WO2006067074A1 - Electroluminescent metal complexes with nucleophilic carbene ligands - Google Patents
Electroluminescent metal complexes with nucleophilic carbene ligands Download PDFInfo
- Publication number
- WO2006067074A1 WO2006067074A1 PCT/EP2005/056767 EP2005056767W WO2006067074A1 WO 2006067074 A1 WO2006067074 A1 WO 2006067074A1 EP 2005056767 W EP2005056767 W EP 2005056767W WO 2006067074 A1 WO2006067074 A1 WO 2006067074A1
- Authority
- WO
- WIPO (PCT)
- Prior art keywords
- group
- alkyl
- crc
- aryl
- together form
- Prior art date
- Legal status (The legal status is an assumption and is not a legal conclusion. Google has not performed a legal analysis and makes no representation as to the accuracy of the status listed.)
- Ceased
Links
- 0 C*(*(C)(C(*1CC2)*2c2ccccc2)c2c1cccc2)NC Chemical compound C*(*(C)(C(*1CC2)*2c2ccccc2)c2c1cccc2)NC 0.000 description 14
- SQNZLBOJCWQLGQ-UHFFFAOYSA-N CC(C)(C)C(CC(C(C(C(F)(F)F)(F)F)(F)F)=O)=O Chemical compound CC(C)(C)C(CC(C(C(C(F)(F)F)(F)F)(F)F)=O)=O SQNZLBOJCWQLGQ-UHFFFAOYSA-N 0.000 description 1
- GSRMZVNGEPHNHY-UHFFFAOYSA-N CCCCC(CN(C1CC2(CC)C3)c(cc4)c2cc4OC)[N]13c(cc1)ccc1OC Chemical compound CCCCC(CN(C1CC2(CC)C3)c(cc4)c2cc4OC)[N]13c(cc1)ccc1OC GSRMZVNGEPHNHY-UHFFFAOYSA-N 0.000 description 1
- UCTUOFPJTWPPDY-UHFFFAOYSA-N FC(c(cc1C(F)(F)F)ccc1-c1ccccn1)(F)F Chemical compound FC(c(cc1C(F)(F)F)ccc1-c1ccccn1)(F)F UCTUOFPJTWPPDY-UHFFFAOYSA-N 0.000 description 1
- URIIQTZJNGRTTD-UHFFFAOYSA-N FC(c1cc(-c2ccccn2)cc(C(F)(F)F)c1)(F)F Chemical compound FC(c1cc(-c2ccccn2)cc(C(F)(F)F)c1)(F)F URIIQTZJNGRTTD-UHFFFAOYSA-N 0.000 description 1
- OHTMUXLCEBAVDR-UHFFFAOYSA-N Fc(c(-c1cc(-c2ccccn2)ccc1)c(c(F)c1F)F)c1F Chemical compound Fc(c(-c1cc(-c2ccccn2)ccc1)c(c(F)c1F)F)c1F OHTMUXLCEBAVDR-UHFFFAOYSA-N 0.000 description 1
- SQUJJJLCYRNATP-UHFFFAOYSA-N Fc(c(-c1ccnc(-c2ccccc2)c1)c(c(F)c1F)F)c1F Chemical compound Fc(c(-c1ccnc(-c2ccccc2)c1)c(c(F)c1F)F)c1F SQUJJJLCYRNATP-UHFFFAOYSA-N 0.000 description 1
- ORUYQQBQBYTHSO-UHFFFAOYSA-N Fc(c(F)c1F)c(-c(cc2)ccc2-c2ccccn2)c(F)c1F Chemical compound Fc(c(F)c1F)c(-c(cc2)ccc2-c2ccccn2)c(F)c1F ORUYQQBQBYTHSO-UHFFFAOYSA-N 0.000 description 1
Classifications
-
- C—CHEMISTRY; METALLURGY
- C07—ORGANIC CHEMISTRY
- C07F—ACYCLIC, CARBOCYCLIC OR HETEROCYCLIC COMPOUNDS CONTAINING ELEMENTS OTHER THAN CARBON, HYDROGEN, HALOGEN, OXYGEN, NITROGEN, SULFUR, SELENIUM OR TELLURIUM
- C07F15/00—Compounds containing elements of Groups 8, 9, 10 or 18 of the Periodic Table
- C07F15/0006—Compounds containing elements of Groups 8, 9, 10 or 18 of the Periodic Table compounds of the platinum group
- C07F15/0033—Iridium compounds
-
- H—ELECTRICITY
- H10—SEMICONDUCTOR DEVICES; ELECTRIC SOLID-STATE DEVICES NOT OTHERWISE PROVIDED FOR
- H10K—ORGANIC ELECTRIC SOLID-STATE DEVICES
- H10K85/00—Organic materials used in the body or electrodes of devices covered by this subclass
- H10K85/60—Organic compounds having low molecular weight
- H10K85/649—Aromatic compounds comprising a hetero atom
- H10K85/654—Aromatic compounds comprising a hetero atom comprising only nitrogen as heteroatom
-
- C—CHEMISTRY; METALLURGY
- C07—ORGANIC CHEMISTRY
- C07F—ACYCLIC, CARBOCYCLIC OR HETEROCYCLIC COMPOUNDS CONTAINING ELEMENTS OTHER THAN CARBON, HYDROGEN, HALOGEN, OXYGEN, NITROGEN, SULFUR, SELENIUM OR TELLURIUM
- C07F15/00—Compounds containing elements of Groups 8, 9, 10 or 18 of the Periodic Table
- C07F15/0006—Compounds containing elements of Groups 8, 9, 10 or 18 of the Periodic Table compounds of the platinum group
- C07F15/0086—Platinum compounds
-
- C—CHEMISTRY; METALLURGY
- C09—DYES; PAINTS; POLISHES; NATURAL RESINS; ADHESIVES; COMPOSITIONS NOT OTHERWISE PROVIDED FOR; APPLICATIONS OF MATERIALS NOT OTHERWISE PROVIDED FOR
- C09K—MATERIALS FOR MISCELLANEOUS APPLICATIONS, NOT PROVIDED FOR ELSEWHERE
- C09K11/00—Luminescent, e.g. electroluminescent, chemiluminescent materials
- C09K11/06—Luminescent, e.g. electroluminescent, chemiluminescent materials containing organic luminescent materials
-
- H—ELECTRICITY
- H05—ELECTRIC TECHNIQUES NOT OTHERWISE PROVIDED FOR
- H05B—ELECTRIC HEATING; ELECTRIC LIGHT SOURCES NOT OTHERWISE PROVIDED FOR; CIRCUIT ARRANGEMENTS FOR ELECTRIC LIGHT SOURCES, IN GENERAL
- H05B33/00—Electroluminescent light sources
- H05B33/12—Light sources with substantially two-dimensional radiating surfaces
- H05B33/14—Light sources with substantially two-dimensional radiating surfaces characterised by the chemical or physical composition or the arrangement of the electroluminescent material, or by the simultaneous addition of the electroluminescent material in or onto the light source
-
- H—ELECTRICITY
- H10—SEMICONDUCTOR DEVICES; ELECTRIC SOLID-STATE DEVICES NOT OTHERWISE PROVIDED FOR
- H10K—ORGANIC ELECTRIC SOLID-STATE DEVICES
- H10K85/00—Organic materials used in the body or electrodes of devices covered by this subclass
- H10K85/30—Coordination compounds
- H10K85/341—Transition metal complexes, e.g. Ru(II)polypyridine complexes
- H10K85/342—Transition metal complexes, e.g. Ru(II)polypyridine complexes comprising iridium
-
- H—ELECTRICITY
- H10—SEMICONDUCTOR DEVICES; ELECTRIC SOLID-STATE DEVICES NOT OTHERWISE PROVIDED FOR
- H10K—ORGANIC ELECTRIC SOLID-STATE DEVICES
- H10K85/00—Organic materials used in the body or electrodes of devices covered by this subclass
- H10K85/30—Coordination compounds
- H10K85/341—Transition metal complexes, e.g. Ru(II)polypyridine complexes
- H10K85/346—Transition metal complexes, e.g. Ru(II)polypyridine complexes comprising platinum
-
- H—ELECTRICITY
- H10—SEMICONDUCTOR DEVICES; ELECTRIC SOLID-STATE DEVICES NOT OTHERWISE PROVIDED FOR
- H10K—ORGANIC ELECTRIC SOLID-STATE DEVICES
- H10K85/00—Organic materials used in the body or electrodes of devices covered by this subclass
- H10K85/60—Organic compounds having low molecular weight
- H10K85/649—Aromatic compounds comprising a hetero atom
- H10K85/657—Polycyclic condensed heteroaromatic hydrocarbons
-
- H—ELECTRICITY
- H10—SEMICONDUCTOR DEVICES; ELECTRIC SOLID-STATE DEVICES NOT OTHERWISE PROVIDED FOR
- H10K—ORGANIC ELECTRIC SOLID-STATE DEVICES
- H10K85/00—Organic materials used in the body or electrodes of devices covered by this subclass
- H10K85/60—Organic compounds having low molecular weight
- H10K85/649—Aromatic compounds comprising a hetero atom
- H10K85/657—Polycyclic condensed heteroaromatic hydrocarbons
- H10K85/6572—Polycyclic condensed heteroaromatic hydrocarbons comprising only nitrogen in the heteroaromatic polycondensed ring system, e.g. phenanthroline or carbazole
-
- H—ELECTRICITY
- H10—SEMICONDUCTOR DEVICES; ELECTRIC SOLID-STATE DEVICES NOT OTHERWISE PROVIDED FOR
- H10K—ORGANIC ELECTRIC SOLID-STATE DEVICES
- H10K85/00—Organic materials used in the body or electrodes of devices covered by this subclass
- H10K85/60—Organic compounds having low molecular weight
- H10K85/649—Aromatic compounds comprising a hetero atom
- H10K85/657—Polycyclic condensed heteroaromatic hydrocarbons
- H10K85/6576—Polycyclic condensed heteroaromatic hydrocarbons comprising only sulfur in the heteroaromatic polycondensed ring system, e.g. benzothiophene
-
- C—CHEMISTRY; METALLURGY
- C09—DYES; PAINTS; POLISHES; NATURAL RESINS; ADHESIVES; COMPOSITIONS NOT OTHERWISE PROVIDED FOR; APPLICATIONS OF MATERIALS NOT OTHERWISE PROVIDED FOR
- C09K—MATERIALS FOR MISCELLANEOUS APPLICATIONS, NOT PROVIDED FOR ELSEWHERE
- C09K2211/00—Chemical nature of organic luminescent or tenebrescent compounds
- C09K2211/10—Non-macromolecular compounds
- C09K2211/1018—Heterocyclic compounds
- C09K2211/1025—Heterocyclic compounds characterised by ligands
- C09K2211/1029—Heterocyclic compounds characterised by ligands containing one nitrogen atom as the heteroatom
-
- C—CHEMISTRY; METALLURGY
- C09—DYES; PAINTS; POLISHES; NATURAL RESINS; ADHESIVES; COMPOSITIONS NOT OTHERWISE PROVIDED FOR; APPLICATIONS OF MATERIALS NOT OTHERWISE PROVIDED FOR
- C09K—MATERIALS FOR MISCELLANEOUS APPLICATIONS, NOT PROVIDED FOR ELSEWHERE
- C09K2211/00—Chemical nature of organic luminescent or tenebrescent compounds
- C09K2211/10—Non-macromolecular compounds
- C09K2211/1018—Heterocyclic compounds
- C09K2211/1025—Heterocyclic compounds characterised by ligands
- C09K2211/1029—Heterocyclic compounds characterised by ligands containing one nitrogen atom as the heteroatom
- C09K2211/1037—Heterocyclic compounds characterised by ligands containing one nitrogen atom as the heteroatom with sulfur
-
- C—CHEMISTRY; METALLURGY
- C09—DYES; PAINTS; POLISHES; NATURAL RESINS; ADHESIVES; COMPOSITIONS NOT OTHERWISE PROVIDED FOR; APPLICATIONS OF MATERIALS NOT OTHERWISE PROVIDED FOR
- C09K—MATERIALS FOR MISCELLANEOUS APPLICATIONS, NOT PROVIDED FOR ELSEWHERE
- C09K2211/00—Chemical nature of organic luminescent or tenebrescent compounds
- C09K2211/10—Non-macromolecular compounds
- C09K2211/1018—Heterocyclic compounds
- C09K2211/1025—Heterocyclic compounds characterised by ligands
- C09K2211/1059—Heterocyclic compounds characterised by ligands containing three nitrogen atoms as heteroatoms
-
- C—CHEMISTRY; METALLURGY
- C09—DYES; PAINTS; POLISHES; NATURAL RESINS; ADHESIVES; COMPOSITIONS NOT OTHERWISE PROVIDED FOR; APPLICATIONS OF MATERIALS NOT OTHERWISE PROVIDED FOR
- C09K—MATERIALS FOR MISCELLANEOUS APPLICATIONS, NOT PROVIDED FOR ELSEWHERE
- C09K2211/00—Chemical nature of organic luminescent or tenebrescent compounds
- C09K2211/10—Non-macromolecular compounds
- C09K2211/1018—Heterocyclic compounds
- C09K2211/1025—Heterocyclic compounds characterised by ligands
- C09K2211/1092—Heterocyclic compounds characterised by ligands containing sulfur as the only heteroatom
-
- C—CHEMISTRY; METALLURGY
- C09—DYES; PAINTS; POLISHES; NATURAL RESINS; ADHESIVES; COMPOSITIONS NOT OTHERWISE PROVIDED FOR; APPLICATIONS OF MATERIALS NOT OTHERWISE PROVIDED FOR
- C09K—MATERIALS FOR MISCELLANEOUS APPLICATIONS, NOT PROVIDED FOR ELSEWHERE
- C09K2211/00—Chemical nature of organic luminescent or tenebrescent compounds
- C09K2211/18—Metal complexes
- C09K2211/185—Metal complexes of the platinum group, i.e. Os, Ir, Pt, Ru, Rh or Pd
-
- H—ELECTRICITY
- H10—SEMICONDUCTOR DEVICES; ELECTRIC SOLID-STATE DEVICES NOT OTHERWISE PROVIDED FOR
- H10K—ORGANIC ELECTRIC SOLID-STATE DEVICES
- H10K2101/00—Properties of the organic materials covered by group H10K85/00
- H10K2101/10—Triplet emission
-
- H—ELECTRICITY
- H10—SEMICONDUCTOR DEVICES; ELECTRIC SOLID-STATE DEVICES NOT OTHERWISE PROVIDED FOR
- H10K—ORGANIC ELECTRIC SOLID-STATE DEVICES
- H10K50/00—Organic light-emitting devices
- H10K50/10—OLEDs or polymer light-emitting diodes [PLED]
- H10K50/11—OLEDs or polymer light-emitting diodes [PLED] characterised by the electroluminescent [EL] layers
-
- H—ELECTRICITY
- H10—SEMICONDUCTOR DEVICES; ELECTRIC SOLID-STATE DEVICES NOT OTHERWISE PROVIDED FOR
- H10K—ORGANIC ELECTRIC SOLID-STATE DEVICES
- H10K50/00—Organic light-emitting devices
- H10K50/10—OLEDs or polymer light-emitting diodes [PLED]
- H10K50/14—Carrier transporting layers
Definitions
- This invention relates to electroluminescent metal complexes with nucleophilic carbene ligands, a process for their preparation, electronic devices comprising the metal complexes and their use in electronic devices, especially organic light emitting diodes (OLEDs), as oxygen sensitive indicators, as phosphorescent indicators in bioassays, and as catalysts.
- OLEDs organic light emitting diodes
- Organic electronic devices that emit light such as light-emitting diodes that make up displays, are present in many different kinds of electronic equipment.
- an organic active layer is sandwiched between two electrical contact layers. At least one of the electrical contact layers is light-transmitting so that light can pass through the electrical contact layer.
- the organic active layer emits light through the light-transmitting electrical contact layer upon application of electricity across the electrical contact layers.
- organic electroluminescent compounds as the active component in light-emitting diodes. Simple organic molecules such as anthracene, thiadiazole derivatives, and coumarin derivatives are known to show electroluminescence.
- Semiconductive conjugated polymers have also been used as electroluminescent components, as has been disclosed in, for example, in US-B-5,247,190, US-B-5,408,109 and EP-A-443 861.
- Complexes of 8-hydroxyquinolate with trivalent metal ions, particularly aluminum, have been extensively used as electroluminescent components, as has been disclosed in, for example, US-A-5,552,678. Burrows and Thompson have reported that fac-tris(2-phenylpyridine) iridium can be used as the active component in organic light-emitting devices. (Appl. Phys. Lett. 1999, 75, 4.) The performance is maximized when the iridium compound is present in a host conductive material.
- the ring B represents an optionally substituted nitrogen containing aryl group, which can optionally contain further heteroatoms, or the ring A may be taken with the ring B binding to the ring A to form a ring;
- the group C represents an acyclic carbene, or a cyclic carbene (ring C), which can optionally contain heteroatoms,
- the ring D represents an optionally substituted aryl group which can optionally contain heteroatoms
- n1 is an integer of 1 to 3
- ml is an integer of 0, 1
- m2 is an integer 0, or 1 ,
- M 1 is a metal with an atomic weight of greater than 40
- L 3 is a monodentate ligand, or a bidentate ligand
- the metal complexes of the present invention are characterized in that at least one ligand is derived from a nucleophilic carbene.
- the metal is generally a metal M 1 with an atomic weight of greater than 40,
- the metal M 1 is selected from Tl, Pb, Bi, In, Sn, Sb, Te, especially Mo, Cr, Mn, Ta, V, Cu, Fe, Ru, Ni, Co, Ir, Pt, Pd, Rh, Re, Os, Ag and Au.
- the metal is selected from Ir and Ru as well as Ag, Au, Pt and Pd, wherein Ir and Pt are most preferred.
- Nucleophilic carbene ligand in the context of the present invention means typical ⁇ -donor ligands that can substitute classical 2e ⁇ donor ligands. They can be cyclic or acyclic. They can have no or several different heteroatoms or several heteroatoms of the same kind.
- carbenes are, for example, diarylcarbenes, cyclic diaminocarbenes, imidazol-2- ylidenes, imidazolidin-2-ylidene, 1 ,2,4-triazol-3-yildenes, 1,3-thiazol-2-ylidenes, acyclic diaminocarbenes, acyclic aminooxycarbenes, acyclic aminothiocarbenes, cyclic diborylcarbenes, acyclic diborylcarbenes, phosphinosilyl-carbenes, phosphinophosphonio- carbenes, sulfenyl-trifluormethylcarbenes, sulfenylpentafluorothiocarbenes etc.
- ligand is intended to mean a molecule, ion, or atom that is attached to the coordination sphere of a metallic ion.
- complex when used as a noun, is intended to mean a compound having at least one metallic ion and at least one ligand.
- group is intended to mean a part of a compound, such a substituent in an organic compound or a ligand in a complex.
- bond is intended to mean one isomer of a complex, Ma 3 b 3 , having octahedral geometry, in which the three "a” groups are all adjacent, i.e. at the corners of one triangular face of the octahedron.
- the term “meridional” is intended to mean one isomer of a complex, Ma 3 b 3 , having octahedral geometry, in which the three "a” groups occupy three positions such that two are trans to each other, i.e. the three "a” groups sit in three coplanar positions, forming an arc across the coordination sphere that can be thought of as a meridion.
- the phrase "adjacent to,” when used to refer to layers in a device, does not necessarily mean that one layer is immediately next to another layer.
- photoactive refers to any material that exhibits electroluminescence and/or photosensitivity.
- M 1 is Co, or Fe, especially Ir, or Rh, n1 is preferably 3, more preferably 1.
- M 1 is Ni, Rh, or Ru, especially Pd, or Pt, n1 is preferably 2, more preferably 1.
- compounds of formula I are preferred, wherein M 1 is Co, or Fe, especially Ir, or Rh, m2 is 0, n1 is 1 and ml is 2.
- compounds of formula I are preferred, wherein M 1 is Ni, Rh, or Ru, especially Pd, or Pt, m2 is 0, n1 is 1 and ml is 1.
- the group represents an acyclic nucleophilic carbene it is preferably a group of the
- y is 0, or 1, especially 0.
- the ring D is preferably a group of formula wherein R 1 to R 4 are substitutents and can be taken together to form a ring.
- yclic carbenes (ring C) are preferred against acyclic carbenes.
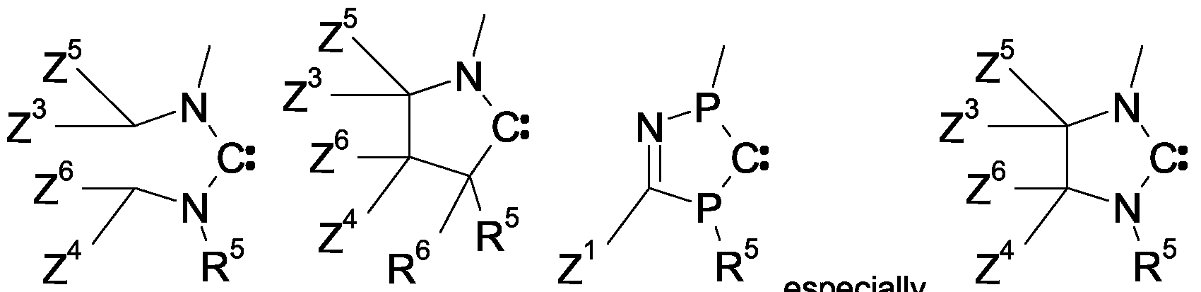
- Examples of a ring C are as follows:
- R 5 is a substituted, such as hydrogen, Ci-C 24 alkyl, C 2 -C 24 alkenyl, C 2 -C 24 alkynyl, C 2 -
- R 6 , Z 1 , Z 2 , Z 3 , Z 4 , Z 5 and Z 6 are independently of each other selected from the group consisting of hydrogen, Ci-C 24 alkyl, Ci-C 24 halogenalkyl, especially Ci-C 8 perfluoroalkyl, C 2 -
- Z 1 and Z 2 if possible, form an aromatic or heteroaromatic ring, and/or
- Z 3 , Z 4 , Z 5 and Z 6 if possible, form an alkyl or heteroalkyl ring.
