR nuclear magnetic resonance
- N-SIS means nanoscale sterically induced stoichiometry
- PAMAM means poly(amidoamine) dendrimers, including linear and branched polymers or dendrimers with primary amine terminal groups or other surface groups, or dendrons
- PEHAM means poly(etherhydroxylamine) dendrimer
- PEI poly(ethyleneimine) dendrimer
- PIPZ means piperazine
- POPAM means a PPI core surrounded by PAMAM dendrons
- PPI means poly(propyleneimine) dendrimer
- % w/v means Percent weight by volume
- RT means room temperature or ambient temperature, about 20-2S 0 C
- SEC means size exclusion chromatography
- TLC thin layer chromatraphy
- TMPTA trimethylolpropane
- UV means ultraviolet spectroscopy ⁇ means micron(s) ⁇ m means micrometers
- the dendritic polymer structures of the present invention may be any dendritic polymer, including without limitation, PAMAM dendrimers, PEHAM dendrimers,
- PEI dendrimers POPAM dendrimers, PPI dendrimers, polyether dendrimers, dendrigrafts, random hyperbranched dendrimers, polylysine dendritic polymers, arborols, cascade polymers, avidimers or other dendritic architectures.
- dendritic polymers there are numerous examples of such dendritic polymers in the literature, such as those described in Dendrimers and other
- Dendritic Polymers eds. J.M.J. Frechet, D. A. Tomalia, pub. John Wiley and Sons, (2001) and other such sources.
- dendritic polymers can be any physical shape, such as for example spheres, rods, tubes, or any other shape possible.
- the interior structure may have an internal cleavable bond (such as a disulfide) or an internal functionality such as a hydroxide or other group to associate with it.
- the dendritic polymer can be a dendron. This dendron can have any dendritic polymer constituents desired.
- Dendritic Polymers Most of these dendritic polymers have been taught in the literature. See Dendrimers and other Dendritic Polymers, eds. J.M.J. Fr ⁇ chet, D. A. Tomalia, pub. John Wiley and
- the dendritic polymer is a PEHAM dendritic polymer it has the following general formula
- (C) means a core
- FF focal point functionality component of the core
- x is independently 0 or an integer from 1 to N c -1 ;
- (BR) means a branch cell, which, if p is greater than 1, then (BR) may be the same or a different moiety; p is the total number of branch cells (BR) in the dendrimer and is an integer from 1 to 2000 derived by the following equation
- (IF) means interior functionality, which, if q is greater than 1, then (IF) may be the same or a different moiety; q is independently 0 or an integer from 1 to 4000;
- (EX) means an extender, which, if m is greater than 1, then (BX) may be the same or a different moiety; m is independently 0 or an integer from 1 to 2000;
- the PEHAM of Formula I can be prepared by an acrylate-amine reaction system which comprises:
- a process to prepare the dendritic polymers can be by ring-opening reaction system which comprises:
- Steps A and B the addition of an extender (EX) group to a core, the mole ratio of (EX)/(C) is defined as the moles of extender molecules (EX) to the moles of reactive functional groups on the simple core, scaffolding core, super core, or current generation structure (i.e. N c ) where an excess of (EX) is used when full coverage is desired; the addition of a branch cell (BR) to a simple core, scaffolding core, super core, or current generation structure (BR)/(C) is defined as the moles of branch cell molecules (BR) to the moles of reactive functional groups on the simple core, scaffolding core, super core, or current generation structure ⁇ i.e.
- N c where an excess of (BR) is used when full coverage is desired; and the level of addition of branch cells (BR) or extenders (EX) to a core, scaffolding core, super core or current generational product can be controlled by the mole ratio added or by N-SIS.
- BR branch cells
- EX extenders
- An orthogonal chemical approach is the 1,3-dipolar cyclo-addition of azides containing (C) and (BR) to alkynes containing (C) and (BR).
- the alkyne containing (C) may have from 1 to N c alkyne moieties present and alkyne containing (BR) may have from 1 to N b -I alkyne moieties.
- the other reactive groups present in (C) or (BR) can be any of the (BR) groups listed herein before.
- Azide containing (C) and (BR) are produced by nucleophilic ring-opening of epoxy rings with azide ions.
- the present strategy involves conversion of propargyl alcohol to propargyl tosylate, which may be used directly or converted to appropriate propargyl halides ⁇ i.e., bromides/iodides) by the Finkelstein reaction .
- These intermediates allow transformation into a variety of critical compounds useful for 1,3-cyclo-addition (Huisgen type) "click chemistry".
- propargyl initiated poly(oxazolines) could be grown to any desireable degree of polymerization and then terminated with a wide variety of nucleophiles.
- These important acetylenic intermediates could then be "clicked” to various azide functional ized PEHAM products. ⁇ i.e., core reagents, branch cell reagents, dendrons, extenders or dendrimers) to produce valuable intermediates to a final PEHAM dendrimer product.
- propargyl tosylate with either sodium bromide or sodium iodide in acetonitrile
- the corresponding propargyl bromide/iodide can be obtained in quantitative yield.
- These propargyl halides can be reacted with monoprotected piperazines (i.e., ethyl 1-piperazine carboxylate), morpholine or solvent protected DETA to make some very interesting and clickable intermediates for modifying PEHAM dendrimers or intermediates.
- ⁇ AH reactions performed were successful producing apparently clean reaction mixtures at each step as determined by mass spectroscopy and TLC.
- the reaction to form the propargyl ethyl oxazolinium cation from propargyl tosylate is relatively rapid with NaI versus NaBr.
- the characteristic signals for the propargyl group are present in the 13 C NMR spectrum for the propargyl initiated poly(ethyl oxazoline) and form the ring opened product derived from propargyl ethyl oxazolinium cation.
- the product mixture derived from the 3- butyne-1,4- ditosylate shows the desired product derived from a ring opening reaction of ethyl 1-piperazine carboxylate with 3-butyne -1 ,4-di-2-ethyI-2-oxazolinium cation.
- Mass spectra were obtained on a Broker Autoflex LRF MALDI-TOF mass spectrometer with Pulsed Ion Extraction. Mass ranges below 20 kDa were acquired in the reflector mode using a 19 kV sample voltage and 20 kV reflector voltage. Polyethylene oxide was used for calibration. Higher mass ranges were acquired in the linear mode using a 20 kV sample voltage. Size Exclusion Chromatography (SEO)
- a methanolic solution of dendrimer compositions was evaporated and reconstituted with the mobile phase used in the SEC experiment (1 mg/mL concentration). All the samples were prepared fresh and used immediately for SEC. Dendrimers were analyzed qualitatively by SEC. SEC system (Waters 1515) was operated in an isocratic mode with refractive index detector (Waters 2400) and Waters 717 Plus Auto Sampler. The analysis was performed at RT on two serially aligned TSK gel columns (Supelco), G3000PW and G2500PW, particle size lO ⁇ m, 30cm * 7.5 mm. The mobile phase of acetate buffer (0.5M) was pumped at a flow rate of lmL/min. The elution volume of dendrimer was observed to be 11-16 mL, according to the generation and surface of dendrimer.
- UV-VIS Ultraviolet/Visible Spectrometry
- UV-VIS spectral data were obtained on a Perkin Elmer Lambda 2 UV/VIS Spectrometer.
- Sample preparation To 50-100 mg of a dry sample was add 800-900 ⁇ L of a deuterated solvent to dissolve. Typical reference standards are used, i.e., trimethylsilane. Typical solvents are CDCl 3 , CD 3 OD, D 2 O, DMSO-d6, and acetone-d ⁇ - The dissolved sample was transferred to an NMR tube to a height of— 5.5 cm in the tube.
- 300MHz NMR data were obtained on a 300MHz 2-channel VarianTM Mercury Plus NMR spectrometer system using an Automation Triple Resonance Broadband (ATB) probe, H/X (where X is tunable from 15 N to 31 P). Data acquisition was obtained on a Sun BladeTM 150 computer with a SolarisTM 9 operating system. The software used was VNMR v6.1C.
- 500MHz NMR data were obtained on a 500MHz 3-channel VarianTM Inova 500MHz NMR spectrometer system using a Switchable probe, H/X (X is tunable from 15 N to 31 P). Data acquisition was obtained on a Sun BladeTM 150 computer with a SolarisTM 9 operating system.
- the software used was VNMR v ⁇ .lC. Polvacrylamide Gel Electrophoresis (PAGE)
- Dendrimers that were stored in solvent are dried under vacuum and then dissolved or diluted with water to a concentration about 100 mg in 4 mL of water.
- the water solution is frozen using dry ice and the sample dried using a lyophilizer (freeze dryer) (LABCONCO Corp. Model number is Free Zone 4.5 Liter, Freeze Dry System 77510) at about -47°C and 60 x 10 "3 mBar.
- Freeze dried dendrimer (1-2 mg) is diluted with water to a concentration of 1 mg/mL.
