WO2006070619A1 - Organic electroluminescent device, display, and illuminating device - Google Patents
Organic electroluminescent device, display, and illuminating device Download PDFInfo
- Publication number
- WO2006070619A1 WO2006070619A1 PCT/JP2005/023115 JP2005023115W WO2006070619A1 WO 2006070619 A1 WO2006070619 A1 WO 2006070619A1 JP 2005023115 W JP2005023115 W JP 2005023115W WO 2006070619 A1 WO2006070619 A1 WO 2006070619A1
- Authority
- WO
- WIPO (PCT)
- Prior art keywords
- general formula
- organic
- represented
- group
- region
- Prior art date
- Legal status (The legal status is an assumption and is not a legal conclusion. Google has not performed a legal analysis and makes no representation as to the accuracy of the status listed.)
- Ceased
Links
Classifications
-
- H—ELECTRICITY
- H05—ELECTRIC TECHNIQUES NOT OTHERWISE PROVIDED FOR
- H05B—ELECTRIC HEATING; ELECTRIC LIGHT SOURCES NOT OTHERWISE PROVIDED FOR; CIRCUIT ARRANGEMENTS FOR ELECTRIC LIGHT SOURCES, IN GENERAL
- H05B33/00—Electroluminescent light sources
- H05B33/12—Light sources with substantially two-dimensional radiating surfaces
- H05B33/20—Light sources with substantially two-dimensional radiating surfaces characterised by the chemical or physical composition or the arrangement of the material in which the electroluminescent material is embedded
-
- H—ELECTRICITY
- H10—SEMICONDUCTOR DEVICES; ELECTRIC SOLID-STATE DEVICES NOT OTHERWISE PROVIDED FOR
- H10K—ORGANIC ELECTRIC SOLID-STATE DEVICES
- H10K50/00—Organic light-emitting devices
- H10K50/10—OLEDs or polymer light-emitting diodes [PLED]
- H10K50/11—OLEDs or polymer light-emitting diodes [PLED] characterised by the electroluminescent [EL] layers
-
- H—ELECTRICITY
- H10—SEMICONDUCTOR DEVICES; ELECTRIC SOLID-STATE DEVICES NOT OTHERWISE PROVIDED FOR
- H10K—ORGANIC ELECTRIC SOLID-STATE DEVICES
- H10K50/00—Organic light-emitting devices
- H10K50/10—OLEDs or polymer light-emitting diodes [PLED]
- H10K50/14—Carrier transporting layers
-
- C—CHEMISTRY; METALLURGY
- C09—DYES; PAINTS; POLISHES; NATURAL RESINS; ADHESIVES; COMPOSITIONS NOT OTHERWISE PROVIDED FOR; APPLICATIONS OF MATERIALS NOT OTHERWISE PROVIDED FOR
- C09K—MATERIALS FOR MISCELLANEOUS APPLICATIONS, NOT PROVIDED FOR ELSEWHERE
- C09K2211/00—Chemical nature of organic luminescent or tenebrescent compounds
- C09K2211/10—Non-macromolecular compounds
- C09K2211/1018—Heterocyclic compounds
- C09K2211/1022—Heterocyclic compounds bridged by heteroatoms, e.g. N, P, Si or B
-
- C—CHEMISTRY; METALLURGY
- C09—DYES; PAINTS; POLISHES; NATURAL RESINS; ADHESIVES; COMPOSITIONS NOT OTHERWISE PROVIDED FOR; APPLICATIONS OF MATERIALS NOT OTHERWISE PROVIDED FOR
- C09K—MATERIALS FOR MISCELLANEOUS APPLICATIONS, NOT PROVIDED FOR ELSEWHERE
- C09K2211/00—Chemical nature of organic luminescent or tenebrescent compounds
- C09K2211/10—Non-macromolecular compounds
- C09K2211/1018—Heterocyclic compounds
- C09K2211/1025—Heterocyclic compounds characterised by ligands
- C09K2211/1029—Heterocyclic compounds characterised by ligands containing one nitrogen atom as the heteroatom
-
- C—CHEMISTRY; METALLURGY
- C09—DYES; PAINTS; POLISHES; NATURAL RESINS; ADHESIVES; COMPOSITIONS NOT OTHERWISE PROVIDED FOR; APPLICATIONS OF MATERIALS NOT OTHERWISE PROVIDED FOR
- C09K—MATERIALS FOR MISCELLANEOUS APPLICATIONS, NOT PROVIDED FOR ELSEWHERE
- C09K2211/00—Chemical nature of organic luminescent or tenebrescent compounds
- C09K2211/10—Non-macromolecular compounds
- C09K2211/1018—Heterocyclic compounds
- C09K2211/1025—Heterocyclic compounds characterised by ligands
- C09K2211/1044—Heterocyclic compounds characterised by ligands containing two nitrogen atoms as heteroatoms
-
- C—CHEMISTRY; METALLURGY
- C09—DYES; PAINTS; POLISHES; NATURAL RESINS; ADHESIVES; COMPOSITIONS NOT OTHERWISE PROVIDED FOR; APPLICATIONS OF MATERIALS NOT OTHERWISE PROVIDED FOR
- C09K—MATERIALS FOR MISCELLANEOUS APPLICATIONS, NOT PROVIDED FOR ELSEWHERE
- C09K2211/00—Chemical nature of organic luminescent or tenebrescent compounds
- C09K2211/10—Non-macromolecular compounds
- C09K2211/1018—Heterocyclic compounds
- C09K2211/1025—Heterocyclic compounds characterised by ligands
- C09K2211/1092—Heterocyclic compounds characterised by ligands containing sulfur as the only heteroatom
-
- C—CHEMISTRY; METALLURGY
- C09—DYES; PAINTS; POLISHES; NATURAL RESINS; ADHESIVES; COMPOSITIONS NOT OTHERWISE PROVIDED FOR; APPLICATIONS OF MATERIALS NOT OTHERWISE PROVIDED FOR
- C09K—MATERIALS FOR MISCELLANEOUS APPLICATIONS, NOT PROVIDED FOR ELSEWHERE
- C09K2211/00—Chemical nature of organic luminescent or tenebrescent compounds
- C09K2211/18—Metal complexes
- C09K2211/185—Metal complexes of the platinum group, i.e. Os, Ir, Pt, Ru, Rh or Pd
Definitions
- Organic electoluminescence device display device and lighting device
- the present invention relates to an organic electoluminescence element, a display device, and a lighting device.
- ELD electoric luminescence display
- organic EL devices organic electroluminescence devices
- Inorganic electoluminescent elements have been used as planar light sources, but an AC high voltage is required to drive the light emitting elements.
- an organic EL device has a structure in which a light emitting layer containing a compound that emits light is sandwiched between a cathode and an anode. By injecting electrons and holes into the light emitting layer and recombining them, excitons are obtained.
- This is an element that emits light using the emission of light (fluorescence 'phosphorescence) when this exciton is deactivated, and can emit light at a voltage of several volts to several tens of volts.
- fluorescence 'phosphorescence the emission of light
- it since it is a self-luminous type, it has a wide viewing angle, and since it is a thin-film type complete solid-state device with high visibility, it is attracting attention from the viewpoints of space saving and portability.
- organic EL elements that emit light efficiently and with high brightness with lower power consumption are desired.
- stilbene derivatives distyryl Technology that improves light emission luminance and extends device lifetime by doping a small amount of phosphor into an arylene derivative or tristyrylarylene derivative (see, for example, Patent Document 1), 8-hydroxyquinoline aluminum complex A compound having an organic light emitting layer doped with a small amount of a phosphor (see, for example, Patent Document 2), and a 8-hydroxyquinoline aluminum complex as a host compound, and a quinacridone dye A device having an organic light emitting layer doped with (see, for example, Patent Document 3) is known.
- the limit for (77 ext) is 5%.
- the upper limit of internal quantum efficiency is 100 when excited triplets are used. Because of / o, the luminous efficiency is S4 times in principle compared to the case of the excited singlet, and the performance is almost the same as that of a cold cathode tube, which can be applied to lighting and is attracting attention.
- Non-Patent Document 3 many compounds have been studied focusing on heavy metal complexes such as iridium complexes (for example, see Non-Patent Document 3), and studies using tris (2-phenylpyridine) iridium as a dopant, etc. (For example, see Non-Patent Document 2).
- L Ir (acac) as a dopant for example (ppy) Ir (acac) (for example, non-patent document)
- a hole transporting compound is used as a host of a phosphorescent compound (see, for example, Non-Patent Document 6), and various electron transporting materials are used.
- these are doped with a novel iridium complex (for example, see Non-Patent Document 4).
- high luminous efficiency is obtained by introducing a hole blocking layer (see, for example, Non-Patent Document 5).
- an organic electoluminescence device composed of an electron transport layer doped with a donor and a hole blocking layer that efficiently confine holes, or an electron that efficiently confines electrons and an electron transport layer doped with an acceptor
- An organic electroluminescence device with a blocking layer force has been proposed, and organic electroluminescence with a high electro-optical characteristic and higher luminous efficiency is proposed.
- a minence element has been obtained (for example, see Patent Document 7).
- high-efficiency devices generally have high efficiency by stacking materials having different performance such as hole transport performance, electron transport performance, and light emission performance, and separating the functions from each layer. Is realized.
- stacking organic layers creates a carrier injection barrier at the interface between the organic and organic layers, making it easier for the drive voltage to rise. There are problems such as being easily invited.
- the film (layer) has poor adhesion at the interface between layers containing different materials, so that the film peels off or impurities enter and the material is easily crystallized at the interface. There are points, and these are major factors for deterioration of the lifetime of the device.
- a technique of providing a mixed organic layer including a component that transports holes, a component that transports electrons, and a component that segregates holes between a cathode and an anode see, for example, Patent Document 9.
- the component that transports holes and the component that separates holes are mixed, the hole blocking becomes insufficient and the region where the dopant exists is widened.
- the improvement is insufficient, and furthermore, it is necessary to deposit a plurality of types of materials at the same time.
- a hole transporting mixed layer made of a hole injecting material and a hole transporting material, a bipolar mixed layer made of a hole transporting material and an electron transporting material, or an electron
- a technology having an electron transporting mixed layer that serves as a transport material and an electron injection material is disclosed (for example, see Patent Document 10)
- all of them do not sufficiently relax the energy barrier generated at the interface of the laminated structure.
- Patent Document 1 Patent No. 3093796
- Patent Document 2 JP-A 63-264692
- Patent Document 3 Japanese Patent Application Laid-Open No. 3-255190
- Patent Document 4 US Patent No. 6,097,147
- Patent Document 5 Japanese Patent Laid-Open No. 4-297076
- Patent Document 6 Japanese Patent Laid-Open No. 2001-244079
- Patent Document 7 Japanese Unexamined Patent Publication No. 2000-196140
- Patent Document 8 Japanese Unexamined Patent Application Publication No. 2004-253315
- Patent Document 9 Japanese Unexamined Patent Application Publication No. 2004-273197
- Patent Document 10 Japanese Unexamined Patent Application Publication No. 2002-313583
- Non-patent document 1 M. A. Baldo et al., Nature, 395 ⁇ , 151–154 (1998)
- Non-patent document 2 M. A. Baldo et al., Nature, 403 ⁇ , 17, 750-753 (2000)
- Non-Patent Document 3 S. Lamansky et al., J. Am. Chem. Soc., 123 ⁇ , 4304 (2001)
- Non-Patent Document 4 ME Tompson et al., The 10th International Workshopon Inorganic and Organic Electroluminescence (EL '00, Hamamatsu)
- Non-Patent Document 5 Moon— Jae Youn. Og, Tetsuo Tsutsuiet al., The 10th International Workshop on Inorganic and Organic Electrolumine scene e (EL, 00, Hamamatsu)
- Non-Patent Document 6 Ikai et al., The 10th International Workshop on Inorganic and Organic Electroluminescence (EL'00, Hamamatsu)
- An object of the present invention is to provide an organic EL element, an illumination device, and a display device having a structure with excellent electro-optical characteristics having a high luminous efficiency and a low voltage of the element by reducing the resistance of the organic layer. Furthermore, it is to provide an organic EL element, a lighting device and a display device having a long light emission lifetime.
- One aspect of the present invention for achieving the above object is that there are at least between the anode and the cathode. Both have a single layer A containing one common host material, and the single layer A emits light containing a hole transport region containing at least one kind of hole transport material and at least one light emitting dopant.
- the hole transporting region and the light emitting region do not have a region overlapping each other, and the entire region of the single layer A contains 0.1% by mass or more of the common host material.
- the organic electroluminescence device is characterized in that the content of the common host material is approximately constant in each region.
- FIG. 1 is a schematic view showing an example of a display device composed of organic EL elements.
- FIG. 2 is a schematic diagram of a display unit.
- FIG. 3 is a schematic diagram of a pixel.
- FIG. 4 is a schematic diagram of a passive matrix type full-color display device.
- FIG. 5 is a schematic view of a lighting device.
- FIG. 6 is a cross-sectional view of the lighting device.
- FIG. 7 is a schematic diagram showing an example of a configuration example of a single layer A of the element.
- FIG. 8 is a schematic view showing an example of a vapor deposition apparatus used for forming a single layer A of the element.
- FIG. 9 is a schematic view showing an example of an organic EL device having a single layer A having a plurality of light emitting regions and a plurality of undoped regions.
- Hole transport including a single layer A containing at least one common host material between the anode and the cathode, and the single layer A contains at least one hole transport material And a light-emitting region containing at least one kind of light-emitting dopant, the hole transport region and the light-emitting region do not have a region overlapping each other, and the entire region of the single layer A has the 1.
- An organic electoluminescence device comprising a common host material in an amount of 0.1% by mass or more, wherein the content of the common host material is substantially constant in each region.
- An electron injection layer is provided between the cathode and the single layer A, and the electron injection layer is made of a material A different from the electron transport material included in the electron transport region of the single layer A.
- the organic-electric-mouth luminescence element characterized by including.
- the organic electoluminescence device wherein at least one of the luminescent dopants is a phosphorescent compound.
- the organic electoluminescence device wherein the hole transport region contains a common host material in an amount of 0.1% by mass to 10% by mass.
- the organic electoluminescence device wherein the electron transport region contains a common host material in an amount of 0.1% by mass to 10% by mass.
- the organic electoluminescence device wherein the hole injection region contains a common host material in an amount of 0.1 mass% to 99, 9 mass%.
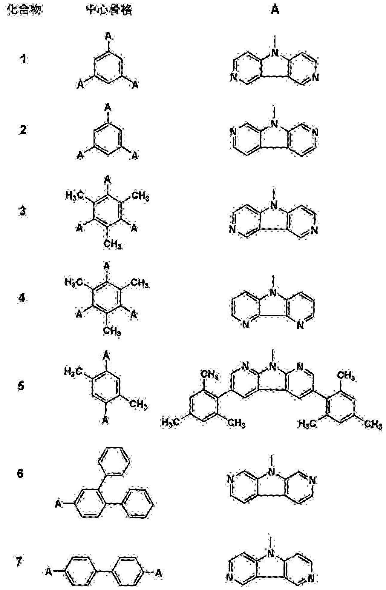
- T1 ⁇ T2 The organic electoluminescence device, wherein at least one of the common host materials is a compound represented by the following general formula (1).
- Z represents an aromatic heterocyclic ring which may have a substituent, and each Z has a substituent.
- 1 2 represents an aromatic heterocycle or aromatic hydrocarbon ring that may be substituted, and Z represents a divalent linking group.
- R represents a hydrogen atom or a substituent.
- each RR independently represents a hydrogen atom or a substituent
- R R each independently represents a hydrogen atom or a substituent
- R R each independently represents a hydrogen atom or a substituent
- R R each independently represents a hydrogen atom or a substituent
- R R each independently represents a hydrogen atom or a substituent
- R R each independently represents a hydrogen atom or a substituent
- R 1 to R 4 each independently represents a hydrogen atom or a substituent
- R 1 to R 4 each independently represents a hydrogen atom or a substituent
- R 1 to R 4 each represents a hydrogen atom or a substituent, and the substituents may be the same or
- R 1 to R 4 each represent a hydrogen atom or a substituent, and the substituents may be the same or
- the compound represented by the general formula (1) has at least one group represented by any one of the following general formulas (2— :! to (2-10):
- the organic electoluminum luminescence element has at least one group represented by any one of the following general formulas (2— :! to (2-10):
- the organic electoluminum luminescence element has at least one group represented by any one of the following general formulas (2— :!) to (2-10):
- the organic electoluminum luminescence element is any one of the following general formulas (2— :! to (2-10):
- R 1 -R 1 each independently represents a hydrogen atom or a substituent, and the substituents may be the same or different.
- R 1 to R 4 each independently represents a hydrogen atom or a substituent
- At least one represents at least one group selected from the groups represented by formulas (2 ::!) To (2-10). ]
- R 1 to R 4 each independently represents a hydrogen atom or a substituent
- At least one represents at least one group selected from the groups represented by the general formulas (2- :!) to (2-10). ]
- At least one represents at least one group selected from the groups represented by formulas (2— :!) to (2-10). ]
- R 1 to R 4 each independently represents a hydrogen atom or a substituent
- At least one represents at least one group selected from the groups represented by formulas (2— :!) to (2-10). ]
- each of R 1 to R 4 independently represents a hydrogen atom or a substituent, At least one represents at least one group selected from the groups represented by formulas (2— :! to (2-10).
- na represents an integer from 0 to 5
- nb represents an integer from 1 to 6, and na and nb are 6.
- each of R 1 to R 4 independently represents a hydrogen atom or a substituent
- At least one represents at least one group selected from the groups represented by the general formulas (2- :!) to (2-10). ]
- each RR independently represents a hydrogen atom or a substituent.
- At least one represents at least one group selected from the groups represented by formulas (2— :!) to (2-10). ]
- R R each independently represents a hydrogen atom or a substituent L represents a divalent linkage.
- R R is represented by the general formulas (2— :!) to (2-10).
- R R independently represents a hydrogen atom or a substituent.
- n m is 1 2 each
- the compound represented by the general formula (1) is represented by the following general formula (12).
- the organic-elect mouth luminescence element is represented by the following general formula (12).
- R and R each independently represent a hydrogen atom or a substituent.
- n and m are 1-2 respectively
- R and R each independently represents a hydrogen atom or a substituent.
- n and m are 1-2 respectively
- R and R each independently represents a hydrogen atom or a substituent.
- n and m are 1-2 respectively
- R and R each independently represents a hydrogen atom or a substituent.
- n and m are 1-2 respectively
- Z, Z, Z, and Z are each a 6-membered aromatic heterocyclic ring containing at least one nitrogen atom.
- o and p each represent an integer of! To 3
- Ar and Ar each represent an arylene group or a divalent group.
- Z and Z are 6-membered aromatics each containing at least one nitrogen atom
- o and p each represent an integer of! To 3; Ar and Ar each represent a divalent arylene group or
- Z, Z, Z, and Z each contain at least one nitrogen atom.
- a display device comprising the organic-elect mouth luminescence element.
- the organic EL device of the present invention it is defined in any one of (1) to (48). According to the configuration, an organic EL element with low driving voltage and high external extraction quantum efficiency was provided, and a high-luminance lighting device and display device could be provided using the organic EL element.
- a common host material which does not use a mixture of a hole transport material used for forming a hole transport region of an organic EL element and a light emitting dopant material used for forming a light emitting region is used.
- the hole transport material has a function of transporting holes and blocking electrons flowing from the cathode side, but the radical anion state is unstable due to its nature. By trapping the electrons that have leaked the common host material A and preventing the radical transport of the hole transport material, a longer-life device can be obtained.
- the single layer A relating to the organic EL device of the present invention will be described.
- the single layer A according to the present invention is provided between the cathode and the anode of the organic EL device of the present invention,
- the single layer A includes a hole transport region containing at least one kind of hole transport material, a light emitting region containing at least one kind of light emitting dopant, and at least one common host material is added to the single layer A.
- Any region (also referred to as a layer) of the entire region is characterized by containing 0.1% by mass or more.
- the single layer A according to the present invention is a non-doped region related to hole blocking and electron transport related to light emission of the organic EL element (the function of the undoped region is not necessarily limited to hole blocking).
- the function of the undoped region is not necessarily limited to hole blocking.
- the details will be described in the structure of the element.),
- the electron transport region, etc. can be used alone or in combination.
- a hole injection region, a hole transport region, and a light emitting region are provided from the side close to the anode of the single layer A.
- a hole injection layer is provided between the anode and the single layer A, and the hole injection layer is different from the hole transport material contained in the hole transport region of the single layer A. Including transport material A
- An electron injection layer is provided between the cathode and the single layer A, and the electron injection layer includes an electron injection material A different from the electron injection material included in the electron injection region of the single layer A. And the like are preferred.
- the single layer A according to the present invention is provided between the anode and the cathode, but the single layer A may be provided directly on each electrode of the anode and / or the cathode. Another layer other than layer A may be provided between the anode and / or the above, but in the present invention, the anode As a preferred embodiment, a hole injection layer is provided between the cathode and the single layer A, and an electron injection layer is provided between the cathode and the single layer A.
- the electron injection layer provided between the anode and the cathode will be described in detail in the configuration of the organic EL element described later.
- the common host material is present in an amount of 0.1 mass% or more in any region of the entire region, and the content of the common host material is in each region.
- the force that is characterized by being approximately constant the means for measuring the content of the common host material in each region will be described below.
- the content of the common host material in each region in the single layer A can be calculated by applying the following analysis method.
- the content analysis of the common host material in each region of the single layer A according to the present invention is the 65th Japan Society of Applied Physics Academic Lecture, Proceedings, 1183, 3p—ZR-20, Toray Industries, Inc.
- TOF—SIMS time-of-flight secondary ion mass spectrometry
- the content of the common host material being substantially constant in each region means that the content does not have a concentration gradient.
- Typical common host materials used in the present invention include force rubazole derivatives, triarylamine derivatives, aromatic borane derivatives, nitrogen-containing heterocyclic compounds, thiophene derivatives, furan derivatives, oligoarylene compounds and the like.
- Those having a basic skeleton, or a carboline derivative or diaza force rubazole derivative here, diaza force rubazole derivative means that at least one carbon atom of the hydrocarbon ring constituting the carboline ring of the carboline derivative is substituted with a nitrogen atom
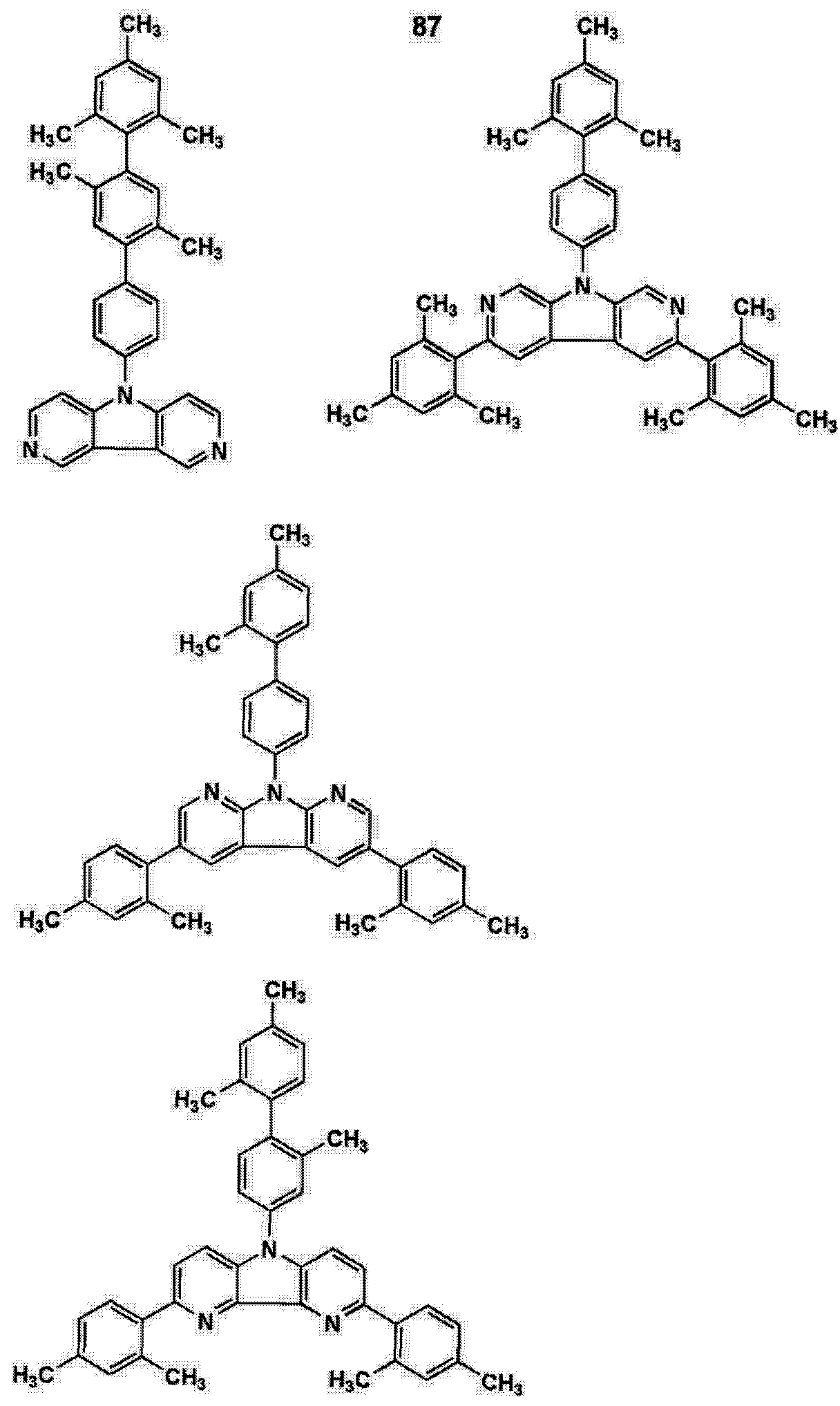
- carboline derivatives and diaza-powered rubazole derivatives are preferred, and compounds represented by the above general formula (1) are preferably used.
- compounds represented by the above general formula (1) are particularly preferably used.
- the inventors of the present invention include the compound represented by the general formula (1) in a light emitting layer or a layer adjacent to the light emitting layer, and a phosphorescent compound described later in the light emitting layer. It has been found that the organic EL device fabricated by using it has high luminous efficiency and can have a long lifetime.
- Z represents an aromatic heterocyclic ring which may have a substituent, and Z represents a substituent.
- 1 2 represents an aromatic heterocycle or an aromatic hydrocarbon ring which may have a substituent, and Z represents a divalent linkage.
- R represents a hydrogen atom or a substituent.
- examples of the aromatic heterocycle represented by Z and Z include a furan ring,
- Fen ring Fen ring, pyridine ring, pyridazine ring, pyrimidine ring, pyrazine ring, triazine ring, benzoimidazole ring, oxadiazole ring, triazole ring, imidazole ring, pyrazole ring, thiazole ring, indole ring, benzimidazole ring, benzothiazole ring, benzoxazole And a ring in which the carbon atom of the hydrocarbon ring constituting the ring, quinoxaline ring, quinazoline ring, phthalazine ring, force rubazole ring, carboline ring or carboline ring is further substituted with a nitrogen atom.
- the aromatic heterocycle is a substituent represented by R described later.
- the aromatic hydrocarbon ring represented by Z includes a benzene ring
- Biphenyl ring naphthalene ring, azulene ring, anthracene ring, phenanthrene ring, pyrene ring
- Talycene ring Naphthacene ring, Triphenylene ring, o-Terphenyl ring, m-Terphenyl ring, p-Terphenyl ring, Acenaphthene ring, Coronene ring, Fluorene ring, Fluoranthrene ring, Naphtacene ring, Pentacene ring, Perylene ring, Pentaphene A ring, a picene ring, a pyrene ring, a pyranthrene ring, an anthraanthrene ring, and the like.
- the aromatic hydrocarbon ring may have a substituent represented by R described later.
- the substituent represented by R 1 is an alkyl group (for example, methyl
- a chloroalkyl group eg, cyclopentyl group, cyclohexyl group, etc.
- an alkenyl group eg, bur group, allyl group, etc.
- an alkynyl group eg, ethyny
- aromatic heterocyclic group for example, furyl group, chenyl group, pyridinole group, pyridazinyl group, pyrimidinyl group, pyrazyl group, triazinyl group, imidazolyl group, pyrazolyl group, thiazolyl group, quinazolinyl group, phthalazinyl group) Group
- heterocyclic group eg, pyrrolidinole group, imidazolidyl group, morpholyl group, oxazolidinole group, etc.
- alkoxy group eg, methoxy group, ethoxy group, propyloxy group, pentyloxy group, hexyloxy group, octyloxy group
- cycloalkoxy Group for example, cyclopentyloxy group, cyclohexyloxy group, etc.
- acyl group eg, acetyl group, ethylcarbonyl group, propy
- 2_pyridylaminoureido group, etc. sulfinyl group (eg, methylsulfinyl group, ethylsulfifer group, butylsulfinyl group, cyclohexylsulfiel group, 2-ethylhexylsulfinyl group, dodecylsulfiel group, phenol) Nyl sulfier group, naphthyl sulfier group, 2-pyridyl sulfier group, etc.), alkylsulfonyl group (eg, methylsulfonyl group, ethylsulfonyl group, butylsulfonyl group, cyclohexenylsulfonyl group, 2-ethyl group) Hexylsulfonyl group, dodecylsulfonyl group, etc.), arylsulfonyl group (phen
- substituents may be further substituted with the above substituents.
- a plurality of these substituents may be bonded to each other to form a ring.
- Preferred substituents include an alkyl group, a cycloalkyl group, a fluorinated hydrocarbon group, and an aryl group. Group, an aromatic heterocyclic group.
- divalent linking group examples include hydrocarbon groups such as alkylene, alkenylene, alkynylene, and arylene, as well as those containing heteroatoms, and thiophene-2,5-diyl groups, pyrazines, and the like.
- It may be a divalent linking group derived from a compound having an aromatic heterocycle (also called a heteroaromatic compound) such as a 2, 3_ diyl group, or a chalcogen atom such as oxygen or sulfur. It ’s okay.
- aromatic heterocycle also called a heteroaromatic compound
- chalcogen atom such as oxygen or sulfur. It ’s okay.
- it may be a group that joins heteroatoms such as an anolequinolemino group, a dialkylsilane diyl group, or a diarylgermandyl group.
- a simple bond is a bond that directly bonds the connecting substituents together.
- the Z force S6 membered ring of the general formula (1) is preferable. This is preferable.
- the luminous efficiency can be further increased. Furthermore, the lifetime can be further increased.
- the Z force of the general formula (1) is preferably a S6-membered ring.
- the luminous efficiency can be further increased. Furthermore, the lifetime can be further increased.
- R 1 to R 5 are each independently a hydrogen atom or a substituent.
- Each of the substituents may be the same or different.
- R 1 to R 5 are each independently a hydrogen atom or a substituent.
- Each of the substituents may be the same or different.
- R 1 to R 5 are each independently a hydrogen atom or a substituent.
- Each of the substituents may be the same or different.
- an organic EL device with higher luminous efficiency can be obtained. Furthermore, it is possible to obtain a longer-life organic EL device.
- R 1 to R 4 are each independently a hydrogen atom or a substituent.
- Each of the substituents may be the same or different.
- R 1 to R 5 are each independently a hydrogen atom or a substituent.
- Each of the substituents may be the same or different.
- R 1 to R 4 are each independently a hydrogen atom or a substituent.
- Each of the substituents may be the same or different.
- R 1 to R 4 are each independently a hydrogen atom or a substituent.
- Each of the substituents may be the same or different.
- R 1 to R 5 are each independently a hydrogen atom or a substituent.
- Each of the substituents may be the same or different.
- R 1 to R 4 each represents a hydrogen atom or a substituent.
- the substituents may be the same or different.
- R 1 to R 4 each represents a hydrogen atom or a substituent.
- the substituents may be the same or different.
- an organic EL device with higher luminous efficiency can be obtained. Furthermore, a long-life organic EL device can be obtained.
- preferred compounds represented by the general formula (1) are those represented by the general formulas (2-1) to (
- the compounds represented by the general formulas (3) to (49) are particularly preferable for obtaining the effects of the present invention.
- R 1 to R 5 represent a hydrogen atom or a substituent.
- At least one of ⁇ R is a group represented by any one of the general formulas (2— :! to (2_10)
- R 1 to R 5 represent a hydrogen atom or a force R representing a substituent R
- At least one of ⁇ R represents a group represented by any one of the general formulas (2-1) to (2-10).
- R 1 to R 5 represent a hydrogen atom or a force R representing a substituent R
- At least one of ⁇ R represents a group represented by any one of the general formulas (2-1) to (2-10).
- R 1 to R 5 represent a hydrogen atom or a substituent
- At least one of ⁇ R is a group represented by any one of the general formulas (2— :! to (2_10)
- R 1 to R 4 represent a hydrogen atom or a force R representing a substituent R
- At least one of ⁇ R is a group represented by any one of the general formulas (2— :! to (2-10).
- na represents an integer from 0 to 5
- nb represents an integer from 1 to 6
- the sum of na and nb is 6.
- R 1 to R 5 represent a hydrogen atom or a substituent
- At least one of ⁇ R is a group represented by any one of the general formulas (2— :! to (2_10)
- R 1 to R 5 represent a hydrogen atom or a substituent
- At least one of ⁇ R is a group represented by any one of the general formulas (2— :! to (2-10).
- R 1 to R 6 represent a hydrogen atom or a force R representing a substituent R
- At least one of ⁇ R is a group represented by any one of the general formulas (2-1) to (2-10)
- the divalent linking group represented by L is an alkylene group (eg,
- ethylene group trimethylene group, tetramethylene group, propylene group, ethylethylene group
- each of the alkylene group, alkenylene group, alkynylene group, and arylene group at least one of carbon atoms constituting the divalent linking group is a chalcogen atom (oxygen, sulfur, etc.) or the _N ( R) —may be substituted with a group or the like.
- examples of the divalent linking group represented by L include a group having a divalent heterocyclic group.
- oxazole diyl group pyrimidine diyl group, pyridazine diyl group, pyrandyl group, pyrrolin diyl group, imidazoline diyl group, imidazolidine diyl group, virazolidine diyl group, pyrazoline diyl group, piperidine diyl group, piperazine diyl group And morpholine diyl group, quinuclidine diyl group, and the like, and compounds having an aromatic heterocycle such as thiophene 1,5-5-diyl group and pyrazine-1,2-3-diyl group (heteroaromatic Or a divalent linking group derived from a group compound).
- aromatic heterocycle such as thiophene 1,5-5-diyl group and pyrazine-1,2-3-diyl group (heteroaromatic Or a divalent linking group derived from a group compound).
- it may be a group in which heteroatoms are joined and linked, such as an alkylimino group, a dialkylsilane diyl group or a diarylgermandyl group.
- the substituent represented by 1 2 is the same as the substituent represented by R in the general formula (1).
- 6-membered aromatic heterocyclic ring including both include a pyridine ring, a pyridazine ring, a pyrimidine ring, and a pyrazine ring.
- each of Z and Z represents at least one nitrogen atom.
- 6-membered aromatic heterocyclic ring examples include a pyridine ring, a pyridazine ring, a pyrimidine ring, and a pyrazine ring.
- Diene group m-phenylene group, p-phenylene group, naphthalenediylene group, anthracenedyl group, naphthacene group, pyrenediyl group, naphthylnaphthalenediyl group, biphenyl Rudiyl groups (eg, 3,3′-biphenyldiyl group, 3,6-biphenyldiyl group, etc.), terfeldiyl group, quaterphenyldiyl group, kinkphenyldiyl group, sexiphenyldiyl group, septiph Examples thereof include an enyl diyl group, an octaphenyl diyl group, a nobiphenyl diyl group, a decifer diyl group, and the like.
- the arylene group may further have a substituent described later.
- the aromatic heterocyclic group may have a substituent represented by R 1.
- the divalent linking group represented by L is the same as the divalent linking group represented by L in the general formula (10), preferably alkylene.
- Group, ten the divalent linking group represented by L is the same as the divalent linking group represented by L in the general formula (10), preferably alkylene.
- a divalent group containing a chalcogen atom such as S 1, a divalent group containing a chalcogen atom such as S, and most preferably an alkylene group.
- each of the nitrogen atoms represented by Z 1, Z 2, Z 3, and Z is reduced.
- 6-membered aromatic heterocyclic ring including both include a pyridine ring, a pyridazine ring, a pyrimidine ring, and a pyrazine ring.
- the divalent linking group represented by L has the same force S as the divalent linking group represented by L in the general formula (10), preferably S Is an alkylene group, ___
- the light-emitting host used in the present invention may be a low-molecular compound or a high-molecular compound having a repeating unit, and may be a low-molecular compound having a polymerizable group such as a vinyl group or an epoxy group (evaporation polymerizable light-emitting). But host)
- a compound having a high Tg glass transition temperature
- Tg glass transition temperature
- the present invention preferred specific examples of the layer structure of the organic EL element are shown below, but the present invention is not limited thereto.
- the single layer A contains the above-mentioned common host material in an amount of 0.1% by mass or more per layer in any region.
- Anode / single layer A (hole transport region, light emitting region, undoped region) / cathode (ii) Anode / single layer A (hole transport region, undoped region, light emitting region, undoped region, electron transport) (Transmission region) / cathode (iii) Anode / single layer A (hole transport region, light emitting region, undoped region, electron transport region) / cathode (iv) Anode / single layer A (hole transport region, light emitting region, (Undoped region, electron injection region) / cathode (V) Anode / hole injection layer / single layer A (hole transport region, light emitting region, undoped region, electron transport region) / cathode (vi) anode / hole Injection layer / single layer A (hole transport region, light-emitting region, undoped region, electron transport region) / electron injection layer / cathode
- Single layer A has an electron transport region and an undoped region from the side close to the cathode.
- a hole injection region, a hole transport region, and a light emitting region are provided from the side close to the anode of the single layer A.
- An example of a preferred layer configuration is that the electron injection region and the undoped region are provided from the side close to the cathode of the single layer A.
- the hole transport region and the light emitting region are provided from the side close to the anode of the single layer A.
- the light emitting region may be provided adjacently, or an undoped region described later may be provided between the hole transport region and the light emitting region.
- the presence of such an undoped region is the same in other preferred embodiments (b), (c), and (d).
- FIGS. 7 (a) to 7 (f) A configuration example of the single layer A related to the organic EL element according to the present invention will be described with reference to FIGS. 7 (a) to 7 (f).
- the vertical axis represents the mass% of the material in each region
- the horizontal axis represents the single layer A film thickness.
- 300 represents a single layer A.
- FIG. 7A shows an example of a configuration in which a hole transport region 302, a light emitting region 303, and then an undoped region 301 are provided from the anode side to the cathode side of the single layer A.
- the hole transport region 302 includes a hole transport material 302a and a common host material 301a
- the light emitting region 303 includes a light emitting dopant 303a and a common host material 301a
- the undoped region 301 is substantially common. It is formed only from the host material 301a.
- substantially means that the content of the common host material 301a in the region is 99.9% by mass or more.
- FIG. 7 (b) shows that a hole transport region 302, an undoped region 301, a light emitting region 303, an undoped region 301, and then an electron transport region 304 are provided from the anode side to the cathode side of the single layer A.
- the hole transport region 302, the undoped region 301, and the light emitting region 303 are the same as in FIG. 7A, and the electron transport region 304 includes the electron transport material 304a and the common host material 301a.
- FIG. 7 (c) shows an example of a configuration in which a hole transport region 302, an undoped region 301, a light emitting region 302, and an undoped region 301 are provided from the anode side to the cathode side of the single layer A. .
- the configurations of the hole transport region 302, the undoped region 301, and the light emitting region 303 are the same as those in FIG. 7 (a).
- FIG. 7 (d) shows a hole injection region 305, a hole transport region 302, an undoped region 301, a light emitting region 303, an undoped region 301, and then an electron from the anode side to the cathode side of the single layer A.
- This is an example of a configuration in which a pouring region 306 is provided.
- the hole transport region 302, the undoped region 301, and the light emitting region 303 have the same configuration as in FIG. 7A, and the hole injection region 305 includes a hole injection material 305 a and the electron injection region 306 includes Includes an electron injection material 306a.
- FIG. 7 (e) shows a hole transport region 302, an undoped region 301, a blue light emitting region 307, an undoped region 301, a green light emitting region 308, and an undoped region from the anode side to the cathode side of the single layer A.
- This is an example in which a region 301, a blue light emitting region 309, and then an undoped region 301 are provided.
- the hole transport region 302 and the undoped region 301 have the same configuration as shown in FIG. 7A, and the blue light-emitting region 307 has a blue light-emitting dopant 307a that emits green light.
- the region 308 contains a green light emitting dopant 308a, and the red light emitting region 309 contains a red light emitting dopant 309a.
- FIG. 7 (f) shows a hole injection region 305, a hole transport region 302, an undoped region 301, a blue light emitting region 307, an undoped region 301, and green light emission from the anode side to the cathode side of the single layer A.
- An example of a configuration in which a region 308, an undoped region 301, a blue light emitting region 309, an undoped region 301, and then an electron injection region 306 is shown.
- each of the hole injection region 305, the hole transport region 302, the undoped region 301, the blue light emission region 307, the green light emission region 308, and the red light emission region 309 has the configuration shown in FIG.
- the blue light emitting region 307 contains a blue light emitting dopant 307a
- the green light emitting region 308 contains a green light emitting dopant 308a
- the red light emitting region 309 contains a red light emitting dopant 309a.
- the electron injection region 306 is the same as that in FIG. 7D, and the electron injection region 306 contains an electron injection material 306a.
- the hole transport region includes a hole transport material having a function of transporting holes, and in a broad sense, a hole injection region and an electron blocking region are also included in the hole transport region.
- the hole transport region can be provided as a single layer or a plurality of layers.
- the hole transport material has any of the power of hole injection or transport and electron barrier property, and may be either organic or inorganic.
- the hole transport region according to the present invention includes, for example, a triazole derivative, an oxaziazo monore derivative, an imidazole derivative, a polyarylalkane derivative, a pyrazoline derivative and a pyrazolone derivative, a phenylenediamine derivative, an arylamine derivative, an amino-substituted chalcone.
- Derivatives, oxazole derivatives, styrylanthracene derivatives, fluorenone derivatives Conventionally known materials such as hydrazone derivatives, stilbene derivatives, silazane derivatives, aniline copolymers, and conductive polymer oligomers, particularly thiophene oligomers may be used.
- the above-described forces that can be used are preferably used.
- Typical examples of aromatic tertiary amine compounds and styrylamine compounds include N, N, N ', N r —tetraphenyl _4, 4 ; — diaminophenyl; ⁇ , ⁇ ' — diphenylenole _ ⁇ , ⁇ '— Bis (3-methylphenyl) -1- [1,1'-biphenyl] -1,4-diamine (TPD); 2, 2 _bis (4-di- ⁇ -tolylaminophenyl) propane; 1, 1 _Bis (4_di__trilaminophenyl) cyclohexane; ⁇ , ⁇ , ⁇ ', N r —tetra-p-tolyl-1,4′-diaminobiphenyl; 1,1-bis (4-di-one) p-tolylaminophenyl) 1-4-phenyl oral hexane; bis (4-dimethylamino-2
- No. 5,061,569 having two condensed aromatic rings in the molecule for example, 4,4′bis [ ⁇ - (1-naphthyl) _ ⁇ -phenylamino] biphenyl (NPD), three triphenylamine units described in JP-A-4-308688 are connected in a starburst type 4,, "-tris [ ⁇ _ (3_methylphenyl) _ ⁇ _phenylamine ] Triphenyl ⁇ Min (MTDAT ⁇ ), and the like.
