WO2007064272A1 - Benzhydryl amide derivatives as cannabinoid receptor antagonists or inverse agonists - Google Patents
Benzhydryl amide derivatives as cannabinoid receptor antagonists or inverse agonists Download PDFInfo
- Publication number
- WO2007064272A1 WO2007064272A1 PCT/SE2006/001347 SE2006001347W WO2007064272A1 WO 2007064272 A1 WO2007064272 A1 WO 2007064272A1 SE 2006001347 W SE2006001347 W SE 2006001347W WO 2007064272 A1 WO2007064272 A1 WO 2007064272A1
- Authority
- WO
- WIPO (PCT)
- Prior art keywords
- disorders
- halogenated
- compound
- hydrogen
- independently selected
- Prior art date
- Legal status (The legal status is an assumption and is not a legal conclusion. Google has not performed a legal analysis and makes no representation as to the accuracy of the status listed.)
- Ceased
Links
- 0 C*N(C1C2=CC=C*(*)C=C2C*(*)CC1)C(C(N(*)C(C(C1=C*(C)C=CC=C1)C(C=CC=C1)=C*1N)=O)IN[Al])=O Chemical compound C*N(C1C2=CC=C*(*)C=C2C*(*)CC1)C(C(N(*)C(C(C1=C*(C)C=CC=C1)C(C=CC=C1)=C*1N)=O)IN[Al])=O 0.000 description 1
Classifications
-
- C—CHEMISTRY; METALLURGY
- C07—ORGANIC CHEMISTRY
- C07D—HETEROCYCLIC COMPOUNDS
- C07D213/00—Heterocyclic compounds containing six-membered rings, not condensed with other rings, with one nitrogen atom as the only ring hetero atom and three or more double bonds between ring members or between ring members and non-ring members
- C07D213/02—Heterocyclic compounds containing six-membered rings, not condensed with other rings, with one nitrogen atom as the only ring hetero atom and three or more double bonds between ring members or between ring members and non-ring members having three double bonds between ring members or between ring members and non-ring members
- C07D213/04—Heterocyclic compounds containing six-membered rings, not condensed with other rings, with one nitrogen atom as the only ring hetero atom and three or more double bonds between ring members or between ring members and non-ring members having three double bonds between ring members or between ring members and non-ring members having no bond between the ring nitrogen atom and a non-ring member or having only hydrogen or carbon atoms directly attached to the ring nitrogen atom
- C07D213/60—Heterocyclic compounds containing six-membered rings, not condensed with other rings, with one nitrogen atom as the only ring hetero atom and three or more double bonds between ring members or between ring members and non-ring members having three double bonds between ring members or between ring members and non-ring members having no bond between the ring nitrogen atom and a non-ring member or having only hydrogen or carbon atoms directly attached to the ring nitrogen atom with hetero atoms or with carbon atoms having three bonds to hetero atoms with at the most one bond to halogen, e.g. ester or nitrile radicals, directly attached to ring carbon atoms
- C07D213/72—Nitrogen atoms
- C07D213/75—Amino or imino radicals, acylated by carboxylic or carbonic acids, or by sulfur or nitrogen analogues thereof, e.g. carbamates
-
- A—HUMAN NECESSITIES
- A61—MEDICAL OR VETERINARY SCIENCE; HYGIENE
- A61P—SPECIFIC THERAPEUTIC ACTIVITY OF CHEMICAL COMPOUNDS OR MEDICINAL PREPARATIONS
- A61P11/00—Drugs for disorders of the respiratory system
-
- A—HUMAN NECESSITIES
- A61—MEDICAL OR VETERINARY SCIENCE; HYGIENE
- A61P—SPECIFIC THERAPEUTIC ACTIVITY OF CHEMICAL COMPOUNDS OR MEDICINAL PREPARATIONS
- A61P25/00—Drugs for disorders of the nervous system
-
- A—HUMAN NECESSITIES
- A61—MEDICAL OR VETERINARY SCIENCE; HYGIENE
- A61P—SPECIFIC THERAPEUTIC ACTIVITY OF CHEMICAL COMPOUNDS OR MEDICINAL PREPARATIONS
- A61P3/00—Drugs for disorders of the metabolism
- A61P3/04—Anorexiants; Antiobesity agents
-
- C—CHEMISTRY; METALLURGY
- C07—ORGANIC CHEMISTRY
- C07D—HETEROCYCLIC COMPOUNDS
- C07D213/00—Heterocyclic compounds containing six-membered rings, not condensed with other rings, with one nitrogen atom as the only ring hetero atom and three or more double bonds between ring members or between ring members and non-ring members
- C07D213/02—Heterocyclic compounds containing six-membered rings, not condensed with other rings, with one nitrogen atom as the only ring hetero atom and three or more double bonds between ring members or between ring members and non-ring members having three double bonds between ring members or between ring members and non-ring members
- C07D213/04—Heterocyclic compounds containing six-membered rings, not condensed with other rings, with one nitrogen atom as the only ring hetero atom and three or more double bonds between ring members or between ring members and non-ring members having three double bonds between ring members or between ring members and non-ring members having no bond between the ring nitrogen atom and a non-ring member or having only hydrogen or carbon atoms directly attached to the ring nitrogen atom
- C07D213/60—Heterocyclic compounds containing six-membered rings, not condensed with other rings, with one nitrogen atom as the only ring hetero atom and three or more double bonds between ring members or between ring members and non-ring members having three double bonds between ring members or between ring members and non-ring members having no bond between the ring nitrogen atom and a non-ring member or having only hydrogen or carbon atoms directly attached to the ring nitrogen atom with hetero atoms or with carbon atoms having three bonds to hetero atoms with at the most one bond to halogen, e.g. ester or nitrile radicals, directly attached to ring carbon atoms
- C07D213/72—Nitrogen atoms
- C07D213/74—Amino or imino radicals substituted by hydrocarbon or substituted hydrocarbon radicals
Definitions
- the present invention relates to certain CB 1 antagonists or inverse agonists, to processes for preparing such compounds, to their use in the treatment of obesity, psychiatric and neurological disorders, to methods for their therapeutic use and to pharmaceutical compositions containing them.
- CB 1 antagonists or inverse agonists are useful in the treatment of obesity, psychiatric and neurological disorders (WO01/70700 and EP 656354).
- C m . n or "C m , n group” used alone or as a prefix, refers to any group having m to n carbon atoms.
- hydrocarbon used alone or as a suffix or prefix, refers to any structure comprising only carbon and hydrogen atoms up to 14 carbon atoms.
- hydrocarbon radical or "hydrocarbyl” used alone or as a suffix or prefix, refers to any structure as a result of removing one or more hydrogens from a hydrocarbon.
- alkyl used alone or as a suffix or prefix, refers to a saturated monovalent straight or branched chain hydrocarbon radical comprising 1 to about 12 carbon atoms.
- alkyls include, but are not limited to, Q-ealkyl groups, such as methyl, ethyl, propyl, isopropyl, 2-methyl-l -propyl, 2-methyl-2-propyl, 2- methyl-1-butyl, 3 -methyl- 1 -butyl, 2-methyl-3-butyl, 2,2-dimethyl-l -propyl, 2-methyl-l- pentyl, 3-methyl-l-pentyl, 4-methyl-l-pentyl, 2-methyl-2-pentyl, 3-methyl-2-pentyl, 4- methyl-2-pentyl, 2,2-dimethyl-l-butyl, 3, 3 -dimethyl- 1 -butyl, 2-ethyl-l -butyl, butyl
- cycloalkyl refers to a saturated monovalent ring-containing hydrocarbon radical comprising at least 3 up to about 12 carbon atoms.
- cycloalkyls include, but are not limited to, C 3-7 cycloalkyl groups, such as cyclopropyl, cyclobutyl, cyclopentyl, cyclohexyl, and cycloheptyl, and saturated cyclic and bicyclic terpenes.
- a cycloalkyl can be unsubstituted or substituted by one or two suitable substituents.
- the cycloalkyl is a monocyclic ring or bicyclic ring.
- aryl used alone or as suffix or prefix, refers to a monovalent hydrocarbon radical having one or more polyunsaturated carbon rings having aromatic character, (e.g., 4n + 2 delocalized electrons) and comprising 5 up to about 14 carbon atoms.
- heterocycle used alone or as a suffix or prefix, refers to a ring- containing structure or molecule having one or more multivalent heteroatoms, independently selected from N, O, P and S, as a part of the ring structure and including at least 3 and up to about 20 atoms in the ring(s). Heterocycle may be saturated or unsaturated, containing one or more double bonds, and heterocycle may contain more than one ring. When a heterocycle contains more than one ring, the rings may be fused or unfused. Fused rings generally refer to at least two rings share two atoms therebetween. Heterocycle may have aromatic character or may not have aromatic character.
- heterocyclic used alone or as a suffix or prefix, refers to a ring- containing structure or molecule having one or more multivalent heteroatoms, independently selected from N 5 O, P and S, as a part of the ring structure and including at least 3 and up to about 20 atoms in the ring(s), wherein the ring-containing structure or molecule has an aromatic character (e.g., 4n + 2 delocalized electrons).
- heterocyclic group “heterocyclic moiety,” “heterocyclic,” or “heterocyclo” used alone or as a suffix or prefix, refers to a radical derived from a heterocycle by removing one or more hydrogens therefrom.
- heterocyclyl used alone or as a suffix or prefix, refers a monovalent radical derived from a heterocycle by removing one hydrogen therefrom.
- heteroaryl used alone or as a suffix or prefix, refers to a heterocyclyl having aromatic character.
- Heterocycle includes, for example, monocyclic heterocycles such as: aziridine, oxirane, thiirane, azetidine, oxetane, thietane, pyrrolidine, pyrroline, imidazolidine, pyrazolidine, pyrazoline, dioxolane, sulfolane 2,3-dihydrofuran, 2,5-dihydrofuran tetrahydrofuran, thiophane, piperidi ⁇ e, 1,2,3,6-tetrahydro-pyridine, piperazine, morpholine, thiomorpholine, pyran, tbiopyran, 2,3-dihydropyran, tetrahydropyran, 1,4-dihydropyridine, 1,4-dioxane, 1,3-dioxane, dioxane, homopiperidine, 2,3,4,7-tetrahydro-lH-azepine homopiperaz
- heterocycle includes aromatic heterocycles, for example, pyridine, pyrazine, pyrimidine, pyridazine, thiophene, furan, furazan, pyrrole, imidazole, thiazole, oxazole, pyrazole, isothiazole, isoxazole, 1,2,3-triazole, tetrazole, 1,2,3-thiadiazole, 1,2,3- oxadiazole, 1,2,4-triazole, 1,2,4-thiadiazole, 1,2,4-oxadiazole, 1,3,4-triazole, 1,3,4- thiadiazole, and 1,3,4- oxadiazole.
- aromatic heterocycles for example, pyridine, pyrazine, pyrimidine, pyridazine, thiophene, furan, furazan, pyrrole, imidazole, thiazole, oxazole, pyrazole, isothiazole,
- heterocycle encompass polycyclic heterocycles, for example, indole, indoline, isoindoline, quinoline, tetrahydroquinoline, isoquinoline, tetrahydroisoquinoline, 1,4-benzodioxan, coumarin, dihydrocoumarin, benzofuran, 2,3-dihydrobenzofuran, isobenzofuran, chromene, chroman, isochroman, xanthene, phenoxathiin, thianthrene, indolizine, isoindole, indazole, purine, phthalazine, naphthyridine, quinoxaline, quinazoline, cinnoline, pteridine, phenanthridine, perimidine, phenanthroline, phenazine, phenothiazine, phenoxazine, 1,2-benzisoxazole, benzothiophene, benzoxazole
- heterocycle includes polycyclic heterocycles wherein the ring fusion between two or more rings includes more than one bond common to both rings and more than two atoms common to both rings.
- bridged heterocycles include quinuclidine, diazabicyclo[2.2.1]heptane and 7-oxabicyclo[2.2.1]heptane.
- alkoxy used alone or as a suffix or prefix, refers to radicals of the general formula -O-R, wherein R is selected from a hydrocarbon radical.
- exemplary alkoxy includes methoxy, ethoxy, propoxy, isopropoxy, butoxy, t-butoxy, isobutoxy, cyclopropylmethoxy, allyloxy, and propargyloxy.
- Halogen includes fluorine, chlorine, bromine and iodine.
- Halogenated used as a prefix of a group, means one or more hydrogens on the group is replaced with one or more halogens.
- RT room temperature
- the invention provides a compound of formula I, and pharmaceutically acceptable salts thereof
- R 6 and R 7 are independently selected from hydrogen and C alkyl; m, n, p, and q are independently selected from 1, 2, 3, and 4; and r is selected from 0, 1 , 2, 3 and 4.
- the compounds of the present invention are represented by formula I, wherein
- R 2 , R 3 , R 4 and R 5 are independently selected from hydrogen, -OH, -CN, -NH 2 , halogen, Ci-galkyl, halogenated Q-ealkyl, Q- ⁇ alkoxy, halogenated Ci-ealkoxy;
- R 6 and R 7 are independently selected from hydrogen and m, n, p, and q are independently selected from 1, 2, 3, and 4; and r is selected from O, 1 , 2, 3 and 4.
- the compound of the invention may be represented by formula I, wherein
- R 2 , R 3 , R 4 and R 5 are independently selected from hydrogen, -OH, -CN, -NH 2 , halogen, Q. ⁇ alkyl, halogenated C ⁇ alkyl, Ci ⁇ alkoxy, halogenated Ci. ⁇ alkoxy;
- R 6 and R 7 are hydrogen; m, n, p, and q are independently selected from 1, 2, 3, and 4; and r is selected from 0, 1, 2, 3 and 4.
- R 1 is selected from -(CH 2 VC(O)-NH-Ar 1 ; -(CH 2 VNH-C(O)- Ar 1 , and -(CH 2 VNH-Ar 1 , wherein said Ar 1 is independently selected from pyridyl, tetrazolyl, thienyl, furyl, imidazolyl, triazolyl, pyrrolyl, pyrazolyl, thiazolyl, pyridyl-N- oxide and phenyl, wherein said pyridyl, tetrazolyl, thienyl, furyl, imidazolyl, triazolyl, pyrrolyl, pyrazolyl, thiazolyl, pyridyl-N-oxide and phenyl are optionally and independently substituted with one or more groups selected from hydrogen, -OH 5 -CN, -NH 2 , halogen, C 1 . ⁇ alkyl, halogenated
- R 1 is selected from -(CHa) 1 -C(O)-NH-Ar 1 ; -(CH 2 VNH- C(O)-Ar 1 , and -(CH 2 ) F -NH-Ar 1 , wherein said Ar 1 is independently selected from pyridyl, tetrazolyl, thienyl, furyl, imidazolyl, triazolyl, pyrrolyl, pyrazolyl, thiazolyl, pyridyl-N- oxide and phenyl, wherein said pyridyl, tetrazolyl, thienyl, furyl, imidazolyl, triazolyl, pyrrolyl, pyrazolyl, thiazolyl, pyridyl-N-oxide and phenyl are optionally and independently substituted with one or more groups selected from hydrogen, -OH, -CN, -NH 2 , halogen, Ci- 3 alky
- R 2 , R 3 , R 4 and R 5 are independently selected from hydrogen, -OH, -CN, -NH 2 , halogen, halogenated C h alky., halogenated Ci ⁇ alkoxy.
- R 2 , R 3 , R 4 and R 5 are independently selected from hydrogen, -OH, -CN, -NH 2 , halogen, C ⁇ aUcyl, halogenated C ⁇ aUcyl, Ci ⁇ alkoxy, halogenated Ci-3alkoxy. More particularly, R 2 , R 3 , R 4 and R 5 are hydrogen. In a yet even further embodiment, m, n, p, and q are independently selected from 1, 2, 3, and 4.
- m, n, p, and q are 1.
- r is selected from 1, 2, 3 and 4. Particularly, r is selected from 2, 3 and 4. More particularly, r is selected from 2 and 3. Even more particularly, r is 2.
- a suitable pharmaceutically acceptable salt of a compound of Formula I is, for example, an acid-addition salt of a compound of Formula I which is sufficiently basic, for example an acid-addition salt with an inorganic or organic acid such as hydrochloric, hydrobromic, sulphuric, trifluoroacetic, citric or maleic acid; or, for example a salt of a compound of Formula I which is sufficiently acidic, for example an alkali or alkaline earth metal salt such as a sodium, calcium or magnesium salt, or an ammonium salt, or a salt with an organic base such as methylamine, dimethylamine, trimethylamine, piperidine, morpholine or tris-(2-hydroxyethyl)amine.
- an acid-addition salt of a compound of Formula I which is sufficiently basic for example an acid-addition salt with an inorganic or organic acid such as hydrochloric, hydrobromic, sulphuric, trifluoroacetic, citric or maleic acid
- a given chemical formula or name shall encompass all stereo and optical isomers and racemates thereof as well as mixtures in different proportions of the separate enantiomers, where such isomers and enantiomers exist, as well as pharmaceutically acceptable salts thereof and solvates thereof such as for instance hydrates.
- Isomers may be separated using conventional techniques, e.g. chromatography or fractional crystallisation.
- the enantiomers may be isolated by separation of racemate for example by fractional crystallisation, resolution or HPLC.
- the diastereomers may be isolated by separation of isomer mixtures for instance by fractional crystallisation, HPLC or flash chromatography.
