WO2006099884A1 - Beta-aminoalcohol antibiotics - Google Patents
Beta-aminoalcohol antibiotics Download PDFInfo
- Publication number
- WO2006099884A1 WO2006099884A1 PCT/EP2005/003154 EP2005003154W WO2006099884A1 WO 2006099884 A1 WO2006099884 A1 WO 2006099884A1 EP 2005003154 W EP2005003154 W EP 2005003154W WO 2006099884 A1 WO2006099884 A1 WO 2006099884A1
- Authority
- WO
- WIPO (PCT)
- Prior art keywords
- compound according
- methoxy
- piperidin
- formula
- quinolin
- Prior art date
- Legal status (The legal status is an assumption and is not a legal conclusion. Google has not performed a legal analysis and makes no representation as to the accuracy of the status listed.)
- Ceased
Links
Classifications
-
- C—CHEMISTRY; METALLURGY
- C07—ORGANIC CHEMISTRY
- C07D—HETEROCYCLIC COMPOUNDS
- C07D513/00—Heterocyclic compounds containing in the condensed system at least one hetero ring having nitrogen and sulfur atoms as the only ring hetero atoms, not provided for in groups C07D463/00, C07D477/00 or C07D499/00 - C07D507/00
- C07D513/02—Heterocyclic compounds containing in the condensed system at least one hetero ring having nitrogen and sulfur atoms as the only ring hetero atoms, not provided for in groups C07D463/00, C07D477/00 or C07D499/00 - C07D507/00 in which the condensed system contains two hetero rings
- C07D513/04—Ortho-condensed systems
-
- A—HUMAN NECESSITIES
- A61—MEDICAL OR VETERINARY SCIENCE; HYGIENE
- A61P—SPECIFIC THERAPEUTIC ACTIVITY OF CHEMICAL COMPOUNDS OR MEDICINAL PREPARATIONS
- A61P31/00—Antiinfectives, i.e. antibiotics, antiseptics, chemotherapeutics
- A61P31/04—Antibacterial agents
-
- C—CHEMISTRY; METALLURGY
- C07—ORGANIC CHEMISTRY
- C07D—HETEROCYCLIC COMPOUNDS
- C07D413/00—Heterocyclic compounds containing two or more hetero rings, at least one ring having nitrogen and oxygen atoms as the only ring hetero atoms
- C07D413/14—Heterocyclic compounds containing two or more hetero rings, at least one ring having nitrogen and oxygen atoms as the only ring hetero atoms containing three or more hetero rings
-
- C—CHEMISTRY; METALLURGY
- C07—ORGANIC CHEMISTRY
- C07D—HETEROCYCLIC COMPOUNDS
- C07D417/00—Heterocyclic compounds containing two or more hetero rings, at least one ring having nitrogen and sulfur atoms as the only ring hetero atoms, not provided for by group C07D415/00
- C07D417/14—Heterocyclic compounds containing two or more hetero rings, at least one ring having nitrogen and sulfur atoms as the only ring hetero atoms, not provided for by group C07D415/00 containing three or more hetero rings
Definitions
- the present invention concerns novel antibiotics, pharmaceutical antibacterial composition containing them and use thereof in the manufacture of a medicament for the treatment of infections (e.g. bacterial infection).
- infections e.g. bacterial infection
- These compounds are useful antimicrobial agents effective against a variety of human and veterinary pathogens including among others Gram positive and Gram negative aerobic and anaerobic bacteria and mycobacteria.
- Enterohacteriacea are cephalosporin and quinolone resistant;
- - P. aeruginosa are ⁇ -lactam and quinolone resistant.
- microorganisms that are causing persistent infections are increasingly being recognized as causative agents or cofactors of severe chronic diseases like peptic ulcers or heart diseases.
- Certain l-piperidyl-2-(quinolin-4-yl)-ethanol derivatives have already been described in WO 02/08224, WO 02/056882, WO 03/064421 and WO 03/064431 as antibacterial agents.
- quinolinyl aminoalcohols are useful antimicrobial agents and particularly effective against a variety of multi-drug resistant bacteria.
- the present invention relates to the quinolinyl aminoalcohols of the formula I
- R 1 represents alkyl, alkoxy, halogen or cyano
- R 2 represents hydrogen or halogen
- R 3 represents hydrogen or halogen
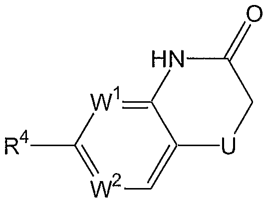
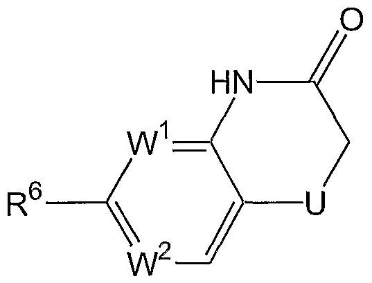
- one of the symbols W 1 and W 2 represents CH and the other represents CH or N
- U represents oxygen or sulphur
- V represents CO or CH 2 .
- a further embodiment of the novel quinolinyl aminoalcohols of the above formula I relates to their optically pure enantiomers, mixtures of enantiomers, racemates, optically pure diastereoisomers, mixtures of diastereoisomers, diastereoisomeric racemates, mixtures of diastereoisomeric racemates, meso forms, pharmaceutically acceptable acid addition salts, solvent complexes and morphological forms thereof.
- Particularly preferred are the optically pure enantiomers, optically pure diastereoisomers, meso forms, pharmaceutically acceptable acid addition salts, solvent complexes and morphological forms.
- Any reference to a compound of formula I is thus to be understood as referring also to configurational isomers, mixtures of enantiomers such as racemates, diastereomers, mixtures of diastereomers, diastereomeric racemates, and mixtures of diastereomeric racemates, as well as salts, solvent complexes, and morphological forms of such compounds, as appropriate and expedient.
- the present invention also relates to pro-drugs of a compound of formula I that convert in vivo to the compound of formula I as such. Any reference to a compound of formula I is therefore to be understood as referring also to the corresponding prodrugs of the compound of formula I, as appropriate and expedient.
- alkyl refers to a saturated straight or branched chain alkyl group, containing from one to six, in particular one to three carbon atoms, for example methyl, ethyl, propyl, zso-propyl, butyl, wo-butyl, sec-butyl, tert-butyl, n-pentyl, w ⁇ -pentyl, n-hexyl, 2,2-dimethylbutyl.
- alkoxy refers to an "alkyl-O" group, wherein “alkyl” has the above significance (e.g. methoxy, ethoxy, propoxy, zso-propoxy, butoxy, w ⁇ -butoxy, sec-butoxy, tert-bntoxy, rc-pentoxy, neopentyloxy, wo-pentyloxy, n-hexyloxy or zso-hexyloxy).
- An alkoxy group will preferably contain one to three carbon atoms.
- halogen refers to fluorine, chlorine, bromine or iodine, preferably to fluorine or chlorine.
- Preferred quinolinyl aminoalcohols of formula I are compounds wherein R 1 represents C]-C 3 alkoxy, especially methoxy; or R 2 represents hydrogen; or R 3 represents hydrogen; or W represents CH or N and W represents CH; or V represents CH 2 and their pharmaceutically acceptable acid addition salts.
- quinolinyl aminoalcohols of formula I are those wherein each of R 1 , R 2 , R 3 , W 1 , W 2 and V has the preferred significance indicated above.
- the quinolinyl aminoalcohols of formula I will be such that U is oxygen. According to another preferred embodiment of the instant invention, the quinolinyl aminoalcohols of formula I will be such that U is sulphur.
- Especially preferred compounds of formula I are the following: • 6-( ⁇ (2R)- 1 -[2-hydroxy-2-(3-methoxy-quinolin-5-yl)-ethyl]-piperidin-4-ylamino ⁇ - methyl)-4i/-benzo[ 1 ,4]oxazin-3-one;
- Compounds of formula I are suitable for the use as chemotherapeutic active compounds in human and veterinary medicine.
- the compounds according to the invention are particularly active against bacteria and bacteria-like organisms. They are therefore particularly suitable in human and veterinary medicine for the prophylaxis and chemotherapy of local and systemic infections caused by these pathogens as well as disorders related to bacterial infections comprising pneumonia, otitis media, sinusitis, bronchitis, tonsillitis, and mastoiditis related to infection by Streptococcus pneumoniae, Haemophilus influenzae, Moraxella catarrhalis, Staphylococcus aureus, Enter ococcus faecalis, E. faecium, E. casselflavus, S.
- strains resistant to known antibacterials such as, but not limited to, beta-lactams, vancomycin, aminoglycosides, quinolones, chloramphenicol, tetracyclines and macrolides; uncomplicated skin and soft tissue infections and abscesses, and puerperal fever related to infection by Staphylococcus aureus, coagulase-negative staphylococci (i.e., S. epidermidis, S.
- Streptococcus pyogenes Streptococcus agalactiae, Streptococcal groups C-F (minute colony streptococci), viridans streptococci, Corynebacterium minutissimum, Closfridium spp., or Bartonella henselae
- uncomplicated acute urinary tract infections related to infection by Staphylococcus aureus, coagulase-negative staphylococcal species, or Enterococcus spp.
- urethritis and cervicitis sexually transmitted diseases related to infection by Chlamydia trachomatis, Haemophilus ducreyi, Treponema pallidum, Ureaplasma urealyticum, or Neiserria gonorrheae
- aureus food poisoning and toxic shock syndrome
- Groups A, B, and C streptococci ulcers related to infection by Helicobacter pylori; systemic febrile syndromes related to infection by Borrelia recurrentis; Lyme disease related to infection by Borrelia burgdorferi; conjunctivitis, keratitis, and dacrocystitis related to infection by Chlamydia trachomatis, Neisseria gonorrhoeae, S. aureus, S. pneumoniae, S. pyogenes, H.
- MAC Mycobacterium avium complex
- chelonei gastroenteritis related to infection by Campylobacter jejuni; intestinal protozoa related to infection by Cryptosporidium spp.; odontogenic infection related to infection by viridans streptococci; persistent cough related to infection by Bordetella pertussis; gas gangrene related to infection by Closfridium perfringens or Bacteroides spp.; and atherosclerosis or cardiovascular disease related to infection by Helicobacter pylori or Chlamydia pneumoniae.
- Compounds of formula I according to the present invention are further useful for the preparation of a medicament for the treatment of infections that are mediated by bacteria such as E. coli, Klebsiella pneumoniae and other enterobacteriaceae, Acinetobacter spp., Stenothrophomonas maltophilia, Neisseria meningitidis, Bacillus cereus, Bacillus anthracis, Cot ⁇ nebacterium spp., Propionibacterium acnes and bacteroide spp.
- bacteria such as E. coli, Klebsiella pneumoniae and other enterobacteriaceae, Acinetobacter spp., Stenothrophomonas maltophilia, Neisseria meningitidis, Bacillus cereus, Bacillus anthracis, Cot ⁇ nebacterium spp., Propionibacterium acnes and bacteroide spp.
- Compounds of formula I according to the present invention are further useful to treat protozoal infections caused by Plasmodium malaria, Plasmodium falciparum, Toxoplasma gondii, Pneumocystis carinii, Trypanosoma brucei and Leishmania spp.
- bacterial infections can also be treated in other species like pigs, ruminants, horses, dogs, cats and poultry.
- the present invention also relates to pharmaceutically acceptable salts, or solvates and hydrates, respectively, and to compositions and formulations of compounds of formula I.
- salts encompasses either salts with inorganic acids or organic acids like hydrochloric acid, hydrobromic acid, hydroiodic acid, sulfuric acid, sulfamic acid, phosphoric acid, nitric acid, phosphorous acid, nitrous acid, citric acid, formic acid, acetic acid, oxalic acid, maleic acid, lactic acid, tartaric acid, fumaric acid, benzoic acid, mandelic acid, cinnamic acid, pamoic acid, stearic acid, glutamic acid, aspartic acid, methanesulfonic acid, ethanedisulfonic acid, p-toluenesulfonic acid, salicylic acid, succinic acid, trifluoroacetic acid, and the like that are non toxic to living organisms or, in case the compound of formula (I) is acidic in nature, with an inorganic base like an alkali or earth alkali base, e.g. sodium hydrox
- Compounds of formula I may be solvated, especially hydrated.
