WO2005073186A1 - Pyrrolidine derivatives - Google Patents
Pyrrolidine derivatives Download PDFInfo
- Publication number
- WO2005073186A1 WO2005073186A1 PCT/JP2005/000999 JP2005000999W WO2005073186A1 WO 2005073186 A1 WO2005073186 A1 WO 2005073186A1 JP 2005000999 W JP2005000999 W JP 2005000999W WO 2005073186 A1 WO2005073186 A1 WO 2005073186A1
- Authority
- WO
- WIPO (PCT)
- Prior art keywords
- pyrrolidine
- compound
- reference example
- carbonyl
- nmr
- Prior art date
- Legal status (The legal status is an assumption and is not a legal conclusion. Google has not performed a legal analysis and makes no representation as to the accuracy of the status listed.)
- Ceased
Links
Classifications
-
- C—CHEMISTRY; METALLURGY
- C07—ORGANIC CHEMISTRY
- C07D—HETEROCYCLIC COMPOUNDS
- C07D207/00—Heterocyclic compounds containing five-membered rings not condensed with other rings, with one nitrogen atom as the only ring hetero atom
- C07D207/02—Heterocyclic compounds containing five-membered rings not condensed with other rings, with one nitrogen atom as the only ring hetero atom with only hydrogen or carbon atoms directly attached to the ring nitrogen atom
- C07D207/04—Heterocyclic compounds containing five-membered rings not condensed with other rings, with one nitrogen atom as the only ring hetero atom with only hydrogen or carbon atoms directly attached to the ring nitrogen atom having no double bonds between ring members or between ring members and non-ring members
- C07D207/10—Heterocyclic compounds containing five-membered rings not condensed with other rings, with one nitrogen atom as the only ring hetero atom with only hydrogen or carbon atoms directly attached to the ring nitrogen atom having no double bonds between ring members or between ring members and non-ring members with hetero atoms or with carbon atoms having three bonds to hetero atoms with at the most one bond to halogen, e.g. ester or nitrile radicals, directly attached to ring carbon atoms
- C07D207/16—Carbon atoms having three bonds to hetero atoms with at the most one bond to halogen, e.g. ester or nitrile radicals
-
- A—HUMAN NECESSITIES
- A61—MEDICAL OR VETERINARY SCIENCE; HYGIENE
- A61K—PREPARATIONS FOR MEDICAL, DENTAL OR TOILETRY PURPOSES
- A61K31/00—Medicinal preparations containing organic active ingredients
- A61K31/33—Heterocyclic compounds
- A61K31/395—Heterocyclic compounds having nitrogen as a ring hetero atom, e.g. guanethidine or rifamycins
- A61K31/40—Heterocyclic compounds having nitrogen as a ring hetero atom, e.g. guanethidine or rifamycins having five-membered rings with one nitrogen as the only ring hetero atom, e.g. sulpiride, succinimide, tolmetin, buflomedil
- A61K31/4025—Heterocyclic compounds having nitrogen as a ring hetero atom, e.g. guanethidine or rifamycins having five-membered rings with one nitrogen as the only ring hetero atom, e.g. sulpiride, succinimide, tolmetin, buflomedil not condensed and containing further heterocyclic rings, e.g. cromakalim
-
- A—HUMAN NECESSITIES
- A61—MEDICAL OR VETERINARY SCIENCE; HYGIENE
- A61K—PREPARATIONS FOR MEDICAL, DENTAL OR TOILETRY PURPOSES
- A61K31/00—Medicinal preparations containing organic active ingredients
- A61K31/33—Heterocyclic compounds
- A61K31/395—Heterocyclic compounds having nitrogen as a ring hetero atom, e.g. guanethidine or rifamycins
- A61K31/41—Heterocyclic compounds having nitrogen as a ring hetero atom, e.g. guanethidine or rifamycins having five-membered rings with two or more ring hetero atoms, at least one of which being nitrogen, e.g. tetrazole
- A61K31/415—1,2-Diazoles
- A61K31/4155—1,2-Diazoles non condensed and containing further heterocyclic rings
-
- A—HUMAN NECESSITIES
- A61—MEDICAL OR VETERINARY SCIENCE; HYGIENE
- A61K—PREPARATIONS FOR MEDICAL, DENTAL OR TOILETRY PURPOSES
- A61K31/00—Medicinal preparations containing organic active ingredients
- A61K31/33—Heterocyclic compounds
- A61K31/395—Heterocyclic compounds having nitrogen as a ring hetero atom, e.g. guanethidine or rifamycins
- A61K31/435—Heterocyclic compounds having nitrogen as a ring hetero atom, e.g. guanethidine or rifamycins having six-membered rings with one nitrogen as the only ring hetero atom
- A61K31/438—The ring being spiro-condensed with carbocyclic or heterocyclic ring systems
-
- A—HUMAN NECESSITIES
- A61—MEDICAL OR VETERINARY SCIENCE; HYGIENE
- A61K—PREPARATIONS FOR MEDICAL, DENTAL OR TOILETRY PURPOSES
- A61K31/00—Medicinal preparations containing organic active ingredients
- A61K31/33—Heterocyclic compounds
- A61K31/395—Heterocyclic compounds having nitrogen as a ring hetero atom, e.g. guanethidine or rifamycins
- A61K31/435—Heterocyclic compounds having nitrogen as a ring hetero atom, e.g. guanethidine or rifamycins having six-membered rings with one nitrogen as the only ring hetero atom
- A61K31/44—Non condensed pyridines; Hydrogenated derivatives thereof
- A61K31/445—Non condensed piperidines, e.g. piperocaine
- A61K31/4523—Non condensed piperidines, e.g. piperocaine containing further heterocyclic ring systems
- A61K31/454—Non condensed piperidines, e.g. piperocaine containing further heterocyclic ring systems containing a five-membered ring with nitrogen as a ring hetero atom, e.g. pimozide, domperidone
-
- A—HUMAN NECESSITIES
- A61—MEDICAL OR VETERINARY SCIENCE; HYGIENE
- A61K—PREPARATIONS FOR MEDICAL, DENTAL OR TOILETRY PURPOSES
- A61K31/00—Medicinal preparations containing organic active ingredients
- A61K31/33—Heterocyclic compounds
- A61K31/395—Heterocyclic compounds having nitrogen as a ring hetero atom, e.g. guanethidine or rifamycins
- A61K31/55—Heterocyclic compounds having nitrogen as a ring hetero atom, e.g. guanethidine or rifamycins having seven-membered rings, e.g. azelastine, pentylenetetrazole
-
- A—HUMAN NECESSITIES
- A61—MEDICAL OR VETERINARY SCIENCE; HYGIENE
- A61P—SPECIFIC THERAPEUTIC ACTIVITY OF CHEMICAL COMPOUNDS OR MEDICINAL PREPARATIONS
- A61P1/00—Drugs for disorders of the alimentary tract or the digestive system
- A61P1/04—Drugs for disorders of the alimentary tract or the digestive system for ulcers, gastritis or reflux esophagitis, e.g. antacids, inhibitors of acid secretion, mucosal protectants
-
- A—HUMAN NECESSITIES
- A61—MEDICAL OR VETERINARY SCIENCE; HYGIENE
- A61P—SPECIFIC THERAPEUTIC ACTIVITY OF CHEMICAL COMPOUNDS OR MEDICINAL PREPARATIONS
- A61P13/00—Drugs for disorders of the urinary system
- A61P13/08—Drugs for disorders of the urinary system of the prostate
-
- A—HUMAN NECESSITIES
- A61—MEDICAL OR VETERINARY SCIENCE; HYGIENE
- A61P—SPECIFIC THERAPEUTIC ACTIVITY OF CHEMICAL COMPOUNDS OR MEDICINAL PREPARATIONS
- A61P15/00—Drugs for genital or sexual disorders; Contraceptives
- A61P15/08—Drugs for genital or sexual disorders; Contraceptives for gonadal disorders or for enhancing fertility, e.g. inducers of ovulation or of spermatogenesis
-
- A—HUMAN NECESSITIES
- A61—MEDICAL OR VETERINARY SCIENCE; HYGIENE
- A61P—SPECIFIC THERAPEUTIC ACTIVITY OF CHEMICAL COMPOUNDS OR MEDICINAL PREPARATIONS
- A61P17/00—Drugs for dermatological disorders
-
- A—HUMAN NECESSITIES
- A61—MEDICAL OR VETERINARY SCIENCE; HYGIENE
- A61P—SPECIFIC THERAPEUTIC ACTIVITY OF CHEMICAL COMPOUNDS OR MEDICINAL PREPARATIONS
- A61P19/00—Drugs for skeletal disorders
- A61P19/02—Drugs for skeletal disorders for joint disorders, e.g. arthritis, arthrosis
-
- A—HUMAN NECESSITIES
- A61—MEDICAL OR VETERINARY SCIENCE; HYGIENE
- A61P—SPECIFIC THERAPEUTIC ACTIVITY OF CHEMICAL COMPOUNDS OR MEDICINAL PREPARATIONS
- A61P3/00—Drugs for disorders of the metabolism
-
- A—HUMAN NECESSITIES
- A61—MEDICAL OR VETERINARY SCIENCE; HYGIENE
- A61P—SPECIFIC THERAPEUTIC ACTIVITY OF CHEMICAL COMPOUNDS OR MEDICINAL PREPARATIONS
- A61P3/00—Drugs for disorders of the metabolism
- A61P3/04—Anorexiants; Antiobesity agents
-
- A—HUMAN NECESSITIES
- A61—MEDICAL OR VETERINARY SCIENCE; HYGIENE
- A61P—SPECIFIC THERAPEUTIC ACTIVITY OF CHEMICAL COMPOUNDS OR MEDICINAL PREPARATIONS
- A61P3/00—Drugs for disorders of the metabolism
- A61P3/06—Antihyperlipidemics
-
- A—HUMAN NECESSITIES
- A61—MEDICAL OR VETERINARY SCIENCE; HYGIENE
- A61P—SPECIFIC THERAPEUTIC ACTIVITY OF CHEMICAL COMPOUNDS OR MEDICINAL PREPARATIONS
- A61P3/00—Drugs for disorders of the metabolism
- A61P3/08—Drugs for disorders of the metabolism for glucose homeostasis
- A61P3/10—Drugs for disorders of the metabolism for glucose homeostasis for hyperglycaemia, e.g. antidiabetics
-
- A—HUMAN NECESSITIES
- A61—MEDICAL OR VETERINARY SCIENCE; HYGIENE
- A61P—SPECIFIC THERAPEUTIC ACTIVITY OF CHEMICAL COMPOUNDS OR MEDICINAL PREPARATIONS
- A61P31/00—Antiinfectives, i.e. antibiotics, antiseptics, chemotherapeutics
- A61P31/12—Antivirals
-
- A—HUMAN NECESSITIES
- A61—MEDICAL OR VETERINARY SCIENCE; HYGIENE
- A61P—SPECIFIC THERAPEUTIC ACTIVITY OF CHEMICAL COMPOUNDS OR MEDICINAL PREPARATIONS
- A61P31/00—Antiinfectives, i.e. antibiotics, antiseptics, chemotherapeutics
- A61P31/12—Antivirals
- A61P31/14—Antivirals for RNA viruses
- A61P31/18—Antivirals for RNA viruses for HIV
-
- A—HUMAN NECESSITIES
- A61—MEDICAL OR VETERINARY SCIENCE; HYGIENE
- A61P—SPECIFIC THERAPEUTIC ACTIVITY OF CHEMICAL COMPOUNDS OR MEDICINAL PREPARATIONS
- A61P35/00—Antineoplastic agents
- A61P35/04—Antineoplastic agents specific for metastasis
-
- A—HUMAN NECESSITIES
- A61—MEDICAL OR VETERINARY SCIENCE; HYGIENE
- A61P—SPECIFIC THERAPEUTIC ACTIVITY OF CHEMICAL COMPOUNDS OR MEDICINAL PREPARATIONS
- A61P37/00—Drugs for immunological or allergic disorders
- A61P37/02—Immunomodulators
- A61P37/06—Immunosuppressants, e.g. drugs for graft rejection
-
- A—HUMAN NECESSITIES
- A61—MEDICAL OR VETERINARY SCIENCE; HYGIENE
- A61P—SPECIFIC THERAPEUTIC ACTIVITY OF CHEMICAL COMPOUNDS OR MEDICINAL PREPARATIONS
- A61P43/00—Drugs for specific purposes, not provided for in groups A61P1/00-A61P41/00
-
- A—HUMAN NECESSITIES
- A61—MEDICAL OR VETERINARY SCIENCE; HYGIENE
- A61P—SPECIFIC THERAPEUTIC ACTIVITY OF CHEMICAL COMPOUNDS OR MEDICINAL PREPARATIONS
- A61P5/00—Drugs for disorders of the endocrine system
- A61P5/06—Drugs for disorders of the endocrine system of the anterior pituitary hormones, e.g. TSH, ACTH, FSH, LH, PRL, GH
-
- A—HUMAN NECESSITIES
- A61—MEDICAL OR VETERINARY SCIENCE; HYGIENE
- A61P—SPECIFIC THERAPEUTIC ACTIVITY OF CHEMICAL COMPOUNDS OR MEDICINAL PREPARATIONS
- A61P9/00—Drugs for disorders of the cardiovascular system
- A61P9/10—Drugs for disorders of the cardiovascular system for treating ischaemic or atherosclerotic diseases, e.g. antianginal drugs, coronary vasodilators, drugs for myocardial infarction, retinopathy, cerebrovascula insufficiency, renal arteriosclerosis
-
- C—CHEMISTRY; METALLURGY
- C07—ORGANIC CHEMISTRY
- C07D—HETEROCYCLIC COMPOUNDS
- C07D401/00—Heterocyclic compounds containing two or more hetero rings, having nitrogen atoms as the only ring hetero atoms, at least one ring being a six-membered ring with only one nitrogen atom
- C07D401/14—Heterocyclic compounds containing two or more hetero rings, having nitrogen atoms as the only ring hetero atoms, at least one ring being a six-membered ring with only one nitrogen atom containing three or more hetero rings
-
- C—CHEMISTRY; METALLURGY
- C07—ORGANIC CHEMISTRY
- C07D—HETEROCYCLIC COMPOUNDS
- C07D403/00—Heterocyclic compounds containing two or more hetero rings, having nitrogen atoms as the only ring hetero atoms, not provided for by group C07D401/00
- C07D403/14—Heterocyclic compounds containing two or more hetero rings, having nitrogen atoms as the only ring hetero atoms, not provided for by group C07D401/00 containing three or more hetero rings
-
- C—CHEMISTRY; METALLURGY
- C07—ORGANIC CHEMISTRY
- C07D—HETEROCYCLIC COMPOUNDS
- C07D471/00—Heterocyclic compounds containing nitrogen atoms as the only ring hetero atoms in the condensed system, at least one ring being a six-membered ring with one nitrogen atom, not provided for by groups C07D451/00 - C07D463/00
- C07D471/02—Heterocyclic compounds containing nitrogen atoms as the only ring hetero atoms in the condensed system, at least one ring being a six-membered ring with one nitrogen atom, not provided for by groups C07D451/00 - C07D463/00 in which the condensed system contains two hetero rings
- C07D471/10—Spiro-condensed systems
Definitions
- the present invention relates to a pyrrolidine derivative.
- Dipeptidyl peptidase IV (also referred to as DPP4, DPP-IV, DP4, or DPPIV; hereinafter abbreviated as DPP4) is derived from a dipeptide Xaa_Pro from a peptide chain having proline or alanine at the second position from the N-terminus.
- DPP4 Dipeptidyl peptidase IV
- Xaa_Pro dipeptide chain having proline or alanine
- GLP-1 As physiological actions of GLP-1, not only an action of promoting secretion of insulin from the knee but also an action of prolonging the gastric emptying time and an action of suppressing eating are known. In fact, attempts have been made to treat non-insulin-dependent diabetes mellitus (type 2 diabetes) by continuously administering GLP-1 subcutaneously. However, GLP-1 is metabolized in vivo in minutes. Among them, especially DPP4 Metabolism is important, and DPP4 rapidly cleaves GLP-1 to produce inactive GLP-1. Since this inactive GLP-1 antagonizes the GLP-1 receptor, the physiological action of GLP-1 may be further attenuated.
- the method of suppressing the degradation of GLP-1 by inhibiting DPP4 is considered to be the best approach for enhancing the action of GLP-1.
- DPP4 inhibition can enhance the action of GLP-1, enhance insulin secretion, and improve glucose metabolism, and is expected to be useful for the treatment of type 2 diabetes. It can also be expected as an anti-obesity drug with an antifeeding effect.
- DPP4 is involved in the metabolism of neuropeptide Y, a neuropeptide, various cytokins, chemodynamics, activation of immunocompetent cells, adhesion of cancer cells to endothelium, etc. Is known to be. Through these actions, inhibition of DPP4 is considered to be useful for treating autoimmune diseases, cancer, HIV infection, infertility, anemia, thrombocytopenia, wounds, and the like.
- DPP4 expression was found in dermal fibroblasts of patients with psoriasis, rheumatoid arthritis and lichen planus, and high DPP4 activity was found in patients with prostatic hypertrophy. Inhibition of DPP4 is also expected to be effective for skin diseases and prostatic hypertrophy.
- hyperlipidemia syndrome X
- diabetic complications hyperglycerinemia
- arteriosclerosis impaired glucose tolerance
- polycystic ovary syndrome growth disorders
- arthritis transplant rejection
- enteritis It is considered to be useful for treatment and / or prevention such as
- Patent Document 1 WO 02/14271 pamphlet
- Patent Document 2 International Publication No. 04/16587 pamphlet
- the present inventors have conducted intensive studies to find a DPP4 inhibitor that exhibits an effect over a long period of time, and as a result, have found that the pyrrolidine derivative represented by the general formula (I) achieves the object.
- the present invention has been completed.
- the present compound suppresses the activity of DPP4 for a long time after administration, it is possible to reduce the number of doses per day, for example. Therefore, it is possible to maintain and improve the compliance and QOL of patients with diabetes (particularly type 2 diabetes, postprandial hyperglycemia, etc.).
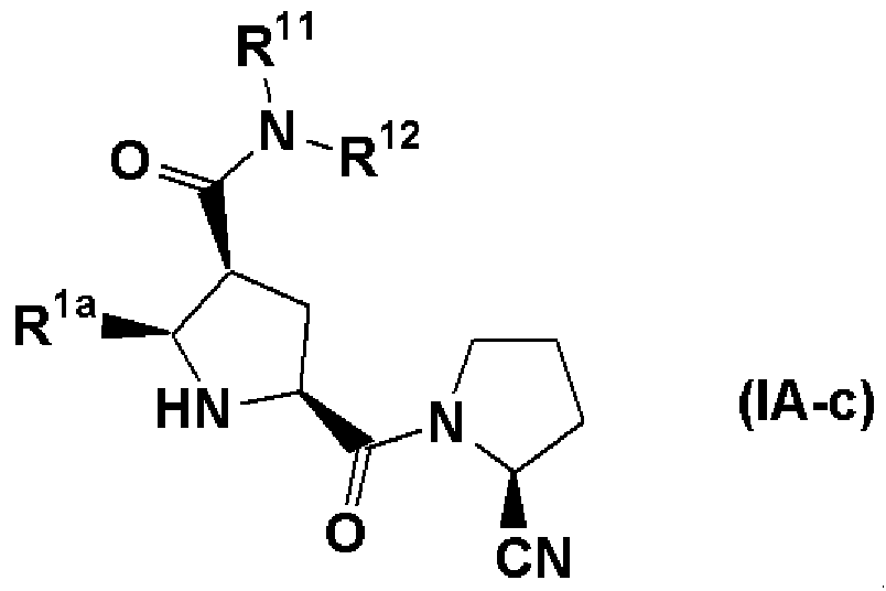
- R la , R lb , R le , R ld and R x each independently represent a hydrogen atom or a substituent, n represents 0 or an integer of 17; R represents hydrogen Represents an atom or a cyano group, and has the symbol [0021]
- [0024] indicates that the head is connected to the other side of the paper (the arrangement of the strings). ), A salt thereof, a solvate thereof, a dioxide thereof or a prodrug thereof,
- DPP4-mediated diseases include diabetes, obesity, autoimmune disease, cancer metastasis, HIV infection, skin disease, prostatic hypertrophy, hyperlipidemia, syndrome X, diabetic complications, hyperglycerinemia, arteriosclerosis
- a drug comprising a combination of at least one selected from the group consisting of
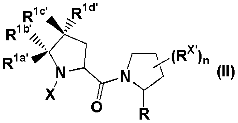
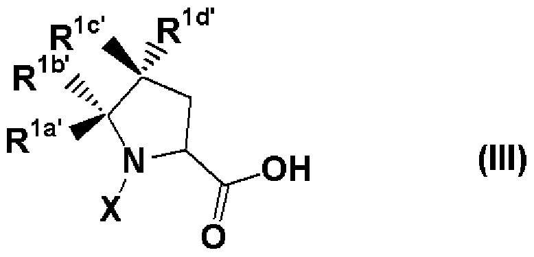
- R la , R lb , R lc , R ld and R x are each independently
- (1) 1 one 5 by the R 2 may be substituted C1 one 8 hydrocarbon group
- R la and R lb or R le and R ld represent ring C together with the carbon atoms to which they are attached.
- I, or R la and R le together with the carbon atom to which they are attached, represent ring D (ring C and ring D may be further substituted by 115 R 3 ).
- R 2 is (1) halogen atom, (2) nitro, (3) Shiano, (4) Okiso, (5) -OR 10, (e) -NR 1
- a ring or a heterocyclic ring which may be substituted by (26) 1-5 R 3 ;
- R 3 is (1) a halogen atom, nitro, cyano, oxo, one OR 10 , one NR “R 12 , one SR 10 , -SO
- S ⁇ R 13 represents (26) a substituted or unsubstituted carbocyclic ring or (27) a substituted or unsubstituted heterocyclic ring.
- R 1Q represents (1) a hydrogen atom, (2) a C18 hydrocarbon group which may have a substituent, (3) a group which has a substituent, Or (4) represents a heterocyclic ring having a substituent.
- R 11 R 12 and R 14 are each independently (1) hydrogen atom, (2) may have a substituent C1 one 8 hydrocarbon group, have a (3) substituents which may be carbocyclic, (4) heterocyclic ring which may have a substituent group, (5) - ⁇ _013 ⁇ 4 13 or (6) -30 R 13.
- R ′′ is (1) a C1-8 hydrocarbon group which may have a substituent, and (2) a group which has a substituent. And represents a carbocyclic ring or a (3) heterocyclic ring having a substituent.
- C1-8 Anorekinore, C2-8 alkenyl or force represents a C2-8 alkynyl ,, R la and R l b or R le and R ld is together such connection C1- 8 alkylidene, alkenylidene or C
- C1-8 alkyl represents, for example, methinole, ethyl, propyl, butyl, pentyl, hexinole, heptyl, octyl and isomers thereof.
- C2-8 alkenyl represents, for example, ethyl, propenyl, butyr, pentyl, hexenyl, heptur, otatur and isomers thereof.
- C2-8 alkynyl represents, for example, ethur, propiel, butchur, penthur, hexur, heptul, otatur and isomers thereof.
- C1-8 alkylidene includes, for example, methylidene, ethylidene, propylidene, butylidene
- C3-8 alkenylidene refers to, for example, propylidene, butenylidene, penteylidene, hexenylidene, heptenylidene, octenylidene and isomers thereof.
- the C3-8 alkynylidene represents, for example, propynylidene, butylidene, pentylidene, hexylidene, heptinylidene, octylidene and isomers thereof.
- the halogen atom represents, for example, fluorine, chlorine, bromine and iodine.
- the “C3_15 monocyclic or polycyclic carbocycle” includes a C3-15 monocyclic or polycyclic carbon ring aryl, a carbocyclic ring partially or wholly saturated, a spiro bond, Polycyclic carbocycles and bridged polycyclic carbocycles, such as cyclopropane, cyclobutane, cyclopentane, cyclohexane, cycloheptane, cyclooctane, cyclononane, cyclononane, Clodecane, cycloundecane, cyclododecane, cyclotridecane, cyclotetradecane, cyclopentadecane, cyclopentene, cyclohexene, cycloheptene, cyclootatene, cyclopentadiene, cyclohexadiene, cycloheptadiene, cyclooctadiene,
- R la, R lb, R le, R ld, R x or "heterocyclic in R 2 represents" 1 one five heterocyclic be substitution by R 3 '
- the term “ring” refers to "a monocyclic or polycyclic heterocyclic ring containing 115 heteroatoms selected from a 3- to 15-membered oxygen atom, nitrogen atom and sulfur atom".
- the "3- to 15-membered monocyclic or polycyclic heterocycle containing 5 to 15 heteroatoms selected from an oxygen atom, a nitrogen atom and a sulfur atom” includes a 3 to 15-membered oxygen atom.
- Examples of the monocyclic or polycyclic heterocyclic aryl containing 115 hetero atoms selected from a 3 to 15-membered oxygen atom, nitrogen atom and sulfur atom include pyrrole and imidazo. , Triazole, tetrazole, pyrazole, pyridine, pyrazine, pyrimidine, pyridazine, azepine, diazepine, furan, pyran, oxepin, thiophene, thiopyran, chepin, oxazole, isoxoxazole, thiazole, isothiazole, flazane, oxaziazinole, Oxazine, oxaziazine, oxazepine, oxazinezepine, thiadiazonole, thiazine, thiadiazine, thiazepine, thiadiazepine, indonele, isoindole
- Examples of partially or wholly saturated 3 to 15 membered monocyclic or polycyclic heterocyclic aryl containing one to five heteroatoms selected from an oxygen atom, a nitrogen atom and a sulfur atom include, for example, Aziridine, azetidine, pyrroline, pyrrolidine, imidazoline, imidazolidine, triazoline, triazolidine, tetrazoline, tetrazolidine, pyrazoline, villazolidine, dihydric pyridine, tetrahydropyridine, piperidine, dihydrovirazine, tetrahydrovirazine, piperazine, dihydropyrimidine , Tetrahydropyrimidine, perhydropyrimidine, dihydropyridazine, tetrahydropyridazine, perhydropyridazine, dihydroazepine, tetrahydroazepine, perhydroazepine, dihydrodazepine, t
- ring c represents a carbocyclic or heterocyclic ring.
- the carbocycle represented by ring C represents a C3-15 monocyclic or polycyclic carbocyclic aryl which may be partially or wholly saturated, for example, cyclopropane, cyclobutane, cyclopentane, cyclopentane Hexane, cycloheptane, cyclooctane, cyclononane, cyclodecane, cyclopentene, cyclohexene, cycloheptene, cyclootaten, cyclononene, cyclodecene, cyclopentadiene, cyclohexadiene, cycloheptadiene, cyclooctadiene, cyclononadiene, cyclononadiene Decadiene, dihydronaphthalene, tetrahydronaphthalene, indene, indane, fluorene ring and the like can be mentioned.
- the heterocyclic ring represented by ring C may be partially or completely saturated, and may be a monocyclic ring containing 115 hetero atoms selected from a 3 to 10-membered oxygen atom, a nitrogen atom and a sulfur atom.
- ring D represented by R la and 11 ⁇ : together with the carbon atom to which it is bonded represents a carbocyclic or heterocyclic ring.
- the carbocycle represented by ring D represents a C3-10 monocyclic or polycyclic carbocyclic aryl which may be partially or completely saturated, for example, cyclopropane, cyclobutane, cyclopentane, cyclopentane Hexane, cycloheptane, cyclooctane, cyclononane, cyclodecane, cyclopentene, cyclohexene, cycloheptene, cyclootaten, cyclononene, cyclodecene, cyclopentadiene, cyclohexadiene, cycloheptadiene, cyclooctadiene, cyclononadiene, cyclononadiene Decadiene, benzene, naphthalene, indane ring and the like can be mentioned.
- the heterocyclic ring represented by ring D may be partially or completely saturated, and contains 115 hetero atoms selected from 3-10 membered oxygen, nitrogen, and sulfur atoms
- C1_8 hydrocarbon group in “C 1-8 hydrocarbon group optionally having substituent (s)” represented by R 1Q , R ′′, R 12 , R 13 and R 14 Represents a C 1-8 alkynole, a C 2-8 alkenyl or a C 2-8 alkynyl, which have the same meaning as described above.
- the “substituent” in the “C 1-8 hydrocarbon group which may have a substituent” represented by R 1Q , R ′′, R 12 , R 13 and R 14 is: For example, hydroxyl group, C1-8 alkoxy, mono (C1-8 alkyl) amino, di (C1-8 alkyl) amino, C2-8 acyl, C1-8 alkoxycarbonyl, benzyloxycarbonyl, carboxy, halogen atom, nitro , Cyano, (C1-8 alkyl) sulfonylamino, C2-8 acylamino, phenyl, C3-8 cycloalkyl, pyridinole, and oxo.
- R 3, R 10, R 11 R 12, R 13 and R m represents "good be substituted les, carbocycle” Les a and "substituent
- the term “carbocycle” and “complex ring” in “may be a heterocycle” have the same meanings as the above “carbocycle” and “heterocycle”, respectively.
- substituents in the term “heterocycle” include, for example, a C1-8 hydrocarbon group, a hydroxyl group, a C1-8 alkoxy, an amino (C1-8alkyl) amino, di (C1— 8alkyl) amino, C2-8acyl, C1-8alkoxycarbonyl, benzyloxycarbonyl, carboxy, mercapto, C1-8alkylthio, halogen atom, (C1-8alkyl) sulfonyl, (C1-8alkyl) sulfonyl 115 groups selected from amino, C2-8 acylamino, oxo, phenyl, C3-8 cycloalkyl, nitro, cyano and pyrid
- the "C1-8 hydrocarbon group" in the "substituent” means C1-8 anolequinole, C2-8 alkenyl or C2-8 alkynyl, which have the same meanings as described above.
- the Cl_8 alkoxy in the "substituent” means, for example, methoxy, ethoxy, propoxy, butoxy, pentyloxy, hexyloxy, heptyl / reoxy, octyloxy and isomers thereof.
- the term "mono (C1-8 alkyl) amino" in the "substituent” refers to an amino group substituted by one C1-8 alkyl group, and includes, for example, methinoleamino, ethylamino, propinoleamino, butinoleamino, pentylamino, Hexylamino, heptylamino, octylamino and its isomers.
- di (C1-8 alkyl) amino in the "substituent” refers to an amino group substituted by two independent C1-8 alkyl groups, for example, dimethylamino, detinoleamino, dipropynoleamino, dibutylamino, dipentylamino. Mino, dihexylamino, diheptylamino, dioctylamino, methylpropylamino with ethylmethylamino, ethylpropylamino and isomers thereof.
- the C2-8 acyl in the "substituent” means, for example, acetyl, propionyl, butyryl, valeryl, hexanoyl, heptanoyl, otatanyl and isomers thereof.
- C1-8 alkoxycarbel in the "substituent” means, for example, methoxycarbonyl, ethoxycarbonyl, propoxycarbonyl, butoxycarbonyl, pentyloxycanolebonyl, hexyloxycarbonyl, heptyloxycarbonyl, octyloxycarbonyl and isomers thereof. Represents the body.
- the C18 alkylthio in the "substituent” means, for example, methylthio, ethylthio, propylthio, butylthio, pentylthio, hexylthio, heptylthio, octylthio and isomers thereof.
- (C1-8 alkyl) sulfonyl in the "substituent” includes, for example, methylsulfonyl, ethinolesnolehoninole, propinoresnolehoninole, butinolesnolehoninole, pentinolesnolehoninole , Hexylsulfonyl, heptylsulfonyl, octylsulfonyl and isomers thereof.
- (C1-8 alkyl) sulfonylamino in the "substituent” refers to, for example, methylsulfonylamino, propylsulfonylamino, butylsulfonylamino, butylsulfonylamino, pentylsulfonylamino, hexylsulfonylamino, etc. , Heptylsulfonylamino, Octylsulfonylamino and its isomers.
- C2-8 acylamino in the "substituent” means, for example, acetylamino-propionylamino, butyrylamino, valerylamino, hexanoylamino, heptanoylamino, otatanylamino and isomers thereof.
- C3-8 cycloalkyl in the "substituent” represents, for example, cyclopropyl, cycloptynole, cyclopentyl, cyclohexyl, cycloheptyl, cyclooctyl.
- the compound represented by the general formula (IA) and the compound represented by the general formula (IB) are also preferable, but the compound represented by the general formula (IA) is more preferable.
- R lc is preferably (1) C 1-8 alkyl substituted by one to three of —CONI ⁇ R 12 or —COR 13 , (3) —COR 13 or (4) an optionally substituted carbocycle, more preferably one selected from (1) —C ⁇ NR ”R 12 and one C ⁇ R 13 group C1 one 4 alkyl substituted by the group, (2) - CONR "R 12, ( 3) 3 or (4) c which is substituted, substituted, or phenyl
- a 1 2 is, for example, the following groups.
- a heterocyclic ring which may have a substituent is preferable, and a heterocyclic force containing at least one nitrogen atom which may have a substituent is more preferable.
- Preferred heterocycles include, for example, azetidine, pyrrolidine, piperidine, perhydroazepine, perhydroazosin, pyrrole, dihydropyrrole, dihydropyridine, tetrahydropyridine, dihydroazepine, tetrahydroazepine, piperazine, monoreforin, thiomorpholine Oxazolidine, thiazolidine, dihydroindole, dihydroisoindole, dihydroquinoline, tetrahydroquinoline, dihydroisoquinoline, tetrahydroisoquinoline, tetrahydrothiazolopyridine, tetrahydrotriazolopyrazine ring, etc., and these rings have substitution groups. May be.
- phenyl group optionally having substituent (s) a phenyl group substituted by at least three hydroxyl groups is preferable.
- Powerful phenyl groups are selected from alkyl, alkoxy, halogen atoms (fluorine, chlorine, bromine, iodine), mono (cialkyl) amino and di (alkyl) amino, in addition to the three hydroxyl groups. May be present as substituents.
- R la Of R la , R lb , R le and R ", a combination in which R lb and R ld are hydrogen is preferable.
- annalequinole, alkoxy, alkylthio, alkenyl, alkynyl, alkylene, alkylidene, alkenylidene and alkynylidene include straight and branched ones.
- isomers in double bonds, rings and condensed rings (E, Z, cis, trans isomers), isomers due to the presence of asymmetric carbon (R, s, isomer, / 3 isomer, enantiomer, diastereomer), optical rotation Optical isomers (D, L, d, one, +,-), polar isomers (highly polar, less polar) by chromatographic separation, equilibrium compounds, and compounds in any proportion of these , Racemic mixtures are all included in the present invention.
- [0093] indicates that the force, which is one of the connection to the front of the paper surface or the connection to the other side, is not determined.
- optically active compound in the present invention is not only a 100% pure compound but also contains less than 50% of other optical isomers.
- [0097] represents that the geometric isomer of the double bond is a mixture of an E-form and a Z-form at an arbitrary ratio.
- ring G is a heterocyclic ring having at least one nitrogen atom among “heterocyclic rings which may have a substituent” in R ”(for example, azetidine, pyrrolidine, piperidine , Perhid Loazepine, perhydroazosin, pyrrole, dihydropyrrole, dihydropyridine, tetrahydropyridine, dihydroazepine, tetrahydroazepine, oxazolidin, thiazolidine, or tetrahydrotriazolopyrazine ring), and Ra has a “substituent in R 13 . May have the same meaning as the “substituent” in the “heterocycle”, t represents an integer of 0 or 115, and other symbols have the same meanings as described above. ), A compound represented by the general formula (IA—e)
- orchid is a carbon atom in “a carbocycle optionally substituted by 1 to 5 R 3 ” and a “heterocycle optionally substituted by 1 to 5 R 3 ” in R le
- the other symbols have the same meanings as described above for the ring and the heterocyclic ring, and a compound represented by the general formula (IA-h)
- Salts of the compounds represented by formula (I) include all pharmacologically acceptable ones.
- the pharmacologically acceptable salts are preferably those with low toxicity and water solubility.
- Suitable salts include, for example, salts of alkali metals (potassium, sodium, lithium, etc.), salts of alkaline earth metals (calcium, magnesium, etc.), ammonium salts (tetramethylammonium salt, tetrabutylammonium) Salts), organic amines (triethylamine, methinoleamine, dimethylamine, cyclopentylamine, benzylamine, phenethylamine, piperidine, monoethanolamine, diethanolamine, tris (hydroxymethyl) methylamine, lysine, arginine, N-methyl-D -Gnorecamine, etc.), acid addition salts (inorganic acid salts (hydrochloride, hydrobromide, hydroiodide, sulfate, phosphate
- the N-year-old oxide form refers to any oxidized nitrogen atom contained in the compound represented by the general formula (I).
- the salt of the compound of the present invention and the N-methoxide include a solvate or a solvate of an alkali (earth) metal salt, an ammonium salt, an organic amine salt, and an acid addition salt of the compound of the present invention. Things are also included.
- the solvate is non-toxic and water-soluble. Suitable solvates include, for example, solvates such as water and alcohol solvents (such as ethanol).
- the compound of the present invention can be converted to a pharmacologically acceptable salt, N-oxide or solvate by a known method.
- the prodrug of the compound represented by the general formula (I) refers to a compound that is converted into a compound represented by the general formula (I) in a living body by a reaction with an enzyme, gastric acid, or the like.
- a prodrug of the compound represented by the general formula (I) when the compound represented by the general formula (I) has an amino group, a compound in which the amino group is acylated, alkylated, or phosphorylated (for example, General formula (I )), The amino group of the compound represented by eicosanoylation, alanylation, pentylaminocarbonylation, (5-methyl-2-oxo-1,3-dioxolen-1-yl) methoxycarbonylation, tetrahydrofurerylation, pyrrolyl Zylmethylation, bivaloyloxymethylation, acetoxymethylation, tert-butylated compound, etc.); when the compound represented by the general formula (I) has a hydroxy
- the prodrug of the compound represented by the general formula (I) may be any of a hydrate and a non-hydrate.
- the repeated oral glucose tolerance test in rats can be performed based on the single oral glucose tolerance test method described in Experimental Example 4 below.
- the total oral glucose load was 3 times (the first oral glucose load was performed 30 minutes after oral administration of the compound of the present invention, the second oral glucose load was 6 hours after the first oral glucose load, and the third oral glucose load was 12 hours later.
- An oral glucose load is performed.) Blood is collected immediately before oral administration of the compound of the present invention, after the first oral glucose load, and immediately before the remaining two oral glucose loads, and after oral glucose load. By this test, the hypoglycemic effect of the compound of the present invention can be measured.
- the compound of the present invention represented by the general formula (I) a known method, for example, complexity Heng Shiv 'O ⁇ force nick' Tofunsufo 1 ⁇ menu 1 ⁇ Shonsu (and omprehensive Organic Transformations: A Guide to Functional Group Preparations ⁇
- the second piece 3 ⁇ 4j (Richard C. Larock, John Wiley & Sons Inc, 1999) can be produced by appropriately improving the method described in, for example, the method shown below, or a combination of the methods shown in Examples.
- the starting conjugate may be used as a salt, such as those described as the pharmaceutically acceptable salts of the above-mentioned general formula (I). Can be used.
- a compound having the meaning S which may be protected when these have a carboxyl group, an amino group, a hydroxyl group and / or a mercapto group, and other symbols having the same meanings as described above)
- a deprotection reaction of a protecting group for a nitrogen atom By subjecting the compound to a deprotection reaction of a protecting group for a nitrogen atom and, if necessary, to a deprotection reaction for a protecting group of another carboxyl group, an amino group, a hydroxyl group and / or a mercapto group.
- Examples of the protecting group for the nitrogen atom include benzyloxycarbonyl, tert-butoxycanolebonyl, aryloxycarbonyl (Alloc), 1-methyl-1_ (4-biphenylinole) ethoxycarbonyl (Bpoc), trifluorocarbonyl Examples include roacetyl, 9_fluorenylmethoxycarbonyl, benzyl (Bn), p-methoxybenzyl, benzyloxymethyl (BOM), and 2_ (trimethylsilinole) ethoxymethyl (SEM).
- Examples of the carboxyl-protecting group include methyl, ethyl, aryl, tert-butyl, trichloroethyl, benzyl (Bn), phenacyl, p-methoxybenzyl, tritinol, 2-cyclotrityl, and a structure thereof having a bond. And the like.
- hydroxyl-protecting group examples include methyl, trityl, methoxymethinole (MOM), 1-ethoxyshethyl (EE), methoxyethoxymethyl (MEM group, 2-tetrahydroviranyl (THP), trimethylsilyl (TMS), Triethylsilyl (TES), tert-butyldimethylsilinole (TBD MS), tert-butyldiphenylsilinole (TBDPS), acetyl (Ac), bivaloyl, benzoyl, benzyl (Bn), p_methoxybenzyl, aryloxy Carbonyl (Alloc), 2,2,2-trichloromouth ethoxycarbonyl (Troc) and the like.
- Examples of the protecting group for an amino group include the same as those described above for the protecting group for a nitrogen atom.
- Examples of the mercapto group-protecting group include benzyl, methoxybenzyl, methoxymethinole (MOM), 2-tetrahydroviranyl (THP), diphenylmethyl, acetyl (Ac) and the like.
- the protecting group for the carboxyl group, the hydroxyl group, the amino group and / or the mercapto group is not particularly limited as long as it is a group which can be easily and selectively eliminated in addition to the groups described above.
- those described in T. W. ureene, Protective uroups in Organic Syntnesis, Wiley, New York, 1999 are used.
- Deprotection reactions of a protecting group for a nitrogen atom and a protecting group for a carboxyl group, a hydroxyl group, an amino group and / or a mercapto group are well known, and include, for example,
- the deprotection reaction by alkali hydrolysis is performed, for example, in an organic solvent (methanol, tetrahydrofuran, dioxane, etc.), in the presence of an alkali metal hydroxide (sodium hydroxide, hydroxide hydroxide, lithium hydroxide, etc.), alkali hydroxide, or the like.
- an alkali metal hydroxide sodium hydroxide, hydroxide hydroxide, lithium hydroxide, etc.
- alkali hydroxide alkali hydroxide, or the like.
- hydroxides of earth metals barium hydroxide, hydroxide, etc.
- carbonates sodium carbonate, potassium carbonate, etc.
- the deprotection reaction under acidic conditions is carried out, for example, by using an organic acid (acetic acid, trifluoroacetic acid, methanesulfonic acid, methanesulfonic acid, etc.) in an organic solvent (dichloromethane, clonor honolem, dioxane, ethyl acetate, anisol, etc.).
- the reaction is performed at a temperature of 0-100 ° C in methylbenzenesulfonic acid or the like, or an inorganic acid (hydrochloric acid, sulfuric acid or the like) or a mixture thereof (hydrogen bromide Z acetic acid or the like).
- the deprotection reaction by hydrogenolysis includes, for example, solvent (ether (tetrahydrofuran, dioxane, dimethoxyethane, getyl ether, etc.), alcohol (methanol, ethanol, etc.), benzene (benzene, etc.). , Toluene, etc.), ketones (acetone, methylethyl ketone, etc.), nitriles (acetonitrile, etc.), amides (dimethylformamide, etc.), water, ethyl acetate, acetic acid, or a mixed solvent of two or more thereof.
- solvent ether (tetrahydrofuran, dioxane, dimethoxyethane, getyl ether, etc.), alcohol (methanol, ethanol, etc.), benzene (benzene, etc.). , Toluene, etc.), ketones (acetone, methylethyl ketone, etc.), nitriles (
- the reaction is carried out at 0-200 ° C in the presence of a catalyst (palladium-carbon, palladium black, palladium hydroxide, platinum oxide, Raney nickel, etc.), in a hydrogen atmosphere under normal pressure or pressure, or in the presence of ammonium formate.
- a catalyst palladium-carbon, palladium black, palladium hydroxide, platinum oxide, Raney nickel, etc.
- the deprotection reaction of the silyl group is carried out, for example, by using tetrabutylammonium fluoride in a water-miscible organic solvent (tetrahydrofuran, acetonitrile, etc.) at a temperature of 0 to 40 ° C. It is done in.
- a water-miscible organic solvent tetrahydrofuran, acetonitrile, etc.
- the deprotection reaction using a metal is carried out, for example, by reacting powdered zinc in an acidic solvent (acetic acid, a buffer solution of pH 4.2 to 7.2 or a mixture thereof and an organic solvent such as tetrahydrofuran). In the presence, it is carried out at a temperature of 0-40 ° C, applying ultrasound if necessary.
- an acidic solvent acetic acid, a buffer solution of pH 4.2 to 7.2 or a mixture thereof and an organic solvent such as tetrahydrofuran.
- the deprotection reaction using a metal complex can be performed, for example, by using a trapping reagent (hydrogen) in an organic solvent (dichloromethane, dimethyl honoleamide, tetrahydrofuran, ethyl acetate, acetonitrile, dioxane, ethanol, etc.), water or a mixed solvent thereof.
- a trapping reagent hydrogen
- organic solvent dichloromethane, dimethyl honoleamide, tetrahydrofuran, ethyl acetate, acetonitrile, dioxane, ethanol, etc.
- the intended compound of the present invention can be easily produced by properly using these deprotection reactions.
- the amidation reaction is known, for example,
- the method of using an acid halide is, for example, a method in which a carboxylic acid is converted into an acid halide (oxalyl chloride, thioyuric acid or the like) in an organic solvent (chloroform, dichloromethane, dimethyl ether, tetrahydrofuran or the like) or without solvent.
- an organic solvent chloroform, dichloromethane, dimethyl ether, tetrahydrofuran or the like
- Amide and an organic solvent in the presence of a base (pyridine, triethylamine, dimethylaniline, dimethylaminopyridine, diisopropylethylamine, etc.).
- a base pyridine, triethylamine, dimethylaniline, dimethylaminopyridine, diisopropylethylamine, etc.
- Black mouth The reaction is carried out at 0-40 ° C in form, dichloromethane, getyl ether, tetrahydrofur
- the reaction can also be carried out by reacting the obtained acid halide with an amine in an organic solvent (dioxane, tetrahydrofuran, etc.) using an aqueous alkali solution (aqueous sodium bicarbonate or sodium hydroxide solution) at 0-40 ° C. .
- an organic solvent dioxane, tetrahydrofuran, etc.
- an aqueous alkali solution aqueous sodium bicarbonate or sodium hydroxide solution
- a carboxylic acid is dissolved in an organic solvent (eg, chloroform, dichloromethane, dimethyl ether, tetrahydrofuran) or in the absence of a solvent in the presence of a base (pyridine, triethylamine, dimethyl).
- an organic solvent eg, chloroform, dichloromethane, dimethyl ether, tetrahydrofuran
- a base pyridine, triethylamine, dimethyl
- a carboxylic acid and an amine derivative can be prepared by adding a carboxylic acid and an amine derivative in an organic solvent (e.g., chloroform, dichloromethane, dimethylformamide, getyl ether, tetrahydrofuran) or in the absence of a solvent.
- an organic solvent e.g., chloroform, dichloromethane, dimethylformamide, getyl ether, tetrahydrofuran
- All of the reactions (1), (2) and (3) are desirably carried out under an inert gas (argon, nitrogen, etc.) atmosphere under anhydrous conditions.
- inert gas argon, nitrogen, etc.
- R 11A and R 1 represent the same meaning as R 11 and R ", respectively. When these have a ropoxyl group, an amino group, a hydroxyl group and / or a mercapto group, they are protected, And w represents an integer of 0 or 115, and other symbols have the same meanings as described above.
- amidation reaction can be carried out in the same manner as described above.
- w represents an integer of 0 or 115, and other symbols represent the same meaning as described above.
- amidation reaction can be carried out in the same manner as described above.
- the compound represented by III-III) can be produced by the method represented by the following reaction scheme 11-S.
- Boc represents tert-butoxycarbonyl
- Me represents methyl
- Et represents ethyl
- tBu represents tert-butyl
- Ts represents p-tonolenesulfonyl
- Tf represents trifluoromethanesulfonyl
- Bn represents benzyl
- Z represents benzyloxycarbonyl
- Q represents a protecting group such as methinole, ethyl, benzyl, tert-butyl
- m represents 0 or 1.
- R 3A has the same meaning as R 3 , but is protected when it represents an amino group, a carboxyl group, a hydroxyl group or a mercapto group.
- R P represents a single bond at the base bonded to the pyrrolidine ring of R le is a double bond
- R A ' is R la ' or Represents any of the groups of R lb
- R B is to Table Wa any group of R le or R ".
- All the reactions in each reaction scheme can be performed according to a known method.
- the other starting materials and each reagent in the present invention can be produced according to a known force or a known method.
- the compound represented by the general formula (IV) is known, and the compound represented by the general formula (III) can be produced from a known compound according to a known method.
- a reaction product is produced by a conventional purification means, for example, distillation under normal pressure or reduced pressure, high-performance liquid chromatography using silica gel or magnesium silicate, thin-layer chromatography, Alternatively, it can be purified by a method such as column chromatography or washing and recrystallization. Purification may be performed for each reaction or may be performed after completion of several reactions.
- a conventional purification means for example, distillation under normal pressure or reduced pressure, high-performance liquid chromatography using silica gel or magnesium silicate, thin-layer chromatography, Alternatively, it can be purified by a method such as column chromatography or washing and recrystallization. Purification may be performed for each reaction or may be performed after completion of several reactions.
- the toxicity of the compound of the present invention represented by the general formula (I) is extremely low, and it is sufficiently safe for use as a medicament.
- the compound of the present invention represented by the general formula (I) inhibits DPP4 to produce DPP4-mediated diseases such as diabetes (particularly type 2 diabetes, postprandial hyperglycemia, etc.), obesity, autoimmune disease, and cancer metastasis. , HIV infection, infertility, anemia, thrombocytopenia, wound, skin disease, prostatic hypertrophy, hyperlipidemia, syndrome X, diabetic complications, hyperglycerinemia, arteriosclerosis, impaired glucose tolerance, polycystic ovary syndrome , Growth disorders, arthritis, transplant rejection, enteritis, etc. and as a Z or prophylactic agent.
- diabetes particularly type 2 diabetes, postprandial hyperglycemia, etc.
- obesity autoimmune disease
- cancer metastasis e.g., HIV infection, infertility, anemia, thrombocytopenia, wound, skin disease, prostatic hypertrophy, hyperlipidemia, syndrome X, diabetic complications, hyperglycerinemia, arteriosclerosis, impaired glucose tolerance, poly
- the compound represented by the general formula (I), a salt thereof, an N-hydroxylated compound or a solvate, or a prodrug thereof may be abbreviated as a compound represented by the general formula (I) or the like) )) 1) complement and / or enhance the therapeutic and / or prophylactic effects of the compound, 2) improving the kinetics and / or absorption of the compound, reducing the dose,
- the compound may be administered as a concomitant drug in combination with other drugs to reduce the side effects of the compound.
- a concomitant drug of a compound represented by the general formula (I) and another drug may be administered in the form of a combination drug in which both components are combined in one formulation, or may be administered as separate formulations. You can also take the form to do.
- the administration in the form of separate preparations includes simultaneous administration and administration with a time lag.
- administration with a time lag may be performed by administering the compound represented by the general formula (I) first and then administering another drug later, or administering the other drug first and then administering the compound represented by the general formula (I).
- the indicated compound or the like may be administered later, and the respective administration methods may be the same or different.
- Diseases in which a therapeutic and / or prophylactic effect is exerted by the above concomitant drug are not particularly limited, and diseases that complement and / or enhance the therapeutic and / or prophylactic effect of the compound represented by the general formula (I) and the like. If so,
- drugs for complementing and / or enhancing the action of the compound represented by the general formula (I) include, for example, sulfonylureas, biguanides, ⁇ -dalcosidase inhibitors, insulin Secretagogues, insulin sensitizers, insulin preparations, PPAR agonists ( ⁇ AR a agonist, PPAR ⁇ agonist, PPAR ⁇ + ⁇ agonist, etc.), ⁇ adrenergic receptor
- Agonists aldose reductase inhibitors, DPP4 inhibitors and the like.
- sulfonylurea drugs examples include acetohexamide, dalibenclamide, daliclazide, glicloviramide, chlorpropamide, tolazamide, tolptamide, glimepiride and the like.
- biguanides examples include buformin hydrochloride, metformin hydrochloride and the like.
- Examples of the heart darcosidase inhibitors include acarbose and voglibose.
- insulin secretagogue examples include nateglinide, repaglinide and the like.
- insulin sensitizer examples include ⁇ NO_5816, YM_440, JTT_501, and NN-2 344 and the like.
- Examples of the PPAR agonist include pioglitazone, troglitazone, rosiglitazone and the like.
- Examples of ⁇ -adrenergic receptor agonists include AJ9677, L750355, and CP33164.
- aldose reductase inhibitor examples include epalrestat, fidarestat, zenarestat and the like.
- DPP4 inhibitor listed are: LAF-237, MK_0431, BMS_477118, P93
- HMG_CoA inhibitor examples include pravastatin, simpastatin, lovastatin, flupastatin, atorvastatin, rospastatin, pitapastatin and the like.
- the dose varies depending on the age, body weight, symptoms, therapeutic effect, administration method, treatment time, etc., but is usually in the range of lng to lOOmg per adult, once to several times a day. Per parenteral dose per adult or adult, parenteral once or several times daily in the range of 0.1 to 10 mg, or intravenously in the range of 1 to 24 hours daily Is administered continuously.
- the solid preparation for oral administration for oral administration includes tablets, pills, capsules, powders, granules and the like.
- Capsules include hard capsules and soft capsules.
- one or more active substances are used as they are, or excipients (ratatose, mannitol, gnorecose, microcrystalline cellulose, starch, etc.), binders (hydroxypropylcellulose, Polyvinylpyrrolidone, magnesium aluminate metasilicate, etc.), disintegrator (calcium glycolate, etc.), lubricant (magnesium stearate, etc.), stabilizer, solubilizer (glutamic acid, aspartic acid, etc.) It is mixed, formulated and used according to a conventional method.
- a coating agent sucrose, gelatin, hydroxypropylcellulose, hydroxypropylmethylcellulose phthalate, etc.
- capsules of absorbable substances such as gelatin.
- Liquid preparations for oral administration include pharmaceutically acceptable solutions, suspensions, emulsions, syrups, elixirs and the like.
- one or more active substances are dissolved, suspended or emulsified in a commonly used diluent (eg, purified water, ethanol or a mixture thereof).
- the liquid preparation may contain a wetting agent, a suspending agent, an emulsifier, a sweetening agent, a flavoring agent, a fragrance, a preservative, a buffer and the like.
- Injections for parenteral administration include solutions, suspensions, emulsions, and solid injections that are dissolved or suspended in a solvent before use. Injectables are prepared by dissolving, suspending or emulsifying one or more active substances in a solvent.
- the solvent for example, distilled water for injection, physiological saline, vegetable oil, propylene glycol, polyethylene glycol, alcohols such as ethanol and the like, and combinations thereof are used.
- the injection may contain a stabilizer, a solubilizing agent (glutamic acid, aspartic acid, polysorbate 80 (registered trademark), etc.), a suspending agent, an emulsifier, a soothing agent, a buffer, a preservative, and the like. . these Is manufactured and prepared by sterilization or aseptic operation in the final step.
- a sterile solid preparation for example, a lyophilized product, can be produced and dissolved in sterilized distilled water for injection or other solvents before use.
- Dosage forms of external preparations for parenteral administration include, for example, ointments, gels, creams, poultices, patches, liniments, sprays, inhalants, sprays, eye drops, Includes nasal drops and the like. These contain one or more active substances and are manufactured and prepared by known methods or commonly used formulations.
- the ointment is produced by a known or commonly used formulation. For example, it is manufactured and prepared by grinding or melting one or more active substances in a base.
- the ointment base is selected from known or commonly used ones. For example, higher fatty acids or higher fatty acid esters (adipic acid, myristic acid, palmitic acid, stearic acid, oleic acid, adipic acid ester, myristic acid ester, palmitic acid ester, stearic acid ester, oleic acid ester, etc.), waxes (Such as beeswax, spermaceti, and ceresin), surfactants (such as polyoxyethylene alkyl ether phosphate), higher alcohols (such as cetanol, stearyl alcohol, and setstearyl alcohol), and silicone oils (such as dimethylpolysiloxane) ), Hydrocarbons (hydrophilic petrolatum, white petrolatum, purified lanolin, liquid paraffin, etc.
- the gel is produced by a known or commonly used formulation. For example, it is produced and prepared by melting one or more active substances in a base.
- the gel base is selected from known or commonly used ones. For example, lower alcohols (ethanol, isopropynole alcohol, etc.), gelling agents (carboxymethyl cellulose, hydroxyethyl cellulose, hydroxypropyl cellulose, ethyl cellulose, etc.), neutralizing agents (triethanolamine, diisopropanolamine, etc.),
- surfactants polyethylene glycol monostearate, etc.
- gums water, absorption enhancers, and anti-rash agents Let's do it. Further, it may contain a preservative, an antioxidant, a flavoring agent and the like.
- a cream is produced by a known or commonly used formulation. For example, it is produced and prepared by melting or emulsifying one or more active substances in a base.
- the term base is selected from known or commonly used ones. For example, higher fatty acid esters, lower alcohols, hydrocarbons, polyhydric alcohols (propylene glycol, 1,3-butylene glycol, etc.), higher alcohols (2-hexyldecanol, cetanol, etc.), emulsifiers (polyoxyethylene alkyl ether) , Fatty acid esters, etc.), water, absorption enhancers, and rash preventives. Further, it may contain a preservative, an antioxidant, a flavoring agent and the like.
- the poultice is produced by a known or commonly used formulation. For example, it is manufactured by melting one or more active substances in a base, forming a kneaded product, and spreading and applying the mixture on a support.
- the compress base is selected from known or commonly used ones. For example, thickeners (polyatalinoleic acid, polybierpyrrolidone, gum arabic, starch, gelatin, methylcellulose, etc.), wetting agents (urea, glycerin, propylene glycol, etc.), fillers (kaolin, zinc oxide, talc, Calcium, magnesium, etc.), water, a dissolution aid, a tackifier, and an anti-rash agent. Further, it may contain a preservative, an antioxidant, a flavoring agent and the like.
- the patch is produced by a known or commonly used formulation. For example, it is produced by melting one or more active substances in a base material and spreading and coating the support material on a support.
- the base for the patch is selected from known or commonly used ones. For example, a mixture of one or more selected from a polymer base, oils and fats, higher fatty acids, tackifiers and anti-rash agents is used. Further, it may contain a preservative, an antioxidant, a flavoring agent and the like.
- the liniment is produced by a known or commonly used formulation.
- one or more active substances are dissolved, suspended or emulsified in one or more selected from water, alcohol (ethanol, polyethylene glycol, etc.), higher fatty acids, glycerin, soap, emulsifier, suspending agent, etc. It is manufactured and prepared. Further, it may contain a preservative, an antioxidant, a flavoring agent and the like.
- Sprays, inhalants, sprays and nasal drops are generally used in addition to diluents.
- Buffers which provide isotonicity with stabilizers such as sodium bisulfite may contain isotonic agents such as sodium chloride, sodium citrate or citric acid.
- isotonic agents such as sodium chloride, sodium citrate or citric acid.
- a nasal drop When a nasal drop is administered, it is generally sprayed quantitatively into the nasal cavity with a solution or powder containing the drug, using a special nasal dropper or nebulizer.
- Eye drops for parenteral administration include eye drops, suspension-type eye drops, emulsion-type eye drops, dissolvable-type eye drops and eye ointments.
- These eye drops are prepared and prepared according to a known method.
- one or more active substances are used by dissolving, suspending or emulsifying in a solvent.
- the solvent for the ophthalmic solution for example, sterilized purified water, physiological saline, other aqueous solvents or injectable non-aqueous agents (eg, vegetable oil) and the like and combinations thereof are used.
- Eye drops include isotonic agents (sodium chloride, concentrated glycerin, etc.), buffering agents (sodium phosphate, sodium acetate, etc.), surfactants (polysorbate 80 (trade name), polyoxyl stearate 40, It contains, as necessary, a suitable additive such as a reoxyethylene hydrogenated castor oil, a stabilizer (sodium taenoate, sodium edetate, etc.), a preservative (benzanoleconidum chloride, paraben, etc.). Is also good. These are manufactured and prepared by a sterile operation method that is sterilized in the final process. In addition, a sterile solid preparation, for example, a lyophilized product, can be manufactured and dissolved in sterilized purified water or another solvent before use, and used.
- a suitable additive such as a reoxyethylene hydrogenated castor oil, a stabilizer (sodium taenoate, sodium edetate, etc.),
- Inhalants for parenteral administration include aerosols, powders for inhalation, and solutions for inhalation, and the solutions for inhalation are dissolved or suspended in water or another appropriate medium before use. May be used.
- a preservative eg, Shizani Benzanoreconium, paraben
- a coloring agent e.g, a coloring agent
- a buffer e.g, sodium phosphate, sodium acetate
- an isotonic agent Sodium chloride, concentrated glycerin, etc.
- a thickener such as cariboxybul polymer
- an absorption enhancer etc.
- lubricants stearic acid and its salts, etc.
- binders starch, etc.
- Dextrin starch, etc.
- excipients lactose, cellulose, etc.
- coloring agents preservatives
- preservatives benzanolone chloride, benzene, etc.
- absorption promoters etc., as appropriate, and prepared.
- a nebulizer (an atomizer, a nebulizer) is usually used to administer a liquid for inhalation, and an inhaler / administrator for powdered medicine is usually used to administer a powder for inhalation.
- compositions for parenteral administration include suppositories for rectal administration and pessaries for vaginal administration, which contain one or more active substances and are prescribed in a conventional manner. Is included. The invention's effect
- the compound of the present invention represented by the general formula (I) has DPP4 inhibitory activity and is therefore useful as a therapeutic and / or prophylactic agent for DPP4-mediated diseases.
- the solvent in the kakkou indicated by the chromatographic separation and TLC indicates the elution solvent or developing solvent used, and the ratio indicates the volume ratio.
- NMR is a measured value of 1 H NMR, and the solvent in kakko
- the compound name used in the present specification is generally a computer program for naming according to the rules of IUPAC, ACD / Name (registered trademark, manufactured by Advanced Chemistry Development Inc.) or ACD / Name batch ( (Registered trademark, manufactured by Advanced Chemistry Development Inc.) or according to the IUPAC nomenclature.
- Participant example 2 l_tert_butyl 2_methyl (2S) _4_ “2-methoxy-3- (methoxymethoxy) phenyl ⁇ —2.5-dihydro-1H-pyrro-mono-1.2-dicarboxylate
- Participant example 5 tert_butyl (2S.4R) _2_i “(2S) _2_cyanopyrrolidine-1-yl ⁇ carbonyl” _4_ “2-methoxy_3_ (methoxymethoxy) phenyl ⁇ rosin-1 1-carboxy Two In a solution of the compound (818 mg) prepared in Reference Example 4, (2S) -2-cyanopyrrolidine 4-methylbenzenebenzenesulfonate (689 mg) and 1-hydroxybenzotriazole monohydrate (289 mg) in dimethylformamide (6 ml).
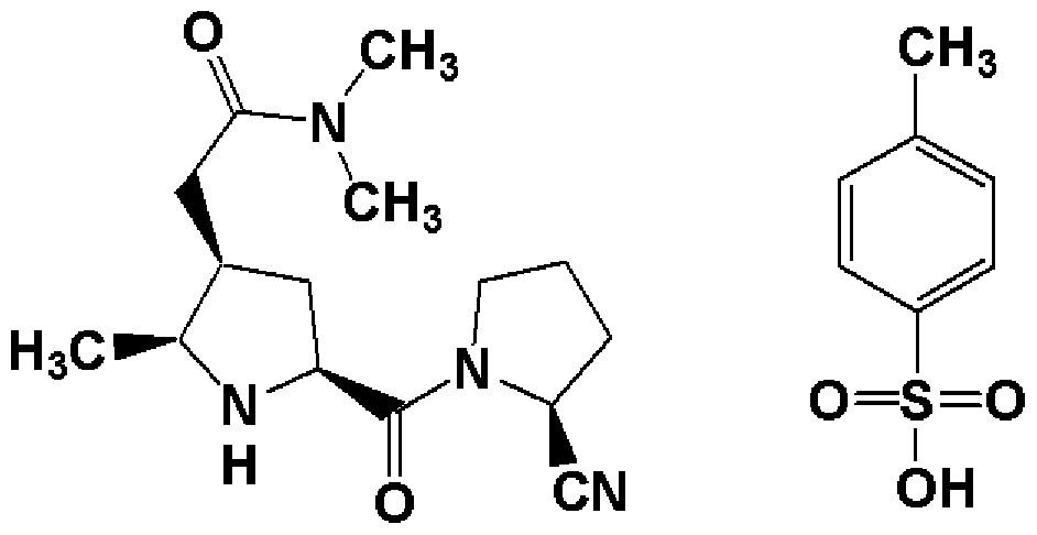
- Example 1 (2S) -li r (2S. 4R) _4_ (3-hydroxy-2,6-dimethoxyphenyl) pyrrolidine-2-yl ⁇ carbonyl ⁇ pyrrolidine_2_carboditrinole 4_methyl Benzenesulfonate ⁇
- Example 1 (2S) _1 _ ⁇ “4_ (3-hydroxy_5_methylphenyl) pyrrolidine—2-yl ⁇ ⁇ carbinole ⁇ pyrrolidine-1_2-carboditrinole 4_methylbenzenesulfonate
- Example 1 (4): (2S) _1 _ ⁇ “(2S.4R) _4_ (3-hydroxy-6-methoxy_2_methylphenyl) pyrrolidine-l-2-yl ⁇ carbonyl ⁇ pyrrolidine-l_2-carboditrinole 4_ Methylbenzene sulfonic acid salt
- Example 1 (9): Methyl "3 _ ((3R.5S) _5 _ ⁇ " (2S) _2_cyanopyrrolidine-1-yl ⁇ ubonyl ⁇ pyrrolidine-3-yl) -2.4-dimethylphenyl ⁇ uylbamate 4_ methylbenzene sulfonic acid salt
- Example 1 (10): N_ “3 _ ((3R.5S) _5 _ ⁇ “ (2S) _2_cyanopyrrolidine-1-yl ⁇ carbonyl ⁇ pyrrolidine-1-3-inole) _2,4-dimethylpheninole ⁇ Urea 4-methylbenzenesulfonate
- Example 1 (12): 3 _ ((3R.5S) _5 _ ⁇ "(3S) _3_fluoropyrrolidine-1-yl carbo ⁇ pyrrolidine-3-inole) -2.4_dimethylphenol 4 _Methylbenzenesulfonic acid product '
- Participant example 6 l_tert_butyl 2_methyl (2S) _4_ (1.3.5_trimethyl_1H-pyrazolone-4_yl) -1-2.5-dihydro-1H-pyrrole-1, 2-dicarboxy Rat
- Example 2 (2S) -li r (2S. 4R) -4- (3.5_dimethylpyridine-1-41yl) pyrrolidin-1--2-yl ⁇ carbinole) pyrrolidine-1_ Carbonitrinolebis (4-methylbenzenesulfonate)
- Triethylamine (3.5 ml), copper iodide (304 mg), bis (triphenylphosphine) dichloropalladium (II) (374 mg) and propargyl were added to a solution of the compound (200 g) produced in Reference Example 1 in tetrahydrofuran (11 ml). Alcohol (0.62 ml) was added and stirred at room temperature for 30 minutes. An aqueous solution of a saturated sodium chloride ammonium salt was added to the reaction mixture, and extracted with ethyl acetate. The organic layer was washed with a saturated aqueous solution of sodium hydrogen carbonate and saturated saline, dried, and concentrated. The residue was purified by column to give the title compound (1.37 g).
- Reference Example 4 Reference Example 5 Using the compound prepared in Reference Example 8 in place of the compound prepared in Reference Example 3, (2S, 4S) _2_cyano_4_fluoropyrrolidine 4_methylbenzenesulfonate.) ⁇ A compound of the present invention having the following physical properties was obtained in the same manner as in the method shown in Example 1. .
- Example 3 The following compound of the present invention was obtained in the same manner as in Example 3 using the corresponding compound instead of the compound produced in Example 2.
- Example 3 (2S) _1 _ ⁇ “(2S.4S) _4_ (3-hydroxy-3-methylbutyl) pyrrolidine_2-yl ⁇ carbinole ⁇ pyrrolidine-1-carboditrinore 4-methylbenzenesulfone Acid salt
- Example 4 (1): 3 _ ((3S, 5S) _5_ (2S, 4S) _2-cyanol 4_fluoropyrrolidine 1_inole ⁇ carbinole ⁇ pyrrolidine _3-inole) _N, N-dimethylpropanamide 4 Methylbenzene sulfonic acid salt
- Reference Example 5 (Dimethyl instead of (2S) _2_cyanopyrrolidine 4-methylbenzenesulfonate) using the compound prepared in Reference Example 9 instead of the compound prepared in Reference Example 4. The amine was used. ) ⁇ Reference Example 4 ⁇ Reference Example 5 (2S, 4S) _2_Cyano _4_Fluoropyrrolidine 4_Methylbenzenesulfonate instead of ((2S) —2-Cyanopyrrolidine 4-methylbenzenesulfonate) ⁇
- the compound of the present invention having the following physical properties was obtained in the same manner as in the method shown in Example 1.
- Participant example 10 l_tert-butynole 2_methyl (2S) _4_ (7-hydroxyheptyl) —2.5_dihydro-1H-pyrromonol-1.2-2-dicanolevoxylate
- potassium carbonate (310 mg) was added to a solution of the compound prepared in Reference Example 1 (422 mg) in a mixed solvent of N, N-dimethylformamide / water (7: 1) (6 ml) (310 mg) to prepare in advance.
- Participant example 13 (4R) -4- ⁇ 2- (benzyloxy) _2_oxoethyl ⁇ _1_ (tert-butoxycarbonyl)-L-prolyl- L-prolinamide
- step (b) To a solution of the compound prepared in step (a) (12.5 g) and benzyl bromide (4.5 ml) in N, N-dimethylformamide (70 ml) was added potassium carbonate (5.7 g), and the mixture was allowed to stand at room temperature. Stir for 1 hour. Water was added to the reaction mixture and extracted with ethyl acetate. The organic layer was washed with brine, dried and concentrated. The residue was purified by column to give the title compound (10 g). Participant example 14: tert-butyl (2S. 4R) _4_ “2_ (benzyloxy) _2_oxoethyl ⁇ —
- Example 7 2 — ((3R.5S) _5 _ ⁇ “(2S) _2_cyanopyrrolidine-1-yl dicarbonyl ⁇ pyro J2 gin-3-inole) __N._N—gelase 4_methylbenzene Sulfonate [0227] [Formula 44]
- Example 7 (2S) -li r (2S. 4R) -4- (2-oxo-2-piperidine-1-ylethyl) pyrrolidine-12-yl ⁇ carbinole ⁇ pyrrolidine-1 2 —Carbonitorinole 4-methylbenzenesulfonate ⁇
- Example 7 (4): (2S) _1 _ “((2S, 41) _4_ ⁇ 2_“ 4_ (methylsulfonyl) pyrazine_1—yl ⁇ _2_2-oxoethylen ⁇ pyrrolidine_2_yl) carbonyl Lysine-2_carbonitorinole 4_methylbenzenesulfonate
- Example 7 (2S) -l-( ⁇ (2S.41) _4_ “2_ (4_acetyl_1.4-diazepan-1_yl) _2_oxosetyl ⁇ pyrrolidine-2-yl ⁇ carbonyl ) Pyrrolidine_2_carbonitrile 4_methylbenzenesulfonate
- Example 7 (9): 6_i4 _ “((3R.5S) _5_i“ (2S) _2_cyanopyrrolidine-l-yldicarbonyl ⁇ pyrrolidine_3_yl) acetyl, piperazine-l-yl ⁇ nicotino Nitrinolebis (4-methylbenzenesulfonic acid) salt
- Example 7 (10): 4-r ((3R.5S) -5- (2S) -2-cyanopyrrolidine-l-yl ⁇ carbinole ⁇ pyrrolidine-l-yl) acetyl ⁇ _ ⁇ , ⁇ -dimethylpiperazine 1-11 Carboxamide 4 Methylbenzenesulfonate
- Example 7 (11): Ethyl 4 _ "((3R.5S) _5_i” (2S) _2_cyanopyrrolidine-1-yl ⁇ carbonyl ⁇ pyrrolidine-1-3-yl) acetyl dipyrazine-1_carboxy LAT 4-Methylbenzenesulfonate
- Example 7 N.N-dimethyl_2 _ ((3R.5S) _5_ (pyrrolidine-1-ylcarbonyl) pyrrolidine-1-3-yl diacetamide 4_methylbenzenesulfonate
- Example 7 (13): 2 _ ((3R.5S) _5 _ ⁇ “(3S) _3_fluoropyrrolidine-1-yl ⁇ carbonyl” pyrrolidine-1-yl) _N.N-dimethylacetamide 4_ methylbenzene sulfonate
- Example 7 (14): 2 _ ((3R, 5S) -5-ir (2S.4S) _2-cyano 4-fluoropyrrolidine 1-inole dicarbonyl ⁇ pyrrolidine_3-inole) -1-N, N-dimethylacetate Amide 4_methylbenzene sulfonic acid salt
- Participant example 16 tert_butyl (2S. 4R) _4_ “(benzyloxy) carbonyl @amino 1 methyl) _2 _ ⁇ (2S) _2_cyanopyrrolidine-1-yl ⁇ carbonyl ⁇ pyrrolidine_1_carboxylate
- the obtained solution was dropped into a reaction vessel heated to 90 ° C over 30 minutes, and the mixture was stirred for 1 hour.
- the reaction mixture was fed with benzyl alcohol (2.8 ml) and pyridine (0.1 ml) and stirred at 100 ° C for 20 hours.
- the reaction mixture was concentrated, and the residue was purified by column to give the title compound (1.07 g).
- Participant example 17 tert_butyl (2S. 4R) _4 _ “(acetylamino) methyl_2_i” (2S) _2_ cyanopyrrolidine-1-yl ⁇ carbonyl ⁇ pyrrolidine-1-carboxylate
- Reference Example 18 tert-butyl (2S, 4S) _2_i “(2S) _2_cyanopyrrolidine-1-ylcarbonyl ⁇ 1-141 ⁇ “ (methylsulfonyl) aminoaminomethyl ⁇ pyrrolidine-1-carboxylate Reference Example 17 To a solution of the compound prepared in (a) (304 mg) in dichloromethane (4.7 ml) was added triethylamine (0.39 ml), the mixture was cooled to 0 ° C, and mesyl chloride (0.11 ml) was added dropwise.
- Triethylamine (0.39 ml) and mesyl chloride (0.11 ml) were added dropwise, and the mixture was stirred for 40 minutes.
- the reaction mixture was added to a saturated aqueous solution of sodium hydrogen carbonate (o ° c).
- the organic layer was dried over anhydrous sodium sulfate and concentrated, and the residue was purified by column to give the title compound (283 mg).
- Participant example 19 tert_butyl (2S.4R) _4 _ ((dimethylamino) carbonyl ⁇ amino ⁇ methylenol) —2_i “(2S) _2_cyanopyrrolidine—1-yl ⁇ carbonyl ⁇ pyrrolidine_1_carboxylate Reference Example 17 Triethylamine (0.72 ml) was added to a dichloromethane (5 ml) solution of the compound (334 mg) prepared in (a), and N, N-dimethylcarbamoyl chloride (0.19 ml) was added to the mixture at 0 ° C. Was added dropwise, and the mixture was stirred at room temperature for 1.5 hours.
- N, N-dimethylcarbamoinolechloride (0.19 ml) was further added dropwise, and the mixture was further stirred for 1 hour.
- the reaction mixture was poured into an aqueous solution of sodium hydrogen carbonate (0 ° C), and extracted with dichloromethane. The organic layer was dried over anhydrous sodium sulfate and concentrated. The residue was purified by column to give the title compound (271 mg).