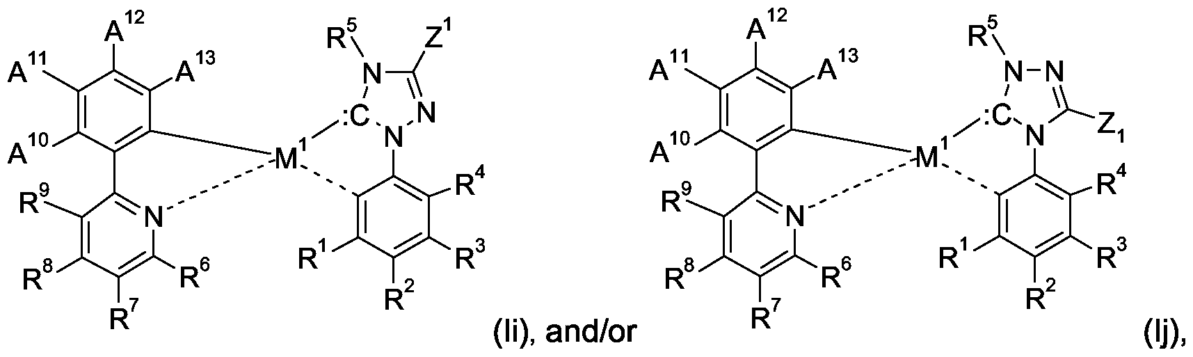
- cyclic carbenes (ring C), are preferred, wherein ring C is represented by the following formula:
- ring C cyclic carbenes, (ring C), are preferred, wherein ring C is represented by the following formula: said embodiment the ligand (L 1 ) is preferably a group of formula
- R 1 to R 4 are substitutents and can be taken together to form a ring, y is O, or 1, especially 0,
- the group C is a group (nucleophilic carbene) of the following formula
- R 5 is a substituted, especially hydrogen, Ci-C 24 alkyl, C 2 -C 24 alkenyl, C 2 -C 24 alkynyl, C 2 - C 24 alkoxycarbonyl, CrC 24 carboxylate, CrC 24 alkoxy, C 2 -C 24 alkenyloxy, C 2 -C 24 alkynyloxy, or aryloxy, which can optionally be substituted with Ci-C 8 alkyl, halogen, Ci-C 8 alkoxy, or with a phenyl group, which can be substituted with halogen, Ci-C 8 alkyl, or Ci-C 8 alkoxy, especially aryl, which can optionally be substituted; and
- Z 1 , Z 2 , Z 3 , Z 4 , Z 5 and Z 6 are independently of each other selected from the group consisting of hydrogen, CrC 24 alkyl, CrC 24 halogenalkyl, especially Ci-C 8 perfluoroalkyl, C 2 -C 24 alkenyl, C 2 - C 24 alkynyl, C 2 -C 24 alkoxycarbonyl, aryl, which can optionally be substituted, d- C 24 carboxylate, CrC 24 alkoxy, C 2 -C 24 alkenyloxy, C 2 -C 24 alkynyloxy, or aryloxy, wherein each of Z 1 , Z 2 , Z 3 and Z 4 optionally being substituted with Ci-C 8 alkyl, halogen, CrC 8 alkoxy, or with a phenyl group, which can optionally be substituted with halogen, d-C 8 alkyl, or d-C 8 alkoxy, or Z 1 and Z 2 , if possible
- R 1 , R 2 , R 3 and R 4 are independently of each other hydrogen, halogen, especially F, or Cl; nitro, cyano, CrC 4 alkyl, Ci-C 4 perfluoroalkyl, or CrC 4 alkoxy, -S-CrC 4 alkyl, -O-d- C 4 perfluoroalkyl, -SO 2 X 22 , -CO 2 H, -CO 2 X 22 , wherein X 22 is C r C 4 alkyl; C 6 H 4 CF 3 , cyclohexyl, optionally substituted C 6 -Ci 0 aryl, especially phenyl, optionally substituted -0-CH 2 -C 6 -Ci o aryl, especially benzyloxy, or optionally substituted -0-C 6 -Ci o aryl, especially phenoxy.
- R 1 is preferably hydrogen, halogen, especially F, or Cl; nitro, cyano, CrC 4 alkyl, d- C 4 perfluoroalkyl, or CrC 4 alkoxy.
- R 2 is preferably hydrogen, halogen, especially F, or Cl; nitro, cyano, CrC 4 alkyl, d- dperfluoroalkyl, d-C 4 alkoxy, -S-d-C 4 alkyl, -O-d-dperfluoroalkyl, -SO 2 X 22 , -CO 2 X 22 , wherein X 22 is Ci-C 4 alkyl; C 6 H 4 CF 3 , or optionally substituted -0-C 6 -Ci oaryl, especially phenoxy.
- R 3 is preferably hydrogen, halogen, especially F, or Cl; nitro, cyano, Ci-C 4 alkyl, d- dperfluoroalkyl, d-C 4 alkoxy, -S-d-C 4 alkyl, or -O-Ci-C 4 perfluoroalkyl.
- R 4 is preferably hydrogen, halogen, especially F, or Cl.
- the metal complexes comprise at least a nucleophilic carbene ligand, i.e. it may comprise two or three (or more) nucleophilic carbene ligands (L 1 ).
- ring C are or , wherein R 5 , Z 1 , Z 2 ,
- Z 3 , and Z 4 are as defined above.
- R 5 is preferably optionally substituted C 6 -Ci 0 aryl, especially phenyl.
- Z 1 is preferably d-C 4 perfluoroalkyl, or optionally substituted C 6 -Ci o aryl, especially phenyl.
- R 5 is optionally substituted C 6 -Cioaryl, especially phenyl and Z 1 is Ci-C 4 perfluoroalkyl.
- An optionally substituted C 6 -Ci o aryl group is especially a phenyl group, which is substituted by one or more Ci-C 4 alkyl groups, Ci-C 4 perfluoroalkyl groups and/or fluorine atoms.
- ligands L 1 are or
- R 1 is hydrogen, halogen, especially F, or Cl; nitro, cyano, CrC 4 alkyl, Ci-C 4 perfluoroalkyl, or
- R 2 is hydrogen, halogen, especially F, or Cl; nitro, cyano, CrC 4 alkyl, Ci-C 4 perfluoroalkyl, d-
- R 3 is hydrogen, halogen, especially F, or Cl; nitro, cyano, C r C 4 alkyl, Ci-C 4 perfluoroalkyl, C r
- R 4 is hydrogen, halogen, especially F, or Cl;
- R 5 is optionally substituted C 6 -Ci 0 aryl, CrC 4 alkyl, Ci-C 4 perfluoroalkyl, CrC 4 alkoxy, or -O-Ci- C 4 perfluoroalkyl, especially phenyl, and
- Z 1 is Ci-C 4 perfluoroalkyl, or optionally substituted C 6 -Ci 0 aryl, especially phenyl.
- the present invention is directed to metal complexes comprising at least one ligand derived from a nucleophilic carbene (L 1 ) and at least one ligand of formula
- the preferred ring B includes a phenyl group, a substituted phenyl group, a naphthyl group, a substituted naphthyl group, a fury I group, a substituted fury I group, a benzofur ⁇ l group, a substituted benzofur ⁇ l group, a thienyl group, a substituted thienyl group, a benzothienyl group, a substituted benzothienyl group, and the like.
- the substitutent on the substituted phenyl group, substituted naphthyl group, substituted furyl group, substituted benzofur ⁇ l group, substituted thienyl group, and substituted benzothien ⁇ l group include Ci-C 24 alk ⁇ l groups, C 2 -C 24 alken ⁇ l groups, C 2 -C 24 alk ⁇ n ⁇ l groups, ar ⁇ l groups, heteroaryl groups, d- C 24 alkox ⁇ groups, C r C 24 alk ⁇ lthio groups, a c ⁇ ano group, C 2 -C 24 ac ⁇ l groups, C r C 24 alk ⁇ lox ⁇ carbon ⁇ l groups, a nitro group, halogen atoms, alkylenedioxy groups, and the like.
- the ligand (L 2 ) is preferabl ⁇ a group of formula
- R 6 , R 7 , R 8 , and R 9 are independentl ⁇ of each other h ⁇ drogen
- R 205 , R 206 , R 207 and R 208 are independently of each other H, or C r
- the ring A represents an optionally substituted aryl or heteroaryl group; or the ring A may be taken with the pyridyl group binding to the ring A to form a ring; the alkyl group, alkenyl group, alkynyl group, aryl group, heteroaryl group, alkoxy group, alkylthio group, acyl group, and alkyloxycarbonyl group represented by R 6 , R 7 , R 8 , and R 9 may be substituted.
- Y is S, O, NR 200 , wherein R 200 is hydrogen, cyano, CrC 4 alkyl, C 2 -C 4 alkenyl, optionally substituted C 6 -Cioaryl, especially phenyl, -(CH 2 )r
- Ar is an optionally substituted C 6 -Cioaryl, especially
- r" is O, or 1; -NH-Ph, -C(O)CH 3 , -CH 2 -O-(CH2)2-Si(CH3) 3j or
- a 22 is hydrogen, or C 6 -Ci 0 aryl
- a 23 is hydrogen, or C 6 -Ci 0 aryl
- a 24 is hydrogen, or
- R 208 are independently of each other H, or Ci-C 8 alkyl
- R 42 is H, F, Ci-C 4 alkyl, Ci-C 8 alkoxy, or Ci-C 4 perfluoroalkyl,
- R 43 is H, F, Ci-C 4 alkyl, Ci-C 8 alkoxy, Ci-C 4 perfluoroalkyl, or C 6 -Ci 0 aryl,
- R 44 is H, F, CrC 4 alkyl, CrC 8 alkoxy, or Ci-C 4 perfluoroalkyl, and
- R 45 is H, F, Ci-C 4 alkyl, CrC 8 alkoxy, or Ci-C 4 perfluoroalkyl.
- Another preferred class of ligands L 2 is a compound of formula
- R b is hydrogen, halogen, especially F, or Cl; nitro, CrC 4 alkyl, C r C 4 perfluoroalkyl, CrC 4 alkoxy, or optionally substituted C 6 -Ci 0 aryl, especially phenyl, R 7 is hydrogen, halogen, especially F, or Cl; CrC 4 alkyl, Ci-C 4 perfluoroalkyl, optionally substituted C 6 -Ci 0 aryl, especially phenyl, or optionally substituted C 6 -Cioperfluoroaryl, especially C 6 F 5 ,
- R 8 is hydrogen, CrC 4 alkyl, C r C 8 alkoxy, Ci-C 4 perfluoroalkyl, optionally substituted C 6 -Ci 0 aryl, especially phenyl, or optionally substituted C 6 -Ci 0 perfluoroaryl, especially C 6 F 5
- R 9 is hydrogen, halogen, especially F, or Cl; nitro, cyano, Ci-C 4 alkyl, Ci-C 4 perfluoroalkyl, C r C 4 alkoxy, or optionally substituted C 6 -Ci o aryl, especially phenyl
- a 10 is hydrogen, halogen, especially F, or Cl; nitro, cyano, d-C 4 alkyl, C 2 -C 4 alkenyl, C r C 4 perfluoroalkyl, -O-Ci-C 4 perfluoroalkyl, tri(CrC 4 alkyl)silanyl, especially tri(methyl)silanyl,
- a 11 is hydrogen, halogen, especially F, or Cl; nitro, cyano, C r C 4 alkyl, C 2 -C 4 alkenyl, C r C 4 perfluoroalkyl, -O-Ci-C 4 perfluoroalkyl, tri(CrC 4 alkyl)silanyl, especially tri(methyl)silanyl, optionally substituted C 6 -Ci 0 aryl, especially phenyl, or optionally substituted C 6 - Cioperfluoroaryl, especially C 6 F 5 ,
- L 2 are the following compounds (VI-1) to (VI-53):
- VI-6 (VI-6), (VI-7), (VI-8), (VI-9), (VI-10), (VI-26), (VI-27), (VI-28), or (VI-29), or
- the ligand L 3 is preferably a (monoanionic) bidentate ligand.
- these ligands have N, O, P, or S as coordinating atoms and form 5- or 6- membered rings when coordinated to the iridium.
- Suitable coordinating groups include amino, imino, amido, alkoxide, carboxylate, phosphino, thiolate, and the like.
- Suitable parent compounds for these ligands include ⁇ -dicarbonyls ( ⁇ -enolate ligands), and their N and S analogs; amino carboxylic acids(aminocarboxylate ligands); pyridine carboxylic acids (iminocarboxylate ligands); salicylic acid derivatives (salicylate ligands); hydroxyquinolines (hydroxyquinolinate ligands) and their S analogs; and diar ⁇ lphosphinoalkanols (diar ⁇ lphosphinoalkoxide ligands).
- R 11 and R 15 are independently of each other hydrogen, Ci-C 8 alkyl, C 6 -Ci 8 aryl, C 2 - Cioheteroaryl, or CrCsperfluoroalkyl,
- R 12 and R 16 are independently of each other hydrogen, or d-C 8 alkyl
- R 13 and R 17 are independently of each other hydrogen, Ci-C 8 alkyl, C 6 -Ci 8 aryl, C 2 - Cioheteroaryl, Ci-C 8 perfluoroalkyl, or CrC 8 alkoxy
- R 14 is Ci-C 8 alkyl, C 6 -Cioaryl, C 7 -Ci iaralkyl, or Ci-C 8 alkoxy
- R 18 is C 6 -Cioaryl
- R 19 is Ci-C 8 alkyl
- R 20 is Ci-C 8 alkyl, or C 6 -Ci o aryl
- R 21 is hydrogen, CrC 8 alkyl, or CrC 8 alkoxy, which may be partially or fully fluorinated
- R 22 and R 23 are independently of each other C n (HKF) 2n+ I, or C 6 (I-KF) 5
- R 24 can be the same or different
- R 46 is CrC 8 alkyl, C 6 -Ci 8 aryl, or C 6 -Ci 8 aryl, which is substituted by d-C 8 alkyl.
- hydroxyquinoline parent compounds HL 3
- HL 3 can be substituted with groups such as alkyl or alkoxy groups which may be partially or fully fluorinated.
- hydroxyquinolinate ligands include: 8-hydroxyquinolinate [8hq] 2-methyl-8-hydroxyquinolinate [Me-8hq] 10-hydroxybenzoquinolinate [10-hbq].
- R 1 , R 2 , R 3 and R 4 are hydrogen, or halogen, especially F, or Cl;
- R 5 is optionally substituted C 6 -Ci 0 aryl, CrC 4 alkyl, Ci-C 4 perfluoroalkyl, C r C 4 alkoxy, or -O-C r
- R 6 is hydrogen, halogen, especially F, or Cl; nitro, C r C 4 alkyl, Ci-C 4 perfluoroalkyl, C r C 4 alkoxy, or optionally substituted C 6 -Ci o aryl, especially phenyl,
- R 7 is hydrogen, halogen, especially F, or Cl; C r C 4 alkyl, Ci-C 4 perfluoroalkyl, optionally substituted C 6 -Ci o aryl, especially phenyl, or optionally substituted C 6 -Ci 0 perfluoroaryl, especially C 6 F 5 ,
- R 8 is hydrogen, C r C 4 alkyl, CrC 8 alkoxy, Ci-C 4 perfluoroalkyl, optionally substituted C 6 -Ci 0 aryl, especially phenyl, or optionally substituted C 6 -Ci 0 perfluoroaryl, especially C 6 F 5 ,
- R 9 is hydrogen, halogen, especially F, or Cl; nitro, cyano, C r C 4 alkyl, Ci-C 4 perfluoroalkyl, C r
- a 10 is hydrogen, halogen, especially F, or Cl; nitro, cyano, C r C 4 alkyl, C 2 -C 4 alkenyl, C r
- a 11 is hydrogen, halogen, especially F, or Cl; nitro, cyano, Ci-C 4 alkyl, C 2 -C 4 alkenyl, C r C 4 perfluoroalkyl, -O-Ci-C 4 perfluoroalkyl, tri(CrC 4 alkyl)silanyl, especially tri(methyl)silanyl, optionally substituted C 6 -Ci 0 aryl, especially phenyl, or optionally substituted C 6 -Ci 0 perfluoro- aryl, especially C 6 F 5 ,
- C 4 perfluoroalkyl tri(C r C 4 alkyl)silanyl, or optionally substituted C 6 -Ci 0 aryl, especially phenyl
- Z 1 is d-C 4 perfluoroalkyl, or optionally substituted C 6 -Ci o aryl, especially phenyl.
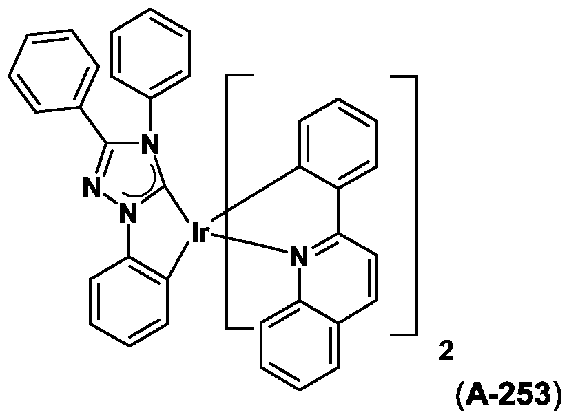
- Examples of specific compounds are compounds A-1 to A-320 and A'-1 to A'-320 (see claim 7). Special emphasis among them is given to compounds A-1 to A-58 and A-60 to A-79, especially A-1 , A-2, A-4 to A-7, A-10, A-12, A-17, A-18, A-23 to A-26, A-32, A-36, A-39, A-40, A-42, A-43, A-45, A-47 to A-50, A-53 to A-55, A-71, A-72, A-77, A-79.
- Examples for more preferred embodiments include compounds of the above formula (Ib) or especially (Ia) wherein R 1 , R 2 , R 3 , R 4 , R 6 and A 13 each are hydrogen;
- R 5 is optionally substituted C 6 -Ci 0 aryl such as phenyl
- Z 1 is CF 3 or phenyl or substituted phenyl
- M 1 is Co, or Fe, especially Ir, or Rh,
- R 1 , R 2 , R 3 and R 4 are hydrogen, or halogen, especially F, or Cl;
- R 5 is optionally substituted C 6 -Ci 0 aryl, CrC 4 alkyl, Ci-C 4 perfluoroalkyl, CrC 4 alkoxy, or -O-Ci-
- R 6 is hydrogen, halogen, especially F, or Cl; nitro, d-C 4 alkyl, Ci-C 4 perfluoroalkyl, d-
- R 7 is hydrogen, halogen, especially F, or Cl; C r C 4 alkyl, Ci-C 4 perfluoroalkyl, optionally substituted C 6 -Ci o aryl, especially phenyl, or optionally substituted C 6 -Ci 0 perfluoroaryl, especially C 6 F 5 ,
- R 8 is hydrogen, CrC 4 alkyl, CrC 8 alkoxy, Ci-C 4 perfluoroalkyl, optionally substituted C 6 -Ci 0 aryl, especially phenyl, or optionally substituted C 6 -Cioperfluoroaryl, especially C 6 F 5 ,
- R 9 is hydrogen, halogen, especially F, or Cl; nitro, cyano, CrC 4 alkyl, Ci-C 4 perfluoroalkyl, d-
- a 10 is hydrogen, halogen, especially F, or Cl; nitro, cyano, CrC 4 alkyl, C 2 -C 4 alkenyl, d-
- Cioperfluoroaryl especially C 6 F 5
- A is hydrogen, halogen, especially F, or Cl; nitro, cyano, CrC 4 alkyl, C 2 -C 4 alkenyl, d- C 4 perfluoroalkyl, -O-Ci-C 4 perfluoroalkyl, tri(C r C 4 alkyl)silanyl, especially tri(methyl)silanyl, optionally substituted C 6 -Ci o aryl, especially phenyl, or optionally substituted C 6 - Cioperfluoroaryl, especially C 6 F 5 ,
- Examples of specific compounds are compounds B-1 to B-110 or B'-1 to B'-79 (see claim 7). Special emphasis among them is given to compounds B'-1 to B'-79, especially B'-1, B'-2, B'- 4 to B'-7, B'-10, B'-12, B'-17, B'-18, B'-24 to B'-26, B'-32, B'-34, B'-36, B'-39, B'-40, B'-42, B'- 43, B'-45, B'-47 to B'-50, B'-53 to B'-55, B'-71, B'-72, B'-76, B'-78.
- M 1 is Co, or Fe, especially Ir, or Rh,
- R 1 , R 2 , R 3 and R 4 are hydrogen, or halogen, especially F, or Cl;
- R 5 is optionally substituted C 6 -Ci 0 aryl, CrC 4 alkyl, Ci-C 4 perfluoroalkyl, CrC 4 alkoxy, or -O-Ci-
- R 6 is hydrogen, halogen, especially F, or Cl; nitro, CrC 4 alkyl, Ci-C 4 perfluoroalkyl, d-
- R 7 is hydrogen, halogen, especially F, or Cl; CrC 4 alkyl, Ci-C 4 perfluoroalkyl, optionally substituted C 6 -Ci 0 aryl, especially phenyl, or optionally substituted C 6 -Cioperfluoroaryl, especially C 6 F 5 ,
- R 8 is hydrogen, C r C 4 alkyl, CrC 8 alkoxy, Ci-C 4 perfluoroalkyl, optionally substituted C 6 -Ci 0 aryl, especially phenyl, or optionally substituted C 6 -Ci 0 perfluoroaryl, especially C 6 F 5 ,
- R 9 is hydrogen, halogen, especially F, or Cl; nitro, cyano, C r C 4 alkyl, Ci-C 4 perfluoroalkyl, C r
- a 10 is hydrogen, halogen, especially F, or Cl; nitro, cyano, Ci-C 4 alkyl, C 2 -C 4 alkenyl, d- C 4 perfluoroalkyl, -O-Ci-C 4 perfluoroalkyl, tri(CrC 4 alkyl)silanyl, especially tri(methyl)silanyl, optionally substituted C 6 -Ci 0 aryl, especially phenyl, or optionally substituted C 6 - Cioperfluoroaryl, especially C 6 F 5 ,
- a 11 is hydrogen, halogen, especially F, or Cl; nitro, cyano, d-C 4 alkyl, C 2 -C 4 alkenyl, d- C 4 perfluoroalkyl, -O-Ci-C 4 perfluoroalkyl, tri(CrC 4 alkyl)s
- Examples of specific compounds are compounds C-1 to C-110 (see claim 7).
