WO2007092000A1 - Inhibitors of hcv replication - Google Patents
Inhibitors of hcv replication Download PDFInfo
- Publication number
- WO2007092000A1 WO2007092000A1 PCT/US2006/004156 US2006004156W WO2007092000A1 WO 2007092000 A1 WO2007092000 A1 WO 2007092000A1 US 2006004156 W US2006004156 W US 2006004156W WO 2007092000 A1 WO2007092000 A1 WO 2007092000A1
- Authority
- WO
- WIPO (PCT)
- Prior art keywords
- cyclohexyl
- indolo
- carbonyl
- mmol
- benzazepine
- Prior art date
- Legal status (The legal status is an assumption and is not a legal conclusion. Google has not performed a legal analysis and makes no representation as to the accuracy of the status listed.)
- Ceased
Links
- 0 *C1(CCCC1)C(Nc(cc1)ccc1-c1c[s]c(C(O)=O)n1)=O Chemical compound *C1(CCCC1)C(Nc(cc1)ccc1-c1c[s]c(C(O)=O)n1)=O 0.000 description 20
- CFVUJUOGUYZTPX-UHFFFAOYSA-N CCN(CC)S(NC(c1ccc(c(C2CCCCC2)c-2[n]3CC(C(N4CCOCC4)=O)=Cc4c-2cccc4)c3c1)=O)(=O)=O Chemical compound CCN(CC)S(NC(c1ccc(c(C2CCCCC2)c-2[n]3CC(C(N4CCOCC4)=O)=Cc4c-2cccc4)c3c1)=O)(=O)=O CFVUJUOGUYZTPX-UHFFFAOYSA-N 0.000 description 2
- JZNMFIHFRZKWFP-UHFFFAOYSA-N C(CC1)CCC1c1c(-c2c(CCC3)nccc2)[n]3c2cc(-c3nnn[nH]3)ccc12 Chemical compound C(CC1)CCC1c1c(-c2c(CCC3)nccc2)[n]3c2cc(-c3nnn[nH]3)ccc12 JZNMFIHFRZKWFP-UHFFFAOYSA-N 0.000 description 1
- PTCPASUKULDHKY-UHFFFAOYSA-N CC(C)(C)OC(N(CC1)CCN1C(C(C[n]1c2c3)=Cc(cccc4)c4-c1c(C1CCCCC1)c2ccc3C(NS(N(C)C)(=O)=O)=O)=O)=O Chemical compound CC(C)(C)OC(N(CC1)CCN1C(C(C[n]1c2c3)=Cc(cccc4)c4-c1c(C1CCCCC1)c2ccc3C(NS(N(C)C)(=O)=O)=O)=O)=O PTCPASUKULDHKY-UHFFFAOYSA-N 0.000 description 1
- OVPIZJHNNQQRCY-UHFFFAOYSA-N CC(C)(C)OC(N(CC[n]1c2c3)c(cccc4)c4-c1c(C1CCCCC1)c2ccc3C(NS(=O)=O)=O)=O Chemical compound CC(C)(C)OC(N(CC[n]1c2c3)c(cccc4)c4-c1c(C1CCCCC1)c2ccc3C(NS(=O)=O)=O)=O OVPIZJHNNQQRCY-UHFFFAOYSA-N 0.000 description 1
- WQGOFXJRRCBUHS-UHFFFAOYSA-N CC(CC1C2)(CC(C34)=CC=CC3C4C1=C(C1CCCCC1)c(cc1)c2cc1C(OC)=O)/C(/OC)=[O]\C Chemical compound CC(CC1C2)(CC(C34)=CC=CC3C4C1=C(C1CCCCC1)c(cc1)c2cc1C(OC)=O)/C(/OC)=[O]\C WQGOFXJRRCBUHS-UHFFFAOYSA-N 0.000 description 1
- LNDPAJGLNYBZMZ-UHFFFAOYSA-N CC(Cc1c-2cccc1)(C[n](c1c3)c-2c(C2CCCCC2)c1ccc3C(OC)=O)C(OC)=O Chemical compound CC(Cc1c-2cccc1)(C[n](c1c3)c-2c(C2CCCCC2)c1ccc3C(OC)=O)C(OC)=O LNDPAJGLNYBZMZ-UHFFFAOYSA-N 0.000 description 1
- VLROJECCXBBKPZ-UHFFFAOYSA-N CC1(C)OB(c2ccccc2O)OC1(C)C Chemical compound CC1(C)OB(c2ccccc2O)OC1(C)C VLROJECCXBBKPZ-UHFFFAOYSA-N 0.000 description 1
- NZYMUZKTLDARJP-RMKNXTFCSA-N CC1(CCCC1)C(Nc1ccc(/C=C/C(O)=O)cc1)=O Chemical compound CC1(CCCC1)C(Nc1ccc(/C=C/C(O)=O)cc1)=O NZYMUZKTLDARJP-RMKNXTFCSA-N 0.000 description 1
- XQQVYWKSJBWQSD-UHFFFAOYSA-N CCN(CC)S(NC(OC(C)(C)C)=O)(=O)=O Chemical compound CCN(CC)S(NC(OC(C)(C)C)=O)(=O)=O XQQVYWKSJBWQSD-UHFFFAOYSA-N 0.000 description 1
- RDZAJCSKURXYQI-UHFFFAOYSA-N CN(C)S(NC(c(cc1[nH]2)ccc1c(-c1ccccc1)c2Br)=O)(=O)=O Chemical compound CN(C)S(NC(c(cc1[nH]2)ccc1c(-c1ccccc1)c2Br)=O)(=O)=O RDZAJCSKURXYQI-UHFFFAOYSA-N 0.000 description 1
- CREMHQDKHPRVOD-UHFFFAOYSA-N CN(C)S(NC(c1ccc(c(C2CCCCC2)c(-c(cc2)c3cc2OC)[n]2C3O)c2c1)=O)(=O)=O Chemical compound CN(C)S(NC(c1ccc(c(C2CCCCC2)c(-c(cc2)c3cc2OC)[n]2C3O)c2c1)=O)(=O)=O CREMHQDKHPRVOD-UHFFFAOYSA-N 0.000 description 1
- HYRNDIAOOYOEBS-UHFFFAOYSA-N CN(C)S(NC(c1ccc(c(C2CCCCC2)c(-c2c(C3)cccn2)[n]2CC3C(N3CCOCC3)=O)c2c1)=O)(=O)=O Chemical compound CN(C)S(NC(c1ccc(c(C2CCCCC2)c(-c2c(C3)cccn2)[n]2CC3C(N3CCOCC3)=O)c2c1)=O)(=O)=O HYRNDIAOOYOEBS-UHFFFAOYSA-N 0.000 description 1
- HPGLTQBPBKMHLI-UHFFFAOYSA-N CN(C)S(NC(c1ccc(c(C2CCCCC2)c-2[n]3CC(C(OC)=O)=Cc4c-2cccc4)c3c1)=O)(=O)=[O]C Chemical compound CN(C)S(NC(c1ccc(c(C2CCCCC2)c-2[n]3CC(C(OC)=O)=Cc4c-2cccc4)c3c1)=O)(=O)=[O]C HPGLTQBPBKMHLI-UHFFFAOYSA-N 0.000 description 1
- MRGZSOQISDXJPU-UHFFFAOYSA-N CN(C1(CCCC1)C(OC)=O)C(c1ccc(c(C2CCCCC2)c-2[n]3CC=Cc4c-2cccc4)c3c1)=O Chemical compound CN(C1(CCCC1)C(OC)=O)C(c1ccc(c(C2CCCCC2)c-2[n]3CC=Cc4c-2cccc4)c3c1)=O MRGZSOQISDXJPU-UHFFFAOYSA-N 0.000 description 1
- CVVXURVEKITREP-UHFFFAOYSA-N CN(C1(CCCC1)C(OC)=O)C(c1ccc(c(C2CCCCC2)c-2[n]3CCCc4c-2cccc4)c3c1)=O Chemical compound CN(C1(CCCC1)C(OC)=O)C(c1ccc(c(C2CCCCC2)c-2[n]3CCCc4c-2cccc4)c3c1)=O CVVXURVEKITREP-UHFFFAOYSA-N 0.000 description 1
- RMDCBDTUGUWLDV-HMMYKYKNSA-N COC(/C=C/c(cc1)ccc1NC(C1(CCCC1)NC(c1ccc(c(C2CCCCC2)c-2[n]3CCCc4c-2cccn4)c3c1)=O)=O)=O Chemical compound COC(/C=C/c(cc1)ccc1NC(C1(CCCC1)NC(c1ccc(c(C2CCCCC2)c-2[n]3CCCc4c-2cccn4)c3c1)=O)=O)=O RMDCBDTUGUWLDV-HMMYKYKNSA-N 0.000 description 1
- IJMBBEHQZAGKKH-UHFFFAOYSA-N COC(C(C[n](c1c2)c(-c3c(C=C)cccc3)c(C3CCCCC3)c1ccc2C(OC)=O)=C)=O Chemical compound COC(C(C[n](c1c2)c(-c3c(C=C)cccc3)c(C3CCCCC3)c1ccc2C(OC)=O)=C)=O IJMBBEHQZAGKKH-UHFFFAOYSA-N 0.000 description 1
- YYRKDUZWMBHTAY-UHFFFAOYSA-N COC(c1ccc(c(C2CCCCC2)c(-c(cccc2)c2O)[nH]2)c2c1)=O Chemical compound COC(c1ccc(c(C2CCCCC2)c(-c(cccc2)c2O)[nH]2)c2c1)=O YYRKDUZWMBHTAY-UHFFFAOYSA-N 0.000 description 1
- GMWJFHOFKBRUFD-UHFFFAOYSA-N COC(c1ccc(c(C2CCCCC2)c(-c2c(C3)ccnc2)[n]2CC3C(N3CCOCC3)=O)c2c1)=O Chemical compound COC(c1ccc(c(C2CCCCC2)c(-c2c(C3)ccnc2)[n]2CC3C(N3CCOCC3)=O)c2c1)=O GMWJFHOFKBRUFD-UHFFFAOYSA-N 0.000 description 1
- QOQJFUQDXVNLMK-UHFFFAOYSA-N COC(c1ccc(c(C2CCCCC2)c([nH]2)Br)c2c1)=O Chemical compound COC(c1ccc(c(C2CCCCC2)c([nH]2)Br)c2c1)=O QOQJFUQDXVNLMK-UHFFFAOYSA-N 0.000 description 1
- QBSHPXWNKMTMAA-UHFFFAOYSA-N CS(NC(c1ccc(c(C2CCCCC2)c-2[n]3CCNc4c-2cccc4)c3c1)=O)(=O)=O Chemical compound CS(NC(c1ccc(c(C2CCCCC2)c-2[n]3CCNc4c-2cccc4)c3c1)=O)(=O)=O QBSHPXWNKMTMAA-UHFFFAOYSA-N 0.000 description 1
- OFSROBSSWSZEFN-UHFFFAOYSA-N C[n]1cnc(S(NC(c2ccc3c(-c4ccccc4)c(-c4c(CCC5)nccc4)[n]5c3c2)=O)(=O)=O)c1 Chemical compound C[n]1cnc(S(NC(c2ccc3c(-c4ccccc4)c(-c4c(CCC5)nccc4)[n]5c3c2)=O)(=O)=O)c1 OFSROBSSWSZEFN-UHFFFAOYSA-N 0.000 description 1
- YFMNIMPCPWKXBV-UHFFFAOYSA-N O=C(C(Cc1c-2cccc1)C[n](c1c3)c-2c(C2CCCCC2)c1ccc3C(NS(N1CCCC1)(=O)=O)=O)N1CCOCC1 Chemical compound O=C(C(Cc1c-2cccc1)C[n](c1c3)c-2c(C2CCCCC2)c1ccc3C(NS(N1CCCC1)(=O)=O)=O)N1CCOCC1 YFMNIMPCPWKXBV-UHFFFAOYSA-N 0.000 description 1
- QTQAYEYZPGGWQU-SFQUDFHCSA-N OC(/C=C/c(cc1)ccc1NC(C1(CCCC1)NC(c1ccc(c(C2CCCCC2)c-2[n]3CCOc4c-2cccn4)c3c1)=O)=O)=O Chemical compound OC(/C=C/c(cc1)ccc1NC(C1(CCCC1)NC(c1ccc(c(C2CCCCC2)c-2[n]3CCOc4c-2cccn4)c3c1)=O)=O)=O QTQAYEYZPGGWQU-SFQUDFHCSA-N 0.000 description 1
- ZJOBQWDHSBCHNY-UHFFFAOYSA-N OC(C1C=C(CC(CC(C(N2CCOCC2)=O)=Cc(c2c3)ccc3Cl)C2=C2C3CCCCC3)C2=CC1)=O Chemical compound OC(C1C=C(CC(CC(C(N2CCOCC2)=O)=Cc(c2c3)ccc3Cl)C2=C2C3CCCCC3)C2=CC1)=O ZJOBQWDHSBCHNY-UHFFFAOYSA-N 0.000 description 1
- LMVFRXUZMVCLPM-UHFFFAOYSA-N OC(c1ccc(c(C2CC=CCC2)c2[n]3CC(C(N4CCOCC4)=O)=CC4C=CC=CC24)c3c1)=O Chemical compound OC(c1ccc(c(C2CC=CCC2)c2[n]3CC(C(N4CCOCC4)=O)=CC4C=CC=CC24)c3c1)=O LMVFRXUZMVCLPM-UHFFFAOYSA-N 0.000 description 1
- BBVGYZMTVXJMLC-UHFFFAOYSA-N OC(c1ccc(c(C2CCCCC2)c(-c(cc2)c(C3)cc2F)[n]2C=C3C(N3CCOCC3)=O)c2c1)=O Chemical compound OC(c1ccc(c(C2CCCCC2)c(-c(cc2)c(C3)cc2F)[n]2C=C3C(N3CCOCC3)=O)c2c1)=O BBVGYZMTVXJMLC-UHFFFAOYSA-N 0.000 description 1
- YVPUSKFBJNVTFX-UHFFFAOYSA-N OC(c1ccc(c(C2CCCCC2)c(-c(cccc2)c2N2)[n]3CC2=O)c3c1)=O Chemical compound OC(c1ccc(c(C2CCCCC2)c(-c(cccc2)c2N2)[n]3CC2=O)c3c1)=O YVPUSKFBJNVTFX-UHFFFAOYSA-N 0.000 description 1
- ZVUVBRNZBOZLBU-UHFFFAOYSA-N OC(c1ccc(c(C2CCCCC2)c([nH]2)Br)c2c1)=O Chemical compound OC(c1ccc(c(C2CCCCC2)c([nH]2)Br)c2c1)=O ZVUVBRNZBOZLBU-UHFFFAOYSA-N 0.000 description 1
- KPPINLVNHBJMPS-UHFFFAOYSA-N OC(c1ccc(c(C2CCCCC2)c-2[n]3CCCc4c-2nc[o]4)c3c1)=O Chemical compound OC(c1ccc(c(C2CCCCC2)c-2[n]3CCCc4c-2nc[o]4)c3c1)=O KPPINLVNHBJMPS-UHFFFAOYSA-N 0.000 description 1
- OUQSNKGZXXGNEZ-UHFFFAOYSA-N OCC(Cc1c-2cccc1)C[n](c1c3)c-2c(C2CCCCC2)c1ccc3C(O)=O Chemical compound OCC(Cc1c-2cccc1)C[n](c1c3)c-2c(C2CCCCC2)c1ccc3C(O)=O OUQSNKGZXXGNEZ-UHFFFAOYSA-N 0.000 description 1
Classifications
-
- C—CHEMISTRY; METALLURGY
- C07—ORGANIC CHEMISTRY
- C07D—HETEROCYCLIC COMPOUNDS
- C07D471/00—Heterocyclic compounds containing nitrogen atoms as the only ring hetero atoms in the condensed system, at least one ring being a six-membered ring with one nitrogen atom, not provided for by groups C07D451/00 - C07D463/00
- C07D471/12—Heterocyclic compounds containing nitrogen atoms as the only ring hetero atoms in the condensed system, at least one ring being a six-membered ring with one nitrogen atom, not provided for by groups C07D451/00 - C07D463/00 in which the condensed system contains three hetero rings
- C07D471/14—Ortho-condensed systems
-
- A—HUMAN NECESSITIES
- A61—MEDICAL OR VETERINARY SCIENCE; HYGIENE
- A61P—SPECIFIC THERAPEUTIC ACTIVITY OF CHEMICAL COMPOUNDS OR MEDICINAL PREPARATIONS
- A61P31/00—Antiinfectives, i.e. antibiotics, antiseptics, chemotherapeutics
- A61P31/12—Antivirals
- A61P31/14—Antivirals for RNA viruses
-
- C—CHEMISTRY; METALLURGY
- C07—ORGANIC CHEMISTRY
- C07D—HETEROCYCLIC COMPOUNDS
- C07D471/00—Heterocyclic compounds containing nitrogen atoms as the only ring hetero atoms in the condensed system, at least one ring being a six-membered ring with one nitrogen atom, not provided for by groups C07D451/00 - C07D463/00
- C07D471/02—Heterocyclic compounds containing nitrogen atoms as the only ring hetero atoms in the condensed system, at least one ring being a six-membered ring with one nitrogen atom, not provided for by groups C07D451/00 - C07D463/00 in which the condensed system contains two hetero rings
- C07D471/04—Ortho-condensed systems
-
- C—CHEMISTRY; METALLURGY
- C07—ORGANIC CHEMISTRY
- C07D—HETEROCYCLIC COMPOUNDS
- C07D487/00—Heterocyclic compounds containing nitrogen atoms as the only ring hetero atoms in the condensed system, not provided for by groups C07D451/00 - C07D477/00
- C07D487/02—Heterocyclic compounds containing nitrogen atoms as the only ring hetero atoms in the condensed system, not provided for by groups C07D451/00 - C07D477/00 in which the condensed system contains two hetero rings
- C07D487/04—Ortho-condensed systems
-
- C—CHEMISTRY; METALLURGY
- C07—ORGANIC CHEMISTRY
- C07D—HETEROCYCLIC COMPOUNDS
- C07D487/00—Heterocyclic compounds containing nitrogen atoms as the only ring hetero atoms in the condensed system, not provided for by groups C07D451/00 - C07D477/00
- C07D487/12—Heterocyclic compounds containing nitrogen atoms as the only ring hetero atoms in the condensed system, not provided for by groups C07D451/00 - C07D477/00 in which the condensed system contains three hetero rings
- C07D487/14—Ortho-condensed systems
-
- C—CHEMISTRY; METALLURGY
- C07—ORGANIC CHEMISTRY
- C07D—HETEROCYCLIC COMPOUNDS
- C07D491/00—Heterocyclic compounds containing in the condensed ring system both one or more rings having oxygen atoms as the only ring hetero atoms and one or more rings having nitrogen atoms as the only ring hetero atoms, not provided for by groups C07D451/00 - C07D459/00, C07D463/00, C07D477/00 or C07D489/00
- C07D491/12—Heterocyclic compounds containing in the condensed ring system both one or more rings having oxygen atoms as the only ring hetero atoms and one or more rings having nitrogen atoms as the only ring hetero atoms, not provided for by groups C07D451/00 - C07D459/00, C07D463/00, C07D477/00 or C07D489/00 in which the condensed system contains three hetero rings
- C07D491/14—Ortho-condensed systems
-
- C—CHEMISTRY; METALLURGY
- C07—ORGANIC CHEMISTRY
- C07D—HETEROCYCLIC COMPOUNDS
- C07D513/00—Heterocyclic compounds containing in the condensed system at least one hetero ring having nitrogen and sulfur atoms as the only ring hetero atoms, not provided for in groups C07D463/00, C07D477/00 or C07D499/00 - C07D507/00
- C07D513/12—Heterocyclic compounds containing in the condensed system at least one hetero ring having nitrogen and sulfur atoms as the only ring hetero atoms, not provided for in groups C07D463/00, C07D477/00 or C07D499/00 - C07D507/00 in which the condensed system contains three hetero rings
- C07D513/14—Ortho-condensed systems
Definitions
- HCV Hepatitis C virus
- HCV is a positive-stranded RNA virus. Based on a comparison of the deduced amino acid sequence and the extensive similarity in the 5 '-untranslated region, HCV has been classified as a separate genus in the Flaviviridae family. All members of the Flaviviridae family have enveloped virions that contain a positive stranded RNA genome encoding all known virus-specific proteins via translation of a single, uninterrupted, open reading frame.
- the single strand HCV RNA genome is approximately 9500 nucleotides in length and has a single open reading frame (ORF) encoding a single large polyprotein of about 3000 amino acids, hi infected cells, this polyprotein is cleaved at multiple sites by cellular and viral proteases to produce the structural and non-structural (NS) proteins.
- ORF open reading frame
- NS structural and non-structural
- the generation of mature non-structural proteins (NS2, NS3, NS4A, NS4B, NS5A, and NS5B) is effected by two viral proteases.
- the first one is believed to be a metalloprotease and cleaves at the NS2-NS3 junction; the second one is a serine protease contained within the N-terminal region of NS3 (also referred to herein as NS3 protease) and mediates all the subsequent cleavages downstream of NS3, both in cis, at the NS3-NS4A cleavage site, and in trans, for the remaining NS4A-NS4B, NS4B-NS5A, NS5A-NS5B sites.
- the NS4A protein appears to serve multiple functions, acting as a cofactor for the NS3 protease and possibly assisting in the membrane localization of NS3 and other viral replicase components.
- NS5B (also referred to herein as HCV polymerase) is a RNA-dependent RNA polymerase that is involved in the replication of HCV.
- HCV NS5B protein is described, for example, in "Structural Analysis of the Hepatitis C Virus RNA Polymerase in Complex with Ribonucleotides: S. Bressanelli, et al., Journal of Virology, April 2002, 3482-3492; and Defrancesco and Rice, Clinics in Liver Disease 2003, 7, 211-242. DESCRIPTION OF INVENTION
- the invention encompasses compounds of Formula I, including pharmaceutically acceptable salts and solvates thereof, compositions of these compounds, and use of the compounds in treating hepatitis C.
- One aspect of the invention is a compound of formula (I)
- n 0, 1, 2, or 3;
- A is a five- or six-membered aromatic ring optionally containing one or two heteroatoms independently selected from nitrogen, oxygen, and sulfur;
- B is a five- to twelve-membered ring containing 0 or 1 double bonds and optionally containing one or two additional heteroatoms selected from nitrogen, oxygen, and sulfur; wherein said ring is optionally substituted with one, two, three, or four substituents independently selected from alkoxy, alkoxycarbonyl, alkyl, carboxy, cyano, cycloalkyl, halo, hydroxy, hydroxyalkyl, alkylaminoalkyl, dialkylaminoalkyl, NR 4 R 5 , (NR 4 R 5 )carbonyl, and oxo;
- R 1 is selected from -C(O)NR 4 R 5 , -CO 2 R 4 , 5-tetrazolyl, cyano,
- each R 2 is independently selected from alkoxy, alkoxyalkyl, alkyl, alkylamino, amino, arylalkoxy, aryloxy, dialkylamino, halo, haloalkoxy, haloalkyl, hydroxy, and hydroxyalkyl;
- R 3 is a five- to seven-membered cycloalkyl ring
- R 4 is selected from hydrogen, alkyl, hydroxyalkyl, aminoalkyl, (alkylamino)alkyl, (dialkylamino)alkyl, aryl, arylalkyl, and (NR 6 R 7 )alkyl;
- R 5 is selected from hydrogen, alkyl, hydroxyalkyl, aminoalkyl, (alkylamino)alkyl, (dialkylamino)alkyl, aryl, arylalkyl, (NR 6 R 7 )alkyl, alkylcarbonyl, arylcarbonyl, (NR 6 R 7 )carbonyl, -S(O) 2 R 8 , -S(O) 2 NR 6 R 7 ,
- NR 4 R 5 taken together is pyrrolidinyl, piperidinyl, piperazinyl, homopiperidinyl, morpholinyl, or thiomorpholinyl and is substituted with 0-2 substituents selected from the group consisting of alkyl, hydroxy, amino, alkylamino, dialkylamino, pyrrolidinyl, piperidinyl, and pyridinyl;
- R 6 and R 7 are independently selected from hydrogen and alkyl
- R 8 is selected from alkyl, cycloalkyl, aryl, and heteroaryl;
- R 9 and R 10 are independently selected from hydrogen and alkyl
- R 9 and R 10 together with the carbon atom to which they are attached, form a four- to seven-membered saturated ring optionally containing 1 or 2 heteroatoms selected from nitrogen, oxygen, and sulfur, wherein said ring is optionally substituted with one or two substituents independently selected from alkoxycarbonyl, alkyl, and oxo; and R is a five- or six-membered saturated, partially saturated, or aromatic ring containing 0, 1, 2, or 3 heteroatoms selected from nitrogen, oxygen, and sulfur, wherein said ring is optionally substituted with one or two substituents independently selected from alkoxycarbonylalkenyl, alkoxycarbonylalkyl, alkyl, aryl, carboxy, carboxyalkenyl, carboxyalkyl, and heteroaryl, wherein said aryl and heteroaryl are further optionally substituted with one or two substituents independently selected from alkoxycarbonyl, alkoxycarbonylalkenyl, alkoxycarbonylalkyl, carb
- Another aspect of the invention is a compound of formula (I), or a pharmaceutically acceptable salt thereof, wherein A is selected from furyl, phenyl, and pyridinyl.
- Another aspect of the invention is a compound of formula (I), or a pharmaceutically acceptable salt thereof, wherein B is a five- to nine-membered ring containing 0 or 1 double bonds and optionally containing one additional heteroatom selected from nitrogen and oxygen, wherein said ring is optionally substituted with one or two substituents independently selected from alkoxy, alkoxycarbonyl, carboxy, hydroxy, (NR R 5 )carbonyl, and oxo.
- Another aspect of the invention is a compound of formula (I), or a pharmaceutically acceptable salt thereof, wherein B is a seven-membered ring containing 0 or 1 double bonds and optionally containing one additional heteroatom selected from nitrogen and oxygen, wherein said ring is optionally substituted with one or two substituents independently selected from alkoxy, alkoxycarbonyl, carboxy, hydroxy, (NR 4 R 5 )carbonyl, and oxo.
- R 4 is selected from hydrogen, alkyl, hydroxyalkyl, aminoalkyl, (alkylamino)alkyl, (dialkylamino)alkyl, and (NR 6 R 7 )alkyl
- R 5 is selected from hydrogen, alkyl, hydroxyalkyl, aminoalkyl, (alkylamino)alkyl, (dialkylamino)alkyl, (NR 6 R 7 )alkyl, alkylcarbonyl, -S(O) 2 R 8 , and -S(O) 2 NR 6 R 7
- NR 4 R 5 taken together is pyrrolidinyl, piperidinyl, piperazinyl, homopiperidinyl, morpholinyl, or thiomorpholinyl and is substituted with 0-2 substituents selected from the group consisting of alkyl, hydroxy, amino, alkylamino, dialkylamino
- Another aspect of the invention is a compound of formula (I), or a
- R is selected from -C(O)NR R and -CO 2 R 4 .
- Another aspect of the invention is a compound of formula (I), or a pharma icceeuuttiiccaallllyy aacccceeppttaabbllee ssaalltt tthheeireof where R is -C(O)NR R , R 4 is hydrogen, and R 5 is -S(O) 2 R 8 or -S(O) 2 NR 6 R 7 .
- Another aspect of the invention is a compound of formula (I), or a pharmaceutically acceptable salt thereof where wherein R is -C(O)NR R , R 4 is o o
- R 5 is H R 10 R 9
- H R 10 R 9 is selected from the group consisting of
- Another aspect of the invention is a compound of formula (I), or a
- each R is independently selected from halo, alkoxy, arylalkoxy, and hydroxy.
- Another aspect of the invention is a compound of formula (I), or a pharmaceutically acceptable salt thereof where n is 0 or n is 1 and R is halo or C 1-3 alkoxy.
- Another aspect of the invention is a compound of formula (I), or a
- each R is independently selected from alkoxy, arylalkoxy, and hydroxy.
- Another aspect of the invention is a compound of formula (I), or a pharmaceutically acceptable salt thereof, wherein R is selected from hydrogen and alkyl; and
- R 5 is selected from -S(O) 2 R 8 , -S(O) 2 NR 6 R 7 ,
- Another aspect of the invention is a compound of formula (II)
- n 0 or 1 ;
- A is selected from furyl, phenyl, and pyridinyl
- B is a five- to nine-membered ring containing 0 or 1 double bonds and optionally containing one additional heteroatom selected from nitrogen and oxygen; wherein said ring is optionally substituted with one or two substituents independently selected from alkoxy, alkoxycarbonyl, carboxy, hydroxy, (NR 4 R 5 )carbonyl, and oxo;
- R 1 is selected from -C(O)NR 4 R 5 , and -CO 2 R 4 ;
- R is selected from alkoxy, arylalkoxy, and hydroxy;
- R is selected from hydrogen, alkyl, hydroxyalkyl, aminoalkyl, (alkylamino)alkyl, (dialkylamino)alkyl, alkyl;
- R is selected from hydrogen, alkyl, hydroxyalkyl, aminoalkyl, (alkylamino)alkyl, (dialkylamino)alkyl, alkyl, -S(O) 2 R 8 , -S(O) 2 NR 6 R 7 ,
- NR 4 R 5 taken together is pyrrolidinyl, piperidinyl, piperazinyl, homopiperidinyl, morpholinyl, or thiomorpholinyl and is substituted with 0-2 substituents selected from the group consisting of alkyl, hydroxy, amino, alkylamino, dialkylamino, pyrrolidinyl, piperidinyl, and pyridinyl;
- R and R are independently selected from hydrogen and alkyl
- R is selected from aryl, cycloalkyl, and heteroaryl
- R and R are independently selected from hydrogen and alkyl
- R and R together with the carbon atom to which they are attached, form a four- to seven-membered saturated ring optionally containing 1 or 2 heteroatoms selected from nitrogen, oxygen, and sulfur;
- R is a five- or six-membered aromatic ring containing 0, 1 , 2, or 3 heteroatoms selected from nitrogen, oxygen, and sulfur, wherein said ring is optionally substituted with one substituent independently selected from alkoxycarbonylalkenyl, alkoxycarbonylalkyl, aryl, carboxyalkenyl, and carboxyalkyl, wherein said aryl is further optionally substituted with one substituent independently selected from carboxy and carboxyalkenyl.
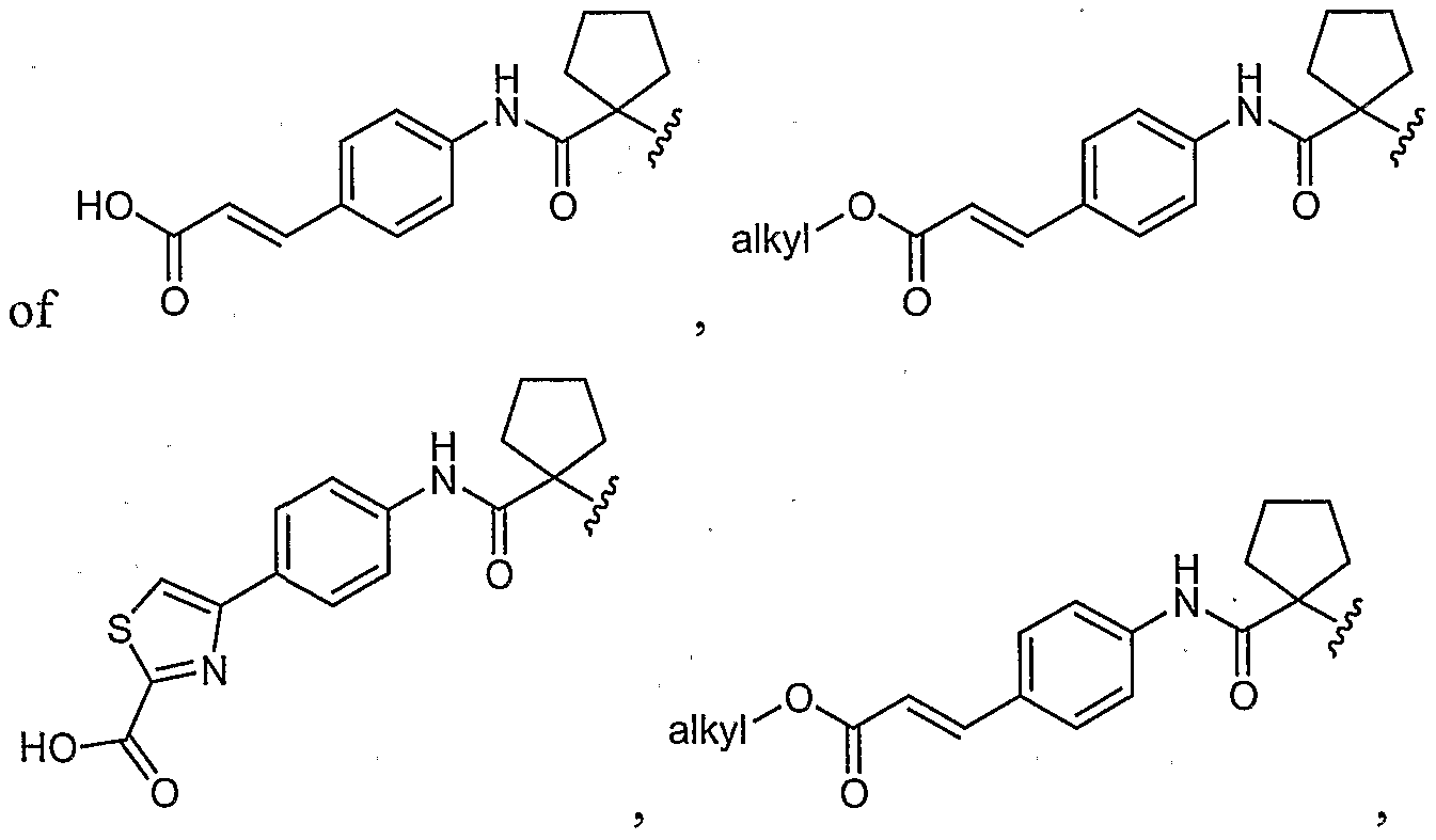
- Another aspect of the invention is a compound selected from
- Another aspect of the invention is a compound selected from the group consisting of
- alkoxy refers to an alkyl group attached to the parent molecular moiety through an oxygen atom.
- alkoxyalkyl refers to an alkyl group substituted with one, two, or three alkoxy groups.
- alkoxycarbonyl refers to an alkoxy group attached to the parent molecular moiety through a carbonyl group.
- alkyl refers to a group derived from a straight or branched chain saturated hydrocarbon containing from one to six carbon atoms. Some examples of alkyl groups include, but are not limited to, methyl, ethyl, isopropyl, and tert-butyl.
- alkylamino refers to -NHR a , wherein R a is an alkyl group.
- alkylcarbonyl refers to an alkyl group attached to the parent molecular moiety through a carbonyl group.
- amino refers to -NH 2 .
- alkylaminoalkyl refers to an amino group substituted with an alkyl group and attached to the parent molecular moiety through a alkyl group.
- dialkylaminoalkyl refers to an amino group substituted with two alkyl groups and attached to the parent molecular moiety through a alkyl group.
- aminoalkyl refers to an amino group attached to the parent molecular moiety through a alkyl group.
- aryl refers to a phenyl group, or a bicyclic or tricyclic fused ring system wherein one or more of the rings is a phenyl group.
- Bicyclic fused ring systems consist of a phenyl group fused to a monocyclic cycloalkenyl group, a monocyclic cycloalkyl group, or another phenyl group.
- Tricyclic fused ring systems consist of a bicyclic fused ring system fused to a monocyclic cycloalkenyl group, a monocyclic cycloalkyl group, or another phenyl group.
- aryl groups of the present disclosure can be attached to the parent molecular moiety through any substitutable carbon atom in the group.
- Representative examples of aryl groups include, but are not limited to, anthracenyl, azulenyl, bicyclooctatrienyl, fluorenyl, indanyl, indenyl, naphthyl, phenyl, and tetrahydronaphthyl.
- aryl groups of the present disclosure can be optionally substituted with one, two, three, four, or five substituents independently selected from the group consisting of alkoxy, alkyl, carboxy, cyano, halo, haloalkoxy, haloalkyl, hydroxy, nitro, and oxo.
- arylalkoxy refers to an aryl group attached to the parent molecular moiety through an alkoxy group.
- arylalkyl refers to an alkyl group substituted with one, two, or three aryl groups.
- arylcarbonyl refers to an aryl group attached to the parent molecular moiety through a carbonyl group.
- aryloxy refers to an aryl group attached to the parent molecular moiety through an oxygen atom.
- carbonyl refers to -C(O)-.
- cycloalkenyl refers to a non-aromatic, partially unsaturated monocyclic, bicyclic, or tricyclic ring system having three to fourteen carbon atoms and zero heteroatoms.
- Representative examples of cycloalkenyl groups include, but are not limited to, cyclohexenyl, octahydronaphthalenyl, and norbornylenyl.
- cycloalkyl refers to a saturated monocyclic, bicyclic, or tricyclic hydrocarbon ring system having three to fourteen carbon atoms and zero heteroatoms.
- Representative examples of cycloalkyl groups include, but are not limited to, adamantyl, bicyclo[3.1.1]heptyl, cyclobutyl, cyclohexyl, cyclopentyl, and cyclopropyl.
- haloalkoxy refers to a haloalkyl group attached to the parent molecular moiety through an oxygen atom.
- haloalkyl refers to an alkyl group substituted with one, two, three, or four halogen atoms.
- heteroaryl refers to an aromatic five- or six- membered ring where at least one atom is selected from the group consisting of N, O, and S, and the remaining atoms are carbon.
- heteroaryl also includes bicyclic systems where a heteroaryl ring is fused to a phenyl group, a monocyclic cycloalkenyl group, as defined herein, a monocyclic cycloalkyl group, as defined herein, a monocyclic heterocyclyl group, as defined herein, or an additional monocyclic heteroaryl group; and tricyclic systems where a bicyclic system is fused to a phenyl group, a monocyclic cycloalkenyl group, as defined herein, a monocyclic cycloalkyl group, as defined herein, a heterocyclyl group, as defined herein, or an additional monocyclic heteroaryl group.
- heteroaryl groups are attached to the parent molecular moiety through any substitutable carbon or nitrogen atom in the group.
- Representative examples of heteroaryl groups include, but are not limited to, benzoxadiazolyl, benzoxazolyl, benzofuranyl, benzothienyl, cinnolinyl, dibenzofuranyl, furanyl, imidazolyl, indazolyl, indolyl, isoxazolyl, isoquinolinyl, isothiazolyl, naphthyridinyl, oxadiazolyl, oxazolyl, pyridinyl, pyridazinyl, pyrimidinyl, pyrazinyl, pyrazolyl, pyrrolyl, quinolinyl, thiazolyl, thienopyridinyl, thienyl, triazolyl, thiadiazolyl, and triazinyl.
- heteroaryl groups of the present disclosure can be optionally substituted with one, two, three, four, or five substituents independently selected from the group consisting of alkoxy, alkyl, carboxy, cyano, halo, haloalkoxy, haloalkyl, hydroxy, nitro, and oxo.
- hydroxy refers to -OH.
- hydroxyalkyl refers to an alkyl group substituted with one, two, or three hydroxy groups.
- (NR R )alkyl refers to an alkyl group substituted with one, two, or three -NR R groups.
- (NR R )carbonyl refers to an -NR R group attached to the parent molecular moiety through a carbonyl group.
- (NR 6 R 7 )carbonyl refers to an -NR 6 R 7 group attached to the parent molecular moiety through a carbonyl group.
- Certain compounds of the present disclosure may also exist in different stable conformational forms which may be separable. Torsional asymmetry due to restricted rotation about an asymmetric single bond, for example because of steric hindrance or ring strain, may permit separation of different conformers.
- the present disclosure includes each conformational isomer of these compounds and mixtures thereof.
- the invention encompasses various geometric isomers and mixtures thereof resulting from the arrangement of substituents around these carbon-carbon double bonds. It should be understood that the disclosure encompasses both isomeric forms, and mixtures thereof, which possess the ability to inhibit the NS5B polymerase of HCV.
- E represents higher order substituents on opposite sides of the carbon-carbon double bond
- Z represents higher order substituents on the same side of the carbon-carbon double bond
- the invention includes all stereoisomeric forms, including enantiomers and diastereomers. Stereoisomeric mixtures of the compounds and related intermediates can be separated into individual isomers according to methods commonly known in the art.
- solvate means a physical association of a compound of this disclosure with one or more solvent molecules, whether organic or inorganic. This physical association includes hydrogen bonding. In certain instances the solvate will be capable of isolation, for example when one or more solvent molecules are incorporated in the crystal lattice of the crystalline solid. In other instances, the solvate will consist of adventitious solvent.
- solvate encompasses both solution-phase and isolable solvates. Exemplary solvates include hydrates, ethanolates, methanolates, and the like.
- the invention includes all pharmaceutically acceptable salt forms of the compounds.
- Pharmaceutically acceptable salts are those in which the counter ions do not contribute significantly to the physiological activity or toxicity of the compounds and as such function as pharmacological equivalents. These salts can be made according to common organic techniques employing commercially available reagents.
- Some acid addition salts include acetate, adipate, alginate, citrate, aspartate, benzoate, benzenesulfonate, bisulfate, butyrate, camphorate, carnphorsulfonate; digluconate, glycerophosphate, hemisulfate, heptanoate, hexanoate, formate, fumarate, hydrochloride, hydrobromide, hydroiodide, 2-hydroxyethanesulfonate, lactate, maleate, mesitylenesulfonate, methanesulfonate, naphthylenesulfonate, nicotinate, 2- naphthalenesulfonate, oxalate, palmoate, pectinate, persulfate, 3-phenylproprionate, picrate, pivalate, propionate, succinate, tartrate, trichloroacetate, trifluoroacetate, phosphate, glutamate,
- Some pharmaceutically acceptable salts include lithium, sodium, potassium, calcium, magnesium, and aluminum, as well as nontoxic -quaternary amine cations such as ammonium, tetramethylammonium, tetraethylammonium, methylamine, dimethylamine, trimethylamine, triethylamine, diethylamine, ethylamine, tributylamine, pyridine, N,N-dimethylaniline, N-methylpiperidine, N- methylmorpholine, dicyclohexylamine, procaine, dibenzylamine, N 5 N- dibenzylphenethylamine, and N,N'-dibenzylethylenediamine.
- nontoxic -quaternary amine cations such as ammonium, tetramethylammonium, tetraethylammonium, methylamine, dimethylamine, trimethylamine, triethylamine, diethylamine, ethylamine,
- Organic amines useful for the formation of base addition salts include ethylenediamine, ethanolamine, diethanolamine, piperidine, and piperazine.
- the invention also includes all solvated forms of the compounds, particularly hydrates. Solvates do not contribute significantly to the physiological activity or toxicity of the compounds and as such function as pharmacological equivalents. Solvates may form in stoichiometric amounts or may form from adventitious solvent or a combination of both. One type of solvate is hydrate, and some hydrated forms include monohydrate, hemihydrate, and dihydrate.
- THF for tetrahydrofuran
- DMF for N 1 N- dimethylformamide
- RCM for ring-closing methasis
- Boc for f ⁇ -t-butoxycarbonyl
- TFA for trifluoracetic acid
- DMA for N,N-dimethylacetamide
- PPI1 3 for triphenylphosphine
- OAc for acetate
- Me for methyl
- COD (or cod) for 1,5- cyclooctadiene
- dtbpy for 4,4'-di-fert-butyl-2,2'-bipyridine
- dba for dibenzylideneacetone
- Xantphos for 4,5-bis(diphenylphosphino)-9,9- dimethylxanthine
- aq for aqueous
- EtOH for ethanol
- MeOH for methanol
- TBTU for 2-(lH-benzotriazole-l-yl)
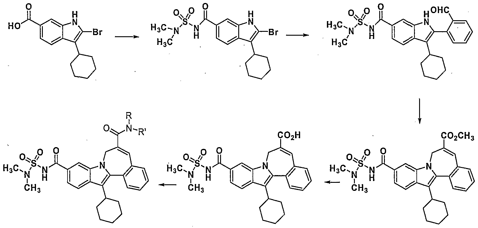
- Method A describes a general method of preparing certain compounds of formula (I) (Schemes 1-3).
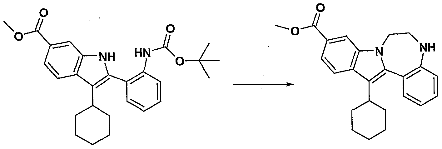
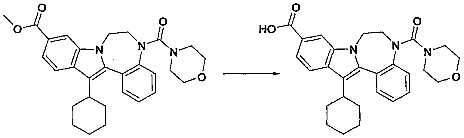
- RCM of the indole esters 13 can provide the fused compounds 14. hi these examples the 7-membered ring is functionalized with an ester moiety.
- carboxylic acids 14a and 14b can be transformed into their respective amides 14c and 14d.
- the acids can be activated for the coupling reaction by conversion to their acid chlorides with, for example, oxalyl chloride or thionyl chloride.
- TBTU (2-(l H-benzotriazole- 1 -yl)- 1 , 1 ,3 ,3 - tetramethyluronium tetrafluroborate) is used to effect the coupling of the acids with the amines (14e).
- DMF, DMSO, and THF can be used as solvents.
- Additonal examples of peptide coupling reagents are described after Scheme 9. Base-catalyzed hydrolysis of the methyl esters of 14c and 14d can afford acids 14f and 14g. These compounds can be further elaborated as shown in Scheme 9 to provide additional compounds of formula I.
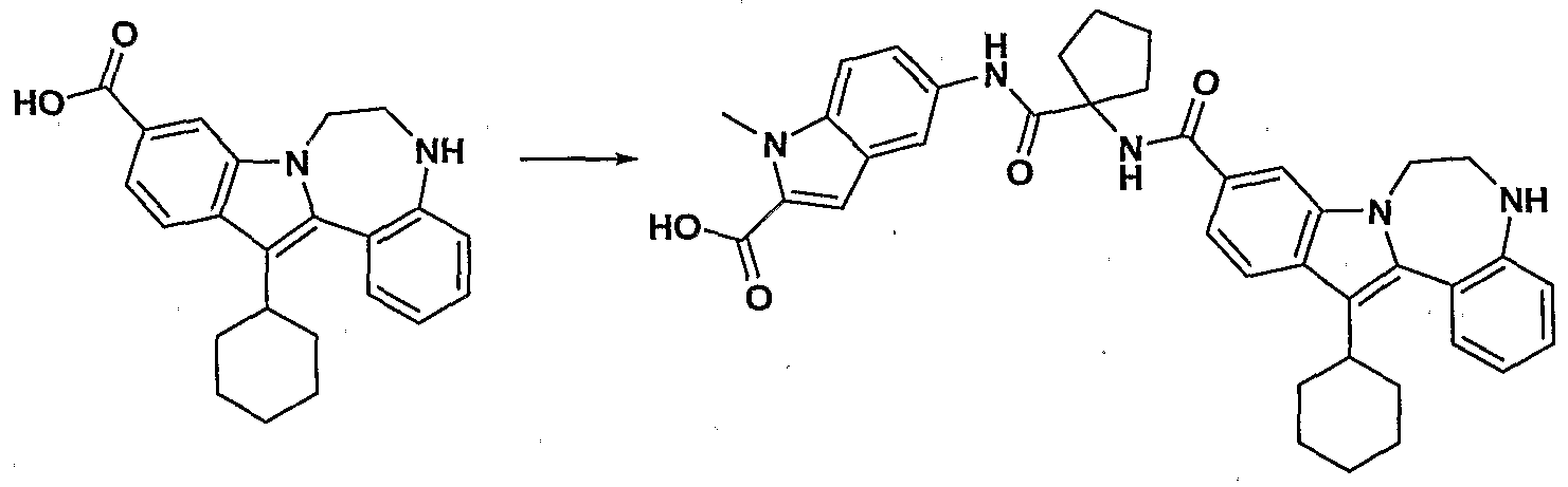
- compounds 14g can possess an asymmetric center (*). Racemic mixtures can be resolved into their enantiomers by HPLC chromatography using a chiral column. Additionally, diasteroisomeric salts of 14g can be formed with optically active organic amines. These salts are usually separated by fractional recrystallization. Both the racemates and enantiomers inhibit the HCV polymerase and are an integral part of this invention.
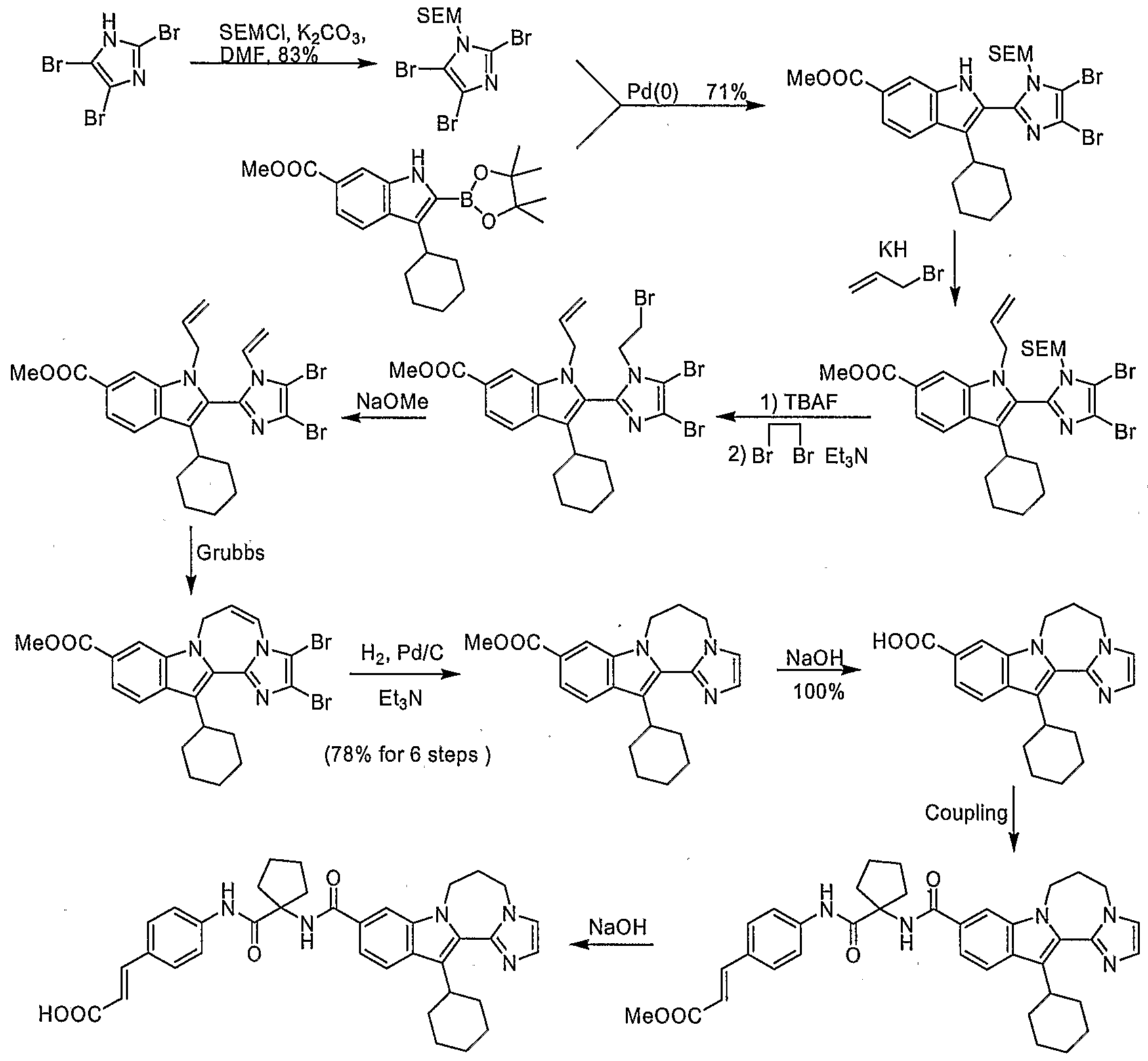
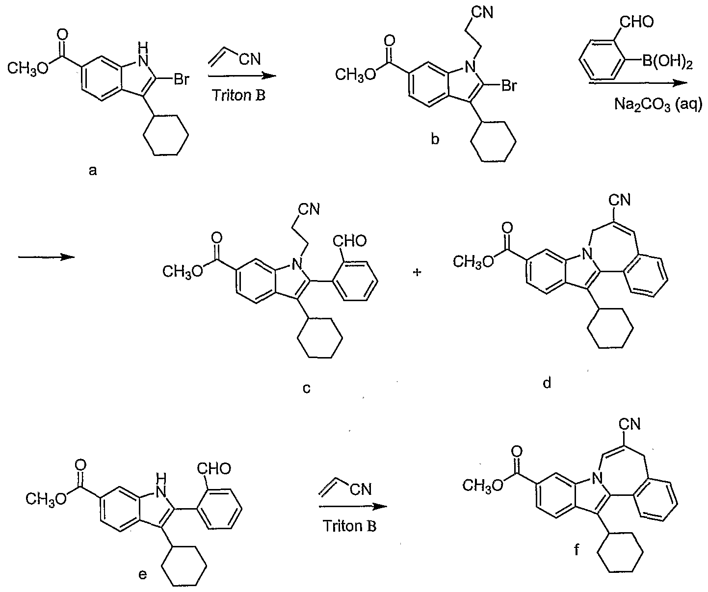
- Scheme 3 illustrates the construction of a functionalized nine-membered core (18).
- Palladium-mediated cross-coupling of bromide 5 (prepared by the method shown in Scheme 1) with protected boronic acid 15 can provide indole 16.
- Simultaneous alkylation of the indole and protected amine can provide 17.
- RCM of 17 subsequently yields 18 from which the core structures 19 and 20 are obtained after removal of the Boc group and hydrogenolysis, respectively.
- Method B provides an alternative to the RCM reaction method of preparing compounds of formula (I) (Schemes 4-5).
- the bridged indole cores can also be synthesized from indole 4 (prepared by the method shown in Scheme 1) by utilizing palladium- mediated chemistry (Heck reaction).
- Heck reaction palladium- mediated chemistry
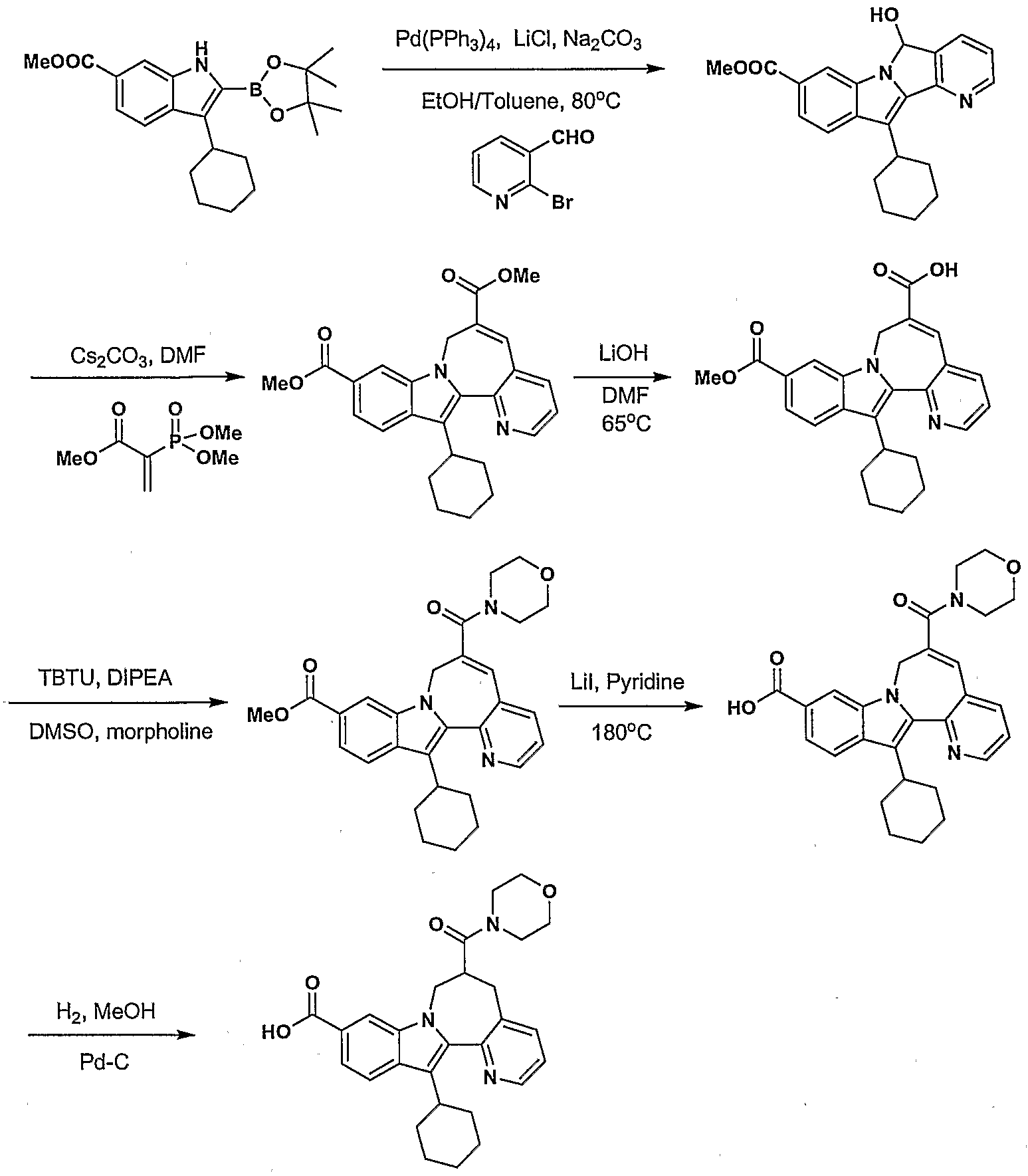
- Method C describes the synthesis of intermediate 33 and its utility for the synthesis of various compounds of formula (I) compounds (Scheme 6).
- Indole 4 (prepared by the method shown in Scheme 1) can be borylated with bis(pinacolato)diboron (30) in the presence of an iridium catalyst (31) according to the methodology of Ishiyama (see, for example, Angew. Chem. Int. Ed. 2002, 41(16), 3056 and Chem. Comm. 2003, 2924).
- Boronate 33 can be coupled with bromoheteroarenes 34, 35, and 36. This cross-coupling is not limited to bromoarenes, but can carried out with aryl and heteroaryl triflates, iodides, and chlorides as well.
- ester groups in 43, 44, and 45 can be hydrolyzed to their respective acids which can be transformed to the amides described in the present disclosure.
- the unconjugated double bond in compounds 44 and 43 can be hydrogenated to the corresponding saturated analogs using conditions known to those in the art.
- Method D describes the synthesis of compounds of formula (I) using an intramolecular Aldol reaction to form the bridge (Scheme 7).
- Method E shows an alternative for the construction of compounds of formula (I) containing an ether bridge (Scheme 8).
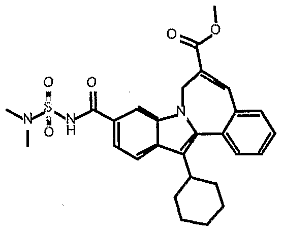
- Method F provides a method for preparing compounds of formula (I) where the carboxylic acid moieties of the core structures are transformed into substituted amides (Scheme 9).
- Scheme 9 shows the general methodology used to synthesize compounds of formula (Ia) wherein R 2 , R 3 , R 4 , R 5 , R 9 , and R 10 have been previously defined.
- a core carboxylic acid (55) is suitably activated and then coupled with either carboxy protected amino acid 56 or amide 57 to provide either protected intermediate 58 or compound Ia, respectively.
- path A the carboxylic acid protecting group of 58 is removed and the resulting acid is coupled with amine 59 to provide Ia.
- the path chosen is most often at the discretion of the experimentalist and both paths have been utilized to provide the identical formula (Ia) compounds.
- the intermediate 57 is synthesized from the coupling of N-protected amino acid 60 and amine 59. The nitrogen protecting group is subsequently removed to provide 57.
- TBTU (2-(lH-benzotriazole-l-yl)-l,l,3,3-tetramethyluronium tetrafluroborate) is one coupling reagent used for the coupling of 55 with either 56 or 57.
- solvents include dimethyl sulfoxide (DMSO), N,N-dimethyl formamide (DMF), and tetrahydrofuran (THF).
- Additional coupling reagents for the synthesis of compounds of formula (I) and the intermediates include HATU ( ⁇ 9-(7- azabenzotriazol-l-yl)-N,N,iV',N'-tetramethyluronium hexafluoropliospliate), EEDQ (2-ethoxy-l-emoxycarbonyl-l,2-dihydroquinoline), and the like.
- a mixed anhydride of acid 60 is an additional example of an activated carboxylic acid which is used advantageously.
- protecting groups for the carboxylic acid moieties include methyl, ethyl, allyl, benzyl, and fert-butyl esters. Representative amino protecting groups include Boc (benzyloxycarbonyl) and Fmoc (9- fluorenylmethoxycarbonyl) .
- Method G is descriptive for the synthesis of a subset of the formula (I) compounds f ⁇ a ) and is exemplified in Scheme 10.
- Scheme 10 shows a general route for the synthesis of compounds of formula (I) where R 4 and R 5 have beeen previously defined.
- the general method is explicitly illustrated for the synthesis of 64 in which carboxylic acid 62 is activated with the water soluble carbodiimide (WSC) l-[3-(dimethylamino)propyl]-3-ethylcarbodiimide hydrochloride.
- WSC water soluble carbodiimide
- a solution of the activated acid is coupled in DMF-dichloromethane with sulfonamide 63 in the presence of DMAP (4-dimethylaminopyridine) and diisopropylethylamine to provide acylsulfonamide 64.
- the coupling can be done in a microwave reactor at about 160 °C for about ten minutes.
- Alternative procedures for activation of the acids 55 include formation of the acid chloride or imidazole.
- Acylsulfonamides such as 64 are acidic and form salts with alkali metal hydroxides. These salts have enhanced solubilities in aqueous media.
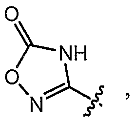
- Scheme 11 is illustrative for the synthesis of compounds of formula (I) wherein R 1 is 5-tetrazolyl, 5-oxo-4,5-dihydro-l,2,4-oxadiazol-3-yl, or 5-thioxo-4,5- dihydro-l,2,4-oxadiazol-3-yl.
- R 1 is 5-tetrazolyl, 5-oxo-4,5-dihydro-l,2,4-oxadiazol-3-yl, or 5-thioxo-4,5- dihydro-l,2,4-oxadiazol-3-yl.
- nitrile 66 which can be converted to tetrazole 67 as indicated.
- the transformations of carboxylic acids into tetrazoles via a nitrile intermediate are well documented in the literature and numerous alternative reagents are known to those in the art (see, for example, Recent Developments in Tetrazole Chemistry, A Review, SJ. Wittenberger, Organic Preparations and Procedures Int, 1994, 25(5), 400-531).
- Scheme 12 shows a method of converting 62 (prepared by the method described in Scheme 10) to a substituted (l,2,4-oxadiazol-3-yl)cyclopentyl amide 75, wherein R is as previously defined.
- the acid (62) can be coupled with 1- cyanocyclohexylamine (71) to provide 72.
- Method H shows an alternative way to construct a bridged indole wherein the bridge is a lactam (Scheme 13).
- Bromoindole 5 (prepared by the method described in Scheme 1) can be treated with sodium hydride in THF to generate the indole anion which can be alkylated with tert- butyl bromoacetate to provide 76.
- Suzuki cross-coupling of 76 with the Boc- protected boronic acid 15 (shown in Scheme 3) can give 77.
- cyclization occurs providing lactam 78.
- Base- catalyzed hydrolysis provides a mixture of the carboxylic acid core 80 as well as the dicarboxlic acid 79. The latter can be readily cyclized by heating in acetic acid.
- the hydrolysis of 78 to 80 can be done in a refluxing mixture of acetic acid and 37% hydrochloric acid (2:1) to allow for cyclization of any amount of 79 that is formed during the course of the reaction.
- the majority of the final compounds were purified by reverse phase chromatography using a preparative C- 18 column employing gradients of methanol - water containing 0.1% of trifluoroacetic acid (TFA), and using a Shimadzu High Perfomance Liquid Preparative Chromatographic System employing an XTERRA 30 x 100 mm S 5 column at 40 mL/min flow rate with a 12 min gradient.
- the final compounds usually precipitated from the aqueous eluent mixture when the methanol co-solvent was removed.
- An Emrys Optimizer personal microwave reactor was used for the microwave assisted reactions.
- Molecular weights and purities were usually determined using a Shimadzu LCMS using a Phenomenex-Luna 3.O x 50mm S lO reverse phase column employing a flow rate of 4 mL min using a 0.1%TFA in methanol / H 2 O gradient [0-100% in 2 min, with 3 min run time].
- NMR spectra were usually obtained on either a Bruker 500 or 300 MHz instrument.
- the preparative silicic acid plates were 20 x20 cm with a 1000 micron layer of silica gel GF.
- HCV RdRp assays utilized in the present invention were prepared, conducted, and validated as follows:
- HCVNS5B RdRp cloning, expression, and purification The cDNA encoding the NS5B protein of HCV, genotype Ib, was cloned into the pET21a expression vector. The protein was expressed with an 18 amino acid C-terminal truncation to enhance the solubility.
- the E. coli competent cell line BL21(DE3) was used for expression of the protein. Cultures were grown at 37 °C for ⁇ 4 hours until the cultures reached an optical density of 2.0 at 600 nm. The cultures were cooled to 20 °C and induced with 1 mM IPTG. Fresh ampicillin was added to a final concentration of 50 ⁇ g/ml and the cells were grown overnight at 20 0 C.
- Cell pellets (3L) were lysed for purification to yield 15-24 mgs of purified NS5B.
- the lysis buffer consisted of 20 mM Tris-HCl, pH 7.4, 500 mM NaCl, 0.5% triton X-100, 1 mM DTT, ImM EDTA, 20% glycerol, 0.5 mg/ml lysozyme, 10 mM MgCl 2 , 15 ug/ml deoxyribonuclease I, and Complete TM protease inhibitor tablets (Roche). After addition of the lysis buffer, frozen cell pellets were resuspended using a tissue homogenizer.
- aliquots of the lysate were sonicated on ice using a microtip attached to a Branson sonicator.
- the sonicated lysate was centrifuged at 100,000 x g for lhr at 4 °C and filtered through a 0.2 ⁇ m filter unit (Coming).
- the protein was purified using three sequential chromatography steps: Heparin sepharose CL-6B, polyU sepharose 4B, and Hitrap SP sepharose (Pharmacia).
- the chromatography buffers were identical to the lysis buffer but contained no lysozyme, deoxyribonuclease I, MgCl 2 or protease inhibitor and the NaCl concentration of the buffer was adjusted according to the requirements for charging the protein onto the column.
- Each column was eluted with a NaCl gradient which varied in length from 5-50 column volumes depending on the column type.
- the resulting purity of the enzyme is >90% based on SDS-PAGE analysis.
- the enzyme was aliquoted and stored at -80 0 C.
- HCV RdRp genotype Ib assays were run in a final volume of 60 ⁇ l in 96 well plates (Costar 3912).
- the assay buffer is composed of 20 mM Hepes, pH 7.5, 2.5 mM KCl, 2.5 mM MgCl 2 , 1 mM DTT, 1.6 U RNAse inhibitor (Promega N2515), 0.1 mg/ml BSA (Promega R3961), and 2 % glycerol. All compounds were serially diluted (3-fold) in DMSO and diluted further in water such that the final concentration of DMSO in the assay was 2%.
- HCV RdRp genotype Ib enzyme was used at a final concentration of 28 nM.
- a polyA template was used at 6 nM, and a biotinylated oligo-dT 12 primer was used at 180 nM final concentration. Template was obtained commercially (Amersham 27-4110).
- Biotinylated primer was prepared by Sigma Genosys. 3 H-UTP was used at 0.6 ⁇ Ci (0.29 ⁇ M total UTP). Reactions were initiated by the addition of enzyme, incubated at 30 °C for 60 min, and stopped by adding 25 ⁇ l of 50 niM EDTA containing SPA beads (4 ⁇ g/ ⁇ l, Amersham RPNQ 0007). Plates were read on a Packard Top Count NXT after >lhr incubation at room temperature.
- Modified HCV NS5B RdRp enzyme assay was performed essentially as described for the standard enzyme assay except for the following: The biotinylated oligo dT ⁇ primer was precaptured on streptavidin- coated SPA beads by mixing primer and beads in assay buffer and incubating at room temperature for one hour. Unbound primer was removed after centrifugation. The primer-bound beads were resuspended in 20 mM Hepes buffer, pH 7.5 and used in the assay at final concentrations of 20 nM primer and 0.67 ⁇ g/ ⁇ l beads.
- enzyme 14 nM was added to diluted compound followed by the addition of a mixture of template (0.2 nM) , 3 H-UTP (0.6 ⁇ Ci, 0.29 ⁇ M), and primer-bound beads, to initiate the reaction; concentrations given are final. Reactions were allowed to proceed for 4 hours at 30° C.
- RET intermolecular resonance energy transfer
- the assay reagent was made as follows: 5X cell Luciferase cell culture lysis reagent from Promega (#E153A) diluted to IX with dH 2 O, NaCl added to 150 mM final, the FRET peptide diluted to 20 uM final from a 2 mM stock.
- HCV replicon cells with or without a Renilla luciferase reporter gene, were trypsinized and placed into each well of a 96-well plate with titrated test compounds added in columns 3 through 12; columns 1 and 2 contained a control compound (HCV protease inhibitor), and the bottom row contained cells without compound.
- the plates were then placed in a CO2 incubator at 37 degrees C.
- FRET Assay Preparation at various times the plate was removed and Alamar blue solution (Trek Diagnostics, #00-100) was added per well as a measure of cellular toxicity. After reading in a Cytoflour 4000 instrument (PE Biosystems), plates were rinsed with PBS and then used for FRET assay by the addition of 30 ul of the FRET peptide assay reagent described above (FRET Assay Preparation) per well. The plate was then placed into the Cytoflour 4000 instrument which had been set to 340 excite/490 emission, automatic mode for 20 cycles and the plate read in a kinetic mode. Typically, the signal to noise using an endpoint analysis after the reads was at least three-fold.
- Compound analysis was determined by quantification of the relative HCV replicon inhibition and the relative cytotoxicity values.
- cytoxicity values the average Alamar Blue fluorescence signals from the control wells were set as 100% non-toxic. The individual signals in each of the compound test wells were then divided by the average control signal and multiplied by 100% to determine percent cytotoxicity.
- HCV replicon inhibition values an average background value was obtained from the two wells containing the highest amount of HCV protease inhibitor at the end of the assay period. These numbers were similar to those obtained from na ⁇ ve Huh-7 cells. The background numbers were then subtracted from the average signal obtained from the control wells and this number was used as 100% activity.
- compositions comprising a compound of formula (I), or a pharmaceutically acceptable salt thereof, and a pharmaceutically acceptable carrier.
- the composition further comprises a compound having anti-HCV activity.
- the compound having anti-HCV activity is an interferon.
- the interferon is selected from interferon alpha 2B, pegylated interferon alpha, consensus interferon, interferon alpha 2A, and lymphoblastoid interferon tau.
- compositions comprising a compound of formula (I), or a pharmaceutically acceptable salt thereof, a pharmaceutically acceptable carrier, and a compound having anti-HCV activity, wherein the compound having anti-HCV activity is a cyclosporin.
- the cyclosporin is cyclosporin A.
- compositions comprising a compound of formula (I), or a pharmaceutically acceptable salt thereof, a pharmaceutically acceptable carrier, and a compound having anti-HCV activity, wherein the compound having anti-HCV activity is selected from interleukin 2, interleukin 6, interleukin 12, a compound that enhances the development of a type 1 helper T cell response, interfering RNA, anti-sense RNA, Imiqimod, ribavirin, an inosine 5'-monophospate dehydrogenase inhibitor, amantadine, and rimantadine.
- compositions comprising a compound of formula (I), or a pharmaceutically acceptable salt thereof, a pharmaceutically acceptable carrier, an interferon and ribavirin.
- compositions comprising a compound of formula (I), or a pharmaceutically acceptable salt thereof, a pharmaceutically acceptable carrier, and a compound having anti-HCV activity, wherein the compound having anti-HCV activity is a small molecule compound.
- compositions comprising a compound of formula (I), or a pharmaceutically acceptable salt thereof, a pharmaceutically acceptable carrier, and a compound having anti-HCV activity, wherein the compound having anti-HCV activity is effective to inhibit the function of a target selected from HCV metalloprotease, HCV serine protease, HCV polymerase, HCV helicase, HCV NS4B protein, HCV entry, HCV assembly, HCV egress, HCV NS5A protein, IMPDH 5 and a nucleoside analog for the treatment of an HCV infection.
- a target selected from HCV metalloprotease, HCV serine protease, HCV polymerase, HCV helicase, HCV NS4B protein, HCV entry, HCV assembly, HCV egress, HCV NS5A protein, IMPDH 5 and a nucleoside analog for the treatment of an HCV infection.
- Another aspect of the invention is a method of inhibiting the function of the HCV replicon comprising contacting the HCV replicon with a compound of formula (I) or a pharmaceutically acceptable salt thereof.
- Another aspect of the invention is a method of inhibiting the function of the
- HCV NS5B protein comprising contacting the HCV NS5B protein with a compound of formula (I) or a pharmaceutically acceptable salt thereof.
- Another aspect of the invention is a method of treating an HCV infection in a patient comprising administering to the patient a therapeutically effective amount of a compound of formula (I) or a pharmaceutically acceptable solvate or salt thereof, hi another embodiment the compound is effective to inhibit the function of the HCV replicon. In another embodiment the compound is effective to inhibit the function of the HCV NS5B protein.
- Another aspect of the invention is a method of treating an HCV infection in a patient comprising administering to the patient a therapeutically effective amount of a compound of formula (I), or a pharmaceutically acceptable solvate or salt thereof, and administering another compound having anti-HCV activity prior to, after, or concurrently with the compound of formula (I).
- the other compound having anti-HCV activity is an interferon.
- the interferon is selected from interferon alpha 2B, pegylated interferon alpha, consensus interferon, interferon alpha 2A, and lymphoblastoid interferon tau.
- Another aspect of the invention is a method of treating an HCV infection in a patient comprising administering to the patient a therapeutically effective amount of a compound of formula (I), or a pharmaceutically acceptable solvate or salt thereof, and administering another compound having anti-HCV activity prior to, after, or concurrently with the compound of formula (I), wherein the other compound having anti-HCV activity is a cyclosporin.
- the cyclosporin is cyclosporin A.
- Another aspect of the invention is a method of treating an HCV infection in a patient comprising administering to the patient a therapeutically effective amount of a compound of formula (I), or a pharmaceutically acceptable solvate or salt thereof, and administering another compound having anti-HCV activity prior to, after, or concurrently with the compound of formula (I), wherein the other compound having anti-HCV activity is selected from interleukin 2, interleukin 6, interleukin 12, a compound that enhances the development of a type 1 helper T cell response, interfering RNA, anti-sense RNA, Imiqimod, ribavirin, an inosine 5'-monophospate dehydrogenase inhibitor, amantadine, and rimantadine.
- Another aspect of the invention is a method of treating an HCV infection in a patient comprising administering to the patient a therapeutically effective amount of a compound of formula (I), or a pharmaceutically acceptable solvate or salt thereof, and administering another compound having anti-HCV activity prior to, after, or concurrently with the compound of formula (I), wherein the other compound having anti-HCV activity is a small molecule.
- Another aspect of the invention is a method of treating an HCV infection in a patient comprising administering to the patient a therapeutically effective amount of a compound of formula (I), or a pharmaceutically acceptable solvate or salt thereof, and administering another compound having anti-HCV activity prior to, after, or concurrently with the compound of formula (I), wherein the other compound having anti-HCV activity is effective to inhibit the function of a target selected from HCV metalloprotease, HCV serine protease, HCV polymerase, HCV helicase, HCV NS4B protein, HCV entry, HCV assembly, HCV egress, HCV NS5A protein, IMPDH, and a nucleoside analog for the treatment of an HCV infection.
- a target selected from HCV metalloprotease, HCV serine protease, HCV polymerase, HCV helicase, HCV NS4B protein, HCV entry, HCV assembly, HCV egress, HCV NS5A protein, IMPDH, and
- Another aspect of the invention is a method of treating an HCV infection in a patient comprising administering to the patient a therapeutically effective amount of a compound of formula (I), or a pharmaceutically acceptable solvate or salt thereof, and administering another compound having anti-HCV activity prior to, after, or concurrently with the compound of formula (I), wherein the other compound having anti-HCV activity is effective to inhibit the function of target in the HCV life cycle other than the HCV NS5B protein.
- terapéuticaally effective amount refers to the total amount of each active component that is sufficient to show a meaningful patient benefit, e.g., a sustained reduction in viral load.
- a meaningful patient benefit e.g., a sustained reduction in viral load.
- the term refers to that ingredient alone.
- the term refers to combined amounts of the active ingredients that result in the therapeutic effect, whether administered in combination, serially, or simultaneously.
- the compounds of formula (I) and pharmaceutically acceptable salts thereof are as described above.
- the carrier(s), diluent(s), or excipient(s) must be acceptable in the sense of being compatible with the other ingredients of the formulation and not deleterious to the recipient thereof. 04156
- a process for the preparation of a pharmaceutical formulation including admixing a compound of formula (I), and/or a pharmaceutically acceptable salt thereof, with one or more pharmaceutically acceptable carriers, diluents, or excipients.
- pharmaceutically acceptable refers to those compounds, materials, compositions, and/or dosage forms which are, within the scope of sound medical judgment, suitable for use in contact with the tissues of patients without excessive toxicity, irritation, allergic response, or other problem or complication commensurate with a reasonable benefit/risk ratio, and are effective for their intended use.
- compositions may be presented in unit dose forms containing a predetermined amount of active ingredient per unit dose. Dosage levels of between about 0.01 and about 250 milligram per kilogram (“mg/kg”) body weight per day, for example between about 0.05 and about 100 mg/kg body weight per day of the compounds of the disclosure are typical in a monotherapy for the prevention and treatment of HCV mediated disease. Typically, the pharmaceutical compositions of this disclosure will be administered from about 1 to about 5 times per day or alternatively, as a continuous infusion. Such administration can be used as a chronic or acute therapy.
- mg/kg milligram per kilogram
- the amount of active ingredient that may be combined with the carrier materials to produce a single dosage form will vary depending on the condition being treated, the severity of the condition, the time of administration, the route of administration, the rate of excretion of the compound employed, the duration of treatment, and the age, gender, weight, and condition of the patient.
- Preferred unit dosage formulations are those containing a daily dose or sub-dose, as herein above recited, or an appropriate fraction thereof, of an active ingredient.
- treatment is initiated with small dosages substantially less than the optimum dose of the compound. Thereafter, the dosage is increased by small increments until the optimum effect under the circumstances is reached, hi general, the compound is most desirably administered at a concentration level that will generally afford antivirally effective results without causing any harmful or deleterious side effects.
- compositions of this disclosure comprise a combination of a compound of the disclosure and one or more additional therapeutic or prophylactic agent
- both the compound and the additional agent are usually present at dosage levels of between about 10 to 150%, more likely between about 10 and 80% of the dosage normally administered in a monotherapy regimen.
- compositions may be adapted for administration by any appropriate route, for example by the oral (including buccal or sublingual), rectal, nasal, topical (including buccal, sublingual, or transdermal), vaginal, or parenteral (including subcutaneous, intracutaneous, intramuscular, intra-articular, intrasynovial, intrasternal, intrathecal, intralesional, intravenous, or intradermal injections or infusions) route.
- Such formulations may be prepared by any method known in the art of pharmacy, for example by bringing into association the active ingredient with the carrier(s) or excipient(s).
- compositions adapted for oral administration may be presented as discrete units such as capsules or tablets; powders or granules; solutions or suspensions in aqueous or non-aqueous liquids; edible foams or whips; or oil-in- water liquid emulsions or water-in-oil emulsions.
- the active drug component can be combined with an oral, non-toxic pharmaceutically acceptable inert carrier such as ethanol, glycerol, water, and the like.
- an oral, non-toxic pharmaceutically acceptable inert carrier such as ethanol, glycerol, water, and the like.
- Powders are prepared by comminuting the compound to a suitable fine size and mixing with a similarly comminuted pharmaceutical carrier such as an edible carbohydrate, as, for example, starch or mannitol. Flavoring, preservative, dispersing, and coloring agent can also be present.
- Capsules are made by preparing a powder mixture, as described above, and filling formed gelatin sheaths.
- Glidants and lubricants such as colloidal silica, talc, magnesium stearate, calcium stearate, or solid polyethylene glycol can be added to the powder mixture before the filling operation.
- a disintegrating or solubilizing agent such as agar-agar, calcium carbonate, or sodium carbonate can also be added to improve the availability of the medicament when the capsule is ingested.
- suitable binders, lubricants, disintegrating agents, and coloring agents can also be incorporated into the mixture.
- Suitable binders include starch, gelatin, natural sugars such as glucose or beta- lactose, corn sweeteners, natural and synthetic gums such as acacia, tragacanth or sodium alginate, carboxymethylcellulose, polyethylene glycol, and the like.
- Lubricants used in these dosage forms include sodium oleate, sodium chloride, and the like.
- Disintegrators include, without limitation, starch, methyl cellulose, agar, betonite, xanthan gum, and the like. Tablets are formulated, for example, by preparing a powder mixture, granulating or slugging, adding a lubricant and disintegrant, and pressing into tablets.
- a powder mixture is prepared by mixing the compound, suitable comminuted, with a diluent or base as described above, and optionally, with a binder such as carboxymethylcellulose, an aliginate, gelating, or polyvinyl pyrrolidone, a solution retardant such as paraffin, a resorption accelerator such as a quaternary salt and/or and absorption agent such as betonite, kaolin, or dicalcium phosphate.
- the powder mixture can be granulated by wetting with a binder such as syrup, starch paste, acadia mucilage, or solutions of cellulosic or polymeric materials and forcing through a screen.
- the powder mixture can be run through the tablet machine and the result is imperfectly formed slugs broken into granules.
- the granules can be lubricated to prevent sticking to the tablet forming dies by means of the addition of stearic acid, a stearate salt, talc, or mineral oil.
- the lubricated mixture is then compressed into tablets.
- the compounds of the present disclosure can also be combined with a free flowing inert carrier and compressed into tablets directly without going through the granulating or slugging steps.
- a clear or opaque protective coating consisting of a sealing coat of shellac, a coating of sugar or polymeric material, and a polish coating of wax can be provided. Dyestuffs can be added to these coatings to distinguish different unit dosages.
- Oral fluids such as solution, syrups, and elixirs can be prepared in dosage unit form so that a given quantity contains a predetermined amount of the compound.
- Syrups can be prepared by dissolving the compound in a suitably flavored aqueous solution, while elixirs are prepared through the use of a non-toxic vehicle.
- Solubilizers and emulsifiers such as ethoxylated isostearyl alcohols and polyoxyethylene sorbitol ethers, preservatives, flavor additive such as peppermint oil or natural sweeteners, or saccharin or other artificial sweeteners, and the like can also be added.
- dosage unit formulations for oral administration can be microencapsulated.
- the formulation can also be prepared to prolong or sustain the release as for example by coating or embedding particulate material in polymers, wax, or the like.
- the compounds of formula (I), and pharmaceutically acceptable salts thereof, can also be administered in the form of liposome delivery systems, such as small unilamellar vesicles, large unilamellar vesicles, and multilamellar vesicles.
- liposomes can be formed from a variety of phopholipids, such as cholesterol, stearylamine, or phosphatidylcholines.
- the compounds of formula (I) and pharmaceutically acceptable salts thereof may also be delivered by the use of monoclonal antibodies as individual carriers to which the compound molecules are coupled.
- the compounds may also be coupled with soluble polymers as targetable drug carriers.
- Such polymers can include polyvinylpyrrolidone, pyran copolymer, polyhydroxypropylmethacrylamidephenol, polyhydroxyethylaspartamidephenol, or polyethyleneoxidepolylysine substituted with palitoyl residues.
- the compounds may be coupled to a class of biodegradable polymers useful in achieving controlled release of a drug, for example, polylactic acid, polepsilon caprolactone, polyhydroxy butyric acid, polyorthoesters, polyacetals, polydihydropyrans, polycyanoacrylates, and cross-linked or amphipathic block copolymers of hydrogels.
- a class of biodegradable polymers useful in achieving controlled release of a drug, for example, polylactic acid, polepsilon caprolactone, polyhydroxy butyric acid, polyorthoesters, polyacetals, polydihydropyrans, polycyanoacrylates, and cross-linked or amphipathic block copolymers of hydrogels.
- compositions adapted for transdermal administration may be presented as discrete patches intended to remain in intimate contact with the epidermis of the recipient for a prolonged period of time.
- the active ingredient may be delivered from the patch by iontophoresis as generally described in Pharmaceutical Research, 3(6), 318 (1986).
- Pharmaceutical formulations adapted for topical administration may be formulated as ointments, creams, suspensions, lotions, powders, solutions, pastes, gels, sprays, aerosols, or oils.
- the formulations are most often applied as a topical ointment or cream.
- the active ingredient may be employed with either a paraffinic or a water-miscible ointment base.
- the active ingredient may be formulated in a cream with an oil-in-water cream base or a water-in oil base.
- compositions adapted for topical administrations to the eye include eye drops wherein the active ingredient is dissolved or suspended in a suitable carrier, especially an aqueous solvent.
- compositions adapted for topical administration in the mouth include lozenges, pastilles, and mouth washes.
- compositions adapted for rectal administration may be presented as suppositories or as enemas.
- compositions adapted for nasal administration wherein the carrier is a solid include a course powder having a particle size for example in the range 20 to 500 microns which is administered in the manner in which snuff is taken, i.e., by rapid inhalation through the nasal passage from a container of the powder held close up to the nose.
- suitable formulations wherein the carrier is a liquid, for administration as a nasal spray or nasal drops, include aqueous or oil solutions of the active ingredient.
- compositions adapted for administration by inhalation include fine particle dusts or mists, which may be generated by means of various types of metered, dose pressurized aerosols, nebulizers, or insufflators.
- Pharmaceutical formulations adapted for vaginal administration may be presented as pessaries, tampons, creams, gels, pastes, foams, or spray formulations.
- compositions adapted for parenteral administration include aqueous and non-aqueous sterile injection solutions which may contain anti-oxidants, buffers, bacteriostats, and soutes which render the formulation isotonic with the blood of the intended recipient; and aqueous and non-aqueous sterile suspensions which may include suspending agents and thickening agents.
- the formulations may be presented in unit-dose or multi-dose containers, for example sealed ampoules and vials, and may be stored in a freeze-dried (lyophilized) condition requiring only the addition of the sterile liquid carrier, for example water for injections, immediately prior to use.
- Extemporaneous injection solutions and suspensions may be prepared from sterile powders, granules, and tablets.
- formulations may include other agents conventional in the art having regard to the type of formulation in question, for example those suitable for oral administration may include flavoring agents.
- patient includes both human and other mammals.
- treating refers to: (i) preventing a disease, disorder or condition from occurring in a patient that may be predisposed to the disease, disorder, and/or condition but has not yet been diagnosed as having it; (ii) inhibiting the disease, disorder, or condition, i.e., arresting its development; and (iii) relieving the disease, disorder, or condition, i.e., causing regression of the disease, disorder, and/or condition.
- the compounds of the present disclosure can also be administered with a cyclosporin such as cyclosporin A.
- Cyclosporin A has been shown to be active against HCV in clinical trials (Hepatology 2003, 38, 1282; Biochem. Biophys. Res. Commun. 2004, 313, 42; J. Gastroenterol. 2003, 38, 567).
- Table 1 lists some illustrative examples of compounds that can be administered with the compounds of this disclosure.
- the compounds of the disclosure can be administered with other anti-HCV activity compounds in combination therapy, either jointly or separately, or by combining the compounds into a composition.
- the resulting composition may be administered in vivo to mammals, such as man, to inhibit HCV NS5B and/or treat and/or prevent HCV virus infection.
- the compounds of the disclosure may also be used as laboratory reagents.
- Compounds may be instrumental in providing research tools for designing viral replication assays, validation of animal assay systems, and structural biology studies to further enhance knowledge of the HCV disease mechanisms. Further, the compounds of the present disclosure are useful in establishing or determining the binding site of other antiviral compounds, for example, by competitive inhibition.
- the compounds of this disclosure may also be used to treat or prevent viral contamination of materials and therefore reduce the risk of viral infection of laboratory or medical personnel or patients who come in contact with such materials, e.g., blood, tissue, surgical instruments and garments, laboratory instruments and garments, and blood collection or transfusion apparatuses and materials.
- materials e.g., blood, tissue, surgical instruments and garments, laboratory instruments and garments, and blood collection or transfusion apparatuses and materials.
- compositions of the disclosure can be used for the manufacture of a medicament for treating HCV infection in a patient.
- hexane mother liquor was concentrated and the residue was dissolved in hexane/ethyl acetate (5:1).
- the solution was passed through a pad of silica gel with the same solvents. Concentration of the eluate followed by the addition of hexane (10 mL) resulted in the precipitation of additional product which was collected by filtration to provide 2.8 g (28%) of the desired product.
- Triisopropyl borate (683 mg, 3.63 mmol) was added to a stirred solution of 4- (benzyloxy)-l-bromo-2-vinylbenzene (1.0 g, 0.346 mmol) in THF (9 mL). The solution was cooled in a CO 2 /acetone bath. A solution of n-butyllithium (1.45 mL of 2.5M in hexanes, 3.63 mmol) was added dropwise over 5 minutes. The cooling bath was left in place and was allowed to warm to room temperature. The mixture was treated with HCl (5 mL of IN) and water (5 mL), stirred for 1 hour, and extracted with ethyl acetate (3 x 15 mL).
- Tetrakis(triphenylphosphine)palladium(0) was added (348 mg, 0.3 mmol), the mixture was stirred at reflux for 2 hours, and then stored at 22 °C for 18 hours. The mixture was concentrated and the residue was partitioned between ethyl acetate and water. The ethyl acetate layer was washed sequentially with water (3x) and brine, dried (MgSO 4 ), filtered, and concentrated. The crystalline residue was purified by flash column chromatography on silica gel (4Og) with dichloromethane to provide the desired product (815 mg, 75% yield).
- Methyl 3-cyclohexyl-l-(2-(methoxycarbonyl)allyl)-2-(2-vinylphenyl)-lH- indole-6-carboxylate (13, R methyl).
- Methyl 3-cyclohexyl-2-(2-vinylphenyl)-lH- indole-6-carboxylate (7, R 2 H) 508mg, 1.4mmol) was dissolved in THF (5mL) under N 2 and cooled to 0 0 C.
- the product containing fraction was concentrated on a rotary evaporator to leave 2-((3- cyclohexyl-6-(methoxycarbonyl)-2-(2-vinylphenyl)-lH-indol-l-yl)methyl)acrylic acid (568 mg, 40%) as a yellow gum.
- a sample (142 mg) was further purified on a Shimadzu preparatory liquid chromatograph.
- Method B Additional palladium on carbon (Ig) was added to the reduction mixture from the preceding experiment (20OmL). Stirring was continued at 22 °C for 72 h. The mixture was filtered and the filtrate was concentrated to dryness on a rotary evaporator. A solution of the residue in methanol was purified on a Shimadzu preparatory liquid chromatograph to afford the titled compound (630mg) which was identical to the product from Method A.
- reaction mixture was stirred at room temperature for 0.5 hours, treated with a solution of Intermediate 25 (200 mg, 0.66 mmol) in THF (2.5 mL), stirred 18 hours at room temperature, and concentrated to provide a brown oil which solidified upon standing. Trituration of the solid with methanol provided the desired product as a gray solid (175 mg, 58% yield).
- the mixture was diluted with ethyl acetate , washed with waster (3x) and brine, dried (Na 2 SO 4 ) , filtered, and concentrated.
- the concentrate was purified by flash column chromatography on silica gel with hexane/ethyl acetate (4/1) to provide the desired product as a colorless solid (450 mg, 72% yield).
- reaction mixture was partitioned between ethyl acetate and water.
- organic layer was washed sequentially with dilute HCl, water, and brine, dried over Na 2 SO 4 , filtered, and concentrated.
