WO2004101592A1 - Process for production of erythromycin a derivatives - Google Patents
Process for production of erythromycin a derivatives Download PDFInfo
- Publication number
- WO2004101592A1 WO2004101592A1 PCT/JP2004/006985 JP2004006985W WO2004101592A1 WO 2004101592 A1 WO2004101592 A1 WO 2004101592A1 JP 2004006985 W JP2004006985 W JP 2004006985W WO 2004101592 A1 WO2004101592 A1 WO 2004101592A1
- Authority
- WO
- WIPO (PCT)
- Prior art keywords
- carbon atoms
- group
- potassium
- sodium
- substituted
- Prior art date
- Legal status (The legal status is an assumption and is not a legal conclusion. Google has not performed a legal analysis and makes no representation as to the accuracy of the status listed.)
- Ceased
Links
Classifications
-
- C—CHEMISTRY; METALLURGY
- C07—ORGANIC CHEMISTRY
- C07H—SUGARS; DERIVATIVES THEREOF; NUCLEOSIDES; NUCLEOTIDES; NUCLEIC ACIDS
- C07H17/00—Compounds containing heterocyclic radicals directly attached to hetero atoms of saccharide radicals
- C07H17/04—Heterocyclic radicals containing only oxygen as ring hetero atoms
- C07H17/08—Hetero rings containing eight or more ring members, e.g. erythromycins
Definitions
- the present invention relates to a method for producing a 91-dexoxo 9-hydroxyerythromycin A 11,12-cyclic force monoponate derivative useful as a synthetic intermediate for a novel erythromycin A derivative.
- the reaction solvent is changed from methanol to ethanol, isopropanol, tetrahydrofuran or a mixed solvent thereof having low reactivity with sodium borohydride. It is known that hydrogen generation can be prevented by replacing it. Disclosure of the invention
- An object of the present invention is to reduce the 9-position propyl group of an erythromycin A11,12_ cyclic carbonate derivative to a 9-deoxo, 9-hydroxyerythromycin A11,12-cyclic carbonate derivative.
- An object of the present invention is to provide an industrially safe and useful production method for guiding.
- erythromycin A 11, 12-cyclic carbonate components are used to suppress the inactivation of reagents due to the reaction between sodium borohydride and methanol, the generation of hydrogen, and the reduction in yield due to side reactions. It is an object of the present invention to provide a production method useful for industrially obtaining 9-deoxo-9-hydroxyerythromycin A11,12-cyclic carbonate derivatives in a safe and high yield.
- the present inventors have conducted intensive studies, and as a result, by adding a certain base to a methanol solution of erythromycin A11,12-cyclic carbonate derivative, The present inventors have found a method for industrially producing a 9-deoxo-9-hydroxyerythromycin A11,12-cyclic carbonate derivative in a safe and high yield while preventing generation of hydrogen, and completed the present invention.
- the present invention provides a formula
- R1 is a hydrogen atom, an alkanoyl group having 1 to 5 carbon atoms, an aromatic ring having 5 to 12 carbon atoms, or an Al force having 1 to 5 carbon atoms substituted with a heterocyclic ring having 3 to 9 carbon atoms.
- the compound (I) represented by the formula (I) is obtained by converting sodium hydroxide, potassium hydroxide, sodium methoxide, sodium ethoxide, potassium methoxy.
- sodium borohydride in methanol to which one or more bases selected from potassium, potassium ethoxide or potassium tert-butoxide have been added
- the alkanoyl group having 1 to 5 carbon atoms in the present invention is, for example, a formyl group, an acetyl group, a propionyl group, a butyryl group, an isoptyryl group, a valeryl group, an isovaleryl group or a pivaloyl group, and has 5 to 1 carbon atoms.
- An aromatic ring having 2 or a heterocyclic ring having 3 to 9 carbon atoms is, for example, a phenyl group, a naphthyl group, an imidazolyl group or a pyridyl group, and an alkyl group having 1 to 4 carbon atoms is, for example, methyl Group, ethyl group, propyl group, isopropyl group, butyl group, isobutyl group or tert-butyl group; the aromatic ring having 6 to 10 carbon atoms is, for example, a phenyl group or a naphthyl group;
- the alkyl group having 1 to 4 carbon atoms substituted with an aromatic ring having 6 to 10 is, for example, a benzyl group or a phenethyl group.
- the present invention relates to a production method shown in the following reaction scheme.
- the present invention relates to a method for producing a compound (II) from a compound (I) described in US Pat. No. 5,866,549.
- Step 1 A methanol solution to which one or more bases selected from sodium hydroxide, potassium hydroxide, sodium methoxide, sodium ethoxide, potassium methoxide, potassium ethoxide or potassium tert-butoxide are added ( The base concentration was adjusted to 0.001 to 0.5 M), and the methanol solution was divided into two. Sodium (1-5 equivalents) is dissolved, and on the other hand, the compound described in US Pat. No. 5,866,549 (formula (I)) is dissolved, and both solutions are mixed and reacted at 0 ° C. to 60 ° C. The compound represented by (II) can be obtained.
- Example 1 A methanol solution to which one or more bases selected from sodium hydroxide, potassium hydroxide, sodium methoxide, sodium ethoxide, potassium methoxide, potassium ethoxide or potassium tert-butoxide are added ( The base concentration was adjusted to 0.001 to 0.5 M), and the methanol solution was divided into two.
- the reaction mixture was separated by adding 19 Oml of a 20% aqueous ammonium chloride solution and 20 Om1 of ethyl acetate.
- the aqueous layer was extracted with 10 Oml of toluene, combined with the above ethyl acetate layer, washed twice with saturated brine (5 Oml), and concentrated under reduced pressure to obtain 19 g of a crude product.
