WO2006066950A2 - Tricyclic aminoalcohols, methods for producing the same and their use as anti-inflammatory agents - Google Patents
Tricyclic aminoalcohols, methods for producing the same and their use as anti-inflammatory agents Download PDFInfo
- Publication number
- WO2006066950A2 WO2006066950A2 PCT/EP2005/013943 EP2005013943W WO2006066950A2 WO 2006066950 A2 WO2006066950 A2 WO 2006066950A2 EP 2005013943 W EP2005013943 W EP 2005013943W WO 2006066950 A2 WO2006066950 A2 WO 2006066950A2
- Authority
- WO
- WIPO (PCT)
- Prior art keywords
- group
- groups
- alkyl
- general formula
- optionally
- Prior art date
- Legal status (The legal status is an assumption and is not a legal conclusion. Google has not performed a legal analysis and makes no representation as to the accuracy of the status listed.)
- Ceased
Links
Classifications
-
- C—CHEMISTRY; METALLURGY
- C07—ORGANIC CHEMISTRY
- C07D—HETEROCYCLIC COMPOUNDS
- C07D405/00—Heterocyclic compounds containing both one or more hetero rings having oxygen atoms as the only ring hetero atoms, and one or more rings having nitrogen as the only ring hetero atom
- C07D405/02—Heterocyclic compounds containing both one or more hetero rings having oxygen atoms as the only ring hetero atoms, and one or more rings having nitrogen as the only ring hetero atom containing two hetero rings
- C07D405/12—Heterocyclic compounds containing both one or more hetero rings having oxygen atoms as the only ring hetero atoms, and one or more rings having nitrogen as the only ring hetero atom containing two hetero rings linked by a chain containing hetero atoms as chain links
-
- A—HUMAN NECESSITIES
- A61—MEDICAL OR VETERINARY SCIENCE; HYGIENE
- A61K—PREPARATIONS FOR MEDICAL, DENTAL OR TOILETRY PURPOSES
- A61K31/00—Medicinal preparations containing organic active ingredients
- A61K31/33—Heterocyclic compounds
- A61K31/335—Heterocyclic compounds having oxygen as the only ring hetero atom, e.g. fungichromin
- A61K31/35—Heterocyclic compounds having oxygen as the only ring hetero atom, e.g. fungichromin having six-membered rings with one oxygen as the only ring hetero atom
- A61K31/352—Heterocyclic compounds having oxygen as the only ring hetero atom, e.g. fungichromin having six-membered rings with one oxygen as the only ring hetero atom condensed with carbocyclic rings, e.g. methantheline
-
- A—HUMAN NECESSITIES
- A61—MEDICAL OR VETERINARY SCIENCE; HYGIENE
- A61K—PREPARATIONS FOR MEDICAL, DENTAL OR TOILETRY PURPOSES
- A61K31/00—Medicinal preparations containing organic active ingredients
- A61K31/33—Heterocyclic compounds
- A61K31/395—Heterocyclic compounds having nitrogen as a ring hetero atom, e.g. guanethidine or rifamycins
- A61K31/495—Heterocyclic compounds having nitrogen as a ring hetero atom, e.g. guanethidine or rifamycins having six-membered rings with two or more nitrogen atoms as the only ring heteroatoms, e.g. piperazine or tetrazines
- A61K31/505—Pyrimidines; Hydrogenated pyrimidines, e.g. trimethoprim
- A61K31/517—Pyrimidines; Hydrogenated pyrimidines, e.g. trimethoprim ortho- or peri-condensed with carbocyclic ring systems, e.g. quinazoline, perimidine
-
- A—HUMAN NECESSITIES
- A61—MEDICAL OR VETERINARY SCIENCE; HYGIENE
- A61P—SPECIFIC THERAPEUTIC ACTIVITY OF CHEMICAL COMPOUNDS OR MEDICINAL PREPARATIONS
- A61P29/00—Non-central analgesic, antipyretic or antiinflammatory agents, e.g. antirheumatic agents; Non-steroidal antiinflammatory drugs [NSAID]
-
- C—CHEMISTRY; METALLURGY
- C07—ORGANIC CHEMISTRY
- C07D—HETEROCYCLIC COMPOUNDS
- C07D239/00—Heterocyclic compounds containing 1,3-diazine or hydrogenated 1,3-diazine rings
- C07D239/70—Heterocyclic compounds containing 1,3-diazine or hydrogenated 1,3-diazine rings condensed with carbocyclic rings or ring systems
- C07D239/72—Quinazolines; Hydrogenated quinazolines
- C07D239/74—Quinazolines; Hydrogenated quinazolines with only hydrogen atoms, hydrocarbon or substituted hydrocarbon radicals, attached to ring carbon atoms of the hetero ring
-
- C—CHEMISTRY; METALLURGY
- C07—ORGANIC CHEMISTRY
- C07D—HETEROCYCLIC COMPOUNDS
- C07D311/00—Heterocyclic compounds containing six-membered rings having one oxygen atom as the only hetero atom, condensed with other rings
- C07D311/02—Heterocyclic compounds containing six-membered rings having one oxygen atom as the only hetero atom, condensed with other rings ortho- or peri-condensed with carbocyclic rings or ring systems
- C07D311/04—Benzo[b]pyrans, not hydrogenated in the carbocyclic ring
- C07D311/06—Benzo[b]pyrans, not hydrogenated in the carbocyclic ring with oxygen or sulfur atoms directly attached in position 2
- C07D311/20—Benzo[b]pyrans, not hydrogenated in the carbocyclic ring with oxygen or sulfur atoms directly attached in position 2 hydrogenated in the hetero ring
-
- C—CHEMISTRY; METALLURGY
- C07—ORGANIC CHEMISTRY
- C07D—HETEROCYCLIC COMPOUNDS
- C07D311/00—Heterocyclic compounds containing six-membered rings having one oxygen atom as the only hetero atom, condensed with other rings
- C07D311/02—Heterocyclic compounds containing six-membered rings having one oxygen atom as the only hetero atom, condensed with other rings ortho- or peri-condensed with carbocyclic rings or ring systems
- C07D311/78—Ring systems having three or more relevant rings
-
- C—CHEMISTRY; METALLURGY
- C07—ORGANIC CHEMISTRY
- C07D—HETEROCYCLIC COMPOUNDS
- C07D409/00—Heterocyclic compounds containing two or more hetero rings, at least one ring having sulfur atoms as the only ring hetero atoms
- C07D409/02—Heterocyclic compounds containing two or more hetero rings, at least one ring having sulfur atoms as the only ring hetero atoms containing two hetero rings
- C07D409/12—Heterocyclic compounds containing two or more hetero rings, at least one ring having sulfur atoms as the only ring hetero atoms containing two hetero rings linked by a chain containing hetero atoms as chain links
Definitions
- Tricyclic amino alcohols process for their preparation and their use as anti-inflammatory agents
- the invention relates to tricyclic amino alcohols, processes for their preparation and their use as anti-inflammatory agents. From the prior art WO 02/10143 and WO 03/082827 open-chain non-steroidal anti-inflammatory agents are known. These compounds show in the experiment Wirkdissoziationen between anti-inflammatory and undesirable metabolic effects and are superior to the previously described nonsteroidal glucocorticoids or at least have an equally good effect.
- the present invention relates to compounds of the general formula (I),
- R 1 and R 2 are independently a hydrogen atom, a hydroxy group, a halogen atom, an optionally substituted
- R 3 is a hydrogen atom, a hydroxy group, a halogen atom, an optionally substituted (C 1 -C 10) -alkyl group, a (C 1 -C 10) -alkoxy group, a (C 1 -C 10) -alkylthio group, a (C 1 -C 5 ) - Perfluoroalkyl group, a cyano group,
- R 4 is a C r Cio-alkyl group, by one or more groups selected from 1-3 hydroxy groups, halogen atoms, 1-3 (CrC 5) - alkoxy substituted C r Cio-alkyl group, an optionally substituted (C 3 -C 7) Cycloalkyl group, an optionally substituted heterocyclyl group, an optionally substituted aryl group, optionally one or more groups selected from (C 1 -C 5 ) -alkyl groups (which may optionally be substituted by 1-3 hydroxy or 1-3 COOR 10 groups, wherein R 3 10 C r C 6 alkyl or benzyl), (CrCs) alkoxy groups, hydroxy groups, halogen atoms, (CrC 3 ) - Exoalkylidenement substituted, optionally 1-4 nitrogen atoms and / or 1-2 oxygen atoms and / or 1-2 sulfur atoms and or mono- or bicyclic heteroaryl group containing one to two keto groups
- R 5 is a (C 1 -C 5 ) -alkyl group or an optionally partially or completely fluorinated (C 1 -C 5 ) -alkyl group, a (C 3 -C 7 ) -cycloalkyl group, a (C 3 -C 7 ) -cycloalkyl (C 1 -C 8 ) -alkyl group, (C 3 -C 7) cycloalkyl (C 2 -C 8) alkenyl (8 -C) alkyl group, a heterocyclyl group, a heterocyclyl, heterocyclyl (C 2 - Ce) alkenyl group, an aryl group, an aryl (-C 8) alkyl group,
- R 6 and R 7 independently represent a hydrogen atom, a halogen atom, a (Ci-C 5 ) alkyl group which may be substituted with OR 8 , SR 8 , NR 8 R 9 , p 1-3 and
- X represents an oxygen, a sulfur atom, a CH 2 - or an NR 9 group.
- R 4 is a C 1 -C 18 -alkyl group, represented by one or more groups selected from the group consisting of 1-3 hydroxy groups, halogen atoms, C 1 -C 15 -alkoxy substituted CiC-io-alkyl group, an optionally substituted
- Phenyl group an optionally substituted by 1-2 keto groups, 1-2 (C 1 -C 5 ) - alkyl groups, 1-2 (C 1 -C 5 -alkoxy groups, 1-3 hydroxy groups, 1-3 halogen atoms, 1-2 (Ci-C 3 ) -Exoalkyliden law, substituted 1-3 nitrogen atoms and / or 1-2 oxygen atoms and / or 1-2 sulfur atoms and / or 1-2 keto groups containing mono- or bicyclic
- R 5 is a (Ci-C 5) alkyl group or an optionally partially or completely fluorinated (Ci-C 5) alkyl group, an aryl group, an aryl (-C 8) alkyl, aryl (C 2 -C 8) alkenyl group, a ( C 3 -C 7 ) cycloalkyl group, a (C 3 -C 7 ) cycloalkyl (C 1 -C 8 ) alkyl group, (C 3 C 7 ) cycloalkyl (C 2 -C 8 ) alkenyl group
- R 6 and R 7 independently of one another represent a hydrogen atom, a halogen atom , a methyl or ethyl group which may be substituted with OR 8 , SR 8 , N (R 9 ) 2 , p 1-3 and
- X represents an oxygen, a sulfur atom, a CH 2 - or an NR 9 group.
- An object of the present invention are stereoisomers of the general formula (I) wherein
- Bodies can be hydrogenated
- R 5 is a (Ci-C 5 ) alkyl group or an optionally partially or completely fluorinated (d-CsJ-alkyl group
- R 6 and R 7 are independently a hydrogen atom, a halogen atom, a methyl or ethyl group, with OR 8 , SR 8 , N (R 9 ) 2 may be substituted, wherein R 8 and R 9 are independently hydrogen, C- ⁇ -C 5 alkyl or
- a preferred subject of the present invention are stereoisomers of the general formula (I) according to claim 1, wherein R 1 , R 2 and R 3 are each independently a hydrogen atom, a
- R 4 is optionally selected from one or more groups
- Heteroaryl group which group can be linked via any position with the amine of the ring system and optionally at one or more
- Bodies can be hydrogenated
- R 5 is a (dC 5 ) -alkyl group or an optionally partially or completely fluorinated (CrCsJ-alkyl group
- R 7 and R 8 are independently a hydrogen atom, a halogen atom, a methyl or ethyl group p 1 or 2
- X represents an oxygen or a sulfur atom.
- Another object of the present invention are stereoisomers of the general formula (I) wherein
- R 1 , R 2 and R 3 independently of one another are a hydrogen atom, a hydroxy group, a halogen atom, an optionally substituted (C 1 -C 10) -alkyl group, a (C 1 -C 10) -alkoxy group, a cyano group
- R 4 is optionally substituted by one or more groups selected from 1-2 keto groups, 1-2 (Ci-C 5 ) alkyl groups, 1-2 (C- ⁇ -C 5 ) alkoxy groups, 1-3 hydroxy groups, 1-3 halogen atoms, 1-2 (dC 3) -Exoalkyliden law substituted phenyl, phthalidyl, isoindolyl, dihydroindolyl, Dihydroisoindolyl-, Dihydroisochinolinyl-, thiophthalidyl, Benzoxazinonyl-, Phthalazinonyl-,
- Quinolinyl isoquinolinyl, quinolonyl, isoquinolonyl, indazolyl, benzothiazolyl, quinazolinyl, quinoxalinyl, cinnolinyl, phthalazinyl, 1, 7- or 1, 8-naphthyridinyl, dihydroindolonyl, dihydroisoindolonyl, benzimidazole or indolyl group, which groups may be linked via any position with the amine of the ring system and may optionally be hydrogenated at one or more sites,
- R 5 is a (C 1 -C 5 ) -alkyl group or an optionally partially or completely fluorinated (C 1 -C 5 ) -alkyl group
- R 6 and R 7 are independently of one another a hydrogen atom, a halogen atom, a methyl or ethyl group p 1 or 2 and
- X represents an oxygen or a sulfur atom.
- a particularly preferred subject of the invention are stereoisomers according to claims 1-5, wherein
- R 1 , R 2 and R 3 independently represent a hydrogen atom or a
- R 4 is optionally selected from one or more groups
- R 5 is a fluorinated (CrC 3 ) alkyl group
- R 6 and R 7 independently represent a hydrogen atom, or a (CrC 2 ) alkyl group, p 2 and X represents an oxygen or a sulfur atom.
- a very particularly preferred subject of the invention are stereoisomers of general formula I, wherein
- R 1 , R 2 and R 3 independently of one another represent a hydrogen atom or a halogen atom
- R 4 is optionally selected from one or more groups
- Halogen atoms substituted phthalazinonyl, quinolinyl, isoquinolinyl,
- Ringsystems can be linked and optionally at one or more
- Bodies can be hydrogenated
- R 5 is a fluorinated (CrC 3 ) alkyl group
- R 6 and R 7 independently of one another represent a hydrogen atom, or a (C 1 -C 2 ) -alkyl group, p 2 and
- X represents an oxygen or a sulfur atom.
- a very particularly preferred subject of the invention are stereoisomers of general formula I, wherein
- R 1 , R 2 and R 3 independently represent a hydrogen atom or a
- R 4 is optionally selected from one or more groups
- keto groups 1-2 (d-CsJ-alkyl groups, 1-3 hydroxy groups, 1-3 halogen atoms, substituted phthalazinonyl, quinolinyl, quinolonyl,
- Amine of the ring system can be linked and optionally at one or can be hydrogenated several sites, R 5 is a fluorinated (Ci-C 3 ) alkyl group
- R 6 and R 7 independently of one another represent a hydrogen atom, or a (C 1 -C 2 ) -alkyl group, p 2 and
- X represents an oxygen or a sulfur atom.
- X may represent an oxygen atom, a sulfur atom, an NR 9 or a Chfe group.
- the oxygen atom and the sulfur atom are preferred, and the oxygen atom is particularly preferred.
- halogen atom or halogen means a fluorine, chlorine, bromine or iodine atom. Preference is given to a fluorine, chlorine or bromine atom.
- the alkyl groups R 1 , R 2 , R 3 , R 5 , R 8 and R 9 may be straight-chain or branched and may be, for example, methyl, ethyl, n-propyl, iso-propyl, n-butyl, iso Butyl, tert-butyl or n-pentyl, 2,2-dimethylpropyl, 2-methylbutyl or 3-methylbutyl group.
- a CrC 3 alkyl group is preferred. They may optionally be substituted by a group selected from 1-3 hydroxy, 1-3 halogen, 1-3 (CrC 3 ) alkoxy, and / or 1-3 COOR 10 groups. Preference is given to hydroxy groups.
- the alkyl group R 4 has the meaning mentioned in the preceding paragraph, but the possible substituents are selected from the group hydroxy, halogen, (Ci-C 5 ) alkoxy.
- alkyl groups R 6 and R 7 have the meaning mentioned in the preceding paragraph, but the possible substituents are selected from the group OR 9 , SR 9 and NR 8 R 9 , where R 8 and R 9 are hydrogen, C 1 -C 5 -alkyl or (CO ) C 1 -C 5 -alkyl and alkyl is also as defined above.
- Particularly preferred for R 6 and R 7 is a hydrogen atom and the unsubstituted C 1 -C 3 -alkyl group, most preferably a hydrogen atom and the methyl group.
- the alkoxy groups can be straight-chain or branched and are, for example, methoxy, ethoxy, n-propoxy, isopropoxy, n-butoxy, isobutoxy, tert-butoxy or n-pentoxy, 2,2- Dimethylpropoxy, 2-methylbutoxy or 3-methylbutoxy group.
- a methoxy or ethoxy group is preferred.
- the alkylthio groups may be straight-chain or branched and may be a methylthio, ethylthio, n-propylthio, isopropylthio, n-butylthio, isobutylthio, tert-butylthio or n-pentylthio, 2,2-dimethylpropylthio , 2-methylbutylthio or 3-methylbutylthio group.
- a methylthio or ethylthio group is preferred.
- a partially or fully fluorinated alkyl group which may be straight-chain or branched, are, for example, the partially or fully fluorinated groups: fluoromethyl, difluoromethyl, trifluoromethyl, fluoroethyl, 1, 1-difluoroethyl, 1, 2-difluoroethyl, 1, 1 , 1-trifluoroethyl, tetrafluoroethyl, pentafluoroethyl, C 3 F 7 , C 3 H 2 F 5 , C 4 F 9 , C 5 F 11 .
- the trifluoromethyl and the pentafluoroethyl group most preferably the trifluoromethyl group.
- the reagents are commercially available or the published syntheses of the corresponding reagents are state of the art.
- the aryl substituents R 1 and R 2 may form a ring in which both aryl substituents together represent a chain selected from among
- the substituent NR 8 R 9 is , for example, NH 2 , NH (CH 3 ), N (CH 3 ) 2 , NH (C 2 H 5 ), N (C 2 Hs) 2 , NH (C 3 H 7 ), N ( C 3 H 7 ) ,, NH (C 4 H 9 ), N (C 4 H 9 ) 2) NH (C 5 H 11 ), N (C 5 Hn) 2 , NH (CO) CH 3 , NH (CO ) C 2 H 5 , NH (CO) C 3 H 7 , NH (CO) C 4 H 9 , NH (CO) C 5 H 11 .
- the cycloalkyl group means by one or more groups selected from hydroxy, halo, (CrC 5) alkyl, (C 1 - C ⁇ J-alkoxy optionally substituted saturated cyclic group having from 3 to 7 ring carbon atoms, for example cyclopropyl, Methylcyclopropyl, cyclobutyl, methylcyclobutyl, cyclopentyl, methylcyclopentyl, cyclohexyl, methylcyclohexyl, cycloheptyl, methylcycloheptyl.
- the cycloalkylalkyl group means, for example, - (CH 2 ) -cycloalkyl, - (C 2 H 4 ) -cycloalkyl, - (C 3 H 6 ) -cycloalkyl, - (C 4 H 8 ) -cycloalkyl, - (C 5 H 10 ) - Cycloalkyl, wherein cycloalkyl is defined as described above.
- the heterocyclyl group is not aromatic and may be, for example, pyrrolidine, imidazolidine, pyrazolidine, piperidine. Come as substituents
- Heterocyclylalkyl groups are to be understood as meaning heterocyclyl groups which are linked to the skeleton via a C 1 -C 5 -alkyl group, where the alkyl group may be straight-chain or branched.
- Heterocyclylalkenyl groups are heterocyclyl groups which are linked to the skeleton via an unsaturated C 2 -C 5 -alkyl group, where the alkenyl groups may be straight-chain or branched.
- the aryl group R 4 and R 5 may be phenyl or naphthyl. Suitable substituents for both groups Ci-C coming 3 alkyl, hydroxy, -C 3 - alkoxy, d-Cs-alkylthio, halogen, cyano, COO (Ci-C 5) alkyl, COOH, NR 9 R 10, nitro, in consideration ,
- the degree of substitution may be one or more than one, may include several identical or different substituents.
- Mono- or disubstituted phenyl and naphthyl groups R 4 are preferred.
- the aryl groups may be partially hydrogenated and then, in addition to or in addition to the abovementioned substituents, keto, (C 1 -C 3 ) - Wear exoalkylidene.
- partially hydrogenated phenyl is meant, for example, cyclohexadienyl, cyclohexenyl, cyclohexyl.
- a partially hydrogenated substituted naphthalene system is, for example, 1-tetralone or 2-tetralone.
- the arylalkyl group is an aryl group linked to a skeleton via a C 1 -C 8 -alkyl group, where the alkyl group can be straight-chain or branched.
- alkyl group can be straight-chain or branched.
- benzyl or phenethylene may be mentioned.
- An arylalkenyl group is an aryl group which is linked to a skeleton via a C 2 -C 8 -alkenyl group, where the alkenyl group may be straight-chain or branched.
- the arylalkynyl group is an aryl group which is linked to the skeleton via a C 2 -C 6 -alkynyl group, where the alkynyl group may be straight-chain or branched.
- R 4 and R 5 which may be hydrogenated at one or more sites, are meant any mono- or bicyclic aromatic ring systems which contain at least one heteroatom and at most seven heteroatoms. Preference is given to ring systems having 1-5 heteroatoms. Suitable heteroatoms are 1-4 nitrogen atoms, 1-2 oxygen atoms and 1-2 sulfur atoms, which can occur in all subcombinations in the ring system as long as they do not exceed the number specified for the respective heteroatom and, in total, the maximum number of seven heteroatoms.
- R 4 or R 5 is furanyl, thienyl, pyrazolyl, pyrrolyl, oxazolyl, thiazolyl, imidazolyl, isoxazolyl, isothiazolyl, oxadiazolyl, triazolyl, tetrazolyl, thiadiazolyl , Pyridyl, pyrimidinyl, pyridazinyl, pyrazinyl, triazinyl, azaindolizinyl, phthalidyl, thiophthalidyl, indolyl, isoindolyl, dihydroindolyl, dihydroisoindolyl, indazolyl, benzothiazolyl, indolonyl, dihydroindolonyl, isoindolonyl , Dihydroisoindolonyl, benzofuranyl
- quinolonyl includes both quinoline-2 (1H) one and quinoline-3 (4H) one and quinoline-4 (1H) one. If the heteroaryl groups are partially or fully hydrogenated then belong
- R 4 is tetrahydropyranyl, 2H-pyranyl, 4H-pyranyl, piperidyl, tetrahydropyridyl, dihydropyridyl, 1H-pyridin-2-onyl, 1H-pyridin-4-onyl, 4-aminopyridyl, 1H-pyridine 4-ylidenaminyl, chromanyl, thiochromanyl, decahydroquinolinyl, tetrahydroquinolinyl, dihydroquinolinyl, 5,6,7,8-tetrahydro-1H-quinolin-4-onyl, decahydroisoquinolinyl, tetrahydroisoquinolinyl, dihydroisoquinolinyl, 3,4-dihydro-2H-benz [1 , 4] oxazinyl, 1, 2-dihydro [1, 3] benzoxazin
- R 4 is optionally substituted by one or more groups selected from (C 1 -C 5 ) -alkyl groups (which may optionally be substituted by 1 to 3 hydroxyl or 1 to 3 COOR 10 groups), (CIC 5 ) Alkoxy groups, hydroxy groups,
- a particularly preferred subject of the invention are compounds of general formula I according to claims 1-5, wherein R 4 is optionally substituted by one or more groups selected from (C 1 -C 5 ) -alkyl groups, hydroxy groups, halogen atoms, optionally substituted 1-2 nitrogen atoms and or bicyclic heteroaryl group containing 1 keto group, which group may be linked via any position with the amine of the ring system and may optionally be hydrogenated at one or more sites.
- a preferred subject of the invention are compounds of general formula I according to claims 1-5, wherein R 4 is optionally substituted by -C 5 - alkyl, halogen, hydroxy, C r C 5 alkoxy, keto, or (Ci-C 3) substituted Exoalkyliden Phenyl, phthalidyl, isoindolyl, dihydroindolyl, dihydroisoindolyl, dihydroisoquinolinyl, thiophthalidyl, benzoxazinonyl, phthalazinonyl, quinolinyl, isoquinolinyl, quinolonyl, isoquinolonyl, indazolyl, benzothiazolyl, quinazolinyl, quinoxalinyl, , Cinnolinyl, phthalazinyl, 1, 7 or 1, 8-naphthyridinyl, dihydroindolonyl, dihydroiso
- a preferred object is compounds of general formula I according to claims 1-5, wherein R 4 is a phenyl or naphthyl, phthalidyl, thiophthalidyl, benzoxazinonyl optionally substituted by C 1 -C 5 -alkyl, halogen, hydroxy, C 1 -C 5 -alkoxy.
- a particularly preferred subject of the invention are compounds of the general formula I in which R 4 is a quinolinyl, quinolinyl, quinazolinyl, phthalazinonyl or quinolonyl group which is optionally substituted by C 1 -C 3 -alkyl, halogen, hydroxyl. If it is a heteroarylalkyl group R 5 , it is to be understood as meaning an optionally also partially hydrogenated heteroaryl group as described above which is bonded to the skeleton via a C 1 -C 6 -alkyl group which may be straight-chain or branched.
- a heteroarylalkenyl group is to be understood as meaning an optionally also partially hydrogenated heteroaryl group as described above which is bonded to the skeleton via a C 2 -C 8 -alkenyl group, which may be straight-chain or branched.
- R 5 is a (Ci-CsJ-alkyl group or an optionally partially or fully fluorinated (CrC 5 ) alkyl group, a (C 3 -C 7 ) cycloalkyl, (C 3 -C 7) cycloalkyl (CrC 8) alkyl (C 3 -C 7) cycloalkyl (C 2 -C 8) alkenyl group, a heterocyclyl group, a heterocyclyl (Ci-C 8) alkyl, heterocyclyl ( C 2 -C 8 ) alkenyl group, an aryl group, an aryl (Ci-C 8 ) alkyl group, aryl (C 2 -C 8 ) alkenyl group.
- R 5 is a (C 1 -C 5 ) -alkyl group or an optionally partially or completely fluorinated (C 1 -C 5 ) -alkyl group, an aryl group, an aryl (C 1 -C 4) alkyl group.
- R 5 represents a (CrC 3 ) alkyl group or an optionally partially or fully fluorinated (Ci-C 3 ) alkyl group.
- R 5 is a fully fluorinated (C 1 -C 3 ) -alkyl group, very particularly preferably a CF 3 group.
- R 4 is a C r Cio-alkyl group which may optionally be substituted by 1-3 hydroxy groups, halogen atoms, an optionally substituted
- Phenyl group an optionally represented by 1-2 keto groups, 1-2 (C 1 -C 5 ) -alkyl groups, 1-2 (C 1 -C 6 -alkoxy groups, 1-3 halogen atoms, 1-2 (C 1 -C 3 ) - Exoalkylidene-substituted 1-4 nitrogen atoms and / or 1-2 oxygen atoms and / or 1-2 sulfur atoms containing mono- or bicyclic heteroaryl group, which groups may be linked via any position with the nitrogen atom and may optionally be hydrogenated at one or more sites means.
- the compounds of the general formula I according to the invention can exist as stereoisomers due to the presence of asymmetric centers.
- the present invention relates to all possible stereoisomers (eg RRR, RRS, RSR, RSS, SRR, SRS 1 SSR, SSS), both as racemates or mixtures of diastereomers. as well as in enantiomerically pure or diastereomerically pure form.
- the enantiomers or diastereomers can be obtained by methods known to the person skilled in the art, for example by chromatography of the racemate or the diastereomer mixture on a chiral solid phase.
- the compounds according to the invention may also be present in the form of salts with physiologically acceptable anions, for example in the form of the hydrochloride, sulfate, nitrate, phosphate, pivalate, maleate, fumarate, tartrate, benzoate, mesylate, citrate or succinate.
- the compounds according to the invention can also be present on the hydroxy group as ether or ester, which can be prepared by methods known to the person skilled in the art.
- ether methyl ether, ethyl ether, propyl ether,
- esters are derived from inorganic acids or organic acids.
- the organic acids may be cyclic, straight-chain or branched, saturated or unsaturated, carbocyclic or heterocyclic, substituted or unsubstituted.
- the radicals are derived from d-Cg carboxylic acids.
- acids which are suitable for esterification are sulfuric acid, formic acid, acetic acid, propionic acid, butanoic acid,
- Pentanoic acid called pivalic acid.
- Inorganic acids are, for example, H 2 SO 4, H 2 SO 3 , H 2 SO 2 , H 3 PO 4 .
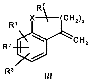
- the compounds according to the invention are prepared a) by the methods known to those skilled in the art (eg J. Chem. Soc., Perkin Trans.1 (1999) pp. 2911-2922; Org. Lett. 6 (2004) pp. 3047-3050 ) are converted from the corresponding chromanones, thiochromanones, cyclic ketones or cyclic aminoketones cyclic styrenes of the general formula (III) by an optionally enantioselectively led ene reaction with optionally chiral Lewis acids in the compounds of general formula (IV).
- the imine (V) is produced by methods known to those skilled in the art,
- Lewis acid under Lewis acid according to the invention are understood as meaning all known to those skilled Lewis acids such as TiCl 4, Ti (OR3) 4, TiCl 2 (OR 3) 2, TiBr 2 (OR 3) 2, PdCl 4, Pd (OR 3) 4, PdCl 2 (OR3) 2, PdBr 2 (OR 3) 2, ZnCl 2, ZnBr 2, SnCl 4, AlCl 3, AlBr 3, AIEtCI 2, AlMe 2 Cl, BBr 3, BCl 3, Bl 3, BF 3, BBrMe 2, Cu Salts z.
- B. Cu (OTf) 2 , CuCl 2 , CuBr 2 , Yb (OTf) 3 , preferably BBr 3 .
- a particular subject of the invention are the amines R 4 NH 2 , 5-amino-7-fluoro-2-methylquinazoline, 5-amino-8-fluoro-2-methylquinazoline and 5-amino-7,8-difluoro-2-methylquinazoline , b) according to known instructions, precursors of the type of general formula (VI) can be prepared (J. Med. Chem. 44 (2001) pp. 1085-1098). According to methods known to those skilled in the art, these compounds can be converted into compounds of the general formula (VII) by reducing the double bond, for example with hydrogen over palladium / carbon, reducing the ester, for example with lithium aluminum hydride and oxidizing the resulting alcohols. 1. hydrogenation
- Suitable catalysts are fluoride salts or basic compounds such as alkali metal carbonates (J. Am. Chem. Soc. 111 (1989) pp.393).
- Compounds of the general formula (X) can be prepared by reacting compounds of the general formula (IX), for example with TMSCN or MCN, where M can be a metal such as, for example, sodium, potassium or copper (J. Med. Chem. 46 (2003 ) pp. 2494-2501). It may optionally be R 11 is a hydrogen atom or a trialkylsilyl group.
- Compounds of general formula (XI) can be prepared by reacting compounds of general formula (X) with a suitable reducing agent, e.g. Diisobutylaluminum hydride are obtained.
- a suitable reducing agent e.g. Diisobutylaluminum hydride
- Compounds of the general formula (VII) can be obtained by reaction with e.g. an alkyl metal compound, for example a Grignard reagent or a lithium alkyl, in the presence of a suitable copper salt or mixed organo copper (eg Tetrahedron Lett., 31 (1990) pp. 7425-7428; J. Organomet. Chem. 502 (1995) pp. C5-C7 ) and subsequent reduction eg be reacted with diisobutylaluminum hydride to give a compound of formula VII, which are analogous to the preparation process b) into which the compounds of general formula (I) are converted.
- an alkyl metal compound for example a Grignard reagent or a lithium alkyl
- a suitable copper salt or mixed organo copper eg Tetrahedron Lett., 31 (1990) pp. 7425-7428; J. Organomet. Chem. 502 (1995) pp. C5-C7
- subsequent reduction
- An object of the invention are the intermediates for the processes described above, in particular the compounds of formulas III, IV and V wherein the radicals have the meanings given in claim 1 and the process steps for their preparation.
- glucocorticoid receptor glucocorticoid receptor
- MR mineral corticoid receptor
- PR progesterone receptor
- AR androgen receptor
- Cytosol preparations of Sf9 cells infected with recombinant baculoviruses encoding the GR are used for the binding assays.
- the substances show a high affinity to the GR.
- an IC 50 (GR) 20 nM
- GR-mediated inhibition of transcription of cytokines, adhesion molecules, enzymes, and other pro-inflammatory factors is considered. This inhibition is mediated by an interaction of the GR with other transcription factors, e.g. AP-1 and NF-kappa-B (for review see Cato ACB and Wade E, BioEssays 18, 371-378 1996).
- the compounds of the general formula I according to the invention inhibit lipopolysaccharide (LPS) -derived secretion of the cytokine IL-8 in the human monocyte cell THP-1.
- LPS lipopolysaccharide
- the concentration of cytokines was determined in the supernatant by means of commercially available ELISA kits.
- the anti-inflammatory activity of the compounds of the general formula I was tested in animal experiments by testing in the croton oil-induced inflammation in the rat and the mouse (J. Exp. Med. (1995), 182, 99-108).
- the animals were topically applied croton oil in ethanolic solution to the ears.
- the test substances were also applied topically or systemically simultaneously or two hours before the croton oil.
- ear weight was measured as a measure of inflammatory edema, peroxidase activity as a measure of granulocytic immigration, and elastase activity as a measure of neutrophil granulocyte immigration.
- the compounds of the general formula I inhibit the three abovementioned inflammatory parameters in this test both after topical and after systemic administration.
- glucocorticoid therapy One of the most common adverse effects of glucocorticoid therapy is the so-called "steroid diabetes" [cf. Hatz, HJ, Glucocorticoids: Immunological Foundations, Pharmacology and Therapy Guidelines,
- TAT tyrosine aminotransferase
- the compounds of the general formula I according to the invention can be used as medicaments for the treatment or prophylaxis of the following disease states in mammals and humans:
- the term "DISEASE” stands for the following indications:
- rheumatic diseases especially rheumatoid arthritis, acute rheumatic fever, polymyalgia rheumatica - Reactive arthritis
- Traumatic arthritis - collagenosis of any genesis e.g. systemic lupus erythematosus
- liver disease associated with inflammatory, allergic and / or proliferative processes (vii) liver disease associated with inflammatory, allergic and / or proliferative processes:
- acute hepatitis of different origins e.g. viral, toxic, drug-induced - chronic aggressive and / or chronic intermittent hepatitis
- Severe states of shock eg anaphylactic shock, systemic inflammatory response syndrome (SIRS)
- SIRS systemic inflammatory response syndrome
- Acquired primary adrenal insufficiency e.g. Addison's disease, autoimmune adrenalitis, postinfectious, tumors, metastases, etc.
- congenital secondary adrenal insufficiency e.g. congenital hypopitotitarism
- the invention further relates to combination therapies or combined compositions wherein a glucocorticoid receptor (GR) agonist of formula (I), or a pharmaceutically acceptable salt thereof, or a pharmaceutical composition containing a GR agonist of formula (I) or a pharmaceutically acceptable salt thereof is administered either simultaneously (optionally in the same composition) or sequentially together with one or more drugs for the treatment of any of the above-mentioned conditions.
- a GR agonist of the present invention may be combined with one or more drugs to treat such a condition.
- the drug to be combined may be selected from the following list:
- a PDE4 inhibitor including an isoform PDE4D inhibitor; • a selective ß.sub2.
- Adrenoceptor agonist such as
- a muscarinic receptor antagonist for example an M1, M2 or M3 antagonist, such as a selective M3 antagonist
- a modulator of the chemokine receptor function such as a
- such combination with a GR agonist of formula (I) or a pharmaceutically acceptable salt thereof is employed for the treatment of COPD, asthma or allergic rhinitis and may be administered by inhalation or orally in combination with xanthine (e.g. for example, aminophylline or theophylline), which may also be administered by inhalation or orally.
- xanthine e.g. for example, aminophylline or theophylline
- the compounds of the general formula I according to the invention can be used for the therapy and prophylaxis of other disease states not mentioned above, for which synthetic glucocorticoids are used today (see Hatz, HJ, Glucocorticoids: Immunological Principles, Pharmacology and Therapy Guidelines, Horschafliche Verlagsgesellschaft mbH, Stuttgart , 1998).
- the appropriate dose will vary and depends, for example, on the potency of the compound of general formula I, the host, the mode of administration and the nature and severity of the conditions to be treated, as well as the prophylactic use or therapeutic.
- the invention further provides (i) the use of one of the compounds of the invention of formula I or a mixture thereof for the manufacture of a medicament for the treatment of a DISEASE;
- a method of treating a DISEASE which method comprises administering a compounding amount according to the invention, wherein the amount suppresses the disease, and wherein the compounding amount is given to a patient in need of such a drug;
- a recommended daily dose is in the range of 1 ⁇ g to 100,000 ⁇ g per kg of body weight.
- an acute shock e.g., anaphylactic shock
- single doses well above the above doses may be given.
- Compounds are prepared in a manner known per se by processing the active ingredient with the carriers customarily used in galenicals, fillers, disintegrants, binders, humectants, lubricants, absorbents, diluents, flavoring agents, colorants, etc., and converting them into the desired administration form.
- crystal suspensions For intraarticular injection appropriately prepared crystal suspensions may be used.
- aqueous and oily injection solutions or suspensions and corresponding depot preparations can be used.
- the new compounds may be used in the form of suppositories, capsules, solutions (e.g., in the form of enemas) and ointments for both systemic and local therapy.
- these can be used in the form of aerosols and inhalants.
- the new compounds may be used as drops, ointments and tinctures in appropriate pharmaceutical preparations.