- Participant example 20 Echinore “((3S.5S) _5 _ ⁇ “ (2S) _2_cyanopyrrolidine-1-yl ⁇ carbonyl ⁇ pyrrolidine-l-3-yl) methyl thiolbamate 4_methylbenzenesulfonic acid
- Participant example 21 tert_butyl (2S. 41 _4 _ ⁇ "(5_cyanopyridine_2_yl) aminoamino ⁇ _2_i” (2S) _2_cyanopyrrolidine-1-yl ⁇ carbonyl ⁇ pyrrolidine_1_ Carboxy Silato
- Example 8 Example 8 (4)
- Example 8 N'-r ((3S.5S) _5— (2S) _2 cyanopyrrolidine 1-yl ⁇ carbinole ⁇ pyrrolidine-1-3-yl) methyl ⁇ _ ⁇ , ⁇ -dimethylperyl 4-methylbenzenesulfone Acid salt
- Participant example 22 l_tert_butyl 2_methyl (2S) _4_ ⁇ 1 _ “(benzyloxy) carbonyl ⁇ — 1. 2.3.6 6-tetrahydropyridine-14-yl ⁇ —2.5-dihydro-1H —Pyrogenone 1.2 Dicanoleboxylate
- Participant example 23 l_tert_butyl 2_methyl (2S. 4R) _4_i 1 — “(benzyloxy) carbonyl piperidine—4-yl ⁇ pyrrolidine—1,2-dicarboxylate
- Example 9 (1): (2S) -li r (2S. 4R) _4_ (1_acetylpyperidine_4_yl) pyrrolidin-1--2-yl ⁇ carbinole) pyrrolidine-1 2_carboni Torinole 4_methylbenzenesulfonic acid product '
- Example 9 (2S) -l-( ⁇ (2S.4R) -4- "l- (methylsulfonyl) piperidine 4-ynole-pyrrolidine-1-yl ⁇ carbonyl) pyrrolidine-1 2 Carbonitorinole 4 Methylbenzene sulfonate
- Example 9 4-((3R.5S) _5 _ ⁇ “(2S) _2_cyanopyrrolidine-1-yl ⁇ carbonyl ⁇ pyrrolidine-1-3-yl) _N, N-dimethylpiperidine-1_ Carboxamide 4_methylbenzensnolefonate
- Example 9 Ethyl 41-((3R, 5S) -5-i "(2S) -2-cyanopyrrolidine-1-yl” Rubonyl ⁇ pyrrolidine-1-3-inole) piperidine-1-1-carboxy Lat 4-methylbenzenesulfonate ⁇
- Example 9 6_ “4 _ ((3R.5S) _5_i“ (2S) _2_cyanopyrrolidine-l-yldicarbonyl ⁇ pyrrolidine_3_yl) piperidine-l-yl ⁇ nicotinoni Trinole bis (4-methylbenzenesulfonic acid) salt
- Reference Example 3 Reference Example 5 (in place of (2S) _2_cyanopyrrolidine 4_methylbenzenesulfonate) using the compound prepared in Reference Example 26 instead of the compound prepared in Reference Example 2.
- L-prolinamide was used.
- Reference Example 4 ⁇ Reference Example 13
- Reference Example 14 ⁇ Reference Example 15 ⁇ Reference Example 5 ((2S) _2_cyanopyrrolidine 4_methylbenzenesulfonate
- the procedure of Example 1 was repeated to give the compound of the present invention having the following physical data.
- Reference Example 3 Reference Example 5 (L-Prolinamide was used instead of (2S) _2 cyanopyrrolidine 4-methylbenzenesulfonate) using the compound prepared in Reference Example 26 instead of the compound prepared in Reference Example 2.
- Reference Example 4 Reference Example 13 ⁇ Reference Example 14 ⁇ Reference Example 15 ⁇ Reference Example 5 ((2S) _2_cyanopyrrolidine The corresponding amine was used in place of 4-methylbenzenesulfonate. )
- the compound of the present invention was obtained in the same manner as in Example 1.
- Example 11 (3S.5S) _5 _ ⁇ “(2S) _2_cyanopyrrolidine-1-yl ⁇ carbonyl ⁇ _N.N-dimethylpyrrolidine-1_3_carboxamide 4_methylbenzenesulfonate
- Example 11 (2S) -li r (2S.4S) _4 -— (azetidine-1-ylcarbonyl) pyrrolidin-1-2-yl ⁇ carbinole) pyrrolidine-1 2_carbonitrinole 4_methylbenzene Sulfonic acid products'
- Example 11 (10): (3S.5S) _5 _ ⁇ “(2S) _2_cyanopyrrolidine-1-yldicarbonyl ⁇ _N-Propylpyrrolidine-1-carboxamide 4-methylbenzenesulfonate
- Participant example 28 l_tert-butynole 2-ethynole (2S) —4.4-diarylpyrrolidine—1.2-dica-noreboxylate
- Participant example 30 4-benzyl l_tert_butyl 2-ethyl (2S.4S) _4_methyl_5-oxopyrrolidine 1.2.4. Tricarboxylate
- lithium hexamethyldisilazide (1M tetrahydrofuran solution; 12 ml) was added dropwise at ⁇ 78 ° C. to a solution of the compound (4.28 g) prepared in Reference Example 29 in tetrahydrofuran (50 ml) at the same temperature.
- Methyl iodide (0.75 ml) was added dropwise to the mixture, and the mixture was stirred at 0 ° C for 1 hour and at room temperature overnight.
- a saturated aqueous ammonium chloride solution was added to the reaction mixture, and the mixture was extracted with ethyl acetate. The organic layer was washed successively with water and saturated saline, dried, and concentrated. The residue was purified by column to give the title compound (0.9 g).
- Reference Example 24 (b) Reference Example 5 ((2S) -cyanopyrrolidine 4 methylbenzenesulfonic acid, using the compound prepared in Reference Example 32 instead of the compound prepared in Reference Example 24 (a). (L) Prolinamide was used in place of the salt.) ⁇ Reference Example 27 (b) ⁇ The compound of the present invention was obtained in the same manner as in the method shown in Example 12.
- Reference Example 24 (b) Reference Example 5 ((2S) _2_cyanopyrrolidine 4-methylbenzenesulfonic acid salt using the compound prepared in Reference Example 32 instead of the compound prepared in Reference Example 24 (a)) Was replaced with (L) _prolinamide.) ⁇ Reference Example 4 ⁇ Reference Example 5 (Dimethylamine was used instead of (2S) _2_cyanopyrrolidine 4_methylbenzenesulfonate) ⁇ Reference Example 1 4 ⁇ The compound of the present invention was obtained in the same manner as in the method shown in Example 1.
- Example 16 (1) Example 16 (22)
- Example 16 (1): (2S, 3R. 5S) -5-i "(2S) -2-cyanopyrrolidine-l-l- ⁇ carbyl ⁇ -lN, N. 2-trimethylpyrrolidine-l-carboxamide hydrochloride salt
- Example 16 (3): (2S. 3R. 5S) -5-i “(2S, 4S) _2_cyano _4_fluoropyrrolidine- 1-yl ⁇ carbonyl ⁇ . N. 2_trimethylpyrrolidine _3_ Carboxamide hydrochloride
- Example 16 (2S) _1 _ ⁇ “(2S, 4S.5S) _5_methyl_4 -— (piperidine-1-ylcarbonyl) pyrrolidine_2_ylcarbonyl ⁇ pyrrolidine_2_carboditrinole 4_methylbenzensulfone Acid salt
- Example 16 (2S. 3S. 5S) _5_i “(2S) _2_cyanopyrrolidine-1-yl ⁇ carbino ⁇ _N_ethyl _N, 2-dimethylpyrrolidine _3_carboxamide 4_methylbenzene Sulfonic acid ⁇
- Example 16 (10): (2S) _1 _ ⁇ “(2S.4S.5S) _4_ (azocan-1-ylcarbonyl) -5-methylpyrrolidine-2-yl ⁇ carbonyl ⁇ pyrrolidine_2_carbonitrinole 4 —Methinolevene zensulfonate
- Example 16 (11): (2S) -li r (2S. 4S. 5S) _4_ (3,6-dihydropyridine_1 (2H) -ylcarbinole) _5-methylpyrrolidine-1-yl ⁇ carbinole ⁇ Pyrrolidine mono-2-carbino trinole 4-methylbenzenesulfonate
- Example 16 (16): (2S) _1 _ “((2S, 4S.5S) _5_methyl_4 _ ⁇ “ 4- (methylsulfoninole) piperazine-1-1-yl ⁇ carbonyl ⁇ pyrrolidine-1-2-yl) carbonyl ⁇ Pyrrolidine 1-2-Carbonitorinole 4-methylbenzenesulfonate
- Participant example 33 l_tert_butyl 2-ethynole (2S) —4.4_bis (2-hydroxyethyl) pyrrolidine-1-1.2-dicanoleboxylate
- Triethylamine (2.8 ml) and methanesulfonyl chloride (0.8 ml) were added to a solution of the compound prepared in Reference Example 33 (609 mg) in dichloromethane (10 ml) at 0 ° C., and the mixture was stirred for 30 minutes.
- a saturated aqueous solution of ammonium salt which was extracted with ethyl acetate.
- the organic layer was washed with brine, dried and concentrated.
- the residue was dissolved in N, N-dimethylformamide, potassium fluoride (532 mg) and benzylamine (lml) were added, and the mixture was stirred at 60 ° C for 6 hours.
- the insolubles were removed by filtration, and the filtrate was concentrated.
- the residue was dissolved in ethyl acetate, washed with saturated saline, dried and concentrated.
- the residue was purified by column to give the title compound (324 mg).
- Participant example 35 l_tert_butyl 2_methyl (2S.4R) _4_ (2-hydroxyethyl) pyrrolidine-li 2-dicarboxylate (a) using (2S) _N_ (tert_butoxycarbonyl) _4_oxopyrrolidine_2_carboxymethyl instead of 2-benzyl-11-tert-butyl (2S) -4-oxopyrrolidine- 1,1,2-dicarboxylate, Reference Example 12 ⁇ The procedure of Reference Example 3 was repeated to obtain [(3R, 5S) _1- (tert-butoxycarbonyl) -15_ (methoxycarbonyl) pyrrolidine-13-yl] acetic acid.
- Reference Example 8 Reference Example 4 ⁇ Reference Example 5 ((2S) _2_cyanopyrrolidine 4_methylbenzenesulfonic acid, using the compound prepared in Reference Example 35 instead of the compound prepared in Reference Example 7 (Pyrrolidine was used in place of the salt.) ⁇ The same procedure as described in Example 1 was carried out to obtain the compound of the present invention having the following physical data.
- Example 19 (1): (2 S, 4S) —4—Fluoro 1—ill 2 S. _4R) — 4— ⁇ 2—Hetoni mouth quichetil ⁇ Pyrrolidine 1-2-yl ⁇ carbonole ⁇ pyrrolidine 1-2-carboditrinole 4-methylbenzenesulfonate
- Reference Example 8 Reference Example 4 ⁇ Reference Example 5 (in place of (2S) _2_cyanopyrrolidine 4_methylbenzenesulfonic acid salt) using the compound prepared in Reference Example 35 instead of the compound prepared in Reference Example 7. (2S, 4S) _2_cyano_4_fluoropyrrolidine 4_methylbenzenesulfonate was used.) ⁇ The same physical properties as those in Example 1 were obtained. The compound of the present invention was obtained.
- Example 20 (2S. 3S. 5S) _5_i “(2S) _2_cyanopyrrolidine-1-yl ⁇ carbonyl ⁇ _2_methylpyrrolidine_3_carboxylic acid 4-methylbenzenesulfonate
- Participant example 36 ⁇ 2 _ “(2S.3S.5S) _5_i“ (2S) _2— (aminocarbonyl) pyrrolidine_1_inole ⁇ carbinole ⁇ _l_ (tert_butoxycarbinole) one 2_methylpyrrolidine 3—Innole ⁇ —2 —Oxos
- Participant example 37 tert_butyl (2S. 3R. 5S) _5 _ ⁇ "(2S) _2- (aminocarbonyl) pyrrolidin-1-yl ⁇ carbonyl ⁇ _3_ (2-methoxy-12-oxoxenotinole) -2_methyl Pyrrolidine_1_carboxylate
- Example 21 2 _ ((2S, 3R.5S) _5—i “(2S) _2—cyanopyrrolidine-l-yl-carbo-norre ⁇ _2_methylpyrrolidine-l-yl) _ ⁇ , ⁇ -dimethylacetate Amide 4_methylbenzene sulfonate
- Reference Example 4 Reference Example 5 (Dimethylamine was used in place of (2S) _2_cyanopyrrolidine 4_methylbenzenesulfonate instead of the compound prepared in Reference Example 3) ) ⁇ Reference Example 14 ⁇
- the compound of the present invention having the following physical properties was obtained in the same manner as in the method shown in Example 1.
- Reference Example 3 Reference Example 5 (in place of (2S) -2-cyanopyrrolidine 4-methylbenzensulfonate) using the compound prepared in Reference Example 26 or a corresponding compound instead of the compound prepared in Reference Example 2.
- Reference Example 4 Reference Example 5 (The corresponding amine was used instead of (2S) _2-cyanopyrrolidine 4-methylbenzenesulfonate.)
- Example 1 (4-methylbenzene Using sulfonic acid or hydrochloric acid.), The compound of the present invention was obtained.
- Example 22 (3S.5S) -N.N_dimethyl-5_ (1_pyrrolidinylcarbonyl) -3-pipi'2zincarboxamide 4_methylbenzenesulfonate [0258] [Formula 59]
- Example 22 (3R.5S) -N.N_dimethyl-5_ (1_pyrrolidinylcarbonyl) —3-piperidineLysincarboxamide 4 Methylbenzenesulfonate
- Example 22 1-isobutylylyl 4-i “(3S, 5S) -5- (1-pyrrolidinylcarbonyl) -3_pyrrolidinyl ⁇ carbonyl ⁇ piperazine hydrochloride
- Example 22 1-acetyl-4_i “(3S.5S) _5_ (1_pyrrolidinylcarbonyl) _3_pyrrolidinyl ⁇ carbonyl ⁇ pidazine hydrochloride
- Example 22 N.N-dimethyl_3_oxo_3_ (4 _ ⁇ “(3S.5S) _5_ (1_pyrrolidinylcarbonyl) _3_pyrrolidinyl ⁇ carbonyl ⁇ _1-pidazuryl) propanamide hydrochloride
- Example 22 (8): l- (3-methoxypropanoyl) -4- (3S, 5S) _5_ (1-pyrrolidinylcarbonyl) -1-3-pyrrolidinyl ⁇ carbonyl ⁇ piperazine hydrochloride
- Example 22 (9): 1- (methoxyacetyl) -4- (3S, 5S) -5- (l-pyrrolidinylcarbonyl) -1_3-pyrrolidinyl ⁇ carbonyl ⁇ piperazine hydrochloride
- Example 22 (12): 2_methyl_5 _ ⁇ “(35.5S) _5_ (1_pyrrolidinylcarbonyl) -3-pyrrolidinylcarbonyl ⁇ _4.5.6. 7-tetrahydro“ 1.3 ⁇ thiazolo ”4 , 5_c pyridine hydrochloride
- Participant example 37 1- (1,1-dimethylethyl) 2-ethynole (2S.4R) _5_oxo_4— (phenylmethyl) oxy] methyl ⁇ pyrrolidine-1,2-dicarboxylate (compound C) and
- lithium hexamethyldisilazane (( ⁇ ⁇ 0 ⁇ tetrahydrofuran solution, 22 mL) was added at _78 ° C at a temperature of 78 ° C with tetrahydrofuran (20 mL) / hexamethylphosphoric acid of 5-ethyl-oxo-L-prolinate (5.15 g).
- a solution of triamide (5 mL) was added dropwise, and the mixture was stirred for 1 hour at the same temperature.
- the reaction mixture was added to a solution of benzyloxymethyl chloride (5.5 mL) in tetrahydrofuran (10 mL) at _78 ° C under an argon atmosphere.
- Participant example 41 (2R, 3S. 5S) _l_i “(l, 1-dimethylethyl) oxy ⁇ carbonyl ⁇ _5_“ (ethyloxy) carbonyl, _2_methylpyrrolidine-1__carboxylic acid
- Example 25 (1): (2R.3R.5S) _5_i "(2S) _2_cyano_1_pyrrolidinyl ⁇ carbonyl ⁇ _N.N.2_trimethyl-3_pyrrolidinecarboxamide 4_methylbenzenesulfonate
- Reference Example 37 Using the compound D prepared in Reference Example 37 in place of the compound C produced, Reference Example 38 ⁇ Reference Example 39 ⁇ Reference Example 40 ⁇ Reference Example 41 ⁇ Operating in the same manner as shown in Example 25, the following The compound of the present invention having physical properties was obtained.
- Example 26 (1) Example 26 (4)
- Reference Example 24 The compound prepared in Reference Example 32 was used in place of the compound prepared in (a), or the compound B prepared in Reference Example 31 was used and obtained in the same manner as in the method shown in Reference Example 32.
- Reference Example 24 (b) Reference Example 5 ((2S)) using a compound ((2S, 4R, 5S) -41- (methoxycarbonyl) -15-methylpyrrolidine-12-potassium trifluoroacetate) The corresponding amine was used instead of _2_cyanopyrrolidine 4-methylbenzenesulfonate.) ⁇ Reference Example 4 ⁇ Reference Example 5 (instead of (2S) _2-cyanopyrrolidine 4_methylbenzenesulfonate) ⁇ A compound of the present invention was obtained in the same manner as in Example 1 (4-monomethylbenzenesulfonic acid or hydrochloric acid was used).
- Example 26 (1): (2S. 3R. 5S) _5_i “(2R) _2_cyano_1_pyrrolidinyl ⁇ carbonyl ⁇ -N._NL 2_trimethyl-3_pyrrolidinecarboxamide 4-methylbenzenesulfonate [0266] [Formula 63]
- the DPP4 activity inhibition experiment was performed according to the following method. DPP4 was roughly purified from human plasma by ammonium sulfate fractionation, weak anion exchange chromatography and gel filtration chromatography. A 60 ⁇ 1 / 1 / Gly-Pro-MC (glycylprolyl_7_amide_4_methyl_tamarin) aqueous solution (50 ⁇ l) serving as a substrate was mixed with the compound of the present invention (10 ⁇ l) and distilled water (20 ⁇ l). Next, a 0.5 mol / l Tris-HCl buffer (pH 7.4; 10 ⁇ l) and an enzyme solution (10 ⁇ l) were added to start the enzyme reaction.
- the DPP4 activity inhibition rate (%) was determined by the following formula.
- Inhibition rate (%) (1-V / V) x 100
- the IC value was calculated according to the following equation after obtaining the slope (a) and intercept (b) of the regression line from the concentration of the compound of the present invention and the inhibition rate at two points sandwiching the inhibition rate of 50%.
- the compound of the present invention inhibited DPP4-like activity.
- the value of the compound of Example 1 (6) was 6.1 nM. Therefore, the compound of the present invention is useful as a therapeutic agent for type 2 diabetes. It is for.
- Plasma containing DPP4 was prepared by centrifuging the blood of healthy volunteers or rats. In the enzymatic reaction, a 120 II mol / 1 Gly-Pro_MC aqueous solution (25 ⁇ 1) as a substrate, a compound of the present invention (10 ⁇ ) and distilled water (15 ⁇ ) are mixed, and then plasma (50 ⁇ 1) is mixed. In addition, it has begun. The change in the fluorescence intensity at 460 nm when excited at 355 nm using a fluorescent plate reader (Fmax; manufactured by Molecular Devices) was measured for 15 minutes, the initial velocity was calculated, and the plasma DPP4-like activity was determined.
- Fmax fluorescent plate reader
- the compound of the present invention was prepared as a 10 mmol / l DMS solution, diluted to 1 mmol / 1 with distilled water, and further diluted with a 10% DMS solution (final concentration: 10 ⁇ mol / l, 1% DMSO, 1% DMSO). From the reaction rate V in the presence of a solvent and the reaction rate V in the presence of the compound of the present invention, the DPP4-like activity inhibition rate (%) in plasma was determined by the following formula.
- Inhibition rate (%) (1-V / V) x 100
- the IC value was calculated according to the following equation after obtaining the slope (a) and intercept (b) of the regression line from the concentration of the compound of the present invention and the inhibition rate at two points sandwiching the inhibition rate of 50%.
- the compound of the present invention inhibited DPP4-like activity in plasma.
- the compound of Example 1 (6) had an IC value of 42 nM in human plasma and 58 nM in rat plasma. Therefore, the compound of the present invention is useful as a therapeutic agent for type 2 diabetes.
- Experiment is f * DPP4 street cattle when rats were given ⁇ to beef cows.
- Experiments SD rats (male, 5 weeks old) that had been fasted from the day before the test were used, and the compound of the present invention was 0.5% methylcellulose. It was dissolved in distilled aqueous solution and orally administered at a dose of lmg / kg.
- Plasma 50 ⁇
- 60 ⁇ mol / 1 Gly-Pro-MC 50 ⁇ l serving as a substrate were mixed, and the enzyme reaction was started.
- Fluorescent plate The change in the fluorescence intensity at 460 nm when excited at 355 nm was measured for 15 minutes using a magnetic field (Fmax; manufactured by Molecular Devices), and the initial velocity was calculated to determine the DPP4-like activity.
- Fmax magnetic field
- the DPP4-like activity inhibition rate (%) was determined by the following formula.
- Inhibition rate (%) (1— V / V) X 100
- the compound of the present invention inhibits plasma DPP4-like activity for a long time.
- the compound of Example 1 (6) showed 96% inhibition after 6 hours and 42% after 24 hours. Therefore, the compound of the present invention is useful as a persistent therapeutic drug for diabetes.
- a sugar of lg / kg body weight was dissolved in water for injection in the Japanese Pharmacopoeia, and orally administered at a concentration of 5 ml / kg 30 minutes after administration of the compound of the present invention or a 0.5% aqueous solution of methylcellulose in distilled water.
- blood was collected from the tail vein using capillaries treated with palin. The obtained blood was immediately centrifuged at 12,000 ⁇ m for 3 minutes at 4 ° C. Plasma was obtained and frozen on dry ice.
- Blood glucose (mgZdl) was measured by taking 2.5 ⁇ L of plasma in a 96-well plate and using a blood glucose measurement kit: Diacolor GC TM (manufactured by Ono Pharmaceutical Co., Ltd.).
- antibody-reactive insulin (IRI) in plasma was measured using an insulin measurement ELISA kit (manufactured by Morinaga Biochemical Laboratory).
- the compound of the present invention suppressed an increase in blood glucose level and showed high insulin secretion promoting ability.
- the compound of Example 1 (6) by oral administration of 0.1 mg / kg, increased insulin secretion 15 minutes after glucose load by 27% compared with the vehicle control group, and showed a 30% increase in blood glucose level 30 minutes after glucose load. The increase was suppressed by 40% compared to the vehicle control group. Therefore, the compound of the present invention is useful for treating type 2 diabetes. Useful as a therapeutic.
- the present invention can be applied to the following pharmaceuticals.
- the compound of the present invention represented by the general formula (I) has DPP4 inhibitory activity, it can be used for, for example, diabetes mellitus (particularly type 2 diabetes, postprandial hyperglycemia, etc.), obesity, autoimmune disease, cancer metastasis, HIV infection , Infertility, anemia, thrombocytopenia, wound, skin disease, prostatic hypertrophy, hyperlipidemia, syndrome X, diabetes complications, hyperglycerinemia, arteriosclerosis, impaired glucose tolerance, polycystic ovary syndrome, growth It is useful as a therapeutic and / or prophylactic agent for diseases such as disorders, arthritis, transplant rejection, and enteritis.
- diabetes mellitus particularly type 2 diabetes, postprandial hyperglycemia, etc.
- obesity autoimmune disease
- cancer metastasis HIV infection
- Infertility anemia
- thrombocytopenia wound
- skin disease skin disease
- prostatic hypertrophy hyperlipidemia
- syndrome X diabetes complications
- hyperglycerinemia ar
Landscapes
- Health & Medical Sciences (AREA)
- Chemical & Material Sciences (AREA)
- Organic Chemistry (AREA)
- Life Sciences & Earth Sciences (AREA)
- Pharmacology & Pharmacy (AREA)
- Veterinary Medicine (AREA)
- Public Health (AREA)
- General Health & Medical Sciences (AREA)
- Medicinal Chemistry (AREA)
- Animal Behavior & Ethology (AREA)
- General Chemical & Material Sciences (AREA)
- Nuclear Medicine, Radiotherapy & Molecular Imaging (AREA)
- Chemical Kinetics & Catalysis (AREA)
- Engineering & Computer Science (AREA)
- Bioinformatics & Cheminformatics (AREA)
- Diabetes (AREA)
- Epidemiology (AREA)
- Hematology (AREA)
- Obesity (AREA)
- Immunology (AREA)
- Oncology (AREA)
- Virology (AREA)
- Endocrinology (AREA)
- Reproductive Health (AREA)
- Communicable Diseases (AREA)
- Urology & Nephrology (AREA)
- Vascular Medicine (AREA)
- Tropical Medicine & Parasitology (AREA)
- Molecular Biology (AREA)
- AIDS & HIV (AREA)
- Transplantation (AREA)
- Heart & Thoracic Surgery (AREA)
- Cardiology (AREA)
- Gynecology & Obstetrics (AREA)
- Pregnancy & Childbirth (AREA)
- Child & Adolescent Psychology (AREA)
- Emergency Medicine (AREA)
- Dermatology (AREA)
- Orthopedic Medicine & Surgery (AREA)
- Rheumatology (AREA)
Abstract
Description
ピロリジン誘導体 Pyrrolidine derivative
技術分野 Technical field
[0001] 本発明は、ピロリジン誘導体に関する。さらに詳しくは、 The present invention relates to a pyrrolidine derivative. For more information,
(1)一般式 (I) (1) General formula (I)
[0002] [化 1] 明 [0002] [Formula 1] Akira
田 Rice field
[0003] (式中、すべての記号は後記と同じ意味を表わす。 )で示される化合物、その塩、そ の溶媒和物もしくはその N—ォキシド体またはそれらのプロドラッグ、 (Wherein all symbols have the same meanings as described below), a salt thereof, a solvate thereof, an N-oxide thereof or a prodrug thereof,
(2)それらの製造方法、および (2) their production method, and
(3)それらを有効成分とする医薬に関する。 (3) Pharmaceuticals containing them as active ingredients.
背景技術 Background art
[0004] ジぺプチジルぺプチダーゼ IV (DPP4、 DPP— IV、 DP4、 DPPIVとも呼ばれる。以 下、 DPP4と略記する。)は N末端から 2番目にプロリンまたはァラニンを有するぺプ チド鎖からジペプチド Xaa_Proを産生するセリンプロテアーゼである。 DPP4は哺乳 動物組織中に広く分布し、特に腎臓、肝臓、腸管上皮、胎盤および血漿中に存在す ることが知られており、さまざまな生理活性ペプチドの代謝に関与している。なかでも 、強力なインスリン分泌促進能を有し、食後の血糖値調節を担う生体内物質グルカゴ ン様ペプチド (GLP— 1)を不活性化する酵素としての DPP4の役割が注目されてい る。 [0004] Dipeptidyl peptidase IV (also referred to as DPP4, DPP-IV, DP4, or DPPIV; hereinafter abbreviated as DPP4) is derived from a dipeptide Xaa_Pro from a peptide chain having proline or alanine at the second position from the N-terminus. Is a serine protease that produces DPP4 is widely distributed in mammalian tissues and is known to be present particularly in kidney, liver, intestinal epithelium, placenta and plasma, and is involved in the metabolism of various bioactive peptides. In particular, the role of DPP4 as an enzyme that has a strong insulin secretion promoting ability and inactivates the in vivo substance glucagon-like peptide (GLP-1) responsible for postprandial blood glucose regulation has attracted attention.
[0005] GLP— 1の生理作用として、膝臓からのインスリン分泌促進作用のみならず、胃排 出時間延長作用、摂食抑制作用が知られている。実際、 GLP— 1を皮下に持続投与 することによる、インスリン非依存型糖尿病(2型糖尿病)の治療が試みられている。し 力しながら、 GLP—1は生体内においては数分で代謝される。その中でも特に DPP4 による代謝は重要であり、 DPP4は GLP— 1を速やかに切断して不活性型 GLP— 1を 産生する。この不活性型 GLP-1が GLP— 1受容体に対して拮抗作用することから、 GLP— 1の生理的作用がさらに減弱化する可能性がある。従って、 DPP4阻害により GLP— 1の分解を抑制する方法は、 GLP— 1作用増強のアプローチとして最良と考え られる。すなわち、 DPP4阻害により、 GLP— 1の作用を高め、インスリン分泌を亢進し 糖代謝を改善することができ、 2型糖尿病治療に有用であると期待される。また摂食 抑制作用カ 抗肥満薬としても期待することができる。 [0005] As physiological actions of GLP-1, not only an action of promoting secretion of insulin from the knee but also an action of prolonging the gastric emptying time and an action of suppressing eating are known. In fact, attempts have been made to treat non-insulin-dependent diabetes mellitus (type 2 diabetes) by continuously administering GLP-1 subcutaneously. However, GLP-1 is metabolized in vivo in minutes. Among them, especially DPP4 Metabolism is important, and DPP4 rapidly cleaves GLP-1 to produce inactive GLP-1. Since this inactive GLP-1 antagonizes the GLP-1 receptor, the physiological action of GLP-1 may be further attenuated. Therefore, the method of suppressing the degradation of GLP-1 by inhibiting DPP4 is considered to be the best approach for enhancing the action of GLP-1. In other words, DPP4 inhibition can enhance the action of GLP-1, enhance insulin secretion, and improve glucose metabolism, and is expected to be useful for the treatment of type 2 diabetes. It can also be expected as an anti-obesity drug with an antifeeding effect.
[0006] また DPP4は神経ペプチドであるニューロペプチド Y、種々のサイト力イン類ゃケモ 力イン類の代謝や、免疫担当細胞である Τ細胞の活性化、癌細胞の内皮への接着 等に関与していることが知られている。これらの作用を介して、 DPP4の阻害は、 自己 免疫疾患、癌、 HIV感染、不妊、貧血、血小板減少症、創傷等の治療に有用である と考えられる。 [0006] In addition, DPP4 is involved in the metabolism of neuropeptide Y, a neuropeptide, various cytokins, chemodynamics, activation of immunocompetent cells, adhesion of cancer cells to endothelium, etc. Is known to be. Through these actions, inhibition of DPP4 is considered to be useful for treating autoimmune diseases, cancer, HIV infection, infertility, anemia, thrombocytopenia, wounds, and the like.
[0007] また乾癬、関節リウマチおよび偏平苔癬患者の皮膚線維芽細胞において高い DP P4の発現が見出されていること、前立腺肥大の患者で高い DPP4活性が見出されて レ、ることから、 DPP4の阻害は、皮膚病および前立腺肥大にも有効であることが期待 される。 [0007] In addition, high DPP4 expression was found in dermal fibroblasts of patients with psoriasis, rheumatoid arthritis and lichen planus, and high DPP4 activity was found in patients with prostatic hypertrophy. Inhibition of DPP4 is also expected to be effective for skin diseases and prostatic hypertrophy.
[0008] またこれら以外にも高脂血症、シンドローム X、糖尿病合併症、高グリセリン血症、 動脈硬化症、耐糖能異常、多嚢胞性卵巣症候群、成長障害、関節炎、移植拒絶反 応、腸炎等の治療および/または予防に有用であると考えられる。 [0008] In addition to these, hyperlipidemia, syndrome X, diabetic complications, hyperglycerinemia, arteriosclerosis, impaired glucose tolerance, polycystic ovary syndrome, growth disorders, arthritis, transplant rejection, enteritis It is considered to be useful for treatment and / or prevention such as
[0009] DPP4阻害活性を有する化合物として、一般式 (W) [0009] As a compound having DPP4 inhibitory activity, a compound represented by the general formula (W)
[0010] [化 2] [0010] [Formula 2]
[0011] (式中、すべての記号の定義は当該明細書中に記載されている。)で示される化合物 (Wherein the definitions of all symbols are described in the specification)
(特許文献 1参照)、一般式 (Y) [0012] [化 3] (See Patent Document 1), general formula (Y) [0012] [Formula 3]
[0013] (式中、すべての記号の定義は当該明細書中に記載されている。)で示される化合物 [0013] (wherein the definitions of all symbols are described in the specification).
(特許文献 2参照)などが知られている。 (See Patent Document 2).
[0014] 特許文献 1:国際公開第 02/14271号パンフレット Patent Document 1: WO 02/14271 pamphlet
特許文献 2 :国際公開第 04/16587号パンフレット Patent Document 2: International Publication No. 04/16587 pamphlet
発明の開示 Disclosure of the invention
発明が解決しょうとする課題 Problems to be solved by the invention
[0015] 食後過血糖などの糖尿病疾患の治療および/または予防剤として長時間にわたり 効果を示す薬剤が切望されている。 [0015] There is a long-felt need for agents that are effective over a long period of time as agents for treating and / or preventing diabetes, such as postprandial hyperglycemia.
課題を解決するための手段 Means for solving the problem
[0016] 本発明者らは、長時間にわたり効果を発揮する DPP4阻害化合物を見出すべく鋭 意研究を行なった結果、一般式 (I)で示されるピロリジン誘導体が目的を達成するこ とを見出し、本発明を完成した。 The present inventors have conducted intensive studies to find a DPP4 inhibitor that exhibits an effect over a long period of time, and as a result, have found that the pyrrolidine derivative represented by the general formula (I) achieves the object. The present invention has been completed.
[0017] 本化合物は、投与後長時間にわたり DPP4の活性を抑制するので、例えば 1日に おける服用回数を減らすことが可能である。従って、糖尿病(特に 2型糖尿病、食後 過血糖等)等の患者のコンプライアンスや QOLを維持、改善すること力 Sできる。 [0017] Since the present compound suppresses the activity of DPP4 for a long time after administration, it is possible to reduce the number of doses per day, for example. Therefore, it is possible to maintain and improve the compliance and QOL of patients with diabetes (particularly type 2 diabetes, postprandial hyperglycemia, etc.).
[0018] すなわち本発明は、 [0018] That is, the present invention provides
[1] 一般式 (I) [0019] [化 4] [1] General formula (I) [0019] [Formula 4]
[0020] (式中、 Rla、 Rlb、 Rle、 Rldおよび Rxはそれぞれ独立して水素原子または置換基を表 わし、 nは 0または 1一 7の整数を表わし、 Rは水素原子またはシァノ基を表わし、記号 [0021] [化 5] (Wherein, R la , R lb , R le , R ld and R x each independently represent a hydrogen atom or a substituent, n represents 0 or an integer of 17; R represents hydrogen Represents an atom or a cyano group, and has the symbol [0021]
、 ,
[0022] は紙面の手前( β配置)に結合してレ、ることを表わし、記号 [0022] indicates that it is connected to the front of the page (β arrangement), and the symbol
[0023] [化 6] [0023] [Formula 6]
[0024] は、紙面の向こう側(ひ配置)に結合していることを表わす。)で示される化合物、その 塩、その溶媒和物もしくはその Ν—ォキシド体またはそれらのプロドラッグ、 [0024] indicates that the head is connected to the other side of the paper (the arrangement of the strings). ), A salt thereof, a solvate thereof, a dioxide thereof or a prodrug thereof,
[2] Rlcが(1)一 CONR"R12および一 COR13から選択される 1個の基によって置換さ れた C1-8炭化水素基、 -CONRUR12 (3) -COR13または (4)置換基を有して いてもよい炭素環(基中、 R11および R12はそれぞれ独立して、 (1)水素原子、(2)置 換基を有していてもよい C1一 8炭化水素基、(3)置換基を有していてもよい炭素環、( 4)置換基を有していてもよい複素環、(5) -C〇R13または(6)-S〇 R13を表わし、 R1 [2] R lc C1-8 hydrocarbon group substituted by one group selected from: (1) Single CONR "R 12 and single COR 13, -CONRUR 12 (3) -COR 13 or (4 ) An optionally substituted carbocycle (wherein R 11 and R 12 are each independently a (1) hydrogen atom, (2) an optionally substituted C 18 carbon A hydrogen group, (3) an optionally substituted carbocycle, (4) an optionally substituted heterocycle, (5) -C -R 13 or (6) -S〇 R 13 And R 1
2 2
3は(1)置換基を有してレ、てもよレ、C1一 8炭化水素基、(2)置換基を有してレ、てもよレヽ 炭素環または(3)置換基を有していてもよい複素環を表わす。)である前項 [1]記載 の化合物、 3 has (1) a substituted or unsubstituted C18 hydrocarbon group, (2) a substituted or unsubstituted carbocyclic ring or (3) a substituted group. Represents an optionally substituted heterocyclic ring. The compound according to [1], which is
[3] Rleが少なくとも 1一 3個の水酸基によって置換されたフエニル基である前項 [2] 記載の化合物、 [3] The compound according to the above [2], wherein R le is a phenyl group substituted by at least 113 hydroxyl groups,
[4] 一般式 (IA_c) [4] General formula (IA_c)
(式中、 R11および は前項 [2]記載と同じ意味を表わし、その他の記号は前項 [1] 記載と同じ意味を表わす。)で示される化合物である前項 [1]記載の化合物、 (Wherein, R 11 and have the same meanings as described in the preceding item [2], and other symbols have the same meanings as described in the preceding item [1].)
[5] (1) (2S)_1_{[(2S, 4R)_4_(3—ヒドロキシ _2, 6—ジメトキシフエニル)ピロリジ ン一 2—ィル]カルボ二ノレ }ピロリジン一 2—カルボ二トリル、 [5] (1) (2S) _1 _ {[(2S, 4R) _4_ (3-hydroxy_2,6-dimethoxyphenyl) pyrrolidin-1-yl] carbinole} pyrrolidine-12-carbonitrile,
(2) (2S)_1_{[(2S, 4R)_4_ (3—ヒドロキシー 6—メトキシ— 2—メチルフエニル)ピロリ ジン一 2—ィル]カルボ二ノレ }ピロリジン一 2_カルボ二トリル、 (2) (2S) _1 _ {[(2S, 4R) _4_ (3-Hydroxy-6-methoxy-2-methylphenyl) pyrrolidin-1-yl] carbinole} Pyrrolidine-1_carbonitrile,
(3) (2S)-1-{[(2S, 4R)_4_(3—ヒドロキシ— 2, 5, 6_トリメチルフエニル)ピロリジ ン一 2—ィル]カルボ二ノレ }ピロリジン一 2—カルボ二トリル、 (3) (2S) -1-{[(2S, 4R) _4_ (3-hydroxy-2,5,6-trimethylphenyl) pyrrolidin-1-yl] carbinole} pyrrolidine-12-carbone Toril,
(4) (3S, 5S)_5_{[(2S)_2_シァノピロリジン一 1一ィル]カルボ二ル}_ N—ジメ チルピロリジン一 3—カルボキサミド、 (4) (3S, 5S) _5 _ {[(2S) _2_cyanopyrrolidine-11-yl] carbonyl} _ N-dimethylpyrrolidine-1-carboxamide,
(5) (3S, 5S)_5_{[(2S)_2_シァノピロリジン _1_ィル]カルボニル }_N—ェチル— N—メチルピロリジン一 3_カルボキサミド、 (5) (3S, 5S) _5 _ {[(2S) _2_cyanopyrrolidine_1_yl] carbonyl} _N-ethyl-N-methylpyrrolidine-1 3_carboxamide,
(6) (2S)-1-{[(2S, 4S)_4_ (ピロリジン— 1—ィルカルボニル)ピロリジン _2_ィル] カルボ二ル}ピロリジン一 2_カルボ二トリル、 (6) (2S) -1-{[(2S, 4S) _4_ (pyrrolidine-1-ylcarbonyl) pyrrolidine_2_yl] carbonyl} pyrrolidine-1_2-carbonitrile,
(7) (2S)-1-{[(2S, 4S)_4—(ヒドロキシメチル)ピロリジン _2_ィル]カルボ二ル}ピ 口リジン _2_カルボ二トリル、 (7) (2S) -1-{[(2S, 4S) _4 -— (Hydroxymethyl) pyrrolidine_2_yl] carbonyl} piperidine_2_carbonitrile,
(8) (2S)-1-{[(2S, 4S, 5S)_4—(ヒドロキシメチル) _5_メチルピロリジン— 2—ィル ]カルボ二ル}ピロリジン _2_カルボ二トリル、 (8) (2S) -1-{[(2S, 4S, 5S) _4- (hydroxymethyl) _5_methylpyrrolidine-2-yl] carbonyl} pyrrolidine_2_carbonitrile,
(9) (2S, 3S, 5S)_5_{[(2S)_2_シァノピロリジン _1_ィル]カルボ二ル}_ N, 2—トリメチルピロリジン一 3_カルボキサミド、 (9) (2S, 3S, 5S) _5 _ {[(2S) _2_cyanopyrrolidine_1_yl] carbonyl} _N, 2-trimethylpyrrolidine-1_3-carboxamide,
(10) (2S, 3S, 5S)_5_{[(2S, 4S)_2_シァノ _4_フルォロピロリジン一 1_ィル]力 ルボニル}_N, N, 2_トリメチルピロリジン一 3_カルボキサミド、 (10) (2S, 3S, 5S) _5 _ {[(2S, 4S) _2_cyano _4_fluoropyrrolidine-1_yl] force Rubonyl} _N, N, 2_trimethylpyrrolidine-1_3carboxamide,
(11) (2S)-1-{[(2S, 4S, 5S)— 4一(ァゼチジン一 1ーィルカルボニル)一 5—メチル ピロリジン一 2-ィル]カルボ二ノレ }ピロリジン一 2_カルボ二トリル、 (11) (2S) -1-{[(2S, 4S, 5S) —41- (azetidine-1-ylcarbonyl) -1 5-methylpyrrolidine-1-yl] carbinole} pyrrolidine-1 2_carbonitrile,
(12) (2S)-1-{[(2S, 4S, 5S)_5_メチル _4_ (モルホリン _4—ィルカルボニル)ピ 口リジン _2_ィル]カルボ二ル}ピロリジン _2_カルボ二トリル、 (12) (2S) -1-{[(2S, 4S, 5S) _5_methyl_4_ (morpholine_4-ylcarbonyl) piperidine_2_yl] carbonyl} pyrrolidine_2_carbonitrile,
(13) (2S)-1-{[(2S, 4S, 5S)_5_メチル _4—(ピペリジン— 1—ィルカルボニル)ピ 口リジン _2_ィル]カルボ二ル}ピロリジン _2_カルボ二トリル、 (13) (2S) -1-{[(2S, 4S, 5S) _5_methyl_4 -— (piperidine-1-ylcarbonyl) piperidine_2_yl] carbonyl} pyrrolidine_2_carbonitrile,
(14) (2S, 3S, 5S)_5_{[(2S)_2_シァノピロリジン _1_ィル]カルボニル }_N—ェ チル— N, 2—ジメチルピロリジン一 3_カルボキサミド、 (14) (2S, 3S, 5S) _5 _ {[(2S) _2_cyanopyrrolidine_1_yl] carbonyl} _N-ethyl-N, 2-dimethylpyrrolidine-1_3-carboxamide,
(15) (2S)-1-{[(2S, 4S, 5S)-4-(3, 6—ジヒドロピリジン _1 (2H)—ィノレカノレボニ ノレ)— 5_メチルピロリジン _2_ィル]カルボ二ル}ピロリジン _2_カルボ二トリル、 (15) (2S) -1-{[(2S, 4S, 5S) -4- (3,6-dihydropyridine_1 (2H) -inolecanoleboninole) -5-methylpyrrolidine_2_yl] carboryl} pyrrolidine _2_carbonitrile,
(16) (2S)-1-{[(2S, 4S, 5S)_5_メチル _4_ (ピロリジン— 1—ィルカルボニル)ピ 口リジン一 2_ィル]カルボ二ノレ }ピロリジン一 2_カルボ二トリル、 (16) (2S) -1-{[(2S, 4S, 5S) _5_methyl_4_ (pyrrolidine-1-ylcarbonyl) piperidin-1_2_yl] carbinole} pyrrolidine-1_2_carbonitrile,
(17) (2S)_1_{[(2S, 4S, 5S)_5—メチルー 4—(チオモルホリン一 4ーィルカルボ二 ノレ)ピロリジン一 2-ィル]カルボ二ノレ }ピロリジン一 2_カルボ二トリル、 (17) (2S) _1 _ {[(2S, 4S, 5S) _5-methyl-4- (thiomorpholine-14-ylcarbinole) pyrrolidine-1-yl] carbinole} pyrrolidine-1__carbonitrile,
(18) (2S)_1_{[(2S, 4S, 5S)_4_(1, 3—ジヒドロ一 2H—イソインドール一 2—ィル カルボ二ル)— 5—メチルピロリジン一 2—ィル]カルボ二ノレ }ピロリジン一 2_カルボ二トリル (18) (2S) _1 _ {[(2S, 4S, 5S) _4_ (1,3-dihydro-1H-isoindole-1-ylcarbyl) -5-methylpyrrolidine-1-yl] carboni Nore} pyrrolidine-1_carbonitrile
(19) (2S)_1_{[(2S, 4S, 5S)_5—メチルー 4_(1, 3_チアゾリジン一 3—ィルカルボ 二ノレ)ピロリジン一 2-ィノレ]カルボ二ル}ピロリジン一 2_カルボ二トリル、 (19) (2S) _1 _ {[(2S, 4S, 5S) _5-Methyl-4_ (1,3_thiazolidine-1-3-ylcarbinole) pyrrolidine-1-2-inole] carbonyl} pyrrolidine-1 2_carbonitrile ,
(20) (2S, 4S)-4-フルォロ -1-{[(2S, 4R)_4_(2-ヒドロキシェチル)ピロリジン _2—ィル]カルボ二ル}ピロリジン一 2_カルボ二トリル、 (20) (2S, 4S) -4-fluoro-1--1-[[(2S, 4R) _4_ (2-hydroxyethyl) pyrrolidine_2-yl] carbonyl} pyrrolidine-1 2_carbonitrile,
(21) 2-((2S, 3R, 5S)_5_{[(2S)_2_シァノピロリジン _1_ィル]カルボ二ル}_2 —メチルピロリジン _3_ィル) _N, N—ジメチルァセトアミド、 (21) 2-((2S, 3R, 5S) _5 _ {[(2S) _2_Cyanopyrrolidine_1_yl] carbonyl} _2 —Methylpyrrolidine_3_yl) _N, N—Dimethylacetamide ,
(22) (2S, 3S, 5S)_N, N, 2—トリメチル _5—(1—ピロリジニルカルボ二ル)— 3—ピロ リジンカルボキサミドおよび (22) (2S, 3S, 5S) _N, N, 2-trimethyl_5- (1-pyrrolidinylcarbonyl) -3-pyrrolidinecarboxamide and
(23) 1—ァセチル _4_{[(3S, 5S)_5_(1_ピロリジニルカルボニル) _3_ピロリジニ ル]カルボ二ル}ピペラジンから選択される前項 [ 1 ]記載の化合物、 [6] 前項 [1]記載の一般式 (I)で示される化合物、その塩、その溶媒和物もしくはそ の N—才キシド体またはそれらのプロドラッグを有効成分として含有する医薬組成物、 (23) The compound according to the above [1], which is selected from 1-acetyl _4 _ {[(3S, 5S) _5_ (1_pyrrolidinylcarbonyl) _3_pyrrolidinyl] carbonyl} piperazine; [6] A pharmaceutical composition comprising, as an active ingredient, a compound represented by the general formula (I) according to the above-mentioned [1], a salt thereof, a solvate thereof, or an N-aminoxide thereof or a prodrug thereof.
[7] DPP4介在性疾患の治療および/または予防剤である前項 [6]記載の医薬組 成物、 [7] The pharmaceutical composition according to the above [6], which is a therapeutic and / or prophylactic agent for a DPP4-mediated disease.
[8] DPP4介在性疾患が糖尿病、肥満、 自己免疫疾患、癌転移、 HIV感染症、皮 膚病、前立腺肥大、高脂血症、シンドローム X、糖尿病合併症、高グリセリン血症、動 脈硬化症、耐糖能異常、多嚢胞性卵巣症候群、成長障害、関節炎、移植拒絶反応 および腸炎からなる群から選択される 1種以上である前項 [7]記載の医薬組成物、 [8] DPP4-mediated diseases include diabetes, obesity, autoimmune disease, cancer metastasis, HIV infection, skin disease, prostatic hypertrophy, hyperlipidemia, syndrome X, diabetic complications, hyperglycerinemia, arteriosclerosis The pharmaceutical composition according to the above item [7], which is at least one selected from the group consisting of: disease, impaired glucose tolerance, polycystic ovary syndrome, growth disorder, arthritis, transplant rejection, and enteritis.
[9] 前項 [1]記載の一般式 (I)で示される化合物、その塩、その溶媒和物もしくはそ の N—ォキシド体またはそれらのプロドラッグとスルホニル尿素系薬、ビグアナイド系 薬、 ひ—ダルコシダーゼ阻害薬、インスリン分泌促進薬、インスリン増感薬、インスリン 製剤、 PPAR作動薬、 β アドレナリン受容体作動薬、アルドース還元酵素阻害薬お [9] The compound represented by the general formula (I) described in the above item [1], a salt thereof, a solvate thereof or an N-oxide thereof or a prodrug thereof and a sulfonylurea drug, a biguanide drug, or a Dalcosidase inhibitor, insulin secretagogue, insulin sensitizer, insulin preparation, PPAR agonist, β-adrenergic receptor agonist, aldose reductase inhibitor
3 Three
よび DPP4阻害薬からなる群から選択される 1種以上を組み合わせてなる医薬、 A drug comprising a combination of at least one selected from the group consisting of
[10] 前項 [1]記載の一般式 (I)で示される化合物、その塩、その溶媒和物もしくは その Ν—ォキシド体またはそれらのプロドラッグの有効量を哺乳動物に投与することを 特徴とする、 DPP4介在性疾患の治療および/または予防方法および [10] administering to a mammal an effective amount of the compound represented by the general formula (I) described in the above item [1], a salt thereof, a solvate thereof, or a peroxide thereof or a prodrug thereof. A method for treating and / or preventing a DPP4-mediated disease and
[11] DPP4介在性疾患の治療および/または予防剤を製造するための前項 [1] 記載の一般式 (I)で示される化合物、その塩、その溶媒和物もしくはその Ν—才キシド 体またはそれらのプロドラッグの使用に関する。 [11] The compound represented by the general formula (I) according to the above item [1], a salt thereof, a solvate thereof or a Ν-sulfoxide thereof or a salt thereof for producing a therapeutic and / or prophylactic agent for a DPP4-mediated disease. Regarding the use of those prodrugs.
[0027] 一般式 (I)で示される化合物に示される基の具体的態様としては、以下の通りであ る。 [0027] Specific examples of the group represented by the compound represented by the general formula (I) are as follows.
[0028] Rla、 Rlb、 Rlc、 Rldおよび Rxが表わす「置換基」は、それぞれ独立して、 [0028] The "substituents" represented by R la , R lb , R lc , R ld and R x are each independently
(1) 1一 5個の R2によって置換されていてもよい C1一 8炭化水素基、 (1) 1 one 5 by the R 2 may be substituted C1 one 8 hydrocarbon group,
(2) 1一 5個の R3によって置換されていてもよい炭素環、 (2) a carbocyclic ring optionally substituted by one to five R 3 ,
(3) 1— 5個の R3によって置換されていてもよい複素環を表わす(ただし、 Rleまたは R ldが「1一 5個の R3によって置換されていてもよい複素環」を表わすとき、該複素環は 環 Aと炭素一炭素結合を形成する。)か、または (3) 1-five represent heterocyclic ring which may be substituted by R 3 (provided that, R le or R l d is a "1 one five heterocyclic ring which may be substituted by R 3" When represented, the heterocycle forms a carbon-carbon bond with ring A.)
(4) Rlaおよび Rlb、または Rleおよび Rldは結合する炭素原子と一緒になつて環 Cを表 わし、または Rlaおよび Rleは結合する炭素原子と一緒になつて環 Dを表わす (環 Cお よび環 Dはさらに 1一 5個の R3によって置換されていてもよい。)。 (4) R la and R lb or R le and R ld represent ring C together with the carbon atoms to which they are attached. I, or R la and R le , together with the carbon atom to which they are attached, represent ring D (ring C and ring D may be further substituted by 115 R 3 ).
[0029] R2は、(1)ハロゲン原子、(2)ニトロ、(3)シァノ、(4)ォキソ、 (5) -OR10, (e) -NR1 [0029] R 2 is (1) halogen atom, (2) nitro, (3) Shiano, (4) Okiso, (5) -OR 10, (e) -NR 1
12、 (7)_SR10、 (8)— SO R13、 (9)— CO〇R10、 (10)-CONRnR12, (11)一 COR 1 2 , (7) _SR 10 , (8) —SOR 13 , (9) —CO〇R 10 , (10) -CONR n R 12 , (11) One COR
2 2
13、 (12) =N_〇R10、 (13)-SO NR"R12、(14)—〇C〇R13、(15)— OSO R13、 (1 13 , (12) = N_NR 10 , (13) -SO NR "R 12 , (14) —) C〇R 13 , (15) —OSO R 13 , (1
2 2 twenty two
6)-CONRnCOR13, (17) -CONR SO R13、 (18)-NR14CONRnR12, (19)— 6) -CONR n COR 13 , (17) -CONR SO R 13 , (18) -NR 14 CONR n R 12 , (19) —
2 2
NR14COOR10、(20)—〇COOR10、 (21)-OCONRnR12, (22)-SO〇R10、 (23) NR 14 COOR 10 , (20) —〇COOR 10 , (21) -OCONR n R 12 , (22) -SO〇R 10 , (23)
2 2
-OSO OR10, (24)— SOR13、(25) 1 5個の R3によって置換されていてもよい炭素-OSO OR 10 , (24) — SOR 13 , (25) 15 carbons optionally substituted by 5 R 3
2 2
環または(26) 1— 5個の R3によって置換されていてもよい複素環を表わす。 A ring or a heterocyclic ring which may be substituted by (26) 1-5 R 3 ;
[0030] R3は、(1)ハロゲン原子、ニトロ、シァノ、ォキソ、一 OR10、一 NR"R12、一 SR10、 -SO R 3 is (1) a halogen atom, nitro, cyano, oxo, one OR 10 , one NR "R 12 , one SR 10 , -SO
R13、 -COOR10, -CONRnR12, -COR13, =N-OR10,一 SO NR R12, -OCORR 13 , -COOR 10 , -CONR n R 12 , -COR 13 , = N-OR 10 , SO NR R 12 , -OCOR
2 2 twenty two
13、 -OSO R13、 -CONRnCOR13, -CONR SO R13、 -NR14CONRnR12,— NR 13 , -OSO R 13 , -CONR n COR 13 , -CONR SO R 13 , -NR 14 CONR n R 12 , — NR
2 2 twenty two
14COOR10,一〇CO〇R1Q、 -OCONR R12,一 SO OR10, -OSO〇R1Q、一 S〇R13、 14 COOR 10 , 1〇CO〇R 1Q , -OCONR R 12 , 1 SO OR 10 , -OSO〇R 1Q , 1 S〇R 13 ,
2 2 twenty two
置換基を有してレ、てもよレ、炭素環および置換基を有してレ、てもよレ、複素環から選択 される 1一 5個の基によって置換されていてもよい C1 8炭化水素基、(2)ハロゲン原 子、(3)ニトロ、 (4)シァノ、 (5)ォキソ、 (6) -OR10, (7) -NR"R12、 (8) _SR10、 (9) -SO R13、 (10)— C〇OR10、 (11)— CONR"R12、(12)— COR13、 (13) =N_〇R1°C18 which may be substituted with 15 groups selected from a group having a substituent, a group having a substituent, a carbon ring and a group having a substituent, a group having a substituent and a heterocyclic ring Hydrocarbon group, (2) halogen atom, (3) nitro, (4) cyano, (5) oxo, (6) -OR 10 , (7) -NR "R 12 , (8) _SR 10 , (9 ) -SO R 13 , (10) —C〇OR 10 , (11) —CONR "R 12 , (12) —COR 13 , (13) = N_〇R 1 °
2 2
、(14)— SO NR"R12、 (15)— OC〇R13、 (16)— OSO R13、、 (17)_CONR11C〇R , (14) —SO NR "R 12 , (15) —OC〇R 13 , (16) —OSO R 13 , (17) _CONR 11 C〇R
2 2 twenty two
13、 (18) -CONR SO R13、 (19) -NR14CONRnR12, (20)-NR14COOR10、 (21 13 , (18) -CONR SO R 13 , (19) -NR 14 CONR n R 12 , (20) -NR 14 COOR 10 , (21
2 2
)-OCOOR10, (22)_OCONR11R12、(23) _S〇 OR10, (24) _〇S〇 OR10, (25) ) -OCOOR 10 , (22) _OCONR 11 R 12 , (23) _S〇 OR 10 , (24) _〇S〇 OR 10 , (25)
2 2 twenty two
S〇R13、 (26)置換基を有してレ、てもよレ、炭素環または(27)置換基を有してレヽても よい複素環を表わす。 S〇R 13 represents (26) a substituted or unsubstituted carbocyclic ring or (27) a substituted or unsubstituted heterocyclic ring.
[0031] R1Qは、(1)水素原子、(2)置換基を有していてもよい C1一 8炭化水素基、(3)置換 基を有してレ、てもよレ、炭素環または (4)置換基を有してレ、てもよレ、複素環を表わす。 [0031] R 1Q represents (1) a hydrogen atom, (2) a C18 hydrocarbon group which may have a substituent, (3) a group which has a substituent, Or (4) represents a heterocyclic ring having a substituent.
[0032] R11 R12および R14はそれぞれ独立して、(1)水素原子、(2)置換基を有していても よい C1一 8炭化水素基、(3)置換基を有していてもよい炭素環、 (4)置換基を有して いてもよい複素環、(5) -〇01¾13または(6)-30 R13を表わす。 [0032] R 11 R 12 and R 14 are each independently (1) hydrogen atom, (2) may have a substituent C1 one 8 hydrocarbon group, have a (3) substituents which may be carbocyclic, (4) heterocyclic ring which may have a substituent group, (5) -〇_01¾ 13 or (6) -30 R 13.
[0033] R"は、(1)置換基を有していてもよい C1-8炭化水素基、(2)置換基を有していて もよレ、炭素環または(3)置換基を有してレ、てもよレ、複素環を表わす。 R ″ is (1) a C1-8 hydrocarbon group which may have a substituent, and (2) a group which has a substituent. And represents a carbocyclic ring or a (3) heterocyclic ring having a substituent.
[0034] 本明細書中、 Rla、 Rlb、 Rle、 Rldおよび Rxが表わす「置換基」中の「1一 5個の に よって置換されていてもよい C1-8炭化水素基」における「C1_8炭化水素基」とは、[0034] In the present specification, "a C1-8 hydrocarbon group which may be substituted by 1 to 5 of the" substituents "represented by R la , R lb , R le , R ld and R x "In" C1_8 hydrocarbon group "
C1—8ァノレキノレ、 C2—8アルケニルまたは C2—8アルキニルを表わす力、、 Rlaおよび R lb、または Rleおよび Rldが一緒になつて C1— 8アルキリデン、アルケニリデンまたは CC1-8 Anorekinore, C2-8 alkenyl or force represents a C2-8 alkynyl ,, R la and R l b or R le and R ld is together such connexion C1- 8 alkylidene, alkenylidene or C
1—8アルキニリデンを表わしてもよレ、。 It may represent 1-8 alkynylidene.
[0035] C1—8アルキルとは、例えば、メチノレ、ェチル、プロピル、ブチル、ペンチル、へキシ ノレ、ヘプチル、ォクチルおよびその異性体を表わす。 [0035] C1-8 alkyl represents, for example, methinole, ethyl, propyl, butyl, pentyl, hexinole, heptyl, octyl and isomers thereof.
[0036] C2—8アルケニルとは、例えば、ェテュル、プロぺニル、ブテュル、ペンテュル、へ キセニル、ヘプテュル、オタテュルおよびその異性体を表わす。 [0036] C2-8 alkenyl represents, for example, ethyl, propenyl, butyr, pentyl, hexenyl, heptur, otatur and isomers thereof.
[0037] C2—8アルキニルとは、例えば、ェチュル、プロピエル、ブチュル、ペンチュル、へ キシュル、ヘプチュル、オタチュルおよびその異性体を表わす。 [0037] C2-8 alkynyl represents, for example, ethur, propiel, butchur, penthur, hexur, heptul, otatur and isomers thereof.
[0038] C1-8アルキリデンとは、例えば、メチリデン、ェチリデン、プロピリデン、ブチリデン[0038] C1-8 alkylidene includes, for example, methylidene, ethylidene, propylidene, butylidene
、ペンチリデン、へキシリデン、ヘプチリデン、オタチリデンおよびその異性体を表わ す。 , Pentylidene, hexylidene, heptylidene, otatilidene and isomers thereof.
[0039] C3-8アルケニリデンとは、例えば、プロぺニリデン、ブテニリデン、ペンテユリデン、 へキセニリデン、ヘプテニリデン、ォクテ二リデンおよびその異性体を表わす。 [0039] C3-8 alkenylidene refers to, for example, propylidene, butenylidene, penteylidene, hexenylidene, heptenylidene, octenylidene and isomers thereof.
[0040] C3— 8アルキニリデンとは、例えば、プロピニリデン、ブチユリデン、ペンチユリデン、 へキシュリデン、ヘプチニリデン、ォクチ二リデンおよびその異性体を表わす。 [0040] The C3-8 alkynylidene represents, for example, propynylidene, butylidene, pentylidene, hexylidene, heptinylidene, octylidene and isomers thereof.
[0041] 本明細書中、ハロゲン原子とは、例えば、フッ素、塩素、臭素およびヨウ素を表わす [0041] In the present specification, the halogen atom represents, for example, fluorine, chlorine, bromine and iodine.
[0042] 本明細書中、 Rla、 Rlb、 Rlc, Rld、 Rx、または R2が表わす「1一 5個の R3によって置 換されていてもよい炭素環」における「炭素環」とは、「C3_15の単環式または多環式 炭素環」を表わす。 [0042] In the present specification, "carbon represented by R la , R lb , R lc , R ld , R x , or R 2 " in the "carbocycle optionally substituted by 15 R 3 "" “Ring” means “C3_15 monocyclic or polycyclic carbocyclic ring”.
[0043] 「C3_15の単環式または多環式炭素環」には、 C3—15の単環式または多環式炭 素環ァリール、その一部または全部が飽和されている炭素環、スピロ結合した多環式 炭素環および架橋した多環式炭素環が含まれ、例えば、シクロプロパン、シクロブタ ン、シクロペンタン、シクロへキサン、シクロヘプタン、シクロオクタン、シクロノナン、シ クロデカン、シクロウンデカン、シクロドデカン、シクロトリデカン、シクロテトラデカン、 シクロペンタデカン、シクロペンテン、シクロへキセン、シクロヘプテン、シクロオタテン 、シクロペンタジェン、シクロへキサジェン、シクロへブタジエン、シクロォクタジェン、 ベンゼン、ペンタレン、パーヒドロペンタレン、ァズレン、パーヒドロアズレン、インデン 、パーヒドロインデン、インダン、ナフタレン、ジヒドロナフタレン、テトラヒドロナフタレン 、パーヒドロナフタレン、ヘプタレン、ノ ーヒドロヘプタレン、ビフエ二レン、 as—インダ セン、 s—インダセン、ァセナフチレン、ァセナフテン、フルオレン、フエナレン、フエナ ントレン、アントラセン、スピロ [4. 4]ノナン、スピロ [4. 5]デカン、スピロ [5. 5]ゥンデ カン、ビシクロ [2. 2. 1]ヘプタン、ビシクロ [2. 2. 1]ヘプタ _2_ェン、ビシクロ [3. 1 . 1]ヘプタン、ビシクロ [3. 1. 1]ヘプタ _2_ェン、ビシクロ [2. 2. 2]オクタン、ビシク 口 [2. 2. 2]ォクタ _2_ェン、ァダマンタン、ノルァダマンタン、ノルボルナン環等が挙 げられる。 The “C3_15 monocyclic or polycyclic carbocycle” includes a C3-15 monocyclic or polycyclic carbon ring aryl, a carbocyclic ring partially or wholly saturated, a spiro bond, Polycyclic carbocycles and bridged polycyclic carbocycles, such as cyclopropane, cyclobutane, cyclopentane, cyclohexane, cycloheptane, cyclooctane, cyclononane, cyclononane, Clodecane, cycloundecane, cyclododecane, cyclotridecane, cyclotetradecane, cyclopentadecane, cyclopentene, cyclohexene, cycloheptene, cyclootatene, cyclopentadiene, cyclohexadiene, cycloheptadiene, cyclooctadiene, benzene, pentalene, par Hydropentalene, azulene, perhydroazulene, indene, perhydroindene, indane, naphthalene, dihydronaphthalene, tetrahydronaphthalene, perhydronaphthalene, heptalene, norhydroheptalene, biphenylene, as-indacene, s-indacene , Acenaphthylene, acenaphthene, fluorene, phenalene, phenanthrene, anthracene, spiro [4.4] nonane, spiro [4.5] decane, spiro [5.5] ndeca , Bicyclo [2.2.1] heptane, bicyclo [2.2.1] hepta_2_ene, bicyclo [3.1.1] heptane, bicyclo [3.1.1] hepta_2_ene, bicyclo [2.2.2] Octane, Bisik mouth [2.2.2] Octa_2_en, adamantane, noradamantane, norbornane ring, etc.
[0044] 本明細書中、 Rla、 Rlb、 Rle、 Rld、 Rx、または R2が表わす「1一 5個の R3によって置 換されていてもよい複素環」における「複素環」とは、「3-15員の酸素原子、窒素原 子および硫黄原子から選択される 1一 5個のへテロ原子を含む単環式または多環式 複素環」を表わす。 During [0044] herein, R la, R lb, R le, R ld, R x or "heterocyclic in R 2 represents" 1 one five heterocyclic be substitution by R 3 ', The term "ring" refers to "a monocyclic or polycyclic heterocyclic ring containing 115 heteroatoms selected from a 3- to 15-membered oxygen atom, nitrogen atom and sulfur atom".
[0045] 「3— 15員の酸素原子、窒素原子および硫黄原子から選択される 1一 5個のへテロ 原子を含む単環式または多環式複素環」には、 3-15員の酸素原子、窒素原子およ び硫黄原子から選択される 1一 5個のへテロ原子を含む、一部または全部飽和され ていてもよい単環式または多環式複素環ァリールが含まれる。 [0045] The "3- to 15-membered monocyclic or polycyclic heterocycle containing 5 to 15 heteroatoms selected from an oxygen atom, a nitrogen atom and a sulfur atom" includes a 3 to 15-membered oxygen atom. Includes mono- or polycyclic heterocyclic aryls, which may be partially or fully saturated, containing 115 heteroatoms selected from atoms, nitrogen atoms and sulfur atoms.
[0046] 3— 15員の酸素原子、窒素原子および硫黄原子から選択される 1一 5個のへテロ原 子を含む、単環式または多環式複素環ァリールとしては、例えば、ピロール、イミダゾ ール、トリァゾール、テトラゾール、ピラゾール、ピリジン、ピラジン、ピリミジン、ピリダジ ン、ァゼピン、ジァゼピン、フラン、ピラン、ォキセピン、チォフェン、チォピラン、チェ ピン、ォキサゾール、イソォキサゾール、チアゾール、イソチアゾール、フラザン、ォキ サジァゾーノレ、ォキサジン、ォキサジァジン、ォキサゼピン、ォキサジァゼピン、チア ジァゾ一ノレ、チアジン、チアジアジン、チアゼピン、チアジアゼピン、インドーノレ、イソ インドール、インドリジン、ベンゾジォキソール、ベンゾフラン、イソべンゾフラン、ベン ゾチォフェン、イソベンゾチォフェン、ジチアナフタレン、インダゾール、キノリン、イソ キノリン、キノリジン、プリン、フタラジン、プテリジン、ナフチリジン、キノキサリン、キナ ゾリン、シンノリン、ベンゾォキサゾール、ベンゾチアゾール、ベンゾイミダゾール、クロ メン、ベンゾォキセピン、ベンゾォキサゼピン、ベンゾォキサジァゼピン、ベンゾチェピ ン、ベンゾチアゼピン、ベンゾチアジアゼピン、ベンゾァゼピン、ベンゾジァゼピン、ベ ンゾフラザン、ベンゾチアジアゾール、ベンゾトリァゾール、カルバゾール、 j3—カルボ リン、アタリジン、フエナジン、ジベンゾフラン、キサンテン、ジベンゾチォフェン、フエノ チアジン、フエノキサジン、フエノキサチイン、チアンスレン、フエナントリジン、フエナン トロリン、ペリミジン環などが挙げられる。 [0046] Examples of the monocyclic or polycyclic heterocyclic aryl containing 115 hetero atoms selected from a 3 to 15-membered oxygen atom, nitrogen atom and sulfur atom include pyrrole and imidazo. , Triazole, tetrazole, pyrazole, pyridine, pyrazine, pyrimidine, pyridazine, azepine, diazepine, furan, pyran, oxepin, thiophene, thiopyran, chepin, oxazole, isoxoxazole, thiazole, isothiazole, flazane, oxaziazinole, Oxazine, oxaziazine, oxazepine, oxazinezepine, thiadiazonole, thiazine, thiadiazine, thiazepine, thiadiazepine, indonele, isoindole, indolizine, benzodioxole, benzofuran, isobenzofuran, ben Zothiophene, isobenzothiophene, dithianaphthalene, indazole, quinoline, isoquinoline, quinolidine, purine, phthalazine, pteridine, naphthyridine, quinoxaline, quinazoline, cinnoline, benzoxazole, benzothiazole, benzimidazole, chromen, benzoxepin , Benzoxazepine, benzoxaziazepine, benzocepin, benzothiazepine, benzothiadiazepine, benzozepine, benzodiazepine, benzofurazan, benzothiadiazole, benzotriazole, carbazole, j3-carboline, atarizine, Phenazine, dibenzofuran, xanthene, dibenzothiophene, phenothiazine, phenoxazine, phenoxatiin, thianthrene, phenanthridine, phenant Phosphorus, like perimidine ring.
酸素原子、窒素原子および硫黄原子から選択される 1一 5個のへテロ原子を含む、 一部または全部飽和された 3—15員の単環式または多環式複素環ァリールとしては 、例えば、アジリジン、ァゼチジン、ピロリン、ピロリジン、イミダゾリン、イミダゾリジン、ト リアゾリン、トリァゾリジン、テトラゾリン、テトラゾリジン、ピラゾリン、ビラゾリジン、ジヒド 口ピリジン、テトラヒドロピリジン、ピぺリジン、ジヒドロビラジン、テトラヒドロビラジン、ピ ペラジン、ジヒドロピリミジン、テトラヒドロピリミジン、パーヒドロピリミジン、ジヒドロピリダ ジン、テトラヒドロピリダジン、パーヒドロピリダジン、ジヒドロアゼピン、テトラヒドロアゼピ ン、パーヒドロアゼピン、ジヒドロジァゼピン、テトラヒドロジァゼピン、パーヒドロジァゼ ピン、ジヒドロアゾシン、テトラヒドロアゾシン、パーヒドロアゾシン、ジヒドロジァゾシン、 テトラヒドロジァゾシン、パーヒドロジァゾシン、ォキシラン、ォキセタン、ジヒドロフラン、 テトラヒドロフラン、ジヒドロピラン、テトラヒドロピラン、ジヒドロォキセピン、テトラヒドロォ キセピン、パーヒドロォキセピン、チイラン、チェタン、ジヒドロチォフェン、テトラヒドロ チォフェン、ジヒドロチォピラン、テトラヒドロチォピラン、ジヒドロチェピン、テトラヒドロ チェピン、パーヒドロチェピン、ジヒドロォキサゾール、テトラヒドロォキサゾール(ォキ サゾリジン)、ジヒドロイソォキサゾール、テトラヒドロイソォキサゾール(イソォキサゾリジ ン)、ジヒドロチアゾール、テトラヒドロチアゾール(チアゾリジン)、ジヒドロイソチアゾー ノレ、テトラヒドロイソチアゾール (イソチアゾリジン)、ジヒドロフラザン、テトラヒドロフラザ ン、ジヒドロォキサジァゾール、テトラヒドロォキサジァゾール(ォキサジァゾリジン)、ジ ヒドロォキサジン、テトラヒドロォキサジン、ジヒドロォキサジァジン、テトラヒドロォキサ ジァジン、ジヒドロォキサゼピン、テトラヒドロォキサゼピン、パーヒドロォキサゼピン、 ジヒドロォキサジァゼピン、テトラヒドロォキサジァゼピン、パーヒドロォキサジァゼピン 、ジヒドロチアジアゾール、テトラヒドロチアジアゾール(チアジアゾリジン)、ジヒドロチ ァジン、テトラヒドロチアジン、ジヒドロチアジアジン、テトラヒドロチアジアジン、ジヒドロ チアゼピン、テトラヒドロチアゼピン、パーヒドロチアゼピン、ジヒドロチアジアゼピン、 テトラヒドロチアジァゼピン、パーヒドロチアジアゼピン、モルホリン、チオモルホリン、 ォキサチアン、インドリン、イソインドリン、ジヒドロべンゾフラン、パーヒドロべンゾフラン 、ジヒドロイソべンゾフラン、パーヒドロイソべンゾフラン、ジヒドロベンゾチォフェン、 Λ ーヒドロべンゾチオフヱン、ジヒドロイソべンゾチオフヱン、パーヒドロイソべンゾチオフ ヱン、ジヒドロインダゾール、パーヒドロインダゾール、ジヒドロキノリン、テトラヒドロキノ リン、パーヒドロキノリン、ジヒドロイソキノリン、テトラヒドロイソキノリン、パーヒドロイソキ ノリン、ジヒドロフタラジン、テトラヒドロフタラジン、パーヒドロフタラジン、ジヒドロナフチ リジン、テトラヒドロナフチリジン、パーヒドロナフチリジン、ジヒドロキノキサリン、テトラヒ ドロキノキサリン、パーヒドロキノキサリン、ジヒドロキナゾリン、テトラヒドロキナゾリン、パ ーヒドロキナゾリン、ジヒドロシンノリン、テトラヒドロシンノリン、パーヒドロシンノリン、ベ ンゾォキサチアン、ジヒドロべンゾォキサジン、ジヒドロべンゾチアジン、ピラジノモルホ リン、ジヒドロべンゾォキサゾール、パーヒドロベンゾォキサゾール、ジヒドロべンゾチア ゾール、パーヒドロベンゾチアゾール、ジヒドロべンゾイミダゾール、パーヒドロベンゾィ ピン、テトラヒドロべンゾジァゼピン、ベンゾジォキセパン、ジヒドロべンゾォキサゼピン 、テトラヒドロべンゾォキサゼピン、ジヒドロカルバゾール、テトラヒドロカルバゾール、 パーヒドロカルバゾール、ジヒドロアクリジン、テトラヒドロアクリジン、パーヒドロアクリジ ン、ジヒドロジべンゾフラン、ジヒドロジベンゾチォフェン、テトラヒドロジべンゾフラン、 テトラヒドロジベンゾチォフェン、パーヒドロジべンゾフラン、パーヒドロジべンゾチオフ ェン、ジォキソラン、ジォキサン、ジチオラン、ジチアン、ジォキサインダン(ベンゾジォ キソーノレ)、ベンゾジォキサン、クロマン、ベンゾジチオラン、ベンゾジチアン、テトラヒ ドロトリァゾロピラジン環などが挙げられる。 Examples of partially or wholly saturated 3 to 15 membered monocyclic or polycyclic heterocyclic aryl containing one to five heteroatoms selected from an oxygen atom, a nitrogen atom and a sulfur atom include, for example, Aziridine, azetidine, pyrroline, pyrrolidine, imidazoline, imidazolidine, triazoline, triazolidine, tetrazoline, tetrazolidine, pyrazoline, villazolidine, dihydric pyridine, tetrahydropyridine, piperidine, dihydrovirazine, tetrahydrovirazine, piperazine, dihydropyrimidine , Tetrahydropyrimidine, perhydropyrimidine, dihydropyridazine, tetrahydropyridazine, perhydropyridazine, dihydroazepine, tetrahydroazepine, perhydroazepine, dihydrodazepine, tetrahydrodazepine, par Dorozazepine, dihydroazosin, tetrahydroazosin, perhydroazosin, dihydrodazosin, tetrahydrodazosin, perhydrodizosine, oxolane, oxetane, dihydrofuran, tetrahydrofuran, dihydropyran, tetrahydropyran, dihydrooxe Pin, Tetrahydroxepin, Perhydroxepin, Thiirane, Chetan, Dihydrothiophene, Tetrahydrothiophene, Dihydrothiopyran, Tetrahydrothiopyran, Dihydrochepin, Tetrahydrochepin, Perhydrochepin, Dihydrooxazole, Tetrahydroxo Xazole (oxazolidine), dihydroisoxazole, tetrahydroisoxazole (isoxazolidin), dihydrothiazole, tetrahydrothiazole ( Thiazolidine), dihydroisothiazolone, tetrahydroisothiazole (isothiazolidine), dihydrofurazan, tetrahydrofurazane, dihydrooxadiazole, tetrahydrooxadiazole (oxadiazolidine), dihydrooxazine, Tetrahydrooxazine, dihydrooxadiazine, tetrahydrooxa Diazine, dihydrooxazepine, tetrahydrooxazepine, perhydrooxazepine, dihydrooxadazepine, tetrahydrooxazine diazepine, perhydrooxazezepine, dihydrothiadiazole, tetrahydro Thiadiazole (thiadiazolidine), dihydrothiazine, tetrahydrothiazine, dihydrothiadiazine, tetrahydrothiadiazine, dihydrothiazepine, tetrahydrothiazepine, perhydrothiazepine, dihydrothiadiazepine, tetrahydrothiadiazepine, perhydroti Asiazepine, morpholine, thiomorpholine, oxaxian, indoline, isoindoline, dihydrobenzofuran, perhydrobenzofuran, dihydroisobenzofuran, perhydroisobenzofuran, dihydrobenzothiophene Perhydroisobenzothiophene, dihydroisobenzothiothiophene, perhydroisobenzothiophene, dihydroindazole, perhydroindazole, dihydroquinoline, tetrahydroquinoline, perhydroquinoline, dihydroisoquinoline, tetrahydroisoquinoline, perhydroisoquinoline, dihydrophthalazine, tetrahydrophthalazine Razine, perhydrophthalazine, dihydronaphthyridine, tetrahydronaphthyridine, perhydronaphthyridine, dihydroquinoxaline, tetrahydroquinoxaline, perhydroquinoxaline, dihydroquinazoline, tetrahydroquinazoline, perhydroquinazoline, dihydrocinnoline, tetrahydrocinnoline, perhydrocin Norin, benzoxazian, dihydrobenzoxazine, Hydrobenzothiazine, pyrazinomorpholine, dihydrobenzozoxazole, perhydrobenzoxazole, dihydrobenzothiazole, perhydrobenzothiazole, dihydrobenzoimidazole, perhydrobenzodipine, tetrahydrobenzozodazepine, benzodioxepane, Dihydrobenzozoxazepine, tetrahydrobenzozozepine, dihydrocarbazole, tetrahydrocarbazole, perhydrocarbazole, dihydroacridine, tetrahydroacridine, perhydroacridin, dihydrodibenzofuran, dihydrodibenzothiophene, tetrahydrodibenzothiophene, tetrahydrodibenzothiophene, perhydrodi Benzofuran, perhydrodibenzothiophene, dioxolan, dioxane, dithiolane, Chiang, Jiokisaindan (Benzojio Kisonore), Benzojiokisan, chroman, benzothiophene dithiolane, Benzojichian, like Tetorahi mud tri § Zorro pyrazine ring.
