WO2003101958A2 - Flourinated cyclic amides as dipeptidyl peptidase iv inhibitors - Google Patents
Flourinated cyclic amides as dipeptidyl peptidase iv inhibitors Download PDFInfo
- Publication number
- WO2003101958A2 WO2003101958A2 PCT/IB2003/002257 IB0302257W WO03101958A2 WO 2003101958 A2 WO2003101958 A2 WO 2003101958A2 IB 0302257 W IB0302257 W IB 0302257W WO 03101958 A2 WO03101958 A2 WO 03101958A2
- Authority
- WO
- WIPO (PCT)
- Prior art keywords
- compound
- amino
- hydrochloride
- syndrome
- methyl
- Prior art date
- Legal status (The legal status is an assumption and is not a legal conclusion. Google has not performed a legal analysis and makes no representation as to the accuracy of the status listed.)
- Ceased
Links
- 0 CNCC(*)C(O)=O Chemical compound CNCC(*)C(O)=O 0.000 description 3
- GMWFCJXSQQHBPI-UHFFFAOYSA-N OC1CNC1 Chemical compound OC1CNC1 GMWFCJXSQQHBPI-UHFFFAOYSA-N 0.000 description 1
Classifications
-
- C—CHEMISTRY; METALLURGY
- C07—ORGANIC CHEMISTRY
- C07D—HETEROCYCLIC COMPOUNDS
- C07D207/00—Heterocyclic compounds containing five-membered rings not condensed with other rings, with one nitrogen atom as the only ring hetero atom
- C07D207/02—Heterocyclic compounds containing five-membered rings not condensed with other rings, with one nitrogen atom as the only ring hetero atom with only hydrogen or carbon atoms directly attached to the ring nitrogen atom
- C07D207/04—Heterocyclic compounds containing five-membered rings not condensed with other rings, with one nitrogen atom as the only ring hetero atom with only hydrogen or carbon atoms directly attached to the ring nitrogen atom having no double bonds between ring members or between ring members and non-ring members
- C07D207/08—Heterocyclic compounds containing five-membered rings not condensed with other rings, with one nitrogen atom as the only ring hetero atom with only hydrogen or carbon atoms directly attached to the ring nitrogen atom having no double bonds between ring members or between ring members and non-ring members with hydrocarbon radicals, substituted by hetero atoms, attached to ring carbon atoms
-
- A—HUMAN NECESSITIES
- A61—MEDICAL OR VETERINARY SCIENCE; HYGIENE
- A61P—SPECIFIC THERAPEUTIC ACTIVITY OF CHEMICAL COMPOUNDS OR MEDICINAL PREPARATIONS
- A61P1/00—Drugs for disorders of the alimentary tract or the digestive system
- A61P1/04—Drugs for disorders of the alimentary tract or the digestive system for ulcers, gastritis or reflux esophagitis, e.g. antacids, inhibitors of acid secretion, mucosal protectants
-
- A—HUMAN NECESSITIES
- A61—MEDICAL OR VETERINARY SCIENCE; HYGIENE
- A61P—SPECIFIC THERAPEUTIC ACTIVITY OF CHEMICAL COMPOUNDS OR MEDICINAL PREPARATIONS
- A61P1/00—Drugs for disorders of the alimentary tract or the digestive system
- A61P1/14—Prodigestives, e.g. acids, enzymes, appetite stimulants, antidyspeptics, tonics, antiflatulents
-
- A—HUMAN NECESSITIES
- A61—MEDICAL OR VETERINARY SCIENCE; HYGIENE
- A61P—SPECIFIC THERAPEUTIC ACTIVITY OF CHEMICAL COMPOUNDS OR MEDICINAL PREPARATIONS
- A61P13/00—Drugs for disorders of the urinary system
- A61P13/12—Drugs for disorders of the urinary system of the kidneys
-
- A—HUMAN NECESSITIES
- A61—MEDICAL OR VETERINARY SCIENCE; HYGIENE
- A61P—SPECIFIC THERAPEUTIC ACTIVITY OF CHEMICAL COMPOUNDS OR MEDICINAL PREPARATIONS
- A61P15/00—Drugs for genital or sexual disorders; Contraceptives
- A61P15/08—Drugs for genital or sexual disorders; Contraceptives for gonadal disorders or for enhancing fertility, e.g. inducers of ovulation or of spermatogenesis
-
- A—HUMAN NECESSITIES
- A61—MEDICAL OR VETERINARY SCIENCE; HYGIENE
- A61P—SPECIFIC THERAPEUTIC ACTIVITY OF CHEMICAL COMPOUNDS OR MEDICINAL PREPARATIONS
- A61P19/00—Drugs for skeletal disorders
- A61P19/08—Drugs for skeletal disorders for bone diseases, e.g. rachitism, Paget's disease
-
- A—HUMAN NECESSITIES
- A61—MEDICAL OR VETERINARY SCIENCE; HYGIENE
- A61P—SPECIFIC THERAPEUTIC ACTIVITY OF CHEMICAL COMPOUNDS OR MEDICINAL PREPARATIONS
- A61P19/00—Drugs for skeletal disorders
- A61P19/08—Drugs for skeletal disorders for bone diseases, e.g. rachitism, Paget's disease
- A61P19/10—Drugs for skeletal disorders for bone diseases, e.g. rachitism, Paget's disease for osteoporosis
-
- A—HUMAN NECESSITIES
- A61—MEDICAL OR VETERINARY SCIENCE; HYGIENE
- A61P—SPECIFIC THERAPEUTIC ACTIVITY OF CHEMICAL COMPOUNDS OR MEDICINAL PREPARATIONS
- A61P25/00—Drugs for disorders of the nervous system
-
- A—HUMAN NECESSITIES
- A61—MEDICAL OR VETERINARY SCIENCE; HYGIENE
- A61P—SPECIFIC THERAPEUTIC ACTIVITY OF CHEMICAL COMPOUNDS OR MEDICINAL PREPARATIONS
- A61P25/00—Drugs for disorders of the nervous system
- A61P25/04—Centrally acting analgesics, e.g. opioids
-
- A—HUMAN NECESSITIES
- A61—MEDICAL OR VETERINARY SCIENCE; HYGIENE
- A61P—SPECIFIC THERAPEUTIC ACTIVITY OF CHEMICAL COMPOUNDS OR MEDICINAL PREPARATIONS
- A61P25/00—Drugs for disorders of the nervous system
- A61P25/08—Antiepileptics; Anticonvulsants
-
- A—HUMAN NECESSITIES
- A61—MEDICAL OR VETERINARY SCIENCE; HYGIENE
- A61P—SPECIFIC THERAPEUTIC ACTIVITY OF CHEMICAL COMPOUNDS OR MEDICINAL PREPARATIONS
- A61P25/00—Drugs for disorders of the nervous system
- A61P25/20—Hypnotics; Sedatives
-
- A—HUMAN NECESSITIES
- A61—MEDICAL OR VETERINARY SCIENCE; HYGIENE
- A61P—SPECIFIC THERAPEUTIC ACTIVITY OF CHEMICAL COMPOUNDS OR MEDICINAL PREPARATIONS
- A61P25/00—Drugs for disorders of the nervous system
- A61P25/22—Anxiolytics
-
- A—HUMAN NECESSITIES
- A61—MEDICAL OR VETERINARY SCIENCE; HYGIENE
- A61P—SPECIFIC THERAPEUTIC ACTIVITY OF CHEMICAL COMPOUNDS OR MEDICINAL PREPARATIONS
- A61P25/00—Drugs for disorders of the nervous system
- A61P25/24—Antidepressants
-
- A—HUMAN NECESSITIES
- A61—MEDICAL OR VETERINARY SCIENCE; HYGIENE
- A61P—SPECIFIC THERAPEUTIC ACTIVITY OF CHEMICAL COMPOUNDS OR MEDICINAL PREPARATIONS
- A61P25/00—Drugs for disorders of the nervous system
- A61P25/30—Drugs for disorders of the nervous system for treating abuse or dependence
- A61P25/32—Alcohol-abuse
-
- A—HUMAN NECESSITIES
- A61—MEDICAL OR VETERINARY SCIENCE; HYGIENE
- A61P—SPECIFIC THERAPEUTIC ACTIVITY OF CHEMICAL COMPOUNDS OR MEDICINAL PREPARATIONS
- A61P27/00—Drugs for disorders of the senses
- A61P27/02—Ophthalmic agents
-
- A—HUMAN NECESSITIES
- A61—MEDICAL OR VETERINARY SCIENCE; HYGIENE
- A61P—SPECIFIC THERAPEUTIC ACTIVITY OF CHEMICAL COMPOUNDS OR MEDICINAL PREPARATIONS
- A61P27/00—Drugs for disorders of the senses
- A61P27/02—Ophthalmic agents
- A61P27/12—Ophthalmic agents for cataracts
-
- A—HUMAN NECESSITIES
- A61—MEDICAL OR VETERINARY SCIENCE; HYGIENE
- A61P—SPECIFIC THERAPEUTIC ACTIVITY OF CHEMICAL COMPOUNDS OR MEDICINAL PREPARATIONS
- A61P3/00—Drugs for disorders of the metabolism
-
- A—HUMAN NECESSITIES
- A61—MEDICAL OR VETERINARY SCIENCE; HYGIENE
- A61P—SPECIFIC THERAPEUTIC ACTIVITY OF CHEMICAL COMPOUNDS OR MEDICINAL PREPARATIONS
- A61P3/00—Drugs for disorders of the metabolism
- A61P3/04—Anorexiants; Antiobesity agents
-
- A—HUMAN NECESSITIES
- A61—MEDICAL OR VETERINARY SCIENCE; HYGIENE
- A61P—SPECIFIC THERAPEUTIC ACTIVITY OF CHEMICAL COMPOUNDS OR MEDICINAL PREPARATIONS
- A61P3/00—Drugs for disorders of the metabolism
- A61P3/06—Antihyperlipidemics
-
- A—HUMAN NECESSITIES
- A61—MEDICAL OR VETERINARY SCIENCE; HYGIENE
- A61P—SPECIFIC THERAPEUTIC ACTIVITY OF CHEMICAL COMPOUNDS OR MEDICINAL PREPARATIONS
- A61P3/00—Drugs for disorders of the metabolism
- A61P3/08—Drugs for disorders of the metabolism for glucose homeostasis
- A61P3/10—Drugs for disorders of the metabolism for glucose homeostasis for hyperglycaemia, e.g. antidiabetics
-
- A—HUMAN NECESSITIES
- A61—MEDICAL OR VETERINARY SCIENCE; HYGIENE
- A61P—SPECIFIC THERAPEUTIC ACTIVITY OF CHEMICAL COMPOUNDS OR MEDICINAL PREPARATIONS
- A61P3/00—Drugs for disorders of the metabolism
- A61P3/12—Drugs for disorders of the metabolism for electrolyte homeostasis
-
- A—HUMAN NECESSITIES
- A61—MEDICAL OR VETERINARY SCIENCE; HYGIENE
- A61P—SPECIFIC THERAPEUTIC ACTIVITY OF CHEMICAL COMPOUNDS OR MEDICINAL PREPARATIONS
- A61P43/00—Drugs for specific purposes, not provided for in groups A61P1/00-A61P41/00
-
- A—HUMAN NECESSITIES
- A61—MEDICAL OR VETERINARY SCIENCE; HYGIENE
- A61P—SPECIFIC THERAPEUTIC ACTIVITY OF CHEMICAL COMPOUNDS OR MEDICINAL PREPARATIONS
- A61P5/00—Drugs for disorders of the endocrine system
- A61P5/48—Drugs for disorders of the endocrine system of the pancreatic hormones
- A61P5/50—Drugs for disorders of the endocrine system of the pancreatic hormones for increasing or potentiating the activity of insulin
-
- A—HUMAN NECESSITIES
- A61—MEDICAL OR VETERINARY SCIENCE; HYGIENE
- A61P—SPECIFIC THERAPEUTIC ACTIVITY OF CHEMICAL COMPOUNDS OR MEDICINAL PREPARATIONS
- A61P9/00—Drugs for disorders of the cardiovascular system
-
- A—HUMAN NECESSITIES
- A61—MEDICAL OR VETERINARY SCIENCE; HYGIENE
- A61P—SPECIFIC THERAPEUTIC ACTIVITY OF CHEMICAL COMPOUNDS OR MEDICINAL PREPARATIONS
- A61P9/00—Drugs for disorders of the cardiovascular system
- A61P9/10—Drugs for disorders of the cardiovascular system for treating ischaemic or atherosclerotic diseases, e.g. antianginal drugs, coronary vasodilators, drugs for myocardial infarction, retinopathy, cerebrovascula insufficiency, renal arteriosclerosis
-
- A—HUMAN NECESSITIES
- A61—MEDICAL OR VETERINARY SCIENCE; HYGIENE
- A61P—SPECIFIC THERAPEUTIC ACTIVITY OF CHEMICAL COMPOUNDS OR MEDICINAL PREPARATIONS
- A61P9/00—Drugs for disorders of the cardiovascular system
- A61P9/12—Antihypertensives
-
- C—CHEMISTRY; METALLURGY
- C07—ORGANIC CHEMISTRY
- C07D—HETEROCYCLIC COMPOUNDS