- the above-described hole transport material can be preferably formed by using, for example, a vacuum deposition method.
- the thin film can be formed by a known method.
- the film thickness of the hole transport region is not particularly limited, but is usually about 5 nm to 5 zm, preferably 5 nm to 200 nm.
- the hole transport region may have a single layer structure including one or more of the above materials and a common host material.
- a hole transport region with high p property doped with impurities can be used. Examples thereof include those described in JP-A-4-297076, JP-A-2000-196140, JP-A-2001-102175, IJ. Appl. Phys., 95, 5773 (2004), etc. Be cited
- the content of the common host material in the hole transport region is in the range of 0.1 mass% to 10 mass%. It is preferable to be adjusted so that it becomes.
- the electron transport region according to the present invention is not particularly limited as long as it has a function of transmitting electrons injected from the cathode to the light-emitting region. Can be used.
- the electron transport region contains a material having a function of transporting electrons, and in a broad sense, an electron injection region (the region may be referred to as a layer) and a hole blocking region (the region is referred to as a layer). Is also included in the electron transport region (the region is a layer and a layer).
- the electron transport region can be provided with a single layer or multiple regions (regions can be combined with layers).
- electron transport materials examples include heterocyclic tetraene derivatives such as nitro-substituted fluorene derivatives, diphenylquinone derivatives, thiopyran dioxide derivatives, and naphthalene perylene.
- heterocyclic tetraene derivatives such as nitro-substituted fluorene derivatives, diphenylquinone derivatives, thiopyran dioxide derivatives, and naphthalene perylene.
- examples thereof include carboxylic acid anhydrides, carpositimides, fluorenylidenemethane derivatives, anthraquinodimethane and anthrone derivatives, oxadiazole derivatives, and the like.
- a thiadiazole derivative in which the oxygen atom of the oxadiazole ring is substituted with a sulfur atom, electron withdrawing A quinoxaline derivative having a quinoxaline ring, which is known as a functional group, can also be used as an electron transport material.
- a polymer material in which these materials are introduced into a polymer chain or these materials are used as a polymer main chain can also be used.
- metal complexes of 8_quinolinol derivatives such as tris (8-quinolinol) aluminum (Alq), tris (5,7-dichloro-l-quinolinol) aluminum, tris (5,7-dibu
- metal-free or metal phthalocyanine and those having the terminal substituted with an alkyl group or a sulfonic acid group can also be preferably used as the electron transporting material.
- Distyrylvirazine derivatives can also be used as electron transport materials.
- inorganic semiconductors such as n-type Si and n-type SiC can also be used as electron transport materials. Can be used.
- the above compound is preferably formed by, for example, a vacuum deposition method.
- a known thin film forming method such as a spin coating method, a casting method, or an LB method is applied to form a film, It is possible to form.
- the content of the common host material in the electron transport region is in the range of 0.1 mass% to 10 mass%. It is preferable to adjust so that it becomes.
- an n-doped electron transport region doped with impurities can be used. Examples thereof include those described in JP-A-4-297076, JP-A-2000-196140, JP-A-2001-102175, IJ. Appl. Phys., 95, 5773 (2004), etc. Be cited
- the electron transport region is formed by thinning the electron transport material by a known method such as a vacuum deposition method, a spin coating method, a casting method, a printing method including an ink jet method, or an LB method. it can.
- the film thickness of the electron transport region is not particularly limited, but is usually about 5 nm to 5 zm, preferably 5 nm to 200 nm.
- the electron transport region may have a single layer structure composed of one or more of the above materials.
- the light emitting area according to the present invention will be described.
- the light emitting region according to the present invention is a layer that emits light by recombination of electrons and holes injected from an electrode, an electron transport region, a hole transport region, or the like, and the light emitting portion is within the light emitting region. Alternatively, it may be an interface between the light emitting region and an adjacent region (may be referred to as an adjacent layer).
- a plurality of host compounds used in conventionally known organic EL devices may be used in combination.
- These known host compounds include a hole transport capability (which may have a hole blocking capability functionally), an electron transport capability, and prevent emission of longer wavelengths, Furthermore, a compound having a high Tg (glass transition temperature) is preferred.
- the light-emitting region is formed by using, for example, the following phosphorescent compound, fluorescent compound, or the above-mentioned common host material, for example, vacuum deposition method, spin coating method, cast method, LB method,
- the film can be formed by a known thinning method such as an ink jet method.
- the film thickness as the light emitting region is not particularly limited, but is usually selected within the range of 511111 to 5/1111, preferably 5 nm to 200 nm.
- This light-emitting region may be a single region (layer and layer) containing a phosphorescent compound or a common host material as described later, or the same composition or A laminated structure composed of a plurality of regions (multiple layers) having different compositions may be used.
- the content of the common host material in the light emitting region is in the range of 51 mass% to 99.9 mass%. Preferable to be adjusted, so that.
- the phosphorescent compound according to the present invention is a compound in which light emission from an excited triplet is observed, and is a compound having a phosphorescence quantum yield of 0.001 or more at 25 ° C.
- the phosphorescence quantum yield is preferably 0.01 or more, more preferably 0.1 or more.
- the phosphorescent quantum yield can be measured by the method described in the fourth edition of Experimental Chemistry Course 7, Spectroscopy II, page 398 (1992 edition, Maruzen). Although the phosphorescence quantum yield in a solution can be measured using various solvents, the phosphorescent compound according to the present invention preferably achieves the above phosphorescence quantum yield in any solvent.
- the lowest excited triplet energy level T1 of the common host material according to the present invention is preferably higher than the lowest excited triplet energy level T2 of the luminescent dopant, more preferably the lowest excited luminescent dopant. Triplet energy level 1.05-1.38 times T2.
- the lowest excited triplet energy level of the common host material is preferably in the range of 284.9 kj / mol to 37 7. lkj / mol.
- the phosphorescent compound maximum wavelength of the phosphorescent compound is not particularly limited. In principle, a central metal, a ligand, a substituent of the ligand, and the like are selected. The emission wavelength obtained can be changed, but the phosphorescence emission wavelength of the phosphorescent compound preferably has a maximum phosphorescence emission wavelength of 380 nm to 480 nm.
- Examples of such phosphorescent light emitting wavelengths include organic EL elements that emit blue light and organic EL elements that emit white light. It can be operated with power consumption.
- the phosphorescent compound according to the present invention is preferably selected from the following organic metal complexes that exhibit phosphorescence (also referred to as phosphorescent compounds). .
- an iridium complex described in JP-A-2001-247859 represented by a formula as described in pages 16 to 18 of International Publication No. 00Z7 0,655 pamphlet, for example, tris (2-phenol Norepyridine) Iridium, etc. and osmium complexes, and some platinum, such as some f, 2, 3, 7, 8, 12, 13, 17, 18-otataethyl-21H, 23H-porphyrin platinum complexes are also included as dopants. .
- a phosphorescent compound as a dopant, a light-emitting organic EL device with high internal quantum efficiency can be realized.
- the phosphorescent compound used in the present invention is preferably a complex compound containing any one kind of metal belonging to Group 8, Group 9 or Group 10 of the periodic table.
- metal belonging to Group 8, Group 9 or Group 10 of the periodic table are more preferably iridium compounds, osmium compounds, platinum compounds (metal complex compounds), and rare earth complexes.
- Each of the above organometallic complexes may be used alone, or two or more compounds may be used in combination.
- these compounds are, for example, Inorg. Chem. 40 ⁇ , 1704-17.
- the light emitted from the excited triplet is blue.
- the following blue-emitting onoletometal complex is preferably used as the blue-emitting dopant.
- the phosphorescent compound used in the present invention is, for example, Organic Letter, vol3, No. 16, p2579 to 2581 (2001), Inorganic Chemistry, No. 30, No. 8, pages 1685 to 1687 ( 1991), J. Am. Chem. Soc., 123 ⁇ , 4304 (2001), Inorganic Chemistry, No. 40, No. 7, 1704-1711 (2001), Inor ganic Chemistry, No. 41 No. 12, pp. 3055-3066 (2002), New Journal of Chemistry., Vol. 26, pp. 1171 (2002), and the methods such as references described in these references should be applied. Can be synthesized.
- the fluorescent compound used in the present invention will be described.
- the light emitting region according to the present invention may further contain a phosphine compound having a fluorescence maximum wavelength as a common host material.
- electroluminescence as an organic EL device can also be emitted from other host compounds having a fluorescence maximum wavelength by energy transfer from the other host compound and phosphorescent compound to the fluorescent compound.
- a host compound having a fluorescence maximum wavelength is preferably a compound having a high fluorescence molecular yield in a solution state.
- the fluorescence quantum yield is preferably 10% or more, particularly 30% or more.
- Examples of host compounds having specific fluorescence maximum wavelengths include coumarin dyes, pyran dyes, cyanine dyes, croconium dyes, squalium dyes, oxobenzanthracene dyes, fluorescein dyes, rhodamine dyes, and pyrylium dyes. And dyes, perylene dyes, stilbene dyes, and polythiophene dyes.
- the fluorescence quantum yield is calculated according to the method described in Spectra II, page 362 (1992 edition, Maruzen) of the fourth edition of Experimental Chemistry Course 7. Can be measured.
- the content of the common host material in the electron transport region is from 0.1% by mass to 10% by mass from the viewpoint of improving the light emission efficiency and power efficiency of the organic EL device of the present invention. It is preferable to adjust so that it may become the range of%.
- Undoped region also referred to as intermediate layer, intermediate region
- the undoped region according to the present invention will be described.
- the undoped region according to the present invention contains the common host material in the entire region of the single layer A, but the hole injection region, hole transport region, light emitting region, electron, and the like. A transport area and an electron injection area are provided to indicate the area.
- an injection barrier between the light emitting region and the undoped region (also referred to as an interlayer) is reduced, and even if the voltage (current) is changed. The effect of easily maintaining the injection balance of holes and electrons was obtained.
- a known material may be used in combination with the common host material according to the present invention.
- the phosphorescent compounds contained in the light emitting region it is preferable to select a material having a larger excited triplet energy than the phosphorescent compound having the largest excited triplet energy as the common host material.
- a phosphorescent compound for each luminescent material in a three-color white element of blue * green * red Is used the excited triplet energy of the blue phosphorescent compound is the largest.
- the common host material is responsible for carrier transport
- a material having carrier transport capability is preferred.
- carrier mobility is used as a physical property representing carrier transport ability
- the carrier mobility of organic materials generally depends on the electric field strength.
- a material having a high electric field strength dependency tends to break the transport balance between hole and electron injection.
- As the intermediate layer material and the host material it is preferable to use a material whose mobility is less dependent on the electric field strength.
- the undoped region functions as a blocking region, that is, a hole blocking region and an electron blocking region. It is done.
- the hole blocking region (may be referred to as a layer) is an electron transport region (also referred to as a layer) in a broad sense, and has the ability to transport holes while having the function of transporting electrons. It is made of material and can improve the recombination probability of electrons and holes by blocking holes while transporting electrons.
- the hole blocking region serves to block holes moving from the hole transport region from reaching the cathode, and to efficiently transport electrons injected from the cathode in the direction of the light emitting region. Formed by a compound that can.
- the physical properties required of the material constituting the hole blocking region are that the electron mobility is high and the hole mobility is low, and in order to efficiently confine the holes in the light emitting region, the physical properties of the light emitting region are based on the ionic potential of the light emitting region. It is preferable to have a band gap larger than the band gap of the light emitting region, which has a large ionization potential value.
- Examples of other compounds include exemplified compounds described in JP-A-2003-31367, 2003-31368, and Japanese Patent No. 2721441. [0299] (When functioning as an electronic blocking area)
- electron blocking in the case of functioning as an electron blocking region is hole transport in a broad sense, and includes an undoped region containing a material that has a function of transporting holes and extremely low ability to transport electrons, By blocking electrons while transporting holes, the probability of recombination of electrons and holes can be improved.
- the hole blocking layer and the electron blocking layer are formed by thinning the above materials by a known method such as a vacuum deposition method, a spin coating method, a casting method, an ink jet method, or an LB method. That power S.
- an injection layer (also referred to as a buffer layer) used as a constituent layer of the organic EL element of the present invention.
- a hole injection layer is provided between the anode and the single layer A, and the hole injection layer is a hole transport material contained in the hole transport region of the single layer A. Preferably contain different hole transport materials A.
- an electron injection layer may be provided between the cathode and the single layer A, and the electron injection layer may include a material A different from the electron transport material included in the electron transport region of the single layer A. I like it.
- the injection layer (electron injection layer, hole injection layer) is also referred to as a cathode buffer layer (electron injection layer) and an anode buffer layer (hole injection layer). For this reason, it is a layer provided between the electrode and the organic layer.
- “Organic EL element and its industrialization front line (November 30, 1998, issued by NTS Co., Ltd.)” (123-: 166 pages) can be used.
- a hole transport material different from the hole transport material contained in the hole transport region of the single layer A is used.
- the compounds described in No. 45479, No. 9-260062, No. 8-288069, etc. can be used.
- specific examples include a lid mouth cyanine buffer layer typified by copper phthalocyanine, an oxide buffer layer typified by vanadium oxide, an amorphous force-bonded buffer layer, a conductive material such as polyaniline (emeraldine) and polythiophene.
- High molecular Constituent materials such as a polymer buffer layer using
- the electron injection layer (cathode buffer layer)
- a material different from the electron transport material included in the electron transport region of the single layer A is used. 325871, 9-17574, 10-74586, etc., details are described. Specifically, metal buffer layers typified by strontium and aluminum, and lithium fluoride. And an alkaline earth metal compound buffer layer represented by magnesium fluoride, an oxide buffer layer represented by aluminum oxide, and the like.
- the above buffer layer (injection layer) should be a very thin film, and it will depend on the material.
- the film thickness is preferably in the range of 0.1 nm to 5 m.
- an electrode material made of a metal, an alloy, an electrically conductive compound, or a mixture thereof having a high work function (4 eV or more) is preferably used.
- electrode materials include metals such as Au, and conductive transparent materials such as Cul, indium tinoxide (ITO), SnO, and ZnO. IDIX ⁇ (In O—Zn ⁇ ) etc.
- amorphous material capable of producing a transparent conductive film may be used.
- these electrode materials can be formed into a thin film by vapor deposition, sputtering, etc., and a pattern of the desired shape can be formed by a single photolithography method. (About 100 ⁇ m or more) A pattern may be formed through a mask having a desired shape when the electrode material is deposited or sputtered.
- the transmittance greater than 10%
- the sheet resistance as the anode is preferably several hundred ⁇ / port or less.
- the thickness depends on the material. Usually, the thickness is selected in the range of 10 nm to 1000 nm, preferably 10 nm to 200 nm.
- the cathode a material having a low work function (4 eV or less) metal (referred to as an electron injecting metal), an alloy, an electrically conductive compound, and a mixture thereof as an electrode material is used.
- electrode materials include sodium, sodium-potassium alloy, magnesium, lithium, magnesium / copper mixture, magnesium / silver mixture, magnesium / aluminum mixture, magnesium Z indium mixture, aluminum Z aluminum oxide.
- a mixture of an electron injectable metal and a second metal which is a stable metal having a larger work function than this such as a magnesium / silver mixture, magnesium / Aluminum mixture, magnesium / indium mixture, aluminum / aluminum oxide (Al 2 O 3) mixture, lithium / aluminum mixture
- Rummium mixtures, aluminum and the like are preferred.
- the cathode can be produced by forming a thin film of these electrode materials by a method such as vapor deposition or sputtering.
- the sheet resistance as the cathode is preferably several hundred ⁇ or less, and the preferred film thickness is usually in the range of 10 nm to 5 ⁇ m, preferably 50 nm to 200 nm.
- the emission luminance is advantageously improved.
- a transparent or translucent cathode can be manufactured by forming the above metal on the cathode with a film thickness of lnm to 20nm and then forming the conductive transparent material mentioned in the description of the anode on the cathode. By applying this, it is possible to produce a device in which both the anode and the cathode are transparent.
- Substrate also referred to as substrate, substrate, support, substrate, etc.
- the organic EL device of the present invention is preferably formed on a substrate.
- the substrate of the organic EL device of the present invention is not particularly limited in the type of glass, plastic and the like, and is not particularly limited as long as it is transparent. Examples thereof include glass, quartz, and a light transmissive resin film.
- a particularly preferred substrate is a resin film that can give flexibility to the organic EL element.
- Examples of the resin film include polyethylene terephthalate (PET), polyethylene naphthalate (PEN), polyethersulfone (PES), polyetherimide, polyether ether ketone, polyphenylene sulfide, polyarylate, polyimide, polycarbonate (PC), Examples include films having cellulose triacetate (TAC), cellulose acetate propionate (CAP), and the like.
- PET polyethylene terephthalate
- PEN polyethylene naphthalate
- PES polyethersulfone
- PES polyetherimide
- polyether ether ketone polyphenylene sulfide
- PC polycarbonate
- examples include films having cellulose triacetate (TAC), cellulose acetate propionate (CAP), and the like.
- TAC cellulose triacetate
- CAP cellulose acetate propionate
- an inorganic or organic film or a hybrid film of both may be formed on the surface of the resin film.
- External extraction effect at room temperature of light emission of the organic electoluminescence device of the present invention The rate is preferably 1% or more, more preferably 5% or more.
- the external extraction quantum efficiency (%) the number of photons emitted outside the organic EL element / the number of electrons flowing through the organic EL element ⁇ 100.
- a hue improvement filter such as a color filter may be used in combination, or a color conversion filter that converts the emitted color from the organic EL element into multiple colors using a phosphor may be used in combination.
- the organic EL device emits light; I max is preferably 480 nm or less.
- anode Z single layer A (from the anode side, hole injection region, hole transport region, undoped region, light-emitting region, undoped region, then electron injection region ) /
- the method for producing an organic EL device consisting of a cathode will be described.
- a thin film made of a desired electrode material for example, an anode material
- a suitable substrate by a method such as vapor deposition or sputtering so that the film thickness is 1 ⁇ m or less, preferably 10 nm to 200 nm.
- an anode is produced.
- a single layer A is provided on this, so that the positive electrode side has a hole injection region, a hole transport region, an undoped region, a light emitting region, an undoped region, and then an electron injection region.
- a single layer A is formed.
- this single layer A there are a vapor deposition method and a wet process (spin coating method, casting method, ink jet method, printing method) as described above, but it is easy to obtain a homogeneous film. From the viewpoint of difficulty in generating pinholes, vacuum deposition, spin coating, ink jet, and printing are particularly preferable. Further, a different film forming method may be applied for each layer.
- the deposition conditions may vary the force S due to kinds of materials used, generally boat temperature 50 ° C ⁇ 450 ° C, vacuum degree of 10-6 Pa ⁇ l 0— 2 Pa, Deposition rate 0. OlnmZ seconds to 50 nm / second, substrate temperature _ 50 ° C ⁇ 300 ° C, film thickness 0.1 nm ⁇ 5 xm, preferably 5nm ⁇ 200nm Is desirable.
- a thin film made of a cathode material thereon is preferably 1 ⁇ m or less. Is formed by a method such as vapor deposition or sputtering so as to have a film thickness in the range of 50 to 200 nm, and a desired organic EL device can be obtained by providing a cathode.
- the production of the organic EL device was consistently performed by evacuation once, and the entire region of the single layer A (hole injection region, hole transport region, undoped region, light emitting region, undoped region, It is preferable to manufacture up to the electron injection region), but it may be taken out halfway and subjected to a different film forming method. At that time, it is necessary to consider that the work is performed in a dry inert gas atmosphere.
- the multicolor display device of the present invention is provided with a shadow mask only at the time of forming a light emitting region, and the other layers are common, so there is no need for patterning such as a shadow mask, and the vapor deposition method, the cast method, A film can be formed by a spin coating method, an inkjet method, a spray method, a printing method, or the like.
- the method is not limited, but a vapor deposition method, an inkjet method, and a printing method are preferable. In the case of using the vapor deposition method, patterning using a shadow mask may be used. In addition, the above-mentioned single layer A may be formed from the cathode side by reversing the production order.
- the common host material 301a, the hole injection material 305a, the hole transport material 302a, and the light emitting dopant 303a are prepared.
- the crucibles 203a to 203e for vapor deposition of each of the electron injection materials 306a are prepared as five vapor deposition sources (which may be heating boats) depending on the type of material.
- a separate vapor deposition source is prepared corresponding to the type of the plurality of compounds.
- Each vapor deposition source is heated to adjust the vapor deposition rate of each material to an appropriate level. Therefore, vapor deposition is appropriately set to be blocked by the shutters 202a to 202e. Yes.
- the single layer A shown in FIG. 7 (d) is formed on the base 201 (also referred to as a base, a substrate, a base, a support, etc.) shown in FIG.
- An anode may be formed.
- a constituent layer of an organic EL element may be provided on the anode.
- the shutter 202a of the vapor deposition crucible 203a filled with the common host material 301a is used at any time.
- the co-evaporation conditions can be adjusted by opening and closing the shutters 202b to 202e of other materials as necessary.
- the shutter 202e of the vapor deposition crucible 203e filled with the hole injection material 305a is closed while the shirt 202a of the vapor deposition crucible 203a of the common host material 301a is opened, The shutter 202d of the vapor deposition crucible 203d filled with the hole transport material 302a is opened.
- the hole transport region 302 is formed by co-evaporation so that the mixing ratio of the common host material 301a and the hole transport material 302a is a desired ratio.
- the shutter 202a is opened and the shutter 202d of the evaporation crucible 203d filled with the hole transport material 302a is closed, and the undoped region 301 is formed so that the carrier injection balance is optimized.
- the shutter 202c of the vapor deposition crucible 203c filled with the light-emitting dopant 303a is opened.
- the light-emitting region 303 is formed by co-evaporation so that the mixing ratio of the common host material 301a and the light-emitting dopant 303a becomes a desired ratio, and when the desired film thickness is reached, the evaporation crucible 203a filled with the common host material 301a With the shutter 202a open, it is filled with the light emitting dopant 303a, and the shutter 202c of the evaporation crucible 203c is closed, the common host material only region, the undoped region 301 (this region has a hole blocking function) Film thickness as It is preferable to adjust etc.).
- the electron injection material 306a is filled, the shutter 202b of the evaporation crucible 203b is opened, and the electron injection region 306 is formed by co-evaporation so as to obtain a desired ratio. To do.
- a crucible for a light-emitting dopant may be further provided and a light-emitting region may be further provided as described above.
- a region only for the common host (undoped region) is provided between the light emitting region and the light emitting region, it is only necessary to close the shutter other than the common host.
- a common host material 301a, a hole injection material 305a, a hole transport material 302a, a light emitting dopant 303a, an electron from a vapor deposition source (not shown) arranged in parallel can be used.
- a method of depositing the injection material 306a is also effective.
- a similar device configuration can be fabricated by moving the substrate at a predetermined speed.
- the organic EL element of the present invention may be used as a kind of lamp such as an illumination or exposure light source, a projection device that projects an image, or a type that directly recognizes a still image or a moving image. It may be used as a display device (display).
- the driving method may be either a simple matrix (passive matrix) method or an active matrix method.
- a full-color display device can be manufactured by using three or more organic EL elements of the present invention having different emission colors.
- the display device of the present invention can be used as a display device, a display, and various light sources. Display devices and displays can be displayed in full color by using three types of organic EL elements that emit blue, red, and green light.
- Display devices and displays include TVs, personal computers, mopile devices, AV devices, text broadcast displays, information displays in automobiles, and the like.
- the driving method when used as a display device for reproducing moving images which may be used as a display device for reproducing still images or moving images, may be either a simple matrix (passive matrix) method or an active matrix method.
- the lighting device of the present invention includes household lighting, interior lighting, clock and liquid crystal backlights, billboard advertisements, traffic lights, light sources of optical storage media, light sources of electrophotographic copying machines, light sources of optical communication processors, Examples include, but are not limited to, a light source of an optical sensor.
- the organic EL device according to the present invention may be used as an organic EL device having a resonator structure.
- Use of the organic EL element having such a resonator structure includes a light source of an optical storage medium, a light source of an electrophotographic copying machine, a light source of an optical communication processing machine, a light source of an optical sensor, and the like. It is not limited to these. Moreover, you may use for the said use by making a laser oscillation.
- FIG. 1 is a schematic view showing an example of a display device including organic EL elements.
- FIG. 2 is a schematic diagram of a display such as a mobile phone that displays image information by light emission of an organic EL element.
- the display 1 includes a display unit A having a plurality of pixels, a control unit B that performs image staging of the display unit A based on image information, and the like.
- the control unit B is electrically connected to the display unit A, and sends a scanning signal and an image data signal to each of a plurality of pixels based on image information from the outside. Sequentially emits light according to the image data signal, scans the image, and displays image information on display A. To display.
- FIG. 2 is a schematic diagram of the display unit A.
- the display unit A includes a wiring unit including a plurality of scanning lines 5 and data lines 6, a plurality of pixels 3 and the like on a substrate.
- the main members of the display unit A will be described below.
- FIG. 2 shows a case where the light emitted from the pixel 3 is extracted in the direction of the white arrow (downward).
- the scanning line 5 and the plurality of data lines 6 in the wiring portion are each made of a conductive material, and the scanning line 5 and the data line 6 are orthogonal to each other in a grid pattern and are connected to the pixel 3 at the orthogonal position. (Details not shown).
- the pixel 3 When a scanning signal is applied from the scanning line 5, the pixel 3 receives an image data signal from the data line 6, and emits light according to the received image data.
- Full color display is possible by appropriately arranging pixels in the red region, the green region, and the blue region on the same substrate.
- FIG. 3 shows a schematic diagram of a pixel.
- the pixel includes an organic EL element 10, a switching transistor 11, a driving transistor 12, a capacitor 13, and the like.
- Full-color display can be performed by using organic EL elements of red, green, and blue light emission as organic EL elements 10 in a plurality of pixels and arranging them on the same substrate.
- an image data signal is applied from the control unit B to the drain of the switching transistor 11 via the data line 6.
- a scanning signal is applied from the control unit B to the gate of the switching transistor 11 via the scanning line 5
- the driving of the switching transistor 11 is turned on, and the image data signal applied to the drain is transferred to the capacitor 13 and the driving transistor. It is transmitted to the gate of the star 12.
- the capacitor 13 is charged according to the potential of the image data signal, and the drive of the drive transistor 12 is turned on.
- the drive transistor 12 has a drain connected to the power supply line 7 and a source connected to the electrode of the organic EL element 10, and the organic EL element is connected from the power supply line 7 according to the potential of the image data signal applied to the gate. Current is supplied to element 10.
- the driving of the switching transistor 11 is turned off. However, even if the driving of the switching transistor 11 is turned off, the capacitor 13 holds the potential of the charged image data signal, so that the driving of the driving transistor 12 is maintained in the on state, and the next running signal is not applied.
- the organic EL element 10 continues to emit light until it is done.
- a running signal is next applied by sequential running, the driving transistor 12 is driven according to the potential of the next image data signal synchronized with the running signal, and the organic EL element 10 emits light.
- the organic EL element 10 emits light by providing a switching transistor 11 and a drive transistor 12 as active elements for each organic EL element 10 of each of the plurality of pixels, and thereby providing organic EL for each of the plurality of pixels 3.
- Element 10 is emitting light.
- Such a light emitting method is called an active matrix method.
- the light emission of the organic EL element 10 may be light emission of a plurality of gradations by a multi-value image data signal having a plurality of gradation potentials, or a predetermined light emission amount of the binary image data signal. It may be on or off.
- the potential of the capacitor 13 can be maintained until the next scanning signal is applied, or can be discharged immediately before the next scanning signal is applied.
- FIG. 4 is a schematic view of a passive matrix display device.
- a plurality of scanning lines 5 and a plurality of image data lines 6 are provided in a grid pattern so as to face each other with the pixel 3 interposed therebetween.
- the pixel 3 connected to the applied scanning line 5 emits light according to the image data signal.
- the passive matrix method can reduce the manufacturing cost of the active element in addition to pixel 3.
- the organic EL element material of the present invention can also be applied to an organic EL element that emits substantially white light as a lighting device.
- a plurality of light emitting colors are emitted simultaneously by a plurality of light emitting materials to obtain white light emission by color mixing.
- the combinations of multiple emission colors include blue, green, It may be one containing three light emission maximum wavelengths of three primary colors of blue, or one containing two light emission maximum wavelengths utilizing the complementary colors such as blue and yellow, blue green and orange.
- a combination of light emitting materials for obtaining a plurality of emission colors includes a combination of a plurality of phosphorescent or fluorescent materials (light emitting dopants), a light emitting material that emits fluorescent or phosphorescent light, and
- a combination of a plurality of light-emitting dopants is possible, although a combination of a dye material that emits light from the light-emitting material as excitation light is acceptable. preferable.
- the layer structure of the organic electoluminescence device for obtaining a plurality of emission colors includes a method in which a plurality of emission dopants exist in one emission region, a plurality of emission regions, and each emission Examples thereof include a method in which dopants having different emission wavelengths are present in the region, and a method in which micropixels that emit light having different wavelengths are formed in a matrix.
- patterning may be performed by a metal mask, an ink jet printing method, or the like as needed during film formation.
- a metal mask In the case of patterning, only the electrode may be patterned, the electrode and the light emitting region may be patterned, and the entire layer may be patterned.
- the light emitting material used in the light emitting region is not particularly limited.
- the platinum according to the present invention is adapted so as to conform to the wavelength range corresponding to the CF (color filter) characteristics.
- a complex or a known luminescent material may be selected and combined to be whitened.
- the white light-emitting organic EL element of the present invention is not limited to the display device and display, but as various light sources and lighting devices, as a kind of lamp such as home lighting, interior lighting, and exposure light source. It is also useful for display devices such as backlights for liquid crystal display devices.
- light sources such as backlights for watches, billboard advertisements, traffic lights, optical storage media, light sources for electronic photocopiers, light sources for optical communication processors, light sources for optical sensors, and display devices are also required. And a wide range of uses such as general household appliances.
- this IT transparent electrode After putting a pattern on a 100 mm x 100 mm x 1.1 mm glass substrate with ITO (indium tin oxide) on lOOnm (NH Techno Glass NA45) as an anode, this IT transparent electrode
- the transparent support substrate provided with was ultrasonically cleaned with isopropyl alcohol, dried with dry nitrogen gas, and subjected to UV ozone cleaning for 5 minutes.
- This transparent support substrate was fixed to a substrate holder of a commercially available vacuum deposition apparatus.
- the crucibles for vapor deposition in the vapor deposition system were set as shown in Fig. 8, and each of them was filled with H_NPD, Compound 189, and Ir_1 in the optimum amounts for element fabrication.
- the crucible for vapor deposition was made of molybdenum resistance heating material.
- compound 189 is heated by energizing the input ivy the evaporation crucible Ir- 1, Table 1, according to Table 2
- a single layer A was formed by co-evaporation or single vapor deposition so that the material ratio (also referred to as mixing ratio) was achieved.
- the substrate temperature during vapor deposition was room temperature.
- this IT O transparent electrode After patterning an OOnm film substrate (NH45 manufactured by NH Techno Glass) on a 100mm X 100mm X 1.1mm glass substrate as an anode, this IT O transparent electrode
- the transparent support substrate provided with was ultrasonically cleaned with isopropyl alcohol, dried with dry nitrogen gas, and subjected to UV ozone cleaning for 5 minutes.
- This transparent support substrate was fixed to a substrate holder of a commercially available vacuum deposition apparatus.
- the crucibles for vapor deposition in the vapor deposition system were set as shown in Fig. 8, and CuPc (copper phthalocyanine), a_NPD, compound 189, Ir-1, and Alq were each filled in the optimum amounts for device fabrication.
- the crucible for evaporation is Mori
- a material made of a material for heating with a bden resistance was used.
- the vapor deposition crucible containing a-NPD, compound 189, and Ir-1 was energized and heated, and co-deposited or single-deposited at the mixing ratios shown in Tables 1 and 2 to form a single layer A. Was deposited.
- the deposition crucible containing Alq was energized and heated, and the deposition rate was 0. Inm / sec.
- an electron transport layer was provided by vapor deposition on a single layer A.
- the substrate temperature during vapor deposition was room temperature.
- Organic EL devices 1-3 to 1-5 were prepared in the same manner except that the materials, film thicknesses, and mass ratios were changed as shown in Tables 1 and 2 in the production of the organic EL devices 12 and 12.
- the evaporation crucible containing Alq was energized and heated, and was deposited on the single layer A at a deposition rate of 0. InmZ seconds to provide an electron transport layer.
- the substrate temperature during vapor deposition should be room temperature.
- Organic EL device 1-7 was fabricated in the same manner except that Alq was changed to BCP: Cs (75: 25) and no LiF was deposited. Also, an organic EL device 18 was fabricated in the same manner as 1-7, except that the common host material was changed from compound 189 to CDBP in the fabrication of organic EL device 1-7.
- the crucible for vapor deposition A material made of molybdenum resistance heating material was used. Then, pressure in the vacuum tank was reduced to 4 X 10- 4 Pa, CuPc (copper phthalocyanine), a- NPD, I ⁇ was 189, and heated by supplying an electric current to the evaporation crucible containing the Ir- 1, Alq
- Table 1 and Table 2 The mixing ratios shown in Table 1 and Table 2
- a single layer A was formed by co-evaporation or single deposition.
- the substrate temperature during vapor deposition was room temperature.
- Organic EL devices 1_10 to 1_13 were prepared in the same manner except that the materials, film thickness, mass ratio, each region, etc. were changed as shown in Tables 1 and 2 for Organic EL devices 1-9. .
- This ITO transparent electrode is provided after patterning on a substrate (NH45 manufactured by NH Techno Glass Co., Ltd.) made of ITO (indium tin oxide) on lOOnm on a 100mm X 100mm X 1.1mm glass substrate as an anode.
- the transparent support substrate was ultrasonically cleaned with isopropyl alcohol, dried with dry nitrogen gas, and subjected to UV ozone cleaning for 5 minutes.
- This transparent support substrate was fixed to a substrate holder of a commercially available vacuum deposition apparatus.
- the crucibles for vapor deposition in the vapor deposition system were set as shown in Fig. 8, and CuPc (copper phthalocyanine), a-NPD, Ir1, Alq, and LiF were each filled in the optimum amounts for device fabrication.
- the crucible for evaporation is molybdenum
- a material made of a resistance heating material was used.
- the content of NPD gradually decreases from 100% force to 0%, and the content of Alq + LiF also decreases to 10% force.
- the vapor deposition rate was adjusted so that the mixing ratio gradually decreased to 0%, and Ir_l was always co-deposited so as to be 5% by mass to provide a mixed light emitting layer.
- a substrate (NH techno glass NA45) made of lOOnm on a glass substrate of 100mm x 100mm x 1.1mm as an anode
- the provided transparent support substrate was ultrasonically cleaned with isopropyl alcohol, dried with dry nitrogen gas, and subjected to UV ozone cleaning for 5 minutes.
- This transparent support substrate was fixed to a substrate holder of a commercially available vacuum deposition apparatus.
- the crucible for vapor deposition in the vapor deposition system is set as shown in Fig. 8, and each of _NPD, Ir_l, Alq, and BCP
- the optimal amount for child production was filled.
- the crucible for vapor deposition was made of molybdenum resistance heating material.
- a wearing crucible is energized and heated, and co-evaporated so that the mixing mass ratio becomes (1: 1: 1) to provide a mixed layer 3 Onm. Subsequently, LiFlnm was vapor-deposited as an electron injection layer, and further aluminum 110 nm was vapor-deposited to form a cathode, thereby producing organic EL elements 1-15 of comparative examples.
- This ITO transparent electrode is provided after patterning on a substrate (NH45 manufactured by NH Techno Glass Co., Ltd.) made of ITO (indium tin oxide) on lOOnm on a 100mm X 100mm X 1.1mm glass substrate as an anode.
- the transparent support substrate was ultrasonically cleaned with isopropyl alcohol, dried with dry nitrogen gas, and subjected to UV ozone cleaning for 5 minutes.
- This transparent support substrate was fixed to a substrate holder of a commercially available vacuum deposition apparatus.
- CuPc copper phthalocyanine
- Compound 189 was filled in an amount optimal for device fabrication.
- the crucible for vapor deposition was made of molybdenum resistance heating material.
- the heating boat containing hi-NPD was energized and heated, and the deposition rate was 0. Inm.
- a 20 nm hole transport layer was provided by vapor deposition on the hole injection layer at / sec.
- the heating boat containing CBP and Ir 1 was heated by energization, and co-evaporated on the hole transport layer at a deposition rate of 0.2 nm / second and 0.0 lnm / second, respectively, to form a 35 nm light emitting layer.
- the heating boat containing the compound 189 was heated by energization, and was deposited on the light emitting layer at a deposition rate of 0.1 nm / second to provide a 10 nm-thick hole blocking layer.
- the heating boat was energized and heated, and deposited on the hole blocking layer at a deposition rate of 0.1 nm / second to provide an electron transport layer having a thickness of 40 nm.
- the substrate temperature during vapor deposition was room temperature.
- each of the fabricated devices was evaluated for external extraction quantum efficiency, light emission lifetime, and power efficiency.
- the produced organic EL device 1-1-1-16 was measured for external extraction quantum efficiency (%) when a constant current of 2.5 mA / cm 2 was applied at 23 ° C. in a dry nitrogen gas atmosphere.
- a spectral radiance meter CS-1000 manufactured by Konica Minolta was used for the measurement.
- the organic EL device of the present invention shows excellent performance in terms of external extraction quantum efficiency, power efficiency, emission lifetime, and deviation.
- Example 2 Organic EL device emitting white light
- the white organic EL device 1-7 of Example 1 was prepared in the same manner as 1_7 except that the light emitting region and the undoped region were formed with the materials, film thicknesses, and mass ratios shown in Tables 4 and 5. Element 2-1 was produced.
- organic EL element 1-11 white organic EL element 2-2-2 in the same manner as in 1-11 7 except that the light emitting region and the undoped region were formed with the materials, film thicknesses, and mass ratios shown in Tables 4 and 5. — 5 was made.
- organic EL element 1-12 white organic EL element 2-6, 2 in the same manner as 1-11 7, except that the light emitting region and undoped region were formed with the materials, film thicknesses, and mass ratios shown in Tables 4 and 5. — 7 was made.
- Table 6 shows the obtained results.
- the evaluation result was expressed as a relative value when the measured value of the organic EL element 2-8 was set to 100.
- FIG. 9 shows a schematic diagram of an example of an organic EL element having a single layer A in which electron injection regions (having an N-type semiconductor function) are formed.
- FIG. 5 shows a schematic diagram of the lighting device.
- the organic EL element 101 is covered with a glass cover 102. Sealing with the glass cover is performed in a nitrogen atmosphere without bringing the organic EL element 101 into contact with the atmosphere.
- Lower glove box under an atmosphere of high purity nitrogen gas with a purity of 99.999% or more Went on).
- FIG. 6 shows a cross-sectional view of the lighting device.
- 105 denotes a cathode
- 106 denotes an organic EL layer
- 107 denotes a glass substrate with a transparent electrode.
- the glass cover 102 is filled with nitrogen gas 108 and a water catching agent 109 is provided.
- an organic EL element a lighting device, and a display device having a low voltage due to low resistance of the organic layer and a structure having high light emission efficiency and excellent electro-optical characteristics.
Landscapes
- Physics & Mathematics (AREA)
- Optics & Photonics (AREA)
- Electroluminescent Light Sources (AREA)
- Nitrogen Condensed Heterocyclic Rings (AREA)
Abstract
Description
明 細 書 Specification
有機エレクト口ルミネッセンス素子、表示装置及び照明装置 Organic electoluminescence device, display device and lighting device
技術分野 Technical field
[0001] 本発明は、有機エレクト口ルミネッセンス素子、表示装置及び照明装置に関する。 TECHNICAL FIELD [0001] The present invention relates to an organic electoluminescence element, a display device, and a lighting device.
背景技術 Background art
[0002] 従来、発光型の電子ディスプレイデバイスとして、エレクト口ルミネッセンスディスプレ ィ(ELD)がある。 ELDの構成要素としては、無機エレクト口ルミネッセンス素子や有 機エレクト口ルミネッセンス素子(以下、有機 EL素子ともいう)が挙げられる。 [0002] Conventionally, as a light-emitting electronic display device, there is an electoric luminescence display (ELD). Examples of ELD constituent elements include inorganic electoluminescence devices and organic electroluminescence devices (hereinafter also referred to as organic EL devices).
[0003] 無機エレクト口ルミネッセンス素子は平面型光源として使用されてきたが、発光素子 を駆動させるためには交流の高電圧が必要である。 [0003] Inorganic electoluminescent elements have been used as planar light sources, but an AC high voltage is required to drive the light emitting elements.
[0004] 一方、有機 EL素子は、発光する化合物を含有する発光層を、陰極と陽極で挟んだ 構成を有し、発光層に電子及び正孔を注入して、再結合させることにより励起子 (ェ キシトン)を生成させ、このエキシトンが失活する際の光の放出(蛍光 'リン光)を利用 して発光する素子であり、数 V〜数十 V程度の電圧で発光が可能であり、さらに、 自 己発光型であるために視野角に富み、視認性が高ぐ薄膜型の完全固体素子である ために省スペース、携帯性等の観点から注目されてレ、る。 [0004] On the other hand, an organic EL device has a structure in which a light emitting layer containing a compound that emits light is sandwiched between a cathode and an anode. By injecting electrons and holes into the light emitting layer and recombining them, excitons are obtained. This is an element that emits light using the emission of light (fluorescence 'phosphorescence) when this exciton is deactivated, and can emit light at a voltage of several volts to several tens of volts. Furthermore, since it is a self-luminous type, it has a wide viewing angle, and since it is a thin-film type complete solid-state device with high visibility, it is attracting attention from the viewpoints of space saving and portability.
[0005] 今後の実用化に向けた有機 EL素子の開発としては、さらに低消費電力で効率よく 高輝度に発光する有機 EL素子が望まれているわけであり、例えば、スチルベン誘導 体、ジスチリルァリーレン誘導体またはトリススチリルァリーレン誘導体に、微量の蛍 光体をドープし、発光輝度の向上、素子の長寿命化を達成する技術 (例えば、特許 文献 1参照。)、 8—ヒドロキシキノリンアルミニウム錯体をホストイ匕合物として、これに 微量の蛍光体をドープした有機発光層を有する素子 (例えば、特許文献 2参照。)、8 —ヒドロキシキノリンアルミニウム錯体をホストイ匕合物として、これにキナクリドン系色素 をドープした有機発光層を有する素子 (例えば、特許文献 3参照。)等が知られてい る。 [0005] For the development of organic EL elements for practical use in the future, organic EL elements that emit light efficiently and with high brightness with lower power consumption are desired. For example, stilbene derivatives, distyryl Technology that improves light emission luminance and extends device lifetime by doping a small amount of phosphor into an arylene derivative or tristyrylarylene derivative (see, for example, Patent Document 1), 8-hydroxyquinoline aluminum complex A compound having an organic light emitting layer doped with a small amount of a phosphor (see, for example, Patent Document 2), and a 8-hydroxyquinoline aluminum complex as a host compound, and a quinacridone dye A device having an organic light emitting layer doped with (see, for example, Patent Document 3) is known.
