WO2004060378A2 - Compositions comprising particles containing alumina with compounds bound to the alumina surface, delivery systems and methods of preparation thereof - Google Patents
Compositions comprising particles containing alumina with compounds bound to the alumina surface, delivery systems and methods of preparation thereof Download PDFInfo
- Publication number
- WO2004060378A2 WO2004060378A2 PCT/US2003/039737 US0339737W WO2004060378A2 WO 2004060378 A2 WO2004060378 A2 WO 2004060378A2 US 0339737 W US0339737 W US 0339737W WO 2004060378 A2 WO2004060378 A2 WO 2004060378A2
- Authority
- WO
- WIPO (PCT)
- Prior art keywords
- alumina
- particle
- particles
- functional
- article
- Prior art date
- Legal status (The legal status is an assumption and is not a legal conclusion. Google has not performed a legal analysis and makes no representation as to the accuracy of the status listed.)
- Ceased
Links
Classifications
-
- A—HUMAN NECESSITIES
- A23—FOODS OR FOODSTUFFS; TREATMENT THEREOF, NOT COVERED BY OTHER CLASSES
- A23L—FOODS, FOODSTUFFS OR NON-ALCOHOLIC BEVERAGES, NOT OTHERWISE PROVIDED FOR; PREPARATION OR TREATMENT THEREOF
- A23L27/00—Spices; Flavouring agents or condiments; Artificial sweetening agents; Table salts; Dietetic salt substitutes; Preparation or treatment thereof
- A23L27/30—Artificial sweetening agents
- A23L27/31—Artificial sweetening agents containing amino acids, nucleotides, peptides or derivatives
- A23L27/32—Artificial sweetening agents containing amino acids, nucleotides, peptides or derivatives containing dipeptides or derivatives
-
- C—CHEMISTRY; METALLURGY
- C07—ORGANIC CHEMISTRY
- C07F—ACYCLIC, CARBOCYCLIC OR HETEROCYCLIC COMPOUNDS CONTAINING ELEMENTS OTHER THAN CARBON, HYDROGEN, HALOGEN, OXYGEN, NITROGEN, SULFUR, SELENIUM OR TELLURIUM
- C07F5/00—Compounds containing elements of Groups 3 or 13 of the Periodic Table
- C07F5/06—Aluminium compounds
-
- A—HUMAN NECESSITIES
- A23—FOODS OR FOODSTUFFS; TREATMENT THEREOF, NOT COVERED BY OTHER CLASSES
- A23L—FOODS, FOODSTUFFS OR NON-ALCOHOLIC BEVERAGES, NOT OTHERWISE PROVIDED FOR; PREPARATION OR TREATMENT THEREOF
- A23L27/00—Spices; Flavouring agents or condiments; Artificial sweetening agents; Table salts; Dietetic salt substitutes; Preparation or treatment thereof
- A23L27/70—Fixation, conservation, or encapsulation of flavouring agents
- A23L27/77—Use of inorganic solid carriers, e.g. silica
-
- A—HUMAN NECESSITIES
- A23—FOODS OR FOODSTUFFS; TREATMENT THEREOF, NOT COVERED BY OTHER CLASSES
- A23L—FOODS, FOODSTUFFS OR NON-ALCOHOLIC BEVERAGES, NOT OTHERWISE PROVIDED FOR; PREPARATION OR TREATMENT THEREOF
- A23L29/00—Foods or foodstuffs containing additives; Preparation or treatment thereof
- A23L29/015—Inorganic compounds
-
- A—HUMAN NECESSITIES
- A23—FOODS OR FOODSTUFFS; TREATMENT THEREOF, NOT COVERED BY OTHER CLASSES
- A23P—SHAPING OR WORKING OF FOODSTUFFS, NOT FULLY COVERED BY A SINGLE OTHER SUBCLASS
- A23P10/00—Shaping or working of foodstuffs characterised by the products
- A23P10/30—Encapsulation of particles, e.g. foodstuff additives
-
- A—HUMAN NECESSITIES
- A61—MEDICAL OR VETERINARY SCIENCE; HYGIENE
- A61K—PREPARATIONS FOR MEDICAL, DENTAL OR TOILETRY PURPOSES
- A61K31/00—Medicinal preparations containing organic active ingredients
- A61K31/185—Acids; Anhydrides, halides or salts thereof, e.g. sulfur acids, imidic, hydrazonic or hydroximic acids
- A61K31/19—Carboxylic acids, e.g. valproic acid
- A61K31/195—Carboxylic acids, e.g. valproic acid having an amino group
- A61K31/197—Carboxylic acids, e.g. valproic acid having an amino group the amino and the carboxyl groups being attached to the same acyclic carbon chain, e.g. gamma-aminobutyric acid [GABA], beta-alanine, epsilon-aminocaproic acid or pantothenic acid
-
- A—HUMAN NECESSITIES
- A61—MEDICAL OR VETERINARY SCIENCE; HYGIENE
- A61K—PREPARATIONS FOR MEDICAL, DENTAL OR TOILETRY PURPOSES
- A61K31/00—Medicinal preparations containing organic active ingredients
- A61K31/33—Heterocyclic compounds
- A61K31/335—Heterocyclic compounds having oxygen as the only ring hetero atom, e.g. fungichromin
- A61K31/365—Lactones
- A61K31/375—Ascorbic acid, i.e. vitamin C; Salts thereof
-
- A—HUMAN NECESSITIES
- A61—MEDICAL OR VETERINARY SCIENCE; HYGIENE
- A61K—PREPARATIONS FOR MEDICAL, DENTAL OR TOILETRY PURPOSES
- A61K31/00—Medicinal preparations containing organic active ingredients
- A61K31/56—Compounds containing cyclopenta[a]hydrophenanthrene ring systems; Derivatives thereof, e.g. steroids
- A61K31/57—Compounds containing cyclopenta[a]hydrophenanthrene ring systems; Derivatives thereof, e.g. steroids substituted in position 17 beta by a chain of two carbon atoms, e.g. pregnane or progesterone
-
- A—HUMAN NECESSITIES
- A61—MEDICAL OR VETERINARY SCIENCE; HYGIENE
- A61K—PREPARATIONS FOR MEDICAL, DENTAL OR TOILETRY PURPOSES
- A61K31/00—Medicinal preparations containing organic active ingredients
- A61K31/65—Tetracyclines
-
- A—HUMAN NECESSITIES
- A61—MEDICAL OR VETERINARY SCIENCE; HYGIENE
- A61K—PREPARATIONS FOR MEDICAL, DENTAL OR TOILETRY PURPOSES
- A61K47/00—Medicinal preparations characterised by the non-active ingredients used, e.g. carriers or inert additives; Targeting or modifying agents chemically bound to the active ingredient
- A61K47/50—Medicinal preparations characterised by the non-active ingredients used, e.g. carriers or inert additives; Targeting or modifying agents chemically bound to the active ingredient the non-active ingredient being chemically bound to the active ingredient, e.g. polymer-drug conjugates
-
- A—HUMAN NECESSITIES
- A61—MEDICAL OR VETERINARY SCIENCE; HYGIENE
- A61K—PREPARATIONS FOR MEDICAL, DENTAL OR TOILETRY PURPOSES
- A61K47/00—Medicinal preparations characterised by the non-active ingredients used, e.g. carriers or inert additives; Targeting or modifying agents chemically bound to the active ingredient
- A61K47/50—Medicinal preparations characterised by the non-active ingredients used, e.g. carriers or inert additives; Targeting or modifying agents chemically bound to the active ingredient the non-active ingredient being chemically bound to the active ingredient, e.g. polymer-drug conjugates
- A61K47/69—Medicinal preparations characterised by the non-active ingredients used, e.g. carriers or inert additives; Targeting or modifying agents chemically bound to the active ingredient the non-active ingredient being chemically bound to the active ingredient, e.g. polymer-drug conjugates the conjugate being characterised by physical or galenical forms, e.g. emulsion, particle, inclusion complex, stent or kit
- A61K47/6921—Medicinal preparations characterised by the non-active ingredients used, e.g. carriers or inert additives; Targeting or modifying agents chemically bound to the active ingredient the non-active ingredient being chemically bound to the active ingredient, e.g. polymer-drug conjugates the conjugate being characterised by physical or galenical forms, e.g. emulsion, particle, inclusion complex, stent or kit the form being a particulate, a powder, an adsorbate, a bead or a sphere
- A61K47/6923—Medicinal preparations characterised by the non-active ingredients used, e.g. carriers or inert additives; Targeting or modifying agents chemically bound to the active ingredient the non-active ingredient being chemically bound to the active ingredient, e.g. polymer-drug conjugates the conjugate being characterised by physical or galenical forms, e.g. emulsion, particle, inclusion complex, stent or kit the form being a particulate, a powder, an adsorbate, a bead or a sphere the form being an inorganic particle, e.g. ceramic particles, silica particles, ferrite or synsorb
-
