WO2003070910A2 - INHIBITION OF VASCULAR ENDOTHELIAL GROWTH FACTOR (VEGF) AND VEGF RECEPTOR GENE EXPRESSION USING SHORT INTERFERING NUCLEIC ACID (siNA) - Google Patents
INHIBITION OF VASCULAR ENDOTHELIAL GROWTH FACTOR (VEGF) AND VEGF RECEPTOR GENE EXPRESSION USING SHORT INTERFERING NUCLEIC ACID (siNA) Download PDFInfo
- Publication number
- WO2003070910A2 WO2003070910A2 PCT/US2003/005022 US0305022W WO03070910A2 WO 2003070910 A2 WO2003070910 A2 WO 2003070910A2 US 0305022 W US0305022 W US 0305022W WO 03070910 A2 WO03070910 A2 WO 03070910A2
- Authority
- WO
- WIPO (PCT)
- Prior art keywords
- sina
- sina molecule
- nucleotides
- molecule
- vegf
- Prior art date
- Legal status (The legal status is an assumption and is not a legal conclusion. Google has not performed a legal analysis and makes no representation as to the accuracy of the status listed.)
- Ceased
Links
Classifications
-
- C—CHEMISTRY; METALLURGY
- C12—BIOCHEMISTRY; BEER; SPIRITS; WINE; VINEGAR; MICROBIOLOGY; ENZYMOLOGY; MUTATION OR GENETIC ENGINEERING
- C12N—MICROORGANISMS OR ENZYMES; COMPOSITIONS THEREOF; PROPAGATING, PRESERVING, OR MAINTAINING MICROORGANISMS; MUTATION OR GENETIC ENGINEERING; CULTURE MEDIA
- C12N15/00—Mutation or genetic engineering; DNA or RNA concerning genetic engineering, vectors, e.g. plasmids, or their isolation, preparation or purification; Use of hosts therefor
- C12N15/09—Recombinant DNA-technology
- C12N15/11—DNA or RNA fragments; Modified forms thereof; Non-coding nucleic acids having a biological activity
- C12N15/115—Aptamers, i.e. nucleic acids binding a target molecule specifically and with high affinity without hybridising therewith ; Nucleic acids binding to non-nucleic acids, e.g. aptamers
-
- A—HUMAN NECESSITIES
- A61—MEDICAL OR VETERINARY SCIENCE; HYGIENE
- A61K—PREPARATIONS FOR MEDICAL, DENTAL OR TOILETRY PURPOSES
- A61K47/00—Medicinal preparations characterised by the non-active ingredients used, e.g. carriers or inert additives; Targeting or modifying agents chemically bound to the active ingredient
- A61K47/50—Medicinal preparations characterised by the non-active ingredients used, e.g. carriers or inert additives; Targeting or modifying agents chemically bound to the active ingredient the non-active ingredient being chemically bound to the active ingredient, e.g. polymer-drug conjugates
- A61K47/51—Medicinal preparations characterised by the non-active ingredients used, e.g. carriers or inert additives; Targeting or modifying agents chemically bound to the active ingredient the non-active ingredient being chemically bound to the active ingredient, e.g. polymer-drug conjugates the non-active ingredient being a modifying agent
- A61K47/54—Medicinal preparations characterised by the non-active ingredients used, e.g. carriers or inert additives; Targeting or modifying agents chemically bound to the active ingredient the non-active ingredient being chemically bound to the active ingredient, e.g. polymer-drug conjugates the non-active ingredient being a modifying agent the modifying agent being an organic compound
-
- A—HUMAN NECESSITIES
- A61—MEDICAL OR VETERINARY SCIENCE; HYGIENE
- A61P—SPECIFIC THERAPEUTIC ACTIVITY OF CHEMICAL COMPOUNDS OR MEDICINAL PREPARATIONS
- A61P13/00—Drugs for disorders of the urinary system
- A61P13/12—Drugs for disorders of the urinary system of the kidneys
-
- A—HUMAN NECESSITIES
- A61—MEDICAL OR VETERINARY SCIENCE; HYGIENE
- A61P—SPECIFIC THERAPEUTIC ACTIVITY OF CHEMICAL COMPOUNDS OR MEDICINAL PREPARATIONS
- A61P15/00—Drugs for genital or sexual disorders; Contraceptives
-
- A—HUMAN NECESSITIES
- A61—MEDICAL OR VETERINARY SCIENCE; HYGIENE
- A61P—SPECIFIC THERAPEUTIC ACTIVITY OF CHEMICAL COMPOUNDS OR MEDICINAL PREPARATIONS
- A61P17/00—Drugs for dermatological disorders
-
- A—HUMAN NECESSITIES
- A61—MEDICAL OR VETERINARY SCIENCE; HYGIENE
- A61P—SPECIFIC THERAPEUTIC ACTIVITY OF CHEMICAL COMPOUNDS OR MEDICINAL PREPARATIONS
- A61P19/00—Drugs for skeletal disorders
- A61P19/02—Drugs for skeletal disorders for joint disorders, e.g. arthritis, arthrosis
-
- A—HUMAN NECESSITIES
- A61—MEDICAL OR VETERINARY SCIENCE; HYGIENE
- A61P—SPECIFIC THERAPEUTIC ACTIVITY OF CHEMICAL COMPOUNDS OR MEDICINAL PREPARATIONS
- A61P27/00—Drugs for disorders of the senses
-
- A—HUMAN NECESSITIES
- A61—MEDICAL OR VETERINARY SCIENCE; HYGIENE
- A61P—SPECIFIC THERAPEUTIC ACTIVITY OF CHEMICAL COMPOUNDS OR MEDICINAL PREPARATIONS
- A61P35/00—Antineoplastic agents
-
- C—CHEMISTRY; METALLURGY
- C07—ORGANIC CHEMISTRY
- C07H—SUGARS; DERIVATIVES THEREOF; NUCLEOSIDES; NUCLEOTIDES; NUCLEIC ACIDS
- C07H21/00—Compounds containing two or more mononucleotide units having separate phosphate or polyphosphate groups linked by saccharide radicals of nucleoside groups, e.g. nucleic acids
-
- C—CHEMISTRY; METALLURGY
- C07—ORGANIC CHEMISTRY
- C07H—SUGARS; DERIVATIVES THEREOF; NUCLEOSIDES; NUCLEOTIDES; NUCLEIC ACIDS
- C07H21/00—Compounds containing two or more mononucleotide units having separate phosphate or polyphosphate groups linked by saccharide radicals of nucleoside groups, e.g. nucleic acids
- C07H21/02—Compounds containing two or more mononucleotide units having separate phosphate or polyphosphate groups linked by saccharide radicals of nucleoside groups, e.g. nucleic acids with ribosyl as saccharide radical
-
- C—CHEMISTRY; METALLURGY
- C12—BIOCHEMISTRY; BEER; SPIRITS; WINE; VINEGAR; MICROBIOLOGY; ENZYMOLOGY; MUTATION OR GENETIC ENGINEERING
- C12N—MICROORGANISMS OR ENZYMES; COMPOSITIONS THEREOF; PROPAGATING, PRESERVING, OR MAINTAINING MICROORGANISMS; MUTATION OR GENETIC ENGINEERING; CULTURE MEDIA
- C12N15/00—Mutation or genetic engineering; DNA or RNA concerning genetic engineering, vectors, e.g. plasmids, or their isolation, preparation or purification; Use of hosts therefor
- C12N15/09—Recombinant DNA-technology
- C12N15/11—DNA or RNA fragments; Modified forms thereof; Non-coding nucleic acids having a biological activity
- C12N15/113—Non-coding nucleic acids modulating the expression of genes, e.g. antisense oligonucleotides; Antisense DNA or RNA; Triplex- forming oligonucleotides; Catalytic nucleic acids, e.g. ribozymes; Nucleic acids used in co-suppression or gene silencing
- C12N15/1131—Non-coding nucleic acids modulating the expression of genes, e.g. antisense oligonucleotides; Antisense DNA or RNA; Triplex- forming oligonucleotides; Catalytic nucleic acids, e.g. ribozymes; Nucleic acids used in co-suppression or gene silencing against viruses
- C12N15/1132—Non-coding nucleic acids modulating the expression of genes, e.g. antisense oligonucleotides; Antisense DNA or RNA; Triplex- forming oligonucleotides; Catalytic nucleic acids, e.g. ribozymes; Nucleic acids used in co-suppression or gene silencing against viruses against retroviridae, e.g. HIV
-
- C—CHEMISTRY; METALLURGY
- C12—BIOCHEMISTRY; BEER; SPIRITS; WINE; VINEGAR; MICROBIOLOGY; ENZYMOLOGY; MUTATION OR GENETIC ENGINEERING
- C12N—MICROORGANISMS OR ENZYMES; COMPOSITIONS THEREOF; PROPAGATING, PRESERVING, OR MAINTAINING MICROORGANISMS; MUTATION OR GENETIC ENGINEERING; CULTURE MEDIA
- C12N15/00—Mutation or genetic engineering; DNA or RNA concerning genetic engineering, vectors, e.g. plasmids, or their isolation, preparation or purification; Use of hosts therefor
- C12N15/09—Recombinant DNA-technology
- C12N15/11—DNA or RNA fragments; Modified forms thereof; Non-coding nucleic acids having a biological activity
- C12N15/113—Non-coding nucleic acids modulating the expression of genes, e.g. antisense oligonucleotides; Antisense DNA or RNA; Triplex- forming oligonucleotides; Catalytic nucleic acids, e.g. ribozymes; Nucleic acids used in co-suppression or gene silencing
- C12N15/1136—Non-coding nucleic acids modulating the expression of genes, e.g. antisense oligonucleotides; Antisense DNA or RNA; Triplex- forming oligonucleotides; Catalytic nucleic acids, e.g. ribozymes; Nucleic acids used in co-suppression or gene silencing against growth factors, growth regulators, cytokines, lymphokines or hormones
-
- C—CHEMISTRY; METALLURGY
- C12—BIOCHEMISTRY; BEER; SPIRITS; WINE; VINEGAR; MICROBIOLOGY; ENZYMOLOGY; MUTATION OR GENETIC ENGINEERING
- C12N—MICROORGANISMS OR ENZYMES; COMPOSITIONS THEREOF; PROPAGATING, PRESERVING, OR MAINTAINING MICROORGANISMS; MUTATION OR GENETIC ENGINEERING; CULTURE MEDIA
- C12N15/00—Mutation or genetic engineering; DNA or RNA concerning genetic engineering, vectors, e.g. plasmids, or their isolation, preparation or purification; Use of hosts therefor
- C12N15/09—Recombinant DNA-technology
- C12N15/11—DNA or RNA fragments; Modified forms thereof; Non-coding nucleic acids having a biological activity
- C12N15/113—Non-coding nucleic acids modulating the expression of genes, e.g. antisense oligonucleotides; Antisense DNA or RNA; Triplex- forming oligonucleotides; Catalytic nucleic acids, e.g. ribozymes; Nucleic acids used in co-suppression or gene silencing
- C12N15/1137—Non-coding nucleic acids modulating the expression of genes, e.g. antisense oligonucleotides; Antisense DNA or RNA; Triplex- forming oligonucleotides; Catalytic nucleic acids, e.g. ribozymes; Nucleic acids used in co-suppression or gene silencing against enzymes
-
- C—CHEMISTRY; METALLURGY
- C12—BIOCHEMISTRY; BEER; SPIRITS; WINE; VINEGAR; MICROBIOLOGY; ENZYMOLOGY; MUTATION OR GENETIC ENGINEERING
- C12N—MICROORGANISMS OR ENZYMES; COMPOSITIONS THEREOF; PROPAGATING, PRESERVING, OR MAINTAINING MICROORGANISMS; MUTATION OR GENETIC ENGINEERING; CULTURE MEDIA
- C12N15/00—Mutation or genetic engineering; DNA or RNA concerning genetic engineering, vectors, e.g. plasmids, or their isolation, preparation or purification; Use of hosts therefor
- C12N15/09—Recombinant DNA-technology
- C12N15/11—DNA or RNA fragments; Modified forms thereof; Non-coding nucleic acids having a biological activity
- C12N15/113—Non-coding nucleic acids modulating the expression of genes, e.g. antisense oligonucleotides; Antisense DNA or RNA; Triplex- forming oligonucleotides; Catalytic nucleic acids, e.g. ribozymes; Nucleic acids used in co-suppression or gene silencing
- C12N15/1138—Non-coding nucleic acids modulating the expression of genes, e.g. antisense oligonucleotides; Antisense DNA or RNA; Triplex- forming oligonucleotides; Catalytic nucleic acids, e.g. ribozymes; Nucleic acids used in co-suppression or gene silencing against receptors or cell surface proteins
-
- C—CHEMISTRY; METALLURGY
- C12—BIOCHEMISTRY; BEER; SPIRITS; WINE; VINEGAR; MICROBIOLOGY; ENZYMOLOGY; MUTATION OR GENETIC ENGINEERING
- C12Y—ENZYMES
- C12Y104/00—Oxidoreductases acting on the CH-NH2 group of donors (1.4)
- C12Y104/03—Oxidoreductases acting on the CH-NH2 group of donors (1.4) with oxygen as acceptor (1.4.3)
- C12Y104/03003—D-Amino-acid oxidase (1.4.3.3)
-
- C—CHEMISTRY; METALLURGY
- C12—BIOCHEMISTRY; BEER; SPIRITS; WINE; VINEGAR; MICROBIOLOGY; ENZYMOLOGY; MUTATION OR GENETIC ENGINEERING
- C12Y—ENZYMES
- C12Y114/00—Oxidoreductases acting on paired donors, with incorporation or reduction of molecular oxygen (1.14)
- C12Y114/19—Oxidoreductases acting on paired donors, with incorporation or reduction of molecular oxygen (1.14) with oxidation of a pair of donors resulting in the reduction of molecular oxygen to two molecules of water (1.14.19)
- C12Y114/19001—Stearoyl-CoA 9-desaturase (1.14.19.1), i.e. DELTA9-desaturase
-
- C—CHEMISTRY; METALLURGY
- C12—BIOCHEMISTRY; BEER; SPIRITS; WINE; VINEGAR; MICROBIOLOGY; ENZYMOLOGY; MUTATION OR GENETIC ENGINEERING
- C12Y—ENZYMES
- C12Y207/00—Transferases transferring phosphorus-containing groups (2.7)
- C12Y207/07—Nucleotidyltransferases (2.7.7)
- C12Y207/07049—RNA-directed DNA polymerase (2.7.7.49), i.e. telomerase or reverse-transcriptase
-
- C—CHEMISTRY; METALLURGY
- C12—BIOCHEMISTRY; BEER; SPIRITS; WINE; VINEGAR; MICROBIOLOGY; ENZYMOLOGY; MUTATION OR GENETIC ENGINEERING
- C12Y—ENZYMES
- C12Y207/00—Transferases transferring phosphorus-containing groups (2.7)
- C12Y207/11—Protein-serine/threonine kinases (2.7.11)
- C12Y207/11001—Non-specific serine/threonine protein kinase (2.7.11.1), i.e. casein kinase or checkpoint kinase
-
- C—CHEMISTRY; METALLURGY
- C12—BIOCHEMISTRY; BEER; SPIRITS; WINE; VINEGAR; MICROBIOLOGY; ENZYMOLOGY; MUTATION OR GENETIC ENGINEERING
- C12Y—ENZYMES
- C12Y207/00—Transferases transferring phosphorus-containing groups (2.7)
- C12Y207/11—Protein-serine/threonine kinases (2.7.11)
- C12Y207/11013—Protein kinase C (2.7.11.13)
-
- C—CHEMISTRY; METALLURGY
- C12—BIOCHEMISTRY; BEER; SPIRITS; WINE; VINEGAR; MICROBIOLOGY; ENZYMOLOGY; MUTATION OR GENETIC ENGINEERING
- C12Y—ENZYMES
- C12Y301/00—Hydrolases acting on ester bonds (3.1)
- C12Y301/03—Phosphoric monoester hydrolases (3.1.3)
- C12Y301/03048—Protein-tyrosine-phosphatase (3.1.3.48)
-
- A—HUMAN NECESSITIES
- A61—MEDICAL OR VETERINARY SCIENCE; HYGIENE
- A61K—PREPARATIONS FOR MEDICAL, DENTAL OR TOILETRY PURPOSES
- A61K38/00—Medicinal preparations containing peptides
-
- C—CHEMISTRY; METALLURGY
- C12—BIOCHEMISTRY; BEER; SPIRITS; WINE; VINEGAR; MICROBIOLOGY; ENZYMOLOGY; MUTATION OR GENETIC ENGINEERING
- C12N—MICROORGANISMS OR ENZYMES; COMPOSITIONS THEREOF; PROPAGATING, PRESERVING, OR MAINTAINING MICROORGANISMS; MUTATION OR GENETIC ENGINEERING; CULTURE MEDIA
- C12N2310/00—Structure or type of the nucleic acid
- C12N2310/10—Type of nucleic acid
- C12N2310/11—Antisense
- C12N2310/111—Antisense spanning the whole gene, or a large part of it
-
- C—CHEMISTRY; METALLURGY
- C12—BIOCHEMISTRY; BEER; SPIRITS; WINE; VINEGAR; MICROBIOLOGY; ENZYMOLOGY; MUTATION OR GENETIC ENGINEERING
- C12N—MICROORGANISMS OR ENZYMES; COMPOSITIONS THEREOF; PROPAGATING, PRESERVING, OR MAINTAINING MICROORGANISMS; MUTATION OR GENETIC ENGINEERING; CULTURE MEDIA
- C12N2310/00—Structure or type of the nucleic acid
- C12N2310/10—Type of nucleic acid
- C12N2310/12—Type of nucleic acid catalytic nucleic acids, e.g. ribozymes
-
- C—CHEMISTRY; METALLURGY
- C12—BIOCHEMISTRY; BEER; SPIRITS; WINE; VINEGAR; MICROBIOLOGY; ENZYMOLOGY; MUTATION OR GENETIC ENGINEERING
- C12N—MICROORGANISMS OR ENZYMES; COMPOSITIONS THEREOF; PROPAGATING, PRESERVING, OR MAINTAINING MICROORGANISMS; MUTATION OR GENETIC ENGINEERING; CULTURE MEDIA
- C12N2310/00—Structure or type of the nucleic acid
- C12N2310/10—Type of nucleic acid
- C12N2310/12—Type of nucleic acid catalytic nucleic acids, e.g. ribozymes
- C12N2310/121—Hammerhead
-
- C—CHEMISTRY; METALLURGY
- C12—BIOCHEMISTRY; BEER; SPIRITS; WINE; VINEGAR; MICROBIOLOGY; ENZYMOLOGY; MUTATION OR GENETIC ENGINEERING
- C12N—MICROORGANISMS OR ENZYMES; COMPOSITIONS THEREOF; PROPAGATING, PRESERVING, OR MAINTAINING MICROORGANISMS; MUTATION OR GENETIC ENGINEERING; CULTURE MEDIA
- C12N2310/00—Structure or type of the nucleic acid
- C12N2310/10—Type of nucleic acid
- C12N2310/14—Type of nucleic acid interfering nucleic acids [NA]
-
- C—CHEMISTRY; METALLURGY
- C12—BIOCHEMISTRY; BEER; SPIRITS; WINE; VINEGAR; MICROBIOLOGY; ENZYMOLOGY; MUTATION OR GENETIC ENGINEERING
- C12N—MICROORGANISMS OR ENZYMES; COMPOSITIONS THEREOF; PROPAGATING, PRESERVING, OR MAINTAINING MICROORGANISMS; MUTATION OR GENETIC ENGINEERING; CULTURE MEDIA
- C12N2310/00—Structure or type of the nucleic acid
- C12N2310/30—Chemical structure
- C12N2310/31—Chemical structure of the backbone
- C12N2310/315—Phosphorothioates
-
- C—CHEMISTRY; METALLURGY
- C12—BIOCHEMISTRY; BEER; SPIRITS; WINE; VINEGAR; MICROBIOLOGY; ENZYMOLOGY; MUTATION OR GENETIC ENGINEERING
- C12N—MICROORGANISMS OR ENZYMES; COMPOSITIONS THEREOF; PROPAGATING, PRESERVING, OR MAINTAINING MICROORGANISMS; MUTATION OR GENETIC ENGINEERING; CULTURE MEDIA
- C12N2310/00—Structure or type of the nucleic acid
- C12N2310/30—Chemical structure
- C12N2310/31—Chemical structure of the backbone
- C12N2310/317—Chemical structure of the backbone with an inverted bond, e.g. a cap structure
-
- C—CHEMISTRY; METALLURGY
- C12—BIOCHEMISTRY; BEER; SPIRITS; WINE; VINEGAR; MICROBIOLOGY; ENZYMOLOGY; MUTATION OR GENETIC ENGINEERING
- C12N—MICROORGANISMS OR ENZYMES; COMPOSITIONS THEREOF; PROPAGATING, PRESERVING, OR MAINTAINING MICROORGANISMS; MUTATION OR GENETIC ENGINEERING; CULTURE MEDIA
- C12N2310/00—Structure or type of the nucleic acid
- C12N2310/30—Chemical structure
- C12N2310/31—Chemical structure of the backbone
- C12N2310/318—Chemical structure of the backbone where the PO2 is completely replaced, e.g. MMI or formacetal
-
- C—CHEMISTRY; METALLURGY
- C12—BIOCHEMISTRY; BEER; SPIRITS; WINE; VINEGAR; MICROBIOLOGY; ENZYMOLOGY; MUTATION OR GENETIC ENGINEERING
- C12N—MICROORGANISMS OR ENZYMES; COMPOSITIONS THEREOF; PROPAGATING, PRESERVING, OR MAINTAINING MICROORGANISMS; MUTATION OR GENETIC ENGINEERING; CULTURE MEDIA
- C12N2310/00—Structure or type of the nucleic acid
- C12N2310/30—Chemical structure
- C12N2310/32—Chemical structure of the sugar
- C12N2310/321—2'-O-R Modification
-
- C—CHEMISTRY; METALLURGY
- C12—BIOCHEMISTRY; BEER; SPIRITS; WINE; VINEGAR; MICROBIOLOGY; ENZYMOLOGY; MUTATION OR GENETIC ENGINEERING
- C12N—MICROORGANISMS OR ENZYMES; COMPOSITIONS THEREOF; PROPAGATING, PRESERVING, OR MAINTAINING MICROORGANISMS; MUTATION OR GENETIC ENGINEERING; CULTURE MEDIA
- C12N2310/00—Structure or type of the nucleic acid
- C12N2310/30—Chemical structure
- C12N2310/32—Chemical structure of the sugar
- C12N2310/322—2'-R Modification
-
- C—CHEMISTRY; METALLURGY
- C12—BIOCHEMISTRY; BEER; SPIRITS; WINE; VINEGAR; MICROBIOLOGY; ENZYMOLOGY; MUTATION OR GENETIC ENGINEERING
- C12N—MICROORGANISMS OR ENZYMES; COMPOSITIONS THEREOF; PROPAGATING, PRESERVING, OR MAINTAINING MICROORGANISMS; MUTATION OR GENETIC ENGINEERING; CULTURE MEDIA
- C12N2310/00—Structure or type of the nucleic acid
- C12N2310/30—Chemical structure
- C12N2310/33—Chemical structure of the base
- C12N2310/332—Abasic residue
-
- C—CHEMISTRY; METALLURGY
- C12—BIOCHEMISTRY; BEER; SPIRITS; WINE; VINEGAR; MICROBIOLOGY; ENZYMOLOGY; MUTATION OR GENETIC ENGINEERING
- C12N—MICROORGANISMS OR ENZYMES; COMPOSITIONS THEREOF; PROPAGATING, PRESERVING, OR MAINTAINING MICROORGANISMS; MUTATION OR GENETIC ENGINEERING; CULTURE MEDIA
- C12N2310/00—Structure or type of the nucleic acid
- C12N2310/30—Chemical structure
- C12N2310/34—Spatial arrangement of the modifications
- C12N2310/346—Spatial arrangement of the modifications having a combination of backbone and sugar modifications
-
- C—CHEMISTRY; METALLURGY
- C12—BIOCHEMISTRY; BEER; SPIRITS; WINE; VINEGAR; MICROBIOLOGY; ENZYMOLOGY; MUTATION OR GENETIC ENGINEERING
- C12N—MICROORGANISMS OR ENZYMES; COMPOSITIONS THEREOF; PROPAGATING, PRESERVING, OR MAINTAINING MICROORGANISMS; MUTATION OR GENETIC ENGINEERING; CULTURE MEDIA
- C12N2310/00—Structure or type of the nucleic acid
- C12N2310/30—Chemical structure
- C12N2310/35—Nature of the modification
- C12N2310/351—Conjugate
-
- C—CHEMISTRY; METALLURGY
- C12—BIOCHEMISTRY; BEER; SPIRITS; WINE; VINEGAR; MICROBIOLOGY; ENZYMOLOGY; MUTATION OR GENETIC ENGINEERING
- C12N—MICROORGANISMS OR ENZYMES; COMPOSITIONS THEREOF; PROPAGATING, PRESERVING, OR MAINTAINING MICROORGANISMS; MUTATION OR GENETIC ENGINEERING; CULTURE MEDIA
- C12N2310/00—Structure or type of the nucleic acid
- C12N2310/50—Physical structure
- C12N2310/53—Physical structure partially self-complementary or closed
Definitions
- the present invention concerns compounds, compositions, and methods for the study, diagnosis, and treatment of conditions and diseases that respond to the modulation of vascular endothelial growth factor (VEGF) and/or vascular endothelial growth factor receptor (e.g., VEGFr 1, VEGFr2 and/or VEGFr3) gene expression and/or activity.
- VEGF vascular endothelial growth factor
- VEGFr 1 vascular endothelial growth factor receptor
- VEGFr3 vascular endothelial growth factor receptor
- the present invention also concerns compounds, compositions, and methods relating to conditions and diseases that respond to the modulation of expression and/or activity of genes involved in VEGF and VEGF receptor pathways.
- the invention relates to small nucleic acid molecules, such as short interfering nucleic acid (siNA), short interfering RNA (siRNA), double-stranded RNA (dsRNA), micro-RNA (miRNA), and short hai ⁇ in RNA (shRNA) molecules capable of mediating RNA interference (RNAi) against VEGF and VEGF receptor gene expression.
- siNA short interfering nucleic acid
- siRNA short interfering RNA
- dsRNA double-stranded RNA
- miRNA micro-RNA
- shRNA short hai ⁇ in RNA
- RNA interference refers lo the process of sequence- specific post-transcriptional gene silencing in animals mediated by short interfering RNAs (siRNAs) (Fire et al., 1998. Nature, 391 , 806).
- the conesponding process in plants is commonly referred to as posl- transcriptional gene silencing or RNA silencing and is also referred to as quelling in fungi.
- the process of post-lranscriptjona] gene silencing is thought to be an evolutionarily- conserved cellular defense mechanism used to prevent the expression of foreign genes and is commonly shared by diverse flora and phyla (Fire et al., 1999, Trends Genet., 15, 358).
- Such protection from foreign gene expression may have evolved in response to the production of double-stranded RNAs (dsRNAs) derived from viral infection or from the random integration of transposon elements into a host genome via a cellular response that specifically destroys homologous single-stranded RNA or viral genomic RNA.
- dsRNAs double-stranded RNAs
- the presence of dsRNA in cells triggers the RNAi response though a mechanism that has yet lo be fully characterized. This mechanism appears lo be different from the interferon response that results from dsRNA-mediated activation of protein kinase PKR and 2',5'-oligoadenylale synthetase resulting in non-specific cleavage of mRNA by ribonuclease L.
- dsRNAs ribonuclease 111 enzyme
- Dicer is involved in the piocessing of the dsRNA into short pieces of dsRNA known as short interfering RNAs (siRNAs) (Berstein et al, 2001. Nature, 409, 363).
- Short interfering RNAs derived from dicei activity are typically about 21 lo about 23 nucleotides in length and comprise about 19 base pair duplexes (Elbashir et al, 2001. Genes Dev., 15. 3 88).
- Dicer has also been implicated in the excision of 21 - and 22- nucleotide small temporal RNAs (stRNAs) fioni piecursor RNA of conserved structure that aie implicated in translational control (Hutvagnei ei al, 2001. Science, 293. 834 ).
- the RNAi response also feaiui es an endonuclease complex, commonly referred to as an RNA- induced silencing complex (RISC), which mediates cleavage of single-stranded RNA having sequence complementary to the antisense strand of the siRNA duplex. Cleavage of the target RNA takes place in the middle of the region complementary to the antisense strand of the siRNA duplex (Elbashir et al, 2001, Genes Dev., 15, 188).
- RISC RNA- induced silencing complex
- RNAi has been studied in a variety of systems. Fire et al., 1998, Nature, 391, 806, were the first to observe RNAi in C. elegans. Wianny and Goetz, 1999, Nature Cell Biol, 2, 70, describe RNAi mediated by dsRNA in mouse embryos. Hammond et al, 2000, Nature, 404, 293, describe RNAi in Drosophila cells transfected with dsRNA. Elbashir et al, 2001, Nature, 411, 494, describe RNAi induced by introduction of duplexes of synthetic 21- nucleotide RNAs in cultured mammalian cells including human embryonic kidney and HeLa cells.
- siRNA may include modifications to either the phosphate-sugar backbone or the nucleoside to include at least one of a nitrogen or sulfur heteroatom, however, neither application postulates to what extent such modifications would be tolerated in siRNA molecules, nor provides any further guidance or examples of such modified siRNA. Kreutzer et al., Canadian Patent Application No.
- 2,359,180 also describe certain chemical modifications for use in dsRNA constructs in order to counteract activation of double-stranded RNA-dependent protein kinase PKR, specifically 2'-amino or 2'-O-methyl nucleotides, and nucleotides containing a 2'-O or 4'-C methylene bridge.
- PKR double-stranded RNA-dependent protein kinase
- 2'-amino or 2'-O-methyl nucleotides specifically 2'-amino or 2'-O-methyl nucleotides, and nucleotides containing a 2'-O or 4'-C methylene bridge.
- Kreutzer et al. similarly fails to provide examples or guidance as to what extent these modifications would be tolerated in siRNA molecules.
- the authors describe the introduction of thiophosphate residues into these siRNA transcripts by incorporating thiophosphate nucleotide analogs with T7 and T3 RNA polymerase and observed that RNAs with two phosphorothioate modified bases also had substantial decreases in effectiveness as RNAi.
- Parrish et al. reported that phosphorothioate modification of more than two residues greatly destabilized the RNAs in vitro such that interference activities could not be assayed. Id. at 1081.
- the authors also tested certain modifications at the 2'-position of the nucleotide sugar in the long siRNA transcripts and found that substituting deoxynucleotides for ribonucleotides produced a substantial decrease in interference activity, especially in the case of Uridine to Thymidine and/or Cytidine to deoxy-Cytidine substitutions. Id.
- the authors tested certain base modifications, including substituting, in sense and antisense strands of the siRNA, 4-thiouracil, 5- bromouracil, 5-iodouracil, and 3-(aminoallyl)uracil for uracil, and inosine for guanosine.
- Parrish reported that inosine produced a substantial decrease in interference activity when incorporated in either strand. Parrish also reported that incorporation of 5-iodouracil and 3- (aminoallyl)uracil in the antisense strand resulted in a substantial decrease in RNAi activity as well. The use of longer dsRNA has been described. For example, Beach et al, International PCT Publication No. WO 01/68836, describes specific methods for attenuating gene expression using endogenously-derived dsRNA. Tuschl et al, International PCT Publication No.
- WO 01/75164 describe a Drosophila in vitro RNAi system and the use of specific siRNA molecules for certain functional genomic and certain therapeutic applications; although Tuschl, 2001, Chem. Biochem., 2, 239-245, doubts that RNAi can be used to cure genetic diseases or viral infection due to the danger of activating interferon response.
- Li et al, International PCT Publication No. WO 00/44914 describe the use of specific dsRNAs for attenuating the expression of certain target genes.
- Zemicka-Goetz et al, International PCT Publication No. WO 01/36646 describe certain methods for inhibiting the expression of particular genes in mammalian cells using certain dsRNA molecules. Fire et al, International PCT Publication No.
- WO 99/32619 describe particular methods for introducing certain dsRNA molecules into cells for use in inhibiting gene expression.
- Plaetinck et al International PCT Publication No. WO 00/01846, describe certain methods for identifying specific genes responsible for conferring a particular phenotype in a cell using specific dsRNA molecules.
- Mello et al International PCT Publication No. WO 01/29058, describe the identification of specific genes involved in dsRNA-mediated RNAi.
- Deschamps Depaillette et al, Intemational PCT Publication No. WO 99/07409 describe specific compositions consisting of particular dsRNA molecules combined with certain anti- viral agents. Waterhouse et al, International PCT Publication No.
- RNAi and gene-silencing systems have reported on various RNAi and gene-silencing systems. For example, Parrish et al, 2000, Molecular Cell, 6, 1977-1087, describe specific chemically-modified siRNA constracts targeting the unc-22 gene of C. elegans. Grossniklaus, Intemational PCT Publication No. WO 01/38551, describes certain methods for regulating polycomb gene expression in plants using certain dsRNAs. Churikov et al, International PCT Publication No. WO 01/42443, describe certain methods for modifying genetic characteristics of an organism using certain dsRNAs. Cogoni et al., International PCT Publication No. WO 01/53475, describe certain methods for isolating a Neurospora silencing gene and uses thereof.
- Reed et al International PCT Publication No. WO 01/68836, describe certain methods for gene silencing in plants.
- Honer et al, hitemational PCT Publication No. WO 01/70944 describe certain methods of drug screening using transgenic nematodes as Parkinson's Disease models using certain dsRNAs.
- Deak et al, Intemational PCT Publication No. WO 01/72774 describe certain Drosophila-de ⁇ ved gene products that may be related to RNAi .in Drosophila.
- Amdt et al, hitemational PCT Publication No. WO 01/92513 describe certain methods for mediating gene suppression by using factors that enhance RNAi. Tuschl et al, International PCT Publication No.
- WO 02/44321 describe certain synthetic siRNA constracts.
- Pachuk et al, International PCT Publication No. WO 00/63364, and Satishchandran et al, International PCT Publication No. WO 01/04313, describe certain methods and compositions for inhibiting the function of certain polynucleotide sequences using certain dsRNAs.
- Echeverri et al, International PCT Publication No. WO 02/38805 describe certain C. elegans genes identified via RNAi.
- Kreutzer et al, International PCT Publications Nos. WO 02/055692, WO 02/055693, and EP 1144623 Bl describes certain methods for inhibiting gene expression using RNAi.
- This invention relates to compounds, compositions, and methods useful for modulating the expression of genes, such as those genes associated with angiogenesis and proliferation using short interfering nucleic acid (siNA) molecules.
- This invention also relates to compounds, compositions, and methods useful for modulating the expression and activity of vascular endothelial growth factor (VEGF) and/or vascular endothelial growth factor receptor (e.g., VEGFr 1, VEGFr2, VEGFr3) genes, or genes involved in VEGF and/or VEGFr pathways of gene expression and/or VEGF activity by RNA interference (RNAi) using small nucleic acid molecules, such as short interfering nucleic acid (siNA), short interfering RNA (siRNA), double-stranded RNA (dsRNA), micro-RNA (miRNA), and short hairpin RNA (shRNA) molecules.
- siNA vascular endothelial growth factor
- siRNA vascular endothelial growth factor receptor
- RNAi
- the instant invention features small nucleic acid molecules, such as short interfering nucleic acid (siNA), short interfering RNA (siRNA), double-stranded RNA (dsRNA), micro-RNA (miRNA), and short hairpin RNA (shRNA) molecules and methods used to modulate the expression of VEGF and/or VEGFr genes.
- siNA of the invention can be unmodified or chemically-modified.
- a siNA of the instant invention can be chemically synthesized, expressed from a vector or enzymatically synthesized.
- the instant invention also features various chemically-modified synthetic short interfering nucleic acid (siNA) molecules capable of modulating VEGF and/or VEGFr gene expression or activity in cells by RNA interference (RNAi).
- siNA synthetic short interfering nucleic acid
- RNAi RNA interference
- the use of chemically- modified siNA improves various properties of native siNA molecules through increased resistance to nuclease degradation in vivo and/or through improved cellular uptake. Further, contrary to earlier published studies, siNA having multiple chemical modifications retains its RNAi activity.
- the siNA molecules of the instant mvention provide useful reagents and methods for a variety of therapeutic, diagnostic, target validation, genomic discovery, genetic engineering, and pharmacogenomic applications.
- the invention features one or more siNA molecules and methods that independently or in combination modulate the expression of gene(s) encoding proteins, such as vascular endothelial growth factor (VEGF) and or vascular endothelial growth factor receptors (e.g., VEGFrl, VEGFr2, VEGFr3), associated with the maintenance and/or development of cancer and other proliferative diseases, such as genes encoding sequences comprising those sequences referred to by GenBank Accession Nos. shown in Table I, referred to herein generally as VEGF and/or VEGFr.
- VEGF vascular endothelial growth factor
- VEGFrl vascular endothelial growth factor receptors
- VEGF and VEGFr genes referred to herein as VEGF and VEGFr respectively.
- the various aspects and embodiments are also directed to other VEGF and/or VEGFr genes, such as mutant VEGF and/or VEGFr genes, splice variants of VEGF and/or VEGFr genes, other VEGF and/or VEGFr ligands and receptors.
