WO2007018508A1 - Novel m3 muscarinic acetycholine receptor antagonists - Google Patents
Novel m3 muscarinic acetycholine receptor antagonists Download PDFInfo
- Publication number
- WO2007018508A1 WO2007018508A1 PCT/US2005/026756 US2005026756W WO2007018508A1 WO 2007018508 A1 WO2007018508 A1 WO 2007018508A1 US 2005026756 W US2005026756 W US 2005026756W WO 2007018508 A1 WO2007018508 A1 WO 2007018508A1
- Authority
- WO
- WIPO (PCT)
- Prior art keywords
- carbonyl
- methyl
- amino
- phenyl
- piperidiniumyl
- Prior art date
- Legal status (The legal status is an assumption and is not a legal conclusion. Google has not performed a legal analysis and makes no representation as to the accuracy of the status listed.)
- Ceased
Links
- 0 C[N+](C*)(CC1)C[C@]1NC([C@](Cc(cc1)ccc1O)NC(Nc1ccc(*)cc1)=O)=O Chemical compound C[N+](C*)(CC1)C[C@]1NC([C@](Cc(cc1)ccc1O)NC(Nc1ccc(*)cc1)=O)=O 0.000 description 2
- DTQVDTLACAAQTR-UHFFFAOYSA-M [O-]C(C(F)(F)F)=O Chemical compound [O-]C(C(F)(F)F)=O DTQVDTLACAAQTR-UHFFFAOYSA-M 0.000 description 1
Classifications
-
- C—CHEMISTRY; METALLURGY
- C07—ORGANIC CHEMISTRY
- C07D—HETEROCYCLIC COMPOUNDS
- C07D207/00—Heterocyclic compounds containing five-membered rings not condensed with other rings, with one nitrogen atom as the only ring hetero atom
- C07D207/02—Heterocyclic compounds containing five-membered rings not condensed with other rings, with one nitrogen atom as the only ring hetero atom with only hydrogen or carbon atoms directly attached to the ring nitrogen atom
- C07D207/04—Heterocyclic compounds containing five-membered rings not condensed with other rings, with one nitrogen atom as the only ring hetero atom with only hydrogen or carbon atoms directly attached to the ring nitrogen atom having no double bonds between ring members or between ring members and non-ring members
- C07D207/10—Heterocyclic compounds containing five-membered rings not condensed with other rings, with one nitrogen atom as the only ring hetero atom with only hydrogen or carbon atoms directly attached to the ring nitrogen atom having no double bonds between ring members or between ring members and non-ring members with hetero atoms or with carbon atoms having three bonds to hetero atoms with at the most one bond to halogen, e.g. ester or nitrile radicals, directly attached to ring carbon atoms
- C07D207/14—Nitrogen atoms not forming part of a nitro radical
-
- C—CHEMISTRY; METALLURGY
- C07—ORGANIC CHEMISTRY
- C07D—HETEROCYCLIC COMPOUNDS
- C07D211/00—Heterocyclic compounds containing hydrogenated pyridine rings, not condensed with other rings
- C07D211/04—Heterocyclic compounds containing hydrogenated pyridine rings, not condensed with other rings with only hydrogen or carbon atoms directly attached to the ring nitrogen atom
- C07D211/06—Heterocyclic compounds containing hydrogenated pyridine rings, not condensed with other rings with only hydrogen or carbon atoms directly attached to the ring nitrogen atom having no double bonds between ring members or between ring members and non-ring members
- C07D211/08—Heterocyclic compounds containing hydrogenated pyridine rings, not condensed with other rings with only hydrogen or carbon atoms directly attached to the ring nitrogen atom having no double bonds between ring members or between ring members and non-ring members with hydrocarbon or substituted hydrocarbon radicals directly attached to ring carbon atoms
- C07D211/18—Heterocyclic compounds containing hydrogenated pyridine rings, not condensed with other rings with only hydrogen or carbon atoms directly attached to the ring nitrogen atom having no double bonds between ring members or between ring members and non-ring members with hydrocarbon or substituted hydrocarbon radicals directly attached to ring carbon atoms with substituted hydrocarbon radicals attached to ring carbon atoms
- C07D211/26—Heterocyclic compounds containing hydrogenated pyridine rings, not condensed with other rings with only hydrogen or carbon atoms directly attached to the ring nitrogen atom having no double bonds between ring members or between ring members and non-ring members with hydrocarbon or substituted hydrocarbon radicals directly attached to ring carbon atoms with substituted hydrocarbon radicals attached to ring carbon atoms with hydrocarbon radicals, substituted by nitrogen atoms
-
- C—CHEMISTRY; METALLURGY
- C07—ORGANIC CHEMISTRY
- C07D—HETEROCYCLIC COMPOUNDS
- C07D211/00—Heterocyclic compounds containing hydrogenated pyridine rings, not condensed with other rings
- C07D211/04—Heterocyclic compounds containing hydrogenated pyridine rings, not condensed with other rings with only hydrogen or carbon atoms directly attached to the ring nitrogen atom
- C07D211/06—Heterocyclic compounds containing hydrogenated pyridine rings, not condensed with other rings with only hydrogen or carbon atoms directly attached to the ring nitrogen atom having no double bonds between ring members or between ring members and non-ring members
- C07D211/36—Heterocyclic compounds containing hydrogenated pyridine rings, not condensed with other rings with only hydrogen or carbon atoms directly attached to the ring nitrogen atom having no double bonds between ring members or between ring members and non-ring members with hetero atoms or with carbon atoms having three bonds to hetero atoms with at the most one bond to halogen, e.g. ester or nitrile radicals, directly attached to ring carbon atoms
- C07D211/56—Nitrogen atoms
-
- C—CHEMISTRY; METALLURGY
- C07—ORGANIC CHEMISTRY
- C07D—HETEROCYCLIC COMPOUNDS
- C07D211/00—Heterocyclic compounds containing hydrogenated pyridine rings, not condensed with other rings
- C07D211/04—Heterocyclic compounds containing hydrogenated pyridine rings, not condensed with other rings with only hydrogen or carbon atoms directly attached to the ring nitrogen atom
- C07D211/06—Heterocyclic compounds containing hydrogenated pyridine rings, not condensed with other rings with only hydrogen or carbon atoms directly attached to the ring nitrogen atom having no double bonds between ring members or between ring members and non-ring members
- C07D211/36—Heterocyclic compounds containing hydrogenated pyridine rings, not condensed with other rings with only hydrogen or carbon atoms directly attached to the ring nitrogen atom having no double bonds between ring members or between ring members and non-ring members with hetero atoms or with carbon atoms having three bonds to hetero atoms with at the most one bond to halogen, e.g. ester or nitrile radicals, directly attached to ring carbon atoms
- C07D211/56—Nitrogen atoms
- C07D211/58—Nitrogen atoms attached in position 4
-
- C—CHEMISTRY; METALLURGY
- C07—ORGANIC CHEMISTRY
- C07D—HETEROCYCLIC COMPOUNDS
- C07D223/00—Heterocyclic compounds containing seven-membered rings having one nitrogen atom as the only ring hetero atom
- C07D223/02—Heterocyclic compounds containing seven-membered rings having one nitrogen atom as the only ring hetero atom not condensed with other rings
- C07D223/06—Heterocyclic compounds containing seven-membered rings having one nitrogen atom as the only ring hetero atom not condensed with other rings with hetero atoms or with carbon atoms having three bonds to hetero atoms with at the most one bond to halogen, e.g. ester or nitrile radicals, directly attached to ring carbon atoms
- C07D223/12—Nitrogen atoms not forming part of a nitro radical
-
- C—CHEMISTRY; METALLURGY
- C07—ORGANIC CHEMISTRY
- C07D—HETEROCYCLIC COMPOUNDS
- C07D265/00—Heterocyclic compounds containing six-membered rings having one nitrogen atom and one oxygen atom as the only ring hetero atoms
- C07D265/28—1,4-Oxazines; Hydrogenated 1,4-oxazines
- C07D265/30—1,4-Oxazines; Hydrogenated 1,4-oxazines not condensed with other rings
-
- C—CHEMISTRY; METALLURGY
- C07—ORGANIC CHEMISTRY
- C07D—HETEROCYCLIC COMPOUNDS
- C07D405/00—Heterocyclic compounds containing both one or more hetero rings having oxygen atoms as the only ring hetero atoms, and one or more rings having nitrogen as the only ring hetero atom
- C07D405/02—Heterocyclic compounds containing both one or more hetero rings having oxygen atoms as the only ring hetero atoms, and one or more rings having nitrogen as the only ring hetero atom containing two hetero rings
- C07D405/06—Heterocyclic compounds containing both one or more hetero rings having oxygen atoms as the only ring hetero atoms, and one or more rings having nitrogen as the only ring hetero atom containing two hetero rings linked by a carbon chain containing only aliphatic carbon atoms
-
- C—CHEMISTRY; METALLURGY
- C07—ORGANIC CHEMISTRY
- C07D—HETEROCYCLIC COMPOUNDS
- C07D409/00—Heterocyclic compounds containing two or more hetero rings, at least one ring having sulfur atoms as the only ring hetero atoms
- C07D409/02—Heterocyclic compounds containing two or more hetero rings, at least one ring having sulfur atoms as the only ring hetero atoms containing two hetero rings
- C07D409/12—Heterocyclic compounds containing two or more hetero rings, at least one ring having sulfur atoms as the only ring hetero atoms containing two hetero rings linked by a chain containing hetero atoms as chain links
-
- C—CHEMISTRY; METALLURGY
- C07—ORGANIC CHEMISTRY
- C07D—HETEROCYCLIC COMPOUNDS
- C07D413/00—Heterocyclic compounds containing two or more hetero rings, at least one ring having nitrogen and oxygen atoms as the only ring hetero atoms
- C07D413/02—Heterocyclic compounds containing two or more hetero rings, at least one ring having nitrogen and oxygen atoms as the only ring hetero atoms containing two hetero rings
- C07D413/12—Heterocyclic compounds containing two or more hetero rings, at least one ring having nitrogen and oxygen atoms as the only ring hetero atoms containing two hetero rings linked by a chain containing hetero atoms as chain links
-
- C—CHEMISTRY; METALLURGY
- C07—ORGANIC CHEMISTRY
- C07D—HETEROCYCLIC COMPOUNDS
- C07D413/00—Heterocyclic compounds containing two or more hetero rings, at least one ring having nitrogen and oxygen atoms as the only ring hetero atoms
- C07D413/14—Heterocyclic compounds containing two or more hetero rings, at least one ring having nitrogen and oxygen atoms as the only ring hetero atoms containing three or more hetero rings
-
- C—CHEMISTRY; METALLURGY
- C07—ORGANIC CHEMISTRY
- C07D—HETEROCYCLIC COMPOUNDS
- C07D471/00—Heterocyclic compounds containing nitrogen atoms as the only ring hetero atoms in the condensed system, at least one ring being a six-membered ring with one nitrogen atom, not provided for by groups C07D451/00 - C07D463/00
- C07D471/02—Heterocyclic compounds containing nitrogen atoms as the only ring hetero atoms in the condensed system, at least one ring being a six-membered ring with one nitrogen atom, not provided for by groups C07D451/00 - C07D463/00 in which the condensed system contains two hetero rings
- C07D471/10—Spiro-condensed systems
-
- C—CHEMISTRY; METALLURGY
- C07—ORGANIC CHEMISTRY
- C07D—HETEROCYCLIC COMPOUNDS
- C07D487/00—Heterocyclic compounds containing nitrogen atoms as the only ring hetero atoms in the condensed system, not provided for by groups C07D451/00 - C07D477/00
- C07D487/02—Heterocyclic compounds containing nitrogen atoms as the only ring hetero atoms in the condensed system, not provided for by groups C07D451/00 - C07D477/00 in which the condensed system contains two hetero rings
- C07D487/10—Spiro-condensed systems
Definitions
- This invention relates to novel derivatives of cyclic quaternary ammonium salts, pharmaceutical compositions, processes for their preparation, and use thereof in treating M3 muscarinic acetylcholine receptor mediated diseases.
- mAChRs Muscarinic acetylcholine receptors
- M5 Muscarinic acetylcholine receptors are widely distributed in vertebrate organs, and these receptors can mediate both inhibitory and excitatory actions. For example, in smooth muscle found in the airways, bladder and gastrointestinal tract, M3 mAChRs mediate contractile responses. For review, please see ⁇ Brown 1989 247 /id ⁇ .
- Muscarinic acetylcholine receptor dysfunction has been noted in a variety of different pathophysiological states. For instance, in asthma and chronic obstructive pulmonary disease (COPD), inflammatory conditions lead to loss of inhibitory M2 muscarinic acetylcholine autoreceptor function on parasympathetic nerves supplying the pulmonary smooth muscle, causing increased acetylcholine release following vagal nerve stimulation. This mAChR dysfunction results in airway hyperreactivity mediated by increased stimulation of M3 mAChRs ⁇ Costello,
- Incontinence due to bladder hypercontractility has also been demonstrated to be mediated through increased stimulation of M3 mAChRs ⁇ Hegde & Eglen 1999 251 /id ⁇ .
- identification of subtytpe-selective mAChR antagonists may be useful as therapeutics in these mAChR-mediated diseases.
- This invention relates to compounds of Formula I
- R3 is selected from the group consisting of hydrogen, C-) -Cg branched or unbranched alkyl, C3-C8 cycloalkyl, C3-C8 cycloalkyl lower alkyl, unsubstituted or substituted phenyl, or unsubstituted or substituted phenyl C1-C3 lower alkyl; wherein, when substituted, a group is substituted by one or more radicals selected from the group consisting of C ⁇ -Cs alkoxy, halo, hydroxy, amino, cyano, trifluoromethyl, Ci-Cs branched or unbranched alkyl, C3-C8 cycloalkyl and C3-C8 cycloalkyl lower alkyl; q is an interger from 0 to 7; h is O
- Z " is selected from the group consisting of I “ , Br ' , Cl “ , F “ , CF3COO “ , mesylate, tosylate, and any other pharmaceutically acceptable counter ion;
- V is selected from the group consisting of phenyl, thiophenyl, furanyl, pyridinyl, naphthyl, quinolinyl, indolyl, benzothiophenyl and benzofuranyl;
- R4 is selected from the group consisting of hydrogen, hydroxy, amino, halo, cyano, trifluoromethyl, C-
- T is selected from the group consisting of an unsubstituted or substituted following group: phenyl, thiophenyl, furanyl, pyridinyl, naphthyl, quinolinyl, indolyl, benzothiophenyl, and benzofuranyl; wherein, when substituted, a group is substituted by one or more radicals selected from the group consisting of C-
- R5 is selected from the group consisting of COOR6, CONH R6, COR6, CON(R6)2, COG, unsubstituted or substituted oxadiazolyl, unsubstituted or substituted oxazolyl, unsubstituted or substituted imidazolyl, unsubstituted or substituted phenoxy, or cyano; wherein, when substituted, a group is substituted by one or more radicals selected from the group consisting of C ⁇ -Cs branched or unbranched alkyl, C3-C8 cycloalkyl, C3-C8 cycloalkyl lower alkyl, phenyl and phenyl C1-C3 lower alkyl, C-
- R6 is selected from the group consisting of C ⁇ -Cs branched or unbranched alkyl, C3-C8 cycloalkyl, C3-C8 cycloalkyl lower alkyl, unsubstituted or substituted phenyl, unsubstituted or substituted phenyl C1-C3 lower alkyl, unsubstituted or substituted naphthyl, or unsubstituted or substituted naphthyl C1-C3 lower alkyl; wherein, when substituted, a group is substituted by one or more radicals selected from the group consisting of C ⁇ -Cs alkoxy, halo, hydroxy, amino, cyano, trifluoromethyl, C-] -Cs branched or unbranched alkyl, C3-C8 cycloalkyl, C3-C8 cycloalkyl lower alkyl, phenyl and phenyl C1-C3 lower alkyl;
- G is selected from the group consisting of an unsubstituted or substituted following group: pyrrolidinyl, piperdinyl, dihydroindolyl, tetrohydroquinolinyi, morpholino, azetidinyl, hexahydroazepinyl, or octahydroazocinyl; wherein, when substituted, a group is substituted by one or more radicals selected from the group consisting of Ci-Cs alkoxy, hydroxy, amino, C-
- R1 is selected from the group consisting of an unsubstituted or substituted following group: phenyl, phenyl C1-C6 lower alkyl, thiophenyl, thiophen
- the present invention includes all hydrates, solvates, complexes and prodrugs of the compounds of this invention.
- Prodrugs are any covalently bonded compounds that release the active parent drug according to Formula I in vivo. If a chiral center or another form of an isomeric center is present in a compound of the present invention, all forms of such isomer or isomers, including enantiomers and diastereomers, are intended to be covered herein.
- Inventive compounds containing a chiral center may be used as a racemic mixture, an enantiomerically enriched mixture, or the racemic mixture may be separated using well-known techniques and an individual enantiomer may be used alone.
- any substituent at any one occurrence in Formula I or any subformula thereof is independent of its meaning, or any other substituent's meaning, at any other occurrence, unless specified otherwise.
- Abbreviations and symbols commonly used in the peptide and chemical arts are used herein to describe the compounds of the present invention. In general, the amino acid abbreviations follow the IUPAC-IUB Joint Commission on Biochemical Nomenclature as described in Eur. J. Biochem., 158, 9 (1984).
- Suitable pharmaceutically acceptable salts are well known to those skilled in the art and include basic salts of inorganic and organic acids, such as hydrochloric acid, hydrobromic acid, sulphuric acid, phosphoric acid, methane sulphonic acid, ethane sulphonic acid, acetic acid, trifluoroacetic acid, malic acid, tartaric acid, citric acid, lactic acid, oxalic acid, succinic acid, fumaric acid, maleic acid, benzoic acid, salicylic acid, phenylacetic acid and mandelic acid.
- basic salts of inorganic and organic acids such as hydrochloric acid, hydrobromic acid, sulphuric acid, phosphoric acid, methane sulphonic acid, ethane sulphonic acid, acetic acid, trifluoroacetic acid, malic acid, tartaric acid, citric acid, lactic acid, oxalic acid, succinic acid, fumaric acid, maleic acid, be
- C-i-Cs alkyl and “C- ⁇ Cg alkyl” is used herein includes both straight or branched chain radicals of 1 to 6 or 8 carbon atoms. By example this term includes, but is not limited to methyl, ethyl, n-propyl, isopropyl, n-butyl, sec- butyl, isobutyl, t ⁇ /t-butyl, pentyl, hexyl, heptyl, octyl and the like. "Lower alkyl” has the same meaning as C-j.Cs alkyl.
- C1.C3 lower alkyl includes methyl, ethyl, n- propyl, and isopropyl.
- Ci-Ce a'koxy includes straight and branched chain radicals of the likes of -O-CH3, -O-CH2CH3, and the n-propoxy, isopropoxy, n-butoxy, sec- butoxy, isobutoxy, terf-butoxy, pentoxy, and hexoxy, and the like.
- C3-C8-cycloalkyl as applied herein is meant to include substituted and unsubstituted cyclopropane, cyclobutane, cyclopentane and cyclohexane, and the like.
- Alkenyl is used herein at all occurrences to mean straight or branched chain moiety of 2-10 carbon atoms, unless the chain length is limited thereto, including, but not limited to ethenyl, 1-propenyl, 2-propenyl, 2-methy!-1-propenyl, 1-butenyl, 2-butenyI and the like.
- Halogen or "halo" means F, Cl, Br, and I.
- the preferred compounds of Formula I include those compounds wherein: When X is carbon, n is 1 , 2, or 3; m is 1 , 2, or 3; p is 0, or 1 ; When X is oxygen, n is 1 ; m is 2; p is 1 ;
- W is O;
- U is NR3;
- R3 is selected from the group consisting of hydrogen, C-j-Cs branched or unbranched alkyl, C3-C-8 cycloalkyl, C3-C8 cycloalkyl lower alkyl, or phenyl C1-C3 lower alkyl;
- q is O;
- h is 0;
- g is 1 ;
- Z " is selected from the group consisting of I “ , Br ' , Cl “ , F “ , CF3COO “ , mesylate, tosylate, or any other pharmaceutically acceptable counter ion;
- V is selected from the group consisting of phenyl, thiophenyl, furanyl, naphthyl, benzothiophenyl or benzofuranyl;
- R4 is selected from the group consisting of hydrogen, hydroxy, amino, halo, cyano, trifluoromethyl, C-j-Cs alkoxy, C-j-Cs alkyl, C3-C8 cycloalkyl, C3-C-8 cycloalkyl lower alkyl, phenyl, phenyl C1-C3 lower alkyl, phenylcarbonyl; k is 1 , 2, 3, 4, or 5; T is selected from the group consisting of an unsubstituted or substituted following group: phenyl, thiophenyl, furanyl, naphthyl, benzo-thiophenyl, and benzofuranyl; wherein, when substituted, a group is substituted by one or more radicals selected from the group consisting of C-
- R5 is selected from the group consisting of COOR6, CONHR6, COR6, CON(R6)2, COG, unsubstituted or substituted oxadiazolyl, unsubstituted or substituted phenoxy, or cyano; wherein, when substituted, a group is substituted by one or more radicals selected from the group consisting of Ci-Cs alkyl, C3-C8 cycloalkyl, C3-C8 cycloalkyl lower alkyl, phenyl, phenyl C1-C3 lower alkyl and trifluoromethyl;
- R6 is selected from the group consisting of Ci-Cs branched or unbranched alkyl, C3-C8 cycloalkyl, C3-C8 cycloalkyl lower alkyl, phenyl, phenyl C1-C3 lower alkyl, naphthyl, or naphthyl C1-C3 lower alkyl;
- G is selected from the group consisting of pyrrolidinyl, piperdinyl, dihydroindolyl, tetrohydroquinolinyl, morpholino, azetidinyl, hexahydroazepinyl, or octahydroazocinyl;
- R1 is selected from the group consisting of an unsubstituted or substituted following group: phenyl C1 -C6 lower alkyl, thiophenyl C1 -C6 lower alkyl, furanyl C1-C6 lower alkyl, pyridinyl C1-C6 lower alkyl, imidazolyl C1-C6 lower alkyl, naphthyl C1-C6 lower alkyl, quinolinyl C1-C6 lower alkyl, indolyl C1-C6 lower alkyl, benzothiophenyl C1-C6 lower alkyl, benzofuranyl C1-C6 lower alkyl, benzoimidazolyl C1-C6 lower alkyl, C-j-Cs branched or unbranched alkyl, C3-C-8 cycloalkyl, C3-C8 cycloalkyl C ⁇ -CQ lower alkyl, or C3-C8 alkenyl
- R2 is selected from the group consisting of C-] -Cs branched or unbranched alkyl, C3-C8 cycloalkyl, C3-C8 cycloalkyl lower alkyl, C3-C8 alkenyl, or unsubstituted or substituted phenyl C1-C3 lower alkyl; wherein, when substituted, a group is substituted by one or more radicals selected from the group consisting of C-
- U is NR3
- R3 is hydrogen; q is 0; h is O; g is 1 ;
- Z " is selected from the group consisting of I “ , Br ' , Cl “ , F “ , CF3COO ' , mesylate, tosylate, or any other pharmaceutically acceptable counter ion;
- V is selected from the group consisting of phenyl, or naphthyl
- R4 is selected from the group consisting of hydroxy, amino, halo, cyano, trifluoromethyl, C-
- T is selected from the group consisting of unsubstituted or substituted phenyl, and thiophenyl; wherein, when substituted, a group is substituted by one or more radicals selected from the group consisting of C-
- R5 is COOR6, CONHR6, COR6, CON(R6)2, COG, unsubstituted or substituted oxadiazolyl; wherein, when substituted, a group is substituted by one or more radicals selected from the group consisting of C ⁇ -Cg alkyl, C3-C8 cycloalkyl, C3-C8 cycloalkyl lower alkyl, phenyl and phenyl C1-C3 lower alkyl;
- R6 is selected from the group consisting of C-
- G is selected from the group consisting of pyrrolidinyl, piperdinyl, dihydroindolyl, tetrohydroquinolinyl, morpholino, azetidinyl, hexahydroazepinyl, or octahydroazocinyl;
- R1 is selected from the group consisting of an unsubstituted or substituted following group: phenyl C1-C6 lower alkyl, thiophenyl C1-C6 lower alkyl, furanyl C1-C6 lower alkyl, pyridinyl C1-C6 lower alkyl, imidazolyl C1-C6 lower alkyl, naphthyl C1-C6 lower alkyl, quinolinyl C1-C6 lower alkyl, indolyl C1-C6 lower alkyl, benzothiophenyl C1-C6 lower alkyl, benzofuranyl C1-C6
- the preferred compounds are selected from the group consisting of: /V-[( ⁇ 4-[(ethyloxy)carbonyl]phenyl ⁇ amino)carbonyl]- ⁇ /- ⁇ 1-[(4-hydroxyphenyl)methyl]- 1 -methyl-3-pyrrolidiniumyl ⁇ -L-tyrosinamide trifluoroacetate;
- the most preferred compounds are selected from the group consisting of:
- the compounds of Formula (I) may be obtained by applying synthetic procedures, some of which are illustrated in the Schemes below.
- the synthesis provided for these Schemes is applicable for producing compounds of Formula (I) having a variety of different R1 , R2, R3, R4, R5 and R6, which are reacted, employing substituents which are suitable protected, to achieve compatibility with the reactions outlined herein. Subsequent deprotection, in those cases, then affords compounds of the nature generally disclosed. While some Schemes are shown with specific compounds, this is merely for illustration purpose only.
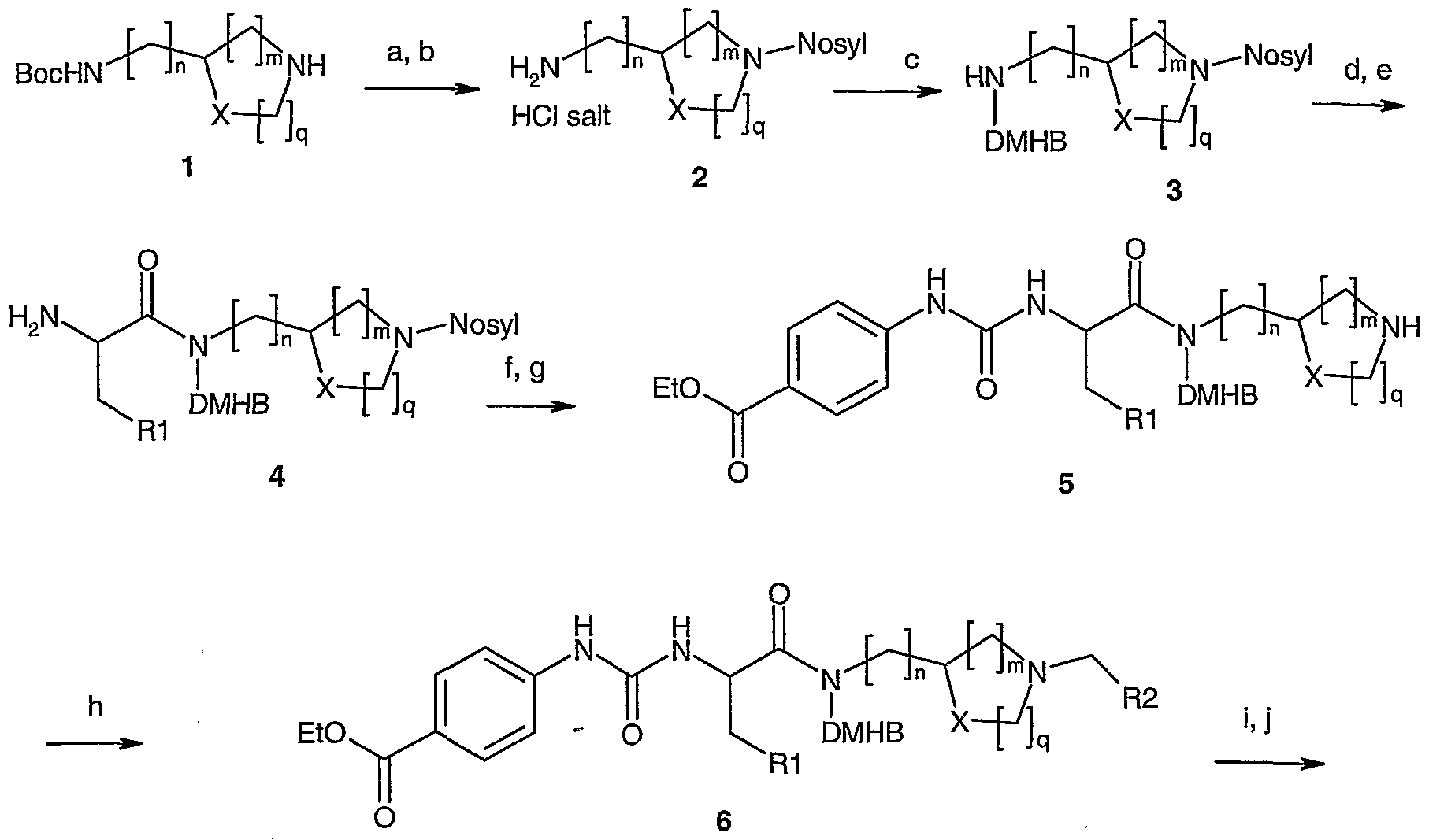
- Resin-bound amines 3 were prepared by reductive alkylation of 2,6- dimethoxy-4-polystyrenebenzyloxy-benzaldehyde (DMHB resin) with N-protected diamine HCI salts 2, which were prepared from Boc-protected diamines 1 (Scheme 1). Reactions of 3 with Fmoc-protected amino acids, followed by removal of the protecting group, provided resin-bound intermediates 4. Reactions of 4 with isocyanates afforded the corresponding resin-bound ureas, which were subsequently treated with potassium carbonate and thiophenol to give secondary amines 5. Reductive alkylation of 5 with aldehydes produced resin-bound tertiary amines 6.
- Example 1 The following examples are provided as illustrative of the present invention but not limiting in any way: Example 1
- the above resin (0.860 mmol) was treated with 15 mL of 20% piperidine in anhydrous 1-methyl-2-pyrrolidinone solution. After the mixture was shaken at rt for 15 min, the solution was drained and another 15 mL of 20% piperidine in anhydrous 1-methyl-2-pyrrolidinone solution was added. The mixture was shaken at rt for another 15 min. The solution was drained and the resin was washed with DMF (3 x 25 mL), CH 2 CI 2 /MeOH (1 :1 , 3 x 25 mL) and MeOH (3 x 25 mL).
- Resin-bound secondary amines 5 were treated with alkyl dihalides to give the corresponding resin-bound quaternary ammonium salts, which were then cleaved with 50% trifluoroacetic acid in 1 ,2-dichloroethane to afford targeted compounds 8 (Scheme 2).
- the dry resin was treated with 4 ml_ of 50% trifluoroacetic acid in dichloroethane at rt for 1 h. After the cleavage solution was collected, the resin was treated with another 4 ml_ of 50% trifluoroacetic acid in dichloroethane at rt for 30 min. The combined cleavage solutions were concentrated in vacuo.
- Resin-bound amines 3 were prepared in the same way as described in preparation 1. Reactions of 3 with Fmoc-Try(tBu)-OH, followed by removal of the Fmoc protecting group, provided resin-bound intermediates 9. A variety of 4- substituted anilines were reacted with 1 ,1 '-carbonyldiimidazole to give the intermediates which in turn were reacted with 9 to afford the corresponding resin- bound ureas. The ureas were subsequently treated with potassium carbonate and thiophenol to give secondary amines 10. Reductive amination of 10 with appropriate aldehydes produced resin-bound tertiary amines 11.
- Resin-bound secondary amines 10 were treated with alkyl dihalides to give the corresponding resin-bound quaternary ammonium salts, which were then cleaved with 50% trifluoroacetic acid in 1 ,2-dichloroethane to afford targeted compounds 13 (Scheme 4).
- Scheme 4
- DMHB resin-bound 1 -methylethyl 4- ⁇ [( ⁇ (1 S)-1-( ⁇ 4-[(1 ,1-dimethylethyl) oxy]phenyI ⁇ methyl)-2-oxo-2-[(3S)-3- piperidinylamino]ethyl ⁇ amino)carbonyl]amino ⁇ benzoate was prepared in the same way as described in example 134. To 80 mg (0.36mmol/g, 0.029 mmol) of this resin in acetonitrile (6.4 ml_) was added (0.488ml_, 3.2 mmol) of 1 ,6- dibromohexane. The mixture was shaken at 75 0 C for overnight.
- the resin was dried in vacuum oven at 35 0 C for 24 h.