- A—HUMAN NECESSITIES
- A61—MEDICAL OR VETERINARY SCIENCE; HYGIENE
- A61K—PREPARATIONS FOR MEDICAL, DENTAL OR TOILETRY PURPOSES
- A61K9/00—Medicinal preparations characterised by special physical form
-
- A—HUMAN NECESSITIES
- A61—MEDICAL OR VETERINARY SCIENCE; HYGIENE
- A61P—SPECIFIC THERAPEUTIC ACTIVITY OF CHEMICAL COMPOUNDS OR MEDICINAL PREPARATIONS
- A61P31/00—Antiinfectives, i.e. antibiotics, antiseptics, chemotherapeutics
- A61P31/04—Antibacterial agents
-
- A—HUMAN NECESSITIES
- A61—MEDICAL OR VETERINARY SCIENCE; HYGIENE
- A61P—SPECIFIC THERAPEUTIC ACTIVITY OF CHEMICAL COMPOUNDS OR MEDICINAL PREPARATIONS
- A61P31/00—Antiinfectives, i.e. antibiotics, antiseptics, chemotherapeutics
- A61P31/10—Antimycotics
-
- A—HUMAN NECESSITIES
- A61—MEDICAL OR VETERINARY SCIENCE; HYGIENE
- A61P—SPECIFIC THERAPEUTIC ACTIVITY OF CHEMICAL COMPOUNDS OR MEDICINAL PREPARATIONS
- A61P35/00—Antineoplastic agents
-
- B—PERFORMING OPERATIONS; TRANSPORTING
- B82—NANOTECHNOLOGY
- B82B—NANOSTRUCTURES FORMED BY MANIPULATION OF INDIVIDUAL ATOMS, MOLECULES, OR LIMITED COLLECTIONS OF ATOMS OR MOLECULES AS DISCRETE UNITS; MANUFACTURE OR TREATMENT THEREOF
- B82B1/00—Nanostructures formed by manipulation of individual atoms or molecules, or limited collections of atoms or molecules as discrete units
-
- A—HUMAN NECESSITIES
- A23—FOODS OR FOODSTUFFS; TREATMENT THEREOF, NOT COVERED BY OTHER CLASSES
- A23V—INDEXING SCHEME RELATING TO FOODS, FOODSTUFFS OR NON-ALCOHOLIC BEVERAGES AND LACTIC OR PROPIONIC ACID BACTERIA USED IN FOODSTUFFS OR FOOD PREPARATION
- A23V2002/00—Food compositions, function of food ingredients or processes for food or foodstuffs
Definitions
- a delivery system generally refers to a system that aids or otherwise facilitates the delivery of a functional material to a desired location.
- the functional material can be any material that acts upon a substrate or otherwise provides a benefit once delivered to the desired location.
- Examples of functional materials that may benefit from the use of a delivery system include pharmaceuticals that are intended to be ingested, topically applied, or subcutaneously injected into a patient, fragrances, vitamins and nutrients, and various other and numerous additives.
- the functional material can be a dye that is intended to be printed or otherwise applied to a substrate.
- various delivery systems for dyes have been proposed that are intended to facilitate application of the dye to a substrate, such as a textile material.
- the delivery systems are intended to affix the dye to a substrate, prevent the dye from fading when exposed to sunlight, to prevent the dye from degrading when exposed to the environment, to facilitate application of the dye to the substrate, or, for example, to render the dye more stable.
- dyes a need also exists in the art for a delivery system for a dye that is capable of affixing the dye to negatively charged surfaces.
- a need also exists in the art for a delivery system for such materials that is capable of affixing the pharmaceutical or other health -related compounds to the delivery system.
- a need also exists for a delivery system that will readily and /or selectively release such pharmaceutical materials upon the occurrence of a selected event or trigger.
- a need also exists for a method for selectively triggering the release of a pharmaceutical material or other health- related compound where and when it is needed.
- the present invention is generally directed to a delivery system for various functional materials.
- the functional materials can be, for instance, colorants, UV absorbers, pharmaceuticals, odor control agents, fragrances, anti-microbial agents, anti-viral agents, antibiotics, xenobiotics, nutriceutical agents (nutritional materials), and the like.
- the functional materials are adsorbed onto a particle.
- the functional materials are absorbed onto silica particles or alumina that is contained in/on a particle.
- the resulting particle can then be used as is or can be combined with a vehicle, such as a liquid vehicle, to deliver the functional material to a desired location.
- the resulting particle, or particle containing vehicle can be incorporated into a drug delivery device, such as a bandage or tampon.
- the particles of the present invention can be incorporated into a liquid vehicle and applied to a substrate using any conventional printing means.
- the functional material is a health related compound such as a pharmaceutical or nutritional compound
- the particles can likewise be incorporated into a vehicle and applied to a substrate such as a bandage or drug delivery device which can be placed immediately adjacent, in contact with or within a patient's body.
- the term "patient's body” shall mean a human or animal body.
- the functional material can be delivered to a selected location on or within a patient's body.
- such particles could be taken by a patient internally where appropriate to deliver the functional material to a desired location.
- the functional material may be triggerably released from a particle at a selected location or time, following occurrence of a triggering event, such as exposure to a chemical, body exudates or moisture or environmental stimuli, such as a change in pH.
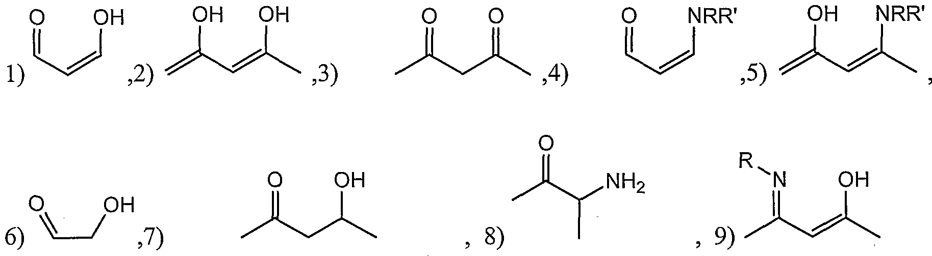
- the present invention is directed to a particle containing alumina. At least a portion of the alumina contained within the particle is present on a surface of the particle. A functional compound is bonded to the alumina on the surface of the particle. The functional compound prior to bonding with the alumina contains a moiety comprising one or more of:
- R and R' comprise independently hydrogen, an alkyl group, or an aryl group.
- the above moieties can be present as is on a functional compound.
- each of the above moieties can include further R groups attached to the carbon chain shown above.
- any such R group can appear in association with the above moieties as long as the R group does not interfere with the bonding of the moiety to an alumina.
- the above moieties have been found to form a bond with alumina in constructing the compositions of the present invention.
- the functional compound in some embodiments, can bond with alumina without significantly changing the positive charge character of alumina. For example, under certain conditions, alumina may have a positive surface charge. It has been discovered that even after the functional material is bonded to the alumina, the resulting structure still maintains a positive charge.
- positively charged particles are formed. Due to their positive charge, the particles may be securely affixed to the surface of a substrate that carries with it a negative charge through coulombic attraction.
- novel recording mediums, inks, and nanoparticles containing a colorant compound may be formed.
- such recording mediums when applied to substrates, exhibit improved water and detergent resistance.
- the delivery system of the present invention can improve the durability performance of the recording mediums especially to substrates having a negative charge.
- a recording medium such as an ink-jet ink
- a recording medium can be produced according to the present invention that is substantive to substrates containing synthetic polymeric fibers, such as polypropylene fibers, polyethylene fibers, polyester fibers, and the like.
- the functional agent such as the pharmaceutical may be selectively released from the carrier particle (such as an alumina, silica, or alumina coated silica particle) so as to release the pharmaceutical at a targeted/desirable body location, or at a desirable moment.