- the various aspects and embodiments are also directed to other genes that are involved in VEGF and/or VEGFr mediated pathways of signal transduction or gene expression that are involved in the progression, development, and/or maintenance of disease (e.g., cancer).
- Those additional genes can be analyzed for target sites using the methods described for VEGF and/or VEGFr genes herein.
- the inhibition and the effects of such inhibition of the other genes can be performed as described herein.
- the invention features a siNA molecule that down-regulates expression of a VEGF gene, for example, wherein the VEGF gene comprises VEGF encoding sequence.
- the invention features a siNA molecule that down-regulates expression of a VEGFr gene, for example, wherein the VEGFr gene comprises VEGFr encoding sequence.
- the invention features a siNA molecule having RNAi activity against VEGF and/or VEGFr RNA, wherein the siNA molecule comprises a sequence complementary to any RNA having VEGF and/or VEGFr or other VEGF and/or VEGFr encoding sequence, such as those sequences having GenBank Accession Nos. shown in Table I. Chemical modifications as shown in Tables III and IV or otherwise described herein can be applied to any siNA constract of the invention.
- the invention features a siNA molecule having RNAi activity against VEGF and/or VEGFr RNA, wherein the siNA molecule comprises a sequence complementary to any RNA having VEGF and/or VEGFr encoding sequence, such as those sequences having VEGF and/or VEGFr GenBank Accession Nos. shown in Table I. Chemical modifications as shown in Tables III and IV or otherwise described herein can be applied to any siNA constract of the invention.
- the invention features a siNA molecule having RNAi activity against a VEGF and/or VEGFr gene, wherein the siNA molecule comprises nucleotide sequence complementary to nucleotide sequence of a VEGF and/or VEGFr gene, such as those VEGF and/or VEGFr sequences having GenBank Accession Nos. shown in Table I.
- a siNA molecule of the invention includes nucleotide sequence that can interact with nucleotide sequence of a VEGF and/or VEGFr gene and thereby mediate silencing of VEGF and/or VEGFr gene expression, for example, wherein the siNA mediates regulation of VEGF and/or VEGFr gene expression by cellular processes that modulate the chromatin structure of the VEGF and/or VEGFr gene and prevent transcription of the VEGF and/or VEGFr gene.
- the invention features a siNA molecule comprising nucleotide sequence, for example, nucleotide sequence in the antisense region of the siNA molecule that is complementary to a nucleotide sequence or portion of sequence of a VEGF and/or VEGFr gene.
- the invention features a siNA molecule comprising a region, for example, the antisense region of the siNA construct, complementary to a sequence or portion of sequence comprising a VEGF and/or VEGFr gene sequence.
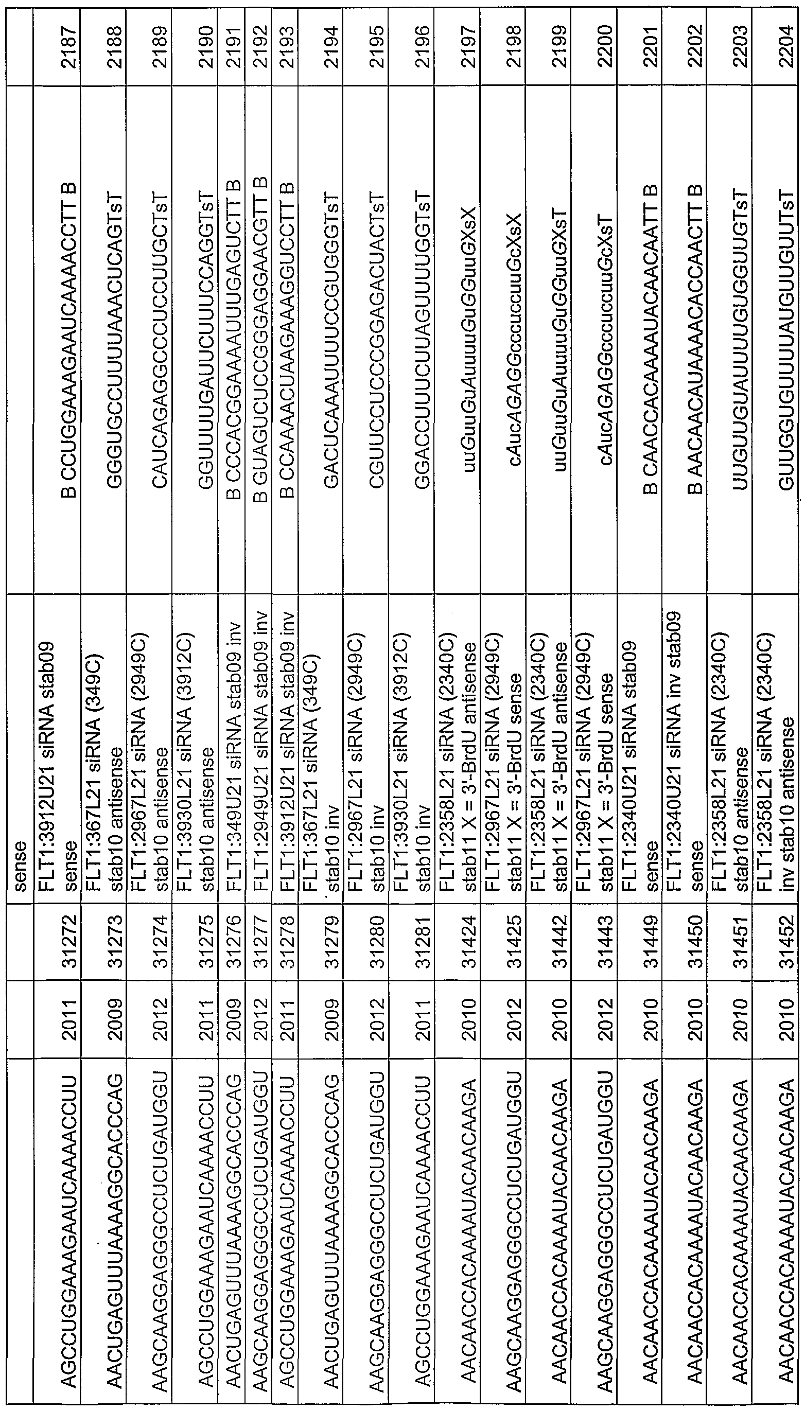
- the antisense region of VEGFrl siNA constructs can comprise a sequence complementary to sequence having any of SEQ ID NOs. 1-427 or 1997-2000. In one embodiment, the antisense region can also comprise sequence having any of SEQ ID NOs. 428-854, 2024-2027, 2032-2035, 2040-2043, 2104-2107, 2109, 2117, 2120-2122, 2125-2132, 2137-2140, 2142, 2150, 2152, 2154, 2158-2160, 2164-2166, 2188-2190, 2197, 2199, 2203-2204, 2229, 2231, 2233, 2235, 2237, or 2238.
- the sense region of VEGFrl constructs can comprise sequence having any of SEQ ID NOs. 1-427, 1997-2000, 2009-2016, 2020-2023, 2028-2031, 2036-2039, 2092-2103, 2108, 2114, 2116, 2123-2124, 2133-2136, 2141, 2149, 2151, 2153, 2155-2157, 2161-2163, 2185-2187, 2198, 2200-2202, 2228, 2230, 2232, 2234, or 2236.
- the sense region can comprise a sequence of SEQ ID NO. 2217 and the antisense region can comprise a sequence of SEQ ID NO. 2218.
- the sense region can comprise a sequence of SEQ ID NO.
- the antisense region can comprise a sequence of SEQ ID NO. 2220.
- the sense region can comprise a sequence of SEQ ID NO. 2221 and the antisense region can comprise a sequence of SEQ ID NO. 2222.
- the sense region can comprise a sequence of SEQ ID NO. 2223 and the antisense region can comprise a sequence of SEQ ID NO. 2224.
- the sense region can comprise a sequence of SEQ ID NO. 2225 and the antisense region can comprise a sequence of SEQ ID NO. 2226.
- the sense region can comprise a sequence of SEQ ID NO. 2223 and the antisense region can comprise a sequence of SEQ ID NO. 2227.
- the antisense region of VEGFr2 siNA constructs can comprise a sequence complementary to sequence having any of SEQ ID NOs. 855-1178 or 2001-2004. In one embodiment, the antisense region can also comprise sequence having any of SEQ ID NOs. 1179-1502, 2048-2051, 2056-2059, 2064-2067, 2208-2210, 2214-2216, or 2048-2051. In another embodiment, the sense region of VEGFr2 constructs can comprise sequence having any of SEQ ID NOs. 855-1178, 2001-2004, 2044-2047, 2052-2055, 2060-2063, 2017-2019, 2205-2207, 2211-2213, or 2044-2047. The sense region can comprise a sequence of SEQ ID NO.
- the sense region 2217 and the antisense region can comprise a sequence of SEQ ID NO. 2218.
- the sense region can comprise a sequence of SEQ ID NO. 2219 and the antisense region can comprise a sequence of SEQ ID NO. 2220.
- the sense region can comprise a sequence of SEQ ID NO. 2221 and the antisense region can comprise a sequence of SEQ ID NO. 2222.
- the sense region can comprise a sequence of SEQ ID NO. 2223 and the antisense region can comprise a sequence of SEQ ID NO. 2224.
- the sense region can comprise a sequence of SEQ ID NO. 2225 and the antisense region can comprise a sequence of SEQ ID NO. 2226.
- the sense region can comprise a sequence of SEQ ID NO. 2223 and the antisense region can comprise a sequence of SEQ ID NO. 2227.
- the antisense region of VEGFr3 siNA constructs can comprise a sequence complementary to sequence having any of SEQ ID NOs. 1503-1749 or 2005-2008. In one embodiment, the antisense region can also comprise sequence having any of SEQ ID NOs. 1750-1996, 2072-2075, 2080-2083, or 2088-2091. In another embodiment, the sense region of VEGFr3 constructs can comprise sequence having any of SEQ ID NOs. 1503- 1749, 2005-2008, 2068-2071, 2076-2079, or 2034-2087. The sense region can comprise a sequence of SEQ ID NO. 2217 and the antisense region can comprise a sequence of SEQ ID NO. 2218. The sense region can comprise a sequence of SEQ ID NO.
- the antisense region can comprise a sequence of SEQ ID NO. 2220.
- the sense region can comprise a sequence of SEQ ID NO. 2221 and the antisense region can comprise a sequence of SEQ ID NO. 2222.
- the sense region can comprise a sequence of SEQ ID NO. 2223 and the antisense region can comprise a sequence of SEQ ID NO. 2224.
- the sense region can comprise a sequence of SEQ ID NO. 2225 and the antisense region can comprise a sequence of SEQ ID NO. 2226.
- the sense region can comprise a sequence of SEQ ID NO. 2223 and the antisense region can comprise a sequence of SEQ ID NO. 2227.
- a siNA molecule of the invention comprises any of SEQ ID NOs.
- a siNA molecule of the invention can comprise any contiguous VEGF and/or VEGFr sequence (e.g., about 19 to about 25, or about 19, 20, 21, 22, 23, 24 or 25 contiguous VEGF and or VEGFr nucleotides).
- the invention features a siNA molecule comprising a sequence, for example, the antisense sequence of the siNA construct, complementary to a sequence or portion of sequence comprising sequence represented by GenBank Accession
- a siNA molecule comprises an antisense strand having about 19 to about 29 nucleotides, wherein the antisense strand is complementary to a RNA sequence encoding a VEGF and/or VEGFr protein, and wherein said siNA further comprises a sense strand having about 19 to about 29 (e.g., about 19, 20, 21, 22, 23, 24, 25,
- nucleotides 26, 27, 28 or 29 nucleotides, and wherein said sense strand and said antisense strand are distinct nucleotide sequences with at least about 19 complementary nucleotides.
- siNA molecule of the invention comprises an antisense region having about 19 to about 29 (e.g., about 19, 20, 21, 22, 23, 24, 25, 26,
- nucleotides wherein the antisense region is complementary to a RNA sequence encoding a VEGF and/or VEGFr protein, and wherein said siNA further comprises a sense region having about 19 to about 29 nucleotides, wherein said sense region and said antisense region comprise a linear molecule with at least about 19 complementary nucleotides.
- a siNA molecule comprises an antisense strand comprising a nucleotide sequence that is complementary to a nucleotide sequence or a portion thereof encoding a VEGF and/or VEGFr protein.
- the siNA further comprises a sense strand, wherein said sense strand comprises a nucleotide sequence of a VEGF and/or VEGFr gene or a portion thereof.
- a siNA molecule comprises an antisense region comprising a nucleotide sequence that is complementary to a nucleotide sequence or a portion thereof encoding a VEGF and/or VEGFr protein.
- the siNA molecule further comprises a sense region, wherein said sense region comprises a nucleotide sequence of a VEGF and/or
- VEGFr gene or a portion thereof.
- a siNA molecule of the invention has RNAi activity that modulates expression of RNA encoded by a VEGF gene. Because VEGF genes can share some degree of sequence homology with each other, siNA molecules can be designed to target a class of VEGF genes (and associated receptor or ligand genes) or alternately specific VEGF genes by selecting sequences that are either shared amongst different VEGF targets or alternatively that are unique for a specific VEGF target.
- the siNA molecule can be designed to target conserved regions of VEGF RNA sequence having homology between several VEGF genes so as to target several VEGF genes (e.g., different VEGF isoforms, splice variants, mutant genes etc.) with one siNA molecule.
- the siNA molecule can be designed to target a sequence that is unique to a specific VEGF RNA sequence due to the high degree of specificity that the siNA molecule requires to mediate RNAi activity.
- a siNA molecule of the mvention has RNAi activity that modulates expression of RNA encoded by a VEGFr gene. Because VEGFr genes can share some degree of sequence homology with each other, siNA molecules can be designed to target a class of VEGFr genes (and associated receptor or ligand genes) or alternately specific VEGFr genes by selecting sequences that are either shared amongst different VEGFr targets or alternatively that are unique for a specific VEGFr target.
- the siNA molecule can be designed to target conserved regions of VEGFr RNA sequence having homology between several VEGFr genes so as to target several VEGFr genes (e.g., different VEGFr isoforms, splice variants, mutant genes etc.) with one siNA molecule.
- the siNA molecule can be designed to target a sequence that is unique to a specific VEGFr RNA sequence due to the high degree of specificity that the siNA molecule requires to mediate RNAi activity.
- a siNA molecule of the invention has RNAi activity that modulates expression of RNA encoded by a VEGFr gene. Because VEGFr genes can share some degree of sequence homology with each other, siNA molecules can be designed to target a class of VEGFr genes or alternately specific VEGFr genes by selecting sequences that are either shared amongst different VEGFr targets or alternatively that are unique for a specific VEGFr target.
- the siNA molecule can be designed to target conserved regions of VEGFr RNA sequence having homology between several VEGFr genes so as to target several VEGFr genes (e.g., VEGFrl, VEGFr2 and/or VEGFr3, different VEGFr isoforms, splice variants, mutant genes etc.) with one siNA molecule.
- the siNA molecule can be designed to target a sequence that is unique to a specific VEGFr RNA sequence due to the high degree of specificity that the siNA molecule requires to mediate RNAi activity.
- a siNA molecule of the invention has RNAi activity that modulates expression of RNA encoded by a VEGF gene. Because VEGF genes can share some degree of sequence homology with each other, siNA molecules can be designed to target a class of VEGF genes or alternately specific VEGF genes by selecting sequences that are either shared amongst different VEGF targets or alternatively that are unique for a specific VEGF target.
- the siNA molecule can be designed to target conserved regions of VEGF RNA sequence having homology between several VEGF genes so as to target several VEGF genes (e.g., VEGF-A, VEGF-B, VEGF-C and/or VEGF- D, different VEGF isoforms, splice variants, mutant genes etc.) with one siNA molecule.
- the siNA molecule can be designed to target a sequence that is unique to a specific VEGF RNA sequence due to the high degree of specificity that the siNA molecule requires to mediate RNAi activity.
- nucleic acid molecules of the invention that act as mediators of the RNA interference gene silencing response are double-stranded nucleic acid molecules.
- the siNA molecules of the invention consist of duplexes containing about 19 base pairs between oligonucleotides comprising about 19 to about 25 (e.g., about 19, 20, 21, 22, 23, 24 or 25) nucleotides.
- siNA molecules of the invention comprise duplexes with overhanging ends of about about 1 to about 3 (e.g., about 1, 2, or 3) nucleotides, for example, about 21-nucleotide duplexes with about 19 base pairs and 3'-terminal mononucleotide, dinucleotide, or trinucleotide overhangs.
- about 1 to about 3 e.g., about 1, 2, or 3
- nucleotides for example, about 21-nucleotide duplexes with about 19 base pairs and 3'-terminal mononucleotide, dinucleotide, or trinucleotide overhangs.
- the invention features one or more chemically-modified siNA constructs having specificity for VEGF and/or VEGFr expressing nucleic acid molecules, such as RNA encoding a VEGF and/or VEGFr protein.
- chemical modifications mclude without limitation phosphorothioate internucleotide linkages, 2'-deoxyribonucleotides, 2'-O-methyl ribonucleotides, 2'-deoxy-2 '-fluoro ribonucleotides, "universal base” nucleotides, "acyclic" nucleotides, 5-C-methyl nucleotides, and terminal glyceryl and/or inverted deoxy abasic residue inco ⁇ oration.
- a siNA molecule of the invention comprises modified nucleotides while maintaining the ability to mediate RNAi.
- the modified nucleotides can be used to improve in vitro or in vivo characteristics such as stability, activity, and/or bioavailability.
- a siNA molecule of the invention can comprise modified nucleotides as a percentage of the total number of nucleotides present in the siNA molecule.
- a siNA molecule of the invention can generally comprise about 5% to about 100% modified nucleotides (e.g., 5%, 10%, 15%, 20%, 25%, 30%, 35%, 40%, 45%, 50%, 55%, 60%, 65%, 70%, 75%, 80%, 85%, 90%, 95% or 100% modified nucleotides).
- the actual percentage of modified nucleotides present in a given siNA molecule will depend on the total number of nucleotides present in the siNA. If the siNA molecule is single stranded, the percent modification can be based upon the total number of nucleotides present in the single stranded siNA molecules. Likewise, if the siNA molecule is double stranded, the percent modification can be based upon the total number of nucleotides present in the sense strand, antisense strand, or both the sense and antisense strands.
- the mvention features a double-stranded short interfering nucleic acid (siNA) molecule that down-regulates expression of a VEGF and/or VEGFr gene, wherein the siNA molecule comprises one or more chemical modifications and each strand of the double-stranded siNA is about 21 nucleotides long.
- siNA short interfering nucleic acid
- a siNA molecule of the invention comprises no ribonucleotides. In another embodiment, a siNA molecule of the invention comprises ribonucleotides.
- the mvention features a double-stranded short interfering nucleic acid (siNA) molecule that down-regulates expression of a VEGF and/or VEGFr gene, wherein one of the strands of the double-stranded siNA molecule comprises a nucleotide sequence that is complementary to a nucleotide sequence or a portion thereof of the VEGF and/or VEGFr gene, and wherein the second strand of the double-stranded siNA molecule comprises a nucleotide sequence substantially similar to the nucleotide sequence or a portion thereof of the VEGF and/or VEGFr gene.
- siNA short interfering nucleic acid
- the invention features a double-stranded short interfering nucleic acid (siNA) molecule that down-regulates expression of a VEGF and/or VEGFr gene, wherein each strand of the siNA molecule comprises about 19 to about 23 nucleotides, and wherein each strand comprises at least about 19 nucleotides that are complementary to the nucleotides of the other strand.
- siNA short interfering nucleic acid
- the invention features a double-stranded short interfering nucleic acid (siNA) molecule that down-regulates expression of a VEGF and/or VEGFr gene, wherein the siNA molecule comprises an antisense region comprising a nucleotide sequence that is complementary to a nucleotide sequence or a portion thereof of the VEGF and/or VEGFr gene, and wherein the siNA further comprises a sense region, wherein the sense region comprises a nucleotide sequence substantially similar to the nucleotide sequence or a portion thereof of the VEGF and/or VEGFr gene.
- siNA short interfering nucleic acid
- the invention features a double-stranded short interfering nucleic acid (siNA) molecule that down-regulates expression of a VEGF and/or VEGFr gene, wherein the antisense region and the sense region each comprise about 19 to about 23 nucleotides, and wherein the antisense region comprises at least about 19 nucleotides that are complementary to nucleotides of the sense region.
- siNA short interfering nucleic acid
- the invention features a double-stranded short interfering nucleic acid (siNA) molecule that down-regulates expression of a VEGF and/or VEGFr gene, wherein the siNA molecule comprises a sense region and an antisense region and wherein the antisense region comprises a nucleotide sequence that is complementary to a nucleotide sequence or a portion thereof of RNA encoded by the VEGF and/or VEGFr gene and the sense region comprises a nucleotide sequence that is complementary to the antisense region.
- siNA double-stranded short interfering nucleic acid
- the mvention features a double-stranded short interfering nucleic acid (siNA) molecule that down-regulates expression of a VEGF and/or VEGFr gene, wherein the siNA molecule is assembled from two separate oligonucleotide fragments wherein one fragment comprises the sense region and the second fragment comprises the antisense region of the siNA molecule.
- the sense region can be connected to the antisense region via a linker molecule, such as a polynucleotide linker or a non-nucleotide linker.
- the invention features a double-stranded short interfering nucleic acid (siNA) molecule that down-regulates expression of a VEGF and/or VEGFr gene, wherein the siNA molecule comprises a sense region and an antisense region and wherein the antisense region comprises a nucleotide sequence that is complementary to a nucleotide sequence or a portion thereof of RNA encoded by the VEGF and/or VEGFr gene and the sense region comprises a nucleotide sequence that is complementary to the antisense region, and wherein pyrimidine nucleotides in the sense region are 2'-O-methyl pyrimidine nucleotides, 2'-deoxy purine nucleotides, or 2'-deoxy-2'-fluoro pyrimidine nucleotides.
- siNA short interfering nucleic acid
- the invention features a double-stranded short interfering nucleic acid (siNA) molecule that down-regulates expression of a VEGF and/or VEGFr gene, wherein the siNA molecule is assembled from two separate oligonucleotide fragments wherein one fragment comprises the sense region and the second fragment comprises the antisense region of the siNA molecule, and wherein the fragment comprising the sense region includes a terminal cap moiety at the 5 '-end, the 3 '-end, or both of the 5' and 3' ends of the fragment comprising the sense region.
- the terminal cap moiety is an inverted deoxy abasic moiety or glyceryl moiety.
- each of the two fragments of the siNA molecule comprise about 21 nucleotides.
- the invention features a double-stranded short interfering nucleic acid (siNA) molecule that down-regulates expression of a VEGF and/or VEGFr gene, wherein the siNA molecule comprises a sense region and an antisense region and wherein the antisense region comprises a nucleotide sequence that is complementary to a nucleotide sequence or a portion thereof of RNA encoded by the VEGF and/or VEGFr gene and the sense region comprises a nucleotide sequence that is complementary to the antisense region, and wherein the purine nucleotides present in the antisense region comprise 2'-deoxy- purine nucleotides.
- siNA short interfering nucleic acid
- the antisense region comprises a phosphorothioate internucleotide linkage at the 3' end of the antisense region. In another embodiment, the antisense region comprises a glyceryl modification at the 3' end of the antisense region.
- the invention features a double-stranded short interfering nucleic acid (siNA) molecule that down-regulates expression of a VEGF and/or VEGFr gene, wherein the siNA molecule is assembled from two separate oligonucleotide fragments wherein one fragment comprises the sense region and the second fragment comprises the antisense region of the siNA molecule, and wherein about 19 nucleotides of each fragment of the siNA molecule are base-paired to the complementary nucleotides of the other fragment of the siNA molecule and wherein at least two 3 ' terminal nucleotides of each fragment of the siNA molecule are not base-paired to the nucleotides of the other fragment of the siNA molecule.
- siNA short interfering nucleic acid
- each of the two 3 ' terminal nucleotides of each fragment of the siNA molecule are 2'-deoxy-pyrimidines, such as 2'-deoxy-thyrnidine.
- all 21 nucleotides of each fragment of the siNA molecule are base- paired to the complementary nucleotides of the other fragment of the siNA molecule.
- about 19 nucleotides of the antisense region are base-paired to the nucleotide sequence or a portion thereof of the RNA encoded by the VEGF and/or VEGFr gene.
- 21 nucleotides of the antisense region are base-paired to the nucleotide sequence or a portion thereof of the RNA encoded by the VEGF and/or VEGFr gene.
- the 5 '-end of the fragment comprising said antisense region optionally includes a phosphate group.
- the invention features a double-stranded short interfering nucleic acid (siNA) molecule that inhibits the expression of a VEGF and/or VEGFr RNA sequence (e.g., wherein said target RNA sequence is encoded by a VEGF and/or VEGFr gene), wherein the siNA molecule comprises no ribonucleotides and wherein each strand of the double-stranded siNA molecule is about 21 nucleotides long.
- siNA short interfering nucleic acid
- the invention features a medicament comprising a siNA molecule of the invention.
- the invention features an active ingredient comprising a siNA molecule of the invention.
- the invention features the use of a double-stranded short interfering nucleic acid (siNA) molecule to down-regulate expression of a VEGF and/or VEGFr gene, wherein the siNA molecule comprises one or more chemical modifications and each strand of the double-stranded siNA is about 21 nucleotides long.
- siNA short interfering nucleic acid
- a VEGFr gene contemplated by the invention is a VEGFrl, VEGFr2, or VEGFr3 gene.
- the invention features a double-stranded short interfering nucleic acid (siNA) molecule that inhibits expression of a VEGF and/or VEGFr gene, wherein one of the strands of the double-stranded siNA molecule is an antisense strand which comprises nucleotide sequence that is complementary to nucleotide sequence of VEGF and/or VEGFr RNA or a portion thereof, the other strand is a sense strand which comprises nucleotide sequence that is complementary to a nucleotide sequence of the antisense strand and wherein a majority of the pyrimidine nucleotides present in the double-stranded siNA molecule comprises a sugar modification.
- the VEGFr gene is VEGFr2.
- the VEGFr gene is VEGFrl.
- the invention features a double-stranded short interfering nucleic acid (siNA) molecule that inhibits expression of a VEGF and/or VEGFr gene, wherein one of the strands of the double-stranded siNA molecule is an antisense strand which comprises nucleotide sequence that is complementary to nucleotide sequence of VEGF and/or VEGFr RNA or a portion thereof, the other strand is a sense strand which comprises nucleotide sequence that is complementary to a nucleotide sequence of the antisense strand and wherein a majority of the pyrimidine nucleotides present in the double-stranded siNA molecule comprises a sugar modification, and wherein the nucleotide sequence of the antisense strand of the double-stranded siNA molecule is complementary to the nucleotide sequence of the VEGF and/or VEGFr RNA or a portion thereof which encodes an protein or a portion thereof.
- siNA short interfer
- the invention features a double-stranded short interfering nucleic acid (siNA) molecule that inhibits expression of a VEGF and/or VEGFr gene, wherein one of the strands of the double-stranded siNA molecule is an antisense strand which comprises nucleotide sequence that is complementary to nucleotide sequence of VEGF and/or VEGFr RNA or a portion thereof, the other strand is a sense strand which comprises nucleotide sequence that is complementary to a nucleotide sequence of the antisense strand and wherein a majority of the pyrimidine nucleotides present in the double-stranded siNA molecule comprises a sugar modification, and wherein each strand of the siNA molecule comprises about 19 to about 29 nucleotides, and wherein each strand comprises at least about 19 nucleotides that are complementary to the nucleotides of the other strand.
- siNA short interfering nucleic acid
- the invention features a double-stranded short interfering nucleic acid (siNA) molecule that inhibits expression of a VEGF and/or VEGFr gene, wherein one of the strands of the double-stranded siNA molecule is an antisense strand which comprises nucleotide sequence that is complementary to nucleotide sequence of VEGF and/or VEGFr RNA or a portion thereof, the other strand is a sense strand which comprises nucleotide sequence that is complementary to a nucleotide sequence of the antisense strand and wherein a majority of the pyrimidine nucleotides present in the double-stranded siNA molecule comprises a sugar modification, and wherein the siNA molecule is assembled from two oligonucleotide fragments wherein one fragment comprises the nucleotide sequence of the antisense strand of the siNA moleculeand a second fragment comprises nucleotide sequence of the sense region of the siNA molecule.
- siNA short
- the invention features a double-stranded short interfering nucleic acid (siNA) molecule that inhibits expression of a VEGF and/or VEGFr gene, wherein one of the strands of the double-stranded siNA molecule is an antisense strand which comprises nucleotide sequence that is complementary to nucleotide sequence of VEGF and/or VEGFr RNA or a portion thereof, the other strand is a sense strand which comprises nucleotide sequence that is complementary to a nucleotide sequence of the antisense strand and wherein a majority of the pyrimidine nucleotides present in the double-stranded siNA molecule comprises a sugar modification, and wherein the sense strand is connected to the antisense strand via a linker molecule, such as a polynucleotide linker or a non-nucleotide linker.
- a linker molecule such as a polynucleotide linker or a
- the invention features a double-stranded short interfering nucleic acid (siNA) molecule that inhibits expression of a VEGF and/or VEGFr gene, wherein one of the strands of the double-stranded siNA molecule is an antisense strand which comprises nucleotide sequence that is complementary to nucleotide sequence of VEGF and/or VEGFr RNA or a portion thereof, the other strand is a sense strand which comprises nucleotide sequence that is complementary to a nucleotide sequence of the antisense strand and wherein a majority of the pyrimidine nucleotides present in the double-stranded siNA molecule comprises a sugar modification, and wherein pyrimidine nucleotides present in the sense strand are 2'-deoxy-2'-fluoro pyrimidine nucleotides and wherein purine nucleotides present in the sense region are 2'-deoxy purine nucleotides.
- siNA short interfer
- the invention features a double-stranded short interfering nucleic acid (siNA) molecule that inhibits expression of a VEGF and/or VEGFr gene, wherein one of the strands of the double-stranded siNA molecule is an antisense strand which comprises nucleotide sequence that is complementary to nucleotide sequence of VEGF and/or VEGFr RNA or a portion thereof, the other strand is a sense strand which comprises nucleotide sequence that is complementary to a nucleotide sequence of the antisense strand and wherein a majority of the pyrimidine nucleotides present in the double-stranded siNA molecule comprises a sugar modification, and wherein the sense strand comprises a 3 '-end and a 5'- end, and wherein a terminal cap moiety (e.g., an inverted deoxy abasic moiety) is present at the 5'-end, the 3'-end, or both of the 5' and
- the invention features a double-stranded short interfering nucleic acid (siNA) molecule that inhibits expression of a VEGF and/or VEGFr gene, wherein one of the strands of the double-stranded siNA molecule is an antisense strand which comprises nucleotide sequence that is complementary to nucleotide sequence of VEGF and/or VEGFr RNA or a portion thereof, the other strand is a sense strand which comprises nucleotide sequence that is complementary to a nucleotide sequence of the antisense strand and wherein a majority of the pyrimidine nucleotides present in the double-stranded siNA molecule comprises a sugar modification, and wherein the antisense strand comprises one or more 2'- deoxy-2'-fluoro pyrimidine nucleotides and one or more 2'-O-methyl purine nucleotides.
- siNA short interfering nucleic acid
- the invention features a double-stranded short interfering nucleic acid (siNA) molecule that inhibits expression of a VEGF and/or VEGFr gene, wherein one of the strands of the double-stranded siNA molecule is an antisense strand which comprises nucleotide sequence that is complementary to nucleotide sequence of VEGF and/or VEGFr RNA or a portion thereof, the other strand is a sense strand which comprises nucleotide sequence that is complementary to a nucleotide sequence of the antisense strand and wherein a majority of the pyrimidine nucleotides present in the double-stranded siNA molecule comprises a sugar modification, and wherein the pyrimidine nucleotides present in the antisense strand are 2'-deoxy-2'-fluoro pyrimidine nucleotides and wherein any purine nucleotides present in the antisense strand are 2'-O-methyl purine nucle
- the invention features a double-stranded short interfering nucleic acid (siNA) molecule that inhibits expression of a VEGF and/or VEGFr gene, wherein one of the strands of the double-stranded siNA molecule is an antisense strand which comprises nucleotide sequence that is complementary to nucleotide sequence of VEGF and/or VEGFr RNA or a portion thereof, the other strand is a sense strand which comprises nucleotide sequence that is complementary to a nucleotide sequence of the antisense strand and wherein a majority of the pyrimidine nucleotides present in the double-stranded siNA molecule comprises a sugar modification, and wherein the antisense strand comprises a phosphorothioate internucleotide linkage at the 3' end of the antisense strand.
- siNA short interfering nucleic acid
- the invention features a double-stranded short interfering nucleic acid (siNA) molecule that inhibits expression of a VEGF and/or VEGFr gene, wherein one of the strands of the double-stranded siNA molecule is an antisense strand which comprises nucleotide sequence that is complementary to nucleotide sequence of VEGF and/or VEGFr RNA or a portion thereof, the other strand is a sense strand which comprises nucleotide sequence that is complementary to a nucleotide sequence of the antisense strand and wherein a majority of the pyrimidine nucleotides present in the double-stranded siNA molecule comprises a sugar modification, and wherein the antisense strand comprises a glyceryl modification at the 3' end.
- siNA short interfering nucleic acid
- the invention features a double-stranded short interfering nucleic acid (siNA) molecule that inhibits expression of a VEGF and/or VEGFr gene, wherein one of the strands of the double-stranded siNA molecule is an antisense strand which comprises nucleotide sequence that is complementary to nucleotide sequence of VEGF and/or VEGFr
- siNA short interfering nucleic acid
- the other strand is a sense strand which comprises nucleotide sequence that is complementary to a nucleotide sequence of the antisense strand and wherein a majority of the pyrimidine nucleotides present in the double-stranded siNA molecule comprises a sugar modification, and wherein each of the two strands of the siNA molecule comprises 21 nucleotides.
- each strand of the siNA molecule are base-paired to the complementary nucleotides of the other strand of the siNA molecule and wherein at least two 3' terminal nucleotides of each strand of the siNA molecule are not base-paired to the nucleotides of the other strand of the siNA molecule.
- each of the two 3' terminal nucleotides of each fragment of the siNA molecule are 2'-deoxy-pyrimidines, such as 2'-deoxy-thymidine.
- each strand of the siNA molecule are base-paired to the complementary nucleotides of the other strand of the siNA molecule.
- nucleotides of the antisense strand are base-paired to the nucleotide sequence of the VEGF and/or VEGFr RNA or a portion thereof. In another embodiment, 21 nucleotides of the antisense strand are base-paired to the nucleotide sequence of the VEGF and/or VEGFr RNA or a portion thereof.
- the invention features a double-stranded short interfering nucleic acid (siNA) molecule that inhibits expression of a VEGF and/or VEGFr gene, wherein one of the strands of the double-stranded siNA molecule is an antisense strand which comprises nucleotide sequence that is complementary to nucleotide sequence of VEGF and/or VEGFr RNA or a portion thereof, the other strand is a sense strand which comprises nucleotide sequence that is complementary to a nucleotide sequence of the antisense strand and wherein a majority of the pyrimidine nucleotides present in the double-stranded siNA molecule comprises a sugar modification, and wherein the 5 '-end of the antisense strand optionally includes a phosphate group.
- siNA short interfering nucleic acid
- the invention features a double-stranded short interfering nucleic acid (siNA) molecule that inhibits expression of a VEGF and/or VEGFr gene, wherein one of the strands of the double-stranded siNA molecule is an antisense strand which comprises nucleotide sequence that is complementary to nucleotide sequence of VEGF and/or VEGFr RNA or a portion thereof, the other strand is a sense strand which comprises nucleotide sequence that is complementary to a nucleotide sequence of the antisense strand and wherein a majority of the pyrimidine nucleotides present in the double-stranded siNA molecule comprises a sugar modification, and wherein the nucleotide sequence or a portion thereof of the antisense strand is complementary to a nucleotide sequence of the 5 '-untranslated region or a portion thereof of the VEGF and/or VEGFr RNA.
- siNA short interfering nucleic acid
- the invention features a double-stranded short interfering nucleic acid (siNA) molecule that inhibits expression of a VEGF and/or VEGFr gene, wherein one of the strands of the double-stranded siNA molecule is an antisense strand which comprises nucleotide sequence that is complementary to nucleotide sequence of VEGF and/or VEGFr RNA or a portion thereof, the other strand is a sense strand which comprises nucleotide sequence that is complementary to a nucleotide sequence of the antisense strand and wherein a majority of the pyrimidine nucleotides present in the double-stranded siNA molecule comprises a sugar modification, and wherein the nucleotide sequence or a portion thereof of the antisense strand is complementary to a nucleotide sequence of the VEGF and/or VEGFr RNA or a portion thereof that is present in the VEGF and/or VEGFr RNA.
- siNA short
- the invention features a pharmaceutical composition comprising a siNA molecule of the invention in an acceptable carrier or diluent.
- the invention features a medicament comprising an siNA molecule of the invention.
- the invention features an active ingredient comprising an siNA molecule of the invention.