本明細書中、 Rlaおよび Rlbまたは Rleおよび Rldが結合する炭素原子と一緒になつ て表わす環 cは炭素環または複素環を表わす。 In this specification, R la and R lb or R le and R ld together with the carbon atom to which they are bonded And ring c represents a carbocyclic or heterocyclic ring.
[0049] 環 Cが表わす炭素環は、一部または全部飽和していてもよい C3-15の単環式また は多環式炭素環ァリールを表わし、例えば、シクロプロパン、シクロブタン、シクロペン タン、シクロへキサン、シクロヘプタン、シクロオクタン、シクロノナン、シクロデカン、シ クロペンテン、シクロへキセン、シクロヘプテン、シクロオタテン、シクロノネン、シクロ デセン、シクロペンタジェン、シクロへキサジェン、シクロへブタジエン、シクロォクタジ ェン、シクロノナジェン、シクロデカジエン、ジヒドロナフタレン、テトラヒドロナフタレン 、インデン、インダン、フルオレン環などが挙げられる。 [0049] The carbocycle represented by ring C represents a C3-15 monocyclic or polycyclic carbocyclic aryl which may be partially or wholly saturated, for example, cyclopropane, cyclobutane, cyclopentane, cyclopentane Hexane, cycloheptane, cyclooctane, cyclononane, cyclodecane, cyclopentene, cyclohexene, cycloheptene, cyclootaten, cyclononene, cyclodecene, cyclopentadiene, cyclohexadiene, cycloheptadiene, cyclooctadiene, cyclononadiene, cyclononadiene Decadiene, dihydronaphthalene, tetrahydronaphthalene, indene, indane, fluorene ring and the like can be mentioned.
[0050] 環 Cが表わす複素環は、一部または全部飽和していてもょレ、3_10員の酸素原子、 窒素原子および硫黄原子から選択される 1一 5個のへテロ原子を含む単環式または 多環式複素環ァリールを表わし、例えば、ォキセタン、ァゼチジン、ピロリジン、ジヒド 口ピロ一ノレ、ピぺリジン、ジヒドロピリジン、テトラヒドロピリジン、テトラヒドロフラン、テトラ ヒドロピラン、ジヒドロピラン、ジヒドロフラン、テトラヒドロチォフェン、ジヒドロチォフェン 、ジヒドロチアイン、テトラヒドロチアイン、テトラヒドロキノリン、パーヒドロキノリン、ジヒド 口インドール、パーヒドロインドール環などが挙げられる。 [0050] The heterocyclic ring represented by ring C may be partially or completely saturated, and may be a monocyclic ring containing 115 hetero atoms selected from a 3 to 10-membered oxygen atom, a nitrogen atom and a sulfur atom. Represents a formula or a polycyclic heterocyclic aryl, for example, oxetane, azetidine, pyrrolidine, dihydropyrroquinone, piperidine, dihydropyridine, tetrahydropyridine, tetrahydrofuran, tetrahydropyran, dihydropyran, dihydrofuran, tetrahydrothiophene, dihydro And thiophene, dihydrothiaine, tetrahydrothiaine, tetrahydroquinoline, perhydroquinoline, dihydroindole, perhydroindole ring and the like.
[0051] 本明細書中、 Rlaおよび 1 1<:が結合する炭素原子と一緒になつて表わす環 Dは炭素 環または複素環を表わす。 [0051] In the present specification, ring D represented by R la and 11 < : together with the carbon atom to which it is bonded represents a carbocyclic or heterocyclic ring.
[0052] 環 Dが表わす炭素環は、一部または全部飽和していてもよい C3-10の単環式また は多環式炭素環ァリールを表わし、例えば、シクロプロパン、シクロブタン、シクロペン タン、シクロへキサン、シクロヘプタン、シクロオクタン、シクロノナン、シクロデカン、シ クロペンテン、シクロへキセン、シクロヘプテン、シクロオタテン、シクロノネン、シクロ デセン、シクロペンタジェン、シクロへキサジェン、シクロへブタジエン、シクロォクタジ ェン、シクロノナジェン、シクロデカジエン、ベンゼン、ナフタレン、インダン環などが 挙げられる。 [0052] The carbocycle represented by ring D represents a C3-10 monocyclic or polycyclic carbocyclic aryl which may be partially or completely saturated, for example, cyclopropane, cyclobutane, cyclopentane, cyclopentane Hexane, cycloheptane, cyclooctane, cyclononane, cyclodecane, cyclopentene, cyclohexene, cycloheptene, cyclootaten, cyclononene, cyclodecene, cyclopentadiene, cyclohexadiene, cycloheptadiene, cyclooctadiene, cyclononadiene, cyclononadiene Decadiene, benzene, naphthalene, indane ring and the like can be mentioned.
[0053] 環 Dが表わす複素環は、一部または全部飽和していてもょレ、3—10員の酸素原子、 窒素原子および硫黄原子から選択される 1一 5個のへテロ原子を含む単環式または 多環式複素環ァリールを表わし、例えば、イミダゾール、チアゾール、ォキサゾール、 ピラゾール、イミダゾリジン、チアゾリジン、ォキサゾリジン、ピロリジン、ジヒドロピロ一 ノレ、ピぺリジン、ジヒドロピリジン、テトラヒドロピリジン、テトラヒドロフラン、テトラヒドロピ ラン、ジヒドロピラン、ジヒドロフラン、テトラヒドロチォフェン、ジヒドロチォフェン、ジヒド 口チアイン、テトラヒドロチアイン、ベンゾフラン、ベンゾチォフェン、インドール、インド リン、インダゾール、ベンゾジォキソール、キノリン、イソキノリン、キノリジン、キナゾリン 、ナフチリジン、フタラジン、キノキサリン、シンノリン、 1 , 4—ジォキサスピロ [4. 5]デカ ン環などが挙げられる。 [0053] The heterocyclic ring represented by ring D may be partially or completely saturated, and contains 115 hetero atoms selected from 3-10 membered oxygen, nitrogen, and sulfur atoms Represents a monocyclic or polycyclic heterocyclic aryl, such as imidazole, thiazole, oxazole, pyrazole, imidazolidin, thiazolidine, oxazolidine, pyrrolidine, dihydropyrroyl Nore, piperidine, dihydropyridine, tetrahydropyridine, tetrahydrofuran, tetrahydropyran, dihydropyran, dihydrofuran, tetrahydrothiophene, dihydrothiophene, dihydride thiane, tetrahydrothiain, benzofuran, benzothiophene, indole, indole, indazole, indazole, Examples include benzodioxole, quinoline, isoquinoline, quinolidine, quinazoline, naphthyridine, phthalazine, quinoxaline, cinnoline, and 1,4-dioxaspiro [4.5] decane ring.
[0054] 本明細書中、 R1Q、 R"、 R12、 R13および R14が表わす「置換基を有していてもよい C 1—8炭化水素基」における「C1_8炭化水素基」とは、 C 1—8ァノレキノレ、 C2—8ァルケ ニルまたは C2—8アルキニルを表わし、これらは前記と同じ意味を表わす。 In the present specification, “C1_8 hydrocarbon group” in “C 1-8 hydrocarbon group optionally having substituent (s)” represented by R 1Q , R ″, R 12 , R 13 and R 14 Represents a C 1-8 alkynole, a C 2-8 alkenyl or a C 2-8 alkynyl, which have the same meaning as described above.
[0055] 本明細書中、 R1Q、 R"、 R12、 R13および R14が表わす「置換基を有していてもよい C 1—8炭化水素基」における「置換基」とは、例えば、水酸基、 C1—8アルコキシ、モノ( C1— 8アルキル)ァミノ、ジ(C 1— 8アルキル)ァミノ、 C2— 8ァシル、 C1— 8アルコキシ カルボニル、ベンジルォキシカルボニル、カルボキシ、ハロゲン原子、ニトロ、シァノ、 (C1—8アルキル)スルホニルァミノ、 C2—8ァシルァミノ、フエニル、 C3—8シクロアル キル、ピリジノレおよびォキソから選択される 1一 5個の基が挙げられる。 In the present specification, the “substituent” in the “C 1-8 hydrocarbon group which may have a substituent” represented by R 1Q , R ″, R 12 , R 13 and R 14 is: For example, hydroxyl group, C1-8 alkoxy, mono (C1-8 alkyl) amino, di (C1-8 alkyl) amino, C2-8 acyl, C1-8 alkoxycarbonyl, benzyloxycarbonyl, carboxy, halogen atom, nitro , Cyano, (C1-8 alkyl) sulfonylamino, C2-8 acylamino, phenyl, C3-8 cycloalkyl, pyridinole, and oxo.
[0056] 本明細書中、 R3、 R10, R11 R12、 R13および Rmが表わす「置換基を有していてもよ レ、炭素環」および「置換基を有してレ、てもよレ、複素環」における「炭素環」および「複 素環」とは、それぞれ前記の「炭素環」および「複素環」と同じ意味を表わす。 [0056] herein, R 3, R 10, R 11 R 12, R 13 and R m represents "good be substituted les, carbocycle" Les a and "substituent The term “carbocycle” and “complex ring” in “may be a heterocycle” have the same meanings as the above “carbocycle” and “heterocycle”, respectively.
[0057] 本明細書中、 R3、 R1G、 R"、 R12、 R13および Rmが表わす「置換基を有していてもよ レ、炭素環」または「置換基を有してレ、てもよレ、複素環」における「置換基」としては、例 えば、 C1—8炭化水素基、水酸基、 C1—8アルコキシ、アミ入モノ(C1—8アルキル) ァミノ、ジ(C1— 8アルキル)ァミノ、 C2— 8ァシル、 C 1— 8アルコキシカルボニル、ベン ジルォキシカルボニル、カルボキシ、メルカプト、 C1—8アルキルチオ、ハロゲン原子 、(C1— 8アルキル)スルホニル、 (C1— 8アルキル)スルホニルァミノ、 C2— 8ァシルァ ミノ、ォキソ、フエニル、 C3—8シクロアルキル、ニトロ、シァノおよびピリジルから選択さ れる 1一 5個の基が挙げられる。 In the present specification, “may have a substituent, a carbocyclic ring” or “having a substituent” represented by R 3 , R 1G , R ″, R 12 , R 13 and R m Examples of the “substituent” in the term “heterocycle” include, for example, a C1-8 hydrocarbon group, a hydroxyl group, a C1-8 alkoxy, an amino (C1-8alkyl) amino, di (C1— 8alkyl) amino, C2-8acyl, C1-8alkoxycarbonyl, benzyloxycarbonyl, carboxy, mercapto, C1-8alkylthio, halogen atom, (C1-8alkyl) sulfonyl, (C1-8alkyl) sulfonyl 115 groups selected from amino, C2-8 acylamino, oxo, phenyl, C3-8 cycloalkyl, nitro, cyano and pyridyl.
[0058] 「置換基」における C1—8炭化水素基とは、 C1—8ァノレキノレ、 C2—8アルケニルまた は C2—8アルキニルを表わし、これらは前記と同じ意味を表わす。 [0059] 「置換基」における Cl_8アルコキシとは、例えば、メトキシ、エトキシ、プロボキシ、 ブトキシ、ペンチルォキシ、へキシルォキシ、へプチ/レオキシ、ォクチルォキシおよび その異性体を表わす。 [0058] The "C1-8 hydrocarbon group" in the "substituent" means C1-8 anolequinole, C2-8 alkenyl or C2-8 alkynyl, which have the same meanings as described above. [0059] The Cl_8 alkoxy in the "substituent" means, for example, methoxy, ethoxy, propoxy, butoxy, pentyloxy, hexyloxy, heptyl / reoxy, octyloxy and isomers thereof.
[0060] 「置換基」におけるモノ(C1—8アルキル)ァミノとは、 1つの C1—8アルキル基によつ て置換されたアミノ基を表わし、例えば、メチノレアミノ、ェチルァミノ、プロピノレアミノ、 ブチノレアミノ、ペンチルァミノ、へキシルァミノ、ヘプチルァミノ、ォクチルァミノおよび その異性体を表わす。 [0060] The term "mono (C1-8 alkyl) amino" in the "substituent" refers to an amino group substituted by one C1-8 alkyl group, and includes, for example, methinoleamino, ethylamino, propinoleamino, butinoleamino, pentylamino, Hexylamino, heptylamino, octylamino and its isomers.
[0061] 「置換基」におけるジ(C1—8アルキル)ァミノとは、 2つの独立した C1—8アルキル基 によって置換されたアミノ基を表わし、例えば、ジメチルァミノ、ジェチノレアミノ、ジプロ ピノレアミノ、ジブチルァミノ、ジペンチルァミノ、ジへキシルァミノ、ジヘプチルァミノ、 ジォクチルァミノ、ェチルメチルアミ入メチルプロピルァミノ、ェチルプロピルァミノお よびその異性体を表わす。 [0061] The term "di (C1-8 alkyl) amino" in the "substituent" refers to an amino group substituted by two independent C1-8 alkyl groups, for example, dimethylamino, detinoleamino, dipropynoleamino, dibutylamino, dipentylamino. Mino, dihexylamino, diheptylamino, dioctylamino, methylpropylamino with ethylmethylamino, ethylpropylamino and isomers thereof.
[0062] 「置換基」における C2— 8ァシルとは、例えば、ァセチル、プロピオニル、ブチリル、 バレリル、へキサノィル、ヘプタノィル、オタタノィルおよびその異性体を表わす。 [0062] The C2-8 acyl in the "substituent" means, for example, acetyl, propionyl, butyryl, valeryl, hexanoyl, heptanoyl, otatanyl and isomers thereof.
[0063] 「置換基」における C1—8アルコキシカルボエルとは、例えば、メトキシカルボニル、 エトキシカルボニル、プロポキシカルボニル、ブトキシカルボニル、ペンチルォキシカ ノレボニル、へキシルォキシカルボニル、ヘプチルォキシカルボニル、ォクチルォキシ カルボニルおよびその異性体を表わす。 [0063] C1-8 alkoxycarbel in the "substituent" means, for example, methoxycarbonyl, ethoxycarbonyl, propoxycarbonyl, butoxycarbonyl, pentyloxycanolebonyl, hexyloxycarbonyl, heptyloxycarbonyl, octyloxycarbonyl and isomers thereof. Represents the body.
[0064] 「置換基」における C1一 8アルキルチオとは、例えば、メチルチオ、ェチルチオ、プロ ピルチオ、ブチルチオ、ペンチルチオ、へキシルチオ、へプチルチオ、ォクチルチオ およびその異性体を表わす。 [0064] The C18 alkylthio in the "substituent" means, for example, methylthio, ethylthio, propylthio, butylthio, pentylthio, hexylthio, heptylthio, octylthio and isomers thereof.
[0065] 「置換基」における(C1—8アルキル)スルホニルとは、例えば、メチルスルホニル、 ェチノレスノレホニノレ、プロピノレスノレホニノレ、ブチノレスノレホニノレ、ペンチノレスノレホニノレ、 へキシルスルホニル、へプチルスルホニル、ォクチルスルホニルおよびその異性体を 表わす。 [0065] The term "(C1-8 alkyl) sulfonyl" in the "substituent" includes, for example, methylsulfonyl, ethinolesnolehoninole, propinoresnolehoninole, butinolesnolehoninole, pentinolesnolehoninole , Hexylsulfonyl, heptylsulfonyl, octylsulfonyl and isomers thereof.
[0066] 「置換基」における(C1—8アルキル)スルホニルァミノとは、例えば、メチルスルホニ ノレアミノ、ェチルスルホニルアミ入プロピルスルホニルァミノ、ブチルスルホニルァミノ 、ペンチルスルホニルァミノ、へキシルスルホニルァミノ、へプチルスルホニルァミノ、 ォクチルスルホニルァミノおよびその異性体を表わす。 [0066] The term "(C1-8 alkyl) sulfonylamino" in the "substituent" refers to, for example, methylsulfonylamino, propylsulfonylamino, butylsulfonylamino, butylsulfonylamino, pentylsulfonylamino, hexylsulfonylamino, etc. , Heptylsulfonylamino, Octylsulfonylamino and its isomers.
[0067] 「置換基」における C2—8ァシルァミノとは、例えば、ァセチルアミ入プロピオニルァ ミノ、ブチリルァミノ、バレリルアミノ、へキサノィルァミノ、ヘプタノィルァミノ、オタタノィ ルァミノおよびその異性体を表わす。 [0067] The term "C2-8 acylamino" in the "substituent" means, for example, acetylamino-propionylamino, butyrylamino, valerylamino, hexanoylamino, heptanoylamino, otatanylamino and isomers thereof.
[0068] 「置換基」における C3—8シクロアルキルは、例えば、シクロプロピル、シクロプチノレ 、シクロペンチル、シクロへキシル、シクロへプチル、シクロォクチルを表わす。 [0068] C3-8 cycloalkyl in the "substituent" represents, for example, cyclopropyl, cycloptynole, cyclopentyl, cyclohexyl, cycloheptyl, cyclooctyl.
[0069] さらに好ましい態様としては、一般式 (IA) [0069] In a further preferred embodiment, the compound represented by the general formula (IA)
[0070] [化 8] [0070]
[0071] (式中、すべての記号は前記と同じ意味を表わす。)で示される化合物、一般式 (IB) (Wherein all symbols have the same meanings as described above), a compound represented by the general formula (IB)
[0072] [化 9] [0072]
[0073] (式中、すべての記号は前記と同じ意味を表わす。 )で示される化合物などが挙げら れる。 (Wherein, all symbols have the same meanings as described above.).
[0074] 本発明において、一般式 (IA)で示される化合物、一般式 (IB)で示される化合物の レヽずれも好ましいが、一般式 (IA)で示される化合物がより好ましレ、。 [0074] In the present invention, the compound represented by the general formula (IA) and the compound represented by the general formula (IB) are also preferable, but the compound represented by the general formula (IA) is more preferable.
[0075] 本発明において、好ましい態様は以下の通りである。 [0075] In the present invention, preferred embodiments are as follows.
[0076] 本発明中、 Rlcとして好ましくは、(1) 1一 3個の— CONI^R12または— COR13によつ て置換された C1—8アルキル、 (3) _COR13または(4)置換基を 有していてもよい炭素環であり、さらに好ましくは、 (1)— C〇NR"R12および一 C〇R13 基から選択される 1個の基によって置換された C1一 4アルキル、 (2)— CONR"R12、 ( 3) 3または(4)置換基を有してレ、てもよレ、フエニルである c In the present invention, R lc is preferably (1) C 1-8 alkyl substituted by one to three of —CONI ^ R 12 or —COR 13 , (3) —COR 13 or (4) an optionally substituted carbocycle, more preferably one selected from (1) —C〇NR ”R 12 and one C〇R 13 group C1 one 4 alkyl substituted by the group, (2) - CONR "R 12, ( 3) 3 or (4) c which is substituted, substituted, or phenyl
12として好ましくは、例えば、以下の基である。 Preferably a 1 2 is, for example, the following groups.
[化 [Change
〇 基中の としては、置換基を有していてもよい複素環が好ましぐさらに 好ましくは、置換基を有していてもよい少なくとも 個の窒素原子を含有する複素環力 s 好ましい。好ましい複素環としては例えば、ァゼチジン、ピロリジン、ピぺリジン、パー ヒドロアゼピン、パーヒドロアゾシン、ピロール、ジヒドロピロール、ジヒドロピリジン、テト ラヒドロピリジン、ジヒドロアゼピン、テトラヒドロアゼピン、ピぺラジン、モノレホリン、チォ モルホリン、ォキサゾリジン、チアゾリジン、ジヒドロインドール、ジヒドロイソインドール 、ジヒドロキノリン、テトラヒドロキノリン、ジヒドロイソキノリン、テトラヒドロイソキノリン、テ トラヒドロチアゾロピリジン、テトラヒドロトリアゾロピラジン環などであり、これらの環は置 換基を有していてもよい。 In the group, a heterocyclic ring which may have a substituent is preferable, and a heterocyclic force containing at least one nitrogen atom which may have a substituent is more preferable. Preferred heterocycles include, for example, azetidine, pyrrolidine, piperidine, perhydroazepine, perhydroazosin, pyrrole, dihydropyrrole, dihydropyridine, tetrahydropyridine, dihydroazepine, tetrahydroazepine, piperazine, monoreforin, thiomorpholine Oxazolidine, thiazolidine, dihydroindole, dihydroisoindole, dihydroquinoline, tetrahydroquinoline, dihydroisoquinoline, tetrahydroisoquinoline, tetrahydrothiazolopyridine, tetrahydrotriazolopyrazine ring, etc., and these rings have substitution groups. May be.
が表わす「置換基を有していてもよいフエニル基」としては、少なくとも 3個の 水酸基によって置換されたフエニル基が好ましい。力かるフエ二ル基は 3個の水 酸基に加え、さらに アルキル、 アルコキシ、ハロゲン原子(フッ素、塩素、 臭素、ヨウ素)、モノ(ci アルキル)ァミノおよびジ( アルキル)ァミノから選択 される 4個の基を置換基として有していてもよい。 As the “phenyl group optionally having substituent (s)”, a phenyl group substituted by at least three hydroxyl groups is preferable. Powerful phenyl groups are selected from alkyl, alkoxy, halogen atoms (fluorine, chlorine, bromine, iodine), mono (cialkyl) amino and di (alkyl) amino, in addition to the three hydroxyl groups. May be present as substituents.
として好ましくは、水素、メチノレ、ェチル、プロピル、シクロプロピル、シクロプチ ノレ、シクロペンチルおよびシクロへキシルであり、さらに好ましくは水素、メチルおよび ェチノレである。 Are preferably hydrogen, methynole, ethyl, propyl, cyclopropyl, cyclopentinole, cyclopentyl and cyclohexyl, more preferably hydrogen, methyl and This is Echinore.
[0082] Rla、 Rlb、 Rleおよび R"のうち、 Rlbおよび Rldが水素である組合せが好ましい。 [0082] Of R la , R lb , R le and R ", a combination in which R lb and R ld are hydrogen is preferable.
[0083] 本発明においては、特に指示しない限り異性体はこれをすベて包含する。例えば、 ァノレキノレ、アルコキシ、アルキルチオ、アルケニル、アルキニル、アルキレン、アルキリ デン、アルケニリデンおよびアルキニリデンには直鎖のものおよび分枝鎖のものが含 まれる。さらに二重結合、環、縮合環における異性体 (E、 Z、シス、トランス体)、不斉 炭素の存在等による異性体(R、 s体、 ひ、 /3体、ェナンチォマー、ジァステレオマー )、旋光性を有する光学異性体 (D、 L、 d、 1体、 +、—体)、クロマトグラフィー分離によ る極性体(高極性体、低極性体)、平衡化合物、これらの任意の割合の化合物、ラセ ミ混合物は、すべて本発明に含まれる。 In the present invention, all isomers are included unless otherwise indicated. For example, annalequinole, alkoxy, alkylthio, alkenyl, alkynyl, alkylene, alkylidene, alkenylidene and alkynylidene include straight and branched ones. In addition, isomers in double bonds, rings and condensed rings (E, Z, cis, trans isomers), isomers due to the presence of asymmetric carbon (R, s, isomer, / 3 isomer, enantiomer, diastereomer), optical rotation Optical isomers (D, L, d, one, +,-), polar isomers (highly polar, less polar) by chromatographic separation, equilibrium compounds, and compounds in any proportion of these , Racemic mixtures are all included in the present invention.
[0084] 本発明において、記号 [0084] In the present invention, the symbol
[0085] [化 11] [0085]
、 ,
[0086] は当業者にとって明らかなように、特に断わらない限り紙面の手前( 配置)に結合し ていることを表わし、記号 [0086] As is apparent to those skilled in the art, unless otherwise specified, it means that it is connected to the front (arrangement) of the paper, and the symbol
[0087] [化 12] [0087]
'"'、 '"',
[0088] は当業者にとって明らかなように、特に断わらない限り紙面の向こう側(α配置)に結 合していることを表わす。 [0088] As is apparent to those skilled in the art, unless otherwise specified, it indicates that the bond is on the other side of the paper (α arrangement).
[0089] 記号 [0089] Symbol
[0090] [化 13] [0090]
は紙面の手前もしくは向こう側に結合している力、またはそれらの任意の割合の混合 物であることを表わし、 [0092] [化 14] \ Indicates that the force is connected to the front or the back of the paper, or a mixture of these in any proportion; [0092] [Formula 14] \
[0093] は紙面の手前への結合または向こう側への結合の一方である力 その絶対配置は未 決定であることを表わす。 [0093] indicates that the force, which is one of the connection to the front of the paper surface or the connection to the other side, is not determined.
[0094] 本発明における光学活性な化合物は 100%純粋な化合物だけでなぐ 50%未満 のその他の光学異性体を含んでレ、てもよレ、。 [0094] The optically active compound in the present invention is not only a 100% pure compound but also contains less than 50% of other optical isomers.
[0095] 二重結合を表わす [0095] Represents a double bond
[0096] [ 、化 15] [0096] [, Chemical 15]
[0097] は、二重結合の幾何異性体のうち、 E体と Z体の任意の割合の混合物であることを表 わす。 [0097] represents that the geometric isomer of the double bond is a mixture of an E-form and a Z-form at an arbitrary ratio.
[0098] 本発明において、好ましいィ匕合物としては、一般式 (IA— a) [0098] In the present invention, a preferred compound is represented by the general formula (IA-a)
[0099] [化 16] [0099] [Formula 16]
[0100] (式中、 Vは 1一 8の整数を表わし、その他の記号は前記と同じ意味を表わす。)で示 される化合物、一般式 (IA— b) [0100] A compound represented by the formula (IA-b), wherein V represents an integer of 18 and the other symbols have the same meanings as described above.
[0101] [化 17] [0101] [Formula 17]
[0102] (式中、 uは 0または 1一 5の整数を表わし、その他の記号は前記と同じ意味を表わす 。なお、 R3は炭素原子、窒素原子のいずれに結合していてもよい。)で示される化合 物、一般式 (IA - c) (In the formula, u represents an integer of 0 or 115, and the other symbols have the same meanings as described above. R 3 may be bonded to any of a carbon atom and a nitrogen atom. ), The general formula (IA-c)
[0103] [化 18] [0103] [Formula 18]
[0104] (式中、すべての記号は前記と同じ意味を表わす。)で示される化合物、一般式 (IA - d) (Wherein all symbols have the same meanings as described above), a compound represented by the general formula (IA-d)
[0105] [化 19] [0105] [Formula 19]
[0106] (式中、環 Gは R"における「置換基を有していてもよい複素環」のうち、少なくとも 1個 の窒素原子を含有する複素環(例えば、ァゼチジン、ピロリジン、ピぺリジン、パーヒド ロアゼピン、パーヒドロアゾシン、ピロール、ジヒドロピロール、ジヒドロピリジン、テトラヒ ドロピリジン、ジヒドロアゼピン、テトラヒドロアゼピン、ォキサゾリジン、チアゾリジンまた はテトラヒドロトリアゾロピラジン環等)を表わし、 Raは R13における「置換基を有してい てもよぃ複素環」中の「置換基」と同じ意味を表わし、 tは 0または 1一 5の整数を表わ し、その他の記号は前記と同じ意味を表わす。)で示される化合物、一般式 (IA— e) (In the formula, ring G is a heterocyclic ring having at least one nitrogen atom among “heterocyclic rings which may have a substituent” in R ”(for example, azetidine, pyrrolidine, piperidine , Perhid Loazepine, perhydroazosin, pyrrole, dihydropyrrole, dihydropyridine, tetrahydropyridine, dihydroazepine, tetrahydroazepine, oxazolidin, thiazolidine, or tetrahydrotriazolopyrazine ring), and Ra has a “substituent in R 13 . May have the same meaning as the “substituent” in the “heterocycle”, t represents an integer of 0 or 115, and other symbols have the same meanings as described above. ), A compound represented by the general formula (IA—e)
[0107] [化 20] [0107] [Formula 20]
[0108] (式中、すべての記号は前記と同じ意味を表わす。)で示される化合物、一般式 (IA— (Wherein all symbols have the same meanings as described above), a compound represented by the general formula (IA—
[0109] [化 21] [0109] [Formula 21]
[0110] (式中、すべての記号は前記と同じ意味を表わす。)で示される化合物、一般式 (IA— g) [0111] [化 22] (Wherein all symbols have the same meanings as described above), a compound represented by the general formula (IA—g) [0111] [Formula 22]
[0112] (式中、蘭は Rleにおける「1—5個の R3によって置換されていてもよい炭素環」および 「1_5個の R3によって置換されていてもよい複素環」中の炭素環および複素環と同じ 意味を表わし、その他の記号は前記と同じ意味を表わす。)で示される化合物、一般 式(IA-h) [0112] (In the formula, orchid is a carbon atom in “a carbocycle optionally substituted by 1 to 5 R 3 ” and a “heterocycle optionally substituted by 1 to 5 R 3 ” in R le And the other symbols have the same meanings as described above for the ring and the heterocyclic ring, and a compound represented by the general formula (IA-h)
[0113] [化 23] [0113] [Formula 23]
[0114] (式中、すべての記号は前記と同じ意味を表わす。)で示される化合物、一般式 (IA— i) (Wherein all symbols have the same meanings as described above), a compound represented by the general formula (IA—i)
[0115] [化 24] [0115] [Formula 24]
[0116] (式中、 sは 0または 1一 4の整数を表わし、その他の記号は前記と同じ意味を表わす 。)で示される化合物などが挙げられる。 [0116] (wherein, s represents 0 or an integer of 1-4, and other symbols have the same meanings as described above. . And the like.
[塩、 N -才キシド体および溶媒和物] [Salt, N-oxide and solvate]
一般式 (I)で示される化合物の塩には薬理学的に許容されるものすべてが含まれ る。薬理学的に許容される塩は毒性の少なレ、、水溶性のものが好ましい。適当な塩と して、例えばアルカリ金属(カリウム、ナトリウム、リチウム等)の塩、アルカリ土類金属( カルシウム、マグネシウム等)の塩、アンモニゥム塩(テトラメチルアンモニゥム塩、テト ラブチルアンモニゥム塩等)、有機アミン(トリェチルァミン、メチノレアミン、ジメチルアミ ン、シクロペンチルァミン、ベンジルァミン、フエネチルァミン、ピぺリジン、モノエタノ ールァミン、ジエタノールァミン、トリス(ヒドロキシメチル)メチルァミン、リジン、アルギ ニン、 N-メチル -D -グノレカミン等)の塩、酸付加物塩 (無機酸塩 (塩酸塩、臭化水素 酸塩、ヨウ化水素酸塩、硫酸塩、リン酸塩、硝酸塩等)、有機酸塩 (酢酸塩、トリフルォ 口酢酸塩、乳酸塩、酒石酸塩、シユウ酸塩、フマル酸塩、マレイン酸塩、安息香酸塩 、クェン酸塩、メタンスルホン酸塩、エタンスルホン酸塩、ベンゼンスルホン酸塩、 4一 メチルベンゼンスルホン酸塩(p—トルエンスルホン酸塩)、イセチオン酸塩、グノレクロ ン酸塩、ダルコン酸塩等)等)が挙げられる。 Salts of the compounds represented by formula (I) include all pharmacologically acceptable ones. The pharmacologically acceptable salts are preferably those with low toxicity and water solubility. Suitable salts include, for example, salts of alkali metals (potassium, sodium, lithium, etc.), salts of alkaline earth metals (calcium, magnesium, etc.), ammonium salts (tetramethylammonium salt, tetrabutylammonium) Salts), organic amines (triethylamine, methinoleamine, dimethylamine, cyclopentylamine, benzylamine, phenethylamine, piperidine, monoethanolamine, diethanolamine, tris (hydroxymethyl) methylamine, lysine, arginine, N-methyl-D -Gnorecamine, etc.), acid addition salts (inorganic acid salts (hydrochloride, hydrobromide, hydroiodide, sulfate, phosphate, nitrate, etc.), organic acid salts (acetate, trifluoromethane, etc.) Mouth acetate, lactate, tartrate, oxalate, fumarate, maleate, benzoate , Citrate, methanesulfonate, ethanesulfonate, benzenesulfonate, 4-methylbenzenesulfonate (p-toluenesulfonate), isethionate, gnorecuronate, dalconate, etc.) Etc.).
[0117] また、 N—才キシド体とは、一般式 (I)で示される化合物に含まれる任意の窒素原子 力 酸化されたものを表わす。 [0117] The N-year-old oxide form refers to any oxidized nitrogen atom contained in the compound represented by the general formula (I).
[0118] 本発明化合物の塩および N—才キシド体には、溶媒和物、または上記本発明化合 物のアルカリ(土類)金属塩、アンモニゥム塩、有機アミン塩、酸付加物塩の溶媒和物 も含まれる。溶媒和物は非毒性かつ水溶性であることが好ましい。適当な溶媒和物と しては、例えば水、アルコール系溶媒 (エタノール等)等の溶媒和物が挙げられる。 本発明化合物は、公知の方法で薬理学的に許容される塩、 N—ォキシド体または溶 媒和物に変換することができる。 [0118] The salt of the compound of the present invention and the N-methoxide include a solvate or a solvate of an alkali (earth) metal salt, an ammonium salt, an organic amine salt, and an acid addition salt of the compound of the present invention. Things are also included. Preferably, the solvate is non-toxic and water-soluble. Suitable solvates include, for example, solvates such as water and alcohol solvents (such as ethanol). The compound of the present invention can be converted to a pharmacologically acceptable salt, N-oxide or solvate by a known method.
[プロドラッグ] [Prodrug]
一般式 (I)で示される化合物のプロドラッグとは、生体内において酵素、胃酸等によ る反応により一般式 (I)で示される化合物に変換される化合物をレ、う。一般式 (I)で示 される化合物のプロドラッグとしては、一般式 (I)で示される化合物がアミノ基を有する 場合、該ァミノ基がァシル化、アルキル化、リン酸化された化合物(例えば、一般式 (I )で示される化合物のァミノ基がエイコサノィル化、ァラニル化、ペンチルァミノカルボ ニル化、 (5—メチルー 2—ォキソ—1 , 3—ジォキソレン一 4一ィル)メトキシカルボニル化、 テトラヒドロフラエル化、ピロリジルメチル化、ビバロイルォキシメチル化、ァセトキシメ チル化、 tert—ブチル化された化合物等);一般式 (I)で示される化合物が水酸基を 有する場合、該水酸基がァシル化、アルキル化、リン酸化、ホウ酸化された化合物( 例えば、一般式 (I)で示される化合物の水酸基がァセチル化、パルミトイル化、プロ パノィル化、ビバロイル化、サクシニル化、フマリル化、ァラニル化、ジメチルアミノメチ ルカルボ二ルイヒされた化合物等);一般式 (I)で示される化合物がカルボキシル基を 有する場合、該カルボキシノレ基がエステル化、アミド化された化合物(例えば、一般 式(I)で示される化合物のカルボキシル基がェチルエステル化、フヱニルエステル化 、カルボキシメチルエステル化、ジメチルァミノメチルエステル化、ピバロィルォキシメ チルエステル化、エトキシカルボニルォキシェチルエステル化、フタリジルエステル化The prodrug of the compound represented by the general formula (I) refers to a compound that is converted into a compound represented by the general formula (I) in a living body by a reaction with an enzyme, gastric acid, or the like. As a prodrug of the compound represented by the general formula (I), when the compound represented by the general formula (I) has an amino group, a compound in which the amino group is acylated, alkylated, or phosphorylated (for example, General formula (I )), The amino group of the compound represented by eicosanoylation, alanylation, pentylaminocarbonylation, (5-methyl-2-oxo-1,3-dioxolen-1-yl) methoxycarbonylation, tetrahydrofurerylation, pyrrolyl Zylmethylation, bivaloyloxymethylation, acetoxymethylation, tert-butylated compound, etc.); when the compound represented by the general formula (I) has a hydroxyl group, the hydroxyl group is acylated, alkylated, phosphorylated, Oxidized or borated compounds (for example, when the hydroxyl group of the compound represented by the general formula (I) is acetylated, palmitoylated, propanoylated, bivaloylated, succinylated, fumarylated, alanylated, dimethylaminomethylcarbonitrile) When the compound represented by the general formula (I) has a carboxyl group, the carboxy group is Sterilized or amidated compounds (for example, the carboxyl group of the compound represented by the general formula (I) is converted into ethyl ester, phenyl ester, carboxymethyl ester, dimethylaminomethyl ester, pivaloyloxymethyl ester, Ethoxycarbonyloxetyl esterification, phthalidyl esterification
、 (5—メチルー 2—ォキソ—1, 3—ジォキソレン一 4一ィル)メチルエステル化、シクロへキ シノレォキシカルボニルェチルエステル化、メチルアミド化された化合物等)等が挙げ られる。これらの化合物は公知の方法によって製造することができる。また、一般式 (I )で示される化合物のプロドラッグは水和物および非水和物のいずれであってもよい , (5-methyl-2-oxo-1,3-dioxolen-141-yl) methyl esterification, cyclohexinoleoxycarbonylethyl esterification, methylamidated compound, and the like. These compounds can be produced by a known method. Further, the prodrug of the compound represented by the general formula (I) may be any of a hydrate and a non-hydrate.
「 十牛 Ί "Ten cows Ί
実施例記載以外の薬理試験として、例えば、以下に示す方法がある。 As pharmacological tests other than those described in the examples, for example, the following methods are available.
ラットでの反復経口糖負荷試験 Repeated oral glucose tolerance test in rats
ラットでの反復経口糖負荷試験は後記実験例 4で示す単回経口糖負荷試験の方 法に基づいて行なうことができる。ただし、経口糖負荷は計 3度(本発明化合物を経 口投与後 30分後に 1度目の経口糖負荷を実施し、 1度目の経口糖負荷 6時間後に 2 度目、および 12時間後に 3度目の経口糖負荷を行なう。)実施し、採血は本発明化 合物経口投与直前、 1度目の経口糖負荷後、および残り 2回の経口糖負荷直前、経 口糖負荷後にそれぞれ行なう。この試験によって本発明化合物の血糖降下作用を 測定することができる。 The repeated oral glucose tolerance test in rats can be performed based on the single oral glucose tolerance test method described in Experimental Example 4 below. However, the total oral glucose load was 3 times (the first oral glucose load was performed 30 minutes after oral administration of the compound of the present invention, the second oral glucose load was 6 hours after the first oral glucose load, and the third oral glucose load was 12 hours later. An oral glucose load is performed.) Blood is collected immediately before oral administration of the compound of the present invention, after the first oral glucose load, and immediately before the remaining two oral glucose loads, and after oral glucose load. By this test, the hypoglycemic effect of the compound of the present invention can be measured.
[本発明化合物の製造方法] 一般式 (I)で示される本発明化合物は、公知の方法、例えばコンプレヘンシブ 'ォ ~~力ニック'トフンスフォ1 ~~メ1 ~~ションス (し omprehensive Organic Transformations: A Guide to Functional Group Preparations^第 2片¾j (Richard C.Larock著、 John Wiley & Sons Inc、 1999)に記載された方法等を適宜改良した、例えば以下に示す方法、 または実施例に示す方法を組み合わせることによって製造することができる。なお、 以下各製造方法において、原料ィ匕合物は塩として用いてもよい。このような塩として は、前記した一般式 (I)の薬学的に許容される塩として記載されたものが用いることが できる。 [Method for producing compound of the present invention] The compound of the present invention represented by the general formula (I), a known method, for example, complexity Heng Shiv 'O ~~ force nick' Tofunsufo 1 ~~ menu 1 ~~ Shonsu (and omprehensive Organic Transformations: A Guide to Functional Group Preparations ^ The second piece ¾j (Richard C. Larock, John Wiley & Sons Inc, 1999) can be produced by appropriately improving the method described in, for example, the method shown below, or a combination of the methods shown in Examples. In the following, in each of the production methods, the starting conjugate may be used as a salt, such as those described as the pharmaceutically acceptable salts of the above-mentioned general formula (I). Can be used.
(1)一般式 (I)で示される化合物は、一般式 (II) (1) The compound represented by the general formula (I) is represented by the general formula (II)
[0120] [化 25] [0120] [Formula 25]
[0121] (式中、 Xは窒素原子の保護基を表わし、 Rla、 Rlb、 Rlc、 Rld'および Rxはそれぞれ Rla、 Rlb、 Rlc、 R"および RXと同じ意味を表わす力 S、これらがカルボキシル基、ァミノ 基、水酸基および/またはメルカプト基を有する場合には保護されていてもよい。そ の他の記号は前記と同じ意味を表わす。)で示される化合物を窒素原子の保護基の 脱保護反応に付し、必要に応じて他のカルボキシル基、アミノ基、水酸基および/ま たはメルカプト基の保護基の脱保護反応に付すことによって製造することができる。 [0121] (wherein, X represents a protecting group for a nitrogen atom, and R la , R lb , R lc , R ld 'and R x are the same as R la , R lb , R lc , R "and R X , respectively. A compound having the meaning S, which may be protected when these have a carboxyl group, an amino group, a hydroxyl group and / or a mercapto group, and other symbols having the same meanings as described above) By subjecting the compound to a deprotection reaction of a protecting group for a nitrogen atom and, if necessary, to a deprotection reaction for a protecting group of another carboxyl group, an amino group, a hydroxyl group and / or a mercapto group. .
[0122] 窒素原子の保護基としては、例えばべンジルォキシカルボニル、 tert—ブトキシカ ノレボニル、ァリルォキシカルボニル(Alloc)、 1ーメチルー 1_ (4—ビフエ二ノレ)エトキシ カルボニル(Bpoc)、トリフルォロアセチル、 9_フルォレニルメトキシカルボニル、ベン ジル(Bn)、 p—メトキシベンジル、ベンジルォキシメチル(BOM)、 2_ (トリメチルシリ ノレ)エトキシメチル (SEM)等が挙げられる。 [0122] Examples of the protecting group for the nitrogen atom include benzyloxycarbonyl, tert-butoxycanolebonyl, aryloxycarbonyl (Alloc), 1-methyl-1_ (4-biphenylinole) ethoxycarbonyl (Bpoc), trifluorocarbonyl Examples include roacetyl, 9_fluorenylmethoxycarbonyl, benzyl (Bn), p-methoxybenzyl, benzyloxymethyl (BOM), and 2_ (trimethylsilinole) ethoxymethyl (SEM).
[0123] カルボキシル基の保護基としては、例えばメチル、ェチル、ァリル、 tert—ブチル、ト リクロロェチル、ベンジル(Bn)、フエナシル、 p—メトキシベンジル、トリチノレ、 2_クロ口 トリチルまたはそれらの構造が結合した固相担体等が挙げられる。 [0124] 水酸基の保護基としては、例えばメチル、トリチル、メトキシメチノレ(MOM)、 1一エト キシェチル(EE)、メトキシェトキシメチル(MEM基、 2—テトラヒドロビラニル(THP)、 トリメチルシリル(TMS)、トリェチルシリル(TES)、 tert-ブチルジメチルシリノレ(TBD MS)、 tert—ブチルジフヱ二ルシリノレ(TBDPS)、ァセチル(Ac)、ビバロイル、ベンゾ ィル、ベンジル(Bn)、 p_メトキシベンジル、ァリルォキシカルボニル(Alloc)、 2, 2, 2_トリクロ口エトキシカルボニル (Troc)等が挙げられる。 [0123] Examples of the carboxyl-protecting group include methyl, ethyl, aryl, tert-butyl, trichloroethyl, benzyl (Bn), phenacyl, p-methoxybenzyl, tritinol, 2-cyclotrityl, and a structure thereof having a bond. And the like. [0124] Examples of the hydroxyl-protecting group include methyl, trityl, methoxymethinole (MOM), 1-ethoxyshethyl (EE), methoxyethoxymethyl (MEM group, 2-tetrahydroviranyl (THP), trimethylsilyl (TMS), Triethylsilyl (TES), tert-butyldimethylsilinole (TBD MS), tert-butyldiphenylsilinole (TBDPS), acetyl (Ac), bivaloyl, benzoyl, benzyl (Bn), p_methoxybenzyl, aryloxy Carbonyl (Alloc), 2,2,2-trichloromouth ethoxycarbonyl (Troc) and the like.
[0125] ァミノ基の保護基としては、前記の窒素原子の保護基と同じものが挙げられる。 [0125] Examples of the protecting group for an amino group include the same as those described above for the protecting group for a nitrogen atom.
[0126] メルカプト基の保護基としては、例えばベンジル、メトキシベンジル、メトキシメチノレ( MOM) , 2—テトラヒドロビラニル (THP)、ジフヱニルメチル、ァセチル (Ac)等が挙げ られる。 [0126] Examples of the mercapto group-protecting group include benzyl, methoxybenzyl, methoxymethinole (MOM), 2-tetrahydroviranyl (THP), diphenylmethyl, acetyl (Ac) and the like.
[0127] カルボキシル基、水酸基、アミノ基および/またはメルカプト基の保護基としては、 上記した以外にも容易にかつ選択的に脱離できる基であれば特に限定されなレ、。例 ば、 T. W. ureene, Protective uroups in Organic Syntnesis, Wiley, New York, 1999に記載されたものが用いられる。 [0127] The protecting group for the carboxyl group, the hydroxyl group, the amino group and / or the mercapto group is not particularly limited as long as it is a group which can be easily and selectively eliminated in addition to the groups described above. For example, those described in T. W. ureene, Protective uroups in Organic Syntnesis, Wiley, New York, 1999 are used.
[0128] 窒素原子の保護基、ならびにカルボキシル基、水酸基、アミノ基および/またはメ ルカプト基の保護基の脱保護反応は、よく知られており、例えば、 [0128] Deprotection reactions of a protecting group for a nitrogen atom and a protecting group for a carboxyl group, a hydroxyl group, an amino group and / or a mercapto group are well known, and include, for example,
(1)アルカリ加水分解による脱保護反応、 (1) deprotection reaction by alkali hydrolysis,
(2)酸性条件下における脱保護反応、 (2) deprotection reaction under acidic conditions,
(3)加水素分解による脱保護反応、 (3) Deprotection reaction by hydrogenolysis,
(4)シリル基の脱保護反応、 (4) silyl group deprotection reaction,
(5)金属を用いた脱保護反応、 (5) a deprotection reaction using a metal,
(6)金属錯体を用いた脱保護反応等が挙げられる。 (6) Deprotection reaction using a metal complex and the like.
[0129] これらの方法を具体的に説明すると、 [0129] These methods will be specifically described.
(1)アルカリ加水分解による脱保護反応は、例えば、有機溶媒 (メタノール、テトラヒ ドロフラン、ジォキサン等)中、アルカリ金属の水酸化物(水酸化ナトリウム、水酸化力 リウム、水酸化リチウム等)、アルカリ土類金属の水酸化物(水酸化バリウム、水酸化力 ルシゥム等)または炭酸塩 (炭酸ナトリウム、炭酸カリウム等)あるいはその水溶液もし くはこれらの混合物を用いて、 0— 40°Cの温度で行なわれる。 [0130] (2)酸性条件下における脱保護反応は、例えば、有機溶媒 (ジクロロメタン、クロ口 ホノレム、ジォキサン、酢酸ェチル、ァニソール等)中、有機酸(酢酸、トリフルォロ酢酸 、メタンスルホン酸、 4一メチルベンゼンスルホン酸等)、または無機酸 (塩酸、硫酸等) もしくはこれらの混合物(臭化水素 Z酢酸等)中、 0— 100°Cの温度で行なわれる。 (1) The deprotection reaction by alkali hydrolysis is performed, for example, in an organic solvent (methanol, tetrahydrofuran, dioxane, etc.), in the presence of an alkali metal hydroxide (sodium hydroxide, hydroxide hydroxide, lithium hydroxide, etc.), alkali hydroxide, or the like. Using hydroxides of earth metals (barium hydroxide, hydroxide, etc.) or carbonates (sodium carbonate, potassium carbonate, etc.) or their aqueous solutions or mixtures thereof at 0-40 ° C Done. [0130] (2) The deprotection reaction under acidic conditions is carried out, for example, by using an organic acid (acetic acid, trifluoroacetic acid, methanesulfonic acid, methanesulfonic acid, etc.) in an organic solvent (dichloromethane, clonor honolem, dioxane, ethyl acetate, anisol, etc.). The reaction is performed at a temperature of 0-100 ° C in methylbenzenesulfonic acid or the like, or an inorganic acid (hydrochloric acid, sulfuric acid or the like) or a mixture thereof (hydrogen bromide Z acetic acid or the like).
[0131] (3)加水素分解による脱保護反応は、例えば、溶媒 (エーテル系(テトラヒドロフラン 、ジォキサン、ジメトキシェタン、ジェチルエーテル等)、アルコール系(メタノーノレ、ェ タノール等)、ベンゼン系(ベンゼン、トルエン等)、ケトン系(アセトン、メチルェチルケ トン等)、二トリル系(ァセトニトリル等)、アミド系(ジメチルホルムアミド等)、水、酢酸ェ チル、酢酸またはそれらの 2以上の混合溶媒等)中、触媒 (パラジウム-炭素、パラジ ゥム黒、水酸化パラジウム、酸化白金、ラネーニッケル等)の存在下、常圧または加 圧下の水素雰囲気下またはギ酸アンモニゥム存在下、 0— 200°Cの温度で行なわれ る。 [0131] (3) The deprotection reaction by hydrogenolysis includes, for example, solvent (ether (tetrahydrofuran, dioxane, dimethoxyethane, getyl ether, etc.), alcohol (methanol, ethanol, etc.), benzene (benzene, etc.). , Toluene, etc.), ketones (acetone, methylethyl ketone, etc.), nitriles (acetonitrile, etc.), amides (dimethylformamide, etc.), water, ethyl acetate, acetic acid, or a mixed solvent of two or more thereof. The reaction is carried out at 0-200 ° C in the presence of a catalyst (palladium-carbon, palladium black, palladium hydroxide, platinum oxide, Raney nickel, etc.), in a hydrogen atmosphere under normal pressure or pressure, or in the presence of ammonium formate. You.
[0132] (4)シリル基の脱保護反応は、例えば、水と混和しうる有機溶媒 (テトラヒドロフラン、 ァセトニトリル等)中、テトラプチルアンモニゥムフルオライドを用いて、 0— 40°Cの温 度で行なわれる。 [0132] (4) The deprotection reaction of the silyl group is carried out, for example, by using tetrabutylammonium fluoride in a water-miscible organic solvent (tetrahydrofuran, acetonitrile, etc.) at a temperature of 0 to 40 ° C. It is done in.
[0133] (5)金属を用いた脱保護反応は、例えば、酸性溶媒 (酢酸、 pH4.2— 7.2の緩衝液 またはそれらの溶液とテトラヒドロフラン等の有機溶媒との混合液)中、粉末亜鉛の存 在下、必要であれば超音波をかけながら、 0— 40°Cの温度で行なわれる。 [0133] (5) The deprotection reaction using a metal is carried out, for example, by reacting powdered zinc in an acidic solvent (acetic acid, a buffer solution of pH 4.2 to 7.2 or a mixture thereof and an organic solvent such as tetrahydrofuran). In the presence, it is carried out at a temperature of 0-40 ° C, applying ultrasound if necessary.
[0134] (6)金属錯体を用いる脱保護反応は、例えば、有機溶媒 (ジクロロメタン、ジメチル ホノレムアミド、テトラヒドロフラン、酢酸ェチル、ァセトニトリル、ジォキサン、エタノール 等)、水またはそれらの混合溶媒中、トラップ試薬 (水素化トリプチルスズ、トリェチル シラン、ジメドン、モノレホリン、ジェチルァミン、ピロリジン等)、有機酸(酢酸、ギ酸、 2— ェチルへキサン酸等)および/または有機酸塩(2—ェチルへキサン酸ナトリウム、 2_ ェチルへキサン酸カリウム等)の存在下、ホスフィン系試薬(トリフエニルホスフィン等) の存在下または非存在下、金属錯体 (テトラキストリフヱニルホスフィンパラジウム(0) 、二塩化ビス(トリフヱニルホスフィン)パラジウム(II)、酢酸パラジウム(II)、塩化トリス (トリフエニルホスフィン)ロジウム(I)等)を用いて、 0 40°Cの温度で行なわれる。 [0134] (6) The deprotection reaction using a metal complex can be performed, for example, by using a trapping reagent (hydrogen) in an organic solvent (dichloromethane, dimethyl honoleamide, tetrahydrofuran, ethyl acetate, acetonitrile, dioxane, ethanol, etc.), water or a mixed solvent thereof. Triptyltin, triethylsilane, dimedone, monorephorin, getylamine, pyrrolidine, etc.), organic acids (acetic acid, formic acid, 2-ethylhexanoic acid, etc.) and / or organic acid salts (sodium 2-ethylhexanoate, 2_ethylhexane) Metal complex (tetrakistriphenylphosphine palladium (0), bis (triphenylphosphine) palladium (II) in the presence or absence of a phosphine-based reagent (such as triphenylphosphine) ), Palladium (II) acetate, tris chloride (triphenyl Using phosphine) rhodium (I) etc.), at a temperature of 0 40 ° C.
[0135] また、上記以外にも、例えば、 T. W. Greene, Protective Groups in Organic Synthesis, Wiley, New York, 1999に記載された方法によって、脱保護反応を行なう: とができる。 [0135] In addition to the above, for example, TW Greene, Protective Groups in Organic The deprotection reaction is performed by the method described in Synthesis, Wiley, New York, 1999:
[0136] 当業者には容易に理解できることではあるが、これらの脱保護反応を使い分けるこ とにより、 目的とする本発明化合物を容易に製造することができる。 As can be easily understood by those skilled in the art, the intended compound of the present invention can be easily produced by properly using these deprotection reactions.
[1] 一般式 (II)で示される化合物は、一般式 (III) [1] The compound represented by the general formula (II) has the general formula (III)
[0137] [化 26] [0137] [Formula 26]
[0138] (式中、すべての記号は前記と同じ意味を表わす。)で示されるカルボン酸誘導体と、 一般式 (IV) (Wherein all symbols have the same meanings as described above), and a compound represented by the general formula (IV)
[0139] [化 27] [0139] [Formula 27]
H ί (IV) H ί (IV)
R R
[0140] (式中、すべての記号は前記と同じ意味を表わす。)で示されるァミン誘導体をアミド 化反応に付すことによって製造することができる。 (Wherein all symbols have the same meanings as described above), and can be produced by subjecting an amine derivative represented by the following formula to an amidation reaction.
[0141] アミド化反応は公知であり、例えば、 [0141] The amidation reaction is known, for example,
(1)酸ハライドを用いる方法、 (1) a method using an acid halide,
(2)混合酸無水物を用いる方法、 (2) a method using a mixed acid anhydride,
(3)縮合剤を用いる方法等が挙げられる。 (3) A method using a condensing agent, and the like.
[0142] これらの方法を具体的に説明すると、 [0142] These methods will be specifically described.
(1)酸ハライドを用いる方法は、例えば、カルボン酸を有機溶媒 (クロ口ホルム、ジク ロロメタン、ジェチルエーテル、テトラヒドロフラン等)中または無溶媒で、酸ハライド化 剤(ォキザリルクロライド、チォユルク口ライド等)と一 20°C—還流温度で反応させ、得 られた酸ハライドを塩基(ピリジン、トリェチルァミン、ジメチルァニリン、ジメチルァミノ ピリジン、ジイソプロピルェチルァミン等)の存在下、ァミン誘導体と有機溶媒 (クロ口 ホルム、ジクロロメタン、ジェチルエーテル、テトラヒドロフラン等)中、 0— 40°Cの温度 で反応させることにより行なわれる。また、得られた酸ハライドを有機溶媒 (ジォキサン 、テトラヒドロフラン等)中、アルカリ水溶液(重曹水または水酸化ナトリウム溶液等)を 用いて、ァミンと 0— 40°Cで反応させることにより行なうこともできる。 (1) The method of using an acid halide is, for example, a method in which a carboxylic acid is converted into an acid halide (oxalyl chloride, thioyuric acid or the like) in an organic solvent (chloroform, dichloromethane, dimethyl ether, tetrahydrofuran or the like) or without solvent. Amide) and an organic solvent in the presence of a base (pyridine, triethylamine, dimethylaniline, dimethylaminopyridine, diisopropylethylamine, etc.). (Black mouth The reaction is carried out at 0-40 ° C in form, dichloromethane, getyl ether, tetrahydrofuran, etc.). The reaction can also be carried out by reacting the obtained acid halide with an amine in an organic solvent (dioxane, tetrahydrofuran, etc.) using an aqueous alkali solution (aqueous sodium bicarbonate or sodium hydroxide solution) at 0-40 ° C. .
[0143] (2)混合酸無水物を用いる方法は、例えば、カルボン酸を有機溶媒 (クロ口ホルム、 ジクロロメタン、ジェチルエーテル、テトラヒドロフラン等)中または無溶媒で、塩基(ピ リジン、トリェチルァミン、ジメチルァニリン、ジメチルァミノピリジン、ジイソプロピルェ チルァミン等)の存在下、酸ハライド(ピバロイルク口ライド、トシルク口ライド、メシノレクロ ライド等)、または酸誘導体(クロ口ギ酸ェチル、クロロギ酸イソブチル等)と、 0— 40°C で反応させ、得られた混合酸無水物を有機溶媒 (クロ口ホルム、ジクロロメタン、ジェ チルエーテル、テトラヒドロフラン等)中、ァミン誘導体と 0 40°Cで反応させることに より行なわれる。 [0143] (2) In the method using a mixed acid anhydride, for example, a carboxylic acid is dissolved in an organic solvent (eg, chloroform, dichloromethane, dimethyl ether, tetrahydrofuran) or in the absence of a solvent in the presence of a base (pyridine, triethylamine, dimethyl). In the presence of aniline, dimethylaminopyridine, diisopropylethylamine, etc.), an acid halide (pivaloyl chloride, tosyl chloride, mesinochloride, etc.) or an acid derivative (ethyl ethyl formate, isobutyl chloroformate, etc.) — The reaction is carried out at 40 ° C, and the obtained mixed anhydride is reacted with an amine derivative in an organic solvent (eg, chloroform, dichloromethane, ethyl ether, tetrahydrofuran) at 0 ° C.
[0144] (3)縮合剤を用いる方法は、例えば、カルボン酸とアミン誘導体を、有機溶媒 (クロ 口ホルム、ジクロロメタン、ジメチルホルムアミド、ジェチルエーテル、テトラヒドロフラン 等)中、または無溶媒で、塩基(ピリジン、トリェチルァミン、ジメチルァニリン、ジメチル アミノビリジン等)の存在下または非存在下、縮合剤(1 , 3—ジシクロへキシルカルボ ジイミド(DCC)、 1—ェチルー 3_[3_ (ジメチルァミノ)プロピル]カルボジイミド(EDC) 、 1 , 1 ' _カルボエルジイミダゾール(CDI)、 2_クロ口— 1_メチルピリジニゥムヨウ素、 1 —プロピノレホスホン酸環状無水物 (1-propanephosphonic acid cyclic anhydride, PPA )等)を用い、 1—ヒドロキシベンゾトリアゾール(HOBt)を用いるか用いないで、 0— 4 0°Cで反応させることにより行なわれる。 [0144] (3) In the method using a condensing agent, for example, a carboxylic acid and an amine derivative can be prepared by adding a carboxylic acid and an amine derivative in an organic solvent (e.g., chloroform, dichloromethane, dimethylformamide, getyl ether, tetrahydrofuran) or in the absence of a solvent. In the presence or absence of pyridine, triethylamine, dimethylaniline, dimethylaminoviridine, etc., condensing agents (1,3-dicyclohexylcarbodiimide (DCC), 1-ethyl-3_ [3_ (dimethylamino) propyl] carbodiimide (EDC) ), 1, 1 '_carboediimidazole (CDI), 2_ chloro mouth, 1_ methylpyridinium iodine, 1-1-propanephosphonic acid cyclic anhydride (PPA), etc.) The reaction is carried out at 0 to 40 ° C. with or without 1-hydroxybenzotriazole (HOBt).
[0145] これら(1)、(2)および(3)の反応は、いずれも不活性ガス(アルゴン、窒素等)雰囲 気下、無水条件で行なうことが望ましい。 [0145] All of the reactions (1), (2) and (3) are desirably carried out under an inert gas (argon, nitrogen, etc.) atmosphere under anhydrous conditions.
[2] 一般式 (II)で示される化合物のうち、例えば、一般式 (II一 1) [0146] [化 28] [2] Among the compounds represented by the general formula (II), for example, a compound represented by the general formula (II-11) [0146] [Formula 28]
[0147] (式中、 R11Aおよび R1 はそれぞれ R11および R"と同じ意味を表わす力 これらが力 ルポキシル基、アミノ基、水酸基および/またはメルカプト基を有する場合には保護 されてレ、てもよく、 wは 0または 1一 5の整数を表わし、その他の記号は前記と同じ意 味を表わす。)で示される化合物は、一般式 (XI) [0147] (wherein, R 11A and R 1 represent the same meaning as R 11 and R ", respectively. When these have a ropoxyl group, an amino group, a hydroxyl group and / or a mercapto group, they are protected, And w represents an integer of 0 or 115, and other symbols have the same meanings as described above.) The compound represented by the general formula (XI)
[0148] [化 29] [0148] [Formula 29]
[0149] (基中、すべての記号は前記と同じ意味を表わす。)で示される化合物と、一般式 (X ) (Wherein all symbols have the same meanings as described above), and a compound represented by the general formula (X):
[0150] [化 30] [0150] [Formula 30]
HN (X) HN (X)
R12A R 12A
[0151] (式中、すべての記号は前記と同じ意味を表わす。 )で示されるァミン化合物をアミド 化反応に付すことによって製造することができる。 (Wherein all symbols have the same meanings as described above), and can be produced by subjecting an amide compound represented by the following formula to an amidation reaction.
[0152] アミド化反応は、前記の方法と同様にして行なうことができる。 [0152] The amidation reaction can be carried out in the same manner as described above.
[3] 一般式 (II)で示される化合物のうち、例えば、一般式 (II一 2) [0153] [化 31] [3] Among the compounds represented by the general formula (II), for example, a compound represented by the general formula (II-12) [0153] [Formula 31]
[0154] (式中、 wは 0または 1一 5の整数を表わし、その他の記号は前記と同じ意味を表わす [0154] (In the formula, w represents an integer of 0 or 115, and other symbols represent the same meaning as described above.
。)で示される化合物は、一般式 (XI)で示される化合物と、一般式 (Χ' ) . ) Is a compound represented by the general formula (XI) and a compound represented by the general formula (Χ ')
[0155] [化 32] [0155] [Formula 32]
[0156] (式中、すべての記号は前記と同じ意味を表わす。 )で示される環状アミン化合物を アミド化反応に付すことによって製造することができる。 (Wherein all symbols have the same meanings as described above.) Can be produced by subjecting a cyclic amine compound represented by the following formula to an amidation reaction.
[0157] アミド化反応は、前記の方法と同様にして行なうことができる。 [0157] The amidation reaction can be carried out in the same manner as described above.
[0158] 一般式 (II)で示される化合物、例えば一般式 (II一 1)、(II一 2)、(II一 3)で示される 化合物、および一般式 (III)で示される化合物、例えば、一般式 (III一 1)、(III一 2)、 (Compounds represented by the general formula (II), for example, compounds represented by the general formulas (II-11), (II-12) and (II-13), and compounds represented by the general formula (III), for example , The general formulas (III-1-1), (III-1-2), (
III一 3)で示される化合物は以下の反応工程式 1一 5に示される方法によって製造す ること力 Sできる。 The compound represented by III-III) can be produced by the method represented by the following reaction scheme 11-S.
[0159] 以下の反応工程式中、 Bocは tert—ブトキシカルボニルを表わし、 Meはメチルを表 わし、 Etはェチルを表わし、 tBuは tert—ブチルを表わし、 Tsは p—トノレエンスルホニ ルを表わし、 Tfはトリフルォロメタンスルホニルを表わし、 Bnはベンジルを表わし、 Z はべンジルォキシカルボニルを表わし、 Qはメチノレ、ェチル、ベンジル、 tert—ブチル などの保護基を表わし、 mは 0または 1一 5の整数を表わし、 R3Aは R3と同じ意味を表 わすが、アミノ基、カルボキシル基、水酸基またはメルカプト基を表わす場合には保 護されているものとする。なお、反応工程式(1)において RPは、 Rleのピロリジン環に 結合している付け根の単結合が二重結合になっているものを表わし、 RA'は Rla'また は Rlbのうちいずれかの基を表わし、 RBは Rleまたは R"のうちいずれかの基を表わ す。 [0159] In the following reaction scheme, Boc represents tert-butoxycarbonyl, Me represents methyl, Et represents ethyl, tBu represents tert-butyl, and Ts represents p-tonolenesulfonyl. Tf represents trifluoromethanesulfonyl, Bn represents benzyl, Z represents benzyloxycarbonyl, Q represents a protecting group such as methinole, ethyl, benzyl, tert-butyl, and m represents 0 or 1. Represents an integer of 5, and R 3A has the same meaning as R 3 , but is protected when it represents an amino group, a carboxyl group, a hydroxyl group or a mercapto group. In the reaction process formula (1), R P represents a single bond at the base bonded to the pyrrolidine ring of R le is a double bond, and R A 'is R la ' or Represents any of the groups of R lb, R B is to Table Wa any group of R le or R ".
[化 33] [Formula 33]
反応工程式 (11 Reaction process formula (11
反応工程式 (2) Reaction process formula (2)
力.ルボニノレ基の還元反応 Force. Reduction reaction of ruboninole group
R1c R1d R 1c R 1d
反応工程式 (3) Reaction process formula (3)
反応工程式 (4) 護 Reaction process formula (4)
[0164] [化 37] [0164] [Formula 37]
反^工程式 (5 ) Anti- ^ process formula (5)
[0165] 上記反応工程式(1)一(5)中に記載された出発物質および試薬は、公知であるか 、または公知化合物を用いて公知の方法に従って製造することができる。 [0165] The starting materials and reagents described in the above reaction schemes (1) and (5) are known or can be produced using known compounds according to known methods.
[0166] 例えば、一般式(XI)で示される化合物は、 Tetrahedron Letters, 1998, 39, [0166] For example, the compound represented by the general formula (XI) is described in Tetrahedron Letters, 1998, 39,
5887-5890に記載された方法によって製造することができ、一般式 (XIII)で示される 化合物は、 J.Med.Chem., 1991, 34, 717-725に記載される方法に従って製造すること ができ、一般式(XXI)で示される化合物は Tetrahedron, 1995 No, 31, 8545-8554に 記載される方法に従って製造することができる。 It can be produced by the method described in 5887-5890, and has the general formula (XIII) The compound can be produced according to the method described in J. Med. Chem., 1991, 34, 717-725, and the compound represented by the general formula (XXI) is described in Tetrahedron, 1995 No. 31, 31, 8545-8554. It can be manufactured according to the method described.
[0167] その他の化合物についても、上記の反応工程式(1)一(5)、実施例に記載された 方法またはそれと同様の方法によっても製造することができる。 [0167] Other compounds can also be produced by the method described in the above-mentioned reaction step formula (1)-(5), Example, or a method similar thereto.
[0168] 各反応工程式中の反応はすべて公知の方法に従って行なうことができる。また、本 発明中における他の出発物質および各試薬は、それ自体公知である力、または公知 の方法に従って製造することができる。例えば、一般式 (IV)で示される化合物は公 知であり、一般式 (III)で示される化合物は公知の化合物から公知の方法に従って製 造すること力 Sできる。 [0168] All the reactions in each reaction scheme can be performed according to a known method. The other starting materials and each reagent in the present invention can be produced according to a known force or a known method. For example, the compound represented by the general formula (IV) is known, and the compound represented by the general formula (III) can be produced from a known compound according to a known method.
[0169] 本明細書中の各反応において、反応生成物は、通常の精製手段、例えば、常圧下 または減圧下における蒸留、シリカゲルまたはケィ酸マグネシウムを用いた高速液体 クロマトグラフィー、薄層クロマトグラフィー、あるいはカラムクロマトグラフィーまたは洗 浄、再結晶等の方法により精製することができる。精製は各反応ごとに行なってもよ いし、いくつかの反応終了後に行なってもよい。 [0169] In each of the reactions in the present specification, a reaction product is produced by a conventional purification means, for example, distillation under normal pressure or reduced pressure, high-performance liquid chromatography using silica gel or magnesium silicate, thin-layer chromatography, Alternatively, it can be purified by a method such as column chromatography or washing and recrystallization. Purification may be performed for each reaction or may be performed after completion of several reactions.
[毒性] [Toxic]
一般式 (I)で示される本発明化合物の毒性は非常に低いものであり、医薬として使 用するために十分安全である。 The toxicity of the compound of the present invention represented by the general formula (I) is extremely low, and it is sufficiently safe for use as a medicament.
[医薬品への適用] [Application to pharmaceutical products]
一般式 (I)で示される本発明化合物は、 DPP4を阻害することで、 DPP4介在性疾 患、例えば、糖尿病(特に 2型糖尿病、食後過血糖等)、肥満、自己免疫疾患、癌転 移、 HIV感染、不妊、貧血、血小板減少症、創傷、皮膚病、前立腺肥大、高脂血症 、シンドローム X、糖尿病合併症、高グリセリン血症、動脈硬化症、耐糖能異常、多嚢 胞性卵巣症候群、成長障害、関節炎、移植拒絶反応、腸炎等の治療および Zまた は予防剤として有用である。 The compound of the present invention represented by the general formula (I) inhibits DPP4 to produce DPP4-mediated diseases such as diabetes (particularly type 2 diabetes, postprandial hyperglycemia, etc.), obesity, autoimmune disease, and cancer metastasis. , HIV infection, infertility, anemia, thrombocytopenia, wound, skin disease, prostatic hypertrophy, hyperlipidemia, syndrome X, diabetic complications, hyperglycerinemia, arteriosclerosis, impaired glucose tolerance, polycystic ovary syndrome , Growth disorders, arthritis, transplant rejection, enteritis, etc. and as a Z or prophylactic agent.
[0170] 一般式 (I)で示される化合物、その塩、 N—才キシド体もしくは溶媒和物またはそれ らのプロドラッグ(以下、一般式 (I)で示される化合物等と略記することがある。)は、 1)その化合物の治療および/または予防効果の補完および Zまたは増強、 2)その化合物の動態および/または吸収改善、投与量の低減、 [0170] The compound represented by the general formula (I), a salt thereof, an N-hydroxylated compound or a solvate, or a prodrug thereof (hereinafter, may be abbreviated as a compound represented by the general formula (I) or the like) )) 1) complement and / or enhance the therapeutic and / or prophylactic effects of the compound, 2) improving the kinetics and / or absorption of the compound, reducing the dose,
および/または And / or
3)その化合物の副作用を軽減するために他の薬剤と組み合わせて、併用剤として投 与してもよい。 3) The compound may be administered as a concomitant drug in combination with other drugs to reduce the side effects of the compound.
[0171] 一般式 (I)で示される化合物等と他の薬剤の併用剤は、 1つの製剤中に両成分を 配合した配合剤の形態で投与してもよぐまた別々の製剤にして投与する形態をとつ てもよレ、。この別々の製剤にして投与する場合には、同時投与および時間差による 投与が含まれる。また、時間差による投与は、一般式 (I)で示される化合物等を先に 投与し、他の薬剤を後に投与してもよいし、他の薬剤を先に投与し、一般式 (I)で示 される化合物等を後に投与してもかまわず、それぞれの投与方法は同じでも異なつ ていてもよい。 [0171] A concomitant drug of a compound represented by the general formula (I) and another drug may be administered in the form of a combination drug in which both components are combined in one formulation, or may be administered as separate formulations. You can also take the form to do. The administration in the form of separate preparations includes simultaneous administration and administration with a time lag. In addition, administration with a time lag may be performed by administering the compound represented by the general formula (I) first and then administering another drug later, or administering the other drug first and then administering the compound represented by the general formula (I). The indicated compound or the like may be administered later, and the respective administration methods may be the same or different.
[0172] 上記併用剤により、治療および/または予防効果を奏する疾患は特に限定されず 、一般式 (I)で示される化合物等の治療および/または予防効果を補完および/ま たは増強する疾患であればょレ、。 [0172] Diseases in which a therapeutic and / or prophylactic effect is exerted by the above concomitant drug are not particularly limited, and diseases that complement and / or enhance the therapeutic and / or prophylactic effect of the compound represented by the general formula (I) and the like. If so,
[0173] 一般式 (I)で示される化合物等の作用の補完および/または増強のための他の薬 剤としては、例えば、スルホニル尿素系薬、ビグアナイド系薬、 α—ダルコシダーゼ阻 害薬、インスリン分泌促進薬、インスリン増感薬、インスリン製剤、 PPAR作動薬 (ΡΡ AR a作動薬、 PPAR γ作動薬、 PPAR α + γ作動薬等)、 β アドレナリン受容体 [0173] Other drugs for complementing and / or enhancing the action of the compound represented by the general formula (I) include, for example, sulfonylureas, biguanides, α-dalcosidase inhibitors, insulin Secretagogues, insulin sensitizers, insulin preparations, PPAR agonists (ΡΡAR a agonist, PPAR γ agonist, PPAR α + γ agonist, etc.), β adrenergic receptor
3 Three
作動薬、アルドース還元酵素阻害薬、 DPP4阻害薬等が挙げられる。 Agonists, aldose reductase inhibitors, DPP4 inhibitors and the like.
[0174] スルホニル尿素系薬としては、例えば、ァセトへキサミド、ダリベンクラミド、ダリクラジ ド、グリクロビラミド、クロルプロパミド、トラザミド、トルプタミド、グリメピリド等が挙げられ る。 [0174] Examples of the sulfonylurea drugs include acetohexamide, dalibenclamide, daliclazide, glicloviramide, chlorpropamide, tolazamide, tolptamide, glimepiride and the like.
[0175] ビグアナイド系薬としては、例えば、塩酸ブホルミン、塩酸メトホルミン等が挙げられ る。 [0175] Examples of biguanides include buformin hydrochloride, metformin hydrochloride and the like.
[0176] ひ—ダルコシダーゼ阻害薬としては、例えば、ァカルボース、ボグリボース等が挙げ られる。 [0176] Examples of the heart darcosidase inhibitors include acarbose and voglibose.
[0177] インスリン分泌促進薬としては、例えば、ナテグリニド、レパグリニド等が挙げられる。 [0177] Examples of the insulin secretagogue include nateglinide, repaglinide and the like.
[0178] インスリン増感薬としては、例えば、〇NO_5816、 YM_440、 JTT_501、 NN— 2 344等が挙げられる。 [0178] Examples of the insulin sensitizer include 〇NO_5816, YM_440, JTT_501, and NN-2 344 and the like.
