WO2006050730A1 - Novel salts of fumaric acid monoalkylesters and their pharmaceutical use - Google Patents
Novel salts of fumaric acid monoalkylesters and their pharmaceutical use Download PDFInfo
- Publication number
- WO2006050730A1 WO2006050730A1 PCT/DK2005/000717 DK2005000717W WO2006050730A1 WO 2006050730 A1 WO2006050730 A1 WO 2006050730A1 DK 2005000717 W DK2005000717 W DK 2005000717W WO 2006050730 A1 WO2006050730 A1 WO 2006050730A1
- Authority
- WO
- WIPO (PCT)
- Prior art keywords
- strontium
- fumaric acid
- strontium salt
- salt
- bis
- Prior art date
- Legal status (The legal status is an assumption and is not a legal conclusion. Google has not performed a legal analysis and makes no representation as to the accuracy of the status listed.)
- Ceased
Links
- ROUHYUQZVNXKGA-ONEGZZNKSA-N CNOC(/C=C/C(OC)=O)=O Chemical compound CNOC(/C=C/C(OC)=O)=O ROUHYUQZVNXKGA-ONEGZZNKSA-N 0.000 description 1
- DKGRWCSSJGYENB-ZUVMSYQZSA-N COC(/C=C/C(ONOC(/C=C/C(ON)=O)=O)=O)=O Chemical compound COC(/C=C/C(ONOC(/C=C/C(ON)=O)=O)=O)=O DKGRWCSSJGYENB-ZUVMSYQZSA-N 0.000 description 1
Classifications
-
- C—CHEMISTRY; METALLURGY
- C07—ORGANIC CHEMISTRY
- C07C—ACYCLIC OR CARBOCYCLIC COMPOUNDS
- C07C69/00—Esters of carboxylic acids; Esters of carbonic or haloformic acids
- C07C69/52—Esters of acyclic unsaturated carboxylic acids having the esterified carboxyl group bound to an acyclic carbon atom
- C07C69/593—Dicarboxylic acid esters having only one carbon-to-carbon double bond
- C07C69/60—Maleic acid esters; Fumaric acid esters
-
- A—HUMAN NECESSITIES
- A61—MEDICAL OR VETERINARY SCIENCE; HYGIENE
- A61P—SPECIFIC THERAPEUTIC ACTIVITY OF CHEMICAL COMPOUNDS OR MEDICINAL PREPARATIONS
- A61P17/00—Drugs for dermatological disorders
- A61P17/06—Antipsoriatics
-
- C—CHEMISTRY; METALLURGY
- C07—ORGANIC CHEMISTRY
- C07C—ACYCLIC OR CARBOCYCLIC COMPOUNDS
- C07C67/00—Preparation of carboxylic acid esters
- C07C67/30—Preparation of carboxylic acid esters by modifying the acid moiety of the ester, such modification not being an introduction of an ester group
Definitions
- the present invention relates to novel strontium salts of fumaric acid monoalkylesters.
- the salts are suitable for use as active substances in the treatment of e.g. psoriasis or other hyperproliferative, inflammatory or autoimmune disorders, either alone or in combination with another fumaric acid ester.
- Fumaric acid esters i.e. dimethylfumarate in combination with ethylhydrogenfumarat have been used in the treatment of psoriasis for many years.
- the combination is marketed under the tradename Fumaderm®. It is in the form of tablets intended for oral use and it is available in two different dosage strengths (Fumaderm® initial and Fumaderm®):
- the two strengths are intended to be applied in an individually based dose regimen starting with Fumaderm® initial in an escalating dose, and then after e.g. three weeks of treatment switching to Fumaderm®.
- Both Fumaderm® initial and Fumaderm® are enteric coated tablets.
- Fumaraat 120® Another marketed composition is Fumaraat 120® containing 120 mg of dimethylfumarate and 95 mg of calcium monoethylfumarate (TioFarma, Oud-Beijerland, Netherlands).
- Fumaraat 120® containing 120 mg of dimethylfumarate and 95 mg of calcium monoethylfumarate (TioFarma, Oud-Beijerland, Netherlands).
- the pharmacokinetic profile of Fumaraat 120® is described in healthy subjects. The results show that a single oral dose of Fumaraat 120® is followed by a rise in serum monomethylfumarate concentration and only negligible concentrations of dimethylfumarate and fumaric acid is observed.
- t max is prolonged (mean for fasted conditions is 182 min, whereas for fed conditions mean is 361 min) [lag time is 90 min for fasted and 300 min for fed] and C max is decreased (fasted: 0.84 mg/l, fed: 0.48 mg/l) by concomitant food-intake.
- Another study (Reddingius W. G. Bioanalysis and Pharmacokinetics of Fumarates in Humans. Dissertation ETH Zurich No. 12199 )1997) in healthy subjects with two tablets of Fumaderm® P forte revealed C max values (determined as monoethyl- or monomethylfumarate) in a range from 1.0 to 2.4 ⁇ g/ml and a t max in a range of from 4.8 to 6.0 hours.
- US 6,277,882 and US 6,355,676 disclose respectively the use of alkyl hydrogen fumarates and the use of certain fumaric acid mono alkyl ester salts for preparing micro tablets for treating psoriasis, psoriatic arthritis, neurodermatitis and enteritis regionalis Crohn.
- US 6,509,376 discloses the use of certain dialkyl fumarates for the preparation of pharmaceutical prepartions for use in transplantation medicine or the therapy of autoimmune diseases in the form of micro tablets or pellets.
- US 4,959,389 disclose compositions containing different salts of fumaric acid monoalkyl ester alone or in combination with dialkyl fumarate. The Case report "Treatment of disseminated granuloma annulare with fumaric acid esters" from BMC Dermatology, vol. 2, no.5, 2002, relates to treatment with fumaric acid esters.
- the present commercially available product contains a combination of two different esters of which one of the esters (namely the ethylhydrogenfumarate which is the monoethylester of fumaric acid) is present in three different salt forms (i.e. the calcium, magnesium and zinc salt).
- the esters namely the ethylhydrogenfumarate which is the monoethylester of fumaric acid
- three different salt forms i.e. the calcium, magnesium and zinc salt.
- each individual form may have its own therapeutic profile it would be advantageous to have a much simpler product, if possible, in order to obtain a suitable therapeutic effect.
- novel drug compounds of therapeutically or prophylactically active fumaric acid esters that provide an alternative and potential improved treatment e.g. with a reduction in gastro-intestinal related side effects upon oral administration.
- the present invention provides in one aspect new strontium salts of monoalkylesters of fumaric acid. These novel drug compounds are contemplated to lead to an improved treatment of conditions susceptible to fumarate treatment.
- the mono- and dimethylester as well as the mono- and diethylester of fumaric acid have a poor solubility in water and this may be a factor leading to a low bioavailability (the bioavailability for the dimethylester and the diethylester of fumaric acid is regarded as very variable after oral administration).
- Formation of strontium salts may lead to a more suitable solubility in water or to a more suitable hydrophilic- liphophilic balance and, furthermore, due to the beneficial effect of the strontium ion itself, the novel salts according to the invention are contemplated to lead to an improved treatment regimen.
- the invention provides use of said new strontium salts of monoaikylesters of fumaric acid in medicine and for combating tissue degenerative processes and more specifically in treatment of conditions such as Psoriasis, Psoriatic arthritis, Neurodermatitis, Inflammatory bowel disease such as Crohn's disease and Ulcerative colitis, autoimmune diseases such as Polyarthritis, Multiple sclerosis (MS), Juvenile-onset diabetes, Hashimoto's thyroiditis, Grave's disease, SLE (systemic lupus erythematosus), Sjogren's syndrome, Pernicious anemia, Chronic active (lupoid) hepatitis, rheumatoid arthritis (RA) and optic neuritis, pain such as radicular pain, pain associated with radiculopathy, neuropathic pain or sciatica/sciatic pain; or for treatment and/or prevention of any of the following conditions: prevention of rejection following organ transplantation; Sarcoidosis; Necrobiosis lipoidica; and
- Figure 1 shows the crystal structure of the di-strontium-tetrakis-(mono methyl fumarate)- tetra hydrate prepared in example 1
- Figure 2 shows the crystal lattice of the di-strontium-tetrakis-(mono methyl fumarate)-tetra hydrate prepared in example 1
- the present invention relates to novel strontium salts of a mono-(Ci- C 5 )alkylester of fumaric acid that may be used alone or in combination treatment e.g. with a dHCi-CsJalkylester of fumaric acid or other active substances.
- (Ci-C 5 )alkyl or C 1-5 -alkyl refers to a branched or un-branched alkyl group having from one to five carbon atoms inclusive, such as methyl, ethyl, 1-propyl, 2-propyl, 1-butyl, 2-butyl, 2-methyl-2-propyl, 2-methyl-l-propyl and pentyl.