- formulations in gels, ointments, greases, creams, pastes, powders, milk and tinctures are possible.
- the dosage of the compounds of general formula I should be in these preparations 0.01% - 20% in order to achieve a sufficient pharmacological effect.
- the invention also encompasses the compounds of general formula I according to the invention as therapeutic active ingredient. Furthermore, the invention relates to the compounds of general formula I as therapeutic agent together with pharmaceutically acceptable and acceptable excipients and carriers.
- the invention also includes a pharmaceutical composition containing one of the pharmaceutically active compounds of the invention or their mixture or their pharmaceutically acceptable salt and pharmaceutically acceptable excipients and carriers.
- the mixture is stirred for a further 3 hours at room temperature. It is diluted with diethyl ether and the reaction mixture is carefully added to a mixture of 4 M hydrochloric acid and ice. The phases are separated, extracted with diethyl ether, washed with water, dried over sodium sulfate and the solvent is removed. The crude product is purified by column chromatography on silica gel (hexane / isopropyl ether 0-20%) to give 2.75 g of 4-methylene-chroman.
- the imine is taken up in 3.4 ml dichloromethane and treated at -50 0 C with 0.83 ml (0.83 mmol) of a 1 M boron tribromide solution.
- the mixture is allowed to come to 0 0 C for one hour and the solution is poured onto a mixture of ice and saturated sodium bicarbonate solution and stirred vigorously for 15 minutes. It is extracted with dichloromethane, washed with saturated sodium chloride solution and dried over sodium sulfate. Concentration and chromatography on silica gel (hexane / 2-propanol 15%) gives 28 mg of the desired product as a mixture of two diastereomers. Diastereomer 1
- 5-aminoquinoline-2 (1H) -one 4.5 g of 5-nitroquinoline-2 (1 H) -one (Chem. Pharm. Bull. (1981), 29, pp. 651-56) are dissolved in 200 ml of ethyl acetate and 500 ml of methanol in the presence of 450 mg of palladium on activated carbon Catalyst hydrogenated under normal pressure with hydrogen until complete reaction. The catalyst is removed by filtration through diatomaceous earth and the reaction solution is concentrated in vacuo. 3.8 g of the title compound are obtained as a yellow solid.
- 2-Hydroxy-3- (2-methylthiochroman-4-yl) -2- (trifluoromethyl) propanal Can be prepared analogously to Example 1 from 6-chloro-2-methylthiochroman-4-one, wherein in the hydrogenation Raney nickel instead of palladium is to be used as a catalyst on carbon.
Landscapes
- Chemical & Material Sciences (AREA)
- Organic Chemistry (AREA)
- Health & Medical Sciences (AREA)
- Life Sciences & Earth Sciences (AREA)
- Veterinary Medicine (AREA)
- Public Health (AREA)
- General Health & Medical Sciences (AREA)
- Medicinal Chemistry (AREA)
- Animal Behavior & Ethology (AREA)
- Pharmacology & Pharmacy (AREA)
- Epidemiology (AREA)
- Nuclear Medicine, Radiotherapy & Molecular Imaging (AREA)
- General Chemical & Material Sciences (AREA)
- Chemical Kinetics & Catalysis (AREA)
- Rheumatology (AREA)
- Pain & Pain Management (AREA)
- Pharmaceuticals Containing Other Organic And Inorganic Compounds (AREA)
- Nitrogen Condensed Heterocyclic Rings (AREA)
- Plural Heterocyclic Compounds (AREA)
- Acyclic And Carbocyclic Compounds In Medicinal Compositions (AREA)
- Indole Compounds (AREA)
Abstract
Description
Tricyclische Aminoalkohole, Verfahren zu ihrer Herstellung und ihre Verwendung als Entzündungshemmer Tricyclic amino alcohols, process for their preparation and their use as anti-inflammatory agents
Die Erfindung betrifft Tricyclische Aminoalkohole, Verfahren zu ihrer Herstellung und ihre Verwendung als Entzϋndungshemmer. Aus dem Stand der Technik WO 02/10143 und WO 03/082827 sind offenkettige nicht steroidale Entzϋndungshemmer bekannt. Diese Verbindungen zeigen im Experiment Wirkdissoziationen zwischen antiinflammatorischen und unerwünschten metabolischen Wirkungen und sind den bisher beschriebenen, nichtsteroidalen Glucocorticoiden überlegen oder weisen zumindest eine ebenso gute Wirkung auf.The invention relates to tricyclic amino alcohols, processes for their preparation and their use as anti-inflammatory agents. From the prior art WO 02/10143 and WO 03/082827 open-chain non-steroidal anti-inflammatory agents are known. These compounds show in the experiment Wirkdissoziationen between anti-inflammatory and undesirable metabolic effects and are superior to the previously described nonsteroidal glucocorticoids or at least have an equally good effect.
Die Verbindungen des Standes der Technik weisen noch immer Nachteile auf, so dass der Fachmann motiviert ist, weiterhin nach neuen Verbindungen, die an den Glukokortikoidrezeptor binden, zu suchen.The prior art compounds still have disadvantages such that one skilled in the art is further motivated to seek new compounds that bind to the glucocorticoid receptor.
Es sind nun Verbindungen gefunden worden, die eine vergleichbare Wirkung wie die im Stand der Technik beschriebenen Verbindungen aufweisen.There have now been found compounds which have a comparable effect as the compounds described in the prior art.
Die vorliegende Erfindung betrifft Verbindungen der allgemeinen Formel (I),The present invention relates to compounds of the general formula (I),
worin R1 und R2 unabhängig voneinander ein Wasserstoffatom, eine Hydroxy- Gruppe, ein Halogenatom, eine gegebenenfalls substituierte wherein R 1 and R 2 are independently a hydrogen atom, a hydroxy group, a halogen atom, an optionally substituted
(C-ι-Cio)-Alkylgruppe, eine (CrCio)-Alkoxygruppe, eine (CrCio)-Alkylthiogruppe, eine (CrC5)-Perfluoralkylgruppe, eine Cyanogruppe, eine Nitrogruppe oder R1 und R2 zusammen eine Gruppe ausgewählt aus den Gruppen -O-(CH2)n- O-, -O-(CH2)n-CH2-, -O-CH=CH-, -(CH2)n+2-,-NH-(CH2)n+i, N(CrC3-alkyl)- (CH2)n+i, -NH-N=CH-, wobei n = 1 oder 2 ist und die endständigen Atome mit direkt benachbarten Ring-Kohlenstoffatomen verknüpft sind, oder NR8R9, wobei R8 und R9 unabhängig voneinander Wasserstoff, C-ι-C5-Alkyl oder (CO)-Ci -C5-Alkyl sein können,(C-ι-Cio) -alkyl group, a (C r Cio) alkoxy group, a (CrCio) -alkylthio group, a (CrC 5) perfluoroalkyl group, a cyano group, a nitro group or R 1 and R 2 together form a group selected from the groups -O- (CH 2 ) n -O-, -O- (CH 2 ) n -CH 2 -, -O-CH = CH-, - (CH 2 ) n + 2 -, - NH- (CH 2 ) n + i, N (C r C 3 -alkyl) - (CH 2 ) n + i, -NH-N = CH-, where n = 1 or 2 and the terminal atoms are linked to directly adjacent ring carbon atoms, or NR 8 R 9 wherein R 8 and R 9 are independently hydrogen, C-ι-C may be 5 -alkyl or (CO) -C -C 5 alkyl,
R3 ein Wasserstoffatom, eine Hydroxy-Gruppe, ein Halogenatom, eine gegebenenfalls substituierte (C-ι-Cio)-Alkylgruppe, eine (Ci-Cio)-Alkoxygruppe, eine (CrCio)-Alkylthiogruppe, eine (Ci-C5)-Perfluoralkylgruppe, eine Cyanogruppe,R 3 is a hydrogen atom, a hydroxy group, a halogen atom, an optionally substituted (C 1 -C 10) -alkyl group, a (C 1 -C 10) -alkoxy group, a (C 1 -C 10) -alkylthio group, a (C 1 -C 5 ) - Perfluoroalkyl group, a cyano group,
R4 eine CrCio-Alkylgruppe, eine durch eine oder mehrere Gruppen ausgewählt aus 1-3 Hydroxygruppen, Halogenatome, 1-3 (CrC5)- Alkoxygruppen substituierte CrCio-Alkylgruppe, eine gegebenenfalls substituierte (C3-C7)-Cycloalkylgruppe, eine gegebenenfalls substituierte Heterocyclylgruppe, eine gegebenenfalls substituierte Arylgruppe, eine gegebenenfalls durch eine oder mehrere Gruppen ausgewählt aus (CrC5)- Alkylgruppen (welche gegebenenfalls substituiert sein können durch 1-3 Hydroxy oder 1-3 COOR10-Gruppen, wobei R10 CrC6-Alkyl oder Benzyl bedeutet), (CrCs)-Alkoxygruppen, Hydroxygruppen, Halogenatome, (CrC3)- Exoalkylidengruppen substituierte, gegebenenfalls 1-4 Stickstoffatome und/oder 1-2 Sauerstoffatome und/oder 1-2 Schwefelatome und/oder 1-2 Ketogruppen enthaltende mono- oder bizyklische Heteroarylgruppe, wobei diese Gruppe über eine beliebige Position mit dem Amin des Ringsystems verknüpft sein kann und gegebenenfalls an einer oder mehreren Stellen hydriert sein kann,R 4 is a C r Cio-alkyl group, by one or more groups selected from 1-3 hydroxy groups, halogen atoms, 1-3 (CrC 5) - alkoxy substituted C r Cio-alkyl group, an optionally substituted (C 3 -C 7) Cycloalkyl group, an optionally substituted heterocyclyl group, an optionally substituted aryl group, optionally one or more groups selected from (C 1 -C 5 ) -alkyl groups (which may optionally be substituted by 1-3 hydroxy or 1-3 COOR 10 groups, wherein R 3 10 C r C 6 alkyl or benzyl), (CrCs) alkoxy groups, hydroxy groups, halogen atoms, (CrC 3 ) - Exoalkylidengruppen substituted, optionally 1-4 nitrogen atoms and / or 1-2 oxygen atoms and / or 1-2 sulfur atoms and or mono- or bicyclic heteroaryl group containing one to two keto groups, it being possible for this group to be linked via any position with the amine of the ring system and optionally hydrogenated at one or more sites t can be
R5 eine (CrC5)-Alkylgruppe oder eine gegebenenfalls teilweise oder vollständig fluorierte (CrC5)-Alkylgruppe, eine (C3-C7)-Cycloalkylgruppe, eine (C3-C7)-Cycloalkyl(CrC8)alkylgruppe, (C3-C7)-Cycloalkyl(C2-C8)alkenylgruppe , eine Heterocyclylgruppe, eine Heterocyclyl(CrC8)alkylgruppe, Heterocyclyl(C2- Ce)alkenylgruppe, eine Arylgruppe, eine Aryl(CrC8)alkylgruppe,R 5 is a (C 1 -C 5 ) -alkyl group or an optionally partially or completely fluorinated (C 1 -C 5 ) -alkyl group, a (C 3 -C 7 ) -cycloalkyl group, a (C 3 -C 7 ) -cycloalkyl (C 1 -C 8 ) -alkyl group, (C 3 -C 7) cycloalkyl (C 2 -C 8) alkenyl (8 -C) alkyl group, a heterocyclyl group, a heterocyclyl, heterocyclyl (C 2 - Ce) alkenyl group, an aryl group, an aryl (-C 8) alkyl group,
Aryl(C2-C8)alkenylgruppe, Aryl(C2-C8)alkinylgruppe eine gegebenenfalls durch eine oder mehrere Ketogruppen, (CrCsJ-Alkylgruppen, (CrC5)-Alkoxygruppen, Halogenatome, (CrC3)-Exoalkylidengruppen substituierte, ein oder mehrere Stickstoffatome und/oder Sauerstoffatome und/oder Schwefelatome enthaltende mono- oder bizyklische Heteroarylgruppe, eine Heteroaryl(CrC8)alkylgruppe oder eine Heteroaryl(C2-C8)alkenylgruppe wobei diese Gruppen über eine beliebige Position mit dem Chromensystem verknüpft sein können und gegebenenfalls an einer oder mehreren Stellen hydriert sein können,Aryl (C 2 -C 8 ) alkenyl group, aryl (C 2 -C 8 ) alkynyl group, optionally substituted by one or more keto groups, (C 1 -C 5 -alkyl groups, (C 1 -C 5 ) -alkoxy groups, halogen atoms, (C 1 -C 3 ) -oxoalkylidene groups or more nitrogen atoms and / or oxygen atoms and / or sulfur atoms containing mono- or bicyclic heteroaryl group, a heteroaryl (-C 8) alkyl group, or a heteroaryl (C 2 -C 8) alkenyl group which groups via any position with the chromium system may be linked and may optionally be hydrogenated at one or more sites,
R6 und R7 unabhängig voneinander ein Wasserstoffatom, ein Halogenatom, eine (Ci-C5)Alkylgruppe, die mit OR8, SR8, NR8R9 substituiert sein kann, p 1-3 undR 6 and R 7 independently represent a hydrogen atom, a halogen atom, a (Ci-C 5 ) alkyl group which may be substituted with OR 8 , SR 8 , NR 8 R 9 , p 1-3 and
X ein Sauerstoff-, ein Schwefelatom, eine CH2- oder eine NR9-Gruppe bedeuten.X represents an oxygen, a sulfur atom, a CH 2 - or an NR 9 group.
Ein weiterer Gegenstand der Erfindung sind Stereoisomere der allgemeinen Formel (I), worin R1 und R2 unabhängig voneinander ein Wasserstoffatom, eine Hydroxy- Gruppe, ein Halogenatom, eine gegebenenfalls substituierte (CrCio)- Alkylgruppe, eine (Ci-Cio)-Alkoxygruppe, eine (CrCio)-Alkythiogruppe, eine (Cr Cs)- Perfluoralkylgruppe, eine Cyanogruppe, eine Nitrogruppe oder R1 und R2 zusammen eine Gruppe ausgewählt aus den Gruppen -O-(CH2)n-O-, -O-(CH2)n-CH2-, -0-CH=CH-, -(CH2)n+2-> wobei n = 1 oder 2 ist und die endständigen Atome mit direkt benachbarten Ring-Kohlenstoffatomen verknüpft sind, oder NR8R9, wobei R8 und R9 unabhängig voneinander Wasserstoff, d- Cβ-Alkyl oder (CO)-CrC5-Alkyl sein können, R3 ein Wasserstoffatom, eine Hydroxy-Gruppe, ein Halogenatom, eine gegebenenfalls substituierte (CrCio)-Alkylgruppe, eine (Ci-Ci0)-Alkoxygruppe, eine (CrCio)-Alkylthiogruppe, eine (Ci-C5)-Perfluoralkylgruppe, eine Cyanogruppe,Another object of the invention are stereoisomers of the general formula (I) wherein R 1 and R 2 are independently a hydrogen atom, a hydroxy group, a halogen atom, an optionally substituted (C r Cio) - alkyl, (Ci-Cio) Alkoxy group, a (C 1 -C 10) -alkythio group, a (C 1 -C 8) -perfluoroalkyl group, a cyano group, a nitro group, or R 1 and R 2 together form a group selected from the group -O- (CH 2 ) n -O-, -O - (CH 2 ) n -CH 2 -, -O-CH = CH-, - (CH 2 ) n + 2- > where n = 1 or 2 and the terminal atoms are linked to directly adjacent ring carbon atoms, or NR 8 R 9 , where R 8 and R 9 independently of one another may be hydrogen, C 1 -C 6 -alkyl or (CO) -CrC 5 -alkyl, R 3 is a hydrogen atom, a hydroxy group, a halogen atom, an optionally substituted (C 1 -C 10) alkyl group, a (Ci-Ci 0) alkoxy group, a (CrCio) -alkylthio group, a (Ci-C5) perfluoroalkyl group, a cyano group,
R4 eine CrCio-Alkylgruppe, durch eine oder mehrere Gruppen ausgewählt aus 1-3 Hydroxygruppen, Halogenatome, 1-3 (C-i-CsJ-Alkoxygruppen substituierte C-i-C-io-Alkylgruppe, eine gegebenenfalls substituierteR 4 is a C 1 -C 18 -alkyl group, represented by one or more groups selected from the group consisting of 1-3 hydroxy groups, halogen atoms, C 1 -C 15 -alkoxy substituted CiC-io-alkyl group, an optionally substituted
Phenylgruppe, eine gegebenenfalls durch 1-2 Ketogruppen, 1-2 (C1-C5)- Alkylgruppen, 1-2 (C-i-CsJ-Alkoxygruppen, 1-3 Hydroxygruppen, 1-3 Halogenatome, 1-2 (Ci-C3)-Exoalkylidengruppen, substituierte 1-3 Stickstoff atome und/oder 1-2 Sauerstoffatome und/oder 1-2 Schwefelatome und/oder 1-2 Ketogruppen enthaltende mono- oder bizyklischePhenyl group, an optionally substituted by 1-2 keto groups, 1-2 (C 1 -C 5 ) - alkyl groups, 1-2 (C 1 -C 5 -alkoxy groups, 1-3 hydroxy groups, 1-3 halogen atoms, 1-2 (Ci-C 3 ) -Exoalkylidengruppen, substituted 1-3 nitrogen atoms and / or 1-2 oxygen atoms and / or 1-2 sulfur atoms and / or 1-2 keto groups containing mono- or bicyclic
Heteroarylgruppe, wobei diese Gruppen über eine beliebige Position mit dem Amin des Ringsystems verknüpft sein können und gegebenenfalls an einer oder mehreren Stellen hydriert sein können, R5 eine (Ci-C5)-Alkylgruppe oder eine gegebenenfalls teilweise oder vollständig fluorierte (Ci-C5)-Alkylgruppe, eine Arylgruppe, eine Aryl(CrC8)alkylgruppe, Aryl(C2-C8)alkenylgruppe, eine (C3-C7)Cycloalkylgruppe, eine (C3-C7)Cycloalkyl(CrC8)alkylgruppe, (C3C7)Cycloalkyl(C2-C8)alkenylgruppe R6 und R7 unabhängig voneinander ein Wasserstoffatom, ein Halogenatom, eine Methyl- oder Ethylgruppe, die mit OR8, SR8, N(R9)2 substituiert sein dürfen, p 1-3 undHeteroaryl group, which groups may be linked via any position with the amine of the ring system and may optionally be hydrogenated at one or more sites, R 5 is a (Ci-C 5) alkyl group or an optionally partially or completely fluorinated (Ci-C 5) alkyl group, an aryl group, an aryl (-C 8) alkyl, aryl (C 2 -C 8) alkenyl group, a ( C 3 -C 7 ) cycloalkyl group, a (C 3 -C 7 ) cycloalkyl (C 1 -C 8 ) alkyl group, (C 3 C 7 ) cycloalkyl (C 2 -C 8 ) alkenyl group R 6 and R 7 independently of one another represent a hydrogen atom, a halogen atom , a methyl or ethyl group which may be substituted with OR 8 , SR 8 , N (R 9 ) 2 , p 1-3 and
X ein Sauerstoff-, ein Schwefelatom, eine CH2- oder eine NR9-Gruppe bedeuten.X represents an oxygen, a sulfur atom, a CH 2 - or an NR 9 group.
Ein Gegenstand der vorliegenden Erfindung sind Stereoisomere der allgemeinen Formel (I), worinAn object of the present invention are stereoisomers of the general formula (I) wherein
R1 und R2 unabhängig voneinander ein Wasserstoffatom, eine Hydroxy- Gruppe, ein Halogenatom, eine gegebenenfalls substituierte (Ci-C5)- Alkylgruppe, eine (C1-C5)-Alkoxygruppe, oder R1 und R2 zusammen eine Gruppe ausgewählt aus den Gruppen -O- (CH2)n-O-, -O-(CH2)n-CH2-, -0-CH=CH-, -(CH2)n+2-, wobei n = 1 oder 2 ist und die endständigen Atome mit direkt benachbarten Ring-Kohlenstoffatomen verknüpft sind, R3 ein Wasserstoffatom, eine Hydroxy-Gruppe, ein Halogenatom, eine gegebenenfalls substituierte (C-ι-Cio)-Alkylgruppe, eine (Ci-Cio)-Alkoxygruppe, R4 eine (Ci-Cio)-Alkylgruppe, eine durch 1-3 Hydroxygruppen, Halogenatome substituierte (CrCio)-Alkylgruppe, eine gegebenenfalls durch eine oder mehrere Gruppen ausgewählt aus 1-2 Ketogruppen, 1-2 (CrC5)- Alkylgruppen, 1-2 (Ci-C5)-Alkoxygruppen, 1-3 Hydroxygruppen, 1-3 Halogenatome, 1-2 (CrC3)-Exoalkylidengruppen substituierteR 1 and R 2 are independently a hydrogen atom, a hydroxy group, a halogen atom, an optionally substituted (Ci-C5) - alkyl group, a (C 1 -C 5) alkoxy group, or R 1 and R 2 together form a group selected from the group consisting of -O- (CH 2 ) n -O-, -O- (CH 2 ) n -CH 2 -, -O-CH = CH-, - (CH 2 ) n + 2 -, where n = 1 or 2 and the terminal atoms are linked to directly adjacent ring carbon atoms, R 3 is a hydrogen atom, a hydroxy group, a halogen atom, an optionally substituted (C 1 -C 10) -alkyl group, a (C 1 -C 10) - Alkoxy group, R 4 is a (C 1 -C 10) -alkyl group, a (C 1 -C 10) -alkyl group which is substituted by 1 to 3 hydroxyl groups, halogen atoms and is optionally substituted by one or more groups selected from 1 to 2 keto groups, 1 to 2 (C 1 -C 5 ) - Substituted alkyl groups, 1-2 (Ci-C 5 ) alkoxy groups, 1-3 hydroxy groups, 1-3 halogen atoms, 1-2 (CrC 3 ) -Exoalkylidengruppen
Phenyl-, Naphthyl-, Phthalidyl-, Isoindolyl-, Dihydroindolyl-, Dihydroisoindolyl-, Dihydroisochinolinyl-, Thiophthalidyl-, Benzoxazinonyl-, Phthalazinonyl-, Chinolinyl-, Isochinolinyl-, Chinolonyl-, Isochinolonyl-, Indazolyl-, Benzothiazolyl- , Chinazolinyl-, Chinoxalinyl-, Cinnolinyl-, Phthalazinyl, 1 ,7- oder 1 ,8- Naphthyridinyl-, Dihydroindolonyl-, Dihydroisoindolonyl-, Benzimidazol- oder Indolylgruppe, wobei diese Gruppen über eine beliebige Position mit dem Amin des Ringsystems verknüpft sein können und gegebenenfalls an einer oder mehrerenPhenyl, naphthyl, phthalidyl, isoindolyl, dihydroindolyl, dihydroisoindolyl, dihydroisoquinolinyl, thiophthalidyl, benzoxazinonyl, phthalazinonyl, quinolinyl, isoquinolinyl, quinolonyl, isoquinolonyl, indazolyl, benzothiazolyl, quinazolinyl , Quinoxalinyl, cinnolinyl, phthalazinyl, 1, 7- or 1, 8-naphthyridinyl, dihydroindolonyl, dihydroisoindolonyl, benzimidazole or indolyl group, these groups being attached via any position with the amine of the Ringsystems can be linked and optionally at one or more
Stellen hydriert sein können,Bodies can be hydrogenated,
R5 eine (Ci-C5)-Alkylgruppe oder eine gegebenenfalls teilweise oder vollständig fluorierte (d-CsJ-Alkylgruppe R6 und R7 unabhängig voneinander ein Wasserstoffatom, ein Halogenatom, eine Methyl- oder Ethylgruppe, die mit OR8, SR8, N(R9)2 substituiert sein dürfen, wobei R8 und R9 unabhängig voneinander Wasserstoff, C-ι-C5-Alkyl oderR 5 is a (Ci-C 5 ) alkyl group or an optionally partially or completely fluorinated (d-CsJ-alkyl group R 6 and R 7 are independently a hydrogen atom, a halogen atom, a methyl or ethyl group, with OR 8 , SR 8 , N (R 9 ) 2 may be substituted, wherein R 8 and R 9 are independently hydrogen, C-ι-C 5 alkyl or
(CO)-CrC5-Alkyl sein können, p 1 , 2 oder 3 und X ein Sauerstoff-, ein Schwefelatom, eine CH2- oder NR9-Gruppe bedeuten.(CO) -CrC 5 alkyl, p is 1, 2 or 3 and X is an oxygen, a sulfur atom, a CH 2 or NR 9 group.
Ein bevorzugter Gegenstand der vorliegenden Erfindung sind Stereoisomere der allgemeinen Formel (I) gemäß Anspruch 1 , worin R1, R2 und R3 unabhängig voneinander ein Wasserstoffatom, eineA preferred subject of the present invention are stereoisomers of the general formula (I) according to claim 1, wherein R 1 , R 2 and R 3 are each independently a hydrogen atom, a
Hydroxy-Gruppe, ein Halogenatom, eine gegebenenfalls substituierte (Ci-Ci0)-Hydroxy group, a halogen atom, an optionally substituted (Ci-Ci 0 ) -
Alkylgruppe, eine (CrCio)-Alkoxygruppe, eine CyanogruppeAlkyl group, a (CrCio) alkoxy group, a cyano group
R4 eine gegebenenfalls durch eine oder mehrere Gruppen ausgewählt ausR 4 is optionally selected from one or more groups
1-2 Ketogruppen, 1-2 (CrC5)-Alkylgruppen, 1-2 (CrCsJ-Alkoxygruppen, 1-3 Hydroxygruppen, 1-3 Halogenatome, 1-2 (Ci-C3)-Exoalkylidengruppen substituierte, 1-3 Stickstoffatome und/oder 1 -2-Sauerstoffatome und/oder 1-21-2 keto groups, 1-2 (CrC 5 ) alkyl groups, 1-2 (CrCsJ alkoxy groups, 1-3 hydroxy groups, 1-3 halogen atoms, 1-2 (Ci-C 3 ) -exxalkylidengruppen substituted, 1-3 nitrogen atoms and / or 1-2 oxygen atoms and / or 1-2
Schwefelatome und/oder 1-2 Ketogruppen enthaltende mono- oder bizyklischeSulfur atoms and / or mono- or bicyclic containing 1-2 keto groups
Heteroarylgruppe, wobei diese Gruppe über eine beliebige Position mit dem Amin des Ringsystems verknüpft sein können und gegebenenfalls an einer oder mehrerenHeteroaryl group, which group can be linked via any position with the amine of the ring system and optionally at one or more
Stellen hydriert sein können,Bodies can be hydrogenated,
R5 eine (d-C5)-Alkylgruppe oder eine gegebenenfalls teilweise oder vollständig fluorierte (CrCsJ-AlkylgruppeR 5 is a (dC 5 ) -alkyl group or an optionally partially or completely fluorinated (CrCsJ-alkyl group
R7 und R8 unabhängig voneinander ein Wasserstoffatom, ein Halogenatom, eine Methyl- oder Ethylgruppe p 1 oder 2R 7 and R 8 are independently a hydrogen atom, a halogen atom, a methyl or ethyl group p 1 or 2
X ein Sauerstoff- oder ein Schwefelatom bedeuten. Ein weiterer Gegenstand der vorliegenden Erfindung sind Stereoisomere der allgemeinen Formel (I), worinX represents an oxygen or a sulfur atom. Another object of the present invention are stereoisomers of the general formula (I) wherein
R1, R2 und R3 unabhängig voneinander ein Wasserstoffatom, eine Hydroxy-Gruppe, ein Halogenatom, eine gegebenenfalls substituierte (C-1-C10)- Alkylgruppe, eine (C-ι-Cio)-Alkoxygruppe, eine CyanogruppeR 1 , R 2 and R 3 independently of one another are a hydrogen atom, a hydroxy group, a halogen atom, an optionally substituted (C 1 -C 10) -alkyl group, a (C 1 -C 10) -alkoxy group, a cyano group
R4 eine gegebenenfalls durch eine oder mehrere Gruppen ausgewählt aus 1-2 Ketogruppen, 1-2 (Ci-C5)-Alkylgruppen, 1-2 (C-ι-C5)-Alkoxygruppen, 1-3 Hydroxygruppen, 1-3 Halogenatome, 1-2 (d-C3)-Exoalkylidengruppen substituierte Phenyl-, Phthalidyl-, Isoindolyl-, Dihydroindolyl-, Dihydroisoindolyl-, Dihydroisochinolinyl-, Thiophthalidyl-, Benzoxazinonyl-, Phthalazinonyl-,R 4 is optionally substituted by one or more groups selected from 1-2 keto groups, 1-2 (Ci-C 5 ) alkyl groups, 1-2 (C-ι-C 5 ) alkoxy groups, 1-3 hydroxy groups, 1-3 halogen atoms, 1-2 (dC 3) -Exoalkylidengruppen substituted phenyl, phthalidyl, isoindolyl, dihydroindolyl, Dihydroisoindolyl-, Dihydroisochinolinyl-, thiophthalidyl, Benzoxazinonyl-, Phthalazinonyl-,
Chinolinyl-, Isochinolinyl-, Chinolonyl-, Isochinolonyl-, Indazolyl-, Benzothiazolyl- , Chinazolinyl-, Chinoxalinyl-, Cinnolinyl-, Phthalazinyl-, 1 ,7- oder 1 ,8- Naphthyridinyl-, Dihydroindolonyl-, Dihydroisoindolonyl-, Benzimidazol- oder Indolylgruppe, wobei diese Gruppen über eine beliebige Position mit dem Amin des Ringsystems verknüpft sein können und gegebenenfalls an einer oder mehreren Stellen hydriert sein können,Quinolinyl, isoquinolinyl, quinolonyl, isoquinolonyl, indazolyl, benzothiazolyl, quinazolinyl, quinoxalinyl, cinnolinyl, phthalazinyl, 1, 7- or 1, 8-naphthyridinyl, dihydroindolonyl, dihydroisoindolonyl, benzimidazole or indolyl group, which groups may be linked via any position with the amine of the ring system and may optionally be hydrogenated at one or more sites,
R5 eine (CrC5)-Alkylgruppe oder eine gegebenenfalls teilweise oder vollständig fluorierte (C-ι-C5)-Alkylgruppe R6 und R7 unabhängig voneinander ein Wasserstoffatom, ein Halogenatom, eine Methyl- oder Ethylgruppe p 1 oder 2 undR 5 is a (C 1 -C 5 ) -alkyl group or an optionally partially or completely fluorinated (C 1 -C 5 ) -alkyl group R 6 and R 7 are independently of one another a hydrogen atom, a halogen atom, a methyl or ethyl group p 1 or 2 and
X ein Sauerstoff- oder ein Schwefelatom bedeuten.X represents an oxygen or a sulfur atom.
Ein besonders bevorzugter Gegenstand der Erfindung sind Stereoisomere gemäß der Ansprüche 1 -5, worinA particularly preferred subject of the invention are stereoisomers according to claims 1-5, wherein
R1, R2 und R3 unabhängig voneinander ein Wasserstoffatom oder einR 1 , R 2 and R 3 independently represent a hydrogen atom or a
Halogenatom,Halogen atom,
R4 eine gegebenenfalls durch eine oder mehrere Gruppen ausgewählt ausR 4 is optionally selected from one or more groups
(CrC5)-Alkylgruppen, Hydroxygruppen, Halogenatome, substituierte, gegebenenfalls 1-2 Stickstoffatome und/oder 1 Ketogruppe enthaltende bizyklische Heteroarylgruppe, wobei diese Gruppe über eine beliebige Position mit dem Amin des Ringsystems verknüpft sein kann und gegebenenfalls an einer oder mehreren Stellen hydriert sein kann, R5 eine fluorierte (CrC3)-Alkylgruppe(C 1 -C 5 ) -alkyl groups, hydroxyl groups, halogen atoms, substituted, optionally containing 1-2 nitrogen atoms and / or 1 keto group-containing bicyclic heteroaryl group, which group can be linked via any position with the amine of the ring system and optionally hydrogenated at one or more sites can be, R 5 is a fluorinated (CrC 3 ) alkyl group
R6 und R7 unabhängig voneinander ein Wasserstoffatom, oder eine (CrC2)- Alkylgruppe, p 2 und X ein Sauerstoff- oder ein Schwefelatom bedeutet.R 6 and R 7 independently represent a hydrogen atom, or a (CrC 2 ) alkyl group, p 2 and X represents an oxygen or a sulfur atom.
Ein ganz besonders bevorzugter Gegenstand der Erfindung sind Stereoisomere der allgemeinen Formel I, worinA very particularly preferred subject of the invention are stereoisomers of general formula I, wherein
R1, R2 und R3 unabhängig voneinander ein Wasserstoffatom oder ein Halogenatom,R 1 , R 2 and R 3 independently of one another represent a hydrogen atom or a halogen atom,
R4 eine gegebenenfalls durch eine oder mehrere Gruppen ausgewählt ausR 4 is optionally selected from one or more groups
1-2 Ketogruppen, 1-2 (Ci-C5)-Alkylgruppen, 1-3 Hydroxygruppen, 1-31-2 keto groups, 1-2 (Ci-C 5 ) -alkyl groups, 1-3 hydroxy groups, 1-3
Halogenatome, substituierte Phthalazinonyl-, Chinolinyl-, Isochinolinyl-,Halogen atoms, substituted phthalazinonyl, quinolinyl, isoquinolinyl,
Isochinolonyl-, Chinolonyl-, Chinazolinylgruppe, Dihydroindolonyl-, Indazolyl-, wobei diese Gruppen über eine beliebige Position mit dem Amin desIsoquinolonyl, quinolonyl, quinazolinyl, dihydroindolonyl, indazolyl, which groups can be attached at any position with the amine of the
Ringsystems verknüpft sein können und gegebenenfalls an einer oder mehrerenRingsystems can be linked and optionally at one or more
Stellen hydriert sein können,Bodies can be hydrogenated,
R5 eine fluorierte (CrC3)-AlkylgruppeR 5 is a fluorinated (CrC 3 ) alkyl group
R6 und R7 unabhängig voneinander ein Wasserstoffatom, oder eine (CrC2)- Alkylgruppe, p 2 undR 6 and R 7 independently of one another represent a hydrogen atom, or a (C 1 -C 2 ) -alkyl group, p 2 and
X ein Sauerstoff- oder ein Schwefelatom bedeuten.X represents an oxygen or a sulfur atom.
Ein ganz besonders bevorzugter Gegenstand der Erfindung sind Stereoisomere der allgemeinen Formel I, worinA very particularly preferred subject of the invention are stereoisomers of general formula I, wherein
R1, R2 und R3 unabhängig voneinander ein Wasserstoffatom oder einR 1 , R 2 and R 3 independently represent a hydrogen atom or a
Halogenatom,Halogen atom,
R4 eine gegebenenfalls durch eine oder mehrere Gruppen ausgewählt ausR 4 is optionally selected from one or more groups
1-2 Ketogruppen, 1-2 (d-CsJ-Alkylgruppen, 1-3 Hydroxygruppen, 1-3 Halogenatome, substituierte Phthalazinonyl-, Chinolinyl-, Chinolonyl-,1-2 keto groups, 1-2 (d-CsJ-alkyl groups, 1-3 hydroxy groups, 1-3 halogen atoms, substituted phthalazinonyl, quinolinyl, quinolonyl,
Chinazolinylgruppe, wobei diese Gruppen über eine beliebige Position mit demChinazolinylgruppe, whereby these groups over an arbitrary position with the
Amin des Ringsystems verknüpft sein können und gegebenenfalls an einer oder mehreren Stellen hydriert sein können, R5 eine fluorierte (Ci-C3)-AlkylgruppeAmine of the ring system can be linked and optionally at one or can be hydrogenated several sites, R 5 is a fluorinated (Ci-C 3 ) alkyl group
R6 und R7 unabhängig voneinander ein Wasserstoffatom, oder eine (CrC2)- Alkylgruppe, p 2 undR 6 and R 7 independently of one another represent a hydrogen atom, or a (C 1 -C 2 ) -alkyl group, p 2 and
X ein Sauerstoff- oder ein Schwefelatom bedeuten.X represents an oxygen or a sulfur atom.
Der dritte ankondensierte Ring enthaltend X1 [(Chbjp] und den Substituenten R7 kann 5-, 6- oder 7-gliedrig sein; p kann daher Werte von 1-3 annehmen, p=2 ist bevorzugt.The third fused ring containing X 1 [(Chbjp] and the substituent R 7 can be 5-, 6- or 7-membered, p can therefore assume values of 1-3, p = 2 is preferred.
X kann ein Sauerstoffatom, ein Schwefelatom, eine NR9- oder eine Chfe-Gruppe bedeuten. Das Sauerstoffatom und das Schwefelatom sind bevorzugt, besonders bevorzugt ist das Sauerstoffatom.X may represent an oxygen atom, a sulfur atom, an NR 9 or a Chfe group. The oxygen atom and the sulfur atom are preferred, and the oxygen atom is particularly preferred.
Die Bezeichnung Halogenatom oder Halogen bedeutet ein Fluor-, Chlor-, Brom- oder lodatom. Bevorzugt ist ein Fluor-, Chlor- oder Bromatom.The term halogen atom or halogen means a fluorine, chlorine, bromine or iodine atom. Preference is given to a fluorine, chlorine or bromine atom.
Die Alkylgruppen R1, R2, R3, R5, R8 und R9 können geradkettig oder verzweigt sein und beispielsweise für eine Methyl-, Ethyl-, n-Propyl-, iso-Propyl-, n-Butyl, iso-Butyl, tert.-Butyl- oder n-Pentyl-, 2,2-Dimethylpropyl-, 2-Methylbutyl- oder 3- Methylbutylgruppe stehen. Eine CrC3-Alkylgruppe ist bevorzugt. Sie können gegebenenfalls substituiert sein durch eine Gruppe ausgewählt aus 1-3 Hydroxy-, 1-3 Halogenatome, 1-3 (CrC3)Alkoxy-, und/oder 1-3 COOR10- Gruppen. Bevorzugt sind Hydroxygruppen.The alkyl groups R 1 , R 2 , R 3 , R 5 , R 8 and R 9 may be straight-chain or branched and may be, for example, methyl, ethyl, n-propyl, iso-propyl, n-butyl, iso Butyl, tert-butyl or n-pentyl, 2,2-dimethylpropyl, 2-methylbutyl or 3-methylbutyl group. A CrC 3 alkyl group is preferred. They may optionally be substituted by a group selected from 1-3 hydroxy, 1-3 halogen, 1-3 (CrC 3 ) alkoxy, and / or 1-3 COOR 10 groups. Preference is given to hydroxy groups.