- Erythromycin A 11,12 Dissolve 50 g (66 mMol) of cyclic carbonate in 10 Om1 of a 0.01 M sodium hydroxide / methanol solution, add 7.5 g of sodium borohydride (0.2 Omo1,3 eq ) Dissolved in 0.01 M sodium hydroxide / methanol solution was added dropwise while controlling the temperature so that the internal temperature did not exceed 3 Ot, and stirring was continued for 2 hours.
- Erythromycin A 11,12_cyclic carbonate 2 Dissolve Og (2.6 mmo 1) in 1 Om1 of ethanol and, at room temperature, 0.30 g of sodium borohydride (7.9 mmo and 2.0 eq) was added and stirring was continued overnight. After adding 50 ml of water to the reaction solution and extracting twice with 50 ml of ethyl acetate, the ethyl acetate layer was washed with 100 ml of saturated saline solution and dried over anhydrous magnesium sulfate.
- the present invention relates to a method for preparing sodium hydroxide, sodium hydroxide, sodium methoxide, sodium ethoxide, potassium methoxide, in a methanol solution of erythromycin A 11, 12_cyclic carbonate derivative and sodium borohydride, By adding one or more bases selected from potassium ethoxide or potassium tert-butoxide, it is safe and industrially practicable 91-deoxo, 9-hydroxyerythromycin A11,12-cyclic This is extremely useful as a method for producing a carbonate derivative in high yield.
Landscapes
- Chemical & Material Sciences (AREA)
- Organic Chemistry (AREA)
- Health & Medical Sciences (AREA)
- Life Sciences & Earth Sciences (AREA)
- Engineering & Computer Science (AREA)
- Biochemistry (AREA)
- Biotechnology (AREA)
- General Health & Medical Sciences (AREA)
- Genetics & Genomics (AREA)
- Molecular Biology (AREA)
- Saccharide Compounds (AREA)
- Pharmaceuticals Containing Other Organic And Inorganic Compounds (AREA)
Abstract
Description
明細書 エリス口マイシン A誘導体の製造方法 Description Method for producing erythromycin A derivative
技術分野 Technical field
本発明は、新規なエリスロマイシン A誘導体の合成中間体として有用な 9一デォキ ソー 9ーヒドロキシエリスロマイシン A 1 1, 1 2—サイクリック力一ポネート 誘導体の製造方法に関する。 背景技術 The present invention relates to a method for producing a 91-dexoxo 9-hydroxyerythromycin A 11,12-cyclic force monoponate derivative useful as a synthetic intermediate for a novel erythromycin A derivative. Background art
近年、 呼吸器感染症領域において、 ペニシリン及びエリスロマイシン耐性菌の増加 が治療上の大きな問題となり、 これらの耐性菌に対して強い活性を有する新規マクロ ライド系抗生物質の開発が活発に進められている。 3—〇一(3—ピリジルァセチル) —5—〇_デソサミニルー 9ージヒドロエリスロノライド A 6, 9 ; 1 1, 1 2 —ジサイクリックカーボネートが W09813373号に開示されており、 また、 3—デォキ シー 3—ォキソ _ 6—〇一 ( ( 3—キノリ— 3—ィル) プロべ— 2—ィル) — 5 _〇 一デソサミニルエリスロノライド A 1 1, 1 2—サイクリックカーバメートが US5866549号に開示されている。 一方、 これらの化合物の合成法は、 エリスロマイシ ン A 1 1, 1 2—サイクリック力一ポネート誘導体の 9位カルボ二ル基を 「水素 化ホウ素ナトリウム メタノール溶媒」 という通常の条件で還元し、 9—デォキソー 9ーヒドロキシエリスロマイシン A 1 1, 1 2—サイクリックカーボネート誘導 体へと導く工程を共通して有している。 この反応は、 還元剤と溶媒が反応し、 試薬の 失活、 急激な水素の発生などの問題があり、 小スケール実験では大きな問題とはなら ないが、 工業的スケールでは大きな問題となり実施は極めて困難である。 一方、水素化ホウ素ナトリゥムを用いる力ルポ二ル基を水酸基へと還元する反応で は、 反応溶媒をメタノールから、 水素化ホウ素ナトリウムとの反応性が低いエタノー ル、 イソプロパノール、 テトラヒドロフラン又はそれらの混合溶媒などに代える事に より水素の発生を防げることが知られている。 発明の開示 In recent years, the increase in penicillin and erythromycin resistant bacteria has become a major therapeutic problem in the field of respiratory infections, and the development of novel macrolide antibiotics having strong activity against these resistant bacteria has been actively promoted. . 3-〇-1- (3-pyridyl acetyl) —5-〇_desosaminyl 9-dihydroerythronolide A 6,9; 11,1 2—Dicyclic carbonate is disclosed in W09813373 and 3-deoxy US Patent No. 5866549 3-oxo- 6-〇-1 ((3-quinolin 3-yl) probe 2-yl) — 5 _〇 1-desosaminylerythronolide A 1 1,1 2-cyclic carbamate Issue. On the other hand, the synthesis of these compounds is based on the reduction of the carboxy group at the 9-position of erythromycin A11,12-cyclic force-one-ponate derivative under the usual conditions of “sodium borohydride methanol solvent”. —Doxo 9-Hydroxyerythromycin A 11, 12—Has a common process to lead to cyclic carbonate derivatives. This reaction has problems such as inactivation of reagents and rapid generation of hydrogen due to the reaction between the reducing agent and the solvent, and is not a major problem in small-scale experiments. Have difficulty. On the other hand, in the reaction using sodium borohydride to reduce the hydroxyl group to a hydroxyl group, the reaction solvent is changed from methanol to ethanol, isopropanol, tetrahydrofuran or a mixed solvent thereof having low reactivity with sodium borohydride. It is known that hydrogen generation can be prevented by replacing it. Disclosure of the invention
本発明の目的は、 エリスロマイシン A 1 1, 1 2 _サイクリックカーボネート 誘導体の 9位力ルポ二ル基を還元し、 9ーデォキソー 9ーヒドロキシエリスロマイシ ン A 1 1, 1 2—サイクリックカーボネート誘導体へ導く工業的に安全で有用な 製造方法を提供することにある。 An object of the present invention is to reduce the 9-position propyl group of an erythromycin A11,12_ cyclic carbonate derivative to a 9-deoxo, 9-hydroxyerythromycin A11,12-cyclic carbonate derivative. An object of the present invention is to provide an industrially safe and useful production method for guiding.