- the present invention also provides compositions including controlled release compositions comprising a novel salt according to the invention as well as to the use of the novel salts in medicine. Furthermore, the present invention provides a method for the manufacturing of the novel salts according to the invention.
- a composition according to the invention comprising a novel salt may - upon oral administration and in comparison to that obtained after oral administration of Fumaderm® tablets in an equivalent dosage - give a reduction in GI (gastro-intestinal) related side- effects.
- a suitable way of reducing the gastro-intestinal related side effects is likely to be by administration of a novel salt in the form of a controlled release composition.
- a gastrointestinal (GI) side effect may include, but is not limited to diarrhea, stomach ache, stomach pain, abdominal pain, abdominal cramps, nausea, flatulence, tenesmus, meteorism, an increased frequency of stools, a feeling of fullness and upper abdominal cramps.
- a reduction of GI related side effects is intended to denote a decrease in severity and/or incidence among a given treated patient population, compared to the GI side effects observed after administration of the composition according to the invention compared with that of Fumaderm®.
- a reduction in GI related side effects according to this definition could thus be construed as a substantial reduction in incidence of any of the GI side effect listed above, such as at least a 10% reduction in incidence or more preferably at least 20 % reduction in incidence or even more preferable a more than 30 % reduction in incidence.
- a reduction in GI related side effect can also be expressed as a substantial reduction in severity in any of the GI side effects listed above, such as a reduction in severity and/or frequency of diarrhea, stomach ache, stomach pain, abdominal pain, abdominal cramps, nausea, flatulence, tenesmus, meteorism, increased frequency of stools, a feeling of fullness or upper abdominal cramps.
- the reduction of GI related side effects, as described above, can be monitored in a clinical trial setting, either comparing the administration of the composition according to the invention head on with Fumaderm® or with placebo.
- PASI Psoriasis Area Severity Index
- Patients with any type of psoriasis may be included (chronic plaque type, exanthematic guttate type, pustular type, psoriatic erythroderma or palmoplantar type), but in some cases only patients with the chronic plaque type are included.
- About 15 to 20 patients in each treatment group are sufficient in most cases, but more preferably about 30 to 50 patients are included in each arm of the study.
- Total study duration can be as short as one day to one week, but more preferably the study will run for 8 weeks to 12 weeks or up to 16 weeks.
- the side effects can e.g.
- the side effects can be assessed as the total number of times a certain side effect was reported in each group (irrespective of how many patients have experienced the side effect), or the side effects can be assessed as the number of patients that have experienced a certain side effect a certain number of times, such as at least once or at least twice or at least three times during the duration of the study.
- the severity of a side effect can be monitored, or a certain severity of a side effect can be required for it to qualify as a side effect in the study.
- a convenient way of assessing the severity of a side effect is via a visual analogue (VAS) scale.
- VAS visual analogue
- the active substance in a composition of the invention is a strontium salt of a fumaric acid monoester selected from the group consisting of monomethylfumarate, monoethylfumarate, monopropylfumarate, monobutylfumarate and monopentylfumarate.
- the active substance may be used in combination with another active fumaric acid ester such as a dialkylfumarate like e.g.
- dimethylfumarate diethylfumarate, dipropylfumarate, dibutylfumarate, dipentylfumarate, methyl-ethylfumarate, methyl- propylfumarate, methyl-butylfumarate or methyl-pentylfumarate, or monoalkylfumarates such as monomethylfumarate, monoethylfumarate, monopropylfumarate, monobutylfumarate or monopentylfumarate including pharmaceutically acceptable salts thereof.
- the fumaric acid ester is a mono-CQ-CsJalkylester of fumaric acid that is present in the form of a strontium salt. Accordingly, the present invention relates in a further aspect to the following novel compounds:
- a strontium salt of the monomethylester of fumaric acid is provided.
- a composition according to the invention comprises a strontium salt of a mono(C 1 -C 5 )alkylester of fumaric acid together with a dKQrCs ⁇ lkylester of fumaric acid (e.g. dimethylfumarate) as the active substances.
- the composition according to the invention comprises as active substances a combination of a strontium salt of a mono(Ci-C 5 )alkylester of fumaric acid and a mono(Ci-C 5 )alkylester of fumaric acid (e.g. monomethylfumarate) optionally in the form of a pharmaceutically acceptable salt like e.g. its sodium, potassium, calcium, magnesium and/or zinc salt.
- a strontium salt of a mono(Ci-C 5 )alkylester of fumaric acid e.g. monomethylfumarate
- a pharmaceutically acceptable salt like e.g. its sodium, potassium, calcium, magnesium and/or zinc salt.
- the strontium salt according to the invention is in crystalline form.
- Strontium Strontium is found naturally exclusively as a non-radioactive stable element.
- the rationale for selecting strontium as a counter ion to fumaric acid esters is according to the inventors due to strontium's beneficial therapeutic effect e.g. on pain (see e.g. WO 03/28742), and strontium's potential beneficial effect in reducing the risk of developing gastritis (Meunier PJ et al, The effects of strontium ranelate on the risk of vertebral fracture in women with postmenopausal osteoporosis, N Engl 3 Med. 2004 3an 29;350(5):459-68), a condition similar to some of the side effects observed with Fumaderm ® .
- Fumaric acid, its monomethyl ester and its dimethylester are well known compounds that may be isolated from plants or synthesized.
- the synthesis of the monomethyl ester of fumaric acid is not necessarily straightforward because of symmetry. Accordingly, attempts to synthesize the monomethyl ester by adding methanol to fumaric acid may inevitably lead to formation of the dimethyl ester. In addition, the synthesis may be complicated by the presence of the double bond, which under elevated temperature and pressure may hydrolyse and produce oxalic acid.
- alkaline condition refers to conditions wherein the pH is above approximately 7, approximately 7 and below approximately 7, respectively.
- Synthesis and purification of strontium salts of organic acids is influenced by ambient carbon dioxide that is a constituent of laboratory water.
- carbon dioxide is adsorbed from the air by formation of carbonate:
- decarboxylation reactions commence by raising the temperature of solutions containing strontium carboxylates.
- Synthesis of strontium carboxylates in high yield may therefore be obstructed by several unfavourable side reactions. Accordingly, in one embodiment of the invention, synthesis of a strontium salt is performed by de-aerated water, preferably by nitrogen, Ar or another inert gas.
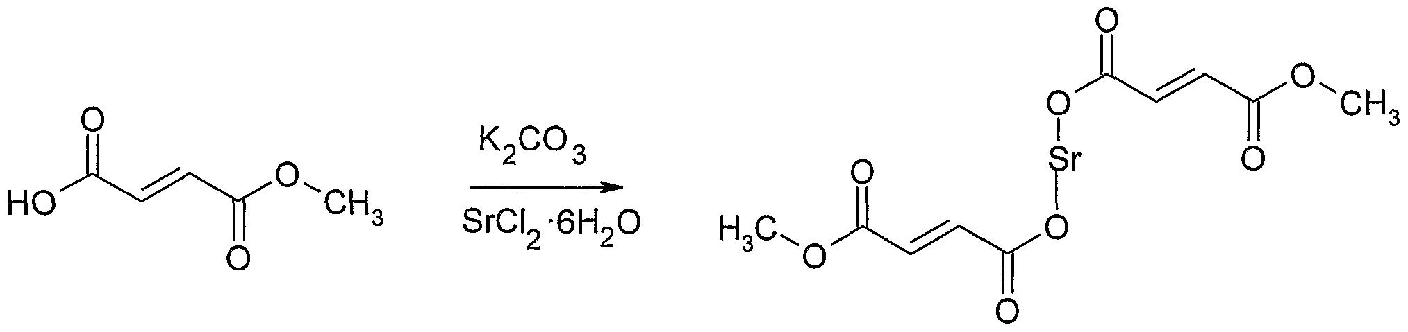
- the sodium salt of the fumaric acid is commercially available (e.g. from Alfa Aesar or Sigma- Aldrich). Synthesis of the monomethyl ester of fumaric acid has been described by Zhong et al. [Synthesis of mold inhibitor monomethyl fumarate. Jingxi Huagong (2002), 19(6), 343- 345], as shown in Scheme 1, and is commercially available from Sanmenxia xiawei chemical co., ltd., China. To the best of the inventors' knowledge, neither strontium salts of monoalkylesters of fumaric acid nor methods for their production/synthesis have been described before.
- strontium salts of fumaric acid monoalkylesters may be contemplated.