- stereoisomers may be made by chiral synthesis from chiral starting materials under conditions which will not cause racemisation or epimerisation, or by derivatisation, with a chiral reagent. All stereoisomers are included within the scope of the invention. All tautomers, where possible, are included within the scope of the invention.
- the present invention also encompasses compounds containing one or more isotopes for example 14 C, 11 C or 19 F and their use as isotopically labelled compounds for pharmacological and metabolic studies.
- the present invention also encompasses prodrugs of a compound of formula I that is compounds which are converted into a compound of formula I in vivo. Methods of preparation
- the compounds of the invention may be prepared as outlined below according to any of the following methods. However, the invention is not limited to these methods, the compounds may also be prepared as described for structurally related compounds in the prior art.
- HA with Ar'-NH ⁇ wherein X is selected from -OH and halogen, at a temperature in the range of -25 to 150 0 C, in the presence of an inert solvent, for example dimethylformamide, and optionally in the presence of one or more bases, for example, N, N-diisopropylethylamine or N-methylmorpholine, and optionally in the presence of HATU.
- an inert solvent for example dimethylformamide
- bases for example, N, N-diisopropylethylamine or N-methylmorpholine
- ⁇ B with methanesulfonyl chloride to form an intermediate, optionally in the presence of a base such as N,N-diisopropylethylamine, followed by reacting the intermediate with at a temperature in the range of -25 to 15O 0 C, in the presence of an inert solvent, for example, dimethylformamide, and optionally in the presence of one or more bases, for example, triethylamine, N, N-diisopropylethylamine or N-methylmorpholine.
- a base such as N,N-diisopropylethylamine
- R is a C ⁇ alkyl
- the compounds of the invention will normally be administered via the oral, parenteral, intravenous, intramuscular, subcutaneous or in other injectable ways, buccal, rectal, vaginal, transdermal and/or nasal route and/or via inhalation, in the form of pharmaceutical preparations comprising the active ingredient or a pharmaceutically acceptable addition salt, in a pharmaceutically acceptable dosage form.
- the compositions may be administered at varying doses. Suitable daily doses of the compounds of the invention in the therapeutic treatment of humans are about 0.001-10 mg/kg body weight, preferably 0.01-1 mg/kg body weight.
- Oral formulations are preferred particularly tablets or capsules which may be formulated by methods known to those skilled in the art to provide doses of the active compound in the range of 0.5mg to 500mg for example 1 mg, 3 mg, 5 mg, 10 mg, 25mg, 50mg, lOOmg and 250mg.
- a pharmaceutical formulation including any of the compounds of the invention, or pharmaceutically acceptable derivatives thereof, in admixture with pharmaceutically acceptable adjuvants, diluents and/or carriers.
- the compounds of formula I are useful for the treatment of obesity or being overweight, (e.g., promotion of weight loss and maintenance of weight loss), prevention of weight gain (e.g., medication-induced or subsequent to cessation of smoking), for modulation of appetite and/or satiety, eating disorders (e.g.
- psychiatric disorders such as psychotic and/or mood disorders, schizophrenia, cognitive deficiency associated with schizophrenia, schizo-affective disorder, bipolar disorders, anxiety, anxio-depressive disorders, depression, mania, obsessive-compulsive disorders, impulse control disorders (e.g., Gilles de Ia Tourette's syndrome), attention disorders like ADD/ADHD, stress, and neurological disorders such as dementia and cognitive and/or memory dysfunction (e.g., amnesia, Alzheimer's disease, Pick's dementia, dementia of ageing, vascular dementia, mild cognitive impairment, age-related cognitive decline, and mild dementia of ageing), neurological and/or neurodegenerative disorders (e.g.
- the compounds are also potentially useful for the prevention or treatment of dependence and addictive disorders and behaviours (e.g., alcohol and/or drug abuse, pathological gambling, kleptomania), drug withdrawal disorders (e.g., alcohol withdrawal with or without perceptual disturbances; alcohol withdrawal delirium; amphetamine withdrawal; cocaine withdrawal; nicotine withdrawal; opioid withdrawal; sedative, hypnotic or anxiolytic withdrawal with or without perceptual disturbances; sedative, hypnotic or anxiolytic withdrawal delirium; and withdrawal symptoms due to other substances), alcohol and/or drug-induced mood, anxiety and/or sleep disorder with onset during withdrawal, and alcohol and/or drug relapse.
- dependence and addictive disorders and behaviours e.g., alcohol and/or drug abuse, pathological gambling, kleptomania
- drug withdrawal disorders e.g., alcohol withdrawal with or without perceptual disturbances; alcohol withdrawal delirium; amphetamine withdrawal; cocaine withdrawal; nicotine withdrawal; opioid withdrawal; sedative, hypnotic or anxiolytic withdrawal
- the compounds are also potentially useful for the prevention or treatment of neurological dysfunctions such as dystonias, dyskinesias, akathisia, tremor and spasticity, treatment of spinal cord injury, neuropathy, migraine, vigilance disorders, sleep disorders (e.g., disturbed sleep architecture, sleep apnea, obstructive sleep apnea, sleep apnea syndrome), pain disorders, cranial trauma.
- neurological dysfunctions such as dystonias, dyskinesias, akathisia, tremor and spasticity
- treatment of spinal cord injury such as dystonias, dyskinesias, akathisia, tremor and spasticity
- spinal cord injury e.g., spinal cord injury, neuropathy, migraine, vigilance disorders, sleep disorders (e.g., disturbed sleep architecture, sleep apnea, obstructive sleep apnea, sleep apnea syndrome), pain disorders, cranial trauma.
- Atherosclerosis arteriosclerosis, angina pectoris, abnormal heart rhythms, and arrhythmias, congestive heart failure, coronary artery disease, heart disease, hypertension, prevention and treatment of left ventricular hypertrophy, myocardial infarction, transient ischaemic attack, peripheral vascular disease, systemic inflammation of the vasculature, septic chock, stroke, cerebral apoplexy, cerebral infarction, cerebral ischaemia, cerebral thrombosis, cerebral embolism, cerebral hemorrhagia, metabolic disorders (e.g.
- diabetes mellitus diabetes mellitus
- dyslipidemia fatty liver
- gout hypercholesterolemia
- hyperlipidemia hypertriglyceridemia
- hyperuricacidemia impaired glucose tolerance, impaired fasting glucose, insulin resistance, insulin resistance syndrome, metabolic syndrome, syndrome X, obesity- hypoventilation syndrome (Pickwickian syndrome), type I diabetes, type II diabetes, low HDL- and/or high LDL-cholesterol levels, low adiponectin levels), reproductive and endocrine disorders (e.g.
- GH-deficient subjects hirsutism in females, normal variant short stature
- diseases related to the respiratory e.g. asthma and chronic obstructive pulmonary disease
- gastrointestinal systems e.g. dysfunction of gastrointestinal motility or intestinal propulsion, diarrhea, emesis, nausea, gallbladder disease, cholelithiasis, obesity-related gastro-esophageal reflux, ulcers.
- the compounds are also potentially useful as agents in treatment of dermatological disorders, cancers (e.g.
- the compounds are also potentially useful as agents in treatment of (esophageal) achalasia.
- the present invention provides a compound of formula I as previously defined for use as a medicament.
- the present invention provides the use of a compound of formula I in the preparation of a medicament for the treatment or prophylaxis of obesity or being overweight, (e.g., promotion of weight loss and maintenance of weight loss), prevention of weight gain (e.g., medication-induced or subsequent to cessation of smoking), for modulation of appetite and/or satiety, eating disorders (e.g.
- psychiatric disorders such as psychotic and/or mood disorders, schizophrenia, cognitive deficiency associated with schizophrenia, cognitive deficiency associated with schizophrenia, schizo-affective disorder, bipolar disorders, anxiety, anxio-depressive disorders, depression, mania, obsessive-compulsive disorders, impulse control disorders (e.g., Gilles de Ia Tourette's syndrome), attention disorders like ADD/ADHD, stress, and neurological disorders such as dementia and cognitive and/or memory dysfunction (e.g., amnesia, Alzheimer's disease, Pick's dementia, dementia of ageing, vascular dementia, mild cognitive impairment, age-related cognitive decline, and mild dementia of ageing), neurological and/or neurodegenerative disorders (e.g.
- the present invention provides the use of a compound of formula I in the preparation of a medicament for the treatment or prophylaxis of dependence and addictive disorders and behaviours (e.g., alcohol and/or drug abuse, pathological gambling, kleptomania), drug withdrawal disorders (e.g., alcohol withdrawal with or without perceptual disturbances; alcohol withdrawal delirium; amphetamine withdrawal; cocaine withdrawal; nicotine withdrawal; opioid withdrawal; sedative, hypnotic or anxiolytic withdrawal with or without perceptual disturbances; sedative, hypnotic or anxiolytic withdrawal delirium; and withdrawal symptoms due to other substances), alcohol and/or drug-induced mood, anxiety and/or sleep disorder with onset during withdrawal, and alcohol and/or drug relapse.
- addictive disorders and behaviours e.g., alcohol and/or drug abuse, pathological gambling, kleptomania
- drug withdrawal disorders e.g., alcohol withdrawal with or without perceptual disturbances; alcohol withdrawal delirium; amphetamine withdrawal; cocaine withdrawal; nicotine withdrawal; opioid withdrawal
- the present invention provides the use of a compound of formula I in the preparation of a medicament for the treatment or prophylaxis of neurological dysfunctions such as dystonias, dyskinesias, akathisia, tremor and spasticity, treatment of spinal cord injury, neuropathy, migraine, vigilance disorders, sleep disorders (e.g., disturbed sleep architecture, sleep apnea, obstructive sleep apnea, sleep apnea syndrome), pain disorders, cranial trauma.
- neurological dysfunctions such as dystonias, dyskinesias, akathisia, tremor and spasticity
- treatment of spinal cord injury such as dystonias, dyskinesias, akathisia, tremor and spasticity
- spinal cord injury such as spinal cord injury, neuropathy, migraine, vigilance disorders, sleep disorders (e.g., disturbed sleep architecture, sleep apnea, obstructive sleep apnea, sleep apn
- the present invention provides the use of a compound of formula I in the preparation of a medicament for the treatment or prophylaxis of immune, cardiovascular disorders (e.g. atherosclerosis, arteriosclerosis, angina pectoris, abnormal heart rhythms, and arrhythmias, congestive heart failure, coronary artery disease, heart disease, hypertension, prevention and treatment of left ventricular hypertrophy, myocardial infarction, transient ischaemic attack, peripheral vascular disease, systemic inflammation of the vasculature, septic chock, stroke, cerebral apoplexy, cerebral infarction, cerebral ischaemia, cerebral thrombosis, cerebral embolism, cerebral hemorrhagia, metabolic disorders (e.g.
- diabetes mellitus diabetes mellitus
- dyslipidemia fatty liver
- gout hypercholesterolemia
- hyperlipidemia hypertriglyceridemia
- hyperuricacidemia impaired glucose tolerance, impaired fasting glucose, insulin resistance, insulin resistance syndrome, metabolic syndrome, syndrome X, obesity- hypoventilation syndrome (Pickwickian syndrome), type I diabetes, type II diabetes, low HDL- and/or high LDL-cholesterol levels, low adiponectin levels), reproductive and endocrine disorders (e.g.
- hypogonadism in males treatment of hypogonadism in males, treatment of infertility or as contraceptive, menstrual abnormalities/emmeniopathy, polycystic ovarian disease, sexual and reproductive dysfunction in women and men (erectile dysfunction), GH-deficient subjects, hirsutism in females, normal variant short stature) and diseases related to the respiratory (e.g. asthma and chronic obstructive pulmonary disease) and gastrointestinal systems (e.g. dysfunction of gastrointestinal motility or intestinal propulsion, diarrhea, emesis, nausea, gallbladder disease, cholelithiasis, obesity-related gastroesophageal reflux, ulcers).
- respiratory e.g. asthma and chronic obstructive pulmonary disease
- gastrointestinal systems e.g. dysfunction of gastrointestinal motility or intestinal propulsion, diarrhea, emesis, nausea, gallbladder disease, cholelithiasis, obesity-related gastroesophageal reflux, ulcers.
- the present invention provides the use of a compound of formula I in the preparation of a medicament for the treatment or prophylaxis of dermatological disorders, cancers (e.g. colon, rectum, prostate, breast, ovary, endometrium, cervix, gallbladder, bile duct), craniopharyngioma, Prader-Willi syndrome, Turner syndrome, Frohlich's syndrome, glaucoma, infectious diseases, urinary tract disorders and inflammatory disorders (e.g. arthritis deformans, inflammation, inflammatory sequelae of viral encephalitis, osteoarthritis) and orthopedic disorders.
- cancers e.g. colon, rectum, prostate, breast, ovary, endometrium, cervix, gallbladder, bile duct
- craniopharyngioma e.g. colon, rectum, prostate, breast, ovary, endometrium, cervix, gallbladder, bile duct
- the present invention provides a method comprising administering a pharmacologically effective amount of a compound of formula I to a patient in need thereof for the prophylaxis or treatment of obesity or being overweight, (e.g., promotion of weight loss and maintenance of weight loss), prevention of weight gain (e.g., medication-induced or subsequent to cessation of smoking), for modulation of appetite and/or satiety, eating disorders (e.g.
- psychiatric disorders such as psychotic and/or mood disorders, schizophrenia, cognitive deficiency associated with schizophrenia, schizoaffective disorder, bipolar disorders, anxiety, anxio-depressive disorders, depression, mania, obsessive-compulsive disorders, impulse control disorders (e.g., Gilles de Ia Tourette's syndrome), attention disorders like ADD/ADHD, stress, and neurological disorders such as dementia and cognitive and/or memory dysfunction (e.g., amnesia, Alzheimer's disease, Pick's dementia, dementia of ageing, vascular dementia, mild cognitive impairment, age-related cognitive decline, and mild dementia of ageing), neurological and/or neurodegenerative disorders (e.g. Multiple Sclerosis, Raynaud's syndrome, Parkinson's disease, Huntington's chorea and Alzheimer's disease), demyelinis
- psychiatric disorders such as psychotic and/or mood disorders, schizophrenia, cognitive deficiency associated with schizophrenia, schizoaffective disorder, bipolar disorders, anxiety, anxio-de
- the present invention provides a method comprising administering a pharmacologically effective amount of a compound of formula I to a patient in need thereof for the prophylaxis or treatment of dependence and addictive disorders and behaviours (e.g., alcohol and/or drug abuse, pathological gambling, kleptomania), drug withdrawal disorders (e.g., alcohol withdrawal with or without perceptual disturbances; alcohol withdrawal delirium; amphetamine withdrawal; cocaine withdrawal; nicotine withdrawal; opioid withdrawal; sedative, hypnotic or anxiolytic withdrawal with or without perceptual disturbances; sedative, hypnotic or anxiolytic withdrawal delirium; and withdrawal symptoms due to other substances), alcohol and/or drug-induced mood, anxiety and/or sleep disorder with onset during withdrawal, and alcohol and/or drug relapse.
- dependence and addictive disorders and behaviours e.g., alcohol and/or drug abuse, pathological gambling, kleptomania
- drug withdrawal disorders e.g., alcohol withdrawal with or without perceptual disturbances; alcohol withdrawal deli
- the present invention provides a method comprising administering a pharmacologically effective amount of a compound of formula I to a patient in need thereof for the prophylaxis or treatment of neurological dysfunctions such as dystonias, dyskinesias, akathisia, tremor and spasticity, treatment of spinal cord injury, neuropathy, migraine, vigilance disorders, sleep disorders (e.g., disturbed sleep architecture, sleep apnea, obstructive sleep apnea, sleep apnea syndrome), pain disorders, cranial trauma.
- neurological dysfunctions such as dystonias, dyskinesias, akathisia, tremor and spasticity
- treatment of spinal cord injury neuropathy, migraine, vigilance disorders, sleep disorders (e.g., disturbed sleep architecture, sleep apnea, obstructive sleep apnea, sleep apnea syndrome), pain disorders, cranial trauma.
- the present invention provides a method comprising administering a pharmacologically effective amount of a compound of formula I to a patient in need thereof for the prophylaxis or treatment of immune, cardiovascular disorders (e.g. atherosclerosis, arteriosclerosis, angina pectoris, abnormal heart rhythms, and arrhythmias, congestive heart failure, coronary artery disease, heart disease, hypertension, prevention and treatment of left ventricular hypertrophy, myocardial infarction, transient ischaemic attack, peripheral vascular disease, systemic inflammation of the vasculature, septic chock, stroke, cerebral apoplexy, cerebral infarction, cerebral ischaemia, cerebral thrombosis, cerebral embolism, cerebral hemorrhagia, metabolic disorders (e.g.
- cardiovascular disorders e.g. atherosclerosis, arteriosclerosis, angina pectoris, abnormal heart rhythms, and arrhythmias, congestive heart failure, coronary artery disease, heart disease, hypertension, prevention and treatment of left
- diabetes mellitus diabetes mellitus
- dyslipidemia fatty liver
- gout hypercholesterolemia
- hyperlipidemia hypertriglyceridemia
- hyperuricacidemia impaired glucose tolerance, impaired fasting glucose, insulin resistance, insulin resistance syndrome, metabolic syndrome, syndrome X, obesity- hypoventilation syndrome (Pickwickian syndrome), type I diabetes, type II diabetes, low HDL- and/or high LDL-cholesterol levels, low adiponectin levels), reproductive and endocrine disorders (e. g.