- the dry resin was treated with 2 ml_ of 50% trifluoroacetic acid in 1 ,2- dichloroethane at rt for 1 h.
- the resin was treated with another 2 ml_ of 50% trifluoroacetic acid in 1 ,2-dichloroethane at rt for 30 min.
- the combined cleavage solutions were concentrated in vacuo.
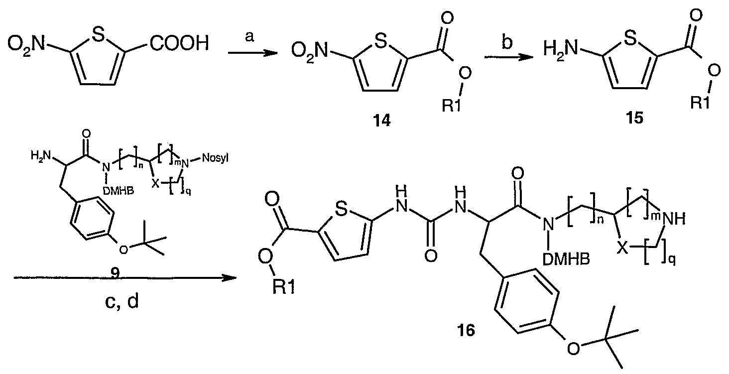
- thiophene ester and amide antagonist compounds were prepared.
- 5-Nitro-2-thiophenecarboxylic acid was treated with oxalyl chloride to form acid chloride, which reactied with a series of cycloalkyl alcohols and amines to provide corresponding esters and amides 14.
- the nitro group in 14 was converted to amine by hydrogenation via 10% palladium on carbon.
- the amines 15 were coupled with resin-bound intermediate 9 to afford the corresponding resin-bound ureas 16.
- the ureas were subsequently treated with benzenethiolate to give the secondary amines, which underwent reductive amination with appropriate aldehydes to produce resin-bound tertiary amines 17.
- Amines 17 were then treated with alkyl halides to form the corresponding quaternary ammonium salts.
- the resin was then cleaved by 50% trifluoroacetic acid in dichloromethane to afford targeted compounds 18 (Schem
- Oxalyl chloride in methylene chloride (2.0 M, 32.3 ml_) was added at room temperature followed by one drop of dimethyl formamide (0.1 mL). The reaction mixture was stirred at RT for 1 hr and concentrated. Methylene chloride (100 mL) was added, concentrated again and redissolved in methylene chloride (60 mL). N, N'-Dimethylaminopyridine (652 mg, 5.33 mmol) , triethyl amine(4.47 mL, 32 mmol) and cyclohexanol (2.54 mL, 24 mmol) were added to reaction mixture and stirred at room temperature overnight.
- Resin-bound tertiary amine 17 was treated with alkyl halides to give the corresponding symmetric resin-bound quaternary ammonium salts, which was then cleaved with 50% trifluoroacetic acid in dichloromethane to afford targeted compounds 19 (Scheme 6).
- DMHB resin-bound ethyl 5- ⁇ [( ⁇ (1 S)-2-( ⁇ (3S)-1-[(3-chlorophenyl)methyl]-3- piperidinyl ⁇ amino)-1-[(4-hydroxyphenyl)methyl]-2-oxoethyl ⁇ amino)carbonyl]amino ⁇ - 2-thiophenecarboxylate was prepared in the same way as described in example 247. To 60 mg (0.048 mmol) of this resin in acetonitrile (6.4 ml_) was added
- inhibitory effects of compounds at the M3 mAChR of the present invention are determined by the following in vitro and in vivo assays:
- a CHO (Chinese hamster ovary) cell line stably expressing the human M3 muscarinic acetylcholine receptor is grown in DMEM plus 10% FBS, 2 mM Glutamine and 200 ug/ml G418. Cells are detached for maintenance and for plating in preparation for assays using either enzymatic or ion chelation methods.
- the day before the FLIPR (fluorometric imaging plate reader) assay cells are detached, resuspended, counted, and plated to give 20,000 cells per 384 well in a 50 ul volume.
- the assay plates are black clear bottom plates, Becton Dickinson catalog number 35 3962.
- the assay is run the next day.
- media are aspirated, and cells are washed with 1x assay buffer (145mM NaCI, 2.5mM KCI, 1OmM glucose, 1OmM HEPES, 1.2 mM MgCI 2 , 2.5mM CaCI 2 , 2.5mM probenecid (pH 7.4.)
- Cells are then incubated with 5OuI of Fluo-3 dye (4uM in assay buffer) for 60 - 90 minutes at 37 degrees C.
- the calcium- sensitive dye allows cells to exhibit an increase in fluorescence upon response to ligand via release of calcium from intracellular calcium stores.
- Test compounds and antagonists are added in 25 ul volume, and plates are incubated at 37 degrees C for 5 -30 minutes. A second addition is then made to each well, this time with the agonist challenge, acetylcholine. It is added in 25 ul volume on the FLIPR instrument. Calcium responses are measured by changes in fluorescent units.
- acetylcholine ligand is added at an ECso concentration, and the antagonist IC 50 can then be determined using dose response dilution curves.
- the control antagonist used with M3 is atropine.
- CHO cells stably expressing M3 mAChRs were plated in 96 well black wall/clear bottom plates. After 18 to 24 hours, media was aspirated and replaced with 100 ⁇ l of load media (EMEM with Earl's salts, 0.1% RIA-grade BSA (Sigma, St. Louis MO), and 4 ⁇ M Fluo-3-acetoxymethyl ester fluorescent indicator dye (Fluo-3 AM, Molecular Probes, Eugene, OR) and incubated 1 hr at 37° C.
- load media EMEM with Earl's salts, 0.1% RIA-grade BSA (Sigma, St. Louis MO)
- Fluo-3-acetoxymethyl ester fluorescent indicator dye Fluo-3 AM, Molecular Probes, Eugene, OR
- the dye-containing media was then aspirated, replaced with fresh media (without Fluo-3 AM), and cells were incubated for 10 minutes at 37° C. Cells were then washed 3 times and incubated for 10 minutes at 37° C in 100 ⁇ l of assay buffer (0.1% gelatin (Sigma), 120 mM NaCI, 4.6 mM KCI, 1 mM KH 2 PO 4 , 25 mM NaH CO 3 , 1.0 mM CaCI 2 , 1.1 mM
- Penh enhanced pause
- mice were then challenged with an aerosol of methacholine (10 mg/ml) for 2 minutes. Penh was recorded continuously for 7 min starting at the inception of the methacholine aerosol, and continuing for 5 minutes afterward. Data for each mouse were analyzed and plotted by using GraphPad PRISM software.
- the present compounds are useful for treating a variety of indications, including but not limited to respiratory-tract disorders such as chronic obstructive lung disease, chronic bronchitis, asthma, chronic respiratory obstruction, pulmonary fibrosis, pulmonary emphysema, and allergic rhinitis.
- respiratory-tract disorders such as chronic obstructive lung disease, chronic bronchitis, asthma, chronic respiratory obstruction, pulmonary fibrosis, pulmonary emphysema, and allergic rhinitis.
- the present invention further provides a pharmaceutical formulation comprising a compound of formula (I), or a pharmaceutically acceptable salt, solvate, or physiologically functional derivative (e.g., salts and esters) thereof, and a pharmaceutically acceptable carrier or excipient, and optionally one or more other therapeutic ingredients.
- a pharmaceutical formulation comprising a compound of formula (I), or a pharmaceutically acceptable salt, solvate, or physiologically functional derivative (e.g., salts and esters) thereof, and a pharmaceutically acceptable carrier or excipient, and optionally one or more other therapeutic ingredients.
- active ingredient means a compound of formula (I), or a pharmaceutically acceptable salt, solvate, or physiologically functional derivative thereof.
- Compounds of formula (I) will be administered via inhalation via the mouth or nose.
- Dry powder compositions for topical delivery to the lung by inhalation may, for example, be presented in capsules and cartridges of for example gelatine, or blisters of for example laminated aluminium foil, for use in an inhaler or insufflator.
- Powder blend formulations generally contain a powder mix for inhalation of the compound of the invention and a suitable powder base (carrier/diluent/excipient substance) such as mono-, di- or poly-saccharides (e.g., lactose or starch), organic or inorganic salts (e.g., calcium chloride, calcium phosphate or sodium chloride), polyalcohols (e.g., mannitol), or mixtures thereof, alternatively with one or more additional materials, such additives included in the blend formulation to improve chemical and/or physical stability or performance of the formulation, as discussed below, or mixtures thereof.
- a suitable powder base such as mono-, di- or poly-saccharides (e.g., lactose or starch),
- Each capsule or cartridge may generally contain between 20 ⁇ g-10mg of the compound of formula (I) optionally in combination with another therapeutically active ingredient.
- the compound of the invention may be presented without excipients, or may be formed into particles comprising the compound, optionally other therapeutically active materials, and excipient materials, such as by co- precipitation or coating.
- the medicament dispenser is of a type selected from the group consisting of a reservoir dry powder inhaler (RDPI), a multi-dose dry powder inhaler (MDPI), and a metered dose inhaler (MDI).
- reservoir dry powder inhaler By reservoir dry powder inhaler (RDPI) it is meant as an inhaler having a reservoir form pack suitable for comprising multiple (un-metered doses) of medicament in dry powder form and including means for metering medicament dose from the reservoir to a delivery position.
- the metering means may for example comprise a metering cup or perforated plate , which is movable from a first position where the cup may be filled with medicament from the reservoir to a second position where the metered medicament dose is made available to the patient for inhalation.
- multi-dose dry powder inhaler is meant an inhaler suitable for dispensing medicament in dry powder form, wherein the medicament is comprised within a multi-dose pack containing (or otherwise carrying) multiple, define doses (or parts thereof) of medicament.
- the carrier has a blister pack form, but it could also, for example, comprise a capsule-based pack form or a carrier onto which medicament has been applied by any suitable process including printing, painting and vacuum occlusion.
- the formulation can be pre-metered (eg as in Diskus, see GB 2242134 or Diskhaler, see GB 2178965, 2129691 and 2169265) or metered in use (eg as in Turbuhaler, see EP 69715).
- An example of a unit-dose device is Rotahaler (see GB 2064336).
- the Diskus inhalation device comprises an elongate strip formed from a base sheet having a plurality of recesses spaced along its length and a lid sheet hermetically but peelably sealed thereto to define a plurality of containers, each container having therein an inhalable formulation containing a compound of formula (I) preferably combined with lactose.
- the strip is sufficiently flexible to be wound into a roll.
- the lid sheet and base sheet will preferably have leading end portions which are not sealed to one another and at least one of the said leading end portions is constructed to be attached to a winding means. Also, preferably the hermetic seal between the base and lid sheets extends over their whole width.
- the lid sheet may preferably be peeled from the base sheet in a longitudinal direction from a first end of the said base sheet.
- the multi-dose pack is a blister pack comprising multiple blisters for containment of medicament in dry powder form. The blisters are typically arranged in regular fashion for ease of release of medicament therefrom.
- the multi-dose blister pack comprises plural blisters arranged in generally circular fashion on a disk-form blister pack.
- the multi-dose blister pack is elongate in form, for example comprising a strip or a tape.
- the multi-dose blister pack is defined between two members peelably secured to one another.
- US Patents Nos. 5,860,419, 5,873,360 and 5,590,645 describe medicament packs of this general type.
- the device is usually provided with an opening station comprising peeling means for peeling the members apart to access each medicament dose.
- the device is adapted for use where the peelable members are elongate sheets which define a plurality of medicament containers spaced along the length thereof, the device being provided with indexing means for indexing each container in turn.
- the device is adapted for use where one of the sheets is a base sheet having a plurality of pockets therein, and the other of the sheets is a Hd sheet, each pocket and the adjacent part of the lid sheet defining a respective one of the containers, the device comprising driving means for pulling the lid sheet and base sheet apart at the opening station.
- metered dose inhaler it is meant a medicament dispenser suitable for dispensing medicament in aerosol form, wherein the medicament is comprised in an aerosol container suitable for containing a propellant-based aerosol medicament formulation.
- the aerosol container is typically provided with a metering valve, for example a slide valve, for release of the aerosol form medicament formulation to the patient.
- the aerosol container is generally designed to deliver a predetermined dose of medicament upon each actuation by means of the valve, which can be opened either by depressing the valve while the container is held stationary or by depressing the container while the valve is held stationary.
- Spray compositions for topical delivery to the lung by inhalation may for example be formulated as aqueous solutions or suspensions or as aerosols delivered from pressurised packs, such as a metered dose inhaler, with the use of a suitable liquefied propellant.
- Aerosol compositions suitable for inhalation can be either a suspension or a solution and generally contain the compound of formula (I) optionally in combination with another therapeutically active ingredient and a suitable propellant such as a fluorocarbon or hydrogen-containing chlorofluorocarbon or mixtures thereof, particularly hydrofluoroalkanes, e.g.
- the aerosol composition may be excipient free or may optionally contain additional formulation excipients well known in the art such as surfactants eg oleic acid or lecithin and cosolvents eg ethanol. Pressurized formulations will generally be retained in a canister (eg an aluminium canister) closed with a valve (eg a metering valve) and fitted into an actuator provided with a mouthpiece.
- a canister eg an aluminium canister
- a valve eg a metering valve
- Medicaments for administration by inhalation desirably have a controlled particle size.
- the optimum aerodynamic particle size for inhalation into the bronchial system for localized delivery to the lung is usually 1-1 O ⁇ m, preferably 2- 5 ⁇ m.
- the optimum aerodynamic particle size for inhalation into the alveolar region for achieving systemic delivery to the lung is approximately .5-3 ⁇ m, preferably 1- 3 ⁇ m.
- Particles having an aerodynamic size above 20 ⁇ m are generally too large when inhaled to reach the small airways.
- Average aerodynamic particle size of a formulation may measured by, for example cascade impaction.
- Average geometric particle size may be measured, for example by laser diffraction, optical means.
- the particles of the active ingredient as produced may be size reduced by conventional means eg by controlled crystallization, micronisation or nanomiiling
- the desired fraction may be separated out by air classification.
- particles of the desired size may be directly produced, for example by spray drying, controlling the spray drying parameters to generate particles of the desired size range.
- the particles will be crystalline, although amorphous material may also be employed where desirable.
- an excipient such as lactose is employed, generally, the particle size of the excipient will be much greater than the inhaled medicament within the present invention, such that the "coarse" carrier is non-respirable.
- the excipient When the excipient is lactose it will typically be present as milled lactose, wherein not more than 85% of lactose particles will have a MMD of 60-90 ⁇ m and not less than 15% will have a MMD of less than 15 ⁇ m.
- Additive materials in a dry powder blend in addition to the carrier may be either respirable, i.e., aerodynamically less than 10 microns, or non-respirable, i.e., aerodynamically greater than 10 microns.
- Suitable additive materials which may be employed include amino acids, such as leucine; water soluble or water insoluble, natural or synthetic surfactants, such as lecithin (e.g., soya lecithin) and solid state fatty acids (e.g., lauric, palmitic, and stearic acids) and derivatives thereof (such as salts and esters); phosphatidylcholines; sugar esters.
- Additive materials may also include colorants, taste masking agents (e.g., saccharine), anti-static-agents, lubricants (see, for example, Published PCT Patent Appl. No. WO 87/905213, the teachings of which are incorporated by reference herein), chemical stabilizers, buffers, preservatives, absorption enhancers, and other materials known to those of ordinary skill.
- Sustained release coating materials e.g., stearic acid or polymers, e.g. polyvinyl pyrolidone, polylactic acid
- active material or active material containing particles see, for example, Patent Nos. US 3,634,582, GB 1 ,230,087, GB 1 ,381 ,872, the teachings of which are incorporated by reference herein).
- Intranasal sprays may be formulated with aqueous or non-aqueous vehicles with the addition of agents such as thickening agents, buffer salts or acid or alkali to adjust the pH, isotonicity adjusting agents or anti-oxidants.
- agents such as thickening agents, buffer salts or acid or alkali to adjust the pH, isotonicity adjusting agents or anti-oxidants.
- Solutions for inhalation by nebulation may be formulated with an aqueous vehicle with the addition of agents such as acid or alkali, buffer salts, isotonicity adjusting agents or antimicrobials. They may be sterilised by filtration or heating in an autoclave, or presented as a non-sterile product.
- Preferred unit dosage formulations are those containing an effective dose, as herein before recited, or an appropriate fraction thereof, of the active ingredient.
Landscapes
- Chemical & Material Sciences (AREA)
- Organic Chemistry (AREA)
- Hydrogenated Pyridines (AREA)
- Pharmaceuticals Containing Other Organic And Inorganic Compounds (AREA)
Abstract
Muscarinic Acetylcholine receptor antagonists and methods of using them are provided.
Description
Novel M3 Muscarinic Acetylcholine Receptor Antagonists FIELD OF THE INVENTION
This invention relates to novel derivatives of cyclic quaternary ammonium salts, pharmaceutical compositions, processes for their preparation, and use thereof in treating M3 muscarinic acetylcholine receptor mediated diseases.
BACKGROUND OF THE INVENTION
Acetylcholine released from cholinergic neurons in the peripheral and central nervous systems affects many different biological processes through interaction with two major classes of acetylcholine receptors - the nicotinic and the muscarinic acetylcholine receptors. Muscarinic acetylcholine receptors (mAChRs) belong to the superfamily of G-protein coupled receptors that have seven transmembrane domains. There are five subtypes of mAChRs, termed M-] -
M5, and each is the product of a distinct gene. Each of these five subtypes displays unique pharmacological properties. Muscarinic acetylcholine receptors are widely distributed in vertebrate organs, and these receptors can mediate both inhibitory and excitatory actions. For example, in smooth muscle found in the airways, bladder and gastrointestinal tract, M3 mAChRs mediate contractile responses. For review, please see {Brown 1989 247 /id}.
Muscarinic acetylcholine receptor dysfunction has been noted in a variety of different pathophysiological states. For instance, in asthma and chronic obstructive pulmonary disease (COPD), inflammatory conditions lead to loss of inhibitory M2 muscarinic acetylcholine autoreceptor function on parasympathetic nerves supplying the pulmonary smooth muscle, causing increased acetylcholine release following vagal nerve stimulation. This mAChR dysfunction results in airway hyperreactivity mediated by increased stimulation of M3 mAChRs{Costello,
Evans, et al. 1999 72 /id}{Minette, Lammers, et al. 1989 248 /id}. Similarly, inflammation of the gastrointestinal tract in inflammatory bowel disease (IBD) results in M3 mAChR-mediated hypermotility {Oprins, Meijer, et al. 2000 245 /id}.
Incontinence due to bladder hypercontractility has also been demonstrated to be mediated through increased stimulation of M3 mAChRs {Hegde & Eglen 1999 251
/id}. Thus the identification of subtytpe-selective mAChR antagonists may be useful as therapeutics in these mAChR-mediated diseases.
Despite the large body of evidence supporting the use of anti-muscarinic receptor therapy for treatment of a variety of disease states, relatively few anti- muscarinic compounds are in use in the clinic. Thus, there remains a need for novel compounds that are capable of causing blockade at M3 mAChRs.
Conditions associated with an increase in stimulation of M3 mAChRs, such as asthma, COPD, IBD and urinary incontinence would benefit by compounds that are inhibitors of mAChR binding. SUMMARY OF THE INVENTION
This invention relates to compounds of Formula I
When X is oxygen, n is 1 ; m is 2; p is 1 or 2; W is O, S, or NH; U is NR3, O, or a bond; R3 is selected from the group consisting of hydrogen, C-) -Cg branched or unbranched alkyl, C3-C8 cycloalkyl, C3-C8 cycloalkyl lower alkyl, unsubstituted or substituted phenyl, or unsubstituted or substituted phenyl C1-C3 lower alkyl; wherein, when substituted, a group is substituted by one or more radicals selected from the group consisting of C^-Cs alkoxy, halo, hydroxy, amino, cyano, trifluoromethyl, Ci-Cs branched or unbranched alkyl, C3-C8 cycloalkyl and C3-C8 cycloalkyl lower alkyl; q is an interger from 0 to 7; h is O, 1 , or 2;
g is 1 , 2, or 3;
Z" is selected from the group consisting of I", Br', Cl", F", CF3COO", mesylate, tosylate, and any other pharmaceutically acceptable counter ion;
V is selected from the group consisting of phenyl, thiophenyl, furanyl, pyridinyl, naphthyl, quinolinyl, indolyl, benzothiophenyl and benzofuranyl;
R4 is selected from the group consisting of hydrogen, hydroxy, amino, halo, cyano, trifluoromethyl, C-|-Cs alkoxy, Ci-Cg branched or unbranched alkyl, C3-C8 cycloalkyl, C3-C8 cycloalkyl lower alkyl, phenyl, phenyl C1-C3 lower alkyl, COR6,
COOR6, CONHR6, CON(R6)2, NHR6, N(R6)2, and G; k is an integer from 0 to 5;
T is selected from the group consisting of an unsubstituted or substituted following group: phenyl, thiophenyl, furanyl, pyridinyl, naphthyl, quinolinyl, indolyl, benzothiophenyl, and benzofuranyl; wherein, when substituted, a group is substituted by one or more radicals selected from the group consisting of C-|-C-8 alkoxy, halo, hydroxy, amino, trifluoromethyl, C-] -Cs branched or unbranched alkyl, C3-C8 cycloalkyl, C3-C8 cycloalkyl lower alkyl, phenyl and phenyl C1-C3 lower alkyl;
R5 is selected from the group consisting of COOR6, CONH R6, COR6, CON(R6)2, COG, unsubstituted or substituted oxadiazolyl, unsubstituted or substituted oxazolyl, unsubstituted or substituted imidazolyl, unsubstituted or substituted phenoxy, or cyano; wherein, when substituted, a group is substituted by one or more radicals selected from the group consisting of C^ -Cs branched or unbranched alkyl, C3-C8 cycloalkyl, C3-C8 cycloalkyl lower alkyl, phenyl and phenyl C1-C3 lower alkyl, C-|-Cs alkoxy, halo, hydroxy, amino, cyano and trifluoromethyl;
R6 is selected from the group consisting of C^ -Cs branched or unbranched alkyl, C3-C8 cycloalkyl, C3-C8 cycloalkyl lower alkyl, unsubstituted or substituted phenyl, unsubstituted or substituted phenyl C1-C3 lower alkyl, unsubstituted or substituted naphthyl, or unsubstituted or substituted naphthyl C1-C3 lower alkyl; wherein, when substituted, a group is substituted by one or more radicals selected from the group consisting of C^ -Cs alkoxy, halo, hydroxy, amino, cyano,
trifluoromethyl, C-] -Cs branched or unbranched alkyl, C3-C8 cycloalkyl, C3-C8 cycloalkyl lower alkyl, phenyl and phenyl C1-C3 lower alkyl;
G is selected from the group consisting of an unsubstituted or substituted following group: pyrrolidinyl, piperdinyl, dihydroindolyl, tetrohydroquinolinyi, morpholino, azetidinyl, hexahydroazepinyl, or octahydroazocinyl; wherein, when substituted, a group is substituted by one or more radicals selected from the group consisting of Ci-Cs alkoxy, hydroxy, amino, C-|-Cs branched or unbranched alkyl, C3-C8 cycloalkyl, C3-C8 cycloalkyl lower alkyl, phenyl and phenyl C1-C3 lower alkyl; R1 is selected from the group consisting of an unsubstituted or substituted following group: phenyl, phenyl C1-C6 lower alkyl, thiophenyl, thiophenyl C1-C6 lower alkyl, furanyl, furanyl C1-C6 lower alkyl, pyridinyl, pyridinyl C1-C6 lower alkyl, imidazolyl, imidazolyl C1-C6 lower alkyl, naphthyl, naphthyl C1-C6 lower alkyl, quinolinyl, quinolinyl C1-C6 lower alkyl, indolyl, indolyl C1 -C6 lower alkyl, benzothiophenyl, benzothiophenyl C1-C6 lower alkyl, benzofuranyl, benzofuranyl C1-C6 lower alkyl, benzoimidazolyl, benzoimidazolyl C1-C6 lower alkyl, Ci -Cs branched or unbranched alkyl, C3-C8 cycloalkyl, C3-C8 cycloalkyl C1-C5 lower alkyl, or C3-C8 alkenyl; wherein, when substituted, a group is substituted by one or more radicals selected from the group consisting of C-|-Cs alkoxy, phenoxy, phenyl C1-C3 alkoxy, halo, hydroxy, amino, cyano, trifluoromethyl, methylenedioxy, ethylenedioxy, propylenedioxy, butylenedioxy, C-|-Cs branched or unbranched alkyl, C3-C8 cycloalkyl, C3-C8 cycloalkyl lower alkyl, phenyl, phenyl C1-C3 lower alkyl, thiophenyl, thiophenyl C1-C3 lower alkyl, furanyl, furanyl C1-C3 lower alkyl, pyridinyl, pyridinyl C1-C3 lower alkyl, naphthyl, naphthyl C1-C3 lower alkyl, quinolinyl, quinolinyl C1-C3 lower alkyl, indolyl, indolyl C1-C3 lower alkyl, benzothiophenyl, benzothiophenyl C1-C3 lower alkyl, benzofuranyl, benzofuranyl C1-C3 lower alkyl, COOH, COR6, COOR6, CONHR6, CON(R6)2, COG, NHR6, N(R6)2, G, OCOR6, OCONHR6, NHCOR6, N(R6)COR6, NHCOOR6 and NHCONHR6; R2 is selected from the group consisting of Ci-Cs branched or unbranched alkyl, C3-C8 cycloalkyl, C3-C8 cycloalkyl lower alkyl, C3-C8 alkenyl, unsubstituted
or substituted phenyl, or unsubstituted or substituted phenyl C1-C3 lower alkyl; wherein, when substituted, a group is substituted by one or more radicals selected from the group consisting of Ci-Cs alkoxy, halo, hydroxy, amino, cyano, trifluoromethyl, C-|-C8 branched or unbranched alkyl, C3-C-8 cycloalkyl, C3-C8 cycloalkyl lower alkyl, phenyl and phenyl C1-C3 lower alkyl; or R1 and R2 together is an unsubstituted or substituted following group: - (CH2)j-, or -(CH2)j-Phenyl-(CH2)i-; wherein, j is an interger from 3 to 8; i is an integer from 1 to 3; when substituted, a group is substituted by one or more radicals selected from the group consisting of C-] -Cs alkoxy, halo, hydroxy, amino, cyano, trifluoromethyl, C-j-Cs branched or unbranched alkyl, C3-C-8 cycloalkyl, C3-C8 cycloalkyl lower alkyl, phenyl and phenyl C1 -C3 lower alkyl.
DETAILED DESCRIPTION
The present invention includes all hydrates, solvates, complexes and prodrugs of the compounds of this invention. Prodrugs are any covalently bonded compounds that release the active parent drug according to Formula I in vivo. If a chiral center or another form of an isomeric center is present in a compound of the present invention, all forms of such isomer or isomers, including enantiomers and diastereomers, are intended to be covered herein. Inventive compounds containing a chiral center may be used as a racemic mixture, an enantiomerically enriched mixture, or the racemic mixture may be separated using well-known techniques and an individual enantiomer may be used alone. In cases in which compounds have unsaturated carbon-carbon double bonds, both the cis (Z) and trans (E) isomers are within the scope of this invention. In cases wherein compounds may exist in tautomeric forms, such as keto-enol tautomers, each tautomeric form is contemplated as being included within this invention whether existing in equilibrium or predominantly in one form.
The meaning of any substituent at any one occurrence in Formula I or any subformula thereof is independent of its meaning, or any other substituent's meaning, at any other occurrence, unless specified otherwise. Abbreviations and symbols commonly used in the peptide and chemical arts are used herein to describe the compounds of the present invention. In
general, the amino acid abbreviations follow the IUPAC-IUB Joint Commission on Biochemical Nomenclature as described in Eur. J. Biochem., 158, 9 (1984).
Suitable pharmaceutically acceptable salts are well known to those skilled in the art and include basic salts of inorganic and organic acids, such as hydrochloric acid, hydrobromic acid, sulphuric acid, phosphoric acid, methane sulphonic acid, ethane sulphonic acid, acetic acid, trifluoroacetic acid, malic acid, tartaric acid, citric acid, lactic acid, oxalic acid, succinic acid, fumaric acid, maleic acid, benzoic acid, salicylic acid, phenylacetic acid and mandelic acid.
The term "C-i-Cs alkyl" and "C-μCg alkyl" is used herein includes both straight or branched chain radicals of 1 to 6 or 8 carbon atoms. By example this term includes, but is not limited to methyl, ethyl, n-propyl, isopropyl, n-butyl, sec- butyl, isobutyl, tø/t-butyl, pentyl, hexyl, heptyl, octyl and the like. "Lower alkyl" has the same meaning as C-j.Cs alkyl.
The term "C1.C3 lower alkyl" is used herein includes methyl, ethyl, n- propyl, and isopropyl.
Herein "Ci-Ce a'koxy" includes straight and branched chain radicals of the likes of -O-CH3, -O-CH2CH3, and the n-propoxy, isopropoxy, n-butoxy, sec- butoxy, isobutoxy, terf-butoxy, pentoxy, and hexoxy, and the like.
"C3-C8-cycloalkyl" as applied herein is meant to include substituted and unsubstituted cyclopropane, cyclobutane, cyclopentane and cyclohexane, and the like.
"Alkenyl" is used herein at all occurrences to mean straight or branched chain moiety of 2-10 carbon atoms, unless the chain length is limited thereto, including, but not limited to ethenyl, 1-propenyl, 2-propenyl, 2-methy!-1-propenyl, 1-butenyl, 2-butenyI and the like.
"Halogen" or "halo" means F, Cl, Br, and I.
The preferred compounds of Formula I include those compounds wherein: When X is carbon, n is 1 , 2, or 3; m is 1 , 2, or 3; p is 0, or 1 ; When X is oxygen, n is 1 ; m is 2; p is 1 ;
W is O; U is NR3;
R3 is selected from the group consisting of hydrogen, C-j-Cs branched or unbranched alkyl, C3-C-8 cycloalkyl, C3-C8 cycloalkyl lower alkyl, or phenyl C1-C3 lower alkyl; q is O; h is 0; g is 1 ;
Z" is selected from the group consisting of I", Br', Cl", F", CF3COO", mesylate, tosylate, or any other pharmaceutically acceptable counter ion;
V is selected from the group consisting of phenyl, thiophenyl, furanyl, naphthyl, benzothiophenyl or benzofuranyl;
R4 is selected from the group consisting of hydrogen, hydroxy, amino, halo, cyano, trifluoromethyl, C-j-Cs alkoxy, C-j-Cs alkyl, C3-C8 cycloalkyl, C3-C-8 cycloalkyl lower alkyl, phenyl, phenyl C1-C3 lower alkyl, phenylcarbonyl; k is 1 , 2, 3, 4, or 5; T is selected from the group consisting of an unsubstituted or substituted following group: phenyl, thiophenyl, furanyl, naphthyl, benzo-thiophenyl, and benzofuranyl; wherein, when substituted, a group is substituted by one or more radicals selected from the group consisting of C-|-Cs alkoxy, halo, hydroxy, amino, trifluoromethyl, C-|-C8 alkyl, C3-C-8 cycloalkyl, C3-C-8 cycloalkyl lower alkyl, phenyl and phenyl C1 -C3 lower alkyl;
R5 is selected from the group consisting of COOR6, CONHR6, COR6, CON(R6)2, COG, unsubstituted or substituted oxadiazolyl, unsubstituted or substituted phenoxy, or cyano; wherein, when substituted, a group is substituted by one or more radicals selected from the group consisting of Ci-Cs alkyl, C3-C8 cycloalkyl, C3-C8 cycloalkyl lower alkyl, phenyl, phenyl C1-C3 lower alkyl and trifluoromethyl;
R6 is selected from the group consisting of Ci-Cs branched or unbranched alkyl, C3-C8 cycloalkyl, C3-C8 cycloalkyl lower alkyl, phenyl, phenyl C1-C3 lower alkyl, naphthyl, or naphthyl C1-C3 lower alkyl;
G is selected from the group consisting of pyrrolidinyl, piperdinyl, dihydroindolyl, tetrohydroquinolinyl, morpholino, azetidinyl, hexahydroazepinyl, or octahydroazocinyl;
R1 is selected from the group consisting of an unsubstituted or substituted following group: phenyl C1 -C6 lower alkyl, thiophenyl C1 -C6 lower alkyl, furanyl C1-C6 lower alkyl, pyridinyl C1-C6 lower alkyl, imidazolyl C1-C6 lower alkyl, naphthyl C1-C6 lower alkyl, quinolinyl C1-C6 lower alkyl, indolyl C1-C6 lower alkyl, benzothiophenyl C1-C6 lower alkyl, benzofuranyl C1-C6 lower alkyl, benzoimidazolyl C1-C6 lower alkyl, C-j-Cs branched or unbranched alkyl, C3-C-8 cycloalkyl, C3-C8 cycloalkyl C^ -CQ lower alkyl, or C3-C8 alkenyl; wherein, when substituted, a group is substituted by one or more radicals selected from the group consisting of C-i-Cs alkoxy, phenoxy, phenyl C-1-C3 alkoxy, halo, hydroxy, amino, cyano, trifluoromethyl, methylenedioxy, ethylenedioxy, propylenedioxy, butylenedioxy, C^ -CQ branched or unbranched alkyl, C3-C-8 cycloalkyl, C3-C-8 cycloalkyl lower alkyl, phenyl, phenyl C1-C3 lower alkyl, thiophenyl, thiophenyl C1-C3 lower alkyl, furanyl, furanyl C1-C3 lower alkyl, pyridinyl, pyridinyl C1-C3 lower alkyl, naphthyl, naphthyl C1-C3 lower alkyl, quinolinyl, quinolinyl C1-C3 lower alkyl, indolyl, indolyl C1-C3 lower alkyl, benzothiophenyl, benzothiophenyl C1-C3 lower alkyl, benzofuranyl, benzofuranyl C1-C3 lower alkyl, COOH, COR6, COOR6, CONHR6, CON(R6)2, COG, NHR6, N(R6)2, G, OCOR6, OCONHR6, NHCOR6, N(R6)COR6, NHCOOR6 and NHCONHR6;
R2 is selected from the group consisting of C-] -Cs branched or unbranched alkyl, C3-C8 cycloalkyl, C3-C8 cycloalkyl lower alkyl, C3-C8 alkenyl, or unsubstituted or substituted phenyl C1-C3 lower alkyl; wherein, when substituted, a group is substituted by one or more radicals selected from the group consisting of C-| -Cδ alkoxy, halo, hydroxy, amino, cyano, trifluoromethyl, C-j-Cs branched or unbranched alkyl, C3-C8 cycloalkyl, C3-C8 cycloalkyl lower alkyl, phenyl and phenyl C1-C3 lower alkyl; or R1 and R2 together is -(CH2)j-, or -(CH2)i-Phenyl-(CH2)r; wherein, j is an interger from 3 to 8; i is an integer from 1 to 3.