さらに詳しくは、水素化ホウ素ナトリゥムとメタノールとの反応による試薬の失活、 水素の発生、 副反応による収率低下などを抑制し、 エリスロマイシン A 1 1 , 1 2—サイクリックカーポネ一ト誘導体から 9—デォキソ— 9ーヒドロキシェリス口 マイシン A 1 1 , 1 2—サイクリックカーボネート誘導体を工業的に安全且つ高 収率で得るために有用な製造方法を提供することにある。 More specifically, erythromycin A 11, 12-cyclic carbonate components are used to suppress the inactivation of reagents due to the reaction between sodium borohydride and methanol, the generation of hydrogen, and the reduction in yield due to side reactions. It is an object of the present invention to provide a production method useful for industrially obtaining 9-deoxo-9-hydroxyerythromycin A11,12-cyclic carbonate derivatives in a safe and high yield.
本発明者らは、水素化ホウ素ナトリウムを用いるカルポニル基の還元反応において、 メタノ一ル以外に通常反応溶媒として使用されるエタノール、ィソプロパノール又は イソプロパノ一ル /メタノール混合溶媒を用い、実際にエリスロマイシン A l l , 1 2—サイクリックカーボネート誘導体に対して還元反応を実施した結果、水素の発 生は防 、るものの 1 1, 1 2—ジオール体が副生し、 目的物の収率低下を招くことを 確認した。 In the reduction reaction of the carbonyl group using sodium borohydride, the present inventors used ethanol, isopropanol or isopropanol / methanol mixed solvent, which is usually used as a reaction solvent, in addition to methanol, and actually used erythromycin. As a result of the reduction reaction of All, 12-cyclic carbonate derivative, the generation of hydrogen is prevented, but the 11, 12-diol form is by-produced, and the yield of the desired product is reduced. It was confirmed.
本発明者らは、 鋭意検討した結果、 エリスロマイシン A 1 1, 1 2—サイクリ ックカーボネート誘導体のメタノール溶液中にある種の塩基を添加することにより、 工業的に 9—デォキソ—9—ヒドロキシエリスロマイシン A 1 1 , 1 2—サイク リックカーボネート誘導体を水素の発生を防ぐと共に、安全かつ高収率で製造する方 法を見い出し、 本発明を完成した。 The present inventors have conducted intensive studies, and as a result, by adding a certain base to a methanol solution of erythromycin A11,12-cyclic carbonate derivative, The present inventors have found a method for industrially producing a 9-deoxo-9-hydroxyerythromycin A11,12-cyclic carbonate derivative in a safe and high yield while preventing generation of hydrogen, and completed the present invention.
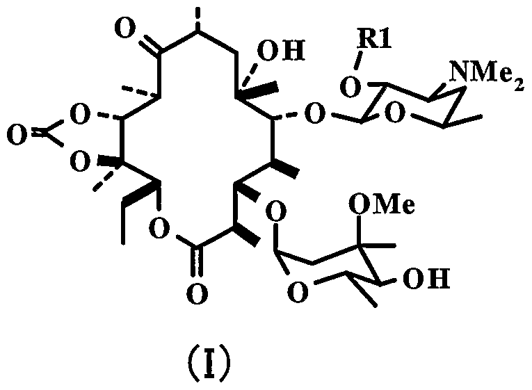
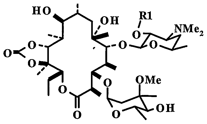
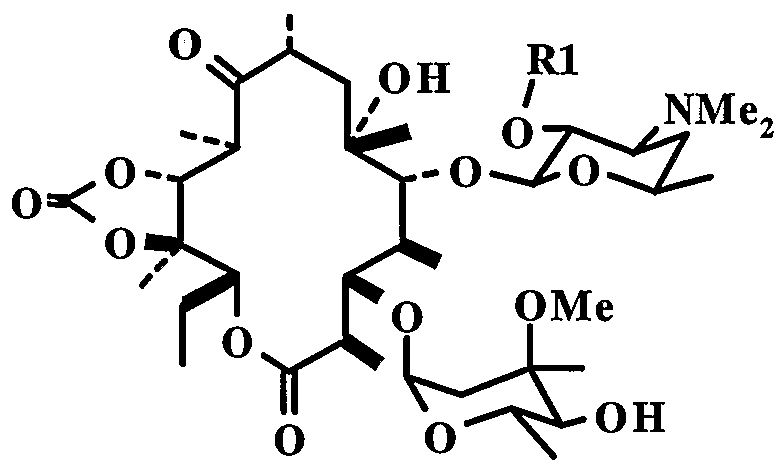
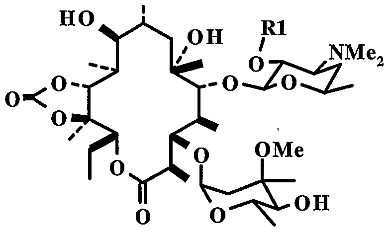
すなわち、 本発明は、 式 That is, the present invention provides a formula
(R1は水素原子、炭素原子数 1〜 5のアルカノィル基、炭素原子数 5〜 1 2の芳香環 もしくは炭素原子数 3〜 9のへテロ環で置換された炭素原子数 1〜 5のアル力ノィ ル基又は「炭素原子数 1〜4のアルキル基、 炭素原子数 6〜1 0の芳香環及び炭素原 子数 6〜1 0の芳香環で置換された炭素原子数 1〜4のアルキル基」からなる群から 選ばれる 1〜 3個の基で置換されたシリル基を示す。 ) で表される化合物 (I ) を水 酸化ナトリウム、 水酸化カリウム、 ナトリウムメトキシド、 ナトリウムエトキシド、 カリウムメトキシド、カリウムエトキシド又はカリウム tert—ブトキシドから選ばれ る 1種又は 2種以上の塩基を添加したメタノール中、水素化ホウ素ナトリウムを用い ることによる、 式 (R1 is a hydrogen atom, an alkanoyl group having 1 to 5 carbon atoms, an aromatic ring having 5 to 12 carbon atoms, or an Al force having 1 to 5 carbon atoms substituted with a heterocyclic ring having 3 to 9 carbon atoms. A null group or an alkyl group having 1 to 4 carbon atoms, an alkyl group having 6 to 10 carbon atoms, and an alkyl group having 1 to 4 carbon atoms substituted with an aromatic ring having 6 to 10 carbon atoms. And a silyl group substituted with 1 to 3 groups selected from the group consisting of).) The compound (I) represented by the formula (I) is obtained by converting sodium hydroxide, potassium hydroxide, sodium methoxide, sodium ethoxide, potassium methoxy. By using sodium borohydride in methanol to which one or more bases selected from potassium, potassium ethoxide or potassium tert-butoxide have been added