- Compounds of special industrial importance are those compounds C, corresponding to the above formula (Id) wherein M 1 is Ir, of the numbers 1-7, 9, 12, 17-18, 24, 32, 34, 36, 38-40, 42-43, 45, 47, 49-50, 53-54, 71-74, 76-77, 80-83, and 85-110.
- the metal complex of formula I is a
- Rh, R 1 is hydrogen, halogen, especially F, or Cl; nitro, cyano, CrC 4 alkyl, Ci-C 4 perfluoroalkyl, or CrC 4 alkoxy,
- R 2 is hydrogen, halogen, especially F, or Cl; nitro, cyano, CrC 4 alkyl, Ci-C 4 perfluoroalkyl, d-
- R 3 is hydrogen, halogen, especially F, or Cl; nitro, cyano, CrC 4 alkyl, Ci-C 4 perfluoroalkyl, d-
- R 4 is hydrogen, halogen, especially F, or Cl;
- R 5 is optionally substituted C 6 -Ci 0 aryl, C r C 4 alkyl, Ci-C 4 perfluoroalkyl, C r C 4 alkoxy, or -O-C r
- Z 1 is Ci-C 4 perfluoroalkyl, or optionally substituted C 6 -Ci 0 aryl, especially phenyl.
- Examples of specific compounds are compounds D-1 to D-90 (see claim 7); special emphasis among them is given to compounds D-1 to D-30, especially D-2 to D-4, D-6, D-8, D-9, D-11, D-22 to D-28, D-30. Of special industrial importance are those compounds D, corresponding to the above formula (Ie) wherein M 1 is Ir, of the numbers 1-4, 6, 8-9, 11 , 22- 24, 26-28, 31-34, 36, 38-39, 41, 52-54, 56-58, 61-64, 66, 68-69, 71, 82-84, 86-88.
- M 1 is Co, or Fe, especially Ir, or Rh
- R 1 is hydrogen, halogen, especially F, or Cl
- R 2 is hydrogen, halogen, especially F, or Cl
- R 3 is hydrogen, halogen, especially F, or Cl; nitro, cyano, CrC 4 alkyl, Ci-C 4 perfluoroalkyl, d-
- R 4 is hydrogen, halogen, especially F, or Cl;
- R 5 is optionally substituted C 6 -Ci 0 aryl, C r C 4 alkyl, C r C 4 perfluoroalkyl, C r C 4 alkoxy, or -O-d-
- Z 1 is Ci-C 4 perfluoroalkyl, or optionally substituted C 6 -Ci 0 aryl, especially phenyl.
- Examples of specific compounds are compounds E-1 to E-90 (see claim 7); special emphasis among them is given to compounds E-1 to E-30, especially E-2 to E-4, E-6, E-8, E- 9, E-11, E-22 to E-29. Of special industrial importance are those compounds E, corresponding to the above formula (If) wherein M 1 is Ir, of the numbers 1-4, 6, 8-9, 11, 22- 24, 26-28, 31-34, 36, 38-39, 41, 52-54, 56-58, 61-64, 66, 68-69, 71, 82-84, 86-88.
- Rh, R 1 is hydrogen, halogen, especially F, or Cl; nitro, cyano, C r C 4 alkyl, Ci-C 4 perfluoroalkyl, or CrC 4 alkoxy,
- R 2 is hydrogen, halogen, especially F, or Cl; nitro, cyano, C r C 4 alkyl, Ci-C 4 perfluoroalkyl, d-
- R 3 is hydrogen, halogen, especially F, or Cl; nitro, cyano, CrC 4 alkyl, Ci-C 4 perfluoroalkyl, d- dalkoxy, -S-d-C 4 alkyl, or -0-d-dperfluoroalkyl,
- R 4 is hydrogen, halogen, especially F, or Cl;
- R 5 is optionally substituted C 6 -Ci 0 aryl, Ci-C 4 alkyl, d-dperfluoroalkyl, Ci-C 4 alkoxy, or -O-Ci- dperfluoroalkyl, especially phenyl, and
- Z 1 and Z 2 are independently of each other selected from the group consisting of hydrogen, Ci-C 24 alkyl, C r C 24 halogenalkyl, Ci-C 8 perfluoroalkyl, C 2 -C 24 alkenyl, C 2 -C 24 alkynyl, C 2 - C 24 alkoxycarbonyl, aryl, aryl which can be substituted, Ci-C 24 carboxylate, Ci-C 24 alkoxy, C 2 - C 24 alkenyloxy, C 2 -C 24 alkynyloxy, or aryloxy.
- Z 1 and Z 2 optionally being substituted with Ci-C 8 alkyl, halogen, Ci-C 8 alkoxy, or with a phenyl group, which can optionally be substituted with halogen, d-C 8 alkyl, or CrC 8 alkoxy, or Z 1 and Z 2 , if possible, form an aromatic or heteroaromatic ring.
- Z 1 is preferably Ci-C 4 perfluoroalkyl, or optionally substituted C 6 -Ci o aryl, especially phenyl.
- Examples of specific compounds are compounds F-1 to F-30 (see claim 7). Of special industrial importance are those compounds F, corresponding to the above formula (Ig) wherein M 1 is Ir, of the numbers 1-4, 6, 8-9, 11 , 22-24, 26-28.
- Rh, R 1 is hydrogen, halogen, especially F, or Cl; nitro, cyano, CrC 4 alkyl, Ci-C 4 perfluoroalkyl, or CrC 4 alkoxy,
- R 2 is hydrogen, halogen, especially F, or Cl; nitro, cyano, CrC 4 alkyl, Ci-C 4 perfluoroalkyl, d-
- R 3 is hydrogen, halogen, especially F, or Cl; nitro, cyano, CrC 4 alkyl, Ci-C 4 perfluoroalkyl, d-
- R 4 is hydrogen, halogen, especially F, or Cl;
- R 5 is optionally substituted C 6 -Ci 0 aryl, CrC 4 alkyl, Ci-C 4 perfluoroalkyl, CrC 4 alkoxy, or -O-d-
- Z 1 , Z 2 , Z 3 , Z 4 , and Z 5 are independently of each other selected from the group consisting of hydrogen, CrC 24 alkyl, CrC 24 halogenalkyl, Ci-C 8 perfluoroalkyl, C 2 -C 24 alkenyl, C 2 -C 24 alkynyl,
- Z 1 is preferably Ci-C 4 perfluoroalkyl, or optionally substituted C 6 -Ci 0 aryl, especially phenyl.
- Examples of specific compounds are compounds G-1 to G-30 (see claim 7).
- M 1 is Ni, Rh, or Ru, especially Pd, or Pt,
- R 1 , R 2 , R 3 and R 4 are hydrogen, or halogen, especially F, or Cl;
- R 5 is optionally substituted C 6 -Ci 0 aryl, C r C 4 alkyl, Ci-C 4 perfluoroalkyl, C r C 4 alkoxy, or -O-C r
- R 6 is hydrogen, halogen, especially F, or Cl; nitro, C r C 4 alkyl, Ci-C 4 perfluoroalkyl, C r C 4 alkoxy, or optionally substituted C 6 -Ci o aryl, especially phenyl,
- R 7 is hydrogen, halogen, especially F, or Cl; C r C 4 alkyl, Ci-C 4 perfluoroalkyl, optionally substituted C 6 -Ci o aryl, especially phenyl, or optionally substituted C 6 -Ci 0 perfluoroaryl, especially C 6 F 5 ,
- R 8 is hydrogen, CrC 4 alkyl, CrC 8 alkoxy, Ci-C 4 perfluoroalkyl, optionally substituted C 6 -Ci 0 aryl, especially phenyl, or optionally substituted C 6 -Cioperfluoroaryl, especially C 6 F 5 ,
- R 9 is hydrogen, halogen, especially F, or Cl; nitro, cyano, CrC 4 alkyl, Ci-C 4 perfluoroalkyl, d-
- a 10 is hydrogen, halogen, especially F, or Cl; nitro, cyano, C r C 4 alkyl, C 2 -C 4 alkenyl, C r
- Cioperfluoroaryl especially C 6 F 5 .
- a 11 is hydrogen, halogen, especially F, or Cl; nitro, cyano, C r C 4 alkyl, C 2 -C 4 alkenyl, C r
- A is hydrogen, halogen, especially F, or Cl; nitro, hydroxy, mercapto, amino, Ci-C 4 alkyl, C 2 - C 4 alkenyl, Ci-C 4 perfluoroalkyl, CrC 4 alkoxy, -O-Ci-C 4 perfluoroalkyl, -S-CrC 4 alkyl, a group - (CH 2 ) r X 20 , wherein r is 1 , or 2, X 20 is halogen, especially F, or Cl; hydroxy, cyano, -O-d- C 4 alkyl,
- Examples of specific compounds are compounds H-1 to H-320 and H'-1 to H'-330 (see claim 7); special emphasis among them is given to compounds H-1 to H-58, H-60 to H-79, H'-1 to H'-58, and H'-60 toH'-79; especially to H-1 , H-2, H-4 to H-7, H-10, H-12, H-17, H-18, H-24 to H-26, H-32, H-34, H-36, H-39, H-40, H-42, H-43, H-45, H-47 to 50, H-53 to H-55, H-71, H-72, H-76, H-78, H'-1, H'-2, H'-4 to H'-7, H'-10, H'-12, H'-17, H'-18, H'-24 to H'-26, H'-32, H'-34, H'-36, H'-39, H'-40, H'-42, H'-43, H'-45, H'-47 to H'-50, H'-
- R 5 is optionally substituted C 6 -Ci 0 aryl, CrC 4 alkyl, C r C 4 perfluoroalkyl, C r C 4 alkoxy, or -O-d- C 4 perfluoroalkyl, especially phenyl
- R 6 is hydrogen, halogen, especially F, or Cl
- nitro C r C 4 alkyl, C r C 4 perfluoroalkyl, d- C 4 alkoxy, or optionally substituted C 6 -Ci o aryl, especially phenyl
- R 7 is hydrogen, halogen, especially F, or Cl
- R 8 is hydrogen, CrC 4 alkyl, CrC 8 alkoxy, Ci-C 4 per
- a 11 is hydrogen, halogen, especially F, or Cl; nitro, cyano, C r C 4 alkyl, C 2 -C 4 alkenyl, d- C 4 perfluoroalkyl, -O-Ci-C 4 perfluoroalkyl, tri(CrC 4 alkyl)silanyl, especially tri(methyl)silanyl, optionally substituted C 6 -Ci 0 aryl, especially phenyl, or optionally substituted C 6 - Cioperfluoroaryl, especially C 6 F 5 ,
- each of Z 1 and Z 2 optionally being substituted with d-C 8 alkyl, halogen, d-C 8 alkoxy, or with a phenyl group, which can optionally be substituted with halogen, Ci-C 8 alkyl, or Ci-C 8 alkoxy, or Z 1 and Z 2 , if possible, form an aromatic or heteroaromatic ring.
- Examples of specific compounds are compounds 1-1 to 1-110 (see claim 7). Of special industrial importance are those compounds I, corresponding to the above formula (Ik) wherein M 1 is Pt, of the numbers 1-7, 9, 12, 17-18, 24, 32, 34, 36, 38-40, 42-43, 45, 47, 49- 50, 53-54, 71-74, 76-77, 80-83, 85-110.
- M 1 is Ni, Rh, or Ru, especially Pd, or Pt,
- R 1 , R 2 , R 3 and R 4 are hydrogen, or halogen, especially F, or Cl;
- R 5 is optionally substituted C 6 -Ci 0 aryl, CrC 4 alkyl, Ci-C 4 perfluoroalkyl, CrC 4 alkoxy, or -O-Ci-
- C 4 perfluoroalkyl, especially phenyl, R 6 is hydrogen, halogen, especially F, or Cl; nitro, d-C 4 alkyl, Ci-C 4 perfluoroalkyl, d-
- R 7 is hydrogen, halogen, especially F, or Cl; C r C 4 alkyl, Ci-C 4 perfluoroalkyl, optionally substituted C 6 -Ci o aryl, especially phenyl, or optionally substituted C 6 -Ci 0 perfluoroaryl, especially C 6 F 5 , R 8 is hydrogen, CrC 4 alkyl, CrC 8 alkoxy, Ci-C 4 perfluoroalkyl, optionally substituted C 6 -Ci 0 aryl, especially phenyl, or optionally substituted C 6 -Cioperfluoroaryl, especially C 6 F 5 ,
- R 9 is hydrogen, halogen, especially F, or Cl; nitro, cyano, CrC 4 alkyl, Ci-C 4 perfluoroalkyl, d-
- a 10 is hydrogen, halogen, especially F, or Cl; nitro, cyano, CrC 4 alkyl, C 2 -C 4 alkenyl, d- C 4 perfluoroalkyl, -O-Ci-C 4 perfluoroalkyl, tri(C r C 4 alkyl)silanyl, especially tri(methyl)silanyl, optionally substituted C 6 -Ci o aryl, especially phenyl, or optionally substituted C 6 -
- Cioperfluoroaryl especially C 6 F 5 .
- a 11 is hydrogen, halogen, especially F, or Cl; nitro, cyano, CrC 4 alkyl, C 2 -C 4 alkenyl, d- dperfluoroalkyl, -O-Ci-C 4 perfluoroalkyl, tri(C r C 4 alkyl)silanyl, especially tri(methyl)silanyl, optionally substituted C 6 -Ci o aryl, especially phenyl, or optionally substituted C 6 -
- Examples of specific compounds are compounds J-1 to J-110 (see claim 7). Of special industrial importance are those compounds J, corresponding to the above formula (II) wherein M 1 is Pt, of the numbers 1-7, 9, 12, 17-18, 24, 32, 34, 36, 38-40, 42-43, 45, 47, 49- 50, 53-54, 71-74, 76-77, 80-83, 85-110.
- R 1 is hydrogen, halogen, especially F, or Cl; nitro, cyano, CrC 4 alkyl, Ci-C 4 perfluoroalkyl, or CrC 4 alkoxy,
- R 2 is hydrogen, halogen, especially F, or Cl; nitro, cyano, Ci-C 4 alkyl, Ci-C 4 perfluoroalkyl, d-
- R 3 is hydrogen, halogen, especially F, or Cl; nitro, cyano, CrC 4 alkyl, Ci-C 4 perfluoroalkyl, d-
- R 4 is hydrogen, halogen, especially F, or Cl;
- R 5 is optionally substituted C 6 -Ci 0 aryl, C r C 4 alkyl, Ci-C 4 perfluoroalkyl, C r C 4 alkoxy, or -O-d-
- Z 1 is Ci-C 4 perfluoroalkyl, or optionally substituted C 6 -Ci 0 aryl, especially phenyl.
- Examples of specific compounds are compounds K-1 to K-90 and K'-1 to K'-90 (see claim 7); special emphasis among them is given to compounds K-1 to K-30 and K'-1 to K'-30; especially to K-2 to K-4, K-6, K-8, K-9, K-11, K-15, K-22 to K-28, K'-2 to K'-4, K'-6, K'-8, K'-9,
- K'-11, K'-15, K'-22 to K'-28 are those compounds K and K', corresponding to the above formulae (Im) and (In) wherein M 1 is Pt, of the numbers 1-6, 8-9,
- M 1 is Ni, Rh, or Ru, especially Pd, or Pt
- R 1 is hydrogen, halogen, especially F, or Cl
- R 2 is hydrogen, halogen, especially F, or Cl; nitro, cyano, CrC 4 alkyl, Ci-C 4 perfluoroalkyl, d-
- R 3 is hydrogen, halogen, especially F, or Cl; nitro, cyano, Ci-C 4 alkyl, d-dperfluoroalkyl, d- dalkoxy, -S-d-C 4 alkyl, or -O-Ci-C 4 perfluoroalkyl,
- R 4 is hydrogen, halogen, especially F, or Cl;
- R 5 is optionally substituted C 6 -Ci 0 aryl, C r C 4 alkyl, d-dperfluoroalkyl, C r C 4 alkoxy, or -O-d- dperfluoroalkyl, especially phenyl, and Z 1 and Z 2 are independently of each other selected from the group consisting of hydrogen, CrC 24 alkyl, CrC 24 halogenalkyl, Ci-C 8 perfluoroalkyl, C 2 -C 24 alkenyl, C 2 -C 24 alkynyl, C 2 - C 24 alkoxycarbonyl, aryl, aryl which can be substituted, Ci-C 24 carboxylate, Ci-C 24 alkoxy, C 2 - C 24 alkenyloxy, C 2 -C 24 alkynyloxy, or aryloxy.
- Z 1 and Z 2 optionally being substituted with Ci-C 8 alkyl, halogen, Ci-C 8 alkoxy, or with a phenyl group, which can optionally be substituted with halogen, d-C 8 alkyl, or CrC 8 alkoxy, or Z 1 and Z 2 , if possible, form an aromatic or heteroaromatic ring.
- Z 1 is preferably Ci-C 4 perfluoroalkyl, or optionally substituted C 6 -Ci o aryl, especially phenyl.
- Examples of specific compounds are compounds L-1 to L-30 (see claim 7). Of special industrial importance are those compounds L corresponding to the above formula (lo) wherein M 1 is Pt, of the numbers 1-6, 8-9, 11 , 22-24, 26-28.
- R 1 is hydrogen, halogen, especially F, or Cl; nitro, cyano, CrC 4 alkyl, Ci-C 4 perfluoroalkyl, or
- R 2 is hydrogen, halogen, especially F, or Cl; nitro, cyano, CrC 4 alkyl, Ci-C 4 perfluoroalkyl, d-
- R 3 is hydrogen, halogen, especially F, or Cl; nitro, cyano, CrC 4 alkyl, Ci-C 4 perfluoroalkyl, C r
- R 4 is hydrogen, halogen, especially F, or Cl;
- R 5 is optionally substituted C 6 -Ci 0 aryl, CrC 4 alkyl, Ci-C 4 perfluoroalkyl, CrC 4 alkoxy, or -O-Ci- C 4 perfluoroalkyl, especially phenyl, and
- Z 1 , Z 2 , Z 3 and Z 4 are independently of each other selected from the group consisting of hydrogen, CrC 24 alkyl, CrC 24 halogenalkyl, Ci-C 8 perfluoroalkyl, C 2 -C 24 alkenyl, C 2 -C 24 alkynyl,
- Z 1 is preferably Ci-C 4 perfluoroalkyl, or optionally substituted C 6 -Ci o aryl, especially phenyl.
- Examples of specific compounds are compounds M-1 to M-30 (see claim 7). Of special industrial importance are those compounds L corresponding to the above formula (Ip) wherein M 1 is Pt, of the numbers 1-6, 8-9, 11 , 22-24, 26-28.
- Halogen is fluorine, chlorine, bromine and iodine.
- CrC 24 alkyl is a branched or unbranched radical such as for example methyl, ethyl, propyl, isopropyl, n-butyl, sec-butyl, isobutyl, tert-butyl, 2-ethylbutyl, n-pentyl, isopentyl, 1 -methyl pentyl, 1,3-dimethylbutyl, n-hexyl, 1 -methyl hexyl, n-heptyl, isoheptyl, 1 ,1 ,3,3-tetramethylbutyl, 1 -methyl heptyl, 3-methylheptyl, n-octyl, 2-ethylhexyl, 1,1,3- trimethylhexyl, 1 ,1 ,3,3-tetramethylpentyl, nonyl, decyl, undecyl, 1-methylundecyl,
- Ci-C 24 perfluoroalkyl is a branched or unbranched radical such as for example -CF 3 , -CF 2 CF 3 , -CF 2 CF 2 CF 3, -CF(CF 3 ) 2, -(CF 2 ) 3 CF 3 , and -C(CF 3 ) 3 .
- C r C 24 alkoxy radicals are straight-chain or branched alkoxy radicals, e.g. methoxy, ethoxy, n- propoxy, isopropoxy, n-butoxy, sec-butoxy, tert-butoxy, amyloxy, isoamyloxy or tert-amyloxy, heptyloxy, octyloxy, isooctyloxy, nonyloxy, decyloxy, undecyloxy, dodecyloxy, tetradecyloxy, pentadecyloxy, hexadecyloxy, heptadecyloxy and octadecyloxy.
- C 2 -C 24 alkenyl radicals are straight-chain or branched alkenyl radicals, such as e.g. vinyl, allyl, methallyl, isopropenyl, 2-butenyl, 3-butenyl, isobutenyl, n-penta-2,4-dienyl, 3-methyl-but-2- enyl, n-oct-2-enyl, n-dodec-2-enyl, isododecenyl, n-dodec-2-enyl or n-octadec-4-enyl.
- alkenyl radicals such as e.g. vinyl, allyl, methallyl, isopropenyl, 2-butenyl, 3-butenyl, isobutenyl, n-penta-2,4-dienyl, 3-methyl-but-2- enyl, n-oct-2-enyl, n-d
- C 2-24 alkynyl is straight-chain or branched and preferably C 2-8 alkynyl, which may be unsubstituted or substituted, such as, for example, ethynyl, 1-propyn-3-yl, 1-butyn-4-yl, 1-pentyn-5-yl, 2-methyl-3-butyn-2-yl, 1,4-pentadiyn-3-yl, 1,3-pentadiyn-5-yl, 1-hexyn-6-yl, cis-3-methyl-2-penten-4-yn-1 -yl, trans-3-methyl-2-penten-4-yn-1 -yl, 1 ,3-hexadiyn-5-yl, 1-octyn-8-yl, 1-nonyn-9-yl, 1-decyn-10-yl, or 1-tetracosyn-24-yl.
- C 4 -Ci ⁇ cycloalkyl is preferably C 5 -d 2 cycloalkyl or said cycloalkyl substituted by one to three Ci-C 4 alkyl groups, such as, for example, cyclopentyl, methyl- cyclopentyl, dimethylcyclopentyl, cyclohexyl, methylcyclohexyl, dimethylcyclohexyl, trimethyl- cyclohexyl, tert-butylcyclohexyl, cycloheptyl, cyclooctyl, cyclononyl, cyclodecyl, cyclododecyl, 1-adamantyl, or 2-adamantyl. Cyclohexyl, 1-adamantyl and cyclopentyl are most preferred.