- C07D205/00—Heterocyclic compounds containing four-membered rings with one nitrogen atom as the only ring hetero atom
- C07D205/02—Heterocyclic compounds containing four-membered rings with one nitrogen atom as the only ring hetero atom not condensed with other rings
- C07D205/04—Heterocyclic compounds containing four-membered rings with one nitrogen atom as the only ring hetero atom not condensed with other rings having no double bonds between ring members or between ring members and non-ring members
-
- C—CHEMISTRY; METALLURGY
- C07—ORGANIC CHEMISTRY
- C07D—HETEROCYCLIC COMPOUNDS
- C07D211/00—Heterocyclic compounds containing hydrogenated pyridine rings, not condensed with other rings
- C07D211/04—Heterocyclic compounds containing hydrogenated pyridine rings, not condensed with other rings with only hydrogen or carbon atoms directly attached to the ring nitrogen atom
- C07D211/06—Heterocyclic compounds containing hydrogenated pyridine rings, not condensed with other rings with only hydrogen or carbon atoms directly attached to the ring nitrogen atom having no double bonds between ring members or between ring members and non-ring members
- C07D211/36—Heterocyclic compounds containing hydrogenated pyridine rings, not condensed with other rings with only hydrogen or carbon atoms directly attached to the ring nitrogen atom having no double bonds between ring members or between ring members and non-ring members with hetero atoms or with carbon atoms having three bonds to hetero atoms with at the most one bond to halogen, e.g. ester or nitrile radicals, directly attached to ring carbon atoms
- C07D211/38—Halogen atoms or nitro radicals
Definitions
- the present invention relates to new therapeutically active and selective inhibitors of the enzyme dipeptidyl peptidase-IV (hereinafter "DPP-IV"), pharmaceutical compositions comprising the compounds and the use of such compounds for treating diseases that are associated with proteins that are subject to processing by DPP-IV, such as Type 2 diabetes, metabolic syndrome (Syndrome X or insulin resistance syndrome), hyperglycemia, impaired glucose tolerance, glucosuria, metabolic acidosis, cataracts, diabetic neuropathy, diabetic nephropathy, diabetic retinopathy, diabetic cardiomyopathy, Type 1 diabetes, obesity, hypertension, hyperlipidemia, atherosclerosis, osteoporosis, osteopenia, frailty, bone loss, bone fracture, acute coronary syndrome, infertility due to polycystic ovary syndrome, short bowel syndrome, anxiety, depression, insomnia, chronic fatigue, epilepsy, eating disorders, chronic pain, alcohol addiction, diseases associated with intestinal motility, ulcers, irritable bowel syndrome, inflammatory fibroblastse
- Dipeptidyl peptidase-IV (EC 3.4.14.5) is a serine protease that preferentially hydrolyzes an N-terminal dipeptide from proteins having proline or alanine in the 2 position.
- the physiological role(s) of DPP-IV have not been fully elucidated, but it is believed to be involved in diabetes, glucose tolerance, obesity, appetite regulation, lipidemia, osteoporosis, neuropeptide metabolism and T-cell activation.
- DPP-IV has been implicated in the control of glucose homeostasis because its substrates include the incretin peptides glucagon-like peptide 1 (GLP-1) and gastric inhibitory polypeptide (GIP). Cleavage of the N-terminal amino acids from these peptides renders them functionally inactive.
- GLP-1 has been shown to be an effective anti-diabetic therapy in Type 2 diabetic patients and to reduce the meal- related insulin requirement in Type 1 diabetic patients.
- GLP-1 and/or GIP are believed to regulate satiety, lipidemia and osteogenesis.
- Exogenous GLP-1 has been proposed as a treatment for patients suffering from acute coronary syndrome, angina and ischemic heart disease.
- DPP-IV inhibitors in vivo prevents N-terminal degradation of GLP-1 and GIP, resulting in higher circulating concentrations of these peptides, increased insulin secretion and improved glucose tolerance.
- DPP-IV inhibitors are regarded as agents for the treatment of Type 2 diabetes, a disease in which glucose tolerance is impaired.
- treatment with DPP-IV inhibitors prevents degradation of Neuropeptide Y (NPY), a peptide associated with a variety of central nervous system disorders, and Peptide YY which has been linked to gastrointestinal conditions such as ulcers, irritable bowel disease and inflammatory bowel disease.
- NPY Neuropeptide Y
- Peptide YY which has been linked to gastrointestinal conditions such as ulcers, irritable bowel disease and inflammatory bowel disease.
- Treatment of Type 2 diabetes usually comprises a combination of diet, exercise, oral agents, and in more severe cases, insulin.
- the clinically available hypoglycemics can have side effects which limit their use.
- diabetes mellitus is a direct cause of the multiplicity of complications (cataracts, neuropathy, nephropathy, retinopathy, cardiomyopathy) that characterize advanced diabetes mellitus.
- diabetes mellitus is a comorbid disease that frequently confounds hyperlipidemia, atherosclerosis and hypertension, adding significantly to the overall morbidity and mortality attributable to those diseases.
- CVD cardiovascular disease
- Hypertension is a condition that can occur in many patients in whom the causative agent or disorder is unknown. Such "essential" hypertension is often associated with disorders such as obesity, diabetes and hypertriglyceridemia, and it is known that hypertension is positively associated with heart failure, renal failure and stroke. Hypertension can also contribute to the development of atherosclerosis and coronary disease. Hypertension, together with insulin resistance and hyperlipidemia, comprise the constellation of symptoms that characterize Metabolic Syndrome, also known as insulin resistance syndrome (“IRS”) and syndrome X. Obesity is a well-known and common risk factor for the development of atherosclerosis, hypertension and diabetes. The incidence of obesity and hence of these diseases is increasing worldwide. Currently few pharmacological agents are available that reduce adiposity effectively and acceptably.
- Osteoporosis is a progressive systemic disease characterized by low bone density and microarchitectural deterioration of bone tissue, with a consequent increase in bone fragility and susceptibility to fracture. Osteoporosis and the consequences of compromised bone strength are a significant cause of frailty, and of increased morbidity and mortality.
- Heart disease is a major health problem throughout the world. Myocardial infarctions are a significant source of mortality among those individuals with heart disease. Acute coronary syndrome denotes patients who have or are at high risk of developing an acute myocardial infarction (Ml). Though there are therapies available for the treatment of diabetes, hyperglycemia, hyperlipidemia, hypertension, obesity and osteoporosis there is a continuing need for alternative and improved therapies.
- This invention is directed to compounds of Formula I which are useful for the treatment of Type 2 diabetes, metabolic syndrome (Syndrome X or insulin resistance syndrome), hyperglycemia, impaired glucose tolerance, glucosuria, metabolic acidosis, cataracts, diabetic neuropathy, diabetic nephropathy, diabetic retinopathy, diabetic cardiomyopathy, Type 1 diabetes, obesity, hypertension, hyperlipidemia, atherosclerosis, osteoporosis, osteopenia, frailty, bone loss, bone fracture, acute coronary syndrome, infertility due to polycystic ovary syndrome, short bowel syndrome, anxiety, depression, insomnia, chronic fatigue, epilepsy, eating disorders, chronic pain, alcohol addiction, diseases associated with intestinal motility, ulcers, irritable bowel syndrome, inflammatory bowel syndrome and to prevent disease progression in Type 2 diabetes.
- metabolic syndrome Syndrome X or insulin resistance syndrome
- hyperglycemia impaired glucose tolerance, glucosuria, metabolic acidosis, cataracts, diabetic neuropathy, diabetic n
- the invention is directed to a compound of the Formula I,
- R 1 is 3-fluoroazetidin-1-yl, 3,3-difluoroazetidin-1-yl, 3,4-difluoropyrrolidin-1-yl, 3,3,4- trifluoropyrrolidin-1-yl, 3,3,4,4-tetrafluoropyrrolidin-1-yl, 3-f luoropiperid i n- 1 -y 1 , 4- fluoropiperidin-1-yl, 3,4-difluoropiperidin-1-yl, 3,5-difluoropiperidin-1-yl, 3,3- difluoropiperidin-1-yl, 4,4-difluoropiperidin-1-yl, 3,4,5-trifluoropiperidin-1-yl, 3,3,4- trifluoropiperidin-1-yl, 3,3,5-t ⁇ ' fluoropiperidin-1-yl, 3,4,4-thfluoropiperidin-1-yl, 3,3,4,5- tetrafluoropiperidin
- the compound of Formula I is a compound wherein R 1 is 3-fluoroazetidin-1-yl or 3,3-difluoroazetidin-1-yl.
- the compound of Formula I is a compound wherein R 1 is 3,4-difluoropyrrolidin-1-yl, 3,3,4-trifluoropyrrolidin-1-yl, 3,3,4,4- tetrafluoropyrrolidin-1 -yl.
- the compound of Formula I is a compound wherein R 1 is 3-fluoropiperidin-1-yl, 4-fluoropiperidin-1-yl, 3,4-difluoropiperidin-1-yl, 3,5-difluoropiperidin-1-yl, 3,3-difluoropiperidin-1-yl or 4,4-difluoropiperidin-1-yl.
- the compound of Formula I is a compound wherein R 1 is 3,4,5-trifluoropiperidin-1-yl, 3,3,4-trifluoropiperidin-1-yl, 3,3,5- trifluoropiperidin-1-yl, 3,4,4-trifluoropiperidin-1-yl, 3,3,4,5-tetrafluoropiperidin-1-yl, 3,4,4,5-tetrafluoropiperidin-1-yl, 3,3,4,4-tetrafluoropiperidin-l-yl 3,3,5,5- tetrafluoropiperidin-1 -yl, 3,3,4,5,5-pentafluoropiperidin-1 -yl, 3,3,4,4,5- pentafluoropiperidin-1 -yl or 3,3,4,4,5,5-hexafluoropiperidin-1 -yl.