- Tracking dye is added to each dendrimer sample at 10% v/v concentration and includes (1) methylene blue dye (1% w/v) for basic compounds (2) bromophenol blue dye (0.1% w/v) for acid compounds (3) bromophenol blue dye (0.1%w/v) with 0.1% (w/V) SDS for neutral compounds.
- Pre-cast 4-20% gradient gels were purchased from ISC BioExpress. Gel sizes were 100 mm (W) X 80 mm (H) X 1 mm (Thickness) with ten pre-numbered sample wells formed in the cassette. The volume of the sample well is 50 ⁇ L. Gels not obtained commercially were prepared as 10% homogeneous gels using 30% acrylamide (3.33 mL), 4 X TBE buffer (2.5 mL), water (4.17 mL), 10% APS (100 ⁇ L), TEMED (3.5 ⁇ L).
- TBE buffer used for gel electrophoresis is prepared using /m(hydroxymethyl)aminomethane (43.2 g), boric acid (22.08 g), disodium EDTA (3.68 g) in 1 L of water to form a solution of pH 8.3.
- the buffer is diluted 1 :4 prior to use.
- Electrophoresis is done using a PowerPacTM 300 165-5050 power supply and BIO- RADTM Mini Protean 3 Electrophoresis Cells. Prepared dendrimer/dye mixtures (5 ⁇ L each) are loaded into separate sample wells and the electrophoresis experiment run. Dendrimers with amine surfaces are fixed with a glutaraldehyde solutions for about one hour and then stained with Coomassie Blue R-250 (Aldrich) for about one hour. Gels are then destained for about one hour using a glacial acetic acid solution. Images are recorded using an hp ScanJetTM 5470C scanner.
- Thin Layer Chromatography was used to monitor the progress of chemical reactions.
- One drop of material generally O.OSM to 0.4M solution in organic solvent, is added to a silica gel plate and placed into a solvent chamber and allowed to develop for generally 10- IS mins. After the solvent has been eluted, the TLC plate is generally dried and then stained (as described below). Because the silica gel is a polar polymer support, less polar molecules will travel farther up the plate. "R f " value is used to identify how far material has traveled on a TLC plate. Changing solvent conditions will subsequently change the R f value. This R f is measured by the ratio of the length the product traveled to the length the solvent traveled.
- TLC plates used were either (1) "Thin Layer Chromatography Plates - Whatman®” PK6F Silica Gel Glass backed, size 20 x 20 cm, layer thickness: 250 ⁇ m or (2) "Thin Layer Chromatography Plate Plastic sheets — EM Science” Alumina backed, Size 20 x 20 cm, layer thickness 200 ⁇ m. Staining conditions were: (1) Ninhydrin: A solution is made with 1.5 g of ninhydrin,
- reaction vial was put in a 900W domestic microwave and heated for a certain amount of time. Reaction results were checked by TLC immediately after the heating. When the TLC result is rated the TLC ratings are from 0 to 10 (10 is the best result on TLC, but is not meant to mean 100% yield).
- the invention will be further clarified by a consideration of the following examples, which are intended to be purely exemplary of the present invention.
- Example 1 Preparation of Poly(ethyloxazoline) Initiated from Propargyl Tosylate and Terminated with Morpholine
- MALDI-TOF MS distribution from 918 to 2009 with peak at 1315 amu, DP ⁇ 12.
- a MALDI — TOF mass spectrum indicated the complete disappearance of the peak at 136 amu for the N-propargyl-2-ethyl-2-oxazolinium cation and the appearance of a new peak at 296 amu for the desired product.
- the volatiles of the reaction mixture were removed on a rotary evaporator.
- the resulting mixture was mixed with IS mL of MeOH and sodium carbonate (500 mg, 4.7 mmol) and purified through a plug of silica gel in MeOH to give 1.3 g (89% yield) of a light brown liquid. Its spectra are as follows:
- a MALDI-TOF mass spectrum of this crude material showed the desired product at 566 amu and an unidentified peak at 218 amu.
- Example 7 PETGE-tetra-azide "Click Reaction" with N-Propargyl Initiated Poly(ethyl oxazoline) that was Terminated with Morpholine
- a 13 C NMR spectrum of this crude material indicated signals for the triazole ring at 125.89 and 129.27 ppm and 140.91 and 141.80 ppm.
- An IR of the crude reaction mixture after irradiation with microwave showed a large decrease in the azide signal at 2100 cm '1 relative to the reaction mixture before irradiation.
- Example 9 Polymerization of 3-Butyne— 1,4-diol ditosylate with Ethyl Oxazoline, Sodium Iodide and Quenching with Triethylmethanecarboxylate Sodium Salt
- Example 10 Polymerization of 3— Butyne-1,4— diol ditosylate with Ethyl Oxazoline, Sodium Iodide and Quenching with Sodium Azide
- Example 11 Polymerization of 3— Butyne— 1,4— diol ditosylate with Ethyl Oxazoline, Sodium Iodide and Ethyl 1-piperazine carboxylate
Landscapes
- Chemical & Material Sciences (AREA)
- Organic Chemistry (AREA)
- Heterocyclic Carbon Compounds Containing A Hetero Ring Having Nitrogen And Oxygen As The Only Ring Hetero Atoms (AREA)
Abstract
This invention provides a process for preparing alkyne intermediates used for making dendritic polymers. This process concerns alkyne compounds, useful as 'clickable intermediates' to produce novel core reagents, branch cell reagents, surface group reagents, dendron reagents, oligomeric extender reagents, dendrimer core reagents, or dendrimer shell reagents suitable for preparing dendritic polymers, which comprises: 1) reacting acetylenic halides (i.e. chlorides, bromides or iodides) or acetylenic mesylates/tosylates with 2-alkyl/aryl-2-oxazolines or oxazines to produce N-acetylenic-2-oxazolinium or 2-oxazinium cation salts; and 2) reacting N-acetylenic-2-oxazolinium or 2-oxazinium cation salts as catalytic reagents for the polymerization of 2-alkyl/aryl-2-oxazolines or 2-alkyl/aryl-2-oxazines; or 3) reacting propargyl tosylate or propargyl halides with 2-ethyl-2-oxazoline and then polymerizing to alkyne substituted poly(2-ethyl-2-oxazolines) with a degree of polymerization (i.e., dp=1-100); or 4) reacting propargyl tosylate with 2-ethyl-2-oxazoline (1:1) in the presence of sodium bromide or sodium iodide in acetonitrile to form N-propargyl-2-oxazolinium bromides/iodides, respectively; or 5) reacting 3-butyne-1,4-ditosylate in the presence of sodium iodide or sodium bromide in acetonitrile to form 3-butyne-1,4-dioxazolinium iodide or bromide, respectively.
Description
PROCESS FOR PREPARING ALKYNE INTERMEDIATES FORDENDRΓΠC POLYMERS BACKGROUND OF THE INVENTION
Field of the Invention
This invention relates to a process for preparing acetylene or alkyne intermediates to make dendritic polymers.
Description of Related Art The prior art for this process concerns a method described by R. Hoogenboom et al.,
J. Comb. Chem. 7, 10-13 (2005) and S. Crosignani etal., J. Comb. Chem. I3 688-696 (2005) for using azides. Further background concerning the use of these derivatives in click chemistry can be found in H.C. KoIb et al., Angew. Chem. Int. Ed. 40, 2004-2021.
BRIEF SUMMARY OF THE INVENTION
The present invention provides an improved process to generate inexpensive acetylene intermediates based on commercially available propargyl alcohol. These intermediates can then be reacted by click chemistry using azides to form desired dendrimers, such a PEHAM dendrimers or other dendritic polymers. The present process prepares an alkyne compounds, useful as "clickable intermediates" to produce novel core reagents, branch cell reagents, surface group reagents, dendron reagents, oligomeric extender reagents, dendrimer core reagents, or dendrimer shell reagents suitable for preparing dendritic polymers, which comprises:
1) reacting acetylenic halides (i.e. chlorides, bromides or iodides) or acetylenic mesylatesΛosylates with 2-alkyl/aryl-2-oxazolines or oxazines to produce N-acetylenic-2-oxazolinium or 2-oxazinium cation salts; and
2) reacting N-acetylenic-2-oxazolinium or 2-oxazinium cation salts as catalytic reagents for the polymerization of 2-alkyl/aryl-2-oxazolines or 2-alkyl/aryl-2-oxazines; or
3) reacting propargyl tosylate or propargyl halides with 2-ethyl-2- oxazoline and then polymerizing to alkyne substituted poly(2-ethyl- 2-oxazolines) with a degree of polymerization (i.e., dp=l-100), especially a low degree of polymerization (i.e., dp=2-12); or 4) reacting propargyl tosylate with 2-ethy 1-2 -oxazoline (1:1) in the presence of sodium bromide or sodium iodide in acetonitrile to form N-propargyl-2-oxazolinium bromides/iodides, respectively; or
5) reacting 3-butyne- 1 ,4-ditosylate in the presence of sodium iodide or sodium bromide in acetonitrile to form 3-butyne- 1 ,4-dioxazolinium iodide or bromide, respectively.
