WO2005005450A1 - 環状ビスジヌクレオシドの合成方法 - Google Patents
環状ビスジヌクレオシドの合成方法 Download PDFInfo
- Publication number
- WO2005005450A1 WO2005005450A1 PCT/JP2004/007000 JP2004007000W WO2005005450A1 WO 2005005450 A1 WO2005005450 A1 WO 2005005450A1 JP 2004007000 W JP2004007000 W JP 2004007000W WO 2005005450 A1 WO2005005450 A1 WO 2005005450A1
- Authority
- WO
- WIPO (PCT)
- Prior art keywords
- group
- general formula
- aryl
- bis
- compound represented
- Prior art date
- Legal status (The legal status is an assumption and is not a legal conclusion. Google has not performed a legal analysis and makes no representation as to the accuracy of the status listed.)
- Ceased
Links
Classifications
-
- C—CHEMISTRY; METALLURGY
- C07—ORGANIC CHEMISTRY
- C07H—SUGARS; DERIVATIVES THEREOF; NUCLEOSIDES; NUCLEOTIDES; NUCLEIC ACIDS
- C07H21/00—Compounds containing two or more mononucleotide units having separate phosphate or polyphosphate groups linked by saccharide radicals of nucleoside groups, e.g. nucleic acids
- C07H21/02—Compounds containing two or more mononucleotide units having separate phosphate or polyphosphate groups linked by saccharide radicals of nucleoside groups, e.g. nucleic acids with ribosyl as saccharide radical
-
- C—CHEMISTRY; METALLURGY
- C07—ORGANIC CHEMISTRY
- C07H—SUGARS; DERIVATIVES THEREOF; NUCLEOSIDES; NUCLEOTIDES; NUCLEIC ACIDS
- C07H19/00—Compounds containing a hetero ring sharing one ring hetero atom with a saccharide radical; Nucleosides; Mononucleotides; Anhydro-derivatives thereof
- C07H19/02—Compounds containing a hetero ring sharing one ring hetero atom with a saccharide radical; Nucleosides; Mononucleotides; Anhydro-derivatives thereof sharing nitrogen
- C07H19/04—Heterocyclic radicals containing only nitrogen atoms as ring hetero atom
- C07H19/06—Pyrimidine radicals
- C07H19/10—Pyrimidine radicals with the saccharide radical esterified by phosphoric or polyphosphoric acids
-
- C—CHEMISTRY; METALLURGY
- C07—ORGANIC CHEMISTRY
- C07H—SUGARS; DERIVATIVES THEREOF; NUCLEOSIDES; NUCLEOTIDES; NUCLEIC ACIDS
- C07H19/00—Compounds containing a hetero ring sharing one ring hetero atom with a saccharide radical; Nucleosides; Mononucleotides; Anhydro-derivatives thereof
- C07H19/02—Compounds containing a hetero ring sharing one ring hetero atom with a saccharide radical; Nucleosides; Mononucleotides; Anhydro-derivatives thereof sharing nitrogen
- C07H19/04—Heterocyclic radicals containing only nitrogen atoms as ring hetero atom
- C07H19/16—Purine radicals
- C07H19/20—Purine radicals with the saccharide radical esterified by phosphoric or polyphosphoric acids
-
- Y—GENERAL TAGGING OF NEW TECHNOLOGICAL DEVELOPMENTS; GENERAL TAGGING OF CROSS-SECTIONAL TECHNOLOGIES SPANNING OVER SEVERAL SECTIONS OF THE IPC; TECHNICAL SUBJECTS COVERED BY FORMER USPC CROSS-REFERENCE ART COLLECTIONS [XRACs] AND DIGESTS
- Y02—TECHNOLOGIES OR APPLICATIONS FOR MITIGATION OR ADAPTATION AGAINST CLIMATE CHANGE
- Y02P—CLIMATE CHANGE MITIGATION TECHNOLOGIES IN THE PRODUCTION OR PROCESSING OF GOODS
- Y02P20/00—Technologies relating to chemical industry
- Y02P20/50—Improvements relating to the production of bulk chemicals
- Y02P20/55—Design of synthesis routes, e.g. reducing the use of auxiliary or protecting groups
Definitions
- the present invention relates to a method for synthesizing a cyclic bis (3 ′ ⁇ 5 ′) dinucleotide. More specifically, the present invention relates to a method for efficiently synthesizing a cyclic bis (3 ′ ⁇ 5 ′) dinucleotide by an intramolecular cyclization reaction of a dinucleotide with a high yield.
- Cyclic bis (3'-5 ') dinucleotide is a useful compound that is expected to be developed as a drug such as an anticancer drug because of its biological activity such as inhibiting cancer cell division. There is a need for method development. Background art
- Cyclic bis (3 ′ ⁇ 5 ′) dinucleotide (hereinafter abbreviated as “cGpGpJ”), one of the cyclic bis (3 ′ ⁇ 5 ′) dinucleotides, has long been a functional substance that regulates cellulose biosynthesis. Although it is known, it has recently been discovered that when it is further incorporated into IVlo 4 and Jurkat cells, it is a biologically active substance that increases the amount of the CD4 receptor and reduces cell division. Because of its potential for research and clinical application as an anticancer drug, it is urgently necessary to supply a large amount of cyclic bis (3 ' ⁇ 5') dinucleotide represented by cGpGp. Have been.
- an object of the present invention is to provide a method for efficiently synthesizing cGpGp. Disclosure of the invention
- the present inventors have proposed cyclic bis (3 ′ ⁇ 5 ′) dinucleotide to provide an industrially practical synthesis method.
- the protecting group of the phosphoric acid moiety applicable to the synthesis of the compound was studied diligently. As a result, they have found that an aryl group and a 2-cyanoethyl group are useful as protecting groups for the phosphoric acid moiety, and have completed the present invention.
- R 2 and R 3 each independently represent a hydrogen atom, a halogen atom, a methoxy group, a 2-methoxyethoxy group or a hydroxyl group
- B 2 and B 3 each independently represent a nucleobase.
- the present invention relates to a method for synthesizing a compound represented by the formula: or a salt thereof.
- a method for synthesizing a cyclic bis (3 ′ ⁇ 5 ′) dinucleotide with high yield can be provided.
- the synthesis method of the present invention is a method for obtaining a compound represented by the general formula [2] or a salt thereof from a compound represented by the general formula [1].
- halogen atom examples include a fluorine atom, a chlorine atom, a bromine atom and an iodine atom.
- the hydroxyl-protecting group in can be a commonly used hydroxyl-protecting group, and can be removed by a chemical method such as hydrogenolysis, hydrolysis, or photolysis. Refers to a protecting group.
- Examples of the hydroxyl-protecting group include formyl group, aliphatic acyl group, aromatic acyl group, silyl group, silyloxymethyl group, alkoxyalkyl group, and alkoxyl group substituted with silyl group.
- Examples include a kill group, a halogenated alkyl group, an aralkyl group, an alkoxycarbonyl group, an aralkyloxycarbonyl group and an orthoester group.
- a silyl group, a silyloxymethyl group, an alkoxyalkyl group substituted with a silyl group, and an orthoester group are preferred as a hydroxyl-protecting group.
- silyl group examples include a trimethylsilyl group, a triethylsilyl group, a triisopropylsilyl group, and a t-butyldimethylsilyl group.
- silyloxymethyl group examples include a trimethylsilyloxymethyl group, a triethylsilyloxymethyl group, a triisopropylsilyloxymethyl group, a t-butyldimethylsilyloxymethyl group, and the like.