- hypogonadism in males treatment of hypogonadism in males, treatment of infertility or as contraceptive, menstrual abnormalities/emmeniopathy, polycystic ovarian disease, sexual and reproductive dysfunction in women and men (erectile dysfunction), GH-deficient subjects, hirsutism in females, normal variant short stature) and diseases related to the respiratory (e.g. asthma and chronic obstructive pulmonary disease) and gastrointestinal systems (e.g. dysfunction of gastrointestinal motility or intestinal propulsion, diarrhea, emesis, nausea, gallbladder disease, cholelithiasis, obesity-related gastroesophageal reflux, ulcers).
- respiratory e.g. asthma and chronic obstructive pulmonary disease
- gastrointestinal systems e.g. dysfunction of gastrointestinal motility or intestinal propulsion, diarrhea, emesis, nausea, gallbladder disease, cholelithiasis, obesity-related gastroesophageal reflux, ulcers.
- the present invention provides a method comprising administering a pharmacologically effective amount of a compound of formula I to a patient in need thereof for the prophylaxis or treatment of dermatological disorders, cancers (e.g. colon, rectum, prostate, breast, ovary, endometrium, cervix, gallbladder, bile duct), craniopharyngioma, Prader-Willi syndrome, Turner syndrome, Frohlich's syndrome, glaucoma, infectious diseases, urinary tract disorders and inflammatory disorders (e.g. arthritis deformans, inflammation, inflammatory sequelae of viral encephalitis, osteoarthritis) and orthopedic disorders.
- dermatological disorders e.g. colon, rectum, prostate, breast, ovary, endometrium, cervix, gallbladder, bile duct
- craniopharyngioma e.g. colon, rectum, prostate, breast, ovary, endometrium, cervix, gallblad
- the compounds of the present invention are particularly suitable for the treatment of obesity or being overweight, (e.g., promotion of weight loss and maintenance of weight loss), prevention or reversal of weight gain (e.g., rebound, medication-induced or subsequent to cessation of smoking), for modulation of appetite and/or satiety, eating disorders (e.g. binge eating, anorexia, bulimia and compulsive), cravings (for drugs, tobacco, alcohol, any appetizing macronutrients or non-essential food items).
- obesity disorders e.g. binge eating, anorexia, bulimia and compulsive
- cravings for drugs, tobacco, alcohol, any appetizing macronutrients or non-essential food items.
- the compounds of formula I are useful for the treatment of obesity, psychiatric disorders such as psychotic disorders, schizophrenia, bipolar disorders, anxiety, anxio- depressive disorders, depression, cognitive disorders, memory disorders, obsessive- compulsive disorders, anorexia, bulimia, attention disorders like ADHD, epilepsy, and related conditions, and neurological disorders such as dementia, neurological disorders(e.g. Multiple Sclerosis), Raynaud's syndrome, Parkinson's disease, Huntington's chorea and Alzheimer's disease.
- the compounds are also potentially useful for the treatment of immune, cardiovascular, reproductive and endocrine disorders, septic shock and diseases related to the respiratory and gastrointestinal systems (e.g. diarrhea).
- the compounds are also potentially useful as agents in treatment of extended abuse, addiction and/or relapse indications, e.g. treating drug (nicotine, ethanol, cocaine, opiates, etc) dependence and/or treating drug (nicotine, ethanol, cocaine, opiates, etc) withdrawal symptoms.
- the compounds may also eliminate the increase in weight that normally accompanies the cessation of smoking.
- the present invention provides a compound of formula I as previously defined for use as a medicament.
- the present invention provides the use of a compound of formula I in the preparation of a medicament for the treatment or prophylaxis of obesity, psychiatric disorders such as psychotic disorders, schizophrenia, bipolar disorders, anxiety, anxio-depressive disorders, depression, cognitive disorders, memory disorders, obsessive- compulsive disorders, anorexia, bulimia, attention disorders like ADHD, epilepsy, and related conditions, neurological disorders such as dementia, neurological disorders (e.g. Multiple Sclerosis), Parkinson's Disease, Huntington's Chorea and Alzheimer's Disease, immune, cardiovascular, reproductive and endocrine disorders, septic shock, diseases related to the respiratory and gastrointestinal systems (e.g.
- diarrhea and extended abuse, addiction and/or relapse indications, e.g. treating drug (nicotine, ethanol, cocaine, opiates, etc) dependence and/or treating drug (nicotine, ethanol, cocaine, opiates, etc) withdrawal symptoms.
- treating drug e.g. treating drug (nicotine, ethanol, cocaine, opiates, etc) dependence and/or treating drug (nicotine, ethanol, cocaine, opiates, etc) withdrawal symptoms.
- the present invention provides a method of treating obesity, psychiatric disorders such as psychotic disorders such as schizophrenia and bipolar disorders, anxiety, anxio-depressive disorders, depression, cognitive disorders, memory disorders, obsessive-compulsive disorders, anorexia, bulimia, attention disorders like ADHD, epilepsy, and related conditions, neurological disorders such as dementia, neurological disorders (e.g. Multiple Sclerosis), Parkinson's Disease, Huntington's Chorea and Alzheimer's Disease, immune, cardiovascular, reproductive and endocrine disorders, septic shock, diseases related to the respiratory and gastrointestinal systems (e.g. diarrhea), and extended abuse, addiction and/or relapse indications, e.g.
- psychotic disorders such as schizophrenia and bipolar disorders, anxiety, anxio-depressive disorders, depression, cognitive disorders, memory disorders, obsessive-compulsive disorders, anorexia, bulimia, attention disorders like ADHD, epilepsy, and related conditions
- neurological disorders such as dementia, neurological disorders (e.g. Multiple Sclerosis
- treating drug (nicotine, ethanol, cocaine, opiates, etc) dependence and/or treating drug (nicotine, ethanol, cocaine, opiates, etc) withdrawal symptoms comprising administering a pharmacologically effective amount of a compound of formula I to a patient in need thereof.
- the compounds of the present invention are particularly suitable for the treatment of obesity, e.g. by reduction of appetite and body weight, maintenance of weight reduction and prevention of rebound.
- the compounds of the present invention may also be used to prevent or reverse medication-induced weight gain, e.g. weight gain caused by antipsychotic (neuroleptic) treatments).
- the compounds of the present invention may also be used to prevent or reverse weight gain associated with smoking cessation,
- the compounds of the present invention are suitable for use in treating the above indications in juvenile or adolescent patient populations.
- the compounds of the invention may be combined with another therapeutic agent that is useful in the treatment of obesity such as other anti-obesity drugs, that affect energy expenditure, glycolysis, gluconeogenesis, glucogenolysis, lipolysis, lipogenesis, fat absorption, fat storage, fat excretion, hunger and/or satiety and/or craving mechanisms, appetite/motivation, food intake, or G-I motility.
- another therapeutic agent that is useful in the treatment of obesity
- anti-obesity drugs that affect energy expenditure, glycolysis, gluconeogenesis, glucogenolysis, lipolysis, lipogenesis, fat absorption, fat storage, fat excretion, hunger and/or satiety and/or craving mechanisms, appetite/motivation, food intake, or G-I motility.
- the compounds of the invention may further be combined with another therapeutic agent that is useful in the treatment of disorders associated with obesity such as hypertension, hyperlipidaemias, dyslipidaemias, diabetes, sleep apnea, asthma, heart disorders, atherosclerosis, macro and micro vascular diseases, liver steatosis, cancer, joint disorders, and gallbladder disorders.
- a compound of the present invention may be used in combination with a another therapeutic agent that lowers blood pressure or that decreases the ratio of LDL:HDL or an agent that causes a decrease in circulating levels of LDL-cholesterol.
- the compounds of the invention may also be combined with therapeutic agents used to treat complications related to microangiopathies.
- the compounds of the invention may be used alongside other therapies for the treatment of obesity and its associated complications the metabolic syndrome and type 2 diabetes, these include biguanide drugs, insulin (synthetic insulin analogues) and oral antihyperglycemics (these are divided into prandial glucose regulators and alpha- glucosidase inhibitors).
- the compound of formula I, or a pharmaceutically acceptable salt thereof may be administered in association with a PPAR modulating agent.
- PPAR modulating agents include but are not limited to a PPAR alpha and/or gamma agonist, or pharmaceutically acceptable salts, solvates, solvates of such salts or prodrugs thereof. Suitable PPAR alpha and/or gamma agonists, pharmaceutically acceptable salts, solvates, solvates of such salts or prodrugs thereof are well known in the art.
- the combination of the invention may be used in conjunction with a sulfonylurea.
- the present invention also includes a compound of the present invention in combination with a cholesterol-lowering agent.
- the cholesterol-lowering agents referred to in this application include but are not limited to inhibitors of HMG-CoA reductase (3- hydroxy-3-methylglutaryl coenzyme A reductase).
- HMG-CoA reductase inhibitor is a statin.
- cholesterol-lowering agent also includes chemical modifications of the HMG-CoA reductase inhibitors, such as esters, prodrugs and metabolites, whether active or inactive.
- the present invention also includes a compound of the present invention in combination with an inhibitor of the ileal bile acid transport system (IBAT inhibitor).
- IBAT inhibitor an inhibitor of the ileal bile acid transport system
- the present invention also includes a compound of the present invention in combination with a bile acid binding resin.
- the present invention also includes a compound of the present invention in combination with a bile acid sequestering agent, for example colestipol or cholestyramine or cholestagel.
- a bile acid sequestering agent for example colestipol or cholestyramine or cholestagel.
- a combination treatment comprising the administration of an effective amount of a compound of the formula I, or a pharmaceutically acceptable salt thereof, optionally together with a pharmaceutically acceptable diluent or carrier, with the simultaneous, sequential or separate administration one or more of the following agents selected from: a CETP (cholesteryl ester transfer protein) inhibitor; a cholesterol absorption antagonist; a MTP (microsomal transfer protein) inhibitor ; a nicotinic acid derivative, including slow release and combination products; a phytosterol compound ; probucol; an anti-coagulant; an omega-3 fatty acid ; another anti-obesity compound for example sibutramine, phentermine, orlistat, bupropion, ephedrine, thyroxine; an antihypertensive compound for example an angiotensin converting enzyme (ACE) inhibitor, an angiotensin II receptor antagonist, an adrenergic blocker, an alpha adrenergic blocker,
- ACE angiotensin converting enzyme
- a combination treatment comprising the administration of an effective amount of a compound of the formula I 5 or a pharmaceutically acceptable salt thereof, optionally together with a pharmaceutically acceptable diluent or carrier, with the simultaneous, sequential or separate administration of very low calorie diets (VLCD) or low-calorie diets (LCD).
- VLCD very low calorie diets
- LCD low-calorie diets
- a method for the treatment of obesity and its associated complications in a warm-blooded animal, such as man, in need of such treatment which comprises administering to said animal an effective amount of a compound of formula I, or a pharmaceutically acceptable salt thereof in simultaneous, sequential or separate administration with an effective amount of a compound from one of the other classes of compounds described in this combination section, or a pharmaceutically acceptable salt, solvate, solvate of such a salt or a prodrug thereof.
- a method of treating hyperlipidemic conditions in a warm-blooded animal, such as man, in need of such treatment which comprises administering to said animal an effective amount of a compound of formula I, or a pharmaceutically acceptable salt thereof in simultaneous, sequential or separate administration with an effective amount of a compound from one of the other classes of compounds described in this combination section or a pharmaceutically acceptable salt, solvate, solvate of such a salt or a prodrug thereof.
- a pharmaceutical composition which comprises a compound of formula I, or a pharmaceutically acceptable salt thereof, and a compound from one of the other classes of compounds described in this combination section or a pharmaceutically acceptable salt, solvate, solvate of such a salt or a prodrug thereof, in association with a pharmaceutically acceptable diluent or carrier.
- a kit comprising a compound of formula I, or a pharmaceutically acceptable salt thereof, and a compound from one of the other classes of compounds described in this combination section or a pharmaceutically acceptable salt, solvate, solvate of such a salt or a prodrug thereof.
- kits comprising: a) a compound of formula I 5 or a pharmaceutically acceptable salt thereof, in a first unit dosage form; b) a compound from one of the other classes of compounds described in this combination section or a pharmaceutically acceptable salt, solvate, solvate of such a salt or a prodrug thereof; in a second unit dosage form; and c) container means for containing said first and second dosage forms.
- kits comprising: a) a compound of formula I, or a pharmaceutically acceptable salt thereof, together with a pharmaceutically acceptable diluent or carrier, in a first unit dosage form; b) a compound from one of the other classes of compounds described in this combination section or a pharmaceutically acceptable salt, solvate, solvate of such a salt or a prodrug thereof, in a second unit dosage form; and c) container means for containing said first and second dosage forms.
- a compound of the formula I or a pharmaceutically acceptable salt thereof, and one of the other compounds described in this combination section, or a pharmaceutically acceptable salt, solvate, solvate of such a salt or a prodrug thereof, in the manufacture of a medicament for use in the treatment of obesity and its associated complications in a warm-blooded animal, such as man.
- a compound of the formula I or a pharmaceutically acceptable salt thereof, and one of the other compounds described in this combination section, or a pharmaceutically acceptable salt, solvate, solvate of such a salt or a prodrug thereof, in the manufacture of a medicament for use in the treatment of hyperlipidaemic conditions in a warm-blooded animal, such as man.
- a combination treatment comprising the administration of an effective amount of a compound of the formula I, or a pharmaceutically acceptable salt thereof, optionally together with a pharmaceutically acceptable diluent or carrier, with the simultaneous, sequential or separate administration of an effective amount of one of the other compounds described in this combination section, or a pharmaceutically acceptable salt, solvate, solvate of such a salt or a prodrug thereof, optionally together with a pharmaceutically acceptable diluent or carrier to a warm-blooded animal, such as man in need of such therapeutic treatment.
- a compound of the invention may also be combined with therapeutic agents that are useful in the treatment of disorders or conditions associated with obesity (such as type II diabetes, metabolic syndrome, dyslipidemia, impaired glucose tolerance, hypertension, coronary heart disease, non-alcoholic steatohepatitis, osteoarthritis and some cancers) and psychiatric and neurological conditions.
- obesity such as type II diabetes, metabolic syndrome, dyslipidemia, impaired glucose tolerance, hypertension, coronary heart disease, non-alcoholic steatohepatitis, osteoarthritis and some cancers
- psychiatric and neurological conditions such as type II diabetes, metabolic syndrome, dyslipidemia, impaired glucose tolerance, hypertension, coronary heart disease, non-alcoholic steatohepatitis, osteoarthritis and some cancers.
- BMI body mass index
- the assay may be performed as follows. lO ⁇ g of membranes prepared from cells stably transfected with the CBl gene were suspended in 200 ⁇ l of 10OmM NaCl, 5mM MgCl 2 , ImM EDTA, 5OmM HEPES (pH 7.4), ImM DTT, 0.1% BSA and lOO ⁇ M GDP. To this was added an EC80 concentration of agonist (CP55940), the required concentration of test compound and O.l ⁇ Ci [ 35 S]-GTP ⁇ S. The reaction was allowed to proceed at 3O 0 C for 45 min. Samples were then transferred on to GF/B filters using a cell harvester and washed with wash buffer (5OmM
- the compounds of the present invention are active at the CBl receptor (IC50 ⁇ 1 micromolar). Most preferred compounds have IC50 ⁇ 200 nanomolar.
- the compounds of the invention are believed to be selective CBl antagonists or inverse agonists.
- the potency, selectivity profile and side effect propensity may limit the clinical usefulness of hitherto known compounds with alleged CBl antagonistic/inverse agonistic properties.
- preclinical evaluation of compounds of the present invention in models of gastrointestinal and/or cardiovascular function indicates that they offer significant advantages compared to representative reference CBl antagonist/inverse agonist agents.
- the compounds of the present invention may provide additional benefits in terms of potency, selectivity profile, bioavailability, half-life in plasma, blood brain permeability, plasma protein binding (for example increasing the free fraction of drug) or solubility compared to representative reference CB 1 antagonists/inverse agonist agents.
- mice Female C57B1/6 J mice were given ad libitum access to calorie-dense 'cafeteria' diet (soft chocolate/cocoa-type pastry, chocolate, fatty cheese and nougat) and standard lab chow for 8-10weeks. Compounds to be tested were then administered systemically (iv, ip, sc or po) once daily for a minimum of 5 days, and the body weights of the mice monitored on a daily basis. Simultaneous assessment of adiposity was carried by means of DEXA imaging at baseline and termination of the study. Blood sampling was also carried out to assay changes in obesity-related plasma markers.
- Example 1 (R)-2-Diphenylacetylamino-pentanedioic acid 5-pyridin-4-ylamide 1-[(R)- (l,2,3,4-tetrahydro-naphtb ⁇ alen-l-yl)-amide]. (R)-2-Diph.enylacetylamino-pentanedioic acid 5-r ⁇ ethyl ester.
- N,N-Diisopropylethylamine (3.33 mL, 19.2 mmol) was added to a solution of (R)-2-amino- pentanedioic acid 5-methyl ester (1.54 g, 9.60 mmol) in H 2 O (5 mL) and dioxane (10 mL) at 0 0 C, followed by a solution of diphenylacetyl chloride (2.00 g, 8.70 mmol). The reaction was stirred at room temperature overnight. The solvent was evaporated and the residue was dissolved in EtOAc and 5% KHSO 4 in water. The phases were separated and the aqueous phase was extracted three times with EtOAc.