Even more preferred are those compounds where:
X is carbon; n is 1 , or 2; m is 1 , 2, or 3; p is 0, or 1 ; W is O;
U is NR3;
R3 is hydrogen; q is 0; h is O; g is 1 ;
Z" is selected from the group consisting of I", Br', Cl", F", CF3COO', mesylate, tosylate, or any other pharmaceutically acceptable counter ion;
V is selected from the group consisting of phenyl, or naphthyl;
R4 is selected from the group consisting of hydroxy, amino, halo, cyano, trifluoromethyl, C-|-Cs alkoxy, C-] -Cs alkyl, C3-C8 cycloalkyl, C3-C8 cycloalkyl lower alkyl, phenyl, phenyl C1-C3 lower alkyl, phenylcarbonyl; k is 1 , 2, or 3;
T is selected from the group consisting of unsubstituted or substituted phenyl, and thiophenyl; wherein, when substituted, a group is substituted by one or more radicals selected from the group consisting of C-|-Cs alkoxy, halo, hydroxy, amino, trifluoromethyl, Ci-Cs alkyl, C3-C8 cycloalkyl, C3-C8 cycloalkyl lower alkyl, phenyl and phenyl C1-C3 lower alkyl;
R5 is COOR6, CONHR6, COR6, CON(R6)2, COG, unsubstituted or substituted oxadiazolyl; wherein, when substituted, a group is substituted by one or more radicals selected from the group consisting of C^ -Cg alkyl, C3-C8 cycloalkyl, C3-C8 cycloalkyl lower alkyl, phenyl and phenyl C1-C3 lower alkyl;
R6 is selected from the group consisting of C-|-C8 branched or unbranched alkyl, C3-C8 cycloalkyl, or C3-C8 cycloalkyl lower alkyl;
G is selected from the group consisting of pyrrolidinyl, piperdinyl, dihydroindolyl, tetrohydroquinolinyl, morpholino, azetidinyl, hexahydroazepinyl, or octahydroazocinyl;
R1 is selected from the group consisting of an unsubstituted or substituted following group: phenyl C1-C6 lower alkyl, thiophenyl C1-C6 lower alkyl, furanyl C1-C6 lower alkyl, pyridinyl C1-C6 lower alkyl, imidazolyl C1-C6 lower alkyl, naphthyl C1-C6 lower alkyl, quinolinyl C1-C6 lower alkyl, indolyl C1-C6 lower alkyl, benzothiophenyl C1-C6 lower alkyl, benzofuranyl C1-C6 lower alkyl, benzoimidazolyl C1-C6 lower alkyl, C-j-Cs branched or unbranched alkyl, C3-C8 cycloalkyl, C3-C8 cycloalkyl C-] -CQ lower alkyl, or C3-C8 alkenyl; wherein, when substituted, a group is substituted by one or more radicals selected from the group consisting of C-|-C8 alkoxy, phenoxy, phenyl C-1-C3 alkoxy, halo, hydroxy, amino, cyano, trifluoromethyl, methylenedioxy, ethylenedioxy, propylenedioxy, butylenedioxy, C] -CQ branched or unbranched alkyl, C3-C8 cycloalkyl, C3-C8 cycloalkyl lower alkyl, phenyl, phenyl C1-C3 lower alkyl, thiophenyl, thiophenyl C1-C3 lower alkyl, furanyl, furanyl C1-C3 lower alkyl, pyridinyl, pyridinyl C1-C3 lower alkyl, naphthyl, naphthyl C1-C3 lower alkyl, quinolinyl, quinolinyl C1-C3 lower alkyl, indolyl, indolyl C1-C3 lower alkyl, benzothiophenyl, benzothiophenyl C1-C3 lower alkyl, benzofuranyl, benzofuranyl C1-C3 lower alkyl, COOH, COR6, COOR6, CONHR6, CON(R6)2, COG, NHR6, N(R6)2, G, OCOR6 and NHCOR6; R2 is selected from the group consisting of C-|-Cs branched or unbranched alkyl, C3-C8 cycloalkyl, C3-C-8 cycloalkyl lower alkyl, or C3-C8 alkenyl; or R1 and R2 together is -(CH2)-, or -(CH2)i-Phenyl-(CH2)i-; wherein, j is an interger from 3 to 7; i is an integer from 1 to 2.
The preferred compounds are selected from the group consisting of: /V-[({4-[(ethyloxy)carbonyl]phenyl}amino)carbonyl]-Λ/-{1-[(4-hydroxyphenyl)methyl]- 1 -methyl-3-pyrrolidiniumyl}-L-tyrosinamide trifluoroacetate;
/V-[1 -(1 ,3-benzodioxol-5-ylmethyl)-1 -methyl-3-pyrrolidiniumyl]-/V-[({4- [(ethyloxy)carbonyl]phenyl}amino)carbonyl]-L-tyrosinamide trifluoroacetate; Λ/-[({4-[(ethyloxy)carbonyl]phenyl}amino)carbonyl]-Λ/-{1-[(4-fluorophenyl)methyl]-1- methyl-3-pyrrolidiniumyl}-L-tyrosinamide trifluoroacetate; Λ/-[({4-[(ethyloxy)carbonyl]phenyl}amino)carbonyl]-Λ/-{(3S)-1-[(4- hydroxyphenyl)methyl]-1-methyl-3-pyrrolidiniumyl}-L-tyrosinamide trifluoroacetate;
Λ/-[({4-[(ethyloxy)carbonyl]phenyl}amino)carbonyl]-Λ/-{(3S)-1-[(4- fluorophenyOmethyll-i-methyl-S-pyrrolidiniumylJ-L-tyrosinamicle trifluoroacetate; Λ/-[(3S)-1 -(1 ,3-benzodioxol-5-ylnnethyl)-1 -methyl-3-pyrrolidiniumyl]-Λ/-[({4- [(ethyloxy)carbonyl]phenyl}amino)carbonyl]-L-tyrosinamide trifluoroacetate; Λ/-[(3S)-1 -(cyclopropylmethyl)-i -methyl-3-pyrrolidiniumyl]-Λ/-[({4-
[(ethyloxy)carbonyl]phenyl}amino)carbonyl]-L-tyrosinamide trifluoroacetate; /V-((3S)-1-{[3,4-bis(methyloxy)phenyl]methyl}-1-methyl-3-pyrrolidiniumyl)-Λ/-[({4- [(ethyloxy)carbonyl]phenyl}amino)carbonyl]-L-tyrosinamide trifiuoroacetate; Λ/-[({4-[(ethyloxy)carbonyI]phenyl}amino)carbonyl]-Λ/-{1-[(4-fluorophenyl)methyl]-1- methyI-3-piperidiniumyl}-L-tyrosinamide trifluoroacetate;
Λ/-[1 -(1 ,3-benzodioxol-5-ylmethyl)-1 -methyl-3-piperidiniumyl]-/V-[({4- [(ethyloxy)carbonyl]phenyl}amino)carbonyl]-L-tyrosinamide trifluoroacetate; A/-(1-{[3,4-bis(methyloxy)phenyl]methyl}-1-methyl-3-piperidiniumyl)-/V-[({4- [(ethyloxy)carbonyl]phenyl}amino)carbonyl]-L-tyrosinamide trifluoroacetate; Λ/-[1 -(cyclopropylmethyl)-i -methyl-3-piperidiniumyl]-Λ/-[({4-
[(ethyloxy)carbonyl]phenyl}amino)carbonyl]-L-tyrosinamide trifluoroacetate; /V-{[1-(cyclopropylmethyl)-1-methyl-4-piperidiniumyl]methyl}-Λ/-[({4- [(ethyloxy)carbonyl]phenyl}amino)carbonyl]-L-tyrosinamide trifluoroacetate; Λ/-[({4-[(ethyloxy)carbonyl]phenyl}amino)carbonyl]-Λ/-{(3S)-1-[(3- hydroxyphenyl)methyl]-1 -methyl-3-pyrrolidiniumylJ-L-tyrosinamide trifluoroacetate; Λ/-[({4-[(ethyloxy)carbonyl]phenyl}amino)carbonyl]-Λ/-{(3S)-1-[(3- fluorophenyl)methyl]-1-methyl-3-pyrrolidiniumyl}-L-tyrosinamide trifluoroacetate; Λ/-{(3S)-1-[(3-cyanophenyl)methyl]-1-methyl-3-pyrrolidiniumyl}-Λ/-[({4- [(ethyloxy)carbonyl]phenyl}amino)carbonyl]-L-tyrosinamide trifluoroacetate; Λ/-((3S)-1 -{[4-(acetylamino)phenyl]methyl}-1 -methyl-3-pyrrolidiniumyl)-Λ/-[({4- [(ethyloxy)carbonyl]phenyl}amino)carbonyl]-L-tyrosinamide trifluoroacetate; Λ/-[({4-[(ethyloxy)carbonyl]phenyl}amino)carbonyl]-Λ/-{(1 R,3S)-1-[(4- fluorophenyl)methyl]-1-methyl-3-pyrrolidiniumyl}-L-tyrosinamide trifluoroacetate; /V-[({4-[(ethyloxy)carbonyI]phenyl}amino)carbonyl]-/V-{(1 S,3S)-1-[(4- fluorophenyl)methyl]-1 -methyl-3-pyrrolidiniumylJ-L-tyrosinamide trifluoroacetate; Λ/-[(1 fi,3S)-1 -(1 ,3-benzodioxol-5-ylmethyl)-1 -methyl-3-pyrrolidiniumyl]-Λ/-[({4- [(ethyloxy)carbonyl]phenyl}amino)carbonyl]-L-tyrosinamide trifluoroacetate;
/V-[(1 S,3S)-1 -(1 ,3-benzodioxol-5-ylmethyl)-1 -methyl-3-pyrrolidiniumyl]-Λ/-[({4-
[(ethyloxy)carbonyl]phenyl}amino)carbonyl]-L-tyrosinamicle trifluoroacetate;
Λ/-[(3S)-1 -(1 ,3-benzodioxol-5-ylmethyl)-1 -methyl-3-pyrrolidiniumyl]-4-chloro-Λ/-[({4-
[(ethyloxy)carbonyl]phenyl}amino)carbonyl]-L-phenylalaninamide trifluoroacetate; (3S)-1 -(1 ,3-benzodioxol-5-ylmethyl)-3-{[/V-[({4-
[(ethyloxy)carbonyl]phenyl}amino)carbonyl]-3-(2-naphthalenyl)-L-alanyl]amino}-1- methylpyrrolidinium trifluoroacetate;
Λ/-[(3S)-1 -(1 ,3-benzodioxol-5-ylmethyl)-1 -methyl-3-pyrrolidiniumyl]-Λ/-[({4-
[(ethyloxy)carbonyl]phenyl}amino)carbonyl]-4-(phenylcarbonyl)-L- phenylalaninamide trifluoroacetate;
/V-[(3S)-1 -(1 ,3-benzodioxol-5-ylmethyl)-1 -methyl-3-pyrrolidiniumyl]-Λ/-[({4- t(ethyloxy)carbonyl]phΘnyl}amino)carbonyl]-4-fluoro-L-phenylaIaninamide trifluoroacetate;
(3S)-1-(1 ,3-benzodioxol-5-ylmethyl)-3-[((2S)-3-(4-biphenylyl)-2-{[({4- [(ethyloxy)carbonyl]phenyl}amino)carbonyl]amino}propanoyl)amino]-1- methylpyrrolidinium trifluoroacetate;
Λ/-[(3S)-1 -(1 ,3-benzodioxol-5-ylmethyl)-1 -methyl-3-pyrrolidiniumyl]-/V-[({4-
[(ethyloxy)carbonyl]phenyl}amino)carbonyl]-4-methyl-L-phenylalaninamide trifluoroacetate; /V-[(3S)-1 -(1 ,3-benzodioxol-5-ylmethyl)-1 -methyl-3-pyrrolidiniumyl]-4-bromo-Λ/-[({4-
[(ethyloxy)carbonyl]phenyl}amino)carbonyl]-L-phenylalaninamide trifluoroacetate;
/V-[(3S)-1 -(1 ,3-benzodioxoI-5-ylmethyl)-1 -methyl-3-pyrrolidiniumyl]-3-chloro-/V-[({4-
[(ethyloxy)carbonyl]phenyl}amino)carbonyl]-L-phenylalaninamide trifluoroacetate;
4-amino-Λ/-[(3S)-1 -(1 ,3-benzodioxol-5-ylmethyl)-1 -methyl-3-pyrrolidiniumyl]-Λ/-[({4- [(ethyloxyJcarbonylJphenylJaminoJcarbonyO-L-phenylalaninamide trifluoroacetate;
Λ/-{(3S)-1 -[(3-chlorophenyl)methyl]-1 -methyl-3-pyrrolidiniumyl}-Λ/-{[(4-{[(1 - methylethyl)amino]carbonyl}phenyl)amino]carbonyl}-L-tyrosinamide trifluoroacetate;
Λ/-{(3S)-1 -[(4-chlorophenyl)methyl]-1 -methyl-3-pyrrolidiniumyl}-Λ/-{[(4-{[(1 - methylethyl)amino]carbonyl}phenyl)amino]carbonyl}-L-tyrosinamide trifluoroacetate;
/V-((3S)-1-{[3,4-bis(methyloxy)phenyl]methyl}-1-methyl-3-pyrrolidiniumyl)-/V-{[(4-
{[(1-methylethyl)amino]carbonyl}phenyl)amino]carbonyl}-L-tyrosinamide trifluoroacetate;
/V-[(3S)-1 -(1 ,3-benzodioxol-5-ylmethyl)-1 -methyl-3-pyrrolidiniumyl]-Λ/-{[(4-{[(1 - methylethyl)amino]carbonyl}phenyl)amino]carbonyl}-L-tyrosinamide trifluoroacetate;
Λ/-{(3S)-1 -[(4-f luorophenyl)methyl]-1 -methyl-3-pyrrolidiniumyl}-Λ/-{[(4-{[(1 - methylethyl)amino]carbonyl}phenyl)amino]carbonyl}-L-tyrosinamide trifluoroacetate; /V-{(3S)-1 -[(4-chloroρhenyl)methyl]-1 -methyl-3-pyrrolidiniumyl}-/V-[({4-
[(ethyIoxy)carbonyl]phenyl}amino)carbonyl]-L-tyrosinamide trifluoroacetate;
Λ/-{(3S)-1-[(3-chlorophenyl)methyl]-1-methyl-3-pyrrolidiniumyl}-Λ/-[({4-
[(ethyloxy)carbonyl]phenyl}amino)carbonyl]-L-tyrosinamide trifluoroacetate;
(2S)-2-({Λ/-[({4-[(ethyloxy)carbonyl]phenyl}amino)carbonyl]-L-tyrosyl}amino)-5- azoniaspiro[4.5]decane trifluoroacetate;
(3'S)-3'-({/V-[({4-[(ethyloxy)carbonyl]phenyl}amino)carbonyl]-L-tyrosyl}amino)-1 ,3- dihydrospiro[isoindole-2,1 '-pyrrolidine] trifluoroacetate;
/V-((3S)-1-{[3,4-bis(methyloxy)phenyl]methyl}-1-methyl-3-pyrrolidiniumyl)-Λ/-[({4-
[(cyclopropylamino)carbonyl]phenyl}amino)carbonyl]-L-tyrosinamide trifluoroacetate;
Λ/-{(3S)-1-ethyl-1-[(4-fluorophenyl)methyl]-3-pyrrolidiniumyl}-Λ/-[({4-
[(ethyloxy)carbonyl]phenyl}amino)carbonyl]-L-tyrosinamide trifluoroacetate;
Λ/-[({4-[(ethyloxy)carbonyl]phenyl}amino)carbonyl]-Λ/-{(3S)-1-[(4- fluorophenyl)methyl]-1-propyl-3-pyrrolidiniumyl}-L-tyrosinamide trifluoroacetate; Λ/-[({4-[(ethyloxy)carbonyl]phenyl}amino)carbonyl]-Λ/-[(3S)-1-[(4- fluorophenyl)methyl]-1-(2-propen-1-yl)-3-pyrrolidiniumyl]-L-tyrosinamide trifluoroacetate;
Λ/-[(3S)-1 -(1 ,3-benzodioxol-5-ylmethyl)-1 -methyl-3-pyrrolidiniumyl]-Λ/-{[(4- butanoylphenyl)amino]carbonyl}-L-tyrosinamide trifluoroacetate; Λ/-[(2S)-5-azoniaspiro[4.4]non-2-yl]-Λ/-[({4-
[(ethyloxy)carbonyl]phenyl}amino)carbonyl]-L-tyrosinamide trifluoroacetate;
(2S)-2-({Λ/-[({4-[(ethyloxy)carbonyl]phenyl}amino)carbonyl]-L-tyrosyl}amino)-5- azoniaspiro[4.6]undecane trifluoroacetate;
Λ/-[(3S)-1 -(1 ,3-benzodioxol-5-ylmethyl)-1 -methyl-3-piperidiniumyl]-/V-{[(4-{[(1 - methylethyOaminolcarbonylJphenylJaminoJcarbonylJ-L-tyrosinamide trifluoroacetate;
/V-[(3S)-1 -(1 ,3-benzodioxol-5-ylmethyl)-1 -methyl-3-piperidiniumyl]-/V-[({4- [(methyloxy)carbonyl]phenyl}amino)carbonyl]-L-tyrosinamide trifluoroacetate;
Λ/-[(3S)-1 -(1 ,3-benzodioxol-5-ylmethyl)-1 -methyl-3-piperidiniumyl]-/V-[({4-
[(ethyloxy)carbonyl]phenyl}amino)carbonyl]-L-tyrosinamide trifluoroacetate;
Λ/-[(3S)-1 -(1 ,3-benzodioxol-5-ylmethyl)-1 -methyl-3-piperidiniumyl]-Λ/-{[(4-{[(1 - methylethyl)oxy]carbonyl}phenyl)amino]carbonyl}-L-tyrosinamide trifluoroacetate; Λ/-[(3S)-1 -(1 ,3-benzodioxol-5-ylmethyl)-1 -methyl-3-piperidiniumyl]-Λ/-[({4-
[(propyloxy)carbonyl]phenyl}amino)carbonyl]-L-tyrosinamide trifluoroacetate;
Λ/-[(3S)-1 -(1 ,3-benzodioxol-5-ylmethyl)-1 -methyl-3-piperidiniumyl]-Λ/-({[4-(5- methyl-1 ,2,4-oxadiazol-3-yl)phenyl]amino}carbonyl)-L-tyrosinamide trifluoroacetate; Λ/-[(3S)-1 -(1 ,3-benzodioxol-5-ylmethyl)-1 -methyl-3-piperidiniumyl]-/V-({[4-(5-ethyl-
1 ,2,4-oxadiazol-3-yl)phenyl]amino}carbonyl)-L-tyrosinamide trifluoroacetate;
Λ/-[(3S)-1 -(1 ,3-benzodioxol-5-ylmethyl)-1 -methyl-3-piperidiniumyl]-/V-({[4-(3- methyl-1 ,2,4-oxadiazol-5-yl)phenyl]amino}carbonyl)-L-tyrosinamide trifluoroacetate; Λ/-{(3S)-1 -[(4-f luorophenyl)methyl]-1 -methyl-3-piperidiniumyl}-/V-{[(4-{[(1 - methylethyOoxylcarbonylJphenyOaminolcarbonylJ-L-tyrosinamide trifluoroacetate;
Λ/-{(3S)-1 -[(4-hydroxyphenyl)methyl]-1 -methyl-3-piperidiniumyl}-Λ/-{[(4-{[(1 - methylethyl)oxy]carbonyl}phenyl)amino]carbonyl}-L-tyrosinamide trifluoroacetate;
Λ/-{(3S)-1 -[(3-chlorophenyI)methyl]-1 -methyl-3-piperidiniumyl}-Λ/-{[(4-{[(1 - methylethyl)oxy]carbonyl}phenyl)amino]carbonyl}-L-tyrosinamide trifluoroacetate;
N-((3S)-1-{[3,4-bis(methyloxy)phenyl]methyl}-1-methyl-3-piperidiniumyl)-Λ/-{[(4-
{[(i-nnethylethyOoxylcarbonylJphenyOaminolcarbonylJ-L-tyrosinamide trifluoroacetate;
/V-{(3S)-1 -[(3-hydroxyphenyl)methyl]-1 -methyl-3-piperidiniumyl}-Λ/-{[(4-{[(1 - methylethyl)oxy]carbonyl}phenyl)amino]carbonyl}-L-tyrosinamide trifluoroacetate;
/V-{(3S)-1 -[(4-chlorophenyl)methyl]-1 -methyl-3-piperidiniumyl}-Λ/-{[(4-{[(1 - methylethyl)oxy]carbonyl}phenyl)amino]carbonyl}-L-tyrosinamide trifluoroacetate;
Λ/-[(3S)-1 -(cyclopropylmethyl)-i -methyl-3-piperidiniumyl]-/V-{[(4-{[(1 - methylethyl)oxy]carbonyl}phenyl)amino]carbonyl}-L-tyrosinamide trifluoroacetate; Λ/-{(3S)-1 -[(3-hydroxyphenyl)methyl]-1 -methyl-3-piperidiniumyl}-/V-{[(4-{[(1 - methylethyl)amino]carbonyl}phenyl)amino]carbonyl}-L-tyrosinamide trifluoroacetate;
/V-{(3S)-1 -[(3-hydroxyphenyl)methyl]-1 -methyl-3-pyrrolidiniumyl}-/V-{[(4-{[(1 - methylethyl)oxy]carbonyl}phenyl)amino]carbonyl}-L-tyrosinamide trifluoroacetate; Λ/-[(35)-1 -(1 ,3-benzodioxol-5-ylmethyl)-1 -methyl-3-pyrrolidiniumyl]-/V-{[(4-{[(1 - methylethyl)oxy]carbonyl}phenyl)amino]carbonyl}-L-tyrosinamide trifluoroacetate; Λ/-((3S)-1 -{[3,4-bis(methyioxy)phenyl]methyl}-1 -methyl-3-piperidiniumyl)-Λ/-({[4-(5- methyl-1 ,2,4-oxadiazol-3-yl)phenyl]amino}carbonyl)-L-tyrosinamide trifluoroacetate;
Λ/-((3S)-1-{[3,4-bis(methyloxy)phenyl]methyl}-1-methyl-3-piperidiniumyl)-/V-({[4-(5- ethyl-1 ,2,4-oxadiazol-3-yl)phenyI]amino}carbonyl)-L-tyrosinamide trifluoroacetate; Λ/-((3S)-1 -{[3,4-bis(methyloxy)phenyl]methyl}-1 -methyl-3-piperidiniumyl)-/V-({[4-(3- methyl-1 ,2,4-oxadiazol-5-yl)phenyl]amino}carbonyl)-L-tyrosinamide trifluoroacetate;
Λ/-{(3S)-1-[(3-hydroxyphenyl)methyl]-1-methyl-3-piperidiniumyl}-Λ/-({[4-(5-methyl- 1 ,2,4-oxadiazol-3-yl)phenyl]amino}carbonyl)-L-tyrosinamide trifluoroacetate; Λ/-{(3S)-1 -[(3-hydroxyphenyl)methyl]-1 -methyl-3-piperidiniumyl}-/V-({[4-(3-methyl- 1 ,2,4-oxadiazol-5-yl)phenyl]amino}carbonyl)-L-tyrosinamide trifluoroacetate; /V-({[4-(5-ethyl-1 ,2,4-oxadiazol-3-yl)phenyl]amino}carbonyl)-/\/-{(3S)-1-[(3- hydroxyphenyl)methyI]-1-methyl-3-piperidiniumyl}-L-tyrosinamide trifluoroacetate; Λ/-[(3S)-1 ,1 -bis(cyclopropylmethyl)-3-piperidiniumyl]-Λ/-{[(4-{[(1 - methylethyl)oxy]carbonyl}phenyl)amino]carbonyl}-L-tyrosinamide trifluoroacetate; Λ/-[(3S)-1 ,1-bis(cyclopropyImethyl)-3-piperidiniumyl]-Λ/-{[(4-{[(1- methylethyl)amino]carbonyl}phenyl)amino]carbonyl}-L-tyrosinamide trifluoroacetate; (2S)-2-[(Λ/-{[(4-{[(1-methylethyl)oxy]carbonyl}phenyl)amino]carbonyl}-L- tyrosyl)amino]-6-azoniaspiro[5.6]dodecane trifluoroacetate;
Λ/-{(3S)-1 -[(3-hydroxyphenyl)methyl]-1 -propyl-3-piperidiniumyl}-/V-{[(4-{[(1 - methylethyl)oxy]carbonyl}phenyl)amino]carbonyl}-L-tyrosinamide trifluoroacetate;
Λ/-[(3S)-1 -(1 ,3-benzodioxol-5-ylmethyl)-1 -propy!-3-piperidiniumyl]-Λ/-{[(4-{[(1 - methylethyOoxyJcarbonylJphenyOaminolcarbonylJ-L-tyrosinamidθ trifluoroacetate;
/V-((3S)-1-{[3,4-bis(methyloxy)phenyl]methyl}-1-propyl-3-piperidiniumyl)-/\/-{[(4-
{[(1-methylethyl)oxy]carbonyl}phenyl)amino]carbonyl}-L-tyrosinamide trifluoroacetate;
Λ/-{(3S)-1 -[(3-hydroxyphenyl)methyl]-1 -propyl-3-piperidiniumyl}-/V-{[(4-{[(1 - methylethyOaminoJcarbonylJphenyOaminolcarbonylJ-L-tyrosinamide trifluoroacetate;
Λ/-[(3S)-1 -(1 ,3-benzodioxol-5-ylmethyl)-1 -propyl-3-piperidiniumyl]-Λ/-{[(4-{[(1 - methylethyl)amino]carbonyl}phenyl)amino]carbonyl}-L-tyrosinamide trifluoroacetate;
Λ/-((3S)-1-{[3,4-bis(methyloxy)phenyl]methyl}-1-propyl-3-piperidiniumyl)-Λ/-{[(4-
{[(i-methylethyOaminoJcarbonylJphenyOaminoJcarbonylJ-L-tyrosinamide trifluoroacetate; Λ/-[(3S)-1 -[(3-hydroxyphenyl)methyl]-1 -(2-propen-1 -yl)-3-piperidiniumyl]-Λ/-{[(4-
{[(1-methylethyl)oxy]carbonyl}phenyl)amino]carbonyl}-L-tyrosinamide trifluoroacetate;
Λ/-[(3S)-1 -(1 ,3-benzodioxol-5-ylmethyl)-1 -(2-propen-1 -yl)-3-piperidiniumyl]-Λ/-{[(4-
{[(1-methylethyl)oxy]carbonyl}phenyl)amino]carbonyl}-L-tyrosinamide trifluoroacetate;
Λ/-[(3S)-1 -{[3,4-bis(methyloxy)phenyl]methyl}-1 -(2-propen-1 -yl)-3-piperidiniumyl]-
/V-{[(4-{[(1-methylethyl)oxy]carbonyl}phenyl)amino]carbonyl}-L-tyrosinamide trifluoroacetate;
/V-[(3S)-1 -[(3-hydroxyphenyl)methyl]-1 -(2-propen-1 -yl)-3-piperidiniumyl]-/V-{[(4- {[(i-methylethyOaminolcarbonylJphenyOaminolcarbonylJ-L-tyrosinamide trifluoroacetate;
Λ/-[(3S)-1 -(1 ,3-benzodioxol-5-ylmethyl)-1 -(2-propen-1 -yl)-3-piperidiniumyl]-Λ/-{[(4-
{[(1-methylethyl)amino]carbonyl}phenyl)amino]carbonyl}-L-tyrosinamide trifluoroacetate; Λ/-[(3S)-1 -{[3,4-bis(methyloxy)phenyl]methyl}-1 -(2-propen-1 -yl)-3-piperidiniumyl]-
Λ/-{[(4-{[(1-methylethyl)amino]carbonyl}phenyl)amino]carbonyl}-L-tyrosinamide trifluoroacetate;
/V-{(3S)-1 -[(4-hydroxyphenyl)methyl]-1 -propyl-3-piperidiniumyl}-/V-{[(4-{[(1 - methylethyOoxylcarbonylJphenyOaminolcarbonylJ-L-tyrosinamide trifluoroacetate; Λ/-[(3S)-1 -(cyclopropylmethyl)-i -(2-propen-1 -yl)-3-piperidiniumyl]-Λ/-{[(4-{[(1 - methylethyl)oxy]carbonyl}phenyl)amino]carbonyl}-L-tyrosinamide trifluoroacetate; /V-[(3S)-1 -(cyclopropylmethyl)-i -(2-propen-1 -yl)-3-piperidiniumyl]-Λ/-{[(4-{[(1 - methylethyl)amino]carbonyl}phenyl)amino]carbonyl}-L-tyrosinamide trifluoroacetate;
/V-[(3S)-1 -(cyclopropylmethyl)-i -propyl-3-piperidiniumyl]-Λ/-{[(4-{[(1 - mθthyiθthyQaminoJcarbonylJphenyOaminoJcarbonylJ-L-tyrosinamidθ trifluoroacetate;
/V-[(3S)-1 -(cyclopropylmethyl)-i -propyl-3-piperidiniumyl]-/V-{[(4-{[(1 - methylethyl)oxy]carbonyl}phenyl)amino]carbonyl}-L-tyrosinamide trifluoroacetate; Λ/-((3S)-1-{[3,4-bis(methyloxy)phenyl]methyl}-1-methyl-3-piperidiniumyl)-Λ/-{[(4- {[(i -methylethyOaminoJcarbonylJphenyOaminolcarbonylJ-L-tyrosinamide trifluoroacetate;
/V-{(3S)-1 -[(3-chlorophenyl)methyl]-1 -methyl-3-piperidiniumyl}-Λ/-{[(4-{[(1 - methylethyOaminoJcarbonylJphenyOaminojcarbonylJ-L-tyrosinamide trifluoroacetate;
Λ/-{(3S)-1 -[(4-hydroxyphenyl)methyl]-1 -methyl-3-piperidiniumyl}-Λ/-{[(4-{[(1 - methylethyl)amino]carbonyl}phenyl)amino]carbonyl}-L-tyrosinamide trifluoroacetate;
Λ/-{(3S)-1 -[(4-fluorophenyl)methyl]-1 -methyl-3-piperidiniumyl}-Λ/-{[(4-{[(1 - methylethyl)amino]carbonyl}phenyl)amino]carbonyl}-L-tyrosinamide trifluoroacetate; Λ/-[(3S)-1 -(1 ,3-benzodioxol-5-ylmethyl)-1 -methyi-3-pyrrolidiniumyl]-Λ/-({[4-(5- methyl-1 ,2,4-oxadiazol-3-yl)phenyl]amino}carbonyI)-L-tyrosinamide trifluoroacetate;
/V-[(3S)-1 -(1 ,3-benzodioxol-5-ylmethyl)-1 -methyl-3-pyrrolidiniumyl]-Λ/-({[4-(3- methyl-1 ,2,4-oxadiazol-5-yl)phenyl]amino}carbonyi)-L-tyrosinamide trifluoroacetate;
/V-{(3S)-1-[(3-hydroxyphenyi)methyl]-1-methyl-3-pyrrolidiniumyl}-Λ/-({[4-(5-methyl- 1 ,2,4-oxadiazol-3-yl)phenyl]amino}carbonyl)-L-tyrosinamide trifluoroacetate;
/V-{(3S)-1-[(3-hydroxyphθnyl)methyl]-1-methyl-3ψyrrolidiniumyl}-/V-({[4-(3-methyl- i ^^-oxadiazol-δ-yOphenyOaminoJcarbonyO-L-tyrosinamidθ trifluoroacetate; Λ/-[({4-[(θthyloxy)carbonyl]phenyl}amino)carbonyl]-/V-{(3S)-1-[(4- fluorophenyl)methyl]-1-methyl-3-piperidiniunnyl}-L-tyrosinamide trifluoroacetate; Λ/-{(3S)-1 -[(3-chlorophenyl)methyl]-1 -methyl-3-piperidiniumyl}-/V-[({4-