- a method for preparing a strontium salt according to the invention comprising formation of a diaikyl ester of fumaric acid followed by precipitation by either strontium hydroxide or by strontium chloride in acid solution:
- a method for preparing a strontium salt according to the invention comprising formation of fumaric anhydride by a sulphuryl method followed by hydrolysis in the presence of strontium chloride:
- a method for preparing a strontium salt according to the invention comprising reacting the disodium salt of fumaric acid and alkanol in acid solution:
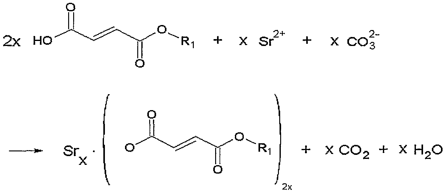
- a method for preparing a strontium salt according to the invention comprising formation of bis-monoalkylfumarate from the monoalkyl ester of fumaric acid and precipitation under acid, alkaline or neutral conditions in the presence of strontium chloride:
- a method for preparing a strontium salt according to the invention comprising reaction of strontium carbonate with monoalkylfumarate:
- x denotes the stoichiometric factor
- Ri is any alkyi group with the number of carbon atoms ranging between 1 to 5.
- the structure may crystallise with an unknown number of water molecules, which is subsequently determined experimentally after synthesis.
- a method for preparing a strontium salt according to the invention comprising formation of strontium monoalkylfumarate by reaction of strontium hydroxide with monoalkylfumarate dissolved in water.
- strontium bis-monomethylfumarate A total of six pathways are contemplated below for the production of the desired compound, strontium bis-monomethylfumarate. In order to prevent formation of strontium carbonate and to prevent decarboxylation, it is contemplated that all synthesis may be performed without access to air and under pressurised conditions.
- This method corresponds to the synthesis of pathway 4 above ( ⁇ Monomethyl ester of fumaric acid as starting material").
- Strontium carbonate is added by sprinkling the powder over a solution of dissolved monomethylfumarate (Scheme 6). Vigorous evolution of gaseous carbon dioxide occurs during the reaction.
- the reaction is performed at low temperature (room temperature or below) and the pH-value of the solution is kept within the acid range of pH-values. This procedure is contemplated to provide the product in high yield and high purity.
- the dosage of a compound according to the invention such as a strontium-monomethylfumarate to be administered should provide a peak plasma concentration (C max ) of monomethylfumarate in a range of from about 0.4 to about 2.0 mg I "1 after a single dose administration to humans.
- the dosage of a compound according to the invention such as strontium-monomethylfumarate to be administered should provide an area under the plasma concentration vs. time profile (AUCo. ⁇ ) of from about 30 to 150 mg x min I "1 after a single dose administration to humans.
- the total daily dosage of a compound according to the invention such as strontium- monomethylfumarate to be used should provide a clinical effect as measured by a reduction in the PASI score similar to or better than what is obtained after administration of Fumaderm® or Panaclar® at a total daily dose equivalent to 1080 mg dimethylfumarate.
- the total daily dosage of a compound according to the invention such as strontium- monomethylfumarate to be used should provide a clinical effect as measured by a reduction in the PASI score similar to or better than what is obtained after administration of Fumaderm® or Panaclar® at a total daily dose equivalent to 720 mg dimethylfumarate (120 mg given as two tablets three times daily).
- the total daily dosage of a compound according to the invention such as strontium- monomethylfumarate to be used should provide a clinical effect as measured by a reduction in the PASI score similar to or better than what is obtained after administration of Fumaderm® or Panaclar® at a total daily dose equivalent to 480 mg dimethylfumarate.
- the total daily dosage of a compound according to the invention such as strontium- monomethylfumarate to be used should provide a clinical effect as measured by a reduction in the PASI score similar to or better than what is obtained after administration of Fumaderm® or Panaclar® at a total daily dose equivalent to 360 mg dimethylfumarate (120 mg given as one tablet three times daily).
- the total daily dosage of a compound according to the invention such as strontium- monomethylfumarate to be used should provide a clinical effect as measured by a reduction in the PASI score similar to or better than what is obtained after administration of Fumaderm® or Panaclar® at a total daily dose equivalent to 240 mg dimethylfumarate.
- the clinical effect of the compounds according to the invention may be measured in a double- blind, placebo controlled, parallel-group study.
- Eligible patients for testing for the effect on e.g. psoriasis are patients who have had psoriasis (chronic, exanthematic guttate, erythroderma, plamoplantar, or pustular) for at least 1 year. Patients should typically have a baseline PASI of 16-24.
- Systemic treatment should be discontinued 4 weeks before study initiation.
- Topical treatment should be discontinued 2 week before study initiation. Only topical salicylic acids and emollients should be allowed during the study period.
- Patients should be randomised to either the placebo-group or to a group receiving the pharmaceutical composition according to the invention with a daily dosage of monomethylfumarate.
- the total number of patients to be included will depend on the specific study-design but may be e.g. 80 patients with 40 patients on placebo and 40 patients on active treatment.
- the treatment period is 12-16 weeks.
- the primary measure of efficacy is the reduction in PASI score between baseline and at the end of treatment.
- compositions and kits are contemplated to be suitable to use in the treatment of one or more of the following conditions:
- Inflammatory bowel disease such as
- MS Multiple sclerosis
- RA Rheumatoid arthritis
- Pain such as radicular pain, pain associated with radiculopathy, neuropathic pain or sciatica/sciatic pain
- counter ions may be suitable for use in the treatment of conditions susceptible to fumaric acid alkylesters.
- Suitable counter ions may be positively charged metal ions or organic compounds comprising e.g. an amino functional group.
- Psoriasis has been proposed to potentially be associated with Crohn's disease (Najarian DJ, Gottlieb AB, Connections between psoriasis and Crohn's disease. J Am Acad Dermatol. 2003 Jun;48(6):805-21), celiac disease (Ojetti V et al, High prevalence of celiac disease in psoriasis. Am J Gastroenterol. 2003 Nov;98(ll):2574-5.), psychiatric or psychological disease, such as depression or a life crisis (Gupta MA, Gupta AK, Psychiatric and psychological co-morbidity in patients with dermatologic disorders: epidemiology and management. Am J Clin Dermatol.
- the present invention thus relates in one aspect to a method of treating psoriasis, psoriatic arthritis, neurodermatitis, inflammatory bowel disease, such as Crohn's disease and ulcerative colitis, autoimmune diseases, such as polyarthritis, multiple sclerosis (MS), juvenile-onset diabetes mellitus, Hashimoto's thyroiditis, Grave's disease, SLE (systemic lupus erythematosus), Sjogren's syndrome, Pernicious anemia, Chronic active (lupoid) hepatitis, Rheumatoid arthritis (RA) and optic neuritis, pain such as radicular pain, pain associated with radiculopathy, neuropathic pain or sciatica/sciatic pain, organ transplantation (prevention of rejection), sarcoidosis, necrobiosis lipoidica or granuloma annulare, which method comprises administering orally to a patient in need thereof, an effective dosage of a compound according the invention.
- the present invention relates in another aspect to the use of a compound according to the invention for the preparation of a medicament for the treatment of psoriasis, psoriatic arthritis, neurodermatitis, inflammatory bowel disease, such as Crohn's disease and ulcerative colitis, autoimmune diseases, such as polyarthritis, multiple sclerosis (MS), juvenile-onset diabetes mellitus, Hashimoto's thyroiditis, Grave's disease, SLE (systemic lupus erythematosus), Sjogren's syndrome, Pernicious anemia, Chronic active (lupoid) hepatitis, Rheumatoid arthritis (RA) and optic neuritis, pain such as radicular pain, pain associated with radiculopathy, neuropathic pain or sciatica/sciatic pain, organ transplantation (prevention of rejection), sarcoidosis, necrobiosis lipoidica or granuloma annulare.
- autoimmune diseases such as polyarthritis, multiple
- a compound according to the invention for use in the treatment of one or more conditions where the condition is selected from psoriasis, psoriatic arthritis, neurodermatitis and multiple sclerosis (MS), is provided.
- a compound according to the invention for use in the treatment of psoriasis is provided.