- the carrier particle such as an alumina, silica, or alumina coated silica particle
- such selective release can be accomplished by exposure of the particle to a change in environmental condition, such as a pH change.
- a pH change such selective release may be accomplished by exposure to an alkaline environment.
- such selective release my be accomplished by exposure to an acidic environment.
- such selective release may be the result of exposure of the carrier particle to particular chemical stimuli.
- a method for applying a health related compound utilizes a health-related compound coated particle, and selectively releasing the compound upon exposure of the particle to either a change in environmental condition, or upon exposure to a chemical stimuli.
- the functional compounds can in one embodiment, be selectively released in either a basic or acidic environmental condition.
- the functional compounds can be released in the basic/alkaline environment of a vagina experiencing a yeast infection.
- the functional compounds can be released in the basic environment of the small intestine so as to treat an infection, after passing through the acidic environment of the stomach.
- a functional compound may be released as a result of environmental stimuli as an alert or in conjunction with the completion of the delivery of a pharmaceutical material so as to provide and indication of such delivery or the success of such treatment.
- such indicator may be released as a result of appearance of moisture or body fluids.
- Such indicator or signal may be in the form of a dye or fragrance.
- such indicator or signal may be the result of a functional material contained on a first type of particle, and such coated particle may be included with additional particles of a different variety, that contain health related compounds (pharmaceutical and/or nutritional compounds).
- the functional material may be released in response to a particular chemical stimuli, which is intentionally applied to the site of the carrier particles.
- a method of utilizing a triggerably releasable delivery system in the treatment of a patient's body includes the steps of providing at least one type of particle selected from alumina particles, alumina covered particles, and silica particles; adsorbing at least one health related functional compound to the surface of the particle or particles to form at least a partially coated particle or particles; exposing the at least partially coated particle or particles to a patient's body such as by ingestion, injection, transdermal transfer or transmucosal transfer; and exposing the particle or particles to an environmental or chemical condition whereby the health related compound is released from the surface of the particle to the patient's body (which could be either an animal or human body).
- such health related compound is released from particles contained on a drug delivery device, but because of charge attraction (as previously described) the particles themselves remain affixed to the drug delivery device.
- a triggerable delivery system includes a particle selected from silica, alumina or alumina coated particles; and a health-related compound adsorbed to the surface of the particle, the health-related compound capable of being released from the particle upon either exposure to a change in pH, moisture, chemical stimuli, or body exudates.
- the triggerable delivery system includes a particle containing alumina, at least a portion of the alumina being present on a surface of the particle; and a health related compound adsorbed to the alumina surface of the particle, the health related compound, prior to being adsorbed with the alumina on the surface of the particle containing a moiety including at least one of
- R and R' comprise independently hydrogen, an alkyl group, or an aryl group.
- a drug delivery device such as a topical bandage or a tampon, includes a triggerable delivery system.
- the triggerable delivery system includes a particle; and a health-related compound adsorbed to the surface of the particle, with the health-related compound capable of being released from the particle upon either exposure to a change in pH, moisture, chemical stimuli, or body exudates.
- the present invention is directed to a delivery system for functional compounds.
- Functional compounds can be any suitable substance that can provide a benefit to a location once delivered.
- the delivery system is generally directed to the construction of a particle.
- a particle may be either silica or desirably containing alumina.
- the alumina contained within the particle provides a bonding site on the surface of the particle for a functional compound.
- the functional compound becomes adsorbed onto the surface of the alumina (or silica, if it is an entirely silica particle).
- the resulting particle can then be used to deliver the functional compound to a particular location.
- the particles can be used as is, for instance, or can be combined with a ( lid vehicle which may facilitate delivery of the particles depending upon the particular application.
- the particles or liquid vehicles containing the particles may further be placed within a drug delivery device such as a tampon, bandage or other transdermal delivery device.
- a functional equivalent to one of the above moieties refers to functional materials that include similar reactive groups as shown above, but which are not positioned on a molecule as exactly shown above and yet will still bond with alumina in a similar manner. Referring to the moieties shown above, moiety (1 ) may be considered a carboxy-hydroxy moiety. Moiety (2) may be considered a hyrdoxy-hydroxy moiety, while moiety (3) may be considered a carboxy-carboxy moiety. Moieties (4) and
- the amine groups can be primary amines, secondary amines, or tertiary amines.
- Moieties (6) and (7) may be considered hydroxyl carbonyl moieties.
- Moiety (8) may be considered a carboxy amine. Moieties such as (8) may be found in amino acids.
- Moiety (9) may be considered a hydroxy imine.
- any suitable functional compound containing one of the above moieties or a functional equivalent thereof may be used in accordance with the present invention. Further, it should be understood that various additional R groups may be included with the above moieties as long as the R groups do not interfere with the bond that is formed with alumina.
- the present inventors have discovered that the above moieties may form a relatively strong bond to at least an alumina surface.
- the functional compounds may be bonded to the alumina surface in order to change the properties of the resulting particle or to perform a particular function.
- the above moieties form a bidentate ligand bonding system with alumina surfaces.
- alumina forms a covalent bond and a coordinate bond with the above moieties.
- a surface reaction occurs causing the functional compound to remain on the surface of the particle and form a coating thereon.
- the functional material can cover the entire resulting particle or can be located at particular locations on the particle.
- the particles of the present invention can contain more than one functional compound, or alternatively, numerous different particles can contain/include different functional compounds.
- zeta potential is used herein to mean without limitation a potential gradient that arises across an interface. This term especially refers to the potential gradient that arises across the interface between the Stern layer in contact with the particle of the present invention and the diffuse layer surrounding the particle. Zeta potential measurements can be taken using, for instance, a Zumblels instrument which are available from the Brookhaven Instrument Corporation of Holtsville, New York.
- zeta potential measurements can be conducted by adding one to three drops of a sample into a cuvet containing 1 mM KCI solution, using the instrument's default functions preset for aqueous solutions.
- the resulting molecule continues to maintain a relatively strong positive charge.
- particles made according to the present invention can have a zeta potential of greater than 20 mV, particularly greater than 30 mV, and, in some embodiments, greater than 40 mV. By remaining positively charged, the particles are well suited for being affixed to substrates that carry a negative surface charge through coulombic attraction.
- the bond of the particle in some applications can be relatively permanent and substantive. Consequently, the delivery system of the present invention can be used to affix functional compounds to various substrates without the use of chemical binders or other attachment structures.
- the functional compound/agent may be selectively released from the particle.
- the carrier particle delivery system
- the carrier particle can include along its surface a pharmaceutical functional compound, and yet the particle may still retain sufficient positive charge, to allow it to be attached to a negatively charged bandage or other topically contacting substrate layer. Then upon the occurrence of a specific chemical or environmental stimuli, the functional material contained on the particle can be selectively released to the body of a patient, but the carrier particles will remain affixed to the bandage or other charged surface.
- alumina or silica particles may be used, depending upon the functional compound and the trigger for releasing it.
- Silica particles are available under the designation SNOWTEX-C through from Nissan Chemical America (Houston , TX).
- Various different particles and compositions that contain Alumina can be used in the present invention.
- the functional material is combined with an alumina sol.
- Many different types of alumina sols are commercially available with varying particle size.
- alumina sols can be prepared that carry a relatively strong positive surface charge or zeta potential.
- the particle that is reacted with the functional compound contains primarily and in some embodiments exclusively alumina.
- alumina particle materials include Aluminasol- 100, and Aluminasol-200, available from Nissan Chemical America (Houston , TX).
- the alumina particle reacted with the functional compound can contain various other ingredients.
- the particle can contain any material that does not adversely interfere with ability of the functional material to bond to alumina.
- at least a portion of the alumina contained by the particle should be present on the surface of the particle so that the alumina is available for adsorbing the functional compound.
- the particle can contain a core material coated with alumina.
- the alumina can form a continuous coating over the particle or a discontinuous coating.
- the core material can be, for instance, an inorganic oxide, such as silica.
- sols can be used that contain silica nanoparticles that have an alumina surface coating. Such sols are currently commercially available, for instance, from Nissan Chemical America of Houston, Texas.
- the silica is coated with alumina to provide stability to the sols over certain pH ranges.
- alumina coated silica sols may have greater stability in some applications of the present invention in comparison to alumina sols.