- alkoxyalkyl group substituted with a silyl group examples include a 2-trimethylsilylethyloxymethyl group.
- the orthoester group includes, for example, a dimethoxymethyl group, a diethoxymethyl group, a bis (2-hydroxyethyloxy) methyl group, a bis (2-acetoxyshethyloxy) methyl group, and the like.
- Examples of the hydroxyl group substituted with a hydroxyl-protecting group include trimethylsilyloxymethyloxy, triethylsilyloxymethyloxy, triisopropylsilyloxymethyloxy, and t-butyldimethylsilyloxymethyloxy.
- Group, 2-trimethylsilylethyloxymethyloxy group Dimethoxymethyloxy group, diethoxymethyloxy group, bis (2-hydroxyethyloxy) methyloxy group, bis (2-acetoxethyloxy) group ) Methyloxy group and the like.
- Nucleobases include natural or unnatural bases such as pyrimidines, purines, azapurines and diazapurines, which include halogen atoms, alkyl groups of 1 to 4 carbon atoms, haloalkyl of 1 to 4 carbon atoms.
- alkenyl group having 1 to 4 carbon atoms alkenyl group having 1 to 4 carbon atoms, haloalkenyl group having 1 to 4 carbon atoms, alkynyl group having 1 to 4 carbon atoms, amino group, alkylamino group having 1 to 4 carbon atoms, hydroxyl group, hydroxyamino group, It may be substituted by an aminooxy group, an alkyloxy group having 1 to 4 carbon atoms, a mercapto group, an alkylthio group having 1 to 4 carbon atoms, an aryl group, an aryloxy group or a cyano group.
- Examples of the halogen atom as a substituent include chlorine, fluorine, iodine, and bromine.
- Examples of the alkyl group include a methyl group, an ethyl group, and a 1-propyl group.
- Haloarchi Examples of the fluoro group include a fluoromethyl group, a difluoromethyl group, a trifluoromethyl group, a bromomethyl group, and a bromoethyl group.
- Examples of the alkenyl group include a vinyl group, an aryl group and a 3-butenyl group.
- Examples of the haloalkenyl group include a bromovinyl group and a chlorovinyl group.
- Examples of the alkynyl group include an ethynyl group and a propynyl group.
- Examples of the alkylamino group include methylamino, ethylamino, and the like.
- Examples of the alkyloxy group include a methoxy group and an ethoxy group.
- Examples of the alkylthio group include a methylthio group and an ethylthio group.
- aryl group examples include a phenyl group: an alkyl group having 1 to 4 carbon atoms such as a methylphenyl group and an ethylphenyl group: an alkylphenyl group having 1 to 4 carbon atoms such as a methoxyphenyl group and an ethoxyphenyl group.
- Alkoxyphenyl group having an oxy group an alkylaminophenyl group having an alkylamino group having 1 to 4 carbon atoms such as a dimethylaminophenyl group and a getylaminophenyl group: a cyclophenyl group, a bromophenyl group, etc.
- a halogenophenyl group examples include a phenyl group: an alkyl group having 1 to 4 carbon atoms such as a methylphenyl group and an ethylphenyl group: an alkylphenyl group having 1 to 4 carbon atoms such as a meth
- pyrimidine bases include cytosine, peracyl, 5-fluorocytosine, 5-fluorouracil, 5-chlorocytosine, 5-chlorouracil, 5-bromocytosine, 5-promouracil, 5-ododocytosine, 5 —Dodouracil, 5-methylcytosine, 5-methylperacyl (thymine), 5-ethylethylcytosine, 5-ethylethyluracil, 5-fluorocytosine, 5-fluorouracil, 5-trifluoromethylcytosine, 5-trifluoromethyl Peracyl, 5-vinylperacyl, 5- (2-promovinyl) peracyl, 5- (2-chlorovinyl) peracyl, 5-ethynylcytosine, 5-ethynylperacyl, 5-propynylperacyl, pyrimidine-2-one, 4-hydroxy Aminopyrimidin-2-one, 4-aminopyrimidin-2-one, 4-a
- purine bases include purine, 6-aminobulin (adenine), 6-hydroxypurine, 6-fluoropurine, 6-chloropurine, 6-methylaminopurine, 6-dimethylaminopurine, and 6-aminopurine.
- azapurine base and the diazapurine base include 6-amino-3-dazapurine, 6-amino-18-azapurine, 2-amino-6-hydroxy-18-azapurine, and 6-amino-7-azapurine. , 6-amino-1-detazapurine, 6-amino-2-azapurine and the like.
- the protected nucleobase refers to the nucleobase of the above-mentioned nucleobase protected by a commonly used protecting group for the ami / group.
- the protecting group for the amino group is not particularly limited, and examples thereof include formyl group, acetyl group, propionyl group, butyryl group, isoptyryl group, valeryl group, diphenyl acetyl group, phenoxy acetyl group, benzoyl group, and toluoyl group.
- Examples include alkoxy groups, alkoxy groups such as aryloxycarbonyl groups, alkyl groups such as aryl groups, and amidines such as dimethylaminomethylene group.
- the protecting group for the amino group is such that the protecting group for the phosphate ester of the compound represented by the general formula [1] can be deprotected under the same reaction conditions as the deprotection of either the 2-cyanoethyl group or the aryl group. It is preferred to choose a protecting group.
- a protective group that can be deprotected by ammonia, amines, zero-valent palladium, a divalent palladium complex or a divalent palladium salt described below is preferable.
- protecting groups include acyl groups such as formyl group, acetyl group, propionyl group, butyryl group, isobutyryl group, valeryl group, diphenylacetyl group, phenoxyacetyl group, benzoyl group, and toluoyl group.
- Amidines such as dimethylaminomethylene group, aryl group, Alternatively, an aryloxycarbonyl group is exemplified.
- a formyl group, an acetyl group, an isoptyryl group, a benzoyl group, a phenoxyacetyl group, a dimethylaminomethylene group, an aryl group, or an aryloxycarbonyl group is particularly preferred.
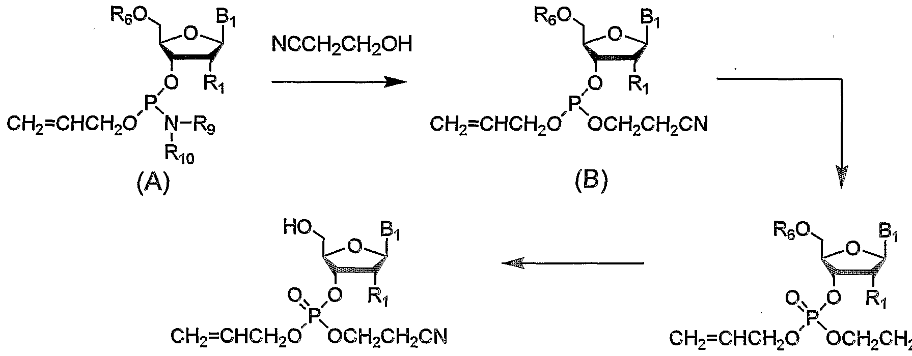
- the method of synthesizing the compound represented by the general formula [1] includes: (1) a compound represented by the following general formula (A) and 2-cyanoethanol are mixed with a molecular sieve and a condensation activator. Reacting in the presence of a compound represented by the following general formula (B); (2) then reacting the compound represented by the general formula (B) with an oxidizing agent to obtain a compound represented by the following general formula (C) (3) Next, a method comprising a step of deprotecting the compound represented by the general formula (C) to obtain a compound represented by the general formula [1] (3) Reaction formula [1]).