- the invention also relates to treating an individual suffering from one of the conditions in the abovementioned lists, more specifically psoriasis or psoriatic arthritis, with a compound, composition or kit according to the invention, said individual further being in treatment with
- a topical anti-psoriatic drug such as 1) vitamin D or derivatives thereof (calcipotriol, calcipotriene), 2) a corticosteroid (such as e.g. betamethasone, desoximethasone, fluocinolone, momethasone, hydrocortisone aceponate, fluticasone, clobethasol, clobethasone, hydrocortisone butyrate, desonide, triamcinolone or hydrocortisone), 3) tazaroten, 4) ditranol, 5) tacrolimus (FK-506) and other calcineurin inhibitors, such as pimecrolimus or 6) any combination of 1-5 and/or b) an oral anti-psoriatic drug such as 1) an oral retinoid (such as acitretin or etretinate) combined or not combined with PUVA, 2) cyclosporine and other calcineurin inhibitors, such as ISA247, tacrol
- rosiglitazone (Avandia) and other peroxisome proliferator-activated- ⁇ (PPAR ⁇ ) agonists or modulators, such as pioglitazone, farglitazar, GW1929, GW7845, MC-555, MBX-102/MBX-10, MBX-1828, MBX-2044, CLX-0921, R-483, Jritazar, naveglitazar (LY-519818/LY-818), netoglitazone (MCC-555), CS-7017, troglitazone, ciglitazone, tesaglitazar, isaglitazone, balaglitazone, muraglitazar, TAK-654, LBM642, DRF 4158, EML 4156, T- 174, TY-51501, TY- 12780, VDO-52 or AMG-131(T131) or any combination of 1-8 and/or
- a parenterally administered anti-psoriatic drug such as 1) alefacept (Amevive), 2) etanercept (Enbrel), 3) efalizumab (Raptiva), 4) onercept, 5) adalimumab (Humira) or any combination of 1-5 and/or
- an inhibitor of TNF- ⁇ not mentioned in the list under section c) above e.g. CDP 870 or infliximab (Remicade)
- an inhibitor of TNF- ⁇ not mentioned in the list under section c) above e.g. CDP 870 or infliximab (Remicade)
- administered via an enteral or parenteral route e.g. CDP 870 or infliximab (Remicade)
- An NSAID or a COX or a LOX inhibitor such as e.g. a COX-2 inhibitor or a COX/5-LOX inhibitor, and/or
- an anti-diabetic or anti-obesity drug such as biguanides such as metformin; metformin XR; a sulphonylurea such as chlorpropamide, glipizide, gliclazide, glyburide/glibenclamide or glimepiride; Glucovance (metformin + glyburide); Metaglip (glipizide + metformin); a peroxisome proliferator-activated- ⁇ (PPAR ⁇ ) agonist or modulator, such as rosiglitazone (Avandia), pioglitazone, farglitazar, GW1929, GW7845, MC-555, MBX-102/MBX-10, MBX- 1828, MBX-2044, CLX-0921, R-483, reglitazar, naveglitazar (LY-519818/LY-818), netoglitazone (MCC-555), CS-7017, troglit
- a drug potentially useful in the treatment of substance abuse e.g. alcohol abuse such as naltrexone, acamprosate, disulphiram or Vivitrex (naltrexone long acting injection), and/or,
- 5-ASA compounds such as sulfasalazine, oral 5-ASA formulations or rectal 5-ASA formulations,
- glucocorticosteroids such as systemic steroids (e.g. budesonide or prednisolone) or topically acting steroids (e.g. budesonide),
- antibiotics such as metronidazole or quinolones (e.g. ciprofloxacine, ofloxacine, norfloxacine, levofloxacine or moxifloxacine),
- immunosuppressives such as azathioprine, 6-mercaptopurine or methotrexate
- nutritional therapies such as elemental or polymeric formulas or pre- and probiotics
- TNF- ⁇ inhibitors such as infliximab, adalimumab, CDP870, CDP571, etanercept or onercept
- symptomatic agents such as anti-diarrheals or anti-spasmodics.
- Suitable NSAIDs are piroxicam, diclofenac, nabumetone, propionic acids including naproxen, flurbiprofen, fenoprofen, ketoprofen and ibuprofen, fenamates including mefenamic acid, paracetamol, indomethacin, sulindac, meloxicam, apazone, pyrazolones including phenylbutazone, salicylates including aspirin.
- COX-2 inhibitors examples include rofecoxib (Vioxx), valdecoxib (Bextra), celecoxib (Celebrex), etoricoxib (Arcoxia), lumiracoxib (Prexige), parecoxib (Dynastat), deracoxib (Deram), tiracoxib, meloxicam, nimesolide, (l,l-dimethylheptyl)-6a,7,10,10a ⁇ tetrahydro-l- hydroxy-6,6dimethyl-6H-dibenzo[b,d]pyran carboxylic acid (CT-3), 2(5H)-Furanone, 5,5- dimethyl (l-methylethoxy) [4(methylsulfonyl)phenyl]- (DFP); Carprofen (RIMADYL),
- COX/5-LOX inhibitors examples include licofelone (ML-3000 or [2,2-dimethyl-6-(4- chlorophenyl)-7-phenyl-2,3,dihydro-lH-pyrrolizine-5-yl]-acetic acid), di-tert-butylphenols, such as (E)-(5)-(3,5-di-tert-butyl-4 ⁇ hydroxybenzylidence)-2-ethyl-l,2-isothiazolidine-l,l- dioxide (S-2474), darbufelone or tebufelone and pharmacologically active metabolites as well as derivatives such as dihydro-dimethyl-benzofuran and PGV-20229, dihydro-dimethyl- benzofuran, thiophene derived compounds such as RWJ-63556, N-hydroxy-N-methyl-4-(2,3- bis-(4-methoxyphenyl)-thiophen-5-yl)-butanamide (S198
- the invention relates to a method of reducing side effects associated with oral treatment of any of the conditions a-j listed above, in which method the active pharmaceutical ingredient for treating said condition is used in combination with one or more of the following agents: a) an antacid such as 1) magnesium hydroxide, 2) magnesium trisilicate, 3) aluminium hydroxyde gel, 3) sodium hydrogencarbonate, 4) magaldrat or any combination of 1-5 and/or
- an antacid such as 1) magnesium hydroxide, 2) magnesium trisilicate, 3) aluminium hydroxyde gel, 3) sodium hydrogencarbonate
- magaldrat or any combination of 1-5 and/or
- a histamine H-2 antagonist such as 1) cimetidine, 2) ranitidine, 3) nizatidine, 4) famotidine, 5) roxatidine, 6) lafutadine or any combination of 1-6 and/or
- a cytoprotective agent such as 1) sucralfate, 2) tripotassium dictitratobismuthate, 3) carbenoxolone, 4) prostaglandin E-2 analogues such as misoprostol, 5) ecabet, 6) cetraxate HCl, 7) teprenone, 8) troxipide, 9) dicyclomine hydrochloride, 10) sofalcon or any combination of 1-10 and/or
- a proton pump inhibitor such as 1) omeprazole, 2) esomeprazole, 3) lansoproazole, 4) pantoprazole, 5) rabeprazole, 6) CS-526/R-105266, 7) AZD 0865, 8) soraprazan or any combination of 1-8, and/or
- PPI proton pump inhibitor
- an NSAID or a COX or a LOX inhibitor such as e.g. a COX-2 inhibitor or a COX/5-LOX inhibitor, and/or
- pentoxifylline e.g. at a dose range of from 400 to 800 mg/day.
- novel salts of the invention may be presented in the form of a cosmetic or pharmaceutical composition.
- the salts according to the invention may be used for preparing pharmaceutical compositions for oral administration in the form of micro-pellets, micro-tablets, capsules (such as soft and hard gelatine capsules), granulates and tablets such as e.g. described in US 6,509,376 or US 6,355,676 incorporated herein by reference.
- Further suitable pharmaceutical compositions are preparations for cutaneous and transdermal administration in the form of ointments, plasters, lotions or shower preparations and for parenteral administration in the form of aqueous micro-dispersions, oil-in-water emulsions or oily solutions for rectal administration of suppositories or micro-enemas.
- the invention relates to a pharmaceutical composition that may be administered one, two or more times daily, such as once or twice or three times daily.
- compositions are e.g. compositions in the form of solid dosages forms (e.g. tablets, capsules, pellets, beads etc.) that are coated with an enteric coating.
- the novel salts may also solve or reduce the problems related to the appearance of gastro ⁇ intestinal side-effects upon oral administration of fumaric acid esters.
- by prolonging and/or delaying the release of the active substance from the composition it is envisaged that the local concentration of the active substance at specific sites of the gastro- intestinal tract is reduced (compared with that of Fumaderm®) which in turn leads to a reduction in gastro-intestinal side-effects. Accordingly, compositions that enable a prolonged and/or a slow release of a fumaric acid ester as defined above are within the scope of the present invention.
- compositions are well-known to the skilled artisan and include e.g. diffusion-controlled drug delivery systems, osmotic pressure controlled drug delivery systems, erodible drug delivery systems etc.
- pharmaceutical companies that based on a specific technology (such as mentioned above) can provide a specific composition with specific release characteristics of the active substance. Accordingly, a person skilled in the art will know how to obtain a suitable product once he has realized a specific need in respect of a particular drug substance.
- Eurand is one of such companies that offer technical solutions in order to obtain a controlled release pharmaceutical composition containing a specific active substance and having specific requirements with respect to the release of the active substance from the composition (see e.g. http://www.eurand.com).
- SQZgelTM http://macromed.com.
- SQZgelTM's mechanism of action is a pH-sensitive polymer mixture combined with an outer coating. In the acidic environment of the stomach the polymer imbibes with water and swells, entrapping the drug.