- C 4 -Ci 8 cycloalkyl which is interrupted by S, O, or NR 5 , are piperidyl, piperazinyl and morpholinyl.
- Aryl is usually C 6 -C 3 oaryl, preferably C 6 -C 24 aryl, which optionally can be substituted, such as, for example, phenyl, 4-methylphenyl, 4-methoxyphenyl, naphthyl, biphenylyl, 2-fluorenyl, phenanthryl, anthryl, tetracyl, pentacyl, hexacyl, terphenylyl or quadphenylyl; or phenyl substituted by one to three Ci-C 4 alkyl groups, for example o-, m- or p-methylphenyl, 2,3- dimethylphenyl, 2,4-dimethylphenyl, 2,5-dimethylphenyl, 2,6-dimethylphenyl, 3,4- dimethylphenyl, 3,5-dimethylphenyl, 2-methyl-6-ethylphenyl, 4-tert-butylphenyl, 2-ethylphenyl or 2,6-diethyl
- C 7 -C 24 aralkyl radicals are preferably C 7 -d 5 aralkyl radicals, which may be substituted, such as, for example, benzyl, 2-benzyl-2-propyl, ⁇ -phenethyl, ⁇ -methyl benzyl, ⁇ , ⁇ -di methyl benzyl, ⁇ -phenyl-butyl, ⁇ -phenyl-octyl, ⁇ -phenyl-dodecyl; or phenyl-CrC 4 alkyl substituted on the phenyl ring by one to three C r C 4 alkyl groups, such as, for example, 2-methylbenzyl, 3- methylbenzyl, 4-methyl benzyl, 2,4-dimethylbenzyl, 2,6-dimethylbenzyl or 4-tert-butylbenzyl.or 3-methyl-5-(1 ",1 '.S' ⁇ '-tetramethyl-butyO-benzyl.
- Heteroaryl is typically C 2- C 26 heteroaryl, i.e. a ring with five to seven ring atoms or a condensed rig system, wherein nitrogen, oxygen or sulfur are the possible hetero atoms, and is typically an unsaturated heterocyclic radical with five to 30 atoms having at least six conjugated ⁇ -electrons such as thienyl, benzo[b]thienyl, dibenzo[b,d]thienyl, thianthrenyl, furyl, furfuryl, 2H-pyranyl, benzofuranyl, isobenzofuranyl, dibenzofuranyl, phenoxythienyl, pyrrolyl, imidazolyl, pyrazolyl, pyridyl, bipyridyl, triazinyl, pyrimidinyl, pyrazinyl, pyridazinyl, indolizinyl, isoindolyl, indolyl, ind
- C 6 -Ci scycloalkoxy is, for example, cyclopentyloxy, cyclohexyloxy, cycloheptyloxy or cyclooctyloxy, or said cycloalkoxy substituted by one to three C r C 4 alkyl, for example, methylcyclopentyloxy, dimethylcyclopentyloxy, methylcyclohexyloxy, dimethylcyclohexyloxy, trimethylcyclohexyloxy, or tert-butylcyclohexyloxy.
- C 6 -C 24 aryloxy is typically phenoxy or phenoxy substituted by one to three C r C 4 alkyl groups, such as, for example o-, m- or p-methyl phenoxy, 2,3-dimethylphenoxy, 2,4-dimethylphenoxy, 2,5-dimethylphenoxy, 2,6-dimethylphenoxy, 3,4-dimethylphenoxy, 3,5-dimethylphenoxy, 2- methyl-6-ethylphenoxy, 4-tert-butyl phenoxy, 2-ethyl phenoxy or 2,6-diethylphenoxy.
- C 6 -C 24 aralkoxy is typically phenyl-CrC 9 alkoxy, such as, for example, benzyloxy, ⁇ - methylbenzyloxy, ⁇ , ⁇ -dimethylbenzyloxy or 2-phenylethoxy.
- Ci-C 24 alkylthio radicals are straight-chain or branched alkylthio radicals, such as e.g.
- Examples of a ring formed by Z 3 , Z 4 , Z 5 and Z 6 are cycloalkanes having from 3 to 7 carbon atoms or heterocycloalkanes having from 3 to 6 carbon atoms which can have one or more additional hetero atoms selected from nitrogen, oxygen and sulfur, for example, cyclopentane, cyclohexane, pyrrolidine, pyrimidine, or morpholine, which can optionally be substituted by one or more C r C 8 alkyl groups.
- Examples of a ring formed by Z 1 and Z 2 are aryl groups having from 6 to 10 carbon atoms which can have one or more additional hetero atoms selected from nitrogen, oxygen and sulfur, and which can optionally be substituted by, for example, one or more C r C 8 alkyl groups, such as benzene.
- Possible substituents of the above-mentioned groups are CrC 8 alkyl, a hydroxyl group, a mercapto group, CrC 8 alkoxy, C r C 8 alkylthio, halogen, halo-C r C 8 alkyl, a cyano group, an aldehyde group, a ketone group, a carboxyl group, an ester group, a carbamoyl group, an amino group, a nitro group or a silyl group.
- haloalkyl means groups given by partially or wholly substituting the above-mentioned alkyl group with halogen, such as trifluoromethyl etc.
- the "aldehyde group, ketone group, ester group, carbamoyl group and amino group” include those substituted by an C r C 24 alkyl group, a C 4 -Ci 8 cycloalkyl group, an C 6 -C 30 aryl group, an C 7 -C 24 aralkyl group or a heterocyclic group, wherein the alkyl group, the cycloalkyl group, the aryl group, the aralkyl group and the heterocyclic group may be unsubstituted or substituted.
- sil group means a group of formula -SiR 105 R 106 R 107 , wherein R 105 , R 106 and R 107 are independently of each other a d-C 8 alkyl group, in particular a C r C 4 alkyl group, a C 6 -C 24 aryl group or a C 7 -d 2 aralkylgroup, such as a tri methyl si IyI group.
- the synthesis of the tetrakis-(C ⁇ N)- ⁇ -(dichloro)-diiridium(lll) complexes can, for example, be done according to the procedure described in M. Nonoyama, Bull. Chem. Soc Jp. 1974, 47, 767, or M. E. Thompson et al., J. Am. Chem. Soc, 2001, 123, 4304.
- the (C ⁇ N) ligand (L 2 ) is stirred in the presence of iridium(lll) chloride in a mixture of ethanol/water at 120 0 C for 8 to 24 hours. After filtration a product is obtained which is used in the next step of the synthesis without further purification.
- the carbene is created from 5-methoxy-1 J 3 J 4-triphenyl-1 J 2,4(5H)-triazoline J it is obtained by heating of 5-methoxy-1 ,3,4-triphenyl-i ,2,4(5H)-triazoline at 80 0 C for 8 to 24 hours.
- the iridium dimer of formula X is added to a solution of the carbene in toluene, whereby the iridium complex of formula Xl is obtained.
- the iridium complex of formula Xl can be purified by chromatography, or precipitation, for example, in hexane.
- 5-methoxy-1 ,3,4-triphenyl-1 ,2,4(5H)-triazoline is commercially available or can be prepared according to the procedure described in gemass D. Ender et al., Synthesis 2003, ⁇ , 1292.
- the synthesis of the tris-cyclometalated Ir(III) complexes can be done according to the procedure by M. E. Thompson et al., J. Am. Chem. Soc, 2003, 125, 7377, by heating the tetrakis-(C ⁇ N)- ⁇ -(dichloro)-diiridium(lll) complexes in the presence of appropriate cyclometalating ligand and a base, like potassium carbonate in glycerol or by the reaction of cyclometalating ligand in the presence if lr(acac) 3 at elevated temperature as described by S. Kwon et al. in Eur. J. Inorg. Chem. 2004, 3415 or by R. J.
- the tris-cyclometalated Ir(III) complexes can be prepared as described by M. C. DeRosa et al. in J. Am. Chem. Soc, 2004, 126, 7619, by the reaction of the tetrakis- (C ⁇ N)- ⁇ -(dichloro)-diiridium(lll) with silver triflate and subsequent treatment with the appropriate cyclometalating ligand.
- Dichloride-bridged dimers of the general structure C ⁇ ⁇ /Pt( ⁇ -CI) 2 PtC ⁇ ⁇ / can be done according to the procedure described by M. E. Thompson et al. in lnorg. Chem., 2002, 41 (12), 3055 by the reaction of potassium tetrachloroplatinate with a cyclometalating ligand precursor (HCN) in 2-ethoxyethanol.
- the present invention is also directed to an electronic device comprising the metal complex and its fabrication process.
- the electronic device can comprise at least one organic active material positioned between two electrical contact layers, wherein at least one of the layers of the device includes the metallic complex compound.
- the electronic device can comprise an anode layer (a), a cathode layer (e), and an active layer (c). Adjacent to the anode layer (a) is an optional hole-injecting/transport layer (b), and adjacent to the cathode layer (e) is an optional electron-injection/transport layer (d). Layers (b) and (d) are examples of charge transport layers.
- the active layer (c) can comprise at least approximately 1 weight percent of metal complex previously described.
- the active layer (c) may be substantially 100% of the metal complex because a host charge transporting material, such as AIq 3 is not needed.
- a host charge transporting material such as AIq 3
- substantially 100% it is meant that the metal complex is the only material in the layer, with the possible exception of impurities or adventitious by-products from the process to form the layer.
- the metal complex may be a dopant within a host material, which is typically used to aid charge transport within the active layer (c).
- the active layer (c), including any of the metal complexes, can be a small molecule active material.
- the device may include a support or substrate (not shown) adjacent to the anode layer (a) or the cathode layer (e). Most frequently, the support is adjacent the anode layer (a).
- the support can be flexible or rigid, organic or inorganic. Generally, glass or flexible organic films are used as a support.
- the anode layer (a) is an electrode that is more efficient for injecting holes compared to the cathode layer (e).
- the anode can include materials containing a metal, mixed metal, alloy, metal oxide or mixed-metal oxide. Suitable metal elements within the anode layer (a) can include the Groups 4, 5, 6, and 8-11 transition metals.
- anode layer (a) is to be light transmitting, mixed-metal oxides of Groups 12, 13 and 14 metals, such as indium-tin-oxide, may be used.
- Some non-limiting, specific examples of materials for anode layer (a) include indium-tin-oxide ("ITO"), aluminum-tin-oxide, gold, silver, copper, nickel, and selenium.
- the anode layer (a) may be formed by a chemical or physical vapor deposition process or spin-cast process. Chemical vapor deposition may be performed as a plasma-enhanced chemical vapor deposition ("PECVD") or metal organic chemical vapor deposition (“MOCVD").
- PECVD plasma-enhanced chemical vapor deposition
- MOCVD metal organic chemical vapor deposition
- Physical vapor deposition can include all forms of sputtering (e. g., ion beam sputtering), e- beam evaporation, and resistance evaporation.
- physical vapor deposition examples include rf magnetron sputtering or inductively- coupled plasma physical vapor deposition("ICP- PVD"). These deposition techniques are well-known within the semiconductor fabrication arts.
- a hole-transport layer (b) may be adjacent the anode. Both hole transporting small molecule compounds and polymers can be used.
- Commonly used hole transporting molecules include: polyvinyl-carbazol, N, N'-diphenyl-N, N'-bis(3-methylphenyl)-[1 , 1 '-biphenylH ⁇ '-diamine (TPD), 1 , 1 -bis[(di-4- tolylamino)phenyl]cyclohexane (TAPC), N,N'-bis(4-methylphenyl)-N,N 1 -bis(4-ethylphenyl)- [i.r- ⁇ .S'-dimethyObiphenyi ⁇ '-diamine (ETPD), tetrakis- ⁇ -methylphenyO-N.N.N'.N' ⁇ S- phenylenediamine (PDA), a-phenyl-4-N,N-diphenylaminostyrene (TPS), p-
- hole transporting polymers are polyvinylcarbazole, (phenylmethyl) polysilane, poly(3,4-ethylendioxythiophene) (PEDOT), and polyaniline.
- Hole-transporting polymers can be obtained by doping hole-transporting molecules such as those mentioned above into polymers such as polystyrene and polycarbonate.
- the hole-injection/transport layer (b) can be formed using any conventional means, including spin-coating, casting, and printing, such as gravure printing.
- the layer can also be applied by ink jet printing, thermal patterning, or chemical, or physical vapor deposition.
- the anode layer (a) and the hole-injection/transport layer (b) are patterned during the same lithographic operation. The pattern may vary as desired.
- the layers can be formed in a pattern by, for example, positioning a patterned mask or resist on the first flexible composite barrier structure prior to applying the first electrical contact layer material.
- the layers can be applied as an overall layer (also called blanket deposit) and subsequently patterned using, for example, a patterned resist layer and wet-chemical or dry-etching techniques. Other processes for patterning that are well known in the art can also be used.
- the anode layer (a) and hole injection/transport layer (b) typically are formed into substantially parallel strips having lengths that extend in substantially the same direction.
- the active layer (c) may comprise the metal complexes described herein. The particular material chosen may depend on the specific application, potentials used during operation, or other factors.
- the active layer (c) may comprise a host material capable of transporting electrons and/or holes, doped with an emissive material that may trap electrons, holes, and/ or excitons, such that excitons relax from the emissive material via a photoemissive mechanism.
- Active layer (c) may comprise a single material that combines transport and emissive properties. Whether the emissive material is a dopant or a major constituent, the active layer may comprise other materials, such as dopants that tune the emission of the emissive material.
- Active layer (c) may include a plurality of emissive materials capable of, in combination, emitting a desired spectrum of light.
- phosphorescent emissive materials include the metal complexes of the present invention.
- fluorescent emissive materials include DCM and DMQA.
- host materials include AIq 3 , CBP and mCP. Examples of emissive and host materials are disclosed in US-B-6,303,238, which is incorporated by reference in its entirety.
- the active layer (c) can be applied from solutions by any conventional technique, including spin coating, casting, and printing.
- the active organic materials can be applied directly by vapor deposition processes, depending upon the nature of the materials.
- Optional layer (d) can function both to facilitate electron injection/transport, and also serve as a buffer layer or confinement layer to prevent quenching reactions at layer interfaces. More specifically, layer (d) may promote electron mobility and reduce the likelihood of a quenching reaction if layers (c) and (e) would otherwise be in direct contact.
- materials for optional layer (d) include metal-cheated oxinoid compounds (e. g., tris(8- hydroxyquinolato)aluminum (AIq 3 ) or the like); phenanthroline-based compounds (e.
- optional layer (d) may be inorganic and comprise BaO, LiF, Li 2 O, or the like.
- the electron injection/transport layer (d) can be formed using any conventional means, including spin-coating, casting, and printing, such as gravure printing.
- the layer can also be applied by ink jet printing, thermal patterning, or chemical or physical vapor deposition.
- the cathode layer (e) is an electrode that is particularly efficient for injecting electrons or negative charge carriers.
- the cathode layer (e) can be any metal or nonmetal having a lower work function than the first electrical contact layer (in this case, the anode layer (a)).
- Materials for the second electrical contact layer can be selected from alkali metals of Group 1 (e. g., Li, Na, K, Rb, Cs), the Group 2 (alkaline earth) metals, the Group 12 metals, the rare earths, the lanthanides (e. g. , Ce, Sm, Eu, or the like), and the actinides.
- Materials, such as aluminum, indium, calcium, barium, yttrium, and magnesium, and combinations thereof, may also be used.
- Li-containing organometallic compounds, LiF, and Li 2 O can also be deposited between the organic layer and the cathode layer to lower the operating voltage.
- Specific non- limiting examples of materials for the cathode layer (e) include barium, lithium, cerium, cesium, europium, rubidium, yttrium, magnesium, or samarium.
- the cathode layer (e) is usually formed by a chemical or physical vapor deposition process.
- the cathode layer will be patterned, as discussed above in reference to the anode layer (a) and optional hole injecting layer (b). If the device lies within an array, the cathode layer (e) may be patterned into substantially parallel strips, where the lengths of the cathode layer strips extend in substantially the same direction and substantially perpendicular to the lengths of the anode layer strips.
- Pixels are formed at the cross points (where an anode layer strip intersects a cathode layer strip when the array is seen from a plan or top view).
- additional layer (s) may be present within organic electronic devices.
- a layer (not shown) between the hole injecting layer (b) and the active layer (c) may facilitate positive charge transport, band-gap matching of the layers, function as a protective layer, or the like.
- additional layers (not shown) between the electron injecting layer (d) and the cathode layer (e) may facilitate negative charge transport, band- gap matching between the layers, function as a protective layer, or the like.
- Layers that are known in the art can be used. Some or all of the layers may be surface treated to increase charge carrier transport efficiency. The choice of materials for each of the component layers may be determined by balancing the goals of providing a device with high device efficiency with the cost of manufacturing, manufacturing complexities, or potentially other factors.
- the charge transport layers (b) and (d) are generally of the same type as the active layer (c). More specifically, if the active layer (c) has a small molecule compound, then the charge transport layers (b) and (d), if either or both are present, can have a different small molecule compound. If the active layer (c) has a polymer, the charge transport layers (b) and (d), if either or both are present, can also have a different polymer. Still, the active layer (c) may be a small molecule compound, and any of its adjacent charge transport layers may be polymers.
- Each functional layer may be made up of more than one layer.
- the cathode layer may comprise a layer of a Group I metal and a layer of aluminum.
- the Group I metal may lie closer to the active layer (c), and the aluminum may help to protect the Group I metal from environmental contaminants, such as water.
- the different layers may have the following range of thicknesses: inorganic anode layer (a), usually no greater than approximately 500 nm, for example, approximately 50-200 nm; optional hole-injecting layer (b), usually no greater than approximately 100 nm, for example, approximately 50-200 nm; active layer (c), usually no greater than approximately 100 nm, for example, approximately 10-80 nm; optional electron- injecting layer (d), usually no greater than approximately 100 nm, for example, approximately 10-80 nm; and cathode layer (e), usually no greater than approximately 1000 nm, for example, approximately 30-500 nm. If the anode layer (a) or the cathode layer (e) needs to transmit at least some light, the thickness of such layer may not exceed approximately 100 nm.
- the location of the electron-hole recombination zone in the device, and thus the emission spectrum of the device, can be affected by the relative thickness of each layer.
- a potential light-emitting compound such as AIq 3
- the electron-hole recombination zone can lie within the AIq 3 layer.
- the emission would then be that Of AIq 3 , and not a desired sharp emission.
- the thickness of the electron-transport layer should be chosen so that the electron-hole recombination zone lies within the light-emitting layer (i. e., active layer (c)).
- the desired ratio of layer thicknesses can depend on the exact nature of the materials used.
- the efficiency of the devices made with metal complexes can be further improved by optimizing the other layers in the device.
- more efficient cathodes such as Ca, Ba, Mg/Ag, or LiF/AI can be used.
- Shaped substrates and hole transport materials that result in a reduction in operating voltage or increase quantum efficiency are also applicable.
- Additional layers can also be added to tailor the energy levels of the various layers and facilitate electroluminescence.
- the active layer (c) can be a light- emitting layer that is activated by a signal (such as in a light-emitting diode) or a layer of material that responds to radiant energy and generates a signal with or without an applied potential (such as detectors or voltaic cells).
- a signal such as in a light-emitting diode
- a layer of material that responds to radiant energy and generates a signal with or without an applied potential (such as detectors or voltaic cells).
- Examples of electronic devices that may respond to radiant energy are selected from photoconductive cells, photoresistors, photoswitches, phototransistors, and phototubes, and photovoltaic cells. After reading this specification, skilled artisans will be capable of selecting material (s) that for their particular applications.
- the electroluminescent devices may be employed for full color display panels in, for example, mobile phones, televisions and personal computer screens. Accordingly the present invention relates also to a device selected from stationary and mobile displays, such as displays for computers, mobile phones, laptops, pdas, TV sets, displays in printers, kitchen equipment, billboards, lightings, information boards and destination boards in trains and buses, containing an organic light emitting diode according to the present invention.
- stationary and mobile displays such as displays for computers, mobile phones, laptops, pdas, TV sets, displays in printers, kitchen equipment, billboards, lightings, information boards and destination boards in trains and buses, containing an organic light emitting diode according to the present invention.
- OLEDs electrons and holes, injected from the cathode (e) and anode (a) layers, respectively, into the photoactive layer (c), form negative and positively charged polarons in the active layer (c). These polarons migrate under the influence of the applied electric field, forming a polaron exciton with an oppositely charged species and subsequently undergoing radiative recombination.
- a sufficient potential difference between the anode and cathode usually less than approximately 20 volts, and in some instances no greater than approximately 5 volts, may be applied to the device. The actual potential difference may depend on the use of the device in a larger electronic component.
- the anode layer (a) is biased to a positive voltage and the cathode layer (e) is at substantially ground potential or zero volts during the operation of the electronic device.
- a battery or other power source (s) may be electrically connected to the electronic device as part of a circuit.
- the metal complex compound can be used as a charge transport material in layer (b) or (d).
- the compound does not need to be in a solid matrix diluent (e. g., host charge transport material) when used in layer (b) (c), or (d) in order to be effective.
- a layer greater than approximately 1 % by weight of the metal complex compound, based on the total weight of the layer, and up to substantially 100% of the complex compound can be used as the active layer (c).
- Additional materials can be present in the active layer (c) with the complex compound. For example, a fluorescent dye may be present to alter the color of emission.
- a diluent may also be added.
- the diluent can be a polymeric material, such as poly (N-vinyl carbazole) and polysilane. It can also be a small molecule, such as 4,4'-N,N'-dicarbazole biphenyl or tertiary aromatic amines.
- the complex compound is generally present in a small amount, usually less than 20% by weight, preferably less than 10% by weight, based on the total weight of the layer.
- the metallic complexes may be used in applications other than electronic devices.
- the complexes may be used as catalysts or indicators (e. g., oxygen-sensitive indicators, phosphorescent indicators in bioassays, or the like).
- Ph phenyl t- denotes a tertiary (alkyl) group, such as t-Bu standing for tertiary butyl
- Example 5 According to the procedure described in Example 1 0.073 g (24% yield) of the compound below are obtained after chromatography.