Die Alkylgruppe R4 hat die im vorstehenden Absatz genannte Bedeutung, jedoch sind die möglichen Substituenten ausgewählt aus der Gruppe Hydroxy, Halogen, (Ci-C5)-Alkoxy.The alkyl group R 4 has the meaning mentioned in the preceding paragraph, but the possible substituents are selected from the group hydroxy, halogen, (Ci-C 5 ) alkoxy.
Die Alkylgruppen R6 und R7 haben die im vorstehenden Absatz genannte Bedeutung, jedoch sind die möglichen Substituenten ausgewählt aus der Gruppe OR9, SR9 und NR8R9, wobei R8 und R9 Wasserstoff, d-C5-Alkyl oder (CO)C-ι-C5-Alkyl bedeutet und Alkyl ebenfalls wie oben definiert ist. Besonders bevorzugt sind für R6 und R7 ein Wasserstoffatom und die unsubstituierte CrC3-Alkylgruppe, ganz besonders bevorzugt ein Wasserstoffatom und die Methylgruppe. Die Alkoxygruppen können gerad kettig oder verzweigt sein und beispielsweise für eine Methoxy-, Ethoxy-, n-Propoxy-, iso-Propoxy-, n-Butoxy, iso-Butoxy, tert- Butoxy- oder n-Pentoxy-, 2,2-Dimethylpropoxy-, 2-Methylbutoxy- oder 3-Methylbutoxygruppe stehen. Eine Methoxy- oder Ethoxygruppe ist bevorzugt. Die Alkylthiogruppen können geradkettig oder verzweigt sein und für eine Methylthio-, Ethylthio-, n-Propylthio-, iso-Propylthio-, n-Butylthio, iso-Butylthio, tert.-Butylthio- oder n-Pentylthio-, 2,2-Dimethylpropylthio-, 2-Methylbutylthio- oder 3-Methylbutylthiogruppe stehen. Eine Methylthio- oder Ethylthiogruppe ist bevorzugt. Für eine teilweise oder vollständig fluorierte Alkylgruppe, die geradkettig oder verzweigt sein kann, kommen beispielsweise die teilweise oder vollständig fluorierten folgenden Gruppen in Betracht: Fluormethyl, Difluormethyl, Trifluormethyl, Fluorethyl, 1 ,1-Difluorethyl, 1 ,2-Difluorethyl, 1 ,1 ,1-Trifluorethyl, Tetrafluorethyl, Pentafluorethyl, C3F7, C3H2F5, C4F9, C5F11. Von diesen bevorzugt sind die Trifluormethyl- und die Pentafluorethylgruppe, ganz besonders bevorzugt ist die Trifluormethylgruppe. Die Reagenzien sind käuflich oder die publizierten Synthesen der entsprechenden Reagenzien gehören zum Stand der Technik.The alkyl groups R 6 and R 7 have the meaning mentioned in the preceding paragraph, but the possible substituents are selected from the group OR 9 , SR 9 and NR 8 R 9 , where R 8 and R 9 are hydrogen, C 1 -C 5 -alkyl or (CO ) C 1 -C 5 -alkyl and alkyl is also as defined above. Particularly preferred for R 6 and R 7 is a hydrogen atom and the unsubstituted C 1 -C 3 -alkyl group, most preferably a hydrogen atom and the methyl group. The alkoxy groups can be straight-chain or branched and are, for example, methoxy, ethoxy, n-propoxy, isopropoxy, n-butoxy, isobutoxy, tert-butoxy or n-pentoxy, 2,2- Dimethylpropoxy, 2-methylbutoxy or 3-methylbutoxy group. A methoxy or ethoxy group is preferred. The alkylthio groups may be straight-chain or branched and may be a methylthio, ethylthio, n-propylthio, isopropylthio, n-butylthio, isobutylthio, tert-butylthio or n-pentylthio, 2,2-dimethylpropylthio , 2-methylbutylthio or 3-methylbutylthio group. A methylthio or ethylthio group is preferred. For a partially or fully fluorinated alkyl group, which may be straight-chain or branched, are, for example, the partially or fully fluorinated groups: fluoromethyl, difluoromethyl, trifluoromethyl, fluoroethyl, 1, 1-difluoroethyl, 1, 2-difluoroethyl, 1, 1 , 1-trifluoroethyl, tetrafluoroethyl, pentafluoroethyl, C 3 F 7 , C 3 H 2 F 5 , C 4 F 9 , C 5 F 11 . Of these, preferred are the trifluoromethyl and the pentafluoroethyl group, most preferably the trifluoromethyl group. The reagents are commercially available or the published syntheses of the corresponding reagents are state of the art.
Die Arylsubstituenten R1 und R2 können einen Ring bilden, indem beide Arylsubstituenten gemeinsam eine Kette bedeuten ausgewählt aus denThe aryl substituents R 1 and R 2 may form a ring in which both aryl substituents together represent a chain selected from among
Gruppen -O-(CH2)n-O-, -O-(CH2)n-CH2-, -0-CH=CH-, -(CH2)n+2-,-NH-(CH2)n+1 , N(C1-C3-alkyl)-(CH2)n+1, -NH-N=CH-, wobei n = 1 oder 2 ist. Die endständigen Atome der oben aufgeführten Gruppen sind mit direkt benachbarten Aryl-Ring- Kohlenstoffatomen verknüpft, so dass ein annelierter Ring entsteht. Der Substituent NR8R9 bedeutet beispielsweise NH2, NH(CH3), N(CH3)2, NH(C2H5), N(C2Hs)2, NH(C3H7), N(C3H7),, NH(C4H9), N(C4H9)2) NH(C5H11), N(C5Hn)2, NH(CO)CH3, NH(CO)C2H5, NH(CO)C3H7, NH(CO)C4H9, NH(CO)C5H11.Groups -O- (CH 2 ) n O-, -O- (CH 2 ) n -CH 2 -, -O-CH = CH-, - (CH 2 ) n + 2 -, - NH- (CH 2 ) n + 1 , N (C 1 -C 3 -alkyl) - (CH 2 ) n + 1 , -NH-N = CH-, where n = 1 or 2. The terminal atoms of the groups listed above are linked to directly adjacent aryl ring carbon atoms to form a fused ring. The substituent NR 8 R 9 is , for example, NH 2 , NH (CH 3 ), N (CH 3 ) 2 , NH (C 2 H 5 ), N (C 2 Hs) 2 , NH (C 3 H 7 ), N ( C 3 H 7 ) ,, NH (C 4 H 9 ), N (C 4 H 9 ) 2) NH (C 5 H 11 ), N (C 5 Hn) 2 , NH (CO) CH 3 , NH (CO ) C 2 H 5 , NH (CO) C 3 H 7 , NH (CO) C 4 H 9 , NH (CO) C 5 H 11 .
Die Cycloalkylgruppe bedeutet eine durch eine oder mehrere Gruppen ausgewählt aus Hydroxygruppen, Halogenatomen, (CrC5)-Alkylgruppen, (C1- CδJ-Alkoxygruppen gegebenenfalls substituierte gesättigte zyklische Gruppe mit 3 bis 7 Ringkohlenstoffatomen wie beispielsweise Cyclopropyl, Methylcyclopropyl, Cyclobutyl, Methylcyclobutyl, Cylopentyl, Methylcyclopentyl, Cyclohexyl, Methylcyclohexyl, Cycloheptyl, Methylcycloheptyl.The cycloalkyl group means by one or more groups selected from hydroxy, halo, (CrC 5) alkyl, (C 1 - C δ J-alkoxy optionally substituted saturated cyclic group having from 3 to 7 ring carbon atoms, for example cyclopropyl, Methylcyclopropyl, cyclobutyl, methylcyclobutyl, cyclopentyl, methylcyclopentyl, cyclohexyl, methylcyclohexyl, cycloheptyl, methylcycloheptyl.
Die Cycloalkylalkylgruppe bedeutet beispielsweise -(CH2)-Cycloalkyl, - (C2H4)-Cycloalkyl, -(C3H6)-Cycloalkyl, -(C4H8)-Cycloalkyl, -(C5H10)-Cycloalkyl, wobei Cycloalkyl definiert ist wie oben beschrieben.The cycloalkylalkyl group means, for example, - (CH 2 ) -cycloalkyl, - (C 2 H 4 ) -cycloalkyl, - (C 3 H 6 ) -cycloalkyl, - (C 4 H 8 ) -cycloalkyl, - (C 5 H 10 ) - Cycloalkyl, wherein cycloalkyl is defined as described above.
Cycloalkylalkenylgruppe bedeutet beispielsweise -(CH=CH)-Cycloalkyl, - [C(CH3)=CH]-Cycloalkyl, -[CH=C(CH3)]-Cycloalkyl, -(CH=CH-CH2)-Cycloalkyl, -(CH2-CH=CH)-Cycloalkyl) -(CH=CH-CH2-CH2)-CycloalkylI -(CH2-CH=CH-CH2)- Cycloalkyl, -( CH2-CH2-CH=CH)-Cycloalkyl, -(C(CH3)=CH-CH2)-Cycloalkyl, -(CH=C(CH3)-CH2)-Cycloalkyl.Cycloalkylalkenyl group means, for example, - (CH = CH) -cycloalkyl, - [C (CH 3 ) = CH] -cycloalkyl, - [CH = C (CH 3 )] -cycloalkyl, - (CH = CH-CH 2 ) -cycloalkyl, - (CH 2 -CH = CH) -cycloalkyl ) - (CH = CH-CH 2 -CH 2 ) -cycloalkyl I - (CH 2 -CH = CH-CH 2 ) -cycloalkyl, - (CH 2 -CH 2 -CH = CH) -cycloalkyl, - (C (CH 3 ) = CH-CH 2 ) -cycloalkyl, - (CH = C (CH 3 ) -CH 2 ) -cycloalkyl.
Als (CrC3)-Exoalkylidengruppe ist eine Gruppe zu verstehen, die über eine Exodoppelbindung an das System (Ring oder Kette) gebunden ist. Bevorzugt ist Exomethylen.As (CrC 3 ) -Exoalkylidengruppe is to be understood a group which is bound via an exodo double bond to the system (ring or chain). Preference is given to exomethylene.
Die Heterocyclylgruppe ist nicht aromatisch und kann beispielsweise Pyrrolidin, Imidazolidin, Pyrazolidin, Piperidin sein. Als Substituenten kommenThe heterocyclyl group is not aromatic and may be, for example, pyrrolidine, imidazolidine, pyrazolidine, piperidine. Come as substituents
Hydroxygruppen, Halogenatome, (CrC5)-Alkylgruppen, (Ci-Cs)-Alkoxygruppen in Frage.Hydroxy groups, halogen atoms, (CrC 5 ) alkyl groups, (Ci-Cs) alkoxy groups in question.
Unter Heterozyklylalkylgruppen sind Heterozyklylgruppen zu verstehen, die über eine CrC5-Alkylgruppe an das Grundgerüst gebunden sind, wobei die Alkylgruppe geradkettig oder verzweigt sein kann.Heterocyclylalkyl groups are to be understood as meaning heterocyclyl groups which are linked to the skeleton via a C 1 -C 5 -alkyl group, where the alkyl group may be straight-chain or branched.
Heterocyclylalkenylgruppen sind Heterozyklylgruppen, die über eine ungesättigte C2-C5-Alkylgruppe an das Gerüst gebunden sind, wobei die Alkenylgruppen geradkettig oder verzweigt sein können.Heterocyclylalkenyl groups are heterocyclyl groups which are linked to the skeleton via an unsaturated C 2 -C 5 -alkyl group, where the alkenyl groups may be straight-chain or branched.
Die Arylgruppe R4 und R5 kann Phenyl oder Naphthyl sein. Als Substituenten für beide Gruppen kommen Ci-C3-Alkyl, Hydroxy, CrC3- Alkoxy, d-Cs-Alkylthio, Halogen, Cyano, COO(Ci-C5)alkyl, COOH, NR9R10, Nitro, in Betracht. Der Substitutionsgrad kann ein oder mehrfach sein, mehrere gleiche oder verschiedene Substituenten beinhalten. Mono- oder disubstituierte Phenyl- und Naphthylgruppen R4 sind bevorzugt. Die Arylgruppen können teilweise hydriert sein und dann zusätzlich oder alternativ zu den oben aufgeführten Substituenten auch Keto, (Ci-C3)- Exoalkyliden tragen. Unter teilweise hydriertem Phenyl ist z.B. Cyclohexadienyl, Cyclohexenyl, Cyclohexyl zu verstehen. Ein teilweise hydriertes substituiertes Naphthalinsystem ist beispielsweise 1-Tetralon oder 2-Tetralon.The aryl group R 4 and R 5 may be phenyl or naphthyl. Suitable substituents for both groups Ci-C coming 3 alkyl, hydroxy, -C 3 - alkoxy, d-Cs-alkylthio, halogen, cyano, COO (Ci-C 5) alkyl, COOH, NR 9 R 10, nitro, in consideration , The degree of substitution may be one or more than one, may include several identical or different substituents. Mono- or disubstituted phenyl and naphthyl groups R 4 are preferred. The aryl groups may be partially hydrogenated and then, in addition to or in addition to the abovementioned substituents, keto, (C 1 -C 3 ) - Wear exoalkylidene. By partially hydrogenated phenyl is meant, for example, cyclohexadienyl, cyclohexenyl, cyclohexyl. A partially hydrogenated substituted naphthalene system is, for example, 1-tetralone or 2-tetralone.
Die Arylalkylgruppe ist eine Arylgruppe, die über eine d-C8-Alkylgruppe an ein Grundgerüst gebunden ist, wobei die Alkylgruppe geradkettig oder verzweigt sein kann. Beispielsweise seien Benzyl oder Phenethylen genannt.The arylalkyl group is an aryl group linked to a skeleton via a C 1 -C 8 -alkyl group, where the alkyl group can be straight-chain or branched. For example, benzyl or phenethylene may be mentioned.
Eine Arylalkenylgruppe ist eine Arylgruppe, die über eine C2-C8-Alkenylgruppe an ein Grundgerüst gebunden ist, wobei die Alkenylgruppe geradkettig oder verzweigt sein kann.An arylalkenyl group is an aryl group which is linked to a skeleton via a C 2 -C 8 -alkenyl group, where the alkenyl group may be straight-chain or branched.
Die Arylalkinylgruppe ist eine Arylgruppe, die über eine C2-Cβ-Alkinylgruppe an das Grundgerüst gebunden ist, wobei die Alkinylgruppe geradkettig oder verzweigt sein kann.The arylalkynyl group is an aryl group which is linked to the skeleton via a C 2 -C 6 -alkynyl group, where the alkynyl group may be straight-chain or branched.
Unter mono-oder bizyklische Heteroarylgruppe R4 und R5, die an einer oder mehreren Stellen hydriert sein kann, sind alle mono- oder bizyklischen aromatischen Ringsysteme zu verstehen, die mindestens ein Heteroatom und höchstens sieben Heteroatome enthalten. Bevorzugt werden Ringsysteme mit 1-5 Heteroatomen. Als Heteroatome kommen 1-4 Stickstoffatome, 1-2 Sauerstoffatome und 1-2 Schwefelatome in Frage, die in allen Unterkombinationen im Ringsystem auftreten können, solange sie die für das jeweilige Heteroatom festgelegte Anzahl und in der Summe die Höchstzahl von sieben Heteroatomen nicht überschreiten. Beispielsweise gehören damit Verbindungen der Formel I worin R4 oder R5 Furanyl-, Thienyl-, Pyrazolyl, Pyrrolyl-, Oxazolyl-, Thiazolyl-, Imidazolyl-, Isoxazolyl-, Isothiazolyl-, Oxadiazolyl- , Triazolyl-, Tetrazolyl-, Thiadiazolyl-, Pyridyl-, Pyrimidinyl-, Pyridazinyl-, Pyrazinyl-, Triazinyl-, Azaindolizinyl-, Phthalidyl-, Thiophthalidyl-, Indolyl-, Isoindolyl-, Dihydroindolyl-, Dihydroisoindolyl-, Indazolyl-, Benzothiazolyl-, Indolonyl, Dihydroindolonyl-, Isoindolonyl-, Dihydroisoindolonyl-, Benzofuranyl-, Benzimidazolyl-, Indolizinyl-, Isobenzofuranyl-, Azaindolyl-, Azaisoindolyl-, Furanopyridyl-, Furanopyrimidinyl-, Furanopyrazinyl-, Furanopyidazinyl-, Dihydrobenzofuranyl-, Dihydrofuranopyridyl-, Dihydrofuranopyrimidinyl-, Dihydrofuranopyrazinyl-, Dihydrofuranopyridazinyl-, Dihydrobenzofuranyl-, Dihydroisochinolinyl-, Dihydrochinolinyl-, Benzoxazinonyl-, Phthalazinonyl-, Chinolinyl-, Isochinolinyl-, Chinolonyl-, Isochinolonyl-, Chinazolinyl-, Chinoxalinyl-, Cinnolinyl-, Phthalazinyl, 1 ,7- oder 1 ,8-Naphthyridinyl-, bedeutet, zur vorliegenden Erfindung und stellen eine besondere Ausführungsform der Erfindung dar. Enthalten die Heteroarylgruppen eine Ketogruppe, so kann sie verschiedene Positionen innerhalb des Ringsystems einnehmen. Alle chemisch möglichen Regioisomeren sind in diese Definition mit eingeschlossen: z.B. schließt „Chinolonyl-,, sowohl Chinolin-2(1 H)on als auch Chinolin-3(4H)on und Chinolin-4(1 H)on mit ein. Sind die Heteroarylgruppen teilweise oder vollständig hydriert so gehörenBy mono- or bicyclic heteroaryl group R 4 and R 5 , which may be hydrogenated at one or more sites, are meant any mono- or bicyclic aromatic ring systems which contain at least one heteroatom and at most seven heteroatoms. Preference is given to ring systems having 1-5 heteroatoms. Suitable heteroatoms are 1-4 nitrogen atoms, 1-2 oxygen atoms and 1-2 sulfur atoms, which can occur in all subcombinations in the ring system as long as they do not exceed the number specified for the respective heteroatom and, in total, the maximum number of seven heteroatoms. For example, they include compounds of formula I wherein R 4 or R 5 is furanyl, thienyl, pyrazolyl, pyrrolyl, oxazolyl, thiazolyl, imidazolyl, isoxazolyl, isothiazolyl, oxadiazolyl, triazolyl, tetrazolyl, thiadiazolyl , Pyridyl, pyrimidinyl, pyridazinyl, pyrazinyl, triazinyl, azaindolizinyl, phthalidyl, thiophthalidyl, indolyl, isoindolyl, dihydroindolyl, dihydroisoindolyl, indazolyl, benzothiazolyl, indolonyl, dihydroindolonyl, isoindolonyl , Dihydroisoindolonyl, benzofuranyl, benzimidazolyl, indolizinyl, isobenzofuranyl, azaindolyl, azaisoindolyl, furanopyridyl, furanopyrimidinyl, furanopyrazinyl, furanopyidazinyl, dihydrobenzofuranyl, dihydrofuranopyridyl, dihydrofuranopyrimidinyl, dihydrofuranopyrazinyl, dihydrofuranopyridazinyl, dihydrobenzofuranyl - Dihydroisoquinolinyl, dihydroquinolinyl, benzoxazinonyl, phthalazinonyl, quinolinyl, isoquinolinyl, quinolonyl, isoquinolonyl, quinazolinyl, quinoxalinyl, cinnolinyl, phthalazinyl, 1, 7- or 1, 8-naphthyridinyl; The heteroaryl groups contain a keto group, so it can take various positions within the ring system. All chemically possible regioisomers are included in this definition: for example, "quinolonyl" includes both quinoline-2 (1H) one and quinoline-3 (4H) one and quinoline-4 (1H) one. If the heteroaryl groups are partially or fully hydrogenated then belong
Verbindungen der Formel I worin R4 Tetrahydropyranyl, 2H-Pyranyl, 4H-Pyranyl, Piperidyl, Tetrahydropyridyl, Dihydropyridyl, 1 H-Pyridin-2-onyl, 1 H-Pyridin-4- onyl, 4-Aminopyridyl, 1 H-Pyridin-4-ylidenaminyl, Chromanyl, Thiochromanyl, Decahydrochinolinyl, Tetrahydrochinolinyl, Dihydrochinolinyl, 5,6,7,8- Tetrahydro-1 H-chinolin-4-onyl, Decahydroisochinolinyl, Tetrahydroisochinolinyl, Dihydroisochinolinyl, 3,4-Dihydro-2H-benz[1 ,4]oxazinyl, 1 ,2- Dihydro[1 ,3]benzoxazin-4-onyl, 3,4-Dihydrobenz[1 ,4]oxazin-4-onyl, 3,4-Dihydro- 2H-benzo[1 ,4]thiazinyl, 4H-Benzo[1 ,4]thiazinyl, 1 ,2,3,4-Tetrahydrochinoxalinyl, 1 H-Cinnolin-4-onyl, 3H-Chinazolin-4-onyl, 1 H-Chinazolin-4-onyl, 3,4-Dihydro- 1 H-chinoxalin-2-onyl, 2,3-1 ,2,3,4-Tetrahydro[1 ,5]naphthyridinyl, Dihydro-1 H- [1 ,5]naphthyridyl, 1 H-[1 ,5]naphthyrid-4-onyl, 5,6,7,8-Tetrahydro-1 H- naphthyridin-4-onyl, 1 ,2-Dihydropyrido[3,2-d][1 ,3]oxazin-4-onyl, Octahydro-1 H- indolyl, 2,3-Dihydro-1 H-indolyl, Octahydro-2H-isoindolyl, 1 ,3-Dihydro-2H- isoindolyl, 1 ,2-Dihydroindazolyl, 1 H-Pyrrolo[2,3-b]pyridyl, 2,3-Dihydro-1 H- pyrrolo[2,3-b]pyridyl, 2,2-Dihydro-1 H-pyrrolo[2,3-b]pyridin-3-onyl bedeutet, zur vorliegenden Erfindung.Compounds of the formula I in which R 4 is tetrahydropyranyl, 2H-pyranyl, 4H-pyranyl, piperidyl, tetrahydropyridyl, dihydropyridyl, 1H-pyridin-2-onyl, 1H-pyridin-4-onyl, 4-aminopyridyl, 1H-pyridine 4-ylidenaminyl, chromanyl, thiochromanyl, decahydroquinolinyl, tetrahydroquinolinyl, dihydroquinolinyl, 5,6,7,8-tetrahydro-1H-quinolin-4-onyl, decahydroisoquinolinyl, tetrahydroisoquinolinyl, dihydroisoquinolinyl, 3,4-dihydro-2H-benz [1 , 4] oxazinyl, 1, 2-dihydro [1, 3] benzoxazin-4-onyl, 3,4-dihydrobenz [1,4] oxazin-4-onyl, 3,4-dihydro-2H-benzo [1, 4 ] thiazinyl, 4H-benzo [1,4] thiazinyl, 1,2,3,4-tetrahydroquinoxalinyl, 1H-cinnolin-4-onyl, 3H-quinazolin-4-onyl, 1H-quinazolin-4-onyl, 3 , 4-Dihydro-1H-quinoxalin-2-onyl, 2,3-1,2,3,4-tetrahydro [1,5] naphthyridinyl, dihydro-1H- [1,5] naphthyridyl, 1H- [ 1, 5] naphthyrid-4-onyl, 5,6,7,8-tetrahydro-1H-naphthyridin-4-onyl, 1,2-dihydropyrido [3,2-d] [1,3] oxazine-4- onyl, octahydro-1H-indolyl, 2,3-dihydro-1H-indolyl, octahydro-2H-isoindolyl, 1,3-dihyd o-2H-isoindolyl, 1, 2-dihydroindazolyl, 1 H -pyrrolo [2,3-b] pyridyl, 2,3-dihydro-1 H -pyrrolo [2,3-b] pyridyl, 2,2-dihydro- 1 H-pyrrolo [2,3-b] pyridin-3-onyl, to the present invention.
Besonders bevorzugt sind Verbindungen der Formel I worin R4 eine gegebenenfalls durch eine oder mehrere Gruppen ausgewählt aus (CrC5)- Alkylgruppen (welche gegebenenfalls substituiert sein kann durch 1-3 Hydroxy oder 1-3 COOR10-Gruppen), (CrC5)-Alkoxygruppen, Hydroxygruppen,Particular preference is given to compounds of the formula I in which R 4 is optionally substituted by one or more groups selected from (C 1 -C 5 ) -alkyl groups (which may optionally be substituted by 1 to 3 hydroxyl or 1 to 3 COOR 10 groups), (CIC 5 ) Alkoxy groups, hydroxy groups,
Halogenatome, (CrC3)Exoalkylidengruppen substituierte, gegebenenfalls 1-3 Stickstoffatome und/oder 1 -2 Sauerstoffatome und/oder 1 -2 Schwefelatome und/oder 1-2 Ketogruppen enthaltende mono- oder bizyklische Heteroarylgruppe, wobei diese Gruppe über eine beliebige Position mit dem Amin des Ringsystems verknüpft sein kann und gegebenenfalls an einer oder mehreren Stellen hydriert sein kann, bedeutet.Halogen atoms, (CrC 3 ) substituted exoalkylidene, optionally 1-3 nitrogen atoms and / or 1 -2 oxygen atoms and / or 1 -2 sulfur atoms and / or 1-2 keto groups containing mono- or bicyclic Heteroaryl group, which group may be linked via an arbitrary position with the amine of the ring system and may optionally be hydrogenated at one or more points means.
Ein besonders bevorzugter Gegenstand der Erfindung sind Verbindungen der allgemeinen Formel I gemäß der Ansprüche 1-5, worin R4 eine gegebenenfalls durch eine oder mehrere Gruppen ausgewählt aus (CrC5)-Alkylgruppen, Hydroxygruppen, Halogenatome, substituierte, gegebenenfalls 1-2 Stickstoffatome und/oder 1 Ketogruppe enthaltende bizyklische Heteroarylgruppe, wobei diese Gruppe über eine beliebige Position mit dem Amin des Ringsystems verknüpft sein kann und gegebenenfalls an einer oder mehreren Stellen hydriert sein kann, bedeutet.A particularly preferred subject of the invention are compounds of general formula I according to claims 1-5, wherein R 4 is optionally substituted by one or more groups selected from (C 1 -C 5 ) -alkyl groups, hydroxy groups, halogen atoms, optionally substituted 1-2 nitrogen atoms and or bicyclic heteroaryl group containing 1 keto group, which group may be linked via any position with the amine of the ring system and may optionally be hydrogenated at one or more sites.
Ein bevorzugter Gegenstand der Erfindung sind Verbindungen der allgemeinen Formel I gemäß der Ansprüche 1-5, worin R4 eine gegebenenfalls mit CrC5- Alkyl, Halogen, Hydroxy, CrC5-Alkoxy, Keto oder (Ci-C3)Exoalkyliden substituierte Phenyl-, Phthalidyl-, Isoindolyl-, Dihydroindolyl-, Dihydroisoindolyl-, Dihydroisochinolinyl-, Thiophthalidyl-, Benzoxazinonyl-, Phthalazinonyl-, Chinolinyl-, Isochinolinyl-, Chinolonyl-, Isochinolonyl-, Indazolyl-, Benzothiazolyl- , Chinazolinyl-, Chinoxalinyl-, Cinnolinyl-, Phthalazinyl, 1 ,7- oder 1 ,8- Naphthyridinyl-, Dihydroindolonyl-, Dihydroisoindolonyl-, Benzimidazol- oder Indolylgruppe bedeutet.A preferred subject of the invention are compounds of general formula I according to claims 1-5, wherein R 4 is optionally substituted by -C 5 - alkyl, halogen, hydroxy, C r C 5 alkoxy, keto, or (Ci-C 3) substituted Exoalkyliden Phenyl, phthalidyl, isoindolyl, dihydroindolyl, dihydroisoindolyl, dihydroisoquinolinyl, thiophthalidyl, benzoxazinonyl, phthalazinonyl, quinolinyl, isoquinolinyl, quinolonyl, isoquinolonyl, indazolyl, benzothiazolyl, quinazolinyl, quinoxalinyl, , Cinnolinyl, phthalazinyl, 1, 7 or 1, 8-naphthyridinyl, dihydroindolonyl, dihydroisoindolonyl, benzimidazole or indolyl group.
Ein bevorzugter Gegenstand sind Verbindungen der allgemeinen Formel I gemäß der Ansprüche 1-5, worin R4 eine gegebenenfalls mit CrC5-Alkyl, Halogen, Hydroxy, CrC5-Alkoxy substituierte Phenyl- oder Naphthyl-, Phthalidyl-, Thiophthalidyl-, Benzoxazinonyl-, Phthalazinonyl-, Chinolinyl-, Isochinolinyl-, Chinolonyl-, Isochinolonyl-, Indazolyl-, Benzothiazolyl-, Chinazolinyl-, Chinoxalinyl-, Cinnolinyl-, Phthalazinyl, 1 ,7- oder 1 ,8- Naphthyridinyl, Dihydroindolonyl-, Dihydroisoindolonyl-, Benzimidazol- oder Indolylgruppe ist.A preferred object is compounds of general formula I according to claims 1-5, wherein R 4 is a phenyl or naphthyl, phthalidyl, thiophthalidyl, benzoxazinonyl optionally substituted by C 1 -C 5 -alkyl, halogen, hydroxy, C 1 -C 5 -alkoxy. , Phthalazinonyl, quinolinyl, isoquinolinyl, quinolonyl, isoquinolonyl, indazolyl, benzothiazolyl, quinazolinyl, quinoxalinyl, cinnolinyl, phthalazinyl, 1, 7- or 1, 8-naphthyridinyl, dihydroindolonyl, dihydroisoindolonyl, Benzimidazole or indolyl group.
Ein besonders bevorzugter Gegenstand der Erfindung sind Verbindungen der allgemeinen Formel I worin R4 eine gegebenenfalls mit CrC3-Alkyl, Halogen, Hydroxy, substituierte Chinolinyl-, Chinazolinyl-, Phthalazinonyl-, Chinolonylgruppe bedeutet. Handelt es sich um eine Heteroarylalkylgruppe R5, so ist darunter eine gegebenenfalls auch teilweise hydrierte Heteroarylgruppe wie oben beschrieben zu verstehen, die über eine Ci-Cβ-Alkylgruppe, die geradkettig oder verzweigt sein kann, an das Grundgerϋst gebunden ist. Unter einer Heteroarylalkenylgruppe ist eine gegebenenfalls auch teilweise hydrierte Heteroarylgruppe wie oben beschrieben zu verstehen, die über eine C2-C8-Alkenylgruppe, die geradkettig oder verzweigt sein kann, an das Grundgerüst gebunden ist.A particularly preferred subject of the invention are compounds of the general formula I in which R 4 is a quinolinyl, quinolinyl, quinazolinyl, phthalazinonyl or quinolonyl group which is optionally substituted by C 1 -C 3 -alkyl, halogen, hydroxyl. If it is a heteroarylalkyl group R 5 , it is to be understood as meaning an optionally also partially hydrogenated heteroaryl group as described above which is bonded to the skeleton via a C 1 -C 6 -alkyl group which may be straight-chain or branched. A heteroarylalkenyl group is to be understood as meaning an optionally also partially hydrogenated heteroaryl group as described above which is bonded to the skeleton via a C 2 -C 8 -alkenyl group, which may be straight-chain or branched.
Ein weiterer Gegenstand der Erfindung sind Verbindungen der allgemeinen Formel I, gemäß der Ansprüche 1-5, worin R5 eine (Ci-CsJ-Alkylgruppe oder eine gegebenenfalls teilweise oder vollständig fluorierte (CrC5)-Alkylgruppe, eine (C3-C7)Cycloalkylgruppe, eine (C3-C7)Cycloalkyl(CrC8)alkylgruppe, (C3-C7)Cycloalkyl(C2-C8)alkenylgruppe, eine Heterocyclylgruppe, eine Heterocyclyl(Ci-C8)alkylgruppe, Heterocyclyl(C2-C8)alkenylgruppe, eine Arylgruppe, eine Aryl(Ci-C8)alkylgruppe, Aryl(C2-C8)alkenylgruppe bedeutet.Another object of the invention are compounds of general formula I, according to claims 1-5, wherein R 5 is a (Ci-CsJ-alkyl group or an optionally partially or fully fluorinated (CrC 5 ) alkyl group, a (C 3 -C 7 ) cycloalkyl, (C 3 -C 7) cycloalkyl (CrC 8) alkyl (C 3 -C 7) cycloalkyl (C 2 -C 8) alkenyl group, a heterocyclyl group, a heterocyclyl (Ci-C 8) alkyl, heterocyclyl ( C 2 -C 8 ) alkenyl group, an aryl group, an aryl (Ci-C 8 ) alkyl group, aryl (C 2 -C 8 ) alkenyl group.
Ein besonderer Gegenstand der Erfindung sind Verbindungen der allgemeinen Formel I gemäß der Ansprüche 1-5, worin R5 eine (CrC5)-Alkylgruppe oder eine gegebenenfalls teilweise oder vollständig fluorierte (CrC5)-Alkylgruppe, eine Arylgruppe, eine Aryl(Ci-C8)alkylgruppe, Aryl(C2-Cβ)alkenylgruppe, eine (C3- C7)Cycloalkylgruppe, eine (C3-C7)Cycloalkyl(Ci-C8)alkylgruppe, (C3- C7)Cycloalkyl(C2-C8)Alkenyl gruppe bedeutet.A particular subject of the invention are compounds of general formula I according to claims 1-5, wherein R 5 is a (C 1 -C 5 ) -alkyl group or an optionally partially or completely fluorinated (C 1 -C 5 ) -alkyl group, an aryl group, an aryl (C 1 -C 4) alkyl group. C 8) alkyl aryl (C 2 -Cβ) alkenyl group, a (C 3 - C 7) cycloalkyl group, a (C 3 -C 7) cycloalkyl (Ci-C8) alkyl, (C 3 - C 7) cycloalkyl ( C 2 -C 8 ) alkenyl group.
Ein weiterer Gegenstand der Erfindung sind Verbindungen der allgemeinen Formel I gemäß der Ansprüche 1-5, in denen R5 eine (CrC3)-Alkylgruppe oder eine gegebenenfalls teilweise oder vollständig fluorierte (Ci-C3)-Alkylgruppe darstellt. Besonders bevorzugt sind sind Verbindungen der allgemeinen Formel I gemäß der Ansprüche 1-5, in denen R5 eine vollständig fluorierte (Ci-C3)-Alkylgruppe, ganz besonders bevorzugt eine CF3-Gruppe bedeutet.Another object of the invention are compounds of general formula I according to claims 1-5, in which R 5 represents a (CrC 3 ) alkyl group or an optionally partially or fully fluorinated (Ci-C 3 ) alkyl group. Particular preference is given to compounds of general formula I according to claims 1-5, in which R 5 is a fully fluorinated (C 1 -C 3 ) -alkyl group, very particularly preferably a CF 3 group.
Ein weiterer Gegenstand der Erfindung sind Verbindungen der Formel I, worin R4 eine CrCio-Alkylgruppe, die gegebenenfalls substituiert sein kann durch 1-3 Hydroxygruppen, Halogenatome, eine gegebenenfalls substituierteAnother object of the invention are compounds of formula I, wherein R 4 is a C r Cio-alkyl group which may optionally be substituted by 1-3 hydroxy groups, halogen atoms, an optionally substituted
Phenylgruppe, eine gegebenenfalls durch 1-2 Ketogruppen, 1-2 (CrC5)- Alkylgruppen, 1-2 (d-CsJ-Alkoxygruppen, 1-3 Halogenatome, 1-2 (Ci-C3)- Exoalkylidengruppen substituierte 1-4 Stickstoffatome und/oder 1-2 Sauerstoffatome und/oder 1-2 Schwefelatome enthaltende mono- oder bizyklische Heteroarylgruppe, wobei diese Gruppen über eine beliebige Position mit dem Stickstoffatom verknüpft sein können und gegebenenfalls an einer oder mehreren Stellen hydriert sein können, bedeutet.Phenyl group, an optionally represented by 1-2 keto groups, 1-2 (C 1 -C 5 ) -alkyl groups, 1-2 (C 1 -C 6 -alkoxy groups, 1-3 halogen atoms, 1-2 (C 1 -C 3 ) - Exoalkylidene-substituted 1-4 nitrogen atoms and / or 1-2 oxygen atoms and / or 1-2 sulfur atoms containing mono- or bicyclic heteroaryl group, which groups may be linked via any position with the nitrogen atom and may optionally be hydrogenated at one or more sites means.
Die erfindungsgemäßen Verbindungen der allgemeinen Formel I können durch das Vorhandensein von Asymmetriezentren als Stereoisomere vorliegen Gegenstand der vorliegenden Erfindung sind alle möglichen Stereoisomere (z.B.: RRR, RRS, RSR, RSS, SRR, SRS1 SSR, SSS), sowohl als Racemate oder Diastereomerengemische, als auch in enantiomerenreiner bzw. diastereomerenreiner Form. Die Enantiomeren bzw. Diastereomeren können nach dem Fachmann bekannten Methoden beispielsweise durch Chromatographie des Racemats oder des Diastereomerengemisches an einer chiralen festen Phase erhalten werden. Die erfindungsgemäßen Verbindungen können auch in Form von Salzen mit physiologisch verträglichen Anionen vorliegen, beispielsweise in der Form des Hydrochlorides, Sulfates, Nitrates, Phosphates, Pivalates, Maleates, Fumarates, Tartrates, Benzoates, Mesylates, Citrates oder Succinates.The compounds of the general formula I according to the invention can exist as stereoisomers due to the presence of asymmetric centers. The present invention relates to all possible stereoisomers (eg RRR, RRS, RSR, RSS, SRR, SRS 1 SSR, SSS), both as racemates or mixtures of diastereomers. as well as in enantiomerically pure or diastereomerically pure form. The enantiomers or diastereomers can be obtained by methods known to the person skilled in the art, for example by chromatography of the racemate or the diastereomer mixture on a chiral solid phase. The compounds according to the invention may also be present in the form of salts with physiologically acceptable anions, for example in the form of the hydrochloride, sulfate, nitrate, phosphate, pivalate, maleate, fumarate, tartrate, benzoate, mesylate, citrate or succinate.