- the invention features the use of a double-stranded short interfering nucleic acid (siNA) molecule that inhibits expression of a VEGF and/or VEGFr gene, wherein one of the strands of the double-stranded siNA molecule is an antisense strand which comprises nucleotide sequence that is complementary to nucleotide sequence of VEGF and/or VEGFr RNA or a portion thereof, the other strand is a sense strand which comprises nucleotide sequence that is complementary to a nucleotide sequence of the antisense strand and wherein a majority of the pyrimidine nucleotides present in the doublestranded siNA molecule comprises a sugar modification.
- siNA short interfering nucleic acid
- the introduction of chemically-modified nucleotides into nucleic acid molecules provides a powerful tool in overcoming potential limitations of in vivo stability and bioavailability inherent to native RNA molecules that are delivered exogenously.
- the use of chemically-modified nucleic acid molecules can enable a lower dose of a particular nucleic acid molecule for a given therapeutic effect since chemically-modified nucleic acid molecules tend to have a longer half-life in seram.
- certain chemical modifications can improve the bioavailability of nucleic acid molecules by targeting particular cells or tissues and/or improving cellular uptake of the nucleic acid molecule.
- the overall activity of the modified nucleic acid molecule can be greater than that of the native molecule due to improved stability and/or delivery of the molecule.
- chemically-modified siNA can also minimize the possibility of activating interferon activity in humans.
- the antisense region of a siNA molecule of the invention can comprise a phosphorothioate internucleotide linkage at the 3 '-end of said antisense region.
- the antisense region can comprise about one to about five phosphorothioate internucleotide linkages at the 5'-end of said antisense region.
- the 3 '-terminal nucleotide overhangs of a siNA molecule of the invention can comprise ribonucleotides or deoxyribonucleotides that are chemically-modified at a nucleic acid sugar, base, or backbone.
- the 3'-terminal nucleotide overhangs can comprise one or more universal base ribonucleotides.
- the 3'- terminal nucleotide overhangs can comprise one or more acyclic nucleotides.
- One embodiment of the invention provides an expression vector comprising a nucleic acid sequence encoding at least one siNA molecule of the mvention in a manner that allows expression of the nucleic acid molecule.
- Another embodiment of the invention provides a mammalian cell comprising such an expression vector.
- the mammalian cell can be a human cell.
- the siNA molecule of the expression vector can comprise a sense region and an antisense region.
- the antisense region can comprise sequence complementary to a RNA or DNA sequence encoding VEGF and/or VEGFr and the sense region can comprise sequence complementary to the antisense region.
- the siNA molecule can comprise two distinct strands having complementary sense and antisense regions.
- the siNA molecule can comprise a single strand having complementary sense and antisense regions.
- the mvention features a chemically-modified short interfering nucleic acid (siNA) molecule capable of mediating RNA interference (RNAi) against a
- VEGF and/or VEGFr inside a cell or reconstituted in vitro system, wherein the chemical modification comprises one or more (e.g., about 1, 2, 3, 4, 5, 6, 7, 8, 9, 10, or more) nucleotides comprising a backbone modified internucleotide linkage having Formula I: wherein each Rl and R2 is independently any nucleotide, non-nucleotide, or polynucleotide which can be naturally-occurring or chemically-modified, each X and Y is independently O, S, N, alkyl, or substituted alkyl, each Z and W is independently O, S, N, alkyl, substituted alkyl, O-alkyl, S-alkyl, alkaryl, or aralkyl, and wherein W, X, Y, and Z are optionally not all O.
- each Rl and R2 is independently any nucleotide, non-nucleotide, or polynucleotide which can be naturally-
- the chemically-modified internucleotide linkages having Formula I can be present in one or both oligonucleotide strands of the siNA duplex, for example, in the sense strand, the antisense strand, or both strands.
- the siNA molecules of the invention can comprise one or more (e.g., about 1, 2, 3, 4, 5, 6, 7, 8, 9, 10, or more) chemically-modified internucleotide linkages having Formula I at the 3'-end, the 5'-end, or both of the 3' and 5'-ends of the sense strand, the antisense strand, or both strands.
- an exemplary siNA molecule of the invention can comprise about 1 to about 5 or more (e.g., about 1, 2, 3, 4, 5, or more) chemically-modified internucleotide linkages having Formula I at the 5'-end of the sense strand, the antisense strand, or both strands.
- an exemplary siNA molecule of the invention can comprise one or more (e.g., about 1, 2, 3, 4, 5, 6, 7, 8, 9, 10, or more) pyrimidine nucleotides with chemically-modified internucleotide linkages having Formula I in the sense strand, the antisense strand, or both strands.
- an exemplary siNA molecule of the invention can comprise one or more (e.g., about 1, 2, 3, 4, 5, 6, 7, 8, 9, 10, or more) purine nucleotides with chemically- modified internucleotide linkages having Formula I in the sense strand, the antisense strand, or both strands.
- a siNA molecule of the invention having internucleotide linkage(s) of Formula I also comprises a chemically-modified nucleotide or non-nucleotide having any of Formulae I-VII.
- the invention features a chemically-modified short interfering nucleic acid (siNA) molecule capable of mediating RNA interference (RNAi) against a VEGF and/or VEGFr inside a cell or reconstituted in vitro system, wherein the chemical modification comprises one or more (e.g., about 1, 2, 3, 4, 5, 6, 7, 8, 9, 10, or more) nucleotides or non-nucleotides having Formula II:
- siNA short interfering nucleic acid
- each R3, R4, R5, R6, R7, R8, R10, Rll and R12 is independently H, OH, alkyl, substituted alkyl, alkaryl or aralkyl, F, Cl, Br, CN, CF3, OCF3, OCN, O-alkyl, S-alkyl, N- alkyl, O-alkenyl, S-alkenyl, N-alkenyl, SO-alkyl, alkyl-OSH, alkyl-OH, O-alkyl-OH, O- alkyl-SH, S-alkyl-OH, S-alkyl-SH, alkyl-S-alkyl, alkyl-O-alkyl, ONO2, NO2, N3, NH2, aminoalkyl, aminoacid, aminoacyl, ONH2, O-aminoalkyl, O-aminoacid, O-aminoacyl, heterocycloalkyl, heterocycloalkaryl, aminoalkylamino, polyalkly
- the chemically-modified nucleotide or non-nucleotide of Formula II can be present in one or both oligonucleotide strands of the siNA duplex, for example in the sense strand, the antisense strand, or both strands.
- the siNA molecules of the invention can comprise one or more chemically-modified nucleotide or non-nucleotide of Formula II at the 3'-end, the 5'- end, or both of the 3' and 5'-ends of the sense strand, the antisense strand, or both strands.
- an exemplary siNA molecule of the invention can comprise about 1 to about 5 or more (e.g., about 1, 2, 3, 4, 5, or more) chemically-modified nucleotides or non- nucleotides of Formula II at the 5'-end of the sense strand, the antisense strand, or both strands.
- an exemplary siNA molecule of the invention can comprise about 1 to about 5 or more (e.g., about 1, 2, 3, 4, 5, or more) chemically-modified nucleotides or non-nucleotides of Formula II at the 3 '-end of the sense strand, the antisense strand, or both strands.
- the invention features a chemically-modified short interfering nucleic acid (siNA) molecule capable of mediating RNA interference (RNAi) against a VEGF and/or VEGFr inside a cell or reconstituted in vitro system, wherein the chemical modification comprises one or more (e.g., about 1, 2, 3, 4, 5, 6, 7, 8, 9, 10, or more) nucleotides or non-nucleotides having Formula III:
- siNA short interfering nucleic acid
- each R3, R4, R5, R6, R7, R8, R10, Rll and R12 is independently H, OH, alkyl, substituted alkyl, alkaryl or aralkyl, F, Cl, Br, CN, CF3, OCF3, OCN, O-alkyl, S-alkyl, N- alkyl, O-alkenyl, S-alkenyl, N-alkenyl, SO-alkyl, alkyl-OSH, alkyl-OH, O-alkyl-OH, O- alkyl-SH, S-alkyl-OH, S-alkyl-SH, alkyl-S-alkyl, alkyl-O-alkyl, ONO2, NO2, N3, NH2, aminoalkyl, aminoacid, aminoacyl, ONH2, O-aminoalkyl, O-aminoacid, O-aminoacyl, heterocycloalkyl, heterocycloalkaryl, aminoalkylamino, polyalkly
- the chemically-modified nucleotide or non-nucleotide of Formula III can be present in one or both oligonucleotide strands of the siNA duplex, for example, in the sense strand, the antisense strand, or both strands.
- the siNA molecules of the invention can comprise one or more chemically-modified nucleotide or non-nucleotide of Formula III at the 3 '-end, the 5'-end, or both of the 3' and 5'-ends of the sense strand, the antisense strand, or both strands.
- an exemplary siNA molecule of the invention can comprise about 1 to about 5 or more (e.g., about 1, 2, 3, 4, 5, or more) chemically-modified nucleotide(s) or non- nucleotide ⁇ ) of Formula III at the 5'-end of the sense strand, the antisense strand, or both strands.
- an exemplary siNA molecule of the invention can comprise about 1 to about 5 or more (e.g., about 1, 2, 3, 4, 5, or more) chemically-modified nucleotide or non-nucleotide of Formula III at the 3 '-end of the sense strand, the antisense strand, or both strands.
- a siNA molecule of the mvention comprises a nucleotide having Formula II or III, wherein the nucleotide having Formula II or III is in an inverted configuration.
- the nucleotide having Formula II or III is connected to the siNA construct in a 3'-3', 3'-2', 2'-3', or 5'-5' configuration, such as at the 3'-end, the 5'-end, or both of the 3' and 5'-ends of one or both siNA strands.
- the invention features a chemically-modified short interfering nucleic acid (siNA) molecule capable of mediating RNA interference (RNAi) against a VEGF and/or VEGFr inside a cell or reconstituted in vitro system, wherein the chemical modification comprises a 5 '-terminal phosphate group having Formula IV:
- siNA short interfering nucleic acid
- each X and Y is independently O, S, N, alkyl, substituted alkyl, or alkylhalo; wherein each Z and W is independently O, S, N, alkyl, substituted alkyl, O-alkyl, S-alkyl, alkaryl, aralkyl, or alkylhalo; and wherein W, X, Y and Z are not all O.
- the invention features a siNA molecule having a 5'-terminal phosphate group having Formula TV on the target-complementary strand, for example, a strand complementary to a target RNA, wherein the siNA molecule comprises an all RNA siNA molecule.
- the invention features a siNA molecule having a 5'- terminal phosphate group having Formula IN on the target-complementary strand wherein the si ⁇ A molecule also comprises about 1 to about 3 (e.g., about 1, 2, or 3) nucleotide 3'- terminal nucleotide overhangs having about 1 to about 4 (e.g., about 1, 2, 3, or 4) deoxyribonucleotides on the 3'-end of one or both strands.
- a 5'- terminal phosphate group having Formula IN is present on the target-complementary strand of a si ⁇ A molecule of the invention, for example a si ⁇ A molecule having chemical modifications having any of Formulae I-NII.
- the invention features a chemically-modified short interfering nucleic acid (si ⁇ A) molecule capable of mediating R ⁇ A interference (R ⁇ Ai) against a NEGF and or VEGFr inside a cell or reconstituted in vitro system, wherein the chemical modification comprises one or more phosphorothioate internucleotide linkages.
- the mvention features a chemically-modified short interfering nucleic acid (si ⁇ A) having about 1, 2, 3, 4, 5, 6, 7, 8 or more phosphorothioate internucleotide linkages in one si ⁇ A strand.
- the mvention features a chemically-modified short interfering nucleic acid (si ⁇ A) individually having about 1, 2, 3, 4, 5, 6, 7, 8 or more phosphorothioate internucleotide linkages in both si ⁇ A strands.
- the phosphorothioate internucleotide linkages can be present in one or both oligonucleotide strands of the si ⁇ A duplex, for example in the sense strand, the antisense strand, or both strands.
- the si ⁇ A molecules of the invention can comprise one or more phosphorothioate internucleotide linkages at the 3'-end, the 5'-end, or both of the 3'- and 5'- ends of the sense strand, the antisense strand, or both strands.
- an exemplary si ⁇ A molecule of the invention can comprise about 1 to about 5 or more (e.g., about 1, 2, 3, 4, 5, or more) consecutive phosphorothioate internucleotide linkages at the 5'-end of the sense strand, the antisense strand, or both strands.
- an exemplary si ⁇ A molecule of the invention can comprise one or more (e.g., about 1, 2, 3, 4, 5, 6, 7, 8, 9, 10, or more) pyrimidine phosphorothioate internucleotide linkages in the sense strand, the antisense strand, or both strands.
- an exemplary siNA molecule of the invention can comprise one or more (e.g., about 1, 2, 3, 4, 5, 6, 7, 8, 9, 10, or more) purine phosphorothioate internucleotide linkages in the sense strand, the antisense strand, or both strands.
- the invention features a siNA molecule, wherein the sense strand comprises one or more, for example, about 1, 2, 3, 4, 5, 6, 7, 8, 9, 10, or more phosphorothioate internucleotide linkages, and/or one or more (e.g., about 1, 2, 3, 4, 5, 6, 7, 8, 9, 10 or more) 2'-deoxy, 2'-O-methyl, 2'-deoxy-2'-fluoro, and/or about one or more (e.g., about 1, 2, 3, 4, 5, 6, 7, 8, 9, 10 or more) universal base modified nucleotides, and optionally a terminal cap molecule at the 3'-end, the 5'-end, or both of the 3'- and 5'-ends of the sense strand; and wherein the antisense strand comprises about 1 to about 10 or more, specifically about 1, 2, 3, 4, 5, 6, 7, 8, 9, 10, or more phosphorothioate internucleotide linkages, and/or one or more (e.g., about 1, 2, 3, 4, 5, 6, 7, 8, 9,
- one or more, for example about 1, 2, 3, 4, 5, 6, 7, 8, 9, 10, or more, pyrimidine nucleotides of the sense and/or antisense siNA strand are chemically-modified with 2'-deoxy, 2'-O-methyl and/or 2'- deoxy-2'-fluoro nucleotides, with or without one or more, for example about 1, 2, 3, 4, 5, 6, 7, 8, 9, 10, or more, phosphorothioate internucleotide linkages and/or a terminal cap molecule at the 3'-end, the 5'-end, or both of the 3'- and 5'-ends, being present in the same or different strand.
- the invention features a siNA molecule, wherein the sense strand comprises about 1 to about 5, specifically about 1, 2, 3, 4, or 5 phosphorothioate internucleotide linkages, and/or one or more (e.g., about 1, 2, 3, 4, 5, or more) 2'-deoxy, 2'-
- the antisense strand comprises about 1 to about 5 or more, specifically about 1, 2, 3, 4, 5, or more phosphorothioate internucleotide linkages, and/or one or more (e.g., about 1, 2, 3, 4, 5, 6, 7, 8, 9, 10 or more) 2'-deoxy, 2'-O-methyl, 2'-deoxy-2'-fluoro, and/or one or more (e.g., about 1, 2, 3, 4, 5, 6, 7, 8, 9, 10 or more) universal base modified nucleotides, and optionally a terminal cap molecule at the 3'-end, the 5'-end, or both of the 3'- and 5'-ends of the antisense strand.
- the antisense strand comprises about 1 to about 5 or more, specifically about 1, 2, 3, 4, 5, or more phosphorothioate internucleotide linkages, and/or one or more (e.g., about 1, 2, 3, 4, 5, 6, 7, 8, 9, 10 or more) 2'-deoxy, 2'-O-methyl, 2'-de
- one or more, for example about 1, 2, 3, 4, 5, 6, 7, 8, 9, 10, or more, pyrimidine nucleotides of the sense and/or antisense siNA strand are chemically- modified with 2'-deoxy, 2'-O-methyl and/or 2'-deoxy-2'-fluoro nucleotides, with or without about 1 to about 5 or more, for example about 1, 2, 3, 4, 5, or more phosphorothioate internucleotide linkages and/or a terminal cap molecule at the 3 '-end, the 5'-end, or both of the 3'- and 5'-ends, being present in the same or different strand.
- the invention features a siNA molecule, wherein the antisense strand comprises one or more, for example, about 1, 2, 3, 4, 5, 6, 7, 8, 9, 10, or more phosphorothioate internucleotide linkages, and/or about one or more (e.g., about 1, 2, 3, 4, 5, 6, 7, 8, 9, 10 or more) 2'-deoxy, 2'-O-methyl, 2'-deoxy-2'-fluoro, and/or one or more (e.g., about 1, 2, 3, 4, 5, 6, 7, 8, 9, 10 or more) universal base modified nucleotides, and optionally a terminal cap molecule at the 3'-end, the 5'-end, or both of the 3'- and 5'-ends of the sense strand; and wherein the antisense strand comprises about 1 to about 10 or more, specifically about 1, 2, 3, 4, 5, 6, 7, 8, 9, 10 or more phosphorothioate internucleotide linkages, and/or one or more (e.g., about 1, 2, 3, 4, 5, 6, 7,
- one or more, for example about 1, 2, 3, 4, 5, 6, 7, 8, 9, 10 or more pyrimidine nucleotides of the sense and/or antisense siNA strand are chemically-modified with 2'-deoxy, 2'-O-mefhyl and/or 2'-deoxy- 2'-fluoro nucleotides, with or without one or more, for example, about 1, 2, 3, 4, 5, 6, 7, 8, 9, 10 or more phosphorothioate internucleotide linkages and/or a terminal cap molecule at the 3'-end, the 5'-end, or both of the 3' and 5'-ends, being present in the same or different strand.
- the invention features a siNA molecule, wherein the antisense strand comprises about 1 to about 5 or more, specifically about 1, 2, 3, 4, 5 or more phosphorothioate internucleotide linkages, and/or one or more (e.g., about 1, 2, 3, 4, 5, 6, 7, 8, 9, 10 or more) 2'-deoxy, 2'-O-methyl, 2'-deoxy-2'-fluoro, and/or one or more (e.g., about 1, 2, 3, 4, 5, 6, 7, 8, 9, 10 or more) universal base modified nucleotides, and optionally a terminal cap molecule at the 3'-end, the 5'-end, or both of the 3'- and 5'-ends of the sense strand; and wherein the antisense strand comprises about 1 to about 5 or more, specifically about 1, 2, 3, 4, 5 or more phosphorothioate internucleotide linkages, and/or one or more (e.g., about 1, 2, 3, 4, 5, 6, 7, 8, 9, 10 or more) 2'-
- one or more, for example about 1, 2, 3, 4, 5, 6, 7, 8, 9, 10 or more pyrimidine nucleotides of the sense and/or antisense siNA strand are chemically-modified with 2'-deoxy, 2'-O-methyl and/or 2'-deoxy-2 '-fluoro nucleotides, with or without about 1 to about 5, for example about 1, 2, 3, 4, 5 or more phosphorothioate internucleotide linkages and/or a terminal cap molecule at the 3 '-end, the 5'-end, or both of the 3'- and 5'-ends, being present in the same or different strand.
- the invention features a chemically-modified short interfering nucleic acid (siNA) molecule having about 1 to about 5, specifically about 1, 2, 3, 4, 5 or more phosphorothioate internucleotide linkages in each strand of the siNA molecule.
- siNA short interfering nucleic acid
- the invention features a siNA molecule comprising 2'-5' internucleotide linkages.
- the 2'-5' internucleotide linkage(s) can be at the 3'-end, the 5'-end, or both of the 3'- and 5'-ends of one or both siNA sequence strands.
- the 2'-5' internucleotide linkage(s) can be present at various other positions within one or both siNA sequence strands, for example, about 1, 2, 3, 4, 5, 6, 7, 8, 9, 10, or more including every internucleotide linkage of a pyrimidine nucleotide in one or both strands of the siNA molecule can comprise a 2'-5' internucleotide linkage, or about 1, 2, 3, 4, 5, 6, 7, 8, 9, 10, or more including every internucleotide linkage of a purine nucleotide in one or both strands of the siNA molecule can comprise a 2'-5' internucleotide linkage.
- a chemically-modified siNA molecule of the invention comprises a duplex having two strands, one or both of which can be chemically-modified, wherein each strand is about 18 to about 27 (e.g., about 18, 19, 20, 21, 22, 23, 24, 25, 26, or 27) nucleotides in length, wherein the duplex has about 18 to about 23 (e.g., about 18, 19, 20, 21, 22, or 23) base pairs, and wherein the chemical modification comprises a structure having any of Formulae I-VII.
- an exemplary chemically-modified siNA molecule of the invention comprises a duplex having two strands, one or both of which can be chemically-modified with a chemical modification having any of Formulae I-VII or any combination thereof, wherein each strand consists of about 21 nucleotides, each having a 2- nucleotide 3 '-terminal nucleotide overhang, and wherein the duplex has about 19 base pairs.
- a siNA molecule of the invention comprises a single stranded hai ⁇ in structure, wherein the siNA is about 36 to about 70 (e.g., about 36, 40, 45, 50, 55, 60, 65, or 70) nucleotides in length having about 18 to about 23 (e.g., about 18, 19, 20, 21, 22, or 23) base pairs, and wherein the siNA can include a chemical modification comprising a structure having any of Formulae I-VII or any combination thereof.
- an exemplary chemically-modified siNA molecule of the invention comprises a linear oligonucleotide having about 42 to about 50 (e.g., about 42, 43, 44, 45, 46, 47, 48, 49, or 50) nucleotides that is chemically-modified with a chemical modification having any of Formulae I-VII or any combination thereof, wherein the linear oligonucleotide forms a hai ⁇ in structure having about 19 base pairs and a 2-nucleotide 3 '-terminal nucleotide overhang.
- a linear hai ⁇ in siNA molecule of the invention contains a stem loop motif, wherein the loop portion of the siNA molecule is biodegradable.
- a linear hai ⁇ in siNA molecule of the invention is designed such that degradation of the loop portion of the siNA molecule in vivo can generate a double-stranded siNA molecule with 3'-terminal overhangs, such as 3 '-terminal nucleotide overhangs comprising about 2 nucleotides.
- a siNA molecule of the invention comprises a circular nucleic acid molecule, wherein the siNA is about 38 to about 70 (e.g., about 38, 40, 45, 50, 55, 60, 65, or 70) nucleotides in length having about 18 to about 23 (e.g., about 18, 19, 20, 21, 22, or 23) base pairs, and wherein the siNA can include a chemical modification, which comprises a structure having any of Formulae I-VII or any combination thereof.
- an exemplary chemically-modified siNA molecule of the invention comprises a circular oligonucleotide having about 42 to about 50 (e.g., about 42, 43, 44, 45, 46, 47, 48, 49, or 50) nucleotides that is chemically-modified with a chemical modification having any of Formulae I-VII or any combination thereof, wherein the circular oligonucleotide forms a dumbbell shaped structure having about 19 base pairs and 2 loops.
- a circular siNA molecule of the mvention contains two loop motifs, wherein one or both loop portions of the siNA molecule is biodegradable.
- a circular siNA molecule of the invention is designed such that degradation of the loop portions of the siNA molecule in vivo can generate a double-stranded siNA molecule with 3 '-terminal overhangs, such as 3 '-terminal nucleotide overhangs comprising about 2 nucleotides.
- a siNA molecule of the mvention comprises at least one (e.g., about 1, 2, 3, 4, 5, 6, 7, 8, 9, 10, or more) abasic moiety, for example a compound having Formula V:
- each R3, R4, R5, R6, R7, R8, R10, Rll, R12, and R13 is independently H, OH, alkyl, substituted alkyl, alkaryl or aralkyl, F, Cl, Br, CN, CF3, OCF3, OCN, O-alkyl, S- alkyl, N-alkyl, O-alkenyl, S-alkenyl, N-alkenyl, SO-alkyl, alkyl-OSH, alkyl-OH, O-alkyl- OH, O-alkyl-SH, S-alkyl-OH, S-alkyl-SH, alkyl-S-alkyl, alkyl-O-alkyl, ON02, NO2, N3, NH2, aminoalkyl, aminoacid, aminoacyl, ONH2, O-aminoalkyl, O-aminoacid, O-aminoacyl, heterocycloalkyl, heterocycloalkaryl, aminoalkylamino
- a siNA molecule of the invention comprises at least one (e.g., about 1, 2, 3, 4, 5, 6, 7, 8, 9, 10, or more) inverted abasic moiety, for example a compound having Formula VI:
- each R3, R4, R5, R6, R7, R8, RIO, Rll, R12, and R13 is independently H, OH, alkyl, substituted alkyl, alkaryl or aralkyl, F, Cl, Br, CN, CF3, OCF3, OCN, O-alkyl, S- alkyl, N-alkyl, O-alkenyl, S-alkenyl, N-alkenyl, SO-alkyl, alkyl-OSH, alkyl-OH, O-alkyl- OH, O-alkyl-SH, S-alkyl-OH, S-alkyl-SH, alkyl-S-alkyl, alkyl-O-alkyl, ON02, NO2, N3, NH2, aminoalkyl, aminoacid, aminoacyl, ONH2, O-aminoalkyl, O-aminoacid, O-aminoacyl, heterocycloalkyl, heterocycloalkaryl, aminoalkylamino
- a siNA molecule of the invention comprises at least one (e.g., about 1, 2, 3, 4, 5, 6, 7, 8, 9, 10, or more) substituted polyalkyl moieties, for example a compound having Formula VII:
- each Rl, R2 and R3 is independently H, OH, alkyl, substituted alkyl, alkaryl or aralkyl, F, Cl, Br, CN, CF3, OCF3, OCN, O-alkyl, S-alkyl, N-alkyl, O-alkenyl, S-alkenyl, N-alkenyl, SO-alkyl, alkyl-OSH, alkyl-OH, O-alkyl-OH, O-alkyl-SH, S-alkyl-OH, S-alkyl-SH, alkyl-S-alkyl, alkyl-O-alkyl, ONO2, NO2, N3, NH2, aminoalkyl, aminoacid, aminoacyl, ONH2, O-aminoalkyl, O- aminoacid, O-aminoacyl, heterocycloalkyl, heterocycloalkaryl, aminoalkylamino, polyalklylamino,
- This modification is referred to herein as "glyceryl" (for example modification 6 in Figure 10).
- a moiety having any of Formula V, VI or VII of the invention is at the 3'-end, the 5'-end, or both of the 3' and 5'-ends of a siNA molecule of the invention.
- a moiety having Formula V, VI or VII can be present at the 3'-end, the 5'-end, or both of the 3' and 5 '-ends of the antisense strand, the sense strand, or both antisense and sense strands of the siNA molecule.
- a moiety having Formula VII can be present at the 3'-end or the 5'-end of a hai ⁇ in siNA molecule as described herein.
- a siNA molecule of the invention comprises an abasic residue having Formula V or VI, wherein the abasic residue having Formula VI or VI is connected to the siNA construct in a 3'-3', 3'-2', 2'-3', or 5'-5' configuration, such as at the 3'-end, the 5'- end, or both of the 3' and 5'-ends of one or both siNA strands.
- a siNA molecule of the invention comprises one or more (e.g., about 1, 2, 3, 4, 5, 6, 7, 8, 9, 10, or more) locked nucleic acid (LNA) nucleotides, for example at the 5'-end, the 3'-end, both of the 5' and 3'-ends, or any combination thereof, of the siNA molecule.
- LNA locked nucleic acid
- a siNA molecule of the invention comprises one or more (e.g., about 1, 2, 3, 4, 5, 6, 7, 8, 9, 10, or more) acyclic nucleotides, for example at the 5'-end, the 3 '-end, both of the 5' and 3 '-ends, or any combination thereof, of the siNA molecule.
- the invention features a chemically-modified short interfering nucleic acid (siNA) molecule of the invention, wherein the chemically-modified siNA comprises a sense region, where any (e.g., one or more or all) pyrimidine nucleotides present in the sense region are 2'-deoxy-2'-fluoro pyrimidine nucleotides (e.g., wherein all pyrimidine nucleotides are 2'-deoxy-2'-fluoro pyrimidine nucleotides or alternately a plurality of pyrimidine nucleotides are 2'-deoxy-2'-fluoro pyrimidine nucleotides), and where any (e.g., one or more or all) purine nucleotides present in the sense region are 2'- deoxy purine nucleotides (e.g., wherein all purine nucleotides are 2'-deoxy purine nucleotides or alternately a plurality of purine
- the invention features a chemically-modified short interfering nucleic acid (siNA) molecule of the invention, wherein the chemically-modified siNA comprises a sense region, where any (e.g., one or more or all) pyrimidine nucleotides present in the sense region are 2'-deoxy-2 '-fluoro pyrimidine nucleotides (e.g., wherein all pyrimidine nucleotides are 2'-deoxy-2'-fluoro pyrimidine nucleotides or alternately a plurality of pyrimidine nucleotides are 2'-deoxy-2'-fluoro pyrimidine nucleotides), and where any (e.g., one or more or all) purine nucleotides present in the sense region are 2'- deoxy purine nucleotides (e.g., wherein all purine nucleotides are 2'-deoxy purine nucleotides or alternately a plurality of purine nucle
- the invention features a chemically-modified short interfering nucleic acid (siNA) molecule of the invention, wherein the chemically-modified siNA comprises an antisense region, where any (e.g., one or more or all) pyrimidine nucleotides present in the antisense region are 2'-deoxy-2'-fluoro pyrimidine nucleotides (e.g., wherein all pyrimidine nucleotides are 2'-deoxy-2'-fluoro pyrimidine nucleotides or alternately a plurality of pyrimidine nucleotides are 2'-deoxy-2'-fluoro pyrimidine nucleotides), and wherein any (e.g., one or more or all) purine nucleotides present in the antisense region are 2*-O-methyl purine nucleotides (e.g., wherein all purine nucleotides are 2'-O-methyl purine nucleotides or alternate
- the invention features a chemically-modified short interfering nucleic acid (siNA) molecule of the invention, wherein the chemically-modified siNA comprises an antisense region, where any (e.g., one or more or all) pyrimidine nucleotides present in the antisense region are 2'-deoxy-2'-fluoro pyrimidine nucleotides (e.g., wherein all pyrimidine nucleotides are 2'-deoxy-2'-fluoro pyrimidine nucleotides or alternately a plurality of pyrimidine nucleotides are 2'-deoxy-2'-fluoro pyrimidine nucleotides), and wherein any (e.g., one or more or all) purine nucleotides present in the antisense region are 2'-O-methyl purine nucleotides (e.g., wherein all purine nucleotides are 2'-O-methyl purine nucleotides or alternate
- the invention features a chemically-modified short interfering nucleic acid (siNA) molecule of the invention, wherein the chemically-modified siNA comprises an antisense region, where any (e.g., one or more or all) pyrimidine nucleotides present in the antisense region are 2'-deoxy-2'-fluoro pyrimidine nucleotides (e.g., wherein all pyrimidine nucleotides are 2'-deoxy-2'-fluoro pyrimidine nucleotides or alternately a plurality of pyrimidine nucleotides are 2'-deoxy-2'-fluoro pyrimidine nucleotides), and where any (e.g., one or more or all) purine nucleotides present in the antisense region are 2'- deoxy purine nucleotides (e.g., wherein all purine nucleotides are 2'-deoxy purine nucleotides or alternately a
- the invention features a chemically-modified short interfering nucleic acid (siNA) molecule of the invention capable of mediating RNA interference (RNAi) against a VEGF and/or VEGFr inside a cell or reconstituted in vitro system, wherein the chemically-modified siNA comprises a sense region, where one or more pyrimidine nucleotides present in the sense region are 2'-deoxy-2'-fluoro pyrimidine nucleotides (e.g., wherein all pyrimidine nucleotides are 2'-deoxy-2'-fluoro pyrimidine nucleotides or alternately a plurality of pyrimidine nucleotides are 2'-deoxy-2'-fluoro pyrimidine nucleotides), and where one or more purine nucleotides present in the sense region are 2'- deoxy purine nucleotides (e.g., wherein all purine nucleotides are 2'-deoxy purine nucle
- the invention features a chemically-modified short interfering nucleic acid (siNA) molecule of the invention capable of mediating RNA interference (RNAi) against a VEGF and/or VEGFr inside a cell or reconstituted in vitro system, wherein the siNA comprises a sense region, where one or more pyrimidine nucleotides present in the sense region are 2'-deoxy-2'-fluoro pyrimidine nucleotides (e.g., wherein all pyrimidine nucleotides are 2'-deoxy-2'-fluoro pyrimidine nucleotides or alternately a plurality of pyrimidine nucleotides are 2'-deoxy-2'-fluoro pyrimidine nucleotides), and where one or more purine nucleotides present in the sense region are purine ribonucleotides (e.g., wherein all purine nucleotides are purine ribonucleotides or alternately
- the invention features a chemically-modified short interfering nucleic acid (siNA) molecule of the invention capable of mediating RNA interference (RNAi) against a VEGF and/or VEGFr inside a cell or reconstituted in vitro system, wherein the chemically-modified siNA comprises a sense region, where one or more pyrimidine nucleotides present in the sense region are 2'-deoxy-2'-fluoro pyrimidine nucleotides (e.g., wherein all pyrimidine nucleotides are 2'-deoxy-2'-fluoro pyrimidine nucleotides or alternately a plurality of pyrimidine nucleotides are 2'-deoxy-2'-fluoro pyrimidine nucleotides), and for example where one or more purine nucleotides present in the sense region are selected from the group consisting of 2'-deoxy nucleotides, locked nucleic acid (LNA) nucleotides,
- any modified nucleotides present in the siNA molecules of the invention preferably in the antisense strand of the siNA molecules of the invention, but also optionally in the sense and/or both antisense and sense strands, comprise modified nucleotides having properties or characteristics similar to naturally occurring ribonucleotides.
- the invention features siNA molecules including modified nucleotides having a Northern conformation (e.g., Northern pseudorotation cycle, see for example Saenger, Principles of Nucleic Acid Structure, Springer-Verlag ed., 1984).
- chemically modified nucleotides present in the siNA molecules of the invention preferably in the antisense strand of the siNA molecules of the invention, but also optionally in the sense and/or both antisense and sense strands, are resistant to nuclease degradation while at the same time maintaining the capacity to mediate RNAi.
- Non-limiting examples of nucleotides having a northern configuration include locked nucleic acid (LNA) nucleotides (e.g., 2'-O, 4'-C-methylene-(D-ribofuranosyl) nucleotides); 2'-methoxyethoxy (MOE) nucleotides; 2'-methyl-thio-ethyl, 2 '-deoxy-2 '-fluoro nucleotides, 2'-deoxy-2'- chloro nucleotides, 2'-azido nucleotides, and 2'-O-methyl nucleotides.
- LNA locked nucleic acid
- MOE 2'-methoxyethoxy
- the invention features a chemically-modified short interfering nucleic acid molecule (siNA) capable of mediating RNA interference (RNAi) against a VEGF and/or VEGFr inside a cell or reconstituted in vitro system, wherein the chemical modification comprises a conjugate covalently attached to the chemically-modified siNA molecule.
- the conjugate is covalently attached to the chemically- modified siNA molecule via a biodegradable linker.
- the conjugate molecule is attached at the 3 '-end of either the sense strand, the antisense strand, or both strands of the chemically-modified siNA molecule.
- the conjugate molecule is attached at the 5 '-end of either the sense strand, the antisense strand, or both strands of the chemically-modified siNA molecule. In yet another embodiment, the conjugate molecule is attached both the 3'-end and 5'-end of either the sense strand, the antisense strand, or both strands of the chemically-modified siNA molecule, or any combination thereof.
- a conjugate molecule of the invention comprises a molecule that facilitates delivery of a chemically-modified siNA molecule into a biological system, such as a cell.
- the conjugate molecule attached to the chemically-modified siNA molecule is a poly ethylene glycol, human serum albumin, or a ligand for a cellular receptor that can mediate cellular uptake.
- Examples of specific conjugate molecules contemplated by the instant invention that can be attached to chemically-modified siNA molecules are described in Vargeese et al, U.S. Serial No. 10/201,394, inco ⁇ orated by reference herein.
- the type of conjugates used and the extent of conjugation of siNA molecules of the invention can be evaluated for improved pharmacokinetic profiles, bioavailability, and/or stability of siNA constructs while at the same time maintaining the ability of the siNA to mediate RNAi activity.
- the invention features a short interfering nucleic acid (siNA) molecule of the invention, wherein the siNA further comprises a nucleotide, non-nucleotide, or mixed nucleotide/non-nucleotide linker that joins the sense region of the siNA to the antisense region of the siNA.
- siNA short interfering nucleic acid
- a nucleotide linker of the invention can be a linker of > 2 nucleotides in length, for example 3, 4, 5, 6, 7, 8, 9, or 10 nucleotides in length.
- the nucleotide linker can be a nucleic acid aptamer.
- aptamer or “nucleic acid aptamer” as used herein is meant a nucleic acid molecule that binds specifically to a target molecule wherein the nucleic acid molecule has sequence that comprises a sequence recognized by the target molecule in its natural setting.
- an aptamer can be a nucleic acid molecule that binds to a target molecule where the target molecule does not naturally bind to a nucleic acid.
- the target molecule can be any molecule of interest.
- the aptamer can be used to bind to a ligand-binding domain of a protein, thereby preventing interaction of the naturally occurring ligand with the protein. This is a non-limiting example and those in the art will recognize that other embodiments can be readily generated using techniques generally known in the art. (See, for example, Gold et al, 1995, Annu. Rev. Biochem., 64, 763; Brody and Gold, 2000, J. Biotechnol, 74, 5; Sun, 2000, Curr.