- N,N-Diisopropylethylami ⁇ e (0.11 mL, 0.64 mmol), HOBt (34 mg, 0.26 mmol), (R)-4- ⁇ phenylacetylamino-4-[(R)-(l,2,3,4-tetrahydro-naphthalen-l-yl)carbamoyl]-butyric acid (100 mg, 0.213 mmol) and EDC (49 mg, 0.26 mmol) were added to a solution of 4- aminopyridine (22 mg, 0.23 mmol) in DMF (3 mL). The reaction was stirred at room 0 temperature overnight. The solvent was evaporated.
- N-Methylmorpholine (0.03O mL, 0.28 mmol)
- (R)-4-diphenylacetylamino-4-[(R)-(l, 2,3 ,4- tetrahydro-naphthalen- l-yl)carbamoyl]-butyric acid 100 mg, 0.213 mmol
- HATU 97 mg, 0.26 mmol
- 2-aminopyridine 22 mg, 0.23 mmol
- DMF 3 mL
- Example 3 (R)-2-Diphenylacetylamino-5-(pyridin-4-ylamino)-pentanoic acid (R)-l,2,3,4- tetrahydro-naphthalen- 1 -yl-amide. (RVl-Diphenylacetylartiino-S-hydroxy-pentanoic acid [(R)-1 ,2,3 ,4-tetrahvdro-naphthalen- 1-yli-amide.
- N-Methylmorpholine (0.066 mL, 0.60 mmol) was added to a solution of (R)-4- diphenylacetylamino-4-[(R)-(l ,2,3 ,4-tetrahydro-naphthalen- 1 -yl)carbamoyl]-butyric acid (280 mg, 0.596 mmol) in DME (2 mL) and THF (2 mL) at -15 0 C under nitrogen, followed by 2-butylchloroformate (0.077 mL, 0.60 mmol). The white precipitate that formed was filtered and washed with THF.
- NN-Diisopropylethylamine (0.060 mL, 0.35 mmol) was added to a solution of (R)-2- diphenylacetylamino-5-hydroxy-pentanoic acid [(R)- 1 ,2,3,4-tetrahydro-naphthalen- 1 -yl]- amide (132 mg, 0.290 mmol) in DCM (3 mL) at 0 0 C under nitrogen, followed by methanesulfonyl chloride (0.025 mL, 0.32 mmol). The reaction was stirred at room temperature for 3 hours. The solvent was evaporated and the residue was dissolved in EtOAc.
Landscapes
- Health & Medical Sciences (AREA)
- Chemical & Material Sciences (AREA)
- Organic Chemistry (AREA)
- Veterinary Medicine (AREA)
- Life Sciences & Earth Sciences (AREA)
- Public Health (AREA)
- General Health & Medical Sciences (AREA)
- Bioinformatics & Cheminformatics (AREA)
- Chemical Kinetics & Catalysis (AREA)
- General Chemical & Material Sciences (AREA)
- Medicinal Chemistry (AREA)
- Nuclear Medicine, Radiotherapy & Molecular Imaging (AREA)
- Engineering & Computer Science (AREA)
- Pharmacology & Pharmacy (AREA)
- Animal Behavior & Ethology (AREA)
- Diabetes (AREA)
- Obesity (AREA)
- Hematology (AREA)
- Child & Adolescent Psychology (AREA)
- Biomedical Technology (AREA)
- Neurology (AREA)
- Neurosurgery (AREA)
- Pulmonology (AREA)
- Pharmaceuticals Containing Other Organic And Inorganic Compounds (AREA)
Abstract
The present invention relates to compounds of formula I and processes for preparing such compounds, their use in the treatment of obesity, psychiatric and neurological disorders, to methods for their therapeutic use and to pharmaceutical compositions containing them.
Description
Benzhydryl amide derivatives as cannabinoid receptor antagonists or inverse agonists
Field of invention The present invention relates to certain CB1 antagonists or inverse agonists, to processes for preparing such compounds, to their use in the treatment of obesity, psychiatric and neurological disorders, to methods for their therapeutic use and to pharmaceutical compositions containing them.
Background of the invention
It is known that certain CB1 antagonists or inverse agonists (known as antagonists or inverse agonists) are useful in the treatment of obesity, psychiatric and neurological disorders (WO01/70700 and EP 656354).
However, there is a need for CBi antagonists or inverse agonists with other therapeutic effects, improved physicochemical properties and/or DMPK properties and/or pharmacodynamic properties.
Description of the invention
Unless specified otherwise within this specification, the nomenclature used in this specification generally follows the examples and rules stated in Nomenclature of Organic Chemistry, Sections A, B, C, D, E, F, and H, Pergamon Press, Oxford, 1979, which is incorporated by references herein for its exemplary chemical structure names and rules on naming chemical structures.
The term "Cm.n" or "Cm,n group" used alone or as a prefix, refers to any group having m to n carbon atoms.
The term "hydrocarbon" used alone or as a suffix or prefix, refers to any structure comprising only carbon and hydrogen atoms up to 14 carbon atoms.
The term "hydrocarbon radical" or "hydrocarbyl" used alone or as a suffix or prefix, refers to any structure as a result of removing one or more hydrogens from a hydrocarbon.
The term "alkyl" used alone or as a suffix or prefix, refers to a saturated monovalent straight or branched chain hydrocarbon radical comprising 1 to about 12
carbon atoms. Illustrative examples of alkyls include, but are not limited to, Q-ealkyl groups, such as methyl, ethyl, propyl, isopropyl, 2-methyl-l -propyl, 2-methyl-2-propyl, 2- methyl-1-butyl, 3 -methyl- 1 -butyl, 2-methyl-3-butyl, 2,2-dimethyl-l -propyl, 2-methyl-l- pentyl, 3-methyl-l-pentyl, 4-methyl-l-pentyl, 2-methyl-2-pentyl, 3-methyl-2-pentyl, 4- methyl-2-pentyl, 2,2-dimethyl-l-butyl, 3, 3 -dimethyl- 1 -butyl, 2-ethyl-l -butyl, butyl, isobutyl, t-butyl, pentyl, isopentyl, neopentyl, and hexyl, and longer alkyl groups, such as heptyl, and octyl. An alkyl can be unsubstituted or substituted with one or two suitable substituents.
The term "cycloalkyl," used alone or as suffix or prefix, refers to a saturated monovalent ring-containing hydrocarbon radical comprising at least 3 up to about 12 carbon atoms. Examples of cycloalkyls include, but are not limited to, C3-7cycloalkyl groups, such as cyclopropyl, cyclobutyl, cyclopentyl, cyclohexyl, and cycloheptyl, and saturated cyclic and bicyclic terpenes. A cycloalkyl can be unsubstituted or substituted by one or two suitable substituents. Preferably, the cycloalkyl is a monocyclic ring or bicyclic ring.
The term "aryl" used alone or as suffix or prefix, refers to a monovalent hydrocarbon radical having one or more polyunsaturated carbon rings having aromatic character, (e.g., 4n + 2 delocalized electrons) and comprising 5 up to about 14 carbon atoms. The term "heterocycle" used alone or as a suffix or prefix, refers to a ring- containing structure or molecule having one or more multivalent heteroatoms, independently selected from N, O, P and S, as a part of the ring structure and including at least 3 and up to about 20 atoms in the ring(s). Heterocycle may be saturated or unsaturated, containing one or more double bonds, and heterocycle may contain more than one ring. When a heterocycle contains more than one ring, the rings may be fused or unfused. Fused rings generally refer to at least two rings share two atoms therebetween. Heterocycle may have aromatic character or may not have aromatic character.
The term "heteroaromatic" used alone or as a suffix or prefix, refers to a ring- containing structure or molecule having one or more multivalent heteroatoms, independently selected from N5 O, P and S, as a part of the ring structure and including at least 3 and up to about 20 atoms in the ring(s), wherein the ring-containing structure or molecule has an aromatic character (e.g., 4n + 2 delocalized electrons).
The term "heterocyclic group," "heterocyclic moiety," "heterocyclic," or "heterocyclo" used alone or as a suffix or prefix, refers to a radical derived from a heterocycle by removing one or more hydrogens therefrom.
The term "heterocyclyl" used alone or as a suffix or prefix, refers a monovalent radical derived from a heterocycle by removing one hydrogen therefrom.
The term "heteroaryl" used alone or as a suffix or prefix, refers to a heterocyclyl having aromatic character.
Heterocycle includes, for example, monocyclic heterocycles such as: aziridine, oxirane, thiirane, azetidine, oxetane, thietane, pyrrolidine, pyrroline, imidazolidine, pyrazolidine, pyrazoline, dioxolane, sulfolane 2,3-dihydrofuran, 2,5-dihydrofuran tetrahydrofuran, thiophane, piperidiαe, 1,2,3,6-tetrahydro-pyridine, piperazine, morpholine, thiomorpholine, pyran, tbiopyran, 2,3-dihydropyran, tetrahydropyran, 1,4-dihydropyridine, 1,4-dioxane, 1,3-dioxane, dioxane, homopiperidine, 2,3,4,7-tetrahydro-lH-azepine homopiperazine, 1,3-dioxepane, 4,7-dihydro-l,3-dioxepin, and hexamethylene oxide. In addition, heterocycle includes aromatic heterocycles, for example, pyridine, pyrazine, pyrimidine, pyridazine, thiophene, furan, furazan, pyrrole, imidazole, thiazole, oxazole, pyrazole, isothiazole, isoxazole, 1,2,3-triazole, tetrazole, 1,2,3-thiadiazole, 1,2,3- oxadiazole, 1,2,4-triazole, 1,2,4-thiadiazole, 1,2,4-oxadiazole, 1,3,4-triazole, 1,3,4- thiadiazole, and 1,3,4- oxadiazole. Additionally, heterocycle encompass polycyclic heterocycles, for example, indole, indoline, isoindoline, quinoline, tetrahydroquinoline, isoquinoline, tetrahydroisoquinoline, 1,4-benzodioxan, coumarin, dihydrocoumarin, benzofuran, 2,3-dihydrobenzofuran, isobenzofuran, chromene, chroman, isochroman, xanthene, phenoxathiin, thianthrene, indolizine, isoindole, indazole, purine, phthalazine, naphthyridine, quinoxaline, quinazoline, cinnoline, pteridine, phenanthridine, perimidine, phenanthroline, phenazine, phenothiazine, phenoxazine, 1,2-benzisoxazole, benzothiophene, benzoxazole, benzthiazole, benzimidazole, benztriazole, thioxanthine, carbazole, carboline, acridine, pyrolizidine, and quinolizidine.
In addition to the polycyclic heterocycles described above, heterocycle includes polycyclic heterocycles wherein the ring fusion between two or more rings includes more than one bond common to both rings and more than two atoms common to both rings.
Examples of such bridged heterocycles include quinuclidine, diazabicyclo[2.2.1]heptane and 7-oxabicyclo[2.2.1]heptane.
The term, "alkoxy" used alone or as a suffix or prefix, refers to radicals of the general formula -O-R, wherein R is selected from a hydrocarbon radical. Exemplary alkoxy includes methoxy, ethoxy, propoxy, isopropoxy, butoxy, t-butoxy, isobutoxy, cyclopropylmethoxy, allyloxy, and propargyloxy.
Halogen includes fluorine, chlorine, bromine and iodine.
"Halogenated," used as a prefix of a group, means one or more hydrogens on the group is replaced with one or more halogens.
"RT" or "it" means room temperature.
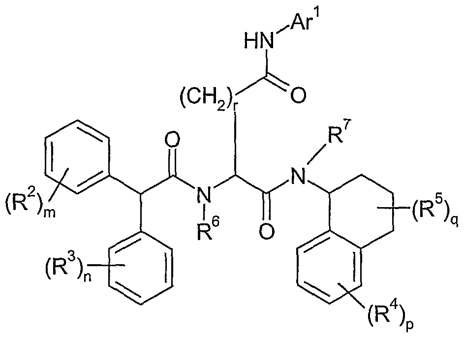
In one aspect, the invention provides a compound of formula I, and pharmaceutically acceptable salts thereof
R1 is selected from Ci-βalkyl, Cs-βcycloalkyl-CMalkyl, C2-6alkenyl, -(CHa)1-Ar1, - (CH2VO-Ar1, -(CH2)r-C(=O)-NH-Ar1; -(CH2)rNH-C(=O)-Ar1, -(CH2VS(^=O)2-NH-Ar1, - (CH2)i-NH-S(=O)2-Ar1, and -(CH2VNH-Ar1 , wherein said Ar1 is independently selected from Ci-sheteroaryl and phenyl, wherein said Ci.sheteroaryl and phenyl used in defining Ar1 and said Chalky!, C3-6cycloalkyl-Ci_4alkyl, and C2-6alkenyl used in defining R1 are optionally and independently substituted with one or more groups selected from hydrogen, -OH, -CN, -NH2, halogen, Q-βalkyl, halogenated Ci^alkyl, Ci^alkoxy, and halogenated C1-6alkoxy;
R2, R3, R4 and R5 are independently selected from hydrogen, -OH, -CN, -NH2, halogen, Ci^alkyl, halogenated Chalky!, Q-βalkoxy, halogenated Q.ealkoxy, -NR8C(=O)-
O-R8, -S(=O)2-NR8R8 and -O-S(=O)2-R8; wherein each R8 is independently selected from hydrogen, Q-βalkyl, halogenated Q-βalkyl, C3-6cycloalkyl, and halogenated C3-6cycloalkyl;
R6 and R7 are independently selected from hydrogen and C alkyl; m, n, p, and q are independently selected from 1, 2, 3, and 4; and r is selected from 0, 1 , 2, 3 and 4.
In one embodiment, the compounds of the present invention are represented by formula I, wherein
R1 is selected from -(CH2VAr1, -(CH2VO-Ar1, -(CH2VC(O)-NH-Ar1; -(CH2V NH-CC=O)-Ar1, -(CH2VSC=O)2-NH-Ar1, -(CH2X-NH-SC=O)2-Ar1, and -(CH2VNH-Ar1, wherein said Ar1 is independently selected from Q-sheteroaryl and phenyl, wherein said
and phenyl used in defining Ar1 are optionally and independently substituted with one or more groups selected from hydrogen, -OH, -CN, -NH2, halogen, C^alkyl, halogenated
and halogenated Ci-βalkoxy;
R2, R3, R4 and R5 are independently selected from hydrogen, -OH, -CN, -NH2, halogen, Ci-galkyl, halogenated Q-ealkyl, Q-βalkoxy, halogenated Ci-ealkoxy;
R6 and R7 are independently selected from hydrogen and
m, n, p, and q are independently selected from 1, 2, 3, and 4; and r is selected from O, 1 , 2, 3 and 4.
In another embodiment, the compound of the invention may be represented by formula I, wherein
R1 is selected from -(CH2VAr1, -(CH2VO-Ar1, -(CH2)r-C(=O)-NH-Ar1; -(CH2V NH-C(=O)-Ar1, -(CH2)r-S(=O)2-NH-Ar1, -(CH2)r-NH-S(=O)2-Ar1, and -(CH2VNH-Ar1, wherein said Ar1 is independently selected from pyridyl, tetrazolyl, thienyl, furyl, imidazolyl, triazolyl, pyrrolyl, pyrazolyl, thiazolyl, pyridyl-N-oxide and phenyl, wherein said pyridyl, tetrazolyl, thienyl, furyl, imidazolyl, triazolyl, pyrrolyl, pyrazolyl, thiazolyl, pyridyl-N-oxide and phenyl are optionally and independently substituted with one or more groups selected from hydrogen, -OH, -CN, -NH2, halogen, Ci-βalkyl, halogenated Ci- βalkyl, Ci-βalkoxy, and halogenated Ci^alkoxy;
R2, R3, R4 and R5 are independently selected from hydrogen, -OH, -CN, -NH2, halogen, Q.βalkyl, halogenated C^alkyl, Ci^alkoxy, halogenated Ci.βalkoxy;
R6 and R7 are hydrogen; m, n, p, and q are independently selected from 1, 2, 3, and 4; and
r is selected from 0, 1, 2, 3 and 4.
In a further embodiment, R1 is selected from -(CH2)I-Ar1, -(CHz)1-O-Ar1, -(CH2V C(O)-NH-Ar1; -(CH2VNH-C(O)-Ar1, -(CH2 VSt=O)2-NH-Ar1, -(CH2VNH-S(O)2-Ar1, and -(CH2VNH-Ar1, wherein said Ar1 is independently selected from pyridyl, tetrazolyl, thienyl, furyl, imidazolyl, triazolyl, pyrrolyl, pyrazolyl, thiazolyl, pyridyl-N-oxide and phenyl, wherein said pyridyl, tetrazolyl, thienyl, furyl, imidazolyl, triazolyl, pyrrolyl, pyrazolyl, thiazolyl, pyridyl-N-oxide and phenyl are optionally and independently substituted with one or more groups selected from hydrogen, -OH, -CN, -NH2, halogen, Ci- βalkyl, halogenated Ci-βalkyl, Q-βalkoxy, and halogenated Q-βalkoxy, wherein r is selected
3.