- the compound of Formula I is N-(2-aminoethyl)-2-aminoethyl-N-(2-aminoethyl)-2-aminoethyl-N-(2-aminoethyl)-2-aminoethyl-N-(2-aminoethyl)-2-aminoethyl-N-(2-aminoethyl)-2-aminoethyl
- the invention is directed to a pharmaceutical composition
- a pharmaceutical composition comprising a therapeutically effective amount of a compound of Formula I as described above, a prodrug thereof or a pharmaceutically acceptable salt of the compound or the prodrug, and a pharmaceutically acceptable diluent or carrier.
- the invention is directed to a pharmaceutical composition
- a pharmaceutical composition comprising a therapeutically effective amount of a first compound of Formula I as described above, a prodrug thereof or a pharmaceutically acceptable salt of said compound or said prordrug; and a second compound which is insulin or an insulin analog; insulinotropin; a biguanide; an ⁇ 2 -antagonist or an imidazoline; a glitazone; an aldose reductase inhibitor; a glycogen phosphorylase inhibitor; a sorbitol dehydrogenase inhibitor; a fatty acid oxidation inhibitor; an ⁇ -glucosidase inhibitor; a ⁇ -agonist; a phosphodiesterase inhibitor; a lipid-lowering agent; an antiobesity agent; vanadate, a vanadium complex or a peroxovanadium complex; an amylin antagonist; a glucagon antagonist; a growth hormone secretagogue; a gluconeogenesis inhibitor; a somato
- the composition further comprises a pharmaceutically acceptable carrier or diluent.
- the invention is directed to a kit comprising: a) a first dosage form comprising a compound of Formula I as described above; b) a second dosage form comprising an antidiabetic agent selected from insulin and insulin analogs; insulinotropin; biguanides; ⁇ 2 -antagonists and imidazolines; glitazones; aldose reductase inhibitors; glycogen phosphorylase inhibitors; sorbitol dehydrogenase inhibitors; fatty acid oxidation inhibitors; ⁇ -glucosidase inhibitors; ⁇ -agonists; phosphodiesterase inhibitors; lipid-lowering agents; antiobesity agents; vanadate and vanadium complexes and peroxovanadium complexes; amylin antagonists; glucagon antagonists; growth hormone secretagogues; gluconeogenesis inhibitors; somatostatin analog
- the inventino is directed to a therapeutic method of inhibiting dipeptidyl peptidase-IV in a mammal, the method comprising administering to said mammal in need of inhibition of dipeptidyl peptidase-IV a therapeutically effective amount of a compound of Formula I as described above, a prodrug thereof or a pharmaceutically acceptable salt of said compound or said prodrug; or of a pharmaceutical composition as described above.
- the invention is directed to a therapeutic method of treating a condition mediated by dipeptidyl peptidase-IV inhibition in a mammal, the method comprising administering to said mammal suffering from a condition mediated by dipeptidyl peptidase-IV inhibition a therapeutically effective amount of a compound of Formula I as described above, a prodrug thereof or a pharmaceutically acceptable salt of said compound or said prodrug; or a pharmaceutical composition as described above.
- the condition treated is Type 2 diabetes, metabolic syndrome, hyperglycemia, impaired glucose tolerance, glucosuria, metabolic acidosis, cataracts, diabetic neuropathy, diabetic nephropathy, diabetic retinopathy, diabetic cardiomyopathy, Type 1 diabetes, obesity, a condition exacerbated by obesity, hypertension, hyperlipidemia, atherosclerosis, osteoporosis, osteopenia, frailty, bone loss, bone fracture, acute coronary syndrome, infertility due to polycystic ovary syndrome, disease progression in Type 2 diabetes, chronic fatigue, epilepsy, a disease associated with intestinal motility, ulcer, irritable bowel syndrome, inflammatory bowel syndrome, anxiety, depression, insomnia, chronic fatigue, epilepsy, an eating disorder, chronic pain or alcohol addiction.
- the condition treated is Type 2 diabetes mellitus.
- the invention is directed to a method of identifying whether an agent is a DPP-IV inhibitor, comprising: a) administering the agent to a fasted, diabetic KK/H1J mouse; b) challenging the KK/H1J mouse with oral glucose; and c) assessing a response in the mouse to a subsequent oral glucose challenge, wherein said agent may be identified as a treatment for Type 2 diabetes, metabolic syndrome, hyperglycemia, impaired glucose tolerance, glucosuria, metabolic acidosis, cataracts, diabetic neuropathy, diabetic nephropathy, diabetic retinopathy, diabetic cardiomyopathy, Type 1 diabetes, obesity, conditions exacerbated by obesity, hypertension, hyperlipidemia, atherosclerosis, osteoporosis, osteopenia, frailty, bone loss, bone fracture, acute coronary syndrome, infertility due to polycystic ovary syndrome, to prevent disease progression in Type 2 diabetes,
- alkyl as used herein, means a saturated monovalent straight or branched aliphatic hydrocarbon radical having one to 8 carbon atoms.
- pharmaceutically acceptable salt as used herein in relation to compounds of Formula I of this invention includes pharmaceutically acceptable anionic salts.
- pharmaceutically acceptable anion refers to a negative ion that is compatible chemically and/or toxicologically with the other ingredients of a pharmaceutical composition and/or the animal being treated therewith.
- Suitable anions include, but are not limited to, halides (e.g., chloride, iodide, and bromide), (C C 12 )alkylsulfonates (e.g., mesylate, ethylsulfonate, etc.), arylsulfonates (e.g., phenylsulfonate, tosylate, etc.), (CrC 12 )alkylphosphonates, di(C
- C 12 )alkylphosphates e.g., dimethylphosphate, diethylphosphate, ⁇ -diglycerol phosphate, etc.
- arylphosphonates arylphosphates, alkylarylphosphona.es, alkylarylphosphates, (d-C 12 )alkylcarboxylates (e.g., acetates, propionates, glutamates, glycerates, etc.), arylcarboxylates, and the like.
- the compounds of the present invention may be isolated and used per se or in the form of its pharmaceutically acceptable salt, solvate and/or hydrate.
- salts refers to inorganic and organic salts of a compound of the present invention.
- salts can be prepared in situ during the final isolation and purification of a compound, or by separately reacting the compound, or prodrug with a suitable organic or inorganic acid and isolating the salt thus formed.
- Representative salts include the hydrobromide, hydrochloride, hydroiodide, sulfate, bisulfate, nitrate, acetate, trifluoroacetate, oxalate, besylate, palmitiate, pamoate, malonate, stearate, laurate, malate, borate, benzoate, lactate, phosphate, hexafluorophosphate, benzene sulfonate, tosylate, formate, citrate, maleate, fumarate, succinate, tartrate, naphthylate, mesylate, glucoheptonate, lactobionate, and laurylsulphonate salts, and the like. See, e.g., Berge, et al., J
- prodrug means a compound that is transformed in vivo to yield a compound of Formula (I) or a pharmaceutically acceptable salt, hydrate or solvate of the compound.
- Such compounds include, but are not limited to, N-acyl and N- carboalkoxy derivatives of Formula I compounds, as well as imine derivatives. The transformation may occur via various mechanisms, such as through hydrolysis in blood.
- a discussion of the use of prodrugs is provided by T. Higuchi and W. Stella, "Pro-drugs as Novel Delivery Systems," Vol. 14 of the A.C.S. Symposium Series, and in Bioreversible Carriers in Drug Design, ed. Edward B. Roche, American Pharmaceutical Association and Pergamon Press, 1987.
- Some of the compounds described herein contain at least one stereogenic center; consequently, those skilled in the art will appreciate that all stereoisomers (e.g., enantiomers and diasteroisomers, and racemic mixtures thereof) of the compounds illustrated and discussed herein are within the scope of the present invention.
- the carbon that is substituted with R 7 in compounds of Formula I, and its intermediates is stereogenic and these compounds are depicted and claimed in Claim 1 as racemic mixtures and in Claim 6 as the S enantiomers.
- both the pyrrolidine and piperidine moieties of the compounds of Formula I may also contain at least one stereogenic center (e.g. Example 7). All stereoisomers (e.g., enantiomers and diasteroisomers, and racemic mixtures thereof) of these compounds claimed, illustrated and discussed herein are within the scope of the present invention.
- the compounds of Formula I can exist in crystalline form as hydrates wherein molecules of water are incorporated within the crystal structure thereof and as solvates wherein molecules of a solvent are incorporated therein. All such hydrate and solvate forms are considered part of this invention.
- This invention also includes isotopically-labeled compounds, which are identical to those described by Formula I, but for the fact that one or more atoms are replaced by an atom having an atomic mass or mass number different from the atomic mass or mass number usually found in nature.
- isotopes that can be incorporated into compounds of the invention include isotopes of hydrogen, carbon, nitrogen, oxygen and fluorine, such as 2 H, 3 H, 13 C, 1 C, 15 N, 18 0, 17 O, and 18 F, respectively.
- Compounds of the present invention, prodrugs thereof, and pharmaceutically acceptable salts of the compounds or of the prodrugs which contain the aforementioned isotopes and/or other isotopes of other atoms are within the scope of this invention.
- isotopically-labeled compounds of the present invention for example those into which radioactive isotopes such as 3 H and 14 C are incorporated, are useful in drug and/or substrate tissue distribution assays. Tritiated (i.e., 3 H), and carbon-14 (i.e., 14 C), isotopes are particularly preferred for their ease of preparation and detectability. Further, substitution with heavier isotopes such as deuterium (i.e., 2 H), can afford certain therapeutic advantages resulting from greater metabolic stability, for example increased in vivo half-life or reduced dosage requirements and, hence, may be preferred in some circumstances.
- Isotopically labeled compounds of Formula I of this invention and prodrugs thereof can generally be prepared by carrying out the procedures disclosed in the schemes and/or in the Examples below, by substituting a readily available isotopically labeled reagent for a non-isotopically labeled reagent.
- the compounds of Formula I of this invention may be prepared by methods that include processes known in the chemical arts, particularly in light of the description contained herein. Certain processes for the manufacture of the compounds of Formula I of this invention are illustrated by the following reaction schemes. Other processes are described in the experimental section. Some of the starting compounds for the reactions described in the schemes and Examples are prepared as illustrated herein. All other starting compounds may be obtained from general commercial sources, such as Sigma-Aldrich Corporation, St. Louis, MO.