- Reaction formula [1] Reaction formula [1]
- R 9 and R 10 each independently represent a carbon atom. It may represent an alkyl group of the formulas 1 to 4, or R 9 and R 10 may form a ring containing a nitrogen atom to which they are bonded.
- examples of the hydroxyl-protecting group for R 6 include those exemplified as the hydroxyl-protecting group for R 1 in the general formula [1].
- the R 9 (R 10 ) N group when R 9 and R 10 are an alkyl group having 1 to 4 carbon atoms, the R 9 (R 10 ) N group includes a getylamino group and a di (n-propyl) group. Examples include an amino group, an ethyl (n-propyl) amino group, an ethyl (isopropyl) amino group, a diisopropylamino group, a di (n-butyl) amino group, and a diisobutylamino group.
- R 9 and. When these form a ring containing a nitrogen atom to which they are bonded examples of the R 9 (R 10 ) N group forming such a ring include a pyrrolidino group and a piperidino group.
- R 9 (R 10 ) N group a diisopropylamino group, a pyrrolidino group or a piperidino group is preferable.
- R 6 and R 6 in the general formulas (B) and (C) have the same meanings as R 6 and R 6 in the general formula (A), respectively.
- Examples of the molecular sieve used in the step (1) include molecular sieve 3A and molecular sieve 4A.
- condensation activator used in the step (1) examples include tetrazole such as tetrazole, 5-methylthiotetrazole and 5-ethylthiotetrazole, 4,5-dicyanoimidazole, Imidazoles such as 5-dichloroimidazole, N-phenylimidazole trifluoromethanesulfonate, imidazole tetrafluoroborate, N-phenylimidazole tetrafluoroborate, N— (p —Acetylphenyl) imidazole trifluoromethanesulfonate, 2-phenylimidazole trifluoromethanesulfonate, 4-methylimidazole trifluoromethanesulfonate, 4-methylimidazole p-toluenesulfonate, 4-methyl Imidazole trifluoroacetate, 4-phenylimidazole triflu 4-methanesulfonate 4-phenylimid
- 2-cyanoethanol is usually used in an amount of 1 to 2 equivalents to the compound represented by the general formula (A).
- the molar sieves are usually used in an amount of 1% to 1 1 ⁇ / ⁇ with respect to the weight of the compound represented by the general formula (A). 50/0 to 30% is preferred.
- the condensation activator is usually used in an amount of 0.1 to 4 equivalents to the compound represented by the general formula (A). Amount is used. 0.2 to 2 equivalents are preferred.
- a solvent is usually used.
- the solvent is preferably an unlimited force as long as it does not inhibit the reaction, such as acetonitrile, dichloromethane, chloroform, THF, 1,4-dioxane and the like.
- the reaction temperature in the step (1) is usually from 110 ° C. to the boiling point of the solvent, but is preferably from 0 ° C. to room temperature.
- the compound represented by the general formula (B) can be used in the step (2) without isolation from the reaction mixture containing the compound represented by the general formula (B) obtained in the step (1). Used.
- the oxidizing agent used in the step (2) is not particularly limited as long as it is usually used for oxidizing phosphorous acid, for example, hydrogen peroxides such as aqueous hydrogen peroxide, peracetic acid, perbenzoic acid, Peracids such as m-chloroperbenzoic acid, acetone peroxide, ketone peroxides such as 2-butanone pentoxide, alcohol peroxides such as t-butyl hydroperoxide, potassium peroxysulfate, etc. Persulfates.
- hydrogen peroxides such as aqueous hydrogen peroxide, peracetic acid, perbenzoic acid, Peracids such as m-chloroperbenzoic acid, acetone peroxide, ketone peroxides such as 2-butanone pentoxide, alcohol peroxides such as t-butyl hydroperoxide, potassium peroxysulfate, etc.
- hydrogen peroxides such as aqueous hydrogen peroxide
- 2-butanone peroxide is particularly preferred.
- the above oxidizing agent can be used as a solution for the purpose of maintaining stability.
- the solvent used for preparing the solution is not particularly limited as long as it does not dissolve the oxidizing agent and does not inhibit the oxidation, but water, alcohols such as methanol and ethanol, ketones such as acetone and 2-butanone, and toluene. And aromatic hydrocarbons such as benzene, xylene and the like, and esters such as ethyl dithioate, butyl acetate and dimethyl phthalate.
- the oxidizing agent is usually used in an amount of 1 to 3 equivalents to the compound represented by the formula (B).
- the reaction of the step (2) is usually performed using a solvent.
- the solvent is not limited as long as it does not inhibit the reaction, but is preferably acetonitrile, dichloromethane, chloroform, THF, 1,4-dioxane and the like.
- the reaction temperature in the step (2) can be usually from ⁇ 10 ° C. to the boiling point of the solvent, but is preferably from 0 ° C. to room temperature.
- the compound represented by the general formula (C) is obtained by subjecting a reaction mixture containing the compound represented by the general formula (C) obtained in the steps (1) and (2) to a usual post-treatment operation such as liquid separation. And purify It can be used in the above step (3) without any need.
- the R 6 group in the general formula (C) is not particularly limited as long as it is a commonly used protecting group for a hydroxyl group.However, under the reaction conditions for deprotecting the R 6 group, the protecting group represented by should not be removed. It is preferable to use a suitable protecting group.
- protecting groups include aralkyl groups such as 4,4'-dimethoxytrityl group, t-butyldimethylsilyl group, bis (trimethylsiloxy) diphenylmethoxysilyl group, and bis (trimethylsiloxy) cyclododecyloxy group.
- silyl groups such as silyl group.
- reaction conditions for deprotection in the above step (3) differ depending on the R 6 group used.
- R 6 group in the general formula (C) is an aralkyl group
- an acid As such an acid, sulfuric acid, hydrochloric acid, trifluoroacetic acid, perchloric acid, trichloroacetic acid, dichloroacetic acid and the like can be used. Dichloroacetic acid is preferred.
- R 6 group in the general formula (G) is a silyl group
- fluoride As such fluoride, pyridinium fluoride, tetrabutylammonium fluoride, potassium fluoride, sodium fluoride and the like can be used. Tetrabutylammonium fluoride is preferred.
- the acid is usually used in an amount of 1 to 40 equivalents to the compound represented by the formula (C). 10 to 30 equivalents are preferred.
- a solvent is usually used.
- the solvent is not limited as long as it does not inhibit the reaction, but is preferably acetonitrile, dichloromethane, chloroform, THF, 1,4-dioxane and the like.
- the reaction temperature in the step (2) is usually from 110 ° C. to the boiling point of the solvent, but is preferably from 0 ° C. to room temperature.
- the reaction in each of the above steps (1), (2) and (3) is usually performed under atmospheric pressure.
- the compound represented by the general formula [1] obtained in the step (3) can be separated and recovered from the reaction mixture by a known method, for example, a column chromatography technique or a crystallization technique. .
- R 2 and R 3 in the general formula [2] are each independently a hydrogen atom, a halogen atom or a hydro Represents a xyl group, and B 2 and B 3 each independently represent a nucleobase.
- halogen atom and the nucleic acid base examples include those exemplified in the description of and in the general formula [1].
- the salt of the compound represented by the general formula [2] is not particularly limited as long as it is a salt composed of a base which forms a salt with phosphoric acid, but a salt such as an alkali metal, an alkaline earth metal or an organic amine is preferable.