- the polymer Upon entering the higher pH of the intestines, the polymer slowly shrinks, or “squeezes” at a "dialed-in” rate releasing the active composition in a sustained manner.), or Egalet a/s that has a specific extrusion based technology (http://www.eqalet.com f Key elements of the Egalet® technology are a biodegradable coat and a matrix, comprising the active drug, which is surface erodible, hydrophobic and composed of PEG-stearate.
- One of the Egalet® technologies is the 2K Egalet® constant release system, which is a 2-component production model consisting of coat and matrix. The drug is evenly distributed throughout the Egalet® matrix for constant release over time).
- Diffucaps Drug release profiles are created by layering active drug onto a neutral core such as sugar spheres, crystals or granules followed by a rate-controlling, functional membrane. Diffucaps/Surecaps beads are small in size, approximately lmm or less in diameter. By incorporating beads of differing drug release profiles into hard gelatin capsules, combination release profiles can be achieved.), Diffutabs (The Diffutab technology incorporates a blend of hydrophilic polymers that control drug release through diffusion and erosion of a matrix tablet.), Minitabs (Eurand Minitabs are tiny (2mm x 2mm) tablets containing gel-forming excipients that control drug release rate.
- Orbexa This technology produces beads that are of controlled size and density with a defined-based granulation extrusion and spheronization techniques. The resultant beads can be coated with release rate controlling membranes for additional release rate control and may be filled into capsules or provided in sachet form.
- SDS Sheurand's SDS technology uses functional polymers or a combination of functional polymers and specific additives, such as composite polymeric materials, to deliver a drug to a site of optimal absorption along the intestinal tract. In order to achieve this, Eurand first produces multiparticulate dosage forms such as Diffucaps or Eurand Minitabs, which incorporate the active drug. These dosage forms are then coated with pH dependent/independent polymeric membranes that will deliver the drug to the desired site. These are then filled into hard gelatin capsules.) are also of interest in the present context.
- meltDose® An interesting technology for use in formulating compositions according to the present invention is the so-called MeltDose® technology as described in WO 03/004001 (see http://www.lifecvclepharma.com. MeltDose® involves formulating solubilized, individual molecules into tablets. By formulating individual molecules, the primary limitation of oral absorption of drugs with low water-solubility is removed, and a superior bioavailability can be attained.). By employing this technology it is possible to obtain a particulate material that is suitable for processing into various pharmaceutical dosage forms e.g. in the form of pellets or tablets. Furthermore, the technology is suitable for use as it is possible to obtain a suitable release profile of the active substance, e.g. such as those release profiles described herein. In one embodiment, pellets suitable for use may have a mean particle size larger than 2000 ⁇ m. In another embodiment, pellets suitable for use may have a mean particle size of from about O.Ol ⁇ m to about 250 ⁇ m.
- Another specific suitable formulation principle for use in the present context is formulation in a lipophilic environment such as, e.g., soft gelatin capsules.
- Vegicaps Soft from Scherer (a soft capsule technology based on carrageenan and starch. While this new dosage form is
- a further specific example of a suitable formulation comprises a compound according to the invention together with vitamin E concentrate in soft or hard gelatin capsules.
- This formulation in a modified form, is the basis of the commercial cyclosporine product, Neoral ® , containing, among other things, corn oil-mono-di-triglycerides, polyoxyl 40 hydrogenated castor oil NF, DL- ⁇ -tocopherol USP (part of the vitamin E family), gelatin NF, glycerol, iron oxide black, propylene glycol USP, titanium dioxide USP, carmine, and alcohol in addition to cyclosporine.
- Neoral ® containing, among other things, corn oil-mono-di-triglycerides, polyoxyl 40 hydrogenated castor oil NF, DL- ⁇ -tocopherol USP (part of the vitamin E family), gelatin NF, glycerol, iron oxide black, propylene glycol USP, titanium dioxide USP, carmine, and alcohol in addition to cyclospor
- a suitable formulation comprises a compound according to the invention together with ethanol, tocopherolethylene glycol 1000 succinate (TPGS), corn oil and wax in soft or hard gelatin capsules.
- TPGS tocopherolethylene glycol 1000 succinate
- This product can be a semi-solid or solid dosage form. The release rate of this formulation is dependent on degradation due to lipases in the intestine.
- a further example of a suitable formulation comprises the formulation of a compound according to the invention together with ethanol, tocopherolethylene glycol 1000 succinate (TPGS), corn oil and polyglycolized glycerides (e.g. Gelucire) in soft or hard gelatin capsules.
- TPGS tocopherolethylene glycol 1000 succinate
- corn oil e.g. Gelucire
- polyglycolized glycerides e.g. Gelucire
- a further example of a suitable formulation is an oral pulsed dose drug delivery system.
- This dosage form can be perceived as a modified form of the Schering Repetab tablets.
- a portion of the composition of the present invention is put in the core of a tablet.
- the core can for example be made by conventional wet granulation or continuous granulation such as extrusion followed by compaction of the granulate into tablets.
- the core is then coated using an appropriate technology, preferably by airsuspension using an enteric coating polymer such as Eudragits.
- the first releasing dose is compression coated on the core or air-suspension coated either with the enteric coat or on top of the enteric coat.
- the first releasing dose is air-suspension coated with the enteric coat.
- the first releasing dose is compression coated on the core, in order to avoid release of the composition according to the invention prior to the degradation of the enteric coat, such degradation typically occurring at pH values higher than those found in the gastric ventricle; i.e. the degradation of the enteric coat typically occurs after passage of the gastric ventricle.
- a further example of a suitable formulation is an oral sustained drug delivery system.
- a portion of the composition of the present invention is put in the core of a tablet.
- the core can for example be made by conventional wet granulation or continuous granulation such as extrusion followed by compaction of the granulate into tablets.
- the core is coated using an appropriate technology, preferably by airsuspension using ethylcellulose and a hydrophilic excipient such as hydroxyl propyl cellulose (HPC).
- HPC hydroxyl propyl cellulose
- the first releasing dose is compression coated on the core or air-suspension coated either with the enteric coat or on top of the enteric coat.
- the first releasing dose is air-suspension coated with the enteric coat.
- the first releasing dose is compression coated on the core, in order to avoid release of the composition according to the invention prior to the degradation of the enteric coat, such degradation typically occurring at pH values higher than those found in the gastric ventricle; i.e. the degradation of the enteric coat typically occurs after passage of the gastric ventricle.
- a further example of a suitable formulation is obtained via crystal engineering, such as e.g. described in WO 03/080034, which is hereby incorporated by reference.
- composition of the invention comprises the novel salt in the form of micro-crystals with hydrophilic surfaces.
- micro-crystals are filmcoated directly, in order to achieve a sustained release formulation.
- a suitable formulation comprises complexation of the compound according to the present invention with genuine cyclodextrins and cyclodextrin-derivatives (e.g. alkyl- and hydroxyalkyl-derivatives or sulfobutyl-derivatives).
- the complexation is achieved in accordance with well known methods. It is contemplated that such a complexation leads to a higher solubility and a higher dissolution rate of the composition according to the invention, compared to the composition prior to complexation. Furthermore, it is contemplated that such a complexation leads to a higher bioavailability of the composition according to the invention, compared to the composition prior to complexation.
- the invention relates to a controlled release pharmaceutical composition that may be administered one, two or more times daily, such as once or twice or three times daily.
- the composition may be designed so that it releases the fumaric acid ester relatively independent on pH, i.e. the release is not dependent on pH in the gastrointestinal tract.
- examples of such compositions are e.g. compositions in the form of solid dosages forms (e.g. tablets, capsules, pellets, beads etc.) that are coated with a controlled release coating.
- Suitable materials for controlled release coatings are e.g. cellulose and cellulose derivatives including methylcellulose, ethylcellulose and cellulose acetate, or poly(ethylene-co-vinyl acetate), poly (vinyl chloride).
- the release of the fumaric acid ester typically takes place in three steps from a composition coated with a diffusion controlled membrane:
- the dissolved fumaric acid ester diffuses out of the dosage form and into the surroundings (i.e. the GI tract)
- ком ⁇ онентs include e.g. matrix tablets or dosage form containing a multiplicity of units each in the form of a matrix system.
- the active substance is embedded in a matrix containing e.g. cellulose and cellulose derivatives including microcrystalline cellulose, hydroxypropyl methyl cellulose, hydroxypropyl cellulose and methylcellulose, povidone, poly(ethyleneoxide) (PEO), polyethylene glycol (PEG), poly (vinyl alcohol) (PVA), xanthan gum, carrageenan and other synthetic materials.
- PEO poly(ethyleneoxide)
- PEG polyethylene glycol
- PVA poly (vinyl alcohol)
- xanthan gum xanthan gum
- carrageenan and other synthetic materials.
- Substances normally used as pharmaceutically acceptable excipients or additives may be added to a matrix composition.
- compositions are e.g. hydrogels, i.e. monolithic systems wherein the active substance is embedded in a water-swellable network polymer.
