WO2006121820A1 - Phosphoramidate prodrugs for treatment of viral infection - Google Patents
Phosphoramidate prodrugs for treatment of viral infection Download PDFInfo
- Publication number
- WO2006121820A1 WO2006121820A1 PCT/US2006/017314 US2006017314W WO2006121820A1 WO 2006121820 A1 WO2006121820 A1 WO 2006121820A1 US 2006017314 W US2006017314 W US 2006017314W WO 2006121820 A1 WO2006121820 A1 WO 2006121820A1
- Authority
- WO
- WIPO (PCT)
- Prior art keywords
- alkyl
- compound
- methyl
- optionally substituted
- group
- Prior art date
- Legal status (The legal status is an assumption and is not a legal conclusion. Google has not performed a legal analysis and makes no representation as to the accuracy of the status listed.)
- Ceased
Links
- KGLVSCYDEKUYIH-QNUGLTPUSA-N C[C@@H](C(OC)=O)NP(Oc(cc1)ccc1Cl)(Cl)=O Chemical compound C[C@@H](C(OC)=O)NP(Oc(cc1)ccc1Cl)(Cl)=O KGLVSCYDEKUYIH-QNUGLTPUSA-N 0.000 description 1
- CCZMQYGSXWZFKI-UHFFFAOYSA-N O=P(Oc(cc1)ccc1Cl)(Cl)Cl Chemical compound O=P(Oc(cc1)ccc1Cl)(Cl)Cl CCZMQYGSXWZFKI-UHFFFAOYSA-N 0.000 description 1
Classifications
-
- C—CHEMISTRY; METALLURGY
- C07—ORGANIC CHEMISTRY
- C07H—SUGARS; DERIVATIVES THEREOF; NUCLEOSIDES; NUCLEOTIDES; NUCLEIC ACIDS
- C07H19/00—Compounds containing a hetero ring sharing one ring hetero atom with a saccharide radical; Nucleosides; Mononucleotides; Anhydro-derivatives thereof
- C07H19/02—Compounds containing a hetero ring sharing one ring hetero atom with a saccharide radical; Nucleosides; Mononucleotides; Anhydro-derivatives thereof sharing nitrogen
- C07H19/04—Heterocyclic radicals containing only nitrogen atoms as ring hetero atom
Definitions
- a group of 2' methylribofuranosyl purine nucleoside derivatives were disclosed by An et al in WO 03/062256, which is commonly owned with the present application.
- the purine derivatives described by An et al. bears substituents at the 6-position, including hydrazino, methylhydrazino and methylsulfonylhydrazino.
- Modified nucleotides and nucleosides have been widely used to treat not only HCV and other viral infections.
- the active drug is the nucleotide triphosphate.
- the compound administered to the patient is a prodrug; the active drug results from intracellular phosphorylation to yield the triphosphate.
- the native nucleotide is never administered to the patient because it is unstable in plasma and, being charged, does not penetrate the cell membrane.
- the effectiveness of modified nucleotides as anti-virals thus depends not only on the selectivity and affinity of the active drug for the viral polymerase, but also on the efficiency of the in vivo phosphorylation of the form that is administered.
- PPA prodrug chemistry is described by McGuigan in U. S. Patent Nos. 6,638,919; 6,455,513; and 6,573,247; and in PCT International Publication No. WO 05/012327. Further developments are described by Uckun and Vig in WO 00/00501.
- the nucleoside base (or base analogue) is indicated by B.
- the bracketed moiety is an amino acid residue.
- R 1 is methyl and R 2 is H
- the amino acid is L- alanine.
- the naturally-occurring amino acids such as L-alanine and glycine, are suitable for use in this invention.
- synthetic amino acid dimethylglycine and synthetic amino acids where R 1 and R 2 are, independently, H or C 1 - C 5 alkyl, or where R 1 and R 2 ; together with the ⁇ carbon, form a ring containing 3 to 6 carbons.
- R 3 is any group that can be readily removed by intracellular esterases; examples of R are benzyl, trifluoromethyl benzyl, methyl, or Ci-C 6 alkyl, such as methyl or isopropyl.
- Ar is phenyl, pyridyl, or pyrimidyl and may be unsubstituted or substituted with electron withdrawing groups. Substituents at the para and ortho positions are more effective. Suitable substituents include, but are not limited to, H, F, Cl, Br, CF 3 , SO 2 Me, CN and NO 2 .
- this invention provides a compound of formula I, in which B is selected from the following bases B-I, B-2, and B-3,
- Z 2 is H, -NH 2 , -NHMe, or -NMe 2 ;
- Z 4 is -NH 2 or -OH;
- Z 6 is H, OH, OMe, OEt, SCH 3 , thienyl, furyl, or -NR 2 R 3 , where R 2 is H, Ci-C 3 alkyl, or cyclopropyl, and R 3 is H or NHR 4 ,
- R 4 is H, Ci-C 4 alkyl, or SO 2 Rs, and R 5 is Ci-C 4 alkyl;
- Z 7 is H, halogen, or CN. All tautomeric forms are included in these definitions.
- this invention provides a compound of formula I, in which B is B-I and is selected from the following bases:
- this invention provides a compound of formula I, in which B is B-2.
- this invention provides a compound of formula I, in which B is B-2, where Z 2 is -NHMe, or -NMe 2 . In another more specific embodiment, this invention provides a compound of formula I, in which B is B-2, where Z 2 is H or -NH 2 .
- this invention provides a compound of formula I, in which B is selected from the following bases:
- this invention provides a compound of formula I, in which B is B-3, selected from the following bases:
- this invention provides or contemplates a compound of formula I-B2
- Ar is phenyl, pyridyl, or pyrimidyl, optionally substituted with one or two groups selected independently from halo, nitro, cyano, Ci-C 3 alkyl, or CpC 3 alkoxy, wherein said Q- C 3 alkyl group, and the Ci-C 3 alkyl moiety of said C]-C 3 alkoxy group are optionally substituted with one, two, or three chlorine or fluorine atoms;
- R] and R 2 are, independently, H, Ci -C 5 alkyl, or C 2 -C 5 alkenyl, or Ri and R 2) together with the ⁇ -carbon, form a 3- to 6- membered saturated ring;
- R 3 is Ci-Ce alkyl, C 3 -C ⁇ cycloalkyl, C 3 -C 6 cycloalkyl methyl, benzyl, or phenethyl, in which the phenyl group within said benzyl or phenethyl group is optionally substituted with one or more groups selected independently from halogen, Ci-C 6 alkyl, and Ci-C 6 alkoxy, wherein said Ci-C 3 alkyl group, and the Ci -C 3 alkyl moiety of said Ci-C 3 alkoxy group are optionally substituted with one, two, or three chlorine or fluorine atoms;
- Z 2 H, NH 2 , NHMe, or NMe 2 ; and
- Z 6 OH or NR 4 R 5 , where R 4 is H, Ci-C 4 alkyl, or cyclopropyl; R 5 is H or NHR 6 ; R 6 is H, C 1 - C 4 alkyl, or SO 2 R 7 ; and R 7 is Ci-C 4 alkyl. All tautomeric forms are included in the embodiment.
- the invention provides a compound of formula I-
- the invention provides a compound according to Formula I-B3
- the invention also provides compounds of Formula I-Bl
- the invention provides or contemplates compounds of Formula I-Bl, I-B-2, and I-B3, where Ri and R 2 are, independently, H, C 1 -C 5 alkyl, or C 2 -C 5 alkenyl.
- the invention provides or contemplates compounds of Formula I-Bl, I-B-2, and I-B3, where R] and R 2 are, independently, H, Ci-C 3 alkyl, or C 2 -C 3 alkenyl.
- the invention provides or contemplates compounds of Formula I-Bl, I-B-2, and I-B3, where R 1 and R 2 are, independently, H or methyl, or where Ri and R 2 are -CH 2 -CH 2 - and, together with the ⁇ carbon, form a cyclopropyl group.
- the invention provides or contemplates compounds of Formula I-Bl, I-B-2, and I-B3, where R] and R 2 are, independently, H or methyl, or where Ri and R 2 are -CH 2 -CH 2 -CH 2 - or -CH 2 -CH 2 -CH 2 -CH 2 - and, together with the ⁇ carbon, form a cyclobutyl or cyclopentyl group.
- the invention provides or contemplates compounds of Formula I-Bl, I-B2, or I-B3, where Ar is phenyl, optionally substituted with alkyl groups or with nitro, halo, or cyano groups.
- the invention provides or contemplates compounds of Formula I-Bl, I-B2, or I-B3, where Ar is phenyl, />-chlorophenyl o ⁇ p- bromophenyl and R 3 is isopropyl, benzyl, ⁇ -methylbenzyl, or ⁇ -(trifluoromethyl)benzyl.
- the invention provides or contemplates compounds of Formula I-Bl, I-B2, or I-B3, where R 3 is Ci-C ⁇ alkyl, C 3 -C 6 cycloalkyl, or C 3 -C 6 cycloalkyl methyl.
- the invention provides or contemplates compounds of Formula I-Bl, I-B2, or I-B3, where R 3 is benzyl or phenethyl, where the phenyl group thereof is optionally substituted as described above.
- the invention provides or contemplates compounds of formula I-B2 or I-B3, where Z 6 is NR 4 R 5 .
- the invention provides or contemplates compounds of formula I-B2 or I-B3, where Z 6 is NR 4 Rs, where R 4 is H, Ci-C 2 alkyl, or cyclopropyl; R 5 is H or NHR 6 ; R& is H, Ci-C 2 alkyl, or SO 2 R 7 ; and R 7 is Ci-C 3 alkyl.
- the invention provides or contemplates compounds of formula I-B2 or I-B3, where Z 6 is -N(cyclopropyl)NH 2 or - N(cyclopropyl)NHSO 2 CH 3 ; and Z 2 is H or NH 2 .
- the invention provides or contemplates compounds of formula I-B2 or I-B3 , where Z 6 is -NMeNH 2 or -NMeNHSO 2 CH 3 ; and Z 2 is H Or NH 2 .
- the invention provides or contemplates compounds of formula I-B2, or I-B3, where Z 6 is NH 2 and Z 2 is H or NH 2 .
- the invention provides or contemplates compounds of formula I-B3 , where Z 6 is NH 2 , Z 2 is H or NH 2 , and Z 7 is F, Cl, Br, or CN.
- the invention provides or contemplates compounds of formula I-B3, where Z 6 is NH 2 , Z 2 is H or NH 2 , and Z 7 is H or F.
- the general procedure involves reaction of an amino acid ester hydrochloride with an aryl dichlorophosphate in the presence of at least two equivalents of a suitable base.
- suitable bases include, but are not limited to, imidazoles, pyridines like lutidine and DMAP, tertiary amines like triethylamine and DABCO, and substituted amidines such as DBN and DBU. Tertiary amines are particularly effective.
- the product of each step is is preferably used directly in subsequent steps, without recrystallization or chromatography. Specific examples are provided below.
- 2-Amino-2-methylpropionic acid benzyl ester (5) To a solution of 4 (3 g, 0.01 mol) in anhydrous dichloromethane (15 ml) at 0 0 C was added slowly trifluoroacetic acid (15 ml, 0.19 mol) with stirring at 0 0 C. The mixture was stirred at 0 0 C for 30 minutes and the allowed to gradually warm to room temperature over 4 hours. The reaction mixture was evaporated under reduced pressure and was extracted with ethyl acetate and washed with 3x15 ml water.
- 2-Amino-2-methylpropionie acid benzyl ester hydrochloride (6) A IM solution of hydrochloric acid in diethyl ether (25 ml, 0.025 mol) was added to 2-amino-2-methylpropionic acid benzyl ester (5) (1.9 g, 0.01 mol) at 0 0 C, and the mixture was stirred for 16 hours.
- Phenyl [(l-benzyloxycarbonyl-l-methylethyl)amino]phosphorochloridate (7) This was synthesized from the amino acid ester hydrochloride 6 according to the general procedure (1).
- Phenyl [[(lS)-l-(l-methylethoxycarbonyl)ethyl]amino]phosphorochIoridate (10) This compound was prepared according to the general procedure (1) in the same manner as compound 9.
- the general procedure involves reaction of a nucleoside or a 7-deazanucleoside with a free 5' OH with an amino acid derivative of a phosphorochloridate, in the presence of a suitable base.
- suitable bases include, but are not limited to, imidazoles, pyridines such as lutidine and DMAP, tertiary amines such as triethylamine and DABCO, and substituted amidines such as DBN and DBU.
- the product may be isolated by recrystallization and/or chromatography. Specific examples are provided below.
- nucleoside phosphoramidates described herein are obtained and tested as mixtures of enantiomers and diastereomers.
- the present invention also encompasses the individual pure stereoisomers, which may be obtained by high-performance liquid chromatography of the final products, or by the use of enantiomerically or diastereomerically pure phosphorochloridates, as is known in the art.
- the mixture was diluted with dichloromethane and washed with 2 x 1 ml IN HCl, 2 x 1 ml sat. NaHCO 3 , and 2 x 5 ml brine, then back-extracted with dichloromethane.
- reaction mixture was stirred at -10°C/-20°C for 2 hours then gradually stirred at room temperature for 8 hours.
- the mixture was evaporated under reduced pressure, and the crude was purified by silica gel chromatography in a gradient of 8% methanol in chloroform to afford the product as a yellow paste (28mg, 0.05mmol, 19%)
- the anti-HCV activities of the exemplary compounds were tested in two biological assays: a cell-based HCV replicon assay and a cytotoxicity assay.
- a human hepatoma cell line (Huh-7) containing replicating HCV Conl subgenomic replicon with a luciferase reporter gene (luc-ubi-neo) was used to evaluate anti-HCV activity of the compounds. In this assay, the level of luciferase signal correlates directly with the viral RNA replication.
- the HCV replicon-reporter cell line (NK/luc-ubi-neo) was cultured in DMEM medium supplemented with 10 % fetal bovine serum and 0.5 mg/ml Geneticin (G418). Cells were maintained in a subconfluent state to ensure high levels of HCV replicon RNA synthesis.