[0179] PPAR作動薬としては、例えば、ピオグリタゾン、トログリタゾン、ロシグリタゾン等が 挙げられる。 [0179] Examples of the PPAR agonist include pioglitazone, troglitazone, rosiglitazone and the like.
[0180] β アドレナリン受容体作動薬としては、 列えば、、 AJ9677、 L750355、 CP33164 [0180] Examples of β-adrenergic receptor agonists include AJ9677, L750355, and CP33164.
3 Three
8等が挙げられる。 8 and the like.
[0181] アルドース還元酵素阻害薬としては、例えば、ェパルレスタツト、フィダレスタツト、ゼ ナレスタツト等が挙げられる。 [0181] Examples of the aldose reductase inhibitor include epalrestat, fidarestat, zenarestat and the like.
[0182] DPP4阻害薬としては、 列えは、、 LAF-237, MK_0431、 BMS_477118、 P93[0182] As a DPP4 inhibitor, listed are: LAF-237, MK_0431, BMS_477118, P93
—01、 GSK823093、 GSK815541、 GSK825964、 TS— 021、 T— 6666等力挙 げられる。 —01, GSK823093, GSK815541, GSK825964, TS-021 and T-6666.
[0183] その他高脂血症に代表される生活習慣病の治療および/または予防には、本発 明化合物と HMG— CoA阻害薬と併用することが好ましい。 [0183] For the treatment and / or prevention of other lifestyle-related diseases represented by hyperlipidemia, it is preferable to use the compound of the present invention in combination with an HMG-CoA inhibitor.
[0184] HMG_CoA阻害薬としては、例えば、プラバスタチン、シンパスタチン、ロバスタチ ン、フルパスタチン、アトルバスタチン、ロスパスタチン、ピタパスタチン等が挙げられ る。 [0184] Examples of the HMG_CoA inhibitor include pravastatin, simpastatin, lovastatin, flupastatin, atorvastatin, rospastatin, pitapastatin and the like.
[0185] 一般式 (I)で示される化合物等、または一般式 (I)で示される化合物等と他の薬剤 の併用剤を有効成分として含有する医薬組成物を上記の目的で用いるには、通常、 全身的または局所的に、経口または非経口の形で投与される。 [0185] In order to use a compound such as the compound represented by the general formula (I), or a pharmaceutical composition containing a compound such as the compound represented by the general formula (I) in combination with another drug as an active ingredient for the above purpose, It is usually administered systemically or locally, orally or parenterally.
[0186] 投与量は、年齢、体重、症状、治療効果、投与方法、処理時間等により異なるが、 通常、成人一人当たり、一回につき、 lngから lOOmgの範囲で一日一回から数回経 口投与されるカ または成人一人当たり、一回につき、 0. lngから 10mgの範囲で一 日一回から数回非経口投与される力、、または一日 1時間から 24時間の範囲で静脈 内に持続投与される。 [0186] The dose varies depending on the age, body weight, symptoms, therapeutic effect, administration method, treatment time, etc., but is usually in the range of lng to lOOmg per adult, once to several times a day. Per parenteral dose per adult or adult, parenteral once or several times daily in the range of 0.1 to 10 mg, or intravenously in the range of 1 to 24 hours daily Is administered continuously.
[0187] もちろん前記したように、投与量は種々の条件により変動するので、上記投与量より 少ない量で十分な場合もあるし、また範囲を越えて投与が必要な場合もある。 [0187] Of course, as described above, since the dose varies depending on various conditions, a dose smaller than the above dose may be sufficient, or a dose exceeding the range may be required in some cases.
[0188] 一般式 (I)で示される化合物等、または一般式 (I)で示される化合物等と他の薬剤 の併用剤を上記の目的で用いるには、通常、全身的または局所的に、経口または非 経口の形で投与されるが、治療に際して最も効果的な投与経路を選択することが望 ましい。 [0188] In order to use the compound represented by the general formula (I) or a combination of the compound represented by the general formula (I) and another drug for the above-mentioned purpose, it is usually systemic or local. It is given in oral or parenteral form, but it is desirable to choose the most effective route of administration for treatment. Good.
[0189] 一般式 (I)で示される化合物等、または一般式 (I)で示される化合物等と他の薬剤 の併用剤を有効成分として含有する医薬組成物を投与する際には、経口投与のた めの内服用固形剤、内服用液剤および、非経口投与のための注射剤、外用剤、坐 剤等として用いられる。 When administering a pharmaceutical composition containing, as an active ingredient, the compound represented by the general formula (I) or the combination of the compound represented by the general formula (I) and another drug as an active ingredient, oral administration is performed. For internal use, liquids for internal use and parenteral injections, external preparations, suppositories and the like.
[0190] 経口投与のための内服用固形剤には、錠剤、丸剤、カプセル剤、散剤、顆粒剤等 が含まれる。カプセル剤には、ハードカプセルおよびソフトカプセルが含まれる。 [0190] The solid preparation for oral administration for oral administration includes tablets, pills, capsules, powders, granules and the like. Capsules include hard capsules and soft capsules.
[0191] このような内服用固形剤においては、 1個以上の活性物質はそのまま力、、または賦 形剤(ラタトース、マンニトール、グノレコース、微結晶セルロース、デンプン等)、結合 剤(ヒドロキシプロピルセルロース、ポリビュルピロリドン、メタケイ酸アルミン酸マグネ シゥム等)、崩壊剤(繊維素グリコール酸カルシウム等)、滑沢剤 (ステアリン酸マグネ シゥム等)、安定剤、溶解補助剤 (グルタミン酸、ァスパラギン酸等)等と混合され、常 法に従って製剤化して用いられる。また、必要によりコーティング剤(白糖、ゼラチン、 ヒドロキシプロピルセルロース、ヒドロキシプロピルメチルセルロースフタラート等)で被 覆していてもよいし、また 2以上の層で被覆していてもよレ、。さらにゼラチンのような吸 収されうる物質のカプセルも包含される。 [0191] In such solid preparations for internal use, one or more active substances are used as they are, or excipients (ratatose, mannitol, gnorecose, microcrystalline cellulose, starch, etc.), binders (hydroxypropylcellulose, Polyvinylpyrrolidone, magnesium aluminate metasilicate, etc.), disintegrator (calcium glycolate, etc.), lubricant (magnesium stearate, etc.), stabilizer, solubilizer (glutamic acid, aspartic acid, etc.) It is mixed, formulated and used according to a conventional method. If necessary, it may be covered with a coating agent (sucrose, gelatin, hydroxypropylcellulose, hydroxypropylmethylcellulose phthalate, etc.), or may be covered with two or more layers. Also included are capsules of absorbable substances such as gelatin.
[0192] 経口投与のための内服用液剤は、薬剤的に許容される水剤、懸濁剤、乳剤、シロッ プ剤、エリキシル剤等を含む。このような液剤においては、ひとつまたはそれ以上の 活性物質が、一般的に用いられる希釈剤(精製水、エタノールまたはそれらの混液等 )に溶解、懸濁または乳化される。さらにこの液剤は、湿潤剤、懸濁化剤、乳化剤、甘 味剤、風味剤、芳香剤、保存剤、緩衝剤等を含有していてもよい。 [0192] Liquid preparations for oral administration include pharmaceutically acceptable solutions, suspensions, emulsions, syrups, elixirs and the like. In such solutions, one or more active substances are dissolved, suspended or emulsified in a commonly used diluent (eg, purified water, ethanol or a mixture thereof). Further, the liquid preparation may contain a wetting agent, a suspending agent, an emulsifier, a sweetening agent, a flavoring agent, a fragrance, a preservative, a buffer and the like.
[0193] 非経口投与のための注射剤としては、溶液、懸濁液、乳濁液および用時溶剤に溶 解または懸濁して用いる固形の注射剤を包含する。注射剤は、 1個以上の活性物質 を溶剤に溶解、懸濁または乳化させて用レ、られる。溶剤として、例えば注射用蒸留水 、生理食塩水、植物油、プロピレングリコール、ポリエチレングリコール、エタノールの ようなアルコール類等およびそれらの組み合わせが用いられる。さらにこの注射剤は 、安定剤、溶解補助剤(グルタミン酸、ァスパラギン酸、ポリソルベート 80 (登録商標) 等)、懸濁化剤、乳化剤、無痛化剤、緩衝剤、保存剤等を含んでいてもよい。これら は最終工程において滅菌するか無菌操作法によって製造、調製される。また無菌の 固形剤、例えば凍結乾燥品を製造し、その使用前に無菌化または無菌の注射用蒸 留水または他の溶剤に溶解して使用することもできる。 [0193] Injections for parenteral administration include solutions, suspensions, emulsions, and solid injections that are dissolved or suspended in a solvent before use. Injectables are prepared by dissolving, suspending or emulsifying one or more active substances in a solvent. As the solvent, for example, distilled water for injection, physiological saline, vegetable oil, propylene glycol, polyethylene glycol, alcohols such as ethanol and the like, and combinations thereof are used. Further, the injection may contain a stabilizer, a solubilizing agent (glutamic acid, aspartic acid, polysorbate 80 (registered trademark), etc.), a suspending agent, an emulsifier, a soothing agent, a buffer, a preservative, and the like. . these Is manufactured and prepared by sterilization or aseptic operation in the final step. In addition, a sterile solid preparation, for example, a lyophilized product, can be produced and dissolved in sterilized distilled water for injection or other solvents before use.
[0194] 非経口投与のための外用剤の剤形には、例えば、軟膏剤、ゲル剤、クリーム剤、湿 布剤、貼付剤、リニメント剤、噴霧剤、吸入剤、スプレー剤、点眼剤および点鼻剤等 が含まれる。これらは 1個以上の活性物質を含み、公知の方法または通常使用され ている処方により製造、調製される。 [0194] Dosage forms of external preparations for parenteral administration include, for example, ointments, gels, creams, poultices, patches, liniments, sprays, inhalants, sprays, eye drops, Includes nasal drops and the like. These contain one or more active substances and are manufactured and prepared by known methods or commonly used formulations.
[0195] 軟膏剤は公知または通常使用されている処方により製造される。例えば、 1個以上 の活性物質を基剤に研和、または溶融させて製造、調製される。軟膏基剤は公知あ るいは通常使用されているものから選ばれる。例えば、高級脂肪酸または高級脂肪 酸エステル(アジピン酸、ミリスチン酸、パルミチン酸、ステアリン酸、ォレイン酸、アジ ピン酸エステル、ミリスチン酸エステル、パルミチン酸エステル、ステアリン酸エステル 、ォレイン酸エステル等)、ロウ類 (ミツロウ、鯨ロウ、セレシン等)、界面活性剤(ポリオ キシエチレンアルキルエーテルリン酸エステル等)、高級アルコール(セタノール、ス テアリルアルコール、セトステアリルアルコール等)、シリコン油(ジメチルポリシロキサ ン等)、炭化水素類 (親水ワセリン、白色ワセリン、精製ラノリン、流動パラフィン等)、 グリコール類(エチレングリコール、ジエチレングリコール、プロピレングリコール、ポリ エチレングリコール、マクロゴール等)、植物油(ヒマシ油、ォリーブ油、ごま油、テレビ ン油等)、動物油(ミンク油、卵黄油、スクヮラン、スクワレン等)、水、吸収促進剤、 ぶれ防止剤から選択される 1種以上を混合して用いられる。さらに、保湿剤、保存剤 、安定化剤、抗酸化剤、着香剤等を含んでいてもよい。 [0195] The ointment is produced by a known or commonly used formulation. For example, it is manufactured and prepared by grinding or melting one or more active substances in a base. The ointment base is selected from known or commonly used ones. For example, higher fatty acids or higher fatty acid esters (adipic acid, myristic acid, palmitic acid, stearic acid, oleic acid, adipic acid ester, myristic acid ester, palmitic acid ester, stearic acid ester, oleic acid ester, etc.), waxes (Such as beeswax, spermaceti, and ceresin), surfactants (such as polyoxyethylene alkyl ether phosphate), higher alcohols (such as cetanol, stearyl alcohol, and setstearyl alcohol), and silicone oils (such as dimethylpolysiloxane) ), Hydrocarbons (hydrophilic petrolatum, white petrolatum, purified lanolin, liquid paraffin, etc.), glycols (ethylene glycol, diethylene glycol, propylene glycol, polyethylene glycol, macrogol, etc.), vegetable oils (castor oil, oligo Bed oil, sesame oil, turpentine oil, etc.), animal oils (mink oil, yolk oil, Sukuwaran, squalene, etc.), water, absorption accelerator, used by mixing one or more selected from the shake preventing agent. Further, it may contain humectants, preservatives, stabilizers, antioxidants, flavors and the like.
[0196] ゲル剤は公知または通常使用されている処方により製造される。例えば、 1個以上 の活性物質を基剤に溶融させて製造、調製される。ゲル基剤は公知あるいは通常使 用されているものから選ばれる。例えば、低級アルコール(エタノール、イソプロピノレ アルコール等)、ゲル化剤(カルボキシメチルセルロース、ヒドロキシェチルセルロース 、ヒドロキシプロピルセルロース、ェチルセルロース等)、中和剤(トリエタノールァミン 、ジイソプロパノールアミン等)、界面活性剤(モノステアリン酸ポリエチレングリコール 等)、ガム類、水、吸収促進剤、かぶれ防止剤から選択される 1種以上を混合して用 レ、られる。さらに、保存剤、抗酸化剤、着香剤等を含んでいてもよい。 [0196] The gel is produced by a known or commonly used formulation. For example, it is produced and prepared by melting one or more active substances in a base. The gel base is selected from known or commonly used ones. For example, lower alcohols (ethanol, isopropynole alcohol, etc.), gelling agents (carboxymethyl cellulose, hydroxyethyl cellulose, hydroxypropyl cellulose, ethyl cellulose, etc.), neutralizing agents (triethanolamine, diisopropanolamine, etc.), For use by mixing at least one selected from surfactants (polyethylene glycol monostearate, etc.), gums, water, absorption enhancers, and anti-rash agents Let's do it. Further, it may contain a preservative, an antioxidant, a flavoring agent and the like.
[0197] クリーム剤は公知または通常使用されている処方により製造される。例えば、ひとつ またはそれ以上の活性物質を基剤に溶融または乳化させて製造、調製される。タリー ム基剤は公知あるいは通常使用されているものから選ばれる。例えば、高級脂肪酸 エステル、低級アルコール、炭化水素類、多価アルコール(プロピレングリコール、 1, 3—ブチレングリコール等)、高級アルコール(2—へキシルデカノール、セタノール等) 、乳化剤(ポリオキシエチレンアルキルエーテル類、脂肪酸エステル類等)、水、吸収 促進剤、かぶれ防止剤から選択される 1種以上を混合して用いられる。さらに、保存 剤、抗酸化剤、着香剤等を含んでいてもよい。 [0197] A cream is produced by a known or commonly used formulation. For example, it is produced and prepared by melting or emulsifying one or more active substances in a base. The term base is selected from known or commonly used ones. For example, higher fatty acid esters, lower alcohols, hydrocarbons, polyhydric alcohols (propylene glycol, 1,3-butylene glycol, etc.), higher alcohols (2-hexyldecanol, cetanol, etc.), emulsifiers (polyoxyethylene alkyl ether) , Fatty acid esters, etc.), water, absorption enhancers, and rash preventives. Further, it may contain a preservative, an antioxidant, a flavoring agent and the like.
[0198] 湿布剤は公知または通常使用されている処方により製造される。例えば、 1個以上 の活性物質を基剤に溶融させ、練合物とし支持体上に展延塗布して製造される。湿 布基剤は公知あるいは通常使用されているものから選ばれる。例えば、増粘剤(ポリ アタリノレ酸、ポリビエルピロリドン、アラビアゴム、デンプン、ゼラチン、メチルセルロー ス等)、湿潤剤(尿素、グリセリン、プロピレングリコール等)、充填剤(カオリン、酸化亜 鉛、タルク、カルシウム、マグネシウム等)、水、溶解補助剤、粘着付与剤、かぶれ防 止剤から選ばれる 1種以上を混合して用いられる。さらに、保存剤、抗酸化剤、着香 剤等を含んでいてもよい。 The poultice is produced by a known or commonly used formulation. For example, it is manufactured by melting one or more active substances in a base, forming a kneaded product, and spreading and applying the mixture on a support. The compress base is selected from known or commonly used ones. For example, thickeners (polyatalinoleic acid, polybierpyrrolidone, gum arabic, starch, gelatin, methylcellulose, etc.), wetting agents (urea, glycerin, propylene glycol, etc.), fillers (kaolin, zinc oxide, talc, Calcium, magnesium, etc.), water, a dissolution aid, a tackifier, and an anti-rash agent. Further, it may contain a preservative, an antioxidant, a flavoring agent and the like.
[0199] 貼付剤は公知または通常使用されている処方により製造される。例えば、 1個以上 の活性物質を基剤に溶融させ、支持体上に展延塗布して製造される。貼付剤用基 剤は公知あるいは通常使用されているものから選ばれる。例えば、高分子基剤、油 脂、高級脂肪酸、粘着付与剤、かぶれ防止剤から選ばれる 1種以上を混合して用い られる。さらに、保存剤、抗酸化剤、着香剤等を含んでいてもよい。 [0199] The patch is produced by a known or commonly used formulation. For example, it is produced by melting one or more active substances in a base material and spreading and coating the support material on a support. The base for the patch is selected from known or commonly used ones. For example, a mixture of one or more selected from a polymer base, oils and fats, higher fatty acids, tackifiers and anti-rash agents is used. Further, it may contain a preservative, an antioxidant, a flavoring agent and the like.
[0200] リニメント剤は公知または通常使用されている処方により製造される。例えば、ひと つまたはそれ以上の活性物を水、アルコール(エタノール、ポリエチレングリコール等 )、高級脂肪酸、グリセリン、セッケン、乳化剤、懸濁化剤等から選ばれる 1種以上に 溶解、懸濁または乳化させて製造、調製される。さらに、保存剤、抗酸化剤、着香剤 等を含んでいてもよい。 [0200] The liniment is produced by a known or commonly used formulation. For example, one or more active substances are dissolved, suspended or emulsified in one or more selected from water, alcohol (ethanol, polyethylene glycol, etc.), higher fatty acids, glycerin, soap, emulsifier, suspending agent, etc. It is manufactured and prepared. Further, it may contain a preservative, an antioxidant, a flavoring agent and the like.
[0201] 噴霧剤、吸入剤、スプレー剤および点鼻剤は、一般的に用レ、られる希釈剤以外に 亜硫酸水素ナトリウムのような安定剤と等張性を与えるような緩衝剤、例えば塩化ナト リウム、クェン酸ナトリウムあるいはクェン酸のような等張剤を含有していてもよレ、。ス プレー剤の製造方法は、例えば米国特許第 2,868,691号および同第 3,095,355号に 詳しく記載されている。また、エアゾル剤としても構わない。 [0201] Sprays, inhalants, sprays and nasal drops are generally used in addition to diluents. Buffers which provide isotonicity with stabilizers such as sodium bisulfite, for example, may contain isotonic agents such as sodium chloride, sodium citrate or citric acid. Methods for producing spray agents are described in detail, for example, in U.S. Patent Nos. 2,868,691 and 3,095,355. Also, it may be an aerosol.
[0202] 点鼻剤を投与する際には通常一般に薬剤を含有した溶液および粉末で、専用の 点鼻器あるいは噴霧器を用い鼻腔内に定量的にスプレー(噴霧)投与される。 [0202] When a nasal drop is administered, it is generally sprayed quantitatively into the nasal cavity with a solution or powder containing the drug, using a special nasal dropper or nebulizer.
[0203] 非経口投与のための点眼剤には、点眼液、懸濁型点眼液、乳濁型点眼液、用時 溶解型点眼液および眼軟膏が含まれる。 [0203] Eye drops for parenteral administration include eye drops, suspension-type eye drops, emulsion-type eye drops, dissolvable-type eye drops and eye ointments.
[0204] これらの点眼剤は公知の方法に準じて製造、調製される。例えば、ひとつまたはそ れ以上の活性物質を溶剤に溶解、懸濁または乳化させて用いられる。点眼剤の溶剤 としては、例えば、滅菌精製水、生理食塩水、その他の水性溶剤または注射用非水 性用剤(例えば、植物油等)等およびそれらの組み合わせが用いられる。点眼剤は、 等張化剤 (塩化ナトリウム、濃グリセリン等)、緩衝ィ匕剤(リン酸ナトリウム、酢酸ナトリウ ム等)、界面活性化剤(ポリソルベート 80 (商品名)、ステアリン酸ポリオキシル 40、ポ リオキシエチレン硬化ヒマシ油等)、安定化剤(タエン酸ナトリウム、ェデト酸ナトリウム 等)、防腐剤 (塩化ベンザノレコニゥム、パラベン等)等などを必要に応じて適宜選択し て含んでいてもよい。これらは最終工程において滅菌するカ 無菌操作法によって 製造、調製される。また無菌の固形剤、例えば凍結乾燥品を製造し、その使用前に 無菌化または無菌の滅菌精製水または他の溶剤に溶解して使用することもできる。 [0204] These eye drops are prepared and prepared according to a known method. For example, one or more active substances are used by dissolving, suspending or emulsifying in a solvent. As the solvent for the ophthalmic solution, for example, sterilized purified water, physiological saline, other aqueous solvents or injectable non-aqueous agents (eg, vegetable oil) and the like and combinations thereof are used. Eye drops include isotonic agents (sodium chloride, concentrated glycerin, etc.), buffering agents (sodium phosphate, sodium acetate, etc.), surfactants (polysorbate 80 (trade name), polyoxyl stearate 40, It contains, as necessary, a suitable additive such as a reoxyethylene hydrogenated castor oil, a stabilizer (sodium taenoate, sodium edetate, etc.), a preservative (benzanoleconidum chloride, paraben, etc.). Is also good. These are manufactured and prepared by a sterile operation method that is sterilized in the final process. In addition, a sterile solid preparation, for example, a lyophilized product, can be manufactured and dissolved in sterilized purified water or another solvent before use, and used.
[0205] 非経口投与のための吸入剤としては、エアロゾル剤、吸入用粉末剤又は吸入用液 剤が含まれ、当該吸入用液剤は用時に水又は他の適当な媒体に溶解又は懸濁させ て使用する形態であってもよい。 [0205] Inhalants for parenteral administration include aerosols, powders for inhalation, and solutions for inhalation, and the solutions for inhalation are dissolved or suspended in water or another appropriate medium before use. May be used.
[0206] これらの吸入剤は公知の方法に準じて製造される。 [0206] These inhalants are produced according to a known method.
[0207] 例えば、吸入用液剤の場合には、防腐剤(塩ィ匕ベンザノレコニゥム、パラベン等)、着 色剤、緩衝化剤 (リン酸ナトリウム、酢酸ナトリウム等)、等張化剤 (塩化ナトリウム、濃 グリセリン等)、増粘剤(カリボキシビュルポリマー等)、吸収促進剤などを必要に応じ て適宜選択して調製される。 For example, in the case of a liquid preparation for inhalation, a preservative (eg, Shizani Benzanoreconium, paraben), a coloring agent, a buffer (eg, sodium phosphate, sodium acetate), an isotonic agent (Sodium chloride, concentrated glycerin, etc.), a thickener (such as cariboxybul polymer), and an absorption enhancer, etc., are appropriately selected as necessary.
[0208] 吸入用粉末剤の場合には、滑沢剤 (ステアリン酸およびその塩等)、結合剤(デンプ ン、デキストリン等)、賦形剤 (乳糖、セルロース等)、着色剤、防腐剤 (塩化ベンザノレ コニゥム、ノ ベン等)、吸収促進剤などを必要に応じて適宜選択して調製される。 [0208] In the case of powders for inhalation, lubricants (stearic acid and its salts, etc.), binders (starch, etc.) , Dextrin, etc.), excipients (lactose, cellulose, etc.), coloring agents, preservatives (benzanolone chloride, benzene, etc.), absorption promoters, etc., as appropriate, and prepared.
[0209] 吸入用液剤を投与する際には通常噴霧器 (アトマイザ一、ネブライザ一)が使用さ れ、吸入用粉末剤を投与する際には通常粉末薬剤用吸入投与器が使用される。 [0209] A nebulizer (an atomizer, a nebulizer) is usually used to administer a liquid for inhalation, and an inhaler / administrator for powdered medicine is usually used to administer a powder for inhalation.
[0210] 非経口投与のためその他の組成物としては、ひとつまたはそれ以上の活性物質を 含み、常法により処方される直腸内投与のための坐剤および膣内投与のためのぺッ サリー等が含まれる。 発明の効果 [0210] Other compositions for parenteral administration include suppositories for rectal administration and pessaries for vaginal administration, which contain one or more active substances and are prescribed in a conventional manner. Is included. The invention's effect
[0211] 一般式 (I)で示される本発明化合物は、 DPP4阻害活性を有することから、 DPP4 介在性疾患の治療および/または予防剤として有用である。 [0211] The compound of the present invention represented by the general formula (I) has DPP4 inhibitory activity and is therefore useful as a therapeutic and / or prophylactic agent for DPP4-mediated diseases.
発明を実施するための最良の形態 BEST MODE FOR CARRYING OUT THE INVENTION
[0212] 以下、実施例によって本発明を詳述するが、本発明はこれらに限定されるものでは ない。クロマトグラフィーによる分離の箇所および TLCに示されているカツコ内の溶媒 は、使用した溶出溶媒または展開溶媒を示し、割合は体積比を表わす。 [0212] Hereinafter, the present invention will be described in detail with reference to Examples, but the present invention is not limited thereto. The solvent in the kakkou indicated by the chromatographic separation and TLC indicates the elution solvent or developing solvent used, and the ratio indicates the volume ratio.
[0213] NMRは1 H NMRの測定値であり、 NMRの箇所に示されているカツコ内の溶媒は[0213] NMR is a measured value of 1 H NMR, and the solvent in kakko
、測定に使用した溶媒を示し、特に断わらない場合は、重 DMSO (DMSO_d )を用い Indicate the solvent used for measurement, unless otherwise specified, use heavy DMSO (DMSO_d).
6 た。 6
[0214] 本明細書中に用いた化合物名は、一般的に IUPACの規則に準じて命名を行なう コンピュータプログラム、 ACD/Name (登録商標、 Advanced Chemistry Development Inc.社製)または ACD/Nameバッチ(登録商標、 Advanced Chemistry Development Inc.社製)を用いる力、または、 IUPAC命名法に準じて命名したものである。 [0214] The compound name used in the present specification is generally a computer program for naming according to the rules of IUPAC, ACD / Name (registered trademark, manufactured by Advanced Chemistry Development Inc.) or ACD / Name batch ( (Registered trademark, manufactured by Advanced Chemistry Development Inc.) or according to the IUPAC nomenclature.
参考例 1 : 1一 tert—ブチル 2—メチル (2S)— 4一 (トリフルォロメチル)スルホニル Ί ォキシ }_2, 5—ジヒドロ—1H—ピロ一ルー 1 , 2—ジカルボキシラート Reference Example 1: 1-tert-butyl 2-methyl (2S) -41- (trifluoromethyl) sulfonyl-dioxy} _2,5-dihydro-1H-pyrroyl 1,2-dicarboxylate
アルゴン雰囲気下、ナトリウムへキサメチルジシラザン(27. 3g)のテトラヒドロフラン (150ml)溶液に一 78°Cで(2S)— N— (tert—ブトキシカルボニル)—4一ォキソピロリジ ンー 2_カルボキシメチル(Synthesis, 1986, 81参照) (30. 2g)のテトラヒドロフラン(50 ml)溶液を滴下した。混合物を一 78°Cで 30分間撹拌した。混合物に N—フエニルトリ フルォロメタンスルホンイミド(48. 7g)のテトラヒドロフラン(120ml)溶液を滴下し、混 合物を同温度で 4時間撹拌した。反応混合物に飽和炭酸水素ナトリウム水溶液を加 え、室温まで昇温し、酢酸ェチルで抽出した。有機層を水および飽和食塩水で順次 洗浄し、無水硫酸マグネシウムで乾燥後濃縮した。残渣をカラム精製し、標題化合物 (12. Og)を得た。 Under an argon atmosphere, a solution of sodium hexamethyldisilazane (27.3 g) in tetrahydrofuran (150 ml) was added at a temperature of 178 ° C at (78) ° C with (2S) -N- (tert-butoxycarbonyl) -4-oxopyrrolidin-2-oxocarboxymethyl (Synthesis). , 1986, 81) (30.2 g) in tetrahydrofuran (50 ml) was added dropwise. The mixture was stirred at 178 ° C for 30 minutes. To the mixture was added dropwise a solution of N-phenyltrifluoromethanesulfonimide (48.7 g) in tetrahydrofuran (120 ml). The mixture was stirred at the same temperature for 4 hours. To the reaction mixture was added a saturated aqueous sodium hydrogen carbonate solution, the temperature was raised to room temperature, and the mixture was extracted with ethyl acetate. The organic layer was washed successively with water and saturated saline, dried over anhydrous magnesium sulfate and concentrated. The residue was purified by column to give the title compound (12. Og).
TLC:Rf 0.57 (n—へキサン:酢酸ェチル = 3 : 1); TLC: Rf 0.57 (n-hexane: ethyl acetate = 3: 1);
'Η NMR(CDC1 ) : δ 1.46 (m, 9H), 3.77 (s, 3H), 4.35 (m, 2H), 5.04 (m, 1H), 5.73 'Η NMR (CDC1): δ 1.46 (m, 9H), 3.77 (s, 3H), 4.35 (m, 2H), 5.04 (m, 1H), 5.73
3 Three
(m, 1H)。 (m, 1H).
参者例 2 : l_tert_ブチル 2_メチル (2S)_4_「2—メトキシ— 3—(メトキシメトキシ) フエニル Ί— 2. 5—ジヒドロ一 1H—ピロ一ノレ一1. 2—ジカルボキシラート Participant example 2: l_tert_butyl 2_methyl (2S) _4_ “2-methoxy-3- (methoxymethoxy) phenyl Ί—2.5-dihydro-1H-pyrro-mono-1.2-dicarboxylate
参考例 1で製造した化合物(1. 13g)および 2—メトキシ一 3_ (メトキシメトキシ)フエ二 ルボロン酸(763mg)のジォキサン(28ml)溶液に 2M炭酸ナトリウム水溶液(3ml)お よびテトラキストリフエニルホスフィンパラジウム(87mg)を加え、アルゴン雰囲気下で 1時間還流した。反応混合物を室温に戻し、酢酸ェチルおよび水で抽出した。有機 層を水および飽和食塩水で順次洗浄し、乾燥後濃縮した。残渣をカラム精製し、標 題化合物(1. 03g)を得た。 To a solution of the compound prepared in Reference Example 1 (1.13 g) and 2-methoxy-13- (methoxymethoxy) phenylboronic acid (763 mg) in dioxane (28 ml), 2M aqueous sodium carbonate solution (3 ml) and tetrakistriphenylphosphine palladium (87 mg), and the mixture was refluxed for 1 hour under an argon atmosphere. The reaction mixture was returned to room temperature and extracted with ethyl acetate and water. The organic layer was washed successively with water and saturated saline, dried and concentrated. The residue was purified by column to give the title compound (1.03 g).
参考例 3 : l_tert_ブチル 2_メチル (2S, 4R) _4_「2—メトキシ 3_ (メトキシメトキ シ)フエ二ノレ Ίピロリジン 1 , 2—ジカルボキシラート Reference Example 3: l_tert_butyl 2_methyl (2S, 4R) _4_ “2-methoxy3_ (methoxymethoxy) pheninole dipyrrolidine 1,2-dicarboxylate
参考例 2で製造した化合物(1. 02g)のメタノール(13ml)溶液にパラジウム炭素(2 OOmg)をカ卩え、水素雰囲気下、混合物を室温で 30分間撹拌した。反応混合物をろ 過後、ろ液を濃縮し、標題化合物(943mg)を得た。 Palladium carbon (200 mg) was added to a solution of the compound (1.02 g) produced in Reference Example 2 in methanol (13 ml), and the mixture was stirred at room temperature for 30 minutes under a hydrogen atmosphere. After the reaction mixture was filtered, the filtrate was concentrated to give the title compound (943 mg).
参考例 4: (4R) -1- (tert ブトキシカルボニル) -4_「2_メトキシー 3_ (メトキシメトキ シ)フエ二ノレ Ί—L—プロリン Reference Example 4: (4R) -1- (tert-butoxycarbonyl) -4_ "2_methoxy-3_ (methoxymethoxy) pheninole Ί—L-proline
参考例 3で製造した化合物(93 lmg)のメタノール(9ml)溶液に 5N水酸化ナトリウ ム水溶液(lml)を加え、混合物を終夜撹拌した。反応混合物をジイソプロピルエーテ ルおよび水で抽出した。水層に 1N塩酸をカ卩え、酢酸ェチルで抽出し、有機層を水 および飽和食塩水で順次洗浄し、乾燥後濃縮して標題化合物(830mg)を得た。 参者例 5 : tert_ブチル (2S. 4R)_2_i「(2S)_2_シァノピロリジン— 1—ィル Ίカル ボニル }_4_「2—メトキシ _3_ (メトキシメトキシ)フエニル Ί ロ ジン一 1—カルボキシ 2 参考例 4で製造した化合物(818mg)、 (2S)— 2—シァノピロリジン 4一メチルベン ゼンスルホン酸塩(689mg)および 1—ヒドロキシベンゾトリアゾール 1水和物(289mg )のジメチルホルムアミド(6ml)溶液に N—メチルモルホリン(0. 52ml)を加えた後、 1 —ェチルー 3_ (3—ジメチルァミノプロピル)—カルポジイミド塩酸塩(492mg)を加え室 温で終夜撹拌した。反応混合物を酢酸ェチルおよび水で抽出し、有機層を 10%ク ェン酸水溶液、飽和炭酸水素ナトリウム水溶液、水および飽和食塩水で順次洗浄し 、乾燥後濃縮した。残渣をカラム精製し、標題化合物(567mg)を得た。 To a solution of the compound prepared in Reference Example 3 (93 lmg) in methanol (9 ml) was added a 5N aqueous sodium hydroxide solution (lml), and the mixture was stirred overnight. The reaction mixture was extracted with diisopropyl ether and water. The aqueous layer was washed with 1N hydrochloric acid and extracted with ethyl acetate. The organic layer was washed with water and saturated saline in this order, dried and concentrated to obtain the title compound (830 mg). Participant example 5: tert_butyl (2S.4R) _2_i “(2S) _2_cyanopyrrolidine-1-yl Ίcarbonyl” _4_ “2-methoxy_3_ (methoxymethoxy) phenyl Ίrosin-1 1-carboxy Two In a solution of the compound (818 mg) prepared in Reference Example 4, (2S) -2-cyanopyrrolidine 4-methylbenzenebenzenesulfonate (689 mg) and 1-hydroxybenzotriazole monohydrate (289 mg) in dimethylformamide (6 ml). After N-methylmorpholine (0.52 ml) was added, 1-ethyl-3_ (3-dimethylaminopropyl) -carboimide hydrochloride (492 mg) was added, and the mixture was stirred at room temperature overnight. The reaction mixture was extracted with ethyl acetate and water, and the organic layer was washed successively with a 10% aqueous solution of citric acid, a saturated aqueous solution of sodium bicarbonate, water and brine, dried and concentrated. The residue was purified by column to give the title compound (567 mg).
実施例 1 : (2S) _1_{「(2S. 4R)_4_ (3—ヒドロキシ— 2—メトキシフヱニル)ピロリジン — 2—ィノレ Ί ルボ二ノレ _}ピロリジン _2_カルボニト JIル 4— ルベンゼンスルホン酸 Example 1: (2S) _1 _ {“(2S.4R) _4_ (3-hydroxy-2-methoxyphenyl) pyrrolidine — 2-inolebenzene-binolene _} pyrrolidine_2_carbonit JI 4-lebenzenesulfonic acid
[0215] [化 38] [0215] [Formula 38]
[0216] 参考例 5で製造した化合物(556mg)のエタノール(12ml)溶液に 4一メチルベンゼ ンスルホン酸一水和物(253mg)を加え、アルゴン雰囲気下 90分間還流した。反応 混合物を濃縮し、残渣を酢酸ェチルーへキサンより結晶化し、以下の物性値を有する 本発明化合物(329mg)を得た。 To a solution of the compound (556 mg) produced in Reference Example 5 in ethanol (12 ml) was added 4-methylbenzenebenzenesulfonic acid monohydrate (253 mg), and the mixture was refluxed for 90 minutes under an argon atmosphere. The reaction mixture was concentrated, and the residue was crystallized from ethyl acetate-hexane to give the compound of the present invention (329 mg) having the following physical data.
TLC:Rf 0.65 (クロ口ホルム:メタノール = 2 : 1); TLC: Rf 0.65 (form: methanol = 2: 1);
JH NMR : δ 1.76 (m, 1H), 1.95 (m, 2H), 2.10 (m, 2H), 2.20 (s, 3H), 2.77 (m, 1H), 3.09 (m, 1H), 3.47 (m, 3H), 3.67 (s, 3H), 3.72 (m, 1H), 4.58 (m, 1H), 4.80 (m, 1H), 6.66 (dd, 1H), 6.71 (m, 1H), 6.82 (t, 1H), 7.02 (dd, 2H), 7.38 (m, 2H), 8.88 (m, 1H), 9.38 (m, 2H)。 参考例 5で製造した化合物の代わりに相当する化合物を用いて実施例 1で示され る方法と同様に操作して、以下の本発明化合物を得た。 J H NMR: δ 1.76 (m , 1H), 1.95 (m, 2H), 2.10 (m, 2H), 2.20 (s, 3H), 2.77 (m, 1H), 3.09 (m, 1H), 3.47 (m , 3H), 3.67 (s, 3H), 3.72 (m, 1H), 4.58 (m, 1H), 4.80 (m, 1H), 6.66 (dd, 1H), 6.71 (m, 1H), 6.82 (t, 1H), 7.02 (dd, 2H), 7.38 (m, 2H), 8.88 (m, 1H), 9.38 (m, 2H). The following compound of the present invention was obtained in the same manner as in Example 1, except that the compound prepared in Reference Example 5 was replaced with the corresponding compound.
実施例 1 (1): (2S) -l-i r(2S. 4R)_4_ (3—ヒドロキシー 2, 6—ジメトキシフヱニル) ピロリジン— 2—ィル Ίカルボニル }ピロリジン _2_カルボ二トリノレ 4_メチルベンゼンス ルホン酸媳 Example 1 (1): (2S) -li r (2S. 4R) _4_ (3-hydroxy-2,6-dimethoxyphenyl) pyrrolidine-2-yl {carbonyl} pyrrolidine_2_carboditrinole 4_methyl Benzenesulfonate 媳
TLC:Rf 0.51 (酢酸ェチル:酢酸:水 =3 : 1 : 1); TLC: Rf 0.51 (ethyl acetate: acetic acid: water = 3: 1: 1);
'Η NMR: δ 2.01 (m, 2H), 2.16 (m, 2H), 2.28 (s, 3H), 2.28 (m, IH), 2.67 (m, IH), 3.38 (m, IH), 3.53 (m, 4H), 3.68 (s, 3H), 3.71 (s, 3H), 3.99 (m, IH), 4.65 (m, IH), 4.86 (dd, 1H), 6.60 (d, 1H), 6.74 (d, IH), 7.10 (d, 2H), 7.47 (d, 2H), 8.74 (s, IH), 9.42 (s, 1H)。 'Η NMR: δ 2.01 (m, 2H), 2.16 (m, 2H), 2.28 (s, 3H), 2.28 (m, IH), 2.67 (m, IH), 3.38 (m, IH), 3.53 (m , 4H), 3.68 (s, 3H), 3.71 (s, 3H), 3.99 (m, IH), 4.65 (m, IH), 4.86 (dd, 1H), 6.60 (d, 1H), 6.74 (d, IH), 7.10 (d, 2H), 7.47 (d, 2H), 8.74 (s, IH), 9.42 (s, 1H).
実施例 1 (2): (2S) _1_{「4_ (3—ヒドロキシ _5_メチルフエニル)ピロリジン— 2—ィル Ί カルボ二ノレ }ピロリジン一 2_カルボ二トリノレ 4_メチルベンゼンスルホン酸塩 Example 1 (2): (2S) _1 _ {“4_ (3-hydroxy_5_methylphenyl) pyrrolidine—2-yl カ ル carbinole} pyrrolidine-1_2-carboditrinole 4_methylbenzenesulfonate
TLC:Rf 0.47 (クロ口ホルム:メタノール = 5 : 1); TLC: Rf 0.47 (cloth form: methanol = 5: 1);
JH NMR: 5 1.74 (m, IH), 2.03 (m, 2H), 2.18 (m, 2H), 2.19 (s, 3H), 2.28 (s, 3H), 2.90 (m, IH), 3.16 (m, 1H), 3.42 (m, 2H), 3.60 (m, 2H), 4.61 (m, IH), 4.85 (dd, 1H), 6.52 (m, 3H), 7.10 (d, 2H), 7.47 (d, 2H), 8.92 (s, 1H), 9.30 (s, 1H), 9.47 (s, 1H)。 J H NMR: 5 1.74 (m , IH), 2.03 (m, 2H), 2.18 (m, 2H), 2.19 (s, 3H), 2.28 (s, 3H), 2.90 (m, IH), 3.16 (m , 1H), 3.42 (m, 2H), 3.60 (m, 2H), 4.61 (m, IH), 4.85 (dd, 1H), 6.52 (m, 3H), 7.10 (d, 2H), 7.47 (d, 2H), 8.92 (s, 1H), 9.30 (s, 1H), 9.47 (s, 1H).
実施例 1 (3): (2S) -l-i r(2S. 4R)-4- (3. 4ージヒドロキシ _2, 6 ジメチルフヱ二 ノレ)ピロリジン一 2-ィル Ίカルボ二ノレ }ピロリジン一 2 カルボ二トリノレ 4 メチルベンゼン スルホン酸塩 Example 1 (3): (2S) -li r (2S. 4R) -4- (3.4.4-dihydroxy_2,6 dimethylphenyl) pyrrolidine-1-yl {carboninole} pyrrolidine-12 carbonitrile 4 Methylbenzene sulfonate
TLC:Rf 0.59 (酢酸ェチル:酢酸:水 =3 : 1 : 1); TLC: Rf 0.59 (ethyl acetate: acetic acid: water = 3: 1: 1);
'Η NMR: δ 2.01 (m, 2H), 2.10 (s, 3H), 2.12 (m, 1H), 2.16 (s, 3H), 2.21 (m, 2H), 2.28 (s, 3H), 2.70 (m, IH), 3.50 (m, 7H), 4.68 (dd, 1H), 4.85 (dd, 1H), 6.44 (s, IH), 7.10 (d, 2H), 7.47 (d, 2H), 9.01 (m, 1H), 9.43 (m, 1H)。 'Η NMR: δ 2.01 (m, 2H), 2.10 (s, 3H), 2.12 (m, 1H), 2.16 (s, 3H), 2.21 (m, 2H), 2.28 (s, 3H), 2.70 (m , IH), 3.50 (m, 7H), 4.68 (dd, 1H), 4.85 (dd, 1H), 6.44 (s, IH), 7.10 (d, 2H), 7.47 (d, 2H), 9.01 (m, 1H), 9.43 (m, 1H).
実施例 1 (4): (2S) _1_{「(2S. 4R)_4_ (3—ヒドロキシ— 6—メトキシ _2_メチルフエ ニル)ピロリジン一 2—ィル Ίカルボニル }ピロリジン一 2_カルボ二トリノレ 4_メチルベン ゼンスルホン酸塩 Example 1 (4): (2S) _1 _ {“(2S.4R) _4_ (3-hydroxy-6-methoxy_2_methylphenyl) pyrrolidine-l-2-yl {carbonyl} pyrrolidine-l_2-carboditrinole 4_ Methylbenzene sulfonic acid salt
TLC:Rf 0.71 (酢酸ェチル:酢酸:水 =3 : 1 : 1); H NMR: δ 2.00 (m, 2H), 2.13 (s, 3H), 2.20 (m, 3H), 2.28 (s, 3H), 2.67 (m, 1H), 3.51 (m, 4H), 3.67 (s, 3H), 3.81 (m, IH), 4.62 (m, IH), 4.86 (dd, 1H), 6.66 (d, IH), 6.70 (d, 1H), 7.10 (d, 2H), 7.47 (d, 2H), 8.68 (s, 1H), 8.90 (s, IH), 9.40 (s, 1H)。 実施例 1 (5): (2S) _1_{「(2S. 4R)_4_ (6_エトキシ— 3—ヒドロキシ _2_メチルフエ ニル)ピロリジン一 2—ィル Ίカルボニル }ピロリジン一 2_カルボ二トリノレ 4_メチルベン ゼンスルホン酸塩 TLC: Rf 0.71 (ethyl acetate: acetic acid: water = 3: 1: 1); H NMR: δ 2.00 (m, 2H), 2.13 (s, 3H), 2.20 (m, 3H), 2.28 (s, 3H), 2.67 (m, 1H), 3.51 (m, 4H), 3.67 (s, 3H), 3.81 (m, IH), 4.62 (m, IH), 4.86 (dd, 1H), 6.66 (d, IH), 6.70 (d, 1H), 7.10 (d, 2H), 7.47 (d, 2H ), 8.68 (s, 1H), 8.90 (s, IH), 9.40 (s, 1H). Example 1 (5): (2S) _1 _ {“(2S. 4R) _4_ (6_ethoxy-3-hydroxy_2_methylphenyl) pyrrolidine-l-2-yl {carbonyl} pyrrolidine-l_2_carbonitrile 4_ Methylbenzene sulfonic acid salt
TLC:Rf 0.29 (クロ口ホルム:メタノール =9 : 1); TLC: Rf 0.29 (black form: methanol = 9: 1);
'Η NMR: δ 1.28 (t, 3H), 2.01 (m, 2H), 2.13 (s, 3H), 2.19 (m, 2H), 2.28 (s, 3H), 2.35 (m, IH), 2.64 (m, 1H), 3.38 (m, 1H), 3.55 (m, 2H), 3.88 (m, 5H), 4.61 (m, IH), 4.85 (dd, IH), 6.65 (d, 1H), 6.68 (d, IH), 7.11 (d, 2H), 7.47 (d, 2H), 8.65 (s, IH), 9.40 (s, 1H)。 'Η NMR: δ 1.28 (t, 3H), 2.01 (m, 2H), 2.13 (s, 3H), 2.19 (m, 2H), 2.28 (s, 3H), 2.35 (m, IH), 2.64 (m , 1H), 3.38 (m, 1H), 3.55 (m, 2H), 3.88 (m, 5H), 4.61 (m, IH), 4.85 (dd, IH), 6.65 (d, 1H), 6.68 (d, IH), 7.11 (d, 2H), 7.47 (d, 2H), 8.65 (s, IH), 9.40 (s, 1H).
実施例 1 (6): (2S) _1_{「(2S. 4R)_4_ (3—ヒドロキシ _2, 5. 6_トリメチルフエニルExample 1 (6): (2S) _1 _ {((2S. 4R) _4_ (3-hydroxy_2,5.6_trimethylphenyl)
)ピロリジン一 2—ィル Ίカルボ二ノレ }ピロリジン一 2—カルボ二トリノレ 4一メチルベンゼンス ルホン酸塩 ) Pyrrolidine-12-yl {carbinole} pyrrolidine-12-carboditrinole 4-methylbenzenesulfonate
TLC:Rf 0.50 (クロ口ホルム:メタノール = 5 : 1); TLC: Rf 0.50 (cloth form: methanol = 5: 1);
JH NMR: 5 2.11 (m, 14H), 2.28 (s, 3H), 2.74 (m, IH), 3.55 (m, 4H), 4.04 (m, IH), 4.71 (m, IH), 4.86 (dd, 1H), 6.58 (s, IH), 7.10 (d, 2H), 7.47 (d, 2H), 9.03 (m, 2H), 9.48 (s, 1H)。 J H NMR: 5 2.11 (m , 14H), 2.28 (s, 3H), 2.74 (m, IH), 3.55 (m, 4H), 4.04 (m, IH), 4.71 (m, IH), 4.86 (dd , 1H), 6.58 (s, IH), 7.10 (d, 2H), 7.47 (d, 2H), 9.03 (m, 2H), 9.48 (s, 1H).
実施例 1 (7): (2S) -l-i r (2S. 4R)— 4一(3—アミノー 2, 6—ジメチルフエニル)ピロリ ジン一 2—ィル Ίカルボ二ノレ }ピロリジン _2—カルボ二トリル ビス(4一メチルベンゼンス ルホン酸塩)塩 Example 1 (7): (2S) -li r (2S.4R) —41- (3-amino-2,6-dimethylphenyl) pyrrolidine-1-yl {carboninole} pyrrolidine_2-carbone Tolyl bis (4-methylbenzenesulfonate) salt
TLC:Rf 0.35 (クロ口ホルム:メタノール =9 : 1); TLC: Rf 0.35 (form: methanol = 9: 1);
'Η NMR: δ 2.12 (m, 5H), 2.23 (s, 3H), 2.28 (s, 6H), 2.35 (s, 3H), 2.78 (m, IH), 3.55 (m, 4H), 4.04 (m, 1H), 4.71 (m, 1H), 4.87 (dd, IH), 7.14 (m, 6H), 7.47 (d ,4H), 9.14 (m, IH), 9.55 (m, 2H)。 'Η NMR: δ 2.12 (m, 5H), 2.23 (s, 3H), 2.28 (s, 6H), 2.35 (s, 3H), 2.78 (m, IH), 3.55 (m, 4H), 4.04 (m , 1H), 4.71 (m, 1H), 4.87 (dd, IH), 7.14 (m, 6H), 7.47 (d, 4H), 9.14 (m, IH), 9.55 (m, 2H).
実施例 1 (8): N_「3_ ( (3R. 5S) _5_{「(2S) _2_シァノピロリジン— 1—ィル Ίカルボ ニル }ピロリジン _3_ィル)—2. 4—ジメチルフエニル Ίァセトアミド 4_メチルベンゼン スルホン酸媳 TLC:Rf 0.56 (クロ口ホルム:メタノール = 5:1) ; Example 1 (8): N_ “3 _ ((3R.5S) _5 _ {“ (2S) _2_cyanopyrrolidine-1-yl ィ carbonyl} pyrrolidine _3_yl) —2.4-dimethylphenylセ acetamide 4_methylbenzene sulfonic acid 媳 TLC: Rf 0.56 (cloth form: methanol = 5: 1);
'Η NMR: δ 2.00 (s, 3Η), 2.12 (s, 3Η), 2.17 (m, 5H), 2.27 (s, 3H), 2.31 (s, 3H), 2.77 (m, IH), 3.57 (m, 4H), 4.02 (m, 1H), 4.69 (m, 1H), 4.86 (dd, IH), 7.02 (m, 2H), 7.09 (d, 2H), 7.45 (d, 2H), 9.10 (s, 1H), 9.30 (s, IH), 9.47 (s, 1H)。 'Η NMR: δ 2.00 (s, 3Η), 2.12 (s, 3Η), 2.17 (m, 5H), 2.27 (s, 3H), 2.31 (s, 3H), 2.77 (m, IH), 3.57 (m , 4H), 4.02 (m, 1H), 4.69 (m, 1H), 4.86 (dd, IH), 7.02 (m, 2H), 7.09 (d, 2H), 7.45 (d, 2H), 9.10 (s, 1H), 9.30 (s, IH), 9.47 (s, 1H).
実施例 1(9):メチル 「3_((3R.5S)_5_{「(2S)_2_シァノピロリジン— 1—ィル Ί力 ルボニル }ピロリジン— 3—ィル)—2.4—ジメチルフヱニル Ί力ルバメート 4_メチルベン ゼンスルホン酸塩 Example 1 (9): Methyl "3 _ ((3R.5S) _5 _ {" (2S) _2_cyanopyrrolidine-1-yl Ίubonyl} pyrrolidine-3-yl) -2.4-dimethylphenyl Ίuylbamate 4_ methylbenzene sulfonic acid salt
TLC:Rf 0.32 (クロ口ホルム:メタノール =9:1); TLC: Rf 0.32 (form: methanol = 9: 1);
'Η NMR: δ 2.14 (m, 5H), 2.15 (s, 3H), 2.28 (s, 3H), 2.32 (s, 3H), 2.78 (m, IH), 3.57 (m, 4H), 3.60 (s, 3H), 4.02 (m, IH), 4.70 (m, IH), 4.85 (m, 1H), 6.99 (d, 1H), 'Η NMR: δ 2.14 (m, 5H), 2.15 (s, 3H), 2.28 (s, 3H), 2.32 (s, 3H), 2.78 (m, IH), 3.57 (m, 4H), 3.60 (s , 3H), 4.02 (m, IH), 4.70 (m, IH), 4.85 (m, 1H), 6.99 (d, 1H),
7.09 (m, 3H), 7.47 (d, 2H), 8.81 (m, 1H), 9.11 (m, IH), 9.50 (m, 1H)。 7.09 (m, 3H), 7.47 (d, 2H), 8.81 (m, 1H), 9.11 (m, IH), 9.50 (m, 1H).
実施例 1(10): N_「3_((3R.5S)_5_{「(2S)_2_シァノピロリジン— 1—ィル Ίカル ボニル }ピロリジン一 3—ィノレ) _2, 4—ジメチルフエ二ノレ Ίウレァ 4一メチルベンゼンスル ホン酸塩 Example 1 (10): N_ “3 _ ((3R.5S) _5 _ {“ (2S) _2_cyanopyrrolidine-1-yl {carbonyl} pyrrolidine-1-3-inole) _2,4-dimethylpheninole} Urea 4-methylbenzenesulfonate
TLC:Rf 0.60 (クロ口ホルム:メタノール:水 = 65:25:4); TLC: Rf 0.60 (form: methanol: water = 65: 25: 4);
JH NMR: δ 2.13 (m, 5H), 2.13 (s, 3H), 2.28 (s, 3H), 2.30 (s, 3H), 2.78 (m, IH), 3.53 (m, 4H), 4.02 (m, 1H), 4.70 (m, 1H), 4.87 (dd, IH), 5.84 (m, 2H), 6.94 (d, 1H), J H NMR: δ 2.13 (m , 5H), 2.13 (s, 3H), 2.28 (s, 3H), 2.30 (s, 3H), 2.78 (m, IH), 3.53 (m, 4H), 4.02 (m , 1H), 4.70 (m, 1H), 4.87 (dd, IH), 5.84 (m, 2H), 6.94 (d, 1H),
7.10 (d, 2H), 7.35 (d, 1H), 7.46 (d, 2H), 7.66 (s, 1H), 9.11 (m, 1H), 9.48 (m, 1H)。 実施例 1(11) :2, 4—ジメチルー 3_「(3R, 5S)_5—(ピロリジン一 1ーィルカルボニル) ピロリジン一 3—ィル Ίフエノーノレ 4一メチルベンゼンスルホン酸塩 7.10 (d, 2H), 7.35 (d, 1H), 7.46 (d, 2H), 7.66 (s, 1H), 9.11 (m, 1H), 9.48 (m, 1H). Example 1 (11): 2,4-Dimethyl-3 _ ((3R, 5S) _5- (pyrrolidine-1-ylcarbonyl) pyrrolidine-1-3-yl エ phenenolle 4-methylbenzenesulfonate
TLC:Rf 0.20 (クロ口ホルム:メタノール =9:1); TLC: Rf 0.20 (form: methanol = 9: 1);
'Η NMR: δ 1.86 (m, 4H), 2.09 (m, IH), 2.11 (s, 3H), 2.22 (s, 3H), 2.28 (s, 3H), 2.67 (m, IH), 3.46 (m, 6H), 3.98 (m, 1H), 4.59 (m, 1H), 6.63 (d, IH), 6.79 (d, 1H), 7.10 (d, 2H), 7.46 (d, 2H), 8.88 (m, IH), 9.13 (m, IH), 9.37 (m, 1H)。 'Η NMR: δ 1.86 (m, 4H), 2.09 (m, IH), 2.11 (s, 3H), 2.22 (s, 3H), 2.28 (s, 3H), 2.67 (m, IH), 3.46 (m , 6H), 3.98 (m, 1H), 4.59 (m, 1H), 6.63 (d, IH), 6.79 (d, 1H), 7.10 (d, 2H), 7.46 (d, 2H), 8.88 (m, IH), 9.13 (m, IH), 9.37 (m, 1H).
実施例 1(12) :3_((3R.5S)_5_{「(3S)_3_フルォロピロリジン— 1—ィル Ίカルボ 二ノレ }ピロリジン一 3—ィノレ)一2.4_ジメチルフヱノール 4_メチルベンゼンスルホン酸 品' Example 1 (12): 3 _ ((3R.5S) _5 _ {"(3S) _3_fluoropyrrolidine-1-yl carbo}} pyrrolidine-3-inole) -2.4_dimethylphenol 4 _Methylbenzenesulfonic acid product '
TLC:Rf 0.19 (クロ口ホルム:メタノール = 9:1); H NMR: 5 2.11 (s, 3H), 2.16 (m, 3H), 2.23 (s, 3H), 2.28 (s, 3H), 2.71 (m, 1H), 3.54 (m, 6H), 3.96 (m, 1H), 4.57 (m, 1H), 5.40 (m, 1H), 6.63 (d, 1H), 6.80 (d, 1H), 7.10 (d, 2H), 7.46 (d, 2H), 8.93 (m, 1H), 9.14 (m, 1H), 9.35 (m, 1H)。 TLC: Rf 0.19 (form: methanol = 9: 1); H NMR: 5 2.11 (s, 3H), 2.16 (m, 3H), 2.23 (s, 3H), 2.28 (s, 3H), 2.71 (m, 1H), 3.54 (m, 6H), 3.96 (m, 1H), 4.57 (m, 1H), 5.40 (m, 1H), 6.63 (d, 1H), 6.80 (d, 1H), 7.10 (d, 2H), 7.46 (d, 2H), 8.93 (m, 1H ), 9.14 (m, 1H), 9.35 (m, 1H).
参者例 6 : l_tert_ブチル 2_メチル (2S)_4_ (1. 3. 5_トリメチル _1H—ピラゾー ノレ一 4_ィル)一2. 5—ジヒドロ一 1H—ピロール一 1 , 2—ジカルボキシラート Participant example 6: l_tert_butyl 2_methyl (2S) _4_ (1.3.5_trimethyl_1H-pyrazolone-4_yl) -1-2.5-dihydro-1H-pyrrole-1, 2-dicarboxy Rat
参考例 1で製造した化合物(1. Og)のジォキサン(15ml)溶液にビス(ピナコラート) ジボロン(838mg)、(1, 1しビス—(ジフエニルホスフイノ)—フエ口セン)パラジウム ジ クロリド(66mg)、酢酸カリウム(883mg)および 1, 1しジフエニルホスフイノフエ口セン (50mg)を加え、混合物をアルゴン雰囲気下 80°Cで 1時間撹拌した。反応混合物を 室温に冷却し、 4—ブロモ— 1, 3, 5—トリメチル _1H—ピラゾール(567mg)、テトラキス トリフエニルホスフィンパラジウム(173mg)、 2M炭酸ナトリウム水溶液(4. 5ml)をカロ え、混合物をアルゴン雰囲気下 100°Cで 30分間撹拌した。反応混合物を室温に冷 却後、酢酸ェチルおよび水で抽出した。有機層を飽和食塩水で洗浄し、乾燥後濃縮 した。残渣をカラム精製し、標題化合物(540mg)を得た。 In a dioxane (15 ml) solution of the compound (1. Og) produced in Reference Example 1, bis (pinacolato) diboron (838 mg), (1,1-bis- (diphenylphosphino) -phenoxen) palladium dichloride ( 66 mg), potassium acetate (883 mg), and 1.1-diphenylphosphinophenephenic acid (50 mg) were added, and the mixture was stirred at 80 ° C for 1 hour under an argon atmosphere. The reaction mixture was cooled to room temperature, and 4-bromo-1,3,5-trimethyl_1H-pyrazole (567 mg), tetrakistriphenylphosphinepalladium (173 mg), and a 2M aqueous solution of sodium carbonate (4.5 ml) were added. The mixture was stirred at 100 ° C for 30 minutes under an argon atmosphere. After the reaction mixture was cooled to room temperature, it was extracted with ethyl acetate and water. The organic layer was washed with saturated saline, dried and concentrated. The residue was purified by column to give the title compound (540 mg).
実施例 2 : (2S) _1_ (2S, 4R)-4- (l . 3. 5_トリメチルー 1H—ピラゾールー 4ーィル )ピロリジン一 2-ィル Ίカルボ二ノレ }ピロリジン一 2—カルボ二トリノレ ビス(4一メチルベン ゼンスルホン酸)塩 Example 2: (2S) _1_ (2S, 4R) -4- (l.3.5_trimethyl-1H-pyrazole-4-yl) pyrrolidine-1-yl {carbinole} pyrrolidine-12-carboditrinolebis ( 4 monomethylbenzene sulfonic acid) salt
[化 39] [Formula 39]
参考例 2で製造した化合物の代わりに参考例 6で製造した化合物を用いて、参考 例 3→参考例 4→参考例 5→実施例 1で示される方法と同様に操作して、以下の物性 値を有する本発明化合物を得た。 Using the compound prepared in Reference Example 6 in place of the compound prepared in Reference Example 2, and operating in the same manner as described in Reference Example 3 → Reference Example 4 → Reference Example 5 → Example 1, the following physical properties were obtained. A compound of the invention having a value was obtained.
TLC:Rf 0.48 (クロ口ホルム:メタノール =5 : 1); TLC: Rf 0.48 (form: methanol = 5: 1);
¾ NMR: δ 2.01 (m, 6H), 2.10 (m, 3H), 2.17 (m, 3H), 2.27 (s, 6H), 2.71 (m, 1H), 3.17 (m, 1H), 3.46 (m, 3H), 3.60 (s, 3H), 4.57 (m, 1H), 4.84 (dd, 1H), 7.09 (d, 4H), 7.46 (d, 4H), 8.96 (s, 2H), 9.39 (s, 1H)。 ¾ NMR: δ 2.01 (m, 6H), 2.10 (m, 3H), 2.17 (m, 3H), 2.27 (s, 6H), 2.71 (m, 1H), 3.17 (m, 1H), 3.46 (m, 3H), 3.60 (s, 3H), 4.57 (m, 1H), 4.84 (dd, 1H), 7.09 (d, 4H), 7.46 (d, 4H), 8.96 (s, 2H), 9.39 (s, 1H).
実施例 2 (1): (2S) -l-i r (2S. 4R)-4- (3. 5_ジメチルビリジン一 4一ィル)ピロリジ ン一 2—ィル Ίカルボ二ノレ)ピロリジン一 2_カルボ二トリノレ ビス(4—メチルベンゼンスル ホン塩 Example 2 (1): (2S) -li r (2S. 4R) -4- (3.5_dimethylpyridine-1-41yl) pyrrolidin-1--2-yl {carbinole) pyrrolidine-1_ Carbonitrinolebis (4-methylbenzenesulfonate)
4—ブロモ— 1, 3, 5—トリメチル _1H—ピラゾールの代わりに 4—ブロモ—3, 5—ジメチ ルピリジンを用いて参考例 6→参考例 3→参考例 4→参考例 5→実施例 1で示される 方法と同様に操作して、以下の物性値を有する本発明化合物を得た。 Reference Example 6 → Reference Example 3 → Reference Example 4 → Reference Example 5 → Example 1 using 4-bromo-3,5-dimethylpyridine instead of 4-bromo-1,3,5-trimethyl_1H-pyrazole The compound of the present invention having the following physical property values was obtained in the same manner as in the method shown.
TLC :Rf 0.18 (酢酸ェチル:酢酸:水 = 3: 1: 1); TLC: Rf 0.18 (ethyl acetate: acetic acid: water = 3: 1: 1);
'Η NMR: δ 2.11 (m, 5H), 2.28 (s, 6H), 2.49 (m, 6H), 2.87 (m, 1H), 3.56 (m, 3H), 'Η NMR: δ 2.11 (m, 5H), 2.28 (s, 6H), 2.49 (m, 6H), 2.87 (m, 1H), 3.56 (m, 3H),
4.16 (m, 2H), 4.76 (m, 1H), 4.87 (m, 1H), 7.10 (d, 4H), 7.47 (d, 4H), 8.62 (s, 2H),4.16 (m, 2H), 4.76 (m, 1H), 4.87 (m, 1H), 7.10 (d, 4H), 7.47 (d, 4H), 8.62 (s, 2H),
9.17 (m, 1H), 9.66 (m, 1H)。 9.17 (m, 1H), 9.66 (m, 1H).
参考例 7 : l_tert—ブチル 2—メチル (2S)_4_ (3—ヒドロキシプロパー 1ーィニル)一 2, 5—ジヒドロ一1H—ピロ一ノレ一 1 , 2—ジカノレボキシラート Reference Example 7: l_tert-butyl 2-methyl (2S) _4_ (3-hydroxyprop-1-ynyl) -1,2,5-dihydro-1H-pyrromonol-1,1,2-dicanoloboxylate
参考例 1で製造した化合物(2· 00g)のテトラヒドロフラン(11ml)溶液にトリェチル ァミン(3. 5ml)、ヨウ化銅(304mg)、ビス(トリフエニルホスフィン)ジクロロパラジウム (II) (374mg)およびプロパルギルアルコール(0· 62ml)を力 Pえ、室温で 30分間攪 拌した。反応混合物に飽和塩ィ匕アンモニゥム水溶液をカ卩え、酢酸ェチルで抽出した 。有機層を飽和炭酸水素ナトリウム水溶液および飽和食塩水で洗浄し、乾燥後濃縮 した。残渣をカラム精製し、標題化合物(1. 37g)を得た。 Triethylamine (3.5 ml), copper iodide (304 mg), bis (triphenylphosphine) dichloropalladium (II) (374 mg) and propargyl were added to a solution of the compound (200 g) produced in Reference Example 1 in tetrahydrofuran (11 ml). Alcohol (0.62 ml) was added and stirred at room temperature for 30 minutes. An aqueous solution of a saturated sodium chloride ammonium salt was added to the reaction mixture, and extracted with ethyl acetate. The organic layer was washed with a saturated aqueous solution of sodium hydrogen carbonate and saturated saline, dried, and concentrated. The residue was purified by column to give the title compound (1.37 g).
参考例 8 : l_tert_ブチル 2—メチル (2S, 4S)— 4—「3— (テトラヒドロ— 2H—ピラン— 2_ィルォキシ)プロピル Ίピロリジン— 1 , 2—ジカルボキシラート Reference Example 8: l_tert_butyl 2-methyl (2S, 4S) -4- (3- (tetrahydro-2H-pyran-2_yloxy) propyl Ίpyrrolidine-1, 2-dicarboxylate
(a)参考例 2で製造した化合物の代わりに参考例 7で製造した化合物を用いて、参考 例 3で示される方法と同様に操作して(1一 tert—ブチル 2—メチノレ (2S, 4S) _4_ ( 3—ヒドロキシプロピル)ピロリジン一 1 , 2—ジカルボキシラート)を得た。 (a) Using the compound prepared in Reference Example 7 in place of the compound prepared in Reference Example 2, and operating in the same manner as in the method shown in Reference Example 3 (1 tert-butyl 2-methynole (2S, 4S ) _4_ (3-Hydroxypropyl) pyrrolidine-l, 2-dicarboxylate) was obtained.
(b)上記(a)で製造した化合物(500mg)のジクロロメタン (3. 5ml)溶液にジヒドロピ ラン(0. 17ml)および p—トルエンスルホン酸ピリジニゥム(44mg)を加え、室温で終 夜攪拌した。反応混合物に酢酸ェチルをカ卩え、飽和炭酸水素ナトリウム水溶液およ び飽和食塩水で順次洗浄し、乾燥後濃縮し、標題化合物を得た。 (b) To a solution of the compound (500 mg) prepared in (a) above in dichloromethane (3.5 ml) was added dihydropyran (0.17 ml) and pyridinium p-toluenesulfonate (44 mg), and the mixture was stirred at room temperature overnight. Ethyl acetate was added to the reaction mixture, and a saturated aqueous solution of sodium hydrogen carbonate and And washed successively with saturated saline, dried and concentrated to obtain the title compound.
実施例 3: (2S.4S)_4—フルオロー 1一 (2S, 4S)_4_(3—ヒドロキシプロピル)ピロ リジン一 2—ィノレ Ίカルボ二ル}ピロリジン一 2—カルボ二トリノレ 4一メチルベンゼンスルホ ン酴塩 Example 3: (2S.4S) _4-fluoro-11- (2S, 4S) _4_ (3-hydroxypropyl) pyrrolidine-12-inole {carbonyl} pyrrolidine-12-carboditrinole 4-methylbenzenesulfon酴 salt
[化 40] [Formula 40]
参考例 3で製造した化合物の代わりに参考例 8で製造した化合物を用いて、参考 例 4→参考例 5 ( (2S)_2—シァノピロリジン 4一メチルベンゼンスルホン酸塩の代わり に(2S, 4S)_2_シァノ _4_フルォロピロリジン 4_メチルベンゼンスルホン酸塩を用 いた。)→実施例 1で示される方法と同様に操作して、以下の物性値を有する本発明 化合物を得た。 Reference Example 4 → Reference Example 5 Using the compound prepared in Reference Example 8 in place of the compound prepared in Reference Example 3, (2S, 4S) _2_cyano_4_fluoropyrrolidine 4_methylbenzenesulfonate.) → A compound of the present invention having the following physical properties was obtained in the same manner as in the method shown in Example 1. .
TLC:Rf 0.32 (クロ口ホルム:メタノール =9:1); TLC: Rf 0.32 (form: methanol = 9: 1);
'Η NMR: δ 1.38 (m, 5H), 2.28 (s, 3H), 2.40 (m, 2H), 2.78 (m, 2H), 3.37 (m, 3H), 3.83 (m, 2H), 4.38 (m, 2H), 5.09 (m, 1H), 5.54 (m, 1H), 7.10 (d, 2H), 7.46 (d, 2H), 9.01 (m, 2H)。 'Η NMR: δ 1.38 (m, 5H), 2.28 (s, 3H), 2.40 (m, 2H), 2.78 (m, 2H), 3.37 (m, 3H), 3.83 (m, 2H), 4.38 (m , 2H), 5.09 (m, 1H), 5.54 (m, 1H), 7.10 (d, 2H), 7.46 (d, 2H), 9.01 (m, 2H).
¾ 3ίΐ)-¾ 3ί4) ¾ 3ίΐ) -¾ 3ί4)
実施例 2で製造した化合物の代わりに相当する化合物を用いて実施例 3で示され る方法と同様に操作して、以下の本発明化合物を得た。 The following compound of the present invention was obtained in the same manner as in Example 3 using the corresponding compound instead of the compound produced in Example 2.
実施例 3(1): (2S)_1_{「(2S.4S)_4_ (3—ヒドロキシ— 3—メチルブチル)ピロリジン _2—ィル Ίカルボ二ノレ }ピロリジン一 2—カルボ二トリノレ 4一メチルベンゼンスルホン酸 塩 Example 3 (1): (2S) _1 _ {“(2S.4S) _4_ (3-hydroxy-3-methylbutyl) pyrrolidine_2-yl {carbinole} pyrrolidine-1-carboditrinore 4-methylbenzenesulfone Acid salt
TLC:Rf 0.30 (酢酸ェチル:酢酸:水 =3: 1:1); TLC: Rf 0.30 (ethyl acetate: acetic acid: water = 3: 1: 1);
JH NMR: δ 1.05 (s, 6H), 1.38 (m, 6H), 2.02 (m, 2H), 2.18 (m, 3H), 2.28 (s, 3H), 2.66 (m, IH), 2.84 (m, 1H), 3.38 (s, IH), 3.57 (t, 2H), 4.44 (m, IH), 4.83 (dd, IH), 7.10 (d, 2H), 7.46 (d, 2H), 8.69 (s, 1H), 9.29 (s, 1H)。 J H NMR: δ 1.05 (s , 6H), 1.38 (m, 6H), 2.02 (m, 2H), 2.18 (m, 3H), 2.28 (s, 3H), 2.66 (m, IH), 2.84 (m, 1H), 3.38 (s, IH), 3.57 (t, 2H), 4.44 (m, IH), 4.83 (dd, IH), 7.10 (d, 2H), 7.46 (d, 2H), 8.69 (s, 1H), 9.29 (s, 1H).
実施例 3 (2): (2S) -1- (2S, 4S)— 4一 (4ーヒドロキシブチル)ピロリジン一 2—ィル Ί カルボ二ノレ }ピロリジン一 2_カルボ二トリノレ 4_メチルベンゼンスルホン酸塩 Example 3 (2): (2S) -1- (2S, 4S) -4-1 (4-hydroxybutyl) pyrrolidine-12-yl {carbinole} pyrrolidine-1 2_carboditrinole 4_methylbenzenesulfone Acid salt
TLC:Rf 0.28 (酢酸ェチル:酢酸:水 =3 : 1 : 1); TLC: Rf 0.28 (ethyl acetate: acetic acid: water = 3: 1: 1);
'Η NMR: δ 1.34 (m, 8H), 2.01 (m, 2H), 2.18 (m, 2H), 2.28 (s, 3H), 2.49 (m, IH), 2.66 (m, IH), 2.83 (m, 1H), 3.37 (m, 3H), 3.56 (t, 2H), 4.44 (m, 1H), 4.82 (dd, IH), 7.10 (d, 2H), 7.46 (d, 2H), 8.68 (s, IH), 9.28 (s, 1H)。 'Η NMR: δ 1.34 (m, 8H), 2.01 (m, 2H), 2.18 (m, 2H), 2.28 (s, 3H), 2.49 (m, IH), 2.66 (m, IH), 2.83 (m , 1H), 3.37 (m, 3H), 3.56 (t, 2H), 4.44 (m, 1H), 4.82 (dd, IH), 7.10 (d, 2H), 7.46 (d, 2H), 8.68 (s, IH), 9.28 (s, 1H).
実施例 3 (3): (2S) -l-i r(2S. 4S)_4_ (6—ヒドロキシへキシル)ピロリジン— 2—ィル Ίカルボニル }ピロリジン一 2_カルボ二トリノレ 4_メチルベンゼンスルホン酸塩 Example 3 (3): (2S) -l-i r (2S. 4S) _4_ (6-hydroxyhexyl) pyrrolidine-2-yl {carbonyl} pyrrolidine-1 2_carboditrinole 4_methylbenzenesulfonate
TLC:Rf 0.39 (酢酸ェチル:酢酸:水 =3 : 1 : 1); TLC: Rf 0.39 (ethyl acetate: acetic acid: water = 3: 1: 1);
JH NMR: δ 1.32 (m, 12H), 2.02 (m, 2H), 2.18 (m, 3H), 2.28 (s, 3H), 2.66 (m, IH), 2.83 (m, IH), 3.36 (t, 2H), 3.51 (m, IH), 3.56 (t, 2H), 4.44 (m, IH), 4 .82 (dd, IH), 7.10 (d, 2H), 7.46 (d, 2H), 8.68 (m, 1H), 9.27 (m, 1H)。 J H NMR: δ 1.32 (m , 12H), 2.02 (m, 2H), 2.18 (m, 3H), 2.28 (s, 3H), 2.66 (m, IH), 2.83 (m, IH), 3.36 (t , 2H), 3.51 (m, IH), 3.56 (t, 2H), 4.44 (m, IH), 4.82 (dd, IH), 7.10 (d, 2H), 7.46 (d, 2H), 8.68 ( m, 1H), 9.27 (m, 1H).
実施例 3 (4): (2S) -l-i r(2S. 4S) -4- (5-ヒドロキシペンチル)ピロリジン一 2—ィ ノレ Ίカルボ二ル}ピロリジン一 2—カルボ二トリル 4一メチルベンゼンスルホン酸塩 Example 3 (4): (2S) -li r (2S. 4S) -4- (5-hydroxypentyl) pyrrolidine-l-2-ynyl {carbonyl} pyrrolidine-12-carbonitrile 4-methylbenzenesulfone Acid salt
TLC:Rf 0.45 (酢酸ェチル:酢酸:水 =3 : 1 : 1); TLC: Rf 0.45 (ethyl acetate: acetic acid: water = 3: 1: 1);
JH NMR: 5 1.34 (m, 10H), 2.01 (m, 2H), 2.18 (m, 3H), 2.28 (s, 3H), 2.68 (m, IH), 2.86 (m, IH), 3.37 (m, 2H), 3.44 (m, 1H), 3.56 (t, 2H), 4.44 (m, 1H), 4.82 (dd, IH), 7.10 (d, 2H), 7.46 (d, 2H), 8.68 (m, 1H), 9.28 (m, 1H)。 J H NMR: 5 1.34 (m , 10H), 2.01 (m, 2H), 2.18 (m, 3H), 2.28 (s, 3H), 2.68 (m, IH), 2.86 (m, IH), 3.37 (m , 2H), 3.44 (m, 1H), 3.56 (t, 2H), 4.44 (m, 1H), 4.82 (dd, IH), 7.10 (d, 2H), 7.46 (d, 2H), 8.68 (m, 1H), 9.28 (m, 1H).