Die erfindungsgemäßen Verbindungen können auch an der Hydroxygruppe als Ether oder Ester vorliegen, die nach dem Fachmann bekannten Methoden herstellbar sind.The compounds according to the invention can also be present on the hydroxy group as ether or ester, which can be prepared by methods known to the person skilled in the art.
Beispielesweise seien für den Ether Methylether, Ethylether, Propylether,For example, for the ether, methyl ether, ethyl ether, propyl ether,
Isopropylether Methoxymethylether, Ethoxymethylether, Ethoxyethylether ganannt. Die Ester leiten sich von anorganischen Säuren oder organischen Säuren ab.Isopropyl ether methoxymethyl ether, ethoxymethyl ether, ethoxyethylether ganannt. The esters are derived from inorganic acids or organic acids.
Die organischen Säuren können cyclisch, geradkettig oder verzweigt, gesättigt oder ungesättigt, carbocyclisch oder heterocyclisch, substituiert oder unsubstituiert sein. Bevorzugt leiten sich die Reste von d-Cg-Carbonsäuren ab.The organic acids may be cyclic, straight-chain or branched, saturated or unsaturated, carbocyclic or heterocyclic, substituted or unsubstituted. Preferably, the radicals are derived from d-Cg carboxylic acids.
Beispielsweise seien als Säuren, die zur Veresterung geeignet sind, Schwefelsäure, Ameisensäure, Essigsäure, Propionsäure, Butansäure,Examples of suitable acids which are suitable for esterification are sulfuric acid, formic acid, acetic acid, propionic acid, butanoic acid,
Pentansäure, Pivalinsäure genannt.Pentanoic acid, called pivalic acid.
Anorganische Säuren sind beispielsweise H2SO4, H2SO3, H2SO2, H3PO4. Die erfindungsgemäßen Verbindungen werden hergestellt, a) indem die nach dem Fachmann bekannten Methoden (z.B. J.Chem. Soc.,Perkin Trans.1 (1999) pp. 2911-2922; Org. Lett. 6 (2004) pp. 3047-3050) aus den entsprechenden Chromanonen, Thiochromanonen, cyclischen Ketonen oder cyclischen Aminoketonen hergestellten cyclischen Styrole der allgemeinen Formel (III) durch eine gegebenenfalls enantioselektiv geführte En-Reaktion mit gegebenenfalls chiralen Lewis Säuren in die Verbindungen der allgemeinen Formel (IV) überführt werden. Durch Reduktion und Aminierung wird nach dem Fachmann bekannten Methoden das Imin (V) erzeugt,Inorganic acids are, for example, H 2 SO 4, H 2 SO 3 , H 2 SO 2 , H 3 PO 4 . The compounds according to the invention are prepared a) by the methods known to those skilled in the art (eg J. Chem. Soc., Perkin Trans.1 (1999) pp. 2911-2922; Org. Lett. 6 (2004) pp. 3047-3050 ) are converted from the corresponding chromanones, thiochromanones, cyclic ketones or cyclic aminoketones cyclic styrenes of the general formula (III) by an optionally enantioselectively led ene reaction with optionally chiral Lewis acids in the compounds of general formula (IV). By reduction and amination, the imine (V) is produced by methods known to those skilled in the art,
Wittig-Typ-OlefinierungWittig-type olefination
(II) (III)(II) (III)
(Hl) (IV) (Hl) (IV)
(R6=H)(R6 = H)
(IV) (V)(IV) (V)
Lewis SäureLewis acid
(V) (I) das dann entweder ohne weiteres Reagenz oder durch Zusetzen von anorganischen oder organischen Säuren oder Lewissäuren unter Temperaturen im Bereich von -700C bis +800C (bevorzugt im Bereich von -300C bis +800C) zu den Verbindungen der allgemeinen Formel (I) zyklisiert wird.(V) (I) then either without further reagent or by addition of inorganic or organic acids or Lewis acids at temperatures in the range of -70 0 C to + 80 0 C (preferably in the range of -30 0 C to + 80 0 C. ) is cyclized to the compounds of general formula (I).
Unter Lewissäure im Sinne der Erfindung sind alle dem Fachmann bekannten Lewissäuren zu verstehen, beispielsweise TiCI4, Ti(OR3)4, TiCl2(OR3)2, TiBr2(OR3)2, PdCI4, Pd(OR3)4, PdCI2(OR3)2, PdBr2(OR3)2, ZnCI2, ZnBr2, SnCI4, AICI3, AIBr3, AIEtCI2, AIMe2CI, BBr3, BCI3, Bl3, BF3, BBrMe2, Cu-Salze z. B. Cu(OTf)2, CuCI2, CuBr2, Yb(OTf)3, bevorzugt BBr3.Under Lewis acid according to the invention are understood as meaning all known to those skilled Lewis acids such as TiCl 4, Ti (OR3) 4, TiCl 2 (OR 3) 2, TiBr 2 (OR 3) 2, PdCl 4, Pd (OR 3) 4, PdCl 2 (OR3) 2, PdBr 2 (OR 3) 2, ZnCl 2, ZnBr 2, SnCl 4, AlCl 3, AlBr 3, AIEtCI 2, AlMe 2 Cl, BBr 3, BCl 3, Bl 3, BF 3, BBrMe 2, Cu Salts z. B. Cu (OTf) 2 , CuCl 2 , CuBr 2 , Yb (OTf) 3 , preferably BBr 3 .
Ein besonderer Gegenstand der Erfindung sind die Amine R4NH2, 5-Amino-7- fluor-2-methylchinazolin, 5-Amino-8-fluor-2-methylchinazolin und 5-Amino-7,8- difluor-2-methylchinazolin. b) nach bekannter Vorschrift lassen sich Vorstufen vom Typ der allgemeinen Formel (VI) herstellen (J. Med. Chem. 44 (2001 ) pp. 1085-1098 ). Nach für den Fachmann bekannten Methoden können diese Verbindungen durch Reduktion der Doppelbindung z.B. mit Wasserstoff an Palladium / Kohle, Reduktion des Esters z.B. mit Lithiumaluminiumhydrid und Oxidation der resultierenden Alkohole zu Verbindungen der allgemeinen Formel (VII) umgesetzt werden. 1. HydrierungA particular subject of the invention are the amines R 4 NH 2 , 5-amino-7-fluoro-2-methylquinazoline, 5-amino-8-fluoro-2-methylquinazoline and 5-amino-7,8-difluoro-2-methylquinazoline , b) according to known instructions, precursors of the type of general formula (VI) can be prepared (J. Med. Chem. 44 (2001) pp. 1085-1098). According to methods known to those skilled in the art, these compounds can be converted into compounds of the general formula (VII) by reducing the double bond, for example with hydrogen over palladium / carbon, reducing the ester, for example with lithium aluminum hydride and oxidizing the resulting alcohols. 1. hydrogenation
2. Reduktion2. reduction
3. Oxidation3. oxidation
(VI) (VII für R6 = H))(VI) (VII for R 6 = H))
Verbindungen vom Typ (VII) lassen sich z.B. mit einer Verbindung der allgemeinen Formel CqF2q+i-Si(CH3)3 ■ wobei q = 1 , 2, 3 oder 4 sein kann, in Gegenwart eines Katalysators oder mit einer Alkylmetallverbindung des Typs R5A, wobei A Magnesium-Halogen oder Lithium bedeutet, beispielsweise einem Grignard-Reagenz oder einem Lithiumalkyl, zu einer Verbindung der Formel (VIII) umsetzen. Als Katalysator kommen Fluorid-Salze oder basische Verbindungen wie Alkalicarbonate infrage (J. Am. Chem. Soc. 111 (1989) pp.393).Compounds of type (VII), for example, can be reacted with a compound of the general formula CqF2q + i-Si (CH 3) 3 ■ wherein q may be = 1, 2, 3 or 4, in the presence of a catalyst or with an alkyl metal compound of the type R 5 A, wherein A is magnesium halogen or lithium, for example a Grignard reagent or a lithium alkyl, to implement a compound of formula (VIII). Suitable catalysts are fluoride salts or basic compounds such as alkali metal carbonates (J. Am. Chem. Soc. 111 (1989) pp.393).
(VIII)(VIII)
(VIl)(VII)
Durch Oxidation von Verbindungen der allgemeinen Struktur (VIII) nach Literaturverfahren (J. Org. Chem. 54 (1989) pp. 661-668) werden neue Verbindungen vom Typ (IX) erhalten.By oxidation of compounds of general structure (VIII) according to literature methods (J. Org. Chem. 54 (1989) pp. 661-668) new compounds of type (IX) are obtained.
(IX)(IX)
(VlIl)(VlIl)
Verbindungen der allgemeinen Formel (X) lassen sich durch Umsetzung von Verbindungen der allgemeinen Formel (IX) z.B. mit TMSCN oder MCN herstellen, wobei M für ein Metall wie z.B. Natrium, Kalium oder Kupfer stehen kann (J. Med. Chem. 46 (2003) pp. 2494-2501). Es kann dabei wahlweise R11 ein Wasserstoffatom oder auch eine Trialkylsilylgruppe sein. Compounds of the general formula (X) can be prepared by reacting compounds of the general formula (IX), for example with TMSCN or MCN, where M can be a metal such as, for example, sodium, potassium or copper (J. Med. Chem. 46 (2003 ) pp. 2494-2501). It may optionally be R 11 is a hydrogen atom or a trialkylsilyl group.
(IX) (X)(IX) (X)
Verbindungen der allgemeinen Formel (Xl) können durch Umsetzung von Verbindungen der allgemeinen Formel (X) mit einem geeigneten Reduktionsmittel wie z.B. Diisobutylaluminiumhydrid erhalten werden.Compounds of general formula (XI) can be prepared by reacting compounds of general formula (X) with a suitable reducing agent, e.g. Diisobutylaluminum hydride are obtained.
(X)(X)
Diese neuen Verbindungen der allgemeinen Formel (Xl) können dann analog des Herstellungsverfahrens a) in die Verbindungen der allgemeinen Formel (I) überführt werden.These new compounds of the general formula (XI) can then be converted analogously to the preparation process a) into the compounds of the general formula (I).
c) Verbindungen der allgemeinen Formel (VII) können durch Umsetzung mit z.B. einer Alkylmetallverbindung, beispielsweise einem Grignard-Reagenz oder einem Lithiumalkyl, in Anwesenheit eines geeigneten Kupfersalzes oder gemischten Kupferorganyls (z.B. Tetrahedron Lett. 31 (1990) pp.7425-7428; J. Organomet. Chem. 502 (1995) pp. C5-C7) und anschließender Reduktion z.B. mit Diisobutylaluminiumhydrid zu einer Verbindung der Formel VII umgesetzt werden, die analog des Herstellungsverfahrens b) in die die Verbindungen der allgemeinen Formel (I) überführt werden.c) Compounds of the general formula (VII) can be obtained by reaction with e.g. an alkyl metal compound, for example a Grignard reagent or a lithium alkyl, in the presence of a suitable copper salt or mixed organo copper (eg Tetrahedron Lett., 31 (1990) pp. 7425-7428; J. Organomet. Chem. 502 (1995) pp. C5-C7 ) and subsequent reduction eg be reacted with diisobutylaluminum hydride to give a compound of formula VII, which are analogous to the preparation process b) into which the compounds of general formula (I) are converted.
(VI) (VII) d) Verbindungen der allgemeinen Formel (IX) können z.B. mit Alkenyl- Metallorganylen R12R13(C)=CH-A, wobei A Magnesium-Halogen oder Lithium bedeutet und R12, R13 Wasserstoff oder CrCβ-Alkyl bedeuten, wie z.B. Vinylmagnesium-Grignard Verbindungen umgesetzt werden. Dabei erhält man Verbindungen der allgemeinen Formel (XII). Durch Oxidation der Doppelbindung z.B. durch Ozon oder durch Übergangsmetall- Oxyde wie z.B. Osmiumtetraoxid mit anschließender Spaltung unter Verwendung eines geeigneten Oxidationsmittels wie z.B. Natriumperjodat können Verbindungen der allgemeinen Formel (X) erhalten werden.(VI) (VII) d) Compounds of the general formula (IX) may, for example, with alkenyl-metallo-R 12 R 13 (C) = CH-A, where A is magnesium halogen or lithium and R 12 , R 13 is hydrogen or CrCβ-alkyl, such as Vinylmagnesium Grignard compounds will be implemented. This gives compounds of the general formula (XII). By oxidation of the double bond, for example by ozone or by transition metal oxides such as osmium tetraoxide with subsequent cleavage using a suitable oxidizing agent such as sodium periodate, compounds of general formula (X) can be obtained.
(X)(X)
Ein Gegenstand der Erfindung sind die für die oben beschriebenen Verfahren durchlaufenen Zwischenprodukte, insbesondere die Verbindungen der Formeln III, IV und V worin die Reste die in Anspruch 1 angegebenen Bedeutungen haben sowie die Verfahrensstufen zu deren Herstellung.An object of the invention are the intermediates for the processes described above, in particular the compounds of formulas III, IV and V wherein the radicals have the meanings given in claim 1 and the process steps for their preparation.
Die Bindung der Substanzen an den Glucocorticoid-Rezeptor (GR) und weitere Steroidhormon-Rezeptoren (Mineralcorticoid-Rezeptor (MR), Progesteron- Rezeptor (PR) und Androgen-Rezeptor (AR)) wird mit Hilfe rekombinant hergestellter Rezeptoren überprüft. Cytosolpräparationen von Sf9 Zellen, die mit rekombinanten Baculoviren, die für den GR kodieren, infiziert worden waren, werden für die Bindungsuntersuchungen eingesetzt. Im Vergleich zur Bezugssubstanz [3H]-Dexamethason zeigen die Substanzen eine hohe Affinität zum GR. So wurde für die Verbindung aus Beispiel 2 ein IC50(GR) = 20 nM und IC50(PR) > 1 μM.The binding of the substances to the glucocorticoid receptor (GR) and other steroid hormone receptors (mineral corticoid receptor (MR), progesterone receptor (PR) and androgen receptor (AR)) is checked using recombinant receptors. Cytosol preparations of Sf9 cells infected with recombinant baculoviruses encoding the GR are used for the binding assays. Compared to the reference substance [ 3 H] -dexamethasone, the substances show a high affinity to the GR. Thus, for the compound of Example 2, an IC 50 (GR) = 20 nM and IC 50 (PR)> 1 μM.
Als wesentlicher, molekularer Mechanismus für die anti-inflammatorische Wirkung von Glucocorticoiden wird die durch den GR vermittelte Hemmung der Transkription von Cytokinen, Adhäsionsmolekülen, Enzymen und anderer pro - inflammatorischen Faktoren angesehen. Diese Hemmung wird durch eine Interaktion des GR mit anderen Transkriptionsfaktoren, z.B. AP-1 und NF- kappa-B, bewirkt (zur Übersicht siehe Cato ACB and Wade E, BioEssays 18, 371-378 1996).As a major molecular mechanism for the anti-inflammatory effect of glucocorticoids, the GR-mediated inhibition of transcription of cytokines, adhesion molecules, enzymes, and other pro-inflammatory factors is considered. This inhibition is mediated by an interaction of the GR with other transcription factors, e.g. AP-1 and NF-kappa-B (for review see Cato ACB and Wade E, BioEssays 18, 371-378 1996).
Die erfindungsgemäßen Verbindungen der allgemeinen Formel I hemmen die durch Lipopolysaccharid (LPS) ausgelöste Sekretion des Cytokins IL-8 in der menschlichen Monozytenzelline THP-1. Die Konzentration der Cytokine wurde im Überstand mittels kommerziell erhältlicher ELISA-Kits bestimmt. Die Verbindung aus Beispiel 2 zeigte eine Inhibition IC50(IL8) = 37 nM bei einer 70%igen Effizienz bezüglich [3H]-Dexamethason als Standard.The compounds of the general formula I according to the invention inhibit lipopolysaccharide (LPS) -derived secretion of the cytokine IL-8 in the human monocyte cell THP-1. The concentration of cytokines was determined in the supernatant by means of commercially available ELISA kits. The compound of Example 2 showed inhibition of IC 50 (IL8) = 37 nM at 70% efficiency with respect to [ 3 H] -dexamethasone as a standard.
Die anti - inflammatorische Wirkung der Verbindungen der allgemeinen Formel I wurde im Tierexperiment durch Testen in der Crotonöl - induzierten Entzündung in der Ratte und der Maus getestet (J. Exp. Med. (1995), 182, 99-108). Hierzu wurde den Tieren Crotonöl in ethanolischer Lösung topisch auf die Ohren appliziert. Die Testsubstanzen wurden gleichzeitig oder zwei Stunden vor dem Crotonöl ebenfalls topisch oder systemisch appliziert. Nach 16-24 Stunden wurden das Ohrgewicht als Maß für das entzündliche Ödem, die Peroxidaseaktivität als Maß für die Einwanderungen von Granulozyten und die Elastaseaktivität als Maß für die Einwanderung von neutrophilen Granulozyten gemessen. Die Verbindungen der allgemeinen Formel I hemmen in diesem Test sowohl nach topischer, als auch nach systemischer Applikation die drei oben genannten Entzündungsparameter.The anti-inflammatory activity of the compounds of the general formula I was tested in animal experiments by testing in the croton oil-induced inflammation in the rat and the mouse (J. Exp. Med. (1995), 182, 99-108). For this purpose, the animals were topically applied croton oil in ethanolic solution to the ears. The test substances were also applied topically or systemically simultaneously or two hours before the croton oil. After 16-24 hours, ear weight was measured as a measure of inflammatory edema, peroxidase activity as a measure of granulocytic immigration, and elastase activity as a measure of neutrophil granulocyte immigration. The compounds of the general formula I inhibit the three abovementioned inflammatory parameters in this test both after topical and after systemic administration.
Eine der häufigsten unerwünschten Wirkungen einer Glucocorticoid - Therapie ist der sogenannte "Steroiddiabetes" [vgl. Hatz, HJ, Glucocorticoide: Immunologische Grundlagen, Pharmakologie und Therapierichtlinien,One of the most common adverse effects of glucocorticoid therapy is the so-called "steroid diabetes" [cf. Hatz, HJ, Glucocorticoids: Immunological Foundations, Pharmacology and Therapy Guidelines,
Wissenschafliche Verlagsgesellschaft mbH, Stuttgart, 1998]. Ursache hierfür ist die Stimulation der Gluconeogenese in der Leber durch Induktion der hierfür verantwortlichen Enzyme und durch freie Aminosäuren, die aus dem Abbau von Proteinen (katabole Wirkung der Glucocorticoide) entstehen. Ein Schlüsselenzym des katabolen Stoffwechsels in der Leber ist die Tyrosinaminotranferase (TAT). Die Aktivität dieses Enzyms kann photometrisch aus Leberhomogenaten bestimmt werden und stellt ein gutes Maß für die unerwünschten metabolischen Wirkungen der Glucocorticoide dar. Zur Messung der TAT - Induktion werden die Tiere 8 Stunden nach Gabe der Testsubstanzen getötet, die Leber entnommen und die TAT - Aktivität im Homogenat gemessen. Die Verbindungen der allgemeinen Formel I induzieren in diesem Test in Dosen, in denen sie anti - inflammatorisch wirksam sind, nicht oder nur in geringem Maße die Tyrosinaminotransferase.Wissenschafliche Verlagsgesellschaft mbH, Stuttgart, 1998]. Cause of this is the stimulation of gluconeogenesis in the liver by induction of the responsible enzymes and free amino acids resulting from the breakdown of proteins (catabolic effect of glucocorticoids). A key enzyme of catabolic metabolism in the liver is tyrosine aminotransferase (TAT). The activity of this enzyme can be determined photometrically from liver homogenates and represents a good measure of the undesired metabolic effects of the glucocorticoids. To measure the TAT induction, the animals are sacrificed 8 hours after administration of the test substances, the liver is removed and the TAT activity in the Homogenate measured. The compounds of general formula I do not or only to a limited extent induce tyrosine aminotransferase in doses in which they are anti-inflammatory in this test.
Aufgrund ihrer anti-inflammatorischen und zusätzlichen anti-allergischen, immunsuppressiven und anti-proliferativen Wirkung können die erfindungsgemäßen Verbindungen der allgemeinen Formel I als Medikamente zur Behandlung oder Prophylaxe folgender Krankheitszustände bei Säugetieren und Menschen Verwendung finden: Dabei steht der Begriff "ERKRANKUNG" für die folgenden Indikationen:Because of their anti-inflammatory and additional anti-allergic, immunosuppressive and anti-proliferative effect, the compounds of the general formula I according to the invention can be used as medicaments for the treatment or prophylaxis of the following disease states in mammals and humans: The term "DISEASE" stands for the following indications:
(i) Lungenerkrankungen, die mit entzündlichen, allergischen und / oder proliferativen Prozessen einhergehen:(i) Pulmonary diseases associated with inflammatory, allergic and / or proliferative processes:
- Chronisch obstruktive Lungenerkrankungen jeglicher Genese, vor allem Asthma bronchiale- Chronic obstructive pulmonary diseases of any genesis, especially bronchial asthma
- Bronchitis unterschiedlicher Genese- Bronchitis of different origin
- Alle Formen der restriktiven Lungenerkrankungen, vor allem allergische Alveolitis,- All forms of restrictive lung diseases, especially allergic alveolitis,
- Alle Formen des Lungenödems, vor allem toxisches Lungenödem- All forms of pulmonary edema, especially toxic pulmonary edema
- Sarkoidosen und Granulomatosen, insbesondere Morbus Boeck (ii) Rheumatische Erkrankungen / Autoimmunerkrankungen /- Sarcoidoses and Granulomatoses, in particular Boeck's Disease (ii) Rheumatic Diseases / Autoimmune Diseases /
Gelenkerkrankungen, die mit entzündlichen, allergischen und / oder proliferativen Prozessen einhergehen:Joint diseases associated with inflammatory, allergic and / or proliferative processes:
- Alle Formen rheumatischer Erkrankungen, insbesondere rheumatoide Arthritis, akutes rheumatisches Fieber, Polymyalgie rheumatica - Reaktive ArthritisAll forms of rheumatic diseases, especially rheumatoid arthritis, acute rheumatic fever, polymyalgia rheumatica - Reactive arthritis
- Entzündliche Weichteilerkrankungen sonstiger Genese- Inflammatory soft tissue diseases of other causes
- Arthritische Symptome bei degenerativen Gelenkerkrankungen (Arthrosen)- Arthritic symptoms in degenerative joint disease (arthrosis)
- Traumatische Arthritiden - Kollagenosen jeglicher Genese, z.B. systemischer Lupus erythematodes,- Traumatic arthritis - collagenosis of any genesis, e.g. systemic lupus erythematosus,
Sklerodermie, Polymyositis, Dermatomyositis- Sjögren-Syndrom, Still- Syndrom, Felty-Syndrom (iii) Allergien, die mit entzündlichen, und / oder proliferativen Prozessen einhergehen: - Alle Formen allergischer Reaktionen, z.B. Quincke Ödem, Heuschnupfen, Insektenstich, allergische Reaktionen auf Arzneimittel, Blutderivate, Kontrastmittel etc., Anaphylaktischer Schock, Urtikaria, Kontakdermatitis (iv) Gefäßentzündungen (Vaskulitiden) - Panarteriitis nodosa, Arteriitis temporalis, Erythema nodosumScleroderma, Polymyositis, Dermatomyositis-Sjögren Syndrome, Still's Syndrome, Felty's Syndrome (iii) Allergies associated with inflammatory and / or proliferative processes: All forms of allergic reactions, e.g. Quincke edema, hay fever, insect bites, allergic reactions to drugs, blood derivatives, contrast agents, etc., anaphylactic shock, urticaria, contact dermatitis (iv) Vasculitis - Panarteritis nodosa, temporal arteritis, erythema nodosum
(v) Dermatologische Erkrankungen, die mit entzündlichen, allergischen und / oder proliferativen Prozessen einhergehen:(v) Dermatological disorders associated with inflammatory, allergic and / or proliferative processes:
- Atopische Dermatitis (vor allem bei Kindern)- Atopic dermatitis (especially in children)
- Psoriasis - Pityriasis rubra pilaris- Psoriasis - Pityriasis rubra pilaris
- Erythematode Erkrankungen, ausgelöst durch unterschiedlichen Noxen, z.B. Strahlen, Chemikalien, Verbrennungen etc.- Erythematode diseases triggered by different noxae, e.g. Blasting, chemicals, burns etc.
- Bullöse Dermatosen- Bull's-eye dermatoses
- Erkrankungen des lichenoiden Formenkreises, - Pruritus (z. B. allergischer Genese)- diseases of the lichenoid type, - pruritus (eg allergic genesis)
- Seborrhoisches Ekzem- Seborrheic dermatitis
- Rosacea- Rosacea
- Pemphigus vulgaris- Pemphigus vulgaris
- Erythema exsudativum multiforme - Balanitis- Erythema exudativum multiforme - Balanitis
- Vulvitis- vulvitis
- Haarausfall wie Alopecia areata- Hair loss like alopecia areata
- Cutane T - Zell - Lymphome (vi) Nierenerkrankungen, die mit entzündlichen, allergischen und / oder proliferativen Prozessen einhergehen:- Cutaneous T - cell lymphomas (vi) kidney disease associated with inflammatory, allergic and / or proliferative processes:
- Nephrotisches Syndrom- Nephrotic syndrome
- Alle Nephritiden (vii) Lebererkrankungen, die mit entzündlichen, allergischen und / oder proliferativen Prozessen einhergehen:- all nephritides (vii) liver disease associated with inflammatory, allergic and / or proliferative processes:
- akuter Leberzellzerfall- Acute liver cell decay
- akute Hepatitis unterschiedlicher Genese, z.B. viral, toxisch, arzneimittelinduziert - chronisch aggressive und / oder chronisch intermittierende Hepatitisacute hepatitis of different origins, e.g. viral, toxic, drug-induced - chronic aggressive and / or chronic intermittent hepatitis
(viii) Gastrointestinale Erkrankungen, die mit entzündlichen, allergischen und / oder proliferativen Prozessen einhergehen:(viii) Gastrointestinal disorders associated with inflammatory, allergic and / or proliferative processes:
- regionale Enteritis (Morbus Crohn)- regional enteritis (Crohn's disease)
- Colitis Ulcerosa - Gastritis- Ulcerative colitis - Gastritis
- Refluxoesophagitis- Reflux esophagitis
- Gastroenteritiden anderer Genese, z.B. einheimische Sprue- Gastroenteritides of other genesis, e.g. native sprue
(ix) Proktologische Erkrankungen, die mit entzündlichen, allergischen und / oder proliferativen Prozessen einhergehen: - Analekzem(ix) proctological diseases associated with inflammatory, allergic and / or proliferative processes: - anal eczema
- Fissuren- fissures
- Hämorrhoiden- Hemorrhoids
- idiopathische Proktitis- idiopathic proctitis
(x) Augenerkrankungen, die mit entzündlichen, allergischen und / oder proliferativen Prozessen einhergehen:(x) eye diseases associated with inflammatory, allergic and / or proliferative processes:
- allergische Keratitis, Uveitis, Iritis,- allergic keratitis, uveitis, iritis,
- Konjunktivitis- conjunctivitis
- Blepharitis- Blepharitis
- Neuritis nervi optici - Chorioditis- Neuritis nervi optici - Chorioditis
- Ophtalmia sympathica- Ophtalmia sympathica
(xi) Erkrankungen des Hals-Nasen-Ohren-Bereiches, die mit entzündlichen, allergischen und / oder proliferativen Prozessen einhergehen: - allergische Rhinitis, Heuschnupfen(xi) diseases of the ear, nose and throat, which are associated with inflammatory, allergic and / or proliferative processes: - allergic rhinitis, hay fever
- Otitis externa, z.B. bedingt durch Kontaktexem, Infektion etc.- otitis externa, e.g. due to contact problems, infection etc.
- Otitis media- Otitis media
(xii) Neurologische Erkrankungen, die mit entzündlichen, allergischen und / oder proliferativen Prozessen einhergehen:(xii) neurological disorders associated with inflammatory, allergic and / or proliferative processes:
- Hirnödem, vor allem Tumor-bedingtes Hirnödem- Cerebral edema, especially tumor-related cerebral edema
- Multiple Sklerose- Multiple sclerosis
- akute Encephalomyelitis- Acute encephalomyelitis
- Meningitis - verschieden Formen von Krampfanfällen, z.B. BNS-KrämpfeMeningitis - various forms of seizures, e.g. BNS-seizures
(xiii) Bluterkrankungen, die mit entzündlichen, allergischen und / oder proliferativen Prozessen einhergehen:(xiii) Blood disorders associated with inflammatory, allergic and / or proliferative processes:
- Erworbene hämolytische Anämie- Acquired hemolytic anemia
- Idopathische Thrombocytopenia (xiv) Tumorerkrankungen, die mit entzündlichen, allergischen und / oder proliferativen Prozessen einhergehen:- idopathic thrombocytopenia (xiv) tumors associated with inflammatory, allergic and / or proliferative processes:
- Akute lymphatische Leukämie- Acute lymphocytic leukemia
- Maligne Lymphome- Malignant lymphomas
- Lymphogranulomatosen - Lymphosarkome- Lymphogranulomatoses - Lymphosarcomas
- Ausgedehnte Metastasierungen, vor allem bei Mamma- Bronchial- und Prostatakarzinom- Extensive metastases, especially in breast, bronchial and prostate cancers
(xv) Endokrine Erkrankungen, die mit entzündlichen, allergischen und / oder proliferativen Prozessen einhergehen: - Endokrine Orbitopathie(xv) Endocrine disorders associated with inflammatory, allergic and / or proliferative processes: - endocrine orbitopathy
- Thyreotoxische Krise- Thyrotoxic crisis
- Thyreoiditis de Quervain- Thyreoiditis de Quervain
- Hashimoto Thyreoiditis- Hashimoto's thyroiditis
- Morbus Basedow (xvi) Organ- und Gewebstransplantationen , Graft-versus-host-disease(xvii)- Graves' disease (xvi) Organ and tissue transplants, graft-versus-host disease (xvii)
Schwere Schockzustände, z.B anaphylaktischer Schock , systemic inflammatory response Syndrome (SIRS) (xviii)Substitutionstherapie bei: - angeborene primäre Nebenniereninsuffizienz, z.B. kongenitales adrenogenitales SyndromSevere states of shock, eg anaphylactic shock, systemic inflammatory response syndrome (SIRS) (xviii) Substitution therapy in: - congenital primary adrenal insufficiency, eg congenital adrenogenital syndrome
- erworbene primäre Nebenniereninsuffizienz, z.B. Morbus Addison, autoimmune Adrenalitits, postinfektiös, Tumoren, Metastasen etc. - angeboren sekundäre Nebeniereninsuffizienz, z.B. kongenitaler HypopitutitarismusAcquired primary adrenal insufficiency, e.g. Addison's disease, autoimmune adrenalitis, postinfectious, tumors, metastases, etc. - congenital secondary adrenal insufficiency, e.g. congenital hypopitotitarism
- erworbene sekundäre Nebenniereninsuffizienz, z.B. postinfektiös, Tumoren etc.Acquired secondary adrenal insufficiency, e.g. postinfectious, tumors etc.
(xix) Emesis, die mit entzündlichen, allergischen und / oder proliferativen Prozessen einhergehen:(xix) emesis associated with inflammatory, allergic and / or proliferative processes:
- z.B. in Kombination mit einem 5-HT3-Antagonisten bei Zytostika - bedingten Erbrechen.- e.g. in combination with a 5-HT3 antagonist in cytostatic vomiting.
(xx) Schmerzen bei entzündlicher Genese, z.B. Lumbago(xx) Pain in inflammatory genesis, e.g. lumbago
Die Erfindung betrifft ferner Kombinationstherapien oder kombinierte Zusammensetzungen, worin ein Glukokortikoidrezeptor (GR) Agonist der Formel (I), oder ein pharmazeutisch akzeptables Salz davon, oder eine pharmazeutische Zusammensetzung enthaltend einen GR Agonisten der Formel (I) oder ein pharmazeutisch akzeptables Salz davon, verabreicht wird entweder gleichzeitig (gegebenenfalls in derselben Zusammensetzung) oder nacheinander zusammen mit einem oder mehreren Arzneimitteln zur Behandlung von einem der oben angesprochenen Krankheitszustände. Beispielsweise kann zur Behandlung von Rheumatoider Arthritis, Osteoarthritis, COPD(chronische obstuktive Lungenerkrankung), Asthma oder allergischer Rhinitis, ein GR Agonist der vorliegenden Erfindung kombiniert werden mit einem oder mehreren Arzneimitteln zur Behandlung von einem solchen Zustand. Wo eine solche Kombination durch Inhalation verabreicht wird, kann das zu kombinierende Arzneimittel von der folgenden Liste ausgewählt werden:The invention further relates to combination therapies or combined compositions wherein a glucocorticoid receptor (GR) agonist of formula (I), or a pharmaceutically acceptable salt thereof, or a pharmaceutical composition containing a GR agonist of formula (I) or a pharmaceutically acceptable salt thereof is administered either simultaneously (optionally in the same composition) or sequentially together with one or more drugs for the treatment of any of the above-mentioned conditions. For example, for the treatment of rheumatoid arthritis, osteoarthritis, COPD (chronic obstructive pulmonary disease), asthma or allergic rhinitis, a GR agonist of the present invention may be combined with one or more drugs to treat such a condition. Where such a combination is administered by inhalation, the drug to be combined may be selected from the following list:
• ein PDE4 Inhibitor einschließlich einem Inhibitor der Isoform PDE4D; • ein selektiver ß.sub2. Adrenozeptor Agonist wie beispielsweiseA PDE4 inhibitor including an isoform PDE4D inhibitor; • a selective ß.sub2. Adrenoceptor agonist such as
Metaproterenol, Isoproterenol, Isoprenalin, Albuterol, Salbutamol, Formoterol, Salmeterol, Terbutalin, Orciprenaline, Bitolterolmesylat, Pirbuterol oder Indacaterol; • ein Muscarin Receptor Antagonist (zum Beispiel ein M1 , M2 or M3 Antagonist, wie beispielsweise ein selektiver M3 Antagonist) wie beispielsweise Ipratropiumbromid, Tiotropiumbromid, Oxitropiumbromid, Pirenzepin oder Telenzepin; • ein Modulator der Chemokin Rezeptor Funktion (wie beispielsweise einMetaproterenol, isoproterenol, isoprenaline, albuterol, salbutamol, formoterol, salmeterol, terbutaline, orciprenaline, bitolterol mesylate, pirbuterol or indacaterol; A muscarinic receptor antagonist (for example an M1, M2 or M3 antagonist, such as a selective M3 antagonist) such as ipratropium bromide, tiotropium bromide, oxitropium bromide, pirenzepine or telenzepine; • a modulator of the chemokine receptor function (such as a
CCR1 Rezeptor Antagonist); oder,CCR1 receptor antagonist); or,
• ein Inhibitor der p38 Kinase Funktion.• an inhibitor of p38 kinase function.
Für einen andereren Gegenstand der vorliegenden Erfindung wird eine solche Kombination mit einem GR agonist der Formel (I) oder einem pharmazeutisch akzeptablen Salz davon zur Behandlung von COPD, Asthma oder allergischer Rhinitis eingesetzt und kann durch Inhalation oder oral verabreicht werden in Kombination mit Xanthin (wie beispielsweise Aminophyllin oder Theophyllin), die ebenfalls durch Inhalation oder oral verabreicht werden können.For another object of the present invention, such combination with a GR agonist of formula (I) or a pharmaceutically acceptable salt thereof is employed for the treatment of COPD, asthma or allergic rhinitis and may be administered by inhalation or orally in combination with xanthine (e.g. for example, aminophylline or theophylline), which may also be administered by inhalation or orally.
Darüber hinaus können die erfindungsgemäßen Verbindungen der allgemeinen Formel I zur Therapie und Prophylaxe weiterer oben nicht genannter Krankheitszustände eingesetzt werden, für die heute synthetische Glucocorticoide verwendet werden (siehe dazu Hatz, HJ, Glucocorticoide: Immunologische Grundlagen, Pharmakologie und Therapierichtlinien, Wissenschafliche Verlagsgesellschaft mbH, Stuttgart, 1998).In addition, the compounds of the general formula I according to the invention can be used for the therapy and prophylaxis of other disease states not mentioned above, for which synthetic glucocorticoids are used today (see Hatz, HJ, Glucocorticoids: Immunological Principles, Pharmacology and Therapy Guidelines, Wissenschafliche Verlagsgesellschaft mbH, Stuttgart , 1998).
Alle zuvor genannten Indikationen (i) bis (xx) sind ausführlich beschrieben in Hatz, HJ, Glucocorticoide: Immunologische Grundlagen, Pharmakologie und Therapierichtlinien, Wissenschafliche Verlagsgesellschaft mbH, Stuttgart, 1998.All the aforementioned indications (i) to (xx) are described in detail in Hatz, HJ, Glucocorticoids: Immunological Foundations, Pharmacology and Therapy Guidelines, Wissenschafliche Verlagsgesellschaft mbH, Stuttgart, 1998.