(式中、 R1は前記と同じである。 ) で表される化合物 (I I) の製造方法である c 発明を実施するための最良の形態 (Wherein, R1 is the same as defined above, and.) BEST MODE FOR CARRYING OUT THE c invention is a manufacturing method of the compound represented by (II)
本発明で炭素原子数 1〜5のアルカノィル基とは、 例えば、 ホルミル基、 ァセチル 基、 プロピオニル基、 プチリル基、 イソプチリル基、 バレリル基、 イソバレリル基又 はピバロィル基であり、炭素原子数 5〜 1 2の芳香環もしくは炭素原子数 3〜 9のへ テロ環とは、 例えば、 フエニル基、 ナフチル基、 イミダゾリル基又はピリジル基であ り、炭素原子数 1〜4のアルキル基とは、例えば、メチル基、ェチル基、プロピル基、 イソプロピル基、 ブチル基、 イソブチル基又は tert-ブチル基であり、 炭素原子数 6 〜1 0の芳香環とは、 例えば、 フエニル基又はナフチル基であり、 炭素原子数 6〜1 0の芳香環で置換された炭素原子数 1〜4のアルキル基とは、 例えば、 ベンジル基又 はフエネチル基である。 The alkanoyl group having 1 to 5 carbon atoms in the present invention is, for example, a formyl group, an acetyl group, a propionyl group, a butyryl group, an isoptyryl group, a valeryl group, an isovaleryl group or a pivaloyl group, and has 5 to 1 carbon atoms. An aromatic ring having 2 or a heterocyclic ring having 3 to 9 carbon atoms is, for example, a phenyl group, a naphthyl group, an imidazolyl group or a pyridyl group, and an alkyl group having 1 to 4 carbon atoms is, for example, methyl Group, ethyl group, propyl group, isopropyl group, butyl group, isobutyl group or tert-butyl group; the aromatic ring having 6 to 10 carbon atoms is, for example, a phenyl group or a naphthyl group; The alkyl group having 1 to 4 carbon atoms substituted with an aromatic ring having 6 to 10 is, for example, a benzyl group or a phenethyl group.
本発明は、 下記反応スキームに示す製造方法に関する。 US5866549号に記載される 化合物 (I ) を原料にし、 化合物 (I I) を製造する方法に関する。 The present invention relates to a production method shown in the following reaction scheme. The present invention relates to a method for producing a compound (II) from a compound (I) described in US Pat. No. 5,866,549.
工程 1 :水酸ィ匕ナトリウム、 水酸化カリウム、 ナトリウムメトキシド、 ナトリウムェ トキシド、カリウムメトキシド、カリウムエトキシド又はカリウム tert—ブトキシド から選ばれる 1種又は 2種以上の塩基を添加したメタノール溶液(塩基濃度が 0 . 0 0 1〜0 . 5 M) を調整し、 そのメタノール溶液を二つに分け、 一方に水素化ホウ素 ナトリウム( 1〜 5当量)を溶解し、他方に US5866549号に記載される化合物(式(I) ) を溶解し、 両液を混合し、 0°C〜60°Cで反応を行うことにより式 (II) で示される 化合物を得ることが出来る。 実施例 Step 1: A methanol solution to which one or more bases selected from sodium hydroxide, potassium hydroxide, sodium methoxide, sodium ethoxide, potassium methoxide, potassium ethoxide or potassium tert-butoxide are added ( The base concentration was adjusted to 0.001 to 0.5 M), and the methanol solution was divided into two. Sodium (1-5 equivalents) is dissolved, and on the other hand, the compound described in US Pat. No. 5,866,549 (formula (I)) is dissolved, and both solutions are mixed and reacted at 0 ° C. to 60 ° C. The compound represented by (II) can be obtained. Example
以下、 本発明を実施例及び参考例により更に詳細に示す。 Hereinafter, the present invention will be described in more detail with reference to Examples and Reference Examples.