- a non-nucleotide linker of the invention comprises abasic nucleotide, polyether, polyamine, polyamide, peptide, carbohydrate, lipid, polyhydrocarbon, or other polymeric compounds (e.g. polyethylene glycols such as those having between 2 and 100 ethylene glycol units). Specific examples include those described by Seela and
- non-nucleotide further means any group or compound that can be inco ⁇ orated into a nucleic acid chain in the place of one or more nucleotide units, including either sugar and/or phosphate substitutions, and allows the remaining bases to exhibit their enzymatic activity.
- the group or compound can be abasic in that it does not contain a commonly recognized nucleotide base, such as adenosine, guanine, cytosine, uracil or thymine, for example at the Cl position of the sugar.
- a commonly recognized nucleotide base such as adenosine, guanine, cytosine, uracil or thymine, for example at the Cl position of the sugar.
- the invention features a short interfering nucleic acid (siNA) molecule capable of mediating RNA interference (RNAi) inside a cell or reconstituted in vitro system, wherein one or both strands of the siNA molecule that are assembled from two separate oligonucleotides do not comprise any ribonucleotides.
- a siNA molecule can be assembled from a single oligonculeotide where the sense and antisense regions of the siNA comprise separate oligonucleotides not having any ribonucleotides (e.g., nucleotides having a 2' -OH group) present in the oligonucleotides.
- a siNA molecule can be assembled from a single oligonculeotide where the sense and antisense regions of the siNA are linked or circularized by a nucleotide or non-nucleotide linker as desrcibed herein, wherein the oligonucleotide does not have any ribonucleotides (e.g., nucleotides having a 2'-OH group) present in the oligonucleotide.
- ribonucleotides e.g., nucleotides having a 2'-OH group
- all positions within the siNA can include chemically modified nucleotides and/or non-nucleotides such as nucleotides and or non-nucleotides having Formula I, II, III, IV, V, VI, or VII or any combination thereof to the extent that the ability of the siNA molecule to support RNAi activity in a cell is maintained.
- a siNA molecule of the invention is a single stranded siNA molecule that mediates RNAi activity in a cell or reconstituted in vitro system, wherein the siNA molecule comprises a single stranded polynucleotide having complementarity to a target nucleic acid sequence.
- the single stranded siNA molecule of the invention comprises a 5'-terminal phosphate group.
- the single stranded siNA molecule of the invention comprises a 5 '-terminal phosphate group and a 3'- terminal phosphate group (e.g., a 2', 3 '-cyclic phosphate).
- the single stranded siNA molecule of the invention comprises about 19 to about 29 nucleotides.
- the single stranded siNA molecule of the invention comprises one or more chemically modified nucleotides or non-nucleotides described herein.
- all the positions within the siNA molecule can include chemically-modified nucleotides such as nucleotides having any of Formulae I-VII, or any combination thereof to the extent that the ability of the siNA molecule to support RNAi activity in a cell is maintained.
- a siNA molecule of the invention is a single stranded siNA molecule that mediates RNAi activity in a cell or reconstituted in vitro system, wherein the siNA molecule comprises a single stranded polynucleotide having complementarity to a target nucleic acid sequence, and wherein one or more pyrimidine nucleotides present in the siNA are 2'-deoxy-2'-fluoro pyrimidine nucleotides (e.g., wherein all pyrimidine nucleotides are 2'-deoxy-2'-fluoro pyrimidine nucleotides or alternately a plurality of pyrimidine nucleotides are 2'-deoxy-2'-fluoro pyrimidine nucleotides), and wherein any purine nucleotides present in the antisense region are 2'-O-methyl purine nucleotides (e.g., wherein all purine nucleotides are 2'-O-methyl
- a siNA molecule of the invention is a single stranded siNA molecule that mediates RNAi activity in a cell or reconstituted in vitro system, wherein the siNA molecule comprises a single stranded polynucleotide having complementarity to a target nucleic acid sequence, and wherein one or more pyrimidine nucleotides present in the siNA are 2'-deoxy-2'-fluoro pyrimidine nucleotides (e.g., wherein all pyrimidine nucleotides are 2'-deoxy-2'-fluoro pyrimidine nucleotides or alternately a plurality of pyrimidine nucleotides are 2'-deoxy-2'-fluoro pyrimidine nucleotides), and wherein any purine nucleotides present in the antisense region are 2'-deoxy purine nucleotides (e.g., wherein all purine nucleotides are 2'-deoxy purine
- a siNA molecule of the invention is a single stranded siNA molecule that mediates RNAi activity in a cell or reconstituted in vitro system, wherein the siNA molecule comprises a single stranded polynucleotide having complementarity to a target nucleic acid sequence, and wherein one or more pyrimidine nucleotides present in the siNA are 2'-deoxy-2'-fluoro pyrimidine nucleotides (e.g., wherein all pyrimidine nucleotides are 2'-deoxy-2'-fluoro pyrimidine nucleotides or alternately a plurality of pyrimidine nucleotides are 2'-deoxy-2'-fluoro pyrimidine nucleotides), and wherein any purine nucleotides present in the antisense region are locked nucleic acid (LNA) nucleotides (e.g., wherein all purine nucleotides are LNA nucleo
- a siNA molecule of the invention is a single stranded siNA molecule that mediates RNAi activity in a cell or reconstituted in vitro system, wherein the siNA molecule comprises a single stranded polynucleotide having complementarity to a target nucleic acid sequence, and wherein one or more pyrimidine nucleotides present in the siNA are 2'-deoxy-2'-fluoro pyrimidine nucleotides (e.g., wherein all pyrimidine nucleotides are 2'-deoxy-2'-fluoro pyrimidine nucleotides or alternately a plurality of pyrimidine nucleotides are 2'-deoxy-2'-fluoro pyrimidine nucleotides), and wherein any purine nucleotides present in the antisense region are 2 '-methoxyethyl purine nucleotides (e.g., wherein all purine nucleotides are 2
- any modified nucleotides present in the single stranded siNA molecules of the invention comprise modified nucleotides having properties or characteristics similar to naturally occurring ribonucleotides.
- the invention features siNA molecules including modified nucleotides having a Northern conformation (e.g., Northern pseudorotation cycle, see for example Saenger, Principles of Nucleic Acid Stmcture, Springer-Verlag ed., 1984).
- chemically modified nucleotides present in the single stranded siNA molecules of the invention are preferably resistant to nuclease degradation while at the same time maintaining the capacity to mediate RNAi.
- the invention features a method for modulating the expression of a VEGF and/or VEGFr gene within a cell comprising: (a) synthesizing a siNA molecule of the invention, which can be chemically-modified, wherein one of the siNA strands comprises a sequence complementary to RNA of the VEGF and/or VEGFr gene; and (b) introducing the siNA molecule into a cell under conditions suitable to modulate the expression of the VEGF and/or VEGFr gene in the cell.
- the invention features a method for modulating the expression of a VEGF and or VEGFr gene within a cell comprising: (a) synthesizing a siNA molecule of the invention, which can be chemically-modified, wherein one of the siNA strands comprises a sequence complementary to RNA of the VEGF and/or VEGFr gene and wherein the sense strand sequence of the siNA comprises a sequence identical to the sequence of the target RNA; and (b) introducing the siNA molecule into a cell under conditions suitable to modulate the expression of the VEGF and or VEGFr gene in the cell.
- the invention features a method for modulating the expression of more than one VEGF and/or VEGFr gene within a cell comprising: (a) synthesizing siNA molecules of the invention, which can be chemically-modified, wherein one of the siNA strands comprises a sequence complementary to RNA of the VEGF and/or VEGFr genes; and (b) introducing the siNA molecules into a cell under conditions suitable to modulate the expression of the VEGF and/or VEGFr genes in the cell.
- the invention features a method for modulating the expression of more than one VEGF and/or VEGFr gene within a cell comprising: (a) synthesizing a siNA molecule of the invention, which can be chemically-modified, wherein one of the siNA strands comprises a sequence complementary to RNA of the VEGF and/or VEGFr gene and wherein the sense strand sequence of the siNA comprises a sequence identical to the sequence of the target RNA; and (b) introducing the siNA molecules into a cell under conditions suitable to modulate the expression of the VEGF and/or VEGFr genes in the cell.
- siNA molecules of the invention are used as reagents in ex vivo applications.
- siNA reagents are intoduced into tissue or cells that are transplanted into a subject for therapeutic effect.
- the cells and/or tissue can be derived from an organism or subject that later receives the explant, or can be derived from another organism or subject prior to transplantation.
- the siNA molecules can be used to modulate the expression of one or more genes in the cells or tissue, such that the cells or tissue obtain a desired phenotype or are able to perform a function when transplanted in vivo.
- certain target cells from a patient are extracted.
- These extracted cells are contacted with siNAs targeteing a specific nucleotide sequence within the cells under conditions suitable for uptake of the siNAs by these cells (e.g. using delivery reagents such as cationic lipids, liposomes and the like or using techniques such as electroporation to facilitate the delivery of siNAs into cells).
- delivery reagents such as cationic lipids, liposomes and the like or using techniques such as electroporation to facilitate the delivery of siNAs into cells.
- the cells are then reintroduced back into the same patient or other patients.
- the invention features a method of modulating the expression of a VEGF and/or VEGFr gene in a tissue explant comprising: (a) synthesizing a siNA molecule of the invention, which can be chemically-modified, wherein one of the siNA strands comprises a sequence complementary to RNA of the VEGF and/or VEGFr gene; and (b) introducing the siNA molecule into a cell of the tissue explant derived from a particular organism under conditions suitable to modulate the expression of the VEGF and/or VEGFr gene in the tissue explant.
- the method further comprises introducing the tissue explant back into the organism the tissue was derived from or into another organism under conditions suitable to modulate the expression of the VEGF and/or VEGFr gene in that organism.
- the mvention features a method of modulating the expression of a VEGF and/or VEGFr gene in a tissue explant comprising: (a) synthesizing a siNA molecule of the invention, which can be chemically-modified, wherein one of the siNA strands comprises a sequence complementary to RNA of the VEGF and/or VEGFr gene and wherein the sense strand sequence of the siNA comprises a sequence identical to the sequence of the target RNA; and (b) introducing the siNA molecule into a cell of the tissue explant derived from a particular organism under conditions suitable to modulate the expression of the VEGF and/or VEGFr gene in the tissue explant.
- the method further comprises introducing the tissue explant back into the organism the tissue was derived from or into another organism under conditions suitable to modulate the expression of the VEGF and/or VEGFr gene in that organism.
- the invention features a method of modulating the expression of more than one VEGF and/or VEGFr gene in a tissue explant comprising: (a) synthesizing siNA molecules of the invention, which can be chemically-modified, wherein one of the siNA strands comprises a sequence complementary to RNA of the VEGF and/or VEGFr genes; and (b) introducing the siNA molecules into a cell of the tissue explant derived from a particular organism under conditions suitable to modulate the expression of the VEGF and/or VEGFr genes in the tissue explant.
- the method further comprises introducing the tissue explant back into the organism the tissue was derived from or into another organism under conditions suitable to modulate the expression of the VEGF and/or VEGFr genes in that organism.
- the invention features a method of modulating the expression of a
- VEGF and/or VEGFr gene in an organism comprising: (a) synthesizing a siNA molecule of the invention, which can be chemically-modified, wherein one of the siNA strands comprises a sequence complementary to RNA of the VEGF and/or VEGFr gene; and (b) introducing the siNA molecule into the organism under conditions suitable to modulate the expression of the VEGF and/or VEGFr gene in the organism.
- the invention features a method of modulating the expression of more than one VEGF and/or VEGFr gene in an organism comprising: (a) synthesizing siNA molecules of the invention, which can be chemically-modified, wherein one of the siNA strands comprises a sequence complementary to RNA of the VEGF and/or VEGFr genes; and (b) introducing the siNA molecules into the organism under conditions suitable to modulate the expression of the VEGF and/or VEGFr genes in the organism.
- the invention features a method for modulating the expression of a VEGF and/or VEGFr gene within a cell comprising: (a) synthesizing a siNA molecule of the invention, which can be chemically-modified, wherein the siNA comprises a single stranded sequence having complementarity to RNA of the VEGF and/or VEGFr gene; and (b) introducing the siNA molecule into a cell under conditions suitable to modulate the expression of the VEGF and/or VEGFr gene in the cell.
- the invention features a method for modulating the expression of more than one VEGF and/or VEGFr gene within a cell comprising: (a) synthesizing siNA molecules of the invention, which can be chemically-modified, wherein the siNA comprises a single stranded sequence having complementarity to RNA of the VEGF and/or VEGFr gene; and (b) contacting the siNA molecule with a cell in vitro or in vivo under conditions suitable to modulate the expression of the VEGF and/or VEGFr genes in the cell.
- the invention features a method of modulating the expression of a VEGF and/or VEGFr gene in a tissue explant comprising: (a) synthesizing a siNA molecule of the invention, which can be chemically-modified, wherein the siNA comprises a single stranded sequence having complementarity to RNA of the VEGF and/or VEGFr gene; and (b) contacting the siNA molecule with a cell of the tissue explant derived from a particular organism under conditions suitable to modulate the expression of the VEGF and/or VEGFr gene in the tissue explant.
- the method further comprises introducing the tissue explant back into the organism the tissue was derived from or into another organism under conditions suitable to modulate the expression of the VEGF and/or VEGFr gene in that organism.
- the invention features a method of modulating the expression of more than one VEGF and/or VEGFr gene in a tissue explant comprising: (a) synthesizing siNA molecules of the invention, which can be chemically-modified, wherein the siNA comprises a single stranded sequence having complementarity to RNA of the VEGF and/or VEGFr gene; and (b) introducing the siNA molecules into a cell of the tissue explant derived from a particular organism under conditions suitable to modulate the expression of the VEGF and/or VEGFr genes in the tissue explant.
- the method further comprises introducing the tissue explant back into the organism the tissue was derived from or into another organism under conditions suitable to modulate the expression of the VEGF and/or VEGFr genes in that organism.
- the invention features a method of modulating the expression of a VEGF and/or VEGFr gene in an organism comprising: (a) synthesizing a siNA molecule of the invention, which can be chemically-modified, wherein the siNA comprises a single stranded sequence having complementarity to RNA of the VEGF and/or VEGFr gene; and (b) introducing the siNA molecule into the organism under conditions suitable to modulate the expression of the VEGF and or VEGFr gene in the organism.
- the invention features a method of modulating the expression of more than one VEGF and/or VEGFr gene in an organism comprising: (a) synthesizing siNA molecules of the invention, which can be chemically-modified, wherein the siNA comprises a single stranded sequence having complementarity to RNA of the VEGF and/or VEGFr gene; and (b) introducing the siNA molecules into the organism under conditions suitable to modulate the expression of the VEGF and/or VEGFr genes in the organism.
- the invention features a method of modulating the expression of a VEGF and/or VEGFr gene in an organism comprising contacting the organism with a siNA molecule of the invention under conditions suitable to modulate the expression of the VEGF and/or VEGFr gene in the organism.
- the mvention features a method of modulating the expression of more than one VEGF and/or VEGFr gene in an organism comprising contacting the organism with one or more siNA molecules of the invention under conditions suitable to modulate the expression of the VEGF and/or VEGFr genes in the organism.
- the siNA molecules of the mvention can be designed to inhibit target (VEGF and/or VEGFr) gene expression through RNAi targeting of a variety of RNA molecules.
- the siNA molecules of the invention are used to target various RNAs corresponding to a target gene.
- Non-limiting examples of such RNAs include messenger RNA (mRNA), alternate RNA splice variants of target gene(s), post-transcriptionally modified RNA of target gene(s), pre-mRNA of target gene(s), and/or RNA templates. If alternate splicing produces a family of transcripts that are distinguished by usage of appropriate exons, the instant invention can be used to inhibit gene expression through the appropriate exons to specifically inhibit or to distinguish among the functions of gene family members.
- a protein that contains an alternatively spliced transmembrane domain can be expressed in both membrane bound and secreted forms.
- Use of the invention to target the exon containing the transmembrane domain can be used to determine the functional consequences of pharmaceutical targeting of membrane bound as opposed to the secreted form of the protein.
- Non-limiting examples of applications of the invention relating to targeting these RNA molecules include therapeutic pharmaceutical applications, pharmaceutical discovery applications, molecular diagnostic and gene function applications, and gene mapping, for example using single nucleotide polymo ⁇ hism mapping with siNA molecules of the invention.
- Such applications can be implemented using known gene sequences or from partial sequences available from an expressed sequence tag (EST).
- the siNA molecules of the mvention are used to target conserved sequences corresponding to a gene family or gene families such as VEGF and/or VEGFr family genes.
- siNA molecules targeting multiple VEGF and/or VEGFr targets can provide increased therapeutic effect.
- siNA can be used to characterize pathways of gene function in a variety of applications.
- the present invention can be used to inhibit the activity of target gene(s) in a pathway to determine the function of uncharacterized gene(s) in gene function analysis, mRNA function analysis, or translational analysis.
- the invention can be used to determine potential target gene pathways involved in various diseases and conditions toward pharmaceutical development.
- the invention can be used to understand pathways of gene expression involved in, for example, the progression and/or maintenance of cancer.
- siNA molecule(s) and/or methods of the invention are used to inhibit the expression of gene(s) that encode RNA referred to by Genbank Accession, for example VEGF and/or VEGFr genes encoding RNA sequence(s) referred to herein by Genbank Accession number, for example, Genbank Accession Nos. shown in Table I.
- the invention features a method comprising: (a) generating a library of siNA constructs having a predetermined complexity; and (b) assaying the siNA constructs of (a) above, under conditions suitable to determine RNAi target sites within the target RNA sequence.
- the siNA molecules of (a) have strands of a fixed length, for example, about 23 nucleotides in length.
- the siNA molecules of (a) are of differing length, for example having strands of about 19 to about 25 (e.g., about 19, 20, 21, 22, 23, 24, or 25) nucleotides in length.
- the assay can comprise a reconstituted in vitro siNA assay as described herein.
- the assay can comprise a cell culture system in which target RNA is expressed.
- fragments of target RNA are analyzed for detectable levels of cleavage, for example by gel electrophoresis, northern blot analysis, or RNAse protection assays, to determine the most suitable target site(s) within the target RNA sequence.
- the target RNA sequence can be obtained as is known in the art, for example, by cloning and/or transcription for in vitro systems, and by cellular expression in in vivo systems.
- the invention features a method comprising: (a) generating a randomized library of siNA constructs having a predetermined complexity, such as of 4 N , where N represents the number of base paired nucleotides in each of the siNA construct strands (eg. for a siNA construct having 21 nucleotide sense and antisense strands with 19 base pairs, the complexity would be 4 19 ); and (b) assaying the siNA constructs of (a) above, under conditions suitable to determine RNAi target sites within the target VEGF and/or VEGFr RNA sequence.
- the siNA molecules of (a) have strands of a fixed length, for example about 23 nucleotides in length.
- the siNA molecules of (a) are of differing length, for example having strands of about 19 to about 25 (e.g., about 19, 20, 21, 22, 23, 24, or 25) nucleotides in length.
- the assay can comprise a reconstituted in vitro siNA assay as described in Example 7 herein.
- the assay can comprise a cell culture system in which target RNA is expressed.
- fragments of VEGF and/or VEGFr RNA are analyzed for detectable levels of cleavage, for example by gel electrophoresis, northern blot analysis, or RNAse protection assays, to determine the most suitable target site(s) within the target VEGF and or VEGFr RNA sequence.
- the target VEGF and/or VEGFr RNA sequence can be obtained as is known in the art, for example, by cloning and/or transcription for in vitro systems, and by cellular expression in in vivo systems.
- the invention features a method comprising: (a) analyzing the sequence of a RNA target encoded by a target gene; (b) synthesizing one or more sets of siNA molecules having sequence complementary to one or more regions of the RNA of (a); and (c) assaying the siNA molecules of (b) under conditions suitable to determine RNAi targets within the target RNA sequence.
- the siNA molecules of (b) have strands of a fixed length, for example about 23 nucleotides in length.
- the siNA molecules of (b) are of differing length, for example having strands of about 19 to about 25 (e.g., about 19, 20, 21, 22, 23, 24, or 25) nucleotides in length.
- the assay can comprise a reconstituted in vitro siNA assay as described herein.
- the assay can comprise a cell culture system in which target RNA is expressed. Fragments of target RNA are analyzed for detectable levels of cleavage, for example by gel electrophoresis, northern blot analysis, or RNAse protection assays, to determine the most suitable target site(s) within the target RNA sequence.
- the target RNA sequence can be obtained as is known in the art, for example, by cloning and/or transcription for in vitro systems, and by expression in in vivo systems.
- target site is meant a sequence within a target RNA that is “targeted” for cleavage mediated by a siNA construct which contains sequences within its antisense region that are complementary to the target sequence.
- detecttable level of cleavage is meant cleavage of target RNA (and formation of cleaved product RNAs) to an extent sufficient to discern cleavage products above the background of RNAs produced by random degradation of the target RNA. Production of cleavage products from 1-5% of the target RNA is sufficient to detect above the background for most methods of detection.
- the invention features a composition comprising a siNA molecule of the invention, which can be chemically-modified, in a pharmaceutically acceptable carrier or diluent.
- the invention features a pharmaceutical composition comprising siNA molecules of the invention, which can be chemically-modified, targeting one or more genes in a pharmaceutically acceptable carrier or diluent.
- the invention features a method for freating or preventing a disease or condition in a subject, comprising administering to the subject a composition of the invention under conditions suitable for the treatment or prevention of the disease or condition in the subject, alone or in conjunction with one or more other therapeutic compounds.
- the invention features a method for reducing or preventing tissue rejection in a subject comprising administering to the subject a composition of the invention under conditions suitable for the reduction or prevention of tissue rejection in the subject.
- the invention features a method for validating a VEGF and/or VEGFr gene target, comprising: (a) synthesizing a siNA molecule of the invention, which can be chemically-modified, wherein one of the siNA strands includes a sequence complementary to RNA of a VEGF and or VEGFr target gene; (b) introducing the siNA molecule into a cell, tissue, or organism under conditions suitable for modulating expression of the VEGF and/or VEGFr target gene in the cell, tissue, or organism; and (c) determining the function of the gene by assaying for any phenotypic change in the cell, tissue, or organism.
- the invention features a method for validating a VEGF and/or VEGFr target comprising: (a) synthesizing a siNA molecule of the invention, which can be chemically-modified, wherein one of the siNA strands includes a sequence complementary to RNA of a VEGF and/or VEGFr target gene; (b) introducing the siNA molecule into a biological system under conditions suitable for modulating expression of the VEGF and/or VEGFr target gene in the biological system; and (c) determining the function of the gene by assaying for any phenotypic change in the biological system.
- biological system is meant, material, in a purified or unpurified form, from biological sources, including but not limited to human, animal, plant, insect, bacterial, viral or other sources, wherein the system comprises the components required for RNAi acitivity.
- biological system includes, for example, a cell, tissue, or organism, or extract thereof.
- biological system also includes reconstituted RNAi systems that can be used in an in vitro setting.
- phenotypic change is meant any detectable change to a cell that occurs in response to contact or treatment with a nucleic acid molecule of the invention (e.g., siNA).
- detectable changes include, but are not limited to, changes in shape, size, proliferation, motility, protein expression or RNA expression or other physical or chemical changes as can be assayed by methods known in the art.
- the detectable change can also include expression of reporter genes/molecules such as Green Florescent Protein (GFP) or various tags that are used to identify an expressed protein or any other cellular component that can be assayed.
- GFP Green Florescent Protein
- the invention features a kit containing a siNA molecule of the invention, which can be chemically-modified, that can be used to modulate the expression of a VEGF and or VEGFr target gene in a cell, tissue, or organism.
- the invention features a kit containing more than one siNA molecule of the invention, which can be chemically-modified, that can be used to modulate the expression of more than one VEGF and/or VEGFr target gene in a cell, tissue, or organism.
- the invention features a cell containing one or more siNA molecules of the invention, which can be chemically-modified.
- the cell containing a siNA molecule of the mvention is a mammalian cell.
- the cell containing a siNA molecule of the invention is a human cell.
- the synthesis of a siNA molecule of the invention comprises: (a) synthesis of two complementary strands of the siNA molecule; (b) annealing the two complementary sfrands together under conditions suitable to obtain a double-stranded siNA molecule.
- synthesis of the two complementary strands of the siNA molecule is by solid phase oligonucleotide synthesis.
- synthesis of the two complementary strands of the siNA molecule is by solid phase tandem oligonucleotide synthesis.
- the invention features a method for synthesizing a siNA duplex molecule comprising: (a) synthesizing a first oligonucleotide sequence strand of the siNA molecule, wherein the first oligonucleotide sequence strand comprises a cleavable linker molecule that can be used as a scaffold for the synthesis of the second oligonucleotide sequence strand of the siNA; (b) synthesizing the second oligonucleotide sequence sfrand of siNA on the scaffold of the first oligonucleotide sequence strand, wherein the second oligonucleotide sequence strand further comprises a chemical moiety than can be used to purify the siNA duplex; (c) cleaving the linker molecule of (a) under conditions suitable for the two siNA oligonucleotide strands to hybridize and form a stable duplex; and (d) purifying the siNA duplex utilizing the chemical moiety of the
- cleavage of the linker molecule in (c) above takes place during deprotection of the oligonucleotide, for example under hydrolysis conditions using an alkylamine base such as methylamine.
- the method of synthesis comprises solid phase synthesis on a solid support such as controlled pore glass (CPG) or polystyrene, wherein the first sequence of (a) is synthesized on a cleavable linker, such as a succinyl linker, using the solid support as a scaffold.
- CPG controlled pore glass
- a cleavable linker such as a succinyl linker
- the cleavable linker in (a) used as a scaffold for synthesizing the second strand can comprise similar reactivity as the solid support derivatized linker, such that cleavage of the solid support derivatized linker and the cleavable linker of (a) takes place concomitantly.
- the chemical moiety of (b) that can be used to isolate the attached oligonucleotide sequence comprises a trityl group, for example a dimethoxytrityl group, which can be employed in a trityl-on synthesis strategy as described herein.
- the chemical moiety, such as a dimethoxytrityl group is removed during purification, for example, using acidic conditions.
- the method for siNA synthesis is a solution phase synthesis or hybrid phase synthesis wherein both sfrands of the siNA duplex are synthesized in tandem using a cleavable linker attached to the first sequence which acts a scaffold for synthesis of the second sequence. Cleavage of the linker under conditions suitable for hybridization of the separate siNA sequence strands results in formation of the doublestranded siNA molecule.
- the invention features a method for synthesizing a siNA duplex molecule comprising: (a) synthesizing one oligonucleotide sequence strand of the siNA molecule, wherein the sequence comprises a cleavable linker molecule that can be used as a scaffold for the synthesis of another oligonucleotide sequence; (b) synthesizing a second oligonucleotide sequence having complementarity to the first sequence strand on the scaffold of (a), wherein the second sequence comprises the other strand of the double- sfranded siNA molecule and wherein the second sequence further comprises a chemical moiety than can be used to isolate the attached oligonucleotide sequence; (c) purifying the product of (b) utilizing the chemical moiety of the second oligonucleotide sequence strand under conditions suitable for isolating the full-length sequence comprising both siNA oligonucleotide sfrands connected by the cleavable linker and
- cleavage of the linker molecule in (c) above takes place during deprotection of the oligonucleotide, for example under hydrolysis conditions. In another embodiment, cleavage of the linker molecule in (c) above takes place after deprotection of the oligonucleotide.
- the method of synthesis comprises solid phase synthesis on a solid support such as controlled pore glass (CPG) or polystyrene, wherein the first sequence of (a) is synthesized on a cleavable linker, such as a succinyl linker, using the solid support as a scaffold.
- CPG controlled pore glass
- cleavable linker such as a succinyl linker
- the cleavable linker in (a) used as a scaffold for synthesizing the second sfrand can comprise similar reactivity or differing reactivity as the solid support derivatized linker, such that cleavage of the solid support derivatized linker and the cleavable linker of (a) takes place either concomitantly or sequentially.
- the chemical moiety of (b) that can be used to isolate the attached oligonucleotide sequence comprises a trityl group, for example a dimethoxytrityl group.
- the invention features a method for making a double-stranded siNA molecule in a single synthetic process comprising: (a) synthesizing an oligonucleotide having a first and a second sequence, wherein the first sequence is complementary to the second sequence, and the first oligonucleotide sequence is linked to the second sequence via a cleavable linker, and wherein a terminal 5'-protecting group, for example, a 5'-O- dimethoxytrityl group (5'-O-DMT) remains on the oligonucleotide having the second sequence; (b) deprotecting the oligonucleotide whereby the deprotection results in the cleavage of the linker joining the two oligonucleotide sequences; and (c) purifying the product of (b) under conditions suitable for isolating the double-stranded siNA molecule, for example using a trityl-on synthesis strategy as described herein.
- the method of synthesis of siNA molecules of the invention comprises the teachings of Scaringe et al, US Patent Nos. 5,889,136; 6,008,400; and 6,111 ,086, inco ⁇ orated by reference herein in their entirety.
- the invention features siNA constructs that mediate RNAi against a VEGF and/or VEGFr, wherein the siNA construct comprises one or more chemical modifications, for example, one or more chemical modifications having any of Formulae I- VII or any combination thereof that increases the nuclease resistance of the siNA constract.
- the invention features a method for generating siNA molecules with increased nuclease resistance comprising (a) introducing nucleotides having any of Formula I-VII or any combination thereof into a siNA molecule, and (b) assaying the siNA molecule of step (a) under conditions suitable for isolating siNA molecules having increased nuclease resistance.
- the invention features siNA constructs that mediate RNAi against a VEGF and/or VEGFr, wherein the siNA construct comprises one or more chemical modifications described herein that modulates the binding affinity between the sense and antisense strands of the siNA constract.
- the mvention features a method for generating siNA molecules with increased binding affinity between the sense and antisense sfrands of the siNA molecule comprising (a) infroducing nucleotides having any of Formula I-VII or any combination thereof into a siNA molecule, and (b) assaying the siNA molecule of step (a) under conditions suitable for isolating siNA molecules having increased binding affinity between the sense and antisense strands of the siNA molecule.
- the invention features siNA constracts that mediate RNAi against a VEGF and/or VEGFr, wherein the siNA construct comprises one or more chemical modifications described herein that modulates the binding affinity between the antisense sfrand of the siNA construct and a complementary target RNA sequence within a cell.
- the invention features siNA constracts that mediate RNAi against a VEGF and/or VEGFr, wherein the siNA constract comprises one or more chemical modifications described herein that modulates the binding affinity between the antisense sfrand of the siNA construct and a complementary target DNA sequence within a cell.
- the invention features a method for generating siNA molecules with increased binding affinity between the antisense strand of the siNA molecule and a complementary target RNA sequence comprising (a) infroducing nucleotides having any of Formula I-VII or any combination thereof into a siNA molecule, and (b) assaying the siNA molecule of step (a) under conditions suitable for isolating siNA molecules having increased binding affinity between the antisense strand of the siNA molecule and a complementary target RNA sequence.
- the invention features a method for generating siNA molecules with increased binding affinity between the antisense sfrand of the siNA molecule and a complementary target DNA sequence comprising (a) infroducing nucleotides having any of Formula I-VII or any combination thereof into a siNA molecule, and (b) assaying the siNA molecule of step (a) under conditions suitable for isolating siNA molecules having increased binding affinity between the antisense sfrand of the siNA molecule and a complementary target DNA sequence.
- the invention features siNA constructs that mediate RNAi against a VEGF and/or VEGFr, wherein the siNA construct comprises one or more chemical modifications described herein that modulate the polymerase activity of a cellular polymerase capable of generating additional endogenous siNA molecules having sequence homology to the chemically-modified siNA construct.
- the invention features a method for generating siNA molecules capable of mediating increased polymerase activity of a cellular polymerase capable of generating additional endogenous siNA molecules having sequence homology to a chemically-modified siNA molecule comprising (a) infroducing nucleotides having any of Formula I-VII or any combination thereof into a siNA molecule, and (b) assaying the siNA molecule of step (a) under conditions suitable for isolating siNA molecules capable of mediating increased polymerase activity of a cellular polymerase capable of generating additional endogenous siNA molecules having sequence homology to the chemically- modified siNA molecule.
- the invention features chemically-modified siNA constructs that mediate RNAi against a VEGF and/or VEGFr in a cell, wherein the chemical modifications do not significantly effect the interaction of siNA with a target RNA molecule, DNA molecule and/or proteins or other factors that are essential for RNAi in a manner that would decrease the efficacy of RNAi mediated by such siNA constructs.
- the invention features a method for generating siNA molecules with improved RNAi activity against VEGF and/or VEGFr comprising (a) introducing nucleotides having any of Formula I-VII or any combination thereof into a siNA molecule, and (b) assaying the siNA molecule of step (a) under conditions suitable for isolating siNA molecules having improved RNAi activity.
- the invention features a method for generating siNA molecules with improved RNAi activity against a VEGF and/or VEGFr target RNA comprising (a) introducing nucleotides having any of Formula I-VII or any combination thereof into a siNA molecule, and (b) assaying the siNA molecule of step (a) under conditions suitable for isolating siNA molecules having improved RNAi activity against the target RNA.
- the invention features a method for generating siNA molecules with improved RNAi activity against a VEGF and/or VEGFr target DNA comprising (a) introducing nucleotides having any of Formula I-VII or any combination thereof into a siNA molecule, and (b) assaying the siNA molecule of step (a) under conditions suitable for isolating siNA molecules having improved RNAi activity against the target DNA.
- the mvention features siNA constructs that mediate RNAi against a VEGF and/or VEGFr, wherein the siNA constract comprises one or more chemical modifications described herein that modulates the cellular uptake of the siNA construct.
- the invention features a method for generating siNA molecules against VEGF and/or VEGFr with improved cellular uptake comprising (a) introducing nucleotides having any of Formula I-VII or any combination thereof into a siNA molecule, and (b) assaying the siNA molecule of step (a) under conditions suitable for isolating siNA molecules having improved cellular uptake.
- the invention features siNA constructs that mediate RNAi against a VEGF and/or VEGFr, wherein the siNA construct comprises one or more chemical modifications described herein that increases the bioavailability of the siNA construct, for example, by attaching polymeric conjugates such as polyethyleneglycol or equivalent conjugates that improve the pharmacokinetics of the siNA constract, or by attaching conjugates that target specific tissue types or cell types in vivo.
- polymeric conjugates such as polyethyleneglycol or equivalent conjugates that improve the pharmacokinetics of the siNA constract
- conjugates that target specific tissue types or cell types in vivo.
- Non-limiting examples of such conjugates are described in Vargeese et al, U.S. Serial No. 10/201,394 inco ⁇ orated by reference herein.
- the invention features a method for generating siNA molecules of the invention with improved bioavailability, comprising (a) introducing a conjugate into the structure of a siNA molecule, and (b) assaying the siNA molecule of step (a) under conditions suitable for isolating siNA molecules having improved bioavailability.
- Such conjugates can include ligands for cellular receptors, such as peptides derived from naturally occurring protein ligands; protein localization sequences, including cellular ZIP code sequences; antibodies; nucleic acid aptamers; vitamins and other co-factors, such as folate and N-acetylgalactosamine; polymers, such as polyethyleneglycol (PEG); phospholipids; polyamines, such as spermine or spermidine; and others.
- ligands for cellular receptors such as peptides derived from naturally occurring protein ligands; protein localization sequences, including cellular ZIP code sequences; antibodies; nucleic acid aptamers; vitamins and other co-factors, such as folate and N-acetylgalactosamine; polymers, such as polyethyleneglycol (PEG); phospholipids; polyamines, such as spermine or spermidine; and others.
- the mvention features a method for generating siNA molecules of the invention with improved bioavailability comprising (a) infroducing an excipient formulation to a siNA molecule, and (b) assaying the siNA molecule of step (a) under conditions suitable for isolating siNA molecules having improved bioavailability.
- excipients include polymers such as cyclodextrins, lipids, cationic lipids, polyamines, phospholipids, and others.
- the mvention features a method for generating siNA molecules of the invention with improved bioavailability comprising (a) infroducing nucleotides having any of Formulae I-VII or any combination thereof into a siNA molecule, and (b) assaying the siNA molecule of step (a) under conditions suitable for isolating siNA molecules having improved bioavailability.
- polyethylene glycol can be covalently attached to siNA compounds of the present invention.
- the attached PEG can be any molecular weight, preferably from about 2,000 to about 50,000 daltons (Da).
- the present invention can be used alone or as a component of a kit having at least one of the reagents necessary to carry out the in vitro or in vivo introduction of RNA to test samples and/or subjects.
- preferred components of the kit include a siNA molecule of the invention and a vehicle that promotes introduction of the siNA into cells of interest as described herein (e.g., using lipids and other methods of transfection known in the art, see for example Beigelman et al, US 6,395,713).
- the kit can be used for target validation, such as in determining gene function and/or activity, or in drag optimization, and in drug discovery (see for example Usman et al., USSN 60/402,996).
- target validation such as in determining gene function and/or activity, or in drag optimization, and in drug discovery (see for example Usman et al., USSN 60/402,996).
- kit can also include instructions to allow a user of the kit to practice the invention.