- Materials suitable for use include e.g. hydrophilic vinyl and acrylic polymers, polysaccharides like alginates, and poly(ethylene oxide).
- a composition according to the invention has a pH controlled release (also known as a pH dependent release) of the fumaric acid ester.
- a pH controlled release also known as a pH dependent release
- the release is designed so that only a small amount, if any, of the fumaric acid ester is released in the stomach (pH up to about 3), whereas the fumaric acid ester is released in the intestines (pH shifts to about 6-7).
- a pH controlled release can be obtained by providing a composition of the invention with an enteric coating (the whole composition or, if the composition is a multiparticulate composition, the individual units) or by providing a composition that releases the fumaric acid by a pH-dependent osmotic mechanism, or by employment of suitable enzymes.
- suitable substances for use as enteric coating materials include polyacrylamides, phthalate derivatives such as acid phthalates of carbohydrates, amylose acetate phthalate, cellulose acetate phthalate, other cellulose ester phthalates, cellulose ether phthalates, hydroxypropylcellulose phthalate, hydroxypropylethylcellulose phthalate, hydroxypropylmethylcellulose phthalate, methylcellulose phthalate, polyvinyl acetate phthalate, poly acrylic methacrylic acid copolymers, shellac and vinyl acetate and crotonic acid copolymers, etc.
- phthalate derivatives such as acid phthalates of carbohydrates, amylose acetate phthalate, cellulose acetate phthalate, other cellulose ester phthalates, cellulose ether phthalates, hydroxypropylcellulose phthalate, hydroxypropylethylcellulose phthalate, hydroxypropylmethylcellulose phthalate, methylcellulose phthalate, polyvinyl acetate phthalate,
- compositions mentioned above having a pH independent release may also be formulated to release the fumaric acid ester e.g. by providing the composition with an outer layer of an enteric coating.
- compositions may be formulated in such a manner that an initial delay in release of the fumaric acid ester is obtained.
- a delay may be obtained e.g. by choosing an outermost coating that in a time-controlled manner degrades (e.g. erodes) and only when this outermost coating is eroded away, the release of the fumaric acid ester starts.
- a controlled release composition is a composition that is designed to release the fumaric acid ester in a prolonged, slow and/or delayed manner compared to the release of the commercially available product Fumaderm®, when tested under comparable conditions (e.g. for in vivo studies: dose equivalents, with or without standardized meal etc., or for in vitro studies: dose equivalents, dissolution test apparatus and working conditions including e.g. composition, volume and temperature of dissolution medium employed, rotation speed etc.).
- the release in vivo may be tested by measuring the plasma concentration at predetermined time periods and thereby obtaining a plasma concentration versus time profile for the fumaric acid ester in question or, if relevant, a metabolite thereof. Furthermore, it is contemplated that metabolism already takes place within the gastro-intestinal tract or during passage of the gastro-intestinal mucosa, or upon first passage through the hepatic circulation. Accordingly, when dimethylfumarate is administered, the relevant component to search for in the plasma is the monomethyl ester and not the dimethylester of fumaric acid. In addition, in the case when strontium-hnononnethylfumarate is administered, the relevant component to measure in plasma is the monomethylfumarate.
- kits containing two or more containers e.g. with compositions having various amounts of the compounds according to the invention included. Such kits are e.g suitable for use in those situations where an increasing dosage is required over time.
- Monomethyl fumarate (2.00Og) is added while stirring by a glass rod.
- Strontium carbonate (1.135 g) is added to the solution in one portion and the measuring glass is covered by parafilm.
- the solution is allowed to rest overnight and then suction filtered by a B ⁇ chner funnel.
- the production exhibits medium solubility and the total yield is between 25-80% after the first step of filtration. More product can be obtained at lower purity by evaporation of the solvent.
- Preparation of crystals for single-crystal x-ray crystallography is performed by adding small volumes of the stock solution to a crystallisation beaker. Crystals are formed within a few days by storing the beaker in an oven at 45 0 C.
- the result of the x-ray analysis shows that the product contains four units of monomethyl fumarate and two strontium ions.
- the unit cell contains four water molecules.
- the formula weight of the product is determined as 76.64 g/mol.
- the reaction equation is shown below.
- the crystal structure and molecular lattice of the crystal are shown in figure 1.
- PBMC peripheral blood mononuclear cells
- the following monocyte stimulation cultures were set up in 1 ml tissue culture medium at IxIO 6 cells per well of a 24-well plate: (i) unstimulated cells, (ii) control, i.e. LPS-stimulated cells (LPS at 1 ng/ml), (iii) LPS-stimulated cells (LPS at 1 ng/ml) in the presence of 8 concen ⁇ trations of strontium MMF (equivalent to MMF ranging from 3 mM to l ⁇ M, in half-logarithmic dilutions), and (iv) unstimulated cells in the presence of 8 concentrations of strontium MMF (MMF ranging from 3 mM to l ⁇ M, in half-logarithmic dilutions).
- unstimulated cells i.e. LPS-stimulated cells (LPS at 1 ng/ml)
- control i.e. LPS-stimulated cells
- LPS-stimulated cells LPS-
- T cell specific stimulation cultures were set up in 1 ml tissue culture medium at IxIO 6 cells per well of a 24-well plate: (i) unstimulated cells, (ii) control, i.e. CD3/CD28- stimulated cells, (iii) CD3/CD28-stimulated cells in the presence of 8 concentrations of strontium MMF (equivalent MMF ranging from 3 mM to l ⁇ M, in half-logarithmic dilutions). Cultures were incubated in a tissue culture incubator at 37°C, 5% CO 2 for 20 h, culture supernatants were harvested at the end of the culture period and used for cytokine quantitation.
- unstimulated cells i.e. CD3/CD28- stimulated cells
- CD3/CD28-stimulated cells in the presence of 8 concentrations of strontium MMF (equivalent MMF ranging from 3 mM to l ⁇ M, in half-logarithmic dilutions).
- strontium MMF
- cytokines in cell culture supernatants from either monocyte stimulaton cultures (IL-8, IL-10, TNF- ⁇ ) or T cell stimulation cultures (IL-2, IL-4) were quantitated with ELISAs (Becton Dickinson) according to the manufacturers instructions.
- ELISAs Becton Dickinson
- the resulting optical density (OD) was measured on a Packard Fusion Reader and OD values were translated to cytokine concentrations (in pg/ml) with the use of the Fusion Reader Data Analysis Software.
- Tabel 1 Cytokines secreted through T cell stimulation
- cytokine TNF- alpha The influence of strontium monomethylfumarate on cytokines secreted through monocyte stimulation is shown in Table 1.
- Strontium MMF induced the pro-inflammatory cytokine TNF- alpha as single stimulant as well as to act co-stimulatory on LPS-stimulated monocytes.
- TNF-alpha the cytokine IL-10 was also shown to be induced and co-induced by strontium MMF.
- IL-8 did not induce a co-stimulation on LPS stimulated monocytes.
- Strontium MMF did induce an induction of IL-8.