実施例 1 Example 1
9—デォキソー 9—ヒドロキシエリスロマイシン A 11, 12—サイクリック カーボネ一トの製造 (ナトリウムメトキシドを用いた場合) Production of 9-dexoxo 9-hydroxyerythromycin A 11, 12-cyclic carbonate (when sodium methoxide is used)
エリスロマイシン A 11, 12—サイクリックカーボネート 20 g (26m mo 1 )を溶解した 0. 01M ナトリウムメトキシド /メタノール溶液 4 Omlに、 水素化ホウ素ナトリウム 3. 0 g (79mmo 1 , 3. 0 e q) を溶解した 0. 01 M ナトリウムメトキシド Zメタノール溶液 6 Omlを内温が 50°Cを越えないよう に温度制御しながら滴下し、 そのまま 2時間攪拌を続けた。 Erythromycin A 11, 12—3.0 g (79 mmo 1, 3.0 eq) of sodium borohydride was added to 4 Oml of 0.01 M sodium methoxide / methanol solution in which 20 g (26 mMol) of cyclic carbonate was dissolved. 6 Oml of the dissolved 0.01 M sodium methoxide Z methanol solution was added dropwise while controlling the temperature so that the internal temperature did not exceed 50 ° C, and stirring was continued for 2 hours.
反応液に 20%塩化アンモニゥム水溶液 19 Omlと酢酸ェチル 20 Om 1を加 え分液した。 水層をトルエン 10 Omlで抽出し、 先の酢酸ェチル層と合わせ飽和食 塩水 (5 Oml) で 2回洗浄後、 減圧濃縮し、 19 gの粗生成物を得た。 得られた粗 生成物をシリカゲル力ラムクロマトグラフィー(溶出液、クロ口ホルム:メタノール: 28%アンモニア水 =200 : 10 : 1) により精製し、 表題化合物 16 g (収率: 80%) を得た。 The reaction mixture was separated by adding 19 Oml of a 20% aqueous ammonium chloride solution and 20 Om1 of ethyl acetate. The aqueous layer was extracted with 10 Oml of toluene, combined with the above ethyl acetate layer, washed twice with saturated brine (5 Oml), and concentrated under reduced pressure to obtain 19 g of a crude product. The obtained crude product is purified by silica gel column chromatography (eluent, chloroform: methanol: 28% aqueous ammonia = 200: 10: 1) to give 16 g (yield: 80%) of the title compound. Was.
¾NMR(500 MHz, CDC13) δ (ppm) : 2.30(s, 6H, 3' - N(CH3)2), 3.29(s, 3H, 3' ' -OCH3) , 3.40(brs, 1H, 9-H), 3.96(s, 1H, OH), 4.91(s, 1H, 11-H) 13C NMR(125 MHz, CDC13) δ (ppm) : 40.3 (3' -N(CH3) 2), 49.3 (3" -0CH3) , 79.3(9-C), 82.2(11-0, 97.5 (l"-C), 104.6(1'-C), 153.9 (ll-OCOO-12) , 175.7(1-0 ESI -MS : m/z = 784.5 [M+Na] + 実施例 2 ¾NMR (500 MHz, CDC1 3) δ (ppm): 2.30 (s, 6H, 3 '- N (CH 3) 2), 3.29 (s, 3H, 3''-OCH 3), 3.40 (brs, 1H, 9-H), 3.96 (s, 1H, OH), 4.91 (s, 1H, 11-H) 13 C NMR (125 MHz, CDC1 3) δ (ppm): 40.3 (3 '-N (CH 3) 2), 49.3 (3 "-0CH 3), 79.3 (9-C), 82.2 (11-0, 97.5 (l "-C), 104.6 (1'-C), 153.9 (ll-OCOO-12), 175.7 (1-0 ESI-MS: m / z = 784.5 [M + Na] + Example 2
9ーデォキソ _ 9—ヒドロキシエリスロマイシン A 11, 12—サイクリック カーボネートの製造 (水酸化ナトリウムを用いた場合) Production of 9-deoxo _ 9-hydroxyerythromycin A 11, 12-cyclic carbonate (when sodium hydroxide is used)
エリスロマイシン A 11, 12—サイクリックカーボネート 50 g (66m mo 1) を溶解した 0. 01M水酸化ナトリウム /メタノール溶液 10 Om 1に、 水素化ホウ素ナトリウム 7. 5 g (0. 2 Omo 1 , 3 e q) を溶解した 0. 01M 水酸化ナトリウム/メタノール溶液 15 Omlを内温が 3 Otを越えないように温 度制御しながら滴下し、 そのまま 2時間攪拌を続けた。 Erythromycin A 11,12—Dissolve 50 g (66 mMol) of cyclic carbonate in 10 Om1 of a 0.01 M sodium hydroxide / methanol solution, add 7.5 g of sodium borohydride (0.2 Omo1,3 eq ) Dissolved in 0.01 M sodium hydroxide / methanol solution was added dropwise while controlling the temperature so that the internal temperature did not exceed 3 Ot, and stirring was continued for 2 hours.