- a salt such as an alkali metal, an alkaline earth metal or an organic amine is preferable.
- the alkali metal salt include a lithium salt, a sodium salt, a potassium salt, and the like.
- Examples of the alkaline earth metal salts include magnesium salts, potassium salts, barium salts and the like.
- Examples of the salts of organic amines include tertiary amine salts such as triethylammonium salt and tri (n-butyl) ammonium salt, secondary ammonium salts such as getylammonium salt and dicyclohexylammonium salt, ammonium salts, and n-butylamine.
- Primary amine salts such as ammonium salts and cyclohexyl ammonium salts; and quaternary amine salts such as tetra (n-butyl) ammonium salts and trimethylbenzylammonium salts.
- the general formula (1) is a hydrogen atom of in a fluorine atom, a methoxy group, 2-Metokishetoki from group or t is an heptyl dimethylsilyl O alkoxy group compounds of the general formula (2) in R 2 Contact and R Compounds in which 3 is each independently a hydrogen atom, a fluorine atom, a methoxy group, a 2-methoxyethoxy group or a hydroxyl group or a salt thereof can be synthesized.
- reaction formula [2] The method for synthesizing the compound represented by the general formula [2] from the compound represented by the general formula [1] is not particularly limited, and for example, as shown in the following reaction formula [2], ] And a compound represented by the general formula [6].
- a compound represented by the general formula [1] is a hydrogen atom, a fluorine atom, a methoxy group, a 2-methoxyethoxy group or a t-butyldimethylsilyloxy group.
- R 1 and R 2 in the general formula [2] are each independently a hydrogen atom, a fluorine atom, a methoxy group, a 2-methoxyethoxy group or a t-butyldimethylsilyloxy group.
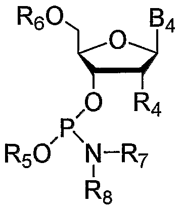
- R 4 in the general formula [5] each independently represent a hydrogen atom, a halogen atom, a methoxy group, a 2-methoxyethoxy group or a hydroxyl group substituted with a hydroxyl-protecting group
- B, and B 4 Each independently represents a nucleobase that may be protected
- R 5 represents an aryl group or a 2-cyanoethyl group.
- the hydroxyl group substituted with a hydroxyl-protecting group and the nucleic acid base which may be protected include those exemplified in the description of and in the general formula [1]. it can.
- reaction formula [3] As described above, there is a method of synthesizing a compound represented by the general formula [3] or [4] and a compound represented by the general formula [1].
- CH 2 CHCH 2 0 OCH 2 CH 2 CN
- the method for synthesizing the compound represented by the general formula [5] is not particularly limited as long as it is a method used for synthesizing a general phosphate compound.
- [1] [5] of the general formula [3] in, B 4, and R 4 is B 4, and R 4 as defined der y R 6 in the general formula of [5] above general formula (A) in a and R 6 respectively the same, to form a ring containing R 7 and R 8 or represents an alkyl group having 1 to 4 carbon atoms each independently, or R 7 and R 8 combine to the nitrogen atom Is also good.
- the R 7 (R 8 ) N group includes a getylamino group and a di ( ⁇ propyl) amino group.
- R 7 (R 8 ) N group includes a getylamino group and a di ( ⁇ propyl) amino group.
- the R 7 (R 8 ) N group forming such a ring includes: Examples include a pyrrolidino group and a piperidino group.
- the R 7 (R 8 ) N group is preferably a diisopropylamino group, a pyrrolidino group or a piperidino group.
- condensation activator used when the compound represented by the general formula [1] is condensed with the compound represented by the general formula [3] include, for example, ditrazol, 5-methylthioditrazol, 5 —Tetrazoles such as ethylthiotetrazole, imidazoles such as 4,5-dicyanimidazole and 45-dichloroimidazole, N-phenylimidazole trifluoromethanesulfonate, and imidazole tetraflur Boroborate, N-phenylimidazole ⁇ trafluoroborate, N- (p-acetylphenyl) imidazole trifluoromethanesulfonic acid Salt, 2-phenylimidazole trifluoromethanesulfonate, 4-methylimidazole trifluoromethanesulfonate, 4-methylimidazole p-toluenesulfonate, 4-methylimidazole trifluoroa
- imidazolyl perchlorate is preferred.
- the reaction temperature of the reaction using the condensation activator can be from 11 ° C. to the boiling point of the solvent, but is preferably from 0 ° C. to 40 ° C.
- the oxidizing agent used when the compound represented by the general formula [1] is condensed with the compound represented by the general formula [3] and then oxidized is not limited as long as it is commonly used for the oxidation of phosphorous acid.
- hydrogen peroxide such as aqueous hydrogen peroxide, peracids such as peracetic acid, perbenzoic acid, m-chloroperbenzoic acid, and ketones such as acetone peroxide and 2-butanone peroxide.
- 2-butanone peroxide is preferred.
- the above oxidizing agent can be used as a solution for the purpose of maintaining stability.
- the solvent used for preparing the solution is not particularly limited as long as it does not dissolve the oxidizing agent and does not inhibit the oxidation, but water, alcohols such as methanol and ethanol, ketones such as acetone and 2-butanone, Preferred are aromatic hydrocarbons such as toluene, benzene and xylene, and esters such as ethyl acetate, butyl acetate and dimethyl phthalate.
- the reaction temperature at the time of oxidation can be from 110 ° C. to the boiling point of the solvent, but is particularly preferably from 0 to 40 ° C.
- the reaction solvent for the oxidation is not limited as long as it does not affect the oxidation reaction, but an aprotic solvent is preferable, and acetonitrile, dichloromethane and THF are particularly preferable.
- the condensing agent for condensing the compound represented by the general formula [1] with the compound represented by the general formula [4] includes methanesulfonyl chloride, toluenesulfonyl chloride, 2,4,6-triisopropylbenzenesulfonyl chloride.
- Sulfonyl chlorides such as mesitylene-1--2-sulfonyl chloride, 1-toluenesulfonyl lutetrazole, 1- (mesitylenesulfonyl-1-2-sulfonyl) tritolazole, 1- (2,4,6-triisopropyl) Sulfonyltetrazoles such as benzenesulfonyl) tetrazole, 3-nitro-1-toluenesulfonyl 1,2,4-triazole, 3-nitro-1- (mesitylenesulfonyl-1-sulfonyl) -1,2,4 Monotriazole, 3-nitro-1- (1,4,6-triisopropylbenzenesulfonyl) -1,2,4-triazo
- sulfonyl benzotriazoles such as Le and the like.
- triisopropylbenzenesulfonyl chloride is preferred.
- a base may coexist during the condensation.
- the base used include triethylamine, ethyldiisopropylamine, pyridine, lutidine, imidazole, N-methylimidazole, N-methylbenzimidazole and the like. Particularly, N-methylimidazole is preferred.
- the reaction temperature for the condensation can be from 110 ° C. to the boiling point of the solvent, but is preferably from 0 ° C. to 40 ° C.
- a dehydrating agent can be added to reduce the influence of moisture.
- the dehydrating agent those usually used for the reaction can be used, and in particular, molecular sieves are preferable.
- reaction solvent is usually used.
- the reaction solvent is not limited as long as it does not affect the condensation, but acetonitrile, dichloromethane, and THF are particularly preferred, in which an aprotic solvent is preferred.
- the R 6 group in the general formulas (3) and (4) is not particularly limited as long as it is a commonly used protecting group for a hydroxyl group.Reaction conditions for deprotecting the R 6 group or protection of the hydroxyl group of R 4 It is preferable to use a protecting group such that the group or R 5 group is not eliminated.