- a Huh-7 cell line carrying a luciferase reporter gene (driven by a HIV LTR promoter) stably integrated into the chromosome was used to analyze the cytotoxic effect of the selected compounds.
- This cell line (LTR-luc) was maintained in DMEM medium with 10 % FBS.
- Design of the cytotoxicity assay was similar to that of the HCV replicon assay. Reduction of luciferase activity in the treated cells correlated with the cytotoxic effect of the test compound and was used to calculate the CC 50 value (concentration that inhibited cell growth by 50%).
- CC 50 A (>300 ⁇ M), B (50 to 300 ⁇ M) and C ( ⁇ 50 ⁇ M) TABLE 1 -ACTIVITY OF COMPOUNDS OF FORMULA I-B2
Landscapes
- Chemical & Material Sciences (AREA)
- Organic Chemistry (AREA)
- Health & Medical Sciences (AREA)
- Life Sciences & Earth Sciences (AREA)
- Engineering & Computer Science (AREA)
- Biochemistry (AREA)
- Biotechnology (AREA)
- General Health & Medical Sciences (AREA)
- Genetics & Genomics (AREA)
- Molecular Biology (AREA)
- Pharmaceuticals Containing Other Organic And Inorganic Compounds (AREA)
Abstract
The invention concerns 2'-methyl ribonucleotide phosphoramidates which are neutral prodrugs which are converted in vivo to 2'- methyl ribonucleotide triphosphates. These compounds are useful in the treatment of viral infection. Of particular interest are prodrugs of a methylsulfonylhydrazinyl purine 2'-methyl nucleotide triphosphate: 2'methyl- N6-alkyl-N6- (N-methylsulfonamide) adenosine triphosphate and its 2-amino derivative.
Description
PHOSPHORAMIDATE PRODRUGS FOR TREATMENT OF VIRAL INFECTION
Cross Reference to Related Applications This application claims priority to U. S. Provisional Application Ser. No. 60/678,636, filed May 5, 2005, and to U. S. Provisional Application Ser. No. 60/748,034, filed December 6, 2005, both of which are incorporated by reference herein in their entirety.
Field of the Invention
The invention relates to nucleotide drugs, which are generally useful for the treatment of viral and neoplastic diseases. The invention more specifically relates to the preparation of lipohilic nucleotide prodrugs of modified ribofuranoses, and their use for the intracellular generation of nucleotide triphosphates.
Background of the Invention
The use of nucleoside and nucleotide analogues for the treatment of HCV is accepted clinical practice. In particular, the combination of the pyrimidine nucleoside analogue ribavirin (l-β~D-ribofuranosyl-lH-l,2,4-triazole-3-carboxamide) and α-interferon constitutes the current standard therapy for HCV infection. The search for more potent nucleoside and nucleotide analogues having fewer side effects has involved not only modification of the base as in ribavirin, but also modification of the ribofuranose moiety.
A group of purine and pyrimidine nucleosides and nucleotides derived from 2'methylribofuranose are described by Sommoadossi and LaColla in WO 01/90121 and WO 01/92282 (now U.S. Patent No. 6,812,219 to Idenix). Among the compounds disclosed are those with 6-alkylamino, 6-alkylamino-8-amino, and 6-alkylamino-2-amino substitution patterns.
A further group of purine nucleotides and nucleosides for the treatment of HCV can be found in WO 02/18404 by Devos et al. (to F.Hoffmann-LaRoche). The nucleotides disclosed by Davos include purines having 2-amino-6-substituted amino bases and having 2',2'-difluoro or 2'-deoxy, but not 2' methyl, ribofuranose. WO 02/32920 by Stuyver and
Watanabe (to Pharmasset) makes a generic disclosure that includes but does not specifically describe 2'-methyl ribofuranose-containing nucleosides. A number of 2'- methylribonucleotides having 7-deazapurine and 7-substituted-purines is disclosed by Bhat et al. in U.S. Patent No. 6,777,395 (to Merck and Issis). Bhat also discloses the use of two neutral phosphate ester derivatives of nucleotides: acetyl-SATE (S-acyl-2-thioethyl) and pivaloyl-SATE, as prodrugs of the ribonucleotide analogs. SATE prodrugs are disclosed genetically in U.S. Patent No. 5,770,725.
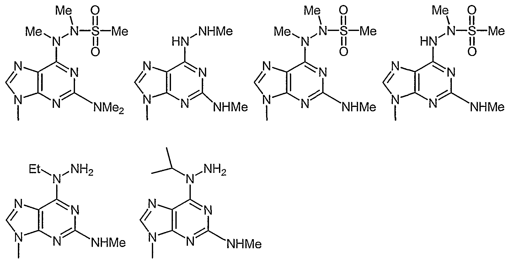
A group of 2' methylribofuranosyl purine nucleoside derivatives were disclosed by An et al in WO 03/062256, which is commonly owned with the present application. The purine derivatives described by An et al. bears substituents at the 6-position, including hydrazino, methylhydrazino and methylsulfonylhydrazino.
Modified nucleotides and nucleosides have been widely used to treat not only HCV and other viral infections. In each case, the active drug is the nucleotide triphosphate. The compound administered to the patient is a prodrug; the active drug results from intracellular phosphorylation to yield the triphosphate. The native nucleotide is never administered to the patient because it is unstable in plasma and, being charged, does not penetrate the cell membrane. The effectiveness of modified nucleotides as anti-virals thus depends not only on the selectivity and affinity of the active drug for the viral polymerase, but also on the efficiency of the in vivo phosphorylation of the form that is administered.
It would be desirable to administer a monophosphorylated form of the active drug, because the phosphorylation of nucleoside analogs is usually inefficient, thereby limiting the effectivness of the drug. However, mononucleotides are unsuitable as drugs: they are unstable in plasma and, being charged at neutral pH, they are poorly transported across cell membranes. To overcome these problems, lipophilic prodrugs of known antiviral compounds have been made. (Reviewed by Zimlicka, J., Biochem Biophy Acta 1587:276-86 (2002).)
Three types of nucleotide prodrugs have been prominently employed: (1) the above-noted SATE derivatives, Perigad, C, Gosselin, G., & Imbach, J-L., Curr. Topics. Med. Chem. 2:15-29 (1997); (2) cyclosaligenyl derivatives, Meirer, C, Synlett 233-242 (1998); Balzarini, J. et al, MoI. Pharrn 58:928-935 (2000); Balzarini, J. et al, MoI. Pharm. 56:1354- 61 (1999); and (3) so-called "protides," (for nucleotide prodrugs) of which
phenylphosphoralaninate (PPA) derivatives are the most common. McGuigan, C, et al, J. Med. Chem. 39:1748-53 (1996); Franchetti, P. et al, J. Med. Chem. 37:3534-41 (1994); McGuigan, C. et al, Antiviral Res. 17:311-321 (1992).
The PPA derivatives have been employed with several different deoxy- ribofuranosyl and dideoxy-ribofuranosyl derivatives. However, not all of the attempts have been successful. The PPA prodrug of AZT (3' azido-3'-deoxythymidine) was not successful as a prodrug for HIV treatment because the monophosphate was unstable after penetration of the cell membrane. Siddiqui A.Q., et al., Bioorg. Med. Chem. Let. 9:2555-2560 (1999); Balzarini, J. et al, MoI. Pharm. 56:1354-61 (1999). Likewise, the PPA derivative of 3TC (L-3' M&-2\y dideoxycytidine) was not effective against HIV. Balzarini, J. et al., Biochem. Biophys. Res. Comun. 225:363-69 (1996).
In contrast, the PPA derivatives of d4T (2',3( didehydro-3' deoxythymidine), d4A (2',3'- didehydro-2'3' dideoxyadenosine), and 3'-FddA (2',3'-dideoxy-3'-fluoroadenosine), were found to be superior to the parent nucleosides. Siddiqui, A.Q. et ah, Bioorg.Med. Chem. Let. 9:2555- 60 (1999); McGuigan, C. et al, Bioorg. Med. Chem. Lett. 6:2359-62 (1996); Gudmundssson, K. et al, Nucleosides, Nucleotides & Nucleic Acids 22:1953-1961 (2001). The PPA derivative of an isodideoxyadenine was found to have in vivo activity whereas the related nucleoside lacks in vivo activity. Franchetti, P. et al, J. Med. Chem. 37:3534-41 (1994).
While no examples of PPA-derivatized ribonucleotides are presently listed in the CAS registry file, the PPA derivative of araA (vidarabine, the 2'-β-OH isomer of adenosine), has been reported in a conference publication by Ballatore, C. et al, Poster # 92, Antiviral Research 46, Absrt. # A63 (2000) (presented at the 13th International Conference on Antiviral Research, held in Baltimore, MD; reviewed by Zimlicka, J., Biochem Biophy Acta 1587:276-86 (2002).) This PPA derivative was reported to be inactive.
Saboulard has proposed that the activation of PPA-derivatized nucleotides takes place via a multi-step process, which is unique to protides. First, the action of a carboxyl esterase results in a free carboxylic acid, which cyclizes to displace the phenylphosphoester. The resulting cyclic anhydride is unstable, and the phosphoramidate is regenerated by hydrolysis. Finally, a phosphoramidase releases the amino acid and generates the nucleotide
monophosphate. (Saboulard, D. et al, MoI. Pharm. 66:693-704 (1999); see also WO 00/00501.)
The PPA prodrug chemistry is described by McGuigan in U. S. Patent Nos. 6,638,919; 6,455,513; and 6,573,247; and in PCT International Publication No. WO 05/012327. Further developments are described by Uckun and Vig in WO 00/00501.
None of the McGuigan, Franchetti, and Uckun publications describes the specificity of the phosphoramidase beyond what was reported by Saboulard et al. Brenner et al. have reported studies on a ribofuranosyl phosphoramidase from yeast. They have shown activity with 5'-phosphoramidates not having an O-aryl group, i.e., HOP(=O)(5'-O-adenosine)NHR. Specifically, Brenner et al. have shown that HOP(=O)(5'-O-adenosine)NH2, the 5!-O-adenosine phosphoramidates of alanine methyl ester, p-nitroaniline, and morpholine, and the 5'-O- adenosine N phosphoramidates of N -t-boc-lysinamide and N -acetyl-lysine methyl ester, are substrates. Bieganowski, P. et al, J. Biol. Chem. 277:10852-10860 (2002); Krakowiak, A. et al., J. Biol. Chem. 279:18711-716 (2004). The authors suggest that this phosphoramidase may be involved in the activation of PPA prodrugs.
However, none of the substrates demonstrated by Brenner et al. has a carboxylic acid group, as would be present in the phosphoramidase substrate in the reaction mechanism proposed by Saboulard. This, and the mixed results obtained to date with PPA prodrug forms of other nucleoside analogs, means that one cannot predict which classes of nucleosides can be successfully converted to effective prodrugs via the protide or PPA approach. It is presently necessary to make this determination on a case-by-case basis, which the present inventors have now done for 2'-β-methyl nucleotides.
Brief Description of the Invention
The invention is based on the unexpected result that, following entry into a cell, 2'- methyl-5'-[(O-aryl-N-alkoxycarbonylmethyl)]-phosphoramidate-ribonucleosides are rapidly and efficiently converted to the corresponding 2' methyl-nucleotide triphosphates. The invention can be practiced with any purine base, pyrimidine base, or other heteroaryl base.
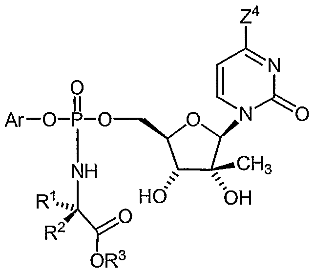
Compounds of the invention have the general structure shown below:
I The nucleoside base (or base analogue) is indicated by B. The bracketed moiety is an amino acid residue. For example, when R1 is methyl and R2 is H, the amino acid is L- alanine. The naturally-occurring amino acids, such as L-alanine and glycine, are suitable for use in this invention. Also suitable are the synthetic amino acid dimethylglycine and synthetic amino acids where R1 and R2 are, independently, H or C1 - C5 alkyl, or where R1 and R2 ; together with the α carbon, form a ring containing 3 to 6 carbons. R3 is any group that can be readily removed by intracellular esterases; examples of R are benzyl, trifluoromethyl benzyl, methyl, or Ci-C6 alkyl, such as methyl or isopropyl. Ar is phenyl, pyridyl, or pyrimidyl and may be unsubstituted or substituted with electron withdrawing groups. Substituents at the para and ortho positions are more effective. Suitable substituents include, but are not limited to, H, F, Cl, Br, CF3, SO2Me, CN and NO2.
Compounds of the invention are useful as antiviral agents. Accordingly, the invention provides pharmaceutical compositions comprising one of more of the compounds of the invention, in combination with pharmaceutically acceptable carriers, excipients, and other additives, as are well known in the art. The pharmaceutical compositions may be adapted for oral or parenteral administration.
The invention also provides a method of treating a viral infection by administering to a patient in need of such treatment a pharmaceutically effective amount of one or more of the compounds or pharmaceutical compositions of the invention. The viral disease to be treated will differ, depending on which particular nucleotide the compound releases upon metabolic activation, effective amount of a compound of formula I and a pharmaceutically acceptable carrier.
Detailed Description of the Invention
In one embodiment, this invention provides a compound of formula I, in which B is selected from the following bases B-I, B-2, and B-3,
B-I B-2 B-3 where Z2 is H, -NH2, -NHMe, or -NMe2; Z4 is -NH2 or -OH; Z6 is H, OH, OMe, OEt, SCH3, thienyl, furyl, or -NR2R3, where R2 is H, Ci-C3 alkyl, or cyclopropyl, and R3 is H or NHR4, R4 is H, Ci-C4 alkyl, or SO2Rs, and R5 is Ci-C4 alkyl; and Z7 is H, halogen, or CN. All tautomeric forms are included in these definitions.
In a more specific embodiment, this invention provides a compound of formula I, in which B is B-I and is selected from the following bases:
In another subgeneric embodiment, this invention provides a compound of formula I, in which B is B-2.