反応液に 20 %塩化アンモニゥム水溶液 47 Omlと酢酸ェチル 50 Om 1を加 え分液した。 水層をトルエン 25 Omlで抽出し、 先の酢酸ェチル層と合わせ飽和食 塩水 (250ml) で洗浄後、 減圧濃縮し、 53 gの粗生成物を得た。 得られた粗生 成物を酢酸ェチルー n-ヘプタンから結晶化し、 表題化合物 40 g (収率: 80%) を 得た。 結晶を濾取した母液を濃縮し、 再度、 酢酸ェチルー n—ヘプタンから結晶化す ることにより、 表題化合物 9. 2 g (収率: 18%) を 2番晶として得た。 下記の参考例 1〜3は、 カルポニル基の還元反応で、 メタノール溶媒の代わりに通 常用いられるエタノール、ィソプロパノール及びィソプロパノ一ル メ夕ノール混合 溶媒を用い、 水素の発生を抑えた反応条件下で実施した結果である。 これらの反応で は、 11, 12—ジオール体が副成し、 9—デォキソ— 9ーヒドロキシエリス口マイ シン A 1 1, 12—サイクリックカーボネートの収率が低下した。 To the reaction solution were added 47 Oml of a 20% aqueous solution of ammonium chloride and 50 Om1 of ethyl acetate, and the mixture was separated. The aqueous layer was extracted with 25 Oml of toluene, combined with the previous ethyl acetate layer, washed with saturated brine (250 ml), and concentrated under reduced pressure to obtain 53 g of a crude product. The obtained crude product was crystallized from ethyl acetate-n-heptane to obtain 40 g (yield: 80%) of the title compound. The mother liquor from which the crystals were collected by filtration was concentrated and recrystallized from ethyl acetate-n-heptane to give 9.2 g (yield: 18%) of the title compound as second crystals. Reference Examples 1 to 3 below are carbonyl group reduction reactions, in which the use of a commonly used mixed solvent of ethanol, isopropanol, and isopropanol methyl alcohol instead of a methanol solvent was used to suppress the generation of hydrogen. These are the results performed below. In these reactions As a result, the 11,12-diol was formed as a by-product, and the yield of 9-deoxo-9-hydroxyerythrocyte mycin A11,12-cyclic carbonate decreased.
参考例 1 Reference example 1
ェタノール溶媒を用いた 9—デォキソ一 9—ヒドロキシエリスロマイシン A 1 1, 12—サイクリックカーボネートの製造 Preparation of 9-Doxo-1-9-hydroxyerythromycin A11,12-cyclic carbonate using ethanol solvent
エリスロマイシン A 1 1, 12_サイクリックカーボネート 2. O g (2. 6mmo 1 ) をエタノール 1 Om 1に溶解し、 室温下、 水素化ホウ素ナトリウム 0. 30 g (7. 9mmoし 2. 0 e q) を加え、 一晩攪拌を続けた。 反応液に水 50 m 1を加え、 酢酸ェチル 50 m 1で 2回抽出後、 酢酸ェチル層を飽和食塩水 100m 1で洗浄し、 無水硫酸マグネシウムで乾燥した。 Erythromycin A 11,12_cyclic carbonate 2. Dissolve Og (2.6 mmo 1) in 1 Om1 of ethanol and, at room temperature, 0.30 g of sodium borohydride (7.9 mmo and 2.0 eq) Was added and stirring was continued overnight. After adding 50 ml of water to the reaction solution and extracting twice with 50 ml of ethyl acetate, the ethyl acetate layer was washed with 100 ml of saturated saline solution and dried over anhydrous magnesium sulfate.
溶媒を減圧下留去し、 得られた残渣をシリカゲルカラムクロマトグラフィー (溶離 液、 クロ口ホルム:メタノール: 28%アンモニア水 =250 : 10 : 1) にふし、 表題化合物 1. 2 g (収率: 60%) 及び 9—デォキソー 9ーヒドロキシエリスロマ イシン A (l l, 12—脱力一ポネ一ト体) 0. 41 g (収率: 21%) を得た。 The solvent was distilled off under reduced pressure, and the obtained residue was subjected to silica gel column chromatography (eluent, chloroform: methanol: 28% aqueous ammonia = 250: 10: 1) to give 1.2 g of the title compound (yield). : 60%) and 0.41 g (yield: 21%) of 9-dexoxo 9-hydroxyerythromycin A (ll, 12- weakened one-poison).
9ーデォキソ一 9—ヒドロキシエリスロマイシン A (1 1, 12—脱力ーポネ ート体) : 9-Doxo-1 9-Hydroxyerythromycin A (11,12-Weakness-Polyene):
ΐΝΜίΚδΟΟΜΗζ, CDC13) δ (ppm) : 2.30(s, 6H, 3' - N(CH3)2), 2.85(s, 1H, OH), 3.32(s, 3H, 3' ' -0CH3) , 3.38(d, 1H, J=4.8Hz, 9— H), 3.75(s, 1H, 11-H), 4.32(s, 1H, OH), 4.45(s, 1H, OH), 4.54 (d, 1H, J=7.3Hz, l'-H), 4.57(s, 1H, OH) ΐΝΜίΚδΟΟΜΗζ, CDC1 3) δ (ppm ): 2.30 (s, 6H, 3 '- N (CH 3) 2), 2.85 (s, 1H, OH), 3.32 (s, 3H, 3''-0CH 3), 3.38 (d, 1H, J = 4.8Hz, 9-H), 3.75 (s, 1H, 11-H), 4.32 (s, 1H, OH), 4.45 (s, 1H, OH), 4.54 (d, 1H , J = 7.3Hz, l'-H), 4.57 (s, 1H, OH)