参考例 9 : 3_「(3S, 5S) _l_ (tert—ブトキシカルボニル) _5—(メトキシカルボニル) ピロリジン一 3—ィル Ίプロパン酸 Reference Example 9: 3 _ "(3S, 5S) _l_ (tert-butoxycarbonyl) _5- (methoxycarbonyl) pyrrolidine-1-yl —propanoic acid
(a)参考例 2で製造した化合物の代わりに参考例 7で製造した化合物を用いて、参考 例 3で示される方法と同様にして l_tert_ブチル 2—メチノレ (2S, 4S) _4_ (3—ヒド ロキシプロピル)ピロリジン一 1, 2—ジカルボキシラートを得た。 (a) l_tert_butyl 2-methinole (2S, 4S) _4_ (3−) using the compound prepared in Reference Example 7 instead of the compound prepared in Reference Example 2 in the same manner as in the method shown in Reference Example 3. (Hydroxypropyl) pyrrolidine-l, 2-dicarboxylate was obtained.
(b)上記(a)で製造した化合物(497mg)のァセトニトリル(8. 7ml)溶液に TEMPO 試薬(2, 2, 6, 6—テトラメチノレー 1—ピベリジニルォキシ、フリーラジカル; 3mg)および リン酸緩衝液 (PH6. 86 ; lml)をカ卩え、混合物を 35°Cで撹拌した。反応混合物に 2 M亜塩素酸ナトリウム水溶液(1. 73ml)と 12%次亜塩素酸ナトリウム水溶液数滴を それぞれ数回に分けて同時に滴下し、混合物を 2. 5時間撹拌した。反応混合物を 室温に冷却後、飽和炭酸水素ナトリウム水溶液(20ml)および tert -プチルメチルェ 一テル(50ml)を加え抽出した。水層に 1N塩酸を加えて弱酸性とし、酢酸ェチルで 抽出した。有機層を飽和食塩水で洗浄し、乾燥後濃縮して標題化合物 (451mg)を 得た。 (b) A solution of the compound (497 mg) prepared in (a) above in acetonitrile (8.7 ml) was added to a solution of TEMPO reagent (2,2,6,6-tetramethynolei 1-piberdinyloxy, free radical; 3 mg) and phosphorus Acid buffer (PH 6.86; lml) was added and the mixture was stirred at 35 ° C. 2 in the reaction mixture An aqueous solution of M sodium chlorite (1.73 ml) and several drops of a 12% aqueous solution of sodium hypochlorite were simultaneously added dropwise in several portions, and the mixture was stirred for 2.5 hours. After the reaction mixture was cooled to room temperature, a saturated aqueous solution of sodium hydrogen carbonate (20 ml) and tert-butylmethyl ether (50 ml) were added for extraction. The aqueous layer was made weakly acidic with 1N hydrochloric acid, and extracted with ethyl acetate. The organic layer was washed with brine, dried and concentrated to give the title compound (451 mg).
実施例 4 : 3_ ( (3S. 5S) _5_{「(2S) _2_シァノピロリジン— 1—ィル Ίカルボニル }ピロ リジン一 3_ィル) _N, N—ジメチルプロパナミド 4_メチルベンゼンスルホン酸塩 Example 4: 3 _ ((3S.5S) _5 _ {"(2S) _2_cyanopyrrolidine-1-yl {carbonyl} pyrrolidine-1_3yl) _N, N-dimethylpropanamide 4_methylbenzene Sulfonate
[0221] [化 41] [0221] [Formula 41]
[0222] 参考例 4で製造した化合物の代わりに参考例 9で製造した化合物を用いて、参考 例 5 ( (2S) _2_シァノピロリジン 4_メチルベンゼンスルホン酸塩の代わりにジメチル アミンを用いた。)→参考例 4→参考例 5→実施例 1で示される方法と同様に操作して 以下の物性値を有する本発明化合物を得た。 Reference Example 5 (Dimethylamine was used in place of (2S) _2_cyanopyrrolidine 4_methylbenzenesulfonate) using the compound prepared in Reference Example 9 instead of the compound prepared in Reference Example 4. → Reference Example 4 → Reference Example 5 → A compound of the present invention having the following physical properties was obtained in the same manner as in the method shown in Example 1.
TLC:Rf 0.28 (クロ口ホルム:メタノール:酢酸 =3 : 1 : 1); TLC: Rf 0.28 (Form: methanol: acetic acid = 3: 1: 1);
JH NMR: δ 1.33 (m, 1H), 1.60 (m, 2H), 2.01 (m, 2H), 2.19 (m, 5H), 2.27 (s, 3H), 2.65 (m, 1H), 2.79 (s, 3H), 2.87 (m, 1H), 2.93 (s, 3H), 3.35 (m, 1H), 3.55 (t, 2H), 4.44 (m, 1H), 4.82 (dd, 1H), 7.09 (d, 2H), 7.45 (d, 2H), 8.69 (s, 1H), 9.28 (s, 1H)。 実施例 4 (1) : 3_ ( (3S, 5S) _5_ (2S, 4S)_2—シァノー 4_フルォロピロリジン 1_ ィノレ Ίカルボ二ノレ }ピロリジン _3-ィノレ) _N, N-ジメチルプロパナミド 4 メチルベン ゼンスルホン酸塩 J H NMR: δ 1.33 (m, 1H), 1.60 (m, 2H), 2.01 (m, 2H), 2.19 (m, 5H), 2.27 (s, 3H), 2.65 (m, 1H), 2.79 (s , 3H), 2.87 (m, 1H), 2.93 (s, 3H), 3.35 (m, 1H), 3.55 (t, 2H), 4.44 (m, 1H), 4.82 (dd, 1H), 7.09 (d, 2H), 7.45 (d, 2H), 8.69 (s, 1H), 9.28 (s, 1H). Example 4 (1): 3 _ ((3S, 5S) _5_ (2S, 4S) _2-cyanol 4_fluoropyrrolidine 1_inole Ίcarbinole} pyrrolidine _3-inole) _N, N-dimethylpropanamide 4 Methylbenzene sulfonic acid salt
参考例 4で製造した化合物の代わりに参考例 9で製造した化合物を用いて、参考 例 5 ( (2S) _2_シァノピロリジン 4_メチルベンゼンスルホン酸塩の代わりにジメチル アミンを用いた。)→参考例 4→参考例 5 ( (2S)— 2—シァノピロリジン 4一メチルベン ゼンスルホン酸塩の代わりに(2S, 4S)_2_シァノ _4_フルォロピロリジン 4_メチル ベンゼンスルホン酸塩を用いた。)→実施例 1で示される方法と同様に操作して以下 の物性値を有する本発明化合物を得た。 Reference Example 5 (Dimethyl instead of (2S) _2_cyanopyrrolidine 4-methylbenzenesulfonate) using the compound prepared in Reference Example 9 instead of the compound prepared in Reference Example 4. The amine was used. ) → Reference Example 4 → Reference Example 5 (2S, 4S) _2_Cyano _4_Fluoropyrrolidine 4_Methylbenzenesulfonate instead of ((2S) —2-Cyanopyrrolidine 4-methylbenzenesulfonate) → The compound of the present invention having the following physical properties was obtained in the same manner as in the method shown in Example 1.
TLC:Rf 0.18 (クロ口ホルム:メタノール:酢酸 =3 : 1 : 1); TLC: Rf 0.18 (cloth form: methanol: acetic acid = 3: 1: 1);
'Η NMR: δ 1.31 (m, IH), 1.62 (m, 2H), 2.27 (s, 3H), 2.32 (m, 3H), 2.51 (m, 2H), 2.73 (m, IH), 2.79 (s, 3H), 2.87 (m, IH), 2.93 (s, 3H), 3.45 (m, IH), 3.79 (m, 2H), 4.34 (m, IH), 5.09 (m, 1H), 5.49 (m, 1H), 7.09 (d, 2H), 7.45 (d, 2H), 8.73 (s, IH), 9.28 (s, 1H)。 'Η NMR: δ 1.31 (m, IH), 1.62 (m, 2H), 2.27 (s, 3H), 2.32 (m, 3H), 2.51 (m, 2H), 2.73 (m, IH), 2.79 (s , 3H), 2.87 (m, IH), 2.93 (s, 3H), 3.45 (m, IH), 3.79 (m, 2H), 4.34 (m, IH), 5.09 (m, 1H), 5.49 (m, 1H), 7.09 (d, 2H), 7.45 (d, 2H), 8.73 (s, IH), 9.28 (s, 1H).
参者例 10 : l_tert—ブチノレ 2_メチル (2S)_4_ (7—ヒドロキシへプチル)— 2. 5_ ジヒドロ一 1H—ピロ一ノレ一 1. 2—ジカノレボキシラート Participant example 10: l_tert-butynole 2_methyl (2S) _4_ (7-hydroxyheptyl) —2.5_dihydro-1H-pyrromonol-1.2-2-dicanolevoxylate
アルゴン雰囲気下、参考例 1で製造した化合物(422mg)の N, N—ジメチルホルム アミド/水(7: 1)混合溶媒(6ml)溶液に炭酸カリウム(310mg)を加え、予め調製し ておいた 7_ (9—ボラビシクロ [3· 3. 1]ノン- 9_ィル) _1_ヘプタノール(6—ヘプテン —1-オール(0· 17ml)のテトラヒドロフラン(2· 5ml)溶液に 9_ボラビシクロ [3· 3. 1] ノナン (6· 7ml)を加え、 1. 5時間撹拌して調製した。)を滴下し、アルゴン雰囲気下 、テトラキストリフエニルホスフィンパラジウム(39mg)を加え、混合物を 65°Cで 1時間 攪拌した。反応混合物を室温に戻し、氷冷飽和塩ィヒアンモニゥム水溶液にあけ、 ter t -ブチルメチルエーテルで抽出した。有機層を水および食塩水で順次洗浄し、無水 硫酸ナトリウムで乾燥後濃縮した。残渣をカラム精製し、標題化合物(289mg)を得 た。 Under an argon atmosphere, potassium carbonate (310 mg) was added to a solution of the compound prepared in Reference Example 1 (422 mg) in a mixed solvent of N, N-dimethylformamide / water (7: 1) (6 ml) (310 mg) to prepare in advance. 7_ (9-borabicyclo [3.3.1] non-9_yl) _1_Heptanol (6-hepten-1-ol (0 · 17ml) in tetrahydrofuran (2.5ml) solution of 9_borabicyclo [3 · 3.1] Nonane (6.7 ml) was added, and the mixture was stirred for 1.5 hours.), Tetrakistriphenylphosphine palladium (39 mg) was added under an argon atmosphere, and the mixture was added at 65 ° C. Stirred for hours. The reaction mixture was returned to room temperature, poured into an ice-cooled saturated aqueous sodium chloride solution, and extracted with tert-butyl methyl ether. The organic layer was washed successively with water and brine, dried over anhydrous sodium sulfate and concentrated. The residue was purified by column to give the title compound (289 mg).
実施例 5 : (2S) -l-i r (2S. 4S)_4_ (7—ヒドロキシヘプチル)ピロリジン— 2—ィル Ί力 ルボニル}_ピロ 2ジン一 2_カルボ二 ル 4_メチルベンゼンスルホン酸塩 [0223] [化 42] Example 5: (2S) -li r (2S.4S) _4_ (7-hydroxyheptyl) pyrrolidine-2-yl {force rubonyl} _pyrro2zine-1_2carbyl4_methylbenzenesulfonate [0223] [Formula 42]
[0224] 参考例 2で製造した化合物の代わりに参考例 10で製造した化合物を用いて、参考 例 3→参考例 8 (b)→参考例 4→参考例 5→実施例 1で示される方法と同様に操作し て、以下の物性値を有する本発明化合物を得た。 [0224] The method shown in Reference Example 3 → Reference Example 8 (b) → Reference Example 4 → Reference Example 5 → Example 1 using the compound prepared in Reference Example 10 instead of the compound prepared in Reference Example 2 By following the same procedure as in the above, a compound of the present invention having the following physical properties was obtained.
TLC:Rf 0.35 (クロ口ホルム:メタノール =9 : 1); TLC: Rf 0.35 (form: methanol = 9: 1);
'Η NMR: δ 1.33 (m, 13H), 2.11 (m, 4H), 2.28 (s, 3H), 2.74 (m, 2H), 3.46 (m, 6H), 4.43 (m, IH), 4.82 (dd, 1H), 7.10 (d, 2H), 7.46 (d, 2H), 8.68 (m, 1H), 9.28 (m, IH) 参者例 l l : l_tert_ブチル 2_メチル (2S)_4_「(2. 2—ジメチル— 1. 3—ジォキサ ン _5_ィル)メチル Ί—2. 5—ジヒドロ—1H—ピロール— 1 , 2—ジカルボキシラート 'Η NMR: δ 1.33 (m, 13H), 2.11 (m, 4H), 2.28 (s, 3H), 2.74 (m, 2H), 3.46 (m, 6H), 4.43 (m, IH), 4.82 (dd , 1H), 7.10 (d, 2H), 7.46 (d, 2H), 8.68 (m, 1H), 9.28 (m, IH) Participants ll: l_tert_butyl 2_methyl (2S) _4 _ ((2. 2-dimethyl-1.3-dioxane_5_yl) methyl Ί2.5.dihydro-1H-pyrrole-1,2-dicarboxylate
亜鉛 銅カップル(365mg)に [ (2, 2—ジメチルー 1, 3—ジォキサン 5 ィル)メチル ]ョーダイド(1. 3g)のテトラヒドロフラン(5ml)およびへキサメチルホスホラミド(1. 8m 1)溶液を加え、 [ (2, 2—ジメチル -1, 3_ジォキサン- 5-ィル)メチル] (ョード)亜鉛を 得た。混合物を 60°Cで 4時間攪拌し、そこへ参考例 1で製造した化合物(700mg)の テトラヒドロフラン(4ml)溶液およびテトラキストリフエニルホスフィンパラジウム(108m g)をカ卩え、混合物を 50°Cで 12時間攪拌した。反応混合物に飽和塩ィ匕アンモニゥム 水溶液を加え、酢酸ェチルで抽出した。有機層を水および飽和食塩水で順次洗浄し 、乾燥後濃縮した。残渣をカラム精製し標題化合物 (513mg)を得た。 A solution of [(2,2-dimethyl-1,3-dioxane-5-yl) methyl] iodide (1.3 g) in tetrahydrofuran (5 ml) and hexamethylphosphoramide (1.8 ml) was added to zinc-copper couple (365 mg). In addition, [(2,2-dimethyl-1,3_dioxan-5-yl) methyl] (odo) zinc was obtained. The mixture was stirred at 60 ° C for 4 hours, and a solution of the compound prepared in Reference Example 1 (700 mg) in tetrahydrofuran (4 ml) and tetrakistriphenylphosphine palladium (108 mg) were added thereto. Stir for 12 hours. To the reaction mixture was added a saturated aqueous sodium chloride aqueous solution, and the mixture was extracted with ethyl acetate. The organic layer was washed successively with water and saturated saline, dried and concentrated. The residue was purified by column to give the title compound (513 mg).
実施例 6 : (2S)— 1一({ (2S, 4S)— 4一「3—ヒドロキシー 2 (ヒドロキシメチル)プロピル Ί ピロリジン— 2—ィル }カルボニル)ピロリジン _2_カルボ二トリノレ 4_メチルベンゼンス ルホン酸媳 [0225] [化 43] Example 6: (2S) -1-1 ({(2S, 4S) -4-1 "3-hydroxy-2 (hydroxymethyl) propyl {pyrrolidine-2-yl} carbonyl) pyrrolidine_2_carboditrinole 4_methylbenzene Sulfonic acid 媳 [0225] [Formula 43]
[0226] 参考例 2で製造した化合物の代わりに参考例 11で製造した化合物を用いて、参考 例 3→参考例 4→参考例 5→実施例 1で示される方法と同様に操作して、以下の物性 値を有する本発明化合物を得た。 [0226] Using the compound produced in Reference Example 11 instead of the compound produced in Reference Example 2, operating in the same manner as shown in Reference Example 3 → Reference Example 4 → Reference Example 5 → Example 1, The compound of the present invention having the following physical properties was obtained.
TLC:Rf 0.31 (酢酸ェチル:酢酸:水 =3 : 1 : 1); TLC: Rf 0.31 (ethyl acetate: acetic acid: water = 3: 1: 1);
JH NMR: 5 1.32 (m, 2H), 1.46 (m, 1H), 2.01 (m, 2H), 2.18 (m, 2H), 2.28 (s, 3H), 2.46 (m, 1H), 2.66 (m, 1H), 2.80 (m, 1H), 3.34 (m, 6H), 3.56 (t, 2H), 3.80 (s, 2H), 4.45 (m, 1H), 4.82 (dd, 1H), 7.11 (d, 2H), 7.47 (d, 2H), 8.71 (s, 1H), 9.29 (s, 1H)。 参考例 12 : 2-ベンジル 1一 tert—ブチル (2S, 4E) -4_ (2-メトキシー 2_ォキソェ チリデン)ピロリジン一 1 , 2—ジカルボキシラート J H NMR: 5 1.32 (m , 2H), 1.46 (m, 1H), 2.01 (m, 2H), 2.18 (m, 2H), 2.28 (s, 3H), 2.46 (m, 1H), 2.66 (m , 1H), 2.80 (m, 1H), 3.34 (m, 6H), 3.56 (t, 2H), 3.80 (s, 2H), 4.45 (m, 1H), 4.82 (dd, 1H), 7.11 (d, 2H), 7.47 (d, 2H), 8.71 (s, 1H), 9.29 (s, 1H). Reference Example 12: 2-Benzyl 1-tert-butyl (2S, 4E) -4_ (2-methoxy-2_oxoxethylidene) pyrrolidine-1, 2-dicarboxylate
水素化ナトリウム(0· 76g)のテトラヒドロフラン(10ml)懸濁液に 0°Cでジェチルホス ホノ酢酸メチル(3· 8g)のテトラヒドロフラン(10ml)溶液を滴下し、混合物を 0°Cで 10 分間攪拌し、同温度で 2—べンジル 1一 tert—ブチノレ (2S) _4_ォキソピロリジン— 1 , 2—ジカルボキシラート(5. 3g)のテトラヒドロフラン(20ml)溶液に滴下し、混合物を 0°Cで 10分間攪拌した。反応混合物に水を加え、酢酸ェチルで抽出した。有機層を 飽和食塩水で洗浄し、乾燥後濃縮した。残渣をカラム精製し、標題化合物(3. 7g)を 得た。 To a suspension of sodium hydride (0.76 g) in tetrahydrofuran (10 ml) was added dropwise a solution of methyl getylphosphonoacetate (3.8 g) in tetrahydrofuran (10 ml) at 0 ° C, and the mixture was stirred at 0 ° C for 10 minutes. At the same temperature, 2-benzyl 1-tert-butynole (2S) _4_oxopyrrolidine-1,2-dicarboxylate (5.3 g) was added dropwise to a tetrahydrofuran (20 ml) solution, and the mixture was added at 0 ° C for 10 minutes. Stirred. Water was added to the reaction mixture, which was extracted with ethyl acetate. The organic layer was washed with brine, dried and concentrated. The residue was purified by column to give the title compound (3.7 g).
参者例 13: (4R) -4-Γ2- (ベンジルォキシ) _2_ォキソェチル Ί_1_ (tert—ブトキシ カルボ二ル)— L—プロリル— L—プロリンアミド Participant example 13: (4R) -4-Γ2- (benzyloxy) _2_oxoethyl Ί_1_ (tert-butoxycarbonyl)-L-prolyl- L-prolinamide
(a)参考例 2で製造した化合物の代わりに参考例 12で製造した化合物を用いて、参 考例 3→参考例 5 ( (2S) _2_シァノピロリジン 4_メチルベンゼンスルホン酸塩の代 わりに (L)一プロリンアミドを用いた。)→参考例 4で示される方法と同様にして (4R) _(a) Reference Example 3 → Reference Example 5 (substituted for (2S) _2_cyanopyrrolidine 4_methylbenzenesulfonate) using the compound prepared in Reference Example 12 instead of the compound prepared in Reference Example 2. Instead, (L) monoprolinamide was used. ) → (4R) _ in the same way as shown in Reference Example 4.
1- (tert—ブトキシカルボニル) _4_ (カルボキシメチル)—L一プロリル一 L—プロリンアミ ドを得た。 1- (tert-Butoxycarbonyl) _4_ (carboxymethyl) -L-prolyl-L-proline amide was obtained.
(b)工程(a)で製造した化合物(12. 5g)およびベンジルブロミド(4. 5ml)の N, N— ジメチルホルムアミド(70ml)溶液に炭酸カリウム(5. 7g)を加え、混合物を室温で 1 時間攪拌した。反応混合物に水をカ卩え、酢酸ェチルで抽出した。有機層を飽和食塩 水で洗浄し、乾燥後濃縮した。残渣をカラム精製し、標題化合物(10g)を得た。 参者例 14 : tert—ブチル (2S . 4R) _4_「2_ (ベンジルォキシ) _2_ォキソェチル Ί— (b) To a solution of the compound prepared in step (a) (12.5 g) and benzyl bromide (4.5 ml) in N, N-dimethylformamide (70 ml) was added potassium carbonate (5.7 g), and the mixture was allowed to stand at room temperature. Stir for 1 hour. Water was added to the reaction mixture and extracted with ethyl acetate. The organic layer was washed with brine, dried and concentrated. The residue was purified by column to give the title compound (10 g). Participant example 14: tert-butyl (2S. 4R) _4_ “2_ (benzyloxy) _2_oxoethyl Ί—
2- 1「(2S) _2_シァノピロリジン— 1—ィル Ίカルボニル }ピロリジン _1_カルボキシラー h 2- 1 "(2S) _2_cyanopyrrolidine- 1-yl dicarbonyl} pyrrolidine_1_carboxyler h
参考例 13 (b)で製造した化合物(10g)およびピリジン(9. 2ml)のテトラヒドロフラン ( 1 10ml)溶液に 0°Cで無水トリフルォロ酢酸(3. 8ml)を滴下し、混合物を同温度で 20分間攪拌した。反応混合物に水を加え、酢酸ェチルで抽出した。有機層を希塩 酸、飽和炭酸水素ナトリウム水溶液および飽和食塩水で順次洗浄し、乾燥後濃縮し 、標題化合物(9. 6g)を得た。 To a solution of the compound (10 g) prepared in Reference Example 13 (b) (10 g) and pyridine (9.2 ml) in tetrahydrofuran (110 ml) was added dropwise trifluoroacetic anhydride (3.8 ml) at 0 ° C, and the mixture was added at the same temperature for 20 minutes. Stirred for minutes. Water was added to the reaction mixture, which was extracted with ethyl acetate. The organic layer was washed sequentially with dilute hydrochloric acid, a saturated aqueous solution of sodium hydrogen carbonate and saturated saline, dried and concentrated to obtain the title compound (9.6 g).
参考例 15 : ( (3R, 5S) _l_ (tert—ブトキシカルボニル) _5— (2S) _2—シァノピロリ ジン一 1ーィル Ίカルボ二ノレ }ピロリジン一 3—ィノレ)酢酸 Reference Example 15: ((3R, 5S) _l_ (tert-butoxycarbonyl) _5— (2S) _2-cyanopyrrolidin-1-yl {carbinole} pyrrolidine-13-inole) acetic acid
参考例 14で製造した化合物(9. 5g)の酢酸ェチル(100ml)溶液に 10%水酸化 パラジウム炭素(0. 95g)を加え、水素雰囲気下、室温で混合物を 1時間攪拌した。 反応混合物をろ過し、ろ液に酢酸ェチルを加えた。この溶液を希塩酸および飽和食 塩水で順次洗浄し、乾燥後濃縮し、標題化合物 (6. 2g)を得た。 To a solution of the compound (9.5 g) produced in Reference Example 14 in ethyl acetate (100 ml) was added 10% palladium hydroxide carbon (0.95 g), and the mixture was stirred at room temperature under a hydrogen atmosphere for 1 hour. The reaction mixture was filtered, and ethyl acetate was added to the filtrate. The solution was washed sequentially with dilute hydrochloric acid and saturated brine, dried and concentrated to give the title compound (6.2 g).
- (14) - (14)
参考例 4で製造した化合物の代わりに参考例 15で製造した化合物を用いて、 (2S) _2_シァノピロリジン 4一メチルベンゼンスルホン酸塩の代わりに相当するアミンを用 いて、参考例 5→実施例 1で示される方法と同様にして本発明化合物を得た。 Using the compound prepared in Reference Example 15 instead of the compound prepared in Reference Example 4, and using the corresponding amine in place of (2S) _2_cyanopyrrolidine 4-methylbenzenesulfonate, Reference Example 5 → The compound of the present invention was obtained in the same manner as in the method described in Example 1.
実施例 7 : 2— ( (3R. 5S) _5_{「(2S) _2_シァノピロリジン— 1—ィル Ίカルボニル }ピロ J2ジン— 3—ィノレ) __N._N—ジェ ルァセ アミ 4_メチルベンゼンスルホン酸塩 [0227] [化 44] Example 7: 2 — ((3R.5S) _5 _ {“(2S) _2_cyanopyrrolidine-1-yl dicarbonyl} pyro J2 gin-3-inole) __N._N—gelase 4_methylbenzene Sulfonate [0227] [Formula 44]
[0228] TLC:Rf 0.29 (クロ口ホルム:メタノール =9: 1); [0228] TLC: Rf 0.29 (black-mouthed form: methanol = 9: 1);
JH NMR : 5 1.04 (m, 6H), 1.47 (m, 1H), 2.10 (m, 4H), 2.28 (s, 3H), 2.61 (m, 4H), 2.93 (m, 1H), 3.24 (q, 4H), 3.51 (m, 3H), 4.47 (m, 1H), 4.82 (dd, 1H), 7.10 (d, 2H), J H NMR: 5 1.04 (m , 6H), 1.47 (m, 1H), 2.10 (m, 4H), 2.28 (s, 3H), 2.61 (m, 4H), 2.93 (m, 1H), 3.24 (q , 4H), 3.51 (m, 3H), 4.47 (m, 1H), 4.82 (dd, 1H), 7.10 (d, 2H),
7.46 (d, 2H), 8.64 (m, 1H), 9.30 (m, 1H)。 7.46 (d, 2H), 8.64 (m, 1H), 9.30 (m, 1H).
実施例 7 (1): (2S) -l-i r(2S. 4R) -4- (2-ォキソ -2-ピぺリジン一 1-ィルェチル) ピロリジン一 2—ィル Ίカルボ二ノレ }ピロリジン一 2—カルボ二トリノレ 4一メチルベンゼンス ルホン酸媳 Example 7 (1): (2S) -li r (2S. 4R) -4- (2-oxo-2-piperidine-1-ylethyl) pyrrolidine-12-yl {carbinole} pyrrolidine-1 2 —Carbonitorinole 4-methylbenzenesulfonate 媳
TLC:Rf 0.42 (クロ口ホルム:メタノール = 5 : 1); TLC: Rf 0.42 (form: methanol = 5: 1);
'Η NMR : δ 1.46 (m, 7H), 2.00 (m, 2H), 2.16 (m, 2H), 2.27 (s, 3H), 2.49 (m, 1H), 2.64 (m, 2H), 2.90 (m, 1H), 3.49 (m, 8H), 4.47 (m, 1H), 4.81 (dd, 1H), 7.09 (d, 2H), 7.45 (d, 2H), 8.66 (s, 1H), 9.29 (s, 1H)。 'Η NMR: δ 1.46 (m, 7H), 2.00 (m, 2H), 2.16 (m, 2H), 2.27 (s, 3H), 2.49 (m, 1H), 2.64 (m, 2H), 2.90 (m , 1H), 3.49 (m, 8H), 4.47 (m, 1H), 4.81 (dd, 1H), 7.09 (d, 2H), 7.45 (d, 2H), 8.66 (s, 1H), 9.29 (s, 1H).
実施例 7 (2) : 2_ ( (3R. 5S) _5_{「(2S) _2_シァノピロリジン— 1—ィル Ίカルボニル } ピロリジン一 3—ィル) _N, N—ジプロピルァセトアミド 4_メチルベンゼンスルホン酸塩 TLC:Rf 0.37 (クロ口ホルム:メタノール =9 : 1); Example 7 (2): 2 _ ((3R.5S) _5 _ {“(2S) _2_cyanopyrrolidine-1-yl {carbonyl} pyrrolidine-1-3-yl) _N, N-dipropylacetamide 4 _Methylbenzenesulfonate TLC: Rf 0.37 (form: methanol = 9: 1);
JH NMR : δ 0.81 (m, 6H), 1.47 (m, 5H), 2.11 (m, 4H), 2.28 (s, 3H), 2.60 (m, 4H), 2.93 (s, 1H), 3.15 (m, 4H), 3.53 (m, 3H), 4.47 (m, 1H), 4.82 (dd, 1H), 7.11 (d, 2H), J H NMR: δ 0.81 (m , 6H), 1.47 (m, 5H), 2.11 (m, 4H), 2.28 (s, 3H), 2.60 (m, 4H), 2.93 (s, 1H), 3.15 (m , 4H), 3.53 (m, 3H), 4.47 (m, 1H), 4.82 (dd, 1H), 7.11 (d, 2H),
7.47 (d, 2H), 8.64 (m, 1H), 9.33 (m, 1H)。 7.47 (d, 2H), 8.64 (m, 1H), 9.33 (m, 1H).
実施例 7 (3): (2S) -l-i r(2S. 4R) -4- (2-ァゼチジン一 1-ィルー 2-ォキソェチル )ピロリジン一 2—ィル Ίカルボ二ノレ }ピロリジン一 2—カルボ二トリノレ 4一メチルベンゼンス ルホン酸塩 Example 7 (3): (2S) -li r (2S. 4R) -4- (2-azetidine-1-1-yl-2-oxoethyl) pyrrolidine-12-yl {carboninole} pyrrolidine-12-carbone Torinore 4-methylbenzenesulfonate
TLC:Rf 0.25 (クロ口ホルム:メタノール =9 : 1); H NMR: 5 1.44 (m, IH), 2.11 (m, 8H), 2.28 (s, 3H), 2.63 (m, 2H), 2.93 (m, IH), 3.39 (m, IH), 3.54 (m, 2H), 3.81 (t, 2H), 4.04 (m, 2H), 4.46 (m, 1H), 4.82 (dd, IH), 7.10 (d, 2H), 7.46 (d, 2H), 8.68 (m, 1H), 9.32 (m, 1H)。 TLC: Rf 0.25 (cloth form: methanol = 9: 1); H NMR: 5 1.44 (m, IH), 2.11 (m, 8H), 2.28 (s, 3H), 2.63 (m, 2H), 2.93 (m, IH), 3.39 (m, IH), 3.54 (m, 2H), 3.81 (t, 2H), 4.04 (m, 2H), 4.46 (m, 1H), 4.82 (dd, IH), 7.10 (d, 2H), 7.46 (d, 2H), 8.68 (m, 1H ), 9.32 (m, 1H).
実施例 7 (4): (2S) _1_「((2S, 41 )_4_{ 2_「4_ (メチルスルホニル)ピぺラジン_1 —ィル Ί _2—ォキソェチノレ }ピロリジン _2_ィル)カルボニル Ίピ口リジン— 2_カルボニト リノレ 4_メチルベンゼンスルホン酸塩 Example 7 (4): (2S) _1 _ “((2S, 41) _4_ {2_“ 4_ (methylsulfonyl) pyrazine_1—yl} _2_2-oxoethylen} pyrrolidine_2_yl) carbonyl Lysine-2_carbonitorinole 4_methylbenzenesulfonate
TLC:Rf 0.24 (クロ口ホルム:メタノール = 2 : 1); TLC: Rf 0.24 (form: methanol = 2: 1);
'Η NMR: δ 1.46 (m, IH), 2.02 (m, 2H), 2.17 (m, 2H), 2.27 (s, 3H), 2.64 (m, 3H), 2.87 (s, 3H), 2.92 (m, IH), 3.08 (m, 4H), 3.55 (m, 8H), 4.49 (m, 1H), 4.82 (dd, 1H); 7.09 (d, 2H), 7.45 (d, 2H), 8.68 (s, IH), 9.31 (s, 1H)。 'Η NMR: δ 1.46 (m, IH), 2.02 (m, 2H), 2.17 (m, 2H), 2.27 (s, 3H), 2.64 (m, 3H), 2.87 (s, 3H), 2.92 (m , IH), 3.08 (m, 4H), 3.55 (m, 8H), 4.49 (m, 1H), 4.82 (dd, 1H) ; 7.09 (d, 2H), 7.45 (d, 2H), 8.68 (s, IH), 9.31 (s, 1H).
実施例 7 (5): (2S) -l-i r (2S. 4R)_4_ (2_ォキソ _2_ピロリジン _1_ィルェチル) ピロリジン— 2—ィル Ίカルボニル }ピロリジン _2_カルボ二トリノレ 4_メチルベンゼンス ルホン酸塩 Example 7 (5): (2S) -li r (2S. 4R) _4_ (2_oxo_2_pyrrolidine_1_ylethyl) pyrrolidine-2-yl Ίcarbonyl} pyrrolidine_2_carboditrinole 4_methylbenzenes Sulfonate
TLC:Rf 0.33 (クロ口ホルム:メタノール =2 : 1); TLC: Rf 0.33 (form: methanol = 2: 1);
JH NMR: δ 1.45 (m, IH), 1.80 (m, 4H), 2.01 (m, 2H), 2.17 (m, 2H), 2.27 (s, 3H), 2.44 (m, 2H), 2.63 (m, IH), 2.92 (m, IH), 3.28 (m, 5H), 3.56 (m, 3H), 4.47 (m, IH), 4.81 (dd, IH), 7.09 (d, 2H), 7.45 (d, 2H), 8.65 (s, 1H), 9.30 (s, 1H)。 J H NMR: δ 1.45 (m , IH), 1.80 (m, 4H), 2.01 (m, 2H), 2.17 (m, 2H), 2.27 (s, 3H), 2.44 (m, 2H), 2.63 (m , IH), 2.92 (m, IH), 3.28 (m, 5H), 3.56 (m, 3H), 4.47 (m, IH), 4.81 (dd, IH), 7.09 (d, 2H), 7.45 (d, 2H), 8.65 (s, 1H), 9.30 (s, 1H).
実施例 7 (6): (2S) -l- ( i (2S. 4R)— 4-「2— (4ーメチルー 3—ォキソピペラジン一 1- ィル) _2—ォキソェチル Ίピロリジン一 2—ィル }カルボニル)ピロリジン一 2—カルボ二トリ ル 4一メチルベンゼンスルホン酸塩 Example 7 (6): (2S) -l- (i (2S. 4R) — 4- “2- (4-methyl-3-oxopiperazine-1-yl) _2-oxoethyl-pyrrolidine-1--2-yl } Carbonyl) pyrrolidine-12-carbonitrile 4-methylbenzenesulfonate
TLC:Rf 0.43 (クロ口ホルム:メタノール:水 = 65 : 25 : 4); TLC: Rf 0.43 (form: methanol: water = 65: 25: 4);
'Η NMR: δ 1.45 (m, IH), 2.10 (m, 4H), 2.28 (s, 3H), 2.65 (m, 4H), 2.85 (m, 3H), 2.91 (m, IH), 3.44 (m, 7H), 4.02 (m, 2H), 4.48 (m, 1H), 4.83 (dd, IH), 7.10 (d, 2H) 7.46 (d, 2H), 8.67 (m, 1H), 9.30 (m, 1H)。 'Η NMR: δ 1.45 (m, IH), 2.10 (m, 4H), 2.28 (s, 3H), 2.65 (m, 4H), 2.85 (m, 3H), 2.91 (m, IH), 3.44 (m , 7H), 4.02 (m, 2H), 4.48 (m, 1H), 4.83 (dd, IH), 7.10 (d, 2H) 7.46 (d, 2H), 8.67 (m, 1H), 9.30 (m, 1H) ).
実施例 7 (7): (2S) -l- ( { (2S. 41 )_4_「2_ (4_ァセチルピぺラジン_1_ィル)_2 —ォキソェチル ピロリジン— 2—ィル }カルボニル)ピロリジン _2_カルボ二トリノレ 4—メ チルベンゼンスルホン酸塩 Example 7 (7): (2S) -l-({(2S.41) _4_ "2_ (4_acetylpyrazine_1_yl) _2-oxoethylpyrrolidine-2-yl} carbonyl) pyrrolidine_2_ Carbonitorinole 4-methylbenzenesulfonate
TLC:Rf 0.53 (クロ口ホルム:メタノール:水 = 65 : 35 : 8); H NMR: 5 1.46 (m, IH), 2.00 (s, 3H), 2.16 (m, 4H), 2.27 (s, 3H), 2.66 (m, 3H), 2.91 (m, IH), 3.42 (m, 10H), 3.55 (m, 2H), 4.48 (m, IH), 4.81 (dd, IH), 7.09 (d, 2H), 7.45 (d, 2H), 8.67 (s, IH), 9.29 (s, 1H)。 TLC: Rf 0.53 (form: methanol: water = 65: 35: 8); H NMR: 5 1.46 (m, IH), 2.00 (s, 3H), 2.16 (m, 4H), 2.27 (s, 3H), 2.66 (m, 3H), 2.91 (m, IH), 3.42 (m, 10H), 3.55 (m, 2H), 4.48 (m, IH), 4.81 (dd, IH), 7.09 (d, 2H), 7.45 (d, 2H), 8.67 (s, IH), 9.29 (s, 1H ).
実施例 7 (8): (2S) -l- ( { (2S. 41 )_4_「2_ (4_ァセチル_1. 4—ジァゼパン— 1_ ィル) _2_ォキソェチル Ίピロリジン— 2—ィル }カルボニル)ピロリジン _2_カルボ二トリ ル 4_メチルベンゼンスルホン酸塩 Example 7 (8): (2S) -l-({(2S.41) _4_ “2_ (4_acetyl_1.4-diazepan-1_yl) _2_oxosetyl {pyrrolidine-2-yl} carbonyl ) Pyrrolidine_2_carbonitrile 4_methylbenzenesulfonate
TLC:Rf 0.55 (クロ口ホルム:メタノール:水 = 65 : 35 : 8); TLC: Rf 0.55 (form: methanol: water = 65: 35: 8);
'Η NMR: δ 1.44 (m, IH), 1.69 (m, 2H), 1.96 (m, 3H), 2.00 (m, 2H), 2.15 (m, 2H), 2.27 (s, 3H), 2.63 (m, 3H), 2.89 (m, IH), 3.47 (m, 12H), 4.47 (m, 1H), 4.82 (dd, 1H), 7.09 (d, 2H), 7.45 (d, 2H), 8.66 (s, 1H), 9.30 (s, 1H)。 'Η NMR: δ 1.44 (m, IH), 1.69 (m, 2H), 1.96 (m, 3H), 2.00 (m, 2H), 2.15 (m, 2H), 2.27 (s, 3H), 2.63 (m , 3H), 2.89 (m, IH), 3.47 (m, 12H), 4.47 (m, 1H), 4.82 (dd, 1H), 7.09 (d, 2H), 7.45 (d, 2H), 8.66 (s, 1H), 9.30 (s, 1H).
実施例 7 (9) : 6_i4_「((3R. 5S) _5_i「(2S)_2_シァノピロリジン— 1—ィル Ίカルボ ニル }ピロリジン _3_ィル)ァセチル,ピペラジン— 1—ィル }ニコチノ二トリノレ ビス(4—メ チルベンゼンスルホン酸)塩 Example 7 (9): 6_i4 _ “((3R.5S) _5_i“ (2S) _2_cyanopyrrolidine-l-yldicarbonyl} pyrrolidine_3_yl) acetyl, piperazine-l-yl} nicotino Nitrinolebis (4-methylbenzenesulfonic acid) salt
TLC:Rf 0.44 (クロ口ホルム:メタノール =9 : 1) ; TLC: Rf 0.44 (cloth form: methanol = 9: 1);
JH NMR: 5 1.47 (m, IH), 2.12 (m, 4H), 2.28 (s, 6H), 2.67 (m, 4H), 2.93 (m, IH), J H NMR: 5 1.47 (m, IH), 2.12 (m, 4H), 2.28 (s, 6H), 2.67 (m, 4H), 2.93 (m, IH),
3.61 (m, 11H), 4.49 (m, 1H), 4.82 (dd, 1H), 6.93 (d, IH), 7.11 (d, 4H), 7.47 (d,3.61 (m, 11H), 4.49 (m, 1H), 4.82 (dd, 1H), 6.93 (d, IH), 7.11 (d, 4H), 7.47 (d,
4H), 7.88 (dd, 1H), 8.50 (d, IH), 8.69 (m, IH), 9.33 (m, 1H)。 4H), 7.88 (dd, 1H), 8.50 (d, IH), 8.69 (m, IH), 9.33 (m, 1H).
実施例 7 (10) : 4-r ( (3R. 5S) -5- (2S) -2-シァノピロリジン一 1ーィル Ίカルボ二 ノレ }ピロリジン一 3-ィル)ァセチル Ί_Ν, Ν—ジメチルピペラジン一 1一カルボキサミド 4 一メチルベンゼンスルホン酸塩 Example 7 (10): 4-r ((3R.5S) -5- (2S) -2-cyanopyrrolidine-l-yl {carbinole} pyrrolidine-l-yl) acetyl Ί_Ν, Ν-dimethylpiperazine 1-11 Carboxamide 4 Methylbenzenesulfonate
TLC:Rf 0.38 (クロ口ホルム:メタノール =5 : 1); TLC: Rf 0.38 (black form: methanol = 5: 1);
'Η NMR: δ 1.45 (m, IH), 2.09 (m, 4H), 2.27 (s, 3H), 2.57 (m, 3H), 2.73 (s, 6H), 2.89 (m, IH), 3.06 (m, 4H), 3.57 (m, 8H), 4.47 (m, 1H), 4.81 (dd, IH), 7.09 (d, 2H), 7.45 (d, 2H), 8.66 (s, 1H), 9.30 (s, 1H)。 'Η NMR: δ 1.45 (m, IH), 2.09 (m, 4H), 2.27 (s, 3H), 2.57 (m, 3H), 2.73 (s, 6H), 2.89 (m, IH), 3.06 (m , 4H), 3.57 (m, 8H), 4.47 (m, 1H), 4.81 (dd, IH), 7.09 (d, 2H), 7.45 (d, 2H), 8.66 (s, 1H), 9.30 (s, 1H).
実施例 7 (11) :ェチル 4_「((3R. 5S)_5_i「(2S)_2_シァノピロリジン— 1—ィル Ί カルボニル }ピロリジン一 3—ィル)ァセチル Ίピぺラジン一 1_カルボキシラート 4—メチ ルベンゼンスルホン酸塩 Example 7 (11): Ethyl 4 _ "((3R.5S) _5_i" (2S) _2_cyanopyrrolidine-1-yl} carbonyl} pyrrolidine-1-3-yl) acetyl dipyrazine-1_carboxy LAT 4-Methylbenzenesulfonate
TLC:Rf 0.31 (クロ口ホルム:メタノール = 9 : 1); H NMR: 5 1.18 (t, 3H), 1.46 (m, 1H), 2.11 (m, 4H), 2.28 (s, 3H), 2.64 (m, 4H), 2.91 (m, IH), 3.38 (m, 8H), 3.57 (m, 3H), 4.04 (q, 2H), 4.48 (m, IH), 4.82 (dd, 1H), 7.10 (d, 2H), 7.46 (d, 2H), 8.68 (m, 1H), 9.30 (m, 1H)。 TLC: Rf 0.31 (black form: methanol = 9: 1); H NMR: 5 1.18 (t, 3H), 1.46 (m, 1H), 2.11 (m, 4H), 2.28 (s, 3H), 2.64 (m, 4H), 2.91 (m, IH), 3.38 (m, 8H), 3.57 (m, 3H), 4.04 (q, 2H), 4.48 (m, IH), 4.82 (dd, 1H), 7.10 (d, 2H), 7.46 (d, 2H), 8.68 (m, 1H ), 9.30 (m, 1H).
実施例 7 (12) : N. N—ジメチル _2_「(3R. 5S)_5_ (ピロリジン— 1—ィルカルボニル )ピロリジン一 3—ィル Ίァセトアミド 4_メチルベンゼンスルホン酸塩 Example 7 (12): N.N-dimethyl_2 _ ((3R.5S) _5_ (pyrrolidine-1-ylcarbonyl) pyrrolidine-1-3-yl diacetamide 4_methylbenzenesulfonate
TLC:Rf 0.43 (クロ口ホルム:メタノール =9 : 1); TLC: Rf 0.43 (cloth form: methanol = 9: 1);
'Η NMR(CDC1 ) : δ 1.66 (m, 1H), 1.90 (m, 5H), 2.35 (s, 3H), 2.44 (dd, 1H), 2.58 'Η NMR (CDC1): δ 1.66 (m, 1H), 1.90 (m, 5H), 2.35 (s, 3H), 2.44 (dd, 1H), 2.58
(m, 1H), 2.79 (m, 1H), 2.91 (s, 3H), 2.94 (s, 3H), 3.23 (m, 2H), 3.49 (m, 3H), 3.81 (m, 1H), 4.77 (m, 1H), 7.17 (d, 2H), 7.75 (d, 2H), 7.92 (s, IH), 10.26 (s, 1H)。 (m, 1H), 2.79 (m, 1H), 2.91 (s, 3H), 2.94 (s, 3H), 3.23 (m, 2H), 3.49 (m, 3H), 3.81 (m, 1H), 4.77 ( m, 1H), 7.17 (d, 2H), 7.75 (d, 2H), 7.92 (s, IH), 10.26 (s, 1H).
実施例 7 (13) : 2_ ( (3R. 5S) _5_{「(3S) _3_フルォロピロリジン— 1—ィル Ίカルボ ニル }ピロリジン一 3—ィル) _N. N—ジメチルァセトアミド 4_メチルベンゼンスルホン 酸塩 Example 7 (13): 2 _ ((3R.5S) _5 _ {“(3S) _3_fluoropyrrolidine-1-yl Ίcarbonyl” pyrrolidine-1-yl) _N.N-dimethylacetamide 4_ methylbenzene sulfonate
TLC:Rf 0.67 (クロ口ホルム:メタノール:水 = 65 : 35 : 8); TLC: Rf 0.67 (cloth form: methanol: water = 65: 35: 8);
JH NMR: δ 1.41 (m, IH), 2.15 (m, 2H), 2.27 (s, 3H), 2.62 (m, 3H), 2.80 (s, 3H), 2.83 (m, IH), 2.91 (s, 3H), 3.33 (m, 2H), 3.62 (m, 4H), 4.36 (m, 1H), 5.37 (m, 1H), 7.09 (d, 2H), 7.45 (d, 2H), 8.55 (s, 1H), 9.17 (s, 1H)。 J H NMR: δ 1.41 (m , IH), 2.15 (m, 2H), 2.27 (s, 3H), 2.62 (m, 3H), 2.80 (s, 3H), 2.83 (m, IH), 2.91 (s , 3H), 3.33 (m, 2H), 3.62 (m, 4H), 4.36 (m, 1H), 5.37 (m, 1H), 7.09 (d, 2H), 7.45 (d, 2H), 8.55 (s, 1H), 9.17 (s, 1H).
実施例 7 (14) : 2_ ( (3R, 5S) -5-i r (2S. 4S)_2—シァノー 4 フルォロピロリジン 1 —ィノレ Ίカルボニル }ピロリジン _3—ィノレ)一 N, N—ジメチルァセトアミド 4_メチルベン ゼンスルホン酸塩 Example 7 (14): 2 _ ((3R, 5S) -5-ir (2S.4S) _2-cyano 4-fluoropyrrolidine 1-inole dicarbonyl} pyrrolidine_3-inole) -1-N, N-dimethylacetate Amide 4_methylbenzene sulfonic acid salt
TLC:Rf 0.25 (クロ口ホルム:メタノール:水 = 65 : 35 : 8); TLC: Rf 0.25 (form: form: methanol: water = 65: 35: 8);
¾ NMR (CD30D) : δ 1.64 (m, IH), 2.36 (s, 3H), 2.63 (m, 5H), 2.92 (s, 3H), 3.02 (s, 3H), 3.11 (dd, 1H), 3.63 (m, 1H), 3.90 (m, 2H), 4.51 (m, IH), 4.75 (m, IH), 5.10 (m, 1H), 5.43 (m, 1H), 7.23 (d, 2H), 7.69 (d, 2H)。 ¾ NMR (CD30D): δ 1.64 (m, IH), 2.36 (s, 3H), 2.63 (m, 5H), 2.92 (s, 3H), 3.02 (s, 3H), 3.11 (dd, 1H), 3.63 (m, 1H), 3.90 (m, 2H), 4.51 (m, IH), 4.75 (m, IH), 5.10 (m, 1H), 5.43 (m, 1H), 7.23 (d, 2H), 7.69 ( d, 2H).
参者例 16 : tert_ブチル (2S. 4R)_4_ 「(ベンジルォキシ)カルボニル Ίアミノ 1メ チル) _2_{「(2S)_2_シァノピロリジン— 1—ィル Ίカルボニル }ピロリジン _1_カルボ キシラート Participant example 16: tert_butyl (2S. 4R) _4_ “(benzyloxy) carbonyl @amino 1 methyl) _2 _ {{(2S) _2_cyanopyrrolidine-1-yl {carbonyl} pyrrolidine_1_carboxylate
参考例 15で製造した化合物(970mg)のアセトン(6. 9ml)溶液に 0°Cでトリェチル ァミン(0. 46ml)およびクロロギ酸ェチル(0. 29ml)をカロえ、さらにアジ化ナトリウム( 269mg)の水(0. 5ml)溶液を滴下し、混合物を室温で 35分間攪拌した。反応混合 物を水にあけ、トルエンで抽出した。有機層を 10%クェン酸水溶液、飽和炭酸水素 ナトリウム水溶液、水および飽和食塩水で順次洗浄し、乾燥後、反応混合物の体積 が約 30mlになるまで濃縮した。 To a solution of the compound (970 mg) prepared in Reference Example 15 in acetone (6.9 ml) was heated at 0 ° C. triethylamine (0.46 ml) and ethyl chloroformate (0.29 ml). A solution of 269 mg) in water (0.5 ml) was added dropwise and the mixture was stirred at room temperature for 35 minutes. The reaction mixture was poured into water and extracted with toluene. The organic layer was washed successively with a 10% aqueous solution of citric acid, a saturated aqueous solution of sodium bicarbonate, water and a saturated aqueous solution of sodium chloride, dried, and concentrated until the volume of the reaction mixture became about 30 ml.
得られた溶液を 90°Cに加熱した反応容器に 30分間かけて滴下し、混合物を 1時間 攪拌した。反応混合物にベンジルアルコール(2. 8ml)およびピリジン(0. 1ml)をカロ え、 100°Cで 20時間攪拌した。反応混合物を濃縮し、残渣をカラム精製して標題化 合物(1. 07g)を得た。 The obtained solution was dropped into a reaction vessel heated to 90 ° C over 30 minutes, and the mixture was stirred for 1 hour. The reaction mixture was fed with benzyl alcohol (2.8 ml) and pyridine (0.1 ml) and stirred at 100 ° C for 20 hours. The reaction mixture was concentrated, and the residue was purified by column to give the title compound (1.07 g).
参者例 17 : tert_ブチル (2S. 4R)_4_「(ァセチルァミノ)メチル _2_i「(2S) _2_ シァノピロリジン一 1—ィル Ίカルボニル }ピロリジン一 1_カルボキシラート Participant example 17: tert_butyl (2S. 4R) _4 _ “(acetylamino) methyl_2_i” (2S) _2_ cyanopyrrolidine-1-yl {carbonyl} pyrrolidine-1-carboxylate
(a)参考例 14で製造した化合物の代わりに参考例 16で製造した化合物を用いて参 考例 15で示される方法と同様に操作して tert—ブチル (2S, 4R)— 4一(アミノメチル )-2-{ [ (2S)_2_シァノピロリジン一 1一ィル]カルボ二ル}ピロリジン一 1_カルボキシラ ートを得た。 (a) Using the compound prepared in Reference Example 16 in place of the compound prepared in Reference Example 14, and operating in the same manner as in the method shown in Reference Example 15, tert-butyl (2S, 4R) -41- (amino Methyl) -2-{[(2S) _2_cyanopyrrolidine-11-yl] carbonyl} pyrrolidine-11-carboxylate was obtained.
(b)上記(a)で製造した化合物(130mg)のジクロロメタン(2ml)溶液にピリジン(0· 4 ml)および無水酢酸(0. 2ml)を加え、 10分間攪拌した。反応混合物を濃縮して、残 渣をカラム精製して標題化合物(lOlmg)を得た。 (b) Pyridine (0.4 ml) and acetic anhydride (0.2 ml) were added to a dichloromethane (2 ml) solution of the compound (130 mg) prepared in the above (a), and the mixture was stirred for 10 minutes. The reaction mixture was concentrated, and the residue was purified by column to give the title compound (10 mg).
参考例 18 : tert—ブチル (2S, 4S)_2_i「(2S)_2_シァノピロリジン— 1ーィル Ίカル ボニル }一 4一 {「(メチルスルホニル)ァミノ Ίメチル }ピロリジン一 1-カルボキシラート 参考例 17 (a)で製造した化合物(304mg)のジクロロメタン (4. 7ml)溶液にトリエ チルァミン(0· 39ml)を加え、混合物を 0°Cに冷却し、メシルクロリド(0· 11ml)を滴 下し、室温で 40分間攪拌した。さらにトリェチルァミン(0. 39ml)およびメシルクロリド (0. 11ml)を滴下し、混合物を 40分間撹拌した。反応混合物を飽和炭酸水素ナトリ ゥム水溶液(o°c)にあけ、ジクロロメタンで抽出した。有機層を無水硫酸ナトリウムで 乾燥後濃縮した。残渣をカラム精製して標題化合物(283mg)を得た。 Reference Example 18: tert-butyl (2S, 4S) _2_i “(2S) _2_cyanopyrrolidine-1-ylcarbonyl} 1-141 {“ (methylsulfonyl) aminoaminomethyl} pyrrolidine-1-carboxylate Reference Example 17 To a solution of the compound prepared in (a) (304 mg) in dichloromethane (4.7 ml) was added triethylamine (0.39 ml), the mixture was cooled to 0 ° C, and mesyl chloride (0.11 ml) was added dropwise. Triethylamine (0.39 ml) and mesyl chloride (0.11 ml) were added dropwise, and the mixture was stirred for 40 minutes.The reaction mixture was added to a saturated aqueous solution of sodium hydrogen carbonate (o ° c). The organic layer was dried over anhydrous sodium sulfate and concentrated, and the residue was purified by column to give the title compound (283 mg).
参者例 19 : tert_ブチル (2S. 4R)_4_ 「(ジメチルァミノ)カルボニル Ίアミノ }メチ ノレ)— 2_i「(2S)_2_シァノピロリジン— 1—ィル Ίカルボニル }ピロリジン _1_カルボキ シラー卜 参考例 17 (a)で製造した化合物(334mg)のジクロロメタン(5ml)溶液にトリェチル ァミン(0. 72ml)をカロえ、 0°Cで混合物に N, N—ジメチルカルバモイルクロリド(0. 19 ml)を滴下し、混合物を室温で 1. 5時間攪拌し、さらに N, N-ジメチルカルバモイノレ クロリド (0. 19ml)を滴下し、さらに 1時間撹拌した。反応混合物を炭酸水素ナトリウム 水溶液(0°C)にあけ、ジクロロメタンで抽出した。有機層を無水硫酸ナトリウムで乾燥 後濃縮した。残渣をカラム精製して標題化合物(271mg)を得た。 Participant example 19: tert_butyl (2S.4R) _4 _ ((dimethylamino) carbonyl {amino} methylenol) —2_i “(2S) _2_cyanopyrrolidine—1-yl {carbonyl} pyrrolidine_1_carboxylate Reference Example 17 Triethylamine (0.72 ml) was added to a dichloromethane (5 ml) solution of the compound (334 mg) prepared in (a), and N, N-dimethylcarbamoyl chloride (0.19 ml) was added to the mixture at 0 ° C. Was added dropwise, and the mixture was stirred at room temperature for 1.5 hours. N, N-dimethylcarbamoinolechloride (0.19 ml) was further added dropwise, and the mixture was further stirred for 1 hour. The reaction mixture was poured into an aqueous solution of sodium hydrogen carbonate (0 ° C), and extracted with dichloromethane. The organic layer was dried over anhydrous sodium sulfate and concentrated. The residue was purified by column to give the title compound (271 mg).
参者例 20 :ェチノレ 「((3S. 5S) _5_{「(2S) _2_シァノピロリジン— 1—ィル Ίカルボ ニル }ピロリジン一 3—ィル)メチル Ί力ルバメート 4_メチルベンゼンスルホン酸 Participant example 20: Echinore “((3S.5S) _5 _ {“ (2S) _2_cyanopyrrolidine-1-yl Ίcarbonyl} pyrrolidine-l-3-yl) methyl thiolbamate 4_methylbenzenesulfonic acid
無水酢酸の代わりにエトキシカルボユルク口リドを用いて、参考例 17 (b)で示される 方法と同様に操作して標題化合物を得た。 The title compound was obtained in the same manner as in the method shown in Reference Example 17 (b), except that ethoxycarboyl chloride was used instead of acetic anhydride.
参者例 21 : tert_ブチル (2S. 41 _4_{「(5_シァノピリジン_2_ィル)ァミノ メチ ノレ }_2_i「(2S)_2_シァノピロリジン— 1—ィル Ίカルボニル }ピロリジン _1_カルボキ シラート Participant example 21: tert_butyl (2S. 41 _4 _ {"(5_cyanopyridine_2_yl) aminoamino} _2_i" (2S) _2_cyanopyrrolidine-1-yl Ίcarbonyl} pyrrolidine_1_ Carboxy Silato
参考例 17 (a)で製造した化合物(372mg)のトルエン(2· 3ml)溶液にトリェチルァ ミン(0. 32ml)および 6_クロ口ニコチノ二トリル(239mg)を加え、 80°Cで 17時間攪 拌し、さらにトリェチルァミン(0. 32ml)および 6—クロ口ニコチノ二トリル(239mg)を 加え、 3時間撹拌した。反応混合物を濃縮し、残渣をカラム精製して標題化合物(16 8mg)を得た。 To a solution of the compound (372 mg) prepared in Reference Example 17 (a) (2.3 ml) in toluene (2.3 ml) was added triethylamine (0.32 ml) and 6-cloniconicotinonitrile (239 mg), and the mixture was stirred at 80 ° C for 17 hours. After stirring, triethylamine (0.32 ml) and 6-chloronicotinotinitrile (239 mg) were added, and the mixture was stirred for 3 hours. The reaction mixture was concentrated, and the residue was purified by column to give the title compound (168 mg).
例 8— 例 8 (4) Example 8—Example 8 (4)
参考例 5で製造した化合物の代わりに参考例 17、参考例 18、参考例 19、参考例 2 0または参考例 21で製造した化合物を用いて実施例 1で示される方法と同様に操作 して、以下の本発明化合物を得た。 In the same manner as in Example 1, except that the compound prepared in Reference Example 5 was replaced with the compound prepared in Reference Example 17, Reference Example 18, Reference Example 19, Reference Example 20 or Reference Example 21. The following compounds of the present invention were obtained.
実施例 8 : N_「((3S. 5S)-5-{「(2S)_2_シァノピロリジン— 1—ィル Ίカルボ二ル}ピ 口リジン— 3—ィル:)メチル Ίァセトアミド 4_メチルベンゼンスルホン酸塩 [0230] [化 45] Example 8: N _ “((3S.5S) -5-{“ (2S) _2_cyanopyrrolidine-1-yl Ίcarbonyl} pi mouth lysine-3-yl:) methyl diacetamide 4_ Methylbenzene sulfonate [0230] [Formula 45]
[0231] TLC:Rf 0.23 (酢酸ェチル:酢酸:水 =3 : 1 : 1) ; [0231] TLC: Rf 0.23 (ethyl acetate: acetic acid: water = 3: 1: 1);
'Η NMR: δ 1.47 (m, IH), 1.80 (s, 3H), 2.14 (m, 6H), 2.28 (s, 3H), 2.55 (m, 1H), 2.95 (m, IH), 3.13 (t, IH), 3.28 (m, IH), 3.55 (m, 2H), 4.46 (dd, 1H), 4.82 (dd, 1H), 7.11 (d, 2H), 7.47 (d, 2H), 8.00 (t, 1H), 8.77 (s, 1H), 9.27 (s, 1H)。 'Η NMR: δ 1.47 (m, IH), 1.80 (s, 3H), 2.14 (m, 6H), 2.28 (s, 3H), 2.55 (m, 1H), 2.95 (m, IH), 3.13 (t , IH), 3.28 (m, IH), 3.55 (m, 2H), 4.46 (dd, 1H), 4.82 (dd, 1H), 7.11 (d, 2H), 7.47 (d, 2H), 8.00 (t, 1H), 8.77 (s, 1H), 9.27 (s, 1H).
実施例 8 (1): N_「((3S. 5S)_5_{「(2S)_2_シァノピロリジン— 1—ィル Ίカルボ二 ノレ)ピロリジン一 3—ィル)メチル Ίメタンスルホンアミド 4_メチルベンゼンスルホン酸塩 TLC:Rf 0.31 (酢酸ェチル:酢酸:水 =3 : 1 : 1); Example 8 (1): N _ “((3S.5S) _5 _ {“ (2S) _2_cyanopyrrolidine-l-yl Ίcarbinol) pyrrolidine-l-yl) methylΊmethanesulfonamide 4_ Methylbenzenesulfonate TLC: Rf 0.31 (ethyl acetate: acetic acid: water = 3: 1: 1);
JH NMR: δ 1.51 (m, IH), 2.14 (m, 4H), 2.28 (s, 3H), 2.56 (m, 2H), 2.90 (s, 3H), 3.02 (m, 3H), 3.32 (m, 1H), 3.56 (m, 2H), 4.48 (m, 1H), 4.83 (dd, IH), 7.10 (d, 2H), 7.22 (t, 1H), 7.46 (d, 2H), 8.80 (m, IH), 9.31 (m, 1H)。 J H NMR: δ 1.51 (m , IH), 2.14 (m, 4H), 2.28 (s, 3H), 2.56 (m, 2H), 2.90 (s, 3H), 3.02 (m, 3H), 3.32 (m , 1H), 3.56 (m, 2H), 4.48 (m, 1H), 4.83 (dd, IH), 7.10 (d, 2H), 7.22 (t, 1H), 7.46 (d, 2H), 8.80 (m, IH), 9.31 (m, 1H).
実施例 8 (2): N'-r ( (3S. 5S) _5— (2S) _2 シァノピロリジン 1ーィル Ίカルボ二 ノレ }ピロリジン一 3-ィル)メチル Ί_Ν, Ν—ジメチルゥレア 4 メチルベンゼンスルホン 酸塩 Example 8 (2): N'-r ((3S.5S) _5— (2S) _2 cyanopyrrolidine 1-yl {carbinole} pyrrolidine-1-3-yl) methyl Ί_Ν, Ν-dimethylperyl 4-methylbenzenesulfone Acid salt
TLC:Rf 0.26 (酢酸ェチル:酢酸:水 =3 : 1 : 1); TLC: Rf 0.26 (ethyl acetate: acetic acid: water = 3: 1: 1);
'Η NMR: δ 1.46 (m, IH), 1.99 (m, 2H), 2.20 (m, 2H), 2.28 (s, 3H), 2.53 (m, 2H), 2.76 (s, 6H), 2.99 (m, IH), 3.09 (m, 2H), 3.25 (m, IH), 3.55 (t, 2H), 4.43 (m, IH), 4.83 (dd, 1H), 6.46 (m, 1H), 7.10 (d, 2H), 7.46 (d, 2H), 8.70 (m, 1H), 9.23 (m, IH) 実施例 8 (3) : 6_i「((3S. 5S) _5_{「(2S) _2_シァノピロリジン— 1—ィル Ίカルボ二 ノレ }ピロリジン _3_ィル)メチル Ίアミノ)ニコチノ二トリノレ ビス(4—メチルベンゼンスル ホン酸)塩 'Η NMR: δ 1.46 (m, IH), 1.99 (m, 2H), 2.20 (m, 2H), 2.28 (s, 3H), 2.53 (m, 2H), 2.76 (s, 6H), 2.99 (m , IH), 3.09 (m, 2H), 3.25 (m, IH), 3.55 (t, 2H), 4.43 (m, IH), 4.83 (dd, 1H), 6.46 (m, 1H), 7.10 (d, 2H), 7.46 (d, 2H), 8.70 (m, 1H), 9.23 (m, IH) Example 8 (3): 6_i "((3S.5S) _5 _ {" (2S) _2_cyanopyrrolidine- 1-yl Ίcarbino} pyrrolidine _3_yl) methyl Ίamino) nicotinoditrinolebis (4-methylbenzenesulfonate) salt
TLC:Rf 0.62 (酢酸ェチル:酢酸:水 =3 : 1 : 1); H NMR: δ 1.52 (m, IH), 2.10 (m, 4H), 2.28 (s, 6H), 2.63 (m, 2H), 3.02 (m, IH), 3.48 (m, 5H), 4.16 (m, 1H), 4.48 (m, 1H), 4.83 (dd, IH), 6.59 (d, IH), 7.11 (d, 4H),TLC: Rf 0.62 (ethyl acetate: acetic acid: water = 3: 1: 1); H NMR: δ 1.52 (m, IH), 2.10 (m, 4H), 2.28 (s, 6H), 2.63 (m, 2H), 3.02 (m, IH), 3.48 (m, 5H), 4.16 (m, 1H), 4.48 (m, 1H), 4.83 (dd, IH), 6.59 (d, IH), 7.11 (d, 4H),
7.47 (d, 4H), 7.71 (d, 1H), 7.86 (m, 1H), 8.41 (d, IH), 8.80 (m, IH), 9.31 (m, 1H)。 実施例 8 (4) :ェチル 「((3S. 5S) _5_{「(2S) _2_シァノピロリジン— 1—ィル Ίカル ボニル }ピロリジン一 3_ィル)メチル Ί力ルバメート 4_メチルベンゼンスルホン酸塩 TLC:Rf 0.34 (酢酸ェチル:酢酸:水 =3 : 1 : 1); 7.47 (d, 4H), 7.71 (d, 1H), 7.86 (m, 1H), 8.41 (d, IH), 8.80 (m, IH), 9.31 (m, 1H). Example 8 (4): Ethyl "((3S.5S) _5 _ {" (2S) _2_cyanopyrrolidine-1-yl {carbonyl} pyrrolidine-1_3-yl) methyl thiolbamate 4_methylbenzene Sulfonate TLC: Rf 0.34 (ethyl acetate: acetic acid: water = 3: 1: 1);
'Η NMR: δ 1.14 (t, 3H), 1.49 (m, 1H), 2.00 (m, 2H), 2.17 (m, 2H), 2.28 (s, 3H), 2.55 (m, 2H), 2.96 (m, 1H), 3.07 (m, 2H), 3.31 (m, 1H), 3.56 (m, 2H), 3.97 (q, 2H), 4.45 (m, IH), 4.82 (dd, 1H), 7.10 (d, 2H), 7.29 (t, 1H), 7.46 (d, 2H), 8.75 (m, IH), 9.27 (m, 1H)。 'Η NMR: δ 1.14 (t, 3H), 1.49 (m, 1H), 2.00 (m, 2H), 2.17 (m, 2H), 2.28 (s, 3H), 2.55 (m, 2H), 2.96 (m , 1H), 3.07 (m, 2H), 3.31 (m, 1H), 3.56 (m, 2H), 3.97 (q, 2H), 4.45 (m, IH), 4.82 (dd, 1H), 7.10 (d, 2H), 7.29 (t, 1H), 7.46 (d, 2H), 8.75 (m, IH), 9.27 (m, 1H).
参者例 22 : l_tert_ブチル 2_メチル (2S)_4_{ 1_「(ベンジルォキシ)カルボ二 ル Ί— 1. 2. 3. 6—テトラヒドロピリジン一 4—ィル }— 2. 5—ジヒドロ一 1H—ピロ一ノレ一 1. 2 ージカノレボキシラート Participant example 22: l_tert_butyl 2_methyl (2S) _4_ {1 _ “(benzyloxy) carbonyl Ί— 1. 2.3.6 6-tetrahydropyridine-14-yl} —2.5-dihydro-1H —Pyrogenone 1.2 Dicanoleboxylate
ベンジル 4_ (4, 4, 5, 5—テトラメチノレー 1 , 3, 2_ジォキサボロラン 2—ィル )—3, 6—ジヒドロピリジン 1 (2H)—カルボキシラート) (8. 54g)と参考例 1で製造した化合 物(10· 27g)の 1, 4-ジォキサン(50ml)溶液に 2M炭酸ナトリウム水溶液(19ml)を 加え、アルゴン雰囲気下、混合物にテトラキストリフエニルホスフィンパラジウム(863 mg)をカ卩え、混合物を 100°Cにて 1時間攪拌した。反応混合物を室温に戻し、濃縮し た。これを氷冷飽和炭酸水素ナトリウム水溶液に加え、 tert -ブチルメチルエーテル で抽出した。有機層を 50%炭酸水素ナトリウム水溶液で洗浄し、無水硫酸ナトリウム で乾燥後濃縮した。残渣をカラム精製して、標題化合物(10. 8g)を得た。 Benzyl 4_ (4,4,5,5-tetramethinole 1, 3,2_dioxaborolan-2-yl) -3,6-dihydropyridine 1 (2H) -carboxylate (8.54 g) and Reference Example 1 To a solution of the compound (10.27 g) in 1,4-dioxane (50 ml) was added 2 M aqueous sodium carbonate solution (19 ml), and under an argon atmosphere, tetrakistriphenylphosphinepalladium (863 mg) was added to the mixture, and the mixture was added. The mixture was stirred at 100 ° C for 1 hour. The reaction mixture was returned to room temperature and concentrated. This was added to an ice-cooled saturated aqueous sodium hydrogen carbonate solution, and extracted with tert-butyl methyl ether. The organic layer was washed with a 50% aqueous sodium hydrogen carbonate solution, dried over anhydrous sodium sulfate and concentrated. The residue was purified by column to give the title compound (10.8 g).
参者例 23 : l_tert_ブチル 2_メチル (2S. 4R) _4_i 1—「(ベンジルォキシ)カル ボニル ピペリジン— 4—ィル }ピロリジン— 1 , 2—ジカルボキシラート Participant example 23: l_tert_butyl 2_methyl (2S. 4R) _4_i 1 — “(benzyloxy) carbonyl piperidine—4-yl} pyrrolidine—1,2-dicarboxylate
(a)参考例 2で製造した化合物の代わりに参考例 22で製造した化合物を用いて、参 考例 3で示される方法と同様に操作して、 1一 tert—ブチル 2—メチノレ (2S, 4R)_4 -{ 1-[ (ベンジルォキシ)カルボニル]ピペリジン— 4—ィル }ピロリジン— 1, 2—ジカルボ キシラートを得た。 (a) Using the compound prepared in Reference Example 22 in place of the compound prepared in Reference Example 2, and operating in the same manner as in Reference Example 3, 1-tert-butyl 2-methynole (2S, 4R) _4-{1- [(Benzyloxy) carbonyl] piperidine-4-yl} pyrrolidine-1,2-dicarboxylate was obtained.
(b)上記(a)で製造した化合物(10. 5g)のテトラヒドロフラン (84ml)溶液に 1M炭酸 水素ナトリウム水溶液(50ml)を加え、 0°Cでべンジルォキシカルボニルクロリド(5. 8 ml)を加え、混合物を室温で 2. 5時間攪拌した。反応混合物に再び、 1M炭酸水素 ナトリウム水溶液(25ml)およびべンジルォキシカルボニルクロリド(2· 9ml)を加え、 さらに 1. 5時間撹拌した。反応混合物を 0°Cに冷却し、 N, N—ジメチルエチレンジァ ミン(3. 6ml)を加え、 20分間撹拌した。混合物に水を加え、酢酸ェチルで抽出した 。有機層を乾燥後濃縮した。残渣をカラム精製し、標題化合物(12. 3g)を得た。 参者例 24: (4R) -1- (tert—ブトキシカルボニル) _4_「 1_ (tert—ブトキシカルボ二 ノレ)ピぺリジン一 4—ィル Ί—L—プロリル一 L—プロリンアミド (b) 1M carbonic acid was added to a solution of the compound (10.5 g) prepared in (a) above in tetrahydrofuran (84 ml). An aqueous solution of sodium hydrogen (50 ml) was added, benzyloxycarbonyl chloride (5.8 ml) was added at 0 ° C, and the mixture was stirred at room temperature for 2.5 hours. To the reaction mixture, a 1M aqueous sodium hydrogen carbonate solution (25 ml) and benzyloxycarbonyl chloride (2.9 ml) were added again, and the mixture was further stirred for 1.5 hours. The reaction mixture was cooled to 0 ° C., N, N-dimethylethylenediamine (3.6 ml) was added, and the mixture was stirred for 20 minutes. Water was added to the mixture and extracted with ethyl acetate. The organic layer was dried and concentrated. The residue was purified by column to give the title compound (12.3 g). Participant example 24: (4R) -1- (tert-butoxycarbonyl) _4_ “1_ (tert-butoxycarbonyl) piperidin-1-yl Ί—L-prolyl-1-L-prolinamide
(a)参考例 3で製造した化合物の代わりに参考例 23で製造した化合物を用いて、参 考例 4→参考例 5 ( (2S) _2_シァノピロリジン 4_メチルベンゼンスルホン酸塩の代 わりに L一プロリンアミドを用いた。)→参考例 15で示される方法と同様に操作して、 ( 4R)-1- (tert—ブトキシカルボニル) _4—ピペリジン _4_ィル— L—プロリル— L—プロリ ンアミドを得た。 (a) Reference Example 4 → Reference Example 5 (substituted for the compound prepared in Reference Example 23 instead of the compound prepared in Reference Example 3) instead of ((2S) _2_cyanopyrrolidine 4_methylbenzenesulfonate. Instead, L-prolinamide was used.) → (4R) -1- (tert-butoxycarbonyl) _4-piperidine_4_yl-L-prolyl-L by operating in the same manner as in Reference Example 15. —Prolinamide was obtained.
(b)上記(a)で製造した化合物(1 lOmg)をテトラヒドロフラン/水(1: 1/2. 8ml)混 合溶媒に溶解し、ジー tert—ブチルジカルボナート(73mg)のテトラヒドロフラン(0· 4 ml)溶液を加え、混合物を室温で 1時間攪拌した。反応混合物に水をカ卩え、酢酸ェ チルで抽出した。有機層を乾燥後濃縮した。残渣をカラム精製し、標題化合物(137 mg)を得た。 (b) The compound (1 mg) prepared in the above (a) was dissolved in a mixed solvent of tetrahydrofuran / water (1: 1 / 2.8 ml), and tetrahydrofuran (73 mg) of di-tert-butyl dicarbonate (73 mg) was dissolved. 4 ml) solution was added and the mixture was stirred at room temperature for 1 hour. Water was added to the reaction mixture and extracted with ethyl acetate. The organic layer was concentrated after drying. The residue was purified by column to give the title compound (137 mg).
実施例 9 : (2S) -l-i r (2S. 4R) -4-ピぺリジン一 4-ィルピロリジン- 2—ィル,カルボ 二ノレ }ピロリジン一 2—カルボ二トリル ビス(4一メチルベンゼンスルホン酸塩) Example 9: (2S) -li r (2S.4R) -4-piperidin-1-ylpyrrolidine-2-yl, carbinole} pyrrolidine-12-carbonitrile bis (4-methylbenzenesulfonic acid) salt)
[化 46] [Formula 46]
参考例 13で製造した化合物の代わりに参考例 24で製造した化合物を用いて、参 考例 14→実施例 1で示される方法と同様に操作して、以下の物性値を有する本発明 化合物を得た。 Using the compound prepared in Reference Example 24 in place of the compound prepared in Reference Example 13, and operating in the same manner as in the method shown in Reference Example 14 → Example 1, the present invention having the following physical property values The compound was obtained.