- Example 11 According to the procedure described in Example 1 0.09 g (31 % yield) of the compound below are obtained after chromatography.
- the crude product is prepared according to the procedure described in Example 1, purified by column chromatography and crystallized from dichloromethane/hexane giving 0.09 g (27%) of the product.
- ITO anode, 150 nm
- PEDOT:PSS 100 nm
- electro luminescent-polymer consisting of PVK, PBD, TPD, and 5% of the corresponding emitter (80 nm)
- barium 5 nm
- aluminum cathode, 100 nm
Landscapes
- Chemical & Material Sciences (AREA)
- Organic Chemistry (AREA)
- Engineering & Computer Science (AREA)
- Materials Engineering (AREA)
- Crystallography & Structural Chemistry (AREA)
- Spectroscopy & Molecular Physics (AREA)
- Physics & Mathematics (AREA)
- Inorganic Chemistry (AREA)
- Electroluminescent Light Sources (AREA)
- Organic Low-Molecular-Weight Compounds And Preparation Thereof (AREA)
- Other In-Based Heterocyclic Compounds (AREA)
- Pyridine Compounds (AREA)
- Plural Heterocyclic Compounds (AREA)
- Addition Polymer Or Copolymer, Post-Treatments, Or Chemical Modifications (AREA)
Abstract
Description
Claims
Priority Applications (9)
| Application Number | Priority Date | Filing Date | Title |
|---|---|---|---|
| BRPI0519375-3A BRPI0519375A2 (en) | 2004-12-23 | 2005-12-14 | electroluminescent metal complexes with nucleophilic carbene ligands |
| JP2007547457A JP5100395B2 (en) | 2004-12-23 | 2005-12-14 | Electroluminescent metal complexes with nucleophilic carbene ligands |
| US11/793,513 US8492749B2 (en) | 2004-12-23 | 2005-12-14 | Electroluminescent metal complexes with nucleophilic carbene ligands |
| CA002589711A CA2589711A1 (en) | 2004-12-23 | 2005-12-14 | Electroluminescent metal complexes with nucleophilic carbene ligands |
| EP05817212A EP1841834B1 (en) | 2004-12-23 | 2005-12-14 | Electroluminescent metal complexes with nucleophilic carbene ligands |
| CN2005800441639A CN101087863B (en) | 2004-12-23 | 2005-12-14 | Electroluminescent metal complexes with nucleophilic carbene ligands |
| AT05817212T ATE430789T1 (en) | 2004-12-23 | 2005-12-14 | ELECTROLUMINESCENT METAL COMPLEXES WITH NUCLEOPHILIC CARBENE LIGANDS |
| DE602005014391T DE602005014391D1 (en) | 2004-12-23 | 2005-12-14 | ELECTROLUMINESCENT METAL COMPLEXES WITH NUCLEOPHILIC CARBON LIGANDS |
| US13/915,745 US9012899B2 (en) | 2004-12-23 | 2013-06-12 | Electroluminescent metal complexes with nucleophilic carbene ligands |
Applications Claiming Priority (2)
| Application Number | Priority Date | Filing Date | Title |
|---|---|---|---|
| EP04106916.2 | 2004-12-23 | ||
| EP04106916 | 2004-12-23 |
Related Child Applications (2)
| Application Number | Title | Priority Date | Filing Date |
|---|---|---|---|
| US11/793,513 A-371-Of-International US8492749B2 (en) | 2004-12-23 | 2005-12-14 | Electroluminescent metal complexes with nucleophilic carbene ligands |
| US13/915,745 Continuation US9012899B2 (en) | 2004-12-23 | 2013-06-12 | Electroluminescent metal complexes with nucleophilic carbene ligands |
Publications (1)
| Publication Number | Publication Date |
|---|---|
| WO2006067074A1 true WO2006067074A1 (en) | 2006-06-29 |
Family
ID=34930139
Family Applications (1)
| Application Number | Title | Priority Date | Filing Date |
|---|---|---|---|
| PCT/EP2005/056767 Ceased WO2006067074A1 (en) | 2004-12-23 | 2005-12-14 | Electroluminescent metal complexes with nucleophilic carbene ligands |
Country Status (11)
| Country | Link |
|---|---|
| US (2) | US8492749B2 (en) |
| EP (2) | EP2080796A1 (en) |
| JP (1) | JP5100395B2 (en) |
| KR (1) | KR101269497B1 (en) |
| CN (1) | CN101087863B (en) |
| AT (1) | ATE430789T1 (en) |
| BR (1) | BRPI0519375A2 (en) |
| CA (1) | CA2589711A1 (en) |
| DE (1) | DE602005014391D1 (en) |
| TW (1) | TW200628478A (en) |
| WO (1) | WO2006067074A1 (en) |
Cited By (109)
| Publication number | Priority date | Publication date | Assignee | Title |
|---|---|---|---|---|
| JP2007096259A (en) * | 2005-04-25 | 2007-04-12 | Fujifilm Corp | Organic electroluminescence device |
| WO2007058104A1 (en) * | 2005-11-17 | 2007-05-24 | Idemitsu Kosan Co., Ltd. | Metal complex compounds and organic electroluminescent devices made by using the same |
| JP2009076509A (en) * | 2007-09-18 | 2009-04-09 | Fujifilm Corp | Organic electroluminescence device |
| JPWO2008035664A1 (en) * | 2006-09-20 | 2010-01-28 | コニカミノルタホールディングス株式会社 | ORGANIC ELECTROLUMINESCENT ELEMENT MATERIAL, ORGANIC ELECTROLUMINESCENT ELEMENT, DISPLAY DEVICE AND LIGHTING DEVICE |
| JPWO2008035571A1 (en) * | 2006-09-20 | 2010-01-28 | コニカミノルタホールディングス株式会社 | Organic electroluminescence device |
| WO2010097433A1 (en) | 2009-02-26 | 2010-09-02 | Basf Se | Quinone compounds as dopants in organic electronics |
| WO2011051404A1 (en) | 2009-10-28 | 2011-05-05 | Basf Se | Heteroleptic carbene complexes and use thereof in organic electronics |
| US8067100B2 (en) * | 2007-10-04 | 2011-11-29 | Universal Display Corporation | Complexes with tridentate ligands |
| WO2011157779A1 (en) | 2010-06-18 | 2011-12-22 | Basf Se | Organic electronic devices comprising a layer of a pyridine compound and a 8-hydroxyquinolinolato earth alkaline metal, or alkali metal complex |
| WO2011157790A1 (en) | 2010-06-18 | 2011-12-22 | Basf Se | Organic electronic devices comprising a layer of a dibenzofurane compound and a 8-hydroxyquinolinolato earth alkaline metal, or alkali metal complex |
| WO2012020327A1 (en) * | 2010-04-16 | 2012-02-16 | Basf Se | Bridged benzimidazole-carbene complexes and use thereof in oleds |
| US8147988B2 (en) | 2007-11-02 | 2012-04-03 | Canon Kabushiki Kaisha | Platinum complex and organic light-emitting element using same |
| WO2012045710A1 (en) | 2010-10-07 | 2012-04-12 | Basf Se | Phenanthro[9,10-b]furans for electronic applications |
| WO2012080052A1 (en) | 2010-12-13 | 2012-06-21 | Basf Se | Bispyrimidines for electronic applications |
| WO2012130709A1 (en) | 2011-03-25 | 2012-10-04 | Basf Se | 4h-imidazo[1,2-a]imidazoles for electronic applications |
| US8362246B2 (en) | 2010-12-13 | 2013-01-29 | Basf Se | Bispyrimidines for electronic applications |
| US8377332B2 (en) | 2008-06-10 | 2013-02-19 | Basf Se | Transition metal complexes and use thereof in organic light emitting diodes—III |
| US8384068B2 (en) | 2007-10-02 | 2013-02-26 | Basf Se | Use of acridine derivatives as matrix materials and/or electron blockers in OLEDs |
| US8383828B2 (en) * | 2006-04-04 | 2013-02-26 | Basf Aktiengesellschaft | Transition metal complexes comprising one noncarbene ligand and one or two carbene ligands and their use in OLEDs |
| US8410270B2 (en) | 2008-06-10 | 2013-04-02 | Basf Se | Transition metal complexes and use thereof in organic light-emitting diodes V |
| WO2013068376A1 (en) | 2011-11-10 | 2013-05-16 | Basf Se | 4h-imidazo[1,2-a]imidazoles for electronic applications |
| JP2013138225A (en) * | 2013-02-06 | 2013-07-11 | Konica Minolta Inc | Organic electroluminescent element material, organic electroluminescent element, display device and lighting device |
| US8618533B2 (en) | 2008-10-07 | 2013-12-31 | Osram Opto Semiconductors Gmbh | Siloles substituted by fused ring systems and use thereof in organic electronics |
| WO2014009317A1 (en) | 2012-07-10 | 2014-01-16 | Basf Se | Benzimidazo[1,2-a]benzimidazole derivatives for electronic applications |
| WO2014031977A1 (en) * | 2012-08-24 | 2014-02-27 | Arizona Board Of Regents For And On Behalf Of Arizona State University | Metal compounds and methods and uses thereof |
| US8691401B2 (en) | 2010-04-16 | 2014-04-08 | Basf Se | Bridged benzimidazole-carbene complexes and use thereof in OLEDS |
| US8697255B2 (en) | 2007-07-05 | 2014-04-15 | Basf Se | Organic light-emitting diodes comprising at least one disilyl compound selected from disilylcarbazoles, disilyldibenzofurans, disilyldibenzothiophenes, disilyldibenzopholes, disilyldibenzothiophene S-oxides and disilyldibenzothiophene S,S-dioxides |
| WO2014072320A1 (en) | 2012-11-06 | 2014-05-15 | Basf Se | Phenoxasiline based compounds for electronic application |
| US8728567B2 (en) | 2008-10-24 | 2014-05-20 | Cynora Gmbh | Double complex salts as absorbers in OSC/OPV devices |
| WO2014147134A1 (en) | 2013-03-20 | 2014-09-25 | Basf Se | Azabenzimidazole carbene complexes as efficiency booster in oleds |
| US8859110B2 (en) | 2008-06-20 | 2014-10-14 | Basf Se | Cyclic phosphazene compounds and use thereof in organic light emitting diodes |
| WO2015000955A1 (en) | 2013-07-02 | 2015-01-08 | Basf Se | Monosubstituted diazabenzimidazole carbene metal complexes for use in organic light emitting diodes |
| US9000166B2 (en) | 2005-07-08 | 2015-04-07 | Merck Patent Gmbh | Metal complexes |
| WO2015063046A1 (en) | 2013-10-31 | 2015-05-07 | Basf Se | Azadibenzothiophenes for electronic applications |
| US9079872B2 (en) | 2010-10-07 | 2015-07-14 | Basf Se | Phenanthro[9, 10-B]furans for electronic applications |
| US9142792B2 (en) | 2010-06-18 | 2015-09-22 | Basf Se | Organic electronic devices comprising a layer comprising at least one metal organic compound and at least one metal oxide |
| US9221857B2 (en) | 2011-04-14 | 2015-12-29 | Arizona Board Of Regents Acting For And On Behalf Of Arizona State University | Pyridine-oxyphenyl coordinated iridium (III) complexes and methods of making and using |
| WO2016016791A1 (en) | 2014-07-28 | 2016-02-04 | Idemitsu Kosan Co., Ltd (Ikc) | 2,9-functionalized benzimidazolo[1,2-a]benzimidazoles as hosts for organic light emitting diodes (oleds) |
| EP2982676A1 (en) | 2014-08-07 | 2016-02-10 | Idemitsu Kosan Co., Ltd. | Benzimidazo[2,1-B]benzoxazoles for electronic applications |
| EP2993215A1 (en) | 2014-09-04 | 2016-03-09 | Idemitsu Kosan Co., Ltd. | Azabenzimidazo[2,1-a]benzimidazoles for electronic applications |
| US9284278B2 (en) | 2007-02-14 | 2016-03-15 | Basf Se | Electroluminescent metal complex |
| EP3015469A1 (en) | 2014-10-30 | 2016-05-04 | Idemitsu Kosan Co., Ltd. | 5-((benz)imidazol-2-yl)benzimidazo[1,2-a]benzimidazoles for electronic applications |
| WO2016079667A1 (en) | 2014-11-17 | 2016-05-26 | Idemitsu Kosan Co., Ltd. | Indole derivatives for electronic applications |
| WO2016079169A1 (en) | 2014-11-18 | 2016-05-26 | Basf Se | Pt- or pd-carbene complexes for use in organic light emitting diodes |
| EP3034507A1 (en) | 2014-12-15 | 2016-06-22 | Idemitsu Kosan Co., Ltd | 1-functionalized dibenzofurans and dibenzothiophenes for organic light emitting diodes (OLEDs) |
| EP3034506A1 (en) | 2014-12-15 | 2016-06-22 | Idemitsu Kosan Co., Ltd | 4-functionalized carbazole derivatives for electronic applications |
| EP3054498A1 (en) | 2015-02-06 | 2016-08-10 | Idemitsu Kosan Co., Ltd. | Bisimidazodiazocines |
| EP3053918A1 (en) | 2015-02-06 | 2016-08-10 | Idemitsu Kosan Co., Ltd | 2-carbazole substituted benzimidazoles for electronic applications |
| EP3061759A1 (en) | 2015-02-24 | 2016-08-31 | Idemitsu Kosan Co., Ltd | Nitrile substituted dibenzofurans |
| EP3070144A1 (en) | 2015-03-17 | 2016-09-21 | Idemitsu Kosan Co., Ltd. | Seven-membered ring compounds |
| EP3072943A1 (en) | 2015-03-26 | 2016-09-28 | Idemitsu Kosan Co., Ltd. | Dibenzofuran/carbazole-substituted benzonitriles |
| EP3075737A1 (en) | 2015-03-31 | 2016-10-05 | Idemitsu Kosan Co., Ltd | Benzimidazolo[1,2-a]benzimidazole carrying aryl- or heteroarylnitril groups for organic light emitting diodes |
| EP3150604A1 (en) | 2015-10-01 | 2017-04-05 | Idemitsu Kosan Co., Ltd. | Benzimidazolo[1,2-a]benzimidazole carrying benzimidazolo[1,2-a]benzimidazolyl groups, carbazolyl groups, benzofurane groups or benzothiophene groups for organic light emitting diodes |
| EP3150606A1 (en) | 2015-10-01 | 2017-04-05 | Idemitsu Kosan Co., Ltd. | Benzimidazolo[1,2-a]benzimidazoles carrying benzofurane or benzothiophene groups for organic light emitting diodes |
| WO2017056053A1 (en) | 2015-10-01 | 2017-04-06 | Idemitsu Kosan Co., Ltd. | Benzimidazolo[1,2-a]benzimidazole carrying benzimidazolo[1,2-a]benzimidazolyl groups, carbazolyl groups, benzofurane groups or benzothiophene groups for organic light emitting diodes |
| WO2017056055A1 (en) | 2015-10-01 | 2017-04-06 | Idemitsu Kosan Co., Ltd. | Benzimidazolo[1,2-a]benzimidazole carrying triazine groups for organic light emitting diodes |
| US9617291B2 (en) | 2015-06-03 | 2017-04-11 | Arizona Board Of Regents On Behalf Of Arizona State University | Tetradentate and octahedral metal complexes containing naphthyridinocarbazole and its analogues |
| WO2017078182A1 (en) | 2015-11-04 | 2017-05-11 | Idemitsu Kosan Co., Ltd. | Benzimidazole fused heteroaryls |
| WO2017093958A1 (en) | 2015-12-04 | 2017-06-08 | Idemitsu Kosan Co., Ltd. | Benzimidazolo[1,2-a]benzimidazole derivatives for organic light emitting diodes |
| WO2017109722A1 (en) | 2015-12-21 | 2017-06-29 | Idemitsu Kosan Co., Ltd. | Nitrogen-containing heterocyclic compounds and organic electroluminescence devices containing them |
| US9725476B2 (en) | 2012-07-09 | 2017-08-08 | Universal Display Corporation | Silylated metal complexes |
| WO2017178864A1 (en) | 2016-04-12 | 2017-10-19 | Idemitsu Kosan Co., Ltd. | Seven-membered ring compounds |
| US9806270B2 (en) | 2011-03-25 | 2017-10-31 | Udc Ireland Limited | 4H-imidazo[1,2-a]imidazoles for electronic applications |
| US9818959B2 (en) | 2014-07-29 | 2017-11-14 | Arizona Board of Regents on behlaf of Arizona State University | Metal-assisted delayed fluorescent emitters containing tridentate ligands |
| WO2017221999A1 (en) | 2016-06-22 | 2017-12-28 | Idemitsu Kosan Co., Ltd. | Specifically substituted benzofuro- and benzothienoquinolines for organic light emitting diodes |
| US9865825B2 (en) | 2014-11-10 | 2018-01-09 | Arizona Board Of Regents On Behalf Of Arizona State University | Emitters based on octahedral metal complexes |
| US9862739B2 (en) | 2014-03-31 | 2018-01-09 | Udc Ireland Limited | Metal complexes, comprising carbene ligands having an O-substituted non-cyclometalated aryl group and their use in organic light emitting diodes |
| EP3318566A1 (en) | 2012-09-20 | 2018-05-09 | UDC Ireland Limited | Azadibenzofurans for electronic applications |
| US10033003B2 (en) | 2014-11-10 | 2018-07-24 | Arizona Board Of Regents On Behalf Of Arizona State University | Tetradentate metal complexes with carbon group bridging ligands |
| US10056567B2 (en) | 2014-02-28 | 2018-08-21 | Arizona Board Of Regents On Behalf Of Arizona State University | Chiral metal complexes as emitters for organic polarized electroluminescent devices |
| US10158091B2 (en) | 2015-08-04 | 2018-12-18 | Arizona Board Of Regents On Behalf Of Arizona State University | Tetradentate platinum (II) and palladium (II) complexes, devices, and uses thereof |
| US10177323B2 (en) | 2016-08-22 | 2019-01-08 | Arizona Board Of Regents On Behalf Of Arizona State University | Tetradentate platinum (II) and palladium (II) complexes and octahedral iridium complexes employing azepine functional groups and their analogues |
| EP3466954A1 (en) | 2017-10-04 | 2019-04-10 | Idemitsu Kosan Co., Ltd. | Fused phenylquinazolines bridged with a heteroatom |
| US10263197B2 (en) | 2010-04-30 | 2019-04-16 | Arizona Board Of Regents Acting For And On Behalf Of Arizona State University | Synthesis of four coordinated palladium complexes and their applications in light emitting devices thereof |
| JP2019206546A (en) * | 2011-06-08 | 2019-12-05 | ユニバーサル ディスプレイ コーポレイション | Heteroleptic iridium carbene complex and light emitting device |
| US10516117B2 (en) | 2017-05-19 | 2019-12-24 | Arizona Board Of Regents On Behalf Of Arizona State University | Metal-assisted delayed fluorescent emttters employing benzo-imidazo-phenanthridine and analogues |
| EP3604477A1 (en) | 2018-07-30 | 2020-02-05 | Idemitsu Kosan Co., Ltd. | Polycyclic compound, organic electroluminescence device, and electronic device |
| EP3608319A1 (en) | 2018-08-07 | 2020-02-12 | Idemitsu Kosan Co., Ltd. | Condensed aza cycles as organic light emitting device and materials for use in same |
| US10593890B2 (en) | 2015-04-06 | 2020-03-17 | Universal Display Corporation | Organic electroluminescent materials and devices |
| US10804476B2 (en) | 2011-05-26 | 2020-10-13 | Arizona Board Of Regents, Acting For And On Behalf Of Arizona State University | Synthesis of platinum and palladium complexes as narrow-band phosphorescent emitters for full color displays |
| US10822363B2 (en) | 2016-10-12 | 2020-11-03 | Arizona Board Of Regents On Behalf Of Arizona State University | Narrow band red phosphorescent tetradentate platinum (II) complexes |
| US10886478B2 (en) | 2014-07-24 | 2021-01-05 | Arizona Board Of Regents On Behalf Of Arizona State University | Tetradentate platinum (II) complexes cyclometalated with functionalized phenyl carbene ligands and their analogues |
| US10964897B2 (en) | 2014-07-28 | 2021-03-30 | Arizona Board Of Regents On Behalf Of Arizona State University | Tridentate cyclometalated metal complexes with six-membered coordination rings |
| US10995108B2 (en) | 2012-10-26 | 2021-05-04 | Arizona Board Of Regents On Behalf Of Arizona State University | Metal complexes, methods, and uses thereof |
| US11011712B2 (en) | 2014-06-02 | 2021-05-18 | Arizona Board Of Regents On Behalf Of Arizona State University | Tetradentate cyclometalated platinum complexes containing 9,10-dihydroacridine and its analogues |
| US11101435B2 (en) | 2017-05-19 | 2021-08-24 | Arizona Board Of Regents On Behalf Of Arizona State University | Tetradentate platinum and palladium complexes based on biscarbazole and analogues |
| US11114626B2 (en) | 2012-09-24 | 2021-09-07 | Arizona Board Of Regents On Behalf Of Arizona State University | Metal compounds, methods, and uses thereof |
| US11183670B2 (en) | 2016-12-16 | 2021-11-23 | Arizona Board Of Regents On Behalf Of Arizona State University | Organic light emitting diode with split emissive layer |
| US11189808B2 (en) | 2013-10-14 | 2021-11-30 | Arizona Board Of Regents On Behalf Of Arizona State University | Platinum complexes and devices |
| US11329244B2 (en) | 2014-08-22 | 2022-05-10 | Arizona Board Of Regents On Behalf Of Arizona State University | Organic light-emitting diodes with fluorescent and phosphorescent emitters |
| US11335865B2 (en) | 2016-04-15 | 2022-05-17 | Arizona Board Of Regents On Behalf Of Arizona State University | OLED with multi-emissive material layer |
| US11495749B2 (en) | 2015-04-06 | 2022-11-08 | Universal Display Corporation | Organic electroluminescent materials and devices |
| US11594688B2 (en) | 2017-10-17 | 2023-02-28 | Arizona Board Of Regents On Behalf Of Arizona State University | Display and lighting devices comprising phosphorescent excimers with preferred molecular orientation as monochromatic emitters |
| US11594691B2 (en) | 2019-01-25 | 2023-02-28 | Arizona Board Of Regents On Behalf Of Arizona State University | Light outcoupling efficiency of phosphorescent OLEDs by mixing horizontally aligned fluorescent emitters |
| US11647643B2 (en) | 2017-10-17 | 2023-05-09 | Arizona Board Of Regents On Behalf Of Arizona State University | Hole-blocking materials for organic light emitting diodes |
| US20230147066A1 (en) * | 2021-10-12 | 2023-05-11 | Universal Display Corporation | Organic electroluminescent materials and devices |