DETAILED DESCRIPTION OF THE INVENTION
Glossary
The following terms as used in this application are to be defined as stated below and for these terms, the singular includes the plural. Amu means atomic mass units BR means branch cell reagent (C) or C means core cm means centimeter(s) Dendritic polymer means all dendritic architectures, including but not limited to PAMAM and PEHAM dendrimers, and dendronized polymers
Dendronized polymers means where the (C) moiety has dendons on its surface, where such cores include, but are not limited to, linear polymers, latex particles, cage molecules such as macrocycles, cyclodextrins, and others, and the dendron can be a portion of a dendritic polymer
Dendron means a portion of a dendrimer DETA means diethylenetriamine DI water means deionized water Equiv. means equivalents) G means dendrimer generation, which is indicated by the number of concentric branch cell shells surrounding the core (usually counted sequentially from the core)
g means gram(s) h means hour(s)
HCI means hydrochloric acid
HPLC means high pressure liquid chromatography IF or (IF) means interior functionality
IR means infrared spectroscopy
L means liter(s)
MALDI-TOF means matrix-assisted laser desorption ionization time of flight mass spectroscopy MeOH means methanol mg means milligram(s) min. means minute(s) mL means milliliters)
MWCO means molecular weight cut off nm means nanometers)
NMR means nuclear magnetic resonance
N-SIS means nanoscale sterically induced stoichiometry
PAMAM means poly(amidoamine) dendrimers, including linear and branched polymers or dendrimers with primary amine terminal groups or other surface groups, or dendrons PEHAM means poly(etherhydroxylamine) dendrimer
PEI means poly(ethyleneimine) dendrimer
Percent or % means by weight unless stated otherwise
PIPZ means piperazine
POPAM means a PPI core surrounded by PAMAM dendrons PPI means poly(propyleneimine) dendrimer
% w/v means Percent weight by volume
RT means room temperature or ambient temperature, about 20-2S0C
SEC means size exclusion chromatography
TLC means thin layer chromatraphy TMPTA means trimethylolpropane
UV means ultraviolet spectroscopy
μ means micron(s) μm means micrometers)
Chemical structures of Dendritic Polymers The dendritic polymer structures of the present invention may be any dendritic polymer, including without limitation, PAMAM dendrimers, PEHAM dendrimers,
PEI dendrimers, POPAM dendrimers, PPI dendrimers, polyether dendrimers, dendrigrafts, random hyperbranched dendrimers, polylysine dendritic polymers, arborols, cascade polymers, avidimers or other dendritic architectures. There are numerous examples of such dendritic polymers in the literature, such as those described in Dendrimers and other
Dendritic Polymers, eds. J.M.J. Frechet, D. A. Tomalia, pub. John Wiley and Sons, (2001) and other such sources.
These dendritic polymers can be any physical shape, such as for example spheres, rods, tubes, or any other shape possible. The interior structure may have an internal cleavable bond (such as a disulfide) or an internal functionality such as a hydroxide or other group to associate with it. Additionally, the dendritic polymer can be a dendron. This dendron can have any dendritic polymer constituents desired.
General Syntheses Used to Prepare Dendritic Polymers Most of these dendritic polymers have been taught in the literature. See Dendrimers and other Dendritic Polymers, eds. J.M.J. Frέchet, D. A. Tomalia, pub. John Wiley and
Sons, (2001) where most of these structures are discussed. The PEHAM dendritic polymers have been taught in WO2006/065266 and WO2006/1 15547.
When the dendritic polymer is a PEHAM dendritic polymer it has the following general formula
Formula I
wherein:
(C) means a core;
(FF) means a focal point functionality component of the core; x is independently 0 or an integer from 1 to Nc-1 ;
(BR) means a branch cell, which, if p is greater than 1, then (BR) may be the same or a different moiety; p is the total number of branch cells (BR) in the dendrimer and is an integer from 1 to 2000 derived by the following equation
p = Total * of [BR] = [Nc]
where: G is number of concentric branch cell shells (generation) surrounding the core; i is final generation G; Nb is branch cell multiplicity; and Nc is core multiplicity and is an integer from 1 to 1000;
(IF) means interior functionality, which, if q is greater than 1, then (IF) may be the same or a different moiety; q is independently 0 or an integer from 1 to 4000;
(EX) means an extender, which, if m is greater than 1, then (BX) may be the same or a different moiety; m is independently 0 or an integer from 1 to 2000;
(TF) means a terminal functionality, which, if z is greater than 1, then (TF) may be the same or a different moiety; z means the number of surface groups from 1 to the theoretical number possible for (C) and (BR) for a given generation G and is derived by the following equation z = NcNb G; where: G, Nb and Nc are defined as above; and with the proviso that at least one of (EX) or (IF) is present.
The PEHAM of Formula I can be prepared by an acrylate-amine reaction system which comprises:
A. Reacting an acrylate functional core with an amine functional extender, such as shown below:
(C) H- (EX) → (C) (EX) (TF) where (C) = an acrylate functional core such as TMPTA; (EX) = an amine functional extender such as PIPZ; and (TF) = amine; and
B. Reacting an amine functional extended core reagent of (C) (EX) (TFl) with an acrylate functional branch cell reagent (BR) as shown below:
(C) (EX) (TFl) + (BR) →(C) (EX) (BR) (TF2) where (C) = TMPTA; (EX) = PlPZ; (TFl) = Amine; (BR) = TMPTA; and (TF2) = Acrylate; and wherein for both Steps A and B the addition of an extender (EX) group to a core, the mole ratio of (EX)/(C) is defined as the moles of extender molecules (EX) to the moles of reactive functional groups on the simple core, scaffolding core, super core, or current generation structure (i.e. Nc) where an excess of (EX) is used when full coverage is desired; the addition of a branch cell (BR) to a simple core, scaffolding core, super core, or current generation structure (BR)/(C) is defined as the moles of branch cell molecules (BR) to the moles of reactive functional groups on the simple core, scaffolding core, super core, or current generation structure (i.e. Nc) where an excess of (BR) is used when full coverage is desired; and the level of addition of branch cells (BR) or extenders (EX) to a core, scaffolding core, super core or current generational product can be controlled by the mole ratio added or by N-SIS.
A process to prepare the dendritic polymers can be by ring-opening reaction system which comprises:
A. Reacting an epoxy functional core with an amine functional extender, such as shown below:
(C) + (EX) → (C) (IFl) (EX) (TFl) where (C) = an epoxy functional core such as PETGE; (IFl) = Internal hydroxyl (OH); (EX) = Piperazine (PIPZ); (TFl) = Amine; and
B. Reacting an amine functional extended core reagent (C) (IFl) (EX) (TFl) with an epoxy functional branch cell reagent such as shown below:
(C) (IFl) (EX) (TFl) + (BR) → (C) (IFl) (EX) (IF2) (BR) (TF2) where (C) = PETGE (pentaerythritol); (IFl) = Internal functionality moiety as defined in Claim 1 such as OH; (EX) = an extender moiety as defined in Claim 1 such as PIPZ; (TFl) = Amine; (BR) = an epoxy functional branch cell reagent such as PETGE; and (IF2) = Internal functionality moiety such as
OH; (TF2) = Amine; and wherein for both Steps A and B the addition of an extender (EX) group to a core, the mole ratio of (EX)/(C) is defined as the moles of extender molecules (EX) to the moles of reactive functional groups on the simple core, scaffolding core, super core, or current generation structure (i.e. Nc) where an excess of (EX) is used when full coverage is desired; the addition of a branch cell (BR) to a simple core, scaffolding core, super core, or current generation structure (BR)/(C) is defined as the moles of branch cell molecules (BR) to the moles of reactive functional groups on the simple core, scaffolding core, super core, or current generation structure {i.e. Nc) where an excess of (BR) is used when full coverage is desired; and
the level of addition of branch cells (BR) or extenders (EX) to a core, scaffolding core, super core or current generational product can be controlled by the mole ratio added or by N-SIS.
An orthogonal chemical approach is the 1,3-dipolar cyclo-addition of azides containing (C) and (BR) to alkynes containing (C) and (BR). The alkyne containing (C) may have from 1 to Nc alkyne moieties present and alkyne containing (BR) may have from 1 to Nb-I alkyne moieties. The other reactive groups present in (C) or (BR) can be any of the (BR) groups listed herein before. Azide containing (C) and (BR) are produced by nucleophilic ring-opening of epoxy rings with azide ions. Subsequent reaction of these reactive groups can provide triazole linkages to new (BR) or (TF) moieties using "click" chemistry as described by Michael Malkoch et al., in JAm.Chem.Soc. 127, 14942-14949 (2005).