- the residue was purified by flash column chromatography on silica gel (40 g) with dichloromethane/ethyl acetate (100:15) to provide impure Fmoc-protected product as a cloudy oil (900 mg).
- the preceding compound (350 mg) was dissolved in DMF (2 mL) at 22 °C. An ethanolic solution of dimethylamine (0.5 mL of 33%) was added to water (0.5 mL). The resulting solution was added to the DMF solution. After about 1 hour the resulting precipitate was collected by filtration and washed with methanol followed by diethyl ether to provide the desiredproduct (125 mg, 55% yield).
- Method B Tetrakis(triphenylphosphine)palladium(0)(ll mg, 0.01 mmol) was added to a mixture, under argon, of Intermediate 22 (21.9 mg, 0.048 mmol) and potassium acetate (4.7 mg, 0.048 mmol) in N,N-dimethylacetamide (0.6 mL) in a microwave vial. The mixture was microwaved for 30 minutes at 150 °C. The reaction mixture was diluted with DMF and filtered. The filtrate was injected on a Shimadzu preparatory liquid chromatograph. The methanol eluent was removed from the appropriate fraction. The aqueous mixture was extracted with ethyl acetate. The extract was washed (water, brine), dried (Na 2 SO 4 ), filtered, and concentrated to provide the desired product.
- Example 2 (60 mg, 0.16 mmol) was dissolved in a mixture of 1 niL each of THF, methanol, and IN NaOH. The mixture was microwaved at 100 °C for 10 minutes. After removal of the organic solvents, the mixture was acidified with dilute HCl and the precipitated solid was extracted into ethyl acetate. Removal of the solvent and crystallization of the residue from methanol provided the desired product as a pale yellow solid.
- Example 4 (87 mg) was added to a mixture of THF (10 HiL) and methanol (10 niL) in a Parr bottle under argon. Palladium on carbon (30 mg of 10%) was added and the mixture shaken with H 2 at 50 psi for 3 hours. Removal of the catalyst left a residue which when macerated with hexanes provided the desired product as a colorless solid.
- the solution was acidified with IN HCl (2.1 mL) and partially concentrated.
- the precipitated solid was collected by filtration, washed with water, dissolved in methanol, and filtered.
- the filtrate was concentrated by boiling to about 0.4 mL, and diluted with diethyl ether. The resulting precipitate was collected by filtration to provide the desired product as a colorless solid.
- Methyl 1 l-cycIohexyl- ⁇ -hydroxy- ⁇ H-isoindolo ⁇ J-aJindoleS-carboxylate was prepared as a tan crystalline solid by substituting 2- formylphenylboronic acid for 2-vinylphenylboronic acid in Intermediate 7A (83% yield). The compound exists as the hemi-aminal as shown by the spectral data.
- Example 11 13-cyclohexyl-6, 7-dihydro-6-oxo-5H-pyrido[3 ',2 ':5,6J[l,4Jdiazepino[l, 7- a] indole- 10-carboxylic acid.
- a solution of Example 11 (180 mg, 0.462 mmol) in pyridine (7 mL) was treated with LiI (186 mg, 1.39 mmol), heated at 180 °C in a microwave reactor for 2.5 hours, diluted with water, and adjusted to pH 4-5 with IN HCl. The precipitate was collected by filtration to provide the desired product as a pale brown solid (170 mg, 98% yield).
- Example 17 (200 mg) was dissolved in a mixture of methanol (6 mL) and THF (6mL). NaOH (3 mL of IN) was added and the mixture was micro waved at 100 0 C for 15 minutes. The mixture was cooled to room temperature, acidified with IN HCl, and extracted with ethyl acetate. The ethyl acetate solution was washed with IN HCl (3x) and concentrated. Acetic acid (5 mL) was added to the residue.
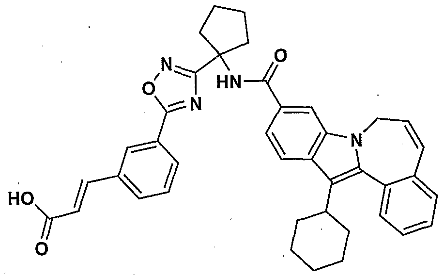
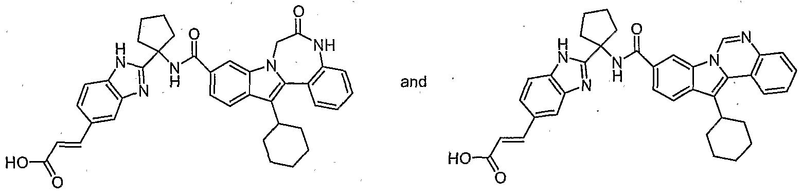
- Example 27 S-ft-fl-fKlS-cyclohexyl- ⁇ J-dihydroSH-mdohPyl-aJPJhenzazepin-lO- yl)carbonyl] amino] cyclopentyl] phenyl] -(2E)-propenoic acid.
- Boc sulfamide compound (121 mg, 0.51 mmol) was dissolved in TFA/DCM (1/1, 1 mL) and stirred for 1.5 h. and removed the solvents in vacuo. To the residue was added acid (40 mg, 0.1 mmol), DMAP (125 mg, 1.02 mmol), Nl- ((ethylimino)methylene)-N3,N3-drmethylpropane-l,3-diamine hydrochloride (57mg, 0.3 mmol), DMF (1.5 mL).
- Boc sulfamide compound (128 mg, 0.51 mmol) was dissolved in TFA/DCM (1/1, 1 mL) and stirred for 1.5 h. and removed the solvents in vacuo. To the residue was added acid (40 mg, 0.1 mmol), DMAP (125 mg, 1.02 mmol), Nl- ((ethylimino)methylene)-N3,N3-dimethylpropane- 1,3 -diamine hydrochloride (57mg, 0.53 mmol), DMF (1.5 niL). the mixture was stirred o/n and purified by prep HPLC to afford the product as a solid.
- Boc sulfamide (126 mg, 0.63 mmol) was dissolved in TFA/DCM (1/1, 1 HiL) and stirred for 2 h. removed the solvents in vacuo and added acid 2 (50 mg, 0.1 mmol), DMAP (129mg, 1.06 mmol), Nl-((ethylimino)methylene)-N3,N3- dimethylpropane-l,3-diamine hydrochloride (71 mg, 0.37 mmol), DMF (1.5 mL). the mixture was stirred o/n and purified by prep HPLC to afford the product as a solid (14.7 mg, 31 %).
- LCMS data Stop time: Gradient time + 1 minute; Starting cone: 0% B unless otherwise noted.
- Eluent A 5% CH3CN / 95% H2O with 10 mM NH40Ac (for columns A and D); 10 % MeOH / 90 % H2O with 0.1% TFA (for columns B and C)
- Eluent B 95% CH3CN / 5% H2O with 10 mM NH4OAc (for columns A and D) 90 % MeOH / 10 % H2O with 0.1% TFA (for columns B and C).
- reaction solution was concentrated to remove volatile organics, neutralized with TFA (0.04 mL) and purified by preparative HPLC (MeOH/H 2 O with TFA buffer) to yield 13- cyclohexyl-6,7-dihydro-5H-indolo[ 1 ,2-d] [ 1 ,4]benzodiazepin- 10-carboxylic acid (33 mg, 0.092 mmol, 76%) as white solid.
- reaction solution was cooled to rt, diluted with MeOH/DMSO 1:1, 3 mL), and purified by preparative HPLC (MeOH/H 2 O with TFA buffer) to yield 6,7-dihydro-5H-indolo[l,2-d][l,4]benzodiazepin-10- carboxamide, 13-cyclohexyl-N-[(dimethylamino)sulfonyl], 5-
- reaction solution was stirred at rt for Ih. An aliquot (0.5 mL, ⁇ 12.5%) was removed. The remaining reaction solution was diluted with H 2 O (5 mL) and the precipitate (yellow solid) that formed was collected by filtration. This material was diluted with THF (12 mL) and MeOH (12 mL) and then treated with IM aqueous NaOH (4 mL). The reaction was stirred 6h at 50 0 C, and concentrated to remove volatile organic solvents. The solution was diluted with saturated aqueous NH 4 Cl (20 mL) and extracted with EtOAc (40 mL). The remaining sticky solid was dissolved into H 2 O (50 mL) and extracted with EtOAc (100 mL).
- reaction mixture was sealed, heated at 100° C for 30 min and then at 110° C for 30 min ( ⁇ 70% conversion by LCMS) with microwave irradiation, cooled, diluted with CH 2 Cl 2 ( ⁇ 3 mL) washed with H 2 O ( ⁇ 5 mL), dried (MgSO 4 ) and concentrated to dryness.
- the reaction solution was stirred for 2 h at rt, diluted with CH 2 Cl 2 (-10 mL) and MeOH ( ⁇ 2 mL) and washed with Vi saturated aqueous NH 4 Cl (10 mL) and brine (10 mL). The organics were concentrated to dryness, dissolved into MeOH/THF (1:1, 3 mL) and treated with IM aqueous NaOH (0.80 mL). The reaction mixture was stirred and heated at 80° C with microwave irradiation for 15 min in a sealed tube. The clear solution was diluted with H 2 O (3 mL), neutralized with IM aqueous HCl (0.80 mL) and concentrated to remove organic solvents.
- the reaction mixture was stirred and heated at 80° C with microwave irradiation for 15 min in a sealed tube.
- the clear solution was diluted with H 2 O (3 mL), neutralized with IM aqueous HCl (0.80 mL) and concentrated to remove organic solvents.
- reaction solution was stirred at rt for 2h, diluted with MeOH and the crude solution was purified by preparative HPLC to give an intermediate ethyl ester as a white solid.
- This material was diluted with THF (1.5 mL) and MeOH (1.5 mL) and then treated with IM aqueous NaOH (1.5 mL). The reaction was stirred 3h at rt, 56
- Trifluoroacetic acid (1.5 mL) was added dropwise to a stirred solution of 1- piperazinecarboxylic acid, 4-[[13-cyclohexyl-10-
- the diversity amines (0.108 mmol, 1.3 equiv) were weighed directly into successive reactor vessels of a multiposition reactor. To each position in the reactor was then added the carboxylic acid template (500 uL of a 0.172 M stock solution in DMF, 0.086 mmol, 1.0 equiv) followed by 500 uL of a three-component stock solution in DMF containing EDC (0.108 mmol, 1.3 equiv), HOBt (0.108 mmol, 1.3 equiv), and N,N-diisoproylethylamine (0.430 mmol, 5.0 equiv). The reactions were capped with a septum and agitated overnight via orbital shaker at room temperature.
- Methyl l-allyl-3-cyclohexyl-2-(4,5-dibromo-l-(2-bromoethyl)-lH-imidazol- 2-yl)-lH-indole-6-carboxylate was dissolved in a solution of sodium methoxide (0.5 M in Methanol from Aldrich, 10 mL) and the light yellow solution was heated to 65 0 C for Ih. Methylene chloride (20 mL) was then added, followed by ice-water (50 mL). The aqueous layer was then adjusted to pH 5, and the organic layer was separated, dried (Na 2 SO 4 ), filtered and evaporated to give the title compound in a form pure enough for use in the next step.
- Methyl S-cyclohexyl-l/i-indole- ⁇ -carboxylate 500 mg, 1.94 mmol was added to a suspension of NaH (85.5 mg of 60% dispersion in mineral oil, 2.14 mmol) in DMF (5 niL), and the reaction mixture stirred at RT for 15 min.
- Methyl 5- bromovalerate (0.305 niL, 2.14 mmol) was then added and the reaction mixture stirred at RT overnight, after which the reaction was quenched with ice and extracted with ethyl acetate (2x50 mL). The extracts were then combined, washed with IN HCl solution, dried (MgSO 4 ), filtered and concentrated in vacuo.
- Formamide (2.0 mL) was added to a solution of 9-bromo-ll-cyclohexyl-10- oxo-7,8,9,10-tetrahydro-6/f-azepino[l,2-a]indole-3-carboxylic acid (30 mg, 0.0742 mmol) in DMF (1.0 mL). The reaction mixture was heated at 125 0 C for 8 hr, after which it was cooled, water was added and the mixture was extracted with ethyl acetate (2X20 mL). The organic layers were combined, dried (MgSO 4 ), filtered and concentrated in vacuo.
- indole-9-carboxylic acid derivatives described in the above section can be subsequently coupled to a variety of amines using methodology known in the art to provide further examples of Formula I compounds.
- OsO 4 (2.7 mg, 0.0107 mmol) was added to a solution of 7H- pyrido[3',2':3,4]azepino[l,2- ⁇ ]indole-10-carboxylic acid, 13-cyclohexyl-, methyl ester (40 mg, 0.107 mmol) and N-methylmorpholine oxide (38 mg, 0.322 mmol) in a mixture of acetone and water (9 mL-1 mL). The resultant solution was stirred at rt overnight, after which it was concentrated in vacuo and the residue purified by Prep, reverse phase ⁇ PLC to give a racemic mixture of title compounds as a light yellow, (25 mg, 57% yield).
Landscapes
- Organic Chemistry (AREA)
- Chemical & Material Sciences (AREA)
- Health & Medical Sciences (AREA)
- Life Sciences & Earth Sciences (AREA)
- Virology (AREA)
- Chemical Kinetics & Catalysis (AREA)
- Communicable Diseases (AREA)
- Oncology (AREA)
- Molecular Biology (AREA)
- General Chemical & Material Sciences (AREA)
- Medicinal Chemistry (AREA)
- Nuclear Medicine, Radiotherapy & Molecular Imaging (AREA)
- Pharmacology & Pharmacy (AREA)
- Animal Behavior & Ethology (AREA)
- General Health & Medical Sciences (AREA)
- Public Health (AREA)
- Veterinary Medicine (AREA)
- Pharmaceuticals Containing Other Organic And Inorganic Compounds (AREA)
Abstract
Indole compounds of Formula I are described. The compounds have activity against hepatitis C virus (HCV) and are useful in treating those infected with HCV. Different forms and compositions comprising the compounds are also described as well as methods of preparing the compounds. (I)
Description
INHIBITORS OF HCV REPLICATION
BACKGROUND OF THE INVENTION
Hepatitis C virus (HCV) is a major human pathogen, infecting an estimated
170 million persons worldwide - roughly five times the number infected by human immunodeficiency virus type 1. A substantial fraction of these HCV infected individuals develop serious progressive liver disease, including cirrhosis and hepatocellular carcinoma (Lauer, G. M.; Walker, B. D. N. Engl. J. Med. 2001, 345, 41-52).
HCV is a positive-stranded RNA virus. Based on a comparison of the deduced amino acid sequence and the extensive similarity in the 5 '-untranslated region, HCV has been classified as a separate genus in the Flaviviridae family. All members of the Flaviviridae family have enveloped virions that contain a positive stranded RNA genome encoding all known virus-specific proteins via translation of a single, uninterrupted, open reading frame.
Considerable heterogeneity is found within the nucleotide and encoded amino acid sequence throughout the HCV genome. At least six major genotypes have been characterized, and more than 50 subtypes have been described. The major genotypes of HCV differ in their distribution worldwide, and the clinical significance of the genetic heterogeneity of HCV remains elusive despite numerous studies of the possible effect of genotypes on pathogenesis and therapy.
The single strand HCV RNA genome is approximately 9500 nucleotides in length and has a single open reading frame (ORF) encoding a single large polyprotein of about 3000 amino acids, hi infected cells, this polyprotein is cleaved at multiple sites by cellular and viral proteases to produce the structural and non-structural (NS) proteins. In the case of HCV, the generation of mature non-structural proteins (NS2, NS3, NS4A, NS4B, NS5A, and NS5B) is effected by two viral proteases. The first one is believed to be a metalloprotease and cleaves at the NS2-NS3 junction; the second one is a serine protease contained within the N-terminal region of NS3 (also
referred to herein as NS3 protease) and mediates all the subsequent cleavages downstream of NS3, both in cis, at the NS3-NS4A cleavage site, and in trans, for the remaining NS4A-NS4B, NS4B-NS5A, NS5A-NS5B sites. The NS4A protein appears to serve multiple functions, acting as a cofactor for the NS3 protease and possibly assisting in the membrane localization of NS3 and other viral replicase components. The complex formation of the NS3 protein with NS4A seems necessary to the processing events, enhancing the proteolytic efficiency at all of the sites. The NS3 protein also exhibits nucleoside triphosphatase and RNA helicase activities. NS5B (also referred to herein as HCV polymerase) is a RNA-dependent RNA polymerase that is involved in the replication of HCV.
Presently, the most effective HCV therapy employs a combination of alpha- interferon and ribavirin, leading to sustained efficacy in 40% of patients (Poynard, T. et al. Lancet 1998, 352, 1426-1432). Recent clinical results demonstrate that pegylated alpha-interferon is superior to unmodified alpha-interferon as monotherapy (Zeuzem, S. et al. N. Engl. J. Med. 2000, 343, 1666-1672). However, even with experimental therapeutic regimens involving combinations of pegylated alpha- interferon and ribavirin, a substantial fraction of patients do not have a sustained reduction in viral load. Thus, there is a clear and long-felt need to develop effective therapeutics for treatment of HCV infection.
Among the compounds that have demonstrated efficacy in inhibiting HCV replication as selective HCV serine protease inhibitors are the peptide compounds disclosed in U.S. Patent No. 6,323,180. NS5B polymerase inhibitors have also demonstrated activity. However, none of these compounds have, to date, progressed beyond clinical trials (De Clercq, E. J. CHn. Virol. 2001, 22, 73-89).
Compounds useful for treating HCV-infected patients are desired which selectively inhibit HCV viral replication. In particular, compounds which are effective to inhibit the function of the NS5B protein are desired. The HCV NS5B protein is described, for example, in "Structural Analysis of the Hepatitis C Virus RNA Polymerase in Complex with Ribonucleotides: S. Bressanelli, et al., Journal of Virology, April 2002, 3482-3492; and Defrancesco and Rice, Clinics in Liver Disease 2003, 7, 211-242.
DESCRIPTION OF INVENTION
The invention encompasses compounds of Formula I, including pharmaceutically acceptable salts and solvates thereof, compositions of these compounds, and use of the compounds in treating hepatitis C.
One aspect of the invention is a compound of formula (I)
(I) wherein
n is 0, 1, 2, or 3;
A is a five- or six-membered aromatic ring optionally containing one or two heteroatoms independently selected from nitrogen, oxygen, and sulfur;
B is a five- to twelve-membered ring containing 0 or 1 double bonds and optionally containing one or two additional heteroatoms selected from nitrogen, oxygen, and sulfur; wherein said ring is optionally substituted with one, two, three, or four substituents independently selected from alkoxy, alkoxycarbonyl, alkyl, carboxy, cyano, cycloalkyl, halo, hydroxy, hydroxyalkyl, alkylaminoalkyl, dialkylaminoalkyl, NR4R5, (NR4R5)carbonyl, and oxo;
R1 is selected from -C(O)NR4R5, -CO2R4, 5-tetrazolyl, cyano,
and VV '
each R2 is independently selected from alkoxy, alkoxyalkyl, alkyl, alkylamino, amino, arylalkoxy, aryloxy, dialkylamino, halo, haloalkoxy, haloalkyl, hydroxy, and hydroxyalkyl;
R3 is a five- to seven-membered cycloalkyl ring;
R4 is selected from hydrogen, alkyl, hydroxyalkyl, aminoalkyl, (alkylamino)alkyl, (dialkylamino)alkyl, aryl, arylalkyl, and (NR6R7)alkyl;
R5 is selected from hydrogen, alkyl, hydroxyalkyl, aminoalkyl, (alkylamino)alkyl, (dialkylamino)alkyl, aryl, arylalkyl, (NR6R7)alkyl, alkylcarbonyl, arylcarbonyl, (NR6R7)carbonyl, -S(O)2R8, -S(O)2NR6R7,
or NR4R5 taken together is pyrrolidinyl, piperidinyl, piperazinyl, homopiperidinyl, morpholinyl, or thiomorpholinyl and is substituted with 0-2 substituents selected from the group consisting of alkyl, hydroxy, amino, alkylamino, dialkylamino, pyrrolidinyl, piperidinyl, and pyridinyl;
R6 and R7 are independently selected from hydrogen and alkyl;
R8 is selected from alkyl, cycloalkyl, aryl, and heteroaryl;
R9 and R10 are independently selected from hydrogen and alkyl; or
R9 and R10, together with the carbon atom to which they are attached, form a four- to seven-membered saturated ring optionally containing 1 or 2 heteroatoms selected from nitrogen, oxygen, and sulfur, wherein said ring is optionally substituted with one or two substituents independently selected from alkoxycarbonyl, alkyl, and oxo; and
R is a five- or six-membered saturated, partially saturated, or aromatic ring containing 0, 1, 2, or 3 heteroatoms selected from nitrogen, oxygen, and sulfur, wherein said ring is optionally substituted with one or two substituents independently selected from alkoxycarbonylalkenyl, alkoxycarbonylalkyl, alkyl, aryl, carboxy, carboxyalkenyl, carboxyalkyl, and heteroaryl, wherein said aryl and heteroaryl are further optionally substituted with one or two substituents independently selected from alkoxycarbonyl, alkoxycarbonylalkenyl, alkoxycarbonylalkyl, carboxy carboxyalkenyl, carboxyalkyl, and hydroxy;
or a pharmaceutically acceptable salt or solvate thereof.
Another aspect of the invention is a compound of formula (I), or a pharmaceutically acceptable salt thereof, wherein A is selected from furyl, phenyl, and pyridinyl.
Another aspect of the invention is a compound of formula (I), or a pharmaceutically acceptable salt thereof, wherein B is a five- to nine-membered ring containing 0 or 1 double bonds and optionally containing one additional heteroatom selected from nitrogen and oxygen, wherein said ring is optionally substituted with one or two substituents independently selected from alkoxy, alkoxycarbonyl, carboxy, hydroxy, (NR R5)carbonyl, and oxo.
Another aspect of the invention is a compound of formula (I), or a pharmaceutically acceptable salt thereof, wherein B is a seven-membered ring containing 0 or 1 double bonds and optionally containing one additional heteroatom selected from nitrogen and oxygen, wherein said ring is optionally substituted with one or two substituents independently selected from alkoxy, alkoxycarbonyl, carboxy, hydroxy, (NR4R5)carbonyl, and oxo.
Another aspect of the invention is a compound of formula (I), or a pharmaceutically acceptable salt thereof where R4 is selected from hydrogen, alkyl, hydroxyalkyl, aminoalkyl, (alkylamino)alkyl, (dialkylamino)alkyl, and (NR6R7)alkyl, R5 is selected from hydrogen, alkyl, hydroxyalkyl, aminoalkyl, (alkylamino)alkyl,
(dialkylamino)alkyl, (NR6R7)alkyl, alkylcarbonyl, -S(O)2R8, and -S(O)2NR6R7, or NR4R5 taken together is pyrrolidinyl, piperidinyl, piperazinyl, homopiperidinyl, morpholinyl, or thiomorpholinyl and is substituted with 0-2 substituents selected from the group consisting of alkyl, hydroxy, amino, alkylamino, dialkylamino, pyrrolidinyl, piperidinyl, and pyridinyl.
• Another aspect of the invention is a compound of formula (I), or a
1 4 5 pharmaceutically acceptable salt thereof, wherein R is selected from -C(O)NR R and -CO2R4.
Another aspect of the invention is a compound of formula (I), or a pharma icceeuuttiiccaallllyy aacccceeppttaabbllee ssaalltt tthheeireof where R is -C(O)NR R , R4 is hydrogen, and R5 is -S(O)2R8 or -S(O)2NR6R7.
Another aspect of the invention is a compound of formula (I), or a pharmaceutically acceptable salt thereof where wherein R is -C(O)NR R , R4 is o o
hydrogen, R5 is H R10 R9 , and H R10 R9 is selected from the group consisting
Another aspect of the invention is a compound of formula (I), or a
2 pharmaceutically acceptable salt thereof where each R is independently selected from halo, alkoxy, arylalkoxy, and hydroxy.
Another aspect of the invention is a compound of formula (I), or a pharmaceutically acceptable salt thereof where n is 0 or n is 1 and R is halo or C1-3alkoxy.
Another aspect of the invention is a compound of formula (I), or a
2 pharmaceutically acceptable salt thereof, wherein each R is independently selected from alkoxy, arylalkoxy, and hydroxy.
Another aspect of the invention is a compound of formula (I), or a pharmaceutically acceptable salt thereof, wherein
R is selected from hydrogen and alkyl; and
R5 is selected from -S(O)2R8, -S(O)2NR6R7,
Another aspect of the invention is a compound of formula (II)
(H)
or a pharmaceutically acceptable salt thereof, wherein
n is 0 or 1 ;
A is selected from furyl, phenyl, and pyridinyl;
B is a five- to nine-membered ring containing 0 or 1 double bonds and optionally containing one additional heteroatom selected from nitrogen and oxygen; wherein said ring is optionally substituted with one or two substituents independently selected from alkoxy, alkoxycarbonyl, carboxy, hydroxy, (NR4R5)carbonyl, and oxo;
R1 is selected from -C(O)NR4R5, and -CO2R4;
R is selected from alkoxy, arylalkoxy, and hydroxy;
R is selected from hydrogen, alkyl, hydroxyalkyl, aminoalkyl, (alkylamino)alkyl, (dialkylamino)alkyl, alkyl;
R is selected from hydrogen, alkyl, hydroxyalkyl, aminoalkyl, (alkylamino)alkyl, (dialkylamino)alkyl, alkyl, -S(O)2R8, -S(O)2NR6R7,
or NR4R5 taken together is pyrrolidinyl, piperidinyl, piperazinyl, homopiperidinyl, morpholinyl, or thiomorpholinyl and is substituted with 0-2 substituents selected from the group consisting of alkyl, hydroxy, amino, alkylamino, dialkylamino, pyrrolidinyl, piperidinyl, and pyridinyl;
R and R are independently selected from hydrogen and alkyl;
R is selected from aryl, cycloalkyl, and heteroaryl;
9 10
R and R are independently selected from hydrogen and alkyl; or
9 10
R and R , together with the carbon atom to which they are attached, form a four- to seven-membered saturated ring optionally containing 1 or 2 heteroatoms selected from nitrogen, oxygen, and sulfur; and
R is a five- or six-membered aromatic ring containing 0, 1 , 2, or 3 heteroatoms selected from nitrogen, oxygen, and sulfur, wherein said ring is optionally substituted with one substituent independently selected from alkoxycarbonylalkenyl, alkoxycarbonylalkyl, aryl, carboxyalkenyl, and carboxyalkyl, wherein said aryl is further optionally substituted with one substituent independently selected from carboxy and carboxyalkenyl.
Another aspect of the invention is a compound selected from
Another aspect of the invention is a compound selected from the group consisting of
a pharmaceutically acceptable salt or solvate thereof.
As used in the present specification the following terms have the meanings indicated:
The term "alkoxy," as used herein, refers to an alkyl group attached to the parent molecular moiety through an oxygen atom.
The term "alkoxyalkyl," as used herein, refers to an alkyl group substituted with one, two, or three alkoxy groups.
The term "alkoxycarbonyl," as used herein, refers to an alkoxy group attached to the parent molecular moiety through a carbonyl group.
The term "alkyl," as used herein, refers to a group derived from a straight or branched chain saturated hydrocarbon containing from one to six carbon atoms. Some examples of alkyl groups include, but are not limited to, methyl, ethyl, isopropyl, and tert-butyl.
The term "alkylamino," as used herein, refers to -NHRa, wherein Ra is an alkyl group.
The term "alkylcarbonyl," as used herein, refers to an alkyl group attached to the parent molecular moiety through a carbonyl group.
The term "amino," as used herein, refers to -NH2.
The term "alkylaminoalkyl," as used herein, refers to an amino group substituted with an alkyl group and attached to the parent molecular moiety through a alkyl group.
The term "dialkylaminoalkyl," as used herein, refers to an amino group substituted with two alkyl groups and attached to the parent molecular moiety through a alkyl group.
The term "aminoalkyl," as used herein, refers to an amino group attached to the parent molecular moiety through a alkyl group.
The term "aryl," as used herein, refers to a phenyl group, or a bicyclic or tricyclic fused ring system wherein one or more of the rings is a phenyl group. Bicyclic fused ring systems consist of a phenyl group fused to a monocyclic cycloalkenyl group, a monocyclic cycloalkyl group, or another phenyl group. Tricyclic fused ring systems consist of a bicyclic fused ring system fused to a monocyclic cycloalkenyl group, a monocyclic cycloalkyl group, or another phenyl group. The aryl groups of the present disclosure can be attached to the parent molecular moiety through any substitutable carbon atom in the group. Representative examples of aryl groups include, but are not limited to, anthracenyl, azulenyl, bicyclooctatrienyl, fluorenyl, indanyl, indenyl, naphthyl, phenyl, and tetrahydronaphthyl. The aryl groups of the present disclosure can be optionally substituted with one, two, three, four, or five substituents independently selected from the group consisting of alkoxy, alkyl, carboxy, cyano, halo, haloalkoxy, haloalkyl, hydroxy, nitro, and oxo.
The term "arylalkoxy," as used herein, refers to an aryl group attached to the parent molecular moiety through an alkoxy group.
The term "arylalkyl," as used herein, refers to an alkyl group substituted with one, two, or three aryl groups.
The term "arylcarbonyl," as used herein, refers to an aryl group attached to the parent molecular moiety through a carbonyl group.
The term "aryloxy," as used herein, refers to an aryl group attached to the parent molecular moiety through an oxygen atom.
The term "carbonyl," as used herein, refers to -C(O)-.
The term "carboxy," as used herein, refers to -CO2H.
The term "cycloalkenyl," as used herein, refers to a non-aromatic, partially unsaturated monocyclic, bicyclic, or tricyclic ring system having three to fourteen carbon atoms and zero heteroatoms. Representative examples of cycloalkenyl groups include, but are not limited to, cyclohexenyl, octahydronaphthalenyl, and norbornylenyl.
The term "cycloalkyl," as used herein, refers to a saturated monocyclic, bicyclic, or tricyclic hydrocarbon ring system having three to fourteen carbon atoms and zero heteroatoms. Representative examples of cycloalkyl groups include, but are not limited to, adamantyl, bicyclo[3.1.1]heptyl, cyclobutyl, cyclohexyl, cyclopentyl, and cyclopropyl.
The terms "halo," and "halogen," as used herein, refer to Br, Cl, F, or I.
The term "haloalkoxy," as used herein, refers to a haloalkyl group attached to the parent molecular moiety through an oxygen atom.
The term "haloalkyl," as used herein, refers to an alkyl group substituted with one, two, three, or four halogen atoms.
The term "heteroaryl," as used herein, refers to an aromatic five- or six- membered ring where at least one atom is selected from the group consisting of N, O, and S, and the remaining atoms are carbon. The term "heteroaryl" also includes bicyclic systems where a heteroaryl ring is fused to a phenyl group, a monocyclic cycloalkenyl group, as defined herein, a monocyclic cycloalkyl group, as defined herein, a monocyclic heterocyclyl group, as defined herein, or an additional monocyclic heteroaryl group; and tricyclic systems where a bicyclic system is fused to a phenyl group, a monocyclic cycloalkenyl group, as defined herein, a monocyclic cycloalkyl group, as defined herein, a heterocyclyl group, as defined herein, or an additional monocyclic heteroaryl group. The heteroaryl groups are attached to the parent molecular moiety through any substitutable carbon or nitrogen atom in the group. Representative examples of heteroaryl groups include, but are not limited to, benzoxadiazolyl, benzoxazolyl, benzofuranyl, benzothienyl, cinnolinyl,
dibenzofuranyl, furanyl, imidazolyl, indazolyl, indolyl, isoxazolyl, isoquinolinyl, isothiazolyl, naphthyridinyl, oxadiazolyl, oxazolyl, pyridinyl, pyridazinyl, pyrimidinyl, pyrazinyl, pyrazolyl, pyrrolyl, quinolinyl, thiazolyl, thienopyridinyl, thienyl, triazolyl, thiadiazolyl, and triazinyl. The heteroaryl groups of the present disclosure can be optionally substituted with one, two, three, four, or five substituents independently selected from the group consisting of alkoxy, alkyl, carboxy, cyano, halo, haloalkoxy, haloalkyl, hydroxy, nitro, and oxo.
The term "hydroxy," as used herein, refers to -OH.
The term "hydroxyalkyl," as used herein, refers to an alkyl group substituted with one, two, or three hydroxy groups.
The term "(NR R )alkyl," refers to an alkyl group substituted with one, two, or three -NR R groups.
The term "(NR R )carbonyl," as used herein, refers to an -NR R group attached to the parent molecular moiety through a carbonyl group.
The term "(NR6R7)carbonyl," as used herein, refers to an -NR6R7 group attached to the parent molecular moiety through a carbonyl group.
The term "oxo," as used herein, refers to =0.
Certain compounds of the present disclosure may also exist in different stable conformational forms which may be separable. Torsional asymmetry due to restricted rotation about an asymmetric single bond, for example because of steric hindrance or ring strain, may permit separation of different conformers. The present disclosure includes each conformational isomer of these compounds and mixtures thereof.
The invention encompasses various geometric isomers and mixtures thereof
resulting from the arrangement of substituents around these carbon-carbon double bonds. It should be understood that the disclosure encompasses both isomeric forms, and mixtures thereof, which possess the ability to inhibit the NS5B polymerase of HCV.
The term "E" represents higher order substituents on opposite sides of the carbon-carbon double bond, and the term "Z" represents higher order substituents on the same side of the carbon-carbon double bond.
Some of the compounds of the invention possess asymmetric carbon atoms, for example the compound illustrated below. The invention includes all stereoisomeric forms, including enantiomers and diastereomers. Stereoisomeric mixtures of the compounds and related intermediates can be separated into individual isomers according to methods commonly known in the art.
The term "compounds of the disclosure", and equivalent expressions, are meant to embrace compounds of Formula (I), stereoisomers, enantiomers, diastereomers, and pharmaceutically acceptable salts or solvates thereof. Similarly, references to intermediates are meant to embrace their salts and solvates where the context so permits.
The term "solvate" means a physical association of a compound of this disclosure with one or more solvent molecules, whether organic or inorganic. This physical association includes hydrogen bonding. In certain instances the solvate will be capable of isolation, for example when one or more solvent molecules are
incorporated in the crystal lattice of the crystalline solid. In other instances, the solvate will consist of adventitious solvent. The term "solvate" encompasses both solution-phase and isolable solvates. Exemplary solvates include hydrates, ethanolates, methanolates, and the like.
Some of the compounds of the present disclosure can exist as salts. The invention includes all pharmaceutically acceptable salt forms of the compounds. Pharmaceutically acceptable salts are those in which the counter ions do not contribute significantly to the physiological activity or toxicity of the compounds and as such function as pharmacological equivalents. These salts can be made according to common organic techniques employing commercially available reagents. Some acid addition salts include acetate, adipate, alginate, citrate, aspartate, benzoate, benzenesulfonate, bisulfate, butyrate, camphorate, carnphorsulfonate; digluconate, glycerophosphate, hemisulfate, heptanoate, hexanoate, formate, fumarate, hydrochloride, hydrobromide, hydroiodide, 2-hydroxyethanesulfonate, lactate, maleate, mesitylenesulfonate, methanesulfonate, naphthylenesulfonate, nicotinate, 2- naphthalenesulfonate, oxalate, palmoate, pectinate, persulfate, 3-phenylproprionate, picrate, pivalate, propionate, succinate, tartrate, trichloroacetate, trifluoroacetate, phosphate, glutamate, bicarbonate, para-toluenesulfonate, and undecanoate. Examples of acids which can be employed to form pharmaceutically acceptable addition salts include inorganic acids such as hydrochloric, hydrobromic, sulfuric, and phosphoric, and organic acids such as oxalic, maleic, succinic, and citric.
Some pharmaceutically acceptable salts include lithium, sodium, potassium, calcium, magnesium, and aluminum, as well as nontoxic -quaternary amine cations such as ammonium, tetramethylammonium, tetraethylammonium, methylamine, dimethylamine, trimethylamine, triethylamine, diethylamine, ethylamine, tributylamine, pyridine, N,N-dimethylaniline, N-methylpiperidine, N- methylmorpholine, dicyclohexylamine, procaine, dibenzylamine, N5N- dibenzylphenethylamine, and N,N'-dibenzylethylenediamine. Other representative organic amines useful for the formation of base addition salts include ethylenediamine, ethanolamine, diethanolamine, piperidine, and piperazine.
The invention also includes all solvated forms of the compounds, particularly hydrates. Solvates do not contribute significantly to the physiological activity or toxicity of the compounds and as such function as pharmacological equivalents. Solvates may form in stoichiometric amounts or may form from adventitious solvent or a combination of both. One type of solvate is hydrate, and some hydrated forms include monohydrate, hemihydrate, and dihydrate.
Synthetic Methods
The compounds and processes of the present disclosure will be better understood in connection with the following synthetic schemes which illustrate some methods by which the compounds of the disclosure may be prepared. The following methods set forth below are provided for illustrative purposes and are not intended to limit the scope of the present disclosure. Variations of the reactions, for example choices of reactants, solvents, temperatures, and the like, are known to those skilled in the art. Variables in the structural formulas refered to in the synthetic methods section and the specific embodiments section are for illustrative purposes only and are distinct from and should not be confused with the variables in the claims and the description of the invention section. Starting materials can be obtained from commercial sources or prepared by literature methods, hi addition, it may be necessary to introduce or remove protecting groups in order to carry certain substituents through the indicated reaction conditions. A compendium of protecting groups which may be useful, together with reaction conditions for their introduction and removal may be found in Greene, T. W.; Wuts, P. G. M. Protective Groups in Organic Synthesis, Third Edition; Wiley: New York, 1999.
It will be readily apparent to one of ordinary skill in the art that the compounds defined above can be synthesized by substitution of the appropriate reactants and agents in the syntheses shown below. It will also be readily apparent to one of ordinary skill in the art that the selective protection and deprotection steps, as well as the order of the steps themselves, can be carried out in varying order, depending on the nature of the variables to successfully complete the syntheses below.
Abbreviations used within the schemes and generally follow conventions used in the art. Some examples are as follows: THF for tetrahydrofuran; DMF for N1N- dimethylformamide; RCM for ring-closing methasis; Boc for fø-t-butoxycarbonyl; TFA for trifluoracetic acid; DMA for N,N-dimethylacetamide; PPI13 for triphenylphosphine; OAc for acetate; Me for methyl; COD (or cod) for 1,5- cyclooctadiene; dtbpy for 4,4'-di-fert-butyl-2,2'-bipyridine; dba for dibenzylideneacetone; Xantphos for 4,5-bis(diphenylphosphino)-9,9- dimethylxanthine; aq for aqueous; EtOH for ethanol; MeOH for methanol; TBTU for 2-(lH-benzotriazole-l-yl)-l,l,3,3-tetramethyluronium tetrafluroborate; DMSO for dimethylsulfoxide; HATU for O-(7-azabenzotriazol-l-yl)-N,ΛζiV',N'- tetramethyluronium hexafluorophosphate; EEDQ for 2-ethoxy- 1-ethoxycarbony 1-1,2- dihydroquinoline; WSC for l-[3-(dimethylamino)propyl]-3-ethylcarbodiimide hydrochloride; DMAP for 4-dimethylaminopyridine; n-Bu for n-butyl; BEMP for 2- fert-butylimino-2-diethylamino- 1 ,3-dimethylperhydro- 1 ,3 ,2-diazaphosphorine, polymer-bound; DIPEA for diisopropylethylamine; and TEA for triethylamine.
Method A describes a general method of preparing certain compounds of formula (I) (Schemes 1-3).
As illustrated in Schemes 1-3, many compounds of Formula I can be synthesized utilizing a ring closing metathesis (RCM) reaction as the primary carbon-carbon bond forming reaction. As shown in Scheme 1, indole 7 can be alkylated with allyl bromide to provide diene 8 which can undergo RCM in the presence of an appropriate RCM catalyst (such as Grubb's second generation catalyst) to provide benzazepine 9. The alkylation step the allyl bromide can be replaced by other terminal olefins. For example, Scheme 2 shows the alkylation of indole 7 (R2 = H) with methyl-, or tert-butyl-2-(bromomethyl)acrylate (12) (R=
methyl, or tert-butyl) which can provide indoles 13. Alkylation of 7 (R2 = H) with bromomethylacrylic acid (12, R=H) can provide 13 (R=H) which can afford benzyl ester 13 (R=benzyl) after alkylation with benzyl bromide in the presence of cesium carbonate. RCM of the indole esters 13 can provide the fused compounds 14. hi these examples the 7-membered ring is functionalized with an ester moiety.
Scheme 2
The ester moieties on the ring can be selectively converted to the carboxylic acid 14a using methodlogy known in the art. For example, as shown in Scheme 2a, partial hydro genation of the benzyl ester 14 (R=benzyl), selective base-catalyzed hydrolysis of the dimethyl ester 14 (R=methyl), and cleavage of the tert-butyl ester 14
with trifluoroacetic acid can provide acid 14a. Further reduction of 14a with hydrogen and palladium can give saturated acid 14b.
Scheme 2a
14c 14d
In another aspect, carboxylic acids 14a and 14b can be transformed into their respective amides 14c and 14d. The acids can be activated for the coupling reaction by conversion to their acid chlorides with, for example, oxalyl chloride or thionyl chloride. Alternatively, TBTU (2-(l H-benzotriazole- 1 -yl)- 1 , 1 ,3 ,3 - tetramethyluronium tetrafluroborate) is used to effect the coupling of the acids with the amines (14e). DMF, DMSO, and THF can be used as solvents. Additonal examples of peptide coupling reagents are described after Scheme 9. Base-catalyzed hydrolysis of the methyl esters of 14c and 14d can afford acids 14f and 14g. These compounds can be further elaborated as shown in Scheme 9 to provide additional compounds of formula I.
14f 14g
As noted in Scheme 2a, compounds 14g can possess an asymmetric center (*). Racemic mixtures can be resolved into their enantiomers by HPLC chromatography using a chiral column. Additionally, diasteroisomeric salts of 14g can be formed with optically active organic amines. These salts are usually separated by fractional recrystallization. Both the racemates and enantiomers inhibit the HCV polymerase and are an integral part of this invention.
An additional example, shown in Scheme 3, illustrates the construction of a functionalized nine-membered core (18). Palladium-mediated cross-coupling of bromide 5 (prepared by the method shown in Scheme 1) with protected boronic acid 15 can provide indole 16. Simultaneous alkylation of the indole and protected amine can provide 17. RCM of 17 subsequently yields 18 from which the core structures 19 and 20 are obtained after removal of the Boc group and hydrogenolysis, respectively.
Scheme 3
alkylation
Numerous boronic acids and their pinacolatoborane equivalents are either available commercially or readily synthesized (see, for example, J. Org. Chem. 2000, 65, 164 and Tetrahedron Lett, 1997, 38 (19), 3447-3450), allowing for the preparation of analogs using this procedure.
Method B provides an alternative to the RCM reaction method of preparing compounds of formula (I) (Schemes 4-5).
As shown in Scheme 4, the bridged indole cores can also be synthesized from indole 4 (prepared by the method shown in Scheme 1) by utilizing palladium- mediated chemistry (Heck reaction). The explicit synthesis of 10 (R =H, structure shown in Scheme 1) from intermediate 4 (prepared by the method described in Scheme 1) is illustrated.
Scheme 4
This methodology is also applicable for the synthesis of many of the heterocyclic cores of the present disclosure as illustrated in Scheme 5. Alkylation of indole 4 (prepared by the method shown in Scheme 1) with 2-benzyloxy-l- bromoethane can provide 24. The benzyl protecting group can be removed by hydrogenolysis, and the resulting alcohol 25 can be coupled with 2-bromo-3- pyridinol (26) under Mitsunobu conditions (known to those of ordinary skill in the art) to provide 27 which can be cyclized in the presence of catalytic palladium (0) to provide fused heterocycle 28 which can be hydrolyzed to provide acid 29.
Scheme 5
Method C describes the synthesis of intermediate 33 and its utility for the synthesis of various compounds of formula (I) compounds (Scheme 6).
Scheme 6
Indole 4 (prepared by the method shown in Scheme 1) can be borylated with bis(pinacolato)diboron (30) in the presence of an iridium catalyst (31) according to the methodology of Ishiyama (see, for example, Angew. Chem. Int. Ed. 2002, 41(16), 3056 and Chem. Comm. 2003, 2924). Boronate 33 can be coupled with bromoheteroarenes 34, 35, and 36. This cross-coupling is not limited to
bromoarenes, but can carried out with aryl and heteroaryl triflates, iodides, and chlorides as well.
Using an adaptation of the methodology described in Organic Letters, 2000, 2(8), 1101-1104, intramolecular cyclization of the primary amide 42 provides lactam 45. Dienes 41 and 40 can be subjected to RCM as described above to provide compounds 44 and 43, respectively.
The ester groups in 43, 44, and 45 can be hydrolyzed to their respective acids which can be transformed to the amides described in the present disclosure. The unconjugated double bond in compounds 44 and 43 can be hydrogenated to the corresponding saturated analogs using conditions known to those in the art.
Method D describes the synthesis of compounds of formula (I) using an intramolecular Aldol reaction to form the bridge (Scheme 7).
Scheme 7
Intermediate 5 (prepared by the method described in Scheme 1) can be alkylated with ethyl bromoacetate to give 46. Under prolonged refluxing the Suzuki product from the cross coupling of 46 and 47 can undergo cyclization via an Aldol reaction to provide diester 48. In an analogous manner, utilization of tert-butyl
bromacetate in the reaction sequence can afford 50 in which the acid functionalities are differentially protected. Hydrolysis of diester 48 can provide diacid 49. Alternatively, selective hydrolysis of the methyl ester in 50 can provide 51 which can be elaborated to provide additional compounds of formula (I).
Method E shows an alternative for the construction of compounds of formula (I) containing an ether bridge (Scheme 8).
Scheme 8
The Suzuki coupling of compound 5 (prepared by the method described in Scheme 1) and 2-(4,4,5,5-tetramethyl-l,3,2-dioxaborolan-2-yl)phenol (52) can provide indole 53 which can be alkylated with 1,3-dibromoethane to provide the ether bridged indole 54.
Method F provides a method for preparing compounds of formula (I) where the carboxylic acid moieties of the core structures are transformed into substituted amides (Scheme 9).
Scheme 9
60
Scheme 9 shows the general methodology used to synthesize compounds of formula (Ia) wherein R2, R3, R4, R5 , R9 , and R10 have been previously defined. Optionally a core carboxylic acid (55) is suitably activated and then coupled with either carboxy protected amino acid 56 or amide 57 to provide either protected intermediate 58 or compound Ia, respectively. In path A the carboxylic acid protecting group of 58 is removed and the resulting acid is coupled with amine 59 to provide Ia. The path chosen is most often at the discretion of the experimentalist and both paths have been utilized to provide the identical formula (Ia) compounds. The intermediate 57 is synthesized from the coupling of N-protected amino acid 60 and amine 59. The nitrogen protecting group is subsequently removed to provide 57.
The synthetic sequences in this scheme are examples of peptide bond formation and the sequential manipulation of protecting groups. The art is rich in these methodologies (see, for example, The Practice of Peptide Synthesis, M. Bodanszky and A. Bodanszky, Springer- Verlag, 1984, and Tetrahedron 2004, 60, 2447-2467. TBTU (2-(lH-benzotriazole-l-yl)-l,l,3,3-tetramethyluronium tetrafluroborate) is one coupling reagent used for the coupling of 55 with either 56 or 57. Examples of solvents include dimethyl sulfoxide (DMSO), N,N-dimethyl formamide (DMF), and tetrahydrofuran (THF). Additional coupling reagents for the synthesis of compounds of formula (I) and the intermediates include HATU (<9-(7-
azabenzotriazol-l-yl)-N,N,iV',N'-tetramethyluronium hexafluoropliospliate), EEDQ (2-ethoxy-l-emoxycarbonyl-l,2-dihydroquinoline), and the like. A mixed anhydride of acid 60 is an additional example of an activated carboxylic acid which is used advantageously. Examples of protecting groups for the carboxylic acid moieties include methyl, ethyl, allyl, benzyl, and fert-butyl esters. Representative amino protecting groups include Boc (benzyloxycarbonyl) and Fmoc (9- fluorenylmethoxycarbonyl) .
The general Scheme was developed using protected amino acids 56a and 56b. Replacement of either 56a or 56b with protected amino acids 56c-56e can provide formula (Ia) compounds which incorporate these amino acids.
Compounds of formula Ib-Io are also within the scope of the present disclosure. Replacement of the amino cinnamate 59 with heterocyclic variants, substituted amino heterocyles, or bicyclic cinnamic acid bioisosteres will provide these compounds. These disclosed structures are for illustrative purposes only and are not intented to limit the scope of the present disclosure.
Method G is descriptive for the synthesis of a subset of the formula (I) compounds føa) and is exemplified in Scheme 10.
Scheme 10
Scheme 10 shows a general route for the synthesis of compounds of formula (I) where R4 and R5 have beeen previously defined. The general method is explicitly illustrated for the synthesis of 64 in which carboxylic acid 62 is activated with the water soluble carbodiimide (WSC) l-[3-(dimethylamino)propyl]-3-ethylcarbodiimide hydrochloride. A solution of the activated acid is coupled in DMF-dichloromethane with sulfonamide 63 in the presence of DMAP (4-dimethylaminopyridine) and diisopropylethylamine to provide acylsulfonamide 64. The coupling can be done in a microwave reactor at about 160 °C for about ten minutes. Alternative procedures for activation of the acids 55 include formation of the acid chloride or imidazole.
Acylsulfonamides such as 64 are acidic and form salts with alkali metal hydroxides. These salts have enhanced solubilities in aqueous media.
Scheme 11 is illustrative for the synthesis of compounds of formula (I) wherein R1 is 5-tetrazolyl, 5-oxo-4,5-dihydro-l,2,4-oxadiazol-3-yl, or 5-thioxo-4,5- dihydro-l,2,4-oxadiazol-3-yl. For example, treatment of a mixture of carboxylic acid 11 (prepared by the method described in Scheme 1) in dichloromethane with thionyl chloride and a catalytic amount of DMF can provide the acid chloride which upon treatment with methanolic ammonia can provide amide 65. Dehydration of the amide with phosphorous oxychloride can provide nitrile 66 which can be converted to tetrazole 67 as indicated. The transformations of carboxylic acids into tetrazoles via a nitrile intermediate are well documented in the literature and numerous alternative reagents are known to those in the art (see, for example, Recent Developments in Tetrazole Chemistry, A Review, SJ. Wittenberger, Organic Preparations and Procedures Int, 1994, 25(5), 400-531).
Treatment of nitrile 66 with hydroxylamine in DMSO can provide amidoxime 68 which upon treatment with methyl chloroformate or thiocarbonyldiimidazloe can provide the acidic heterocycles 69 and 70, respectively.
Scheme 12
Scheme 12 shows a method of converting 62 (prepared by the method described in Scheme 10) to a substituted (l,2,4-oxadiazol-3-yl)cyclopentyl amide 75, wherein R is as previously defined. The acid (62) can be coupled with 1- cyanocyclohexylamine (71) to provide 72. Treatment of 72 with hydroxylamine can provide substituted aminohydroxylimino intermediate 73 which can be reacted with an acylating agent such as an acid chloride (74,X =C1) to provide the oxadiazole 75.
Method H shows an alternative way to construct a bridged indole wherein the bridge is a lactam (Scheme 13).
Scheme 13
Bromoindole 5 (prepared by the method described in Scheme 1) can be treated with sodium hydride in THF to generate the indole anion which can be alkylated with tert- butyl bromoacetate to provide 76. Suzuki cross-coupling of 76 with the Boc- protected boronic acid 15 (shown in Scheme 3) can give 77. Upon removal of the Boc protecting group with TFA, cyclization occurs providing lactam 78. Base- catalyzed hydrolysis provides a mixture of the carboxylic acid core 80 as well as the dicarboxlic acid 79. The latter can be readily cyclized by heating in acetic acid. The hydrolysis of 78 to 80 can be done in a refluxing mixture of acetic acid and 37% hydrochloric acid (2:1) to allow for cyclization of any amount of 79 that is formed during the course of the reaction.
The majority of the final compounds were purified by reverse phase chromatography using a preparative C- 18 column employing gradients of methanol - water containing 0.1% of trifluoroacetic acid (TFA), and using a Shimadzu High Perfomance Liquid Preparative Chromatographic System employing an XTERRA 30 x 100 mm S 5 column at 40 mL/min flow rate with a 12 min gradient. The final compounds usually precipitated from the aqueous eluent mixture when the methanol co-solvent was removed. An Emrys Optimizer personal microwave reactor was used for the microwave assisted reactions. Molecular weights and purities were usually determined using a Shimadzu LCMS using a Phenomenex-Luna 3.O x 50mm S lO reverse phase column employing a flow rate of 4 mL min using a 0.1%TFA in methanol / H2O gradient [0-100% in 2 min, with 3 min run time]. NMR spectra were usually obtained on either a Bruker 500 or 300 MHz instrument. The preparative silicic acid plates were 20 x20 cm with a 1000 micron layer of silica gel GF.
Biological Methods
HCV RdRp assays utilized in the present invention were prepared, conducted, and validated as follows:
HCVNS5B RdRp cloning, expression, and purification. The cDNA encoding the NS5B protein of HCV, genotype Ib, was cloned into the pET21a expression vector. The protein was expressed with an 18 amino acid C-terminal truncation to
enhance the solubility. The E. coli competent cell line BL21(DE3) was used for expression of the protein. Cultures were grown at 37 °C for ~ 4 hours until the cultures reached an optical density of 2.0 at 600 nm. The cultures were cooled to 20 °C and induced with 1 mM IPTG. Fresh ampicillin was added to a final concentration of 50 μg/ml and the cells were grown overnight at 20 0C.
Cell pellets (3L) were lysed for purification to yield 15-24 mgs of purified NS5B. The lysis buffer consisted of 20 mM Tris-HCl, pH 7.4, 500 mM NaCl, 0.5% triton X-100, 1 mM DTT, ImM EDTA, 20% glycerol, 0.5 mg/ml lysozyme, 10 mM MgCl2, 15 ug/ml deoxyribonuclease I, and Complete TM protease inhibitor tablets (Roche). After addition of the lysis buffer, frozen cell pellets were resuspended using a tissue homogenizer. To reduce the viscosity of the sample, aliquots of the lysate were sonicated on ice using a microtip attached to a Branson sonicator. The sonicated lysate was centrifuged at 100,000 x g for lhr at 4 °C and filtered through a 0.2 μm filter unit (Coming).
The protein was purified using three sequential chromatography steps: Heparin sepharose CL-6B, polyU sepharose 4B, and Hitrap SP sepharose (Pharmacia). The chromatography buffers were identical to the lysis buffer but contained no lysozyme, deoxyribonuclease I, MgCl2 or protease inhibitor and the NaCl concentration of the buffer was adjusted according to the requirements for charging the protein onto the column. Each column was eluted with a NaCl gradient which varied in length from 5-50 column volumes depending on the column type. After the final chromatography step, the resulting purity of the enzyme is >90% based on SDS-PAGE analysis. The enzyme was aliquoted and stored at -80 0C.
Standard HCV NS 5 B RdRp enzyme assay. HCV RdRp genotype Ib assays were run in a final volume of 60 μl in 96 well plates (Costar 3912). The assay buffer is composed of 20 mM Hepes, pH 7.5, 2.5 mM KCl, 2.5 mM MgCl2, 1 mM DTT, 1.6 U RNAse inhibitor (Promega N2515), 0.1 mg/ml BSA (Promega R3961), and 2 % glycerol. All compounds were serially diluted (3-fold) in DMSO and diluted further in water such that the final concentration of DMSO in the assay was 2%. HCV RdRp
genotype Ib enzyme was used at a final concentration of 28 nM. A polyA template was used at 6 nM, and a biotinylated oligo-dT12 primer was used at 180 nM final concentration. Template was obtained commercially (Amersham 27-4110). Biotinylated primer was prepared by Sigma Genosys. 3H-UTP was used at 0.6 μCi (0.29 μM total UTP). Reactions were initiated by the addition of enzyme, incubated at 30 °C for 60 min, and stopped by adding 25 μl of 50 niM EDTA containing SPA beads (4 μg/μl, Amersham RPNQ 0007). Plates were read on a Packard Top Count NXT after >lhr incubation at room temperature.
Modified HCV NS5B RdRp enzyme assay. A modified enzyme assay was performed essentially as described for the standard enzyme assay except for the following: The biotinylated oligo dTπ primer was precaptured on streptavidin- coated SPA beads by mixing primer and beads in assay buffer and incubating at room temperature for one hour. Unbound primer was removed after centrifugation. The primer-bound beads were resuspended in 20 mM Hepes buffer, pH 7.5 and used in the assay at final concentrations of 20 nM primer and 0.67 μg/μl beads. Order of addition in the assay, enzyme (14 nM) was added to diluted compound followed by the addition of a mixture of template (0.2 nM) , 3H-UTP (0.6 μCi, 0.29 μM), and primer-bound beads, to initiate the reaction; concentrations given are final. Reactions were allowed to proceed for 4 hours at 30° C.
The IC50 values for compounds were determined using seven different [I]. IC50 values were calculated from the inhibition using the formula y = A+((B- A)/(l+((C/x)AO))).FRET Assay Preparation. To perform the HCV FRET screening assay, 96-well cell culture plates were used. The FRET peptide (Anaspec, Inc.)
(Taliani et al., Anal. Biochem. 240:60-67 (1996), hereby incorporated by reference in its entirety) contains a fluorescence donor, EDANS, near one end of the peptide and an acceptor, DABCYL, near the other end. The fluorescence of the peptide is quenched by intermolecular resonance energy transfer (RET) between the donor and the acceptor, but as the NS3 protease cleaves the peptide the products are released from RET quenching and the fluorescence of the donor becomes apparent. The assay reagent was made as follows: 5X cell Luciferase cell culture lysis reagent from
Promega (#E153A) diluted to IX with dH2O, NaCl added to 150 mM final, the FRET peptide diluted to 20 uM final from a 2 mM stock.
To prepare plates, HCV replicon cells, with or without a Renilla luciferase reporter gene, were trypsinized and placed into each well of a 96-well plate with titrated test compounds added in columns 3 through 12; columns 1 and 2 contained a control compound (HCV protease inhibitor), and the bottom row contained cells without compound. The plates were then placed in a CO2 incubator at 37 degrees C.
Assays. Subsequent to addition of the test compounds described above
(FRET Assay Preparation), at various times the plate was removed and Alamar blue solution (Trek Diagnostics, #00-100) was added per well as a measure of cellular toxicity. After reading in a Cytoflour 4000 instrument (PE Biosystems), plates were rinsed with PBS and then used for FRET assay by the addition of 30 ul of the FRET peptide assay reagent described above (FRET Assay Preparation) per well. The plate was then placed into the Cytoflour 4000 instrument which had been set to 340 excite/490 emission, automatic mode for 20 cycles and the plate read in a kinetic mode. Typically, the signal to noise using an endpoint analysis after the reads was at least three-fold. Alternatively, after Alamar blue reading, plates were rinsed with PBS, 50 ul of DMEM (high glucose) without phenol red was added and plates were then used for luciferase assay using the Promega Dual-Glo Luciferase Assay System.
Compound analysis was determined by quantification of the relative HCV replicon inhibition and the relative cytotoxicity values. To calculate cytoxicity values, the average Alamar Blue fluorescence signals from the control wells were set as 100% non-toxic. The individual signals in each of the compound test wells were then divided by the average control signal and multiplied by 100% to determine percent cytotoxicity. To calculate the HCV replicon inhibition values, an average background value was obtained from the two wells containing the highest amount of HCV protease inhibitor at the end of the assay period. These numbers were similar to those obtained from naϊve Huh-7 cells.
The background numbers were then subtracted from the average signal obtained from the control wells and this number was used as 100% activity. The individual signals in each of the compound test wells were then divided by the averaged control values after background subtraction and multiplied by 100% to determine percent activity. EC50 values for a protease inhibitor titration were calculated as the concentration which caused a 50% reduction in FRET or luciferase activity. The two numbers generated for the compound plate, percent cytoxicity and percent activity were used to determine compounds of interest for further analysis.
Representative data for compounds of Formula I are reported in the
Description of Specific Embodiments section.
Pharmaceutical Compositions and Methods of Treatment
Another aspect of the invention is a composition comprising a compound of formula (I), or a pharmaceutically acceptable salt thereof, and a pharmaceutically acceptable carrier. In another embodiment the composition further comprises a compound having anti-HCV activity. In another embodiment the compound having anti-HCV activity is an interferon. In another embodiment the interferon is selected from interferon alpha 2B, pegylated interferon alpha, consensus interferon, interferon alpha 2A, and lymphoblastoid interferon tau.
Another aspect of the invention is a composition comprising a compound of formula (I), or a pharmaceutically acceptable salt thereof, a pharmaceutically acceptable carrier, and a compound having anti-HCV activity, wherein the compound having anti-HCV activity is a cyclosporin. In another embodiment the cyclosporin is cyclosporin A.
Another aspect of the invention is a composition comprising a compound of formula (I), or a pharmaceutically acceptable salt thereof, a pharmaceutically acceptable carrier, and a compound having anti-HCV activity, wherein the compound having anti-HCV activity is selected from interleukin 2, interleukin 6, interleukin 12, a compound that enhances the development of a type 1 helper T cell response,
interfering RNA, anti-sense RNA, Imiqimod, ribavirin, an inosine 5'-monophospate dehydrogenase inhibitor, amantadine, and rimantadine.
Another aspect of the invention is a composition comprising a compound of formula (I), or a pharmaceutically acceptable salt thereof, a pharmaceutically acceptable carrier, an interferon and ribavirin.
Another aspect of the invention is a composition comprising a compound of formula (I), or a pharmaceutically acceptable salt thereof, a pharmaceutically acceptable carrier, and a compound having anti-HCV activity, wherein the compound having anti-HCV activity is a small molecule compound.
Another aspect of the invention is a composition comprising a compound of formula (I), or a pharmaceutically acceptable salt thereof, a pharmaceutically acceptable carrier, and a compound having anti-HCV activity, wherein the compound having anti-HCV activity is effective to inhibit the function of a target selected from HCV metalloprotease, HCV serine protease, HCV polymerase, HCV helicase, HCV NS4B protein, HCV entry, HCV assembly, HCV egress, HCV NS5A protein, IMPDH5 and a nucleoside analog for the treatment of an HCV infection.
Another aspect of the invention is a method of inhibiting the function of the HCV replicon comprising contacting the HCV replicon with a compound of formula (I) or a pharmaceutically acceptable salt thereof.
Another aspect of the invention is a method of inhibiting the function of the
HCV NS5B protein comprising contacting the HCV NS5B protein with a compound of formula (I) or a pharmaceutically acceptable salt thereof.
Another aspect of the invention is a method of treating an HCV infection in a patient comprising administering to the patient a therapeutically effective amount of a compound of formula (I) or a pharmaceutically acceptable solvate or salt thereof, hi another embodiment the compound is effective to inhibit the function of the HCV
replicon. In another embodiment the compound is effective to inhibit the function of the HCV NS5B protein.
Another aspect of the invention is a method of treating an HCV infection in a patient comprising administering to the patient a therapeutically effective amount of a compound of formula (I), or a pharmaceutically acceptable solvate or salt thereof, and administering another compound having anti-HCV activity prior to, after, or concurrently with the compound of formula (I). In another embodiment the other compound having anti-HCV activity is an interferon. In another embodiment the interferon is selected from interferon alpha 2B, pegylated interferon alpha, consensus interferon, interferon alpha 2A, and lymphoblastoid interferon tau.
Another aspect of the invention is a method of treating an HCV infection in a patient comprising administering to the patient a therapeutically effective amount of a compound of formula (I), or a pharmaceutically acceptable solvate or salt thereof, and administering another compound having anti-HCV activity prior to, after, or concurrently with the compound of formula (I), wherein the other compound having anti-HCV activity is a cyclosporin. In another embodiment the cyclosporin is cyclosporin A.
Another aspect of the invention is a method of treating an HCV infection in a patient comprising administering to the patient a therapeutically effective amount of a compound of formula (I), or a pharmaceutically acceptable solvate or salt thereof, and administering another compound having anti-HCV activity prior to, after, or concurrently with the compound of formula (I), wherein the other compound having anti-HCV activity is selected from interleukin 2, interleukin 6, interleukin 12, a compound that enhances the development of a type 1 helper T cell response, interfering RNA, anti-sense RNA, Imiqimod, ribavirin, an inosine 5'-monophospate dehydrogenase inhibitor, amantadine, and rimantadine.
Another aspect of the invention is a method of treating an HCV infection in a patient comprising administering to the patient a therapeutically effective amount of a compound of formula (I), or a pharmaceutically acceptable solvate or salt thereof,
and administering another compound having anti-HCV activity prior to, after, or concurrently with the compound of formula (I), wherein the other compound having anti-HCV activity is a small molecule.
Another aspect of the invention is a method of treating an HCV infection in a patient comprising administering to the patient a therapeutically effective amount of a compound of formula (I), or a pharmaceutically acceptable solvate or salt thereof, and administering another compound having anti-HCV activity prior to, after, or concurrently with the compound of formula (I), wherein the other compound having anti-HCV activity is effective to inhibit the function of a target selected from HCV metalloprotease, HCV serine protease, HCV polymerase, HCV helicase, HCV NS4B protein, HCV entry, HCV assembly, HCV egress, HCV NS5A protein, IMPDH, and a nucleoside analog for the treatment of an HCV infection.
Another aspect of the invention is a method of treating an HCV infection in a patient comprising administering to the patient a therapeutically effective amount of a compound of formula (I), or a pharmaceutically acceptable solvate or salt thereof, and administering another compound having anti-HCV activity prior to, after, or concurrently with the compound of formula (I), wherein the other compound having anti-HCV activity is effective to inhibit the function of target in the HCV life cycle other than the HCV NS5B protein.
The term "therapeutically effective amount," as used herein, refers to the total amount of each active component that is sufficient to show a meaningful patient benefit, e.g., a sustained reduction in viral load. When applied to an individual active ingredient, administered alone, the term refers to that ingredient alone. When applied to a combination, the term refers to combined amounts of the active ingredients that result in the therapeutic effect, whether administered in combination, serially, or simultaneously. The compounds of formula (I) and pharmaceutically acceptable salts thereof are as described above. The carrier(s), diluent(s), or excipient(s) must be acceptable in the sense of being compatible with the other ingredients of the formulation and not deleterious to the recipient thereof.
04156
46
In accordance with another aspect of the disclosure there is also provided a process for the preparation of a pharmaceutical formulation including admixing a compound of formula (I), and/or a pharmaceutically acceptable salt thereof, with one or more pharmaceutically acceptable carriers, diluents, or excipients. The term "pharmaceutically acceptable," as used herein, refers to those compounds, materials, compositions, and/or dosage forms which are, within the scope of sound medical judgment, suitable for use in contact with the tissues of patients without excessive toxicity, irritation, allergic response, or other problem or complication commensurate with a reasonable benefit/risk ratio, and are effective for their intended use.
Pharmaceutical formulations may be presented in unit dose forms containing a predetermined amount of active ingredient per unit dose. Dosage levels of between about 0.01 and about 250 milligram per kilogram ("mg/kg") body weight per day, for example between about 0.05 and about 100 mg/kg body weight per day of the compounds of the disclosure are typical in a monotherapy for the prevention and treatment of HCV mediated disease. Typically, the pharmaceutical compositions of this disclosure will be administered from about 1 to about 5 times per day or alternatively, as a continuous infusion. Such administration can be used as a chronic or acute therapy. The amount of active ingredient that may be combined with the carrier materials to produce a single dosage form will vary depending on the condition being treated, the severity of the condition, the time of administration, the route of administration, the rate of excretion of the compound employed, the duration of treatment, and the age, gender, weight, and condition of the patient. Preferred unit dosage formulations are those containing a daily dose or sub-dose, as herein above recited, or an appropriate fraction thereof, of an active ingredient. Generally, treatment is initiated with small dosages substantially less than the optimum dose of the compound. Thereafter, the dosage is increased by small increments until the optimum effect under the circumstances is reached, hi general, the compound is most desirably administered at a concentration level that will generally afford antivirally effective results without causing any harmful or deleterious side effects.
When the compositions of this disclosure comprise a combination of a compound of the disclosure and one or more additional therapeutic or prophylactic
agent, both the compound and the additional agent are usually present at dosage levels of between about 10 to 150%, more likely between about 10 and 80% of the dosage normally administered in a monotherapy regimen.
Pharmaceutical formulations may be adapted for administration by any appropriate route, for example by the oral (including buccal or sublingual), rectal, nasal, topical (including buccal, sublingual, or transdermal), vaginal, or parenteral (including subcutaneous, intracutaneous, intramuscular, intra-articular, intrasynovial, intrasternal, intrathecal, intralesional, intravenous, or intradermal injections or infusions) route. Such formulations may be prepared by any method known in the art of pharmacy, for example by bringing into association the active ingredient with the carrier(s) or excipient(s).
Pharmaceutical formulations adapted for oral administration may be presented as discrete units such as capsules or tablets; powders or granules; solutions or suspensions in aqueous or non-aqueous liquids; edible foams or whips; or oil-in- water liquid emulsions or water-in-oil emulsions.
For instance, for oral administration in the form of a tablet or capsule, the active drug component can be combined with an oral, non-toxic pharmaceutically acceptable inert carrier such as ethanol, glycerol, water, and the like. Powders are prepared by comminuting the compound to a suitable fine size and mixing with a similarly comminuted pharmaceutical carrier such as an edible carbohydrate, as, for example, starch or mannitol. Flavoring, preservative, dispersing, and coloring agent can also be present.
Capsules are made by preparing a powder mixture, as described above, and filling formed gelatin sheaths. Glidants and lubricants such as colloidal silica, talc, magnesium stearate, calcium stearate, or solid polyethylene glycol can be added to the powder mixture before the filling operation. A disintegrating or solubilizing agent such as agar-agar, calcium carbonate, or sodium carbonate can also be added to improve the availability of the medicament when the capsule is ingested.
Moreover, when desired or necessary, suitable binders, lubricants, disintegrating agents, and coloring agents can also be incorporated into the mixture. Suitable binders include starch, gelatin, natural sugars such as glucose or beta- lactose, corn sweeteners, natural and synthetic gums such as acacia, tragacanth or sodium alginate, carboxymethylcellulose, polyethylene glycol, and the like.
Lubricants used in these dosage forms include sodium oleate, sodium chloride, and the like. Disintegrators include, without limitation, starch, methyl cellulose, agar, betonite, xanthan gum, and the like. Tablets are formulated, for example, by preparing a powder mixture, granulating or slugging, adding a lubricant and disintegrant, and pressing into tablets. A powder mixture is prepared by mixing the compound, suitable comminuted, with a diluent or base as described above, and optionally, with a binder such as carboxymethylcellulose, an aliginate, gelating, or polyvinyl pyrrolidone, a solution retardant such as paraffin, a resorption accelerator such as a quaternary salt and/or and absorption agent such as betonite, kaolin, or dicalcium phosphate. The powder mixture can be granulated by wetting with a binder such as syrup, starch paste, acadia mucilage, or solutions of cellulosic or polymeric materials and forcing through a screen. As an alternative to granulating, the powder mixture can be run through the tablet machine and the result is imperfectly formed slugs broken into granules. The granules can be lubricated to prevent sticking to the tablet forming dies by means of the addition of stearic acid, a stearate salt, talc, or mineral oil. The lubricated mixture is then compressed into tablets. The compounds of the present disclosure can also be combined with a free flowing inert carrier and compressed into tablets directly without going through the granulating or slugging steps. A clear or opaque protective coating consisting of a sealing coat of shellac, a coating of sugar or polymeric material, and a polish coating of wax can be provided. Dyestuffs can be added to these coatings to distinguish different unit dosages.
Oral fluids such as solution, syrups, and elixirs can be prepared in dosage unit form so that a given quantity contains a predetermined amount of the compound. Syrups can be prepared by dissolving the compound in a suitably flavored aqueous solution, while elixirs are prepared through the use of a non-toxic vehicle. Solubilizers and emulsifiers such as ethoxylated isostearyl alcohols and
polyoxyethylene sorbitol ethers, preservatives, flavor additive such as peppermint oil or natural sweeteners, or saccharin or other artificial sweeteners, and the like can also be added.
Where appropriate, dosage unit formulations for oral administration can be microencapsulated. The formulation can also be prepared to prolong or sustain the release as for example by coating or embedding particulate material in polymers, wax, or the like.
The compounds of formula (I), and pharmaceutically acceptable salts thereof, can also be administered in the form of liposome delivery systems, such as small unilamellar vesicles, large unilamellar vesicles, and multilamellar vesicles. Liposomes can be formed from a variety of phopholipids, such as cholesterol, stearylamine, or phosphatidylcholines.
The compounds of formula (I) and pharmaceutically acceptable salts thereof may also be delivered by the use of monoclonal antibodies as individual carriers to which the compound molecules are coupled. The compounds may also be coupled with soluble polymers as targetable drug carriers. Such polymers can include polyvinylpyrrolidone, pyran copolymer, polyhydroxypropylmethacrylamidephenol, polyhydroxyethylaspartamidephenol, or polyethyleneoxidepolylysine substituted with palitoyl residues. Furthermore, the compounds may be coupled to a class of biodegradable polymers useful in achieving controlled release of a drug, for example, polylactic acid, polepsilon caprolactone, polyhydroxy butyric acid, polyorthoesters, polyacetals, polydihydropyrans, polycyanoacrylates, and cross-linked or amphipathic block copolymers of hydrogels.
Pharmaceutical formulations adapted for transdermal administration may be presented as discrete patches intended to remain in intimate contact with the epidermis of the recipient for a prolonged period of time. For example, the active ingredient may be delivered from the patch by iontophoresis as generally described in Pharmaceutical Research, 3(6), 318 (1986).
Pharmaceutical formulations adapted for topical administration may be formulated as ointments, creams, suspensions, lotions, powders, solutions, pastes, gels, sprays, aerosols, or oils.
For treatments of the eye or other external tissues, for example mouth and skin, the formulations are most often applied as a topical ointment or cream. When formulated in an ointment, the active ingredient may be employed with either a paraffinic or a water-miscible ointment base. Alternatively, the active ingredient may be formulated in a cream with an oil-in-water cream base or a water-in oil base.
Pharmaceutical formulations adapted for topical administrations to the eye include eye drops wherein the active ingredient is dissolved or suspended in a suitable carrier, especially an aqueous solvent.
Pharmaceutical formulations adapted for topical administration in the mouth include lozenges, pastilles, and mouth washes.
Pharmaceutical formulations adapted for rectal administration may be presented as suppositories or as enemas.
Pharmaceutical formulations adapted for nasal administration wherein the carrier is a solid include a course powder having a particle size for example in the range 20 to 500 microns which is administered in the manner in which snuff is taken, i.e., by rapid inhalation through the nasal passage from a container of the powder held close up to the nose. Suitable formulations wherein the carrier is a liquid, for administration as a nasal spray or nasal drops, include aqueous or oil solutions of the active ingredient.
Pharmaceutical formulations adapted for administration by inhalation include fine particle dusts or mists, which may be generated by means of various types of metered, dose pressurized aerosols, nebulizers, or insufflators.
Pharmaceutical formulations adapted for vaginal administration may be presented as pessaries, tampons, creams, gels, pastes, foams, or spray formulations.
Pharmaceutical formulations adapted for parenteral administration include aqueous and non-aqueous sterile injection solutions which may contain anti-oxidants, buffers, bacteriostats, and soutes which render the formulation isotonic with the blood of the intended recipient; and aqueous and non-aqueous sterile suspensions which may include suspending agents and thickening agents. The formulations may be presented in unit-dose or multi-dose containers, for example sealed ampoules and vials, and may be stored in a freeze-dried (lyophilized) condition requiring only the addition of the sterile liquid carrier, for example water for injections, immediately prior to use. Extemporaneous injection solutions and suspensions may be prepared from sterile powders, granules, and tablets.
It should be understood that in addition to the ingredients particularly mentioned above, the formulations may include other agents conventional in the art having regard to the type of formulation in question, for example those suitable for oral administration may include flavoring agents.
The term "patient" includes both human and other mammals.
The term "treating" refers to: (i) preventing a disease, disorder or condition from occurring in a patient that may be predisposed to the disease, disorder, and/or condition but has not yet been diagnosed as having it; (ii) inhibiting the disease, disorder, or condition, i.e., arresting its development; and (iii) relieving the disease, disorder, or condition, i.e., causing regression of the disease, disorder, and/or condition.
Certain illustrative HCV inhibitor compounds which can be administered with the compounds of the present disclosure include those disclosed in the following publications: WO 02/04425 A2 published January 17, 2002, WO 03/007945 Al published January 30, 2003, WO 03/010141 A2 published February 6, 2003, WO 03/010142 A2 published February 6, 2003, WO 03/010143 Al published February 6,
2003, WO 03/000254 Al published January 3, 2003, WO 01/32153 A2 published May 10, 2001, WO 00/06529 published February 10, 2000, WO 00/18231 published April 6, 2000, WO 00/10573 published March 2, 2000, WO 00/13708 published March 16, 2000, WO 01/85172 Al published November 15, 2001, WO 03/037893 Al published May 8, 2003, WO 03/037894 Al published May 8, 2003, WO 03/037895 Al published May 8, 2003, WO 02/100851 A2 published December 19, 2002, WO 02/100846 Al published December 19, 2002, EP 1256628 A2 published November 13, 2002, WO 99/01582 published January 14, 1999, WO 00/09543 published February 24, 2000, WO 02/08198, published January 31, 2002, WO 02/08187, published January 31, 2002, WO 02/08244, published January 31, 2002, WO 02/08251, published January 31, 2002, WO 02/08256, published January 31,
2002, WO 03/062228, published July 31, 2003, WO 03/062265, published July 31,
2003, WO 01/77113, published October 18, 2001, WO 02/48172, published June 20, 2002, WO 01/81325, published November 1, 2001, and WO 01/58929, published August 16, 2001.
The compounds of the present disclosure can also be administered with a cyclosporin such as cyclosporin A. Cyclosporin A has been shown to be active against HCV in clinical trials (Hepatology 2003, 38, 1282; Biochem. Biophys. Res. Commun. 2004, 313, 42; J. Gastroenterol. 2003, 38, 567).
Table 1 below lists some illustrative examples of compounds that can be administered with the compounds of this disclosure. The compounds of the disclosure can be administered with other anti-HCV activity compounds in combination therapy, either jointly or separately, or by combining the compounds into a composition.
Table 1.
When these compounds or their pharmaceutically acceptable enantiomers, diastereomers, salts, or solvates are formulated together with a pharmaceutically
acceptable carrier, the resulting composition may be administered in vivo to mammals, such as man, to inhibit HCV NS5B and/or treat and/or prevent HCV virus infection.
The compounds of the disclosure may also be used as laboratory reagents.
Compounds may be instrumental in providing research tools for designing viral replication assays, validation of animal assay systems, and structural biology studies to further enhance knowledge of the HCV disease mechanisms. Further, the compounds of the present disclosure are useful in establishing or determining the binding site of other antiviral compounds, for example, by competitive inhibition.
The compounds of this disclosure may also be used to treat or prevent viral contamination of materials and therefore reduce the risk of viral infection of laboratory or medical personnel or patients who come in contact with such materials, e.g., blood, tissue, surgical instruments and garments, laboratory instruments and garments, and blood collection or transfusion apparatuses and materials.
Further, the compounds and compositions of the disclosure can be used for the manufacture of a medicament for treating HCV infection in a patient.
DESCRIPTION OF SPECIFIC EMBODIMENTS
The following intermediates are correlated where possible to the compounds depicted in the schemes shown above. Intermediates not specifically shown in the schemes are given the number of the closest shown structure followed by a letter (i.e., "Intermediate 3 A").
The examples are numbered sequentially and are correlated to the structures shown in the above schemes.
INTERMEDIATE 3A
3-cyclohexenyl-lH-indole-ό-carboxylic acid. Cyclohexanone (96 mL, 0.926 mol) was added to a stirred mixture of indole-6-carboxylic acid (50.0 g, 0.335 mol) in methanol (920 mL) at 22 °C. Methanolic sodium methoxide (416 mL of 25% w/w, 1.82 mol) was added in portions over 10 minutes. The mixture was stirred at reflux for 18 hours, cooled to room temperature, concentrated, diluted with cold water, and acidified with 36% HCl. The resulting precipitate was collected by filtration, washed with cold water, and dried over phosphorous pentoxide (0.1 mm) to provide the desired product (80.9 g, 97.5% yield).
INTERMEDIATE 4A
S-cyclohexyl-lH-indole-6-carboxylic acid. Intermediate 3A (38 g) was added to a Parr bottle, followed by methanol (100 mL) and THF (100 mL). The bottle was flushed with argon and 10% palladium on carbon (1.2 g) was added. The mixture was shaken under 55 psi of H2 for 18 hours. The catalyst was removed by filtration. Concentration of the filtrate provided the desired product as a pale purple solid (30.6 g, 79%). ESI-MS m/z 244 (MH+).
INTERMEDIATE 4
Methyl S-cyclohexyl-lH-indole-ό-carboxylate. Thionyl chloride (1 mL) was added to a stirred mixture of Intermediate 4A (30.4 g, 0.125 mol) in methanol (300 mL). The mixture was stirred at reflux for 18 hours, treated with decolorizing carbon, and filtered. The filtrate was concentrated to about 150 mL at which point crystallization occurred. The filtrate was cooled to room temperature and filtered. The solid was washed with cold methanol followed by diethyl ether to provide the desired product as a pale purple solid (22.2 g, 69% yield). ESI-MS m/z 258 (MH+); 1H NMR (300 MHz, CDCla) δ 1.35 (m, 4H), 1.63 (s, IH), 1.78 (m, 3H), 2.06 (d, 7=8.05 Hz, 2H, 3.90 (m, IH), 7.08 (d, 7=1.83 Hz, IH), 7.62 (s, IH), 7.65 (s, 1H),7.74 (d, 7=1.46 Hz, IH), 7.77 (d, 7=1.46 Hz5 IH), 8.08 (s, IH).
INTERMEDIATE 5
Methyl 2-bromo-3-cyclohexyl-2-lH-indole-6-carboxylate. Dry pyridinium tribromide (12.0 g, 38 mmol) was added in one portion to a stirred and cooled (ice/water bath), solution of Intermediate 4 (7.71 g, 30 mmol) in a mixture of THF (80 mL) and chloroform (80 mL). The flask was removed from the cooling bath and stirring was continued for 2 hours at room temperature. The mixture was sequentially washed with IM NaHSO3 (2 x 50 mL), IN HCl (50 mL), dried over anhydrous sodium sulfate, filtered, and concentrated. The concentrate was treated with hexanes and the resulting precipitate was collected by filtration to provide the desired product as an off-white solid (5.8 g, 58%). 1H NMR (300 MHz, CDCl3) δ 1.38 (m, 3H)5 1.85 (m, 7H), 2.81 (m, IH), 7.71 (m, 2H), 8.03 (s, IH), 8.47 (s, IH).
The hexane mother liquor was concentrated and the residue was dissolved in hexane/ethyl acetate (5:1). The solution was passed through a pad of silica gel with the same solvents. Concentration of the eluate followed by the addition of hexane (10 mL) resulted in the precipitation of additional product which was collected by filtration to provide 2.8 g (28%) of the desired product.
INTERMEDIATE 6A (R2=4-PhCH2O-)
4-(benzyloxy)-2-vinylphenylboronic acid. Methyltriphenylphosphonium bromide (12.4 g, 0.0347 mol) and 18-crown-6 (90 mg, 0.41 mmol) were added to THF (100 mL). The mixture was cooled in a ice-water bath. Potassium tert-butoxide (34.7 mL of 1.0M in THF, 0.0347 mol) was added via cannula to the stirred solution. 5-(Benzyloxy)-2-bromobenzaldehyde (9.2 g, 0.0316 mol) was added in one portion which resulted in a slight exotherm. After 30 minutes the cooling bath was removed and stirring was continued at 22 ° C for 5 hours. The mixture was concentrated and the residue was purified by flash column chromatography on SiO2 (75 g) with hexanes/ethyl acetate (95:5) to provide 4-(benzyloxy)-l-bromo-2-vinylbenzene as a clear oil (7.9 g, 86% yield). 1H NMR (300 MHz, CDCl3) δ 5.03 (s, 2H), 5.32 (d,
J=10.98 Hz, 2H5) 5.63 (d, J=17.20 Hz, 2H), 6.74 (dd, J=8.78, 2.93 Hz, 2H), 6.98 (dd, J=Il.51, 10.98 Hz, 2H), 7.13 (d, J=2.93 Hz, 2H), 7.33 (m, 6H).
Triisopropyl borate (683 mg, 3.63 mmol) was added to a stirred solution of 4- (benzyloxy)-l-bromo-2-vinylbenzene (1.0 g, 0.346 mmol) in THF (9 mL). The solution was cooled in a CO2/acetone bath. A solution of n-butyllithium (1.45 mL of 2.5M in hexanes, 3.63 mmol) was added dropwise over 5 minutes. The cooling bath was left in place and was allowed to warm to room temperature. The mixture was treated with HCl (5 mL of IN) and water (5 mL), stirred for 1 hour, and extracted with ethyl acetate (3 x 15 mL). The combined extracts were washed with brine, dried (MgSO4), filtered, and concentrated to an oil which crystallized from diethyl ether/hexanes to provide colorless crystals of the desired product (530 mg, 57% yield). 1H NMR (300 MHz, CDCl3) δ 5.14 (s, 2H), 5.34 (d, J=12.44 Hz, IH), 5.68 (d, J=17.57 Hz, IH), 6.97 (dd, J=8.42, 2.56 Hz, IH), 7.36 (m, 6H), 7.83 (dd, J=Yl.51, 10.98 Hz, IH), 8.16 (d, J=8.42 Hz, IH).
INTERMEDIATE 7A (R2=H)
Methyl 3-cyclohexyl-2-(2-vinylphenyl)-lH-indolβ-6-carboxylate. A stirred mixture of Intermediate 5 (1.01 g, 3.0 mmol), 2-vinylphenylboronic acid (666 mg, 4.5 mmol), lithium chloride (504 mg, 6.0 mol), and 1.0M sodium carbonate (7.5 mL, 7.5 mmol) in ethanol (1 ImL) and toluene (1 ImL) was degassed at 22 °C with a gentle stream of argon. Tetrakis(triphenylphosphine)palladium(0) was added (348 mg, 0.3 mmol), the mixture was stirred at reflux for 2 hours, and then stored at 22 °C for 18 hours. The mixture was concentrated and the residue was partitioned between ethyl acetate and water. The ethyl acetate layer was washed sequentially with water (3x) and brine, dried (MgSO4), filtered, and concentrated. The crystalline residue was purified by flash column chromatography on silica gel (4Og) with dichloromethane to provide the desired product (815 mg, 75% yield). ESI-MS m/z 360 (MH+), 1H NMR (500 MHz, CDCl3) 1.18-1.36 (m, 3H), 1.69-2.01 (m, 7H), 2.60 (m, IH), 3.92 (s, 3H), 5.19 (d, J=10.99 Hz, IH), 5.72 (m, IH), 6.57 (dd, J= 17.70, 10.99 Hz, IH), 7.34 (m, 2H), 7.44 (m, IH)5 7.71 (m, IH)5 7.79 (m, 2H), 8.08 (m, 2H).
INTERMEDIATE 7B (R2=4-PhCH2O-)
Methyl 2-(4-(benzyloxy)-2-vinylphenyl)-3-cyclohexyl-lH-indole-6- carboxylate (R2=4-PhCH2θ). The desired product was prepared as as a colorless solid in 50% yield by substituting Example 6 A for 2-vinylphenylboronic acid in Example 7A. 1H NMR (300 MHz, CDCl3) δ 1.45 (m, 10H), 2.57 (m, IH), 3.90 (s, 3H), 5.15 (m, 3H), 5.66 (d, J=17.57 Hz, IH), 6.51 (dd, J=17.57, 10.98 Hz, IH), 6.95 (dd, J=8.60, 2.38 Hz, IH), 7.33 (m, 6H)5 7.78 (m, 2H)5 7.96 (s, IH), 8.03 (s, IH).
INTERMEDIATE 8 A (R2=H)
Methyl 3-cyclohexyl-2-(2-vinylphenyl)-l-(2-propenyl)-indole-6-carboxylate. Sodium hydride (85.6 mg of a 95% dispersion, 3.39 mmol) was added to a stirred and cooled (ice/water bath), solution of Intermediate 7A (813 mg, 2.26 mmol) in THF (8 mL). The ice bath was removed when the vigorous evolution of H2 subsided.
Stirring was continued for 6 minutes at ambient temperatures when the cooling bath was replaced. AHyI bromide (301 mg, 2.5 mmol) was added in one portion. After 5 minutes the ice bath was removed and stirring continued for 30 minutes when the reaction was judged to be complete by LC/MS. The mixture was left to stand for 18 hours at 22 °C when it was diluted with ethyl acetate/water. The organic layer was washed (water, brine), dried (Na2SO4), filtered, and concentrated to an oil. The oil was purified by flash column chromatography on silica gel (30g) with hexanes/ethyl acetate (10:1) to provide the desired product as an oil. ESI-MS m/z 399 (MH+); 1H NMR (300 MHz, CDCl3) δ 1.21 (m, J=6.22 Hz, 3H), 1.72 (m, 7H), 2.44 (m, IH), 3.93 (s, 3H), 4.29 (m, IH), 4.53 (m, IH), 4.80 (m, IH), 5.00 (d, J=10.25 Hz, IH), 5.12 (d, J=10.98 Hz, IH), 5.70 (m, 2H), 6.38 (dd, /=17.57, 10.98 Hz, IH), 7.22 (d, J=7.32 Hz, IH), 7.33 (m, IH)5 7.46 (m, IH), 7.71 (d, J=7.32 Hz, IH), 7.80 (s, 2H), 8.05 (s, IH).
006/004156
60 INTERMEDIATE 8B (R2=4-PhCH2O-)
Methyl 2-(4-(benzyloxy)-2-vinylphenyl)-3-cyclohexyl-l-(2-propenyl)-lH- indole-6-carboxylate
The desired product was prepared as a viscous oil by substituting Example 7B for Example 7A in Example 8A. H NMR (300 MHz, CDCl3) δ 1.20 (m, J=6.22 Hz, 3H), 1.71 (m, J=5.86 Hz, 7H), 2.44 (m, IH), 3.91 (s, 3H), 4.28 (dd, J=16.83, 5.12 Hz, IH), 4.50 (m, IH), 4.77 (d, J=16.83 Hz, IH), 4.98 (d, J=10.25 Hz, IH), 5.13 (m, 3H), 5.68 (m, 2H), 6.32 (dd, J=Il.51, 10.98 Hz, IH), 6.95 (dd, J=8.42, 2.56 Hz, IH), 7.12 (d, J=8.42 Hz, IH), ,7.37 (m, 6H), 7.75 (m, 2H), 8.02 (s, IH).
INTERMEDIATE 13
Methyl 3-cyclohexyl-l-(2-(methoxycarbonyl)allyl)-2-(2-vinylphenyl)-lH- indole-6-carboxylate (13, R=methyl). Methyl 3-cyclohexyl-2-(2-vinylphenyl)-lH- indole-6-carboxylate (7, R2=H) 508mg, 1.4mmol) was dissolved in THF (5mL) under N2 and cooled to 0 0C. Sodium hydride (143mg, 60% suspension in mineral oil, 3.57mmol) was added and the mixture was stirred at 0 °C for 5 min, when a solution of methyl 2-(bromomethyl)acrylate (276mg, 1.54 mmol) in THF (1.5mL) was added dropwise. Stirring was continued for 30 min at 22 °C. The reaction was quenched with a saturated aqueous solution of ammonium chloride ( 2OmL) and extracted with EtOAc (2 x 30 mL) and CH2Cl2 (3OmL). The organic extracts were combined and dried over sodium sulfate, filtered and concentrated. The residue was chromatographed on silica gel using hexane/ethyl acetate (0-20%) to afford the title compound as a pale yellow solid (641mg, 99%). ESI-MS m/z 458 (MH+).