[0006] 上記特許文献に開示されている技術では、励起一重項からの発光を用いる場合、 一重項励起子と三重項励起子の生成比が 1: 3であるため発光性励起種の生成確率 力 S25%であることと、光の取り出し効率が約 20%であるため、外部取り出し量子効率[0006] In the technique disclosed in the above-mentioned patent document, when light emission from excited singlet is used, the generation ratio of singlet excitons and triplet excitons is 1: 3. The external extraction quantum efficiency because of the power S25% and the light extraction efficiency is about 20%
( 77 ext)の限界は 5%とされている。 The limit for (77 ext) is 5%.
[0007] ところが、プリンストン大より、励起三重項からのリン光発光を用いる有機 EL素子の 報告 (例えば、非特許文献 1参照。)がされて以来、室温でリン光を示す材料の研究 が活発になってきている(例えば、非特許文献 2及び特許文献 4参照。)。 [0007] However, since Princeton University reported on organic EL devices that use phosphorescence emission from excited triplets (for example, see Non-Patent Document 1), research on materials that exhibit phosphorescence at room temperature has been active. (For example, see Non-Patent Document 2 and Patent Document 4).
[0008] 励起三重項を使用すると、内部量子効率の上限が 100。/oとなるため、励起一重項 の場合に比べて原理的に発光効率力 S4倍となり、冷陰極管とほぼ同等の性能が得ら れ照明用にも応用可能であり注目されている。 [0008] The upper limit of internal quantum efficiency is 100 when excited triplets are used. Because of / o, the luminous efficiency is S4 times in principle compared to the case of the excited singlet, and the performance is almost the same as that of a cold cathode tube, which can be applied to lighting and is attracting attention.
[0009] 例えば、多くの化合物がイリジウム錯体系等重金属錯体を中心に合成検討され (例 えば、非特許文献 3参照。)、ドーパントとして、トリス(2—フエニルピリジン)イリジウム を用いた検討等が行われている (例えば、非特許文献 2参照。)。 [0009] For example, many compounds have been studied focusing on heavy metal complexes such as iridium complexes (for example, see Non-Patent Document 3), and studies using tris (2-phenylpyridine) iridium as a dopant, etc. (For example, see Non-Patent Document 2).
[0010] その他、ドーパントとして L Ir (acac)、例えば(ppy) Ir (acac) (例えば、非特許文 [0010] In addition, L Ir (acac) as a dopant, for example (ppy) Ir (acac) (for example, non-patent document)
2 2 twenty two
献 4参照。)を、また、ドーパントとして、トリス(2— (p—トリル)ピリジン)イリジウム(Ir (p tpy) )、トリス(ベンゾ [h]キノリン)イリジウム(Ir (bzq) )、Ir (bzq) ClP (Bu)等を用 See Table 4. ) And as dopants tris (2— (p-tolyl) pyridine) iridium (Ir (p tpy)), tris (benzo [h] quinoline) iridium (Ir (bzq)), Ir (bzq) ClP ( Bu) etc.
3 3 2 3 いた検討 (例えば、非特許文献 5参照。)が行われている。 3 3 2 3 (for example, see Non-Patent Document 5).
[0011] 更に、高い発光効率を得るために、ホール輸送性の化合物をリン光性化合物のホ ストとして用いている(例えば、非特許文献 6参照。)例があり、各種電子輸送性材料 をリン光性化合物のホストとして、これらに新規なイリジウム錯体をドープして用いてい る(例えば、非特許文献 4参照)。さらに、ホールブロック層の導入により高い発光効 率を得ている (例えば、非特許文献 5参照)。 [0011] Furthermore, in order to obtain high luminous efficiency, there is an example in which a hole transporting compound is used as a host of a phosphorescent compound (see, for example, Non-Patent Document 6), and various electron transporting materials are used. As a host for phosphorescent compounds, these are doped with a novel iridium complex (for example, see Non-Patent Document 4). Furthermore, high luminous efficiency is obtained by introducing a hole blocking layer (see, for example, Non-Patent Document 5).
[0012] 最近では、正孔輸送層中にァクセプターを、電子輸送層中にドナーをドープする事 により、熱平衡状態における正孔輸送層と電子輸送層内のキャリア濃度を上げること で、有機層の導電率を向上される方法が提案されている(例えば、特許文献 5、 6参 照。)。 [0012] Recently, by doping an acceptor in the hole transport layer and a donor in the electron transport layer, the carrier concentration in the hole transport layer and the electron transport layer in the thermal equilibrium state is increased, thereby increasing the organic layer. Methods for improving the conductivity have been proposed (see, for example, Patent Documents 5 and 6).
[0013] また、ドナーをドープした電子輸送層と正孔を効率的に閉じ込める正孔阻止層から 成る有機エレクト口ルミネッセンス素子や、ァクセプターをドープした正孔輸送層と電 子を効率的に閉じ込める電子阻止層力も成る有機エレクト口ルミネッセンス素子が提 案され、更に高い発光効率を示す、電気光学特性に優れた構成の有機エレクトロル ミネッセンス素子が得られている(例えば、特許文献 7参照。)。 [0013] In addition, an organic electoluminescence device composed of an electron transport layer doped with a donor and a hole blocking layer that efficiently confine holes, or an electron that efficiently confines electrons and an electron transport layer doped with an acceptor An organic electroluminescence device with a blocking layer force has been proposed, and organic electroluminescence with a high electro-optical characteristic and higher luminous efficiency is proposed. A minence element has been obtained (for example, see Patent Document 7).
[0014] ところで、高効率な素子では一般的に、正孔輸送性能や電子輸送性能、発光性能 など、それぞれ異なる性能を持つ材料を積層し、各々の層に機能を分離させることで 、高効率を実現している。その一方で、有機層を積層することで、有機一有機層界面 にキャリアの注入障壁が生じ、駆動電圧が上がりやすくなり、また、この注入障壁によ り、界面にキャリアが蓄積され、寿命劣化が招来されやすい等の問題点がある。更に は、異なる材料を含有する層の界面での膜 (層)の密着性が悪いために、膜の剥離 が生じたり、不純物が入り込んで界面での材料の結晶化が生じやすくなる等の問題 点があり、これらは素子の寿命劣化の大きな要因となっている。 [0014] By the way, in general, high-efficiency devices generally have high efficiency by stacking materials having different performance such as hole transport performance, electron transport performance, and light emission performance, and separating the functions from each layer. Is realized. On the other hand, stacking organic layers creates a carrier injection barrier at the interface between the organic and organic layers, making it easier for the drive voltage to rise. There are problems such as being easily invited. Furthermore, the film (layer) has poor adhesion at the interface between layers containing different materials, so that the film peels off or impurities enter and the material is easily crystallized at the interface. There are points, and these are major factors for deterioration of the lifetime of the device.
[0015] これらの問題点を改善する技術として、正孔輸送材料、電子輸送材料及び電子注 入材料の混合発光層の漸進層を設け、層間の障壁をなくして長寿命化する技術が 開示されている (例えば、特許文献 8参照。 ) [0015] As a technique for improving these problems, a technique for providing a progressive layer of a mixed light emitting layer of a hole transport material, an electron transport material, and an electron injection material and eliminating the barrier between layers to extend the life is disclosed. (For example, see Patent Document 8)
し力しながら、上記の技術では、ドーパントの存在領域が広がっている為、励起子 閉じこめ効果が小さい、また、ドーパントがキャリア輸送性の場合、キャリア閉じこめ効 果も小さいことから効率が低下しやすいとレ、う問題点がある。 However, in the above technique, the existence region of the dopant is widened, so the exciton confinement effect is small, and when the dopant has carrier transportability, the carrier confinement effect is also small, so the efficiency tends to decrease. There are problems.
[0016] 陰極と陽極との間に、正孔を輸送する成分、電子を輸送する成分、正孔を隔離する 成分を含む、混合式有機層を設ける技術 (例えば、特許文献 9参照。)があるが、正 孔を輸送する成分と正孔を隔離する成分とが混合している為、正孔阻止が不十分に なりやすぐドーパントの存在領域も広がっていること等から、発光効率の効率アップ が不十分であり、更には、複数種の材料を同時に蒸着することが必要であり、製造上 の調整がかなり難しいという問題点がある。 [0016] A technique of providing a mixed organic layer including a component that transports holes, a component that transports electrons, and a component that segregates holes between a cathode and an anode (see, for example, Patent Document 9). However, because the component that transports holes and the component that separates holes are mixed, the hole blocking becomes insufficient and the region where the dopant exists is widened. In addition, there is a problem that the improvement is insufficient, and furthermore, it is necessary to deposit a plurality of types of materials at the same time.
[0017] また、陰極と陽極との間に、正孔注入材料及び正孔輸送材料からなる正孔輸送性 混合層、正孔輸送材料及び電子輸送材料からなるバイポーラ一性混合層、または、 電子輸送材料及び電子注入材料力 なる電子輸送性混合層を有する技術 (例えば 、特許文献 10参照。)が開示されているが、いずれも積層構造の界面に生じるエネ ルギー障壁の緩和効果が十分ではなぐまた、製造上の難度が極めて高いという問 題点を有している。 [0017] Further, between the cathode and the anode, a hole transporting mixed layer made of a hole injecting material and a hole transporting material, a bipolar mixed layer made of a hole transporting material and an electron transporting material, or an electron Although a technology having an electron transporting mixed layer that serves as a transport material and an electron injection material is disclosed (for example, see Patent Document 10), all of them do not sufficiently relax the energy barrier generated at the interface of the laminated structure. In addition, there is a problem that manufacturing difficulty is extremely high.
特許文献 1:特許第 3093796号明細書 特許文献 2 :特開昭 63— 264692号公報 Patent Document 1: Patent No. 3093796 Patent Document 2: JP-A 63-264692
特許文献 3:特開平 3— 255190号公報 Patent Document 3: Japanese Patent Application Laid-Open No. 3-255190
特許文献 4 :米国特許第 6, 097, 147号明細書 Patent Document 4: US Patent No. 6,097,147
特許文献 5:特開平 4一 297076号公報 Patent Document 5: Japanese Patent Laid-Open No. 4-297076
特許文献 6:特開 2001— 244079号公報 Patent Document 6: Japanese Patent Laid-Open No. 2001-244079
特許文献 7 :特開 2000— 196140号公報 Patent Document 7: Japanese Unexamined Patent Publication No. 2000-196140
特許文献 8 :特開 2004— 253315号公報 Patent Document 8: Japanese Unexamined Patent Application Publication No. 2004-253315
特許文献 9:特開 2004— 273197号公報 Patent Document 9: Japanese Unexamined Patent Application Publication No. 2004-273197
特許文献 10 :特開 2002— 313583号公報 Patent Document 10: Japanese Unexamined Patent Application Publication No. 2002-313583
非特許文献 1 : M. A. Baldo et al., nature, 395卷、 151— 154ページ(1998 年) Non-patent document 1: M. A. Baldo et al., Nature, 395 卷, 151–154 (1998)
非特許文献 2 : M. A. Baldo et al., nature, 403卷、 17号、 750— 753ページ( 2000年) Non-patent document 2: M. A. Baldo et al., Nature, 403 卷, 17, 750-753 (2000)
非特許文献 3 : S. Lamansky et al. , J. Am. Chem. Soc. , 123卷、 4304ぺー ジ(2001年) Non-Patent Document 3: S. Lamansky et al., J. Am. Chem. Soc., 123 卷, 4304 (2001)
非特許文献 4 : M. E. Tompson et al. , The 10th International Worksho p on Inorganic and Organic Electroluminescence (EL' 00、浜松) 非特許文献 5 : Moon— Jae Youn. Og, Tetsuo Tsutsuiet al. , The 10th In ternational Workshop on Inorganic and Organic Electrolumine scene e (EL,00、浜松) Non-Patent Document 4: ME Tompson et al., The 10th International Workshopon Inorganic and Organic Electroluminescence (EL '00, Hamamatsu) Non-Patent Document 5: Moon— Jae Youn. Og, Tetsuo Tsutsuiet al., The 10th International Workshop on Inorganic and Organic Electrolumine scene e (EL, 00, Hamamatsu)
非特許文献 6 : Ikai et al. , The 10th International Workshop on Inorga nic and Organic Electroluminescence (EL' 00、浜松) Non-Patent Document 6: Ikai et al., The 10th International Workshop on Inorganic and Organic Electroluminescence (EL'00, Hamamatsu)
発明の開示 Disclosure of the invention
[0018] 本発明の目的は、有機層の低抵抗化による素子の低電圧化、並びに、高い発光効 率をもつ電気光学的特性に優れた構成の有機 EL素子、照明装置及び表示装置を 提供し、更に、発光寿命の長い有機 EL素子、照明装置および表示装置を提供する ことである。 [0018] An object of the present invention is to provide an organic EL element, an illumination device, and a display device having a structure with excellent electro-optical characteristics having a high luminous efficiency and a low voltage of the element by reducing the resistance of the organic layer. Furthermore, it is to provide an organic EL element, a lighting device and a display device having a long light emission lifetime.
[0019] 本発明の、上記目的を達成するための態様の一つは、陽極と陰極との間に、少なく とも 1種の共通ホスト材料を含有する単一層 Aを有し、該単一層 Aが、少なくとも 1種 類の正孔輸送材料を含む正孔輸送領域と、少なくとも一種類の発光ドーパントを含 む発光領域とを含み、該正孔輸送領域と該発光領域は、互いに重複する領域を持 たず、且つ、前記単一層 Aの全領域において、該共通ホスト材料を 0. 1質量%以上 含有しており、該共通ホスト材料の含有量が各々の領域においておおよそ一定であ ることを特徴とする有機エレクト口ルミネッセンス素子にある。 [0019] One aspect of the present invention for achieving the above object is that there are at least between the anode and the cathode. Both have a single layer A containing one common host material, and the single layer A emits light containing a hole transport region containing at least one kind of hole transport material and at least one light emitting dopant. The hole transporting region and the light emitting region do not have a region overlapping each other, and the entire region of the single layer A contains 0.1% by mass or more of the common host material. The organic electroluminescence device is characterized in that the content of the common host material is approximately constant in each region.
図面の簡単な説明 Brief Description of Drawings
[0020] [図 1]有機 EL素子から構成される表示装置の一例を示した模式図である。 FIG. 1 is a schematic view showing an example of a display device composed of organic EL elements.
[図 2]表示部の模式図である。 FIG. 2 is a schematic diagram of a display unit.
[図 3]画素の模式図である。 FIG. 3 is a schematic diagram of a pixel.
[図 4]パッシブマトリクス方式フルカラー表示装置の模式図である。 FIG. 4 is a schematic diagram of a passive matrix type full-color display device.
[図 5]照明装置の概略図である。 FIG. 5 is a schematic view of a lighting device.
[図 6]照明装置の断面図である。 FIG. 6 is a cross-sectional view of the lighting device.
[図 7]素子の単一層 Aの構成例の一例を示す模式図である。 FIG. 7 is a schematic diagram showing an example of a configuration example of a single layer A of the element.
[図 8]素子の単一層 A形成に用いる蒸着装置の一例を示す模式図である。 FIG. 8 is a schematic view showing an example of a vapor deposition apparatus used for forming a single layer A of the element.
[図 9]複数の発光領域と複数の非ドープ領域を有する単一層 Aを有する有機 EL素子 の一例を示す模式図である。 FIG. 9 is a schematic view showing an example of an organic EL device having a single layer A having a plurality of light emitting regions and a plurality of undoped regions.
発明を実施するための最良の形態 BEST MODE FOR CARRYING OUT THE INVENTION
[0021] 本発明の上記目的は下記の構成 1〜48により達成された。 [0021] The above object of the present invention has been achieved by the following constitutions 1 to 48.
[0022] (1) 陽極と陰極との間に、少なくとも 1種の共通ホスト材料を含有する単一層 Aを 有し、該単一層 Aが、少なくとも 1種類の正孔輸送材料を含む正孔輸送領域と、少な くとも一種類の発光ドーパントを含む発光領域とを含み、該正孔輸送領域と該発光 領域は、互いに重複する領域を持たず、且つ、前記単一層 Aの全領域において、該 共通ホスト材料を 0. 1質量%以上含有しており、該共通ホスト材料の含有量が各々 の領域においておおよそ一定であることを特徴とする有機エレクト口ルミネッセンス素 子。 [0022] (1) Hole transport including a single layer A containing at least one common host material between the anode and the cathode, and the single layer A contains at least one hole transport material And a light-emitting region containing at least one kind of light-emitting dopant, the hole transport region and the light-emitting region do not have a region overlapping each other, and the entire region of the single layer A has the 1. An organic electoluminescence device comprising a common host material in an amount of 0.1% by mass or more, wherein the content of the common host material is substantially constant in each region.
[0023] (2) 前記単一層 Aの陽極に近い側から、正孔輸送領域、発光領域が設けられて レ、ることを特徴とする前記有機エレクト口ルミネッセンス素子。 [0024] (3) 前記単一層 Aの陰極に近い側から、電子輸送領域、非ドープ領域が設けられ ていることを特徴とする前記有機エレクト口ルミネッセンス素子。 [0023] (2) The organic electoluminescence device, wherein a hole transport region and a light emitting region are provided from the side of the single layer A close to the anode. (3) The organic electoluminescence device, wherein an electron transport region and an undoped region are provided from a side of the single layer A close to the cathode.
[0025] (4) 前記単一層 Aの陽極に近い側から、正孔注入領域、正孔輸送領域、発光領 域が設けられていることを特徴とする前記有機エレクト口ルミネッセンス素子。 [0025] (4) The organic electoluminescence device, wherein a hole injection region, a hole transport region, and a light emitting region are provided from the side of the single layer A close to the anode.
[0026] (5) 前記単一層 Aの陰極に近い側から、電子注入領域、非ドープ領域が設けられ ていることを特徴とする前記有機エレクト口ルミネッセンス素子。 [0026] (5) The organic electoluminescence device, wherein an electron injection region and an undoped region are provided from the side close to the cathode of the single layer A.
[0027] (6) 前記陽極と前記単一層 Aの間に、正孔注入層を有し、該正孔注入層が、該単 一層 Aの正孔輸送領域に含まれる正孔輸送材料とは異なる正孔輸送材料 Aを含む ことを特徴とする前記有機エレクト口ルミネッセンス素子。 (6) What is a hole transport material having a hole injection layer between the anode and the single layer A, wherein the hole injection layer is included in the hole transport region of the single layer A? A different hole transport material A is included. The organic electoluminescence device, wherein:
[0028] (7) 前記陰極と前記単一層 Aの間に、電子注入層を有し、該電子注入層が、該単 一層 Aの電子輸送領域に含まれる電子輸送材料とは異なる材料 Aを含むことを特徴 とする前記有機エレクト口ルミネッセンス素子。 (7) An electron injection layer is provided between the cathode and the single layer A, and the electron injection layer is made of a material A different from the electron transport material included in the electron transport region of the single layer A. The organic-electric-mouth luminescence element characterized by including.
[0029] (8) 前記発光ドーパントの少なくとも一種が、リン光発光性化合物であることを特 徴とする前記有機エレクト口ルミネッセンス素子。 [0029] (8) The organic electoluminescence device, wherein at least one of the luminescent dopants is a phosphorescent compound.
[0030] (9) 前記正孔輸送領域が共通ホスト材料を 0. 1質量%〜: 10質量%含有すること を特徴とする前記有機エレクト口ルミネッセンス素子。 [0030] (9) The organic electoluminescence device, wherein the hole transport region contains a common host material in an amount of 0.1% by mass to 10% by mass.
[0031] (10) 前記発光領域が共通ホスト材料を 51質量%〜99. 9質量%含有することを 特徴とする前記有機エレクト口ルミネッセンス素子。 [0031] (10) The organic electoluminescence device, wherein the light emitting region contains 51 mass% to 99.9 mass% of a common host material.
[0032] (11) 前記電子輸送領域が共通ホスト材料を 0. 1質量%〜: 10質量%含有するこ とを特徴とする前記有機エレクト口ルミネッセンス素子。 [0032] (11) The organic electoluminescence device, wherein the electron transport region contains a common host material in an amount of 0.1% by mass to 10% by mass.
[0033] (12) 前記電子注入領域が共通ホスト材料を 51質量%〜99. 9質量%含有する ことを特徴とする前記有機エレクト口ルミネッセンス素子。 [0033] (12) The organic electoluminescence device, wherein the electron injection region contains 51 mass% to 99.9 mass% of a common host material.
[0034] (13) 前記正孔注入領域が共通ホスト材料を 0. 1質量%〜99, 9質量%含有する ことを特徴とする前記有機エレクト口ルミネッセンス素子。 [0034] (13) The organic electoluminescence device, wherein the hole injection region contains a common host material in an amount of 0.1 mass% to 99, 9 mass%.
[0035] (14) 前記共通ホスト材料の最低励起三重項エネルギー準位 T1と、発光ドーパン トの最低励起三重項エネルギー準位 T2とが、下記の関係式を満たすことを特徴とす る前記有機エレクト口ルミネッセンス素子。 (14) The organic material, wherein the lowest excited triplet energy level T1 of the common host material and the lowest excited triplet energy level T2 of the light emitting dopant satisfy the following relational expression: Elect mouth luminescence element.
[0036] T1≥T2 (15) 前記共通ホスト材料の少なくとも 1種が、下記一般式(1)で表される化合物 であることを特徴とする前記有機エレクト口ルミネッセンス素子。 [0036] T1≥T2 (15) The organic electoluminescence device, wherein at least one of the common host materials is a compound represented by the following general formula (1).
[化 1] [Chemical 1]
—饑式 W — 饑 W
[0038] 〔式中、 Zは置換基を有していてもよい芳香族複素環を表し、 Zは、各々置換基を有 [In the formula, Z represents an aromatic heterocyclic ring which may have a substituent, and each Z has a substituent.
1 2 していてもよい芳香族複素環または芳香族炭化水素環を表し、 Zは 2価の連結基ま 1 2 represents an aromatic heterocycle or aromatic hydrocarbon ring that may be substituted, and Z represents a divalent linking group.
3 Three
たは単なる結合手を表す。 R は水素原子または置換基を表す。〕 Or just a bond. R represents a hydrogen atom or a substituent. ]
101 101
(16) 前記一般式(1)で表される化合物の Z ί 6員環であることを特徴とする前 (16) A Z ί 6-membered ring of the compound represented by the general formula (1)
1 1
記有機エレクト口ルミネッセンス素子。 Organic electroluminescence device.
[0039] (17) 前記一般式(1)で表される化合物の Ζ力 6員環であることを特徴とする前 [0039] (17) The repulsive force of the compound represented by the general formula (1) is a six-membered ring
2 2
記有機エレクト口ルミネッセンス素子。 Organic electroluminescence device.
[0040] (18) 前記一般式(1)で表される化合物の Ζ力 S、結合手であることを特徴とする前 [0040] (18) The repulsive force S of the compound represented by the general formula (1) is a bond,
3 Three
記有機エレクト口ルミネッセンス素子。 Organic electroluminescence device.
[0041] (19) 前記一般式(1)で表される化合物が、分子量 450以上であることを特徴とす る前記有機エレクト口ルミネッセンス素子。 [0041] (19) The organic electoluminescence device, wherein the compound represented by the general formula (1) has a molecular weight of 450 or more.
[0042] (20) 前記一般式(1)で表される化合物が、下記一般式(1一 1)で表されることを 特徴とする前記有機エレクト口ルミネッセンス素子。 [0042] (20) The organic electoluminescence device, wherein the compound represented by the general formula (1) is represented by the following general formula (11).
[0043] [化 2] [0043] [Chemical 2]
—簾却— —Rejection—
[0044] 〔式中、 R R は、各々独立に、水素原子または置換基を表し、該置換基は各々 [In the formula, each RR independently represents a hydrogen atom or a substituent,
501 507 501 507
同一でもよぐ異なっていてもよい。〕 It may be the same or different. ]
(21) 前記一般式(1)で表される化合物が、下記一般式(1 2)で表されることを 特徴とする前記有機エレクト口ルミネッセンス素子。 (21) The organic electoluminescence device, wherein the compound represented by the general formula (1) is represented by the following general formula (12).
[0045] [化 3] [0045] [Chemical 3]
—般却— 2 —General rejection— 2
[0046] 〔式中、 R R は、各々独立に、水素原子または置換基を表し、該置換基は各々 [Wherein, R R each independently represents a hydrogen atom or a substituent,
511 517 511 517
同一でもよぐ異なっていてもよい。〕 It may be the same or different. ]
(22) 前記一般式(1)で表される化合物が、下記一般式(1 3)で表されることを 特徴とする前記有機エレクト口ルミネッセンス素子。 (22) The organic electoluminescence device, wherein the compound represented by the general formula (1) is represented by the following general formula (13).
[0047] [化 4] [0047] [Chemical 4]
-«(1 -«(1
[0048] 〔式中、 R R は、各々独立に、水素原子または置換基を表し、該置換基は各々 [Wherein R R each independently represents a hydrogen atom or a substituent,
521 527 521 527
同一でもよぐ異なっていてもよい。〕 It may be the same or different. ]
(23) 前記一般式(1)で表される化合物が、下記一般式(1一 4)で表されることを 特徴とする前記有機エレクト口ルミネッセンス素子。 (23) The organic electoluminescence device, wherein the compound represented by the general formula (1) is represented by the following general formula (14).
[0049] [化 5] —般式 (1—4》 [0049] [Chemical 5] —General formula (1-4)
[0050] 〔式中、 R R は、各々独立に、水素原子または置換基を表し、該置換基は各々 [In the formula, R R each independently represents a hydrogen atom or a substituent,
531 537 531 537
同一でもよぐ異なっていてもよい。〕 It may be the same or different. ]
(24) 前記一般式(1)で表される化合物が、下記一般式(1一 5)で表されることを 特徴とする前記有機エレクト口ルミネッセンス素子。 (24) The organic electoluminescence device, wherein the compound represented by the general formula (1) is represented by the following general formula (15).
[0051] [化 6] [0051] [Chemical 6]
—般式 —General formula
[0052] 〔式中、 R R は、各々独立に、水素原子または置換基を表し、該置換基は各々 [Wherein R R each independently represents a hydrogen atom or a substituent,
541 548 541 548
同一でもよぐ異なっていてもよい。〕 It may be the same or different. ]
(25) 前記一般式(1)で表される化合物が、下記一般式(1一 6)で表されることを 特徴とする前記有機エレクト口ルミネッセンス素子。 (25) The organic electoluminescence device described above, wherein the compound represented by the general formula (1) is represented by the following general formula (16).
[0053] [化 7] [0053] [Chemical 7]
—般却— 6》 —General rejection— 6 >>
[0054] 〔式中、 R R は、各々独立に、水素原子または置換基を表し、該置換基は各々 [Wherein R R each independently represents a hydrogen atom or a substituent,
551 558 551 558
同一でもよぐ異なっていてもよい。〕 (26) 前記一般式(1)で表される化合物が、下記一般式(1 7)で表されることを 特徴とする前記有機エレクト口ルミネッセンス素子。 It may be the same or different. ] (26) The organic electoluminescence device, wherein the compound represented by the general formula (1) is represented by the following general formula (17).
[0055] [化 8] [0055] [Chemical 8]
[0056] 〔式中、 R 〜R は、各々独立に、水素原子または置換基を表し、該置換基は各々 [Wherein R 1 to R 4 each independently represents a hydrogen atom or a substituent,
561 567 561 567
同一でもよぐ異なっていてもよい。〕 It may be the same or different. ]
(27) 前記一般式(1)で表される化合物が、下記一般式(1 8)で表されることを 特徴とする前記有機エレクト口ルミネッセンス素子。 (27) The organic electoluminescence device, wherein the compound represented by the general formula (1) is represented by the following general formula (18).
[0057] [化 9] [0057] [Chemical 9]
—般式《1—8) —General formula << 1-8
[0058] 〔式中、 R 〜R は、各々独立に、水素原子または置換基を表し、該置換基は各々 [Wherein R 1 to R 4 each independently represents a hydrogen atom or a substituent,
571 577 571 577
同一でもよぐ異なっていてもよい。〕 It may be the same or different. ]
(28) 前記一般式(1)で表される化合物が、下記一般式(1一 9)で表されることを 特徴とする前記有機エレクト口ルミネッセンス素子。 (28) The organic electoluminescence device, wherein the compound represented by the general formula (1) is represented by the following general formula (19).
[0059] [化 10] '般式《1—9》 [0059] [Chemical 10] 'General Formula << 1-9 >>
[0060] 〔式中、 R 〜R は、各々水素原子または置換基を表し、該置換基は各々同一でも [Wherein R 1 to R 4 each represents a hydrogen atom or a substituent, and the substituents may be the same or
581 588 581 588
よぐ異なっていてもよレ、。〕 It can be different. ]
(29) 前記一般式(1)で表される化合物が、下記一般式(1一 10)で表されることを 特徴とする前記有機エレクト口ルミネッセンス素子。 (29) The organic electoluminescence device, wherein the compound represented by the general formula (1) is represented by the following general formula (110).
[0061] [化 11] [0061] [Chemical 11]
—舰式《1—10; — 舰 -style << 1-10;
[0062] 〔式中、 R 〜R は、各々水素原子または置換基を表し、該置換基は各々同一でも [Wherein R 1 to R 4 each represent a hydrogen atom or a substituent, and the substituents may be the same or
591 598 591 598
よぐ異なっていてもよレ、。〕 It can be different. ]
(30) 前記一般式(1)で表される化合物が、下記一般式 (2— :!)〜(2— 10)のい ずれかで表される基を少なくとも一つ有することを特徴とする前記有機エレクト口ルミ ネッセンス素子。 (30) The compound represented by the general formula (1) has at least one group represented by any one of the following general formulas (2— :!) to (2-10): The organic electoluminum luminescence element.
[0063] [化 12] —般式 (2—1) -般式 (2— 2> [0063] [Chemical 12] —General Formula (2—1)-General Formula (2— 2>
—般式 (2— 7) 一般式 (2— 8) —General formula (2—7) General formula (2—8)
—般式 (2— 9)—General formula (2-9)
〔式中、 R 〜: R 、R 〜R 、R 〜R 、 : R 〜: R 、: R 〜R 、R 〜R 、: R[In formula, R-: R, R-R, R-R,: R-: R,: R-R, R-R,: R
〜R 、R 〜R 、R 〜R 、R 〜R は、各々独立に、水素原子または置換基 を表し、該置換基は各々同一でもよぐ異なっていてもよい。〕 -R 1, R 2 -R 3, R 1 -R 4, R 1 -R 3 each independently represents a hydrogen atom or a substituent, and the substituents may be the same or different. ]
(31) 前記一般式(1)で表される化合物が、下記一般式 (3)で表されることを特徴 とする前記有機エレクト口ルミネッセンス素子。 [0065] [化 13] (31) The organic electoluminescence device, wherein the compound represented by the general formula (1) is represented by the following general formula (3). [0065] [Chemical 13]
[0066] 〔式中、 R 〜R は、各々独立に、水素原子または置換基を表すが、 R 〜R の少 [Wherein R 1 to R 4 each independently represents a hydrogen atom or a substituent,
601 606 601 606 なくとも一つは前記一般式(2—:!)〜(2— 10)で表される基から選ばれる少なくとも 一つの基を表す。〕 601 606 601 606 At least one represents at least one group selected from the groups represented by formulas (2 ::!) To (2-10). ]
(32) 前記一般式(1)で表される化合物が、下記一般式 (4)で表されることを特徴 とする前記有機エレクト口ルミネッセンス素子。 (32) The organic electoluminescence device, wherein the compound represented by the general formula (1) is represented by the following general formula (4).
[0067] [化 14] 養式 w [0067] [Chemical Formula 14] Formula w
[0068] 〔式中、 R 〜R は、各々独立に、水素原子または置換基を表すが、 R 〜R の少 [Wherein R 1 to R 4 each independently represents a hydrogen atom or a substituent,
611 620 611 620 なくとも一つは前記一般式(2—:!)〜(2— 10)で表される基から選ばれる少なくとも 一つの基を表す。〕 611 620 611 620 At least one represents at least one group selected from the groups represented by the general formulas (2- :!) to (2-10). ]
(33) 前記一般式(1)で表される化合物が、下記一般式 (5)で表されることを特徴 とする前記有機エレクト口ルミネッセンス素子。 (33) The organic electoluminescence device, wherein the compound represented by the general formula (1) is represented by the following general formula (5).
[0069] [化 15] [0069] [Chemical 15]
-般式^ [0070] 〔式中、 R 〜R は、各々独立に、水素原子または置換基を表すが、 R 〜R の少-General formula ^ [Wherein R 1 to R 4 each independently represents a hydrogen atom or a substituent,
621 623 621 623 なくとも一つは前記一般式(2—:!)〜(2— 10)で表される基から選ばれる少なくとも 一つの基を表す。〕 621 623 621 623 At least one represents at least one group selected from the groups represented by formulas (2— :!) to (2-10). ]
(34) 前記一般式(1)で表される化合物が、下記一般式 (6)で表されることを特徴 とする前記有機エレクト口ルミネッセンス素子。 (34) The organic electoluminescence device, wherein the compound represented by the general formula (1) is represented by the following general formula (6).
[0071] [化 16] [0071] [Chemical 16]
[0072] 〔式中、 R 〜R は、各々独立に、水素原子または置換基を表すが、 R 〜R の少 [Wherein R 1 to R 4 each independently represents a hydrogen atom or a substituent,
631 645 631 645 なくとも一つは前記一般式(2—:!)〜(2— 10)で表される基から選ばれる少なくとも 一つの基を表す。〕 631 645 631 645 At least one represents at least one group selected from the groups represented by formulas (2— :!) to (2-10). ]
(35) 前記一般式(1)で表される化合物が、下記一般式 (7)で表されることを特徴 とする前記有機エレクト口ルミネッセンス素子。 (35) The organic electoluminescence device, wherein the compound represented by the general formula (1) is represented by the following general formula (7).
[0073] [化 17] [0073] [Chemical 17]
—圖 7— 圖 7
[0074] 〔式中、 R 〜R は、各々独立に、水素原子または置換基を表すが、 R 〜R の少 なくとも一つは前記一般式(2—:!)〜(2— 10)で表される基から選ばれる少なくとも 一つの基を表す。 naは 0〜5の整数を表し、 nbは 1〜6の整数を表す力 naと nbの禾ロ は 6である。〕 [In the formula, each of R 1 to R 4 independently represents a hydrogen atom or a substituent, At least one represents at least one group selected from the groups represented by formulas (2— :!) to (2-10). na represents an integer from 0 to 5, nb represents an integer from 1 to 6, and na and nb are 6. ]
(36) 前記一般式(1)で表される化合物が、下記一般式 (8)で表されることを特徴 とする前記有機エレクト口ルミネッセンス素子。 (36) The organic electoluminescence device, wherein the compound represented by the general formula (1) is represented by the following general formula (8).
[0075] [化 18] 式綱 [0075] [Chemical 18] Formula rope
[0076] 〔式中、 R 〜R は、各々独立に、水素原子または置換基を表すが、 R 〜R の少 [In the formula, each of R 1 to R 4 independently represents a hydrogen atom or a substituent,
661 672 661 672 なくとも一つは前記一般式(2—:!)〜(2— 10)で表される基から選ばれる少なくとも 一つの基を表す。〕 661 672 661 672 At least one represents at least one group selected from the groups represented by the general formulas (2- :!) to (2-10). ]
(37) 前記一般式(1)で表される化合物が、下記一般式 (9)で表されることを特徴 とする前記有機エレクト口ルミネッセンス素子。 (37) The organic electoluminescence device, wherein the compound represented by the general formula (1) is represented by the following general formula (9).
[0077] [化 19] [0077] [Chemical 19]
—般糊 —General glue
[0078] 〔式中、 R R は、各々独立に、水素原子または置換基を表すが、 R R の少 [In the formula, each RR independently represents a hydrogen atom or a substituent.
681 688 681 688 なくとも一つは前記一般式(2—:!)〜(2— 10)で表される基から選ばれる少なくとも 一つの基を表す。〕 681 688 681 688 At least one represents at least one group selected from the groups represented by formulas (2— :!) to (2-10). ]
(38) 前記一般式(1)で表される化合物が、下記一般式(10)で表されることを特 徴とする前記有機エレクト口ルミネッセンス素子。 (38) The organic electoluminescence device, wherein the compound represented by the general formula (1) is represented by the following general formula (10).
[0079] [化 20] [0079] [Chemical 20]
―般式灣 ―General formula 灣
[0080] 〔式中、 R R は、各々独立に、水素原子または置換基を表す力 Lは 2価の連 [In the formula, R R each independently represents a hydrogen atom or a substituent L represents a divalent linkage.
691 700 1 結基を表す。 R R の少なくとも一つは前記一般式(2—:!)〜(2— 10)で表され 691 700 1 represents a bond. At least one of R R is represented by the general formulas (2— :!) to (2-10).
691 700 691 700
る基から選ばれる少なくとも一つの基を表す。〕 Represents at least one group selected from the following groups. ]
(39) 前記一般式(1)で表される化合物が、下記一般式(11)で表されることを特 徴とする前記有機エレクト口ルミネッセンス素子。 (39) The organic electoluminescence device, wherein the compound represented by the general formula (1) is represented by the following general formula (11).
[0081] [化 21] [0081] [Chemical 21]
'般却 1} 'General rejection 1}
〔式中、 R Rは、各々独立に、水素原子または置換基を表す。 n mは、各々 1 2 [Wherein, R R independently represents a hydrogen atom or a substituent. n m is 1 2 each
1 2 1 2
の整数を表し、 k 1は、各々 3 4の整数を表す。但し、 n + k= 5、且つ、 l + m = 5で ある。〕 K 1 represents an integer of 3 4 each. However, n + k = 5 and l + m = 5. ]
(40) 前記一般式(1)で表される化合物が、下記一般式(12)で表されることを特 徴とする前記有機エレクト口ルミネッセンス素子。 (40) The compound represented by the general formula (1) is represented by the following general formula (12). The organic-elect mouth luminescence element.
[0083] [化 22] [0083] [Chemical 22]
—般華;—General flower;
[0084] 〔式中、 R、 Rは、各々独立に、水素原子または置換基を表す。 n、 mは、各々 1〜2 [In the formula, R and R each independently represent a hydrogen atom or a substituent. n and m are 1-2 respectively
1 2 1 2
の整数を表し、 k、 1は、各々 3〜4の整数を表す。但し、 n + k= 5、且つ、 l + m = 5で ある。〕 K and 1 each represent an integer of 3 to 4. However, n + k = 5 and l + m = 5. ]
(41) 前記一般式(1)で表される化合物が、下記一般式(13)で表されることを特 徴とする前記有機エレクト口ルミネッセンス素子。 (41) The organic electoluminescence device, wherein the compound represented by the general formula (1) is represented by the following general formula (13).
[0085] [化 23] [0085] [Chemical 23]
-般式《13} -General formula << 13}
[0086] 〔式中、 R、 Rは、各々独立に、水素原子または置換基を表す。 n、 mは、各々 1〜2 [Wherein, R and R each independently represents a hydrogen atom or a substituent. n and m are 1-2 respectively
1 2 1 2
の整数を表し、 k、 1は、各々 3〜4の整数を表す。但し、 n + k= 5、且つ、 l + m = 5で ある。〕 K and 1 each represent an integer of 3 to 4. However, n + k = 5 and l + m = 5. ]
(42) 前記一般式(1)で表される化合物が、下記一般式(14)で表されることを特 徴とする前記有機エレクト口ルミネッセンス素子。 (42) The organic electoluminescence device, wherein the compound represented by the general formula (1) is represented by the following general formula (14).
[0087] [化 24] 式《1 [0087] [Chemical 24] Formula << 1
[0088] 〔式中、 R、 Rは、各々独立に、水素原子または置換基を表す。 n、 mは、各々 1〜2 [Wherein, R and R each independently represents a hydrogen atom or a substituent. n and m are 1-2 respectively
1 2 1 2
の整数を表し、 k、 1は、各々 3〜4の整数を表す。但し、 n + k= 5、且つ、 l + m = 5で ある。〕 K and 1 each represent an integer of 3 to 4. However, n + k = 5 and l + m = 5. ]
(43) 前記一般式(1)で表される化合物が、下記一般式(15)で表されることを特 徴とする前記有機エレクト口ルミネッセンス素子。 (43) The organic electoluminescence device, wherein the compound represented by the general formula (1) is represented by the following general formula (15).
[0089] [化 25] 却[0089] [Chemical 25] Rejected
[0090] 〔式中、 R、 Rは、各々独立に、水素原子または置換基を表す。 n、 mは、各々 1〜2 [Wherein, R and R each independently represents a hydrogen atom or a substituent. n and m are 1-2 respectively
1 2 1 2
の整数を表し、 k、 1は、各々 3〜4の整数を表す。但し、 n + k= 5、且つ、 l + m = 5で ある。 Z、 Z、 Z、 Zは、各々窒素原子を少なくとも一つ含む 6員の芳香族複素環を K and 1 each represent an integer of 3 to 4. However, n + k = 5 and l + m = 5. Z, Z, Z, and Z are each a 6-membered aromatic heterocyclic ring containing at least one nitrogen atom.
1 2 3 4 1 2 3 4
表す。〕 To express. ]
(44) 前記一般式(1)で表される化合物が、下記一般式(16)で表されることを特 徴とする前記有機エレクト口ルミネッセンス素子。 (44) The organic electoluminescence device, wherein the compound represented by the general formula (1) is represented by the following general formula (16).
[0091] [化 26] [0091] [Chemical 26]
[0092] 〔式中、 o、 pは、各々:!〜 3の整数を表し、 Ar、 Arは、各々ァリーレン基または 2価の [In the formula, o and p each represent an integer of! To 3, Ar and Ar each represent an arylene group or a divalent group.
1 2 1 2
芳香族複素環基を表す。 Z、 Zは、各々窒素原子を少なくとも一つ含む 6員の芳香 Represents an aromatic heterocyclic group. Z and Z are 6-membered aromatics each containing at least one nitrogen atom
1 2 1 2
族複素環を表し、 Lは、 2価の連結基を表す。〕 Represents a heterocyclic group, and L represents a divalent linking group. ]
(45) 前記一般式(1)で表される化合物が、下記一般式(17)で表されることを特 徴とする前記有機エレクト口ルミネッセンス素子。 (45) The organic electoluminescence device, wherein the compound represented by the general formula (1) is represented by the following general formula (17).
[0093] [化 27] [0093] [Chemical 27]
[0094] 〔式中、 o、 pは、各々:!〜 3の整数を表し、 Ar、 Arは、各々 2価のァリーレン基または [Wherein, o and p each represent an integer of! To 3; Ar and Ar each represent a divalent arylene group or
1 2 1 2
2価の芳香族複素環基を表す。 Z、 Z、 Z、 Zは、各々窒素原子を少なくとも一つ含 Represents a divalent aromatic heterocyclic group. Z, Z, Z, and Z each contain at least one nitrogen atom.
1 2 3 4 1 2 3 4
む 6員の芳香族複素環を表し、 Lは、 2価の連結基を表す。〕 Represents a 6-membered aromatic heterocycle, and L represents a divalent linking group. ]
(46) 白色発光することを特徴とする前記有機エレクト口ルミネッセンス素子。 (46) The organic electoluminescence device, which emits white light.