- the hydration can occur during the process of production or as a consequence of the hygroscopic nature of the initially water free compounds of formula I.
- the pharmaceutical composition according to the present invention contains at least one compound of formula I as the active agent and optionally carriers and/or diluents and/or adjuvants, and may also contain additional known antibiotics.
- compounds of formula I can be administered, for example, perorally, e.g. as tablets, coated tablets, dragees, soft and hard gelatine capsules, pills, aqueous or oily solutions, emulsions, suspensions or syrups, rectally, e.g. in the form of suppositories, parenterally e.g. in the form of injection or infusion solutions, or topically, e.g. in the form of ointments, creams or oils.
- perorally e.g. as tablets, coated tablets, dragees, soft and hard gelatine capsules, pills, aqueous or oily solutions, emulsions, suspensions or syrups, rectally, e.g. in the form of suppositories, parenterally e.g. in the form of injection or infusion solutions, or topically, e.g. in the form of ointments, creams or oils.
- Another aspect of the invention concerns a method for the treatment of an infectious disease comprising the administration to the patient in need thereof of a therapeutically effective amount of a compound of formula I.
- compositions can be effected in a manner which will be familiar to any person skilled in the art (see for example Mark Gibson, Editor, Pharmaceutical Preformulation and Formulation, IHS Health Group, Englewood, CO, USA, 2001; Remington, The Science and Practice of Pharmacy, 20th Edition, Philadelphia College of Pharmacy and Science) by bringing the described compounds of formula I and their pharmaceutically acceptable salts, optionally in combination with other therapeutically valuable substances, into a galenical administration form together with suitable, non-toxic, inert, therapeutically compatible solid or liquid carrier materials and, if desired, usual pharmaceutical adjuvants.
- the compounds of formula I may also be used for cleaning purposes, e.g. to remove pathogenic microbes and bacteria from surgical instruments or to make a room or an area aseptic.
- the compounds of formula I could be contained in a solution or in a spray formulation.
- the compounds of formula I can be manufactured in accordance with the present invention by
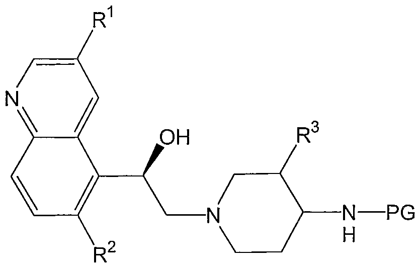
- PG is a nitrogen protecting group, such as benzyloxycarbonyl, allyloxycarbonyl or t-butyloxycarbonyl, and R 1 , R 2 and R 3 are as above, and treating the N-deprotected product with a compound of formula V
- R is chloromethyl, bromomethyl, methanesulfonyloxymethyl, trifluoromethanesulfonyloxymethyl, toluenesulfonyloxymethyl, formyl or an activated form of a carboxylic acid and W 1 , W 2 and U are as above, or
- the reaction between the compounds of formulas II and III is preferably carried out in the presence of a Lewis acid such as lithium perchlorate in the presence of an alkali metal carbonate, such as potassium carbonate, in an organic solvent such as DMF at a temperature ranging between 2O 0 C and 100 0 C, more preferably at a temperature in the vicinity of 80°C.
- a Lewis acid such as lithium perchlorate
- an alkali metal carbonate such as potassium carbonate
- organic solvent such as DMF
- protecting groups are suitable, such as a t-butoxycarbonyl group (Boc), allyloxycarbonyl group (Alloc) or a benzyloxycarbonyl group (Cbz).
- Boc t-butoxycarbonyl group
- Alloc allyloxycarbonyl group
- Cbz benzyloxycarbonyl group
- a variety of other protecting groups may be used as reviewed in Protecting groups, Kocienski, PJ. , Thieme (1994).
- several strategies may be used to unmask the amino group, such as trifluoroacetic acid in the case of Boc and Cbz group or hydrogenolysis using a catalyst such as palladium of charcoal and hydrogen in the case of the Cbz group.
- R 4 is chloromethyl, bromomethyl, methanesulfonyloxymethyl, trifluoromemanesulfonyloxymethyl, toluenesulfonyloxymethyl or formyl to yield a compound of formula I, where V is CH 2 ; or, wherein R 4 is an activated form of a carboxylic acid, to yield a compound of formula I, where V is CO.
- R is formyl or carboxy.
- the reaction is carried out with a compound of formula V wherein R 4 is formyl under reductive amination conditions as reviewed in R.O. and M.K.
- HATU N, ⁇ f ⁇ /yV4etramethyluronium hexafluorophosphate
- reaction between the compounds of formulas VII and VIII is preferably carried out in the following way.
- Z is CO
- the reaction is performed under reductive amination conditions as reviewed in R.O. and M.K. Hutchins Comprehensive Organic Synthesis, B.M. Trost, I. Fleming, Eds; Pergamon Press: New York (1991), vol. 8, p. 25-78.
- the reaction is performed in the presence of an organic base such as triethylarnine or Hiinig base, in an organic solvent such as DMF, dichloromethane or THF at a temperature ranging between 0°C and 60°C, more preferably at a temperature in the vicinity of 3O 0 C.
- an organic base such as triethylarnine or Hiinig base
- an organic solvent such as DMF, dichloromethane or THF
- the aldehydes X may be obtained by reaction of the bromide under carbon monoxide pressure in presence of a palladium catalyst.
- the bromide may also be transformed to the aromatic nitrile using conditions reported in J. Org. Chem. (2005), 70, 1508-1510 and subsequent controlled reduction of the nitrile using diisobutylaluminum hydride in a solvent such as THF, dichloromethane at a temperature ranging between -8O 0 C and 20 0 C, most preferably at a temperature in the vicinity of 0 0 C.
- Reagents and Conditions a. BrPPh 3 , BuLi, -78°C, THF. b. AD-mix ⁇ , fBuOH-H 2 O, O 0 C, 24h. c. pTsCI, Et 3 N, then K 2 CO 3 , MeOH. d. MeC(OEt)3, pTsOH, DCM, rt then TMSCI, DCM, rt, then K 2 CO 3 ,
- the aldehydes X are transformed into the corresponding alkenes by treatment with the phosphorous ylide generated by deprotonation of triphenylphosphonium bromide using a base such as n-butyllithium in THF at a temperature ranging between -78°C and 1O 0 C.
- the alkenes are transformed into the corresponding chiral diols XI using the Sharpless asymmetric dihydroxylation protocol as described in Chem. Rev. (1994), 94, 2483.
- Both enantiomers of the diols XI are accessible, using either a chiral ligand based on dihydroquinine (contained in the commercially available AD mix ⁇ ) or based on dihydroquinidine (commercially contained in the commercially available AD mix ⁇ ).
- a chiral ligand based on dihydroquinine obtained in the commercially available AD mix ⁇
- dihydroquinidine commercially contained in the commercially available AD mix ⁇
- the primary alcohol is selectively transformed into a leaving group, such as methanesulfonyloxy or /?ara-toluenesulfonyloxy, by treatment with methanesulfonyl chloride or para- toluenesulfonyl chloride in the presence of an organic base such as triethylamine or pyridine at a temperature ranging between — 78°C and O 0 C, more preferably at a temperature ranging between -30°C and -10 0 C.
- a leaving group such as methanesulfonyloxy or /?ara-toluenesulfonyloxy
- the resulting methane- or toluene- sulfonyloxy derivatives are transformed into the desired epoxides II by treatment with an inorganic base such as potassium carbonate in a solvent such as methanol or ethanol.
- the diols are transformed into the corresponding epoxides II using the methodology developed by Sharpless and reported in Tetrahedron (1992), 48, 10515.
- Compounds of formula III are obtained by deprotecting compounds of formula XII.
- protecting groups (PG) are suitable in this process such as a t-butoxycarbonyl group (Boc), allyloxycarbonyl group (Alloc) or a benzyloxycarbonyl group (Cbz).
- Compounds of formula XII are obtained by reacting an iV-protected 4-aminopiperidine XIII with a compound of formula V wherein R 4 is chloromethyl, bromomethyl, methanesulfonyloxymethyl, trifluoromethanesulfonyloxymethyl, toluenesulfonyloxymethyl or formyl to yield a compound of formula XII, where V is CH 2 ; or, wherein R 4 is an activated form of a carboxylic acid, to yield a compound of formula XII, where V is CO.
- R 4 is formyl or carboxy.
- a 4-amino-piperidine-l -carboxylic acid ester of formula XIII is reacted with a compound of formula V wherein R 4 is formyl under reductive amination conditions as reviewed in R.O. and M.K. Hutchins Comprehensive Organic Synthesis, B.M. Trost, I. Fleming, Eds; Pergamon Press: New York (1991), vol. 8, p.
- R 4 is COOH
- an activating agent such as l-(dimethylaminopropyl)- 3-ethylcarbodiimide hydrochloride (EDC) or 1 -hydroxybenzotriazole (HOBT) or (9-(7-azabenzotriazol- 1 -yl)-N, ⁇ N',N'-tetramethyluronium hexafluorophosphate
- Compounds of formula IV are obtained by reacting a compound of formula II with a N-protected-4-amino piperidine XIV.
- the reaction is promoted by a Lewis acid such as lithium perchlorate in a solvent such as DMF at a temperature ranging between 20°C and 100°C, more preferably at a temperature in the vicinity of 80 0 C.
- a Lewis acid such as lithium perchlorate
- a solvent such as DMF
- protecting groups PG
- protecting groups such as a ter£-butoxycarbonyl group (Boc), allyloxycarbonyl group (Alloc) or a benzyloxycarbonyl group (Cbz).
- Reagents and Conditions a. LiCIO 4 , K 2 CO 3 , DMF, 80°C b. TFA, rt c. H 2 , 10% Pd-C, AcOEt
- protecting groups may be used as reviewed in Protecting groups, Kocienski, P. J. Thieme (1994). According to the nature of the protecting group, several strategies may be used to unmask the amino group, such as trifluoroacetic acid in the case of Boc and Cbz group or hydro genolysis using a catalyst such as palladium of charcoal and hydrogen in the case of the Cbz group.
- Compounds of formula V wherein R 4 is formyl are prepared according to WO 02/056882 and WO 03/087098.
- Compounds V wherein R 4 is CH 2 OH or COOH are respectively obtained by reduction of the aldehyde using sodium borohydride in alcoholic solvent or by oxidation of the aldehyde using either silver nitrate in acetonitrile, sodium hypochlorite in a buffered medium or chromium oxide as an oxidizing agent.
- the CH 2 OH group R 4 is further transformed into a leaving group, such as methanesulfonyloxy or p ⁇ ra-toluenesulfonyloxy, by treatment with methanesulfonyl chloride or para-toluene sulfonyl chloride in the presence of an organic base such as triethylamine or pyridine at a temperature ranging between -78°C and O 0 C, more preferably at a temperature ranging between -3O 0 C and -10 0 C in an organic solvent such as THF, DMF or dichloromethane.
- a leaving group such as methanesulfonyloxy or p ⁇ ra-toluenesulfonyloxy
- the resulting methane- or toluene-sulfonyloxy derivatives are transformed into the corresponding bromides or iodides by treatment with sodium bromide or iodide respectively, in presence of an inorganic base such as potassium carbonate in a solvent such as acetone, THF or DMF.
- R 5 is a leaving group, preferably chlorine or bromine.
- the reaction is expediently carried out in the presence of an organic base such as triethylamine or H ⁇ nig base or an alkali metal carbonate, such as potassium carbonate, in an organic solvent such as DMF at a temperature ranging between 20 0 C and 100 0 C, more preferably at a temperature in the vicinity of 60 0 C.