Methyl 3-cyclohexyl-l-(2-(benzyloxycarbonyl)allyl)-2-(2-vinylphenyl)-lH- indole-6-carboxylate (13, R=benzyl). Sodium hydride (155mg of a 95% dispersion in mineral oil, 6.13 mmol) was added in portions during 5 min to a stirred and cooled solution (ice-water bath) of 7 (1.0 g, 2.79 mmol) in THF (7mL). When the evolution of hydrogen subsided DMF (2mL) was added followed by a solution of bromomethylacrylic acid (505mg, 3.06 mmol) in THF (1.5 mL). Stirring was continued with cooling (10 min) and then at 22 °C for 30 min. The mixture was concentrated and the residue partitioned between ethyl acetate and water. The organic layer was washed (water, brine), dried (sodium sulfate) and concentrated. The residue was chromatographed on silicic acid (15 g) using the flash technique and eluting with methylene chloride: ethyl acetate: acetic acid (10: 1 :0.005). The product containing fraction was concentrated on a rotary evaporator to leave 2-((3- cyclohexyl-6-(methoxycarbonyl)-2-(2-vinylphenyl)-lH-indol-l-yl)methyl)acrylic acid (568 mg, 40%) as a yellow gum. A sample (142 mg) was further purified on a Shimadzu preparatory liquid chromatograph. The fraction containing the product was concentrated to leave 13 (R=H) as a granular solid. ESI-MS m/z 433 (MH+), IH NMR (500 MHz, CHLOROFORM-D) 5 ppm 1.07 - 1.37 (m, 3 H) 1.58 - 1.88 (m, 7 H) 2.41 - 2.53 (m, 1 H) 3.93 (s, 3 H) 4.50 (d, J=I 8.31 Hz, 1 H) 4.84 (d, J=I 8.31 Hz, 1 H) 4.89 (s, 1 H) 5.13 (d, J=10.99 Hz, 1 H) 5.29 (s, 1 H) 5.68 (d, J=17.70 Hz, 1 H) 6.19 (s, 1 H) 6.36 (dd, J=17.55, 11.14 Hz, 1 H) 7.15 (d, J=7.63 Hz, 1 H) 7.31 (t, J=7.48 Hz, 1 H) 7.45 (t, J=7.63 Hz, 1 H) 7.70 (d, J=7.93 Hz, 1 H) 7.76 - 7.87 (m, 2 H) 7.96 (s, 1 H).
Benzyl bromide (1.87mL, 0.0158 mol) was added to a stirred ice cold mixture of cesium carbonate (7.3g, 0.0225 mol) and acid 13(R=H, 6.5g, 0.015 mol) in DMF (3OmL). The cooling bath was removed and stirring was continued for 18 hr at ambient temperature. The mixture was partitioned between ethyl acetate and cold
water. The organic layer was washed with water (2X) followed by brine. The solution was dried over magnesium sulfate and concentrated to leave the titled compound as a hazy oil (8.5g, 105 %) which was used in the RCM reaction. ESI-MS m/z 533 (MH+). A small sample (78 mg) was purified on a Shimadzu preparatory liquid chromatograph. The product containing fraction was extracted with ethyl acetate. The extract was washed with water (2X), brine and dried over sodium sulfate. Removal of the solvent left 13 (R=benzyl) as a hazy oil, IH NMR (300 MHz, CHLOROFORM-D) δ ppm 1.12 - 1.22 (m, J=8.42 Hz, 3 H) 1.60 - 1.90 (m, 7 H) 2.34 - 2.56 (m, J=9.33, 5.31 Hz, 1 H) 3.90 (s, 3 H) 4.51 (d, J=18.30 Hz, 1 H) 4.70 - 4.95 (m, 1 H) 5.07 (s, 1 H) 5.11 (s, 2 H) 5.64 (d, J=17.57 Hz, 1 H) 6.08 (s, 1 H)
6.33 (dd, J=17.57, 10.98 Hz, 1 H) 7.20 - 7.47 (m, 9 H) 7.66 (d, J=7.68 Hz, 1 H) 7.72 - 7.85 (m, 2 H) 7.94 (s, 1 H).
Methyl 3-cyclohexyl-l-(2-(tert-butoxycarbonyl)allyl)-2-(2-vinylphenyl)-lH- indole-6-carboxylate (13,
Alkylation of 7 ( R2=H) with tert-butyl 2- (bromomethyl)acrylate provided the titled compound. ESI-MS m/z 500 (MH+).
INTERMEDIATE 14
Methyl 13-cyclohexyl-6-(carbomethoxy)-5H-indolo[2, 1-a] [2]benzazepine-l 0- carboxylate (14, R=methyl). A mixture of methyl 3-cyclohexyl-l-(2-
(methoxycarbonyl)allyl)-2-(2-vinylphenyl)-l H-indole-6-carboxylate (13, R=methyl), (3.1g, 6.77 mtnol) and Grubbs' 2nd generation catalyst (1.7g, 1.35tnmol) in methylene chloride (35OmL) were heated at 450C for 96hr. Solvent was removed in vacuo and the residue was chromatographed on silica gel using hexane/ethyl acetate (0-15%) to afford pure title compound as a bright yellow solid (1.36g). The mixed fractions were combined and concentrated in vacuo and the residue was recrystallized using methanol to afford the title compound (175mg). Total title compound obtained: 1.805g, 53%. ESI-MS m/z 430 (MH+).
Methyl 13-cyclohexyl-6-(benzyloxycarbonyl)-5H-indolo[2, 1- a][2]benzazepine-10-carboxylate (14, R=benzyl). In a similar manner ring closing metathesis of methyl 3 -cyclohexyl- 1 -(2-(benzyloxycarbonyl)allyl)-2-(2-vinylphenyl)- 1 H-indole-6-carboxylate (13, R=benzyl) with Grubbs' 2nd generation catalyst in boiling methylene chloride or ethylene dichloride provided the title compound. ESI- MS m/z 506 (MH+).
Methyl 13-cyclohexyl-6-(carboxy)-5H-indolo[2, 1-a] [2]benzazepine-l 0- carboxylate (14a). Method A: Ester 14 (R=H, 308mg, 0.72mmol) was dissolved in N,N-dimethylformamide (5 mL) and treated with LiOH (173mg, 7.2mmol). The mixture was heated at 50 °C for 4hr. The solvent was removed in vacuo. The residue
was dissolved in H2O (5mL) and treated with HCl (10% in water) to acidic pH. A precipitate formed which was collected by filtration and air dried to afford the title compound as a bright yellow solid (290mg, 97%). ESI-MS m/z [M+l]=415.
Method B: Ten percent palladium on carbon (200mg) was added to a solution of methyl lS-cyclohexyl-ό-φenzyloxycarbonyty-SH-indoloβ,!- a][2]benzazepine-10-carboxylate (14, R=benzyl, 2.9g) in 95% ethanol (20OmL) and ethyl acetate (5OmL). The mixture was stirred at 22 °C and under hydrogen (balloon pressure) for 3 h. A portion of the mixture (5OmL) was removed and was filtered to remove the catalyst. Concentration of the filtrate on a rotary evaporator left the titled compound (710mg) which was identical to the product from Method A.
Methyl 13-cyclohexyl-6, 7-dihydro-6-(carboxy)-5H-indolo[2, 1- a][2]benzazβpine-10-carhoxylatβ (14b). Method A: The intermediate ester (14, R=H, 53mg, 0.13mmol) in a 1:1 mixture of THF/MeOH (2mL) was treated with a catalytic amount of Pd (10% on C) under hydrogen (balloon pressure). The mixture was stirred at 220C for 18hr. The catalyst was removed by filtration through a fine pad of celite and the solution was concentrated in vacuo to afford the title compound as a pale tan solid (50mg, 92%). ESI-MS m/z 418 (MH+).
Method B: Additional palladium on carbon (Ig) was added to the reduction mixture from the preceding experiment (20OmL). Stirring was continued at 22 °C for 72 h. The mixture was filtered and the filtrate was concentrated to dryness on a rotary evaporator. A solution of the residue in methanol was purified on a Shimadzu
preparatory liquid chromatograph to afford the titled compound (630mg) which was identical to the product from Method A.
INTERMEDIATE 16
Methyl 2-(2-(tert-butoxyycarbonylamino)phenyl)-3-cyclohexyl)-lH-indole-6- carboxylate. The desired product was prepared as a pale brown solid by substituting 2-(tert-butoxylcarbonylamino)phenylboronic acid for 2-vinylphenylboronic acid in Example 7A. ESI-MS m/z 449 (MH+).
INTERMEDIATE 17
Methyl 2-(2-(tert-butoxycarbonylamino)-3-cyclohexyl-l-(2-propenyl)-lH- indole-6-carboxylate. The desired product was prepared by substituting Intermediate 16 for Intermediate 7A in Intermediate 8A. 1H NMR (500 MHz, CDCl3) δ 1.11-1.56 (m, 13H), 1.63-1.94 (m, 5H), 2.09 (m, IH), 2.42 (s, IH), 3.94 (m, 3H), 4.09 (m, IH), 4.59 (m, J=26.25 Hz, 2H), 4.78 (m, IH), 4.87-5.10 (m, 4H), 5.52-5.87 (m, 2H), 7.27 (m, IH), 7.33 (m, IH), 7.46 (d, J=6.10 Hz, 2H), 7.80 (d, J=8.55 Hz, IH), 7.86 (d, J=8.55 Hz, IH), 8.09 (s, IH).
INTERMEDIATE 22
Methyl l-(3~(2-bromophenyl)propyl)-3-cyclohexyl-lH-indole-6-carboxylate.
Sodium hydride (129 mg of a 95% dispersion, 5.1 mmol) was added to a stirred and cooled (ice/water bath), solution of Intermediate 4 (515 mg, 2.0 mmol) in THF (6 mL). The ice bath was removed when the vigorous evolution of H2 subsided.
Stirring was continued for 6 minutes at ambient temperature when the cooling bath was replaced. l-Bromo-2-(3-bromopropyl)benzene (908 mg, 4.2 mmol) was added.
The ice bath was removed and stirring was continued at 22 °C for 3 hours. The mixture was cooled to room temperature and was diluted with saturated ammonium chloride followed by extraction with ethyl acetate. The organic layer was washed
(water, brine), dried (Na2SO4), filtered, and concentrated to a brown oil. The oil was
purified by flash column chromatography on silica gel (30 g) with liexanes/ethyl acetate (6:4) to provide the desired product as an oil contaminated with Intermediate 4. An additional purification was done on a silicic acid thick layer plate. The plate was eluted with hexanes/ethyl acetate (100:5). The product band was extracted with dichloromethane. Removal of the solvent provided the desired product as a viscous oil. ESI-MS m/z 455 (MH+); 1H NMR (300 MHz, CDCl3) δ 1.34 (m, 5H), 1.77 (m, 3H), 2.12 (m, 4H), 2.74 (m, 3H), 3.96 (m, 3H),4.17 (t, J=7.14 Hz, 2H), 7.04 (m, 2H), 7.16 (m, 2H), 7.49 (d, J=8.05 Hz, IH), 7.62 (d, J=8.42 Hz, IH), ,7.73 (m, IH), 8.03 (s, IH).
INTERMEDIATE 22A
Methyl l-(2-bromobenzyl)-3-cyclohexyl-lH-indole-6-carboxylate. The desired product was prepared as a viscous oil in 90% yield by substituting 2- bromobenzyl bromide for l-bromo-2-(3-bromopropyl)benzene in Example 22. ESI- MS m/z 427 (MH+), 1H NMR (300 MHz, CDCl3) δ 1.37 (m, 5H), 1.77 (m, 3H), 2.09 (m, 2H), 2.83 (m, IH), 3.87 (s, 3H), 5.35 (s, 2H), 6.44 (dd, J=5.67, 3.84 Hz, IH), 6.99 (s, IH), 7.09 (m, 2H), 7.57 (m, IH), 7.67 (d, J=8.42 Hz, IH), 7.77 (m, 2H), 7.96 (s, IH).
INTERMEDIATE 24
Methyl l-(2-(benzyloxy)ethyl)-3~cyclohexyl-lH-indole-6-carboxylate. Intermediate 4 (1.029 g, 4.0 mmol) was added to a suspension of NaH (192 mg of 60% dispersion in mineral oil, 4.8 mmol) in DMF (5 mL). The reaction mixture was stirred at room temperature for 15 minutes, treated with benzyl 2-bromoethyl ether (0.7 mL, 4.4 mmol), stirred at room temperature for 2 hours, quenched with water, and extracted with ethyl acetate (2x50 mL). The organic layers were combined and washed (IN HCl)5 dried (MgSO4), filtered, and concentrated. The residue was purified by flash column chromatography (silica gel, 3:1 hexanes/ethyl acetate) to provide the desired product as a colorless thick oil (1.19 g, 76% yield). MS m/z 392(MH+); 1H NMR (500 MHz, CDCl3) δ 1.31 (m, IH), 1.45 (m, 4H), 1.80 (d,
7=13.12 Hz5 IH), 1.87 (m, 2H), 2.10 (m, 2H), 2.84 (m, IH), 3.79 (t, J=5.34 Hz, 2H), 3.94 (s, 3H), 4.33 (t, J=5.49 Hz, 2H), 4.45 (s, 2H)5 7.12 (s5 IH), 7.20 (m, 2H), 7.27 (m, 3H), 7.66 (d, J=8.55 Hz, IH), 7.78 (d, J=8.55 Hz, IH), 8.08 (s, IH).
INTERMEDIATE 25
Methyl 3-cyclohexyl-l-(2-hydroxyethyl)-lH-indole-6-carboxylate. A solution of Intermediate 24 (1.19 g, 3.04 mmol) in ethyl acetate (50 niL) was treated with 10% Pd on carbon (0.12 g). About five drops of IN HCl solution was added and the mixture stirred at room temperature under a hydrogen atmosphere (balloon pressure) for three days. The mixture was filtered through diatomaceous earth (Celite ). The filter cake was washed with ethyl acetate. The filtrate was concentrated to provide the desired product as a light yellow solid (0.9 g, 98% yield). MS m/z 302(MH+); 1H NMR (300 MHz5 CDCl3) δ 1.22 (m, IH)5 1.41 (m, 4H)5 1.78 (m, 3H), 2.06 (m, 2H), 2.79 (m, IH), 3.90 (s, 3H), 3.95 (m, 2H), 4.26 (t, J=5.31 Hz, 2H), 7.05 (s, IH), 7.62 (d, J=8.42 Hz5 IH), 7.74 (dd, J=8.42, 1.46 Hz, IH), 8.05 (s, IH).
INTERMEDIATE 27
Methyl l-(2-(2-bromopyridin-3-yloxy)ethyl)-3-cyclohexyl-lH-indole-6- carboxylate. A solution of 2-bromo-3-pyridinol (26, 173 mg, 0.995 mmol) in THF (10 mL) was treated with triphenylphosphine (261 mg, 0.995 mmol) and di-fert-butyl azodicarboxylate (229 mg, 0.995 mmol). The reaction mixture was stirred at room temperature for 0.5 hours, treated with a solution of Intermediate 25 (200 mg, 0.66 mmol) in THF (2.5 mL), stirred 18 hours at room temperature, and concentrated to provide a brown oil which solidified upon standing. Trituration of the solid with methanol provided the desired product as a gray solid (175 mg, 58% yield). MS m/z 457(MH+); 1H NMR (300 MHz, CDCl3) δ 1.22 (m, IH), 1.41 (m, 4H), 1.81 (m, 3H), 2.02 (m, 2H), 2.78 (m, IH), 3.91 (s, 3H), 4.27 (t, J=4.94 Hz, 2H), 4.59 (t, J=4.94 Hz, 2H), 6.92 (dd, J=8.05, 1.46 Hz, IH), 7.09 (dd, J=8.23, 4.57 Hz, IH), 7.28 (s, IH), 7.61 (d, J=8.42 Hz, 2H), 7.74 (dd, J=8.42, 1.46 Hz, 2H), 7.93 (dd, J=4.76, 1.46 Hz, IH), 8.08 (s, IH).
INTERMEDIATE 33
Methyl 3-cyclohexyl-2-(4, 4, 5, 5-tetramethyl-l, 3, 2, -dioxaborolan-2-yl)-lH- indole-6-carboxylate. In a flame-dried flask equipped with magnetic stirrer was added [Ir(OMe)(cod)]2 (150 mg, 0.225 mmol), 4,4'-di-fert-butyl-2,2'-bipyridine (dtbpy, 120 mg, 0.45 mmol), and bis(pinacolato)diboron (B2PUi2, 7.62g, 30mmol). The flask was flushed with N2 and sealed with a septum. Anhydrous THF (45 mL) was added with a syringe and the solution was stirred at room temperature for 10 minutes, during which time the solution turned dark purple. Under a flow of N2, Intermediate 4 (7.71 g, 30 mmol) was added in one portion. The flask was then quickly sealed with a septum and flushed with N2. The reaction mixture was stirred at 30 °C for 3 hours, during which time the solution turned red-brown. The disappearance of the red color indicated the completion of the reaction. The solvents were removed under reduced pressure and the residue was treated with hexane (10 mL). The crystalline product was collected by filtration, washed with ethyl acetate/hexane (1 :3), and air dried to provide the desired product (4.7 g, 41% yield) as colorless crystals. 1H NMR (500MHz, CDCl3) δ 1.36 (s, 6H), 1.05 (s, 9H), 1.35- 1.50 (m, 4H), 1.70-1.90 (m, 4H), 1.90-2.05 (m, 2H), 3.30 (m, IH), 3.93 (s, 3H), 7.70 (d, IH, J=8.5 Hz), 7.84 (d, IH, J=8.5 Hz), 8.07 (s, IH), 8.55(s, br, IH, NH).
The mother liquor was concentrated under reduced pressure to substantially remove the pinacolborane by-product. Hexane was added and the crystalline solid was collected, washed with ethyl acetate/hexane (1 :3) to give 3.3 g solid as a mixture of the desired product and Intermediate 4 which can be recycled.
INTERMEDIATE 34
3-bromo-2-vinylpyridine. A solution of 2,3-dibromopyridine (2.0 g, 8.44 mmol) in DMF (10 mL) was treated with tributyl(vmyi)tin (2.94 g, 9.29 mmol), LiCl (1.07 g, 25.32 mmol), and PdCl2(PPh3)2 (0.296 g, 0.422 mmol). The reaction mixture was heated at 100 0C for 18 hours. The mixture was extracted with hexanes (3 x 50 mL). The combined hexane layers were extracted with IN HCl. The aqueous layer
was neutralized with IN NaOH, extracted with hexanes, and the extracts were dried (MgSO4), filtered, and concentrated to provide the desired product as a yellowish oil (0.83 g, 53% yield). MS m/z 184(MH+); 1H NMR (300 MHz, CD3OD) δ 5.53 (dd,
J=10.80, 2.01 Hz, IH), 6.33 (dd, J=16.83, 1.83 Hz, IH), 7.08-7.26 (m, 2H), 7.96 (dd, J J==88..0055,, 11..4466 HHzz,, IIHH)),, 88..4444 ((dddd,, JJ==44..7766,, 11..4466 HHzz,, IH); 13C NMR (300 MHz, CD3OD) δ 121.9, 122.4, 125.7, 134.9, 142.8, 149.5, 154.5.
INTERMEDIATE 37
Methyl 3-cyclohexyl-2-(2-vinylpyridin-3-yl)-lH~indole-6-carboxylate. A mixture of Intermediate 33 (580 mg, 1.51 mmol), Intermediate 34 (362 mg, 1.97 mmol) and LiCl (128 mg, 3.02 mmol) in ethanol (6 mL) and toluene (6 niL) was treated with Na2CO3 (1.89 mL of2M, 3.78 mmol). The mixture was degassed with N2, treated with Pd(PPh3)4 (87 mg, 0.0755 mmol), heated at 80 0C for 3 hours, filtered, and concentrated. The residue was purified by preparative HPLC to provide the desired product as a pale yellow solid (145 mg, 27% yield). MS m/z 361 (MH ); 1H NMR (300 MHz, CDCl3) δ 1.10-1.29 (m, 3H), 1.63-1.89 (m, 7H), 2.53 (m, IH), 3.91 (s, 3H), 5.39 (dd, J=10.61, 1.83 Hz, IH), 6.40 (dd, J=17.02, 2.01 Hz, IH), 6.63 (dd, J=16.83, 10.61 Hz, IH), 7.28 (dd, J=7.68, 4.76 Hz, IH), 7.64 (dd, J=7.68, 1.83 Hz, IH), 7.75-7.84 (m, 2H), 8.07 (d, J=LlO Hz, IH), 8.22 (s, IH), 8.68 (dd, J=4.76, 1.83 Hz5 IH).
INTERMEDIATE 38
Methyl 3-cyclohexyl-2-(2-formylfuran-3-yl)-lH-indole-6-carboxylate. The desired product was prepared by substituting 3-biOmo-2-furaldehyde for Intermediate 34 in Intermediate 37. 1H NMR (500MHz, CDCl3) δ 1.40-2.15 (m, 10H), 3.14 (m, IH), 3.94 (s, 3H), 7.08 (d, IH, J = 1 Hz), 7.72 (dd, IH, J=I .5, 8.5 Hz), 7.79 (d, IH, J=2.0 Hz), 7.88 (dd, IH, J=1.5, 8.5 Hz), 8.19 (d, IH, J=LO Hz), 9.87 (s, IH).
INTERMEDIATE 39
Methyl 2-(3-bromopyridin-2-yl)-3-cyclohexyl-lH-indole-6-carboxylate. The desired product was prepared (60% yield) as a pale yellow solid by substituting 2,3- dibromopyridine for Intermediate 34 in Intermediate 37. MS m/z 413 (MH ), H NMR (300 MHz, CDCl3) δ 1.16-1.35 (m, 3H), 165-1.95 (m, 7H), 2.72 (m, IH), 3.90 (s, 3H), 7.22 (m, IH), 7.75 (dd, J-8.42, 1.10 Hz, IH), 7.84 (m, IH), 8.01 (dd, J=8.42, 1.46 Hz, IH), 8.08 (s, IH), 8.32 (s, IH), 8.64 (dd, J=4.39, 1.46 Hz, IH).
INTERMEDIATE 40
Methyl l-allyl-3-cyclohexyl-2-(2-vinylpyridin-3-yl)~lH-indole-6-carboxylate. The desired product was prepared in 62% yield as a yellow solid by substituting Intermediate 37 for Intermediate 7A in Intemediate 8A. MS m/z 401 (MH+); 1H NMR (500 MHz, CDCl3) δ 1.09-1.36 (m, 3H), 1.51-1.82 (m, 7H), 2.43 (m IH), 3.94 (s, 3H), 4.30 (dd, J=17.09, 5.19 Hz, IH), 4.57 (dd, J=17.24, 4.12 Hz, IH), 4.73 (d, J=17.40 Hz, IH), 5.01 (d, J=10.38 Hz, IH), 5.37 (dd, J=10.38, 1.22 Hz, IH), 5.70 (m, IH), 6.38-6.53 (m, 2H), 7.28 (dd, J=7.32, 4.88 Hz, IH), 7.56 (d, J=7.32 Hz, IH), 7.82 (m, 2H), 8.07 (s, IH), 8.72 (d, J=4.27 Hz, IH).
INTERMEDIATE 41
Methyl 3-cyclohexyl-2-(2-vinylfuran-3-yl)-lH-ϊndole-6-carboxylate. A solution of methyl triphenylphosphonium bromide (428 mg, 1.2 mmol) in anhydrous THF (4 mL) at room temperature was treated with π-BuLi (1.6 M, 0.70 mL, 1.12 mmol). The phosphonium salt gradually dissolved and the solution turned yellow. After 10 minutes, the yellow solution was transferred to a solution of Intermediate 38 (176 mg, 0.5 mmol) in anhydrous THF (1 mL). The mixture was heated in an oil bath at 65 °C for 1 hour. After cooling to room temperature, the solution was treated with dichloromethane (10 mL) and the resulting mixture was washed with IN HCl and water, dried (Na2 SO4), and concentrated. The residue was purified by flash column chromotagraphy on silica gel (hexane/ethyl acetate, 5:1) to provide the
desired product (95 mg, 54%) as a powder. 1H NMR (300MH, CDCl3) δ 1.20-2.0 (m, 10H), 2.73 (m, IH), 5.24 (dd, IH, .7=1.2, 11.4 Hz), 5.75 (dd, IH, J=I.2, 17.4 Hz), 6.48 (d, IH, J=2.1 Hz), 6.51 (dd, IH, J=I 1.4, 17.4 Hz), 7.43 (d, IH, J=2.1 Hz), 7.73 (d, IH, J=8.4 Hz), 7.78 (d, IH, J=8.4 Hz), 8.01 (s, br, IH, NH), 8.05 (s, IH).
INTERMEDIATE 41 A
Methyl l-allyl-3-cyclohexyl-2-(2-vinylfuran-3-yl)-lH-indole-6-carboxylate. The desired product was prepared by substituting Intermediate 41 for Intermediate 7 A and potassium hydride for sodium hydride in Intermediate 8 A. H NMR
(300MHz, CDCl3) δ 1.20-1.90 (m, 10H), 2.59 (m, IH), 4.55 (m, IH), 4.84 (dd, IH, J=1.2, 17.5 Hz), 5.05 (dd, IH, J=I.2, 10.5), 5.15 (dd, IH, J=I.2, 11.1), 5.68 (dd, IH, J=I.2, 17.5), 5.74-5.88 (m, IH), 6.25 (d, IH, J=I 1.4 Hz), 6.31 (d, IH, J=I 1.4 Hz), 6.39 (d, IH, J=I.8 Hz), 7.46 (d, IH, J=I.8 Hz), 7.77 (m, 2H), 8.02 (s, IH).
INTERMEDIATE 42
Methyl l-(2-amino-2-oxoethyl)-2-(3-bromopyridin-2-yl)-3-cyclohexyl-lH- indole-6-carboxylate. The desired product was prepared in 63% yield as a viscous clear oil by substituting Intermediate 39 and 2-bromoacetamide for Intermediate 7 A and allyl bromide, respectively, in Intermediate 8A. MS m/z 470 (MH+); 1H NMR (300 MHz, CD3OD) δ 1.18-1.40 (m, 3H), 1.65-1.94 (m, 6H), 2.05 (m, IH), 2.53 (m, J=Il.16, 3.84 Hz, IH), 3.94 (s, 3H), 4.55 (d, J=17.20 Hz, IH), 4.70 (d, J=17.57 Hz, IH), 7.50 (dd, J=8.23, 4.57 Hz, IH), 7.81 (dd, J=8.42, 1.10 Hz, IH), 7.90 (d, J=8.42 Hz, IH), 8.13 (s, IH), 8.28 (d, J=8.05 Hz, IH), 8.72 (d, J=4.76 Hz, IH).
INTERMEDIATE 46
Methyl 2-bromo-3-cyclohexyl-l- (2-ethoxy-2-oxoethyl)-lH-indole-6- carboxylate. The desired product was prepared by substituting Intermediate 5 and ethyl bromoacetate for Intermediate 7 A and allyl bromide, respectively, in Intermediate 8A. ESI-MS m/z 422 (MH+).
INTERMEDIATE 53
Methyl 3-cyclohexyl-2-(2-hydroxyphenyl)-lH-indole-6-carboxylate. A mixture of Intermediate 5 ( 600 mg, 1.79 mmol), Intermediate 52 (0.45 mL, 2.15 mmol), and LiCl (300 mg, 3.8 mmol) in IN NaHCO3 (6 mL), ethanol (12 mL), and toluene (12 mL) was degassed with a stream of argon. Pd(PPh3)4 (90 mg, 0.078 mmol) was added and the mixture was stirred at reflux for 18 hours. The mixture was diluted with ethyl acetate , washed with waster (3x) and brine, dried (Na2SO4), filtered, and concentrated. The concentrate was purified by flash column chromatography on silica gel with hexane/ethyl acetate (4/1) to provide the desired product as a colorless solid (450 mg, 72% yield). ESI-MS m/z 349 (MH+); 1H NMR (500 MHz, CDCl3) δ 1.32 (m, 3H), 1.59 (m, IH), 1.81 (s, 4H), 1.93 (m, 2H), 2.70 (t, J=12.05 Hz, IH), 3.93 (s, 3H), 5.49 (s, IH), 7.04 (m, 2H), 7.31 (d, /=6.71 Hz, IH), 7.36 (t, J=7.48 Hz, IH), 7.79 (d, J=7.93 Hz, IH), 7.85 (m, IH), 8.10 (s, IH), 8.27 (s, IH).
INTERMEDIATE 57A
(E)-ethyl (3-(4-(l-aminocyclopentanecarboxamido)phenyl)aaylate, EEDQ (593 mg, 2.4 mmol) was added to a solution of (E)-ethyl 3-(4-aminophenyl)acrylate (417 mg, 2.18 mmol) and l-(tert-butoxycarbonylamino)cyclopentanecarboxylic acid (500 mg, 2.18 mmol) in THF (6 mL). The solution was stirred at reflux for 3-4 hours. The mixture was concentrated and the residue partitioned between dichloromethane and water. The organic layer was washed sequentially with dilute HCl, water, and brine. The solution was dried over Na2SO4 and filtered. Dilution of the filtrate with hexanes resulted in the crystallization of (E)-ethyl 3-(4-(l-(tert- butoxycarbonylamino)cyclopentanecarboxamido)phenyl)acrylate as a pale yellow solid (360 mg, 37% yield). ESI-MS m/z 403 (MH+).
(E)-ethyl 3-(4-(l-(tert-butoxycarbonylamino)cyclopentanecarboxamido)- phenyl) acrylate (350 mg) was dissolved in dichloromethane (2 mL) at 22 0C. TFA (2niL) was added and stirring was continued for 2 hours. The solution was
concentrated and the residue partitioned between ethyl acetate and dilute Na2CO3. The ethyl acetate layer was washed (water), dried (Na2SO4), filtered, and concentrated to provide the desired product as a crystalline solid: H NMR (300 MHz, DMSO-d6) δ 1.25 (t, J=6.95 Hz, 3H), 1.54 (m, 2H), 1.73 (m, 4H), 2.03 (m, 2H), 4.17 (q, J=6.95 Hz, 2H), ,6.52 (d, J=16.10 Hz, IH), 7.59 (d, J=15.74 Hz, IH), 7.71 (m, 4H).
INTERMEDIATE 57B
(E)-tert-butyl 4-amino-4-((4-(3-ethoxy-3-oxoprop-l- enyl)phenyl)carbamoyl)piperidine-l-carboxylate. A solution of 4-((((9H-fluoren-9-yl)methoxy)carbonyl)amino)-l-(tert- butoxycarbonyl)piperidine-4-carboxylic acid (1.0 g, 2.14 mmol), (E)-ethyl 3-(4- aminophenyl)acrylate (409 mg, 2.12 mmol), and EEDQ (582 mg, 2.35 mmol) in THF (12 niL) was stirred at reflux for 1 hour. The reaction mixture was partitioned between ethyl acetate and water. The organic layer was washed sequentially with dilute HCl, water, and brine, dried over Na2SO4, filtered, and concentrated. The residue was purified by flash column chromatography on silica gel (40 g) with dichloromethane/ethyl acetate (100:15) to provide impure Fmoc-protected product as a cloudy oil (900 mg). A second purification by flash column chromatography on silica gel (40 g) with hexanes/ethyl acetate (100:20 to 1:1) provided the Fm-c- protected product as a colorless solid: ESI-MS m/z 640 (MH+); 1H NMR (300 MHz, CDCl3) δ 1.30 (t, J=7.14 Hz, 3H), 1.43 (s, 9H), 2.00 (m, 2H), 2.12 (m, 2H), 3.04 (m, 2H), 3.75 (m, J=13.91 Hz, 2H), 3.75 (d, J=13.91 Hz, 2H), 4.22 (q, J=6.95 Hz, 2H), 4.54 (d, J=5.86 Hz, 2H), 4.85 (s, IH), 6.33 (d, J=16.10 Hz, IH), 7.23 (m, 2H), 7.35 (t, J=7.50 Hz, 2H), 7.45 (s, 4H), 7.52 (d, J-7.68 Hz, 2H), 7.60 (d, J=16.10 Hz, IH), 7.73 (d, J=7.68 Hz, 2H), 9.06 (s, IH).
The preceding compound (350 mg) was dissolved in DMF (2 mL) at 22 °C. An ethanolic solution of dimethylamine (0.5 mL of 33%) was added to water (0.5 mL). The resulting solution was added to the DMF solution. After about 1 hour the resulting precipitate was collected by filtration and washed with methanol followed by diethyl ether to provide the desiredproduct (125 mg, 55% yield). ESI-MS m/z360(MFf); 1H NMR (300 MHz, DMSOd6) 5 1.24 (t, J=7.14 Hz, 3H), 1.39 (m, HH), 3.14 (s, 2H), 3.71 (s, 2H), 4.17 (q, J=6.95 Hz, 2H), 6.52 (d, J=15.74 Hz, IH), 7.58 (d, J=16.10 Hz, 2H), ,7.67 (d, J=8.78 Hz, 2H), 7.74 (m, 2H).
INTERMEDIATE 76
Methyl 2-bromo-l -(2-tert-butoxy-2-oxoethyl)-3-cyclohexyl-l H-indole-6- carboxylate. The desired product was prepared in 89% yield as a brown crystalline solid by substituting Intermediate 5 and tert-huty\ bromoacetate for Intermediate 7A and allyl bromide, respectively, in Intermediate 8 A. ESI-MS m/z 452 (MH+); 1H NMR (500 MHz, DMSOd6) 6 1.44 (m, 12H), 1.73 (m, 3H), 1.85 (m, 2H), 1.94 (m, 2H), 2.87 (m, IH), 3.88 (s, 3H), 5.12 (s, 2H)5 7.68 (d, J=8.24 Hz, IH), 7.84 (m, IH), 8.16 (s, IH).
INTERMEDIATE 77
Methyl 1 - (2-tert-butoxy-2-oxoethyl)-2- (2- (tert-butoxycarbonylam ino)phenyl)- 3-cyclohexyl-lH-indole-6-carboxylate. Substitution of Intermediate 15 for 2- vinylphenylboronic acid in Example 7 A provided a mixture of the desired product (60%) and methyl 1 -(2-tert-butoxy-2-oxoethyl>2-(2-aminophenyl)-3-cyclohexyl- IH- indole-6-carboxylate (40%) which was used directly in the next step. A sample of pure 72 was isolated from a similar experiment run on a smaller scale. ESI-MS m/z 563 (MH+); 1H NMR (500 MHz, CDCl3) δ 1.26 (m, 2H), 1.32 (s, 9H), 1.43 (m, 9H), 1.45-1.82 (m, 6H), 1.88 (m, 2H), 2.46 (m, IH), 3.94 (s, 3H), 4.50 (d, J=5.8O Hz, 2H), 6.64 (s, IH), 7.10 (m, IH), 7.14 (m, IH), 7.45 (m, IH), 7.84 (m, 2H), 7.99 (s, IH), 8.22 (d, J-8.24 Hz, IH).
INTERMEDIATE 72
N-(I -cyanocyclopentyl)-! 3-cyclohexyl-7H-indolo[2, 1-a] [2] benzazepine-10- carboxamide. A solution of Example 15 (600 mg, 1.68 mmol) in DMF (8.4 niL) and DIPEA (1.75 mL, 10.1 mmol) was treated with TBTU (674 mg, 2.10 mmol). The resulting solution was stirred at 22 °C for 15 minutes, treated with 1- aminocyclopentanecarbonitrile (370 mg, 3.36 mmol), stirred at 22 0C for 18 hours, and treated with IM HCl (25 mL). The aqueous layer was extracted with CHCl3 (2 x 50 mL). The organic phase was dried over Na2SO4, filtered, and concentrated under reduced pressure. Purification by flash column chromatography on silica gel with 1 :4 ethyl acetate/hexanes provided the desired product (612 mg, 81%) as a yellow oil. MS m/z 450 (MH+); 1H NMR (300 MHz, CDCl3) δ 1.12-1.65 (m, 6H), 1.80 (m, 2H), 1.87-1.99 (m, 4H), 2.05 (m, 2H), 2.24 (m, 2H), 2.58 (m, 2H), 2.86 (m, IH), 4.18 (broad m, IH), 4.89 (broad m, IH), 6.35 (dd, J=I 1.4, 3.0 Hz IH), 6.42 (s, 1 NH), 6.80 (d, J=I 1.4 Hz, IH), 7.30 (dd, J=2.0, 4.0 Hz, IH), 7.36 (m, IH), 7.42 (m, 2H), 7.53 (m, IH), 7.87 (dd, J=8.0, 2.0 Hz, IH), 8.08 (d, J=2.0 Hz, IH).
INTERMEDIATE 73
N-[l-[(Z)-amino(hydroxyimino)methyl]cyclopentyl]-13-cyclohexyl-7H- indolo[2,l-a][2]benzazepine-10-carboxamide. A solution of Intermediate 72 (290 mg, 0.645 mmol) in ethanol (6.4 mL) was treated with 50% aqueous NH2OH (0.085 mL, 1.29 mmol). The resulting solution was stirred at 90 0C for 3 hours. IM HCl (15 mL) was added and the aqueous layer was extracted with CHCl3 (2 x 30 mL). The organic phase was dried over Na2SO4, filtered, and concentrated under reduced pressure to provide the desired product (299 mg, 96%) as a yellow oil. MS m/z 483 (MH+); 1H NMR (300 MHz, CD3OD) δ 1.13-1.61 (m, 6H), 1.72-2.29 (m, 10H), 2.40 (m, 2H), 2.88 (m, IH), 4.22 (broad m, IH), 5.10 (broad m, IH), 6.48 (dd, J=I 1.4, 3.0 Hz IH), 6.90 (d, J=I 1.4 Hz, IH), 7.39-7.52 (m, 3H), 7.56 (m, 2H), 7.88 (dd, J=8.0, 2.0 Hz, IH), 8.17 (d, J=2.0 Hz, IH).
EXAMPLE 1 (compound 9, R2=H) (EC50=C*)
Methyl 13-cyclohexyl-7H-indolo[2,l-a] [2] benzazepine-10-carboxylate. Grubbs 2nd Generation catalyst (85 mg, 0.1 mmol) was added to a solution of Example 8 A (800 mg, 2.0 mmol) in 100 mL of dichloromethane under Ar. The mixture was stirred at reflux for 3 hours. After removal of the solvent, the residue was purified by flash column chromatography on silica gel with dichloromethane/hexanes (1:2) to give 520 mg (70%) of the desired product as a colorless solid. ESI-MS m/z 371 (MH+); 1H NMR (500 MHz, CDCl3) δ 0.97-2.11 (m, 10H), 2.86 (m, IH), 3.95 (m, 3H), 4.21 (s, IH), 4.91 (s, IH), 6.29 (m, IH), 6.82 (d, J=10.38 Hz, IH), 7.37 (m, IH), 7.43 (m, 2H), 7.54 (m, IH), 7.72 (dd, J=8.55, 1.22 Hz, IH), 7.88 (d, J=8.55 Hz, IH), 8.15 (s, IH).
EXAMPLE 2 (compound 10, R2=H) (IC50=A*, EC50=C*)
Methyl 13-cyclohexyl-6, 7-dihydro-5H-indolo[2, 1 -a] [2] benzazepine-10- carboxylate. Method A: Palladium on carbon (60 mg of 10%) was added to a solution of Example 1 (60 mg, 0.16 mmol) in 60 mL of ethanol and 10 mL of ethyl acetate. The reaction vessel was flushed with H2. The resulting mixture was stirred at room temperature under an atmosphere of hydrogen (balloon pressure) for 4 hours. The mixture was filtered and concentrated to provide the desired product (60 mg, 100% yield) as a colorless solid. ESI-MS m/z 373 (MH+); 1H NMR (500 MHz,
CDCl3) δ 1.22 (m, IH), 1.39 (m, 2H), 1.65 (m, 7=12.51 Hz, IH), 1.76 (d, J=8.85 Hz, 2H), 1.91 (d, J=I 1.90 Hz, IH), 1.91 (d, J=I 1.90 Hz, IH), 2.06 (m, 3H), 2.38 (m, IH), 2.56 (m, IH), 2.68 (dd, 7=13.43, 6.71 Hz, IH), 2.91 (m, IH), 3.70 (m, IH), 3.97 (m, 3H), 4.43 (dd, 7=14.34, 6.71 Hz, IH), 7.35 (m, 4H), 7.73 (dd, J=8.54, 1.53 Hz, IH), 7.87 (d, J=8.54 Hz, IH), 8.08 (s, IH).
Method B: Tetrakis(triphenylphosphine)palladium(0)(ll mg, 0.01 mmol) was added to a mixture, under argon, of Intermediate 22 (21.9 mg, 0.048 mmol) and potassium acetate (4.7 mg, 0.048 mmol) in N,N-dimethylacetamide (0.6 mL) in a microwave vial. The mixture was microwaved for 30 minutes at 150 °C. The
reaction mixture was diluted with DMF and filtered. The filtrate was injected on a Shimadzu preparatory liquid chromatograph. The methanol eluent was removed from the appropriate fraction. The aqueous mixture was extracted with ethyl acetate. The extract was washed (water, brine), dried (Na2SO4), filtered, and concentrated to provide the desired product.
EXAMPLE 3 (compound 11, R2=H) (IC50=B*, EC50=E*)
13-cycJohexyl-6, 7-dihydro-5H-indolo[2,l-a][2]benzazepinβ-10-carboxylic acid. Example 2 (60 mg, 0.16 mmol) was dissolved in a mixture of 1 niL each of THF, methanol, and IN NaOH. The mixture was microwaved at 100 °C for 10 minutes. After removal of the organic solvents, the mixture was acidified with dilute HCl and the precipitated solid was extracted into ethyl acetate. Removal of the solvent and crystallization of the residue from methanol provided the desired product as a pale yellow solid. 1H NMR (300 MHz, DMSO-d6) δ 1.07-2.10 (m, 10H), 2.34 (m, 2H), 2.60-2.90 (m, 2H), 3.19-3.65 (m, 2H), 4.58 (d, J-8.78 Hz, IH), 7.41 (m, 4H), 7.60 (m, IH), 7.86 (d, J=8.42 Hz, IH), 8.12 (s, IH), 12.57 (s, IH).
EXAMPLE 4 (compound 9, R2=3-PhCH2O-)(EC50=C*)
Methyl 13-cyclohexyl-3-benzyloxy-7H-indolo[2, 1-a] [2] benzazepine-10- carboxylate. The desired product was prepared as colorless crystals by substituting Example 8B for Example 8A in Example 1 and recrystallizing from methanol (80% yield). 1H NMR (500 MHz, CDCl3) δ 1.59 (m, 10H), 2.84 (m, IH), 3.90 (m, 3H), 4.21 (s, IH), 4.90 (s, IH), 5.15 (s, 2H), 6.29 (m, IH), 6.76 (d, J=10.38 Hz, IH), 6.96
(d, J=2.75 Hz, IH), 7.06 (m, IH), 7.42 (m, 6H), 7.72 (m, IH), 7.86 (d, J=8.55 Hz, IH), 8.14 (s, IH).
EXAMPLE 5 (compound 10, R2=3-OH) (EC50=C*)
Methyl 13-cyclohexyl-3-hydroxy-6, 7-dihydro-5H-indolo[2,l- q][2Jbenzazepine-10-carboxylate. Example 4 (87 mg) was added to a mixture of THF (10 HiL) and methanol (10 niL) in a Parr bottle under argon. Palladium on carbon (30 mg of 10%) was added and the mixture shaken with H2 at 50 psi for 3 hours. Removal of the catalyst left a residue which when macerated with hexanes provided the desired product as a colorless solid. H NMR (500 MHz, CDCl3) δ 1.40-2.02 (m, 10H), 2.35 (m, IH), 2.56 (m, 2H), 2.87 (m, IH), 3.69 (m, IH), 3.97 (m, 3H), 4.42 (m, IH), 5.03 (m, IH), 6.84 (m, 2H), 7.26 (m, IH), 7.73 (m, IH), 7.85 (d, J=8.55 Hz, IH), 8.07 (s, IH).
EXAMPLE 6 (IC50=A*, EC50=C*)
Methyl 1 l-cyclohexyl-6H-isoindolo[2,l-a] indole-3-carboxylate. Palladium acetate (40 mg, 0.18 mmol) was added to a mixture, under argon, of Intermediate 22A (130 mg, 0.31 mmol) and potassium acetate (61 mg, 0.62 mmol) in N,N- dimethylacetamide (3 mL) in a microwave vial. The mixture was microwaved for 20 minutes at 160 °C. The reaction mixture was diluted with ethyl acetate, washed (3x with water, Ix with brine), dried (MgSO4), filtered, and concentrated to provide a black residue. A solution of the residue in dichloromethane was applied to a silicic acid thick layer plate. The plate was eluted with hexanes/ethyl acetate (95:5), dried, and eluted again with hexanes/ethyl acetate (90:10). The band containing the product
was extracted with dichloromethane. The solvent was removed and the residue crystallized from methanol to provide the desired product. ESI-MS m/z 346 (MH ), 1H NMR (300 MHz, CDCl3) δ 1.45 (m, 3H), 1.92 (m, 7H), 3.18 (m, IH), 3.92 (s, 3H), 5.07 (s, 2H), 7.30 (t, J=7.50 Hz, IH), 7.43 (m, 2H), 7.84 (d, J=7.32 Hz, IH), 8.03 (s, IH).
EXAMPLE 7 (IC50=B*, EC50=C*)
ll-cyclohexyl-6H-isoindolo[2,l-a]indole-3-carboxylic acid. A mixture of
Example 6 in ethanol (8 mL) and IN NaOH (2.0 mL) was stirred at reflux for 1 hour and cooled to room temperature. The solution was acidified with IN HCl (2.1 mL) and partially concentrated. The precipitated solid was collected by filtration, washed with water, dissolved in methanol, and filtered. The filtrate was concentrated by boiling to about 0.4 mL, and diluted with diethyl ether. The resulting precipitate was collected by filtration to provide the desired product as a colorless solid. ESI-MS, both positive and negative ion consistent for MW 331, 1H NMR (500 MHz, CD3OD) δ 1.42 (m, 3H), 1.86 (m, 7H), 3.14 (m, /=12.05, 12.05 Hz, IH), 5.01 (s, 2H), 7.21 (t, J=7.48 Hz, IH), 7.32 (t, J=7.48 Hz, IH), 7.44 (d, J-7.63 Hz, IH), 7.58 (s, 2H), 7.73 (d, J=7.63 Hz, IH), 7.89 (s, IH), 7.89 (s, IH).
EXAMPLE 8 (IC50=A*, EC50=D*)
Methyl 1 l-cycIohexyl-ό-hydroxy-όH-isoindolo^J-aJindoleS-carboxylate. The desired product was prepared as a tan crystalline solid by substituting 2- formylphenylboronic acid for 2-vinylphenylboronic acid in Intermediate 7A (83% yield). The compound exists as the hemi-aminal as shown by the spectral data. ESI- MS m/z 360 (MIT), 1H NMR (300 MHz, DMSO-d6) δ 1.49 (m, 3H), 1.83 (m, J=13.17 Hz, 7H), 3.21 (m, IH), 3.88 (m, 3H), 6.64 (m, IH), 7.28 (d, J=8.78 Hz, IH), 7.40 (t, J=7.14 Hz, IH), 7.52 (t, J=7.14 Hz, IH), 7.62 (m, 2H), 7.83 (m, 2H), 8.21 (s, IH).
(±)-13-Cyclohexyl-6,7-dihydro-6-(morpholinylcarhonyl)-5H-indolo[2,l- q][2]benzazepine-10-carboxylic acid. TBTU (69 mg, 0.22 mmol) was added to a stirred solution of racemic 14b (60 mg, 0.0.144 mmol), morpholine (19 μL, 0.22 mmol), and N,N-diisopropylethylamine (300 μL, 1.7 mmol) in DMF (3mL). The mixture was shaken at 220C for 18hr. The resulting solution was injected on a Shimadzu preparative liquid chromatograph. The product containing fraction was concentrated on a Speed Vac® to leave methyl 13-cyclohexyl-6,7-dihydro-6-
(morpholinylcarbonyl)-5H-indolo[2,l-a][2]benzazepine-10-carboxylate as a colorless solid (60 mg, 86 %). ESI-MS m/z 487 (MH+).
Sodium hydroxide (200 μL, 0.2 mmol) was added to a solution of the preceding methyl ester (60 mg, 0.127 mmol) in methanol (1.2 mL) and tetrahydrofuran (1.2 mL) in a microwave vial. The vial was sealed and the contents heated at 90 0C for 10 min in a microwave apparatus, at which time the vial was cooled and additional NaOH was added (200 μL, 0.2 mmol). The solution was heated for another 5 min at 9O0C when LC/MS showed complete hydrolysis of the ester. The solution was acidified with dilute hydrochloric acid to precipitate the
crude acid. The solid was collected and purified on the Shimadzu preparative liquid chromatograph. The product containing fraction was concentrated on a Speed Vac® to leave the titled compound as a colorless solid (50 mg, 83%). ESI-MS m/z 473 (MH+), 1H NMR (500 MHz, CD3OD) 5 1.24-1.35 (m, 1 H), 1.40-1.55 (m, 2 H), 1.60-1.68 (m, 1 H), 1.77-2.22 (m, 6 H), 2.76 (m, 1 H), 2.88-3.04 (m, 1 H), 3.44-3.51 (m, 1 H), 3.58-3.93 (m, 9 H), 4.47-4.59 (m, 1 H), 4.89 (m, 1 H), 7.31-7.43 (m, 1 H), 7.47 (m, 3 H), 7.72 (m, 1 H), 7.88 (m, 1 H), 8.16 (m, 1 H).
Optical resolution of(+)- 13-Cyclohexyl-6,7-dihydro-6- (morpholinylcarbonyl)-5Εl-indolo[2,l~a]l2]benzazepine-10-carboxylic acid. A solution of the racemic acid (1.7mg) in ethanol (ImL) was injected on a Chiralpak® AD column (20 x 250mm, 5μm). The column was eluted with a mixture of 70% heptane and 30% ethanol at a flow rate of lOmL/min for 60 min to give a complete separation of the enantiomers. A total of three injections were made. The fractions containing the enantiomers were combined and concentrated to provide the isomers as colorless solids. Enantiomer 1 (2.5mg), retention time 14.5min, ESI-MS m/z 487 (MH+); enantiomer 2 (2.5mg), retention time 42.8min, ESI-MS m/z 487 (MH+).
EXAMPLE 10
Methyl 13-cyclohexyl-6-(morpholinylcarbonyl)-5H-indolo[2, I- a] [2] benzazepine-10-carboxylate. TBTU (145mg, 0.45 mmol) was added to a stirred solution of 14a (R=H, 125mg, 0.30 mmol), morpholine (26 μL, 0.30 mmol), and N,N-diisopropylethylamine 200 μL, 1.15 mmol) in DMF (2mL). The mixture was stirred at 220C for 20 min. The resulting solution was injected on a Shimadzu preparative liquid chromatograph. The product containing fraction was concentrated
on a Speed Vac® to leave methyl 13-Cyclohexyl-6-(morpholinylcarbonyl)-5H- indolo[2,l~a][2]benzazepine-10-carboxylic acid as a yellow solid (64mg, 44%). ESI- MS m/z 487 (MH+), 1H NMR (500 MHz, CDCl3) 6 1.21 (m, 1 H), 1.34-1.55 (m, 3 H), 1.77 (m, 2 H), 1.91 (m, 1 H), 2.06 (m, 3 H), 2.83 (m, 1 H)5 2.97-3.85 (m, 8 H), 3.97 (s, 3 H), 4.45 (m, 1 H), 5.07 (m, 1 H), 6.89 (s, 1 H), 7.41 (d, 1 H)5 7.49 (m, 2 H), 7.57 (m, 1 H), 7.75 (m, 1 H), 7.89 (d, J=8.55 Hz5 1 H)5 8.15 (s, 1 H).
EXAMPLE Il
13-Cyclohexyl-6-(morpholinylcarbonyl)-5H-indolo[2, 1-a] [2] benzazepine-10- carboxylic acid. Sodium hydroxide (84 μL, 0.084 mmol) was added to a solution of the preceding methyl ester (25 mg, 0.052 mmol) in methanol (0.5 mL) and tetrahydrofuran (0.5 mL) in a microwave vial. The vial was sealed and the contents heated at 90 °C for 15 min in a microwave apparatus. The solution was acidified with dilute hydrochloric acid to precipitate the crude acid. The solid was collected and purified on the Shimadzu preparative liquid chromatograph. The product containing fraction was concentrated on a Speed Vac® to leave the titled compound as a colorless solid (17.3 mg, 71%). ESI-MS m/z All (MH+), 1H NMR (500 MHz, DMSO-D6) δ 1.14 (m, 1 H), 1.43 (m, 3 H)5 1.70 (m, 2 H)5 1.89 (m, 1 H), 2.05 (m, 3 H)5 2.79 (t, J=15.87 Hz5 1 H)5 3.49 (m, 8 H), 4.27 (m, 1 H), 5.17 (m, 1 H), 7.01 (s, 1 H)5 7.52-7.65 (m, 5 H), 7.90 (d, J=8.55 Hz5 1 H), 8.21 (s, 1 H), 12.62 (s, 1 H).
EXAMPLE 12 (compound 28)
Methyl 13-cyclohexyl-6, 7-dihydropyrido[2 ',3 ':6, 7] [l,4]oxazepino[4,5- a]indole-10-carboxylate. A mixture of Intermediate 27 (174 mg, 0.38 mmol), potassium acetate (75 mg, 0.76 mmol), Pd(PPh3)4 (22 mg, 0.019 mmol), and dimethylacetamide (2 mL) in a sealed tube was heated at 160 0C for 5 hours. The mixture was filtered and the solid was washed with ethyl acetate. The filtrate was concentrated and the residue was purified on a Shimadzu preparatory liquid chromatograph to provide the desired product as a light yellow solid (60 mg, 42% yield). MS m/z 377(MH+); 1H NMR (300 MHz, CDCl3) δ 1.30-1.65 (m, 5H), 1.69- 2.07 (m, 5H), 3.40 (m, IH), 3.91 (m, 3H), 4.35 (m, 2H), 4.54 (t, J=5.49 Hz, 2H), 7.28 (dd, J=8.23, 4.57 Hz, IH), 7.49 (dd, J=8.42, 1.46 Hz, IH), 7.73 (dd, J=8.42, 1.10 Hz, IH), 7.92 (d, J=8.42 Hz, IH), 8.05 (s, IH), 8.54 (dd, J=4.76, 1.46 Hz, IH).
EXAMPLE 13 (compound 29) (EC50=E*)
13-cyclohexyl-6, 7-dihydropyrido[2 ',3 ':6, 7][l,4]oxazepino[4,5-a]indole-10- carboxylic acid. Sodium hydroxide (1.0 mL of 2N) was added to a solution of Example 9 (60 mg, 0.16mmol) in THF/methanol (1.5 mL each). The mixture was microwaved at 100 °C for 15 minutes. The mixture was partially concentrated. The
006/004156
84 pH of the aqueous residue was adjusted to 4-5 with IN HCl. The solid was collected by filtration and dried to provide the desired product (58 mg, 100% yield) as a pale yellow solid. MS m/z 363(MH+); 1H NMR (500 MHz, CD3OD) δ 1.42 (m, 3H), 1.80 (m, IH), 1.84-1.94 (m, 4H), 2.01-2.13 (m, 2H), 3.34 (m, IH), 4.50 (t, J=5.49 Hz, 2H), 4.59 (t, J=5.49 Hz, 2H), 7.54 (dd, J=8.24, 4.88 Hz, IH), 7.74-7.80 (m, 2H), 7.98 (d, J=8.24 Hz, IH), 8.24 (s, IH), 8.58 (dd, J=4.88, 1.53 Hz, IH); 13C NMR (500 MHz, CD3OD) δ 26.4, 27.3, 33.1, 36.3, 41.3, 74.7, 111.6, 120.0, 121.3, 122.7, 124.5, 124.9, 130.5, 132.0, 134.8, 135.9, 144.5, 145.4, 151.8, 170.0.
EXAMPLE 14 (compound 45) (IC50=A*, EC50=C*)
Methyl 13-cyclohexyl-6, 7-dihydro-6-oxo-5H- pyrido[3 ',2 ':5,6][l,4]diazepino[l,7-a]indole-10-carboxylate. Intermediate 42 (500 mg, 1.06 mmol), Xanphos (92 mg, 0.16 mmol), Pd2(dba)3 (97 mg, 0.106 mmol), and Cs2CO3 (518 mg, 1.59 mmol) were added to a microwave reactor tube. The tube was flushed with nitrogen, sealed, and treated with 1,4 dioxane (10 mL). The mixture was heated at 100 °C for 5 hours in the microwave reactor. The mixture was cooled to room temperature, diluted with water, and extracted with ethyl acetate (2 x 75 mL). The organic layers were combined, dried (MgSO4), filtered, and concentrated. The residue was purified by SiO2 chromatography (Horizon™ HPFC system) using 2% ethyl acetate/hexanes to 60% ethyl acetate/hexanes to provide the desired product as a yellow solid(235 mg, 57% yield). MS m/z 390 (MH+); 1H NMR (500 MHz, CD3OD) δ 1.30-1.51 (m, 3H), 1.11-1.98 (m, 5H), 2.01-2.17 (m, 2H), 3.44 (m, IH), 4.00 (s, 3H), 4.61 (s, 2H), 7.52 (dd, J=8.24, 4.58 Hz, IH), 7.68 (dd, J=8.24, 1.53 Hz,
IH), 7.80 (m, IH), 8.01 (d, J=8.55 Hz, IH), 8.32 (s, IH), 8.64 (dd, J=4.73, 1.37 Hz, IH).
EXAMPLE 15 (IC50=B*, EC50=D*)
13-cyclohexyl-6, 7-dihydro-6-oxo-5H-pyrido[3 ',2 ':5,6J[l,4Jdiazepino[l, 7- a] indole- 10-carboxylic acid. A solution of Example 11 (180 mg, 0.462 mmol) in pyridine (7 mL) was treated with LiI (186 mg, 1.39 mmol), heated at 180 °C in a microwave reactor for 2.5 hours, diluted with water, and adjusted to pH 4-5 with IN HCl. The precipitate was collected by filtration to provide the desired product as a pale brown solid (170 mg, 98% yield). MS m/z 376 (MH+); 1H NMR (500 MHz, DMSO-d6) 5 1.22-1.43 (m, 3H), 1.69-1.85 (m, 5H), 1.93-2.04 (m, 2H), 3.37 (m, IH), 4.90 (s, 2H), 7.52 (dd, J=8.24, 4.58 Hz, IH), 7.65 (dd, J=8.24, 1.53 Hz, IH), 7.69 (dd, J=8.39, 1.37 Hz, IH), 7.97 (d, J=8.55 Hz, IH), 8.27 (s, IH), 8.62 (dd, J=4.58, 1.53 Hz, IH), 10.44 (s, IH).
EXAMPLE 16 (IC50=A*, EC50=C*)
6-ethyl-9-methyl-12-cyclohexyl-indolo[2,l-a]isoquinoline-6,9~dicarboxylic acid. A mixture of Intermediate 46 (43 mg, 0.01 mmol), 2-formylphenylboronic acid (18 mg, 0.12 mmol), and [(Ph)3P]4Pd (12 mg, 0.01 mmol) in Na2CO3 (1.2 mL of IN), ethanol (2 mL), and toluene (2 mL) was stirred at reflux for 18 hours. The mixture was partitioned between ethyl acetate and water. The ethyl acetate layer was washed (water), dried (Na2SO4), filtered, and concentrated. The crude product was purified by flash column chromatography on SiO2 with hexanes-ethyl acetate (4:1) followed
by a final purification on the Shimadzu preparatory HPLC using a gradient of 30% methanol/water containing 0.1 % TFA to 100 % methanol during 12 minutes at aflow rate of 40 mL per minute, to provide the desired product as a yellow solid: ESI-MS m/z 430 (MH+), 1H NMR (500 MHz, CDCl3) δ 1.23-1.60 (m, 6H), 1.90 (m, IH), 2.01 (m, 4H), 2.22 (m, 2H), 3.70 (m, IH), 3.95 (m, 3H), 4.60 (m, 2H), 7.12 (d, J-5.19 Hz, IH), 7.49 (m, IH), 7.60 (m, 2H), 7.95 (dd, J=8.70, 1.37 Hz, IH), 8.12 (d, J=8.54 Hz, IH), 8.33 (m, 2H).
EXAMPLE 17 (compound 54)
Methyl 13-cyclohexyl-6, 7-dihydroindolo[l,2-d][l,4]benzoxazepine-l 0- carboxylate. BEMP (0.155 mL, 0.5 mmol), and 1 ,2-dibromoethane (21 μL, 0.24 mmol) were added to a solution of Intermediate 53 (70 mg, 0.2 mmol) in DMF (6 mL). The solution was microwaved for 20 minutes at 120 °C and cooled to room temperature. The mixture was diluted with ethyl acetate, washed with water (3x), brine (3x), dried over Na2SO4, filtered, and concentrated. The product was purified by flash column chromatography on silica gel with hexanes/ethyl acetate (10:1) to provide the desired product as a colorless solid (60 mg, 80% yield). ESI-MS m/z 375 (MH+); 1H NMR (500 MHz, CDCl3) δ 1.38 (m, 3H), 1.60 (m, IH), 1.86 (m, 4H), 2.06 (m, 2H), 2.97 (m, IH), 3.93 (s, 3H), 4.30(t, J=5.5 Hz5 2H), 4.51 (t, J=5.5 Hz, 2H), 7.24 (m, IH), 7.30 (m, IH), 7.42 (m, 2H), 7.76 (d, J=8.5 Hz, IH), 7.89 ( d, J=8.5 Hz, IH), 8.07 (s, IH).
EXAMPLE 18 (compound 62) (IC50=A*, EC50=D*)
13-cyclohexyl-7H-indolo[2,l-a] [2] benzazepine-10-carboxylϊc acid. A mixture of Example 1 (371 mg, 1 mmol) in THF (4 mL), methanol (3mL), and 1.7M LiOH (3 mL, 5.1 mmol) was stirred at reflux for 1.5 hours. The mixture was cooled to room temperature, diluted with water, and acidified with dilute HCl. The resulting precipitate was collected by filtration, washed with cold water, and dried to provide 324 mg of the desired product (91 % yield). ESI-MS m/z 358 (MH+); 1H NMR (300 MHz, DMSO-d6) 5 1.37-2.05 (m, 10H), 2.78 (m, IH), 4.06 (s, IH), 5.17 (s, IH), 6.39 (m, IH), 6.89 (d, .7=10.61 Hz, IH), 7.50 (m, 4H), 7.60 (m, IH), 7.88 (d, J=8.78 Hz, IH), 8.24 (s, IH), 12.59, (s, IH).
EXAMPLE 19 (compound 64) (IC50=B*, EC50=E*)
IS-cyclohexyl-N-ζdimethylaminosulfonylJ-YH-indoloftJ-aJftJbenzazepine- 10-carboxamide. A mixture of Example 15 (50 mg, 0.14 mmol), N5N- dimethylsulfamide (21 mg, 0.17 mmol), 4-(dimethylamino)pyridine (17 mg, 0.14 mmol), and l-[3-(dimethylamino)propyl]-3-ethylcarbodiimide hydrochloride (40 mg, 0.21 mmol) in dichloromethane (1 mL) and DMF (1 mL) was stirred for 18 hours at
22 °C. The mixture was poured into ethyl acetate and dilute aqueous acetic acid. The ethyl acetate layer was washed (water, brine), dried (Na2SO4), filtered, and concentrated. The residue was crystallized from ethyl acetate to provide the desired product (17 mg, 26% yield) as pale yellow crystals. ESI-MS m/z 358 (MH+); 1H NMR (300 MHz5 CDCl3) δ 1.20-2.30 (m, 10H), 2.81 (m, IH), 3.05 (s, 3H), 3.47 (m, 2H), 4.11 (m, IH,) 4.89 (s, IH), ,6.27 (m, IH), 6.80 (d, J=10.61 Hz, IH), 7.38 (m, 4H), 7.51 (m, IH), 7.89 (d, J=8.42 Hz, IH), 8.02 (s, IH), 8.75 (s, IH).
EXAMPLE 20 (compound 78) (IC50=A*, EC50=D*)
Methyl 13-cyclohexyl-6, 7-dihydro-6-oxo-5H-indolo[l ,2- d][ 1,4] benzodiazepine- 10-carhoxylate. The mixture described in Intermediate 77 (7.1 g) was dissolved in TFA (30 mL) and dichloromethane (30 niL). The solution was stirred for 1 hour at 22 0C and concentrated. LC/MS showed that about 8% of the non-cyclized tert-butyl ester remained. The residual red gum was dissolved in neat TFA (30 mL). The solution was stirred for 1 hour at 55 °C and concentrated to dryness. Acetic acid (50 mL) was added and the flask was immersed in a hot oil bath (120 0C) for 3 minutes. The resulting crysallized product was collected by filtration, and washed with acetic acid and diethyl ether (2 x) to provide 4.1g of the desired product. ESI-MS m/z 389 (MH+)/HNMR (500 MHz, CDCl3) δ 1.44 (m, 2H), 1.63 (m, 2H), 1.81 (m, 2H), 1.96 (m, IH), 2.07 (m, 3H), 2.92 (m, IH), 3.97 (m, 3H), 4.53 (m, IH), 5.03 (m, IH), 7.17 (d, J=7.93 Hz, IH), 7.39 (m, IH), 7.48 (m, IH), 7.57 (d, J=7.93 Hz, IH), 7.60 (s, IH), 7.81 (d, J=8.55 Hz, IH), 7.92 (d, J=8.54 Hz, IH), 8.24 (s, IH).
EXAMPLE 21 (compound 80) (IC50=B*, EC50=E*)
13-cyclohexyl-6, 7-dihydro-6-oxo-5H-indolo[l,2-d][l,4] benzodiazepine- 10- carboxylic acid. Example 17 (200 mg) was dissolved in a mixture of methanol (6 mL) and THF (6mL). NaOH (3 mL of IN) was added and the mixture was micro waved at 100 0C for 15 minutes. The mixture was cooled to room temperature, acidified with IN HCl, and extracted with ethyl acetate. The ethyl acetate solution was washed with IN HCl (3x) and concentrated. Acetic acid (5 mL) was added to the residue. The mixture was heated at 80 0C for 1 hour, during which time the desired product crystallized. The solid was collected by filtration and washed with methanol (2x) to provide the desired product as a colorless solid (150 mg, 78% yield). ESI-MS m/z 375 (MH+); 1H NMR (500 MHz, DMSOd6) δ 1.19 (m, 2H), 1.43 (m, 2H), 1.53 (m, IH), 1.78 (m, 2H), 2.04 (m, 3H), 2.88 (m, IH), 4.55 (d,
J=14.65 Hz, IH), 5.07 (d, J=14.95 Hz, IH), 7.31 (d, J=7.93 Hz, IH), 7.41 (m, IH), 7.54 (m, IH), 7.70 (d, J=8.24 Hz, IH), 7.96 (d, J=8.55 Hz, IH), 8.26 (s, IH), 10.37 (s, IH), 12.34 (s, IH).
EXAMPLE 22 (IC50=B*, EC50=E*)
13-cyclohexyl-6, 7-dihydro~6-oxo-5-methyl-5H-indolo[l ,2- d] [1 ,4]benzodiazepine-10-carboxylic acid. Iodomethane (1.7 μL, 0.027 mmol) was added to a stirred mixture of BEMP (8.2 μL, 0.027 mmol) and Example 17 (8.6 mg, 0.022 mmol) in DMF (1 mL) at room temperature. Stirring was continued for 20 minutes when LC/MS indicated that the alkylation was completed. The DMF solution was injected on a Shimadzu preparatory liquid chromatograph. The appropriate fraction from the chromatography was concentrated to provide the alkylated ester. ESI-MS m/z 403 (MH+).
Hydrolysis of the ester following the procedure described in Example 18 provided the desired product as a colorless film. ESI-MS m/z 389 (MH+); 1H NMR (500 MHz, CD3OD) δ 1.27-1.39 (m, IH), 1.44-1.59 (m, 2H), 1.61-1.72 (m, IH), 1.79-1.92 (m, 2H), 1.95-2.04 (m, IH), 2.05-2.24 (m, 3H)5 2.97-3.08 (m, IH), 3.36 (s, 3H), 4.52 (d, J=14.65 Hz, IH), 5.06 (d, J=14.65 Hz, IH), 7.47-7.53 (m, IH), 7.60- 7.68 (m, 3H), 7.79 (d, J=8.55 Hz, IH), 7.95 (d, J=8.55 Hz, IH), 8.30 (s, IH).
EXAMPLE 23 (IC50=A*, EC50=E*)
3-[l-[[(13-cyclohexyl-7H-indolo[2,l-a][2]benzazepin-10- yl)carbonyl] amino] cyclopentyl] -1 ,2,4-oxadiazole-5-butanoic acid. A solution of Intermediate 73 (20.0 mg, 0.041 mmol) in CHCl3 (0.50 mL) and DIPEA (0.036 mL, 0.207 mmol) was treated with dihydro-3/f-pyran-2,6-dione (10.0 mg, 0.082 mmol). The resulting mixture was stirred in a sealed tube in an Emrys microwave at 130 °C for 15 minutes. IM HCl (10 mL) was added and the aqueous layer was extracted with CHCl3 (2 x 20 mL). The organic phase was dried over Na2SO4, filtered, and
concentrated under reduced pressure. Purification by flash column chromatography on silica gel with 1:3 ethyl acetate/hexanes provide the desired product (13 mg, 52%) as a yellow paste. MS m/z 579 (MH+); 1H NMR (300 MHz, CDCl3) δ 1.16-1.62 (m, 6H), 1.77 (m, 2H), 1.91-2.02 (m, 4H), 2.11 (m, 2H), 2.16 (t, J=2.0, 14.0, 14.0 Hz, 2H), 2.29 (m, 2H), 2.52 (m, 2H)5 2.64 (m, 2H), 2.83 (m, IH), 4.13 (broad m, IH), 2.90 (t, J=2.0, 14.0, 14.0 Hz, 2H), 4.90 (broad m, IH), 6.22 (dd, J=I 1.4, 3.0 Hz IH), 6.79 (d, J=I 1.4 Hz, IH), 7.30 (dd, J=2.0, 4.0 Hz, IH), 7.39 (m, IH), 7.45 (m, 2H), 7.58 (m, IH), 7.84 (dd, J=8.0, 2.0 Hz, IH), 8.02 (d, J=2.0 Hz, IH).
EXAMPLE 24 (IC50=A*, EC50=E*)
4-[3-[l-[[(13-cyclohexyl-7H-indolo[2,l-a][2]benzazepin-10- yl)carbonyl] amino] cyclopentyl] -1 ,2,4-oxadiazol-5-yl] -benzoic acid. A solution of Intermediate 73 (20.0 mg, 0.041 mmol) in CHCl3 (0.50 mL) and DIPEA (0.036 mL, 0.207 mmol) was treated with methyl 4-(chlorocarbonyl)benzoate (16.0 mg, 0.082 mmol). The resulting mixture was stirred in a sealed tube in an Emrys microwave at 130 °C for 15 minutes. The resulting mixture was concentrated under reduced pressure, treated with IM NaOH (1.0 mL) and methanol (2.0 mL), and stirred at
22 °C for 6 hours. IM HCl (10 mL) was added and the aqueous layer was extracted with CHCl3 (2 x 20 mL). The organic phase was dried over Na2SO4, filtered, and concentrated under reduced pressure. Flash column chromatography on silica gel with 1:3 ethyl acetate/hexanes provided the desired product (12 mg, 43%) as a yellow paste. MS m/z 613 (MH+); 1H NMR (300 MHz, CDCl3) δ 1.09-1.66 (m, 6H), 1.81 (m, 2H), 1.87-1.99 (m, 4H), 2.08 (m, 2H), 2.24 (m, 2H), 2.58 (m, 2H), 2.84 (m, IH),
4.18 (broad m, IH), 4.89 (broad m, IH), 6.33 (dd, J=I 1.4, 3.0 Hz IH), 6.80 (d, J=I 1.4 Hz, IH), 7.30 (dd, J=2.0, 4.0 Hz, IH), 7.36 (m, IH), 7.42 (m, 2H), 7.53 (m, IH), 7.89 (dd, J=8.0, 2.0 Hz, IH), 8.03 (d, J=2.0 Hz, IH), 8.12 (d, J=8.2 Hz, 2H), 8.29 (d, J=8.2 Hz, 2H).
EXAMPLE 25 (IC50=A*, EC50=E*)
3-[4-[3-[l-[[(13-cyclohexyl-7H-indolo[2,l-a][2]benzazepin-10- yl)carbonyl] 'amino] cyclopentylj-l, 2, 4-oxadiazol-5-yl] phenyl] -(2E)-2-propenoic acid. A solution of Intermediate 73 (20.0 mg, 0.041 mmol) in CHCl3 (0.50 niL) and DIPEA (0.036 mL, 0.207 mmol) was treated with (£)-methyl 3-(4- (chlorocarbonyl)phenyl)acrylate (19.0 mg, 0.082 mmol). The resulting mixture was stirred in a sealed tube in an Emrys microwave at 130 °C for 15 minutes. The resulting mixture was concentrated under reduced pressure, treated with IM NaOH (1.0 mL) and methanol (2.0 mL), and stirred at 22 0C for 6 hours. IM HCl (10 mL) was added and the aqueous layer was extracted with CHCl3 (2 x 20 mL). The organic phase was dried over Na2SO4, filtered, and concentrated under reduced pressure. Flash column chromatography on silica gel with 1:3 ethyl acetate/hexanes provided the desired product (15 mg, 54%) as a yellow paste. MS m/z 639 (MH ), 1HNMR (300 MHz, CDCl3) δ 1.10-1.65 (m, 6H), 1.81 (m, 2H), 1.89-1.99 (m, 4H), 2.07 (m, 2H), 2.26 (m, 2H), 2.58 (m, 2H), 2.84 (m, IH), 4.20 (broad m, IH), 4.90 (broad m, IH), 6.33 (dd, J=I 1.4, 3.0 Hz IH), 6.63 (d, J=14 Hz, 2H), 6.79 (d, J=I 1.4 Hz, IH), 7.28 (dd, J=2.0, 4.0 Hz, IH), 7.35 (m, IH), 7.42 (m, IH), 7.55 (m, IH),
7.69 (d, /=14 Hz, 2H), 7.79 (d, J=8.2 Hz, 2H), 7.88 (dd, 7=8.0, 2.0 Hz, IH), 8.03 (d, J=2.0 Hz, IH), 8.17 (d, J=8.2 Hz, 2H).
EXAMPLE 26 (IC50=A*, EC50=E*)
3-[3-[3-[l-[[(13-cyclohexyl-7H-indolo[2,l-a][2]benzazepin-10- yl)carbonyl] amino] cyclopentyl] -1 ,2,4-oxadiazol-5-yl]phenyl] -(2E)-2-propenoic acid. A solution of Intermediate 73 (20.0 mg, 0.041 mmol) in CHCl3 (0.50 niL) and DIPEA (0.036 mL, 0.207 mmol) was treated with (£)-methyl 3-(3- (chlorocarbonyl)phenyl)acrylate (19.0 mg, 0.082 mmol). The resulting mixture was stirred in a sealed tube in an Emrys microwave at 130 °C for 15 minutes. The resulting mixture was concentrated under reduced pressure, treated with IM NaOH (1.0 mL) and methanol (2.0 mL), and stirred at 22 °C for 6 hours. IM HCl (10 mL) was added and the aqueous layer was extracted with CHCl3 (2 x 20 mL). The organic phase was dried over Na2SO4, filtered, and concentrated under reduced pressure. Flash column chromatography on silica gel with 1 :3 ethyl acetate/hexanes provided the desired product (18 mg, 67%) as a yellow paste. MS m/z 639 (MH ); 1H NMR (300 MHz, CDCl3) δ 1.12-1.59 (m, 6H), 1.71 (m, 2H), 1.86-1.95 (m, 4H), 2.03 (m, 2H), 2.40 (m, 2H), 2.52 (m, 2H), 2.82 (m, IH), 4.13 (broad m, IH), 4.87 (broad m, IH), 6.22 (dd, J=I 1.4, 3.0 Hz, IH), 6.48 (dd, /=14 Hz, IH), 6.74 (d, J=I 1.4 Hz, IH), 7.30 (dd, /=2.0, 4.0 Hz, IH), 7.43-7.52 (m, 3H), 7.49 (m, 2H), 7.62 (dd, /=7.7, 7.6 Hz, IH), 7.67 (dd, /=8.0, 2.0 Hz, IH), 7.83 (d, J=7.7 Hz, IH), 7.99 (d, J=2.0 Hz, IH), 8.03 (d, /=7.6, IH), 8.21 (s, IH).
EXAMPLE 27 (IC50=A*, EC50=E*)
Ethyl 3-[4-[l-[[(13-cyclohexyl-6, 7-dihydro-5H-indolo[2, 1-a] [2] benzazepin-
10-yl)carbonyl] amino] cyclopentyl] phenyl] -(2E)-propenoate TBTU (44.7 mg, 0.14 mmol) was added to a stirred solution of Intermediate 57A, TEA (56 mg, 0.56 mmol), and Example 3 (50 mg, 0.14 mmol) in DMSO (1 mL) at 22 °C under argon. The mixture was stirred for 2.5 hours when LC/MS indicated that the coupling was completed. The mixture was diluted with ethyl acetate and washed sequentially with water (3x), dilute HCl, and brine. The solution was dried over Na2SO4, filtered, and concentrated. A solution of the residue in dichloromethane was applied to a silica gel thick layer plate. The plate was eluted with dichloromethane/ethyl acetate (150:10). Concentration of an extract of the appropriate band provided the desired product as a colorless solid (34.3 mg, 38% yield). MS m/z 644 (MH+); 1H NMR (300 MHz, CDCl3) δ 1.31 (t, J=7.14 Hz, 3H), 1.37-2.70 (m, , 22H), 2.91 (d, J=4.03 Hz, IH), 3.71 (m, IH), 4.24 (q, J=6.95 Hz, 2H), 4.43 (dd, J=14.27, 5.86 Hz, IH), 6.34 (d, J=16.10 Hz, IH), 6.48 (s, IH), 7.35 (m, 5H), 7.46 (d, J=8.42 Hz, 2H), 7.61 (m, 3H), 7.88 (d, J=8.42 Hz, IH), 7.95 (s, IH), 10.39 (s, IH).
EXAMPLE 28
S-ft-fl-fKlS-cyclohexyl-όJ-dihydroSH-mdohPyl-aJPJhenzazepin-lO- yl)carbonyl] amino] cyclopentyl] phenyl] -(2E)-propenoic acid. A mixture of Example 27 (249 mg, 0.387 mmol) in THF (3 mL), methanol (3 mL), and LiOH (6 niL of 0.65N) was stirred at reflux for 1 hour. The mixture was diluted with cold H2O (20 mL) and acidified with 37% HCl (1 mL) to form a precipitate. The solid was collected and washed with cold H2O. The damp solid was crystallized from methanol to provide the desired product as a colorless solid (191 mg, 80% yield). ESI- MS m/z 616 (MH+); 1H NMR (300 MHz, DMSO-d6) δ 1.20-2.34 (m, 17H), 2.35 (s, 4H), 2.79(m, 2H), 3.56 (s, IH), 4.59 (s, IH), 6.38 (d, J=16.10 Hz, IH), 7.40 (m, 3H), 7.50 (d, J=16.10 Hz, IH), 7.58 (d, J=8.78 Hz, 2H), 7.65 (m, 2H), 7.82 (d, J=8.42 Hz, IH), 8.22 (d, J=27.45 Hz, 2H), 9.64 (s, IH), 12.19 (s, IH).
EXAMPLE 29 (IC50=B*, EC50=F*)
2-propenoic acid, 3-[4-[[[4-[[(13-cyclohexyl-6, 7-dihydro-5H-indolo[2,l- a][2]benzazepin-10-yl)carbonyl] amino] -4-piperidinyl]carbonyl]amino]phenyl]-, (2E)-. TBTU (97 mg, 0.30 mmol) was added to a stirred solution of Intermediate 57B, (120 mg, 0.287 mmol), TEA (116 mg, 1.15 mmol), and Example 3 (103 mg, 0.0.287 mmol) in DMSO (1.2 mL) at 22 0C under argon. The solution was stirred for 1 hour and diluted with water. The precipitated solid was collected by filtration and dried to provide the fully-protected coupled product ( 219 mg). ESI-MS m/z 759 (MH ). The crude solid (205 mg) was added to a stirred solution of dichloromethane
6 004156
96
(1.5 mL) and TFA (1.5 mL) at room temperature. After 1 hour the solution was concentrated. THF (1.5 mL), methanol (1.5 mL), and LiOH ( 1.5 mL of 1.4N) were added to the residue. The mixture was stirred at reflux for 3 minutes and stored for 18 hours at ambient temperature. The mixture was acidified with dilute HCl. The resulting gel was collected, washed with cold water, and purified on a Shimadzu preparatory liquid chromatograph. Partial concentration of the eluate resulted in the precipitation of the desired product (17.1 mg) as a colorless solid (mono acid addition salt with TFA). ESI-MS m/z 631 (MH+); 1H NMR (300 MHz, DMSOd6) δ 1.99- 1.16 (m, 14H), 2.37 (s, 6H), 3.56 (s, IH), 4.59 (s, IH), 6.37 (d, /=15.3 Hz, IH)5 7.52 (m, HH), 7.83 (s, IH), 8.20 (s, IH,) 8.47 (s, IH), 9.89 (s, IH).
By substituting the appropriate starting materials and reagents into the procedures described above, the following compounds were prepared:
111
*IC50: A>1 μM; B 0.1 μM - 1 μM (standard method); EC50: C >10 μM; D 1 μM - 10 μM; E 0.1 μM - 1 μM; F <0.1 μM (luciferase method).
The following table contains additional compounds of Formula land results from biological evaluation. The compounds were prepared using procedures or
general methods described herein. Their characterization data is described in the text or in tables that follow.
*IC50: A>1 μM; B <0.02 μM - 1 μM (two of the examples were more potent than 0.02μM so a specific value was not determined); EC50: C >10 μM; D 1 μM - 10 μM; E 1.0 μM - 0.01 μM. ** EC50 determined via Luciferase assay. All others are determined via the FRET assay. ***ICso: determined via the standard method (without preincubation). AU others via the modified method (with preincubation).
General procedure for the preparation of 13-cyclohexyl-7H-indolo[2,l-a][2]benzazepine- 6,10-dicarboxylic acid, diesters
(a) 1.2 equiv of 2, LiCl (3 equiv), Pd(PPh3)4 (0.04 equiv), IM Na2CO3, EtOH- toluene, 85-90 0C (b) 1.2-1.5 equiv of 4, Cs2CO3 (1.2 equiv), DMF, 50-600C
Methyl 1 l-cyclohexyl-6-hydroxy-6H-isoindoJo[2,l-a] indole-3-carboxylate (3; Ri = Me, R2 - H). A stirred mixture of methyl 2-bromo-3-cyclohexyl-lH-indole-6- carboxylate (10.1 g, 30 mmol), 2-formylphenylboronic acid (5.4 g, 36 mmol), LiCl (3.8 g (90 mmol) and Pd (PPh3)4 (1.6 g, 1.38 mmol) in IM Na2CO3 (40 mL) and 1:1 EtOH-toluene (180 mL) was heated under nitrogen at 85 oC for 3 hours. Reaction mixture was allowed to cool and then extracted with EtOAc (2X 100 mL), washed with water, brine and then dried (MgSO4). Evaporation of solvents afforded 13.3 g of crude product which was triturated with DCM and hexanes to provide pure desired product (7.52 g, 70%). LC-MS: m/e 360 (M-H)"; 344 (M-17)+. IH NMR (400 MHz, CHLOROFORM-D) 6 ppm 1.33 - 1.60 (m, 4 H) 1.77 - 2.01 (m, 6 H) 2.80 (d,
J=11.83 Hz, 1 H) 3.02 - 3.18 (m, 1 H) 3.89 (s, 3 H) 6.49 (d, J=11.33 Hz, 1 H) 7.34 (t,
J=7.55 Hz, 1 H) 7.46 (t, J=7.55 Hz, 1 H) 7.62 (d, J=7.30 Hz, 1 H) 7.66 - 7.74 (m, 2 H) 7.77 (d, J=7.81 Hz, 1 H) 8.21 (s, 1 H).
Methyl 13-cyclohexyl-6-(methoxycarbonyl)- 7H-indolo[2, 1-a] [2]benzazepine- 10-carboxylate (5; Ri = Rs - Me, R2 = H). A stirred suspension of methyl 11- cyclohexyl-6-hydroxy-6H-isoindolo[2,l-a]indole-3-carboxylate (3.61 g, lOrnmol), Cs2CO3 (3.91 g, 12 mrnol) and trimethyl 2-phosphonoacetate (2.86g, 14 mmol) in an. DMF (40 mL) was heated at 60 0C under nitrogen for 3 h. Resultant yellow suspension was cooled to rt and water was added with vigorous stirring. The yellow precipitate was filtered off , washed with water and then air dried overnight to afford the designated compound (4.124g, 96%). LC/MS: m/e 430 (MH+); IH NMR (400 MHz, CHLOROFORM-D) 6 ppm 1.30 - 1.46 (m, J=14.86 Hz, 2 H) 1.55 (s, 2 H) 1.77 (s, 2 H) 1.85 - 2.18 (m, 4 H) 2.76 - 2.89 (m, 1 H) 3.84 (s, 3 H) 3.95 (s, 3 H) 4.19 (s, 1 H) 5.68 (s, 1 H) 7.38 - 7.63 (m, 4 H) 7.74 (dd, J=8.44, 1.39 Hz, 1 H) 7.81 - 7.98 (m, 2 H) 8.29 (d, J=LOl Hz, I H).
Part I. Preparation of Sulfamide and N-Boc-Sulfamide
Method
CSI Λ B
A-2
1H NMR (400 MHz, CHLOROFORM-D) δ ppm 1.47 (s, 9 H) 1.85 - 1.98 (m, 4 H) 3.42 - 3.57 (m, 4 H) 7.00 (s, 1 H)
B-2
1H NMR (400 MHz, MeOD) δ ppm 1.85 - 1.93 (m, 4 H) 3.17 - 3.28 (m, 4 H)
A-3
1H NMR (400 MHz, CHLOROFORM-D) δ ppm 1.20 (t, J=7.18 Hz, 3 H) 1.47 (s, 9 H) 2.95 (s, 3 H) 3.35 (q, J=7.05 Hz, 2 H) 7.00 (s, 1 H)
A-4
1H NMR (400 MHz, CHLOROFORM-D) δ ppm 1.20 (t, J=7.18 Hz, 6 H) 1.47 (s, 9 H) 3.41 (q, J=7.30 Hz, 3 H) 7.04 (s, 1 H)
A-6
1H NMR (400 MHz3 CHLOROFORM-D) δ ppm 1.21 (d, J=6.55 Hz, 6 H) 1.48 (s, 9 H) 3.47 - 3.66 (m, I H)
Part II. Final Compounds
Tert-butyl pyrrolidin-1-ylsulfonylcarbamate (160 mg, 0.64 mmol) was dissolved in TFA/DCM (1/1, 1 mL) and stirred for 1 h. removed the solvents in vacuo and added acid 2 (40 mg, 0.1 mmol), DMAP (104 mg, 0.8 mmol), Nl- ((ethylimino)methylene)-N3 ,N3 -dimethylpropane- 1 ,3 -diamine hydrochloride ( 102 mg, 0.53 mmol), DCM (2 mL). The mixture was stirred o/n and purified by prep HPLC to afford the product as a redish solid (18.4 mg, 34%). IH NMR (400 MHz, CHLOROFORM-D) δ ppm 1.05 - 2.28 (m, 14 H) 2.83 - 3.05 (m, 1 H) 3.39 - 3.76 (m, 4 H) 4.61 (s, 1 H) 5.50 (d, J=15.61 Hz, 1 H) 7.04 - 7.60 (m, 4 H) 7.86 (dd, J=8.56, 1.26 Hz, 1 H) 7.92 - 8.02 (m, 1 H) 8.63 (s, 1 H) 9.55 (s, 1 H) 10.47 (s, 1 H) LC-MS (retention time: 3.08; MS m/z 507 (M+H).
A mixture of cyclopropylsulfonamide (77 mg, 0.64 mmol) added acid 2 (60 mg, 0.13 mmol), DMAP (71 mg, 0.58 mmol), Nl-((ethylimino)methylene)-N3,N3- dimethylpropane-l,3-diamine hydrochloride (49 mg, 0.26 mmol) in DMF (2 mL) was stirred o/n and purified by prep HPLC to afford the product as a solid (14.2 mg, 29
%). IH NMR (400 MHz, CHLOROFORM-D) 6 ppm 1.03 - 1.70 (m, 10 H) 1.69 - 2.13 (m, 4 H) 2.52 - 2.68 (m, J=7.93, 7.93 Hz, 1 H) 2.93 - 3.93 (m, 9 H) 4.64 (d, 1 H) 4.91 (d, 1 H) 6.88 (d, J=19.64 Hz, 1 H) 7.37 - 7.65 (m, 5 H) 7.92 (d, J=8.56 Hz, 1 H) 8.07 (s, 1 H) (retention time: 2.98; MS m/z 574 (M+H).
Acid 2
A mixture of methanesulfonamide (50 mg, 0.53 mmol), added acid 2 (50 mg, 0.11 mmol), DMAP (104 mg, 0.85 mmol), Nl-((ethylimino)methylene)-N3,N3- dimethylpropane- 1,3 -diamine hydrochloride (51 mg, 0.27 mmol) in DMF (1.5 mL) was stirred o/n and purified by prep HPLC to afford the product as a solid (19.9 mg, 29 %). IH NMR (400 MHz, CHLOROFORM-D) 5 ppm 1.13 - 1.63 (m, 4 H) 1.76 (d, J=7.30 Hz, 2 H) 1.84 - 2.16 (m, 4 H) 2.73 - 2.90 (m, 1 H) 3.27 - 3.80 (m, 8 H) 3.48 (s, 3 H) 4.37 (s, 1 H) 5.12 (s, 1 H) 6.91 (s, 1 H) 7.38 - 7.45 (m, 1 H) 7.46 - 7.60 (m, 4 H) 7.91 (d, J=8.56 Hz, 1 H) 8.11 (s, 1 H); LC-MS (retention time: 2.94; MS m/z 548 (M+H).
A mixture of ethanesulfonamide (46 mg, 0.4 mmol), added acid 1 (40 mg, 0.08 mmol), DMAP (45 mg, 0.37 mmol), Nl-((ethylimino)methylene)-N3,N3~ dimethylpropane-l,3-diamine hydrochloride (41 mg, 0.21 mmol) in DMF (1.5 mL) was stirred o/n and purified by prep HPLC to afford the product as a solid (19.1 mg, 40 %). IH NMR (400 MHz, CHLOROFORM-D) 6 ppm 1.10 - 1.53 (m, 7 H) 1.64 - 1.82 (m, 2 H) 2.02 (s, 4 H) 2.84 (d, J=15.11 Hz, 1 H) 3.14 - 3.82 (m, 10 H) 4.35 (s, 1 H) 5.12 (s, 1 H) 6.90 (s, 1 H) 7.32 - 7.63 (m, 5 H) 7.78 - 7.94 (m, 1 H) 8.16 (s, 1 H)LC-MS (retention time: 3.00; MS m/z 562 (M+H).
A mixture of propane-2-sulfonamide (52 mg, 0.4 mmol), added acid 1 (40 mg, 0.1 mmol), DMAP (52 mg, 0.43 mmol), Nl-((ethylimino)methylene)-N3,N3- dimethylpropane-l,3-diamine hydrochloride (41 mg, 0.21 mmol) in DMF (1.5 mL) was stirred o/n and purified by prep HPLC to afford the product as a solid (19 mg, 39 %). IH NMR (400 MHz, CHLOROFORM-D) δ ppm 1.08 - 1.58 (m, 4 H) 1.48 (d, J=7.05 Hz, 6 H) 1.69 - 1.82 (m, 2 H) 1.85 - 2.22 (m, 4 H) 2.75 - 2.89 (m, 1 H) 3.30 -
3.71 (m, 8 H) 4.03 - 4.15 (m, 1 H) 4.35 (s, 1 H) 5.10 (s, 1 H) 6.90 (s, 1 H) 7.34 - 7.63 (m, 5 H) 7.82 - 7.90 (m, 1 H) 8.13 (s, 1 H); LC-MS (retention time: 2.98; MS m/z 576 (M+H).