- short interfering nucleic acid short interfering nucleic acid
- siNA short interfering nucleic acid
- siRNA short interfering RNA
- short interfering nucleic acid molecule refers to any nucleic acid molecule capable of inhibiting or down regulating gene expression, for example by mediating RNA interference "RNAi” or gene silencing in a sequence-specific manner; see for example Bass, 2001, Nature, 411, 428-429; Elbashir et al, 2001, Nature, 411, 494- 498; and Kreutzer et al, International PCT Publication No. WO 00/44895; Zemicka-Goetz et al, International PCT Publication No.
- Non limiting examples of siNA molecules of the mvention are shown in Figures 4-6, and Tables II, III, and IV herein.
- the siNA can be a double-stranded polynucleotide molecule comprising self-complementary sense and antisense regions, wherein the antisense region comprises nucleotide sequence that is complementary to nucleotide sequence in a target nucleic acid molecule or a portion thereof and the sense region having nucleotide sequence corresponding to the target nucleic acid sequence or a portion thereof.
- the siNA can be assembled from two separate oligonucleotides, where one strand is the sense strand and the other is the antisense strand, wherein the antisense and sense strands are self-complementary (i.e.
- each sfrand comprises nucleotide sequence that is complementary to nucleotide sequence in the other strand; such as where the antisense strand and sense strand form a duplex or double sfranded structure, for example wherein the double stranded region is about 19 base pairs); the antisense strand comprises nucleotide sequence that is complementary to nucleotide sequence in a target nucleic acid molecule or a portion thereof and the sense sfrand comprises nucleotide sequence corresponding to the target nucleic acid sequence or a portion thereof.
- the siNA is assembled from a single oligonucleotide, where the self- complementary sense and antisense regions of the siNA are linked by means of a nucleic acid based or non-nucleic acid-based linker(s).
- the siNA can be a polynucleotide with a hai ⁇ in secondary structure, having self-complementary sense and antisense regions, wherein the antisense region comprises nucleotide sequence that is complementary to nucleotide sequence in a separate target nucleic acid molecule or a portion thereof and the sense region having nucleotide sequence corresponding to the target nucleic acid sequence or a portion thereof.
- the siNA can be a circular single-stranded polynucleotide having two or more loop structures and a stem comprising self-complementary sense and antisense regions, wherein the antisense region comprises nucleotide sequence that is complementary to nucleotide sequence in a target nucleic acid molecule or a portion thereof and the sense region having nucleotide sequence corresponding to the target nucleic acid sequence or a portion thereof, and wherein the circular polynucleotide can be processed either in vivo or in vitro to generate an active siNA molecule capable of mediating RNAi.
- the siNA can also comprise a single stranded polynucleotide having nucleotide sequence complementary to nucleotide sequence in a target nucleic acid molecule or a portion thereof (for example, where such siNA molecule does not require the presence within the siNA molecule of nucleotide sequence conesponding to the target nucleic acid sequence or a portion thereof), wherein the single stranded polynucleotide can further comprise a terminal phosphate group, such as a 5 '-phosphate (see for example Martinez et al., 2002, Cell, 110, 563-574 and Schwarz et al, 2002, Molecular Cell, 10, 537-568), or 5 ',3 '-diphosphate.
- a terminal phosphate group such as a 5 '-phosphate (see for example Martinez et al., 2002, Cell, 110, 563-574 and Schwarz et al, 2002, Molecular Cell, 10, 537-568), or 5 ',3 '-di
- the siNA molecule of the invention comprises separate sense and antisense sequences or regions, wherein the sense and antisense regions are covalently linked by nucleotide or non-nucleotide linkers molecules as is known in the art, or are alternately non- covalently linked by ionic interactions, hydrogen bonding, van der waals interactions, hydrophobic intercations, and/or stacking interactions.
- the siNA molecules of the invention comprise nucleotide sequence that is complementary to nucleotide sequence of a target gene.
- the siNA molecule of the invention interacts with nucleotide sequence of a target gene in a manner that causes inhibition of expression of the target gene.
- siNA molecules need not be limited to those molecules containing only RNA, but further encompasses chemically- modified nucleotides and non-nucleotides.
- the short interfering nucleic acid molecules of the mvention lack 2'-hydroxy (2'-OH) containing nucleotides.
- Applicant describes in certain embodiments short interfering nucleic acids that do not require the presence of nucleotides having a 2'-hydroxy group for mediating RNAi and as such, short interfering nucleic acid molecules of the invention optionally do not mclude any ribonucleotides (e.g., nucleotides having a 2'-OH group).
- siNA molecules that do not require the presence of ribonucleotides within the siNA molecule to support RNAi can however have an attached linker or linkers or other attached or associated groups, moieties, or chains containing one or more nucleotides with 2'-OH groups.
- siNA molecules can comprise ribonucleotides at about 5, 10, 20, 30, 40, or 50% of the nucleotide positions.
- modified short interfering nucleic acid molecules of the invention can also be referred to as short interfering modified oligonucleotides "siMON.”
- siNA is meant to be equivalent to other terms used to describe nucleic acid molecules that are capable of mediating sequence specific RNAi, for example short interfering RNA (siRNA), double-stranded RNA (dsRNA), micro-RNA (miRNA), short hai ⁇ in RNA (shRNA), short interfering oligonucleotide, short interfering nucleic acid, short interfering modified oligonucleotide, chemically-modified siRNA, post-transcriptional gene silencing RNA (ptgsRNA), and others.
- siRNA short interfering RNA
- dsRNA double-stranded RNA
- miRNA micro-RNA
- shRNA short hai ⁇ in RNA
- ptgsRNA post-transcriptional gene silencing RNA
- RNAi is meant to be equivalent to other terms used to describe sequence specific RNA interference, such as post transcriptional gene silencing, or epigenetics.
- siNA molecules of the invention can be used to epigenetically silence genes at both the post-transcriptional level or the pre- transcriptional level.
- epigenetic regulation of gene expression by siNA molecules of the invention can result from siNA mediated modification of chromatin structure to alter gene expression (see, for example, AUshire, 2002, Science, 297, 1818- 1819; Volpe et al, 2002, Science, 297, 1833-1837; Jenuwein, 2002, Science, 297, 2215- 2218; and Hall et al, 2002, Science, 297, 2232-2237).
- modulate is meant that the expression of the gene, or level of RNA molecule or equivalent RNA molecules encoding one or more proteins or protein subunits, or activity of one or more proteins or protein subunits is up regulated or down regulated, such that expression, level, or activity is greater than or less than that observed in the absence of the modulator.
- modulate can mean “inhibit,” but the use of the word “modulate” is not limited to this definition.
- inhibitor By “inhibit”, “down-regulate”, or “reduce”, it is meant that the expression of the gene, or level of RNA molecules or equivalent RNA molecules encoding one or more proteins or protein subunits, or activity of one or more proteins or protein subunits, is reduced below that observed in the absence of the nucleic acid molecules (e.g., siNA) of the invention.
- inhibition, down-regulation or reduction with an siNA molecule is below that level observed in the presence of an inactive or attenuated molecule.
- inhibition, down-regulation, or reduction with siNA molecules is below that level observed in the presence of, for example, an siNA molecule with scrambled sequence or with mismatches.
- inhibition, down-regulation, or reduction of gene expression with a nucleic acid molecule of the instant invention is greater in the presence of the nucleic acid molecule than in its absence.
- RNA nucleic acid sequences including, but not limited to, stractural genes encoding a polypeptide.
- the target gene can be a gene derived from a cell, an endogenous gene, a transgene, or exogenous genes such as genes of a pathogen, for example a virus, which is present in the cell after infection thereof.
- the cell containing the target gene can be derived from or contained in any organism, for example a plant, animal, protozoan, virus, bacterium, or fungus.
- Non-limiting examples of plants include monocots, dicots, or gymnosperms.
- Non- limiting examples of animals include vertebrates or invertebrates.
- Non-limiting examples of fungi include molds or yeasts.
- VEGF vascular endothelial growth factor
- VEGF-A vascular endothelial growth factor
- VEGF-B vascular endothelial growth factor-A
- VEGF-B vascular endothelial growth factor-B
- VEGF-C vascular endothelial growth factor-D
- VEGF vascular endothelial growth factor-D
- the term VEGF also refers to nucleic acid sequences encloding any vascular endothelial growth factor protein, peptide, or polypeptide having vascular endothelial growth factor activity.
- VEGF-B protein, peptide, or polypeptide receptor or a derivative thereof, such as encoded by Genbank Accession No. NM_003377, having vascular endothelial growth factor type B activity.
- the term VEGF-B also refers to nucleic acid sequences encloding any VEGF-B protein, peptide, or polypeptide having VEGF-B activity.
- VEGF-C protein, peptide, or polypeptide receptor or a derivative thereof, such as encoded by Genbank Accession No. NM_005429, having vascular endothelial growth factor type C activity.
- the term VEGF-C also refers to nucleic acid sequences encloding any VEGF-C protein, peptide, or polypeptide having VEGF-C activity.
- VEGF-D protein, peptide, or polypeptide receptor or a derivative thereof, such as encoded by Genbank Accession No. NM_004469, having vascular endothelial growth factor type D activity.
- the term VEGF-D also refers to nucleic acid sequences encloding any VEGF-D protein, peptide, or polypeptide having VEGF-D activity.
- VEGFr any vascular endothelial growth factor receptor protein, peptide, or polypeptide (e.g., VEGFrl, VEGFr2, or VEGFr3, including both membrane bound and/or soluble forms thereof) having vascular endothelial growth factor receptor activity, such as encoded by VEGFr Genbank Accession Nos. shown in Table I.
- VEGFr also refers to nucleic acid sequences encloding any vascular endothelial growth factor receptor protein, peptide, or polypeptide having vascular endothelial growth factor receptor activity.
- VEGFrl protein, peptide, or polypeptide receptor or a derivative thereof, such as encoded by Genbank Accession No. NM_002019, having vascular endothelial growth factor receptor type 1 (fit) activity, for example, having the ability to bind a vascular endothelial growth factor.
- VEGF1 also refers to nucleic acid sequences encloding any VEGFrl protein, peptide, or polypeptide having VEGFrl activity.
- VEGFr2 protein, peptide, or polypeptide receptor or a derivative thereof, such as encoded by Genbank Accession No. NM_002253, having vascular endothelial growth factor receptor type 2 (kdr) activity, for example, having the ability to bind a vascular endothelial growth factor.
- VEGF2 also refers to nucleic acid sequences encloding any VEGFr2 protein, peptide, or polypeptide having VEGFr2 activity.
- VEGFr3 protein, peptide, or polypeptide receptor or a derivative thereof, such as encoded by Genbank Accession No. NM_002020 having vascular endothelial growth factor receptor type 3 (kdr) activity, for example, having the ability to bind a vascular endothelial growth factor.
- VEGF3 also refers to nucleic acid sequences encloding any VEGFr3 protein, peptide, or polypeptide having VEGFr3 activity.
- highly conserved sequence region a nucleotide sequence of one or more regions in a target gene does not vary significantly from one generation to the other or from one biological system to the other.
- sense region is meant a nucleotide sequence of a siNA molecule having complementarity to an antisense region of the siNA molecule.
- the sense region of a siNA molecule can comprise a nucleic acid sequence having homology with a target nucleic acid sequence.
- antisense region is meant a nucleotide sequence of a siNA molecule having complementarity to a target nucleic acid sequence.
- the antisense region of a siNA molecule can optionally comprise a nucleic acid sequence having complementarity to a sense region of the siNA molecule.
- target nucleic acid is meant any nucleic acid sequence whose expression or activity is to be modulated.
- the target nucleic acid can be DNA or RNA.
- nucleic acid can form hydrogen bond(s) with another nucleic acid sequence by either traditional Watson-Crick or other non-traditional types.
- the binding free energy for a nucleic acid molecule with its complementary sequence is sufficient to allow the relevant function of the nucleic acid to proceed, e.g., RNAi activity. Determination of binding free energies for nucleic acid molecules is well known in the art (see, e.g., Turner et al, 1987, CSH Symp. Quant. Biol. Ill pp.123-133; Frier et al, 1986, Proc. Nat. Acad. Sci.
- a percent complementarity indicates the percentage of contiguous residues in a nucleic acid molecule that can form hydrogen bonds (e.g., Watson-Crick base pairing) with a second nucleic acid sequence (e.g., 5, 6, 7, 8, 9, 10 out of 10 being 50%, 60%, 70%, 80%, 90%, and 100% complementary).
- Perfectly complementary means that all the contiguous residues of a nucleic acid sequence will hydrogen bond with the same number of contiguous residues in a second nucleic acid sequence.
- the siRNA molecules of the invention represent a novel therapeutic approach to treat a variety of pathologic indications or other conditions, such as tumor angiogenesis and cancer, including but not limited to breast cancer, lung cancer (including non-small cell lung carcinoma), prostate cancer, colorectal cancer, brain cancer, esophageal cancer, bladder cancer, pancreatic cancer, cervical cancer, head and neck cancer, skin cancers, nasopharyngeal carcinoma, liposarcoma, epithelial carcinoma, renal cell carcinoma, gallbladder adeno carcinoma, parotid adenocarcinoma, ovarian cancer, melanoma, lymphoma, glioma, endometrial sarcoma, multidrug resistant cancers, diabetic retinopathy, macular degeneration, neovascular glaucoma, myopic degeneration, arthritis, psoriasis, endometriosis, female reproduction, verruca vulgaris, angiofibroma of tuberous sclerosis, pot
- VEGF, VEGFrl, VEGFr2 and/or VEGFr3 expression (specifically VEGF, VEGFrl, VEGFr2 and/or VEGFr3 gene RNA levels) and thus reduction in the level of the respective protein relieves, to some extent, the symptoms of the disease or condition.ue
- each sequence of a siNA molecule of the invention is independently about 18 to about 24 nucleotides in length, in specific embodiments about 18, 19, 20, 21, 22, 23, or 24 nucleotides in length.
- the siNA duplexes of the invention independently comprise about 17 to about 23 base pairs (e.g., about 17, 18, 19, 20, 21, 22 or 23).
- siNA molecules of the invention comprising hai ⁇ in or circular structures are about 35 to about 55 (e.g., about 35, 40, 45, 50 or 55) nucleotides in length, or about 38 to about 44 (e.g., 38, 39, 40, 41, 42, 43 or 44) nucleotides in length and comprising about 16 to about 22 (e.g., about 16, 17, 18, 19, 20, 21 or 22) base pairs.
- Exemplary siNA molecules of the invention are shown in Table II.
- Exemplary synthetic siNA molecules of the mvention are shown in Tables III and IV and/or Figures 4-5.
- cell is used in its usual biological sense, and does not refer to an entire multicellular organism, e.g., specifically does not refer to a human.
- the cell can be present in an organism, e.g., birds, plants and mammals such as humans, cows, sheep, apes, monkeys, swine, dogs, and cats.
- the cell can be prokaryotic (e.g., bacterial cell) or eukaryotic (e.g., mammalian or plant cell).
- the cell can be of somatic or germ line origin, totipotent or pluripotent, dividing or non-dividing.
- the cell can also be derived from or can comprise a gamete or embryo, a stem cell, or a fully differentiated cell.
- the siNA molecules of the invention are added directly, or can be complexed with cationic lipids, packaged within liposomes, or otherwise delivered to target cells or tissues.
- the nucleic acid or nucleic acid complexes can be locally administered to relevant tissues ex vivo, or in vivo through injection, infusion pump or stent, with or without their inco ⁇ oration in biopolymers.
- the nucleic acid molecules of the mvention comprise sequences shown in Tables II-III and/or Figures 4-5. Examples of such nucleic acid molecules consist essentially of sequences defined in these tables and figures.
- the chemically modified constructs described in Table IV can be applied to any siNA sequence of the invention.
- the invention provides mammalian cells containing one or more siNA molecules of this invention.
- the one or more siNA molecules can independently be targeted to the same or different sites.
- RNA is meant a molecule comprising at least one ribonucleotide residue.
- ribonucleotide is meant a nucleotide with a hydroxyl group at the 2' position of a ⁇ -D- ribo-furanose moiety.
- the terms include double-stranded RNA, single-stranded RNA, isolated RNA such as partially purified RNA, essentially pure RNA, synthetic RNA, recombinantly produced RNA, as well as altered RNA that differs from naturally occurring RNA by the addition, deletion, substitution and/or alteration of one or more nucleotides.
- Such alterations can include addition of non-nucleotide material, such as to the end(s) of the siNA or internally, for example at one or more nucleotides of the RNA.
- Nucleotides in the RNA molecules of the instant invention can also comprise non-standard nucleotides, such as non-naturally occurring nucleotides or chemically synthesized nucleotides or deoxynucleotides. These altered RNAs can be refened to as analogs or analogs of naturally- occurring RNA.
- subject is meant an organism, which is a donor or recipient of explanted cells or the cells themselves. “Subject” also refers to an organism to which the nucleic acid molecules of the mvention can be administered.
- a subject is a mammal or mammalian cells. In another embodiment, a subject is a human or human cells.
- phosphorothioate refers to an internucleotide linkage having Formula I, wherein Z and/or W comprise a sulfur atom. Hence, the term phosphorothioate refers to both phosphorothioate and phosphorodithioate internucleotide linkages.
- universal base refers to nucleotide base analogs that form base pairs with each of the natural DNA/RNA bases with little discrimination between them.
- Non-limiting examples of universal bases include C-phenyl, C-naphthyl and other aromatic derivatives, inosine, azole carboxamides, and nitroazole derivatives such as 3-nitropynole, 4-nifroindole, 5-nitroindole, and 6-nitroindole as known in the art (see for example Loakes,
- acyclic nucleotide refers to any nucleotide having an acyclic ribose sugar, for example where any of the ribose carbons (Cl, C2, C3, C4, or C5), are independently or in combination absent from the nucleotide.
- the nucleic acid molecules of the instant invention can be used to treat diseases or conditions discussed herein (e.g., cancers and othe proliferative conditions).
- diseases or conditions discussed herein e.g., cancers and othe proliferative conditions.
- the siNA molecules can be administered to a subject or can be administered to other appropriate cells evident to those skilled in the art, individually or in combination with one or more drugs under conditions suitable for the treatment.
- the siNA molecules can be used in combination with other known treatments to freat conditions or diseases discussed above.
- the described molecules could be used in combination with one or more known therapeutic agents to freat a disease or condition.
- Non-limiting examples of other therapeutic agents that can be readily combined with a siNA molecule of the invention are enzymatic nucleic acid molecules, allosteric nucleic acid molecules, antisense, decoy, or aptamer nucleic acid molecules, antibodies such as monoclonal antibodies, small molecules, and other organic and/or inorganic compounds including metals, salts and ions.
- the invention features an expression vector comprising a nucleic acid sequence encoding at least one siNA molecule of the invention, in a manner which allows expression of the siNA molecule.
- the vector can contain sequence(s) encoding both strands of a siNA molecule comprising a duplex.
- the vector can also contain sequence(s) encoding a single nucleic acid molecule that is self-complementary and thus forms a siNA molecule.
- Non-limiting examples of such expression vectors are described in Paul et al, 2002, Nature Biotechnology, 19, 505; Miyagishi and Taira, 2002, Nature Biotechnology, 19, 497; Lee et al, 2002, Nature Biotechnology, 19, 500; and Novina et al,
- the invention features a mammalian cell, for example, a human cell, including an expression vector of the invention.
- the expression vector of the invention comprises a sequence for a siNA molecule having complementarity to a RNA molecule refened to by a Genbank Accession numbers, for example Genbank Accession Nos. shown in Table I.
- an expression vector of the invention comprises a nucleic acid sequence encoding two or more siNA molecules, which can be the same or different.
- siNA molecules that interact with target RNA molecules and down-regulate gene encoding target RNA molecules are expressed from franscription units inserted into DNA or RNA vectors.
- the recombinant vectors can be DNA plasmids or viral vectors.
- siNA expressing viral vectors can be constracted based on, but not limited to, adeno-associated viras, refroviras, adenoviras, or alphavirus.
- the recombinant vectors capable of expressing the siNA molecules can be delivered as described herein, and persist in target cells.
- viral vectors can be used that provide for fransient expression of siNA molecules.
- siNA molecules can be repeatedly administered as necessary. Once expressed, the siNA molecules bind and down-regulate gene function or expression via RNA interference (RNAi). Delivery of siNA expressing vectors can be systemic, such as by intravenous or intramuscular administration, by adminisfration to target cells ex-planted from a subject followed by reintroduction into the subject, or by any other means that would allow for introduction into the desired target cell.
- RNAi RNA interference
- vectors any nucleic acid- and/or viral-based technique used to deliver a desired nucleic acid.
- Figure 1 shows a non-limiting example of a scheme for the synthesis of siNA molecules.
- the complementary siNA sequence strands, sfrand 1 and sfrand 2 are synthesized in tandem and are connected by a cleavable linkage, such as a nucleotide succinate or abasic succinate, which can be the same or different from the cleavable linker used for solid phase synthesis on a solid support.
- the synthesis can be either solid phase or solution phase, in the example shown, the synthesis is a solid phase synthesis.
- the synthesis is performed such that a protecting group, such as a dimethoxytrityl group, remains intact on the terminal nucleotide of the tandem oligonucleotide.
- the two siNA strands spontaneously hybridize to form a siNA duplex, which allows the purification of the duplex by utilizing the properties of the terminal protecting group, for example by applying a trityl on purification method wherein only duplexes/oligonucleotides with the terminal protecting group are isolated.
- Figure 2 shows a MALDI-TOV mass spectrum of a purified siNA duplex synthesized by a method of the invention.
- the two peaks shown conespond to the predicted mass of the separate siNA sequence sfrands. This result demonstrates that the siNA duplex generated from tandem synthesis can be purified as a single entity using a simple trityl-on purification methodology.
- Figure 3 shows a non-limiting proposed mechanistic representation of target RNA degradation involved in RNAi.
- Double-stranded RNA dsRNA
- RdRP RNA-dependent RNA polymerase
- siNA duplexes RNA-dependent RNA polymerase
- synthetic or expressed siNA can be introduced directly into a cell by appropriate means.
- FIG. 4A-F shows non-limiting examples of chemically-modified siNA constructs of the present mvention.
- N stands for any nucleotide (adenosine, guanosine, cytosine, uridine, or optionally thymidine, for example thymidine can be substituted in the overhanging regions designated by parenthesis (N N).
- Various modifications are shown for the sense and antisense sfrands of the siNA constructs.
- the sense strand comprises 21 nucleotides having four phosphorothioate 5'- and 3'-terminal internucleotide linkages, wherein the two tenninal 3 '-nucleotides are optionally base paired and wherein all pyrimidine nucleotides that may be present are 2'-O- methyl or 2'-deoxy-2'-fluoro modified nucleotides except for (N N) nucleotides, which can comprise ribonucleotides, deoxynucleotides, universal bases, or other chemical modifications described herein.
- the antisense sfrand comprises 21 nucleotides, optionally having a 3'-terminal glyceryl moiety and wherein the two terminal 3 '-nucleotides are optionally complementary to the target RNA sequence, and having one 3'-terminal phosphorothioate internucleotide linkage and four 5'-terminal phosphorothioate internucleotide linkages and wherein all pyrimidine nucleotides that may be present are 2'- deoxy-2'-fluoro modified nucleotides except for (N N) nucleotides, which can comprise ribonucleotides, deoxynucleotides, universal bases, or other chemical modifications described herein.
- the sense strand comprises 21 nucleotides wherein the two terminal 3'- nucleotides are optionally base paired and wherein all pyrimidine nucleotides that may be present are 2'-O-methyl or 2'-deoxy-2'-fluoro modified nucleotides except for (N N) nucleotides, which can comprise ribonucleotides, deoxynucleotides, universal bases, or other chemical modifications described herein.
- the antisense strand comprises 21 nucleotides, optionally having a 3 '-terminal glyceryl moiety and wherein the two terminal 3 '-nucleotides are optionally complementary to the target RNA sequence, and wherein all pyrimidine nucleotides that may be present are 2'-deoxy-2'-fluoro modified nucleotides except for (N N) nucleotides, which can comprise ribonucleotides, deoxynucleotides, universal bases, or other chemical modifications described herein.
- the sense strand comprises 21 nucleotides having 5'- and 3'- terminal cap moieties wherein the two terminal 3 '-nucleotides are optionally base paired and wherein all pyrimidine nucleotides that may be present are 2'-O-methyl or 2'-deoxy-2'-fluoro modified nucleotides except for (N N) nucleotides, which can comprise ribonucleotides, deoxynucleotides, universal bases, or other chemical modifications described herein.
- the antisense sfrand comprises 21 nucleotides, optionally having a 3 '-terminal glyceryl moiety and wherein the two terminal 3 '-nucleotides are optionally complementary to the target RNA sequence, and having one 3 '-terminal phosphorothioate internucleotide linkage and wherein all pyrimidine nucleotides that may be present are 2'-deoxy-2'-fluoro modified nucleotides except for (N N) nucleotides, which can comprise ribonucleotides, deoxynucleotides, universal bases, or other chemical modifications described herein.
- the sense strand comprises 21 nucleotides having 5'- and 3'- terminal cap moieties wherein the two terminal 3 '-nucleotides are optionally base paired and wherein all pyrimidine nucleotides that may be present are 2'-deoxy-2'-fluoro modified nucleotides except for (N N) nucleotides, which can comprise ribonucleotides, deoxynucleotides, universal bases, or other chemical modifications described herein and wherein and all purine nucleotides that may be present are 2'-deoxy nucleotides.
- the antisense sfrand comprises 21 nucleotides, optionally having a 3 '-terminal glyceryl moiety and wherein the two terminal 3'- nucleotides are optionally complementary to the target RNA sequence, and having one 3'- terminal phosphorothioate internucleotide linkage and wherein all pyrimidine nucleotides that may be present are 2'-deoxy-2'-fluoro modified nucleotides and all purine nucleotides that may be present are 2'-O-methyl modified nucleotides except for (N N) nucleotides, which can comprise ribonucleotides, deoxynucleotides, universal bases, or other chemical modifications described herein.
- the sense strand comprises 21 nucleotides having 5'- and 3'- terminal cap moieties wherein the two terminal 3 '-nucleotides are optionally base paired and wherein all pyrimidine nucleotides that may be present are 2'-deoxy-2'-fluoro modified nucleotides except for (N N) nucleotides, which can comprise ribonucleotides, deoxynucleotides, universal bases, or other chemical modifications described herein.
- the antisense sfrand comprises 21 nucleotides, optionally having a 3 '-terminal glyceryl moiety and wherein the two terminal 3 '-nucleotides are optionally complementary to the target RNA sequence, and wherein all pyrimidine nucleotides that may be present are 2'-deoxy-2'-fluoro modified nucleotides and all purine nucleotides that may be present are 2'-O-methyl modified nucleotides except for (N N) nucleotides, which can comprise ribonucleotides, deoxynucleotides, universal bases, or other chemical modifications described herein.
- the sense strand comprises 21 nucleotides having 5'- and 3'- terminal cap moieties wherein the two terminal 3 '-nucleotides are optionally base paired and wherein all pyrimidine nucleotides that may be present are 2'-deoxy-2'-fluoro modified nucleotides except for (N N) nucleotides, which can comprise ribonucleotides, deoxynucleotides, universal bases, or other chemical modifications described herein.
- the antisense strand comprises 21 nucleotides, optionally having a 3 '-terminal glyceryl moiety and wherein the two terminal 3 '-nucleotides are optionally complementary to the target RNA sequence, and having one 3 '-terminal phosphorothioate internucleotide linkage and wherein all pyrimidine nucleotides that may be present are 2'-deoxy-2'-fluoro modified nucleotides and all purine nucleotides that may be present are 2'-deoxy nucleotides except for (N N) nucleotides, which can comprise ribonucleotides, deoxynucleotides, universal bases, or other chemical modifications described herein.
- the antisense sfrand of constracts A-F comprise sequence complementary to any target nucleic acid sequence of the invention.
- Figure 5A-F shows non-limiting examples of specific chemically-modified siNA sequences of the invention.
- A-F applies the chemical modifications described in Figure 4A-F to a VEGFrl siNA sequence.
- Such chemical modifications can be applied to any sequence herein, such as any VEGF, VEGFrl, VEGFr2, or VEGFr3 sequence.
- Figure 6 shows non-limiting examples of different siNA constracts of the invention.
- the examples shown (constructs 1, 2, and 3) have 19 representative base pairs; however, different embodiments of the invention include any number of base pairs described herein.
- Bracketed regions represent nucleotide overhangs, for example comprising about 1, 2, 3, or 4 nucleotides in length, preferably about 2 nucleotides.
- Constructs 1 and 2 can be used independently for RNAi activity.
- Construct 2 can comprise a polynucleotide or non- nucleotide linker, which can optionally be designed as a biodegradable linker.
- the loop structure shown in construct 2 can comprise a biodegradable linker that results in the formation of construct 1 in vivo and/or in vitro.
- construct 3 can be used to generate construct 2 under the same principle wherein a linker is used to generate the active siNA constract 2 in vivo and/or in vitro, which can optionally utilize another biodegradable linker to generate the active siNA constract 1 in vivo and/or in vitro.
- the stability and or activity of the siNA constructs can be modulated based on the design of the siNA constract for use in vivo or in vitro and/or in vitro.
- Figure 7A-C is a diagrammatic representation of a scheme utilized in generating an expression cassette to generate siNA hai ⁇ in constracts.
- Figure 7A A DNA oligomer is synthesized with a 5'-restriction site (Rl) sequence followed by a region having sequence identical (sense region of siNA) to a predetermined VEGF and/or VEGFr target sequence, wherein the sense region comprises, for example, about 19, 20, 21, or 22 nucleotides (N) in length, which is followed by a loop sequence of defined sequence (X), comprising, for example, about 3 to about 10 nucleotides.
- Rl 5'-restriction site
- X loop sequence of defined sequence
- Figure 7B The synthetic construct is then extended by DNA polymerase to generate a hai ⁇ in structure having self-complementary sequence that will result in a siNA franscript having specificity for a VEGF and/or VEGFr target sequence and having self- complementary sense and antisense regions.
- Figure 7C The construct is heated (for example to about 95°C) to linearize the sequence, thus allowing extension of a complementary second DNA sfrand using a primer to the 3 '-restriction sequence of the first sfrand.
- the double-stranded DNA is then inserted into an appropriate vector for expression in cells.
- the construct can be designed such that a 3'- terminal nucleotide overhang results from the transcription, for example by engineering restriction sites and/or utilizing a poly-U termination region as described in Paul et al, 2002, Nature Biotechnology, 29, 505-508.
- Figure 8A-C is a diagrammatic representation of a scheme utilized in generating an expression cassette to generate double-stranded siNA constructs.
- Figure 8A A DNA oligomer is synthesized with a 5 '-restriction (Rl) site sequence followed by a region having sequence identical (sense region of siNA) to a predetermined
- VEGF and/or VEGFr target sequence wherein the sense region comprises, for example, about 19, 20, 21, or 22 nucleotides (N) in length, and which is followed by a 3 '-restriction site (R2) which is adjacent to a loop sequence of defined sequence (X).
- N nucleotides
- R2 3 '-restriction site
- Figure 8B The synthetic construct is then extended by DNA polymerase to generate a hai ⁇ in stracture having self-complementary sequence.
- FIG. 8C The constract is processed by restriction enzymes specific to Rl and R2 to generate a double-stranded DNA which is then inserted into an appropriate vector for expression in cells.
- the transcription cassette is designed such that a U6 promoter region flanks each side of the dsDNA which generates the separate sense and antisense strands of the siNA.
- Poly T termination sequences can be added to the constracts to generate U overhangs in the resulting franscript.
- Figure 9A-E is a diagrammatic representation of a method used to determine target sites for siNA mediated RNAi within a particular target nucleic acid sequence, such as messenger RNA.
- Figure 9A A pool of siNA oligonucleotides are synthesized wherein the antisense region of the siNA constructs has complementarity to target sites across the target nucleic acid sequence, and wherein the sense region comprises sequence complementary to the antisense region of the siNA.
- Figure 9B&C ( Figure 9B) The sequences are pooled and are inserted into vectors such that ( Figure 9C) transfection of a vector into cells results in the expression of the siNA.
- Figure 9D Cells are sorted based on phenotypic change that is associated with modulation of the target nucleic acid sequence.
- FIG. 9E The siNA is isolated from the sorted cells and is sequenced to identify efficacious target sites within the target nucleic acid sequence.
- Figure 10 shows non-limiting examples of different stabilization chemistries (1-10) that can be used, for example, to stabilize the 3 '-end of siNA sequences of the invention, including (1) [3 -3'] -inverted deoxyribose; (2) deoxyribonucleotide; (3) [5'-3']-3'- deoxyribonucleotide; (4) [5 '-3'] -ribonucleotide; (5) [5 '-3'] -3 '-O-methyl ribonucleotide; (6) 3'- glyceryl; (7) [3'-5']-3'-deoxyribonucleotide; (8) [3'-3']-deoxyribonucleotide; (9) [5'-2']- deoxyribonucleotide; and (10) [5-3']-d
- modified and unmodified backbone chemistries indicated in the figure can be combined with different backbone modifications as described herein, for example, backbone modifications having Formula I.
- the 2'-deoxy nucleotide shown 5' to the terminal modifications shown can be another modified or unmodified nucleotide or non- nucleotide described herein, for example modifications having any of Formulae I-VII or any combination thereof.
- Figure 11 shows a non-limiting example of a strategy used to identify chemically modified siNA constructs of the invention that are nuclease resistance while preserving the ability to mediate RNAi activity.
- Chemical modifications are introduced into the siNA construct based on educated design parameters (e.g. infroducing 2'-mofications, base modifications, backbone modifications, terminal cap modifications etc).
- the modified construct in tested in an appropriate system (e.g. human serum for nuclease resistance, shown, or an animal model for PK/delivery parameters).
- the siNA constract is tested for RNAi activity, for example in a cell culture system such as a luciferase reporter assay).
- siNA constracts are then identified which possess a particular characteristic while maintaining RNAi activity, and can be further modified and assayed once again. This same approach can be used to identify siNA-conjugate molecules with improved pharmacokinetic profiles, delivery, and RNAi activity.
- FIG 12 shows a non-limiting example of siNA mediated inhibition of VEGF- induced angiogenesis using the rat comeal model of angiogenesis.
- siNA targeting site 2340 of VEGFrl RNA 29695/29699 (shown as RPI No. sense sfrand/antisense strand) was compared to an inverted control siNA 29983/29984 (shown as RPI No. sense strand/antisense strand) at three different concentrations (lug, 3ug, and lOug) and compared to a VEGF control in which no siNA was administered.
- siNA constructs targeting VEGFrl RNA can provide significant inhibition of angiogenesis in the rat comeal model.
- Figure 13 shows a non-limiting example of reduction of VEGFrl mRNA in A375 cells mediated by chemically-modified siNAs that target VEGFrl mRNA.
- A549 cells were transfected with 0.25 ug/well of lipid complexed with 25 nM siNA.
- a screen of siNA constructs (Stabilization "Stab” chemistries are shown in Table IV, constructs are refened to by RPI number, see Table III) comprising Stab 4/5 chemistry (RPI 31190/31193), Stab 1/2 chemistry (RPI 31183/31186 and RPI 31184/31187), and unmodified RNA (RPI 30075/30076) were compared to untreated cells, matched chemistry inverted confrol siNA constructs, (RPI 31208/31211, RPI 31201/31204, RPI 31202/31205, and RPI 30077/30078) scrambled siNA confrol constructs (Scraml and Scram2), and cells transfected with lipid alone (transfection control). All of the siNA constracts show significant reduction of VEGFrl RNA expression.
- RNA interference mediated by short interfering RNA discusses the proposed mechanism of RNA interference mediated by short interfering RNA as is presently known, and is not meant to be limiting and is not an admission of prior art. Applicant demonstrates herein that chemically- modified short interfering nucleic acids possess similar or improved capacity to mediate RNAi as do siRNA molecules and are expected to possess improved stability and activity in vivo; therefore, this discussion is not meant to be limiting only to siRNA and can be applied to siNA as a whole.
- RNAi activity is meant to mclude RNAi activity measured in vitro and/or in vivo where the RNAi activity is a reflection of both the ability of the siNA to mediate RNAi and the stability of the siNAs of the invention.
- the product of these activities can be increased in vitro and/or in vivo compared to an all RNA siRNA or a siNA containing a plurality of ribonucleotides.
- the activity or stability of the siNA molecule can be decreased (i.e., less than ten-fold), but the overall activity of the siNA molecule is enhanced in vitro and/or in vivo.
- RNA interference refers to the process of sequence specific post-transcriptional gene silencing in animals mediated by short interfering RNAs (siRNAs) (Fire et al, 1998, Nature, 391, 806).
- siRNAs short interfering RNAs
- the conesponding process in plants is commonly referred to as post- transcriptional gene silencing or RNA silencing and is also refened to as quelling in fungi.
- the process of post-transcriptional gene silencing is thought to be an evolutionarily- conserved cellular defense mechanism used to prevent the expression of foreign genes which is commonly shared by diverse flora and phyla (Fire et al, 1999, Trends Genet, 15, 358).
- Such protection from foreign gene expression may have evolved in response to the production of double-stranded RNAs (dsRNAs) derived from viral infection or the random integration of transposon elements into a host genome via a cellular response that specifically destroys homologous single-stranded RNA or viral genomic RNA.