[(ethyloxy)carbonyl]phenyl}amino)carbonyl]-L-tyrosinamide trifluoroacetate; A/-((3S)-1-{[3,4-bis(methyloxy)phenyl]methyl}-1 -methyl-3-piperidiniumyl)-/V-[({4- [(ethyloxy)carbonyl]phenyl}amino)carbonyl]-L-tyrosinamide trifluoroacetate; Λ/-[({4-[(ethyloxy)carbonyl]phenyl}amino)carbonyl]-N-{(3S)-1-[(3- hydroxyphenyl)methyl]-1-methyl-3-piperidiniumyl}-L-tyrosinamide trifluoroacetate; /V-[(35)-1-(cyclopropylmethyl)-1-methyl-3-piperidiniumyl]-/V-[({4- [(ethyloxy)carbonyl]phenyl}amino)carbonyl]-L-tyrosinamide trifluoroacetate; /V-[({3,5-bis[(ethyloxy)carbonyl]-4-methyl-2-thienyl}amino)carbonyl]-Λ/-{(3S)-1-[(3- hydroxyphenyl)methyl]-1-methyl-3-piperidiniumyl}-L-tyrosinamide trifluoroacetate; Λ/-[({3,5-bis[(ethyloxy)carbonyl]-4-methyl-2-thienyl}amino)carbonyl]-Λ/-{(3S)-1-[(3- chloryphenyOmethyπ-i-methyl-S-piperidiniumylJ-L-tyrosinamide trifluoroacetate; Λ/-[({3,5-bis[(ethyloxy)carbonyl]-4-methyl-2-thienyl}annino)carbonyl]-Λ/-{(3S)-1-[(4- chloryphenyOmethyll-i-methyl-S-piperidiniumylJ-L-tyrosinamide trifluoroacetate; Λ/-[({5-[(ethyloxy)carbonyl]-2-thienyl}amino)carbonyl]-Λ/-{(3S)-1-[(3- hydroxyphenyl)methyl]-1 -methyl-3-piperidiniumyl}-L-tyrosinamide trifluoroacetate; /V-[({5-[(ethyloxy)carbonyl]-2-thienyl}amino)carbonyl]-Λ/-{(3S)-1-[(3- chlorophenyl)methyl]-1-methyl-3-piperidiniumyl}-L-tyrosinamide trifluoroacetate; /V-[({5-[(ethyloxy)carbonyl]-2-thienyl}amino)carbonyl]-Λ/-{(3S)-1-[(4- chlorophenyl)methyl]-1-methyl-3-piperidiniumyl}-L-tyrosinamide trifluoroacetate; Λ/-{(3S)-1 -[(3-hydroxyphenyl)methyl]-1 -methyl-3-piperidiniumyl}-Λ/-{[(5-{[(1 - methylethyl)oxy]carbonyl}-2-thienyl)amino]carbonyl}-L-tyrosinamide trifluoroacetate;
Λ/-{(3S)-1 -[(3-chlorophenyl)methyl]-1 -methyl-3-piperidiniumyl}-/V-{[(5-{[(1 - methylethyl)oxy]carbonyl}-2-thienyl)amino]carbonyl}-L-tyrosinamide trifluoroacetate;
Λ/-{(3S)-1 -[(4-chlorophenyl)methyl]-1 -methyl-3-piperidiniumyl}-Λ/-{[(5-{[(1 - methylethyl)oxy]carbonyl}-2-thienyl)amino]carbonyl}-L-tyrosinamide trifluoroacetate;
Λ/-[({5-[(cyclobutyloxy)carbonyl]-2-thiθnyl}amino)carbonyl]-Λ/-{(3S)-1-[(3- hydroxyphenyl)methyl]-1-methyl-3-piperidiniumyl}-L-tyrosinamide trifluoroacetate; Λ/-[({5-[(cyclobutyloxy)carbonyl]-2-thiθnyl}amino)carbonyl]-Λ/-{(3S)-1-[(3- chlorophenyl)methyl]-1-methyl-3-piperidiniumyl}-L-tyrosinamide trifluoroacetate; Λ/-[({5-[(cyclobutyloxy)carbonyl]-2-thienyl}amino)carbonyl]-Λ/-{(3S)-1-[(4- chlorophenyl)methyl]-1 -methyl-3-piperidiniumyl}-L-tyrosinamide trifluoroacetate; Λ/-{[(5-{[(cyclopropylmethyl)oxy]carbonyl}-2-thienyl)amino]carbonyl}-Λ/-{(3S)-1-[(3- hydroxyphenyl)methyl]-1-methyl-3-piperidiniumyl}-L-tyrosinamide trifluoroacetate; /V-{(3S)-1-[(3-hydroxyphenyl)methyl]-1-methyl-3-piperidiniumyl}-Λ/-{[(5- {[(phenylmethyl)oxy]carbonyl}-2-thienyl)amino]carbonyl}-L-tyrosinamide trifluoroacetate;
Λ/-{(3S)-1-[(3-chlorophenyl)methyl]-1-methyl-3-piperidiniumyi}-/V-{[(5- {[(phenylmethyl)oxy]carbonyl}-2-thienyl)amino]carbonyl}-L-tyrosinamide trifluoroacetate; Λ/-{(3S)-1 -[(4-chlorophenyl)methyl]-1 -methyl-3-piperidiniumyl}-Λ/-{[(5- {[(phenylmethyl;)oxy]carbonyl}-2-thienyl)amino]carbonyl}-L-tyrosinamide trifluoroacetate;
Λ/-{(3S)-1-[(3-hydroxyphenyl)methyl]-1-methyl-3-piperidiniumyl}-Λ/-[({5- [(propyloxy)carbonyl]-2-thienyl}amino)carbonyl]-L-tyrosinamide trifluoroacetate; Λ/-{(3S)-1 -[(3-chlorophenyl)methyl]-1 -methyl-3-piperidiniumyl}-Λ/-[({5-
[(propyloxy)carbonyl]-2-thienyl}amino)carbonyl]-L-tyrosinamide trifluoroacetate; /V-{(3S)-1-[(4-chlorophenyl)methyl]-1-methyl-3-piperidiniumyl}-/V-[({5- [(propyloxy)carbonyl]-2-thienyl}amino)carbonyl]-L-tyrosinamide trifluoroacetate; Λ/-[({5-[(cyclopentylamino)carbonyl]-2-thienyl}amino)carbonyl]-Λ/-{(3S)-1-[(3- hydroxyphenyl)methyl]-1 -methyl-3-piperidiniumyl}-L-tyrosinamide trifluoroacetate; Λ/-[({5-[(cyclopentylamino)carbonyl]-2-thienyl}amino)carbonyl]-Λ/-{(3S)-1-[(3- chlorophenyl)methyl]-1-methyl-3-piperidiniumyl}-L-tyrosinamide trifluoroacetate; /V-[({5-[(cyclopentylamino)carbonyl]-2-thienyl}amino)carbonyl]-/V-{(3S)-1-[(4- chlorophenyl)methyl]-1-methyl-3-piperidiniumy]}-L-tyrosinamide trifluoroacetate; Λ/-[({5-[(cycloheptylamino)carbonyl]-2-thienyl}amino)carbonyl]-/V-{(3S)-1-[(3- hydroxyphenyl)methyl]-1-methyl-3-piperidiniumyl}-L-tyrosinamide trifluoroacetate; Λ/-[({5-[(cycloheptylamino)carbonyl]-2-thienyl}amino)carbonyl]-Λ/-{(3S)-1-[(3- chlorophenyl)methyl]-1-methyl-3-piperidiniumyl}-L-tyrosinamide trifluoroacetate;
Λ/-[({5-[(cycloheptylamino)carbonyl]-2-thienyl}amino)carbonyl]-Λ/-{(3S)-1-[(4- chlorophenyOmethylJ-i-methyl-S-piperidiniumylJ-L-tyrosinamide trifluoroacetate; Λ/-{[(5-{[(cyclohθxylmethyl)amino]carbonyl}-2-thienyl)amino]carbonyl}-Λ/-{(3S)-1- [(3-hydroxyphenyl)methyl]-1-methyl-3-piperidiniumyI}-L-tyrosinamide trifluoroacetate;
Λ/-{[(5-{[(cyclohθxylmethyl)amino]carbonyl}-2-thienyl)amino]carbonyl}-Λ/-{(3S)-1- [(3-chlorophenyl)methyl]-1-methyl-3-piperidiniumyl}-L-tyrosinamide trifluoroacetate;
Λ/-{(3S)-1 ,1-bis[(3-chlorophenyl)methyl]-3-piperidiniumyl}-/V-[({5- [(ethyloxy)carbonyl]-2-thienyl}amino)carbonyl]-L-tyrosinamide trifluoroacetate; and /V-[({5-[(ethyloxy)carbonyl]-2-thienyl}amino)carbonyl]-Λ/-{(3S)-1-[(3- hydroxyphenyl)methyl]-1-methyl-3-piperidiniumyl}-L-tyrosinamide trifluoroacetate; or any other pharmaceutically acceptable salt.
The most preferred compounds are selected from the group consisting of:
/V-[(3S)-1 -(1 ,3-benzodioxol-5-ylmethyl)-1 -methyl-3-piperidiniumyl]-Λ/-{[(4-{[(1 - methyIethyl)amino]carbonyl}phenyl)amino]carbonyl}-L-tyrosinamide trifluoroacetate; Λ/-[(3S)-1 -(1 ,3-benzodioxol-5-ylmethyl)-1 -methyl-3-piperidiniumyl]-/V-[({4- [(ethyIoxy)carbonyl]phenyl}amino)carbonyl]-L-tyrosinamide trifluoroacetate; Λ/-[(3S)-1 -(1 ,3-benzodioxol-5-ylmethyl)-1 -methyl-3-piperidiniumyl]-Λ/-{[(4-{[(1 - methylethyl)oxy]carbonyl}phenyl)amino]carbonyl}-L-tyrosinamide trifluoroacetate; Λ/-[(3S)-1 -(1 ,3-benzodioxol-5-ylmethyI)-1 -methyl-3-piperidiniumyl]-Λ/-[({4- [(propyloxy)carbonyl]phenyl}amino)carbonyl]-L-tyrosinamide trifluoroacetate; /V-[(3S)-1 -(1 ,3-benzodioxol-5-ylmethyl)-1 -methyl-3-piperidiniumyl]-Λ/-({[4-(5- methyl-1 ,2,4-oxadiazol-3-yl)phenyl]amino}carbonyl)-L-tyrosinamide trifluoroacetate;
Λ/-[(3S)-1 -(1 ,3-benzodioxol-5-ylmethyl)-1 -methyl-3-piperidiniumyl]-Λ/-({[4-(3- methyl-1 ,2,4-oxadiazol-5-yl)phenyl]amino}carbonyl)-L-tyrosinamide trifluoroacetate;
Λ/-{(3S)-1 -[(4-fluorophenyl)methyl]-1 -methyl-3-piperidiniumyl}-Λ/-{[(4-{[(1 - methylethyl)oxy]carbonyl}phenyl)amino]carbonyl}-L-tyrosinamide trifluoroacetate;
Λ/-{(3S)-1 -[(4-hydroxyphenyl)methyl]-1 -methyl-3-piperidiniumyl}-Λ/-{[(4-{[(1 - methylθthyOoxyJcarbonylJphenyOaminolcarbonylJ-L-tyrosinamide trifluoroacetate;
Λ/-{(3S)-1 -[(3-chlorophenyl)methyl]-1 -methyl-3-piperidiniumyl}-Λ/-{[(4-{[(1 - methylethyl)oxy]carbonyl}phenyl)amino]carbonyl}-L-tyrosinamide trifluoroacetate; Λ/-((3S)-1 -{[3,4-bis(methyloxy)phenyl]methyl}-1 -methyl-3-piperidiniumyl)-Λ/-{[(4-
{[(1-methylethyl)oxy]carbonyl}phenyl)amino]carbonyl}-L-tyrosinamide trifluoroacetate;
/V-{(3S)-1 -[(3-hydroxyphenyl)methyl]-1 -methyl-3-piperidiniumyl}-/V-{[(4-{[(1 - methylethyl)oxy]carbonyl}phenyl)amino]carbonyl}-L-tyrosinamide trifluoroacetate; Λ/-{(3S)-1 -[(4-chlorophenyl)methyl]-1 -methyl-3-piperidiniumyl}-Λ/-{[(4-{[(1 - methylethyl)oxy]carbonyl}phenyl)amino]carbonyl}-L-tyrosinamide trifluoroacetate;
Λ/-[(3S)-1-(cyclopropylmethyl)-1-methyl-3-piperidiniumyl]-Λ/-{[(4-{[(1- methylethyl)oxy]carbonyl}phenyl)amino]carbonyl}-L-tyrosinamide trifluoroacetate;
Λ/-{(3S)-1 -[(3-hydroxyphenyl)methyl]-1 -methyl-3-piperidiniumyl}-Λ/-{[(4-{[(1 - methylethyOaminolcarbonylJpheny^aminojcarbonylJ-L-tyrosinamide trifluoroacetate;
Λ/-{(3S)-1 -[(3-hydroxyphenyl)methyl]-1 -methyl-3-pyrrolidiniumyl}-Λ/-{[(4-{[(1 - methylethyl)oxy]carbonyl}phenyl)amino]carbonyl}-L-tyrosinamide trifluoroacetate;
/V-[(3S)-1 -(1 ,3-benzodioxol-5-ylmethyl)-1 -methyl-3-pyrrolidiniumyl]-Λ/-{[(4-{[(1 - methylethyl)oxy]carbonyl}phenyl)amino]carbonyl}-L-tyrosinamide trifluoroacetate;
/V-((3S)-1-{[3,4-bis(methyloxy)phenyl]methyl}-1-methyl-3-piperidiniumyl)-Λ/-({[4-(5- methyl-1 ,2,4-oxadiazol-3-yl)phenyl]amino}carbonyl)-L-tyrosinamide trifluoroacetate;
Λ/-((3S)-1-{[3,4-bis(methyloxy)phenyl]methyl}-1-methyl-3-piperidiniumyl)-/V-({[4-(3- methyl-1 ,2,4-oxadiazol-5-yl)phenyl]amino}carbonyl)-L-tyrosinamide trifluoroacetate;
N-{(3S)-1-[(3-hydroxyphenyl)methyl]-1-methyl-3-piperidiniumyl}-Λ/-({[4-(5-methyl-
1 ,2,4-oxadiazol-3-yl)phenyl]amino}carbonyl)-L-tyrosinamide trifluoroacetate;
N-{(3S)-1-[(3-hydroxyphenyl)methyl]-1-methyl-3-piperidiniumyl}-Λ/-({[4-(3-methyl- 1 ,2,4-oxadiazol-5-yl)phenyl]amino}carbonyl)-L-tyrosinamide trifluoroacetate;
Λ/-({[4-(5-ethyl-1 ,2,4-oxadiazol-3-yl)phenyl]amino}carbonyl)-N-{(3S)-1-[(3- hydroxyphenyl)methyl]-1-methyl-3-piperidiniumyl}-L-tyrosinamide trifluoroacetate;
Λ/-[(3S)-1 ,1-bis(cyclopropylmethyl)-3-piperidiniumyl]-Λ/-{[(4-{[(1- methylethyl)oxy]carbonyl}phenyl)amino]carbonyl}-L-tyrosinamide trifluoroacetate;
Λ/-[(3S)-1 ,1 -bis(cyclopropylmethyl)-3-piperidiniumyl]-Λ/-{[(4-{[(1 - methylethyOaminoJcarbonylJphenyOaminoJcarbonylJ-L-tyrosinamide trifluoroacetate;
(2S)-2-[(Λ/-{[(4-{[(1-methylethyl)oxy]carbonyl}phenyl)amino]carbonyl}-L- tyrosyl)amino]-6-azoniaspiro[5.6]dodecane trifluoroacetate;
Λ/-{(3S)-1 -[(3-hydroxyphenyl)methyl]-1 -propyl-3-piperidiniumyl}-Λ/-{[(4-{[(1 - methylethyl)oxy]carbonyl}phenyl)amino]carbonyl}-L-tyrosinamide trifluoroacetate; Λ/-[(3S)-1 -(1 ,3-benzodioxol-5-ylmethyl)-1 -propyl-3-piperidiniumyl]-Λ/-{[(4-{[(1 - methylethyl)oxy]carbonyl}phenyl)amino]carbonyl}-L-tyrosinamide trifluoroacetate;
Λ/-((3S)-1-{[3,4-bis(methyloxy)phenyl]methyl}-1-propyl-3-piperidiniumyl)-Λ/-{[(4-
{[(1-methylethyl)oxy]carbonyl}phenyl)amino]carbonyl}-L-tyrosinamide trifluoroacetate; Λ/-{(3S)-1 -[(3-hydroxyphenyl)methyl]-1 -propyl-3-piperidiniumyl}-Λ/-{[(4-{[(1 - methylethyl)amino]carbonyl}phenyl)amino]carbonyl}-L-tyrosinamide trifluoroacetate;
/V-[(3S)-1 -(1 ,3-benzodioxol-5-ylmethyl)-1 -propyl-3-piperidiniumyl]-Λ/-{[(4-{[(1 - methylethyl)amino]carbonyl}phenyl)amino]carbonyl}-L-tyrosinamide trifluoroacetate;
/V-((3S)-1-{[3,4-bis(methyloxy)phenyl]methyl}-1-propyl-3-piperidiniumyl)-Λ/-{[(4-
{[(1-methylethyl)amino]carbonyl}phenyl)amino]carbonyl}-L-tyrosinamide trifluoroacetate;
/V-[(3S)-1 -[(3-hydroxyphenyl)methyl]-1 -(2-propen-1 -yl)-3-piperidiniumyl]-Λ/-{[(4- {[(1-methylethyl)oxy]carbonyl}phenyl)amino]carbonyl}-L-tyrosinamide trifluoroacetate;
Λ/-[(3S)-1 -(1 ,3-benzodioxol-5-ylmethyl)-1 -(2-propen-1 -yl)-3-piperidiniumyl]-Λ/-{[(4-
{[(1-methylethyl)oxy]carbonyl}phenyl)amino]carbonyl}-L-tyrosinamide trifluoroacetate; Λ/-[(3S)-1 -{[3,4-bis(methyloxy)phenyl]methyl}-1 -(2-propen-1 -yl)-3-piperidiniumyl]-
Λ/-{[(4-{[(1-methylethyl)oxy]carbonyI}phenyl)amino]carbonyl}-L-tyrosinamide trifluoroacetate;
Λ/-[(3S)-1 -[(3-hydroxyphenyl)methyl]-1 -(2-propen-1 -yl)-3-piperidiniumyl]-/V-{[(4-
{[(i-methylethyOamino^arbonylJphenyOaminoJcarbonylJ-L-tyrosinamicle trifluoroacetate;
/V-[(3S)-1 -(1 ,3-benzodioxol-5-ylmethyl)-1 -(2-propen-1 -yl)-3-piperidiniumyl]-Λ/-{[(4- {[(i -methylethyOaminoJcarbonylJphenyOaminoJcarbonylJ-L-tyrosinamide trifluoroacetate;
Λ/-[(3S)-1 -{[3,4-bis(methyloxy)phenyl]methyl}-1 -(2-propen-1 -yl)-3-piperidiniumyl]-
/V-{[(4-{[(1-methylethyl)amino]carbonyl}phenyl)amino]carbonyl}-L-tyrosinamide trifluoroacetate; Λ/-{(3S)-1 -[(4-hydroxyphenyl)methyl]-1 -propyl-3-piperidiniumyl}-Λ/-{[(4-{[(1 - methylethyl)oxy]carbonyl}phenyl)amino]carbonyl}-L-tyrosinamide trifluoroacetate;
Λ/-((3S)-14[3,4-bis(methyloxy)phenyl]methyl}-1-methyl-3-piperidiniumyl)-Λ/-{[(4-
{[(1-rnethylethyl)amino]carbonyl}phenyl)amino]carbonyl}-L-tyrosinamide trifluoroacetate; Λ/-{(3S)-1 -[(3-chlorophenyl)methyl]-1 -methyl-3-piperidiniumyl}-Λ/-{[(4-{[(1 - methylethyl)amino]carbonyl}phenyl)amino]carbonyl}-L-tyrosinamide trifluoroacetate;
Λ/-{(3S)-1 -[(4-hydroxyphenyl)methyl]-1 -methyl-3-piperidiniumyl}-Λ/-{[(4-{[(1 - methylethyl)amino]carbonyl}phenyl)amino]carbonyl}-L-tyrosinamide trifluoroacetate;
Λ/-{(3S)-1 -[(4-fluorophenyl)methyl]-1 -methyl-3-piperidiniumyl}-Λ/-{[(4-{[(1 - methylethyl)amino]carbonyl}phenyl)amino]carbonyl}-L-tyrosinamide trifluoroacetate;
Λ/-[({4-[(ethyloxy)carbonyl]phenyl}amino)carbonyl]-Λ/-{(3S)-1-[(4- fluorophenyl)methyl]-1 -methyl-3-piperidiniumyl}-L-tyrosinamide trifluoroacetate;
Λ/-{(3S)-1 -[(3-chlorophenyl)methyl]-1 -methyl-3-piperidiniumyl}-Λ/-[({4-
[(ethyloxy)carbonyl]phenyl}amino)carbonyl]-L-tyrosinamide trifluoroacetate;
Λ/-((3S)-1-{[3,4-bis(methyloxy)phenyl]methyl}-1-methyl-3-piperidiniumyl)-Λ/-[({4-
[(ethyloxy)carbonyl]phenyl}amino)carbonyl]-L-tyrosinamide trifluoroacetate; Λ/-[({4-[(ethyloxy)carbonyl]phenyl}amino)carbonyl]-Λ/-{(3S)-1-[(3- hydroxyphenyl)methyl]-1-methyl-3-piperidiniumyl}-L-tyrosinamide trifluoroacetate;
Λ/-[(3S)-1-(cycIopropylmethyl)-1-methyl-3-piperidiniumyl]-Λ/-[({4-
[(ethyloxy)carbonyl]phenyl}amino)carbonyl]-L-tyrosinamide trifluoroacetate;
^{(SSJ-i-tCS-hydroxylphenyOmθthyll-i-methyl-S-piperidiniumylJ-N-t^δ-
[(cyclohexyloxy)carbonyl]-2-thienyl}amino)carbonyl]-L-tyrosinamide trifluoroacetate; iV-{(3S)-1-[(3-chlorophenyl)methyl]-1-methyl-3-piperidiniumyl}-N-[({5- [(cyclohexyloxy)carbonyl]-2-thienyl}amino)carbonyl]-L-tyrosinamide trifluoroacetate;
/V-{(3S)-1-[(4-chlorophenyl)methyl]-1-methyl-3-piperidiniumyl}-N-[({5-
[(cyclohexyloxy)carbonyl]-2-thienyl}amino)carbonyl]-L-tyrosinamide trifluoroacetate; Λ/-[({5-[(cyclopentyloxy)carbonyl]-2-thienyl}amino)carbonyl]-Λ/-{(3S)-1-[(3- hydroxyphenyl)methyl]-1-methyl-3-piperidiniumyl}-L-tyrosinamide trifluoroacetate;
Λ/-[({5-[(cyclopentyloxy)carbonyl]-2-thienyl}amino)carbonyl]-Λ/-{(3S)-1-[(3- chlorophenyl)methyl]-1-methyl-3-piperidiniumyl}-L-tyrosinamide trifluoroacetate;
Λ/-[({5-[(cyclopentyloxy)carbonyl]-2-thienyl}amino)carbonyl]-Λ/-{(3S)-1-[(4- chlorophenyl)methyl]-1 -methyl-3-piperidiniumylJ-L-tyrosinamide trifluoroacetate;
/V-{[(5-{[(cycIohexyImethyI)oxy]carbonyl}-2-thienyl)amino]carbonyl}-Λ/-{(3S)-1-[(3- hydroxyphenyl)methyl]-1-methyl-3-piperidiniumyl}-L-tyrosinamide }-L-tyrosinamide trifluoroacetate;
Λ/-[({5-[(cycloheptyloxy)carbonyl]-2-thienyl}amino)carbonyl]-Λ/-{(3S)-1-[(3- hydroxyphenyl)methyl]-1 -methyl-3-piperidiniumyl}-L-tyrosinamide trifluoroacetate;
Λ/-[({5-[(cycloheptyloxy)carbonyl]-2-thienyl}amino)carbonyl]-Λ/-{(3S)-1-[(3- chlorophenyl)methyl]-1-methyl-3-piperidiniumyl}-L-tyrosinamide trifluoroacetate; andtrifluoroacetate;
Λ/-{[(5-{[(cyclohexylmethyl)oxy]carbonyl}-2-thienyl)amino]carbonyl}-Λ/-{(3S)-1-[(3- chlorophenyl)methyl]-1 -methyl-3-piperidiniumyl}-L-tyrosinamide trifluoroacetate;
Λ/-{[(5-{[(cyclohexylmethyl)oxy]carbonyl}-2-thienyl)amino]carbonyl}-/V-{(3S)-1-[(4- chlorophenyl)methyl]-1-methyl-3-piperidiniumyl}-L-tyrosinamide trifluoroacetate;
Λ/-{[(5-{[(cyclopentylmethyl)oxy]carbonyl}-2-thienyl)amino]carbonyl}-Λ/-{(3S)-1-[(3- hydroxyphenyl)methyl]-1-methyl-3-piperidiniumyl}-L-tyrosinamide trifluoroacetate; Λ/-{[(5-{[(cyclopentylmethyl)oxy]carbonyl}-2-thienyl)amino]carbonyl}-Λ/-{(3S)-1-[(3- chlorophenyl)methyl]-1-methyl-3-piperidiniumyl}-L-tyrosinamide trifluoroacetate;
/V-{[(5-{[(cyclopentylmethyl)oxy]carbonyl}-2-thienyl)amino]carbonyl}-/V-{(3S)-1-[(4- chlorophenyOmethylJ-i-methyl-S-piperidiniumylJ-L-tyrosinamide trifluoroacetate; and
Λ/-[({5-[(cycloheptyIoxy)carbonyl]-2-thienyl}amino)carbonyl]-Λ/-{(3S)-1-[(4- chlorophenyl)methyl]-1 -mθthyl-3-piperidiniumyl}-L-tyrosinamide trifluoroacetate; or any other pharmaceutically acceptable salt.
Methods of Preparation
Preparation The compounds of Formula (I) may be obtained by applying synthetic procedures, some of which are illustrated in the Schemes below. The synthesis provided for these Schemes is applicable for producing compounds of Formula (I) having a variety of different R1 , R2, R3, R4, R5 and R6, which are reacted, employing substituents which are suitable protected, to achieve compatibility with the reactions outlined herein. Subsequent deprotection, in those cases, then affords compounds of the nature generally disclosed. While some Schemes are shown with specific compounds, this is merely for illustration purpose only.
Preparation 1 Resin-bound amines 3 were prepared by reductive alkylation of 2,6- dimethoxy-4-polystyrenebenzyloxy-benzaldehyde (DMHB resin) with N-protected diamine HCI salts 2, which were prepared from Boc-protected diamines 1 (Scheme 1). Reactions of 3 with Fmoc-protected amino acids, followed by removal of the protecting group, provided resin-bound intermediates 4. Reactions of 4 with isocyanates afforded the corresponding resin-bound ureas, which were subsequently treated with potassium carbonate and thiophenol to give secondary amines 5. Reductive alkylation of 5 with aldehydes produced resin-bound tertiary amines 6. Amines 6 were then reacted with alkyl halides (R3Z) to give the corresponding resin-bound quaternary ammonium salts, which were treated with 50% trifluoroacetic acid in 1 ,2-dichloroethane to afford targeted compounds 7.
Scheme 1
Conditions: a) 2-nitrobenzenesulfonyl chloride (Nosyl-CI), pyridine, CH2CI2, O °C
- rt; b) 4 M HCI in1 ,4-dioxane, MeOH, rt; c) 2,6-dimethoxy-4- polystyrenebenzyloxy-benzaldehyde (DMHB resin), Na(OAc)3BH, diisopropylethylamine, 10% acetic acid in 1-methyl-2-pyrrolidinone, rt; d) Fmoc- protected amino acids, 1 ,3-diisopropylcarbodiimide, 1-hydroxy-7- azabenzotriazole, 1-methyl-2-pyrrolidinone, rt; e) 20% piperidine in 1-methyl-2- pyrrolidinone, rt; f) Ethyl 4-isocyanatobenzoate, 1 ,2-dichloroethane, rt; g) K2CO3,
PhSH, 1-methyl-2-pyrrolidinone, rt; h) R2CHO, Na(OAc)3BH, 10% acetic acid in
1-methyl-2-pyrrolidinone, rt; i) R3Z, acetonitrile, rt; j) 50% trifluoroacetic acid in 1 ,2-dichloroethane, rt.
The following examples are provided as illustrative of the present invention but not limiting in any way:
Example 1
Preparation of ΛH(f44(ethyloxy)carbonvπphenvUamino)carbonvπ-ΛH(3S)-1 - r(4-hvdroxyphenyl)methvπ-1-methyl-3-pyrrolidiniumyl)-L-tyrosinamide trifluoroacetate
a) 3(S)-amino-N-(2-nitrobenzenesulfonyl)pyrrolidine HCI salt
To a solution of 3(S)-(-)-(tørf-butoxycarbonyl-amino)pyrrolidine (20.12 g,
108 mmol) in 250 ml_ of anhydrous methylene chloride at 0 0C was added 13.1 mL (162 mmol) of anhydrous pyridine, followed by slow addition of 25.2 g (113.4 mmol) of 2-nitrobenzenesuIfonyl chloride. The mixture was warmed to rt over 1 h and stirred at rt for 16 h. The mixture was poured into 300 mL of 1 M aqueous NaHCO3 solution. After the resulting mixture was stirred at rt for 30 min, the organic layer was separated and washed with 500 mL of 1 N aqueous HCI solution twice. The resulting organic layer was dried over MgSO4 and concentrated in vacuo. The residue was used for the the next step without further purification. To a mixture of the above residue in 140 mL of anhydrous MeOH was added 136 mL (544 mmol) of 4 M HCI in 1 ,4-dioxane solution. The mixture was stirred at rt for 16 h, concentrated in vacuo and further dried in vaccum oven at 35
0C for 24 h to yield 3(S)-amino-N-(2-nitrobenzenesulfonyl) pyrrolidine HCI salt as a yellow solid (30.5 g, 92% over the two steps): 1 H NMR (400 MHz, d6-DMSO) δ
8.63 (s, 3 H), 8.08-7.98 (m, 2 H), 7.96-7.83 (m, 2 H), 3.88-3.77 (m, 1 H), 3.66-3.56 (m, 2 H), 3.46-3.35 (m, 2 H), 2.28-2.16 (m, 1 H), 2.07-1.96 (m, 1 H).
b) DMHB resin bound O-(1 ,1 -dimethylethyl)-/V-{(3S)-1-[(2-nitrophenyl)suIfonyl]-3- pyrrolidinyl}-L-tyrosinamide
To a mixture of 7.20 g (10.37 mmol, 1.44 mmol/g) of 2,6-dimethoxy-4- polystyrenebenzyloxy-benzaldehyde (DMHB resin) in 156 mL of 10% acetic acid in anhydrous 1-methyl-2-pyrrolidinone was added 9.56 g (31.1 mmol) of example 1a and 9.03 mL (51.84 mmol) of diisopropylethyl amine, followed by addition of 11.0 g (51.84 mmol) of sodium triacetoxyborohydride. After the resulting mixture was shaken at rt for 72 h, the resin was washed with DMF (3 x 250 mL),
CH2Cl2/Mθ0H (1 :1 , 3 x 250 ml_) and MeOH (3 x 250 ml_). The resulting resin was dried in vacuum oven at 35 0C for 24 h. Elemental analysis N: 4.16, S: 3.12.