This latter approach is the focus of this invention. The present strategy involves conversion of propargyl alcohol to propargyl tosylate, which may be used directly or converted to appropriate propargyl halides {i.e., bromides/iodides) by the Finkelstein reaction . These intermediates allow transformation into a variety of critical compounds useful for 1,3-cyclo-addition (Huisgen type) "click chemistry". For example, propargyl initiated poly(oxazolines) could be grown to any desireable degree of polymerization and then terminated with a wide variety of nucleophiles. These important acetylenic intermediates could then be "clicked" to various azide functional ized PEHAM products. {i.e., core reagents, branch cell reagents, dendrons, extenders or dendrimers) to produce valuable intermediates to a final PEHAM dendrimer product.
Also by performing a Finkelstein reaction (Merck Index) on propargyl tosylate with either sodium bromide or sodium iodide in acetonitrile, the corresponding propargyl bromide/iodide can be obtained in quantitative yield. These propargyl halides can be reacted with monoprotected piperazines (i.e., ethyl 1-piperazine carboxylate), morpholine or solvent protected DETA to make some very interesting and clickable intermediates for modifying PEHAM dendrimers or intermediates.
^ AH reactions performed were successful producing apparently clean reaction mixtures at each step as determined by mass spectroscopy and TLC. The reaction to form the propargyl ethyl oxazolinium cation from propargyl tosylate is relatively rapid with NaI
versus NaBr. The characteristic signals for the propargyl group are present in the 13C NMR spectrum for the propargyl initiated poly(ethyl oxazoline) and form the ring opened product derived from propargyl ethyl oxazolinium cation. The product mixture derived from the 3- butyne-1,4- ditosylate shows the desired product derived from a ring opening reaction of ethyl 1-piperazine carboxylate with 3-butyne -1 ,4-di-2-ethyI-2-oxazolinium cation.
For the following examples the various equipment and methods were used to run the various described tests for the results reported in the examples described below.
Equipment and Methods Process (general protocol)
Firstly, propargyl tosylate was reacted with 2-ethyl-2-oxazoline and polymerized to poly(ethyl oxazoline) with a low degree of polymerization [i.e., dp=2-12).
Secondly, propargyl tosylate was then reacted with 2-ethyl-2-oxazoline (1:1) in the presence of sodium bromide or sodium iodide to form N-propargyl oxazolinium bromides/iodides, respectively. These cations can be ring opened at the S-position by nucleophilic reagents (i.e., secondary amines, etc.) to produce a variety of important "click chemistry" intermediates. Ethyl 1-piperazine carboxylate was chosen as the first test substrate for demonstrating nucleophilic ring opening of the acetylene oxazolinium cations. Finally, 3-butyne- 1,4-ditosylate was reacted in the same manner to give a product that is a potential branch cell reagent for click chemistry.
MALDI-TOF Mass Spectrometry
Mass spectra were obtained on a Broker Autoflex LRF MALDI-TOF mass spectrometer with Pulsed Ion Extraction. Mass ranges below 20 kDa were acquired in the reflector mode using a 19 kV sample voltage and 20 kV reflector voltage. Polyethylene oxide was used for calibration. Higher mass ranges were acquired in the linear mode using a 20 kV sample voltage.
Size Exclusion Chromatography (SEO
A methanolic solution of dendrimer compositions was evaporated and reconstituted with the mobile phase used in the SEC experiment (1 mg/mL concentration). All the samples were prepared fresh and used immediately for SEC. Dendrimers were analyzed qualitatively by SEC. SEC system (Waters 1515) was operated in an isocratic mode with refractive index detector (Waters 2400) and Waters 717 Plus Auto Sampler. The analysis was performed at RT on two serially aligned TSK gel columns (Supelco), G3000PW and G2500PW, particle size lOμm, 30cm * 7.5 mm. The mobile phase of acetate buffer (0.5M) was pumped at a flow rate of lmL/min. The elution volume of dendrimer was observed to be 11-16 mL, according to the generation and surface of dendrimer.
Ultraviolet/Visible Spectrometry (UV-VIS)
UV-VIS spectral data were obtained on a Perkin Elmer Lambda 2 UV/VIS Spectrometer.
Nuclear Magnetic Resonance (NMR)- 1H and 13C
Sample preparation: To 50-100 mg of a dry sample was add 800-900 μL of a deuterated solvent to dissolve. Typical reference standards are used, i.e., trimethylsilane. Typical solvents are CDCl3, CD3OD, D2O, DMSO-d6, and acetone-dβ- The dissolved sample was transferred to an NMR tube to a height of— 5.5 cm in the tube.
Equipment: (1) 300MHz NMR data were obtained on a 300MHz 2-channel Varian™ Mercury Plus NMR spectrometer system using an Automation Triple Resonance Broadband (ATB) probe, H/X (where X is tunable from 15N to 31P). Data acquisition was obtained on a Sun Blade™ 150 computer with a Solaris™ 9 operating system. The software used was VNMR v6.1C. (2) 500MHz NMR data were obtained on a 500MHz 3-channel Varian™ Inova 500MHz NMR spectrometer system using a Switchable probe, H/X (X is tunable from 15N to 31P). Data acquisition was obtained on a Sun Blade™ 150 computer with a Solaris™ 9 operating system. The software used was VNMR vό.lC.
Polvacrylamide Gel Electrophoresis (PAGE)
Dendrimers that were stored in solvent are dried under vacuum and then dissolved or diluted with water to a concentration about 100 mg in 4 mL of water. The water solution is frozen using dry ice and the sample dried using a lyophilizer (freeze dryer) (LABCONCO Corp. Model number is Free Zone 4.5 Liter, Freeze Dry System 77510) at about -47°C and 60 x 10"3 mBar. Freeze dried dendrimer (1-2 mg) is diluted with water to a concentration of 1 mg/mL. Tracking dye is added to each dendrimer sample at 10% v/v concentration and includes (1) methylene blue dye (1% w/v) for basic compounds (2) bromophenol blue dye (0.1% w/v) for acid compounds (3) bromophenol blue dye (0.1%w/v) with 0.1% (w/V) SDS for neutral compounds.
Pre-cast 4-20% gradient gels were purchased from ISC BioExpress. Gel sizes were 100 mm (W) X 80 mm (H) X 1 mm (Thickness) with ten pre-numbered sample wells formed in the cassette. The volume of the sample well is 50 μL. Gels not obtained commercially were prepared as 10% homogeneous gels using 30% acrylamide (3.33 mL), 4 X TBE buffer (2.5 mL), water (4.17 mL), 10% APS (100 μL), TEMED (3.5 μL). TBE buffer used for gel electrophoresis is prepared using /m(hydroxymethyl)aminomethane (43.2 g), boric acid (22.08 g), disodium EDTA (3.68 g) in 1 L of water to form a solution of pH 8.3. The buffer is diluted 1 :4 prior to use.
Electrophoresis is done using a PowerPac™ 300 165-5050 power supply and BIO- RAD™ Mini Protean 3 Electrophoresis Cells. Prepared dendrimer/dye mixtures (5 μL each) are loaded into separate sample wells and the electrophoresis experiment run. Dendrimers with amine surfaces are fixed with a glutaraldehyde solutions for about one hour and then stained with Coomassie Blue R-250 (Aldrich) for about one hour. Gels are then destained for about one hour using a glacial acetic acid solution. Images are recorded using an hp ScanJet™ 5470C scanner.
Infrared Spectrometry OR or FTIR)
Infrared spectral data were obtained on a Nicolet Fourier™ Transform Infrared Spectrometer, Model G Series Omnic, System 20 DXB. Samples were run neat using potassium bromide salt plates (Aldrich).
Thin Layer Chromatrographv (TLO
Thin Layer Chromatography was used to monitor the progress of chemical reactions. One drop of material, generally O.OSM to 0.4M solution in organic solvent, is added to a silica gel plate and placed into a solvent chamber and allowed to develop for generally 10- IS mins. After the solvent has been eluted, the TLC plate is generally dried and then stained (as described below). Because the silica gel is a polar polymer support, less polar molecules will travel farther up the plate. "Rf" value is used to identify how far material has traveled on a TLC plate. Changing solvent conditions will subsequently change the Rf value. This Rf is measured by the ratio of the length the product traveled to the length the solvent traveled.
Materials: TLC plates used were either (1) "Thin Layer Chromatography Plates - Whatman®" PK6F Silica Gel Glass backed, size 20 x 20 cm, layer thickness: 250 μm or (2) "Thin Layer Chromatography Plate Plastic sheets — EM Science" Alumina backed, Size 20 x 20 cm, layer thickness 200 μm. Staining conditions were: (1) Ninhydrin: A solution is made with 1.5 g of ninhydrin,
5 mL of acetic acid, and 500 mL of 95% ethanol. The plate is submerged in the ninhydrin solution, dried and heated with a heat gun until a color change occurs (pink or purple spots indicate the presence of amine). (2) Iodine Chamber: 2-3 g of h is placed in a closed container. The TLC plate is placed in the chamber for 15 mins. and product spots will be stained brown. (3) KMnC>4 Stain: A solution is prepared with 1.5 g Of KMnO4, 10 g of K2CO3, 2.5 mL of 5% NaOH, and 150 mL of water. The TLC plate is submerged in KMnθ4 solution and product spots turn yellow. (4) UV examination: An ultraviolet (UV) lamp is used to illuminate spots of product. Short wave (254 nm) and long wave (365 nm) are both used for product identification.