In a more specific embodiment, this invention provides a compound of formula I, in which B is B-2, where Z2 is -NHMe, or -NMe2.
In another more specific embodiment, this invention provides a compound of formula I, in which B is B-2, where Z2 is H or -NH2.
In another more specific embodiment, this invention provides a compound of formula I, in which B is selected from the following bases:
In another subgeneric embodiment, this invention provides a compound of formula I, in which B is B-3.
In a more specific embodiment, this invention provides a compound of formula I, in which B is B-3, where Z2 is -NHMe, or -NMe2.
In another more specific embodiment, this invention provides a compound of formula I, in which B is B-3, where Z2 is H or -NH2.
In a more specific embodiment, this invention provides a compound of formula I, in which B is B-3, selected from the following bases:
In a more specific embodiment, this invention provides or contemplates a compound of formula I-B2
I-B2 where Ar is phenyl, pyridyl, or pyrimidyl, optionally substituted with one or two groups selected independently from halo, nitro, cyano, Ci-C3 alkyl, or CpC3 alkoxy, wherein said Q- C3 alkyl group, and the Ci-C3 alkyl moiety of said C]-C3 alkoxy group are optionally substituted with one, two, or three chlorine or fluorine atoms;
R] and R2 are, independently, H, Ci -C5 alkyl, or C2-C5 alkenyl, or Ri and R2) together with the α-carbon, form a 3- to 6- membered saturated ring;
R3 is Ci-Ce alkyl, C3-Cβ cycloalkyl, C3-C6 cycloalkyl methyl, benzyl, or phenethyl, in which the phenyl group within said benzyl or phenethyl group is optionally substituted with one or more groups selected independently from halogen, Ci-C6 alkyl, and Ci-C6 alkoxy, wherein said Ci-C3 alkyl group, and the Ci -C3 alkyl moiety of said Ci-C3 alkoxy group are optionally substituted with one, two, or three chlorine or fluorine atoms; Z2 = H, NH2, NHMe, or NMe2; and
Z6 = OH or NR4R5, where R4 is H, Ci-C4 alkyl, or cyclopropyl; R5 is H or NHR6; R6 is H, C1- C4 alkyl, or SO2R7; and R7 is Ci-C4 alkyl. All tautomeric forms are included in the embodiment.
In a still more specific embodiment, the invention provides a compound of formula I-
B2, where Ar is phenyl, optionally substituted as indicated above.
In another embodiment the invention provides a compound according to Formula I-B3
I-B3 wherein all variables are defined as above, and Z7 is H, halogen, or CN.
In another embodiment, the invention also provides compounds of Formula I-Bl
I-Bl
where Ar, Ri, R2, and R3 are as described above and Z4 = NH2 or OH. When Z4 is OH5 this embodiment includes both the enol and keto tautomers. The enol form is depicted above.
In a more specific embodiment the invention provides or contemplates compounds of Formula I-Bl, I-B-2, and I-B3, where Ri and R2 are, independently, H, C1-C5 alkyl, or C2-C5 alkenyl.
In a more specific embodiment the invention provides or contemplates compounds of Formula I-Bl, I-B-2, and I-B3, where R] and R2 are, independently, H, Ci-C3 alkyl, or C2-C3 alkenyl.
In a more specific embodiment the invention provides or contemplates compounds of Formula I-Bl, I-B-2, and I-B3, where R1 and R2 are, independently, H or methyl, or where Ri and R2 are -CH2-CH2- and, together with the α carbon, form a cyclopropyl group.
In another more specific embodiment the invention provides or contemplates compounds of Formula I-Bl, I-B-2, and I-B3, where R] and R2 are, independently, H or methyl, or where Ri and R2 are -CH2-CH2-CH2- or -CH2-CH2-CH2-CH2- and, together with the α carbon, form a cyclobutyl or cyclopentyl group.
In another more specific embodiment the invention provides or contemplates compounds of Formula I-Bl, I-B2, or I-B3, where Ar is phenyl, optionally substituted with alkyl groups or with nitro, halo, or cyano groups.
In a still more specific embodiment the invention provides or contemplates compounds of Formula I-Bl, I-B2, or I-B3, where Ar is phenyl, />-chlorophenyl oτp- bromophenyl and R3 is isopropyl, benzyl, ø-methylbenzyl, or ø-(trifluoromethyl)benzyl.
In another more specific embodiment the invention provides or contemplates compounds of Formula I-Bl, I-B2, or I-B3, where R3 is Ci-Cβ alkyl, C3-C6 cycloalkyl, or C3-C6 cycloalkyl methyl. In another more specific embodiment the invention provides or contemplates compounds of Formula I-Bl, I-B2, or I-B3, where R3 is benzyl or phenethyl, where the phenyl group thereof is optionally substituted as described above.
In another more specific embodiment the invention provides or contemplates compounds of formula I-B2 or I-B3, where Z6 is NR4R5. In another more specific embodiment the invention provides or contemplates compounds of formula I-B2 or I-B3, where Z6 is NR4Rs, where R4 is H, Ci-C2 alkyl, or cyclopropyl; R5 is H or NHR6; R& is H, Ci-C2 alkyl, or SO2R7; and R7 is Ci-C3 alkyl.
In another more specific embodiment the invention provides or contemplates compounds of formula I-B2 or I-B3, where Z6 is -N(cyclopropyl)NH2 or - N(cyclopropyl)NHSO2CH3; and Z2 is H or NH2.
In another more specific embodiment the invention provides or contemplates compounds of formula I-B2 or I-B3 , where Z6 is -NMeNH2 or -NMeNHSO2CH3 ; and Z2 is H Or NH2.
In another more specific embodiment the invention provides or contemplates compounds of formula I-B2, or I-B3, where Z6 is NH2 and Z2 is H or NH2.
In a still more specific embodiment the invention provides or contemplates compounds of formula I-B3 , where Z6 is NH2, Z2 is H or NH2, and Z7 is F, Cl, Br, or CN.
In another still more specific embodiment the invention provides or contemplates compounds of formula I-B3, where Z6 is NH2, Z2 is H or NH2, and Z7 is H or F.
EXAMPLES The synthesis of certain bases of the invention is described in a commonly owned application Serial No. 60/679,780, filed May 11, 2005, which is hereby incorporated by reference in its entirety. The following representative examples are provided by way of example only, and the presence or absence of specific examples does not indicate limitations on the scope of the invention.
1. General Procedure for the synthesis of phosphorochloridates
The general procedure involves reaction of an amino acid ester hydrochloride with an aryl dichlorophosphate in the presence of at least two equivalents of a suitable base. Suitable bases include, but are not limited to, imidazoles, pyridines like lutidine and DMAP, tertiary amines like triethylamine and DABCO, and substituted amidines such as DBN and DBU. Tertiary amines are particularly effective. Typically the product of each step is is preferably used directly in subsequent steps, without recrystallization or chromatography. Specific examples are provided below.
4-chlorophenyl [[(lSJ-l-benzyloxycarbonylethylJaminoJphosphorochloridate (1):
Glassware and molecular sieves were dried in a 900C oven for 24 hours before use. To a solution of L-alanine benzyl ester hydrochloride (Ig, 0.0046 mol) in anhydrous dichloromethane (3 ml) in a flask containing molecular sieves was added 4- chlorophenyldichlorophosphate (0.54 ml, 0.0033 mol). The mixture was stirred at -10 0C under argon for 10 minutes, then a solution of anhydrous triethylamine (0.92 ml, 0.0066 mol) in anhydrous dichloromethane (2 ml) was added slowly. The reaction mixture was stirred at -10 0C for 2 hours, the solid precipitated in the reaction was filtered and the filtrate was evaporated under reduced pressure. The residue was washed with ether and the filtrate collected was evaporated under reduced pressure to give 1, which was made up as a stock solution in anhydrous tetrahydrofuran for further reaction.
4-chlorophenyl [[(lS)-l-(methoxycarbonyl)ethyl]amino]phosphorochloridate (2): This compound was synthesized from L-alanine methyl ester according to the general procedure used for phosphorochloridate 1.
4-chlorophenyl [(l-methoxycarbonyl-l-methylethytyaminolphosphorochloridate (3): This compound was synthesized from dimethylglycine methyl ester according to the general procedure used for phosphorochloridate 1.
2-tert-Butoxycarbonylamino-2-methylpropionic acid benzyl ester (4): A solution oϊ2-tert- butoxycarbonylamino-2-methylpropionic acid (3 g, 0.0148 mol) in methanol (40 ml) and water (6 ml) was titrated with sat. NaHCO3 to pH 9 and evaporated to dryness under reduced pressure. The salt was then stirred with benzyl chloride (2 ml, 0.0177 mol) in N5N- dimethylformamide (25 ml) at room temperature for 16 hours. The reaction mixture was evaporated under reduced pressure and the residue was partitioned between water (60 ml) and ethyl acetate (120 ml). The organic layer was dried over Na2SO4 and concentrated to give 4 as a clear oil (3 g, 0.01 mol, 69%); Rf= 0.5 (silica, 17% ethyl acetate in hexane).
2-Amino-2-methylpropionic acid benzyl ester (5): To a solution of 4 (3 g, 0.01 mol) in anhydrous dichloromethane (15 ml) at 0 0C was added slowly trifluoroacetic acid (15 ml, 0.19 mol) with stirring at 0 0C. The mixture was stirred at 0 0C for 30 minutes and the allowed to gradually warm to room temperature over 4 hours. The reaction mixture was evaporated under reduced pressure and was extracted with ethyl acetate and washed with 3x15 ml water. The organic layer was dried over Na2SO4 and concentrated to give 5 (1.9 g, 100%) as a yellow oil; Rf= 0.8 (silica, 17% methanol in chloroform); 1H NMR (300MHz, d6-DMSO) δ 8.48 (s, 2H), 7.40- 7.34 (m, 5H), 5.23 (s, 2H), 1.46 (s, 6H).
2-Amino-2-methylpropionie acid benzyl ester hydrochloride (6): A IM solution of hydrochloric acid in diethyl ether (25 ml, 0.025 mol) was added to 2-amino-2-methylpropionic acid benzyl ester (5) (1.9 g, 0.01 mol) at 0 0C, and the mixture was stirred for 16 hours. The precipitate was collected and washed with diethyl ether to give pure (6) (1.46 g, 0.006 mol,
60%) as a white solid; 1H NMR (300MHz, d6-DMS0) δ 8.62 (s, 3H), 7.40- 7.35 (m, 5H), 5.23 (s, 2H), 1.48 (s, 6H). urn
6 7 Phenyl [(l-benzyloxycarbonyl-l-methylethyl)amino]phosphorochloridate (7): This was synthesized from the amino acid ester hydrochloride 6 according to the general procedure (1).
6 8
4-chIorophenyl [(l-benzyloxycarbonyl-l-methylethyljaminolphosphorochloridate (8): This was also synthesized from the amino acid ester hydrochloride 6 according to the general procedure (1).
4-Chlorophenyl [ [(I S)-I -(I -methylethoxy carbonyl)ethyl] amino] phosphorochloridate (9) : To a solution of L-alanine isopropyl ester hydrochloride (1 g, 0.006 mol) in anhydrous dichloro-methane (5 ml) was added 4-chlorophenyl dichlorophosphate (0.7 ml, 0.004 mol) at - 200C. A solution of anhydrous triethylamine (1.12 ml, 0.008 mol) in anhydrous dichloromethane (1 ml) was added, and the mixture was stirred at -20 0C for 30 minutes. The precipitated was filtered off and the solution was evaporated under reduced pressure. The residue was washed with ether and the filtrate was collected evaporated under reduced pressure to give the phosphorochloridate 9 which was made up as a stock of solution in anhydrous tetrahydrofuran for further reaction.
10
Phenyl [[(lS)-l-(l-methylethoxycarbonyl)ethyl]amino]phosphorochIoridate (10): This compound was prepared according to the general procedure (1) in the same manner as compound 9.
2. General Procedure for the synthesis of nucleoside 5'-O-phosphoramidates
The general procedure involves reaction of a nucleoside or a 7-deazanucleoside with a free 5' OH with an amino acid derivative of a phosphorochloridate, in the presence of a suitable base. Suitable bases include, but are not limited to, imidazoles, pyridines such as lutidine and DMAP, tertiary amines such as triethylamine and DABCO, and substituted amidines such as DBN and DBU. The product may be isolated by recrystallization and/or chromatography. Specific examples are provided below.
Due to the chirality of the phosphorous atom, all nucleoside phosphoramidates described herein are obtained and tested as mixtures of enantiomers and diastereomers. The present invention also encompasses the individual pure stereoisomers, which may be obtained by high-performance liquid chromatography of the final products, or by the use of enantiomerically or diastereomerically pure phosphorochloridates, as is known in the art.
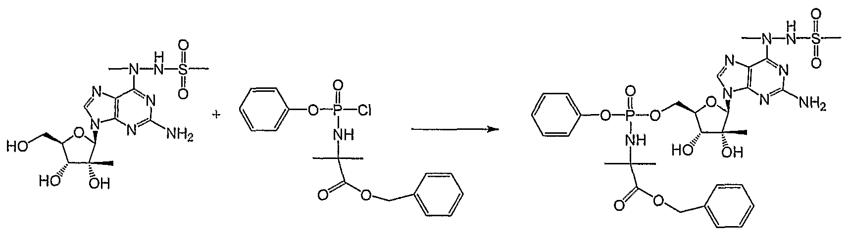
IV
9-[5'-0-[[[(lS)-l-(benzyloxycarbonyl)ethylamino]-4-chlorophenoxyphosphinyl]-2'β- methyl-β-D-arabinofuranosyl] adenine (IV): A solution of 2-amino-N6-methyl-N6- methylsulfonamido-9-(2'β-methyl-β-D-ribofuranosyl)adenine (0.1 g, 0.248 mmol) in anhydrous dichloromethane (2 ml) at -1O0C under argon was added slowly a solution of 4- chlorophenyl [[[(lS)-l-benzyloxycarbonyl]emyl]amino]phosphorochloridate (1) (1.85 ml, 0.744 mmol) and 1-methylimidazole (0.08 ml, 0.992 mmol) in anhydrous dichloromethane (1 ml). The reaction mixture was stirred at -10 0C to -20 0C for 2 hours then gradually stirred at room temperature for 20 hours.