- N-protected-4-amino piperidines XIII and XIV are either commercially available or may be prepared as described in literature.
- 6-carbaldehyde prepared according to WO 03/064421, 0.065 g, 0.36 mmol.
- the reaction mixture was heated at 50°C overnight. After cooling to rt, sodium borohydride (0.1 g) was added and the reaction proceeded for two hours.
- the reaction mixture was filtered through ⁇ ydromatrix , previously treated with sodium bicarbonate (6 ml). The filtrate was concentrated to dryness.
- the filtrate was purified over silica gel (DCM-MeOH 19-1 with 1% aq. ammonium hydroxide) to afford the title compound (0.081 g, 0.17 mmol) as a white foam.
- Example 3 6-( ⁇ (2R)-l-[2-hydroxy-2-(3-methoxy-quinolin-5-yl)-ethyl]-piperidin- 4-ylamino ⁇ -methyl)-4H-pyrido[3,2-b][l,4]thiazin-3-one: Starting from (2i?)-2-(4-amino-piperidin-l-yl)-l-(3-methoxy-quinolin-5-yl)-ethanol (0.1 g, 0.33 mmol) and 3-oxo-3,4-dihydro-2H-pyrido[3,2-£][l,4]thiazine- 6-carbaldehyde (prepared according to WO 03/064421, 0.068 g, 0.35 mmol), and using the procedure described in Example 1 (step l.xi), the title product (0.073 g, 0.15 mmol) was obtained as a white foam after purification over silica gel using DCM-MeOH 19-1 containing
- Example 6 6-(c/s- ⁇ 3-fluoro-l-[(2 ⁇ )-2-hydroxy-2-(3-methoxy-quinolin-5-yl)- ethyl]-piperidin-4-ylamino ⁇ -methyl)-4H-pyrido[3,2-b][l,4]thiazin-3-one
- F.fa E. faecalis
- E. fm E faecium
- S p S. pneumoniae
- H infl H influenzae
- M cat M catharralis
- P. Aer P. aeruginosa.
- the quinolinyl aminoalcohols of formula I present a better antibacterial activity, especially against resistant strains.
Landscapes
- Chemical & Material Sciences (AREA)
- Organic Chemistry (AREA)
- Health & Medical Sciences (AREA)
- Communicable Diseases (AREA)
- Oncology (AREA)
- Chemical Kinetics & Catalysis (AREA)
- General Chemical & Material Sciences (AREA)
- Medicinal Chemistry (AREA)
- Nuclear Medicine, Radiotherapy & Molecular Imaging (AREA)
- Pharmacology & Pharmacy (AREA)
- Life Sciences & Earth Sciences (AREA)
- Animal Behavior & Ethology (AREA)
- General Health & Medical Sciences (AREA)
- Public Health (AREA)
- Veterinary Medicine (AREA)
- Pharmaceuticals Containing Other Organic And Inorganic Compounds (AREA)
Abstract
This invention concerns antimicrobially active compounds of the formula (I) wherein R1 represents alkyl, alkoxy, halogen or cyano; R2 represents hydrogen or halogen; R3 represents hydrogen or halogen; one of the symbols W1 and W2 represents CH and the other represents CH or N; U represents oxygen or sulphur; and V represents CO or CH2; as well as their optically pure enantiomers, mixtures of enantiomers, racemates, optically pure diastereoisomers, mixtures of diastereoisomers, diastereoisomeric racemates, mixture of diastereoisomeric racemates, meso forms, pharmaceutically acceptable acid addition salts, solvent complexes and morphological forms thereof.
Description
Beta-aminoalcohol antibiotics
The present invention concerns novel antibiotics, pharmaceutical antibacterial composition containing them and use thereof in the manufacture of a medicament for the treatment of infections (e.g. bacterial infection). These compounds are useful antimicrobial agents effective against a variety of human and veterinary pathogens including among others Gram positive and Gram negative aerobic and anaerobic bacteria and mycobacteria.
The intensive use of antibiotics has exerted a selective evolutionary pressure on micro-organisms to produce genetically based resistance mechanisms. Modern medicine and socio-economic behaviour exacerbates the problem of resistance development by creating slow growth situations for pathogenic microbes, e.g. artificial joints-related infections, and by supporting long-term host reservoirs, e.g. in immunocompromised patients.
In hospital settings, an increasing number of strains of Staphylococcus aureus, Streptococcus pneumoniae, Enterococcus spp., and Pseudomonas aeruginosa, major sources of infections, are becoming multi-drag resistant and therefore difficult if not impossible to treat:
- S. aureus is resistant to β-lactam, quinolone and now even to vancomycin;
- S. pneumoniae is becoming resistant to penicillin, quinolone and even to new macrolides; - Enterococci are quinolone and vancomycin resistant and β-lactams are inefficacious against these strains. The only alternative is to use oxazolidinones but these compounds are not bactericidal;
- Enterohacteriacea are cephalosporin and quinolone resistant;
- P. aeruginosa are β-lactam and quinolone resistant.
Further new emerging resistant organisms like Acinetobacter are becoming a real problem in hospital settings.
In addition, microorganisms that are causing persistent infections are increasingly being recognized as causative agents or cofactors of severe chronic diseases like peptic ulcers or heart diseases.
Certain l-piperidyl-2-(quinolin-4-yl)-ethanol derivatives have already been described in WO 02/08224, WO 02/056882, WO 03/064421 and WO 03/064431 as antibacterial agents. More recently, a very broad family of anti -bacterial compounds corresponding to a general formula encompassing, among many others, 1-piperidyl- 2-(quinolin-5-yl)-ethanol derivatives has been disclosed in WO 2004/002490 and possibly WO 2004/089947, but no specific example of l-piperidyl-2-(quinolin-5-yl)- ethanol derivatives is taught therein.
Among such quinoline derivatives it has been found that certain selected quinolinyl aminoalcohols are useful antimicrobial agents and particularly effective against a variety of multi-drug resistant bacteria. Thus, the present invention relates to the quinolinyl aminoalcohols of the formula I
wherein
R1 represents alkyl, alkoxy, halogen or cyano; R2 represents hydrogen or halogen; R3 represents hydrogen or halogen; one of the symbols W1 and W2 represents CH and the other represents CH or N; U represents oxygen or sulphur; and V represents CO or CH2.
A further embodiment of the novel quinolinyl aminoalcohols of the above formula I relates to their optically pure enantiomers, mixtures of enantiomers, racemates, optically pure diastereoisomers, mixtures of diastereoisomers, diastereoisomeric racemates, mixtures of diastereoisomeric racemates, meso forms, pharmaceutically acceptable acid addition salts, solvent complexes and morphological forms thereof. Particularly preferred are the optically pure enantiomers, optically pure
diastereoisomers, meso forms, pharmaceutically acceptable acid addition salts, solvent complexes and morphological forms.
Any reference to a compound of formula I is thus to be understood as referring also to configurational isomers, mixtures of enantiomers such as racemates, diastereomers, mixtures of diastereomers, diastereomeric racemates, and mixtures of diastereomeric racemates, as well as salts, solvent complexes, and morphological forms of such compounds, as appropriate and expedient.
The present invention also relates to pro-drugs of a compound of formula I that convert in vivo to the compound of formula I as such. Any reference to a compound of formula I is therefore to be understood as referring also to the corresponding prodrugs of the compound of formula I, as appropriate and expedient.
The above-mentioned possibility of optically pure enantiomers, optically pure diastereoisomers and meso forms appears when the carbon bearing R3 is asymmetric, i.e. when R3 is halogen. The hydroxy group visible in formula I is always chiral (R- form).
The following paragraphs provide definitions of the various chemical moieties for the compounds according to the invention and are intended to apply uniformly throughout the specification and claims unless an otherwise expressly set out definition provides a broader or narrower definition.
The term "alkyl" refers to a saturated straight or branched chain alkyl group, containing from one to six, in particular one to three carbon atoms, for example methyl, ethyl, propyl, zso-propyl, butyl, wo-butyl, sec-butyl, tert-butyl, n-pentyl, wø-pentyl, n-hexyl, 2,2-dimethylbutyl.
The term "alkoxy" refers to an "alkyl-O" group, wherein "alkyl" has the above significance (e.g. methoxy, ethoxy, propoxy, zso-propoxy, butoxy, wø-butoxy, sec-butoxy, tert-bntoxy, rc-pentoxy, neopentyloxy, wo-pentyloxy, n-hexyloxy or zso-hexyloxy). An alkoxy group will preferably contain one to three carbon atoms.
The term "halogen" refers to fluorine, chlorine, bromine or iodine, preferably to fluorine or chlorine.
Preferred quinolinyl aminoalcohols of formula I are compounds wherein R1 represents C]-C3 alkoxy, especially methoxy; or R2 represents hydrogen; or R3 represents hydrogen; or W represents CH or N and W represents CH; or V represents CH2 and their pharmaceutically acceptable acid addition salts.
More particularly preferred quinolinyl aminoalcohols of formula I are those wherein each of R1, R2, R3, W1, W2 and V has the preferred significance indicated above.
Moreover, according to one preferred embodiment of the instant invention, the quinolinyl aminoalcohols of formula I will be such that U is oxygen. According to another preferred embodiment of the instant invention, the quinolinyl aminoalcohols of formula I will be such that U is sulphur.
Especially preferred compounds of formula I are the following: • 6-( {(2R)- 1 -[2-hydroxy-2-(3-methoxy-quinolin-5-yl)-ethyl]-piperidin-4-ylamino} - methyl)-4i/-benzo[ 1 ,4]oxazin-3-one;
• 7-fluoro-6-({(2i?)-l-[2-hydroxy-2-(3-methoxy-quinolin-5-yl)-ethyl]-piperidin- 4-ylamino } -methyl)-4H-benzo [ 1 ,4] thiazin-3 -one;
• 6-({(2i?)-l-[2-hydroxy-2-(3-methoxy-quinolin-5-yl)-ethyl]-piperidin-4-ylamino}- methyl)-4H-pyrido[3,2-Z>][l,4]thiazin-3-one;
• 6-({(2i?)-l-[hydroxy-2-(3-methoxy-quinolin-5-yl)-ethyl]-piperidin-4-ylamino}- methyl)-4i/-pyrido [3 ,2-b] [ 1 ,4] oxazin-3 -one;
• 3-oxo-3,4-dihydro-2H-pyrido[3,2-Z?][l,4]thiazine-6-carboxylic acid {(2R)l-[2- hydroxy-2-(3-methoxy-quinolin-5-yl)-ethyl]-piperidin-4-yl}-amide; • 6-(cis-{3-fluoro-l-[(2i?)-2-hydroxy-2-(3-methoxy-quinolin-5-yl)-ethyl]-piperidin-
4-ylamino}-methyl)-4H-pyrido[3,2-Z?][l,4]thiazin-3-one; and their pharmaceutically acceptable acid addition salts.
Compounds of formula I are suitable for the use as chemotherapeutic active compounds in human and veterinary medicine.