Particularly, R1 is selected from -(CH2)r-C(=O)-NH-Ar1; -(CH2)r-NH-C(=0)-Ar1, - (CH2VS(O)2-NH-Ar1 , -(CH2VNH-S(=O)2-Ar1, and -(CH2VNH-Ar1, wherein said Ar1 is independently selected from pyridyl, tetrazolyl, thienyl, furyl, imidazolyl, triazolyl, pyrrolyl, pyrazolyl, thiazolyl, pyridyl-N-oxide and phenyl, wherein said pyridyl, tetrazolyl, thienyl, furyl, imidazolyl, triazolyl, pyrrolyl, pyrazolyl, thiazolyl, pyridyl-N-oxide and phenyl are optionally and independently substituted with one or more groups selected from hydrogen, -OH, -CN, -NH2, halogen, Ci-βalkyl, halogenated Chalky., Ci^alkoxy, and halogenated Ci^alkoxy, wherein r is selected from 1, 2 and 3.
More particularly, R1 is selected from -(CH2VC(O)-NH-Ar1; -(CH2VNH-C(O)- Ar1, and -(CH2VNH-Ar1, wherein said Ar1 is independently selected from pyridyl, tetrazolyl, thienyl, furyl, imidazolyl, triazolyl, pyrrolyl, pyrazolyl, thiazolyl, pyridyl-N- oxide and phenyl, wherein said pyridyl, tetrazolyl, thienyl, furyl, imidazolyl, triazolyl, pyrrolyl, pyrazolyl, thiazolyl, pyridyl-N-oxide and phenyl are optionally and independently substituted with one or more groups selected from hydrogen, -OH5 -CN, -NH2, halogen, C1. βalkyl, halogenated Chalky., Cμβalkoxy, and halogenated Q-βalkoxy, wherein r is selected from 2 and 3.
Even more particularly, R1 is selected from -(CHa)1-C(O)-NH-Ar1; -(CH2VNH- C(O)-Ar1, and -(CH2)F-NH-Ar1, wherein said Ar1 is independently selected from pyridyl, tetrazolyl, thienyl, furyl, imidazolyl, triazolyl, pyrrolyl, pyrazolyl, thiazolyl, pyridyl-N- oxide and phenyl, wherein said pyridyl, tetrazolyl, thienyl, furyl, imidazolyl, triazolyl, pyrrolyl, pyrazolyl, thiazolyl, pyridyl-N-oxide and phenyl are optionally and independently substituted with one or more groups selected from hydrogen, -OH, -CN, -NH2, halogen, Ci-
3alkyl, halogenated Ci_3alkyl,
wherein r is selected from 2 and 3.
In an even further embodiment, R2, R3, R4 and R5 are independently selected from hydrogen, -OH, -CN, -NH2, halogen,
halogenated Chalky.,
halogenated Ci^alkoxy.
Particularly, R2, R3, R4 and R5 are independently selected from hydrogen, -OH, -CN, -NH2, halogen, C^aUcyl, halogenated C^aUcyl, Ci^alkoxy, halogenated Ci-3alkoxy. More particularly, R2, R3, R4 and R5 are hydrogen. In a yet even further embodiment, m, n, p, and q are independently selected from 1, 2, 3, and 4.
Particularly, m, n, p, and q are 1.
In a further embodiment, r is selected from 1, 2, 3 and 4. Particularly, r is selected from 2, 3 and 4. More particularly, r is selected from 2 and 3. Even more particularly, r is 2. "Pharmaceutically acceptable salt", where such salts are possible, includes both pharmaceutically acceptable acid and base addition salts. A suitable pharmaceutically acceptable salt of a compound of Formula I is, for example, an acid-addition salt of a compound of Formula I which is sufficiently basic, for example an acid-addition salt with an inorganic or organic acid such as hydrochloric, hydrobromic, sulphuric, trifluoroacetic, citric or maleic acid; or, for example a salt of a compound of Formula I which is sufficiently acidic, for example an alkali or alkaline earth metal salt such as a sodium, calcium or magnesium salt, or an ammonium salt, or a salt with an organic base such as methylamine, dimethylamine, trimethylamine, piperidine, morpholine or tris-(2-hydroxyethyl)amine. Throughout the specification and the appended claims, a given chemical formula or name shall encompass all stereo and optical isomers and racemates thereof as well as mixtures in different proportions of the separate enantiomers, where such isomers and enantiomers exist, as well as pharmaceutically acceptable salts thereof and solvates thereof such as for instance hydrates. Isomers may be separated using conventional techniques, e.g. chromatography or fractional crystallisation. The enantiomers may be isolated by separation of racemate for example by fractional crystallisation, resolution or HPLC. The diastereomers may be isolated by separation of isomer mixtures for instance by fractional
crystallisation, HPLC or flash chromatography. Alternatively the stereoisomers may be made by chiral synthesis from chiral starting materials under conditions which will not cause racemisation or epimerisation, or by derivatisation, with a chiral reagent. All stereoisomers are included within the scope of the invention. All tautomers, where possible, are included within the scope of the invention. The present invention also encompasses compounds containing one or more isotopes for example 14C, 11C or 19F and their use as isotopically labelled compounds for pharmacological and metabolic studies.
The present invention also encompasses prodrugs of a compound of formula I that is compounds which are converted into a compound of formula I in vivo. Methods of preparation
The compounds of the invention may be prepared as outlined below according to any of the following methods. However, the invention is not limited to these methods, the compounds may also be prepared as described for structurally related compounds in the prior art.
Compounds of formula IA, wherein R2, R3, R4, R5, R6, R7, m, n, p, q and r are as defined above, may be prepared by reacting a compound of formula IIA
HA with Ar'-NHϊ, wherein X is selected from -OH and halogen, at a temperature in the range of -25 to 1500C, in the presence of an inert solvent, for example dimethylformamide, and optionally in the presence of one or more bases, for example, N, N-diisopropylethylamine or N-methylmorpholine, and optionally in the presence of HATU.
Compounds of formula IB, wherein R2, R3, R4, R5, R6, R7, m, n, p, q and r are as defined above, may be prepared by reacting a compound of formula HB,
IB
ΠB with methanesulfonyl chloride to form an intermediate, optionally in the presence of a base such as N,N-diisopropylethylamine, followed by reacting the intermediate with
at a temperature in the range of -25 to 15O0C, in the presence of an inert solvent, for example, dimethylformamide, and optionally in the presence of one or more bases, for example, triethylamine, N, N-diisopropylethylamine or N-methylmorpholine.
Compounds of formula IIA or HB may be prepared by the following general synthetic scheme (Scheme I) and adaptations thereof or by analogous methods known to those skilled in the art. It will be appreciated by those skilled in the art that during the reaction sequence certain functional groups will require protection followed by deprotection at an appropriate stage, see "Protective Groups in Organic Synthesis", 3rd Edition (1999) by Greene and Wuts.
Scheme I
1) N-Mβthylmorpholine, DME, THF
2) NaBH4, H2O
Wherein R is a C^alkyl; all other groups
Pharmaceutical preparations
The compounds of the invention will normally be administered via the oral, parenteral, intravenous, intramuscular, subcutaneous or in other injectable ways, buccal, rectal, vaginal, transdermal and/or nasal route and/or via inhalation, in the form of
pharmaceutical preparations comprising the active ingredient or a pharmaceutically acceptable addition salt, in a pharmaceutically acceptable dosage form. Depending upon the disorder and patient to be treated and the route of administration, the compositions may be administered at varying doses. Suitable daily doses of the compounds of the invention in the therapeutic treatment of humans are about 0.001-10 mg/kg body weight, preferably 0.01-1 mg/kg body weight. Oral formulations are preferred particularly tablets or capsules which may be formulated by methods known to those skilled in the art to provide doses of the active compound in the range of 0.5mg to 500mg for example 1 mg, 3 mg, 5 mg, 10 mg, 25mg, 50mg, lOOmg and 250mg.
According to a further aspect of the invention there is also provided a pharmaceutical formulation including any of the compounds of the invention, or pharmaceutically acceptable derivatives thereof, in admixture with pharmaceutically acceptable adjuvants, diluents and/or carriers. Pharmacological properties
The compounds of formula I are useful for the treatment of obesity or being overweight, (e.g., promotion of weight loss and maintenance of weight loss), prevention of weight gain (e.g., medication-induced or subsequent to cessation of smoking), for modulation of appetite and/or satiety, eating disorders (e.g. binge eating, anorexia, bulimia and compulsive), cravings (for drugs, tobacco, alcohol, any appetizing macronutrients or non-essential food items), for the treatment of psychiatric disorders such as psychotic and/or mood disorders, schizophrenia, cognitive deficiency associated with schizophrenia, schizo-affective disorder, bipolar disorders, anxiety, anxio-depressive disorders, depression, mania, obsessive-compulsive disorders, impulse control disorders (e.g., Gilles de Ia Tourette's syndrome), attention disorders like ADD/ADHD, stress, and neurological disorders such as dementia and cognitive and/or memory dysfunction (e.g., amnesia, Alzheimer's disease, Pick's dementia, dementia of ageing, vascular dementia, mild cognitive impairment, age-related cognitive decline, and mild dementia of ageing), neurological and/or neurodegenerative disorders (e.g. Multiple Sclerosis, Raynaud's syndrome, Parkinson's disease, Huntington's chorea and Alzheimer's disease), demyelinisation-related disorders, neuroinflammatory disorders (e.g., Guillam-Barre syndrome).
The compounds are also potentially useful for the prevention or treatment of dependence and addictive disorders and behaviours (e.g., alcohol and/or drug abuse, pathological gambling, kleptomania), drug withdrawal disorders (e.g., alcohol withdrawal with or without perceptual disturbances; alcohol withdrawal delirium; amphetamine withdrawal; cocaine withdrawal; nicotine withdrawal; opioid withdrawal; sedative, hypnotic or anxiolytic withdrawal with or without perceptual disturbances; sedative, hypnotic or anxiolytic withdrawal delirium; and withdrawal symptoms due to other substances), alcohol and/or drug-induced mood, anxiety and/or sleep disorder with onset during withdrawal, and alcohol and/or drug relapse. The compounds are also potentially useful for the prevention or treatment of neurological dysfunctions such as dystonias, dyskinesias, akathisia, tremor and spasticity, treatment of spinal cord injury, neuropathy, migraine, vigilance disorders, sleep disorders (e.g., disturbed sleep architecture, sleep apnea, obstructive sleep apnea, sleep apnea syndrome), pain disorders, cranial trauma. The compounds are also potentially useful for the treatment of immune, cardiovascular disorders (e.g. atherosclerosis, arteriosclerosis, angina pectoris, abnormal heart rhythms, and arrhythmias, congestive heart failure, coronary artery disease, heart disease, hypertension, prevention and treatment of left ventricular hypertrophy, myocardial infarction, transient ischaemic attack, peripheral vascular disease, systemic inflammation of the vasculature, septic chock, stroke, cerebral apoplexy, cerebral infarction, cerebral ischaemia, cerebral thrombosis, cerebral embolism, cerebral hemorrhagia, metabolic disorders (e.g. conditions showing reduced metabolic activity or a decrease in resting energy expenditure as a percentage of total fat-free mass, diabetes mellitus, dyslipidemia, fatty liver, gout, hypercholesterolemia, hyperlipidemia, hypertriglyceridemia, hyperuricacidemia, impaired glucose tolerance, impaired fasting glucose, insulin resistance, insulin resistance syndrome, metabolic syndrome, syndrome X, obesity- hypoventilation syndrome (Pickwickian syndrome), type I diabetes, type II diabetes, low HDL- and/or high LDL-cholesterol levels, low adiponectin levels), reproductive and endocrine disorders (e.g. treatment of hypogonadism in males, treatment of infertility or as contraceptive, menstrual abnormalities/emmeniopathy, polycystic ovarian disease, sexual and reproductive dysfunction in women and men (erectile dysfunction), GH-deficient subjects, hirsutism in females, normal variant short stature) and diseases related to the
respiratory (e.g. asthma and chronic obstructive pulmonary disease) and gastrointestinal systems (e.g. dysfunction of gastrointestinal motility or intestinal propulsion, diarrhea, emesis, nausea, gallbladder disease, cholelithiasis, obesity-related gastro-esophageal reflux, ulcers). The compounds are also potentially useful as agents in treatment of dermatological disorders, cancers (e.g. colon, rectum, prostate, breast, ovary, endometrium, cervix, gallbladder, bile duct), craniopharyngioma, Prader-Willi syndrome, Turner syndrome, Frohlich's syndrome, glaucoma, infectious diseases, urinary tract disorders and inflammatory disorders (e.g. arthritis deformans, inflammation, inflammatory sequelae of viral encephalitis, osteoarthritis) and orthopedic disorders. The compounds are also potentially useful as agents in treatment of (esophageal) achalasia.
In another aspect the present invention provides a compound of formula I as previously defined for use as a medicament.
In a further aspect the present invention provides the use of a compound of formula I in the preparation of a medicament for the treatment or prophylaxis of obesity or being overweight, (e.g., promotion of weight loss and maintenance of weight loss), prevention of weight gain (e.g., medication-induced or subsequent to cessation of smoking), for modulation of appetite and/or satiety, eating disorders (e.g. binge eating, anorexia, bulimia and compulsive), cravings (for drugs, tobacco, alcohol, any appetizing macronutrients or non-essential food items), for the treatment of psychiatric disorders such as psychotic and/or mood disorders, schizophrenia, cognitive deficiency associated with schizophrenia, cognitive deficiency associated with schizophrenia, schizo-affective disorder, bipolar disorders, anxiety, anxio-depressive disorders, depression, mania, obsessive-compulsive disorders, impulse control disorders (e.g., Gilles de Ia Tourette's syndrome), attention disorders like ADD/ADHD, stress, and neurological disorders such as dementia and cognitive and/or memory dysfunction (e.g., amnesia, Alzheimer's disease, Pick's dementia, dementia of ageing, vascular dementia, mild cognitive impairment, age-related cognitive decline, and mild dementia of ageing), neurological and/or neurodegenerative disorders (e.g. Multiple Sclerosis, Raynaud's syndrome, Parkinson's disease, Huntington's chorea and Alzheimer's disease), demyelinisation-related disorders, neuroinflammatory disorders (e.g., Guillain-Barre syndrome).
In a further aspect the present invention provides the use of a compound of formula I in the preparation of a medicament for the treatment or prophylaxis of dependence and addictive disorders and behaviours (e.g., alcohol and/or drug abuse, pathological gambling, kleptomania), drug withdrawal disorders (e.g., alcohol withdrawal with or without perceptual disturbances; alcohol withdrawal delirium; amphetamine withdrawal; cocaine withdrawal; nicotine withdrawal; opioid withdrawal; sedative, hypnotic or anxiolytic withdrawal with or without perceptual disturbances; sedative, hypnotic or anxiolytic withdrawal delirium; and withdrawal symptoms due to other substances), alcohol and/or drug-induced mood, anxiety and/or sleep disorder with onset during withdrawal, and alcohol and/or drug relapse.
In a further aspect the present invention provides the use of a compound of formula I in the preparation of a medicament for the treatment or prophylaxis of neurological dysfunctions such as dystonias, dyskinesias, akathisia, tremor and spasticity, treatment of spinal cord injury, neuropathy, migraine, vigilance disorders, sleep disorders (e.g., disturbed sleep architecture, sleep apnea, obstructive sleep apnea, sleep apnea syndrome), pain disorders, cranial trauma.
In a further aspect the present invention provides the use of a compound of formula I in the preparation of a medicament for the treatment or prophylaxis of immune, cardiovascular disorders (e.g. atherosclerosis, arteriosclerosis, angina pectoris, abnormal heart rhythms, and arrhythmias, congestive heart failure, coronary artery disease, heart disease, hypertension, prevention and treatment of left ventricular hypertrophy, myocardial infarction, transient ischaemic attack, peripheral vascular disease, systemic inflammation of the vasculature, septic chock, stroke, cerebral apoplexy, cerebral infarction, cerebral ischaemia, cerebral thrombosis, cerebral embolism, cerebral hemorrhagia, metabolic disorders (e.g. conditions showing reduced metabolic activity or a decrease in resting energy expenditure as a percentage of total fat-free mass, diabetes mellitus, dyslipidemia, fatty liver, gout, hypercholesterolemia, hyperlipidemia, hypertriglyceridemia, hyperuricacidemia, impaired glucose tolerance, impaired fasting glucose, insulin resistance, insulin resistance syndrome, metabolic syndrome, syndrome X, obesity- hypoventilation syndrome (Pickwickian syndrome), type I diabetes, type II diabetes, low HDL- and/or high LDL-cholesterol levels, low adiponectin levels), reproductive and endocrine disorders (e.g. treatment of hypogonadism in males, treatment of infertility or as
contraceptive, menstrual abnormalities/emmeniopathy, polycystic ovarian disease, sexual and reproductive dysfunction in women and men (erectile dysfunction), GH-deficient subjects, hirsutism in females, normal variant short stature) and diseases related to the respiratory (e.g. asthma and chronic obstructive pulmonary disease) and gastrointestinal systems (e.g. dysfunction of gastrointestinal motility or intestinal propulsion, diarrhea, emesis, nausea, gallbladder disease, cholelithiasis, obesity-related gastroesophageal reflux, ulcers).