- Examples of such a protecting group R 6 include an aralkyl group such as a 4,4′-dimethoxytrityl group, a t-butyldimethylsilyl group, a bis (trimethylxoxy) diphenylmethoxysilyl group, and a bis (trimethylsiloxy) group. And a silyl group such as a cyclododecyloxysilyl group.
- a 4,4′-dimethoxytrityl group is preferred.
- reaction conditions for deprotection of R 6 groups is different by group R 6 to be used.
- R 6 group is an aralkyl group
- deprotection is preferably performed using an acid.
- an acid sulfuric acid, hydrochloric acid, trifluoroacetic acid, perchloric acid, trichloroacetic acid, dichloroacetic acid and the like can be used. Dichloroacetic acid is preferred.
- R 6 group is a silyl group
- fluoride As such a fluoride, pyridinium fluoride, pertrapylammonium fluoride, potassium fluoride, sodium fluoride and the like can be used. Tetrabutylammonium fluoride is preferred.
- the acid used for deprotection is usually 1 to 40 equivalents to the theoretical amount of the compound represented by the general formula [5].
- a solvent is usually used for the reaction in the step of deprotecting the R 6 group.
- the solvent is not limited as long as it does not inhibit the reaction, but preferred are acetonitrile, dichloromethane, chloroform, THF, 1,4-dioxane and the like.
- the reaction temperature in the step of deprotecting the R 6 group can be usually from 110 ° C. to the boiling point of the solvent, but is preferably from 0 ° C. to room temperature.
- the method for synthesizing the compound represented by the general formula [6] is not particularly limited.
- the R 5 group of the compound represented by the general formula [5] may be used. Is a 2-cyanoethyl group, a cyclization reaction is carried out after deprotection of the aryl group, and when the R 5 group of the compound represented by the general formula [5] is an aryl group, 2-cyanoethyl A method of performing a cyclization reaction after deprotection of a group is mentioned.
- the reagent used for the deprotection reaction of the 2-cyanoethyl group is not particularly limited, and for example, ammonia or amines can be used.
- amines examples include primary amines such as methylamine and ethylamine, secondary amines such as dimethylamine, diethylamine and piperidine, and tertiary amines such as trimethylamine, triethylamine and 1-methylpiperidine. .
- the reaction temperature for deprotection with ammonia or amines can be from 11 ° C. to the boiling point of the solvent used, and is preferably from room temperature to 70 ° C.
- the reagent used for the deprotection reaction of the aryl group is not particularly limited, and zero-valent palladium, a divalent palladium complex or a divalent palladium salt can be used.
- the zero-valent palladium, the divalent palladium complex or the divalent palladium salt is not particularly limited.
- palladium carriers such as palladium charcoal and palladium hydroxide carbon, palladium acetate, palladium chloride, dichloro (1 Acid palladium salts such as 2,5-cyclooctanegen) palladium, phosphorus complexes such as tetrakis (triphenylphosphine) palladium, bis (tricyclohexylphosphine) palladium, palladium 2,4-pentanedionate, Preferred are diketo complexes such as ris (dibenzylideneacetone) di / radium monochloroform.
- the reaction temperature for deprotection with zero-valent palladium, a divalent palladium complex or a divalent palladium salt can be from 110 ° C to the boiling point of the solvent to be used. It is preferable to carry out between 0 ° C.
- R 5 in the general formula [5] is an aryl group, or R 4 is a hydroxyl group.
- Is a protecting group Li, B, or if B 4 is a nucleobase protected, F ⁇ , R 4, B , and B 4, whichever is the protecting group on the reaction conditions and desorbs 2- Shianoechiru group Preferably, it is stable.
- R 5 in the general formula [5] is a 2-cyanoethyl group, or R 4 is a protecting group for a hydroxyl group, or B 4 is a protected nucleic acid base, R 4 , B 4 It is preferred that any of the protecting groups for B 4 and B 4 be stable to the reaction conditions for eliminating the aryl group.
- examples of the hydroxyl-protecting group in the general formula [5] include a formyl group, an acetyl group, a propionyl group, and a butyryl group.
- Silyloxy group such as silyl group, trimethylsilyloxymethyl group, triethylsilyloxymethyl group, triisopropylsilyloxymethyl group, t-butyldimethylsilyloxymethyl group, and 2-trimethylsilylethyl
- An alkoxyalkyl group substituted with a silyl group such as an oxymethyl group, a dimethoxymethyl group, Ethoxymethyl group, bis (2-hydroxy-E chill O carboxymethyl) have with methyl groups such Ol Bok ester group, such as bis (2- ⁇ Se Toki Chez chill O) methyl group like et be.
- the general formula [5] in which R 5 is 2-Shianoechiru group
- the general formula [5] in B the protecting group of the protected nucleic acid bases Oyopi 8 4, for example, a formyl group, Asechiru Groups, propionyl group, butyryl group, isoptyryl group, valeryl group, diphenyl acetyl group, phenoxy acetyl group, benzoyl group, toluoyl group and other acyl groups, and dimethylaminomethylene group and other amidines.
- examples of the hydroxyl-protecting group in and R 4 in the general formula [5] include aryl groups such as an aryl group and an aryloxycarbonyl group.
- aryl groups such as an aryl group and an aryloxycarbonyl group.
- R 5 in the general formula [5] is an aryl group
- examples of the protecting group for the protected nucleobases in the general formula [5] include an aryl group and an aryloxycarbonyl group.
- Aryl groups are examples of the protecting group for the protected nucleobases in the general formula [5].
- An ordinary method for synthesizing a phosphate ester can be used for the cyclization reaction.
- the condensing agent used in the cyclization reaction is not particularly limited, but sulfonyl chlorides such as methanesulfonyl chloride, toluenesulfonyl chloride, 2,4,6-triisopropylbenzenesulfonyl chloride, and mesitylene-2-sulfonyl chloride; Sulfonyltetrazole such as 1-toluenesulfonyltetrazole, 1- (mesitylenesulfonyl-2-sulfonyl) tetrazole, 1- (2,4,6-triisopropylbenzenesulfonyl) tetrazole, 3-nitro-1- Toluenesulfonyl-1-, 2,4-triazole, 3-nitro-1- (mesitylenesulfonyl-1-2-sulfonyl) -1,2,4-triazole, 3-nitro-11 (2,4,6- Sulfonyl
- the cyclization reaction can also be performed in the presence of a base.
- a base examples include triethylamine, ethyldiisopropylamine, pyridine, lutidine, imidazole, N-methylimidazole, and monomethylbenzimidazole. Particularly, N-methylimidazole is preferred.
- the reaction temperature for the cyclization reaction can be from 110 ° C to the boiling point of the solvent, but is preferably from 10 ° C to 40 ° C.
- the cyclization reaction can be carried out by adding a dehydrating agent to reduce the influence of moisture.
- a dehydrating agent used for the cyclization reaction those usually used for the reaction can be used, and in particular, molecular sieves are preferable.
- reaction solvent is usually used for the cyclization reaction.
- the reaction solvent is not limited as long as it does not affect the condensation, but is preferably acetonitrile, dichloromethane, or THF, which is preferably an aprotic solvent.