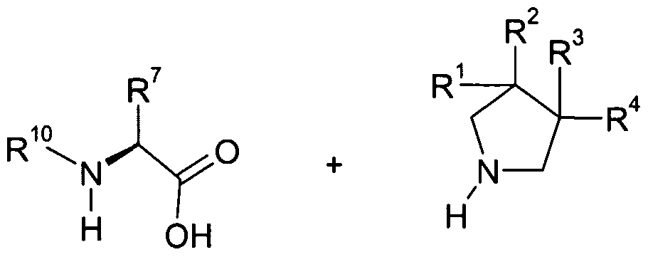
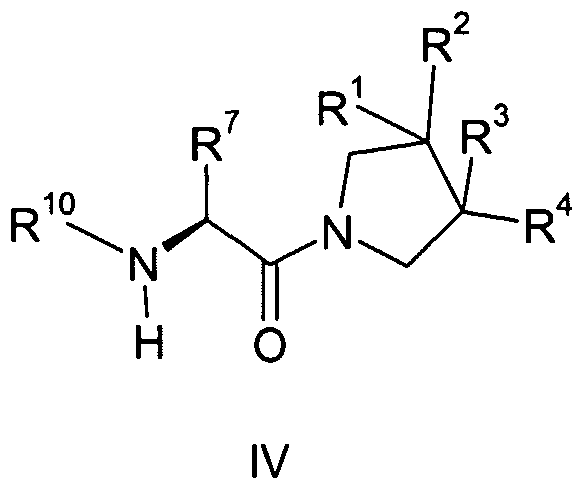
- the compounds of Formula I may be prepared (Step 1) by coupling (L) amino acid compounds of Formula II (e.g., (Z-)-Boc-isoleucine, (Z.)-Boc-cyclohexylgycine, (L)- Boc-allo-isoleucine, (L)-Boc-leucine, (L)-Boc-valine or (Z-)-Boc-alanine), wherein R 10 is a nitrogen-protecting group compatible with the above-described chemical Scheme I, with a compound of Formula III, a fluorinated pyrrolidine, (e.g. 3,3- difluoropyrrolidine hydrochloride or 3,3,4,4-tetrafluoropyrrolidine hydrochloride).
- L amino acid compounds of Formula II
- R 10 is a nitrogen-protecting group compatible with the above-described chemical Scheme I, with a compound of Formula III, a fluorinated pyrrolidine, (e.g. 3,3- di
- Suitable nitrogen-protecting groups, R 10 may include for example, but are not limited to, fet ⁇ -butoxycarbonyl ("Boc"), benzyloxycarbonyl and fluorenylmethoxycarbonyl ("Fmoc”).
- Boc fet ⁇ -butoxycarbonyl
- Fmoc fluorenylmethoxycarbonyl
- Other examples of nitrogen-protecting groups are described in "Protective Groups in Organic Synthesis", 2 nd . Ed., P.G.M. Wuts and T.W. Greene, p.315, incorporated herein by reference.
- a compound of Formula IV, in Step 2 may be dissolved in an inert solvent (e.g.
- ethyl acetate and deprotected by methods appropriate to the nature of the R 0 group, as described in the reference cited above (e.g. gaseous acid if R 10 is Boc), providing a compound of Formula I.
- the coupling reaction described above is readily accomplished by dissolving a compound of Formula II and a compound of Formula III in a reaction inert solvent (e.g. dichloromethane) in the presence of base (e.g. triethylamine or pyridine).
- base e.g. triethylamine or pyridine
- a coupling agent or combination of coupling agents e.g. hydroxybenzotriazole / 1-(-3-dimethylaminopropyl)-3-ethylcarbodiimide hydrochloride.
- coupling agents may be utilized, such as 1-hydroxy-7- azabenzotriazole / 1-(-3-dimethylaminopropyl)-3-ethylcarbodiimide hydrochloride, hydroxybenzotriazole /dicyclohexylcarbodiimide, 2-ethoxy-1-ethoxycarbonyl-1 ,2- dihydroquinoline, carbonyldiimidazole or diethylphosphorylcyanide.
- the coupling is conducted in an inert solvent, preferably an aprotic solvent. Suitable solvents include, for example, acetonitrile, dichloromethane, dimethylformamide, chloroform.
- the reaction is generally conducted at ambient pressure and temperature, until the starting materials are no longer present as determined by thin layer chromatography or other analytical techniques well known to those skilled in the art.
- the coupled product of Formula IV may be isolated according to methods well known to those skilled in the art.
- Deprotection of a compound of Formula IV readily occurs by dissolving a compound of Formula IV in an inert solvent (e.g. ethyl acetate) and cooling to about 0 ° C, followed by treatment with gaseous acid (e.g. hydrochloric acid) for about 1 minute. The reaction mixture is stirred for about 15 minutes and then allowed to reach room temperature, followed by stirring for about an additional 30 minutes.
- an inert solvent e.g. ethyl acetate
- gaseous acid e.g. hydrochloric acid
- the protected (L) amino acid compound of Formula II depicted in Scheme III, and exemplified in Examples 2-8 may be replaced with a racemic mixture of a compound of Formula II. Consequently, the compounds of Formula I may exist as racemic mixtures of enantiomers and these mixtures are within the scope of this invention.
- inert solvent is a solvent whose structure does not contain functional groups likely to interfere with the reaction.
- examples for the activation of the hydroxyl groups and the coupling are dichloromethane, 1 ,2- dichloroethane, tetrahydrofuran (THF), dimethylformamide (DMF)
- activating reagent in this instance is one that transforms a hydroxyl group into a leaving group such as bromide, iodide, alkylsulfonate or arylsulfonate
- optically active amino acids may be obtained by resolution or by asymmetric synthesis or by other methods well known to those skilled in the art, prior to coupling in Step 1 of Schemes III. Alternatively, resolution, if so desired, may be accomplished at a later point in the synthesis of the compounds of Formula I by techniques known to those of ordinary skill in the art.
- Compound III of Scheme I may be prepared as known to those of ordinary skill in the art.
- 3,3-difluoropyrrolidine hydrochloride may be prepared as described by Giardina, G et al. Svnlett. 1995, 55.
- 3,3,4,4-tetrafluoropyrrolidine may be prepared as described in Chaudry et al. J. Chem. Soc. 1964, 874.
- 3,3,4,4-tetrafluoropyrrolidine may be prepared as depicted below in Scheme II.
- Step 1 the hydroxyl groups of 2,2,3,3- tetrafluorobutanediol (X) are activated to a leaving group, R 8 , (wherein R 8 may be Br, I or SO 2 R 11 , wherein R 11 may either be (1) a C C 8 straight or branched alkyl, optionally substituted with one or several fluorines or (2) an aryl group, optionally substituted with halogen or a straight or branched alkyl optionally substituted with one to four fluorines).
- R 8 is a trifluoromethylsulfonyloxy radical (F 3 CSO 3 ).
- the activating reagents necessary to transform the alcohol function to, for example, bromine or iodine are well-known to those skilled in the art (see e.g. March, Advanced Organic Chemistry, 3 rd ed. pp. 382-384 and Larock, Comprehensive Organic Transformations, pp. 353-360, incorporated by reference) and include, but are not limited to, the following activating reagents: hydrogen bromide ("HBr"), phosphorus tribromide (“PBr 3 "), phosphorus pentabromide (“PBr 5 "), thionyl bromide ("SOBr 2 ”) and hydrogen iodide ("HI").
- HBr hydrogen bromide
- PBr 3 phosphorus tribromide
- PBr 5 phosphorus pentabromide
- SOBr 2 thionyl bromide
- HI hydrogen iodide
- Preferred activating reagent combinations are triphenylphosphine/carbon tetrabromide ("Ph 3 P/CBr 4 "), Ph 3 P/N- bromosuccinimide, potassium iodide/phosphoric acid ("KI/H 3 PO 4 "), Ph 3 P/l 2 and Me 3 SiCI/Nal.
- Activation of the alcohol function to an alkyl or arylsulfonate is accomplished by reaction with the corresponding sulfonyl chloride or sulfonic anyhydride in an inert solvent in the presence of a base, such as pyridine or triethylamine, which is cooled (0"C) and stirred for about one hour. The reaction mixture is then stirred at room temperature for about an additional hour.
- Step 2 the reaction of compound XI with a primary amine R 9 NH 2 , wherein R 9 is an alkyl or aryl "protecting" group (i.e., such that the bond linking R 9 to the nitrogen atom may be easily cleaved by standard chemical manipulation known to those skilled in the art in Step 3), is accomplished by heating the solution to reflux overnight.
- R 9 is an alkyl or aryl "protecting" group (i.e., such that the bond linking R 9 to the nitrogen atom may be easily cleaved by standard chemical manipulation known to those skilled in the art in Step 3), is accomplished by heating the solution to reflux overnight.
- N-protecting groups are described in "Protective Groups in Organic Synthesis", 2 nd . Ed., P.G.M. Wuts and T.W. Greene, p.362, incorporated herein by reference, and include, for example, benzyl, te/ ⁇ -butyl, allyl and benzhydryl.
- R 9 is
- Step 3 can be performed on a cationic salt of intermediate compound XII, such as hydrochloride, hydrobromide, acetate, trifluoroacetate etc., in an appropriate solvent (e.g. water, methanol or ethanol). Removal of the R 9 protecting group from compound XII may be accomplished under conditions appropriate for the particular R 9 protecting group in use.
- a cationic salt of intermediate compound XII such as hydrochloride, hydrobromide, acetate, trifluoroacetate etc.
- Such conditions include, for example, (a) hydrogenolysis where R 9 is benzyl or benzhydryl; (b) treatment with a strong acid, such as trifluoroacetic acid or hydrochloric acid, wherein R 9 is te/t-butyl; or (c) treatment with tributyltinhydride and acetic acid in the presence of catalytic bis(triphenylphosphine) palladium (II) chloride where R 9 is allyl.
- a strong acid such as trifluoroacetic acid or hydrochloric acid
- R 9 is benzyl
- deprotection is performed by hydrogenolysis in the presence of 10% palladium in ethanol at about 45 psi for about 3 hours.
- the final compound III is, thus, isolated as the corresponding cationic salt by filtration of the catalyst over diatomaceous earth, removal of the solvent and trituration with a non- hydroxylic solvent, such as diethyl ether, diisopropyl ether, ethyl acetate, 1 ,4- dioxane or tetrahydrofuran.
- a non- hydroxylic solvent such as diethyl ether, diisopropyl ether, ethyl acetate, 1 ,4- dioxane or tetrahydrofuran.
- Compound III is utilized, as described above in Scheme I, for preparation of DPP-IV inhibitor compounds of Formula I.
- compounds of Formula I wherein a and b are each 0, may be prepared in accordance with the steps of Scheme III.
- (L) amino acid compound of Formula II e.g. (Z-)-Boc-isoleucine
- R 7 and R 10 are defined above
- hydroxyazetidine the compound of Formula V
- the resulting compound of Formula VI is treated, in Step 2, with diethylaminosulfur trifluoride or a similar fluorinating agent, providing a compound of Formula VII.
- Step 3 a compound of Formula VII is treated with acid, as analogously described above in Step 2 of Scheme I, providing a compound of Formula I, wherein a and b are each zero.
- the reaction described in Step 2 is readily accomplished by cooling a solution of diethylaminosulfur trifluoride (e.g. -78°C) in a reaction inert solvent (e.g. dichloromethane) to which a solution of the compound of Formula VI is added dropwise.
- the reaction mixture is warmed to ambient temperatures, until the starting materials are no longer present or until the reaction is completed, as determined by thin layer chromatography or other analytical techniques well known to those skilled in the art.
- the compound of Formula VII may be isolated according to methods well known to those skilled in the art and further treated with gaseous acid in Step 3, as analogously described above in Step 2 of Scheme I.
- monofluoro pyrrolidine and piperidine derivatives can be prepared by a similar sequence, starting respectively with pyrrolidin-3-ol or a hydroxypiperidine.
- compounds of Formula I can be prepared according to Scheme IV.
- (L) amino acid compounds of Formula II e.g. (L)-Boc- isoleucine, Boc-cyclohexylglycine etc.