A mixture of 2-methylpropane-2-sulfonamide (58 mg, 0.4 mrnol), added acid 1 (40 mg, 0.08 mmol), DMAP (54 mg, 0.44 mmol), Nl-((ethylimino)methylene)- N3,N3-dimethylpropane-l,3-diamine hydrochloride (41 mg, 0.21 mmol) in DMF (1.5 mL) was stirred o/n and purified by prep HPLC to afford the product as a solid (3.5 mg, 7 %).
IH NMR (400 MHz, CHLOROFORM-D) 6 ppm 1.12 - 1.58 (m, 4 H) 1.58 (s, 9 H) 1.67 - 2.19 (m, J=I 20.61 Hz, 5 H) 2.82 (s, 1 H) 3.05 - 3.76 (m, 10 H) 4.37 (s, 1 H) 5.06 (s, 1 H) 6.85 (s, 1 H) 7.34 - 7.60 (m, 4 H) 7.83 - 7.97 (m, 1 H) 8.08 (s, 1 H) LC- MS (retention time: 3.02; MS m/z 590 (M+H).
A mixture of benzenesulfonamide (67 mg, 0.4 mmol), added acid 1 (40 mg, 0.08 mmol), DMAP (52 mg, 0.43 mmol), Nl-((ethylimmo)methylene)-N3,N3- dimethylpropane- 1,3 -diamine hydrochloride (41 mg, 0.21 mmol) in DMF (1.5 mL) was stirred o/n and purified by prep HPLC to afford the product as a solid (22 mg, 40 %). IH NMR (500 MHz, CHLOROFORM-D) 6 ppm 1.14 - 1.60 (m, 4 H) 1.75 (d, J=8.85 Hz, 2 H) 2.01 (s, 4 H) 2.70 - 2.95 (m, 1 H) 3.16 - 3.81 (m, 8 H) 4.32 (s, 1 H) 5.08 (s, 1 H) 6.89 (s, 1 H) 7.36 - 7.42 (m, 1 H) 7.43 - 7.57 (m, 6 H) 7.59 - 7.68 (m, 1 H) 7.85 (d, J=8.55 Hz, 1 H) 8.11 (s, 1 H) 8.18 (d, J=7.32 Hz, 2 H); LC-MS (retention time: 3.06; MS m/z 610 (M+H).
A mixture of pyrrolidine- 1 -sulfonamide (64 mg, 0.4 mmol), added acid 1 (40 mg, 0.08 mmol), DMAP (82 mg, 0.66.mmol), Nl-((ethylimino)methylene)-N3,N3- dimethylpropane- 1,3 -diamine hydrochloride (57 mg, 0.30 mmol) in DMF (1.5 mL) was stirred o/n and purified by prep HPLC to afford the product as a solid (17 mg, 33 %). IH NMR (400 MHz, CHLOROFORM-D) δ ppm 1.14 - 1.56 (m, 4 H) 1.77 (d, J=6.80 Hz, 2 H) 1.85 - 2.20 (m, 8 H) 2.71 - 2.93 (m, 1 H) 3.26 - 3.83 (m, 12 H) 4.37
(s, 1 H) 5.13 (s, 1 H) 6.86 - 6.90 (m, 1 H) 7.34 - 7.62 (m, 5 H) 7.86 - 7.93 (m, 1 H) 8.13 (s, 1 H). LC-MS (retention time: 3.05; MS m/z 603 (M+H).
The Boc sulfamide compound (121 mg, 0.51 mmol) was dissolved in TFA/DCM (1/1, 1 mL) and stirred for 1.5 h. and removed the solvents in vacuo. To the residue was added acid (40 mg, 0.1 mmol), DMAP (125 mg, 1.02 mmol), Nl- ((ethylimino)methylene)-N3,N3-drmethylpropane-l,3-diamine hydrochloride (57mg, 0.3 mmol), DMF (1.5 mL). the mixture was stirred o/n and purified by prep HPLC to afford the product as a solid (8.3 mg, 17 %).1H NMR (400 MHz, CHLOROFORM- D) δ ppm 1.23 (t, J=7.18 Hz, 3 H) 1.31 - 1.61 (m, 4 H) 1.77 (d, J=8.06 Hz, 2 H) 1.85 - 2.18 (m, 4 H) 2.77 - 2.88 (m, 1 H) 3.06 (s, 3 H) 3.29 - 3.72 (m, 10 H) 4.36 (s, 1 H) 5.15 (s, 1 H) 6.87 (s, 1 H) 7.38 - 7.43 (m, 1 H) 7.45 - 7.54 (m, 3 H) 7.52 - 7.64 (m, 1 H) 7.90 (d, J=8.31 Hz, 1 H) 8.11 (d, J=I .01 Hz, 1 H) LC-MS (retention time: 3.09; MS m/z 591 (M+H).
The Boc sulfamide compound (128 mg, 0.51 mmol) was dissolved in TFA/DCM (1/1, 1 mL) and stirred for 1.5 h. and removed the solvents in vacuo. To
the residue was added acid (40 mg, 0.1 mmol), DMAP (125 mg, 1.02 mmol), Nl- ((ethylimino)methylene)-N3,N3-dimethylpropane- 1,3 -diamine hydrochloride (57mg, 0.53 mmol), DMF (1.5 niL). the mixture was stirred o/n and purified by prep HPLC to afford the product as a solid. (11 mg, 21 %).1H NMR (400 MHz, CHLOROFORM-D) δ ppm 1.17 - 1.27 (m, 6 H) 1.32 - 1.62 (m, 4 H) 1.76 (d, J=7.81 Hz, 2 H) 1.87 - 2.13 (m, 4 H) 2.78 - 2.88 (m, 1 H) 3.04 (d, J=26.69 Hz, 4 H) 3.34 - 3.69 (m, 8 H) 4.36 (s, 1 H) 5.16 (s, 1 H) 6.87 (s, 1 H) 7.37 - 7.42 (m, 1 H) 7.43 - 7.53 (m, 3 H) 7.55 - 7.62 (m, 1 H) 7.90 (d, J=8.56 Hz, 1 H) 8.11 (s, 1 H) LC-MS (retention time: 3.17; MS m/z 605 (M+H).
The Boc sulfamide (126 mg, 0.63 mmol) was dissolved in TFA/DCM (1/1, 1 HiL) and stirred for 2 h. removed the solvents in vacuo and added acid 2 (50 mg, 0.1 mmol), DMAP (129mg, 1.06 mmol), Nl-((ethylimino)methylene)-N3,N3- dimethylpropane-l,3-diamine hydrochloride (71 mg, 0.37 mmol), DMF (1.5 mL). the mixture was stirred o/n and purified by prep HPLC to afford the product as a solid (14.7 mg, 31 %). IH NMR (400 MHz, CHLOROFORM-D) δ ppm 1.10 - 1.56 (m, 4 H) 1.21 (d, J=6.30 Hz, 6 H) 1.74 (s, 2 H) 1.88 - 2.13 (m, J=I 8.63 Hz, 4 H) 2.76 -
2.87 (m, 1 H) 3.38 - 4.04 (m, 9 H) 4.28 (s, 1 H) 5.17 (s, 1 H) 6.84 (s, 1 H) 7.37 - 7.43 (m, 1 H) 7.44 - 7.52 (m, 2 H) 7.52 - 7.62 (m, 2 H) 7.88 (d, J=8.56 Hz, 1 H) 8.18 (s, 1 H). LC-MS (retention time: 3.07; MS m/z 591 (M+H).
A suspension of compound 13 (10.5 mg, 0.02) in minimum amount of TFA- MeOH and small amount of Pd/C (10%) was added. The mixture was stirred for 4 h under H2 balloon pressure, filtered off the solid and removed the solvent to afford the product as a colorless glass. (6.7 mg, 64%) LC-MS (retention time: 3.09; MS m/z 564 (M+H).
A suspension of compound 13 (11 mg, 0.02mmol) in minimum amount of TFA-MeOH and small amount of Pd/C (10%) was added. The mixture was stirred for 4 h under H2 balloon pressure, filtered off the solid and removed the solvent to afford the product as a colorless glass (7.4 mg, 68%). IH NMR (500 MHz, CHLOROFORM-D) 6 ppm 1.18 - 1.31 (m, 6 H) 1.32 - 1.81 (m, 6 H) 1.83 - 2.20 (m, 4 H) 2.69 - 2.98 (m, 3 H) 3.06 - 3.18 (m, 1 H) 3.37 - 3.94 (m, 9 H) 4.04 - 4.25 (m, 1 H) 4.64 (d, J=14.65 Hz, 1 H) 7.30 - 7.47 (m, 4 H) 7.62 (dd, J=8.55, 1.22 Hz, 1 H) 7.86 - 7.91 (m, 1 H) 7.95 - 8.04 (m, 1 H) LC-MS (retention time: 3.11; MS m/z 578 (M+H).
Pd/C, H2
The product (10.8 mg,77%) was obtained from the same unsaturated compound (13.3mg), 0.02 mmol) method as in Example 37 compound 39 was used. 10. LC-MS (retention time: 3.17; MS m/z 612 (M+H).
A mixture of pyrrolidine- 1 -sulfonamide (63 mg, 0.4 mmol), added acid 1 (40 mg, 0.08 mmol), DMAP (103 mg, 0.84 mmol), Nl-((ethylimino)methylene)-N3,N3- dimethylpropane- 1,3 -diamine hydrochloride (57 mg, 0.3 mmol) in DMF (1.5 mL) was stirred o/n and purified by prep HPLC to afford the product as a solid (13.9 mg, 27 %). 1H NMR (400 MHz, CHLOROFORM-D) δ ppm 1.19 - 1.50 (m, 4 H) 1.62 (s, 1 H) 1.76 (s, 2 H) 1.84 - 2.13 (m, 5 H) 2.49 (s, 2 H) 2.69 - 2.96 (m, 3 H) 3.35 - 3.92 (m, 12 H) 4.22 (dd, J=14.60, 11.83 Hz, 1 H) 4.30 - 4.43 (m, 1 H) 4.69 (d, J=14.60 Hz, 1 H) 7.32 - 7.54 (m, 4 H) 7.81 - 7.95 (m, 2 H) 8.14 (s, 1 H), LC-MS (retention time: 3.10; MS m/z 605 (M+H).
A mixture of cyclopropysulfonamide (64 mg, 0.53 mmol), acid (25 mg, 0.05mmol), DMAP (100 mg, 0.82 mmol), Nl-((ethylimino)methylene)-N3,N3- dimethylpropane-l,3-diamine hydrochloride (80 mg, 0.42 mmol) in DMF (1.5 mL) was stirred o/n and purified by prep HPLC to afford racemate product as a glass (3.7 mg, 13 %). IH NMR (400 MHz, CHLOROFORM-D) δ ppm 1.03 - 1.57 (m, 6 H) 1.86 - 2.14 (m, 4 H) 2.65 (d, J=13.60 Hz, 1 H) 2.59 - 3.27 (m, 6 H) 3.33 - 3.46 (m, 1 H) 3.51 - 3.87 (m, 7 H) 4.15 - 4.26 (m, 1 H) 4.29 - 4.42 (m, 1 H) 4.66 (none, 1 H) 4.67 (d, J=14.86 Hz, 1 H) 7.32 - 7.47 (m, 3 H) 7.52 (dd, J=8.18, 1.39 Hz, 1 H) 7.81 - 7.98 (m, 2 H) 8.13 (s, 1 H) 8.69 (s, 1 H) 9.34 (s, 1 H); LC-MS (retention time: 3.34 MS m/z 576 (M+H).
ChiralpakADcolu
Optical pure 1 optical pure 2
Resoluted the racemate (97 mg) on Chiralpak AD column(Chiralpak AD column, 4.6 x 50mm, 5μm, Solvents: 60% CO2 - 40% Methanol,Temp: 35C, Pressure: 150 bar, Flow rate: 2 mL/min) to supply optcal pure two enantiomers. Enantiomer one peak 1 (23.0 mg); IH NMR (400 MHz, CHLOROFORM-D) δ ppm 1.06 - 1.51 (m, 6 H) 1.73 (s, 4 H) 1.81 - 2.19 (m, 4 H) 2.55 - 3.00 (m, 4 H) 3.06 - 3.27 (m, 1 H) 3.49 - 3.88 (m, 8 H) 4.08 - 4.43 (m, 1 H) 4.70 (d, J=14.60 Hz, 1 H) 7.30 - 7.47 (m, 3 H) 7.51 - 7.62 (m, 1 H) 7.84 - 7.98 (m, 2 H) 8.16 (d, J=LOl Hz, 1 H), Chiral HPLC: retention: 6.26 (Chiralpak AD column, 4.6 x 250mm, 5μm, Solvents: 60% CO2 - 40% Methanol).
Enantiomer two (peak two, 24.1mg). IH NMR (400 MHz, CHLOROFORM-D) δ ppm 0.95 - 1.49 (m, 4 H) 1.58 - 2.28 (m, 10 H) 2.52 - 3.00 (m, 4 H) 3.05 - 3.24 (m, 1 H) 3.30 - 3.48 (m, 1 H) 3.49 - 3.90 (m, 7 H) 4.11 - 4.43 (m, 1 H) 4.72 (d, J=14.60 Hz, 1 H) 7.26 - 7.59 (m, 5 H) 7.79 - 7.99 (m, 1 H) 8.17 (d, J=LOl Hz, 1 H); HPLC: retention: 11.84 (Chiralpak AD column, 4.6 x 250mm, 5μm, Solvents: 60% CO2 - 40% Methanol).
A mixture of methanesulfonamide (45 mg, 0.53 mmol), acid (25 mg,
0.05mmol), DMAP (100 mg, 0.82 mmol), Nl-((ethylimino)methylene)-N3,N3- dimethylpropane- 1,3 -diamine hydrochloride (80 mg, 0.42 mmol) in DMF (1.5 mL) was stirred o/n and purified by prep HPLC to afford the product as a glass (6.7 mg, 23 %). IH NMR (400 MHz, CHLOROFORM-D) 5 ppm 1.12 - 1.50 (m, 4 H) 1.58 - 1.83 (m, 2 H) 1.86 - 2.17 (m, 4 H) 2.57 - 3.00 (m, 3 H) 3.31 - 3.52 (m, 4 H) 3.52 - 3.96 (m, 8 H) 4.10 - 4.46 (m, 1 H) 4.66 (d, J=14.60 Hz, 1 H) 7.32 - 7.58 (m, 4 H) 7.78 - 7.96 (m, 2 H) 8.12 (s, 1 H). LC-MS (retention time: 3.44 ; MS m/z 550 (M+H). Resoluted the racemate (97 mg) on Chiralpak AD column(Chiralpak AD column, 4.6 x 50mm, 5μm, Solvents: 60% CO2 - 40% Methanol,Temp: 35C, Pressure: 150 bar, Flow rate: 2 mL/min) to supply optcal pure two enantiomers.
Resoluted the raceniate compound 34 (92 mg) on Chiralpak AD column (Chiralpak AD column, 4.6 x 250mm, 5μm, Solvents: 60% CO2 - 40% Methanol, Temp: 35C, Pressure: 150 bar, Flow rate: 2 mL/min.) to supply two optcal pure enantiomers.
Enantiomer one: Peak 1 (26.1 mg); IH NMR (400 MHz, CHLOROFORM-D) δ ppm 1.12 - 1.54 (m, 4 H) 1.55 - 1.81 (m, 2 H) 1.87 - 2.16 (m, 4 H) 2.55 - 3.06 (m, 3 H) 3.36 - 3.50 (m, 3 H) 3.52 - 3.92 (m, 8 H) 4.12 - 4.41 (m, 1 H) 4.72 (d, J=14.60 Hz, 1 H) 7.30 - 7.64 (m, 4 H) 7.84 - 8.01 (m, 2 H) 8.18 (s, 1 H); LC-MS (retention time: 3.30; MS m/z 550 (M+H). Chiral HPLC: retention: 5.47 ( (Chiralpak AD column, 4.6 x 250mm, 5μm, Solvents: 60% CO2 - 40% Methanol).
Enantiomer two: peak 2 (25.0 mg); IH NMR (400 MHz, CHLOROFORM-D) δ ppm 1.03 - 1.57 (m, 6 H) 1.86 - 2.14 (m, 4 H) 2.65 (d, J=13.60 Hz, 1 H) 2.59 - 3.27 (m, 6 H) 3.33 - 3.46 (m, 1 H) 3.51 - 3.87 (m, 7 H) 4.15 - 4.26 (m, 1 H) 4.29 - 4.42 (m, 1 H) 4.67 (d, J=14.86 Hz, 1 H) 7.32 - 7.47 (m, 3 H) 7.52 (dd, J=8.18, 1.39 Hz, 1 H) 7.81 - 7.98 (m, 2 H) 8.13 (s, 1 H) 8.69 (s, 1 H) 9.34 (s, 1 H) Chiral HPLC: retention: 11.13 ( (Chiralpak AD column, 4.6 x 250mm, 5μm, Solvents: 60% CO2 - 40% Methanol).
13-Cyclohexyl-N-[(dimethylamino)carbonyl)]-6-(4-morpholinylcarbonyl)-7H- indolo[2, 1 -a] [2]benzazepine- 10-carboxamide
To a stirred cold (-20 0C) solution of 13 -cyclohexyl-6-(4- morpholinylcarbonyl)-7H-indolo[2,l-α][2]benzazepine-10-carboxamide (47 mg, 0.1 mmol) in an. DMF (2 mL) dry NaH (10 mg, 0.4 mmol) was added under nitrogen. The mixture was allowed to warm to 0 0C and then a solution OfMe2NCOCl in DMF (0.5 mL) was added at -20 0C. Reaction mixture was allowed to warm to rt and kept for 1 h and then quenched with water, acidified with 0.5N HCl, extracted with
EtOAc. The crude isolated product (69 mg) was purified by prep. HPLC to afford the designated compound (36 mg; 67%): LC/MS: m/e 541 (MH+); IH NMR (400 MHz, CHLOROFORM-D) δ ppm 1.12 - 1.50 (m, 3 H) 1.64 - 2.16 (m, 7 H) 2.78 - 2.89 (m, 1 H) 3.02 - 3.17 (m, 6 H) 3.30 - 3.68 (m, 8 H) 4.38 (s, 1 H) 5.13 (s, 1 H) 6.87 (d, J=2.52 Hz, 1 H) 7.36 - 7.43 (m, 1 H) 7.44 - 7.55 (m, 3 H) 7.56 - 7.62 (m, 1 H) 7.91 (dd, J=8.56, 3.53 Hz, 1 H) 8.08 (s, 1 H).
LCMS data: Stop time: Gradient time + 1 minute; Starting cone: 0% B unless otherwise noted. Eluent A: 5% CH3CN / 95% H2O with 10 mM NH40Ac (for columns A and D); 10 % MeOH / 90 % H2O with 0.1% TFA (for columns B and C) Eluent B: 95% CH3CN / 5% H2O with 10 mM NH4OAc (for columns A and D) 90 % MeOH / 10 % H2O with 0.1% TFA (for columns B and C). Column A: Phenomenex lOμ 4.6 x 50 mm C18; Column B: Phenomenex C18 lOμ 3.0 x 50 mm; Column C: Phenomenex 4.6 x 50 mm Cl 8 1OD ; Column D: Phenomenex Lina Cl 8 5μ 3.0 x 50 mm.
A slurry of methyl 2-bromo-3-cyclohexyl-lH-indole-6-carboxylate (1.75 g, 5.22 mmol), LiCl (880 mg, 21.0 mmol), IM aqueous Na2CO3 (13 mL, 13.0 mmol), Pd(PPh3)4 (600 mg, 0.52 mmol) and tert-butyl 2-(4 ,4,5,5-tetrametliyl-l ,3,2- dioxaborolan-2-yl)phenylcarbamate (2.5 g, 7.8 mmol) in toluene (19 mL) and EtOH (19 mL) was heated at relfux for 2h. The reaction mixture was cooled and concentrated to dryness under vacuum. The residue was treated with H2O (120 mL) and extracted with EtO Ac( 2 x 200 mL). The combined organics were washed with brine (2 x 20 mL), dried (MgSO4), filtered, concentrated and purified by SiO2 chromatography (5-25% EtOAc/hexanes) to yield methyl 2-(2-(tert- butoxycarbonyl)phenyl)-3-cyclohexyl-lH-indole-6-carboxylate (1.8 g, 4.0 mmol, 77%) as a yellow-pink solid. 1HNMR (500 MHz, CDCl3) δ. 8.26 (d, J= 8.5 Hz, IH), 8.14 (s, IH), 8.11 (s, IH), 7.86 (d, J= 8.2 Hz, IH), 7.82 (dd, J= 8.2, 1.5 Hz, IH), 7.43 (ddd, J= 8.5, 7.3, 1.5 Hz, IH), 7.28 (d, J= 7.6, 1.5 Hz, IH), 7.11 (ddd, J= 7.6, 7.3, 1.2 Hz, IH), 6.67 (br s, IH), 3.94 (s, 3H), 2.56 (tt, J= 12.1, 3.5 Hz, IH), 1.97 - 1.22 (m, 10H), 1.45 (s, 9H). LCMS: m/e 449 (M+H)+, ret time 2.39 min, column C, 2 minute gradient, start at 0% B.
A slurry of methyl 2-(2-(tert-butoxycarbonyl)phenyi)-3-cyclohexyl-lH- indole-6-carboxylate (1.0 g, 2.2 mmol), powdered NaOH (460 mg, 11.5 mmol) and UBu4N+HSO4 " (150 mg, 0.44 mol) in 1,2-dichloroethane (10 mL) was heated in a sealed tube with microwave irradiation at 100 0C for 45 min. The reaction mixture was cooled to rt, diluted with CH2Cl2 (20 mL) and the solids were removed. The organics were washed with brine (20 mL) and the solids were dissolved into saturated aqueous NH4Cl (20 mL) and extracted with EtOAc (2 x 30 mL). The combined organics were dried (MgSO4), filtered, concentrated and purified by SiO2 chromatography (10-20% EtOAc/hexanes, loaded using CH2Cl2) to yield methyl 5- [(l,l-dimethylethoxy)carbonyl]-13-cyclohexyl-6,7-dihydro-5H-indolo[l,2- d][l,4]benzodiazepin-10-carboxylate (440 mg, 0.92 mmol, 42% (60% based on recovered starting indole)) as a light yellow solid. 1HNMR (500 MHz, CDCl3) δ 8.07 (s, IH), 7.85 (d, J= 8.5 Hz, IH), 7.75 (dd, J= 8.5, 1.2 Hz, IH), 7.48 - 7.40 (m, 3H), 7.32 - 7.27 (m, IH), 4.74 - 4.36 (m, 2H), 3.95 (s, 3H), 3.91 - 3.73 (m, IH), 3.68 - 3.47 (m, IH), 3.01 - 2.90 (m, IH), 2.10 - 1.25 (m, 10H), 1.20 s (9H). LCMS: m/e 475 (M+H)+, ret time 2.38 min, column C, 2 minute gradient, start at 0% B.
A solution of methyl 5-[(l,l-dimethylethoxy)carbonyl]-13-cyclohexyl-6,7- dihydro-5H-indolo[l,2-d][l,4]benzodiazepin-10-carboxylate (1.08 g, 2.28 mmol) in MeOH (40 mL), THF (30 mL) and 5N aqueous NaOH (2mL) was heated at 500C overnight. Additional ION aqueous NaOH (6 mL) was added and the reaction mixture was again heated at 50 0C for 5 h. The reaction was cooled, concentrated under vacuum and partitioned between EtOAc (60 mL) and 1A saturated aqueous NH4Cl (3O mL). The organic layer was washed with brine (1O mL) and the combined aqueous layers were extracted with EtOAc (40 mL). The combined organic layers were dried (MgSO4), filtered, concentrated to yield 5-[(l,l-
dimethylethoxy)carbonyl]-13-cyclohexyl-6,7-dihydro-5H-indolo[l,2- d][l,4]benzodiazepin-10-carboxylic acid (1.01 g, 2.20 mmol, 96%) as a yellow solid. 1HNMR (500 MHz, Acetone-J6) δ 8.23 (s, IH)5 7.93 (d, J= 8.4 Hz, IH), 7.75 (d, J= 8.4 Hz, IH), 7.60 - 7.51 (m, 3H), 7.48 - 7.41 (m, IH), 4.81 (br s, IH), 4.66 (br s, IH), 3.86 (br s, IH), 3.59 (br s, IH), 3.12 - 2.97 (m, IH)5 2.15 - 1.67 (m, 6H), 1.52 - 1.20 (m5 4H)5 1.18 (s, 9H). LCMS: m/e 461 (M+H)+, ret time 2.26 min, column C5 2 minute gradient, start at 0% B.
A slurry of methyl 2-(2-(tert-butoxycarbonyl)phenyl)-3-cyclohexyl- 1 H- indole-6-carboxylate (100 mg, 0.22 mmol), powdered NaOH (53 mg, 1.3 mmol) and HBu4N+HSO4 " (15 mg, 0.044 mol) in 1,2-dichloroethane (2 mL) was heated in a sealed tube with microwave irradiation at 100 0C for 45 min. The reaction mixture was cooled to rt, diluted with saturated aqueous NH4Cl (20 mL) and extracted with CH2Cl2 (2 x 10 mL). The organics were dried (MgSO4), filtered, concentrated and the crude residue was dissolved into CH2Cl2 (0.5 mL), treated with TFA (0.5 mL) and stirred IQ min. The reaction solution was concentrated to dryness portioned between saturated aqueous NH4Cl (3 mL) and EtOAc (3 mL). The organic layer was concentrated and purified by SiO2 chromatography (5-25% EtOAc/hexanes, loaded using CH2Cl2) to yield methyl 13-cyclohexyl-6,7-dihydro-5H-indolo[l ,2- d][l,4]benzodiazepin-10-carboxylate (24 mg, 0.064 mmol, 29% over two steps) as a white solid. 1HNMR (500 MHz, MeOD) δ 8.26 (s, IH), 7.97 (d, J= 8.6 Hz5 IH), 7.77 (dd, J= 8.6, 1.5 Hz5 IH)5 7.64 - 7.55 (m, 3H)5 7.51 - 7.48 (m, IH), 4.45 (br s, 2H), 3.96 (s, 3H)5 3.92 - 3.88 (m5 2H), 3.03 (tt, J= 12.2, 3.3 Hz5 IH)5 2.21 - 2.10 (m, 2H), 1.98 - 1.80 (m5 5H)5 1.54 - 1.36 (m, 2H). LCMS: m/e 375 (M+H)+, ret time 2.02 min, column C, 2 minute gradient, start at 0% B.
A solution of methyl 13-cyclohexyl-6,7-dihydro-5H-indolo[l,2- d][l,4]benzodiazepin-10-carboxylate (45.8 mg, 0.12 mmol) in THF/MeOH (1:2, 3 mL) and IN aqueous NaOH (0.5 mL) was heated at 50 0C for 5 h. The reaction solution was concentrated to remove volatile organics, neutralized with TFA (0.04 mL) and purified by preparative HPLC (MeOH/H2O with TFA buffer) to yield 13- cyclohexyl-6,7-dihydro-5H-indolo[ 1 ,2-d] [ 1 ,4]benzodiazepin- 10-carboxylic acid (33 mg, 0.092 mmol, 76%) as white solid. 1HNMR (500 MHz, MeOD) δ 8.25 (s, IH), 7.96 (d, J- 8.5 Hz, IH), 7,79 (dd, J- 8.5, 1.2 Hz, IH), 7.63 - 7.52 (m, 3H)5 7.50 - 7.46 (m, IH), 4.44 (br s, 2H), 3.92 - 3.86 (m, 2H), 3.03 (tt, J= 12.4, 3.1 Hz, IH), 2.21 - 2.10 (m, 2H), 1.97 - 1.80 (m, 5H), 1.54 - 1.36 (m, 2H). LCMS: m/e 361 (M+H)+, ret time 1.88 min, column C, 2 minute gradient, start at 0% B.
General procedure for preparation of acylsulfonamides and acylsulfamides: To a solution of 5-[(l,l-dimethylethoxy)carbonyl]-13-cyclohexyl-6,7-dihydro-5H- indolo[l,2-d][l,4]benzodiazepin-10-carboxylic acid (1 equiv.), RSO2Cl (5 equiv.) and DMAP (5 equiv.) in DMA (0.11 M) was added l-(3-dimethylaminopropyl)-3- ethylcarbodiimide hydrochloride (4 equiv.). The reaction solution was stirred at 50 0C for 3h, diluted with MeOHADMSO (1:3, 4 mL), and purified by preparative HPLC (MeOH/H2O with TFA buffer).
Yielded 5-[(l,l-dimethylethoxy)carbonyl]6,7-dihydro-5H-indolo[l,2- d] [ 1 ,4]benzodiazepin- 10-carboxamide, 13 -cyclohexyl-N-[(dimethylamino)sulfonyl] (172 mg, 0.303 mmol, 64%) as a white solid. 1HNMR (500 MHz, Acetone-fif6) δ 10.25 (s, IH), 8.31 (s, IH), 7.96 (d, J= 8.5 Hz, IH), 7.71 (d, J= 8.5 Hz, IH), 7.61 - 7.51 (m, 3H), 7.48 - 7.41 (m, IH), 4.78 (br s, IH), 4.61 (br s, IH), 3.65 (br s, IH), 3.59 (br s, IH), 3.02 (s, 6H), 3.04 - 2.95 (m, IH), 2.15 - 1.20 (m, 10H), 1.18 (s, 9H). LCMS: m/e 567 (M+H)+, ret time 2.21 min, column C, 2 minute gradient, start at 0% B.
Yielded 5-[(l , 1 -dimethylethoxy)carbonyl]-6,7-dihydro-5H-indolo[ 1 ,2- d] [ 1 ,4]benzodiazepin- 10-carboxamide, 13-cyclohexyl-N-[(cyclopropyl)sulfonyl] (75.6 mg, 0.134 mmol, 59%) as a light yellow solid. 1HNMR (500 MHz, MeOD) δ 8.21 (s, 0.25H), 8.12 (s, 0.75H), 8.02 (d, J= 8.5 Hz, 0.25H), 7.92 (d, J= 8.5 Hz, 0.75H), 7.69 - 7.38 (m, 5H), 4.66 (br s, IH), 4.57 (br s, IH), 3.79 (br s, IH), 3.57 (br s, IH), 3.25 - 3.17 (m, IH), 3.06 - 2.96 (m, IH), 2.20 - 1.11 (m, 14H), 1.18 (s, 9H). LCMS: m/e 564 (M+H)+, ret time 2.07 min, column C, 2 minute gradient, start at 30% B.
Yielded 5-[(l,l-dimethylethoxy)carbonyl]-6,7-dihydro-5H-indolo[l,2- d][l,4]benzodiazepin-10-carboxamide, 13-cyclohexyl-N-[methylsulfonyl] (55 mg, 0.102 mmol, 42%) as an orange solid. LCMS: m/e 538 (M+H)+, ret time 2.03 min, column C, 2 minute gradient, start at 30% B.
General procedure for BOC deprotection of acylsulfonamides and acylsulfamides: The BOC-protected substrate was dissolved into CH2C12/TFA (2:1, 60 rnM) and stirred at rt overnight. The reaction solution was concentrated under vacuum, the residue was diluted with MeOH/DMSO (1:1, 4 mL), and purified by preparative HPLC (MeOH/H2O with TFA buffer).
Yielded 6,7-dihydro-5H-indolo[l,2-d][l,4]benzodiazepin-10-carboxamide,
13-cyclohexyl-N-[(dimethylamino)sulfonyl] (161 mg, 0.284 mmol, 94%) as a yellow solid. 1HNMR (500 MHz, Acetone-^) δ 8.26 (s, IH), 7.97 (d, J= 8.5 Hz, IH), 7.72 (dd, J= 8.5, 1.5 Hz, IH), 7.41 (dd, J= 7.6, 1.5 Hz, IH), 7.30 (ddd, J= 7.6, 7.6, 1.5 Hz, IH), 7.12 (br d, J= 7.6 Hz, IH), 7.05 (ddd, J= 7.6, 7.6, 1.5 Hz, IH), 4.53 (br s, 2H), 3.77 - 3.72 (m, 2H), 3.02 (s, 6H), 3.02 - 2.98 (m, IH), 1.95 - 1.66 (m, 6H), 1.52
- 1.30 (m, 4H). LCMS: m/e 467 (M+H)+, ret time 1.83 min, column C, 2 minute gradient, start at 0% B.
Yielded 6,7-dihydro-5H-indolo[l,2-d][l,4]benzodiazepin-10-carboxamide, 13-cyclohexyl-N-[(cyclopropyl)sulfonyl] (40.8 mg, 0.073 rnmol, 81%) as a light pink solid. 1HNMR (500 MHz, MeOD) δ 8.19 (s, IH), 8.01 (d, J= 8.5 Hz, IH), 7.68 - 7.60 (m, 4H), 7.59 - 7.55 (m, IH), 4.46 (br s, 2H), 3.95 (dd, J= 5.8, 5.5 Hz, 2H), 3.24 - 3.17 (m, IH), 3.08 - 2.99 (m, IH), 2.20 - 2.08 (m, 2H), 1.99 - 1.80 (m, 2H), 1.54 - 1.37 (m, 2H), 1.37 - 1.32 (m, 2H), 1.20 - 1.14 (m, 2H). LCMS: m/e 464 (M+H)+, ret time 1.52 min, column C, 2 minute gradient, start at 30% B.
Yielded 6,7-dihydiO-5H-indolo[l,2-d][l,4]benzodiazepin-10-carboxamide, 13-cyclohexyl~N-[methylsulfonyl] (28.8 mg, 0.066 mmol, 86%) as an orange solid. 1HNMR (500 MHz, DMSOd15) δ 11.82 (s, IH), 8.27 (s, IH), 7.88 (d, J= 8.5 Hz, IH), 7.61 (dd, J= 8.5, 1.5 Hz5 IH), 7.24 - 7.20 (m, 2H), 6.95 (d, J= 7.9 Hz, IH), 6.87 (dd, J= 7.9, 7.0 Hz, IH), 5.85 (br s, IH), 4.42 (br s, 2H), 3.59 (br s, 2H), 3.41 (s, 3H), 2.90 - 2.82 (m, IH), 2.09 - 1.99 (m, 2H), 1.86 - 1.69 (m, 5H), 1.45 - 1.23 (m,
3H). LCMS: m/e 438 (M+H) , ret time 1.45 min, column C, 2 minute gradient, start at 30% B.
To a stirring solution of 6,7-dihydro-5H-indolo[l,2-d][l,4]benzodiazepin-10- carboxamide, 13-cyclohexyl-N-[(dimethylamino)sulfonyl] (50 mg, 0.11 mmol) in THF (1 mL) was added acetyl chloride (0.05 mL, 0.7 mmol) pyridine ( 0.009 niL) and DIPEA (0.020 mL, 0.12 mmol) The reaction solution was stirred at rt for 10 min, diluted with MeOH/DMSO 2:1, 3 mL), and purified by preparative HPLC (MeOH/H2O with TFA buffer) to yield 5-acetyl-13-cyclohexyl-N-
[(dimethylamino)sulfonyl]-6,7-dihydro-5H-indolo[ 1 ,2-d] [ 1 ,4]benzodiazepin- 10- carboxamide (18.3 mg, 0.059 mmol, 34%) as white solid. 1HNMR (500 MHz, MeOD) δ 8.12 (s, IH), 7.93 (d, J= 8.6 Hz, IH), 7.72 - 7.53 (m, 5H), 5.05 - 4.97 (m, IH), 4.75 - 4.69 (m, IH), 3.90 - 3.81 (m, IH), 3.49 - 3.44 (m, IH), 3.03 (s, 6H), 3.05 - 2.97 (m, IH), 2.16 - 1.79 (m, 6H), 1.64 (s, 3H), 1.62 - 1.30 (m, 4H). LCMS: m/e 509 (M+H)+, ret time 1.86 min, column C, 2 minute gradient, start at 30% B.
To a stirring solution of 6,7-dihydro-5H-indolo[l,2-d][l,4]benzodiazepin-10- carboxamide, 13-cyclohexyl-N-[(dimethylamino)sulfonyl] (59 mg, 0.13 mmol) in THF (1 mL) was added dimethyl carbamyl chloride (0.06 mL, 0.6 mmol) and DIPEA
(0.022 mL, 0.13 mmol) The clear orange solution was stirred and heated at 80 0C with microwave irradiation for 6 h. The reaction solution was cooled to rt, diluted with MeOH/DMSO 1:1, 3 mL), and purified by preparative HPLC (MeOH/H2O with TFA buffer) to yield 6,7-dihydro-5H-indolo[l,2-d][l,4]benzodiazepin-10- carboxamide, 13-cyclohexyl-N-[(dimethylamino)sulfonyl], 5-
[(dimethylamino)carbonyl] (31.7 mg, 0.059 mmol, 47%) as white solid. 1HNMR (500 MHz, CDCl3) δ 8.92 (s, IH), 8.03 (s, IH), 7.90 (d, J= 8.5 Hz, IH), 7.52 - 7.39 (m, 4H), 7.22 (d, J= 7.6 Hz, IH), 4.57 (br s, IH), 4.12 - 3.76 (m, 3H), 3.07 (s, 6H), 2.90 - 2.82 (m, IH), 2.44 (s, 6H), 2.10 - 1.15 (m, 10H). LCMS: m/e 538 (M+H)+, ret time 2.00 min, column C, 2 minute gradient, start at 30% B.
To a stirred solution of 5-[(l,l-dimethylethoxy)carbonyl]-13-cyclohexyl-6,7- dihydro-5H-indolo[l,2-d][l,4]benzodiazepin-10-carboxylic acid (300 mg, 0.65 mmol), (E)-ethyl 3-(4-(l-aminocyclopentanecarboxamido)phenyl)acrylate (217 mg, 0.72 mmol) and triethylamine (0.54 mL, 0.41 mmol) in DMSO (4 mL) was added O- benzotriazol-l-yl-A/",N,iV',Λ'''-tetramethyluronium tetrafluoroborate (252 mg, 0.79 mmol). The reaction solution was stirred at rt for Ih. An aliquot (0.5 mL, ~12.5%) was removed, diluted with DMSO (1 mL) and purified by preparative HPLC (MeOH/H2O with TFA buffer) to yield ethyl 2-propenoate, 3-[4-[[[l-[[(5-[(l,l- dimethylethoxy)carbonyl]-13-cyclohexyl-6,7-dihydro-5H-indolo[l,2- d][l,4]benzodiazepin-10-yl)carbonyl]amino]cyclopentyl]carbonyl]amino]phenyl]-, (2E) (15.5 mg, 0.021 mmol, 26%) as a yellow solid. LCMS: m/e 538 (M+H)+, ret time 2.00 min, column C, 3 minute gradient, start at 30% B.
To a stirred solution of (13-cyclohexyl-6,7-dihydro-5H-indolo[l,2- d][l,4]benzodiazepin-10-yl)carboxylic acid (230 mg, 0.65 mmol), (E)-ethyl 3-(4-(l- aminocyclopentanecarboxamido)phenyl)acrylate (217 mg, 0.72 mmol) and triethylamine (0.54 mL, 0.41 mmol) in DMSO (4 mL) was added 0-benzotriazol-l- y\-N, N,N',iV'-tetramethyluronium tetralluoroborate (252 mg, 0.79 mmol). The reaction solution was stirred at rt for Ih. An aliquot (0.5 mL, ~12.5%) was removed, diluted with DMSO and purified by preparative HPLC (MeOH/H2O with TFA buffer) to yield ethyl 2-propenoate, 3-[4-[[[l-[[(13-cyclohexyl-6,7-dihydro-5H- indolo [ 1 ,2-d\ [ 1 ,4]benzodiazepin- 10- yl)carbonyl]amino]cyclopentyl]carbonyl]amino]phenyl]-, (2E) (11.1 mg, 0.017 mmol, 21%) as a yellow solid. 1HNMR (500 MHz, MeOD) δ 8.13 (s, IH), 7.98 (d, J = 8.5 Hz, IH), 7.70 - 7.51 (m, 10H), 6.42 (d, J= 16.2 Hz, IH), 4.51 - 4.16 (m , 2H), 4.24 (q, J= 7.0 Hz, 2H), 3.97 - 3.87 (m, 2H), 3.09 - 2.98 (m, IH), 2.56 - 2.45 (m,
2H), 2.26 - 2.07 (m, 4H), 2.00 - 1.78 (m, 9H), 1.53 - 1.36 (m, 3H), 1.33 (t, J= 7.0 Hz, 3H),. LCMS: m/e 645 (M+H)+, ret time 1.89 min, column C, 2 minute gradient, start at 30% B.
To a stirred solution of (13-cyclohexyl-6,7-dihydro-5H-indolo[l,2- d][l,4]benzodiazepin-10-yl)carboxylic acid (230 mg, 0.65 mmol), (E)-ethyl 3-(4-(l-
aminocyclopentanecarboxamido)phenyl)acrylate (217 mg, 0.72 mmol) and triethylamine (0.54 mL, 0.41 mmol) in DMSO (4 mL) was added 0-benzotriazol-l- yl-N,N,N',N'-tetramethyluronium tetrafluoroborate (252 mg, 0.79 mmol). The reaction solution was stirred at rt for Ih. An aliquot (0.5 mL, ~12.5%) was removed. The remaining reaction solution was diluted with H2O (5 mL) and the precipitate (yellow solid) that formed was collected by filtration. This material was diluted with THF (12 mL) and MeOH (12 mL) and then treated with IM aqueous NaOH (4 mL). The reaction was stirred 6h at 50 0C, and concentrated to remove volatile organic solvents. The solution was diluted with saturated aqueous NH4Cl (20 mL) and extracted with EtOAc (40 mL). The remaining sticky solid was dissolved into H2O (50 mL) and extracted with EtOAc (100 mL). The combined organics were dried (MgSO4), filtered and concentrated. The residue was purified by preparative HPLC (MeOH/H2O with TFA buffer) to yield an orange solid which was further purified by preparative HPLC (MeOH/H2O with NH4OAc buffer) to yield 2-propenoic acid, 3- [4-[[[l-[[(13-cyclohexyl-6,7-dihydro-5H-indolo[l,2-c(j[l,4]benzodiazepin-10- yl)carbonyl]amino]cyclopentyl]-carbonyl]amino]phenyl]-, (2E)- (104 mg, 0.17 mmol, 30%) as a light yellow solid. 1HNMR (300 MHz, DMSO-d6) δ 9.95 (s, IH), 8.25 (s, IH), 8.14 (s, IH), 7.80 (d, J- 8.3 Hz, IH), 7.65 (d, J= 8.8 Hz, 2H), 7.61 - 7.55 (m, 3H), 7.50 (d, J= 15.9 Hz, IH), 7.23 - 7.15 (m, 2H), 6.92 (d, J= 8.0 Hz, IH), 6.84 (dd, J= 7.3, 7.3 Hz, IH), 6.38 (d, J= 15.9 Hz, IH), 5.80 (br s, IH), 4.44 (br s, 2H), 3.51 (br s, 2H), 2.92 - 2.79 (m, IH), 2.54 (s, IH), 2.40 - 2.29 (m, 2H), 2.16 - 1.96 (m, 4H), 1.87 - 1.63 (m, 9H), 1.46 - 1.19 (m, 3H). LCMS: m/e 617 (M+H)+, ret time 1.59 min, column A, 3 minute gradient.
4-Morpholinecarbonyl chloride (0.30 mL, 2.6 mmol) was added to a solution of (methyl (lS-cyclohexyl-όJ-dihydro-SH-indolofljl-dJfl^Jbenzodiazepin-lO-yl)- carboxylate) (80 nig. 0.16 mmol) in CH2Cl2 (3 mL) and triethylamine (0.50 mL). The reaction mixture was sealed, heated at 100° C for 30 min and then at 110° C for 30 min (~70% conversion by LCMS) with microwave irradiation, cooled, diluted with CH2Cl2 (~3 mL) washed with H2O (~5 mL), dried (MgSO4) and concentrated to dryness. The residue was purified by preparative HPLC (MeOH/2O with NH4OAc buffer) to yield (methyl (13-cyclohexyl-6,7-dihydro-5H-indolo[l,2- d][l,4]benzodiazepin-10-yl)-carboxylate), 5-(4-morpholinylcarbonyl) (25 mg, 0.51 mmol, 30%) as a light yellow solid.
To a solution of (methyl (13-cyclohexyl-6,7-dihydro-5H-indolo[l,2- d][l,4]benzodiazepin-10-yl)-carboxylate), 5-(4-morpholinylcarbonyl) (25 mg, 0.05 mmol) in MeOH//THF (1:1, 1.6 mL) was added 1 M aqueous NaOH (0.80 mL). The reaction mixture was stirred and heated at 90° C with microwave irradiation for 15 min in a sealed tube. The clear solution was diluted with H2O (1 mL), neutralized with IM aqueous HCl (0.80 mL) and concentrated to remove organic solvents. The resultant solids were collected by filtration, washed with H2O and dried under vacuum to yield (13 -cyclohexyl-6,7-dihydro-5H-indolo[ 1 ,2-d] [ 1 ,4]benzodiazepin- 10- yl)carboxylic acid, 5-(4-morpholinylcarbonyl) (21 mg, 0.05 mmol, 85%) as a light yellow solid. 1HNMR (300 MHz,'DMSO-d6) δ 8.19 (s, IH), 7.87 (d, J= 8.4 Hz, IH), 7.63 (dd, J= 8.4, 1.5 Hz, IH), 7.60 - 7.47 (m, 3H), 7.29 (dd, J= 7.0, 1.5 Hz, IH), 4.84 (br s, 2H), 3.98 - 3.55 (m, 4H), 3.23 - 3.05 (m, 2H), 2.88 - 2.69 (m, 5H), 2.12 - 1.63 (m, 6H), 1.51 - 1.06 (m, 4H). LCMS : m/e 472 (M-H)-, ret time 1.39 min, column A, 3 minute gradient.
To a solution of methyl (13-cyclohexyl-6,7-dihydro-5H-indolo[l,2- d][l,4]benzodiazepin-10-yl)-carboxylate TFA (80 mg, 0.17 mmol) in triethylamine (0.20 rnL) and CH2Cl2 (5 mL) which had been stirred for 5 min. was added phenyl isocyanate (0.20 mL, 1.84 mmol). The reaction solution was stirred for 2 h at rt, diluted with CH2Cl2 (-10 mL) and MeOH (~2 mL) and washed with Vi saturated aqueous NH4Cl (10 mL) and brine (10 mL). The organics were concentrated to dryness, dissolved into MeOH/THF (1:1, 3 mL) and treated with IM aqueous NaOH (0.80 mL). The reaction mixture was stirred and heated at 80° C with microwave irradiation for 15 min in a sealed tube. The clear solution was diluted with H2O (3 mL), neutralized with IM aqueous HCl (0.80 mL) and concentrated to remove organic solvents. The solids were collected by filtration, washed with water and purified by preparative HPLC (MeOH/H2O with NH4OAc buffer) to yield 5H- indolo[l,2-^[l,4]benzodiazepine-10-carboxylic acid, 13-cyclohexyl-6,7-dihydro-5- [(phenylamino)carbonyl] (21 mg, 0.044 mmol, 25%) as an off-white solid. 1H NMR (300 MHz, CD3OD) δ 8.20 (s, IH), 7.86 (d, J= 8.4 Hz, IH), 7.75 - 7.59 (m, 5H),
7.19 - 6.92 (m, 5H), 4.78 - 4.47 (m, 2H), 4.00 - 3.51 (m, 2H), 3.10 - 2.96 (m, IH),
2.20 - 1.14 (m, 10H). LCMS: m/e 480 (M+H)+, ret time 1.54 min, column A, 3 minute gradient.
To a solution of methyl (13-cyclohexyl-6,7-dihydro-5H-indolo[l,2- d][l,4]benzodiazepin-10-yl)-carboxylate TFA (80 mg, 0.17 mmol) in triethylamine (0.20 mL) and CH2Cl2 (5 niL) which had been stirred for 5 min. was added cyclopentyl isocyanate (0.20 mL, 1.77 mmol). The reaction solution was stirred overnight at rt, concentrated to dryness, dissolved into MeOH/THF (1:1, 3 mL) and treated with IM aqueous NaOH (0.80 mL). The reaction mixture was stirred and heated at 80° C with microwave irradiation for 15 min in a sealed tube. The clear solution was diluted with H2O (3 mL), neutralized with IM aqueous HCl (0.80 mL) and concentrated to remove organic solvents. The solids were collected by filtration, washed with water and purified by preparative HPLC (MeOH/H2O with NH4OAc buffer) to yield 5H-indolo[l,2-<i][l,4]benzodiazepine-10-carboxylic acid, 13- cyclohexyl-5-[(cyclopentylamino)carbonyl]-6,7-dihydro (8 mg, 0.02 mmol, 10%) as an off-white solid. 1HNMR (300 MHz, CD3OD) δ 8.14 (s, IH), 7.84 (d, J= 8.4 Hz, IH), 7.72 (dd, J= 8.4, 1.1 Hz, IH), 7.68 - 7.59 (m, 3H), 7.52 - 7.46 (m, IH), 4.79 - 4.60 (m, 2H), 4.05 - 3.46 (m, 3H), 3.06 - 2.92 (m, IH), 2.14 - 1.25 (m, 18H). LCMS: m/e 472 (M+H)+, ret time 2.66 min, column A, 3 minute gradient.
To a stirred solution of (13-cyclohexyl-6,7-dihydro-5H-indolo[l ,2- d][l,4]benzodiazepin-10-yl)carboxylic acid (29 mg, 0.081 mmol), ethyl 5-(l- aminocyclopentanecarboxamido)-l -methyl- lH-indole-2-carboxylate (32 mg, 0.097 mmol) and triethylamine (0.060 mL, 0.41 mmol) in DMSO (0.5 mL) was added O- benzotriazol-l-yl-N,N,iV',iV'-tetramethyluroniumtetrafluoiOborate (32 mg, 0.097 mmol). The reaction solution was stirred at rt for 2h, diluted with MeOH and the crude solution was purified by preparative HPLC to give an intermediate ethyl ester as a white solid. This material was diluted with THF (1.5 mL) and MeOH (1.5 mL) and then treated with IM aqueous NaOH (1.5 mL). The reaction was stirred 3h at rt,
56
172 neutralized with IN aqueous HCl (1.5 mL) and concentrated to remove the organic solvents. The resulting precipitate was collected by filtration and the off-white solid was shown to be l/f-indole-2-carboxylic acid, 5-[[[l-[[(13-cyclohexyl-6,7-dihydro- 5 H -indolo[ 1 ,2-d\[l ,4]benzodiazepin- 10- yl)carbonyl]amino]cyclopentyl]carbonyl]amino]-l-methyl (22 mg, 0.034, 42%) (10 mg, 18%, of the intermediate ester was held out of the final hydrolysis). 1HNMR (300 MHz, DMSOd6) δ 9.44 (s, IH), 8.26 (s, IH), 8.21 (s, IH), 7.92 (s, IH), 7.84 (d, J= 8.8 Hz, IH), 7.62 (d, J= 8.8 Hz, IH), 7.58 - 7.28 (m, 4H), 7.23 - 7.03 (m, 2H), 4.42 (br s, 2H), 3.98 (s, 3H), 3.62 (s, 2H), 2.93 - 2.80 (m, IH), 2.43 -2.30 (m, 2H), 2.20 - 1.96 (m, 4H), 1.89 - 1.65 (m, 9H), 1.45 - 1.19 (m, 3H). LCMS: m/e 644 (M+H) , ret time 2.53 min, column B, 3 minute gradient.
To a stirred solution of dimethyl 13-cyclohexyl-7H-indolo[2, 1 - a][2]benzazepine-6,10-dicarboxylate (2.6 g, 6.1 mmol) in DMF (60 mL) was added LiOH (1.45 g, 60 mmol) and the reaction mixture was heated at 600C for 2d. The reaction mixture was cooled internally with ice, acidified withlM aqueous HCl (pH < 2) and extracted with EtOAc (350 mL). The organics were washed with H2O (~150 mL), brine (-150 mL), dried (MgSO4), filtered and concentrated. The solids were triturated with Et2O/hexanes (1:2) and collected to yield methyl 13-cyclohexyl-7H- indolo[2,l-a][2]benzazepine-10-carboxylate, 6-carboxylic acid (2.06 g, 4.96 mmol. 81%) as a fluffy yellow solid. 1HNMR (500 MHz,
δ 8.18 (s, IH), 7.94 (d, J= 8.5 Hz, 2H), 7.88 (s, IH), 7.88 (d, J= 7.6 Hz, IH), 7.67 - 7.55 (m, 4H), 5.58 (br s, IH), 4.15 (br s, IH), 3.90 (s, 3H), 2.84 - 2.75 (m, IH), 2.10 - 1.65 (m, 6H), 1.49 - 1.07 (m, 4H). LCMS: m/e 416 (M+H)+, ret time 1.47 min, column A, 2 minute gradient.
Trifluoroacetic acid (1.5 mL) was added dropwise to a stirred solution of 1- piperazinecarboxylic acid, 4-[[13-cyclohexyl-10-
[[[(dimethylamirio)sulfonyl]amino]carbonyl]-7/f-indolo[2, 1 -a] [2]benzazepin-6- yl]carbonyl]-, 1,1-dimethylethyl ester ( 77 mg. 0.11 mmol) in CH2Cl2 (1.5 mL). The reaction solution was stirred 2h, concentrated and the residue was purified by preparative HPLC (MeOH/H2O with TFA buffer) to yield 7JΪ-indolo[2,l- α] [2]benzazepine- 10-carboxamide, 13 -cyclohexyl-N-[(dimethylamino)sulfonyl]-6-(l - piperazinylcarbonyl) (37 mg, 0.06 mmol, 56%) as a yellow solid. 1HNMR (500 MHz, CDCl3) δ 9.36 (br s, IH), 8.25 (s, IH), 7.87 (d, J= 8.2 Hz, IH), 7.61 - 7.39 (m, 5H), 6.91 (s, IH), 5.16 (br s, IH), 4.31 (br s, IH), 3.88 - 3.39 (m, 8H), 2.98 (s, 6H), 2.89 - 2.75 (m, IH), 2.11 - 1.13 (m, 10H). LCMS: m/e 576 (M+H)+, ret time 2.39 min, column B, 3 minute gradient.
To 0.05mmol of I in 1.0 mL of anhydrous ΛζN-Dimethylforaiamide (DMF) in a 3 dram vial equipped with a teflon lined screw cap was added 0.15 mmol (3 eq.) of 2-(l H-Benzotriazole- 1 -yl)- 1 , 1 ,3 ,3 ,-Tetramethyluronium Tetrafluoroborate
(TBTU) in 1.0 mL of anhydrous DMF followed by the addition of O.lmmol (2 eq.) of amine 2 in 1.0 mL of anhydrous DMF. The reaction was shaken on an Innova 2000 orbital shaker at 240 rpm overnight at room temperature. The reaction volume
was then reduced to a total volume of 2.0 mL in a Savant Speedvac and the crude product was purified using a Dionex ELSD triggered preparative HPLC employing acetonitrile/water and 10 mM ammonium acetate buffer with a Sunfire, Cl 8, 21.2 mm x 150 mm, lOμm column at a focused gradient flow rate of 20 rnL/min. Postpurification LC/MS data was obtained on a Waters analytical LC /Micromass Platform LC (ES 1+) at 220nm using the following set of conditions: Sunfire 5μm Cl 8, 4.6 x 100mm column, with a focused gradient of 50-95%B (B = HPLC grade acetonitrile), (A = HPLC grade water with 0.1% ammonium acetate), in 7 minutes with a 1 minute hold.
AU NMR spectra were recorded at room temperature using a Bruker DRX500 spectrometer. The NMR solvent used was 1 : 1 (by volume) methyl alcohol-έ/4 (CD3OD)/ chloroform-d (CDCl3). Chemical shifts were reported in ppm relative to CD3OD. Coupling constants were reported in hertz. Peak multiplicity was reported using the following abbreviations: s (singlet), d (doublet), t (triplet), m (multiplet), br (broad).
7H-indolo[2,l-a] [2]benzazepine~10~carboxamide, 13-cyclohexyl-N- [(dimethylamino)sulfonyl] -6-[(3 ,5-dimethyl-l~pipβrazinyl)carbonyl] -
1HNMR: δ 0.84 (m, IH), 1.23 (m, 6H), 1.38 (m, 2H), 1.47 (m, 2H), 1.74 (m, 2H), 1.98 (m, 5H), 2.73 (m, 2H), 2.84 (m, 2H), 3.00 (s, 6H), 3.10 (m, IH), 3.73 (s, IH), 4.44 m, IH), 5.06 (m, IH), 6.91 (br s, IH), 7.46-7.61 (br m, 5H), 7.91 (d, IH, J= 8.48 Hz), 8.07 (br s, IH). LC/MS: m/z 604.26, Rf\.% min., 99.4% purity.
6 004156
175
7H-indolo[2,l-q][2]benzazepine-6,10-dicarboxamide, 13-cyclohexyl-N10- [(dimethylamino)sulfonyl]-lSI6-(2-hydroxyethyl)-Η6-methyl-
1HNMR: δ 1.29 (m, IH), 1.50 (m, 3H), 1.80 (m, 2H), 1.98 (m, IH)5 2.08 (m, 3H), 2.92 (m, IH), 3.10 (m, 8H), 3.58 (m, IH), 3.71 (m, 3H), 3.78 (s, IH), 3.82 (m, IH), 4.43 (m, IH), 5.17 (m, IH), 7.11 (s, IH), 7.53 (m, 3H), 7.66 (m, 2H), 7.95 (d, IH, J= 8.47 Hz), 8.10 (m, IH). LC/MS: m/z 565.18, Rf 1.9 min., 100% purity.
13-cyclohexyl-N-[4-hydroxy-3-methoxybβnzyl]-6-[(N-morpholinyJ)carbonyl]-7H- indolo[2, 1-a] ' [2] benzazepine-10-carboxamide,
The diversity amines (0.108 mmol, 1.3 equiv) were weighed directly into successive reactor vessels of a multiposition reactor. To each position in the reactor was then added the carboxylic acid template (500 uL of a 0.172 M stock solution in DMF, 0.086 mmol, 1.0 equiv) followed by 500 uL of a three-component stock solution in DMF containing EDC (0.108 mmol,
1.3 equiv), HOBt (0.108 mmol, 1.3 equiv), and N,N-diisoproylethylamine (0.430 mmol, 5.0 equiv). The reactions were capped with a septum and agitated overnight via orbital shaker at room temperature.
Purification was effected by injecting the reaction mixture directly onto a preparative LCMS system using the following conditions:
Analysis Conditions:
Waters SunFire Prep Cl 8 OBD, 19 x 100 mm x 5
Column: urn
(A) 10:90 methanol: water; (B) 90:10
Mobile Phase: methanol:water
Buffer: 0.1% TFA
Gradient Range: 40-100% B
Gradient Time: lO min
Flow Rate: 20 niL/min
Analysis Time: 15 min
Detection:
Detector 1: UV at 220 nm
Detector 2: MS (ESI+)
Fraction Collection: UV-triggered
Fraction Drying: Savant Speedvac
Analysis and characterization were effected by the following method: Instrument Name: LVL-L3407-LCMS2
Analysis Conditions:
Column: Phenomenex Luna Cl 8(2), 4.6 x 50 mm x 5 um
(A) 10:90 methanol: water; (B) 90:10 Mobile Phase: methanobwater
Buffer: 0.1% TFA
Gradient Range: 0-100% B
Gradient Time: 4 min
Flow Rate: 4 mL/min
Analysis Time: 5 min
Detection:
Detector 1: UV at 220 nm
Detector 2: MS (ESI+)
Detector 3: ELSD
RT = 3.88 min MS ion = 606.58
(500MHz, MeOD) δ 1.30-2.30 (m, 18 H)5 2.45-2.60(m, 2H), 3.10 (t, 2H, J= 7.0), 3.13 (tt, IH, J= 3.0, 12.0 Hz), 4.30 (m, 2H), 6.38 (d, IH, J= 16.0 Hz), 6.64 (d, IH, J = 2.0 Hz), 7.50-7.65 (m, 7H), 7.80 (d, IH, J- 8.5 Hz), 8.02 (s, IH), 8.37 (s, IH, NH), 9.65 (s, IH, NH).
Examples of methods that can be used to prepare the fused imidazole derivatives of the instant invention, are outlined in the scheme below.
2,4,5-tribromo-l-((2-(trimethylsilyl)ethoxy)methyl)-lH-imidazole
To a solution of 2,4,5-tribromoimidazole (3.05g, 10 mmol) in anhydrous DMF (50 mL) was added powdered K2CO3 (19g, 137 mmol), and the resulting suspension was stirred vigorously and treated dropwise with SEMCl (2.3g, 13.8 mmol). The suspension was then stirred vigorously overnight. The solid was filtered
off and washed with fresh DMF (20 mL). The combined filtrates were then evaporated under reduced pressure. Methylene chloride (30 mL) was then added and the solution washed with 0.1 N Na2CO3 (3 x 50 mL), dried (Na2SO4), filtered and evaporated to give a residue, which was passed through a silica gel pad (CH2Cl2) and evaporated to give 3.6 g (83%) of the title compound as a colorless oil. 1H NMR (500MHz5 CDCl3) δ 0.01 (s, 9H), 0.93 (t, 2H, J= 8.0 Hz), 3.60 (t, 2H, J= 8.0 Hz), 5.32 (s, 3H).
Methyl 3-cyclohexyl-2-(4,5-dibromo-l-((2-(trimethylsilyl)ethoxy)methyl)-lH- imidazol-2-yl)-lH-indole-6-carboxylate
lH-indole-6-carboxylic acid, 3-cyclohexyl-2-(4,4,5,5-tetramethyl-l,3,2- dioxaborolan-2-yl)-, methyl ester. (383 mg, 1.0 mmol), 2,4,5-tribromo-l-((2-
(trimethylsilyl)ethoxy)methyl)-lH-imidazole (435.2 mg, 1.0 mmol) and LiCl ( 84 mg, 2.0 mmol) were dissolved in a mixture of ethanol (4 mL) and toluene (4 mL). An aqueous Na2CO3 solution (IM, 2.5 mL, 2.5 mmol) was added and the mixture degassed with nitrogen for 20 min. Pd(PPh3) 4 (11.5 mg, 0.1 mmol) was then added and the mixture stirred at 800C under N2 for 3-4 h. EtOAc (6 mL) was added, followed by 20 mL of water. The organic layer was separated, dried (Na2SO4), filtered and evaporated under reduced pressure to give a residue. This was subjected to flash chromatography on silica gel ((EtOAc-Hexane 1:3) to afford 435 (71%) of the title compound as a foam. 1H NMR (300MHz, CDCl3) δ 0.04 (s, 9H), 1.02 (t, 2H, J= 8.4 Hz), 1.20-2.00 (m, 10H), 3.31 (m, IH), 3.76 (t, 2H, J= 8.4 Hz), 3.91 (s, 3H), 5.36 (s, 2H), 7.73 (dd, IH, J= 1.5, 8.5 Hz), 7.88 (d, IH, J= 8.5 Hz), 8.07 (s, IH).
Methyl l-allyl-3-cyclohexyl-2-(4,5-dibromo-l-((2-(trimethylsilyl)ethoxy)methyl)-lH- imidazol-2-yl)-lH-indole-6-carboxylate
To a solution of methyl 3-cyclohexyl-2-(4,5-dibromo-l-((2-
(trimethylsilyl)ethoxy)metliyl)-lH-imidazol-2-yl)-lH-indole-6-carboxylate (428 mg, 0.7 mmol) in dry DMF (5 mL) was added KH (30% in oil, 0.8 mmol, 109 mg) proportion- wise at RT. The mixture was stirred at RT for 10 min until no further effervescence was observed. AHyI bromide (420 mg, 3.5 mmol) was added and the resulting mixture was stirred at RT for 15 min. Methylene chloride (10 mL) was added and the solution was washed with IN HCl (3 x 10 mL), dried (Na2SO4), filtered and evaporated to give the title compound in a form pure enough for use in the following step (100%). 1H NMR (300MHz, CDCl3) 50.04 (s, 9H), 0.80 (m, 2H), 1.00-2.00(m, 10H), 2.45 (m, IH), 3.43 (dd, 2H, J= 7.5, 9.6 Hz), 3.91 (s, 3H), 4.50 (dd, IH, J= 4.8, 15.0), 4.60 (dd, IH, J- 6.0, 15.0), 4.88 (dd, IH, J= 1.2, 17.1Hz), 5.03 (s, 2H), 5.04 (dd, IH, J= 0.9, 9.0 Hz), 5.78 (m, IH), 7.75 (dd, IH, J= 1.5, 8.5 Hz), 7.82 (d, IH, J= 8.5 Hz), 8.02 (s, IH).
Methyl l-allyl-3-cyclohexyl-2-(4,5-dibromo-l-(2-bromoethyl)-lH-imidazol-2-yl)-lH- indole-6-carboxylate
Methyl l-allyl-3-cyclohexyl-2-(4,5-dibromo-l-((2-
(trimethylsilyl)ethoxy)methyl)- 1 H-imidazol-2-yl)- 1 H-indole-6-carboxylate generated in the above reaction was dissolved in a solution of TABF (IM in THF, 10 mL) and the resultant mixture stirred at RT for 2h. Methylene chloride ( 20 mL) was then
10 added and the solution washed with water (3 x50 mL), dried (Na2SO4), filtered and evaporated to give the title compound as an off-white solid, which was also pure enough for next step. The off-white solid was dissolved in 1,2-dibromoethane (3 mL). Triethylamine (300 uL, 2.0 mmol) was added and the resulting mixture stirred at 850C for 2h. The solution was then evaporated under vacuum and the residue was
15 dissolved in CH2Cl2 (10 mL), and then washed sequentially with IN HCl, water and brine. The mixture was then dried (Na2SO4), filtered, and evaporated to give a solid residue. This material was dissolved in a small amount of CH2Cl2 and passed through a silica gel pad (CH2Cl2) to remove colored by-products. The elutes were concentrated to give the title compound, in a form pure enough for use in the next
20. step. 1H NMR (500MHz, CDCl3) δ 0.80-2.10 (m, 10 H), 2.42 (m, 1 H), 3.30-3.40 (m, 1 H), 3.0-3.50 (m, IH), 3.94 (s, 3H), 4.10-4.30 (m, 2H), 4.55-4.70 (m, 2H), 4.87 (d, IH, J= 17.0), 5.11 (d, IH, J= 10.5), 5.80-5.90(m, IH), 7.80 (dd, IH, J= 8.0), 7.85 (d, IH, J= 8.0), 8.08 (s, IH).
25
Methyl l-allyl-3-cyclohexyl-2-(4,5-dibromo-l-vinyl-lH-imidazol-2-yl)-lH-indole-6- carboxylate
Methyl l-allyl-3-cyclohexyl-2-(4,5-dibromo-l-(2-bromoethyl)-lH-imidazol- 2-yl)-lH-indole-6-carboxylate was dissolved in a solution of sodium methoxide (0.5 M in Methanol from Aldrich, 10 mL) and the light yellow solution was heated to 650C for Ih. Methylene chloride (20 mL) was then added, followed by ice-water (50 mL). The aqueous layer was then adjusted to pH 5, and the organic layer was separated, dried (Na2SO4), filtered and evaporated to give the title compound in a form pure enough for use in the next step. 1H NMR (500MHz, CDCl3) δ 0.8-1.90 (m, 10 H), 2.50 (m, IH), 3.92 (s, 3H), 4.55 (dd, IH, J= 4.5, 16.5 Hz), 4.70 (dd, IH, J= 6.5, 16.5 Hz), 5.85 (dd, IH, J= 6.0, 17.5 Hz), 5.05 (d, IH, J= 10.5 Hz), 5.09 (d, IH, J= 9.0 Hz), 5.26 (d, IH, J= 13.5 Hz), 5.7-5.80 (m, IH), 6.56 (dd, IH, J- 9.0, 16.0 Hz), 7.77 (d, IH, J= 8.0 Hz), 7.82 (d, IH, J= 8.0 Hz), 8.07 (s, IH).
7H-imidazo[2', 1 ':3,4J [1 ,4] diazepinofl ,2-a] indole-10-carboxylic acid, 2,3-dibromo- 13-cyclohexyl-, methyl ester
To a solution of methyl l-allyl-3-cyclohexyl-2-(4,5-dibromo-l-vinyl-lH- imidazol-2-yl)-lH-indole-6-carboxylate in CH2Cl2 (50 niL) was added Grubbs catalyst (2nd generation, 60 nig, 0.07 mmol). The resulting solution was heated under reflux for 1O h. The solvent was removed and the resultant residue passed through a silica gel pad (CH2Cl2) to remove the catalyst. The elutes were then evaporated to give the title compound as an off-white solid that was pure enough for use in subsequent steps. 1H NMR (500MHz, CDCl3) δ 0.8-2.00 (m, 10 H), 3.56 (m, IH), 3.95 (s, 3H), 4.74 (d, 2H, J= 7.0), 6.13 (q, IH, J= 7.0), 6.93 (d, IH, J= 8.0), 7.74 (dd, IH, J= 1.5, 8.5), 7.93 (d, IH, J= 8.5), 8.12 (s, IH).
5H-imidazo[2 ', 1 ':3, 4J[1, 4]diazepino[l, 2-a] indole- 10-carboxylic acid, 13-cyclohexyl- 6, 7-dihydro-, methyl ester
7H-imidazo[2',l':3,4][l,4]diazepino[l,2-a]indole-10-carboxylic acid, 2,3- dibromo-13-cyclohexyl-, methyl ester, generated in the preceding reaction was dissolved in a mixture of EtOAc (10 mL) and methanol (10 mL). Triethylamine ( 0.5 mL) was then added, followed by Pd-C (10%, 50 mg). The resulting mixture was stirred at RT under hydrogen (1 atm) for 30 min. The catalyst was then removed by filtration, and the filtrate evaporated under reduced pressure to give a solid. Flash chromatography on silica gel (EtOAc-Hexane 1:1) afforded 196 mg (77% for 6 steps) of the title compound as a foam. 1H NMR (500MHz, CDCl3) δ 1.04-2.10 (m, 10 H), 2.43 (m, 2H), 3.34 (m, IH), 3.95 (s, 3H), 4.08 (t, 2H, J= 6.5), 4.12 (t, IH, J= 6.5), 7.11 (s, IH), 7.31 (s, IH), 7.75 (dd, IH5 J= 1.5, 8.5), 7.90 (d, IH5 J= 8.5), 8.08 (s, IH).
5H-imidazo[2', 1 ': 3,4] [1 ,4] diazepinofl ,2-a] indole-10-carhoxylic acid, 13-cyclohexyl- 6, 7-dihydro-
5H-imidazo[2',r:3,4][l,4]diazepino[l,2-a]indole-10-carboxylic acid, 13- cyclohexyl-6,7-diliydro-, methyl ester (90 mg, 0.25 mmol) was dissolved in MeOH (6 mL) and aqueous NaOH (6N, 3 niL) was added. The resulting mixture was stirred at 450C for Ih. Methylene chloride was added, followed by water(8 mL). The pH of the aqueous layer was adjusted to 4-5 with solid citric acid. The organic layer was then separated and the aqueous layer was re-extracted with CH2Cl2 (10 mL). The combined extracts were dried (Na2SO4), filtered and evaporated to give 85 mg (100%) the title compound. 1H NMR (500MHz, CDCl3) 6 1.30-2.10 (m, 10 H), 2.45 (m, 2H)5 3.36 (m, IH), 4.07 (t, 2H, J- 6.5), 4.20 (t, IH, J= 6.5), 7.09 (dd, IH, J= 1.5), 7.34 (dd, IH, J= 1.5), 7.85 (dd, IH, J= 1.0, 8.5), 7.93 (d, IH, J= 8.5), 8.15 (s, IH).
2-propenoic acid, 3-[4-[[[l-[[(13-cyclohexyl-6, 7-dihydro-5H- imidazo[2 ', 1 ':3, 4J[1, 4] diazepinofl ,2-a] indol-10- yl)carhonyl] amino] cyclopentyl]carbonyl] amino] phenyl]-, methyl ester, (2E)-
5H-imidazo [T, 1 ' : 3 ,4] [ 1 ,4] diazepino[ 1 ,2-a] indole- 10-carboxylic acid, 13- cyclohexyl-6,7-dihydro- (18 mg, 0.05 mmol) and TBTU (24 mg, 0.075 mmol) was dissolved in DMSO (1 mL). Diisopropylethylamine (26 uL, 0.15 mmol) was added and the mixture was stirred at RT for 5 min. Then (E)-methyl 3 -(4-(I- aminocyclopentanecarboxamido)phenyl)acrylate (20 mg, 0.69 mmol) was added and the solution was stirred at RT overnight. Methylene chloride (3 mL) was added and the solution was washed with aqueous HCl (0.5N, 2 x 5 mL), dried (Na2SO4) and evaporated to give a residue. Flash chromatography on silica gel (EtOAc-CH2Cl2 1:3) afforded 25.1 mg (81%) of methyl ester. 1H NMR (500MHz, CDCl3) δ 1.30-2.00 (m, 14 H), 2.20-2.30 (m, 2H), 2.38-2.45 (m, 2H), 2.55-2.63 (m, 2H), 3.38 (m, IH), 3.78 (s, 3H), 4.04 (t, 2H, J= 6.5), 4.17 (t, 2H, J= 6.5), 6.34 (d, IH, J= 16.0), 6.49 (s, IH5 NH), 7.06 (d, IH5 J= 1.0), 7.24 (d, IH5 J= 1.0), 7.32 (dd, IH5 J= 1.5, 8.5), 7.46 (d, 2H, J= 8.5), 7.62 (d, IH, J= 8.5), 7.63 (d, IH, J= 16.0), 7.88 (d, IH5 J= 8.5), 7.93 (s, IH).
2-propenoic acid, 3-[4-[[[l-[[(13-cyclohexyl-6, 7-dihydro-5H- imidazo[2 ' 1 ':3, 4J[1, 4]diazepino[l, 2-a]indol-10- yl)carbonyl] amino] cyclopentyl] carbonyl] amino] phenyl] -(2E)-
2-propenoic acid, 3-[4-[[[l-[[(13-cyclohexyl-6,7-dihydro-5H- imidazo[2'51' : 3 ,4] [ 1 ,4] diazeρino[ 1 ,2-a] indol- 10- yl)carbonyl]amino]cyclopentyl]carbonyl]amino]phenyl]-, methyl ester, (2E)- (12 mg) was dissolve in methanol (0.5 mL). Aqueous NaOH (6N5 0.3 mL) was added and the solution was stirred at RT for 2h. Methylene chloride (2 mL) was added and the organic solution was washed with 0.5N HCl, dried (Na2SO4) and evaporated to give 11.2 mg () of acid. 1H NMR (500MHz, MeOD) δ 1.30-2.00 (m, 12 H)5 2.00-2.10 (m,
2H), 2.15-2.25 (m, 2H)5 2.35-2.55 (m, 4H), 3.30 (m, IH), 4.09 (t, 2H, J= 6.5), 4.21 (t, 2H, J= 6.5), 6.45 (d, IH, J= 16.0), 7.18 (d, IH, J= 1.0), 7.34 (d, IH, J= 1.0), 7.35 (d, IH, J= 8.5), 7.45 (d, 2H, J= 8.5), 7.56 (d, IH, J= 8.5), 7.63 (dd, IH, J= 1.5, 8.5), 7.91 (d, IH, J= 8.5), 8.14 (s, IH).
Further examples of methods that can be used to prepare additional isomers of the fused imidazole derivatives of the instant invention, are outlined in the Scheme below.
lH-imidazole, 4, 5-diiodo-l -[[2- (trimethylsilyl)ethoxy] methyl] -
To a solution of 4,5-diiodoimidazole (3.2Og, 10 mmol) in anhydrous DMF (50 mL) was added powdered K2CO3 (19g, 137 mmol), and the resulting suspension was stirred vigorously and treated dropwise with SEMCl (1.88g, 11.3 mmol). The suspension was then stirred vigorously overnight. The solid was filtered off from the resultant mixture and washed with fresh DMF (20 mL). The combined filtrates were then evaporated under reduced pressure, and methylene chloride (30 mL) was then added to the residue and the subsequent solution was washed with 0.1 N Na2CO3 (3 x 50 mL), dried (Na2SO4), filtered and evaporated in vacuo. The residue was dissolved and the solution passed through a silica gel pad (CH2Cl2) and evaporated to give 4.15 g (92%) of the title compound as a colorless oil (High vacuum was used to remove excess SEMCl). 1H NMR (500MHz, CDCl3) 5 0.00 (s, 9), 0.92(m, 2H), 3.52 (m, 2H), 5.29 (s, 2H).
lH-indole-6-carboxylic acid, 3-cyclohexyl-2-[4-iodo-l-[[2- (trimethylsilyl)ethoxy] methyl) ' -lH-imidazol-5-yl] '-, methyl ester
lH-indole-6-carboxylic acid, 3-cyclohexyl-2-(4,4,5,5-tetramethyl-l,3,2- dioxaborolan-2-yl)-, methyl ester (383 mg, 1.0 mmol), lH-imidazole, 4,5-diiodo-l- [[2-(trimethylsilyl)ethoxy]methyl]- (562 mg, 1.25 mmol) and LiCl ( 84 mg, 2.0 mmol) were dissolved in a mixture of ethanol (4 mL) and toluene (4 mL). An aqueous Na2CO3 solution (IM, 2.5 mL, 2.5 mmol) was added and the mixture was degassed with nitrogen for 20 min. Pd(PPh3) 4 (11.5 mg, 0.1 mmol) was then added and the mixture stirred at 700C under N2 for 24 h. EtOAc (6 mL) was added, followed by 20 mL of water. The organic layer was separated, dried (Na2SO4) filtered and evaporated under reduced pressure to give a residue. Flash
chromatography on silica gel ((EtOAc-Hexane 2:3) afforded 240 (41%) of the title compound as a white crystalline solid. 1H NMR (500MHz, CDCl3) δ 0.00 (s,9H), 0.95 (m, 2H), 1.20-2.20 (10 H), 2.62 (m, IH), 3.47 (m, IH), 3.54 (m, IH), 3.94 (s, 3H), 5.00-5.15 (m, 2H), 7.78 (dd, IH5 J= 1.5, 8.5), 7.87 (d, IH5 J= 8.5), 8.10 (s, IH), 8.83 (s, lH, NH).
lH-indole-6-carboxylic acid, 3-cyclohexyl-2-[4-ethenyl-l-[[2- (trimethylsilyl)ethoxy] methyl] -lH-imidazol- 5 -yl]-, methyl ester
To a solution of lH-indole-6-carboxylic acid, 3-cyclohexyl-2-[4-iodo-l-[[2- (trimethylsilyl)ethoxy]methyl]-lH-imidazol-5-yl]-, methyl ester (240 mg, 0.4 mmol) in DMF (2.0 mL) was added tributyl(vinyl)tin (190 mg, 0.6 mmol), LiCl (50 mg, 1.2 mmol), and PdCl2 (PPh3) 2 (140 mg, 0.02 mmol, 5mmol%). The mixture was stirred at 800C for 2h. Methylene chloride (5 mL) was added and the resultant solution was washed with water (3 x 5 mL), then dried (Na2SO4), filtered and evaporated to give a residue. Flash chromatography on silica gel (CH2Cl2-EtOAc 2:1) afforded 168 mg (88%) of title compound as a foam. 1H NMR (500MHz, CDCl3) δ 0.00 (s,9H), 0.95 (br s, 2H), 1.20-2.00 (10 H), 2.62 (m, IH), 3.55 (br s, IH), 3.61 (br s, IH), 3.94 (s, 3H), 5.01 (s, 2H), 5.20 (td, IH, J = 1.5, 8.8), 6.00 (dd, IH, J = 1.5, 17.0), 6.47 (dd, IH, J = 11.0, 17.0), 7.70 (s, IH), 7.78 (dd, IH, J= 1.5, 8.5), 7.86 (d, IH, J= 8.5), 8.09 (s, IH), 9.00 (s, IH, NH).
lH-indole-6-carboxylic acid, 3-cyclohexyl-2-[4-ethenyl-l-[[2- (trimethylsilyl)ethoxy]methyl]-lH-imidazol-5-yl]-l-(2-propenyl)-, methyl ester
To a solution of lH-indole-6-carboxylic acid, 3-cyclohexyl-2-[4-ethenyl-l-
[[2-(trimethylsilyl)ethoxy]methyl]-lH-imidazol-5-yl]-, methyl ester (168 mg, 0.35 mmol) in dry DMF (2.5 mL) was added KH (30% in oil, 0.4 mmol, 55 mg) proportion- wise at RT. The mixture was stirred at RT for 10 min until no further effervescence was observed. AHyI bromide (24 mg, 2.0 mmol) was then added and the resulting mixture stirred at RT for 20 min. Methylene chloride (5 mL) was added and the resultant solution was washed with IN HCl (3 x 5 mL), dried (Na2SO4), filtered and evaporated to give a residue. Flash chromatography on silica gel (CH2Cl2-EtOAc 10:1) afforded 136 mg (75%) of the title compound as a white crystalline solid. 1H NMR (500MHz, CDCl3) δ 0.00 (s,9H), 0.84 (t, 2H, J= 8.5), 1.20-1.90 (10 H), 2.48 (m, IH), 3.45-3.50 (m, 2H), 3.94 (s, 3H), 4.20 (dd, IH, J=
5.0, 14.0), 4.48 (dd, IH, J= 6.0, 14.0), 4.89 (dd, IH, J= 1.0, 17.0), 4.97 (s, 2H), 5.06 (d, IH, J= 10.5), 5.11 (dd, IH, J= 1.5, 11.0), 5.70-5.80 (m, IH), 5.83 (dd, IH5 J= 1.5, 17.5), 6.27 (dd, IH5 J= 11.0, 17.5), 7.78 (s, IH)5 7.79 (dd5 IH5 J= 1.5, 8.5), 7.83 (d, IH, J= 8.5), 8.07 (S5 IH).
Imidazo[4',5':3,4]azepino[l,2-a]indole-9-carboxylic acid, 12-cyclohexyl -l-[[2- (trimethylsilyl)ethoxy] methyl]-, methyl ester
To a solution of lH-indole-6-carboxylic acid, 3-cyclohexyl-2-[4-ethenyl-l- [[2-(trimethylsilyl)ethoxy]methyl]-lH-imidazol-5-yl]-l-(2-propenyl)-, methyl ester (136 mg, 0.26 mmol) in CH2Cl2 (20 niL) was added Grubbs catalyst (2nd generation, 22 mg, 0.026 mmol). The resulting solution was heated under reflux for 8 h. The solvent was removed in vacuo, and the residue purified by flash chromatography on silica gel (CH2Cl2-EtOAc 10:1) to give 82 mg (64%) of the title compound. 1H NMR (500MHz, CDCl3) δ -0.15 (s,9H), 0.77 (t, 2H, J= 8.5), 1.20-2.10 (9 H), 2.15-2.30 (m, IH), 2.47 (br t, IH, J= 12.0), 3.25-3.35 (m, 2H), 3.94 (s, 3H), 4.10 (ddd, IH5 J= 1.5, 5.0, 10.0), 5.06 (dd, IH, J= 7.5, 14.5), 5.35 (d, IH, J= 10.5), 5.55 (d, IH, J= 10.5), 6.08 (m, IH), 6.89 (d, IH, J= 10.0), 7.73 (dd, IH, J= 1.0, 8.5), 7.84 (d, IH, J= 8.5), 7.90 (s, IH), 8.14 (s, IH).
Imidazo[4 ', 5 ':3, 4]azepino[l, 2-a] indole-9-carboxylic acid, 12-cyclohexyl-l, 4, 5, 6- tetrahydro-l-[[2-(trimethylsilyl)ethoxy]methyl]-, methyl ester
Imidazo[4',5':3:>4]azepino[l,2-a]indole-9-carboxylic acid, 12-cyclohexyl -1- [[2-(trimethylsilyl)ethoxy]methyl]-, methyl ester from the previous step was dissolved in methanol (5 mL). Triethylamine ( 0.15 mL) was added, followed by Pd- C (10%, 15 mg). The resulting mixture was stirred at RT under a hydrogen (1 atm) for 2h. The catalyst was then removed by filtration and the filtrate evaporated to give 80 mg (100%) of the title compound as a white foam. 1H NMR (500MHz, CDCl3) δ -0.13 (s,9H), 0.77 (t, 2H, J= 8.5), 1.20-2.30 (12 H), 2.59 (br tt, IH, J= 1.5, 12.0), 2.70-2.80 (m, IH), 2.90-3.00 (m, IH), 3.20-3.30 (m, IH), 3.30-3.40 (m, IH), 3.75 (dt, IH, J= 4.5, 14.5), 3.94 (s, 3H), 5.25 (d, IH, J= 10.5), 5.40 (d, IH, J= 10.5), 7.74 (dd, IH, J= 1.0, 8.5), 7.77 (s, IH), 7.84 (d, IH, J= 8.5), 8.02 (s, IH).
Imidazo[4 ', 5 ':3, 4]azepino[l, 2-a]indole-9-carhoxylic acid, 12-cyclohexyl- 1, 4, 5, 6- tetrahydro-
To a solution of imidazo[4',5':3,4]azepino[l,2-a]indole-9-carboxylic acid, 12- cyclohexyl-l,4,5,6-tetrahydro-l-[[2-(trimethylsilyl)ethoxy]methyl]-, methyl ester (5 mg) in methanol (0.5 mL) was added 3N HCl (0.5 mL). The mixture was heated to 650C for 8 h. Ethyl acetate (1 mL) was added, followed by water (2 mL). The pH of the aqueous layer was adjusted with solid NaHCO3 to pH= 5. The organic layer was separated and the aqueous layer re-extracted with EtOAc (2 x ImL). The combined extracts were dried (Na2SO4), filtered and evaporated to give a deprotected mixture of methyl ester and acid. This mixture was then dissolved in methanol (0.5 mL) and NaOH (3N, 0.5 mL) was added. The solution was heated to 500C for Ih. Ethyl acetate (2 mL) was added, followed by water (2 mL). The pH of the aqueous layer was adjusted to 5-6 with solid citric acid. The organic phase was separated and the
aqueous phase re-extracted with EtOAc (2 x 1 niL). The combined extracts were dried (Na2SO4), filtered and evaporated to give 3 mg (90%) of the title compound. 1H NMR (500MHz, MeOD) δ 1.20-2.10 (m, 10 H), 2.20-2.30 (m, 2H), 3.05 (t, 2H, J= 7.0), 3.62 (br t, IH, J= 12.5), 4.30 (m, 2H), 7.67 (dd, IH, J= 1.5, 8.5), 7.84 (d, IH, J = 8.5), 7.86 (s, IH), 8.11 (s, IH).
Imidazo[4',5':3,4]azepino[l,2-a]indole-9-carboxylic acid, 12-cyclohexyl-l,4,5, 6- tetrahydro-l-[[2-(trimethylsilyl)ethoxy]methyl]-
Imidazo [4' ,5 ' : 3 ,4] azepino [ 1 ,2-a] indole-9-carboxylic acid, 12-cyclohexyl- l,4,5,6-tetrahydro-l-[[2-(trimethylsilyl)ethoxy]methyl]-, methyl ester (20 mg, 0.040 mmol) was dissolved in MeOH (1 mL) and aqueous NaOH (6N, 1 mL) was added. The resulting mixture was stirred at 450C for Ih. Methylene chloride was added, followed by water(2 mL). The pH of the aqueous layer was adjusted to 4-5 with solid citric acid. The organic layer was separated and the aqueous layer extracted with CH2Cl2 (2 mL). The combined organic layers were dried (Na2SO4), filtered and evaporated to give 19.5 mg (100%) of the title compound as a white solid, which was pure enough for use in subsequent steps. 1H NMR (500MHz, CDCl3) δ -0.13 (s,9H), 0.77 (t, 2H, J= 8.5), 1.20-2.40 (12 H), 2.60 (br t, IH, J= 12.5), 2.70-2.80 (br s, IH), 3.00-3.10 (br s, IH), 3.31 (q, IH, J= 8.5), 3.40 (q, IH, J= 8.5), 3.78 (br t, IH, J= 14.5), 4.53 (br d, IH, J= 14.5), 5.32 (d, IH, J= 10.5), 5.45 (d, IH, J= 10.5), 7.85 (dd, IH, J= 1.0, 8.5), 7.89 (d, IH, J= 8.5), 8.02 (br s, IH), 8.19 (s, IH).
2-propenoic acid, 3-[4-[[[l-[[[12-cyclohexyl-l, 4, 5, 6-tetrahydro-l-[[2- (trimethylsilyl) ethoxy] methyl] im idazo[4 ', 5 ':3, 4Jazep inofl, 2-aJ indol-9- yljcarbonyl] amino] cyclopentyljcarbonyl] amino] phenyl]-, methyl ester, (2E)-
Imidazo [4',5 ' : 3 ,4] azepino [ 1 ,2-a] indole-9-carboxylic acid, 12-cyclohexyl- l,4,5,6-tetrahydro-l-[[2-(trimethylsilyl)ethoxy]methyl]- (19.5 mg, 0.40 mmol) and TBTU (25 mg, 0.08 mmol) was dissolved in DMSO (1 mL). Diisopropylethyl amine (21 uL, 0.12 mmol) was added and the mixture was stirred at RT for 5 min. Then (E)-methyl 3-(4-(l-aminocyclopentanecarboxamido)phenyl)acrylate (20 mg, 0.07 mmol) was added and the solution was stirred at RT overnight. Methylene chloride (3 mL) was added and the solution was washed with aqueous HCl (0.5N, 2 x 3 mL), dried (Na2SO4) and evaporated to give a residue. Flash chromatography on silica gel (EtOAc-CH2Cl2 1:1, then MeOH) afforded 26 mg (87%) of the title compound as a white solid. 1H NMR (500MHz, CDCl3) 5 -0.13 (s,9H), 0.77 (t, 2H, J= 8.5), 1.20- 2.65 (21 H), 2.65-2.75 (m, IH), 2.90-3.00 (m, IH), 3.26 (q, IH5 J= 8.5), 3.36 (q, IH, J= 8.5), 3.75 (br t, IH, J= 14.5), 3.77 (s, 3H), 4.47 (br d, IH, J= 14.5), 5.26 (d, IH, J= 10.5), 5.39 (d, IH, J= 10.5), 6.33 (d, IH, J= 16.0), 6.57 (s, IH, NH), 7.35 (dd, IH, J= 1.0, 8.5), 7.45 (d, 2H, J= 8.5), 7.61 (d, 2H, J= 8.5), 7.61 (d, IH, J= 16.0), 7.79 (s, IH), 7.85 (d, IH, J= 8.5), 7.96 (s, IH).
2-propenoic acid, 3-[4-[[[l-[[(12-cyclohexyl-l,4,5,6- tetrahydroimidazo[4 ', 5 ':3, 4]azepino[l,2-a]indol-9- yl)carbonyl] amino] cyclopentyl] carbonyl] amino] phenyl] -, methyl ester, (2E)-
2-ρropeiioic acid, 3-[4-[[[l-[[(12-cyclohexyl-l,4,5,6-tetrahydro-l-[[2- (trimethylsilyl)ethoxy]metliyl]-imidazo[4',5l:3,4]azepino[l,2-a]indol-9- yl)carbonyl]amino]cyclopentyl]carbonyl]amino]phenyl]-, methyl ester, (2E)- (26 mg, 0.035 mmol) was dissolve in a solution of TABF (IM in THF, 1.0 mL). The solution was stirred at 60 for Ih. Methylene chloride (2 mL) was added and the solution was washed with aqueous NaHCO3 (0.1N), dried (Na2SO4) and evaporated to give a dark residue. Recrystalization form methanol gave 7.0 mg (32%) of deproteced compound as a white solid. 1HNMR (500MHz, CDCl3) δ 1.20-2.75 (m, 18H), 2.50-
2.60 (m, 2H), 3.00-3.10 (br s, 2H), 3.78 (s, 3H), 4.00 (br s, IH), 4.26 (m, 2H), 6.33 (d, IH, J= 16.0), 6.43 (br s, IH, NH), 7.26 (br d, IH5 J= 8.5), 7.46 (d, 2H, J= 8.5),
7.61 (d, IH, J= 16.0), 7.62 (d, 2H, J= 8.5), 7.73 (br s, IH), 7.83 (br d, IH, J= 8.5), 7.91 (br s, IH).