TLC:Rf 0.07 (酢酸ェチル:酢酸:水 =3 : 1 : 1); TLC: Rf 0.07 (ethyl acetate: acetic acid: water = 3: 1: 1);
¾ NMR: 5 1.43 (m, 4H), 1.77 (m, 2H), 2.03 (m, 4H), 2.19 (m, IH), 2.28 (s, 6H), 2.62 (m, IH), 2.82 (m, 2H), 3.50 (m, 6H), 4.45 (m, 1H), 4.83 (dd, IH), 7.11 (d, 4H), 7.48 (d, 4H), 8.15 (m, 1H), 8.45 (m, 1H), 8.76 (m, 1H), 9.33 (m, 1H)。 参考例 24で製造した化合物の代わりに相当する化合物を用いて実施例 9で示され る方法と同様に操作して、以下の本発明化合物を得た。 ¾ NMR: 5 1.43 (m, 4H), 1.77 (m, 2H), 2.03 (m, 4H), 2.19 (m, IH), 2.28 (s, 6H), 2.62 (m, IH), 2.82 (m, 2H), 3.50 (m, 6H), 4.45 (m, 1H), 4.83 (dd, IH), 7.11 (d, 4H), 7.48 (d, 4H), 8.15 (m, 1H), 8.45 (m, 1H ), 8.76 (m, 1H), 9.33 (m, 1H). The following compound of the present invention was obtained in the same manner as in Example 9, except that the compound prepared in Reference Example 24 was replaced with the corresponding compound.
実施例 9 (1): (2S) -l-i r (2S. 4R)_4_ (1_ァセチルビペリジン _4_ィル)ピロリジ ン一 2—ィル Ίカルボ二ノレ)ピロリジン一 2_カルボ二トリノレ 4_メチルベンゼンスルホン酸 品' Example 9 (1): (2S) -li r (2S. 4R) _4_ (1_acetylpyperidine_4_yl) pyrrolidin-1--2-yl Ίcarbinole) pyrrolidine-1 2_carboni Torinole 4_methylbenzenesulfonic acid product '
TLC:Rf 0.47 (クロ口ホルム:メタノール:水 = 65 : 35 : 8); TLC: Rf 0.47 (form: methanol: water = 65: 35: 8);
JH NMR: δ 1.06 (m, 2H), 1.54 (m, 4H), 1.95 (s, 3H), 2.12 (m, 4H), 2.26 (s, 3H), 2.41 (m, IH), 2.63 (m, 1H), 2.93 (m, 2H), 3.36 (m, 1H), 3.56 (t, 2H), 3.78 (m, 2H), 4.41 (m, 2H), 4.82 (dd, 1H), 7.09 (d, 2H), 7.45 (d, 2H), 8.71 (s, IH), 9.28 (s, 1H)。 実施例 9 (2): (2S) -l- ( { (2S. 4R)-4-「l- (メチルスルホニル)ピぺリジン 4-ィ ノレ Ίピロリジン一 2-ィル }カルボニル)ピロリジン一 2 カルボ二トリノレ 4 メチルベンゼン スルホン酸塩 J H NMR: δ 1.06 (m , 2H), 1.54 (m, 4H), 1.95 (s, 3H), 2.12 (m, 4H), 2.26 (s, 3H), 2.41 (m, IH), 2.63 (m , 1H), 2.93 (m, 2H), 3.36 (m, 1H), 3.56 (t, 2H), 3.78 (m, 2H), 4.41 (m, 2H), 4.82 (dd, 1H), 7.09 (d, 2H), 7.45 (d, 2H), 8.71 (s, IH), 9.28 (s, 1H). Example 9 (2): (2S) -l-({(2S.4R) -4- "l- (methylsulfonyl) piperidine 4-ynole-pyrrolidine-1-yl} carbonyl) pyrrolidine-1 2 Carbonitorinole 4 Methylbenzene sulfonate
TLC:Rf 0.29 (クロ口ホルム:メタノール:水 = 65 : 35 : 8); TLC: Rf 0.29 (form: methanol: water = 65: 35: 8);
¾ NMR: δ 1.29 (m, 4H), 1.73 (m, 2H), 2.10 (m, 5H), 2.27 (s, 3H), 2.63 (m, 3H), 2.82 (s, 3H), 2.94 (m, IH), 3.43 (m, 5H), 4.44 (m, IH), 4.82 (dd, 1H), 7.09 (d, 2H), 7.45 (d, 2H), 8.72 (s, IH), 9.29 (s, 1H)。 ¾ NMR: δ 1.29 (m, 4H), 1.73 (m, 2H), 2.10 (m, 5H), 2.27 (s, 3H), 2.63 (m, 3H), 2.82 (s, 3H), 2.94 (m, IH), 3.43 (m, 5H), 4.44 (m, IH), 4.82 (dd, 1H), 7.09 (d, 2H), 7.45 (d, 2H), 8.72 (s, IH), 9.29 (s, 1H ).
実施例 9 (3) : 4- ( (3R. 5S) _5_{「(2S) _2_シァノピロリジン— 1—ィル Ίカルボニル } ピロリジン一 3—ィル) _N, N—ジメチルピペリジン一 1_カルボキサミド 4_メチルベンゼ ンスノレホン酸塩 Example 9 (3): 4-((3R.5S) _5 _ {“(2S) _2_cyanopyrrolidine-1-yl {carbonyl} pyrrolidine-1-3-yl) _N, N-dimethylpiperidine-1_ Carboxamide 4_methylbenzensnolefonate
TLC:Rf 0.60 (クロ口ホルム:メタノール:水 = 65 : 35 : 8); TLC: Rf 0.60 (form: methanol: water = 65: 35: 8);
'Η NMR: δ 1.14 (m, 2H), 1.40 (m, 2H), 1.58 (m, 2H), 2.09 (m, 6H), 2.27 (s, 3H), 2.59 (m, 2H), 2.69 (s, 6H), 2.92 (m, IH), 3.39 (m, 5H), 4.44 (m, 1H), 4.81 (dd, 1H), 7.09 (d, 2H), 7.45 (d, 2H), 8.71 (s, IH), 9.30 (s, 1H)。 'Η NMR: δ 1.14 (m, 2H), 1.40 (m, 2H), 1.58 (m, 2H), 2.09 (m, 6H), 2.27 (s, 3H), 2.59 (m, 2H), 2.69 (s , 6H), 2.92 (m, IH), 3.39 (m, 5H), 4.44 (m, 1H), 4.81 (dd, 1H), 7.09 (d, 2H), 7.45 (d, 2H), 8.71 (s, IH), 9.30 (s, 1H).
実施例 9 (4) :ェチル 4一((3R, 5S)— 5— i「(2S)— 2—シァノピロリジン一 1ーィル Ί力 ルボニル}ピロリジン一 3—ィノレ)ピぺリジン一 1—カルボキシラート 4一メチルベンゼンス ルホン酸媳 Example 9 (4): Ethyl 41-((3R, 5S) -5-i "(2S) -2-cyanopyrrolidine-1-yl" Rubonyl} pyrrolidine-1-3-inole) piperidine-1-1-carboxy Lat 4-methylbenzenesulfonate 媳
TLC:Rf 0.69 (クロ口ホルム:メタノール = 10 : 1); TLC: Rf 0.69 (form: methanol = 10: 1);
'Η NMR: δ 1.09 (m, 2H), 1.15 (t, 3H), 1.42 (m, 2H), 1.61 (m, 2H), 2.07 (m, 5H), 2.27 (s, 3H), 2.64 (m, 3H), 2.92 (m, IH), 3.34 (m, IH), 3.56 (t, 2H), 3.98 (m, 4H), 4.43 (m, IH), 4.81 (dd, 1H), 7.09 (d, 2H), 7.45 (d, 2H), 8.72 (s, IH), 9.29 (s, 1H)。 実施例 9 (5) : 6_「4_ ( (3R. 5S) _5_i「(2S)_2_シァノピロリジン— 1—ィル Ίカルボ ニル }ピロリジン _3_ィル)ピペリジン— 1—ィル Ίニコチノ二トリノレ ビス(4—メチルベン ゼンスルホン酸)塩 'Η NMR: δ 1.09 (m, 2H), 1.15 (t, 3H), 1.42 (m, 2H), 1.61 (m, 2H), 2.07 (m, 5H), 2.27 (s, 3H), 2.64 (m , 3H), 2.92 (m, IH), 3.34 (m, IH), 3.56 (t, 2H), 3.98 (m, 4H), 4.43 (m, IH), 4.81 (dd, 1H), 7.09 (d, 2H), 7.45 (d, 2H), 8.72 (s, IH), 9.29 (s, 1H). Example 9 (5): 6_ “4 _ ((3R.5S) _5_i“ (2S) _2_cyanopyrrolidine-l-yldicarbonyl} pyrrolidine_3_yl) piperidine-l-yl Ίnicotinoni Trinole bis (4-methylbenzenesulfonic acid) salt
TLC:Rf 0.65 (クロ口ホルム:メタノール:水 = 65 : 35 : 8); TLC: Rf 0.65 (form of form: methanol: water = 65: 35: 8);
JH NMR: 5 1.11 (m, 2H), 1.60 (m, 4H), 2.10 (m, 4H), 2.27 (s, 6H), 2.66 (m, IH), 2.90 (m, 3H), 3.39 (m, 2H), 3.57 (m, 2H), 4.41 (m, 3H), 4.82 (dd, IH), 6.92 (d, 1H), 7.09 (d, 4H), 7.45 (d, 4H), 7.79 (dd, IH), 8.44 (d, IH), 8.72 (s, 1H), 9.29 (s, 1H)。 参考例 25: (4R) _l_ (tert_ブトキシカルボニル) _4_ (2—ヒドロキシー 2_メチルプロ ピノレ) _L_プロリン J H NMR: 5 1.11 (m , 2H), 1.60 (m, 4H), 2.10 (m, 4H), 2.27 (s, 6H), 2.66 (m, IH), 2.90 (m, 3H), 3.39 (m , 2H), 3.57 (m, 2H), 4.41 (m, 3H), 4.82 (dd, IH), 6.92 (d, 1H), 7.09 (d, 4H), 7.45 (d, 4H), 7.79 (dd, IH), 8.44 (d, IH), 8.72 (s, 1H), 9.29 (s, 1H). Reference Example 25: (4R) _l_ (tert_butoxycarbonyl) _4_ (2-hydroxy-2-methylpropynole) _L_proline
(a)参考例 2で製造した化合物の代わりに参考例 12で製造した化合物を用いて参考 例 3で示される方法と同様に操作して((4R) -1- (tert—ブトキシカルボニル)一 4- (2 —メトキシ -2—ォキソェチル) -L—プロリン)を得た。 (a) Using the compound prepared in Reference Example 12 in place of the compound prepared in Reference Example 2, and operating in the same manner as in the method shown in Reference Example 3 ((4R) -1- (tert-butoxycarbonyl) one 4- (2-methoxy-2-oxoethyl) -L-proline) was obtained.
(b)上記(a)で製造した化合物(724mg)のテトラヒドロフラン(13ml)溶液に一 78°C でメチルマグネシウムブロミド(3. 0Mジェチルエーテル溶液; 2. 9ml)を滴下し、 0°C で 80分間攪拌した。反応混合物に酢酸ェチルを滴下し、 0°Cで混合物を飽和塩ィ匕 アンモニゥム水溶液にあけ、 1N塩酸 (約 11ml)を滴下して pH3とした。混合物を酢 酸ェチルで抽出し、有機層を水および飽和食塩水で順次洗浄し、乾燥後濃縮し、標 題化合物(680mg)を得た。 (b) To a solution of the compound prepared in (a) (724 mg) in tetrahydrofuran (13 ml) was added dropwise methylmagnesium bromide (3.0 M getyl ether solution; 2.9 ml) at 178 ° C. Stirred for 80 minutes. Ethyl acetate was added dropwise to the reaction mixture, and the mixture was poured into a saturated aqueous sodium chloride solution at 0 ° C., and 1N hydrochloric acid (about 11 ml) was added dropwise to adjust the pH to 3. The mixture was extracted with ethyl acetate, and the organic layer was washed successively with water and saturated saline, dried and concentrated to obtain the title compound (680 mg).
実施例 10 : (2S) _1_{「(2S, 4R)_4_ (2—ヒドロキシ _2_メチルプロピル)ピロリジン _2—ィノレ Ί ルボニルピロ】2ジン一 2_カルボ二 hi!ル 4_メチルベンゼンスルホン酸塩 [0234] [化 47] Example 10: (2S) _1 _ {“(2S, 4R) _4_ (2-hydroxy_2_methylpropyl) pyrrolidine_2-inole carbonylcarbonylpyr] 2zin-1 2_carboniyl! 4_methylbenzenesulfonate [0234] [Formula 47]
[0235] 参考例 4で製造した化合物の代わりに参考例 25で製造した化合物を用いて参考 例 5→実施例 1で示される方法と同様に操作して、以下の物性値を有する本発明化 合物を得た。 Reference Example 5 → Using the compound produced in Reference Example 25 instead of the compound produced in Reference Example 4, the same operation as in the method shown in Example 1 was carried out to produce the present invention having the following physical property values. Compound was obtained.
TLC:Rf 0.12 (酢酸ェチル:メタノール = 9 : 1); TLC: Rf 0.12 (ethyl acetate: methanol = 9: 1);
JH NMR: δ 1.08 (s, 3H), 1.10 (s, 3H), 1.44 (m, 3H), 2.14 (m, 3H), 2.28 (s, 3H), 2.41 (m, IH), 2.73 (m, 2H), 3.49 (m, 4H), 3.73 (s, IH), 4.40 (m, 1H), 4.82 (dd, 1H), 7.10 (d, 2H), 7.47 (d, 2H), 8.62 (m, 1H), 9.18 (m, 1H)。 J H NMR: δ 1.08 (s , 3H), 1.10 (s, 3H), 1.44 (m, 3H), 2.14 (m, 3H), 2.28 (s, 3H), 2.41 (m, IH), 2.73 (m , 2H), 3.49 (m, 4H), 3.73 (s, IH), 4.40 (m, 1H), 4.82 (dd, 1H), 7.10 (d, 2H), 7.47 (d, 2H), 8.62 (m, 1H), 9.18 (m, 1H).
参考例 26 : 2—ベンジル l_tert ブチル 4 ェチル (2S, 4S)—ピロリジン _1 , 2, 4-トリカルボキシラート Reference Example 26: 2-benzyl l_tertbutyl 4-ethyl (2S, 4S) -pyrrolidine_1,2,4-tricarboxylate
エタノール(100ml)に 0°Cでクロロトリメチルシラン(70ml)を滴下し、 2—ベンジル l_tert_ブチル (2S, 4S)_4_シァノピロリジン 1 , 2—ジカルボキシラート( J.Med.Chem., 1991, 34, 717-725に示される方法に従って製造した。)(9· 9g)のジク ロロメタン (60ml)溶液を滴下し、室温で 20時間攪拌した。反応混合物を 0°Cに冷却 し、水(100ml)を滴下した。混合物に飽和炭酸水素ナトリウム水溶液を加え pH8とし 、ジクロロメタン(700ml)で抽出した。有機層にジ一 tert—ブチルジカルボナート(6. 6g)を加え、混合物を 1時間攪拌した。反応混合物を濃縮後、残渣をカラム精製し、 標題化合物(8. 87g)を得た。 Chlorotrimethylsilane (70 ml) was added dropwise to ethanol (100 ml) at 0 ° C, and 2-benzyl l_tert_butyl (2S, 4S) _4_cyanopyrrolidine 1,2-dicarboxylate (J. Med. Chem., 1991, 34, 717-725) (9.9 g) in dichloromethane (60 ml) was added dropwise and stirred at room temperature for 20 hours. The reaction mixture was cooled to 0 ° C., and water (100 ml) was added dropwise. The mixture was adjusted to pH 8 with a saturated aqueous solution of sodium hydrogen carbonate and extracted with dichloromethane (700 ml). Ditert-butyl dicarbonate (6.6 g) was added to the organic layer, and the mixture was stirred for 1 hour. After concentration of the reaction mixture, the residue was purified by column to give the title compound (8.87 g).
実施例 11 : (3S. 5S)_5_i「(2S)_2_シァノピロリジン— 1—ィル Ίカルボ二ル}_N_ イソプロピルピロ】2ジン一 3_カルボキサミビ 4_メチルベンゼンスルホン酸塩 [0236] [化 48] Example 11: (3S.5S) _5_i “(2S) _2_cyanopyrrolidine-1-yl {carbonyl} _N_isopropylpyro] 2zin-3_carboxamibi 4_methylbenzenesulfonate [0236] [Formula 48]
[0237] 参考例 2で製造した化合物の代わりに参考例 26で製造した化合物を用いて、参考 例 3→参考例 5 ( (2S) _2_シァノピロリジン 4_メチルベンゼンスルホン酸塩の代わり に L一プロリンアミドを用レ、た。 )→参考例 4→参考例 13 (b)→参考例 14→参考例 15 →参考例 5 ( (2S) _2_シァノピロリジン 4_メチルベンゼンスルホン酸塩の代わりにィ ソプロピルアミンを用いた。)→実施例 1で示される方法と同様に操作して、以下の物 性値を有する本発明化合物を得た。 Reference Example 3 → Reference Example 5 (in place of (2S) _2_cyanopyrrolidine 4_methylbenzenesulfonate) using the compound prepared in Reference Example 26 instead of the compound prepared in Reference Example 2. L-prolinamide was used.) → Reference Example 4 → Reference Example 13 (b) → Reference Example 14 → Reference Example 15 → Reference Example 5 ((2S) _2_cyanopyrrolidine 4_methylbenzenesulfonate The procedure of Example 1 was repeated to give the compound of the present invention having the following physical data.
TLC:Rf 0.69 (クロ口ホルム:メタノール:酢酸 =3 : 1 : 1); TLC: Rf 0.69 (form: methanol: acetic acid = 3: 1: 1);
JH NMR: δ 1.04 (m, 6H), 1.87 (m, 1H), 2.01 (m, 2H), 2.19 (m, 2H), 2.27 (s, 3H), 2.46 (m, 1H), 2.70 (m, 1H), 3.06 (m, 1H), 3.33 (m, 2H), 3.54 (t, 1H), 3.82 (m, 1H), 4.50 (m, 1H), 4.81 (dd, 1H), 7.09 (d, 2H), 7.45 (d, 2H), 8.03 (m, 1H), 8.82 (s, 1H), 9.43 (s, 1H)。 参考例 2で製造した化合物の代わりに参考例 26で製造した化合物を用いて、参考 例 3→参考例 5 ( (2S) _2 シァノピロリジン 4 メチルベンゼンスルホン酸塩の代わり に L プロリンアミドを用いた。)→参考例 4→参考例 13→参考例 14→参考例 15→参 考例 5 ( (2S) _2_シァノピロリジン 4_メチルベンゼンスルホン酸塩の代わりに相当 するアミンを用いた。)→実施例 1で示される方法と同様に操作して、本発明化合物 を得た。 J H NMR: δ 1.04 (m , 6H), 1.87 (m, 1H), 2.01 (m, 2H), 2.19 (m, 2H), 2.27 (s, 3H), 2.46 (m, 1H), 2.70 (m , 1H), 3.06 (m, 1H), 3.33 (m, 2H), 3.54 (t, 1H), 3.82 (m, 1H), 4.50 (m, 1H), 4.81 (dd, 1H), 7.09 (d, 2H), 7.45 (d, 2H), 8.03 (m, 1H), 8.82 (s, 1H), 9.43 (s, 1H). Reference Example 3 → Reference Example 5 (L-Prolinamide was used instead of (2S) _2 cyanopyrrolidine 4-methylbenzenesulfonate) using the compound prepared in Reference Example 26 instead of the compound prepared in Reference Example 2. → Reference Example 4 → Reference Example 13 → Reference Example 14 → Reference Example 15 → Reference Example 5 ((2S) _2_cyanopyrrolidine The corresponding amine was used in place of 4-methylbenzenesulfonate. ) → The compound of the present invention was obtained in the same manner as in Example 1.
実施例 11 (1): (3S. 5S)_5_{「(2S)_2_シァノピロリジン— 1—ィル Ίカルボニル }_ N. N—ジメチルピロリジン一 3_カルボキサミド 4_メチルベンゼンスルホン酸塩 Example 11 (1): (3S.5S) _5 _ {“(2S) _2_cyanopyrrolidine-1-yl Ίcarbonyl} _N.N-dimethylpyrrolidine-1_3_carboxamide 4_methylbenzenesulfonate
TLC:Rf 0.17 (酢酸ェチル:酢酸:水 =3 : 1 : 1); H NMR(CDC1 ) : δ 2.10 (m, 6H), 2.36 (s, 3H), 2.70 (m, 1H), 2.89 (s, 3H), 2.93 (s,TLC: Rf 0.17 (ethyl acetate: acetic acid: water = 3: 1: 1); H NMR (CDC1): δ 2.10 (m, 6H), 2.36 (s, 3H), 2.70 (m, 1H), 2.89 (s, 3H), 2.93 (s,
3 Three
3H), 3.39 (m, 1H), 3.56 (m, 2H), 3.74 (m, 1H), 4.82 (m, 1H), 5.02 (s, 1H), 7.18 (d, 2H), 7.75 (d, 2H), 8.28 (s, 1H), 9.59 (s, 1H)。 3H), 3.39 (m, 1H), 3.56 (m, 2H), 3.74 (m, 1H), 4.82 (m, 1H), 5.02 (s, 1H), 7.18 (d, 2H), 7.75 (d, 2H ), 8.28 (s, 1H), 9.59 (s, 1H).
実施例 11 (2): (2S) -l-i r (2S. 4S)_4—(ァゼチジン— 1—ィルカルボニル)ピロリジ ン一 2—ィル Ίカルボ二ノレ)ピロリジン一 2_カルボ二トリノレ 4_メチルベンゼンスルホン酸 品' Example 11 (2): (2S) -li r (2S.4S) _4 -— (azetidine-1-ylcarbonyl) pyrrolidin-1-2-yl {carbinole) pyrrolidine-1 2_carbonitrinole 4_methylbenzene Sulfonic acid products'
TLC:Rf 0.19 (クロ口ホルム:メタノール =9 : 1); TLC: Rf 0.19 (form: methanol = 9: 1);
'Η NMR: δ 1.76 (m, 1H), 2.01 (m, 2H), 2.20 (m, 4H), 2.28 (s, 3H), 2.74 (m, 1H), 3.15 (m, 1H), 3.29 (m, 2H), 3.56 (m, 2H), 3.86 (t, 2H), 4.18 (t, 2H), 4.5 0 (m, 1H), 4.83 (dd, 1H), 7.10 (d, 2H), 7.46 (m, 2H), 8.88 (brs, 1H), 9.40 (brs, 1H)。 'Η NMR: δ 1.76 (m, 1H), 2.01 (m, 2H), 2.20 (m, 4H), 2.28 (s, 3H), 2.74 (m, 1H), 3.15 (m, 1H), 3.29 (m , 2H), 3.56 (m, 2H), 3.86 (t, 2H), 4.18 (t, 2H), 4.50 (m, 1H), 4.83 (dd, 1H), 7.10 (d, 2H), 7.46 (m , 2H), 8.88 (brs, 1H), 9.40 (brs, 1H).
実施例 11 (3): (3S. 5S)_5_{「(2S)_2_シァノピロリジン— 1—ィル Ίカルボニル }_ N—メチノレー N—プロピルピロリジン一 3_カルボキサミド 4_メチルベンゼンスルホン酸 塩 Example 11 (3): (3S.5S) _5 _ {“(2S) _2_cyanopyrrolidine-1-yl Ίcarbonyl} _N-methinoley N-propylpyrrolidine-1_3_carboxamide 4_methylbenzenesulfonic acid salt
TLC:Rf 0.31 (クロ口ホルム:メタノール =9 : 1); TLC: Rf 0.31 (black-mouthed form: methanol = 9: 1);
JH NMR: δ 0.83 (m, 3H), 1.50 (m, 2H), 1.79 (m, 1H), 2.11 (m, 4H), 2.28 (s, 3H), 2.54 (m, 1H), 2.82 (m, 4H), 3.39 (m, 6H), 4.52 (m, 1H), 4.83 (m, 1H), 7.10 (d, 2H), 7.47 (d, 2H), 8.84 (m, 1H), 9.40 (m, 1H)。 J H NMR: δ 0.83 (m, 3H), 1.50 (m, 2H), 1.79 (m, 1H), 2.11 (m, 4H), 2.28 (s, 3H), 2.54 (m, 1H), 2.82 (m , 4H), 3.39 (m, 6H), 4.52 (m, 1H), 4.83 (m, 1H), 7.10 (d, 2H), 7.47 (d, 2H), 8.84 (m, 1H), 9.40 (m, 1H).
実施例 11 (4): (3S. 5S)— N—ァリル一 5— (2S)— 2—シァノピロリジン一 1ーィル Ί力 ルボニル }_N_メチルピロリジン一 3—カルボキサミド 4一メチルベンゼンスルホン酸塩 TLC:Rf 0.31 (クロ口ホルム:メタノール =9 : 1); Example 11 (4): (3S.5S) —N-aryl-5- (2S) —2-cyanopyrrolidine-1-1-yl-force-rubonyl} _N_methylpyrrolidine-l-carboxamide 4-methylbenzenesulfonate TLC: Rf 0.31 (black-mouthed form: methanol = 9: 1);
¾ NMR: δ 1.80 (m, 1H), 2.03 (m, 2H), 2.17 (m, 2H), 2.28 (s, 3H), 2.84 (m, 4H), 3.56 (m, 5H), 3.95 (m, 2H), 4.51 (m, 1H), 4.83 (m, 1H), 5.17 (m, 2H), 5.80 (m, 1H), 7.10 (d, 2H), 7.46 (d, 2H), 8.87 (m, 1H), 9.40 (m, 1H)。 ¾ NMR: δ 1.80 (m, 1H), 2.03 (m, 2H), 2.17 (m, 2H), 2.28 (s, 3H), 2.84 (m, 4H), 3.56 (m, 5H), 3.95 (m, 2H), 4.51 (m, 1H), 4.83 (m, 1H), 5.17 (m, 2H), 5.80 (m, 1H), 7.10 (d, 2H), 7.46 (d, 2H), 8.87 (m, 1H ), 9.40 (m, 1H).
実施例 11 (5): (2S) _1_{「(2S, 4S)_4_ (モルホリン _4—ィルカルボニル)ピロリジ ン一 2—ィル Ίカルボ二ノレ)ピロリジン一 2_カルボ二トリノレ 4_メチルベンゼンスルホン酸 品' Example 11 (5): (2S) _1 _ {“(2S, 4S) _4_ (morpholine_4-ylcarbonyl) pyrrolidin-1-2-ylΊcarbinole) pyrrolidine-12-carboditrinole 4_methylbenzenesulfonic acid Goods'
TLC:Rf 0.19 (クロ口ホルム:メタノール =9 : 1); TLC: Rf 0.19 (form: methanol = 9: 1);
JH NMR: δ 1.81 (m, 1H), 2.02 (m, 2H), 2.18 (m, 2H), 2.28 (s, 3H), 2.77 (m, 1H), 3.50 (m, 13H), 4.49 (m, 1H), 4.83 (dd, 1H), 7.10 (m, 2H), 7.46 (m, 2H), 8.88 (brs, 1H), 9.41 (brs, 1H)。 J H NMR: δ 1.81 (m , 1H), 2.02 (m, 2H), 2.18 (m, 2H), 2.28 (s, 3H), 2.77 (m, 1H), 3.50 (m, 13H), 4.49 (m, 1H), 4.83 (dd, 1H), 7.10 (m, 2H), 7.46 (m, 2H), 8.88 (brs, 1H), 9.41 (brs, 1H).
実施例 11 (6): (3S. 5S) _5— (2S) _2—シァノピロリジン一 1ーィル Ίカルボ二ル}_ N. N—ジェチルピロリジン _3_カルボキサミド 4_メチルベンゼンスルホン酸塩 Example 11 (6): (3S.5S) _5— (2S) _2—cyanopyrrolidine-11-yl {carbonyl} _NN.N-getylpyrrolidine_3_carboxamide 4_methylbenzenesulfonate
TLC:Rf 0.18 (クロ口ホルム:メタノール =9 : 1); TLC: Rf 0.18 (cloth form: methanol = 9: 1);
'Η NMR : δ 1.00 (m, 3H), 1.14 (m, 3H), 1.77 (m, IH), 2.02 (m, 2H), 2.17 (m, 2H), 2.28 (s, 3H), 2.80 (m, IH), 3.32 (m, 7H), 3.57 (m, 2H), 4.51 (m, 1H), 4.83 (dd, 1H), 7.10 (d, 2H), 7.46 (m, 2H), 8.84 (brs, 1H), 9.37 (brs, 1H)。 'Η NMR: δ 1.00 (m, 3H), 1.14 (m, 3H), 1.77 (m, IH), 2.02 (m, 2H), 2.17 (m, 2H), 2.28 (s, 3H), 2.80 (m , IH), 3.32 (m, 7H), 3.57 (m, 2H), 4.51 (m, 1H), 4.83 (dd, 1H), 7.10 (d, 2H), 7.46 (m, 2H), 8.84 (brs, 1H), 9.37 (brs, 1H).
実施例 11 (7): (2S) -l-i r (2S. 4S) _4—(ピペリジン— 1—ィルカルボニル)ピロリジ ン一 2—ィル Ίカルボ二ノレ)ピロリジン一 2_カルボ二トリノレ 4_メチルベンゼンスルホン酸 Example 11 (7): (2S) -li r (2S.4S) _4- (piperidine-1-ylcarbonyl) pyrrolidin-1-2-yl {carbinole) pyrrolidine-1_carboditrinole 4_methylbenzene Sulfonic acid
TLC:Rf 0.61 (クロ口ホルム:メタノール:酢酸 = 3 : 1 : 1); TLC: Rf 0.61 (form: methanol: acetic acid = 3: 1: 1);
JH NMR(CDC1 ) : δ 1.52 (m, 7H), 2.10 (m, 4H), 2.36 (s, 3H), 2.70 (m, IH), 3.51 J H NMR (CDC1): δ 1.52 (m, 7H), 2.10 (m, 4H), 2.36 (s, 3H), 2.70 (m, IH), 3.51
3 Three
(m, 9H), 4.82 (m, 1H), 5.03 (m, IH), 7.18 (d, 2H), 7.75 (d, 2H), 8.24 (s, IH), 9.59 (s, 1H)。 (m, 9H), 4.82 (m, 1H), 5.03 (m, IH), 7.18 (d, 2H), 7.75 (d, 2H), 8.24 (s, IH), 9.59 (s, 1H).
実施例 11 (8): (3S. 5S) _5— (2S) _2—シァノピロリジン一 1ーィル Ίカルボ二ル}_ N—ェチノレー N_メチルピロリジン一 3—カルボキサミド 4一メチルベンゼンスルホン酸塩 TLC:Rf 0.30 (クロ口ホルム:メタノール =9 : 1); Example 11 (8): (3S.5S) _5— (2S) _2—cyanopyrrolidine-11-yl {carboyl} _N-ethynoley N_methylpyrrolidine-13-carboxamide 4-methylbenzenesulfonate TLC : Rf 0.30 (cloth form: methanol = 9: 1);
JH NMR : δ 1.05 (m, 3H), 2.00 (m, 5H), 2.28 (s, 3H), 2.84 (m, 4H), 3.38 (m, 7H), 4.52 (m, IH), 4.82 (dd, 1H), 7.10 (d, 2H), 7.47 (d, 2H), 8.85 (m, 1H), 9.41 (m, IH) 実施例 11 (9): (3S. 5S) _5_{「(2S) _2_シァノピロリジン— 1—ィル Ίカルボニル }_ N—ェチルピロリジン _3_カルボキサミド 4_メチルベンゼンスルホン酸塩 J H NMR: δ 1.05 (m , 3H), 2.00 (m, 5H), 2.28 (s, 3H), 2.84 (m, 4H), 3.38 (m, 7H), 4.52 (m, IH), 4.82 (dd , 1H), 7.10 (d, 2H), 7.47 (d, 2H), 8.85 (m, 1H), 9.41 (m, IH) Example 11 (9): (3S.5S) _5 _ {“(2S) _2 _Cyanopyrrolidine- 1-yl dicarbonyl} _ N-Ethylpyrrolidine _3_Carboxamide 4_Methylbenzenesulfonate
TLC:Rf 0.31 (クロ口ホルム:メタノール = 9 : 1); TLC: Rf 0.31 (black form: methanol = 9: 1);
'Η NMR : δ 1.01 (t, 3H), 2.03 (m, 5H), 2.28 (s, 3H), 2.71 (m, 1H), 3.08 (m, 3H), 3.36 (m, 2H), 3.57 (m, 2H), 4.52 (m, 1H), 4.82 (dd, IH), 7.10 (d, 2H), 7.47 (d, 2H), 8.17 (m, IH), 8.82 (m, IH), 9.46 (m, 1H)。 'Η NMR: δ 1.01 (t, 3H), 2.03 (m, 5H), 2.28 (s, 3H), 2.71 (m, 1H), 3.08 (m, 3H), 3.36 (m, 2H), 3.57 (m , 2H), 4.52 (m, 1H), 4.82 (dd, IH), 7.10 (d, 2H), 7.47 (d, 2H), 8.17 (m, IH), 8.82 (m, IH), 9.46 (m, 1H).
実施例 11 (10): (3S. 5S) _5_{「(2S) _2_シァノピロリジン— 1—ィル Ίカルボニル } _N—プロピルピロリジン一 3—カルボキサミド 4一メチルベンゼンスルホン酸塩 Example 11 (10): (3S.5S) _5 _ {“(2S) _2_cyanopyrrolidine-1-yldicarbonyl} _N-Propylpyrrolidine-1-carboxamide 4-methylbenzenesulfonate
TLC:Rf 0.38 (クロ口ホルム:メタノール =9 : 1); TLC: Rf 0.38 (black form: methanol = 9: 1);
¾ NMR(CDC1 ) : δ 0.83 (t, 3H), 1.40 (m, 2H), 1.86 (m, 1H), 2.01 (m, 2H), 2.17 (m, ¾ NMR (CDC1): δ 0.83 (t, 3H), 1.40 (m, 2H), 1.86 (m, 1H), 2.01 (m, 2H), 2.17 (m,
3 Three
2H), 2.28 (s, 3H), 2.43 (m, IH), 2.72 (m, IH), 3.05 (m, 3H), 3.30 (m, 1H), 3.55 (t, 2H), 4.51 (m, 1H), 4.82 (dd, IH), 7.10 (d, 2H), 7.46 (m, 2H), 8.15 (m, 1H), 8.81 (brs, 1H), 9.44 (brs, 1H)。 2H), 2.28 (s, 3H), 2.43 (m, IH), 2.72 (m, IH), 3.05 (m, 3H), 3.30 (m, 1H), 3.55 (t, 2H), 4.51 (m, 1H ), 4.82 (dd, IH), 7.10 (d, 2H), 7.46 (m, 2H), 8.15 (m, 1H), 8.81 (brs, 1H), 9.44 (brs, 1H).
実施例 11 (11): (2S) -1-(I (2S. 4S)_4_「(4—ヒドロキシピペリジン _1_ィル)力 ルボニル,ピロリジン— 2—ィル }カルボニル)ピロリジン _2_カルボ二トリノレ 4—メチノレ ベンゼンスルホン酸塩 Example 11 (11): (2S) -1- (I (2S. 4S) _4 _ ((4-hydroxypiperidine_1_yl) force rubonyl, pyrrolidine-2-yl} carbonyl) pyrrolidine_2_carbonitrinole 4-Methinole benzenesulfonate
TLC:Rf 0.16 (クロ口ホルム:メタノール = 5 : 1); TLC: Rf 0.16 (black form: methanol = 5: 1);
JH NMR: δ 1.29 (m, 2H), 1.75 (m, 3H), 2.13 (m, 4H), 2.28 (s, 3H), 2.76 (m, IH), 3.44 (m, 10H), 4.49 (m, 1H), 4.82 (dd, 1H), 7.10 (d, 2H), 7.46 (d, 2H), 8.85 (m, 1H), 9.38 (m, 1H)。 J H NMR: δ 1.29 (m , 2H), 1.75 (m, 3H), 2.13 (m, 4H), 2.28 (s, 3H), 2.76 (m, IH), 3.44 (m, 10H), 4.49 (m , 1H), 4.82 (dd, 1H), 7.10 (d, 2H), 7.46 (d, 2H), 8.85 (m, 1H), 9.38 (m, 1H).
実施例 11 (12): (3S. 5S)_5— (2S)_2—シァノピロリジン一 1ーィル Ίカルボニル _N_メチルピロリジン一 3—カルボキサミド 4一メチルベンゼンスルホン酸塩 Example 11 (12): (3S.5S) _5— (2S) _2—cyanopyrrolidine-1-yl Ίcarbonyl_N_methylpyrrolidine-13-carboxamide 4-methylbenzenesulfonate
TLC:Rf 0.13 (酢酸ェチル:酢酸:水 =3 : 1 : 1); TLC: Rf 0.13 (ethyl acetate: acetic acid: water = 3: 1: 1);
JH NMR: δ 2.05 (m, 5H), 2.28 (s, 3H), 2.59 (d, 3H), 2.71 (m, IH), 3.09 (m, IH), 3.30 (m, IH), 3.49 (m, 3H), 4.52 (m, 1H), 4.82 (dd, IH), 7.10 (d, 2H), 7.46 (d, 2H), 8.12 (m, IH), 8.81 (m, IH), 9.44 (m, 1H)。 J H NMR: δ 2.05 (m , 5H), 2.28 (s, 3H), 2.59 (d, 3H), 2.71 (m, IH), 3.09 (m, IH), 3.30 (m, IH), 3.49 (m , 3H), 4.52 (m, 1H), 4.82 (dd, IH), 7.10 (d, 2H), 7.46 (d, 2H), 8.12 (m, IH), 8.81 (m, IH), 9.44 (m, 1H).
実施例 11 (13): (3S. 5S)_5— (2S)_2—シァノピロリジン一 1ーィル Ίカルボニル -N- (4ーヒドロキシブチル)ピロリジン一 3—カルボキサミド 4一メチルベンゼンスルホ ン酴塩 Example 11 (13): (3S.5S) _5— (2S) _2-cyanopyrrolidine-1-yl {carbonyl-N- (4-hydroxybutyl) pyrrolidine-1-carboxamide 4-methylbenzenesulfon} salt
TLC:Rf 0.23 (クロ口ホルム:メタノール:酢酸 =3 : 1 : 1); TLC: Rf 0.23 (form: methanol: acetic acid = 3: 1: 1);
'Η NMR: δ 1.39 (m, 4H), 1.87 (m, IH), 2.02 (m, 2H), 2.17 (m, 2H), 2.27 (s, 3H), 2.41 (m, IH), 2.70 (m, 1H), 3.09 (m, 4H), 3.63 (m, 4H), 4.50 (m, IH), 4.81 (dd, 1H), 7.09 (d, 2H), 7.45 (d, 2H), 8.14 (t, 1H), 8.81 (s, 1H), 9.43 (s, 1H)。 'Η NMR: δ 1.39 (m, 4H), 1.87 (m, IH), 2.02 (m, 2H), 2.17 (m, 2H), 2.27 (s, 3H), 2.41 (m, IH), 2.70 (m , 1H), 3.09 (m, 4H), 3.63 (m, 4H), 4.50 (m, IH), 4.81 (dd, 1H), 7.09 (d, 2H), 7.45 (d, 2H), 8.14 (t, 1H), 8.81 (s, 1H), 9.43 (s, 1H).
実施例 11 (14): (2S) -l-i r (2S. 4S)_4_ (ピロリジン— 1—ィルカルボニル)ピロリ ジン一 2—ィル Ί_カルボ二ノレ)ピロリ_ジン— 2_カルボ二 b£ル ルベンゼンスルホン 酸塩 Example 11 (14): (2S) -li r (2S.4S) _4_ (pyrrolidine-1-ylcarbonyl) pyrrolidine-1--2-ylΊ_carbinole) pyrroli_zine-2_carbonyl Rubenzene sulfone Acid salt
TLC:Rf 0.67 (クロ口ホルム:メタノール:酢酸 =3 : 1 : 1); TLC: Rf 0.67 (cloth form: methanol: acetic acid = 3: 1: 1);
¾ NMR: δ 1.92 (m, 7H), 2.16 (m, 2H), 2.27 (s, 3H), 2.54 (m, IH), 2.81 (m, IH), 3.28 (t, 2H), 3.56 (m, 6H), 4.51 (m, IH), 4.82 (dd, 1H), 7.09 (d, 2H), 7.45 (d, 2H), 8.86 (s, 1H), 9.41 (s, 1H)。 ¾ NMR: δ 1.92 (m, 7H), 2.16 (m, 2H), 2.27 (s, 3H), 2.54 (m, IH), 2.81 (m, IH), 3.28 (t, 2H), 3.56 (m, 6H), 4.51 (m, IH), 4.82 (dd, 1H), 7.09 (d, 2H), 7.45 (d, 2H), 8.86 (s, 1H), 9.41 (s, 1H).
実施例 11 (15) : (3S. 5S)_5_{「(2S)_2_シァノピロリジン— 1—ィル Ίカルボニル } ピロリジン一 3_カルボン酸 4_メチルベンゼンスルホン酸塩 Example 11 (15): (3S.5S) _5 _ {“(2S) _2_cyanopyrrolidine-1-yl dicarbonyl} pyrrolidine-1_3-carboxylic acid 4_methylbenzenesulfonate
TLC:Rf 0.16 (クロ口ホルム:メタノール:酢酸 =3 : 1 : 1) ; TLC: Rf 0.16 (form: methanol: acetic acid = 3: 1: 1);
'Η NMR: δ 2.01 (m, 3H), 2.18 (m, 2H), 2.27 (s, 3H), 2.76 (m, IH), 3.46 (m, 5H), 4.51 (m, IH), 4.81 (dd, 1H), 7.09 (d, 2H), 7.45 (d, 2H), 8.93 (s, IH), 9.42 (s, 1H), 12.89 (s, 1H)。 'Η NMR: δ 2.01 (m, 3H), 2.18 (m, 2H), 2.27 (s, 3H), 2.76 (m, IH), 3.46 (m, 5H), 4.51 (m, IH), 4.81 (dd , 1H), 7.09 (d, 2H), 7.45 (d, 2H), 8.93 (s, IH), 9.42 (s, 1H), 12.89 (s, 1H).
実施例 11 (16) : (3S. 5S)_5_{「(2S)_2_シァノピロリジン— 1—ィル Ίカルボニル } ピロリジン一 3—カルボキサミド 4一メチルベンゼンスルホン酸塩 Example 11 (16): (3S.5S) _5 _ {"(2S) _2_cyanopyrrolidine-1-yl dicarbonyl} pyrrolidine-13-carboxamide 4-methylbenzenesulfonate
TLC:Rf 0.11 (クロ口ホルム:メタノール:酢酸 =3 : 1 : 1) ; TLC: Rf 0.11 (Form: methanol: acetic acid = 3: 1: 1);
JH NMR: δ 1.87 (m, IH), 2.00 (m, 2H), 2.18 (m, 2H), 2.27 (s, 3H), 2.72 (m, IH), 3.09 (m, IH), 3.36 (m, 2H), 3.55 (m, 2H), 4.50 (m, 1H), 4.81 (dd, IH), 7.09 (d, 2H); 7.20 (s, 1H), 7.45 (d, 2H), 7.61 (s, 1H), 9.09 (s, 2H)。 J H NMR: δ 1.87 (m, IH), 2.00 (m, 2H), 2.18 (m, 2H), 2.27 (s, 3H), 2.72 (m, IH), 3.09 (m, IH), 3.36 (m , 2H), 3.55 (m, 2H), 4.50 (m, 1H), 4.81 (dd, IH), 7.09 (d, 2H) ; 7.20 (s, 1H), 7.45 (d, 2H), 7.61 (s, 1H), 9.09 (s, 2H).
実施例 11 (17): (3S. 5S)_5— (2S)_2—シァノピロリジン一 1ーィル Ίカルボニル -N, N—ビス(2—メトキシェチノレ)ピロリジン一 3—カルボキサミド 4一メチルベンゼンス ルホン酸塩 Example 11 (17): (3S.5S) _5— (2S) _2—cyanopyrrolidine-1-yl Ίcarbonyl-N, N—bis (2-methoxyethynole) pyrrolidine-13-carboxamide 4-methylbenzenesulfonate salt
TLC:Rf 0.27 (酢酸ェチル:酢酸:水 =3 : 1 : 1); TLC: Rf 0.27 (ethyl acetate: acetic acid: water = 3: 1: 1);
'Η NMR: δ 1.75 (m, IH), 1.99 (m, 2H), 2.18 (m, 2H), 2.28 (s, 3H), 2.76 (m, IH), 3.22 (s, 3H), 3.26 (s, 3H), 3.47 (m, 13H), 4.51 (m, 1H), 4.82 (dd, IH), 7.10 ( d, 2H), 7.47 (d, 2H), 8.85 (m, IH), 9.40 (m, 1H)。 'Η NMR: δ 1.75 (m, IH), 1.99 (m, 2H), 2.18 (m, 2H), 2.28 (s, 3H), 2.76 (m, IH), 3.22 (s, 3H), 3.26 (s , 3H), 3.47 (m, 13H), 4.51 (m, 1H), 4.82 (dd, IH), 7.10 (d, 2H), 7.47 (d, 2H), 8.85 (m, IH), 9.40 (m, 1H).
実施例 11 (18) : (2S) -l-i r (2S. 4S)_4_ (ァゼパン— 1—ィルカルボニル)ピロリジ ン一 2—ィル Ίカルボニル }ピロリジン一 2_カルボ二トリノレ 塩酸塩 Example 11 (18): (2S) -l-ir (2S.4S) _4_ (azepan-1-ylcarbonyl) pyrrolidin-1-yl {carbonyl} pyrrolidine-1-2-carboditrinole hydrochloride
TLC:Rf 0.22 (クロ口ホルム:メタノール = 9 : 1) ; TLC: Rf 0.22 (form: methanol = 9: 1);
JH NMR: δ 1.59 (m, 8H), 1.80 (m, IH), 2.00 (m, 2H), 2.19 (m, 2H), 2.49 (m, 1H), 2.76 (m, 1H), 3.57 (m, 8H), 4.50 (m, 1H), 4.81 (dd, 1H), 9.59 (s, 2H)。 J H NMR: δ 1.59 (m, 8H), 1.80 (m, IH), 2.00 (m, 2H), 2.19 (m, 2H), 2.49 (m, 1H), 2.76 (m, 1H), 3.57 (m, 8H), 4.50 (m, 1H), 4.81 (dd, 1H), 9.59 (s, 2H).
実施例 11 (19): (2S) -l-i r(2S. 4S)_4—(ァゾカン一 1ーィルカルボニル)ピロリジ ンー 2—ィル Ίカルボ二ノレ }ピロリジン一 2—カルボ二トリノレ 4一メチルベンゼンスルホン酸 品' Example 11 (19): (2S) -li r (2S.4S) _4 -— (azocan-1-ylcarbonyl) pyrrolidin-2-yl {carbinole} pyrrolidine-12-carboditrinole 4-methylbenzenesulfonic acid Goods'
TLC:Rf 0.22 (クロ口ホルム:メタノール = 9 : 1); TLC: Rf 0.22 (black form: methanol = 9: 1);
'Η NMR: δ 1.54 (m, 10H), 1.81 (m, 1H), 2.01 (m, 2H), 2.18 (m, 2H), 2.27 (s, 3H), 2.49 (m, 1H), 2.80 (m, 1H), 3.50 (m, 8H), 4.51 (m, 1H), 4.82 (dd, 1H), 7.10 (d, 2H), 7.46 (d, 2H), 8.85 (s, 1H), 9.38 (s, 1H)。 'Η NMR: δ 1.54 (m, 10H), 1.81 (m, 1H), 2.01 (m, 2H), 2.18 (m, 2H), 2.27 (s, 3H), 2.49 (m, 1H), 2.80 (m , 1H), 3.50 (m, 8H), 4.51 (m, 1H), 4.82 (dd, 1H), 7.10 (d, 2H), 7.46 (d, 2H), 8.85 (s, 1H), 9.38 (s, 1H).
実施例 11 (20): (2S) _1_{「(2S. 4S)-4- (3. 6—ジヒドロピリジン— 1 (2H)—ィルカ ルボニル)ピロリジン _2_ィル カルボニル }ピロリジン _2_カルボ二トリノレ 4—メチノレ ベンゼンスルホン酸塩 Example 11 (20): (2S) _1 _ {“(2S. 4S) -4- (3.6-dihydropyridine-1 (2H) -ylcarbonyl) pyrrolidine_2_ylcarbonyl} pyrrolidine_2_carbonitrinole 4 —Methinole benzenesulfonate
TLC:Rf 0.20 (クロ口ホルム:メタノール = 9 : 1); TLC: Rf 0.20 (form: methanol = 9: 1);
JH NMR: δ 1.78 (m, 1H), 2.11 (m, 7H), 2.27 (s, 3H), 2.77 (m, 1H), 3.55 (m, 6H), 3.95 (m, 2H), 4.49 (m, 1H), 4.81 (dd, 1H), 5.79 (m, 2H), 7.09 (d, 2H), 7.45 (d, 2H), 8.86 (s, 1H), 9.40 (s, 1H)。 J H NMR: δ 1.78 (m , 1H), 2.11 (m, 7H), 2.27 (s, 3H), 2.77 (m, 1H), 3.55 (m, 6H), 3.95 (m, 2H), 4.49 (m , 1H), 4.81 (dd, 1H), 5.79 (m, 2H), 7.09 (d, 2H), 7.45 (d, 2H), 8.86 (s, 1H), 9.40 (s, 1H).
実施例 11 (21): (2S) -l-i r(2S. 4S)— 4一(チオモルホリン一 4ーィルカルボニル)ピ 口リジン一 2—ィル Ίカルボ二ノレ }ピロリジン一 2—カルボ二トリノレ 4一メチルベンゼンスル ホン酸塩 Example 11 (21): (2S) -li r (2S. 4S) —41- (thiomorpholine-1-ylcarbonyl) piperidin-1-yl {carbinole} pyrrolidine-12-carboditrinole 4-1 Methylbenzene sulfonate
TLC:Rf 0.38 (クロ口ホルム:メタノール =5 : 1); TLC: Rf 0.38 (black form: methanol = 5: 1);
¾ NMR: δ 1.80 (m, 1H), 2.03 (m, 2H), 2.17 (m, 2H), 2.28 (s, 3H), 2.56 (m, 2H), ¾ NMR: δ 1.80 (m, 1H), 2.03 (m, 2H), 2.17 (m, 2H), 2.28 (s, 3H), 2.56 (m, 2H),
2.65 (m, 2H), 2.76 (m, 1H), 3.66 (m, 9H), 4.48 (m, 1H), 4.83 (dd, 1H), 7.10 (d, 2H), 7.46 (d, 2H), 8.87 (s, 1H), 9.39 (s, 1H)。 2.65 (m, 2H), 2.76 (m, 1H), 3.66 (m, 9H), 4.48 (m, 1H), 4.83 (dd, 1H), 7.10 (d, 2H), 7.46 (d, 2H), 8.87 (s, 1H), 9.39 (s, 1H).
実施例 11 (22): (2S) _1_{「(2S. 4S)-4- (3. 4—ジヒドロイソキノリン— 2 (1H)—ィ ルカルボニル)ピロリジン— 2—ィル Ίカルボニル }ピロリジン— 2—カルボ二トリノレ 4—メチ ルベンゼンスルホン酸塩 Example 11 (22): (2S) _1 _ {“(2S. 4S) -4- (3.4-dihydroisoquinoline-2 (1H) -ylcarbonyl) pyrrolidine-2-yl {carbonyl} pyrrolidine-2 —Carbonitoline 4—Methylbenzenesulfonate
TLC:Rf 0.52 (クロ口ホルム:メタノール =5 : 1); TLC: Rf 0.52 (cloth form: methanol = 5: 1);
'Η NMR: δ 1.83 (m, 1H), 2.02 (m, 2H), 2.17 (m, 2H), 2.28 (s, 3H), 2.83 (m, 3H), 'Η NMR: δ 1.83 (m, 1H), 2.02 (m, 2H), 2.17 (m, 2H), 2.28 (s, 3H), 2.83 (m, 3H),
3.66 (m, 7H), 4.52 (m, 1H), 4.67 (m, 2H), 4.83 (dd, 1H), 7.10 (m, 2H), 7.18 (m, 4H), 7.46 (d, 2H), 8.88 (s, 1H), 9.42 (s, 1H)。 3.66 (m, 7H), 4.52 (m, 1H), 4.67 (m, 2H), 4.83 (dd, 1H), 7.10 (m, 2H), 7.18 (m, 4H), 7.46 (d, 2H), 8.88 (s, 1H), 9.42 (s, 1H).
実施例 11 (23): (2S) _1_ (2S, 4S)-4- (2. 3—ジヒドロ _1H—インドールー 1ーィ ルカルボニル)ピロリジン一 2-ィノレ Ίカルボ二ル}ピロリジン一 2—カルボ二トリル 4ーメチ ルベンゼンスルホン酸塩 Example 11 (23): (2S) _1_ (2S, 4S) -4- (2.3-dihydro_1H-indole-1-ylcarbonyl) pyrrolidine-1-2-inole {carbonyl} pyrrolidine-12-carboni Tolyl 4-methylbenzenesulfonate
TLC:Rf 0.40 (クロ口ホルム:メタノール =5 : 1); TLC: Rf 0.40 (form: methanol = 5: 1);
'Η NMR: δ 1.98 (m, 3H), 2.17 (m, 2H), 2.28 (s, 3H), 2.92 (m, 1H), 3.17 (t, 2H), 3.56 (m, 5H), 4.18 (m, 2H), 4.58 (m, 1H), 4.85 (dd, 1H), 7.02 (m, 1H), 7.10 (m, 2H), 7.16 (m, 1H), 7.26 (d, 1H), 7.46 (d, 2H), 8.07 (d, 1H), 9.06 (s, 1H), 9.40 (s, 1H)。 'Η NMR: δ 1.98 (m, 3H), 2.17 (m, 2H), 2.28 (s, 3H), 2.92 (m, 1H), 3.17 (t, 2H), 3.56 (m, 5H), 4.18 (m , 2H), 4.58 (m, 1H), 4.85 (dd, 1H), 7.02 (m, 1H), 7.10 (m, 2H), 7.16 (m, 1H), 7.26 (d, 1H), 7.46 (d, 2H), 8.07 (d, 1H), 9.06 (s, 1H), 9.40 (s, 1H).
実施例 11 (24): (2S) -l-r ( (2S. 4S)_4_{「4_ (メチルスルホニル)ピペラジン— 1 —ィル Ίカルボニル }ピロリジン— 2—ィル)カルボニル」ピロリジン— 2—カルボ二トリノレ 4 —メチルベンゼンスルホン酸塩 Example 11 (24): (2S) -lr ((2S.4S) _4 _ {“4_ (methylsulfonyl) piperazine—1—ylΊcarbonyl} pyrrolidine—2-yl) carbonyl” pyrrolidine—2-carbonitrile Torinole 4 — methylbenzenesulfonate
TLC:Rf 0.10 (ブタノール:酢酸:水 =4 : 2 : 1); TLC: Rf 0.10 (butanol: acetic acid: water = 4: 2: 1);
JH NMR: δ 1.80 (m, 1H), 2.01 (m, 2H), 2.18 (m, 2H), 2.27 (s, 3H), 2.76 (m, 1H), 2.89 (s, 3H), 3.13 (m, 4H), 3.53 (m, 9H), 4.48 (m, 1H), 4.82 (dd, 1H), 7.09 (d, 2H), 7.45 (d, 2H), 9.13 (s, 2H)。 J H NMR: δ 1.80 (m , 1H), 2.01 (m, 2H), 2.18 (m, 2H), 2.27 (s, 3H), 2.76 (m, 1H), 2.89 (s, 3H), 3.13 (m , 4H), 3.53 (m, 9H), 4.48 (m, 1H), 4.82 (dd, 1H), 7.09 (d, 2H), 7.45 (d, 2H), 9.13 (s, 2H).
実施例 11 (25): (2S) _1_ (2S, 4S)-4- (l . 3—ジヒドロ— 2H—イソインドールー 2 ーィルカルボニル)ピロリジン一 2—ィノレ Ίカルボ二ル}ピロリジン一 2—カルボ二トリノレ 4一 メチルベンゼンスルホン酸塩 Example 11 (25): (2S) _1_ (2S, 4S) -4- (l.3-dihydro-2H-isoindole-2-ylcarbonyl) pyrrolidine-l-ynole dicarbyl} pyrrolidine-l-carbodi Trinole 4-methylbenzenesulfonate
TLC:Rf 0.27 (ブタノール:酢酸:水 =4 : 2 : 1); TLC: Rf 0.27 (butanol: acetic acid: water = 4: 2: 1);
¾ NMR: δ 1.87 (m, 1H), 2.01 (m, 2H), 2.17 (m, 2H), 2.27 (s, 3H), 2.93 (m, 1H), 3.55 (m, 5H), 4.55 (dd, 1H), 4.66 (s, 2H), 4.83 (dd, 1H), 4.92 (s, 2H), 7.09 (d, 2H), 7.33 (m, 4H), 7.46 (d, 2H), 9.17 (s, 2H)。 ¾ NMR: δ 1.87 (m, 1H), 2.01 (m, 2H), 2.17 (m, 2H), 2.27 (s, 3H), 2.93 (m, 1H), 3.55 (m, 5H), 4.55 (dd, 1H), 4.66 (s, 2H), 4.83 (dd, 1H), 4.92 (s, 2H), 7.09 (d, 2H), 7.33 (m, 4H), 7.46 (d, 2H), 9.17 (s, 2H ).
実施例 11 (26): (2S) -l-i r (2S. 4S)-4- (l . 3_チアゾリジン— 3—ィルカルボ二 ノレ)ピロリジン一 2—ィノレ Ίカルボ二ノレ }ピロリジン _2_カルボ二トリノレ 4_メチルベンゼン スルホン酸媳 Example 11 (26): (2S) -li r (2S.4S) -4- (l.3_thiazolidine-3-ylcarbinole) pyrrolidine-l-innole {carbinole} pyrrolidine_2_carbinitole 4_methylbenzene sulfonic acid 媳
TLC:Rf 0.54 (ジクロロメタン:メタノール =5 : 1); TLC: Rf 0.54 (dichloromethane: methanol = 5: 1);
JH NMR: δ 1.81 (m, 1H), 2.13 (m, 4H), 2.27 (s, 3H), 2.80 (m, 1H), 3.04 (m, 2H), 3.54 (m, 6H), 3.77 (m, 1H), 4.51 (m, 1H),4.53 (m, 2H), 4.82 (dd, IH), 7.10 (d, 2H), 7.46 (d, 2H), 8.90 (s, IH), 9.45 (s, 1H)。 J H NMR: δ 1.81 (m, 1H), 2.13 (m, 4H), 2.27 (s, 3H), 2.80 (m, 1H), 3.04 (m, 2H), 3.54 (m, 6H), 3.77 (m, 1H), 4.51 (m, 1H), 4.53 (m, 2H), 4.82 (dd, IH), 7.10 (d, 2H), 7.46 (d, 2H), 8.90 (s, IH), 9.45 (s, 1H).
実施例 11 (27): (2S) -l- ( { (2S. 45)_4_「(4_ヒドロキシ_4_フェニルピぺリジン _1_ィル)カルボニル Ίピロリジン— 2—ィル }カルボニル)ピロリジン _2_カルボ二トリノレExample 11 (27): (2S) -l-({(2S.45) _4 _ [(4_hydroxy_4_phenylpyridine_1_yl) carbonyl} pyrrolidine-2-yl} carbonyl) pyrrolidine_2 _Carbonitrine
4_メチルベンゼンスルホン酸塩 4_ methylbenzene sulfonate
TLC:Rf 0.20 (ジクロロメタン:メタノール =5 : 1); TLC: Rf 0.20 (dichloromethane: methanol = 5: 1);
'Η NMR: δ 1.63 (m, 2H), 1.85 (m, 3H), 2.02 (m, 2H), 2.18 (m, 2H), 2.27 (s, 3H), 2.78 (m, IH), 3.00 (m, 1H), 3.61 (m, 7H), 4.16 (m, 1H), 4.31 (m, IH), 4.51 (m, IH), 4.82 (dd, IH), 7.09 (d, 2H), 7.27 (m, 3H), 7.45 (m, 4H), 8.86 (s, 1H), 9.41 (s, IH) 参者例 27 : (4S) _l_ (tert_ブトキシカルボ二ル)— 4—(ヒドロキシメチル) _L—プロリ ノレ一L—プロリンアミド 'Η NMR: δ 1.63 (m, 2H), 1.85 (m, 3H), 2.02 (m, 2H), 2.18 (m, 2H), 2.27 (s, 3H), 2.78 (m, IH), 3.00 (m , 1H), 3.61 (m, 7H), 4.16 (m, 1H), 4.31 (m, IH), 4.51 (m, IH), 4.82 (dd, IH), 7.09 (d, 2H), 7.27 (m, 3H), 7.45 (m, 4H), 8.86 (s, 1H), 9.41 (s, IH) Participants 27: (4S) _l_ (tert_butoxycarbonyl) — 4- (hydroxymethyl) _L—proly Nore-L-prolinamide
(a)参考例 2で製造した化合物の代わりに参考例 26で製造した化合物を用いて、参 考例 3→参考例 5 ( (2S)— 2—シァノピロリジン 4一メチルベンゼンスルホン酸塩の代 わりに(L)一プロリンアミドを用いた。)で示される方法と同様にして、(4S)-1— (tert— ブトキシカルボニル) -4- (エトキシカルボニル) _L—プロリル一 L—プロリンアミドを得た (a) Reference Example 3 → Reference Example 5 ((2S) -2-cyanopyrrolidine 4-methylbenzenesulfonate was prepared using the compound prepared in Reference Example 26 instead of the compound prepared in Reference Example 2. (4L) -I- (tert-butoxycarbonyl) -4- (ethoxycarbonyl) _L-prolyl-L-prolinamide was used in the same manner as (4S) -1- (tert-butoxycarbonyl) -4-L-prolinamide. Obtained
(b)上記(a)で製造した化合物(550mg)のテトラヒドロフラン(6ml)溶液に室温で水 素化ホウ素リチウム(67mg)をカ卩え、混合物を 2. 5時間撹拌した。反応混合物を濃 縮し、残渣にジクロロメタンおよび飽和食塩水をカ卩え、抽出した。有機層を乾燥後濃 縮し、残渣をカラム精製し、標題化合物(448mg)を得た。 (b) Lithium borohydride (67 mg) was added to a solution of the compound (550 mg) produced in the above (a) in tetrahydrofuran (6 ml) at room temperature, and the mixture was stirred for 2.5 hours. The reaction mixture was concentrated, and dichloromethane and saturated saline were added to the residue, followed by extraction. The organic layer was concentrated after drying, and the residue was purified by a column to give the title compound (448 mg).
実施例 12 : (2S) -l-i r (2S. 4S)_4—(ヒドロキシメチル)ピロリジン— 2—ィル,カルボ 二ル}_ピロ ジン一 2_カルボ二ト ル 4_メチルベンゼンスルホン酸塩 [化 49] Example 12: (2S) -lir (2S.4S) _4- (hydroxymethyl) pyrrolidine-2-yl, carbyl} _pyrazine-1_2-carbonitol 4_methylbenzenesulfonate [Formula 49]
(a)参考例 27で製造した化合物(435mg)とピリジン(0. 82ml)のジクロロメタン(3m 1)溶液に 0°Cで無水トリフルォロ酢酸(0. 45ml)を滴下し、混合物を 0°Cで 30分間撹 拌した。反応混合物に飽和炭酸水素ナトリウム水溶液を加え、ジクロロメタンで抽出し た。有機層を 5 %硫酸水素力リウム水溶液および飽和食塩水で順次洗浄し、乾燥後 濃縮した。残渣をメタノール(3ml)に溶解し、炭酸カリウム (44mg)を加えて 30分間 攪拌した。反応液を濃縮し、残渣に飽和食塩水を加え、ジクロロメタンで抽出した。有 機層を乾燥後濃縮した。残渣をカラム精製し、(2S)— 1一 { [ (2S, 4S)— 4- (ヒドロキシ メチノレ) _N_tert_ブトキシカルボニルピロリジン一 2—ィル]カルボニル }ピロリジン一 2 一力ノレボニトリノレ(350mg)を得た。 (a) To a solution of the compound (435 mg) prepared in Reference Example 27 and pyridine (0.82 ml) in dichloromethane (3 ml) was added dropwise trifluoroacetic anhydride (0.45 ml) at 0 ° C, and the mixture was added at 0 ° C. Stirred for 30 minutes. To the reaction mixture was added a saturated aqueous sodium hydrogen carbonate solution, and the mixture was extracted with dichloromethane. The organic layer was washed successively with a 5% aqueous solution of potassium hydrogen sulfate and saturated saline, dried and concentrated. The residue was dissolved in methanol (3 ml), potassium carbonate (44 mg) was added, and the mixture was stirred for 30 minutes. The reaction solution was concentrated, saturated saline was added to the residue, and the mixture was extracted with dichloromethane. The organic layer was dried and concentrated. The residue was purified by column chromatography to obtain (2S) -11-[[(2S, 4S) -4- (hydroxymethinole) _N_tert_butoxycarbonylpyrrolidine-12-yl] carbonyl} pyrrolidine-12-force olebonitrinole (350 mg). Was.
(b)参考例 5で製造した化合物の代わりに上記(a)で製造した化合物を用いて実施 例 1で示される方法と同様に操作して、本発明化合物を得た。 (b) The compound of the present invention was obtained in the same manner as in Example 1, except that the compound prepared in (a) was used instead of the compound prepared in Reference Example 5.
TLC:Rf 0.16 (酢酸ェチル:酢酸:水 =3 : 1 : 1); TLC: Rf 0.16 (ethyl acetate: acetic acid: water = 3: 1: 1);
'Η NMR: δ 1.53 (m, IH), 2.01 (m, 2H), 2.20 (m, 3H), 2.28 (s, 3H), 2.52 (m, IH), 3.06 (m, IH), 3.34 (m, 4H), 3.56 (m, 2H), 4.48 (m, 1H), 4.82 (dd, IH), 7.10 (d, 2H), 7.46 (d, 2H), 8.70 (s, 1H), 9.30 (s, 1H)。 'Η NMR: δ 1.53 (m, IH), 2.01 (m, 2H), 2.20 (m, 3H), 2.28 (s, 3H), 2.52 (m, IH), 3.06 (m, IH), 3.34 (m , 4H), 3.56 (m, 2H), 4.48 (m, 1H), 4.82 (dd, IH), 7.10 (d, 2H), 7.46 (d, 2H), 8.70 (s, 1H), 9.30 (s, 1H).
参者例 28 : l_tert—ブチノレ 2—ェチノレ (2S)—4. 4—ジァリルピロリジン— 1. 2—ジカ ノレボキシラート Participant example 28: l_tert-butynole 2-ethynole (2S) —4.4-diarylpyrrolidine—1.2-dica-noreboxylate
l_tert_ブチル 2—ェチノレ (2S) _4, 4—ジァリル— 5_ォキソピロリジン— 1 , 2—ジ カルボキシラート(1. 53g)のテトラヒドロフラン(28ml)溶液に一 78°Cで水素化トリエ チルホウ素リチウム(: LMテトラヒドロフラン溶液; 5. 4ml)を滴下し、混合物を同温度 で 50分間攪拌した。反応混合物に飽和炭酸水素ナトリウム水溶液を加え、氷冷下 3 5%過酸化水素水(0. 8ml)を滴下し、 0°Cで 20分間攪拌した。反応混合物を濃縮し 、水およびジクロロメタンを加えて抽出した。有機層を乾燥後濃縮した。残渣をジクロ ロメタンに溶解し、 -78°Cに冷却し、トリェチルシラン(2· 2ml)および三フッ化ホウ素 ージェチルエーテル錯体(1. 9ml)を加え、一 78°Cで 90分、 _55°Cで 1時間攪拌した 。反応混合物に飽和炭酸水素ナトリウム水溶液を加え、ジクロロメタンで抽出した。有 機層を乾燥後濃縮した。残渣をカラム精製し、標題化合物(1. 08g)を得た。 l_tert_butyl 2-Ethynole (2S) _4,4-diallyl-5-oxopyrrolidine-1,2-dicarboxylate (1.53 g) in tetrahydrofuran (28 ml) at 178 ° C lithium triethylborohydride (78 ° C) : LM tetrahydrofuran solution; 5.4 ml) was added dropwise, and the mixture was stirred at the same temperature for 50 minutes. A saturated aqueous sodium hydrogen carbonate solution was added to the reaction mixture, and 35% aqueous hydrogen peroxide (0.8 ml) was added dropwise under ice cooling, followed by stirring at 0 ° C for 20 minutes. Concentrate the reaction mixture , Water and dichloromethane were added for extraction. The organic layer was dried and concentrated. The residue was dissolved in dichloromethane, cooled to -78 ° C, and triethylsilane (2.2 ml) and boron trifluoride-ethyl ether complex (1.9 ml) were added. The mixture was stirred at C for 1 hour. A saturated aqueous sodium hydrogen carbonate solution was added to the reaction mixture, and the mixture was extracted with dichloromethane. The organic layer was dried and concentrated. The residue was purified by column to give the title compound (1.08 g).
実施例 13: (2S) -1-1「(2S) -4. 4—ジプロピルピロリジン— 2—ィル Ίカルボニル }ピ 口リジン一 2—カルボ二トリル 塩酸塩 Example 13: (2S) -1-1 "(2S) -4.4-Dipropylpyrrolidine-2-yldicarbonyl} piperidine-12-carbonitrile hydrochloride
[化 50] [Formula 50]
参考例 2で製造した化合物の代わりに参考例 28で製造した化合物を用いて、参考 例 3→参考例 4→参考例 5→実施例 1で示される方法と同様に操作して、以下の物性 値を有する本発明化合物を得た。 Using the compound prepared in Reference Example 28 in place of the compound prepared in Reference Example 2, and operating in the same manner as described in Reference Example 3 → Reference Example 4 → Reference Example 5 → Example 1, the following physical properties were obtained. A compound of the invention having a value was obtained.
TLC:Rf 0.57 (クロ口ホルム:メタノール =5 : 1) ; TLC: Rf 0.57 (cloth form: methanol = 5: 1);
'Η NMR: δ 0.86 (m, 6H), 1.30 (m, 8H), 1.63 (dd, 1H), 1.99 (m, 2H), 2.21 (m, 3H), 2.99 (m, 2H), 3.57 (m, 2H), 4.50 (t, 1H), 4.81 (dd, 1H), 8.74 (s, 1H), 10.36 (s, 1H) 実施例 13 (1) : (2S) -l-i r (2S) -4. 4ージァリルピロリジン一 2—ィル Ίカルボ二ル ピ 口リジン一 2—カルボ二トリノレ 塩酸塩 'Η NMR: δ 0.86 (m, 6H), 1.30 (m, 8H), 1.63 (dd, 1H), 1.99 (m, 2H), 2.21 (m, 3H), 2.99 (m, 2H), 3.57 (m , 2H), 4.50 (t, 1H), 4.81 (dd, 1H), 8.74 (s, 1H), 10.36 (s, 1H) Example 13 (1): (2S) -li r (2S) -4. 4-Diarylpyrrolidine-1-2-yl Ίcarbonyl pi Oral lysine 1-2-carbonitrinole hydrochloride
参考例 3で製造した化合物の代わりに参考例 28で製造した化合物を用いて、参考 例 4→参考例 5→実施例 1で示される方法と同様に操作して、以下の物性値を有する 本発明化合物を得た。 Using the compound produced in Reference Example 28 in place of the compound produced in Reference Example 3, and operating in the same manner as in the method shown in Reference Example 4 → Reference Example 5 → Example 1, the compound having the following physical properties was obtained. An inventive compound was obtained.
TLC:Rf 0.60 (クロ口ホルム:メタノール = 5 : 1) ; TLC: Rf 0.60 (cloth form: methanol = 5: 1);
JH NMR: δ 1.70 (dd, 1H), 2.00 (m, 2H), 2.21 (m, 7H), 3.05 (m, 2H), 3.56 (m, 2H), 4.53 (t, 1H), 4.82 (m, 1H), 5.16 (m, 4H), 5.79 (m, 2H), 9.02 (s, 1H), 10.17 (s, 1H)。 参考例 29 : 4—ベンジル l_tert—ブチル 2—ェチル (2S) _5_ォキソピロリジン _1 . 2, 4—トリカルボキシラー卜 J H NMR: δ 1.70 (dd , 1H), 2.00 (m, 2H), 2.21 (m, 7H), 3.05 (m, 2H), 3.56 (m, 2H), 4.53 (t, 1H), 4.82 (m , 1H), 5.16 (m, 4H), 5.79 (m, 2H), 9.02 (s, 1H), 10.17 (s, 1H). Reference Example 29: 4-benzyl l_tert-butyl 2-ethyl (2S) _5_oxopyrrolidine_1.2,4-tricarboxylate
アルゴン雰囲気下、 i_tert一ブチル 2—ェチル (2S) _5—ォキソピロリジン _1 , 2 —ジカルボキシラート(lg)のテトラヒドロフラン(20ml)溶液に— 78。Cで、リチウムへキ サメチルジシラジド(1Mテトラヒドロフラン溶液、 4. 3ml)を滴下し、同温度で 30分間 攪拌した。混合物にクロロギ酸べンジル (0. 61ml)を滴下し、さらに同温度で 1時間 攪拌した。反応混合物に飽和塩ィ匕アンモニゥム水溶液をカ卩え、酢酸ェチルで抽出し た。有機層を水および飽和食塩水で順次洗浄し、乾燥後濃縮した。残渣をカラム精 製し、標題化合物(1. 09g)を得た。 Under an argon atmosphere, i_ tert one-butyl 2- Echiru (2S) _5- Okisopirorijin _1, 2 - tetrahydrofuran (20ml) solution of di-carboxylate (lg) - 78. At C, lithium hexamethyldisilazide (1M tetrahydrofuran solution, 4.3 ml) was added dropwise, and the mixture was stirred at the same temperature for 30 minutes. Benzyl chloroformate (0.61 ml) was added dropwise to the mixture, and the mixture was further stirred at the same temperature for 1 hour. To the reaction mixture was added a saturated aqueous solution of ammonium salt, which was extracted with ethyl acetate. The organic layer was washed successively with water and saturated saline, dried and concentrated. The residue was purified by column to give the title compound (1.09 g).
参者例 30 : 4—ベンジル l_tert_ブチル 2_ェチル (2S. 4S)_4_メチル _5—ォ キソピロリジン一 1. 2. 4_トリカルボキシラート Participant example 30: 4-benzyl l_tert_butyl 2-ethyl (2S.4S) _4_methyl_5-oxopyrrolidine 1.2.4. Tricarboxylate
アルゴン雰囲気下、参考例 29で製造した化合物(4. 28g)のテトラヒドロフラン(50 ml)溶液に— 78°Cでリチウムへキサメチルジシラジド(1Mテトラヒドロフラン溶液; 12m 1)を滴下し、同温度で 1時間攪拌した。混合物にヨウ化メチル (0. 75ml)を滴下し、 0 °Cで 1時間、室温で終夜攪拌した。反応混合物に飽和塩化アンモニゥム水溶液を加 え、酢酸ェチルで抽出した。有機層を水および飽和食塩水で順次洗浄し、乾燥後濃 縮した。残渣をカラム精製し、標題化合物 (0. 9g)を得た。 Under an argon atmosphere, lithium hexamethyldisilazide (1M tetrahydrofuran solution; 12 ml) was added dropwise at −78 ° C. to a solution of the compound (4.28 g) prepared in Reference Example 29 in tetrahydrofuran (50 ml) at the same temperature. For 1 hour. Methyl iodide (0.75 ml) was added dropwise to the mixture, and the mixture was stirred at 0 ° C for 1 hour and at room temperature overnight. A saturated aqueous ammonium chloride solution was added to the reaction mixture, and the mixture was extracted with ethyl acetate. The organic layer was washed successively with water and saturated saline, dried, and concentrated. The residue was purified by column to give the title compound (0.9 g).