Landscapes
- Chemical & Material Sciences (AREA)
- Organic Chemistry (AREA)
- Health & Medical Sciences (AREA)
- Nuclear Medicine, Radiotherapy & Molecular Imaging (AREA)
- Pharmacology & Pharmacy (AREA)
- Chemical Kinetics & Catalysis (AREA)
- General Chemical & Material Sciences (AREA)
- Medicinal Chemistry (AREA)
- Bioinformatics & Cheminformatics (AREA)
- Engineering & Computer Science (AREA)
- Dermatology (AREA)
- Life Sciences & Earth Sciences (AREA)
- Animal Behavior & Ethology (AREA)
- General Health & Medical Sciences (AREA)
- Public Health (AREA)
- Veterinary Medicine (AREA)
- Acyclic And Carbocyclic Compounds In Medicinal Compositions (AREA)
Abstract
Description
Claims
Priority Applications (2)
| Application Number | Priority Date | Filing Date | Title |
|---|---|---|---|
| US11/719,052 US20080004344A1 (en) | 2004-11-10 | 2005-11-09 | Novel Salts of Fumaric Acid Monoalkylesters and Their Pharmaceutical Use |
| EP05800741A EP1812374A1 (en) | 2004-11-10 | 2005-11-09 | Novel salts of fumaric acid monoalkylesters and their pharmaceutical use |
Applications Claiming Priority (8)
| Application Number | Priority Date | Filing Date | Title |
|---|---|---|---|
| DKPA200401735 | 2004-11-10 | ||
| DKPA200401735 | 2004-11-10 | ||
| DKPA200500212 | 2005-02-11 | ||
| DKPA200500212 | 2005-02-11 | ||
| DKPA200500420 | 2005-03-23 | ||
| DKPA200500420 | 2005-03-23 | ||
| US69151105P | 2005-06-16 | 2005-06-16 | |
| US60/691,511 | 2005-06-16 |
Publications (1)
| Publication Number | Publication Date |
|---|---|
| WO2006050730A1 true WO2006050730A1 (en) | 2006-05-18 |
Family
ID=35509328
Family Applications (1)
| Application Number | Title | Priority Date | Filing Date |
|---|---|---|---|
| PCT/DK2005/000717 Ceased WO2006050730A1 (en) | 2004-11-10 | 2005-11-09 | Novel salts of fumaric acid monoalkylesters and their pharmaceutical use |
Country Status (2)
| Country | Link |
|---|---|
| EP (1) | EP1812374A1 (en) |
| WO (1) | WO2006050730A1 (en) |
Cited By (22)
| Publication number | Priority date | Publication date | Assignee | Title |
|---|---|---|---|---|
| US7320999B2 (en) | 1998-11-19 | 2008-01-22 | Fumapharm Ag | Dimethyl fumarate for the treatment of multiple sclerosis |
| US8148414B2 (en) | 2008-08-19 | 2012-04-03 | Xenoport, Inc. | Prodrugs of methyl hydrogen fumarate, pharmaceutical compositions thereof, and methods of use |
| US8399514B2 (en) | 2007-02-08 | 2013-03-19 | Biogen Idec Ma Inc. | Treatment for multiple sclerosis |
| US8669281B1 (en) | 2013-03-14 | 2014-03-11 | Alkermes Pharma Ireland Limited | Prodrugs of fumarates and their use in treating various diseases |
| WO2014100728A1 (en) | 2012-12-21 | 2014-06-26 | Biogen Idec Ma Inc. | Deuterium substituted fumarate derivatives |
| US8906420B2 (en) | 2009-01-09 | 2014-12-09 | Forward Pharma A/S | Pharmaceutical formulation comprising one or more fumaric acid esters in an erosion matrix |
| US8980832B2 (en) | 2003-09-09 | 2015-03-17 | Biogen Idec International Gmbh | Use of fumaric acid derivatives for treating cardiac insufficiency, and asthma |
| US9302977B2 (en) | 2013-06-07 | 2016-04-05 | Xenoport, Inc. | Method of making monomethyl fumarate |
| US9416096B2 (en) | 2013-09-06 | 2016-08-16 | Xenoport, Inc. | Crystalline forms of (N,N-Diethylcarbamoyl)methyl methyl (2E)but-2-ene-1,4-dioate, methods of synthesis and use |
| US9422226B2 (en) | 2011-06-08 | 2016-08-23 | Biogen Ma Inc. | Process for preparing high purity and crystalline dimethyl fumarate |
| US9421182B2 (en) | 2013-06-21 | 2016-08-23 | Xenoport, Inc. | Cocrystals of dimethyl fumarate |
| US9505776B2 (en) | 2013-03-14 | 2016-11-29 | Alkermes Pharma Ireland Limited | Prodrugs of fumarates and their use in treating various diseases |
| US9597292B2 (en) | 2012-08-22 | 2017-03-21 | Xenoport, Inc. | Oral dosage forms of methyl hydrogen fumarate and prodrugs thereof |
| US9604922B2 (en) | 2014-02-24 | 2017-03-28 | Alkermes Pharma Ireland Limited | Sulfonamide and sulfinamide prodrugs of fumarates and their use in treating various diseases |
| EP3318249A1 (en) | 2009-04-29 | 2018-05-09 | Biogen MA Inc. | Dimethyl fumarate dosage regimens for the treatment of multiple sclerosis |
| US9999672B2 (en) | 2014-03-24 | 2018-06-19 | Xenoport, Inc. | Pharmaceutical compositions of fumaric acid esters |
| US10179118B2 (en) | 2013-03-24 | 2019-01-15 | Arbor Pharmaceuticals, Llc | Pharmaceutical compositions of dimethyl fumarate |
| US10213411B2 (en) | 2015-08-27 | 2019-02-26 | Vijaykumar Rajasekhar | Use of prodrugs of fumarates in treating heart failure diseases |
| US10463642B2 (en) | 2016-02-01 | 2019-11-05 | Vijaykumar Rajasekhar | Methods of treating heart failure diseases using prodrugs of methyl hydrogen fumarate |
| US10945984B2 (en) | 2012-08-22 | 2021-03-16 | Arbor Pharmaceuticals, Llc | Methods of administering monomethyl fumarate and prodrugs thereof having reduced side effects |
| US11052062B2 (en) | 2004-10-08 | 2021-07-06 | Biogen Swiss Manufacturing Gmbh | Controlled release pharmaceutical compositions comprising a fumaric acid ester |
| CN117646042A (en) * | 2023-11-13 | 2024-03-05 | 浙江工业大学 | Preparation method of fumaric acid monoester |
Citations (1)
| Publication number | Priority date | Publication date | Assignee | Title |
|---|---|---|---|---|
| US4959389A (en) * | 1987-10-19 | 1990-09-25 | Speiser Peter P | Pharmaceutical preparation for the treatment of psoriatic arthritis |
-
2005
- 2005-11-09 WO PCT/DK2005/000717 patent/WO2006050730A1/en not_active Ceased
- 2005-11-09 EP EP05800741A patent/EP1812374A1/en not_active Withdrawn
Patent Citations (1)
| Publication number | Priority date | Publication date | Assignee | Title |
|---|---|---|---|---|
| US4959389A (en) * | 1987-10-19 | 1990-09-25 | Speiser Peter P | Pharmaceutical preparation for the treatment of psoriatic arthritis |
Non-Patent Citations (1)
| Title |
|---|
| CELERIER P ET AL: "Modulatory effects of selenium and strontium salts on keratinocyte-derived inflammatory cytokines", ARCHIVES OF DERMATOLOGICAL RESEARCH, vol. 287, no. 7, 1995, pages 680 - 682, XP008058257, ISSN: 0340-3696 * |
Cited By (51)
| Publication number | Priority date | Publication date | Assignee | Title |
|---|---|---|---|---|
| US7612110B2 (en) | 1998-11-19 | 2009-11-03 | Biogen Idec International Ag | Utilization of dialkylfumarates |
| US7619001B2 (en) | 1998-11-19 | 2009-11-17 | Biogen Idec International Gmbh | Utilization of dialkylfumarates |
| US7803840B2 (en) | 1998-11-19 | 2010-09-28 | Biogen Idec International Gmbh | Utilization of dialkylfumarates |
| US7915310B2 (en) | 1998-11-19 | 2011-03-29 | Biogen Idec International Gmbh | Utilization of dialkylfumarates |
| US7320999B2 (en) | 1998-11-19 | 2008-01-22 | Fumapharm Ag | Dimethyl fumarate for the treatment of multiple sclerosis |
| US8524773B2 (en) | 1998-11-19 | 2013-09-03 | Biogen Idec International Gmbh | Utilization of dialkylfumarates |
| US8759393B2 (en) | 1998-11-19 | 2014-06-24 | Biogen Idec International Gmbh | Utilization of dialkylfumarates |
| US8980832B2 (en) | 2003-09-09 | 2015-03-17 | Biogen Idec International Gmbh | Use of fumaric acid derivatives for treating cardiac insufficiency, and asthma |
| US11229619B2 (en) | 2004-10-08 | 2022-01-25 | Biogen Swiss Manufacturing Gmbh | Controlled release pharmaceutical compositions comprising a fumaric acid ester |
| US11052062B2 (en) | 2004-10-08 | 2021-07-06 | Biogen Swiss Manufacturing Gmbh | Controlled release pharmaceutical compositions comprising a fumaric acid ester |
| US8399514B2 (en) | 2007-02-08 | 2013-03-19 | Biogen Idec Ma Inc. | Treatment for multiple sclerosis |
| EP2653873B1 (en) | 2007-02-08 | 2022-07-20 | Biogen MA Inc. | Compositions and uses for treating Multiple Sclerosis |