2-propenoic acid, 3-[4-[[[l -[[(12-cyclohexyl-l , 4,5,6- tetrahydroimidazo[4',5':3,4]azepino[l,2-a]indol-9- yl)carbonyl] amino] cyclopentyl] carbonyl] amino] phenyl] -,(2E)-
2-propenoic acid, 3-[4-[[[l-[[(12-cyclohexyl-l,4,5,6- tetrahydroimidazo[4',5':3,4]azepino[l,2-a]indol-9- yl)carbonyl]amino]cyclopentyl]carbonyl]amino]phenyl]-, methyl ester, (2E)- (5.0 mg) was dissolve in methanol (0.5 niL). Aqueous NaOH (6N, 0.3 mL) was added and the solution was stirred at RT for 2h. Ethyl acetate (2 mL) was added and the pH of the aqueous layer was adjusted to 5 with solid citric acid. The organic phase was separated, dried (Na2SO4) and evaporated to give 3.5 mg (70%) of the title acid. 1H NMR (500MHz, MeOD) δ 1.40-2.55 (18 H), 2.45-2.55 (m, 2H), 3.05 (t, 2H, J= 7.0), 3.68 (br m, IH), 4.28-4.35 (m, 2H), 6.42 (d, IH, J= 16.0), 7.48-7.62 (m, 6H), 7.78 (s, IH), 7.86 (d, IH, J= 8.5), 8.03 (s, IH).
Examples of some of the methods that can be used to prepare some fused pyrazine derivatives of formula I are outlined in the scheme below.
lH-indole-6-carboxylic acid, 3-cyclohexyl-2-(4,4,5,5-tetramethyl-l,3,2- dioxaborolan-2-yl)-, methyl ester (383 mg, 1.0 mmol), 2,3-dicliloropyrazine (298 mg, 2.0 mmol) and LiCl ( 84 mg, 2.0 mmol) were dissolved in a mixture of ethanol (4 mL) and toluene (4 rnL). An aqueous Na2CO3 solution (IM, 2.5 mL, 2.5 mmol) was added and the mixture was degassed with nitrogen for 20 min. Pd(PPh3) 4 (11.5 mg, 0.1 mmol) was added and the mixture was stirred at 600C under N2 for 20 h. EtOAc (10 mL) was added, followed by 25 mL of water. The organic layer was separated, dried (Na2SO4), filtered and evaporated under reduced pressure to give a residue. This material was fractionated using flash chromatography on silica gel (CH2Cl2- EtOAc 10: 1 ) to afford 160 mg (43%) of the title compound as a foam. 1H NMR . (500MHz, CDCl3) δ 1.20-2.00 (m, 10H), 2.88 (m, IH), 3.94 (s, 3H), 7.79 (dd, IH, J = 1.5, 8.5), 7.91 (d, IH, J= 8.5), 8.14 (d, IH, J= 1.5), 8.41 (d, IH, J= 2.5), 8.60 (br s, IH, NH), 8.63 (d, IH, J= 2.5).
lH-indole-6-carboxylic acid, 3-cyclohexyl-2-(3-methylpyrazinyl)-, methyl ester
To a solution of lH-indole-6-carboxylic acid, 2-(3-chloropyrazinyl)-3- cyclohexyl-, methyl ester (160 mg, 0.43 mmol) in DMF (2.0 mL) was added tributyl(vinyl)tin (190 mg, 0.6 mmol), LiCl (50 mg, 1.2 mmol), and PdCl2 (PPh3) 2 (140 mg, 0.02 mmol, 5mmol%). The mixture was stirred at 850C for 2h under nitrogen. Ethyl acetate (5 mL) was added, followed by 1O mL of water. The organic phase was separated, dried (Na2SO4), filtered and evaporated to give a dark residue. This material was fractionated using flash chromatography on silica gel (CHaCl2- EtOAc 10:1) to afford 46 mg (29%) of the title compound. 1H NMR (500MHz, CDCl3) δ 1.20-2.00 (m, 10H), 2.64 (tt, IH, J = 3.5, 12.0), 3.91 (s, 3H), 5.54 (dd, IH, J = 1.5, 17.0), 6.82 (dd, IH, J = 8.5, 17.0), 7.75 (dd, IH, J= 1.0, 8.5), 7.85 (d, IH, J= 8.5), 8.09 (s, IH), 8.49 (d, IH, J= 2.0), 8.55 (d, IH, J= 2.0), 9.02 (s, IH, NH).
lH-indole-6-carboxyhc acid, 3-cyclohexyl-2-(3-ethenylpyrazinyl)-l-(2-propenyl)-, methyl ester
To a solution of lH-indole-6-carboxylic acid, 3-cyclohexyl-2-(3- methylpyrazinyl)-, methyl ester (46 mg, 0.13 mmol) in dry DMF (2.0 mL) was added KH (30% in oil, 0.2 mmol, 26 mg) proportion wise at RT. The mixture was stirred at RT for 10 min until no more effervescence was observed. AHyI bromide (20 mg, 2.0 mmol) was added, and the resulting mixture stirred at RT for 20 min. Methylene chloride (5 mL) was then added and the solution washed with IN HCl (3 x 5 mL), dried (Na2SO4), filtered and evaporated to give a residue. This was fractionated using flash chromatography on silica gel (EtOAc-hexane 1 :3) to afford 38 mg (75%) of the title compound as a light yellow oil. 1H NMR (500MHz, CDCl3) δ 1.10-1.90
(m, 10H), 2.43 (m, IH)5 3.94(s, 3H), 4.54 (dd, IH, J= 4.5, 10.5), 4.63 (d, IH, J= 6.0, 10.5), 4.76 (d, IH, J= 17.0), 4.95 (d, IH5 J= 5.5), 5.50 (dd, IH, J= 2.0, 10.5), 5.65- 5.75 (m, IH)5 6.51 (dd, IH5 J= 2.0, 17.0), 6.62 (dd, IH5 J= 10.5, 17.O)5 7.80 (dd, IH5 J= 1.0, 8.5), 7.84 (d, IH, J= 8.5), 8.10 (s, IH), 8.60 (d, IH, J= 2.0), 8.63 (d, IH5 J= 2.0).
5H-pyrazino[2 ',3': 3, 4]azepino[l, 2-a]indole-l 0-carboxylic acid, 13-cyclohexyI-, methyl ester
To a solution of lH-indole-6-carboxylic acid, 3-cyclohexyl-2-(3- ethenylpyrazinyl)-l-(2-propenyl)-, methyl ester (38 mg, 0.095 mmol) in CH2Cl2 (6 niL) was added Grubbs catalyst (2nd generation, 8 mg, 0.0095 mmol). The resulting solution was heated to reflux for 4 h. Solvents was removed and the residue was purified by flash chromatography on silica gel (Hexane-EtOAc 3:1) gave 37 mg (100%) of cyclic compound. 1H NMR (500MHz, CDCl3) 5 1.20-2.10 (m, 10H), 3.20 (tt, IH, J= 3.5, 12.0), 3.96 (s, 3H)5 4.70 (d5 2H5 J= 7.0), 6.60-6.70 (m, IH), 6.96 (d, IH5 J= 11.0), 7.75 (dd, IH5 J= 1.0, 8.5), 7.95 (d, IH, J= 8.5), 8.17 (s, IH)5 8.58 (d, IH, J= 2.0), 8.63 (d, IH, J= 2.0).
5H-pyrazino[2',3':3,4Jazepino[l,2-aJindole-10-carboxylic acid, 13-cyclohexyl-6, 7- dihydro-, methyl ester
SH-pyrazinoP'^^^azepinofl^-alindole-lO-carboxylic acid, 13- cyclohexyl- (37 mg, 0.095 mmol) was dissolved in a mixture of ethyl acetate (1 mL) and methanol (1 mL). Pd-C (10%, 7 mg) was added and the resulting mixture was stirred at RT under hydrogen (1 atm) for Ih. Catalyst was filtered off and the filtration was evaporated to give 30 mg (81%) of the title compound. 1H NMR
(500MHz, CDCl3) δ 1.20-2.00 (m, 10H), 2.41 (m, 2H), 2.90 (t, 2H, J= 7.0), 3.23 (tt, IH, J= 3.0, 12.0), 3.95 (s, 3H), 4.15 (t, 2H, J= 6.0), 7.76 (dd, IH, J= 1.0, 8.5), 7.92 (d, IH, J= 8.5), 8.11 (s, IH), 8.45 (d, IH, J= 2.0), 8.61 (d, IH, J= 2.0).
5H-pyrazino[2',3':3,4]azepino[l,2-a]indole-10-carboxylic acid, 13-cyclohexyl-6,7- dihydro-
To a solution of 5H-pyrazino[2',3l:3,4]azepino[l,2-a]indole-10-carboxylic acid, 13-cyclohexyl-6,7-dihydro-, methyl ester (30 mg, 0.08 mmol) in methanol (1.0 mL) was added aqueous NaOH (6N, 0.5 mL). The solution was heated to 500C for
Ih. Ethyl acetate (2 mL) was added, followed by water (2 mL). The pH of aqueous layer was adjusted to 5-6 with solid citric acid. Organic phase was separated and aqueous phase was extracted with EtOAc (2 x 2 mL). The combined organic phased were dried (Na2SO4) and evaporated to give 29 mg (100%) of the title compound, which was pure enough for the next step. 1H NMR (500MHz, CDCl3) δ 1.30-2.00 (m, 10H), 2.44 (t, 2H, J = 7.0), 2.93 (t, 2H, J= 7.0), 3.24 (t, IH, J= 11.5), 4.17 (t, 2H, J= 6.5), 7.85 (d, IH, J= 8.5), 7.97 (d, IH, J= 8.5), 8.12 (s, IH), 8.48 (d, IH, J= 2.5), 8.64 (d, IH, J= 2.5).
2-propenoic acid, 3-[4-[[[l-[[(13-cyclohexyl-6, 7-dihydro-5H- pyrazino[2 ', 3 ':3, 4]azepino[l, 2-a] indol-10- yl)carbonyl] amino] cyclopentyljcarbonyl] amino] phenyl]-, methyl ester, (2E)-
To a solution of the acid (12 mg, 0.033 mmol) in DMSO (1 mL) was added TBTU (16 mg, 0.05 mmol), followed by diisopropylethyl amine (17 uL, 0.1 mmol). The mixture was stirred at RT for 5 min. Then side-chain amine (13 mg, 0.045 mmol) was added and the solution was stirred at RT overnight. Methylene chloride (3 mL) was added and the solution was washed with aqueous HCl (0.5N, 2 x 3 mL), dried (Na2SO4) and evaporated to give a residue. Flash chromatography on silica gel (EtOAc-CH2Cl2 2:5) afforded 13 mg (62%) of methyl ester as a white solid. 1H NMR (500MHz, CDCl3) δ 1.30-2.00 (m, 14H), 2.20-2.30 (m, 2H), 2.35-2.45 (m, 2H), 2.50- 2.60 (m, 2H), 2.90 (t, 2H, J= 7.0), 3.22 (t, IH, J= 11.5), 3.78 9s, 3H), 4.16 (t, 2H, J = 6.5), 6.35 (d, IH, J= 16.0), 6.48 (s, IH, NH), 7.34 (d, IH, J = 8.5), 7.47 (d, 2H, J= 8.5), 7.60-7.65 (m, 3H), 7.94 (d, IH, J= 8.5), 7.98 (s, IH), 8.46 (d, IH, J= 2.5), 8.62 (d, IH, J= 2.5).
2-propenoic acid, 3-[4-[[[l-[[(13-cyclohexyl-6, 7-dihydro-5H- pyrazino[2 ', 3 ':3, 4]azepino[l, 2-aJindol-l 0- yl)carbonyl] amino] cyclopentyl] carbonyl] amino] phenyl] -, (2E)-
The 2-propenoic acid, 3-[4-[[[l-[[(13-cyclohexyl-6,7-dihydro-5H- pyrazmo[2',3':3,4]azepino[l,2-a]indol-10- yl)carbonyl]amino]cyclopentyl]carbonyl]amino]phenyl]-, methyl ester, (2E)- (13 nig, 0.021mmol) was dissolve in methanol (1.0 niL). Aqueous NaOH (6N, 0.5 mL) was added and the solution was stirred at RT for 2h. Ethyl acetate (2 mL) was added and the pH of the aqueous layer was adjusted to 5 with solid citric acid. The organic phase was separated, dried (Na2SO4) and evaporated to give 9.0 mg (69%) of the title acid as a white solid. 1H NMR (300MHz, MeOD) δ 1.30-2.60 (m, 20H), 2.87 (t, 2H, J= 6.9), 3.28 (m, IH)5 4.16 (t, 2H, J= 6.6), 6.43 (d, IH, J= 15.9), 7.40 (d, IH, J= 15.9), 7.47 (d, 2H, J= 8.7), 7.58 (d, 2H, J= 8.7), 7.63 (dd, IH, J= 1.2, 8.4), 7.95 (d, IH, J= 8.7), 8.15 (d, IH, J= 0.9), 8.49 (d, IH, J= 3.0), 8.68 (d, IH, J= 3.0).
Further examples of methods that can be used to prepare ring-fused five membered hetercocylic derivatives of the instant invention are outlined in the scheme below.
The synthesis of the required bromo ketone intermediate is described below. The target heterocycles are obtained by condensation of this compound with appropriate amide or thioamide derivatives.
Methyl 3-cyclohexyl-l-(5-methoxy-5-oxopentyl)-lH-indole-6-carhoxylate
Methyl S-cyclohexyl-l/i-indole-ό-carboxylate (500 mg, 1.94 mmol) was added to a suspension of NaH (85.5 mg of 60% dispersion in mineral oil, 2.14 mmol) in DMF (5 niL), and the reaction mixture stirred at RT for 15 min. Methyl 5- bromovalerate (0.305 niL, 2.14 mmol) was then added and the reaction mixture stirred at RT overnight, after which the reaction was quenched with ice and extracted with ethyl acetate (2x50 mL). The extracts were then combined, washed with IN HCl solution, dried (MgSO4), filtered and concentrated in vacuo. The residue was purified by silica gel flash chromatography using hexanes to 25% ethyl acetate in hexanes as eluant to give the title compound as a colorless thick oil (0.41 g, 57% yield). MS m/z 372(MH+). 1H NMR (300 MHz, CDCl3) δ ppm 1.23 (m, 1 H) 1.35-1.48 (m, 5 H) 1.62 (m, 2 H) 1.69-1.89 (m, 6 H) 2.03 (m, 2 H) 2.29 (t, J=7.32 Hz, 2 H) 2.78 (m, 1 H) 3.62 (s, 3 H) 3.90 (s, 3 H) 4.11 (t, J=6.95 Hz, 2 H) 6.97 (s, 1 H) 7.60 (d, J=8.42 Hz, 1 H) 7.72 (d, J=9.51 Hz, 1 H) 8.00 (s, 1 H).
l-(4-carboxyhutyl)-3-cyclohexyl-lH-indole-6-carboxylic acid
2N NaOH solution (2.0 mL) was added to a solution of methyl 3-cyclohexyl- l-(5-methoxy-5-oxopentyl)-lH-indole-6-carboxylate (410 mg, 1.1 mmol) in
THF/Methanol mixture (2.0 mL/2.0 mL). The reaction mixture was heated at 1000C under microwave condition for 15 min, after which it was concentrated and the pH was adjusted to 4-5 with IN HCl solution. A precipitate formed which was collected by filtration to give the product as a white powder, (375 mg, 99% yield). MS m/z 344(MH+). 1H NMR (300 MHz, CD3OD) 6 ppm 1.24-1.98 (m, 10 H) 2.00-2.15 (m, 2 H) 2.25-2.39 (m,2H) 2.84 (m, 1 H) 4.16-4.30 (m, 2 H) 4.56-4.72 (m, 2 H) 7.22 (m, IH) 7.58-7.78 (m, 2H) 8.10 (m, IH).
ll-Cyclohexyl-10-oxo-7,8,9,10-tetrahydro-6H-azepino[l,2-a]indole-3-carboxylic acid
A mixture of TFA (1.0 mL) and TFAA (469 mg, 2.232 mmol) was added dropwise to l-(4-carboxybutyl)-3-cyclohexyl-lH-indole-6-carboxylic acid (365 mg, 1.063 mmol) at O0C. The reaction mixture was then warmed to rt. and stirred for 4 hr. Water was then added slowly to quench the reaction and a precipitate formed. This was collected by filtration to provide the product as a yellow-greenish solid, (410 mg, >100% yield). MS m/z 326(MH+); 1H NMR (500 MHz, CD3OD) δ ppm 1.39- 1.50 (m, 3 H) 1.73-2.14 (m, 11 H) 2.88 (m, 2 H) 3.45 (m, 1 H) 4.46 (m, 2 H) 7.73 (dd, J=8.54, 1.22 Hz, 1 H) 7.98 (d, J=8.55 Hz, 1 H) 8.21 (s, 1 H).
9-Bromo-l 1 -cyclohexyl-lO-oxo- 7, 8, 9, 10-tetrahydro-6H-azeping[l,2-a]indole-3- carboxylic acid
A solution of 11 -cyclohexyl- 10-oxo-7,8,9, 10-tetrahydro-67f-azepino[ 1 ,2- α]indole-3-carboxylic acid (100 mg, 0.307 mmol) in chloroform (2.0 mL) was added to a refluxing suspension of CuBr2 (103 mg, 0.461 mmol) in ethyl acetate (2.0 mL),. The reaction mixture was heated under reflux for 4h. It was then cooled and the salt was removed by filtration. The filtrate was concentrated in vacuo to provide the title compound as a dark-green solid, (120 mg, 97% yield). MS m/z 404,406 (MH+).
4H-Thiazolo[4',5':3,4Jazepino[l,2-q]indole-9-carboxylic acid, 12-cyclohexyl-5, 6- dihydro-2-methyl-.
Thioacetamide (7.4 mg, 0.099 mmol) was added to a solution of 9-bromo-l 1- cyclohexyl-10-oxo-7,8,9, 10-tetrahydiO-6H-azepino[ 1 ,2-α]indole-3-carboxylic acid (40 mg, 0.099 mmol) in ethanol (3.0 mL). The reaction mixture was heated under reflux for 12
after which the solvent was removed in vacuo and the residue suspended in water. A precipitate formed which was collected by filtration to provide the crude product as a greenish solid (30 mg, 80% yield). 8 mg of this crude product was subsequently fractionated by preparative reverse phase HPLC to afford the title compound as a light yellow colored solid. MS m/z 381(MH+); 1H NMR (500 MHz, CD3OD) δ ppm 1.31 (m, 1 H) 1.40-1.47 (m, 3 H) 1.79-1.91 (m, 4 H) 2.00-2.09 (m, 2 H) 2.32-2.36 (m, 2 H) 2.77 (s, 3 H) 2.98 (t, J=IAl Hz, 2 H) 3.41 (m, 1 H) 4.25 (d, J=6.10 Hz, 2 H) 7.72 (dd, J=8.39, 1.37 Hz, 1 H) 7.87 (d, J=8.55 Hz, 1 H) 8.15 (s, I H.).
4H-Thiazolo[4 ', 5 ':3, 4]-azepino[l, 2-aJ indole-9-carboxylic acid, 12-cyclohexyl-5, 6- dihydro-2-amino-.
Thiourea (22.6 mg, 0.297 mmol) was added to a solution of 9-bromo-ll- cyclohexyl- 10-oxo-7,8,9, 10-tetrahydro-6/i-azepino[ 1 ,2-α]indole-3-carboxylic acid
(100 mg, 0.247 mmol) in ethanol (5.0 mL). The reaction mixture was heated under reflux for 8 hr. The solvent was then removed in vacuo, and the residue suspended in water. A precipitate formed which was collected by filtration to provide the crude product as a yellow solid, (99 mg, 100% yield). 10 mg of this material was then purified by preparative reverse phase HPLC column to afford the TFA salt of the title compound as a light yellow solid. MS m/z 382 (MH+); 1H NMR (500 MHz, CD3OD) δ ppm 1.32 (m, 1 H) 1.43-1.53 (m, 3 H) 1.79-1.94 (m, 4 H) 2.00-2.10 (m, 2 H) 2.29-2.35 (m, 2 H) 2.81 (t, J=7.17 Hz, 2 H) 3.06 (m, 1 H) 4.33 (t, J=5.95 Hz, 2 H) 7.74 (d, J=8.55 Hz5 1 H) 7.92 (d, J=8.54 Hz, 1 H) 8.17 (s, 1 H).
2-Propenoic acid, 3-[4-[[[l-[[(12-cyclohexyl-5, 6-dihydro-2-methyl-4H- thiazolo[4 ',5':3, 4]azepino[l, 2-a] indol-9-yl)carbonyl] amino] cyclopentyl] carbonyl] - amino] phenyl]-, methyl ester, (2E)-.
TBTU (27.8 mg, 0.087 mmol) was added to a solution of 4H- thiazolo[4',5':3,4]azepino[l,2-α]indole-9-carboxylic acid, 12-cyclohexyl-5,6-dihydro- 2-methyl (22 mg, 0.058 mmol) and DIPEA (0.050 mL, 0.289 mmol) in DMSO (2.0 mL), The reaction mixture was stirred at rt for 15 min., after which (E)-methyl 3-(4- (l-aminocyclopentanecarboxamido)phenyl)acrylate (20 mg, 0.069 mmol) was added. The resultant mixture was stirred at rt overnight. It was then concentrated in vacuo and the residue purified by preparative reverse phase ΗPLC column to give the title compound as an off-white solid , (18 mg, 48% yield). MS m/z 651(MH+); 1H NMR (500 MHz, CDCl3) δ ppm 1.32-1.47(m, 3 H) 1.74-2.01 (m, 11 H) 2.21-2.28 (m, 2 H) 2.28-2.35 (m, 2 H) 2.53-2.61 (m, 2 H) 2.74 (s, 3 H) 2.95 (t, J=7.32 Hz, 2 H) 3.44 (m, 1 H) 3.78 (s, 3 H) 4.20 (m, 2 H) 6.35 (d, J=15.87 Hz, 1 H) 6.42 (s, 1 H) 7.28
(m, 1 H) 7.47 (d, J=8.54 Hz, 2 H) 7.60-7.66 (m, 3 H) 7.88 (d, J=8.55 Hz, 1 H) 7.94 (s, 1 H) 10.40 (s, 1 H).
2-Propenoic acid, 3-[4-[[[l-[[(12-cyclohexyl-5, 6-dihydro-2-methyl-4H- thiazolo[4\5':3,4]azepino[l,2-a]indol-9-yl)carbonyl] amino] cyclopentyl] carborryl] - amino] phenyl]-, (2E)-.
2N NaOH solution (0.5 mL) was added to a solution of 2-propenoic acid, 3-
[4-[[[l-[[(12-cyclohexyl-5,6-dihydro-2-methyl-4/f-thiazolo[4t,5':3,4]azepino[l,2- α]indol-9-yl)carbonyl]amino]cyclopentyl]carbonyl]amino]phenyl]-, methyl ester, (2E)- ( 15 mg, 0.023 mmol)in a THF/Methanol mixture (2.0 mL/2.0 mL). The reaction mixture was heated at 1000C under microwave conditions for 15 min. It was cooled, and concentrated in vacuo. The pH of the mixture was adjusted to 4-5 with IN HCl solution, and then extracted with ethyl acetate. The extracts were combined, dried over MgSO4, filtered and concentrated under vacuum. The crude yellow residue was then purified by preparative reverse phase. HPLC to afford the title compound as a yellow solid, (7.0 mg, 48% yield). MS m/z 637(MH+). 1H NMR (500 MHz, CD3OD) δ ppm 1.38-1.47 (m, 3 H) 1.78-1.95 (m, 9 H) 1.98-2.08 (m, 2 H) 2.16-2.24 (m, 2 H) 2.30-2.37 (m, 2 H) 2.45-2.55 (m, 2 H) 2.76 (s, 3 H) 2.97 (t, J=7.17 Hz, 2 H) 3.41 (m, 1 H) 4.25 (m, 2 H) 6.40 (d, J=15.87 Hz, 1 H) 7.52-7.66 (m, 6 H) 7.89 (d, J=8.55 Hz, 1 H) 8.07 (s, 1 H).
2-Propenoic acid, 3-[4-[[[l-[[(12-cyclohexyl-5, 6-dihydro-2-amino-4H- thiazolo[4',5':3,4Jazepino[l,2-a]indol-9-yl)carbonylj 'amino] ' cyclopentyl] 'carbonylj- amino] phenyl]-, methyl ester, (2E)-.
To a solution of 4H-thiazolo[4',5':3,4]azepino[l,2-α]indole-9-carboxylic acid, 12-cyclohexyl-5,6-dihydro-2-amino(17 mg, 0.045 mmol) in DMSO (2.0 mL), TBTU (21.5 mg, 0.067 mmol) and DIPEA (0.039 mL, 0.223 mmol) were added. The reaction mixture was stirred at rt for 15 min. Then (E)-methyl 3-(4-(l- aminocyclopentanecarboxamido)phenyl)acrylate (15.4 mg, 0.054 mmol) was added and the reaction mixture stirred at rt overnight. The reaction mixture was then concentrated in vacuo and the residue purified by preparative reverse phase HPLC column to give the title compound as to give the title compound as a yellow solid, (17 mg, 59% yield). MS m/z 652(MH+). 1H NMR (300 MHz, CD3OD) 6 ppm 1.38-1.50 (m, 3 H) 1.74-2.09 (m, 11 H) 2.13-2.23 (m, 4 H) 2.44-2.55 (m, 2 H) 2.79 (t, J=7.14 Hz, 2 H) 3.45 (m, 1 H) 3.78 (s, 3 H) 4.26 (m, 2 H) 6.45 (d, J=16.10 Hz, 1 H) 7.52- 7.68 (m, 6 H) 7.85 (d, J=8.42 Hz, 1 H) 8.03 (s, 1 H).
2-Propenoic acid, 3-[4-[[[l-[[(12-cyclohexyl-5,6-dihydro-2-amino-4H- thiazolo[4', 5' :3,4] azepino[l ,2-a] indol-9-yl)carbonyl] amino] cyclopentyl] carbonyl] - amino] phenyl]-, (2E).
2N NaOH solution (1.0 mL) was added to a solution of 2-propenoic acid, 3- [4-[[[l-[[(12-cyclohexyl-5,6-dihydro-2-amino-4H-thiazolo[4',5':3,4]azepino[l,2- α]indol-9-yl)carbonyl]amino]cyclopentyl]carbonyl]amino]phenyl]-, methyl ester, (2E)- ( 15 mg, 0.023 mmol) in a TΗF/Methanol mixture (2.0 niL/2.0 mL). The reaction mixture was heated at 1000C under microwave conditions for 15 min. It was then concentrated in vacuo, and the pΗ was adjusted to 4-5 by the addition of IN HCl solution. The resultant mixture was then extracted with ethyl acetate and the organic layer was dried over MgSO4.filtered, and evaporated under vacuum to give the crude product that was subsequently purified by Prep. Reverse phase ΗPLC to afford the TFA salt of the title compound as a yellow solid (5.2 mg, 30% yield). MS m/z
638(MH+); 1H NMR (300 MHz, CD3OD) δ ppm 1.40-1.53 (m, 3 H) 1.77-2.37 (m, 14 H) 2.44-2.56 (m, 2 H) 2.79 (t, J=7.32 Hz, 2 H) 2.97 (m, 1 H) 4.32 (m, 2 H) 6.40 (d, J=16.10 Hz, 1 H) 7.50-7.65 (m, 6 H) 7.93 (d, J=8.42 Hz, 1 H) 8.09 (s, 1 H) 9.66 (s, 1
H).
4H-Oxazolo[4',5':3,4]azepino[l,2-aJindole-9-carboxylic acid, 12-cyclohexyl-5,6- dihydro-.
Formamide (2.0 mL) was added to a solution of 9-bromo-ll-cyclohexyl-10- oxo-7,8,9,10-tetrahydro-6/f-azepino[l,2-a]indole-3-carboxylic acid (30 mg, 0.0742 mmol) in DMF (1.0 mL). The reaction mixture was heated at 1250C for 8 hr, after which it was cooled, water was added and the mixture was extracted with ethyl acetate (2X20 mL). The organic layers were combined, dried (MgSO4), filtered and concentrated in vacuo. The residue was then purified by preparative reverse phase HPLC column to afford the title compound as an orange colored solid (3.5 mg, 13% yield). MS m/z 351(MH+); 1H NMR (300 MHz, CD3OD) δ ppm 1.31 (m, 1 H) 1.38- 1.55 (m, 3 H) 1.79-1.93 (m, 4 H) 1.99-2.13 (m, 2 H) 2.19-2.29 (m, 2 H) 3.17 (t,
J=6.77 Hz, 2 H) 4.03 (m, 1 H) 4.33-4.39 (m, 2 H) 7.67 (m, 1 H) 7.86 (d, J=8.42 Hz, 1 H) 8.12 (s, 1 H) 8.16 (s, 1 H)
2-Propenoic acid, 3-[4-[[[l-[[(12-cyclohexyl-5, 6-dihydro-4H- oxazolo[4',5':3,4]azepino[l,2-a]indol-9- yl)carbonyl] amino] cyclopentyljcarbonyl] amino] phenyl]-, methyl ester, (2E)-.
TBTU (20.6 mg, 0.064 mmol) was added to a solution of 4H- oxazolo^S'iS^jazepmofl^-αJindole-θ-carboxylic acid, 12-cyclohexyl-5,6-dihydro- (15 mg, 0.043 mmol) and DIPEA (0.037 mL, 0.214 mmol) in DMSO (2.0 mL). The reaction mixture was stirred at rt for 15 min., after which (E)-methyl 3-(4-(l- aminocyclopentanecarboxamido)phenyl)acrylate (14.8 mg, 0.051 mmol) was added and the reaction mixture was stirred at rt overnight. The resultant mixture was then concentrated in vacuo, and the residue purified by Prep, reverse phase HPLC column to give the title compound as a light yellow solid (12 mg, 45% yield). MS m/z 621(MH+); 1H NMR (300 MHz, CDCl3) δ ppm 1.12-2.08 (m, 14 H) 2.16-2.27 (m, 4 H) 2.48-2.62 (m, 2 H) 3.03-3.13 (m, 2 H) 3.76 (s, 3 H) 3.92 (m, 1 H) 4.24-4.32 (m, 2 H) 6.32 (d, J=16.47 Hz, 1 H) 6.38 (m, 1 H) 7.25 (m, 1 H) 7.44 (d, J=8.42 Hz, 2 H) 7.56-7.63 (m, 3 H) 7.84-7.98 (m, 3 H) 10.38 (s, 1 H).
2-Propenoic acid, 3-[4-[[[l-[[(12-cyclohexyl-5, 6-dihydro-4H- oxazoloβ ', 5 ':3, 4]azepino[l,2-a]indol-9- yl)carbonyl] amino] cyclopentyl] carbonyl] aminojphenyl] -, (2E)-
2N NaOH solution (0.5 mL) was added to a solution of 2-propenoic acid, 3- [4-[[[l-[[(12-cyclohexyl-5,6-dihydro-4Jf-oxazolo[4t,5':3,4]azepino[l,2-α]indol-9- yl)carbonyl]amino]cyclopentyl]carbonyl]amino]phenyl]-, methyl ester, (2E)- (10 mg, 0.016 mmol)in a THF/Methanol mixture (1.5 mL/1.0 mL). The reaction mixture was heated at 1000C under microwave conditions for 15 min. It was then cooled, and concentrated in vacuo. The pH of the solution was then adjusted to 4-5 by the dropwise addition of IN HCl solution. The resultant mixture was then extracted with ethyl acetate and the organic layer was dried with MgSO4, filtered, and the solvent was evaporated under vacuum. The residue was then purified by Prep, reverse phase HPLC to afford the title compound as a light yellow solid, (2.5 mg, 26% yield). MS m/z 607(MH+); 1H NMR (500 MHz, CD3OD) δ ppm 1.40-1.54 (m, 3 H) 1.80-2.28 (m, 15 H) 2.46-2.54 (m, 2 H) 3.17 (t, J=6.87 Hz, 2 H) 4.02 (m, 1 H) 4.38 (m, 2 H) 6.41 (d, J=15.87 Hz, 1 H) 7.51-7.65 (m, 6 H) 7.89 (d, J=8.55 Hz, 1 H) 8.04 (s, I H) 8.16 (s, l H).
Examples of some of the methods that can be used to prepare some fused pyridine compounds of Formula I are outlined in the scheme below.
The indole-9-carboxylic acid derivatives described in the above section can be subsequently coupled to a variety of amines using methodology known in the art to provide further examples of Formula I compounds.
2-(Benzyloxy)-3-bromopyridine.
3-bromo-2-hydroxypyridine (1.74 g, 10 mmol) was added to a suspension of NaH (440 mg of 60% dispersion in mineral oil, 11 mmol) in DMF (10 rnL), and the resultant mixture was stirred at rt for 30 min. Benzyl bromide (1.3 mL, 11 mmol) was then added, and the reaction was stirred at rt overnight. It was then quenched by the addition of water, and the product extracted with ethyl acetate (2x50 mL). The extracts were combined, washed with IN HCl solution, then dried (MgSO4), filtered and concentrated in vacuo. The residue was purified by silica gel flash chromatography using hexanes to 100% ethyl acetate in hexanes as eluent to give the title compound as a colorless thick oil, (1.37 g, 52% yield). MS m/z 264, 266(MH+); 1H NMR (500 MHz, CDCl3) δ ppm 5.17 (s, 2 H) 6.05 (t, J=7.02 Hz, 1 H) 7.27-7.88 (m, 6 H) 7.70 (dd, J=7.17, 1.98 Hz, 1 H).
Methyl 2-(2-(benzyloxy)pyridin-3-yl)-3-cyclohexyl-lH-indole-6-carboxylate.
2M Na2CO3 (1.25 mL, 2.5 mmol) aqueous solution was added to a suspension of methyl 3-cyclohexyl-2-(4,4,5,5-tetramethyl-l,3,2-dioxaborolan-2-yl)-lH-indole- 6-carboxylate (383 mg, 1.0 mmol), 2-(benzyloxy)-3-bromopyridine (317 mg, 1.2 mmol) and LiCl (84.8 mg, 2.0 mmol), in ethanol (3 mL) and toluene (3 mL). The mixture was degassed by evacuating the reaction flask and then flushing with N2. Pd(PPh3)4 (58 mg, 0.05 mmol) was then added, and the reaction mixture was heated at 8O0C for 6hr. The reaction mixture was then filtered and concentrated in vacuo, and the resultant residue was purified by silica gel flash chromotagraphy using hexanes to 50% ethyl acetate in hexanes as eluent to afford the title compound as a yellowish solid, (310 mg, 70% yield). MS m/z 441(MH+); 1H NMR (500 MHz, CDCl3) 6 ppm 1.32-1.46 (m, 3 H) 1.78-1.93 (m, 5 H) 2.05-2.16 (m, 2 H) 2.96 (m, 1 H) 3.92 (s, 3 H) 5.25 (s, 2 H) 6.39 (t, J=6.87 Hz, 1 H) 7.31-7.41 (m, 6 H) 7.60 (dd,
J=7.17, 1.98 Hz5 1 H) 7.71 (d, J=8.55 Hz, 1 H) 7.84 (d, J=8.55 Hz, 1 H) 8.07 (s, 1 H) 10.32 (s, 1 H).
Methyl l-(2-(benzyloxy)ethyl)-2-(2-(benzyloxy)pyridin-3-yl)-3-cyclohexyl-lH-indoJe- 6-carhoxylate.
To a suspension of NaH (14 mg of 60% dispersion in mineral oil, 0.354 mmol) in DMF (2 niL), methyl 2-(2-(benzyloxy)pyridin-3-yl)-3-cyclohexyl-lH- indole-6-carboxylate (130 mg, 0.295 mmol) was added and the reaction mixture was stirred at rt for 15 min. Benzyl 2-bromoethyl ether (0.052 niL, 0.325 mmol) was then added, and the reaction mixture was stirred at rt overnight before being quenched by the addition of water. The resultant mixture was extracted with ethyl acetate (2x20 mL) and the organic layers were combined, washed with IN HCl solution, and then dried (MgSO4), filtered and concentrated under vacuum. The residue was then purified by Prep, reverse phase ΗPLC to give the title compound as light yellow solid (83.5 mg, 49% yield). MS m/z 575(MH+); 1H NMR (500 MHz, CDCl3) δ ppm 1.21- 1.31 (m, 3 H) 1.69-1.90 (m, 7 H) 2.53 (m, 1 H) 3.65 (m, 1 H) 3.72 (m, 1 H) 3.92 (s, 3 H) 4.17 (m, 1 H) 4.27 (m, 1 H) 4.32 (s, 2 H) 5.21 (s, 2 H) 6.18 (t, J=6.87 Hz, 1 H) 7.07-7.12 (m, 2 H) 7.21-7.36 (m, 9 H) 7.41 (dd, J=6.71, 2.14 Hz, 1 H) 7.74 (dd, J=8.54, 1.22 Hz 1 H) 7.78 (m, J=8.55 Hz, 1 H) 8.12 (s, 1 H).
Methyl 3-cyclohexyl-l-(2-hydroxyethyl)-2-(2-hydroxypyridin-3-yl)-lH-indole-6- carboxylate.
To a solution of methyl l-(2-(benzyloxy)ethyl)-2-(2-(benzyloxy)pyridin-3- yl)-3-cyclohexyl-liϊ-mdole-6-carboxylate (57 mg, 0.099 mmol) in ethyl acetate (10 niL), 10% Pd on carbon (10 mg) was added. The reaction mixture was stirred under an hydrogen atmosphere (1 atmos.) for three days. It was filtered through celite, and the filtrate concentrated to give the title compounds as an off-white solid, (35 mg, 90% yield). MS m/z 395(MH+); 1H NMR (300 MHz, CD3OD) 6 ppm 1.24-1.40 (m, 3 H) 1.70-1.98 (m, 7 H) 2.58 (m, 1 H) 3.71 (t, J=6.04 Hz, 2 H) 3.94 (s, 3 H) 4.11 (m, 1 H) 4.22 (m, 1 H) 6.58 (t, J=6.59 Hz, 1 H) 7.58-7.76 (m, 3 H) 7.82 (d, J=8.78 Hz 1 H) 8.19 (s, 1 H).
Pyrido[3',2':6, 7] [1 ,4] oxazepino[4,5-a] indole-10-carboxylic acid, 13-cyclohexyl-6, 7- dihydro-, methyl ester.
To a solution of methyl 3-cyclohexyl-l-(2-hydroxyethyl)-2-(2- hydroxypyridin-3-yl)-lH-indole-6-carboxylate (49 mg, 0.124 mmol) in TΗF (8 niL), PPh3 (130 mg, 0.497 mmol) and DBAD (114 mg, 0.497 mmol) were added. The reaction mixture was heated at 850C under microwave conditions for 3.5 hr. It was
then concentrated under vacuum and the residue purified by Prep, reverse phase HPLC to afford the title compound as a yellowish solid, (27 mg, 58% yield). MS m/z 377(MH+); 1H NMR (500 MHz, CD3OD) δ ppm 1.31 (m, 1 H) 1.35-1.51 (m, 3 H) 1.78-1.95 (m, 4 H) 2.06-2.19 (m, 2 H) 2.92 (m, 1 H) 3.96 (s, 3 H) 4.51 (m, 2 H) 4.66 (m, 2 H) 7.45 (m, 1 H) 7.76 (d, J=7.63 Hz, 1 H) 7.91-7.99 (m, 2 H) 8.23 (s, 1 H) 8.37 (d, J=2.44 Hz, I H).
Pyrido[3',2':6, 7][l,4]oxazepino[4,5-a]indole-10~carboxylic acid, 13-cyclohexyl-6, 7- dihydro-.
2N aqueous NaOH (0.5 mL) was added to a solution of pyridofS'^'^^Jtl^joxazepino^^-αJindole-lO-carboxylic acid, 13-cyclohexyl-6,7- dihydro-, methyl ester (5.5 mg, 0.0146 mmol) in a THF/Methanol mixture (1.5 mL/1.5 mL). The reaction was heated at 1000C under microwave conditions for 15 min, after which it was concentrated in vacuo and the pH of the resultant mixture adjusted to 4-5 usinglN HCl solution. The mixture was then extracted with ethyl acetate and the organic layer dried with MgSO4, filtered, and concentrated in vacuo. The residue was purified by Prep, reverse phase HPLC to afford the TFA salt of the title compound as a yellow solid, (4.5, 65% yield). MS m/z 363(MH+); 1H NMR (500 MHz, CD3OD) δ ppm 1.31 (m, 1 H) 1.36-1.63 (m, 3 H) 1.79-1.96 (m, 4 H) 2.09-2.21 (m, 2 H) 2.91 (m, 1 H) 4.57 (t, J=5.19 Hz, 2 H) 4.72 (t, J=5.19 Hz, 2 H) 7.51 (dd, J=7.63, 5.19 Hz, 1 H) 7.78 (d, J=8.55 Hz, 1 H) 7.96 (d, J=8.55 Hz, 1 H) 8.08 (dd, J=7.63, 1.83 Hz, 1 H) 8.23 (s, 1 H) 8.40 (d, J=4.58 Hz, 1 H).
2-Propenoic acid, 3-[4-[[[l-[[(13-cyclohexyl-6, 7- dihydropyrido[3 ' 2 ': 6, 7J[1, 4]oxazepino[4, 5-aJindol-l 0- yl)carbonyl] amino] cyclopentyl] carbonyl] amino] phenyl] -, (2E)-
To a solution of pyrido[3',2l:6,7][l,4]oxazepino[4,5-α]indole-10-carboxylic acid, 13-cyclohexyl-6,7-dihydro- (23 mg, 0.064 mmol) in DMSO (2.0 mL), TBTU (30.6 mg, 0.095 mmol) and DIPEA (0.055 mL, 0.318 mmol) were added. The reaction mixture was stirred at rt for 15 min. Then (E)-methyl 3-(4-(l- aminocyclopentanecarboxamido)phenyl)acrylate (22 mg, 0.076 mmol) was added and the reaction mixture was stirred at rt overnight. It was then concentrated and the residue was purified by Prep, reverse phase HPLC to give the ester intermediate. To a solution of the this material in a THF/Methanol mixture (1.5 mL/1.5 mL), 2N NaOH solution (0.5 mL) was added. The reaction mixture was heated at 1000C under microwave conditions for 15 min. It was concentrated and the pH was adjusted to 4-5 using IN HCl solution. This mixture was extracted using ethyl acetate. The organic layer was dried with MgSO4, filtered and the solvent evaporated to give a crude product which was purified by Prep, reverse phase HPLC to afford the title compound as a yellow solid. (4.0 mg, 8.6% yield two steps). MS m/z 619(MH+); 1H NMR (500 MHz, CD3OD) δ ppm 1.31 (m, 1 H) 1.38-1.60 (m, 3 H) 1.79-1.96 (m, 8 H) 2.08-2.24 (m, 4 H) 2.47-2.56 (m, 2 H) 2.92 (m, 1 H) 4.55 (t, J=5.04 Hz, 2 H) 4.70 (t, J=5.19 Hz, 2 H) 6.41 (d, J=16.17 Hz, 1 H) 7.49 (dd, J=7.63, 5.19 Hz, 1 H) 7.56 (d, J=8.55 Hz, 2 H) 7.60-7.69 (m, 4 H) 7.97 (d, J=8.55 Hz, 1 H) 8.05 (dd, J=7.63, 1.83 Hz, 1 H) 8.12 (s, 1 H) 8.39 (m, 1 H).
Some representative examples of methods that can be used to prepare some hydroxylated derivatives of the proprano bridged compounds are outlined in the scheme below.
(5S,6R) and (5 R, 6S)- 5H-pyrido[3',2':3,4]azepino[l,2-a]indole-10-carboxylic acid, 13-cyclohexyl-6, 7-dihydro-5 ,6-dihydroxy-, methyl ester.
OsO4 (2.7 mg, 0.0107 mmol) was added to a solution of 7H- pyrido[3',2':3,4]azepino[l,2-α]indole-10-carboxylic acid, 13-cyclohexyl-, methyl ester (40 mg, 0.107 mmol) and N-methylmorpholine oxide (38 mg, 0.322 mmol) in a mixture of acetone and water (9 mL-1 mL). The resultant solution was stirred at rt overnight, after which it was concentrated in vacuo and the residue purified by Prep, reverse phase ΗPLC to give a racemic mixture of title compounds as a light yellow, (25 mg, 57% yield). MS m/z 407(MH+); 1H NMR (500 MHz, CD3OD) δ ppm 1.31 (m, 1 H) 1.39-1.55 (m, 2 H) 1.66 (m, 1 H) 1.76-1.86 (m, 2 H) 1.92-2.17 (m, 4 H) 2.88 (m, 1 H) 3.39 (m, 1 H) 3.96 (s, 3 H) 4.49 (m, 1 H) 4.66 (m, 2 H) 7.58 (dd, J=7.48,
5.04 Hz, 1 H) 7.75 (d, J=8.24 Hz, 1 H) 7.88-7.96 (m, 2 H) 8.24 (s, 1 H) 8.69 (d, J=I.83 Hz, I H).
(5S,6R) and (5R, 6S)- 5H-pyrido[3',2':3,4Jazepino[l,2-a]indole-10-carboxylic acid, 13-cyclohexyl-6, 7-dihydro-5, 6-dihydroxy-.
LiOH (14.7 mg, 0.615 mmol) and water (0.5 mL) were added to a solution of racemic (5S,6R) and (5R, 6S)- 5H-pyrido[3',2':3,4]azepmo[l,2-α]indole-10- carboxylic acid, 13-cyclohexyl-6,7-dihydro-5, 6-dihydroxy-, methyl ester (25 mg, 0.0615 mmol) in a THF/Methanol mixture (1.5 mL/1.5 mL). The reaction was stirred at rt. for three days. It was then concentrated in vacuo, and the pH was adjusted to 4- 5 using IN HCl solution. The resultant mixture was extracted with ethyl acetate. The organic layer was dried (MgSO4), filtered and the solvent evaporated. The residue was purified by Prep, reverse phase HPLC to afford the TFA salts of a racemic mixture of the title compounds, (15 mg, 48% yield). MS m/z 393(MH+); 1H NMR (500 MHz, CD3OD) δ ppm 1.32 (m, 1 H) 1.42-1.61 (m, 2 H) 1.68 (m, 1 H) 1.79-1.89 (m, 2 H) 1.99 (m, 1 H) 2.07-2.22 (m, 3 H) 2.87 (m, 1 H) 3.44 (m, 1 H) 4.79-4.89 (m, 3 H) 7.81 (d, J=8.24 Hz, 1 H) 8.01 (d, J=8.55 Hz, 1 H) 8.21 (dd, J=7.93, 6.10 Hz, 1 H) 8.30 (s, 1 H) 8.63 (d, J=7.93 Hz, 1 H) 8.85 (d, J=5.80 Hz, 1 H).
The above derivatives may be coupled to a variety of amines and related compounds through the acid functionality of these intermediates using methodology described herein or other common methods known to those skilled in the art to generate products of the type described below.
(5 S, 6R) and (5R, 6S)-2-propenoic acid, 3-[4-[[[l-[[[13-cyclohexyl-6, 7-dihydro-5,6- dihydroxy-5H-pyrido[3',2':3,4]azepino[l,2-a]indol-10- yl] carbonyJ] 'amino] ' cyclopentyl] carbonyl] 'amino] phenyl]-, methyl ester, (2E)-.
To a solution of racemic (5S,6R) and (5R, 6S)- 5H- pyrido[3',2':3,4]azepino[l,2-α]indole-10-carboxylic acid, 13-cyclohexyl-6,7-dihydro- 5,6-dihydroxy- (31 mg, 0.079 mmol) in DMF (1.5 mL), HATU (45 mg, 0.119 mmol) and DIPEA (0.069 mL, 0.395 mmol) were added. The reaction mixture was stirred at rt for 15 min. Then (E)-methyl 3 -(4-(I- aminocyclopentanecarboxamido)phenyl)acrylate (30 mg, 0.103 mmol) was added and the reaction mixture stirred at rt overnight. It was then concentrated in vacuo, and the residue purified by Prep, reverse phase HPLC to give a racemic mixture of the title compounds as a light yellow solid, (26 mg, 50% yield). MS m/z 663(MH+); 1H NMR (500 MHz, CD3OD) δ ppm 1.22-1.53 (m, 3 H) 1.62 (m, 1 H) 1.75-2.15 (m, 10 H) 2.17-2.26 (m, 2 H) 2.47-2.55 (m, 2 H) 2.86 (m, 1 H) 3.38 (m, 1 H) 3.78 (s, 3 H) 4.47 (m, 1 H) 4.86 (m, 2 H) 6.44 (d, J=15.87 Hz, 1 H) 7.53 (d, J=8.55 Hz, 2 H) 7.57 (dd, J=7.48, 5.04 Hz, 1 H) 7.60-7.66 (m, 4 H) 7.89 (d, J=7.32 Hz, 1 H) 7.92 (d, J=8.55 Hz, 1 H) 8.18 (s, 1 H) 8.68 (d, J=4.27 Hz, 1 H).
(5S, 6R) and (5R, 6S)-2-propenoic acid, 3-[4-[[[l-[[[13-cyclohexyl-6, 7-dihydro-5,6- dihydroxy-5H-pyrido[3 ', 2 ':3, 4]azepino[l, 2-qJindol-l 0- yljcarbonyl] amino] cyclopentyljcarbonyl] amino] phenyl]-, (2E)-.
LiOH (6.1 mg, 0.256 mmol) in water (0.5 mL) was added to a solution of racemic (5R, 6S) and (5S, 6R)-2-propenoic acid, 3-[4-[[[l-[[[13-cyclohexyl-6,7- dihydro-5,6-dihydroxy-5H-pyrido[3',2':3,4]azepino[l,2-α]indol-10- yl]carbonyl]amino]cyclopentyl]carbonyl]amino]phenyl]-, methyl ester, (2E)- (17 mg, 0.0256 mmol) in a TΗF/Methanol mixture (2.0 mL/2.0 mL). The reaction was stirred at rt. for two days. It was then concentrated in vacuo, and the pΗ of the resultant solution adjusted to 4-5 using IN HCl solution. This mixture was then extracted using ethyl acetate and the organic layer was dried with MgSO4, filtered and evaporated to give the crude product which was purified by Prep, reverse phase ΗPLC to afford a racemic mixture of the TFA salts of the title compounds as a yellow solid, (10 mg, 51% yield). MS m/z 649(MH+); 1H NMR (300 MHz, CD3OD) δ ppm 1.20-1.72 (m, 4 H) 1.76-2.29 (m, 12 H) 2.44-2.60 (m, 2 H) 2.87 (m, 1 H) 3.43 (m, 1 H) 4.81 (m, 2 H) 4.97 (m, 1 H) 6.40 (d, J=15.74 Hz, 1 H) 1.51-1.11 (m, 6 H) 8.01 (d, J=8.42 Hz, 1 H) 8.16 (dd, J=7.87, 6.04 Hz, 1 H) 8.22 (s, 1 H) 8.57 (d, J=6.59 Hz, 1 H) 8.82 (d, J=5.86 Hz, 1 H) 9.66 (s, 1 H).
(5S,6R) and (5 R, 6S)-5H-pyrido[3',2':3,4]azepino[l,2-a]indole~10-carboxamide, 13- cyclohexyl-6, 7-dihydro-5, 6-dihydroxy-N-(phenylsulfonyl)-.
To a solution of racemic (5S.6R) and (5R, 6S)- 5H- pyrido[3',2':3,4]azepmo[l,2-α]indole-10-carboxylic acid, 13-cyclohexyl-6,7-dihydro- 5,6-dihydroxy- (15 mg, 0.038 mmol) in CH2C12/DMF( 1 mL/1 niL); N-3- dimethylaminopropyl)-N'-ethylcarbodiimide hydrochloride (14.6 mg, 0.0764 mmol), DMAP(9.3 mg, 0.0764 mmol) and benzensulfonamide (12 mg, 0.0764 mmol) were added. The reaction mixture was heated at 12O0C under microwave conditions for 15 min. It was then concentrated under vacuum and the residue purified by Prep reverse phase HPLC to afford a racemic mixture of the TFA salts of the title compounds as a yellow solid, (1.3 mg, 5% yield). MS m/z 532(MH+); 1H NMR (500 MHz, CD3OD) δ ppm 1.31 (m, 1 H) 1.40-1.60 (m, 2 H) 1.65 (m, 1 H) 1.79-1.88 (m, 2 H) 1.98 (m, 1 H) 2.03-2.18 (m, 3 H) 2.86 (m, 1 H) 3.44 (m, 1 H) 4. 74-4.89 (m,3 H) 7.57-7.67 (m, 3 H) 7.73 (m, 1 H) 8.01 (d, J=8.54 Hz, 1 H) 8.09 (m, 1 H) 8.14-8.19 (m, 3 H) 8.52 (s, 1 H) 8.82 (d, J=5.49 Hz, I H).
Additional examples of some of the methods that can be used to prepare some fused pyridine derivatives of compounds of Formula I are outlined in the scheme below.
Grubbs catalyst
1 , 2-dichloroethane reflux
tert-Butyl i-bromopyridin-4-ylcarbamate.
To a solution of 4-amino-3-bromopyridine (1.0 g, 5.78 mmol) in THF (10 niL), DIPEA (1.1 mL, 6.36 mmol) and (Boc)2O (1.39 g, 6.36 mmol) were added. The reaction mixture was stirred at rt. for two days. It was then quenched with IN HCl solution and extracted with ethyl acetate (2X50 mL). The organic layers were combined, dried (MgSO4), filtered and concentrated to give tert-butyl 3- bromopyridin-4-ylcarbamate as a yellowish thick oil, (1.1 g, 70% yield). MS m/z 273,275(MH+); 1H NMR (300 MHz, CDCla)δ ppm 1.51 (s, 9 H) 7.14 (s, 1 H) 8.12 (d, J=5.49 Hz, 1 H) 8.34 (d, J=5.86 Hz, 1 H) 8.55 (s, 1 H).
Methyl 2-(4-(tert-butoxycarbonyl)pyridin-3-yl)-3-cyclohexyl-lH-indole-6- carboxylate.
To a mixture of methyl 3-cyclohexyl-2-(4,4,5,5-tetramethyl-l,3,2- dioxaborolan-2-yl)-lH-indole-6-carboxylate (383 mg, 1.0 mmol), tert-butyl 3- bromopyridin-4-ylcarbamate (328 mg, 1.2 mmol) and LiCl (84.8 mg, 2.0 mmol), in ethanol (3 niL) and toluene (3 mL) was added, 2M aqueous Na2CO3 (1.25 mL, 2.5 mmol) solution. The mixture was then degassed by the application of vacuum followed by flushing with N2. Pd(PPh3)4 (58 mg, 0.05 mmol) was then added and the reaction was heated at 8O0C overnight. The resultant mixture was then filtered and concentrated under vacuum, and the product residue was purified by Prep, reverse phase HPLC to afford the title compound as an off-white solid, (170 mg, 38% yield). MS m/z 450(MH+); 1H NMR (300 MHz, CDCl3) δ ppm 1.15-1.33 (m, 13 H) 1.63- 1.98 (m, 6 H) 2.45 (m, 1 H) 3.92 (s, 3 H) 6.94 (s, 1 H) 7.75-7.89 (m, 2 H) 8.17 (s, 1 H) 8.21 (d, J=5.86 Hz, 1 H) 8.37 (s, 1 H) 8.45 (d, J=5.86 Hz, 1 H) 9.45 (s, 1 H).
l-Allyl-2-(4-(tert-butoxycarbonyl)pyridin-3-yl)-3-cyclohexyl-lH-indole-6-carboxylic acid.
To a suspension of NaH (19.5 mg of 60% dispersion in mineral oil, 0.488 mmol) in DMF (2 mL), methyl 2-(4-(tert-butoxycarbonyl)pyridm-3-yl)-3-cyclohexyl- lH-indole-6-carboxylate (100 mg, 0.222 mmol) was added and the reaction mixture was stirred at rt for 10 min. Allyl bromide (0.040 mL, 0.466 mmol) was then added, and the reaction mixture was stirred at rt for 3hr. It was then quenched by the addition of water and acidified using IN HCl solution. A yellowish precipitate formed which was collected by filtration to give the crude ester product in sufficient purity to proceed to the next step. This material was then dissolved in a THF/Methanol mixture (3 mL/3 mL) and 2N NaOH solution (2 mL) was added. The reaction mixture was heated at 1000C under microwave conditions for 15 min. It was then concentrated and the pH was adjusted to 4-5 using IN HCl solution. This mixture was then extracted using ethyl acetate and the organic layer was dried with MgSO4, filtered and evaporated and the resultant residue was purified using Prep. reverse phase HPLC to afford the title compound as a yellow solid, (50 mg, 44% yield two steps). MS m/z 516(MH+); 1H NMR (500 MHz, CD3OD) δ ppm 1.22-1.48 (m, 13 H) 1.70-2.02 (m, 5 H) 2.15 (m, 1 H) 2.37 (m, 1 H) 3.88 (dd, .£=16.63, 5.04 Hz, 1 H) 4.13 (m, 1 H) 4.51 (m, 1 H) 4.76 (m, 1 H) 4.87 (m, 1 H) 5.04-5.21 (m, 3 H) 5.79 (m, 1 H) 5.97 (m, 1 H) 7.58 (d, J=5.80 Hz, 1 H) 7.78 (m, 1 H) 7.90 (d, J=8.24 Hz, 1 H) 8.13 (s, 1 H) 8.50 (s, 1 H) 8.67 (d, J=5.80 Hz, 1 H).
5H-pyrido[3',4':3,4][l,5]diazonino[l,2-a]indole-5,12-dicarboxylic acid, 15- cyclohexyl-6,9-dihydro-, 5-(l,l-dimethylethyl) ester, (7Z)-.
To a solution of l-allyl-2-(4-(tert-butoxycarbonyl)pyridin-3-yl)-3-cyclohexyl- l/f-indole-6-carboxylic acid (45 mg, 0.087 mmol) in 1,2-dichloroethane (15 mL), Grubbs Catalyst 2nd generation (7.4 mg, 0.0087 mmol) was added. The reaction
mixture was heated under reflux for overnight. The solvent was evaporated and the residue was purified by Prep.HPLC column to give a yellow solid as 5H- pyrido[3',4':3,4][l,5]diazonino[l,2-α]indole-5,12-dicarboxylic acid, 15-cyclohexyl- 6,9-dihydro-, 5-(l,l-dimethylethyl) ester, (7Z)-. (15 mg, 35 % yield). MS m/z 488(MH+); 1H NMR (300 MHz, CD3OD) δ ppm 1.29-1.44 (m, 13 H) 1.67-1.92 (m, 6 H) 2.45 (m, 1 H) 4.11 (m, 1 H) 4.36 (m, 1 H) 4.62 (m, 1 H) 5.05 (m, 1 H) 5.67 (m, 1 H) 5.94 (m, 1 H) 7.82 (dd, J=8.42, 1.46 Hz, 1 H) 7.91 (m, 1 H) 8.02 (d, J=6.22 Hz, 1 H) 8.25 (s, 1 H) 8.79-8.89 (m, 2 H).
5H-pyrido[3 ' 4 ':3, 4J[1, 5]diazonino[l, 2-a]indole-5, 12-dicarboxylic acid, 15- cyclohexyl-6, 7,8,9-tetrahydro-, 5-(l,l-dimethylethyl) ester.
To a solution of 5H-pyrido[3',4':3,4][l,5]diazonino[l,2-α]indole-5,12- dicarboxylic acid, 15-cyclohexyl-6,9-dihydro-, 5-(l,l-dimethylethyl) ester, (7Z)- (12 mg, 0.0246 mmol) in methanol (5 mL), 10% Pd on carbon (5 mg) was added. The reaction mixture was stirred under a hydrogen atmosphere (1 atmos.) for 2hr. It was then filtered through celite and concentrated to give the desired product as a yellow solid, (7.3 mg, 60% yield). MS m/z 490(MH+); 1H NMR (500 MHz, CD3OD) δ ppm 1.22-1.44 (m, 13 H) 1.55-2.04 (m, 9 H) 2.23 (m, 1 H) 2.51 (m, 1 H) 3.47 (m, 1 H) 3.59 (m, 1 H) 3.78 (m, 1 H) 4.33 (m, 1 H) 7.73-7.81 (m, 2 H) 7.90 (d, J=8.55 Hz, 1 H) 8.15 (s, 1 H) 8.63 (s, 1 H) 8.84 (d, J=4.88 Hz, 1 H).
Representative methodologies for the synthesis of some of the sulfonylated carboxamide derivatives of the instant invention are outlined below.
7H-pyrido[3 ' 2 ':3, 4] azepino[l,2-a] indole- 10-carboxamide, 13-cyclohexyl-N- [(dimβthylamino)sulfonyl]-.
To a solution of 7H-pyrido[3',2':3,4]azepmo[l,2-α]indole-10-carboxylic acid, 13-cyclohexyl- (20 mg, 0.056 mmol) in CH2Cl2 (5 mL), one drop of DMF was added. Then a 2M solution of oxalyl chloride (0.036 mL, 0.072 mmol) in CH2Cl2 was added dropwise. The reaction mixture was then stirred at rt. for 2hr after which it was concentrated and dried under high vacuum. The residue was dissolved in
THF(5 mL) and a solution of N,N-dimethylsulfonamide (10.4 mg, 0.084 mmol) and DIPEA (0.020 mL, 0.112 mmol)) in THF (2 mL) was added. DMAP (10 mg) was then added after the reaction mixture had been stirred at rt. for 10 min., and stirring was continued for a further 2hr. The resultant mixture was then concentrated under vacuum and the residue purified by Prep, reverse phase HPLC to afford the TFA salt of the desired product as a yellow solid, (13 mg, 40% yield). MS m/z 465(MH+); 1H NMR (500 MHz, CD3OD) δ ppm 1.25-1.58 (m, 3 H) 1.80-2.30 (m, 7 H) 2.97 (m, 1 H) 3.03 (s, 6 H) 3.67 (s, 2 H) 6.05 (m, 1 H) 7.41 (d, J=7.63 Hz, 1 H) 7.79 (m, 1 H) 7.87 (dd, J=7.93, 5.80 Hz, 1 H) 8.10 (d, J=8.55 Hz, 1 H) 8.21 (s, 1 H) 8.31 (d, J=7.94 Hz, 1 H) 8.65 (d, J=5.49 Hz, 1 H).
7H-pyrido[3',2':3,4]azepino[l,2-a]indole-10-carboxamide, 13-cyclohexyl-N- (methylsulfonyl)-.
To a solution of 7/i-pyrido[3',2':3,4]azepino[l,2-α]indole-10-carboxylic acid, 13-cyclohexyl- (36 mg, 0.1 mmol) in CH2Cl2 (5 niL), one drop of DMF was added. Then a 2M solution of oxalyl chloride (0.075 mL, 0.15 mmol) in CH2Cl2 was added dropwise. The reaction mixture was stirred at rt. for 2hr. It was then concentrated and dried under high vacuum. This material was then dissolved in THF(5 mL) and a solution of methanesulfonamide (14.3 mg, 0.15 mmol) and DIPEA (0.025 mL, 0.15 mmol)) in THF (2 mL) were added. DMAP (10 mg) was added after the reaction mixture was stirred at rt. for 10 min. Stirring was continued at 5O0C overnight. The reaction mixture was then concentrated under vacuum and the residue purified by Prep, reverse phase HPLC to afford the title compound as a light yellow solid, (24 mg, 55% yield). MS m/z 436(MH+); 1H NMR (500 MHz, CD3OD) δ ppm 1.22-2.32 (m, 10 H) 2.97 (m, 1 H) 3.36 (s, 3 H) 3.50 (m, 2 H) 6.04 (m, 1 H) 7.29 (d, J=7.32 Hz, 1 H) 7.49 (dd, J=7.78, 5.04 Hz, 1 H) 7.81 (d, J=8.54 Hz, 1 H) 7.90 (d, J=7.93 Hz, 1 H) 8.02 (d, J=8.54 Hz, 1 H) 8.22 (s, 1 H) 8.47 (d, J=5.19 Hz, 1 H).
7H-pyrido[3 ' 2 ':3, 4] azepino[l,2-a] indole- 10-carboxamide, 13-cyclohexyl-N- (phenylsulfonyl)-.
229
To a solution of 7H"-pyrido[3',2':3,4]azepino[l,2-α]indole-10-carboxylic acid, 13-cyclohexyl- (36 mg, 0.1 mmol) in CH2Cl2 (5 mL), was added one drop of DMF. 2M solution of oxalyl chloride (0.075 mL, 0.15 mmol) in CH2Cl2 was then added dropwise. The reaction mixture was stirred at rt. for 2hr. It was then concentrated and dried under high vacuum. The residue was then dissolved in THF(5 mL) and a solution of benzenesulfonamide (23.6 mg, 0.15 mmol) and DIPEA (0.025 mL, 0.15 mmol)) in THF (2 mL) was added. DMAP (10 mg) was added after the reaction mixture was stirred at rt. for 10 min. Stirring was continued at rt. Overnight, after which the reaction mixture was concentrated under vacuum and the tesidue purified by Prep, reverse phase HPLC to afford the TFA salt of the title compound as a light yellow solid, (18 mg, 29% yield). MS m/z 498(MH+); 1H NMR (500 MHz, CD3OD) δ ppm 1.24-2.28(m, 10 H) 2.93 (m, 1 H) 3.66 (s, br, 2 H) 6.03 (m, 1 H) 7.36 (d, J=7.63 Hz, 1 H) 7.60-7.66 (m, 2 H) 7.69-7.74 (m, 2 H) 7.88 (dd, J=7.78, 5.65 Hz, 1 H) 8.06 (d, J=8.54 Hz, 1 H) 8.12-8.17 (m, 3 H) 8.31 (d, J=7.94 Hz, 1 H) 8.65 (d, J=5.49 Hz, 1 H).
7H-pyrido[3 ',2' ':3,4j 'azepinofl ,2-a] ' indole- 10-carboxamide, 13-cyclohexyl-N-[(l- methyl-lH-imidazol-4-yl)sulfonyl]-.
To a solution of 7H-pyrido[3',2':3,4]azepino[l,2-α]indole-10-carboxylic acid, 13-cyclohexyl- (31 mg, 0.0865 mmol) in CH2Cl2 (5 mL), was added one drop of DMF. A 2M solution of oxalyl chloride (0.056 mL, 0.112 mmol) in CH2Cl2 was then added dropwise, and the reaction mixture was stirred at rt. for 2hr. It was then concentrated and dried under high vacuum. The resultant residue was then dissolved in THF(5 mL) and a solution of l-methyl-imidazole-4-sulfonamide(21 mg, 0.13 mmol) and DIPEA (0.023 mL, 0.13 mmol)) in DMF (2 mL) was added. DMAP (10 mg) was added after the reaction mixture was stirred at rt. for 10 min. Stirring was
continued at 5O0C overnight, after which the reaction mixture was concentrated under vacuum to give a residue that was purified by Prep, reverse phase HPLC to afford the title compound as a light yellow solid, (13 mg, 30% yield). MS m/z 502 (MH+); 1H NMR (500 MHz, CD3OD) δ ppm 1.28-2.28 (m, 10 H) 2.95 (m, 1 H) 3.42-3.55 (m, 2 H) 3.84 (s, 3 H) 6.02 (m, 1 H) 7.25 (m, 1 H) 7.48 (dd, J=7.78, 5.04 Hz, 1 H) 7.73- 7.80 (m, 2 H) 7.87-7.95 (m, 2 H) 7.99 (m, 1 H) 8.20 (s, 1 H) 8.46 (dd, J=5.04, 1.37 Hz, 1 H).
7H-pyrido[3',2':3,4]azepino[l,2-a]indole-10-carboxamide, 13-cyclohexyl-N- (cyclopropylsulfonyl)-.
To a solution of 7H-pyrido[3',2':3,4]azepino[l,2-α]indole-10-carboxylic acid, 13-cyclohexyl- (14 mg, 0.039 mmol) in CH2Cl2 (5 mL), was added one drop of
DMF. A 2M solution of oxalyl chloride (0.039 mL, 0.078 mmol) in CH2Cl2 was then added dropwise, and the reaction mixture was stirred at rt. for 2hr. It was concentrated and dried under high vacuum. The residue was then dissolved in THF(5 mL) and a solution of cyclopropanesulfonamide (9.5 mg, 0.078 mmol) and DIPEA (0.014 mL, 0.078 mmol)) in THF (2 mL) was added. DMAP (10 mg) was added after the reaction mixture was stirred at rt. for 10 min. Stirring was continued at 5O0C for overnight, after which the reaction mixture was concentrated under vacuum to give a residue that was then fractionated by Prep, reverse phase HPLC to afford the TFA salt of the title compound as a yellow solid, (4.2 mg, 19% yield). MS m/z 462 (MH+); 1H NMR (300 MHz, CD3OD) δ ppm 1.18 (m, 2 H) 1.34 (m, 2 H) 1.28-1.60 (m, 4 H) 1.76-2.34 (m, 6 H) 2.96 (m, 1 H) 3.21 (m, 1 H) 3.68 (s, 2 H) 6.05 (m, 1 H) 7.42 (d, J=7.68 Hz, 1 H) 7.81 (dd, J=8.42, 1.46 Hz, 1 H) 7.91 (dd, J=7.87, 5.67 Hz, 1 H) 8.12 (d, J=8.78 Hz, 1 H) 8.23 (s, 1 H) 8.36 (dd, J=8.05, 1.46 Hz, 1 H) 8.67 (d, J=5.49 Hz, 1 H).
Examples the unsaturated propeno-bridged intermediates described above may be converted to the corresponding propano-bridged derivatives using a variety of methods, a representative one being shown in the scheme below.
5H-pyrido[3 ',2':3, 4]azepino[l, 2-a] indole- 10-carboxamide, 13-cyclohexyl-6, 7- dihydro-N-(methylsulfonyl)-.
To a solution of 7H-pyrido[3',2':3,4]azepino[l,2-fir]indole-10-carboxamide, 13-cyclohexyl-N-(methylsulfonyl)- (7.5 mg, 0.0137 mmol) in methanol (5 mL), 10% Pd on carbon (2 mg) was added. The reaction mixture was stirred under a hydrogen atmosphere (1 atm.) for three days. It was then filtered through celite and the filtrate concentrated under reduced pressure. The resultant residue was then purified by Prep, reverse phase HPLC to give the TFA salt of the title compound as a yellow solid, (4.7 mg, 62% yield). MS m/z 438 (MH+); 1H NMR (300 MHz, CD3OD) δ ppm 1.15-2.21 (m, 10 H) 2.21-2.71 (m, 2 H) 2.75-3.20 (m, 3 H) 3.39 (s, 3 H) 3.82 (m, 1 H) 4.68 (m, 1 H) 7.64 (d, J=8.42 Hz, 1 H) 7.91-8.04 (m, 2 H) 8.16 (s, 1 H) 8.37 (d, J=8.05 Hz, 1 H) 8.73 (d, J=5.49 Hz, 1 H).
Alternatively, analogs of the above type may be accessed by directly coupling appropriate proprano-bridged carboxylate intermediates with the suitable derivitized
amines to generate the fictionalized carboxamides of the instant invention, as shown in the scheme below.
5H-pyrido[3',2':3,4]azepino[l,2-a]indole-10-carboxamide, 13-cyclohexyl-6, 7- dihydro-N-(cyclopropylsulfonyl)-.
To a solution of S/i-pyridofS'^'^^Jazepmofl^-αJindole-lO-carboxylic acid, lS-cyclohexyl-ό^-dihydro- (40 mg, 0.111 mmol) in CH2Cl2 (5 mL), was added one drop of DMF. A 2M solution of oxalyl chloride (0.11 mL, 0.22 mmol) in CH2Cl2 was then added dropwise. The reaction mixture was stirred at rt. for 2hr. It was then concentrated and dried under high vacuum. The resultant residue was dissolved in THF(5 mL) and a solution of cyclopropanesulfonamide (26.9 mg, 0.222 mmol) and DIPEA (0.039 mL, 0.222 mmol)) in THF (2 mL) was added. DMAP (10 mg) was added after the reaction mixture was stirred at rt. for 10 min. Stirring was continued at 500C for 10 hr., after which the reaction mixture was concentrated under vacuum and the resultant residue was purified by Prep, reverse phase HPLC to afford the TFA salt of the title compound as a yellow solid, (31 mg, 50% yield). MS m/z 464 (MH+); 1H NMR (500 MHz, CD3OD) δppm 1.18 (m, 2 H) 1.23-2.21 (m, 12 H) 2.40 (s, br, 1 H) 2.64 (s, br, 1 H) 2.80-2.99 (m, 2 H) 3.10-3.25 (m, 2 H) 3.84 (s, br, 1 H) 4.71 (s, br, 1 H) 7.66 (d, J=8.55 Hz, 1 H) 8.00-8.07 (m, 2 H) 8.18 (s, 1 H) 8.44 (m, 1 H) 8.78 (m, IH).
5H-pyrido[3',2':3,4]azepino[l,2-a]indole-10-carboxamide, 13-cyclohexyl-6, 7- dihydro-N- (phenylsulfonyl)-.
To a solution of 5H-pyrido[3',2':3,4]azepino[l,2-α]indole-10-carboxylic acid, lS-cyclohexyl-βJ-dihydro- (40 mg, 0.111 mmol) in CH2Cl2 (5 mL), one drop of DMF was added. A 2M solution of oxalyl chloride (0.11 mL, 0.22 mmol) in CH2Cl2 was then added dropwise. The reaction mixture was stirred at rt. for 2hr. It was then concentrated and dried under high vacuum. The resultant residue was then dissolved in THF(5 mL) and a solution of benzenesulfonamide (34.9 mg, 0.222 mmol) and DIPEA (0.039 mL, 0.222 mmol)) in THF (2 mL) was added. DMAP (10 mg) was added after the reaction mixture was stirred at rt. for 10 min. Stirrring was continued at 5O0C for 10 hr. The reaction mixture was then concentrated under reduced pressure and the resultant residue purified by Prep, reverse phase HPLC to afford the TFA salt of the title compound as a yellow solid, (49 mg, 72% yield). MS m/z 500 (MH+); 1H NMR (500 MHz, CD3OD) 6 ppm 1.21-2.17 (m, 10 H) 2.38 (s, br, 1 H) 2.61 (s, br, 1 H) 2.78-2.96 (m, 2 H) 3.19 (s, br, 1 H) 3.81 (s, br, 1 H) 4.68 (s, br, 1 H) 7.56 (d, J=8.55 Hz, 1 H) 7.60-7.66 (m, 2 H) 7.71 (m, 1 H) 7.98 (d, J=8.55 Hz, 1 H) 8.07 (m, 1 H) 8.10 (s, 1 H) 8.12-8.17 (m, 2 H) 8.47 (m, 1 H) 8.79 (dd, J=3.51, 1.98 Hz, 1 H).
5H-pyrido[3',2':3,4] azepinofl ,2-a] indole-10-carboxamide, 13-cyclohexyl-6, 7- dihydro-N-[(dimthylamino)sulfonyl]-.
To a solution of 5H-pyrido[3',2':3,4]azepino[l,2-α]indole-10-carboxylic acid, lS-cyclohexyl-δJ-dihydro- (40 mg, 0.111 mmol) in CH2Cl2 (5 niL), was added one drop of DMF. A 2M solution of oxalyl chloride (0.11 mL, 0.22 mmol) in CH2Cl2 was then added drop wise. The reaction mixture was stirred at rt. for 2hr. It was then concentrated and dried under high vacuum. The resultant residue was then dissolved in THF(5 mL) and a solution of N,N-dimethylsulfonamide (27.6 mg, 0.222 mmol) and DIPEA (0.039 mL, 0.222 mmol)) in THF (2 mL) was added. DMAP (10 mg) was added after the reaction mixture was stirred at rt. for 10 min. Stirring was continued at 5O0C for 10 hr., after which the reaction mixture was concentrated under vacuum and the product residue was then purified by Prep, reverse phase HPLC column to afford the TFA salt of the title compound as a yellow solid, (29 mg, 45% yield). MS m/z 467 (MH+); 1H NMR (500 MHz, CD3OD) δ ppm 1.21-2.21 (m, 10 H) 2.40 (s, br, 1 H) 2.64 (s, br, 1 H) 2.80-2.97 (m, 2 H) 3.04 (s, 6 H) 3.17 (m, 1 H) 3.84 (s, br, 1 H) 4.72 (m, 1 H) 7.65 (dd, J=8.39, 1.37 Hz, 1 H) 8.00-8.07 (m, 2 H) 8.17 (s, 1 H) 8.44 (m, 1 H) 8.78 (d, J=5.80 Hz, 1 H).
5H-pyrido[3 ', 2 ':3, 4] azepinofl, 2-a] indole-10-carboxamide, 13-cyclohexyl-6, 7- dihydro-N-[(l-methyl-lH-imidazol-4-yl)sulfonyl] - .
To a solution of 5H-pyrido[3',2':3,4]azepmo[l,2-α]indole-10-carboxylic acid, 13-cyclohexyl-6,7-dihydro- (40 mg, 0.111 mmol) in CH2Cl2 (5 mL), one drop of DMF was added. A 2M solution of oxalyl chloride (0.11 mL, 0.22 mmol) in CH2Cl2 was then added dropwise. The reaction mixture was stirred at rt. for 2hr. It was then concentrated and dried under high vacuum. The resultant residue was then dissolved in THF(5 mL) and a solution of l-methyl-imidazole-4-sulfonamide (35.8 mg, 0.222 mmol) and DIPEA (0.039 mL, 0.222 mmol)) in DMF (2 mL) was added. DMAP (10 mg) was added after the reaction mixture was stirred at rt. for 10 min. Stirring was continued stirring at 5O0C for 10 hr. The reaction mixture was then concentrated under reduced pressure and the product residue was then purified by Prep, reverse phase HPLC to afford the TFA salt of the title compound as a yellow solid, (36 mg, 53% yield). MS m/z 504 (MH+); 1H NMR (500 MHz, CD3OD) δ ppm 1.21-2.18 (m, 10 H) 2.41 (s, br, 1 H) 2.65 (s, br, 1 H) 2.79-2.99 (m, 2 H) 3.22 (m, 1 H) 3.74-3.96 (m, 4 H) 4.71 (s, br, 1 H) 7.60 (d, J=8.55 Hz, 1 H) 7.82 (s, 1 H) 7.98-8.03 (m, 2 H) 8.09 (m, 1 H) 8.17 (s, 1 H) 8.50 (d, J=7.94 Hz, 1 H) 8.81 (d, J=5.80 Hz, 1 H).
Some representative methodology that can be applied to the syntheses of some bridged indole tetrazole derivatives of the instant invention is described in the scheme below.
To a solution of 5H-pyrido[3',2':3,4]azepino[l,2-α]indole-10-carboxylic acid, 13-cyclohexyl-6,7-dihydro- (100 mg, 0.277 mmol) in DMF (2.0 mL), N-3- dimethylaminopropyl)-N'-ethylcarbodiimide hydrochloride (80 mg, 0.416 mmol) and HOBt (56.2 mg, 0.416 mmol) were added. The reaction mixture was stirred at rt. for 1 hr. A 0.5M solution of ammonia in dioxane (2.0 mL, 1.0 mmol) was then added. The reaction mixture was then stirred at rt. overnight, after which it was concentrated and then diluted with water. The mixture was then extracted using ethyl acetate (2X30 mL) and the combined extracts were dried (MgSO4), filtered and concentrated to give the title compound as a yellowish solid, (100 mg, 100% yield). MS m/z 360 (MH+); 1H NMR (300 MHz, CD3OD) 6 ppm 1.31 (m, 1 H) 1.39-1.56 (m, 2 H) 1.67 (m, 1 H) 1.77-2.18 (m, 6 H) 2.26 (m, 1 H) 2.51 (m, 1 H) 2.72 (m, 1 H) 2.87 (m, 1 H) 2.95 (m, 1 H) 3.70 (m, 1 H) 4.62 (m, 1 H) 7.53 (dd, J=7.63, 4.88 Hz, 1 H) 7.61 (dd, J=8.55, 1.53 Hz, 1 H) 7.88 (dd, J=7.78, 1.37 Hz, 1 H) 7.92 (d, J=8.54 Hz, 1 H) 8.08 (s, 1 H) 8.54 (dd, J=5.04, 1.37 Hz, 1 H).
5H-pyrido[3',2':3,4]azepino[l,2-aJindole-10-carbonitrile, 13-cyclohexyl-6, 7- dihydro-.
To a solution of 5H-pyrid.o[3',2':3,4]azepino[l,2-α]indole-10-carboxamide, 13-cyclohexyl-6,7-dihydro- (50 mg, 0.139 mmol) in CH2Cl2 (3 mL), Burgess reagent (132 mg, 0.556 mmol) was added. The reaction mixture was stirred at rt for 5 lir. It was then concentrated under vacuum and the residue was purified by flash column chromatography (silica gel, ethyl acetate) to afford the title compound as a white solid, (42 mg, 88% yield). MS m/z 342 (MH+); 1H NMR (500 MHz, CD3OD) δ ppm 1.31 (m, 1 H) 1.41-1.53 (m, 2 H) 1.65 (m, 1 H) 1.77-1.87 (m, 2 H) 1.92-2.16 (m, 4 H) 2.24 (m, 1 H) 2.51 (m, 1 H) 2.69 (m, 1 H) 2.88 (m, 1 H) 2.95 (m, 1 H) 3.69 (m, 1 H) 4.63 (m, 1 H) 7.33 (dd, J=8.24, 1.22 Hz, 1 H) 7.54 (dd, J=7.63, 5.19 Hz, 1 H) 7.89 (dd, J=7.63, 1.53 Hz, 1 H) 7.97 (s, 1 H) 8.01 (d, J=8.24 Hz, 1 H) 8.56 (dd, J=4.88, 1.53 Hz5 I H).
5H-pyrido[3',2':3,4]azepino[l,2-a]indole, 13-cyclohexyl-6, 7-dihydro-10-(lH- tetrazol-5-yl)-.
To a solution of 5H-pyrido[3^2':3,4]azepmo[l,2~α]mdole-10-carbonitrile, 13- cyclohexyl-6,7-dihydro- (23.5 mg, 0.0688 mmol) in toluene (1.5 mL), tributyltin azide (0.056 mL, 0.206 mmol) was added. The reaction mixture was heated in a sealed tube at 16O0C under microwave conditions for 1.5 hr. It was then concentrated under vacuum and the residue was purified by sequential use of Prep, reverse phase HPLC and flash column chromatography (silica gel, ethyl acetate to methanol) to afford the title compound as a light yellow solid, (14 mg, 52% yield). MS m/z 385 (MH+); 1B. NMR (500 MHz, CD3OD) δ ppm 1.31 (m, 1 H) 1.40-1.55 (m, 2 H) 1.69 (m, 1 H) 1.78-1.90 (m, 2 H) 1.93-2.33(m, 5 H) 2.54 (m, 1 H) 2.77 (m, 1 H) 2.87 (m, 1 H) 2.95 (m, 1 H) 3.70 (m, 1 H) 4.63 (m, 1 H) 7.51 (dd, J=7.63, 4.88 Hz, 1 H) 7.79 (d, J=8.24 Hz, 1 H) 7.87 (dd, J=7.63, 1.53 Hz, 1 H) 7.93 (d, J=8.55 Hz, 1 H) 8.14 (s, 1 H) 8.51 (dd, J=5.19, 1.53 Hz, 1 H).
Some representative methodology for the synthesis of N-alkylated amide derivatives of the instant invention is outlined in the scheme depicted below.
Methyl l-(tert-butoxycarbonyl)cyclopentanecarboxylate.
To a solution of l-(boc-amino)cyclopentane carboxylic acid (2.29 g, 10 mmol) in DMF (20 mL), NaH (0.92 g in 60% oil dispersion, 23 mmol) was added at O0C. The reaction mixture was stirred at O0C for 15 min. Methyl iodide (1.37 mL, 22 mmol) was then added, and the reaction mixture was allowed to warm to rt. and
stirring was continued overnight. The reaction was then quenched by the addition of water, and the solution acidified by the addition of IN HCl solution. The resultant mixture was then extracted with ethyl acetate (2X50 niL). The organic layers were combined, washed with water, brine, dried (MgSO4), and then filtered. Evaporation of the solvent gave the title compound as a brown-reddish oil, (2.5 g, 97% yield). MS m/z 280(M+Na+); 1H NMR (500 MHz, CD3OD) 5 ppm 1.43 (s, 9 H) 1.71-1.78 (m, 4 H) 2.01 (m, 2 H) 2.29 (m, 2 H) 2.98 (s, 3 H) 3.70 (s, 3 H).
Methyl l-(methylamino)cyclopentanecarboxylate.
To a solution of methyl l-(tert-butoxycarbonyl)cyclopentanecarboxylate (0.5 g, 1.944 mmol) in CH2Cl2 (10 mL), TF A(1.5 niL) was added. The reaction mixture was stirred at rt. for 2 hr. It was then concentrated down to give the TFA of the title compound as a brownish colored oil, (0.68 g, >100% yield). MS m/z 158 (MH+); 1H NMR (300 MHz, CD3OD) δ ppm 1.85-2.05 (m, 6 H) 2.34 (m, 2 H) 2.72 (s, 3 H) 3.88 (s, 3 H).
Cyclopentanecarboxylic acid, l-[[(13-cyclohexyl-7H-indolo[2,l-a][2]benzazepin- 10-yl)carbonyl]methylamino) '-, methyl ester.
To a solution of 7H-indolo[2,l-α][2]benzazepine-10-carboxylic acid, 13- cyclohexyl- (36 mg, 0.1007 mmol) in DMF (1.0 mL), HATU (57.5 mg, 0.1511 mmol) and DIPEA (0.088 mL, 0.5035 mmol) were added. The reaction mixture was
stirred at rt for 15 min. Methyl l-(methylamino)cyclopentane carboxylate TFA salt (41 mg, 0.1511 mmol) was then added and the reaction mixture was stirred at rt for five days. It was then concentrated under vacuum and the residue was purified by Prep, reverse phase HPLC to give the title compound as a yellowish solid, (15 mg, 30% yield). MS m/z 497 (MH+); 1H NMR (500 MHz, CDCl3) δ ppm 1.06-1.58 (m, 4 H) 1.65-2.07 (m, 12 H) 2.39 (m, 2 H) 2.79 (m, 1 H) 3.08 (s, 3 H) 3.68 (s, 3 H) 4.12 (s, br, 1 H) 4.78 (s, br, 1 H) 6.22 (m, 1 H) 6.75 (d, J=10.38 Hz, 1 H) 7.03 (dd, J=8.39, 1.37 Hz, 1 H) 7.29 (m, 1 H) 7.33-7.36 (m, 2 H) 7.46 (m, 1 H) 7.49 (s, 1 H) 7.79 (d, J=8.24 Hz, 1 H).
Cyclopentanecarboxylic acid, l-[[(13-cyclohexyl-6, 7-dihydro-5H-indolo[2,l- a] [2] benzazepin-10-yl)carbonyl]methyJamino] -, methyl ester.
To a solution of 7iϊ-mdolo[2,l-α][2]benzazepine-10-carboxylic acid, 13- cyclohexyl- (150 mg, 0.42 mmol) in DMF (3.0 mL), HATU (240 mg, 0.63 mmol) and DIPEA (0.37 mL, 2.1 mmol) were added. The reaction mixture was stirred at rt for 15 min. Methyl l-(methylamino)cyclopentane carboxylate TFA salt (171 mg, 0.63 mmol) was then added and the reaction mixture was stirred at rt for three days. It was then quenched by the addition of IN HCl solution and then extracted using ethyl acetate (2X30 mL). The organic layers were combined, dried (MgSO4), filtered and concentrated in vacuo. The resultant residue was dissolved in methanol/ethyl acetate (30 mL/30 mL) and 10% Pd on carbon (10 mg) was added. The reaction mixture was stirred under a hydrogen atmosphere (latm.) overnight. It was then filtered through celite and the filtrand washed with methanol/ethyl acetate. The combined filtrates and washings were concentrated under vacuum and the residue was purified by Prep, reverse phase HPLC to give the title compound as a light yellow solid, (70 mg, 33% yield). MS m/z 499 (MH); 1H NMR (500 MHz, CD3OD)
δ ppm 1.27 (m, 1 H) 1.36-1.53 (m, 2 H) 1.61 (m, 1 H) 1.73-1.89 (m, 6 H) 1.94 (m, 1 H) 1.97-2.19 (m, 6 H) 2.36 (m, 1 H) 2.42-2.54 (m, 3 H) 2.71 (dd, J=13.43, 6.41 Hz, 1 H) 2.94 (m, 1 H) 3.18 (s, 3 H) 3.62 (m, 1 H) 3.75 (s, 3 H) 4.47 (dd, J=14.50, 6.56 Hz, 1 H) 7.11 (m, 1 H) 7.33-7.43 (m, 4 H) 7.54 (s, 1 H) 7.88 (d, J=8.24 Hz, 1 H).
Cyclopentanecarboxylic acid, l-[[(13-cyclohexyl-6, 7-dihydro-5H-indolo[2,l- a] [2]benzazepin-10-yl)carbonyl]methylamino]-.
A 2N NaOH solution (1.0 mL) was added to a solution of cyclopentanecarboxylic acid, 1 -[[(13-cyclohexyl-6,7-dihydro-5/f-indolo[2, 1 - α][2]benzazepin-10-yl)carbonyl]methylamino]-, methyl ester (65 mg, 0.13 mmol) in a THF/Methanol mixture (2.0 mL/2.0 mL) in a sealed tube. The reaction was heated at 1000C under microwave conditions for 15 min. It was then concentrated under reduced pressure and the pH was adjusted to 4-5 using IN HCl solution. The resultant mixture was then extracted with ethyl acetate and the organic layer was dried with MgSO4, filtered and concentrated in vacuo to give the crude title compound as a yellow colored solid, (58 mg, 92% yield). 5mg of this material was then purified by Prep, reverse phase HPLC to afford the pure title compound as a yellow solid. MS m/z 485 (MH+); 1H NMR (500 MHz, CD3OD) δ ppm 1.30 (m, 1 H) 1.38-1.55 (m, 2 H) 1.64 (m, 1 H) 1.77-2.22 (m, 13 H) 2.39 (m, 1 H) 2.44-2.55 (m, 3 H) 2.74 (dd, J=13.43, 6.71 Hz, 1 H) 2.95 (m, 1 H) 3.20 (s, 3 H) 3.65 (m, 1 H) 4.50 (dd, J=14.50, 6.87 Hz, 1 H) 7.13 (d, J=8.24 Hz, 1 H) 7.36-7.44 (m, 4 H) 7.56 (s, 1 H) 7.89 (d, J=8.24 Hz, 1 H).
2-propenoic acid, 3-[4-[[[l-[[(13-cyclohexyl-6, 7-dihydro-5H-indolo[2,l- a] [2] benzazepin-10-yl)carbonyl]methylamino]cyclopentyl]carbonyl] amino] phenyl]-, ethyl ester, (2E)-.
To a solution of cyclopentanecarboxylic acid, l-[[(13-cyclohexyl-6,7- dihydro-5/i-indolo[2, 1 -a] [2]benzazepin- 10-yl)carbonyl]methylamino]- (36 nig, 0.0741 mmol) in CH2Cl2 (5 mL), one drop of DMF was added. A 2M solution of oxalyl chloride (0.048 mL, 0..096 mmol) in CH2Cl2 was then added dropwise. The reaction mixture was stirred at rt. for 2hr. It was then concentrated and dried under high vacuum. The residue was then dissolved in THF (5 mL) and a solution of ethyl 4-aminocinnamate (21 mg, 0.111 mmol) and DIPEA (0.026 mL, 0.149 mmol)) in THF (2 mL) was added. The reaction mixture was stirred at rt. overnight. It was concentrated under vacuum and the residue was purified sequentially using silica gel flash chromatography using hexanes to ethyl acetate as eluent and Prep, reverse phase HPLC to afford the title compound as an off-white solid, (8 mg, 16% yield). MS m/z 658 (MH+); 1H NMR (500 MHz, CD3OD) δ ppm 1.29-1.52 (m, 6 H) 1.64 (m, 1 H) 1.77-2.23 (m, 13 H) 2.33-2.53 (m, 2 H) 2.63-2.70 (m, 2 H) 2.73 (m, 1 H) 2.95 (m, 1 H) 3.23 (s, 3 H) 3.65 (m, 1 H) 4.25 (q, J=7.12 Hz, 2 H) 4.50 (dd, J=14.65, 6.71 Hz, 1 H) 6.46 (d, J=15.87 Hz, 1 H) 7.25 (d, J=8.24 Hz, 1 H) 7.36-7.44 (m, 4 H) 7.57-7.61 (m, 2 H) 7.63-7.69 (m, 4 H) 7.90 (d, J=8.55 Hz, 1 H).