実施例 14 : (3S. 5S)_5— i「(2S)_2—シァノピロリジン一 1ーィル Ίカルボニル }一 N, Example 14: (3S.5S) _5—i “(2S) _2—cyanopyrrolidine-1-yl {carbonyl} -1-N,
3— h£メチルピロリ_ジン一 3—カルボキサミ 4一メチルベンゼンスルホン酸塩 3— h £ methylpyrrolidine 3- 3-carboxami 4 4-methylbenzenesulfonate
[0242] [化 51] [0242] [Formula 51]
[0243] l_tert_ブチル 2—ェチノレ (2S) _4, 4—ジァリル— 5_ォキソピロリジン— 1 , 2—ジ カルボキシラートの代わりに参考例 30で製造した化合物を用いて、参考例 28→参考 例 3→参考例 5 ( (2S) _2_シァノピロリジン 4_メチルベンゼンスルホン酸塩の代わり にジメチルァミンを用いた。 )→参考例 4→参考例 5→実施例 1で示される方法と同様 に操作して、以下の物性値を有する本発明化合物を得た。 [0243] l_tert_butyl 2-ethynole (2S) _4,4-diallyl-5_oxopyrrolidine-1, 2-dicarboxylate was replaced with the compound produced in Reference Example 30 to obtain Reference Example 28 → Reference Example 3 → Reference Example 5 (in place of (2S) _2_cyanopyrrolidine 4_methylbenzenesulfonate) Dimethylamine was used. ) → Reference Example 4 → Reference Example 5 → By operating in the same manner as in the method shown in Example 1, a compound of the present invention having the following physical property values was obtained.
TLC:Rf 0.52 (クロ口ホルム:メタノール = 5 : 1); TLC: Rf 0.52 (form: methanol = 5: 1);
'Η NMR: δ 1.44 (s, 1H), 1.44 (s, 2H), 2.08 (m, 4H), 2.29 (s, 3H), 2.39 (m, 1H), 2.58 (m, 1H), 2.93 (s, 4H), 2.95 (s, 2H), 3.31 (m, 2H), 3.60 (m, 1H), 4.09 (d, 0.33H), 3.86 (d, 0.67H), 4.69 (m, 2H), 7.09 (d, 2H), 7.52 (d, 2H), 8.92 (s, 2H)。 実施例 14 (1): (3R. 5S)_5_i「(2S)_2_シァノピロリジン— 1—ィル Ίカルボニル }_ Ν. Ν. 3_トリメチルピロリジン一 3_カルボキサミド 4_メチルベンゼンスルホン酸塩 4_ベンジル l_tert_ブチル 2—ェチノレ (2S, 4S)_4_メチル _5_ォキソピロリ ジン— 1, 2, 4_トリカルボキシラートの代わりに 4_ベンジル l_tert_ブチル 2—ェ チル (2S, 4R)_4_メチノレ _5_ォキソピロリジン— 1 , 2, 4_トリカルボキシラートを用 いて実施例 14で示される方法と同様に操作して、以下の物性値を有する本発明化 合物を得た。 'Η NMR: δ 1.44 (s, 1H), 1.44 (s, 2H), 2.08 (m, 4H), 2.29 (s, 3H), 2.39 (m, 1H), 2.58 (m, 1H), 2.93 (s , 4H), 2.95 (s, 2H), 3.31 (m, 2H), 3.60 (m, 1H), 4.09 (d, 0.33H), 3.86 (d, 0.67H), 4.69 (m, 2H), 7.09 ( d, 2H), 7.52 (d, 2H), 8.92 (s, 2H). Example 14 (1): (3R. 5S) _5_i “(2S) _2_cyanopyrrolidine-1-yl {carbonyl} _ Ν. III. 3_trimethylpyrrolidine-1 3_carboxamide 4_methylbenzenesulfonate 4_benzyl l_tert_butyl 2-ethynole (2S, 4S) _4_methyl_5_oxopyrrolidine—instead of 1,2,4_tricarboxylate 4_benzyl l_tert_butyl 2-ethyl (2S, 4R) _4 Using the same procedure as described in Example 14 using _methinole_5_oxopyrrolidine-1,2,4-tricarboxylate, a compound of the present invention having the following physical data was obtained.
TLC:Rf 0.42 (クロ口ホルム:メタノール =9 : 1); TLC: Rf 0.42 (form: methanol = 9: 1);
JH NMR: δ 1.37 (m, 4H), 2.05 (m, 5H), 2.28 (s, 3H), 2.90 (m, 6H), 3.61 (m, 3H), 4.14 (s, 1H), 4.44 (dd, 1H), 4.83 (dd, 1H), 7.10 (d, 2H), 7.46 (d, 2H), 8.97 (m, 1H), 9.50 (m, 1H)。 J H NMR: δ 1.37 (m , 4H), 2.05 (m, 5H), 2.28 (s, 3H), 2.90 (m, 6H), 3.61 (m, 3H), 4.14 (s, 1H), 4.44 (dd , 1H), 4.83 (dd, 1H), 7.10 (d, 2H), 7.46 (d, 2H), 8.97 (m, 1H), 9.50 (m, 1H).
参考例 31 : 2_tert_ブチル 4_メチル (2S, 4S, 5S)— 5—メチノレピロリジン 2, 4— ジカルボキシラート(化合物 A)および 2— tert ブチル 4ーメチノレ (2S, 4R, 5S)— 5 -メチルピロリジン- 2, 4-ジカルボキシラート(化合物 B) Reference Example 31: 2_tert_butyl 4_methyl (2S, 4S, 5S) -5-methinolepyrrolidine 2,4-dicarboxylate (Compound A) and 2-tert-butyl 4-methynole (2S, 4R, 5S) -5 -Methylpyrrolidine-2,4-dicarboxylate (Compound B)
1_ベンジル 2_tert_ブチル 4 メチル (2S)_5—メチノレー 2, 3—ジヒドロ一 1H— ピロ一ルー 1, 2, 4_トリカルボキシラート(9. 5g)の酢酸(80ml)溶液にパラジウム炭 素(1. 2g)を加え、水素雰囲気下、室温で 9時間攪拌した。反応混合物をろ過し、ろ 液を濃縮した。残渣に飽和炭酸水素ナトリウム水溶液を加え、混合物を酢酸ェチル で抽出した。有機層を飽和食塩水で洗浄後、無水硫酸マグネシウムで乾燥後濃縮し 、残渣をカラム精製し、化合物 A (l . 9g)および化合物 B (l . 55g)をそれぞれ得た。 参者例 32 : (2S. 4S. 5S) _4—(メトキシカルボニル) _5_メチルピロリジン _2_カル ボン トリフルォロ S乍 参考例 31で製造した化合物 A(l . 9g)に 90%トリフルォロ酢酸水溶液(20ml)を 加え、混合物を室温で 3時間攪拌した。反応混合物を濃縮し、残渣をベンゼンで共 沸後、さらに濃縮し、標題化合物 (2. 3g)を得た。 1_Benzyl 2_tert_butyl 4-methyl (2S) _5-methylinole 2,3-dihydro-1H-pyrroyl 1,1,4_tricarboxylate (9.5 g) in acetic acid (80 ml) solution in palladium carbon ( 1.2 g) was added, and the mixture was stirred at room temperature under a hydrogen atmosphere for 9 hours. The reaction mixture was filtered, and the filtrate was concentrated. To the residue was added a saturated aqueous sodium hydrogen carbonate solution, and the mixture was extracted with ethyl acetate. The organic layer was washed with saturated saline, dried over anhydrous magnesium sulfate and concentrated, and the residue was purified by column to give compound A (1.9 g) and compound B (1.55 g), respectively. Participant example 32: (2S. 4S. 5S) _4— (methoxycarbonyl) _5_Methylpyrrolidine _2_Carbon trifluoro S To the compound A (1.9 g) produced in Reference Example 31 was added a 90% aqueous solution of trifluoroacetic acid (20 ml), and the mixture was stirred at room temperature for 3 hours. The reaction mixture was concentrated, the residue was azeotropically distilled with benzene, and further concentrated to obtain the title compound (2.3 g).
実施例 15 : (2S) _1_{「(2S. 4S. 5S) _4—(ヒドロキシメチル) _5_メチルピロリジン — 2—ィノレ Ί ルボ二ノレ _}ピロリジン _2_カルボニト JIル 4— ルベンゼンスルホン酸 Example 15: (2S) _1 _ {“(2S.4S.5S) _4- (hydroxymethyl) _5_methylpyrrolidine — 2-inolpene rubinole _} pyrrolidine_2_carbonit JI 4-lebenzenesulfonic acid
[0244] [化 52] [0244] [Formula 52]
[0245] 参考例 24 (a)で製造した化合物の代わりに参考例 32で製造した化合物を用いて、 参考例 24 (b)→参考例 5 ( (2S)-シァノピロリジン 4 メチルベンゼンスルホン酸塩 の代わりに (L) プロリンアミドを用いた。)→参考例 27 (b)→実施例 12で示される方 法と同様に操作して、本発明化合物を得た。 Reference Example 24 (b) → Reference Example 5 ((2S) -cyanopyrrolidine 4 methylbenzenesulfonic acid, using the compound prepared in Reference Example 32 instead of the compound prepared in Reference Example 24 (a). (L) Prolinamide was used in place of the salt.) → Reference Example 27 (b) → The compound of the present invention was obtained in the same manner as in the method shown in Example 12.
TLC:Rf 0.19 (酢酸ェチル:酢酸:水 =3 : 1 : 1); TLC: Rf 0.19 (ethyl acetate: acetic acid: water = 3: 1: 1);
JH NMR: δ 1.24 (d, 3H), 1.66 (m, IH), 2.01 (m, 2H), 2.17 (m, 2H), 2.28 (s, 3H), 2.42 (m, IH), 2.61 (m, IH), 3.42 (m, 3H), 3.55 (m, 2H), 3.74 (m, IH), 4.47 (m, IH), 4.81 (dd, IH), 7.10 (d, 2H), 7.46 (d, 2H), 8.10 (m, IH), 9.52 (m, 1H)。 J H NMR: δ 1.24 (d, 3H), 1.66 (m, IH), 2.01 (m, 2H), 2.17 (m, 2H), 2.28 (s, 3H), 2.42 (m, IH), 2.61 (m , IH), 3.42 (m, 3H), 3.55 (m, 2H), 3.74 (m, IH), 4.47 (m, IH), 4.81 (dd, IH), 7.10 (d, 2H), 7.46 (d, 2H), 8.10 (m, IH), 9.52 (m, 1H).
実施例 16 : (2S. 3S. 5S) _5_i「(2S) _2_シァノピロリジン— 1—ィル Ίカルボ二ル}_ Example 16: (2S. 3S. 5S) _5_i “(2S) _2_cyanopyrrolidine- 1-yl {carbonyl} _
N. N. 2_トリメチルピロリジン _3_カルボキサミド [化 53] NN 2_trimethylpyrrolidine_3_carboxamide [Formula 53]
参考例 24 (a)で製造した化合物の代わりに参考例 32で製造した化合物を用いて、 参考例 24 (b)→参考例 5 ( (2S)_2_シァノピロリジン 4一メチルベンゼンスルホン酸 塩の代わりに (L)_プロリンアミドを用いた。)→参考例 4→参考例 5 ( (2S)_2_シァノ ピロリジン 4_メチルベンゼンスルホン酸塩の代わりにジメチルァミンを用いた。)→ 参考例 14→実施例 1で示される方法と同様に操作して、本発明化合物を得た。Reference Example 24 (b) → Reference Example 5 ((2S) _2_cyanopyrrolidine 4-methylbenzenesulfonic acid salt using the compound prepared in Reference Example 32 instead of the compound prepared in Reference Example 24 (a)) Was replaced with (L) _prolinamide.) → Reference Example 4 → Reference Example 5 (Dimethylamine was used instead of (2S) _2_cyanopyrrolidine 4_methylbenzenesulfonate) → Reference Example 1 4 → The compound of the present invention was obtained in the same manner as in the method shown in Example 1.
TLC:Rf 0.26 (ジクロロメタン:メタノール =5 : 1); TLC: Rf 0.26 (dichloromethane: methanol = 5: 1);
JH NMR: δ 1.13 (d, 3H), 2.14 (m, 5H), 2.61 (m, 1H), 2.84 (s, 3H), 3.02 (s, 3H), 3.60 (m, 3H), 3.94 (m, 1H), 4.50 (m, 1H), 4.90 (m, 1H), 8.21 (m, 1H), 10.47 (m, 1H)。 J H NMR: δ 1.13 (d , 3H), 2.14 (m, 5H), 2.61 (m, 1H), 2.84 (s, 3H), 3.02 (s, 3H), 3.60 (m, 3H), 3.94 (m , 1H), 4.50 (m, 1H), 4.90 (m, 1H), 8.21 (m, 1H), 10.47 (m, 1H).
実施例 16 ( 1 )—実施例 16 (22) Example 16 (1) —Example 16 (22)
参考例 32で製造した化合物の代わりに相当する化合物を用いて実施例 16で示さ れる方法と同様に操作して、以下の本発明化合物を得た。 The following compound of the present invention was obtained in the same manner as in Example 16, except that the compound prepared in Reference Example 32 was replaced with the corresponding compound.
実施例 16 (1): (2S, 3R. 5S) -5-i「(2S) -2-シァノピロリジン一 1ーィル Ίカルボ二 ル}一 N, N. 2-トリメチルピロリジン一 3-カルボキサミド 塩酸塩 Example 16 (1): (2S, 3R. 5S) -5-i "(2S) -2-cyanopyrrolidine-l-l- {carbyl} -lN, N. 2-trimethylpyrrolidine-l-carboxamide hydrochloride salt
TLC:Rf 0.58 (ジクロロメタン:メタノール = 5 : 1); TLC: Rf 0.58 (dichloromethane: methanol = 5: 1);
'Η NMR: δ 1.32 (d, 3H), 2.19 (m, 6H), 2.85 (s, 3H), 2.98 (s, 3H), 3.13 (m, 1H), 3.49 (m, 2H), 3.79 (m, 1H), 4.61 (m, 1H), 4.82 (m, 1H), 8.64 (s, 1H), 10.41 (s, 1H) 実施例 16 (2): (2S. 3S. 5S) -5-i r (2S. 4S) _2_シァノ _4_フルォロピロリジン— 1—ィル Ίカルボニル Ν. N. 2_トリメチルピロリジン _3_カルボキサミド 塩酸塩 TLC:Rf 0.31 (ジクロロメタン:メタノール = 5 : 1); 'Η NMR: δ 1.32 (d, 3H), 2.19 (m, 6H), 2.85 (s, 3H), 2.98 (s, 3H), 3.13 (m, 1H), 3.49 (m, 2H), 3.79 (m , 1H), 4.61 (m, 1H), 4.82 (m, 1H), 8.64 (s, 1H), 10.41 (s, 1H) Example 16 (2): (2S. 3S. 5S) -5-ir ( 2S. 4S) _2_Cyano _4_Fluoropyrrolidine-1-yl dicarbonyl Ν. N. 2_Trimethylpyrrolidine_3_Carboxamide hydrochloride TLC: Rf 0.31 (dichloromethane: methanol = 5: 1);
JH NMR: δ 1.14 (d, 3H), 2.27 (m, 3H), 2.67 (m, 1H), 2.85 (s, 3H), 3.02 (s, 3H), 3.63 (m, 1H), 3.90 (m, 3H), 4.43 (m, 1H), 5.12 (m, 1H), 5.54 (m, 1H), 8.31 (s, 1H), 10.51 (s, 1H)。 J H NMR: δ 1.14 (d , 3H), 2.27 (m, 3H), 2.67 (m, 1H), 2.85 (s, 3H), 3.02 (s, 3H), 3.63 (m, 1H), 3.90 (m, 3H), 4.43 (m, 1H), 5.12 (m, 1H), 5.54 (m, 1H), 8.31 (s, 1H), 10.51 (s, 1H).
実施例 16 (3): (2S. 3R. 5S) -5-i「(2S, 4S) _2_シァノ _4_フルォロピロリジン一 1—ィル Ίカルボニル Ν. N. 2_トリメチルピロリジン _3_カルボキサミド 塩酸塩 Example 16 (3): (2S. 3R. 5S) -5-i “(2S, 4S) _2_cyano _4_fluoropyrrolidine- 1-yl Ίcarbonyl Ν. N. 2_trimethylpyrrolidine _3_ Carboxamide hydrochloride
TLC:Rf 0.49 (ジクロロメタン:メタノール =5 : 1); TLC: Rf 0.49 (dichloromethane: methanol = 5: 1);
'Η NMR: δ 1.32 (d, 3H), 2.39 (m, 4H), 2.85 (s, 3H), 2.98 (s, 3H), 3.17 (m, 1H), 3.85 (m, 3H), 4.52 (m, 1H), 5.14 (m, 1H), 5.53 (m, 1H), 8.73 (s, 1H), 10.38 (s, 1H) 実施例 16 (4): (2S) -l-i r (2S. 4S. 5S) _4—(ァゼチジン— 1—ィルカルボ二ル)— 5_メチルピロリジン一 2—ィル Ίカルボニル }ピロリジン _2_カルボ二トリノレ 4—メチノレべ ンゼンスノレホン酸媳 'Η NMR: δ 1.32 (d, 3H), 2.39 (m, 4H), 2.85 (s, 3H), 2.98 (s, 3H), 3.17 (m, 1H), 3.85 (m, 3H), 4.52 (m , 1H), 5.14 (m, 1H), 5.53 (m, 1H), 8.73 (s, 1H), 10.38 (s, 1H) Example 16 (4): (2S) -li r (2S. 4S. 5S ) _4— (azetidine-1-ylcarbonyl) — 5_methylpyrrolidine-12-yl {carbonyl} pyrrolidine_2_carboditrinole 4-methylinobenzene benzenesolenoic acid
TLC:Rf 0.41 (ジクロロメタン:メタノール = 5 : 1); TLC: Rf 0.41 (dichloromethane: methanol = 5: 1);
JH NMR: 5 1.20 (d, 3H), 2.09 (m, 7H), 2.27 (s, 3H), 2.63 (m, 1H), 3.14 (q, 1H), 3.54 (m, 2H), 3.85 (m, 3H), 4.16 (t, 2H), 4.50 (m, 1H), 4.79 (dd, 1H), 7.09 (d, 2H), 7.45 (d, 2H), 8.21 (s, 1H), 9.67 (s, 1H)。 J H NMR: 5 1.20 (d , 3H), 2.09 (m, 7H), 2.27 (s, 3H), 2.63 (m, 1H), 3.14 (q, 1H), 3.54 (m, 2H), 3.85 (m , 3H), 4.16 (t, 2H), 4.50 (m, 1H), 4.79 (dd, 1H), 7.09 (d, 2H), 7.45 (d, 2H), 8.21 (s, 1H), 9.67 (s, 1H).
実施例 16 (5): (2S) _1_ (2S, 4S. 5S) _5—メチルー 4_ (モルホリン一 4ーィルカル ボニル)ピロリジン一 2—ィノレ Ίカルボ二ル}ピロリジン一 2—カルボ二トリル 4一メチルベン ゼンスルホン酸塩 Example 16 (5): (2S) _1_ (2S, 4S.5S) _5-methyl-4_ (morpholine-l-4-ylcarbonyl) pyrrolidine-l-inole {carbonyl} pyrrolidine-l-carbonitrile 4-methylbenzensulfone Acid salt
TLC:Rf 0.43 (ジクロロメタン:メタノール =5 : 1); TLC: Rf 0.43 (dichloromethane: methanol = 5: 1);
¾ NMR: δ 1.19 (m, 3H), 2.11 (m, 5H), 2.27 (s, 3H), 2.63 (m, 1H), 3.52 (m, 11H), 3.89 (m, 1H), 4.51 (m, 1H), 4.80 (m, 1H), 7.10 (d, 2H), 7.46 (d, 2H), 8.27 (s, 1H), 9.63 (s, 1H)。 ¾ NMR: δ 1.19 (m, 3H), 2.11 (m, 5H), 2.27 (s, 3H), 2.63 (m, 1H), 3.52 (m, 11H), 3.89 (m, 1H), 4.51 (m, 1H), 4.80 (m, 1H), 7.10 (d, 2H), 7.46 (d, 2H), 8.27 (s, 1H), 9.63 (s, 1H).
実施例 16 (6): (2S) _1_{「(2S, 4S. 5S) _5_メチル _4—(ピペリジン— 1—ィルカル ボニル)ピロリジン _2_ィル カルボニル }ピロリジン _2_カルボ二トリノレ 4_メチルベン ゼンスルホン酸塩 Example 16 (6): (2S) _1 _ {“(2S, 4S.5S) _5_methyl_4 -— (piperidine-1-ylcarbonyl) pyrrolidine_2_ylcarbonyl} pyrrolidine_2_carboditrinole 4_methylbenzensulfone Acid salt
TLC:Rf 0.59 (ジクロロメタン:メタノール =5 : 1); TLC: Rf 0.59 (dichloromethane: methanol = 5: 1);
'Η NMR: δ 1.15 (d, 3H), 1.44 (m, 6H), 2.11 (m, 5H), 2.27 (s, 3H), 2.60 (m, 1H), 3.50 (m, 7H), 3.86 (m, 1H), 4.50 (m, 1H), 4.80 (dd, 1H), 7.09 (d, 2H), 7.45 (d, 2H), 8.24 (s, 1H), 9.57 (s, 1H)。 'Η NMR: δ 1.15 (d, 3H), 1.44 (m, 6H), 2.11 (m, 5H), 2.27 (s, 3H), 2.60 (m, 1H), 3.50 (m, 7H), 3.86 (m , 1H), 4.50 (m, 1H), 4.80 (dd, 1H), 7.09 (d, 2H), 7.45 (d, 2H), 8.24 (s, 1H), 9.57 (s, 1H).
実施例 16 (7): (2S) -l- ( { (2S. 4S. 5S) _4_「(4_ヒドロキシピペリジン一 1一ィル) カルボニル _5—メチルピロリジン一 2—ィル }カルボ二ノレ)ピロリジン一 2—カルボ二トリルExample 16 (7): (2S) -l-({(2S.4S.5S) _4 _ “(4_hydroxypiperidine-11-yl) carbonyl_5-methylpyrrolidine-1-yl} carbinole) Pyrrolidine mono-2-carbonitrile
4_メチルベンゼンスルホン酸塩 4_ methylbenzene sulfonate
TLC:Rf 0.19 (ジクロロメタン:メタノール = 5 : 1); TLC: Rf 0.19 (dichloromethane: methanol = 5: 1);
'Η NMR : δ 1.16 (m, 3H), 1.30 (m, 2H), 1.73 (m, 2H), 2.14 (m, 5H), 2.27 (s, 3H), 2.60 (m, 1H), 3.13 (m, 2H), 3.71 (m, 8H), 4.51 (m, 1H), 4.80 (dd, 1H), 7.10 (d, 2H), 7.46 (d, 2H), 8.24 (s, 1H), 9.60 (s, 1H)。 'Η NMR: δ 1.16 (m, 3H), 1.30 (m, 2H), 1.73 (m, 2H), 2.14 (m, 5H), 2.27 (s, 3H), 2.60 (m, 1H), 3.13 (m , 2H), 3.71 (m, 8H), 4.51 (m, 1H), 4.80 (dd, 1H), 7.10 (d, 2H), 7.46 (d, 2H), 8.24 (s, 1H), 9.60 (s, 1H).
実施例 16 (8) : (2S. 3S. 5S) _5_i「(2S) _2_シァノピロリジン— 1—ィル Ίカルボ二 ノレ }_N_ェチル _N, 2—ジメチルピロリジン _3_カルボキサミド 4_メチルベンゼンス ルホン酸媳 Example 16 (8): (2S. 3S. 5S) _5_i “(2S) _2_cyanopyrrolidine-1-yl Ί carbino} _N_ethyl _N, 2-dimethylpyrrolidine _3_carboxamide 4_methylbenzene Sulfonic acid 媳
TLC:Rf 0.49 (ジクロロメタン:メタノール = 5 : 1); TLC: Rf 0.49 (dichloromethane: methanol = 5: 1);
JH NMR : δ 1.04 (m, 3H), 1.16 (m, 3H), 2.09 (m, 5H), 2.27 (s, 3H), 2.64 (m, 1H), 2.91 (m, 3H), 3.23 (m, 1H), 3.52 (m, 4H), 3.89 (m, 1H), 4.52 (m, 1H), 4.80 (dd, 1H), 7.10 (d, 2H), 7.46 (d, 2H), 8.21 (s, 1H), 9.64 (s, 1H)。 J H NMR: δ 1.04 (m, 3H), 1.16 (m, 3H), 2.09 (m, 5H), 2.27 (s, 3H), 2.64 (m, 1H), 2.91 (m, 3H), 3.23 (m , 1H), 3.52 (m, 4H), 3.89 (m, 1H), 4.52 (m, 1H), 4.80 (dd, 1H), 7.10 (d, 2H), 7.46 (d, 2H), 8.21 (s, 1H), 9.64 (s, 1H).
実施例 16 (9): (2S) -l-i r (2S. 4S. 5S) _4_ (ァゼパン- 1ーィルカルボニル) _5_ メチルピロリジン一 2—ィル Ίカルボ二ノレ }ピロリジン一 2—カルボ二トリノレ 4一メチルベン ゼンスルホン酸塩 Example 16 (9): (2S) -li r (2S. 4S. 5S) _4_ (azepan-1-ylcarbonyl) _5_ methylpyrrolidine-1-2-yl {carbinole} pyrrolidine-12-carboditrinole 4-methylbenz Zensulfonate
TLC:Rf 0.63 (ジクロロメタン:メタノール = 5 : 1); TLC: Rf 0.63 (dichloromethane: methanol = 5: 1);
¾ NMR : δ 1.20 (d, 3H), 1.55 (m, 8H), 2.09 (m, 5H), 2.27 (s, 3H), 2.69 (m, 1H), 3.35 (m, 2H), 3.55 (m, 5H), 3.87 (m, 1H), 4.52 (m, 1H), 4.80 (dd, 1H), 7.10 (d, 2H), 7.46 (d, 2H), 8.19 (s, 1H), 9.63 (s, 1H)。 ¾ NMR: δ 1.20 (d, 3H), 1.55 (m, 8H), 2.09 (m, 5H), 2.27 (s, 3H), 2.69 (m, 1H), 3.35 (m, 2H), 3.55 (m, 5H), 3.87 (m, 1H), 4.52 (m, 1H), 4.80 (dd, 1H), 7.10 (d, 2H), 7.46 (d, 2H), 8.19 (s, 1H), 9.63 (s, 1H) ).
実施例 16 (10): (2S) _1_{「(2S. 4S. 5S) _4_ (ァゾカン— 1—ィルカルボ二ル)— 5 —メチルピロリジン— 2—ィル Ίカルボニル }ピロリジン _2_カルボ二トリノレ 4—メチノレベン ゼンスルホン酸塩 Example 16 (10): (2S) _1 _ {“(2S.4S.5S) _4_ (azocan-1-ylcarbonyl) -5-methylpyrrolidine-2-yl} carbonyl} pyrrolidine_2_carbonitrinole 4 —Methinolevene zensulfonate
TLC:Rf 0.61 (ジクロロメタン:メタノール = 5 : 1); TLC: Rf 0.61 (dichloromethane: methanol = 5: 1);
'Η NMR : δ 1.20 (d, 3H), 1.55 (m, 10H), 2.08 (m, 5H), 2.27 (s, 3H), 2.72 (m, 1H), 3.20 (m, 1H), 3.34 (m, 1H), 3.51 (m, 5H), 3.86 (m, 1H), 4.53 (m, 1H), 4.80 (dd, 1H), 7.09 (d, 2H), 7.45 (d, 2H), 8.20 (s, 1H), 9.62 (s, 1H)。 'Η NMR: δ 1.20 (d, 3H), 1.55 (m, 10H), 2.08 (m, 5H), 2.27 (s, 3H), 2.72 (m, 1H), 3.20 (m, 1H), 3.34 (m , 1H), 3.51 (m, 5H), 3.86 (m, 1H), 4.53 (m, 1H), 4.80 (dd, 1H), 7.09 (d, 2H), 7.45 (d, 2H), 8.20 (s, 1H), 9.62 (s, 1H).
実施例 16 (11): (2S) -l-i r(2S. 4S. 5S)_4_ (3, 6—ジヒドロピリジン _1 (2H)— ィルカルボ二ノレ) _5—メチルピロリジン一 2—ィル Ίカルボ二ノレ }ピロリジン一 2—カルボ二 トリノレ 4_メチルベンゼンスルホン酸塩 Example 16 (11): (2S) -li r (2S. 4S. 5S) _4_ (3,6-dihydropyridine_1 (2H) -ylcarbinole) _5-methylpyrrolidine-1-yl {carbinole} Pyrrolidine mono-2-carbino trinole 4-methylbenzenesulfonate
TLC:Rf 0.46 (ジクロロメタン:メタノール =5 : 1); TLC: Rf 0.46 (dichloromethane: methanol = 5: 1);
'Η NMR: δ 1.13 (m, 3H), 2.11 (m, 7H), 2.27 (s, 3H), 2.61 (m, IH), 3.54 (m, 5H), 3.95 (m, 3H), 4.51 (m, 1H), 4.80 (dd, 1H), 5.70 (m, IH), 5.85 (m, IH), 7.09 (d, 2H), 7.45 (d, 2H), 8.27 (s, 1H), 9.62 (s, 1H)。 'Η NMR: δ 1.13 (m, 3H), 2.11 (m, 7H), 2.27 (s, 3H), 2.61 (m, IH), 3.54 (m, 5H), 3.95 (m, 3H), 4.51 (m , 1H), 4.80 (dd, 1H), 5.70 (m, IH), 5.85 (m, IH), 7.09 (d, 2H), 7.45 (d, 2H), 8.27 (s, 1H), 9.62 (s, 1H).
実施例 16 (12): (2S) -l-i r(2S. 4S. 5S)_5_メチル _4_ (ピロリジン— 1—ィルカ ルボニル)ピロリジン _2_ィル カルボニル }ピロリジン _2_カルボ二トリノレ 4—メチノレ ベンゼンスルホン酸塩 Example 16 (12): (2S) -lir (2S.4S.5S) _5_methyl_4_ (pyrrolidine-1-ylcarbonyl) pyrrolidine_2_ylcarbonyl} pyrrolidine_2_carboditrinole 4-methinole benzenesulfone Acid salt
TLC:Rf 0.49 (ジクロロメタン:メタノール =5 : 1); TLC: Rf 0.49 (dichloromethane: methanol = 5: 1);
JH NMR: δ 1.17 (d, 3H), 1.98 (m, 9H), 2.27 (s, 3H), 2.65 (m, IH), 3.29 (m, 2H), 3.48 (m, 5H), 3.91 (m, 1H), 4.52 (m, 1H), 4.80 (dd, IH), 7.09 (d, 2H), 7.45 (d, 2H), 8.20 (s, 1H), 9.68 (s, 1H)。 J H NMR: δ 1.17 (d, 3H), 1.98 (m, 9H), 2.27 (s, 3H), 2.65 (m, IH), 3.29 (m, 2H), 3.48 (m, 5H), 3.91 (m , 1H), 4.52 (m, 1H), 4.80 (dd, IH), 7.09 (d, 2H), 7.45 (d, 2H), 8.20 (s, 1H), 9.68 (s, 1H).
実施例 16 (13): (2S) -l-i r(2S. 4S. 5S)— 5—メチルー 4一(チオモルホリン一 4ーィ ルカルボニル)ピロリジン一 2-ィノレ Ίカルボ二ル}ピロリジン一 2—カルボ二トリル 4ーメチ ルベンゼンスルホン酸塩 Example 16 (13): (2S) -lir (2S.4S.5S) — 5-methyl-41- (thiomorpholine-l-ylcarbonyl) pyrrolidine-l-ynole {carbonyl} pyrrolidine-l 2— Carbonitrile 4-methylbenzenesulfonate
TLC:Rf 0.21 (クロ口ホルム:メタノール =9 : 1); TLC: Rf 0.21 (form: methanol = 9: 1);
¾ NMR: δ 1.17 (d, 3H), 2.00 (m, 2H), 2.19 (m, 2H), 2.28 (s, 3H), 2.64 (m, 3H), 3.66 (m, 11H), 4.52 (m, 1H), 4.81 (dd, 1H), 7.10 (d, 2H), 7.47 (d, 2H), 8.28 (m, 1H), 9.59 (m, 1H)。 ¾ NMR: δ 1.17 (d, 3H), 2.00 (m, 2H), 2.19 (m, 2H), 2.28 (s, 3H), 2.64 (m, 3H), 3.66 (m, 11H), 4.52 (m, 1H), 4.81 (dd, 1H), 7.10 (d, 2H), 7.47 (d, 2H), 8.28 (m, 1H), 9.59 (m, 1H).
実施例 16 (14): (2S) _1_{「(2S, 4S. 5S)_4_ (2, 3—ジヒドロ— 1H_インドール— 1—ィルカルボニル) _5_メチルピロリジン— 2—ィル Ίカルボニル }ピロリジン一 2_カルボ 二トリル 4_メチルベンゼンスルホン酸塩 Example 16 (14): (2S) _1 _ {“(2S, 4S.5S) _4_ (2,3-dihydro-1H_indole-1-ylcarbonyl) _5_methylpyrrolidine-2-yl {carbonyl} pyrrolidine-1 2_Carbo nitrile 4_Methylbenzene sulfonate
TLC:Rf 0.29 (クロ口ホルム:メタノール =9 : 1); TLC: Rf 0.29 (black form: methanol = 9: 1);
'Η NMR: δ 1.24 (d, 3H), 2.08 (m, 5H), 2.28 (s, 3H), 2.31 (m, IH), 2.73 (m, IH), 3.16 (t, 2H), 3.60 (m, 3H), 4.06 (m, IH), 4.17 (m, 1H), 4.58 (m, 1H), 4.83 (dd, IH), 7.03 (m, IH), 7.10 (d, 2H), 7.17 (t, IH), 7.26 (d, 1H), 7.47 (d, 2H), 8.09 (d, IH), 8.40 (m, IH), 9.77 (m, 1H)。 'Η NMR: δ 1.24 (d, 3H), 2.08 (m, 5H), 2.28 (s, 3H), 2.31 (m, IH), 2.73 (m, IH), 3.16 (t, 2H), 3.60 (m , 3H), 4.06 (m, IH), 4.17 (m, 1H), 4.58 (m, 1H), 4.83 (dd, IH), 7.03 (m, IH), 7.10 (d, 2H), 7.17 (t, IH), 7.26 (d, 1H), 7.47 (d, 2H), 8.09 (d, IH), 8.40 (m, IH), 9.77 (m, 1H).
実施列 16 (15): (2S) _1_{「(2S, 4S. 5S)_4_ (3, 4—ジヒドロイソキノリン一 2 (IH) —ィルカルボニル) _5_メチルピロリジン— 2—ィル Ίカルボニル }ピロリジン一 2_カルボ 二トリル 4_メチルベンゼンスルホン酸塩 Practice 16 (15): (2S) _1 _ {"(2S, 4S.5S) _4_ (3,4-dihydroisoquinoline-1 (IH) -ylcarbonyl) _5_methylpyrrolidine-2-yl {carbonyl} pyrrolidine-1 2_Carbo nitrile 4_Methylbenzene sulfonate
TLC:Rf 0.28 (クロ口ホルム:メタノール =9 : 1); TLC: Rf 0.28 (form: methanol = 9: 1);
'Η NMR: δ 1.18 (m, 3H), 1.98 (m, 2H), 2.22 (m, 2H), 2.28 (s, 3H), 2.44 (m, 2H), 2.64 (m, IH), 2.78 (m, 1H), 2.87 (m, 1H), 3.55 (m, 2H), 3.80 (m, 2H), 3.96 (m, IH), 4.60 (m, 2H), 4.73 (m, IH), 4.81 (dd, 1H), 7.10 (d, 2H), 7.18 (m, 4H), 7.47 (d, 2H), 8.29 (m, 1H), 9.63 (m, 1H)。 'Η NMR: δ 1.18 (m, 3H), 1.98 (m, 2H), 2.22 (m, 2H), 2.28 (s, 3H), 2.44 (m, 2H), 2.64 (m, IH), 2.78 (m , 1H), 2.87 (m, 1H), 3.55 (m, 2H), 3.80 (m, 2H), 3.96 (m, IH), 4.60 (m, 2H), 4.73 (m, IH), 4.81 (dd, 1H), 7.10 (d, 2H), 7.18 (m, 4H), 7.47 (d, 2H), 8.29 (m, 1H), 9.63 (m, 1H).
実施例 16 (16): (2S) _1_「((2S, 4S. 5S)_5_メチル _4_{「4— (メチルスルホニ ノレ)ピペラジン一 1—ィル Ίカルボニル }ピロリジン一 2—ィル)カルボニル Ίピロリジン一 2— カルボ二トリノレ 4一メチルベンゼンスルホン酸塩 Example 16 (16): (2S) _1 _ “((2S, 4S.5S) _5_methyl_4 _ {“ 4- (methylsulfoninole) piperazine-1-1-yl {carbonyl} pyrrolidine-1-2-yl) carbonyl} Pyrrolidine 1-2-Carbonitorinole 4-methylbenzenesulfonate
TLC:Rf 0.43 (ジクロロメタン:メタノール =5 : 1); TLC: Rf 0.43 (dichloromethane: methanol = 5: 1);
JH NMR: δ 1.17 (m, 3H), 2.01 (m, 2H), 2.16 (m, 2H), 2.27 (s, 3H), 2.61 (m, 2H), 2.89 (s, 3H), 3.14 (m, 5H), 3.61 (m, 6H), 3.90 (m, IH), 4.51 (m, 1H), 4.80 (dd, 1H), 7.09 (d, 2H), 7.46 (d, 2H), 8.30 (s, IH), 9.61 (s, 1H)。 J H NMR: δ 1.17 (m , 3H), 2.01 (m, 2H), 2.16 (m, 2H), 2.27 (s, 3H), 2.61 (m, 2H), 2.89 (s, 3H), 3.14 (m , 5H), 3.61 (m, 6H), 3.90 (m, IH), 4.51 (m, 1H), 4.80 (dd, 1H), 7.09 (d, 2H), 7.46 (d, 2H), 8.30 (s, IH), 9.61 (s, 1H).
実施例 16 (17): (2S) _1_ (2S, 4S. 5S)_4_ (1 , 3—ジヒドロ一 2H—イソインドー ノレ一 2-ィルカルボ二ノレ) _5_メチルピロリジン一 2—ィル Ίカルボ二ル}ピロリジン一 2_力 ルボニトリル 4_メチルベンゼンスルホン酸塩 Example 16 (17): (2S) _1_ (2S, 4S.5S) _4_ (1,3-dihydro-1H-isoindole-nor-2-ylcarbinole) _5_methylpyrrolidine-1-yl —carbonyl } Pyrrolidine mono 2_ force rubonitrile 4_ methylbenzene sulfonate
TLC:Rf 0.29 (クロ口ホルム:メタノール =9 : 1); TLC: Rf 0.29 (black form: methanol = 9: 1);
'Η NMR: δ 1.23 (d, 3H), 2.14 (m, 5H), 2.28 (s, 3H), 2.72 (m, IH), 3.56 (m, 3H), 4.03 (m, IH), 4.58 (m, 1H), 4.68 (m, 2H), 4.82 (dd, IH), 4.92 (m, 2H), 7.10 (d, 2H), 7.32 (m, 4H), 7.47 (d, 2H), 8.28 (m, 1H), 9.76 (m, 1H)。 'Η NMR: δ 1.23 (d, 3H), 2.14 (m, 5H), 2.28 (s, 3H), 2.72 (m, IH), 3.56 (m, 3H), 4.03 (m, IH), 4.58 (m , 1H), 4.68 (m, 2H), 4.82 (dd, IH), 4.92 (m, 2H), 7.10 (d, 2H), 7.32 (m, 4H), 7.47 (d, 2H), 8.28 (m, 1H), 9.76 (m, 1H).
実施例 16 (18): (2S)— 1— {「(2S. 4S. 5S)— 5—メチル— 4— (1. 3—チアゾリジン— 3 —ィルカルボニル)ピロリジン— 2—ィル Ίカルボニル }ピロリジン _2_カルボ二トリノレ 4_ メチルベンゼンスルホン酸塩 Example 16 (18): (2S) — 1 — {“(2S. 4S. 5S) — 5-methyl—4— (1.3-thiazolidine-3-ylcarbonyl) pyrrolidine—2-yldicarbonyl} pyrrolidine _2_Carbonitoline 4_ Methylbenzenesulfonate
TLC:Rf 0.21 (クロ口ホルム:メタノール = 9 : 1); H NMR: δ 1.19 (m, 3H), 2.14 (m, 5H), 2.28 (s, 3H), 2.67 (m, 1H), 3.06 (m, 2H), 3.54 (m, 3H), 3.73 (m, 2H), 3.96 (m, 1H), 4.50 (m, 3H), 4.81 (dd, 1H), 7.10 (d, 2H), 7.46 (d, 2H), 8.30 (m, 1H), 9.72 (m, 1H)。 TLC: Rf 0.21 (form: methanol = 9: 1); H NMR: δ 1.19 (m, 3H), 2.14 (m, 5H), 2.28 (s, 3H), 2.67 (m, 1H), 3.06 (m, 2H), 3.54 (m, 3H), 3.73 (m, 2H), 3.96 (m, 1H), 4.50 (m, 3H), 4.81 (dd, 1H), 7.10 (d, 2H), 7.46 (d, 2H), 8.30 (m, 1H), 9.72 (m, 1H ).
実施例 16 (19) : (2S, 3S. 5S) _5_i「(2S)_2_シァノピロリジン— 1—ィル Ίカルボ二 ノレ }_2—ェチノレ _N. N—ジメチルピロリジン _3_カルボキサミド 4_メチルベンゼンス ルホン酸媳 Example 16 (19): (2S, 3S. 5S) _5_i “(2S) _2_cyanopyrrolidine-1-yl carboxy} _2-ethynole _N.N-dimethylpyrrolidine _3_carboxamide 4_methylbenzene Sulfonic acid 媳
TLC:Rf 0.44 (クロ口ホルム:メタノール = 9 : 1); TLC: Rf 0.44 (form: methanol = 9: 1);
'Η NMR: δ 0.91 (t, 3H), 1.60 (m, 2H), 2.12 (m, 5H), 2.28 (s, 3H), 2.68 (m, 1H), 2.84 (s, 3H), 3.03 (s, 3H), 3.57 (m, 3H), 3.69 (m, 1H), 4.53 (m, 1H), 4.81 (dd, 1H), 7.10 (d, 2H), 7.46 (d, 2H), 8.12 (m, 1H), 9.75 (m, 1H)。 'Η NMR: δ 0.91 (t, 3H), 1.60 (m, 2H), 2.12 (m, 5H), 2.28 (s, 3H), 2.68 (m, 1H), 2.84 (s, 3H), 3.03 (s , 3H), 3.57 (m, 3H), 3.69 (m, 1H), 4.53 (m, 1H), 4.81 (dd, 1H), 7.10 (d, 2H), 7.46 (d, 2H), 8.12 (m, 1H), 9.75 (m, 1H).
実施例 16 (20): (2S) -l- ( { (2S. 4S. 5S)_5_メチル _4_「(4—フエ二ルビベリジ ン _1_ィル)カルボニル Ίピロリジン— 2—ィル }カルボニル)ピロリジン _2_カルボ二トリ ル 4一メチルベンゼンスルホン酸塩 Example 16 (20): (2S) -l-({(2S.4S.5S) _5_methyl_4 _ “(4-phenylvinylidin_1_yl) carbonyl {pyrrolidine-2-yl} carbonyl) Pyrrolidine_2_carbonitrile 4-methylbenzenesulfonate
TLC:Rf 0.72 (ジクロロメタン:メタノール = 5 : 1); TLC: Rf 0.72 (dichloromethane: methanol = 5: 1);
JH NMR: δ 1.20 (m, 3H), 1.50 (m, 2H), 2.00 (m, 8H), 2.27 (s, 3H), 2.72 (m, 3H), 3.17 (m, 1H), 3.54 (m, 2H), 3.96 (m, 2H), 4.54 (m, 2H), 4.81 (m, 1H), 7.09 (d, 2H), 7.24 (m, 5H), 7.45 (d, 2H), 8.28 (s, 1H), 9.59 (s, 1H)。 J H NMR: δ 1.20 (m, 3H), 1.50 (m, 2H), 2.00 (m, 8H), 2.27 (s, 3H), 2.72 (m, 3H), 3.17 (m, 1H), 3.54 (m , 2H), 3.96 (m, 2H), 4.54 (m, 2H), 4.81 (m, 1H), 7.09 (d, 2H), 7.24 (m, 5H), 7.45 (d, 2H), 8.28 (s, 1H), 9.59 (s, 1H).
実施例 16 (21) : (2S, 3S. 5S) -5-i「(2S)-2-シァノピロリジン一 1ーィル Ίカルボ二 ノレ }_2—シクロブチルー N, N—ジメチルピロリジン一 3_カルボキシアミド 4_メチルベ ンゼンスグレホン酸塩 Example 16 (21): (2S, 3S.5S) -5-i "(2S) -2-cyanopyrrolidine-1-yl {carbinole} _2-cyclobutyl-N, N-dimethylpyrrolidine-13-carboxamide 4_ methyl benzene sulphonate
TLC:Rf 0.40 (クロ口ホルム:メタノール =9 : 1); TLC: Rf 0.40 (form: methanol = 9: 1);
'Η NMR: δ 1.69-2.26 (m, 12H), 2.28 (s, 3H), 2.53-2.72 (m, 1H), 2.76-2.86 (m, 3H), 3.00 (s, 3H), 3.46-3.87 (m, 4H), 4.43-4.60 (m, 1H), 4.80 (dd, 1H), 7.10 (d, 2H), 7.46 (d, 2H), 7.75—8.12 (m, 1H), 9.69—9.91 (m, 1H)。 'Η NMR: δ 1.69-2.26 (m, 12H), 2.28 (s, 3H), 2.53-2.72 (m, 1H), 2.76-2.86 (m, 3H), 3.00 (s, 3H), 3.46-3.87 ( m, 4H), 4.43-4.60 (m, 1H), 4.80 (dd, 1H), 7.10 (d, 2H), 7.46 (d, 2H), 7.75—8.12 (m, 1H), 9.69—9.91 (m, 1H).
実施例 16 (22) : (2S, 3S. 5S) _5_i「(2S)_2_シァノピロリジン— 1—ィル Ίカルボ二 ノレ }_2_シクロペンチル一 N, N—ジメチルピロリジン _3_カルボキシアミド 4—メチノレ ベンゼンスルホン酸塩 Example 16 (22): (2S, 3S. 5S) _5_i “(2S) _2_cyanopyrrolidine-1-yl 二 carbino} _2_cyclopentyl-1-N, N-dimethylpyrrolidine _3_carboxamide 4— Methinole benzenesulfonate
TLC:Rf 0.42 (クロ口ホルム:メタノール = 9 : 1); H NMR: 5 1.15-1.32 (m, 2H), 1.40—1.69 (m, 4H), 1.87-2.26 (m, 8H), 2.28 (s, 3H), 2.69-2.83 (m, 1H), 2.84 (s, 3H), 3.04 (s, 3H), 3.33—3.44 (m, 1H), 3.44—3.62 (m,TLC: Rf 0.42 (form: methanol = 9: 1); H NMR: 5 1.15-1.32 (m, 2H), 1.40-1.69 (m, 4H), 1.87-2.26 (m, 8H), 2.28 (s, 3H), 2.69-2.83 (m, 1H), 2.84 (s , 3H), 3.04 (s, 3H), 3.33-3.44 (m, 1H), 3.44-3.62 (m,
2H), 3.67-3.84 (m, 1H), 4.48-4.66 (m, 1H), 4.81 (dd, 1H), 7.10 (d, 2H), 7.46 (d,2H), 3.67-3.84 (m, 1H), 4.48-4.66 (m, 1H), 4.81 (dd, 1H), 7.10 (d, 2H), 7.46 (d,
2H), 7.96-8.18 (m, 1H), 9.64-9.85 (m, 1H)。 2H), 7.96-8.18 (m, 1H), 9.64-9.85 (m, 1H).
参者例 33 : l_tert_ブチル 2—ェチノレ (2S)—4. 4_ビス(2—ヒドロキシェチル)ピロ リジン一 1. 2—ジカノレボキシラート Participant example 33: l_tert_butyl 2-ethynole (2S) —4.4_bis (2-hydroxyethyl) pyrrolidine-1-1.2-dicanoleboxylate
参考例 28で製造した化合物(1. Og)のジクロロメタン(50ml)溶液に一 78°Cでォゾ ン化酸素を 40分間通じ、混合物にトリフヱニルホスフィン(1. 62g)を加え、濃縮した 。残渣をエタノール(30ml)に溶解し、 0°Cで水素化ホウ素ナトリウム(1. 2g)をカロえ、 室温で 30分間攪拌した。反応混合物に水を加え、濃縮した.残渣を酢酸ェチルで抽 出し、有機層を水および飽和食塩水で順次洗浄し、乾燥後濃縮した。残渣をカラム 精製し、標題化合物(619mg)を得た。 Ozonated oxygen was passed through a solution of the compound (1. Og) prepared in Reference Example 28 in dichloromethane (50 ml) at 178 ° C. for 40 minutes, and triphenylphosphine (1.62 g) was added to the mixture, followed by concentration. . The residue was dissolved in ethanol (30 ml), sodium borohydride (1.2 g) was added at 0 ° C, and the mixture was stirred at room temperature for 30 minutes. The reaction mixture was added with water and concentrated. The residue was extracted with ethyl acetate, and the organic layer was washed with water and saturated brine in that order, dried and concentrated. The residue was purified by column to give the title compound (619 mg).
実施例 17 : (2S) -l-i r (2S) -4. 4一ビス(2—ヒドロキシェチル)ピロリジン一 2—ィル Ί カルボニル Lピロリジン一 2_カルボ二 ル 4一メチルベンゼンスルホン酸塩 Example 17: (2S) -l-ir (2S) -4.4-bis (2-hydroxyethyl) pyrrolidine-12-yl—carbonyl L-pyrrolidine-1-carbonyl 4-methylbenzenesulfonate
[0248] [化 54] [0248] [Formula 54]
[0249] 参考例 7で製造した化合物の代わりに参考例 33で製造した化合物を用いて、参考 例 8 (b)→参考例 4→参考例 5→実施例 1で示される方法と同様に操作して、以下の 物性値を有する本発明化合物を得た。 Using the compound prepared in Reference Example 33 instead of the compound prepared in Reference Example 7, the same operation as in the method shown in Reference Example 8 (b) → Reference Example 4 → Reference Example 5 → Example 1 was carried out. Thus, the compound of the present invention having the following physical properties was obtained.
TLC:Rf 0.17 (酢酸ェチル:酢酸:水 =3 : 1 : 1); TLC: Rf 0.17 (ethyl acetate: acetic acid: water = 3: 1: 1);
JH NMR: 5 1.62 (m, 5H), 1.96 (m, 2H), 2.14 (m, 1H), 2.24 (m, 1H), 2.28 (s, 3H), 2.52 (m, 1H), 3.14 (m, 2H), 3.50 (m, 8H), 4.52 (m, 1H), 4.83 (dd, 1H), 7.10 (d, 2H) 7.46 (d, 2H), 8.74 (s, 1H), 9.42 (s, 1H)。 J H NMR: 5 1.62 (m , 5H), 1.96 (m, 2H), 2.14 (m, 1H), 2.24 (m, 1H), 2.28 (s, 3H), 2.52 (m, 1H), 3.14 (m , 2H), 3.50 (m, 8H), 4.52 (m, 1H), 4.83 (dd, 1H), 7.10 (d, 2H) 7.46 (d, 2H), 8.74 (s, 1H), 9.42 (s, 1H) ).
参考例 34: 2— tert—ブチル 3—ェチル (3S)— 8—べンジルー 2, 8—ジァザスピロ「4 . 5Ίデカン一 2, 3—ジカルボキシラート Reference Example 34: 2-tert-butyl 3-ethyl (3S) -8-benzyl-2,8-diazaspiro "4 5-decane-1,2-dicarboxylate
参考例 33で製造した化合物(609mg)のジクロロメタン(10ml)溶液に 0°Cでトリエ チルァミン(2. 8ml)および塩化メタンスルホニル(0. 8ml)を加え、混合物を 30分間 攪拌した。反応混合物に飽和塩ィ匕アンモニゥム水溶液をカ卩え、酢酸ェチルで抽出し た。有機層を飽和食塩水で洗浄し、乾燥後濃縮した。残渣を N, N—ジメチルホルム アミドに溶解し、フッ化カリウム(532mg)およびベンジルァミン(lml)を加え、 60°Cで 6時間攪拌した。不溶物をろ別し、ろ液を濃縮した。残渣を酢酸ェチルに溶解し、飽 和食塩水で洗浄し、乾燥後濃縮した。残渣をカラム精製し、標題化合物(324mg)を 得た。 Triethylamine (2.8 ml) and methanesulfonyl chloride (0.8 ml) were added to a solution of the compound prepared in Reference Example 33 (609 mg) in dichloromethane (10 ml) at 0 ° C., and the mixture was stirred for 30 minutes. To the reaction mixture was added a saturated aqueous solution of ammonium salt, which was extracted with ethyl acetate. The organic layer was washed with brine, dried and concentrated. The residue was dissolved in N, N-dimethylformamide, potassium fluoride (532 mg) and benzylamine (lml) were added, and the mixture was stirred at 60 ° C for 6 hours. The insolubles were removed by filtration, and the filtrate was concentrated. The residue was dissolved in ethyl acetate, washed with saturated saline, dried and concentrated. The residue was purified by column to give the title compound (324 mg).
実施例 18 : (2S) _1_{「(3S) _8_ (メチルスルホニル)— 2. 8—ジァザスピロ「4. 5Ίデ 力— 3—ィ 2レ 1カルボ二ル}_ピロ 2ジン一 2—カルボ二 ル 4一 チルベンゼンスルホン酸 [化 55] Example 18: (2S) _1 _ {"(3S) _8_ (methylsulfonyl) -2.8-diazspiro" 4.5Ίd-force-3-3-y2carbon-1} -pyrazine-2-2-carboni Le 4-butylbenzenesulfonic acid
参考例 2で製造した化合物の代わりに参考例 34で製造した化合物を用いて、参考 例 3→参考例 18→参考例 4→参考例 5→実施例 1で示される方法と同様に操作して 、以下の物性値を有する本発明化合物を得た。 Reference Example 3 → Reference Example 18 → Reference Example 4 → Reference Example 5 → Using the compound prepared in Reference Example 34 in place of the compound prepared in Reference Example 2, operating in the same manner as in the method shown in Example 1. The compound of the present invention having the following physical properties was obtained.
TLC:Rf 0.22 (クロ口ホルム:メタノール =9 : 1); TLC: Rf 0.22 (form: methanol = 9: 1);
¾ NMR: δ 1.67 (m, 5H), 2.14 (m, 4H), 2.28 (s, 3H), 2.55 (m, 1H), 2.86 (s, 3H), 3.11 (m, 6H), 3.57 (m, 2H), 4.60 (t, 1H), 4.84 (dd, 1H), 7.11 (d, 2H), 7.46 (d, 2H), 9.18 (s, 2H)。 ¾ NMR: δ 1.67 (m, 5H), 2.14 (m, 4H), 2.28 (s, 3H), 2.55 (m, 1H), 2.86 (s, 3H), 3.11 (m, 6H), 3.57 (m, 2H), 4.60 (t, 1H), 4.84 (dd, 1H), 7.11 (d, 2H), 7.46 (d, 2H), 9.18 (s, 2H).
参者例 35 : l_tert_ブチル 2_メチル (2S. 4R) _4_ (2—ヒドロキシェチル)ピロリ ジン一 li 2—ジカルボキシラート (a) 2—ベンジル 1一 tert—ブチル (2S)— 4—ォキソピロリジン一 1 , 2—ジカルボキシラ ートの代わりに(2S) _N_ (tert_ブトキシカルボニル) _4_ォキソピロリジン _2_カル ボキシメチルを用いて、参考例 12→参考例 3で示される方法と同様に操作して [ (3R , 5S) _1一 (tert—ブトキシカルボニル)一 5_ (メトキシカルボニル)ピロリジン一 3—ィル] 酢酸を得た。 Participant example 35: l_tert_butyl 2_methyl (2S.4R) _4_ (2-hydroxyethyl) pyrrolidine-li 2-dicarboxylate (a) using (2S) _N_ (tert_butoxycarbonyl) _4_oxopyrrolidine_2_carboxymethyl instead of 2-benzyl-11-tert-butyl (2S) -4-oxopyrrolidine- 1,1,2-dicarboxylate, Reference Example 12 → The procedure of Reference Example 3 was repeated to obtain [(3R, 5S) _1- (tert-butoxycarbonyl) -15_ (methoxycarbonyl) pyrrolidine-13-yl] acetic acid.
(b)上記(a)で製造した化合物(1. Og)のテトラヒドロフラン(17. 4ml)溶液に 0°Cで クロロギ酸ェチル(0. 4ml)およびトリェチルァミン(0. 73ml)を加え、混合物を室温 で 2時間攪拌した。反応混合物をろ過し、ろ液を濃縮した。残渣にテトラヒドロフランを 加え、 0°Cに冷却した水素化ホウ素ナトリウム(658mg)の水(10ml)溶液に加え、 0 °Cで 30分間攪拌した。混合物を酢酸ェチルで抽出し、水および飽和食塩水で順次 洗浄し、乾燥後濃縮し、標題化合物(840mg)を得た。 (b) Ethyl chloroformate (0.4 ml) and triethylamine (0.73 ml) were added to a solution of the compound (1. Og) prepared in (a) above in tetrahydrofuran (17.4 ml) at 0 ° C., and the mixture was cooled to room temperature. For 2 hours. The reaction mixture was filtered and the filtrate was concentrated. Tetrahydrofuran was added to the residue, added to a solution of sodium borohydride (658 mg) in water (10 ml) cooled to 0 ° C, and stirred at 0 ° C for 30 minutes. The mixture was extracted with ethyl acetate, washed sequentially with water and saturated saline, dried and concentrated to give the title compound (840 mg).
実施例 19: 2_「(3R. 5S) _5_ (ピロリジン— 1—ィルカルボニル)ピロリジン— 3—ィル Ί エタノール 4一メチルベンゼンスルホン酸塩 Example 19: 2 _ "(3R.5S) _5_ (pyrrolidine-1-ylcarbonyl) pyrrolidine-3-yl エ タ ノ ー ル ethanol 4-monomethylbenzenesulfonate
[0252] [化 56] [0252] [Formula 56]
[0253] 参考例 7で製造した化合物の代わりに参考例 35で製造した化合物を用いて、参考 例 8→参考例 4→参考例 5 ( (2S) _2_シァノピロリジン 4_メチルベンゼンスルホン酸 塩の代わりにピロリジンを用いた。)→実施例 1で示される方法と同様に操作して、以 下の物性値を有する本発明化合物を得た。 Reference Example 8 → Reference Example 4 → Reference Example 5 ((2S) _2_cyanopyrrolidine 4_methylbenzenesulfonic acid, using the compound prepared in Reference Example 35 instead of the compound prepared in Reference Example 7 (Pyrrolidine was used in place of the salt.) → The same procedure as described in Example 1 was carried out to obtain the compound of the present invention having the following physical data.
TLC:Rf 0.16 (クロ口ホルム:メタノール:水 = 65 : 35 : 8); TLC: Rf 0.16 (form of form: methanol: water = 65: 35: 8);
'Η NMR : δ 1.36 (m, 1H), 1.52 (m, 2H), 1.83 (m, 4H), 2.27 (s, 3H), 2.34 (m, 1H), 2.60 (m, 1H), 2.81 (m, 1H), 3.43 (m, 8H), 4.38 (m, 1H), 7.09 (d, 2H), 7.45 (d, 2H), 8.50 (s, 1H), 9.17 (s, 1H)。 'Η NMR: δ 1.36 (m, 1H), 1.52 (m, 2H), 1.83 (m, 4H), 2.27 (s, 3H), 2.34 (m, 1H), 2.60 (m, 1H), 2.81 (m , 1H), 3.43 (m, 8H), 4.38 (m, 1H), 7.09 (d, 2H), 7.45 (d, 2H), 8.50 (s, 1H), 9.17 (s, 1H).
実施例 19 (1): (2 S, 4S)—4—フルォロ一 1— ill 2 S . _4R)— 4— ί 2—ヒトニ口キシェチル丄 ピロリジン一 2—ィル Ίカルボ二ノレ }ピロリジン一 2—カルボ二トリノレ 4一メチルベンゼンス ルホン酸塩 Example 19 (1): (2 S, 4S) —4—Fluoro 1—ill 2 S. _4R) — 4—ί 2—Hetoni mouth quichetil 丄 Pyrrolidine 1-2-yl {carbonole} pyrrolidine 1-2-carboditrinole 4-methylbenzenesulfonate
参考例 7で製造した化合物の代わりに参考例 35で製造した化合物を用いて、参考 例 8→参考例 4→参考例 5 ( (2S) _2_シァノピロリジン 4_メチルベンゼンスルホン酸 塩の代わりに(2S, 4S) _2_シァノ _4_フルォロピロリジン 4_メチルベンゼンスルホ ン酸塩を用いた。)→実施例 1で示される方法と同様に操作して、以下の物性値を有 する本発明化合物を得た。 Reference Example 8 → Reference Example 4 → Reference Example 5 (in place of (2S) _2_cyanopyrrolidine 4_methylbenzenesulfonic acid salt) using the compound prepared in Reference Example 35 instead of the compound prepared in Reference Example 7. (2S, 4S) _2_cyano_4_fluoropyrrolidine 4_methylbenzenesulfonate was used.) → The same physical properties as those in Example 1 were obtained. The compound of the present invention was obtained.
TLC:Rf 0.27 (クロ口ホルム:メタノール:酢酸 =3 : 3 : 1); TLC: Rf 0.27 (cloth form: methanol: acetic acid = 3: 3: 1);
'Η NMR: δ 1.36 (m, IH), 1.55 (m, 2H), 2.27 (s, 3H), 2.40 (m, 3H), 2.70 (m, IH), 2.88 (m, IH), 3.40 (m, 3H), 3.88 (m, 2H), 4.34 (m, 1H), 5.15 (m, IH), 5.49 (m, IH), 7.09 (d, 2H), 7.45 (d, 2H), 8.69 (s, IH), 9.28 (s, 1H)。 'Η NMR: δ 1.36 (m, IH), 1.55 (m, 2H), 2.27 (s, 3H), 2.40 (m, 3H), 2.70 (m, IH), 2.88 (m, IH), 3.40 (m , 3H), 3.88 (m, 2H), 4.34 (m, 1H), 5.15 (m, IH), 5.49 (m, IH), 7.09 (d, 2H), 7.45 (d, 2H), 8.69 (s, IH), 9.28 (s, 1H).
実施例 20 : (2S. 3S. 5S) _5_i「(2S) _2_シァノピロリジン— 1—ィル Ίカルボ二ル}_ 2_メチルピロリジン _3_カルボン—酸 4一メチルベンゼンスルホン酸塩 Example 20: (2S. 3S. 5S) _5_i “(2S) _2_cyanopyrrolidine-1-yl {carbonyl} _2_methylpyrrolidine_3_carboxylic acid 4-methylbenzenesulfonate
[化 57] [Formula 57]
参考例 31で製造した化合物 Aを用いて、参考例 32→参考例 24 (b)→参考例 5 ( ( 2S) _2_シァノピロリジン 4_メチルベンゼンスルホン酸塩の代わりに(L)—プロリン アミドを用いた。)→参考例 4→参考例 13 (b)→参考例 14 (2種類のジァステレオマ 一を分離した。)→参考例 15→実施例 1で示される方法と同様に操作して、以下の 物性値を有する本発明化合物を得た。 Using Compound A produced in Reference Example 31, Reference Example 32 → Reference Example 24 (b) → Reference Example 5 ((L) -proline instead of ((2S) _2_cyanopyrrolidine 4_methylbenzenesulfonate) Amide was used.) → Reference Example 4 → Reference Example 13 (b) → Reference Example 14 (Two kinds of diastereomers were separated.) → Reference Example 15 → Operating in the same manner as described in Example 1. The compound of the present invention having the following physical properties was obtained.
TLC:Rf 0.38 (クロ口ホルム:メタノール:酢酸 =3 : 1 : 1); TLC: Rf 0.38 (form: methanol: acetic acid = 3: 1: 1);
JH NMR: δ 1.26 (d, 3H), 2.10 (m, 5H), 2.28 (s, 3H), 2.72 (m, IH), 3.24 (m, IH), 3.56 (m, 2H), 3.93 (m, 1H), 4.54 (m, 1H), 4.81 (dd, IH), 7.10 (d, 2H), 7.46 (d, 2H) 8.49 (s, IH), 9.76 (s, 1H)。 実施例 20 (1) : (2S, 3R. 5S) -5-i「(2S) -2-シァノピロリジン一 1ーィル Ίカルボ二 ノレ }_2—メチルピロリジン一 3—力ルボン酸 4一メチルベンゼンスルホン酸塩 J H NMR: δ 1.26 (d , 3H), 2.10 (m, 5H), 2.28 (s, 3H), 2.72 (m, IH), 3.24 (m, IH), 3.56 (m, 2H), 3.93 (m , 1H), 4.54 (m, 1H), 4.81 (dd, IH), 7.10 (d, 2H), 7.46 (d, 2H) 8.49 (s, IH), 9.76 (s, 1H). Example 20 (1): (2S, 3R. 5S) -5-i "(2S) -2-cyanopyrrolidine-l-yl-carbo-n-ole} _2-methylpyrrolidine-l-methylpyrrolidine 4-methylbenzene Sulfonate
参考例 31で製造した化合物 Αの代わりに参考例 31で製造した化合物 Βを用いて 実施例 20で示される方法と同様に操作して、以下の物性値を有する本発明化合物 を得た。 Using the compound で produced in Reference Example 31 in place of the compound 操作 produced in Reference Example 31, and operating in the same manner as in the method shown in Example 20, a compound of the present invention having the following physical data was obtained.
TLC:Rf 0.50 (クロ口ホルム:メタノール:酢酸 = 3 : 1 : 1); TLC: Rf 0.50 (form: methanol: acetic acid = 3: 1: 1);
'Η NMR : δ 1.43 (d, 3H), 2.08 (m, 5H), 2.28 (s, 3H), 2.64 (m, 1H), 2.88 (m, 1H), 3.61 (m, 3H), 4.65 (m, 1H), 4.81 (dd, 1H), 7.10 (d, 2H), 7.46 (d, 2H), 8.76 (s, 1H), 9.72 (s, 1H)。 'Η NMR: δ 1.43 (d, 3H), 2.08 (m, 5H), 2.28 (s, 3H), 2.64 (m, 1H), 2.88 (m, 1H), 3.61 (m, 3H), 4.65 (m , 1H), 4.81 (dd, 1H), 7.10 (d, 2H), 7.46 (d, 2H), 8.76 (s, 1H), 9.72 (s, 1H).
参者例 36 : { 2_「(2S. 3S. 5S)_5_i「(2S)_2—(ァミノカルボニル)ピロリジン _1_ ィノレ Ίカルボ二ノレ }_l_ (tert_ブトキシカルボ二ノレ)一 2_メチルピロリジン一 3—ィノレ Ί—2 —ォキソェチリデン }ジァゼニゥム Participant example 36: {2 _ “(2S.3S.5S) _5_i“ (2S) _2— (aminocarbonyl) pyrrolidine_1_inole Ίcarbinole} _l_ (tert_butoxycarbinole) one 2_methylpyrrolidine 3—Innole Ί—2 —Oxos
(2S, 3S, 5S) _5_{ [ (2S)_2—(ァミノカルボニル)ピロリジン一 1一ィル]カルボニル (参考例24 (& )で製造した化合物の代わりに参考例 32で製造した化合物を用いて参考例 24 (b) →参考例 5 ( (2S) _2_シァノピロリジン 4_メチルベンゼンスルホン酸塩の代わりに( L)一プロリンアミドを用いた。)→参考例 4で示される方法と同様にして得た。 ) (1. 45 g)のテトラヒドロフラン(15ml)懸濁液に 0°Cでトリエチルァミン(0· 56ml)およびクロ ロギ酸ェチル(0. 38ml)を力 0え、混合物を室温で 2時間攪拌後、 0°Cでジァゾメタン のジェチルエーテル溶液をカ卩え、室温でさらに 2時間攪拌した。反応混合物に水を 加え、ジクロロメタンで抽出した。有機層を乾燥後濃縮し、残渣をカラム精製し、標題 化合物(279mg)を得た。 (2S, 3S, 5S) _5_ {[(2S) _2— (aminocarbonyl) pyrrolidine-1-yl] carbonyl (Reference Example 24 (b) → Reference Example 5 ((2S) _2_cyanopyrrolidine 4_methylbenzenesulfonate using the compound prepared in Reference Example 32 instead of the compound prepared in Reference Example 24 (&)) Was used in the same manner as in Reference Example 4.) A suspension of (1.45 g) in tetrahydrofuran (15 ml) was added with triethyl at 0 ° C. (0.56 ml) and ethyl ethyl chloroformate (0.38 ml) were added, and the mixture was stirred at room temperature for 2 hours. At 0 ° C, a solution of diazomethane in getyl ether was added. Stirred for hours. Water was added to the reaction mixture, and extracted with dichloromethane. The organic layer was dried and concentrated, and the residue was purified by column to give the title compound (279 mg).
参者例 37 : tert_ブチル (2S. 3R. 5S) _5_{「(2S) _2—(ァミノカルボニル)ピロリ ジン一 1ーィル Ίカルボニル }_3_ (2—メトキシ一 2—ォキソェチノレ)— 2_メチルピロリジン _1_カルボキシラート Participant example 37: tert_butyl (2S. 3R. 5S) _5 _ {"(2S) _2- (aminocarbonyl) pyrrolidin-1-yl Ίcarbonyl} _3_ (2-methoxy-12-oxoxenotinole) -2_methyl Pyrrolidine_1_carboxylate
参考例 36で製造した化合物(279mg)のメタノール(2ml)溶液に安息香酸銀 (8m g)のトリエチルァミン (0. 10ml)溶液を加え、混合物を室温で 1時間攪拌した。反応 混合物を濃縮し、残渣をカラム精製し、標題化合物(219mg)を得た。 実施例 21 : 2_ ( (2S, 3R. 5S)_5— i「(2S)_2—シァノピロリジン一 1ーィル Ίカルボ二 ノレ }_2_メチルピロリジン一 3_ィル) _Ν, Ν—ジメチルァセトアミド 4_メチルベンゼン スルホン酸塩 To a solution of the compound (279 mg) produced in Reference Example 36 in methanol (2 ml) was added a solution of silver benzoate (8 mg) in triethylamine (0.10 ml), and the mixture was stirred at room temperature for 1 hour. The reaction mixture was concentrated, and the residue was purified by column to give the title compound (219 mg). Example 21: 2 _ ((2S, 3R.5S) _5—i “(2S) _2—cyanopyrrolidine-l-yl-carbo-norre} _2_methylpyrrolidine-l-yl) _Ν, Ν-dimethylacetate Amide 4_methylbenzene sulfonate
[化 58] [Formula 58]
参考例 3で製造した化合物の代わりに参考例 37で製造した化合物を用いて参考 例 4→参考例 5 ( (2S) _2_シァノピロリジン 4_メチルベンゼンスルホン酸塩の代わり にジメチルァミンを用いた。)→参考例 14→実施例 1で示される方法と同様に操作し て、以下の物性値を有する本発明化合物を得た。 Reference Example 4 → Reference Example 5 (Dimethylamine was used in place of (2S) _2_cyanopyrrolidine 4_methylbenzenesulfonate instead of the compound prepared in Reference Example 3) ) → Reference Example 14 → The compound of the present invention having the following physical properties was obtained in the same manner as in the method shown in Example 1.
TLC:Rf 0.30 (クロ口ホルム:メタノール = 5 : 1); TLC: Rf 0.30 (cloth form: methanol = 5: 1);
JH NMR: δ 1.13 (d, 3H), 1.60 (m, 1H), 2.08 (m, 6H), 2.28 (s, 3H), 2.67 (m, 2H), 2.80 (s, 3H), 2.93 (s, 3H), 3.57 (m, 2H), 3.87 (m, 1H), 4.47 (m, 1H), 4.80 (dd, 1H), 7.10 (d, 2H), 7.46 (d, 2H), 8.25 (s, 1H), 9.58 (s, 1H)。 J H NMR: δ 1.13 (d , 3H), 1.60 (m, 1H), 2.08 (m, 6H), 2.28 (s, 3H), 2.67 (m, 2H), 2.80 (s, 3H), 2.93 (s , 3H), 3.57 (m, 2H), 3.87 (m, 1H), 4.47 (m, 1H), 4.80 (dd, 1H), 7.10 (d, 2H), 7.46 (d, 2H), 8.25 (s, 1H), 9.58 (s, 1H).
列 22 (1)— 列 22 (12) Row 22 (1) — Row 22 (12)
参考例 2で製造した化合物の代わりに参考例 26で製造した化合物または相当する 化合物を用いて、参考例 3→参考例 5 ( (2S)— 2—シァノピロリジン 4一メチルベンゼ ンスルホン酸塩の代わりにピロリジンを用いた。)→参考例 4→参考例 5 ( (2S)_2—シ ァノピロリジン 4一メチルベンゼンスルホン酸塩の代わりに相当するァミンを用いた。) →実施例 1 (4一メチルベンゼンスルホン酸または塩酸を用いた。)で示される方法と 同様に操作して、本発明化合物を得た。 Reference Example 3 → Reference Example 5 (in place of (2S) -2-cyanopyrrolidine 4-methylbenzensulfonate) using the compound prepared in Reference Example 26 or a corresponding compound instead of the compound prepared in Reference Example 2. → Reference Example 4 → Reference Example 5 (The corresponding amine was used instead of (2S) _2-cyanopyrrolidine 4-methylbenzenesulfonate.) → Example 1 (4-methylbenzene Using sulfonic acid or hydrochloric acid.), The compound of the present invention was obtained.
実施例 22 (1): (3S. 5S)-N. N_ジメチル— 5_ (1_ピロリジニルカルボ二ル)— 3—ピ 口' 2ジンカルボキサミド 4_メチルベンゼンスルホン酸塩 [0258] [化 59] Example 22 (1): (3S.5S) -N.N_dimethyl-5_ (1_pyrrolidinylcarbonyl) -3-pipi'2zincarboxamide 4_methylbenzenesulfonate [0258] [Formula 59]
[0259] TLC:Rf 0.21 (ジクロロメタン:メタノール = 10: 1); [0259] TLC: Rf 0.21 (dichloromethane: methanol = 10: 1);
JH NMR: δ 9.23-9.44 (m, 1H), 8.56-8.75 (m, 1H), 7.47 (d, 2H), 7.11 (d, 2H), 4.38-4.54 (m, IH), 3.27—3.60 (m, 7H), 3.00 (s, 3H), 2.82 (s, 3H), 2.67-2.80 (m, 1H), 2.28 (s, 3H), 1.68—1.97 (m, 5H)。 J H NMR: δ 9.23-9.44 (m , 1H), 8.56-8.75 (m, 1H), 7.47 (d, 2H), 7.11 (d, 2H), 4.38-4.54 (m, IH), 3.27-3.60 ( m, 7H), 3.00 (s, 3H), 2.82 (s, 3H), 2.67-2.80 (m, 1H), 2.28 (s, 3H), 1.68—1.97 (m, 5H).
実施例 22 (2): (3R. 5S)-N. N_ジメチルー 5_ (1_ピロリジニルカルボ二ル)— 3—ピ 口リジンカルボキサミド 4 メチルベンゼンスルホン酸塩 Example 22 (2): (3R.5S) -N.N_dimethyl-5_ (1_pyrrolidinylcarbonyl) —3-piperidineLysincarboxamide 4 Methylbenzenesulfonate
TLC:Rf 0.48 (クロ口ホルム:メタノール = 9 : 1) ; TLC: Rf 0.48 (black form: methanol = 9: 1);
JH NMR: δ 1.72-1.96 (m, 4H), 2.05-2.20 (m, IH), 2.28 (s, 3H), 2.38—2.49 (m, IH), 2.84 (s, 3H), 2.98 (s, 3H), 3.20-3.62 (m, 7H), 4.32-4.56 (m, IH), 7.10 (d, 2H), 7.46 (d, 2H), 8.52-8.84 (m, 1H), 9.22—9.59 (m, 1H)。 J H NMR: δ 1.72-1.96 (m , 4H), 2.05-2.20 (m, IH), 2.28 (s, 3H), 2.38-2.49 (m, IH), 2.84 (s, 3H), 2.98 (s, 3H), 3.20-3.62 (m, 7H), 4.32-4.56 (m, IH), 7.10 (d, 2H), 7.46 (d, 2H), 8.52-8.84 (m, 1H), 9.22—9.59 (m, 1H).