The compounds according to the invention are particularly active against bacteria and bacteria-like organisms. They are therefore particularly suitable in human and veterinary medicine for the prophylaxis and chemotherapy of local and systemic infections caused by these pathogens as well as disorders related to bacterial infections comprising pneumonia, otitis media, sinusitis, bronchitis, tonsillitis, and mastoiditis related to infection by Streptococcus pneumoniae, Haemophilus influenzae, Moraxella catarrhalis, Staphylococcus aureus, Enter ococcus faecalis, E. faecium, E. casselflavus, S. epidermidis, S. haemolyticus, or Peptostreptococcus spp.; pharyngitis, rheumatic fever, and glomerulonephritis related to infection by Streptococcus pyogenes, Groups C and G streptococci, Corynebaterium diphtheriae, or Actinobacillus haemolyticum; respiratory tract infections related to infection by Mycoplasma pneumoniae, Legionella pneumophila, Streptococcus pneumoniae, Haemophilus influenzae, or Chlamydia pneumoniae; blood and tissue infections, including endocarditis and osteomyelitis, caused by S. aureus, S. haemolyficus, E. faecalis, E. faecium, E. durans, including strains resistant to known antibacterials such as, but not limited to, beta-lactams, vancomycin, aminoglycosides, quinolones, chloramphenicol, tetracyclines and macrolides; uncomplicated skin and soft tissue infections and abscesses, and puerperal fever related to infection by Staphylococcus aureus, coagulase-negative staphylococci (i.e., S. epidermidis, S. hemolyticus, etc.), Streptococcus pyogenes , Streptococcus agalactiae, Streptococcal groups C-F (minute colony streptococci), viridans streptococci, Corynebacterium minutissimum, Closfridium spp., or Bartonella henselae; uncomplicated acute urinary tract infections related to infection by Staphylococcus aureus, coagulase-negative staphylococcal species, or Enterococcus spp.; urethritis and cervicitis; sexually transmitted diseases related to infection by Chlamydia trachomatis, Haemophilus ducreyi, Treponema pallidum, Ureaplasma urealyticum, or Neiserria gonorrheae; toxin diseases related to infection by S. aureus (food poisoning and toxic shock syndrome), or Groups A, B, and C streptococci; ulcers related to infection by Helicobacter pylori; systemic febrile syndromes related to infection by Borrelia recurrentis; Lyme disease related to infection by Borrelia burgdorferi; conjunctivitis, keratitis, and dacrocystitis related to infection by Chlamydia trachomatis, Neisseria gonorrhoeae, S. aureus, S. pneumoniae, S. pyogenes, H. influenzae, or Listeria spp.; disseminated Mycobacterium avium complex (MAC) disease related to infection by Mycobacterium avium, or Mycobacterium intracellular; infections caused by Mycobacterium
tuberculosis, M. leprae, M. paratuberculosis, M. kansasii, or M. chelonei; gastroenteritis related to infection by Campylobacter jejuni; intestinal protozoa related to infection by Cryptosporidium spp.; odontogenic infection related to infection by viridans streptococci; persistent cough related to infection by Bordetella pertussis; gas gangrene related to infection by Closfridium perfringens or Bacteroides spp.; and atherosclerosis or cardiovascular disease related to infection by Helicobacter pylori or Chlamydia pneumoniae.
Compounds of formula I according to the present invention are further useful for the preparation of a medicament for the treatment of infections that are mediated by bacteria such as E. coli, Klebsiella pneumoniae and other enterobacteriaceae, Acinetobacter spp., Stenothrophomonas maltophilia, Neisseria meningitidis, Bacillus cereus, Bacillus anthracis, Cotγnebacterium spp., Propionibacterium acnes and bacteroide spp.
Compounds of formula I according to the present invention are further useful to treat protozoal infections caused by Plasmodium malaria, Plasmodium falciparum, Toxoplasma gondii, Pneumocystis carinii, Trypanosoma brucei and Leishmania spp.
The present list of pathogens is to be interpreted merely as examples and in no way as limiting.
As well as in humans, bacterial infections can also be treated in other species like pigs, ruminants, horses, dogs, cats and poultry.
The present invention also relates to pharmaceutically acceptable salts, or solvates and hydrates, respectively, and to compositions and formulations of compounds of formula I.
The expression pharmaceutically acceptable salts encompasses either salts with inorganic acids or organic acids like hydrochloric acid, hydrobromic acid, hydroiodic acid, sulfuric acid, sulfamic acid, phosphoric acid, nitric acid, phosphorous acid, nitrous acid, citric acid, formic acid, acetic acid, oxalic acid, maleic acid, lactic acid, tartaric acid, fumaric acid, benzoic acid, mandelic acid, cinnamic acid, pamoic acid, stearic acid, glutamic acid, aspartic acid, methanesulfonic acid, ethanedisulfonic acid, p-toluenesulfonic acid, salicylic acid, succinic acid, trifluoroacetic acid, and the like
that are non toxic to living organisms or, in case the compound of formula (I) is acidic in nature, with an inorganic base like an alkali or earth alkali base, e.g. sodium hydroxide, potassium hydroxide, calcium hydroxide and the like. For other examples of pharmaceutically acceptable salts, reference can be made notably to "Salt selection for basic drugs", Int. J. Pharm. (1986), 33, 201-217.
Compounds of formula I may be solvated, especially hydrated. The hydration can occur during the process of production or as a consequence of the hygroscopic nature of the initially water free compounds of formula I.
The pharmaceutical composition according to the present invention contains at least one compound of formula I as the active agent and optionally carriers and/or diluents and/or adjuvants, and may also contain additional known antibiotics.
As mentioned above, therapeutically useful agents that contain compounds of formula I, their solvates, salts or formulations are also comprised in the scope of the present invention. In general, compounds of formula I can be administered, for example, perorally, e.g. as tablets, coated tablets, dragees, soft and hard gelatine capsules, pills, aqueous or oily solutions, emulsions, suspensions or syrups, rectally, e.g. in the form of suppositories, parenterally e.g. in the form of injection or infusion solutions, or topically, e.g. in the form of ointments, creams or oils.
Another aspect of the invention concerns a method for the treatment of an infectious disease comprising the administration to the patient in need thereof of a therapeutically effective amount of a compound of formula I.
The production of the pharmaceutical compositions can be effected in a manner which will be familiar to any person skilled in the art (see for example Mark Gibson, Editor, Pharmaceutical Preformulation and Formulation, IHS Health Group, Englewood, CO, USA, 2001; Remington, The Science and Practice of Pharmacy, 20th Edition, Philadelphia College of Pharmacy and Science) by bringing the described compounds of formula I and their pharmaceutically acceptable salts, optionally in combination with other therapeutically valuable substances, into a galenical administration form together with suitable, non-toxic, inert, therapeutically compatible solid or liquid carrier materials and, if desired, usual pharmaceutical adjuvants.
Besides, the compounds of formula I may also be used for cleaning purposes, e.g. to remove pathogenic microbes and bacteria from surgical instruments or to make a room or an area aseptic. For such purposes, the compounds of formula I could be contained in a solution or in a spray formulation.
The compounds of formula I can be manufactured in accordance with the present invention by
a) reacting a compound of the general formula II
II
wherein R1 and R2 are as above, with a compound of the general formula III
III
wherein R , W /I , Λ WΛ 7-2 , U and V are as above, or
b) iV-deprotecting a compound of the general formula IV
IV wherein PG is a nitrogen protecting group, such as benzyloxycarbonyl, allyloxycarbonyl or t-butyloxycarbonyl, and R1, R2 and R3 are as above, and treating the N-deprotected product with a compound of formula V
V wherein R is chloromethyl, bromomethyl, methanesulfonyloxymethyl, trifluoromethanesulfonyloxymethyl, toluenesulfonyloxymethyl, formyl or an activated form of a carboxylic acid and W1, W2 and U are as above, or
c) subjecting a compound of the general formula VI
VI
wherein R1, R2 , R3,U and V are as above, to chiral reduction, or
d) reacting a compound of the general formula VII
VII
wherein Z is CO, CH-Cl, CH-Br, CHOSO2CH3, CHOSO2CF3 or CHOSO2C6H4CH3 and R1, R2 and R3 are as above, with a compound of the general formula VIII
VIII wherein R represents aminomethyl, and, if desired, converting a compound of formula I into a pharmaceutically acceptable salt thereof.
The reaction between the compounds of formulas II and III is preferably carried out in the presence of a Lewis acid such as lithium perchlorate in the presence of an alkali metal carbonate, such as potassium carbonate, in an organic solvent such as DMF at a
temperature ranging between 2O0C and 1000C, more preferably at a temperature in the vicinity of 80°C.
For the JV-deprotection of the compounds of formula IV, several protecting groups (PG) are suitable, such as a t-butoxycarbonyl group (Boc), allyloxycarbonyl group (Alloc) or a benzyloxycarbonyl group (Cbz). A variety of other protecting groups may be used as reviewed in Protecting groups, Kocienski, PJ. , Thieme (1994). According to the nature of the protecting group, several strategies may be used to unmask the amino group, such as trifluoroacetic acid in the case of Boc and Cbz group or hydrogenolysis using a catalyst such as palladium of charcoal and hydrogen in the case of the Cbz group. The so N-deprotected product is reacted with a compound of formula V wherein R4 is chloromethyl, bromomethyl, methanesulfonyloxymethyl, trifluoromemanesulfonyloxymethyl, toluenesulfonyloxymethyl or formyl to yield a compound of formula I, where V is CH2; or, wherein R4 is an activated form of a carboxylic acid, to yield a compound of formula I, where V is CO. Preferably R is formyl or carboxy. For example, the reaction is carried out with a compound of formula V wherein R4 is formyl under reductive amination conditions as reviewed in R.O. and M.K. Hutchins Comprehensive Organic Synthesis, B. M. Trost, I. Fleming, Eds; Pergamon Press: New York (1991), vol. 8, p. 25-78 or with a compound of formula V, wherein R4 is carboxy, using an activating agent such as l-(dimethylaminopropyl)-3-ethylcarbodiimide hydrochloride (EDC) or 1 -hydroxybenzotriazole (HOBT) or O-(7-azabenzotriazol-l-yl)-
N,ΛfΛ/yV4etramethyluronium hexafluorophosphate (HATU) (G. Benz in Comprehensive Organic Synthesis, B.M. Trost, I. Fleming, Eds; Pergamon Press: New York (1991), vol. 6, p. 381) between -200C and 6O0C in an dry aprotic solvent like DCM acetonitrile or DMF.
The chiral reduction of compounds of formula VI is performed either using chiral borane reagents or hydrogenation with chiral catalysts as described in Comprehensive Organic Transformations, 1097-1111 (2nd edition. R. C. Larock, Wiley- VCH; New- York, Chichester, Weinheim, Brisbane, Singapore, Toronto).
The reaction between the compounds of formulas VII and VIII is preferably carried out in the following way. When Z is CO, the reaction is performed under reductive amination conditions as reviewed in R.O. and M.K. Hutchins Comprehensive Organic
Synthesis, B.M. Trost, I. Fleming, Eds; Pergamon Press: New York (1991), vol. 8, p. 25-78. When Z is CH-Cl, CH-Br, CHOSO2CH3, CHOSO2CF3 or CHOSO2COH4CH3, the reaction is performed in the presence of an organic base such as triethylarnine or Hiinig base, in an organic solvent such as DMF, dichloromethane or THF at a temperature ranging between 0°C and 60°C, more preferably at a temperature in the vicinity of 3O0C.
Compounds of formula II are obtained from the corresponding bromo derivatives IX after deprotonation with a strong lithiated base such as n-butyllithium or tert-butyllithium in an inert solvent such as THF at a temperature between -10O0C and -20°, more preferably at a temperature in the vicinity of-78°C. The intermediate lithiated species is reacted with DMF to afford the corresponding aldehydes X.
IX X
Alternatively, the aldehydes X may be obtained by reaction of the bromide under carbon monoxide pressure in presence of a palladium catalyst. The bromide may also be transformed to the aromatic nitrile using conditions reported in J. Org. Chem. (2005), 70, 1508-1510 and subsequent controlled reduction of the nitrile using diisobutylaluminum hydride in a solvent such as THF, dichloromethane at a temperature ranging between -8O0C and 200C, most preferably at a temperature in the vicinity of 00C.
Reagents and Conditions : a. BrPPh3, BuLi, -78°C, THF. b. AD-mix β, fBuOH-H2O, O0C, 24h. c. pTsCI, Et3N, then K2CO3, MeOH. d. MeC(OEt)3, pTsOH, DCM, rt then TMSCI, DCM, rt, then K2CO3,
MeOH.