The mixture was diluted with dichloromethane and washed with 2 x 1 ml IN HCl, 2 x 1 ml sat. NaHCO3, and 2 x 5 ml brine, then back-extracted with dichloromethane. The combined organic layers were dried over Na2SO4 and evaporated under reduced pressure, and the residue was purified by silica gel chromatography with a gradient of 8% methanol in chloroform to afford the product as a yellow paste (68.4 mg, 0.062 mmol, 25%); Rf= 0.7 (silica, 17% methanol in chloroform); 1H NMR (300MHz, d6-DMSO) δ 7.91 (s, IH), 7.37- 7.16 (m, 9H), 6.35 (s, 2H), 5.86 (s, IH), 5.49 (s, IH), 5.27 (s, IH), 5.06 (s, 2H), 4.35- 3.86 (m, 4H), 3.67 (s, 3H), 3.15 (d, IH, J= 3.6Hz), 3.00 (s, 3H), 1.22 (d, 3H, J= 7.2Hz), 0.81 (s, 3H).
2 V
9-[5'-0-[[(lS)-l-(methoxycarbonyl)ethylamino]-4-chlorophenoxyphosphinyl]-2'β-methyl- β-D-arabinofuranosyl] adenine (V): This compound was synthesized according to the general procedure (2), using the same process as for the preparation of IV above but with the phosphorochloridate 2. It was isolated as a yellow paste (17.5 mg, 0.026 mmol, 10%); Rf= 0.7 (silica, 17% methanol in chloroform); 1H NMR (300MHz, d6-DMSO) δ 7.92 (s, IH), 7.53 (s, IH), 7.42- 7.39 (m, IH), 7.24- 7.19 (m, IH), 7.08 (s, IH), 6.85 (s, IH), 6.35 (s, 2H), 5.85 (s, IH), 5.47- 5.25 (m, 2H), 4.38- 4.03 (m, 4H), 3.67 (s, 3H), 3.62 (s, IH), 3.53 (d, 3H, J= 1.8Hz), 3.00 (s, 3H), 1.22- 1.18 (m, 3H), 0.82 (s, 3H).
7 VI
9-[5'-0-[[(l-methoxycarbonyl-l-methylethyl]amino] phenoxyphosphinyl]-2'β-methyl-β- D-arabinofuranosyl] adenine (VI): This compound was synthesized according to the general procedure (2). The product was obtained as a yellow paste (6.4 mg, 0.009 mmol, 4%); Rf= 0.6 (silica, 17% methanol in chloroform); 1H NMR (300MHz, d6-DMSO) δ 8.75 (s, 2H), 7.98- 7.30 (m, 10H), 6.35 (s, 2H), 5.87 (s, IH), 5.46- 5.23 (m, 2H), 5.02 (s, 2H), 4.72- 4.03 (m, 4H), 3.80 (s, 3H), 2.99 (s, 3H), 1.46- 1.13 (m, 6H), 0.87 (s, 3H).
8 VII
9- [5 '-O- [ [(I -methoxycarbonyl-1 -methylethyl)amino] -4-chlorophenoxyphosphinyl]-2 ' β- metkyl-β-D-arabinofuranosyl] adenine (VII): This was synthesized according to the general procedure (2). The product was isolated as a brown paste (9.9 mg, 0.01 mmol, 4%); Rf= 0.6 (silica, 17% methanol in chloroform); 1H NMR (300MHz, CD3OD) δ 8.42 (s, IH), 8.36 (s, IH), 7.41- 7.21 (m, 9H), 6.23 (s, IH), 5.11 (s, 2H), 4.62- 3.99 (m, 4H), 3.86 (s, 3H), 2.98 (s, 3H), 1.29 (s, 6H), 1.05 (s, 3H).
VIII
9-[5'-C>-[[[l-(l-methylethoxycarbonyl)-l-methylethyl]amino]-4- chlorophenoxyphosphinyl]-2'p-methyl-β-D-arabmofuranosyl]adenine (VIII): This was synthesized according to the general procedure (2). The product was obtained as a yellow paste (12.3 mg, 0.017 mmol, 7%); Rf= 0.7 (silica, 17% methanol in chloroform); 1H NMR (300MHz, d6-DMSO) δ 7.92 (s, IH), 7.40 (d, 2H, J= 8.7Hz), 7.23 (d, 2H, 5.4Hz), 6.34 (s, 2H), 5.85 (s, IH), 5.45- 5.24 (m, 2H), 4.82- 4.76 (m, IH), 4.34- 4.03 (m, 5H), 3.67 (s, 3H), 3.00 (s, 3H), 1.21- 1.06 (m, (H), 0.82 (s, 3H).
10 IX 9-[5'-0-[[[l-(l-methylethoxycarbonyl)-l-methylethyl]amino]-4- chlorophenoxyphosphinyl]-2'β-methyI-β-D-arabinofuranosyl]adenine (IX): This compound was synthesized according to the general procedure (2) by the same method as compound VII. It was isolated as a yellow paste (16.6 mg, 0.024 mmol, 12%); Rf= 0.7 (silica, 17% methanol in chloroform); 1H NMR (300MHz, CD3OD) δ 7.96 (s, IH), 7.33- 7.17 (m, 5H), 5.97 (s, IH), 4.54- 4.15 (m, 5H), 3.77 (s, 3H), 2.95 (s, 3H), 1.43 (d, 6H, J= 10.5Hz), 1.22- 1.19 (m, 6H), 0.97 (s, 3H).
Derivatives of B-I:
[5-0-(4-chlorophenyl methoxydimethylglycinylphosphate)-(2-C-methyl-β-D- ribofuranosyl)cytosine] A solution of (2-C-methyl-β-D-ribofuranosyl)cytosine (0.066g, 0.257mmol) in anhydrous dichloromethane (1.5ml) at -1O0C under argon was added slowly a solution of 4-Chlorophenyl methoxydimethylglycmylphosphorochloridate (1.2ml, 0.769mmol) and 1-methylimidazole (0.12ml, 1.54mmol) in anhydrous dichloromethane (0.5ml). The
reaction mixture was stirred at -10°C/-20°C for 2 hours then gradually stirred at room temperature for 8 hours. The mixture was evaporated under reduced pressure, and the crude was purified by silica gel chromatography in a gradient of 8% methanol in chloroform to afford the product as a yellow paste (28mg, 0.05mmol, 19%)
BIOLOGICAL ACTIVITY
The anti-HCV activities of the exemplary compounds were tested in two biological assays: a cell-based HCV replicon assay and a cytotoxicity assay.
1. HCV Replicon Assay
A human hepatoma cell line (Huh-7) containing replicating HCV Conl subgenomic replicon with a luciferase reporter gene (luc-ubi-neo) was used to evaluate anti-HCV activity of the compounds. In this assay, the level of luciferase signal correlates directly with the viral RNA replication. The HCV replicon-reporter cell line (NK/luc-ubi-neo) was cultured in DMEM medium supplemented with 10 % fetal bovine serum and 0.5 mg/ml Geneticin (G418). Cells were maintained in a subconfluent state to ensure high levels of HCV replicon RNA synthesis.
To evaluate the antiviral activity of compounds, serial dilutions were prepared with concentrations ranging from 0.14 to 300 μM. Diluted compounds were transferred to a 96-well plate followed by the addition of replicon cells (6000 cells per well). Cells were incubated with the compounds for 48 hours after which luciferase activity was measured. Reduction of luciferase signal reflected the decrease of HCV replicon RNA in the treated cells and used to determine the EC50 value (concentration which yielded a 50 % reduction in luciferase activity).
2. Cytotoxicity Assay
A Huh-7 cell line carrying a luciferase reporter gene (driven by a HIV LTR promoter) stably integrated into the chromosome was used to analyze the cytotoxic effect of the selected compounds. This cell line (LTR-luc) was maintained in DMEM medium with 10 % FBS. Design of the cytotoxicity assay was similar to that of the HCV replicon assay. Reduction of luciferase activity in the treated cells correlated with the cytotoxic effect of the test compound and was used to calculate the CC50 value (concentration that inhibited cell growth by 50%).
The biological activities and cytotoxicity of the selected compounds are summarized in
Tables 1 and 2.
BIOLOGICAL ACTIVITIES OF SELECTED COMPOUNDS
Legend: EC50: A (<0.25 μM), B (0.25 to 1.0 μM) and C (1.0 to 50 μM)
CC50: A (>300 μM), B (50 to 300 μM) and C (<50 μM) TABLE 1 -ACTIVITY OF COMPOUNDS OF FORMULA I-B2
Table 2 ACTIVITY OF COMPOUNDS OF FORMULA I-B1
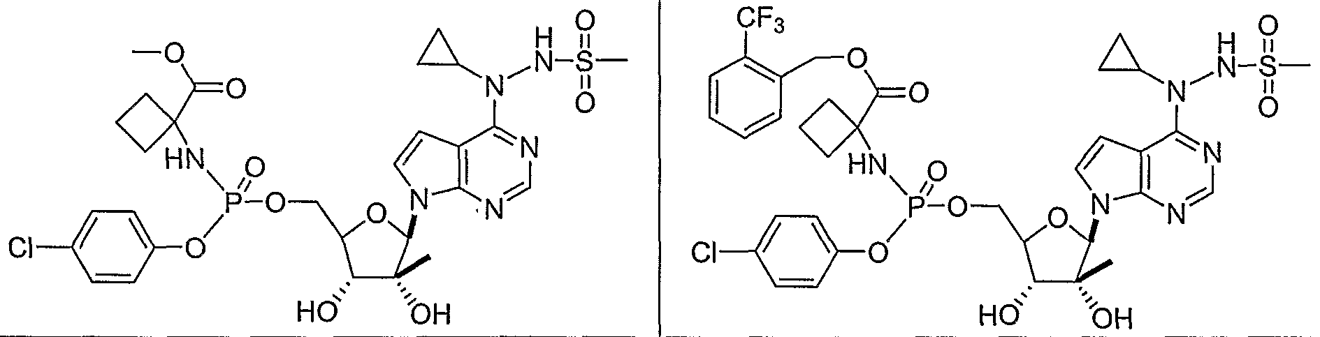
The following table shows contemplated compounds of this invention.
Table 3 Contemplated Compounds
Claims
What is claimed is L A compound of formula I-B2
where Ar is phenyl, pyridyl, or pyrimidyl, optionally substituted with one or two groups selected independently from halo, nitro, cyano, Ci-C3 alkyl, or Ci-C3 alkoxy, wherein said Q- C3 alkyl group, and the Ci-C3 alkyl moiety of said C1-C3 alkoxy group are optionally substituted with one, two, or three chlorine or fluorine atoms; Ri and R2 are, independently, H, Ci -C5 alkyl, or C2-C5 alkenyl, or Ri and R2> together with the α-carbon, form a 3- to 6- membered saturated ring;
R3 is Cj-Ce alkyl, C3-C6 cycloalkyl, C3-C6 cycloalkyl methyl, benzyl, or phenethyl, in which the phenyl group within said benzyl or phenethyl group is optionally substituted with one or more groups selected independently from halogen, Ci-C6 alkyl, and Ci-C6 alkoxy, wherein said Ci-C3 alkyl group, and the Ci-C3 alkyl moiety of said Ci-C3 alkoxy group are optionally substituted with one, two, or three chlorine or fluorine atoms; Z2 = H, NH2, NHMe, or NMe2; and
Z6 = OH or NR4R5, where R4 is H, Ci-C4 alkyl, or cyclopropyl; R5 is H or NHR6; R6 is H, C1- C4 alkyl, or SO2R7; and R7 is Ci-C4 alkyl, and wherein all tautomeric forms are included.
2. The compound of claim 1, where Ar is phenyl, optionally substituted as described in claim 1.
3. The compound of claim 2, where Ar is unsubstituted phenyl, p-chlorophenyl, or p- bromophenyl.
4. The compound of claim 3, where R3 is benzyl or phenethyl, optionally substituted as indicated in claim 1.
(A) where Rp, R0, and R'o are selected independently from H, methyl, F, Cl, methoxy, and trifluoromethyl.
6. The compound of claim 5, where Rp is H, except when R0 and R'o are both methyl; and when R0 and R'o are both methyl, Rp is methyl, halogen, or trifluoromethyl.
7. The compound of claim 6, where R0Is H.
8. The compound of claim 7, where R0' is H.
9. The compound of claim 2, where R3 is C1-C6 alkyl, C3-C6 cycloalkyl, or C3-C6 cycloalkyl methyl.
10. The compound of claim 9, where R3 is Ci-C4 alkyl.
11. The compound of claim 9, where R3 is C3-C6 cycloalkyl
12. The compound of claim 3 or claim 9, where Z2 is H or NH2 and Z6 is NR4R5.
13. The compound of claim 12, where R5 is H or NHR6; R6 is H, methyl, or SO2R7; and R7 is CH3.
14. The compound of claim 12, where R4 cyclopropyl or methyl.
15. A compound of Formula I-B3
where Ar is phenyl, pyridyl, or pyrimidyl, optionally substituted with one or two groups selected independently from halo, nitro, cyano, Ci-C3 alkyl, or Ci-C3 alkoxy, wherein said C1-
C3 alkyl group, and the Ci-C3 alkyl moiety of said Ci -C3 alkoxy group are optionally substituted with one, two, or three chlorine or fluorine atoms;
Ri and R2 are, independently, H, C1-C5 alkyl, or C2-C5 alkenyl, or Ri and R2) together with the α-carbon, form a 3- to 6- membered saturated ring; R3 is Ci-C6 alkyl, C3-C6 cycloalkyl, C3-C6 cycloalkyl methyl, benzyl, or phenethyl, in which the phenyl group within said benzyl or phenethyl group is optionally substituted with one or more groups selected independently from halogen, Ci-C6 alkyl, and Ci-C6 alkoxy, wherein said Ci-C3 alkyl group, and the Ci-C3 alkyl moiety of said C1-C3 alkoxy group are optionally substituted with one, two, or three chlorine or fluorine atoms; Z2 = H, NH2, NHMe, or NMe2;
Z6 = OH or NR4R5, where R4 is H, Ci-C4 alkyl, or cyclopropyl; R5 is H or NHR6; R6 is H, C1- C4 alkyl, or SO2R7; R7 is Cj-C4 alkyl; Z7 is H, halogen, or CN; and wherein all tautomeric forms are included.