13C NMR(125 MHz, CDC13) 6 (ppm) : 40.3(3' -N(CH3)2), 49.3 (3" -0CH3) , 70.8(11-C), 83.2(9-0, 96.4 (l"-C), 103.3(1'-C), 177.0(1-C) 13 C NMR (125 MHz, CDC1 3) 6 (ppm): 40.3 (3 '-N (CH 3) 2), 49.3 (3 "-0CH 3), 70.8 (11-C), 83.2 (9-0, 96.4 (l "-C), 103.3 (1'-C), 177.0 (1-C)
ESI- MS': i/z = 758.4讀 a] + 参考例 2 ESI-MS ': i / z = 758.4 reading a] + Reference example 2
イソプロパノール溶媒を用いた 9—デォキソ _ 9—ヒドロキシエリスロマイシン A 11, 12—サイクリックカーボネートの製造 Production of 9-deoxo-9-hydroxyerythromycin A 11,12-cyclic carbonate using isopropanol solvent
エリスロマイシン. A 11, 12—サイクリックカーボネート 0. 5 g (0. 66mmo 1 ) と水素化ホウ素ナトリウム 75 mg (2. Ommo l, 3. 0 e q) をイソプロパノール 2. 5ml中で参考例 1と同様に反応させた。 溶媒留去後、 得ら れた組生成物を高速液体クロマトグラフィー (HPLC) により分析し、 9一デォキ ソ一 9—ヒドロキシエリスロマイシン A 11, 12—サイクリック力一ポネート 及び 9—デォキソー 9—ヒドロキシエリスロマイシン A (11, 12—脱力一ポ ネート体) の生成比がそれぞれ 63 %及び 36 %であった。 参考例 3 Erythromycin. A 11,12—0.5 g (0.66 mmo 1) of cyclic carbonate and 75 mg (2. Ommol, 3.0 eq) of sodium borohydride in 2.5 ml of isopropanol as in Reference Example 1 Was reacted. After distilling off the solvent, the obtained product was analyzed by high performance liquid chromatography (HPLC), and the 9-deoxo-1-9-hydroxyerythromycin A 11,12-cyclic force monoponate and 9-deoxo 9-hydroxy The production ratios of erythromycin A (11, 12—weak-one-ponate form) were 63% and 36%, respectively. Reference example 3
ィソプロパノール/メ夕ノ一ル混合溶媒を用いた 9 -デォキソ一 9ーヒドロキシ エリスロマイシン A 11, 12—サイクリックカーボネートの製造 Preparation of 9-Doxo-1-9-hydroxyerythromycin A 11,12-cyclic carbonate using a mixed solvent of isopropanol and methanol
水素化ホウ素ナトリウム 1. 6 kg (43mo 1 , 3. 9 e q) を懸濁させたィ ソプロパノール溶液 26 Lに、 エリスロマイシン A 11, 12—サイクリック力 ーポネート 8. 3 kg (1 lmo 1) を溶解したメタノール溶液 26Lを 15°C で 滴下し、 そのまま一晩攪拌を続けた。 反応後、 酢酸ェチルに代えトルエンを用いて参 考例 1と同様に抽出を行った。 減圧下、 トルエンを留去し、 10 kgの粗生成物を得 た。 得られた組成生物を参考例 2と同様に分析し、 9—デォキソー 9ーヒドロキシェ リスロマイシン A 11, 12—サイクリックカーボネート及び 9—デォキソ— 9 —ヒドロキシエリスロマイシン A (11, 12—脱カーボネート体) の生成比がそ れぞれ 67%及び 26%であった。 産業上の利用可能性 Erythromycin A 11, 12-cyclic force-8.3 kg (1 lmo 1) was added to 26 L of isopropanol solution in which 1.6 kg (43 mol, 3.9 eq) of sodium borohydride was suspended. 26 L of the dissolved methanol solution was added dropwise at 15 ° C, and stirring was continued overnight. After the reaction, extraction was performed in the same manner as in Reference Example 1 using toluene instead of ethyl acetate. The toluene was distilled off under reduced pressure to obtain 10 kg of a crude product. The resulting composition was analyzed in the same manner as in Reference Example 2 to produce 9-deoxo 9-hydroxyerythromycin A 11,12-cyclic carbonate and 9-deoxo-9-hydroxyerythromycin A (11,12-decarbonated form). The ratios were 67% and 26%, respectively. Industrial applicability
本発明は、 エリスロマイシン A 1 1 , 1 2 _サイクリックカーボネ一ト誘導体 と水素化ホウ素ナトリゥムのメタノール溶液中に水酸化ナトリゥム、水酸化力リゥム、 ナトリウムメトキシド、 ナトリウムエトキシド、 カリウムメトキシド、 カリウムエト キシド又はカリウム tert—ブトキシドから選ばれる 1種又は 2種以上の塩基を添加 することにより、安全で工業的に実施可能な 9一デォキソー 9—ヒドロキシエリス口 マイシン A 1 1, 1 2—サイクリックカーボネート誘導体を高収率で製造する方 法として極めて有用である。 The present invention relates to a method for preparing sodium hydroxide, sodium hydroxide, sodium methoxide, sodium ethoxide, potassium methoxide, in a methanol solution of erythromycin A 11, 12_cyclic carbonate derivative and sodium borohydride, By adding one or more bases selected from potassium ethoxide or potassium tert-butoxide, it is safe and industrially practicable 91-deoxo, 9-hydroxyerythromycin A11,12-cyclic This is extremely useful as a method for producing a carbonate derivative in high yield.