| US8148414B2 (en) | 2008-08-19 | 2012-04-03 | Xenoport, Inc. | Prodrugs of methyl hydrogen fumarate, pharmaceutical compositions thereof, and methods of use |
| US8785443B2 (en) | 2008-08-19 | 2014-07-22 | Xenoport, Inc. | Methods of using prodrugs of methyl hydrogen fumarate and pharmaceutical compositions thereof |
| US8778991B2 (en) | 2008-08-19 | 2014-07-15 | Xenoport, Inc. | Prodrugs of methyl hydrogen fumarate, pharmaceutical compositions thereof, and methods of use |
| US9452972B2 (en) | 2008-08-19 | 2016-09-27 | Xenoport, Inc. | Methods of using prodrugs of methyl hydrogen fumarate and pharmaceutical compositions thereof |
| US8906420B2 (en) | 2009-01-09 | 2014-12-09 | Forward Pharma A/S | Pharmaceutical formulation comprising one or more fumaric acid esters in an erosion matrix |
| US11173123B2 (en) | 2009-01-09 | 2021-11-16 | Biogen Swiss Manufacturing Gmbh | Pharmaceutical formulation comprising one or more fumaric acid esters in an erosion matrix |
| EP3318249A1 (en) | 2009-04-29 | 2018-05-09 | Biogen MA Inc. | Dimethyl fumarate dosage regimens for the treatment of multiple sclerosis |
| EP3466420A1 (en) | 2009-04-29 | 2019-04-10 | Biogen MA Inc. | Dimethyl fumarate for the treatment of friedreich ataxia |
| US9422226B2 (en) | 2011-06-08 | 2016-08-23 | Biogen Ma Inc. | Process for preparing high purity and crystalline dimethyl fumarate |
| US10940117B2 (en) | 2012-08-22 | 2021-03-09 | Arbor Pharmaceuticals, Llc | Oral dosage forms of methyl hydrogen fumarate and prodrugs thereof |
| US9597292B2 (en) | 2012-08-22 | 2017-03-21 | Xenoport, Inc. | Oral dosage forms of methyl hydrogen fumarate and prodrugs thereof |
| US10945984B2 (en) | 2012-08-22 | 2021-03-16 | Arbor Pharmaceuticals, Llc | Methods of administering monomethyl fumarate and prodrugs thereof having reduced side effects |
| US10716760B2 (en) | 2012-08-22 | 2020-07-21 | Arbor Pharmaceuticals, Llc | Oral dosage forms of methyl hydrogen fumarate and prodrugs thereof |
| WO2014100728A1 (en) | 2012-12-21 | 2014-06-26 | Biogen Idec Ma Inc. | Deuterium substituted fumarate derivatives |
| EP3566701A1 (en) | 2012-12-21 | 2019-11-13 | Biogen MA Inc. | Deuterium substituted fumarate derivatives |
| US10399924B2 (en) | 2012-12-21 | 2019-09-03 | Biogen Ma Inc. | Deuterium substituted fumarate derivatives |
| US11679092B2 (en) | 2013-03-14 | 2023-06-20 | Alkermes Pharma Ireland Limited | Prodrugs of fumarates and their use in treating various diseases |
| US9505776B2 (en) | 2013-03-14 | 2016-11-29 | Alkermes Pharma Ireland Limited | Prodrugs of fumarates and their use in treating various diseases |
| US9090558B2 (en) | 2013-03-14 | 2015-07-28 | Alkermes Pharma Ireland Limited | Prodrugs of fumarates and their use in treating various diseases |
| US10406133B2 (en) | 2013-03-14 | 2019-09-10 | Alkermes Pharma Ireland Limited | Prodrugs of fumarates and their use in treating various diseases |
| US11230548B2 (en) | 2013-03-14 | 2022-01-25 | Alkermes Pharma Ireland Limited | Prodrugs of fumarates and their use in treating various diseases |
| US11083703B2 (en) | 2013-03-14 | 2021-08-10 | Alkermes Pharma Ireland Limited | Prodrugs of fumarates and their use in treating various diseases |
| US10596140B2 (en) | 2013-03-14 | 2020-03-24 | Alkermes Pharma Ireland Limited | Prodrugs of fumarates and their use in treating various diseases |
| US11905298B2 (en) | 2013-03-14 | 2024-02-20 | Alkermes Pharma Ireland Limited | Prodrugs of fumarates and their use in treating various diseases |
| US8669281B1 (en) | 2013-03-14 | 2014-03-11 | Alkermes Pharma Ireland Limited | Prodrugs of fumarates and their use in treating various diseases |
| US12076306B2 (en) | 2013-03-14 | 2024-09-03 | Alkermes Pharma Ireland Limited | Prodrugs of fumarates and their use in treating various diseases |
| US11938111B2 (en) | 2013-03-24 | 2024-03-26 | Arbor Pharmaceuticals, Llc | Pharmaceutical compositions of dimethyl fumarate |
| US12440468B2 (en) | 2013-03-24 | 2025-10-14 | Arbor Pharmaceuticals, Llc | Pharmaceutical compositions of dimethyl fumarate |
| US10179118B2 (en) | 2013-03-24 | 2019-01-15 | Arbor Pharmaceuticals, Llc | Pharmaceutical compositions of dimethyl fumarate |
| US9302977B2 (en) | 2013-06-07 | 2016-04-05 | Xenoport, Inc. | Method of making monomethyl fumarate |
| US9421182B2 (en) | 2013-06-21 | 2016-08-23 | Xenoport, Inc. | Cocrystals of dimethyl fumarate |
| US9416096B2 (en) | 2013-09-06 | 2016-08-16 | Xenoport, Inc. | Crystalline forms of (N,N-Diethylcarbamoyl)methyl methyl (2E)but-2-ene-1,4-dioate, methods of synthesis and use |
| US9682057B2 (en) | 2013-09-06 | 2017-06-20 | Xenoport, Inc. | Crystalline forms of (N,N-Diethylcarbamoyl)methyl methyl (2E)but-2-ene-1,4-dioate, methods of synthesis and use |
| US9604922B2 (en) | 2014-02-24 | 2017-03-28 | Alkermes Pharma Ireland Limited | Sulfonamide and sulfinamide prodrugs of fumarates and their use in treating various diseases |
| US11135296B2 (en) | 2014-03-24 | 2021-10-05 | Arbor Pharmaceuticals, Llc | Pharmaceutical compositions of fumaric acid esters |
| US9999672B2 (en) | 2014-03-24 | 2018-06-19 | Xenoport, Inc. | Pharmaceutical compositions of fumaric acid esters |
| US10213411B2 (en) | 2015-08-27 | 2019-02-26 | Vijaykumar Rajasekhar | Use of prodrugs of fumarates in treating heart failure diseases |
| US10463642B2 (en) | 2016-02-01 | 2019-11-05 | Vijaykumar Rajasekhar | Methods of treating heart failure diseases using prodrugs of methyl hydrogen fumarate |
| CN117646042A (en) * | 2023-11-13 | 2024-03-05 | 浙江工业大学 | Preparation method of fumaric acid monoester |
Also Published As
| Publication number | Publication date |
|---|---|
| EP1812374A1 (en) | 2007-08-01 |
Similar Documents
| Publication | Publication Date | Title |
|---|---|---|
| US20080004344A1 (en) | Novel Salts of Fumaric Acid Monoalkylesters and Their Pharmaceutical Use | |
| US11052062B2 (en) | Controlled release pharmaceutical compositions comprising a fumaric acid ester | |
| WO2006050730A1 (en) | Novel salts of fumaric acid monoalkylesters and their pharmaceutical use | |
| US20080299196A1 (en) | Controlled Release Pharmaceutical Compositions Comprising a Fumaric Acid Ester | |
| HK40006699A (en) | Controlled release pharmaceutical compositions comprising a fumaric acid ester | |
| HK1230977A1 (en) | Controlled release pharmaceutical compositions comprising a fumaric acid ester |
Legal Events
| Date | Code | Title | Description |
|---|---|---|---|
| AK | Designated states |
Kind code of ref document: A1 Designated state(s): AE AG AL AM AT AU AZ BA BB BG BR BW BY BZ CA CH CN CO CR CU CZ DE DK DM DZ EC EE EG ES FI GB GD GE GH GM HR HU ID IL IN IS JP KE KG KM KN KP KR KZ LC LK LR LS LT LU LV LY MA MD MG MK MN MW MX MZ NA NG NI NO NZ OM PG PH PL PT RO RU SC SD SE SG SK SL SM SY TJ TM TN TR TT TZ UA UG US UZ VC VN YU ZA ZM ZW |
|
| AL | Designated countries for regional patents |
Kind code of ref document: A1 Designated state(s): GM KE LS MW MZ NA SD SL SZ TZ UG ZM ZW AM AZ BY KG KZ MD RU TJ TM AT BE BG CH CY CZ DE DK EE ES FI FR GB GR HU IE IS IT LT LU LV MC NL PL PT RO SE SI SK TR BF BJ CF CG CI CM GA GN GQ GW ML MR NE SN TD TG |
|
| 121 | Ep: the epo has been informed by wipo that ep was designated in this application | ||
| WWE | Wipo information: entry into national phase |
Ref document number: 2005800741 Country of ref document: EP |
|
| WWE | Wipo information: entry into national phase |
Ref document number: 1783/KOLNP/2007 Country of ref document: IN |
|
| WWP | Wipo information: published in national office |
Ref document number: 2005800741 Country of ref document: EP |
|
| WWE | Wipo information: entry into national phase |
Ref document number: 11719052 Country of ref document: US |
|
| WWP | Wipo information: published in national office |
Ref document number: 11719052 Country of ref document: US |






