- R 7 and R 10 are defined above
- a compound of Formula VIII a fluorinated piperidine, wherein R 1 , R 2 , R 3 , R 4 , R 5 and R 6 are defined above, (e.g. 4,4-difluoro-piperidine hydrochloride), as analogously described above in Step 1 of Scheme I, forming the compound of Formula IX.
- the compound of Formula IX, in Step 2 may be deprotected (e.g. gaseous acid), as analogously described in Step 2 of Scheme I, providing the compound of Formula I.
- optically active amino acids may be obtained by resolution or by asymmetric synthesis or by other methods well known to those skilled in the art, prior to coupling in Step 1 of Schemes I, III and IV. Alternatively, resolution, if so desired, may be accomplished at a later point in the synthesis of the compounds of Formula I by techniques known to those of ordinary skill in the art.
- the compounds of Formula I of the present invention are useful for the treatment of dipeptidyl peptidase-IV related conditions; the treatment of type II diabetes; the prevention of disease progression in type II diabetes; the treatment of type I diabetes, impaired glucose tolerance, hyperglycemia, impaired glucose tolerance, metabolic syndrome (Syndrome X or insulin resistance syndrome), glucosuria, metabolic acidosis, cataracts, diabetic neuropathy and nephropathy, Metabolic Syndrome, obesity, the treatment of hypertension, hyperlipidemia, metabolic acidosis, arthritis, osteoporosis, osteopenia, frailty, bone loss, bone fracture, short stature due to growth hormone deficiency, infertility due to polycystic ovary syndrome, anxiety, depression, insomnia, chronic fatigue, epilepsy, eating disorders, chronic pain, alcohol addiction, diseases associated with intestinal motility, ulcers, irritable bowel syndrome, inflammatory bowel syndrome and short bowel syndrome.
- the invention also relates to therapeutic methods for treating or preventing the above described conditions in a mammal, including a human, wherein a compound of Formula I of this invention is administered as part of an appropriate dosage regimen designed to obtain the benefits of the therapy.
- the appropriate dosage regimen, the amount of each dose administered and the intervals between doses of the compound will depend upon the compound of Formula I of this invention being used, the type of pharmaceutical compositions being used, the characteristics of the subject being treated and the severity of the conditions.
- an effective dosage for the compounds of Formula I described above is in the range of 0.01 mg/kg/day to 30 mg/kg/day, preferably 0.01 mg/kg/day to 1 mg/kg/day in single or divided doses. Some variation in dosage will necessarily occur, however, depending on the condition of the subject being treated. The individual responsible for dosing will, in any event, determine the appropriate dose for the individual subject.
- the compounds of Formula I of this invention may be administered to a subject in need of treatment by a variety of conventional routes of administration, including orally and parenterally, (e.g., intravenously, subcutaneously or intramedullary). Further, the pharmaceutical compositions of this invention may be administered intranasally, as a suppository or using a "flash" formulation, i.e., allowing the medication to dissolve in the mouth without the need to use water.
- the compounds of this invention may be administered in single (e.g., once daily) or multiple doses or via constant infusion.
- the compounds of this invention may also be administered alone or in combination with pharmaceutically acceptable carriers, vehicles or diluents, in either single or multiple doses.
- Suitable pharmaceutical carriers, vehicles and diluents include inert solid diluents or fillers, sterile aqueous solutions and various organic solvents.
- the pharmaceutical compositions formed by combining the compounds of this invention and the pharmaceutically acceptable carriers, vehicles or diluents are then readily administered in a variety of dosage forms such as tablets, powders, lozenges, syrups, injectable solutions and the like.
- These pharmaceutical compositions can, if desired, contain additional ingredients such as flavorings, binders, excipients and the like.
- tablets containing various excipients such as sodium citrate, calcium carbonate and/or calcium phosphate may be employed along with various disintegrants such as starch, alginic acid and/or certain complex silicates, together with binding agents such as polyvinylpyrrolidone, sucrose, gelatin and/or acacia.
- binding agents such as polyvinylpyrrolidone, sucrose, gelatin and/or acacia.
- lubricating agents such as magnesium stearate, sodium lauryl sulfate and talc are often useful for tabletting purposes.
- Solid compositions of a similar type may also be employed as fillers in soft and hard filled gelatin capsules. Preferred materials for this include lactose or milk sugar and high molecular weight polyethylene glycols.
- the active pharmaceutical agent therein may be combined with various sweetening or flavoring agents, coloring matter or dyes and, if desired, emulsifying or suspending agents, together with diluents such as water, ethanol, propylene glycol, glycerin and/or combinations thereof.
- solutions of the compounds of this invention in sesame or peanut oil, aqueous propylene glycol, or in sterile aqueous solutions may be employed.
- aqueous solutions should be suitably buffered if necessary and the liquid diluent first rendered isotonic with sufficient saline or glucose.
- aqueous solutions are especially suitable for intravenous, intramuscular, subcutaneous and intraperitoneal administration.
- the sterile aqueous media employed are all readily available by standard techniques known to those skilled in the art.
- the compounds of the invention are conveniently delivered in the form of a solution or suspension from a pump spray container that is squeezed or pumped by the patient or as an aerosol spray presentation from a pressurized container or a nebulizer, with the use of a suitable propellant, e.g., dichlorodifluoromethane, trichlorofluoromethane, dichlorotetrafluoroethane, carbon dioxide or other suitable gas.
- a suitable propellant e.g., dichlorodifluoromethane, trichlorofluoromethane, dichlorotetrafluoroethane, carbon dioxide or other suitable gas.
- the dosage unit may be determined by providing a valve to deliver a metered amount.
- the pressurized container or nebulizer may contain a solution or suspension of a compound of this invention.
- Capsules and cartridges for use in an inhaler or insufflator may be formulated containing a powder mix of a compound or compounds of the invention and a suitable powder base such as lactose or starch.
- kits comprises two separate compositions: (1 ) a first dosage form comprising a compound of Formula I, a prodrug thereof, or pharmaceutically acceptable salts and prodrugs, plus a pharmaceutically acceptable diluent or carrier; and (2) a second dosage form comprising an antidiabetic agent selected from insulin and insulin analogs; insulinotropin; biguanides; ⁇ 2 -antagonists and imidazolines; glitazones; aldose reductase inhibitors; glycogen phosphorylase inhibitors; sorbitol dehydrogenase inhibitors; fatty acid oxidation inhibitors; ⁇ -glucosidase inhibitors; ff-agonists; phosphodiesterase inhibitors; lipid-lowering agents; antiobesity agents; vanadate and vana
- the amounts of (1 ) and (2) are such that, when co-administered, the conditions, as described above, is treated or remediated.
- the kit comprises a container for containing the separate dosage forms, such as a divided bottle or a divided foil packet, wherein each compartment contains a plurality of dosage forms (e.g. tablets) comprising (1 ) or (2).
- the kit may contain separate compartments, each of which contains a whole dosage that in turn comprises separate dosage forms.
- kits are blister pack wherein each individual blister contains two (or more) tablet(s) comprising pharmaceutical composition dosage form (1), and dosage form (2).
- the kit comprises directions to the administration of the separate components.
- the kit form is particularly advantageous when the separate components are preferably administered in different dosage forms (e.g. oral and parenteral), are administered at different dosage intervals, or when titration of the individual components of the combination is desired by the prescribing physician.
- a kit therefore, comprises: d) a first dosage form comprising a compound of Formula I, a prodrug thereof, or a pharmaceutically acceptable salt or prodrug; e) a second dosage form comprising an antidiabetic agent selected from insulin and insulin analogs; insulinotropin; biguanides; ⁇ 2 -antagonists and imidazolines; glitazones; aldose reductase inhibitors; glycogen phosphorylase inhibitors; sorbitol dehydrogenase inhibitors; fatty acid oxidation inhibitors; ⁇ -glucosidase inhibitors; / ff-agonists; phosphodiesterase inhibitors; lipid-lowering agents; antiobesity agents; vanadate and vanadium complexes and peroxovanadium complexes; amylin antagonists; glucagon antagonists; growth hormone secretagogues; gluconeogenesis inhibitors; somatostatin analogs; inhibitors of renal glucose
- the dipeptidyl peptidase inhibition may be demonstrated in vitro by the following assay, which is adapted from published methods for the measurement of
- DPP-IV activity (Assay of dipeptidyl peptidase IV in serum by fluorometry of 4- methoxy-2-naphthylamide. (1988) Scharpe, S., DeMeester, I., Vanhoof, G., Hendriks, D., Van Sande, M., Van Camp, K. and Yaron, A. Clin. Chem. 34:2299-2301 ; Dipeptidyl peptidases of human lymphocytes (1988) Lodja, Z.
- Substrate solution comprising 50 ⁇ M Gly-Pro-4-methoxy B naphthylamide HCI (e.g.182 ⁇ g Gly-Pro-4-methoxy B naphthylamide HCI per 10 mL 50mM Tris assay buffer pH 7.3 containing 0.1 M sodium chloride, 0.1 % (v/v) Triton and enzyme (Enzyme Systems Products Cat#SPE-01 , DPP-IV 5 mU/mL stock) diluted 1 :100 (100 ⁇ L enzyme per 10 mL substrate solution), forming an enzyme substrate solution that is maintained at 4°C.
- Tris assay buffer pH 7.3 containing 0.1 M sodium chloride, 0.1 % (v/v) Triton and enzyme (Enzyme Systems Products Cat#SPE-01 , DPP-IV 5 mU/mL stock) diluted 1 :100 (100 ⁇ L enzyme per 10 mL substrate solution), forming an enzyme substrate solution that is maintained at 4°C.
- 150 ⁇ L of the enzyme substrate solution is pipetted into microtiter wells of a polystyrene 96-well plate, and maintained at 4°C. 5 ⁇ Uwell of compounds of Formula I are added, bringing the final compound of Formula I concentrations to 3 ⁇ M - 10 nM per well.
- Enzyme is omitted from four (4) wells, as a reagent blank. 5 ⁇ L of 3 mM Diprotin A is added to four wells as a positive quality control, providing a final Diprotin A concentration of 100 ⁇ M. To measure total enzyme activity (i.e. a negative control), without the influence of any compounds of Formula I, 5 ⁇ L of distilled water is added to four wells.
- the entire assay is incubated overnight (about 14-18 hours) at 37°C.
- the reaction is quenched by adding 10 ⁇ L of Fast Blue B solution (0.5 mg/mL Fast Blue B in a buffer comprising 0.1 M sodium acetate pH 4.2 and 10% (v/v) Triton X-100 to each well, followed by shaking for approximately 5 minutes at room temperature.
- Fast Blue B solution 0.5 mg/mL Fast Blue B in a buffer comprising 0.1 M sodium acetate pH 4.2 and 10% (v/v) Triton X-100
- IC 50 data for compounds may be obtained by measuring the activity of DPP-IV over a range of compound concentrations from 10nM to 3 ⁇ M.
- Oral glucose tolerance tests have been in use in humans since, at least, the 1930's, Pincus et al., Am. J. Med. Sci, 188: 782 (1934), and is routinely used in the diagnosis of human diabetes, though, not to evaluate the efficacy of therapeutic agents in patients.
- KK mice have been used to evaluate glitazones (Fujita et al. Diabetes 32:804-
- KK mice are derived from an inbred line first established by Kondo et al.
- mice spontaneously develop a hereditary form of polygenic diabetes that progresses to cause renal, retinal and neurological complications analogous to those seen in human diabetic subjects, but they do not require insulin or other medication for survival.