Microwave Assisted Synthesis fMWA)
The reaction vial was put in a 900W domestic microwave and heated for a certain amount of time. Reaction results were checked by TLC immediately after the heating. When the TLC result is rated the TLC ratings are from 0 to 10 (10 is the best result on TLC, but is not meant to mean 100% yield).
The invention will be further clarified by a consideration of the following examples, which are intended to be purely exemplary of the present invention.
Example 1 : Preparation of Poly(ethyloxazoline) Initiated from Propargyl Tosylate and Terminated with Morpholine
To a 250-mL round bottom flask containing a large stir bar was added propargyl tosylate (2.0 g, 9.52 mmol) and 100 mL of toluene. This flask was fitted with a Dean-Stark trap and a condenser attached to a N2 line with a bubbler. This mixture was heated to reflux for about 30 min. distilling 25 mL of toluene into the trap. The system was cooled to ~ 900C and the condenser and trap were replaced with a septum fitted with a needle connected to a N2 line. To this stirred mixture was cannula transferred over ~ 5 mins ethyl oxazoline (12 g, 121mmol) freshly distilled under vacuum from CaH2. The septum was replaced with a condenser fitted to a N2 line. This resulting mixture was heated for 11 h at 1100C with stirring. To this mixture cooled to ~ 900C was added morpholine (2.0 g , 22 mmol, 2.3 equiv.). This mixture was heated for 12 h at 1 100C under N2. The resulting mixture was cooled to RT, stripped of volatiles on a rotary evaporator and evacuated with high vacuum at 400C to give 15 g of crude material. A 800 mg portion of this material was purified using Sephadex™ LH-20 in MeOH taking 40 fractions of 4 mL each. Fractions 1- 10 contained product as determined by TLC (MeOH) and were collected and stripped of volatiles to give 400 mg. Its spectra are as follows:
1H NMR (500 MHz, CDC13) δ 1.1-1.2 (bm, 3H), 2.2-2.6 (bm, 2H), 3.3-3.6 (bm, 4H). 13C NMR (125 MHz, CDC13) δ 9.38, 9.44, 25.97, 38.93, 43.56, 45.54, 54.08, 66.87,
73.46, 173.91, 174.38, 174.50.
MALDI-TOF MS: distribution from 918 to 2009 with peak at 1315 amu, DP ~ 12.
The following reaction scheme illustrates this process.
NH
V l ToIUeIe1 IIO0C OTs + M N<^V Y> Il hours *
Propargyl tosylate initiated ρoly(eΛyloxazoliπe) ( PEOX)
Example 2: N-Propargyl-2-Ethyl-2-Oxazolinium Bromide from the Finkelstein Reaction of Propargyl Tosylate and Sodium Bromide
To a 25-tnL round bottom flask containing a stir bar and flame — dried under N2 was added propargyl tosylate (1.0 g, 4.76 mmol), sodium bromide (SOO mg, 4.86 mmol) and 10 mL of anhydrous acetonitrile. This mixture was stirred at 25°C. The mixture was clear initially, but formed a slightly turbid mixture after 3 h. To this mixture was added, via Pasteur pipet, freshly distilled 2-ethyl-2-oxazoline (472 mg, 4.76 mmol). This mixture was stirred at 25°C for 18 h to give a white mixture/suspension with no observable NaBr remaining in the mixture.
A MALDI - TOF mass spectrum of this mixture showed a peak at 136 amu for the desired N-propargyl-2- ethyl-2-oxazolinium bromide cation.
The following reaction scheme illustrates this process.
4 hours, 25° C Br"
C15H25N3θ3
Exact Mass: 295.19
MoI. Wt.: 295.38 C, 60.99; H, 8.53; N. 14.23; O, 16.25
Example 3: Reaction of N-Propargyl-2-Ethyl-2-OxazoIinium Bromide with Ethyl 1- piperazine carboxylate
To a 25 -mL round bottom flask containing a stir bar and flame - dried under N2 was added propargyl tosylate (1.0 g, 4.76 mmol), sodium bromide (500 mg, 4.86 mmol) and 1O mL of anhydrous acetonitrile. This mixture was stirred at 25°C. The mixture was clear initially and formed a slightly turbid mixture after 4 h. To this mixture was added, via Pasteur pipet, freshly distilled ethyl oxazoline (472 mg, 4.76 mmol). This mixture was stirred at 250C for 18 h giving a white mixture or suspension with no observable NaBr remaining in the mixture. To this mixture was added ethyl 1-piperazine carboxylate (800 mg, 5.05 mmol). This mixture was stirred for 4 h at 25°C and found to show no reaction as determined by TLC (MeOH). This mixture was heated at 55°C for 18 h under N2. A TLC (MeOH) of this mixture indicated some product at Rf 0.85 had formed along with the complete disappearance of the piperazine reagent.
A MALDI -TOF mass spectrum indicated the complete disappearance of the peak at 136 amu for the N-propargyl-2-ethyl-2-oxazolinium cation and the appearance of a new peak at 296 amu for the desired product.
Example 4: N-Propargyl-2-Ethyl-2-Oxazolinium Iodide from Propargyl Tosylate and Sodium Iodide
To a 25-mL round bottom flask containing a stir bar and flame — dried under N2 was added propargyl tosylate (1.0 g, 4.76 mmol), sodium iodide (830 rag, 5 mmol) and 10 mL of anhydrous acetonitrile. This mixture was stirred at 25°C for 3 h. The mixture was clear initially and formed a slightly turbid mixture after 3 h. To this mixture was added, via Pasteur pipet, freshly distilled ethyl oxazoline (475 mg, 4.79 mmol). This mixture was stirred at 25°C for 6 h giving a white mixture or suspension with no observable NaI remaining in the mixture.
A MALDI - TOF mass spectrum of this mixture showed a peak at 136 amu for the desired N-propargyl-2-ethyl-2-oxazolinium cation.
The following reaction scheme illustrates this process.
4 hours, 25° C 1 B -24 hours
C15H25N3O3 Exact Mass: 295.19
MoI. Wt: 295.38 C, 60.99; H, 8.53; N, 14.23; O, 16.25
Example S: Reaction of N-Propargyl-2-Ethyl-2-Oxazolinium Iodide with Ethyl 1- Piperazine Carboxylate
To a 25-mL round bottom flask containing a stir bar and flame — dried under N2 was added propargyl tosylate (1.0 g, 4.76 mmol), sodium iodide (830 mg, 5 mmol) and 10 mL of anhydrous acetonitrile. This mixture was stirred at 250C for 3 h. The mixture was clear initially and formed a slightly turbid mixture after 3 h. To this mixture was added, via Pasteur pipet, freshly distilled ethyl oxazoline (475 mg, 4.79 mmol). This mixture was
stirred at 25°C for 6 h giving a white mixture or suspension with no observable NaI remaining in the mixture. To this mixture was added ethyl 1-piperazine carboxylate (800 mg, S.OS mmol). This mixture was stirred for 4 h at 25°C and found to show no reaction as determined by TLC (MeOH). This mixture was heated at 55°C for 18 h under N2. A TLC (MeOH) of this mixture indicated some product at Rf 0.85 had formed along with the complete disappearance of the piperazine reagent.
A MALDI — TOF mass spectrum indicated the complete disappearance of the peak at 136 amu for the N-propargyl-2-ethyl-2-oxazolinium cation and the appearance of a new peak at 296 amu for the desired product. The volatiles of the reaction mixture were removed on a rotary evaporator. The resulting mixture was mixed with IS mL of MeOH and sodium carbonate (500 mg, 4.7 mmol) and purified through a plug of silica gel in MeOH to give 1.3 g (89% yield) of a light brown liquid. Its spectra are as follows:
13C NMR (125 MHz, CDCl3) δ 10.12, 14.87, 26.47, 38.99, 43.70, 51.72, 52.81, 61.59, 73.75, 78.52, 155.81, 175.05.
Example 6: Reaction of 3-Butyne-l,4-diol ditosylate with 2-Ethyl -2-Oxazoline, Sodium Iodide and Ethyl 1 -Piperazine Carboxylate
To a 25-mL round bottom flask containing a stir bar and flame — dried under N2 was added 3-butyne-l,4-ditosylate (500 mg, 1.26 mmol), via Pasteur pipet, freshly distilled ethyl oxazoline (475 mg, 4.79 mmol) and 15 mL of anhydrous acetonitrile. To this mixture was added sodium iodide (463 mg, 3.2 mmol). This mixture was stirred at 25°C for 8 h giving a white mixture or suspension remaining in the mixture. To this mixture was added ethyl 1- piperazine carboxylate (420 mg, 2.65 mmol, 1.05 equiv. per oxazoline) and the resulting mixture was heated at 6O0C for 24 h. A TLC (MeOH) of this crude mixture indicated the complete disappearance of piperazine substrate and the appearance of 2 spots on a TLC (MeOH) at Rf 0.75 and 0.85.