The aldehydes X are transformed into the corresponding alkenes by treatment with the phosphorous ylide generated by deprotonation of triphenylphosphonium bromide using a base such as n-butyllithium in THF at a temperature ranging between -78°C and 1O0C. The alkenes are transformed into the corresponding chiral diols XI using the Sharpless asymmetric dihydroxylation protocol as described in Chem. Rev. (1994), 94, 2483. Both enantiomers of the diols XI are accessible, using either a chiral ligand based on dihydroquinine (contained in the commercially available AD mix α) or based on dihydroquinidine (commercially contained in the commercially available AD mix β). Several strategies are possible to transform the chiral diols XI into the corresponding epoxide II without loss of enantiomeric purity. The primary alcohol is selectively transformed into a leaving group, such as methanesulfonyloxy or /?ara-toluenesulfonyloxy, by treatment with methanesulfonyl chloride or para- toluenesulfonyl chloride in the presence of an organic base such as triethylamine or pyridine at a temperature ranging between — 78°C and O0C, more preferably at a temperature ranging between -30°C and -100C. The resulting methane- or toluene- sulfonyloxy derivatives are transformed into the desired epoxides II by treatment with an inorganic base such as potassium carbonate in a solvent such as methanol or ethanol. Alternatively, the diols are transformed into the corresponding epoxides II using the methodology developed by Sharpless and reported in Tetrahedron (1992), 48, 10515.
Compounds of formula III are obtained by deprotecting compounds of formula XII. Several protecting groups (PG) are suitable in this process such as a t-butoxycarbonyl group (Boc), allyloxycarbonyl group (Alloc) or a benzyloxycarbonyl group (Cbz). A variety of other protecting groups may be used as reviewed in Protecting groups, Kocienski, PJ. Thieme (1994). Compounds of formula XII are obtained by reacting an iV-protected 4-aminopiperidine XIII with a compound of formula V wherein R4 is chloromethyl, bromomethyl, methanesulfonyloxymethyl, trifluoromethanesulfonyloxymethyl, toluenesulfonyloxymethyl or formyl to yield a compound of formula XII, where V is CH2; or, wherein R4 is an activated form of a carboxylic acid, to yield a compound of formula XII, where V is CO. Preferably R4 is formyl or carboxy. For example, a 4-amino-piperidine-l -carboxylic acid ester of formula XIII is reacted with a compound of formula V wherein R4 is formyl under reductive amination conditions as reviewed in R.O. and M.K. Hutchins Comprehensive Organic Synthesis, B.M. Trost, I. Fleming, Eds; Pergamon Press: New York (1991), vol. 8, p. 25-78 or with a compound of formula V, wherein R4 is COOH, using an activating agent such as l-(dimethylaminopropyl)- 3-ethylcarbodiimide hydrochloride (EDC) or 1 -hydroxybenzotriazole (HOBT) or (9-(7-azabenzotriazol- 1 -yl)-N,ΛζN',N'-tetramethyluronium hexafluorophosphate
(HATU) (G. Benz in Comprehensive Organic Synthesis, B.M. Trost, I. Fleming, Eds; Pergamon Press: New York 1991, vol. 6, p. 381) between -20°C and 600C in an dry aprotic solvent like DCM acetonitrile or DMF.
XIII V XII
Reagents and Conditions : R4= CHO: NaBH4 ; R4=COOH: HOBT, DCC
Compounds of formula IV are obtained by reacting a compound of formula II with a N-protected-4-amino piperidine XIV. The reaction is promoted by a Lewis acid such as lithium perchlorate in a solvent such as DMF at a temperature ranging between 20°C and 100°C, more preferably at a temperature in the vicinity of 800C. Several protecting groups (PG) are suitable in this process such as a ter£-butoxycarbonyl group (Boc), allyloxycarbonyl group (Alloc) or a benzyloxycarbonyl group (Cbz).
" IV XV
Reagents and Conditions : a. LiCIO4, K2CO3, DMF, 80°C b. TFA, rt c. H2, 10% Pd-C, AcOEt
A variety of other protecting groups may be used as reviewed in Protecting groups, Kocienski, P. J. Thieme (1994). According to the nature of the protecting group, several strategies may be used to unmask the amino group, such as trifluoroacetic acid in the case of Boc and Cbz group or hydro genolysis using a catalyst such as palladium of charcoal and hydrogen in the case of the Cbz group.
Compounds of formula V wherein R4 is formyl are prepared according to WO 02/056882 and WO 03/087098. Compounds V wherein R4 is CH2OH or COOH are respectively obtained by reduction of the aldehyde using sodium borohydride in alcoholic solvent or by oxidation of the aldehyde using either silver nitrate in acetonitrile, sodium hypochlorite in a buffered medium or chromium oxide as an oxidizing agent. The CH2OH group R4 is further transformed into a leaving group, such as methanesulfonyloxy or pαra-toluenesulfonyloxy, by treatment with methanesulfonyl chloride or para-toluene sulfonyl chloride in the presence of an organic base such as triethylamine or pyridine at a temperature ranging between -78°C and O0C, more preferably at a temperature ranging between -3O0C and -100C in an organic solvent such as THF, DMF or dichloromethane. The resulting methane- or toluene-sulfonyloxy derivatives are transformed into the corresponding bromides or iodides by treatment with sodium bromide or iodide respectively, in presence of an inorganic base such as potassium carbonate in a solvent such as acetone, THF or DMF.
Compounds of formula VI are obtained by reacting a compound of formula III with a compound of formula XVI
XIV
In formula XIV R5 is a leaving group, preferably chlorine or bromine. The reaction is expediently carried out in the presence of an organic base such as triethylamine or Hϋnig base or an alkali metal carbonate, such as potassium carbonate, in an organic solvent such as DMF at a temperature ranging between 200C and 1000C, more preferably at a temperature in the vicinity of 600C.
Compounds of formula VII (Z = CO) are obtained by reacting a compound of formula II with a piperidin-4-one derivative under the same conditions as for the preparation of compounds of formula IV. Compounds of formula VII (Z = CH-Cl, CH-Br or CHOH) are obtained by reacting a compound of formula II with a 4-halogen- or a 4-hydroxy-piperidine derivative under the same conditions as for the preparation of compounds of formula IV. Compounds of formula VII (Z = CHOSO2CH3, CHOSO2CF3 or CHOSO2C6H4CH3) are obtained by reaction of the corresponding alcohol VII (Z=CHOH) with the correspondingly substituted sulfonyl-chloride in an aprotic solvent like THF or dichloromethane in the presence of an organic base like triethylamine.
N-protected-4-amino piperidines XIII and XIV are either commercially available or may be prepared as described in literature.
The following examples illustrate the preparation of pharmacologically active compounds of the invention but do not at all limit the scope thereof.
EXAMPLES
In the following examples all temperatures are stated in 0C. All analytical and preparative HPLC investigations on non-chiral phases are performed using RP-C 18 based columns. Analytical HPLC investigations are performed on two different instruments with cycle-times of ~2.5 min and ~3.5 min respectively.
Abbreviations:
AcOH acetic acid aq. aq. atm atmosphere d D(s)
1,2-DCE 1 ,2-dichloroethane
DCM dichloromethane
DIPEA 7V,iV-diisopropylethylamine
DMAP 4-dimethylaminopyridine
DMF 7V,N-dimethylformamide
DMSO dimethylsulfoxide
DMPU 1 ,3 -dimethyl-3 ,4,5 ,6-tetrahydro-2( 1 H)-pyrimidone
EA ethyl acetate
ESI Electron Spray Ionisation
Ether diethyl ether h hour
HATU 1 - [bis (dimethylamino)rnethylene] - 1 H- l,2,3-triazolo[4,5-δ]pyridinium 3-oxide, hexafiuorophosphate
Hex hexane
HV High Vacuum conditions
LC Liquid Chromatography
LDA lithium diisopropylamide
LG leaving group
MeOH methanol min min MS Mass Spectroscopy
TEA triethyl amine
TFA trifluoroacetic acid
THF tetrahydrofuran rt room temperature
Example 1: 6-({(2i?)-l-[2-hydroxy-2-(3-methoxy-quinolin-5-yl)-ethyl]-piperidin- 4-ylamino}-methyl)-4H-benzo[l,4]oxazin-3-one:
l.i. Piperidin-4-yl-carbamic acid benzyl ester:
A solution of 4-benzyloxycarbonylamino-piperidine-l-carboxylic acid tert-butyl ester (17.73 g, 53 mmol) in trifluoroacetic acid (30 ml) was stirred at room temperature for 30 min. The solvent was removed under reduced pressure and the residue was partitioned between IN aq, sodium hydroxide (30 ml) and a DCM-MeOH mixture (9-1, 100 ml). The aq. layer was extracted four more times with the same mixture. The combined extracts were dried over sodium sulfate, filtered and concentrated to dryness. The residue was chromato graphed (DCM-MeOH 9-1 1% aq. ammonium hydroxide then DCM-MeOH 4-1) to afford the title piperidine (11.03 g, 47.07 mmol). 1H NMR (CDCl3) δ: 7.40-7.29 (m, 5H); 6.19 (br. s, IH); 5.10 (s, 2H); 5.04 (s, IH); 3.47 (m, IH); 3.25 (br. d, J= 12.8 Hz, 2H); 2.81 (t, J= 12 Hz, 2H); 2.04 (m, 2H); 1.58 (m, 2H).
l.ii. 3,5-dibromoquinoline: To concentrated sulfuric acid (130 ml) was added dropwise at 0°C, over 80 min, 3-bromoquinoline (50 g) at a rate allowing the internal temperature to be maintained between 0° and 10°C. After the addition was complete, N-bromosucciminide (48 g) was added portionwise and the reaction mixture was stirred at rt overnight. The reaction mixture was poured onto ice (2 1) and the formed solid was dissolved in
DCM (600 ml). The aq. layer was further extracted once with DCM (600 ml) and the combined extracts were washed with IM NaOH (300 ml) and concentrated in vacuo. The residue was dispersed in silica gel and the resulting dispersal was loaded on the top of a column and eluted with a DCM-Hex (1-1, 3 1) then DCM (3 1) and finally DCM-ether (1-1, 2 1). The title compound was recovered from the last fraction after evaporation to yield 40 g of a white solid.
1H NMR (CDCl3) δ: 8.94 (d, J= 2.2 Hz, IH); 8.73 (d, J= 2.2 Hz, IH); 8.08 (d, J= 8.5Hz, IH); 7.88 (d, J= 7.5Hz, IH); 7.62 (dd, J= 7.5, 8.5 Hz, IH).
1.iii. 5-bromo-3-methoxyquinoline: To a mixture of sodium methoxide (14.5 g) in DMPU (350 ml) heated at 1250C, was added in one portion 3,5-dibromoquinoline (34.5 g). The reaction was then heated at the same temperature for 1 h. The reaction mixture was then cooled to rt and poured onto ice (300 g). After the ice melt, the solid was filtered off and dried under vacuum. The filtrate was extracted with ether (4 x 150 ml). The combined extracts were washed with brine and dried over sodium sulfate. After filtration, the solvent was evaporated and the residue was purified over silica gel (Hex-EA 4-1) to afford a material that was pooled with the solid. The material was dissolved in DCM and dried over sodium sulfate. After filtration and evaporation, the solid was further dried under high vacuum to afford the title compound (24.5 g) as a beige solid. 1H NMR (CDCl3) δ: 8.68 (d, J= 2.8 Hz, IH); 8.03 (d, J= 8.3 Hz, IH); 7.80 (d, J= 7.5 Hz, IH); 7.72 (d, J= 2.8 Hz, IH); 7.42 (dd, J= 7.5, 8.3 Hz, IH); 4.02 (s, 3H). MS (ESI, m/z): 239.7 [M+H+].
1.iv. 3-methoxyquinoline-5-carbaldehyde:
To a solution of 5-bromo-3-methoxyquinoline (10 g) in THF (250 ml) cooled to - 780C, was added BuLi (22 ml). After 15 min, a solution of DMF (10 ml) in ether
(20 ml) was quickly added. The solution was stirred 15 min and ethanol (5 ml), followed with \M hydrogen sodium sulfate (40 ml) were added. After warming to rt, the organic layer was diluted with EA (100 ml). The two layers were separated and the aq. layer was extracted once with EA (100 ml). The combined organic layers were washed with brine and concentrated to dryness. The residue was chromatographed
(EA-H ex 1-2 then 1-1) to afford the title compound (4.75 g) as a yellowish solid.