16. The compound of claim 15 where Ar is phenyl, optionally substituted as described in
claim 15.
17. The compound of claim 16, where Ar is unsubstituted phenyl, p-chlorophenyl, oxp- bromophenyl.
18. The compound of claim 17, where R3 is benzyl or phenethyl, optionally substituted as described in claim 15.
19. The compound of claim 18, where R3 is a group of formula A
(A) where Rp, R0, and R'o are selected independently from H, methyl, F, Cl, methoxy, and trifluoromethyl.
20. The compound of claim 19, where Rp is H, except when R0 and R'o are both methyl; and when R0 and R'o are both methyl, Rp is methyl, halogen, or trifluoromethyl.
21. The compound of claim 20, where R0Is H.
22. The compound of claim 21 , where R0' is H.
23. The compound of claim 16, where R3 is Ci-C6 alkyl, C3-C6 cycloalkyl, or C3-C6 cycloalkyl methyl.
24. The compound of claim 23, where R3 is Ci-C4 alkyl.
25. The compound of claim 23, where R3 is C3-C6 cycloalkyl.
26. The compound of claim 17 or claim 23, Z2 is H OrNH2 and Z6 is NR4R5.
27. The compound of claim 26, where R5 is H or NHR6; R6 is H, methyl, or SO2R7; and R7 is CH3.
28. The compound of claim 27, where Z7 is H or F.
29. A compound of formula I-Bl
IB-I where Z4 is OH or NH2 and where Ar is phenyl, pyridyl, or pyrimidyl, optionally substituted with one or two groups selected independently from halo, nitro, cyano, Ci-C3 alkyl, or Ci-C3 alkoxy, wherein said CpC3 alkyl group, and the Ci-C3 alkyl moiety of said Ci-C3 alkoxy group are optionally substituted with one, two, or three chlorine or fluorine atoms;
Ri and R2 are, independently, H, C1-C5 alkyl, or C2-C5 alkenyl, or R1 and R2; together with the α-carbon, form a 3- to 6- membered saturated ring;
R3 is Ci-C6 alkyl, C3-C6 cycloalkyl, C3-C6 cycloalkyl methyl, benzyl, or phenethyl, in which the phenyl group within said benzyl or phenethyl group is optionally substituted with one or more groups selected independently from halogen, Ci-C6 alkyl, and Ci-C6 alkoxy, wherein said
Cj-C3 alkyl group, and the C1-C3 alkyl moiety of said Ci-C3 alkoxy group are optionally substituted with one, two, or three chlorine or fluorine atoms.
30. The compound of claim 29, where Ar is phenyl, optionally substituted as described al
31. A compound of formula I-B2 which is selected from the following table
137
Applications Claiming Priority (4)
| Application Number | Priority Date | Filing Date | Title |
|---|---|---|---|
| US67863605P | 2005-05-05 | 2005-05-05 | |
| US60/678,636 | 2005-05-05 | ||
| US74803405P | 2005-12-06 | 2005-12-06 | |
| US60/748,034 | 2005-12-06 |
Publications (1)
| Publication Number | Publication Date |
|---|---|
| WO2006121820A1 true WO2006121820A1 (en) | 2006-11-16 |
Family
ID=37396871
Family Applications (1)
| Application Number | Title | Priority Date | Filing Date |
|---|---|---|---|
| PCT/US2006/017314 Ceased WO2006121820A1 (en) | 2005-05-05 | 2006-05-05 | Phosphoramidate prodrugs for treatment of viral infection |
Country Status (1)
| Country | Link |
|---|---|
| WO (1) | WO2006121820A1 (en) |
Cited By (72)
| Publication number | Priority date | Publication date | Assignee | Title |
|---|---|---|---|---|
| WO2008062206A3 (en) * | 2006-11-24 | 2008-07-10 | Univ Cardiff | Nucleoside aryl phosphoramidates and their use as anti-viral agents for the treatment of hepatitis c virus |
| US7456155B2 (en) | 2002-06-28 | 2008-11-25 | Idenix Pharmaceuticals, Inc. | 2′-C-methyl-3′-O-L-valine ester ribofuranosyl cytidine for treatment of flaviviridae infections |
| US7582618B2 (en) | 2002-06-28 | 2009-09-01 | Idenix Pharmaceuticals, Inc. | 2′-C-methyl-3′-O-L-valine ester ribofuranosyl cytidine for treatment of flaviviridae infections |
| US7598373B2 (en) | 2002-12-12 | 2009-10-06 | Idenix Pharmaceuticals, Inc. | Process for the production of 2-C-methyl-D-ribonolactone |
| US7608597B2 (en) | 2000-05-23 | 2009-10-27 | Idenix Pharmaceuticals, Inc. | Methods and compositions for treating hepatitis C virus |
| US7879815B2 (en) | 2006-02-14 | 2011-02-01 | Merck Sharp & Dohme Corp. | Nucleoside aryl phosphoramidates for the treatment of RNA-dependent RNA viral infection |
| WO2011035231A1 (en) | 2009-09-21 | 2011-03-24 | Gilead Sciences, Inc. | 2' -fluoro substituted carba-nucleoside analogs for antiviral treatment |
| US7964580B2 (en) | 2007-03-30 | 2011-06-21 | Pharmasset, Inc. | Nucleoside phosphoramidate prodrugs |
| US8008264B2 (en) | 2008-04-23 | 2011-08-30 | Gilead Sciences, Inc. | 1′-substituted carba-nucleoside analogs for antiviral treatment |
| US8012942B2 (en) | 2009-02-10 | 2011-09-06 | Gilead Sciences, Inc. | Carba-nucleoside analogs for antiviral treatment |
| JP2011526893A (en) * | 2008-07-02 | 2011-10-20 | イデニク プハルマセウティカルス,インコーポレイテッド | Compounds and pharmaceutical compositions for the treatment of viral infections |
| WO2011150288A1 (en) | 2010-05-28 | 2011-12-01 | Gilead Sciences, Inc. | 1'-substituted-carba-nucleoside prodrugs for antiviral treatment |
| US8071568B2 (en) | 2007-01-05 | 2011-12-06 | Merck Sharp & Dohme Corp. | Nucleoside aryl phosphoramidates for the treatment of RNA-dependent RNA viral infection |
| CN102348712A (en) * | 2009-01-09 | 2012-02-08 | 卡迪夫大学学院顾问有限公司 | Phosphoramidate derivatives of guanosine nucleoside compounds for treatment of viral infections |
| WO2012039791A1 (en) | 2010-09-20 | 2012-03-29 | Gilead Sciences, Inc. | 2' -fluoro substituted carba-nucleoside analogs for antiviral treatment |
| WO2012039787A1 (en) | 2010-09-20 | 2012-03-29 | Gilead Sciences, Inc. | 2' -fluoro substituted carba-nucleoside analogs for antiviral treatment |
| US8148349B2 (en) | 2006-12-20 | 2012-04-03 | Istituto Di Ricerche Di Biologia Molecolare P. Angeletti S.P.A. | Nucleoside cyclic phosphoramidates for the treatment of RNA-dependent RNA viral infection |
| US8173621B2 (en) | 2008-06-11 | 2012-05-08 | Gilead Pharmasset Llc | Nucleoside cyclicphosphates |
| WO2011123668A3 (en) * | 2010-03-31 | 2012-05-24 | Pharmasset, Inc. | Stereoselective synthesis of phosphorus containing actives |
| JP2012513479A (en) * | 2008-12-23 | 2012-06-14 | ギリアド ファーマセット エルエルシー | Synthesis of purine nucleosides |
| WO2012142523A2 (en) | 2011-04-13 | 2012-10-18 | Gilead Sciences, Inc. | 1'-substituted pyrimidine n-nucleoside analogs for antiviral treatment |
| JP2012527477A (en) * | 2009-05-20 | 2012-11-08 | ギリアド ファーマセット エルエルシー | N-[(2'R) -2'-deoxy-2'-fluoro-2'-methyl-P-phenyl-5'-uridylyl] -L-alanine 1-methylethyl ester and process for its preparation |
| WO2012158811A3 (en) * | 2011-05-19 | 2013-02-28 | Rfs Pharma, Llc | Purine monophosphate prodrugs for treatment of viral infections |
| WO2013084165A1 (en) * | 2011-12-05 | 2013-06-13 | Medivir Ab | Hcv polymerase inhibitors |
| AU2012216500B2 (en) * | 2006-11-24 | 2013-06-20 | Katholieke Universiteit Leuven | Nucleoside aryl phosphoramidates and their use as anti-viral agents for the treatment of hepatitis C virus |
| JP2013537907A (en) * | 2010-09-22 | 2013-10-07 | アリオス バイオファーマ インク. | Substituted nucleotide analogs |
| US8551973B2 (en) | 2008-12-23 | 2013-10-08 | Gilead Pharmasset Llc | Nucleoside analogs |
| US8609627B2 (en) | 2009-02-06 | 2013-12-17 | Rfs Pharma, Llc | Purine nucleoside monophosphate prodrugs for treatment of cancer and viral infections |
| US8618076B2 (en) | 2009-05-20 | 2013-12-31 | Gilead Pharmasset Llc | Nucleoside phosphoramidates |
| US8716262B2 (en) | 2008-12-23 | 2014-05-06 | Gilead Pharmasset Llc | Nucleoside phosphoramidates |
| US8841275B2 (en) | 2010-11-30 | 2014-09-23 | Gilead Pharmasset Llc | 2′-spiro-nucleosides and derivatives thereof useful for treating hepatitis C virus and dengue virus infections |
| US8889159B2 (en) | 2011-11-29 | 2014-11-18 | Gilead Pharmasset Llc | Compositions and methods for treating hepatitis C virus |
| US20140364446A1 (en) * | 2013-06-05 | 2014-12-11 | Idenix Pharmaceuticals, Inc. | 1',4'-thio nucleosides for the treatment of hcv |
| US8916538B2 (en) | 2012-03-21 | 2014-12-23 | Vertex Pharmaceuticals Incorporated | Solid forms of a thiophosphoramidate nucleotide prodrug |
| US8980865B2 (en) | 2011-12-22 | 2015-03-17 | Alios Biopharma, Inc. | Substituted nucleotide analogs |
| CN104447923A (en) * | 2013-09-23 | 2015-03-25 | 中国药科大学 | 2'-deoxy-2'-fluoro-2'-methylnucleoside derivative as well as preparation method and application of derivative in pharmaceuticals |
| US9012427B2 (en) | 2012-03-22 | 2015-04-21 | Alios Biopharma, Inc. | Pharmaceutical combinations comprising a thionucleotide analog |
| US9090642B2 (en) | 2010-07-19 | 2015-07-28 | Gilead Sciences, Inc. | Methods for the preparation of diasteromerically pure phosphoramidate prodrugs |
| US9393256B2 (en) | 2011-09-16 | 2016-07-19 | Gilead Pharmasset Llc | Methods for treating HCV |
| US20160220595A1 (en) * | 2013-09-11 | 2016-08-04 | Emory University | Nucleotide and nucleoside therapeutic compositions and uses related thereto |
| WO2016134058A1 (en) | 2015-02-18 | 2016-08-25 | Abbvie Inc. | Combinations useful to treat hepatitis c virus |
| US20160250342A1 (en) * | 2012-11-16 | 2016-09-01 | Redwood Bioscience, Inc. | Hydrazinyl-Indole Compounds and Methods for Producing a Conjugate |
| US9447132B2 (en) | 2013-04-12 | 2016-09-20 | Achillion Pharmaceuticals, Inc. | Highly active nucleoside derivative for the treatment of HCV |
| US9676797B2 (en) | 2015-09-02 | 2017-06-13 | Abbvie Inc. | Anti-viral compounds |
| US9724360B2 (en) | 2014-10-29 | 2017-08-08 | Gilead Sciences, Inc. | Methods for treating Filoviridae virus infections |
| US9828410B2 (en) | 2015-03-06 | 2017-11-28 | Atea Pharmaceuticals, Inc. | β-D-2′-deoxy-2′-α-fluoro-2′-β-C-substituted-2-modified-N6-substituted purine nucleotides for HCV treatment |
| JP2017535587A (en) * | 2014-11-28 | 2017-11-30 | ヌカナ バイオメド リミテッド | Novel 2 'and / or 5' amino acid ester phosphoramidate 3'-deoxyadenosine derivatives as anticancer compounds |
| US9968628B2 (en) | 2000-05-26 | 2018-05-15 | Idenix Pharmaceuticals Llc | Methods and compositions for treating flaviviruses and pestiviruses |
| US10039779B2 (en) | 2013-01-31 | 2018-08-07 | Gilead Pharmasset Llc | Combination formulation of two antiviral compounds |
| US10065958B2 (en) | 2010-07-22 | 2018-09-04 | Gilead Sciences, Inc. | Methods and compounds for treating Paramyxoviridae virus infections |
| US10202412B2 (en) | 2016-07-08 | 2019-02-12 | Atea Pharmaceuticals, Inc. | β-D-2′-deoxy-2′-substituted-4′-substituted-2-substituted-N6-substituted-6-aminopurinenucleotides for the treatment of paramyxovirus and orthomyxovirus infections |
| US10251904B2 (en) | 2015-09-16 | 2019-04-09 | Gilead Sciences, Inc. | Methods for treating arenaviridae and coronaviridae virus infections |
| US10519186B2 (en) | 2017-02-01 | 2019-12-31 | Atea Pharmaceuticals, Inc. | Nucleotide hemi-sulfate salt for the treatment of hepatitis C virus |