To a mixture of 800 mg (0.860 mmol, 1.075 mmol/g) of the above resin in 15 mL of anhydrous 1-methyl-2-pyrrolidinone was added 1.98 g (4.30 mmol) of Fmoc-Try(tBu)-OH and 117 mg (0.86 mmol) of 1-hydroxy-7-azabenzotriazole, followed by addition of 0.82 mL (5.16 mmol) of 1 ,3-diisopropylcarbodiimide. After the resulting mixture was shaken at rt for 24 h, the resin was washed with DMF (3 x 25 mL), CH2Cl2/MeOH (1 :1 , 3 x 25 mL) and MeOH (3 x 25 mL). The resulting resin was dried in vacuum oven at 35 0C for 24 h. An analytical amount of resin was cleaved with 50% trifluoroacetic acid in dichloroethane for 2 h at rt. The resulting solution was concentrated in vacuo: MS (ESI) 657 [M+H-tBu]+.
The above resin (0.860 mmol) was treated with 15 mL of 20% piperidine in anhydrous 1-methyl-2-pyrrolidinone solution. After the mixture was shaken at rt for 15 min, the solution was drained and another 15 mL of 20% piperidine in anhydrous 1-methyl-2-pyrrolidinone solution was added. The mixture was shaken at rt for another 15 min. The solution was drained and the resin was washed with DMF (3 x 25 mL), CH2CI2/MeOH (1 :1 , 3 x 25 mL) and MeOH (3 x 25 mL). The resulting resin was dried in vacuum oven at 35 0C for 24 h to afford DHMB resin bound O-(1 ,1 -dimethylethyl)-Λ/-{(3S)-1 -[(2-nitrophenyl)sulfonyl]-3-pyrrolidinyl}-L- tyrosinamide (0.86 mmol). An analytical amount of resin was cleaved with 50% trifluoroacetic acid in dichloroethane for 2 h at rt. The resulting solution was concentrated in vacuo: MS (ESI) 435 [M+H-tBu]+.
c) DMHB resin-bound ethyl 4-{[({(1 S)-1-({4-[(1 ,1-dimethylethyl)oxy]phenyl}methyl)- 2-oxo-2-[(3S)-3-pyrroIidinylamino]ethyl}amino)carbonyl]amino}benzoate
To a mixture of 200 mg (0.192 mmol, 0.959 mmol/g) of the above dry resin 1b in 5 mL of anhydrous 1 ,2-dichloroethane was added 183.4 mg (0.959 mmol) of ethyl 4-isocyanatobenzoate. After the resulting mixture was shaken at rt for 24 h, the resin was washed with DMF (3 x 10 mL), CH2CI2/MeOH (1 :1 , 3 x 10 mL) and MeOH (3 x 10 mL). The resulting resin was dried in vacuum oven at 35 0C for 24 h. An analytical amount of resin was cleaved with 50% trifluoroacetic acid in
dichloroethane for 2 h at rt. The resulting solution was concentrated in vacuo: MS
(ESI) 626 [M+H-tBu]+.
To a mixture of the above dry resin (0.192 mmol) in 6.4 ml_ of 1-methyl-2- pyrrolidinone was added 265 mg (1.92 mmol) of K2CO3 and 0.0985 ml_ (0.96 mmol) of PhSH. After the resulting mixture was shaken at rt for 2 h, the resin was washed with DMF (3 x 10 ml_), H2O (3 x 10 ml_), DMF (3 x 10 mL),
CH2Cl2/MeOH (1 :1 , 3 x 10 mL) and MeOH (3 x 10 mL). The resulting resin was dried in vacuum oven at 35 0C for 24 h to afford DMHB resin-bound ethyl 4- {[({(1 S)-1 -({4-[(1 ,1 -dimethylethyl)oxy]phenyl}methyl)-2-oxo-2-[(3S)-3- pyrrolidinylamino]ethyl}amino)carbonyl]amino}benzoate (0.192 mmol). An analytical amount of resin was cleaved with 50% trifluoroacetic acid in dichloroethane for 2 h at rt. The resulting solution was concentrated in vacuo: MS
(ESI) 441 [M+H-tBu]+.
d) Λ/-[({4-[(ethyloxy)carbonyl]phenyl}amino)carbonyl]-Λ/-{(3S)-1 -[(4- hydroxyphenyl)methyl]-1-methyl-3-pyrrolidiniumyl}-L-tyrosinamide trifluoroacetate
To a mixture of the above dry resin 1c (0.192 mmol) in 6.4 mL of 10% HOAc in anhydrous 1-methyl-2-pyrrolidinone solution was added 234 mg (1.918 mmol) of 4-hydroxybenzaldehyde and 407 mg (1.92 mmol) of sodium triacetoxyborohydride. After the resulting mixture was shaken at rt for 72 h, the resin was washed with DMF (3 x 10 mL), CH2Cl2/MeOH (1 :1 , 3 x 10 ml_) and
MeOH (3 x 10 mL). The resulting resin was dried in vacuum oven at 35 0C for 24 h. An analytical amount of resin was cleaved with 50% trifluoroacetic acid in dichloroethane for 2 h at rt. The resulting solution was concentrated in vacuo: MS (ESI) 547 [M+H-tBu]+.
To a mixture of the above dry resin (0.192 mmol) in 6.4 mL of anhydrous acetonitrile was added 120 μL (1.918 mmol) of iodomethane. After the mixture was shaken at rt for 16 h, the resin was washed with DMF (3 x 10 mL), CH2CI2/MeOH (1 :1 , 3 x 10 mL), MeOH (3 x 10 mL) and CH2CI2 (3x1 OmL). The resulting resin was dried in vacuum oven at 35 0C for 24 h. The dry resin was treated with 4 mL of 50% trifluoroacetic acid in dichloroethane at rt for 2h. After
the cleavage solution was collected, the resin was treated with another 4 ml_ of 50% trifluoroacetic acid in dichloroethane at rt for 10min. The combined cleavage solutions were concentrated in vacuo. The residue was purified using a Gilson semi-preparative HPLC system with a YMC ODS-A (C-18) column 50 mm by 20 mm ID, eluting with 10% B to 90% B in 3.2 min, hold for 1 min where A = H2O
(0.1% trifluoroacetic acid) and B = CH3CN (0.1% trifluoroacetic acid) pumped at
25 mL/min, to produce Λ/-[({4-[(ethyloxy)carbonyl]phenyl}amino)carbonyl]-Λ/-{(3S)- 1-[(4-hydroxyphenyl)methyl]-1-methyl-3-pyrrolidiniumyl}-L-tyrosinamide trifluoroacetate (white powder, 76 mg, 57% over 10 steps): MS (ESI) 561 [M]+.
Proceeding in a similar manner, but replacing 3(S)-(-)-(te/ϊ-butoxycarbonyl- amino)pyrrolidine with the appropriate Boc-protected diamines and/or replacing 4- hydroxybenzaldehyde with the appropriate aldehydes, the compounds listed in Tables 1 - 12 were prepared.
Table 1
Table 2
Table 3
Table 4
Table 5
Table 6
Table 7
Table 8
Table 9
Table 10
Table 11
Table 12
Proceeding in a similar manner as described in example 1 , but replacing Fmoc-Try(tBu)-OH with other Fmoc protected amino acids and/or replacing 4- hydroxybenzaldehyde with the appropriate aldehydes, the compounds listed in Tables 13 - 15 were prepared.
Table 13
Table 14
Table 15
Proceeding in a similar manner as described in example 1 , but replacing 4- hydroxybenzaldehyde with the appropriate aldehydes and replacing iodomethane with other alkyl halides, the compounds listed in Table 16 were prepared.
Table 16
Preparation 2
Resin-bound secondary amines 5 were treated with alkyl dihalides to give the corresponding resin-bound quaternary ammonium salts, which were then cleaved with 50% trifluoroacetic acid in 1 ,2-dichloroethane to afford targeted compounds 8 (Scheme 2).
Scheme 2
Conditions: a) alkyl dihalides, acetonitrile, 500C; b) 50% trifluoroacetic acid in 1 ,2- dichloroethane, rt.
Example 130 Preparation of (2SV2-((/V-r(f4-r(ethyloxy)carbonvπphenyllamino)carbonyll-L- tyrosyl)amino)-5-azoniaspiror4.51decane trifluoroacetate
To 200 mg (0.178 mmol) of resin 1c (DMHB resin-bound ethyl 4-{[({(1 S)-1- ({4-[(1 , 1 -dimethylethyl)oxy]phenyl}methyl)-2-oxo-2-[(3S)-3- pyrrolidinylamino]ethyl}amino)carbonyl]amino}benzoate) was added 5 ml_ (36.7 mmol) of 1 ,5-dibromopentane. The mixture was shaken at 50 0C for overnight. After washing with methylene chloride (5x 6 ml_), the resin was dried in vacuum oven at 35 0C for 24 h. The dry resin was treated with 4 ml_ of 50% trifluoroacetic acid in dichloroethane at rt for 1 h. After the cleavage solution was collected, the resin was treated with another 4 ml_ of 50% trifluoroacetic acid in dichloroethane at rt for 30 min. The combined cleavage solutions were concentrated in vacuo. The residue was purified using a Gilson semi-preparative HPLC system with a YMC ODS-A (C-18) column 50 mm by 20 mm ID, eluting with 10% B to 90% B in 3.2 min, hold for 1 min where A = H2O (0.1% trifluoroacetic acid) and B = CH3CN (0.1 % trifluoroacetic acid) pumped at 25 mLAnin, to produce (2S)-2-({/V-[({4- [(ethyloxy)carbonyl]phenyl}amino)carbonyl]-L-tyrosyl}amino)-5- azoniaspiro[4.5]decane trifluoroacetate as a white powder (45 mg, 49% over 9 steps): MS (ESI) 509 [M]+.
Proceeding in a similar manner as described in example 130, but replacing
1 ,5-dibromopentane with the appropriate alkyl dihalides, the compounds listed in Table 17 were prepared.
Table 17
Preparation 3
Resin-bound amines 3 were prepared in the same way as described in preparation 1. Reactions of 3 with Fmoc-Try(tBu)-OH, followed by removal of the Fmoc protecting group, provided resin-bound intermediates 9. A variety of 4- substituted anilines were reacted with 1 ,1 '-carbonyldiimidazole to give the intermediates which in turn were reacted with 9 to afford the corresponding resin- bound ureas. The ureas were subsequently treated with potassium carbonate and thiophenol to give secondary amines 10. Reductive amination of 10 with appropriate aldehydes produced resin-bound tertiary amines 11. Amines 11 were then reacted with alkyl halides (R3Z) to give the corresponding resin-bound quaternary ammonium salts, which were treated with 50% trifluoroacetic acid in 1 ,2-dichloroethane to afford targeted compounds 12 (Scheme 3).
Scheme 3
Conditions: a) Fmoc-Try(tBu)-OH, 1 ,3-diisopropylcarbodiimide, 1-hydroxy-7- azabenzotriazole, 1 -methyl-2-pyrrolidinone, rt; b) 20% piperidine in 1-methyl-2- pyrrolidinone, rt; c) (R1)PhNH2, 1 ,1 '-carbonyldiimidazole,diisopropyiethylamine, 1 ,2-dichloroethane, rt; d) K2CO3, PhSH, 1 -methyl-2-pyrrolidinone, rt; e) R2CHO,
Na(OAc)3BH, 10% acetic acid in 1-methyl-2-pyrrolidinone, rt; f) R3Z, acetonitrile, rt; g) 50% trifluoroacetic acid in 1 ,2-dichloroethane, rt.
Example 134 Preparation of Λ/-f(3SV1-r(3-cvanophenvπmethvπ-1-methyl-3-
Pyrrolidiniumyl)-/V-r(l4-r(cvclopropylamino)carbonvπphenyll amino^carbonyli-L-tyrosinamide trifluoroacetate
To a mixture of 35 mg (0.2 mmol) of 4-amino-cyclopropylbenzamide in 0.5 ml_ of anhydrous 1 ,2-dichloroethane was added 32 mg (0.2 mmol) of 1 ,1 '- carbonyldiimidazole, followed by an addition of 35 uL (0.2 mmol) of diisopropylethylamine. After the resulting mixture was shaken at rt for 0.5 h, it was pipetted to a mixture of 50 mg (0.04 mmol, 0.8 mmol/g) of example 1b (DMHB resin bound O-(1 ,1-dimethylethyl)-/V-{(3S)-1-[(2-nitrophenyl)sulfonyl]-3- pyrrolidinyl}-L-tyrosinamide) in 1 ,2-dichloroethane (0.5 mL). After the resulting mixture was shaken at rt for 24 h, the resin was washed with CH2CI2 (3 x 1 mL), CH2Cl2/Me0H (1 :1 , 3 x 1 mL), MeOH (3 x 1 mL) and CH2CI2 (3 x 1OmL). The resulting resin was dried in vacuum oven at 35 0C for 24 h. An analytical amount of resin was cleaved with 50% trifluoroacetic acid in dichloroethane for 2 h at rt.
The resulting solution was concentrated in vacuo: MS (ESI) 637 [M+H-tBu]+. To a mixture of the above dry resin (0.04 mmol) in 1 mL of 1 -methyl-2- pyrrolidinone was added 41.5 mg (0.3 mmol) of K2CO3 and 15.4 μL (0.15 mmol) of PhSH. After the resulting mixture was shaken at rt for 2 h, the resin was washed with DMF (3 x 10 mL), H2O (3 x 10 mL), DMF (3 x 10 mL),
CH2CI2/MeOH (1 :1 , 3 x 10 mL) and MeOH (3 x 10 mL). The resulting resin was dried in vacuum oven at 35 0C for 24 h. An analytical amount of resin was cleaved with 50% trifluoroacetic acid in dichloroethane for 2 h at rt. The resulting solution was concentrated in vacuo: MS (ESI) 452 [M+H-tBu]+.
To a mixture of the above dry resin (0.04 mmol) in 1 mL of 10% HOAc in anhydrous 1-methyl-2-pyrrolidinone solution was added 79 mg (0.6 mmol) of 3- cyanobenzaldehyde and 127.2 mg (0.6 mmol) of sodium triacetoxyborohydride.
After the resulting mixture was shaken at rt for 24 h, the resin was washed with
DMF (3 x 10 mL), CH2Cl2/MeOH (1 :1 , 3 x 10 mL) and MeOH (3 x 10 ml_). The resulting resin was dried in vacuum oven at 35 0C for 24 h. An analytical amount of resin was cleaved with 50% trifluoroacetic acid in dichloroethane for 2 h at rt.
The resulting solution was concentrated in vacuo: MS (ESI) 567 [M+H-tBu]+. To a mixture of the above dry resin (0.04 mmol) in 1 mL of anhydrous acetonitrile was added 18.7 μl_ 0.3 mmol) of iodomethane. After the mixture was shaken at rt for 16 h, the resin was washed with DMF (3 x 10 mL), CH2Cl2/MeOH
(1 :1 , 3 x 10 mL), MeOH (3 x 10 mL) and CH2CI2 (3x1 OmL). The resulting resin was dried in vacuum oven at 35 0C for 24 h. The dry resin was treated with 2 mL of 50% trifluoroacetic acid in dichloroethane at rt for 2h. After the cleavage solution was collected, the resin was treated with another 2 mL of 50% trifluoroacetic acid in dichloroethane at rt for 10min. The combined cleavage solutions were concentrated in vacuo. The residue was purified using a Gilson semi-preparative HPLC system with a YMC ODS-A (C-18) column 50 mm by 20 mm ID, eluting with 10% B to 90% B in 3.2 min, hold for 1 min where A = H2O
(0.1% trifluoroacetic acid) and B = CH3CN (0.1 % trifluoroacetic acid) pumped at
25 ml_/min, to produce Λ/-{(3S)-1-[(3-cyanophenyl)methyl]-1-methyl-3- pyrrolidiniumyl}-/V-[({4-[(cyclopropylamino)carbonyl]phenyl}amino)carbonyl]-L- tyrosinamide trifluoroacetate (white powder, 16 mg, 57% over 10 steps): MS (ESI) 581 [M]+.
Proceeding in a similar manner as described in example 134, but replacing 4-amino-cyclopropylbenzamide with the appropriate anilines, and/or replacing 3(S)-(-)-(tø/t-butoxycarbonyl-amino)pyrroIidine with 3(S)-(-)-(te/t-butoxycarbonyl- amino)piperidine, and/or replacing 3-cyanobenzaldehyde with the appropriate aldehydes, the compounds listed in Tables 18 - 23 were prepared.
Table 19
Table 20
Table 21
Table 22
Table 23
Proceeding in a similar manner as described in example 134, but replacing 4-amino-cyclopropylbenzamide with the appropriate 1 ,2,4-oxadiazol anilines, and/or replacing 3(S)-(-)-(te/f-butoxycarbonyl-amino)pyrrolidine with 3{S)-(-)-(tert- butoxycarbonyl~amino)piperidine and/or replacing 3-cyanobenzaldehyde with the appropriate aldehydes, the compounds listed in Tables 24 - 31 were prepared.
1 ,2,4-Oxadiazol anilines were prepared by reduction of nitrophenyl-1 ,2,4- oxadiazoles (Lin, Lang, J. Heterocycl. Chem. 1980, 17, 1273), which were prepared by cyclizing amidoximes obtained by reaction of nitriles with hydroxyamine (Diana, Volkots, et al. J. Med.Chθm.1994, 37, 2421).
Table 24
Table 25
Table 26
Table 27
Table 28
Table 29
Table 31
Proceeding in a similar manner as described in example 134, but replacing 4-amino-cyclopropylbenzamide with the appropriate anilines, and/or replacing 3(S)-(-)-(tørt-butoxycarbonyl-amino)pyrrolidine with 3(S)-(-)-(tø/t-butoxycarbonyl- amino)piperidine and/or replacing 3-cyanobenzaldehyde with the appropriate aldehydes, and replacing iodomethane with appropriate halides, the compounds listed in Tables 32 - 34 were prepared.
Table 32
Table 33
Table 34
Preparation 4
Resin-bound secondary amines 10 were treated with alkyl dihalides to give the corresponding resin-bound quaternary ammonium salts, which were then cleaved with 50% trifluoroacetic acid in 1 ,2-dichloroethane to afford targeted compounds 13 (Scheme 4).
Scheme 4
Conditions: a) alkyl dihalides, acetonitrile, 75 O0fC; b) 50% trifluoroacetic acid in 1 ,2-dichloroethane, rt.
Example 245 Preparation of (2S)-2-\(N-i IT4-f IΪ1 -methylethvOoxyfearbonvDphenyl) amino1carbonyl)-L-tyrosyl)amino1-6-azoniaspiror5.61dodecane trifluoroacetate
DMHB resin-bound 1 -methylethyl 4-{[({(1 S)-1-({4-[(1 ,1-dimethylethyl) oxy]phenyI}methyl)-2-oxo-2-[(3S)-3- piperidinylamino]ethyl}amino)carbonyl]amino}benzoate was prepared in the same way as described in example 134. To 80 mg (0.36mmol/g, 0.029 mmol) of this resin in acetonitrile (6.4 ml_) was added (0.488ml_, 3.2 mmol) of 1 ,6- dibromohexane. The mixture was shaken at 75 0C for overnight. After washing with methylene chloride (5x 2 ml_), the resin was dried in vacuum oven at 35 0C for 24 h. The dry resin was treated with 2 ml_ of 50% trifluoroacetic acid in 1 ,2- dichloroethane at rt for 1 h. After the cleavage solution was collected, the resin was treated with another 2 ml_ of 50% trifluoroacetic acid in 1 ,2-dichloroethane at rt for 30 min. The combined cleavage solutions were concentrated in vacuo. The residue was purified using a Gilson semi-preparative HPLC system with a YMC ODS-A (C-18) column 50 mm by 20 mm ID, eluting with 10% B to 90% B in 3.2 min, hold for 1 min where A = H2O (0.1% trifluoroacetic acid) and B = CH3CN (0.1 % trifluoroacetic acid) pumped at 25 mL/min, to produce (2S)-2-[(Λ/-{[(4-{[(1 - methylethyl)oxy]carbonyl}phenyl) amino]carbonyl}-L-tyrosyl)amino]-6- azoniaspiro[5.6]dodecane trifluoroacetate as a white powder (6.2 mg, 22% over 9 steps): MS (ESI) 551 [M]+.
Proceeding in a similar manner as described in example 245, the compound listed in Table 35 was prepared.
Table 35
Preparation 5
Using the methodology described above, thiophene ester and amide antagonist compounds were prepared. 5-Nitro-2-thiophenecarboxylic acid was treated with oxalyl chloride to form acid chloride, which reactied with a series of cycloalkyl alcohols and amines to provide corresponding esters and amides 14. The nitro group in 14 was converted to amine by hydrogenation via 10% palladium on carbon. The amines 15 were coupled with resin-bound intermediate 9 to afford the corresponding resin-bound ureas 16. The ureas were subsequently treated with benzenethiolate to give the secondary amines, which underwent reductive amination with appropriate aldehydes to produce resin-bound tertiary amines 17. Amines 17 were then treated with alkyl halides to form the corresponding quaternary ammonium salts. The resin was then cleaved by 50% trifluoroacetic acid in dichloromethane to afford targeted compounds 18 (Scheme 5).
Scheme 5
Conditions: a) oxalyl chloride, R-|OH or R1 NH2, rt b) 10% palladium on carbon, rt c) 4-nitrobenzene chloroformate, diisopropylethylamine, N,N-dimethyl formamide, dichloromethane, rt; d) K2CO3, PhSH, 1-methyl-2-pyrrolidinone, rt; e) R2CHO,
Na(OAc)3BH, 10% acetic acid in 1-methyl-2-pyrrolidinone, rt; f) R3Z, acetonitrile, rt; g) 50% trifluoroacetic acid in dichloromethane, rt.
Example 247 Preparation of /V-f(3S)-1-r(3-hvdroxylphenyl)methvn-1-methyl-3- piperidiniumyl)-Λ<f-r((5-r(cvclohexyloxy)carbonvπ-2-thienyl)amino)carbonvn- L-tyrosinamide trifluoroacetate GSK507470A WF205097-005A2
5-Nitro-2-thiophenecarboxylic acid (2.8 g, 16 mmol) was suspended in methylene chloride (50 ml_). Oxalyl chloride in methylene chloride (2.0 M, 32.3 ml_) was added at room temperature followed by one drop of dimethyl formamide (0.1 mL). The reaction mixture was stirred at RT for 1 hr and concentrated. Methylene chloride (100 mL) was added, concentrated again and redissolved in methylene chloride (60 mL). N, N'-Dimethylaminopyridine (652 mg, 5.33 mmol) , triethyl amine(4.47 mL, 32 mmol) and cyclohexanol (2.54 mL, 24 mmol) were added to reaction mixture and stirred at room temperature overnight. The reaction mixture was filtered through a pad of silica gel (250 g), eluting with methylene chloride. Cyclohexyl 5-nitro-2-thiophenecarboxylate was obtained after concentration. LCMS (ESI) 256 [M+H]+.
To cyclohexyl 5-nitro-2-thiophenecarboxylate in ethyl alcohol (50 mL) was added palladium on carbon (10%, 2 g). The reaction mixture was hydrogenated at 15 psi overnight. Cyclohexyl 5-amino-2-thiophenecarboxylate (4 g, 95%) was obtained after filtration and concentration. LCMS (ESI) 226.2 [M+H]+.
To a mixture of 70 mg (0.31 mmol) cyclohexyl 5-amino-2- thiophenecarboxylate in 5mL of anhydrous dichloromethane was added 70 mg (0.35 mmol) 4-nitrobezenechloroformate. The reaction mixture was stirred at room temperature for half an hour and concentrated. Diisopropylethylamine (0.2 mL, 1.14 mmol), DMHB resin bound O-(1 ,1-dimethylethyl)-Λ/-{(3S)-1-[(2- nitrophenyl)sulfonyl]-3-pyrrolidinyl}-L-tyrosinamide 9 and dimethyl formamide (10 mL) were added to reaction mixture and shaked overnight.. The resin was washed with CH2CI2 (3 x 1 mL), CH2CI2/MeOH (1 :1 , 3 x 1 mL), MeOH (3 x 1 mL) and
CH2CI2 (3 x 1OmL). The resulting resin was dried in vacuum oven at 35 0C for 24 h. To a mixture of the above dry resin (0.04 mmol) in 1 mL of 1-methyl-2- pyrrolidinone was added 41.5 mg (0.3 mmol) of K2CO3 and 15.4 μL (0.15 mmol) of PhSH. After the resulting mixture was shaken at rt for 2 h, the resin was washed with DMF (3 x 10 mL), H2O (3 x 10 mL), DMF (3 x 10 mL),
CH2CI2/MeOH (1 :1 , 3 x 10 mL) and MeOH (3 x 10 mL). The resulting resin was dried in vacuum oven at 35 0C for 24 h. An analytical amount of resin was
cleaved with 50% trifluoroacetic acid in dichloroethane for 2 h at it. The resulting solution was concentrated in vacuo: MS (ESI) 515 [M+H-tBu]+.
To a mixture of the above dry resin (0.04 mmol) in 1 mL of 10% HOAc in anhydrous 1-methyl-2-pyrrolidinone solution was added 74 mg (0.6 mmol) of 3- hydroxylbenzaldehyde and 127.2 mg (0.6 mmol) of sodium triacetoxyborohydride.
After the resulting mixture was shaken at rt for 24 h, the resin was washed with
DMF (3 x 10 mL), CH2CI2/MeOH (1 :1 , 3 x 10 mL) and MeOH (3 x 10 mL). The resulting resin was dried in vacuum oven at 35 0C for 24 h. To a mixture of the above dry resin (0.04 mmol) in 1 mL of anhydrous acetonitrile was added 18.7 μL (0.3 mmol) of iodomethane. After the mixture was shaken at rt for 16 h, the resin was washed with DMF (3 x 10 mL), CH2CI2ZMeOH (1 :1 , 3 x 10 mL), MeOH (3 x
10 mL) and CH2CI2 (3x1 OmL). The resulting resin was dried in vacuum oven at
35 0C for 24 h. The dry resin was treated with 2 mL of 50% trifluoroacetic acid in dichloromethane at rt for 2h. After the cleavage solution was collected, the resin was treated with another 2 mL of 50% trifluoroacetic acid in dichloromethane at rt for 10min. The combined cleavage solutions were concentrated in vacuo. The residue was purified using a Gilson semi-preparative HPLC system with a YMC ODS-A (C-18) column 50 mm by 20 mm ID, eluting with 10% B to 90% B in 3.2 min, hold for 1 min where A = H2O (0.1% trifluoroacetic acid) and B = CH3CN (0.1 % trifluoroacetic acid) pumped at 25 mL/min, to produce Λ/-{(3S)-1 -[(4- chlorophenyl)methyl]-1-methyl-3-piperidiniumyl}-/V-[({5-[(cyclohexyloxy)carbonyl]- 2-thienyl}amino)carbonyl]-L-tyrosinamide trifluoroacetate (white powder, 9 mg,
35% over 5 steps): MS (ESI) 635.8 [M]+.
Proceeding in a similar manner as described in example 247, but replacing cyclohexyl alcohol with the appropriate alkyl alcohols and amines, and/or replacing 3-hydroxylbenzaldehyde with the appropriate aldehydes, the compounds listed in Tables 36- 51 were prepared.
Table 36
Table 37
Table 38
Table 39
Tablθ 40
Table 42
Table 43
Table 44
Table 45
Table 46
Table 47
Table 49
Table 50
Table 51
Preparation 6
Resin-bound tertiary amine 17 was treated with alkyl halides to give the corresponding symmetric resin-bound quaternary ammonium salts, which was then cleaved with 50% trifluoroacetic acid in dichloromethane to afford targeted compounds 19 (Scheme 6).
Scheme 6
Conditions: a) alkyl halides, acetonitrile, 500C; b) 50% trifluoroacetic acid in dichloromethane, rt.
Example 289
Preparation of ΛHΪ3S)-1.1 -bisr(3-chlorophenyl)methvn-3-piperidiniumyl>-/V- r({5-r(ethyloxy)carbonvπ-2"thienyllamino)carbonvn-L-tyrosinamide trifluoroacetate
DMHB resin-bound ethyl 5-{[({(1 S)-2-({(3S)-1-[(3-chlorophenyl)methyl]-3- piperidinyl}amino)-1-[(4-hydroxyphenyl)methyl]-2-oxoethyl}amino)carbonyl]amino}- 2-thiophenecarboxylate was prepared in the same way as described in example 247. To 60 mg (0.048 mmol) of this resin in acetonitrile (6.4 ml_) was added
(656mg, 3.2 mmol) of 3-chlorobenzyl bromide. The mixture was shaken at 50 0C overnight. After washing with methylene chloride (5x 2 ml_), the resin was dried in vacuum oven at 35 0C for 24 h. The dry resin was treated with 2 ml_ of 50% trifluoroacetic acid in dichloromethane at rt for 1 h. After the cleavage solution was collected, the resin was treated with another 2 ml_ of 50% trifluoroacetic acid in dichloromethane at rt for 30 min. The combined cleavage solutions were concentrated in vacuo. The residue was purified using a Gilson semi-preparative HPLC system with a YMC ODS-A (C-18) column 50 mm by 20 mm ID, eluting with
10% B to 90% B in 3.2 min, hold for 1 min where A = H2O (0.1% trifluoroacetic acid) and B = CH3CN (0.1% trifluoroacetic acid) pumped at 25 mL/min, to produce (2S)-2-[(Λ/-{[(4-{[(1 -methylethyl)oxy]carbonyl}phenyl) amino]carbonyl}-L- tyrosyl)amino]-6-azoniaspiro[5.6]dodecane trifluoroacetate as a white powder (5.7 mg, 17% over 9 steps): MS (ESI) 709 [M]+.
Table 52
BIOLOGICAL EXAMPLES
The inhibitory effects of compounds at the M3 mAChR of the present invention are determined by the following in vitro and in vivo assays:
Analysis of Inhibition of Receptor Activation by Calcium Mobilization:
1) 384-well FLIPR assay
A CHO (Chinese hamster ovary) cell line stably expressing the human M3 muscarinic acetylcholine receptor is grown in DMEM plus 10% FBS, 2 mM Glutamine and 200 ug/ml G418. Cells are detached for maintenance and for plating in preparation for assays using either enzymatic or ion chelation methods. The day before the FLIPR (fluorometric imaging plate reader) assay, cells are detached, resuspended, counted, and plated to give 20,000 cells per 384 well in a
50 ul volume. The assay plates are black clear bottom plates, Becton Dickinson catalog number 35 3962. After overnight incubation of plated cells at 37 degrees C in a tissue culture incubator, the assay is run the next day. To run the assay, media are aspirated, and cells are washed with 1x assay buffer (145mM NaCI, 2.5mM KCI, 1OmM glucose, 1OmM HEPES, 1.2 mM MgCI2, 2.5mM CaCI2, 2.5mM probenecid (pH 7.4.) Cells are then incubated with 5OuI of Fluo-3 dye (4uM in assay buffer) for 60 - 90 minutes at 37 degrees C. The calcium- sensitive dye allows cells to exhibit an increase in fluorescence upon response to ligand via release of calcium from intracellular calcium stores. Cells are washed with assay buffer, and then resuspended in 5OuI assay buffer prior to use for experiments. Test compounds and antagonists are added in 25 ul volume, and plates are incubated at 37 degrees C for 5 -30 minutes. A second addition is then made to each well, this time with the agonist challenge, acetylcholine. It is added in 25 ul volume on the FLIPR instrument. Calcium responses are measured by changes in fluorescent units. To measure the activity of inhibitors / antagonists, acetylcholine ligand is added at an ECso concentration, and the antagonist IC50 can then be determined using dose response dilution curves. The control antagonist used with M3 is atropine.