2-propenoic acid, 3-[4-[[[l-[[(13-cyclohexyl-6, 7-dihydro-5H- pyrido[3 ', 2 ':3, 4]azepino[l,2-a]indol-l 0- yl)carbonyl] 'amino) ' cyclopentyl] 'carbonyl] 'amino] phenyl] '-, methyl ester, (2E)-.
To a solution of 5H-pyrido[3',2':3,4]azepino[l,2-α]indole-10-carboxylic acid, 13-cyclohexyl-6,7-dihydro- (135 mg, 0.375 mmol) in DMSO (5.0 mL), TBTU (180 mg, 0.5625 mmol) and DIPEA (0.33 mL, 1.875 mmol) were added. The reaction mixture was stirred at rt for 15 min. Then (E)-methyl 3-(4-(l- aminocyclopentanecarboxamido)phenyl)acrylate (130 mg, 0.449 mmol) was added and the reaction mixture was stirred at rt overnight. It was then concentrated and the residue purified by Prep, reverse phase HPLC to give the title compound as an off- white solid, (90 mg, 38% yield). MS m/z 631(MH+); 1H NMR (500 MHz, CD3OD) δ ppm 1.27 (m, 1 H) 1.36-1.55 (m, 2 H) 1.63 (m, 1 H) 1.73-2.27 (m, 13 H) 2.43-2.55 (m, 3 H) 2.68 (m, 1 H) 2.85 (m, 1 H) 2.92 (m, 1 H) 3.67 (m, 1 H) 3.76 (s, 3 H) 4.64 (m, 1 H) 6.44 (d, J^=I 6.17 Hz, 1 H) 7.47-7.67 (m, 7 H) 7.84 (m, 1 H) 7.91 (d, J=8.55 Hz, 1 H) 8.10 (s, 1 H) 8.51 (d, J=1.83 Hz, 1 H).
As described in other sections of this document, certain fused heterocyclic examples of the instant invention may be accessed using the methodology described in the scheme outlined below.
5H-pyrido[2',3':3,4]pyrrolo[l,2-a]indole-8-carboxylic acid, ll-cyclohexyl-5- hydroxy-, methyl ester.
A 2M aqueous solution OfNa2CO3 (3.75 mL, 7.5 mmol) was added to a mixture of; methyl 3-cyclohexyl-2-(4,4,5,5-tetramethyl-l,3,2-dioxaborolan-2-yl)-lH- indole-6-carboxylate (1150 mg, 3.0 mmol), 2-bromo-3-pyridinecarboxaldehyde (670 mg, 3.6 mmol) and LiCl (254 mg, 6.0 mmol), in ethanol (10 mL) and toluene (10 mL). The resultant mixture was degassed by the application of vacuum followed by flushing with N2. Pd(PPhO4 (173 mg, 0.15 mmol) was then added, and the reaction mixture was heated at 8O0C for 14hr. It was then filtered and concentrated under reduced pressure. The residue was triturated with ether to give the title compound as a light yellow solid, (800 mg, 74% yield). MS m/z 363(MH+); 1H NMR (300 MHz, DMSO-D6) δ ppm 1.35-1.55 (m, 3 H) 1.69-1.92 (m, 5 H) 2.05-2.23 (m, 2 H) 3.31 (m, 1 H) 3.88 (s, 3 H) 6.73 (s, 1 H) 7.35 (dd, J=7.68, 5.12 Hz, 1 H) 7.44 (s, 1 H) 7.66 (dd, J=8.42, 1.46 Hz, 1 H) 7.84 (d, J=8.42 Hz, 1 H) 7.97 (d, J=6.59 Hz, 1 H) 8.25 (s, l H) 8.66 (d, J=3.66 Hz, I H).
7H-pyrido[2',3':3,4]azepino[l,2-a]indole-6,10-dicarboxylic acid, 13-cyclohexyl-, dimethyl ester.
To a solution of 5/f-pyrido[2',3':3,4]pyrrolo[l,2-α]indole-8-carboxylic acid,
1 l-cyclohexyl-5-hydroxy-, methyl ester (500 mg, 1.38 mmol) in DMF (8 mL), Cs2CO3 (674 mg, 2.07 mmol) and trimethyl-2-phosphonoacrylate (348 mg, 1.79 mmol) were added. The reaction mixture was heated at 6O0C for 4hr. It was then diluted with water after which a yellow precipitate formed. This was collected by filtration and dried under vacuum to give the title compound as a yellow powder, (500 mg, 84% yield). MS m/z 431(MH+); 1H NMR (300 MHz, DMSO-D6) δ ppm 1.18-1.42 (m, 3 H) 1.66-1.83 (m, 5 H) 1.85-2.04 (m, 2 H) 3.30 (m, 1 H) 3.80 (s, 3 H)
3.90 (s, 3 H) 4.98 (s, 2 H) 7.57 (dd, J=7.87, 4.57 Hz, 1 H) 7.64 (d, J=8.42 Hz, 1 H) 7.92 (s, 1 H) 7.96 (d, J=8.78 Hz, 1 H) 8.13 (dd, J=8.23, 1.65 Hz, 1 H) 8.21 (s, 1 H) 8.84 (dd, J=4.76, 1.83 Hz, 1 H).
7H-pyrido[2\3':3A]azepino[l,2-a]indole-6,lO-dicω-boxylic acid, 13-cyclohexyl-, 10- methyl ester.
To a solution of 7H-pyrido[2',3':3,4]azepino[l,2-a]mdole-6,10-dicarboxylic acid, 13-cyclohexyl-, dimethyl ester (150 mg, 0.348 mmol) in DMF (4 niL), LiOH (50 mg, 2.091 mmol) was added. The reaction mixture was heated in a sealed tube under microwave conditions at 650C for 1 hr 15 min. Water was then added and the mixture acidified to pH 4-5 using IN HCl solution. A precipitate formed which was collected by filtration to give the title compound as a yellow solid, (150 mg, >100% yield). MS m/z 417(MH+); 1H NMR (500 MHz, DMSO-D6) δ ppm 1.21-1.43 (m, 3 H) 1.66-1.82 (m, 5 H) 1.88-2.00 (m, 2 H) 3.29 (m, 1 H) 3.90 (s, 3 H) 4.97 (s, 2 H) 7.57 (dd, J=7.93, 4.58 Hz, 1 H) 7.65 (dd, J=8.55, 1.53 Hz, 1 H) 7.88 (s, 1 H) 7.96 (d, J=2.44 Hz, 1 H) 8.11 (dd, J=8.09, 1.37 Hz, 1 H) 8.20 (s, 1 H) 8.83 (dd, J=4.73, 1.68 Hz, 1 H).
7H-pyrido[2 ', 3 ':3, 4] azepino[l,2-a] indole- 10-carboxylic acid, 13-cyclohexyl-6-(4- morpholinylcarbonyl)-, methyl ester.
To a solution of 7H-pyrido[2',3':3,4]azepmo[l,2~α]indole-6,10-dicarboxylic acid, 13-cyclohexyl-, 10-methyl ester (150 mg, 0.36 mmol) in DMSO (3.0 mL), TBTU (173 mg, 0.54 mmol) and DIPEA (0.314 mL, 1.8 mmol) were added. The reaction mixture was stirred at rt for 15 min. Then morpholine (0.047 mL, 0. 54 mmol) was added and the reaction mixture was stirred at rt overnight. It was then concentrated and the residue was purified by Prep, reverse phase HPLC to provide the desired material as a light yellow solid, (105mg, 60% yield). MS m/z 486(MH+); 1H NMR (500 MHz, CD3OD) δ ppm 1.26-1.51 (m, 3 H) 1.72-1.92 (m, 5 H) 1.93-2.13 (m, 2 H) 3.31 (m, IH) 3.41-3.77 (m, 8 H) 3.97 (s, 3 H) 4.89 (s, 2H) 7.02 (s, 1 H) 7.52 (dd, J=7.93, 4.88 Hz, 1 H) 7.74 (dd, J=8.55, 1.22 Hz, 1 H) 7.88-8.05 (m, 2 H) 8.29 (s, 1 H) 8.77 (dd, J=4.73, 1.68 Hz, 1 H).
7H-pyrido[2 ', 3 ':3, 4]azepino[l, 2-a] indole- 10-carboxylic acid, 13-cyclohexyl-6-(4- morpholinylcarbonyl)-.
LiI (69.5 mg, 0.519 mmol) was added to a solution of IH- pyrido[2',3':3,4]azepino[l,2-α]indole-10-carboxylic acid, 13-cyclohexyl- 6-(4- moφholinylcarbonyl)-, methyl ester (84 mg, 0.173 mmol) in pyridine (4 mL) in a sealed tube. The reaction mixture was then heated at 18O0C under microwave conditions for 2 hr. Water was added, and the pH of the resultant mixture was adjusted to 4-5 using IN HCl solution. This mixture was then extracted with ethyl acetate (2X20 mL) and the organic layers were combined, dried (MgSO4), filtered and concentrated in vacuo. The resultant residue was purified by Prep, reverse phase HPLC to afford the TFA salt of the desired product as a yellow solid, (66 mg, 65% yield). MS m/z 472(MH+); 1H NMR (500 MHz, CD3OD) δ ppm 1.29-1.48 (m, 3 H) 1.73-1.93 (m, 5 H) 1.99-2.10 (m, 2 H) 3.26 (m, 1 H) 3.37-3.70 (m, 8 H) 4.91 (s, 2H) 7.03 (s, 1 H) 7.59 (dd, J=7.93, 4.88 Hz, 1 H) 7.77 (dd, J=8.55, 1.53 Hz, 1 H) 7.98 (d, J=8.55 Hz, 1 H) 8.01-8.06 (m, 1 H) 8.30 (s, 1 H) 8.80 (dd, J=4.88, 1.53 Hz, 1 H).
5H-pyrido[2',3 ': 3,4] azepinofl ,2-aJ indole-10-carboxylic acid, 13-cyclohexyl-6,-7- dihydro-6-(4-morpholinylcarbonyl)-.
To a solution of 7H-pyrido[2',3':3,4]azepino[l,2-α]indole-10-carboxylic acid,
13-cyclohexyl- 6-(4-morpholinylcarbonyl)- (10 mg, 0..017 mmol) in methanol (5 mL), 10% Pd on carbon (3 mg) was added. The reaction mixture was then stirred under a hydrogen atmosphere (latm.) for 2 days. It was filtered through celite and the filtrand washed with methanol. The combined filtrates and washings were concentrated under vacuum and the residue was purified by Prep, reverse phase HPLC to give the TFA salt of the title compound as yellow solid, (5.0 mg, 50%
yield). MS m/z 474(MH+); 1H NMR (500 MHz, CD3OD) δ ppm 1.36-1.48 (m, 3 H) 1.77-1.96 (m, 5 H) 2.00-2.11 (m, 2 H) 2.82 (dd, J=14.04, 6.71 Hz5 1 H) 2.94 (m, 1 H) 3.10 (m, 1 H) 3.58 (m, 1 H) 3.65-3.91 (m, 8 H) 4.21-4.45 (m, 2 H) 7.72 (dd, J=7.63, 5.49 Hz, 1 H) 7.78 (d, J=8.55 Hz, 1 H) 7.99 (d, J=8.55 Hz, 1 H) 8.19-8.24 (m, 2 H) 8.78 (dd, J=5.19, 1.53 Hz, 1 H).
As described elsewhere in this document, the intermediate acids shown above may be coupled to a variety of amines or other nucleophiles using a variety of methods known to those skilled in the art, to give additional examples of the instant invention, as outlined in the scheme below.
7H-pyrido[2',3':3,4]azepino[l,2-a]indole-10-carboxamide, 13-cyclohexyl-N- [(dimethylamino)sulfonyl]-6-(4-morpholinylcarbonyl)-.
To a solution of 7H-pyrido[2l,3':3,4]azepino[l,2-α]indole-10-carboxylic acid, 13-cyclohexyl- 6-(4-morpholinylcarbonyl)- (56 mg, 0.096 mmol) in CH2Cl2 (10 niL), one drop of DMF was added. A 2M solution of oxalyl chloride (0.096 mL, 0.191 mmol) in CH2Cl2 was then added dropwise. The reaction mixture was stirred at rt. for 2hr. It was concentrated and dried under high vacuum. The resultant residue was dissolved in THF(IO mL) and a solution of N,N-dimethylsulfonamide (23.7 mg, 0.191 mmol) and DIPEA (0.033 mL, 0.191 mmol)) in THF (2 mL) was added. DMAP (10 mg) was added after the reaction mixture was stirred at rt. for 10 min. Stirring was continued at 5O0C for 2hr. after which the reaction mixture was concentrated under reduced pressure, and the resultant residue was purified by Prep. reverse phase HPLC to afford the title compound as a yellow solid, (0 mg, 36% yield). MS m/z 578(MH+); 1H NMR (500 MHz, CD3OD) 6 ppm 1.32-1.47 (m, 3 H) 1.75 - 1.90 (m, 5 H) 1.98-2.08 (m, 2 H) 3.04 (s, 6 H) 3.32 (m, IH) 3.46-3.79 (m, 8 H) 4.88 (s, 2H) 7.03 (s, 1 H) 7.53 (dd, J=7.93, 4.58 Hz, 1 H) 7.62 (dd, J=8.55, 1.53 Hz, 1 H) 7.95 (m, 1 H) 8.00 (d, J=8.55 Hz, 1 H) 8.19 (s, 1 H) 8.78 (dd, J=4.73, 1.68 Hz, 1 H).
5H-pyrido[2',3':3,4]azepino[l,2-a]indole-10-carboxamide, 13-cyclohexyl-N- [(dimethylamino)sulfonyl]-6,7-dihydro-6-(4-morpholinylcarbonyl)-.
To a solution of 7H-pyrido[2',3':3,4]azepino[l,2-α]mdole~10-carboxamide, 13-cyclohexyl-N-[(dimethylamino)sulfonyl]-6-(4-moφholinylcarbonyl)- (12 mg, 0.021 mmol) in methanol (10 mL), 10% Pd on carbon (5 mg) was added. The reaction mixture was stirred under a hydrogen atmosphere (latm.) for 3 days. It was filtered through celite and the filtrand washed with methanol. The combined filtrates and washings were concentrated under reduced pressure and the residue was purified by Prep, reverse phase HPLC to give the TFA salt of the title compound as a yellow solid, (7.5 mg, 52% yield). MS m/z 580(MH+); 1H NMR (500 MHz, CD3OD) δ ppm 1.36-1.49 (m, 3 H) 1.77-1.98 (m, 5 H) 2.00-2.11 (m, 2 H) 2.84-2.94 (m, 2 H) 3.04 (s, 6 H) 3.08 (m, 1 H) 3.57-3.92 (m, 9 H) 4.32 (m, 1 H) 4.44 (m, 1 H) 7.64 (d, J=8.55 Hz, 1 H) 7.76 (dd, J=7.78, 5.65 Hz, 1 H) 8.05 (d, J=8.55 Hz, 1 H) 8.13 (s, 1 H) 8.28 (d, J=7.63 Hz, 1 H) 8.79 (d, J=5.19 Hz, 1 H).
Alternative pyridine fused derivatives of the instant invention may be prepared using the methodology shown in the scheme below.
Pd(PPh3)4, LiCI, Na2CO3 EtOH/Toluene, 8O0C
5H-pyrido[3',4':3,4]pyrrolo[l,2-a]indole-8-carboxylic acid, ll-cyclohexyl-5- hydroxy-, methyl ester.
A 2M aqueous solution OfNa2CO3 (1.31 niL, 2.62 mmol) was added to a mixture of; methyl 3-cyclohexyl-2-(4,4,5,5-tetramethyl-l,3,2-dioxaborolan-2-yl)-lH- indole-6-carboxylate (400 mg, 1.05 mmol), 3-bromo-4-pyridinecarboxaldehyde (214 mg, 1.15 mmol) and LiCl (89 mg, 2.1 mmol), in ethanol (5 mL) and toluene (5 mL). The resultant mixture was degassed by the application of vacuum followed by flushing with N2. Pd(PPh3)4 (60.7 mg, 0.0525 mmol) was added and the reaction mixture was heated at 8O0C for 5hr. It was then filtered and concentrated under reduced pressure. The residue was triturated with CH2Cl2 to give the title compound as a light yellow solid, (295 mg, 78% yield). MS m/z 363(MH+); 1H NMR (500 MHz, DMSO-D6) δ ppm 1.40-1.51 (m, 3 H) 1.75-1.97 (m, 7 H) 3.24 (m, 1 H) 3.89 (s, 3 H) 6.75 (d, J=8.85 Hz, 1 H) 7.55 (d, J=8.85 Hz, 1 H) 7.63-7.68 (m, 2 H) 7.86 (d, J=8.55 Hz, 1 H) 8.23 (s, 1 H) 8.63 (d, J=4.88 Hz, 1 H) 9.12 (s, 1 H).
7H-pyrido[3 ' 4 ': 3, 4]azepino[l, 2-a] indole- 6, 10-dicarboxylic acid, 13-cyclohexyl-, dimethyl ester.
To a solution of5H-pyrido[3',4':3,4]pyrrolo[l,2-a]indole-8-carboxylic acid, 11- cyclohexyl- 5 -hydroxy-, methyl ester (290 mg, 0.8 mmol) in DMF (5 TnL), CS2CO3 (391 mg, 1.2 mmol) and trimethyl2-phosphonoacrylate (202 mg, 1.04 mmol) were added. The reaction mixture was heated at 6O0C for 3hr. It was then quenched with water and the solid that precipitated was collected by filtration. This material was dried in vacuo to give the title compound as a yellow solid, (230 mg, 67% yield). MS m/z 431(MH+); 1HNMR (500 MHz, CD3OD) δppm 1.39-1.59 (m, 3 H) 1.75-2.03 (m, 5 H) 2.09-2.28 (m, 2 H) 2.86 (m, 1 H) 3.89 (s, 3 H) 3.98 (s, 3 H) 4.89 (s, 2H) 7.65 (d, J=4.88 Hz, 1 H) 7.76 (d, J=8.54 Hz, 1 H) 7.92 (s, 1 H) 7.97 (d, J=8.55 Hz, 1 H) 8.33 (s, 1 H) 8.69 (d, J=5.19 Hz, 1 H) 8.84 (s, 1 H).
7H-pyrido[3',4':3,4] 'azepino[l,2-a] indole- 10-carboxylic acid, 13-cyclohexyl-6-(4- morpholinylcarbonyl)-, methyl ester .
LiOH (45 mg, 1.882 mmol) was added to a solution of 7H- pyrido[3',4':3,4]azepino[l,2-α]indole-6,10-dicarboxylic acid, 13-cyclohexyl-, dimethyl ester (135 mg, 0.314 mmol) in DMF (4 mL) in a sealed tube. The reaction mixture was heated under microwave conditions at 650C for 1 hr. Water was then added and the mixture was acidified (pH ~4) using IN HCl solution. This mixture was extracted using ethyl acetate (4X20 mL), and the organic layers were combined, dried (MgSO4), filtered and concentrated in vacuo to give the intermediate acid as an orange oil. This material was dissolved in DMSO (1.0 mL), and TBTU (151 mg, 0.47 mmol) and DIPEA (0.273 mL, 1.57 mmol) were added. The reaction mixture was stirred at rt for 15 min. Then morpholine (0.041 mL, 0. 47 mmol) was added and the reaction mixture was stirred at rt overnight. It was then concentrated under reduced
pressure and the residue was purified by Prep, reverse phase HPLC to give the title compound as a light yellow solid, (48mg, 32% yield two steps). MS m/z 486(MH+); 1H NMR (500 MHz, CD3OD) 6 ppm 1.37-1.59 (m, 4 H) 1.72-2.06 (m, 4 H) 2.07-2.29 (m, 2 H) 2.87 (m, 1 H) 3.38-3.86 (m, 8 H) 3.97 (m, 3 H) 4.35-4.68 (m, br, 1 H) 5.14- 5.38 (m, br, 1 H) 7.04 (s, 1 H) 7.59 (d, J=5.19 Hz, 1 H) 7.77 (dd, J=8.55, 1.22 Hz, 1 H) 7.98 (d, J=8.54 Hz, 1 H) 8.31 (s, 1 H) 8.66 (d, J=5.19 Hz, 1 H) 8.81 (s, 1 H).
5H-pyrido[3',4':3,4]azepino[l,2-a]indole-10-carboxylic acid, 13-cyclohexyl-6, 7- dihydro-6-(4-morpholinylcarbonyl)-, methyl ester.
To a solution of 7H-pyrido[3',4':3,4]azepino[l,2-α]indole-10-carboxylic acid, 13-cyclohexyl-6-(4-morpholinylcarbonyl)-, methyl ester (35 mg, 0.072 mmol) in methanol (10 mL), 10% Pd on carbon (5 mg) was added. The reaction mixture was stirred under a hydrogen atmosphere (1 atm.) overnight. It was then filtered through celite and the filtrand washed with methanol. The combined filtrates and washings were concentrated under reduced pressure and the resultant residue was purified by Prep, reverse phase ΗPLC to give the TFA salt of the title compound as a yellow solid, (19 mg, 44% yield). MS m/z 488(MH+); 1H NMR (500 MHz, CD3OD)δ ppm 1.23-1.58 (m, 3 H) 1.65 (m, 1 H) 1.75-1.86 (m, 2 H) 1.90-2.18 (m, 4 H) 2.80-3.12 (m, 3 H) 3.41-4.18 (m, 13 H) 4.66 (m, 1 H) 7.74 (m, 1 H) 7.91-8.03 (m, 2 H) 8.19 (m, 1 H) 8.70-8.78 (m, 2 H).
5H-pyrido [3' ,4' :3 ,4] azepino [1 ,2-a] indole-10-carboxylic acid, 13-cyclohexyl-ό, 7- dihydro-6-(4-morpholinylcarbonyl)-.
LiI (10 mg, 0.075 mmol) was added to a solution of 5H- pyrido[3',4':3,4]azepino[l,2-α]indole-10-carboxylic acid, 13-cyclohexyl-6,7-dihydro- 6-(4-morpholinylcarbonyl)-, methyl ester (16 mg, 0.027 mmol) in pyridine (2 mL) in a sealed tube. The reaction mixture was heated at 18O0C under microwave conditions for 1.5 hr. Water was then added and the pΗ of the reaction mixture was adjusted to 4-5 with IN HCl solution. This mixture was extracted with ethyl acetate (2X20 mL) and the organic layers were combined, dried (MgSO4), filtered and concentrated under reduced pressure. The residue was purified by Prep, reverse phase ΗPLC to afford the TFA salt of the title compound as a yellow solid, (11.7 mg, 75% yield). MS m/z 474(MH+); 1H NMR (500 MHz, CD3OD) δ ppm 1.28-1.62 (m, 3 H) 1.69 (m, 1 H) 1.79-1.90 (m, 2 H) 1.99 (m, 1 H) 2.07-2.21 (m, 3 H) 2.83-3.09 (m, 2 H) 3.17 (m, 1 H) 3.46-4.23 (m, 10 H) 4.69 (m, 1 H) 7.78 (m, 1 H) 7.98 (m, 1 H) 8.08 (m, 1 H) 8.23 (m, 1 H) 8.75-8.83 (m, 2 H).
5H-pyrido[3 ', 4 ':3, 4] azepino[l,2-a] indole- 10-carboxamide, 13-cyclohexyl-N- [(dimethylamino)sulfonyl]-6, 7-dihydro-6-(4-morpholinylcarbonyl)-.
To a solution of 5H-pyrido[3',4':3,4]azepino[l,2-α]indole-10-carboxylic acid, 13-cyclohexyl-6,7-dihydro-6-(4-morpholinylcarbonyl)- (40 mg, 0.084 mmol) in CH2Cl2 (10 mL), one drop of DMF was added. A 2M solution of oxalyl chloride (0.085 mL, 0.169 mmol) in CH2Cl2 was then added dropwise. The reaction mixture was stirred at rt. for 2hr. It was then concentrated and dried under high vacuum. The resultant residue was then dissolved in THF(IO mL) and a solution of N5N- dimethylsulfonamide (21 mg, 0.169 mmol) and DIPEA (0.044 mL, 0.1252 mmol)) in THF (2 mL) was added. DMAP (10 mg) was added after the reaction mixture was stirred at rt. for 10 min. Stirring was continued at 5O0C for 2hr after which the mixture was concentrated under reduced pressure and the residue was purified by Prep, reverse phase HPLC to afford the TFA salt of the title compound as a yellow solid, (9.0 mg, 15% yield). MS m/z 580(MH+); 1H NMR (300 MHz, CD3OD) δ ppm 1.18-1.74 (m, 4 H) 1.77-1.90 (m, 2 H) 1.90-2.23 (m, 4 H) 2.83-3.13 (m, 9 H) 3.52- 4.25 (m, 10 H) 4.70 (m, 1 H) 7.63 (m, 1 H) 7.91-8.24 (m, 3 H) 8.69-8.77 (m, 2 H).
Isomeric propeno-bridged carboxamides of the instant invention may be accessed by a number of methods known to those skilled in the art, one example of which is shown in the scheme depicted below.
7H-pyrido[3',4':3,4]azepino[l,2-a]indole-10-carboxylic acid, 13-cyclohexyl-6-(4- morpholinylcarbonyl)-.
LiI (37 mg, 0.278 mmol) was added to a solution of 7H- pyridoP^'^^azepinotl^-αJindole-lO-carboxylic acid, 13-cyclohexyl-6-(4- morpholinylcarbonyl)-, methyl ester (45 mg, 0.093 mmol) in pyridine (4 mL) in a sealed tube. The reaction mixture was heated at 18O0C under microwave conditions for 2 hr. Water was then added and the reaction mixture pH adjusted to 4-5 with IN HCl solution . The resultant solution was then extracted with ethyl acetate (2X20 mL). The extracts were combined, dried (MgSO4), filtered and concentrated under reduced pressure. The resultant residue was purified by Prep.reverse phase HPLC to
afford the TFA salt of the title compound as a yellow solid. (23 mg, 43% yield). MS m/z 472(MH+); 1H NMR (300 MHz, CD3OD) δ ppm 1.18-2.23 (m, 10 H) 2.81 (m, 1 H) 3.35-3.79 (m, 8 H) 4.56 (m, br, 1 H) 5.30 (m, br, 1 H) 7.10 (s, 1 H) 7.77 (dd, J=8.48, 1.37 Hz, 1 H) 7.84 (d, J=5.73 Hz5 1 H) 7.98 (d, J=8.48 Hz, 1 H) 8.31 (s, 1 H) 8.74 (d, J=5.73 Hz, 1 H) 8.84 (s, 1 H).
Also isolated from the above reaction mixture as a minor component was the compound characterized below.
5H-pyrido[3',4':3,4]azepino[l,2-a]indo1e-10-carboxylic acid, 13-cyclohexyl-6-(4- morpholinylcarbonyl)-.
MS m/z 472(MH+); 1H NMR (300 MHz, CD3OD) δ ppm 1.32 (m, 1 H) 1.45-1.62 (m, 2 H) 1.67-2.07 (m, 4 H) 2.11-2.35 (m, 3 H) 3.00 (m, 1 H) 3.60-3.78 (m, 9 H) 3.85 (m, 1 H) 7.73 (s, 1 H) 7.95 (dd, J=8.48, 1.37 Hz, 1 H) 7.98 (d, J=5.73 Hz, 1 H) 8.09 (d, J=8.48 Hz, 1 H) 8.31 (s, 1 H) 8.70 (s, 1 H) 8.76 (d, J=5.73 Hz, 1 H).
Further examples of the instant invention in which the propeno bridge is poly functionalized may be accessed by a number of methodologies, one example of which is that shown in the Scheme below.
Pd(PPh3)4, LiCl1 Na2CO3
EtOH/Toluene, 8O0C
A 2M aqueous solution OfNa2CO3 (2.5 niL, 5.0 mmol) was added to a mixture of; methyl 3-cyclohexyl-2-(4,4,555-tetramethyl-l,3,2-dioxaborolan-2-yl)-lH- indole-6-carboxylate (766 mg, 2.0 mmol), 2'-bromoacetophenone (478 mg, 2.4 mmol) and LiCl (170 mg, 4.0 mmol), in ethanol (5 mL) and toluene (5 mL). The mixture was then degassed by sequentially applying vacuum followed by flushing with N2. Pd(PPh3)4 (115 mg, 0.1 mmol) was then added and the reaction heated at 8O0C for 4hr. The reaction mixture was then filtered and concentrated under reduced pressure. The resultant residue was purified by silica gel flash chromatography using hexanes to 20% ethyl acetate in hexanes as eluent to give the title compound as a white foam which could be crushed to a powder, (686 mg, 91% yield). MS m/z 374(M- H"); 1HNMR (500 MHz, CD3OD) δ ppm 1.30 (m, 1 H) 1.41-1.64 (m, 3 H) 1.82-2.21 (m, 9 H) 3.26 (m, 1 H) 3.95 (s, 3 H) 7.40 (m, 1 H) 7.49 (m, 1 H) 7.61 (m, 1 H) 7.69 (m, 1 H) 7.79 (m, 1 H) 7.84 (m, 1 H) 8.29 (s, 1 H).
7H-indolo[2, 1 -a] [2]benzazepine-6, 10~carboxylic acid, 13-cyclohexyl-5 -methyl-, dimethyl ester.
To a solution of methyl 2-(2-acetylphenyl)-3-cyclohexyl-lH-indole-6- carboxylate (400 mg, 1.065 mmol) in DMF (10 mL), Cs2CO3 (521 mg, 1.6 mmol) and trimethyβ-phosphonoacrylate (310 mg, 1.6 mmol) were added. The reaction mixture was heated at 6O0C overnight. It was then quenched by the addition of water after which a precipitate formed. This was collected by filtration, and dried under vacuum to give the crude product as a light yellow solid (380mg, 80% yield). lOmg of this material was purified by Prep, reverse phase HPLC to provide pure, 7H- indolo[2, 1 -a] [2]benzazepine-6, 10-carboxylic acid, 13 -cyclohexy 1-5 -methyl-, dimethyl ester. MS m/z 444(MH+); 1H NMR (500 MHz, CD3OD) δ ppm 1.15 - 1.66 (m, 4 H) 1.76 - 1.87 (m, 2 H) 1.97 (m, 1 H) 2.02 - 2.22 (m, 3 H) 2,49 (s, 3H) 2.95 (m, 1 H) 3.83 (s, 3 H) 3.97 (s, 3 H) 4.09 (d, J=14.65 Hz, 1 H) 5.49 (d, J=14.65 Hz, 1 H) 7.55 - 7.61 (m, 3 H) 7.70 (dd, J=8.39, 1.37 Hz, 1 H) 7.76 (m, 1 H) 7.88 (d, J=8.55 Hz, 1 H) 8.33 (s, 1 H).
7H-indolo[2, 1 -a] [2] benzazepine-6, 10-dicarboxylic acid, I S-cyclohexyl-5-methyl-, 10-methyl ester.
To a solution of 7H-indolo[2,l-α][2]benzazepine-6,10-carboxylic acid, 13- cyclohexyl-5-methyl-, dimethyl ester (179, 0.4 mmol) in TΗF (10 mL), IM solution OfBu4NOH (0.6 mL, 0.6 mmol) in methanol was added. The reaction mixture was stirred at rt. for two days. It was then concentrated, acidified with IN HCl solution and extracted with ethyl acetate (2X30 mL). The organic layers were combined, dried (MgSO4), filtered and concentrated in vacuo. The resultant residue was purified by Prep, reverse phase HPLC column to give the title compound as a yellow solid, (90 mg, 52% yield). MS m/z 430(MH+); 1H NMR (300 MHz, DMSO-D6) δ
ppm 1.10-1.27 (m, IH) 1.32-1.59 (m, 3 H) 1.64-1.79 (m, 2 H) 1.81-1.94 (m, 1 H) 1.94-2.13 (m, 3 H) 2.41 (s, 3 H) 2.86 (m, 1 H) 3.87 (s, 3 H) 3.98 (d, J=14.64 Hz, 1 H) 5.43 (d, J=14.64 Hz, 1 H) 7.49 - 7.67 (m, 4 H) 7.74-7.83 (m, 1 H) 7.91 (d, J=8.42 Hz, 1 H) 8.22 (s, 1 H) 13.00 (s, I H).
7H-indolo[2, 1 -a] [2] benzazepine-10-carboxylic acid, 13-cyclohexyl-5-methyl-6-(4- morpholinylcarbonyl)-, methyl ester.
To a solution of 7ϋ-indolo[2,l-σ][2]benzazepine-6,10-dicarboxylic acid, 13- cyclohexyl-5-methyl-, 10-methyl ester (120 mg, 0.28 mmol) in DMSO (3.0 niL), TBTU (135 mg, 0.42 mmol) and DIPEA (0.244 mL, 1.4 mmol) were added. The reaction mixture was stirred at rt for 15 min. Then morpholine (0.037 mL, 0. 42 mmol) was added and the reaction mixture was stirred at rt for overnight. It was then concentrated under reduced pressure and the residue was purified by Prep, reverse phase HPLC to give the title compound as a white solid, (115mg, 82% yield). MS m/z 499(MH+); 1H NMR (500 MHz, CD3OD) δ ppm Compound exists as a complex mixture of rotamers.
7H-indolo[2,l-a][2]benzazepine-10-carboxylic acid, 13-cyclohexyl-5-methyl-6-(4- morpholinylcarhonyl)-.
2N NaOH solution (1.0 niL) was added to a solution of 7H-indolo[2,l- α][2]benzazepine-10-carboxylic acid, 13-cyclohexyl-5-methyl-6-(4- morpholinylcarbonyl)-, methyl ester (100 mg, 0.2 mmol)in a THF/Methanol mixture (2.0 mL/2.0 mL) in a sealed tube. The reaction mixture was heated at 9O0C under microwave conditions for 10 min. It was then concentrated and acidified with IN HCl solution after which a precipitate formed. This was collected by filtration and dried under vacuum to provide the title compound as an off-white solid, (75 mg, , 77% yield). MS m/z 485(MH+); 1H NMR (300 MHz, CD3OD) δ ppm exists as rotamers.
Libraries of carboxamides of the instant invention can be rapidly prepared using the methodology shown in the scheme depicted below.
A mixture of methyl 2-bromo-3-cyclohexyl~lH-indole-6-carboxylate (2.0 g,
5.95 mmol) in THF (10 mL), methanol (10 mL), and water (10.5 niL) in which LiOH (690 mg) was dissolved was stirred under reflux for 1.5 hr. The solution was cooled in ice and diluted with water. Acidification with 37% HCl (3mL) resulted in precipitation of the titled acid. The acid was collected, washed with cold water and air dried to afford the product as a pale yellow granular solid (2.1 g, 90 5) solvated with one molar equivalent of THF. 1H NMR (500 MHz, CHLOROFORM-D) δ ppm 1.25 - 1.55 (m, 3 H) 1.68 - 2.07 (m, 11 H) 2.72 - 2.96 (m, 1 H) 3.60 - 3.82 (m, 4 H) 7.70 - 7.77 (m, 1 H) 7.80 - 7.85 (m, 1 H) 8.06 - 8.10 (m, 1 H) 8.26 - 8.31 (m, 1 H) 11.21 - 12.62 (br. S., I H).
2-Bromo-3-cyclohexyl- N-[(dimethylamino)sulfonyl]-lH-indole-6-carboxamide.
l,l'-Carbonyldiimidazole (1.17 g, 7.2 mmol) was added to a stirred solution of 2-bromo-3-cyclohexyl-lH-indole-6-carboxylic acid (2.03 g, 6.3 mmol) in THF (6 mL) at 220C. The evolution of CO2 was instantaneous and when it slowed the solution was heated at 5O0C for 1 hr and then cooled to 220C. N,N- Dimethylsulfamide (0.94 g, 7.56 mmol) was added followed by the dropwise
addition of a solution of DBU (1.34 g ,8.8 mmol) in THF (4 mL). Stirring was continued for 24 hr. The mixture was partitioned between ethyl acetate and dilute HCl. The ethyl acetate layer was washed with water followed by brine and dried over Na2SO4. The extract was concentrated to dryness to leave the titled product as a pale yellow friable froth (2.0 g, 74 %) of substantial purity (90 %). 1H NMR (300 MHz, DMSO-D6) 5 ppm 1.28 - 1.49 (m, 3 H) 1.59 - 2.04 (m, 7 H) 2.74 - 2.82 (m, 1 H) 2.88 (s, 6 H) 7.57 (dd, J=8.42, 1.46 Hz, 1 H) 7.74 (d, J=8.78 Hz, 1 H) 7.91 (s, 1 H) 11.71 (s, 1 H) 12.08 (s, 1 H).
3-Cyclohexyl- N-[(dimethylamino)sulfonyl]-2-(2-formylphenyl)-lH-indole-6- carboxamide.
A mixture of 2-bromo-3-cyclohexyl- N-[(dimethylamino)sulfonyl]-lH- indole-6-carboxamide (950 mg, 2.22 mmol), LiCl (370 mg, 4.44 mmol), tetrakis(triphenylphosphine)palladium(0) (130 mg, 0.11 mmol) in toluene (30 mL) and ethanol (30 mL) containing aqueous 1 N Na2CO3 (15 mL, 15 mmol) was stirred under reflux for 18 hr. The mixture was diluted with ethyl acetate and washed with 1 N HCl (3x) followed by brine (3x). The solution was dried over Na2SO4 and concentrated to dryness to afford the titled compound as a yellow solid (1.06 g, 106 %) which contained some triphenyl oxide. The product was used in the following step without additional purification. MS m/z 454 (MH+).
6-Carbomethoxy-13-cyclohexyl-N-[(dimethylamino)sulfonyl]-5H-indolo[2,l- a][2] benzazep ine-10-carboxam ide.
A mixture of 3-cyclohexyl- N-[(dimethylamino)sulfonyl]-2-(2- formylphenyl)-lH-indole-6-carboxamide (1.06 g, 2.1 mmol), methyl 2- (dimethoxyphosphoryl)acrylate (0.4 mL, 3.2 mmol), and Cs2CO3 (1.04 g, 3.2 mmol) in DMF (4 mL) was stirred at 6O0C for 18 hr, at which time additional Cs2CO34 g, 0.32 mmol) and methyl dimethoxyphosphoryl)acrylate (0.4 mL, 3.2 mmol) were added. The mixture was stirred for an additional 8 hr, cooled and diluted with ethyl acetate. The resulting mixture was washed with dilute HCl (3x) followed by brine (3x). The solution was concentrated to leave the crude product as a yellow solid (1.2 g). The crude product was purified utilizing a Biotage apparatus with a prepacked silicic acid column and using gradients of hexanes: ethyl acetate: acetic acid of from (100:2:.0.5) to (64:36:0.5). The product containing fractions were combined and concentrated to dryness to afford the titled compound as a pale yellow solid (640 mg, 59 %). MS m/z 522 (MH+).
6-Carboxy-13-cycJohexyl-N-[(dimethylamino)sulfonyl]-5H-indolo[2,l- a] [2] benzazepine-10-carboxamide.
Sodium hydroxide (2.0 mL of 1.0 N, 2.0 mmol) was added to a solution of the preceding methyl ester (640 mg, 1.23 mmol) in methanol (2 mL) and THF (2 mL) in a microwave vial. The vial was sealed and the contents heated at 90 °C for 15 minutes in a microwave apparatus. The solution was acidified with dilute hydrochloric acid and extracted with ethyl acetate. The ethyl acetate solution was washed with dilute hydrochloric acid (Ix) and brine (Ix), dried (NaSO4), and concentrated on a rotary evaporator to afford the product as a light yellow solid (570 mg, 91 %). ESI-MS m/z 508 (MH+); 1HNMR (500 MHz, MeOD) δ 1.14-1.27 (m, 1 H) 1.35-1.56 (m, 3 H) 1.71-1.81 (m, 2 H) 1.89-1.99 (m, 1 H) 2.00-2.19 (m, 3 H) 2.83-2.91 (m, 1 H) 3.01 (s, 6 H) 4.11-4.22 (m, 1 H) 5.64-5.75 (s, 1 H) 7.51-7.61 (m, 4 H) 7.61-65 (m, 1 H) 7.91 (s, 1 H) 7.91-7.95 (m, 1 H) 8.18 (s, 1 H).
13-Cyclohexyl-N-[(dimethylamino)sulfonyl]- 6-(homomorpholinylcarbonyl)-5H- indolo[2,l-a][2]benzazepine-l 0-carboxamide.
TBTU (22 mg, 0.069 mmol) was added to a stirred solution of δ-carboxy-lS- cyclohexyl-N-Kdimethylammo^ulfonylj-SH-indoloPjl-a^ carboxamide (25 mg, 0.049 mmol), homomorpholine hydrochloride (8.1 mg, 0.059 mmol), and N,N-diisopropylethylamine (0.3 mL, 1.74 mmol) in DMF (3 mL). The mixture was stirred at 22 °C for 20 min. The resulting solution was concentrated down to the volume of 2 mL on a Speed Vac® and filtered. The filtrate was injected on the Shimadzu preparative liquid chromatograph. The product containing fraction was concentrated on a Speed Vac® to leave the titled compound as a white solid (28 mg, 97 %). ESI-MS m/z 591 (MH+); 1H NMR (500 MHz, Solvent) δ 1.16-1.32 (m, 1 H) 1.38-1.55 (m, 4 H) 1.75-1.86 (m, 2 H) 1.90-2.21 (m, 5 H) 2.90 (m, 1 H) 3.04 (s, 6
H) 3.39-3.93 (m, 8 H) 4.42 (m, 1 H) 5.20 (m, 1 H) 7.05 (s, 1 H) 7.57 (m, 3 H) 7.63 (m, 2 H) 7.96 (d, J=8.55 Hz, 1 H) 8.15 (s, 1 H).
The following library of 13-Cyclohexyl-N-[(dimethylamino)sulfonyl]- 6- (substituted-aminocarbonyl)-5H-indolo[2,l-a][2]benzazepine-10-carboxamides was synthesized using the protocols described in the preceding section.
Table of Bridged Carboxamides.
Benzyl l-aminocyclopentanecarboxylate.
Benzyl chloride (634 mg, 5.0 mmol) was added to an ice-cold stirred mixture of l-(fert-butoxycarbonylamino)cyclopentanecarboxylic acid (1.0 g, 4.36 mmol) and Cs2CO3 (1.42 g, 5.0 mmol) in DMF (8 mL). After the ice melted the mixture was stirred for 2 hr at 6O0C. The mixture was poured into ice-water and extracted with ethyl acetate. The extract was washed with water followed by brine and dried over sodium sulfate. Concentration of the solution left benzyll-(fert- butoxycarbonylamino)cyclopentanecarboxylate as an oil which crystallized on standing. MS m/z 320 (MH+).
TFA (8 mL) was then added to a stirred solution of the above ester (1 g) in methylene chloride (8 mL). The solution was stirred for 35 min at 220C and then concentrated. The residue was partitioned between ethyl acetate and dilute aqueous K2CO3. The ethyl acetate layer was washed (water, brine), dried (Na2SO4), and concentrated to leave the titled compound as an oil. IH NMR (300 MHz,
2006/004156
271
CHLOROFORM-D) δ ppm 1.56 - 1.92 (m, 6 H) 2.08 (dd, J=12.63, 6.77 Hz, 2 H) 2.55 (s, 2 H) 5.12 (s, 2 H) 7.25 - 7.32 (m, 5 H).
This product was coupled to the indole derivative shown in the scheme above using methodology described in previous sections of this document, to provide the intermediate characterized below.
Phenylmethyl l-[[[3-hydroxy-13-cyclohexyl-6, 7,13, 13a-tetrahydro-5H-indolo[2, 1- a] [2] benzazepin-10-yl] carbonyl] amino] cyclopentanecarboxylate.
MS m/z 577 (MH+); IH NMR (300 MHz, CHLOROFORM-D) δ ppm 1.17 -
2.13 (m, 22 H) 2.81 - 2.92 (m, 1 H) 4.39 - 4.51 (m, 1 H) 4.59 (s, 2 H) 4.90 - 5.06 (m, 1 H) 6.55 - 6.68 (m, 1 H) 7.15 (d, J=7.32 Hz, 1 H) 7.35 (t, J=6.95 Hz, 1 H) 7.40 -
7.48 (m, 2 H) 7.52 (d,.J=7.68 Hz5 1 H) 7.87 (d, J=8.42 Hz, 1 H) 8.00 (s, 1 H) 8.15 (s,
I H).
Additional examples of the instant invention were prepared by coupling 13- cyclohexyl-6,7-dihydro-6-oxo-5H-indolo[l,2-d][l,4]benzodiazepine-10-carboxylic acid with a diversity of functionalized amines as shown in the scheme and described in the examples provided below. Certain ester derivatives generated using these protocols were subsequently hydrolyzed to provide the related acids, providing further examples of the instant invention.
Ethyl 5-[[[l-[[(13-cyclohexyl-6, 7-dihydro-6-oxo-5H-indolo[l,2- d] [1 ,4] benzodiazepine-10-yl)carbonyl] amino] cyclopentyl] carbonyl] amino] -1- methyl- lH-indole -2-carboxylate.
TBTU (94 mg, 0.29 mmol) was added to a stirred solution of ethyl 5-(l- aminocyclopentaiiecarboxamido)-! -methyl- lH-indole -2- carboxylate1 (88 mg, 0.27 mmol, 13-cyclohexyl-6,7-dih.ydro-6-oxo-5H-indolo[l,2-d][l,4]benzodiazepine-10- carboxylic acid (100 mg, 0.27 mmol), and TEA (148 μL, 1.1 mmol) in DMSO (ImL) at 220C. The mixture was stirred for 2 hr and then diluted with water to precipitate the product as a colorless solid. The solid was washed with cold water and dried. A portion (30 mg) was purified on a silicic acid thick layer plate. The plate was eluted with methylene chloride: ethyl acetate (100:30). The major band was extracted with methylene chloride- 10 % methanol. Concentration of the extracts left the product as a colorless solid. MS m/z 686 (MH+); 1H NMR (500 MHz, CHLOROFORM-D) δ ppm 1.18 - 1.30 (m, 1 H) 1.39 (t, 3 H) 1.54 - 2.14 (m, 13 H) 2.34 (s, 2 H) 2.54 - 2.67 (m, 2 H) 2.85 - 2.97 (m, 1 H) 4.02 (s, 3 H) 4.35 (q, 2 H) 4.40 - 4.50 (m, 1 H) 5.02 - 5.13 (m, 1 H) 7.92 (d, J=8.55 Hz, 1 H) 8.11 - 8.21 (m, 2 H) 8.15 (s, 1 H) 8.18 (s, 1 H).
5-[[[l-[[(13-Cyclohexyl-6, 7-dihydro-6-oxo-5H-indolo[l,2-d][l,4]benzodiazepine- 10-yl)carbonyl] amino] cyclopentyl] carbonyl] amino] -1-methyl-lH-indole -2- carboxylic Acid.
Sodium hydroxide (400 mL of 10 N, 4 mmol) was added to a solution of the preceding ester in THF (2 mL) and methanol (1.5 mL) in a microwave vial. The vial was sealed and the contents heated in a microwave apparatus for 10 min at 1000C. The mixture was cooled and diluted with water. The organics were removed on a rotating evaporator. The aqueous solution was cooled and acidified with 37 % HCl to precipitate the mixture of acids. The solids were collected, washed with cold water and dried. The resulting solid (192 mg) was dissolved in acetic acid (4 mL) and the solution heated to boiling. The solution was concentrated to dryness on a rotating evaporator. The residue was diluted with toluene and partially concentrated whereupon the product precipitated. The solid was collected, washed with toluene followed by diethyl ether and dried to afford the titled compound as a colorless solid (70 mg). MS m/z 658 (MH+); 1H NMR (500 MHz, DMSO-D6) δ ppm 1.16 - 1.26 (m, J=5.49 Hz, 1 H) 1.37 - 1.56 (m, 3 H) 1.66 - 1.84 (m, 6 H) 1.87 - 1.95 (m, J=8.24 Hz, 1 H) 1.99 - 2.20 (m, 5 H) 2.33 - 2.45 (m, 2 H) 2.81 - 2.94 (m, 1 H) 3.97 - 3.98 (m, 3 H) 4.62 (d, J=14.65 Hz, 1 H) 5.11 (d, J=14.34 Hz, 1 H) 7.06 - 7.56 (m, 6 H) 7.60 - 7.72 (m, 1 H) 7.84 - 7.96 (m, 2 H) 8.38 (d, J=7.63 Hz, 2 H) 9.49 (s, 1 H) 10.36 (s, 1 H).
Methyl 3-[2-[l-[[13-cyclohexyl-6, 7, 13,13a-tetrahydro-6-oxo-5H-indolo[l,2- d][l,4]benzodiazepine-10-yl)carbonyl] amino] cyclopentyl]-lH-benzimidazol-5-yl]- (2E) -2-propenoate.
The TBTU mediated coupling of (E)-methyl 3-(2-(l-aminocyclopentyl)-lH- benzo[d]imidazol-5-yl)acrylate1 with 13-cyclohexyl-6,7-dihydro-6-oxo-5H- indolo[l,2-d][l,4]benzodiazepine-10-carboxylic acid afforded the titled product as a colorless solid. MS m/z 642 (MH+).
3-[2-[l-[[13-Cyclohexyl-6, 7,13, 13a-tetrahydro-6-oxo-5H-indolo[l,2- d] [1 ,4] benzodiazepine-10-yl)carbonyl] amino] cyclopentyl] -lH-benzimidazol-5-yl] -
(2E)-2-propenoic Acid and
3-[2-[l-[[(12-Cyclohexyl-12,12a-dihydroindolo[l,2-c]quinazolin-9- yl)carbonyl)amino] cyclopentyl] -lH-benzimidazol-5-yl]-(2E)-2-propenoic Acid.
The preceding ester was dissolved in a mixture of THF (1.5 mL) and methanol (1 mL) in a microwave vial to which sodium hydroxide (250 μL of 10 N ) was added. The vial was sealed and the contents heated at 1000C in a microwave apparatus. The mixture was diluted with water and acidified with 37 % HCl resulting
in the precipitation of a gum. The gum was extracted with ethyl acetate. The extract was washed (water, brine), dried over sodium sulfate and concentrated. The residue was boiled with acetic acid and concentrated to dryness. It was concentrated a second time with acetic acid on a rotary evaporator. The residue was purified on a Shimadzu preparative reverse phase HPLC to afford two major products:
The cyclic lactam ( 14.9 mg) isolated as a TFA salt by lyophilization of the major fraction. MS m/z 628 (MH+); 1H NMR (500 MHz, MeOD) δ ppm 1.25 - 1.53 (m, 4 H) 1.64 - 1.76 (m, 2 H) 1.83 - 2.09 (m, 8 H) 2.36 - 2.46 (m, 2 H) 2.48 - 2.58 (m, 2 H) 2.82 - 2.92 (m, 1 H) 4.49 (d, J=14.95 Hz, 1 H) 4.88 - 4.95 (m, 1 H) 6.51 (d, J=15.87 Hz, 1 H) 7.20 (d, J=7.93 Hz, 1 H) 7.31 (t, J=7.63 Hz5 1 H) 7.42 (t, J=7.78 Hz, 1 H) 7.51 (dd, J=I 3.43, 8.24 Hz, 2 H) 7.65 (d, J=8.55 Hz, 1 H) 7.69 - 7.78 (m, 2 H) 7.81 - 7.88 (m, 2 H) 8.12 (s, 1 H). And the des carbonyl (3.5 mg) isolated as a yellow solid in the form of a TFA salt. MS m/z 598 (MH+); 1H NMR (500 MHz, MeOD) δ ppm 1.66 (d, J=13.12 Hz, 4 H) 1.84 - 2.29 (m, 11 H) 2.47 - 2.71 (m, 4 H) 3.70 - 3.78 (m, 1 H) 6.59 - 6.64 (m, 1 H) 7.54 - 8.01 (m, 10 H) 8.21 (d, J=8.85 Hz, 1 H) 8.34 - 8.42 (m, 1 H) 8.80 (s, 1 H) 9.30 (s, 1 H).
13-Cyclohexyl-6,7-dihydro-6-oxo-N-[l-[[[4-(4- thiazolyl)phenyl] amino] carbonyl] cyclopentyl] -5H-indolo [1 ,2- d][l, 4] benzodiazepine- 10-carboxamide.
TBTU (65 mg, 0.20 mmol) was added to a stirred mixture of ethyl 4-(4-(l- aminocyclopentanecarboxamido)phenyl)thiazole-2-carboxylate1 (53.5 mg, 0.15 mmol), 13-cyclohexyl-6,7-dihydro-6-oxo-5H-indolo[l ,2-d] [ 1 ,4]benzodiazepine- 10- carboxylic acid (50.7 mg, 0.14 mmol), and TEA (75 μL, 0.54 mmol) in DMSO (800 μL). The mixture was stirred for 1 hr at 220C and the was diluted with water to precipitate ethyl 4-[4-[[[l-[[(13-cyclohexyl-6,7-dihydro-6-oxo-5H-indolo[l,2-
d] [ 1 ,4]benzodiazepine- 10-yl)carbonyl]amino]phenyl-2-thiazolecarboxylate. The colorless solid was collected, washed with water and dried. A microwave vial containing a mixture of the solid in THF (1 mL), methanol (1 niL), and IO N NaOH (200 μL) was sealed and heated at 1000C in a microwave apparatus for 10 min. The solution was cooled and acidified with 1 N HCl to precipitate a solid which was collected, washed with cold water and dried. The solid was boiled in acetic acid for 3 min and then concentrated to dryness. A solution of the residue in DMF was purified on the Shimadzu preparative liquid chromatograph to afford the decarboxylated product with the structure shown as a brown solid. MS m/z 644 (MH+); 1H NMR (500 MHz, MeOD) δ ppm 1.15 - 2.14 (m, 14 H) 2.24 - 2.39 (m, 2 H) 2.48 - 2.65 (m,
J=13.17 Hz, 2 H) 2.79 - 2.98 (m, 1 H) 4.45 (s, 1 H) 4.96 - 5.12 (m, 1 H) 6.87 (s, 1 H) 7.18 (d, J=7.32 Hz, 1 H) 7.29 - 7.46 (m, 3 H) 7.51 (d, J=8.78 Hz, 2 H) 7.66 (d, J=8.78 Hz, 2 H) 7.83 (d, J=8.78 Hz, 2 H) 7.90 (d, J=8.42 Hz, 1 H) 8.13 (d, J=8.42 Hz, 1 H).
13-Cyclohexyl-6, 7-dihydro-N-[(l-carboxamidocyclopent-l-yl) l-6-oxo-5H- indolofl, 2-d][l, 4] benzodiazepine- 10-carboxamide.
A solution of 2 M methanolic ammonia (3.3 mL) was added to a stirred solution of l-(fert-butoxycarbonyl)cyclopentanecarboxylic acid (1.0 g, 4.36 mmol), TEA (3.65 mL, 0.0262 mol), and TBTU (1.61 g, 5 mmol) in DMSO (5 mL) at 220C. After stirring for 1 hr the solution was poured into ice cold water. The mixture was extracted with ethyl acetate. The extract was washed with brine (2x), dried over MgSO4 and concentrated to leave a colorless solid. Recrystallization from ethyl acetate-hexanes afforded l-(te7^-butoxycarbonyl)cyclopentanecarboxamide (660 mg, 66 %). TFA (2.5 mL) was added to a stirred solution of the amide (445 g) in methylene chloride (2.5 mL). The solution was stirred for 1 hr at 220C and then
concentrated to an oil. Trituration with diethyl ether afforded the TFA salt ofl- aminocyclopentanecarboxamide as a colorless solid. Coupling of the amine with ,13- cyclohexyl-όJ-dihydro-β-oxo-SH-indolotl^-dJtl^Jbenzodiazepine-lO-carboxylic acid afforded the titled compound. MS m/z 486 (MH+); 1H NMR (300 MHz, DMSO- D6) δ ppm 1.09 - 2.29 (m, 8 H) 2.42 - 2.56 (m, 2 H) 2.86 (s, 1 H) 4.61 (s, 1 H) 4.97 - 5.17 (m, 1 H) 6.73 (s, 1 H) 7.03 (s, 1 H) 7.29 (d, J=7.68 Hz, 1 H) 7.38 (t, J=7.50 Hz, 1 H) 7.50 (t, J=7.50 Hz, 2 H) 7.61 (d, J=9.51 Hz, 1 H) 7.88 (d, J=8.78 Hz, 1 H) 8.28 (s, 1 H).
Using methodology similar to that just described the following examples of the instant invention were also prepared.
13-Cyclohexyl-6,7-dihydro-N~[(4-hydroxy-3-methoxyphenyl)methyl-6-oxo-5H- indolo[l,2-d][l,4]benzodiazepine-10-carboxamide.
MS m/z 510 (MH+); IHNMR (300 MHz, CHLOROFORM-D) δ ppm 1.04 - 2.14 (m, 10 H) 2.78 - 2.93 (m, 1 H) 4.33 - 4.49 (m, 1 H) 4.59 (s, 2 H) 4.86 - 5.07 (m, 1 H) 6.61 (s, 1 H) 6.82 - 6.93 (m, 3 H) 7.15 (d, J=7.32 Hz, 1 H) 7.35 (t, J=6.95 Hz, 1 H) 7.39 - 7.47 (m, 2 H) 7.52 (d, J=7.68 Hz, 1 H) 7.87 (d, J=8.42 Hz, 1 H) 8.00 (s, 1 H) 8.15 (s, 1 H).
In addition to the methodology discussed in other sections of this document, examples of the N-(I -(diarylcarbamoyl)-, N-(I -(diheteroarylcarbamoyl)-, N-(I-
(arylheteroarylcarbamoyl)-, and N-(l-(heteroarylarylcarbamoyl)cyclopentyl) indole carboxamides of the instant invention can be accessed using the methodology depicted in the scheme below.
7H-indolo[2,l-a][2]benzazepine-10-carboxamide, 13-cyclohexyl-N-[l-[(2- thiazolylamino)carhonyl] cyclopentyl] .
To a solution of 13-cyclohexyl-7H-indolo[2,l-a][2]benzazepine-10- carboxylic acid (19 mg, 0.053 mmol) in DMF (0.2 mL) and DIPEA (0.056 mL, 0.32 mmol) was added TBTU (19 mg, 0.059 mmol). The resulting solution was stirred at 22 °C for 15 min. l-amino-N-(thiazol-2-yl)cyclopentanecarboxamide (23 mg, 0.11 mmol) was added and this solution was stirred at 22 °C for 18 hr. IM HCl (20 mL) was added and the aqueous layer was extracted with CHCl3 (2 x 40 mL). The organic phase was dried over Na2SO4, filtered, and concentrated under reduced pressure. Silica gel chromatography (1:3 EtOAc:hexanes) of the concentrate afforded the title compound (25 mg, 85%) as a clear oil. MS m/z 551 (MH+), 1H NMR (300 MHz, CDCl3) δ ppm 1.15-1.23 (m, 2H), 1.26-1.34 (m, 2H), 1.49-1.62 (m, 6H), 1.68-1.80 (m, 4H), 2.24-2.39 (m, 4H), 2.60-2.77 (m, 3H), 6.07 (m, IH), 6.48 (d, J=I 1.3 Hz,
IH), 6.60 (d, J=10.9 Hz, IH), 7.22 (dd, J=10.9, 6.3 Hz, IH), 7.24 (m, 2H), 7.40 (m, 2H), 7.48 (d, J=3.1 Hz, 1 H), 7.56 (d, J=6.3 Hz, 1 H), 7.87 (s, 1 H), 8.34 (d, j=9.1 Hz, IH).
7H-indolo[2,l-a][2]henzazepinβ-10-carboxamide, 13-cyclohexyl- N-(l-((5- bromothiazol-2-yl)carbamoyl)cyclopentyl).
To a solution of 13-cyclohexyl-7H-indolo[2,l-a][2]benzazepine-10- carboxylic acid (191 mg, 0.534 mmol) in DMF (2 mL) and DIPEA (0.558 mL, 3.21 mmol) was added TBTU (189 mg, 0.588 mmol). The resulting solution was stirred at 22 °C for 15 min. 1- l-amino-N-(5-bromothiazol-2-yl)cyclopentanecarboxamide (431 mg, 1.07 mmol) was added and this solution was stirred at 22 °C for 18 hr. IM HCl (20 mL) was added and the aqueous layer was extracted with CHCl3 (2 x 40 mL). The organic phase was dried over Na2SO4, filtered, and concentrated under reduced pressure. Silica gel chromatography (1:3 EtOAc:hexanes) of the concentrate afforded the title compound (276 mg, 82%) as a yellow oil. MS m/z 630 (MH+), 1H NMR (300 MHz, CDCl3) 6 ppm 1.14-1.21 (m, 2H), 1.24-1.33 (m, 2H), 1.48-1.60 (m, 6H), 1.69-1.80 (m, 4H), 2.24-2.38 (m, 4H), 2.59-2.75 (m, 3H), 6.08 (m, IH), 6.49 (d, J=I 1.3 Hz, IH), 6.62 (d, J=10.9 Hz, IH), 7.22 (dd, J=1.9, 5.6 Hz, IH), 7.24 (dd, J=10.9, 6.3 Hz, IH), 7.42 (m, 2H), 7.54 (s, IH), 7.57 (d, J=6.3 Hz, 1 H), 7.87 (s, 1 H), 8.33 (d, j=9.1 Hz, IH).
Benzoic acid, 4-[2-[[[l-[[(13-cyclohexyl-7H-indolo[2,l-a][2]benzazβpin-10- yl)carbonyl] amino] cyclopentyl] carbonyl] amino] -5-thiazolyl] .
To a solution of 7H-indolo[2, 1 -a] [2]benzazepine- 10-carboxamide, 13- cyclohexyl- N-(l-((5-bromothiazol-2-yl)carbamoyl)cyclopentyl)- (60 mg, 0.095 mmol) in THF (2.0 mL) was added 4-boronobenzoic acid (32 mg, 0.19 mmol), sodium bicarbonate (32 mg, 0.38 mmol) and tetralds(triphenylphosphine)paUadium(0) (10 mg, 0.01 mmol). The resulting mixture was stirred in a sealed tube in a microwave at 130 °C for 5 min. IM HCl (IO mL) was added and the aqueous layer was extracted with CHCl3 (2 x 20 mL). The organic phase was dried over Na2SO4, filtered, and concentrated under reduced pressure. Silica gel chromatography (1:1 EtOAc:hexanes) of the concentrate afforded the title compound (27 mg, 43%) as a yellow oil. MS m/z 671 (MH+), 1H NMR (300 MHz, CDCl3) δ ppm 1.15-1.23 (m, 2H), 1.26-1.34 (m, 2H), 1.49-1.62 (m, 6H), 1.68-1.80 (m, 4H), 2.24-2.39 (m, 4H), 2.60-2.77 (m, 3H), 5.92 (s, IH) 6.07 (m, IH), 6.48 (d, J=I 1.3 Hz, IH), 6.60 (d, J=I 0.9 Hz, IH), 7.23 (dd, J=10.9, 6.3 Hz, IH), 7.29 (d, J=8.8 Hz, 2H), 7.40 (m, 2H), 7.56 (d, J=6.3 Hz, 1 H), 7.84 (d, J=8.8 Hz, 2H), 7.87 (s, I H), 8.34 (d, j=9. I Hz, IH).
In a similar fashion, this methodology could be applied to related examples in the indolo[l,2-d][l,4]benzodiazepine class on inhibitors of the instant invention, as depicted in the scheme and examples described below.
6 004156
281
5H-indolo[l,2-d][l,4]benzodiazepine-10-carboxamide, 13-cyclohexyl-6,7-dihydro-6- oxo-N-[l-[(2-thiazolylamino)carbonyl]cyclopentyl]- (Z).
To a solution of 13-cyclohexyl-6,7-dihydro-6-oxo-5H-indolo[l,2- d][l, ^benzodiazepine- 10-carboxylic acid (20 mg, 0.053 mmol) in DMF (0.2 mL) and DIPEA (0.056 mL, 0.32 mmol) was added TBTU (19 mg, 0.059 mmol). The resulting solution was stirred at 22 °C for 15 min. l-amino-N-(thiazol-2- yl)cyclopentanecarboxamide (23 mg, 0.11 mmol) was added and this solution was stirred at 22 °C for 18 hr. IM HCl (10 mL) was added and the aqueous layer was extracted with CHCl3 (2 x 20 mL). The organic phase was dried over Na2SO4, filtered, and concentrated under reduced pressure. Silica gel chromatography (1:3 EtOAc:hexanes) of the concentrate afforded the title compound (25 mg, 83%) as a clear oil. MS m/z 568 (MH+), 1H NMR (300 MHz, CDCl3) δ ppm 1.16-1.25 (m, 2H)5 1.27-1.35 (m, 2H), 1.49-1.61 (m, 6H), 1.66-1.78 (m, 4H), 2.25-2.40 (m, 2H), 2.61- 2.75 (m, 3H), 4.89 (broad m, IH), 5.41 (broad m, IH), 7.05 (dd, J=10.9, 6.3 Hz5 IH),
7.24 (d, J=3.1 Hz, IH), 7.48 (m, 2H), 7.51 (d, J=3.1 Hz, IH), 7.63 (d, J=9.1 Hz, IH), 7.66 (d, J=9.0 Hz, IH), 7.93 (s, IH), 8.20 (d, J=9.1 Hz, IH).
5H-indolo[l, 2-d][l, 4]benzodiazepine-l 0-carboxamide, 13-cyclohexyl-6, 7-dihydro-6- oxo- N-(l-((5-bromothiazol-2-yl)carbamoyl)cyclopentyl)]-.
To a solution of 13-cyclohexyl-6,7-dihydro-6-oxo-5H-indolo[l,2- d][l,4]benzodiazepine-10-carboxylic acid (200 mg, 0.534 mmol) in DMF (2 mL) and DIPEA (0.558 mL, 3.21 mmol) was added TBTU (189 mg, 0.588 mmol). The resulting solution was stirred at 22 0C for 15 min. 1- l-amino-N-(5-bromothiazol-2- yl)cyclopentanecarboxamide (431 mg, 1.07 mmol) was added and this solution was stirred at 22 °C for 18 hr. IM HCl (20 mL) was added and the aqueous layer was extracted with CHCl3 (2 x 40 mL). The organic phase was dried over Na2SO4, filtered, and concentrated under reduced pressure. Silica gel chromatography (1 :3 EtOAc:hexanes) of the concentrate afforded the title compound (269 mg, 78%) as a yellow oil. MS m/z 647 (MH+), 1H NMR (300 MHz, CDCl3) δ ppm 1.18-1.26 (m, 2H), 1.28-1.36 (m, 2H), 1.49-1.61 (m, 6H), 1.67-1.78 (m, 4H), 2.25-2.39 (m, 2H), 2.61-2.76 (m, 3H), 4.84 (broad m, IH), 5.42 (broad m, IH), 7.04 (dd, J=10.9, 6.3 Hz, IH), 7.46 (m, 2H), 7.50 (s, IH), 7.63 (d, J=9.1 Hz, IH), 7.68 (d, J=9.0 Hz, IH), 7.95 (s, IH), 8.17 (d, J=9.1 Hz, IH).
benzoic acid, 4-[2-[[[l-[[(13-cyclohexyl-6, 7-dihydro-6-oxo-5H~indolo[l,2- d] [1 ,4]benzodiazepin-10-yl)carbonyl] amino] cyclopentyl] carbonyl] amino]-5- thiazolyl]-.
To a solution of 5H-indolo[l,2-d][l,4]benzodiazepine-10-carboxamide, 13- cyclohexyl-6,7-dihydro-6-oxo- N-(l-((5-bromothiazol-2-yl)carbanioyl)cyclopentyl)]- (40 mg, 0.062 mmol) in THF (1.5 mL) was added 4-boronobenzoic acid (21 mg, 0.12 mmol), sodium bicarbonate (21 mg, 0.25 mmol) and tetrakis(triphenylphosphine)palladium(0) (10 mg, 0.01 mmol). The resulting mixture was stirred in a sealed tube in a microwave at 130 °C for 5 min. IM HCl (10 mL) was added and the aqueous layer was extracted with CHCl3 (2 x 20 mL). The organic phase was dried over Na2SO4, filtered, and concentrated under reduced pressure. Silica gel chromatography (1:1 EtOAchexanes) of the concentrate afforded the title compound (26 mg, 62%) as a yellow oil. MS m/z 688 (MH+), 1H NMR (300 MHz, CDCl3) δ ppm 1.19-1.26 (m, 2H), 1.28-1.37 (m, 2H)5 1.50-1.62 (m, 6H), 1.67-1.78 (m, 4H), 2.25-2.39 (m, 2H), 2.61-2.76 (m, 3H), 4.88 (broad m, IH), 5.41 (broad m, IH), 5.98 (s, IH), 7.02 (dd, J=10.9, 6.3 Hz, IH), 7.28 (d, J=8.8 Hz, 2H), 7.48 (m, 2H), 7.28 (d, J=8.8 Hz, 2H), 7.64 (d, J=9.1 Hz, IH), 7.71 (d, J=9.0 Hz, IH), 7.95 (s, IH), 8.21 (d, J=9.1 Hz, IH).
Examples of the N-(l-(5-aryl-lH-l,2,4-triazol-3-yl)cyclopentyl)-indole-6- carboxamide class of inhibitors of the instant invention, may be accessed using the methodology shown in the schemes and described in the examples given below.
Et/zy/ 3-bromobenzimidate hydrochloride.
3-bromobenzonitrile (5g, 27.5 mMol) was dissolved in 130 ml of absolute ethanol and cooled to 0 C under N2. Hydrogen chloride gas was bubbled into the ethanol solution for 3 hrs at 0 C and the reaction capped and placed in a freezer at -7 C for 4 days. A 25 ml aliquot of the reaction mixture was concentrated to dryness in vaccuo and 932mg the pale pink crystalline solid vacuum dried and placed under nitrogen for storage.1H NMR (300 MHz, CHLOROFORM-D) δ ppm 12.78 (s, 1 H) 12.09 (s, 1 H) 8.55 (d, J=8.05 Hz, 1 H) 8.35 (t, J=I.83 Hz, 1 H) 7.82 (dd, J=8.05, 1.10 Hz, 1 H) 7.47 (t, J=8.05 Hz5 1 H) 4.94 (q, J=7.07 Hz, 2 H) 1.62 (t, J=6.95 Hz5 4 H).
Cyclopentanecarboxylic acid, 1-[[(1 ,l-dimβthylethoxy)carbonyl] amino] -, hydrazide.
285
1 -[[(1 , 1 -dimethylethoxy)carbonyl]amino] cyclopentanecarboxylic acid, (5.04g, 22 mMol) was dissolved in 150ml of THF with 5.8 ml (33 mMol) diisopropylethyl amine. TBTU (9.88g, 30.8 mMol) was added to the reaction and stirred for 25 minutes prior to the all at once addition of 7ml (223 mMol) anhydrous hydrazine. The reaction was stirred overnight at room temperature under nitrogen, and volatiles removed in vacuuo. The residue was dissolved in ethyl acetate and diethyl ether, washed withlN sodium hydroxide, brine and dried over magnesium sulfate. The filtrate concentrated in vaccuo and a reddish oil dried in vaccuo which crystallized upon standing to obtain 1.3g of a pink solid. 1H NMR (300 MHz, CHLOROFORM-D) δ ppm 7.89 (s, 1 H) 4.78 (s, 1 H) 3.33 (s, 2 H) 2.06 - 2.33 (m, 2 H) 1.60 - 1.95 (m, 6 H) 1.42 (s, 9 H).
tert-Butyl l-(5-(3-bromophenyl)-lH-l)2,4-triazol~3-yl)cyclopentylcarbamate.
Ethyl 3-bromobenzimidate hydrochloride (905mg, 3.42 mMol) was suspended in 10.4 ml of isopropanol and 8.9 ml (51 mMol) of diisopropylethyl amine added along with 1-BOC-aminocyclopentane carboxylic acid hydrazide (885mg, 3.62 mMol). The reaction was stirred for 10 minutes at room temperature and then immersed in an oil bath preheated to 65 C. The reaction was heated at 65 C for 5 days, cooled and volatiles removed in vacuuo. The residue was dissolved in ethyl acetate and washed with citric acid, sodium bicarbonate and brine, dried over magnesium sulfate and the filtrate concentrated to provide 1.29g (93%) of product. 1H NMR (500 MHz, CHLOROFORM-D) δ ppm 12.04 (s, 1 H) 8.25 (d, J=I .53 Hz, 1 H) 8.01 (d, J=7.63 Hz, 1 H) 7.48 (t, J=8.55 Hz, 1 H) 7.28 (t, J=7.78 Hz, 1 H) 5.03 (s, 1 H) 2.41 - 2.51 (m, 2 H) 2.18 - 2.26 (m, 2 H) 1.80 - 1.89 (m, 4 H) 1.43 (s, 9 H) MS m/z 407(MH+); MS m/z 405(M-H)".
(E)-Methyl 3-(3-(5-(l-(tert-butoxycarborryl)cyclopentyl)-2H-l,2,4-triazol-3- yl)phenyl)aciylate.
tert-Butyl 1 -(5-(3 -bromophenyl)- 1 H- 1 ,2,4-triazol-3 -y^cyclopentylcarbamate (585mg, 1.44 mMol) was dissolved in 10ml of acetonitrile and tri(o-tolyl)phosphine (88mg, 0.29 mMol), palladmm(II) acetate (33mg, 0.15 mMol), and diisopropylethyl amine (0.50ml, 2,87 mMol) added to the reaction in a 20 ml microwave vessel containing a magnetic stir bar. The reaction was sparged with nitrogen for 5 minutes then heated in a microwave for 5 minutes at 120 C and stepped up in temperature to 170 C for an additional 10 minutes. The reaction cooled, filtered through a ceilite plug, rinsed with acetonitrile. Volatiles were removed from the filtrate to yield a solid of 962mg which was purified on a 40g Silica Gel Biotage 25M column. A step gradient elution of 7% ethyl acetate to 60% ethyl acetate yielded 435mg (73%) of product as a colorless solid. 1H NMR (300 MHz, CHLOROFORM-D) δ ppm 8.24 (s, 1 H) 8.07 (d, J=7.68 Hz, 1 H) 7.72 (d, J=I 6.47 Hz, 1 H) 7.34 - 7.57 (m, 2 H) 7.23 (s,
1 H) 6.51 (d, J=16.10 Hz, 1 H) 4.99 (s, 1 H) 3.78 (s, 3 H) 2.34 - 2.58 (m, J=10.25 Hz,
2 H) 2.13 - 2.31 (m, 2 H) 1.75 - 1.97 (m, 4 H) 1.41 (s, 9 H); MS m/z 413(MH+); MS m/z 411(M-H)".
(E)-Methyl 3-(3-(5-(l-aminocyclopentyl)-2H-l,2,4-triazol-3-yl)phenyJ)acrylate Trifluoroacetic acid salt.
(E)-Methyl 3-(3-(5-(l-(tert-butoxycarbonyl)cyclopentyl)-2H-l,2,4-triazol-3- yl)phenyl)acrylate (429mg, 1.04 mMol) was dissolved in 10 ml of anhydrous dichloromethane. Trifluoroacetic Acid (10ml) was added to the reaction and the mixture stirred under nitrogen at room temperature for 1.5 hours. The volatiles were removed in vacuuo and the residual trifluoromethyl acetic acid removed by azeotroping from benzene/dichloromethane. The colorless solid was dried in vacuum at room temperature. 1H NMR (300 MHz, DMSO-D6) δ ppm 14.67 (s, 1 H) 8.58 (s, 3 H) 8.31 (s, 1 H) 8.03 (d, J=7.69 Hz, 1 H) 7.87 (d, J=7.68 Hz, 1 H) 7.73 (d, J=15.74 Hz, 1 H) 7.61 (t, J=7.68 Hz, 1 H) 6.71 (d, J=16.10 Hz5 1 H) 3.75 (s, 3 H) 2.26 - 2.41 (m, 2 H) 1.97 - 2.14 (m, 2 H) 1.77 - 1.94 (m, 4 H); MS m/z 313(MH+); MS m/z 311(M-H)'.
The 1 -(5-aryl- IH-1 ,2,4-triazol-3 -yl)cyclopentanamine intermediates generated by the above methodology can subsequently be coupled to suitable indole derivatives to generate further examples of the instant invention, as shown in the scheme below.
2-propenoic acid, 3-[3-[3-[l-[[(13-cyclohexyl-7H-indolo[2,l-a][2]benzazepin-10- yl)carbonyl] amino] cyclopentyl] -IH-1 ,2,4-triazol-5-yl] phenyl] -, methyl ester, (2E)-.
7H-indolo[2,l-a][2]benzazepine-10-carboxylic acid, 13-cyclohexyl- (200mg, 0.56 mMol) and (E)-methyl 3-(3-(5-(l-aminocyclopentyl)-2H-l,2,4-triazol-3- yl)phenyl)acrylate Trifluoroacetic acid salt (200mg, 0.41 mMol) was dissolved in 5 ml of DMF along with HOAt (82mg, 0.60 mMol). Diisopropylethyl amine (390 uL, 2.24 mMol) was added to the reaction mixture followed by HATU (230mg, 0.60 mMol). The reaction was capped under nitrogen and stirred at room temperature for 5 hours. Water was added to quench the reaction and the volatiles removed in vacuuo, and the residue dissolved in ethyl acetate, washed with 0.1 N hydrochloric acid, saturated aqueous sodium bicarbonate, brine and then dried over magnesium sulfate. The filtrate concentrated to dryness to yield an orange solid which was purified on 2Og of silica gel, eluting with a gradient of 1% ethyl acetate to 20% ethyl acetate in dichloromethane. Product fractions were concentrated to give a total of 178mg (68%). 1H NMR (500 MHz, CHLOROFORM-D) 6 ppm 8.28 (s, 1 H) 8.11 (d, J=7.63 Hz, 1 H) 8.01 (s, 1 H) 7.87 (d, J=8.55 Hz, 1 H) 7.73 (d, J=I 6.17 Hz, 1 H) 7.47 - 7.59 (m, 2 H) 7.39 - 7.45 (m, 3 H) 7.33 - 7.38 (m, 1 H) 7.30 (d, J=8.55 Hz, 2 H) 6.81 (d, J=10.07 Hz, 1 H) 6.62 (s, 1 H) 6.53 (d, J=15.87 Hz, 1 H) 6.20 - 6.33 (m,
1 H) 4.88 (s, 1 H) 4.20 (s, 1 H) 3.80 (s, 3 H) 2.85 (t, J=I 1.44 Hz, 1 H) 2.64 - 2.77 (m,
2 H) 2.43 - 2.58 (m, 2 H) 1.97 - 2.14 (m, 3 H) 1.85 - 1.98 (m, 6 H) 1.76 (d, J=6.41 Hz, 2 H) 1.29 - 1.43 (m, 3 H); MS m/z 652(MH+); MS m/z 650(M-H)"; CHN Analysis: Calculated for C4iH41N5O3.0.85 H2O; CaIc: C, 73.82; H, 6.45; N, 10.50 Found: C, 73.82, H, 6.48, N, 10.38.
2-propenoic acid, 3-[3-[3-[l-f[(13-cyclohexyl-7H-indolo[2,l-a][2]benzazepin-10- yl)carbonyl] amino] cyclopentyl] -IH-1 ,2,4-triazol-5~yl] phenyl] -, (2E)-.
2-propenoic acid, 3-[3-[3-[l-[[(13-cyclohexyl-7Jf-indolo[2,l- α][2]benzazepm-10-yl)carbonyl]amino]cyclopentyl]-liϊ-l,2,4-triazol-5-yl]phenyl]-, methyl ester, (2E)- (133mg, 2.04 mMol) was dissolved in 0.9ml of THF and 0.9ml of methanol added along with 250ul of 1.0N sodium hydroxide (0.25 mMol). The reaction was heated to 65 C for 2hrs and then an additional 6OuL of 1.0N sodium hydroxide added to the reaction with continued heating for 3 hrs. Volatiles were removed in vacuuo and the residue dissolved in 2ml of hot water, the solution allowed to cool overnight, did not yield any crystallization or precipitate. To the aqueous solution, 0.5 ml of methanol and 5OuL of 1.0 N sodium hydroxide were added and the reaction heated to 65 C for 2 hours. The reaction was concentrated in vacuuo to remove methanol and the solution acidified with IN hydrochloric acid. A fine precipitate was removed by filtration and dried in vacuum to yield 96 mg of a fine yellow amorphous powder. Analysis of the solid by TLC (SiO2, 5% ethyl acetate, 2% acetic acid in dichloromethane) indicated further purification was desirable. The crude product (67mg ) was purified by column chromatography on silica gel, eluted with a gradient of 2% ethyl acetate to 5% ethyl acetate in mixture of 2% acetic acid in dichloromethane to yield 35mg of pure product. 1H NMR (500 MHz, MeOD) δ ppm 8.43 (s, 1 H) 8.25 (s, 1 H) 8.09 (s, 1 H) 8.03 (d, J=7.02 Hz, 1 H) 7.86 (d, J=8.54 Hz, 1 H) 7.70 (d, J=15.87 Hz, 1 H) 7.64 (d, J=7.63 Hz, 1 H) 7.47 - 7.58 (m, 3 H) 7.36 - 7.46 (m, 3 H) 6.85 (d, J=10.38 Hz, 1 H) 6.57 (d, J=15.87 Hz, 1 H) 6.26 - 6.38 (m, 1 H) 5.05 (s, 1 H) 4.15 (s, 1 H) 2.79 - 2.97 (m, 1 H) 2.51 (d, J=5.19 Hz, 4 H) 1.68 - 2.03 (m, 10 H) 1.17 - 1.52 (m, 5 H); MS m/z 638(MH+); MS m/z 636(M-H)".
6, 7-Dihydro-5, 6-dihydroxy-5H-indolo[2, 1-a] [2] benzazepines.
Examples of the 6,7-Dihydro-5,6-dihydroxy-5H-indolo[2,l- a][2]benzazepines class of inhibitors of the instant invention may be accessed using the methodology depicted in the schemes and described in the examples given below.
Methyl (5R, 6S)-rel-13-cyclohexyl-6, 7-dihydro-5, 6-dihydroxy-5H-indolo[2, 1- a] [2] benzazepine-10-carboxylate.
OsO4 (23 mg, 0.09 mmol) was added to a stirred solution of methyl 13- cyclohexyl-7H-indolo {2,1 -a] [2]benzazepine-l O-carboxylate (341 mg, 0.92 mmol)
and 4-methyl-morpholine N-oxide(430 mg, 3.68 mmol) in acetone-water (50 niL-6 mL) at rt. The reaction mixture was stirred at rt for 18 hr and then diluted with aqueous sodium thiosulfate. The mixture was extracted with ethyl acetate. The organic layer was washed with brine (3x) and dried over sodium sulfate, filtered and evaporated under reduced pressure. The crude product was purified utilizing a Biotage apparatus with a prepacked silica column and using gradients of hexanes:ethyl acetate of from (98:2) to (80:20) to afford the product as a light yellow solid (340 mg, 91%). ESI-MS m/z 406 (MH+); IH NMR (500 MHz, MeOD) δ 1.25 (m, 1 H) 1.43 (m, 2 H) 1.58 (d, J=13.12 Hz, 1 H) 1.77 (d, J=8.85 Hz, 2 H) 2.02 (m, 4 H) 2.93 (m, 1 H) 3.31 (m, 1 H) 3.93 (s, 3 H) 4.40 (d, J=4.58 Hz, 1 H) 4.52 (m, 1 H) 4.68 (dd, J=14.19, 7.17 Hz, 1 H) 7.40 (t, J=7.32 Hz, 1 H) 7.44 (t, J=7.32 Hz, 1 H) 7.51 (t, J=7.48 Hz, 1 H) 7.70 (d, J=8.55 Hz, 1 H) 7.78 (d, J=7.63 Hz, 1 H) 7.86 (d, J=8.55 Hz, 1 H) 8.15 (s, 1 H).
(5R, 6S)-rel-13-Cyclohexyl-6, 7-dihydro-5, 6-dihydroxy-5H-indolo[2, 1- a] [2]benzazepine-l 0-carhoxylic acid.
Sodium hydroxide (0.2Λ 1 mL of 1 N, 0.2 mmol) was added to a solution of methyl (5R,6S)-rel-13-cyclohexyl-6,7-dihydro-5,6-dihydroxy-5H-indolo[2,l- a][2]benzazepine-10-carboxylate_(20 mg, 0.049 mmol) in methanol (0.5 mL) and tetrahydrofuran (0.5 mL) in a microwave vial. The vial was sealed and the contents heated at 90 °C for 7 min in a microwave apparatus. The solution was acidified with dilute hydrochloric acid and a precipitate was observed to form. The solid was collected by filtration and purified on the Prep, reverse phase HPLC. The product containing fraction was concentrated on a Speed Vac® to leave the titled compound as a white solid (18 mg, 94 %). ESI-MS m/z 392 (MH+) IH NMR (500 MHz,
MeOD) 6 1.25-1.34 (m, 1 H) 1.39-1.54 (m, 2 H) 1.60-1.67 (m, 1 H) 1.77-1.86 (m, 2 H) 1.93-2.00 (m, 1 H) 2.01-2.17 (m, 3 H) 2.93-3.02 (m, 1 H) 3.36 (m, 1 H) 4.43 (d, J=4.27 Hz, 1 H) 4.54 (m, 1 H) 4.72 (dd, J=14.19, 7.17 Hz, 1 H) 7.46 (m, 2 H) 7.53 (m, 1 H) 7.74 (dd, J=8.39, 1.37 Hz, 1 H) 7.79 (d, J=7.63 Hz, 1 H) 7.90 (d, J=8.24 Hz, I H) 8.19 (s, l H).
13-Cyclohexyl-N-[(dimethylamino)sulfonyl]-6, 7-dihydro-(5R, 6S)-rel-5, 6-dihydroxy- 5H-Indolo[2, 1 -a] [2] benzazepine-10-carboxamide.
1 - [3 -(Dimethylamino)propyl] -3 -ethylcarbodiimide hydrochloride (12.6mg, 0.066 mmol) was added to a solution of 13-cyclohexyl-6,7-dihydro-(5R,6S)-rel-5,6- dihydroxy-5H-indolo[2,l-a][2]benzazepine-10-carboxylic acid (8.7mg, 0.022 mmol) and DMAP (8.1 mg, 0.066 mmol) in DMF (0.3 mL) and CH2Cl2 (0.3 mL) at 22 °C. The vial was shaken for a minute at 22 °C. then N,N-dimethylsulfamide (5.5 mg, 0.044 mmol) was added. Stirring was continued for 18 hr. The solution was then filtered and purified by Prep, reverse phase chromatography. The product containing fraction was concentrated on a Speed Vac® to leave the title compound as a white film (1.2 mg, 11 %). ESI-MS m/z 498 (MH+) IH NMR (500 MHz, MeOD) δ 1.23- 1.33 (m, 1 H) 1.39-1.54 (m, 2 H) 1.62 (m, 1 H) 1.77-1.87 (m, 2 H) 1.93-2.18 (m, 4 H) 2.99 (d, J=I 1.29 Hz, 1 H) 3.04 (s5 6 H) 3.35 (m, 1 H) 4.42 (d, J=4.58 Hz, 1 H) 4.56 (m, 1 H) 4.75 (dd, J=14.50, 7.17 Hz, 1 H) 7.47 (m, 2 H) 7.54 (m, 1 H) 7.61 (dd, J=8.55, 1.53 Hz5 1 H) 7.80 (d, J=7.63 Hz5 1 H) 7.94 (d, J=8.85 Hz, 1 H) 8.13 (s, 1 H).
Methyl 3-[4-[[[l-[[13-cyclohexyl-6, 7-dihydro-(5R, 6S)-rel-5, 6-dihydroxy-5H- indolo[2, 1-a] [2]benzazepin-l 0- yl] carhonyl] amino] cyclopentyl] carbonyl] amino] phenyl] -(2E)-propeιτoate.
TBTU (30 mg, 0.092 mmol) was added to a stirred solution of 13-cyclohexyl- 6,7-dihydro-(5R,6S)-rel-5,6-dihydroxy-5H-mdolo[2,l-a][2]benzazepine-10- carboxylic acid_(30 mg, 0.077 mmol), (E)-ethyl (3-(4-(l- aminocyclopentanecarboxamido)phenyl)acrylate (25 mg, 0.085 mmol), and N5N- diisopropylethylamine (0.1 mL, 0.58 mmol) in DMF (1 mL). The mixture was stirred at 22 0C for 20 min. The resulting solution was filtered and fractionated using Prep, reverse phase chromatography. The product containing fraction was concentrated on a Speed Vac® to leave the product as a white solid (90%). ESI-MS m/z 662 (MH+); IH NMR (500 MHz, MeOD) δ 1.20-1.34 (m, 1 H) 1.35-1.54 (m, 2 H) 1.55-1.66 (m, 1 H) 1.75-1.83 (m, 2 H) 1.83-1.98 (m, 5 H) 1.97-2.16 (m, 3 H) 2.16-2.27 (m, 2 H) 2.46-2.56 (m, 2 H) 2.96 (m, 1 H) 3.30 (d, J=10.07 Hz, 1 H) 3.78 (s, 3 H) 4.41 (d, J=4.58 Hz, 1 H) 4.54 (d, J=4.58 Hz, 1 H) 4.74 (dd, J=14.19, 7.17 Hz, 1 H) 6.44 (d, J^=I 6.17 Hz, 1 H) 7.38-7.56 (m, 5 H) 7.58-7.67 (m, 4 H) 7.78 (d, J=7.63 Hz, 1 H) 7.89 (d, J=8.54 Hz, 1 H) 8.12 (s, 1 H).
In further examples of derivitization of the bridge in the inhibitors of the instant invention, the previously described dihydroxy derivatives can be converted to the corresponding ketone analogs shown below. This provides a synthetic handle for additional modifications to be made to the structure by methods known to those skilled in the art. Some examples of such derivitizations are provided for illustrative purposes in the schemes and examples provided below, and are not intended to limit the scope of the current invention.
p-Toluenesulfonic acid (50 mg, 0.29 mmol) was added to methyl 13- cyclohexyl-6,7-dihydro-(5R,6S)-rel-5,6-dihydroxy-5H-indolo[2,l-a][2]benzazepine- 10-carboxylate (100 mg, 0.25 mmol) in 50 mL of dry toluene. The solution was heated under reflux forl 8 hr with removal of water using a Dean-Stark trap. The solution was diluted with ethyl acetate and washed with brine (3x) and dried over sodium sulfate, filtered and concentrated in vacuo. The crude product was purified utilizing a Biotage apparatus with a prepacked silica column and using gradients of hexanes: ethyl acetate of from (98:2) to (85:15) to afford the product as a light yellow solid ( 60 mg, 62 %). ESI-MS m/z 388 (MH+); IH NMR (500 MHz, CHLOROFORM-D) δ 1.22-1.68 (m, 4 H) 1.73-1.83 (m, 2 H) 1.91-1.99 (m, 1 H)
2.02-2.15 (m, 3 H) 2.95 (m, 1 H) 3.57 (d, J=14.04 Hz, 1 H) 3.84 (d, J=14.04 Hz, 1 H) 3.95 (s, 3 H) 4.44 (d, J=18.01 Hz, 1 H) 4.96 (d, J=18.01 Hz, 1 H) 7.35 (d, J=7.63 Hz, 1 H) 7.43 (m, 1 H) 7.48 (t, J=7.32 Hz, 1 H) 7.54 (m, 1 H) 7.81 (d, J=8.55 Hz, 1 H) 7.92 (d, J=8.55 Hz, 1 H) 8.09 (s, 1 H).
13-Cyclohexyl-6, 7-dihydro-6-oxo -5H-indolo[2, l-a][2]benzazepine-l O-carboxylic acid.