[0095] (47) 前記有機エレクト口ルミネッセンス素子を有することを特徴とする表示装置。 (47) A display device comprising the organic-elect mouth luminescence element.
[0096] (48) 前記有機エレクト口ルミネッセンス素子を有することを特徴とする照明装置。 (48) An illuminating device comprising the organic-elect mouth luminescence element.
[0097] 本発明の有機 EL素子においては、前記(1)〜(48)のいずれか 1項に規定される 構成により、駆動電圧が低ぐ且つ、外部取り出し量子効率の高い有機 EL素子を提 供し、前記有機 EL素子を用いて、高輝度な照明装置及び表示装置を提供すること が出来た。 [0097] In the organic EL device of the present invention, it is defined in any one of (1) to (48). According to the configuration, an organic EL element with low driving voltage and high external extraction quantum efficiency was provided, and a high-luminance lighting device and display device could be provided using the organic EL element.
[0098] 本発明者等は、上記の問題点を種々検討した結果、全ての領域に少なくとも 1種の 共通ホスト材料を含有させることで、領域間の密着性が改良され、異なる領域での、 正孔ゃ電子などの注入障壁が緩和され、駆動電圧を低電圧(具体的には、 lm/W 向上)化させることができることを見出した。 [0098] As a result of various studies on the above problems, the present inventors have improved the adhesion between regions by incorporating at least one kind of common host material in all regions, and in different regions, It has been found that the injection barrier for holes and electrons is relaxed, and the drive voltage can be lowered (specifically, lm / W improvement).
[0099] また、本発明では、有機 EL素子の正孔輸送領域の形成に用いる正孔輸送材料と 、発光領域の形成に用いる発光ドーパント材料とを、混合して用いることはなぐ共通 ホスト材料を含有する単一層 Aの中で、各々独立の領域 (正孔輸送領域、発光領域 等)を設けることにより、キャリアおよび励起子の閉じ込め効果が損なわれることなぐ 低電圧で駆動可能で、高発光効率を示し、且つ、発光寿命の長い、有機 EL素子を 得ることに成功した。 [0099] Further, in the present invention, a common host material which does not use a mixture of a hole transport material used for forming a hole transport region of an organic EL element and a light emitting dopant material used for forming a light emitting region is used. By providing each independent region (hole transport region, light emitting region, etc.) in the contained single layer A, it is possible to drive at low voltage without impairing the confinement effect of carriers and excitons, and high luminous efficiency And succeeded in obtaining an organic EL device with a long emission lifetime.
[0100] 上記の効果が得られた理由を本発明者等は下記のように考えている。 [0100] The present inventors consider the reason why the above effect is obtained as follows.
[0101] (1)正孔ゃ電子等の注入障壁の緩和は、駆動電圧低下と同時に界面のキャリア蓄 積も防ぐことができ、また,膜の密着性向上は、界面への不純物の浸入を防止し、不 純物によって生じる有機一有機層界面の結晶化防止に有効であり、結果的に、素子 の長寿命化につながる。 [0101] (1) The relaxation of the injection barrier for holes and electrons can prevent the accumulation of carriers at the interface as well as the drive voltage, and the improvement in film adhesion can prevent impurities from entering the interface. This is effective in preventing crystallization at the interface between the organic and organic layers caused by impurities. As a result, the life of the device is extended.
[0102] (2)正孔輸送材料は正孔を輸送するとともに、陰極側から流れてくる電子をブロック する機能ももつが,その性質上ラジカルァニオン状態が不安定である。共通ホスト材 料 Aがもれてきた電子をトラップし、正孔輸送材料のラジカルァニオン化を防ぐことに より、より長寿命な素子が得られる。 [0102] (2) The hole transport material has a function of transporting holes and blocking electrons flowing from the cathode side, but the radical anion state is unstable due to its nature. By trapping the electrons that have leaked the common host material A and preventing the radical transport of the hole transport material, a longer-life device can be obtained.
[0103] (3)全ての領域に共通のホスト材料を使用することによる、有機 EL素子を製造する とレ、う観点からは、素子製造が簡便化されるとレ、う効果がある。 [0103] (3) From the viewpoint of manufacturing an organic EL device by using a common host material in all regions, there is an effect that the device manufacturing is simplified.
[0104] 以下、本発明に係る各構成要素の詳細について、順次説明する。 [0104] Details of each component according to the present invention will be sequentially described below.
[0105] 《単一層 A》 [0105] 《Single layer A》
本発明の有機 EL素子に係る単一層 Aについて説明する。 The single layer A relating to the organic EL device of the present invention will be described.
[0106] 本発明に係る単一層 Aは、本発明の有機 EL素子の陰極と陽極との間に設けられ、 該単一層 Aは、少なくとも一種類の正孔輸送材料を含む正孔輸送領域と、少なくとも 一種類の発光ドーパントを含む発光領域を含み、且つ、少なくとも 1種の共通ホスト 材料を、前記単一層 Aの全領域のいずれの領域 (層ともいう)において、 0. 1質量% 以上を含有することが特徴である。 [0106] The single layer A according to the present invention is provided between the cathode and the anode of the organic EL device of the present invention, The single layer A includes a hole transport region containing at least one kind of hole transport material, a light emitting region containing at least one kind of light emitting dopant, and at least one common host material is added to the single layer A. Any region (also referred to as a layer) of the entire region is characterized by containing 0.1% by mass or more.
[0107] また、本発明に係る単一層 Aは、有機 EL素子の発光に係る正孔の阻止や電子の 輸送に係る、非ドープ領域 (非ドープ領域の機能は、必ずしも正孔阻止には限定さ れない、詳細は、素子の構成のところで説明する。)、電子輸送領域等を各々単独ま たは併せて用いることが出来る。 [0107] Further, the single layer A according to the present invention is a non-doped region related to hole blocking and electron transport related to light emission of the organic EL element (the function of the undoped region is not necessarily limited to hole blocking). The details will be described in the structure of the element.), The electron transport region, etc. can be used alone or in combination.
[0108] 本発明の有機 EL素子に係る単一層 Aの好ましい態様としては、例えば、 [0108] As a preferred embodiment of the single layer A related to the organic EL device of the present invention, for example,
(a)前記単一層 Aの陽極に近い側から、正孔輸送領域、発光領域が設けられてい る、 (a) a hole transport region and a light emitting region are provided from the side close to the anode of the single layer A,
(b)前記単一層 Aの陰極に近い側から、電子輸送領域、非ドープ領域が設けられ ている、 (b) From the side of the single layer A close to the cathode, an electron transport region and an undoped region are provided.
(c)前記単一層 Aの陽極に近い側から、正孔注入領域、正孔輸送領域、発光領域 が設けられている、 (c) A hole injection region, a hole transport region, and a light emitting region are provided from the side close to the anode of the single layer A.
(d)前記単一層 Aの陰極に近い側から、電子注入領域、非ドープ領域が設けられ ている、 (d) From the side of the single layer A close to the cathode, an electron injection region and an undoped region are provided,
等があり、また、 Etc., and
(e)前記陽極と前記単一層 Aの間に、正孔注入層を有し、該正孔注入層が、該単 一層 Aの正孔輸送領域に含まれる正孔輸送材料とは異なる正孔輸送材料 Aを含む (e) A hole injection layer is provided between the anode and the single layer A, and the hole injection layer is different from the hole transport material contained in the hole transport region of the single layer A. Including transport material A
(f)前記陰極と前記単一層 Aの間に、電子注入層を有し、該電子注入層が、該単 一層 Aの電子注入領域に含まれる電子注入材料とは異なる電子注入材料 Aを含む 等が好ましレ、態様としてあげられる。 (f) An electron injection layer is provided between the cathode and the single layer A, and the electron injection layer includes an electron injection material A different from the electron injection material included in the electron injection region of the single layer A. And the like are preferred.
[0109] 本発明に係る単一層 Aは、陽極と陰極との間に設けられるが、単一層 Aが、陽極及 び/または陰極の各電極上に直接設けられていてもよぐまた、単一層 A以外の別 の層が陽極及び/または前記との間に設けられていてもよいが、本発明では、陽極 と単一層 Aとの間には、正孔注入層を設ける、陰極と単一層 Aとの間には、電子注入 層を設けることが好ましい態様としてあげられる。 [0109] The single layer A according to the present invention is provided between the anode and the cathode, but the single layer A may be provided directly on each electrode of the anode and / or the cathode. Another layer other than layer A may be provided between the anode and / or the above, but in the present invention, the anode As a preferred embodiment, a hole injection layer is provided between the cathode and the single layer A, and an electron injection layer is provided between the cathode and the single layer A.
[0110] 単一層 Aを形成する正孔輸送領域、発光領域、電子輸送領域、正孔阻止領域、電 子注入領域等の各領域、陽極と単一層 Aとの間に設けられる正孔注入層、陽極と陰 極との間に設けられる電子注入層等については、後述する有機 EL素子の構成のと ころで、詳細に説明する。 [0110] A hole injection layer provided between each region such as a hole transport region, a light-emitting region, an electron transport region, a hole blocking region, an electron injection region, and the like that forms the single layer A, and between the anode and the single layer A The electron injection layer provided between the anode and the cathode will be described in detail in the configuration of the organic EL element described later.
[0111] 本発明に係る単一層 Aにおいては、共通ホスト材料が、全領域のいずれの領域に おいても、 0. 1質量%以上存在し、該共通ホスト材料の含有量が各々の領域におい ておおよそ一定であることが特徴である力 ここで、各領域における、前記共通ホスト 材料の含有量を測定する手段を下記で説明する。 [0111] In the single layer A according to the present invention, the common host material is present in an amount of 0.1 mass% or more in any region of the entire region, and the content of the common host material is in each region. Here, the force that is characterized by being approximately constant Here, the means for measuring the content of the common host material in each region will be described below.
[0112] (単一層 Aの各領域における共通ホスト材料の含有率の測定方法) [0112] (Measurement method of content of common host material in each region of single layer A)
単一層 A中の各領域における共通ホスト材料の含有率は、下記の分析方法を適用 することで、算出することが出来る。 The content of the common host material in each region in the single layer A can be calculated by applying the following analysis method.
[0113] 本発明に係る単一層 Aの各領域における共通ホスト材料の含有率分析は、第 65回 応用物理学会学術講演会、講演予稿集、 1183ページ、 3p— ZR— 20、 (株)東レリ サーチセンター 柴森隆弘、関洋文、松延剛、中川善嗣に記載のように、「精密斜め 切削法」と飛行時間型 2次イオン質量分析 (TOF— SIMS)を組み合わせた手法を適 用して、分析し、含有率を算出することが出来る。 [0113] The content analysis of the common host material in each region of the single layer A according to the present invention is the 65th Japan Society of Applied Physics Academic Lecture, Proceedings, 1183, 3p—ZR-20, Toray Industries, Inc. As described in Research Center Takahiro Shibamori, Hirofumi Seki, Takeshi Matsunobu, and Yoshitsugu Nakagawa, we applied a method that combined the “precise oblique cutting method” with time-of-flight secondary ion mass spectrometry (TOF—SIMS). Analyze and calculate the content.
なお、共通ホスト材料の含有量が各々の領域においておおよそ一定であるとは、濃 度勾配を持たなレ、とレ、うことである。 Note that the content of the common host material being substantially constant in each region means that the content does not have a concentration gradient.
[0114] 本発明に用いられる共通ホスト材料としては、代表的には力ルバゾール誘導体、トリ ァリールァミン誘導体、芳香族ボラン誘導体、含窒素複素環化合物、チォフェン誘導 体、フラン誘導体、オリゴァリーレン化合物等の基本骨格を有するもの、または、カル ボリン誘導体やジァザ力ルバゾール誘導体(ここで、ジァザ力ルバゾール誘導体とは 、カルボリン誘導体のカルボリン環を構成する炭化水素環の少なくとも一つの炭素原 子が窒素原子で置換されているものを表す。)等が挙げられる。 [0114] Typical common host materials used in the present invention include force rubazole derivatives, triarylamine derivatives, aromatic borane derivatives, nitrogen-containing heterocyclic compounds, thiophene derivatives, furan derivatives, oligoarylene compounds and the like. Those having a basic skeleton, or a carboline derivative or diaza force rubazole derivative (here, diaza force rubazole derivative means that at least one carbon atom of the hydrocarbon ring constituting the carboline ring of the carboline derivative is substituted with a nitrogen atom) And the like.).
[0115] 中でも、カルボリン誘導体、ジァザ力ルバゾール誘導体が好ましぐ特に、上記一般 式(1)で表される化合物等が好ましく用いられる。 [0116] 本発明に係る共通ホスト材料としては、上記の一般式(1)で表される化合物が特に 好ましく用いられる。 Of these, carboline derivatives and diaza-powered rubazole derivatives are preferred, and compounds represented by the above general formula (1) are preferably used. [0116] As the common host material according to the present invention, the compound represented by the above general formula (1) is particularly preferably used.
[0117] 《一般式(1)で表される化合物》 [0117] << Compound Represented by Formula (1) >>
本発明に係る一般式(1)で表される化合物について説明する。 The compound represented by the general formula (1) according to the present invention will be described.
[0118] 本発明者等は、鋭意検討の結果、前記一般式(1)で表される化合物を発光層また は該発光層の隣接層に含み、後述するリン光発光性化合物を発光層に用いて作製 した有機 EL素子は、発光効率が高くなり、且つ、長寿命化出来ることを見出した。 [0118] As a result of intensive studies, the inventors of the present invention include the compound represented by the general formula (1) in a light emitting layer or a layer adjacent to the light emitting layer, and a phosphorescent compound described later in the light emitting layer. It has been found that the organic EL device fabricated by using it has high luminous efficiency and can have a long lifetime.
[0119] 前記一般式(1)において、 Zは置換基を有してもよい芳香族複素環を表し、 Zは置 [0119] In the general formula (1), Z represents an aromatic heterocyclic ring which may have a substituent, and Z represents a substituent.
1 2 換基を有してもよい芳香族複素環、もしくは芳香族炭化水素環を表し、 Zは 2価の連 1 2 represents an aromatic heterocycle or an aromatic hydrocarbon ring which may have a substituent, and Z represents a divalent linkage.
3 結基、もしくは単なる結合手を表す。 R は水素原子、もしくは置換基を表す。 3 Indicates a bond or a simple bond. R represents a hydrogen atom or a substituent.
101 101
[0120] 前記一般式(1)において、 Z、 Zで表される芳香族複素環としては、フラン環、チォ [0120] In the general formula (1), examples of the aromatic heterocycle represented by Z and Z include a furan ring,
1 2 1 2
フェン環、ピリジン環、ピリダジン環、ピリミジン環、ピラジン環、トリアジン環、ベンゾィ ミダゾール環、ォキサジァゾール環、トリァゾール環、イミダゾール環、ピラゾール環、 チアゾール環、インドール環、ベンゾイミダゾール環、ベンゾチアゾール環、ベンゾォ キサゾール環、キノキサリン環、キナゾリン環、フタラジン環、力ルバゾール環、カルボ リン環、カルボリン環を構成する炭化水素環の炭素原子が更に窒素原子で置換され ている環等が挙げられる。更に、前記芳香族複素環は、後述する R で表される置換 Fen ring, pyridine ring, pyridazine ring, pyrimidine ring, pyrazine ring, triazine ring, benzoimidazole ring, oxadiazole ring, triazole ring, imidazole ring, pyrazole ring, thiazole ring, indole ring, benzimidazole ring, benzothiazole ring, benzoxazole And a ring in which the carbon atom of the hydrocarbon ring constituting the ring, quinoxaline ring, quinazoline ring, phthalazine ring, force rubazole ring, carboline ring or carboline ring is further substituted with a nitrogen atom. Further, the aromatic heterocycle is a substituent represented by R described later.
101 101
基を有してもよい。 It may have a group.
[0121] 前記一般式(1)において、 Zで表される芳香族炭化水素環としては、ベンゼン環、 [0121] In the general formula (1), the aromatic hydrocarbon ring represented by Z includes a benzene ring,
2 2
ビフエ二ノレ環、ナフタレン環、ァズレン環、アントラセン環、フエナントレン環、ピレン環 Biphenyl ring, naphthalene ring, azulene ring, anthracene ring, phenanthrene ring, pyrene ring
、タリセン環、ナフタセン環、トリフエ二レン環、 o—テルフエニル環、 m—テルフエニル 環、 p—テルフエニル環、ァセナフテン環、コロネン環、フルオレン環、フルオラントレ ン環、ナフタセン環、ペンタセン環、ペリレン環、ペンタフヱン環、ピセン環、ピレン環 、ピラントレン環、アンスラアントレン環等が挙げられる。更に、前記芳香族炭化水素 環は、後述する R で表される置換基を有してもよい。 , Talycene ring, Naphthacene ring, Triphenylene ring, o-Terphenyl ring, m-Terphenyl ring, p-Terphenyl ring, Acenaphthene ring, Coronene ring, Fluorene ring, Fluoranthrene ring, Naphtacene ring, Pentacene ring, Perylene ring, Pentaphene A ring, a picene ring, a pyrene ring, a pyranthrene ring, an anthraanthrene ring, and the like. Further, the aromatic hydrocarbon ring may have a substituent represented by R described later.
101 101
[0122] 一般式(1)において、 R で表される置換基としては、アルキル基(例えば、メチル [0122] In the general formula (1), the substituent represented by R 1 is an alkyl group (for example, methyl
101 101
基、ェチル基、プロピル基、イソプロピル基、 tert_ブチル基、ペンチル基、へキシル 基、ォクチル基、ドデシル基、トリデシル基、テトラデシル基、ペンタデシル基等)、シ クロアルキル基(例えば、シクロペンチル基、シクロへキシル基等)、アルケニル基(例 えば、ビュル基、ァリル基等)、アルキニル基(例えば、ェチニル基、プロパルギル基 等)、ァリール基 (例えば、フエニル基、ナフチル基等)、芳香族複素環基 (例えば、フ リル基、チェニル基、ピリジノレ基、ピリダジニル基、ピリミジニル基、ピラジュル基、トリ アジニル基、イミダゾリル基、ピラゾリル基、チアゾリル基、キナゾリニル基、フタラジニ ル基等)、複素環基(例えば、ピロリジノレ基、イミダゾリジル基、モルホリル基、ォキサ ゾリジノレ基等)、アルコキシノレ基(例えば、メトキシ基、エトキシ基、プロピルォキシ基、 ペンチルォキシ基、へキシルォキシ基、ォクチルォキシ基、ドデシルォキシ基等)、シ クロアルコキシル基(例えば、シクロペンチルォキシ基、シクロへキシルォキシ基等)、 ァリールォキシ基 (例えば、フエノキシ基、ナフチルォキシ基等)、アルキルチオ基 (例 えば、メチルチオ基、ェチルチオ基、プロピルチオ基、ペンチルチオ基、へキシルチ ォ基、ォクチルチオ基、ドデシルチオ基等)、シクロアルキルチオ基 (例えば、シクロ ペンチルチオ基、シクロへキシルチオ基等)、ァリールチオ基(例えば、フエ二ルチオ 基、ナフチルチオ基等)、アルコキシカルボニル基(例えば、メチルォキシカルボニル 基、ェチルォキシカルボニル基、ブチルォキシカルボニル基、ォクチルォキシカルボ ニル基、ドデシノレォキシカルボニル基等)、ァリールォキシカルボニル基(例えば、フ ェニルォキシカルボニル基、ナフチルォキシカルボニル基等)、スルファモイル基(例 えば、アミノスルホニル基、メチルアミノスルホニル基、ジメチルアミノスルホニル基、ブ チルアミノスルホニル基、へキシルアミノスルホニル基、シクロへキシルアミノスルホニ ル基、ォクチルアミノスルホニル基、ドデシルアミノスルホニル基、フエニルアミノスル ホニル基、ナフチルアミノスルホニル基、 2—ピリジルアミノスルホニル基等)、ァシル 基(例えば、ァセチル基、ェチルカルボニル基、プロピルカルボニル基、ペンチルカ ルボニル基、シクロへキシルカルボニル基、ォクチルカルボニル基、 2 _ェチルへキ シルカルボニル基、ドデシルカルボニル基、フエニルカルボニル基、ナフチルカルボ ニル基、ピリジルカルボニル基等)、ァシルォキシ基(例えば、ァセチルォキシ基、ェ チルカルボニルォキシ基、ブチルカルボニルォキシ基、ォクチルカルボニルォキシ 基、ドデシルカルボニルォキシ基、フエ二ルカルボニルォキシ基等)、アミド基(例え ば、メチルカルボニルァミノ基、ェチルカルボニルァミノ基、ジメチルカルボニルァミノ 基、プロピルカルボニルァミノ基、ペンチルカルボニルァミノ基、シクロへキシルカル ボニルァミノ基、 2—ェチルへキシルカルボニルァミノ基、ォクチルカルボニルァミノ 基、ドデシルカルボニルァミノ基、フエニルカルボニルァミノ基、ナフチルカルボニル アミノ基等)、力ルバモイル基(例えば、ァミノカルボニル基、メチルァミノカルボニル 基、ジメチルァミノカルボニル基、プロピルアミノカルボニル基、ペンチルァミノカルボ ニル基、シクロへキシルァミノカルボニル基、ォクチルァミノカルボニル基、 2_ェチル へキシルァミノカルボニル基、ドデシルァミノカルボニル基、フエニルァミノカルボニル 基、ナフチルァミノカルボニル基、 2 _ピリジルァミノカルボニル基等)、ウレイド基(例 えば、メチノレウレイド基、ェチルウレイド基、ペンチルゥレイド基、シクロへキシルゥレイ ド基、ォクチルゥレイド基、ドデシノレウレイド基、フエニルウレイド基ナフチルウレイド基Group, ethyl group, propyl group, isopropyl group, tert_butyl group, pentyl group, hexyl group, octyl group, dodecyl group, tridecyl group, tetradecyl group, pentadecyl group, etc.), A chloroalkyl group (eg, cyclopentyl group, cyclohexyl group, etc.), an alkenyl group (eg, bur group, allyl group, etc.), an alkynyl group (eg, ethynyl group, propargyl group, etc.), an aryl group (eg, phenyl group). , Naphthyl group, etc.), aromatic heterocyclic group (for example, furyl group, chenyl group, pyridinole group, pyridazinyl group, pyrimidinyl group, pyrazyl group, triazinyl group, imidazolyl group, pyrazolyl group, thiazolyl group, quinazolinyl group, phthalazinyl group) Group), heterocyclic group (eg, pyrrolidinole group, imidazolidyl group, morpholyl group, oxazolidinole group, etc.), alkoxy group (eg, methoxy group, ethoxy group, propyloxy group, pentyloxy group, hexyloxy group, octyloxy group) , Dodecyloxy group, etc.), cycloalkoxy Group (for example, cyclopentyloxy group, cyclohexyloxy group, etc.), aryloxy group (for example, phenoxy group, naphthyloxy group, etc.), alkylthio group (for example, methylthio group, ethylthio group, propylthio group, pentylthio group, hexylthio group) Group, octylthio group, dodecylthio group, etc.), cycloalkylthio group (eg, cyclopentylthio group, cyclohexylthio group, etc.), arylthio group (eg, phenylthio group, naphthylthio group, etc.), alkoxycarbonyl group (eg, methyl Oxycarbonyl group, ethyloxycarbonyl group, butyloxycarbonyl group, octyloxycarbonyl group, dodecinoreoxycarbonyl group, etc.), aryloxycarbonyl group (for example, phenyloxycarbonyl) Group, naphthyloxycarbonyl Group), sulfamoyl group (for example, aminosulfonyl group, methylaminosulfonyl group, dimethylaminosulfonyl group, butylaminosulfonyl group, hexylaminosulfonyl group, cyclohexylaminosulfonyl group, octylaminosulfonyl group). , Dodecylaminosulfonyl group, phenylaminosulfonyl group, naphthylaminosulfonyl group, 2-pyridylaminosulfonyl group, etc.), acyl group (eg, acetyl group, ethylcarbonyl group, propylcarbonyl group, pentylcarbonyl group, cyclohexyl group) A carbonyl group, an octylcarbonyl group, a 2-ethylhexylcarbonyl group, a dodecylcarbonyl group, a phenylcarbonyl group, a naphthylcarbonyl group, a pyridylcarbonyl group, etc.), an acyloxy group (for example, an acetylyloxy group, an ethylalkyl group). Bonyloxy group, butylcarbonyloxy group, octylcarbonyloxy group, dodecylcarbonyloxy group, phenylcarbonyloxy group, etc.), amide group (eg, methylcarbonylamino group, ethylcarbonylamino group) , Dimethylcarbonylamino Group, propylcarbonylamino group, pentylcarbonylamino group, cyclohexylcarbonylamino group, 2-ethylhexylcarbonylamino group, octylcarbonylamino group, dodecylcarbonylamino group, phenylcarbonylamino group, Naphthylcarbonylamino group, etc.), strong rubermoyl group (eg, aminocarbonyl group, methylaminocarbonyl group, dimethylaminocarbonyl group, propylaminocarbonyl group, pentylaminocarbonyl group, cyclohexylaminocarbonyl group, Octylaminocarbonyl group, 2_ethylhexylaminocarbonyl group, dodecylaminocarbonyl group, phenylaminocarbonyl group, naphthylaminocarbonyl group, 2_pyridylaminocarbonyl group, etc.), ureido group (example) For example, methinoreureido group Ruureido group, pentyl roux laid group, Kishiruurei de group cycloheteroalkyl, Okuchiruureido group, dodecylcarbamoyl Roh Reu laid group, Fueniruureido group Nafuchiruureido group
、 2_ピリジルアミノウレイド基等)、スルフィニル基(例えば、メチルスルフィニル基、ェ チルスルフィエル基、ブチルスルフィニル基、シクロへキシルスルフィエル基、 2—ェ チルへキシルスルフィニル基、ドデシルスルフィエル基、フエニルスルフィエル基、ナ フチルスルフィエル基、 2—ピリジルスルフィエル基等)、アルキルスルホニル基(例え ば、メチルスルホニル基、ェチルスルホニル基、ブチルスルホニル基、シクロへキシ ノレスルホニル基、 2—ェチルへキシルスルホニル基、ドデシルスルホニル基等)、ァリ 一ルスルホニル基(フエニルスルホニル基、ナフチルスルホニル基、 2—ピリジルスル ホニノレ基等)、了ミノ基(f列免〖ま、了ミノ基、ェチノレ了ミノ基、ジメチノレ了ミノ基、ブチル アミノ基、シクロペンチルァミノ基、 2—ェチルへキシルァミノ基、ドデシノレアミノ基、ァ 二リノ基、ナフチルァミノ基、 2—ピリジルァミノ基等)、ハロゲン原子(例えば、フッ素 原子、塩素原子、臭素原子等)、フッ化炭化水素基 (例えば、フルォロメチル基、トリ フルォロメチル基、ペンタフルォロェチル基、ペンタフルオロフヱニル基等)、シァノ 基、ニトロ基、ヒドロキシ基、メルカプト基、シリル基(例えば、トリメチルシリル基、トリイ ソプロビルシリル基、トリフヱニルシリル基、フヱニルジェチルシリル基等)、等が挙げ られる。 2_pyridylaminoureido group, etc.), sulfinyl group (eg, methylsulfinyl group, ethylsulfifer group, butylsulfinyl group, cyclohexylsulfiel group, 2-ethylhexylsulfinyl group, dodecylsulfiel group, phenol) Nyl sulfier group, naphthyl sulfier group, 2-pyridyl sulfier group, etc.), alkylsulfonyl group (eg, methylsulfonyl group, ethylsulfonyl group, butylsulfonyl group, cyclohexenylsulfonyl group, 2-ethyl group) Hexylsulfonyl group, dodecylsulfonyl group, etc.), arylsulfonyl group (phenylsulfonyl group, naphthylsulfonyl group, 2-pyridylsulfoninole group, etc.), mino group (f row immunity, minomino group, ethinole Ryomino group, Dimethinole Ryomino group, Butylamino group, Cyclopen Ruamino group, 2-ethylhexylamino group, dodecinoleamino group, anilino group, naphthylamino group, 2-pyridylamino group, etc., halogen atom (eg fluorine atom, chlorine atom, bromine atom etc.), fluorinated hydrocarbon group ( For example, fluoromethyl group, trifluoromethyl group, pentafluoroethyl group, pentafluorophenyl group, etc.), cyano group, nitro group, hydroxy group, mercapto group, silyl group (for example, trimethylsilyl group, triisopropyl silyl group,ヱ nylsilyl group, phenyljetylsilyl group, etc.).
[0123] これらの置換基は、上記の置換基によって更に置換されてレ、てもよレ、。また、これら の置換基は複数が互レ、に結合して環を形成してレ、てもよレ、。 [0123] These substituents may be further substituted with the above substituents. In addition, a plurality of these substituents may be bonded to each other to form a ring.
[0124] 好ましい置換基としては、アルキル基、シクロアルキル基、フッ化炭化水素基、ァリ ール基、芳香族複素環基である。 [0124] Preferred substituents include an alkyl group, a cycloalkyl group, a fluorinated hydrocarbon group, and an aryl group. Group, an aromatic heterocyclic group.
[0125] 2価の連結基としては、アルキレン、アルケニレン、アルキニレン、ァリーレンなどの 炭化水素基のほか、ヘテロ原子を含むものであってもよぐまた、チォフェン—2, 5— ジィル基や、ピラジン— 2, 3_ジィル基のような、芳香族複素環を有する化合物(へ テロ芳香族化合物ともいう)に由来する 2価の連結基であってもよいし、酸素や硫黄な どのカルコゲン原子であってもよレ、。また、ァノレキノレイミノ基、ジアルキルシランジィル 基ゃジァリールゲルマンジィル基のような、ヘテロ原子を会して連結する基でもよい。 [0125] Examples of the divalent linking group include hydrocarbon groups such as alkylene, alkenylene, alkynylene, and arylene, as well as those containing heteroatoms, and thiophene-2,5-diyl groups, pyrazines, and the like. — It may be a divalent linking group derived from a compound having an aromatic heterocycle (also called a heteroaromatic compound) such as a 2, 3_ diyl group, or a chalcogen atom such as oxygen or sulfur. It ’s okay. In addition, it may be a group that joins heteroatoms such as an anolequinolemino group, a dialkylsilane diyl group, or a diarylgermandyl group.
[0126] 単なる結合手とは、連結する置換基同士を直接結合する結合手である。 [0126] A simple bond is a bond that directly bonds the connecting substituents together.
[0127] 本発明においては、前記一般式(1)の Z力 S6員環であることが好ましい。これにより [0127] In the present invention, the Z force S6 membered ring of the general formula (1) is preferable. This
1 1
、より発光効率を高くすることができる。更に、一層長寿命化させることができる。 , The luminous efficiency can be further increased. Furthermore, the lifetime can be further increased.
[0128] また、本発明においては、前記一般式(1)の Z力 S6員環であることが好ましい。これ [0128] In the present invention, the Z force of the general formula (1) is preferably a S6-membered ring. this
2 2
により、より発光効率を高くすることができる。更に、より一層長寿命化させることがで きる。 Thus, the luminous efficiency can be further increased. Furthermore, the lifetime can be further increased.
[0129] 更に、前記一般式(1)の Zと Zを共に 6員環とすることで、より一層発光効率と高く [0129] Further, by making Z and Z in the general formula (1) both 6-membered rings, the luminous efficiency is further improved.
1 2 1 2
することができるので好ましい。更に、より一層長寿命化させることができるので好まし レ、。 This is preferable. Furthermore, it is preferable because it can extend the service life.
[0130] 前記一般式(1)で表される化合物で好ましいのは、前記一般式(1一:!)〜(1 13) で各々表される化合物である。 [0130] Among the compounds represented by the general formula (1), compounds represented by the general formulas (11 :!) to (113) are preferable.
[0131] 前記一般式(1 1)において、 R 〜R は、各々独立に、水素原子、もしくは置換 [0131] In the general formula (11), R 1 to R 5 are each independently a hydrogen atom or a substituent.
501 507 501 507
基を表し、該置換基は各々同一でもよぐ異なっていてもよい。 Each of the substituents may be the same or different.
[0132] 前記一般式(1 1)で表される化合物を用いることで、より発光効率の高い有機 EL 素子とすることができる。更に、より長寿命の有機 EL素子とすることができる。 [0132] By using the compound represented by the general formula (11), an organic EL device having higher luminous efficiency can be obtained. Furthermore, it is possible to obtain a longer-life organic EL device.
[0133] 前記一般式(1— 2)において、 R 〜R は、各々独立に、水素原子、もしくは置換 [0133] In the general formula (1-2), R 1 to R 5 are each independently a hydrogen atom or a substituent.
511 517 511 517
基を表し、該置換基は各々同一でもよぐ異なっていてもよい。 Each of the substituents may be the same or different.
[0134] 前記一般式(1 _ 2)で表される化合物を用いることで、より発光効率の高い有機 EL 素子とすることができる。更に、より長寿命の有機 EL素子とすることができる。 [0134] By using the compound represented by the general formula (1_2), an organic EL device with higher luminous efficiency can be obtained. Furthermore, it is possible to obtain a longer-life organic EL device.
[0135] 前記一般式(1— 3)において、 R 〜R は、各々独立に、水素原子、もしくは置換 [0135] In the general formula (1-3), R 1 to R 5 are each independently a hydrogen atom or a substituent.
521 527 521 527
基を表し、該置換基は各々同一でもよぐ異なっていてもよい。 [0136] 前記一般式(1 3)で表される化合物を用いることで、より発光効率の高い有機 EL 素子とすることができる。更に、より長寿命の有機 EL素子とすることができる。 Each of the substituents may be the same or different. [0136] By using the compound represented by the general formula (13), an organic EL device with higher luminous efficiency can be obtained. Furthermore, it is possible to obtain a longer-life organic EL device.
[0137] 前記一般式(1 4)において、 R 〜R は、各々独立に、水素原子、もしくは置換 [0137] In the general formula (14), R 1 to R 4 are each independently a hydrogen atom or a substituent.
531 537 531 537
基を表し、該置換基は各々同一でもよぐ異なっていてもよい。 Each of the substituents may be the same or different.
[0138] 前記一般式(1 _4)で表される化合物を用いることで、より発光効率の高い有機 EL 素子とすることができる。更に、より長寿命の有機 EL素子とすることができる。 [0138] By using the compound represented by the general formula (1_4), an organic EL device with higher luminous efficiency can be obtained. Furthermore, it is possible to obtain a longer-life organic EL device.
[0139] 前記一般式(1— 5)において、 R 〜R は、各々独立に、水素原子、もしくは置換 [0139] In the general formula (1-5), R 1 to R 5 are each independently a hydrogen atom or a substituent.
541 548 541 548
基を表し、該置換基は各々同一でもよぐ異なっていてもよい。 Each of the substituents may be the same or different.
[0140] 前記一般式(1 _ 5)で表される化合物を用いることで、より発光効率の高い有機 EL 素子とすることができる。更に、より長寿命の有機 EL素子とすることができる。 [0140] By using the compound represented by the general formula (1_5), an organic EL device with higher luminous efficiency can be obtained. Furthermore, it is possible to obtain a longer-life organic EL device.
[0141] 前記一般式(1— 6)において、 R 〜R は、各々独立に、水素原子、もしくは置換 [0141] In the general formula (1-6), R 1 to R 4 are each independently a hydrogen atom or a substituent.
551 558 551 558
基を表し、該置換基は各々同一でもよぐ異なっていてもよい。 Each of the substituents may be the same or different.
[0142] 前記一般式(1 6)で表される化合物を用いることで、より発光効率の高い有機 EL 素子とすることができる。更に、より長寿命の有機 EL素子とすることができる。 [0142] By using the compound represented by the general formula (16), an organic EL device with higher luminous efficiency can be obtained. Furthermore, it is possible to obtain a longer-life organic EL device.
[0143] 前記一般式(1— 7)において、 R 〜R は、各々独立に、水素原子、もしくは置換 [0143] In the general formula (1-7), R 1 to R 4 are each independently a hydrogen atom or a substituent.
561 567 561 567
基を表し、該置換基は各々同一でもよぐ異なっていてもよい。 Each of the substituents may be the same or different.
[0144] 前記一般式(1 7)で表される化合物を用いることで、より発光効率の高い有機 EL 素子とすることができる。更に、より長寿命の有機 EL素子とすることができる。 [0144] By using the compound represented by the general formula (17), an organic EL device with higher luminous efficiency can be obtained. Furthermore, it is possible to obtain a longer-life organic EL device.
[0145] 前記一般式(1 8)において、 R 〜R は、各々独立に、水素原子、もしくは置換 [0145] In the general formula (18), R 1 to R 5 are each independently a hydrogen atom or a substituent.
571 577 571 577
基を表し、該置換基は各々同一でもよぐ異なっていてもよい。 Each of the substituents may be the same or different.
[0146] 前記一般式(1 8)で表される化合物を用いることで、より発光効率の高い有機 EL 素子とすることができる。更に、より長寿命の有機 EL素子とすることができる。 [0146] By using the compound represented by the general formula (18), an organic EL device having higher luminous efficiency can be obtained. Furthermore, it is possible to obtain a longer-life organic EL device.
[0147] 前記一般式(1 _ 9)において、 R 〜R は、各々水素原子、もしくは置換基を表し [0147] In the general formula (1_9), R 1 to R 4 each represents a hydrogen atom or a substituent.
581 588 581 588
、該置換基は各々同一でもよぐ異なっていてもよい。 The substituents may be the same or different.
[0148] 前記一般式(1 _ 9)で表される化合物を用いることで、より発光効率の高い有機 EL 素子とすることができる。更に、より長寿命の有機 EL素子とすることができる。 [0148] By using the compound represented by the general formula (1_9), an organic EL device with higher luminous efficiency can be obtained. Furthermore, it is possible to obtain a longer-life organic EL device.
[0149] 前記一般式(1— 10)において、 R 〜R は、各々水素原子、もしくは置換基を表 [0149] In the general formula (1-10), R 1 to R 4 each represents a hydrogen atom or a substituent.
591 598 591 598
し、該置換基は各々同一でもよぐ異なっていてもよい。 [0150] 前記一般式(1 10)で表される化合物を用いることで、より発光効率の高い有機 E L素子とすることができる。更に、長寿命の有機 EL素子とすることができる。 The substituents may be the same or different. [0150] By using the compound represented by the general formula (110), an organic EL device with higher luminous efficiency can be obtained. Furthermore, a long-life organic EL device can be obtained.
[0151] また、前記一般式(1)で表される化合物で好ましいものは、前記一般式(2— 1)〜( [0151] In addition, preferred compounds represented by the general formula (1) are those represented by the general formulas (2-1) to (
2— 10)のいずれかで表される基を少なくとも一つを有する化合物である。特に、分 子内に前記一般式(2—:!)〜(2— 10)のいずれかで表される基を 2〜4有することが より好ましい。このとき、前記一般式(1)で表される構造において、 R を除いた部分 2-10) A compound having at least one group represented by any one of 10). In particular, it is more preferable that the molecule has 2 to 4 groups represented by any one of the general formulas (2 ::!) To (2-10). At this time, in the structure represented by the general formula (1), a portion excluding R 1
101 101
力 前記一般式 (2— :!)〜(2— 10)に置き換わる場合を含む。 Force Including the case where the general formula (2— :!) to (2-10) is replaced.
[0152] このとき、特に前記一般式(3)〜(49)で表される化合物であることが本発明の効果 を得る上で好ましい。 [0152] At this time, the compounds represented by the general formulas (3) to (49) are particularly preferable for obtaining the effects of the present invention.
[0153] 前記一般式(3)において、 R 〜R は、水素原子、もしくは置換基を表すが、 R [0153] In the general formula (3), R 1 to R 5 represent a hydrogen atom or a substituent.
601 606 601 601 606 601
〜R の少なくとも一つは前記一般式(2—:!)〜(2_ 10)のいずれかで表される基をAt least one of ~ R is a group represented by any one of the general formulas (2— :!) to (2_10)
606 606
表す。 To express.
[0154] 前記一般式(3)で表される化合物を用いることにより、より発光効率の高い有機 EL 素子とすることができる。更に、より長寿命の有機 EL素子とすることができる。 [0154] By using the compound represented by the general formula (3), an organic EL device having higher luminous efficiency can be obtained. Furthermore, it is possible to obtain a longer-life organic EL device.
[0155] 前記一般式 (4)において、 R 〜R は、水素原子、もしくは置換基を表す力 R [0155] In the general formula (4), R 1 to R 5 represent a hydrogen atom or a force R representing a substituent R
611 620 611 611 620 611
〜R の少なくとも一つは前記一般式(2— 1)〜(2— 10)のいずれかで表される基をAt least one of ~ R represents a group represented by any one of the general formulas (2-1) to (2-10).
620 620
表す。 To express.
[0156] 前記一般式 (4)で表される化合物を用いることで、より発光効率の高い有機 EL素 子とすることができる。更に、より長寿命の有機 EL素子とすることができる。 [0156] By using the compound represented by the general formula (4), an organic EL device with higher luminous efficiency can be obtained. Furthermore, it is possible to obtain a longer-life organic EL device.
[0157] 前記一般式(5)において、 R 〜R は、水素原子、もしくは置換基を表す力 R [0157] In the general formula (5), R 1 to R 5 represent a hydrogen atom or a force R representing a substituent R
621 623 611 621 623 611
〜R の少なくとも一つは前記一般式(2— 1)〜(2— 10)のいずれかで表される基をAt least one of ~ R represents a group represented by any one of the general formulas (2-1) to (2-10).
620 620
表す。 To express.
[0158] 前記一般式(5)で表される化合物を用いることで、より発光効率の高い有機 EL素 子とすることができる。更に、より長寿命の有機 EL素子とすることができる。 [0158] By using the compound represented by the general formula (5), an organic EL device having higher luminous efficiency can be obtained. Furthermore, it is possible to obtain a longer-life organic EL device.
[0159] 前記一般式(6)において、 R 〜R は、水素原子、もしくは置換基を表すが、 R [0159] In the general formula (6), R 1 to R 5 represent a hydrogen atom or a substituent,
631 645 631 631 645 631
〜R の少なくとも一つは前記一般式(2—:!)〜(2_ 10)のいずれかで表される基をAt least one of ~ R is a group represented by any one of the general formulas (2— :!) to (2_10)
645 645
表す。 To express.
[0160] 前記一般式(6)で表される化合物を用いることで、より発光効率の高い有機 EL素 子とすることができる。更に、より長寿命の有機 EL素子とすることができる。 [0160] By using the compound represented by the general formula (6), an organic EL element with higher luminous efficiency is obtained. Can be a child. Furthermore, it is possible to obtain a longer-life organic EL device.
[0161] 前記一般式(7)において、 R 〜R は、水素原子、もしくは置換基を表す力 R [0161] In the general formula (7), R 1 to R 4 represent a hydrogen atom or a force R representing a substituent R
651 656 651 651 656 651
〜R の少なくとも一つは前記一般式(2— :!)〜(2— 10)のいずれかで表される基をAt least one of ~ R is a group represented by any one of the general formulas (2— :!) to (2-10).
656 656
表す。 naは 0〜5の整数を表し、 nbは 1〜6の整数を表す力 naと nbの和が 6である。 To express. na represents an integer from 0 to 5, nb represents an integer from 1 to 6, and the sum of na and nb is 6.