- dsRNAs double-stranded RNAs
- the presence of dsRNA in cells triggers the RNAi response though a mechanism that has yet to be fully characterized. This mechanism appears to be different from the interferon response that results from dsRNA-mediated activation of protein kinase PKR and 2', 5 '-ohgoadenylate synthetase resulting in non-specific cleavage of mRNA by ribonuclease L.
- Dicer The presence of long dsRNAs in cells stimulates the activity of a ribonuclease III enzyme refened to as Dicer.
- Dicer is involved in the processing of the dsRNA into short pieces of dsRNA known as short interfering RNAs (siRNAs) (Berstein et al, 2001, Nature, 409, 363).
- Short interfering RNAs derived from Dicer activity are typically about 21 to about 23 nucleotides in length and comprise about 19 base pair duplexes.
- Dicer has also been implicated in the excision of 21- and 22-nucleotide small temporal RNAs (stRNAs) from precursor RNA of conserved structure that are implicated in franslational control (Hutvagner et al, 2001, Science, 293, 834).
- the RNAi response also features an endonuclease complex containing a siRNA, commonly refened to as an RNA-induced silencing complex (RISC), which mediates cleavage of single-stranded RNA having sequence homologous to the siRNA. Cleavage of the target RNA takes place in the middle of the region complementary to the guide sequence of the siRNA duplex (Elbashir et al, 2001, Genes Dev., 15, 188).
- RISC RNA-induced silencing complex
- RNA interference can also involve small RNA (e.g., micro-RNA or miRNA) mediated gene silencing, presumably though cellular mechanisms that regulate chromatin stracture and thereby prevent transcription of target gene sequences (see for example AUshire, 2002, Science, 297, 1818-1819; Volpe et al, 2002, Science, 297, 1833-1837; Jenuwein, 2002, Science, 297, 2215-2218; and Hall et al, 2002, Science, 297, 2232-2237).
- siNA molecules of the invention can be used to mediate gene silencing via interaction with RNA transcripts or alternately by interaction with particular gene sequences, wherein such interaction results in gene silencing either at the transcriptional level or post-transcriptional level.
- RNAi has been studied in a variety of systems. Fire et al, 1998, Nature, 391, 806, were the first to observe RNAi in C. elegans. Wianny and Goetz, 1999, Nature Cell Biol, 2, 70, describe RNAi mediated by dsRNA in mouse embryos. Hammond et al, 2000, Nature, 404, 293, describe RNAi in Drosophila cells transfected with dsRNA. Elbashir et al, 2001, Nature, 411, 494, describe RNAi induced by introduction of duplexes of synthetic 21- nucleotide RNAs in cultured mammalian cells including human embryonic kidney and HeLa cells.
- small nucleic acid motifs (“small” refers to nucleic acid motifs no more than 100 nucleotides in length, preferably no more than 80 nucleotides in length, and most preferably no more than 50 nucleotides in length; e.g., individual siNA oligonucleotide sequences or siNA sequences synthesized in tandem) are preferably used for exogenous delivery.
- the simple stracture of these molecules increases the ability of the nucleic acid to invade targeted regions of protein and/or RNA stracture.
- Exemplary molecules of the instant invention are chemically synthesized, and others can similarly be synthesized.
- Oligonucleotides are synthesized using protocols known in the art, for example as described in Caruthers et al,. 1992, Methods in Enzymology 211, 3-19, Thompson et al, International PCT Publication No. WO 99/54459, Wincott et al, 1995, Nucleic Acids Res. 23, 2677-2684, Wincott et al, 1997, Methods Mol. Bio., 74, 59, Brennan et al, 1998, Biotechnol Bioeng., 61, 33-45, and Brennan, U.S. Pat. No. 6,001,311.
- oligonucleotides makes use of common nucleic acid protecting and coupling groups, such as dimethoxytrityl at the 5'-end, and phosphoramidites at the 3'-end.
- small scale syntheses are conducted on a 394 Applied Biosystems, Inc. synthesizer using a 0.2 ⁇ mol scale protocol with a 2.5 min coupling step for 2'-O-methylated nucleotides and a 45 sec coupling step for 2'-deoxy nucleotides or 2'-deoxy-2'-fluoro nucleotides.
- Table V outlines the amounts and the contact times of the reagents used in the synthesis cycle.
- syntheses at the 0.2 ⁇ mol scale can be performed on a 96-well plate synthesizer, such as the instrument produced by Protogene (Palo Alto, CA) with minimal modification to the cycle.
- synthesizer include the following: detritylation solution is 3% TCA in methylene chloride (ABI); capping is performed with 16% N-methyl imidazole in THF (ABI) and 10% acetic anhydride/10% 2,6-lutidine in THF (ABI); and oxidation solution is 16.9 mM I 2 , 49 mM pyridine, 9% water in THF (PERSEPTIVETM). Burdick & Jackson Synthesis Grade acetonitrile is used directly from the reagent bottle. S-Ethyltefrazole solution (0.25 M in acetonitrile) is made up from the solid obtained from American Intemational Chemical, Inc. Alternately, for the introduction of phosphorothioate linkages, Beaucage reagent (3H-l,2-Benzodithiol-3-one 1,1-dioxide, 0.05 M in acetonitrile) is used.
- Deprotection of the D ⁇ A-based oligonucleotides is performed as follows: the polymer-bound trityl-on oligoribonucleotide is transfened to a 4 mL glass screw top vial and suspended in a solution of 40% aq. methylamine (1 mL) at 65 °C for 10 min. After cooling to -20 °C, the supernatant is removed from the polymer support. The support is washed three times with 1.0 mL of EtOH:MeC ⁇ :H2O/3:l:l, vortexed and the supernatant is then added to the first supernatant. The combined supematants, containing the oligoribonucleotide, are dried to a white powder.
- RNA including certain siNA molecules of the invention follows the procedure as described in Usman et al, 1987, J. Am. Chem. Soc, 109,
- syntheses at the 0.2 ⁇ mol scale can be done on a 96-well plate synthesizer, such as the instrument produced by Protogene (Palo Alto, CA) with minimal modification to the cycle.
- Average coupling yields on the 394 Applied Biosystems, Inc. synthesizer, determined by colorimetric quantitation of the trityl fractions, are typically 97.5-99%.
- synthesizer include the following: detritylation solution is 3% TCA in methylene chloride (ABI); capping is performed with 16% N-methyl imidazole in THF (ABI) and 10% acetic anhydride/10% 2,6- lutidine in THF (ABI); oxidation solution is 16.9 mM I_2, 49 mM pyridine, 9% water in THF (PERSEPTIVETM). Burdick & Jackson Synthesis Grade acetonitrile is used directly from the reagent bottle. S-Ethyltefrazole solution (0.25 M in acetonitrile) is made up from the solid obtained from American International Chemical, Inc. Alternately, for the introduction of phosphorothioate linkages, Beaucage reagent (3H-l,2-Benzodithiol-3-one 1,1- dioxide ⁇ .05 M in acetonitrile) is used.
- Deprotection of the R ⁇ A is performed using either a two-pot or one-pot protocol.
- the polymer-bound trityl-on oligoribonucleotide is transfened to a 4 mL glass screw top vial and suspended in a solution of 40% aq. methylamine (1 mL) at 65 °C for 10 min. After cooling to -20 °C, the supernatant is removed from the polymer support. The support is washed three times with 1.0 mL of EtOH:MeC ⁇ :H2O/3:l:l, vortexed and the supernatant is then added to the first supernatant.
- the combined supematants, containing the oligoribonucleotide, are dried to a white powder.
- the base deprotected oligoribonucleotide is resuspended in anhydrous TEA/HF/NMP solution (300 ⁇ L of a solution of 1.5 mL N-methylpyrrolidinone, 750 ⁇ L TEA and 1 mL TEA-3HF to provide a 1.4 M HF concentration) and heated to 65 °C. After 1.5 h, the oligomer is quenched with 1.5 M NH4HCO3.
- the polymer-bound trityl-on oligoribonucleotide is transfened to a 4 mL glass screw top vial and suspended in a solution of 33% ethanolic methylamine/DMSO: 1/1 (0.8 mL) at 65 °C for 15 min.
- the vial is brought to rt.
- TEA-3HF 0.1 mL is added and the vial is heated at 65 °C for 15 min.
- the sample is cooled at -20 °C and then quenched with 1.5 M NH4HCO3.
- the quenched NH4HCO3 solution is loaded onto a C-18 containing cartridge that had been prewashed with acetonitrile followed by 50 mM TEAA. After washing the loaded cartridge with water, the RNA is detritylated with 0.5% TFA for 13 min. The cartridge is then washed again with water, salt exchanged with 1 M NaCl and washed with water again. The oligonucleotide is then eluted with 30% acetonitrile.
- nucleic acid molecules of the present invention can be synthesized separately and joined together post-synthetically, for example, by ligation (Moore et al, 1992, Science 256, 9923; Draper et al, International PCT publication No. WO 93/23569; Shabarova et al, 1991, Nucleic Acids Research 19, 4247; Bellon et al, 1997, Nucleosides & Nucleotides, 16, 951; Bellon et al, 1997, Bioconjugate Chem. 8, 204), or by hybridization following synthesis and/or deprotection.
- siNA molecules of the invention can also be synthesized via a tandem synthesis methodology as described in Example 1 herein, wherein both siNA strands are synthesized as a single contiguous oligonucleotide fragment or sfrand separated by a cleavable linker which is subsequently cleaved to provide separate siNA fragments or strands that hybridize and permit purification of the siNA duplex.
- the linker can be a polynucleotide linker or a non-nucleotide linker.
- the tandem synthesis of siNA as described herein can be readily adapted to both multiwell/multiplate synthesis platforms such as 96 well or similarly larger multi-well platforms.
- the tandem synthesis of siNA as described herein can also be readily adapted to large scale synthesis platforms employing batch reactors, synthesis columns and the like.
- a siNA molecule can also be assembled from two distinct nucleic acid strands or fragments wherein one fragment includes the sense region and the second fragment includes the antisense region of the RNA molecule.
- nucleic acid molecules of the present invention can be modified extensively to enhance stability by modification with nuclease resistant groups, for example, 2'-amino, 2'- C-allyl, 2'-fluoro, 2'-0-methyl, 2'-H (for a review see Usman and Cedergren, 1992, TIBS 17, 34; Usman et al, 1994, Nucleic Acids Symp. Ser. 31, 163).
- siNA constracts can be purified by gel elecfrophoresis using general methods or can be purified by high pressure liquid chromatography (HPLC; see Wincott et al, supra, the totality of which is hereby inco ⁇ orated herein by reference) and re-suspended in water.
- siNA molecules of the invention are expressed from franscription units inserted into DNA or RNA vectors.
- the recombinant vectors can be DNA plasmids or viral vectors.
- siNA expressing viral vectors can be constructed based on, but not limited to, adeno-associated virus, refroviras, adenoviras, or alphavirus.
- the recombinant vectors capable of expressing the siNA molecules can be delivered as described herein, and persist in target cells.
- viral vectors can be used that provide for fransient expression of siNA molecules.
- nucleic acid molecules with modifications can prevent their degradation by seram ribonucleases, which can increase their potency (see e.g., Eckstein et al, International Publication No. WO 92/07065; Penault et al, 1990 Nature 344, 565; Pieken et al, 1991, Science 253, 314; Usman and Cedergren, 1992, Trends in Biochem. Sci. 17, 334; Usman et al, International Publication No. WO 93/15187; and Rossi et al, International Publication No. WO 91/03162; Sproat, U.S. Pat. No.
- oligonucleotides are modified to enhance stability and/or enhance biological activity by modification with nuclease resistant groups, for example, 2'-amino, 2'-C-allyl, 2'-fluoro, 2'-O-methyl, 2'-O- allyl, 2'-H, nucleotide base modifications (for a review see Usman and Cedergren, 1992, TIBS. 17, 34; Usman et al, 1994, Nucleic Acids Symp. Ser. 31, 163; Burgin et al, 1996, Biochemistry, 35, 14090).
- nuclease resistant groups for example, 2'-amino, 2'-C-allyl, 2'-fluoro, 2'-O-methyl, 2'-O- allyl, 2'-H, nucleotide base modifications (for a review see Usman and Cedergren, 1992, TIBS. 17, 34; Usman et al, 1994, Nucleic Acids Symp. Ser. 31, 163; Burgin
- Short interfering nucleic acid (siNA) molecules having chemical modifications that maintain or enhance activity are provided.
- Such a nucleic acid is also generally more resistant to nucleases than an unmodified nucleic acid. Accordingly, the in vitro and/or in vivo activity should not be significantly lowered.
- therapeutic nucleic acid molecules delivered exogenously should optimally be stable within cells until translation of the target RNA has been modulated long enough to reduce the levels of the undesirable protein. This period of time varies between hours to days depending upon the disease state. Improvements in the chemical synthesis of RNA and DNA (Wincott et al, 1995, Nucleic Acids Res.
- nucleic acid molecules of the invention include one or more (e.g., about 1, 2, 3, 4, 5, 6, 7, 8, 9, 10, or more) G-clamp nucleotides.
- a G-clamp nucleotide is a modified cytosine analog wherein the modifications confer the ability to hydrogen bond both Watson-Crick and Hoogsteen faces of a complementary guanine within a duplex, see for example Lin and Matteucci, 1998, J. Am. Chem. Soc, 120, 8531-8532.
- a single G- clamp analog substitution within an oligonucleotide can result in substantially enhanced helical thermal stability and mismatch discrimination when hybridized to complementary oligonucleotides.
- nucleic acid molecules of the invention results in both enhanced affinity and specificity to nucleic acid targets, complementary sequences, or template sfrands.
- nucleic acid molecules of the invention mclude one or more (e.g., about 1, 2, 3, 4, 5, 6, 7, 8, 9, 10, or more) LNA "locked nucleic acid" nucleotides such as a 2', 4'-C methylene bicyclo nucleotide (see for example Wengel et al, International PCT Publication No. WO 00/66604 and WO 99/14226).
- the invention features conjugates and/or complexes of siNA molecules of the invention.
- conjugates and/or complexes can be used to facilitate delivery of siNA molecules into a biological system, such as a cell.
- the conjugates and complexes provided by the instant invention can impart therapeutic activity by transferring therapeutic compounds across cellular membranes, altering the pharmacokinetics, and/or modulating the localization of nucleic acid molecules of the invention.
- the present invention encompasses the design and synthesis of novel conjugates and complexes for the delivery of molecules, including, but not limited to, small molecules, lipids, phospholipids, nucleosides, nucleotides, nucleic acids, antibodies, toxins, negatively charged polymers and other polymers, for example proteins, peptides, hormones, carbohydrates, polyethylene glycols, or polyamines, across cellular membranes.
- molecules including, but not limited to, small molecules, lipids, phospholipids, nucleosides, nucleotides, nucleic acids, antibodies, toxins, negatively charged polymers and other polymers, for example proteins, peptides, hormones, carbohydrates, polyethylene glycols, or polyamines, across cellular membranes.
- the transporters described are designed to be used either individually or as part of a multi-component system, with or without degradable linkers.
- Conjugates of the molecules described herein can be attached to biologically active molecules via linkers that are biodegradable, such as biodegradable nucleic acid linker molecules.
- biodegradable linker refers to a nucleic acid or non-nucleic acid linker molecule that is designed as a biodegradable linker to connect one molecule to another molecule, for example, a biologically active molecule to a siNA molecule of the invention or the sense and antisense strands of a siNA molecule of the invention.
- the biodegradable linker is designed such that its stability can be modulated for a particular pu ⁇ ose, such as delivery to a particular tissue or cell type.
- the stability of a nucleic acid- based biodegradable linker molecule can be modulated by using various chemistries, for example combinations of ribonucleotides, deoxyribonucleotides, and chemically-modified nucleotides, such as 2'-O-methyl, 2'-fluoro, 2'-amino, 2'-O-amino, 2'-C-allyl, 2'-O-allyl, and other 2'-modified or base modified nucleotides.
- the biodegradable nucleic acid linker molecule can be a dimer, trimer, tetramer or longer nucleic acid molecule, for example, an oligonucleotide of about 2, 3, 4, 5, 6, 7, 8, 9, 10, 11, 12, 13, 14, 15, 16, 17, 18, 19, or 20 nucleotides in length, or can comprise a single nucleotide with a phosphorus-based linkage, for example, a phosphoramidate or phosphodiester linkage.
- the biodegradable nucleic acid linker molecule can also comprise nucleic acid backbone, nucleic acid sugar, or nucleic acid base modifications.
- biodegradable refers to degradation in a biological system, for example enzymatic degradation or chemical degradation.
- biologically active molecule refers to compounds or molecules that are capable of eliciting or modifying a biological response in a system.
- Non- limiting examples of biologically active siNA molecules either alone or in combination with other molecules contemplated by the instant invention include therapeutically active molecules such as antibodies, hormones, antivirals, peptides, proteins, chemotherapeutics, small molecules, vitamins, co-factors, nucleosides, nucleotides, oligonucleotides, enzymatic nucleic acids, antisense nucleic acids, triplex forming oligonucleotides, 2,5-A chimeras, siNA, dsRNA, allozymes, aptamers, decoys and analogs thereof.
- Biologically active molecules of the invention also include molecules capable of modulating the pharmacokinetics and/or pharmacodynamics of other biologically active molecules, for example, lipids and polymers such as polyamines, polyamides, polyethylene glycol and other polyethers.
- phospholipid refers to a hydrophobic molecule comprising at least one phosphorus group.
- a phospholipid can comprise a phosphorus- containing group and saturated or unsaturated alkyl group, optionally substituted with OH, COOH, oxo, amine, or substituted or unsubstituted aryl groups.
- nucleic acid molecules e.g., siNA molecules
- delivered exogenously optimally are stable within cells until reverse transcription of the RNA has been modulated long enough to reduce the levels of the RNA transcript.
- the nucleic acid molecules are resistant to nucleases in order to function as effective intracellular therapeutic agents. Improvements in the chemical synthesis of nucleic acid molecules described in the instant invention and in the art have expanded the ability to modify nucleic acid molecules by introducing nucleotide modifications to enhance their nuclease stability as described above.
- siNA molecules having chemical modifications that maintain or enhance enzymatic activity of proteins involved in RNAi are provided.
- Such nucleic acids are also generally more resistant to nucleases than unmodified nucleic acids. Thus, in vitro and/or in vivo the activity should not be significantly lowered.
- nucleic acid-based molecules of the invention will lead to better treatment of the disease progression by affording the possibility of combination therapies (e.g., multiple siNA molecules targeted to different genes; nucleic acid molecules coupled with known small molecule modulators; or intermittent treatment with combinations of molecules, including different motifs and/or other chemical or biological molecules).
- combination therapies e.g., multiple siNA molecules targeted to different genes; nucleic acid molecules coupled with known small molecule modulators; or intermittent treatment with combinations of molecules, including different motifs and/or other chemical or biological molecules.
- the treatment of subjects with siNA molecules can also include combinations of different types of nucleic acid molecules, such as enzymatic nucleic acid molecules (ribozymes), allozymes, antisense, 2,5-A oligoadenylate, decoys, and aptamers.
- ribozymes enzymatic nucleic acid molecules
- allozymes antisense
- 2,5-A oligoadenylate 2,5-A oligoadenylate
- a siNA molecule of the invention comprises one or more 5' and/or a 3'- cap structure, for example on only the sense siNA strand, the antisense siNA strand, or both siNA strands.
- cap structure is meant chemical modifications, which have been inco ⁇ orated at either terminus of the oligonucleotide (see, for example, Adamic et al, U.S. Pat. No. 5,998,203, inco ⁇ orated by reference herein). These terminal modifications protect the nucleic acid molecule from exonuclease degradation, and may help in delivery and/or localization within a cell.
- the cap may be present at the 5'-terminus (5'-cap) or at the 3'- terminal (3'-cap) or may be present on both termini.
- the 5'-cap is selected from the group consisting of glyceryl, inverted deoxy abasic residue (moiety); 4',5'- methylene nucleotide; l-(beta-D-erythrofuranosyl) nucleotide, 4'-thio nucleotide; carbocyclic nucleotide; 1,5-anhydrohexitol nucleotide; L-nucleotides; alpha-nucleotides; modified base nucleotide; phosphorodithioate linkage; t/zreo-pentofuranosyl nucleotide; acyclic 3',4'-seco nucleotide; acyclic 3,4-dihydroxybutyl nucleotide; acyclic 3,5- dihydroxypentyl nucleotide, 3 '-3 '-inverted nucleotide moiety; 3 '-3 '-inverted a
- the 3 '-cap is selected from the group consisting of glyceryl, inverted deoxy abasic residue (moiety), 4', 5'-methylene nucleotide; l-(beta-D- erythrofuranosyl) nucleotide; 4'-thio nucleotide, carbocyclic nucleotide; 5'-amino-alkyl phosphate; l,3-diamino-2-propyl phosphate; 3-aminopropyl phosphate; 6-aminohexyl phosphate; 1,2-aminododecyl phosphate; hydroxypropyl phosphate; 1,5-anhydrohexitol nucleotide; L-nucleotide; alpha-nucleotide; modified base nucleotide; phosphorodithioate; tAreo-pentofuranosyl nucleotide; acyclic 3
- non-nucleotide any group or compound which can be inco ⁇ orated into a nucleic acid chain in the place of one or more nucleotide units, including either sugar and/or phosphate substitutions, and allows the remaining bases to exhibit their enzymatic activity.
- the group or compound is abasic in that it does not contain a commonly recognized nucleotide base, such as adenosine, guanine, cytosine, uracil or thymine and therefore lacks a base at the 1 '-position.
- alkyl refers to a saturated aliphatic hydrocarbon, including straight-chain, branched-chain, and cyclic alkyl groups.
- the alkyl group has 1 to 12 carbons. More preferably, it is a lower alkyl of from 1 to 7 carbons, more preferably 1 to 4 carbons.
- the term also includes alkenyl groups that are unsaturated hydrocarbon groups containing at least one carbon-carbon double bond, including straight-chain, branched-chain, and cyclic groups.
- the alkenyl group has 1 to 12 carbons. More preferably, it is a lower alkenyl of from 1 to 7 carbons, more preferably 1 to 4 carbons.
- alkyl also includes alkynyl groups that have an unsaturated hydrocarbon group containing at least one carbon-carbon triple bond, including straight-chain, branched-chain, and cyclic groups. Preferably, the alkynyl group has 1 to 12 carbons.
- the alkynyl group may be substituted or unsubstituted.
- alkyl groups can also include aryl, alkylaryl, carbocyclic aryl, heterocyclic aryl, amide and ester groups.
- An "aryl” group refers to an aromatic group that has at least one ring having a conjugated pi electron system and includes carbocyclic aryl, heterocyclic aryl and biaryl groups, all of which may be optionally substituted.
- the prefened substituent(s) of aryl groups are halogen, trihalomefhyl, hydroxyl, SH, OH, cyano, alkoxy, alkyl, alkenyl, alkynyl, and amino groups.
- alkylaryl refers to an alkyl group (as described above) covalently joined to an aryl group (as described above).
- Carbocyclic aryl groups are groups wherein the ring atoms on the aromatic ring are all carbon atoms. The carbon atoms are optionally substituted.
- Heterocyclic aryl groups are groups having from 1 to 3 heteroatoms as ring atoms in the aromatic ring and the remainder of the ring atoms are carbon atoms.
- Suitable heteroatoms include oxygen, sulfur, and nifrogen, and include furanyl, thienyl, pyridyl, pynolyl, N-lower alkyl pynolo, pyrimidyl, pyrazinyl, imidazolyl and the like, all optionally substituted.
- An "amide” refers to an -C(O)-NH-R, where R is either alkyl, aryl, alkylaryl or hydrogen.
- An “ester” refers to an -C(O)-OR, where R is either alkyl, aryl, alkylaryl or hydrogen.
- nucleotide as used herein is as recognized in the art to include natural bases (standard), and modified bases well known in the art. Such bases are generally located at the 1' position of a nucleotide sugar moiety. Nucleotides generally comprise a base, sugar and a phosphate group. The nucleotides can be unmodified or modified at the sugar, phosphate and/or base moiety, (also refened to interchangeably as nucleotide analogs, modified nucleotides, non-natural nucleotides, non-standard nucleotides and other; see, for example, Usman and McSwiggen, supra; Eckstein et al, International PCT Publication No.
- base modifications that can be introduced into nucleic acid molecules include, inosine, purine, pyridin-4-one, pyridm-2-one, phenyl, pseudouracil, 2, 4, 6-trimethoxy benzene, 3-methyl uracil, dihydrouridine, naphthyl, aminophenyl, 5-alkylcytidines (e.g., 5-methylcytidine), 5-alkyluridines (e.g., ribothymidine), 5-halouridine (e.g., 5-bromouridine) or 6-azapyrimidines or 6-alkylpyrimidines (e.g.
- modified bases in this aspect is meant nucleotide bases other than adenine, guanine, cytosine and uracil at 1' position or their equivalents.
- the invention features modified siNA molecules, with phosphate backbone modifications comprising one or more phosphorothioate, phosphorodithioate, methylphosphonate, phosphotriester, mo ⁇ holino, amidate carbamate, carboxymethyl, acetamidate, polyamide, sulfonate, sulfonamide, sulfamate, formacetal, thioformacetal, and/or alkylsilyl, substitutions.
- phosphate backbone modifications comprising one or more phosphorothioate, phosphorodithioate, methylphosphonate, phosphotriester, mo ⁇ holino, amidate carbamate, carboxymethyl, acetamidate, polyamide, sulfonate, sulfonamide, sulfamate, formacetal, thioformacetal, and/or alkylsilyl, substitutions.
- abasic sugar moieties lacking a base or having other chemical groups in place of a base at the 1' position, see for example Adamic et al, U.S. Pat. No. 5,998,203.
- unmodified nucleoside is meant one of the bases adenine, cytosine, guanine, thymine, or uracil joined to the 1' carbon of ⁇ -D-ribo-furanose.
- modified nucleoside is meant any nucleotide base which contains a modification in the chemical structure of an unmodified nucleotide base, sugar and/or phosphate.
- modified nucleotides are shown by Formulae I-VII and/or other modifications described herein.
- amino is meant 2'-NH 2 or 2'-0- NH 2 , which can be modified or unmodified. Such modified groups are described, for example, in Eckstein et al, U.S. Pat. No. 5,672,695 and Matulic-Adamic et al, U.S. Pat. No. 6,248,878, which are both inco ⁇ orated by reference in their entireties.
- nucleic acid siNA structure can be made to enhance the utility of these molecules. Such modifications will enhance shelf-life, half-life in vitro, stability, and ease of introduction of such oligonucleotides to the target site, e.g., to enhance penetration of cellular membranes, and confer the ability to recognize and bind to targeted cells.
- a siNA molecule of the invention can be adapted for use to freat, for example, tumor angiogenesis and cancer, including but not limited to breast cancer, lung cancer (including non-small cell lung carcinoma), prostate cancer, colorectal cancer, brain cancer, esophageal cancer, bladder cancer, pancreatic cancer, cervical cancer, head and neck cancer, skin cancers, nasopharyngeal carcinoma, liposarcoma, epithelial carcinoma, renal cell carcinoma, gallbladder adeno carcinoma, parotid adenocarcinoma, ovarian cancer, melanoma, lymphoma, glioma, endometrial sarcoma, multidrug resistant cancers, diabetic retinopathy, macular degeneration, neovascular glaucoma, myopic degeneration, arthritis, psoriasis, endometriosis, female reproduction, verruca vulgaris, angiofibroma of tuberous sclerosis, pot-wine stains, Stur
- Nucleic acid molecules can be administered to cells by a variety of methods known to those of skill in the art, including, but not restricted to, encapsulation in liposomes, by iontophoresis, or by inco ⁇ oration into other vehicles, such as hydrogels, cyclodextrins (see for example Gonzalez et al, 1999, Bioconjugate Chem., 10, 1068-1074), biodegradable nanocapsules, and bioadhesive microspheres, or by proteinaceous vectors (O'Hare and Normand, International PCT Publication No.
- nucleic acid/vehicle combination is locally delivered by direct injection or by use of an infusion pump.
- Direct injection of the nucleic acid molecules of the invention can take place using standard needle and syringe methodologies, or by needle-free technologies such as those described in Conry et al, 1999, Clin. Cancer Res., 5, 2330-2337 and Bany et al, International PCT Publication No. WO 99/31262.
- the molecules of the instant invention can' be used as pharmaceutical agents. Phannaceutical agents prevent, modulate the occunence, or treat (alleviate a symptom to some extent, preferably all of the symptoms) of a disease state in a subject.
- the invention features a phannaceutical composition
- a phannaceutical composition comprising one or more nucleic acid(s) of the mvention in an acceptable carrier, such as a stabilizer, buffer, and the like.
- the polynucleotides of the invention can be administered (e.g., RNA, DNA or protein) and introduced into a subject by any standard means, with or without stabilizers, buffers, and the like, to form a pharmaceutical composition.
- standard protocols for formation of liposomes can be followed.
- compositions of the present invention can also be formulated and used as tablets, capsules or elixirs for oral adminisfration, suppositories for rectal administration, sterile solutions, suspensions for injectable administration, and the other compositions known in the art.
- the present invention also includes pharmaceutically acceptable formulations of the compounds described.
- formulations include salts of the above compounds, e.g., acid addition salts, for example, salts of hydrochloric, hydrobromic, acetic acid, and benzene sulfonic acid.
- a pharmacological composition or formulation refers to a composition or formulation in a form suitable for administration, e.g., systemic administration, into a cell or subject, including for example a human. Suitable forms, in part, depend upon the use or the route of entry, for example oral, transdermal, or by injection. Such forms should not prevent the composition or formulation from reaching a target cell (i.e., a cell to which the negatively charged nucleic acid is desirable for delivery). For example, pharmacological compositions injected into the blood stream should be soluble. Other factors are known in the art, and include considerations such as toxicity and forms that prevent the composition or formulation from exerting its effect.
- systemic administration in vivo systemic abso ⁇ tion or accumulation of drugs in the blood sfream followed by distribution throughout the entire body.
- Administration routes that lead to systemic abso ⁇ tion include, without limitation: intravenous, subcutaneous, intraperitoneal, inhalation, oral, intrapulmonary and intramuscular.
- Each of these adminisfration routes exposes the siNA molecules of the invention to an accessible diseased tissue.
- the rate of entry of a drug into the circulation has been shown to be a function of molecular weight or size.
- the use of a liposome or other drug carrier comprising the compounds of the instant invention can potentially localize the drug, for example, in certain tissue types, such as the tissues of the reticular endothelial system (RES).
- RES reticular endothelial system
- a liposome formulation that can facilitate the association of drug with the surface of cells, such as, lymphocytes and macrophages is also useful. This approach can provide enhanced delivery of the drug to target cells by taking advantage of the specificity of macrophage and lymphocyte immune recognition of abnormal cells, such as cells producing excess VEGF and or VEGFr.
- compositions or formulation that allows for the effective distribution of the nucleic acid molecules of the instant invention in the physical location most suitable for their desired activity.
- agents suitable for formulation with the nucleic acid molecules of the instant invention include: P-glycoprotein inhibitors (such as Pluronic P85), which can enhance entry of drags into the CNS (Jolliet-Riant and Tillement, 1999, Fundam. Clin.
- biodegradable polymers such as poly (DL-lactide-coglycolide) microspheres for sustained release delivery after intracerebral implantation (Emerich, DF et al, 1999, Cell Transplant, 8, 47-58) (Alkermes, Inc. Cambridge, MA); and loaded nanoparticles, such as those made of polybutylcyanoacrylate, which can deliver drugs across the blood brain barrier and can alter neuronal uptake mechanisms (Prog Neuropsychopharmacol Biol Psychiatry, 23, 941-949, 1999).
- Other non-limiting examples of delivery sfrategies for the nucleic acid molecules of the instant invention include material described in Boado et al, 1998, J. Pharm.
- the invention also features the use of the composition comprising surface-modified liposomes containing poly (ethylene glycol) lipids (PEG-modified, or long-circulating liposomes or stealth liposomes).
- PEG-modified, or long-circulating liposomes or stealth liposomes These formulations offer a method for increasing the accumulation of drugs in target tissues.
- This class of drag carriers resists opsonization and elimination by the mononuclear phagocytic system (MPS or RES), thereby enabling longer blood circulation times and enhanced tissue exposure for the encapsulated drag (Lasic et al.
- liposomes have been shown to accumulate selectively in tumors, presumably by extravasation and capture in the neovascularized target tissues (Lasic et al, Science 1995, 267, 1275-1276; Oku et ⁇ /., 1995, Biochim. Biophys. Ada, 1238, 86-90).
- the long- circulating liposomes enhance the pharmacokinetics and pharmacodynamics of DNA and RNA, particularly compared to conventional cationic liposomes which are known to accumulate in tissues of the MPS (Liu et al, J. Biol. Chem. 1995, 42, 24864-24870; Choi et al, International PCT Publication No.
- WO 96/10391 Ansell et al, International PCT Publication No. WO 96/10390; Holland et al, International PCT Publication No. WO 96/10392).
- Long-circulating liposomes are also likely to protect drags from nuclease degradation to a greater extent compared to cationic liposomes, based on their ability to avoid accumulation in metabolically aggressive MPS tissues such as the liver and spleen.
- compositions prepared for storage or adminisfration that include a pharmaceutically effective amount of the desired compounds in a pharmaceutically acceptable carrier or diluent.
- Acceptable carriers or diluents for therapeutic use are well known in the pharmaceutical art, and are described, for example, in Remington's Pharmaceutical Sciences, Mack Publishing Co. (A.R. Gennaro edit. 1985), hereby inco ⁇ orated by reference herein.
- preservatives, stabilizers, dyes and flavoring agents can be provided. These include sodium benzoate, sorbic acid and esters of j9-hydroxybenzoic acid.
- antioxidants and suspending agents can be used.
- a pharmaceutically effective dose is that dose required to prevent, inhibit the occunence, or treat (alleviate a symptom to some extent, preferably all of the symptoms) of a disease state.
- the pharmaceutically effective dose depends on the type of disease, the composition used, the route of adminisfration, the type of mammal being freated, the physical characteristics of the specific mammal under consideration, concunent medication, and other factors that those skilled in the medical arts will recognize. Generally, an amount between 0.1 mg/kg and 100 mg/kg body weight/day of active ingredients is administered dependent upon potency of the negatively charged polymer.
- nucleic acid molecules of the invention and formulations thereof can be administered orally, topically, parenterally, by inhalation or spray, or rectally in dosage unit formulations containing conventional non-toxic phannaceutically acceptable carriers, adjuvants and/or vehicles.
- parenteral as used herein includes percutaneous, subcutaneous, intravascular (e.g., intravenous), intramuscular, or intrathecal injection or infusion techniques and the like.
- a pharmaceutical formulation comprising a nucleic acid molecule of the invention and a pharmaceutically acceptable carrier.
- nucleic acid molecules of the invention can be present in association with one or more non-toxic pharmaceutically acceptable carriers and/or diluents and/or adjuvants, and if desired other active ingredients.
- the pharmaceutical compositions containing nucleic acid molecules of the invention can be in a form suitable for oral use, for example, as tablets, troches, lozenges, aqueous or oily suspensions, dispersible powders or granules, emulsion, hard or soft capsules, or syrups or elixirs.
- compositions intended for oral use can be prepared according to any method known to the art for the manufacture of pharmaceutical compositions and such compositions can contain one or more such sweetening agents, flavoring agents, coloring agents or preservative agents in order to provide pharmaceutically elegant and palatable preparations.
- Tablets contain the active ingredient in admixture with non-toxic pharmaceutically acceptable excipients that are suitable for the manufacture of tablets.
- excipients can be, for example, inert diluents; such as calcium carbonate, sodium carbonate, lactose, calcium phosphate or sodium phosphate; granulating and disintegrating agents, for example, com starch, or alginic acid; binding agents, for example starch, gelatin or acacia; and lubricating agents, for example magnesium stearate, stearic acid or talc.
- the tablets can be uncoated or they can be coated by known techniques.
- such coatings can be prepared by known techniques to delay disintegration and abso ⁇ tion in the gastrointestinal tract and thereby provide a sustained action over a longer period.
- a time delay material such as glyceryl monosterate or glyceryl distearate can be employed.
- Formulations for oral use can also be presented as hard gelatin capsules wherein the active ingredient is mixed with an inert solid diluent, for example, calcium carbonate, calcium phosphate or kaolin, or as soft gelatin capsules wherein the active ingredient is mixed with water or an oil medium, for example peanut oil, liquid paraffin or olive oil.
- an inert solid diluent for example, calcium carbonate, calcium phosphate or kaolin
- water or an oil medium for example peanut oil, liquid paraffin or olive oil.
- Aqueous suspensions contain the active materials in a mixture with excipients suitable for the manufacture of aqueous suspensions.
- excipients are suspending agents, for example sodium carboxymethylcellulose, methylcellulose, hydropropyl-methylcellulose, sodium alginate, polyvinylpynolidone, gum tragacanth and gum acacia; dispersing or wetting agents can be a naturally-occurring phosphatide, for example, lecithin, or condensation products of an alkylene oxide with fatty acids, for example polyoxyethylene stearate, or condensation products of ethylene oxide with long chain aliphatic alcohols, for example heptadecaethyleneoxycetanol, or condensation products of ethylene oxide with partial esters derived from fatty acids and a hexitol such as polyoxyethylene sorbitol monooleate, or condensation products of ethylene oxide with partial esters derived from fatty acids and hexitol anhydrides, for example polyethylene sorbitan monoole
- the aqueous suspensions can also contain one or more preservatives, for example ethyl, or n- propyl p-hydroxybenzoate, one or more coloring agents, one or more flavoring agents, and one or more sweetening agents, such as sucrose or saccharin.