A MALDI-TOF mass spectrum of this crude material showed the desired product at 566 amu and an unidentified peak at 218 amu.
C28H48M8O6 Exact Mass: 564.36
MoI. Wt. 564.72 C, 59.55; H, 8.57; N, 14.88; O, 17.00
Example 7: PETGE-tetra-azide "Click Reaction " with N-Propargyl Initiated Poly(ethyl oxazoline) that was Terminated with Morpholine
To a 12-mL glass reaction tube fitted with a pressure relief valve (15 bar, 221 psi) and a stir bar was added a solution prepared with propargyl initiated, morpholine terminated poly(ethyl oxaxoline (DP = 12) (500 mg, ~ 3.8XlO"4 mol), pentaerythritol tetra(2-propanol- 3-azide) ether (III) ( 170 mg, 3.2x10^ mol, 1.3 mmol azide) and 2.5 g of tert - butyl alcohol. This mixture was made homogeneous by heating and stirring. To this stirred mixture was added sodium ascorbate (52 mg, 2.6x 10-4 moles, 2 equiv. per CUSO4) in 1.25 g of DI. To this stirred mixture was added copper sulfate pentahydrate (32 mg, \3xlO~* mole, 5 mole% catalyst) in 1.25 g of DI. This stirred mixture was irradiated with microwave at 750 Watts at 8O0C for 15 mins. A TLC (acetone-toluene; 3:7) indicated the complete disappearance of the tetra-azide at Rf=0.4. A 1H NMR spectrum of this crude material showed the characteristic signal for the triazole proton at 57.63 ppm. A 13C NMR spectrum of this crude material indicated signals for the triazole ring at 125.89 and 129.27 ppm and 140.91 and 141.80 ppm. A SEC indicated molecular weight increase relative to the poly(ethyl oxazoline) starting material. An IR of the crude reaction mixture after irradiation with
microwave showed a large decrease in the azide signal at 2100 cm'1 relative to the reaction mixture before irradiation.
The following reaction scheme illustrates this process.
PETGE - N3
Poly ( ethyl oxazoline) 800C. 750 Watts
Propargyl initiated; morpholinβ terminated
Thus this example illustrates the use of these intermediates to prepare a desired PEHAM dendrimer product.
Example 8: Preparation of Triethylmethanecarboxylate Sodium Salt
To a 100-mL round bottom flask containing a large stir bar was added triethylmethanecarboxylate (Aldrich) (6.0 g, 25.8 mmol) and 60 mL of anhydrous diethyl ether. To this mixture was cooled to 4°C was added dropwise over ~ 2 minutes sodium ethoxide (Aldrich) (1.93 g, 28.4 mmol) dissolved in 30 mL of anhydrous ethanol. A white precipitate immediately formed. This mixture was stirred for 20 mins at 4°C and filtered in a Buchner funnel containing fast flow filter paper and washed 4 x 30 mL of ether. The white slurry was washed in a 250-mL round bottom flask and evacuated with high vacuum to a constant weight of 5.4 g. This intermediate was used in the preparation of Example 9.
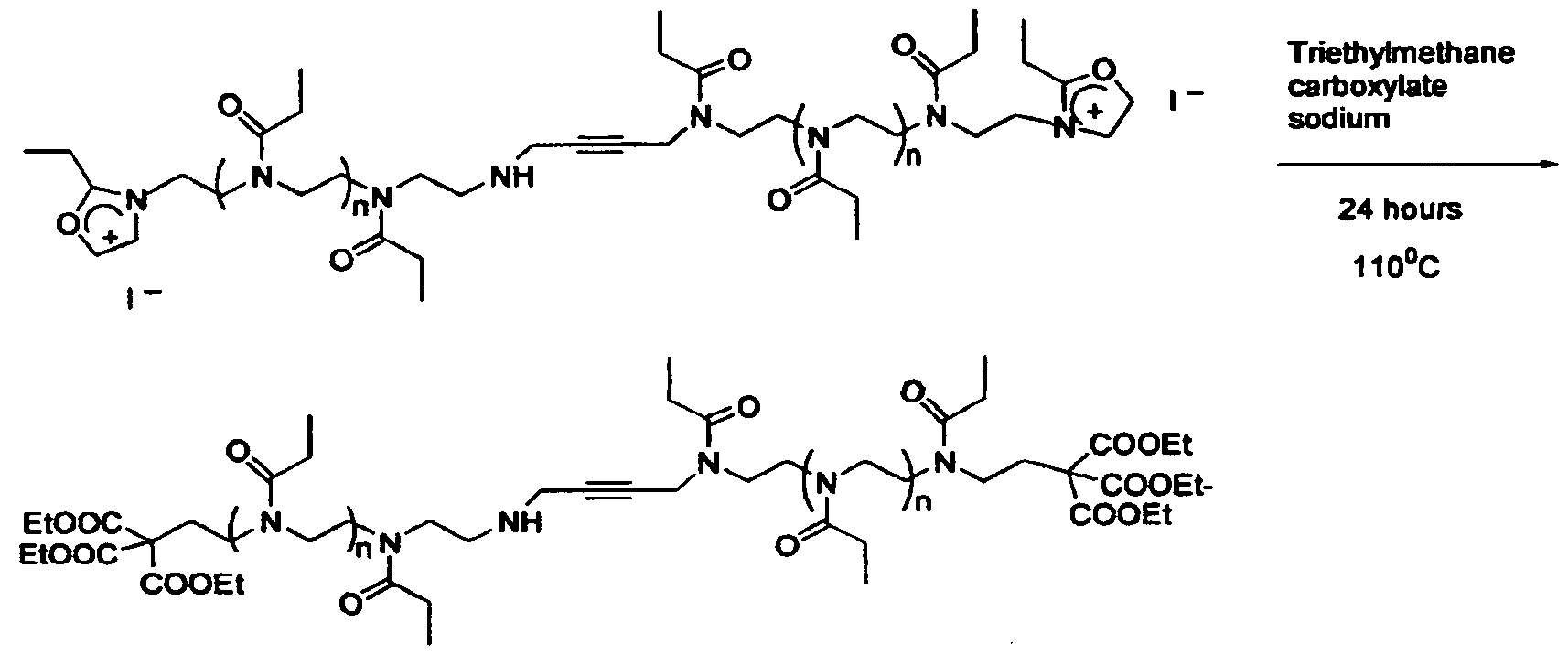
Example 9: Polymerization of 3-Butyne— 1,4-diol ditosylate with Ethyl Oxazoline, Sodium Iodide and Quenching with Triethylmethanecarboxylate Sodium Salt
To a 100-mL round bottom flask containing a stir bar and flame-dried under N2 was added 3-butyne— 1,4-ditosylate (500 mg, 1.26 mmol), sodium iodide (463 mg, 3.2 mmol), via Pasteur pipet freshly distilled ethyl oxazoline (2.51 g, 25.2 mmol) and 15 mL of anhydrous acetonitrile. This mixture was stirred at 400C for 3 h giving a white mixture or suspension remaining in the mixture. To this mixture was added 50 mL of anhydrous toluene and the resulting mixture heated at 1100C for 18 h under N2. This mixture as a hot solution was poured into a mixture of triethylmethanecarboxylate sodium salt (2.54 g,
10 mmol, 4 equiv. per living end) in 40 mL of anhydrous DMF and the resulting mixture heated with stirring at 800C for 18 h. This mixture was cooled to RT and stripped of volatiles on a rotary evaporator followed by high vacuum to give a crude weight of 5 g. An aliquat of this material (2.5 g) was purified on a Sephadex LH-20 column (365 mL void volume) in MeOH collecting 40 X 8 mL fractions. The product was determined to be in fractions 1 - 14 by TLC (MeOH) and were collected and stripped of volatiles to give 3.0 g of product.
The following reaction scheme illustrates this process.
Example 10: Polymerization of 3— Butyne-1,4— diol ditosylate with Ethyl Oxazoline, Sodium Iodide and Quenching with Sodium Azide
To a 100-mL round bottom flask containing a stir bar and flame-dried under N2 was added 3-butyne— 1,4 - ditosylate (SOO mg, 1.26 mmol), sodium iodide (463 mg, 3.2 mmol), via Pasteur pipet freshly distilled ethyl oxazoline (2.51 g, 25.2 mmol) and 15 mL of anhydrous acetonitrile. This mixture was stirred at 400C for 3 h giving a white mixture or suspension remaining in the mixture. To this mixture was added 50 mL of anhydrous toluene and the resulting mixture heated at 1100C for 18 h under N2. This mixture as a hot solution was poured into a mixture of sodium azide (650 mg, 10 mmol, 4 equiv. per living end) in 40 mL of anhydrous DMF and the resulting mixture heated with stirring at 8O0C for 18 h. This mixture was cooled to RT and stripped of volatiles on a rotary evaporator followed by high vacuum to give a crude weight of 5 g. An aliquot of this material (2.5 g) was purified on a Sephadex LH - 20 column (365 mL void volume) in MeOH collecting
40 X 8 tnL fractions. The product was determined to be in fractions 1 - 15 by TLC (MeOH) and were collected and stripped of volatiles to give 2.8 g of product.