- the invention is directed to the use of KK mice to evaluate the effects of insulin secretagogue agents in the context of an oral glucose tolerance test.
- KK mice In Vivo Assay for Glucose Lowering
- mice (10 per group) are then orally dosed with a solution of a compound of Formula I in 0.5% methylcellulose (0.2 mL/mouse).
- Two controls groups receive only 0.5% methylcellulose.
- the mice are bled, as described above, and then dosed with 1 mg/kg glucose in distilled water (0.2 mL/mouse).
- the first control group is dosed with glucose.
- the second control group is dosed with water.
- mice 45 minutes, the mice are again bled, as described above.
- the blood samples are centrifuged, the plasma collected and analyzed for glucose content on a Roche- Hitachi 912 glucose analyzer. The data may be expressed as percent (%) inhibition of glucose excursion relative to the two control groups (i.e. the glucose level in the animals receiving glucose but no test compound representing 0% inhibition and the glucose concentration in the animals receiving only water representing 100% inhibition).
- Step 1 1S, 2S.-2-MethvM-(3.3.4.4-tetrafluoro-pyrroMdine-1-carbonyl,-butyll- carbamic acid tert-butyl ester.
- Step 2 (2S, 3S)-2-amino-3-methyl-1-(3,3,4.4-tetrafluoro-pyrrolidin-1-yl)-pentan- 1-one hydrochloride.
- [(1S, 2S)-2-Methyl-1-(3,3,4,4-tetrafluoro-pyrrolidine-1-carbonyl)-butyl]- carbamic acid tert-butyl ester 200 mg, 0.56 mmol
- was dissolved in ethyl acetate (4 mL) cooled to 0°C and treated with gaseous HCI for about 1 minute. After 15 minute at 0°C and 30 minute at room temperature, the mixture was concentrated to dryness and the solid was triturated with hexane, collected and dried under vacuum overnight (124 mg, 76%, mp > 250 °C).
- Step 1 r(7S,2S)-1-(3-Hvdroxy-azetidine-1-carbonyl,-2-methyl-butyll-carbamic acid te/f-butyl ester.
- (2S,3S)-2-amino-1-(3-fluoro-azetidin-1-yl)-3-methyl-pentan-1-one was prepared by HCI treatment of [(7S,2S)-1-(3-fluoro-azetidine-1-carbonyl)-2-methyl- butylj-carbamic acid te/f-butyl ester as analogously described in Step 2 of Example 1. (mp 208-210 °C).
- Step 1 (SH1-Cvclohexyl-2-oxo-2-,3.3A4-tetrafluoro-pyrrolidin-1-yl)-ethyll- carbamic acid te/f-butyl ester.
- Step 1 ⁇ (1 S.2/?.-2-Methyl-1 -(3.3.4.4-tetraf luoro-pyrrolidine-1 -carbonyl.-butyll- carbamic acid te/f-butyl ester.
- (2S,3R)-2-amino-1-(3,3-difluoro-pyrrolidin-1-yl)-3-methyl-pentan-1-one was prepared from 3,3-difluropyrrolidine hydrochloride (prepared according to Giardina, G. Synlett 1995, 55) and ( )-Boc-isoleucine, as analogously described in Example 1 (mp 196-198 °C).
- (2S, 3S)-2-amino-1 -(3,3-difluoro-pyrrolidin-1 -yl)-3-methyl-pentan-1 -one was prepared from 3,3-difluropyrrolidine hydrochloride and ( )-Boc-isoleucine, as analogously described in Example 7 (mp 195-198 °C).
- 4,4-Difluoro-piperidine hydrochloride obtained by HCI treatment of 4,4- difluoro-piperidine-1-carboxylic acid tert-butyl ester (as described in WO0040561 ), was coupled with Boc-( .)-cyclohexylglycine followed by HCI deprotection, as analogously described in Example 1 (mp > 250 °C).
- Step 1 Trifluoro-methanesulfonic acid 2.2,3.3-tetrafluoro-4-(trifluoro- methanesulfonyloxy)-butyl ester.
- Step 3 3.3.4.4-Tetrafluoro-pyrrolidine hydrochloride.
- a solution of 1-benzyl-3,3,4,4-tetrafluoro-pyrrolidine hydrochloride (23.8 g, 88 mmol) in ethanol (300 mL) containing 10% palladium on carbon was treated with hydrogen in a Parr shaker at 45 psi for 3 hours. The mixture was filtered through Celite®, the filtrate was concentrated to dryness. The residue was triturated with ether and the solid was collected and dried (13.4 g, 85%, (mp 193-196 °C).
Landscapes
- Health & Medical Sciences (AREA)
- Organic Chemistry (AREA)
- Chemical & Material Sciences (AREA)
- Bioinformatics & Cheminformatics (AREA)
- Engineering & Computer Science (AREA)
- Life Sciences & Earth Sciences (AREA)
- Veterinary Medicine (AREA)
- General Chemical & Material Sciences (AREA)
- Medicinal Chemistry (AREA)
- Nuclear Medicine, Radiotherapy & Molecular Imaging (AREA)
- Chemical Kinetics & Catalysis (AREA)
- Animal Behavior & Ethology (AREA)
- Pharmacology & Pharmacy (AREA)
- General Health & Medical Sciences (AREA)
- Public Health (AREA)
- Diabetes (AREA)
- Biomedical Technology (AREA)
- Neurosurgery (AREA)
- Neurology (AREA)
- Physical Education & Sports Medicine (AREA)
- Hematology (AREA)
- Obesity (AREA)
- Orthopedic Medicine & Surgery (AREA)
- Heart & Thoracic Surgery (AREA)
- Rheumatology (AREA)
- Cardiology (AREA)
- Endocrinology (AREA)
- Ophthalmology & Optometry (AREA)
- Pain & Pain Management (AREA)
- Urology & Nephrology (AREA)
- Psychiatry (AREA)
- Addiction (AREA)
- Reproductive Health (AREA)
- Pregnancy & Childbirth (AREA)
- Emergency Medicine (AREA)
- Vascular Medicine (AREA)
- Gynecology & Obstetrics (AREA)
- Child & Adolescent Psychology (AREA)
- Anesthesiology (AREA)
- Nutrition Science (AREA)
Abstract
Description
Claims
Priority Applications (6)
| Application Number | Priority Date | Filing Date | Title |
|---|---|---|---|
| JP2004509652A JP2005533771A (en) | 2002-06-04 | 2003-05-23 | Fluorinated cyclic amides as dipeptidyl peptidase IV inhibitors |
| BR0311608-5A BR0311608A (en) | 2002-06-04 | 2003-05-23 | Cyclically fluorinated amides as dipeptidyl peptidase iv inhibitors |
| CA002487636A CA2487636A1 (en) | 2002-06-04 | 2003-05-23 | Flourinated cyclic amides as dipeptidyl peptidase iv inhibitors |
| MXPA04011958A MXPA04011958A (en) | 2002-06-04 | 2003-05-23 | Flourinated cyclic amides as dipeptidyl peptidase iv inhibitors. |
| AU2003232405A AU2003232405A1 (en) | 2002-06-04 | 2003-05-23 | Flourinated cyclic amides as dipeptidyl peptidase iv inhibitors |
| EP03756085A EP1513808A2 (en) | 2002-06-04 | 2003-05-23 | Fluorinated cyclic amides as dipeptidyl peptidase iv inhibitors |
Applications Claiming Priority (2)
| Application Number | Priority Date | Filing Date | Title |
|---|---|---|---|
| US38615702P | 2002-06-04 | 2002-06-04 | |
| US60/386,157 | 2002-06-04 |
Publications (2)
| Publication Number | Publication Date |
|---|---|
| WO2003101958A2 true WO2003101958A2 (en) | 2003-12-11 |
| WO2003101958A3 WO2003101958A3 (en) | 2004-04-22 |
Family
ID=29712235
Family Applications (1)
| Application Number | Title | Priority Date | Filing Date |
|---|---|---|---|
| PCT/IB2003/002257 Ceased WO2003101958A2 (en) | 2002-06-04 | 2003-05-23 | Flourinated cyclic amides as dipeptidyl peptidase iv inhibitors |
Country Status (7)
| Country | Link |
|---|---|
| EP (1) | EP1513808A2 (en) |
| JP (1) | JP2005533771A (en) |
| AU (1) | AU2003232405A1 (en) |
| BR (1) | BR0311608A (en) |
| CA (1) | CA2487636A1 (en) |
| MX (1) | MXPA04011958A (en) |
| WO (1) | WO2003101958A2 (en) |
Cited By (43)
| Publication number | Priority date | Publication date | Assignee | Title |
|---|---|---|---|---|
| WO2004098591A2 (en) | 2003-05-05 | 2004-11-18 | Probiodrug Ag | Inhibitors of glutaminyl cyclase and their use in the treatment of neurological diseases |
| WO2005116014A1 (en) | 2004-05-12 | 2005-12-08 | Pfizer Products Inc. | Proline derivatives and their use as dipeptidyl peptidase iv inhibitors |
| WO2006118127A1 (en) | 2005-04-26 | 2006-11-09 | Mitsubishi Tanabe Pharma Corporation | Prophylactic/therapeutic agent for abnormalities of sugar/lipid metabolism |
| WO2007072083A1 (en) | 2005-12-23 | 2007-06-28 | Prosidion Limited | Treatment of type 2 diabetes with a combination of dpiv inhibitor and metformin or thiazolidinedione |
| WO2007120702A2 (en) | 2006-04-11 | 2007-10-25 | Arena Pharmaceuticals, Inc. | Use of gpr119 receptor agonists for increasing bone mass and for treating osteoporosis, and combination therapy relating thereto |
| WO2008055945A1 (en) | 2006-11-09 | 2008-05-15 | Probiodrug Ag | 3-hydr0xy-1,5-dihydr0-pyrr0l-2-one derivatives as inhibitors of glutaminyl cyclase for the treatment of ulcer, cancer and other diseases |
| WO2008065141A1 (en) | 2006-11-30 | 2008-06-05 | Probiodrug Ag | Novel inhibitors of glutaminyl cyclase |
| EP2116235A1 (en) | 2005-01-10 | 2009-11-11 | Arena Pharmaceuticals, Inc. | Combination therapy for the treatment of diabetes and conditions related thereto and for the treatment of conditions ameliorated by increasing a blood GLP-1 level |
| US7638638B2 (en) | 2003-05-14 | 2009-12-29 | Takeda San Diego, Inc. | Dipeptidyl peptidase inhibitors |
| EP1815865A4 (en) * | 2004-11-08 | 2010-08-25 | Ono Pharmaceutical Co | Therapeutic agent for diabetes comprising protease-inhibiting compound |
| WO2011005929A1 (en) | 2009-07-09 | 2011-01-13 | Arena Pharmaceuticals, Inc. | Piperidine derivative and its use for the treatment of diabets and obesity |
| WO2011029920A1 (en) | 2009-09-11 | 2011-03-17 | Probiodrug Ag | Heterocylcic derivatives as inhibitors of glutaminyl cyclase |
| US7960384B2 (en) | 2006-03-28 | 2011-06-14 | Takeda Pharmaceutical Company Limited | Dipeptidyl peptidase inhibitors |
| WO2011107530A2 (en) | 2010-03-03 | 2011-09-09 | Probiodrug Ag | Novel inhibitors |