| US11708385B2 (en) | 2017-01-27 | 2023-07-25 | Arizona Board Of Regents On Behalf Of Arizona State University | Metal-assisted delayed fluorescent emitters employing pyrido-pyrrolo-acridine and analogues |
| US11785838B2 (en) | 2019-10-02 | 2023-10-10 | Arizona Board Of Regents On Behalf Of Arizona State University | Green and red organic light-emitting diodes employing excimer emitters |
| US11818949B2 (en) | 2015-04-06 | 2023-11-14 | Universal Display Corporation | Organic electroluminescent materials and devices |
| US11834459B2 (en) | 2018-12-12 | 2023-12-05 | Universal Display Corporation | Host materials for electroluminescent devices |
| US11878988B2 (en) | 2019-01-24 | 2024-01-23 | Arizona Board Of Regents On Behalf Of Arizona State University | Blue phosphorescent emitters employing functionalized imidazophenthridine and analogues |
| US20240057470A1 (en) * | 2021-10-12 | 2024-02-15 | Universal Display Corporation | Organic electroluminescent materials and devices |
| US11930698B2 (en) | 2014-01-07 | 2024-03-12 | Arizona Board Of Regents On Behalf Of Arizona State University | Tetradentate platinum and palladium complex emitters containing phenyl-pyrazole and its analogues |
| US20240099039A1 (en) * | 2017-07-27 | 2024-03-21 | Universal Display Corporation | Use of singlet-triplet gap hosts for increasing stability of blue phosphorescent emission |
| US11945985B2 (en) | 2020-05-19 | 2024-04-02 | Arizona Board Of Regents On Behalf Of Arizona State University | Metal assisted delayed fluorescent emitters for organic light-emitting diodes |
| US12037348B2 (en) | 2018-03-09 | 2024-07-16 | Arizona Board Of Regents On Behalf Of Arizona State University | Blue and narrow band green and red emitting metal complexes |
| US12043611B2 (en) | 2014-08-15 | 2024-07-23 | Arizona Board Of Regents On Behalf Of Arizona State University | Non-platinum metal complexes for excimer based single dopant white organic light emitting diodes |
| US12091429B2 (en) | 2018-07-16 | 2024-09-17 | Arizona Board Of Regents On Behalf Of Arizona State University | Fluorinated porphyrin derivatives for optoelectronic applications |
| US12503644B2 (en) | 2020-05-19 | 2025-12-23 | Arizona Board Of Regents On Behalf Of Arizona State University | Metal assisted delayed fluorescent emitters for organic light-emitting diodes |
Families Citing this family (116)
| Publication number | Priority date | Publication date | Assignee | Title |
|---|---|---|---|---|
| JP2007045742A (en) * | 2005-08-10 | 2007-02-22 | Mitsubishi Chemicals Corp | Process for producing transition metal complex and transition metal complex |
| KR101600624B1 (en) | 2006-02-10 | 2016-03-21 | 유니버셜 디스플레이 코포레이션 | METAL COMPLEXES OF CYCLOMETALLATED IMIDAZO[1,2-f]PHENANTHRIDINE AND DIIMIDAZO[1,2-A:1',2'-C]QUINAZOLINE LIGANDS AND ISOELECTRONIC AND BENZANNULATED ANALOGS THEREOF |
| CN101720330B (en) * | 2007-06-22 | 2017-06-09 | Udc爱尔兰有限责任公司 | Light emitting cu (I) complex compound |
| DE102009031683A1 (en) * | 2009-07-03 | 2011-03-24 | Siemens Aktiengesellschaft | Phophorescent metal complex compound, process for the preparation thereof and radiation-emitting component |
| WO2011013685A1 (en) * | 2009-07-29 | 2011-02-03 | 国立大学法人東京工業大学 | Metal complexes and luminescent elements using same |
| WO2011045337A1 (en) * | 2009-10-14 | 2011-04-21 | Basf Se | Dinuclear platinum-carbene complexes and the use thereof in oleds |
| US8288187B2 (en) | 2010-01-20 | 2012-10-16 | Universal Display Corporation | Electroluminescent devices for lighting applications |
| US8530687B2 (en) | 2010-09-07 | 2013-09-10 | University Of Florida Research Foundation, Inc. | Catalysts, methods of making catalysts, and methods of use |
| US8269317B2 (en) * | 2010-11-11 | 2012-09-18 | Universal Display Corporation | Phosphorescent materials |
| KR101893624B1 (en) * | 2010-11-26 | 2018-08-30 | 가부시키가이샤 한도오따이 에네루기 켄큐쇼 | Organometallic complex, light-emitting element, light-emitting device, electronic device, and lighting device |
| WO2012098996A1 (en) * | 2011-01-17 | 2012-07-26 | コニカミノルタホールディングス株式会社 | Organic electroluminescent element, display device, lighting device, and organic electroluminescent element material |
| KR102012047B1 (en) | 2012-01-06 | 2019-08-19 | 유니버셜 디스플레이 코포레이션 | Highly efficient phosphorescent materials |
| US9386657B2 (en) | 2012-03-15 | 2016-07-05 | Universal Display Corporation | Organic Electroluminescent materials and devices |
| US9540329B2 (en) | 2012-07-19 | 2017-01-10 | Universal Display Corporation | Organic electroluminescent materials and devices |
| US9252363B2 (en) | 2012-10-04 | 2016-02-02 | Universal Display Corporation | Aryloxyalkylcarboxylate solvent compositions for inkjet printing of organic layers |
| US9196860B2 (en) | 2012-12-04 | 2015-11-24 | Universal Display Corporation | Compounds for triplet-triplet annihilation upconversion |
| US8716484B1 (en) | 2012-12-05 | 2014-05-06 | Universal Display Corporation | Hole transporting materials with twisted aryl groups |
| US9653691B2 (en) | 2012-12-12 | 2017-05-16 | Universal Display Corporation | Phosphorescence-sensitizing fluorescence material system |
| US10400163B2 (en) | 2013-02-08 | 2019-09-03 | Universal Display Corporation | Organic electroluminescent materials and devices |
| US10128448B2 (en) * | 2013-04-29 | 2018-11-13 | Udc Ireland Limited | Transition metal complexes with carbene ligands and the use thereof in OLEDs |
| KR102349659B1 (en) * | 2013-06-10 | 2022-01-11 | 아리조나 보드 오브 리젠츠 온 비하프 오브 아리조나 스테이트 유니버시티 | Phosphorescent tetradentate metal complexes having modified emission spectra |
| KR101532228B1 (en) * | 2013-07-30 | 2015-06-30 | 주식회사 네패스 | Iridium electroluminescent compounds having bis trifluoromethyl substituents and organic electroluminescent device using the same |
| JP6486353B2 (en) * | 2013-07-31 | 2019-03-20 | ユー・ディー・シー アイルランド リミテッド | Luminescent diazabenzimidazole carbene metal complex |
| US20150115250A1 (en) | 2013-10-29 | 2015-04-30 | Universal Display Corporation | Organic electroluminescent materials and devices |
| US9905784B2 (en) * | 2013-11-15 | 2018-02-27 | Universal Display Corporation | Organic electroluminescent materials and devices |
| US9876173B2 (en) | 2013-12-09 | 2018-01-23 | Universal Display Corporation | Organic electroluminescent materials and devices |
| US9450198B2 (en) | 2014-04-15 | 2016-09-20 | Universal Display Corporation | Organic electroluminescent materials and devices |
| CN105185806B (en) * | 2014-06-20 | 2018-11-30 | 上海和辉光电有限公司 | Display panel and its packaging method comprising potting colored indicator |
| US9929361B2 (en) | 2015-02-16 | 2018-03-27 | Universal Display Corporation | Organic electroluminescent materials and devices |
| US11056657B2 (en) | 2015-02-27 | 2021-07-06 | University Display Corporation | Organic electroluminescent materials and devices |
| US9859510B2 (en) | 2015-05-15 | 2018-01-02 | Universal Display Corporation | Organic electroluminescent materials and devices |
| US10418568B2 (en) | 2015-06-01 | 2019-09-17 | Universal Display Corporation | Organic electroluminescent materials and devices |
| CN106317122A (en) * | 2015-07-03 | 2017-01-11 | 季昀 | Platinum complex having carbene structure and organic light emitting diode using the same |
| US11127905B2 (en) | 2015-07-29 | 2021-09-21 | Universal Display Corporation | Organic electroluminescent materials and devices |
| US10672996B2 (en) | 2015-09-03 | 2020-06-02 | Universal Display Corporation | Organic electroluminescent materials and devices |
| CN105503961B (en) * | 2015-12-24 | 2019-02-12 | 石家庄诚志永华显示材料有限公司 | A range of phosphorescent OLED materials |
| US20170229663A1 (en) | 2016-02-09 | 2017-08-10 | Universal Display Corporation | Organic electroluminescent materials and devices |
| CN107151258A (en) * | 2016-03-03 | 2017-09-12 | 上海和辉光电有限公司 | A kind of organic compound and OLED display |
| ES2818733T3 (en) * | 2016-03-29 | 2021-04-13 | Univation Tech Llc | Metal complexes |
| US10236456B2 (en) | 2016-04-11 | 2019-03-19 | Universal Display Corporation | Organic electroluminescent materials and devices |
| CN107474071A (en) * | 2016-06-07 | 2017-12-15 | 季昀 | Platinum complex, organic light emitting diode and device capable of emitting visible light or near infrared light |
| US10862054B2 (en) | 2016-06-20 | 2020-12-08 | Universal Display Corporation | Organic electroluminescent materials and devices |
| US11482683B2 (en) | 2016-06-20 | 2022-10-25 | Universal Display Corporation | Organic electroluminescent materials and devices |
| US10672997B2 (en) | 2016-06-20 | 2020-06-02 | Universal Display Corporation | Organic electroluminescent materials and devices |
| US10608186B2 (en) | 2016-09-14 | 2020-03-31 | Universal Display Corporation | Organic electroluminescent materials and devices |
| US10680187B2 (en) | 2016-09-23 | 2020-06-09 | Universal Display Corporation | Organic electroluminescent materials and devices |
| US10916714B2 (en) * | 2016-09-27 | 2021-02-09 | Samsung Display Co., Ltd. | Organometallic compound and organic light-emitting device including the same |
| US11196010B2 (en) | 2016-10-03 | 2021-12-07 | Universal Display Corporation | Organic electroluminescent materials and devices |
| US11011709B2 (en) | 2016-10-07 | 2021-05-18 | Universal Display Corporation | Organic electroluminescent materials and devices |
| KR102671041B1 (en) | 2016-10-20 | 2024-06-03 | 삼성디스플레이 주식회사 | Cyclometallic compound and organic light emitting device comprising the same |
| US12317745B2 (en) | 2016-11-09 | 2025-05-27 | Universal Display Corporation | Organic electroluminescent materials and devices |
| US10680188B2 (en) | 2016-11-11 | 2020-06-09 | Universal Display Corporation | Organic electroluminescent materials and devices |
| US11780865B2 (en) | 2017-01-09 | 2023-10-10 | Universal Display Corporation | Organic electroluminescent materials and devices |
| JP6934164B2 (en) * | 2017-03-10 | 2021-09-15 | 国立大学法人群馬大学 | New iridium complex, oxygen concentration measuring reagent, oxygen concentration measuring method and synthetic intermediate |
| US10844085B2 (en) | 2017-03-29 | 2020-11-24 | Universal Display Corporation | Organic electroluminescent materials and devices |
| US10944060B2 (en) | 2017-05-11 | 2021-03-09 | Universal Display Corporation | Organic electroluminescent materials and devices |
| US11038115B2 (en) * | 2017-05-18 | 2021-06-15 | Universal Display Corporation | Organic electroluminescent materials and device |
| US12098157B2 (en) | 2017-06-23 | 2024-09-24 | Universal Display Corporation | Organic electroluminescent materials and devices |
| US11228010B2 (en) | 2017-07-26 | 2022-01-18 | Universal Display Corporation | Organic electroluminescent materials and devices |
| US11744142B2 (en) | 2017-08-10 | 2023-08-29 | Universal Display Corporation | Organic electroluminescent materials and devices |
| US12180230B2 (en) | 2017-11-28 | 2024-12-31 | University Of Southern California | Carbene compounds and organic electroluminescent devices |
| EP3492480B1 (en) | 2017-11-29 | 2021-10-20 | Universal Display Corporation | Organic electroluminescent materials and devices |
| US11937503B2 (en) | 2017-11-30 | 2024-03-19 | Universal Display Corporation | Organic electroluminescent materials and devices |
| US11542289B2 (en) | 2018-01-26 | 2023-01-03 | Universal Display Corporation | Organic electroluminescent materials and devices |
| US11165028B2 (en) | 2018-03-12 | 2021-11-02 | Universal Display Corporation | Organic electroluminescent materials and devices |
| KR102661471B1 (en) * | 2018-04-27 | 2024-04-29 | 삼성디스플레이 주식회사 | Organometallic compound and organic light emitting device comprising the same |
| US12453279B2 (en) | 2018-08-22 | 2025-10-21 | Universal Display Corporation | Organic electroluminescent materials and devices |
| US11737349B2 (en) | 2018-12-12 | 2023-08-22 | Universal Display Corporation | Organic electroluminescent materials and devices |
| US11780829B2 (en) | 2019-01-30 | 2023-10-10 | The University Of Southern California | Organic electroluminescent materials and devices |
| US12477890B2 (en) | 2019-02-01 | 2025-11-18 | Universal Display Corporation | Organic electroluminescent materials and devices |
| JP2020158491A (en) | 2019-03-26 | 2020-10-01 | ユニバーサル ディスプレイ コーポレイション | Organic electroluminescent materials and devices |
| KR102804493B1 (en) * | 2019-04-30 | 2025-05-09 | 삼성디스플레이 주식회사 | Organic light emitting device |
| US12281128B2 (en) | 2019-07-30 | 2025-04-22 | Universal Display Corporation | Organic electroluminescent materials and devices |
| US12139501B2 (en) | 2019-08-16 | 2024-11-12 | Universal Display Corporation | Organic electroluminescent materials and devices |
| US20210135130A1 (en) | 2019-11-04 | 2021-05-06 | Universal Display Corporation | Organic electroluminescent materials and devices |
| US12538698B2 (en) | 2020-01-06 | 2026-01-27 | Universal Display Corporation | Organic electroluminescent materials and devices |
| US12426495B2 (en) | 2020-01-28 | 2025-09-23 | Universal Display Corporation | Organic electroluminescent materials and devices |
| EP3937268B1 (en) | 2020-07-10 | 2025-05-07 | Universal Display Corporation | Plasmonic oleds and vertical dipole emitters |
| CN116368957A (en) | 2020-09-18 | 2023-06-30 | 三星显示有限公司 | Organic Electroluminescent Devices |
| US12187748B2 (en) | 2020-11-02 | 2025-01-07 | Universal Display Corporation | Organic electroluminescent materials and devices |
| US20220158096A1 (en) | 2020-11-16 | 2022-05-19 | Universal Display Corporation | Organic electroluminescent materials and devices |
| US12325717B2 (en) | 2020-11-24 | 2025-06-10 | Universal Display Corporation | Organic electroluminescent materials and devices |
| US20220165967A1 (en) | 2020-11-24 | 2022-05-26 | Universal Display Corporation | Organic electroluminescent materials and devices |
| US20220271241A1 (en) | 2021-02-03 | 2022-08-25 | Universal Display Corporation | Organic electroluminescent materials and devices |
| EP4059915B1 (en) | 2021-02-26 | 2025-12-24 | Universal Display Corporation | Organic electroluminescent materials and devices |
| EP4060758A3 (en) | 2021-02-26 | 2023-03-29 | Universal Display Corporation | Organic electroluminescent materials and devices |
| US20220298192A1 (en) | 2021-03-05 | 2022-09-22 | Universal Display Corporation | Organic electroluminescent materials and devices |
| US12428599B2 (en) | 2021-03-09 | 2025-09-30 | Universal Display Corporation | Organic electroluminescent materials and devices |
| US20220298190A1 (en) | 2021-03-12 | 2022-09-22 | Universal Display Corporation | Organic electroluminescent materials and devices |
| US12421262B2 (en) | 2021-03-15 | 2025-09-23 | Universal Display Corporation | Organic electroluminescent materials and devices |
| US20220340607A1 (en) | 2021-04-05 | 2022-10-27 | Universal Display Corporation | Organic electroluminescent materials and devices |
| US12480042B2 (en) | 2021-04-09 | 2025-11-25 | Universal Display Corporation | Organic electroluminescent materials and devices |
| EP4075531A1 (en) | 2021-04-13 | 2022-10-19 | Universal Display Corporation | Plasmonic oleds and vertical dipole emitters |
| US20220352478A1 (en) | 2021-04-14 | 2022-11-03 | Universal Display Corporation | Organic eletroluminescent materials and devices |
| US20230006149A1 (en) | 2021-04-23 | 2023-01-05 | Universal Display Corporation | Organic electroluminescent materials and devices |
| US20220407020A1 (en) | 2021-04-23 | 2022-12-22 | Universal Display Corporation | Organic electroluminescent materials and devices |
| US20230133787A1 (en) | 2021-06-08 | 2023-05-04 | University Of Southern California | Molecular Alignment of Homoleptic Iridium Phosphors |
| EP4151699A1 (en) | 2021-09-17 | 2023-03-22 | Universal Display Corporation | Organic electroluminescent materials and devices |
| US12473318B2 (en) | 2021-10-08 | 2025-11-18 | Universal Display Corporation | Organic electroluminescent materials and devices |
| US12509628B2 (en) | 2021-12-16 | 2025-12-30 | Universal Display Corporation | Organic electroluminescent materials and devices |
| CN114213468B (en) * | 2022-01-11 | 2023-11-03 | 河南省科学院高新技术研究中心 | A metal iridium complex and its application in the synthesis of increased amine production |
| EP4231804A3 (en) | 2022-02-16 | 2023-09-20 | Universal Display Corporation | Organic electroluminescent materials and devices |
| US20230292592A1 (en) | 2022-03-09 | 2023-09-14 | Universal Display Corporation | Organic electroluminescent materials and devices |
| US20230337516A1 (en) | 2022-04-18 | 2023-10-19 | Universal Display Corporation | Organic electroluminescent materials and devices |
| US20230389421A1 (en) | 2022-05-24 | 2023-11-30 | Universal Display Corporation | Organic electroluminescent materials and devices |
| EP4293001A1 (en) | 2022-06-08 | 2023-12-20 | Universal Display Corporation | Organic electroluminescent materials and devices |
| US20240016051A1 (en) | 2022-06-28 | 2024-01-11 | Universal Display Corporation | Organic electroluminescent materials and devices |
| US20240107880A1 (en) | 2022-08-17 | 2024-03-28 | Universal Display Corporation | Organic electroluminescent materials and devices |
| US20240188419A1 (en) | 2022-10-27 | 2024-06-06 | Universal Display Corporation | Organic electroluminescent materials and devices |
| US20240180025A1 (en) | 2022-10-27 | 2024-05-30 | Universal Display Corporation | Organic electroluminescent materials and devices |
| US20240196730A1 (en) | 2022-10-27 | 2024-06-13 | Universal Display Corporation | Organic electroluminescent materials and devices |
| US20240188316A1 (en) | 2022-10-27 | 2024-06-06 | Universal Display Corporation | Organic electroluminescent materials and devices |
| US20240188319A1 (en) | 2022-10-27 | 2024-06-06 | Universal Display Corporation | Organic electroluminescent materials and devices |
| US20240247017A1 (en) | 2022-12-14 | 2024-07-25 | Universal Display Corporation | Organic electroluminescent materials and devices |
| US20250204239A1 (en) | 2023-12-15 | 2025-06-19 | Universal Display Corporation | Organic electroluminescent materials and devices |
| US20250204238A1 (en) | 2023-12-15 | 2025-06-19 | Universal Display Corporation | Organic electroluminscent materials and devices |
Citations (4)
| Publication number | Priority date | Publication date | Assignee | Title |
|---|---|---|---|---|
| US20010019782A1 (en) * | 1999-12-27 | 2001-09-06 | Tatsuya Igarashi | Light-emitting material comprising orthometalated iridium complex, light-emitting device, high efficiency red light-emitting device, and novel iridium complex |
| EP1191612A2 (en) * | 2000-09-26 | 2002-03-27 | Canon Kabushiki Kaisha | Luminescence device, display apparatus and metal coordination compound |
| US20020182441A1 (en) * | 2000-08-11 | 2002-12-05 | Trustee Of Princeton University | Organometallic compounds and emission-shifting organic electrophosphorescence |
| WO2005019373A2 (en) * | 2003-08-19 | 2005-03-03 | Basf Aktiengesellschaft | Transition metal complexes comprising carbene ligands serving as emitters for organic light-emitting diodes (oled's) |
Family Cites Families (19)
| Publication number | Priority date | Publication date | Assignee | Title |
|---|---|---|---|---|
| GB8909011D0 (en) | 1989-04-20 | 1989-06-07 | Friend Richard H | Electroluminescent devices |
| EP0443861B2 (en) | 1990-02-23 | 2008-05-28 | Sumitomo Chemical Company, Limited | Organic electroluminescence device |