In a further aspect the present invention provides the use of a compound of formula I in the preparation of a medicament for the treatment or prophylaxis of dermatological disorders, cancers (e.g. colon, rectum, prostate, breast, ovary, endometrium, cervix, gallbladder, bile duct), craniopharyngioma, Prader-Willi syndrome, Turner syndrome, Frohlich's syndrome, glaucoma, infectious diseases, urinary tract disorders and inflammatory disorders (e.g. arthritis deformans, inflammation, inflammatory sequelae of viral encephalitis, osteoarthritis) and orthopedic disorders. In a still further aspect the present invention provides a method comprising administering a pharmacologically effective amount of a compound of formula I to a patient in need thereof for the prophylaxis or treatment of obesity or being overweight, (e.g., promotion of weight loss and maintenance of weight loss), prevention of weight gain (e.g., medication-induced or subsequent to cessation of smoking), for modulation of appetite and/or satiety, eating disorders (e.g. binge eating, anorexia, bulimia and compulsive), cravings (for drugs, tobacco, alcohol, any appetizing macromitrients or nonessential food items), for the treatment of psychiatric disorders such as psychotic and/or mood disorders, schizophrenia, cognitive deficiency associated with schizophrenia, schizoaffective disorder, bipolar disorders, anxiety, anxio-depressive disorders, depression, mania, obsessive-compulsive disorders, impulse control disorders (e.g., Gilles de Ia Tourette's syndrome), attention disorders like ADD/ADHD, stress, and neurological disorders such as dementia and cognitive and/or memory dysfunction (e.g., amnesia, Alzheimer's disease, Pick's dementia, dementia of ageing, vascular dementia, mild cognitive impairment, age-related cognitive decline, and mild dementia of ageing), neurological and/or neurodegenerative disorders (e.g. Multiple Sclerosis, Raynaud's syndrome, Parkinson's disease, Huntington's chorea and Alzheimer's disease),
demyelinisation-related disorders, neuroinflammatory disorders (e.g., Guillain-Barre syndrome).
In a still further aspect the present invention provides a method comprising administering a pharmacologically effective amount of a compound of formula I to a patient in need thereof for the prophylaxis or treatment of dependence and addictive disorders and behaviours (e.g., alcohol and/or drug abuse, pathological gambling, kleptomania), drug withdrawal disorders (e.g., alcohol withdrawal with or without perceptual disturbances; alcohol withdrawal delirium; amphetamine withdrawal; cocaine withdrawal; nicotine withdrawal; opioid withdrawal; sedative, hypnotic or anxiolytic withdrawal with or without perceptual disturbances; sedative, hypnotic or anxiolytic withdrawal delirium; and withdrawal symptoms due to other substances), alcohol and/or drug-induced mood, anxiety and/or sleep disorder with onset during withdrawal, and alcohol and/or drug relapse.
In a still further aspect the present invention provides a method comprising administering a pharmacologically effective amount of a compound of formula I to a patient in need thereof for the prophylaxis or treatment of neurological dysfunctions such as dystonias, dyskinesias, akathisia, tremor and spasticity, treatment of spinal cord injury, neuropathy, migraine, vigilance disorders, sleep disorders (e.g., disturbed sleep architecture, sleep apnea, obstructive sleep apnea, sleep apnea syndrome), pain disorders, cranial trauma.
In a still further aspect the present invention provides a method comprising administering a pharmacologically effective amount of a compound of formula I to a patient in need thereof for the prophylaxis or treatment of immune, cardiovascular disorders (e.g. atherosclerosis, arteriosclerosis, angina pectoris, abnormal heart rhythms, and arrhythmias, congestive heart failure, coronary artery disease, heart disease, hypertension, prevention and treatment of left ventricular hypertrophy, myocardial infarction, transient ischaemic attack, peripheral vascular disease, systemic inflammation of the vasculature, septic chock, stroke, cerebral apoplexy, cerebral infarction, cerebral ischaemia, cerebral thrombosis, cerebral embolism, cerebral hemorrhagia, metabolic disorders (e.g. conditions showing reduced metabolic activity or a decrease in resting energy expenditure as a percentage of total fat-free mass, diabetes mellitus, dyslipidemia, fatty liver, gout, hypercholesterolemia, hyperlipidemia, hypertriglyceridemia,
hyperuricacidemia, impaired glucose tolerance, impaired fasting glucose, insulin resistance, insulin resistance syndrome, metabolic syndrome, syndrome X, obesity- hypoventilation syndrome (Pickwickian syndrome), type I diabetes, type II diabetes, low HDL- and/or high LDL-cholesterol levels, low adiponectin levels), reproductive and endocrine disorders (e. g. treatment of hypogonadism in males, treatment of infertility or as contraceptive, menstrual abnormalities/emmeniopathy, polycystic ovarian disease, sexual and reproductive dysfunction in women and men (erectile dysfunction), GH-deficient subjects, hirsutism in females, normal variant short stature) and diseases related to the respiratory (e.g. asthma and chronic obstructive pulmonary disease) and gastrointestinal systems (e.g. dysfunction of gastrointestinal motility or intestinal propulsion, diarrhea, emesis, nausea, gallbladder disease, cholelithiasis, obesity-related gastroesophageal reflux, ulcers).
In a still further aspect the present invention provides a method comprising administering a pharmacologically effective amount of a compound of formula I to a patient in need thereof for the prophylaxis or treatment of dermatological disorders, cancers (e.g. colon, rectum, prostate, breast, ovary, endometrium, cervix, gallbladder, bile duct), craniopharyngioma, Prader-Willi syndrome, Turner syndrome, Frohlich's syndrome, glaucoma, infectious diseases, urinary tract disorders and inflammatory disorders (e.g. arthritis deformans, inflammation, inflammatory sequelae of viral encephalitis, osteoarthritis) and orthopedic disorders..
The compounds of the present invention are particularly suitable for the treatment of obesity or being overweight, (e.g., promotion of weight loss and maintenance of weight loss), prevention or reversal of weight gain (e.g., rebound, medication-induced or subsequent to cessation of smoking), for modulation of appetite and/or satiety, eating disorders (e.g. binge eating, anorexia, bulimia and compulsive), cravings (for drugs, tobacco, alcohol, any appetizing macronutrients or non-essential food items).
The compounds of formula I are useful for the treatment of obesity, psychiatric disorders such as psychotic disorders, schizophrenia, bipolar disorders, anxiety, anxio- depressive disorders, depression, cognitive disorders, memory disorders, obsessive- compulsive disorders, anorexia, bulimia, attention disorders like ADHD, epilepsy, and related conditions, and neurological disorders such as dementia, neurological disorders(e.g. Multiple Sclerosis), Raynaud's syndrome, Parkinson's disease, Huntington's chorea and
Alzheimer's disease. The compounds are also potentially useful for the treatment of immune, cardiovascular, reproductive and endocrine disorders, septic shock and diseases related to the respiratory and gastrointestinal systems (e.g. diarrhea). The compounds are also potentially useful as agents in treatment of extended abuse, addiction and/or relapse indications, e.g. treating drug (nicotine, ethanol, cocaine, opiates, etc) dependence and/or treating drug (nicotine, ethanol, cocaine, opiates, etc) withdrawal symptoms. The compounds may also eliminate the increase in weight that normally accompanies the cessation of smoking.
In another aspect the present invention provides a compound of formula I as previously defined for use as a medicament.
In a further aspect the present invention provides the use of a compound of formula I in the preparation of a medicament for the treatment or prophylaxis of obesity, psychiatric disorders such as psychotic disorders, schizophrenia, bipolar disorders, anxiety, anxio-depressive disorders, depression, cognitive disorders, memory disorders, obsessive- compulsive disorders, anorexia, bulimia, attention disorders like ADHD, epilepsy, and related conditions, neurological disorders such as dementia, neurological disorders (e.g. Multiple Sclerosis), Parkinson's Disease, Huntington's Chorea and Alzheimer's Disease, immune, cardiovascular, reproductive and endocrine disorders, septic shock, diseases related to the respiratory and gastrointestinal systems (e.g. diarrhea), and extended abuse, addiction and/or relapse indications, e.g. treating drug (nicotine, ethanol, cocaine, opiates, etc) dependence and/or treating drug (nicotine, ethanol, cocaine, opiates, etc) withdrawal symptoms.
In a still further aspect the present invention provides a method of treating obesity, psychiatric disorders such as psychotic disorders such as schizophrenia and bipolar disorders, anxiety, anxio-depressive disorders, depression, cognitive disorders, memory disorders, obsessive-compulsive disorders, anorexia, bulimia, attention disorders like ADHD, epilepsy, and related conditions, neurological disorders such as dementia, neurological disorders (e.g. Multiple Sclerosis), Parkinson's Disease, Huntington's Chorea and Alzheimer's Disease, immune, cardiovascular, reproductive and endocrine disorders, septic shock, diseases related to the respiratory and gastrointestinal systems (e.g. diarrhea), and extended abuse, addiction and/or relapse indications, e.g. treating drug (nicotine, ethanol, cocaine, opiates, etc) dependence and/or treating drug (nicotine, ethanol, cocaine,
opiates, etc) withdrawal symptoms comprising administering a pharmacologically effective amount of a compound of formula I to a patient in need thereof.
The compounds of the present invention are particularly suitable for the treatment of obesity, e.g. by reduction of appetite and body weight, maintenance of weight reduction and prevention of rebound.
The compounds of the present invention may also be used to prevent or reverse medication-induced weight gain, e.g. weight gain caused by antipsychotic (neuroleptic) treatments). The compounds of the present invention may also be used to prevent or reverse weight gain associated with smoking cessation, The compounds of the present invention are suitable for use in treating the above indications in juvenile or adolescent patient populations.
Combination Therapy
The compounds of the invention may be combined with another therapeutic agent that is useful in the treatment of obesity such as other anti-obesity drugs, that affect energy expenditure, glycolysis, gluconeogenesis, glucogenolysis, lipolysis, lipogenesis, fat absorption, fat storage, fat excretion, hunger and/or satiety and/or craving mechanisms, appetite/motivation, food intake, or G-I motility.
The compounds of the invention may further be combined with another therapeutic agent that is useful in the treatment of disorders associated with obesity such as hypertension, hyperlipidaemias, dyslipidaemias, diabetes, sleep apnea, asthma, heart disorders, atherosclerosis, macro and micro vascular diseases, liver steatosis, cancer, joint disorders, and gallbladder disorders. For example, a compound of the present invention may be used in combination with a another therapeutic agent that lowers blood pressure or that decreases the ratio of LDL:HDL or an agent that causes a decrease in circulating levels of LDL-cholesterol. In patients with diabetes mellitus the compounds of the invention may also be combined with therapeutic agents used to treat complications related to microangiopathies.
The compounds of the invention may be used alongside other therapies for the treatment of obesity and its associated complications the metabolic syndrome and type 2 diabetes, these include biguanide drugs, insulin (synthetic insulin analogues) and oral antihyperglycemics (these are divided into prandial glucose regulators and alpha- glucosidase inhibitors).
In another aspect of the invention, the compound of formula I, or a pharmaceutically acceptable salt thereof may be administered in association with a PPAR modulating agent. PPAR modulating agents include but are not limited to a PPAR alpha and/or gamma agonist, or pharmaceutically acceptable salts, solvates, solvates of such salts or prodrugs thereof. Suitable PPAR alpha and/or gamma agonists, pharmaceutically acceptable salts, solvates, solvates of such salts or prodrugs thereof are well known in the art.
In addition the combination of the invention may be used in conjunction with a sulfonylurea. The present invention also includes a compound of the present invention in combination with a cholesterol-lowering agent. The cholesterol-lowering agents referred to in this application include but are not limited to inhibitors of HMG-CoA reductase (3- hydroxy-3-methylglutaryl coenzyme A reductase). Suitably the HMG-CoA reductase inhibitor is a statin.
In the present application, the term "cholesterol-lowering agent" also includes chemical modifications of the HMG-CoA reductase inhibitors, such as esters, prodrugs and metabolites, whether active or inactive.
The present invention also includes a compound of the present invention in combination with an inhibitor of the ileal bile acid transport system (IBAT inhibitor). The present invention also includes a compound of the present invention in combination with a bile acid binding resin.
The present invention also includes a compound of the present invention in combination with a bile acid sequestering agent, for example colestipol or cholestyramine or cholestagel.
According to an additional further aspect of the present invention there is provided a combination treatment comprising the administration of an effective amount of a compound of the formula I, or a pharmaceutically acceptable salt thereof, optionally together with a pharmaceutically acceptable diluent or carrier, with the simultaneous, sequential or separate administration one or more of the following agents selected from: a CETP (cholesteryl ester transfer protein) inhibitor; a cholesterol absorption antagonist; a MTP (microsomal transfer protein) inhibitor ; a nicotinic acid derivative, including slow release and combination products;
a phytosterol compound ; probucol; an anti-coagulant; an omega-3 fatty acid ; another anti-obesity compound for example sibutramine, phentermine, orlistat, bupropion, ephedrine, thyroxine; an antihypertensive compound for example an angiotensin converting enzyme (ACE) inhibitor, an angiotensin II receptor antagonist, an adrenergic blocker, an alpha adrenergic blocker, a beta adrenergic blocker, a mixed alpha/beta adrenergic blocker, an adrenergic stimulant, calcium channel blocker, an AT-I blocker, a saluretic, a diuretic or a vasodilator; a melanin concentrating hormone (MCH) modulator; an NPY receptor modulator; an orexin receptor modulator; a phosphoinositide-dependent protein kinase (PDK) modulator; or modulators of nuclear receptors for example LXR, FXR, RXR, GR, ERRα, β, PPARα, β, γ andRORalpha; a monoamine transmission-modulating agent, for example a selective serotonin reuptake inhibitor (SSRI), a noradrenaline reuptake inhibitor (NARI), a noradrenaline- serotonin reuptake inhibitor (SNRI), a monoamine oxidase inhibitor (MAOI), a tricyclic antidepressive agent (TCA), a noradrenergic and specific serotonergic antidepressant (NaSSA); an antipsychotic agent for example olanzapine and clozapine; a serotonin receptor modulator; a leptin/leptin receptor modulator; a ghrelin/ghrelin receptor modulator; a DPP-IV inhibitor; or a pharmaceutically acceptable salt, solvate, solvate of such a salt or a prodrug thereof, optionally together with a pharmaceutically acceptable diluent or carrier to a warm-blooded animal, such as man in need of such therapeutic treatment.
According to an additional further aspect of the present invention there is provided a combination treatment comprising the administration of an effective amount of a
compound of the formula I5 or a pharmaceutically acceptable salt thereof, optionally together with a pharmaceutically acceptable diluent or carrier, with the simultaneous, sequential or separate administration of very low calorie diets (VLCD) or low-calorie diets (LCD). Therefore in an additional feature of the invention, there is provided a method for the treatment of obesity and its associated complications in a warm-blooded animal, such as man, in need of such treatment which comprises administering to said animal an effective amount of a compound of formula I, or a pharmaceutically acceptable salt thereof in simultaneous, sequential or separate administration with an effective amount of a compound from one of the other classes of compounds described in this combination section, or a pharmaceutically acceptable salt, solvate, solvate of such a salt or a prodrug thereof.
Therefore in an additional feature of the invention, there is provided a method of treating hyperlipidemic conditions in a warm-blooded animal, such as man, in need of such treatment which comprises administering to said animal an effective amount of a compound of formula I, or a pharmaceutically acceptable salt thereof in simultaneous, sequential or separate administration with an effective amount of a compound from one of the other classes of compounds described in this combination section or a pharmaceutically acceptable salt, solvate, solvate of such a salt or a prodrug thereof. According to a further aspect of the invention there is provided a pharmaceutical composition which comprises a compound of formula I, or a pharmaceutically acceptable salt thereof, and a compound from one of the other classes of compounds described in this combination section or a pharmaceutically acceptable salt, solvate, solvate of such a salt or a prodrug thereof, in association with a pharmaceutically acceptable diluent or carrier. According to a further aspect of the present invention there is provided a kit comprising a compound of formula I, or a pharmaceutically acceptable salt thereof, and a compound from one of the other classes of compounds described in this combination section or a pharmaceutically acceptable salt, solvate, solvate of such a salt or a prodrug thereof. According to a further aspect of the present invention there is provided a kit comprising:
a) a compound of formula I5 or a pharmaceutically acceptable salt thereof, in a first unit dosage form; b) a compound from one of the other classes of compounds described in this combination section or a pharmaceutically acceptable salt, solvate, solvate of such a salt or a prodrug thereof; in a second unit dosage form; and c) container means for containing said first and second dosage forms.
According to a further aspect of the present invention there is provided a kit comprising: a) a compound of formula I, or a pharmaceutically acceptable salt thereof, together with a pharmaceutically acceptable diluent or carrier, in a first unit dosage form; b) a compound from one of the other classes of compounds described in this combination section or a pharmaceutically acceptable salt, solvate, solvate of such a salt or a prodrug thereof, in a second unit dosage form; and c) container means for containing said first and second dosage forms.
According to another feature of the invention there is provided the use of a compound of the formula I, or a pharmaceutically acceptable salt thereof, and one of the other compounds described in this combination section, or a pharmaceutically acceptable salt, solvate, solvate of such a salt or a prodrug thereof, in the manufacture of a medicament for use in the treatment of obesity and its associated complications in a warm-blooded animal, such as man. According to another feature of the invention there is provided the use of a compound of the formula I, or a pharmaceutically acceptable salt thereof, and one of the other compounds described in this combination section, or a pharmaceutically acceptable salt, solvate, solvate of such a salt or a prodrug thereof, in the manufacture of a medicament for use in the treatment of hyperlipidaemic conditions in a warm-blooded animal, such as man.