[0162] 前記一般式(7)で表される化合物を用いることで、より発光効率の高い有機 EL素 子とすることができる。更に、より長寿命の有機 EL素子とすることができる。 [0162] By using the compound represented by the general formula (7), an organic EL device having higher luminous efficiency can be obtained. Furthermore, it is possible to obtain a longer-life organic EL device.
[0163] 前記一般式(8)において、 R 〜R は、水素原子、もしくは置換基を表すが、 R [0163] In the general formula (8), R 1 to R 5 represent a hydrogen atom or a substituent,
661 672 661 661 672 661
〜R の少なくとも一つは前記一般式(2—:!)〜(2_ 10)のいずれかで表される基をAt least one of ~ R is a group represented by any one of the general formulas (2— :!) to (2_10)
672 672
表す。 To express.
[0164] 前記一般式(8)で表される化合物を用いることで、より発光効率の高い有機 EL素 子とすることができる。更に、より長寿命の有機 EL素子とすることができる。 [0164] By using the compound represented by the general formula (8), an organic EL device having higher luminous efficiency can be obtained. Furthermore, it is possible to obtain a longer-life organic EL device.
[0165] 前記一般式(9)において、 R 〜R は、水素原子、もしくは置換基を表すが、 R [0165] In the general formula (9), R 1 to R 5 represent a hydrogen atom or a substituent,
681 688 681 681 688 681
〜R の少なくとも一つは前記一般式(2— :!)〜(2— 10)のいずれかで表される基をAt least one of ~ R is a group represented by any one of the general formulas (2— :!) to (2-10).
688 688
表す。 To express.
[0166] 前記一般式(9)で表される化合物を用いることで、より発光効率の高い有機 EL素 子とすることができる。更に、より長寿命の有機 EL素子とすることができる。 [0166] By using the compound represented by the general formula (9), an organic EL device with higher luminous efficiency can be obtained. Furthermore, it is possible to obtain a longer-life organic EL device.
[0167] 前記一般式(10)において、 R 〜R は、水素原子、もしくは置換基を表す力 R [0167] In the general formula (10), R 1 to R 6 represent a hydrogen atom or a force R representing a substituent R
691 700 69 691 700 69
〜R の少なくとも一つは前記一般式(2— 1)〜(2— 10)のいずれかで表される基At least one of ~ R is a group represented by any one of the general formulas (2-1) to (2-10)
1 700 1 700
を表す。 Represents.
[0168] 前記一般式(10)において、 Lで表される 2価の連結基としては、アルキレン基(例 In the general formula (10), the divalent linking group represented by L is an alkylene group (eg,
1 1
えば、エチレン基、トリメチレン基、テトラメチレン基、プロピレン基、ェチルエチレン基 For example, ethylene group, trimethylene group, tetramethylene group, propylene group, ethylethylene group
、ペンタメチレン基、へキサメチレン基、 2, 2, 4 _トリメチルへキサメチレン基、ヘプタ メチレン基、オタタメチレン基、ノナメチレン基、デカメチレン基、ゥンデカメチレン基、 ドデカメチレン基、シクロへキシレン基(例えば、 1 , 6—シクロへキサンジィル基等)、 シクロペンチレン基(例えば、 1 , 5—シクロペンタンジィル基など)等)、アルケニレン 基(例えば、ビニレン基、プロぺニレン基等)、アルキニレン基(例えば、ェチニレン基 、 3 ^ンチニレン基等)、ァリーレン基などの炭化水素基のほ力、、ヘテロ原子を含む 基(例えば、 _〇_、—S—等のカルコゲン原子を含む 2価の基、 _N (R)—基、ここ で、 Rは、水素原子またはアルキル基を表し、該アルキル基は、前記一般式(1)にお いて、 R で表されるアルキル基と同義である)等が挙げられる。 , Pentamethylene group, hexamethylene group, 2,2,4_trimethylhexamethylene group, heptamethylene group, otatamethylene group, nonamethylene group, decamethylene group, undecamethylene group, dodecamethylene group, cyclohexylene group (for example, 1, 6 —Cyclohexanediyl group, etc.), cyclopentylene group (eg, 1,5-cyclopentanediyl group, etc.), alkenylene group (eg, vinylene group, propenylene group, etc.), alkynylene group (eg, ethynylene group, etc.) 3 ^ ntynylene group, etc.), hydrocarbon groups such as arylene groups, groups containing heteroatoms (eg, divalent groups containing chalcogen atoms such as _〇_, —S—, _N (R) —Group, here R represents a hydrogen atom or an alkyl group, and the alkyl group has the same meaning as the alkyl group represented by R in the general formula (1).
101 101
[0169] また、上記のアルキレン基、アルケニレン基、アルキニレン基、ァリーレン基の各々 においては、 2価の連結基を構成する炭素原子の少なくとも一つが、カルコゲン原子 (酸素、硫黄等)や前記 _N (R)—基等で置換されていても良い。 [0169] In each of the alkylene group, alkenylene group, alkynylene group, and arylene group, at least one of carbon atoms constituting the divalent linking group is a chalcogen atom (oxygen, sulfur, etc.) or the _N ( R) —may be substituted with a group or the like.
[0170] 更に、 Lで表される 2価の連結基としては、例えば、 2価の複素環基を有する基が [0170] Further, examples of the divalent linking group represented by L include a group having a divalent heterocyclic group.
1 1
用いられ、例えば、ォキサゾールジィル基、ピリミジンジィル基、ピリダジンジィル基、 ピランジィル基、ピロリンジィル基、イミダゾリンジィル基、イミダゾリジンジィル基、ビラ ゾリジンジィル基、ピラゾリンジィル基、ピぺリジンジィル基、ピぺラジンジィル基、モ ルホリンジィル基、キヌクリジンジィル基等が挙げられ、また、チォフェン一 2, 5—ジィ ル基や、ピラジン一 2, 3—ジィル基のような、芳香族複素環を有する化合物(ヘテロ 芳香族化合物ともいう)に由来する 2価の連結基であってもよい。 For example, oxazole diyl group, pyrimidine diyl group, pyridazine diyl group, pyrandyl group, pyrrolin diyl group, imidazoline diyl group, imidazolidine diyl group, virazolidine diyl group, pyrazoline diyl group, piperidine diyl group, piperazine diyl group And morpholine diyl group, quinuclidine diyl group, and the like, and compounds having an aromatic heterocycle such as thiophene 1,5-5-diyl group and pyrazine-1,2-3-diyl group (heteroaromatic Or a divalent linking group derived from a group compound).
[0171] また、アルキルイミノ基、ジアルキルシランジィル基ゃジァリールゲルマンジィル基 のようなへテロ原子を会して連結する基であってもよい。 [0171] Further, it may be a group in which heteroatoms are joined and linked, such as an alkylimino group, a dialkylsilane diyl group or a diarylgermandyl group.
[0172] 前記一般式(10)で表される化合物を用いることで、より発光効率の高い有機 EL素 子とすることができる。更に、より長寿命の有機 EL素子とすることができる。 [0172] By using the compound represented by the general formula (10), an organic EL device with higher luminous efficiency can be obtained. Furthermore, it is possible to obtain a longer-life organic EL device.
[0173] 前記一般式(11)〜一般式(15)で各々表される化合物において、 R、 Rで各々表 [0173] In the compounds represented by the general formula (11) to the general formula (15),
1 2 される置換基としては、前記一般式(1)において、 R で表される置換基と同時であ The substituent represented by 1 2 is the same as the substituent represented by R in the general formula (1).
101 101
る。 The
[0174] 前記一般式(15)において、 Z、 Z、 Z、 Zで各々表される、各々窒素原子を少なく [0174] In the general formula (15), each of Z, Z, Z, and Z, each of which contains fewer nitrogen atoms
1 2 3 4 1 2 3 4
とも一つ含む 6員の芳香族複素環としては、例えば、ピリジン環、ピリダジン環、ピリミ ジン環、ピラジン環等が挙げられる。 Examples of the 6-membered aromatic heterocyclic ring including both include a pyridine ring, a pyridazine ring, a pyrimidine ring, and a pyrazine ring.
[0175] 前記一般式(16)において、 Z、 Zで各々表される、各々窒素原子を少なくとも一つ [0175] In the general formula (16), each of Z and Z represents at least one nitrogen atom.
1 2 1 2
含む 6員の芳香族複素環としては、例えば、ピリジン環、ピリダジン環、ピリミジン環、 ピラジン環等が挙げられる。 Examples of the 6-membered aromatic heterocyclic ring include a pyridine ring, a pyridazine ring, a pyrimidine ring, and a pyrazine ring.
[0176] 前記一般式(16)において、 Ar、 Arで各々表されるァリーレン基としては、 o—フエ [0176] In the general formula (16), the arylene groups represented by Ar and Ar are each o-phenol.
1 2 1 2
二レン基、 m—フエ二レン基、 p—フエ二レン基、ナフタレンジイノレ基、アントラセンジィ ル基、ナフタセンジィル基、ピレンジィル基、ナフチルナフタレンジィル基、ビフヱ二 ルジィル基(例えば、 3, 3' ービフヱニルジィル基、 3 , 6—ビフヱニルジィル基等)、 テルフエエルジイル基、クァテルフエニルジィル基、キンクフエニルジィル基、セキシ フエニルジィル基、セプチフエニルジィル基、ォクチフエエルジイル基、ノビフエニル ジィル基、デシフヱエルジイル基等が挙げられる。また、前記ァリーレン基は更に後 述する置換基を有してレ、てもよレ、。 Diene group, m-phenylene group, p-phenylene group, naphthalenediylene group, anthracenedyl group, naphthacene group, pyrenediyl group, naphthylnaphthalenediyl group, biphenyl Rudiyl groups (eg, 3,3′-biphenyldiyl group, 3,6-biphenyldiyl group, etc.), terfeldiyl group, quaterphenyldiyl group, kinkphenyldiyl group, sexiphenyldiyl group, septiph Examples thereof include an enyl diyl group, an octaphenyl diyl group, a nobiphenyl diyl group, a decifer diyl group, and the like. The arylene group may further have a substituent described later.
[0177] 前記一般式(16)において、 Ar 、 Arで各々表される 2価の芳香族複素環基は、フ [0177] In the general formula (16), the divalent aromatic heterocyclic group represented by Ar and Ar is
1 2 1 2
ラン環、チォフェン環、ピリジン環、ピリダジン環、ピリミジン環、ピラジン環、トリアジン 環、ベンゾイミダゾール環、ォキサジァゾール環、トリァゾール環、イミダゾール環、ピ ラゾール環、チアゾール環、インドール環、ベンゾイミダゾール環、ベンゾチアゾール 環、ベンゾォキサゾール環、キノキサリン環、キナゾリン環、フタラジン環、カルバゾー ル環、カルボリン環、カルボリン環を構成する炭化水素環の炭素原子が更に窒素原 子で置換されている環等から導出される 2価の基等が挙げられる。更に、前記芳香族 複素環基は、前記 R で表される置換基を有してもよい。 Lan ring, thiophene ring, pyridine ring, pyridazine ring, pyrimidine ring, pyrazine ring, triazine ring, benzimidazole ring, oxadiazole ring, triazole ring, imidazole ring, pyrazole ring, thiazole ring, indole ring, benzimidazole ring, benzothiazole Ring, benzoxazole ring, quinoxaline ring, quinazoline ring, phthalazine ring, carbazole ring, carboline ring, derived from a ring in which the carbon atom of the hydrocarbon ring constituting the carboline ring is further substituted with a nitrogen atom, etc. And divalent groups. Furthermore, the aromatic heterocyclic group may have a substituent represented by R 1.
101 101
[0178] 前記一般式(16)において、 Lで表される 2価の連結基としては、前記一般式(10) において、 Lで表される 2価の連結基と同義である力 好ましくはアルキレン基、一〇 In the general formula (16), the divalent linking group represented by L is the same as the divalent linking group represented by L in the general formula (10), preferably alkylene. Group, ten
1 1
一、 S 等のカルコゲン原子を含む 2価の基であり、もっとも好ましくはアルキレン 基である。 1, a divalent group containing a chalcogen atom such as S, and most preferably an alkylene group.
[0179] 前記一般式(17)におレ、て、 Ar 、 Arで、各々表されるァリーレン基は、前記一般 [0179] The arylene group represented by Ar and Ar in the general formula (17) is
1 2 1 2
式(16)において、 Ar 、 Arで各々表されるァリーレン基と同義である。 In the formula (16), these are synonymous with the arylene groups represented by Ar and Ar, respectively.
1 2 1 2
[0180] 前記一般式(17)において、 Ar 、 Arで各々表される芳香族複素環基は、前記 [0180] In the general formula (17), the aromatic heterocyclic groups represented by Ar and Ar are
1 2 一 般式(16)において、 Ar 、 Arで各々表される 2価の芳香族複素環基と同義である。 1 2 In general formula (16), these are synonymous with the divalent aromatic heterocyclic groups represented by Ar and Ar, respectively.
1 2 1 2
[0181] 前記一般式(17)において、 Z 、 Z 、 Z 、 Zで各々表される、各々窒素原子を少なく [0181] In the general formula (17), each of the nitrogen atoms represented by Z 1, Z 2, Z 3, and Z is reduced.
1 2 3 4 1 2 3 4
とも一つ含む 6員の芳香族複素環としては、例えば、ピリジン環、ピリダジン環、ピリミ ジン環、ピラジン環等が挙げられる。 Examples of the 6-membered aromatic heterocyclic ring including both include a pyridine ring, a pyridazine ring, a pyrimidine ring, and a pyrazine ring.
[0182] 前記一般式(17)において、 Lで表される 2価の連結基は、前記一般式(10)におい て、 Lで表される 2価の連結基と同義である力 S、好ましくはアルキレン基、 _〇_、 一[0182] In the general formula (17), the divalent linking group represented by L has the same force S as the divalent linking group represented by L in the general formula (10), preferably S Is an alkylene group, ___
1 1
S—等のカルコゲン原子を含む 2価の基であり、もっとも好ましくはアルキレン基であ る。 [0183] 以下に、本発明に係る一般式(1)で表される化合物の具体例を示すが、本発明は これらに限定されない。 It is a divalent group containing a chalcogen atom such as S—, and most preferably an alkylene group. [0183] Specific examples of the compound represented by the general formula (1) according to the present invention are shown below, but the present invention is not limited thereto.
[0184] [化 28] [0184] [Chemical 28]
[0185] [化 29] [0185] [Chemical 29]
[0186] [化 30] [0186] [Chemical 30]
[0187] [化 31] [0187] [Chemical 31]
[0188] [化 32] [0188] [Chemical 32]
[0189] [化 33] [0189] [Chemical 33]
[0190] [化 34] [0190] [Chemical 34]
[0191] [化 35] 化含物 中心骨♦! A [0191] [Chemical 35] Chemical inclusion Central bone ♦! A
36] 化合物 中心骨格 A 36] Compound Central skeleton A
7] 7]
[0194] [化 38] [0194] [Chemical 38]
[0195] [化 39] [0195] [Chemical 39]
[0196] [化 40] [0196] [Chemical 40]
[0197] [化 41] [0197] [Chemical 41]
星s Star s
[0199] [化 43] [0199] [Chemical 43]
[0200] [化 44] [0200] [Chemical 44]
[0201] [化 45] [0201] [Chemical 45]
[0202] [化 46] [0202] [Chem 46]
[0203] [化 47] [0203] [Chemical 47]
[0204] [化 48] [0204] [Chemical 48]
[6 [9020] [6 [9020]
[0206] [化 50] [0206] [Chemical 50]
[0207] [化 51] [0207] [Chemical 51]
[0208] [化 52] [0208] [Chemical 52]
[0210] [化 54] [0210] [Chemical 54]
[S9^>] [TOO] [S9 ^>] [TOO]
SllCZ0/S00Zdf/X3d 89 6Ϊ90 .0/900Ζ OAV 147 SllCZ0 / S00Zdf / X3d 89 6Ϊ90 .0 / 900Ζ OAV 147
6] 6]
[0213] [化 57] [0213] [Chemical 57]
[0214] [化 58] [0214] [Chemical 58]
[0215] [化 59] [0215] [Chemical 59]
[0218] [化 62] [0218] [Chemical 62]
[0219] [化 63] [0219] [Chemical 63]
[0220] また、本発明に用いられる発光ホストは低分子化合物でも、繰り返し単位をもつ高 分子化合物でもよぐビニル基やエポキシ基のような重合性基を有する低分子化合 物 (蒸着重合性発光ホスト)でもいレ、。 [0220] In addition, the light-emitting host used in the present invention may be a low-molecular compound or a high-molecular compound having a repeating unit, and may be a low-molecular compound having a polymerizable group such as a vinyl group or an epoxy group (evaporation polymerizable light-emitting). But host)
[0221] 発光ホストとしては、正孔輸送能、電子輸送能を有しつつ、且つ、発光の長波長化 を防ぎ、高 Tg (ガラス転移温度)である化合物が好ましレ、。 [0221] As the light-emitting host, a compound having a high Tg (glass transition temperature), which has a hole transporting ability and an electron transporting ability, and which prevents the emission of light from being increased in wavelength, is preferable.
[0222] 発光ホストの具体例としては、以下の文献に記載されている化合物が好適である。 [0222] As specific examples of the light-emitting host, compounds described in the following documents are suitable.
例えば、特開 2001— 257076号公報、同 2002— 308855号公報、同 2001— 313 179号公報、同 2002— 319491号公報、同 2001— 357977号公報、同 2002— 3 34786号公報、同 2002— 8860号公報、同 2002— 334787号公報、同 2002— 1 5871号公報、同 2002— 334788号公報、同 2002— 43056号公報、同 2002— 3 34789号公報、同 2002— 75645号公報、同 2002— 338579号公報、同 2002— 105445号公報、同 2002— 343568号公報、同 2002— 141173号公報、同 2002 — 352957号公報、同 2002— 203683号公報、同 2002— 363227号公報、同 20 For example, JP 2001-257076, 2002-308855, 2001-313 179, 2002-319491, 2001-357977, 2002-3 34786, 2002- 8860, 2002-334787, 2002-1 5871, 2002-334788, 2002-43056, 2002-3 34789, 2002-75645, 2002 -338579, 2002-105445, 2002-343568, 2002-141173, 2002-352957, 2002-203683, 2002-363227, 20
02— 231453号公報、同 2003— 3165号公報、同 2002— 234888号公報、同 2002-231453, 2003-3165, 2002-234888, 20
03— 27048号公報、同 2002— 255934号公報、同 2002— 260861号公報、同 2 002— 280183号公報、同 2002— 299060号公報、同 2002— 302516号公報、 同 2002— 305083号公報、同 2002— 305084号公報、同 2002— 308837号公報 等。 03-27048, 2002-255934, 2002-260861, 2 002-280183, 2002-299060, 2002-302516, 2002-305083, 2002-305084, 2002-308837, and the like.
[0223] 《有機 EL素子の構成》 [0223] <Structure of organic EL element>
本発明の有機 EL素子の層構成、単一層 Aの領域構成等について説明する。 The layer configuration of the organic EL element of the present invention, the region configuration of the single layer A, etc. will be described.
[0224] 本発明において、有機 EL素子の層構成の好ましい具体例を以下に示すが、本発 明はこれらに限定されなレ、。尚、下記の層構成において、単一層 Aは、全領域のい ずれの領域においても、上記の共通ホスト材料が各層当たり、 0. 1質量%以上含有 してレ、る。 (i)陽極/単一層 A (正孔輸送領域、発光領域、非ドープ領域) /陰極 (ii) 陽極/単一層 A (正孔輸送領域、非ドープ領域、発光領域、非ドープ領域、電子輸 送領域) /陰極 (iii)陽極/単一層 A (正孔輸送領域、発光領域、非ドープ領域、電 子輸送領域) /陰極 (iv)陽極/単一層 A (正孔輸送領域、発光領域、非ドープ領域 、電子注入領域) /陰極 (V)陽極/正孔注入層/単一層 A (正孔輸送領域、発光領 域、非ドープ領域、電子輸送領域) /陰極 (vi)陽極/正孔注入層/単一層 A (正孔 輸送領域、発光領域、非ドープ領域、電子輸送領域) /電子注入層/陰極 [0224] In the present invention, preferred specific examples of the layer structure of the organic EL element are shown below, but the present invention is not limited thereto. In the following layer structure, the single layer A contains the above-mentioned common host material in an amount of 0.1% by mass or more per layer in any region. (I) Anode / single layer A (hole transport region, light emitting region, undoped region) / cathode (ii) Anode / single layer A (hole transport region, undoped region, light emitting region, undoped region, electron transport) (Transmission region) / cathode (iii) Anode / single layer A (hole transport region, light emitting region, undoped region, electron transport region) / cathode (iv) Anode / single layer A (hole transport region, light emitting region, (Undoped region, electron injection region) / cathode (V) Anode / hole injection layer / single layer A (hole transport region, light emitting region, undoped region, electron transport region) / cathode (vi) anode / hole Injection layer / single layer A (hole transport region, light-emitting region, undoped region, electron transport region) / electron injection layer / cathode
本発明の有機 EL素子の層構成においては、下記のような構成、具体的には、 In the layer configuration of the organic EL element of the present invention, the following configuration, specifically,
(1)単一層 Aの陽極に近い側から、正孔輸送領域、発光領域が設けられている、(1) From the side close to the anode of the single layer A, a hole transport region and a light emitting region are provided,
(2)単一層 Aの陰極に近い側から、電子輸送領域、非ドープ領域が設けられている (2) Single layer A has an electron transport region and an undoped region from the side close to the cathode.
(3)単一層 Aの陽極に近い側から、正孔注入領域、正孔輸送領域、発光領域が設 けられている、 (3) A hole injection region, a hole transport region, and a light emitting region are provided from the side close to the anode of the single layer A.
(4)単一層 Aの陰極に近い側から、電子注入領域、非ドープ領域が設けられている 等が好ましい層構成の態様の一例としてあげられる。 (4) An example of a preferred layer configuration is that the electron injection region and the undoped region are provided from the side close to the cathode of the single layer A.
[0225] ここで、上記の態様(a)を例にとると、単一層 Aの陽極に近い側から、正孔輸送領域 、発光領域が設けられているとあるが、前記正孔輸送領域に隣接して、前記発光領 域が設けられていてもよぐまた、後述する非ドープ領域が前記正孔輸送領域と前記 発光領域との間に設けられてレ、てもよレ、。 [0226] このような非ドープ領域の存在は、その他の好ましい態様、 (b)、(c)、(d)において も同様である。 [0225] Here, taking the above embodiment (a) as an example, the hole transport region and the light emitting region are provided from the side close to the anode of the single layer A. The light emitting region may be provided adjacently, or an undoped region described later may be provided between the hole transport region and the light emitting region. [0226] The presence of such an undoped region is the same in other preferred embodiments (b), (c), and (d).
[0227] 《単一層 Aの層構成の例》 [0227] << Example of layer structure of single layer A >>
本発明に有機 EL素子に係る単一層 Aの構成例を、図 7 (a)〜図 7 (f)を用いて説明 する。各図において、縦軸は、各領域中における材料の質量%を示し、横軸は、単 一層 Aの膜厚を示す。図 7 (a)〜(f)において、 300は単一層 Aを表す。 A configuration example of the single layer A related to the organic EL element according to the present invention will be described with reference to FIGS. 7 (a) to 7 (f). In each figure, the vertical axis represents the mass% of the material in each region, and the horizontal axis represents the single layer A film thickness. In FIGS. 7A to 7F, 300 represents a single layer A.
[0228] 図 7 (a)は、単一層 Aの陽極側から陰極側にかけて、正孔輸送領域 302、発光領域 303、次いで、非ドープ領域 301が設けられている構成の一例である。正孔輸送領 域 302には、正孔輸送材料 302aと共通ホスト材料 301aが含まれ、発光領域 303に は、発光ドーパント 303aと共通ホスト材料 301aが含まれ、非ドープ領域 301は実質 的に共通ホスト材料 301aのみから形成されている。 FIG. 7A shows an example of a configuration in which a hole transport region 302, a light emitting region 303, and then an undoped region 301 are provided from the anode side to the cathode side of the single layer A. The hole transport region 302 includes a hole transport material 302a and a common host material 301a, the light emitting region 303 includes a light emitting dopant 303a and a common host material 301a, and the undoped region 301 is substantially common. It is formed only from the host material 301a.
[0229] ここで、実質的とは、領域中の共通ホスト材料 301aの含有率が 99. 9質量%以上 であることを示す。 Here, “substantially” means that the content of the common host material 301a in the region is 99.9% by mass or more.
[0230] 図 7 (b)は、単一層 Aの陽極側から陰極側にかけて、正孔輸送領域 302、非ドープ 領域 301、発光領域 303、非ドープ領域 301、次いで、電子輸送領域 304が設けら れている構成の一例である。正孔輸送領域 302、非ドープ領域 301、発光領域 303 は、図 7 (a)と同様であり、電子輸送領域 304中には、電子輸送材料 304aと共通ホス ト材料 301 aが含まれてレ、る。 [0230] FIG. 7 (b) shows that a hole transport region 302, an undoped region 301, a light emitting region 303, an undoped region 301, and then an electron transport region 304 are provided from the anode side to the cathode side of the single layer A. This is an example of the configuration. The hole transport region 302, the undoped region 301, and the light emitting region 303 are the same as in FIG. 7A, and the electron transport region 304 includes the electron transport material 304a and the common host material 301a. RU
[0231] 図 7 (c)は、単一層 Aの陽極側から陰極側にかけて、正孔輸送領域 302、非ドープ 領域 301、発光領域 302、非ドープ領域 301が設けられている構成の一例である。 正孔輸送領域 302、非ドープ領域 301、発光領域 303の構成は、図 7 (a)と同様であ る。 FIG. 7 (c) shows an example of a configuration in which a hole transport region 302, an undoped region 301, a light emitting region 302, and an undoped region 301 are provided from the anode side to the cathode side of the single layer A. . The configurations of the hole transport region 302, the undoped region 301, and the light emitting region 303 are the same as those in FIG. 7 (a).
[0232] 図 7 (d)は、単一層 Aの陽極側から陰極側にかけて、正孔注入領域 305、正孔輸送 領域 302、非ドープ領域 301、発光領域 303、非ドープ領域 301、次いで、電子注 入領域 306が設けられている構成の一例である。正孔輸送領域 302、非ドープ領域 301、発光領域 303は、図 7 (a)の構成と同様であり、正孔注入領域 305には、正孔 注入材料 305aが含まれ、電子注入領域 306には、電子注入材料 306aが含まれて いる。 [0233] 図 7 (e)は、単一層 Aの陽極側から陰極側にかけて、正孔輸送領域 302、非ドープ 領域 301、青色発光領域 307、非ドープ領域 301、緑色発光領域 308、非ドープ領 域 301、青色発光領域 309、次いで、非ドープ領域 301が設けられている構成の一 例である。 [0232] FIG. 7 (d) shows a hole injection region 305, a hole transport region 302, an undoped region 301, a light emitting region 303, an undoped region 301, and then an electron from the anode side to the cathode side of the single layer A. This is an example of a configuration in which a pouring region 306 is provided. The hole transport region 302, the undoped region 301, and the light emitting region 303 have the same configuration as in FIG. 7A, and the hole injection region 305 includes a hole injection material 305 a and the electron injection region 306 includes Includes an electron injection material 306a. [0233] Fig. 7 (e) shows a hole transport region 302, an undoped region 301, a blue light emitting region 307, an undoped region 301, a green light emitting region 308, and an undoped region from the anode side to the cathode side of the single layer A. This is an example in which a region 301, a blue light emitting region 309, and then an undoped region 301 are provided.
[0234] ここで、正孔輸送領域 302、非ドープ領域 301は、図 7 (a)に示されている構成と同 様であり、青色発光領域 307には、青色発光ドーパント 307aが、緑色発光領域 308 には、緑色発光ドーパント 308aが、赤色発光領域 309には、赤色発光ドーパント 30 9aが各々含有されている。 Here, the hole transport region 302 and the undoped region 301 have the same configuration as shown in FIG. 7A, and the blue light-emitting region 307 has a blue light-emitting dopant 307a that emits green light. The region 308 contains a green light emitting dopant 308a, and the red light emitting region 309 contains a red light emitting dopant 309a.
[0235] 図 7 (f)は、単一層 Aの陽極側から陰極側にかけて、正孔注入領域 305、正孔輸送 領域 302、非ドープ領域 301、青色発光領域 307、非ドープ領域 301、緑色発光領 域 308、非ドープ領域 301、青色発光領域 309、非ドープ領域 301、次いで、電子 注入領域 306が設けられている構成の一例を示している。 [0235] FIG. 7 (f) shows a hole injection region 305, a hole transport region 302, an undoped region 301, a blue light emitting region 307, an undoped region 301, and green light emission from the anode side to the cathode side of the single layer A. An example of a configuration in which a region 308, an undoped region 301, a blue light emitting region 309, an undoped region 301, and then an electron injection region 306 is shown.
[0236] ここで、正孔注入領域 305、正孔輸送領域 302、非ドープ領域 301、青色発光領 域 307、緑色発光領域 308、赤色発光領域 309の各々は、図 7 (f)の構成と同様で あり、青色発光領域 307には、青色発光ドーパント 307aが、緑色発光領域 308には 、緑色発光ドーパント 308aが、赤色発光領域 309には、赤色発光ドーパント 309aが 各々含有されている。電子注入領域 306は、図 7 (d)と同様であり、電子注入領域 30 6には、電子注入材料 306aが含まれている。 Here, each of the hole injection region 305, the hole transport region 302, the undoped region 301, the blue light emission region 307, the green light emission region 308, and the red light emission region 309 has the configuration shown in FIG. Similarly, the blue light emitting region 307 contains a blue light emitting dopant 307a, the green light emitting region 308 contains a green light emitting dopant 308a, and the red light emitting region 309 contains a red light emitting dopant 309a. The electron injection region 306 is the same as that in FIG. 7D, and the electron injection region 306 contains an electron injection material 306a.
[0237] 《正孔輸送領域》 [0237] 《Hole transport region》
正孔輸送領域とは正孔を輸送する機能を有する正孔輸送材料を含み、広い意味 で正孔注入領域、電子阻止領域も正孔輸送領域に含まれる。正孔輸送領域は単層 または複数層設けることができる。 The hole transport region includes a hole transport material having a function of transporting holes, and in a broad sense, a hole injection region and an electron blocking region are also included in the hole transport region. The hole transport region can be provided as a single layer or a plurality of layers.
[0238] 正孔輸送材料としては、正孔の注入または輸送、電子の障壁性のいずれ力、を有す るものであり、有機物、無機物のいずれであってもよい。 [0238] The hole transport material has any of the power of hole injection or transport and electron barrier property, and may be either organic or inorganic.
[0239] 本発明に係る正孔輸送領域には、例えば、トリァゾール誘導体、ォキサジァゾ一ノレ 誘導体、イミダゾール誘導体、ポリアリールアルカン誘導体、ピラゾリン誘導体及びピ ラゾロン誘導体、フエ二レンジァミン誘導体、ァリールァミン誘導体、ァミノ置換カルコ ン誘導体、ォキサゾール誘導体、スチリルアントラセン誘導体、フルォレノン誘導体、 ヒドラゾン誘導体、スチルベン誘導体、シラザン誘導体、ァニリン系共重合体、また、 導電性高分子オリゴマー、特にチォフェンオリゴマー等の従来公知の材料を用いて あよい。 [0239] The hole transport region according to the present invention includes, for example, a triazole derivative, an oxaziazo monore derivative, an imidazole derivative, a polyarylalkane derivative, a pyrazoline derivative and a pyrazolone derivative, a phenylenediamine derivative, an arylamine derivative, an amino-substituted chalcone. Derivatives, oxazole derivatives, styrylanthracene derivatives, fluorenone derivatives, Conventionally known materials such as hydrazone derivatives, stilbene derivatives, silazane derivatives, aniline copolymers, and conductive polymer oligomers, particularly thiophene oligomers may be used.
[0240] 正孔輸送材料としては、上記のものを使用することができる力 ポルフィリン化合物 、芳香族第三級ァミン化合物及びスチリルァミン化合物、特に芳香族第三級ァミン化 合物を用いることが好ましい。 [0240] As the hole transporting material, the above-described forces that can be used are preferably used. Porphyrin compounds, aromatic tertiary amine compounds, and styrylamine compounds, particularly aromatic tertiary amine compounds.
[0241] 芳香族第三級ァミン化合物及びスチリルァミン化合物の代表例としては、 N, N, N ' , Nr —テトラフエニル _4, 4; —ジァミノフエニル; Ν, Ν' —ジフエ二ノレ _Ν, Ν ' —ビス(3—メチルフエ二ル)一〔1, 1' —ビフエ二ル〕一 4, 一ジァミン(TPD) ; 2, 2 _ビス(4—ジ一 ρ—トリルァミノフエニル)プロパン; 1, 1 _ビス(4 _ジ_ _トリ ルァミノフエニル)シクロへキサン; Ν, Ν, Ν' , Nr —テトラ一 p—トリル一 4, 4' - ジアミノビフエニル; 1, 1—ビス(4—ジ一 p—トリルァミノフエニル)一4—フエ二ルシク 口へキサン;ビス(4 -ジメチルアミノー 2 -メチルフエ二ノレ)フエニルメタン;ビス(4 -ジ —p トリルァミノフエニル)フエニルメタン; N, N' —ジフエ二ノレ一 N, N' —ジ(4— メトキシフエ二ル)一 4, 一ジアミノビフエニル; N, N, , Ν' —テトラフェニル — 4, 4' —ジアミノジフエニルエーテル; 4, 一ビス(ジフエニルァミノ)クオ一ドリフ ェニル; Ν, Ν, Ν トリ(ρ トリル)ァミン; 4— (ジ— ρ トリルァミノ)— —〔4— (ジ —ρ トリルァミノ)スチリル〕スチルベン; 4— Ν, Ν ジフエニルァミノ一(2 ジフエ二 ノレビニノレ)ベンゼン; 3—メトキシ一 Ν, Ν ジフエニルアミノスチルベンゼン; Ν フエ二ルカルバゾール、さらには、米国特許第 5, 061 , 569号明細書に記載され ている 2個の縮合芳香族環を分子内に有するもの、例えば 4, 4' ビス〔Ν— (1 - ナフチル) _Ν—フヱニルァミノ〕ビフヱニル(NPD)、特開平 4— 308688号に記載さ れているトリフエニルァミンユニットが 3つスターバースト型に連結された 4, , " —トリス〔^^_ (3 _メチルフエニル) _Ν_フエニルァミノ〕トリフエニルァミン(MTDAT Α)等が挙げられる。 [0241] Typical examples of aromatic tertiary amine compounds and styrylamine compounds include N, N, N ', N r —tetraphenyl _4, 4 ; — diaminophenyl; Ν, Ν' — diphenylenole _Ν, Ν '— Bis (3-methylphenyl) -1- [1,1'-biphenyl] -1,4-diamine (TPD); 2, 2 _bis (4-di-ρ-tolylaminophenyl) propane; 1, 1 _Bis (4_di__trilaminophenyl) cyclohexane; Ν, Ν, Ν ', N r —tetra-p-tolyl-1,4′-diaminobiphenyl; 1,1-bis (4-di-one) p-tolylaminophenyl) 1-4-phenyl oral hexane; bis (4-dimethylamino-2-methylphenylenyl) phenylmethane; bis (4-di-p-trimethylaminophenyl) phenylmethane; N, N ' —Diphenol N, N ′ —Di (4-methoxyphenyl) -1,4 diaminobiphenyl; N, N, , Ν '—Tetraphenyl — 4, 4' —Diaminodiphenyl ether; 4, One bis (diphenylamino) quadriphenyl; Ν, Ν, ト リ Tri (ρ tolyl) amine; 4— (Di-ρ tolylamino) — — [4- (di-ρ-triarylamino) styryl] stilbene; 4— Ν, Ν diphenylamino benzene; 3-methoxy Ν, Ν diphenylamino stilbenzene; Ν phenylcarbazole, and US Pat. No. 5,061,569 having two condensed aromatic rings in the molecule, for example, 4,4′bis [Ν- (1-naphthyl) _Ν-phenylamino] biphenyl (NPD), three triphenylamine units described in JP-A-4-308688 are connected in a starburst type 4,, "-tris [^^ _ (3_methylphenyl) _Ν_phenylamine ] Triphenyl § Min (MTDAT Α), and the like.
[0242] さらに、これらの材料を高分子鎖に導入した、またはこれらの材料を高分子の主鎖 とした高分子材料を用いることもできる。また、 ρ型— Si, p型 _ SiC等の無機化合物 も正孔注入材料、正孔輸送材料として使用することができる。 [0243] 正孔輸送領域は、上記正孔輸送材料を、例えば真空蒸着法を用いることにより好 ましく形成できる力 その他、スピンコート法、キャスト法、インクジェット法を含む印刷 法、 LB法等の公知の方法により、薄膜ィ匕することにより形成することができる。正孔 輸送領域の膜厚については特に制限はないが、通常は 5nm〜5 z m程度、好ましく は 5nm〜200nmである。この正孔輸送領域は、上記材料の 1種または 2種以上と、 共通ホスト材料とを含む一層構造であってもよレ、。 [0242] Furthermore, a polymer material in which these materials are introduced into a polymer chain or these materials as a polymer main chain can also be used. In addition, ρ-type Si, p-type _SiC and other inorganic compounds can also be used as the hole injection material and hole transport material. [0243] In the hole transport region, the above-described hole transport material can be preferably formed by using, for example, a vacuum deposition method. The thin film can be formed by a known method. The film thickness of the hole transport region is not particularly limited, but is usually about 5 nm to 5 zm, preferably 5 nm to 200 nm. The hole transport region may have a single layer structure including one or more of the above materials and a common host material.
[0244] 又、不純物ドープした p性の高い正孔輸送領域を用いることも出来る。その例として は、特開平 4— 297076号公報、特開 2000— 196140号公報、特開 2001— 1021 75号公幸 IJ. Appl. Phys. , 95, 5773 (2004)などに記載されたもの力 S挙げ、られる [0244] In addition, a hole transport region with high p property doped with impurities can be used. Examples thereof include those described in JP-A-4-297076, JP-A-2000-196140, JP-A-2001-102175, IJ. Appl. Phys., 95, 5773 (2004), etc. Be cited
[0245] 本発明においては、このような p性の高い正孔輸送領域を用いることが、より低消費 電力の素子を作製することができるため好ましい。 [0245] In the present invention, it is preferable to use such a hole transport region having a high p property because a device with lower power consumption can be manufactured.
[0246] また、本発明の有機 EL素子の発光効率向上、パワー効率向上の観点から、正孔 輸送領域中の上記共通ホスト材料の含有量は、 0. 1質量%〜10質量%の範囲にな るように調整されることが好ましレ、。 [0246] From the viewpoint of improving the light emission efficiency and power efficiency of the organic EL device of the present invention, the content of the common host material in the hole transport region is in the range of 0.1 mass% to 10 mass%. It is preferable to be adjusted so that it becomes.
[0247] 《電子輸送領域》 [0247] 《Electron Transport Area》
本発明に係る電子輸送領域は、陰極より注入された電子を発光領域に伝達する機 能を有していればよぐその材料としては従来公知の化合物の中力 任意のものを選 択して用いることができる。また、電子輸送領域とは電子を輸送する機能を有する材 料を含有し、広い意味で電子注入領域 (領域を層といってもよい)、正孔阻止領域( 領域を層とレ、つてもょレ、)も電子輸送領域 (領域を層とレ、つてもょレ、)に含まれる。電 子輸送領域は単層または複数領域 (領域を層とレ、つてもょレ、)設けること力 Sできる。 The electron transport region according to the present invention is not particularly limited as long as it has a function of transmitting electrons injected from the cathode to the light-emitting region. Can be used. In addition, the electron transport region contains a material having a function of transporting electrons, and in a broad sense, an electron injection region (the region may be referred to as a layer) and a hole blocking region (the region is referred to as a layer). Is also included in the electron transport region (the region is a layer and a layer). The electron transport region can be provided with a single layer or multiple regions (regions can be combined with layers).
[0248] この電子輸送領域の形成に用いられる材料 (以下、電子輸送材料という)の例とし ては、ニトロ置換フルオレン誘導体、ジフエ二ルキノン誘導体、チォピランジオキシド 誘導体、ナフタレンペリレン等の複素環テトラカルボン酸無水物、カルポジイミド、フレ ォレニリデンメタン誘導体、アントラキノジメタン及びアントロン誘導体、ォキサジァゾ ール誘導体等が挙げられる。更に、上記ォキサジァゾール誘導体において、ォキサ ジァゾール環の酸素原子を硫黄原子に置換したチアジアゾール誘導体、電子吸引 性基として知られているキノキサリン環を有するキノキサリン誘導体も、電子輸送材料 として用いることができる。 [0248] Examples of materials used to form the electron transport region (hereinafter referred to as electron transport materials) include heterocyclic tetraene derivatives such as nitro-substituted fluorene derivatives, diphenylquinone derivatives, thiopyran dioxide derivatives, and naphthalene perylene. Examples thereof include carboxylic acid anhydrides, carpositimides, fluorenylidenemethane derivatives, anthraquinodimethane and anthrone derivatives, oxadiazole derivatives, and the like. Further, in the above oxadiazole derivative, a thiadiazole derivative in which the oxygen atom of the oxadiazole ring is substituted with a sulfur atom, electron withdrawing A quinoxaline derivative having a quinoxaline ring, which is known as a functional group, can also be used as an electron transport material.
[0249] 更に、これらの材料を高分子鎖に導入した、またはこれらの材料を高分子の主鎖と した高分子材料を用いることもできる。 [0249] Furthermore, a polymer material in which these materials are introduced into a polymer chain or these materials are used as a polymer main chain can also be used.
[0250] または、 8_キノリノール誘導体の金属錯体、例えばトリス(8—キノリノール)アルミ二 ゥム(Alq )、トリス(5, 7—ジクロロ一 8—キノリノール)アルミニウム、トリス(5, 7—ジブ [0250] Alternatively, metal complexes of 8_quinolinol derivatives such as tris (8-quinolinol) aluminum (Alq), tris (5,7-dichloro-l-quinolinol) aluminum, tris (5,7-dibu
3 Three
ロモ一 8_キノリノール)アルミニウム、トリス(2—メチル _8 _キノリノール)アルミユウ ム、トリス(5—メチル _ 8 _キノリノール)アルミニウム、ビス(8—キノリノール)亜鉛(Zn q)等、及びこれらの金属錯体の中心金属が In、 Mg、 Cu、 Ca、 Sn、 Gaまたは Pbに 置き替わった金属錯体も、電子輸送材料として用いることができる。 Lomo 8_quinolinol) aluminum, tris (2-methyl_8_quinolinol) aluminum, tris (5-methyl_8_quinolinol) aluminum, bis (8-quinolinol) zinc (Zn q), etc., and their metal complexes Metal complexes in which the central metal is replaced with In, Mg, Cu, Ca, Sn, Ga, or Pb can also be used as electron transport materials.