- a specific example of alumina particle materials with silica cores include Snowtex-AK, available from Nissan Chemical America, ( Houston, TX) and Ludox CI from Grace Davison, Columbia, MD.
- any suitable functional compound containing one of the above moieties, a tautomer thereof, or a functional equivalent thereof may be used in accordance with the present invention.
- functional compounds include health related compounds such as pharmaceuticals, and xenobiotics. Xenobiotics is a general term used to describe any chemical interacting with an organism that does not occur in the normal metabolic pathways of that organism.
- Other functional compounds can include UV absorbers, odor control agents, fragrances, therapeutic agents, nutriceutical agents, anti-viral agents, antimicrobial agents, signal agents and the like.
- a therapeutic agent that may be used in the present invention is hydrocortisone.
- nutriceutical agents include ascorbic acid and aspartame.
- the functional compound may be tetracycline, which is a known antibacterial agent.
- the functional compound can be a colorant, such as dye. Particular examples of dyes that may be used in accordance with the present invention are discussed in greater detail below.
- the particle structure can be incorporated into liquid vehicles, can be formed into capsules, can be combined with gels, pastes, other solid materials, and the like.
- the particles can also be incorporated into drug delivery devices such as bandages and tampons.
- the particles formed according to the present invention and the functional compound can be present in various forms, shapes, and sizes depending upon the desired result.
- the particles can be of any shape, for example, a sphere, a crystal, a rod, a disk, a tube, or a string of particles.
- the size of the particle can also vary dramatically.
- the particles can have an average dimension of less than about 1 mm, particularly less than about 500 microns, and more particularly less than about 100 microns.
- the particles can have an average diameter of less than about 1 ,000 nm, and particularly less than about 500 nm.
- the average dimension of a particle refers to the average length, width, height, or diameter of a particle.
- the particles of the present invention include a surface layer that contains one or more functional compounds.
- the coating on the particle can be continuous or discontinuous.
- the particle itself is believed to be amorphous.
- the present invention is directed to a delivery system for dyes.
- the use of alumina as described above provides various advantages and benefits when attempting to apply a dye to a substrate.
- the alumina delivery system can provide a means to make permanent prints onto substrates having negatively charged surfaces, such as substrates containing thermoplastic polymers as well as natural fibers. The ink becomes affixed to the substrate at relatively low cost and low complexity without the use of chemical binders and without the use of a pre-treatment or post-treatment process on the substrate.
- the resulting particle has a positive charge.
- the particle can be affixed to negatively charged surfaces through coulombic attraction.
- the dye may exhibit permanent properties such as wash fastness by being resilient to water and detergents. For example, generally wash fastness can be obtained if the charge difference between the substrate and the particle is greater than about 42 mV.
- any dye containing a carbonyl-hydroxy moiety, a hydroxy- hydroxy moiety, a carbonyl-carbonyl moiety, a vinylalagous amide moiety, a tautomer thereof, or a functional equivalent thereof as described above, or any of the other moieties may be used in the process of the present invention.
- Various examples of dyes that may be adsorbed onto alumina are as follows. It should be understood, however, that the below list is not exhaustive and is not intended as limiting the invention.
- Numbers indicate the substitution positions of the anthraquinone structure.
- This table indicates dye substituents that occur at positions 1 , 4, 5, or 8 on the anthraquinone structure. In other words, this table shows the presence of groups that form alumina bonding moieties 1 through 5.
- Dyes based upon Chromotropic acid 8 are also substantive to alumina. Azo dyes are formed when chromotropic acid is reacted with a diazonium salt. Azo coupling occurs at positions 2 and / or 7.
- Dyes containing acetoacetanilide moieties 9 also contain the correct geometry to bond to alumina. Azo dyes couple to acetoacetanilide beta to the two carboxyl groups. An example is CI Acid Yellow 99, 10. Acetoacetanilide will adsorb onto
- Naphthoquinone (11) type Structures are also useful for forming complexes with the surface of alumina: o OH
- CI Natural Black 1 is another example of a dye that contains quinoid groups and is substantive to alumina.
- Aluminum Dyes Dyes Known to be Useful for Staining Anodized Aluminum.
- CI Mordant Red 7 Eriochrome Red B
- the geometry of the five membered pyrazolone ring oxygen atom brings it into the correct position with the beta-naphthol group for complexation with alumina.
- the following structure can be considered a functional equivalent to a carbonyl-hydroxy moiety.
- the structure also contains an iminalogous amide moiety, which is functionally equivalent to a vinalogous amide.
- Certain anionic dyes may be precipitated using certain metal ions to form insoluble colored compounds know as Lake Pigments.
- Erythrosine Tetraiodofluorescein
- the salt is known as CI Pigment Red 172.
- CI Pigment Blue 36 is the aluminum lake of indigo disulfonate (FD+C Blue 1 ):
- additives that assist in the dyeing process or that stabilize the dye may also be bonded to the alumina if the additive contains a moiety as described above.
- functional additives include charge carriers, thermal oxidation stabilizers, crosslinking agents, plasticizers, a charge control additive, a flow control additive, a filler, a surfactant, a chelating agent, a colorant stabilizer, or a combination thereof.
- Various methods can be utilized to construct dye particles in accordance with the present invention that contain a dye adsorbed onto alumina. For instance, in some applications, the alumina and the dye containing a reactive moiety can be combined and reacted in an aqueous solution.
- the dye may be difficult to dissolve in water.
- the dye can first be dissolved in a minimum quantity of a solvent.
- the solvent can be, for instance, acetone, ethanol or a similar liquid that is miscible with water.
- a surfactant can be added in an amount greater than about 0% to about 50% by weight of dye solids added. In general, the amount of surfactant added to the solvent should be minimized.
- the dissolved dye solution can then be added to a dilute aqueous suspension that contains particles comprising alumina.
- aqueous suspension is slightly heated.
- the dye disperses by precipitation throughout the mixture and slowly dissolves into the water. Once dissolved into the water, the dye can be adsorbed by the alumina contained in/on the particles. Once the dye is adsorbed onto the alumina, the resulting particles can be used to formulate a suitable colorant composition for use in various processes, such as in a suitable printing process.
- the colorant composition may comprise an aqueous or non-aqueous medium, although an aqueous medium is useful for applications which employ liquid printing mediums.
- the colorant compositions of the present invention contain particles, as well as, desirable colorant stabilizers and additives.
- the colorant composition may contain the above-described particles in combination with any of the following additives: a second colorant; a colorant stabilizer, such as a porphine; a molecular includant; a pre-polymer; and any additional components as described above.
- the present invention encompasses recording mediums such as ink jet inks comprising the nanoparticles disclosed herein.
- Inks used in ink jet printers are described in U.S. Patent No. 5,681 ,380, assigned to Kimberly-Clark Worldwide, Inc., which is incorporated herein by reference in its entirety.
- Ink jet inks will usually contain water as the principal solvent, preferably deionized water in a range of between about 20 to about 95 percent by weight, various co-solvents in an amount of between about 0.5 and about 20 percent by weight, and the particles of the present invention.
- co-solvents may also be included in the ink formulation.
- co-solvents include a lactam such as N-methyl pyrrolidone.
- other examples of optional co-solvents include N-methylacetamide, N-methylmorpholine- N-oxide, N,N-dimethylacetamide, N-methyl formamide, propyleneglycol- monomethylether, tetramethylene sulfone, and tripropyleneglycolmonomethylether.
- Still other solvents which may be used include propylene glycol and triethanolamine (TEA).
- TAA triethanolamine
- an acetamide-based cosolvent is also included in the formulation it is typically present at about 5 percent by weight, within a range of between about 1.0-12 percent by weight.
- one or more humectants in an amount between about 0.5 and
- Additional humectants for optional use in the formulation include, but are not limited to, ethylene glycol, diethylene glycol, glycerine, and polyethylene glycol 200, 400, and 600, propane 1 ,3 diol, other glycols, a propyleneglycolmonomethyl ether, such as Dowanol PM (Gallade Chemical Inc., Santa Ana, CA), polyhydric alcohols, or combinations thereof.
- additives may also be included to improve ink performance, such as a chelating agent to sequester metal ions that could become involved in chemical reactions that could spoil the ink over time, for example for use with metal complex dyes, a corrosion inhibitor to help protect metal components of the printer or ink delivery system, a biocide or biostat to control unwanted bacterial, fungal, or yeast growth in the ink, and a surfactant to adjust the ink surface tension.