Für die therapeutische Wirkungen bei den oben genannten Krankheitszuständen ist die geeignete Dosis unterschiedlich und hängt beispielsweise von der Wirkstärke der Verbindung der allgemeinen Formel I, dem Wirt, der Art der Verabreichung und der Art und der Schwere der zu behandelnden Zustände, sowie der Verwendung als Prophylaktikum oder Therapeutikum ab.For the therapeutic effects in the above-mentioned disease states, the appropriate dose will vary and depends, for example, on the potency of the compound of general formula I, the host, the mode of administration and the nature and severity of the conditions to be treated, as well as the prophylactic use or therapeutic.
Die Erfindung liefert weiterhin (i) die Verwendung eines der erfindungsgemäßen Verbindung gemäß Formel I oder deren Gemisch zur Herstellung eines Medikaments zur Behandlung von einer ERKRANKUNG;The invention further provides (i) the use of one of the compounds of the invention of formula I or a mixture thereof for the manufacture of a medicament for the treatment of a DISEASE;
(ii) ein Verfahren zur Behandlung von einer ERKRANKUNG, welches Verfahren eine Verabreichung einer Verbindungsmenge gemäß der Erfindung umfaßt, wobei die Menge die Krankheit unterdrückt, und wobei die Verbindungsmenge einem Patienten gegeben wird, der ein solches Medikament benötigt;(ii) a method of treating a DISEASE, which method comprises administering a compounding amount according to the invention, wherein the amount suppresses the disease, and wherein the compounding amount is given to a patient in need of such a drug;
(iii) eine pharmazeutische Zusammensetzung zur Behandlung von einer ERKRANKUNG, welche Behandlung eines der erfindungsgemäßen(iii) a pharmaceutical composition for the treatment of a DISEASE, which treatment is one of the invention
Verbindungen oder deren Gemisch und wenigstens einen pharmazeutischen Hilfs- und/oder Trägerstoff umfaßt.Compounds or mixtures thereof and at least one pharmaceutical excipient and / or carrier.
Im allgemeinen sind bei Tieren zufriedenstellende Resultate zu erwarten, wenn die täglichen Dosen einen Bereich von 1 μg bis 100.000 μg der erfindungsgemäßen Verbindung pro kg Körpergewicht umfassen. Bei größeren Säugetieren, beispielsweise dem Menschen, liegt eine empfohlene tägliche Dosis im Bereich von 1 μg bis 100.000 μg pro kg Körpergewicht. Bevorzugt ist eine Dosis von 10 bis 30.000 μg pro kg Körpergewicht, mehr bevorzugt eine Dosis von 10 bis 10.000 μg pro kg Körpergewicht. Zum Beispiel wird dieseIn general, satisfactory results are expected in animals when the daily doses range from 1 μg to 100,000 μg of the compound of the invention per kg of body weight. For larger mammals, such as humans, a recommended daily dose is in the range of 1 μg to 100,000 μg per kg of body weight. Preferred is a dose of 10 to 30,000 μg per kg body weight, more preferably a dose of 10 to 10,000 μg per kg body weight. For example, this one will
Dosis zweckmäßigerweise mehrmals täglich verabreicht. Zur Behandlung eines akuten Schocks (z.B. anaphylaktischer Schock) können Einzeldosen gegeben werden, die deutlich über den oben genannten Dosen liegen.Dose expediently administered several times a day. For the treatment of an acute shock (e.g., anaphylactic shock), single doses well above the above doses may be given.
Die Formulierung der pharmazeutischen Präparate auf Basis der neuenThe formulation of pharmaceutical preparations based on the new
Verbindungen erfolgt in an sich bekannter Weise, indem man den Wirkstoff mit den in der Galenik gebräuchlichen Trägersubstanzen, Füllstoffen, Zerfallsbeeinflussem, Bindemitteln, Feuchthaltemitteln, Gleitmitteln, Absorptionsmitteln, Verdünnungsmitteln, Geschmackskorrigentien, Färbemitteln usw., verarbeitet und in die gewünschte Applikationsform überführt. Dabei ist auf Remington's Pharmaceutical Science, 15th ed. Mack Publishing Company, East Pennsylvania (1980) hinzuweisen. Für die orale Applikation kommen insbesondere Tabletten, Dragees, Kapseln, Pillen, Pulver, Granulate, Pastillen, Suspensionen, Emulsionen oder Lösungen in Frage.Compounds are prepared in a manner known per se by processing the active ingredient with the carriers customarily used in galenicals, fillers, disintegrants, binders, humectants, lubricants, absorbents, diluents, flavoring agents, colorants, etc., and converting them into the desired administration form. Reference may be made to Remington 's Pharmaceutical Science, 15th ed. Mack Publishing Company, East Pennsylvania (1980). For oral administration in particular tablets, dragees, capsules, pills, powders, granules, lozenges, suspensions, emulsions or solutions in question.
Für die parenterale Applikation sind Injektion- und Infusionszubereitungen möglich.For parenteral administration, injection and infusion preparations are possible.
Für die intraartikulären Injektion können entsprechend zubereitete Kristallsuspensionen verwendet werden.For intraarticular injection appropriately prepared crystal suspensions may be used.
Für die intramuskuläre Injektion können wässrige und ölige Injektionslösungen oder Suspensionen und entprechende Depotpräparationen Verwendung finden.For intramuscular injection, aqueous and oily injection solutions or suspensions and corresponding depot preparations can be used.
Für die rektale Applikation können die neuen Verbindungen in Form von Suppositorien, Kapseln, Lösungen (z.B. in Form von Klysmen) und Salben sowohl zur systemischen, als auch zur lokalen Therapie verwendet werden.For rectal administration, the new compounds may be used in the form of suppositories, capsules, solutions (e.g., in the form of enemas) and ointments for both systemic and local therapy.
Zur pulmonalen Applikation der neuen Verbindungen können diese in Form von Aerosolen und Inhalaten verwendet werden.For pulmonary administration of the new compounds, these can be used in the form of aerosols and inhalants.
Für die lokale Anwendung an Augen, äußerem Gehörgang, Mittelohr, Nasenhöhle und Nasennebenhöhlen können die neuen Verbindungen als Tropfen, Salben und Tinkturen in entsprechenden pharmazeutischen Zubereitungen verwendet werden.For local application to the eyes, external auditory canal, middle ear, nasal cavity and paranasal sinuses, the new compounds may be used as drops, ointments and tinctures in appropriate pharmaceutical preparations.
Für die topische Auftragung sind Formulierungen in Gelen, Salben, Fettsalben, Cremes, Pasten, Puder, Milch und Tinkturen möglich. Die Dosierung der Verbindungen der allgemeinen Formel I sollte in diesen Zubereitungen 0.01% - 20% betragen, um eine ausreichende pharmakologische Wirkung zu erzielen.For topical application, formulations in gels, ointments, greases, creams, pastes, powders, milk and tinctures are possible. The dosage of the compounds of general formula I should be in these preparations 0.01% - 20% in order to achieve a sufficient pharmacological effect.
Die Erfindung umfaßt ebenfalls die erfindungsgemäßen Verbindungen der allgemeinen Formel I als therapeutischen Wirkstoff. Weiterhin gehört zur Erfindung die erfindungsgemäßen Verbindungen der allgemeinen Formel I als therapeutischen Wirkstoff zusammen mit pharmazeutisch verträglichen und annehmbaren Hilfsstoffen und Trägerstoffen.The invention also encompasses the compounds of general formula I according to the invention as therapeutic active ingredient. Furthermore, the invention relates to the compounds of general formula I as therapeutic agent together with pharmaceutically acceptable and acceptable excipients and carriers.
Ebenfalls umfaßt die Erfindung eine pharmazeutische Zusammensetzung, die eine der pharmazeutisch aktiven, erfindungsgemäßen Verbindungen oder deren Gemisch oder deren pharmazeutisch verträgliches Salz und pharmazeutisch verträgliche Hilfsstoffe und Trägerstoffe enthält. The invention also includes a pharmaceutical composition containing one of the pharmaceutically active compounds of the invention or their mixture or their pharmaceutically acceptable salt and pharmaceutically acceptable excipients and carriers.
Experimenteller TeilExperimental part
Beispiel 1 6-r(7-Fluor-2-methylchinazolin-5-yl)amino1-5-(trifluormethyl)- 2.3.3a.4.5,6-hexahvdrobenzorde1chromen-5-olExample 1 6-r (7-Fluoro-2-methylquinazolin-5-yl) -amino1-5- (trifluoromethyl) -2,3,3a, 4,6,6-hexahydrobenzorodeclene-5-ol
3-(2-Chroman-4-yl)-2-hydroxy-2-(trifluormethyl)propanal 20 g (307 mmol) Zinkstaub und 710 mg (2.5 mmol) Blei(ll)chlorid werden in 200 ml THF suspendiert und bei Raumtemperatur werden 11.2 ml (100 mmol) Dibrommethan zugegeben. Man rührt weitere 60 Minuten und tropft 33 ml (33 mmol) einer 1 M Titan(IV)-chlorid Lösung in Dichlormethan über 40 Minuten unter Eiskühlung zu. Nach einer Stunde werden bei Raumtemperatur 4.4 g (30 mmol) Chroman-4-on in mehreren Portionen fest zugegeben, wobei sich die Reaktion auf 300C erwärmt. Man rührt weitere 3 Stunden bei Raumtemperatur. Es wird mit Dietylether verdünnt und das Reaktionsgemisch wird vorsichtig auf eine Mischung von 4 M Salzsäure und Eis gegeben. Man trennt die Phasen, extrahiert mit Diethylether, wäscht mit Wasser, trocknet über Natriumsulfat und entfernt das Lösungsmittel. Das Rohprodukt wird säulenchromatographisch an Kieselgel (Hexan / Isopropylether 0-20%) gereinigt und man erhält 2.75 g 4- Methylen-chroman. Zu 170 mg (0.60 mmol) 1 ,1 '-Bi-2-naphthol werden 0.60 ml (0.3 mmol) einer 0.5 M Titantetraisopropylat Lösung in Toluol gegeben und man rührt die rote Lösung für 2 Stunden bei Raumtemperatur. 1.0 g (6.8 mmol) 4-Methylen- chroman und 2.3 (13.6 mmol) Ethyltrifluorpyruvat werden zugegeben und man erhitzt die Mischung über 2 Stunden auf 1100C. Nach dem Abkühlen wird sofort säulenchromatographisch an Kieselgel (Hexan / Ethylacetat 20%) gereinigt und man erhält 1.15 g 3-(2H-chromen-4-yl)-2-hydroxy-2-(trifluormethyl)- propionsäure-ethylester. 100 mg (0.32 mmol) 3-(2H-chromen-4-yl)-2-hydroxy-2- (trifluormethyl)-propionsäure-ethylester werden in 10 ml Methanol gelöst und 20 mg Palladium auf Kohle 10%ig werden zugegeben. Man schüttelt die Reaktionsmischung unter einer Wasserstoffatmosphäre für 5 Stunden.3- (2-Chroman-4-yl) -2-hydroxy-2- (trifluoromethyl) propanal 20 g (307 mmol) of zinc dust and 710 mg (2.5 mmol) of lead (II) chloride are suspended in 200 ml of THF and at room temperature 11.2 ml (100 mmol) of dibromomethane are added. Stirring is continued for a further 60 minutes and 33 ml (33 mmol) of a 1 M titanium (IV) chloride solution in dichloromethane are added dropwise over 40 minutes while cooling with ice. After one hour, are added firmly in several portions at room temperature 4.4 g (30 mmol) chroman-4-one, wherein the reaction heated to 30 0 C. The mixture is stirred for a further 3 hours at room temperature. It is diluted with diethyl ether and the reaction mixture is carefully added to a mixture of 4 M hydrochloric acid and ice. The phases are separated, extracted with diethyl ether, washed with water, dried over sodium sulfate and the solvent is removed. The crude product is purified by column chromatography on silica gel (hexane / isopropyl ether 0-20%) to give 2.75 g of 4-methylene-chroman. To 170 mg (0.60 mmol) of 1,1'-bi-2-naphthol are added 0.60 ml (0.3 mmol) of a 0.5 M titanium tetraisopropylate solution in toluene and the red solution is stirred for 2 hours at room temperature. 1.0 g (6.8 mmol) of 4-methylene-chroman and 2.3 (13.6 mmol) Ethyltrifluorpyruvat are added and the mixture is heated over 2 hours at 110 0 C After cooling, column chromatography on silica gel (hexane / ethyl acetate 20%) and purified immediately 1.15 g of ethyl 3- (2H-chromen-4-yl) -2-hydroxy-2- (trifluoromethyl) propionate are obtained. 100 mg (0.32 mmol) of ethyl 3- (2H-chromen-4-yl) -2-hydroxy-2- (trifluoromethyl) propionate are dissolved in 10 ml of methanol and 20 mg of palladium on carbon 10% are added. The reaction mixture is shaken under a hydrogen atmosphere for 5 hours.
Anschließend filtriert man durch Celite wäscht mit Ethylacetat nach und entfernt das Lösunsmittel im Vakuum. Man nimmt in 10 ml Diethylether auf und kühlt auf -50C. Über 10 Minuten werden portionsweise 78 mg (2.0 mmol) Lithiumaluminiumhydrid fest zugegeben. Man rührt 2 Stunden bei Raumtemperatur und giesst in gesättigte Ammoniumchlorid Lösung. Die Suspension wird durch Celite filtriert wobei gründlich mit Ethylacetat nachgewaschen wird. Die Phasen des Filtrats werden getrennt und es wird nochmals mit Ethylacetat extrahiert. Man wäscht mit gesättigter Natriumchlorid Lösung, trocknet über Natriumsulfat und entfernt das Lösungsmittel im Vakuum. Die chromatographische Reinigung an Kieselgel (Hexan / Ethylacetat 0-15%) liefert 50 mg 3-(2H-chromen-4-yl)-2-hydroxy-2-(trifluormethyl)-propanal als Gemisch von zwei Diastereomeren. 1H-NMR (300 MHz, CDCI3); δ = 1.66 (m, 0.5H),1.95-2.37 (m, 2.5H), 2.49 (dd, 0.5H), 2.54 (dd, 1 H), 2.79 (m, 0.5H), 3.14 (m, 0.5H)1 3.89 (s, 0.5H), 3.99 (s, 0.5H), 4.09-4.22 (m, 2H), 6.78-6.95 (m,1H), 7.08-7.19 (m, 2H), 9.74 (s, 1 H).The mixture is then filtered through Celite, washed with ethyl acetate and the solvent is removed in vacuo. Is taken up in 10 ml of diethyl ether and cooled to -5 0 C. over 10 minutes in portions 78 mg (2.0 mmol) Lithium aluminum hydride firmly added. The mixture is stirred for 2 hours at room temperature and poured into saturated ammonium chloride solution. The suspension is filtered through Celite, rinsing thoroughly with ethyl acetate. The phases of the filtrate are separated and it is extracted again with ethyl acetate. It is washed with saturated sodium chloride solution, dried over sodium sulfate and the solvent is removed in vacuo. Chromatographic purification on silica gel (hexane / ethyl acetate 0-15%) gives 50 mg of 3- (2H-chromen-4-yl) -2-hydroxy-2- (trifluoromethyl) -propanal as a mixture of two diastereomers. 1 H-NMR (300 MHz, CDCl 3 ); δ = 1.66 (m, 0.5H), 1.95-2.37 (m, 2.5H), 2.49 (dd, 0.5H), 2.54 (dd, 1H), 2.79 (m, 0.5H), 3.14 (m, 0.5H ) 1 3.89 (s, 0.5H), 3.99 (s, 0.5H), 4.09-4.22 (m, 2H), 6.78-6.95 (m, 1H), 7.08-7.19 (m, 2H), 9.74 (s, 1 H).
5-Amino-7-fluor-2-methychinazolin 17 g (70,5 mmol) 3,6-Difluor-2-N-pivaloylaminobenzaldehyd (L. Florvall, I Fagervall, L.-G- Larsson, S.B. Ross, Eur.J. Med. Chem. 34 (1999) 137-151) , 9,2 g Acetamidin Hydrochlorid, 13,4g Kaliumcarbonat und 10,4 g Molekularsieb (4A) werden in 70 ml Butyronitril zusammengegeben. Man erhitzt unter heftigem Rühren 17 Stunden auf 145°C und entfernt das Lösungsmittel im Vakuum. Nach Chromatographie des Rückstands an Kieselgel mit Hexan/Ethylacetat (0- 70%) erhält man 4,5 g 7-Fluor-5-N-pivaloylamino-2-methychinazolin. 1g (3,82 mmol) 7-Fluor-5-N-pivaloylamino-2-methychinazolin werden in 74 ml Toluol gelöst und auf -700C gekühlt. Über 30 min werden 9,5 ml (11 ,4 mmol) einer 1 ,2 M Disobutylaluminiumhydrid Lösung in Toluol zugetropft. Man lässt die Reaktionsmischung auf -400C erwärmen und rührt 4 Stunden bei -4O0C. Es wird langsam Wasser zugegeben und 30 Minuten bei Raumtemperatur gerührt bis sich ein Niederschlag bildet, der mittels Filtration durch Celite entfernt wird. Man trennt die Phasen, wäscht mit gesättigter Natriumchlorid Lösung und trocknet über Natriumsulfat. Nach Chromatographie an Kieselgel mit Hexan- Essigester (0-100%) werden 64 mg des Produkts erhalten.5-Amino-7-fluoro-2-methyyninazoline 17 g (70.5 mmol) of 3,6-difluoro-2-N-pivaloylaminobenzaldehyde (Florval, I. Fagervall, L.-G-Larsson, SB Ross, Eur. J. Med. Chem. 34 (1999) 137-151), 9.2 g of acetamidine hydrochloride, 13.4 g of potassium carbonate and 10.4 g of molecular sieve (4A) are combined in 70 ml of butyronitrile. The mixture is heated with vigorous stirring for 17 hours at 145 ° C and the solvent is removed in vacuo. After chromatography of the residue on silica gel with hexane / ethyl acetate (0-70%), 4.5 g of 7-fluoro-5-N-pivaloylamino-2-methychinazolin. 1g (3.82 mmol) of 7-fluoro-5-N-pivaloylamino-2-methychinazolin are dissolved in 74 ml toluene and cooled to -70 0 C. 9.5 ml (11.4 mmol) of a 1, 2 M disobutylaluminum hydride solution in toluene are added dropwise over 30 minutes. Allow the reaction mixture to -40 0 C to warm and stirred for 4 hours at 0 -4o C. It is slowly water was added and stirred for 30 minutes at room temperature until a precipitate forms which is removed by filtration through Celite. The phases are separated, washed with saturated sodium chloride solution and dried over sodium sulfate. Chromatography on silica gel with hexane-ethyl acetate (0-100%) gives 64 mg of the product.
1H-NMR (300 MHz, CDCI3); δ = 2.83 (s, 3H), 4.67 (br., 2H), 6.50 (dd, 1 H)1 6.93 (dd, 1 H), 9.23 (s, 1 H). 50 mg (0.18 mmol) 3-(2H-Chroman-4-yl)-2-hydroxy-2-(trifluormethyl)propanal werden zusammen mit 20 mg (0.12 mmol) 5-Amino-7-fluor-2-methychinazolin in 5 ml Toluen gelöst und 0.15 ml Titantetraethylat werden zugegeben. Die Mischung wird über 2 Stunden auf 1000C erhitzt. Nach dem Abkühlen gießt man auf Wasser und rührt heftig nach. Die Suspension wird durch Celite filtriert wobei gründlich mit Ethylacetat nachgewaschen wird. Die Phasen des Filtrats werden getrennt und es wird nochmals mit Ethylacetat extrahiert. Man trocknet über Natriumsulfat und entfernt das Lösungsmittel im Vakuum und erhält 3- (Chroman-4-yl)-1-[(7-fluor-2-methylchinazolin-5-yl)imino]-2-(trifluormethyl)- propan-2-ol als Rohprodukt. Das Imin wird in 4 ml Dichlormethan aufgenommen und auf -78°C gekühlt. Man tropft über 5 Minuten 1.5 ml (1.5 mmol) einer 1 M Titantetrachlorid Lösung in Dichlormethan zu und entfernt nach 20 Minuten das Kühlbad. Nach weiteren 20 Minuten gießt man die auf Raumtemperatur erwärmte Lösung auf eine Mischung von Eis und gesättigter Natriumhydrogencarbonat Lösung und rührt 10 Minuten lang heftig. Es wird mit Ethylacetat extrahiert, mit gesättigter Natriumchloridlösung gewaschen und über Natriumsulfat getrocknet. Nach Einengen und Chromatographie an Kieselgel ( Hexan / Ethylacetat 50 - 100%) erhält man 9 mg des gewünschten Produktes. 1H-NMR (300 MHz, CDCI3); δ = 1.78-1.91 (m, 2H), 2.06 (dd, 1 H), 2,48 (dd, 1 H), 3.34 (m, 1 H)1 4.26 (ddd, 1 H), 4.50 (ddd, 1 H), 5.13 (d, 1 H), 5.79 (d, 1 H), 6.65 (dd, 1 H), 6.74 (d, 1 H), 6.82 (d, 1 H), 6.94 (dd, 1 H), 7.07 (t, 1 H), 9.19 (s, 1 H). 1 H-NMR (300 MHz, CDCl 3 ); δ = 2.83 (s, 3H), 4.67 (br., 2H), 6.50 (dd, 1H) 1 6.93 (dd, 1H), 9.23 (s, 1H). 50 mg (0.18 mmol) of 3- (2H-chroman-4-yl) -2-hydroxy-2- (trifluoromethyl) propanal are added together with 20 mg (0.12 mmol) of 5-amino-7-fluoro-2-methyquinazoline in 5 Toluene dissolved and 0.15 ml of titanium tetraethylate are added. The mixture is heated to 100 ° C. over 2 hours. After cooling, it is poured onto water and stirred vigorously. The suspension is filtered through Celite, rinsing thoroughly with ethyl acetate. The phases of the filtrate are separated and it is extracted again with ethyl acetate. It is dried over sodium sulfate and the solvent is removed in vacuo to give 3- (chroman-4-yl) -1 - [(7-fluoro-2-methylquinazolin-5-yl) imino] -2- (trifluoromethyl) propane-2 -ol as a crude product. The imine is taken up in 4 ml dichloromethane and cooled to -78 ° C. 1.5 ml (1.5 mmol) of a 1 M titanium tetrachloride solution in dichloromethane are added dropwise over 5 minutes and the cooling bath is removed after 20 minutes. After a further 20 minutes, pour the solution warmed to room temperature on a mixture of ice and saturated sodium bicarbonate solution and stir vigorously for 10 minutes. It is extracted with ethyl acetate, washed with saturated sodium chloride solution and dried over sodium sulfate. Concentration and chromatography on silica gel (hexane / ethyl acetate 50-100%) yield 9 mg of the desired product. 1 H-NMR (300 MHz, CDCl 3 ); δ = 1.78-1.91 (m, 2H), 2.06 (dd, 1H), 2.48 (dd, 1H), 3.34 (m, 1H) 1 4.26 (ddd, 1H), 4.50 (ddd, 1 H), 5.13 (d, 1H), 5.79 (d, 1H), 6.65 (dd, 1H), 6.74 (d, 1H), 6.82 (d, 1H), 6.94 (dd, 1H) , 7.07 (t, 1H), 9.19 (s, 1H).
Beispiel 2 9-Fluor-6-r(2-methylchinolin-5-yl)aminol-5-(trifluormethyl)- 2,3.3a,4.5.6-hexahydrobenzofde1chromen-5-olExample 2 9-Fluoro-6-r (2-methyl-quinolin-5-yl) -aminol-5- (trifluoromethyl) -2,3,3a, 4.5.6-hexahydrobenzofeerychol-5-ol
3-(8-Fluor-chroman-4-yl)-2-hydroxy-2-(trifluormethyl)-propanal: 33.2 g (296 mmol) 2-Fluorphenol und 18.4 ml 281 mmol Acrylnitril werden zusammen mit 5.0 g (29.6 mmol) Bezyltrimethylammoniumhydroxid 4 Tage bei 800C gerührt. Bei Raumtemperatur wird mit Eis versetzt und 2N Salzsäure zugegeben. Man rührt 10 Minuten, extrahiert mit Ethylacetat, wäscht mit gesättigter Natriumhydogencarbonat und Natriumchlorid Lösung, trocknet über Natriumsulfat und entfernt das Lösungsmittel im Vakuum. Die säulenchromatographische Trennung an Kieselgel (Hexan / Ethylacetat 5-50%) liefert 6.4 g 3-(2-Fluorphenoxy)-propionitril. 6.4 g (38.8 mmol) 3-(2- Fluorphenoxy)-propionitril werden in 38.6 ml konzentrierter Salzsäure über 2 Stunden refluxiert. Bei Raumtemperatur wird mit Eiswasser verdünnt und 10 Minuten gerührt. Man extrahiert mit Ethylacetat, wäscht mit gesättigter Ammoniumchlorid Lösung und trocknet über Natriumsulfat. Nach dem Entfernen des Lösungsmittels im Vakuum erhält man 6.5 g 3-(2-Fluorphenoxy)- propionsäure. 6.5 g (35.6 mmol) 3-(2-Fluorphenoxy)-propionsäure werden zu 39 g Polyphosphorsäure gegeben und vier Stunden bei 700C gerührt. Nach dem Abkühlen über Nacht wird auf Eiswasser gegossen. Man extrahiert mit Ethylacetat, wäscht mit gesättigter Natriumhydogencarbonat und Natriumchlorid Lösung und trocknet über Natriumsulfat. Nach dem Entfernen des Lösungsmittels im Vakuum erhält man 5.5 g 8-Fluorchroman-4-on als kristallinen Feststoff.3- (8-Fluoro-chroman-4-yl) -2-hydroxy-2- (trifluoromethyl) -propanal: 33.2 g (296 mmol) 2-fluorophenol and 18.4 ml 281 mmol acrylonitrile are added together with 5.0 g (29.6 mmol) Bezyltrimethylammoniumhydroxid 4 days at 80 0 C stirred. At room temperature, ice is added and 2N hydrochloric acid is added. The mixture is stirred for 10 minutes, extracted with ethyl acetate, washed with saturated sodium bicarbonate and sodium chloride solution, dried Sodium sulfate and the solvent is removed in vacuo. The column chromatographic separation on silica gel (hexane / ethyl acetate 5-50%) gives 6.4 g of 3- (2-fluorophenoxy) propionitrile. 6.4 g (38.8 mmol) of 3- (2-fluorophenoxy) -propionitrile are refluxed in 38.6 ml of concentrated hydrochloric acid over 2 hours. At room temperature, it is diluted with ice-water and stirred for 10 minutes. It is extracted with ethyl acetate, washed with saturated ammonium chloride solution and dried over sodium sulfate. After removal of the solvent under reduced pressure gives 6.5 g of 3- (2-fluorophenoxy) - propionic acid. 6.5 g (35.6 mmol) of 3- (2-fluorophenoxy) propionic acid are added to 39 g of polyphosphoric acid and stirred at 70 ° C. for four hours. After cooling overnight, it is poured onto ice water. It is extracted with ethyl acetate, washed with saturated sodium bicarbonate and sodium chloride solution and dried over sodium sulfate. After removal of the solvent in vacuo, 5.5 g of 8-fluorochroman-4-one are obtained as a crystalline solid.
29.8 g (456 mmol) Zinkstaub und 710mg (2.5 mmol) Blei(ll)chlorid werden in 450 ml THF suspendiert und bei Raumtemperatur werden 28.6 ml (253 mmol) Dibrommethan zugegeben. Man rührt weitere 60 Minuten und tropft 50.7 ml (50.7 mmol) einer 1 M Titan(IV)-chlorid Lösung in Dichlormethan über 40 Minuten unter Eiskühlung zu. Nach einer Stunde werden bei Raumtemperatur 8.4 g (50.7 mmol) 8-Fluorchroman-4-on in 500 ml THF zugetropft. Man rührt weitere 18 Stunden bei Raumtemperatur. Es wird mit Dietylether verdünnt und das Reaktionsgemisch wird vorsichtig auf eine Mischung von 4 M Salzsäure und Eis gegeben. Man trennt die Phasen, extrahiert mit Diethylether, wäscht mit Wasser, trocknet über Natriumsulfat und entfernt das Lösungsmittel. Das29.8 g (456 mmol) of zinc dust and 710 mg (2.5 mmol) of lead (II) chloride are suspended in 450 ml of THF and 28.6 ml (253 mmol) of dibromomethane are added at room temperature. Stirring is continued for a further 60 minutes and 50.7 ml (50.7 mmol) of a 1 M titanium (IV) chloride solution in dichloromethane are added dropwise over 40 minutes while cooling with ice. After one hour, 8.4 g (50.7 mmol) of 8-fluorochroman-4-one in 500 ml of THF are added dropwise at room temperature. The mixture is stirred for a further 18 hours at room temperature. It is diluted with diethyl ether and the reaction mixture is carefully added to a mixture of 4 M hydrochloric acid and ice. The phases are separated, extracted with diethyl ether, washed with water, dried over sodium sulfate and the solvent is removed. The
Rohprodukt wird säulenchromatographisch an Kieselgel (Hexan / Isopropylether 0-20%) gereinigt und man erhält 0.81 g 8-Fluor-4-methylen-chroman. Zu 281 mg (0.98 mmol) 1 ,1 '-Bi-2-naphthol werden 0.98 ml (0.49 mmol) einer 0.5 M Titantetraisopropylat Lösung in Toluol gegeben und man rührt die rote Lösung für 2 Stunden bei Raumtemperatur. 0.81 g (4.9 mmol) 8-Fluor-4- methylen-chroman und 1.21 ml (9.8 mmol) Ethyltrifluorpyruvat werden zugegeben und man erhitzt die Mischung über 3 Stunden auf 12O0C. Nach dem Abkühlen wird sofort säulenchromatographisch an Kieselgel (Hexan / Ethylacetat 0-20%)gereinigt und man erhält 0.69 g 3-(8-Fluor-2H-chromen-4-yl)- 2-hydroxy-2-(trifluormethyl)-propionsäure-ethylester. 400 mg (1.2 mmol) 3-(8- Fluor-2H-chromen-4-yl)-2-hydroxy-2-(trifluormethyl)-propionsäure-ethylester werden in 12 ml Methanol gelöst und 40 mg Palladium auf Kohle 10%ig werden zugegeben. Man schüttelt unter die Reaktionsmischung unter einer wasserstoffatmosphäre für 40 Minuten. Anschließend filtriert man durch Celite, wäscht mit Dichlormethan nach und entfernt das Lösunsmittel im Vakuum. Die so erhaltenen 330 mg rohen 3-(8-Fluor-chroman-4-yl)-2-hydroxy-2- (trifluormethyl)-propionsäure-ethylester werden in 8 ml Diethylether und 2 ml THF auf -5°C gekühlt und über es werden portionsweise 185 mg (4.9 mmol) Lithiumaluminiumhydrid fest zugegeben. Man rührt 24 Stunden bei Raumtemperatur und giesst in Wasser. Die Phasen werden getrennt und es wird mehrmals mit Ethylacetat extrahiert. Man wäscht mit gesättigter Natriumchlorid Lösung, trocknet über Natriumsulfat und entfernt das Lösungsmittel im Vakuum. Die chromatographische Trennung an KieselgelCrude product is purified by column chromatography on silica gel (hexane / isopropyl ether 0-20%) to give 0.81 g of 8-fluoro-4-methylene-chroman. To 281 mg (0.98 mmol) of 1,1'-bi-2-naphthol are added 0.98 ml (0.49 mmol) of a 0.5 M titanium tetraisopropylate solution in toluene and the red solution is stirred for 2 hours at room temperature. 0.81 g (4.9 mmol) of 8-fluoro-4-methylene-chroman and 1.21 ml (9.8 mmol) Ethyltrifluorpyruvat are added and the mixture is heated for 3 hours at 12O 0 C. After cooling, it is immediately purified by column chromatography on silica gel (hexane / Ethyl acetate 0-20%) to give 0.69 g of ethyl 3- (8-fluoro-2H-chromen-4-yl) -2-hydroxy-2- (trifluoromethyl) propionate. 400 mg (1.2 mmol) of ethyl 3- (8-fluoro-2H-chromen-4-yl) -2-hydroxy-2- (trifluoromethyl) propionate are dissolved in 12 ml of methanol and 40 mg of 10% palladium on carbon are added. Shake under the reaction mixture under a hydrogen atmosphere for 40 minutes. It is then filtered through Celite, washed with dichloromethane and the solvent is removed in vacuo. The resulting 330 mg of crude 3- (8-fluorochroman-4-yl) -2-hydroxy-2- (trifluoromethyl) -propionic acid ethyl ester are cooled to -5 ° C. in 8 ml of diethyl ether and 2 ml of THF and transferred over 185 mg (4.9 mmol) of lithium aluminum hydride are added in portions firmly. It is stirred for 24 hours at room temperature and poured into water. The phases are separated and extracted several times with ethyl acetate. It is washed with saturated sodium chloride solution, dried over sodium sulfate and the solvent is removed in vacuo. Chromatographic separation on silica gel
(Hexan / Ethylacetat 0-15%) liefert 53 mg 3-(8-Fluor-chroman-4-yl)-2-hydroxy-2-(Hexane / ethyl acetate 0-15%) gives 53 mg of 3- (8-fluorochroman-4-yl) -2-hydroxy-2-
(trifluormethyl)-propanal als Gemisch von zwei Diastereomeren und 126 mg(trifluoromethyl) -propanal as a mixture of two diastereomers and 126 mg
Alkohol.Alcohol.
1H-NMR (300 MHz, CDCI3); δ = 1.73 (m, 0.5H),1.99-2.38 (m, 2.5H), 2.47 (dd, 0.5H), 2.53 (dd, 1 H), 2.84 (m, 0.5H), 3.16 (m, 0.5H), 3.90 (s, 0.5H), 4.00 (s, 0.5H), 4.18-4.37 (m, 2H), 6.70-6.97 (m, 3H), 9.75 (s, 1 H). 1 H-NMR (300 MHz, CDCl 3 ); δ = 1.73 (m, 0.5H), 1.99-2.38 (m, 2.5H), 2.47 (dd, 0.5H), 2.53 (dd, 1H), 2.84 (m, 0.5H), 3.16 (m, 0.5H ), 3.90 (s, 0.5H), 4.00 (s, 0.5H), 4.18-4.37 (m, 2H), 6.70-6.97 (m, 3H), 9.75 (s, 1H).
Analog Beispiel 1 werden 53 mg (0.18 mmol) 3-(8-Fluor-chroman-4-yl)-2- hydroxy-2-(trifluormethyl)-propanal mit 30 mg (0.19 mmol) 5-Amino-2- methylchinolin zum entsprechenden 3-(8-Fluor-chroman-4-yl)-1-[(2- methylchinolin-5-yl)imino]-2-(trifluormethyl)propan-2-ol umgesetzt. Das Imin wird in 3.6 ml Dichlormethan aufgenommen und bei -5O0C mit 0.90 ml (0.90 mmol) einer 1 M Bortribromid Lösung behandelt. Man läßt über 60 min auf O0C erwämen und gießt die Lösung auf eine Mischung von Eis und gesättigter Natriumhydrogencarbonat Lösung und rührt 10 Minuten lang heftig. Es wird mit Dichlormethan extrahiert, mit gesättigter Natriumchloridlösung gewaschen und über Natriumsulfat getrocknet. Nach Einengen und Chromatographie an Kieselgel (Hexan / 2-Propanol 10 - 20%) erhält man 25 mg gewünschtes53 mg (0.18 mmol) of 3- (8-fluorochroman-4-yl) -2-hydroxy-2- (trifluoromethyl) -propanal with 30 mg (0.19 mmol) of 5-amino-2-methylquinoline are added analogously to Example 1 corresponding 3- (8-fluorochroman-4-yl) -1 - [(2-methylquinolin-5-yl) imino] -2- (trifluoromethyl) propan-2-ol. The imine is taken up in 3.6 ml of dichloromethane and treated at -5O 0 C with 0.90 ml (0.90 mmol) of a 1 M boron tribromide solution. The mixture is allowed to warm to 0 ° C. for 60 minutes and the solution is poured into a mixture of ice and saturated sodium bicarbonate solution and stirred vigorously for 10 minutes. It is extracted with dichloromethane, washed with saturated sodium chloride solution and dried over sodium sulfate. After concentration and chromatography Silica gel (hexane / 2-propanol 10-20%) gives 25 mg of the desired
Produkt als Mischung von zwei Diastereomeren.Product as a mixture of two diastereomers.
Diastereomer 1Diastereomer 1
1H-NMR (300 MHz, CDCI3); δ = 1.70-1.86 (m, 2H)1 2.10 (m, 1 H), 2.47 (dd, 1 H), 2.72 (s, 3H), 3.31 (m, 1 H), 4.27 (ddd, 1 H), 4.40 (d, 1 H), 4.60 (ddd, 1 H), 5.20 (d, 1 H-NMR (300 MHz, CDCl 3 ); δ = 1.70-1.86 (m, 2H) 1 2.10 (m, 1H), 2.47 (dd, 1H), 2.72 (s, 3H), 3.31 (m, 1H), 4.27 (ddd, 1H), 4.40 (d, 1H), 4.60 (ddd, 1H), 5.20 (d,
1 H), 6.61 (d, 1 H), 6.81 (dd, 1 H), 6.97 (dd, 1 H), 7.22 (d, 1 H), 7.58 (t, 1H), 7.591H), 6.61 (d, 1H), 6.81 (dd, 1H), 6.97 (dd, 1H), 7.22 (d, 1H), 7.58 (t, 1H), 7.59
(d, 1H), 7.98 (d, 1 H).(d, 1H), 7.98 (d, 1H).