According to a further aspect of the present invention there is provided a combination treatment comprising the administration of an effective amount of a compound of the formula I, or a pharmaceutically acceptable salt thereof, optionally together with a pharmaceutically acceptable diluent or carrier, with the simultaneous, sequential or separate administration of an effective amount of one of the other compounds described in this combination section, or a pharmaceutically acceptable salt, solvate, solvate of such a salt or a prodrug thereof, optionally together with a pharmaceutically
acceptable diluent or carrier to a warm-blooded animal, such as man in need of such therapeutic treatment.
Furthermore, a compound of the invention may also be combined with therapeutic agents that are useful in the treatment of disorders or conditions associated with obesity (such as type II diabetes, metabolic syndrome, dyslipidemia, impaired glucose tolerance, hypertension, coronary heart disease, non-alcoholic steatohepatitis, osteoarthritis and some cancers) and psychiatric and neurological conditions.
It will be understood that there are medically accepted definitions of obesity and being overweight. A patient may be identified by, for example, measuring body mass index (BMI), which is calculated by dividing weight in kilograms by height in metres squared, and comparing the result with the definitions.
Pharmacological Activity
Compounds of the present invention are active against the receptor product of the
CBl gene. The affinity of the compounds of the invention for central cannabinoid receptors is demonstrable in methods described in Devane et al , Molecular Pharmacology,
1988, 34,605 or those described in WO01/70700 or EP 656354. Alternatively the assay may be performed as follows. lOμg of membranes prepared from cells stably transfected with the CBl gene were suspended in 200μl of 10OmM NaCl, 5mM MgCl2, ImM EDTA, 5OmM HEPES (pH 7.4), ImM DTT, 0.1% BSA and lOOμM GDP. To this was added an EC80 concentration of agonist (CP55940), the required concentration of test compound and O.lμCi [35S]-GTPγS. The reaction was allowed to proceed at 3O0C for 45 min. Samples were then transferred on to GF/B filters using a cell harvester and washed with wash buffer (5OmM
Tris (pH 7.4), 5mM MgCl2, 5OmM NaCl). Filters were then covered with scintilant and counted for the amount of [35S]-GTPγS retained by the filter.
Activity is measured in the absence of all ligands (minimum activity) or in the presence of an EC80 concentration of CP5594O (maximum activity). These activities are set as 0% and 100% activity respectively. At various concentrations of novel ligand, activity is calculated as a percentage of the maximum activity and plotted. The data are fitted using the equation y=A+((B-A)/l+((C/x) UD)) and the IC50 value determined as the concentration required to give half maximal inhibition of GTPγS binding under the conditions used.
The compounds of the present invention are active at the CBl receptor (IC50 <1 micromolar). Most preferred compounds have IC50 <200 nanomolar.
The compounds of the invention are believed to be selective CBl antagonists or inverse agonists. The potency, selectivity profile and side effect propensity may limit the clinical usefulness of hitherto known compounds with alleged CBl antagonistic/inverse agonistic properties. In this regard, preclinical evaluation of compounds of the present invention in models of gastrointestinal and/or cardiovascular function indicates that they offer significant advantages compared to representative reference CBl antagonist/inverse agonist agents. The compounds of the present invention may provide additional benefits in terms of potency, selectivity profile, bioavailability, half-life in plasma, blood brain permeability, plasma protein binding (for example increasing the free fraction of drug) or solubility compared to representative reference CB 1 antagonists/inverse agonist agents.
The utility of the compounds of the present invention in the treatment of obesity and related conditions is demonstrated by a decrease in body weight in cafeteria diet- induced obese mice. Female C57B1/6 J mice were given ad libitum access to calorie-dense 'cafeteria' diet (soft chocolate/cocoa-type pastry, chocolate, fatty cheese and nougat) and standard lab chow for 8-10weeks. Compounds to be tested were then administered systemically (iv, ip, sc or po) once daily for a minimum of 5 days, and the body weights of the mice monitored on a daily basis. Simultaneous assessment of adiposity was carried by means of DEXA imaging at baseline and termination of the study. Blood sampling was also carried out to assay changes in obesity-related plasma markers.
Examples
Abbreviations
DMF dimethylformamide
DMSO Dimethyl Sulfoxide
DEA Diethylamine
EtOAc ethyl acetate
THF tetrahydrofuran
DMAP 4-Dimethylaminopyridine
TLC thin layer chromatography
t triplet
S singlet d doublet q quartet quint quintet m multiplet br broad bs broad singlet dm doublet of multiplet bt broad triplet dd doublet of doublet
Example 1: (R)-2-Diphenylacetylamino-pentanedioic acid 5-pyridin-4-ylamide 1-[(R)- (l,2,3,4-tetrahydro-naphtbιalen-l-yl)-amide]. (R)-2-Diph.enylacetylamino-pentanedioic acid 5-rαethyl ester.
N,N-Diisopropylethylamine (3.33 mL, 19.2 mmol) was added to a solution of (R)-2-amino- pentanedioic acid 5-methyl ester (1.54 g, 9.60 mmol) in H2O (5 mL) and dioxane (10 mL) at 0 0C, followed by a solution of diphenylacetyl chloride (2.00 g, 8.70 mmol). The reaction was stirred at room temperature overnight. The solvent was evaporated and the residue was dissolved in EtOAc and 5% KHSO4 in water. The phases were separated and the aqueous phase was extracted three times with EtOAc. The combined organics were dried over Na2SO4, filtered, and concentrated in vacuo and used directly in the next reaction. fR)-4-Diphenylacetylamino-4-[('R)-(l,23.4-tetrahvdro-naphthalen-lvπcarbamoyl]-butyric acid methyl ester.
(R)-2-Diphenylacetylamino-pentanedioic acid 5-methyl ester prepared above was dissolved in DMF (10 mL) and added to a solution of the (R)-l,2,3,4-tetrahydro-l- naphthylamine (1.41 g, 9.60 mmol), JPr2EtN (7.56 mL, 43.5 mmol) and HOBt (1.41 g, 10.4 mmol) in DMF (80 mL) at 0 0C under nitrogen. EDC (1.99 g, 10.4 mmol) was added to the reaction mixture and the reaction was stirred at room temperature overnight. The solvent was evaporated and the residue was dissolved in EtOAc. The organic phase was washed with 5% KHSO4 in water, saturated NaHCOs and brine, dried over Na2SO4,
filtered, and concentrated in vacuo. The crude product was used directly in the next reaction.
(RV^Piphenylacetylarnino^-j'fRVflJ^Λ-tetrahvdro-naphthalen-l-vDcarbarnoyll-butyric acid.
■5 A suspension of (R)-4-diphenylacetylamino-4-[(R)-(l ,2,3,4-tetrahydro-naphthalen- lyl)carbamoyl]-butyric acid methyl ester prepared above in EtOH (50 mL) at 0 0C was treated with a IM solution of LiOH in water (21.8 mL, 21.8 mmol). The reaction was stirred at room temperature for 5 hours. The mixture was acidified with IN HCl and filtered. The solid was washed with water, then dried. The acid was obtained as a white 0 solid (3.47 g, 85% for 3 steps) and used directly in the next reaction. 1H-NMR (400 MHz, DMSO-de): δ ppm 1.54-1.66 (2H, m), 1.68-2.12 (4H, m), 2.10-2.12 (2H, m), 2.43-2.66 (2H, m), 4.23-4.26 (IH, m), 4.85-4.87 (IH, m), 5.06 (IH, s), 7.02-7.10 (4H, m), 7.13-7.24 (8H, m), 8.17 (IH, d), 8.41 (IH, d). MS (ESI) (M+H)+ = 471. (RV2-Diphenylacetylamino-pentanedioic acid 5-pyridin-4-ylamide 1-[(R)-(123 A- 5 tetrahydro-naphthalen- 1 -yD-amide] .
N,N-Diisopropylethylamiαe (0.11 mL, 0.64 mmol), HOBt (34 mg, 0.26 mmol), (R)-4- ώphenylacetylamino-4-[(R)-(l,2,3,4-tetrahydro-naphthalen-l-yl)carbamoyl]-butyric acid (100 mg, 0.213 mmol) and EDC (49 mg, 0.26 mmol) were added to a solution of 4- aminopyridine (22 mg, 0.23 mmol) in DMF (3 mL). The reaction was stirred at room 0 temperature overnight. The solvent was evaporated. The residue was purified by reverse phase HPLC (gradient 30-80% CH3CN in H2O) and lyophilized to provide the TFA salt of the title compound (20 mg, 14%) as a white solid. 1H-NMR (400 MHz, DMSO-d6): δl .38- 1.47 (2H, m), 1.56-1.65 (4H, m), 1.74-1.77 (2H, m), 2.65 (IH, q), 4.00-4.04 (IH, m), 4.32- 4.36 (IH, m), 4.86 (IH, q), 5.10 (IH, s), 6.72 (2H, d), 6.95-7.17 (3H, m), 7.18-7.25 (8H, 5 m), 7.97-8.04 (3H, m), 8.27 (IH, d), 8.45 (IH, d); MS (ESI) (M+H)+ = 533.15. Anal.
Example 2
Example 2: (R)-2-Diphenylacetylamino-pentanedioic acid 5-pyridin-2-ylamide 1-[(R)- (1 ,2,3 ,4-tetrahydro-naphthalen- 1 -yl)-amide] .
N-Methylmorpholine (0.03O mL, 0.28 mmol), (R)-4-diphenylacetylamino-4-[(R)-(l, 2,3 ,4- tetrahydro-naphthalen- l-yl)carbamoyl]-butyric acid (100 mg, 0.213 mmol) and HATU (97 mg, 0.26 mmol) were added to a solution of 2-aminopyridine (22 mg, 0.23 mmol) in DMF (3 mL) under nitrogen. The reaction was stirred at room temperature overnight, then the solvent evaporated. The residue was purified by reverse phase HPLC (gradient 30-80% CH3CΝ in H2O) and lyophilized to provide the TFA salt of the title compound (87 mg, 62%) as a white solid. 1H-NMR (400 MHz, DMSO-de): δl.55-1.67 (2H, m), 1.75-1.92 (3H, m), 1.94-2.04 (2H, m), 2.48 (2H, t), 2.60-2.72 (2H, m), 4.32-4.36 (IH, m), 4.85-4.92 (IH, m), 5.08 (IH, s), 7.05-7.26 (14H, m), 7.96 (2H, d), 8.19 (IH, d), 8.46 (IH, d), 8.64 (2H, d); MS (ESI) (M+H)+ = 547.21. Anal. Calcd for C34H34N4O3 + 1.5 TFA + 2.5 H2O: C, 58.26; H, 5.35; N, 7.35. Found: C, 58.17; H, 5.34; N, 6.86.
Example 3
Example 3: (R)-2-Diphenylacetylamino-5-(pyridin-4-ylamino)-pentanoic acid (R)-l,2,3,4- tetrahydro-naphthalen- 1 -yl-amide. (RVl-Diphenylacetylartiino-S-hydroxy-pentanoic acid [(R)-1 ,2,3 ,4-tetrahvdro-naphthalen- 1-yli-amide.
N-Methylmorpholine (0.066 mL, 0.60 mmol) was added to a solution of (R)-4- diphenylacetylamino-4-[(R)-(l ,2,3 ,4-tetrahydro-naphthalen- 1 -yl)carbamoyl]-butyric acid (280 mg, 0.596 mmol) in DME (2 mL) and THF (2 mL) at -15 0C under nitrogen, followed by 2-butylchloroformate (0.077 mL, 0.60 mmol). The white precipitate that formed was filtered and washed with THF. The solution obtained was cooled to -15 0C and a solution OfNaBH4 (34 mg, 0.89 mmol) in water (0.3 mL) was added in one portion, followed by water (12 mL). The solid that formed was filtered and washed with water and hexanes, then dried under vacuum. The alcohol was obtained as a white solid (180 mg, 66%). MS (ESI) (M+H)+ = 457.04. (R)-2-Diphenylacetylamino-5-(pyridin-4-ylamino)-pentanoic acid [(Tl)-1 ,2,3,4-tetrahydro- naphthalen- 1 -vi"|-amide.
NN-Diisopropylethylamine (0.060 mL, 0.35 mmol) was added to a solution of (R)-2- diphenylacetylamino-5-hydroxy-pentanoic acid [(R)- 1 ,2,3,4-tetrahydro-naphthalen- 1 -yl]- amide (132 mg, 0.290 mmol) in DCM (3 mL) at 0 0C under nitrogen, followed by methanesulfonyl chloride (0.025 mL, 0.32 mmol). The reaction was stirred at room
temperature for 3 hours. The solvent was evaporated and the residue was dissolved in EtOAc. The organic phase was washed with 5% KHSO4 in water and brine, dried over Na2SO4, filtered, and concentrated in vacuo. 4-Aminopyridine (136 mg, 1.45 mmol) and triethylamine (0.20 mL, 1.5 mmol) were added to a solution of the crude compound in DMF (2 mL) under nitrogen. The reaction was stirred at room temperature for 72 hours. The solvent was evaporated. The residue was purified by reverse phase HPLC (gradient 30-80% CH3CN in H2O) and lyophilized to provide the TFA salt of the title compound (38 mg, 21%) as a white solid. 1H-NMR (400 MHz, DMSO-dβ): δl.38-1.47 (2H, m), 1.56- 1.65 (4H5 m), 1.74-1.77 (2H, m), 2.65 (2H, q), 4.00-4.04 (2H, m), 4.32-4.36 (IH, m), 4.86 (IH, q), 5.10 (IH, s), 6.72 (2H, d), 6.95-7.17 (3H, m), 7.18-7.25 (8H, m), 7.97-8.04 (3H, m), 8.27 (IH, d), 8.45 (IH, d); MS (ESI) (M+H)+ = 533.15. Anal. Calcd for C34H36N4O2 + 1.5 TFA: C, 63.15; H, 5.37; N, 7.96. Found: C, 63.12; H, 5.40; N, 7.94.
Claims
1. A compound of formula I or pharmaceutically acceptable salts thereof
R1 is selected from C2-6alkenyl, -(CHz)I-Ar1, - (CH2VO-Ar1, -(CH2)r-C(=O)-NH-Ar1; -(CH2)r-NH-C(=O)-Ar1, -(CH2)r-S(=O)2-NH-Ar1, - (CH2VNH-S (=O)2-Ar1, and -(CH2VNH-Ar1, wherein said Ar1 is independently selected from Ci-sheteroaryl and phenyl, wherein said Ct-sheteroaryl and phenyl used in defining Ar1 and said Ci^alkyl, C3.6cycloalkyl-Ci-4alkyl, and C2-6alkenyl used in defining R1 are optionally and independently substituted with one or more groups selected from hydrogen, -OH, -CN, -NH2, halogen, Chalky!, halogenated Ci^alkyl, Ci_6alkoxy, and halogenated Ci.galkoxy;
R2, R3, R4 and R5 are independently selected from hydrogen, -OH, -CN, -NH2, halogen, halogenated Ci_6alkoxy, -NR8C(=O)- O-R8, -S(^O)2-NR8R8 and -O-S(=O)2-R8; wherein each R8 is independently selected from hydrogen, Ci^alkyl, halogenated Ci-βalkyl, C3_6cycloalkyl, and halogenated C3-6cycloalkyl;
R6 and R7 are independently selected from hydrogen and C^alkyl; m, n, p, and q are independently selected from 1, 2, 3, and 4; and r is selected from O, 1 , 2, 3 and 4.
2. A compound as claimed in claim 1, wherein
R1 is selected from -(CH2VAr1, -(CH2VO-Ar1, -(CH2)r-C(=O)-NH-Ar1; -(CH2V NH-C^O)-Ar1, -(CH2)r-S(=O)2-NH-Ar1, -(CH2VNH-S(^)2-Ar1, and -(CH2VNH-Ar1, wherein said Ar1 is independently selected from Q-sheteroaryl and phenyl, wherein said Ci.sheteroaryl and phenyl used in defining Ar1 are optionally and independently substituted with one or more groups selected from hydrogen, -OH, -CN, -NH2, halogen, C^alkyl, halogenated Chalky!, Q^alkoxy, and halogenated Q-βalkoxy;
R2, R3, R4 and R5 are independently selected from hydrogen, -OH, -CN, -NH2, halogen, Ci_6alkyl, halogenated Chalky., C^alkoxy, halogenated Ci-βalkoxy; R6 and R7 are independently selected from hydrogen and Cualkyl; m, n, p, and q are independently selected from 1, 2, 3, and 4; and r is selected from O5 1, 2, 3 and 4.
3. A compound as claimed in claim 1, wherein R1 is selected from -(CEtOrAr1, -(CH2X-O-Ar1, -(CH2)r-C(=O)-NH-Ar1; -(CH2)r-
NH-CC=O)-Ar1, -(CH2)r-S(=O)2-NH-ArI, -(CH2)r-NH-S(=O)2-Ar1, and -(CH2VNH-Ar1, wherein said Ar1 is independently selected from pyridyl, tetrazolyl, thienyl, furyl, imidazolyl, triazolyl, pyrrolyl, pyrazolyl, thiazolyl, pyridyl-N-oxide and phenyl, wherein, said pyridyl, tetrazolyl, thienyl, furyl, imidazolyl, triazolyl, pyrrolyl, pyrazolyl, thiazolyl, pyridyl-N-oxide and phenyl are optionally and independently substituted with one or more groups selected from hydrogen, -OH, -CN, -NH2, halogen, Q-βalkyl, halogenated G1. βalkyl, Ci^alkoxy, and halogenated C1-SaIkOXy;
R2, R3, R4 and R5 are independently selected from hydrogen, -OH, -CN, -NH2, halogen, Ci-βalkyl, halogenated Q-galkyl, Q-βalkoxy, halogenated Ci^alkoxy; R6 and R7 are hydrogen; m, n, p, and q are independently selected from 1, 2, 3, and 4; and r is selected from 0, 1, 2, 3 and 4.