Claims
Applications Claiming Priority (2)
| Application Number | Priority Date | Filing Date | Title |
|---|---|---|---|
| JP2003-139718 | 2003-05-19 | ||
| JP2003139718 | 2003-05-19 |
Publications (1)
| Publication Number | Publication Date |
|---|---|
| WO2004101592A1 true WO2004101592A1 (en) | 2004-11-25 |
Family
ID=33447352
Family Applications (1)
| Application Number | Title | Priority Date | Filing Date |
|---|---|---|---|
| PCT/JP2004/006985 Ceased WO2004101592A1 (en) | 2003-05-19 | 2004-05-17 | Process for production of erythromycin a derivatives |
Country Status (1)
| Country | Link |
|---|---|
| WO (1) | WO2004101592A1 (en) |
Citations (5)
| Publication number | Priority date | Publication date | Assignee | Title |
|---|---|---|---|---|
| JPS58159499A (en) * | 1982-03-01 | 1983-09-21 | フアイザ−・インコ−ポレ−テツド | Fungicidal 4''-epierythromycin a and derivatives |
| JPH04149152A (en) * | 1990-10-09 | 1992-05-22 | Kanegafuchi Chem Ind Co Ltd | Production of 3,4-dihydroxybutyric acid ester derivative |
| JPH06345793A (en) * | 1993-06-10 | 1994-12-20 | Asahi Chem Ind Co Ltd | Antibiotic l53-18a derivative |
| JPH10500954A (en) * | 1994-05-23 | 1998-01-27 | セプラコー,インコーポレイテッド | Isomeric Selective Formulation of Optically Pure Albuterol |
| WO1998013373A1 (en) * | 1996-09-24 | 1998-04-02 | Taisho Pharmaceutical Co., Ltd. | Erythromycin a derivatives |
-
2004
- 2004-05-17 WO PCT/JP2004/006985 patent/WO2004101592A1/en not_active Ceased
Patent Citations (5)
| Publication number | Priority date | Publication date | Assignee | Title |
|---|---|---|---|---|
| JPS58159499A (en) * | 1982-03-01 | 1983-09-21 | フアイザ−・インコ−ポレ−テツド | Fungicidal 4''-epierythromycin a and derivatives |
| JPH04149152A (en) * | 1990-10-09 | 1992-05-22 | Kanegafuchi Chem Ind Co Ltd | Production of 3,4-dihydroxybutyric acid ester derivative |
| JPH06345793A (en) * | 1993-06-10 | 1994-12-20 | Asahi Chem Ind Co Ltd | Antibiotic l53-18a derivative |
| JPH10500954A (en) * | 1994-05-23 | 1998-01-27 | セプラコー,インコーポレイテッド | Isomeric Selective Formulation of Optically Pure Albuterol |
| WO1998013373A1 (en) * | 1996-09-24 | 1998-04-02 | Taisho Pharmaceutical Co., Ltd. | Erythromycin a derivatives |
Similar Documents
| Publication | Publication Date | Title |
|---|---|---|
| KR100336447B1 (en) | Improved method of preparing clarithromycin | |
| JPWO1992012982A1 (en) | 4-desoxy-4-epipodophyllotoxin derivative or a pharmaceutically acceptable salt thereof | |
| KR20090066910A (en) | Improved method for preparing L-3-O-substituted-ascorbic acid | |
| JPS5853000B2 (en) | New antibacterial agent | |
| WO2022007838A1 (en) | Method for preparing glucopyranosyl derivatives and intermediates thereof | |
| JPS5827799B2 (en) | 4″-amino-oleandomycin derivative | |
| WO2004101592A1 (en) | Process for production of erythromycin a derivatives | |
| JP5960130B2 (en) | Preparation of tesetaxel and related compounds and corresponding synthetic intermediates | |
| KR102436114B1 (en) | Novel preparing method of inotodiol | |
| CN114149473B (en) | Synthesis method of epirubicin hydrochloride and intermediate thereof | |
| CN114057792B (en) | Temsirolimus intermediate compounds | |
| JP5561967B2 (en) | Glucose compounds, methods for producing them, and methods for producing davidin | |
| CN114149474B (en) | Intermediate compound of 4' -epidaunorubicin and preparation method thereof | |
| EP0087915B1 (en) | Semi-synthetic oleandomycins and erythromycins | |
| KR102486535B1 (en) | Method for prearation of kanamycin X from kanamycin A by chemical synthesis | |
| KR100361397B1 (en) | Process for producing clarithromycin using erythromycin a 9-o-tropyloxime derivatives | |
| CN119192196A (en) | A synthetic method for effectively reducing the impurity content in moxidectin | |
| JPWO2003080561A1 (en) | Manufacturing method of voglibose | |
| KR101003820B1 (en) | Method for preparing docetaxel and novel intermediates for the production of docetaxel | |
| JP4344243B2 (en) | Process for producing descrarithromycin and intermediate product | |
| CN115505017A (en) | Synthesis method of etoposide and analogues thereof | |
| US20050159371A1 (en) | Process for producing erythromycin a derivative | |
| JP6822135B2 (en) | Method for producing glycyrrhizic acid and galacturoglitylrhizic acid and intermediates used in the production method. | |
| CN112300221A (en) | A kind of synthetic method of gamiycin | |
| KR20050062944A (en) | New process for preparing diisopropyl ((1-((2-amino-6-chloro-9h-purin-9-yl)methyl)cyclopropyl)oxy)-methylphosphonate |
Legal Events
| Date | Code | Title | Description |
|---|---|---|---|
| AK | Designated states |
Kind code of ref document: A1 Designated state(s): AE AG AL AM AT AU AZ BA BB BG BR BW BY BZ CA CH CN CO CR CU CZ DE DK DM DZ EC EE EG ES FI GB GD GE GH GM HR HU ID IL IN IS JP KE KG KP KR KZ LC LK LR LS LT LU LV MA MD MG MK MN MW MX MZ NA NI NO NZ OM PG PH PL PT RO RU SC SD SE SG SK SL SY TJ TM TN TR TT TZ UA UG US UZ VC VN YU ZA ZM ZW |
|
| AL | Designated countries for regional patents |
Kind code of ref document: A1 Designated state(s): BW GH GM KE LS MW MZ NA SD SL SZ TZ UG ZM ZW AM AZ BY KG KZ MD RU TJ TM AT BE BG CH CY CZ DE DK EE ES FI FR GB GR HU IE IT LU MC NL PL PT RO SE SI SK TR BF BJ CF CG CI CM GA GN GQ GW ML MR NE SN TD TG |
|
| 121 | Ep: the epo has been informed by wipo that ep was designated in this application | ||
| 122 | Ep: pct application non-entry in european phase | ||
| NENP | Non-entry into the national phase |
Ref country code: JP |
|
| WWW | Wipo information: withdrawn in national office |
Country of ref document: JP |