- the method for synthesizing the compound represented by the general formula [2] is not particularly limited. As shown in the above reaction formula [8], there is a method in which the protecting groups B, B 4 , R 4 and R 5 of the compound represented by the general formula [6] are optionally deprotected. Reaction formula [8]
- each protecting group is particularly important when it is necessary to purify at the stage where some protecting groups remain, or when the stability of the compound differs depending on the order of deprotection. There is no particular limitation unless it is necessary to consider it. For the purpose of reducing the number of steps, multiple protecting groups can be simultaneously deprotected using the same reaction conditions.
- the protecting group represented by R 5 of the compound represented by the general formula [6] includes the reaction conditions for removing the R 6 group in the reaction formulas [5] and [6], and the protecting group represented by the general formula [5].
- the reaction conditions for synthesizing the compound represented by the general formula [6] by cyclizing the compound represented by the general formula [6] include R 5 of the compound represented by the general formula [3], [4], [5] and [6].
- the groups are stable.
- R 4 , B, or particularly preferably Rukoto a protective group of B 4 as R 5 groups of the compound represented by the general formula (6) the protective group can be eliminated under the same conditions as the reaction conditions for deprotection.
- a protecting group an aryl group or a 2-cyanoethyl group is preferable.
- the protecting group of R 4, B or B 4, in the compound represented by one general formula [5] above, similar to R 4 or B 4, are preferred.
- R 5 in the general formula [6] is an aryl group
- the above-described reaction conditions using the above-mentioned zero-valent palladium, divalent palladium complex or divalent palladium salt are used.
- the deprotection of R 4 , B or B 4 and the elimination of the R 5 group can be performed simultaneously.
- Examples of the protecting group for R, R 4 , B, and B 4 in the compound represented by the general formula [6] include the above-mentioned aryl groups.
- a protective group for a hydroxyl group in R 4 of the compound represented by the general formula [6], the one general formula [5] or a compound represented by the substituted silyl groups such Ya silyl group for R 4 is alkoxyalkyl
- the protecting group of B or B 4 is the above-mentioned aryl group
- the above-mentioned zero-valent palladium, divalent palladium complex or divalent palladium salt is used, and after went reaction conditions or B 4 of the elimination of deprotection and R 5 groups at the same time, or deprotection of R 4, and use the above fluoride , it can be carried out in the reaction conditions using these .
- R 5 in the general formula [6] is a 2-cyanoethyl group
- the above-mentioned ammonia or amine is used, and under the above-mentioned reaction conditions using these, R 4 , B or B 4 Deprotection and elimination of R 5 groups can be performed simultaneously.
- Examples of such a protecting group for or R 4 of the compound represented by the general formula [6] include the above-mentioned acyl groups for or R 4 of the compound represented by the general formula [5]. as the protecting group of O Pi 8 4, ⁇ sill group such or amidines and the like in or B 4 of the compound represented by the general formula [5].
- the protecting group for the hydroxyl group at R 1 3 ⁇ 4R 4 is the silyl group or an alkoxyalkyl substituted with a silyl group
- the protecting group for B 4 is the acryl group. If the kind or amidines, using the ammonia or amines, deprotection and R 5 groups of the reaction conditions or in B 4 using these after was elimination simultaneously Gyotsu, or of R 4 Deprotection can be carried out using the above-mentioned fluorides and under the above-mentioned reaction conditions using these fluorides.
- Examples of the compound represented by the general formula [1] of the present invention include N 2 — (aryloxycarbonyl) -1 O 6 —aryl-1 2′-0— (t-butyldimethylsilyl) guanosine 3 ′ — O— Le 2-Xia Roh-ethyl phosphate), 2 '- 0 - ( t one heptyl dimethylsilyl) one N 2 - (dimethyl chill aminomethylene) Single guanosine 3'O-(Ariru 2 Xia Roh-ethyl phosphate), N 6 — (Aryloxypropyl) -1 2′— O— (t-butyldimethylsilyl) adenosine 3′-O— (aryl 2-cyanoethylphosphate), 2′-O— (t-butyldimethylsilyl)- N 6 -Benzoyl adenosine 3 ′ ——— (aryl 2-cyanoe
- Examples of the compound represented by the general formula [5] of the present invention include, for example, aryl [N 2 — (aryloxycarbonyl) -1 O 6 —aryl-2′-0- (t-butyldimethylsilyl) guanylyl] (3 ' ⁇ 5') [N 2- (aryloxycarbonyl) -1-O 6 -aryl-1'- ⁇ - (t-butyldimethylsilyl) guanosine 3'-O- (aryl-2-cyanoethylphosphe-1 )), Aryl [N 6 — (aryloxycarbonyl) -1- 2'-0- (t-butyldimethylsilyl) adenylyl] (3 ' ⁇ 5') [N 2- (aryloxycarbonyl) ) 1 O 6 —aryl-1 2′— O— (t-butyldimethylsilyl) guanosine 3′— O— (aryl 2-cyanoethylphosphonet)],
- N 4 Benzoylcytidine] (3 '->5')[2'-0- (t-butyldimethylsilyl) -N 4 —Penzylcytidine 3'-O— (Aryl 2-cyanoethyl phosphate)] , Aryl [N 2 — (Aryloxyl-propyl) -O 6 —Aryl-1 2'-Doxyguanylyl] (3 ' ⁇ 5') [N 2 —
- Examples of the compound represented by the general formula [6] of the present invention include cyclic bis (3 ′ ⁇ 5 ′) bis [N
- the compound represented by the general formula [2], the compound represented by the general formula [5], and the compound represented by the general formula [6] can be obtained from a reaction mixture obtained in a synthesis step of each compound. Separation and recovery can be performed by the above method, for example, a column chromatography technique or a crystallization technique.
- N 2 (aryloxycarbonyl) -1-O 6 —aryl-1 2′-0- (t-butyldimethylsilyl) —5′—O— (4,4′dimethoxytrityl) guanosine 3′—O — (Aryl N, N-diisopropyl phosphoramidite) (synthesized according to the method described in Org. Lett. 2001, 3, p815) 2,0 g (2.
- molular sieves 3A To a 200 mg dry acetonitrile solution was added 0.16 mL (2.4 mmol) of 2-cyanoethanol, stirred for 30 minutes at room temperature, and added 0.67 g (4.0 mmol) of imidazolyl perchlorate. Stir for 30 minutes. Further, 4 mL of a 1.0 M dimethylphthalate toluene solution of 2-butanone peroxide was added thereto, followed by stirring for 5 minutes. After removing the molecular sieves 3A by filtration, ethyl acetate was added, and the mixture was washed with saturated aqueous sodium hydrogen carbonate and saturated saline, dried, and concentrated under reduced pressure.
- Triphenylphosphine (16 mg, 0.60 mmol), n-butylamine 0.049 mL (0.48 mmol), formic acid (0.16 mL) in 1.6 mL of a THF solution of 50 mg (0.04 mmol) of the compound (10) are added.
- the precipitate obtained by adding 1 OmL of ethyl acetate was collected by filtration, It was dried under reduced pressure.
- reaction solution was added dropwise to saturated aqueous sodium hydrogen carbonate (100 mL), the organic layer was separated, and the aqueous layer was extracted with dichloromethane. The organic layers were combined, dried over sodium sulfate, concentrated under reduced pressure, and the concentrated residue was purified by silica gel chromatography (silica gel 50 g, methanol: dichloromethane (1:20) to (1:10)) to give the title compound 1. 53 g (mixture of diastereomers) were obtained as a colorless amorphous, yield 82%.
- the synthesis method of the present invention can synthesize a cyclic bis (3 ′ ⁇ 5 ′) dinucleotide with high yield, and is useful as an industrial production method. Further, the cyclic bis (3 ′ ⁇ 5 ′) dinucleotide obtained by the synthesis method of the present invention is useful as a drug such as a pile cancer drug.