[0251] その他、メタルフリーまたはメタルフタロシアニン、更には、それらの末端がアルキル 基ゃスルホン酸基等で置換されているものも、電子輸送材料として好ましく用いること ができる。また、ジスチリルビラジン誘導体も、電子輸送材料として用いることができる し、正孔注入領域、正孔輸送領域と同様に、 n型— Si、 n型— SiC等の無機半導体も 電子輸送材料として用いることができる。 [0251] In addition, metal-free or metal phthalocyanine, and those having the terminal substituted with an alkyl group or a sulfonic acid group can also be preferably used as the electron transporting material. Distyrylvirazine derivatives can also be used as electron transport materials. In addition to the hole injection region and hole transport region, inorganic semiconductors such as n-type Si and n-type SiC can also be used as electron transport materials. Can be used.
[0252] この電子輸送領域は、上記化合物を、例えば真空蒸着法による形成が好ましいが 、その他にも、スピンコート法、キャスト法、 LB法等の公知の薄膜形成法を適用して 製膜、形成することが可能である。 [0252] In this electron transport region, the above compound is preferably formed by, for example, a vacuum deposition method. In addition, a known thin film forming method such as a spin coating method, a casting method, or an LB method is applied to form a film, It is possible to form.
[0253] また、また、本発明の有機 EL素子の発光効率向上、パワー効率向上の観点から、 電子輸送領域中の上記共通ホスト材料の含有量は、 0. 1質量%〜10質量%の範囲 になるように調整されることが好ましい。 [0253] Further, from the viewpoint of improving the light emission efficiency and power efficiency of the organic EL device of the present invention, the content of the common host material in the electron transport region is in the range of 0.1 mass% to 10 mass%. It is preferable to adjust so that it becomes.
[0254] 又、不純物ドープした n性の高い電子輸送領域を用いることも出来る。その例として は、特開平 4— 297076号公報、特開 2000— 196140号公報、特開 2001— 1021 75号公幸 IJ. Appl. Phys. , 95, 5773 (2004)などに記載されたもの力 S挙げ、られる [0254] In addition, an n-doped electron transport region doped with impurities can be used. Examples thereof include those described in JP-A-4-297076, JP-A-2000-196140, JP-A-2001-102175, IJ. Appl. Phys., 95, 5773 (2004), etc. Be cited
[0255] 本発明においては、このような n性の高い電子輸送領域を用いることがより低消費 電力の素子を作製することができるため好ましい。 [0255] In the present invention, it is preferable to use such an electron transport region having a high n property because a device with lower power consumption can be manufactured.
[0256] (電子輸送領域の膜厚) 電子輸送領域は、上記電子輸送材料を、例えば真空蒸着法、スピンコート法、キヤ スト法、インクジェット法を含む印刷法、 LB法等の公知の方法により、薄膜化すること により形成すること力 Sできる。電子輸送領域の膜厚については特に制限はないが、通 常は 5nm〜5 z m程度、好ましくは 5nm〜200nmである。電子輸送領域は、上記材 料の 1種または 2種以上からなる一層構造であってもよい。 [0256] (Thickness of electron transport region) The electron transport region is formed by thinning the electron transport material by a known method such as a vacuum deposition method, a spin coating method, a casting method, a printing method including an ink jet method, or an LB method. it can. The film thickness of the electron transport region is not particularly limited, but is usually about 5 nm to 5 zm, preferably 5 nm to 200 nm. The electron transport region may have a single layer structure composed of one or more of the above materials.
[0257] 《発光領域》 [0257] 《Light emitting area》
本発明に係る発光領域について説明する。 The light emitting area according to the present invention will be described.
[0258] 本発明に係る発光領域は、電極または電子輸送領域、正孔輸送領域等から注入さ れてくる電子及び正孔が再結合して発光する層であり、発光する部分は発光領域内 であっても発光領域と隣接領域(隣接層といってもよい)との界面であってもよい。 [0258] The light emitting region according to the present invention is a layer that emits light by recombination of electrons and holes injected from an electrode, an electron transport region, a hole transport region, or the like, and the light emitting portion is within the light emitting region. Alternatively, it may be an interface between the light emitting region and an adjacent region (may be referred to as an adjacent layer).
[0259] 本発明に係る発光領域に含有される、共通ホスト材料としては、従来公知の有機 E L素子に用いられるホストイ匕合物を複数種併用して用いてもよい。ホスト化合物を複 数種もちいることで、電荷の移動を調整することが可能であり、有機 EL素子を高効率 ィ匕すること力できる。これらの公知のホストイ匕合物としては、正孔輸送能 (機能的に正 孔阻止能を持っていてもよい)、電子輸送能を有しつつ、かつ、発光の長波長化を防 ぎ、なおかつ高 Tg (ガラス転移温度)である化合物が好ましレ、。 [0259] As the common host material contained in the light emitting region according to the present invention, a plurality of host compounds used in conventionally known organic EL devices may be used in combination. By using multiple types of host compounds, it is possible to adjust the movement of electric charge and to improve the efficiency of organic EL devices. These known host compounds include a hole transport capability (which may have a hole blocking capability functionally), an electron transport capability, and prevent emission of longer wavelengths, Furthermore, a compound having a high Tg (glass transition temperature) is preferred.
[0260] 発光領域は、例えば、下記のリン光発光性化合物、蛍光発光性化合物や、上記の 共通ホスト材料等の形成材料を、例えば、真空蒸着法、スピンコート法、キャスト法、 LB法、インクジェット法等の公知の薄膜化法により製膜して形成できる。 [0260] The light-emitting region is formed by using, for example, the following phosphorescent compound, fluorescent compound, or the above-mentioned common host material, for example, vacuum deposition method, spin coating method, cast method, LB method, The film can be formed by a known thinning method such as an ink jet method.
[0261] 発光領域としての膜厚は特に制限はなレ、が、通常は511111〜5 /1 111、好ましくは 5nm 〜200nmの範囲で選ばれる。この発光領域は、後述するようなリン光発光性化合物 や共通ホスト材料を 1種または 2種以上含む一つの領域(層とレ、つてもょレ、)でもよレヽ し、あるいは、同一組成または異種組成の複数領域 (複数層)からなる積層構造であ つてもよい。 [0261] The film thickness as the light emitting region is not particularly limited, but is usually selected within the range of 511111 to 5/1111, preferably 5 nm to 200 nm. This light-emitting region may be a single region (layer and layer) containing a phosphorescent compound or a common host material as described later, or the same composition or A laminated structure composed of a plurality of regions (multiple layers) having different compositions may be used.
[0262] また、また、本発明の有機 EL素子の発光効率向上、パワー効率向上の観点から、 発光領域中の上記共通ホスト材料の含有量は、 51質量%〜99. 9質量%の範囲に なるように調整されることが好ましレ、。 [0262] In addition, from the viewpoint of improving the light emission efficiency and power efficiency of the organic EL device of the present invention, the content of the common host material in the light emitting region is in the range of 51 mass% to 99.9 mass%. Preferable to be adjusted, so that.
[0263] 《リン光発光性化合物》 本発明に係るリン光発光性化合物について説明する。 [0263] <Phosphorescent compound> The phosphorescent compound according to the present invention will be described.
[0264] 本発明に係るリン光発光性化合物とは、励起三重項からの発光が観測される化合 物であり、燐光量子収率が、 25°Cにおいて 0. 001以上の化合物である。燐光量子 収率は好ましくは 0. 01以上、更に好ましくは 0. 1以上である。 [0264] The phosphorescent compound according to the present invention is a compound in which light emission from an excited triplet is observed, and is a compound having a phosphorescence quantum yield of 0.001 or more at 25 ° C. The phosphorescence quantum yield is preferably 0.01 or more, more preferably 0.1 or more.
[0265] 上記燐光量子収率は、第 4版実験化学講座 7の分光 IIの 398頁(1992年版、丸善 )に記載の方法により測定できる。溶液中での燐光量子収率は種々の溶媒を用いて 測定できるが、本発明に係る燐光性化合物は、任意の溶媒の何れかにおいて上記 燐光量子収率が達成されることが好ましレヽ。 [0265] The phosphorescent quantum yield can be measured by the method described in the fourth edition of Experimental Chemistry Course 7, Spectroscopy II, page 398 (1992 edition, Maruzen). Although the phosphorescence quantum yield in a solution can be measured using various solvents, the phosphorescent compound according to the present invention preferably achieves the above phosphorescence quantum yield in any solvent.
[0266] 本発明に係る共通ホスト材料の最低励起三重項エネルギー準位 T1は、発光ドー パントの最低励起三重項エネルギー準位 T2よりも高いことが好ましぐ更に好ましく は、発光ドーパントの最低励起三重項エネルギー準位 T2の 1. 05-1. 38倍である [0266] The lowest excited triplet energy level T1 of the common host material according to the present invention is preferably higher than the lowest excited triplet energy level T2 of the luminescent dopant, more preferably the lowest excited luminescent dopant. Triplet energy level 1.05-1.38 times T2.
[0267] 更に、共通ホスト材料の最低励起三重項エネルギー準位は、 284. 9kj/mol〜37 7. lkj/molの範囲にあることが好ましい。 [0267] Furthermore, the lowest excited triplet energy level of the common host material is preferably in the range of 284.9 kj / mol to 37 7. lkj / mol.
[0268] また、リン光発光性化合物の発光は、原理としては 2種挙げられ、一つはキャリアが 輸送されるホストイヒ合物上でキャリアの再結合が起こってホスト化合物の励起状態が 生成し、このエネルギーをリン光発光性化合物に移動させることでリン光発光性化合 物からの発光を得るというエネルギー移動型、もう一つはリン光発光性化合物がキヤ リアトラップとなり、リン光発光性化合物上でキャリアの再結合が起こり、リン光発光性 化合物からの発光が得られるとレ、うキャリアトラップ型であるが、レ、ずれの場合にぉレヽ ても、リン光発光性化合物の励起状態のエネルギーはホス Mヒ合物の励起状態のェ ネルギ一よりも低レ、ことが好ましレ、。 [0268] In addition, there are two types of light emission of the phosphorescent compound in principle. One is the recombination of the carrier on the host compound where the carrier is transported and the excited state of the host compound is generated. This energy transfer type transfers the energy to the phosphorescent compound to obtain light emission from the phosphorescent compound. The other is that the phosphorescent compound becomes a carrier trap. When the recombination of carriers occurs and light emission from the phosphorescent compound is obtained, the carrier trap type is used. However, even if there is a deviation, the phosphorescent compound is excited. The energy of is preferably lower than the energy of the excited state of Phos M compound.
[0269] 本発明においては、リン光発光性化合物のリン光発光極大波長としては特に制限 されるものではなぐ原理的には、中心金属、配位子、配位子の置換基等を選択する ことで得られる発光波長を変化させることができるが、リン光発光性化合物のリン光発 光波長が 380nm〜480nmにリン光発光の極大波長を有することが好ましい。 [0269] In the present invention, the phosphorescent compound maximum wavelength of the phosphorescent compound is not particularly limited. In principle, a central metal, a ligand, a substituent of the ligand, and the like are selected. The emission wavelength obtained can be changed, but the phosphorescence emission wavelength of the phosphorescent compound preferably has a maximum phosphorescence emission wavelength of 380 nm to 480 nm.
[0270] このようなリン光発光波長を有するものとしては、青色に発光する有機 EL素子や白 色に発光する有機 EL素子が挙げられるが、これらの素子はより発光電圧を抑え、低 消費電力で作動させることができる。 [0270] Examples of such phosphorescent light emitting wavelengths include organic EL elements that emit blue light and organic EL elements that emit white light. It can be operated with power consumption.
[0271] また、リン光発光性化合物を複数種用いることで、異なる発光を混ぜることが可能と なり、これにより任意の発光色を得ることができる。リン光発光性化合物の種類、ドー プ量を調整することで白色発光が可能であり、照明、ノ ックライトへの応用もできる。 [0271] Further, by using a plurality of phosphorescent compounds, it becomes possible to mix different luminescence, and thereby any luminescent color can be obtained. White light can be emitted by adjusting the type of phosphorescent compound and the amount of doping, and it can also be applied to lighting and knocklights.
[0272] 本発明に係るリン光発光性化合物としては、下記に示すりん光発光を示す有機金 属錯体 (リン光発光性化合物ともいう)の中から適宜選択して用いることが好ましレ、。 [0272] The phosphorescent compound according to the present invention is preferably selected from the following organic metal complexes that exhibit phosphorescence (also referred to as phosphorescent compounds). .
[0273] 例えば、特開 2001— 247859号公報に記載のイリジウム錯体、国際公開第 00Z7 0, 655号パンフレット 16〜18ページに挙げられるような式で表される、例えば、トリス (2—フエ二ノレピリジン)イリジウム等やオスミウム錯体、あるレ、 fま 2, 3, 7, 8, 12, 13, 17, 18—オタタエチル— 21H, 23H—ポルフィリン白金錯体のような白金錯体もド 一パントとして挙げられる。ドーパントとしてこのようなリン光発光性化合物を用いるこ とにより、内部量子効率の高い発光有機 EL素子を実現できる。 [0273] For example, an iridium complex described in JP-A-2001-247859, represented by a formula as described in pages 16 to 18 of International Publication No. 00Z7 0,655 pamphlet, for example, tris (2-phenol Norepyridine) Iridium, etc. and osmium complexes, and some platinum, such as some f, 2, 3, 7, 8, 12, 13, 17, 18-otataethyl-21H, 23H-porphyrin platinum complexes are also included as dopants. . By using such a phosphorescent compound as a dopant, a light-emitting organic EL device with high internal quantum efficiency can be realized.
[0274] 本発明に用いられるリン光発光性化合物としては、好ましくは元素周期表の第 8族 、第 9族または第 10族に属するいずれ力 1種の金属を含有する錯体系化合物が好ま しいが、更に好ましくは、イリジウム化合物、オスミウム化合物、または白金化合物(白 金錯体系化合物)、希土類錯体である。 [0274] The phosphorescent compound used in the present invention is preferably a complex compound containing any one kind of metal belonging to Group 8, Group 9 or Group 10 of the periodic table. Are more preferably iridium compounds, osmium compounds, platinum compounds (metal complex compounds), and rare earth complexes.
[0275] 以下に、リン光発光性化合物の具体例を示すが、本発明はこれらに限定されない。 [0275] Specific examples of the phosphorescent compound are shown below, but the present invention is not limited thereto.
[0276] [化 64] [0276] [Chemical 64]
[0278] また、上記の各有機金属錯体は、単独で用いてもよぐ 2種以上の化合物を併用し て用いてもよい。尚、これらの化合物は、例えば、 Inorg. Chem. 40卷、 1704〜17[0278] Each of the above organometallic complexes may be used alone, or two or more compounds may be used in combination. In addition, these compounds are, for example, Inorg. Chem. 40 卷, 1704-17.
11に記載の方法等を参照することにより合成可能である。 It can be synthesized by referring to the method described in 11.
[0279] 本発明のリン光発光性化合物としては、励起三重項からの発光が青色である、いわ ゆる、青色発光ドーパントとして下記のような青色発光性ォノレトメタル錯体が好ましく 用いられる。 [0280] 本発明に用いられるリン光発光性化合物は、例えば Organic Letter誌、 vol3、 N o. 16、 p2579〜2581 (2001)、 Inorganic Chemistry,第 30卷、第 8号、 1685 〜1687ページ(1991年)、 J. Am. Chem. Soc. , 123卷、 4304ページ(2001年) 、 Inorganic Chemistry,第 40卷、第 7号、 1704〜1711ページ(2001年)、 Inor ganic Chemistry,第 41卷、第 12号、 3055〜3066ページ(2002年)、 New Jo urnal of Chemistry. ,第 26卷、 1171ページ(2002年)、更に、これらの文献中 に記載の参考文献等の方法を適用することにより合成できる。 [0279] As the phosphorescent compound of the present invention, the light emitted from the excited triplet is blue. In other words, the following blue-emitting onoletometal complex is preferably used as the blue-emitting dopant. [0280] The phosphorescent compound used in the present invention is, for example, Organic Letter, vol3, No. 16, p2579 to 2581 (2001), Inorganic Chemistry, No. 30, No. 8, pages 1685 to 1687 ( 1991), J. Am. Chem. Soc., 123 卷, 4304 (2001), Inorganic Chemistry, No. 40, No. 7, 1704-1711 (2001), Inor ganic Chemistry, No. 41 No. 12, pp. 3055-3066 (2002), New Journal of Chemistry., Vol. 26, pp. 1171 (2002), and the methods such as references described in these references should be applied. Can be synthesized.
[0281] このほ力 こも、 ί列えは、、 J. Am. Chem. Soc. 123卷 4304〜4312頁(2001年)、 国際公開第 00/70655号パンフレット、同第 02Z15645号パンフレット、特開 200 [0281] This force is also described in J. Am. Chem. Soc. 123-4304-412 (2001), WO 00/70655 pamphlet, 02Z15645 pamphlet, JP 200
1— 247859号公報、同 2001— 345183号公報、同 2002— 117978号公報、同 21-247859, 2001-345183, 2002-117978, 2
002— 170684号公報、同 2002— 203678号公報、同 2002— 235076号公報、 同 2002— 302671号公報、同 2002— 324679号公報、同 2002— 332291号公報 、同 2002— 332292号公報、同 2002— 338588号公報等に記載の一般式であげ られるイリジウム錯体、あるいは、具体的例として挙げられるイリジウム錯体、特開 200 2— 8860号公報記載の式 (IV)で表されるイリジウム錯体等が挙げられる。 002-170684, 2002-203678, 2002-235076, 2002-302671, 2002-324679, 2002-332291, 2002-332292, 2002 — Examples of the iridium complex represented by the general formula described in Japanese Patent No. 338588 and the like, the iridium complex exemplified as a specific example, and the iridium complex represented by the formula (IV) described in Japanese Patent Laid-Open No. 2002-8860. It is done.
[0282] 《蛍光発光性化合物》 [0282] Fluorescent compound
本発明に用いられる蛍光発光性化合物について説明する。 The fluorescent compound used in the present invention will be described.
[0283] 本発明に係る発光領域は、上記の共通ホスト材料以外にも、さらに蛍光極大波長 を有するホス H匕合物を共通ホスト材料として含有していてもよい。この場合、他のホ ストィヒ合物とリン光発光性化合物から蛍光性化合物へのエネルギー移動で、有機 E L素子としての電界発光は蛍光極大波長を有する他のホスト化合物からの発光も得 られる。蛍光極大波長を有するホスト化合物として好ましいのは、溶液状態で蛍光量 子収率が高いものである。ここで、蛍光量子収率は 10%以上、特に 30%以上が好ま しい。具体的な蛍光極大波長を有するホストイ匕合物としては、クマリン系色素、ピラン 系色素、シァニン系色素、クロコニゥム系色素、スクァリウム系色素、ォキソベンツアン トラセン系色素、フルォレセイン系色素、ローダミン系色素、ピリリウム系色素、ペリレ ン系色素、スチルベン系色素、ポリチォフェン系色素等が挙げられる。蛍光量子収率 は、前記第 4版実験化学講座 7の分光 IIの 362頁(1992年版、丸善)に記載の方法 により測定することができる。 [0283] In addition to the above-mentioned common host material, the light emitting region according to the present invention may further contain a phosphine compound having a fluorescence maximum wavelength as a common host material. In this case, electroluminescence as an organic EL device can also be emitted from other host compounds having a fluorescence maximum wavelength by energy transfer from the other host compound and phosphorescent compound to the fluorescent compound. A host compound having a fluorescence maximum wavelength is preferably a compound having a high fluorescence molecular yield in a solution state. Here, the fluorescence quantum yield is preferably 10% or more, particularly 30% or more. Examples of host compounds having specific fluorescence maximum wavelengths include coumarin dyes, pyran dyes, cyanine dyes, croconium dyes, squalium dyes, oxobenzanthracene dyes, fluorescein dyes, rhodamine dyes, and pyrylium dyes. And dyes, perylene dyes, stilbene dyes, and polythiophene dyes. The fluorescence quantum yield is calculated according to the method described in Spectra II, page 362 (1992 edition, Maruzen) of the fourth edition of Experimental Chemistry Course 7. Can be measured.
[0284] 本明細書の発光する色は、「新編色彩科学ハンドブック」 (日本色彩学会編、東京 大学出版会、 1985)の 108頁の図 4. 16において、分光放射輝度計 CS— 1000 (ミ ノルタ製)で測定した結果を CIE色度座標に当てはめたときの色で決定される。 [0284] The emission color of this specification is shown in Fig. 4.16 on page 108 of the "New Color Science Handbook" (Edited by the Japan Society for Color Science, University of Tokyo Press, 1985). It is determined by the color when the result measured by Norta) is applied to the CIE chromaticity coordinates.
[0285] 《電子注入領域》 [0285] 《Electron injection region》
本発明に係る電子注入領域は、本発明の有機 EL素子の発光効率向上、パワー効 率向上の観点から、電子輸送領域中の上記共通ホスト材料の含有量は、 0. 1質量 %〜10質量%の範囲になるように調整されることが好ましい。 In the electron injection region according to the present invention, the content of the common host material in the electron transport region is from 0.1% by mass to 10% by mass from the viewpoint of improving the light emission efficiency and power efficiency of the organic EL device of the present invention. It is preferable to adjust so that it may become the range of%.
[0286] 《非ドープ領域(中間層、中間領域ともいう)》 [0286] << Undoped region (also referred to as intermediate layer, intermediate region) >>
本発明に係る非ドープ領域について説明する。 The undoped region according to the present invention will be described.
[0287] 本発明に係る非ドープ領域とは、上記の単一層 Aの全領域において、共通ホスト材 料は含有しているが、上記の正孔注入領域、正孔輸送領域、発光領域、電子輸送領 域、電子注入領域が設けられてレ、なレ、領域を示す。 [0287] The undoped region according to the present invention contains the common host material in the entire region of the single layer A, but the hole injection region, hole transport region, light emitting region, electron, and the like. A transport area and an electron injection area are provided to indicate the area.
[0288] 非ドープ領域と発光領域が各々共通ホスト材料を含有することにより、発光領域 非ドープ領域間の領域間 (層間ともいう)の注入障壁が低減され、電圧 (電流)を変化 させても正孔と電子の注入バランスが保ちやすいという効果が得られた。 [0288] By including a common host material in each of the undoped region and the light emitting region, an injection barrier between the light emitting region and the undoped region (also referred to as an interlayer) is reduced, and even if the voltage (current) is changed. The effect of easily maintaining the injection balance of holes and electrons was obtained.
[0289] また、電圧(電流)をかけたときの色ずれが改善されるという効果が得られることも判 つた。更に、非ドープ領域に共通ホスト材料を用いることで、従来の有機 EL素子作製 の大きな問題点である、素子作製の煩雑さをも併せて解消することが出来た。 [0289] It has also been found that the effect of improving the color shift when voltage (current) is applied can be obtained. Furthermore, by using a common host material in the undoped region, the complexity of device fabrication, which is a major problem with conventional fabrication of organic EL devices, can also be eliminated.
[0290] 更に、上記のように、共通ホスト材料の最低励起三重項エネルギー準位 T1が、リン 光発光性化合物の最低励起三重項エネルギー準位 T2よりも高い励起三重項エネ ルギーを有する材料を用いることで、発光領域の三重項励起子を効果的に発光領域 に閉じ込め高効率な素子を得られることが判った。 [0290] Further, as described above, a material having an excited triplet energy in which the lowest excited triplet energy level T1 of the common host material is higher than the lowest excited triplet energy level T2 of the phosphorescent compound is obtained. By using it, it was found that triplet excitons in the light emitting region can be effectively confined in the light emitting region and a highly efficient device can be obtained.
[0291] 非ドープ領域を構成する材料としては、公知の材料を本発明に係る共通ホスト材料 と併せて用いてもよい。発光領域に含有するリン光発光性化合物の中で最も大きな 励起 3重項エネルギーを有するリン光発光性化合物よりも大きな励起 3重項エネルギ 一を有する材料を共通ホスト材料として選択することが好ましい。 [0291] As a material constituting the undoped region, a known material may be used in combination with the common host material according to the present invention. Among the phosphorescent compounds contained in the light emitting region, it is preferable to select a material having a larger excited triplet energy than the phosphorescent compound having the largest excited triplet energy as the common host material.
[0292] 例えば青 *緑*赤の 3色白色素子において各々の発光材料にリン光発光性化合物 を用いる場合、青色のリン光発光性化合物の励起 3重項エネルギーが一番大きい。 [0292] For example, a phosphorescent compound for each luminescent material in a three-color white element of blue * green * red Is used, the excited triplet energy of the blue phosphorescent compound is the largest.
[0293] この青色リン光発光性化合物よりも大きレ、励起 3重項エネルギーを有する共通ホス ト材料を用いることが好ましい。 [0293] It is preferable to use a common host material having a larger amount of excited triplet energy than the blue phosphorescent compound.
[0294] 本発明の有機 EL素子においては、共通ホスト材料はキャリアの輸送を担うため、キ ャリア輸送能を有する材料が好ましレ、。キャリア輸送能を表す物性としてキャリア移動 度が用レ、られるが、有機材料のキャリア移動度は一般的に電界強度に依存性が見ら れる。電界強度依存性の高い材料は正孔と電子注入'輸送バランスを崩しやすい。 中間層材料、ホスト材料は移動度の電界強度依存性の少ない材料を用いることが好 ましい。 [0294] In the organic EL device of the present invention, since the common host material is responsible for carrier transport, a material having carrier transport capability is preferred. Although carrier mobility is used as a physical property representing carrier transport ability, the carrier mobility of organic materials generally depends on the electric field strength. A material having a high electric field strength dependency tends to break the transport balance between hole and electron injection. As the intermediate layer material and the host material, it is preferable to use a material whose mobility is less dependent on the electric field strength.
[0295] また、一方では、正孔ゃ電子の注入バランスを最適に調整するためには、非ドープ 領域は、阻止領域即ち、正孔阻止領域、電子阻止領域として機能することも好ましい 態様としてあげられる。 [0295] On the other hand, in order to optimally adjust the injection balance of holes and electrons, it is also preferable that the undoped region functions as a blocking region, that is, a hole blocking region and an electron blocking region. It is done.
[0296] (正孔阻止領域として機能する場合) [0296] (When functioning as a hole blocking region)
正孔阻止領域 (層といってもよい)とは広い意味では電子輸送領域 (層といってもよ い)であり、電子を輸送する機能を有しつつ正孔を輸送する能力が著しく小さい材料 からなり、電子を輸送しつつ正孔を阻止することで電子と正孔の再結合確率を向上さ せること力 Sできる。 The hole blocking region (may be referred to as a layer) is an electron transport region (also referred to as a layer) in a broad sense, and has the ability to transport holes while having the function of transporting electrons. It is made of material and can improve the recombination probability of electrons and holes by blocking holes while transporting electrons.
[0297] 正孔阻止領域は、正孔輸送領域から移動してくる正孔を陰極に到達するのを阻止 する役割と、陰極から注入された電子を効率よく発光領域の方向に輸送することがで きる化合物により形成される。正孔阻止領域を構成する材料に求められる物性として は、電子移動度が高く正孔移動度が低いこと、及び正孔を効率的に発光領域内に 閉じこめるために、発光領域のイオンィ匕ポテンシャルより大きレ、イオン化ポテンシャル の値を有するカ 発光領域のバンドギャップより大きいバンドギャップを有することが 好ましレ、。正孔阻止材料としては、スチリル化合物、トリァゾール誘導体、フエナント口 リン誘導体、ォキサジァゾール誘導体、ボロン誘導体の少なくとも 1種を用いることも 本発明の効果を得るうえで有効である。 [0297] The hole blocking region serves to block holes moving from the hole transport region from reaching the cathode, and to efficiently transport electrons injected from the cathode in the direction of the light emitting region. Formed by a compound that can. The physical properties required of the material constituting the hole blocking region are that the electron mobility is high and the hole mobility is low, and in order to efficiently confine the holes in the light emitting region, the physical properties of the light emitting region are based on the ionic potential of the light emitting region. It is preferable to have a band gap larger than the band gap of the light emitting region, which has a large ionization potential value. Use of at least one of a styryl compound, a triazole derivative, a phenanthrine derivative, an oxadiazole derivative, and a boron derivative as the hole blocking material is also effective in obtaining the effects of the present invention.
[0298] その他の化合物例として、特開 2003— 31367号公報、同 2003— 31368号公報 、特許第 2721441号明細書等に記載の例示化合物が挙げられる。 [0299] (電子阻止領域として機能する場合) [0298] Examples of other compounds include exemplified compounds described in JP-A-2003-31367, 2003-31368, and Japanese Patent No. 2721441. [0299] (When functioning as an electronic blocking area)
一方、電子阻止領域として機能する場合の電子阻止とは、広い意味では正孔輸送 であり、正孔を輸送する機能を有しつつ電子を輸送する能力が著しく小さい材料を 非ドープ領域に含み、正孔を輸送しつつ電子を阻止することで電子と正孔の再結合 確率を向上させることができる。 On the other hand, electron blocking in the case of functioning as an electron blocking region is hole transport in a broad sense, and includes an undoped region containing a material that has a function of transporting holes and extremely low ability to transport electrons, By blocking electrons while transporting holes, the probability of recombination of electrons and holes can be improved.
[0300] この正孔阻止層、電子阻止層は、上記材料を、例えば、真空蒸着法、スピンコート 法、キャスト法、インクジェット法、 LB法等の公知の方法により、薄膜化することにより 形成すること力 Sできる。 [0300] The hole blocking layer and the electron blocking layer are formed by thinning the above materials by a known method such as a vacuum deposition method, a spin coating method, a casting method, an ink jet method, or an LB method. That power S.
[0301] 次に、本発明の有機 EL素子の構成層として用いられる、注入層(バッファ層ともいう [0301] Next, an injection layer (also referred to as a buffer layer) used as a constituent layer of the organic EL element of the present invention.
)について説明する。 ) Will be described.
[0302] 《注入層(電子注入層、正孔注入層)》 [0302] << Injection layer (electron injection layer, hole injection layer) >>
本発明の有機 EL素子においては、陽極と単一層 Aの間に、正孔注入層を設け、前 記正孔注入層が、前記単一層 Aの正孔輸送領域に含まれる正孔輸送材料とは異な る正孔輸送材料 Aを含むことが好ましレ、。 In the organic EL device of the present invention, a hole injection layer is provided between the anode and the single layer A, and the hole injection layer is a hole transport material contained in the hole transport region of the single layer A. Preferably contain different hole transport materials A.
[0303] また、陰極と単一層 Aの間に、電子注入層を設け、前記電子注入層が、前記単一 層 Aの電子輸送領域に含まれる電子輸送材料とは異なる材料 Aを含むことが好まし レ、。 [0303] Further, an electron injection layer may be provided between the cathode and the single layer A, and the electron injection layer may include a material A different from the electron transport material included in the electron transport region of the single layer A. I like it.
[0304] 上記の注入層(電子注入層、正孔注入層)は、陰極バッファ層(電子注入層)と陽極 バッファ層(正孔注入層)ともいい、素子の駆動電圧低下や発光輝度向上のために 電極と有機層間に設けられる層のことで、「有機 EL素子とその工業化最前線(1998 年 11月 30日ェヌ'ティー ·エス社発行)」の第 2編第 2章「電極材料」(123〜: 166頁) に記載の種々の材料を用いることが出来る。 [0304] The injection layer (electron injection layer, hole injection layer) is also referred to as a cathode buffer layer (electron injection layer) and an anode buffer layer (hole injection layer). For this reason, it is a layer provided between the electrode and the organic layer. “Organic EL element and its industrialization front line (November 30, 1998, issued by NTS Co., Ltd.)” (123-: 166 pages) can be used.
[0305] 本発明に係る正孔注入層の形成材料としては、前記単一層 Aの正孔輸送領域に 含まれる正孔輸送材料とは異なる正孔輸送材料が用いられるが、例えば、特開平 9 — 45479号公幸艮、同 9— 260062号公幸艮、同 8_ 288069号公幸艮等に記載のィ匕合 物を用いることが出来る。また、具体例としては、銅フタロシアニンに代表されるフタ口 シァニンバッファ層、酸化バナジウムに代表される酸化物バッファ層、アモルファス力 一ボンバッファ層、ポリア二リン(ェメラルディン)やポリチォフェン等の導電性高分子 を用いた高分子バッファ層等の構成材料を挙げることが出来る。 [0305] As a material for forming the hole injection layer according to the present invention, a hole transport material different from the hole transport material contained in the hole transport region of the single layer A is used. — The compounds described in No. 45479, No. 9-260062, No. 8-288069, etc. can be used. In addition, specific examples include a lid mouth cyanine buffer layer typified by copper phthalocyanine, an oxide buffer layer typified by vanadium oxide, an amorphous force-bonded buffer layer, a conductive material such as polyaniline (emeraldine) and polythiophene. High molecular Constituent materials such as a polymer buffer layer using
[0306] 本発明に係る電子注入層(陰極バッファ層)の形成材料としては、前記単一層 Aの 電子輸送領域に含まれる電子輸送材料とは異なる材料が用いられるが、例えば、特 開平 6— 325871号公報、同 9— 17574号公報、同 10— 74586号公報等にもその 詳細が記載されており、具体的にはストロンチウムやアルミニウム等に代表される金 属バッファ層、フッ化リチウムに代表されるアルカリ金属化合物バッファ層、フッ化マ グネシゥムに代表されるアルカリ土類金属化合物バッファ層、酸化アルミニウムに代 表される酸化物バッファ層等が挙げられる。上記バッファ層(注入層)はごく薄い膜で あることが望ましぐ素材にもよる力 その膜厚は 0. lnm〜5 mの範囲が好ましレ、。 [0306] As a material for forming the electron injection layer (cathode buffer layer) according to the present invention, a material different from the electron transport material included in the electron transport region of the single layer A is used. 325871, 9-17574, 10-74586, etc., details are described. Specifically, metal buffer layers typified by strontium and aluminum, and lithium fluoride. And an alkaline earth metal compound buffer layer represented by magnesium fluoride, an oxide buffer layer represented by aluminum oxide, and the like. The above buffer layer (injection layer) should be a very thin film, and it will depend on the material. The film thickness is preferably in the range of 0.1 nm to 5 m.
[0307] 《陽極》 [0307] Anode
有機 EL素子における陽極としては、仕事関数の大きい(4eV以上)金属、合金、電 気伝導性化合物及びこれらの混合物を電極物質とするものが好ましく用いられる。こ のような電極物質の具体例としては Au等の金属、 Cul、インジウムチンォキシド(ITO )、 SnO、 ZnO等の導電性透明材料が挙げられる。また、 IDIX〇(In O— Zn〇)等 As the anode in the organic EL device, an electrode material made of a metal, an alloy, an electrically conductive compound, or a mixture thereof having a high work function (4 eV or more) is preferably used. Specific examples of such electrode materials include metals such as Au, and conductive transparent materials such as Cul, indium tinoxide (ITO), SnO, and ZnO. IDIX〇 (In O—Zn〇) etc.
2 2 3 非晶質で透明導電膜を作製可能な材料を用いてもよい。陽極は、これらの電極物質 を蒸着やスパッタリング等の方法により、薄膜を形成させ、フォトリソグラフィ一法で所 望の形状のパターンを形成してもよぐあるいはパターン精度をあまり必要としない場 合は(100 μ m以上程度)、上記電極物質の蒸着やスパッタリング時に所望の形状の マスクを介してパターンを形成してもよい。この陽極より発光を取り出す場合には、透 過率を 10%より大きくすることが望ましぐまた、陽極としてのシート抵抗は数百 Ω / 口以下が好ましい。さらに膜厚は材料にもよる力 通常 10nm〜1000nm、好ましく は 10nm〜200nmの範囲で選ばれる。 2 2 3 An amorphous material capable of producing a transparent conductive film may be used. For the anode, these electrode materials can be formed into a thin film by vapor deposition, sputtering, etc., and a pattern of the desired shape can be formed by a single photolithography method. (About 100 μm or more) A pattern may be formed through a mask having a desired shape when the electrode material is deposited or sputtered. In the case of taking out light emission from this anode, it is desirable to make the transmittance greater than 10%, and the sheet resistance as the anode is preferably several hundred Ω / port or less. Further, the thickness depends on the material. Usually, the thickness is selected in the range of 10 nm to 1000 nm, preferably 10 nm to 200 nm.
[0308] 《陰極》 [0308] 《Cathode》
一方、陰極としては、仕事関数の小さい (4eV以下)金属(電子注入性金属と称する )、合金、電気伝導性化合物及びこれらの混合物を電極物質とするものが用いられる 。このような電極物質の具体例としては、ナトリウム、ナトリウム—カリウム合金、マグネ シゥム、リチウム、マグネシウム/銅混合物、マグネシウム/銀混合物、マグネシウム /アルミニウム混合物、マグネシウム Zインジウム混合物、アルミニウム Z酸化アルミ ニゥム (Al O )混合物、インジウム、リチウム/アルミニウム混合物、希土類金属等がOn the other hand, as the cathode, a material having a low work function (4 eV or less) metal (referred to as an electron injecting metal), an alloy, an electrically conductive compound, and a mixture thereof as an electrode material is used. Specific examples of such electrode materials include sodium, sodium-potassium alloy, magnesium, lithium, magnesium / copper mixture, magnesium / silver mixture, magnesium / aluminum mixture, magnesium Z indium mixture, aluminum Z aluminum oxide. Nium (Al 2 O 3) mixture, indium, lithium / aluminum mixture, rare earth metal, etc.
2 3 twenty three
挙げられる。これらの中で、電子注入性及び酸化等に対する耐久性の点から、電子 注入性金属とこれより仕事関数の値が大きく安定な金属である第二金属との混合物 、例えばマグネシウム/銀混合物、マグネシウム/アルミニウム混合物、マグネシウム /インジウム混合物、アルミニウム/酸化アルミニウム (Al O )混合物、リチウム/ァ Can be mentioned. Among these, from the viewpoint of electron injectability and durability against oxidation, etc., a mixture of an electron injectable metal and a second metal which is a stable metal having a larger work function than this, such as a magnesium / silver mixture, magnesium / Aluminum mixture, magnesium / indium mixture, aluminum / aluminum oxide (Al 2 O 3) mixture, lithium / aluminum mixture
2 3 twenty three
ルミニゥム混合物、アルミニウム等が好適である。 Rummium mixtures, aluminum and the like are preferred.
[0309] 陰極は、これらの電極物質を蒸着やスパッタリング等の方法により薄膜を形成させ ることにより、作製することができる。また、陰極としてのシート抵抗は数百 Ω Ζ口以下 が好ましぐ膜厚は通常 10nm〜5 x m、好ましくは 50nm〜200nmの範囲で選ばれ る。なお、発光した光を透過させるため、有機 EL素子の陽極または陰極のいずれか 一方が、透明または半透明であれば発光輝度が向上し好都合である。 [0309] The cathode can be produced by forming a thin film of these electrode materials by a method such as vapor deposition or sputtering. The sheet resistance as the cathode is preferably several hundred Ω or less, and the preferred film thickness is usually in the range of 10 nm to 5 × m, preferably 50 nm to 200 nm. In order to transmit the emitted light, if either the anode or the cathode of the organic EL element is transparent or translucent, the emission luminance is advantageously improved.
[0310] また、陰極に上記金属を lnm〜20nmの膜厚で作製した後に、陽極の説明で挙げ た導電性透明材料をその上に作製することで、透明または半透明の陰極を作製する ことができ、これを応用することで陽極と陰極の両方が透過性を有する素子を作製す ること力 Sできる。 [0310] In addition, a transparent or translucent cathode can be manufactured by forming the above metal on the cathode with a film thickness of lnm to 20nm and then forming the conductive transparent material mentioned in the description of the anode on the cathode. By applying this, it is possible to produce a device in which both the anode and the cathode are transparent.
[0311] 《基体 (基板、基材、支持体、基盤等ともいう)》 [0311] << Substrate (also referred to as substrate, substrate, support, substrate, etc.) >>
本発明の有機 EL素子は基体上に形成されているのが好ましい。 The organic EL device of the present invention is preferably formed on a substrate.
[0312] 本発明の有機 EL素子に係る基体としては、ガラス、プラスチック等の種類には特に 限定はなぐまた、透明のものであれば特に制限はないが、好ましく用いられる基板と しては例えばガラス、石英、光透過性樹脂フィルムを挙げることができる。特に好まし い基体は、有機 EL素子にフレキシブル性を与えることが可能な樹脂フィルムである。 [0312] The substrate of the organic EL device of the present invention is not particularly limited in the type of glass, plastic and the like, and is not particularly limited as long as it is transparent. Examples thereof include glass, quartz, and a light transmissive resin film. A particularly preferred substrate is a resin film that can give flexibility to the organic EL element.
[0313] 樹脂フィルムとしては、例えばポリエチレンテレフタレート(PET)、ポリエチレンナフ タレート(PEN)、ポリエーテルスルホン(PES)、ポリエーテルイミド、ポリエーテルエ ーテルケトン、ポリフエ二レンスルフイド、ポリアリレート、ポリイミド、ポリカーボネート(P C)、セルローストリアセテート(TAC)、セルロースアセテートプロピオネート(CAP) 等を有するフィルム等が挙げられる。また、樹脂フィルムの表面には、無機物または 有機物の被膜またはその両者のハイブリッド被膜が形成されていてもよい。 [0313] Examples of the resin film include polyethylene terephthalate (PET), polyethylene naphthalate (PEN), polyethersulfone (PES), polyetherimide, polyether ether ketone, polyphenylene sulfide, polyarylate, polyimide, polycarbonate (PC), Examples include films having cellulose triacetate (TAC), cellulose acetate propionate (CAP), and the like. In addition, an inorganic or organic film or a hybrid film of both may be formed on the surface of the resin film.
[0314] 本発明の有機エレクト口ルミネッセンス素子の発光の室温における外部取り出し効 率は 1%以上であることが好ましぐより好ましくは 5%以上である。ここに、外部取り出 し量子効率(%) =有機 EL素子外部に発光した光子数/有機 EL素子に流した電子 数 X 100である。 [0314] External extraction effect at room temperature of light emission of the organic electoluminescence device of the present invention The rate is preferably 1% or more, more preferably 5% or more. Here, the external extraction quantum efficiency (%) = the number of photons emitted outside the organic EL element / the number of electrons flowing through the organic EL element × 100.
[0315] また、カラーフィルタ等の色相改良フィルタ等を併用しても、有機 EL素子からの発 光色を蛍光体を用いて多色へ変換する色変換フィルタを併用してもよい。色変換フィ ルタを用いる場合においては、有機 EL素子の発光の; I maxは 480nm以下が好まし レ、。 [0315] In addition, a hue improvement filter such as a color filter may be used in combination, or a color conversion filter that converts the emitted color from the organic EL element into multiple colors using a phosphor may be used in combination. In the case of using a color conversion filter, the organic EL device emits light; I max is preferably 480 nm or less.
[0316] 《有機 EL素子の作製方法》 [0316] << Method of manufacturing organic EL element >>
本発明の有機 EL素子の作製方法の一例として、陽極 Z単一層 A (陽極側から、正 孔注入領域、正孔輸送領域、非ドープ領域、発光領域、非ドープ領域、次いで、電 子注入領域) /陰極からなる有機 EL素子の作製法について説明する。 As an example of the method for producing the organic EL device of the present invention, anode Z single layer A (from the anode side, hole injection region, hole transport region, undoped region, light-emitting region, undoped region, then electron injection region ) / The method for producing an organic EL device consisting of a cathode will be described.