4. A compound as claimed in any one of claims 1-3, wherein R1 is selected from -(CH2VC(O)-NH-Ar1; -(CH^-NH-C^-Ar1, -(CH2)r-
SC=O)2-NH-Ar1, -(CH2)r-NH-S(=O)2-Ar1, and -(CH2VNH-Ar1, wherein said Ar1 is independently selected from pyridyl, tetrazolyl, thienyl, furyl, imidazolyl, triazolyl, pyrrolyl, pyrazolyl, thiazolyl, pyridyl-N-oxide and phenyl, wherein said pyridyl, tetrazolyl, thienyl, furyl, imidazolyl, triazolyl, pyrrolyl, pyrazolyl, thiazolyl, pyridyl-N-oxide and phenyl are optionally and independently substituted with one or more groups selected from hydrogen, -OH, -CN, -NH2, halogen, Ci-6alkyl, halogenated Chalky., C^alkoxy, and halogenated Q^alkoxy, wherein r is selected from 1, 2 and 3.
5. A compound as claimed in any one of claims 1-3, wherein R1 is selected from - (CH2)rC(=O)-NH-Ax1; -(CH2)r-NH-C(=O)-Ar1, and -(CH2VNH-Ar1, wherein said Ar1 is independently selected from pyridyl, tetrazolyl, thienyl, furyl, imidazolyl, triazolyl, pyrrolyl, pyrazolyl, thiazolyl, pyridyl-N-oxide and phenyl, wherein said pyridyl, tetrazolyl, thienyl, furyl, imidazolyl, triazolyl, pyrrolyl, pyrazolyl, thiazolyl, pyridyl-N-oxide and phenyl are optionally and independently substituted with one or more groups selected from hydrogen, -OH, -CN, -NH2, halogen, C^aUcyl, Q-ealkoxy, and halogenated Ci-βalkoxy, wherein r is selected from 2 and 3.
6. A compound as claimed in any one of claims 1-3, wherein R1 is selected from - (CHa)1-CC=O)-NH-Ar1; -(CH2)r-NH-C(=O)-Ar1, and -(CHa)1-NH-Ax1, wherein said Ar1 is independently selected from pyridyl, tetrazolyl, thienyl, furyl, imidazolyl, triazolyl, pyrrolyl, pyrazolyl, thiazolyl, pyridyl-N-oxide and phenyl, wherein said pyridyl, tetrazolyl, thienyl, furyl, imidazolyl, triazolyl, pyrrolyl, pyrazolyl, thiazolyl, pyridyl-N-oxide and phenyl are optionally and independently substituted with one or more groups selected from hydrogen, -OH, -CN, -NEfe, halogen, Ci-3alkyl, halogenated C^aUcyl, Ci^alkoxy, and halogenated Ci-3alkoxy, wherein r is selected from 2 and 3.
7. A compound selected from one or more of the following: (R)-2-Diphenylacetylamino-pentanedioic acid 5-pyridin-4-ylamide 1-[(R)-(1,2,3,4- tetrahydro-naphthalen-1 -yl)-amide]; (R)-2-Diphenylacetylamino-pentanedioic acid 5-pyridin-2-ylamide 1-[(R)-(1,2,3,4- tetrahydro-naphthalen-l-yl)-amide];
(R)-2-Diphenylacetylamino-5-(pyridin-4-ylamino)-pentanoic acid (R)-l,2,3,4-tetrahydro- naphthalen- 1 -yl-amide; and pharmaceutically acceptable salts thereof.
8. A compound as claimed in any of claims 1 to 7 for use as a medicament.
9. A pharmaceutical formulation comprising a compound according to any one of claims 1 to 7 and a pharmaceutically acceptable adjuvant, diluent or carrier.
10. Use of a compound according to any one of claims 1 to 7 in the preparation of a medicament for the treatment or prophylaxis of obesity, psychiatric disorders such as psychotic disorders, schizophrenia and bipolar disorders, anxiety, anxio-depressive disorders, depression, cognitive disorders, memory disorders, obsessive-compulsive disorders, anorexia, bulimia, attention disorders, epilepsy, and related conditions, and neurological disorders such as dementia, neurological disorders, Parkinson's Disease, Huntington's Chorea and Alzheimer's Disease, immune, cardiovascular, reproductive and endocrine disorders, septic shock, diseases related to the respiratory and gastrointestinal systems, and extended abuse, addiction and/or relapse indications.
11. A method of treating obesity, psychiatric disorders, psychotic disorders, schizophrenia and bipolar disorders, anxiety, anxio-depressive disorders, depression, cognitive disorders, memory disorders, obsessive-compulsive disorders, anorexia, bulimia, attention disorders, epilepsy, and related conditions, neurological disorders, neurological disorders, Parkinson's Disease, Huntington's Chorea and Alzheimer's Disease, immune, cardiovascular, reproductive and endocrine disorders, septic shock, diseases related to the respiratory and gastrointestinal system, and extended abuse, addiction and/or relapse indications, comprising administering a pharmacologically effective amount of a compound according to any one of claims 1 to 7 to a patient in need thereof.
12. A method of treating schizophrenia comprising administering a pharmacologically effective amount of a compound as claimed in any one of claims 1 -7 to a patient in need thereof.
13. A method of treating cognitive deficiency associated with schizophrenia comprising administering a pharmacologically effective amount of a compound as claimed in any one of claims 1-7 to a patient in need thereof.
14. A compound as defined in any one of claims 1-7 for use in the treatment of obesity.
15. A compound as claimed in any one of claims 1-7 for use in the treatment of schizophrenia.
16. A compound as claimed in any one of claims 1-7 for use in the treatment of cognitive deficiency associated with schizophrenia.
17. A process for the preparation of a compound of formula IA, prepared by reacting a compound of formula HA
IA
IIA with Ar1-NH2, wherein X is selected from -OH and halogen, at a temperature in the range of -25 to 1500C, in the presence of an inert solvent, wherein
R1 is selected from Ci_6alkyl, Ca-βcycloalkyl-Cwalkyl, C2-6alkenyl, -(CHαV-Ar1, -(CH2)r-O- Ar1, -(CH2VCC=O)-NH-Ar1; -(CH2)r-NH-C(=O)-Ar1, -(CH2)r-S(=O)2-NH-Ar1, -(CH2)r- NH-S C=O)2-Ar1, and -(CH2)r-NH-Ar1, wherein said Ar1 is independently selected from C1. sheteroaryl and phenyl, wherein said Ci-sheteroaryl and phenyl used in defining Ar1 and said Ci-βalkyl, and C2-6alkenyl used in defining R1 are optionally and independently substituted with one or more groups selected from hydrogen, -OH, -CN, -NH2, halogen, halogenated Ci-galkyl, Q-βalkoxy, and halogenated
R2, R3, R4 and R5 are independently selected from hydrogen, -OH, -CN, -NH2, halogen, -NR8C(K))- 0-R8, -S(=O)2-NR8R8 and -O-S(=O)2-R8; wherein each R8 is independently selected from hydrogen, C^aUcyl, halogenated C^aUcyl, Ca-βcycloalkyl, and halogenated Cs-βcycloalkyl;
Rδ and R7 are independently selected from hydrogen and Ci_3alkyl; m, n, p, and q are independently selected from 1, 2, 3, and 4; and r is selected from O, 1, 2, 3 and 4.
18. A process of preparing a compound of formula IB comprising reacting a compound of formula HB,
IB
ΠB with methanesulfonyl chloride to form an intermediate, and reacting the intermediate with Ar^NH2, at a temperature in the range of -25 to 15O0C, in the presence of an inert solvent, wherein
R1 is selected from Ci-6alkyl, C3.6cycloalkyl-Ci-4alkyl, C2.6alkenyl, -(CH2VAr1 , -(CH2VO- Ar1, -(CHa)1-CC=O)-NH-Ar1; -(CH2)r-NH-C(=O)-Ar1, -(CH2VSC=O)2-NH-Ar1, -(CH2V NH-S(^=O)Z-Ar1, and -(CH2)I-NH-Ar1, wherein said Ar1 is independently selected from Q- 5heteroaryl and phenyl, wherein said Ci-sheteroaryl and phenyl used in defining Ar1 and said Ci-βalkyl, and C2-6alkenyl used in defining R1 are optionally and independently substituted with one or more groups selected from hydrogen, -OH, -CN, -NH2, halogen, Ci^alkoxy;
R2, R3, R4 and R5 are independently selected from hydrogen, -OH, -CN, -NH2, halogen, Cμealkoxy, halogenated C1-6alkoxy, -NR8C(=O)- O-R8, -S(=O)2-NR8R8 and -O-S(=O)2-R8; wherein each R8 is independently selected from hydrogen, Ci-βalkyl, halogenated Chalky!, Cs-βcycloalkyl, and halogenated C3_6cycloalkyl;
R6 and R7 are independently selected from hydrogen and Ci^alkyl; m, n, p, and q are independently selected from 1, 2, 3, and 4; and r is selected from O, 1, 2, 3 and 4.
Applications Claiming Priority (2)
| Application Number | Priority Date | Filing Date | Title |
|---|---|---|---|
| US74050805P | 2005-11-29 | 2005-11-29 | |
| US60/740,508 | 2005-11-29 |
Publications (1)
| Publication Number | Publication Date |
|---|---|
| WO2007064272A1 true WO2007064272A1 (en) | 2007-06-07 |
Family
ID=38092506
Family Applications (1)
| Application Number | Title | Priority Date | Filing Date |
|---|---|---|---|
| PCT/SE2006/001347 Ceased WO2007064272A1 (en) | 2005-11-29 | 2006-11-28 | Benzhydryl amide derivatives as cannabinoid receptor antagonists or inverse agonists |
Country Status (1)
| Country | Link |
|---|---|
| WO (1) | WO2007064272A1 (en) |
Cited By (9)
| Publication number | Priority date | Publication date | Assignee | Title |
|---|---|---|---|---|
| WO2009021740A2 (en) | 2007-08-15 | 2009-02-19 | Sanofis-Aventis | Substituted tetrahydronaphthalenes, process for the preparation thereof and the use thereof as medicaments |
| WO2012120055A1 (en) | 2011-03-08 | 2012-09-13 | Sanofi | Di- and tri-substituted oxathiazine derivates, method for the production thereof, use thereof as medicine and drug containing said derivatives and use thereof |
| WO2012120052A1 (en) | 2011-03-08 | 2012-09-13 | Sanofi | Oxathiazine derivatives substituted with carbocycles or heterocycles, method for producing same, drugs containing said compounds, and use thereof |
| WO2012120054A1 (en) | 2011-03-08 | 2012-09-13 | Sanofi | Di- and tri-substituted oxathiazine derivates, method for the production thereof, use thereof as medicine and drug containing said derivatives and use thereof |
| WO2012120053A1 (en) | 2011-03-08 | 2012-09-13 | Sanofi | Branched oxathiazine derivatives, method for the production thereof, use thereof as medicine and drug containing said derivatives and use thereof |
| WO2012120056A1 (en) | 2011-03-08 | 2012-09-13 | Sanofi | Tetrasubstituted oxathiazine derivatives, method for producing them, their use as medicine and drug containing said derivatives and the use thereof |
| FR3022457A1 (en) * | 2014-06-23 | 2015-12-25 | Assist Publ Hopitaux De Paris | USE OF CANNABIS FOR THE TREATMENT OF ACHALASIA |
| WO2022128050A1 (en) | 2020-12-14 | 2022-06-23 | Symrise Ag | Medicament for fighting inflammation and pain |
| WO2023089612A1 (en) * | 2021-11-19 | 2023-05-25 | Yissum Research Development Company Of The Hebrew University Of Jerusalem Ltd. | Peripheral cb1 receptor antagonists for treatment of lower urinary tract symptoms (luts) |
Citations (4)
| Publication number | Priority date | Publication date | Assignee | Title |
|---|---|---|---|---|
| WO1999015498A1 (en) * | 1997-09-23 | 1999-04-01 | Astrazeneca Ab | New npy antagonists |
| WO2001002364A1 (en) * | 1999-07-06 | 2001-01-11 | Astrazeneca Ab | New npy antagonists |
| WO2005028456A1 (en) * | 2003-09-19 | 2005-03-31 | Solvay Pharmaceuticals B.V. | Thiazole derivatives as cannabinoid receptor modulators |
| WO2005040355A2 (en) * | 2003-10-24 | 2005-05-06 | Exelixis, Inc. | Tao kinase modulators and methods of use |
-
2006
- 2006-11-28 WO PCT/SE2006/001347 patent/WO2007064272A1/en not_active Ceased
Patent Citations (4)
| Publication number | Priority date | Publication date | Assignee | Title |
|---|---|---|---|---|
| WO1999015498A1 (en) * | 1997-09-23 | 1999-04-01 | Astrazeneca Ab | New npy antagonists |
| WO2001002364A1 (en) * | 1999-07-06 | 2001-01-11 | Astrazeneca Ab | New npy antagonists |
| WO2005028456A1 (en) * | 2003-09-19 | 2005-03-31 | Solvay Pharmaceuticals B.V. | Thiazole derivatives as cannabinoid receptor modulators |
| WO2005040355A2 (en) * | 2003-10-24 | 2005-05-06 | Exelixis, Inc. | Tao kinase modulators and methods of use |
Cited By (10)
| Publication number | Priority date | Publication date | Assignee | Title |
|---|---|---|---|---|
| WO2009021740A2 (en) | 2007-08-15 | 2009-02-19 | Sanofis-Aventis | Substituted tetrahydronaphthalenes, process for the preparation thereof and the use thereof as medicaments |
| WO2012120055A1 (en) | 2011-03-08 | 2012-09-13 | Sanofi | Di- and tri-substituted oxathiazine derivates, method for the production thereof, use thereof as medicine and drug containing said derivatives and use thereof |
| WO2012120052A1 (en) | 2011-03-08 | 2012-09-13 | Sanofi | Oxathiazine derivatives substituted with carbocycles or heterocycles, method for producing same, drugs containing said compounds, and use thereof |
| WO2012120054A1 (en) | 2011-03-08 | 2012-09-13 | Sanofi | Di- and tri-substituted oxathiazine derivates, method for the production thereof, use thereof as medicine and drug containing said derivatives and use thereof |
| WO2012120053A1 (en) | 2011-03-08 | 2012-09-13 | Sanofi | Branched oxathiazine derivatives, method for the production thereof, use thereof as medicine and drug containing said derivatives and use thereof |
| WO2012120056A1 (en) | 2011-03-08 | 2012-09-13 | Sanofi | Tetrasubstituted oxathiazine derivatives, method for producing them, their use as medicine and drug containing said derivatives and the use thereof |
| FR3022457A1 (en) * | 2014-06-23 | 2015-12-25 | Assist Publ Hopitaux De Paris | USE OF CANNABIS FOR THE TREATMENT OF ACHALASIA |
| WO2015198209A1 (en) * | 2014-06-23 | 2015-12-30 | Assistance Publique - Hopitaux De Paris | Use of cannabis for the treatment of achalasia |
| WO2022128050A1 (en) | 2020-12-14 | 2022-06-23 | Symrise Ag | Medicament for fighting inflammation and pain |
| WO2023089612A1 (en) * | 2021-11-19 | 2023-05-25 | Yissum Research Development Company Of The Hebrew University Of Jerusalem Ltd. | Peripheral cb1 receptor antagonists for treatment of lower urinary tract symptoms (luts) |
Similar Documents
| Publication | Publication Date | Title |
|---|---|---|
| US7576095B2 (en) | Therapeutic agents | |
| AU2005214143B2 (en) | Pyrrole-3-carboxamide derivatives for the treatment of obesity | |
| US20080306087A1 (en) | Therapeutic Agents | |
| US20080319019A1 (en) | Therapeutic Agents | |
| US20080306115A1 (en) | Midazole-4-Carboxamide Derivatives For Use As Cb1 Modulators | |
| WO2007064272A1 (en) | Benzhydryl amide derivatives as cannabinoid receptor antagonists or inverse agonists | |
| US7799804B2 (en) | Therapeutic agents | |
| US20080214570A1 (en) | Therapeutic Agents | |
| WO2007064273A1 (en) | Phenyl urea derivatives | |
| US20100234438A1 (en) | Therapeutic agents | |
| US20100234439A1 (en) | Therapeutic agents | |
| US20090156616A1 (en) | Therapeutic agents | |
| US20080262026A1 (en) | Therapeutic Agents 684 | |
| MXPA06011243A (en) | Therapeutic agents | |
| HK1122808B (en) | Preparation and use of tetrahydropyrrolo [3, 2-c] pyridin-4-one derivatives for treatment of obesity, psychiatric and neurological disorders | |
| WO2008120000A1 (en) | Therapeutic agents |
Legal Events
| Date | Code | Title | Description |
|---|---|---|---|
| 121 | Ep: the epo has been informed by wipo that ep was designated in this application | ||
| NENP | Non-entry into the national phase |
Ref country code: DE |
|
| 122 | Ep: pct application non-entry in european phase |
Ref document number: 06835818 Country of ref document: EP Kind code of ref document: A1 |