| WO2011110613A1 (en) | 2010-03-10 | 2011-09-15 | Probiodrug Ag | Heterocyclic inhibitors of glutaminyl cyclase (qc, ec 2.3.2.5) |
| WO2011127051A1 (en) | 2010-04-06 | 2011-10-13 | Arena Pharmaceuticals, Inc. | Modulators of the gpr119 receptor and the treatment of disorders related thereto |
| WO2011131748A2 (en) | 2010-04-21 | 2011-10-27 | Probiodrug Ag | Novel inhibitors |
| US8084605B2 (en) | 2006-11-29 | 2011-12-27 | Kelly Ron C | Polymorphs of succinate salt of 2-[6-(3-amino-piperidin-1-yl)-3-methyl-2,4-dioxo-3,4-dihydro-2H-pyrimidin-1-ylmethy]-4-fluor-benzonitrile and methods of use therefor |
| US8093236B2 (en) | 2007-03-13 | 2012-01-10 | Takeda Pharmaceuticals Company Limited | Weekly administration of dipeptidyl peptidase inhibitors |
| WO2012040279A1 (en) | 2010-09-22 | 2012-03-29 | Arena Pharmaceuticals, Inc. | Modulators of the gpr119 receptor and the treatment of disorders related thereto |
| US8222411B2 (en) | 2005-09-16 | 2012-07-17 | Takeda Pharmaceutical Company Limited | Dipeptidyl peptidase inhibitors |
| WO2012123563A1 (en) | 2011-03-16 | 2012-09-20 | Probiodrug Ag | Benz imidazole derivatives as inhibitors of glutaminyl cyclase |
| WO2012135570A1 (en) | 2011-04-01 | 2012-10-04 | Arena Pharmaceuticals, Inc. | Modulators of the gpr119 receptor and the treatment of disorders related thereto |
| WO2012145604A1 (en) | 2011-04-22 | 2012-10-26 | Arena Pharmaceuticals, Inc. | Modulators of the gpr119 receptor and the treatment of disorders related thereto |
| WO2012145361A1 (en) | 2011-04-19 | 2012-10-26 | Arena Pharmaceuticals, Inc. | Modulators of the gpr119 receptor and the treatment of disorders related thereto |
| WO2012145603A1 (en) | 2011-04-22 | 2012-10-26 | Arena Pharmaceuticals, Inc. | Modulators of the gpr119 receptor and the treatment of disorders related thereto |
| US8324383B2 (en) | 2006-09-13 | 2012-12-04 | Takeda Pharmaceutical Company Limited | Methods of making polymorphs of benzoate salt of 2-[[6-[(3R)-3-amino-1-piperidinyl]-3,4-dihydro-3-methyl-2,4-dioxo-1(2H)-pyrimidinyl]methyl]-benzonitrile |
| WO2012170702A1 (en) | 2011-06-08 | 2012-12-13 | Arena Pharmaceuticals, Inc. | Modulators of the gpr119 receptor and the treatment of disorders related thereto |
| WO2013055910A1 (en) | 2011-10-12 | 2013-04-18 | Arena Pharmaceuticals, Inc. | Modulators of the gpr119 receptor and the treatment of disorders related thereto |
| WO2014074668A1 (en) | 2012-11-08 | 2014-05-15 | Arena Pharmaceuticals, Inc. | Modulators of gpr119 and the treatment of disorders related thereto |
| US8906901B2 (en) | 2005-09-14 | 2014-12-09 | Takeda Pharmaceutical Company Limited | Administration of dipeptidyl peptidase inhibitors |
| EP2865670A1 (en) | 2007-04-18 | 2015-04-29 | Probiodrug AG | Thiourea derivatives as glutaminyl cyclase inhibitors |
| CN107892663A (en) * | 2017-12-04 | 2018-04-10 | 武汉药明康德新药开发有限公司 | A kind of synthetic method of 3,3,4,4 4 fluoropyrrolidine |
| EP3461819A1 (en) | 2017-09-29 | 2019-04-03 | Probiodrug AG | Inhibitors of glutaminyl cyclase |
| US10555929B2 (en) | 2015-03-09 | 2020-02-11 | Coherus Biosciences, Inc. | Methods for the treatment of nonalcoholic fatty liver disease and/or lipodystrophy |
| WO2020188299A1 (en) * | 2019-03-20 | 2020-09-24 | Atrogi Ab | Heteroaryl(heterocyclyl)methanol compounds useful in the treatment of hyperglycaemia |
| US11253508B2 (en) | 2017-04-03 | 2022-02-22 | Coherus Biosciences, Inc. | PPARy agonist for treatment of progressive supranuclear palsy |
| EP4000630A1 (en) | 2014-09-03 | 2022-05-25 | Invex Therapeutics Ltd | Elevated intracranial pressure treatment |
| US11357757B2 (en) | 2017-09-13 | 2022-06-14 | Atrogi Ab | Heteroaryl substituted beta-hydroxyethylamines for use in treating hyperglycaemia |
| US11427539B2 (en) | 2017-09-13 | 2022-08-30 | Atrogi Ab | Beta-hydroxy heterocyclic amines and their use in the treatment of hyperglycaemia |
| US11648216B2 (en) | 2017-09-13 | 2023-05-16 | Atrogi Ab | Fluorophenyl beta-hydroxyethylamines and their use in the treatment of hyperglycaemia |
| CN116283702A (en) * | 2021-12-24 | 2023-06-23 | 西南医科大学 | A class of compound with anti-diabetic activity and its preparation method and application |
| US11793774B2 (en) | 2017-09-13 | 2023-10-24 | Atrogi Ab | Chiral beta-hydroxyethylamines and their use in the treatment of hyperglycemia |
Families Citing this family (4)
| Publication number | Priority date | Publication date | Assignee | Title |
|---|---|---|---|---|
| ATE374181T1 (en) | 2001-06-27 | 2007-10-15 | Smithkline Beecham Corp | FLUORPYRROLIDINES AS DIPEPTIDYLPEPTIDASE INHIBITORS |
| US20040242566A1 (en) | 2003-03-25 | 2004-12-02 | Syrrx, Inc. | Dipeptidyl peptidase inhibitors |
| CA2535619A1 (en) | 2003-08-13 | 2005-02-24 | Takeda Pharmaceutical Company Limited | 4-pyrimidone derivatives and their use as peptidyl peptidase inhibitors |
| EP2146210A1 (en) | 2008-04-07 | 2010-01-20 | Arena Pharmaceuticals, Inc. | Methods of using A G protein-coupled receptor to identify peptide YY (PYY) secretagogues and compounds useful in the treatment of conditions modulated by PYY |
Family Cites Families (2)
| Publication number | Priority date | Publication date | Assignee | Title |
|---|---|---|---|---|
| AU2790895A (en) * | 1994-06-10 | 1996-01-05 | Universitaire Instelling Antwerpen | Purification of serine protease and synthetic inhibitors thereof |
| TWI243162B (en) * | 2000-11-10 | 2005-11-11 | Taisho Pharmaceutical Co Ltd | Cyanopyrrolidine derivatives |
-
2003
- 2003-05-23 WO PCT/IB2003/002257 patent/WO2003101958A2/en not_active Ceased
- 2003-05-23 JP JP2004509652A patent/JP2005533771A/en active Pending
- 2003-05-23 BR BR0311608-5A patent/BR0311608A/en not_active IP Right Cessation
- 2003-05-23 AU AU2003232405A patent/AU2003232405A1/en not_active Abandoned
- 2003-05-23 MX MXPA04011958A patent/MXPA04011958A/en unknown
- 2003-05-23 EP EP03756085A patent/EP1513808A2/en not_active Withdrawn
- 2003-05-23 CA CA002487636A patent/CA2487636A1/en not_active Abandoned
Cited By (56)
| Publication number | Priority date | Publication date | Assignee | Title |
|---|---|---|---|---|
| WO2004098591A2 (en) | 2003-05-05 | 2004-11-18 | Probiodrug Ag | Inhibitors of glutaminyl cyclase and their use in the treatment of neurological diseases |
| US7638638B2 (en) | 2003-05-14 | 2009-12-29 | Takeda San Diego, Inc. | Dipeptidyl peptidase inhibitors |
| EP2116541A1 (en) | 2004-05-12 | 2009-11-11 | Pfizer Products Incorporated | Proline derivatives and their use as dipeptidyl peptidase IV inhibitors |
| WO2005116014A1 (en) | 2004-05-12 | 2005-12-08 | Pfizer Products Inc. | Proline derivatives and their use as dipeptidyl peptidase iv inhibitors |
| US7291618B2 (en) | 2004-05-12 | 2007-11-06 | Pfizer Inc | Therapeutic compounds |
| US7465732B2 (en) | 2004-05-12 | 2008-12-16 | Pfizer Inc | (2S,4S)-4-(piperazin-1-yl)pyrrolidine-2-methanone derivatives |
| EP1815865A4 (en) * | 2004-11-08 | 2010-08-25 | Ono Pharmaceutical Co | Therapeutic agent for diabetes comprising protease-inhibiting compound |
| EP2116235A1 (en) | 2005-01-10 | 2009-11-11 | Arena Pharmaceuticals, Inc. | Combination therapy for the treatment of diabetes and conditions related thereto and for the treatment of conditions ameliorated by increasing a blood GLP-1 level |
| WO2006118127A1 (en) | 2005-04-26 | 2006-11-09 | Mitsubishi Tanabe Pharma Corporation | Prophylactic/therapeutic agent for abnormalities of sugar/lipid metabolism |
| KR101333876B1 (en) * | 2005-04-26 | 2013-11-27 | 미쓰비시 타나베 파마 코퍼레이션 | Prophylactic/therapeutic agent for abnormalities of sugar/lipid metabolism |
| JPWO2006118127A1 (en) * | 2005-04-26 | 2008-12-18 | 田辺三菱製薬株式会社 | Preventive and / or therapeutic drug for abnormal sugar / lipid metabolism |
| US8906901B2 (en) | 2005-09-14 | 2014-12-09 | Takeda Pharmaceutical Company Limited | Administration of dipeptidyl peptidase inhibitors |
| US8222411B2 (en) | 2005-09-16 | 2012-07-17 | Takeda Pharmaceutical Company Limited | Dipeptidyl peptidase inhibitors |
| WO2007072083A1 (en) | 2005-12-23 | 2007-06-28 | Prosidion Limited | Treatment of type 2 diabetes with a combination of dpiv inhibitor and metformin or thiazolidinedione |
| US7960384B2 (en) | 2006-03-28 | 2011-06-14 | Takeda Pharmaceutical Company Limited | Dipeptidyl peptidase inhibitors |
| EP2253311A2 (en) | 2006-04-11 | 2010-11-24 | Arena Pharmaceuticals, Inc. | Use of GPR119 receptor agonists for increasing bone mass and for treating osteoporosis, as well as combination therapy relating thereto |
| WO2007120702A2 (en) | 2006-04-11 | 2007-10-25 | Arena Pharmaceuticals, Inc. | Use of gpr119 receptor agonists for increasing bone mass and for treating osteoporosis, and combination therapy relating thereto |
| US8324383B2 (en) | 2006-09-13 | 2012-12-04 | Takeda Pharmaceutical Company Limited | Methods of making polymorphs of benzoate salt of 2-[[6-[(3R)-3-amino-1-piperidinyl]-3,4-dihydro-3-methyl-2,4-dioxo-1(2H)-pyrimidinyl]methyl]-benzonitrile |