| US10525072B2 (en) | 2002-11-15 | 2020-01-07 | Idenix Pharmaceuticals Llc | 2′-branched nucleosides and flaviviridae mutation |
| US10675296B2 (en) | 2017-07-11 | 2020-06-09 | Gilead Sciences, Inc. | Compositions comprising an RNA polymerase inhibitor and cyclodextrin for treating viral infections |
| US10682368B2 (en) | 2017-03-14 | 2020-06-16 | Gilead Sciences, Inc. | Methods of treating feline coronavirus infections |
| US10836787B2 (en) | 2017-05-01 | 2020-11-17 | Gilead Sciences, Inc. | Crystalline forms of (S)-2-ethylbutyl 2-(((S)-(((2R,3S,4R,5R)-5- (4-aminopyrrolo[2,1-f] [1,2,4]triazin-7-yl)-5-cyano-3,4-dihydroxytetrahydrofuran-2-yl)methoxy)(phenoxy) phosphoryl)amino)propanoate |
| US10874687B1 (en) | 2020-02-27 | 2020-12-29 | Atea Pharmaceuticals, Inc. | Highly active compounds against COVID-19 |
| US10946033B2 (en) | 2016-09-07 | 2021-03-16 | Atea Pharmaceuticals, Inc. | 2′-substituted-N6-substituted purine nucleotides for RNA virus treatment |
| US10988498B2 (en) | 2009-09-21 | 2021-04-27 | Gilead Sciences, Inc. | Processes and intermediates for the preparation of 1′-substituted carba-nucleoside analogs |
| US11116783B2 (en) | 2013-08-27 | 2021-09-14 | Gilead Pharmasset Llc | Combination formulation of two antiviral compounds |
| US11491169B2 (en) | 2020-05-29 | 2022-11-08 | Gilead Sciences, Inc. | Remdesivir treatment methods |
| US11613553B2 (en) | 2020-03-12 | 2023-03-28 | Gilead Sciences, Inc. | Methods of preparing 1′-cyano nucleosides |
| US11660307B2 (en) | 2020-01-27 | 2023-05-30 | Gilead Sciences, Inc. | Methods for treating SARS CoV-2 infections |
| US11690860B2 (en) | 2018-04-10 | 2023-07-04 | Atea Pharmaceuticals, Inc. | Treatment of HCV infected patients with cirrhosis |
| US11701372B2 (en) | 2020-04-06 | 2023-07-18 | Gilead Sciences, Inc. | Inhalation formulations of 1'-cyano substituted carba-nucleoside analogs |
| US11780844B2 (en) | 2022-03-02 | 2023-10-10 | Gilead Sciences, Inc. | Compounds and methods for treatment of viral infections |
| US11814406B2 (en) | 2020-08-27 | 2023-11-14 | Gilead Sciences, Inc. | Compounds and methods for treatment of viral infections |
| US11939347B2 (en) | 2020-06-24 | 2024-03-26 | Gilead Sciences, Inc. | 1′-cyano nucleoside analogs and uses thereof |
| US12102689B2 (en) | 2015-11-09 | 2024-10-01 | R.P. Scherer Technologies, Llc | Anti-CD22 antibody-maytansine conjugates and methods of use thereof |
| US12357577B1 (en) | 2024-02-02 | 2025-07-15 | Gilead Sciences, Inc. | Pharmaceutical formulations and uses thereof |
| US12458656B2 (en) | 2021-06-17 | 2025-11-04 | Atea Pharmaceuticals, Inc. | Advantageous anti-HCV combination therapy |
Citations (1)
| Publication number | Priority date | Publication date | Assignee | Title |
|---|---|---|---|---|
| US6245750B1 (en) * | 1998-01-23 | 2001-06-12 | Newbiotics, Inc. | Enzyme catalyzed therapeutic agents |
-
2006
- 2006-05-05 WO PCT/US2006/017314 patent/WO2006121820A1/en not_active Ceased
Patent Citations (1)
| Publication number | Priority date | Publication date | Assignee | Title |
|---|---|---|---|---|
| US6245750B1 (en) * | 1998-01-23 | 2001-06-12 | Newbiotics, Inc. | Enzyme catalyzed therapeutic agents |
Non-Patent Citations (1)
| Title |
|---|
| KUMPULAINEN H. ET AL.: "An Efficient Strategy for the Synthesis of 1-Chloroethyl Phosphates and Phosphoramidates", J. ORG. CHEM., vol. 70, 2005, pages 9056 - 9058, XP003003168 * |
Cited By (188)
| Publication number | Priority date | Publication date | Assignee | Title |
|---|---|---|---|---|
| US10758557B2 (en) | 2000-05-23 | 2020-09-01 | Idenix Pharmaceuticals Llc | Methods and compositions for treating hepatitis C virus |
| US7608597B2 (en) | 2000-05-23 | 2009-10-27 | Idenix Pharmaceuticals, Inc. | Methods and compositions for treating hepatitis C virus |
| US10363265B2 (en) | 2000-05-23 | 2019-07-30 | Idenix Pharmaceuticals Llc | Methods and compositions for treating hepatitis C virus |
| US8299038B2 (en) | 2000-05-23 | 2012-10-30 | Idenix Pharmaceuticals, Inc. | Methods and compositions for treating hepatitis C virus |
| US9968628B2 (en) | 2000-05-26 | 2018-05-15 | Idenix Pharmaceuticals Llc | Methods and compositions for treating flaviviruses and pestiviruses |
| US7456155B2 (en) | 2002-06-28 | 2008-11-25 | Idenix Pharmaceuticals, Inc. | 2′-C-methyl-3′-O-L-valine ester ribofuranosyl cytidine for treatment of flaviviridae infections |
| US7582618B2 (en) | 2002-06-28 | 2009-09-01 | Idenix Pharmaceuticals, Inc. | 2′-C-methyl-3′-O-L-valine ester ribofuranosyl cytidine for treatment of flaviviridae infections |
| US10525072B2 (en) | 2002-11-15 | 2020-01-07 | Idenix Pharmaceuticals Llc | 2′-branched nucleosides and flaviviridae mutation |
| US7598373B2 (en) | 2002-12-12 | 2009-10-06 | Idenix Pharmaceuticals, Inc. | Process for the production of 2-C-methyl-D-ribonolactone |
| US7879815B2 (en) | 2006-02-14 | 2011-02-01 | Merck Sharp & Dohme Corp. | Nucleoside aryl phosphoramidates for the treatment of RNA-dependent RNA viral infection |
| AU2012216500B2 (en) * | 2006-11-24 | 2013-06-20 | Katholieke Universiteit Leuven | Nucleoside aryl phosphoramidates and their use as anti-viral agents for the treatment of hepatitis C virus |
| AU2007323220B2 (en) * | 2006-11-24 | 2012-09-06 | Katholieke Universiteit Leuven | Nucleoside aryl phosphoramidates and their use as anti-viral agents for the treatment of hepatitis C virus |
| US8658616B2 (en) | 2006-11-24 | 2014-02-25 | University College Cardiff Consultants Limited | Nucleoside aryl phosphoramidates and their use as anti-viral agents for the treatment of hepatitis C virus |
| EP2412717A1 (en) * | 2006-11-24 | 2012-02-01 | University College Cardiff Consultants, Ltd. | Nucleoside aryl phosphoramidates and their use as anti-viral agents for the treatment of hepatitis C virus |
| WO2008062206A3 (en) * | 2006-11-24 | 2008-07-10 | Univ Cardiff | Nucleoside aryl phosphoramidates and their use as anti-viral agents for the treatment of hepatitis c virus |
| JP2010510301A (en) * | 2006-11-24 | 2010-04-02 | ユニバースティ カレッヂ カーディフ コンサルタンツ リミテッド | Compound |
| US8148349B2 (en) | 2006-12-20 | 2012-04-03 | Istituto Di Ricerche Di Biologia Molecolare P. Angeletti S.P.A. | Nucleoside cyclic phosphoramidates for the treatment of RNA-dependent RNA viral infection |
| US8071568B2 (en) | 2007-01-05 | 2011-12-06 | Merck Sharp & Dohme Corp. | Nucleoside aryl phosphoramidates for the treatment of RNA-dependent RNA viral infection |
| JP2020100617A (en) * | 2007-03-30 | 2020-07-02 | ギリアド ファーマセット エルエルシー | Nucleoside phosphoramidate prodrugs |
| US8334270B2 (en) | 2007-03-30 | 2012-12-18 | Gilead Pharmasset Llc | Nucleoside phosphoramidate prodrugs |
| US8735372B2 (en) | 2007-03-30 | 2014-05-27 | Gilead Pharmasset Llc | Nucleoside phosphoramidate prodrugs |
| US8580765B2 (en) | 2007-03-30 | 2013-11-12 | Gilead Pharmasset Llc | Nucleoside phosphoramidate prodrugs |
| JP2014196305A (en) * | 2007-03-30 | 2014-10-16 | ギリアド ファーマセット エルエルシー | Nucleoside phosphoramidate prodrug |
| US9585906B2 (en) | 2007-03-30 | 2017-03-07 | Gilead Pharmasset Llc | Nucleoside phosphoramidate prodrugs |
| US10183037B2 (en) | 2007-03-30 | 2019-01-22 | Gilead Pharmasset Llc | Nucleoside phosphoramidate prodrugs |
| JP2012121903A (en) * | 2007-03-30 | 2012-06-28 | Gilead Pharmasset Llc | Nucleoside phosphoramidate prodrug |
| US7964580B2 (en) | 2007-03-30 | 2011-06-21 | Pharmasset, Inc. | Nucleoside phosphoramidate prodrugs |
| US11642361B2 (en) | 2007-03-30 | 2023-05-09 | Gilead Sciences, Inc. | Nucleoside phosphoramidate prodrugs |
| US8906880B2 (en) | 2007-03-30 | 2014-12-09 | Gilead Pharmasset Llc | Nucleoside phosphoramidate prodrugs |
| JP2015024998A (en) * | 2007-03-30 | 2015-02-05 | ギリアド ファーマセット エルエルシー | Nucleoside phosphoramidate prodrugs |
| US8957046B2 (en) | 2007-03-30 | 2015-02-17 | Gilead Pharmasset Llc | Nucleoside phosphoramidate prodrugs |
| JP2017132754A (en) * | 2007-03-30 | 2017-08-03 | ギリアド ファーマセット エルエルシー | Nucleoside phosphoramidate prodrugs |
| US9085573B2 (en) | 2007-03-30 | 2015-07-21 | Gilead Pharmasset Llc | Nucleoside phosphoramidate prodrugs |
| US12121529B2 (en) | 2007-03-30 | 2024-10-22 | Gilead Sciences, Inc. | Nucleoside phosphoramidate prodrugs |
| US8318682B2 (en) | 2008-04-23 | 2012-11-27 | Gilead Sciences, Inc. | 1′substituted carba-nucleoside analogs for antiviral treatment |
| EP2937350A1 (en) | 2008-04-23 | 2015-10-28 | Gilead Sciences, Inc. | 1' -substituted carba-nucleoside analogs for antiviral treatment |
| US8008264B2 (en) | 2008-04-23 | 2011-08-30 | Gilead Sciences, Inc. | 1′-substituted carba-nucleoside analogs for antiviral treatment |
| US8012941B2 (en) | 2008-04-23 | 2011-09-06 | Gilead Sciences, Inc. | Carba-nucleoside analogs for antiviral treatment |
| US8853171B2 (en) | 2008-04-23 | 2014-10-07 | Gilead Sciences, Inc. | 1′-substituted carba-nucleoside analogs for antiviral treatment |
| USRE46762E1 (en) | 2008-04-23 | 2018-03-27 | Gilead Sciences, Inc | 1′-substituted carba-nucleoside analogs for antiviral treatment |
| US8173621B2 (en) | 2008-06-11 | 2012-05-08 | Gilead Pharmasset Llc | Nucleoside cyclicphosphates |
| US8759510B2 (en) | 2008-06-11 | 2014-06-24 | Gilead Pharmasset Llc | Nucleoside cyclicphosphates |
| JP2011526893A (en) * | 2008-07-02 | 2011-10-20 | イデニク プハルマセウティカルス,インコーポレイテッド | Compounds and pharmaceutical compositions for the treatment of viral infections |
| JP2014196336A (en) * | 2008-07-02 | 2014-10-16 | イデニク プハルマセウティカルス,インコーポレイテッド | Compound for therapy of viral infection, and pharmaceutical composition |
| US8716262B2 (en) | 2008-12-23 | 2014-05-06 | Gilead Pharmasset Llc | Nucleoside phosphoramidates |
| US8551973B2 (en) | 2008-12-23 | 2013-10-08 | Gilead Pharmasset Llc | Nucleoside analogs |
| US9045520B2 (en) | 2008-12-23 | 2015-06-02 | Gilead Pharmasset Llc | Synthesis of purine nucleosides |
| US8957045B2 (en) | 2008-12-23 | 2015-02-17 | Gilead Pharmasset Llc | Nucleoside phosphoramidates |
| US8716263B2 (en) | 2008-12-23 | 2014-05-06 | Gilead Pharmasset Llc | Synthesis of purine nucleosides |
| JP2013082728A (en) * | 2008-12-23 | 2013-05-09 | Gilead Pharmasset Llc | Synthesis of purine nucleosides |
| JP2012513479A (en) * | 2008-12-23 | 2012-06-14 | ギリアド ファーマセット エルエルシー | Synthesis of purine nucleosides |
| US8759318B2 (en) | 2009-01-09 | 2014-06-24 | Inhibitex, Inc. | Phosphoramidate derivatives of guanosine nucleoside compounds for treatment of viral infections |
| EP2385951A4 (en) * | 2009-01-09 | 2013-05-29 | Univ Cardiff | PHOSPHORAMIDATE DERIVATIVES OF GUANOSINE NUCLEOSIDE COMPOUNDS FOR THE TREATMENT OF VIRAL INFECTIONS |
| JP2012514657A (en) * | 2009-01-09 | 2012-06-28 | ユニバーシテイ・カレツジ・オブ・カーデイフ・コンサルタンツ・リミテツド | Phosphoramidate derivatives of guanosine nucleoside compounds for the treatment of viral infections |