Diastereomer 2Diastereomer 2
1H-NMR (300 MHz, CDCI3); δ = 1.70-1.86 (m, 2H), 2.10 (dd, 1 H), 2.23 (m, 1 H), 2.73 (s, 3H), 3.00 (m, 1 H)1 4.24 (ddd, 1H), 4.54 (ddd, 1 H), 4.78 (d, 1 H), 5.10 (d, 1 H-NMR (300 MHz, CDCl 3 ); δ = 1.70-1.86 (m, 2H), 2.10 (dd, 1 H), 2.23 (m, 1 H), 2.73 (s, 3H), 3:00 (m, 1 H) 1 4.24 (ddd, 1H), 4:54 (ddd, 1H), 4.78 (d, 1H), 5.10 (d,
1 H), 6.58 (d, 1 H), 6.74 (dd, 1 H), 6.89 (dd, 1H), 7.22 (d, 1 H), 7.48 (d, 1 H), 7.491H), 6.58 (d, 1H), 6.74 (dd, 1H), 6.89 (dd, 1H), 7.22 (d, 1H), 7.48 (d, 1H), 7.49
(t, 1 H), 8.12 (d, 1 H).(t, 1H), 8.12 (d, 1H).
Beispiel 3Example 3
9-Fluor-6-r(2-methylchinazolin-5-vnamino1-5-(trifluormethyl)-2,3,3a.4.5.6- hexahvdrobenzordeichromen-5-ol9-Fluoro-6-r (2-methylquinazoline-5-vnamino1-5- (trifluoromethyl) -2,3,3a.4.5.6-hexahydrobenzordeichromene-5-ol
5-Amino-2-methylchinazolin 12,7 g (62 mmol) 2-Methyl-5-nitro-3H-chinazolin-4-on (M.T. Bogert, V.J. Chambers J. Org Chem. 1905, 649-658) und 37,5 g Phosphorpentachlorid werden in 75 ml Phosphorylchlorid über 20 Stunden unter Rückfluss erhitzt. Nach dem Abkühlen gießt man in ges. NaHCO3 Lösung und extrahiert mit Ethylacetat. Die organische Phase wird getrocknet und das Lösungsmittel entfernt. Man erhält 14 g 4-Chlor-2-methyl-5-nitrochinazolin, von denen 4.5 g (20.2 mmol) in 225 ml Ethylacetat und 22.5 ml Triethylamin gelöst werden. Man gibt 2 g Palladium auf Kohle zu und rührt bei Eiskühlung 4 Stunden unter einer Wasserstoff atmosphäre bei Normaldruck. Die Lösung wird mittels Filtration über Celite vom Katalysator befreit, wobei mit 200 ml Ethanol nachgewaschen wird, und eingedampft. Nach Chromatographie an Kieselgel mit Essigester-Ethanol (0-10%) werden 530 mg des Produkts erhalten. 1H-NMR (300 MHz, CDCI3); δ = 2.87 (s, 3H), 4.52 (br., 2H), 6.77 (d, 1 H), 7.33 (d,5-amino-2-methylquinazoline 12.7 g (62 mmol) of 2-methyl-5-nitro-3H-quinazolin-4-one (MT Bogert, VJ Chambers J. Org. Chem. 1905, 649-658) and 37, 5 g of phosphorus pentachloride are refluxed in 75 ml of phosphoryl chloride for 20 hours. After cooling, pour into sat. NaHCO 3 solution and extracted with ethyl acetate. The organic phase is dried and the solvent removed. This gives 14 g of 4-chloro-2-methyl-5-nitroquinazoline, of which 4.5 g (20.2 mmol) are dissolved in 225 ml of ethyl acetate and 22.5 ml of triethylamine. Are added 2 g of palladium on carbon and stirred with ice cooling for 4 hours under a hydrogen atmosphere at atmospheric pressure. The solution is freed by filtration through Celite from the catalyst, washing with 200 ml of ethanol, and evaporated. Chromatography on silica gel with ethyl acetate-ethanol (0-10%) gives 530 mg of the product. 1 H-NMR (300 MHz, CDCl 3 ); δ = 2.87 (s, 3H), 4.52 (br., 2H), 6.77 (d, 1H), 7.33 (d,
1 H),1H),
7.65 (t, 1H), 9.40 (S, 1H).7.65 (t, 1H), 9.40 (S, 1H).
Zu 60 mg (0.21 mmol) 3-(8-Fluor-chroman-4-yl)-2-hydroxy-2-To 60 mg (0.21 mmol) of 3- (8-fluorochroman-4-yl) -2-hydroxy-2-
(trifluormethyl)propanal und 39 mg (0.22 mmol) 5-Amino-2-methyl-chinazolin in 4 ml Toluol werden 89 μl ( 0.42 mmol) Titantetraethylat gegeben und die Mischung wird über 2 Stunden auf 1100C erhitzt. Nach dem Abkühlen gießt man auf ges. Ammoniumchlorid Lösung gibt Ethylacetat zu und rührt heftig nach. Die Suspension wird durch Celite filtriert wobei gründlich mit Ethylacetat nachgewaschen wird. Die Phasen des Filtrats werden getrennt und es wird nochmals mit Ethylacetat extrahiert. Das so erhaltene rohe 3-(8-Fluorchroman- 4-yl)-1-[(2-methylchinoazolin-5-yl)imino]-2-(trifluormethyl)propan-2-ol wird in 2.6 ml Dichlormethan aufgenommen und auf -50°C gekühlt werden. Man tropft über 5 Minuten 0.67 ml (0.67 mmol) einer 1 M Bortribromid Lösung in(Trifluoromethyl) propanal and 39 mg (0.22 mmol) of 5-amino-2-methyl-quinazoline in 4 ml of toluene are added 89 .mu.l (0.42 mmol) of titanium tetraethylate and the mixture is heated to 110 0 C over 2 hours. After cooling, pour on sat. Ammonium chloride solution adds ethyl acetate and stirred vigorously. The suspension is filtered through Celite, rinsing thoroughly with ethyl acetate. The phases of the filtrate are separated and it is extracted again with ethyl acetate. The crude 3- (8-fluorochroman-4-yl) -1 - [(2-methylquinazolin-5-yl) imino] -2- (trifluoromethyl) propan-2-ol thus obtained is taken up in 2.6 ml of dichloromethane and chromatographed on 50 ° C to be cooled. 0.67 ml (0.67 mmol) of a 1 M boron tribromide solution are added dropwise over 5 minutes
Dichlormethan zu und und entfernt das Kühlbad. Nach zwei Stunden gießt man die die ca.0°C kalte Lösung auf eine Mischung von Eis und gesättigter Natriumhydrogencarbonat Lösung und rührt 15 Minuten lang heftig. Es wird mit Dichlormethan extrahiert, mit gesättigter Natriumchloridlösung gewaschen und über Natriumsulfat getrocknet. Nach Einengen und chromatographischer Trennung an Kieselgel (Hexan / 2-Propanol 15%) erhält man 6 mg des gewünschten Produktes.Dichloromethane and removes the cooling bath. After two hours, pour the solution, which is about 0 ° C., onto a mixture of ice and saturated sodium bicarbonate solution and stir vigorously for 15 minutes. It is extracted with dichloromethane, washed with saturated sodium chloride solution and dried over sodium sulfate. Concentration and chromatographic separation on silica gel (hexane / 2-propanol 15%) gives 6 mg of the desired product.
1H-NMR (300 MHz, CDCI3); δ = 1.82-1.92 (m, 2H), 2.10 (dd, 1 H), 2,50 (dd, 1 H), 2.85 (s, 3H), 3.36 (dddd, 1 H), 4.29 (ddd, 1 H), 4.62 (ddd, 1 H), 5.19 (d, 1 H), 5.38 (d, 1 H), 6.74 (dd, 1 H), 6.87 (dd, 1 H), 6.94 (d, 1 H), 7.37 (d, 1 H), 7.77 (t, 1 H), 9.33 (s, 1 H). 1 H-NMR (300 MHz, CDCl 3 ); δ = 1.82-1.92 (m, 2H), 2.10 (dd, 1H), 2.50 (dd, 1H), 2.85 (s, 3H), 3.36 (dddd, 1H), 4.29 (ddd, 1H ), 4.62 (ddd, 1H), 5.19 (d, 1H), 5.38 (d, 1H), 6.74 (dd, 1H), 6.87 (dd, 1H), 6.94 (d, 1H), 7.37 (d, 1H), 7.77 (t, 1H), 9.33 (s, 1H).
Beispiel 4 /y9-Fluor-5-hvdroxy-5-(trifluormethyl)-2,3.3a.4.5,6-hexahvdrobenzorde1chromen-Example 4 γ-Fluoro-5-hydroxy-5- (trifluoromethyl) -2,3,3a.4,5,6-hexahydrobenzorde1-chromene
-vπamino)-2-methylphthalazin-1-on 5-Amino-2-methyl-phthalazin- 1 -on: 3-Brom-4-nitro-phthalid-vπamino) -2-methylphthalazin-1-one 5-amino-2-methyl-phthalazin-1-one: 3-bromo-4-nitro-phthalide
5.37 g 4-Nitrophthalid (Tetrahedron Lett. (2001 ), 42, pp. 1647-50), 8.04 g N- Bromsuccinimid und 196 mg Benzoylperoxyd werden in 80 ml Benzotrifluorid unter Rückfluß und Lichteinwirkung bis zur vollständigen Umsetzung erhitzt. Es wird auf Wasser gegeben, mit Dichlormethan extrahiert, mehrfach mit Wasser gewaschen, getrocknet und das Lösungsmittel im Vakuum entfernt. Man erhält 7.24 g 3-Brom-4-nitro-phthalid als Feststoff.5.37 g of 4-nitrophthalide (Tetrahedron Lett. (2001), 42, pp. 1647-50), 8.04 g of N-bromosuccinimide and 196 mg of benzoyl peroxide are heated in 80 ml of benzotrifluoride under reflux and exposure to light until complete reaction. It is added to water, extracted with dichloromethane, washed several times with water, dried and the solvent removed in vacuo. This gives 7.24 g of 3-bromo-4-nitro-phthalide as a solid.
1H-NMR (300 MHz, CDCI3), δ = 7.26 (s, 1 H), 7.88 (t, 1 H)1 8.3 (d, 1 H), 8.56 (d, 1 H) 5-Nitro-phthalazin-1-on; 1 H-NMR (300 MHz, CDCl 3 ), δ = 7.26 (s, 1 H), 7.88 (t, 1 H) 1 8.3 (d, 1 H), 8.56 (d, 1 H) 5-nitro-phthalazine -1-one;
18.25 g Hydrazinsulfat und 14.88 g Natriumcarbonat werden in 300 ml DMF bei 1000C für 1 h gerührt. Dann werden 7.24 g 3-Brom-4-nitro-phthalid in 100 ml DMF zugegeben und es wird weitere 4 h bei 1000C gerührt. Es wird auf Wasser gegeben, mit Essigester mehrfach extrahiert und die org. Phase mit Wasser und Sole gewaschen. Es wird getrocknet und das Lösungsmittel im Vakuum entfernt. Nach Umkristallisation aus Essigester erhält man 2.35 g 5-Nitro- phthalazin-1-on als Feststoff.18.25 g of hydrazine sulfate and 14.88 g of sodium carbonate are stirred in 300 ml of DMF at 100 0 C for 1 h. Then 7.24 g of 3-bromo-4-nitro-phthalide in 100 ml of DMF are added and it is stirred at 100 0 C for a further 4 h. It is added to water, extracted several times with ethyl acetate and the org. Phase washed with water and brine. It is dried and the solvent removed in vacuo. Recrystallization from ethyl acetate gives 2.35 g of 5-nitrophthalazin-1-one as a solid.
1H-NMR (300 MHz, DMSO-d6), δ = 8.05 (t, 1 H), 8.57-8.66 (m, 2H), 8.73 (s, 1 H), 13.13 (bs, 1 H) 2-Methyl-5-nitro-phthalazin-1 -on 1 H-NMR (300 MHz, DMSO-d 6 ), δ = 8.05 (t, 1H), 8.57-8.66 (m, 2H), 8.73 (s, 1H), 13.13 (bs, 1H) 2- Methyl 5-nitro-phthalazine-1-one
1.6 g 5-Nitro-phthalazin-1-on und 2.31 g Kaliumcarbonat werden 10 min. bei Raumtemperatur in 60 ml DMF gerührt. Es werden 1.1 ml Methyliodid zugegeben und man rührt über Nacht. Es wird auf Wasser gegeben, mit Essigester mehrfach extrahiert und die org. Phase mit Wasser und Sole gewaschen. Es wird getrocknet und das Lösungsmittel im Vakuum entfernt. Man erhält 1.57 g 2-Methyl-5-nitro-phthalazin-1-on als gelben Feststoff. 1H-NMR (300 MHz, DMSO-d6), δ = 3.73 (s, 3H), 8.05 (t, 1 H), 8.62 (d, 2H), 8.75 (s, 1 H) 5-Amino-2-methyl-phthalazin-1-on 1.57 g 2-Methyl-5-nitro-phthalazin-1-on und 130 mg Palladium auf Aktivkohle werden in 45 ml Essigester suspendiert und mit Wasserstoff unter Normaldruck hydriert. Es wird durch Kieselgur filtriert und das Lösungsmittel im Vakuum entfernt. Man erhält 1.26 g 5-Amino-2-methyl-phthalazin-1-on als gelben Feststoff.1.6 g of 5-nitro-phthalazin-1-one and 2.31 g of potassium carbonate are stirred for 10 min. stirred at room temperature in 60 ml of DMF. 1.1 ml of methyl iodide are added and the mixture is stirred overnight. It is added to water, extracted several times with ethyl acetate and the org. Phase washed with water and brine. It is dried and the solvent removed in vacuo. This gives 1.57 g of 2-methyl-5-nitro-phthalazin-1-one as a yellow solid. 1 H-NMR (300 MHz, DMSO-d 6) δ = 3.73 (s, 3H), 8:05 (t, 1 H), 8.62 (d, 2H), 8.75 (s, 1 H) 5-Amino-2 Methyl-phthalazin-1-one 1.57 g of 2-methyl-5-nitro-phthalazin-1-one and 130 mg of palladium on activated carbon are suspended in 45 ml of ethyl acetate and hydrogenated with hydrogen under atmospheric pressure. It is filtered through diatomaceous earth and the solvent in vacuo away. This gives 1.26 g of 5-amino-2-methyl-phthalazin-1-one as a yellow solid.
1H-NMR (300 MHz, CDCI3), = 3.81 (s, 3H), 7.0 (d, 1 H), 7.5 (t, 1 H), 7.8 (d, 1 H), 8.16 (s, 1 H) Analog Beispiel 3 werden 60 mg (0.21 mmol) 3-(8-Fluor-chroman-4-yl)-2- hydroxy-2-(trifluormethyl)propanal mit 39 mg (0.22 mmol) 5-Amino-2-methyl- phthalazin-1-on zum entsprechenden {[3-(8-Fluorchroman-4-yl)-2-hydroxy-2- (trifluormethyl)propyliden]-amino}-2-methylphthalazin-1-on umgesetzt. Das lmin wird in 3.4 ml Dichlormethan aufgenommen und bei -500C mit 0.83 ml (0.83 mmol) einer 1 M Bortribromid Lösung behandelt. Man läßt über eine Stunde auf 00C erwämen und gießt die Lösung auf eine Mischung von Eis und gesättigter Natriumhydrogencarbonat Lösung und rührt 15 Minuten lang heftig. Es wird mit Dichlormethan extrahiert, mit gesättigter Natriumchloridlösung gewaschen und über Natriumsulfat getrocknet. Nach Einengen und Chromatographie an Kieselgel (Hexan / 2-Propanol 15%) erhält man 28 mg gewünschtes Produkt als Mischung von zwei Diastereomeren. Diastereomer 1 1 H-NMR (300 MHz, CDCl 3 ), = 3.81 (s, 3H), 7.0 (d, 1H), 7.5 (t, 1H), 7.8 (d, 1H), 8.16 (s, 1H ) Analogously to Example 3, 60 mg (0.21 mmol) of 3- (8-fluorochroman-4-yl) -2-hydroxy-2- (trifluoromethyl) propanal with 39 mg (0.22 mmol) of 5-amino-2-methyl- phthalazin-1-one to give the corresponding {[3- (8-fluorochroman-4-yl) -2-hydroxy-2- (trifluoromethyl) propylidene] amino} -2-methylphthalazin-1-one. The imine is taken up in 3.4 ml dichloromethane and treated at -50 0 C with 0.83 ml (0.83 mmol) of a 1 M boron tribromide solution. The mixture is allowed to come to 0 0 C for one hour and the solution is poured onto a mixture of ice and saturated sodium bicarbonate solution and stirred vigorously for 15 minutes. It is extracted with dichloromethane, washed with saturated sodium chloride solution and dried over sodium sulfate. Concentration and chromatography on silica gel (hexane / 2-propanol 15%) gives 28 mg of the desired product as a mixture of two diastereomers. Diastereomer 1
1H-NMR (300 MHz, CDCI3); δ = 1.40-1.86 (m, 2H), 2.08 (m, 1 H), 2.45 (dd, 1 H), 3.29 (m, 1 H), 3.82 (s, 3H), 4.25 (ddd, 1 H)1 4.53 (ddd, 1 H), 4.84 (d, 1 H), 5.15 (d, 1 H), 6.65 (dd, 1 H), 6.93 (dd, 1 H)1 7.21 (d, 1 H), 7.64 (t, 1 H), 7.87 (d, 1 H), 8.18 (s, 1 H). 1 H-NMR (300 MHz, CDCl 3 ); δ = 1.40-1.86 (m, 2H), 2.08 (m, 1H), 2.45 (dd, 1H), 3.29 (m, 1H), 3.82 (s, 3H), 4.25 (ddd, 1H) 1 4.53 (ddd, 1H), 4.84 (d, 1H), 5.15 (d, 1H), 6.65 (dd, 1H), 6.93 (dd, 1H) 1 7.21 (d, 1H), 7.64 ( t, 1H), 7.87 (d, 1H), 8.18 (s, 1H).
Diastereomer 2Diastereomer 2
1H-NMR (300 MHz, CDCI3); δ = 1.40-1.86 (m, 2H), 2.27 (m, 1 H), 2.85 (dd, 1 H), 2.97 (m, 1 H), 3.84 (s, 3H), 4.22 (ddd, 1 H), 4.60 (ddd, 1 H), 4.65 (d, 1 H), 5.43 (d, 1 H)1 6.78 (dd, 1 H), 6.81 (d, 1 H), 6.89 (dd, 1 H), 7.52 (t, 1 H), 7.78 (d, 1 H), 8.26 (s, 1 H). 1 H-NMR (300 MHz, CDCl 3 ); δ = 1.40-1.86 (m, 2H), 2.27 (m, 1H), 2.85 (dd, 1H), 2.97 (m, 1H), 3.84 (s, 3H), 4.22 (ddd, 1H), 4.60 (ddd, 1H), 4.65 (d, 1H), 5.43 (d, 1H) 1 6.78 (dd, 1H), 6.81 (d, 1H), 6.89 (dd, 1H), 7.52 ( t, 1 H), 7.78 (d, 1 H), 8.26 (s, 1 H).
Beispiel 5 5-/ir5-Hvdroxy-5-(trifluormethyl)-2.3.3a.4.5.6-hexahvdrobenzordelchromen-6- -vnamino)-chinolin-2(1 H)-onExample 5 5- / Ir 5 -hydroxy-5- (trifluoromethyl) -2.3.3a.4.5.6-hexahydrozodelchromene-6-vnamino) -quinoline-2 (1 H) -one
5-Aminochinolin-2(1 H)-on: 4.5 g 5-Nitrochinolin-2(1 H)-on (Chem. Pharm. Bull. (1981), 29, pp. 651-56) werden in 200 ml Essigester und 500 ml Methanol in Anwesenheit von 450 mg Palladium auf Aktivkohle als Katalysator unter Normaldruck mit Wasserstoff bis zur vollständigen Umsetzung hydriert. Der Katalysator wird durch Filtration durch Kieselgur entfernt und die Reaktionslösung im Vakuum eingeengt. Man erhält 3.8 g der Titelverbindung als gelben Feststoff. 1H-NMR (DMSO): δ = 5.85 (bs, 2H), 6.27 (d, 1 H), 6.33 (d, 1 H), 6.43 (d, 1 H), 7.10 (t, 1 H), 8.07 (d, 1 H), 11.39 (br, 1 H)5-aminoquinoline-2 (1H) -one: 4.5 g of 5-nitroquinoline-2 (1 H) -one (Chem. Pharm. Bull. (1981), 29, pp. 651-56) are dissolved in 200 ml of ethyl acetate and 500 ml of methanol in the presence of 450 mg of palladium on activated carbon Catalyst hydrogenated under normal pressure with hydrogen until complete reaction. The catalyst is removed by filtration through diatomaceous earth and the reaction solution is concentrated in vacuo. 3.8 g of the title compound are obtained as a yellow solid. 1 H-NMR (DMSO): δ = 5.85 (bs, 2H), 6.27 (d, 1H), 6.33 (d, 1H), 6.43 (d, 1H), 7.10 (t, 1H), 8.07 (d, 1H), 11.39 (br, 1H)
Analog Beispiel 1 werden 600 mg (2.18 mmol) 3-(Chroman-4-yl)-2-hydroxy-2- (trifluormethyl)-propanal mit 386 mg (2.39 mmol) 5-Aminochinolin-2(1 H)-on zum entsprechenden 5-{[3-(Chroman-4-yl)-2-hydroxy-2-(trifluormethyl)- propyliden]amino}chinolin-2(1 H)-on umgesetzt. 100 mg Imin werden in 2 ml Dichlormethan aufgenommen und bei 00C mit 2.4 ml (2.40 mmol) einer 1 M TiCLrLosung behandelt. Man läßt über 60 min auf 00C erwämen und gießt die Lösung auf eine Mischung von Eis und gesättigter Natriumhydrogencarbonat Lösung und rührt 10 Minuten lang heftig. Es wird mit EtOAc extrahiert, mit gesättigter Natriumchloridlösung gewaschen und über Natriumsulfat getrocknet. Nach Einengen und Chromatographie an Kieselgel (Dichlormethan / 2-Propanol 0 - 5%) erhält man 18 bzw. 14 mg gewünschtes Produkt als separierte Diastereomere. Diastereomer 1Analogously to Example 1, 600 mg (2.18 mmol) of 3- (chroman-4-yl) -2-hydroxy-2- (trifluoromethyl) -propanal with 386 mg (2.39 mmol) of 5-aminoquinoline-2 (1 H) -one zum corresponding 5 - {[3- (chroman-4-yl) -2-hydroxy-2- (trifluoromethyl) propylidene] amino} quinoline-2 (1H) -one. 100 mg of imine is taken up in 2 ml dichloromethane and treated with a 1 M TiCLrLosung 0 0 C and 2.4 ml (2:40 mmol). The mixture is left for 60 min at 0 0 C erwämen and the solution is poured onto a mixture of ice and saturated sodium bicarbonate solution and stirred vigorously for 10 minutes. It is extracted with EtOAc, washed with saturated sodium chloride solution and dried over sodium sulfate. Concentration and chromatography on silica gel (dichloromethane / 2-propanol 0-5%) gives 18 or 14 mg of the desired product as separated diastereomers. Diastereomer 1
1H-NMR (400 MHz, DMSO); δ = 1.43 (dd, 1 H), 1.60 (dq, 1 H), 2.19 (dd, 1 H), 2.55 (dd, 1 H), 2.98 (m, 1H), 4.02 (t, 1H), 4.28 (ddd, 1H), 4.78 (d, 1H), 6.02 (d, 1H), 6.23 (d+s, 2H), 6.38 (d, 1 H), 6.55 (d, 1 H), 6.65 (d, 1 H), 7.00 (t, 1 H), 7.13 (t, 1 H)1 8.15 (d, 1 H), 11.52 (s, 1 H). Diastereomer 2 1 H-NMR (400 MHz, DMSO); δ = 1.43 (dd, 1H), 1.60 (dq, 1H), 2.19 (dd, 1H), 2.55 (dd, 1H), 2.98 (m, 1H), 4.02 (t, 1H), 4.28 ( ddd, 1H), 4.78 (d, 1H), 6.02 (d, 1H), 6.23 (d + s, 2H), 6.38 (d, 1H), 6.55 (d, 1H), 6.65 (d, 1H ), 7.00 (t, 1 H), 7.13 (t, 1 H) 1 8.15 (d, 1 H), 11.52 (s, 1 H). Diastereomer 2
1H-NMR (400 MHz, DMSO); δ = 1.63 (dq, 1 H), 1.80 (dd, 1 H), 1.97 (dd, 1 H), 2.19 (dd, 1 H), 3.15 (m, 1 H), 4.15 (td, 1 H), 4.38 (ddd, 1 H)1 5.28 (d, 1 H), 6.07 (d, 1 H), 6.30 (d, 1 H), 6.45 (s, 1 H), 6.52 (d, 1 H), 6.59 (d, 1 H), 6.65 (d, 1 H), 6.97 (t, 1 H), 7.20 (t, 1 H), 8.13 (d, 1 H), 11.50 (s, 1 H). 1 H-NMR (400 MHz, DMSO); δ = 1.63 (dq, 1H), 1.80 (dd, 1H), 1.97 (dd, 1H), 2.19 (dd, 1H), 3.15 (m, 1H), 4.15 (td, 1H), 4.38 (ddd, 1H) 1 5.28 (d, 1H), 6.07 (d, 1H), 6.30 (d, 1H), 6.45 (s, 1H), 6.52 (d, 1H), 6.59 ( d, 1H), 6.65 (d, 1H), 6.97 (t, 1H), 7.20 (t, 1H), 8.13 (d, 1H), 11.50 (s, 1H).
Analog kann hergestellt werden: Beispiel 6Analog can be produced: Example 6
6-r(8-Fluor-2-methylchinazolin-5-yl)amino1-5-(trifluornnethyl)-2,3.3a,4,5,6- hexahvdrobenzofdelchromen-5-ol6-r (8-Fluoro-2-methylquinazolin-5-yl) -amino1-5- (trifluoromethyl) -2,3,3a, 4,5,6-hexahydrobenzofdelchromene-5-ol
5-Amino-8-fluor-2-methylchinazolin5-amino-8-fluoro-2-methylquinazoline
Zu einer Lösung von 3.35 g (20.25 mmol) Chloralhydrat und 21.27 g (149.7 mmol) Natriumsulfat in 72 ml Wasser wird eine 500C warme Lösung von 2.4 g (18.6 mmol) 2,5-Difluoranilin in 11 ml Wasser und 1.6 ml konz. Salzsäure (37%) gegeben, die bei dieser Temperatur vorher 1 h gerührt wurde. Man rührt weitere 30 min bei RT und erhitzt nach der Zugabe von 4.09 g (58.9 mmol)To a solution of 3.35 g (20.25 mmol) of chloral hydrate and 21.27 g (149.7 mmol) of sodium sulfate in 72 ml of water, a 50 0 C warm solution of 2.4 g (18.6 mmol) of 2,5-difluoroaniline in 11 ml of water and 1.6 ml of conc , Hydrochloric acid (37%), which was previously stirred at this temperature for 1 h. It is stirred for a further 30 min at RT and heated after the addition of 4.09 g (58.9 mmol)
Hydroxylammoniumchlorid in 19 ml Wasser über 45 min auf 1250C und hält diese Temperatur für 5 min. Nach dem Abkühlen und einer weiteren Stunde wird der ausgefallene hellbraune Niederschlag abfiltriert, mit Wasser gewaschen und getrocknet. Man erhält 3.0 g (15.0 mmol) des Hydroxylimins als Zwischenprodukt, die portionsweise in 15 ml konz. Schwefelsäure bei 600C gelöst werden. Nach vollständiger Zugabe erhitzt man 2 Stunden auf 8O0C und 4 Stunden auf 900C. Man läßt abkühlen und gießt die Lösung auf 100 g Eis. Man extrahiert mit Ethylacetat, wäscht die organische Phase mit Wasser, trocknet über Natriumsulfat und engt ein. Nach Chromatographie an Kieselgel mit Hexan-Essigester (0-45 %) werden 1 ,2 g (7.1 mmol) des 4,7-Difluorisatins erhalten. Zum lsatin in 30 ml einer 1 molaren Natronlauge werden über 10 min 1.8 ml einer 30%igen Wasserstoffperoxid Lösung getropft. Nach 2 Stunden Rühren bei RT wird auf 00C gekühlt und es werden 5 ml einer 4 molaren Salzsäure zugegeben und mit 50 ml Wasser verdünnt. Man extrahiert mit Ethylacetat, trocknet über Natriumsulfat, engt ein und erhält so quantitativ 1.27 g der 3,6-Difluoranthranilsäure, die ohne weitere Aufreinigung umgesetzt wird. Die 3,6-Difluoranthranilsäure wird in 8 ml Essigsäureanhydrid 45 min lang auf 1000C erhitzt. Nach dem Abkühlen wird die entstandene Essigsäure und überschüssiges Essigsäureanhydrid azeotrop mit Toluol im Vakuum entfernt. Der Rückstand wird unter Eiskühlung mit 40 ml einer 25%igen Ammoniaklösung versetzt und 72 Stunden gerührt. Man verdünnt mit Wasser und säuert mit Essigsäure an. Man extrahiert mit Ethylacetat, wäscht die organische Phase mit Wasser, trocknet über Natriumsulfat und engt ein. Die so erhaltenen 1 ,03 g (5.25 mmol) 5,8-Difluor-2-methyl-3H-chinazolin-4-on und 6 g Phosphor- pentachlorid werden in 20 ml Phosphorylchlorid über 12 h auf 1250C erhitzt. Nach dem Abkühlen gießt man in ges. NaHCO3 Lösung und extrahiert mit Ethylacetat. Die organische Phase wird getrocknet und das Lösungsmittel entfernt. Man erhält quantitativ 1.7 g 4-Chlor-5,8-difluor-2-methylchinazolin, die in 60 ml Ethylacetat und 5 ml Triethylamin gelöst werden. Man gibt 600 mg Palladium auf Kohle zu und schüttelt 2 h (480 ml Wasserstoffaufnahme) unter einer Wasserstoffatmosphäre bei Normaldruck. Die Lösung wird mittels Filtration über Celite vom Katalysator befreit, wobei mit 100 ml Ethanol nachgewaschen wird, und eingedampft. Nach Chromatographie an Kieselgel mit Hexan-Essigester-Ethanol (0-40 %) werden 550 mg 5,8-Difluor-2- methylchinazolin erhalten. Zu 240 mg (1.3 mmol) 5,8-Difluor-2-methylchinazolin, 300 mg (1.13 mmol) 18-Krone-6 in 10 ml DMF werden 890 mg (13.7 mmol) Natriumazid gegeben und man erhitzt die Mischung über 8 h auf 125°C. Das Lösungsmittel wird im Vakuum entfernt und man chromatographiert an Kieselgel mit Ethylacetat und erhält 52 mg Produkt.Hydroxylammonium chloride in 19 ml of water over 45 min at 125 0 C and holding this temperature for 5 min. After cooling and for a further hour, the precipitated light brown precipitate is filtered off, washed with water and dried. This gives 3.0 g (15.0 mmol) of the hydroxylimine as an intermediate, the portions in 15 ml of conc. Sulfuric acid are dissolved at 60 0 C. After complete addition, the mixture is heated for 2 hours at 8O 0 C and 4 hours at 90 0 C. It is allowed to cool and the solution is poured onto 100 g of ice. It is extracted with ethyl acetate, the organic phase is washed with water, dried over sodium sulfate and concentrated. After chromatography on silica gel with hexane-ethyl acetate (0-45%), 1, 2 g (7.1 mmol) of 4,7-difluoroisin obtained. 1.8 ml of a 30% strength hydrogen peroxide solution are added dropwise to the isatin in 30 ml of a 1 molar sodium hydroxide solution over a period of 10 minutes. After stirring for 2 hours at RT is cooled to 0 0 C and 5 ml of a 4 molar hydrochloric acid are added and diluted with 50 ml of water. It is extracted with ethyl acetate, dried over sodium sulfate, concentrated, and thus quantitatively obtained 1.27 g of 3,6-Difluoranthranilsäure, which is reacted without further purification. The 3,6-difluoroanthranilic acid is heated to 100 ° C. in 8 ml of acetic anhydride for 45 minutes. After cooling, the resulting acetic acid and excess acetic anhydride are removed azeotropically with toluene in vacuo. The residue is added under ice-cooling with 40 ml of a 25% ammonia solution and stirred for 72 hours. Dilute with water and acidify with acetic acid. It is extracted with ethyl acetate, the organic phase is washed with water, dried over sodium sulfate and concentrated. The thus obtained 1, 03 g (5.25 mmol) 5,8-difluoro-2-methyl-3H-quinazolin-4-one and 6 g of phosphorus pentachloride are heated to 125 0 C in 20 ml of phosphoryl chloride over 12 h. After cooling, pour into sat. NaHCO 3 solution and extracted with ethyl acetate. The organic phase is dried and the solvent removed. This gives, quantitatively, 1.7 g of 4-chloro-5,8-difluoro-2-methylquinazoline, which are dissolved in 60 ml of ethyl acetate and 5 ml of triethylamine. 600 mg of palladium on carbon are added and the mixture is shaken for 2 h (480 ml of hydrogen uptake) under a hydrogen atmosphere at atmospheric pressure. The solution is freed by filtration through Celite from the catalyst, washing with 100 ml of ethanol, and evaporated. After chromatography on silica gel with hexane-ethyl acetate-ethanol (0-40%), 550 mg of 5,8-difluoro-2-methylquinazoline are obtained. To 240 mg (1.3 mmol) of 5,8-difluoro-2-methylquinazoline, 300 mg (1.13 mmol) of 18-crown-6 in 10 ml of DMF are added 890 mg (13.7 mmol) of sodium azide and the mixture is heated for 8 h 125 ° C. The solvent is removed in vacuo and chromatographed on silica gel with ethyl acetate to give 52 mg of product.
1H-NMR (300 MHz, CDCI3); δ = 2.92 (s, 3H), 4.31 (br., 2H), 6.67 (dd, 1 H), 7.38 (dd, 1 H), 9.37 (s, 1 H). 1 H-NMR (300 MHz, CDCl 3 ); δ = 2.92 (s, 3H), 4.31 (br., 2H), 6.67 (dd, 1H), 7.38 (dd, 1H), 9.37 (s, 1H).
Beispiel 76-(7.8-Difluor-2-methylchinazolin-5-yl)amino1-5-(trifluormethyl)- 2.3.3a.4.5.6-hexahvdrobenzorde1chromen-5-olExample 76- (7,8-Difluoro-2-methylquinazolin-5-yl) -amino1-5- (trifluoromethyl) - 2.3.3a.4.5.6-hexahydrobenzor-1-ene-5-ol
5-Amino- 7, 8-difluoro-2-methylchinazolin5-amino-7,8-difluoro-2-methylquinazoline
Zu 41.7 g (180 mmol) 2,2-Dimethyl-N-(3,4,5-trifluorphenyl)-propionamid in 385 ml THF werden bei -7O0C 156 ml (391 mmol) einer 2.5M Butyllithium Lösung in Hexan getropft. Man läßt eine Sunde rühren und tropft anschließend 38,6 ml DMF in 90 ml THF zu, wobei sich die Lösung auf -600C erwärmen darf. Man rührt eine weitere Stunde bei -700C und gießt dann die kalte Reaktionslösung auf ein Gemisch von 2 kg Eis und 400 ml konzentrierter Salzsäure. Man rührt heftig und extrahiert nach einer Stunde mehrfach mit Diethylether. Die organische Phase wird mit Wasser neutral gewaschen und über Natriumsulfat getrocknet. Nach dem Einengen erhält man 49.3 g (188 mmol) rohen 4,5,6- Trifluor-2-N-pivaloylaminobenzaldehyd, der mit 26 g (275 mmol) Acetamidin Hydrochlorid, 38.3 gTo 41.7 g (180 mmol) of 2,2-dimethyl-N- (3,4,5-trifluorophenyl) -propionamide in 385 ml of THF are added dropwise at -7O 0 C 156 ml (391 mmol) of a 2.5M butyllithium solution in hexane , The mixture is allowed to stir for a Sunde and then added dropwise to 38.6 ml of DMF in 90 ml THF, during which the solution is allowed to warm to -60 0 C. The mixture is stirred for a further hour at -70 0 C and then poured the cold reaction solution onto a mixture of 2 kg of ice and 400 ml of concentrated hydrochloric acid. The mixture is stirred vigorously and extracted several times with diethyl ether after one hour. The organic phase is washed neutral with water and dried over sodium sulfate. Concentration gives 49.3 g (188 mmol) of crude 4,5,6-trifluoro-2-N-pivaloylaminobenzaldehyde, which is treated with 26 g (275 mmol) of acetamidine Hydrochloride, 38.3 g
(277 mmol) Kaliumcarbonat und 30 g Molekularsieb (4A) in 206 ml Butyronitril zusammengegeben wird . Man erhitzt unter heftigem Rühren 18 Stunden auf 1450C und entfernt das Lösungsmittel im Vakuum. Nach Chromatographie des Rückstands an Kieselgel mit Hexan/Ethylacetat (0-100%) erhält man 9.1 g 7,8- Difluoro-5-N-pivaloylamino-2-methylchinazolin.(277 mmol) of potassium carbonate and 30 g of molecular sieve (4A) in 206 ml of butyronitrile is combined. The mixture is heated with vigorous stirring for 18 hours at 145 0 C and the solvent is removed in vacuo. Chromatography of the residue on silica gel with hexane / ethyl acetate (0-100%) gives 9.1 g of 7,8-difluoro-5-N-pivaloylamino-2-methylquinazoline.