1H NMR (CDCl3) δ: 10.32 (s, IH); 9.02 (d, J =2.9 Hz, IH); 8.75 (d, J= 2.9 Hz, IH); 8.31 (d, J= 8.3 Hz, IH); 8.02 (d, J= 7.1 Hz, IH); 7.72 (dd, J= 7.1, 8.3 Hz, IH); 4.02 (s, 3H). MS (ESI, m/z): 187.9 [M+H+].
l .v. 3-methoxy-5-vinyl-quinoline:
To a solution of triphenyl methyl phosphonium bromide (10 g) in THF (110 ml) was added //-BuLi (2.5 M, 2.6 ml) at -78°C. The mixture was stirred at the same temperature for 15 min and then 45 min at 00C. After cooling to -780C, a solution of 3-methoxy-quinoline-5-carbaldehyde (4.0 g) in THF (15 ml + 5 ml rinse) was quickly added. The resulting mixture was then stirred at rt for 90 min. The volatiles were removed under reduced pressure and the residue was loaded on a silica column and eluted (Hex-EA 4-1 then 1-1) to afford the title compound (3.7 g) as an oil. 1H NMR (CDCl3) δ: 8.72 (d, J = 2.8 Hz, IH); 8.03 (d, J= 8.3 Hz, IH); 7.67 (d, J= 7Hz, IH); 7.64 (d, J= 2.8 Hz, IH); 7.56 (dd, J= 7, 8.3 Hz, IH); 7.37 (dd, J= 10.9, 17.2 Hz, IH); 5.84 (dd, J = 1.4, 17.2 Hz, IH); 5.54 (dd, J = 1.4, 10.9 Hz, IH); 3.99 (s, 3H). MS (ESI, m/z): 186.1 [M+H+]
1.vi. (Ii?)- 1 -(3 -methoxy-quinolin-5-yl)-ethane- 1 ,2-diol:
To an ice-chilled solution of 3-methoxy-5-vinyl-quinoline (4.9 g) in 2-methyl- 2-propanol (130 ml) and water (130 ml) was added AD mix β (38 g). The solution was stirred at this temperature overnight. Sodium metabisulfite (42 g) was added portion wise. After stirring further 30 min, the two layers were separated. The aq. layer was extracted twice with EA (2 x 200 ml). The combined organic phases were washed with brine and dried over sodium sulfate. After filtration and evaporation to dryness, the residue was purified over silica gel (EA-MeOH 19-1) to afford the title diol compound (5.2 g) as a white foam.
MS (ESI, m/z): 220.5 [M+H+]
l.vii. (2i?)-toluene-4-sulfonic acid 2-hydroxy-2-(3-methoxy-quinolin-5-yl)-ethyl ester:
To a mixture of (li?)-l-(3-methoxy-quinolin-5-yl)-ethane-l,2-diol (3.0 g) in DCM (65 ml) were added TEA (3.8 ml) and DMAP (1.67 g). The resulting mixture was then cooled to -780C and jc-toluene sulfonyl chloride (2.60 g) was added in one
portion. The reaction was then stored in a fridge at -30°C for 12 h. The solution was warmed up to rt and saturated sodium bicarbonate (50 ml) was added. The two layers were separated and the organic layer was evaporated to dryness. The residue was purified over silica gel (EA-H ex 1-2 then 2-1) to afford the title compound (3.1 g) as a white solid.
MS (ESI, m/z): 374.6 [M+H+]
1.viii. 3-methoxy-5-[(2i?)-oxiran-2-yl]quinoline:
To a solution of (2i?)-toluene-4-sulfonic acid 2-hydroxy-2-(3-methoxy-quinolin-5-yl)- ethyl ester (3.Ig) in MeOH (100 ml) was added potassium carbonate (2 g). The reaction was stirred at rt for 1 h. Water (100 ml) was added and the volatiles were removed in vacuo. The residue was extracted three times with EA (3 x 100 ml). The combined extracts were washed with brine and dried over sodium sulfate. After filtration and evaporation to dryness, the residue was chromatographed (EA-H ex 1-1) to afford the title epoxide as a solid (1.6 g) of 96-98% enantiomeric excess. The enantiomeric excess was measured by chiral HPLC on Chiralcel OD (detection at 254 ran) using a THF -H ex mixture (3-7). The major enantiomer eluted after 13.0 min and the minor one after 14.1 min.
1U NMR (CDCl3) δ: 8.72 (d, J= 2.9 Hz, IH); 8.02 (dd, J= 2, 7.2 Hz, IH); 7.68 (d, J= 2.9 Hz, IH); 7.51 (m, 2H); 4.40 (dd, J= 2.7, 3.7 Hz, IH); 4.00 (s, 3H); 3.31 (dd, J= 3.7, 5.6 Hz, IH); 2.91 (dd, J= 2.7, 5.6 Hz, IH). MS (ESI, m/z): 202.2 [M+H+].
Alternatively:
To a solution of (li?)-l-(3-methoxy-quinolin-5-yl)-ethane-l,2-diol (2 g, 9.12 mmol) in DCM (30 ml) were added />αrα-toluenesulfonic acid (0.04 g) and triethylorthoacetate (1.92 ml, 10.49 mmol). The solution was stirred at room temperature for 20 min under sonication. The solvent was removed under reduced pressure and the residue was taken up in DCM (30 ml) and MeOH (0.1 ml). Chlorotrimethylsilane (1.63 ml, 12.77 mmol) was added and the reaction was stirred 10 minutes at room temperature. The volatiles were removed under reduced pressure and the residue was taken up in MeOH (30 ml) and potassium carbonate (2.5 g, 18.3 mmol) was added. The mixture was stirred at room temperature for 20 min. The reaction mixture was concentrated to dryness. The residue was partitioned between water (50 ml) and EA (100 ml). The
aqueous layer was further extracted with EA (10OmL) and the combined organic layers were washed with brine and dried over sodium sulfate. After filtration through a pad of silica gel, the residue was found identical to all respects to an authentic sample. 1.ix. { 1 -[(2i?)-2-hydroxy-2-(3-methoxy-quinolin-5-yl)-ethyl]-piperidin-4-yl}- carbamic acid benzyl ester:
To a solution of 3-methoxy-5-[(2i?)-oxiran-2-yl]quinoline (1.6 g, 7.95 mmol) and piperidin-4-yl-carbamic acid benzyl ester (1.77 g, 7.54 mmol) in DMF (15 ml) were added potassium carbonate (1.54 g, 11.13 mmol) and lithium perchlorate (0.99 g, 8.35 mmol). The reaction mixture was stirred at 80°C overnight. The solids were filtered off and the filtrate was concentrated to dryness. The residue was purified by chromatography (DCM-MeOH 19-1) to afford the title alcohol (1.5 g, 3.56 mmol) as a yellow oil. MS (ESI, m/z): 436.4[M+H+].
1.x. (2i?)-2-(4-amino-piperidin-l-yl)-l-(3-methoxy-quinolin-5-yl)-ethanol:
To a solution of {l-[(2i?)-2-hydroxy-2-(3-methoxy-quinolin-5-yl)-ethyl]-piperidin- 4-yl}-carbamic acid benzyl ester (1.52 g, 3.49 mmol) in EA (50 ml) was added 10% palladium on charcoal (1.5 g). The reaction was stirred under hydrogen atmosphere (1 atm) for one hour. The catalyst was removed by filtration and the filtrate was concentrated to dryness to afford the title amine as a colourless gum (0.7 g, 2.32 mmol). MS (ESI, m/z): 302.1 [M+H+].
1.xi. Title product:
To a solution of (2i?)-2-(4-amino-piperidin-l-yl)-l-(3-methoxy-quinolin-5-yl)- ethanol. (0.1 g, 0.33 mmol) in MeOH (2 ml) and 1 ,2-dichloroethane (6 ml) were added 3A molecular sieves (2 g) and 3-oxo-3,4-dihydro-2H-benzo[l,4]oxazine-
6-carbaldehyde (prepared according to WO 03/064421, 0.065 g, 0.36 mmol). The reaction mixture was heated at 50°C overnight. After cooling to rt, sodium borohydride (0.1 g) was added and the reaction proceeded for two hours. The reaction mixture was filtered through Ηydromatrix , previously treated with sodium bicarbonate (6 ml). The filtrate was concentrated to dryness. The filtrate was purified
over silica gel (DCM-MeOH 19-1 with 1% aq. ammonium hydroxide) to afford the title compound (0.081 g, 0.17 mmol) as a white foam.
1H NMR (CDCl3) δ: 10.86 (s, IH); 8.67 (d, J= 2.8 Hz, IH); 7.88 (d, J= 7.9 Hz, IH); 7.84 (d, J= 2.8 Hz, IH); 7.70 (d, J = 7.3 Hz, 2H); 7.58 (dd, J= 7.3, 8.2 Hz, IH); 7.06-6.97 (m, 3H); 5.52 (m, IH); 5.16 (br. s, IH); 4.59 (s, 2H); 4.02 (s, 2H); 3.97 (s, 3H); 3.24 (m, 2H), 2.96 (m, IH); 2.76 (m, 2H); 2.36 (m, 2H), 2.05 (m, 2H), 1.65 (m, 2H). MS (ESI, m/z): 463.5 [M+H+]
Example 2: 7-fluoro-6-({(2R)-l-[2-hydroxy-2-(3-methoxy-quinolin-5-yl)-ethyl]- piperidin-4-ylamino}-methyl)-4H-benzo[l,4]thiazin-3-one:
Starting from (2i?)-2-(4-amino-piperidin- 1 -yl)- 1 -(3-methoxy-quinolin-5-yl)-ethanol (0.1 g, 0.33 mmol) and 7-fluoro-3-oxo-3,4-dihydro-2H-benzo[l,4]thiazine- 6-carbaldehyde (prepared according to WO 03/064421, 0.077 g, 0.36 mmol), and using the procedure described in Example 1 (step 1.xi), the title product (0.068 g, 0.13 mmol) was obtained as a yellow solid after purification over silica gel using DCM-MeOH 19-1 containing 1% aq. ammonium hydroxide as an eluent. MS (ESI, m/z): 497.5 [M+Η+].
Example 3: 6-({(2R)-l-[2-hydroxy-2-(3-methoxy-quinolin-5-yl)-ethyl]-piperidin- 4-ylamino}-methyl)-4H-pyrido[3,2-b][l,4]thiazin-3-one: Starting from (2i?)-2-(4-amino-piperidin-l-yl)-l-(3-methoxy-quinolin-5-yl)-ethanol (0.1 g, 0.33 mmol) and 3-oxo-3,4-dihydro-2H-pyrido[3,2-£][l,4]thiazine- 6-carbaldehyde (prepared according to WO 03/064421, 0.068 g, 0.35 mmol), and using the procedure described in Example 1 (step l.xi), the title product (0.073 g, 0.15 mmol) was obtained as a white foam after purification over silica gel using DCM-MeOH 19-1 containing 1% aq. ammonium hydroxide as an eluent. MS (ESI, m/z): 480.4 [M+H+]
Example 4: 6-({(2i?)-l-[hydroxy-2-(3-methoxy-quinolin-5-yl)-ethyl]-piperidin- 4-ylamino}-methyl)-4H-pyrido[3,2-b][l,4]oxazin-3-one:
Starting from (2i?)-2-(4-amino-piperidin-l -yl)- 1 -(3-methoxy-quinolin-5-yl)-ethanol (O.lg) and 3-oxo-3,4-dihydro-2i/-pyrido[3,2-ό][l,4]oxazine-6-carbaldehyde (prepared
according to WO 03/064421, 0.062 g, 0.34 mmol), and using the procedure described in Example 1 (step l .xi), the title product (0.062 g, 0.13 mmol) was obtained as a white foam after purification over silica gel using DCM-MeOH 19-1 containing 1% aq. ammonium hydroxide as an eluent. MS (ESI, m/z): 464.4 [M+H+].