- a surfactant may be dependent on the type of printhead to be used. If a surfactant is included, it is typically present in an amount of between about 0.1 to about 1.0 percent by weight. If a corrosion inhibitor is included, it is typically present in an amount between about 0.1 and about 1.0 percent by weight.
- a biocide or biostat is included, it is typically present in an amount between about 0.1 and about 0.5 percent by weight. If a biocide or biostat is added to the ink formulation, it may be exemplified by Proxel GXL (Zeneca Corporation, Wilmington, Delaware). Other examples include Bioban DXN (Angus Chemical Company, Buffalo Grove, Illinois). If a corrosion inhibitor is added to the formulation, it may be exemplified by Cobratec (PMC Specialty Group Distributing of Cincinnati, Ohio). Alternate corrosion inhibitors include sodium nitrite, triethanolamine phosphate, and n-acyl sarcosine. Still other examples include benzotriazole (Aldrich Chemical Company, Milwaukee, Wisconsin).
- a surfactant is included in the formulation, it is typically a nonionic surfactant exemplified by Surfynol 504 (Air Products and Chemicals, Inc., Allentown, Pennsylvania). Still other examples include Surfynol 465, and Dynol 604 also available from Air Products.
- a chelating agent is included in the formulation it may be exemplified by an ethylene diaminetetraacetic acid (EDTA).
- EDTA ethylene diaminetetraacetic acid
- Other additives such as pH stabilizers/buffers, (such as citric acid and acetic acid as well as alkali metal salts derived therefrom), viscosity modifiers, and defoaming agents such as Surfynol DF-65, may also be included in the formulation, depending on the product application.
- the composition can be used in various printing processes.
- the colorant composition can be used in screen printing processes, offset lithographic processes, flexographic printing processes, rotogravure printing processes, and the like.
- a thickener may need to be added to the colorant composition.
- the thickener can be, for instance, an alginate.
- the recording medium or colorant composition of the present invention may be applied to any substrate to impart a color to the substrate.
- the substrate to which the composition is applied may include, but is not limited to, paper, wood, a wood product or composite, woven fabrics, non-woven fabrics, textiles, films, plastics, glass, metal, human skin, animal skin, leather and the like.
- the colorant composition or recording medium may be applied to textile articles such as clothing.
- a colorant composition containing particles of the present invention may be applied to a substrate having a negative surface charge.
- the alumina contained in the particles of the present invention retain a positive charge even after adsorption of a dye. Consequently, the particles remain affixed to negatively charged surfaces.
- wash durability of the colorant composition may occur if there is a substantial amount of charge difference between the substrate and the particles of the present invention.
- colorant compositions made according to the present invention are particularly well suited to being applied to natural and synthetic substrates that have a negative surface charge.
- naturally occurring materials that generally contain a negative surface charge include cotton fibers, cellulose fibers, and substrates made therefrom.
- Such substrates include all types of fabrics, garments and apparel, paper products, and the like.
- colorant compositions made according to the present invention have been found to be well suited to being applied to substrates made from synthetic polymers, such as thermoplastic polymers.
- substrates can include, for instance, woven and non-woven materials made from a polyolefin polymer such as polypropylene or polyethylene, polyester, and the like.
- polyolefin polymer such as polypropylene or polyethylene, polyester, and the like.
- various problems have been experienced in trying to affix dyes to these types of materials. Consequently, either complicated dye structures have been used or dyes and or pigments have been applied in conjunction with chemical binders.
- the particles of the present invention can permanently affix to these materials without the use of chemical binders or complex chemical constructions.
- substrates made from synthetic polymers can undergo a pretreatment process for increasing the negative surface charge.
- pretreatment processes include subjecting the substrate to a corona treatment or to an electret treatment.
- An electret treatment for instance, is disclosed in U.S. Patent No. 5,964,926 to Cohen, which is incorporated herein by reference in its entirety.
- Such pretreatments have been found not only to increase the negative surface charge of polymeric materials, but also assist in wetting out the polymer and enhancing surface adhesion between the polymer and the particles of the present invention.
- substrates contacted with the particles of the present invention can also undergo various post treatment processes which further serve to affix the particles to the substrate.
- the treated substrate can be subjected to radio frequency radiation or to microwave radiation.
- Alumina is known to adsorb radio frequency radiation and microwave radiation causing the particles to heat. Once heated, it is believed that the particles become further embedded into the polymeric substrate. Further, the particles can be heated without also heating the substrate to higher than desired temperatures.
- functional compounds health- related compounds
- coated particles can be applied topically to a patient's body either directly, or with the assistance of a drug delivery device, such as a modified bandage, tampon, or other known transdermal delivery apparatus. Alternatively, such coated particles may be taken internally through various mechanisms.
- Aluminasol 200 (Nissan Chemical America) was diluted with Dl water to give a 2% Aluminasol 200 suspension. Meanwhile, carminic acid (0.02g) was suspended in Dl water (1g). Carminic acid includes hydroxy-carbonyl moieties and can be represented as follows:
- the positively charged alumina was capable of adsorbing carminic acid without going through a charge reversal step.
- Aluminasol 200 (Nissan Chemical America, 2 g) was diluted with Dl water (98g) with good stirring.
- Carminic acid (Aldrich, #22,925-3) (0.5011g) was suspended in Dl water (23.7135 g) with good stirring. The carminic acid did not dissolve completely at this concentration, and so whenever portions were taken, they were taken while stirring vigorously so that suspended solids were also withdrawn.
- a hypodermic syringe was used to withdraw 1 ml of carminic acid suspension. This was added to the diluted Aluminasol 200 with good stirring. The suspension changed from a white to a bluish red.
- the Zeta potential was monitored after addition to check for changes as follows:
- CI Acid Blue 25 and CI Acid Blue 45 were bonded to alumina in accordance with the present invention.
- CI Acid Blue 25 and CI Acid Blue 45 have the following structures:
- CI Acid Blue 25 0.2008 g CI Acid Blue 25 (Aldrich) was added to 19.7735 g Dl water and stirred to give a suspension, which was stirred for 30 minutes. 1 ml of this was added to a mixture containing 2g Aluminasol and 98g Dl water. Mixture stirred overnight to ensure that all dye had dissolved.
- CI Acid Blue 45 (Aldrich) was suspended in 20.1751 g Dl water with stirring for 30 minutes. 1 ml (syringe) was added to a mixture of 2g Aluminasol and 98g of Dl water to give a blue complex. Mixture stirred overnight to ensure that all dye dissolved.
- Aluminasol 200 a high concentration of Aluminasol 200 was combined with carminic acid. Specifically, 0.111g glacial acetic acid (Fischer, ACS plus reagent grade) was diluted with 29.795g Dl water. This was added to 49.941g of Aluminasol 200, slowly with good stirring. This mixture was stirred for 20 mins, at which point, 4ml (measured using a syringe) of a suspension of carminic acid in Dl water (0.5011g carminic acid in 23.7135g water) was added at once, with good stirring. Mixture stirred overnight. A fourth sample was then constructed containing the same ingredients (carminic acid) in the same amounts as listed in Example 2 above.
- the above three solutions were then subjected to a dialysis test to demonstrate that the dye was adsorbed onto the alumina surfaces.
- the three solutions were dialyzed against 3% glacial acetic acid using Sigma Dialysis Tubing (Cellulose, 12,000mw cut off, Sigma D-0655. Tubing was soaked in Dl water for two hours prior to use to remove glycerine, and to make the tubing flexible.)
- Sigma Dialysis Tubing Cellulose, 12,000mw cut off, Sigma D-0655. Tubing was soaked in Dl water for two hours prior to use to remove glycerine, and to make the tubing flexible.
- a small amount of carminic acid was added to a dialysis tubing and placed in a bath containing 3% acetic acid. Within 2 hours, carminic acid had traversed the cellulose membrane and had colored the 3% acetic acid solution.
- a control sample was also prepared.
- a carminic acid solution was first formulated containing 0.5011 grams of carminic acid in 23.7135 grams of Dl water.
- the carminic acid solution was dropped onto cotton poplin fabric using a pipette and allowed to dry overnight at 60°C.