| US20120052046A1 (en) * | 2009-01-09 | 2012-03-01 | Stanley Chamberlain | Phosphoramidate Derivatives of Guanosine Nucleoside Compunds for Treatment of Viral Infections |
| CN102348712A (en) * | 2009-01-09 | 2012-02-08 | 卡迪夫大学学院顾问有限公司 | Phosphoramidate derivatives of guanosine nucleoside compounds for treatment of viral infections |
| US9173893B2 (en) | 2009-02-06 | 2015-11-03 | Cocrystal Pharma, Inc. | Purine nucleoside monophosphate prodrugs for treatment of cancer and viral infections |
| US8609627B2 (en) | 2009-02-06 | 2013-12-17 | Rfs Pharma, Llc | Purine nucleoside monophosphate prodrugs for treatment of cancer and viral infections |
| US8012942B2 (en) | 2009-02-10 | 2011-09-06 | Gilead Sciences, Inc. | Carba-nucleoside analogs for antiviral treatment |
| US9637512B2 (en) | 2009-05-20 | 2017-05-02 | Gilead Pharmasset Llc | Nucleoside phosphoramidates |
| US8618076B2 (en) | 2009-05-20 | 2013-12-31 | Gilead Pharmasset Llc | Nucleoside phosphoramidates |
| US8629263B2 (en) | 2009-05-20 | 2014-01-14 | Gilead Pharmasset Llc | Nucleoside phosphoramidates |
| US8735569B2 (en) | 2009-05-20 | 2014-05-27 | Gilead Pharmasset Llc | Nucleoside phosphoramidates |
| US8642756B2 (en) | 2009-05-20 | 2014-02-04 | Gilead Pharmasset Llc | Nucleoside phosphoramidates |
| US9206217B2 (en) | 2009-05-20 | 2015-12-08 | Gilead Pharmasset Llc | Nucleoside phosphoramidates |
| JP2015028060A (en) * | 2009-05-20 | 2015-02-12 | ギリアド ファーマセット エルエルシー | N-[(2'R) -2'-deoxy-2'-fluoro-2'-methyl-P-phenyl-5'-uridylyl] -L-alanine 1-methylethyl ester and process for its preparation |
| JP2012527477A (en) * | 2009-05-20 | 2012-11-08 | ギリアド ファーマセット エルエルシー | N-[(2'R) -2'-deoxy-2'-fluoro-2'-methyl-P-phenyl-5'-uridylyl] -L-alanine 1-methylethyl ester and process for its preparation |
| US9284342B2 (en) | 2009-05-20 | 2016-03-15 | Gilead Pharmasset Llc | Nucleoside phosphoramidates |
| US8633309B2 (en) | 2009-05-20 | 2014-01-21 | Gilead Pharmasset Llc | Nucleoside phosphoramidates |
| JP2016053045A (en) * | 2009-05-20 | 2016-04-14 | ギリアド ファーマセット エルエルシー | N-[(2 'r)-2 '-deoxy-2 '-fluoro-2 '-methyl-p-phenyl-5'-uridylyl]-l-alanine 1-methylethyl ester and process for its production |
| US10988498B2 (en) | 2009-09-21 | 2021-04-27 | Gilead Sciences, Inc. | Processes and intermediates for the preparation of 1′-substituted carba-nucleoside analogs |
| WO2011035231A1 (en) | 2009-09-21 | 2011-03-24 | Gilead Sciences, Inc. | 2' -fluoro substituted carba-nucleoside analogs for antiviral treatment |
| WO2011123668A3 (en) * | 2010-03-31 | 2012-05-24 | Pharmasset, Inc. | Stereoselective synthesis of phosphorus containing actives |
| CN102906102A (en) * | 2010-03-31 | 2013-01-30 | 吉利德制药有限责任公司 | Stereoselective Synthesis of Phosphorus-Containing Active Compounds |
| US8859756B2 (en) | 2010-03-31 | 2014-10-14 | Gilead Pharmasset Llc | Stereoselective synthesis of phosphorus containing actives |
| WO2011150288A1 (en) | 2010-05-28 | 2011-12-01 | Gilead Sciences, Inc. | 1'-substituted-carba-nucleoside prodrugs for antiviral treatment |
| US9487544B2 (en) | 2010-07-19 | 2016-11-08 | Gilead Sciences, Inc. | Methods for the preparation of diasteromerically pure phosphoramidate prodrugs |
| US9090642B2 (en) | 2010-07-19 | 2015-07-28 | Gilead Sciences, Inc. | Methods for the preparation of diasteromerically pure phosphoramidate prodrugs |
| US11492353B2 (en) | 2010-07-22 | 2022-11-08 | Gilead Sciences, Inc. | Methods and compounds for treating Paramyxoviridae virus infections |
| US10065958B2 (en) | 2010-07-22 | 2018-09-04 | Gilead Sciences, Inc. | Methods and compounds for treating Paramyxoviridae virus infections |
| US10696679B2 (en) | 2010-07-22 | 2020-06-30 | Gilead Sciences, Inc. | Methods and compounds for treating paramyxoviridae virus infections |
| US12509466B2 (en) | 2010-07-22 | 2025-12-30 | Gilead Sciences, Inc. | Methods and compounds for treating paramyxoviridae virus infections |
| WO2012039791A1 (en) | 2010-09-20 | 2012-03-29 | Gilead Sciences, Inc. | 2' -fluoro substituted carba-nucleoside analogs for antiviral treatment |
| WO2012039787A1 (en) | 2010-09-20 | 2012-03-29 | Gilead Sciences, Inc. | 2' -fluoro substituted carba-nucleoside analogs for antiviral treatment |
| JP2013537907A (en) * | 2010-09-22 | 2013-10-07 | アリオス バイオファーマ インク. | Substituted nucleotide analogs |
| US8871737B2 (en) | 2010-09-22 | 2014-10-28 | Alios Biopharma, Inc. | Substituted nucleotide analogs |
| US9278990B2 (en) | 2010-09-22 | 2016-03-08 | Alios Biopharma, Inc. | Substituted nucleotide analogs |
| JP2016065080A (en) * | 2010-09-22 | 2016-04-28 | アリオス バイオファーマ インク. | Substituted nucleotide analog |
| US8841275B2 (en) | 2010-11-30 | 2014-09-23 | Gilead Pharmasset Llc | 2′-spiro-nucleosides and derivatives thereof useful for treating hepatitis C virus and dengue virus infections |
| WO2012142523A2 (en) | 2011-04-13 | 2012-10-18 | Gilead Sciences, Inc. | 1'-substituted pyrimidine n-nucleoside analogs for antiviral treatment |
| WO2012158811A3 (en) * | 2011-05-19 | 2013-02-28 | Rfs Pharma, Llc | Purine monophosphate prodrugs for treatment of viral infections |
| CN103687866A (en) * | 2011-05-19 | 2014-03-26 | Rfs制药公司 | Purine monophosphate prodrugs for the treatment of viral infections |
| US10456414B2 (en) | 2011-09-16 | 2019-10-29 | Gilead Pharmasset Llc | Methods for treating HCV |
| US9393256B2 (en) | 2011-09-16 | 2016-07-19 | Gilead Pharmasset Llc | Methods for treating HCV |
| US8889159B2 (en) | 2011-11-29 | 2014-11-18 | Gilead Pharmasset Llc | Compositions and methods for treating hepatitis C virus |
| US9549941B2 (en) | 2011-11-29 | 2017-01-24 | Gilead Pharmasset Llc | Compositions and methods for treating hepatitis C virus |
| WO2013084165A1 (en) * | 2011-12-05 | 2013-06-13 | Medivir Ab | Hcv polymerase inhibitors |
| US9605018B2 (en) | 2011-12-22 | 2017-03-28 | Alios Biopharma, Inc. | Substituted nucleotide analogs |
| US8980865B2 (en) | 2011-12-22 | 2015-03-17 | Alios Biopharma, Inc. | Substituted nucleotide analogs |
| US8916538B2 (en) | 2012-03-21 | 2014-12-23 | Vertex Pharmaceuticals Incorporated | Solid forms of a thiophosphoramidate nucleotide prodrug |
| US9394330B2 (en) | 2012-03-21 | 2016-07-19 | Alios Biopharma, Inc. | Solid forms of a thiophosphoramidate nucleotide prodrug |
| US9856284B2 (en) | 2012-03-21 | 2018-01-02 | Alios Biopharma, Inc. | Solid forms of a thiophosphoramidate nucleotide prodrug |
| US9012427B2 (en) | 2012-03-22 | 2015-04-21 | Alios Biopharma, Inc. | Pharmaceutical combinations comprising a thionucleotide analog |
| AU2013344644B2 (en) * | 2012-11-16 | 2017-09-28 | Redwood Bioscience, Inc. | Hydrazinyl-indole compounds and conjugates |
| US9833515B2 (en) | 2012-11-16 | 2017-12-05 | Redwood Bioscience, Inc. | Hydrazinyl-indole compounds and methods for producing a conjugate |
| US10314919B2 (en) | 2012-11-16 | 2019-06-11 | Redwood Bioscience, Inc. | Hydrazinyl-indole compounds and methods for producing a conjugate |
| US11426465B2 (en) | 2012-11-16 | 2022-08-30 | Redwiid Bioscience, Inc. | Hydrazinyl-indole compounds and methods for producing a conjugate |
| US10888623B2 (en) | 2012-11-16 | 2021-01-12 | Redwood Bioscience, Inc. | Hydrazinyl-indole compounds and methods for producing a conjugate |
| US20160250342A1 (en) * | 2012-11-16 | 2016-09-01 | Redwood Bioscience, Inc. | Hydrazinyl-Indole Compounds and Methods for Producing a Conjugate |
| US10039779B2 (en) | 2013-01-31 | 2018-08-07 | Gilead Pharmasset Llc | Combination formulation of two antiviral compounds |
| US9447132B2 (en) | 2013-04-12 | 2016-09-20 | Achillion Pharmaceuticals, Inc. | Highly active nucleoside derivative for the treatment of HCV |
| US20140364446A1 (en) * | 2013-06-05 | 2014-12-11 | Idenix Pharmaceuticals, Inc. | 1',4'-thio nucleosides for the treatment of hcv |
| US10005779B2 (en) * | 2013-06-05 | 2018-06-26 | Idenix Pharmaceuticals Llc | 1′,4′-thio nucleosides for the treatment of HCV |
| US11116783B2 (en) | 2013-08-27 | 2021-09-14 | Gilead Pharmasset Llc | Combination formulation of two antiviral compounds |
| US11707479B2 (en) | 2013-08-27 | 2023-07-25 | Gilead Sciences, Inc. | Combination formulation of two antiviral compounds |
| US10149859B2 (en) * | 2013-09-11 | 2018-12-11 | Emory University | Nucleotide and nucleoside therapeutic compositions and uses related thereto |
| US11166973B2 (en) | 2013-09-11 | 2021-11-09 | Emory University | Substituted nucleotides and nucleosides for treating viral infections |
| US12414961B2 (en) | 2013-09-11 | 2025-09-16 | Emory University | Substituted nucleosides and nucleotides for treating viral infections |
| US11857560B2 (en) | 2013-09-11 | 2024-01-02 | Emory University | Pharmaceutical compositions comprising substituted nucleotides and nucleosides for treating viral infections |
| US20160220595A1 (en) * | 2013-09-11 | 2016-08-04 | Emory University | Nucleotide and nucleoside therapeutic compositions and uses related thereto |
| CN104447923A (en) * | 2013-09-23 | 2015-03-25 | 中国药科大学 | 2'-deoxy-2'-fluoro-2'-methylnucleoside derivative as well as preparation method and application of derivative in pharmaceuticals |
| US9949994B2 (en) | 2014-10-29 | 2018-04-24 | Gilead Sciences, Inc. | Methods for treating Filoviridae virus infections |
| US10695357B2 (en) | 2014-10-29 | 2020-06-30 | Gilead Sciences, Inc. | Methods for treating filoviridae virus infections |
| US9724360B2 (en) | 2014-10-29 | 2017-08-08 | Gilead Sciences, Inc. | Methods for treating Filoviridae virus infections |
| US11266666B2 (en) | 2014-10-29 | 2022-03-08 | Gilead Sciences, Inc. | Methods for treating Filoviridae virus infections |
| US11344565B2 (en) | 2014-10-29 | 2022-05-31 | Gilead Sciences, Inc. | Methods for the preparation of ribosides |
| US10251898B2 (en) | 2014-10-29 | 2019-04-09 | Gilead Sciences, Inc. | Methods for treating Filoviridae virus infections |
| JP2020075928A (en) * | 2014-11-28 | 2020-05-21 | ヌカナ ピーエルシー | Novel 2' and/or 5' amino-acid ester phosphoramidate 3'-deoxy adenosine derivatives as anti-cancer compounds |
| JP2017535587A (en) * | 2014-11-28 | 2017-11-30 | ヌカナ バイオメド リミテッド | Novel 2 'and / or 5' amino acid ester phosphoramidate 3'-deoxyadenosine derivatives as anticancer compounds |
| WO2016134058A1 (en) | 2015-02-18 | 2016-08-25 | Abbvie Inc. | Combinations useful to treat hepatitis c virus |
| US10870672B2 (en) | 2015-03-06 | 2020-12-22 | Atea Pharmaceuticals, Inc. | β-D-2′-deoxy-2′-α-fluoro-2′-β-C-substituted-2-modified-N6-substituted purine nucleotides for HCV treatment |
| US10870673B2 (en) | 2015-03-06 | 2020-12-22 | Atea Pharmaceuticals, Inc. | β-D-2′-deoxy-2′-α-fluoro-2′-β-C-substituted-2-modified-N6-substituted purine nucleotides for HCV treatment |