[0317] 尚、この作製例では説明しないが、本発明では、陽極と単一層 Aとの間に、正孔注 入層、陰極と単一層 Aとの間に、電子注入層を設ける態様が好ましい態様としてあげ られる。 [0317] Although not described in this production example, in the present invention, there is a mode in which a hole injection layer is provided between the anode and the single layer A, and an electron injection layer is provided between the cathode and the single layer A. It is mentioned as a preferred embodiment.
[0318] まず適当な基体上に、所望の電極物質、例えば、陽極用物質からなる薄膜を、 1 μ m以下、好ましくは 10nm〜200nmの膜厚になるように、蒸着やスパッタリング等の 方法により形成させ、陽極を作製する。次に、この上に単一層 Aを設け、その際、陽 極側から、正孔注入領域、正孔輸送領域、非ドープ領域、発光領域、非ドープ領域 、次いで、電子注入領域を有するように単一層 Aを形成させる。 [0318] First, a thin film made of a desired electrode material, for example, an anode material, is deposited on a suitable substrate by a method such as vapor deposition or sputtering so that the film thickness is 1 μm or less, preferably 10 nm to 200 nm. Then, an anode is produced. Next, a single layer A is provided on this, so that the positive electrode side has a hole injection region, a hole transport region, an undoped region, a light emitting region, an undoped region, and then an electron injection region. A single layer A is formed.
[0319] この単一層 Aの形成方法としては、前記の如く蒸着法、ウエットプロセス(スピンコー ト法、キャスト法、インクジェット法、印刷法)等があるが、均質な膜が得られやすぐか つピンホールが生成しにくい等の点から、真空蒸着法、スピンコート法、インクジェット 法、印刷法が特に好ましい。さらに層ごとに異なる製膜法を適用してもよい。 [0319] As a method for forming this single layer A, there are a vapor deposition method and a wet process (spin coating method, casting method, ink jet method, printing method) as described above, but it is easy to obtain a homogeneous film. From the viewpoint of difficulty in generating pinholes, vacuum deposition, spin coating, ink jet, and printing are particularly preferable. Further, a different film forming method may be applied for each layer.
[0320] 特に単一層 Aの形成に蒸着法を採用する場合、その蒸着条件は、使用する化合物 の種類等により異なる力 S、一般にボート加熱温度 50°C〜450°C、真空度 10— 6Pa〜l 0— 2Pa、蒸着速度 0. OlnmZ秒〜 50nm/秒、基板温度 _ 50°C〜300°C、膜厚 0. lnm〜5 x m、好ましくは 5nm〜200nmの範囲で適宜選ぶことが望ましい。 [0320] Particularly in the case of an evaporation method, the formation of a single layer A, the deposition conditions may vary the force S due to kinds of materials used, generally boat temperature 50 ° C~450 ° C, vacuum degree of 10-6 Pa ~ l 0— 2 Pa, Deposition rate 0. OlnmZ seconds to 50 nm / second, substrate temperature _ 50 ° C ~ 300 ° C, film thickness 0.1 nm ~ 5 xm, preferably 5nm ~ 200nm Is desirable.
[0321] 前記単一層 Aを形成後、その上に陰極用物質からなる薄膜を、 1 μ m以下好ましく は 50〜200nmの範囲の膜厚になるように、例えば蒸着やスパッタリング等の方法に より形成させ、陰極を設けることにより、所望の有機 EL素子が得られる。 [0321] After forming the single layer A, a thin film made of a cathode material thereon is preferably 1 μm or less. Is formed by a method such as vapor deposition or sputtering so as to have a film thickness in the range of 50 to 200 nm, and a desired organic EL device can be obtained by providing a cathode.
[0322] 有機 EL素子の作製は、一回の真空引きで一貫して、単一層 Aの全領域(正孔注入 領域、正孔輸送領域、非ドープ領域、発光領域、非ドープ領域、次いで、電子注入 領域)までを作製するのが好ましいが、途中で取り出して異なる製膜法を施してもか まわない。その際、作業を乾燥不活性ガス雰囲気下で行う等の配慮が必要となる。 [0322] The production of the organic EL device was consistently performed by evacuation once, and the entire region of the single layer A (hole injection region, hole transport region, undoped region, light emitting region, undoped region, It is preferable to manufacture up to the electron injection region), but it may be taken out halfway and subjected to a different film forming method. At that time, it is necessary to consider that the work is performed in a dry inert gas atmosphere.
[0323] 本発明の多色の表示装置は、発光領域形成時のみシャドーマスクを設け、他層は 共通であるのでシャドーマスク等のパターユングは不要であり、一面に蒸着法、キヤ スト法、スピンコート法、インクジェット法、スプレー法、印刷法等で膜を形成できる。 [0323] The multicolor display device of the present invention is provided with a shadow mask only at the time of forming a light emitting region, and the other layers are common, so there is no need for patterning such as a shadow mask, and the vapor deposition method, the cast method, A film can be formed by a spin coating method, an inkjet method, a spray method, a printing method, or the like.
[0324] 発光領域のみパターニングを行う場合、その方法に限定はないが、好ましくは蒸着 法、インクジェット法、印刷法である。蒸着法を用いる場合においてはシャドーマスク を用いたパターユングを用いてもよい。また、作製順序を逆にして、陰極側から、上記 の単一層 Aを形成してもよレ、。 [0324] When patterning is performed only on the light-emitting region, the method is not limited, but a vapor deposition method, an inkjet method, and a printing method are preferable. In the case of using the vapor deposition method, patterning using a shadow mask may be used. In addition, the above-mentioned single layer A may be formed from the cathode side by reversing the production order.
[0325] 《単一層 Aの製造例》 [0325] <Production example of single layer A>
ここで、図 7 (d)に記載の単一層 Aの製造方法の一例を図 8を用いて説明する。 Here, an example of the manufacturing method of the single layer A shown in FIG. 7 (d) will be described with reference to FIG.
[0326] 図 7 (d)に示す単一層 Aを作製するためには、例えば、図 8に示すように、共通ホス ト材料 301a、正孔注入材料 305a、正孔輸送材料 302a、発光ドーパント 303a、電子 注入材料 306aの各々の蒸着用るつぼ 203a〜203eを材料の種類に応じて、 5つの 蒸着源 (加熱ボートでもよい)として用意する。但し、共通ホスト材料 204a以外に複数 の共通ホスト材料 (複数の化合物ともいう)を用いる場合には、前記複数の化合物の 種類に対応して別途蒸着源を用意する。 In order to fabricate the single layer A shown in FIG. 7 (d), for example, as shown in FIG. 8, the common host material 301a, the hole injection material 305a, the hole transport material 302a, and the light emitting dopant 303a are prepared. The crucibles 203a to 203e for vapor deposition of each of the electron injection materials 306a are prepared as five vapor deposition sources (which may be heating boats) depending on the type of material. However, in the case where a plurality of common host materials (also referred to as a plurality of compounds) are used in addition to the common host material 204a, a separate vapor deposition source is prepared corresponding to the type of the plurality of compounds.
[0327] それぞれの蒸着源は加熱することで、それぞれの材料の蒸着速度を適切になるよう に調節するので、そのために蒸着を適宜シャッター 202a〜202eにより遮ることが可 能なように設定されている。 [0327] Each vapor deposition source is heated to adjust the vapor deposition rate of each material to an appropriate level. Therefore, vapor deposition is appropriately set to be blocked by the shutters 202a to 202e. Yes.
[0328] また、図 7 (d)に示す単一層 Aは、図 8に示す基体 201 (基盤、基板、基材、支持体 等ともいう)上に形成されるが、前記基体 201上には、陽極が形成されていてもよぐ また、前記陽極上にその他、有機 EL素子の構成層が設けられていてもよい。 [0328] Further, the single layer A shown in FIG. 7 (d) is formed on the base 201 (also referred to as a base, a substrate, a base, a support, etc.) shown in FIG. An anode may be formed. In addition, a constituent layer of an organic EL element may be provided on the anode.
[0329] 共通ホスト材料 301aが充填されている蒸着ルツボ 203aのシャッター 202aは随時 開放であり、その他の材料のシャッター 202b〜202eを必要に応じ開閉することで共 蒸着条件を調整することができる。 [0329] The shutter 202a of the vapor deposition crucible 203a filled with the common host material 301a is used at any time. The co-evaporation conditions can be adjusted by opening and closing the shutters 202b to 202e of other materials as necessary.
[0330] 正孔注入材料 305a用の蒸着るつぼ 203eのシャッター 202eを開放にしている場 合は、図 7 (d)に示す単一層 Aの正孔注入領域 305を蒸着形成しているときであり、 共通ホスト以外の材料のシャッター 202b〜202eをすベて閉じれば、単一層 Aの領 域として、共通ホスト材料 30 laから形成された非ドープ領域 301を形成することがで きる。 [0330] When the shutter 202e of the evaporation crucible 203e for the hole injection material 305a is opened, it is when the hole injection region 305 of the single layer A shown in Fig. 7 (d) is formed by evaporation. If all the shutters 202b to 202e of the material other than the common host are closed, the undoped region 301 formed from the common host material 30 la can be formed as the region of the single layer A.
[0331] 図 7 (d)に示す単一層 Aを作製する場合、まず共通ホスト材料 301aと正孔注入材 料 305a力 S充填されてレ、る蒸着用るつぼ、 203a、 203eの各々のシャッター 202a、 20 2eを開放し、共通ホスト材料 301aと正孔注入材料 305aの正孔注入領域 305中での 存在比率が所望の比率となるように共蒸着し正孔注入領域 305を形成する。なお、 図 8に示す 200aおよび 200eは、それぞれ、シャッター 202a、 202e開放時の共通ホ スト材料 301aと正孔注入材料 305aの蒸着範囲を表す。 [0331] When the single layer A shown in FIG. 7 (d) is manufactured, first, the common host material 301a and the hole injection material 305a force S are filled, and the evaporation crucibles 203a and 203e are each provided with shutters 202a. 202e is released, and the common host material 301a and the hole injection material 305a are co-evaporated so that the abundance ratio in the hole injection region 305 becomes a desired ratio to form the hole injection region 305. Note that 200a and 200e shown in FIG. 8 represent the deposition ranges of the common host material 301a and the hole injection material 305a when the shutters 202a and 202e are opened, respectively.
[0332] また、所望の膜厚になったら、共通ホスト材料 301aの蒸着ルツボ 203aのシャツタ 一 202aは開放したままで、正孔注入材料 305aが充填されている蒸着ルツボ 203e のシャッター 202eを閉じ、正孔輸送材料 302aが充填されている蒸着ルツボ 203dの シャッター 202dを開放する。 [0332] When the desired film thickness is reached, the shutter 202e of the vapor deposition crucible 203e filled with the hole injection material 305a is closed while the shirt 202a of the vapor deposition crucible 203a of the common host material 301a is opened, The shutter 202d of the vapor deposition crucible 203d filled with the hole transport material 302a is opened.
[0333] 共通ホスト材料 301aと正孔輸送材料 302aとの混合比率を所望の比率となるように 共蒸着して正孔輸送領域 302を形成し、所望の膜厚になったら共通ホスト材料 301a のシャッター 202aは開放したまま正孔輸送材料 302aが充填されている蒸着ルツボ 2 03dのシャッター 202dを閉じ、キャリアの注入バランスが最適になるように、非ドープ 領域 301を形成する。 [0333] The hole transport region 302 is formed by co-evaporation so that the mixing ratio of the common host material 301a and the hole transport material 302a is a desired ratio. The shutter 202a is opened and the shutter 202d of the evaporation crucible 203d filled with the hole transport material 302a is closed, and the undoped region 301 is formed so that the carrier injection balance is optimized.
[0334] 次に、発光ドーパント 303aが充填されている蒸着ルツボ 203cのシャッター 202cを 開放する。共通ホスト材料 301aと発光ドーパント 303aの混合比率がを所望の比率と なるように共蒸着して発光領域 303を形成し、所望の膜厚になったら共通ホスト材料 301aが充填されている蒸着ルツボ 203aのシャッター 202aは開放したまま発光ドー パント 303aが充填されてレ、る蒸着ルツボ 203cのシャッター 202cを閉じ、共通ホスト 材料のみの領域、非ドープ領域 301 (この領域は、正孔阻止の機能をもつように膜厚 等を調整することが好ましレ、)を形成する。 [0334] Next, the shutter 202c of the vapor deposition crucible 203c filled with the light-emitting dopant 303a is opened. The light-emitting region 303 is formed by co-evaporation so that the mixing ratio of the common host material 301a and the light-emitting dopant 303a becomes a desired ratio, and when the desired film thickness is reached, the evaporation crucible 203a filled with the common host material 301a With the shutter 202a open, it is filled with the light emitting dopant 303a, and the shutter 202c of the evaporation crucible 203c is closed, the common host material only region, the undoped region 301 (this region has a hole blocking function) Film thickness as It is preferable to adjust etc.).
[0335] 所望の膜厚になったら電子注入材料 306aが充填されてレ、る蒸着ルツボ 203bのシ ャッター 202bを開放し、所望の比率となるように共蒸着して電子注入領域 306を形 成する。 [0335] When the desired film thickness is reached, the electron injection material 306a is filled, the shutter 202b of the evaporation crucible 203b is opened, and the electron injection region 306 is formed by co-evaporation so as to obtain a desired ratio. To do.
[0336] 複数の発光領域を設ける場合や、複数の発光ドーパントを共蒸着する場合には、さ らに発光ドーパント用のるつぼを設置して、上記の要領で発光領域をさらに設ければ よい。励起子の閉じ込めや色ずれ防止のために、発光領域と発光領域のあいだに共 通ホストのみの領域 (非ドープ領域)を設ける場合にも、共通ホスト以外のシャッター を閉じるだけでよい。 [0336] When a plurality of light-emitting regions are provided or when a plurality of light-emitting dopants are co-evaporated, a crucible for a light-emitting dopant may be further provided and a light-emitting region may be further provided as described above. In order to confine excitons and prevent color misregistration, when a region only for the common host (undoped region) is provided between the light emitting region and the light emitting region, it is only necessary to close the shutter other than the common host.
[0337] また、さらに簡便な方法としては、並列に並べた蒸着源(図示していない)から、共 通ホスト材料 301a、正孔注入材料 305a、正孔輸送材料 302a、発光ドーパント 303 a、電子注入材料 306aを蒸着する方法も有効である。基板を所定のスピードにて動 カ ことで同様の素子構成を作製することができる。 [0337] Further, as a simpler method, a common host material 301a, a hole injection material 305a, a hole transport material 302a, a light emitting dopant 303a, an electron from a vapor deposition source (not shown) arranged in parallel can be used. A method of depositing the injection material 306a is also effective. A similar device configuration can be fabricated by moving the substrate at a predetermined speed.
[0338] これも、単一層 Aに共通ホスト材料 Aを含有するようにすることにより達成できる製造 方法である。 [0338] This is also a production method that can be achieved by including the common host material A in the single layer A.
[0339] 《表示装置、照明装置》 [0339] 《Display device, lighting device》
本発明の有機 EL素子は、照明用や露光光源のような 1種のランプとして使用しても よいし、画像を投影するタイプのプロジェクシヨン装置や、静止画像や動画像を直接 視認するタイプの表示装置(ディスプレイ)として使用してもよい。動画再生用の表示 装置として使用する場合の駆動方式は単純マトリクス (パッシブマトリクス)方式でもァ クティブマトリクス方式でもどちらでもよい。または、異なる発光色を有する本発明の有 機 EL素子を 3種以上使用することにより、フルカラー表示装置を作製することが可能 である。または、一色の発光色、例えば白色発光をカラーフィルタを用いて BGRにし 、フルカラー化することも可能である。さらに、有機 ELの発光色を色変換フィルタを用 レ、て他色に変換しフルカラー化することも可能であるが、その場合、有機 EL発光の λ maxは 480nm以下であることが好ましい。 The organic EL element of the present invention may be used as a kind of lamp such as an illumination or exposure light source, a projection device that projects an image, or a type that directly recognizes a still image or a moving image. It may be used as a display device (display). When used as a display device for video playback, the driving method may be either a simple matrix (passive matrix) method or an active matrix method. Alternatively, a full-color display device can be manufactured by using three or more organic EL elements of the present invention having different emission colors. Alternatively, it is also possible to make a single color emission color, for example, white emission, into BGR using a color filter to achieve full color. Furthermore, it is possible to convert the emission color of the organic EL to other colors using a color conversion filter, and in this case, the λ max of the organic EL emission is preferably 480 nm or less.
[0340] このようにして得られた多色の表示装置に、直流電圧を印加する場合には、陽極を 十、陰極を—の極性として電圧 2〜40V程度を印加すると、発光が観測できる。また 交流電圧を印加してもよい。なお、印加する交流の波形は任意でよい。 [0340] When a DC voltage is applied to the multicolor display device thus obtained, light emission can be observed by applying a voltage of about 2 to 40 V with the anode as the plus and the cathode as the polarity. Also An alternating voltage may be applied. The alternating current waveform to be applied may be arbitrary.
[0341] 本発明の表示装置は、表示デバイス、ディスプレー、各種発光光源として用いるこ とができる。表示デバイス、ディスプレーにおいて、青、赤、緑発光の 3種の有機 EL 素子を用いることにより、フルカラーの表示が可能となる。 [0341] The display device of the present invention can be used as a display device, a display, and various light sources. Display devices and displays can be displayed in full color by using three types of organic EL elements that emit blue, red, and green light.
[0342] 表示デバイス、ディスプレーとしてはテレビ、パソコン、モパイル機器、 AV機器、文 字放送表示、自動車内の情報表示等が挙げられる。特に静止画像や動画像を再生 する表示装置として使用してもよぐ動画再生用の表示装置として使用する場合の駆 動方式は単純マトリックス(パッシブマトリックス)方式でもアクティブマトリックス方式で もどちらでもよい。 [0342] Display devices and displays include TVs, personal computers, mopile devices, AV devices, text broadcast displays, information displays in automobiles, and the like. In particular, the driving method when used as a display device for reproducing moving images, which may be used as a display device for reproducing still images or moving images, may be either a simple matrix (passive matrix) method or an active matrix method.
[0343] 本発明の照明装置は、家庭用照明、車内照明、時計や液晶用のバックライト、看板 広告、信号機、光記憶媒体の光源、電子写真複写機の光源、光通信処理機の光源 、光センサの光源等が挙げられるがこれに限定するものではない。 [0343] The lighting device of the present invention includes household lighting, interior lighting, clock and liquid crystal backlights, billboard advertisements, traffic lights, light sources of optical storage media, light sources of electrophotographic copying machines, light sources of optical communication processors, Examples include, but are not limited to, a light source of an optical sensor.
[0344] また、本発明に係る有機 EL素子に共振器構造を持たせた有機 EL素子として用い てもよい。 [0344] Further, the organic EL device according to the present invention may be used as an organic EL device having a resonator structure.
[0345] このような共振器構造を有した有機 EL素子の使用目的としては、光記憶媒体の光 源、電子写真複写機の光源、光通信処理機の光源、光センサの光源等が挙げられ る力 これらに限定されない。また、レーザ発振をさせることにより、上記用途に使用し てもよい。 [0345] Use of the organic EL element having such a resonator structure includes a light source of an optical storage medium, a light source of an electrophotographic copying machine, a light source of an optical communication processing machine, a light source of an optical sensor, and the like. It is not limited to these. Moreover, you may use for the said use by making a laser oscillation.
[0346] 本発明の有機 EL素子を構成として有する表示装置の一例を図面に基づいて説明 する。 An example of a display device having the organic EL element of the present invention as a configuration will be described with reference to the drawings.
[0347] 図 1は、有機 EL素子から構成される表示装置の一例を示した模式図である。有機 EL素子の発光により画像情報の表示を行う、例えば、携帯電話等のディスプレイの 模式図である。 [0347] FIG. 1 is a schematic view showing an example of a display device including organic EL elements. FIG. 2 is a schematic diagram of a display such as a mobile phone that displays image information by light emission of an organic EL element.
[0348] ディスプレイ 1は、複数の画素を有する表示部 A、画像情報に基づいて表示部 Aの 画像走查を行う制御部 B等からなる。 [0348] The display 1 includes a display unit A having a plurality of pixels, a control unit B that performs image staging of the display unit A based on image information, and the like.
[0349] 制御部 Bは、表示部 Aと電気的に接続され、複数の画素それぞれに外部からの画 像情報に基づいて走査信号と画像データ信号を送り、走査信号により走査線毎の画 素が画像データ信号に応じて順次発光して画像走査を行って画像情報を表示部 A に表示する。 [0349] The control unit B is electrically connected to the display unit A, and sends a scanning signal and an image data signal to each of a plurality of pixels based on image information from the outside. Sequentially emits light according to the image data signal, scans the image, and displays image information on display A. To display.
[0350] 図 2は、表示部 Aの模式図を表す。 FIG. 2 is a schematic diagram of the display unit A.
[0351] 表示部 Aは基板上に、複数の走査線 5及びデータ線 6を含む配線部と、複数の画 素 3等とを有する。表示部 Aの主要な部材の説明を以下に行う。図 2においては、画 素 3の発光した光が、白矢印方向(下方向)へ取り出される場合を示している。 [0351] The display unit A includes a wiring unit including a plurality of scanning lines 5 and data lines 6, a plurality of pixels 3 and the like on a substrate. The main members of the display unit A will be described below. FIG. 2 shows a case where the light emitted from the pixel 3 is extracted in the direction of the white arrow (downward).
[0352] 配線部の走査線 5及び複数のデータ線 6は、各々導電材料からなり、走査線 5とデ ータ線 6は格子状に直交して、直交する位置で画素 3に接続している(詳細は図示せ ず)。 [0352] The scanning line 5 and the plurality of data lines 6 in the wiring portion are each made of a conductive material, and the scanning line 5 and the data line 6 are orthogonal to each other in a grid pattern and are connected to the pixel 3 at the orthogonal position. (Details not shown).
[0353] 画素 3は、走査線 5から走查信号が印加されると、データ線 6から画像データ信号を 受け取り、受け取った画像データに応じて発光する。発光の色が赤領域の画素、緑 領域の画素、青領域の画素を、適宜、同一基板上に並置することによって、フルカラ 一表示が可能となる。 [0353] When a scanning signal is applied from the scanning line 5, the pixel 3 receives an image data signal from the data line 6, and emits light according to the received image data. Full color display is possible by appropriately arranging pixels in the red region, the green region, and the blue region on the same substrate.
[0354] 次に、画素の発光プロセスを説明する。 Next, the light emission process of the pixel will be described.
[0355] 図 3は、画素の模式図を表す。 FIG. 3 shows a schematic diagram of a pixel.
[0356] 画素は、有機 EL素子 10、スイッチングトランジスタ 11、駆動トランジスタ 12、コンデ ンサ 13等を備えている。複数の画素に有機 EL素子 10として、赤色、緑色、青色発 光の有機 EL素子を用い、これらを同一基板上に並置することでフルカラー表示を行 うことができる。 [0356] The pixel includes an organic EL element 10, a switching transistor 11, a driving transistor 12, a capacitor 13, and the like. Full-color display can be performed by using organic EL elements of red, green, and blue light emission as organic EL elements 10 in a plurality of pixels and arranging them on the same substrate.
[0357] 図 3において、制御部 Bからデータ線 6を介してスイッチングトランジスタ 11のドレイ ンに画像データ信号が印加される。そして、制御部 Bから走査線 5を介してスィッチン グトランジスタ 11のゲートに走査信号が印加されると、スイッチングトランジスタ 11の 駆動がオンし、ドレインに印加された画像データ信号がコンデンサ 13と駆動トランジ スタ 12のゲートに伝達される。 In FIG. 3, an image data signal is applied from the control unit B to the drain of the switching transistor 11 via the data line 6. When a scanning signal is applied from the control unit B to the gate of the switching transistor 11 via the scanning line 5, the driving of the switching transistor 11 is turned on, and the image data signal applied to the drain is transferred to the capacitor 13 and the driving transistor. It is transmitted to the gate of the star 12.
[0358] 画像データ信号の伝達により、コンデンサ 13が画像データ信号の電位に応じて充 電されるとともに、駆動トランジスタ 12の駆動がオンする。駆動トランジスタ 12は、ドレ インが電源ライン 7に接続され、ソースが有機 EL素子 10の電極に接続されており、ゲ 一トに印加された画像データ信号の電位に応じて電源ライン 7から有機 EL素子 10に 電流が供給される。 [0359] 制御部 Bの順次走査により走査信号が次の走査線 5に移ると、スイッチングトランジ スタ 11の駆動がオフする。しかし、スイッチングトランジスタ 11の駆動がオフしてもコン デンサ 13は充電された画像データ信号の電位を保持するので、駆動トランジスタ 12 の駆動はオン状態が保たれて、次の走查信号の印加が行われるまで有機 EL素子 1 0の発光が継続する。順次走查により次に走查信号が印加されたとき、走查信号に 同期した次の画像データ信号の電位に応じて駆動トランジスタ 12が駆動して有機 E L素子 10が発光する。 By transmitting the image data signal, the capacitor 13 is charged according to the potential of the image data signal, and the drive of the drive transistor 12 is turned on. The drive transistor 12 has a drain connected to the power supply line 7 and a source connected to the electrode of the organic EL element 10, and the organic EL element is connected from the power supply line 7 according to the potential of the image data signal applied to the gate. Current is supplied to element 10. When the scanning signal is moved to the next scanning line 5 by the sequential scanning of the control unit B, the driving of the switching transistor 11 is turned off. However, even if the driving of the switching transistor 11 is turned off, the capacitor 13 holds the potential of the charged image data signal, so that the driving of the driving transistor 12 is maintained in the on state, and the next running signal is not applied. The organic EL element 10 continues to emit light until it is done. When a running signal is next applied by sequential running, the driving transistor 12 is driven according to the potential of the next image data signal synchronized with the running signal, and the organic EL element 10 emits light.
[0360] すなわち、有機 EL素子 10の発光は、複数の画素それぞれの有機 EL素子 10に対 して、アクティブ素子であるスイッチングトランジスタ 11と駆動トランジスタ 12を設けて 、複数の画素 3それぞれの有機 EL素子 10の発光を行っている。このような発光方法 をアクティブマトリクス方式と呼んでレ、る。 That is, the organic EL element 10 emits light by providing a switching transistor 11 and a drive transistor 12 as active elements for each organic EL element 10 of each of the plurality of pixels, and thereby providing organic EL for each of the plurality of pixels 3. Element 10 is emitting light. Such a light emitting method is called an active matrix method.
[0361] ここで、有機 EL素子 10の発光は、複数の階調電位を持つ多値の画像データ信号 による複数の階調の発光でもよいし、 2値の画像データ信号による所定の発光量の オン、オフでもよい。 Here, the light emission of the organic EL element 10 may be light emission of a plurality of gradations by a multi-value image data signal having a plurality of gradation potentials, or a predetermined light emission amount of the binary image data signal. It may be on or off.
[0362] また、コンデンサ 13の電位の保持は、次の走査信号の印加まで継続して保持して もよレ、し、次の走査信号が印加される直前に放電させてもょレ、。 [0362] The potential of the capacitor 13 can be maintained until the next scanning signal is applied, or can be discharged immediately before the next scanning signal is applied.
[0363] 本発明においては、上述したアクティブマトリクス方式に限らず、走査信号が走査さ れたときのみデータ信号に応じて有機 EL素子を発光させるパッシブマトリクス方式の 発光駆動でもよい。 [0363] In the present invention, not only the active matrix method described above, but also a passive matrix light emission drive in which an organic EL element emits light according to a data signal only when a scanning signal is scanned.
[0364] 図 4は、パッシブマトリクス方式による表示装置の模式図である。図 4におレ、て、複 数の走査線 5と複数の画像データ線 6が画素 3を挟んで対向して格子状に設けられ ている。 [0364] FIG. 4 is a schematic view of a passive matrix display device. In FIG. 4, a plurality of scanning lines 5 and a plurality of image data lines 6 are provided in a grid pattern so as to face each other with the pixel 3 interposed therebetween.
[0365] 順次走查により走査線 5の走查信号が印加されたとき、印加された走査線 5に接続 している画素 3が画像データ信号に応じて発光する。パッシブマトリクス方式では画 素 3にアクティブ素子がなぐ製造コストの低減が計れる。 [0365] When the scanning signal of the scanning line 5 is applied by sequential scanning, the pixel 3 connected to the applied scanning line 5 emits light according to the image data signal. The passive matrix method can reduce the manufacturing cost of the active element in addition to pixel 3.
[0366] 本発明の有機 EL素子材料は、また、照明装置として、実質白色の発光を生じる有 機 EL素子に適用可能である。複数の発光材料により複数の発光色を同時に発光さ せて混色により白色発光を得る。複数の発光色の組み合わせとしては、青色、緑色、 青色の 3原色の 3つの発光極大波長を含有させたものでも良いし、青色と黄色、青緑 と橙色等の補色の関係を利用した 2つの発光極大波長を含有したものでも良い。 [0366] The organic EL element material of the present invention can also be applied to an organic EL element that emits substantially white light as a lighting device. A plurality of light emitting colors are emitted simultaneously by a plurality of light emitting materials to obtain white light emission by color mixing. The combinations of multiple emission colors include blue, green, It may be one containing three light emission maximum wavelengths of three primary colors of blue, or one containing two light emission maximum wavelengths utilizing the complementary colors such as blue and yellow, blue green and orange.
[0367] また、複数の発光色を得るための発光材料の組み合わせは、複数のリン光または 蛍光を発光する材料 (発光ドーパント)を、複数組み合わせたもの、蛍光またはリン光 を発光する発光材料と、該発光材料からの光を励起光として発光する色素材料とを 組み合わせたもののレ、ずれでも良レ、が、本発明に係わる白色有機エレクト口ルミネッ センス素子においては、発光ドーパントを複数組み合わせる方式が好ましい。 [0367] In addition, a combination of light emitting materials for obtaining a plurality of emission colors includes a combination of a plurality of phosphorescent or fluorescent materials (light emitting dopants), a light emitting material that emits fluorescent or phosphorescent light, and In the white organic electoluminescence device according to the present invention, a combination of a plurality of light-emitting dopants is possible, although a combination of a dye material that emits light from the light-emitting material as excitation light is acceptable. preferable.
[0368] 複数の発光色を得るための有機エレクト口ルミネッセンス素子の層構成としては、複 数の発光ドーパントを、一つの発光領域中に複数存在させる方法、複数の発光領域 を有し、各発光領域中に発光波長の異なるドーパントをそれぞれ存在させる方法、異 なる波長に発光する微小画素をマトリックス状に形成する方法等が挙げられる。 [0368] The layer structure of the organic electoluminescence device for obtaining a plurality of emission colors includes a method in which a plurality of emission dopants exist in one emission region, a plurality of emission regions, and each emission Examples thereof include a method in which dopants having different emission wavelengths are present in the region, and a method in which micropixels that emit light having different wavelengths are formed in a matrix.
[0369] 本発明に係わる白色有機エレクト口ルミネッセンス素子においては、必要に応じ製 膜時にメタルマスクやインクジェットプリンティング法等でパターニングを施してもょレヽ 。パターニングする場合は、電極のみをパターユングしてもいいし、電極と発光領域 をパターエングしてもレ、レ、し、素子全層をパターエングしてもレ、レ、。 [0369] In the white organic electroluminescence device according to the present invention, patterning may be performed by a metal mask, an ink jet printing method, or the like as needed during film formation. In the case of patterning, only the electrode may be patterned, the electrode and the light emitting region may be patterned, and the entire layer may be patterned.
[0370] 発光領域に用いる発光材料としては特に制限はなぐ例えば液晶表示素子におけ るバックライトであれば、 CF (カラーフィルター)特性に対応した波長範囲に適合する ように、本発明に係わる白金錯体、また公知の発光材料の中から任意のものを選択 して組み合わせて白色化すれば良い。 [0370] The light emitting material used in the light emitting region is not particularly limited. For example, in the case of a backlight in a liquid crystal display element, the platinum according to the present invention is adapted so as to conform to the wavelength range corresponding to the CF (color filter) characteristics. A complex or a known luminescent material may be selected and combined to be whitened.
[0371] このように、本発明の白色発光有機 EL素子は、前記表示デバイス、ディスプレーに カロえて、各種発光光源、照明装置として、家庭用照明、車内照明、露光光源のような 一種のランプとして、また、液晶表示装置のバックライト等の表示装置にも有用に用 いられる。 [0371] Thus, the white light-emitting organic EL element of the present invention is not limited to the display device and display, but as various light sources and lighting devices, as a kind of lamp such as home lighting, interior lighting, and exposure light source. It is also useful for display devices such as backlights for liquid crystal display devices.
[0372] その他、時計等のバックライト、看板広告、信号機、光記憶媒体等の光源、電子写 真複写機の光源、光通信処理機の光源、光センサーの光源等、更には表示装置を 必要とする一般の家庭用電気器具等広い範囲の用途が挙げられる。 [0372] Other light sources such as backlights for watches, billboard advertisements, traffic lights, optical storage media, light sources for electronic photocopiers, light sources for optical communication processors, light sources for optical sensors, and display devices are also required. And a wide range of uses such as general household appliances.
実施例 Example
[0373] 以下、実施例を挙げて、本発明を説明するが、本発明はこれらに限定されない。ま た、実施例に用いられる化合物の一覧を下記に示す。 [0373] Hereinafter, the present invention will be described with reference to examples, but the present invention is not limited thereto. Ma The list of compounds used in the examples is shown below.
[0374] [化 66] [0374] [Chemical 66]
[0375] [化 67] [0375] [Chemical 67]
DPVBi DPVBi
[0376] [化 68] [0376] [Chemical 68]
[0378] [化 70] [0378] [Chemical 70]
TPB- TPB-
[0379] [化 71] CDBP [0379] [Chemical 71] CDBP
[0381] 実施例 1 [0381] Example 1
《有機 EL素子 1 1の作製》 << Production of organic EL elements 1 1 >>
陽極として 100mm X 100mm X 1. 1mmのガラス基板上に IT〇(インジウムチンォ キシド)を lOOnm製膜した基板 (NHテクノグラス社製 NA45)にパターユングを行つ た後、この IT〇透明電極を設けた透明支持基板をイソプロピルアルコールで超音波 洗浄し、乾燥窒素ガスで乾燥し、 UVオゾン洗浄を 5分間行なった。この透明支持基 板を市販の真空蒸着装置の基板ホルダーに固定した。ただし、蒸着装置内の蒸着 用るつぼは図 8のように設定し、それぞれにひ _NPD、化合物 189、 Ir_ 1を各々素 子作製に最適の量充填した。蒸着用るつぼはモリブデン性抵抗加熱用材料で作製 されたものを用いた。 After putting a pattern on a 100 mm x 100 mm x 1.1 mm glass substrate with ITO (indium tin oxide) on lOOnm (NH Techno Glass NA45) as an anode, this IT transparent electrode The transparent support substrate provided with was ultrasonically cleaned with isopropyl alcohol, dried with dry nitrogen gas, and subjected to UV ozone cleaning for 5 minutes. This transparent support substrate was fixed to a substrate holder of a commercially available vacuum deposition apparatus. However, the crucibles for vapor deposition in the vapor deposition system were set as shown in Fig. 8, and each of them was filled with H_NPD, Compound 189, and Ir_1 in the optimum amounts for element fabrication. The crucible for vapor deposition was made of molybdenum resistance heating material.
[0382] 次いで、真空槽を 4 X 10— 4Paまで減圧した後、 α NPD、化合物 189、 Ir— 1の入 つた前記蒸着用るつぼに通電して加熱し、表 1、表 2に記載の材料比率(混合比率と もいう)になるように共蒸着または単独蒸着を行い、単一層 Aを成膜した。尚、蒸着時 の基板温度は室温であった。 [0382] Next, after pressure in the vacuum tank was reduced to 4 X 10- 4 Pa, α NPD , compound 189 is heated by energizing the input ivy the evaporation crucible Ir- 1, Table 1, according to Table 2 A single layer A was formed by co-evaporation or single vapor deposition so that the material ratio (also referred to as mixing ratio) was achieved. The substrate temperature during vapor deposition was room temperature.
[0383] 引き続き、マグネシウムと銀を 10 : 1のモル比で蒸着して陰極を形成し、有機 EL素 子 1—1を作製した。 [0384] 《有機 EL素子 1 2の作製》 [0383] Subsequently, magnesium and silver were vapor-deposited at a molar ratio of 10: 1 to form a cathode, and an organic EL device 1-1 was produced. [0384] << Production of organic EL elements 1 and 2 >>
陽極として 100mm X 100mm X 1. 1mmのガラス基板上に IT〇(インジウムチンォ キシド)を l OOnm製膜した基板 (NHテクノグラス社製 NA45)にパターニングを行つ た後、この IT〇透明電極を設けた透明支持基板をイソプロピルアルコールで超音波 洗浄し、乾燥窒素ガスで乾燥し、 UVオゾン洗浄を 5分間行なった。この透明支持基 板を市販の真空蒸着装置の基板ホルダーに固定した。ただし、蒸着装置内の蒸着 用るつぼは図 8のように設定し、それぞれに CuPc (銅フタロシアニン)、 a _ NPD、 化合物 189、 Ir- 1 , Alqを各々素子作製に最適の量充填した。蒸着用るつぼはモリ After patterning an OOnm film substrate (NH45 manufactured by NH Techno Glass) on a 100mm X 100mm X 1.1mm glass substrate as an anode, this IT O transparent electrode The transparent support substrate provided with was ultrasonically cleaned with isopropyl alcohol, dried with dry nitrogen gas, and subjected to UV ozone cleaning for 5 minutes. This transparent support substrate was fixed to a substrate holder of a commercially available vacuum deposition apparatus. However, the crucibles for vapor deposition in the vapor deposition system were set as shown in Fig. 8, and CuPc (copper phthalocyanine), a_NPD, compound 189, Ir-1, and Alq were each filled in the optimum amounts for device fabrication. The crucible for evaporation is Mori
3 Three
ブデン性抵抗加熱用材料で作製されたものを用いた。 A material made of a material for heating with a bden resistance was used.
[0385] 次いで、真空槽を 4 X 10— 4Paまで減圧した後、 CuPcの入った前記蒸着用るつぼに 通電して加熱し、蒸着速度 0. InmZ秒で透明支持基板に蒸着し 20nmの正孔注入 層を設けた。 [0385] Next, after pressure in the vacuum tank was reduced to 4 X 10- 4 Pa, heated by supplying an electric current to the evaporation crucible containing the CuPc, positive deposited on the transparent supporting substrate at a deposition rate of 0. InmZ seconds 20nm A hole injection layer was provided.
[0386] 更に、 a—NPD、化合物 189、 Ir—1の入った前記蒸着用るつぼに通電して加熱 し、表 1、表 2に記載の混合比で共蒸着または単独蒸着して単一層 Aを成膜した。 [0386] Further, the vapor deposition crucible containing a-NPD, compound 189, and Ir-1 was energized and heated, and co-deposited or single-deposited at the mixing ratios shown in Tables 1 and 2 to form a single layer A. Was deposited.
[0387] さらに Alqの入った前記蒸着用るつぼに通電して加熱し、蒸着速度 0. Inm/秒 [0387] Further, the deposition crucible containing Alq was energized and heated, and the deposition rate was 0. Inm / sec.
3 Three
で単一層 A条上に蒸着して電子輸送層を設けた。 Then, an electron transport layer was provided by vapor deposition on a single layer A.
[0388] なお、蒸着時の基板温度は室温であった。 [0388] The substrate temperature during vapor deposition was room temperature.
[0389] 引き続き電子注入層としてフッ化リチウム 0. 5nmを蒸着し、更に、アルミニウム 1 10 nmを蒸着して陰極を形成し、有機 EL素子 1—2を作製した。 [0389] Subsequently, 0.5 nm of lithium fluoride was vapor-deposited as an electron injection layer, and further 10 nm of aluminum was vapor-deposited to form a cathode, whereby an organic EL device 1-2 was produced.
[0390] 《有機 EL素子 1 3〜:!一 5の作製》 [0390] << Organic EL device 1 3 ~ :!
有機 EL素子 1 2の作製において、材料、膜厚、質量比を表 1、表 2に記載のよう に変更した以外は同様にして、有機 EL素子 1— 3〜1— 5を作製した。 Organic EL devices 1-3 to 1-5 were prepared in the same manner except that the materials, film thicknesses, and mass ratios were changed as shown in Tables 1 and 2 in the production of the organic EL devices 12 and 12.
[0391] 《有機 EL素子 1一 6の作製》 [0391] << Production of organic EL elements 1-6 >>
陽極として 100mm X 100mm X 1. 1mmのガラス基板上に IT〇(インジウムチンォ キシド)を l OOnm製膜した基板 (NHテクノグラス社製 NA45)にパターユングを行つ た後、この IT〇透明電極を設けた透明支持基板をイソプロピルアルコールで超音波 洗浄し、乾燥窒素ガスで乾燥し、 UVオゾン洗浄を 5分間行なった。 After putting a pattern on an OOnm film substrate (NH45 manufactured by NH Techno Glass) on a 100mm X 100mm X 1.1mm glass substrate as an anode, this IT ○ transparent The transparent support substrate provided with electrodes was ultrasonically cleaned with isopropyl alcohol, dried with dry nitrogen gas, and UV ozone cleaned for 5 minutes.
[0392] この透明支持基板上にポリ(3, 4 _エチレンジォキシチォフェン)一ポリスチレンス ルホネート(PEDOT/PSS : Bayer社製、 Baytron P Al 4083)を純水で 70% に希釈した溶液を 3000i"pm、 30秒でスピンコート法により成膜した後、 200°Cにて 1 時間乾燥し、 30nmの正孔注入層を設けた。この透明支持基板を市販の真空蒸着 装置の基板ホルダーに固定した。ただし、蒸着装置内の蒸着用るつぼは図 8のように 設定し、それぞれにひ _ NPD、化合物 189、 Ir_ l、 Alqを各々素子作製に最適の 量充填した。蒸着用るつぼはモリブデン性抵抗加熱用材料で作製されたものを用い た。 [0392] Poly (3,4-ethylenedioxythiophene) -polystyrenes on this transparent support substrate A solution obtained by diluting sulfonate (PEDOT / PSS: Baytron, Baytron P Al 4083) to 70% with pure water was formed at 3000i "pm for 30 seconds by spin coating, then dried at 200 ° C for 1 hour The transparent support substrate was fixed to the substrate holder of a commercially available vacuum deposition apparatus, but the deposition crucible in the deposition apparatus was set as shown in Fig. _NPD, compound 189, Ir_l, and Alq were filled in the optimal amounts for device fabrication, and the crucible for vapor deposition was made of molybdenum resistance heating material.
[0393] 次いで、真空槽を 4 X 10— 4Paまで減圧した後、 ひ _ NPD、化合物 189、 Ir_ lの入 つた前記蒸着用るつぼに通電して加熱し、表 1、表 2に記載の混合比になるように、 共蒸着または単独蒸着して単一層 Aを成膜した。 [0393] Next, after pressure in the vacuum tank was reduced to 4 X 10- 4 Pa, shed _ NPD, compound 189 is heated by energizing the input ivy the evaporation crucible Ir_ l, Table 1, according to Table 2 A single layer A was formed by co-evaporation or single vapor deposition so that the mixing ratio was achieved.