- Samples were washed by i) rinsing under a hot running tap, and then by stirring for 2 hours in 2 liters of water containing 1 g / liter Aerosol OT (dioctyl sodium sulfosuccinate surfactant obtained from Cytec Industries of West Patterson, New Jersey) and 1 g / liter of sodium bicarbonate, with stirring (mechanical paddle stirrer). Samples were entered into the washing bath at 60°C, and the bath cooled over two hours to 30°C. The fabric was rinsed in cold water, then dried in the air at ambient.
- Aerosol OT dioctyl sodium sulfosuccinate surfactant obtained from Cytec Industries of West Patterson, New Jersey
- the following tests were conducted to demonstrate the washfastness of particles made according to the present invention on a polypropylene non-woven spunbond fabric.
- the spunbond fabric tested had a basis weight of 2 osy.
- Polypropylene spunbond was smeared with i) carminic acid, ii) the concentrated 50% Aluminasol / carminic acid complex suspension prepared in Example 3 and iii) the 2% Aluminasol / carminic acid complex suspension prepared in Example 3.
- the polypropylene was difficult to wet out with these materials, and so smearing was required using a rubber-gloved finger and the teat pipette used to apply the liquids. Once the material had been smeared on forcibly, the material showed little retraction. The samples were allowed to dry overnight at 60°C. More polypropylene was smeared with the 50% Aluminasol / carminic acid complex.
- a sol containing silica particles that had an alumina surface coating were used instead of using an alumina sol.
- the surface coated silica suspension was obtained from Nissan Chemical America of Houston, Texas. The suspension is sold under the trade name SNOWTEX-AK.
- the physical parameters of the nanoparticles are:
- Tetracycline is an antibacterial agent that contains a carbonyl-hydroxy function capable of bonding with alumina in accordance with the present invention. Tetracycline is a series of isomers of cyclomycin. Tetracycline contains as a principle component the following:
- the UV-visible absorbance spectrum of Tetracycline was measured using a UV-visible spectrophotometer (Perkin-Elmer UV-Visible spectrophotometer.) Tetracycline was found to absorb at 357nm in water. When SNOWTEX AK suspension (as described in Example 6) was added to the tetracycline solution, a bathochromic shift occurred to give an absorbance of 365 nm, suggesting that the tetracycline had adsorbed onto the alumina surface of SNOWTEX AK particles.
- agents were evaluated for their propensity to bind strongly to alumina particles. They included the agents described in the following table, and which demonstrated the noted shift. These agents are considered antineoplastic for use as drugs that kill or stop the spread of cancer cells. Baicalein has been studied for its antiproliferation effect of human T- lymphoid leukemia cells.
- Still additional pharmaceutical agents which may be used in conjunction with this invention include the following materials.
- nutraceutical agents with the desired functional moieties were evaluated for their propensity to bind to alumina particles.
- examples of such compounds were ascorbic acid (Vitamin C) and phenylalanine (sweetener found in Equal®).
- the structural equations for these materials and their ability to bind to such particles was demonstrated as can be seen in the table which follows:
- compositions were adsorbed to carrier alumina particles and then selectively released from the carrier particles.
- alumina nanoparticle SNOWTEX- AK
- a bathochromic shift red shift
- UV-VIS Lambda maxima was again observed, indicating strong binding of these pharmaceutical agents to the surface of the alumina particle.
- the following Table shows the shift in the UV-VIS spectra recorded.
- the pharmaceutical agent was released as observed by a second red shift of the UV-VIS Lambda Maxima.
- the alkaline agent dilute sodium hydroxide (0.1 N)
- the tetracycline was released from the alumina surface when the suspension of modified nanoparticles was altered to pH 9/10 or greater.
- the noted shifts correspond to the absorption maximum of the free pharmaceutical agents.
- these two examples of pharmaceutical agents demonstrate the capability of selectively releasing pharmaceutical agents from the carrier particles.
- a "pH trigger” the functional compounds can be released in a controlled manner when needed.
- Chemistries that may be introduced to a delivery system include bicarbonates, carbonates and buffering salts which would result in a pH change on becoming wet with water or biological fluid.
- a signal agent such as a fragrance
- a fragrance may be adsorbed to one type of particle and an antibiotic may be adsorbed to a second type of particle.
- the particles can be delivered to an infected site simultaneously. If the infected site is alkaline, it will prompt the release of the antibiotic. Upon removal of the infection, and the return to a more normal acidic environment, the fragrance may be released, thereby providing an indication of the effective treatment of the infection.
- the signal can be used to generate an indication of a particular event, such as the release of body fluids or exudates as in a bandage or personal care product, such as a feminine care product or child care diaper product.
- a method used to prepare alumina nanoparticles having functional compounds bonded to the surface included the following steps.
- the functional compound was dissolved in water with stirring. To this stirred solution was slowly added the alumina nanoparticles and the resulting mixture stirred for about 5 to 10 minutes to allow the functional compound to bond to the surface of the nanoparticle.
- the UV-VIS spectrum of the water solution was obtained by taking an aliquot of the stirred mixture and placing it in a quartz cell. The UV-VIS spectra were obtained using a UV-VIS spectrophotometer Model UV- 1601 (Shimadzu Corporation) with water as a reference. Zeta Potential and particle size measurements were determined using a ZetaPals Instrument (Brookhaven Instrument Company, Holtsville, NY).
- a method used to release the bonded functional compound utilizing a pH trigger included the following steps.
- the alumina nanoparticle having the functional agent bonded to the surface was placed in an aqueous solution (suspension) with stirring.
- dilute sodium hydroxide (0.1 N) dropwise was slowly added to this stirred suspension.
- An aliquot of this suspension was taken and the UV-VIS spectrum measured.
- the bonded functional agent's Lambda max peak can be observed to decrease with the free functional agent's Lambda max peak observed to appear and increase.
- the delivery system would be incorporated into a tampon.
- Normal healthy vaginal fluid is acidic, typically in the 3-5 pH range. However, when infected with a yeast infection or other microbial infection, the pH changes to the basic range. This swing in pH would trigger the release of medication such as tetracycline or buffering agents to restore the healthy pH of the vaginal fluid and flora.
- a medicated tampon may include a bound antibiotic ("bound" meaning the functional compound adsorbed to the surface of nanoparticles which are themselves attached through charge attraction to a tampon substrate).
- nanoparticle delivery systems may be employed to carry the pharmaceutical agent through the stomach (having an acidic environment) and then release the agents into the small intestine (having a basic/alkaline environment).
- such nanoparticle delivery systems may be triggered upon the appearance of moisture or body exudates, or application of a pH changing chemistry. In these situations, functional materials contained on carrier nanoparticles on a bandage can be selectively released into or onto a wound site. Examples of Signal Systems Which Can be Used to Indicate the Release of Pharmacutical Agents Upon a Change in Environmental Condition:
- the following examples illustrate the use of silica nanoparticles (as opposed to alumina particles) and the bonding of signal functional agents to the surface of the particles.
- the pH triggered release for silica coated particles is activated by adding acid and lowering the pH to the environment of the silica particles . Dilute acid is used in these examples.
- a method used to prepare silica nanoparticles having functional agents bonded to the surface included the following steps. The functional agent was dissolved into water with stirring. To this stirred solution was slowly added the silica nanoparticles and the resulting mixture stirred for about 5 to10 minutes to allow the functional agent to bond to the surface of the nanoparticles.
- the UV-VIS spectrum of the water solution was obtained by taking an aliquot of the stirred mixture and placing it in a quartz cell.
- the UV-VIS spectra were obtained using the UV-VIS spectrophotometer Model UV-1601 with water as a reference.
- Zeta Potential and particle size measurements were determined using a ZetaPals Instrument (Brookhaven Instrument Company, Holtsville, NY).
- a method used to release the bonded functional agent from the silica surface using a pH trigger included the following steps.
- the silica nanoparticle having the functional agent bonded to the surface was placed in aqueous solution (suspension) with stirring.
- An aliquot of this suspension was taken and the UV-VIS spectrum measured.
- the bonded functional agent's Lambda max peak can be observed to decrease with the free functional agent's Lambda max peak observed to appear and increase.
- the red shift is characteristic of the binding of the aryl aldehyde functionality to the silica surface.
- dilute acid hydrochloric acid as stated
- the aldehyde was released and the fragrance returned.
- the UV-VIS absorption also underwent a blue shift to return to that of the starting aldehyde.
- Such chemistry may be used in conjunction with a pharmaceutical to be released upon the change of an environmental condition to indicate/signal that the pharmaceutical material has been delivered.