Landscapes
- Chemical & Material Sciences (AREA)
- Organic Chemistry (AREA)
- Health & Medical Sciences (AREA)
- Life Sciences & Earth Sciences (AREA)
- Biochemistry (AREA)
- Molecular Biology (AREA)
- Engineering & Computer Science (AREA)
- Biotechnology (AREA)
- General Health & Medical Sciences (AREA)
- Genetics & Genomics (AREA)
- Saccharide Compounds (AREA)
- Pharmaceuticals Containing Other Organic And Inorganic Compounds (AREA)
Description
Claims
Priority Applications (3)
| Application Number | Priority Date | Filing Date | Title |
|---|---|---|---|
| JP2005511466A JPWO2005005450A1 (ja) | 2003-07-15 | 2004-05-17 | 環状ビスジヌクレオチドの合成方法 |
| US10/564,476 US20060167241A1 (en) | 2003-07-15 | 2004-05-17 | Method for synthesizing cyclic bisdinucleoside |
| EP04733482A EP1645561A1 (en) | 2003-07-15 | 2004-05-17 | Method of synthesizing cyclic bisdinucleoside |
Applications Claiming Priority (2)
| Application Number | Priority Date | Filing Date | Title |
|---|---|---|---|
| JP2003-274389 | 2003-07-15 | ||
| JP2003274389 | 2003-07-15 |
Publications (1)
| Publication Number | Publication Date |
|---|---|
| WO2005005450A1 true WO2005005450A1 (ja) | 2005-01-20 |
Family
ID=34056073
Family Applications (1)
| Application Number | Title | Priority Date | Filing Date |
|---|---|---|---|
| PCT/JP2004/007000 Ceased WO2005005450A1 (ja) | 2003-07-15 | 2004-05-17 | 環状ビスジヌクレオシドの合成方法 |
Country Status (4)
| Country | Link |
|---|---|
| US (1) | US20060167241A1 (ja) |
| EP (1) | EP1645561A1 (ja) |
| JP (1) | JPWO2005005450A1 (ja) |
| WO (1) | WO2005005450A1 (ja) |
Cited By (4)
| Publication number | Priority date | Publication date | Assignee | Title |
|---|---|---|---|---|
| WO2014109256A1 (ja) * | 2013-01-09 | 2014-07-17 | 国立大学法人東北大学 | トリアゾール連結型環状ジヌクレオチド類縁体 |
| WO2019043634A2 (en) | 2017-08-30 | 2019-03-07 | Beijing Xuanyi Pharmasciences Co., Ltd. | CYCLIC DI-NUCLEOTIDES AS STIMULATORS OF INTERFERON GENE MODULATORS |
| JP2020536971A (ja) * | 2017-10-16 | 2020-12-17 | ブリストル−マイヤーズ スクイブ カンパニーBristol−Myers Squibb Company | 抗がん剤としての環状ジヌクレオチド |
| US11787833B2 (en) | 2019-05-09 | 2023-10-17 | Aligos Therapeutics, Inc. | Modified cyclic dinucleoside compounds as sting modulators |
Families Citing this family (19)
| Publication number | Priority date | Publication date | Assignee | Title |
|---|---|---|---|---|
| JP6392320B2 (ja) * | 2014-03-03 | 2018-09-19 | ヤマサ醤油株式会社 | 結晶性3’,5’−サイクリックジグアニル酸 |
| CN106061989A (zh) | 2014-03-14 | 2016-10-26 | 雅玛山酱油株式会社 | 3’,5’‑环二腺苷酸包合物及其制造方法 |
| MX2016015928A (es) | 2014-06-04 | 2017-03-20 | Glaxosmithkline Ip Dev Ltd | Dinucleotidos ciclicos como moduladores de sting. |
| GB201501462D0 (en) | 2015-01-29 | 2015-03-18 | Glaxosmithkline Ip Dev Ltd | Novel compounds |
| UA123701C2 (uk) * | 2015-08-13 | 2021-05-19 | Мерк Шарп І Доум Корп. | Циклічні динуклеотидні сполуки як агоністи sting |
| US11453697B1 (en) | 2015-08-13 | 2022-09-27 | Merck Sharp & Dohme Llc | Cyclic di-nucleotide compounds as sting agonists |
| TWI791251B (zh) | 2015-08-26 | 2023-02-01 | 比利時商健生藥品公司 | 使用作為prmt5抑制劑之新穎經6-6雙環芳香環取代之核苷類似物 |
| ES2863225T3 (es) | 2015-12-03 | 2021-10-11 | Glaxosmithkline Ip Dev Ltd | Dinucleótidos cíclicos purinos como moduladores del sting |
| MA46341A (fr) | 2016-10-03 | 2019-08-07 | Janssen Pharmaceutica Nv | Nouveaux analogues de carbanucléoside substitués par un système cyclique, monocyclique et bicyclique destinés à être utilisés en tant qu'inhibiteurs de prmt5 |
| JOP20170188A1 (ar) * | 2016-11-25 | 2019-01-30 | Janssen Biotech Inc | ثنائي النوكليوتيدات الحلقية كمنبهات ستينغ (sting) |
| JOP20170192A1 (ar) | 2016-12-01 | 2019-01-30 | Takeda Pharmaceuticals Co | داي نوكليوتيد حلقي |
| ES2891326T3 (es) * | 2017-01-27 | 2022-01-27 | Janssen Biotech Inc | Dinucleótidos cíclicos como agonistas de la STING |
| MY195860A (en) | 2017-02-27 | 2023-02-24 | Janssen Pharmaceutica Nv | Use of Biomarkers in Identifying Cancer Patients That will be Responsive to Treatment with a Prmt5 Inhibitor |
| US11466047B2 (en) | 2017-05-12 | 2022-10-11 | Merck Sharp & Dohme Llc | Cyclic di-nucleotide compounds as sting agonists |
| TW201922263A (zh) | 2017-11-10 | 2019-06-16 | 日商武田藥品工業股份有限公司 | 干擾素基因刺激蛋白之調節化合物,及製造和使用方法 |
| BR112020010815A2 (pt) | 2017-12-08 | 2020-11-10 | Janssen Pharmaceutica Nv | análogos espirobicíclicos |
| US11685761B2 (en) | 2017-12-20 | 2023-06-27 | Merck Sharp & Dohme Llc | Cyclic di-nucleotide compounds as sting agonists |
| TW202112375A (zh) | 2019-06-06 | 2021-04-01 | 比利時商健生藥品公司 | 使用prmt5抑制劑治療癌症之方法 |
| IL302390A (en) | 2020-11-09 | 2023-06-01 | Takeda Pharmaceuticals Co | Drug antibody conjugates |
-
2004
- 2004-05-17 WO PCT/JP2004/007000 patent/WO2005005450A1/ja not_active Ceased
- 2004-05-17 EP EP04733482A patent/EP1645561A1/en not_active Withdrawn
- 2004-05-17 US US10/564,476 patent/US20060167241A1/en not_active Abandoned
- 2004-05-17 JP JP2005511466A patent/JPWO2005005450A1/ja active Pending
Non-Patent Citations (4)
| Title |
|---|
| DE NAPOLI L. ET AL.: "Synthesis of cyclic branched oligodeoxyribonucleotides", GAZZETTA CHIMICA ITALIANA, vol. 121, no. 8, 1991, pages 419 - 421 * |
| FALK W. ET AL.: "Nucleosides and nucleotides. 3. Polycondensation of thymidine 3'-phosphate by the triester method", HELVETICA CHIMICA ACTA, vol. 55, no. 6, 1972, pages 1928 - 1947 * |