2.0 g (7.2 mmol) 7,8-Difluoro-5-N-pivaloylamino-2-methychinazolin werden in 140 ml Toluol gelöst und auf -7O0C gekühlt. Über 30 min werden 24 ml (28.8 mmol) einer 1 ,2 M Diisobutylaluminiumhydrid Lösung in Toluol zugetropft. Man lässt die Reaktionsmischung über 2 Stunden auf -25°C erwärmen und rührt 2 Stunden bei -25°C. Es wird langsam Isopropanol und anschließend Wasser zugegeben und 12 Stunden bei Raumtemperatur gerührt bis sich ein Niederschlag bildet, der mittels Filtration durch Celite entfernt wird. Man wäscht gut mit einem Methylenchlorid Methanol Gemisch nach und engt ein. Der Rückstand wird in 200 ml Ethylacetat und 50 ml Methanol zusammen mit 100 g Kieselgel und 20 g Mangandioxid heftig gerührt. Man filtriert durch Celite, wäscht mit gut mit einem Methylenchlorid Methanol Gemisch nach und engt ein. Nach Chromatographie an Kieselgel mit Hexan-Essigester (0-100%) werden 370 mg des Produkts erhalten. 1H-NMR (300 MHz, CD3OD); δ = 2.81 (s, 3H), 6.64 (dd, 1 H), 9.52 (s, 1 H).2.0 g (7.2 mmol) of 7,8-difluoro-5-N-pivaloylamino-2-methychinazolin are dissolved in 140 ml toluene and cooled to -7O 0 C. Over 30 minutes, 24 ml (28.8 mmol) of a 1, 2 M diisobutylaluminum hydride solution in toluene are added dropwise. The reaction mixture is allowed to warm for 2 hours to -25 ° C and stirred for 2 hours at -25 ° C. Isopropanol is added slowly followed by water and stirred for 12 hours at room temperature until a precipitate forms, which is removed by filtration through Celite. It is washed thoroughly with a methylene chloride methanol mixture and concentrated. The residue is stirred vigorously in 200 ml of ethyl acetate and 50 ml of methanol together with 100 g of silica gel and 20 g of manganese dioxide. It is filtered through Celite, washed with good with a methylene chloride methanol mixture and concentrated. Chromatography on silica gel with hexane-ethyl acetate (0-100%) gives 370 mg of the product. 1 H-NMR (300 MHz, CD 3 OD); δ = 2.81 (s, 3H), 6.64 (dd, 1H), 9.52 (s, 1H).
Analog Beispiel 1 werden 250 mg (0.91 mmol) 3-(Chroman-4-yl)-2-hydroxy-2- (trifluormethyl)-propanal mit 200 mg (1.02 mmol) 5-Amino-7,8-difluor-2- methylchinazolin zum entsprechenden 3-(Chroman-4-yl)-1-[(7,8-difluor 2- methylchinazolin-5-yl)imino]-2-(trifluormethyl)-propan-2-ol umgesetzt. 200 mg Imin werden in 4.0 ml Dichlormethan aufgenommen und bei -400C mit 2.2 ml (2.21 mmol) einer 1 M Bortribromid Lösung behandelt. Man läßt über 60 min auf 00C erwämen und gießt die Lösung auf eine Mischung von Eis und gesättigter Natriumhydrogencarbonat Lösung und rührt 10 Minuten lang heftig. Es wird mit EtOAc extrahiert, mit gesättigter Natriumchloridlösung gewaschen und über Natriumsulfat getrocknet. Nach Einengen und Chromatographie an basischem Kieselgel (Hexan / 2-Propanol 10 - 20%) erhält man 18 mg gewünschtes Produkt als Mischung von zwei Diastereomeren. Mischung der Diastereomere:250 mg (0.91 mmol) of 3- (chroman-4-yl) -2-hydroxy-2- (trifluoromethyl) -propanal are reacted with 200 mg (1.02 mmol) of 5-amino-7,8-difluoro-2 analogously to Example 1. methylquinazoline to give the corresponding 3- (chroman-4-yl) -1 - [(7,8-difluoro-2-methylquinazolin-5-yl) imino] -2- (trifluoromethyl) -propan-2-ol. 200 mg of imine is taken up in 4.0 ml dichloromethane and treated solution at -40 0 C and 2.2 ml (21.2 mmol) of a 1 M boron tribromide. The mixture is left for 60 min at 0 0 C erwämen and the solution is poured onto a mixture of ice and saturated sodium bicarbonate solution and stirred vigorously for 10 minutes. It is extracted with EtOAc, washed with saturated sodium chloride solution and dried over sodium sulfate. After concentration and chromatography on basic silica gel (hexane / 2-propanol 10-20%), 18 mg of the desired product are obtained as a mixture of two diastereomers. Mixture of diastereomers:
1H-NMR (300 MHz, CD3OD, ausgewählte Siganle); δ = 0.87 (m, 1 H), 1.15 - 1.30 (m, 3H)1 1.42 (s, 3H), 1.70 - 2.16 (m, 7H), 3.02 - 3-13 (m, 1 H)1 4.00 - 4.25 (m, 2H), 6.58 (dd, 1 H), 6.72 (t, 1 H), 6.80 (m, 1 H), 6.95 - 7.18 (m, 2H), 9.47 (s, 1 H). 1 H NMR (300 MHz, CD 3 OD, selected patterns); δ = 0.87 (m, 1H), 1.15 - 1.30 (m, 3H) 1 1.42 (s, 3H), 1.70 - 2.16 (m, 7H), 3.02 - 3-13 (m, 1H) 1 4.00 - 4.25 (m, 2H), 6.58 (dd, 1H), 6.72 (t, 1H), 6.80 (m, 1H), 6.95 - 7.18 (m, 2H), 9.47 (s, 1H).
Analog kann hergestellt werden: Beispiel 8Analog can be prepared: Example 8
5-/y5-Hvdroxy-5-(trifluormethyl)-2,3,3a,4,5,6-hexahydrobenzofdelchromen-6- -yl1amino)-2-methylphthalazin-1-on5- (y5) -hydroxy-5- (trifluoromethyl) -2,3,3a, 4,5,6-hexahydrobenzofdelchromene-6-ylamino) -2-methylphthalazin-1-one
Beispiel 9Example 9
6-r(2-Methylchinazolin-5-yl)aminol-5-(trifluormethyl)-2,3,3a.4.5.6- hexahvdrobenzordeithiochromen-5-ol6-r (2-methylquinazolin-5-yl) -aminol-5- (trifluoromethyl) -2,3,3a, 4,6,6-hexahydrozorothiochromene-5-ol
2-Hydroxy-3-(thiochroman-4-yl)-2-(trifluormethyl)propanal Kann analog Beispiel 1 aus Thiochroman-4-on hergestellt werden, wobei in der Hydrierung Raney-Nickel anstatt Palladium auf Kohle als Katalysator zu verwenden ist. Mischung der Diastereomere:2-Hydroxy-3- (thiochroman-4-yl) -2- (trifluoromethyl) propanal Can be prepared analogously to Example 1 from thiochroman-4-one, wherein in the hydrogenation Raney nickel instead of palladium on carbon is to be used as a catalyst. Mixture of diastereomers:
1H-NMR (500 MHz, CD3OD, ausgewählte Siganle); δ = 0.60 - 0.72 (m, 1H), 1.40 - 1.65 (m, 2H), 1.75 -2.00 (m, 3H), 2.14 - 2.28 (m, 3H), 2.49 (dd, 1 H), 2.87 (m, 1 H), 3.00 (m, 1 H), 3.04 - 3.18 (m, 2H), 3.38 - 3.90 (m, 1 H, Diaster. A+B), 6.78 (d, 1 H, Diaster. A), 6.85 - 7.30 (m, 4H, Diaster. A+B), 9.13 (s, 1 H, Diaster. A), 9.68 (s, 1 H, Diaster. B). 1 H NMR (500 MHz, CD 3 OD, selected patterns); δ = 0.60-0.72 (m, 1H), 1.40-1.65 (m, 2H), 1.75-2.00 (m, 3H), 2.14-2.28 (m, 3H), 2.49 (dd, 1H), 2.87 (m, 1H), 3.00 (m, 1H), 3.04 - 3.18 (m, 2H), 3.38 - 3.90 (m, 1H, Diaster.A + B), 6.78 (d, 1H, Diaster.A), 6.85 - 7.30 (m, 4H, Diaster A + B), 9.13 (s, 1 H, Diaster A), 9.68 (s, 1 H, Diaster B).
Analog Beispiel 1 werden 183 mg (0.63 mmol) 2-Hydroxy-3-(thiochroman-4-yl)- 2-(trifluormethyl)propanal mit 100 mg (0.63 mmol) 5-Amino-2-methylchinazolin zum entsprechenden 3-(Thiochroman-4-yl)-1 -[(2-methylchinazolin-5-yl)imino]-2- (trifluor-methyl)-propan-2-ol umgesetzt. 40 mg Imin werden in 2.0 mlAnalogously to Example 1, 183 mg (0.63 mmol) of 2-hydroxy-3- (thiochroman-4-yl) -2- (trifluoromethyl) propanal with 100 mg (0.63 mmol) of 5-amino-2-methylquinazoline to the corresponding 3- (thiochroman 4-yl) -1 - [(2-methylquinazolin-5-yl) imino] -2- (trifluoro-methyl) -propan-2-ol. 40 mg of imine are dissolved in 2.0 ml
Dichlormethan aufgenommen und bei -400C mit 0.93 ml (0.93 mmol) einer 1 M Bortribromid Lösung behandelt. Man läßt über 60 min auf 00C erwämen und gießt die Lösung auf eine Mischung von Eis und gesättigter Natriumhydrogencarbonat Lösung und rührt 10 Minuten lang heftig. Es wird mit EtOAc extrahiert, mit gesättigter Natriumchloridlösung gewaschen und über Natriumsulfat getrocknet. Nach Einengen und Chromatographie an Kieselgel (Dichlormethan / 2-Propanol 2 - 4%) erhält man 12 mg gewünschtes Produkt als Mischung von zwei Diastereomeren. Mischung der Diastereomere:Dichloromethane and treated at -40 0 C with 0.93 ml (0.93 mmol) of a 1 M Bortribromid solution. The mixture is allowed to warm to 0 0 C over 60 min and the solution is poured onto a mixture of ice and saturated Sodium bicarbonate solution and stirred vigorously for 10 minutes. It is extracted with EtOAc, washed with saturated sodium chloride solution and dried over sodium sulfate. Concentration and chromatography on silica gel (dichloromethane / 2-propanol 2-4%) gives 12 mg of the desired product as a mixture of two diastereomers. Mixture of diastereomers:
1H-NMR (300 MHz, CD3OD, ausgewählte Siganle); δ = 1.25 - 1.34 (m, 2H), 1.56 - 75 (m, 1 H), 1.95 (t, 1 H), 2.22 - 2.34 (m, 1 H), 2.38 (dd, 1 H), 2.78 (s, 3H), 2.93 - 3.10 (m, 2H), 3.22 (dd, 1 H), 4.59 (s, 1 H, Diaster. A), 5.40 (s, 1 H, Diaster. B), 6.95 - 7.09 (m, 4H), 7.68 (t, 1 H, Diaster. B), 7.78 (t, 1 H, Diaster. A), 9.50 - 9.17 (m, 1 H). 1 H NMR (300 MHz, CD 3 OD, selected patterns); δ = 1.25 - 1.34 (m, 2H), 1.56 - 75 (m, 1H), 1.95 (t, 1H), 2.22 - 2.34 (m, 1H), 2.38 (dd, 1H), 2.78 (s , 3H), 2.93 - 3.10 (m, 2H), 3.22 (dd, 1 H), 4.59 (s, 1 H, Diaster A), 5.40 (s, 1 H, Diaster B), 6.95 - 7.09 (m , 4H), 7.68 (t, 1H, Diaster.B), 7.78 (t, 1H, Diaster.A), 9.50 - 9.17 (m, 1H).
Analog kann hergestellt werden: Beispiel 10Analog can be prepared: Example 10
2-Methyl-6-r(2-methylchinazolin-5-yl)amino1-5-(trifluormethyl)-2.3,3a.4,5.6- hexahvdrobenzordelthiochromen-5-ol2-Methyl-6-r (2-methylquinazolin-5-yl) -amino1-5- (trifluoromethyl) -2,3,3a, 4,5,6-hexahydrozodelithiochromen-5-ol
2-Hydroxy-3-(2-methylthiochroman-4-yl)-2-(trifluormethyl)propanal Kann analog Beispiel 1 aus 6-Chlor-2-methylthiochroman-4-on hergestellt werden, wobei in der Hydrierung Raney-Nickel anstatt Palladium auf Kohle als Katalysator zu verwenden ist.2-Hydroxy-3- (2-methylthiochroman-4-yl) -2- (trifluoromethyl) propanal Can be prepared analogously to Example 1 from 6-chloro-2-methylthiochroman-4-one, wherein in the hydrogenation Raney nickel instead of palladium is to be used as a catalyst on carbon.
Beispiel 11Example 11
5-/y5-Hvdroxy-5-(trifluormethyl)-2,3,3a,4,5,6-hexahydrobenzofde1chromen-6- -yl1amino)phthalazin-1 (2H)-on5- / y5-hydroxy-5- (trifluoromethyl) -2,3,3a, 4,5,6-hexahydrobenzofe1-chelene-6-yl-amino) phthalazine-1 (2H) -one
Analog Beispiel 1 werden 600 mg (2.18 mmol) 3-(Chroman-4-yl)-2-hydroxy-2- (trifluormethyl)-propanal mit 384 mg (2.39 mmol) 5-Amino-2H-phthalazin-1-on zum entsprechenden 5-[3-(Chroman-4-yl)-2-hydroxy-2-(trifluormethyl)- propyliden]amino}phthalazin-1(2H)-on umgesetzt. 210 mg Imin werden in 5 ml Dichlormethan aufgenommen und bei -40°C mit 2.5 ml (2.5 mmol) einer 1 M BBr3-Lösung behandelt. Man läßt über 60 min auf 00C erwämen und gießt die Lösung auf eine Mischung von Eis und gesättigter NatriumhydrogencarbonatAnalogously to Example 1, 600 mg (2.18 mmol) of 3- (chroman-4-yl) -2-hydroxy-2- (trifluoromethyl) -propanal with 384 mg (2.39 mmol) of 5-amino-2H-phthalazin-1-one to corresponding 5- [3- (chroman-4-yl) -2-hydroxy-2- (trifluoromethyl) propylidene] amino} phthalazine-1 (2H) -one. 210 mg of imine are taken up in 5 ml of dichloromethane and treated at -40 ° C with 2.5 ml (2.5 mmol) of a 1 M BBr 3 solution. The mixture is allowed to warm to 0 0 C over 60 min and pour the Solution to a mixture of ice and saturated sodium bicarbonate
Lösung und rührt 10 Minuten lang heftig. Es wird mit EtOAc extrahiert, mit gesättigter Natriumchlorid lösung gewaschen und über Natriumsulfat getrocknet.Solution and stir vigorously for 10 minutes. It is extracted with EtOAc, washed with saturated sodium chloride solution and dried over sodium sulfate.
Nach Einengen und Chromatographie an RP-Kieselgel (MeCN / Wasser 38 - 50%) erhält man 69 bzw. 34 mg gewünschtes Produkt als separierteAfter concentration and chromatography on RP silica gel (MeCN / water 38-50%), 69 or 34 mg of the desired product are obtained as separated
Diastereomere.Diastereomers.
Diastereomer 1 :Diastereomer 1:
1H-NMR (300 MHz, DMSO-d6): δ = 1.49 (dd, 1 H), 1.63 (qd, 1 H), 2.18 (dd, 1 H), 1 H-NMR (300 MHz, DMSO-d6): δ = 1.49 (dd, 1 H), 1.63 (qd, 1 H), 2.18 (dd, 1 H),
2.54 (dd, 1 H), 2.98 (m, 1 H), 4.03 (t, 1 H), 4.29 (ddd, 1 H), 4.88 (d, 1 H), 6.20 (s, 1 H), 6.41 (d, 1 H), 6.68 (dd, 1 H), 6.98 (q, 1 H), 7.40 (d, 1 H)1 7.47 (t, 1 H), 8.58 (s,2.54 (dd, 1H), 2.98 (m, 1H), 4.03 (t, 1H), 4.29 (ddd, 1H), 4.88 (d, 1H), 6.20 (s, 1H), 6.41 ( d, 1H), 6.68 (dd, 1H), 6.98 (q, 1H), 7.40 (d, 1H) 1 7.47 (t, 1H), 8.58 (s,
1 H), 12.48 (S1 1 H).1 H), 12.48 (S 1 1 H).
Diastereomer 2:Diastereomer 2:
1H-NMR (300 MHz, DMSO-d6): δ = 1.63 (qd, 1 H), 1.81 (t, 1 H), 1.99 (m, 1 H), 1 H-NMR (300 MHz, DMSO-d6): δ = 1.63 (qd, 1H), 1.81 (t, 1H), 1.99 (m, 1H),
2.21 (dd, 1H), 3.10 - 3.20 (m, 1H), 4.16 (td, 1H), 4.48 (ddd, 1H), 5.37 (d, 1 H), 6.43 (s, 1 H), 6.48 (d, 1 H), 6.60 (d, 1 H), 6.18 (d, 1 H), 6.98 (t, 1 H), 7.24 (d, 1 H),2.21 (dd, 1H), 3.10-3.20 (m, 1H), 4.16 (td, 1H), 4.48 (ddd, 1H), 5.37 (d, 1H), 6.43 (s, 1H), 6.48 (d, 1 H), 6.60 (d, 1H), 6.18 (d, 1H), 6.98 (t, 1H), 7.24 (d, 1H),
7.39 (d, 1 H), 7.53 (t, 1 H), 8.55 (s, 1 H)1 12.48 (s, 1 H).7.39 (d, 1H), 7.53 (t, 1H), 8.55 (s, 1H) 1 12.48 (s, 1H).
Beispiel 12 5-/y9-Fluor-5-hvdroxy-3a-methyl-5-(trifluormethyl)-2.3.3a.4.5.6- hexahvdrobenzorde1chromen-6--yl1aminol-chinolin-2(1 H)-onExample 12 5- / y9-Fluoro-5-hydroxy-3a-methyl-5- (trifluoromethyl) -2.3.3a.4.5.6-hexahydrobenzor-1-ene-6-yl-1-amino-quinolin-2 (1H) -one
2-Hydroxy-3-(4-methylchroman-4-yl)-2-trifluormethyl-propionaldehycf7.3 g E/Z- (Chroman-4-yliden)-essigsäureethylester (J. Med. Chem. 2001 , 44 pp. 1085- 1098), 100 mg Kupfer(l)chlorid und 5.1 ml Chlortrimethylsilan in 55 ml THF werden bei O0C langsam mit 11.5 ml Methylmagnesiumchlorid Lösung [3.3 M in THF] versetzt, so dass die Temperatur stets unter 50C bleibt. Es wird noch eine Stunde bei O0C und 10 Stunden bei Raumtemperatur gerührt. Der Ansatz wird mit gesättigter Ammoniumchlorid-Lösung versetzt und mit Ether extrahiert. Die vereinigten organischen Phasen werden mit Sole gewaschen, mit Natriumsulfat getrocknet und im Vakuum eingeengt. Nach Chromatographie an Kieselgel (Hexan / Essigster 100:0 -> 90:10) erhält man 2-(4-Mehtylchroman-4-yl)- essigsäureethylester als Rohprodukt. Dieses wird in 50 ml THF bei 00C mit 1 g Lithiumaluminiumhydrid versetzt und 1 ,5 Stunde bei O0C gerührt. Der Ansatz wird vorsichtig auf ges Ammoniumchlorid Lösung gegeben und mit Essigester verdünnt. Es wird durch Kieselgur filtriert und die wässrige Phase mit Essigester extrahiert. Die vereinigten organischen Phasen werden mit Sole gewaschen, mit Natriumsulfat getrocknet und im Vakuum eingeengt. Nach Chromatographie an Kieselgel (Hexan / Essigster 100:0 -> 60:40) erhält man 1.2 g 2-(4- Mehtylchroman-4-yl)-ethanol als farbloses Öl. 0.58 ml Oxalylchlorid in 25.0 ml Dichlormethan werden bei -78°C mit 1.0 ml DMSO in 25.0 ml Dichlormethan versetzt. Nach 5 min. werden 1.2 g 2-(4-Methylchroman-4-yl)-ethanolin 25.0 ml Dichlormethan bei -78°C zugetropft. Nach 15 min. wird mit 4 ml Triethylamin versetzt und langsam auf Raumtemperatur erwärmt. Es wird mit Wasser, Sole, 1 %iger Schwefelsäure und ges. Natriumbicarbonat Lösung gewaschen, mit Natriumsulfat getrocknet und im Vakuum eingeengt. Nach Chromatographie an Kieselgel (Hexan / Essigster 100:0 -> 90:10) erhält man 970 mg 2-(4- Mehtylchroman-4-yl)-ethanal als farbloses Öl. Eine Lösung von 870 mg 2-(4- Methylchroman-4-yl)-ethanal und 2 ml Trifluormethy-Itrimethylsilan in 30 ml THF werden bei 00C mit 0.87 ml Tetrabutylammoniumfluorid Lösung (1 M in THF) versetzt und 1 Stunde gerührt. Es wird noch einmal eine Spatelspitze festes Tetrabutylammoniumfluorid zugesetzt und mit Wasser versetzt. Es wird mit Essigester extrahiert, die organische Phase mit Sole gewaschen und mit Natriumsulfat getrocknet. Man erhält 1.2 g 2-(4-Methylchroman-4-yl)-1- trifluormethyl-ethanolals braunes Öl (Mischung der Diastereomere). 7.8 g Dess- Martin Periodinan in 100 ml Dichlormethan werden bei 00C mit einer Lösung von 1.2 g 2-(Chroman-4-yl)-1-trifluormethyl-ethanol in 20 ml Dichlormethan versetzt und 1 Stunde bei O0C gerührt. Der Ansatz wird mit ges.2-Hydroxy-3- (4-methylchroman-4-yl) -2-trifluoromethyl-propionaldehyde 7.3 g E / Z- (chroman-4-ylidene) -acetic acid ethyl ester (J. Med. Chem. 2001, 44 pp. 1085 - 1098), 100 mg of copper (l) chloride and 5.1 ml of chlorotrimethylsilane in 55 ml of THF are added slowly at 0 ° C. with 11.5 ml of methylmagnesium chloride solution [3.3 M in THF], so that the temperature always remains below 5 ° C. It is stirred for a further hour at 0 ° C. and for 10 hours at room temperature. The mixture is mixed with saturated ammonium chloride solution and extracted with ether. The combined organic phases are washed with brine, dried with sodium sulfate and concentrated in vacuo. Chromatography on silica gel (hexane / ethyl acetate 100: 0 → 90:10) gives ethyl 2- (4-methylchroman-4-yl) acetate as crude product. This is dissolved in 50 ml of THF at 0 ° C. with 1 g Added lithium aluminum hydride and stirred for 1, 5 hour at 0 0 C. The mixture is carefully added to saturated ammonium chloride solution and diluted with ethyl acetate. It is filtered through diatomaceous earth and the aqueous phase extracted with ethyl acetate. The combined organic phases are washed with brine, dried with sodium sulfate and concentrated in vacuo. After chromatography on silica gel (hexane / ethyl acetate 100: 0 → 60:40), 1.2 g of 2- (4-methylchroman-4-yl) ethanol are obtained as a colorless oil. 0.58 ml of oxalyl chloride in 25.0 ml of dichloromethane are mixed at -78 ° C. with 1.0 ml of DMSO in 25.0 ml of dichloromethane. After 5 min. 1.2 g of 2- (4-methylchroman-4-yl) ethanol in 25.0 ml of dichloromethane are added dropwise at -78 ° C. After 15 min. is added 4 ml of triethylamine and slowly warmed to room temperature. It is mixed with water, brine, 1% sulfuric acid and sat. Sodium bicarbonate solution, dried with sodium sulfate and concentrated in vacuo. Chromatography on silica gel (hexane / ethyl acetate 100: 0 → 90:10) gives 970 mg of 2- (4-methylchroman-4-yl) -ethanal as a colorless oil. A solution of 870 mg of 2- (4-methyl-chroman-4-yl) ethanal and 2 ml Trifluormethy-Itrimethylsilan in 30 ml THF at 0 0 C with 0.87 ml of tetrabutylammonium fluoride solution (1 M in THF) and stirred for 1 hour. It is again added a spatula tip solid tetrabutylammonium fluoride and treated with water. It is extracted with ethyl acetate, the organic phase washed with brine and dried with sodium sulfate. This gives 1.2 g of 2- (4-methylchroman-4-yl) -1-trifluoromethyl-ethanol as a brown oil (mixture of diastereomers). 7.8 g of Dess-Martin periodinane in 100 ml of dichloromethane are added at 0 0 C with a solution of 1.2 g of 2- (chroman-4-yl) -1-trifluoromethyl-ethanol in 20 ml of dichloromethane and stirred for 1 hour at 0 ° C. The approach is with ges.
Natriumbicarbonat Lösung versetzt, mit Diethylether verdünnt und mit Natriumthiosulfat Lösung 30 min. gerührt. Die organische Phase wird abgetrennt und mit Wasser gewaschen. Es wird mit Natriumsulfat getrocknet und im Vakuum eingeengt. Man erhält 1.1 g 3-(4-Methylchroman-4-yl)-1 ,1 ,1- trifluorpropan-2-onals braunes Öl. 9.2 ml Vinylmagnesiumbromid Lösung [1 H in THF] werden bei Raumtemperatur mit einer Lösung von 1.1 g 3-(4- Methylchroman-4-yl)-1 ,1 ,1-trifluorpropan-2-onin 30 ml THF versetzt. Es wird 5 Stunden bei Raumtemperatur gerührt und dann auf ges. Ammoniumchlorid Lösung gegeben. Der Ansatz wird mit Essigester extrahiert und die vereinigten organischen Phasen mit Sole gewaschen, mit Natriumsulfat getrocknet und im Vakuum eingeengt. Nach Chromatographie an Kieselgel (Hexan / Essigester 100:0 -> 95:5) erhält man 930 g 1-(4-Methylchroman-4-yl)-2-trifluormethyl-3- buten-2-olals Öl. In eine Lösung von 900 mg 1-(4-Methylchroman-4-yl)-2- trifluormethyl-3-buten-2-ol in 56 ml Dichlormethan und 14 ml Methanol wird bei -700C Ozon so lange eingeleitet, bis die Lösung eine blaue Färbung annimmt. Dann wird eine Minute lang Argon durch die Lösung geleitet, mit 0.42 ml Dimethylsulfid versetzt und noch eine Stunde bei -700C gerührt. Es wird langsam auf Raumtemperatur erwärmt und noch 10 Stunden gerührt. Der Ansatz wird auf Wasser gegeben und mit Dichlormethan extrahiert. Die vereinigten organischen Phasen werden getrocknet und im Vakuum eingeengt. Nach Chromatographie an Kieselgel (Hexan / Essigester 100:0 -> 96:4) erhält man 330 mg 2-Hydroxy-3-(4-Methylchroman-4-yl)-2-trifluormethyl- propionaldehyd als gelbes Öl (Mischung der Diastereomere).Sodium bicarbonate solution, diluted with diethyl ether and with sodium thiosulfate solution for 30 min. touched. The organic phase is separated and washed with water. It is dried with sodium sulfate and concentrated in vacuo. This gives 1.1 g of 3- (4-methylchroman-4-yl) -1, 1, 1-trifluoropropan-2-one as a brown oil. A solution of 1.1 g of 3- (4-methylchroman-4-yl) -1, 1, 1-trifluoropropan-2-one in 30 ml of THF is added at room temperature to 9.2 ml of vinylmagnesium bromide solution [1H in THF] at room temperature. It is stirred for 5 hours at room temperature and then sat. ammonium chloride Solution given. The batch is extracted with ethyl acetate and the combined organic phases are washed with brine, dried with sodium sulfate and concentrated in vacuo. Chromatography on silica gel (hexane / ethyl acetate 100: 0 → 95: 5) gives 930 g of 1- (4-methylchroman-4-yl) -2-trifluoromethyl-3-buten-2-ol as an oil. In a solution of 900 mg of 1- (4-methylchroman-4-yl) -2-trifluoromethyl-3-buten-2-ol in 56 ml of dichloromethane and 14 ml of methanol at -70 0 C ozone is introduced until the Solution takes a blue dye. Then argon is passed through the solution for one minute, mixed with 0.42 ml of dimethyl sulfide and stirred at -70 0 C for one hour. It is slowly warmed to room temperature and stirred for a further 10 hours. The batch is added to water and extracted with dichloromethane. The combined organic phases are dried and concentrated in vacuo. Chromatography on silica gel (hexane / ethyl acetate 100: 0 → 96: 4) gives 330 mg of 2-hydroxy-3- (4-methylchroman-4-yl) -2-trifluoromethyl-propionaldehyde as a yellow oil (mixture of diastereomers) ,
1H-NMR (CDCI3, ausgewählte Signale): δ = 1.38 (s, 3H, Diaster. A), 1.43 (s, 3H, Diaster. B), 1.57-1.65 (m, 2H), 1.81 (ddd, 1 H), 2.13 (ddd, 1 H), 2.37 (d, 1 H, Diaster. B), 2.45-2.60 (m), 2.83 (d, 1 H, Diaster. B), 3.69 (s, 1 H, Diaster. A), 3.86 (s, 1 H, Diaster. B), 3.97 (dd, 1 H, Diaster. B), 4.08-4.35 (m), 6.78-6.84 (m, 1 H, Diaster. A+B), 6.88-6.95 (m, 1 H), 7.07-7.21 (m), 7.23-7.30 (m), 8.88 (s, 1 H, Diaster. B), 9.56 (s, 1 H, Diaster. A). 1 H-NMR (CDCl 3 , selected signals): δ = 1.38 (s, 3H, diast. A), 1.43 (s, 3H, diast. B), 1.57-1.65 (m, 2H), 1.81 (ddd, 1 H), 2.13 (ddd, 1 H), 2.37 (d, 1 H, Diaster B), 2.45-2.60 (m), 2.83 (d, 1 H, Diaster B), 3.69 (s, 1 H, Diaster A), 3.86 (s, 1 H, Diaster B), 3.97 (dd, 1 H, Diaster B), 4.08-4.35 (m), 6.78-6.84 (m, 1 H, Diaster A + B) , 6.88-6.95 (m, 1H), 7.07-7.21 (m), 7.23-7.30 (m), 8.88 (s, 1H, Diaster.B), 9.56 (s, 1H, Diaster A).
Analog Beispiel 1 werden 300 mg (1.0 mmol) 2-Hydroxy-3-(4-methylchroman-4- yl)-2-(trifluormethyl)-propionaldehyd mit 160 mg (1.0 mmol) 5-Aminochinolin- 2(1 H)-on zum entsprechenden 5-{[2-Hydroxy-3-(4-methylchroman-4-yl)-2- (trifluormethyl)-prop-yliden]amino}chinolin-2(1 H)-on umgesetzt. 250 mg Imin werden in 3 ml Dichlormethan aufgenommen und bei -400C mit 3.0 ml (3.0 mmol) einer 1 M BBr3-Lösung behandelt. Man läßt über 60 min auf 00C erwämen und gießt die Lösung auf eine Mischung von Eis und gesättigter Natriumhydrogencarbonat Lösung und rührt 10 Minuten lang heftig. Es wird mit EtOAc extrahiert, mit gesättigter Natriumchloridlösung gewaschen und über Natriumsulfat getrocknet. Nach Einengen und Chromatographie an Kieselgel (Dichlormethan / i-PrOH 0 - 6%) erhält man 81 bzw. 16 mg gewünschtesAnalogously to Example 1, 300 mg (1.0 mmol) of 2-hydroxy-3- (4-methylchroman-4-yl) -2- (trifluoromethyl) propionaldehyde with 160 mg (1.0 mmol) of 5-aminoquinoline-2 (1H) - to give the corresponding 5 - {[2-hydroxy-3- (4-methylchroman-4-yl) -2- (trifluoromethyl) -propylidene] amino} quinoline-2 (1H) -one. 250 mg of imine is taken up in 3 ml dichloromethane and treated 3 solution at -40 0 C 3.0 ml (3.0 mmol) of a 1 M BBr. The mixture is left for 60 min at 0 0 C erwämen and the solution is poured onto a mixture of ice and saturated sodium bicarbonate solution and stirred vigorously for 10 minutes. It is extracted with EtOAc, washed with saturated sodium chloride solution and dried over sodium sulfate. After concentration and chromatography on silica gel (Dichloromethane / i-PrOH 0 - 6%) are obtained 81 and 16 mg of the desired
Produkt als separierte Diastereomere.Product as separated diastereomers.
Diastereomer 1 :Diastereomer 1:
1H-NMR (600 MHz, DMSO-d6): δ = 1.40 (s, 3H), 1.84 (m, 2H), 1.93 (d, 1 H), 2.38 (d, 1 H), 4.28 (m, 2H), 5.04 (d, 1 H), 6.13 (s, 1 H), 6.15 (d, 2H), 6.24 (d, 1 H), 6.43 1 H-NMR (600 MHz, DMSO-d6): δ = 1.40 (s, 3H), 1.84 (m, 2H), 1.93 (d, 1H), 2.38 (d, 1H), 4.28 (m, 2H ), 5.04 (d, 1H), 6.13 (s, 1H), 6.15 (d, 2H), 6.24 (d, 1H), 6.43
(d, 1 H), 6.60 (d, 1 H), 6.72 (d, 2H), 7.04 (t, 1 H), 7.12 (t, 1 H), 8.20 (d, 1 H), 11.60(d, 1H), 6.60 (d, 1H), 6.72 (d, 2H), 7.04 (t, 1H), 7.12 (t, 1H), 8.20 (d, 1H), 11.60
(s, 1H).(s, 1H).
Diastereomer 2:Diastereomer 2:
1H-NMR (600 MHz, DMSO-d6): δ = 1.51 (s, 3H), 1.76 (m, 1 H), 1.88 (dd, 1 H), 2.00 (d, 1 H), 2.18 (d, 1 H), 4.33 (m, 1 H), 4.41 (m, 1 H), 5.26 (d, 1 H), 6.18 (d, 1 H), 1 H-NMR (600 MHz, DMSO-d6): δ = 1.51 (s, 3H), 1.76 (m, 1H), 1.88 (dd, 1H), 2.00 (d, 1H), 2.18 (d, 1 H), 4.33 (m, 1 H), 4.41 (m, 1 H), 5.26 (d, 1 H), 6.18 (d, 1 H),
6.34 (s, 1 H), 6.37 (d, 1 H), 6.48 (d, 1 H), 6.57 (d, 1 H), 6.68 (d, 1 H), 6.70 (d, 1 H),6.34 (s, 1H), 6.37 (d, 1H), 6.48 (d, 1H), 6.57 (d, 1H), 6.68 (d, 1H), 6.70 (d, 1H),
7.01 (t, 1 H), 7.22 (t, 1 H), 8.24 (d, 1 H), 11.67 (s, 1 H).7.01 (t, 1H), 7.22 (t, 1H), 8.24 (d, 1H), 11.67 (s, 1H).
Beispiel 13Example 13
5-/79-Fluor-5-hvdroxy-5-(trifluormethyl)-2.3.3a.4.5.6- hexahvdrobenzofdelthiochromen-6- -vπamino)-chinolin-2(1 H)-on5- / 79-fluoro-5-hydroxy-5- (trifluoromethyl) -2.3.3a.4.5.6-hexahydrobenzofdelithiochromene-6-vinylamino) quinoline-2 (1H) -one
Analog Beispiel 1 werden 700 mg (2.4 mmol) 2-Hydroxy-3-(thiochroman-4-yl)-2- (trifluormethyl)propanal mit 386 mg (2.4 mmol) 5-Aminochinolin-2(1 H)-on zum entsprechenden 5-{[2-Hydroxy-3-(thiochroman-4-yl)-2-(trifluormethyl)- propyliden]amino}chinolin-2(1 H)-on umgesetzt. 100 mg Imin werden in 3 ml Dichlormethan aufgenommen und bei -400C mit 2.3 ml (2.3 mmol) einer 1 M BBr3-Lösung behandelt. Man läßt über 60 min auf 00C erwämen und gießt die Lösung auf eine Mischung von Eis und gesättigter Natriumhydrogencarbonat Lösung und rührt 10 Minuten lang heftig. Es wird mit EtOAc extrahiert, mit gesättigter Natriumchloridlösung gewaschen und über Natriumsulfat getrocknet. Nach Einengen und Chromatographie an Kieselgel (Dichlormethan / i-PrOH 2 - 4%) erhält man 28 mg gewünschtes Produkt als Mischung der Diastereomere. Mischung der Diastereomere:Analogously to Example 1, 700 mg (2.4 mmol) of 2-hydroxy-3- (thiochroman-4-yl) -2- (trifluoromethyl) propanal with 386 mg (2.4 mmol) of 5-aminoquinoline-2 (1 H) -one to the corresponding 5 - {[2-Hydroxy-3- (thiochroman-4-yl) -2- (trifluoromethyl) propylidene] amino} quinoline-2 (1H) -one. 100 mg of imine is taken up in 3 ml dichloromethane and treated 3 solution at -40 0 C with 2.3 ml (2.3 mmol) of a 1 M BBr. The mixture is left for 60 min at 0 0 C erwämen and the solution is poured onto a mixture of ice and saturated sodium bicarbonate solution and stirred vigorously for 10 minutes. It is extracted with EtOAc, washed with saturated sodium chloride solution and dried over sodium sulfate. Concentration and chromatography on silica gel (dichloromethane / i-PrOH 2-4%) gives 28 mg of the desired product as a mixture of diastereomers. Mixture of diastereomers:
1H-NMR (500 MHz, DMSO-d6, ausgewählte Signale): δ = 1.57 (ddd, 1 H, Diaster. A+B), 1.96 (t, 1 H), 2.25 (m, 1 H, Diaster. A+B), 3.88 - 3.99 (m, 1 H, Diaster. A+B), 3.07 (ddd, 1 H), 3.13 - 3.27 (m, 1 H, Diaster. A+B), 4.32 (d, 1 H, Diaster. A), 4.57 (br. s, 1 H, Diaster. B), 5.47 (d, 1 H, Diaster. B), 6.10 (d, 1 H, Diaster. A), 6.37 (d, 1 H, Diaster. A), 6.40 (s, Diaster. A), 6.58 (d, 2H, Diaster. A+B), 6.90 (d, 1 H1 Diaster. A), 7.05 (m, 2H, Diaster. A+B), 7.25 (t, 1 H), 8.16 (d, 1 H), 11.53 (s, (1 H, Diaster. A+B). 1 H-NMR (500 MHz, DMSO-d6, selected signals): δ = 1.57 (ddd, 1H, Diaster.A + B), 1.96 (t, 1H), 2.25 (m, 1H, Diaster.A + B), 3.88 - 3.99 (m, 1H, Diaster. A + B), 3.07 (ddd, 1 H), 3.13 - 3.27 (m, 1 H, Diaster A + B), 4.32 (d, 1 H, Diaster A), 4.57 (brs s, 1 H, Diaster.B), 5.47 (d, 1H, Diaster.B), 6.10 (d, 1H, Diaster.A), 6.37 (d, 1H, Diaster.A), 6.40 (s, Diaster.A), 6.58 (d, 2H, Diaster A + B), 6.90 (d, 1 H 1 Diaster A), 7.05 (m, 2H, Diaster A + B), 7.25 (t, 1 H), 8.16 (d, 1 H), 11.53 (s, (1 H, Diaster. A + B).