| US5408109A (en) | 1991-02-27 | 1995-04-18 | The Regents Of The University Of California | Visible light emitting diodes fabricated from soluble semiconducting polymers |
| US5552678A (en) | 1994-09-23 | 1996-09-03 | Eastman Kodak Company | AC drive scheme for organic led |
| US6303238B1 (en) | 1997-12-01 | 2001-10-16 | The Trustees Of Princeton University | OLEDs doped with phosphorescent compounds |
| US6160267A (en) | 1999-01-05 | 2000-12-12 | Regents Of The University Of Minnesota | Vapochromic led |
| JP3929689B2 (en) * | 2000-03-28 | 2007-06-13 | 富士フイルム株式会社 | Highly efficient red light emitting device, light emitting device material comprising iridium complex and novel iridium complex |
| US7250512B2 (en) | 2001-11-07 | 2007-07-31 | E. I. Du Pont De Nemours And Company | Electroluminescent iridium compounds having red-orange or red emission and devices made with such compounds |
| JP3969132B2 (en) * | 2002-03-12 | 2007-09-05 | コニカミノルタホールディングス株式会社 | Organic electroluminescence element and display device using the same |
| US7232616B2 (en) | 2002-06-13 | 2007-06-19 | Tsinghua University | Organic electroluminescent materials and devices made from such materials |
| US7649077B2 (en) | 2002-10-30 | 2010-01-19 | Ciba Specialty Chemicals Corporation | Polymers for use in optical devices |
| EP1620486A2 (en) | 2003-05-05 | 2006-02-01 | Ciba SC Holding AG | Novel polymers comprising benzotriazole for use in optical devices |
| WO2005113704A2 (en) | 2004-05-18 | 2005-12-01 | The University Of Southern California | Luminescent compounds with carbene ligands |
| US7491823B2 (en) | 2004-05-18 | 2009-02-17 | The University Of Southern California | Luminescent compounds with carbene ligands |
| DE102004040005A1 (en) | 2004-08-18 | 2006-02-23 | Basf Ag | Transition metal carbene complexes embedded in polymer matrices for use in OLEDs |
| DE102004057072A1 (en) | 2004-11-25 | 2006-06-01 | Basf Ag | Use of Transition Metal Carbene Complexes in Organic Light Emitting Diodes (OLEDs) |
| WO2007018067A1 (en) | 2005-08-05 | 2007-02-15 | Idemitsu Kosan Co., Ltd. | Transition metal complex compound and organic electroluminescent device using same |
| JP2007084635A (en) | 2005-09-21 | 2007-04-05 | Konica Minolta Holdings Inc | Material for organic electroluminescent element, organic electroluminescent element, display device and lighting equipment |
| WO2007058255A1 (en) | 2005-11-17 | 2007-05-24 | Idemitsu Kosan Co., Ltd. | Transition metal complex compound |
-
2005
- 2005-12-14 CA CA002589711A patent/CA2589711A1/en not_active Abandoned
- 2005-12-14 JP JP2007547457A patent/JP5100395B2/en not_active Expired - Lifetime
- 2005-12-14 DE DE602005014391T patent/DE602005014391D1/en not_active Expired - Lifetime
- 2005-12-14 CN CN2005800441639A patent/CN101087863B/en not_active Expired - Lifetime
- 2005-12-14 AT AT05817212T patent/ATE430789T1/en not_active IP Right Cessation
- 2005-12-14 US US11/793,513 patent/US8492749B2/en active Active
- 2005-12-14 WO PCT/EP2005/056767 patent/WO2006067074A1/en not_active Ceased
- 2005-12-14 KR KR1020077016762A patent/KR101269497B1/en not_active Expired - Lifetime
- 2005-12-14 BR BRPI0519375-3A patent/BRPI0519375A2/en not_active IP Right Cessation
- 2005-12-14 EP EP09153071A patent/EP2080796A1/en not_active Withdrawn
- 2005-12-14 EP EP05817212A patent/EP1841834B1/en not_active Expired - Lifetime
- 2005-12-22 TW TW094145842A patent/TW200628478A/en unknown
-
2013
- 2013-06-12 US US13/915,745 patent/US9012899B2/en active Active
Patent Citations (4)
| Publication number | Priority date | Publication date | Assignee | Title |
|---|---|---|---|---|
| US20010019782A1 (en) * | 1999-12-27 | 2001-09-06 | Tatsuya Igarashi | Light-emitting material comprising orthometalated iridium complex, light-emitting device, high efficiency red light-emitting device, and novel iridium complex |
| US20020182441A1 (en) * | 2000-08-11 | 2002-12-05 | Trustee Of Princeton University | Organometallic compounds and emission-shifting organic electrophosphorescence |
| EP1191612A2 (en) * | 2000-09-26 | 2002-03-27 | Canon Kabushiki Kaisha | Luminescence device, display apparatus and metal coordination compound |
| WO2005019373A2 (en) * | 2003-08-19 | 2005-03-03 | Basf Aktiengesellschaft | Transition metal complexes comprising carbene ligands serving as emitters for organic light-emitting diodes (oled's) |
Non-Patent Citations (3)
| Title |
|---|
| DANOPOULOS A A ET AL: "C-H activation with N-heterocyclic carbene complexes of iridium and rhodium", JOURNAL OF THE CHEMICAL SOCIETY, DALTON TRANSACTIONS, CHEMICAL SOCIETY. LETCHWORTH, GB, no. 16, 2002, pages 3090 - 3091, XP002303856, ISSN: 1472-7773 * |
| HIRAKI, KATSUMA ET AL: "Preparation and characterization of new cycloplatinated carbene complexes", JOURNAL OF ORGANOMETALLIC CHEMISTRY, CODEN: JORCAI; ISSN: 0022-328X, vol. 216, no. 3, 1981, pages 413 - 419, XP002322322 * |
| HITCHCOCK P B ET AL: "Synthesis of homoleptic tris(organo-chelate)iridium(III) complexes by spontaneous ortho-metallation of electronrich olefin-derived N,N?-diarylcarbene ligands and the X-ray structures of fac-[6H3Me-p}3] and mer-6H3Me-p}2 {C6H4Me-p}Cl (a product of HCl cleavage)", JOURNAL OF ORGANOMETALLIC CHEMISTRY, ELSEVIER-SEQUOIA S.A. LAUSANNE, CH, vol. 239, 1982, pages C26 - C30, XP002309658, ISSN: 0022-328X * |
Cited By (176)
| Publication number | Priority date | Publication date | Assignee | Title |
|---|---|---|---|---|
| JP2007096259A (en) * | 2005-04-25 | 2007-04-12 | Fujifilm Corp | Organic electroluminescence device |
| US9000166B2 (en) | 2005-07-08 | 2015-04-07 | Merck Patent Gmbh | Metal complexes |
| WO2007058104A1 (en) * | 2005-11-17 | 2007-05-24 | Idemitsu Kosan Co., Ltd. | Metal complex compounds and organic electroluminescent devices made by using the same |
| US7501521B2 (en) | 2005-11-17 | 2009-03-10 | Idemitsu Kosan Co., Ltd. | Metal-complex compound and organic electroluminescence device using the compound |
| US8383828B2 (en) * | 2006-04-04 | 2013-02-26 | Basf Aktiengesellschaft | Transition metal complexes comprising one noncarbene ligand and one or two carbene ligands and their use in OLEDs |
| JPWO2008035571A1 (en) * | 2006-09-20 | 2010-01-28 | コニカミノルタホールディングス株式会社 | Organic electroluminescence device |
| JPWO2008035664A1 (en) * | 2006-09-20 | 2010-01-28 | コニカミノルタホールディングス株式会社 | ORGANIC ELECTROLUMINESCENT ELEMENT MATERIAL, ORGANIC ELECTROLUMINESCENT ELEMENT, DISPLAY DEVICE AND LIGHTING DEVICE |
| US9284278B2 (en) | 2007-02-14 | 2016-03-15 | Basf Se | Electroluminescent metal complex |
| US8697255B2 (en) | 2007-07-05 | 2014-04-15 | Basf Se | Organic light-emitting diodes comprising at least one disilyl compound selected from disilylcarbazoles, disilyldibenzofurans, disilyldibenzothiophenes, disilyldibenzopholes, disilyldibenzothiophene S-oxides and disilyldibenzothiophene S,S-dioxides |
| EP3345983A1 (en) | 2007-07-05 | 2018-07-11 | UDC Ireland Limited | Compounds containing at least one disilyl compound selected from disilylcarbazoles, disilyldibenzofurans, disilyldibenzothiophenes, disilyldibenzophospholes, disilyldibenzothiophene s-oxides and disilyldibenzothiophene s, s-dioxides |
| JP2009076509A (en) * | 2007-09-18 | 2009-04-09 | Fujifilm Corp | Organic electroluminescence device |
| US8384068B2 (en) | 2007-10-02 | 2013-02-26 | Basf Se | Use of acridine derivatives as matrix materials and/or electron blockers in OLEDs |
| US8067100B2 (en) * | 2007-10-04 | 2011-11-29 | Universal Display Corporation | Complexes with tridentate ligands |
| US8147988B2 (en) | 2007-11-02 | 2012-04-03 | Canon Kabushiki Kaisha | Platinum complex and organic light-emitting element using same |
| US8592586B2 (en) | 2008-06-10 | 2013-11-26 | Basf Se | Transition metal complexes and use thereof in organic light-emitting diodes V |
| US8410270B2 (en) | 2008-06-10 | 2013-04-02 | Basf Se | Transition metal complexes and use thereof in organic light-emitting diodes V |
| US8377332B2 (en) | 2008-06-10 | 2013-02-19 | Basf Se | Transition metal complexes and use thereof in organic light emitting diodes—III |
| US8859110B2 (en) | 2008-06-20 | 2014-10-14 | Basf Se | Cyclic phosphazene compounds and use thereof in organic light emitting diodes |
| US8618533B2 (en) | 2008-10-07 | 2013-12-31 | Osram Opto Semiconductors Gmbh | Siloles substituted by fused ring systems and use thereof in organic electronics |
| US8728567B2 (en) | 2008-10-24 | 2014-05-20 | Cynora Gmbh | Double complex salts as absorbers in OSC/OPV devices |
| US8592806B2 (en) | 2009-02-26 | 2013-11-26 | Novaled Ag | Quinone compounds as dopants in organic electronics |
| WO2010097433A1 (en) | 2009-02-26 | 2010-09-02 | Basf Se | Quinone compounds as dopants in organic electronics |
| US12376484B2 (en) | 2009-10-28 | 2025-07-29 | Basf Se | Heteroleptic carbene complexes and the use thereof in organic electronics |
| WO2011051404A1 (en) | 2009-10-28 | 2011-05-05 | Basf Se | Heteroleptic carbene complexes and use thereof in organic electronics |
| US11189806B2 (en) | 2009-10-28 | 2021-11-30 | Udc Ireland Limited | Heteroleptic carbene complexes and the use thereof in organic electronics |
| US11871654B2 (en) | 2009-10-28 | 2024-01-09 | Udc Ireland Limited | Heteroleptic carbene complexes and the use thereof in organic electronics |
| KR101881607B1 (en) | 2010-04-16 | 2018-07-24 | 유디씨 아일랜드 리미티드 | Bridged benzimidazole-carbene complexes and use thereof in oleds |
| US8691401B2 (en) | 2010-04-16 | 2014-04-08 | Basf Se | Bridged benzimidazole-carbene complexes and use thereof in OLEDS |
| WO2012020327A1 (en) * | 2010-04-16 | 2012-02-16 | Basf Se | Bridged benzimidazole-carbene complexes and use thereof in oleds |
| KR20130095187A (en) * | 2010-04-16 | 2013-08-27 | 바스프 에스이 | Bridged benzimidazole-carbene complexes and use thereof in oleds |
| US10727422B2 (en) | 2010-04-30 | 2020-07-28 | Arizona Board Of Regents On Behalf Of Arizona State University | Synthesis of four coordinated palladium complexes and their applications in light emitting devices thereof |
| US10263197B2 (en) | 2010-04-30 | 2019-04-16 | Arizona Board Of Regents Acting For And On Behalf Of Arizona State University | Synthesis of four coordinated palladium complexes and their applications in light emitting devices thereof |
| WO2011157790A1 (en) | 2010-06-18 | 2011-12-22 | Basf Se | Organic electronic devices comprising a layer of a dibenzofurane compound and a 8-hydroxyquinolinolato earth alkaline metal, or alkali metal complex |
| WO2011157779A1 (en) | 2010-06-18 | 2011-12-22 | Basf Se | Organic electronic devices comprising a layer of a pyridine compound and a 8-hydroxyquinolinolato earth alkaline metal, or alkali metal complex |
| US9142792B2 (en) | 2010-06-18 | 2015-09-22 | Basf Se | Organic electronic devices comprising a layer comprising at least one metal organic compound and at least one metal oxide |
| WO2012045710A1 (en) | 2010-10-07 | 2012-04-12 | Basf Se | Phenanthro[9,10-b]furans for electronic applications |
| US9079872B2 (en) | 2010-10-07 | 2015-07-14 | Basf Se | Phenanthro[9, 10-B]furans for electronic applications |
| US8362246B2 (en) | 2010-12-13 | 2013-01-29 | Basf Se | Bispyrimidines for electronic applications |
| WO2012080052A1 (en) | 2010-12-13 | 2012-06-21 | Basf Se | Bispyrimidines for electronic applications |
| US9806270B2 (en) | 2011-03-25 | 2017-10-31 | Udc Ireland Limited | 4H-imidazo[1,2-a]imidazoles for electronic applications |
| EP3640252A1 (en) | 2011-03-25 | 2020-04-22 | UDC Ireland Limited | 4h-imidazo[1,2-a]imidazoles for electronic applications |
| US10431750B2 (en) | 2011-03-25 | 2019-10-01 | Udc Ireland Limited | 4H-imidazo[1,2-a]imidazoles for electronic applications |
| WO2012130709A1 (en) | 2011-03-25 | 2012-10-04 | Basf Se | 4h-imidazo[1,2-a]imidazoles for electronic applications |
| EP3034508A1 (en) | 2011-03-25 | 2016-06-22 | Basf Se | 4h-imidazo[1,2-a]imidazoles for electronic applications |
| US9221857B2 (en) | 2011-04-14 | 2015-12-29 | Arizona Board Of Regents Acting For And On Behalf Of Arizona State University | Pyridine-oxyphenyl coordinated iridium (III) complexes and methods of making and using |
| US10414785B2 (en) | 2011-04-14 | 2019-09-17 | Arizona Board Of Regents Acting For And On Behalf Of Arizona State University | Pyridine-oxyphenyl coordinated iridium (III) complexes and methods of making and using |
| US9598449B2 (en) | 2011-04-14 | 2017-03-21 | Arizona Board Of Regents Acting For And On Behalf Of Arizona State University | Pyridine-oxyphenyl coordinated iridium (III) complexes and methods of making and using |
| US11121328B2 (en) | 2011-05-26 | 2021-09-14 | Arizona Board Of Regents On Behalf Of Arizona State University | Synthesis of platinum and palladium complexes as narrow-band phosphorescent emitters for full color displays |
| US10804476B2 (en) | 2011-05-26 | 2020-10-13 | Arizona Board Of Regents, Acting For And On Behalf Of Arizona State University | Synthesis of platinum and palladium complexes as narrow-band phosphorescent emitters for full color displays |
| JP2019206546A (en) * | 2011-06-08 | 2019-12-05 | ユニバーサル ディスプレイ コーポレイション | Heteroleptic iridium carbene complex and light emitting device |
| WO2013068376A1 (en) | 2011-11-10 | 2013-05-16 | Basf Se | 4h-imidazo[1,2-a]imidazoles for electronic applications |
| US9502664B2 (en) | 2011-11-10 | 2016-11-22 | Udc Ireland Limited | 4H-imidazo[1,2-a]imidazoles for electronic applications |
| US9725476B2 (en) | 2012-07-09 | 2017-08-08 | Universal Display Corporation | Silylated metal complexes |
| US9620724B2 (en) | 2012-07-10 | 2017-04-11 | Udc Ireland Limited | Benzimidazo[1,2-A]benzimidazole derivatives for electronic applications |
| WO2014009317A1 (en) | 2012-07-10 | 2014-01-16 | Basf Se | Benzimidazo[1,2-a]benzimidazole derivatives for electronic applications |
| EP3232485A1 (en) | 2012-07-10 | 2017-10-18 | UDC Ireland Limited | Benzimidazo[1,2-a]benzimidazole derivatives for electronic applications |
| US10243150B2 (en) | 2012-07-10 | 2019-03-26 | Udc Ireland Limited | Benzimidazo[1,2-a]benzimidazole derivatives for electronic applications |
| US9711741B2 (en) | 2012-08-24 | 2017-07-18 | Arizona Board Of Regents On Behalf Of Arizona State University | Metal compounds and methods and uses thereof |
| WO2014031977A1 (en) * | 2012-08-24 | 2014-02-27 | Arizona Board Of Regents For And On Behalf Of Arizona State University | Metal compounds and methods and uses thereof |
| US10249827B2 (en) | 2012-09-20 | 2019-04-02 | Udc Ireland Limited | Azadibenzofurans for electronic applications |
| EP3318566A1 (en) | 2012-09-20 | 2018-05-09 | UDC Ireland Limited | Azadibenzofurans for electronic applications |
| US11114626B2 (en) | 2012-09-24 | 2021-09-07 | Arizona Board Of Regents On Behalf Of Arizona State University | Metal compounds, methods, and uses thereof |
| US12232411B2 (en) | 2012-09-24 | 2025-02-18 | Arizona Board Of Regents On Behalf Of Arizona State University | Metal compounds, methods, and uses thereof |
| US10995108B2 (en) | 2012-10-26 | 2021-05-04 | Arizona Board Of Regents On Behalf Of Arizona State University | Metal complexes, methods, and uses thereof |
| US12043633B2 (en) | 2012-10-26 | 2024-07-23 | Arizona Board Of Regents On Behalf Of Arizona State University | Metal complexes, methods, and uses thereof |
| US10319917B2 (en) | 2012-11-06 | 2019-06-11 | Udc Ireland Limited | Phenoxasiline based compounds for electronic application |
| WO2014072320A1 (en) | 2012-11-06 | 2014-05-15 | Basf Se | Phenoxasiline based compounds for electronic application |
| JP2013138225A (en) * | 2013-02-06 | 2013-07-11 | Konica Minolta Inc | Organic electroluminescent element material, organic electroluminescent element, display device and lighting device |
| WO2014147134A1 (en) | 2013-03-20 | 2014-09-25 | Basf Se | Azabenzimidazole carbene complexes as efficiency booster in oleds |
| EP3266789A1 (en) | 2013-07-02 | 2018-01-10 | UDC Ireland Limited | Monosubstituted diazabenzimidazole carbene metal complexes for use in organic light emitting diodes |
| WO2015000955A1 (en) | 2013-07-02 | 2015-01-08 | Basf Se | Monosubstituted diazabenzimidazole carbene metal complexes for use in organic light emitting diodes |
| EP3608329A1 (en) | 2013-07-02 | 2020-02-12 | UDC Ireland Limited | Monosubstituted diazabenzimidazole carbene metal complexes for use in organic light emitting diodes |
| US12167676B2 (en) | 2013-10-14 | 2024-12-10 | Arizona Board Of Regents On Behalf Of Arizona State University | Platinum complexes and devices |
| US11189808B2 (en) | 2013-10-14 | 2021-11-30 | Arizona Board Of Regents On Behalf Of Arizona State University | Platinum complexes and devices |
| WO2015063046A1 (en) | 2013-10-31 | 2015-05-07 | Basf Se | Azadibenzothiophenes for electronic applications |
| US11930698B2 (en) | 2014-01-07 | 2024-03-12 | Arizona Board Of Regents On Behalf Of Arizona State University | Tetradentate platinum and palladium complex emitters containing phenyl-pyrazole and its analogues |
| US10056567B2 (en) | 2014-02-28 | 2018-08-21 | Arizona Board Of Regents On Behalf Of Arizona State University | Chiral metal complexes as emitters for organic polarized electroluminescent devices |
| US10370396B2 (en) | 2014-03-31 | 2019-08-06 | Udc Ireland Limited | Metal complexes, comprising carbene ligands having an O-substituted non-cyclometallated aryl group and their use in organic light emitting diodes |
| US9862739B2 (en) | 2014-03-31 | 2018-01-09 | Udc Ireland Limited | Metal complexes, comprising carbene ligands having an O-substituted non-cyclometalated aryl group and their use in organic light emitting diodes |
| US10118939B2 (en) | 2014-03-31 | 2018-11-06 | Udc Ireland Limited | Metal complexes, comprising carbene ligands having an o-substituted non-cyclometalated aryl group and their use in organic light emitting diodes |
| US11011712B2 (en) | 2014-06-02 | 2021-05-18 | Arizona Board Of Regents On Behalf Of Arizona State University | Tetradentate cyclometalated platinum complexes containing 9,10-dihydroacridine and its analogues |
| US11839144B2 (en) | 2014-06-02 | 2023-12-05 | Arizona Board Of Regents On Behalf Of Arizona State University | Tetradentate cyclometalated platinum complexes containing 9,10-dihydroacridine and its analogues |
| US10886478B2 (en) | 2014-07-24 | 2021-01-05 | Arizona Board Of Regents On Behalf Of Arizona State University | Tetradentate platinum (II) complexes cyclometalated with functionalized phenyl carbene ligands and their analogues |
| US12082486B2 (en) | 2014-07-24 | 2024-09-03 | Arizona Board Of Regents On Behalf Of Arizona State University | Tetradentate platinum (II) complexes cyclometalated with functionalized phenyl carbene ligands and their analogues |
| WO2016016791A1 (en) | 2014-07-28 | 2016-02-04 | Idemitsu Kosan Co., Ltd (Ikc) | 2,9-functionalized benzimidazolo[1,2-a]benzimidazoles as hosts for organic light emitting diodes (oleds) |
| US10964897B2 (en) | 2014-07-28 | 2021-03-30 | Arizona Board Of Regents On Behalf Of Arizona State University | Tridentate cyclometalated metal complexes with six-membered coordination rings |
| US10790457B2 (en) | 2014-07-29 | 2020-09-29 | Arizona Board Of Regents On Behalf Of Arizona State University | Metal-assisted delayed fluorescent emitters containing tridentate ligands |