2) 96-well FLIPR assay
Stimulation of imAChRs expressed on CHO cells were analyzed by monitoring receptor-activated calcium mobilization as previously described . CHO cells stably expressing M3 mAChRs were plated in 96 well black wall/clear bottom plates. After 18 to 24 hours, media was aspirated and replaced with 100 μl of load media (EMEM with Earl's salts, 0.1% RIA-grade BSA (Sigma, St. Louis MO), and 4 μM Fluo-3-acetoxymethyl ester fluorescent indicator dye (Fluo-3 AM, Molecular Probes, Eugene, OR) and incubated 1 hr at 37° C. The dye-containing media was then aspirated, replaced with fresh media (without Fluo-3 AM), and cells were incubated for 10 minutes at 37° C. Cells were then washed 3 times and incubated for 10 minutes at 37° C in 100 μl of assay buffer (0.1% gelatin (Sigma), 120 mM NaCI, 4.6 mM KCI, 1 mM KH2 PO4, 25 mM NaH CO3, 1.0 mM CaCI2, 1.1 mM
MgCl2, 11 mM glucose, 2OmM HEPES (pH 7.4)). 50 μl of compound (1x10"1 1 -
1x10"5 M final in the assay) was added and the plates were incubated for 10 min. at 37° C. Plates were then placed into a fluorescent light intensity plate reader (FLIPR, Molecular Probes) where the dye loaded cells were exposed to excitation light (488 nm) from a 6 watt argon laser. Cells were activated by adding 50 μl of acetylcholine (0.1-10 nM final), prepared in buffer containing 0.1% BSA, at a rate of 50 μl/sec. Calcium mobilization, monitored as change in cytosolic calcium concentration, was measured as change in 566 nm emission intensity. The change in emission intensity is directly related to cytosolic calcium levels . The emitted fluorescence from all 96 wells is measured simultaneously using a cooled CCD camera. Data points are collected every second. This data was then plotting and analyzed using GraphPad PRISM software.
Methacholine-induced bronchoconstriction
Airway responsiveness to methacholine was determined in awake, unrestrained BaIbC mice (n = 6 each group). Barometric plethysmography was used to measure enhanced pause (Penh), a unitless measure that has been shown to correlate with the changes in airway resistance that occur during bronchial challenge with methacholine. Mice were pretreated with 50 μl of compound (0.003-10 μg/mouse) in 50 μl of vehicle (10% DMSO) intranasally, and were then placed in the plethysmography chamber. Once in the chamber, the mice were allowed to equilibrate for 10 min before taking a baseline Penh measurement for 5 minutes. Mice were then challenged with an aerosol of methacholine (10 mg/ml) for 2 minutes. Penh was recorded continuously for 7 min starting at the inception of the methacholine aerosol, and continuing for 5 minutes afterward. Data for each mouse were analyzed and plotted by using GraphPad PRISM software.
The present compounds are useful for treating a variety of indications, including but not limited to respiratory-tract disorders such as chronic obstructive lung disease, chronic bronchitis, asthma, chronic respiratory obstruction, pulmonary fibrosis, pulmonary emphysema, and allergic rhinitis.
FORMULATION-ADMINISTRATION
Accordingly, the present invention further provides a pharmaceutical formulation comprising a compound of formula (I), or a pharmaceutically acceptable salt, solvate, or physiologically functional derivative (e.g., salts and esters) thereof, and a pharmaceutically acceptable carrier or excipient, and optionally one or more other therapeutic ingredients.
Hereinafter, the term "active ingredient" means a compound of formula (I), or a pharmaceutically acceptable salt, solvate, or physiologically functional derivative thereof.
Compounds of formula (I) will be administered via inhalation via the mouth or nose.
Dry powder compositions for topical delivery to the lung by inhalation may, for example, be presented in capsules and cartridges of for example gelatine, or blisters of for example laminated aluminium foil, for use in an inhaler or insufflator. Powder blend formulations generally contain a powder mix for inhalation of the compound of the invention and a suitable powder base (carrier/diluent/excipient substance) such as mono-, di- or poly-saccharides (e.g., lactose or starch), organic or inorganic salts (e.g., calcium chloride, calcium phosphate or sodium chloride), polyalcohols (e.g., mannitol), or mixtures thereof, alternatively with one or more additional materials, such additives included in the blend formulation to improve chemical and/or physical stability or performance of the formulation, as discussed below, or mixtures thereof. Use of lactose is preferred. Each capsule or cartridge may generally contain between 20μg-10mg of the compound of formula (I) optionally in combination with another therapeutically active ingredient. Alternatively, the compound of the invention may be presented without excipients, or may be formed into particles comprising the compound, optionally other therapeutically active materials, and excipient materials, such as by co- precipitation or coating. Suitably, the medicament dispenser is of a type selected from the group consisting of a reservoir dry powder inhaler (RDPI), a multi-dose dry powder inhaler (MDPI), and a metered dose inhaler (MDI).
By reservoir dry powder inhaler (RDPI) it is meant as an inhaler having a reservoir form pack suitable for comprising multiple (un-metered doses) of medicament in dry powder form and including means for metering medicament dose from the reservoir to a delivery position. The metering means may for example comprise a metering cup or perforated plate , which is movable from a first position where the cup may be filled with medicament from the reservoir to a second position where the metered medicament dose is made available to the patient for inhalation.
By multi-dose dry powder inhaler (MDPI) is meant an inhaler suitable for dispensing medicament in dry powder form, wherein the medicament is comprised within a multi-dose pack containing (or otherwise carrying) multiple, define doses (or parts thereof) of medicament. In a preferred aspect, the carrier has a blister pack form, but it could also, for example, comprise a capsule-based pack form or a carrier onto which medicament has been applied by any suitable process including printing, painting and vacuum occlusion.
The formulation can be pre-metered (eg as in Diskus, see GB 2242134 or Diskhaler, see GB 2178965, 2129691 and 2169265) or metered in use (eg as in Turbuhaler, see EP 69715). An example of a unit-dose device is Rotahaler (see GB 2064336). The Diskus inhalation device comprises an elongate strip formed from a base sheet having a plurality of recesses spaced along its length and a lid sheet hermetically but peelably sealed thereto to define a plurality of containers, each container having therein an inhalable formulation containing a compound of formula (I) preferably combined with lactose. Preferably, the strip is sufficiently flexible to be wound into a roll. The lid sheet and base sheet will preferably have leading end portions which are not sealed to one another and at least one of the said leading end portions is constructed to be attached to a winding means. Also, preferably the hermetic seal between the base and lid sheets extends over their whole width. The lid sheet may preferably be peeled from the base sheet in a longitudinal direction from a first end of the said base sheet. In one aspect, the multi-dose pack is a blister pack comprising multiple blisters for containment of medicament in dry powder form. The blisters are typically arranged in regular fashion for ease of release of medicament therefrom.
In one aspect, the multi-dose blister pack comprises plural blisters arranged in generally circular fashion on a disk-form blister pack. In another aspect, the multi-dose blister pack is elongate in form, for example comprising a strip or a tape. Preferably, the multi-dose blister pack is defined between two members peelably secured to one another. US Patents Nos. 5,860,419, 5,873,360 and 5,590,645 describe medicament packs of this general type. In this aspect, the device is usually provided with an opening station comprising peeling means for peeling the members apart to access each medicament dose. Suitably, the device is adapted for use where the peelable members are elongate sheets which define a plurality of medicament containers spaced along the length thereof, the device being provided with indexing means for indexing each container in turn. More preferably, the device is adapted for use where one of the sheets is a base sheet having a plurality of pockets therein, and the other of the sheets is a Hd sheet, each pocket and the adjacent part of the lid sheet defining a respective one of the containers, the device comprising driving means for pulling the lid sheet and base sheet apart at the opening station.
By metered dose inhaler (MDI) it is meant a medicament dispenser suitable for dispensing medicament in aerosol form, wherein the medicament is comprised in an aerosol container suitable for containing a propellant-based aerosol medicament formulation. The aerosol container is typically provided with a metering valve, for example a slide valve, for release of the aerosol form medicament formulation to the patient. The aerosol container is generally designed to deliver a predetermined dose of medicament upon each actuation by means of the valve, which can be opened either by depressing the valve while the container is held stationary or by depressing the container while the valve is held stationary.
Spray compositions for topical delivery to the lung by inhalation may for example be formulated as aqueous solutions or suspensions or as aerosols delivered from pressurised packs, such as a metered dose inhaler, with the use of a suitable liquefied propellant. Aerosol compositions suitable for inhalation can be either a suspension or a solution and generally contain the compound of formula (I) optionally in combination with another therapeutically active ingredient and a
suitable propellant such as a fluorocarbon or hydrogen-containing chlorofluorocarbon or mixtures thereof, particularly hydrofluoroalkanes, e.g. dichlorodifluoromethane, trichlorofluoromethane, dichlorotetra-fluoroethane, especially 1 ,1 ,1 ,2-tetrafluoroethane, 1 ,1 ,1 ,2,3,3,3-heptafluoro-n-propane or a mixture thereof. Carbon dioxide or other suitable gas may also be used as propellant. The aerosol composition may be excipient free or may optionally contain additional formulation excipients well known in the art such as surfactants eg oleic acid or lecithin and cosolvents eg ethanol. Pressurized formulations will generally be retained in a canister (eg an aluminium canister) closed with a valve (eg a metering valve) and fitted into an actuator provided with a mouthpiece.
Medicaments for administration by inhalation desirably have a controlled particle size. The optimum aerodynamic particle size for inhalation into the bronchial system for localized delivery to the lung is usually 1-1 Oμm, preferably 2- 5μm. The optimum aerodynamic particle size for inhalation into the alveolar region for achieving systemic delivery to the lung is approximately .5-3 μm, preferably 1- 3 μm. Particles having an aerodynamic size above 20μm are generally too large when inhaled to reach the small airways. Average aerodynamic particle size of a formulation may measured by, for example cascade impaction. Average geometric particle size may be measured, for example by laser diffraction, optical means.
To achieve a desired particle size, the particles of the active ingredient as produced may be size reduced by conventional means eg by controlled crystallization, micronisation or nanomiiling The desired fraction may be separated out by air classification. Alternatively, particles of the desired size may be directly produced, for example by spray drying, controlling the spray drying parameters to generate particles of the desired size range. Preferably, the particles will be crystalline, although amorphous material may also be employed where desirable. When an excipient such as lactose is employed, generally, the particle size of the excipient will be much greater than the inhaled medicament within the present invention, such that the "coarse" carrier is non-respirable. When the excipient is lactose it will typically be present as milled lactose, wherein not
more than 85% of lactose particles will have a MMD of 60-90μm and not less than 15% will have a MMD of less than 15μm. Additive materials in a dry powder blend in addition to the carrier may be either respirable, i.e., aerodynamically less than 10 microns, or non-respirable, i.e., aerodynamically greater than 10 microns. Suitable additive materials which may be employed include amino acids, such as leucine; water soluble or water insoluble, natural or synthetic surfactants, such as lecithin (e.g., soya lecithin) and solid state fatty acids (e.g., lauric, palmitic, and stearic acids) and derivatives thereof (such as salts and esters); phosphatidylcholines; sugar esters. Additive materials may also include colorants, taste masking agents (e.g., saccharine), anti-static-agents, lubricants (see, for example, Published PCT Patent Appl. No. WO 87/905213, the teachings of which are incorporated by reference herein), chemical stabilizers, buffers, preservatives, absorption enhancers, and other materials known to those of ordinary skill.
Sustained release coating materials (e.g., stearic acid or polymers, e.g. polyvinyl pyrolidone, polylactic acid) may also be employed on active material or active material containing particles (see, for example, Patent Nos. US 3,634,582, GB 1 ,230,087, GB 1 ,381 ,872, the teachings of which are incorporated by reference herein).
Intranasal sprays may be formulated with aqueous or non-aqueous vehicles with the addition of agents such as thickening agents, buffer salts or acid or alkali to adjust the pH, isotonicity adjusting agents or anti-oxidants.
Solutions for inhalation by nebulation may be formulated with an aqueous vehicle with the addition of agents such as acid or alkali, buffer salts, isotonicity adjusting agents or antimicrobials. They may be sterilised by filtration or heating in an autoclave, or presented as a non-sterile product.
Preferred unit dosage formulations are those containing an effective dose, as herein before recited, or an appropriate fraction thereof, of the active ingredient.
All publications, including but not limited to patents and patent applications, cited in this specification are herein incorporated by reference as if each individual publication were specifically and individually indicated to be incorporated by reference herein as though fully set forth.
The above description fully discloses the invention including preferred embodiments thereof. Modifications and improvements of the embodiments specifically disclosed herein are within the scope of the following claims. Without further elaboration, it is believed that one skilled in the art can, using the preceding description, utilize the present invention to its fullest extent. Therefore the Examples herein are to be construed as merely illustrative and not a limitation of the scope of the present invention in any way. The embodiments of the invention in which an exclusive property or privilege is claimed are defined as follows.
Claims
1. A compound according to Formula I herein below:
When X is carbon, n is 1 , 2, or 3; m is 1 , 2, or 3; p is 0, 1 , or 2; When X is oxygen, n is 1 ; m is 2; p is 1 or 2; W is O, S, or NH; U is NR3, O, or bond;
R3 is selected from the group consisting of hydrogen, C^ -Cs branched or unbranched alkyl, C3-C8 cycloalkyl, C3-C8 cycloalkyl lower alkyl, unsubstituted or substituted phenyl, or unsubstituted or substituted phenyl C1-C3 lower alkyl; wherein, when substituted, a group is substituted by one or more radicals selected from the group consisting of C-j-Cs alkoxy, halo, hydroxy, amino, cyano, trifluoromethyl, C-|-C8 branched or unbranched alkyl, C3-C8 cycloalkyl and C3-C-8 cycloalkyl lower alkyl; q is an integer from 0 to 7; h is O, 1 , or 2; g is 1 , 2, or 3;
Z" is selected from the group consisting of I", Br", Cl", F", CF3COO", mesylate, tosylate, and any other pharmaceutically acceptable counter ion;
V is selected from the group consisting of phenyl, thiophenyl, furanyl, pyridinyl, naphthyl, quinolinyl, indolyl, benzothiophenyl and benzofuranyl; R4 is selected from the group consisting of hydrogen, hydroxy, amino, halo, cyano, trifluoromethyl, C-j-Cs alkoxy, C-j-Cs branched or unbranched alkyl, C3-C8 cycloalkyl, C3-C8 cycloalkyl lower alkyl, phenyl, phenyl C1-C3 lower alkyl, COR6,
COOR6, CONHR6, CON(R6)2, NHR6, N(R6)2, and G; k is an integer from 0 to 5;
T is selected from the group consisting of an unsubstituted or substituted following group: phenyl, thiophenyl, furanyl, pyridinyl, naphthyl, quinolinyl, indolyl, benzothiophenyl, and benzofuranyl; wherein, when substituted, a group is substituted by one or more radicals selected from the group consisting of Ci-Cs alkoxy, halo, hydroxy, amino, trifluoromethyl, Ci-Os branched or unbranched alkyl, C3-C-8 cycloalkyl, C3-C8 cycloalkyl lower alkyl, phenyl and phenyl C1-C3 lower alkyl;
R5 is selected from the group consisting of COOR6, CONHR6, COR6, CON(R6)2, COG, unsubstituted or substituted oxadiazolyl, unsubstituted or substituted oxazolyl, unsubstituted or substituted imidazolyl, unsubstituted or substituted phenoxy, or cyano; wherein, when substituted, a group is substituted by one or more radicals selected from the group consisting of C-|-C-8 branched or unbranched alkyl, C3-C-8 cycloalkyl, C3-C-8 cycloalkyl lower alkyl, phenyl and phenyl C1-C3 lower alkyl, Ci-Cs alkoxy, halo, hydroxy, amino, cyano and trifluoromethyl;
R6 is selected from the group consisting of Ci-Cs branched or unbranched alkyl, C3-C8 cycloalkyl, C3-C8 cycloalkyl lower alkyl, unsubstituted or substituted phenyl, unsubstituted or substituted phenyl C1-C3 lower alkyl, unsubstituted or substituted naphthyl, or unsubstituted or substituted naphthyl C1-C3 lower alkyl; wherein, when substituted, a group is substituted by one or more radicals selected from the group consisting of C-] -Cs alkoxy, halo, hydroxy, amino, cyano, trifluoromethyl, C^-Cs branched or unbranched alkyl, C3-C8 cycloalkyl, C3-C8 cycloalkyl lower alkyl, phenyl and phenyl C1-C3 lower alkyl;
G is selected from the group consisting of an unsubstituted or substituted following group: pyrrolidinyl, piperdinyl, dihydroindolyl, tetrohydroquinolinyl, morpholino, azetidinyl, hexahydroazepinyl, or octahydroazocinyl; wherein, when substituted, a group is substituted by one or more radicals selected from the group consisting of Ci-Cs alkoxy, hydroxy, amino, Ci-Cs branched or unbranched alkyl, C3-C8 cycloalkyl, C3-C8 cycloalkyl lower alkyl, phenyl and phenyl C1-C3 lower alkyl;
R1 is selected from the group consisting of an unsubstituted or substituted following group: phenyl, phenyl C1-C6 lower alkyl, thiophenyl, thiophenyl C1-C6 lower alkyl, furanyl, furanyl C1-C6 lower alkyl, pyridinyl, pyridinyl C1-C6 lower alkyl, imidazolyl, imidazolyl C1-C6 lower alkyl, naphthyl, naphthyl C1-C6 lower alkyl, quinolinyl, quinolinyl C1-C6 lower alkyl, indolyl, indolyl C1-C6 lower alkyl, benzothiophenyl, benzothiophenyl C1-C6 lower alkyl, benzofuranyl, benzofuranyl C1-C6 lower alkyl, benzoimidazolyl, benzoimidazolyl C1-C6 lower alkyl, Ci-Cs branched or unbranched alkyl, C3-C8 cycloalkyl, C3-C8 cycloalkyl C-i-Cβ lower alkyl, or C3-C8 alkenyl; wherein, when substituted, a group is substituted by one or more radicals selected from the group consisting of C-|-C-8 alkoxy, phenoxy, phenyl C-1-C3 alkoxy, halo, hydroxy, amino, cyano, trifluoromethyl, methylenedioxy, ethylenedioxy, propylenedioxy, butylenedioxy, Ci-Cs branched or unbranched alkyl, C3-C8 cycloalkyl, C3-C8 cycloalkyl lower alkyl, phenyl, phenyl C1-C3 lower alkyl, thiophenyl, thiophenyl C1-C3 lower alkyl, furanyl, furanyl C1-C3 lower alkyl, pyridinyl, pyridinyl C1-C3 lower alkyl, naphthyl, naphthyl C1-C3 lower alkyl, quinolinyl, quinolinyl C1-C3 lower alkyl, indolyl, indolyl C1-C3 lower alkyl, benzothiophenyl, benzothiophenyl C1-C3 lower alkyl, benzofuranyl, benzofuranyl C1 -C3 lower alkyl, COOH, COR6, COOR6, CONHR6, CON(R6)2, COG, NHR6, N(R6)2, G, OCOR6, OCONHR6, NHCOR6, N(R6)COR6, NHCOOR6 and NHCONHR6;
R2 is selected from the group consisting of C-j-Cs branched or unbranched alkyl, C3-C8 cycloalkyl, C3-C8 cycloalkyl lower alkyl, C3-C8 alkenyl, unsubstituted or substituted phenyl, or unsubstituted or substituted phenyl C1-C3 lower alkyl; wherein, when substituted, a group is substituted by one or more radicals selected from the group consisting of Ci-Cs alkoxy, halo, hydroxy, amino, cyano, trifluoromethyl, Ci-Cs branched or unbranched alkyl, C3-C8 cycloalkyl, C3-C8 cycloalkyl lower alkyl, phenyl and phenyl C1-C3 lower alkyl; or R1 and R2 together is an unsubstituted or substituted following group: -
(CH2)j-, or -(CH2)j-Phenyl-(CH2)j-; wherein, j is an integer from 3 to 8; I is an integer from 1 to 3; when substituted, a group is substituted by one or more radicals selected from the group consisting of Ci-Cs alkoxy, halo, hydroxy, amino, cyano, trifluoromethyl, C^ -Cs branched or unbranched alkyl, C3-C8 cycloalkyl, C3-C8 cycloalkyl lower alkyl, phenyl and phenyl C1-C3 lower alkyl;
2. A compound according to claim 1 wherein:
When X is carbon, n is 1 , 2, or 3; m is 1 , 2, or 3; p is 0, or 1 ; When X is oxygen, n is 1 ; m is 2; p is 1 ; W is O; U is NR3;
R3 is selected from the group consisting of hydrogen, Ci-Cs branched or unbranched alkyl, C3-C8 cycloalkyl, C3-C8 cycloalkyl lower alkyl, and phenyl C1-
C3 lower alkyl; q is 0; h is 0; g is 1 ;
Z" is selected from the group consisting of I", Br", Cl", F", CF3COO", mesylate, tosylate, or any other pharmaceutically acceptable counter ion;
V is selected from the group consisting of phenyl, thiophenyl, furanyl, naphthyl, benzothiophenyl or benzofuranyl;
R4 is selected from the group consisting of hydrogen, hydroxy, amino, halo, cyano, trifluoromethyl, Ci-Cs alkoxy, Ci-Cs alkyl, C3-C8 cycloalkyl, C3-C8 cycloalkyl lower alkyl, phenyl, phenyl C1-C3 lower alkyl, phenylcarbonyl; k is an integer from 1 to 5; T is selected from the group consisting of an unsubstituted or substituted following group: phenyl, thiophenyl, furanyl, naphthyl, benzo- thiophenyl, and benzofuranyl; wherein, when substituted, a group is substituted by one or more radicals selected from the group consisting of Ci-Cs alkoxy, halo, hydroxy, amino, trifluoromethyl, Ci-Cs alkyl, C3-C8 cycloalkyl, C3-C8 cycloalkyl lower alkyl, phenyl and phenyl C1-C3 lower alkyl;
R5 is selected from the group consisting of COOR6, CONHR6, COR6,
CON(R6)2, COG1 unsubstituted or substituted oxadiazolyl, unsubstituted or substituted phenoxy, or cyano; wherein, when substituted, a group is substituted by one or more radicals selected from the group consisting of C-|-C-8 alkyl, C3-C8 cycloalkyl, C3-C8 cycloalkyl lower alkyl, phenyl, phenyl C1-C3 lower alkyl and trifluoromethyl; R6 is selected from the group consisting of C^ -Cs branched or unbranched alkyl, C3-C8 cycloalkyl, C3-C8 cycloalkyl lower alkyl, phenyl, phenyl C1-C3 lower alkyl, naphthyl, or naphthyl C1-C3 lower alkyl;
G is selected from the group consisting of pyrrolidinyl, piperdinyl, dihydroindolyl, tetrohydroquinolinyl, morpholino, azetidinyl, hexahydroazepinyl, and octahydroazocinyl;
R1 is selected from the group consisting of an unsubstituted or substituted following group: phenyl C1-C6 lower alkyl, thiophenyl C1-C6 lower alkyl, furanyl C1-C6 lower alkyl, pyridinyl C1-C6 lower alkyl, imidazolyl C1-C6 lower alkyl, naphthyl C1-C6 lower alkyl, quinolinyl C1-C6 lower alkyl, indolyl C1-C6 lower alkyl, benzothiophenyl C1-C6 lower alkyl, benzofuranyl C1-C6 lower alkyl, benzoimidazolyl C1-C6 lower alkyl, Ci-Cs branched or unbranched alkyl, C3-C8 cycloalkyl, C3-C8 cycloalkyl C-J-Cg lower alkyl, or C3-C8 alkenyl; wherein, when substituted, a group is substituted by one or more radicals selected from the group consisting of C-|-Cs alkoxy, phenoxy, phenyl C1-C3 alkoxy, halo, hydroxy, amino, cyano, trifluoromethyl, methylenedioxy, ethylenedioxy, propylenedioxy, butylenedioxy, C^ -Cs branched or unbranched alkyl, C3-C8 cycloalkyl, C3-C8 cycloalkyl lower alkyl, phenyl, phenyl C1-C3 lower alkyl, thiophenyl, thiophenyl C1-C3 lower alkyl, furanyl, furanyl C1-C3 lower alkyl, pyridinyl, pyridinyl C1-C3 lower alkyl, naphthyl, naphthyl C1-C3 lower alkyl, quinoiinyl, quinolinyl C1-C3 lower alkyl, indolyl, indolyl C1-C3 lower alkyl, benzothiophenyl, benzothiophenyl C1-C3 lower alkyl, benzofuranyl, benzofuranyl C1-C3 lower alkyl, COOH, COR6, COOR6, CONHR6, CON(R6)2, COG, NHR6, N(R6)2, G, OCOR6, OCONHR6, NHCOR6, N(R6)COR6, NHCOOR6 and NHCONHR6;
R2 is selected from the group consisting of C-|-Cs branched or unbranched alkyl, C3-C8 cycloalkyl, C3-C8 cycloalkyl lower alkyl, C3-C8 alkenyl, or unsubstituted or substituted phenyl C1-C3 lower alkyl; wherein, when substituted, a group is substituted by one or more radicals selected from the group consisting of C-|-C-8 alkoxy, halo, hydroxy, amino, cyano, trifluoromethyl, C-|-Cs branched or unbranched alkyl, C3-C8 cycloalkyl, C3-C8 cycloalkyl lower alkyl, phenyl and phenyl C1-C3 lower alkyl; or R1 and R2 together is -(CH2)J-, or -(CH2)rPhenyl-(CH2)i-; wherein, j is an integer from 3 to 8; i is an integer from 1 to 3.
3. A compound according to claim 2 wherein:
X is carbon; n is 1 , or 2; m is 1 , 2, or 3; p is 0, or 1 ;
W is O;
U is NR3; R3 is hydrogen; q is O; h is 0; g is 1 ;
Z" is selected from the group consisting of I", Br", Cl", F", CF3COO", mesylate, tosylate, and any other pharmaceutically acceptable counter ion;
V is selected from the group consisting of phenyl, or naphthyl;
R4 is selected from the group consisting of hydroxy, amino, halo, cyano, trifluoromethyl, C-|-Cs alkoxy, C-|-C-8 alkyl, C3-C-8 cycloalkyl, C3-C8 cycloalkyl lower alkyl, phenyl, phenyl C1-C3 lower alkyl, phenylcarbonyl; k is an integer from 1 to 3;
T is selected from the group consisting of unsubstituted or substituted phenyl, and thiophenyl; wherein, when substituted, a group is substituted by one or more radicals selected from the group consisting of Ci-Cs alkoxy, halo, hydroxy, amino, trifluoromethyl, C-|-Cs alkyl, C3-C8 cycloalkyl, C3-C8 cycloalkyl lower alkyl, phenyl and phenyl C1-C3 lower alkyl;
R5 is selected from the group consisting of COOR6, CONHR6, COR6, CON(R6)2, COG, unsubstituted or substituted oxadiazolyl; wherein, when substituted, a group is substituted by one or more radicals selected from the group consisting of C-j-Cs alkyl, C3-C8 cycloalkyl, C3-C-8 cycloalkyl lower alkyl, phenyl and phenyl C1-C3 lower alkyl;
R6 is selected from the group consisting of Ci-Cs branched or unbranched alkyl, C3-C8 cycloalkyl, and C3-C8 cycloalkyl lower alkyl;
G is selected from the group consisting of pyrrolidinyl, piperdinyl, dihydroindolyl, tetrohydroquinolinyl, morpholino, azetidinyl, hexahydroazepinyl, and octahydroazocinyl;
R1 is selected from the group consisting of an unsubstituted or substituted following group: phenyl C1-C6 lower alkyl, thiophenyl C1-C6 lower alkyl, furanyl C1-C6 lower alkyl, pyridinyl C1-C6 lower alkyl, imidazolyl C1-C6 lower alkyl, naphthyl C1-C6 lower alkyl, quinolinyl C1-C6 lower alkyl, indolyl C1-C6 lower alkyl, benzothiophenyl C1-C6 lower alkyl, benzofuranyl C1-C6 lower alkyl, benzoimidazolyl C1-C6 lower alkyl, C-] -Cs branched or unbranched alkyl, C3-C8 cycloalkyl, C3-C8 cycloalkyl C-|-C6 lower alkyl, or C3-C8 alkenyl; wherein, when substituted, a group is substituted by one or more radicals selected from the group consisting of C-|-Cs alkoxy, phenoxy, phenyl C-1-C3 alkoxy, halo, hydroxy, amino, cyano, trifluoromethyl, methylenedioxy, ethylenedioxy, propylenedioxy, butylenedioxy, C-J-Cs branched or unbranched alkyl, C3-C8 cycloalkyl, C3-C8 cycloalkyl lower alkyl, phenyl, phenyl C1-C3 lower alkyl, thiophenyl, thiophenyl C1-C3 lower alkyl, furanyl, furanyl C1-C3 lower alkyl, pyridinyl, pyridinyl C1-C3 lower alkyl, naphthyl, naphthyl C1-C3 lower alkyl, quinolinyl, quinolinyl C1-C3 lower alkyl, indolyl, indolyl C1-C3 lower alkyl, benzothiophenyl, benzothiophenyl C1-C3 lower alkyl, benzofuranyl, benzofuranyl C1-C3 lower alkyl, COOH, COR6, COOR6, CONHR6, CON(R6)2, COG, NHR6, N(R6)2, G, OCOR6 and NHCOR6;
R2 is C-|-Cs branched or unbranched alkyl, C3-C8 cycloalkyl, C3-C8 cycloalkyl lower alkyl, or C3-C8 alkenyl; or R1 and R2 together is -(CH2)j- or -(CH2)i-Phenyl-(CH2)j-; wherein, j is an integer from 3 to 7; i is an integer from 1 to 2.