Beispiel 14Example 14
6-r(8-Fluor-2-methylchinazolin-5-yl)amino1-5-(trifluormethvπ-2.3.3a.4.5.6- hexahydrobenzordeithiochromen-5-ol6-r (8-Fluoro-2-methyl-quinazolin-5-yl) -amino1-5- (trifluorometh-2.3.3a.4.5.6-hexahydrobenzordeithiochromene-5-ol
Analog Beispiel 1 werden 328 mg (1.1 mmol) 2-Hydroxy-3-(thiochroman-4-yl)-2- (trifluormethyl)propanal mit 200 mg (1.1 mmol) 5-Amino-8-fluorchinazolin zum entsprechenden 1-[(8-Fluor-2-methylchinazolin-5-yl)imino]-3-(thiochroman-4-yl)- 2-(trifluormethyl)propan-2-ol umgesetzt. 185 mg Imin werden in 5 ml328 mg (1.1 mmol) of 2-hydroxy-3- (thiochroman-4-yl) -2- (trifluoromethyl) propanal with 200 mg (1.1 mmol) of 5-amino-8-fluoroquinazoline are converted into the corresponding 1 - [analogously to Example 1 ( 8-fluoro-2-methylquinazolin-5-yl) imino] -3- (thiochroman-4-yl) -2- (trifluoromethyl) propan-2-ol. 185 mg of imine are dissolved in 5 ml
Dichlormethan aufgenommen und bei -400C mit 4.1 ml (4.1 mmol) einer 1 M BBr3-Lösung behandelt. Man läßt über 60 min auf 00C erwämen und gießt die Lösung auf eine Mischung von Eis und gesättigter Natriumhydrogencarbonat Lösung und rührt 10 Minuten lang heftig. Es wird mit EtOAc extrahiert, mit gesättigter Natriumchloridlösung gewaschen und über Natriumsulfat getrocknet. Nach Einengen und Chromatographie an Kieselgel (Dichlormethan / i-PrOH 2 - 4%) und erneuter Chromatographie an basischen Kieselgel erhält man 18 mg gewünschtes Produkt als Mischung der Diastereomere. Mischung der Diastereomere: 1H-NMR (400 MHz, CD3OD, ausgewählte Signale): δ = 1.12 (t, 1 H), 1.15 - 1.38 (m, 2H, Diaster. A+B), 1.53 - 1.68 (m, 1 H), 1.90 (t, 1 H), 2.25 (m, 1 H), 2.36 (dd, 1 H), 2.73 - 2.85 (m, 4H), 2.86 - 3.08 (m, 2H), 3.10 - 3.33 (m, 2H), 5.31 (s, 1 H), 6.88 (dd, 1 H), 6.90 - 7.05 (m, 4H), 7.46 (dd, 1 H), 7.52 (dd, 1 H), 9.54 - 9.68 (m, 1 H, Diaster. A+B).Dichloromethane and treated at -40 0 C with 4.1 ml (4.1 mmol) of a 1 M BBr 3 solution. The mixture is left for 60 min at 0 0 C erwämen and the solution is poured onto a mixture of ice and saturated sodium bicarbonate solution and stirred vigorously for 10 minutes. It is extracted with EtOAc, washed with saturated sodium chloride solution and dried over sodium sulfate. Concentration and chromatography on silica gel (dichloromethane / i-PrOH 2-4%) and re-chromatography on basic silica gel gives 18 mg of the desired product as a mixture of diastereomers. Mixture of diastereomers: 1 H-NMR (400 MHz, CD 3 OD, selected signals): δ = 1.12 (t, 1 H), 1:15 to 1:38 (. M, 2H, Diaster A + B), 1:53 - 1.68 (m , 1H), 1.90 (t, 1H), 2.25 (m, 1H), 2.36 (dd, 1H), 2.73 - 2.85 (m, 4H), 2.86 - 3.08 (m, 2H), 3.10 - 3.33 (m, 2H), 5.31 (s, 1H), 6.88 (dd, 1H), 6.90-7.05 (m, 4H), 7.46 (dd, 1H), 7.52 (dd, 1H), 9.54 - 9.68 (m, 1 H, Diaster. A + B).
Beispiel 15Example 15
6-r(7.8-Difluor-2-methylchinazolin-5-yl)amino1-5-(trifluormethyl)-2.3.3a.4.5.6- hexahydrobenzordeithiochromen-5-ol Analog Beispiel 1 werden 223 mg (0.77 mmol) 2-Hydroxy-3-(thiochroman-4-yl)- 2-(trifluormethyl)propanal mit 150 mg (0.77 mmol) 5-Amino-7,8- difluorochinazolin zum entsprechenden 1-[(7,8-Difluor-2-methyl-chinazolin-5- yl)imino]-3-(thiochroman-4-yl)-2-(trifluormethyl)propan-2-ol umgesetzt. 90 mg Imin werden in 4 ml Dichlormethan aufgenommen und bei -4O0C mit 1.9 ml (1.9 mmol) einer 1 M BBr3-Lösung behandelt. Man läßt über 60 min auf 00C erwämen und gießt die Lösung auf eine Mischung von Eis und gesättigter Natriumhydrogencarbonat Lösung und rührt 10 Minuten lang heftig. Es wird mit EtOAc extrahiert, mit gesättigter Natriumchloridlösung gewaschen und über Natriumsulfat getrocknet. Nach Einengen und Chromatographie an Kieselgel (Dichlormethan / i-PrOH 2 - 4%) erhält man 13 mg gewünschtes Produkt. 1H-NMR (300 MHz, MeOD): δ = 1.63 (qd, 1 H), 1.94 (dd, 1 H), 2.25 (m, 1 H), 2.33 (dd, 1 H), 2.78 (s, 3H), 2.90 - 3.10 (m, 2H), 3.23 (td, 1 H), 5.34 (s, 1 H), 6.85 (dd, 1 H), 7.00 (s, 3H), 9.54 (s, 1 H).6-r (7.8-Difluoro-2-methylquinazolin-5-yl) -amino1-5- (trifluoromethyl) -2.3.3a.4.5.6-hexahydrobenzordeithiochromene-5-ol 223 mg (0.77 mmol) of 2-hydroxy-3- (thiochroman-4-yl) -2- (trifluoromethyl) propanal with 150 mg (0.77 mmol) of 5-amino-7,8-difluoroquinazoline are added to the corresponding [(7,8-Difluoro-2-methyl-quinazolin-5-yl) imino] -3- (thiochroman-4-yl) -2- (trifluoromethyl) propan-2-ol. 90 mg of imine are taken up in 4 ml of dichloromethane and treated at -4O 0 C with 1.9 ml (1.9 mmol) of a 1 M BBr 3 solution. The mixture is left for 60 min at 0 0 C erwämen and the solution is poured onto a mixture of ice and saturated sodium bicarbonate solution and stirred vigorously for 10 minutes. It is extracted with EtOAc, washed with saturated sodium chloride solution and dried over sodium sulfate. After concentration and chromatography on silica gel (dichloromethane / i-PrOH 2-4%), 13 mg of the desired product are obtained. 1 H-NMR (300 MHz, MeOH): δ = 1.63 (qd, 1H), 1.94 (dd, 1H), 2.25 (m, 1H), 2.33 (dd, 1H), 2.78 (s, 3H ), 2.90 - 3.10 (m, 2H), 3.23 (td, 1H), 5.34 (s, 1H), 6.85 (dd, 1H), 7.00 (s, 3H), 9.54 (s, 1H).
Beispiel 16Example 16
6-r(7-Fluor-2-methylchinazolin-5-yl)amino1-5-(trifluormethyl)-2.3,3a.4,5.6- hexahydrobenzordeithiochromen-5-ol6-r (7-Fluoro-2-methylquinazolin-5-yl) -amino1-5- (trifluoromethyl) -2,3,3a, 4,5,6-hexahydrobenzordeithiochromene-5-ol
Analog Beispiel 1 werden 246 mg (0.85 mmol) 2-Hydroxy-3-(thiochroman-4-yl)- 2-(trifluormethyl)propanal mit 150 mg (0.85 mmol) 5-Amino-7-fluorchinazolin zum entsprechenden 1 -[(7-Fluor-2-methylchinazolin-5-yl)imino]-3-(thiochroman- 4-yl)-2-(trifluormethyl)propan-2-ol umgesetzt. 70 mg Imin werden in 4 ml246 mg (0.85 mmol) of 2-hydroxy-3- (thiochroman-4-yl) -2- (trifluoromethyl) propanal with 150 mg (0.85 mmol) of 5-amino-7-fluoroquinazoline are added analogously to Example 1 to the corresponding 1 - [( 7-Fluoro-2-methylquinazolin-5-yl) imino] -3- (thiochroman-4-yl) -2- (trifluoromethyl) propan-2-ol. 70 mg of imine are in 4 ml
Dichlormethan aufgenommen und bei -400C mit 1.56 ml (1.56 mmol) einer 1 M BBr3-Lösung behandelt. Man läßt über 60 min auf 0°C erwämen und gießt die Lösung auf eine Mischung von Eis und gesättigter Natriumhydrogencarbonat Lösung und rührt 10 Minuten lang heftig. Es wird mit EtOAc extrahiert, mit gesättigter Natriumchloridlösung gewaschen und über Natriumsulfat getrocknet. Nach Einengen und Chromatographie an Kieselgel (Dichlormethan / i-PrOH 2 - 4%) erhält man 13 mg gewünschtes Produkt als Mischung zweier Diastereomere. Mischung der Diastereomere:Dichloromethane and treated at -40 0 C with 1.56 ml (1.56 mmol) of a 1 M BBr3 solution. The mixture is allowed to warm to 0 ° C over 60 min and the solution is poured onto a mixture of ice and saturated sodium bicarbonate solution and stirred vigorously for 10 minutes. It is extracted with EtOAc, washed with saturated sodium chloride solution and dried over sodium sulfate. After concentration and chromatography on silica gel (dichloromethane / i-PrOH 2-4%), 13 mg of the desired product are obtained as a mixture of two diastereomers. Mixture of diastereomers:
1H-NMR (300 MHz, MeOD, ausgewählte Signale): δ = 1.20 - 1.36 (m, 1 H), 1.55 - 1.75 (m, 1 H), 1.95 (t, 1 H), 2.24 (m, 1 H), 2.37 (dd, 1 H), 2.74 (m, 3H), 2.88 - 3.10 (m, 2H), 3.20 (dd, 1 H), 5.48 (s, 1 H), 6.68 - 6.80 (m, 2H)1 6.90 - 7.04 (m, 2H), 7.20 - 7.45 (m, 1 H), 9.40 - 9.55 (m, 1 H). 1 H NMR (300 MHz, MeOD, selected signals): δ = 1.20-1.36 (m, 1H), 1.55-1.75 (m, 1H), 1.95 (t, 1H), 2.24 (m, 1H ), 2.37 (dd, 1H), 2.74 (m, 3H), 2.88 - 3.10 (m, 2H), 3.20 (dd, 1H), 5.48 (s, 1H), 6.68 - 6.80 (m, 2H) 1 6.90 - 7.04 (m, 2H), 7.20 - 7.45 (m, 1H), 9.40 - 9.55 (m, 1H).
Analog können hergestellt werden unter Verwendung der oben, in WO 2005/034939 oder in WO2003/082827 beschriebenen Amine:Analogously, it is possible to prepare using the amines described above, in WO 2005/034939 or in WO2003 / 082827:
5-/y9-Fluor-5-hvdroxy-3a-methyl-5-(trifluormethyl)-2,3.3a.4.5.6- hexahvdrobenzorde1chromen-6-yl1amino)-isochinolin-1(2H)-on5-yl-fluoro-5-hydroxy-3a-methyl-5- (trifluoromethyl) -2,3,3a, 4,6- hexahydrobenzor-1-hexene-6-yl-amino) -isoquinoline-1 (2H) -one
5-/y9-Fluor-5-hvdroxy-3a-methyl-5-(trifluormethyl)-2,3,3a.4.5.6- hexahvdrobenzordelchromen-6-yllamino)-2-methylphthalazin-1-on5-yl-fluoro-5-hydroxy-3a-methyl-5- (trifluoromethyl) -2,3,3a, 4,6,6-hexahydrozodecelene-6-ylamino) -2-methyl-phthalazin-1-one
6-f(7.8-Difluor-2-methylchinazolin-5-yl)amino1-2-methyl-5-(trifluormethyl)- 2.3.3a.4.5.6-hexahydrobenzordelthiochromen-5-ol6-f (7.8-Difluoro-2-methylquinazolin-5-yl) -amino1-2-methyl-5- (trifluoromethyl) - 2.3.3a.4.5.6-hexahydrobenzorothiochromen-5-ol
6-r(lndazol-4-yl)aminol-2-methyl-5-(trifluormethyl)-2.3.3a.4.5.6- hexahvdrobenzo[de1thiochromen-5-ol6-r (indazol-4-yl) -aminol-2-methyl-5- (trifluoromethyl) -2.3.3a.4.5.6-hexahydrobenzo [de1thiochromen-5-ol
6-f(8-Fluor-2-methylchinazolin-5-yl)aminol-3a-methyl 5-(trifluormethvD- 2.3.3a.4.5.6-hexahvdrobenzorde1chromen-5-ol6-f (8-Fluoro-2-methylquinazolin-5-yl) -aminol-3a-methyl 5- (trifluorometh-D-2.3.3a.4.5.6-hexahydrobenzor-1-ene-5-ol
6-r(8-Fluor-2-methylchinazolin-5-yl)aminol-2-methyl 5-(trifluormethvπ- 2.3.3a,4,5,6-hexahvdrobenzordelthiochromen-5-ol6-r (8-Fluoro-2-methyl-quinazolin-5-yl) -aminol-2-methyl-5- (trifluorometh-2,3,3a, 4,5,6-hexahydrobenzothel-thiochromen-5-ol
9-Fluor-6-r(isochinolin-5-yl)amino1-5-(trifluormethyl)-2.3.3a.4.5.6- hexahvdrobenzofdeichromen-5-ol9-Fluoro-6-r (isoquinolin-5-yl) -amino1-5- (trifluoromethyl) -2.3.3a.4.5.6 hexahydrobenzofdeichromene-5-ol
4-/y9-Fluor-5-hvdroxy-5-(trifluormethvn-2.3.3a.4.5.6- hexahvdrobenzordelchromen-6-vnamino)-1.3-dihvdroindol-2-on ^/yS-Hvdroxy-δ-ÜrifluormethvD^.S.SaΛ.δ.e-hexahvdrobenzordeithiochromen-θ- yllamino)-1 ,3-dihvdroindol-2-on4- / y9-Fluoro-5-hydroxy-5- (trifluoromethine-2.3.3a.4.5.6-hexahydrobenzodelchromene-6-vnamino) -1,3-dihydroidol-2-one ^ / yS-hydroxypropyl-δ-difluoromethvD ^ .S.SaΛ.δ.e-hexahydrobenzordeithiochromene-θ-ylamino) -1, 3-dihydro-din-2-one
9-Fluor-6-r(1-methylindazol-4-yl)aminol-5-(thfluormethyl)-2.3,3a,4.5.6- hexahydrobenzofde1chromen-5-ol9-Fluoro-6-r (1-methyl-indazol-4-yl) -aminol-5- (thfluoromethyl) -2,3,3a, 4,5,6-hexahydrobenzofe1-ene-5-ol
5-/y9-Fluor-5-hvdroxy-5-(trifluormethyl)-2.3,3a,4.5,6- hexahvdrobenzofdelchromen-6-yllamino)-2-methylisochinolin-1-on5- / y9-fluoro-5-hydroxy-5- (trifluoromethyl) -2,3,3a, 4,5,6-hexahydrobenzofdelchromen-6-ylamino) -2-methylisoquinolin-1-one
5-//5-Hvdroxy-2-methyl-5-(trifluormethvn-2.3.3a.4.5.6- hexahvdrobenzordeithiochromen-e-yllaminoVI-methvIchinolin^-on5 - // 5-Hydroxy-2-methyl-5- (trifluoromethvn-2.3.3a.4.5.6-hexahydrobenzordeithiochromene-e-ylaminoVI-methoxyquinoline ^ -one
5-/ir9-Fluor-5-hvdroxy-5-(trifluormethyl)-2.3.3a,4.5.6- hexahvdrobenzofdelchromen-β-vnaminol^-methylphthalazin-i-on5- (Ir9-Fluoro-5-hydroxy-5- (trifluoromethyl) -2.3.3a, 4.5.6-hexahydrobenzofdelchromen-β-vinylamino-methyl-phthalazin-1-one
5-/ir9-Fluor-5-hvdroxy-5-(trifluormethyl)-2.3.3a.4.5.6- hexahvdrobenzo[delchromen-6-yl1amino)-isochinolin-1(2H)-on5- / Ir9-Fluoro-5-hydroxy-5- (trifluoromethyl) -2.3.3a.4.5.6-hexahydrobenzo [delchromen-6-yl-amino) -isoquinoline-1 (2H) -one
5-/y5-Hvdroxy-3a-methyl-5-(trifluormethyl)-2.3.3a.4.5.6- hexahvdrobenzordelthiochromen-6-vnamino)-2-methylphthalazin-1-on5- (yl) -hydroxy-3a-methyl-5- (trifluoromethyl) -2.3.3a.4.5.6-hexahydrozodelithiochromene-6-vnamino) -2-methylphthalazin-1-one
6-r(2-Methylchinazolin-5-yl)amino1-3a-methyl 5-(trifluormethyl)-2.3.3a.4.5.6- hexahvdrobenzordelthiochromen-5-ol 6-r (2-Methylquinazolin-5-yl) -amino1-3a-methyl 5- (trifluoromethyl) -2.3.3a.4.5.6-hexahydrozodelithiochromen-5-ol
Claims
Priority Applications (6)
| Application Number | Priority Date | Filing Date | Title |
|---|---|---|---|
| BRPI0519710-4A BRPI0519710A2 (en) | 2004-12-22 | 2005-12-20 | tricyclic amino alcohols, process for their preparation and use as an anti-inflammatory |
| AU2005318354A AU2005318354A1 (en) | 2004-12-22 | 2005-12-20 | Tricyclic aminoalcohols, methods for producing the same and their use as anti-inflammatory agents |
| CA002586973A CA2586973A1 (en) | 2004-12-22 | 2005-12-20 | Tricyclic amino alcohols, processes for synthesis of same and use of same as anti-inflammatory drugs |
| JP2007547379A JP2008524300A (en) | 2004-12-22 | 2005-12-20 | Tricyclic amino alcohols, methods for their synthesis and their use as anti-inflammatory drugs |
| MX2007007420A MX2007007420A (en) | 2004-12-22 | 2005-12-20 | Tricyclic aminoalcohols, methods for producing the same and their use as anti-inflammatory agents. |
| IL183060A IL183060A0 (en) | 2004-12-22 | 2007-05-08 | Tricyclic aminoalcohols, methods for producing the same and their use as anti-inflammatory agents |
Applications Claiming Priority (2)
| Application Number | Priority Date | Filing Date | Title |
|---|---|---|---|
| DE102004063227A DE102004063227A1 (en) | 2004-12-22 | 2004-12-22 | Tricylic amino alcohols, process for their preparation and their use as anti-inflammatory agents |
| DE102004063227.8 | 2004-12-22 |
Publications (2)
| Publication Number | Publication Date |
|---|---|
| WO2006066950A2 true WO2006066950A2 (en) | 2006-06-29 |
| WO2006066950A3 WO2006066950A3 (en) | 2006-08-17 |
Family
ID=36250953
Family Applications (1)
| Application Number | Title | Priority Date | Filing Date |
|---|---|---|---|
| PCT/EP2005/013943 Ceased WO2006066950A2 (en) | 2004-12-22 | 2005-12-20 | Tricyclic aminoalcohols, methods for producing the same and their use as anti-inflammatory agents |
Country Status (14)
| Country | Link |
|---|---|
| JP (1) | JP2008524300A (en) |
| KR (1) | KR20070089948A (en) |
| CN (1) | CN101087780A (en) |
| AR (1) | AR055016A1 (en) |
| AU (1) | AU2005318354A1 (en) |
| BR (1) | BRPI0519710A2 (en) |
| CA (1) | CA2586973A1 (en) |
| DE (1) | DE102004063227A1 (en) |
| GT (1) | GT200500385A (en) |
| IL (1) | IL183060A0 (en) |
| MX (1) | MX2007007420A (en) |
| PA (1) | PA8657801A1 (en) |
| PE (1) | PE20061197A1 (en) |
| WO (1) | WO2006066950A2 (en) |
Cited By (14)
| Publication number | Priority date | Publication date | Assignee | Title |
|---|---|---|---|---|
| EP1917963A1 (en) * | 2006-10-31 | 2008-05-07 | Bayer Schering Pharma Aktiengesellschaft | Cyclic phenyl-substituted indazols, a process for their production and their use as anti-inflammatory agents |
| US7402596B2 (en) | 2005-03-24 | 2008-07-22 | Renovis, Inc. | Bicycloheteroaryl compounds as P2X7 modulators and uses thereof |
| EP2072509A1 (en) | 2007-12-18 | 2009-06-24 | Bayer Schering Pharma Aktiengesellschaft | 1-Aryl-1H-quinoline-2-ones: process for their production and their use as anti-inflammatory agents |
| US7638515B2 (en) | 2003-10-08 | 2009-12-29 | Bayer Schering Pharma Aktiengesellschaft | Tetrahydronaphthalene derivatives, process for their production and their use as anti-inflammatory agents |
| US7659297B2 (en) | 2003-10-08 | 2010-02-09 | Bayer Schering Pharma, AG | Tetrahydronaphthalene derivatives, process for their production and their use as anti-inflammatory agents |
| US7662821B2 (en) | 2003-10-08 | 2010-02-16 | Bayer Schering Pharma Ag | Tetrahydronaphthalene derivatives, process for their production and their use as anti-inflammatory agents |
| US7816371B2 (en) | 2006-03-16 | 2010-10-19 | Renovis, Inc. | Bicycloheteroaryl compounds as P2X7 modulators and uses thereof |
| US7880042B2 (en) | 2006-03-15 | 2011-02-01 | Bayer Schering Pharma Ag | Tetrahydronaphthalene derivatives, methods for the production thereof, and the use thereof as antiphlogistics |
| US8097627B2 (en) | 2004-04-05 | 2012-01-17 | Bayer Pharma AG | Multiply-substituted tetrahydronaphthalene derivatives, process for their production and their use as anti-inflammatory agents |
| WO2013119895A1 (en) | 2012-02-08 | 2013-08-15 | Sunovion Pharmaceuticals Inc. | Heteroaryl compounds and methods of use thereof |
| US10196403B2 (en) | 2016-07-29 | 2019-02-05 | Sunovion Pharmaceuticals Inc. | Compounds and compositions and uses thereof |
| US10780074B2 (en) | 2017-08-02 | 2020-09-22 | Sunovion Pharmaceuticals Inc. | Compounds and uses thereof |
| US11077090B2 (en) | 2016-07-29 | 2021-08-03 | Sunovion Pharmaceuticals Inc. | Compounds and compositions and uses thereof |
| US11136304B2 (en) | 2019-03-14 | 2021-10-05 | Sunovion Pharmaceuticals Inc. | Salts of a heterocyclic compound and crystalline forms, processes for preparing, therapeutic uses, and pharmaceutical compositions thereof |
Families Citing this family (1)
| Publication number | Priority date | Publication date | Assignee | Title |
|---|---|---|---|---|
| KR102462991B1 (en) * | 2020-11-02 | 2022-11-04 | 한국해양과학기술원 | Compound from a Antarctic-Derived Fungal Strains Acremonium sp. SF-7394 and Composition for Anti-Inflammation, Anticancer or Anti-Diabetes Comprising the Same |
Family Cites Families (6)
| Publication number | Priority date | Publication date | Assignee | Title |
|---|---|---|---|---|
| DE10038639A1 (en) * | 2000-07-28 | 2002-02-21 | Schering Ag | New and known N-aryl 2-hydroxy-omega-arylalkanamide derivatives, useful e.g. for treating inflammatory diseases such as rheumatism |
| KR101022977B1 (en) * | 2002-03-26 | 2011-03-18 | 베링거 인겔하임 파마슈티칼즈, 인코포레이티드 | Glucocorticoid mimetics, preparation methods thereof, pharmaceutical compositions and uses thereof |
| DE10215316C1 (en) * | 2002-04-02 | 2003-12-18 | Schering Ag | Quinoline and isoquinoline derivatives, a pharmaceutical agent and their use as anti-inflammatory agents |
| DE502004002403D1 (en) * | 2003-10-08 | 2007-02-01 | Schering Ag | TETRAHYDRONAPHTHALIN DERIVATIVES, METHOD FOR THE PRODUCTION THEREOF AND THEIR USE AS AN INFLAMMATORY INHIBITION |
| GB0418045D0 (en) * | 2004-08-12 | 2004-09-15 | Glaxo Group Ltd | Compounds |
| DE102004044680B3 (en) * | 2004-09-09 | 2006-06-08 | Schering Ag | Alkylidene tetrahydronaphthalene derivatives, process for their preparation and their use as anti-inflammatory agents and pharmaceutical compositions containing them |
-
2004
- 2004-12-22 DE DE102004063227A patent/DE102004063227A1/en not_active Withdrawn
-
2005
- 2005-12-20 AU AU2005318354A patent/AU2005318354A1/en not_active Abandoned
- 2005-12-20 MX MX2007007420A patent/MX2007007420A/en not_active Application Discontinuation
- 2005-12-20 CN CNA2005800442843A patent/CN101087780A/en active Pending
- 2005-12-20 WO PCT/EP2005/013943 patent/WO2006066950A2/en not_active Ceased
- 2005-12-20 KR KR1020077014116A patent/KR20070089948A/en not_active Withdrawn
- 2005-12-20 BR BRPI0519710-4A patent/BRPI0519710A2/en not_active Application Discontinuation
- 2005-12-20 JP JP2007547379A patent/JP2008524300A/en active Pending
- 2005-12-20 CA CA002586973A patent/CA2586973A1/en not_active Abandoned
- 2005-12-22 PA PA20058657801A patent/PA8657801A1/en unknown
- 2005-12-22 GT GT200500385A patent/GT200500385A/en unknown
- 2005-12-22 AR ARP050105486A patent/AR055016A1/en not_active Application Discontinuation
-
2006
- 2006-01-03 PE PE2006000009A patent/PE20061197A1/en not_active Application Discontinuation
-
2007
- 2007-05-08 IL IL183060A patent/IL183060A0/en unknown
Cited By (21)
| Publication number | Priority date | Publication date | Assignee | Title |
|---|---|---|---|---|
| US7638515B2 (en) | 2003-10-08 | 2009-12-29 | Bayer Schering Pharma Aktiengesellschaft | Tetrahydronaphthalene derivatives, process for their production and their use as anti-inflammatory agents |
| US7659297B2 (en) | 2003-10-08 | 2010-02-09 | Bayer Schering Pharma, AG | Tetrahydronaphthalene derivatives, process for their production and their use as anti-inflammatory agents |
| US7662821B2 (en) | 2003-10-08 | 2010-02-16 | Bayer Schering Pharma Ag | Tetrahydronaphthalene derivatives, process for their production and their use as anti-inflammatory agents |
| US8097627B2 (en) | 2004-04-05 | 2012-01-17 | Bayer Pharma AG | Multiply-substituted tetrahydronaphthalene derivatives, process for their production and their use as anti-inflammatory agents |
| US7402596B2 (en) | 2005-03-24 | 2008-07-22 | Renovis, Inc. | Bicycloheteroaryl compounds as P2X7 modulators and uses thereof |
| US7880042B2 (en) | 2006-03-15 | 2011-02-01 | Bayer Schering Pharma Ag | Tetrahydronaphthalene derivatives, methods for the production thereof, and the use thereof as antiphlogistics |
| US7816371B2 (en) | 2006-03-16 | 2010-10-19 | Renovis, Inc. | Bicycloheteroaryl compounds as P2X7 modulators and uses thereof |
| EP1917963A1 (en) * | 2006-10-31 | 2008-05-07 | Bayer Schering Pharma Aktiengesellschaft | Cyclic phenyl-substituted indazols, a process for their production and their use as anti-inflammatory agents |
| WO2008052808A1 (en) * | 2006-10-31 | 2008-05-08 | Bayer Schering Pharma Aktiengesellschaft | Cyclic phenyl-substituted indazols, a process for their production and their use as anti-inflammatory agents |
| EP2072509A1 (en) | 2007-12-18 | 2009-06-24 | Bayer Schering Pharma Aktiengesellschaft | 1-Aryl-1H-quinoline-2-ones: process for their production and their use as anti-inflammatory agents |
| WO2013119895A1 (en) | 2012-02-08 | 2013-08-15 | Sunovion Pharmaceuticals Inc. | Heteroaryl compounds and methods of use thereof |
| US10189825B2 (en) | 2012-02-08 | 2019-01-29 | Sunovion Pharmaceuticals Inc. | Heteroaryl compounds and methods of use thereof |
| US10556890B2 (en) | 2012-02-08 | 2020-02-11 | Sunovion Pharmaceuticals Inc. | Heteroaryl compounds and methods of use thereof |
| US11332462B2 (en) | 2012-02-08 | 2022-05-17 | Sunovion Pharmaceuticals Inc. | Heteroaryl compounds and methods of use thereof |
| US10196403B2 (en) | 2016-07-29 | 2019-02-05 | Sunovion Pharmaceuticals Inc. | Compounds and compositions and uses thereof |
| US10927124B2 (en) | 2016-07-29 | 2021-02-23 | Sunovion Pharmaceuticals Inc. | Compounds and compositions and uses thereof |
| US11077090B2 (en) | 2016-07-29 | 2021-08-03 | Sunovion Pharmaceuticals Inc. | Compounds and compositions and uses thereof |
| US11958862B2 (en) | 2016-07-29 | 2024-04-16 | Sumitomo Pharma America, Inc. | Compounds and compositions and uses thereof |
| US10780074B2 (en) | 2017-08-02 | 2020-09-22 | Sunovion Pharmaceuticals Inc. | Compounds and uses thereof |
| US11491133B2 (en) | 2017-08-02 | 2022-11-08 | Sunovion Pharmaceuticals Inc. | Heteroaryl-isochroman compounds and uses thereof |
| US11136304B2 (en) | 2019-03-14 | 2021-10-05 | Sunovion Pharmaceuticals Inc. | Salts of a heterocyclic compound and crystalline forms, processes for preparing, therapeutic uses, and pharmaceutical compositions thereof |
Also Published As
| Publication number | Publication date |
|---|---|
| AU2005318354A1 (en) | 2006-06-29 |
| DE102004063227A1 (en) | 2006-07-06 |
| KR20070089948A (en) | 2007-09-04 |
| CA2586973A1 (en) | 2006-06-29 |
| JP2008524300A (en) | 2008-07-10 |
| PA8657801A1 (en) | 2006-12-07 |
| PE20061197A1 (en) | 2006-12-07 |
| IL183060A0 (en) | 2007-09-20 |
| AR055016A1 (en) | 2007-08-01 |
| GT200500385A (en) | 2006-08-03 |
| CN101087780A (en) | 2007-12-12 |
| WO2006066950A3 (en) | 2006-08-17 |
| MX2007007420A (en) | 2007-07-17 |
| BRPI0519710A2 (en) | 2009-03-10 |
Similar Documents
| Publication | Publication Date | Title |
|---|---|---|
| DE10215316C1 (en) | Quinoline and isoquinoline derivatives, a pharmaceutical agent and their use as anti-inflammatory agents | |
| EP1638945A1 (en) | Heterocyclically substituted pentanol derivatives, method for the production thereof, and use thereof as anti-inflammatory agents | |
| EP1670778B1 (en) | Rearranged pentanols, a method for the production thereof, and their use as antiphlogistics | |
| WO2006066950A2 (en) | Tricyclic aminoalcohols, methods for producing the same and their use as anti-inflammatory agents | |
| DE102004044680B3 (en) | Alkylidene tetrahydronaphthalene derivatives, process for their preparation and their use as anti-inflammatory agents and pharmaceutical compositions containing them | |
| EP1861379A1 (en) | Tetrahydronaphthalene derivatives, method for their production and their use as anti-inflammatory agents | |
| EP1834948A1 (en) | Tetrahydronaphtalene derivatives, methods for the production thereof, and their use as antiinflammatory drugs | |
| US20060167025A1 (en) | Tricyclic amino alcohols, processes for synthesis of same and use of same as anti-inflammatory drugs | |
| DE102005017286B3 (en) | Tetrahydronaphthalene derivatives, process for their preparation and their use as anti-inflammatory agents | |
| US20060084652A1 (en) | Alkylidene-tetrahydronaphthalene derivatives, process for their production and their use as anti-inflammatory agents | |
| DE10346939A1 (en) | New arylalkanol derivatives used for treating e.g. respiratory diseases, joint diseases, vascular inflammations, skin disorders, kidney and liver diseases and neurological diseases | |
| DE102004017662B3 (en) | New 1-amino-tetrahydronaphthalene derivatives, useful for treatment of e.g. inflammation, bind with high selectivity to glucocorticoid receptors | |
| DE102005018026B4 (en) | Substituted styrenes, process for their preparation and their use as anti-inflammatory agents | |
| EP1863765A1 (en) | 6, 7, 8, 9-tetrahydro-5-amino-5h-benzocyclohepten-6-ol derivatives and related compounds used as anti-inflammatory agents | |
| DE10347386B4 (en) | Tetrahydronaphthalene derivatives, process for their preparation and their use as anti-inflammatory agents | |
| EP1868986A1 (en) | Tetrahydronaphthalene derivatives method for the production and the use thereof in the form of antiphlogistics | |
| DE10330358A1 (en) | New arylalkanol derivatives used for treating e.g. respiratory diseases, joint diseases, vascular inflammations, skin disorders, kidney and liver diseases and neurological diseases | |
| DE102005018025A1 (en) | New heterocyclic compounds which are cytokine interleukin-8 inhibitors useful for treating e.g., chronic obstructive lung disease, bronchitis, rheumatoid arthritis, psoriasis, gastrointestinal disease and Crohn's disease | |
| EP1869013A1 (en) | Substituted chroman derivatives, method for the production and the use thereof in the form of antiphlogistics | |
| WO2006108713A2 (en) | 1-amino-1, 2,3,4-tetrahydro-naphthaline-2-ol derivates as anti-inflammatory agents | |
| DE10347383A1 (en) | New 1-amino-tetrahydronaphthalene derivatives, useful for treatment of e.g. inflammation, bind with high selectivity to glucocorticoid receptors |
Legal Events
| Date | Code | Title | Description |
|---|---|---|---|
| AK | Designated states |
Kind code of ref document: A2 Designated state(s): AE AG AL AM AT AU AZ BA BB BG BR BW BY BZ CA CH CN CO CR CU CZ DK DM DZ EC EE EG ES FI GB GD GE GH GM HR HU ID IL IN IS JP KE KG KM KN KP KR KZ LC LK LR LS LT LU LV LY MA MD MG MK MN MW MX MZ NA NG NI NO NZ OM PG PH PL PT RO RU SC SD SE SG SK SL SM SY TJ TM TN TR TT TZ UA UG US UZ VC VN YU ZA ZM ZW |
|
| AL | Designated countries for regional patents |
Kind code of ref document: A2 Designated state(s): BW GH GM KE LS MW MZ NA SD SL SZ TZ UG ZM ZW AM AZ BY KG KZ MD RU TJ TM AT BE BG CH CY CZ DE DK EE ES FI FR GB GR HU IE IS IT LT LU LV MC NL PL PT RO SE SI SK TR BF BJ CF CG CI CM GA GN GQ GW ML MR NE SN TD TG |
|
| 121 | Ep: the epo has been informed by wipo that ep was designated in this application | ||
| WWE | Wipo information: entry into national phase |
Ref document number: 2005822488 Country of ref document: EP |
|
| WWE | Wipo information: entry into national phase |
Ref document number: 2586973 Country of ref document: CA Ref document number: 183060 Country of ref document: IL |
|
| WWE | Wipo information: entry into national phase |
Ref document number: 555063 Country of ref document: NZ |
|
| WWE | Wipo information: entry into national phase |
Ref document number: 2007547379 Country of ref document: JP |
|
| WWE | Wipo information: entry into national phase |
Ref document number: MX/a/2007/007420 Country of ref document: MX |
|
| WWE | Wipo information: entry into national phase |
Ref document number: 1020077014116 Country of ref document: KR |
|
| WWE | Wipo information: entry into national phase |
Ref document number: 200580044284.3 Country of ref document: CN |
|
| WWE | Wipo information: entry into national phase |
Ref document number: 2005318354 Country of ref document: AU |
|
| WWW | Wipo information: withdrawn in national office |
Ref document number: 2005822488 Country of ref document: EP |
|
| ENP | Entry into the national phase |
Ref document number: 2005318354 Country of ref document: AU Date of ref document: 20051220 Kind code of ref document: A |
|
| WWP | Wipo information: published in national office |
Ref document number: 2005318354 Country of ref document: AU |
|
| ENP | Entry into the national phase |
Ref document number: PI0519710 Country of ref document: BR |






