- preservatives for example ethyl, or n- propyl p-hydroxybenzoate
- coloring agents for example ethyl, or n- propyl p-hydroxybenzoate
- flavoring agents for example ethyl, or n- propyl p-hydroxybenzoate
- sweetening agents such as sucrose or saccharin.
- Oily suspensions can be formulated by suspending the active ingredients in a vegetable oil, for example arachis oil, olive oil, sesame oil or coconut oil, or in a mineral oil such as liquid paraffin.
- the oily suspensions can contain a thickening agent, for example beeswax, hard paraffin or cetyl alcohol.
- Sweetening agents and flavoring agents can be added to provide palatable oral preparations.
- These compositions can be preserved by the addition of an anti-oxidant such as ascorbic acid
- Dispersible powders and granules suitable for preparation of an aqueous suspension by the addition of water provide the active ingredient in admixture with a dispersing or wetting agent, suspending agent and one or more preservatives.
- a dispersing or wetting agent e.g., glycerol, glycerol, glycerol, glycerol, glycerol, glycerol, glycerin, glycerin, glycerin, glycerin, glycerin, sorbitol, sorbitol, sorbitol, sorbitol, sorbitol, sorbitol, sorbitol, sorbitol, sorbitol, sorbitol, glycerol, glycerol, glycerol, glycerol, glycerol, glycerol, glycerol, glycerol, glycerol
- compositions of the invention can also be in the form of oil-in-water emulsions.
- the oily phase can be a vegetable oil or a mineral oil or mixtures of these.
- Suitable emulsifying agents can be naturally-occurring gums, for example gum acacia or gum tragacanth, naturally-occurring phosphatides, for example soy bean, lecithin, and esters or partial esters derived from fatty acids and hexitol, anhydrides, for example sorbitan monooleate, and condensation products of the said partial esters with ethylene oxide, for example polyoxyethylene sorbitan monooleate.
- the emulsions can also contain sweetening and flavoring agents.
- Syrups and elixirs can be formulated with sweetening agents, for example glycerol, propylene glycol, sorbitol, glucose or sucrose. Such formulations can also contain a demulcent, a preservative and flavoring and coloring agents.
- the pharmaceutical compositions can be in the form of a sterile injectable aqueous or oleaginous suspension. This suspension can be formulated according to the known art using those suitable dispersing or wetting agents and suspending agents that have been mentioned above.
- the sterile injectable preparation can also be a sterile injectable solution or suspension in a non- toxic parentally acceptable diluent or solvent, for example as a solution in 1,3-butanediol.
- Suitable vehicles and solvents that can be employed are water, Ringer's solution and isotonic sodium chloride solution.
- sterile, fixed oils are conventionally employed as a solvent or suspending medium.
- any bland fixed oil can be employed including synthetic mono-or diglycerides.
- fatty acids such as oleic acid find use in the preparation of inj ectables.
- the nucleic acid molecules of the invention can also be administered in the form of suppositories, e.g., for rectal administration of the drag.
- suppositories e.g., for rectal administration of the drag.
- These compositions can be prepared by mixing the drag with a suitable non-irritating excipient that is solid at ordinary temperatures but liquid at the rectal temperature and will therefore melt in the rectum to release the drag.
- suitable non-irritating excipient that is solid at ordinary temperatures but liquid at the rectal temperature and will therefore melt in the rectum to release the drag.
- Such materials include cocoa butter and polyethylene glycols.
- Nucleic acid molecules of the invention can be administered parenterally in a sterile medium.
- the drag depending on the vehicle and concentration used, can either be suspended or dissolved in the vehicle.
- adjuvants such as local anesthetics, preservatives and buffering agents can be dissolved in the vehicle.
- Dosage levels of the order of from about 0.1 mg to about 140 mg per kilogram of body weight per day are useful in the treatment of the above-indicated conditions (about 0.5 mg to about 7 g per subject per day).
- the amount of active ingredient that can be combined with the carrier materials to produce a single dosage form varies depending upon the host freated and the particular mode of administration.
- Dosage unit forms generally contain between from about 1 mg to about 500 mg of an active ingredient.
- the specific dose level for any particular subject depends upon a variety of factors including the activity of the specific compound employed, the age, body weight, general health, sex, diet, time of administration, route of adminisfration, and rate of excretion, drag combination and the severity of the particular disease undergoing therapy.
- the composition can also be added to the animal feed or drinking water. It can be convenient to formulate the animal feed and drinking water compositions so that the animal takes in a therapeutically appropriate quantity of the composition along with its diet. It can also be convenient to present the composition as a premix for addition to the feed or drinking water.
- nucleic acid molecules of the present invention can also be administered to a subject in combination with other therapeutic compounds to increase the overall therapeutic effect.
- the use of multiple compounds to freat an indication can increase the beneficial effects while reducing the presence of side effects.
- the invention comprises compositions suitable for administering nucleic acid molecules of the invention to specific cell types.
- ASGPr asialoglycoprotein receptor
- ASOR asialoorosomucoid
- the folate receptor is overexpressed in many cancer cells.
- Binding of such glycoproteins, synthetic glycoconjugates, or folates to the receptor takes place with an affinity that strongly depends on the degree of branching of the oligosaccharide chain, for example, triatennary structures are bound with greater affinity than biatenany or monoatennary chains (Baenziger and Fiete, 1980, Cell, 22, 611-620; Connolly et al, 1982, J. Biol. Chem., 257, 939-945).
- Lee and Lee, 1987, Glycoconjugate J., 4, 317-328 obtained this high specificity through the use of N-acetyl-D-galactosamine as the carbohydrate moiety, which has higher affinity for the receptor, compared to galactose.
- siNA molecules of the instant invention can be expressed within cells from eukaryotic promoters (e.g., Izant and Weinfraub, 1985, Science, 229, 345 McGa ⁇ y and Lindquist, 1986, Proc. Natl Acad. Sci., USA 83, 399; Scanlon et al, 1991 Proc. Natl Acad. Sci. USA, 88, 10591-5; Kashani-Sabet et al, 1992, Antisense Res. Dev., 2 3-15; Dropulic et al, 1992, J. Virol, 66, 1432-41; Weerasinghe et al, 1991, J.
- eukaryotic promoters e.g., Izant and Weinfraub, 1985, Science, 229, 345 McGa ⁇ y and Lindquist, 1986, Proc. Natl Acad. Sci., USA 83, 399; Scanlon et al, 1991 Proc. Natl Acad.
- nucleic acids can be augmented by their release from the primary transcript by a enzymatic nucleic acid (Draper et al, PCT WO 93/23569, and Sullivan et al, PCT WO 94/02595; Ohkawa et al, 1992, Nucleic Acids Symp. Ser., 27, 15-6; Taira et al, 1991, Nucleic Acids Res., 19, 5125-30; Ventura et al, 1993, Nucleic Acids Res., 21, 3249-55; Chowrira et al, 1994, J. Biol. Chem., 269, 25856.
- RNA molecules of the present invention can be expressed from transcription units (see for example Couture et al, 1996, TIG., 12, 510) inserted into DNA or RNA vectors.
- the recombinant vectors can be DNA plasmids or viral vectors.
- siNA expressing viral vectors can be constracted based on, but not limited to, adeno-associated virus, refroviras, adenoviras, or alphavirus.
- pol III based constracts are used to express nucleic acid molecules of the invention (see for example Thompson, U.S. Pats. Nos. 5,902,880 and 6,146,886).
- the recombinant vectors capable of expressing the siNA molecules can be delivered as described above, and persist in target cells.
- viral vectors can be used that provide for transient expression of nucleic acid molecules.
- Such vectors can be repeatedly administered as necessary.
- the siNA molecule interacts with the target mRNA and generates an RNAi response.
- Delivery of siNA molecule expressing vectors can be systemic, such as by intravenous or infra-muscular adminisfration, by administration to target cells ex-planted from a subject followed by reintroduction into the subject, or by any other means that would allow for introduction into the desired target cell (for a review see Couture et al, 1996, TIG., 12, 510).
- the invention features an expression vector comprising a nucleic acid sequence encoding at least one siNA molecule of the instant invention.
- the expression vector can encode one or both sfrands of a siNA duplex, or a single self-complementary sfrand that self hybridizes into a siNA duplex.
- the nucleic acid sequences encoding the siNA molecules of the instant invention can be operably linked in a manner that allows expression of the siNA molecule (see for example Paul et al, 2002, Nature Biotechnology, 19, 505; Miyagishi and Taira, 2002, Nature Biotechnology, 19, 497; Lee et al, 2002, Nature Biotechnology, 19, 500; and Novina et al, 2002, Nature Medicine, advance online publication doi:10.1038/nm725).
- the mvention features an expression vector comprising: a) a transcription initiation region (e.g., eukaryotic pol I, II or III initiation region); b) a transcription termination region (e.g., eukaryotic pol I, II or III termination region); and c) a nucleic acid sequence encoding at least one of the siNA molecules of the instant invention,wherein said sequence is operably linked to said initiation region and said termination region in a manner that allows expression and or delivery of the siNA molecule.
- a transcription initiation region e.g., eukaryotic pol I, II or III initiation region
- a transcription termination region e.g., eukaryotic pol I, II or III termination region
- a nucleic acid sequence encoding at least one of the siNA molecules of the instant invention,wherein said sequence is operably linked to said initiation region and said termination region in a manner that allows expression and or delivery of the siNA molecule.
- the vector can optionally include an open reading frame (ORF) for a protein operably linked on the 5' side or the 3 '-side of the sequence encoding the siNA of the invention; and/or an intron (intervening sequences).
- ORF open reading frame
- Transcription of the siNA molecule sequences can be driven from a promoter for eukaryotic RNA polymerase I (pol I), RNA polymerase II (pol II), or RNA polymerase III (pol III).
- Transcripts from pol II or pol III promoters are expressed at high levels in all cells; the levels of a given pol II promoter in a given cell type depends on the nature of the gene regulatory sequences (enhancers, silencers, etc.) present nearby.
- Prokaryotic RNA polymerase promoters are also used, providing that the prokaryotic RNA polymerase enzyme is expressed in the appropriate cells (Elroy-Stein and Moss, 1990, Proc. Natl. Acad. Sci. USA, 87, 6743-7; Gao and Huang 1993, Nucleic Acids Res., 21, 2867-72; Lieber et al, 1993, Methods Enzymol, 217, 47-66; Zhou et al, 1990, Mol. Cell. Biol., 10, 4529-37).
- nucleic acid molecules expressed from such promoters can function in mammalian cells (e.g. Kashani-Sabet et al, 1992, Antisense Res.
- transcription units such as the ones derived from genes encoding U6 small nuclear (snRNA), transfer RNA (tRNA) and adenoviras VA RNA are useful in generating high concentrations of desired RNA molecules such as siNA in cells (Thompson et al, supra; Couture and Stinchcomb, 1996, supra; Noonberg et al, 1994, Nucleic Acid Res., 22, 2830; Noonberg et al, U.S. Pat. No. 5,624,803; Good et al, 1997, Gene Ther., 4, 45; Beigelman et al, International PCT Publication No. WO 96/18736.
- siNA franscription units can be inco ⁇ orated into a variety of vectors for introduction into mammalian cells, including but not restricted to, plasmid DNA vectors, viral DNA vectors (such as adenovirus or adeno-associated viras vectors), or viral RNA vectors (such as retroviral or alphaviras vectors) (for a review see Couture and Stinchcomb, 1996, supra).
- plasmid DNA vectors such as adenovirus or adeno-associated viras vectors
- viral RNA vectors such as retroviral or alphaviras vectors
- the invention features an expression vector comprising a nucleic acid sequence encoding at least one of the siNA molecules of the invention in a manner that allows expression of that siNA molecule.
- the expression vector comprises in one embodiment; a) a transcription initiation region; b) a franscription termination region; and c) a nucleic acid sequence encoding at least one strand of the siNA molecule, wherein the sequence is operably linked to the initiation region and the termination region in a manner that allows expression and/or delivery of the siNA molecule.
- the expression vector comprises: a) a franscription initiation region; b) a transcription termination region; c) an open reading frame; and d) a nucleic acid sequence encoding at least one strand of a siNA molecule, wherein the sequence is operably linked to the 3 '-end of the open reading frame and wherein the sequence is operably linked to the initiation region, the open reading frame and the termination region in a manner that allows expression and/or delivery of the siNA molecule.
- the expression vector comprises: a) a transcription initiation region; b) a transcription termination region; c) an intron; and d) a nucleic acid sequence encoding at least one siNA molecule, wherein the sequence is operably linked to the initiation region, the intron and the termination region in a manner which allows expression and/or delivery of the nucleic acid molecule.
- the expression vector comprises: a) a franscription initiation region; b) a transcription termination region; c) an intron; d) an open reading frame; and e) a nucleic acid sequence encoding at least one strand of a siNA molecule, wherein the sequence is operably linked to the 3 '-end of the open reading frame and wherein the sequence is operably linked to the initiation region, the intron, the open reading frame and the termination region in a manner which allows expression and/or delivery of the siNA molecule.
- Angiogenesis is a process of new blood vessel development from pre-existing vasculature. It plays an essential role in embryonic development, normal growth of tissues, wound healing, the female reproductive cycle (i.e., ovulation, menstruation and placental development), as well as a major role in many diseases. Particular interest has focused on cancer, since tumors cannot grow beyond a few millimeters in size without developing a new blood supply. Angiogenesis is also necessary for the spread and growth of tumor cell metastases.
- VEGF vascular endothelial growth factor
- VEGF induces angiogenesis and endothelial cell proliferation and plays an important role in regulating vasculogenesis.
- VEGF is a heparin- binding glycoprotein that is secreted as a homodimer of 45 kDa. Most types of cells, but usually not endothelial cells themselves, secrete VEGF. Since the initially discovered VEGF, VEGF-A, increases vascular permeability, it was known as vascular permeability factor.
- VEGF causes vasodilatation, partly through stimulation of nitric oxide synthase in endothelial cells. VEGF can also stimulate cell migration and inhibit apoptosis.
- VEGF-A There are several splice variants of VEGF-A. The major ones include: 121, 165, 189 and 206 amino acids (aa), each one comprising a specific exon addition.
- VEGF165 is the most predominant protein, but transcripts of VEGF 121 maybe more abundant.
- VEGF206 is rarely expressed and has been detected only in fetal liver.
- splice variants of 145 and 183 aa have also been described.
- the 165, 189 and 206 aa splice variants have heparin-binding domains, which help anchor them in extracellular matrix and are involved in binding to heparin sulfate and presentation to VEGF receptors.
- VEGF vascular endothelial growth factor
- VEGF-B vascular endothelial growth factor
- -C heparin-binding forms are more active
- PIGF Placenta growth factor
- VEGF-A, -B, -C, -D, and PIGF are all distantly related to platelet-derived growth factors-A and -B. Less is known about the function and regulation of VEGF-B, -C, and -D, but they do not seem to be regulated by the major pathways that regulate VEGF-A.
- VEGF-A transcription is potentiated in response to hypoxia and by activated oncogenes.
- the franscription factors, hypoxia inducible factor- la (hif-la) and -2a, are degraded by proteosomes in normoxia and stabilized in hypoxia. This pathway is dependent on the Von Hippel-Lindau gene product.
- Hif-la and hif-2 a heterodimerize with the aryl hydrocarbon nuclear translocator in the nucleus and bind the VEGF promoter/enhancer. This is a key pathway expressed in most types of cells.
- Hypoxia inducibility in particular, characterizes VEGF-A versus other members of the VEGF family and other angiogenic factors.
- VEGF transcription in normoxia is activated by many oncogenes, including H-ras and several transmembrane tyrosine kinases, such as the epidermal growth factor receptor and erbB2. These pathways together account for a marked upregulation of VEGF-A in tumors compared to normal tissues and are often of prognostic importance.
- VEGF receptor 1 VEGFrl
- VEGFr2 also known as KDR or Flk-1
- VEGFr3 VEGFr3
- Endothelial cells also express additional VEGF receptors, Neuropilin-1 and Neuropilin-2.
- VEGF-A binds to VEGFrl and VEGFr2 and to Neuropilin-1 and Neuropilin-2.
- PIGF and VEGF-B bind VEGFrl and Neuropilin-1.
- VEGF-C and -D bind VEGFr3 and VEGFr2.
- VEGF-C/VEGFr3 pathway is important for lymphatic proliferation.
- VEGFr3 is specifically expressed on lymphatic endothelium.
- a soluble form of Flt-1 can be detected in peripheral blood and is a high affinity ligand for VEGF. Soluble Flt-1 can be used to antagonize VEGF function.
- VEGFrl and VEGFr2 are upregulated in tumor and proliferating endothelium, partly by hypoxia and also in response to VEGF-A itself.
- VEGFrl and VEGFr2 can interact with multiple downstream signaling pathways via proteins such as PLC-g, Ras, She, Nek, PKC and PI3-kinase.
- VEGFrl is of higher affinity than VEGFr2 and mediates motility and vascular permeability.
- VEGFr2 is necessary for proliferation.
- VEGF can be detected in both plasma and serum samples of patients, with much higher levels in serum. Platelets release VEGF upon aggregation and may be a major source of VEGF delivery to tumors. Several studies have shown that association of high serum levels of VEGF with poor prognosis in cancer patients may be conelated with an elevated platelet count. Many tumors release cytokines that can stimulate the production of megakaryocytes in the manow and elevate the platelet count. This can result in an indirect increase of VEGF delivery to tumors. VEGF is implicated in several other pathological conditions associated with enhanced angiogenesis. For example, VEGF plays a role in both psoriasis and rheumatoid arthritis.
- Diabetic retinopathy is associated with high intraocular levels of VEGF. Inhibition of VEGF function may result in infertility by blockade of co ⁇ us luteum function. Direct demonstration of the importance of VEGF in tumor growth has been achieved using dominant negative VEGF receptors to block in vivo proliferation, as well as blocking antibodies to VEGF39 or to VEGFr2.
- small interfering nucleic acid molecules targeting VEGF and conesponding receptors and ligands therefore provides a class of novel therapeutic agents that can be used in the diagnosis of and the treatment of cancer, proliferative diseases, or any other disease or condition that responds to modulation of VEGF and/or VEGFr genes.
- siNA molecules of the invention are synthesized in tandem using a cleavable linker, for example, a succinyl-based linker. Tandem synthesis as described herein is followed by a one-step purification process that provides RNAi molecules in high yield. This approach is highly amenable to siNA synthesis in support of high throughput RNAi screening, and can be readily adapted to multi-column or multi-well synthesis platforms.
- a cleavable linker for example, a succinyl-based linker.
- the oligonucleotides are deprotected as described above. Following deprotection, the siNA sequence strands are allowed to spontaneously hybridize. This hybridization yields a duplex in which one strand has retained the 5'-O-DMT group while the complementary strand comprises a terminal 5'-hydroxyl. The newly formed duplex behaves as a single molecule during routine solid-phase extraction purification (Trityl-On purification) even though only one molecule has a dimethoxytrityl group.
- this dimethoxytrityl group (or an equivalent group, such as other trityl groups or other hydrophobic moieties) is all that is required to purify the pair of oligos, for example, by using a C18 cartridge.
- Standard phosphoramidite synthesis chemistry is used up to the point of infroducing a tandem linker, such as an inverted deoxy abasic succinate or glyceryl succinate linker (see Figure 1) or an equivalent cleavable linker.
- linker coupling conditions includes a hindered base such as diisopropylethylamine (DIP A) and/or DMAP in the presence of an activator reagent such as Bromotripynolidinophosphoniumhexaflurorophosphate (PyBrOP).
- DIP A diisopropylethylamine
- PyBrOP Bromotripynolidinophosphoniumhexaflurorophosphate
- standard synthesis chemistry is utilized to complete synthesis of the second sequence leaving the terminal the 5'-O-DMT intact.
- the resulting oligonucleotide is deprotected according to the procedures described herein and quenched with a suitable buffer, for example with 50mM Na
- siNA duplex Purification of the siNA duplex can be readily accomplished using solid phase extraction, for example using a Waters C18 SepPak lg cartridge conditioned with 1 column volume (CV) of acetonitrile, 2 CV H2O, and 2 CV 50mM NaOAc. The sample is loaded and then washed with 1 CV H2O or 50mM NaOAc. Failure sequences are eluted with 1 CV 14%) ACN (Aqueous with 50mM NaOAc and 50mM NaCl).
- CV column volume
- ACN Aqueous with 50mM NaOAc and 50mM NaCl
- the column is then washed, for example with 1 CV H20 followed by on-column detritylation, for example by passing 1 CV of 1% aqueous trifluoroacetic acid (TFA) over the column, then adding a second CV of 1% aqueous TFA to the column and allowing to stand for approximately 10 minutes.
- TFA trifluoroacetic acid
- the remaining TFA solution is removed and the column washed with H20 followed by 1 CV IM NaCl and additional H2O.
- the siNA duplex product is then eluted, for example, using 1 CV 20% aqueous CAN.
- Figure 2 provides an example of MALDI-TOV mass spectrometry analysis of a purified siNA constract in which each peak conesponds to the calculated mass of an individual siNA strand of the siNA duplex.
- the same purified siNA provides three peaks when analyzed by capillary gel electrophoresis (CGE), one peak presumably conesponding to the duplex siNA, and two peaks presumably conesponding to the separate siNA sequence sfrands.
- Ion exchange HPLC analysis of the same siNA confract only shows a single peak.
- Testing of the purified siNA construct using a luciferase reporter assay described below demonstrated the same RNAi activity compared to siNA constructs generated from separately synthesized oligonucleotide sequence sfrands.
- RNA target of interest such as a viral or human mRNA transcript
- sequence of a gene or RNA gene franscript derived from a database is used to generate siNA targets having complementarity to the target.
- Such sequences can be obtained from a database, or can be determined experimentally as known in the art.
- Target sites that are known, for example, those target sites determined to be effective target sites based on studies with other nucleic acid molecules, for example ribozymes or antisense, or those targets known to be associated with a disease or condition such as those sites containing mutations or deletions, can be used to design siNA molecules targeting those sites.
- RNA franscript can be chosen to screen siNA molecules for efficacy, for example by using in vitro RNA cleavage assays, cell culture, or animal models. In a non-limiting example, anywhere from 1 to 1000 target sites are chosen within the transcript based on the size of the siNA construct to be used. High throughput screening assays can be developed for screening siNA molecules using methods known in the art, such as with multi-well or multi-plate assays to determine efficient reduction in target gene expression.
- Example 3 Selection of siNA molecule target sites in a RNA
- the following non-limiting steps can be used to cany out the selection of siNAs targeting a given gene sequence or transcript.
- the target sequence is parsed in silico into a list of all fragments or subsequences of a particular length, for example 23 nucleotide fragments, contained within the target sequence. This step is typically carried out using a custom Perl script, but commercial sequence analysis programs such as Oligo, Mac Vector, or the GCG Wisconsin Package can be employed as well.
- the siNAs conespond to more than one target sequence such would be the case for example in targeting different transcripts of the same gene, targeting different transcripts of more than one gene, or for targeting both the human gene and an animal homolog.
- a subsequence list of a particular length is generated for each of the targets, and then the lists are compared to find matching sequences in each list.
- the subsequences are then ranked according to the number of target sequences that contain the given subsequence; the goal is to find subsequences that are present in most or all of the target sequences. Alternately, the ranking can identify subsequences that are unique to a target sequence, such as a mutant target sequence. Such an approach would enable the use of siNA to target specifically the mutant sequence and not effect the expression of the normal sequence.
- the siNA subsequences are absent in one or more sequences while present in the desired target sequence; such would be the case if the siNA targets a gene with a paralogous family member that is to remain untargeted.
- a subsequence list of a particular length is generated for each of the targets, and then the lists are compared to find sequences that are present in the target gene but are absent in the untargeted paralog.
- the ranked siNA subsequences can be further analyzed and ranked according to GC content. A preference can be given to sites containing 30-70% GC, with a further preference to sites containing 40-60% GC. 5.
- the ranked siNA subsequences can be further analyzed and ranked according to self- folding and internal hai ⁇ ins. Weaker internal folds are prefened; strong hai ⁇ in structures are to be avoided.
- the ranked siNA subsequences can be further analyzed and ranked according to whether they have runs of GGG or CCC in the sequence.
- GGG or even more Gs in either strand can make oligonucleotide synthesis problematic and can potentially interfere with RNAi activity, so it is avoided whenever better sequences are available.
- CCC is searched in the target strand because that will place GGG in the antisense strand.
- the ranked siNA subsequences can be further analyzed and ranked according to whether they have the dinucleotide UU (uridine dinucleotide) on the 3 '-end of the sequence, and/or AA on the 5'-end of the sequence (to yield 3' UU on the antisense sequence). These sequences allow one to design siNA molecules with terminal TT thymidine dinucleotides.
- UU uridine dinucleotide
- target sites are chosen from the ranked list of subsequences as described above. For example, in subsequences having 23 nucleotides, the right 21 nucleotides of each chosen 23-mer subsequence are then designed and synthesized for the upper (sense) strand of the siNA duplex, while the reverse complement of the left 21 nucleotides of each chosen 23-mer subsequence are then designed and synthesized for the lower (antisense) strand of the siNA duplex (see Tables II and III). If terminal TT residues are desired for the sequence (as described in paragraph 7), then the two 3' terminal nucleotides of both the sense and antisense strands are replaced by TT prior to synthesizing the oligos.
- siNA molecules are screened in an in vitro, cell culture or animal model system to identify the most active siNA molecule or the most prefened target site within the target RNA sequence.
- a pool of siNA constructs specific to a VEGF and/or VEGFr target sequence is used to screen for target sites in cells expressing VEGF and/or VEGFr RNA, such as HUVEC, HMVEC, or A375 cells.
- the general strategy used in this approach is shown in Figure 9.
- a non-limiting example of such is a pool comprising sequences having any of SEQ ID NOS 1-2238.
- Cells expressing VEGF and/or VEGFr e.g., HUVEC, HMVEC, or A375 cells
- are transfected with the pool of siNA constructs and cells that demonstrate a phenotype associated with VEGF and/or VEGFr inhibition are sorted.
- the pool of siNA constructs can be expressed from franscription cassettes inserted into appropriate vectors (see for example Figure 7 and Figure 8).
- the siNA from cells demonstrating a positive phenotypic change e.g., decreased proliferation, decreased VEGF and/or VEGFr mRNA levels or decreased VEGF and/or VEGFr protein expression, are sequenced to determine the most suitable target site(s) within the target VEGF and/or VEGFr RNA sequence.
- Example 4 VEGF and/or VEGFr targeted siNA design
- siNA target sites were chosen by analyzing sequences of the VEGF and/or VEGFr RNA target and optionally prioritizing the target sites on the basis of folding (stracture of any given sequence analyzed to determine siNA accessibility to the target), by using a library of siNA molecules as described in Example 3, or alternately by using an in vitro siNA system as described in Example 6 herein.
- siNA molecules were designed that could bind each target and are optionally individually analyzed by computer folding to assess whether the siNA molecule can interact with the target sequence. Varying the length of the siNA molecules can be chosen to optimize activity.
- siNA molecules can be designed to target sites within any known RNA sequence, for example those RNA sequences conesponding to the any gene transcript.
- Chemically modified siNA constracts are designed to provide nuclease stability for systemic administration in vivo and/or improved pharmacokinetic, localization, and delivery properties while preserving the ability to mediate RNAi activity. Chemical modifications as described herein are introduced synthetically using synthetic methods described herein and those generally known in the art. The synthetic siNA constracts are then assayed for nuclease stability in serum and/or cellular/tissue exfracts (e.g. liver extracts). The synthetic siNA constructs are also tested in parallel for RNAi activity using an appropriate assay, such as a luciferase reporter assay as described herein or another suitable assay that can quantity RNAi activity.
- an appropriate assay such as a luciferase reporter assay as described herein or another suitable assay that can quantity RNAi activity.
- Synthetic siNA consfructs that possess both nuclease stability and RNAi activity can be further modified and re-evaluated in stability and activity assays.
- the chemical modifications of the stabilized active siNA constructs can then be applied to any siNA sequence targeting any chosen RNA and used, for example, in target screening assays to pick lead siNA compounds for therapeutic development (see for example Figure 11).
- siNA molecules can be designed to interact with various sites in the RNA message, for example, target sequences within the RNA sequences described herein.
- the sequence of one strand of the siNA molecule(s) is complementary to the target site sequences described above.
- the siNA molecules can be chemically synthesized using methods described herein.
- Inactive siNA molecules that are used as control sequences can be synthesized by scrambling the sequence of the siNA molecules such that it is not complementary to the target sequence.
- siNA constructs can by synthesized using solid phase oligonucleotide synthesis methods as described herein (see for example Usman et al, US Patent Nos.
- RNA oligonucleotides are synthesized in a stepwise fashion using the phosphoramidite chemistry as is known in the art.
- Standard phosphoramidite chemistry involves the use of nucleosides comprising any of 5'-O- dimethoxyfrityl, 2'-O-tert-butyldimefhylsilyl, 3'-O-2-Cyanoethyl N,N-diisopropylphos- phoroamidite groups, and exocyclic amine protecting groups (e.g. N6-benzoyl adenosine, N4 acetyl cytidine, and N2-isobutyryl guanosine).
- exocyclic amine protecting groups e.g. N6-benzoyl adenosine, N4 acetyl cytidine, and N2-isobutyryl guanosine.
- 2'-O-Silyl Ethers can be used in conjunction with acid-labile 2'-O-orthoester protecting groups in the synthesis of RNA as described by Scaringe supra. Differing 2' chemistries can require different protecting groups, for example 2 '-deoxy-2 '-amino nucleosides can utilize N-phthaloyl protection as described by Usman et al, US Patent 5,631,360, inco ⁇ orated by reference herein in its entirety).
- each nucleotide is added sequentially (3'- to 5'- direction) to the solid support-bound oligonucleotide.
- the first nucleoside at the 3 '-end of the chain is covalently attached to a solid support (e.g., controlled pore glass or polystyrene) using various linkers.
- the nucleotide precursor, a ribonucleoside phosphoramidite, and activator are combined resulting in the coupling of the second nucleoside phosphoramidite onto the 5 '-end of the first nucleoside.
- the support is then washed and any unreacted 5'- hydroxyl groups are capped with a capping reagent such as acetic anhydride to yield inactive 5 '-acetyl moieties.
- a capping reagent such as acetic anhydride to yield inactive 5 '-acetyl moieties.
- the trivalent phosphorus linkage is then oxidized to a more stable phosphate linkage.
- the 5 '-O-protecting group is cleaved under suitable conditions (e.g., acidic conditions for trityl-based groups and Fluoride for silyl-based groups). The cycle is repeated for each subsequent nucleotide.
- Modification of synthesis conditions can be used to optimize coupling efficiency, for example by using differing coupling times, differing reagent/phosphoramidite concentrations, differing contact times, differing solid supports and solid support linker chemistries depending on the particular chemical composition of the siNA to be synthesized.
- Deprotection and purification of the siNA can be performed as is generally described in Deprotection and purification of the siNA can be performed as is generally described in Usman et al, US 5,831,071, US 6,353,098, US 6,437,117, and Bellon et al, US 6,054,576, US 6,162,909, US 6,303,773, or Scaringe supra, inco ⁇ orated by reference herein in their entireties.
- deprotection conditions can be modified to provide the best possible yield and purity of siNA constracts.
- oligonucleotides comprising 2 '-deoxy-2 '-fluoro nucleotides can degrade under inappropriate deprotection conditions.
- Such oligonucleotides are deprotected using aqueous methylamine at about 35°C for 30 minutes.
- the 2 '-deoxy-2 '-fluoro containing oligonucleotide also comprises ribonucleotides, after deprotection with aqueous methylamine at about 35°C for 30 minutes, TEA-HF is added and the reaction maintained at about 65°C for an additional 15 minutes.
- Example 6 RNAi in vitro assay to assess siNA activity
- RNAi in vitro assay that recapitulates RNAi in a cell-free system is used to evaluate siNA constructs targeting VEGF and or VEGFr RNA targets.
- the assay comprises the system described by Tuschl et al, 1999, Genes and Development, 13, 3191-3197 and Zamore et al, 2000, Cell, 101, 25-33 adapted for use with VEGF and/or VEGFr target RNA.
- a Drosophila extract derived from syncytial blastoderm is used to reconstitute RNAi activity in vitro.
- Target RNA is generated via in vitro transcription from an appropriate VEGF and/or VEGFr expressing plasmid using T7 RNA polymerase or via chemical synthesis as described herein.
- Sense and antisense siNA strands are annealed by incubation in buffer (such as 100 mM potassium acetate, 30 mM HEPES-KOH, pH 7.4, 2 mM magnesium acetate) for 1 min. at 90°C followed by 1 hour at 37°C , then diluted in lysis buffer (for example 100 mM potassium acetate, 30 mM HEPES-KOH at pH 7.4, 2mM magnesium acetate). Annealing can be monitored by gel electrophoresis on an agarose gel in TBE buffer and stained with ethidium bromide.
- buffer such as 100 mM potassium acetate, 30 mM HEPES-KOH, pH 7.4, 2 mM magnesium acetate
- the Drosophila lysate is prepared using zero to two-hour-old embryos from Oregon R flies collected on yeasted molasses agar that are dechorionated and lysed. The lysate is centrifuged and the supernatant isolated.
- the assay comprises a reaction mixture containing 50% lysate [vol/vol], RNA (10-50 pM final concentration), and 10% [vol/vol] lysis buffer containing siNA (10 nM final concentration).
- the reaction mixture also contains 10 mM creatine phosphate, 10 ug.ml creatine phosphokinase, 100 um GTP, 100 uM UTP, 100 uM CTP, 500 uM ATP, 5 mM DTT, 0.1 U/uL RNasin (Promega), and 100 uM of each amino acid.
- the final concentration of potassium acetate is adjusted to 100 mM.
- the reactions are pre-assembled on ice and preincubated at 25° C for 10 minutes before adding RNA, then incubated at 25° C for an additional 60 minutes. Reactions are quenched with 4 volumes of 1.25 x Passive Lysis Buffer (Promega).
- Target RNA cleavage is assayed by RT-PCR analysis or other methods known in the art and are compared to confrol reactions in which siNA is omitted from the reaction.
- target RNA for the assay is prepared by in vitro franscription in the presence of [alpha- 32 p] CTP, passed over a G 50 Sephadex column by spin chromatography and used as target RNA without further purification.
- target RNA is 5'-32p_end labeled using T4 polynucleotide kinase enzyme. Assays are performed as described above and target RNA and the specific RNA cleavage products generated by RNAi are visualized on an autoradiograph of a gel. The percentage of cleavage is determined by Phosphor Imager® quantitation of bands representing intact control RNA or RNA from control reactions without siNA and the cleavage products generated by the assay.
- this assay is used to determine target sites the VEGF and/or
- VEGFr RNA target for siNA mediated RNAi cleavage wherein a plurality of siNA constructs are screened for RNAi mediated cleavage of the VEGF and/or VEGFr RNA target, for example, by analyzing the assay reaction by electrophoresis of labeled target
- RNA or by northern blotting, as well as by other methodology well known in the art.
- Example 7 Nucleic acid inhibition of VEGF and/or VEGFr target RNA in vivo siNA molecules targeted to the huma VEGF and/or VEGFr RNA are designed and synthesized as described above. These nucleic acid molecules can be tested for cleavage activity in vivo, for example, using the following procedure.
- the target sequences and the nucleotide location within the VEGF and/or VEGFr RNA are given in Table II and III.
- siNAs targeting VEGF and/or VEGFr Two formats are used to test the efficacy of siNAs targeting VEGF and/or VEGFr.
- the reagents are tested in cell culture using, for example, HUVEC, HMVEC, or A375 cells to determine the extent of RNA and protein inhibition.
- siNA reagents e.g.; see Tables II and III
- RNA inhibition is measured after delivery of these reagents by a suitable transfection agent to, for example, HUVEC, HMVEC, or A375 cells.
- Relative amounts of target RNA are measured versus actin using real-time PCR monitoring of amplification (eg, ABI 7700 Taqman®).
- a comparison is made to a mixture of oligonucleotide sequences made to unrelated targets or to a randomized siNA confrol with the same overall length and chemistry, but randomly substituted at each position.
- Primary and secondary lead reagents are chosen for the target and optimization performed. After an optimal transfection agent concentration is chosen, a RNA time-course of inhibition is performed with the lead siNA molecule.
- a cell-plating format can be used to determine RNA inhibition.
- Cells e.g., HUVEC, HMVEC, or A375 cells
- EGM-2 BioWhittaker
- siNA final concentration, for example 20nM
- cationic lipid e.g., final concentration 2 ⁇ g/ml
- the complexed siNA is added to each well and incubated for the times indicated.
- cells are seeded, for example, at lxl 0 ⁇ in 96 well plates and siNA complex added as described.
- Efficiency of delivery of siNA to cells is determined using a fluorescent siNA complexed with lipid.
- Cells in 6-well dishes are incubated with siNA for 24 hours, rinsed with PBS and fixed in 2% paraformaldehyde for 15 minutes at room temperature. Uptake of siNA is visualized using a fluorescent microscope.