- signal agent may be adsorbed onto a silica particle.
- a pharmaceutical compound may be separately adsorbed onto an alumina particle.
- the particles may be combined and jointly used within a delivery vehicle or as part of a modified drug delivery device.
- the functional agents then would be triggered upon the occurrence of separate chemical events.
- salieylaldoxime a metal sequestering agent, was also found to bind to the silica particle surface and undergo a pH triggered release.
- the structural equations and exemplary data are illustrated in the
- carrier particles and desirably nanoparticles, that is particles having sizes of less than about 1 micron in size, more desirably between about 5 nm and 500 nm in size, and even more desirably, between about 10 nm - 200 nm in size
- carrier particles can be applied to a topical bandage by various application methods.
- the application methods may include a gel, a water suspension, a dry coating or a powder placed between the layers of the bandage if the particles are included in a vehicle for ease of application.
- the bandage can then be dried, if appropriate, whereby the charges of the particles would maintain them in close association with the bandage substrate.
- the bound pharmaceutical or nutritional chemistry could be used with or without triggerable release.
- some of the bound chemistry in a multiple chemistry particle system could be triggerably releasable, while other bound chemistry could be intentionally retained on the carrier particles. In this fashion, the bound chemistry could perform its advantageous function while still being attached to the carrier particles, for ease of removal or to lower the potential toxicity of the functional agent/compound.
- tetracycline could function as an antibiotic while still being bound on a particle. This could allow the antibiotic to function in the stomach and intestines without crossing over into the bloodstream of a patient (because of the size of the particle). This control of the antibiotic release could assist with lowering the risk of sensitization of patients who are allergic to such medications.
Landscapes
- Health & Medical Sciences (AREA)
- Chemical & Material Sciences (AREA)
- Life Sciences & Earth Sciences (AREA)
- Animal Behavior & Ethology (AREA)
- Veterinary Medicine (AREA)
- Public Health (AREA)
- Medicinal Chemistry (AREA)
- General Health & Medical Sciences (AREA)
- Pharmacology & Pharmacy (AREA)
- Engineering & Computer Science (AREA)
- Epidemiology (AREA)
- Organic Chemistry (AREA)
- Food Science & Technology (AREA)
- Polymers & Plastics (AREA)
- General Chemical & Material Sciences (AREA)
- Chemical Kinetics & Catalysis (AREA)
- Nutrition Science (AREA)
- Inorganic Chemistry (AREA)
- Nuclear Medicine, Radiotherapy & Molecular Imaging (AREA)
- Nanotechnology (AREA)
- Oncology (AREA)
- Bioinformatics & Cheminformatics (AREA)
- Crystallography & Structural Chemistry (AREA)
- Proteomics, Peptides & Aminoacids (AREA)
- Communicable Diseases (AREA)
- Ceramic Engineering (AREA)
- Medicinal Preparation (AREA)
- Cosmetics (AREA)
- Pharmaceuticals Containing Other Organic And Inorganic Compounds (AREA)
- Inks, Pencil-Leads, Or Crayons (AREA)
- Compounds Of Alkaline-Earth Elements, Aluminum Or Rare-Earth Metals (AREA)
- Pigments, Carbon Blacks, Or Wood Stains (AREA)
- Ink Jet (AREA)
- Acyclic And Carbocyclic Compounds In Medicinal Compositions (AREA)
Abstract
Description
Claims
Priority Applications (4)
| Application Number | Priority Date | Filing Date | Title |
|---|---|---|---|
| AU2003297051A AU2003297051A1 (en) | 2002-12-20 | 2003-12-11 | Compositions comprising particles containing alumina with compounds bound to the alumina surface, delivery systems and methods of preparation thereof |
| EP03814766A EP1589978A2 (en) | 2002-12-20 | 2003-12-11 | Delivery system for functional compounds |
| MXPA05005954A MXPA05005954A (en) | 2002-12-20 | 2003-12-11 | Compositions comprising particles containing alumina with compounds bound to the alumina surface, delivery systems and methods of preparation thereof. |
| JP2005508584A JP2006518773A (en) | 2002-12-20 | 2003-12-11 | Compound comprising alumina and a compound confined to the alumina surface, system and method for supplying the same |
Applications Claiming Priority (4)
| Application Number | Priority Date | Filing Date | Title |
|---|---|---|---|
| US10/325,474 | 2002-12-20 | ||
| US10/325,474 US7666410B2 (en) | 2002-12-20 | 2002-12-20 | Delivery system for functional compounds |
| US10/731,256 US20040142041A1 (en) | 2002-12-20 | 2003-12-09 | Triggerable delivery system for pharmaceutical and nutritional compounds and methods of utilizing same |
| US10/731,256 | 2003-12-09 |
Publications (3)
| Publication Number | Publication Date |
|---|---|
| WO2004060378A2 true WO2004060378A2 (en) | 2004-07-22 |
| WO2004060378A3 WO2004060378A3 (en) | 2004-11-25 |
| WO2004060378A8 WO2004060378A8 (en) | 2005-04-28 |
Family
ID=32716853
Family Applications (1)
| Application Number | Title | Priority Date | Filing Date |
|---|---|---|---|
| PCT/US2003/039737 Ceased WO2004060378A2 (en) | 2002-12-20 | 2003-12-11 | Compositions comprising particles containing alumina with compounds bound to the alumina surface, delivery systems and methods of preparation thereof |
Country Status (7)
| Country | Link |
|---|---|
| EP (1) | EP1589978A2 (en) |
| JP (1) | JP2006518773A (en) |
| KR (1) | KR101012584B1 (en) |
| AU (1) | AU2003297051A1 (en) |
| MX (1) | MXPA05005954A (en) |
| TW (1) | TWI287034B (en) |
| WO (1) | WO2004060378A2 (en) |
Cited By (8)
| Publication number | Priority date | Publication date | Assignee | Title |
|---|---|---|---|---|
| US7666410B2 (en) | 2002-12-20 | 2010-02-23 | Kimberly-Clark Worldwide, Inc. | Delivery system for functional compounds |
| US7678367B2 (en) | 2003-10-16 | 2010-03-16 | Kimberly-Clark Worldwide, Inc. | Method for reducing odor using metal-modified particles |
| US7879350B2 (en) | 2003-10-16 | 2011-02-01 | Kimberly-Clark Worldwide, Inc. | Method for reducing odor using colloidal nanoparticles |
| WO2011012867A1 (en) * | 2009-07-30 | 2011-02-03 | Sisaf Ltd | A delivery system comprising a silicon-containing material |
| US8168563B2 (en) | 2003-10-16 | 2012-05-01 | Kimberly-Clark Worldwide, Inc. | Metal-modified silica particles for reducing odor |
| US8409618B2 (en) | 2002-12-20 | 2013-04-02 | Kimberly-Clark Worldwide, Inc. | Odor-reducing quinone compounds |
| WO2014158042A1 (en) | 2013-03-27 | 2014-10-02 | Universidade Do Minho | Reactive silica nanoparticles containing immobilized dye for permanent colouration of fibres |
| WO2014200377A2 (en) | 2013-06-12 | 2014-12-18 | Ecoticket, Lda | Process for obtaining nanoparticles of silica incorporating hydrophilic products or water miscible and process for their immobilization and encapsulation when applied to textile fibres |
Families Citing this family (2)
| Publication number | Priority date | Publication date | Assignee | Title |
|---|---|---|---|---|
| US20080145268A1 (en) * | 2006-12-15 | 2008-06-19 | Martin Stephanie M | Deodorizing container that includes an anthraquinone ink |
| JP6944781B2 (en) * | 2016-01-11 | 2021-10-06 | 東京インキ株式会社 | Antibacterial coating agent, antibacterial laminate, method for producing antibacterial laminate, and film or sheet using antibacterial laminate, packaging container, packaging bag, lid material |
Family Cites Families (9)