| WO2008055945A1 (en) | 2006-11-09 | 2008-05-15 | Probiodrug Ag | 3-hydr0xy-1,5-dihydr0-pyrr0l-2-one derivatives as inhibitors of glutaminyl cyclase for the treatment of ulcer, cancer and other diseases |
| US8084605B2 (en) | 2006-11-29 | 2011-12-27 | Kelly Ron C | Polymorphs of succinate salt of 2-[6-(3-amino-piperidin-1-yl)-3-methyl-2,4-dioxo-3,4-dihydro-2H-pyrimidin-1-ylmethy]-4-fluor-benzonitrile and methods of use therefor |
| WO2008065141A1 (en) | 2006-11-30 | 2008-06-05 | Probiodrug Ag | Novel inhibitors of glutaminyl cyclase |
| US8093236B2 (en) | 2007-03-13 | 2012-01-10 | Takeda Pharmaceuticals Company Limited | Weekly administration of dipeptidyl peptidase inhibitors |
| EP2865670A1 (en) | 2007-04-18 | 2015-04-29 | Probiodrug AG | Thiourea derivatives as glutaminyl cyclase inhibitors |
| WO2011005929A1 (en) | 2009-07-09 | 2011-01-13 | Arena Pharmaceuticals, Inc. | Piperidine derivative and its use for the treatment of diabets and obesity |
| WO2011029920A1 (en) | 2009-09-11 | 2011-03-17 | Probiodrug Ag | Heterocylcic derivatives as inhibitors of glutaminyl cyclase |
| WO2011107530A2 (en) | 2010-03-03 | 2011-09-09 | Probiodrug Ag | Novel inhibitors |
| WO2011110613A1 (en) | 2010-03-10 | 2011-09-15 | Probiodrug Ag | Heterocyclic inhibitors of glutaminyl cyclase (qc, ec 2.3.2.5) |
| WO2011127051A1 (en) | 2010-04-06 | 2011-10-13 | Arena Pharmaceuticals, Inc. | Modulators of the gpr119 receptor and the treatment of disorders related thereto |
| WO2011131748A2 (en) | 2010-04-21 | 2011-10-27 | Probiodrug Ag | Novel inhibitors |
| WO2012040279A1 (en) | 2010-09-22 | 2012-03-29 | Arena Pharmaceuticals, Inc. | Modulators of the gpr119 receptor and the treatment of disorders related thereto |
| EP3323818A1 (en) | 2010-09-22 | 2018-05-23 | Arena Pharmaceuticals, Inc. | Modulators of the gpr119 receptor and the treatment of disorders related thereto |
| WO2012123563A1 (en) | 2011-03-16 | 2012-09-20 | Probiodrug Ag | Benz imidazole derivatives as inhibitors of glutaminyl cyclase |
| WO2012135570A1 (en) | 2011-04-01 | 2012-10-04 | Arena Pharmaceuticals, Inc. | Modulators of the gpr119 receptor and the treatment of disorders related thereto |
| WO2012145361A1 (en) | 2011-04-19 | 2012-10-26 | Arena Pharmaceuticals, Inc. | Modulators of the gpr119 receptor and the treatment of disorders related thereto |
| WO2012145603A1 (en) | 2011-04-22 | 2012-10-26 | Arena Pharmaceuticals, Inc. | Modulators of the gpr119 receptor and the treatment of disorders related thereto |
| WO2012145604A1 (en) | 2011-04-22 | 2012-10-26 | Arena Pharmaceuticals, Inc. | Modulators of the gpr119 receptor and the treatment of disorders related thereto |
| WO2012170702A1 (en) | 2011-06-08 | 2012-12-13 | Arena Pharmaceuticals, Inc. | Modulators of the gpr119 receptor and the treatment of disorders related thereto |
| WO2013055910A1 (en) | 2011-10-12 | 2013-04-18 | Arena Pharmaceuticals, Inc. | Modulators of the gpr119 receptor and the treatment of disorders related thereto |
| WO2014074668A1 (en) | 2012-11-08 | 2014-05-15 | Arena Pharmaceuticals, Inc. | Modulators of gpr119 and the treatment of disorders related thereto |
| EP4000630A1 (en) | 2014-09-03 | 2022-05-25 | Invex Therapeutics Ltd | Elevated intracranial pressure treatment |
| US11400072B2 (en) | 2015-03-09 | 2022-08-02 | Coherus Biosciences, Inc. | Methods for the treatment of nonalcoholic fatty liver disease and/or lipodystrophy |
| US10555929B2 (en) | 2015-03-09 | 2020-02-11 | Coherus Biosciences, Inc. | Methods for the treatment of nonalcoholic fatty liver disease and/or lipodystrophy |
| US10772865B2 (en) | 2015-03-09 | 2020-09-15 | Coherus Biosciences, Inc. | Methods for the treatment of nonalcoholic fatty liver disease and/or lipodystrophy |
| US11253508B2 (en) | 2017-04-03 | 2022-02-22 | Coherus Biosciences, Inc. | PPARy agonist for treatment of progressive supranuclear palsy |
| US11427539B2 (en) | 2017-09-13 | 2022-08-30 | Atrogi Ab | Beta-hydroxy heterocyclic amines and their use in the treatment of hyperglycaemia |
| US11357757B2 (en) | 2017-09-13 | 2022-06-14 | Atrogi Ab | Heteroaryl substituted beta-hydroxyethylamines for use in treating hyperglycaemia |
| US11648216B2 (en) | 2017-09-13 | 2023-05-16 | Atrogi Ab | Fluorophenyl beta-hydroxyethylamines and their use in the treatment of hyperglycaemia |
| US11793774B2 (en) | 2017-09-13 | 2023-10-24 | Atrogi Ab | Chiral beta-hydroxyethylamines and their use in the treatment of hyperglycemia |
| US12036210B2 (en) | 2017-09-13 | 2024-07-16 | Atrogi Ab | Heteroaryl substituted beta-hydroxyethylamines for use in treating hyperglycaemia |
| US12280023B2 (en) | 2017-09-13 | 2025-04-22 | Atrogi Ab | Fluorophenyl beta-hydroxyethylamines and their use in the treatment of hyperglycaemia |
| EP3461819A1 (en) | 2017-09-29 | 2019-04-03 | Probiodrug AG | Inhibitors of glutaminyl cyclase |
| CN107892663B (en) * | 2017-12-04 | 2019-08-13 | 武汉药明康德新药开发有限公司 | A kind of synthetic method of tetra- fluoropyrrolidine of 3,3,4,4- |
| CN107892663A (en) * | 2017-12-04 | 2018-04-10 | 武汉药明康德新药开发有限公司 | A kind of synthetic method of 3,3,4,4 4 fluoropyrrolidine |
| WO2020188299A1 (en) * | 2019-03-20 | 2020-09-24 | Atrogi Ab | Heteroaryl(heterocyclyl)methanol compounds useful in the treatment of hyperglycaemia |
| US12378216B2 (en) | 2019-03-20 | 2025-08-05 | Atrogi Ab | Heteroaryl(heterocyclyl)methanol compounds useful in the treatment of hyperglycaemia |
| CN116283702A (en) * | 2021-12-24 | 2023-06-23 | 西南医科大学 | A class of compound with anti-diabetic activity and its preparation method and application |
Also Published As
| Publication number | Publication date |
|---|---|
| EP1513808A2 (en) | 2005-03-16 |
| BR0311608A (en) | 2005-02-22 |
| AU2003232405A1 (en) | 2003-12-19 |
| MXPA04011958A (en) | 2005-03-31 |
| AU2003232405A8 (en) | 2003-12-19 |
| CA2487636A1 (en) | 2003-12-11 |
| JP2005533771A (en) | 2005-11-10 |
| WO2003101958A3 (en) | 2004-04-22 |
Similar Documents
| Publication | Publication Date | Title |
|---|---|---|
| US6710040B1 (en) | Fluorinated cyclic amides as dipeptidyl peptidase IV inhibitors | |
| WO2003101958A2 (en) | Flourinated cyclic amides as dipeptidyl peptidase iv inhibitors | |
| US20040110817A1 (en) | Dipeptidyl peptidase IV inhibiting fluorinated cyclic amides | |
| US6812350B2 (en) | Synthesis of 3,3,4,4-tetrafluoropyrrolidine and novel dipeptidyl peptidase-IV inhibitor compounds | |
| US20050043292A1 (en) | Fluorinated lysine derivatives as dipeptidyl peptidase IV inhibitors | |
| JP3681110B2 (en) | N-substituted 2-cyanopyrrolidine | |
| EP1753748B1 (en) | Proline derivatives and their use as dipeptidyl peptidase iv inhibitors | |
| US6790854B2 (en) | Diphenylalkylamine derivatives useful as opioid receptor agonists | |
| JPS6058751B2 (en) | Proline related compounds and their production method | |
| US20050234065A1 (en) | Dipeptidyl peptidase-IV inhibitors | |
| JP2007513910A (en) | DPP-IV inhibitor | |
| CN101679241B (en) | Prolinamide derivatives as NK3 antagonists | |
| WO2005095339A1 (en) | Dicyanopyrrolidines as dipeptidyl peptidase iv inhibitors | |
| CN101448785B (en) | Novel dipeptidyl peptidase iv inhibitors and processes for preparation and pharmaceutical compositions thereof containing the same | |
| WO2006008644A1 (en) | Antidiabetic compounds | |
| MXPA01005817A (en) | N-substituted 2-cyanopyrrolidines |
Legal Events
| Date | Code | Title | Description |
|---|---|---|---|
| AK | Designated states |
Kind code of ref document: A2 Designated state(s): AE AG AL AM AT AU AZ BA BB BG BR BY BZ CA CH CN CO CR CU CZ DE DK DM DZ EC EE ES FI GB GD GE GH GM HR HU ID IL IN IS JP KE KG KP KR KZ LC LK LR LS LT LU LV MA MD MG MK MN MW MX MZ NI NO NZ OM PH PL PT RO RU SC SD SE SG SK SL TJ TM TN TR TT TZ UA UG US UZ VC VN YU ZA ZM ZW |
|
| AL | Designated countries for regional patents |
Kind code of ref document: A2 Designated state(s): GH GM KE LS MW MZ SD SL SZ TZ UG ZM ZW AM AZ BY KG KZ MD RU TJ TM AT BE BG CH CY CZ DE DK EE ES FI FR GB GR HU IE IT LU MC NL PT RO SE SI SK TR BF BJ CF CG CI CM GA GN GQ GW ML MR NE SN TD TG |
|
| DFPE | Request for preliminary examination filed prior to expiration of 19th month from priority date (pct application filed before 20040101) | ||
| 121 | Ep: the epo has been informed by wipo that ep was designated in this application | ||
| WWE | Wipo information: entry into national phase |
Ref document number: 2487636 Country of ref document: CA |
|
| WWE | Wipo information: entry into national phase |
Ref document number: PA/a/2004/011958 Country of ref document: MX |
|
| WWE | Wipo information: entry into national phase |
Ref document number: 2004509652 Country of ref document: JP |
|
| WWE | Wipo information: entry into national phase |
Ref document number: 2003756085 Country of ref document: EP |
|
| WWP | Wipo information: published in national office |
Ref document number: 2003756085 Country of ref document: EP |
|
| WWW | Wipo information: withdrawn in national office |
Ref document number: 2003756085 Country of ref document: EP |
