Example 5: 3-oxo-3,4-dihydro-2H-pyrido[3,2-b] [l,4]thiazine-6-carboxylic acid {(2R)-l-[2-hydroxy-2-(3-methoxy-quinolin-5-yl)-ethyl]-piperidin-4-yl}-amide
To a mixture of (2i?)-2-(4-amino-piperidin-l-yl)-l-(3-methoxy-quinolin-5-yl)-ethanol (0.1 g, 0.33 mmol) and 3-oxo-3,4-dihydro-2H-pyrido[3,2-δ][l,4]thiazine-6-carboxylic acid (prepared according to the procedure described in WO 03/064421, 0.077 g, 0.37 mmol) in DMF (2 ml) and DCM (2 ml) were added DIPEA (0.173 ml, 1 mmol) and HATU (0.151 g, 0.4 mmol). The reaction mixture was stirred overnight at room temperature and then concentrated to dryness. The residue was purified by chromatography over silica gel (DCM-MeOH 19-1 containing 1% aq. ammonium hydroxide) to afford the title amide (0.034 g, 21% yield) as a white foam.
1H NMR (CDCl3) δ: 11.01 (s, IH); 8.66 (d, J = 2.8 Hz, IH); 8.01 (d, J= 8.2 Hz, IH);
7.95 (d, J = 7.9 Hz, IH); 7.86 (m, 2H); 7.70 (d, J = 6.6 Hz, IH); 7.58 (m, 2H); 5.45 (m, IH); 5.32 (d, J= 3.9 Hz, IH); 3.96 (s, 3H); 3.77 (m, IH); 3.64 (s, 2H);
2.96 (m, 2H); 2.66 (m, 2H); 2.30 (q, J= 9.3 Hz, 2H); 1.84 (m, 2H); 1.50 (m, 2H). MS (ESI, m/z): 494.0 [M+H+].
Example 6: 6-(c/s-{3-fluoro-l-[(2Λ)-2-hydroxy-2-(3-methoxy-quinolin-5-yl)- ethyl]-piperidin-4-ylamino}-methyl)-4H-pyrido[3,2-b][l,4]thiazin-3-one
6.i. cz5-4-amino-3-fluoro-piperidine-l-carboxylic acid tert-bvXy\ ester
To a solution of cw-4-benzylamino-3-fluoro-piperidine-l-carboxylic acid tert-butyl ester (prepared as described in J. Med. Chem. (1999), 42, 2087, 11.22 g, 36.38 mmol) in MeOH (200 ml) was added palladium hydroxide on charcoal (20%, 5.5 g). The mixture was stirred under hydrogen atmosphere for one hour. The reaction mixture was diluted with EA (300 ml) and the catalyst was removed by filtration. The filtrate was concentrated to dryness to afford the title amine (7.77 g, 97.8% yield) as a greenish oil.
6.ii. cz^-Benzyloxycarbonylamino-S-fluoro-piperidine-l-carboxylic acid tert-butyl ester
To a solution of cw-4-amino-3-fluoro-piperidine-l-carboxylic acid tert-butyl ester (7.77 g, 35.59 mmol) in EA (140 ml) were added a saturated solution of sodium bicarbonate (140 ml) and benzylchloroformate (5.5 ml, 39.07 mmol). The mixture was vigorously stirred at rt for one hour, and the two layers were separated. The aqueous layer was extracted twice with EA (2 x 250 ml). The combined organic layers were washed with brine, dried over sodium sulfate, filtered and concentrated to dryness. The crude product was carried on without further purification. MS (ESI, m/z): 353.4 [M+H+].
6.iii. c/s-(3~Fluoro-piperidin~4-yl)-carbamic acid benzyl ester
A solution of cώ-4-benzyloxycarbonylamino-3-fluoro-piperidine-l-carboxylic acid tert-butyl ester (35.59 mmol) in TFA (30 ml) was stirred at rt for 30 min. The volatiles were removed under reduced pressure and the residue was partitioned between DCM-MeOH (9-1, 300 ml) and 0.5 M NaOH (200 ml). The aqueous layer was extracted three times with the same mixture. The combined organic layers were washed with brine, dried over sodium sulfate, filtered and concentrated to dryness. The residue was chromato graphed (DCM-MeOH 9-1 containing 1% aq. ammonium hydroxide) to afford the title piperidine (4.64 g) as a white solid. MS (ESI, m/z): 253.3 [M+H+].
6.iv. cώ-{3-Fluoro-l-[(2/?)-2-hydroxy-2-(3-methoxy-quinolin-5-yl)-ethyl]-piperidin- 4-yl}-carbamic acid benzyl ester
A solution of cώ-(3-fluoro-piperidin-4-yl)-carbamic acid benzyl ester (1.57 g, 7.08 mmol) and 3-methoxy-5-[(2i?)-oxiran-2-yl]quinoline (1.98 g, 7.08 mmol) in DMF (20 ml) containing potassium carbonate (1.38 g, 9.36 mmol) and lithium perchl orate (0.87 g, 8.2 mmol) was heated at 80°C overnight. The solvent was removed under reduced pressure and the residue was partitioned between water (100 ml) and EA (100 ml). The aqueous layer was further extracted once with EA (100 ml) and the combined extracts were washed with brine, dried over sodium sulfate, filtered and concentrated in vacuo. The residue was chromatographed (DCM-
MeOH 97-3) to afford the title product (1.8 g, 51% yield) as 2-1 mixture of regioisomers.
MS (ESI, m/z): 454.4 [M+H+].
6.v. 2-(2i?)-(cώ-4-Amino-3-fluoro-piperidin-l-yl)-l-(3-methoxy-quinolin-5-yl)- ethanol
To a solution of c/5r-{3-fluoro-l-[(2i?)-2-hydroxy-2-(3-methoxy-quinolin-5-yl)-ethyl]- piperidin-4-yl}-carbamic acid benzyl ester (1.8 g, 3.97 mmol) in EA (100 ml) was added 10% Pd-C (1.55 g). The reaction mixture was stirred under hydrogen atmosphere for 4 hours. The catalyst was removed by filtration and the solvent was removed under reduced pressure. The residue was purified by chromatography (DCM-MeOH 6-1 containing 1% aq. ammonium hydroxide) to afford the title compound (0.95 g, 74% yield) as a colorless foam. A 2-1 mixture of regioisomers was obtained. MS (ESI, m/z): 320.3 [M+H+].
6. vi. Title compound
Starting from 2-(2i?)-(cw-4-amino-3-fluoro-piperidin-l-yl)-l-(3-methoxy-quinolin- 5-yl)-ethanol (0.1 g) and 3-oxo-3,4-dihydro-2H-ρyrido[3,2-£][l,4]thiazine- 6-carbaldehyde (0.067 g, 0.34 mmol), and using the procedure described in Example 1 (step l.xi), the title product (0.015 g, 0.13 mmol) was obtained as a white solid after purification over silica gel using DCM-MeOH 19-1 containing 1% aq. ammonium hydroxide as an eluent. The material contained 33% of the regioisomer. MS (ESI, m/z): 498.3 [M+H+].
BIOLOGICAL ASSAYS
In vitro assays
Experimental method:
These assays have been performed following the description given in "Methods for dilution Antimicrobial Susceptibility Tests for Bacteria that Grow Aerobically, 4th ed.; Approved standard: NCCLS Document M7-A4; National Committee for Clinical Laboratory Standards: Villanova, PA, USA, 1997". Minimal inhibitory concentrations
(MICs; mg/1) were determined in cation-adjusted Mueller-Hmton Broth (BBL) by a microdilution method following NCCLS guidelines (National Committee for Clinical Laboratory Standards. Methods for Dilution Antimicrobial Susceptibility). The pH of the test medium was 7.2-7.3.
Results:
All Examples were tested against several Gram positive and Gram negative bacteria. Typical antibacterial spectra are given in the table below (MIC in mg/1)
F.fa = E. faecalis, E. fm = E faecium, S p = S. pneumoniae, H infl = H influenzae, M cat = M catharralis, P. Aer = P. aeruginosa.
Compared to the known compounds, the quinolinyl aminoalcohols of formula I present a better antibacterial activity, especially against resistant strains. The compounds predominantly have MIC values of <= 1 mg/1 against S. aureus A793, S. aureus 29213, S. pneumoniae 49619, M. catharralis A894 and E. coli 25922.
Claims
1. A compound selected from the group consisting of a compound of the formula I
I wherein
R1 represents alkyl, alkoxy, halogen or cyano R2 represents hydrogen or halogen R3 represents hydrogen or halogen one of the symbols W1 and W2 represents CH and the other represents CH or N U represents oxygen or sulphur V represents CO or CH2 and an optically pure enantiomer, a mixture of enantiomers, a racemate, an optically pure diastereoisomer, a mixture of diastereoisomers, a diastereoisomeric racemate, a mixture of diastereoisomeric racemates, a meso form, a salt, a solvent complex or a morphological form thereof.
2. A compound according to claim 1, wherein R1 represents Ci-C3 alkoxy.
3. A compound according to claim 1, wherein R represents hydrogen.
4. A compound according to claim 1 , wherein R3 represents hydrogen.
5. A compound according to claim 1, wherein W1 represents CH or N and W2 represents CH.
6. A compound according to claim 1 , wherein U represents oxygen.
7. A compound according to claim 1 , wherein U represents sulphur.
8. A compound according to claim 1 , wherein V represents CH2.
9. A compound according to claim 1, wherein R1 represents Ci-C3 alkoxy, R2 represents hydrogen, R3 represents hydrogen, W1 represents CH or N, W2 represents
CH and V represents CH2.
10. A compound according to claim 1, which is selected from the group consisting of
• 6-( {(2R)- 1 -[2-hydroxy-2-(3-methoxy-quinolin-5-yl)-ethyl]-piperidin-4-ylamino } - methyl)-4//-benzo[ 1 ,4]oxazin-3-one; • 7-fluoro-6-({(27?)-l-[2-hydroxy-2-(3-methoxy-quinolin-5-yl)-ethyl]-piperidin- 4-ylamino } -methyl)-4H-benzo [ 1 ,4]thiazin-3 -one;
• 6-({(2i?)-l-[2-hydroxy-2-(3-methoxy-quinolin-5-yl)-ethyl]-piperidin-4-ylamino}- methyl)-4H-pyrido[3 ,2-b] [ 1 ,4]thiazin-3-one;
• 6-({(2i?)-l-[hydroxy-2-(3-methoxy-quinolin-5-yl)-ethyl]-piperidin-4-ylamino}- methyl)-4//-ρyrido[3,2-£][l ,4]oxazin-3-one;
• 3-oxo-3,4-dihydro-2//-pyrido[3,2-&][l,4]thiazine-6-carboxylic acid {(2i?)l-[2- hydroxy-2-(3-methoxy-quinolin-5-yl)-ethyl]-piperidin-4-yl}-amide;
• 6-(cis-{3-fluoro-l-[(2i?)-2-hydroxy-2-(3-methoxy-quinolm-5-yl)-ethyl]-piperidin- 4-ylammo}-methyl)-4H-pyrido[3,2-o][l,4]thiazin-3-one; and their pharmaceutically acceptable acid addition salts.
11. As a medicament, a compound according to any of claims 1 to 10 for use as medicament.
12. A pharmaceutical composition containing at least one compound according to any of the claims 1 to 10 and a pharmaceutically acceptable carrier, diluent or excipient.
13. Use of a compound according to any of claims 1 to 10 for the manufacture of a medicament for the treatment of infection(s).