| Publication number | Priority date | Publication date | Assignee | Title |
|---|---|---|---|---|
| JPS62179456A (en) * | 1986-01-31 | 1987-08-06 | 大日本印刷株式会社 | Ostomy bag film |
| DE3726617C1 (en) * | 1987-08-11 | 1988-07-07 | Friedrichsfeld Gmbh | Wound covering |
| JP2754058B2 (en) * | 1989-11-13 | 1998-05-20 | 花王株式会社 | Flaky activated alumina carrier, method for producing the same, and composite pigment using the same |
| US5220346A (en) * | 1992-02-03 | 1993-06-15 | Xerox Corporation | Printing processes with microwave drying |
| US5871872A (en) * | 1997-05-30 | 1999-02-16 | Shipley Company, Ll.C. | Dye incorporated pigments and products made from same |
| JP2002179509A (en) * | 2000-12-12 | 2002-06-26 | Takasago Internatl Corp | Antifungal fragrance composition |
| ATE388691T1 (en) * | 2001-07-10 | 2008-03-15 | Univ North Carolina State | CARRIER FOR THE RELEASE OF NANOPARTICLES |
| WO2003032959A1 (en) * | 2001-10-15 | 2003-04-24 | Bosch William H | Nanoparticulate compositions comprising inorganic cores |
| US7578997B2 (en) * | 2002-04-30 | 2009-08-25 | Kimberly-Clark Worldwide, Inc. | Metal ion modified high surface area materials for odor removal and control |
-
2003
- 2003-12-11 WO PCT/US2003/039737 patent/WO2004060378A2/en not_active Ceased
- 2003-12-11 EP EP03814766A patent/EP1589978A2/en not_active Withdrawn
- 2003-12-11 MX MXPA05005954A patent/MXPA05005954A/en active IP Right Grant
- 2003-12-11 JP JP2005508584A patent/JP2006518773A/en active Pending
- 2003-12-11 AU AU2003297051A patent/AU2003297051A1/en not_active Abandoned
- 2003-12-11 KR KR1020057010066A patent/KR101012584B1/en not_active Expired - Fee Related
- 2003-12-16 TW TW092135502A patent/TWI287034B/en not_active IP Right Cessation
Cited By (12)
| Publication number | Priority date | Publication date | Assignee | Title |
|---|---|---|---|---|
| US7666410B2 (en) | 2002-12-20 | 2010-02-23 | Kimberly-Clark Worldwide, Inc. | Delivery system for functional compounds |
| US8277801B2 (en) | 2002-12-20 | 2012-10-02 | Kimberly-Clark Worldwide, Inc. | Delivery system for functional compounds |
| US8409618B2 (en) | 2002-12-20 | 2013-04-02 | Kimberly-Clark Worldwide, Inc. | Odor-reducing quinone compounds |
| US7678367B2 (en) | 2003-10-16 | 2010-03-16 | Kimberly-Clark Worldwide, Inc. | Method for reducing odor using metal-modified particles |
| US7879350B2 (en) | 2003-10-16 | 2011-02-01 | Kimberly-Clark Worldwide, Inc. | Method for reducing odor using colloidal nanoparticles |
| US8168563B2 (en) | 2003-10-16 | 2012-05-01 | Kimberly-Clark Worldwide, Inc. | Metal-modified silica particles for reducing odor |
| WO2011012867A1 (en) * | 2009-07-30 | 2011-02-03 | Sisaf Ltd | A delivery system comprising a silicon-containing material |
| AU2010277355B2 (en) * | 2009-07-30 | 2014-12-04 | Sisaf Ltd | A delivery system comprising a silicon-containing material |
| AU2010277355C1 (en) * | 2009-07-30 | 2015-06-04 | Sisaf Ltd | A delivery system comprising a silicon-containing material |
| US9132083B2 (en) | 2009-07-30 | 2015-09-15 | Sisaf Ltd. | Delivery system comprising a silicon-containing material |
| WO2014158042A1 (en) | 2013-03-27 | 2014-10-02 | Universidade Do Minho | Reactive silica nanoparticles containing immobilized dye for permanent colouration of fibres |
| WO2014200377A2 (en) | 2013-06-12 | 2014-12-18 | Ecoticket, Lda | Process for obtaining nanoparticles of silica incorporating hydrophilic products or water miscible and process for their immobilization and encapsulation when applied to textile fibres |
Also Published As
| Publication number | Publication date |
|---|---|
| MXPA05005954A (en) | 2005-08-18 |
| AU2003297051A8 (en) | 2004-07-29 |
| EP1589978A2 (en) | 2005-11-02 |
| WO2004060378A3 (en) | 2004-11-25 |
| TWI287034B (en) | 2007-09-21 |
| AU2003297051A1 (en) | 2004-07-29 |
| KR101012584B1 (en) | 2011-02-07 |
| KR20050085335A (en) | 2005-08-29 |
| WO2004060378A8 (en) | 2005-04-28 |
| JP2006518773A (en) | 2006-08-17 |
| TW200426197A (en) | 2004-12-01 |
Similar Documents
| Publication | Publication Date | Title |
|---|---|---|
| US7666410B2 (en) | Delivery system for functional compounds | |
| CN104684588B (en) | Liquid activation agents with surfactant | |
| EP1476109B1 (en) | Wetness indicator having improved colorant retention and durability | |
| WO2004060378A2 (en) | Compositions comprising particles containing alumina with compounds bound to the alumina surface, delivery systems and methods of preparation thereof | |
| US20080152810A1 (en) | Nanoparticle based inks and methods of making the same | |
| KR20120123273A (en) | Water-triggered coloring or color changing indicator | |
| BRPI1010190B1 (en) | MATERIAL WITH MULTIPLE COMPONENTS | |
| WO2016168071A1 (en) | Leuco dyes with hot melt binding matrix | |
| WO2012077007A2 (en) | Color-changing composition | |
| JP2003501216A (en) | Absorbent articles containing active additives and use of visual indicators in absorbent articles | |
| EP2790627B1 (en) | Graphics performance in different absorbent article constructions | |
| JP4111855B2 (en) | Plasma sterilization indicator and sterilization packaging material | |
| WO1999063006A2 (en) | Neonanoplasts produced by microemulsion technology and inks for ink jet printing | |
| JP4816907B2 (en) | Ink composition for oxygen indicator, oxygen indicator using the same, and packaging material containing oxygen indicator | |
| Wang et al. | Modulation of phthalocyanine assembly morphology for photodynamic therapy | |
| WO2019028045A1 (en) | Protection and selective release of colorant | |
| MXPA00001223A (en) | Neonanoplasts and microemulsion technology for inks and ink jet printing |
Legal Events
| Date | Code | Title | Description |
|---|---|---|---|
| AK | Designated states |
Kind code of ref document: A2 Designated state(s): AE AG AL AM AT AU AZ BA BB BG BR BW BY BZ CA CH CN CO CR CU CZ DE DK DM DZ EC EE EG ES FI GB GD GE GH GM HR HU ID IL IN IS JP KE KG KP KR KZ LC LK LR LS LT LU LV MA MD MG MK MN MW MX MZ NI NO NZ OM PG PH PL PT RO RU SC SD SE SG SK SL SY TJ TM TN TR TT TZ UA UG UZ VC VN YU ZA ZM ZW |
|
| AL | Designated countries for regional patents |
Kind code of ref document: A2 Designated state(s): BW GH GM KE LS MW MZ SD SL SZ TZ UG ZM ZW AM AZ BY KG KZ MD RU TJ TM AT BE BG CH CY CZ DE DK EE ES FI FR GB GR HU IE IT LU MC NL PT RO SE SI SK TR BF BJ CF CG CI CM GA GN GQ GW ML MR NE SN TD TG |
|
| 121 | Ep: the epo has been informed by wipo that ep was designated in this application | ||
| CFP | Corrected version of a pamphlet front page |
Free format text: UNDER (54) PUBLISHED TITLE REPLACED BY CORRECT TITLE |
|
| WWE | Wipo information: entry into national phase |
Ref document number: PA/a/2005/005954 Country of ref document: MX Ref document number: 1020057010066 Country of ref document: KR Ref document number: 20038A50879 Country of ref document: CN |
|
| WWE | Wipo information: entry into national phase |
Ref document number: 2005508584 Country of ref document: JP Ref document number: 1127/CHENP/2005 Country of ref document: IN |
|
| WWE | Wipo information: entry into national phase |
Ref document number: 2003814766 Country of ref document: EP |
|
| WWP | Wipo information: published in national office |
Ref document number: 1020057010066 Country of ref document: KR |
|
| WWP | Wipo information: published in national office |
Ref document number: 2003814766 Country of ref document: EP |