[0394] さらに Alqの入った前記蒸着用るつぼに通電して加熱し、蒸着速度 0. InmZ秒 で単一層 A上に蒸着して電子輸送層を設けた。尚、蒸着時の基板温度は室温であ つに。 [0394] Further, the evaporation crucible containing Alq was energized and heated, and was deposited on the single layer A at a deposition rate of 0. InmZ seconds to provide an electron transport layer. The substrate temperature during vapor deposition should be room temperature.
[0395] 引き続き電子注入層としてフッ化リチウム 0. 5nmを蒸着し、更に、アルミニウム 1 10 nmを蒸着して陰極を形成し、有機 EL素子 1—6を作製した。 [0395] Subsequently, 0.5 nm of lithium fluoride was vapor-deposited as an electron injection layer, and further, 10 nm of aluminum was vapor-deposited to form a cathode, thereby producing an organic EL device 1-6.
[0396] 《有機 EL素子 1 7、 1 8の作製》 [0396] <Production of organic EL elements 1 7 and 1 8>
有機 EL素子 1 1におレ、て Alqを BCP: Cs (75: 25)に変更し、 LiFを蒸着しなか つた以外は同様にして有機 EL素子 1—7を作製した。また、有機 EL素子 1—7の作 製において共通ホスト材料を化合物 189から CDBPに変更した以外は 1—7と同様 にして有機 EL素子 1 8を作製した。 Organic EL device 1-7 was fabricated in the same manner except that Alq was changed to BCP: Cs (75: 25) and no LiF was deposited. Also, an organic EL device 18 was fabricated in the same manner as 1-7, except that the common host material was changed from compound 189 to CDBP in the fabrication of organic EL device 1-7.
[0397] 《有機 EL素子 1 9の作製》 [0397] << Production of organic EL elements 1 9 >>
陽極として 100mm X 100mm X 1. 1mmのガラス基板上に IT〇(インジウムチンォ キシド)を l OOnm製膜した基板 (NHテクノグラス社製 NA45)にパターユングを行つ た後、この IT〇透明電極を設けた透明支持基板をイソプロピルアルコールで超音波 洗浄し、乾燥窒素ガスで乾燥し、 UVオゾン洗浄を 5分間行なった。この透明支持基 板を市販の真空蒸着装置の基板ホルダーに固定した。ただし、蒸着装置内の蒸着 用るつぼは図 8のように設定し、それぞれに CuPc (銅フタロシアニン)、 a _ NPD、 化合物 189、 Ir- 1 , Alq、を各々素子作製に最適の量充填した。蒸着用るつぼは モリブデン性抵抗加熱用材料で作製されたものを用いた。次いで、真空槽を 4 X 10— 4 Paまで減圧した後、 CuPc (銅フタロシアニン)、 a— NPD、ィ匕合物 189、 Ir— 1、 Alq の入った前記蒸着用るつぼに通電して加熱し、表 1、表 2に記載の混合比になるようAfter putting a pattern on an OOnm film substrate (NH45 manufactured by NH Techno Glass) on a 100mm X 100mm X 1.1mm glass substrate as an anode, this IT ○ transparent The transparent support substrate provided with electrodes was ultrasonically cleaned with isopropyl alcohol, dried with dry nitrogen gas, and UV ozone cleaned for 5 minutes. This transparent support substrate was fixed to a substrate holder of a commercially available vacuum deposition apparatus. However, the crucibles for vapor deposition in the vapor deposition system were set as shown in Fig. 8, and CuPc (copper phthalocyanine), a_NPD, compound 189, Ir-1, and Alq were each filled in the optimum amounts for device fabrication. The crucible for vapor deposition A material made of molybdenum resistance heating material was used. Then, pressure in the vacuum tank was reduced to 4 X 10- 4 Pa, CuPc (copper phthalocyanine), a- NPD, I匕合was 189, and heated by supplying an electric current to the evaporation crucible containing the Ir- 1, Alq The mixing ratios shown in Table 1 and Table 2
3 Three
に、共蒸着または単独蒸着して単一層 Aを成膜した。尚、蒸着時の基板温度は室温 であった。 A single layer A was formed by co-evaporation or single deposition. The substrate temperature during vapor deposition was room temperature.
[0398] 引き続き電子注入層としてフッ化リチウム 0. 5nmを蒸着し、更に、ァノレミニゥム 110 nmを蒸着して陰極を形成し、有機 EL素子 1—9を作製した。 [0398] Subsequently, 0.5 nm of lithium fluoride was vapor-deposited as an electron injection layer, and further, an anode of 110 nm was vapor-deposited to form a cathode, whereby an organic EL element 1-9 was produced.
[0399] 《有機 EL素子 1— 10〜:!—13の作製》 [0399] << Organic EL device 1—10 ~:! — Production of 13>
有機 EL素子 1一 9において材料、膜厚、質量比、各領域等を表 1、表 2に記載のよ うに変更した以外は同様にして有機 EL素子 1 _ 10〜1 _ 13を各々作製した。 Organic EL devices 1_10 to 1_13 were prepared in the same manner except that the materials, film thickness, mass ratio, each region, etc. were changed as shown in Tables 1 and 2 for Organic EL devices 1-9. .
[0400] 《有機 EL素子 1 _ 14の作製》:単一層 Aのない比較例 [0400] << Preparation of organic EL device 1_14 >>: Comparative example without single layer A
陽極として 100mm X 100mm X 1. 1mmのガラス基板上に IT〇(インジウムチンォ キシド)を lOOnm製膜した基板 (NHテクノグラス社製 NA45)にパターニングを行つ た後、この ITO透明電極を設けた透明支持基板をイソプロピルアルコールで超音波 洗浄し、乾燥窒素ガスで乾燥し、 UVオゾン洗浄を 5分間行なった。この透明支持基 板を市販の真空蒸着装置の基板ホルダーに固定した。ただし、蒸着装置内の蒸着 用るつぼは図 8のように設定し、それぞれに CuPc (銅フタロシアニン)、 a— NPD、 Ir 1、 Alq 、 LiFを各々素子作製に最適の量充填した。蒸着用るつぼはモリブデン性 This ITO transparent electrode is provided after patterning on a substrate (NH45 manufactured by NH Techno Glass Co., Ltd.) made of ITO (indium tin oxide) on lOOnm on a 100mm X 100mm X 1.1mm glass substrate as an anode. The transparent support substrate was ultrasonically cleaned with isopropyl alcohol, dried with dry nitrogen gas, and subjected to UV ozone cleaning for 5 minutes. This transparent support substrate was fixed to a substrate holder of a commercially available vacuum deposition apparatus. However, the crucibles for vapor deposition in the vapor deposition system were set as shown in Fig. 8, and CuPc (copper phthalocyanine), a-NPD, Ir1, Alq, and LiF were each filled in the optimum amounts for device fabrication. The crucible for evaporation is molybdenum
3 Three
抵抗加熱用材料で作製されたものを用いた。 A material made of a resistance heating material was used.
[0401] 次いで、真空槽を 4 X 10— 4Paまで減圧した後、 CuPcの入った前記蒸着用るつぼに 通電して加熱し、蒸着速度 0. Inm/秒で透明支持基板に蒸着し 20nmの正孔注入 層を設けた。 [0401] Next, after pressure in the vacuum tank was reduced to 4 X 10- 4 Pa, heated by supplying an electric current to the evaporation crucible containing the CuPc, vapor-deposited on the transparent supporting substrate at a deposition rate of 0. Inm / sec 20nm A hole injection layer was provided.
[0402] 更に、 ひ _NPD、 Ir_ l、 Alq 、 LiFの入った前記蒸着用るつぼに通電して加熱し [0402] Further, the deposition crucible containing H_NPD, Ir_l, Alq, LiF was energized and heated.
3 Three
、 ひ—NPDの含有量が 100%力も 0%に漸減し、 Alq +LiFの含有量が 0%力も 10 The content of NPD gradually decreases from 100% force to 0%, and the content of Alq + LiF also decreases to 10% force.
3 Three
0%に漸減する混合比となるように蒸着レートを調整し、また Ir_ lは常に 5質量%と なるように共蒸着して混合発光層を設けた。 The vapor deposition rate was adjusted so that the mixing ratio gradually decreased to 0%, and Ir_l was always co-deposited so as to be 5% by mass to provide a mixed light emitting layer.
[0403] 引き続きアルミニウム l lOnmを蒸着して陰極を形成し、比較例の有機 EL素子 1 _ 14を作製した。 [0404] 《有機 EL素子 1 15の作製》:単一層 Aのない比較例 [0403] Subsequently, aluminum lOnm was deposited to form a cathode, and a comparative organic EL device 1_14 was produced. [0404] << Preparation of organic EL element 1 15 >>: Comparative example without single layer A
陽極として 100mm X 100mm X 1. 1mmのガラス基板上に IT〇(インジウムチンォ キシド)を lOOnm製膜した基板 (NHテクノグラス社製 NA45)にパターニングを行つ た後、この IT〇透明電極を設けた透明支持基板をイソプロピルアルコールで超音波 洗浄し、乾燥窒素ガスで乾燥し、 UVオゾン洗浄を 5分間行なった。この透明支持基 板を市販の真空蒸着装置の基板ホルダーに固定した。ただし、蒸着装置内の蒸着 用るつぼは図 8のように設定し、それぞれにひ _NPD、 Ir_ l、 Alq 、 BCPを各々素 After patterning on a substrate (NH techno glass NA45) made of lOOnm on a glass substrate of 100mm x 100mm x 1.1mm as an anode, it is possible to connect this ITo transparent electrode. The provided transparent support substrate was ultrasonically cleaned with isopropyl alcohol, dried with dry nitrogen gas, and subjected to UV ozone cleaning for 5 minutes. This transparent support substrate was fixed to a substrate holder of a commercially available vacuum deposition apparatus. However, the crucible for vapor deposition in the vapor deposition system is set as shown in Fig. 8, and each of _NPD, Ir_l, Alq, and BCP
3 Three
子作製に最適の量充填した。蒸着用るつぼはモリブデン性抵抗加熱用材料で作製 されたものを用いた。 The optimal amount for child production was filled. The crucible for vapor deposition was made of molybdenum resistance heating material.
[0405] 次いで、真空槽を 4 X 10— 4Paまで減圧した後、 ひ _NPD、 Ir_ l、 Alqの入った前 [0405] Next, after pressure in the vacuum tank was reduced to 4 X 10- 4 Pa, shed _NPD, Ir_ l, before carrying Alq
3 記蒸着用るつぼに通電して加熱し、混合質量比が (47 : 47 : 6)となるように共蒸着し 、 70nmの混合発光層を形成した。その後、 ひ _NPD、 Alq 、 BCPの入った前記蒸 3 The vapor deposition crucible was energized and heated, and co-deposited so that the mixing mass ratio was (47: 47: 6) to form a 70 nm mixed emission layer. After that, the steam containing _NPD, Alq, BCP
3 Three
着用るつぼに通電して加熱し、混合質量比が(1 : 1 : 1)となるように共蒸着し混合層 3 Onmを設ける。引き続き電子注入層として LiFlnmを蒸着し、更に、アルミニウム 110 nmを蒸着して陰極を形成し、比較例の有機 EL素子 1—15を作製した。 A wearing crucible is energized and heated, and co-evaporated so that the mixing mass ratio becomes (1: 1: 1) to provide a mixed layer 3 Onm. Subsequently, LiFlnm was vapor-deposited as an electron injection layer, and further aluminum 110 nm was vapor-deposited to form a cathode, thereby producing organic EL elements 1-15 of comparative examples.
[0406] 《有機 EL素子 1 16の作製》:単一層 Aのない比較例 [0406] << Preparation of organic EL element 1 16 >>: Comparative example without single layer A
陽極として 100mm X 100mm X 1. 1mmのガラス基板上に IT〇(インジウムチンォ キシド)を lOOnm製膜した基板 (NHテクノグラス社製 NA45)にパターニングを行つ た後、この ITO透明電極を設けた透明支持基板をイソプロピルアルコールで超音波 洗浄し、乾燥窒素ガスで乾燥し、 UVオゾン洗浄を 5分間行なった。この透明支持基 板を市販の真空蒸着装置の基板ホルダーに固定した。ただし、蒸着装置内の蒸着 用るつぼそれぞれに CuPc (銅フタロシアニン)、 a _NPD、 Ir_ l、 CBP、 Alq、ィ匕 This ITO transparent electrode is provided after patterning on a substrate (NH45 manufactured by NH Techno Glass Co., Ltd.) made of ITO (indium tin oxide) on lOOnm on a 100mm X 100mm X 1.1mm glass substrate as an anode. The transparent support substrate was ultrasonically cleaned with isopropyl alcohol, dried with dry nitrogen gas, and subjected to UV ozone cleaning for 5 minutes. This transparent support substrate was fixed to a substrate holder of a commercially available vacuum deposition apparatus. However, CuPc (copper phthalocyanine), a_NPD, Ir_l, CBP, Alq, y
3 合物 189を各々素子作製に最適の量充填した。蒸着用るつぼはモリブデン性抵抗 加熱用材料で作製されたものを用いた。 3 Compound 189 was filled in an amount optimal for device fabrication. The crucible for vapor deposition was made of molybdenum resistance heating material.
[0407] 次いで、真空槽を 4 X 10— 4Paまで減圧した後、 CuPcの入った前記加熱ボートに通 電して加熱し、蒸着速度 0. InmZ秒で透明支持基板に蒸着し 20nmの正孔注入層 を設けた。 [0407] Next, after pressure in the vacuum tank was reduced to 4 X 10- 4 Pa, heated by passing electricity to the heating boat containing CuPc, positive deposited on the transparent supporting substrate at a deposition rate of 0. InmZ seconds 20nm A hole injection layer was provided.
[0408] 次いで、 ひ—NPDの入った前記加熱ボートに通電して加熱し、蒸着速度 0. Inm /秒で前記正孔注入層上に蒸着し 20nmの正孔輸送層を設けた。更に、 CBPと Ir 1の入った前記加熱ボートに通電して加熱し、それぞれ蒸着速度 0. 2nm/秒、 0. 0 lnm/秒で前記正孔輸送層上に共蒸着して 35nmの発光層を設けた。 [0408] Next, the heating boat containing hi-NPD was energized and heated, and the deposition rate was 0. Inm. A 20 nm hole transport layer was provided by vapor deposition on the hole injection layer at / sec. Further, the heating boat containing CBP and Ir 1 was heated by energization, and co-evaporated on the hole transport layer at a deposition rate of 0.2 nm / second and 0.0 lnm / second, respectively, to form a 35 nm light emitting layer. Was provided.
[0409] 更に、化合物 189の入った前記加熱ボートに通電して加熱し、蒸着速度 0. lnm/ 秒で前記発光層上に蒸着して膜厚 10nmの正孔阻止層を設け、更に、 Alqの入つ [0409] Further, the heating boat containing the compound 189 was heated by energization, and was deposited on the light emitting layer at a deposition rate of 0.1 nm / second to provide a 10 nm-thick hole blocking layer. No
3 た前記加熱ボートに通電して加熱し、蒸着速度 0. lnm/秒で前記正孔阻止層上に 蒸着して膜厚 40nmの電子輸送層を設けた。尚、蒸着時の基板温度は室温であった Further, the heating boat was energized and heated, and deposited on the hole blocking layer at a deposition rate of 0.1 nm / second to provide an electron transport layer having a thickness of 40 nm. The substrate temperature during vapor deposition was room temperature.
[0410] 引き続き電子注入層としてフッ化リチウム 0. 5nmを蒸着し、更に、ァノレミニゥム 110 nmを蒸着して陰極を形成し、比較の有機 EL素子 1 _ 16を作製した。 [0410] Subsequently, 0.5 nm of lithium fluoride was vapor-deposited as an electron injection layer, and further, an anode 110 nm was vapor-deposited to form a cathode, thereby producing a comparative organic EL device 1_16.
[0411] [表 1] [0411] [Table 1]
〔〕〔 [] [
[0413] 《有機 EL素子 1—1〜: 1—16の評価》 [0413] << Organic EL element 1-1-1: Evaluation of 1-16 >>
作製した各素子については、下記に記載のように、外部取りだし量子効率、発光寿 命とパワー効率を各々評価した。 As described below, each of the fabricated devices was evaluated for external extraction quantum efficiency, light emission lifetime, and power efficiency.
[0414] 《外部取りだし量子効率》 [0414] 《External takeout quantum efficiency》
作製した有機 EL素子 1— 1 1— 16について、 23°C、乾燥窒素ガス雰囲気下で 2 . 5mA/cm2の一定電流を印加した時の外部取り出し量子効率(%)を測定した。尚 、測定には分光放射輝度計 CS— 1000 (コニカミノルタ製)を用いた。 The produced organic EL device 1-1-1-16 was measured for external extraction quantum efficiency (%) when a constant current of 2.5 mA / cm 2 was applied at 23 ° C. in a dry nitrogen gas atmosphere. A spectral radiance meter CS-1000 (manufactured by Konica Minolta) was used for the measurement.
[0415] 《発光寿命、パワー効率》 [0415] 《Luminescent life, power efficiency》
2. 5mA/cm2の一定電流で駆動したときに、輝度が発光開始直後の輝度(初期 輝度)の半分に低下するのに要した時間を測定し、これを半減寿命時間( τ 0. 5)と して寿命の指標とした。尚、測定には分光放射輝度計 CS— 1000 (コユカミノルタ製) を用いた。更に駆動電圧の低電圧化、消費電力の指標として、パワー効率 (ルーメン /W)を測定した。 2. When driving at a constant current of 5 mA / cm 2 , measure the time required for the luminance to drop to half of the luminance immediately after the start of light emission (initial luminance), and calculate this as the half-life time (τ 0.5 ) As an indicator of life. For the measurement, a spectral radiance meter CS-1000 (manufactured by Koyuka Minolta) was used. Furthermore, power efficiency (lumens / W) was measured as an indicator of lower drive voltage and power consumption.
[0416] 得られた結果を表 3に示す。ここで、外部取りだし量子効率、パワー効率、発光寿 命の測定結果は、有機 EL素子 1 16 (比較例)の測定値を 100とした時の相対値で 表した。 [0416] The results obtained are shown in Table 3. Here, the measurement results of the external extraction quantum efficiency, power efficiency, and light emission lifetime are expressed as relative values when the measured value of the organic EL element 1 16 (comparative example) is 100.
[0417] 得られた結果を表 3に示す。 [0418] [表 3] [0417] The results obtained are shown in Table 3. [0418] [Table 3]
[0419] 表 3から、比較に比べて、本発明の有機 EL素子は、外部取りだし量子効率、パワー 効率、発光寿命のレ、ずれも優れた性能を示してレ、ることが半 IJる。 [0419] From Table 3, compared with the comparison, the organic EL device of the present invention shows excellent performance in terms of external extraction quantum efficiency, power efficiency, emission lifetime, and deviation.
[0420] 実施例 2 :白色発光の有機 EL素子 [0420] Example 2: Organic EL device emitting white light
《有機 EL素子 2— 1の作製》 << Preparation of organic EL element 2-1 >>
実施例 1の有機 EL素子 1—7の作製において、発光領域と非ドープ領域を表 4、 5 に記載の材料、膜厚、質量比で形成した以外は 1 _ 7と同様にして白色有機 EL素子 2—1を作製した。 In the production of the organic EL device 1-7 of Example 1, the white organic EL device was prepared in the same manner as 1_7 except that the light emitting region and the undoped region were formed with the materials, film thicknesses, and mass ratios shown in Tables 4 and 5. Element 2-1 was produced.
[0421] 《有機 EL素子 2— 2〜2— 5の作製》 [0421] << Production of organic EL elements 2-2 to 2-5 >>
有機 EL素子 1一 11において、発光領域と非ドープ領域を表 4、 5に記載の材料、 膜厚、質量比で形成した以外は 1一 7と同様にして白色有機 EL素子 2— 2〜2— 5を 作製した。 In organic EL element 1-11, white organic EL element 2-2-2 in the same manner as in 1-11 7 except that the light emitting region and the undoped region were formed with the materials, film thicknesses, and mass ratios shown in Tables 4 and 5. — 5 was made.
[0422] 《有機 EL素子 2— 6、 2— 7の作製》 [0422] << Preparation of organic EL elements 2-6, 2-7 >>
有機 EL素子 1一 12において、発光領域と非ドープ領域を表 4、 5に記載の材料、 膜厚、質量比で形成した以外は 1一 7と同様にして白色有機 EL素子 2— 6、 2— 7を 作製した。 In organic EL element 1-12, white organic EL element 2-6, 2 in the same manner as 1-11 7, except that the light emitting region and undoped region were formed with the materials, film thicknesses, and mass ratios shown in Tables 4 and 5. — 7 was made.
[0423] 《有機 EL素子 2— 8の作製》:単一層 Αのない比較例 実施例 1の有機 EL素子 1— 17 (比較例)の作製において、発光層として、 CBP:T PB = 97:3 (質量比)を含む層(膜厚 12nm)、 CBP: Ir— 1 = 94: 6 (質量比)を含む 層(膜厚 12nm)、 CBP: Ir— 9 = 92; 8 (質量比)を含む層(膜厚 12nm)とに変更した 以外は同様にして有機 EL素子 2 _ 8を作製した。 [0423] << Preparation of organic EL device 2-8 >>: Single layer Comparative example without defects In the production of the organic EL device 1-17 of Example 1 (comparative example), as the light emitting layer, a layer containing CBP: TPB = 97: 3 (mass ratio) (film thickness: 12 nm), CBP: Ir—1 = 94 : Organic EL device 2 _ in the same way except that it is changed to a layer containing 6 (mass ratio) (film thickness 12 nm), CBP: Ir—9 = 92; 8 (mass ratio) containing layers (film thickness 12 nm) 8 was produced.
[0424] 《有機 EL素子 2— 9の作製》:単一層 Aのない比較例 [0424] << Preparation of organic EL element 2-9 >>: Comparative example without single layer A
有機 EL素子 2 _ 8の作製にぉレ、て発光層として、 CBP: TPB = 97: 3 (質量比)を 含む層を、 NPD:ルブレン =99: 1 (質量比)を含む層(膜厚 7nm)に変更し、 CBP:I r _ 1 = 94: 6 (質量比)を含む層は設けず、且つ、 CBP: Ir _ 9 = 92; 8 (質量比)を含 む層を DPVBi: BCzVBi = 88: 12 (質量比)を含む層(膜厚 27nm)に変更し、さらに Alqの代ゎりに8〇 :〇3(75:25)に変更し、 LiFを蒸着しなかった以外は同様にし As a light emitting layer, the layer containing CBP: TPB = 97: 3 (mass ratio) and the layer containing NPD: rubrene = 99: 1 (mass ratio) (film thickness) 7 nm), no layer containing CBP: I r _ 1 = 94: 6 (mass ratio) is provided, and a layer containing CBP: Ir _ 9 = 92; 8 (mass ratio) is DPVBi: BCzVBi = 88: 12 (mass ratio) changed to a layer (film thickness 27nm), and instead of Alq, changed to 80:03 (75:25), except that LiF was not deposited.
3 Three
て有機 EL素子 2 _ 9を作製した。 Thus, an organic EL device 2_9 was produced.
[0425] [表 4] [0425] [Table 4]
〔〕〔^〕04265 [] [^] 04265
[0427] 《有機 EL素子の評価》 [0427] << Evaluation of organic EL elements >>
得られた有機 EL素子 2— :! 2— 9について、実施例 1に記載の、外部取りだし量 子効率とパワー効率の評価を同様に行った。 With respect to the obtained organic EL device 2— :! 2-9, the external extraction quantum efficiency and power efficiency described in Example 1 were similarly evaluated.
[0428] 得られた結果を表 6に示す。また、評価結果は、有機 EL素子 2— 8の測定値を 1 00 とした時の相対値で表した。 [0429] [表 6] [0428] Table 6 shows the obtained results. The evaluation result was expressed as a relative value when the measured value of the organic EL element 2-8 was set to 100. [0429] [Table 6]
[0430] 表 6から、比較に比べて、本発明の有機 EL素子は、外部取りだし量子効率、パワー 効率のレ、ずれも優れた性能を示してレ、ることが判る。 [0430] From Table 6, it can be seen that the organic EL device of the present invention exhibits excellent performance in terms of external extraction quantum efficiency and power efficiency, as well as deviation.
[0431] 実施例 3 [0431] Example 3
白色発光有機 EL素子 2—:!〜 2— 7の作製において、単一層 A内の発光領域上に 、同じ発光領域を更に設ける(但し、発光領域が複数領域の場合は、それに対応して 複数の発光領域を設けることとする)以外は同様にして、有機 EL素子 3—:!〜 3— 7を 作製した。因みに、陽極と陰極との間が単一層 Aのみから形成され、陽極側から、正 孔注入領域 (P型半導体の機能を有する)、正孔輸送領域、複数の発光領域と複数 の非ドープ領域、次いで、電子注入領域 (N型半導体の機能を有する)が各々形成さ れている単一層 Aを有する有機 EL素子の一例を模式図として図 9に示す。 In the production of the white light emitting organic EL device 2— :! to 2-7, the same light emitting region is further provided on the light emitting region in the single layer A. The organic EL elements 3— :! to 3-7 were fabricated in the same manner except that the light-emitting region was provided. Incidentally, the space between the anode and the cathode is formed of only a single layer A, and from the anode side, a hole injection region (having a P-type semiconductor function), a hole transport region, a plurality of light emitting regions, and a plurality of undoped regions Next, FIG. 9 shows a schematic diagram of an example of an organic EL element having a single layer A in which electron injection regions (having an N-type semiconductor function) are formed.
[0432] 得られた、有機 EL素子 3— :!〜 3— 7は有機 EL素子 2— :!〜 2— 7に比べて高電圧 時の色ずれが改善された。 [0432] The resulting organic EL element 3—:! To 3-7 has improved color shift at high voltage compared to organic EL element 2 —:! To 2-7.
[0433] 実施例 4 [0433] Example 4
《白色照明装置の作製》 <Production of white lighting device>
実施例 2で得られた有機 EL素子 2_ 1〜2_ 7 (いずれも本発明)の非発光面をガラ スケースで覆レ、、図 5、図 6に示すような照明装置とした。照明装置は、発光効率が高 く発光寿命の長い白色光を発する薄型の照明装置として使用することができた。図 5 は照明装置の概略図を示し、有機 EL素子 101は、ガラスカバー 102で覆われている 尚、ガラスカバーでの封止作業は、有機 EL素子 101を大気に接触させることなく窒 素雰囲気下のグローブボックス(純度 99. 999%以上の高純度窒素ガスの雰囲気下 で行った)。図 6は照明装置の断面図を示し、図 6において、 105は陰極、 106は有 機 EL層、 107は透明電極付きガラス基板を示す。尚、ガラスカバー 102内には窒素 ガス 108が充填され、捕水剤 109が設けられている。 The non-light-emitting surface of the organic EL elements 2_1 to 2_7 (all of the present invention) obtained in Example 2 was covered with a glass case to obtain an illumination device as shown in FIGS. The illuminating device could be used as a thin illuminating device that emits white light with high luminous efficiency and long emission life. Fig. 5 shows a schematic diagram of the lighting device. The organic EL element 101 is covered with a glass cover 102. Sealing with the glass cover is performed in a nitrogen atmosphere without bringing the organic EL element 101 into contact with the atmosphere. Lower glove box (under an atmosphere of high purity nitrogen gas with a purity of 99.999% or more Went on). FIG. 6 shows a cross-sectional view of the lighting device. In FIG. 6, 105 denotes a cathode, 106 denotes an organic EL layer, and 107 denotes a glass substrate with a transparent electrode. The glass cover 102 is filled with nitrogen gas 108 and a water catching agent 109 is provided.
[0434] 得られた照明装置に通電したところほぼ白色の光が得られ、照明装置として使用で きることがわかった。 [0434] When the obtained lighting device was energized, almost white light was obtained, and it was found that it could be used as a lighting device.
産業上の利用可能性 Industrial applicability
[0435] 本発明により、有機層の低抵抗化による素子の低電圧化、並びに、高い発光効率 をもつ電気光学的特性に優れた構成の有機 EL素子、照明装置および表示装置を 提供し、さらに、長寿命となる有機 EL素子、照明装置および表示装置を提供すること が出来た。 [0435] According to the present invention, there is provided an organic EL element, a lighting device, and a display device having a low voltage due to low resistance of the organic layer and a structure having high light emission efficiency and excellent electro-optical characteristics. We were able to provide long-life organic EL elements, lighting devices and display devices.
Claims
Priority Applications (1)
| Application Number | Priority Date | Filing Date | Title |
|---|---|---|---|
| JP2006550680A JP5056016B2 (en) | 2004-12-28 | 2005-12-16 | Organic electroluminescence element, display device and lighting device |
Applications Claiming Priority (2)
| Application Number | Priority Date | Filing Date | Title |
|---|---|---|---|
| JP2004378526 | 2004-12-28 | ||
| JP2004-378526 | 2004-12-28 |
Publications (1)
| Publication Number | Publication Date |
|---|---|
| WO2006070619A1 true WO2006070619A1 (en) | 2006-07-06 |
Family
ID=36614739
Family Applications (1)
| Application Number | Title | Priority Date | Filing Date |
|---|---|---|---|
| PCT/JP2005/023115 Ceased WO2006070619A1 (en) | 2004-12-28 | 2005-12-16 | Organic electroluminescent device, display, and illuminating device |
Country Status (2)
| Country | Link |
|---|---|
| JP (1) | JP5056016B2 (en) |
| WO (1) | WO2006070619A1 (en) |
Cited By (11)
| Publication number | Priority date | Publication date | Assignee | Title |
|---|---|---|---|---|
| WO2008023623A1 (en) * | 2006-08-22 | 2008-02-28 | Idemitsu Kosan Co., Ltd. | Organic electroluminescent device |
| WO2009145062A1 (en) * | 2008-05-16 | 2009-12-03 | Semiconductor Energy Laboratory Co., Ltd. | Light-emitting element, light-emitting device, and electronic device |
| WO2011049241A1 (en) * | 2009-10-22 | 2011-04-28 | 住友化学株式会社 | Organic electroluminescent element |
| WO2011065137A1 (en) * | 2009-11-27 | 2011-06-03 | シャープ株式会社 | Organic electroluminescence element, manufacturing method thereof, and organic electroluminescence display device |
| WO2011065136A1 (en) * | 2009-11-27 | 2011-06-03 | シャープ株式会社 | Organic electroluminescence element, manufacturing method thereof, and organic electroluminescence display device |
| WO2011065138A1 (en) * | 2009-11-27 | 2011-06-03 | シャープ株式会社 | Organic electroluminescence element, manufacturing method thereof, and organic electroluminescence display device |
| JP2011176267A (en) * | 2010-01-28 | 2011-09-08 | Fujifilm Corp | Organic electroluminescent element |
| US8486543B2 (en) | 2009-12-01 | 2013-07-16 | Semiconductor Energy Laboratory Co., Ltd. | Light-emitting element, light-emitting device, electronic device, and lighting device |
| US9209415B2 (en) | 2009-09-04 | 2015-12-08 | Semiconductor Energy Laboratory Co., Ltd. | Light-emitting element with multiple light-emitting layers having controlled carrier mobility and lighting device and electronic device using the same |
| JP2017103224A (en) * | 2015-11-30 | 2017-06-08 | エルジー ディスプレイ カンパニー リミテッド | ORGANIC LIGHT EMITTING DIODE, ORGANIC ELECTROLUMINESCENT DISPLAY DEVICE INCLUDING THE SAME, AND METHOD FOR PRODUCING ORGANIC LIGHT EMITTING DIODE |
| JP2020167437A (en) * | 2012-04-20 | 2020-10-08 | 株式会社半導体エネルギー研究所 | Light emitting elements, light emitting devices, electronic devices and lighting devices |
Citations (6)
| Publication number | Priority date | Publication date | Assignee | Title |
|---|---|---|---|---|
| JPH09298088A (en) * | 1996-05-01 | 1997-11-18 | Mitsubishi Chem Corp | Organic electroluminescent device and method of manufacturing the same |
| JP2000164362A (en) * | 1998-05-19 | 2000-06-16 | Sanyo Electric Co Ltd | Organic electroluminescent element |
| JP2004119304A (en) * | 2002-09-27 | 2004-04-15 | Sanyo Electric Co Ltd | Organic electroluminescence display device and method of manufacturing the same |
| JP2004152527A (en) * | 2002-10-29 | 2004-05-27 | Konica Minolta Holdings Inc | Organic electroluminescent element and display device |
| WO2004053019A1 (en) * | 2002-12-12 | 2004-06-24 | Idemitsu Kosan Co., Ltd. | Organic electroluminescent device material and organic electroluminescent device using same |
| WO2004095889A1 (en) * | 2003-04-23 | 2004-11-04 | Konica Minolta Holdings, Inc. | Organic electroluminescent device and display |
Family Cites Families (1)
| Publication number | Priority date | Publication date | Assignee | Title |
|---|---|---|---|---|
| JP2005100767A (en) * | 2003-09-24 | 2005-04-14 | Fuji Photo Film Co Ltd | Organic electroluminescent element |
-
2005
- 2005-12-16 WO PCT/JP2005/023115 patent/WO2006070619A1/en not_active Ceased
- 2005-12-16 JP JP2006550680A patent/JP5056016B2/en not_active Expired - Fee Related
Patent Citations (6)
| Publication number | Priority date | Publication date | Assignee | Title |
|---|---|---|---|---|
| JPH09298088A (en) * | 1996-05-01 | 1997-11-18 | Mitsubishi Chem Corp | Organic electroluminescent device and method of manufacturing the same |
| JP2000164362A (en) * | 1998-05-19 | 2000-06-16 | Sanyo Electric Co Ltd | Organic electroluminescent element |
| JP2004119304A (en) * | 2002-09-27 | 2004-04-15 | Sanyo Electric Co Ltd | Organic electroluminescence display device and method of manufacturing the same |
| JP2004152527A (en) * | 2002-10-29 | 2004-05-27 | Konica Minolta Holdings Inc | Organic electroluminescent element and display device |
| WO2004053019A1 (en) * | 2002-12-12 | 2004-06-24 | Idemitsu Kosan Co., Ltd. | Organic electroluminescent device material and organic electroluminescent device using same |
| WO2004095889A1 (en) * | 2003-04-23 | 2004-11-04 | Konica Minolta Holdings, Inc. | Organic electroluminescent device and display |
Cited By (30)
| Publication number | Priority date | Publication date | Assignee | Title |
|---|---|---|---|---|
| WO2008023623A1 (en) * | 2006-08-22 | 2008-02-28 | Idemitsu Kosan Co., Ltd. | Organic electroluminescent device |
| KR101520285B1 (en) | 2008-05-16 | 2015-05-14 | 가부시키가이샤 한도오따이 에네루기 켄큐쇼 | Light-emitting element and electronic device |
| WO2009145062A1 (en) * | 2008-05-16 | 2009-12-03 | Semiconductor Energy Laboratory Co., Ltd. | Light-emitting element, light-emitting device, and electronic device |
| US9142794B2 (en) | 2008-05-16 | 2015-09-22 | Semiconductor Energy Laboratory Co., Ltd. | Light-emitting element, light-emitting device, and electronic device |
| JP2014199943A (en) * | 2008-05-16 | 2014-10-23 | 株式会社半導体エネルギー研究所 | Light emitting element |
| US8624234B2 (en) | 2008-05-16 | 2014-01-07 | Semiconductor Energy Laboratory Co., Ltd. | Light-emitting element, light-emitting device, and electronic device |
| US8247804B2 (en) | 2008-05-16 | 2012-08-21 | Semiconductor Energy Laboratory Co., Ltd. | Light-emitting element, light-emitting device, and electronic device |
| US9209415B2 (en) | 2009-09-04 | 2015-12-08 | Semiconductor Energy Laboratory Co., Ltd. | Light-emitting element with multiple light-emitting layers having controlled carrier mobility and lighting device and electronic device using the same |
| EP2492988A4 (en) * | 2009-10-22 | 2013-05-15 | Sumitomo Chemical Co | ORGANIC ELECTROLUMINESCENT ELEMENT |
| KR101746247B1 (en) | 2009-10-22 | 2017-06-12 | 스미또모 가가꾸 가부시키가이샤 | Organic electroluminescent element |
| WO2011049241A1 (en) * | 2009-10-22 | 2011-04-28 | 住友化学株式会社 | Organic electroluminescent element |
| WO2011065136A1 (en) * | 2009-11-27 | 2011-06-03 | シャープ株式会社 | Organic electroluminescence element, manufacturing method thereof, and organic electroluminescence display device |
| US8860013B2 (en) | 2009-11-27 | 2014-10-14 | Sharp Kabushiki Kaisha | Organic electroluminescence element, manufacturing method thereof, and organic electroluminescence display device |
| US8841655B2 (en) | 2009-11-27 | 2014-09-23 | Sharp Kabushiki Kaisha | Organic electroluminescence element, manufacturing method thereof, and organic electroluminescence display device |
| WO2011065138A1 (en) * | 2009-11-27 | 2011-06-03 | シャープ株式会社 | Organic electroluminescence element, manufacturing method thereof, and organic electroluminescence display device |
| WO2011065137A1 (en) * | 2009-11-27 | 2011-06-03 | シャープ株式会社 | Organic electroluminescence element, manufacturing method thereof, and organic electroluminescence display device |
| US12484439B2 (en) | 2009-12-01 | 2025-11-25 | Semiconductor Energy Laboratory Co., Ltd. | Light-emitting element, light-emitting device, electronic device, and lighting device |
| US10756287B2 (en) | 2009-12-01 | 2020-08-25 | Semiconductor Energy Laboratory Co., Ltd. | Light-emitting element, light-emitting device, electronic device, and lighting device |
| US8486543B2 (en) | 2009-12-01 | 2013-07-16 | Semiconductor Energy Laboratory Co., Ltd. | Light-emitting element, light-emitting device, electronic device, and lighting device |
| US9698354B2 (en) | 2009-12-01 | 2017-07-04 | Semiconductor Energy Laboratory Co., Ltd. | Light-emitting element, light-emitting device, electronic device, and lighting device |
| KR101757294B1 (en) | 2010-01-28 | 2017-07-12 | 유디씨 아일랜드 리미티드 | Organic electroluminescence element |
| JP2011176267A (en) * | 2010-01-28 | 2011-09-08 | Fujifilm Corp | Organic electroluminescent element |
| JP2020167437A (en) * | 2012-04-20 | 2020-10-08 | 株式会社半導体エネルギー研究所 | Light emitting elements, light emitting devices, electronic devices and lighting devices |
| JP7030158B2 (en) | 2012-04-20 | 2022-03-04 | 株式会社半導体エネルギー研究所 | Light emitting elements, light emitting devices, electronic devices and lighting devices |
| JP2022060381A (en) * | 2012-04-20 | 2022-04-14 | 株式会社半導体エネルギー研究所 | Light emitting elements, light emitting devices, electronic devices and lighting devices |
| JP7289947B2 (en) | 2012-04-20 | 2023-06-12 | 株式会社半導体エネルギー研究所 | Light-emitting elements, light-emitting devices, electronic devices and lighting devices |
| JP2023106583A (en) * | 2012-04-20 | 2023-08-01 | 株式会社半導体エネルギー研究所 | Light-emitting elements, light-emitting devices, electronic devices and lighting devices |
| JP7598405B2 (en) | 2012-04-20 | 2024-12-11 | 株式会社半導体エネルギー研究所 | Light-emitting element, light-emitting device, electronic device and lighting device |
| JP2017103224A (en) * | 2015-11-30 | 2017-06-08 | エルジー ディスプレイ カンパニー リミテッド | ORGANIC LIGHT EMITTING DIODE, ORGANIC ELECTROLUMINESCENT DISPLAY DEVICE INCLUDING THE SAME, AND METHOD FOR PRODUCING ORGANIC LIGHT EMITTING DIODE |
| US12213334B2 (en) | 2015-11-30 | 2025-01-28 | Lg Display Co., Ltd. | Organic emitting diode and organic light emitting diode display device including the same |
Also Published As
| Publication number | Publication date |
|---|---|
| JP5056016B2 (en) | 2012-10-24 |
| JPWO2006070619A1 (en) | 2008-06-12 |
Similar Documents
| Publication | Publication Date | Title |
|---|---|---|
| JP5983369B2 (en) | Organic electroluminescence element, display device and lighting device | |
| JP5589251B2 (en) | Organic electroluminescence element material | |
| JP5011908B2 (en) | Organic electroluminescence element, display device and lighting device | |
| JP5697856B2 (en) | ORGANIC ELECTROLUMINESCENT ELEMENT, WHITE ORGANIC ELECTROLUMINESCENT ELEMENT, DISPLAY DEVICE AND LIGHTING DEVICE | |
| JP4961664B2 (en) | Organic electroluminescence element, display device and lighting device | |
| WO2004095889A1 (en) | Organic electroluminescent device and display | |
| WO2006114966A1 (en) | Organic electroluminescent device, display and illuminating device | |
| WO2007108362A1 (en) | Organic electroluminescent device, display and illuminating device | |
| WO2007029533A1 (en) | Organic electroluminescence element, display device and illuminating device | |
| CN100556224C (en) | Organic electroluminescent element, lighting device and display device | |
| WO2006132012A1 (en) | Organic electroluminescence element, lighting apparatus and display device | |
| US8053765B2 (en) | Organic electroluminescent element, display device and lighting device | |
| WO2005062676A1 (en) | Material for organic electroluminescent device, organic electroluminescent device, illuminating device and display | |
| WO2006013739A1 (en) | Organic electroluminescent device, illuminating device and display | |
| JP5056016B2 (en) | Organic electroluminescence element, display device and lighting device | |
| JP6036204B2 (en) | Organic electroluminescence element, display device and lighting device | |
| WO2006093007A1 (en) | Organic electroluminescence element, image display unit and lighting device | |
| WO2005062675A1 (en) | Material for organic electroluminescent device, organic electroluminescent device, illuminating device and display | |
| WO2006129471A1 (en) | Material for organic electroluminescence device, organic electroluminescence device, process for producing organic electroluminescence device, lighting installation and display unit | |
| WO2005032216A1 (en) | Compound of multi-branched structure, organic electroluminescent device, display, illuminating device, and method for producing compound of multi-branched structure | |
| JP2014099539A (en) | Organic electroluminescent element, display device, and lighting device | |
| JP4910279B2 (en) | Organic electroluminescence element, lighting device and display device | |
| JP5050312B2 (en) | Organic electroluminescence element, display device and lighting device | |
| JP2007169541A (en) | Material for organic electroluminescent element, organic electroluminescent element, display device and illuminating device | |
| WO2006100925A1 (en) | Material for organic el device, organic el device, display and illuminating device |
Legal Events
| Date | Code | Title | Description |
|---|---|---|---|
| 121 | Ep: the epo has been informed by wipo that ep was designated in this application | ||
| WWE | Wipo information: entry into national phase |
Ref document number: 2006550680 Country of ref document: JP |
|
| NENP | Non-entry into the national phase |
Ref country code: DE |
|
| 122 | Ep: pct application non-entry in european phase |
Ref document number: 05816893 Country of ref document: EP Kind code of ref document: A1 |
|
| WWW | Wipo information: withdrawn in national office |
Ref document number: 5816893 Country of ref document: EP |


















































































