| US12082488B2 (en) | 2014-07-29 | 2024-09-03 | Arizona Board Of Regents On Behalf Of Arizona State University | Metal-assisted delayed fluorescent emitters containing tridentate ligands |
| US9818959B2 (en) | 2014-07-29 | 2017-11-14 | Arizona Board of Regents on behlaf of Arizona State University | Metal-assisted delayed fluorescent emitters containing tridentate ligands |
| US11145830B2 (en) | 2014-07-29 | 2021-10-12 | Arizona Board Of Regents On Behalf Of Arizona State University | Metal-assisted delayed fluorescent emitters containing tridentate ligands |
| EP2982676A1 (en) | 2014-08-07 | 2016-02-10 | Idemitsu Kosan Co., Ltd. | Benzimidazo[2,1-B]benzoxazoles for electronic applications |
| US12043611B2 (en) | 2014-08-15 | 2024-07-23 | Arizona Board Of Regents On Behalf Of Arizona State University | Non-platinum metal complexes for excimer based single dopant white organic light emitting diodes |
| US11329244B2 (en) | 2014-08-22 | 2022-05-10 | Arizona Board Of Regents On Behalf Of Arizona State University | Organic light-emitting diodes with fluorescent and phosphorescent emitters |
| US12492336B2 (en) | 2014-08-22 | 2025-12-09 | Arizona Board Of Regents On Behalf Of Arizona State University | Organic light-emitting diodes with fluorescent and phosphorescent emitters |
| EP2993215A1 (en) | 2014-09-04 | 2016-03-09 | Idemitsu Kosan Co., Ltd. | Azabenzimidazo[2,1-a]benzimidazoles for electronic applications |
| EP3015469A1 (en) | 2014-10-30 | 2016-05-04 | Idemitsu Kosan Co., Ltd. | 5-((benz)imidazol-2-yl)benzimidazo[1,2-a]benzimidazoles for electronic applications |
| WO2016067261A1 (en) | 2014-10-30 | 2016-05-06 | Idemitsu Kosan Co., Ltd. | 5-((benz)imidazol-2-yl)benzimidazo[1,2-a]benzimidazoles for electronic applications |
| US10033003B2 (en) | 2014-11-10 | 2018-07-24 | Arizona Board Of Regents On Behalf Of Arizona State University | Tetradentate metal complexes with carbon group bridging ligands |
| US10991897B2 (en) | 2014-11-10 | 2021-04-27 | Arizona Board Of Regents On Behalf Of Arizona State University | Emitters based on octahedral metal complexes |
| US9865825B2 (en) | 2014-11-10 | 2018-01-09 | Arizona Board Of Regents On Behalf Of Arizona State University | Emitters based on octahedral metal complexes |
| US11653560B2 (en) | 2014-11-10 | 2023-05-16 | Arizona Board Of Regents On Behalf Of Arizona State University | Tetradentate metal complexes with carbon group bridging ligands |
| US12302745B2 (en) | 2014-11-10 | 2025-05-13 | Arizona Board Of Regents On Behalf Of Arizona State University | Tetradentate metal complexes with carbon group bridging ligands |
| US10944064B2 (en) | 2014-11-10 | 2021-03-09 | Arizona Board Of Regents On Behalf Of Arizona State University | Tetradentate metal complexes with carbon group bridging ligands |
| US11856840B2 (en) | 2014-11-10 | 2023-12-26 | Arizona Board Of Regents On Behalf Of Arizona State University | Emitters based on octahedral metal complexes |
| WO2016079667A1 (en) | 2014-11-17 | 2016-05-26 | Idemitsu Kosan Co., Ltd. | Indole derivatives for electronic applications |
| US10424746B2 (en) | 2014-11-18 | 2019-09-24 | Udc Ireland Limited | Pt- or Pd-carbene complexes for use in organic light emitting diodes |
| WO2016079169A1 (en) | 2014-11-18 | 2016-05-26 | Basf Se | Pt- or pd-carbene complexes for use in organic light emitting diodes |
| EP3034507A1 (en) | 2014-12-15 | 2016-06-22 | Idemitsu Kosan Co., Ltd | 1-functionalized dibenzofurans and dibenzothiophenes for organic light emitting diodes (OLEDs) |
| EP3034506A1 (en) | 2014-12-15 | 2016-06-22 | Idemitsu Kosan Co., Ltd | 4-functionalized carbazole derivatives for electronic applications |
| WO2016097983A1 (en) | 2014-12-15 | 2016-06-23 | Idemitsu Kosan Co., Ltd. | 1-functionalized dibenzofurans and dibenzothiophenes for organic light emitting diodes (oleds) |
| EP3053918A1 (en) | 2015-02-06 | 2016-08-10 | Idemitsu Kosan Co., Ltd | 2-carbazole substituted benzimidazoles for electronic applications |
| EP3054498A1 (en) | 2015-02-06 | 2016-08-10 | Idemitsu Kosan Co., Ltd. | Bisimidazodiazocines |
| WO2016125110A1 (en) | 2015-02-06 | 2016-08-11 | Idemitsu Kosan Co., Ltd. | Bisimidazolodiazocines |
| EP3061759A1 (en) | 2015-02-24 | 2016-08-31 | Idemitsu Kosan Co., Ltd | Nitrile substituted dibenzofurans |
| EP3070144A1 (en) | 2015-03-17 | 2016-09-21 | Idemitsu Kosan Co., Ltd. | Seven-membered ring compounds |
| EP3072943A1 (en) | 2015-03-26 | 2016-09-28 | Idemitsu Kosan Co., Ltd. | Dibenzofuran/carbazole-substituted benzonitriles |
| EP3075737A1 (en) | 2015-03-31 | 2016-10-05 | Idemitsu Kosan Co., Ltd | Benzimidazolo[1,2-a]benzimidazole carrying aryl- or heteroarylnitril groups for organic light emitting diodes |
| WO2016157113A1 (en) | 2015-03-31 | 2016-10-06 | Idemitsu Kosan Co., Ltd. | Benzimidazolo[1,2-a]benzimidazole carrying aryl- or heteroarylnitril groups for organic light emitting diodes |
| US11672175B2 (en) | 2015-04-06 | 2023-06-06 | Universal Display Corporation | Organic electroluminescent materials and devices |
| US11495749B2 (en) | 2015-04-06 | 2022-11-08 | Universal Display Corporation | Organic electroluminescent materials and devices |
| US11245080B2 (en) | 2015-04-06 | 2022-02-08 | Universal Display Corporation | Organic electroluminescent materials and devices |
| US12295262B2 (en) | 2015-04-06 | 2025-05-06 | Universal Display Corporation | Organic electroluminescent materials and devices |
| US11818949B2 (en) | 2015-04-06 | 2023-11-14 | Universal Display Corporation | Organic electroluminescent materials and devices |
| US10693082B2 (en) | 2015-04-06 | 2020-06-23 | Universal Display Corporation | Organic electroluminescent materials and devices |
| US10593890B2 (en) | 2015-04-06 | 2020-03-17 | Universal Display Corporation | Organic electroluminescent materials and devices |
| US12284913B2 (en) | 2015-04-06 | 2025-04-22 | Universal Display Corporation | Organic electroluminescent materials and devices |
| US9617291B2 (en) | 2015-06-03 | 2017-04-11 | Arizona Board Of Regents On Behalf Of Arizona State University | Tetradentate and octahedral metal complexes containing naphthyridinocarbazole and its analogues |
| US12312366B2 (en) | 2015-06-03 | 2025-05-27 | Arizona Board Of Regents On Behalf Of Arizona State University | Tetradentate and octahedral metal complexes containing naphthyridinocarbazole and its analogues |
| US11472827B2 (en) | 2015-06-03 | 2022-10-18 | Arizona Board Of Regents On Behalf Of Arizona State University | Tetradentate and octahedral metal complexes containing naphthyridinocarbazole and its analogues |
| US9879039B2 (en) | 2015-06-03 | 2018-01-30 | Arizona Board Of Regents On Behalf Of Arizona State University | Tetradentate and octahedral metal complexes containing naphthyridinocarbazole and its analogues |
| US10836785B2 (en) | 2015-06-03 | 2020-11-17 | Arizona Board Of Regents On Behalf Of Arizona State University | Tetradentate and octahedral metal complexes containing naphthyridinocarbazole and its analogues |
| US10930865B2 (en) | 2015-08-04 | 2021-02-23 | Arizona Board Of Regents On Behalf Of Arizona State University | Tetradentate platinum (II) and palladium (II) complexes, devices, and uses thereof |
| US10158091B2 (en) | 2015-08-04 | 2018-12-18 | Arizona Board Of Regents On Behalf Of Arizona State University | Tetradentate platinum (II) and palladium (II) complexes, devices, and uses thereof |
| WO2017056055A1 (en) | 2015-10-01 | 2017-04-06 | Idemitsu Kosan Co., Ltd. | Benzimidazolo[1,2-a]benzimidazole carrying triazine groups for organic light emitting diodes |
| WO2017056052A1 (en) | 2015-10-01 | 2017-04-06 | Idemitsu Kosan Co., Ltd. | Benzimidazolo[1,2-a]benzimidazole carrying benzimidazolo[1,2-a]benzimidazolyl groups, carbazolyl groups, benzofurane groups or benzothiophene groups for organic light emitting diodes |
| WO2017056053A1 (en) | 2015-10-01 | 2017-04-06 | Idemitsu Kosan Co., Ltd. | Benzimidazolo[1,2-a]benzimidazole carrying benzimidazolo[1,2-a]benzimidazolyl groups, carbazolyl groups, benzofurane groups or benzothiophene groups for organic light emitting diodes |
| EP3150606A1 (en) | 2015-10-01 | 2017-04-05 | Idemitsu Kosan Co., Ltd. | Benzimidazolo[1,2-a]benzimidazoles carrying benzofurane or benzothiophene groups for organic light emitting diodes |
| EP3150604A1 (en) | 2015-10-01 | 2017-04-05 | Idemitsu Kosan Co., Ltd. | Benzimidazolo[1,2-a]benzimidazole carrying benzimidazolo[1,2-a]benzimidazolyl groups, carbazolyl groups, benzofurane groups or benzothiophene groups for organic light emitting diodes |
| WO2017078182A1 (en) | 2015-11-04 | 2017-05-11 | Idemitsu Kosan Co., Ltd. | Benzimidazole fused heteroaryls |
| WO2017093958A1 (en) | 2015-12-04 | 2017-06-08 | Idemitsu Kosan Co., Ltd. | Benzimidazolo[1,2-a]benzimidazole derivatives for organic light emitting diodes |
| WO2017109727A1 (en) | 2015-12-21 | 2017-06-29 | Idemitsu Kosan Co., Ltd. | Hetero-condensed phenylquinazolines and their use in electronic devices |
| WO2017109722A1 (en) | 2015-12-21 | 2017-06-29 | Idemitsu Kosan Co., Ltd. | Nitrogen-containing heterocyclic compounds and organic electroluminescence devices containing them |
| WO2017178864A1 (en) | 2016-04-12 | 2017-10-19 | Idemitsu Kosan Co., Ltd. | Seven-membered ring compounds |
| US11335865B2 (en) | 2016-04-15 | 2022-05-17 | Arizona Board Of Regents On Behalf Of Arizona State University | OLED with multi-emissive material layer |
| WO2017221999A1 (en) | 2016-06-22 | 2017-12-28 | Idemitsu Kosan Co., Ltd. | Specifically substituted benzofuro- and benzothienoquinolines for organic light emitting diodes |
| US10566554B2 (en) | 2016-08-22 | 2020-02-18 | Arizona Board Of Regents On Behalf Of Arizona State University | Tetradentate platinum (II) and palladium (II) complexes and octahedral iridium complexes employing azepine functional groups and their analogues |
| US10177323B2 (en) | 2016-08-22 | 2019-01-08 | Arizona Board Of Regents On Behalf Of Arizona State University | Tetradentate platinum (II) and palladium (II) complexes and octahedral iridium complexes employing azepine functional groups and their analogues |
| US10822363B2 (en) | 2016-10-12 | 2020-11-03 | Arizona Board Of Regents On Behalf Of Arizona State University | Narrow band red phosphorescent tetradentate platinum (II) complexes |
| US11183670B2 (en) | 2016-12-16 | 2021-11-23 | Arizona Board Of Regents On Behalf Of Arizona State University | Organic light emitting diode with split emissive layer |
| US11708385B2 (en) | 2017-01-27 | 2023-07-25 | Arizona Board Of Regents On Behalf Of Arizona State University | Metal-assisted delayed fluorescent emitters employing pyrido-pyrrolo-acridine and analogues |
| US10516117B2 (en) | 2017-05-19 | 2019-12-24 | Arizona Board Of Regents On Behalf Of Arizona State University | Metal-assisted delayed fluorescent emttters employing benzo-imidazo-phenanthridine and analogues |
| US11101435B2 (en) | 2017-05-19 | 2021-08-24 | Arizona Board Of Regents On Behalf Of Arizona State University | Tetradentate platinum and palladium complexes based on biscarbazole and analogues |
| US11063228B2 (en) | 2017-05-19 | 2021-07-13 | Arizona Board Of Regents On Behalf Of Arizona State University | Metal-assisted delayed fluorescent emitters employing benzo-imidazo-phenanthridine and analogues |
| US11974495B2 (en) | 2017-05-19 | 2024-04-30 | Arizona Board Of Regents On Behalf Of Arizona State University | Tetradentate platinum and palladium complexes based on biscarbazole and analogues |
| US12010908B2 (en) | 2017-05-19 | 2024-06-11 | Arizona Board Of Regents On Behalf Of Arizona State University | Metal-assisted delayed fluorescent emitters employing benzo-imidazo-phenanthridine and analogues |
| US20240099039A1 (en) * | 2017-07-27 | 2024-03-21 | Universal Display Corporation | Use of singlet-triplet gap hosts for increasing stability of blue phosphorescent emission |
| EP3466954A1 (en) | 2017-10-04 | 2019-04-10 | Idemitsu Kosan Co., Ltd. | Fused phenylquinazolines bridged with a heteroatom |
| US12120945B2 (en) | 2017-10-17 | 2024-10-15 | Arizona Board Of Regents On Behalf Of Arizona State University | Display and lighting devices comprising phosphorescent excimers with preferred molecular orientation as monochromatic emitters |
| US11647643B2 (en) | 2017-10-17 | 2023-05-09 | Arizona Board Of Regents On Behalf Of Arizona State University | Hole-blocking materials for organic light emitting diodes |
| US11594688B2 (en) | 2017-10-17 | 2023-02-28 | Arizona Board Of Regents On Behalf Of Arizona State University | Display and lighting devices comprising phosphorescent excimers with preferred molecular orientation as monochromatic emitters |
| US12037348B2 (en) | 2018-03-09 | 2024-07-16 | Arizona Board Of Regents On Behalf Of Arizona State University | Blue and narrow band green and red emitting metal complexes |
| US12091429B2 (en) | 2018-07-16 | 2024-09-17 | Arizona Board Of Regents On Behalf Of Arizona State University | Fluorinated porphyrin derivatives for optoelectronic applications |
| WO2020026133A1 (en) | 2018-07-30 | 2020-02-06 | Idemitsu Kosan Co., Ltd. | Polycyclic compound, organic electroluminescence device, and electronic device |
| EP3604477A1 (en) | 2018-07-30 | 2020-02-05 | Idemitsu Kosan Co., Ltd. | Polycyclic compound, organic electroluminescence device, and electronic device |
| EP3608319A1 (en) | 2018-08-07 | 2020-02-12 | Idemitsu Kosan Co., Ltd. | Condensed aza cycles as organic light emitting device and materials for use in same |
| US11834459B2 (en) | 2018-12-12 | 2023-12-05 | Universal Display Corporation | Host materials for electroluminescent devices |
| US11878988B2 (en) | 2019-01-24 | 2024-01-23 | Arizona Board Of Regents On Behalf Of Arizona State University | Blue phosphorescent emitters employing functionalized imidazophenthridine and analogues |
| US12448405B2 (en) | 2019-01-24 | 2025-10-21 | Arizona Board Of Regents On Behalf Of Arizona State University | Blue phosphorescent emitters employing functionalized imidazophenthridine and analogues |
| US11594691B2 (en) | 2019-01-25 | 2023-02-28 | Arizona Board Of Regents On Behalf Of Arizona State University | Light outcoupling efficiency of phosphorescent OLEDs by mixing horizontally aligned fluorescent emitters |
| US12082490B2 (en) | 2019-01-25 | 2024-09-03 | Arizona Board Of Regents On Behalf Of Arizona State University | Light outcoupling efficiency of phosphorescent OLEDs by mixing horizontally aligned fluorescent emitters |
| US12120946B2 (en) | 2019-10-02 | 2024-10-15 | Arizona Board Of Regents On Behalf Of Arizona State University | Green and red organic light-emitting diodes employing excimer emitters |
| US11785838B2 (en) | 2019-10-02 | 2023-10-10 | Arizona Board Of Regents On Behalf Of Arizona State University | Green and red organic light-emitting diodes employing excimer emitters |
| US11945985B2 (en) | 2020-05-19 | 2024-04-02 | Arizona Board Of Regents On Behalf Of Arizona State University | Metal assisted delayed fluorescent emitters for organic light-emitting diodes |
| US12503644B2 (en) | 2020-05-19 | 2025-12-23 | Arizona Board Of Regents On Behalf Of Arizona State University | Metal assisted delayed fluorescent emitters for organic light-emitting diodes |
| US20240057470A1 (en) * | 2021-10-12 | 2024-02-15 | Universal Display Corporation | Organic electroluminescent materials and devices |
| US20230147066A1 (en) * | 2021-10-12 | 2023-05-11 | Universal Display Corporation | Organic electroluminescent materials and devices |
Also Published As
| Publication number | Publication date |
|---|---|
| US8492749B2 (en) | 2013-07-23 |
| EP1841834B1 (en) | 2009-05-06 |
| US20110114922A1 (en) | 2011-05-19 |
| TW200628478A (en) | 2006-08-16 |
| US9012899B2 (en) | 2015-04-21 |
| ATE430789T1 (en) | 2009-05-15 |
| EP2080796A1 (en) | 2009-07-22 |
| KR101269497B1 (en) | 2013-05-31 |
| CN101087863B (en) | 2012-06-20 |
| KR20070091355A (en) | 2007-09-10 |
| CA2589711A1 (en) | 2006-06-29 |
| JP2008525366A (en) | 2008-07-17 |
| BRPI0519375A2 (en) | 2009-01-20 |
| JP5100395B2 (en) | 2012-12-19 |
| DE602005014391D1 (en) | 2009-06-18 |
| EP1841834A1 (en) | 2007-10-10 |
| CN101087863A (en) | 2007-12-12 |
| US20130292660A1 (en) | 2013-11-07 |
Similar Documents
| Publication | Publication Date | Title |
|---|---|---|
| KR101269497B1 (en) | Electroluminescent metal complexes with nucleophilic carbene ligands | |
| KR101272490B1 (en) | Electroluminescent metal complexes with triazoles and benzotriazoles | |
| JP5709528B2 (en) | Electroluminescent metal complex using dibenzo [f, h] quinoxaline | |
| CN101631793B (en) | Electroluminescent Benzotriazole Metal Complexes | |
| US7166368B2 (en) | Electroluminescent platinum compounds and devices made with such compounds | |
| EP1442094B1 (en) | Electroluminescent iridium compounds having red-orange or red emission and devices made with such compounds | |
| WO2010031738A1 (en) | Electroluminescent metal complexes with azapyrenes | |
| WO2010037667A1 (en) | Complex salts | |
| KR20090109591A (en) | Electroluminescent metal complexes | |
| JP5234965B2 (en) | Electroluminescent metal complexes with triazoles | |
| AU2002354028A1 (en) | Electroluminescent platinum compounds and devices made with such compounds |
Legal Events
| Date | Code | Title | Description |
|---|---|---|---|
| AK | Designated states |
Kind code of ref document: A1 Designated state(s): AE AG AL AM AT AU AZ BA BB BG BR BW BY BZ CA CH CN CO CR CU CZ DE DK DM DZ EC EE EG ES FI GB GD GE GH GM HR HU ID IL IN IS JP KE KG KM KN KP KR KZ LC LK LR LS LT LU LV LY MA MD MG MK MN MW MX MZ NA NG NI NO NZ OM PG PH PL PT RO RU SC SD SE SG SK SL SM SY TJ TM TN TR TT TZ UA UG US UZ VC VN YU ZA ZM ZW |
|
| AL | Designated countries for regional patents |
Kind code of ref document: A1 Designated state(s): BW GH GM KE LS MW MZ NA SD SL SZ TZ UG ZM ZW AM AZ BY KG KZ MD RU TJ TM AT BE BG CH CY CZ DE DK EE ES FI FR GB GR HU IE IS IT LT LU LV MC NL PL PT RO SE SI SK TR BF BJ CF CG CI CM GA GN GQ GW ML MR NE SN TD TG |
|
| 121 | Ep: the epo has been informed by wipo that ep was designated in this application | ||
| WWE | Wipo information: entry into national phase |
Ref document number: 2005817212 Country of ref document: EP |
|
| WWE | Wipo information: entry into national phase |
Ref document number: 2589711 Country of ref document: CA |
|
| WWE | Wipo information: entry into national phase |
Ref document number: 200580044163.9 Country of ref document: CN |
|
| WWE | Wipo information: entry into national phase |
Ref document number: 2007547457 Country of ref document: JP Ref document number: 2780/CHENP/2007 Country of ref document: IN |
|
| NENP | Non-entry into the national phase |
Ref country code: DE |
|
| WWE | Wipo information: entry into national phase |
Ref document number: 1020077016762 Country of ref document: KR |
|
| WWP | Wipo information: published in national office |
Ref document number: 2005817212 Country of ref document: EP |
|
| ENP | Entry into the national phase |
Ref document number: PI0519375 Country of ref document: BR |
|
| WWE | Wipo information: entry into national phase |
Ref document number: 11793513 Country of ref document: US |




























































































































































































