Priority Applications (1)
| Application Number | Priority Date | Filing Date | Title |
|---|---|---|---|
| PCT/EP2005/003154 WO2006099884A1 (en) | 2005-03-24 | 2005-03-24 | Beta-aminoalcohol antibiotics |
Applications Claiming Priority (1)
| Application Number | Priority Date | Filing Date | Title |
|---|---|---|---|
| PCT/EP2005/003154 WO2006099884A1 (en) | 2005-03-24 | 2005-03-24 | Beta-aminoalcohol antibiotics |
Publications (1)
| Publication Number | Publication Date |
|---|---|
| WO2006099884A1 true WO2006099884A1 (en) | 2006-09-28 |
Family
ID=35159704
Family Applications (1)
| Application Number | Title | Priority Date | Filing Date |
|---|---|---|---|
| PCT/EP2005/003154 Ceased WO2006099884A1 (en) | 2005-03-24 | 2005-03-24 | Beta-aminoalcohol antibiotics |
Country Status (1)
| Country | Link |
|---|---|
| WO (1) | WO2006099884A1 (en) |
Cited By (16)
| Publication number | Priority date | Publication date | Assignee | Title |
|---|---|---|---|---|
| WO2007042325A1 (en) * | 2005-10-13 | 2007-04-19 | Morphochem Aktiengesellschaft für kombinatorische Chemie | Antibacterial active 5-chinolin derivative |
| WO2007115947A1 (en) | 2006-04-06 | 2007-10-18 | Glaxo Group Limited | Pyrrolo-quinoxalinone derivatives as antibacterials |
| EP2005995A1 (en) * | 2007-06-22 | 2008-12-24 | Glaxo Group Limited | Heterocyclic compounds for the treatment of tuberculosis |
| EP2080761A1 (en) | 2008-01-18 | 2009-07-22 | Glaxo Group Limited | Compounds |
| WO2010043714A1 (en) | 2008-10-17 | 2010-04-22 | Glaxo Group Limited | Tricyclic nitrogen compounds used as antibacterials |
| WO2010081874A1 (en) | 2009-01-15 | 2010-07-22 | Glaxo Group Limited | Naphthyridin-2 (1 h)-one compounds useful as antibacterials |
| WO2010084152A1 (en) | 2009-01-21 | 2010-07-29 | Basilea Pharmaceutica Ag | Novel bicyclic antibiotics |
| US7875715B2 (en) | 2005-06-16 | 2011-01-25 | Astrazeneca Ab | Compounds for the treatment of multi-drug resistant bacterial infections |
| US8389524B2 (en) | 2007-04-20 | 2013-03-05 | Glaxo Group Limited | Tricyclic nitrogen containing compounds as antibacterial agents |
| WO2016027249A1 (en) | 2014-08-22 | 2016-02-25 | Glaxosmithkline Intellectual Property Development Limited | Tricyclic nitrogen containing compounds for treating neisseria gonorrhoea infection |
| WO2019011200A1 (en) * | 2017-07-10 | 2019-01-17 | 江苏恒瑞医药股份有限公司 | Preparation method of pyridinecarboxamide derivative and intermediate thereof |
| US10675274B2 (en) | 2018-09-19 | 2020-06-09 | Forma Therapeutics, Inc. | Activating pyruvate kinase R |
| US10836771B2 (en) | 2017-03-20 | 2020-11-17 | Forma Therapeutics, Inc. | Compositions for activating pyruvate kinase |
| US11001588B2 (en) | 2018-09-19 | 2021-05-11 | Forma Therapeutics, Inc. | Activating pyruvate kinase R and mutants thereof |
| US12128035B2 (en) | 2021-03-19 | 2024-10-29 | Novo Nordisk Health Care Ag | Activating pyruvate kinase R |
| US12161634B2 (en) | 2019-09-19 | 2024-12-10 | Novo Nordisk Health Care Ag | Pyruvate kinase R (PKR) activating compositions |
Citations (2)
| Publication number | Priority date | Publication date | Assignee | Title |
|---|---|---|---|---|
| WO2004002490A2 (en) * | 2002-06-26 | 2004-01-08 | Glaxo Group Limited | Piperidine compounds as antibacterials |
| WO2004089947A2 (en) * | 2003-04-08 | 2004-10-21 | Morphochem Ag | Novel compounds having an antibacterial activity |
-
2005
- 2005-03-24 WO PCT/EP2005/003154 patent/WO2006099884A1/en not_active Ceased
Patent Citations (2)
| Publication number | Priority date | Publication date | Assignee | Title |
|---|---|---|---|---|
| WO2004002490A2 (en) * | 2002-06-26 | 2004-01-08 | Glaxo Group Limited | Piperidine compounds as antibacterials |
| WO2004089947A2 (en) * | 2003-04-08 | 2004-10-21 | Morphochem Ag | Novel compounds having an antibacterial activity |
Cited By (33)
| Publication number | Priority date | Publication date | Assignee | Title |
|---|---|---|---|---|
| US7875715B2 (en) | 2005-06-16 | 2011-01-25 | Astrazeneca Ab | Compounds for the treatment of multi-drug resistant bacterial infections |
| US8124602B2 (en) | 2005-06-16 | 2012-02-28 | Astrazeneca Ab | Compounds for the treatment of multi-drug resistant bacterial infections |
| WO2007042325A1 (en) * | 2005-10-13 | 2007-04-19 | Morphochem Aktiengesellschaft für kombinatorische Chemie | Antibacterial active 5-chinolin derivative |
| WO2007115947A1 (en) | 2006-04-06 | 2007-10-18 | Glaxo Group Limited | Pyrrolo-quinoxalinone derivatives as antibacterials |
| US8389524B2 (en) | 2007-04-20 | 2013-03-05 | Glaxo Group Limited | Tricyclic nitrogen containing compounds as antibacterial agents |
| EP2005995A1 (en) * | 2007-06-22 | 2008-12-24 | Glaxo Group Limited | Heterocyclic compounds for the treatment of tuberculosis |
| WO2009000745A1 (en) * | 2007-06-22 | 2008-12-31 | Glaxo Group Limited | Heterocyclic compounds for the treatment of tuberculosis |
| CN101778651A (en) * | 2007-06-22 | 2010-07-14 | 葛兰素集团有限公司 | Heterocyclic compounds for the treatment of tuberculosis |
| EP2080761A1 (en) | 2008-01-18 | 2009-07-22 | Glaxo Group Limited | Compounds |
| WO2010043714A1 (en) | 2008-10-17 | 2010-04-22 | Glaxo Group Limited | Tricyclic nitrogen compounds used as antibacterials |
| WO2010081874A1 (en) | 2009-01-15 | 2010-07-22 | Glaxo Group Limited | Naphthyridin-2 (1 h)-one compounds useful as antibacterials |
| WO2010084152A1 (en) | 2009-01-21 | 2010-07-29 | Basilea Pharmaceutica Ag | Novel bicyclic antibiotics |
| US8716280B2 (en) | 2009-01-21 | 2014-05-06 | Basilea Pharmaceutica Ag | Bicyclic antibiotics |
| US8927542B2 (en) | 2009-01-21 | 2015-01-06 | Basilea Pharmaceutica Ag | Bicyclic antibiotics |
| US9133219B2 (en) | 2009-01-21 | 2015-09-15 | Basilea Pharmaceutica Ag | Bicyclic antibiotics |
| WO2016027249A1 (en) | 2014-08-22 | 2016-02-25 | Glaxosmithkline Intellectual Property Development Limited | Tricyclic nitrogen containing compounds for treating neisseria gonorrhoea infection |
| EP3639824A1 (en) | 2014-08-22 | 2020-04-22 | GlaxoSmithKline Intellectual Property Development Limited | Tricyclic nitrogen containing compounds for treating neisseria gonorrhoea infection |
| US11396513B2 (en) | 2017-03-20 | 2022-07-26 | Forma Therapeutics, Inc. | Compositions for activating pyruvate kinase |
| US12071440B2 (en) | 2017-03-20 | 2024-08-27 | Novo Nordisk Health Care Ag | Pyrrolopyrrole compositions as pyruvate kinase (PKR) activators |
| US10836771B2 (en) | 2017-03-20 | 2020-11-17 | Forma Therapeutics, Inc. | Compositions for activating pyruvate kinase |
| US11014927B2 (en) | 2017-03-20 | 2021-05-25 | Forma Therapeutics, Inc. | Pyrrolopyrrole compositions as pyruvate kinase (PKR) activators |
| US11649242B2 (en) | 2017-03-20 | 2023-05-16 | Forma Therapeutics, Inc. | Pyrrolopyrrole compositions as pyruvate kinase (PKR) activators |
| WO2019011200A1 (en) * | 2017-07-10 | 2019-01-17 | 江苏恒瑞医药股份有限公司 | Preparation method of pyridinecarboxamide derivative and intermediate thereof |
| CN109983008A (en) * | 2017-07-10 | 2019-07-05 | 江苏恒瑞医药股份有限公司 | A kind of preparation method of picolinamide derivatives and intermediate thereof |
| US11001588B2 (en) | 2018-09-19 | 2021-05-11 | Forma Therapeutics, Inc. | Activating pyruvate kinase R and mutants thereof |
| US11071725B2 (en) | 2018-09-19 | 2021-07-27 | Forma Therapeutics, Inc. | Activating pyruvate kinase R |
| US11844787B2 (en) | 2018-09-19 | 2023-12-19 | Novo Nordisk Health Care Ag | Activating pyruvate kinase R |
| US11980611B2 (en) | 2018-09-19 | 2024-05-14 | Novo Nordisk Health Care Ag | Treating sickle cell disease with a pyruvate kinase R activating compound |
| US12053458B2 (en) | 2018-09-19 | 2024-08-06 | Novo Nordisk Health Care Ag | Treating sickle cell disease with a pyruvate kinase R activating compound |
| US10675274B2 (en) | 2018-09-19 | 2020-06-09 | Forma Therapeutics, Inc. | Activating pyruvate kinase R |
| US12122778B2 (en) | 2018-09-19 | 2024-10-22 | Novo Nordisk Health Care Ag | Activating pyruvate kinase R |
| US12161634B2 (en) | 2019-09-19 | 2024-12-10 | Novo Nordisk Health Care Ag | Pyruvate kinase R (PKR) activating compositions |
| US12128035B2 (en) | 2021-03-19 | 2024-10-29 | Novo Nordisk Health Care Ag | Activating pyruvate kinase R |
Similar Documents
| Publication | Publication Date | Title |
|---|---|---|
| EP2144910B1 (en) | Oxazolidinone antibiotics | |
| CA2713187C (en) | Oxazolidinone derivatives | |
| EP2346862B1 (en) | 2-benzothiophenyl-and 2-naphthyl-0xaz0lidin0nes and their azaisostere analogues as antibacterial agents | |
| WO2006099884A1 (en) | Beta-aminoalcohol antibiotics | |
| CA2689102C (en) | 3-amino-6-(1-amino-ethyl)-tetrahydropyran derivatives | |
| EP2321307B1 (en) | Tricyclic alkylaminomethyloxazolidinone derivatives | |
| CA2744456C (en) | 5-amino-2-(1-hydroxy-ethyl)-tetrahydropyran derivatives | |
| CA2706837C (en) | 5-aminocyclylmethyl-oxazolidin-2-one derivatives | |
| AU2009302007B2 (en) | Oxazolidinyl antibiotics | |
| CA2720672A1 (en) | Tricyclic antibiotics | |
| AU2009215247B2 (en) | Oxazolidinone derivatives | |
| WO2009034546A2 (en) | Trans-decahydroisoquinoline derivatives |
Legal Events
| Date | Code | Title | Description |
|---|---|---|---|
| 121 | Ep: the epo has been informed by wipo that ep was designated in this application | ||
| NENP | Non-entry into the national phase |
Ref country code: DE |
|
| NENP | Non-entry into the national phase |
Ref country code: RU |
|
| WWW | Wipo information: withdrawn in national office |
Country of ref document: RU |
|
| 122 | Ep: pct application non-entry in european phase |
Ref document number: 05734888 Country of ref document: EP Kind code of ref document: A1 |
|
| WWW | Wipo information: withdrawn in national office |
Ref document number: 5734888 Country of ref document: EP |