Sodium hydroxide (0.2 mL of 1 N, 0.2 mmol) was added to a solution of the Methyl 13-cyclohexyl-6,7-dihydro-6-oxo -5H-indolo[2, 1 -a] [2]benzazepine- 10- carboxylate (20 mg, 0.052 mmol) in methanol (0.5 mL) and tetrahydrofuran (0.5 mL) in a microwave vial. The vial was sealed and the contents heated at 90 °C for 5 min in a microwave apparatus. The solution was acidified with dilute hydrochloric acid to precipitate the crude acid. The solid was collected and purified on the Shimadzu preparative liquid chromatograph. The product containing fraction was concentrated on a Speed Vac® to leave the titled compound as a white solid (18 mg, 92 %). ESI- MS m/z 374 (MH+); IH NMR (500 MHz, ACETONE-D6) δ 1.22-1.35 (m, 1 H) 1.41-1.58 (m, 2 H) 1.59-1.70 (m, 1 H) 1.73-1.85 (m, 2 H) 1.92-2.00 (m, 1 H) 2.11- 2.26 (m, 3 H) 3.04 (m, 1 H) 3.60 (d, J=14.04 Hz, 1 H) 3.97 (d, J=13.73 Hz, 1 H) 4.56 (d, J=18.31 Hz, 1 H) 5.19 (d, J=18.31 Hz, 1 H) 7.51 (m, 2 H) 7.57 (t, J=7.32 Hz, 1 H) 7.66 (d, J=7.63 Hz, 1 H) 7.81 (dd, J=8.39, 1.37 Hz, 1 H) 8.03 (d, J=8.24 Hz, 1 H) 8.23 (s, 3 H).
US2006/004156
297
Methyl (±)-13-cyclohexyl-6, 7-dihydro-6-hydroxy -5H-indolo[2,l-a][2]benzazepine- 10-carboxylate.
Sodium borohydride(50 mg, 1.3 mmol) was added to a solution of methyl 13- cydohexyl-όJ-dihydro-ό-oxo -SH-indolo^l-ajβjbenzazepme-lO-carboxylate (29 mg, 0.074 mmol) in methanol (4 mL) and tetrahydrofuran (2 mL) at rt. The evolution of H2 was instantaneous and stirring was continued for 30 min at rt. The mixture was concentrated on a rotary evaporator and and the residue purified on the Shimadzu preparative liquid chromatograph. The product containing fraction was concentrated on a Speed Vac® to leave the titled compound as a white solid (27.5 mg, 96 %). ESI-MS m/z 390 (MH+); IHNMR (500 MHz, CHLOROFORM-D) δ 1.18- 1.31 (m, 1 H) 1.32-1.53 (m, 2 H) 1.60-1.70 (m, 1 H) 1.71-1.84 (m, 2 H) 1.86-2.18 (m, 4 H) 2.38-3.12 (m, 3 H) 3.36-3.83 (m, 1 H) 3.94 (m, 3 H) 4.39-4.68 (m, 2 H) 7.32- 7.48 (m, 4 H) 7.76 (t, J=8.39 Hz, 1 H) 7.88 (t, J=8.09 Hz, 1 H) 8.14 (m, 1 H).
(±)-l 3-cyclohexyl-6,7-dihydro-6-hydroxy -5H-indolo[2, 1 -a] [2] benzazepine-10- carboxylate.
Sodium hydroxide (0.5 niL of 1 N5 0.5 mmol) was added to a solution of the preceding methyl ester (27.5 mg, 0.071 mmol) in methanol (0.5 mL) and tetrahydrofuran (0.5 mL) in a microwave vial. The vial was sealed and the contents heated at 90 °C for 10 min in a microwave apparatus. The solution was acidified with dilute hydrochloric acid to precipitate the crude acid. The solid was collected and purified on the Shimadzu preparative liquid chromatograph. The product containing fraction was concentrated on a Speed Vac® to leave the titled compound as a white solid (13.0 mg, 49 %). ESI-MS m/z 316 (MH+); IH NMR (500 MHz, MeOD) δ 1.22-1.35 (m, 1 H) 1.38-1.55 (m, 2 H) 1.57-1.69 (m, 1 H) 1.74-1.87 (m, 2 H) 1.91- 2.22 (m, 4 H) 2.35-2.71 (m, 1 H) 2.75-3.06 (m, 2 H) 3.35-3.77 (m, 1 H) 4.37-4.65 (m, 2 H) 7.33-7.50 (m, 4 H) 7.73 (d, J=8.55 Hz, 1 H) 7.89 (d, J=8.24 Hz5 1 H) 8.20 (m, 1 H).
(±)-13-Cyclohexyl-N-[(dimethylamino)sulfonyl]- 6, 7-dihydro-6-hydroxy -5H- indolo[2, 1-a] [2]benzazepϊne-l 0-carboxamide.
l-[3-(Dimethylamino)propyl]-3-ethylcarbodiimide hydrochloride (11.5mg, 0.06 mmol) was added to a solution of (±)13-cyclohexyl-6,7-dihydro-6-hydroxy - 5H-indolo[25l-a][2]benzazepine-10-carboxylic acid (7.5 mg, 0.02 mmol) and DMAP(7.4 mg, 0.06 mmol) in DMF (0.5 mL) and CH2Cl2 (0.5 mL) at 22 °C. The vial was shaken for a minute at 22 0C. N5N-Dimethylsulfamide (4.9 mg, 0.04 mmol) was then added. Stirring was continued for 18 hr. The solution was filtered and purified on the Shimadzu preparative liquid chromatograph. The product containing fraction was concentrated on a Speed Vac® to leave the titled compound as a white film (3.0 mg, 30 %). ESI-MS m/z 482 (MH+); IH NMR (500 MHz, MeOD) δ 1.26-
1.34 (m, 1 H) 1.40-1.55 (m, 2 H) 1.63 (m, 1 H) 1.82 (m, 2 H) 1.96 (m, 1 H) 2.01-2.19 (m, 3 H) 2.36 (m, 1 H) 2.95-3.08 (m, 2 H) 3.03 (s, 6 H) 3.76 (dd, J=15.26, 3.36 Hz, 1 H) 4.41-4.69 (m, 2 H) 7.40-7.50 (m, 4 H) 7.60 (m, 1 H) 7.93 (m, 1 H) 8.11 (m, 1 H).
Another variation for generating additional examples of the instant invention involves performing reductive animations with either cyclic or acyclic 1° or 2° amines to generate products of the type shown below.
(±)-Methyl 13-cyclohexyl-6, 7-dihydro-6-(morpholin-4-yl)-5H-indolo[2, 1- a] [2]benzazepine-l O-carhoxylate.
Zinc chloride (21 mg, 0.15mmol) and morpholine ( 40 μL, 0.46 mmol) were added to methyl 13-cyclohexyl-6,7-dihydro-6-oxo-5H-indolo[2,l-a][2]benzazepine- 10-carboxylate (30 mg, 0.078 mmol) in MeOH (3 mL). The mixture was heated at 60 °C for 3 hr when sodium cyanoborohydride (29 mg, 0.46 mmol) was added. Heating was continued for another hr. The mixture was concentrated and the crude product purified by chromatography on a SiO2 preparative plate using dichloromethane containing 2 N methanolic ammonia (100: 1). to afford the product as a light yellow solid ( 25 mg, 70 %). ESI-MS m/z 806 (MH+); IH NMR (500 MHz, MeOD) δ 1.28-1.36 (m, 1 H) 1.36-1.53 (m, 2 H) 1.59-1.71 (m, 1 H) 1.74-1.86 (m, 2 H) 1.92-2.19 (m, 4 H) 2.36-2.53 (m, 1 H) 2.58 (m, 1 H) 2.73 (m, 2 H) 2.89 (m, 1 H) 2.99 (m, 1 H) 3.12 (m, 1 H) 3.38 (m, 1 H) 3.58-3.77 (m, 4 H) 3.86-4.00 (m, 3 H) 4.04-4.17 (m, 1 H) 4.51-4.66 (m, 1 H) 7.35-7.50 (m, 4 H) 7.71 (d, J=8.55 Hz, 1 H) 7.88 (m, 1 H) 8.13 (m, 1 H).
(±)-Methyl 13-cyclohexyl-6, 7-dihydro-6-(morpholin-4-yl)-5H-indolo[2, 1- a] [2] benzazepine-10-carboxylate.
1 -[3-(Dimethylamino)propyl]-3-etliylcarbodiimide hydrochloride (11.5mg, 0.06 mmol) was added to a solution of (±)13-cyclohexyl-6,7-dihydro-6-hydroxy - 5H-indolo[2,l-a][2]benzazepine-10-carboxylic acid (7.5 mg, 0.02 mmol) and DMAP(7.4 mg, 0.06 mmol) in DMF (0.5 mL) and CH2Cl2 (0.5 mL) at 22 °C. The vial was shaken for a minute at 22 0C. N,N-Dimethylsulfamide (4.9 mg, 0.04 mmol) was then added. Stirring was continued for 18 hr. The solution was filtered and purified on the Shimadzu preparative liquid chromatograph. The product containing fraction was concentrated on a Speed Vac® to leave the titled compound as a white film (3.0 mg, 30 %). ESI-MS m/z 445 (MH+); IH NMR (500 MHz, MeOD) δ 1.26- 1.38 (m, 1 H) 1.42-1.56 (m, 2 H) 1.58-1.72 (m, 1 H) 1.79-1.89 (m, 2 H) 1.95-2.02 (m, 1 H) 2.03-2.23 (m, 3 H) 2.84-3.08 (m, 2 H) 3.34-3.67 (m, 6 H) 3.89-4.01 (m, 5 H) 4.08-4.18 (m, 1 H) 7.48-7.66 (m, 4 H) 7.78-7.85 (m, 8.39 Hz, 1 H) 7.93-8.01 (m, 1 H) 8.22-8.31 (m, 1 H).
Yet another method for the introduction of additional functionality onto the bridging element of select examples of the instant invention, involves the chemoselective reduction of the bridge carboxylate functionality in the di-ester examples shown below. This results in the generation of hydroxyl methyl derivatives of the type described below.
Methyl (±)-13-cyclohexyl-6, 7-dihydro -6-hydroxymethyl-5H-indolo[2,l- a] [2] benzazepine-10-carboxylate.
A solution of borane in THF (0.18 niL of 1 N, 0.18 mmol) was added to a solution of methyl (±)-6-carboxy -13-cyclohexyl-6,7-dihydro-5H-indolo[2,l- a] [2]benzazepine- 10-carboxylate (50 mg, 0.12 mmol) in THF (5 mL) at 0 °C. The cooling bath was removed and stirring continued at ambient temperatures for 18 hr.. The solution was diluted with ethyl acetate and washed with dilute HCl (Ix), brine (3x), and then dried (Na2SO4). The crude product was purified on the Shiniadzu preparative liquid chromatograph. The product containing fraction was concentrated on a Speed Vac® to leave the titled compound as a white film ( 25mg, 52 %). ESI- MS m/z 404 (MH+); IH NMR (300 MHz, MeOD) δ 1.14-2.19 (m, 11 H) 2.34-2.80 (m, 2 H) 2.82-3.26 (m, 2 H) 3.25-3.38 (m, 1 H) 3.44-3.82 (m, 1 H) 3.92 (s, 3 H) 4.48- 4.61 (m, 1 H) 7.35-7.46 (m, 4 H) 7.68 (m, 1 H) 7.85 (m, 1 H) 8.17 (m, 1 H).
(±)-13-Cyclohexyl-6, 7-dihydro -6-hydroxymethyl-5H-indolo[2, 1-a] ' [2] benzazepine- 10-carboxylic acid.
Sodium hydroxide (0.2 mL of 1 N, 0.2 mmol) was added to a solution of methyl (±)-13-cyclohexyl-6,7-dihydro-6-hydroxymethyl-5H-indolo[2,l- a][2]benzazepine-10-carboxylate (15.0 mg, 0.037 mmol) in methanol (0.5 mL) and tetrahydrofuran (0.5 mL) in a microwave vial. The vial was sealed and the contents heated at 100 °C for 10 min in a microwave apparatus. The solution was acidified with dilute hydrochloric acid to precipitate the crude acid. The solid was collected and purified on the Shimadzu preparative liquid chromatograph. The product containing fraction was concentrated on a Speed Vac® to leave the titled compound as a white solid (10.0 mg, 69 %). ESI-MS m/z 390 (MH+); IH NMR (500 MHz, MeOD) 5 1.19-1.34 (m, 1 H) 1.36-1.56 (m, 2 H) 1.63 (m, 1 H) 1.74-1.87 (m, 2 H) 1.91-2.21 (m, 5 H) 2.37-2.60 (m, 1 H) 2.74 (m, 1 H) 2.97 (m, 1 H) 3.36 (m, 1 H) 3.47-3.67 (m, 2 H) 4.59 (m, 1 H) 7.38-7.50 (m, 4 H) 7.72 (m, 1 H) 7.88 (m, 1 H) 8.18 (m, 1 H).
Many examples of the instant invention are composed of racemic mixtures of enantiomers. In addition to the methodology discussed previously, such mixtures can be resolved using preparative HPLC involving a chiral stationary phase. An illustrative example of this procedure is provided below.
Resolution of '(+/-)- 13-Cyclohexyl-6, 7-dihydro-6-(morpholinylcarbonyl)-5H- indolo[2, l-a][2]benzazepine~l 0-carboxylic acid.
A solution of racemic lS-Cyclohexyl-ό^-dihydro-δ^morpholinylcarbonyl)- 5H-indolo[2,l-a][2]benzazepine-10-carboxylic acid (20 mg) in ethanol (ImL) was injected on a Chiralpak® AD column (20 x 250mm, 5μm). The column was eluted with a mixture of 70% heptane and 30% ethanol at a flow rate of lOmL/min for 60 min to give a complete separation of the enantiomers.
Enantiomer 1 (lOmg), retention time 14.5min ESI-MS m/z 487 (MH+), 1H NMR (500 MHz, CD3OD) δ 1.24-1.35 (m, 1 H), 1.40-1.55 (m, 2 H), 1.60-1.68 (m, 1 H), 1.76-1.87 (m, 2 H), 1.93-2.20 (m, 4 H), 2.76 (m, 1 H), 2.87-3.02 (m, 1 H), 3.44- 3.51 (m, 1 H), 3.59-3.92 (m, 9 H), 4.47-4.59 (m, 1 H), 4.90 (m, 1 H), 7.31-7.42 (m, 1 H), 7.48 (m, 3 H), 7.72 (m, 1 H), 7.88 (m, 1 H), 8.16 (m, 1 H).
Enantiomer 2 (lOmg), retention time 42.8min. ESI-MS m/z 487 (MH+), 1H NMR (500 MHz, CD3OD) δ 1.24-1.35 (m, 1 H), 1.40-1.55 (m, 2 H), 1.60-1.68 (m, 1 H), 1.76-1.87 (m, 2 H), 1.93-2.20 (m, 4 H), 2.76 (m, 1 H), 2.87-3.02 (m, 1 H), 3.44- 3.51 (m, 1 H), 3.59-3.92 (m, 9 H)5 4.47-4.59 (m, 1 H), 4.90 (m, 1 H), 7.31-7.42 (m, 1 H)5 7.48 (m, 3 H)5 7.72 (m, 1 H)5 7.88 (m5 1 H), 8.16 (m, 1 H).
13-Cyclohexyl-N-[(dimethylamino)sulfonyl]- 6, 7-dihydro-6-(morpholinylcarbonyl) - 5H-indolo[2, 1-a] [2]benzazepine-l O-carboxamide.
l-[3-(Dimethylainino)propyl]-3-ethylcarbodiimide hydrochloride (11.8 mg, 0.06 mmol) was added to a solution of Enantiomer 2 (10 mg, 0.02 mmol) and DMAP( 25.1 mg, 0.21 mmol) in DMA (1.0 mL) and CH2Cl2 (1.0 mL) at 22 °C. The vial was shaken for a minute at 22 °C. N,N-Dimethylsulfamide (7.5 mg, 0.06 mmol) was then added. Stirring was continued at 4O0C for 18 hr. The solution was filtered and purified on the Shimadzu preparative liquid chromatograph. The product containing fraction was concentrated on a Speed Vac to leave the titled compound as a white film (4.0 mg, 35 %). ESI-MS m/z 579 (MH+); 1H NMR (500 MHz, CD3OD) δ 1.24-1.35 (m, 1 H) 1.42-1.54 (m, 2 H) 1.60-1.68 (m, 1 H) 1.82 (m, 2 H) 1.97 (m, 1 H) 2.02-2.18 (m, 3 H) 2.74-2.86 (m, 1 H) 2.94-3.01 (m, 1 H) 3.04 (s, 6 H) 3.51-3.57 (m, 1 H) 3.60-3.90 (m, 9 H) 4.49-4.66 (m, 1 H) 4.81-4.97 (m, 1 H) 7.31- 7.43 (m, 1 H) 7.45-7.53 (m, 3 H) 7.59 (m, 1 H) 7.92 (m, 1 H) 8.07 (m, 1 H).
An additional methodology for the generation of the fused heterocyclic ring systems of the instant invention involves a Michael reaction between acrylonitrile and a suitably functionalized indole derivative, as shown in the scheme provided below.
Alkylation of the bromoindole shown provided the alkylated product in good yield. Subsequent Suzuki reaction of this compound with 2-formylboronic acid provided the indole formyl intermediate as the major product, with an additional minor product being identified as the indolobenzazepine shown. Alternatively, alkylation of indole aryl aldehyde derivative shown in the above scheme with acrylonitrile using the strong base, benzyltrimethylammonium hydroxide, resulted in formation of the isomeric indolobenzazepine shown at the bottom of the scheme.
Methyl 2-bromo-l-(2-cyanoethyl)-3-cyclohexyl-lH-indolβ-6-carboxylate.
Acrylonitrile (10 mL of 1.52 M in 1,4-dioxane, 30.4 mmol) was added to methyl 2-bromo-3-cyclohexyl-lH-indole-6-carboxylate (840 mg, 2.5 mmol) in a
microwave vial. The vial was sealed and Triton® B (500μLl.lμmol) was added via syringe. The vial was heated in a microwave apparatus for 1 hr at 1000C. The solution was cooled and poured to precipitate the crude product. The granular solid was collected, washed with water and dried. Recrystallization from ethanol gave the product as a colorless solid (696 mg, 74 %). MS m/z 390 (MS+); IH NMR (300 MHz, DMSO-D6) δ ppm 1.27 - 1.49 (m, 3 H) 1.60 - 2.01 (m, 7 H) 2.77 - 2.90 (m, 1 H) 2.98 (t, J=6.40 Hz, 2 H) 3.87 (s, 3 H) 4.62 (t, J=6.59 Hz, 2 H) 7.67 (dd, J=8.42, 1.46 Hz, 1 H) 7.83 (d, J=8.42 Hz, 1 H) 8.25 (s, 1 H).
Methyl 6-cyano-l 3-cyclohexyl-7H-indolo[2, 1 -a] [2] benzazepine-10-carboxylate.
Tetrakis(triphenylphosphine)palladium(0) (207 mg, 0.18 mmol) was added to a stirred and degassed mixture of methyl 2-bromo- 1 -(2-cyanoethyl)-3 -cyclohexyl- lH-indole-6-carboxylate (695 mg, 1.8 mmol), 2-formylphenyl boronic acid (233 mg, 1.56 mmol), LiCl (151 mg, 3.57 mmol) in ethanol (5.8 mL) and toluene (5.8 mL) containing IM aqueous sodium carbonate (5 mL, 5 mmol). The mixture was stirred under reflux for2 hr. The mixture was cooled and diluted with ethyl acetate. The organic layer was washed with water (2x), followed by brine, and dried over sodium sulfate. The extract was concentrated and partially purified by chromatography on SiO2 (35 g) using the flash technique and eluting with methylene chloride with between 10-20 % ethyl, acetate. A solution of the residue when stood in methanol deposited yellow needles of the titled compound. MS m/z 397 (MH+); (500 MHz, CHLOROFORM-D) δ ppm 1.31 - 2.16 (m, 10 H) 2.73 - 2.89 (m, 1 H) 3.97 (s, 3 H) 4.46 (s, 1 H) 5.00 - 5.17 (m, 1 H) 7.41 - 7.47 (m, 1 H) 7.49 - 7.53 (m, 1 H) 7.55 (s, 1 H) 7.57 - 7.61 (m, 1 H) 7.79 (d, J=8.55 Hz, 1 H) 7.91 (d, J=8.55 Hz, 1 H) 8.18 (s, 1 H).
Methyl ό-cyano-H-cyclohexylSH-indoloP, 1 -a] [2]benzazepine-l 0-carboxylate.
Acrylonitrile (2 niL of 1.52 M in 1,4-dioxane, 3.04 mmol) was added to methyl 3-cyclohexyl-2-(2-formylphenyl)-lH-indole-6-carboxylate (200 mg, 0.55 mmol) in a microwave vial. The vial was sealed and Triton® B (50μL, 0.1 lμmol) was added via syringe. The vial was heated in a microwave apparatus for 1 hr at 1000C. The solution was concentrated and the residue dissolved in methylene chloride. The solution was applied to a silica gel thick layer plate. The plated was eluted with hexanes -ethyl acetate (8:2). The product containing band was extracted with methylene chloride -methanol (3x). The combined extracts were concentrated and the residue recrystallized from methanol to afford the titled compound as a tan solid. MS m/z 397 (MH); IH NMR (300 MHz, CHLOROFORM-D) δ ppm 1.16 - 2.25 (m, 10 H) 2.90 - 3.10 (m, 1 H) 3.20 - 3.34 (m, 1 H) 3.60 - 3.75 (m, 1 H) 3.95 (s, 3 H) 7.28 - 7.49 (m, 4 H) 7.76 (s, 1 H) 7.86 - 7.97 (m, 2 H) 8.13 (s, 1 H).
Additional examples of compounds of Formula I are compiled in the following table, and are provided for illustrative purposes only, and are not intended to limit the scope of the current invention. All of these examples can be prepared using one or more, or some combination of the methods and procedures described in the preceding sections of this document.
Table of additional Examples.
319
13-Cyclohexyl-6,7-dihydro-7-oxo-5H~indolo[2, 1 -a] [2,4]benzodiazepine- 10- carboxylic acid and 13-cyclohexyl-6,7-dihydro-6-methyl-7-oxo-5H-indolo[2,l- α][2,4]benzodiazepine-10-carboxylic acid and related compounds may be prepared as shown in the scheme below.
C 22;; RR1' == OH
U R1 = Cl
4; R2 = H 6; R2 = H 8; R2 = H 5; R2 = Me 7; R2 = Me 9; R2 = Me
(a) NaBH4, MeOH-THF, rt (b) SOCI2, CHCI3 (c) R2NH2, dioxane or THF, 60-90 0C (d) KOSiMe3, THF, rt
D-Cyclohexyl-oJ-dihydro-y-oxoSH-indoloftJ-aJft^Jbenzodiazepine-lO- carboxylic acid. Sodium borohydride (37 mg, 1 mmol) was added to a stirred solution of 1 (181 mg, 0.5 mmol) in THF (5 mL) and MeOH (2 mL). The mixture was stirred at rt for 2 Ii and then quenched with IN HCl, neutralized with IN NaOH, extracted with EtOAc to afford pure alcohol 2 (180 mg, 99%): LC/MS m/e 364 (MH+). A mixture of alcohol 2 (150 mg, 0.4 mmol) and SOCl2 (1 mL) in CHC13 (5 mL) was stirred at rt for 2 h and heated to reflux for 15 min. Evaporation of excess SOCl2 and CHC13 gave the desired product 3 (152 mg, 96%): LC/MS m/e 382 (MH+). A stirred mixture of 3 (38 mg, 0.1 mmol) and anhydrous NH3 in dioxane (0.5M, 2 mL) in a sealed tube was heated at 90 oC for 16 h. Evaporation excess NH3 and dioxane afforde the desired amine 4 (35 mg, 99%): LC/MS m/e 363 (MH+). The amine 4 (35 mg) and l,l'-carbonyldiimidazole (25 mg, 0.15 mmol) in an. THF (2 mL) was heated to reflux for 1 h. The reaction was quenched with 0.5N HCl and extracted with EtOAc to afford the desired urea-bridge product 6 (36 mg, 96%): LC/MS m/e 389 (MH+). Methyl ester 6 (30 mg, 0.077 mmol) and KOSiMe3 (30 mg, 0.23 mmol) in an. THF (2 mL) was stirred for 16 h and then acidified with 0.5N HCl. The product extracted with EtOAc and purified by prep. HPLC to provide the desired acid 8 (23 mg, 79%): LC/MS m/e 375(MH+); IH NMR (400 MHz, CHLOROFORM-D) δ ppm 1.25 (t, J=7.18 Hz5 1 H) 1.35 - 1.53 (m, 2 H) 1.57 - 1.72 (m, 1 H) 1.75 - 1.89 (m, 2 H) 1.91 - 2.01 (m, 1 H) 2.05 - 2.27 (m, 3 H) 2.95 - 3.08 (m, J=12.09, 12.09 Hz, 1 H) 4.02 - 4.16 (m, J=7.30, 7.30, 7.30 Hz, 1 H) 4.38 - 4.57 (m, 1 H) 7.36 - 7.57 (m, 4 H) 7.91 - 8.01 (m, 2 H) 8.73 (s, 1 H) 9.10 (s, 1 H).
13-cyclohexyl-6, 7-dϊhydro~6-methyl-7-oxo-5H-indolo[2, 1 -a] [2,4] ' benzodiazepine- 10- carboxylic acid. Compound 9 was prepared by identical procedure except in place of NH3, methylamine was used in animation step. LC/MS m/e 389 (MH+); IH NMR (400 MHz, CHLOROFORM-D) δ ppm 1.16 - 1.30 (m, 1 H) 1.33 - 1.53 (m, 2 H) 1.62 (d, J=13.09 Hz, 1 H) 1.79 (d, J=10.07 Hz, 2 H) 1.92 - 2.00 (m, 1 H) 2.02 - 2.23 (m, 3 H) 2.93 - 3.05 (m, 1 H) 3.21 (s, 3 H) 3.80 (d, J=14.60 Hz, 1 H) 4.65 (d, J=14.60 Hz, 1 H) 7.34 - 7.38 (m, 1 H) 7.39 - 7.44 (m, 1 H) 7.45 - 7.51 (m, 1 H) 7.51 - 7.55 (m, 1 H) 7.90 - 7.97 (m, 2 H) 8.82 (s, 1 H).
The following table contains additional compounds of Formula I and results from biological evaluation. The compounds were prepared using procedures or general methods described herein. Some characterization data or specific details for preparation are described in the text or in tables that follow.
Table Ia additional biolo y.
A>1 μM; B 0.01 μM - 1 μM; EC50: C >10 μM; D >1 μM - 10 μM; E 1.0 μM - 0.05 μM; F < 0.02 μM;. ; G > 12.5 μM H>3.3μM J>0.1, K>4.0μM ;. IC50 values were determined using the preincubation protocol. EC50 values were determined using the FRET assay.
The general LCMS information pertains to the procedures which follow until noted: LCMS data: Stop time: Gradient time + 1 minute; Starting cone: 0% B unless otherwise noted; Eluent A: 5% CH3CN / 95% H2O with 10 mM NH4OAc (for columns A, D and E); 10 % MeOH / 90 % H2O with 0.1% TFA (for columns B and C); Eluent B: 95% CH3CN / 5% H2O with 10 mM NH4OAc (for columns A, D and E); 90 % MeOH / 10 % H2O with 0.1% TFA (for columns B and C); Column A: Phenomenex lOμ 4.6 x 50 mm C18; Column B: Phenomenex C18 lOμ 3.0 x 50 mm; Column C: Phenomenex 4.6 x 50 mm C18 lOμ; Column D: Phenomenex Lina C18 5μ 3.0 x 50 mm; Column E: Phenomenex 5μ 4.6 x 50 mm Cl 8.
To a slurried solution of methyl 24)romo-3-cyclohexyl-lH-indole-6-carboxylate (4.3 g, 13 mmol), 4-methoxy-2-formylphenylboronic acid (3.0 g, 17 mmol) and LiCl (2.2 g, 51 mmol) in EtOH/toluene (1:1, 100 mL) was added Pd(PPh3)4 (1.4 g, 1.3 mmol) and then IM Na2CO3 (aq.) (32 mL, 32 mmol). The reaction solution was flushed with nitrogen and heated at 100 0C for 3h and cooled to rt. The reaction was concentrated to remove EtOH, diluted with H2O (200 mL) and extracted with EtOAc (2 x 150 mL). The combined organics were washed with brine (100 mL), dried
(MgSO4), filtered and concentrated to dryness. The residue was triturated with CH2Cl2 and the solids were collected by filtrated and washed with Et2O and CH2Cl2 to yield methyl 1 l-cyclohexyl-6-hydroxy-8-methoxy-6Ji-isoindolo[2,l-α]indole-3- carboxylate (3.0 g, 8.0 mmol, 63%) as a yellow solid which was used without further purification. LCMS: m/e 374 (M+H)+, ret time 3.09 min, column B, 3 minute gradient.
A solution of methyl ll-cyclohexyl-6-hydroxy-8-methoxy-6H-isoindolo[2,l- α]indole-3-carboxylate (2.9 g, 7.4 mmol), methyl 2-(dimethoxyphosphoryl)acrylate (2.6 g, 11 mmol), cesium carbonate (3.6 g, 11 mmol) in DMF (20 mL) was heated at 60 0C for 2h and cooled to rt. The stirring reaction mixture was diluted with H2O (50 mL) and the precipitates were collected by filtration to yield dimethyl 13- cyclohexyl-3-methoxy-7if-indolo[2, 1 -a] [2]benzazepine-6, 10-dicarboxylate (3.3 g, 7.1 mmol, 97%) as a yellow solid which was used without further purification. LCMS: m/e 460 (M+H)+, ret time 3.35 min, column B, 3 minute gradient.
A solution of tetrabutylammonium hydroxide (IM in MeOH, 2.2 mL, 2.2 mmol) was added to a stirring solution of dimethyl 13-cyclohexyl-3-methoxy-7H-indolo[2,l-
α][2]benzazepine-6,10-dicarboxylate (1.0 g, 2.2 mmol) in THF (75 niL) and stirred at rt overnight. The reaction mixture was concentrated to ~30 niL, diluted with EtOAc (120 mL), washed with 0.5 M HCl (aq.) (2 x 50 mL) and brine (40 niL), dried (MgSO4), filtered and concentrated to dryness to yield methyl 7H-indolo[2,l- α][2]benzazepine-10-carboxylate, 13-cyclohexyl, 3-methoxy, 6-carboxylic acid (1.0 g, 2.2 mmol, quant.) as a yellow solid which was used without further purification. LCMS: m/e 446 (M+H)+, ret time 1.54 min, column A, 2 minute gradient.
A solution of methyl 2-bromo-3-cyclohexyl-lH-indole-6-carboxylate (20 g, 60 mmol) and LiOH (3.8 g, 160 mmol) in MeOH/THF/H2O (1:1:1, 300 mL) was heated at 90 0C for 2h. The reaction mixture was cooled in an ice/H2O bath, neutralized with IM HCl (-160 mL) diluted with H2O (250 mL) and stirred for Ih at rt. The precipitates were collected by filtration rinse with H2O and dried to yield 2-bromo-3- cyclohexyl-lH-indole-6-carboxylic acid (quant.) which was used without further purification.
Carbonyl diimidazole (6.0 g, 37 mmol) was added to a solution of 2-bromo-3- cyclohexyl-lH-indole-6-carboxylic acid (10 g, 31 mmol) in THF (30 mL) and the reaction was stirred at 50 0C for 2h (a white precipitate had formed). The reaction was cooled to rt and treated with N,N-dimethylsulfamide (4.6 g, 37 mmol). Then DBU (6.7 mL) in THF (20 mL) was added dropwise and the reaction was stirred at rt overnight. The solution was diluted with EtOAc (300 mL) and washed with H2O (150 mL), IN aqueous HCl (2 x 100 mL) and brine (100 mL). The combined aqueous layers were extracted with EtOAc (200 mL) and the organic layer was washed withlN aqueous HCl (150 mL) and brine (50 mL). The combined organic layers were dried (MgSO4), filtered and concentrated to an oil. The oil was diluted with Et2O and concentrated to a semi-solid which was triturated with Et2O to yield 2- bromo-3-cyclohexyl-iV-[(dimethylamino)sulfonyl]-indole-6-carboxamide (6.1 g, 14 mmol, 46%) as a light yellow solid. The organic washes where concentrated and purified by silica gel chromatography (20-35% EtOAc/hexanes) to yield additional 2- bromo-3-cyclohexyl-N-[(dimethylamino)sulfonyl]-indole-6-carboxamide (2.5 g, 6 mmol, 19%). 1HNMR (500 MHz, CD3OD) δ 7.90 (d, J= 1.8 Hz, IH)5 7.77 (d, J= 8.5 Hz, IH), 7.56 (dd, J= 1.8, 8.5 Hz, IH), 3.01 (s, 6H), 2.93 - 2.86 (m, IH), 2.04 - 1.76 (m, 7H), 1.54 - 1.37 (m, 3H). LCMS: m/e 426 (M-H)", ret time 1.55 min, column A, 2 minute gradient.
To a slurried solution of 2-bromo-3-cyclohexyl-iV-[(dimethylamino)sulfonyl]-indole- 6-carboxamide (4.3 g, 10 mmol), 4-methoxy-2-formylphenylboronic acid (2.5 g, 14 mmol) and LiCl (1.05 g, 25 mmol) in EtOH/toluene (1:1, 80 mL) was added Pd(PPh3)4 (1.12 g, 1.0 mmol) and then IM Na2CO3 (aq.) (30 mL, 30 mmol). The reaction solution was flushed with nitrogen and heated at 85 0C for 18h and cooled to rt. The reaction was diluted with EtOAc (200 mL), washed with 0.5N aqueous HCl
(100 mL) and brine (50 mL), dried (MgSO4), filtered and concentrated to yield 11- cyclohexyl-iV-[(dimethylaniino)sulfonyl]-6-hydroxy-8-metlioxy-6H'-isoindolo[2,l- α]indole-3-carboxamide which was used without further purification. LCMS: m/e 482 (M-H)", ret time 1.63 min, column A, 2 minute gradient.
A solution of ll-cyclohexyl-N-[(dimethylamino)sulfonyl]-6-hydroxy-8-methoxy-6H- isoindolo[2,l-tf]indole-3-carboxamide (10 mmol, crude from previous experiment), methyl 2-(dimethoxyphosphoryl)acrylate (2.9 g, 15 mmol), cesium carbonate (3.9 g, 12 mmol) in DMF (30 mL) was heated at 60 0C for 3h. Additional methyl 2- (dimethoxyphosphoryl)acrylate (1.2 g, 6 mmol) was added and the reaction was heated at 70 0C for 2h. Additional methyl 2-(dimethoxyphosphoryl)acrylate (0.8 g, 4 mmol), cesium carbonate (1.6 g, 5 mmol) and DMF (6 mL) were added and the react was heated at 60 0C for 1 Oh and cooled to rt. The stirring reaction mixture was diluted with H2O (150 mL), neutralized with IN aqueous HCl and the precipitates were collected by filtration. The solids were purified by silica gel chromatography (Biotage Horizon, 65M, 25-50% EtOAc/hexanes) to yield methyl 13-cyclohexyl- N- [(dimethylamino)sulfonyl]-3-methoxy-7H-indolo[2, 1 -a] [2]benzazepine-6- carboxylate-10-carboxamide (4.0 g, 7.2 mmol, 72% over two steps) as a yellow solid. 1HNMR (300 MHz, CDCl3) δ 8.67 (s, IH), 8.09 (s, IH), 7.86 (d, J= 8.4 Hz, IH), 7.80 (s, IH), 7.50 (d, J= 8.4 Hz, IH), 7.42 (d, J= 8.8 Hz, IH), 7.08 (dd, J= 2.6, 8.8 Hz, IH), 6.98 (d, J= 2.6 Hz, IH), 5.75 - 5.51 (m, IH), 4.29 - 4.01 (m, IH), 3.89 (s, 3H), 3.82 (s, 3H), 3.05 (s, 6H), 2.87 - 2.73 (m, IH), 2.11 - 1.12 (m, 10H). LCMS: m/e 550 (M-H)", ret time 3.21 min, column A, 4 minute gradient.
Added IM NaOH (aq.) (5 mL, 5 mmol) to a solution of methyl 13-cyclohexyl- N- [(dimethylamino)sulfonyl]-3-methoxy-77f-indolo[2, 1 -a] [2]benzazepine-6- carboxylate-10-carboxamide (900 mg, 1.6 mmol) in THF/MeOH (1:1, 14 mL) and heated the reaction mixture in a sealed tube with microwave irradiation at 85 0C for 30 min. The reaction was cooled, neutralized with IM HCl (aq.) (5 mL, 5.0 mmol) and concentrated to remove organic solvents. The residue was slurried with H2O and the solids were collected by filtration, flushed with H2O and dried to yield 13- cyclohexyl-N-[(dimethylamino)sulfonyl]-3-methoxy-7Hr-indolo[2,l- cr][2]benzazepine-10-carboxamide-6-carboxylic acid (807 mg, 1.5 mmol, 92%) as a yellow solid. LCMS: m/e 536 (M-H)", ret time 2.18 min, column A, 4 minute gradient.
To a stirred solution of 13-cyclohexyl-N-[(dimethylamino)sulfonyl]-3-methoxy-7H- indolo[2,l-α][2]benzazepine-10-carboxamide-6-carboxylic acid (90 mg, 0.17 mmol), 2-(methylamino)ethanol (19 mg, 0.25 mmol) and triethylamine (0.10 mL) in DMF (2 mL) was added ΗATU (82 mg, 0.22 mmol). The reaction mixture was stirred at rt for Ih, diluted with H2O (~5 mL), acidified with IM HCl (aq.) (-0.75 mL) and the
precipitate was collected by filtration. The solids were dissolved into MeOH and purified by preparative HPLC (MeOH/H2O with an NH4OAc buffer) to yield IH- indolo[2, 1 -a] [2]benzazepine-6, 10-dicarboxamide, 13-cyclohexyl-N10- [(dimethylamino)sulfonyl]-Λ'6-(2-hydroxyethyl)-3-methoxy-iV6-methyl- (80 mg, 0.13 mmol, 79%) as a yellow solid. 1HNMR (300 MHz, CD3OD) δ 8.12 (br s, IH), 7.89 (d, J= 8.6 Hz, IH), 7.62 (dd, J= 1.5, 8.6 Hz, IH), 7.56 (d, J= 8.8 Hz, IH), 7.15 (dd, J= 2.6, 8.8 Hz, IH), 7.09 (d, J= 2.6 Hz, IH), 7.05 (s, IH), 5.26 - 5.03 (m, IH), 4.49 - 4.28 (m, IH), 3.93 (s, 3H), 3.85 - 3.61 (m, 4H), 3.03 (s, 3H), 3.01 (s, 6H), 2.93 - 2.82 (m, IH), 2.19 - 1.29 (m, 10H). LCMS: m/e 593 (M-H)", ret time 2.59 min, column A, 4 minute gradient.
To a stirred solution of 13-cyclohexyl-iV-[(dimethylamino)sulfonyl]-3-methoxy-7H- indolo[2,l-α][2]benzazepine-10-carboxamide-6-carboxylic acid (90 mg, 0.17 mmol), diethanolamine (26 mg, 0.25 mmol) and triethylamine (0.10 mL) in DMF (2 mL) was added HATU (82 mg, 0.22 mmol). The reaction mixture was stirred at rt for Ih, diluted with H2O (~5 mL), acidified with IM HCl (aq.) (-0.75 mL) and the precipitate was collected by filtration. The solids were dissolved into MeOH and purified by silica gel chromatography (Biotage Horizon, 25 S, 10-20% MeOH/EtO Ac) to yield 7H-indolo[2, 1 -a] [2]benzazepine-6, 10-dicarboxamide, 13 - cyclohexyl-N10-[(dimethylamino)sulfonyl]-N6,N6-bis(2-hydroxyethyl)-3-methoxy- (74 mg, 0.12 mmol, 70%) as a yellow solid. 1HNMR (300 MHz, CDCl3) δ 10.25 (br s, IH), 7.80 (br s, IH), 7.69 (d, J= 8.4 Hz, IH), 7.40 (d, J= 8.4 Hz, IH), 7.36 (br d, J= 8.8 Hz, IH), 7.06 (s, IH), 7.02 (dd, J= 2.6, 8.8 Hz, IH), 6.94 (d, J= 2.6 Hz, IH), 5.06 - 4.90 (m, IH), 3.94 - 2.84 (m, 10H), 3.90 (s, 3H), 3.00 (s, 6H), 2.07 - 1.02 (m, 10H). LCMS: m/e 623 (M-H)", ret time 2.37 min, column A, 4 minute gradient.
10% Palladium on carbon (50 mg, 0.05 mmol) was added to a solution of 7H- indolo[2, 1 -a] [2]benzazepine-6, 10-dicarboxamide, 13-cyclohexyl-iV10- [(diniethylamino)sulfonyl]-iV6,N6-bis(2-liydroxyethyl)-3-niethoxy- (47 mg, 0.08 mmol) in MeOH (3 mL) and the reaction mixture was vacuum flushed with nitrogen (3X) and then with hydrogen (3X). The reaction mixture was stirred under a balloon of hydrogen overnight. Additional 10% palladium on carbon (30 mg, 0.03 mmol) was added and the reaction mixture was once again vacuum flushed with nitrogen (3X) and then with hydrogen (3X). The reaction was stirred under a balloon of hydrogen overnight, filtered through a pad of celite and concentrated to yield 5H- indolo[2, 1 -a] [2]benzazepine-6, 10-dicarboxamide, 13-cyclohexyl-iV10- [(dimethylamino)sulfonyl] -6,7-dihydro-N6,N6-bis(2-hydroxyethyl)-3 -methoxy- (39 mg, 0.06 mmol, 83%) as a yellow solid. Mixture of atrope diasteromers: 1HNMR (300 MHz, CD3OD) 5 8.13 - 7.93 (m, IH), 7.88 - 7.79 (m, IH), 7.66 - 7.58 (m, IH), 7.40 - 7.31 (m, IH), 7.06 - 6.88 (m, 2H), 4.56 - 4.34 (m, 2H), 3.94 - 3.86 (m, 3H), 3.85 - 3.64 (m, 8H), 3.48 - 3.37 (m, IH), 3.03 - 2.82 (m, 2H), 2.99 (s, 6H), 2.77 - 2.63 (m, IH), 2.19 - 1.17 (m, 10H). LCMS: m/e 625 (M-H)", ret time 2.44 min, column A, 4 minute gradient.
10% Palladium on carbon (70 nig, 0.07 mmol) was added to a solution of 7H- indolo[2, 1 -a] [2]benzazepine-6, 10-dicarboxamide, 13-cyclohexyl-N10- [(dimethylaniino)sulfonyl]-iV6-(2-hydroxyethyl)-3-metlioxy-N6-metliyl- (64 mg, 0.11 mmol) in MeOH (3 mL) and the reaction mixture was vacuum flushed with nitrogen (3X) and then with hydrogen (3X). The reaction was stirred under a balloon of hydrogen overnight, filtered through a pad of celite and concentrated to yield 5H- indolo[2, 1 -a] [2]benzazepine-6, 10-dicarboxamide, 13-cyclohexyl-N10- [(dimetliylamino)sulfonyl]-6,7-dihydro-N6-(2-hydroxyethyl)-3-methoxy-N6-methyl- (50 mg, 0.08 mmol, 78%) as a yellow solid. Mixture of atrope diasteromers: 1HNMR (300 MHz, CD3OD) δ 8.14 - 7.94 (m, IH), 7.91 - 7.82 (m, IH), 7.65 - 7.52 (m, IH), 7.41 - 7.31 (m, IH), 7.10 - 6.95 (m, 2H), 4.66 - 4.44 (m, 2H), 4.12 - 3.56 (m, 9H), 3.04 - 2.66 (m, 5H), 3.01 (s, 6H), 2.17 - 1.21 (m, 10H). LCMS: m/e 595 (M-H)", ret time 2.61 min, column A, 4 minute gradient.
The LCMS data for the procedures which follow was obtained using the following general conditions until noted: LCMS data: Gradient time: 2min; Flow rate: 4 mL/min; Stop time: Gradient time + 1 minute; Starting cone: 0% B; Eluent A: 10 % MeOH / 90 % H2O with 0.1% TFA; Eluent B: 90 % MeOH / 10 % H2O with 0.1% TFA; Column 3: Phenomenex-luna lOμ 4.6 x 50 mm SlO.
13-cyclohexyl-6-[[(2R,6S)-2,6-dimethyl-4-morpholinyl]carbonyl]-N-(2- hydroxyethyl)-7H-indolo[2,l-a][2]benzazepine-10-carboxamide. 7H-indolo[2,l- α][2]benzazepine-10-carboxylic acid, 13-cyclohexyl-6-[[(2i?,6,S)-2,6-dimethyl-4-
morpholinyl]carbonyl]-,(120 mg, 0.29 mmol) was dissolved in methylene chloride (7 mL), oxalyl chloride (2M in CH2Cl2, 0.5mL) and 4 drops of DMF were added . The mixture was stirred at rt for 20 min. Volatiles were removed in vacuo to provide an orange solid containing the corresponding acid chloride. This solid was treated with a solution of ethanolamine (0.5 mL) in THF (2 mL) and stirred at room temperature for Ih. HCl (IN, 2 mL) and EtOAc (10 mL) were added, and the organic phase was separated and dried over Na2SO4 The solvent was removed in vacuo and the residue was purified using reverse phase prep HPLC to afford the title compound as a yellow solid (83 mg, 51%). 1HNMR (500 MHz, DMSO) δ 8.36 (m, IH), 8.18 (br s, IH), 7.87 (m, IH), 7.57 (m, 4H), 6.93 (s, IH), 5.15 (br s, IH), 4.38 (br s, IH), 3.99-3.33 (m, 10H), 2.81 (m, IH), 2.06 - 0.9 (m, 16H). LCMS: m/e 542 (M+H)+, ret time 2.22 min, column 3, 2 minute gradient.
13-cyclohexyl-N-[2-(dimethylamino)ethyl]-6-[[(2R,6S)-2,6-dimethyl-4- morpholinyl] carbonyl] -7H-mdolo[2, 1 -a] [2] benzazepine-10-carboxamide. The title compound was prepared as described above for 13-Cyclohexyl-6-(2,6-dimethyl-4- morpholinylcarbonyl)-5H-indolo[2, 1 -a] [2]benzazepine-N-(2-hydroxyethyl)- 10- carboxamide using aminoethyldiamine as the amine counterpart. After prep HPLC the title compound was obtained as a yellow solid. 1HNMR (500 MHz, DMSO) δ 9.39 (br s, IH), 8.67 (m, IH), 8.17 (s, IH), 7.91 (d, J= 8.5 Hz, IH), 7.57 (m, 4H), 6.96 (s, IH), 5.15 (br s, IH), 4.38 (br s, IH), 3.99-3.33 (m, 10H), 2.89 (s, 6H), 2.06 - 0.9 (m, 16H). LCMS: m/e 569 (M+H)+, ret time 2.20 min, column 3, 2 minute gradient.
13-cyclohexyl-6-[[(2R, 6S)-2, 6-dimethyl-4-morpholinyl]carbonyl]-7H-indolo[2,l- a] [2] benzazepine~10-carboxamide. The title compound was prepared as described above for 13-Cyclohexyl-6-(2,6-diemethyl-4-morpholinylcarbonyl)-5H-indolo[2,l- a][2]benzazepine-N-(2-hydroxyethyl)-10-carboxamide using ammonia in methanol as the amine counterpart. After prep HPLC the title compound was obtained as a yellow solid. 1HNMR (500 MHz, DMSO) δ 8.24 (s, IH), 7.93 (m, IH), 7.85 (d, J- 8.5 Hz, IH), 7.65 (m, IH), 7.38 (m, 4H), 7.22 (br s, IH), 6.91 (br s, IH)5 5.15 (br s, IH), 4.37 (br s, IH), 3.45-3.23 (m, 6H), 2.75 (m, IH), 2.46 - 0.9 (m, 16H). LCMS: m/e 498 (M+H)+, ret time 2.21 min, column 3, 2 minute gradient.
N-ft-flH-l^^-triazol-l-ylJphenylJ-l-aminocyclopentanecarboxamide. l-(Boc- amino)cyclopentanecarboxylic acid (320 mg, 1.4 mmol) in THF was treated with 4- (lH-l,2,4-triazol-l-yl)benzenamine (220 mg, 1.4 mmol), DMAP (341 mg, 2.8 mmol) and HATU (802 mg, 2.1 mmol) and the mixture was stirred at rt for 24h. Solid was filtered off. Volatiles were removed in vacuo. H2O was added and the solid was collected by filtration. This residue was dissolved in CH2Cl2 (5 mL), treated with TFA (1 mL) and stirred at rt for 18h. Volatiles were removed in vacuo to afford the title compound as the TFA salt which was used without further purification in the next step. LCMS: m/e 272 (M+H)+, ret time 0.86 min, column 3, 2 minute gradient.
l-amino-N-(4-(oxazol-5-yl)phenyl)cyclopentanecarboxamide. The title compound was prepared as described above for N-(4-(lH-l,2,4-triazol-l-yl)phenyl)-l- aminocyclopentanecarboxamide using 4-(oxazol-5-yl)benzenamine as the amine counterpart. LCMS: m/e 272 (M+H)+, ret time 1.03 min, column 3, 2 minute gradient.
1 -am ino-N- (5- (4-fluorophenyl) th iazol-2-yl) cyclopentanecarboxamide-S- (4- fluorophβnyl)thiazol-2-amine. l-(Boc-amino)cyclopentanecarboxylic acid (320 mg, 1.4 mmol) in THF was treated with 5-(4-fluorophenyl)thiazol-2-amine (2750 mg, 1.4 mmol), DMAP (341 mg, 2.8 mmol) and HATU (802 mg, 2.1 mmol) and the mixture was stirred at rt for 24h. HATU (802 mg, 2.1 mmol) and the reaction was heated at 5O0C for 48h. AcOEt (10 mL) and H2O (5 mL) were added. The organic phase was dried over sodium sulfate, filtered and concentrated. This residue was dissolved in CH2Cl2 (5 mL), treated with TFA (1 mL) and stirred at rt for 18h. Volatiles were removed in vacuo to afford the title compound as the TFA salt which was purified using prep HPLC. LCMS: m/e 306 (M+H)+, ret time 1.53 min, column 3, 2 minute gradient.
13-cyclohexyl-6-[[(2R,6S)-2,6-dimethyl-4-morpholinyl]carbonyl]-N-[l-[[[4-(5- oxazolyl)phenyl] amino] carbonyl] cyclopentyl] - 7H-indolo[2, 1-a] [2]benzazepine-l 0- carboxamide. The title compound was prepared as described above for 13- Cyclohexyl-6-(2,6-dimethyl-4-morpholinylcarbonyl)-5H-indolo[2,l- a] [2]benzazepine-N-(2-hydroxyethyl)- 10-carboxamide using 1 -amino~N-(4-(oxazol- 5-yl)phenyl)cyclopentanecarboxamide as the amine counterpart. After prep HPLC the title compound was obtained as a yellow solid. 1HNMR (500 MHz, DMSO) δ 9.62 (s, IH), 8.24- 7.55 (m, HH), 6.91-6.75 (m, 2H), 5.15 (br s, IH), 4.37 (br s, IH), 3.45-3.23 (m, 6H), 2.75 (m, IH), 2.49 - 0.9 (m, 24H). LCMS: m/e 752 (M+H)+, ret time 2.38 min, column 3, 2 minute gradient.
13-cyclohexyl-6-[[(2R,6S)-2,6-dimethyl-4-morpholinyl]carbonyl]-N-[l-[[[4-(lH- 1, 2,4-triazol-l-yl)phenyl] amino] carbonyl] cyclopentyl] -7H-indolo[2, 1- a][2]benzazepine-10-carboxamide. The title compound was prepared as described above for 13-Cyclohexyl-6-(2,6-diemethyl-4-morpholinylcarbonyl)-5H-indolo[2, 1 - a][2]benzazepine-N-(2-hydiOxyethyl)-10-carboxamide using N-(4-(lH-l,2,4-triazol- l-yl)phenyl)-l-aminocyclopentanecarboxamide as the amine counterpart. After prep HPLC the title compound was obtained as a yellow solid. 1HNMR (500 MHz, DMSO) δ 9.76 (s, IH), 9.26 (s, IH), 8.36 (s, IH), 8.25 (s, IH), 7.92 - 7.55 (m, 9H), 6.99 (br s, IH), 5.24 (br s, IH), 4.45 (br s, IH), 3.45-3.23 (m, 6H), 2.75 (m, IH), 2.49 - 0.9 (m, 24H). LCMS: m/e 752 (M+H)+, ret time 2.35 min, column 3, 2 minute gradient.
13~cyclohexyl-6-[[(2R,6S)-2,6-dimethyl-4-morpholinyl]carbonyl]-N-[l-[[[4-(lH- 1, 2,4-triazol-l-yl)phenyl] amino] carbonyl] cyclopentyl] ~7H-indolo [2,1- a] [2] benzazepine-10-carboxamide. The title compound was prepared as described above for 13-Cyclohexyl-6-(2,6-dimethyl-4-morpholinylcarbonyl)-5H-indolo[2,l- a][2]benzazepine-N-(2-hydroxyethyl)-10-carboxamide using l-amino-N-(5-(4- fluorophenyl)thiazol-2-yl)cyclopentanecarboxamide 5-(4-fluorophenyl)thiazol-2- amine as the amine counterpart. After prep HPLC the title compound was obtained as a yellow solid. 1HNMR (500 MHz, DMSO) δ 8.34 (s, 2H), 7.92 - 7.88 (m, 3H), 7.68 - 7.50 (m, 6H), 7.22 (m, 2H), 6.94 (br s, IH), 5.20 (br s, IH), 4.39 (br s, IH), 3.45- 3.23 (m, 6H), 2.75 (m, IH), 2.49 - 0.9 (m, 24H). LCMS: m/e 786 (M+H)+, ret time 2.59 min, column 3, 2 minute gradient.
N-(aminosulfonyl)-13-cyclohexyl-6-[[(2R,6S)-2,6-dimethyl-4-morpholinyl]carbonyl]- 7H-indolo[2, 1 -a] [2] benzazepine-10-carboxamide. Methyl 13-cyclohexyl-6- (carboxy)-5H-indolo[2,l-a][2]benzazepine-10-carboxylate (250 mg, 0.6 mmol) in CH2Cl2 (10 niL) was treated with oxalyl chloride (0.5 mL, 2 M in CH2Cl2). Mixture was stirred at rt for Ih. Volatiles were removed in vacuo to afford the corresponding acid chloride as a red solid. This material was dissolved in THF (9 mL). 6 mL of this THF solution were added dropwise to a solution of sulfonylamide (126 mg, 1.3 mmol) and BEMP (288 uL, 1 mmol), and the mixture was stirred at rt for 24h. Volatiles removed in vacuo and residue purified using prep HPLC to afford the title compound as a yellow solid. 1HNMR (500 MHz, DMSO) δ 8.44 (s, IH), 8.21 (m, IH), 7.70-7.46 (m, 6H), 7.0 (br s, IH), 5.11 (br s, IH), 4.35 (br s, IH), 3.45-3.23 (m, 6H), 2.75 (m, IH), 2.46 - 0.9 (m, 16H). LCMS: m/e 5778 (M+H)+, ret time 2.19 min, column 3, 2 minute gradient.
13-cyclohexyl-6-[[(2R,6S)-2,6-dimethyl-4-morpholinyl]carbonyl]-N- [(methylamino)sulfonyl]-7H-indolo[2,l-a] [2] benzazepine-10-carboxamide. IH- indolo[2, 1 -a] [2]benzazepine- 10-carboxylic acid, 13-cyclohexyl-6-[[(2i?,6,S)-2,6- dimethyl-4-morpholinyl]carbonyl]-, (85 mg, 0.17 mmol) was dissolved in THF (0.5mL), CDI (32 mg, 0.19 mmol) was added and the mixture was heated at 5O0C for 2h, then cooled at rt. Methylsulfonyl amide (36 mg, 0.2 mmol) followed by DBU (35 uL, 0.24 mmol) were added dropwise. The mixture was stirred at rt overnight. Volatiles were removed in vacuo and the residue was purified using prep HPLC to afford the title compound as a yellow solid (40 mg). 1HNMR (500 MHz, DMSO) δ 8.23 (br s, IH), 7.95 (d, J= 8.5 Hz, IH), 7.70-7.50 (m, 5H), 6.97 (br s, IH), 5.15 (br s, IH), 4.35 (br s, IH), 4.30-3.50 (m, 6H), 2.75 (m, IH), 2.09 (s, 3H), 2.40 - 1.00 (m, 16H). LCMS: m/e 591 (M+H)+, ret time 2.25 min, column 3, 2 minute gradient.
13-cycIohexyl-6-[[(2R, 6S)-2, 6-dimβthyl-4-morpholinyl]carbonyl]-6, 7-dihydro-N- [(methylamino)sulfonyl] -5H-indolo[2, 1 -a] [2] benzazepine-10-carboxamide, IH- indolo[2,l-α][2]benzazepine-10-carboxamide, 13-cyclohexyl-6-[[(2i?,6.S)-2,6- dimethyl-4-morpholinyl]carbonyl]-N-[(methylamino)sulfonyl]- (13 mg, 0.02 mmol) was dissolved in MeOH (1 mL) and treated with a catalytic amount of Pd (10% in C) and a balloon of hydrogen. The reaction mixture was stirred at rt overnight. The catalyst was removed by filtration over celite and the solution was concentrated to afford the title compound as a pale yellow solid (6 mg). 1HNMR (500 MHz, DMSO) δ 8.07 (br s, IH), 7.70 (d, J= 8.5 Hz, IH), 7.50-7.00 (m, 5H), 4.46-1.00 (m, 27H),
2.50 (s, 3H). LCMS: m/e 593 (M+H)+, ret time 2.29 min, column 3, 2 minute gradient.
l-[[[13-cyclohexyl-6~[[(2R, 6S)-2, 6-dimethyl-4-morpholinyl] carbonyl] - 7H- indolo[2,l-a][2]benzazepin-10-yl]carhonyl] amino]- cyclopentanecarboxylic acid. 1- (Tert-butoxycarbonyl)cyclopentanecarboxylic acid (3.37g, 14.7 mmol) was dissolved in DMF (40 mL) and treated with Cs2CO3 (5.28 g, 16.2 mmol) and benzyl bromide (1.1 mL, 16.2 mmol), the mixture was stirred at rt overnight and then at 7O0C for 3h. The reaction mixture was poured into ice water (100 mL) and extracted with EtOAc (250 mL). The organic phase was washed with water (100 mL) and brine (100 mL); dried over Na2SO4, filtered and concentrated to afford benzyl \-(t- butoxycarbonyl)cyclopentanecarboxylate as a white solid. A portion of the solid (1.4 g)was dissolved in CH2Cl2 (40 mL) and treated with TFA (5 mL) and stirred at rt overnight. The reaction mixture was concentrated in vacuo to afford the TFA salt of benzyl 1-aminocyclopentanecarboxylate as an off-white solid. LCMS: m/e 220 (M+H)+, ret time 1.30 min, column 3, 2 minute gradient. This solid was then dissolved in THF (20 mL) and dimethyl-4-morpholinyl]carbonyl]-iV- [(methylamino)sulfonyl]-,7H-indolo[2,l-α][2]benzazepine-10-carboxylic acid, 13- cyclohexyl-6-[[(2i?,6.S)-2,6-dimethyl-4-morpholinyl]carbonyl]-, (1.4 g, 4.2 mmol) was added followed by DMAP (1.54 g, 1.27 mmol) and HATU (2.4 g, 6.3 mmol). The mixture was stirred at rt for 48h. Solvent was removed in vacuo. Water (100 mL) and AcOEt (100 mL) were added. The organic phase was separated, dried over Na2SO4 and purified using silica gel (AcOEt/Hex 10%-70%) to afford the benzyl protected cyclopentanecarboxylic acid, l-[[[13-cyclohexyl-6-[[(2R,6S)-2,6-dimethyl-
4-morpholinyl]carbonyl]-7H-indolo[2,l-a][2]benzazepin-10-yl]carbonyl]amino]-, as a bright yellow solid (1.4g). LCMS: m/e 700 (M+H)+, ret time 2.46 min, column 3, 2 minute gradient. The benzyl protected compound (578 mg, 0.8 mmol) was dissolved in a 1:1 mixture of THF/MeOH (10 niL) and treated with IN NaOH (2 mL). The mixture was stirred at rt for 18h. Same procedure was repeated with 822 mg of the benzyl protected compound and the reactions were reunited. HCl (IN) was added to pH=5 and the precipitated formed was collected by filtration to afford the title compound as a pale yellow solid (650 mg). A small portion was purified using reverse phase HPLC. 1HNMR (500 MHz, DMSO) δ 8.33 (br s, IH), 8.30 (br s, IH), 7.85 (d, J= 8.5 Hz, IH), 7.60-7.50 (m, 5H), 6.92 (br s, IH), 5.15 (br s, IH), 4.37 (br s, IH), 4.22-3.05 (m, 6H), 2.75 (m, IH), 2.50 - 1.10 (m, 24H). LCMS: m/e 610 (M+H)+, ret time 2.35 min, column 3, 2 minute gradient.
The following HPLC methods and conditions apply to the experimental procedures and examples below until noted: Method 1: Analysis Conditions: Column: XTERRA 4.6 x 50mm S5; Mobile Phase: (A) 10:90 methanol:water; (B) 90:10 methanol:water; Buffer: 0.1% TFA; Gradient Range: 0-100% B; Gradient Time: 3 min; Flow Rate: 4 niL/min; Analysis Time: 4 min; Detection: Detector 1: UV at 220 nm; Detector 2: MS (ESI+); Fraction Collection: UV-triggered; Fraction Drying. Method 2: Analysis Conditions: Column: PHENOMENEX-LUNA 4.6 x 50mm S 10; Mobile Phase: (A) 10:90; methanol:water; (B) 90:10 methanohwater; Buffer: 0.1% TFA; Gradient Range: 0-100% B; Gradient Time: 2 min; Flow Rate: 4 niL/min; Analysis Time: 3 min; Detection: Detector 1: UV at 254 nm; Detector 2: MS (ESI+); Fraction Collection: UV-triggered; Fraction Drying. Method 3: Analysis Conditions: Column: PHENOMENEX-LUNA 4.6 x 50mm slO; Mobile Phase: (A) 10:90 methanol:water; (B) 90:10 methanol:water; Buffer: 0.1% TFA; Gradient Range: 0-100% B; Gradient Time: 3 min; Flow Rate: 4 niL/min; Analysis Time: 4 min; Detection: Detector 1 : UV at 254 nm; Detector 2: MS (ESI+). Fraction Collection: UV-triggered; Fraction Drying. Method 4: Analysis Conditions: Column: PHENOMENEX-LUNA 4.6 x 50mm slO; Mobile Phase: (A) 10:90 methanohwater; (B) 90: 10 methanol:water; Buffer: 0.1% TFA; Gradient Range: 0-100% B; Gradient Time: 2 min; Flow Rate: 4 mL/min; Analysis Time: 3 min; Detection: Detector 1: UV at 220 nm; Detector 2: MS (ESI+); Fraction Collection: UV-triggered; Fraction Drying. Method 5: Analysis
Conditions: Column: PHENOMENEX-LUNA 3.0 x 50mm SlO; Mobile Phase: (A) 10:90 methanobwater; (B) 90:10 methanol:water; Buffer: 0.1% TFA; Gradient Range: 0-100% B; Gradient Time: 2 min; Flow Rate: 4 mL/min; Analysis Time: 3 min; Detection: Detector 1: UV at 220 nm; Detector 2: MS (ESI+); Fraction Collection: UV-triggered; Fraction Drying.
KOTKlS, THF
13-Cyclohexyl-5,6-dihydro-N-(cyclopropylsulfonyl)-6-(cis-2,6-dirnethylmorpholin-4- carbonyl)-7H-indolo[2,l-a] [2] benzazepine-10-carboxamidβ. Step 1: KOTMS
(0.404 g, 3.16 mmol) was added to a suspension of compound 9A (0.81g, 1.57 mmol) in THF (15 mL) at 0 0C. The mixture was stirred for o/n and another portion of KOTMS (0.20 g, 1.68 mmol) was added and stirred for another day. The reaction mixture was concentrated, the residue was acidified by dilute HCl and extracted with ethyl acetate. The extraction was dried (MgSO4) andremoved the solvent in vacuo to afford the compound 9B as a yellow solid (0.73 g, 93%). LC-MS (retention time: 3.53; MS m/z 501 M+H, Method 1). Step 2: Oxalyl dichloride (0.15 mL, 1.72 mmol) and a drop of DMF were added to a solution of compound 9B (0.018 g ol) in dichloromethane (2.0 mL). The generated yellow solution was stirred for 1 h and removed the solvent in vacuo. DMF (1.5 mL), cyclopropanesulfonamide (0.086 g, 0.71 mmol), DMAP (0.173 g, 1.41 mmol) were added. The mixture was stirred for o/n and purified by prep HPLC to afford the compound 9 (0.0104 g, 5%). LC-MS (retention time: 3.56; MS m/z 604 M+H, Method 1).
13-Cydohexyl-5,6-dihydro-N-(methanesulfonyl)-6-(cis-2,6-dimethylmorpholin-4- carbonyl)-7H-indolo[2,l-a][2]benzazβpine-10-carboxamide. Step 1: A mixture of Compound 9B (0.060 g, 0.12 mmol) and CDI (0.025 g, 0.16 mmol) in THF (1 mL) was heated at 50 0C. After being heated for 0.5 h, the reaction mixture was cooled down. Methanesulfonamide (0.024 g, 0.25 mmol) and DBU (0.027 mL, 0.18 mmol) were added. The reaction mixture was stirred for o/n and purified by prep HPLC to afford the compound 10 as a pale yellow foam (O.OlOlg, 15%). LC-MS (retention time: 3.1; MS m/z 578 M+H, Method 1).
Cyclohβxyl-N-(cyclopropylsulfonyl)-6-[(morpholin-4~yl)carbonyl]-3-methoxy- 7H-indolo[2,l-a][2]benzazepine-10-carboxamide. Step 1: Preparation of compound 15 A: 2-Bromo-3 -cyclohexyl-N-(morpholinosulfonyl)- 1 H-indole-6-carboxamide A mixture of 2-bromo-3-cyclohexyl-lH-indole-6-carboxylic acid (3.0 g, 9.3 mmol) and CDI (2.3 g, 14 mmol) in THF (15 mL) was heated at 50 0C for 0.5 h, cooled down, added cyclopropanesulfonamide (1.7 g, 2.8 mmol) and DBU (2.7 mL, 18 mmol). The generated brown solution was stirred for overnite. The reaction mixture was diluted with EtOAc/dichloromethane, washed by cold IN HCl, water, brine, dried (MgSO4), removed the solvent and purified by Biotage 40+M column
[MeOH/dichloromethane: 0% to 15%) to afford 2-bromo-3-cyclohexyl-N- (cyclopropanesulfonyl)-lH-mdole-6-carboxamide (15A) as a yellow solid (2.51g, 63%). LC-MS (retention time: 3.16; MS m/z 427 M+H, Method 1). Step 2: Preparation of compound 15B: A mixture of 2-formyl-4-methoxyphenylboronic acid (1.1 g, 1-43 mmol), 2-bromo-3-cyclohexyl-N-(cyclopropanesulfonyl)-lH-indole-6- carboxamide (2.0 g, 4.7 mmol), Pd(PPh3)4 (0.163 g, 0.14mmol), LiCl (0.59 g, 14 mmol) and aq. Na2CO3 (IN, 10 mL, 10 mmol) in Toluene/EtOH (1/1, 10 mL) was degassed and filled with N2 and heated at 80 0C for 3 h. The reaction mixture was cooled down, removed the organic solvent in vacuo, acidified the residue to pH 3, filtered. The yellow solid was directly used in next reaction. A mixture of above solid, Cs2CO3 (3.8 g, 11.7 mmol), and methyl 2-(dimethoxyphosphoryl)acrylate (1.2 g, 6.1 mmol) in DMF ( 5 mL) was stirred at 60 0C for 4h. The reaction mixture was cooled down and diluted with Saturated NaH2PO4 and water, extracted with EtOAc/CH2Cl2, removed the solvent and purified by prep HPLC to afford the product as a yellow solid. LC-MS (retention time: 3.62; MS m/z 549 M+H, Method 1). Step 3: Preparation of compound 15C: Compound 15C was prepared from compound 15B2 by following the similar procedure of step 1 of sCheme 2 in making Compound 2. LC-MS (retention time: 3.46; MS m/z 535 M+H, Method 1). Step 4: Compound 15 was prepared from Compound 15C by following the similar procedure of step 1 of scheme 3 in making Compound 3 (33%). IH NMR (400 MHz, CHLOROFORM-D) δ ppm 1.09 - 1.27 (m, 3 H) 1.30 - 1.55 (m, 5 H) 1.77 (s, 2 H) 1.86 - 2.11 (m, 4 H) 2.73 - 2.87 (m, 1 H) 2.99 - 3.25 (m, 5 H) 3.51 (d, J=15.61 Hz, 4 H) 3.90 (s, 3 H) 4.35 (s, 1 H) 5.09 (s, 1 H) 6.83 (s, 1 H) 6.89 (d, J=2.77 Hz, 1 H) 7.06 (dd, J=8.69, 2.64 Hz, 1 H) 7.49 (d, J=8.81 Hz, 1 H) 7.87 (d, J=8.56 Hz, 1 H) 8.07 (s, 1 H) 9.25 (s, 1 H); LC-MS (retention time: 3.30; MS m/z 604 M+H, Method 1).
13-Cyclohexyl-N-[(dimethylamino)sulfonyl]-6-(1iydroxymethyl)-7H-indolo[2,l- a][2]benzazepine-10-carboxamide. Step 1: A borane solution (1M/THF, 2 mL) was added to a suspension of compound 16A (0.8 g, 1.58 mmol) in THF (15 mL) at 0 0C and stirred at r.t. for 2 h, (MeO)3B (0.1 mL), and another portion of borane (2 mL, 2 mmol) were added. After being stirred at r.t. for 3 h,. the reaction mixture was quenched by methanol and diluted with EtOAc, washed with cold IN HCl, water, brine dried (MgSO4) and purified by chromatography (EtOAc/Hexane: 5% to 100%) to afford the product as a yellow solid. (0.26 g, 33%). IH NMR (400 MHz, CHLOROFORM-D) δ ppm 1.14 - 1.29 (m, 1 H) 1.33 - 1.45 (m, 2 H) 1.49 - 1.61 (m, 1 H) 1.69 - 1.82 (m, 2 H) 1.83 - 2.12 (m, 4 H) 2.80 - 2.92 (m, 1 H) 3.05 (s, 6 H) 4.11 - 4.24 (m, 1 H) 4.33 (s, 2 H) 4.86 - 5.00 (m, 1 H) 6.71 (s, 1 H) 7.34 - 7.39 (m, 1 H) 7.40 - 7.49 (m, 3 H) 7.53 - 7.59 (m, 1 H) 7.90 (d, J=8.56 Hz, 1 H) 8.10 (d, J=1.26 Hz, 1 H) 9.07 (s, 1 H); MS: m/z =494 (M+H).
IS-Cyclohexyl-Srf-dihydm-lO-fmetoxycarbonylJ-yH-indoloftJ-aJPJbenzazepine-?- carboxylic acid . Step 1: A Preparation of Compound 26A: A mixture of 2- (hydroxymethyl)phenylboronic acid (0.81 g, 5.34 mmol), 2-bromo-3-cyclohexyl-N-
(morpholmosulfonyl)-lH-indole-6-carboxamide (1.3 g, 3.87 mmol), Pd(PPh3)4 ( 0.134 g, 0.12 mmol), LiCl (0.325 g, 7.74 mmol) and aq. Na2CO3 (IN, 8 niL, 8 mmol) in Toluene/EtOH (1/1, 16 mL) was degassed, filled with N2, and heated at 80 0C for 3 h. The reaction mixture was cooled down, removed the organic solvent in vacuo, and extracted with EtOAc, adjusted the residue to pH 4 and, extracted with EtOAc. the extraction was dried (Na2SO4), concentrated, and purified by Biotage 4OM column to afford the product as a colorless solid (1.3 g, 93%). IH NMR (400 MHz, CHLOROFORM-D) δ ppm 1.08 - 1.59 (m, 4 H) 1.70 - 1.81 (m, 2 H) 1.88 - 2.14 (m, 4 H) 2.80 - 2.91 (m, 1 H) 3.04 (s, 6 H) 3.40 (d, J=20.65 Hz, 4 H) 3.66 (t, J=4.66 Hz, 4 H) 3.90 (d, J=14.60 Hz, 1 H) 4.10 (d, J=14.10 Hz, 1 H) 4.31 (d,
J=14.10 Hz, 1 H) 4.92 (d, J=14.10 Hz, 1 H) 6.57 (s, 1 H) 7.31 - 7.38 (m, 1 H) 7.40 - 7.50 (m, 2 H) 7.53 - 7.59 (m, 1 H) 7.65 (dd, J=8.44, 1.39 Hz, 1 H) 7.87 - 7.94 (m, 1 H) 8.32 (s, 1 H) 9.71 (s, 1 H). Step 2:Preparation of Compound 26A: Imidazole (0.7 g, 10.3 mmol) was added to a solution of compound 26A (1.29 g, 3.55 mmol) and tert-butylchlorodimethylsilane (0.64 g, 4.6 mmol) in DMF (15 mL). the mixture was stirred overnite and diluted with water, extrcted with EtOAc. The extract was washed with water, Brine, removed the solvent and purified by Biotage 4OM column to afford the product as a pale brown solid (1.19 g, 70%). IH NMR (400 MHz, CHLOROFORM-D) δ ppm 0.11 (s, 6 H) 0.96 (s, 9 H) 1.23 - 1.42 (m, 3 H) 1.68 - 2.08 (m, 7 H) 2.71 - 2.83 (m, 1 H) 3.92 (s, 3 H) 4.54 (s, 2 H) 7.39 - 7.50 (m, 4 H)
7.75 (dd, J=8.56, 1.51 Hz, 1 H) 7.82 - 7.88 (m, 1 H) 8.03 (d, J=LOl Hz, 1 H) 9.64 (s, 1 H). Step 3: Preparation of compound 26C: A suspension of benzyl propiolate (2.26 g, 14.15 mmol), compound 26B (4.5 g, 9.4 mmol) and triphenylphosphine (2.47 g, 9.4 mmol) in toluene was heated at 110 0C in sealed tube for 4 h and another portion of benzyl propiolate (0.9 g, 5.6 mmol) was added and heated for another 2 h. the reaction mixture was cooled down, removed the solvent in vacuo, and purified by Biotage 65M column to provide the product as an amber gel (4.2 g, 60%). Step 4: Preparation of compound 26D: A tetrabutylammonium fluoride (1M/THF, 2 mL, 2 mmol) was added to a solution of compound 26C (0.9 g, 1.4 mmol) in THF (8 mL) at 0 0C. The reaction mixture was stirred at r.t. for 1 h, the reaction mixture was diluted with EtOAc and washed with water, brine, dried (MgSO4), removed the solvent and purified by Biotage 4OM column (EtOAc/ hexane: 5%-70%) to afford the product as
a brown foam (0.53 g, 65%). IH NMR (400 MHz, CHLOROFORM-D) δ ppm 1.08 -
1.32 (m, 4 H) 1.60 - 2.05 (in, 6 H) 2.28 - 2.46 (m, 1 H) 3.91 (s, 3 H) 4.40 (dd, J=12.84, 7.81 Hz, 1 H) 4.55 (dd, J=12.84, 4.53 Hz3 1 H) 4.96 (s, 2 H) 5.98 (s, 1 H) 6.54 (s, 1 H) 7.02 - 7.12 (m, 3 H) 7.18 - 7.25 (m, 2 H) 7.27 - 7.32 (m, 3 H) 7.37 - 7.45 (m, 1 H) 7.58 (d, J=7.81 Hz, 1 H) 7.83 (s, 2 H) 7.95 (s, 1 H). Step 5: Preparation of compound 26E. PPh3 (0.85 g, 3.24 mmol) was added to at solution of compound 26D (0.85 g, 1.63 mmol) and CBr4(1.08 g, 3.25 mmol) in CH2Cl2 ( 15 mL) at -10 0C. The mixture was stirred for 5min at -10 0C and r.t. for 2 h, removed the solvent and purified by Biotage 25M column to afford the product as a color less solid. 0.78 g, 87%).1H NMR (400 MHz, CHLOROFORM-D) δ ppm 1.15 - 1.31 (m, 4 H) 1.65 - 1.83 (m, 4 H) 1.92 (d, J=2.77 Hz, 2 H) 2.39 - 2.54 (m, 1 H) 3.91 (s, 3 H) 4.22 - 4.31 (m, 2 H) 4.96 - 5.06 (m, 2 H) 5.90 (s, 1 H) 6.52 (s, 1 H) 6.99 - 7.13 (m, 3 H) 7.16 - 7.22 (m, 1 H) 7.26 - 7.32 (m, 3 H) 7.36 - 7.42 (m, 1 H) 7.55 (d, J=7.81 Hz, 1 H) 7.80 - 7.87 (m, 2 H) 7.90 (s, 1 H). Step 6: Preparation of compound 26F: A solution of samarium(II) iodide (0.1 M/THF, 190 mL, 19 mmoL) was added dropwise to a solution of compound 26E (1.2 g, 2.07 mmol) in THF (5 mL). after the addition water was added (0.5 mL) and diluted with hexane, filtered through silica gel and purified by Biotage 40+M column (EtOAc/hexane: 2% to 20%) to afford the product as a colorless glass (0.78g, 74%). IH NMR (400 MHz, CHLOROFORM-D) δ ppm 1.19 - 1.30 (m, 1 H) 1.31 - 1.44 (m, 2 H) 1.58 - 1.67 (m, 1 H) 1.70 - 1.81 (m, 2 H) 1.87 - 1.99 (m, 2 H) 2.00 - 2.15 (m, 2 H) 2.53 - 2.64 (m, 1 H) 2.62 - 2.71 (m, 2 H) 2.81 - 2.92 (m, 1 H) 2.97 - 3.10 (m, 1 H) 3.92 (s, 3 H) 4.52 - 4.58 (m, 1 H) 4.58 - 4.64 (m, 1 H) 5.34 (d, J=8.31 Hz, 1 H) 6.84 - 6.92 (m, 2 H) 7.09 (d, J=7.30 Hz, 1 H) 7.15 -
7.33 (m, 6 H) 7.77 (dd, J=8.44, 1.38 Hz, 1 H) 7.90 (d, J=8.56 Hz, 1 H) 8.04 (s, 1 H). Step 7: Preparation of compound 26: A suspension of compound 26F (0.197 g, 0.4 mmol) and Pd/C (10%, 0.04g) in MeOH (10 mL) was stirred under H2 for 6 h and filtered off the solid, removed the solvemt in vacuo to afford the Compound 26 as a white solid (0.1592 g, 98%). IH NMR (400 MHz, CHLOROFORM-D) δ ppm 1.16 - 1.29 (m, 1 H) 1.31 - 1.46 (m, 3 H) 1.56 - 1.67 (m, 1 H) 1.70 - 1.81 (m, 2 H) 1.87 - 1.94 (m, 1 H) 1.96 - 2.14 (m, 3 H) 2.47 - 2.71 (m, 3 H) 2.81 - 2.98 (m, 2 H) 3.94 (s, 3 H) 5.28 (d, J=8.31 Hz, 1 H) 7.18 - 7.35 (m, 3 H) 7.77 (dd, J=8.44, 1.13 Hz, 1 H) 7.88
(d, J=8.56 Hz, 1 H) 8.03 (s, 1 H). LC-MS (retention time: 3.53, MS m/z 418 M+H, Method 1).
TBTU TKIS, THF
13-Cyclohexyl-5,6-dihydro-10-methoxycarbonyl-7-[(morpholin-4-yl)carbonyl]-7H- indolo[2,l-a] [2]benzazepine. Step 1: preparation of Compound 27 A: 13-Cyclohexyl- 5,6-dihydro-10-methoxycarbonyl-7-[(morpholin-4-yl)carbonyl]-7H-indolo[2,l- α][2]benzazepine. Compound 27A was prepared from compound 26 by following the similar procedure of Step 1 of scheme 3 in making compound 3 (80%). LC-MS (retention time: 3.60 MS m/z 487 M+H, Method 1). Step 2 Preparation of
Compound 27B: 13-Cyclohexyl-5,6-dihydiO-7-[(morpholin-4-yl)carbonyl]-7if- indolo[2,l-α][2]benzazepine-10-carboxylic acid. A suspension of compound 27A (0.144 g, 0.3 mmol) and potassium trimethylsillonate (0.139 g, 0.73 mmol) in THF (3 mL) was stirred overnite and another portion of trimethylsillonate (0.140 g, 0.73 mmoi)was added and stirred for 6 h. The reaction mixture was diluted with EtOAc and washed with cold 1 N HCl, removed the solvent and purified by prep HPLC to afford the Compound 27B as a white solid (0.085 g, 61%). LC-MS (retention time: 3.44; MS m/z 473 M+H, Method 1). Step 3: Preparation of compound 27: 13- Cyclohexyl-5,6-diliydro-N-[(dimethylamino)sulfonyl]-7-[(morpholin-4-yl)carbonyl]- 7H-indolo[2, 1 -a] [2]benzazepine- 10-carboxamide. Compound 27 was prepared from Compound 27B by following the similar procedure of Step 1 of Scheme 10 in
making compound 10. (82%). LC-MS (retention time: 3.43; MS m/z 579 M+H, Method 1).
Stepl: Preparation of compound 28A. Triphenylphosphine (0.137 g, 0.52 mmol) was added to a solution of methyl 2-(2-aminophenyl)-3-cyclohexyl-lH-indole-6- carboxylate(0.18 g, 0.4 mmol) and ethyl propiolate (0.061 mL, 0.6 mmol) in CH2Cl2 (6mL) at 0 0C. The reaction mixture was purified by flash chromatography EtOAc/hexane : 10% to 100%) to afford the product as a glass (0.091 g, 39%). IH NMR (400 MHz, CHLOROFORM-D) δ ppm 1.21 - 1.37 (m, 6 H) 1.66 - 1.96 (m, 7 H) 2.54 - 2.68 (m, 1 H) 3.91 (s, 3 H) 4.01 - 4.19 (m, 2 H) 5.82 (s, 1 H) 6.43 (s, 1 H) 6.69 - 6.79 (m, 2 H) 7.01 (dd, J=7.55, 1.51 Hz, 1 H) 7.15 - 7.21 (m, 1 H) 7.78 - 7.85 (m, 2 H) 7.92 (s, 1 H). Step 2: Preparation of compound 28B. A solution of compound 28 A (0.09 Ig, 0.2 mmol) in ethanol (8 mL) was heated at 800C in sealed tube for 86 h. The reaction mixture was concentrated and purified by prep HPLC to afford the product (0.047g, 52 %). IH NMR (400 MHz, CHLOROFORM-D) δ ppm 0.84 (t, J=7.05 Hz, 3 H) 1.15 - 1.29 (m, 1 H) 1.30 - 1.49 (m, 2 H) 1.68 (d, J=I 1.33 Hz, 1 H) 1.72 - 1.83 (m, 2 H) 1.87 - 2.18 (m, 4 H) 2.77 - 2.97 (m, 1 H) 3.67 - 3.83 (m, 2 H) 3.92 (s, 3 H) 4.08 (dd, J=13.09, 6.55 Hz, 1 H) 4.48 (d, J=12.34 Hz, 1 H) 5.42 (d, J=6.04 Hz, 1 H) 7.35 - 7.42 (m, 3 H) 7.42 - 7.50 (m, 1 H) 7.80 (dd, J=8.44, 1.39 Hz, 1 H) 7.92 (d, J=8.56 Hz, 1 H) 8.03 (s, 1 H). LC-MS (retention time: 3.33; MS m/z 447 M+H, Method 1). Step 3: Preparation of compound 28C. A mixture of Compound 28B (0.047 g, 0.11 mmol), aqueous NaOH (IN, 1 mL, 1 mmol) and a few drops of MeOH in THF (2 mL) was stirred overnite and purified by prep HPLC to
afford the product (0.012 g, 27%). IH NMR (400 MHz, MeOD) δ ppm 1.20 - 1.33 (m, 1 H) 1.38 - 1.51 (m, 2 H) 1.58 - 1.71 (m, 1 H) 1.73 - 1.85 (m, 2 H) 1.90 - 1.99 (m, 1 H) 2.01 - 2.22 (m, 3 H) 2.93 - 3.04 (m, 1 H) 3.74 (dd, J=12.84, 4.78 Hz, 1 H) 3.91 (s, 3 H) 4.33 (dd, J=12.97, 2.39 Hz, 1 H) 5.75 (dd, J=4.53, 2.77 Hz, 1 H) 7.05 (t, J=7.43 Hz, 2 H) 7.21 - 7.28 (m, 1 H) 7.32 (d, J=7.30 Hz, 1 H) 7.73 (dd, J=8.56, 1.26 Hz, 1 H) 7.90 (d, J=8.56 Hz, 1 H) 8.16 (s, 1 H); LC-MS (retention time: 2.99 MS m/z 419 M+H, Method 1). Step 4: Preparation of Compound 28D. Compound 28D was prepared from Compound 28C by following the similar procedure of Step 1 of scheme 3 in making compound 3 (62%). LC-MS retention time: 3.43 MS m/z 488 (M+H). Step 5: Preparation of Compound 28. A mixture of Compound 28D (72 mg, and 1 N NaOH ( 0.1 mL, 0.1 mmol) in THF (3 mL) and MeOH (1 mL) was stirred for 15 h. Another portion of 1 N NaOH ( 0.1 mL, 0.1 mmol) was added and further stirred for 50 h and removed the organic solvent in vacuo. The residue was saturated with NaH2PO4 and extracted with EtOAc (2x). the combined extraction were dried (MgSO4), removed the solvent and purified by prep HPLC to afford the product (12.5 mg, 18%). LC-MS retention time: 3.01 MS m/z 474 M+H, Method 1).
General procedure for the preparation of amides 2 from carboxylic acid 1. As shown in scheme 1, a mixture of carboxylic acid 1 (1 equiv), corresponding amine (R1R2NH, 1.2 equiv), triethylamine (2-3 equiv) and TBTU (1.3 equiv) in an. DMF was stirred at rt for 1-2 h until completion of the amide coupling. After aqueous workup isolated crude product was purified by prep. HPLC and analysis for the following procedures were carried according to the method listed until further noted.
13-Cyclohexyl-N-[(dimethylamino)sulfonyl]-6-(4-hydroxypiperidin-l-carbonyl)-3- methoxy-7H-indolo[2,l-a][2]benzazepine-10-carboxamide. LS/MS: Retention time: 1.950 min; m/e 621 (MH+, method 5); IH NMR (400 MHz, CHLOROFORM-D) 5 ppm 1.15 - 1.27 (m, 1 H) 1.30 - 1.43 (m, 2 H) 1.48 - 1.60 (m, 2 H) 1.69 - 1.83 (m, 3 H) 2.02 (s, 4 H) 2.77 - 2.82 (m, 1 H) 3.00 - 3.22 (m, 2 H) 3.04 (s, 6 H) 3.86 - 4.25 (m, 5 H) 3.90 (s, 3 H) 4.36 (s, 1 H) 5.16 (s, 1 H) 6.82 (s, 1 H) 6.89 (d, J=2.52 Hz, 1 H) 7.05 (dd, J=8.69, 2.64 Hz, 1 H) 7.45 - 7.57 (m, 2 H) 7.88 (d, J=8.56 Hz, 1 H) 8.14 (s, I H).
13-Cyclohexyl-N-[(dimethylamino)sulfonyl]-6-hydroxy-6-[(morpholin-4- yl)carbonyl]-5, 6-dihydro- 7H-indolo[2, 1-a] [2]benzazepine~l 0-carhoxamide.
Compound 7 was prepared as shown in scheme 2. To a stirred cold (-78 0C) solution of the amide 6 (144 mg, 0.295 mmol) in an. THF (4 mL), LHMDS solution (IM in THF, 0.6 mL, 0.59 mmol) was added under nitrogen and maintained for 1 hr. Resultant solution of the enolate anion was then stirred under a stream of dry air for 30-45 min while temperature of the reaction mixture was allowed to warm to -20 0C.
Reaction mixture was quenched by addition of satd. NaHSO3 solution with vigorous stirring for 30 min. Crude product was extracted with EtOAc and purified by prep. HPLC to afford the desired α-hydroxylated amide (143 mg, 96%): LC/MS: m/e 503 (MH+). A mixture of α-hydroxyamide (63 mg, 0.125 mmol), KOSiMe3 (36 mg, 0.25 mmol) in an. THF (2 mL) was stirred for 16-24 h. The reaction mixture was quenched with IN HCl and extracted with EtOAc and purified by prep. HPLC to afford the desired α-hydroxyamide-acid: LC/MS: m/e 489 (MH+). A stirred mixture of the acid (43 mg, 0.88 mmol), CDI (29 mg, 0.176 mmol) in an. THF was heated at 45-50 0C for 30 min. Then a solution OfMe2NSO2NH2 (22 mg, 0.176 mmol), and DBU 927 mg, 0.176) in THF (0.5 mL) was added at rt and the mixture was stirred overnight. Reaction mixture was quenched with IN HCl and extracted with EtOAc and purified by prep HPLC to afford 7 (23 mg, 44%): LC/MS: m/e 595 (MH+, method 5).
7H-indolo[2,l-a][2]benzazepine-6,10-dicarboxylic acid, 13-cyclohexyl-3-fluoro-, dimethyl ester. To a mixture of methyl 3-cyclohexyl-2-(4,4,5,5-tetramethyl-l,3,2- dioxaborolan-2-yl)-lH-indole-6-carboxylate (767 mg, 2.0 mmol), 2-bromo-5- fluorobenzaldehyde (487 mg, 2.4 mmol) and LiCl (170 mg, 4.0 mmol), ethanol (10 mL) and toluene (10 mL) were added. Then 2M Na2CO3 (2.5 mL, 5.0 mmol) aqueous solution was added and the mixture was degassed with N2. Pd(PPh3)4 (116 mg, 0.1 mmol) was added and the reaction mixture was heated at 8O0C for overnight. The reaction mixture was filtered, washed with ethyl acetate and the filtrate was concentrated. The residue was triturated with CH2Cl2 to give a light yellow solid as Suzuki coupling product. It was then dissolved in DMF (10 mL) and Cs2CO3 (977 mg, 3.0 mmol) and trimethyl-2-phosphonoacrylate (505 mg, 2.6 mmol) were added. The reaction mixture was heated at 6O0C for 5hr. It was then quenched with water
and a yellow solid was collected as 7H-indolo[2,l-α][2]benzazepine-6,10- dicarboxylic acid, lS-cyclohexyl-S-fhioro-, dimethyl ester (410 mg, 46% yield two steps). MS m/z 448(MH+); IH NMR (500 MHz, DMSO-D6) δ ppm 1.09 - 1.23 (m, 1 H) 1.30 - 1.50 (m, 3 H) 1.65 - 1.76 (m, 2 H) 1.79 - 2.10 (m, 4 H) 2.69 - 2.79 (m, , 1 H) 3.79 (s, 3 H) 3.90 (s, 3 H) 4.24 (d, J=13.43 Hz, 1 H) 5.58 (d, J=I 1.59 Hz, 1 H) 7.51 - 7.58 (m, 1 H) 7.61 - 7.69 (m, 3 H) 7.90 (s, 1 H) 7.94 (d, J=8.54 Hz, 1 H) 8.20 (s, 1 H).