| HAYAKAWA Y. ET AL.: "A facile synthesis of cyclic bis(3'-5') diguanylic acid", TETRAHEDRON, vol. 59, no. 34, 15 August 2003 (2003-08-15), pages 6465 - 6471 * |
| ROSS P. ET AL.: "The cyclic diguanylic acid regulatory system of cellulose synthesis in Acetobacter xylinum chemical synthesis and biological activity of cyclic nucleotide dimer, trimer, and phosphothioate derivatives", JOURNAL OF BIOLOGICAL CHEMISTRY, vol. 265, no. 31, 1990, pages 18933 - 18943 * |
Cited By (7)
| Publication number | Priority date | Publication date | Assignee | Title |
|---|---|---|---|---|
| WO2014109256A1 (ja) * | 2013-01-09 | 2014-07-17 | 国立大学法人東北大学 | トリアゾール連結型環状ジヌクレオチド類縁体 |
| JPWO2014109256A1 (ja) * | 2013-01-09 | 2017-01-19 | 国立大学法人東北大学 | トリアゾール連結型環状ジヌクレオチド類縁体 |
| WO2019043634A2 (en) | 2017-08-30 | 2019-03-07 | Beijing Xuanyi Pharmasciences Co., Ltd. | CYCLIC DI-NUCLEOTIDES AS STIMULATORS OF INTERFERON GENE MODULATORS |
| US11773132B2 (en) | 2017-08-30 | 2023-10-03 | Beijing Xuanyi Pharmasciences Co., Ltd. | Cyclic di-nucleotides as stimulator of interferon genes modulators |
| JP2020536971A (ja) * | 2017-10-16 | 2020-12-17 | ブリストル−マイヤーズ スクイブ カンパニーBristol−Myers Squibb Company | 抗がん剤としての環状ジヌクレオチド |
| JP7254821B2 (ja) | 2017-10-16 | 2023-04-10 | ブリストル-マイヤーズ スクイブ カンパニー | 抗がん剤としての環状ジヌクレオチド |
| US11787833B2 (en) | 2019-05-09 | 2023-10-17 | Aligos Therapeutics, Inc. | Modified cyclic dinucleoside compounds as sting modulators |
Also Published As
| Publication number | Publication date |
|---|---|
| EP1645561A1 (en) | 2006-04-12 |
| US20060167241A1 (en) | 2006-07-27 |
| JPWO2005005450A1 (ja) | 2006-08-24 |
Similar Documents
| Publication | Publication Date | Title |
|---|---|---|
| WO2005005450A1 (ja) | 環状ビスジヌクレオシドの合成方法 | |
| EP2479182B1 (en) | Novel protecting group for synthesizing rna and derivative thereof | |
| PT98931B (pt) | Processo para a ligacao de nucleosidos com uma ponte siloxano | |
| KR20030092006A (ko) | 2',3'-디데옥시-2',3'-디데하이드로뉴클레오시드 합성 방법 | |
| KR20060008297A (ko) | 2'-데옥시-β-L-뉴클레오시드의 제조방법 | |
| EP1995253B1 (en) | Method for detaching protecting group on nucleic acid | |
| JP2005089441A (ja) | 立体規則性の高いリン原子修飾ヌクレオチド類縁体の製造法 | |
| EP4043473A1 (en) | Method for producing nucleic acid oligomers | |
| WO2007097447A1 (ja) | 核酸保護基の脱離方法 | |
| AU2018332214B2 (en) | Modified nucleoside phosphoramidites | |
| EP2017282A1 (en) | Method of capping oligonucleic acid | |
| JPH08245685A (ja) | 2−デオキシ−2,2−ジフルオロ−β−D−リボ−ペントピラノースからの1−(2’−デオキシ−2’,2’−ジフルオロ−D−リボ−ペントフラノシル)−シトシンの製造法 | |
| JP2003012690A (ja) | 置換イミダゾール誘導体又は置換ベンズイミダゾール誘導体を用いたヌクレオチドの製造法 | |
| Hancox et al. | Some reactions of 4′-thionucleosides and their sulfones | |
| JP3265548B2 (ja) | リボヌクレオチド還元酵素阻害剤の製法 | |
| KR101405632B1 (ko) | 핵산 보호기의 도입 방법 | |
| KR20060129026A (ko) | 리보핵산 화합물 및 올리고핵산 화합물의 액상 합성법 | |
| WO2021080021A1 (ja) | オリゴヌクレオチドを製造する方法 | |
| JP4383126B2 (ja) | 4’−c−エチニル−2’−デオキシプリンヌクレオシドの製造法 | |
| EP0999218A1 (en) | Process for producing nucleoside derivatives | |
| JP2008195648A (ja) | 4’−セレノヌクレオシド及び4’−セレノヌクレオチド | |
| EP4667479A1 (en) | Polyphosphorylated nucleoside, phosphate-activated nucleotide used for synthesis of polyphosphorylated nucleoside and method for synthesis of same, and method for synthesis of polyphosphorylated nucleoside using phosphate-activated nucleotide | |
| JPH0296590A (ja) | 新規核酸類 | |
| US20150361124A1 (en) | Method for the solid-phase based synthesis of phosphate-bridged nucleoside conjugates | |
| JPH07157496A (ja) | デオキシヌクレオシドの製造法 |
Legal Events
| Date | Code | Title | Description |
|---|---|---|---|
| AK | Designated states |
Kind code of ref document: A1 Designated state(s): AE AG AL AM AT AU AZ BA BB BG BR BW BY BZ CA CH CN CO CR CU CZ DE DK DM DZ EC EE EG ES FI GB GD GE GH GM HR HU ID IL IN IS JP KE KG KP KR KZ LC LK LR LS LT LU LV MA MD MG MK MN MW MX MZ NA NI NO NZ OM PG PH PL PT RO RU SC SD SE SG SK SL SY TJ TM TN TR TT TZ UA UG US UZ VC VN YU ZA ZM ZW |
|
| AL | Designated countries for regional patents |
Kind code of ref document: A1 Designated state(s): BW GH GM KE LS MW MZ NA SD SL SZ TZ UG ZM ZW AM AZ BY KG KZ MD RU TJ TM AT BE BG CH CY CZ DE DK EE ES FI FR GB GR HU IE IT LU MC NL PL PT RO SE SI SK TR BF BJ CF CG CI CM GA GN GQ GW ML MR NE SN TD TG |
|
| 121 | Ep: the epo has been informed by wipo that ep was designated in this application | ||
| WWE | Wipo information: entry into national phase |
Ref document number: 2005511466 Country of ref document: JP |
|
| ENP | Entry into the national phase |
Ref document number: 2006167241 Country of ref document: US Kind code of ref document: A1 |
|
| WWE | Wipo information: entry into national phase |
Ref document number: 10564476 Country of ref document: US |
|
| WWE | Wipo information: entry into national phase |
Ref document number: 2004733482 Country of ref document: EP |
|
| WWP | Wipo information: published in national office |
Ref document number: 2004733482 Country of ref document: EP |
|
| WWW | Wipo information: withdrawn in national office |
Ref document number: 2004733482 Country of ref document: EP |
|
| WWP | Wipo information: published in national office |
Ref document number: 10564476 Country of ref document: US |

