The following reaction scheme illustrates this process.
Example 11 : Polymerization of 3— Butyne— 1,4— diol ditosylate with Ethyl Oxazoline, Sodium Iodide and Ethyl 1-piperazine carboxylate
To a 100-mL round bottom flask containing a stir bar and flame— dried under N2 was added 3-butyne— 1,4-ditosylate (500 mg, 1.26 mmol), sodium iodide (463 mg, 3.2 mmol), via Pasteur pipet freshly distilled ethyl oxazoline (2.51 g, 25.2 mmol) and 15 mL of anhydrous acetonitrile. This mixture was stirred at 400C for 3 h giving a white mixture or suspension remaining in the mixture. To this mixture was added 50 mL of anhydrous toluene and the resulting mixture heated at 1100C for 18 h under N2. To this mixture was added ethyl 1-piperazine carboxylate (420 mg, 2.65 mmol, 1.05 equiv. per oxazoline) and the resulting mixture was heated at 600C for 24 h. The resulting mixture was heated with stirring at 800C for 18 h. This mixture was cooled to RT and stripped of volatiles on a
rotary evaporator followed by high vacuum to give a crude weight of 5 g. An aliquat of this material (2.5 g) was purified on a Sephadex LH - 20 column (365 mL void volume) in MeOH collecting 40 X 8 mL fractions. The product was determined to be in fractions 1 - 12 by TLC (MeOH) and were collected and stripped of volatiles to give 2.5 g of product.
The following reaction scheme illustrates this process.
Although the invention has been described with reference to its preferred embodiments, those of ordinary skill in the art may, upon reading and understanding this disclosure, appreciate changes and modifications which may be made which do not depart from the scope and spirit of the invention as described above or claimed hereafter.
Claims
1. A process for preparing alkyne compounds, useful as "clickable intermediates" to produce novel core reagents, branch cell reagents, surface group reagents, dendron reagents, oligomeric extender reagents, dendrimer core reagents, or dendrimer shell reagents suitable for preparing dendritic polymers, which comprises:
1) reacting acetylenic halides (i.e. chlorides, bromides or iodides) or acetylenic mesylates/tosylates with 2-aIkyl/aryl-2-oxazolines or oxazines to produce N-acetylenic-2-oxazolinium or 2-oxazinium cation salts; and
2) reacting N-acetylenic-2-oxazolinium or 2-oxazinium cation salts as catalytic reagents for the polymerization of 2-alkyl/aryl-2-oxazolines or 2-alkyI/aryl-2-oxazines; or 3) reacting propargyl tosylate or propargyl halides with 2-ethyl-2- oxazoline and then polymerizing to alkyne substituted poly(2-ethyl- 2-oxazolines) with a degree of polymerization (i.e., dp=l-100); or
4) reacting propargyl tosylate with 2-ethyl-2-oxazoline ( 1 : 1) in the presence of sodium bromide or sodium iodide in acetonitrile to form N-propargyl-2-oxazolinium bromides/iodides, respectively; or
5) reacting 3-butyne-l,4-ditosylate in the presence of sodium iodide or sodium bromide in acetonitrile to form 3-butyne-l,4-dioxazolinium iodide or bromide, respectively.
2. The process of claim 1, part 5, wherein 3-butyne-l,4-ditosylate is reacted with 2-alkyl/aryl-oxazoline or 2-alkyl/aryl-oxazines in the presence of sodium iodide or sodium bromide as a di-initiator for the polymerization of 2-alkyl/aryl-2-oxazolines or 2-alkyl/aryl-2-oxazines.
3. The process of claim 1 wherein the intermediate alkyne substituted oxazolium cation prepared by claim 1 or 2 is ring opened with a nucleophilic agent, such as an amine, carboxylic acid, phenolate or thiol, and then further reacted with polyazides via click chemistry to form dendritic polymers.
4. The process of claim 3 wherein the dendritic polymer is a PEHAM dendrimer.
5. The process of claim 3 wherein the dendritic polymer is a PAMAM dendrimer.
6. The process of claim 3 wherein the dendritic polymer is a PPI dendrimer.
7. The process of claim 3 wherein the dendritic polymer is a PEI dendrimer.
8. The process of claim 3 wherein the dendritic polymer is a POPAM dendrimer.
9. A dendritic polymer whenever prepared by the process of claim 1.
Applications Claiming Priority (2)
| Application Number | Priority Date | Filing Date | Title |
|---|---|---|---|
| US81530706P | 2006-06-21 | 2006-06-21 | |
| US60/815,307 | 2006-06-21 |
Publications (1)
| Publication Number | Publication Date |
|---|---|
| WO2008013618A1 true WO2008013618A1 (en) | 2008-01-31 |
Family
ID=38981771
Family Applications (1)
| Application Number | Title | Priority Date | Filing Date |
|---|---|---|---|
| PCT/US2007/014404 Ceased WO2008013618A1 (en) | 2006-06-21 | 2007-06-20 | Process for preparing alkyne intermediates for dendritic polymers |
Country Status (1)
| Country | Link |
|---|---|
| WO (1) | WO2008013618A1 (en) |
Cited By (21)
| Publication number | Priority date | Publication date | Assignee | Title |
|---|---|---|---|---|
| US8034396B2 (en) | 2008-04-01 | 2011-10-11 | Tyco Healthcare Group Lp | Bioadhesive composition formed using click chemistry |
| US8512728B2 (en) | 2009-02-21 | 2013-08-20 | Sofradim Production | Method of forming a medical device on biological tissue |
| US8535477B2 (en) | 2009-02-21 | 2013-09-17 | Sofradim Production | Medical devices incorporating functional adhesives |
| US8648144B2 (en) | 2009-02-21 | 2014-02-11 | Sofradim Production | Crosslinked fibers and method of making same by extrusion |
| US8663689B2 (en) | 2009-02-21 | 2014-03-04 | Sofradim Production | Functionalized adhesive medical gel |
| US8795331B2 (en) | 2010-03-25 | 2014-08-05 | Covidien Lp | Medical devices incorporating functional adhesives |
| US8865857B2 (en) | 2010-07-01 | 2014-10-21 | Sofradim Production | Medical device with predefined activated cellular integration |
| US8877170B2 (en) | 2009-02-21 | 2014-11-04 | Sofradim Production | Medical device with inflammatory response-reducing coating |
| US8956603B2 (en) | 2009-02-21 | 2015-02-17 | Sofradim Production | Amphiphilic compounds and self-assembling compositions made therefrom |
| US8969473B2 (en) | 2009-02-21 | 2015-03-03 | Sofradim Production | Compounds and medical devices activated with solvophobic linkers |
| US8968818B2 (en) | 2009-02-21 | 2015-03-03 | Covidien Lp | Medical devices having activated surfaces |
| US8968733B2 (en) | 2009-02-21 | 2015-03-03 | Sofradim Production | Functionalized surgical adhesives |
| US9039979B2 (en) | 2009-02-21 | 2015-05-26 | Sofradim Production | Apparatus and method of reacting polymers passing through metal ion chelated resin matrix to produce injectable medical devices |
| US9247931B2 (en) | 2010-06-29 | 2016-02-02 | Covidien Lp | Microwave-powered reactor and method for in situ forming implants |
| US9272074B2 (en) | 2010-03-25 | 2016-03-01 | Sofradim Production | Surgical fasteners and methods for sealing wounds |
| US9273191B2 (en) | 2009-02-21 | 2016-03-01 | Sofradim Production | Medical devices with an activated coating |
| US9375699B2 (en) | 2009-02-21 | 2016-06-28 | Sofradim Production | Apparatus and method of reacting polymers by exposure to UV radiation to produce injectable medical devices |
| US9523159B2 (en) | 2009-02-21 | 2016-12-20 | Covidien Lp | Crosslinked fibers and method of making same using UV radiation |
| US9555154B2 (en) | 2009-02-21 | 2017-01-31 | Covidien Lp | Medical devices having activated surfaces |
| US9775928B2 (en) | 2013-06-18 | 2017-10-03 | Covidien Lp | Adhesive barbed filament |
| US9987297B2 (en) | 2010-07-27 | 2018-06-05 | Sofradim Production | Polymeric fibers having tissue reactive members |
Citations (2)
| Publication number | Priority date | Publication date | Assignee | Title |
|---|---|---|---|---|
| US6835846B2 (en) * | 2000-10-12 | 2004-12-28 | Maruha Corporation | Aliphatic compounds, process for their preparation and their usage |
| US20050038197A1 (en) * | 2003-08-13 | 2005-02-17 | Tomalia Donald A. | Ultra_high molecular weight hybrid dendrigraft architectures |
-
2007
- 2007-06-20 WO PCT/US2007/014404 patent/WO2008013618A1/en not_active Ceased