7H-indolo[2, l-a][2Jbenzazepine-10-carboxylic acid, 13-cyclohexyl-3-fluoro-6~(4- morpholinylcarbonyl)-, methyl ester. To a solution of 7H-indolo[2,l- α][2]benzazepine-6,10-dicarboxylic acid, 13-cyclohexyl-3-fluoro-, dimethyl ester (400 mg, 0.89 mmol) in THF (20 mL), IM solution of Bu4NOH (0.89 niL, 0.89 mmol) in methanol was added. The reaction mixture was stirred at rt. for overnight. Then it was concentrated, acidified with IN HCl solution and extracted with ethyl acetate (2X50 mL). The organic layers were combined, dried (MgSO4) and concentrated to give a yellow solid as 7H-indolo[2,l-α][2]benzazepine-6,10- dicarboxylic acid, 13-cyclohexyl-3-fiuoro-, 10-methyl ester. (395 mg, >100% yield) To a solution of 7/f-indolo[2,l-α][2]benzazepine-6,10-dicarboxylic acid, 13- cyclohexyl-3-fluoro-, 10-methyl ester (282 mg, 0.65 mmol) in DMSO (10.0 mL), TBTU (313 mg, 0.976 mmol) and DIPEA (0.57 mL, 3.25 mmol) were added. The reaction mixture was stirred at rt for 15 min. Then morpholine (0.085 mL, 0. 976 mmol) was added and the reaction mixture was stirred at rt for overnight. Water was added to quenched the reaction and an orange solid was collected as 7H-indolo[2,l- α] [2]benzazepine- 10-carboxylic acid, 13 -cyclohexyl-3 -fluoro-6-(4-
morpholinylcarbonyl)-, methyl ester. (295mg, 90% yield). MS m/z 503(MH+); IH NMR (500 MHz, DMSO-D6) δ ppm 1.08 - 1.23 (m, 1 H) 1.31 - 1.51 (m, 3 H) 1.67- 1.77(m, 2 H) 1.82 - 2.11 (m, 4 H) 2.70 - 2.80 (m, 1 H) 3.39 - 3.61 (m, 8 H) 3.89 (s, 3 H) 4.22 - 4.34 (m, 1 H) 5.15 - 5.28 (m, 1 H) 6.97 (s, 1 H) 7.43 - 7.49 (m, 1 H) 7.52 (dd, J=9.77, 2.75 Hz, 1 H) 7.58 - 7.67 (m, 2 H) 7.93 (d, J=8.55 Hz, 1 H) 8.24 (s, 1 H).
To a solution of 7H-indolo[2,l-α][2]benzazepine-10-carboxylic acid, 13-cyclohexyl- 3-fluoro-6-(4-morpholinylcarbonyl)-, methyl ester (125 mg, 0.249 mmol) in TΗF/Methanol mixture (2.0 mL/2.0 mL), 2N NaOH solution (1.0 mL) was added. The reaction mixture was heated at 9O0C under microwave condition for 10 min. Then it was concentrated and acidified with IN HCl solution. Extracted with ethyl acetate (2X20 mL) and the organic layers were combined, dried (MgSO4) and concentrated. The residue was purified by prep ΗPLC to give 7H-indolo[2,l- α][2]benzazepine-10-carboxylic acid, 13-cyclohexyl-3-fluoro-6-(4- morpholinylcarbonyl)- (12 mg, 10% yield) and 5H-indolo[2,l-α][2]benzazepine-10- carboxylic acid, 13-cyclohexyl-3-fluoro-6-(4-morpholinylcarbonyl)- (15 mg, 12% yield).
7H-indolo[2, 1-aJ ' [2]benzazepine-l 0-carboxylic acid, 13-cyclohexyl-3-fluoro-6-(4- morpholinylcarbonyl)-. MS m/z 489(MH+). 1H NMR (300 MHz, MeOD) 6 ppm 1.13 - 1.59 (m, 4 H) 1.67 - 2.25 (m, 6 H) 2.77 - 2.87 (m, 1 H) 3.35 - 3.66 (m, 8 H) 4.32 - 4.51 (m, 1 H) 5.07 - 5.28 (m, 1 H) 6.97 (s, 1 H) 7.28 - 7.40 (m, 2 H) 7.66 (dd, J=9.15, 5.86 Hz, 1 H) 7.74 (d, J=8.42 Hz, 1 H) 7.92 (d, J=8.42 Hz, 1 H) 8.24 (s, 1 H).
5H-indolo[2, l-a][2Jbenzazepine-10-carboxylic acid, 13-cyclohexyl-3-fluoro-6-(4- morpholinylcarbonyl)-. MS m/z 489(MH+). 1H NMR (500 MHz, MeOD) 5 ppm 1.22 - 1.38 (m, 1 H) 1.42 - 1.58 (m, 2 H) 1.61 - 1.72 (m, 1 H) 1.75 - 2.33 (m, 6 H) 2.98 - 3.12 (m, 1 H) 3.46 - 3.80 (m, 10 H) 7.15 - 7.24 (m, 2 H) 7.50 (dd, J=8.55, 5.49 Hz, 1 H) 7.52 (s, 1 H) 7.87 - 7.91 (m, 1 H) 7.98 (d, J=8.24 Hz, 1 H) 8.23 (s, 1 H).
rel-13-cyclohexyl-6-[[(2R, 6S)-2, 6-dimethyl-4-morpholinyl] carbonyl] -N-[l-[(2- thiazolylamino)carbonyl]cyclopentyl]- 7H-indolo[2, 1 -a] [2]benzazepine-l 0- carboxamide. To a solution of 13-cyclohexyl-7H'-mdolo[2,l-α][2]benzazepine-6- [[(2i?,65)-2,6-dimethyl-4-morpholinyl]carbonyl]-10-carboxylic acid, rel- (25 mg, 0.050 mmol) in DMF (0.2 mL) and DIPEA (0.054 mL, 0.300 mmol) was added TBTU (19 mg, 0.059 mmol). The resulting solution was stirred at 22 °C for 15 min. l-amino-N-(thiazol-2-yl)cyclopentanecarboxamide (23 mg, 0.11 mmol) was added and this solution was stirred at 22 °C for 18 hr. IM HCl (20 mL) was added and the aqueous layer was extracted with CHCl3 (2 x 40 mL). The organic phase was dried over Na2SO4, filtered, and concentrated under reduced pressure. Silica gel chromatography (1:3 EtOAc:hexanes) of the concentrate afforded the title compound (23 mg, 66%) as a clear oil. MS m/z 693 (MH+), 1H NMR (300 MHz5 CDCl3) δ ppm
1.06-1.21 (m, 2H), 1.26-1.34 (m, 2H), 1.39-1.62 (m, 6H), 1.82-2.11 (m, 4H), 2.03 (broad s, 6H), 2.24-2.39 (m, 2H), 2.50-2.66 (m, 3H), 3.32-3.63 (broad m, 6H), 4.46 (broad m, IH), 5.08 (broad m, IH), 6.72 (broad s, IH), 7.09 (d, J=3.1 Hz, IH), 7.31 (broad s, IH), 7.38-7.43 (m, 2H), 7.46-7.51 (m, 2H), 7.54-7.62 (m, 2H), 7.77 (d, J=I 0.3 Hz, IH), 7.81 (d, J=I 0.3 Hz, IH); 8.08 (s, IH).
rel-4-[2-[[[l-[[[13-cyclohexyl-6-[[(2R,6S)-2,6-dimethyl-4-morpholinyl]carbonyl]- 7H-indolo[2, l-a][2]benzazepin-l 0- yl] carbonyl] amino] cyclopentyl] carbonyl] amino] -5 -thiazolyl] - benzoic acid. To a solution of 7H-indolo[2,l-α][2]benzazepine-10-carboxamide, N-[l-[[(5-bromo-2- thiazolyl)amino]carbonyl]cyclopentyl]-13-cyclohexyl-6-[[(2i?,6)S)-2,6-dimethyl-4- morpholinyl]carbonyl]-, rel- (73 mg, 0.095 mmol) in THF (2.0 mL) was added 4- boronobenzoic acid (32 mg, 0.19 mmol), sodium bicarbonate (32 mg, 0.38 mmol) and tetrakis(triphenylphosphine)palladium(0) (10 mg, 0.01 mmol). The resulting mixture was stirred in a sealed tube in a microwave at 130 °C for 5 min. IM HCl (10 mL) was added and the aqueous layer was extracted with CHCl3 (2 x 20 mL). The organic phase was dried over Na2SO4, filtered, and concentrated under reduced pressure. Silica gel chromatography (1:1 EtOAc:hexanes) of the concentrate afforded the title compound (26 mg, 34%) as a yellow oil. MS m/z 813 (MH+), 1H NMR (300 MHz, CDCl3) δ ppm 1.01-1.19 (m, 2H), 1.26-1.36 (m, 2H), 1.41-1.65 (m, 6H), 1.81-2.10 (m, 4H), 1.99 (broad s, 6H), 2.18-2.34 (m, 2H), 2.50-2.66 (m, 3H)5 3.30-3.61 (broad m, 6H), 4.48 (broad m, IH), 5.12 (broad m, IH), 6.99 (broad s, IH), 7.48 (broad s, IH), 7.50-7.58 (m, 4H), 7.63-7.68 (m, 2H), 7.72-7.77 (m, 2H), 7.82 (s, IH), 7.94 (d, J=10.1 Hz, IH), 8.09 (d, J=10.3 Hz, IH), 8.11 (d, J=10.3 Hz, IH), 8.16 (s, IH).
4-[2-[[[l-[[[13-cyclohexyl-6-(4-morpholinylcarbonyl)-7H-indolo[2,l- a] [2]benzazepin-10-yl] carbonyJ] amino] cyclopentyl] carbonyl] amino] -5-thiazolyl] - benzoic acid. To a solution of 7H-indolo[2, 1 -a] [2]benzazepine- 10-carboxamide, N- [l-[[(5-bromo-2-thiazolyl)amino]carbonyl]cyclopentyl]-13-cyclohexyl-6-[[4- morpholinyl] carbonyl]- (71 mg, 0.095 mniol) in TΗF (2.0 mL) was added 4- boronobenzoic acid (32 mg, 0.19 mmol), sodium bicarbonate (32 mg, 0.38 mmol) and tetrakis(triphenylphosphine)palladium(0) (10 mg, 0.01 mmol). The resulting mixture was stirred in a sealed tube in a microwave at 130 °C for 5 min. IM HCl (10 mL) was added and the aqueous layer was extracted with CHCl3 (2 x 20 mL). The organic phase was dried over Na2SO4, filtered, and concentrated under reduced pressure. Silica gel chromatography (1:1 EtOAchexanes) of the concentrate afforded the title compound (24 mg, 32%) as a yellow oil. MS m/z 785 (MH+), 1H NMR (300 MHz, CDCl3) δ ppm 1.03-1.16 (m, 2H), 1.25-1.34 (m, 2H), 1.41-1.65 (m, 6H), 1.82-2.11 (m, 4H), 2.18-2.34 (m, 2H), 2.50-2.64 (m, 3H), 3.24-3.67 (broad m, 8H), 4.45 (broad m, IH), 5.09 (broad m, IH), 6.88 (broad s, IH), 7.37 (broad s, IH), 7.42-7.52 (m, 4H), 7.55-7.61 (m, 2H), 7.65-7.70 (m, 2H), 7.79 (s, IH), 7.93 (d, J=10.1 Hz, IH), 8.01 (d, J=10.3 Hz, IH), 8.03 (d, J=I 0.3 Hz, IH), 8.09 (s, IH).
13-cyclohexyl-N-[l-[[[5-(l,2-dihydro-2-oxo-4-pyridinyl)-2- thiazolyl] amino] carbonyl] cyclopentyl] -6-(4-morpholinylcarbonyl)-7H4ndolo[2, 1- a][2]benzazepine-10-carboxamide. To a solution of 7H-indolo[2,l-α][2]benzazepine- 10-carboxamide, N-[l-[[(5-bromo-2-thiazolyl)amino]carbonyl]cyclopentyl]-13- cyclohexyl-6-[[4-niorpholinyl]carbonyl]- (71 mg, 0.095 mmol) in THF (2.0 mL) was added 2-oxo-l,2-dihydropyridin-4-ylboronic acid (26 mg, 0.19 mmol), sodium bicarbonate (32 mg, 0.38 mmol) and tetrakis(triphenylphosphine)palladium(0) (IO mg, 0.01 mmol). The resulting mixture was stirred in a sealed tube in a microwave at 130 °C for 5 min. IM HCl (10 mL) was added and the aqueous layer was extracted with CHCl3 (2 x 20 mL). The organic phase was dried over Na2SO4, filtered, and concentrated under reduced pressure. Silica gel chromatography (1 : 1 EtOAc:hexanes) of the concentrate afforded the title compound (19 mg, 26%) as a white paste. MS m/z 758 (MH+), 1H NMR (300 MHz, CDCl3) δ ppm 1.01-1.18 (m, 2H), 1.25-1.34 (m, 2H), 1.40-1.64 (m, 6H), 1.80-2.09 (m, 4H), 2.19-2.34 (m, 2H), 2.50-2.64 (m, 3H), 3.21-3.66 (broad m, 8H), 4.45 (broad m, IH), 5.08 (broad m, IH), 6.91 (broad s, IH), 6.95 (s, IH), 7.21 (d, J=5.4 Hz, IH), 7.34 (broad s, IH), 7.39- 7.45 (m, 2H), 7.48-7.53 (m, 2H), 7.56-7.62 (m, 2H), 7.96 (d, J=I 0.3 Hz, IH), 7.98 (d, J=10.3 Hz, IH), 8.06 (s, IH), 8.22, (s, IH).
13-cyclohexyl-6-(4-morpholinylcarbonyl)-N-[l-[[[5-(l,2,3,4-tetrahydro-2,4-dioxo-5- pyrimidinyl)-2-thiazolyl] amino] carbonyl] cyclopentyl] -7H-indolo[2,l- a] [2] benzazepine-10-carboxamide. To a solution of 7H-indolo[2,l-α][2]benzazepine- 10-carboxamide, iV-[l-[[(5-bromo-2-thiazolyl)amino]carbonyl]cyclopentyl]-l 3- cyclohexyl-6-[[4-morpholinyl]carbonyl]- (71 mg, 0.095 mmol) in THF (2.0 mL) was added 2,4-dioxo-l,2,3,4-tetrahydropyrimidin-5-ylboronic acid (30 mg, 0.19 mmol), sodium bicarbonate (32 mg, 0.38 mmol) and
tetrakis(triphenylphosphine)palladium(0) (10 mg, 0.01 mmol). The resulting mixture was stirred in a sealed tube in a microwave at 130 °C for 5 min. IM HCl (10 mL) was added and the aqueous layer was extracted with CHCl3 (2 x 20 mL). The organic phase was dried over Na2SO4, filtered, and concentrated under reduced pressure. Silica gel chromatography (1 : 1 EtOAσ.hexanes) of the concentrate afforded the title compound (15 mg, 21%) as a white paste. MS m/z 775 (MH+), 1H NMR (300 MHz, CDCl3) δ ppm 1.06-1.22 (m, 2H), 1.27-1.33 (m, 2H), 1.41-1.65 (m, 6H), 1.82-2.11 (m, 4H), 2.19-2.34 (m, 2H), 2.51-2.62 (m, 3H), 3.25-3.69 (broad m, 8H), 4.49 (broad m, IH), 5.11 (broad m, IH), 6.93 (broad s, IH), 7.34 (broad s, IH), 7.39-7.52 (m, 3H), 7.56-7.62 (m, 2H), 7.83 (broad s, IH), 7.91 (s, IH), 7.96 (d, J=10.3 Hz, IH), 7.98 (d, J=I 0.3 Hz, IH), 8.06 (s, IH).
The general LC and analysis conditions which follow were used for the following procedures until further noted: LCMS data: Gradient time: 2min; Flow rate: 4 mL/min; Stop time: Gradient time + 1 minute; Starting cone: 0% B; Eluent A: 10 % MeOH / 90 % H2O with 0.1% TFA; Eluent B: 90 % MeOH / 10 % H2O with 0.1% TFA; Column 6: Phenomenex-luna 10μC18 4.6 x 50 mm SlO.
ESI- MS m/z 450(MH+); IH NMR (300 MHz, DMSO-D6) 5 ppm 1.32 - 2.11 (m, 10 H) 2.59 - 2.91 (m, J=9.88 Hz, 1 H) 3.89 (s, 3 H) 4.21 (s, 1 H) 5.55 (s, 1 H) 7.60 - 7.74 (m, 3 H) 7.82 - 7.87 (m, 2 H) 7.94 (d, J=8.78 Hz, 1 H) 8.17 (s, 1 H).
ESI- MS m/z 520(MH+); IH NMR (300 MHz, CHLOROFORM-D) 6 ppm 1.10 - 2.24 (m, 20 H) 2.64 - 2.87 (m, 1 H) 3.25 - 3.58 (m, 4 H) 3.93 (s, 3 H) 4.39 (s, 1 H) 5.08 (s, 1 H) 6.73 (s, 1 H) 7.37 (s, 1 H) 7.43 - 7.46 (m, 2 H) 7.72 (dd, J=8.42 Hz, 1 H) 7.85 (d, I H) 8.13 (s, I H).
LCMS : m/z 506(MH+), ret time 2.24 min.
1H NMR (300 MHz5 Acetone) δ ppm 1.39 - 2.10 (m, 10 H) 3.08 - 3.31 (m, 2 H) 3.90 (s, 3 H) 3.92 - 3.95 (m, 3 H) 5.93 (s, 1 H) 6.82 (s, 1 H) 7.10 (t, J=8.05 Hz, 2 H) 7.37 (d, 3 H) 7.62 - 7.89 (m, 2 H) 8.09 - 8.31 (m, 2 H).
ESI- MS m/z 374(M- 17).
ESI- MS m/z 543(MH+); IH NMR (500 MHz, CHLOROFORM-D) δ ppm 1.23 (d, J=17.09 Hz, 1 H) 1.31 - 1.48 (m, 2 H) 1.55 (d, J=12.21 Hz, 1 H) 1.76 (d, J=8.55 Hz, 2 H) 1.88 - 2.19 (m, 4 H) 2.84 -'2.92 (m, 1 H) 3.82 (s, 3 H) 3.91 - 4.01 (m, 6 H) 4.20 (d, J=14.65 Hz, 1 H) 5.69 (d, J=14.34 Hz, 1 H) 7.00 (d, J=8.24 Hz, 1 H) 7.19 (d, J=7.63 Hz5 2 H) 7.49 (t, J=8.09 Hz5 1 H) 7.74 (d, J=8.55 Hz5 1 H) 7.87 (d, J=8.55 Hz, 2 H) 8.11 (s, 1 H) 8.31 (s, 1 H).
ESI-MS m/z 484(MH+); IH NMR (300 MHz, CHLOROFORM-D) δ ppm 1.18 - 1.41 (m, J=8.05 Hz5 3 H) 1.66 - 2.04 (m5 7 H) 2.55 - 2.78 (m, 1 H) 3.03 (s5 6 H) 3.03 (s, 6
H) 3.93 (s, 3 H) 7.15 (d, J=8.42 Hz, 1 H) 7.42 (dd, J=8.42, 1.83 Hz, 1 H) 7.79 - 8.02 (m, 4 H) 8.49 (d, J=22.69 Hz, 2 H) 9.93 (s, 1 H).
ESI-MS m/z 484(MH+); IH NMR (300 MHz, CHLOROFORM-D) δ ppm 1.25 - 1.55 (m, 3 H) 1.77 - 2.07 (m, 7 H) 3.03 - 3.04 (m, 1 H) 3.04 - 3.05 (m, 6 H) 3.86 - 3.87 (m, 3 H) 6.38 - 6.60 (m, 1 H) 6.94 - 7.02 (m, 1 H) 7.05 - 7.12 (m, 1 H) 7.42 - 7.53 (m, 1 H) 7.62 - 7.75 (m, 2 H) 7.89 - 7.97 (m, 1 H) 8.66 - 8.76 (m, 1 H).
1H NMR (300 MHz, CHLOROFORM-D) δ ppm 0.95 - 2.30 (m, 10 H) 2.71 - 3.06 (m, 1 H) 3.81 (s, 3 H) 3.93 (s, 3 H) 3.95 (s, 6 H) 4.08 - 4.23 (m, 1 H) 5.56 - 5.77 (m, 1 H) 6.93 (s, 1 H) 7.08 (s, 1 H) 7.68 - 7.74 (m, 1 H) 7.79 (s, 1 H) 7.80 - 7.85 (m, 1 H) 8.27 (s, 1 H).
ESI-MS m/z 476(MH+); IH NMR (300 MHz, DMSO-D6) γppm 1.08 - 2.20 (m, 10 H) 2.76 - 2.99 (m, 1 H) 3.83 - 3.94 (m, 9 H) 5.55 (s, 1 H) 7.10 (s, 1 H) 7.34 (s, 1 H) 7.63 (d, J=8.42 Hz, 1 H) 7.85 (s, 1 H) 7.91 (d, J=8.78 Hz, 1 H) 8.15 (s, 1 H).
ESI-MS m/z 573(MH+); IH NMR (300 MHz, CHLOROFORM-D) δ ppm 0.77 - 2.17 (m, 18 H) 2.25 - 2.49 (m, 2 H) 2.77 - 2.98 (m, 2 H) 3.24 - 3.49 (m, 1 H) 3.82 - 4.02 (m, 9 H) 4.27 - 4.56 (m, 1 H) 4.94 - 5.17 (m, 1 H) 6.71 (s, 1 H) 6.83 (s, 1 H) 7.03 (s, 1 H) 7.67 - 7.77 (m, 1 H) 7.78 - 7.87 (m, 1 H) 8.10 (s, 1 H).
ESI-MS m/z 559(MH+); IH NMR (500 MHz, DMSO-D6) δ ppm 0.78 - 2.19 (m, 20 H) 2.79 - 2.95 (m, 2 H) 3.37 - 3.50 (m, 1 H) 4.17 - 4.35 (m, 1 H) 5.04 - 5.28 (m, 1 H)
6.81 - 6.94 (m, 1 H) 7.04 - 7.11 (m, 1 H) 7.15 - 7.23 (m, 1 H) 7.60 - 7.66 (m, 1 H)
LCMS: m/z 405 (MH+), ret time 2.10 min.
1H NMR (300 MHz, CHLOROFORM-D) δ ppm 1.10 - 2.47 (m, 10 H) 2.76 - 2.91 (m, 1 H) 2.93 - 3.16 (m, 6 H) 3.75 - 3.84 (m, 3 H) 3.88 - 3.97 (m, 3 H) 4.03 - 4.33 (m, 1 H) 5.48 - 5.82 (m, 1 H). LCMS data: Gradient time: 2min; Flow rate: 4 mL/min; Stop time: Gradient time + 2 minute; Starting cone: 0% B; Eluent A: 10 % MeOH / 90 % H2O with 0.1% TFA; Eluent B: 90 % MeOH / 10 % H2O with 0.1% TFA; Column 1: Phenomenex lOμ Cl 8 4.6 x 50 mm.
LCMS: m/z 622 (MH+), ret time 2.48 min.
LCMS: m/z 460 (MH+), ret time 3.05 min.
LCMS: m/z 446 (MH+), ret time 2.89 min.
LCMS: m/z 529 (MH+), ret time 2.73 min.
ESI-MS m/z 635 (MH+); IH NMR (500 MHz, MeOD) δ ppm 0.88 - 1.56 (m, 10 H) 1.79 (d, J=10.99 Hz, 2 H) 1.92 - 2.21 (m, 4 H) 2.37 - 2.83 (m, 3 H) 2.89 - 2.99 (m, 1 H) 3.01 - 3.06 (m, 6 H) 3.06 - 3.19 (m, 1 H) 3.41 - 3.55 (m, J=I.53 Hz, 1 H) 3.97 (s, 3 H) 4.38 (d, J=14.65 Hz, 1 H) 4.30 - 4.48 (m, 1 H) 5.16 (d, J=14.65 Hz, 1 H) 7.01 - 7.10 (m, 1 H) 7.17 - 7.25 (m, 2 H) 7.56 (t, J=8.09 Hz, 1 H) 7.64 (d, J=8.55 Hz, 1 H) 7.95 (d, J=8.54 Hz, 1 H) 8.18 (s, 1 H).
ESI-MS m/z 506 (MH+); IH NMR (500 MHz, MeOD) δ ppm 1.22 - 1.39 (m, 1 H) 1.39 - 1.61 (m, 3 H) 1.76 - 1.88 (m, 2 H) 1.93 - 2.23 (m, 4 H) 2.81 - 2.91 (m, 1 H) 3.38 - 3.74 (m, 8 H) 4.37 - 4.57 (m, 1 H) 5.09 - 5.33 (m, 1 H) 7.00 (s, 1 H) 7.54 - 7.57 (m, 2 H) 7.61 (s, 1 H) 7.76 (d, J=8.24 Hz, 1 H) 7.94 (d, J=8.55 Hz5 1 H) 8.27 (s, 1 H).
ESI-MS m/z 612 (MH+); IH NMR (500 MHz, MeOD) 6 ppm 1.19 - 1.39 (m, 1 H) 1.41 - 1.61 (m, 3 H) 1.77 - 1.88 (m, 2 H) 1.92 - 2.23 (m, 4 H) 2.80 - 2.92 (m, 1 H) 3.00 - 3.08 (m, 6 H) 3.43 - 3.76 (m, 8 H) 4.35 - 4.51 (m, 1 H) 5.13 - 5.31 (m, 1 H)
6.98 - 7.05 (m, 1 H) 7.50 - 7.68 (m, 4 H) 7.97 (d, J=8.55 Hz, 1 H) 8.17 (d, J=3.36 Hz, I H).
ESI-MS m/z 632 (MH+); IH NMR (500 MHz, MeOD) δ ppm 1.15 - 1.59 (m, 11 H) 1.75 - 1.87 (m, 2 H) 1.92 - 2.23 (m, 5 H) 2.35 - 2.52 (m, 1 H) 2.87 - 2.97 (m, 1 H) 3.01 - 3.07 (m, 6 H) 3.17 - 3.31 (m, 2 H) 3.35 - 3.46 (m, 1 H) 3.59 - 3.75 (m, 3 H) 3.96 - 4.16 (m, 2 H) 4.27 - 4.41 (m, 1 H) 5.34 (s, 1 H) 7.28 (s, 1 H) 7.56 - 7.64 (m, 4 H) 7.67 (d, J=7.63 Hz, 1 H) 7.97 (d, J=8.24 Hz, 1 H) 8.09 - 8.22 (m, 1 H).
ESI-MS m/z 591 (MH+); IH NMR (500 MHz, MeOD) δ ppm 1.18 - 1.57 (m, 5 H) 1.81 (s, 2 H) 1.89 - 2.22 (m, 5 H) 2.85 - 2.95 (m, 1 H) 3.04 (s, 6 H) 3.40 - 3.93 (m, 8 H) 4.43 (m, 1 H) 5.20 (m, 1 H) 7.05 (s, 1 H) 7.53 - 7.60 (m, 3 H) 7.59 - 7.68 (m, 2 H) 7.96 (d, J=8.55 Hz, 1 H) 8.15 (s, 1 H).
ESI-MS m/z 563 (MH+); IH NMR (500 MHz, MeOD) δ ppm 0.71 - 1.36 (m, 7 H) 1.38 - 1.61 (m, 3 H) 1.76 - 1.85 (m, 2 H) 1.92 - 2.24 (m, 4 H) 2.84 (s, 3 H) 2.87 - 2.95 (m, 1 H) 3.03 (s, 6 H) 3.66 - 3.81 (m, 1 H) 4.44 (s, 1 H) 5.15 (s, 1 H) 6.98 (s, 1 H) 7.53 - 7.60 (m, 3 H) 7.60 - 7.68 (m, 2 H) 7.97 (d, J=8.55 Hz, 1 H) 8.15 (s, 1 H).
LCMS: m/z 591 (MH+), ret time 2.69 min.
ESI-MS m/z 563 (MH+); IH NMR (500 MHz, MeOD) δ ppm 0.95 - 1.35 (m, 7 H) 1.40 - 1.56 (m, 3 H) 1.75 - 2.23 (m, 6 H) 2.86 - 2.96 (m, 1 H) 3.03 (s, 6 H) 3.35 - 3.54 (m, 4 H) 4.36 - 4.51 (m, 1 H) 5.09 - 5.22 (m, 1 H) 7.01 (s, 1 H) 7.53 - 7.60 (m, 3 H) 7.60 - 7.68 (m, 2 H) 7.96 (d, J=8.55 Hz, 1 H) 8.13 (s, 1 H).
ESI-MS m/z 683 (MH+); IH NMR (500 MHz, MeOD) δ ppm 1.18 - 1.58 (m, 4 H) 1.76 - 2.18 (m, 6 H) 2.89 (s, 1 H) 3.04 (s, 6 H) 3.45 - 3.74 (m, 8 H) 4.35 - 4.45 (m, 1 H) 5.11 - 5.20 (m, 1 H) 5.24 (s, 2 H) 6.98 (s, 1 H) 7.20 (d, J=2.44 Hz, 1 H) 7.24 (dd, J=8.55, 2.75 Hz, 1 H) 7.34 - 7.38 (m, 1 H) 7.42 (t, J=7.32 Hz, 2 H) 7.52 (d, J=7.02 Hz, 2 H) 7.56 - 7.63 (m, 2 H) 7.93 (d, J=8.55 Hz, 1 H) 8.14 (d, J=I.53 Hz, 1 H).
ESI-MS m/z 711 (MH+); IH NMR (500 MHz, MeOD) δ ppm 0.97 - 1.36 (m, 5 H) 1.39 - 1.59 (m, 3 H) 1.74 - 2.21 (m, 7 H) 2.50 - 2.63 (m, 1 H) 2.85 - 2.94 (m, 1 H) 3.02 - 3.05 (m, 6 H) 3.36 - 3.57 (m, 6 H) 4.39 - 4.50 (m, 1 H) 5.09 - 5.18 (m, 1 H) 5.23 - 5.26 (m, 2 H) 6.90 (s, 1 H) 7.15 - 7.19 (m, 1 H) 7.24 (dd, J=8.55, 2.75 Hz, 1 H) 7.36 (t, J=7.32 Hz, 1 H) 7.42 (t, J=7.32 Hz, 2 H) 7.52 (d, J=7.02 Hz, 2 H) 7.58 (d, J=8.55 Hz, 1 H) 7.64 (d, J=8.55 Hz, 1 H) 7.95 (d, J=8.55 Hz, 1 H) 8.16 (s, 1 H).
ESI-MS m/z 593 (MH+); IH NMR (500 MHz, MeOD) δ ppm 1.22 - 1.57 (m, 4 H) 1.75 - 2.18 (m, 6 H) 2.84 - 2.93 (m, 1 H) 3.04 (s, 6 H) 3.38 - 3.72 (m, 8 H) 4.35 - 4.46 (m, 1 H) 5.09 - 5.22 (m, 1 H) 6.91 - 6.97 (m, 2 H) 7.01 (dd, J=8.55, 2.44 Hz, 1 H) 7.48 (d, J=8.55 Hz, 1 H) 7.61 (dd, J=8.55, 1.53 Hz, 1 H) 7.92 (d, J=8.55 Hz, 1 H) 8.13 (s, 1 H).
ESI-MS m/z 635 (MH+); IH NMR (500 MHz, MeOD) δ ppm 0.98 - 1.58 (m, 8 H) 1.73 - 2.22 (m, 6 H) 2.42 - 2.64 (m, 2 H) 2.83 - 2.93 (m, 1 H) 3.03 (s, 6 H) 3.33 - 3.59 (m, 6 H) 3.91 - 3.96 (m, 3 H) 4.33 - 4.49 (m, 1 H) 5.05 - 5.19 (m, 1 H) 6.91 (s, 1 H) 7.09 (s, 1 H) 7.16 (dd, J=8.70, 2.59 Hz, 1 H) 7.56 (d, J=8.55 Hz, 1 H) 7.63 (d, J=8.54 Hz, 1 H) 7.94 (d, J=8.55 Hz, 1 H) 8.16 (s, 1 H).
ESI-MS m/z 621 (MH+); IH NMR (500 MHz, MeOD) δ ppm 0.95 - 1.36 (m, 5 H) 1.37 - 1.60 (m, 3 H) 1.75 - 1.85 (m, 2 H) 1.88 - 2.21 (m, 4 H) 2.45 - 2.65 (m, 2 H) 2.84 - 2.94 (m, 1 H) 3.03 (s, 6 H) 3.28 - 3.41 (m, 4 H) 3.41 - 3.57 (m, 1 H) 4.35 - 4.51 (m, 2 H) 5.03 - 5.18 (m, 1 H) 6.79 - 6.88 (m, 1 H) 6.93 (s, 1 H) 7.01 (dd, J=8.39, 2.59 Hz, 1 H) 7.47 (d, J=8.54 Hz, 1 H) 7.63 (d, J=8.55 Hz, 1 H) 7.93 (d, J=8.55 Hz, 1 H) 8.15 (s, 1 H).
ESI-MS m/z 487 (MH+); IH NMR (500 MHz, CHLOROFORM-D) δ ppm 1.21 1.54 (m, 7 H) 1.63 - 1.85 (m, 2 H) 1.90 - 2.17 (m, 4 H) 2.70 - 2.80 (m, 2 H) 2.90 ■ 3.03 (m, 1 H) 3.09 - 3.34 (m, 2 H) 3.66 - 3.85 (m, 8 H) 4.14 - 4.32 (m, 1 H) 7.28 ■ 7.47 (m, 4 H) 7.74 - 7.96 (m, 2 H) 8.14 (s, 1/2 H) 8.47 (s, 1/2 H).
LCMS : m/z 489 (MH+), ret time 2.1 min.
ESI-MS m/z 515 (MH+); IH NMR (500 MHz, MeOD) δ ppm 1.13 - 1.34 (m, 7 H) 1.36 - 1.56 (m, 5 H) 1.58 - 1.71 (m, 1 H) 1.72 - 1.87 (m, 2 H) 1.89 - 2.21 (m, 4 H) 2.60 - 3.11 (m, 4 H) 3.56 - 3.84 (m, 2 H) 4.06 - 4.42 (m, 3 H) 4.85 - 4.98 (m, 2 H)
7.28 - 7.51 (m, 4 H) 7.65 - 7.78 (m, 1 H) 7.79 - 7.95 (m, 1 H) 8.15 (s, 0.4 H) 8.24 (s, 0.6 H).
ESI-MS m/z 651 (MH+); IH NMR (500 MHz, CHLOROFORM-D) δ ppm 1.14 - 1.51 (m, 12 H) 1.60 - 1.72 (m, 1 H) 1.74 - 1.85 (m, 2 H) 1.88 - 2.12 (m, 4 H) 2.57 - 3.12 (m, 6 H) 3.06 (s, 6 H) 3.48 - 3.77 (m, 2 H) 3.85 (s, 1.5 H) 3.91 (s, 1.5 H) 4.13 - 4.35 (m, 3 H) 6.78 - 6.90 (m, 1 H) 6.90 - 7.00 (m, 1 H) 7.25 (s, 1 H) 7.35 (t, J=8.70 Hz, 1 H) 7.38 - 7.52 (m, 1 H) 7.86 (dd, J=23.50, 8.55 Hz, 1 H) 7.96 (s, 1/2 H) 8.29 (s, 1/2 H).
ESI-MS m/z 621 (MH+); IH NMR (500 MHz5 MeOD) δ ppm 1.35 - 2.40 (m, 14 H) 3.02 - 3.12 (m, 1 H) 3.22 (s, 6 H) 3.35 - 3.45 (m, 1 H) 3.54 - 3.69 (m, 2 H) 3.83 - 3.95 (m, 2 H) 4.12 (s, 3 H) 4.57 (s, 1 H) 5.35 (s, 1 H) 7.19 (s, 1 H) 7.29 (s, 1 H) 7.35 (dd, J=8.55, 2.44 Hz, 1 H) 7.77 (dd, J=13.43, 8.55 Hz, 2 H) 8.11 (d, J=8.55 Hz, 1 H) 8.31 (s, 1 H).
LCMS: m/z 637 (MH+), ret time 2.03 min.
ESI-MS m/z 519 (MH+); IH NMR (500 MHz, MeOD) δ ppm 1.35 - 1.58 (m, 7 H)
1.59 - 1.78 (m, 2 H) 1.79 - 1.92 (m, 1 H) 1.95 - 2.08 (m, 2 H) 2.13 - 2.43 (m, 4 H)
2.60 - 2.81 (m, 1 H) 2.98 - 3.13 (m, 1 H) 3.15 - 3.28 (m, 2 H) 3.28 - 3.46 (m, 1 H) 3.81 - 4.09 (m, 2 H) 4.49 - 4.66 (m, 2 H) 4.84 - 5.00 (m, 1 H) 5.06 - 5.30 (m, 1 H) 7.54 - 7.79 (m, 4 H) 7.90 - 8.00 (m, 1 H) 8.05 - 8.16 (m, 1 H) 8.31 - 8.50 (m, 1 H).
ESI-MS m/z 655 (MH+); IH NMR (500 MHz, MeOD) δ ppm 1.31 - 1.53 (m, 7 H) 1.55 - 1.72 (m, 2 H) 1.74 - 1.86 (m, 1 H) 1.98 (s, 2 H) 2.08 - 2.34 (m, 4 H) 2.57 - 2.77
(m, 1 H) 2.91 - 3.08 (m, 1 H) 3.09 - 3.17 (m, 1 H) 3.17 - 3.22 (m, 6 H) 3.23 - 3.37 (m, 1 H) 3.67 - 4.01 (m, 3 H) 4.01 - 4.11 (m, 3 H) 4.44 - 4.69 (m, 3 H) 4.80 - 5.27 (m, 1 H) 7.08 - 7.29 (m, 2 H) 7.57 - 7.63 (m, 1 H) 7.72 - 7.82 (m, 1 H) 8.07 (m, 1 H) 8.18 - 8.32 (m, 1 H).
ESI-MS m/z 517 (MH+); IH NMR (500 MHz, CHLOROFORM-D) δ ppm 0.12 - 1.61 (m, 10 H) 1.70 - 1.87 (m, 2 H) 1.88 - 2.23 (m, 4 H) 2.31 - 2.74 (m, 4 H) 2.72 - 2.84 (m, 1 H) 3.42 (s, 1 H) 4.28 - 4.63 (m, 2 H) 5.29 (s, 1 H) 6.74 (s, 1 H) 7.12 (d, J=8.85 Hz, 1 H) 7.17 - 7.29 (m, 1 H) 7.55 (dd, J=8.55, 5.49 Hz, 1 H) 7.80 - 7.87 (m, 1 H) 7.87 - 7.97 (m, 1 H) 8.25 - 8.88 (m, 2 H).
ESI-MS m/z 623 (MH+); IH NMR (500 MHz, CHLOROFORM-D) δ ppm 0.79 - 1.59 (m, 10 H) 1.71 - 2.13 (m, 6 H) 2.73 - 2.82 (m, 1 H) 3.07 (s, 6 H) 3.23 - 3.79 (m, 5 H) 4.30 - 4.50 (m, 2 H) 5.03 - 5.18 (m, 1 H) 6.75 (s, 1 H) 7.09 - 7.14 (m, 1 H) 7.20 - 7.25 (m, 1 H) 7.41 - 7.62 (m, 2 H) 7.91 (d, J=8.55 Hz, 1 H) 8.10 (s, 1 H) 9.04 (s, 1 H).
ESI-MS m/z 516 (MH+); IH NMR (500 MHz, CHLOROFORM-D) 5 ppm 1.01 - 1.63 (m, 8 H) 1.71 - 1.84 (m, 2 H) 1.88 - 2.28 (m, 6 H) 2.72 - 2.81 (m, 1 H) 2.82 - 3.20 (m, 5 H) 4.41 - 4.73 (m, 2 H) 5.04 - 5.17 (m, 1 H) 6.77 (s, 1 H) 7.09 - 7.15 (m, 1 H) 7.20 - 7.25 (m, 1 H) 7.54 (dd, J=8.55, 5.49 Hz, 1 H) 7.83 (d, J=8.55 Hz, 1 H) 7.91 (d, J=8.55 Hz, 1 H) 8.27 (s, 1 H) 9.18 (none, 1 H).
ESI-MS m/z 530 (MH+); IH NMR (500 MHz, CHLOROFORM-D) 5 ppm 0.75 - 1.64 (m, 9 H) 1.68 - 2.23 (m, 7 H) 2.49 - 2.71 (m, 3 H) 2.73 - 2.83 (m, 1 H) 2.84 - 3.08 (m, 2 H) 3.20 - 3.54 (m, 3 H) 4.30 - 4.63 (m, 2 H) 5.17 (m, 1 H) 6.83 (s, 1 H) 7.10 - 7.18 (m, 1 H) 7.21 - 7.29 (m, 1 H) 7.55 (dd, J=8.55, 5.49 Hz, 1 H) 7.81 (d, J=8.55 Hz, 1 H) 7.94 (d, J=8.54 Hz, 1 H) 8.32 (s, 1 H).
13-cyclohexyl-N-[(dimethylamino)sulfonyl]-6-[(cis-3,5-dimethyl-4-methyl-l- piperazinyl)carbonyl]-3-methoxy- 7H-indolo[2, 1 -a] [2] benzazepine-10-carboxamide. A mixture of 13-cyclohexyl-N-[(dimethylamino)sulfonyl]-6-[(cis-3,5-dimethyl -1- piperazinyl)carbonyl]-3-methoxy-7H-indolo[2, 1 -a] [2]benzazepine-l 0-carboxamide (42 mg, 0.066 mmol), zinc chloride (27.4 mg, 0.20 mmol), paraformaldehyde (6.0 mg, 0.20 mmol), and sodium cyanoborohydride (12.7 mg, 0.20 mmol) in MeOH was heated at 60 °C for 2 hrs. The mixture was quenched with 0.5 mL of NaOH (IN). The solution was extracted with ethyl acetate and the extract washed with dilute sodium bicarbonate (2x), brine (3x), and then dried (Na2SO4). The extract was concentrated and the crude product purified on the Shimadzu preparative liquid chromatograph. The product containing fraction was concentrated on a Speed Vac® to leave the titled compound as a yellow solid ( 35 mg, 82 %). ESI-MS m/z 648 (MH+); IH NMR (500 MHz, CHLOROFORM-D) δ ppm 0.77 - 1.58 (m, 10 H) 1.69 - 2.19 (m, 6 H) 2.76 - 2.91 (m, 4 H) 3.01 (s, 6 H) 3.12 - 3.38 (m, 5 H) 3.91 (s, 3 H) 4.33 . 4.49 (m, 2 H) 5.07 - 5.22 (m, 1 H) 6.99 (s, 1 H) 7.08 (d, J=2.44 Hz, 1 H) 7.16 (dd, J=8.70, 2.59 Hz, 1 H) 7.56 (t, J=9.31 Hz, 2 H) 7.93 (d, J=8.55 Hz, 1 H) 8.11 (s, I H).
ESI-MS m/z 636 (MH+); IH NMR (500 MHz, MeOD) δ ppm 1.02 - 1.58 (m, 9 H) 1.75 - 2.22 (m, 7 H) 2.81 - 2.93 (m, 4 H) 2.93 - 3.03 (m, 2 H) 3.04 (s, 6 H) 3.07 - 3.24 (m, 2 H) 3.37 - 3.80 (m, 2 H) 4.28 - 4.58 (m, 2 H) 5.17 - 5.30 (m, 1 H) 7.03 (s, 1 H) 7.33 - 7.41 (m, 1 H) 7.63 (d, J=8.24 Hz, 1 H) 7.69 (dd, J=8.55, 5.80 Hz, 1 H) 8.00 (d, J=8.55 Hz, 1 H) 8.18 (s, 1 H).
Methyl (±)-13-cyclohexyl-6, 7-dihydro -ό-carbomethoxy-ό-methyl -5H-indolo[2,l- a][2]benzazepine-10-carboxylate. A solution of LDA in THF (1.2 mL of 0.5 N, 0.60 mmol) was added to a solution of methyl (±)-6-carbomethoxy -13-cyclohexyl-6,7- dihydro-5H-indolo[2,l-a][2]benzazepine-10-carboxylate (160 mg, 0.37 mmol) in THF (5 mL) at -78 0C. Stirring was continued at -78 °C for 15 min when the mixture was slowly warmed to - 50 °C. Iodomethane ( 35 μL, 0.56 mmol) was added and the mixture was slowly warmed to -10 0C . Stirring was continued for 30 min. The solution was quenched with MeOH. The solution was extracted with ethyl acetate and the extract washed with dilute HCl (2x), brine (3x), and then dried (Na2SO4). The extract was concentrated and the crude product purified on the Shimadzu preparative liquid chromatograph. The product containing fraction was concentrated on a Speed Vac® to leave the titled compound as a white solid ( 140 mg, 85 %). ESI-MS m/z 446 (MH+) IH NMR (500 MHz, CHLOROFORM-D) 6 ppm 1.19 - 1.33 (m, 3 H) 1.31 - 1.52 (m, 3 H) 1.63 - 1.84 (m, 3 H) 1.87 - 2.15 (m, 4 H) 2.34 (d, J=13.73 Hz, 0.4 H) 2.70 (d, J=13.73 Hz, 0.6 H) 2.88 - 3.12 (m, 2 H) 3.21 (d, J=13.73 Hz, 0.4 H) 3.33 (d, J=14.65 Hz, 0.6 H) 3.75 (d, J=10.68 Hz, 3 H) 3.95 (s, 3 H) 4.34 (d, J=14.65 Hz, 0.4 H) 4.87 (d, J=14.65 Hz, 0.6 H) 7.30 - 7.48 (m, 4 H) 7.69 - 7.79 (m, 1 H) 7.82 - 7.92 (m, 1 H) 8.11 (s, 0.4 H) 8.22 (s, 0.6 H).
Methyl (+)-13-cyclohexyl-6, 7-dihydro -6-carboxy -6-methyl-5H-indolo[2,l- a] [2] benzazepine-10-carboxylate. Lithium hydroxide (12 mg, 0.5 mmol) was added to a solution of methyl (±)-13-cyclohexyl-6,7-dihydro-6-carbomethoxy-6-methyl-5H- indolo[2,l-a][2]benzazepine-10-carboxylate (20.0 mg, 0.045 mmol) in methanol (1.0 mL) and tetrahydrofuran (1.0 mL) in a microwave vial. The vial was sealed and the contents heated at 65 0C for 50 min in a microwave apparatus. The solution was acidified with dilute hydrochloric acid to precipitate the crude acid. The solid was collected and was purified on the Shimadzu preparative liquid chromatograph. The product containing fraction was concentrated on a Speed Vac® to leave the titled compound as a white solid (6.5 mg, 34 %). ESI-MS m/z 432 (MH+) IH NMR (500 MHz, CHLOROFORM-D) δ ppm 1.18 - 1.51 (m, 6 H) 1.62 - 1.83 (m, 3 H) 1.89 - 2.14 (m, 4 H) 2.36 (d, J=13.73 Hz, 0.5 H) 2.72 (d, J=13.43 Hz, 0.5 H) 2.89 - 2.98 (m, 1 H) 3.01 (d, J=13.73 Hz, 0.5 H) 3.19 (d, J=14.04 Hz, 0.5 H) 3.32 (d, J=14.65 Hz, 0.5 H) 3.90 (d, J=14.60 Hz, 0.5 H) 3.94 (d, J=17.70 Hz, 3 H) 4.31 (d, J=14.65 Hz, 0.5 H) 4.89 (d, J=14.65 Hz, 0.5 H) 7.30 - 7.50 (m, 4 H) 7.75 (dd, J=23.04, 8.39 Hz, 1 H) 7.86 (dd, J=24.87, 8.39 Hz, 1 H) 8.11 (s, 0.5 H) 8.28 (s, 0.5 H).
Methyl (±)-13-cyclohexyl-6, 7-dihydro -ό-carbomethoxy-ό-fluoro ~5H-indolo[2,l- a][2]benzazepine-10-carboxylate. A solution of LDA in THF (0.7 mL of 0.5 N, 0.35 mmol) was added to a solution of methyl (±)-6-carbomethoxy -13-cyclohexyl-6,7- dihydro-5H-indolo[2,l-a][2]benzazepine-10-carboxylate (100 mg, 0.23 mmol) in THF (1 mL) at -78 °C. Stirring was continued at -78 0C for 15 min and N- fluorobenzenesulfonimide ( 110 mg, 0.35 mmol) was added in one portion. The mixture was then slowly warmed to - 0 0C and Stirring was continued for 1 hr at 0°C. The solution was quenched with MeOH. The solution was extracted with ethyl acetate and the extract washed with dilute HCl (2x), brine (3x), and then dried (Na2SO4). The extract was concentrated and the crude product purified on the
Shimadzu preparative liquid chromatograph. The product containing fraction was concentrated on a Speed Vac® to leave the titled compound as a white solid ( 30 mg, 29 %). ESI-MS m/z 449 (MH+).
Methyl (±)-l 3-cyclohexyl-6, 7-dihydro -6-carboxy -6-fluoro-5H-indolo[2,l- a][2]benzazepine-10-carboxylate. Sodium hydroxide (50 μL of IN, 0.05 mmol) was added to a solution of methyl (±)-13-cyclohexyl-6,7-dihydro-6-carbomethoxy-6- fluoro-5H-indolo[2,l-a][2]benzazepine-10-carboxylate (12.0 mg, 0.027 mmol) in methanol (0.5 mL) and tetrahydrofuran (0.5 mL) in a microwave vial. The vial was sealed and the contents heated at 65 °C for 20 min in a microwave apparatus. The solution was acidified with dilute hydrochloric acid to precipitate the crude acid. The solid was collected and was purified on the Shimadzu preparative liquid chromatograph. The product containing fraction was concentrated on a Speed Vac® to leave the titled compound as a white solid (10 mg, 85 %). ESI-MS m/z 436 (MH+).
LCMS: m/z 485 (MH+), ret time 2.42 min.
LCMS: m/z 508 (MH+), ret time 2.08 min.
LCMS: m/z 621 (MH+), ret time 2.00 min.
LCMS: m/z 636 (MH+), ret time 2.57 min.
LCMS: m/z 622 (MH+), ret tune 2.48 min.
LCMS: m/z 429 (MH+), ret time 2.34 min.
LCMS: m/z 522 (MH+), ret time 2.49 min.
LCMS: m/z 499 (MH+), ret time 2.51 min.
LCMS: m/z 450 (MH+), ret time 2.31 min.
LCMS: m/z 520 (MH+), ret time 2.30 min.
LCMS: m/z 628 (MH+), ret time 2.88 min.
LCMS: m/z 614 (MH+), ret time 2.29 min.
LCMS: m/z 538 (MH+), ret time 2.13 min.
LCMS: m/z 446 (MH+), ret time 2.42 min.
LCMS: m/z 432 (MH+), ret time 2.30 min.
ESI-MS m/z 501 (MH+).
LCMS: m/z 434 (MH+), ret time 2.15 min.
LCMS: m/z 503 (MH+), ret time 2.20 min.
LCMS: m/z 568 (MH+), ret time 2.19 min.
LCMS: m/z 529 (MH+), ret time 2.31 min.
LCMS: m/z 540 (MH+), ret time 2.12 min.
LCMS: m/z 450 (MH+), ret time 2.23 min.
LCMS: m/z 558 (MH+), ret time 2.04 min.
LCMS: m/z 531 (MH+), ret time 2.83 mill.
LCMS: m/z 530 (MH+), ret time 1.95 min.
6-(azidocm'bonyl)-13-cyclohexyl-6, 7-dϊhydro-5H-indolo[2,l-a][2]benzazepine-10- carboxylic acid, methyl ester. To a mixture of the acid (5H-indolo[2,l- α][2]benzazepine-6,10-dicarboxylic acid, 13-cyclohexyl-6,7-dihydro-, 10-methyl ester) (989.2 mg, 2.37 mmol) in PhMe (15 ml) at r.t. under N2 was added triethylamine (304 mg, 3.0 mmol), followed by diphenylphosphoryl azide (DPPA) (845 mg, 3.07 mmol). The mixture was stirred at r.t. for 3.5 hr. The volatiles were then evaporated and the residue purified by Biotage flash chromatography (gradient elution, 0 to 30% EtOAc/Ηexane) to gave the acyl azide (5H-indolo[2,l- α][2]benzazepine-10-carboxylic acid, 6-(azidocarbonyl)-13-cyclohexyl-6,7-dihydro-, methyl ester) (532 mg); Analytical ΗPLC method: Solvent A = 10% MeOH, 90% H2O 0.1% TFA, Solvent B = 90% MeOH 10% H2O 0.1% TFA, Start %B = 0, Final %B = 100, Gradient time = 2 min, Flow Rate = 5 ml/min, Column: Xterra MS Cl 8 S7 3.0 x 50mm; LC/MS: (ES+) m/z (M+H)+ = 443.16, HPLC Rt = 2.197 min.
5H-indolo[2,l-a][2]benzazepine-10-carboxylic acid, 13-cyclohexyl-6-[[(l ,1- dimethylethoxy)carbonyl]amino]-6, 7-dihydro-, methyl ester. To a mixture of the acyl azide (5H-indolo[2,l-α][2]benzazepine-10-carboxylic acid, 6-(azidocarbonyl)-13-
cyclohexyl-όj-dihydro-, methyl ester) (532 mg, 1.2 mmol) under N2 at r.t. in a microwave reaction tube was added tert-buty\ alcohol (10 ml). The reaction mixture was then placed under microwave irradiation in an Emrys Optimizer (Personal Chemistry) at 100°C and with the absorption level set to normal for 15 min. The mixture was then added with excess water. The white precipitates were filtered, washed with water twice and purified by Biotage flash chromatography (gradient elution, 0 to 40% EtOAc/Hexane) to gave the carbamate (5H-indolo[2,l- α][2]benzazepine-10-carboxylic acid, 13-cyclohexyl-6-[[(l,l- dimethylethoxy)carbonyl]amino]-657-dihydro-, methyl ester) (179.3 mg); Analytical HPLC method: Solvent A = 10% MeOH, 90% H2O 0.1 % TFA, Solvent B = 90% MeOH 10% H2O 0.1% TFA, Start %B = 0, Final %B = 100, Gradient time = 2 min, Flow Rate = 5 ml/min, Column: Xterra MS Cl 8 S7 3.0 x 50mm; LC/MS: (ES+) m/z (M+H)+ = 489.21, HPLC Rt = 2.183 min.
5H-indolo[2, 1-a] [2]benzazepine-l O-carboxylic acid, 13-cyclohexyl-6-[[(l,l- dimethylethoxy)carbonyl] amino] -6, 7-dihydro-3-methoxy-, methyl ester. This methoxyphenyl analog (5H-indolo[2,l-α][2]benzazepine-l 0-carboxylic acid, 13- cyclohexyl-6-[[(l , 1 -dimethylethoxy)carbonyl]amino]-6,7-dihydro-3-methoxy-, methyl ester) was prepared from the acyl azide (5H-indolo[2,l-α][2]benzazepine-10- carboxylic acid, 6-(azidocarbonyl)-13-cyclohexyl-6,7-dihydro-3-methoxy-, methyl ester) in a similar manner; Analytical HPLC method: Solvent A = 10% MeOH, 90% H2O 0.1% TFA, Solvent B = 90% MeOH 10% H2O 0.1% TFA, Start %B = 0, Final %B = 100, Gradient time = 2 min, Flow Rate = 5 ml/min, Column: Xterra MS Cl 8 S7 3.0 x 50mm; LC/MS: (ES+) m/z (M+H)+ = 519.30, HPLC Rt = 2.165 min.
5H-indolo[2,l-a][2]benzazepine-10-carboxylic acid, 6-amino-l 3-cyclohexyl-6, 7- dϊhydro-, methyl ester . To (5H-indolo[2,l-α][2]benzazepme-10-carboxylic acid, 13- cyclohexyl-6-[[(l,l-dimethylethoxy)carbonyl]amino]-6,7-dihydro-, methyl ester) (179.3 mg) as obtained above at r.t. under N2 was added a solution of HCl in 1,4- dioxane (2 ml, 4M). The mixture was stirred at r.t. for 3 hr. 20 min. and then evaporated to dryness to give the hydrochloride salt of (5H-indolo[2,l- α][2]benzazepine-10-carboxylic acid, 6-amino-l 3-cyclohexyl-6,7-dihydro-, methyl ester); Analytical ΗPLC method: Solvent A = 10% MeOH, 90% H2O 0.1% TFA, Solvent B = 90% MeOH 10% H2O 0.1% TFA, Start %B = 0, Final %B = 100, Gradient time = 2 min, Flow Rate = 5 ml/min, Column: Xterra MS Cl 8 S7 3.0 x 50mm; LC/MS: (ES+) m/z (M+H)+ = 389.24, HPLC Rt = 1.790 min.
5H-indolo[2,l-a][2]benzazepme-10-carboxylic acid, 6-amino-l 3-cyclohexyl-6, 7- dihydro-3-methoxy-, methyl ester. The hydrochloride salt of this methoxyphenyl analog (5H-indolo[2,l-α][2]benzazepine-10-carboxylic acid, 6-amino-l 3-cyclohexyl- 6,7-dihydro-3-methoxy-, methyl ester) was prepared from 5H-indolo[2,l- α][2]benzazepine-10-carboxylic acid, 13-cyclohexyl-6-[[(l,l- dimethylethoxy)carbonyl]amino]-6,7-dihydro-3-methoxy-, methyl ester in a similar
manner; Analytical HPLC method: Solvent A = 10% MeOH, 90% H2O 0.1% TFA, Solvent B = 90% MeOH 10% H2O 0.1% TFA, Start %B = 0, Final %B = 100, Gradient time = 2 min, Flow Rate = 5 ml/min, Column: Xterra MS Cl 8 S7 3.0 x 50mm; LC/MS: (ES+) m/z (M+H)+ = 419.27, HPLC Rt = 1.80 min.
13-cyclohexyl-6,7-dihydro-6-[(methylcarbonyl)amino]-5H-indolo[2,l- a] [2]benzazβpine-10-carboxylic acid, methyl ester. Analytical HPLC method: Solvent A = 10% MeOH, 90% H2O 0.1% TFA, Solvent B = 90% MeOH 10% H2O 0.1% TFA, Start %B = 0, Final %B = 100, Gradient time = 2 min, Flow Rate = 5 ml/min, Column: Xterra MS Cl 8 S7 3.0 x 50mm; LC/MS: (ES+) m/z (M+H)+ = 523.30, HPLC Rt = 1.853 min.
The present disclosure is not limited to the foregoing illustrative examples and encompasses other specific compounds without departing from the essential attributes thereof. It is therefore desired that the examples be considered in all respects as illustrative and not restrictive, reference being made to the appended claims, rather than to the foregoing examples, and all changes which come within the meaning and range of equivalency of the claims are therefore intended to be embraced therein.
Claims
1. A compound selected from the group consisting of
13-cyclohexyl-iV-(cyclopropylsulfonyl)-3-methoxy-6-(4-morpholinylcarbonyl)-7/f- indolo[2, 1 -a] [2]benzazepine- 10-carboxamide;
13-cyclohexyl-N-[(dimethylamino)sulfonyl]-6-[[(3i?)-3-hydroxy-l- piperidinyl]carbonyl]-3-methoxy-7H-indolo[2, 1 -a] [2]benzazepine-l 0-carboxamide;
13-cyclob.exyl-6-[[(2i?,6(S)-256-dimethyl-4-morpholinyl]carbonyl]-6-fl.uoro-6,7- dihydro-5H-indolo[2, 1 -a] [2]benzazepine- 10-carboxylic acid;
13-cyclohexyl-10-[[[(dimethylamino)sulfonyl]amino]carbonyl]-6-fluoro-6,7- dihydro-3 -rnethoxy-5H-indolo[2, 1 -a] [2]benzazepine-6-carboxylic acid;
13-cyclohexyl-N-[(dimethylamino)sulfonyl]-6-[[(2i?,65)-2,6-dimethyl-4- morpholinyl]carbonyl]-6-fluoro-6,7-dihydro-3-metb.oxy-5Jf-indolo[2,l- α][2]benzazepine-10-carboxamide;
14-cyclohexyl- 11 - [ [ [(dimethylamino)sulfonyl] amino] carbonyl] -7 , 8-dihydro-5H- indolo[2, 1 -a] [2]benzazepine- 10-carboxamide, 1 , 1 -dimethylethyl ester;
14-cyclohexyl-iV-[(dimetliylamino)sulfonyl]-5,6,7,8-tetrahydro-indolo[l,2- e] [ 1 ,5]benzodiazocine- 11 -carboxamide;
13 -cyclohexyl-iV-[(dimethylamino)sulfonyl] -6-[(3 ,5-dimetliyl- 1 - piperazinyl)carbonyl] -3-methoxy-7H-indolo[2, 1 -a] [2]benzazepine- 10-carboxamide;
13-cyclohexyl-iV-[(dimetliylamino)sulfonyl]-6-[[(3i?)-3-liydroxy-l- pyrrolidinyl]carbonyl]-3-methoxy-7H-indolo[2,l-a][2]benzazepine-10- carboxamide; 13-cyclohexyl-N-[(dimetliylamino)sulfonyl]-6-[[(31S)-3-hydroxy-l- piperidinyl]carbonyl]-3-methoxy-7H-indolo[2, 1 -α] [2]benzazepine-l 0-carboxamide;
13-cyclohexyl-6,7-dihydro-7-(4-morpholinylcarbonyl)-5H-indolo[l,2- cf][l,4]benzodiazepine-10-carboxylic acid;
13 -cyclohexyl-6-(hydroxymethyl)-7H-indolo[2, 1 -a] [2]benzazepine- 10-carboxylic acid, methyl ester;
13-cyclohexyl-N-[(dimetb.ylamino)sulfonyl]-6-[[(2i?55i?)-2,5-dimethyl-l- pyrrolidinyl]carbonyl]-3-methoxy-7/i-indolo[2,l-α][2]benzazepme-10- carboxamide;
13-cyclohexyl-N10-[(dimethylamino)sulfonyl]-Λ^-etb.yl-3-methoxy-N6-methyl-7H- indolo[2, 1 -a] [2]benzazepine-6, 10-dicarboxamide;
13-cyclohexyl-6-[[(2i?,65)-2,6-dimethyl-4-morpholinyl]carbonyl]-J/V-[l-[[[4-(5- oxazolyl)phenyl]amino]carbonyl]cyclopentyl]-7H-indolo[2,l-α][2]benzazepine-10- carboxamide;
13-cyclohexyl-6-[[(2i?,61S)-2,6-dimethyl-4-morpholinyl]carbonyl]-N-[l-[[[4-(lΗ- 1 ,2,4-triazol- 1 -yl)phenyl] amino] carbonyl] cyclopentyl]-7H-indolo[2, 1 - a] [2]benzazepine- 10-carboxamide;
13-cyclohexyl-6-[[(2i?,61S)-2,6-dimethyl-4-morpholinyl]carbonyl]-N-[(5-methyl-lΗ- pyrazol-3-yl)methyl]-7H-indolo[2, 1 -a] [2]benzazepine-l O-carboxamide; 13-cyclohexyl-6-[[2-[(dimethylamino)methyl]-4-morpb.olinyl]carbonyl]-N- [(dimethylamino)sulfonyl] -3-methoxy-7H-indolo[2, 1 -a] [2]benzazepine- 10- carboxamide;
13-cyclohexyl-N-[(dimethylammo)sulfonyl]-6-[(4-hydroxy-l-piperidinyl)carbonyl]- 3 -methoxy-7iϊ-indolo[2, 1 -a] [2]benzazepine- 10-carboxamide; ll-cyclohexyl-N-[(dimethylamino)sulfonyl]-8-methoxy-6-oxo-6H-isoindolo[2,l- α]indole-3-carboxamide;
13-cyclohexyl-6-[[(2JR,61S)-2,6-dimethyl-4-morpholinyl]carbonyl]-3-fl.uoro-7H- indolo[2, 1 -a] [2]benzazepine- 10-carboxylic acid, methyl ester;
13-cyclohexyl-6-[[(2i?,65)-2,6-dimethyl-4-morpholinyl]carbonyl]-3-fluoro-7H- indolo[2, 1 -a] [2]benzazepine- 10-carboxylic acid;
13-cyclohexyl-N-[(dimethylamino)sulfonyl]-6-[[(2i?,65)-2,6-dimethyl-4- morpholinyl]carbonyl] -3 -fluoro-7H -indolo[2, 1 -a] [2]benzazepine- 10-carboxamide;
13-cyclohexyl-6-[[(3i?,5,S)-3,5-dimethyl-l-piperazinyl]carbonyl]-3-fluoro-7H- indolo[2,l-α][2]benzazepine-l 0-carboxylic acid, methyl ester;
13-cyclohexyl-6-[[(3i?,5»S)-3,5-dimethyl-l-piperazinyl]carbonyl]-3-fluoro-7H- indolo[2, 1 -a] [2]benzazepine- 10-carboxylic acid;
13-cyclohexyl-6,7-dihydro-7-(4-morpholinylcarbonyl)-5H-indolo[2, 1 - a] [2]benzazepine- 10-carboxylic acid, methyl ester;
4-[2-[[[l-[[[13-cyclohexyl-6-[[(2i?,65)-2,6-dimethyl-4-morpholinyl]carbonyl]-7H- indolo[2,l-α][2]benzazepin-10-yl]carbonyl]amino]cyclopentyl]carbonyl]amino]-5- thiazolyl]-benzoic acid;
13-cyclohexyl-6-[[(2i?,65)-2,6-dimethyl-4-morpholinyl]carbonyl]-N-[l-[(2- thiazolylamino)carbonyl]cyclopentyl]-7H-indolo[2,l-α][2]benzazepine-10- carboxamide;
13-cyclohexyl-6,7-dihydro-7-(4-morpholinylcarbonyl)-57f-indolo[2,l- α] [2]benzazepine- 10-carboxylic acid; 13-cyclohexyl-N10-[(dimethylamino)sulfonyl]-N6-(2-hydroxyethyl)-3-methoxy-Λ^- methyl-7H-mdolo[2, 1 -a] [2]benzazepine-6, 10-dicarboxamide;
13-cyclohexyl-iV10-[(dimethylamino)sulfonyl]-N6,7V6-bis(2-hydroxyethyl)-3- methoxy-7H-indolo[2, 1 -a] [2]benzazepine-6, 10-dicarboxamide;
l-[[[13-cyclohexyl-6-[[(2i?,65)-2,6-dimethyl-4-morpholinyl]carbonyl]-7H- indolo[2,l-α][2]benzazepin-10-yl]carbonyl]amino]-cyclopentanecarboxylic acid;
lS-cyclohexyl-iV-CCdimethylamii^sulfonyll-ό-ttCSiϊ.S^-S^-dimethyl-l- piperazinyl]carbonyl] -6,7-dihydro-3 -methoxy-5/i~indolo[2, 1 -a] [2]benzazepine- 10- carboxamide;
13-cyclohexyl-iV-[(dimetb.ylamino)sulfonyl]-6-[[(3i?,5δ)-3,5-dimetliyl-l- piperazinyl]carbonyl]-3-fluoro-7H-indolo[2,l-α][2]benzazepine-10-carboxamide;
13-cyclohexyl-iV10-[(dimethylamino)sulfonyl]-6,7-dihydro-N6,Λ^-bis(2- hydroxyethyl)-3-methoxy-5}ϊ-indolo[2, 1 -a] [2]benzazepine-6, 10-dicarboxamide;
13-cyclohexyl-iV10-[(dimethylaiiiino)sulfonyl]-6,7-dihydro-iV6-(2-liydroxyetliyl)-3- methoxy-N6-methyl-5H-indolo[2, 1 -a] [2]benzazepine-6, 10-dicarboxamide;
13-cyclohexyl-6-[[(2i?,65)-2,6-dimethyl-4-morpholinyl]carbonyl]-N- [(methylamino)sulfonyl]-7H-indolo[2, 1 -a] [2]benzazepine- 10-carboxamide;
13-cyclohexyl-6-[[(2i?,61S)-2,6-dimetliyl-4-morρb.olinyl]carbonyl]-N-[2- (methylamino)etliyl]-7H-indolo[2,l-α][2]benzazepine-10-carboxamide;
13-cyclohexyl-6-[[(2i?,65)-2,6-dimethyl-4-morpholinyl]carbonyl]-6,7-dihydro-N- [(methylamino)sulfonyl]-5H"-indolo[2,l-a][2]benzazepine-10-carboxamide;
13 -cyclohexyl-4-methoxy-7H-indolo[2, 1 -a] [2]benzazepine-6, 10-dicarboxylic acid, dimethyl ester; 13-cyclohexyl-4-methoxy-7H~indolo[2, 1 -a] [2]benzazepine-6, 10-dicarboxylic acid, 10-methyl. ester;
13-cyclohexyl-6-[[(2R,6^-2,6-dimethyl-4-morpholinyl]carbonyl]-4-methoxy-7if- indolo[2,l-α][2]benzazepine-10-carboxylic acid, methyl ester;
13-cyclohexyl-6-[[(2i?,65)-2,6-dimethyl-4-morpholinyl]carbonyl]-3-metiioxy-7H- pyrido [3 ',4' : 3 ,4] azepino [ 1 ,2-α] indole- 10-carboxylic acid;
13-cyclohexyl-6-[[(2i?,65)-2,6-dimethyl-4-morpholinyl]carbonyl]-3-methoxy-7H- pyrido[3',4':3,4]azepino[l,2-α]indole-10-carboxylic acid, methyl ester;
13-cyclohexyl-6-[[(2i?,65)-2,6-dimethyl-4-morpholinyl]carbonyl]-4-methoxy-7H- indolo[2, 1 -a] [2]benzazepine- 10-carboxylic acid;
13-cyclohexyl-N-[(dimethylamino)sulfonyl]-6-[[(2i?,65)-2,6-dimethyl-4- morpholinyl] carbonyl] -4-methoxy-7H-indolo[2, 1 -a] [2]benzazepine- 10- carboxamide;
11 -cyclohexyl-6-hydroxy-8-methoxy-6/f-isoindolo[2, 1 -α]indole-3-carboxylic acid, methyl ester;
ll-cyclohexyl-6-hydroxy-8-(phenylmethoxy)-6H-isoindolo[2,l-α]indole-3- carboxylic acid, methyl ester; 11 -cyclohexyl-N-[(dimethylamino)sulfonyl]-6,7-dihydroxy-8-methoxy-6H- isoindolo[2,l-α]indole-3-carboxamide;
13-cyclohexyl-iV-[(dimethylamino)sulfonyl]-6-[[(2i?,6(S)-2,6-dimethyl-4- morpholmyl]carbonyl]-3-methoxy-7H-pyrido[3',4':3,4]azepino[l,2-α]indole-10- carboxamide;
ll-cyclohexyl-8-(dimethylamino)-6-hydroxy-67f-isoindolo[2,l-α]indole-3- carboxylic acid, methyl ester; 12-cyclohexyl-6if-furo[3',2':3,4]azepino[l,2-a]mdole-5,9-dicarboxylic acid, dimethyl ester;
12~cyclohexyl-6H"-furo[3 ',2' : 3 ,4] azepino[ 1 ,2-α]indole-5 ,9-dicarboxylic acid, 9- methyl ester;
13-cyclohexyl-3-methoxy-6-[[(2-oxoethyl)amino]carbonyl]-7if-indolo[2,l- α][2]benzazepine-10-carboxylic acid, methyl ester;
13-cyclohexyl-3 -(dimethylamino)-7H-mdolo[2, 1 -a] [2]benzazepine-6, 10- dicarboxylic acid, dimethyl ester;
12-cyclohexyl-5-(4-morpholinylcarbonyl)-6H-turo[3',2':3,4]azepino[l,2-a]indole-9- carboxylic acid, methyl ester;
12-cyclohexyl-5-[[(2i?,61S)-2,6-dimethyl-4-morpholinyl]carbonyl]-6H- furo[3'52':3,4]azepino[l,2-α]indole-9-carboxylic acid, methyl ester;
3-cyclohexyl-iV-[(dimethylamino)sulfonyl]-2-(lH-pyrazol-5-yl)-lH-indole-6- carboxamide;
12-cyclohexyl-5 -(4-morpholinylcarbonyl)-6H-turo[3 ',2' : 3 ,4] azepino[ 1 ,2-α]indole-9- carboxylic acid;
12-cyclohexyl-5-[[(2i?,6(S)-2,6-dimethyl-4-morpholinyl]carbonyl]-6H- furo[3',2':3,4]azepino[l,2-α]indole-9-carboxylic acid; and
13-cyclohexyl-3-(dimethylamino)-7H-indolo[2,l-α][2]benzazepine-6,10- dicarboxylic acid, 10-methyl ester;
or a pharmaceutically acceptable salt thereof.
Priority Applications (1)
| Application Number | Priority Date | Filing Date | Title |
|---|---|---|---|
| PCT/US2006/004156 WO2007092000A1 (en) | 2006-02-06 | 2006-02-06 | Inhibitors of hcv replication |
Applications Claiming Priority (1)
| Application Number | Priority Date | Filing Date | Title |
|---|---|---|---|
| PCT/US2006/004156 WO2007092000A1 (en) | 2006-02-06 | 2006-02-06 | Inhibitors of hcv replication |
Publications (1)
| Publication Number | Publication Date |
|---|---|
| WO2007092000A1 true WO2007092000A1 (en) | 2007-08-16 |
Family
ID=37229076
Family Applications (1)
| Application Number | Title | Priority Date | Filing Date |
|---|---|---|---|
| PCT/US2006/004156 Ceased WO2007092000A1 (en) | 2006-02-06 | 2006-02-06 | Inhibitors of hcv replication |
Country Status (1)
| Country | Link |
|---|---|
| WO (1) | WO2007092000A1 (en) |
Cited By (24)
| Publication number | Priority date | Publication date | Assignee | Title |
|---|---|---|---|---|
| WO2008121634A2 (en) | 2007-03-30 | 2008-10-09 | Pharmasset, Inc. | Nucleoside phosphoramidate prodrugs |
| WO2009076747A1 (en) | 2007-12-19 | 2009-06-25 | Boehringer Ingelheim International Gmbh | Viral polymerase inhibitors |
| US7659263B2 (en) | 2004-11-12 | 2010-02-09 | Japan Tobacco Inc. | Thienopyrrole compound and use thereof as HCV polymerase inhibitor |
| WO2010075554A1 (en) | 2008-12-23 | 2010-07-01 | Pharmasset, Inc. | Synthesis of purine nucleosides |
| WO2010075517A2 (en) | 2008-12-23 | 2010-07-01 | Pharmasset, Inc. | Nucleoside analogs |
| WO2010075549A2 (en) | 2008-12-23 | 2010-07-01 | Pharmasset, Inc. | Nucleoside phosphoramidates |
| WO2010080874A1 (en) | 2009-01-07 | 2010-07-15 | Scynexis, Inc. | Cyclosporine derivative for use in the treatment of hcv and hiv infection |
| WO2010135569A1 (en) | 2009-05-20 | 2010-11-25 | Pharmasset, Inc. | N- [ (2 ' r) -2 ' -deoxy-2 ' -fluoro-2 ' -methyl-p-phenyl-5 ' -uridylyl] -l-alanine 1-methylethyl ester and process for its production |
| US7977331B1 (en) | 2004-02-24 | 2011-07-12 | Japan Tobacco Inc. | Tetracyclic fused heterocyclic compound and use thereof as HCV polymerase inhibitor |
| WO2011123672A1 (en) | 2010-03-31 | 2011-10-06 | Pharmasset, Inc. | Purine nucleoside phosphoramidate |
| WO2011123645A2 (en) | 2010-03-31 | 2011-10-06 | Pharmasset, Inc. | Nucleoside phosphoramidates |
| WO2012075140A1 (en) | 2010-11-30 | 2012-06-07 | Pharmasset, Inc. | Compounds |
| US8357687B2 (en) | 2008-08-14 | 2013-01-22 | Tibotec Pharmaceuticals | Macrocyclic indole derivatives useful as hepatitis C virus inhibitors |
| US8563530B2 (en) | 2010-03-31 | 2013-10-22 | Gilead Pharmassel LLC | Purine nucleoside phosphoramidate |
| US8618076B2 (en) | 2009-05-20 | 2013-12-31 | Gilead Pharmasset Llc | Nucleoside phosphoramidates |
| US8759510B2 (en) | 2008-06-11 | 2014-06-24 | Gilead Pharmasset Llc | Nucleoside cyclicphosphates |
| US8889159B2 (en) | 2011-11-29 | 2014-11-18 | Gilead Pharmasset Llc | Compositions and methods for treating hepatitis C virus |
| JP2014530860A (en) * | 2011-10-20 | 2014-11-20 | ブリストル−マイヤーズ スクイブ カンパニーBristol−Myers Squibb Company | Novel compounds for the treatment of hepatitis C |
| US8921355B2 (en) | 2008-07-08 | 2014-12-30 | Janssen R & D Ireland | Macrocyclic indole derivatives useful as hepatitis C virus inhibitors |
| US9127010B2 (en) | 2010-06-24 | 2015-09-08 | Janssen Sciences Ireland Uc | Preparation of 13-cyclohexyl-3-methoxy-6-[methyl-(2-{2-[methyl-(sulphamoyl)-amino]-ethoxy}-ethyl)-carbamoyl]-7H-indolo-[2,1-a]-[2]-benzazepine-10-carboxylic acid |
| US9334282B2 (en) | 2007-12-24 | 2016-05-10 | Janssen Sciences Ireland Uc | Macrocyclic indoles as hepatitis C virus inhibitors |
| CN106748917A (en) * | 2016-12-08 | 2017-05-31 | 同济大学 | A kind of chiral sulfenamide part and its preparation method and application |
| WO2018206820A1 (en) | 2017-05-12 | 2018-11-15 | Mavalon Therapeutics Limited | Substituted heterocyclic compounds as allosteric modulators of group ii metabotropic glutamate receptors |
| US11116783B2 (en) | 2013-08-27 | 2021-09-14 | Gilead Pharmasset Llc | Combination formulation of two antiviral compounds |
Citations (4)
| Publication number | Priority date | Publication date | Assignee | Title |
|---|---|---|---|---|
| WO2005080399A1 (en) * | 2004-02-24 | 2005-09-01 | Japan Tobacco Inc. | Fused heterotetracyclic compounds and use tehreof as hcv polymerase inhibitor |
| WO2006007693A1 (en) * | 2004-07-16 | 2006-01-26 | Boehringer Ingelheim International Gmbh | Viral polymerase inhibitors |
| WO2006020082A1 (en) * | 2004-08-09 | 2006-02-23 | Bristol-Myers Squibb Company | Inhibitors of hcv replication |
| WO2006046030A2 (en) * | 2004-10-26 | 2006-05-04 | Istituto Di Ricerche Di Biologia Molecolare P Angeletti Spa | Tetracyclic indole derivatives as antiviral agents |
-
2006
- 2006-02-06 WO PCT/US2006/004156 patent/WO2007092000A1/en not_active Ceased
Patent Citations (4)
| Publication number | Priority date | Publication date | Assignee | Title |
|---|---|---|---|---|
| WO2005080399A1 (en) * | 2004-02-24 | 2005-09-01 | Japan Tobacco Inc. | Fused heterotetracyclic compounds and use tehreof as hcv polymerase inhibitor |
| WO2006007693A1 (en) * | 2004-07-16 | 2006-01-26 | Boehringer Ingelheim International Gmbh | Viral polymerase inhibitors |
| WO2006020082A1 (en) * | 2004-08-09 | 2006-02-23 | Bristol-Myers Squibb Company | Inhibitors of hcv replication |
| WO2006046030A2 (en) * | 2004-10-26 | 2006-05-04 | Istituto Di Ricerche Di Biologia Molecolare P Angeletti Spa | Tetracyclic indole derivatives as antiviral agents |
Cited By (58)
| Publication number | Priority date | Publication date | Assignee | Title |
|---|---|---|---|---|
| US7977331B1 (en) | 2004-02-24 | 2011-07-12 | Japan Tobacco Inc. | Tetracyclic fused heterocyclic compound and use thereof as HCV polymerase inhibitor |
| US7659263B2 (en) | 2004-11-12 | 2010-02-09 | Japan Tobacco Inc. | Thienopyrrole compound and use thereof as HCV polymerase inhibitor |
| DE202008018643U1 (en) | 2007-03-30 | 2017-03-16 | Gilead Pharmasset Llc | Nucleosidphosphoramidat prodrugs |
| US9085573B2 (en) | 2007-03-30 | 2015-07-21 | Gilead Pharmasset Llc | Nucleoside phosphoramidate prodrugs |
| US8906880B2 (en) | 2007-03-30 | 2014-12-09 | Gilead Pharmasset Llc | Nucleoside phosphoramidate prodrugs |
| US8735372B2 (en) | 2007-03-30 | 2014-05-27 | Gilead Pharmasset Llc | Nucleoside phosphoramidate prodrugs |
| US8957046B2 (en) | 2007-03-30 | 2015-02-17 | Gilead Pharmasset Llc | Nucleoside phosphoramidate prodrugs |
| US12121529B2 (en) | 2007-03-30 | 2024-10-22 | Gilead Sciences, Inc. | Nucleoside phosphoramidate prodrugs |
| US8580765B2 (en) | 2007-03-30 | 2013-11-12 | Gilead Pharmasset Llc | Nucleoside phosphoramidate prodrugs |
| US11642361B2 (en) | 2007-03-30 | 2023-05-09 | Gilead Sciences, Inc. | Nucleoside phosphoramidate prodrugs |
| US10183037B2 (en) | 2007-03-30 | 2019-01-22 | Gilead Pharmasset Llc | Nucleoside phosphoramidate prodrugs |
| US9585906B2 (en) | 2007-03-30 | 2017-03-07 | Gilead Pharmasset Llc | Nucleoside phosphoramidate prodrugs |
| WO2008121634A2 (en) | 2007-03-30 | 2008-10-09 | Pharmasset, Inc. | Nucleoside phosphoramidate prodrugs |
| WO2009076747A1 (en) | 2007-12-19 | 2009-06-25 | Boehringer Ingelheim International Gmbh | Viral polymerase inhibitors |
| US9334282B2 (en) | 2007-12-24 | 2016-05-10 | Janssen Sciences Ireland Uc | Macrocyclic indoles as hepatitis C virus inhibitors |
| US8759510B2 (en) | 2008-06-11 | 2014-06-24 | Gilead Pharmasset Llc | Nucleoside cyclicphosphates |
| US9427440B2 (en) | 2008-07-08 | 2016-08-30 | Janssen Sciences Ireland Uc | Macrocyclic indole derivatives useful as hepatitis C virus inhibitors |
| US8921355B2 (en) | 2008-07-08 | 2014-12-30 | Janssen R & D Ireland | Macrocyclic indole derivatives useful as hepatitis C virus inhibitors |
| US8357687B2 (en) | 2008-08-14 | 2013-01-22 | Tibotec Pharmaceuticals | Macrocyclic indole derivatives useful as hepatitis C virus inhibitors |
| EP2671888A1 (en) | 2008-12-23 | 2013-12-11 | Gilead Pharmasset LLC | 3',5'-cyclic nucleoside phosphate analogues |
| EP3222628A1 (en) | 2008-12-23 | 2017-09-27 | Gilead Pharmasset LLC | Nucleoside phosphoramidates |
| US9045520B2 (en) | 2008-12-23 | 2015-06-02 | Gilead Pharmasset Llc | Synthesis of purine nucleosides |
| WO2010075549A2 (en) | 2008-12-23 | 2010-07-01 | Pharmasset, Inc. | Nucleoside phosphoramidates |
| WO2010075517A2 (en) | 2008-12-23 | 2010-07-01 | Pharmasset, Inc. | Nucleoside analogs |
| WO2010075554A1 (en) | 2008-12-23 | 2010-07-01 | Pharmasset, Inc. | Synthesis of purine nucleosides |
| WO2010080874A1 (en) | 2009-01-07 | 2010-07-15 | Scynexis, Inc. | Cyclosporine derivative for use in the treatment of hcv and hiv infection |
| EP2610264A2 (en) | 2009-05-20 | 2013-07-03 | Gilead Pharmasset LLC | N-[(2'r)-2'-deoxy-2'-fluoro-2'-methyl-p-phenyl-5'-uridylyl]-l-alanine 1-methylethyl ester and process for its production |
| US8618076B2 (en) | 2009-05-20 | 2013-12-31 | Gilead Pharmasset Llc | Nucleoside phosphoramidates |
| WO2010135569A1 (en) | 2009-05-20 | 2010-11-25 | Pharmasset, Inc. | N- [ (2 ' r) -2 ' -deoxy-2 ' -fluoro-2 ' -methyl-p-phenyl-5 ' -uridylyl] -l-alanine 1-methylethyl ester and process for its production |
| EP3321275A1 (en) | 2009-05-20 | 2018-05-16 | Gilead Pharmasset LLC | Crystalline form of sofosbuvir |
| US9637512B2 (en) | 2009-05-20 | 2017-05-02 | Gilead Pharmasset Llc | Nucleoside phosphoramidates |
| US9284342B2 (en) | 2009-05-20 | 2016-03-15 | Gilead Pharmasset Llc | Nucleoside phosphoramidates |
| US8735569B2 (en) | 2009-05-20 | 2014-05-27 | Gilead Pharmasset Llc | Nucleoside phosphoramidates |
| US8642756B2 (en) | 2009-05-20 | 2014-02-04 | Gilead Pharmasset Llc | Nucleoside phosphoramidates |
| US8633309B2 (en) | 2009-05-20 | 2014-01-21 | Gilead Pharmasset Llc | Nucleoside phosphoramidates |
| US8629263B2 (en) | 2009-05-20 | 2014-01-14 | Gilead Pharmasset Llc | Nucleoside phosphoramidates |
| EP2910562A1 (en) | 2009-05-20 | 2015-08-26 | Gilead Pharmasset LLC | N-[(2'r)-2'-deoxy-2 '-fluoro-2'-methyl-p-phenyl-5 '-uridylyl]-l-alanine 1-methylethyl ester in crystalline form |
| EP2913337A1 (en) | 2009-05-20 | 2015-09-02 | Gilead Pharmasset LLC | N-[(2'r)-2'-deoxy-2'-fluoro-2'-methyl-p-phenyl-5'-uridylyl]-l-alanine 1-methylethyl ester and process for its production |
| US9206217B2 (en) | 2009-05-20 | 2015-12-08 | Gilead Pharmasset Llc | Nucleoside phosphoramidates |
| WO2011123645A2 (en) | 2010-03-31 | 2011-10-06 | Pharmasset, Inc. | Nucleoside phosphoramidates |
| EP2752422A1 (en) | 2010-03-31 | 2014-07-09 | Gilead Pharmasset LLC | Stereoselective synthesis of phosphorus containing actives |
| US8563530B2 (en) | 2010-03-31 | 2013-10-22 | Gilead Pharmassel LLC | Purine nucleoside phosphoramidate |
| US8859756B2 (en) | 2010-03-31 | 2014-10-14 | Gilead Pharmasset Llc | Stereoselective synthesis of phosphorus containing actives |
| EP2609923A2 (en) | 2010-03-31 | 2013-07-03 | Gilead Pharmasset LLC | Nucleoside Phosphoramidates |
| WO2011123672A1 (en) | 2010-03-31 | 2011-10-06 | Pharmasset, Inc. | Purine nucleoside phosphoramidate |
| WO2011123668A2 (en) | 2010-03-31 | 2011-10-06 | Pharmasset, Inc. | Stereoselective synthesis of phosphorus containing actives |
| EP3290428A1 (en) | 2010-03-31 | 2018-03-07 | Gilead Pharmasset LLC | Tablet comprising crystalline (s)-isopropyl 2-(((s)-(((2r,3r,4r,5r)-5-(2,4-dioxo-3,4-dihydropyrimidin-1 (2h)-yl)-4-fluoro-3-hydroxy-4-methyltetrahydrofuran-2-yl)methoxy)(phenoxy)phosphoryl)amino)propanoate |
| US9127010B2 (en) | 2010-06-24 | 2015-09-08 | Janssen Sciences Ireland Uc | Preparation of 13-cyclohexyl-3-methoxy-6-[methyl-(2-{2-[methyl-(sulphamoyl)-amino]-ethoxy}-ethyl)-carbamoyl]-7H-indolo-[2,1-a]-[2]-benzazepine-10-carboxylic acid |
| US8841275B2 (en) | 2010-11-30 | 2014-09-23 | Gilead Pharmasset Llc | 2′-spiro-nucleosides and derivatives thereof useful for treating hepatitis C virus and dengue virus infections |
| EP3042910A2 (en) | 2010-11-30 | 2016-07-13 | Gilead Pharmasset LLC | 2'-spiro-nucleosides for use in the therapy of hepatitis c |
| WO2012075140A1 (en) | 2010-11-30 | 2012-06-07 | Pharmasset, Inc. | Compounds |
| JP2014530860A (en) * | 2011-10-20 | 2014-11-20 | ブリストル−マイヤーズ スクイブ カンパニーBristol−Myers Squibb Company | Novel compounds for the treatment of hepatitis C |
| US8889159B2 (en) | 2011-11-29 | 2014-11-18 | Gilead Pharmasset Llc | Compositions and methods for treating hepatitis C virus |
| US9549941B2 (en) | 2011-11-29 | 2017-01-24 | Gilead Pharmasset Llc | Compositions and methods for treating hepatitis C virus |
| US11116783B2 (en) | 2013-08-27 | 2021-09-14 | Gilead Pharmasset Llc | Combination formulation of two antiviral compounds |
| US11707479B2 (en) | 2013-08-27 | 2023-07-25 | Gilead Sciences, Inc. | Combination formulation of two antiviral compounds |
| CN106748917A (en) * | 2016-12-08 | 2017-05-31 | 同济大学 | A kind of chiral sulfenamide part and its preparation method and application |
| WO2018206820A1 (en) | 2017-05-12 | 2018-11-15 | Mavalon Therapeutics Limited | Substituted heterocyclic compounds as allosteric modulators of group ii metabotropic glutamate receptors |
Similar Documents
| Publication | Publication Date | Title |
|---|---|---|
| US7348425B2 (en) | Inhibitors of HCV replication | |
| EP1776368A1 (en) | Inhibitors of hcv replication | |
| WO2007092000A1 (en) | Inhibitors of hcv replication | |
| AU2007211988B2 (en) | HCV NS5B inhibitors | |
| JP5284952B2 (en) | Cyclopropyl condensed indolobenzazepine HCVNS5B inhibitor | |
| AU2007246850B2 (en) | Pentacyclic indole derivatives as antiviral agents | |
| JP5232178B2 (en) | Compounds for the treatment of hepatitis C | |
| JP5416710B2 (en) | Cyclopropyl condensed indolobenzazepine HCVNS5B inhibitor | |
| WO2007033175A1 (en) | Indolobenzazepine hcv ns5b inhibitors | |
| WO2008112848A1 (en) | Compounds for the treatment of hepatitis c | |
| EP2121694B1 (en) | Cyclopropyl fused indolobenzazepine hcv ns5b inhibitors | |
| MX2010011921A (en) | 7h-indolo[2,1-a] [2] benzazepine-10-carboxylic acid derivatives for the treatment of hepatitis c. | |
| KR20220012318A (en) | Fused Heterocyclic Derivatives | |
| EP2231668A1 (en) | Condensed pentacyclic derivatives for use in the treatment of flaviviridae infections | |
| HK1122814B (en) | Cyclopropyl fused indolobenzazepine hcv ns5b inhibitors |
Legal Events
| Date | Code | Title | Description |
|---|---|---|---|
| 121 | Ep: the epo has been informed by wipo that ep was designated in this application | ||
| NENP | Non-entry into the national phase |
Ref country code: DE |
|
| 122 | Ep: pct application non-entry in european phase |
Ref document number: 06734441 Country of ref document: EP Kind code of ref document: A1 |
































































































































































































































































































































































































































































































































