実施例 22 (3) : 1-イソブチリルー 4-i「(3S, 5S) -5- (1-ピロリジニルカルボニル) - 3_ピロリジニル Ίカルボニル }ピペラジン 塩酸塩 Example 22 (3): 1-isobutylylyl 4-i “(3S, 5S) -5- (1-pyrrolidinylcarbonyl) -3_pyrrolidinyl {carbonyl} piperazine hydrochloride
TLC:Rf 0.50 (クロ口ホルム:メタノール 4 : 1); TLC: Rf 0.50 (form: methanol 4: 1);
'Η NMR: δ 0.99 (d, 6H), 1.66—2.00 (m, 5H), 2.64-2.79 (m, IH), 2.79-2.97 (m, 1H); 3.22-3.70 (m, 15H), 4.29-4.52 (m, IH), 8.58-8.76 (m, 1H), 10.07-10.35 (m, 1H)。 実施例 22 (4) : l_i「(3S. 5S) _5_ (1_ピロリジニルカルボニル) _3_ピロリジニル Ί カルボニル }一 4一(トリフルォロアセチル)ピぺラジン 塩酸塩 'Η NMR: δ 0.99 (d, 6H), 1.66--2.00 (m, 5H), 2.64-2.79 (m, IH), 2.79-2.97 (m, 1H) ; 3.22-3.70 (m, 15H), 4.29- 4.52 (m, IH), 8.58-8.76 (m, 1H), 10.07-10.35 (m, 1H). Example 22 (4): l_i “(3S.5S) _5_ (1_pyrrolidinylcarbonyl) _3_pyrrolidinyl {carbonyl} 1-41- (trifluoroacetyl) pidazine hydrochloride
TLC:Rf 0.55 (クロ口ホルム:メタノール =4 : 1); TLC: Rf 0.55 (cloth form: methanol = 4: 1);
JH NMR: δ 1.85-1.90 (m, 5H), 2.61—2.78 (m, 1H), 3.09—4.02 (m, 15H), 4.15—4.69 (m, 1H), 8.53-8.83 (m, 1H), 10.11-10.54 (m, 1H)。 J H NMR: δ 1.85-1.90 (m, 5H), 2.61-2.78 (m, 1H), 3.09-4.02 (m, 15H), 4.15-4.69 (m, 1H), 8.53-8.83 (m, 1H), 10.11-10.54 (m, 1H).
実施例 22 ( 5 ) : 4 ί「( 3 S , 5 S ) _5_ ( 1—ピロリジニルカルボニル) _3—ピロリジニル Ί カルボ二ル} 2-ピペラジノン 塩酸塩 TLC:Rf 0.16 (クロ口ホルム:メタノール:酢酸 =16:4:1); Example 22 (5): 4 {"(3S, 5S) _5_ (1-pyrrolidinylcarbonyl) _3-pyrrolidinyl {carbonyl} 2-piperazinone hydrochloride TLC: Rf 0.16 (form: methanol: acetic acid = 16: 4: 1);
¾ NMR: δ 1.63-1.97 (m, 5H), 2.64—2.85 (m, 1H), 3.02-3.76 (m, 11H), 3.92 (s, 1H), 4.10 (s, 1H), 4.29-4.55 (m, 1H), 8.06—8.22 (m, 1H), 8.52—8.79 (m, 1H), 9.88-10.15 (m, 1H)。 ¾ NMR: δ 1.63-1.97 (m, 5H), 2.64-2.85 (m, 1H), 3.02-3.76 (m, 11H), 3.92 (s, 1H), 4.10 (s, 1H), 4.29-4.55 (m , 1H), 8.06-8.22 (m, 1H), 8.52-8.79 (m, 1H), 9.88-10.15 (m, 1H).
実施例 22(6) :1—ァセチル— 4_i「(3S.5S)_5_(1_ピロリジニルカルボニル) _3_ ピロリジニル Ίカルボニル}ピぺラジン 塩酸塩 Example 22 (6): 1-acetyl-4_i “(3S.5S) _5_ (1_pyrrolidinylcarbonyl) _3_pyrrolidinyl {carbonyl} pidazine hydrochloride
TLC:Rf 0.22 (クロ口ホルム:メタノール = 4:1); TLC: Rf 0.22 (form: methanol = 4: 1);
'Η NMR: δ 1.71-1.95 (m, 5H), 1.97—2.08 (m, 3H), 2.64—2.78 (m, 1H), 3.25—3.76 (m, 15H), 4.29-4.55 (m, 1H), 8.54-8.82 (m, 1H), 10.01-10.39 (m, 1H)。 'Η NMR: δ 1.71-1.95 (m, 5H), 1.97-2.08 (m, 3H), 2.64-2.78 (m, 1H), 3.25-3.76 (m, 15H), 4.29-4.55 (m, 1H), 8.54-8.82 (m, 1H), 10.01-10.39 (m, 1H).
実施例 22(7) :N. N—ジメチル _3_ォキソ _3_(4_{「(3S.5S)_5_(1_ピロリジニ ルカルボニル) _3_ピロリジニル Ίカルボニル }_1—ピぺラジュル)プロパンアミド 塩 酸塩 Example 22 (7): N.N-dimethyl_3_oxo_3_ (4 _ {“(3S.5S) _5_ (1_pyrrolidinylcarbonyl) _3_pyrrolidinyl {carbonyl} _1-pidazuryl) propanamide hydrochloride
TLC:Rf 0.27 (ジクロロメタン:メタノール:酢酸 =8: 1:1); TLC: Rf 0.27 (dichloromethane: methanol: acetic acid = 8: 1: 1);
JH NMR: δ 1.66-1.99 (m, 5H), 2.61-2.87 (m, 4H), 2.87-3.00 (m, 3H), 3.20-3.71 J H NMR: δ 1.66-1.99 (m , 5H), 2.61-2.87 (m, 4H), 2.87-3.00 (m, 3H), 3.20-3.71
(m, 17H), 4.31-4.54 (m, 1H), 8.51-8.81 (m, 1H), 10.30-10.61 (m, 1H)。 (m, 17H), 4.31-4.54 (m, 1H), 8.51-8.81 (m, 1H), 10.30-10.61 (m, 1H).
実施例 22(8) :l-(3-メトキシプロパノィル) -4- (3S, 5S)_5_(1-ピロリジニル カルボニル)一 3—ピロリジニル Ίカルボ二ル}ピペラジン 塩酸塩 Example 22 (8): l- (3-methoxypropanoyl) -4- (3S, 5S) _5_ (1-pyrrolidinylcarbonyl) -1-3-pyrrolidinyl {carbonyl} piperazine hydrochloride
TLC:Rf 0.26 (ジクロロメタン:メタノール:酢酸 =8: 1:1); TLC: Rf 0.26 (dichloromethane: methanol: acetic acid = 8: 1: 1);
JH NMR: δ 1.68-2.02 (m, 5H), 2.43-2.85 (m, 3H), 3.21 (s, 3H), 3.26—3.74 (m, J H NMR: δ 1.68-2.02 (m , 5H), 2.43-2.85 (m, 3H), 3.21 (s, 3H), 3.26-3.74 (m,
17H), 4.33-4.55 (m, 1H), 8.50—8.80 (m, 1H), 10.24—10.54 (m, 1H)。 17H), 4.33-4.55 (m, 1H), 8.50-8.80 (m, 1H), 10.24-10.54 (m, 1H).
実施例 22(9) :1- (メトキシァセチル) -4- (3S, 5S)-5-(l-ピロリジニルカルボ ニル)一 3_ピロリジニル Ίカルボニル }ピペラジン 塩酸塩 Example 22 (9): 1- (methoxyacetyl) -4- (3S, 5S) -5- (l-pyrrolidinylcarbonyl) -1_3-pyrrolidinyl {carbonyl} piperazine hydrochloride
TLC:Rf 0.28 (ジクロロメタン:メタノール:酢酸 =8: 1:1); TLC: Rf 0.28 (dichloromethane: methanol: acetic acid = 8: 1: 1);
'Η NMR: δ 1.66-2.01 (m, 5H), 2.62—2.80 (m, 1H), 3.19—3.80 (m, 15H), 3.28 (s, 3H), 4.10 (s, 2H), 4.33-4.52 (m, 1H), 8.51-8.83 (m, 1H), 10.01-10.34 (m, 1H)。 実施例22(10):2_メチル_5_{「(35.5S)_5_(1_ピロリジニルカルボ二ル)— 3—ピ ロリジニル,カルボニル }_4.5.6.7—テトラヒドロ「1.3Ίチアゾロ「5.4_c ピリジン 雄塩 TLC:Rf 0.48 (ジクロロメタン:メタノール =5:1); 'Η NMR: δ 1.66-2.01 (m, 5H), 2.62-2.80 (m, 1H), 3.19-3.80 (m, 15H), 3.28 (s, 3H), 4.10 (s, 2H), 4.33-4.52 ( m, 1H), 8.51-8.83 (m, 1H), 10.01-10.34 (m, 1H). Example 22 (10): 2_methyl_5 _ {“(35.5S) _5_ (1_pyrrolidinylcarbonyl) -3-pyrrolidinyl, carbonyl} _4.5.6.7-tetrahydro“ 1.3Ίthiazolo ”5.4 _c Pyridine male salt TLC: Rf 0.48 (dichloromethane: methanol = 5: 1);
¾ NMR: δ 1.69-1.95 (m, 5H), 2.61 (s, 3H), 2.65—2.89 (m, 3H), 3.21-3.89 (m, 9H), 4.33-4.54 (m, 1H), 4.60—4.83 (m, 2H), 8.53—8.74 (m, 1H), 10.27-10.45 (m, 1H)。 実施例22(11) :2_フェニル_5_{「(35. 5S)_5_(1_ピロリジニルカルボニル) _3_ ピロリジニル カルボ二ル}_4. 5.6. 7—テトラヒドロ「1. 3Ίチアゾロ「5.4_c ピリジン 雄塩 ¾ NMR: δ 1.69-1.95 (m, 5H), 2.61 (s, 3H), 2.65—2.89 (m, 3H), 3.21-3.89 (m, 9H), 4.33-4.54 (m, 1H), 4.60—4.83 (m, 2H), 8.53-8.74 (m, 1H), 10.27-10.45 (m, 1H). Example 22 (11): 2_phenyl_5 _ {“(35.5S) _5_ (1_pyrrolidinylcarbonyl) _3_pyrrolidinylcarbonyl} _4.5.6. 7-tetrahydro“ 1.3-thiazolo ”5.4_c pyridine Male salt
TLC:Rf 0.31 (ジクロロメタン:メタノール =10:1); TLC: Rf 0.31 (dichloromethane: methanol = 10: 1);
'Η NMR: δ 1.70-1.95 (m, 5H), 2.69—3.02 (m, 3H), 3.22—3.96 (m, 9H), 4.35—4.55 (m, 1H), 4.72-4.97 (m, 2H), 7.40-7.55 (m, 3H), 7.81-7.93 (m, 2H), 8.54-8.74 (m, 1H), 10.30-10.47 (m, 1H)。 'Η NMR: δ 1.70-1.95 (m, 5H), 2.69—3.02 (m, 3H), 3.22—3.96 (m, 9H), 4.35—4.55 (m, 1H), 4.72-4.97 (m, 2H), 7.40-7.55 (m, 3H), 7.81-7.93 (m, 2H), 8.54-8.74 (m, 1H), 10.30-10.47 (m, 1H).
実施例22(12) :2_メチル_5_{「(35. 5S)_5_(1_ピロリジニルカルボ二ル)— 3—ピ ロリジニル カルボニル }_4. 5.6. 7—テトラヒドロ「1.3Ίチアゾロ「4, 5_c ピリジン 塩酸塩 Example 22 (12): 2_methyl_5 _ {“(35.5S) _5_ (1_pyrrolidinylcarbonyl) -3-pyrrolidinylcarbonyl} _4.5.6. 7-tetrahydro“ 1.3Ίthiazolo ”4 , 5_c pyridine hydrochloride
TLC:Rf 0.15 (ジクロロメタン:メタノール = 5:1); TLC: Rf 0.15 (dichloromethane: methanol = 5: 1);
JH NMR: δ 1.72-1.96 (m, 5H), 2.56—2.64 (m, 3H), 2.68—2.94 (m, 3H), 3.24-3.89 (m, 9H), 4.36-4.70 (m, 3H), 8.57-8.76 (m, 1H), 10.09-10.32 (m, 1H)。 J H NMR: δ 1.72-1.96 (m , 5H), 2.56-2.64 (m, 3H), 2.68-2.94 (m, 3H), 3.24-3.89 (m, 9H), 4.36-4.70 (m, 3H), 8.57-8.76 (m, 1H), 10.09-10.32 (m, 1H).
実施例 23: (2S.4S)_4_フエ二ルー 2_(1_ピロリジニルカルボニル)ピロリジン 4_ メチルベンゼンスルホナート Example 23: (2S.4S) _4_phenyl 2_ (1_pyrrolidinylcarbonyl) pyrrolidine 4_ methylbenzenesulfonate
[化 60] [Formula 60]
参考例 4で製造した化合物の代わりに(4S) _1_ (tert—ブトキシカルボニル)一 4ーフ ヱ二ルー L—プロリンを用いて、 (2S)_2_シァノピロリジン 4一メチルベンゼンスルホン 酸塩の代わりにピロリジンを用いて、参考例 5→実施例 1で示される方法と同様に操 作して、以下の物性値を有する本発明化合物を得た。 TLC:Rf 0.52 (クロ口ホルム:メタノール = 9 : 1) ; Using (4S) _1_ (tert-butoxycarbonyl) -1-phenyl L-proline instead of the compound prepared in Reference Example 4, the (2S) _2_cyanopyrrolidine 4-methylbenzenesulfonate was used. By operating in the same manner as in Reference Example 5 → Example 1, using pyrrolidine instead, a compound of the present invention having the following physical property values was obtained. TLC: Rf 0.52 (Form: methanol = 9: 1);
'Η NMR: δ 1.72-2.03 (m, 4Η), 2.28 (s, 3Η), 2.35-2.47 (m, 2Η), 3.18 (t, 1Η), 3.28-3.44 (m, 4H), 3.45-3.59 (m, 1H), 3.75 (dd, 1H), 4.67 (t, 1H), 7.10 (d, 2H), 7.24-7.33 (m, 1H), 7.33-7.38 (m, 4H), 7.47 (d, 2H), 8.63-8.91 (m, 1H), 9.41-9.67 (m, 1H)。 'Η NMR: δ 1.72-2.03 (m, 4Η), 2.28 (s, 3Η), 2.35-2.47 (m, 2Η), 3.18 (t, 1Η), 3.28-3.44 (m, 4H), 3.45-3.59 ( m, 1H), 3.75 (dd, 1H), 4.67 (t, 1H), 7.10 (d, 2H), 7.24-7.33 (m, 1H), 7.33-7.38 (m, 4H), 7.47 (d, 2H) , 8.63-8.91 (m, 1H), 9.41-9.67 (m, 1H).
実施例 24 : (3S. 5S)_5_(1_ピロリジニルカルボニル) _3_ピロリジンカルボン酸 雄塩 Example 24: (3S.5S) _5_ (1_pyrrolidinylcarbonyl) _3_pyrrolidinecarboxylic acid male salt
[0262] [化 61] [0262] [Formula 61]
[0263] 参考例 2で製造した化合物の代わりに参考例 26で製造した化合物を用いて、参考 例 3→参考例 5 ( (2S) _2_シァノピロリジンの代わりにピロリジンを用いた。)→参考例 4→実施例 1 (4一メチルベンゼンスルホン酸の代わりに塩酸を用いた。)で示される方 法と同様に操作して、以下の物性値を有する本発明化合物を得た。 Reference Example 3 → Reference Example 5 (Pyrrolidine was used in place of (2S) _2_cyanopyrrolidine) using the compound produced in Reference Example 26 instead of the compound produced in Reference Example 2. → By operating in the same manner as in Reference Example 4 → Example 1 (4-hydrochloric acid was used instead of monomethylbenzenesulfonic acid), a compound of the present invention having the following physical properties was obtained.
TLC:Rf 0.13 (クロ口ホルム:メタノール:酢酸 = 16 : 4 : 1); TLC: Rf 0.13 (cloth form: methanol: acetic acid = 16: 4: 1);
JH NMR: δ 1.70-2.07 (m, 5H), 2.57-2.78 (m, 1H), 3.20—3.48 (m, 6H), 3.45—3.65 (m, 1H), 4.44 (t, 1H)。 J H NMR: δ 1.70-2.07 (m , 5H), 2.57-2.78 (m, 1H), 3.20-3.48 (m, 6H), 3.45-3.65 (m, 1H), 4.44 (t, 1H).
参者例 37 : 1— (1 , 1—ジメチルェチル) 2—ェチノレ (2S. 4R) _5_ォキソ _4— (フ ェニルメチル)ォキシ]メチル }ピロリジン一 1 , 2-ジカルボキシラート(化合物 C)および Participant example 37: 1- (1,1-dimethylethyl) 2-ethynole (2S.4R) _5_oxo_4— (phenylmethyl) oxy] methyl} pyrrolidine-1,2-dicarboxylate (compound C) and
1—ジメチルェチル) 2—ェチル (2S, 4S)_5_ォキソ _4一 ί「(フエ二ルメチ ノレ)ォキシ Ίメチル }ピロリジン一 1 , 2—ジカルボキシラート(化合物 D) 1-Dimethylethyl) 2-Ethyl (2S, 4S) _5_oxo_4-1-{(phenylmethylenoxy) oxy} methyl} pyrrolidine-1,2,2-dicarboxylate (Compound D)
アルゴン雰囲気下、リチウムへキサメチルジシラザン( (ΐ · 0Μテトラヒドロフラン溶 液, 22mL)に _78°Cでェチル 5_ォキソ—L—プロリナート(5· 15g)のテトラヒドロフ ラン(20mL) /へキサメチルリン酸トリアミド(5mL)溶液を滴下し、同温度で 1時間攪 拌した。反応混合物をアルゴン雰囲気下、 _78°Cでべンジルォキシメチルクロリド(5 . 5mL)のテトラヒドロフラン(10mL)溶液に力二ユレーシヨンした。同温度で 1時間攪 拌後、飽和塩化アンモニゥム水溶液を加え、 tert—ブチルメチルエーテルで抽出した 。有機層を水および飽和食塩水で順次洗浄し、無水硫酸マグネシウムで乾燥し、濃 縮した。残渣をカラム精製し、ェチル (4S) -5—ォキソ一 4一 [ (フエニルメチル)ォキシ メチノレ]—L—プロリナート(化合物 C ; 2. 00g)およびェチル (4S) _5_ォキソ _4_[ ( フエニルメチル)ォキシメチル] _L_プロリナート(化合物 D ; l . 37g)をそれぞれ得た 参者例 38 : 1— (1 , 1—ジメチルェチル) 2—ェチノレ (2S. 4R) _5_ (メチルォキシ)— 4-1「(フエニルメチル)ォキシ Ίメチル }ピロリジン一 1. 2—ジカルボキシラート In an argon atmosphere, lithium hexamethyldisilazane ((ΐ · 0Μtetrahydrofuran solution, 22 mL) was added at _78 ° C at a temperature of 78 ° C with tetrahydrofuran (20 mL) / hexamethylphosphoric acid of 5-ethyl-oxo-L-prolinate (5.15 g). A solution of triamide (5 mL) was added dropwise, and the mixture was stirred for 1 hour at the same temperature.The reaction mixture was added to a solution of benzyloxymethyl chloride (5.5 mL) in tetrahydrofuran (10 mL) at _78 ° C under an argon atmosphere. At the same temperature for 1 hour. After stirring, a saturated aqueous solution of ammonium chloride was added, and the mixture was extracted with tert-butyl methyl ether. The organic layer was washed successively with water and saturated saline, dried over anhydrous magnesium sulfate and concentrated. The residue was purified by column chromatography, and ethyl (4S) -5-oxo-1-41-((phenylmethyl) oxymethinole) -L-prolinate (compound C; 2.00 g) and ethyl (4S) _5_oxo_4 _ [(phenylmethyl) oxymethyl ] _L_ Prolinate (Compound D; l. 37g) was obtained respectively. Participant example 38: 1- (1, 1-dimethylethyl) 2-ethynole (2S. 4R) _5_ (methyloxy)-4-1 "(phenylmethyl) 1,2-dicarboxylate
アルゴン雰囲気下、参考例 37で製造した化合物 C (l . 41g)のテトラヒドロフラン(2 OmL)溶液に、— 78°Cで水素化トリェチルホウ素リチウム(1Mテトラヒドロフラン溶液、 4. 5mL)溶液を滴下し、 30分間攪拌した。反応混合物に飽和炭酸水素ナトリウム水 溶液(10mL)をカ卩え、 0°Cで 30%過酸化水素水(2mL)を加え、同温度で 30分間攪 拌した。反応混合物に水をカ卩え、 tert—ブチルメチルエーテルで抽出した。有機層を 飽和食塩水で洗浄し、無水硫酸マグネシウムで乾燥後濃縮した。残渣をメタノーノレ( 20mL)に溶解し、 4_メチルベンゼンスルホン酸 1水和物(142mg)を加え、室温で 攪拌し、飽和炭酸水素ナトリウム水溶液をカ卩え、濃縮した。残渣を tert -ブチルメチル エーテルで抽出し、有機層を飽和食塩水で洗浄し、無水硫酸マグネシウムで乾燥し 、濃縮して標題化合物(1. 71g)を得た。 Under an argon atmosphere, to a solution of compound C (1.41 g) prepared in Reference Example 37 in tetrahydrofuran (2 OmL) was added dropwise a solution of lithium triethylborohydride (1 M solution in tetrahydrofuran, 4.5 mL) at −78 ° C. Stir for 30 minutes. A saturated aqueous sodium hydrogen carbonate solution (10 mL) was added to the reaction mixture, 30% aqueous hydrogen peroxide (2 mL) was added at 0 ° C, and the mixture was stirred at the same temperature for 30 minutes. Water was added to the reaction mixture and extracted with tert-butyl methyl ether. The organic layer was washed with brine, dried over anhydrous magnesium sulfate and concentrated. The residue was dissolved in methanol (20 mL), 4-methylbenzenesulfonic acid monohydrate (142 mg) was added, the mixture was stirred at room temperature, saturated aqueous sodium hydrogen carbonate solution was added, and the mixture was concentrated. The residue was extracted with tert-butyl methyl ether, and the organic layer was washed with brine, dried over anhydrous magnesium sulfate, and concentrated to give the title compound (1.71 g).
参考例 39 : 1- (1 , 1—ジメチルェチル) 2—ェチル (2S, 4S. 5R)_5_メチルー 4一 ί 「(フエニルメチル)ォキシ Ίメチル }ピロリジン一 1 , 2,ージカルボキシラート Reference Example 39: 1- (1,1-dimethylethyl) 2-ethyl (2S, 4S.5R) _5_methyl-41-((phenylmethyl) oxy-methyl} pyrrolidine-l, 2,2, dicarboxylate
アルゴン雰囲気下、臭化銅一ジメチルスルフイド錯体(3· 58 g)のジェチルエーテ ル(34mL)懸濁液に一 40°Cで、メチルマグネシウムブロミド(ジェチルエーテル溶液; 3. 0M, 5. 8mL)を滴下し、— 40°Cで 1時間攪拌した。— 78°Cで三フッ化ホウ素 ジ ェチルエーテル錯体(2. 2mL, 17mmol)を滴下し、同温度で 30分間攪拌した。参 考例 38で製造した化合物(1. 71g)のジェチルエーテル(6mU溶液を滴下し、同 温度で 15分攪拌し、室温で 1時間攪拌した。反応混合物に飽和塩化アンモニゥム水 溶液(1 OmL)と濃アンモニア水(1 OmL)の混合物をカ卩え、室温で 30分間攪拌した。 反応混合物をジェチルエーテルで抽出した。有機層を水および飽和食塩水で順次 洗浄し、無水硫酸マグネシウムで乾燥後濃縮した。残渣をテトラヒドロフラン(10mL) に溶解し、ジ一 tert-ブチルジカルボナート(1. 90g)および飽和炭酸水素ナトリウム 水溶液(10mL)を加え、混合物を室温で 3時間攪拌した。反応混合物を酢酸ェチル で抽出し、有機層を水および飽和食塩水で順次洗浄し、無水硫酸マグネシウムで乾 燥後濃縮した。残渣をカラム精製し、標題化合物(732mg)を得た。 Under an argon atmosphere, a suspension of copper bromide-dimethyl sulfide complex (3.58 g) in gethyle ether (34 mL) was added at 140 ° C at 140 ° C with methylmagnesium bromide (getyl ether solution; 3.0 M, 5. 8 mL) was added dropwise, and the mixture was stirred at -40 ° C for 1 hour. — Boron trifluoride dimethyl ether complex (2.2 mL, 17 mmol) was added dropwise at 78 ° C, and the mixture was stirred at the same temperature for 30 minutes. A solution of the compound (1.71 g) prepared in Reference Example 38 in getyl ether (6 mU) was added dropwise, and the mixture was stirred at the same temperature for 15 minutes, and then stirred at room temperature for 1 hour. ) And concentrated aqueous ammonia (1 OmL) were mixed and stirred at room temperature for 30 minutes.The reaction mixture was extracted with getyl ether.The organic layer was sequentially extracted with water and saturated saline. The extract was washed, dried over anhydrous magnesium sulfate and concentrated. The residue was dissolved in tetrahydrofuran (10 mL), di-tert-butyl dicarbonate (1.90 g) and a saturated aqueous solution of sodium hydrogen carbonate (10 mL) were added, and the mixture was stirred at room temperature for 3 hours. The reaction mixture was extracted with ethyl acetate, and the organic layer was washed successively with water and saturated saline, dried over anhydrous magnesium sulfate and concentrated. The residue was purified by column to give the title compound (732 mg).
参者例 40 : 1_ (1 , 1—ジメチルェチル) 2—ェチノレ (2S. 4S. 5R)_4—(ヒドロキシメ チル) _5_メチルピロリジン一 1. 2—ジカルボキシラート Participants 40: 1_ (1, 1-dimethylethyl) 2-ethynole (2S. 4S. 5R) _4- (hydroxymethyl) _5_methylpyrrolidine-1.2-dicarboxylate
参考例 39で製造した化合物(732mg)のエタノール(10mL)溶液に 10%パラジゥ ム炭素 (wet. 200mg)および酢酸(lmL)をカ卩え、水素雰囲気下、室温で 3時間攪 拌した。反応混合物をろ過し、ろ液を濃縮し、標題化合物(566mg)を得た。 To a solution of the compound (732 mg) produced in Reference Example 39 in ethanol (10 mL) was added 10% palladium carbon (wet. 200 mg) and acetic acid (1 mL), and the mixture was stirred under a hydrogen atmosphere at room temperature for 3 hours. The reaction mixture was filtered, and the filtrate was concentrated to give the title compound (566 mg).
参者例 41 : (2R, 3S. 5S) _l_i「(l , 1—ジメチルェチル)ォキシ Ίカルボニル }_5_「 (ェチルォキシ)カルボニル, _2_メチルピロリジン一 3_カルボン酸 Participant example 41: (2R, 3S. 5S) _l_i “(l, 1-dimethylethyl) oxy Ίcarbonyl} _5_“ (ethyloxy) carbonyl, _2_methylpyrrolidine-1__carboxylic acid
参考例 40で製造した化合物(566mg)のアセトン(5mL)溶液にジヨーンズ試薬(三 酸化クロム -硫酸溶液) (1. OmL)を加え、室温で 4時間攪拌した。反応混合物に水 を加え、酢酸ェチルで抽出し、有機層を水および飽和食塩水で順次洗浄し、無水硫 酸マグネシウムで乾燥後濃縮して標題化合物(544mg)を得た。 To a solution of the compound (566 mg) produced in Reference Example 40 in acetone (5 mL) was added a dione's reagent (chromium trioxide-sulfuric acid solution) (1. OmL), and the mixture was stirred at room temperature for 4 hours. Water was added to the reaction mixture, and the mixture was extracted with ethyl acetate. The organic layer was washed with water and saturated saline in this order, dried over anhydrous magnesium sulfate and concentrated to obtain the title compound (544 mg).
実施例 25 : (2R, 3S. 5S) _5_i「(2S) _2_シァノ _1_ピロリジニル Ίカルボニル }_N Example 25: (2R, 3S. 5S) _5_i “(2S) _2_cyano_1_pyrrolidinyl {carbonyl} _N
2—ト JJメチルー 3—ピロ ジンカルボキサミど 4—メチルベンゼンスルホン酸塩 2-to JJ-methyl-3-pyrazinecarboxamido 4-methylbenzenesulfonate
[0264] [化 62] [0264] [Formula 62]
[0265] 参考例 4で製造した化合物の代わりに参考例 41で製造した化合物を用いて、参考 例 5 ( ( (2S) _2_シァノピロリジン 4_メチルベンゼンスルホン酸塩の代わりにジメチ ルァミンを用いた。)→参考例 4→参考例 5→実施例 1で示される方法と同様に操作 して、以下の物性値を有する本発明化合物を得た。 TLC:Rf 0.35 (クロ口ホルム:メタノール = 5 : 1) ; Reference Example 5 (Dimethylamine was used in place of ((2S) _2_cyanopyrrolidine 4_methylbenzenesulfonate) using the compound produced in Reference Example 41 instead of the compound produced in Reference Example 4. → Reference Example 4 → Reference Example 5 → A compound of the present invention having the following physical properties was obtained in the same manner as in the method shown in Example 1. TLC: Rf 0.35 (form: methanol = 5: 1);
'Η NMR: δ 8.86-9.41 (m, 2Η), 7.47 (d, 2H), 7.10 (d, 2H), 4.82 (dd, 1H), 4.49-4.66 (m, IH), 3.73-3.85 (m, IH), 3.55 (t, 2H), 3.07—3.26 (m, IH), 3.02 (s, 3H), 2.87-2.99 (m, IH), 2.84 (s, 3H), 2.28 (s, 3H), 2.08-2.25 (m, 2H), 1.94-2.08 (m, 2H), 1.61-1.80 (m, 1H), 1.29 (d, 3H)。 'Η NMR: δ 8.86-9.41 (m, 2Η), 7.47 (d, 2H), 7.10 (d, 2H), 4.82 (dd, 1H), 4.49-4.66 (m, IH), 3.73-3.85 (m, IH), 3.55 (t, 2H), 3.07—3.26 (m, IH), 3.02 (s, 3H), 2.87-2.99 (m, IH), 2.84 (s, 3H), 2.28 (s, 3H), 2.08 -2.25 (m, 2H), 1.94-2.08 (m, 2H), 1.61-1.80 (m, 1H), 1.29 (d, 3H).
実施例 25 (1) : (2R. 3R. 5S) _5_i「(2S) _2_シァノ _1_ピロリジニル Ίカルボニル }_N. N. 2_トリメチルー 3_ピロリジンカルボキサミド 4_メチルベンゼンスルホン酸塩 参考例 37で製造した化合物 Cの代わりに参考例 37で製造した化合物 Dを用いて 参考例 38→参考例 39→参考例 40→参考例 41→実施例 25で示される方法と同様 に操作して、以下の物性値を有する本発明化合物を得た。 Example 25 (1): (2R.3R.5S) _5_i "(2S) _2_cyano_1_pyrrolidinyl {carbonyl} _N.N.2_trimethyl-3_pyrrolidinecarboxamide 4_methylbenzenesulfonate In Reference Example 37 Using the compound D prepared in Reference Example 37 in place of the compound C produced, Reference Example 38 → Reference Example 39 → Reference Example 40 → Reference Example 41 → Operating in the same manner as shown in Example 25, the following The compound of the present invention having physical properties was obtained.
TLC:Rf 0.45 (クロ口ホルム:メタノール = 5 : 1); TLC: Rf 0.45 (cloth form: methanol = 5: 1);
JH NMR: δ 9.20 (s, 1H), 8.99 (s, IH), 7.46 (d, 2H), 7.10 (d, 2H), 4.83 (dd, IH), 4.60-4.74 (m, IH), 3.83-4.01 (m, IH), 3.64-3.75 (m, IH), 3.49—3.64 (m, 2H), 3.02 (s, 3H), 2.87 (s, 3H), 2.65-2.80 (m, 1H), 2.28 (s, 3H), 2.08—2.26 (m, 2H), J H NMR: δ 9.20 (s , 1H), 8.99 (s, IH), 7.46 (d, 2H), 7.10 (d, 2H), 4.83 (dd, IH), 4.60-4.74 (m, IH), 3.83 -4.01 (m, IH), 3.64-3.75 (m, IH), 3.49-3.64 (m, 2H), 3.02 (s, 3H), 2.87 (s, 3H), 2.65-2.80 (m, 1H), 2.28 (s, 3H), 2.08—2.26 (m, 2H),
1.91-2.08 (m, 3H), 1.19 (d, 3H)。 1.91-2.08 (m, 3H), 1.19 (d, 3H).
実施例 26 (1)—実施例 26 (4) Example 26 (1) —Example 26 (4)
参考例 24 (a)で製造した化合物の代わりに参考例 32で製造した化合物を用いる か、または参考例 31で製造した化合物 Bを用いて参考例 32で示される方法と同様 の操作で得られた化合物((2S, 4R, 5S)— 4一(メトキシカルボニル)一 5—メチルピロリ ジン一 2—力ルボン酸 トリフルォロ酢酸塩)を用いて、参考例 24 (b)→参考例 5 ( (2S) _2_シァノピロリジン 4一メチルベンゼンスルホン酸塩の代わりに相当するアミンを用 いた。)→参考例 4→参考例 5 ( (2S) _2—シァノピロリジン 4_メチルベンゼンスルホ ン酸塩の代わりに相当するァミンを用いた。)→実施例 1 (4一メチルベンゼンスルホン 酸または塩酸を用いた。)で示される方法と同様に操作して、本発明化合物を得た。 実施例 26 (1): (2S. 3R. 5S) _5_i「(2R) _2_シァノ _1_ピロリジニル Ίカルボニル 丄ー N._NL 2_トリメチルー 3_ピロリジンカルボキサミド 4—メチルベンゼンスルホン酸塩 [0266] [化 63] Reference Example 24 The compound prepared in Reference Example 32 was used in place of the compound prepared in (a), or the compound B prepared in Reference Example 31 was used and obtained in the same manner as in the method shown in Reference Example 32. Reference Example 24 (b) → Reference Example 5 ((2S)) using a compound ((2S, 4R, 5S) -41- (methoxycarbonyl) -15-methylpyrrolidine-12-potassium trifluoroacetate) The corresponding amine was used instead of _2_cyanopyrrolidine 4-methylbenzenesulfonate.) → Reference Example 4 → Reference Example 5 (instead of (2S) _2-cyanopyrrolidine 4_methylbenzenesulfonate) → A compound of the present invention was obtained in the same manner as in Example 1 (4-monomethylbenzenesulfonic acid or hydrochloric acid was used). Example 26 (1): (2S. 3R. 5S) _5_i “(2R) _2_cyano_1_pyrrolidinyl {carbonyl} -N._NL 2_trimethyl-3_pyrrolidinecarboxamide 4-methylbenzenesulfonate [0266] [Formula 63]
[0267] TLC:Rf 0.30 (クロ口ホルム:メタノール = 9 : 1); [0267] TLC: Rf 0.30 (form: methanol = 9: 1);
JH NMR: δ 9.57-9.86 (m, 1H), 8.46—8.86 (m, 1H), 7.45 (d, 2H), 7.09 (d, 2H), 4.80 (t, 1H), 4.58-4.72 (m, 1H), 3.76-3.93 (m, 1H), 3.65-3.77 (m, 1H), 3.28-3.41 (m, 1H), 3.06-3.19 (m, 1H), 2.96 (s, 3H), 2.85 (s, 3H), 2.34 (t, 2H), 2.28 (s, 3H), 2.14-2.24 (m, 2H), 1.90-2.13 (m, 2H), 1.32 (d, 3H)。 J H NMR: δ 9.57-9.86 (m , 1H), 8.46-8.86 (m, 1H), 7.45 (d, 2H), 7.09 (d, 2H), 4.80 (t, 1H), 4.58-4.72 (m, 1H), 3.76-3.93 (m, 1H), 3.65-3.77 (m, 1H), 3.28-3.41 (m, 1H), 3.06-3.19 (m, 1H), 2.96 (s, 3H), 2.85 (s, 3H), 2.34 (t, 2H), 2.28 (s, 3H), 2.14-2.24 (m, 2H), 1.90-2.13 (m, 2H), 1.32 (d, 3H).
実施例 26 (2) : (2S, 3S. 5S) -5-i「(2R) -2-シァノ -1-ピロリジニル Ίカルボニル }-N. N. 2_トリメチルー 3_ピロリジンカルボキサミド 4_メチルベンゼンスルホン酸塩 TLC:Rf 0.27 (クロ口ホルム:メタノール = 9 : 1); Example 26 (2): (2S, 3S.5S) -5-i “(2R) -2-cyano-1-pyrrolidinyl {carbonyl} -NN 2_trimethyl-3_pyrrolidinecarboxamide 4_methylbenzenesulfonate TLC : Rf 0.27 (black form: methanol = 9: 1);
NMR: δ 9.52-9.74 (m, 1H), 8.07-8.46 (m, 1H), 7.46 (d, 2H), 7.09 (d, 2H), 4.82 (dd, 1H), 4.48-4.63 (m, 1H), 3.81—4.02 (m, 1H), 3.66—3.80 (m, 1H), 3.54—3.65 (m, 1H), 3.26-3.40 (m, 1H), 3.00 (s, 3H), 2.83 (s, 3H), 2.53—2.65 (m, 1H), 2.28 (s, 3H), 1.90-2.25 (m, 5H), 1.14 (d, 3H)。 NMR: δ 9.52-9.74 (m, 1H), 8.07-8.46 (m, 1H), 7.46 (d, 2H), 7.09 (d, 2H), 4.82 (dd, 1H), 4.48-4.63 (m, 1H) , 3.81-4.02 (m, 1H), 3.66-3.80 (m, 1H), 3.54-3.65 (m, 1H), 3.26-3.40 (m, 1H), 3.00 (s, 3H), 2.83 (s, 3H) , 2.53-2.65 (m, 1H), 2.28 (s, 3H), 1.90-2.25 (m, 5H), 1.14 (d, 3H).
実施例 26 (3): (2S. 3S. 5S) -N. N. 2_トリメチル _5_ (1_ピロリジニルカルボニル ) _3_ピロリジンカルボキサミド 4_メチルベンゼンスルホン酸塩 Example 26 (3): (2S.3S.5S) -N.N.2_trimethyl_5_ (1_pyrrolidinylcarbonyl) _3_pyrrolidinecarboxamide 4_methylbenzenesulfonate
TLC:Rf 0.15 (ブタノール:酢酸:水 = 4 : 2 : 1); TLC: Rf 0.15 (butanol: acetic acid: water = 4: 2: 1);
JH NMR: δ 1.15 (d, 3H), 1.71-2.00 (m, 4H), 2.04-2.20 (m, 1H), 2.28 (s, 3H), 2.52-2.67 (m, 1H), 2.83 (s, 3H), 3.00 (s, 3H), 3.20—3.75 (m, 5H), 3.81-3.97 (m, 1H), 4.36-4.53 (m, 1H), 7.10 (d, 2H), 7.46 (d, 2H), 7.91-8.16 (m, 1H), 9.44-9.64 (m, 1H)。 J H NMR: δ 1.15 (d , 3H), 1.71-2.00 (m, 4H), 2.04-2.20 (m, 1H), 2.28 (s, 3H), 2.52-2.67 (m, 1H), 2.83 (s, 3H), 3.00 (s, 3H), 3.20-3.75 (m, 5H), 3.81-3.97 (m, 1H), 4.36-4.53 (m, 1H), 7.10 (d, 2H), 7.46 (d, 2H) , 7.91-8.16 (m, 1H), 9.44-9.64 (m, 1H).
実施例26 (4) : 7_{「(25, 3S. 5S) _2—メチルー 5_ (1—ピロリジニルカルボニル) _3 -ピロリジニル Ίカルボ二ル}一 3- (トリフルォロメチル) -5, 6. 7. 8-テトラヒドロ「1 , 2 , 4Ίトリァゾロ「4, 3-&Ίビラジン 塩酸塩 TLC:Rf 0.33 (クロ口ホルム:メタノール =4: 1); Example 26 (4): 7 _ {“(25,3S.5S) _2-methyl-5_ (1-pyrrolidinylcarbonyl) _3-pyrrolidinyl {carbonyl} -1-3- (trifluoromethyl) -5,6 7. 8-Tetrahydro “1,2,4-triazolo” 4,3- & Ίvirazine hydrochloride TLC: Rf 0.33 (form: methanol = 4: 1);
¾ NMR: δ 0.99-1.25 (m, 3H), 1.63—1.99 (m, 4H), 2.12-2.35 (m, 1H), 2.52-2.74 ¾ NMR: δ 0.99-1.25 (m, 3H), 1.63--1.99 (m, 4H), 2.12-2.35 (m, 1H), 2.52-2.74
(m, 1H), 3.22-3.40 (m, 3H), 3.48-3.63 (m, 1H), 3.78 (q, 1H), 3.83-4.16 (m, 4H),(m, 1H), 3.22-3.40 (m, 3H), 3.48-3.63 (m, 1H), 3.78 (q, 1H), 3.83-4.16 (m, 4H),
4.14-4.34 (m, 1H), 4.38-4.58 (m, 1H), 4.66-5.19 (m, 2H), 7.89-8.30 (m, 1H),4.14-4.34 (m, 1H), 4.38-4.58 (m, 1H), 4.66-5.19 (m, 2H), 7.89-8.30 (m, 1H),
9.90-10.90 (m, 1H)。 9.90-10.90 (m, 1H).
生物学的実施例 Biological examples
験 ll : DPP4ffi†牛阳 験 Test ll: DPP4ffi † cow test
DPP4活性阻害実験は以下の方法に従って行った。 DPP4は、ヒト血漿から硫安分 画、弱陰イオン交換クロマトグラフィーおよびゲル濾過クロマトグラフィーにより粗精製 した。基質となる 60 μ Γηο1/1 Gly-Pro- MC (グリシルプロリル _7_アミド _4_メチルタマリ ン)水溶液(50 μ 1)、本発明化合物(10 μ 1)および蒸留水(20 μ 1)を混合し、次レ、で 0.5mol/lトリス塩酸緩衝液 (pH7.4; 10 μ 1)および酵素溶液(10 μ 1)を加えて酵素反応 を開始した。蛍光プレートリーダー(Fmax;モレキュラーデバイス社製)を用いて 355nmで励起させたときの 460nmの蛍光強度の変化を 15分間測定し、初速度を算出 し、 DPP4活性とした。本発明化合物は lOmmol/lDMSOに溶解した後、蒸留水で lmmol/1に希釈し、さらに 10%DMSO溶液で希釈した(終濃度:化合物一 10 /i mol/l、 DMSO 1%)。溶媒存在下の反応速度 Vおよび本発明化合物存在下の反応速度 V から、下式により DPP4活性阻害率(%)を求めた。 The DPP4 activity inhibition experiment was performed according to the following method. DPP4 was roughly purified from human plasma by ammonium sulfate fractionation, weak anion exchange chromatography and gel filtration chromatography. A 60 μΓη1 / 1 / Gly-Pro-MC (glycylprolyl_7_amide_4_methyl_tamarin) aqueous solution (50 μl) serving as a substrate was mixed with the compound of the present invention (10 μl) and distilled water (20 μl). Next, a 0.5 mol / l Tris-HCl buffer (pH 7.4; 10 μl) and an enzyme solution (10 μl) were added to start the enzyme reaction. Using a fluorescent plate reader (Fmax; manufactured by Molecular Devices), the change in the fluorescence intensity at 460 nm when excited at 355 nm was measured for 15 minutes, the initial velocity was calculated, and the DPP4 activity was determined. The compound of the present invention was dissolved in lOmmol / l DMSO, diluted with distilled water to lmmol / 1, and further diluted with a 10% DMSO solution (final concentration: 10-1 / mol / l of compound, 1% of DMSO). From the reaction rate V in the presence of a solvent and the reaction rate V in the presence of the compound of the present invention, the DPP4 activity inhibition rate (%) was determined by the following formula.
阻害率(%) = (1-V/V ) X 100 Inhibition rate (%) = (1-V / V) x 100
V:本発明化合物存在下の反応速度 (RFU/分) V: Reaction rate in the presence of the compound of the present invention (RFU / min)
V: l %DMSO溶液存在下の反応速度(RFU/分) V: Reaction rate in the presence of l% DMSO solution (RFU / min)
IC 値は、阻害率 50%を挟む 2点の本発明化合物濃度と阻害率から回帰直線の傾 き (a)と切片 (b)を求めた後、以下の式に従って算出した。 The IC value was calculated according to the following equation after obtaining the slope (a) and intercept (b) of the regression line from the concentration of the compound of the present invention and the inhibition rate at two points sandwiching the inhibition rate of 50%.
y= a X ln (x) +b y = a X ln (x) + b
(x :本発明化合物濃度 ( μ mol/l)、 y:阻害率(%)) (x: concentration of the compound of the present invention (μmol / l), y: inhibition rate (%))
Τ [ (50— b) ] Τ [(50— b)]
IC =e IC = e
50 50
その結果、本発明化合物は DPP4様活性を阻害した。例えば、実施例 1 (6)の化合 物のに 値は 6.1nMであった。従って、本発明化合物は 2型糖尿病の治療剤として有 用である。As a result, the compound of the present invention inhibited DPP4-like activity. For example, the value of the compound of Example 1 (6) was 6.1 nM. Therefore, the compound of the present invention is useful as a therapeutic agent for type 2 diabetes. It is for.
DPP4を含む血漿は、健常人ボランティアまたはラットの血液を遠心分離することに より調製した。酵素反応は基質となる 120 II mol/1 Gly-Pro_MC水溶液(25 μ 1)、本発 明化合物(10 μ ΐ)および蒸留水(15 μ ΐ)を混合し、次いで血漿 (50 μ 1)を加えて開始 した。蛍光プレートリーダー(Fmax ;モレキュラーデバイス社製)を用いて 355nmで励 起させたときの 460nmの蛍光強度の変化を 15分間測定し、初速度を算出し、血漿中 DPP4様活性とした。本発明化合物は 10mmol/lDMS〇溶液とし、蒸留水で lmmol/1 に希釈し、さらに 10%DMS〇溶液で希釈した(終濃度:ィ匕合物一 10 x mol/l、 DMSO 1%)。溶媒存在下の反応速度 Vおよび本発明化合物存在下の反応速度 Vから、下 式により血漿中 DPP4様活性阻害率(%)を求めた。 Plasma containing DPP4 was prepared by centrifuging the blood of healthy volunteers or rats. In the enzymatic reaction, a 120 II mol / 1 Gly-Pro_MC aqueous solution (25 μ 1) as a substrate, a compound of the present invention (10 μΐ) and distilled water (15 μΐ) are mixed, and then plasma (50 μ 1) is mixed. In addition, it has begun. The change in the fluorescence intensity at 460 nm when excited at 355 nm using a fluorescent plate reader (Fmax; manufactured by Molecular Devices) was measured for 15 minutes, the initial velocity was calculated, and the plasma DPP4-like activity was determined. The compound of the present invention was prepared as a 10 mmol / l DMS solution, diluted to 1 mmol / 1 with distilled water, and further diluted with a 10% DMS solution (final concentration: 10 × mol / l, 1% DMSO, 1% DMSO). From the reaction rate V in the presence of a solvent and the reaction rate V in the presence of the compound of the present invention, the DPP4-like activity inhibition rate (%) in plasma was determined by the following formula.
阻害率(%) =(1-V/V ) X 100 Inhibition rate (%) = (1-V / V) x 100
V:本発明化合物存在下の反応速度 (RFU/分) V: Reaction rate in the presence of the compound of the present invention (RFU / min)
V:溶媒存在下の反応速度 (RFU/分) V: Reaction rate in the presence of solvent (RFU / min)
IC 値は、阻害率 50%を挟む 2点の本発明化合物濃度と阻害率から回帰直線の傾 き (a)と切片 (b)を求めた後、以下の式に従って算出した。 The IC value was calculated according to the following equation after obtaining the slope (a) and intercept (b) of the regression line from the concentration of the compound of the present invention and the inhibition rate at two points sandwiching the inhibition rate of 50%.
y= a X ln (x) +b y = a X ln (x) + b
(x :本発明化合物濃度 11101/1)、^阻害率(%)) (x: concentration of the compound of the present invention 111 0 1/1), ^ inhibition rate (%)
T [ (50-b) /a] T [(50-b) / a]
IC =e IC = e
50 50
その結果、本発明化合物は血漿中 DPP4様活性を阻害した。例えば、実施例 1 (6 )の化合物の IC 値は、ヒト血漿で 42 nM、ラット血漿で 58 nMであった。従って、本発 明化合物は 2型糖尿病の治療剤として有用である。 As a result, the compound of the present invention inhibited DPP4-like activity in plasma. For example, the compound of Example 1 (6) had an IC value of 42 nM in human plasma and 58 nM in rat plasma. Therefore, the compound of the present invention is useful as a therapeutic agent for type 2 diabetes.
験 i s ラットに π 与した きの f*DPP4街 牛に する '卜牛 . 験 試験実施前日より絶食させた SD系ラット (雄、 5週齢)を用レ、、本発明化合物を 0.5% メチルセルロース蒸留水溶液に溶解し、 lmg/kgの投与量で経口投与した。 Experiment is f * DPP4 street cattle when rats were given π to beef cows. Experiments SD rats (male, 5 weeks old) that had been fasted from the day before the test were used, and the compound of the present invention was 0.5% methylcellulose. It was dissolved in distilled aqueous solution and orally administered at a dose of lmg / kg.
へパリン処置済みシリンジを用いて、例えば、本発明化合物投与前および投与後 に鎖骨下静脈より採血し、遠心分離後の血漿を調製した。血漿 (50 μ ΐ)および基質と なる 60 μ mol/1 Gly-Pro-MC (50 μ 1)を混合し、酵素反応を開始した。蛍光プレートリ ーダー(Fmax ;モレキュラーデバイス社製)を用いて 355nmで励起させたときの 460nm の蛍光強度の変化を 15分間測定し、初速度を算出し、 DPP4様活性とした。また、本 発明化合物投与前の血漿の反応速度 V および本発明化合物投与後の血漿の反 For example, before and after administration of the compound of the present invention, blood was collected from the subclavian vein using a syringe treated with heparin, and plasma after centrifugation was prepared. Plasma (50 μΐ) and 60 μmol / 1 Gly-Pro-MC (50 μl) serving as a substrate were mixed, and the enzyme reaction was started. Fluorescent plate The change in the fluorescence intensity at 460 nm when excited at 355 nm was measured for 15 minutes using a magnetic field (Fmax; manufactured by Molecular Devices), and the initial velocity was calculated to determine the DPP4-like activity. The plasma reaction rate V before administration of the compound of the present invention and the plasma reaction rate V
pre pre
応速度 Vから、下式により DPP4様活性阻害率(%)を求めた。 From the response rate V, the DPP4-like activity inhibition rate (%) was determined by the following formula.
t t
阻害率(%) = (1— V /V ) X 100 Inhibition rate (%) = (1— V / V) X 100
t pre t pre
V :本発明化合物投与前の血漿の反応速度(RFU/分) V: Reaction rate of plasma before administration of the compound of the present invention (RFU / min)
pre pre
V:本発明化合物投与後の血漿の反応速度 (RFU/分) V: Reaction rate of plasma after administration of the compound of the present invention (RFU / min)
t t
その結果、本発明化合物は長時間にわたり、血漿中 DPP4様活性を阻害すること が明らかになった。例えば、実施例 1 (6)の化合物は 6時間後 96%、 24時間後 42%の 阻害を示した。従って、本発明化合物は持続性を有する糖尿病治療薬として有用で ある。 As a result, it was revealed that the compound of the present invention inhibits plasma DPP4-like activity for a long time. For example, the compound of Example 1 (6) showed 96% inhibition after 6 hours and 42% after 24 hours. Therefore, the compound of the present invention is useful as a persistent therapeutic drug for diabetes.
,験 14 ラットでの 口来唐 ィ节言式,験 , Experiment with 14 rats
本試験は Diabetologia、 42、 1324— 1331、 1999に掲載された方法を適宜改良して行 なった。試験には 9一 11週齢の雄性 SD系ラットまたは 10週齢の雄性 Zucker fattyラット (日本チヤ一ルスリバ一社)を、実験前日から絶食して用いた。本発明化合物は 0.5% メチルセルロース蒸留水溶液に溶解し、 5ml/kgの濃度で経口投与した。対照群には 0.5%メチルセルロース蒸留水溶液を同用量投与した。 lg/kg体重の糖を日本薬局方 注射用水で溶解し、本発明化合物または 0.5%メチルセルロース蒸留水溶液投与から 30分後に 5ml/kgの濃度で経口投与した。薬物経口投与直前、経口糖負荷後にそれ ぞれへパリン処理済キヤピラリーを用いて尾静脈より採血した。得られた血液は直ち に 4°C、 12,000卬 mで 3分間遠心分離した。血漿を得、ドライアイスにより凍結した。血 糖値(mgZdl)は、 96穴プレートに血漿 2.5 μ Lを取り、血糖値測定キット:ダイヤカラー GC™ (小野薬品工業 (株)製)で測定した。また、血漿中の抗体反応性インスリン (IRI) は、インスリン測定 ELISAキット (森永生化学研究所製)により測定した。 This test was carried out by appropriately modifying the method described in Diabetologia, 42, 1324-1331, 1999. For the test, male SD rats of 9-11 weeks of age or male Zucker fatty rats of 10 weeks of age (Nippon Charlriva Co., Ltd.) were used after fasting from the day before the experiment. The compound of the present invention was dissolved in a 0.5% methylcellulose distilled aqueous solution and orally administered at a concentration of 5 ml / kg. The control group received the same dose of 0.5% methylcellulose distilled aqueous solution. A sugar of lg / kg body weight was dissolved in water for injection in the Japanese Pharmacopoeia, and orally administered at a concentration of 5 ml / kg 30 minutes after administration of the compound of the present invention or a 0.5% aqueous solution of methylcellulose in distilled water. Immediately before oral administration of the drug and after oral glucose loading, blood was collected from the tail vein using capillaries treated with palin. The obtained blood was immediately centrifuged at 12,000 卬 m for 3 minutes at 4 ° C. Plasma was obtained and frozen on dry ice. Blood glucose (mgZdl) was measured by taking 2.5 μL of plasma in a 96-well plate and using a blood glucose measurement kit: Diacolor GC ™ (manufactured by Ono Pharmaceutical Co., Ltd.). In addition, antibody-reactive insulin (IRI) in plasma was measured using an insulin measurement ELISA kit (manufactured by Morinaga Biochemical Laboratory).
その結果、本発明化合物は血糖値の上昇を抑制し、高いインスリン分泌促進能を 示した。例えば、実施例 1 (6)の化合物は 0.1mg/kgの経口投与により、糖負荷 15分 後のインスリン分泌を溶媒対照群と比較して 27%増強し、糖負荷 30分後の血糖値の 上昇を溶媒対照群と比較して 40%抑制した。従って、本発明化合物は 2型糖尿病の 治療薬として有用である。 As a result, the compound of the present invention suppressed an increase in blood glucose level and showed high insulin secretion promoting ability. For example, the compound of Example 1 (6), by oral administration of 0.1 mg / kg, increased insulin secretion 15 minutes after glucose load by 27% compared with the vehicle control group, and showed a 30% increase in blood glucose level 30 minutes after glucose load. The increase was suppressed by 40% compared to the vehicle control group. Therefore, the compound of the present invention is useful for treating type 2 diabetes. Useful as a therapeutic.
[製剤例] [Formulation example]
製剤例 1 Formulation Example 1
以下の各成分を常法により混合した後打錠して、一錠中に 10mgの活性成分を含 有する錠剤 1万錠を得た。 The following components were mixed in a conventional manner and then tableted to give 10,000 tablets each containing 10 mg of the active ingredient.
- (2S) -1-{ [ (2S, 4R)— 4— (3—ヒドロキシ— 2, 5, 6—トリメチルフエニル)ピロリジン— 2—ィノレ]カルボ二ノレ }ピロリジン _2_カルボ二トリノレ 4_メチルベンゼンスルホン酸塩' ••100g -(2S) -1- {[(2S, 4R) — 4— (3-Hydroxy-2,5,6-trimethylphenyl) pyrrolidine—2-inole] carbinole} Pyrrolidine _2_carbonitrile 4_ Methylbenzenesulfonate'100g
'カルボキシメチルセルロースカルシウム(崩壊剤) · · · 20. Og 'Carboxymethylcellulose calcium (disintegrant) · · · 20. Og
'ステアリン酸マグネシウム (潤滑剤) · · · 10. 0g 'Magnesium stearate (lubricant) · · · 10.0 g
'微結晶セルロース · · ' 870g 'Microcrystalline cellulose · ·' 870g
製剤例 2 Formulation Example 2
以下の各成分を常法により混合した後、除塵フィルターでろ過し、 5mlずつアンプ ノレに充填し、オートクレープで加熱滅菌して、 1アンプノレ中 20mgの活性成分を含有 するアンプル 1万本を得た。 The following components were mixed in the usual manner, filtered through a dust filter, filled into ampoules (5 ml each), and sterilized by heating with an autoclave to obtain 10,000 ampoules containing 20 mg of active ingredient in 1 ampoule. Was.
• (2S)— 1— { [ (2S, 4R)— 4— (3—ヒドロキシー 2, 5, 6—トリメチルフエニル)ピロリジン 2—ィノレ]カルボ二ル}ピロリジン 2_カルボ二トリル 4_メチルベンゼンスルホン酸塩. ••200g • (2S) — 1— {[(2S, 4R) — 4— (3-hydroxy-2,5,6-trimethylphenyl) pyrrolidine 2-inole] carbonyl} pyrrolidine 2_carbonitrile 4_methylbenzene Sulfonate. •• 200g
•マンニトール•••Skg • Mannitol ••• Skg
•蒸留水 * * * 50 • distilled water * * * 50
産業上の利用可能性 Industrial applicability
[0270] 本発明は、以下に示すような医薬品への適用が可能である。 [0270] The present invention can be applied to the following pharmaceuticals.
[0271] 一般式 (I)で示される本発明化合物は、 DPP4阻害活性を有するため、例えば糖 尿病(特に 2型糖尿病、食後過血糖等)、肥満、 自己免疫疾患、癌転移、 HIV感染、 不妊、貧血、血小板減少症、創傷、皮膚病、前立腺肥大、高脂血症、シンドローム X 、糖尿病合併症、高グリセリン血症、動脈硬化症、耐糖能異常、多嚢胞性卵巣症候 群、成長障害、関節炎、移植拒絶反応、腸炎等の疾患の治療および/または予防 薬として有用である。 Since the compound of the present invention represented by the general formula (I) has DPP4 inhibitory activity, it can be used for, for example, diabetes mellitus (particularly type 2 diabetes, postprandial hyperglycemia, etc.), obesity, autoimmune disease, cancer metastasis, HIV infection , Infertility, anemia, thrombocytopenia, wound, skin disease, prostatic hypertrophy, hyperlipidemia, syndrome X, diabetes complications, hyperglycerinemia, arteriosclerosis, impaired glucose tolerance, polycystic ovary syndrome, growth It is useful as a therapeutic and / or prophylactic agent for diseases such as disorders, arthritis, transplant rejection, and enteritis.
666000/S00Zdf/X3d 801 98TC.0/S00Z OAV 666000 / S00Zdf / X3d 801 98TC.0 / S00Z OAV
Claims
Applications Claiming Priority (2)
| Application Number | Priority Date | Filing Date | Title |
|---|---|---|---|
| JP2004022153 | 2004-01-29 | ||
| JP2004-022153 | 2004-01-29 |
Publications (1)
| Publication Number | Publication Date |
|---|---|
| WO2005073186A1 true WO2005073186A1 (en) | 2005-08-11 |
Family
ID=34823821
Family Applications (1)
| Application Number | Title | Priority Date | Filing Date |
|---|---|---|---|
| PCT/JP2005/000999 Ceased WO2005073186A1 (en) | 2004-01-29 | 2005-01-26 | Pyrrolidine derivatives |
Country Status (1)
| Country | Link |
|---|---|
| WO (1) | WO2005073186A1 (en) |
Cited By (15)
| Publication number | Priority date | Publication date | Assignee | Title |
|---|---|---|---|---|
| WO2006073167A1 (en) * | 2005-01-07 | 2006-07-13 | Ono Pharmaceutical Co., Ltd. | Pyrrolidine derivatives |
| WO2007072083A1 (en) | 2005-12-23 | 2007-06-28 | Prosidion Limited | Treatment of type 2 diabetes with a combination of dpiv inhibitor and metformin or thiazolidinedione |
| US7348346B2 (en) | 2004-03-08 | 2008-03-25 | Abbott Laboratories | Pharmaceutical compositions as inhibitors of dipeptidyl peptidase-IV (DPP-IV) |
| US7553861B2 (en) | 2005-04-22 | 2009-06-30 | Alantos Pharmaceuticals Holding, Inc. | Dipeptidyl peptidase-IV inhibitors |
| TWI385171B (en) * | 2009-03-13 | 2013-02-11 | Pyrrolidine compounds | |
| US8551524B2 (en) | 2008-03-14 | 2013-10-08 | Iycus, Llc | Anti-diabetic combinations |
| WO2014206257A1 (en) * | 2013-06-26 | 2014-12-31 | 浙江九洲药业股份有限公司 | Preparation method for pyrrolidine-2-carboxylic acid derivatives |
| CN104447478A (en) * | 2015-01-13 | 2015-03-25 | 佛山市赛维斯医药科技有限公司 | Derivative of structure containing nitrile grouping adamantine and amide and preparation method and application thereof |
| CN104447479A (en) * | 2015-01-13 | 2015-03-25 | 佛山市赛维斯医药科技有限公司 | Derivative containing adamantane and amides and preparation method and application thereof |
| CN104478777A (en) * | 2015-01-13 | 2015-04-01 | 佛山市赛维斯医药科技有限公司 | Derivative with nitro adamantine structure and amide structure and preparation method and application thereof |
| CN104478778A (en) * | 2015-01-13 | 2015-04-01 | 佛山市赛维斯医药科技有限公司 | Adamantane amides derivative and preparation method and application thereof |
| CN104496876A (en) * | 2015-01-13 | 2015-04-08 | 佛山市赛维斯医药科技有限公司 | Hydroxyl diamantane amide derivative, preparation method and use thereof |
| JP2016517412A (en) * | 2013-03-13 | 2016-06-16 | フォーマ セラピューティクス,インコーポレイテッド | Novel compounds and compositions for inhibiting FASN |
| US10793554B2 (en) | 2018-10-29 | 2020-10-06 | Forma Therapeutics, Inc. | Solid forms of 4-(2-fluoro-4-(1-methyl-1H-benzo[d]imidazol-5-yl)benzoyl)piperazin-1-yl)(1-hydroxycyclopropyl)methanone |
| US10875848B2 (en) | 2018-10-10 | 2020-12-29 | Forma Therapeutics, Inc. | Inhibiting fatty acid synthase (FASN) |
Citations (9)
| Publication number | Priority date | Publication date | Assignee | Title |
|---|---|---|---|---|
| WO2002014271A1 (en) * | 2000-08-10 | 2002-02-21 | Mitsubishi Pharma Corporation | Proline derivatives and use thereof as drugs |
| WO2002038541A1 (en) * | 2000-11-10 | 2002-05-16 | Taisho Pharmaceutical Co., Ltd. | Cyanopyrrolidine derivatives |
| JP2003520849A (en) * | 2000-01-24 | 2003-07-08 | ノボ ノルディスク アクティーゼルスカブ | N-substituted 2-cyanopyrroles and -pyrrolines which are inhibitors of the enzyme DPP-IV |
| WO2003057666A2 (en) * | 2001-12-26 | 2003-07-17 | Guilford Pharmaceuticals | Inhibitors of dipeptidyl peptidase iv |
| JP2003531118A (en) * | 2000-03-10 | 2003-10-21 | ブリストル−マイヤーズ スクイブ カンパニー | Inhibitors and methods for dipeptidyl peptidase IV having a cyclopropyl-fused pyrrolidine skeleton |
| JP2004026820A (en) * | 2002-05-09 | 2004-01-29 | Taisho Pharmaceut Co Ltd | Dipeptidyl peptidase IV inhibitor |
| WO2004016587A1 (en) * | 2002-08-19 | 2004-02-26 | Ono Pharmaceutical Co., Ltd. | Nitrogen-containing compounds |
| WO2004026822A2 (en) * | 2002-09-19 | 2004-04-01 | Abbott Laboratories | Pharmaceutical compositions as inhibitors of dipeptidyl peptidase-iv (dpp-iv) |
| WO2004111041A1 (en) * | 2003-06-12 | 2004-12-23 | Fujisawa Pharmaceutical Co., Ltd. | Pyrrolidine, thiazolidine and oxazolidine compounds which inhibit dipeptidyl peptidase-iv (dpp) |
-
2005
- 2005-01-26 WO PCT/JP2005/000999 patent/WO2005073186A1/en not_active Ceased
Patent Citations (10)
| Publication number | Priority date | Publication date | Assignee | Title |
|---|---|---|---|---|
| JP2003520849A (en) * | 2000-01-24 | 2003-07-08 | ノボ ノルディスク アクティーゼルスカブ | N-substituted 2-cyanopyrroles and -pyrrolines which are inhibitors of the enzyme DPP-IV |
| JP2003531118A (en) * | 2000-03-10 | 2003-10-21 | ブリストル−マイヤーズ スクイブ カンパニー | Inhibitors and methods for dipeptidyl peptidase IV having a cyclopropyl-fused pyrrolidine skeleton |
| WO2002014271A1 (en) * | 2000-08-10 | 2002-02-21 | Mitsubishi Pharma Corporation | Proline derivatives and use thereof as drugs |
| WO2002038541A1 (en) * | 2000-11-10 | 2002-05-16 | Taisho Pharmaceutical Co., Ltd. | Cyanopyrrolidine derivatives |
| WO2003057666A2 (en) * | 2001-12-26 | 2003-07-17 | Guilford Pharmaceuticals | Inhibitors of dipeptidyl peptidase iv |
| WO2003057144A2 (en) * | 2001-12-26 | 2003-07-17 | Guilford Pharmaceuticals | Change inhibitors of dipeptidyl peptidase iv |
| JP2004026820A (en) * | 2002-05-09 | 2004-01-29 | Taisho Pharmaceut Co Ltd | Dipeptidyl peptidase IV inhibitor |
| WO2004016587A1 (en) * | 2002-08-19 | 2004-02-26 | Ono Pharmaceutical Co., Ltd. | Nitrogen-containing compounds |
| WO2004026822A2 (en) * | 2002-09-19 | 2004-04-01 | Abbott Laboratories | Pharmaceutical compositions as inhibitors of dipeptidyl peptidase-iv (dpp-iv) |
| WO2004111041A1 (en) * | 2003-06-12 | 2004-12-23 | Fujisawa Pharmaceutical Co., Ltd. | Pyrrolidine, thiazolidine and oxazolidine compounds which inhibit dipeptidyl peptidase-iv (dpp) |
Non-Patent Citations (2)
| Title |
|---|
| ASHWORTH D.M.: "2-Cyanopyrrolidides as potent, stable inhibitors of dipeptidyl peptidase IV", BIOORGANIC & MEDICINAL CHEMISTRY LETTERS, vol. 6, no. 10, 1996, pages 1163 - 1166, XP000953254 * |
| MAGNIN D.R.: "Synthesis of Novel Potent Dipeptidyl Peptidase IV Inhibitors with Enhanced Chemical Stability: Interplay between the N-Terminal Amino Acid Alkyl Side Chain and the Cyclopropyl Group of (SYM97)-Aminoacyl-L-cis-4,5-methanoprolinenitrile-Based Inhibitors", JOURNAL OF MEDICINAL CHEMISTRY, vol. 47, no. 10, 6 May 2004 (2004-05-06), pages 2587 - 2598, XP002986381 * |
Cited By (27)
| Publication number | Priority date | Publication date | Assignee | Title |
|---|---|---|---|---|
| US7348346B2 (en) | 2004-03-08 | 2008-03-25 | Abbott Laboratories | Pharmaceutical compositions as inhibitors of dipeptidyl peptidase-IV (DPP-IV) |
| US7671076B2 (en) | 2004-03-08 | 2010-03-02 | Abbott Laboratories | Pharmaceutical compositions as inhibitors of dipeptidyl peptidase-IV (DPP-IV) |
| WO2006073167A1 (en) * | 2005-01-07 | 2006-07-13 | Ono Pharmaceutical Co., Ltd. | Pyrrolidine derivatives |
| US7553861B2 (en) | 2005-04-22 | 2009-06-30 | Alantos Pharmaceuticals Holding, Inc. | Dipeptidyl peptidase-IV inhibitors |
| WO2007072083A1 (en) | 2005-12-23 | 2007-06-28 | Prosidion Limited | Treatment of type 2 diabetes with a combination of dpiv inhibitor and metformin or thiazolidinedione |
| US8551524B2 (en) | 2008-03-14 | 2013-10-08 | Iycus, Llc | Anti-diabetic combinations |
| TWI385171B (en) * | 2009-03-13 | 2013-02-11 | Pyrrolidine compounds | |
| US10450286B2 (en) | 2013-03-13 | 2019-10-22 | Forma Therapeutics, Inc. | Compounds and compositions for inhibition of FASN |
| US10472342B2 (en) | 2013-03-13 | 2019-11-12 | Forma Therapeutics, Inc. | Compounds and compositions for inhibition of FASN |
| US10995078B2 (en) | 2013-03-13 | 2021-05-04 | Forma Therapeutics, Inc. | Compounds and compositions for inhibition of FASN |
| US10800750B2 (en) | 2013-03-13 | 2020-10-13 | Forma Therapeutics, Inc. | Compounds and compositions for inhibition of FASN |
| US10457655B2 (en) | 2013-03-13 | 2019-10-29 | Forma Therapeutics, Inc. | Compounds and compositions for inhibition of FASN |
| US10399951B2 (en) | 2013-03-13 | 2019-09-03 | Forma Therapeutics, Inc. | Compounds and compositions for inhibition of FASN |
| JP2016517412A (en) * | 2013-03-13 | 2016-06-16 | フォーマ セラピューティクス,インコーポレイテッド | Novel compounds and compositions for inhibiting FASN |
| JP2019048833A (en) * | 2013-03-13 | 2019-03-28 | フォーマ セラピューティクス,インコーポレイテッド | Novel compounds and compositions for inhibiting FASN |
| US9902693B2 (en) | 2013-06-26 | 2018-02-27 | Zhejiang Jiuzhou Pharmaceutical Co., Ltd. | Preparation method for pyrrolidine-2-carboxylic acid derivatives |
| WO2014206257A1 (en) * | 2013-06-26 | 2014-12-31 | 浙江九洲药业股份有限公司 | Preparation method for pyrrolidine-2-carboxylic acid derivatives |
| CN104478777B (en) * | 2015-01-13 | 2016-08-24 | 佛山市赛维斯医药科技有限公司 | A kind of containing nitro diamantane (obsolete) with the derivant of amide structure, Preparation Method And The Use |
| CN104496876A (en) * | 2015-01-13 | 2015-04-08 | 佛山市赛维斯医药科技有限公司 | Hydroxyl diamantane amide derivative, preparation method and use thereof |
| CN104478778A (en) * | 2015-01-13 | 2015-04-01 | 佛山市赛维斯医药科技有限公司 | Adamantane amides derivative and preparation method and application thereof |
| CN104447478A (en) * | 2015-01-13 | 2015-03-25 | 佛山市赛维斯医药科技有限公司 | Derivative of structure containing nitrile grouping adamantine and amide and preparation method and application thereof |
| CN104478777A (en) * | 2015-01-13 | 2015-04-01 | 佛山市赛维斯医药科技有限公司 | Derivative with nitro adamantine structure and amide structure and preparation method and application thereof |
| CN104447479A (en) * | 2015-01-13 | 2015-03-25 | 佛山市赛维斯医药科技有限公司 | Derivative containing adamantane and amides and preparation method and application thereof |
| US10875848B2 (en) | 2018-10-10 | 2020-12-29 | Forma Therapeutics, Inc. | Inhibiting fatty acid synthase (FASN) |
| US11299484B2 (en) | 2018-10-10 | 2022-04-12 | Forma Therapeutics, Inc. | Inhibiting fatty acid synthase (FASN) |
| US10793554B2 (en) | 2018-10-29 | 2020-10-06 | Forma Therapeutics, Inc. | Solid forms of 4-(2-fluoro-4-(1-methyl-1H-benzo[d]imidazol-5-yl)benzoyl)piperazin-1-yl)(1-hydroxycyclopropyl)methanone |
| US11267805B2 (en) | 2018-10-29 | 2022-03-08 | Forma Therapeutics, Inc. | Solid forms of (4-(2-fluoro-4-(1-methyl-1H-benzo[d]imidazol-5-yl)benzoyl) piperazine-1-yl)(1-hydroxycyclopropyl)methanone |
Similar Documents
| Publication | Publication Date | Title |
|---|---|---|
| JP6399148B2 (en) | Substituted pyrrolidines as factor XIa inhibitors for the treatment of thromboembolism | |
| US20050256166A1 (en) | Nitrogen-containing compounds | |
| JP7264810B2 (en) | Cyclobutane- and Azetidine-Containing Monocyclic and Spirocyclic Compounds as Alpha V Integrin Inhibitors | |
| US20230084249A1 (en) | Compounds and methods for the targeted degradation of androgen receptor and associated methods of use | |
| JP3987890B2 (en) | Cyanopyrrolidine derivatives | |
| JP5611959B2 (en) | Hepatitis C virus inhibitor | |
| WO2006073167A1 (en) | Pyrrolidine derivatives | |
| CN101970402B (en) | pyrrolidine compound | |
| JP2007511467A (en) | Dipeptidyl peptidase inhibitor | |
| WO2002030890A1 (en) | Nitrogenous five-membered ring compounds | |
| WO2006001463A1 (en) | Compound having s1p receptor binding potency and use thereof | |
| WO2005073186A1 (en) | Pyrrolidine derivatives | |
| JP6337750B2 (en) | Compound | |
| US10654834B2 (en) | Non-systemic TGR5 agonists | |
| US10584116B2 (en) | Heterocyclic sulfonamide derivative and medicine containing same | |
| KR20060009933A (en) | Cyanofluoropyrrolidine Derivatives | |
| KR20210039417A (en) | Substituted tetrahydrocyclopenta[c]pyrrole, substituted dihydropyrrolysine, analogs thereof, and methods of use thereof | |
| JP2011510026A (en) | Derivatives of azabicyclooctane, process for producing the same and use thereof as inhibitors of dipeptidyl peptidase IV | |
| JP6488320B2 (en) | Pyrrolidine GPR40 modulator for the treatment of diseases such as diabetes | |
| WO2006030847A1 (en) | Novel bicyclic pyrazole derivative | |
| CN1938294B (en) | Pyrrolidine-3,4-dicarboxamide derivatives | |
| JP5272408B2 (en) | Nitrogen-containing heterocyclic compound and pharmaceutical use thereof | |
| JP2024016311A (en) | EP2 antagonist | |
| JP2007001946A (en) | Pyrrolidine derivatives | |
| JP2006188445A (en) | Nitrogen-containing heterocyclic compound and pharmaceutical use thereof |
Legal Events
| Date | Code | Title | Description |
|---|---|---|---|
| AK | Designated states |
Kind code of ref document: A1 Designated state(s): AE AG AL AM AT AU AZ BA BB BG BR BW BY BZ CA CH CN CO CR CU CZ DE DK DM DZ EC EE EG ES FI GB GD GE GH GM HR HU ID IL IN IS JP KE KG KP KR KZ LC LK LR LS LT LU LV MA MD MG MK MN MW MX MZ NA NI NO NZ OM PG PH PL PT RO RU SC SD SE SG SK SL SY TJ TM TN TR TT TZ UA UG US UZ VC VN YU ZA ZM ZW |
|
| AL | Designated countries for regional patents |
Kind code of ref document: A1 Designated state(s): BW GH GM KE LS MW MZ NA SD SL SZ TZ UG ZM ZW AM AZ BY KG KZ MD RU TJ TM AT BE BG CH CY CZ DE DK EE ES FI FR GB GR HU IE IS IT LT LU MC NL PL PT RO SE SI SK TR BF BJ CF CG CI CM GA GN GQ GW ML MR NE SN TD TG |
|
| 121 | Ep: the epo has been informed by wipo that ep was designated in this application | ||
| NENP | Non-entry into the national phase |
Ref country code: DE |
|
| WWW | Wipo information: withdrawn in national office |
Country of ref document: DE |
|
| 122 | Ep: pct application non-entry in european phase | ||
| NENP | Non-entry into the national phase |
Ref country code: JP |























