| US10875885B2 (en) | 2015-03-06 | 2020-12-29 | Atea Pharmaceuticals, Inc. | β-d-2′-deoxy-2′-α-fluoro-2′-β-c-substituted-2-modified-n6-substituted purine nucleotides for HCV treatment |
| US10815266B2 (en) | 2015-03-06 | 2020-10-27 | Atea Pharmaceuticals, Inc. | β-D-2′-deoxy-2′-α-fluoro-2′-β-C-substituted-2-modified-N6-substituted purine nucleotides for HCV treatment |
| US10239911B2 (en) | 2015-03-06 | 2019-03-26 | Atea Pharmaceuticals, Inc. | Beta-D-2′-deoxy-2′-alpha-fluoro-2′-beta-C-substituted-2-modified-N6-substituted purine nucleotides for HCV treatment |
| US10005811B2 (en) | 2015-03-06 | 2018-06-26 | Atea Pharmaceuticals, Inc. | β-D-2′-deoxy-2′-α-fluoro-2′β-C-substituted-2-modified-N6-substituted purine nucleotides for HCV treatment |
| JP2021008494A (en) * | 2015-03-06 | 2021-01-28 | アテア ファーマシューティカルズ, インコーポレイテッド | Β-D-2'-deoxy-2'-α-fluoro-2'-β-C-substituted-2-modified-N6-substituted purine nucleotides for HCV treatment |
| JP7053754B2 (en) | 2015-03-06 | 2022-04-12 | アテア ファーマシューティカルズ, インコーポレイテッド | Β-D-2'-deoxy-2'-α-fluoro-2'-β-C-substitution-2-modified-N6-substituted purine nucleotides for HCV treatment |
| US12084473B2 (en) | 2015-03-06 | 2024-09-10 | Atea Pharmaceuticals, Inc. | β-D-2′-deoxy-2′-α-fluoro-2′-β-C-substituted-2-modified-N6-substituted purine nucleotides for HCV treatment |
| US9828410B2 (en) | 2015-03-06 | 2017-11-28 | Atea Pharmaceuticals, Inc. | β-D-2′-deoxy-2′-α-fluoro-2′-β-C-substituted-2-modified-N6-substituted purine nucleotides for HCV treatment |
| US10000523B2 (en) | 2015-03-06 | 2018-06-19 | Atea Pharmaceuticals, Inc. | β-D-2′-deoxy-2′-α-fluoro-2′-β-C-substituted-2-modified-N6-substituted purine nucleotides for HCV treatment |
| US9676797B2 (en) | 2015-09-02 | 2017-06-13 | Abbvie Inc. | Anti-viral compounds |
| US10053474B2 (en) | 2015-09-02 | 2018-08-21 | Abbvie Inc. | Anti-viral compounds |
| US11007208B2 (en) | 2015-09-16 | 2021-05-18 | Gilead Sciences, Inc. | Methods for treating arenaviridae and coronaviridae virus infections |
| US10251904B2 (en) | 2015-09-16 | 2019-04-09 | Gilead Sciences, Inc. | Methods for treating arenaviridae and coronaviridae virus infections |
| US11382926B2 (en) | 2015-09-16 | 2022-07-12 | Gilead Sciences, Inc. | Methods for treating Arenaviridae and Coronaviridae virus infections |
| US10695361B2 (en) | 2015-09-16 | 2020-06-30 | Gilead Sciences, Inc. | Methods for treating arenaviridae and coronaviridae virus infections |
| US12102689B2 (en) | 2015-11-09 | 2024-10-01 | R.P. Scherer Technologies, Llc | Anti-CD22 antibody-maytansine conjugates and methods of use thereof |
| US10202412B2 (en) | 2016-07-08 | 2019-02-12 | Atea Pharmaceuticals, Inc. | β-D-2′-deoxy-2′-substituted-4′-substituted-2-substituted-N6-substituted-6-aminopurinenucleotides for the treatment of paramyxovirus and orthomyxovirus infections |
| US10946033B2 (en) | 2016-09-07 | 2021-03-16 | Atea Pharmaceuticals, Inc. | 2′-substituted-N6-substituted purine nucleotides for RNA virus treatment |
| US11975016B2 (en) | 2016-09-07 | 2024-05-07 | Atea Pharmaceuticals, Inc. | 2′-substituted-N6-substituted purine nucleotides for RNA virus treatment |
| US10894804B2 (en) | 2017-02-01 | 2021-01-19 | Atea Pharmaceuticals, Inc. | Nucleotide hemi-sulfate salt for the treatment of hepatitis C virus |
| US12006340B2 (en) | 2017-02-01 | 2024-06-11 | Atea Pharmaceuticals, Inc. | Nucleotide hemi-sulfate salt for the treatment of hepatitis c virus |
| US10906928B2 (en) | 2017-02-01 | 2021-02-02 | Atea Pharmaceuticals, Inc. | Nucleotide hemi-sulfate salt for the treatment of hepatitis C virus |
| US10519186B2 (en) | 2017-02-01 | 2019-12-31 | Atea Pharmaceuticals, Inc. | Nucleotide hemi-sulfate salt for the treatment of hepatitis C virus |
| US10682368B2 (en) | 2017-03-14 | 2020-06-16 | Gilead Sciences, Inc. | Methods of treating feline coronavirus infections |
| US11260070B2 (en) | 2017-03-14 | 2022-03-01 | Gilead Sciences, Inc. | Methods of treating feline coronavirus infections |
| US11597742B2 (en) | 2017-05-01 | 2023-03-07 | Gilead Sciences, Inc. | Crystalline forms of (S)-2-ethylbutyl 2-(((S)-(((2R,3S,4R,5R)-5-(4-aminopyrrolo[2,1-f] [1,2,4]triazin-7-yl)-5-cyano-3,4-dihydroxytetrahydrofuran-2-yl)methoxy) (phenoxy) phosphoryl)amino)propanoate |
| US10836787B2 (en) | 2017-05-01 | 2020-11-17 | Gilead Sciences, Inc. | Crystalline forms of (S)-2-ethylbutyl 2-(((S)-(((2R,3S,4R,5R)-5- (4-aminopyrrolo[2,1-f] [1,2,4]triazin-7-yl)-5-cyano-3,4-dihydroxytetrahydrofuran-2-yl)methoxy)(phenoxy) phosphoryl)amino)propanoate |
| US12030906B2 (en) | 2017-05-01 | 2024-07-09 | Gilead Sciences, Inc. | Crystalline forms of (s)-2-ethylbutyl 2-(((s)-(((2r,3s,4r,5r)-5-(4-aminopyrrolo[2,1-f] [1,2,4]triazin-7-yl)-5-cyano-3,4-dihydroxytetrahydrofuran-2-yl)methoxy) (phenoxy) phosphoryl)amino)propanoate |
| US11975017B2 (en) | 2017-07-11 | 2024-05-07 | Gilead Sciences, Inc. | Compositions comprising an RNA polymerase inhibitor and cyclodextrin for treating viral infections |
| US11266681B2 (en) | 2017-07-11 | 2022-03-08 | Gilead Sciences, Inc. | Compositions comprising an RNA polymerase inhibitor and cyclodextrin for treating viral infections |
| US10675296B2 (en) | 2017-07-11 | 2020-06-09 | Gilead Sciences, Inc. | Compositions comprising an RNA polymerase inhibitor and cyclodextrin for treating viral infections |
| US11690860B2 (en) | 2018-04-10 | 2023-07-04 | Atea Pharmaceuticals, Inc. | Treatment of HCV infected patients with cirrhosis |
| US11660307B2 (en) | 2020-01-27 | 2023-05-30 | Gilead Sciences, Inc. | Methods for treating SARS CoV-2 infections |
| US11813278B2 (en) | 2020-02-27 | 2023-11-14 | Atea Pharmaceuticals, Inc. | Highly active compounds against COVID-19 |
| US12226429B2 (en) | 2020-02-27 | 2025-02-18 | Atea Pharmaceuticals, Inc. | Highly active compounds against COVID-19 |
| US11738038B2 (en) | 2020-02-27 | 2023-08-29 | Atea Pharmaceuticals, Inc. | Highly active compounds against COVID-19 |
| US11707480B2 (en) | 2020-02-27 | 2023-07-25 | Atea Pharmaceuticals, Inc. | Highly active compounds against COVID-19 |
| US10874687B1 (en) | 2020-02-27 | 2020-12-29 | Atea Pharmaceuticals, Inc. | Highly active compounds against COVID-19 |
| US11613553B2 (en) | 2020-03-12 | 2023-03-28 | Gilead Sciences, Inc. | Methods of preparing 1′-cyano nucleosides |
| US12012431B2 (en) | 2020-03-12 | 2024-06-18 | Gilead Sciences, Inc. | Methods of preparing 1′-cyano nucleosides |
| US11701372B2 (en) | 2020-04-06 | 2023-07-18 | Gilead Sciences, Inc. | Inhalation formulations of 1'-cyano substituted carba-nucleoside analogs |
| US11975012B2 (en) | 2020-05-29 | 2024-05-07 | Gilead Sciences, Inc. | Remdesivir treatment methods |
| US11491169B2 (en) | 2020-05-29 | 2022-11-08 | Gilead Sciences, Inc. | Remdesivir treatment methods |
| US11903953B2 (en) | 2020-05-29 | 2024-02-20 | Gilead Sciences, Inc. | Remdesivir treatment methods |
| US12404289B2 (en) | 2020-06-24 | 2025-09-02 | Gilead Sciences, Inc. | 1′-cyano nucleoside analogs and uses thereof |
| US11939347B2 (en) | 2020-06-24 | 2024-03-26 | Gilead Sciences, Inc. | 1′-cyano nucleoside analogs and uses thereof |
| US11814406B2 (en) | 2020-08-27 | 2023-11-14 | Gilead Sciences, Inc. | Compounds and methods for treatment of viral infections |
| US12297226B2 (en) | 2020-08-27 | 2025-05-13 | Gilead Sciences, Inc. | Compounds and methods for treatment of viral infections |
| US11926645B2 (en) | 2020-08-27 | 2024-03-12 | Gilead Sciences, Inc. | Compounds and methods for treatment of viral infections |
| US12458656B2 (en) | 2021-06-17 | 2025-11-04 | Atea Pharmaceuticals, Inc. | Advantageous anti-HCV combination therapy |
| US11845755B2 (en) | 2022-03-02 | 2023-12-19 | Gilead Sciences, Inc. | Compounds and methods for treatment of viral infections |
| US12180217B2 (en) | 2022-03-02 | 2024-12-31 | Gilead Sciences, Inc. | Compounds and methods for treatment of viral infections |
| US11780844B2 (en) | 2022-03-02 | 2023-10-10 | Gilead Sciences, Inc. | Compounds and methods for treatment of viral infections |
| US11851438B2 (en) | 2022-03-02 | 2023-12-26 | Gilead Sciences, Inc. | 1′-cyano nucleoside analogs and methods for treatment of viral infections |
| US12448383B2 (en) | 2022-03-02 | 2025-10-21 | Gilead Sciences, Inc. | Compounds and methods for treatment of viral infections |
| US12357577B1 (en) | 2024-02-02 | 2025-07-15 | Gilead Sciences, Inc. | Pharmaceutical formulations and uses thereof |
Similar Documents
| Publication | Publication Date | Title |
|---|---|---|
| WO2006121820A1 (en) | Phosphoramidate prodrugs for treatment of viral infection | |
| CN103987712B (en) | 2 ', 3 '-dideoxy-2 '-α-fluoro-2 '-β-C-methyl nucleoside and its prodrug | |
| JP7124024B2 (en) | 2'-substituted-N6-substituted purine nucleotides for RNA virus therapy | |
| JP7053754B2 (en) | Β-D-2'-deoxy-2'-α-fluoro-2'-β-C-substitution-2-modified-N6-substituted purine nucleotides for HCV treatment | |
| AU2012223012B2 (en) | Phosphoramidate derivatives of 5 - fluoro - 2 ' - deoxyuridine for use in the treatment of cancer | |
| JP4639032B2 (en) | 3'-prodrug of 2'-deoxy-β-L-nucleoside | |
| CN104640444B (en) | Dual liver targeting phosphoramidate and phosphonamidate prodrugs | |
| US20070032448A1 (en) | Sugar modified nucleosides as viral replication inhibitors | |
| US20100137576A1 (en) | 5' o [(n acyl)amidophosphate] and 5' o [(n acyl)amidothiophosphate] and 5' o [(n acyl)amidodithiophosphate] and 5' o [(n acyl)amidoselenophosphate] derivatives of nucleosides and processes for the manufacture thereof | |
| JP2010513484A (en) | Nucleoside cyclic phosphoramidates for the treatment of RNA-dependent RNA viral infections | |
| CN103403014A (en) | O-(replaced benzyl)phosphoramidate and use thereof | |
| CN106661075A (en) | Di- and triphosphate prodrugs | |
| JP7266896B2 (en) | β-modified phosphate compound precursor, β-modified phosphate compound, reaction inhibitor, drug containing the same, and reaction inhibition method | |
| KR101425228B1 (en) | Dioxolane derivatives for the treatment of cancer | |
| US20060183706A1 (en) | 2-Beta-modified-6-substituted adenosine analogs and their use as antiviral agents | |
| HK40008711B (en) | 2'-substituted-n6-substituted purine nucleotides for rna virus treatment |
Legal Events
| Date | Code | Title | Description |
|---|---|---|---|
| 121 | Ep: the epo has been informed by wipo that ep was designated in this application | ||
| NENP | Non-entry into the national phase |
Ref country code: DE |
|
| NENP | Non-entry into the national phase |
Ref country code: RU |
|
| 122 | Ep: pct application non-entry in european phase |
Ref document number: 06770026 Country of ref document: EP Kind code of ref document: A1 |





























































































































