4. A compound according to claim 1 selected from the group consisting of: /V-[({4-[(ethyloxy)carbonyl]phenyl}amino)carbonyl]-/V-{1-[(4-hydroxyphenyl)methyl]-
1 -methyl-3-pyrrolidiniumylJ-L-tyrosinamide trifluoroacetate;
Λ/-[1 -(1 ,3-benzodioxol-5-ylmethyl)-1 -methyl-3-pyrrolidiniumyl]-Λ/-[({4-
[(ethyloxy)carbonyl]phenyl}amino)carbonyl]-L-tyrosinamide trifluoroacetate; Λ/-[({4-[(ethyloxy)carbonyl]phenyl}amino)carbonyl]-/V-{1 -[(4-f luorophenyl)methyl]-1 - methyl-3-pyrrolidiniumyl}-L-tyrosinamide trifluoroacetate;
Λ/-[({4-[(ethyloxy)carbonyl]phenyl}amino)carbonyl]-Λ/-{(3S)-1-[(4- hydroxyphenyl)methyl]-1-methyl-3-pyrrolidiniumyl}-L-tyrosinamide trifluoroacetate;
Λ/-[({4-[(ethyloxy)carbonyl]phenyl}amino)carbonyl]-/V-{(3S)-1-[(4- fluorophenyl)methyl]-1 -methyl-3-pyrrolidiniumyl}-L-tyrosinamide trifluoroacetate;
Λ/-[(3S)-1 -(1 ,3-benzodioxol-5-ylmethyl)-1 -methyl-3-pyrrolidiniumyl]-Λ/-[({4-
[(ethyloxy)carbonyl]phenyl}amino)carbonyl]-L-tyrosinamide trifluoroacetate;
Λ/-[(3S)-1-(cyclopropylmethyl)-1-methyl-3-pyrrolidiniumyl]-Λ/-[({4-
[(ethyloxy)carbonyl]phenyl}amino)carbonyl]-L-tyrosinamide trifluoroacetate; Λ/-((3S)-1 -{[3,4-bis(methyloxy)phenyl]methyl}-1 -methyl-3-pyrrolidiniumyl)-Λ/-[({4-
[(ethyloxy)carbonyl]phenyl}amino)carbonyl]-L-tyrosinamide trifluoroacetate;
/V-[({4-[(ethyloxy)carbonyl]phenyl}amino)carbonyl]-Λ/-{1-[(4-fluorophenyl)methyl]-1- methyl-3-piperidiniumyl}-L-tyrosinamide trifluoroacetate;
Λ/-[1 -(1 ,3-benzodioxol-5-ylmethyl)-1 -methyl-3-piperidiniumyl]-Λ/-[({4- [(ethyIoxy)carbonyl]phenyl}amino)carbonyl]-L-tyrosinamide trifluoroacetate;
N-(1-{[3,4-bis(methyloxy)phenyl]methyl}-1-methyl-3-piperidiniumyl)-/V-[({4-
[(ethyloxy)carbonyl]phenyl}amino)carbonyl]-L-tyrosinamide trifluoroacetate;
Λ/-[1 -(cyclopropylmethyl)-i -methyl-3-piperidiniumyl]-Λ/-[({4-
[(ethyloxy)carbonyl]phenyl}amino)carbonyl]-L-tyrosinamide trifluoroacetate; Λ/-{[1 -(cyclopropylmethyl)-i -methyl-4-piperidiniumyl]methyl}-Λ/-[({4-
[(ethyloxy)carbonyl]phenyl}amino)carbonyl]-L-tyrosinamide trifluoroacetate;
Λ/-[({4-[(ethyloxy)carbonyl]phenyl}amino)carbonyl]-Λ/-{(3S)-1-[(3- hydroxyphenyl)methyl]-1-methyl-3-pyrrolidiniumyl}-L-tyrosinamide trifluoroacetate;
Λ/-[({4-[(ethyloxy)carbonyl]phenyl}amino)carbonyl]-Λ/-{(3S)-1-[(3- fluorophenyl)methyl]-1 -methyl-3-pyrrolidiniumyl}-L-tyrosinamide trifluoroacetate;
Λ/-{(3S)-1-[(3-cyanophenyl)methyi]-1-methyl-3-pyrrolidiniumyI}-Λ/-[({4-
[(ethyloxy)carbonyl]phenyl}amino)carbonyl]-L-tyrosinamide trifluoroacetate; A/-((3S)-1-{[4-(acetylamino)phenyl]methy]}-1-methyl-3-pyrroliciiniumyl)-/V-[({4-
[(ethyloxyJcarbonyOphenylJaminoJcarbonyll-L-tyrosinamide trifluoroacetate;
/V-[({4-[(ethyloxy)carbonyl]phenyl}amino)carbonyl]-/V-{(1 f?,3S)-1-[(4- fluorophenyl)methyl]-1-methyl-3-pyrrolidiniunnyl}-L-tyrosinamicle trifluoroacetate; Λ/-[({4-[(ethyloxy)carbonyl]phθnyl}amino)carbonyl]-Λ/-{(1 S,3S)-1 -[(4- fluorophenyl)methyl]-1-methyl-3-pyrrolidiniumyl}-L-tyrosinamide trifluoroacetate;
Λ/-[(1 fl,3S)-1 -(1 ,3-benzodioxol-5-ylmethyl)-1 -methyl-3-pyrrolidiniumyl]-/V-[({4-
[(ethyloxy)carbonyl]phenyl}amino)carbonyl]-L-tyrosinamide trifluoroacetate;
/V-[(1 S,3S)-1 -(1 ,3-benzodioxol-5-ylmethyl)-1 -methyl-3-pyrrolidiniumyl]-/V-[({4- [(ethyloxy)carbonyl]phenyl}amino)carbonyl]-L-tyrosinamide trifluoroacetate;
Λ/-[(3S)-1 -(1 ,3-benzodioxol-5-ylmethyl)-1 -methyl-3-pyrrolidiniumyl]-4-chloro-Λ/-[({4-
[(ethyloxy)carbonyl]phenyl}amino)carbonyl]-L-phenylalaninamide trifluoroacetate;
(3S)-1 -(1 ,3-benzodioxol-5-ylmethyl)-3-{[Λ/-[({4-
[(ethyloxy)carbonyl]phenyl}amino)carbonyl]-3-(2-naphthalenyl)-L-alanyl]amino}-1- methylpyrrolidinium trifluoroacetate;
Λ/-[(3S)-1 -(1 ,3-benzodioxol-5-ylmethyl)-1 -methyl-3-pyrrolidiniumyl]-Λ/-[({4-
[(ethyloxy)carbonyl]phenyl}amino)carbonyl]-4-(phenyIcarbonyl)-L- phenylalaninamide trifluoroacetate;
/V-[(3S)-1 -(1 ,3-benzodioxol-5-ylmethyi)-1 -methyl-3-pyrroIidiniumyl]-Λ/-[({4- [(ethyIoxy)carbonyl]phenyl}amino)carbonyl]-4-fluoro-L-phenylalaninamide trifluoroacetate;
(3S)-1-(1 ,3-benzodioxol-5-ylmethyl)-3-[((2S)-3-(4-biphenylyl)-2-{[({4-
[(ethyloxy)carbonyl]phenyl}amino)carbonyl]amino}propanoyl)amino]-1- methylpyrrolidinium trifluoroacetate; Λ/-[(3S)-1 -(1 ,3-benzodioxol-5-yImethyl)-1 -methyl-3-pyrrolidiniumyl]-/V-[({4-
[(ethyloxyJcarbonylJphenylJaminoJcarbonyO^-methyl-L-phenylalaninamide trifluoroacetate;
Λ/-[(3S)-1 -(1 ,3-benzodioxol-5-ylmethyl)-1 -methyl-3-pyrrolidiniumyl]-4-bromo-Λ/-[({4-
[(ethyloxy)carbonyl]phenyl}amino)carbonyl]-L-phenylaIaninamide trifluoroacetate; Λ/-[(3S)-1 -(1 ,3-benzodioxol-5-ylmethyl)-1 -methyl-3-pyrrolidiniumyl]-3-chloro-Λ/-[({4-
[(ethyloxy)carbonyl]phenyl}amino)carbonyl]-L-phenylaIaninamide trifluoroacetate;
4-amino-Λ/-[(3S)-1 -(1 ,3-benzodioxol-5-ylmethyl)-1 -methyl-3-pyrrolidiniumyl]-Λ/-[({4-
[(ethyloxy)carbonyl]phenyl}amino)carbonyl]-L-phenylalaninamide trifluoroacetate; Λ/-{(3S)-1 -[(3-chlorophenyl)methyl]-1 -methyl-3-pyrrolidiniumyl}-/V-{[(4-{[(1 - methylethyl)amino]carbonyl}phenyl)amino]carbonyl}-L-tyrosinamide trifluoroacetate;
Λ/-{(3S)-1 -[(4-chlorophenyl)methyl]-1 -methyl-3-pyrrolidiniumyl}-Λ/-{[(4-{[(1 - methylethyl)amino]carbonyl}phenyl)amino]carbonyl}-L-tyrosinamide trifluoroacetate;
/V-((3S)-1-{[3,4-bis(methyloxy)phenyl]methyl}-1-rnethyl-3-pyrroIidiniumyl)-/V-{[(4-
{[(1-methylethyl)amino]carbonyl}phenyl)amino]carbonyl}-L-tyrosinamide trifluoroacetate; Λ/-[(3S)-1 -(1 ,3-benzodioxol-5-ylmethyl)-1 -methyl-3-pyrrolidiniumyl]-Λ/-{[(4-{[(1 - methylethyl)amino]carbonyl}phenyl)amino]carbonyl}-L-tyrosinamide trifluoroacetate;
Λ/-{(3S)-1 -[(4-f luorophenyl)methyl]-1 -methyl-3-pyrrolidiniumyl}-Λ/-{[(4-{[(1 - methylethyl)amino]carbonyl}phenyl)amino]carbonyi}-L-tyrosinamide trifluoroacetate;
Λ/-{(3S)-1-[(4-chlorophenyl)methyl]-1-methyl-3-pyrrolidiniumyl}-Λ/-[({4-
[(ethyloxy)carbonyl]phenyl}amino)carbonyl]-L-tyrosinamide trifluoroacetate;
Λ/-{(3S)-1-[(3-chlorophenyl)methyl]-1-methyl-3-pyrrolidiniumyl}-Λ/-[({4-
[(ethyloxy)carbonyl]phenyl}amino)carbonyl]-L-tyrosinamide trifluoroacetate; (2S)-2-({Λ/-[({4-[(ethyloxy)carbonyl]phenyl}amino)carbonyl]-L-tyrosyl}amino)-5- azoniaspiro[4.5]decane trifluoroacetate;
(3lS)-3l-({Λ/-[({4-[(ethyloxy)carbonyl]phenyl}amino)carbonyl]-L-tyrosyl}amino)-1 ,3- dihydrospiro[isoindole-2,1 '-pyrrolidine] trifluoroacetate;
/V-((3S)-1-{[3)4-bis(methyloxy)phenyl]methyl}-1-methyl-3-ρyrrolidiniumyl)-Λ/-[({4- [(cyclopropylamino)carbonyl]phenyl}amino)carbonyl]-L-tyrosinamide trifluoroacetate;
Λ/-{(3S)-1-ethyl-1-[(4-fluorophenyl)methyl]-3-pyrrolidiniumyl}-Λ/-[({4-
[(ethyloxy)carbonyl]phenyl}amino)carbonyl]-L-tyrosinamide trifluoroacetate;
Λ/-[({4-[(ethyloxy)carbonyl]phenyl}amino)carbonyl]-Λ/-{(3S)-1-[(4- fluorophenyl)methyl]-1 -propyl-3-pyrrolidiniumyl}-L-tyrosinamide trifluoroacetate;
N-[({4-[(ethyloxy)carbonyl]phenyl}amino)carbonyl]-Λ/-[(3S)-1-[(4- fluorophenyl)methyl]-1-(2-propen-1-yl)-3-pyrrolidiniumyl]-L-tyrosinamide trifluoroacetate; /V-[(3S)-1 -(1 ,3-benzodioxol-5-ylmethyl)-1 -methyl-3-pyrrolidiniumyl]-/V-{[(4- butanoylphenyl)amino]carbonyl}-L-tyrosinamide trifluoroacetate; /V-[(2S)-5-azoniaspiro[4.4]non-2-yl]-/V-[({4-
[(ethyloxy)carbonyl]phenyl}amino)carbonyl]-L-tyrosinamide trifluoroacetate; (2S)-2-({Λ/-[({4-[(ethyloxy)carbonyl]phenyl}amino)carbonyl]-L-tyrosyl}amino)-5- azoniaspiro[4.6]undecane trifluoroacetate;
Λ/-[(3S)-1 -(1 ,3-benzodioxol-5-ylmethyl)-1 -methyl-3-piperidiniumyl]-Λ/-{[(4-{[(1 - methylethyl)amino]carbonyl}phenyl)amino]carbonyl}-L-tyrosinamide trifluoroacetate; Λ/-[(3S)-1 -(1 ,3-benzodioxol-5-ylmethyl)-1 -methyl-3-piperidiniumyl]-Λ/-[({4- [(methyloxy)carbonyl]phenyl}amino)carbonyl]-L-tyrosinamide trifluoroacetate; Λ/-[(3S)-1 -(1 ,3-benzodioxol-5-ylmethyl)-1 -methyl-3-piperidiniumyl]-Λ/-[({4- [(ethyloxy)carbonyl]phenyl}amino)carbonyl]-L-tyrosinamide trifluoroacetate; Λ/-[(3S)-1 -(1 ,3-benzodioxol-5-ylmethyl)-1 -methyl-3-piperidiniumyl]-Λ/-{[(4-{[(1 - methylethyl)oxy]carbonyl}phenyl)amino]carbonyl}-L-tyrosinamide trifluoroacetate; /V-[(3S)-1 -(1 ,3-benzodioxol-5-ylmethyl)-1 -methyl-3-piperidiniumyl]-Λ/-[({4- [(propyloxy)carbonyl]phenyl}amino)carbonyl]-L-tyrosinamide trifluoroacetate; /V-[(3S)-1 -(1 ,3-benzodioxol-5-ylmethyl)-1 -methyl-3-piperidiniumyl]-Λ/-({[4-(5- methyl-1 ,2,4-oxadiazol-3-yl)phenyl]amino}carbonyl)-L-tyrosinamide trifluoroacetate;
/V-[(3S)-1 -(1 ,3-benzodioxol-5-ylmethyl)-1 -methyl-3-piperidiniumyl]-Λ/-({[4-(5-ethyl- 1 ,2,4-oxadiazol-3-yl)phenyi]amino}carbonyl)-L-tyrosinamide trifluoroacetate; /V-[(3S)-1 -(1 ,3-benzodioxol-5-ylmethyl)-1 -methyl-3-piperidiniumyl]-Λ/-({[4-(3- methyl-1 ,2,4-oxadiazol-5-yl)phenyl]amino}carbonyl)-L-tyrosinamide trifluoroacetate;
Λ/-{(3S)-1 -[(4-fluorophenyl)methyl]-1 -methyl-3-piperidiniumyl}-Λ/-{[(4-{[(1 - methylethyOoxyJcarbonylJphenyOaminolcarbonylJ-L-tyrosinamide trifluoroacetate; Λ/-{(3S)-1 -[(4-hydroxyphenyl)methyl]-1 -methyl-3-piperidiniumyl}-Λ/-{[(4-{[(1 - methylethyl)oxy]carbonyl}phenyl)amino]carbonyl}-L-tyrosinamide trifluoroacetate; Λ/-{(3S)-1 -[(3-chlorophenyl)methyl]-1 -methyl-3-piperidiniumyl}-N-{[(4-{[(1 - methylethyl)oxy]carbonyl}phenyl)amino]carbonyl}-L-tyrosinamide trifluoroacetate; Λ/-((3S)-1-{[3,4-bis(methyloxy)phenyl]methyl}-1-methyl-3-pipericliniumyl)-/V-{[(4-
{[(i-methylethyOoxyJcarbonylJphenyOaminoJcarbonylJ-L-tyrosinamidθ trifluoroacetate;
/V-{(3S)-1 -[(3-hydroxyphenyl)methyl]-1 -methyl-3-piperidiniumyl}-/\/-{[(4-{[(1 - methylethyl)oxy]carbonyl}phenyl)amino]carbonyl}-L-tyrosinamide trifluoroacetate;
Λ/-{(3S)-1 -[(4-chlorophenyl)methyl]-1 -methyl-3-piperidiniumyl}-/V-{[(4-{[(1 - methylethyOoxylcarbonylJphenyOaminolcarbonylJ-L-tyrosinamide trifluoroacetate;
Λ/-[(3S)-1 -(cyclopropylmethyl)-i -methyl-3-piperidiniumyl]-Λ/-{[(4-{[(1 - methylethyl)oxy]carbonyl}phenyl)amino]carbonyl}-L-tyrosinamide trifluoroacetate; Λ/-{(3S)-1 -[(3-hydroxyphenyl)methyl]-1 -methyl-3-piperidiniumyl}-Λ/-{[(4-{[(1 - methylethyl)amino]carbonyl}phenyl)amino]carbonyl}-L-tyrosinamide trifluoroacetate;
Λ/-{(3S)-1 -[(3-hydroxyphenyl)methyl]-1 -methyl-3-pyrrolidiniumyl}-Λ/-{[(4-{[(1 - methylethyl)oxy]carbonyl}phenyl)amino]carbonyl}-L-tyrosinamide trifluoroacetate; Λ/-[(3S)-1 -(1 ,3-benzodioxol-5-ylmethyl)-1 -methyl-3-pyrrolidiniumyl]-Λ/-{[(4-{[(1 - methylethyl)oxy]carbonyl}phenyl)amino]carbonyl}-L-tyrosinamide trifluoroacetate;
Λ/-((3S)-1-{[3,4-bis(methyloxy)phenyl]methyl}-1-methyl-3-piperidiniumyl)-Λ/-({[4-(5- methyl-1 ,2,4-oxadiazol-3-yl)phenyl]amino}carbonyl)-L-tyrosinamide trifluoroacetate; Λ/-((3S)-1 -{[3,4-bis(methyloxy)phenyl]methyl}-1 -methyl-3-piperidiniumyl)-Λ/-({[4-(5- ethyl-1 ,2,4-oxadiazol-3-yl)phenyl]amino}carbonyl)-L-tyrosinamide trifluoroacetate;
Λ/-((3S)-1-{[3,4-bis(methyloxy)phenyl]methyl}-1-methyl-3-piperidiniumyl)-Λ/-({[4-(3- methyl-1 ,2,4-oxadiazol-5-yl)phenyl]amino}carbonyl)-L-tyrosinamide trifluoroacetate; /V-{(3S)-1 -[(3-hydroxyphenyl)methyl]-1 -methyi-3-piperidiniumyl}-Λ/-({[4-(5-methyl-
1 ,2,4-oxadiazol-3-yl)phenyl]amino}carbonyl)-L-tyrosinamide trifluoroacetate;
N-{(3S)-1-[(3-hydroxyphenyl)methyl]-1-methyl-3-piperidiniumyl}-Λ/-({[4-(3-methyl-
1 ,2,4-oxadiazol-5-yl)phenyl]amino}carbonyl)-L-tyrosinamide trifluoroacetate;
Λ/-({[4-(5-ethyl-1 ,2,4-oxadiazol-3-yl)phenyl]amino}carbonyl)-/V-{(3S)-1-[(3- hydroxyphenyl)methyl]-1 -methyl-3-piperidiniumyl}-L-tyrosinamide trifluoroacetate;
Λ/-[(3S)-1 , 1 -bis(cyclopropylmethyl)-3-piperidiniumyl]-/V-{[(4-{[(1 - methylethyOoxyjcarbonylJphenyOaminojcarbonylJ-L-tyrosinamide trifluoroacetate; Λ/-[(3S)-1 ,1 -bis(cyclopropylmethyl)-3-piperidiniumyl]-W-{[(4-{[(1 - methylethyl)amino]carbonyl}phenyl)amino]carbonyl}-L-tyrosinamicle trifluoroacetate;
(2S)-2-[(/V-{[(4-{[(1-methylethyl)oxy]carbonyl}phenyl)amino]carbonyl}-L- tyrosyl)amino]-6-azoniaspiro[5.6]dodecane trifluoroacetate;
/V-{(3S)-1 -[(3-hydroxyphenyl)methyl]-1 -propyl-3-piperidiniumyl}-/V-{[(4-{[(1 - methylethyl)oxy]carbonyl}phenyl)amino]carbonyl}-L-tyrosinamide trifluoroacetate;
/V-[(3S)-1 -(1 ,3-benzodioxol-5-ylmethyl)-1 -propyl-3-piperidiniumyl]-Λ/-{[(4-{[(1 - methylethyl)oxy]carbonyl}phenyl)amino]carbonyl}-L-tyrosinamide trifluoroacetate; Λ/-((3S)-1 -{[3,4-bis(methyloxy)phenyi]methyl}-1 -propyl-3-piperidiniumyl)-Λ/-{[(4-
{[(1-methylethyl)oxy]carbonyl}phenyl)amino]carbonyl}-L-tyrosinamide trifluoroacetate;
Λ/-{(3S)-1 -[(3-hydroxyphenyl)methyl]-1 -propyl-3-piperidiniumyl}-/V-{[(4-{[(1 - methylethyl)amino]carbonyl}phenyl)amino]carbonyl}-L-tyrosinamide trifluoroacetate;
Λ/-[(3S)-1 -(1 ,3-benzodioxol-5-ylmethyl)-1 -propyl-3-piperidiniumyl]-Λ/-{[(4-{[(1 - methylethyl)amino]carbonyl}phenyl)amino]carbonyl}-L-tyrosinamide trifluoroacetate;
Λ/-((3S)-1-{[3,4-bis(methyloxy)phenyl]methyl}-1-propyl-3-piperidiniumyl)-Λ/-{[(4- {[(1-methylethyl)amino]carbonyl}phenyl)amino]carbonyl}-L-tyrosinamide trifluoroacetate;
/V-[(3S)-1 -[(3-hydroxyphenyl)methyl]-1 -(2-propen-1 -yl)-3-piperidiniumyl]-/V-{[(4-
{[(1-methylethyl)oxy]carbonyl}phenyl)amino]carbonyl}-L-tyrosinamide trifluoroacetate; Λ/-[(3S)-1 -(1 ,3-benzodioxol-5-ylmethyl)-1 -(2-propen-1 -yl)-3-piperidiniumyl]-/V-{[(4-
{[(1-methylethyl)oxy]carbonyl}phenyl)amino]carbonyl}-L-tyrosinamide trifluoroacetate;
Λ/-[(3S)-1 -{[3,4-bis(methyloxy)phenyl]methyl}-1 -(2-propen-1 -yl)-3-piperidiniumyl]-
Λ/-{[(4-{[(1-methylethyl)oxy]carbonyl}phenyl)amino]carbonyl}-L-tyrosinamide trifluoroacetate;
Λ/-[(3S)-1 -[(3-hydroxyphenyl)methyl]-1 -(2-propen-1 -yl)-3-ρiperidiniumyl]-Λ/-{[(4-
{[(1-methylethyl)amino]carbonyl}phenyl)amino]carbonyl}-L-tyrosinamide trifluoroacetate; 'rW-[(3S)-1-(1 ,3-benzodioxol-5-ylmethyl)-1-(2-propen-1-yl)-3-pipericliniumyl]-Λ/-{[(4-
{[(i-methylethyOaminoJcarbonylJphenylJaminolcarbonylJ-L-tyrosinamide trifluoroacetate;
/V-[(3S)-1 -{[3,4-bis(nnethyloxy)phenyl]methyl}-1 -(2-propen-1 -yl)-3-piperidiniumyl]- Λ/-{[(4-{[(1-methylθthyl)amino]carbonyl}phenyl)amino]carbonyl}-L-tyrosinamide trifluoroacetate;
Λ/-{(3S)-1 -[(4-hydroxyphenyl)methyl]-1 -propyl-3-piperidiniumyl}-Λ/-{[(4-{[(1 - methylethyl)oxy]carbonyl}pheny!)amino]carbonyl}-L-tyrosinamide trifluoroacetate;
Λ/-[(3S)-1 -(cyclopropylmethyl)-i -(2-propen-1 -yl)-3-piperidiniumyl]-Λ/-{[(4-{[(1 - methylethyl)oxy]carbonyl}phenyl)amino]carbonyl}-L-tyrosinamide trifluoroacetate;
/V-[(3S)-1 -(cyclopropylmethyl)-i -(2-propen-1 -yl)-3-piperidiniumyl]-Λ/-{[(4-{[(1 - methylethyOaminoJcarbonylJphenyOaminoJcarbonylJ-L-tyrosinamide trifluoroacetate;
Λ/-[(3S)-1 -(cyclopropylmethyl)-i -propyl-3-piperidiniumyl]-Λ/-{[(4-{[(1 - methylethyOaminolcarbonylJphenyOaminolcarbonylJ-L-tyrosinamide trifluoroacetate;
Λ/-[(3S)-1 -(cyclopropylmethyl)-i -propyl-3-piperidiniumyl]-/V-{[(4-{[(1 - methylethyOoxylcarbonylJphenyOaminolcarbonylJ-L-tyrosinamide trifluoroacetate;
Λ/-((3S)-1 -{[3,4-bis(methyloxy)phenyl]methyl}-1-methyl-3-piperidiniumyl)-Λ/-{[(4- {[(1-methylethyl)amino]carbonyl}phenyl)amino]carbonyl}-L-tyrosinamide trifluoroacetate;
/V-{(3S)-1 -[(3-chlorophenyl)methyl]-1 -methyl-3-piperidiniumyl}-Λ/-{[(4-{[(1 - methylethyl)amino]carbonyl}phenyl)amino]carbonyl}-L-tyrosinamide trifluoroacetate; Λ/-{(3S)-1 -[(4-hydroxyphenyl)methyl]-1 -methyl-3-piperidiniumyl}-Λ/-{[(4-{[(1 - methylethyOaminolcarbonylJphenyOaminolcarbonylJ-L-tyrosinamide trifluoroacetate;
/V-{(3S)-1 -[(4-fluorophenyl)methyl]-1 -methyl-3-piperidiniumyl}-Λ/-{[(4-{[(1 - methylethyOaminolcarbonylJphenyOaminolcarbonylJ-L-tyrosinamide trifluoroacetate;
Λ/-[(3S)-1 -(1 ,3-benzodioxol-5-ylmethyl)-1 -methyl-3-pyrrolidiniumyl]-/V-({[4-(5- methyl-1 ,2,4-oxadiazol-3-yl)phenyl]amino}carbonyl)-L-tyrosinamide trifluoroacetate; "Λ/:[(3S)-1 -(1 ,3-benzodioxol-5-ylmethyl)-1 -methyl-3-pyrrolidiniumyl]-/V-({[4-(3- methyl-i ^^-oxadiazol-δ-yOphenyOaminoJcarbonyO-L-tyrosinamicle trifluoroacetate;
N-{(3S)-1-[(3-hydroxyphenyl)methyl]-1-methyl-3-pyrrolidiniumyl}-/V-({[4-(5-methyl- 1 ,2,4-oxadiazol-3-yl)phenyl]amino}carbonyl)-L-tyrosinamide trifluoroacetate; Λ/-{(3S)-1-[(3-hydroxyphenyl)methyl]-1-rnethyl-3-pyrrolidiniurnyl}-Λ/-({[4-(3-methyl- 1 ,2,4-oxadiazol-5-yl)phenyl]amino}carbonyl)-L-tyrosinamide trifluoroacetate; Λ/-[({4-[(ethyloxy)carbonyl]phenyl}amino)carbonyl]-Λ/-{(3S)-1-[(4- fluorophenyl)methyl]-1-methyl-3-piperidiniumy[}-L-tyrosinamide trifluoroacetate; Λ/-{(3S)-1 -[(3-chlorophenyl)methyl]-1 -methyl-3-piperidiniumyl}-Λ/-[({4-
[(ethyloxy)carbonyl]phenyl}amino)carbonyl]-L-tyrosinamide trifluoroacetate; Λ/-((3S)-1-{[3,4-bis(methyloxy)phenyl]methyl}-1-methyl-3-piperidiniumyl)-/V-[({4- [(ethyloxy)carbonyl]phenyl}amino)carbonyl]-L-tyrosinamide trifluoroacetate; N-[({4-[(ethyloxy)carbonyl]phenyl}amino)carbonyl]-Λ/-{(3S)-1-[(3- hydroxyphenyl)methyl]-1 -methyl-3-piperidiniumylJ-L-tyrosinamide trifluoroacetate; Λ/-[(3S)-1-(cyclopropylmethyl)-1-methyl-3-piperidiniumyl]-Λ/-[({4- [(ethyloxy)carbonyl]phenyl}amino)carbonyl]-L-tyrosinamide trifluoroacetate; Λ/-[({3,5-bis[(ethyloxy)carbonyl]-4-methyl-2-thienyl}amino)carbonyl]-Λ/-{(3S)-1-[(3- hydroxyphenyl)methyl]-1-methyl-3-piperidiniumyl}-L-tyrosinamide trifluoroacetate; Λ/-[({3,5-bis[(ethyloxy)carbonyl]-4-methyl-2-thienyl}amino)carbonyl]-Λ/-{(3S)-1-[(3- chloryphenyl)methyl]-1-methyl-3-piperidiniumyl}-L-tyrosinamide trifluoroacetate; Λ/-[({3,5-bis[(ethyloxy)carbonyl]-4-methyI-2-thienyl}amino)carbonyl]-Λ/-{(3S)-1-[(4- chloiγphenyl)methyl]-1-methyl-3-piperidiniurnyl}-L-tyrosirιarnide trifluoroacetate; Λ/-[({5-[(ethyloxy)carbonyl]-2-thienyl}amino)carbonyl]-Λ/-{(3S)-1-[(3- hydroxyphenyl)methyl]-1 -methyl-3-piperidiniumyl}-L-tyrosinamide trifluoroacetate; Λ/-[({5-[(ethyloxy)carbonyl]-2-thienyl}amino)carbonyl]-Λ/-{(3S)-1-[(3- chlorophenyl)methyl]-1-methyl-3-piperidiniumyl}-L-tyrosinamide trifluoroacetate; Λ/-[({5-[(ethyloxy)carbonyl]-2-thienyl}amino)carbonyl]-Λ/-{(3S)-1-[(4- chlorophenyl)methyl]-1-methyl-3-piperidiniumyl}-L-tyrosinamide trifluoroacetate; Λ/-{(3S)-1 -[(3-hydroxyphenyl)methyl]-1 -methyl-3-piperidiniumyl}-N-{[(5-{[(1 - methylethyl)oxy]carbonyl}-2-thienyl)amino]carbonyl}-L-tyrosinamide trifluoroacetate; Λ/-f(3'S)-1-[(3-chlorophenyl)methyl]-1-methyl-3-piperidiniumyl}-/V-{[(5-{[(1- methylethyl)oxy]carbonyl}-2-thienyl)amino]carbonyl}-L-tyrosinamicle trifluoroacetate;
Λ/-{(3S)-1 -[(4-chlorophenyl)methyl]-1 -methyl-3-piperidinjumyl}-Λ/-{[(5-{[(1 - methylethyl)oxy]carbonyl}-2-thienyl)amino]carbonyl}-L-tyrosinamicle trifluoroacetate;
/V-[({5-[(cyclobutyloxy)carbonyl]-2-thienyl}amino)carbonyl]-Λ/-{(3S)-1-[(3- hydroxyphenyl)methyl]-1-methyl-3-piperidiniumyl}-L-tyrosinamide trifluoroacetate; Λ/-[({5-[(cyclobutyloxy)carbonyl]-2-thienyl}amino)carbonyl]-Λ/-{(3S)-1-[(3- chlorophenyl)methyl]-1 -methyl-3-piperidiniumylJ-L-tyrosinamide trifluoroacetate; Λ/-[({5-[(cyclobutyloxy)carbonyl]-2-thienyl}amino)carbonyl]-Λ/-{(3S)-1-[(4- chlorophenyl)methyl]-1-methyl-3-piperidiniumyl}-L-tyrosinamide trifluoroacetate; Λ/-{[(5-{[(cyclopropylmethyl)oxy]carbonyl}-2-thienyl)amino]carbonyl}-Λ/-{(3S)-1-[(3- hydroxyphenyl)methyl]-1-methyl-3-piperidiniumyl}-L-tyrosinamide trifluoroacetate; /V-{(3S)-1 -[(3-hydroxyphenyl)methyl]-1 -methyl-3-piperidiniumyl}-Λ/-{[(5- {[(phenylmethyl)oxy]carbonyl}-2-thienyl)amino]carbonyl}-L-tyrosinamide trifluoroacetate;
/V-{(3S)-1-[(3-chlorophenyl)methyl]-1-methyl-3-piperidiniumyl}-/V-{[(5- {[(phenylmethyI)oxy]carbonyl}-2-thienyl)amino]carbonyl}-L-tyrosinamide trifluoroacetate;
Λ/-{(3S)-1-[(4-chlorophenyl)methyl]-1-methyl-3-piperidiniumyl}-Λ/-{[(5- {[(phenylmethyl;)oxy]carbonyl}-2-thienyl)amino]carbonyl}-L-tyrosinamide trifluoroacetate; Λ/-{(3S)-1-[(3-hydroxyphenyl)methyl]-1-methyl-3-piperidiniumyl}-Λ/-[({5- [(propyIoxy)carbonyl]-2-thienyl}amino)carbonyl]-L-tyrosinamide trifluoroacetate; Λ/-{(3S)-1-[(3-chlorophenyl)methyl]-1-methyI-3-piperidiniumyl}-Λ/-[({5- [(propyloxy)carbonyl]-2-thienyl}amino)carbonyl]-L-tyrosinamide trifluoroacetate; Λ/-{(3S)-1-[(4-chlorophenyl)methyl]-1-methyl-3-piperidiniumyl}-Λ/-[({5- [(propyloxy)carbonyl]-2-thienyl}amino)carbonyl]-L-tyrosinamide trifluoroacetate; Λ/-[({5-[(cyclopentylamino)carbonyl]-2-thienyl}amino)carbonyl]-Λ/-{(3S)-1-[(3- hydroxyphenyl)methyl]-1-methyl-3-piperidiniumyl}-L-tyrosinamide trifluoroacetate; Λ/-[({5-[(cyclopentylamino)carbonyl]-2-thienyl}amino)carbonyl]-Λ/-{(3S)-1-[(3- chlorophenyl)methyl]-1-methyl-3-piperidiniumyl}-L-tyrosinamide trifluoroacetate; Λ/-[({5-[(cyclopentylamino)carbonyl]-2-thienyl}amino)carbonyl]-Λ/-{(3S)-1-[(4- chlorophenyOmethylJ-i-methyl-S-pipericliniumylJ-L-tyrosinamicle trifluoroacetate; Λ/-[({5-[(cycloheptylamino)carbonyl]-2-thiθnyl}amino)carbonyl]-Λ/-{(3S)-1-[(3- hydroxyphenyl)methyl]-1-methyl-3-piperidiniumyl}-L-tyrosinamide trifluoroacetate; Λ/-[({5-[(cycloheptylamino)carbonyl]-2-thienyl}amino)carbonyl]-/V-{(3S)-1-[(3- chlorophenyl)methyl]-1-methyl-3-piperidiniumyl}-L-tyrosinamide trifluoroacetate; Λ/-[({5-[(cycloheptylamino)carbonyl]-2-thienyl}amino)carbonyl]-Λ/-{(3S)-1-[(4- chlorophenyl)methyl]-1-methyl-3-piperidiniumyl}-L-tyrosinamide trifluoroacetate; Λ/-{[(5-{[(cyclohexylmethyl)amino]carbonyl}-2-thienyl)amino]carbonyl}-/V-{(3S)-1- [(3-hydroxyphenyl)methyl]-1-methyl-3-piperidiniumyl}-L-tyrosinamide trifluoroacetate;
Λ/-{[(5-{[(cyclohexylmethyl)amino]carbonyl}-2-thienyl)amino]carbonyl}-Λ/-{(3S)-1- [(3-chlorophenyl)methyl]-1-methyl-3-piperidiniumyl}-L-tyrosinamide trifluoroacetate; Λ/-{(3S)-1 ,1 -bis[(3-chlorophenyl)methyl]-3-piperidiniumyl}-Λ/-[({5-
[(ethyloxy)carbonyl]-2-thienyl}amino)carbonyl]-L-tyrosinamide trifluoroacetate; and Λ/-[({5-[(ethyloxy)carbonyl]-2-thienyl}amino)carbonyl]-Λ/-{(3S)-1-[(3- hydroxyphenyl)methyl]-1-methyl-3-piperidiniumyl}-L-tyrosinamide trifluoroacetate or any other pharmaceutically acceptable salt.