Patent Citations (2)
| Publication number | Priority date | Publication date | Assignee | Title |
|---|---|---|---|---|
| US6835846B2 (en) * | 2000-10-12 | 2004-12-28 | Maruha Corporation | Aliphatic compounds, process for their preparation and their usage |
| US20050038197A1 (en) * | 2003-08-13 | 2005-02-17 | Tomalia Donald A. | Ultra_high molecular weight hybrid dendrigraft architectures |
Cited By (31)
| Publication number | Priority date | Publication date | Assignee | Title |
|---|---|---|---|---|
| US8034396B2 (en) | 2008-04-01 | 2011-10-11 | Tyco Healthcare Group Lp | Bioadhesive composition formed using click chemistry |
| US9517291B2 (en) | 2009-02-21 | 2016-12-13 | Covidien Lp | Medical devices having activated surfaces |
| US8512728B2 (en) | 2009-02-21 | 2013-08-20 | Sofradim Production | Method of forming a medical device on biological tissue |
| US8648144B2 (en) | 2009-02-21 | 2014-02-11 | Sofradim Production | Crosslinked fibers and method of making same by extrusion |
| US8663689B2 (en) | 2009-02-21 | 2014-03-04 | Sofradim Production | Functionalized adhesive medical gel |
| US10632207B2 (en) | 2009-02-21 | 2020-04-28 | Sofradim Production | Compounds and medical devices activated with solvophobic linkers |
| US10167371B2 (en) | 2009-02-21 | 2019-01-01 | Covidien Lp | Medical devices having activated surfaces |
| US8877170B2 (en) | 2009-02-21 | 2014-11-04 | Sofradim Production | Medical device with inflammatory response-reducing coating |
| US8956603B2 (en) | 2009-02-21 | 2015-02-17 | Sofradim Production | Amphiphilic compounds and self-assembling compositions made therefrom |
| US8969473B2 (en) | 2009-02-21 | 2015-03-03 | Sofradim Production | Compounds and medical devices activated with solvophobic linkers |
| US8968818B2 (en) | 2009-02-21 | 2015-03-03 | Covidien Lp | Medical devices having activated surfaces |
| US8968733B2 (en) | 2009-02-21 | 2015-03-03 | Sofradim Production | Functionalized surgical adhesives |
| US9039979B2 (en) | 2009-02-21 | 2015-05-26 | Sofradim Production | Apparatus and method of reacting polymers passing through metal ion chelated resin matrix to produce injectable medical devices |
| US9216226B2 (en) | 2009-02-21 | 2015-12-22 | Sofradim Production | Compounds and medical devices activated with solvophobic linkers |
| US9555154B2 (en) | 2009-02-21 | 2017-01-31 | Covidien Lp | Medical devices having activated surfaces |
| US8535477B2 (en) | 2009-02-21 | 2013-09-17 | Sofradim Production | Medical devices incorporating functional adhesives |
| US9375699B2 (en) | 2009-02-21 | 2016-06-28 | Sofradim Production | Apparatus and method of reacting polymers by exposure to UV radiation to produce injectable medical devices |
| US9550164B2 (en) | 2009-02-21 | 2017-01-24 | Sofradim Production | Apparatus and method of reacting polymers passing through metal ion chelated resin matrix to produce injectable medical devices |
| US9421296B2 (en) | 2009-02-21 | 2016-08-23 | Covidien Lp | Crosslinked fibers and method of making same by extrusion |
| US9510810B2 (en) | 2009-02-21 | 2016-12-06 | Sofradim Production | Medical devices incorporating functional adhesives |
| US9511175B2 (en) | 2009-02-21 | 2016-12-06 | Sofradim Production | Medical devices with an activated coating |
| US9273191B2 (en) | 2009-02-21 | 2016-03-01 | Sofradim Production | Medical devices with an activated coating |
| US9523159B2 (en) | 2009-02-21 | 2016-12-20 | Covidien Lp | Crosslinked fibers and method of making same using UV radiation |
| US9272074B2 (en) | 2010-03-25 | 2016-03-01 | Sofradim Production | Surgical fasteners and methods for sealing wounds |
| US9554782B2 (en) | 2010-03-25 | 2017-01-31 | Covidien Lp | Medical devices incorporating functional adhesives |
| US10143471B2 (en) | 2010-03-25 | 2018-12-04 | Sofradim Production | Surgical fasteners and methods for sealing wounds |
| US8795331B2 (en) | 2010-03-25 | 2014-08-05 | Covidien Lp | Medical devices incorporating functional adhesives |
| US9247931B2 (en) | 2010-06-29 | 2016-02-02 | Covidien Lp | Microwave-powered reactor and method for in situ forming implants |
| US8865857B2 (en) | 2010-07-01 | 2014-10-21 | Sofradim Production | Medical device with predefined activated cellular integration |
| US9987297B2 (en) | 2010-07-27 | 2018-06-05 | Sofradim Production | Polymeric fibers having tissue reactive members |
| US9775928B2 (en) | 2013-06-18 | 2017-10-03 | Covidien Lp | Adhesive barbed filament |
Similar Documents
| Publication | Publication Date | Title |
|---|---|---|
| WO2008013618A1 (en) | Process for preparing alkyne intermediates for dendritic polymers | |
| JP4510881B2 (en) | Dendritic polymers with enhanced expandability and internal functionality | |
| Padias et al. | Starburst polyether dendrimers | |
| Tauhardt et al. | Linear polyethyleneimine: optimized synthesis and characterization–on the way to “pharmagrade” batches | |
| Jimenez et al. | New liquid crystalline materials based on two generations of dendronised cyclophosphazenes | |
| Lauter et al. | Supramolecular structures of poly (p‐phenylenes) with oxyethylene side chains and their mixtures with lithium salts | |
| Mongondry et al. | Mild synthesis of amino‐poly (ethylene glycol) s. Application to steric stabilization of clays | |
| Gong et al. | Hyperbranched poly (aryl ether oxazole) s: synthesis, characterization, and modification | |
| CN107652443B (en) | Hyperbranched poly (ester-amine) with functional groups on surface and inside and preparation method thereof | |
| WO2008082627A1 (en) | Divergent synthesis of looped poly (ester)-and poly (ether)- substituted dendrons and dendrimers | |
| WO2007149501A2 (en) | Process for preparing dendritic polymers using microwave assisted synthesis | |
| Crampton et al. | A divergent route towards single-chemical entity triazine dendrimers with opportunities for structural diversity | |
| Lin et al. | Synthesis and application as polymer electrolyte of hyperbranched polyether made by cationic ring‐opening polymerization of 3‐{2‐[2‐(2‐hydroxyethoxy) ethoxy] ethoxymethyl}‐3′‐methyl‐oxetane | |
| Cappelli et al. | Structure‐property relationships in densely grafted π‐stacked polymers | |
| Morgado et al. | Slightly congested amino terminal dendrimers. The synthesis of amide-based stable structures on a large scale | |
| Ikladious et al. | New aliphatic hyperbranched polyester polyols based on 1, 3, 5‐tris (2‐hydroxyethyl) cyanuric acid as a core | |
| Junge et al. | Synthesis of optically active chiral shell dendrons | |
| Yiyun et al. | Effect of polyamidoamine dendrimers in decolorising triarylmethane dye effluent | |
| Barriau et al. | Systematic investigation of functional core variation within hyperbranched polyglycerols | |
| CN117924297A (en) | Methylene-modified calix[3]carbazole derivatives and their synthesis methods and applications | |
| US11359054B2 (en) | Uniform sequence-defined polyurethanes and uses thereof as molecular labels | |
| Ropponen et al. | Thermal and X‐ray powder diffraction studies of aliphatic polyester dendrimers | |
| CN120623422B (en) | Flame retardant and its preparation method and application | |
| CN119431168B (en) | Photosensitizer and preparation method and application thereof | |
| Maksimov et al. | Hyperbranched oligohydroxyethylaminourea (methyl) urethanes: synthesis, structure and properties |
Legal Events
| Date | Code | Title | Description |
|---|---|---|---|
| 121 | Ep: the epo has been informed by wipo that ep was designated in this application |
Ref document number: 07809731 Country of ref document: EP Kind code of ref document: A1 |
|
| NENP | Non-entry into the national phase |
Ref country code: DE |
|
| NENP | Non-entry into the national phase |
Ref country code: RU |
|
| 122 | Ep: pct application non-entry in european phase |
Ref document number: 07809731 Country of ref document: EP Kind code of ref document: A1 |