5. A compound according to claim 1 selected from the group consisting of: Λ/-[(3S)-1 -(1 ,3-benzodioxol-5-ylmethyl)-1 -methyl-3-piperidiniumyl]-Λ/-{[(4-{[(1 - methylethyl)amino]carbonyl}phenyl)amino]carbonyl}-L-tyrosinamide trifluoroacetate; Λ/-[(3S)-1 -(1 ,3-benzodioxol-5-ylmethyl)-1 -methyl-3-piperidiniumyl]-Λ/-[({4- [(ethyloxy)carbonyl]phenyl}amino)carbonyl]-L-tyrosinamide trifluoroacetate; Λ/-[(3S)-1 -(1 ,3-benzodioxol-5-ylmethyl)-1 -methyl-3-piperidiniumyl]-Λ/-{[(4-{[(1 - methylethyOoxyJcarbonylJphenyOaminojcarbonylJ-L-tyrosinamide trifluoroacetate; Λ/-[(3S)-1 -(1 ,3-benzodioxol-5-ylmethyl)-1 -methyl-3-piperidiniumyl]-Λ/-[({4- [(propyloxy)carbonyl]phenyl}amino)carbonyl]-L-tyrosinamide trifluoroacetate; Λ/-[(3S)-1 -(1 ,3-benzodioxol-5-ylmethyl)-1 -methyl-3-piperidiniumyl]-Λ/-({[4-(5- methyl-1 ,2,4-oxadiazol-3-yl)phenyl]amino}carbonyl)-L-tyrosinamide trifluoroacetate; Λ/-[(3S)-1 -(1 ,3-benzodioxol-5-ylmethyl)-1 -methyl-3-piperidiniumyl]-Λ/-({[4-(3- methyl-1 ,2,4-oxadiazol-5-yl)phenyl]amino}carbonyl)-L-tyrosinamide trifluoroacetate;
Λ/-{(3S)-1 -[(4-f luorophenyl)methyl]-1 -methyl-3-piperidiniumyl}-/V-{[(4-{[(1 - methylethyl)oxy]carbonyl}phenyl)amino]carbonyl}-L-tyrosinamidθ trifluoroacetate;
/V-{(3S)-1 -[(4-hydroxyphenyI)methyl]-1 -methyl-3-piperidiniumyl}-Λ/-{[(4-{[(1 - methylethyl)oxy]carbonyl}phenyl)amino]carbonyl}-L-tyrosinamide trifluoroacetate;
Λ/-{(3S)-1 -[(3-chlorophenyl)methyl]-1 -methyl-3-piperidiniumyl}-Λ/-{[(4-{[(1 - methylethyOoxylcarbonylJphenyOaminolcarbonylJ-L-tyrosinamide trifluoroacetate; /V-((3S)-1 -{[3,4-bis(methyloxy)phenyl]methyl}-1 -methyl-3-piperidiniumyl)-Λ/-{[(4-
{[(1-methylethyl)oxy]carbonyl}phenyl)amino]carbonyl}-L-tyrosinamide trifluoroacetate;
/V-{(3S)-1 -[(3-hydroxyphenyl)methyl]-1 -methyl-3-piperidiniumyl}-Λ/-{[(4-{[(1 - methylethyl)oxy]carbonyl}phenyl)amino]carbonyl}-L-tyrosinamide trifluoroacetate; Λ/-{(3S)-1 -[(4-chlorophenyl)methyl]-1 -methyl-3-piperidiniumyl}-Λ/-{[(4-{[(1 - methylethyl)oxy]carbonyl}phenyl)amino]carbonyl}-L-tyrosinamide trifluoroacetate;
Λ/-[(3S)-1 -(cyclopropylmethyl)-i -methyl-3-piperidiniumyl]-Λ/-{[(4-{[(1 - methylethyl)oxy]carbonyl}phenyl)amino]carbonyl}-L-tyrosinamide trifluoroacetate;
Λ/-{(3S)-1 -[(3-hydroxyphenyI)methyl]-1 -methyl-3-piperidiniumyl}-/V-{[(4-{[(1 - methylethyOaminoJcarbonylJphenyOaminoJcarbonylJ-L-tyrosinamide trifluoroacetate;
/V-{(3S)-1 -[(3-hydroxyphenyl)methyl]-1 -methyl-3-pyrrolidiniumyl}-/V-{[(4-{[(1 - methylethyl)oxy]carbonyl}phenyl)amino]carbonyl}-L-tyrosinamide trifluoroacetate;
Λ/-[(3S)-1 -(1 ,3-benzodioxol-5-ylmethyl)-1 -methyl-3-pyrrolidiniumyl]-Λ/-{[(4-{[(1 - methylethyl)oxy]carbonyl}phenyl)amino]carbonyl}-L-tyrosinamide trifluoroacetate;
Λ/-((3S)-1-{[3,4-bis(methyloxy)phenyl]methyl}-1-methyl-3-piperidiniumyl)-/V-({[4-(5- methyl-1 ,2,4-oxadiazol-3-yl)phenyl]amino}carbonyl)-L-tyrosinamide trifluoroacetate;
/V-((3S)-1-{[3,4-bis(methyloxy)phenyl]methyl}-1-methyl-3-piperidiniumyl)-Λ/-({[4-(3- methyl-1 ,2,4-oxadiazol-5-yl)phenyl]amino}carbonyl)-L-tyrosinamide trifluoroacetate;
N-{(3S)-1-[(3-hydroxyphenyl)methyl]-1-methyl-3-piperidiniumyl}-Λ/-({[4-(5-methyl-
1 ,2,4-oxadiazol-3-yl)phenyl]amino}carbonyl)-L-tyrosinamide trifluoroacetate; /V-{(3S)-1-[(3-hydroxyphenyl)methyl]-1-methyl-3-piperidiniumyl}-Λ/-({[4-(3-methyl-
1 ,2,4-oxadiazol-5-yl)phenyl]amino}carbonyl)-L-tyrosinamide trifluoroacetate;
Λ/-({[4-(5-ethyl-1 ,2,4-oxadiazol-3-yl)phenyl]amino}carbonyl)-/V-{(3S)-1-[(3- hydroxyphenyl)methyl]-1-methyl-3-piperidiniumyl}-L-tyrosinamide trifluoroacetate; Λ/-[(3S)-1 ,1 -bis(cyclopropylmethyl)-3-piperidiniumyl]-Λ/-{[(4-{[(1 - methylethyOoxylcarbonylJphenylJaminolcarbonylJ-L-tyrosinarnide trifluoroacetate;
Λ/-[(3S)-1 ,1-bis(cyclopropylmethyl)-3-piperidiniumyl]-Λ/-{[(4-{[(1- methylethyl)amino]carbonyl}phenyl)amino]carbonyl}-L-tyrosinamide trifluoroacetate; (2S)-2-[(/V-{[(4-{[(1-methylethyl)oxy]carbonyl}phenyl)amino]carbonyl}-L- tyrosyl)amino]-6-azoniaspiro[5.6]dodecane trifluoroacetate;
/V-{(3S)-1 -[(3-hydroxyphenyl)methyl]-1 -propyl-3-piperidiniumyl}-/V-{[(4-{[(1 - methylethyl)oxy]carbonyl}phenyl)amino]carbonyl}-L-tyrosinamide trifluoroacetate;
Λ/-[(3S)-1 -(1 ,3-benzodioxol-5-ylmethyl)-1 -propyl-3-piperidiniumyl]-Λ/-{[(4-{[(1 - methylethyl)oxy]carbonyl}phenyl)amino]carbonyl}-L-tyrosinannide trifluoroacetate;
W-((3S)-1-{[3,4-bis(methyloxy)phenyl]methyl}-1-propy]-3-piperidiniumyl)-Λ/-{[(4-
{[(1-methylethyl)oxy]carbonyl}phenyl)amino]carbonyl}-L-tyrosinamide trifluoroacetate;
Λ/-{(3S)-1 -[(3-hydroxyphenyl)methyl]-1 -propyl-3-piperidiniumyl}-Λ/-{[(4-{[(1 - methylethyl)amino]carbonyl}phenyl)amino]carbonyl}-L-tyrosinamide trifluoroacetate;
Λ/-[(3S)-1 -(1 ,3-benzodioxol-5-ylmethyl)-1 -propyl-3-piperidiniumyl]-/V-{[(4-{[(1 - methylethyl)amino]carbonyl}phenyl)amino]carbonyl}-L-tyrosinamide trifluoroacetate; Λ/-((3S)-1-{[3,4-bis(methyloxy)phenyl]methyl}-1-propyl-3-piperidiniumyl)-/V-{[(4-
{[(i-methylethyOaminojcarbonylJphenyOaminoJcarbonylJ-L-tyrosinamide trifluoroacetate;
Λ/-[(3S)-1 -[(3-hydroxyphenyl)methyI]-1 -(2-propen-1 -yl)-3-piperidiniumyl]-/V-{[(4-
{[(1-methylethyl)oxy]carbonyl}phenyl)amino]carbonyl}-L-tyrosinamide trifluoroacetate;
Λ/-[(3S)-1 -(1 ,3-benzodioxol-5-ylmethyl)-1 -(2-propen-1 -yl)-3-piperidiniumyl]-Λ/-{[(4-
{[(1-methylethyl)oxy]carbonyl}phenyl)amino]carbonyl}-L-tyrosinamide trifluoroacetate; Λ/-[(3S)-1 -{[3,4-bis(methyloxy)phenyl]methyl}-1 -(2-propen-i -yl)-3-piperidiniumyl]-
/V-{[(4-{[(1-methylethyl)oxy]carbonyl}phenyl)amino]carbonyl}-L-tyrosinamide trifluoroacetate;
/V-[(3S)-1 -[(3-hydroxyphenyl)methyl]-1 -(2-propen-1 -yl)-3-piperidiniumyl]-/V-{[(4- {[(1-methylethyl)amino]carbonyl}phenyl)amino]carbonyl}-L-tyrosinamide trifluoroacetate;
Λ/-[(3S)-1 -(1 ,3-benzodioxol-5-ylmethyl)-1 -(2-propen-1 -yl)-3-piperidiniumyl]-Λ/-{[(4-
{[(1-methylethyl)amino]carbonyl}phenyl)amino]carbonyl}-L-tyrosinamide trifluoroacetate; Λ/-[(3S)-1 -{[3,4-bis(methyloxy)phenyl]methyl}-1 -(2-propen-1 -yl)-3-piperidiniumyl]-
Λ/-{[(4-{[(1-methylethyl)amino]carbonyl}phenyl)amino]carbonyl}-L-tyrosinamide trifluoroacetate;
Λ/-{(3S)-1 -[(4-hydroxyphenyl)methyl]-1 -propyl-3-piperidiniumyl}-Λ/-{[(4-{[(1 - methylethyl)oxy]carbonyl}phenyl)amino]carbonyl}-L-tyrosinamide trifluoroacetate; Λ/-((3S)-1 -{[3,4-bis(methyloxy)phenyl]methyl}-1 -methyl-3-piperidiniumyl)-Λ/-{[(4-
{[(1-methylethyl)amino]carbonyl}phenyl)amino]carbonyl}-L-tyrosinamide trifluoroacetate;
Λ/-{(3S)-1 -[(3-chlorophenyl)methyl]-1 -methyl-3-piperidiniumyl}-Λ/-{[(4-{[(1 - methylethyl)amino]carbonyl}phenyl)amino]carbonyl}-L-tyrosinamide trifluoroacetate;
Λ/-{(3S)-1 -[(4-hydroxyphenyl)methyl]-1 -methyl-3-piperidiniumyl}-/V-{[(4-{[(1 - methylethyl)amino]carbonyl}phenyl)amino]carbonyl}-L-tyrosinamide trifluoroacetate;
Λ/-{(3S)-1 -[(4-f luorophenyl)methyl]-1 -methyl-3-piperidiniumyl}-Λ/-{[(4-{[(1 - methylethyl)amino]carbonyl}phenyl)amino]carbonyl}-L-tyrosinamide trifluoroacetate;
Λ/-[({4-[(ethyloxy)carbonyl]phenyl}amino)carbonyl]-Λ/-{(3S)-1-[(4- fluorophenyl)methyl]-1-methyl-3-piperidiniumyl}-L-tyrosinamide trifluoroacetate;
Λ/-{(3S)-1-[(3-chlorophenyl)methyl]-1-methyl-3-piperidiniumyl}-Λ/-[({4- [(ethyloxy)carbonyl]phenyl}amino)carbonyl]-L-tyrosinamide trifluoroacetate;
N-((3S)-1-{[3,4-bis(methyloxy)phenyl]methyl}-1-methyl-3-piperidiniumyl)-Λ/-[({4-
[(ethyloxy)carbonyl]phenyl}amino)carbonyl]-L-tyrosinamide trifluoroacetate; Λ/-[({4-[(ethyloxy)carbonyl]phθnyl}amino)carbonyl]-Λ/-{(3S)-1-[(3- hydroxyphenyOmethyO-i-methyl-S-piperidiniumylJ-L-tyrosinamide trifluoroacetate; and
/V-[(3S)-1-(cyclopropylmethyl)-1-mθthyl-3-piperidiniumyl]-Λ/-[({4- [(ethyloxyJcarbonyOphenylJaminoJcarbonyO-L-tyrosinamide trifluoroacetate;
Λ/-{(3S)-1-[(3-hydroxylphenyl)methyl]-1-methyl-3-piperidiniumyl}-N-[({5-
[(cyclohexyloxy)carbonyl]-2-thienyl}amino)carbonyl]-L-tyrosinamide trifluoroacetate;
/V-KSSJ-i-KS-chlorophenyOmethylj-i-mθthyl-S-piperidiniumylJ-N-f^δ- [(cyclohexyloxy)carbonyl]-2-thienyl}amino)carbonyl]-L-tyrosinamide trifluoroacetate;
^-{(SSJ-i-CCΦchlorophenyOmethyπ-i-methyl-S-piperidiniumylJ-N-røδ-
[(cyclohexyloxy)carbonyl]-2-thienyl}amino)carbonyl]-L-tyrosinamide trifluoroacetate; /V-[({5-[(cyclopentyloxy)carbonyl]-2-thienyl}amino)carbonyl]-Λ/-{(3S)-1-[(3- hydroxyphenyl)methyl]-1-methyl-3-piperidiniumyl}-L-tyrosinamide trifluoroacetate;
/V-[({5-[(cyclopentyloxy)carbonyl]-2-thienyl}amino)carbonyl]-/V-{(3S)-1-[(3- chlorophenyl)methyl]-1-methyl-3-piperidiniumyl}-L-tyrosinamide trifluoroacetate;
/V-[({5-[(cyclopentyloxy)carbonyl]-2-thienyl}amino)carbonyl]-/V-{(3S)-1 -[(4- chlorophenyl) methyl]- 1 -methyl-3-piperidiniumylJ-L-tyrosinamide trifluoroacetate;
Λ/-{[(5-{[(cyclohexylmethyl)oxy]carbonyl}-2-thienyl)amino]carbonyl}-Λ/-{(3S)-1-[(3- hydroxyphenyl)methyl]-1-methyl-3-piperidiniumyl}-L-tyrosinamide }-L-tyrosinamide trifluoroacetate;
Λ/-[({5-[(cycloheptyloxy)carbonyl]-2-thienyl}amino)carbonyl]-Λ/-{(3S)-1-[(3- hydroxyphenyl)methyl]-1 -methyl-3-piperidiniumylJ-L-tyrosinamide trifluoroacetate;
Λ/-[({5-[(cycloheptyloxy)carbonyl]-2-thienyl}amino)carbonyl]-Λ/-{(3S)-1-[(3- chlorophenyl)methyl]-1-methyl-3-piperidiniumyl}-L-tyrosinamide trifluoroacetate; andtrifluoroacetate;
Λ/-{[(5-{[(cyclohexylmethyl)oxy]carbonyl}-2-thienyl)amino]carbonyl}-Λ/-{(3S)-1-[(3- chlorophenyl)methyl]-1 -methyl-3-piperidiniumylJ-L-tyrosinamide trifluoroacetate;
Λ/-{[(5-{[(cyclohexylmethyl)oxy]carbonyl}-2-thienyl)amino]carbonyl}-Λ/-{(3S)-1-[(4- chlorophenyl)methyl]-1-methyl-3-piperidiniumyl}-L-tyrosinamide trifluoroacetate; /V-{[(5-{[(cyclopentylmethyl)oxy]carbonyl}-2-thienyl)amino]carbonyl}-/V-{(3S)-1-[(3- hydroxyphenyOmethyO-i-methyl-S-piperidiniumylJ-L-tyrosinamide trifluoroacetate; Λ/-{[(5-{[(cyclopentylmθthyl)oxy]carbonyl}-2-thienyl)amino]carbonyl}-Λ/-{(3S)-1-[(3- chlorophenyOmethyll-i-methyl-S-piperidiniumylJ-L-tyrosinamide trifluoroacetate; /\/-{[(5-{[(cyclopentylmethyl)oxy]carbonyI}-2-thienyl)amino]carbonyl}-/\/-{(3S)-1-[(4- chlorophenyOmethyπ-i-methyl-S-piperidiniumylJ-L-tyrosinamide trifluoroacetate; and
Λ/-[({5-[(cycloheptyloxy)carbonyl]-2-thienyl}amino)carbonyl]-Λ/-{(3S)-1 -[(4- chlorophenyOmethyn-i-methyl-S-piperidiniumylJ-L-tyrosinamide trifluoroacetate; or any other pharmaceutically acceptable salt.
6. A pharmaceutical composition for the treatment of muscarinic acetylcholine receptor mediated diseases comprising a compound according to claim 1 and a pharmaceutically acceptable carrier thereof.
7. A method of inhibiting the binding of acetylcholine to its receptors in a mammal in need thereof comprising administering a safe and effective amount of a compound according to claim 1.
8. A method of treating a muscarinic acetylcholine receptor mediated disease, wherein acetylcholine binds to said receptor, comprising administering a safe and effective amount of a compound according to claim 1.
9. A method according to claim 8 wherein the disease is selected from the group consisting of chronic obstructive lung disease, chronic bronchitis, asthma, chronic respiratory obstruction, pulmonary fibrosis, pulmonary emphysema and allergic rhinitis.
10. A method according to claim 9 wherein administration is via inhalation via the mouth or nose.
11. A method according to claim 10 wherein administration is via a medicament dispenser selected from a reservoir dry powder inhaler, a multi-dose dry powder inhaler or a metered dose inhaler.
12. A method according to claim 11 wherein the compound is administered to a human and has a duration of action of 12 hours or more for a 1 mg dose.
13. A method according to claim 12 wherein the compound has a duration of action of 24 hours or more.
14. A method according to claim 13 wherein the compound has a duration of action of 36 hours or more.
Priority Applications (1)
| Application Number | Priority Date | Filing Date | Title |
|---|---|---|---|
| PCT/US2005/026756 WO2007018508A1 (en) | 2005-07-28 | 2005-07-28 | Novel m3 muscarinic acetycholine receptor antagonists |
Applications Claiming Priority (1)
| Application Number | Priority Date | Filing Date | Title |
|---|---|---|---|
| PCT/US2005/026756 WO2007018508A1 (en) | 2005-07-28 | 2005-07-28 | Novel m3 muscarinic acetycholine receptor antagonists |
Publications (1)
| Publication Number | Publication Date |
|---|---|
| WO2007018508A1 true WO2007018508A1 (en) | 2007-02-15 |
Family
ID=37727599
Family Applications (1)
| Application Number | Title | Priority Date | Filing Date |
|---|---|---|---|
| PCT/US2005/026756 Ceased WO2007018508A1 (en) | 2005-07-28 | 2005-07-28 | Novel m3 muscarinic acetycholine receptor antagonists |
Country Status (1)
| Country | Link |
|---|---|
| WO (1) | WO2007018508A1 (en) |
Cited By (18)
| Publication number | Priority date | Publication date | Assignee | Title |
|---|---|---|---|---|
| US7276521B2 (en) | 2003-10-14 | 2007-10-02 | Glaxo Group Limited | Muscarinic acetylcholine receptor antagonists |
| US7384946B2 (en) | 2004-03-17 | 2008-06-10 | Glaxo Group Limited | M3 muscarinic acetylcholine receptor antagonists |
| US7439255B2 (en) | 2003-11-04 | 2008-10-21 | Glaxo Group Limited | Muscarinic acetylcholine receptor antagonists |
| US7488827B2 (en) | 2004-04-27 | 2009-02-10 | Glaxo Group Limited | Muscarinic acetylcholine receptor antagonists |
| US7495010B2 (en) | 2003-07-17 | 2009-02-24 | Glaxo Group Limited | Muscarinic acetylcholine receptor antagonists |
| US7507747B2 (en) | 2003-10-17 | 2009-03-24 | Glaxo Group Limited | Muscarinic acetylcholine receptor antagonists |
| US7598267B2 (en) | 2004-05-13 | 2009-10-06 | Glaxo Group Limited | Muscarinic acetylcholine receptor antagonists |
| JP2010519299A (en) * | 2007-02-23 | 2010-06-03 | セラヴァンス, インコーポレーテッド | Quaternary ammonium diphenylmethyl compounds useful as muscarinic receptor antagonists |
| US7767691B2 (en) | 2005-08-18 | 2010-08-03 | Glaxo Group Limited | Muscarinic acetylcholine receptor antagonists containing an azoniabiocyclo[2.2.1] heptane ring system |
| WO2010094643A1 (en) | 2009-02-17 | 2010-08-26 | Glaxo Group Limited | Quinoline derivatives and their uses for rhinitis and urticaria |
| US7932247B2 (en) | 2004-11-15 | 2011-04-26 | Glaxo Group Limited | M3 muscarinic acetylcholine receptor antagonists |
| US8067408B2 (en) | 2008-02-06 | 2011-11-29 | Glaxo Group Limited | Dual pharmacophores—PDE4-muscarinic antagonistics |
| US8071588B2 (en) | 2008-02-06 | 2011-12-06 | Glaxo Group Limited | Dual pharmacophores—PDE4-muscarinic antagonistics |
| US8084449B2 (en) | 2008-02-06 | 2011-12-27 | Glaxo Group Limited | Dual pharmacophores—PDE4-muscarinic antagonistics |
| US10159268B2 (en) | 2013-02-08 | 2018-12-25 | General Mills, Inc. | Reduced sodium food products |
| US10351532B2 (en) | 2014-12-29 | 2019-07-16 | The United States Of America, As Represented By The Secretary, Department Of Health And Human Services | Small molecule inhibitors of lactate dehydrogenase and methods of use thereof |
| WO2022008419A1 (en) | 2020-07-06 | 2022-01-13 | Byondis B.V. | Antifolate linker-drugs and antibody-drug conjugates |
| WO2023126297A1 (en) | 2021-12-30 | 2023-07-06 | Byondis B.V. | Antifolate linker-drugs and antibody-drug conjugates |
Citations (1)
| Publication number | Priority date | Publication date | Assignee | Title |
|---|---|---|---|---|
| US20050137230A1 (en) * | 2000-12-16 | 2005-06-23 | Dieter Dorsch | Carboxamide derivatives |
-
2005
- 2005-07-28 WO PCT/US2005/026756 patent/WO2007018508A1/en not_active Ceased
Patent Citations (1)
| Publication number | Priority date | Publication date | Assignee | Title |
|---|---|---|---|---|
| US20050137230A1 (en) * | 2000-12-16 | 2005-06-23 | Dieter Dorsch | Carboxamide derivatives |
Cited By (32)
| Publication number | Priority date | Publication date | Assignee | Title |
|---|---|---|---|---|
| US7495010B2 (en) | 2003-07-17 | 2009-02-24 | Glaxo Group Limited | Muscarinic acetylcholine receptor antagonists |
| US7579361B2 (en) | 2003-10-14 | 2009-08-25 | Glaxo Group Limited | Muscarinic acetylcholine receptor antagonists |
| US7276521B2 (en) | 2003-10-14 | 2007-10-02 | Glaxo Group Limited | Muscarinic acetylcholine receptor antagonists |
| US7576096B2 (en) | 2003-10-14 | 2009-08-18 | Glaxo Group Limited | Muscarinic acetylcholine receptor antagonists |
| US7507747B2 (en) | 2003-10-17 | 2009-03-24 | Glaxo Group Limited | Muscarinic acetylcholine receptor antagonists |
| US7439255B2 (en) | 2003-11-04 | 2008-10-21 | Glaxo Group Limited | Muscarinic acetylcholine receptor antagonists |
| US7906531B2 (en) | 2003-11-04 | 2011-03-15 | Glaxo Group Limited | M3 muscarinic acetylcholine receptor antagonists |
| US7563803B2 (en) | 2003-11-04 | 2009-07-21 | Glaxo Group Limited | M3 muscarinic acetylcholine receptor antagonists |
| US7384946B2 (en) | 2004-03-17 | 2008-06-10 | Glaxo Group Limited | M3 muscarinic acetylcholine receptor antagonists |
| US9144571B2 (en) | 2004-04-27 | 2015-09-29 | Glaxo Group Limited | Muscarinic acetylcholine receptor antagonists |
| US8183257B2 (en) | 2004-04-27 | 2012-05-22 | Glaxo Group Limited | Muscarinic acetylcholine receptor antagonists |
| US7488827B2 (en) | 2004-04-27 | 2009-02-10 | Glaxo Group Limited | Muscarinic acetylcholine receptor antagonists |
| US9045469B2 (en) | 2004-04-27 | 2015-06-02 | Glaxo Group Limited | Muscarinic acetylcholine receptor antagonists |
| US8853404B2 (en) | 2004-04-27 | 2014-10-07 | Glaxo Group Limited | Muscarinic acetylcholine receptor antagonists |
| US7498440B2 (en) | 2004-04-27 | 2009-03-03 | Glaxo Group Limited | Muscarinic acetylcholine receptor antagonists |
| US8575347B2 (en) | 2004-04-27 | 2013-11-05 | Glaxo Group Limited | Muscarinic acetylcholine receptor antagonists |
| US8309572B2 (en) | 2004-04-27 | 2012-11-13 | Glaxo Group Limited | Muscarinic acetylcholine receptor antagonists |
| US7598267B2 (en) | 2004-05-13 | 2009-10-06 | Glaxo Group Limited | Muscarinic acetylcholine receptor antagonists |
| US7932247B2 (en) | 2004-11-15 | 2011-04-26 | Glaxo Group Limited | M3 muscarinic acetylcholine receptor antagonists |
| US7767691B2 (en) | 2005-08-18 | 2010-08-03 | Glaxo Group Limited | Muscarinic acetylcholine receptor antagonists containing an azoniabiocyclo[2.2.1] heptane ring system |
| JP2010519299A (en) * | 2007-02-23 | 2010-06-03 | セラヴァンス, インコーポレーテッド | Quaternary ammonium diphenylmethyl compounds useful as muscarinic receptor antagonists |
| US8084449B2 (en) | 2008-02-06 | 2011-12-27 | Glaxo Group Limited | Dual pharmacophores—PDE4-muscarinic antagonistics |
| US8071588B2 (en) | 2008-02-06 | 2011-12-06 | Glaxo Group Limited | Dual pharmacophores—PDE4-muscarinic antagonistics |
| US8067408B2 (en) | 2008-02-06 | 2011-11-29 | Glaxo Group Limited | Dual pharmacophores—PDE4-muscarinic antagonistics |
| WO2010094643A1 (en) | 2009-02-17 | 2010-08-26 | Glaxo Group Limited | Quinoline derivatives and their uses for rhinitis and urticaria |
| US10159268B2 (en) | 2013-02-08 | 2018-12-25 | General Mills, Inc. | Reduced sodium food products |
| US11540539B2 (en) | 2013-02-08 | 2023-01-03 | General Mills, Inc. | Reduced sodium food products |
| US10351532B2 (en) | 2014-12-29 | 2019-07-16 | The United States Of America, As Represented By The Secretary, Department Of Health And Human Services | Small molecule inhibitors of lactate dehydrogenase and methods of use thereof |
| US10961200B2 (en) | 2014-12-29 | 2021-03-30 | The United States Of America, As Represented By The Secretary, Department Of Health And Human Services | Small molecule inhibitors of lactate dehydrogenase and methods of use thereof |
| US11247971B2 (en) | 2014-12-29 | 2022-02-15 | The Trustees Of The University Of Pennsylvania | Small molecule inhibitors of lactate dehydrogenase and methods of use thereof |
| WO2022008419A1 (en) | 2020-07-06 | 2022-01-13 | Byondis B.V. | Antifolate linker-drugs and antibody-drug conjugates |
| WO2023126297A1 (en) | 2021-12-30 | 2023-07-06 | Byondis B.V. | Antifolate linker-drugs and antibody-drug conjugates |
Similar Documents
| Publication | Publication Date | Title |
|---|---|---|
| WO2007018508A1 (en) | Novel m3 muscarinic acetycholine receptor antagonists | |
| EP1740177B1 (en) | Muscarinic acetylcholine receptor antagonists | |
| US7932247B2 (en) | M3 muscarinic acetylcholine receptor antagonists | |
| US20070179180A1 (en) | Novel m3 muscarinic acetylcholine receptor antagonists | |
| WO2007018514A1 (en) | Novel m3 muscarinic acetylcholine receptor antagonists | |
| US20070179184A1 (en) | Novel m3 muscarinic acetylcholine receptor antagonists | |
| EP1725240A1 (en) | Muscarinic acetylcholine receptor antagonists | |
| US20090142279A1 (en) | Novel m3 muscarinic acetylcholine receptor antagonists | |
| JP2007528420A (en) | Novel M3 muscarinic acetylcholine receptor antagonist | |
| EP1937068A2 (en) | Muscarinic acetylcholine receptor antagonists | |
| US7579345B2 (en) | Muscarinic acetylcholine receptor antagonists | |
| US7598267B2 (en) | Muscarinic acetylcholine receptor antagonists | |
| JP2007529514A (en) | M3 muscarinic acetylcholine receptor antagonist | |
| EP1725564A1 (en) | M3 muscarinic acetylcholine receptor antagonists | |
| US20070179131A1 (en) | Novel M3 Muscarinic Acetylcholine Receptor Antagonists | |
| US20070238751A1 (en) | Muscarinic Acetylcholine Receptor Antagonists | |
| HK1102423B (en) | Muscarinic acetylcholine receptor antagonists |
Legal Events
| Date | Code | Title | Description |
|---|---|---|---|
| 121 | Ep: the epo has been informed by wipo that ep was designated in this application | ||
| NENP | Non-entry into the national phase |
Ref country code: DE |
|
| 122 | Ep: pct application non-entry in european phase |
Ref document number: 05777199 Country of ref document: EP Kind code of ref document: A1 |














































































