- Total RNA is prepared from cells following siNA delivery, for example, using Qiagen RNA purification kits for 6-well or Rneasy extraction kits for 96-well assays.
- dual-labeled probes are synthesized with the reporter dye, FAM or JOE, covalently linked at the 5'-end and the quencher dye TAMRA conjugated to the 3'-end.
- RT- PCR amplifications are performed on, for example, an ABI PRISM 7700 Sequence Detector using 50 ⁇ l reactions consisting of 10 ⁇ l total RNA, 100 nM forward primer, 900 nM reverse primer, 100 nM probe, IX TaqMan PCR reaction buffer (PE-Applied Biosystems), 5.5 mM MgCl 2 , 300 ⁇ M each dATP, dCTP, dGTP, and dTTP, 10U RNase Inhibitor (Promega), 1.25U AmpliTaq Gold (PE-Applied Biosystems) and 10U M-MLV Reverse Transcriptase (Promega).
- the thermal cycling conditions can consist of 30 min at 48°C, 10 min at 95°C, followed by 40 cycles of 15 sec at 95°C and 1 min at 60°C.
- Quantitation of mRNA levels is determined relative to standards generated from serially diluted total cellular RNA (300, 100, 33, 11 ng/rxn) and normalizing to ⁇ -actin or GAPDH mRNA in parallel TaqMan reactions.
- an upper and lower primer and a fluorescently labeled probe are designed.
- Real time inco ⁇ oration of SYBR Green I dye into a specific PCR product can be measured in glass capillary tubes using a lightcyler.
- a standard curve is generated for each primer pair using control cRNA. Values are represented as relative expression to GAPDH in each sample.
- Nuclear extracts can be prepared using a standard micro preparation technique (see for example Andrews and Faller, 1991, Nucleic Acids Research, 19, 2499). Protein extracts from supematants are prepared, for example using TCA precipitation. An equal volume of 20% TCA is added to the cell supernatant, incubated on ice for 1 hour and pelleted by centrifugation for 5 minutes. Pellets are washed in acetone, dried and resuspended in water. Cellular protein extracts are run on a 10% Bis-Tris NuPage (nuclear exfracts) or 4-12%o Tris- Glycine (supernatant exfracts) polyacrylamide gel and transfened onto nifro-cellulose membranes.
- Non-specific binding can be blocked by incubation, for example, with 5% non- fat milk for 1 hour followed by primary antibody for 16 hour at 4°C. Following washes, the secondary antibody is applied, for example (1:10,000 dilution) for 1 hour at room temperature and the signal detected with SuperSignal reagent (Pierce).
- Example 8 Animal Models useful to evaluate the down-regulation of VEGF and/or VEGFr gene expression
- nucleic acids of the present invention such as siRNA, directed against VEGF, VEGFrl, VEGFr2 and/or VEGFr3 mRNAs
- a comeal model has been used to study angiogenesis in rat and rabbit since recruitment of vessels can easily be followed in this normally avascular tissue (Pandey et al, 1995 Science 268: 567-569).
- angiogenesis factor e.g. bFGF or VEGF
- Angiogenesis is monitored 3 to 5 days later.
- siRNA directed against VEGF, VEGFrl, VEGFr2 and/or VEGFr3 mRNAs are delivered in the disk as well, or dropwise to the eye over the time course of the experiment.
- hypoxia has been shown to cause both increased expression of VEGF and neovascularization in the retina (Pierce et al, 1995 Proc. Natl. Acad. Sci. USA. 92: 905-909; Shweiki et al, 1992 J. Clin. Invest. 91: 2235-2243).
- VEGF is at least partially responsible for tumor angiogenesis (Plate et al, 1992 Nature 359, 845).
- Animal models have been developed in which glioblastoma cells are implanted subcutaneously into nude mice and the progress of tumor growth and angiogenesism is studied (Kim et al, 1993 supra; Millauer et al, 1994 supra).
- Matrigel an extract of basement membrane that becomes a solid gel when injected subcutaneously (Passaniti et al, 1992 Lab. Invest. 61: 519-528).
- angiogenesis factors such as VEGF
- vessels grow into the Matrigel over a period of 3 to 5 days and angiogenesis can be assessed.
- nucleic acids directed against VEGFr mRNAs are delivered in the Matrigel.
- the cornea model is the most common and well characterized model for screening anti-angiogenic agent efficacy.
- This model involves an avascular tissue into which vessels are recruited by a stimulating agent (growth factor, thermal or alkalai bum, endotoxin).
- the comeal model utilizes the intrastromal comeal implantation of a Teflon pellet soaked in a VEGF-Hydron solution to recruit blood vessels toward the pellet, which can be quantitated using standard microscopic and image analysis techniques.
- nucleic acids are applied topically to the eye or bound within Hydron on the Teflon pellet itself.
- This avascular cornea as well as the Matrigel provide for low background assays. While the comeal model has been performed extensively in the rabbit, studies in the rat have also been conducted.
- the mouse model (Passaniti et al., supra) is a non-tissue model that utilizes Matrigel, an extract of basement membrane (Kleinman et al., 1986) or Millipore® filter disk, which can be impregnated with growth factors and anti-angiogenic agents in a liquid form prior to injection.
- Millipore® filter disk forms a solid implant.
- Millipore® filter disk is used to recruit vessels within the matrix of the Matrigel or Millipore® filter disk which can be processed histologically for endothelial cell specific vWF (factor VIII antigen) immunohistochemistry, Trichrome-Masson stain, or hemoglobin content.
- vWF factor VIII antigen
- the Matrigel or Millipore® filter disk is avascular; however, it is not tissue.
- nucleic acids are administered within the matrix of the Matrigel or Millipore® filter disk to test their anti-angiogenic efficacy.
- delivery issues in this model as with delivery of nucleic acids by Hydron- coated Teflon pellets in the rat cornea model, may be less problematic due to the homogeneous presence of the nucleic acid within the respective matrix.
- siRNA For a typical systemic study involving 10 mice (20 g each) per dose group, 5 doses (1, 3, 10, 30 and 100 mg/kg daily over 14 days continuous administration), approximately 400 mg of siRNA, formulated in saline is used. A similar study in young adult rats (200 g) requires over 4 g. Parallel pharmacokinetic studies involve the use of similar quantities of siRNA further justifying the use of murine models.
- the Lewis lung carcinoma and B-16 murine melanoma models are well accepted models of primary and metastatic cancer and are used for initial screening of anti-cancer agents. These murine models are not dependent upon the use of immunodeficient mice, are relatively inexpensive, and minimize housing concerns. Both the Lewis lung and B-16 melanoma models involve subcutaneous implantation of approximately 10 6 tumor cells from metastatically aggressive tumor cell lines (Lewis lung lines 3LL or D122, LLc-LN7; B-16- BL6 melanoma) in C57BL/6J mice. Alternatively, the Lewis lung model can be produced by the surgical implantation of tumor spheres (approximately 0.8 mm in diameter). Metastasis also can be modeled by injecting the tumor cells directly infravenously.
- systemic pharmacotherapy with a wide variety of agents usually begins 1-7 days following tumor implantation/inoculation with either continuous or multiple administration regimens.
- Concunent pharmacokinetic studies can be performed to determine whether sufficient tissue levels of siRNA can be achieved for pharmacodynamic effect to be expected.
- primary tumors and secondary lung metastases can be removed and subjected to a variety of in vitro studies (t.e. target RNA reduction).
- animal models are useful in screening compounds, eg. siRNA molecules, for efficacy in treating renal failure, such as a result of autosomal dominant polycystic kidney disease (ADPKD).
- ADPKD autosomal dominant polycystic kidney disease
- the HamSPRD rat model mice with a targeted mutation in the Pkd2 gene and congenital polycystic kidney (cpk) mice, closely resemble human ADPKD and provide animal models to evaluate the therapeutic effect of siRNA constructs that have the potential to interfere with one or more of the pathogenic elements of ADPKD mediated renal failure, such as angiogenesis.
- Angiogenesis may be necessary in the progression of ADPKD for growth of cyst cells as well as increased vascular permeability promoting fluid secretion into cysts.
- VEGF vascular endothelial growth factor
- VEGFrl has also been detected in epithelial cells of cystic tubules but not in endothelial cells in the vasculature of cystic kidneys or normal kidneys.
- VEGFr2 expression is increased in endothelial cells of cyst vessels and in endothelial cells during renal ischemia-reperfusion. It is proposed that inhibition of VEGF receptors with anti- VEGFrl and anti-VEGFr2 siRNA molecules would attenuate cyst formation, renal failure and mortality in ADPKD.
- Anti- VEGFr2 siRNA molecules would therefore be designed to inhibit angiogenesis involved in cyst formation.
- VEGFrl is present in cystic epithelium and not in vascular endothelium of cysts, it is proposed that anti-VEGFrl siRNA molecules would attenuate cystic epithelial cell proliferation and apoptosis which would in turn lead to less cyst formation.
- VEGF produced by cystic epithelial cells is one of the stimuli for angiogenesis as well as epithelial cell proliferation and apoptosis.
- the use of HamSPRD rats see for eaxmple Kaspareit-Rittinghausen et al, 1991, Am.J.Pathol.
- mice with a targeted mutation in the Pkd2 gene (Pkd2-/- mice, see for example Wu et al, 2000, Nat. Genet. 24, 75-78) and cpk mice (see for example Woo et al, 1994, Nature, 368, 750- 753) all provide animal models to study the efficacy of siRNA molecles of the invention against VEGFrl and VEGFr2 mediated renal failure.
- VEGF, VEGFrl VGFR2 and/or VEGFr3 protein levels can be measured clinically or experimentally by FACS analysis.
- VEGF, VEGFrl VGFR2 and/or VEGFr3 encoded mRNA levels are assessed by Northern analysis, RNase-protection, primer extension analysis and/or quantitative RT-PCR.
- siRNA nucleic acids that block VEGF, VEGFrl VGFR2 and/or VEGFr3 protein encoding mRNAs and therefore result in decreased levels of VEGF, VEGFrl VGFR2 and/or VEGFr3 activity by more than 20% in vitro can be identified.
- Example 9 siNA-mediated inhibition of angiogenesis in vivo
- the pu ⁇ ose of this study was to assess the anti-angiogenic activity of siNA targeted against VEGFrl in the rat cornea model of VEGF induced angiogenesis (see above).
- the siNA molecules have matched inverted controls, which are inactive since they are not able to interact with the RNA target.
- the siNA molecules and VEGF were co-delivered using the filter disk method: Nitrocellulose filter disks (Millipore®) of 0.057 diameter were immersed in appropriate solutions and were surgically implanted in rat cornea as described by Pandey et al, supra.
- the stimulus for angiogenesis in this study was the freatment of the filter disk with 30 ⁇ M VEGF, which is implanted within the cornea's stroma.
- This dose yields reproducible neovascularization stemming from the pericorneal vascular plexus growing toward the disk in a dose-response study 5 days following implant.
- Filter disks treated only with the vehicle for VEGF show no angiogenic response.
- the siNA were co-adminstered with VEGF on a disk in two different siNA concentrations.
- One concern with the simultaneous administration is that the siNA would not be able to inhibit angiogenesis since VEGF receptors could be stimulated.
- VEGF carrier free at 75 ⁇ M in 82 mM Tris-Cl, pH 6.9 siNA, 1.67 ⁇ G/ ⁇ L, SITE 2340 (SEQ ID NO: 2; SEQ ID NO: 6) sense/antisense siNA, 1.67 ⁇ G/ ⁇ L, INVERTED CONTROL FOR SITE 2340 (SEQ ID NO: 19; SEQ ID NO: 20) sense/antisense siNA 1.67 ⁇ g/ ⁇ L, Site 2340 (SEQ ID NO: 419; SEQ ID NO: 420) sense/antisense
- Husbandry Harlan Sprague-Dawley Rats, Approximately 225-250g 45 males, 5 animals per group. Husbandry
- Animals are housed in groups of two. Feed, water, temperature and humidity are determined according to Pharmacology Testing Facility performance standards (SOP's) which are in accordance with the 1996 Guide for the Care and Use of Laboratory Animals (NRC). Animals are acclimated to the facility for at least 7 days prior to experimentation. During this time, animals are observed for overall health and sentinels are bled for baseline serology.
- SOP's Pharmacology Testing Facility performance standards
- NRC Laboratory Animals
- VEGF and siNAs were prepared as a IX solution for final concentrations shown in the experimental groups described in Table III.
- siNA Annealing Conditions siNA sense and antisense strands are annealed for 1 minute in H 2 O at
- duplexed siNA 1.67mg/mL/sfrand followed by a 1 hour incubation at 37 C producing 3.34 mg/mL of duplexed siNA.
- 6 ⁇ Ls of the 3.34 mg/mL duplex is injected into the eye (see below).
- the 3.34 mg/mL duplex siNA can then be serially diluted for dose response assays.
- nitrocellulose disks prepared from 0.45 ⁇ m pore diameter nitrocellulose filter membranes (Millipore Co ⁇ oration), were soaked for
- Filter disks soaked only with the vehicle for VEGF (83 mM Tris-Cl pH 6.9) elicit no angiogenic response.
- the rat comeal model used in this study was a modified from Koch et al Supra and
- test solution siNA, inverted control or sterile water vehicle
- test solution siNA, inverted control or sterile water vehicle
- the injector was then removed, serially rinsed in 70% ethanol and sterile water and immersed in sterile water between each injection.
- closure of the eyelid was maintained using microaneurism clips until the animal began to recover gross motor activity. Following treatment, animals were warmed on a heating pad at 37 C.
- NSA neovascular surface area
- the individual mean NSA was determined in triplicate from three regions of identical size in the area of maximal neovascularization between the filter disk and the limbus. The number of pixels conesponding to the blood-filled comeal vessels in these regions was summated to produce an index of NSA. A group mean NSA was then calculated. Data from each freatment group were normalized to VEGF/siNA vehicle-treated control NSA and finally expressed as percent inhibition of VEGF-induced angiogenesis.
- group mean percent inhibition of VEGF-induced angiogenesis was subjected to a one-way analysis of variance.
- Results are graphically represented in Figure 12. As shown in Figure 12, VEGFrl site 4229 active siNA (RPI 29695/29699) at three concentrations were effective at inhibiting angiogenesis compared to the inverted siNA control (RPI 2983/29984) and the VEGF control.
- a chemically modified version of the VEGFrl site 4229 active siNA comprising a sense strand having 2 '-deoxy-2 '-fluoro pyrimidines and ribo purines with 5' and 3' terminal inverted deoxyabasic residues (RPI 30196) and an antisense strand having having 2'-deoxy- 2 '-fluoro pyrimidines and ribo purines with a terminal 3 '-phosphorothioate internucleotide linkage (RPI 30416), showed similar inhibition. (Data not shown) This result shows siNA molecules of differing chemically modified composition of the invention are capable of significantly inhibiting angiogenesis in vivo.
- Example 10 RNAi mediated inhibition of VEGF and/or VEGFr RNA expression
- siNA constracts are tested for efficacy in reducing VEGF and/or VEGFr RNA expression in, for example, HUVEC, HMVEC, or A375 cells.
- Cells are plated approximately 24h before transfection in 96-well plates at 5,000-7,500 cells/well, 100 ⁇ l/well, such that at the time of transfection cells are 70-90% confluent.
- annealed siNAs are mixed with the transfection reagent (Lipofectamine 2000, Invitrogen) in a volume of 50 ⁇ l/well and incubated for 20 min. at room temperature.
- siNA fransfection mixtures are added to cells to give a final siNA concentration of 25 nM in a volume of 150 ⁇ l.
- Each siNA transfection mixture is added to 3 wells for triplicate siNA treatments. Cells are incubated at 37° for 24h in the continued presence of the siNA transfection mixture.
- RNA is prepared from each well of freated cells. The supematants with the fransfection mixtures are first removed and discarded, then the cells are lysed and RNA prepared from each well.
- Target gene expression following treatment is evaluated by RT-PCR for the target gene and for a control gene (36B4, an RNA polymerase subunit) for normalization. The triplicate data is averaged and the standard deviations determined for each treatment. Normalized data are graphed and the percent reduction of target mRNA by active siNAs in comparison to their respective inverted control siNAs is determined.
- Figure 13 shows a non-limiting example of reduction of VEGFrl mRNA in A375 cells mediated by chemically-modified siNAs that target VEGFrl mRNA.
- A549 cells were transfected with 0.25 ug/well of lipid complexed with 25 nM siNA.
- a screen of siNA constructs (Stabilization "Stab” chemistries are shown in Table IV, constracts are refened to by RPI number, see Table III) comprising Stab 4/5 chemistry (RPI 31190/31193), Stab 1/2 chemisfry (RPI 31183/31186 and RPI 31184/31187), and unmodified RNA (RPI 30075/30076) were compared to untreated cells, matched chemistry inverted control siNA constracts (RPI 31208/31211, RPI 31201/31204, RPI 31202/31205, and RPI 30077/30078), scrambled siNA confrol constructs (Scraml and Scram2), and cells transfected with lipid alone (transfection confrol).
- siNA constructs significantly reduce VEGFrl RNA expression. Additional stabilization chemistries as described in Table IV are similarly assayed for activity. These siNA constracts are compared to appropriate matched chemistry inverted controls. In addition, the siNA constracts are also compared to untreated cells, cells fransfected with lipid and scrambled siNA constructs, and cells fransfected with lipid alone (transfection control).
- the present body of knowledge in VEGF and/or VEGFr research indicates the need for methods to assay VEGF and/or VEGFr activity and for compounds that can regulate VEGF and/or VEGFr expression for research, diagnostic, and therapeutic use.
- the nucleic acid molecules of the present invention can be used in assays to diagnose disease state related of VEGF and/or VEGFr levels.
- the nucleic acid molecules can be used to treat disease state related to VEGF and/or VEGFr levels.
- VEGF and/or VEGFr expression modulation include, but are not limited to:
- Tumor angiogenesis Angiogenesis has been shown to be necessary for tumors to grow into pathological size (Folkman, 1971, PNAS 16, 5217-5221; Wellstein & Czubayko, 1996, Breast Cancer Res and Treatment 38, 109-119). In addition, it allows tumor cells to travel through the circulatory system during metastasis. Increased levels of gene expression of a number of angiogenic factors such as vascular endothelial growth factor (VEGF) have been reported in vascularized and edema-associated brain tumors (Berkman et al, 1993 J. Clini. Invest. 91, 153).
- VEGF vascular endothelial growth factor
- Neovascularization has been shown to cause or exacerbate ocular diseases including, but not limited to, macular degeneration, neovascular glaucoma, diabetic retinopathy, myopic degeneration, and trachoma (Nonby, 1997, APMIS 105, 417-437).
- Aiello et al, 1994 New Engl J. Med. 331, 1480 showed that the ocular fluid of a majority of patients suffering from diabetic retinopathy and other retinal disorders contains a high concentration of VEGF.
- Miller et al., 1994 Am. J. Pathol. 145, 574 reported elevated levels of VEGF mRNA in patients suffering from retinal ischemia. These observations support a direct role for VEGF in ocular diseases. Other factors, including those that stimulate VEGF synthesis, may also contribute to these indications.
- Dermatological Disorders Many indications have been identified which may beangiogenesis dependent, including but not limited to, psoriasis, verruca vulgaris, angiofibroma of tuberous sclerosis, pot-wine stains, Sturge Weber syndrome, Kippel- Trenaunay- Weber syndrome, and Osier- Weber-Rendu syndrome (Nonby, supra).
- Intradermal injection of the angiogenic factor b-FGF demonstrated angiogenesis in nude mice (Weckbecker et al., 1992, Angiogenesis: Key principles-Science-Technology-Medicine, ed R. Steiner).
- Detmar et al, 1994 J. Exp. Med. 180, 1141 reported that VEGF and its receptors were over-expressed in psoriatic skin and psoriatic dermal microvessels, suggesting that VEGF plays a significant role in psoriasis.
- Rheumatoid arthritis Immunohistochemistry and in situ hybridization studies on tissues from the joints of patients suffering from rheumatoid arthritis show an increased level of VEGF and its receptors (Fava et al, 1994 J. Exp. Med. 180, 341). Additionally, Koch et al, 1994 J. Immunol. 152, 4149, found that VEGF-specific antibodies were able to significantly reduce the mitogenic activity of synovial tissues from patients suffering from rheumatoid arthritis. These observations support a direct role for VEGF in rheumatoid arthritis. Other angiogenic factors including those of the present invention may also be involved in arthritis.
- Endometriosis Various studies indicate that VEGF is directly implicated in endometriosis. In one study, VEGF concentrations measured by ELISA in peritoneal fluid were found to be significantly higher in women with endometriosis than in women without endometriosis (24.1 + 15 ng/ml vs 13.3 + 7.2 ng/ml in normals). In patients with endometriosis, higher concentrations of VEGF were detected in the proliferative phase of the menstrual cycle (33 ⁇ 13 ng/ml) compared to the secretory phase (10.7 ⁇ 5 ng/ml). The cyclic variation was not noted in fluid from normal patients (McLaren et al, 1996, Human Reprod.
- VEGF-positive staining of human ectopic endometrium was shown to be localized to macrophages (double immunofluorescent staining with CD 14 marker).
- Peritoneal fluid macrophages demonstrated VEGF staining in women with and without endometriosis.
- increased activation of macrophages was demonstrated in fluid from women with endometriosis compared with controls.
- Peritoneal fluid macrophage conditioned media from patients with endometriosis resulted in significantly increased cell proliferation ([ 3 H] thymidine inco ⁇ oration) in HUVEC cells compared to controls.
- VEGFr2 mRNA The percentage of peritoneal fluid macrophages with VEGFr2 mRNA was higher during the secretory phase, and significantly higher in fluid from women with endometriosis (80 + 15%) compared with controls (32 + 20%).
- Flt-mRNA was detected in peritoneal fluid macrophages from women with and without endometriosis, but there was no difference between the groups or any evidence of cyclic dependence (McLaren et al, 1996, J. Clin. Invest. 98, 482-489).
- VEGF In the early proliferative phase of the menstrual cycle, VEGF has been found to be expressed in secretory columnar epithelium (estrogen-responsive) lining both the oviducts and the uterus in female mice.
- VEGF expression was shown to have shifted to the underlying sfroma composing the functional endometrium.
- endometium In addition to examining the endometium, neovascularization of ovarian follicles and the co ⁇ us luteum, as well as angiogenesis in embryonic implantation sites have been analyzed. For these processes, VEGF was expressed in spatial and temporal proximity to forming vasculature (Shweiki et al, 1993, J Clin. Invest. 91, 2235-2243).
- Kidney disease Autosomal dominant polycystic kidney disease (ADPKD) is the most common life threatening hereditary disease in the USA. It affects about 1:400 to 1:1000 people and approximately 50% of people with ADPKD develop renal failure. ADPKD accounts for about 5-10% of end-stage renal failure in the USA, requiring dialysis and renal transplantation. Angiogenesis is implicated in the progression of ADPKD for growth of cyst cells, as well as increased vascular permeability promoting fluid secretion into cysts. Proliferation of cystic epithelium is a feature of ADPKD because cyst cells in culture produce soluble vascular endothelial growth factor (VEGF).
- VEGF soluble vascular endothelial growth factor
- VEGFrl has been detected in epithelial cells of cystic tubules but not in endothelial cells in the vasculature of cystic kidneys or normal kidneys. VEGFr2 expression is increased in endothelial cells of cyst vessels and in endothelial cells during renal ischemia-reperfusion.
- chemotherapeutic agents that can be combined with or used in conjunction with the nucleic acid molecules (e.g. siNA molecules) of the instant invention.
- nucleic acid molecules e.g. siNA molecules
- chemotherapeutic agents can similarly be readily combined with the nucleic acid molecules of the instant invention (e.g. siNA molecules) and are hence within the scope of the instant invention.
- Such compounds and therapies are well known in the art (see for example Cancer: Principles and Pranctice of Oncology, Volumes 1 and 2, eds Devita, V.T., Hellman, S., and Rosenberg, S.A., J.B.
- chemotherapeutic compounds that can be combined with or used in conjuction with the nucleic acid molecules of the invention include, but are not limited to, Paclitaxel; Docetaxel; Methotrexate; Doxombin; Edatrexate; Vinorelbine; Tomaxifen; Leucovorin; 5-fluoro uridine (5-FU); Ionotecan; Cisplatin; Carboplatin; Amsacrine; Cytarabine; Bleomycin; Mitomycin C; Dactinomycin; Mithramycfn; Hexamethylmelamine; dacarbazine; L-asperginase; Nifrogen mustard; Melphalan, Chlorambucil; Busulfan; Ifosfamide; 4-hydroperoxycyclophosphamide; Thiotepa; Irinotecan (CAMPTOSAR®, CPT-11, Camptothecin-11, Campto) Tamoxifen; Herceptin; IMC C225; ABX-
- nucleic acid molecules e.g. siNA
- other drug compounds and therapies can similarly be readily combined with the nucleic acid molecules of the instant invention (e.g., siNA molecules) are hence within the scope of the instant invention.
- siNA molecules of the mvention can be used in a variety of diagnostic applications, such as in the identification of molecular targets (e.g., RNA) in a variety of applications, for example, in clinical, industrial, environmental, agricultural and/or research settings.
- diagnostic use of siNA molecules involves utilizing reconstituted RNAi systems, for example, using cellular lysates or partially purified cellular lysates.
- siNA molecules of this invention can be used as diagnostic tools to examine genetic drift and mutations within diseased cells or to detect the presence of endogenous or exogenous, for example viral, RNA in a cell.
- siNA activity allows the detection of mutations in any region of the molecule, which alters the base-pairing and three-dimensional structure of the target RNA.
- siNA molecules described in this invention one can map nucleotide changes, which are important to RNA stracture and function in vitro, as well as in cells and tissues. Cleavage of target RNAs with siNA molecules can be used to inhibit gene expression and define the role of specified gene products in the progression of disease or infection. In this manner, other genetic targets can be defined as important mediators of the disease.
- siNA molecules of this invention include detection of the presence of mRNAs associated with a disease, infection, or related condition. Such RNA is detected by determining the presence of a cleavage product after treatment with a siNA using standard methodologies, for example, fluorescence resonance emission transfer (FRET).
- FRET fluorescence resonance emission transfer
- siNA molecules that cleave only wild-type or mutant forms of the target RNA are used for the assay.
- the first siNA molecules i.e., those that cleave only wild-type forms of target RNA
- the second siNA molecules i.e., those that cleave only mutant forms of target RNA
- synthetic substrates of both wild-type and mutant RNA are cleaved by both siNA molecules to demonstrate the relative siNA efficiencies in the reactions and the absence of cleavage of the "non-targeted" RNA species.
- the cleavage products from the synthetic substrates also serve to generate size markers for the analysis of wild-type and mutant RNAs in the sample population.
- each analysis requires two siNA molecules, two substrates and one unknown sample, which is combined into six reactions.
- the presence of cleavage products is determined using an RNase protection assay so that full-length and cleavage fragments of each RNA can be analyzed in one lane of a polyacrylamide gel. It is not absolutely required to quantify the results to gain insight into the expression of mutant RNAs and putative risk of the desired phenotypic changes in target cells.
- the expression of mRNA whose protein product is implicated in the development of the phenotype is adequate to establish risk.
- vascular endothelial growth factor C VEGFC
- NM_005429.2 mRNA gi I 19924300
- VEGF vascular endothelial growth factor
- VEGF vascular endothelial growth factor
- VEGFB vascular endothelial growth factor B
- VEGF165 Homo sapiens vascular endothelial growth factor isoform VEGF165 (VEGF) mRNA, complete eds gi[l9909064
- VEGFB vascular endothelial growth factor B isoform
- VEGF vascular endothelial growth factor
- VEGF vascular endothelial growth factor
- FLT1 vascular endothelial growth factor receptor
- VEGF vascular endothelial growth factor
- VEGF vascular endothelial growth factor
- VEGF vascular endothelial growth factor
- VEGF vascular endothelial growth factor
- VEGF vascular endothelial growth factor
- VEGF vascular endothelial growth factor
- Homo sapiens vascular endothelial growth factor mRNA complete eds gi[3719220
- E13332 ccDDNNAA eencoding vascular endodermal cell growth factor VEGF gi I 3252137 j dbj
- KDR vascular endothelial growth factor receptor 2
- FLT4 Homo sapiens fms-related tyrosine kinase 4 (FLT4) , mRNA gi[ 4503752 I ref [NM_002020.1 [ [4503752]
- kinase insert domain receptor a type III receptor tyrosine kinase (KDR)
- NM_002253.11 a type III receptor tyrosine kinase
- the 3'-ends of the Upper sequence and the Lower sequence of the siNA construct can include an overhang sequence, for example about 1 , 2, 3, or 4 nucleotides in length, preferably 2 nucleotides in length, wherein the overhanging sequence of the lower sequence is optionally complementary to a portion of the target sequence.
- the upper sequence is also referred to as the sense strand, whereas the lower sequence is also referred to as the antisense strand.
- the upper and lower sequences in the Table can further comprise a chemical modification having Formulae I-VII or any combination thereof.
- All Stab 1-11 chemistries can comprise 3 '-terminal thymidine (TT) residues
- All Stab 1-11 chemistries typically comprise 21 nucleotides, but can vary as described herein.
- Wait time does not include contact time during delivery.
- Tandem synthesis utilizes double coupling of linker molecule
Landscapes
- Health & Medical Sciences (AREA)
- Life Sciences & Earth Sciences (AREA)
- Chemical & Material Sciences (AREA)
- Engineering & Computer Science (AREA)
- Organic Chemistry (AREA)
- Genetics & Genomics (AREA)
- Bioinformatics & Cheminformatics (AREA)
- General Health & Medical Sciences (AREA)
- Wood Science & Technology (AREA)
- Molecular Biology (AREA)
- Zoology (AREA)
- General Engineering & Computer Science (AREA)
- Biomedical Technology (AREA)
- Biochemistry (AREA)
- Biotechnology (AREA)
- Animal Behavior & Ethology (AREA)
- Public Health (AREA)
- Pharmacology & Pharmacy (AREA)
- Medicinal Chemistry (AREA)
- Veterinary Medicine (AREA)
- Chemical Kinetics & Catalysis (AREA)
- Nuclear Medicine, Radiotherapy & Molecular Imaging (AREA)
- General Chemical & Material Sciences (AREA)
- Microbiology (AREA)
- Plant Pathology (AREA)
- Physics & Mathematics (AREA)
- Biophysics (AREA)
- Virology (AREA)
- Endocrinology (AREA)
- AIDS & HIV (AREA)
- Dermatology (AREA)
- Epidemiology (AREA)
- Urology & Nephrology (AREA)
- Reproductive Health (AREA)
- Immunology (AREA)
- Orthopedic Medicine & Surgery (AREA)
- Rheumatology (AREA)
- Physical Education & Sports Medicine (AREA)
- Pharmaceuticals Containing Other Organic And Inorganic Compounds (AREA)
Abstract
Description
Claims
Priority Applications (18)
| Application Number | Priority Date | Filing Date | Title |
|---|---|---|---|
| JP2003569803A JP2005517436A (en) | 2002-02-20 | 2003-02-20 | RNA interference-mediated inhibition of vascular endothelial growth factor and vascular endothelial growth factor receptor gene expression using short interfering nucleic acids (siNA) |
| CA002456444A CA2456444A1 (en) | 2002-02-20 | 2003-02-20 | Rna interference mediated inhibition of vascular endothelial growth factor and vascular endothelial growth factor receptor gene expression using short interfering nucleic acid (sina) |
| EP03742833A EP1521768A4 (en) | 2002-02-20 | 2003-02-20 | INHIBITION INDUCED BY INTERFERENCE OF VASCULAR ENDOTHELIAL GROWTH FACTOR RNA AND GENE EXPRESSION OF VASCULAR ENDOTHELIAL GROWTH FACTOR RECEPTOR USING SHORT INTERFERENT NUCLEIC ACIDS (SINA) |
| AU2003216323A AU2003216323B2 (en) | 2002-02-20 | 2003-02-20 | Inhibition of vascular endothelial growth factor (vegf) and vegf receptor gene expression using short interfereing nucleic acid (sina) |
| GB0404898A GB2396864B (en) | 2002-02-20 | 2003-02-20 | RNA interference mediated inhibition of vascular endothelial growth factor and vascular endothelial growth factor receptor gene expression |
| US10/665,951 US20040138163A1 (en) | 2002-05-29 | 2003-09-18 | RNA interference mediated inhibition of vascular edothelial growth factor and vascular edothelial growth factor receptor gene expression using short interfering nucleic acid (siNA) |
| US10/664,668 US20070203333A1 (en) | 2001-11-30 | 2003-09-18 | RNA interference mediated inhibition of vascular endothelial growth factor and vascular endothelial growth factor receptor gene expression using short interfering nucleic acid (siNA) |
| US10/670,011 US20040209832A1 (en) | 2001-11-30 | 2003-09-23 | RNA interference mediated inhibition of vascular endothelial growth factor and vascular endothelial growth factor receptor gene expression using short interfering nucleic acid (siNA) |
| US10/683,990 US20040198682A1 (en) | 2001-11-30 | 2003-10-10 | RNA interference mediated inhibition of placental growth factor gene expression using short interfering nucleic acid (siNA) |
| US10/758,155 US20050075304A1 (en) | 2001-11-30 | 2004-01-12 | RNA interference mediated inhibition of vascular endothelial growth factor and vascular endothelial growth factor receptor gene expression using short interfering nucleic acid (siNA) |
| US10/764,957 US20050054596A1 (en) | 2001-11-30 | 2004-01-26 | RNA interference mediated inhibition of vascular endothelial growth factor and vascular endothelial growth factor receptor gene expression using short interfering nucleic acid (siNA) |
| US10/831,620 US20050148530A1 (en) | 2002-02-20 | 2004-04-23 | RNA interference mediated inhibition of vascular endothelial growth factor and vascular endothelial growth factor receptor gene expression using short interfering nucleic acid (siNA) |
| US10/844,076 US7176304B2 (en) | 2002-02-20 | 2004-05-11 | RNA interference mediated inhibition of vascular endothelial growth factor and vascular endothelial growth factor receptor gene expression using short interfering nucleic acid (siNA) |
| US10/922,761 US20050267058A1 (en) | 2001-05-18 | 2004-08-20 | RNA interference mediated inhibition of placental growth factor gene expression using short interfering nucleic acid (sINA) |
| US10/944,611 US20050233998A1 (en) | 2001-05-18 | 2004-09-16 | RNA interference mediated inhibition of vascular endothelial growth factor and vascular endothelial growth factor receptor gene expression using short interfering nucleic acid (siNA) |
| US10/962,898 US20050222066A1 (en) | 2001-05-18 | 2004-10-12 | RNA interference mediated inhibition of vascular endothelial growth factor and vascular endothelial growth factor receptor gene expression using short interfering nucleic acid (siNA) |
| US11/299,391 US7517864B2 (en) | 2001-05-18 | 2005-12-09 | RNA interference mediated inhibition of vascular endothelial growth factor and vascular endothelial growth factor receptor gene expression using short interfering nucleic acid (siNA) |
| US12/171,111 US7928219B2 (en) | 2002-02-20 | 2008-07-10 | RNA interference mediated inhibition of placental growth factor gene expression using short interfering nucleic acid (SINA) |
Applications Claiming Priority (24)
| Application Number | Priority Date | Filing Date | Title |
|---|---|---|---|
| US35858002P | 2002-02-20 | 2002-02-20 | |
| US60/358,580 | 2002-02-20 | ||
| US36312402P | 2002-03-11 | 2002-03-11 | |
| US60/363,124 | 2002-03-11 | ||
| PCT/US2002/017674 WO2002096927A2 (en) | 2001-05-29 | 2002-05-29 | Ribozyme based treatment of female reproductive diseases |
| USPCT/US02/17674 | 2002-05-29 | ||
| US38678202P | 2002-06-06 | 2002-06-06 | |
| US60/386,782 | 2002-06-06 | ||
| US39379602P | 2002-07-03 | 2002-07-03 | |
| US60/393,796 | 2002-07-03 | ||
| US39934802P | 2002-07-29 | 2002-07-29 | |
| US60/399,348 | 2002-07-29 | ||
| US40678402P | 2002-08-29 | 2002-08-29 | |
| US60/406,784 | 2002-08-29 | ||
| US40837802P | 2002-09-05 | 2002-09-05 | |
| US60/408,378 | 2002-09-05 | ||
| US40929302P | 2002-09-09 | 2002-09-09 | |
| US60/409,293 | 2002-09-09 | ||
| US10/287,949 US20040102389A1 (en) | 1995-10-26 | 2002-11-04 | Nucleic acid-mediated treatment of diseases or conditions related to levels of vascular endothelial growth factor receptor (VEGF-R) |
| US10/287,949 | 2002-11-04 | ||
| US10/306,747 US20030216335A1 (en) | 2001-11-30 | 2002-11-27 | Method and reagent for the modulation of female reproductive diseases and conditions |
| US10/306,747 | 2002-11-27 | ||
| US44012903P | 2003-01-15 | 2003-01-15 | |
| US60/440,129 | 2003-01-15 |
Related Parent Applications (2)
| Application Number | Title | Priority Date | Filing Date |
|---|---|---|---|
| US10/287,949 Continuation-In-Part US20040102389A1 (en) | 1995-10-26 | 2002-11-04 | Nucleic acid-mediated treatment of diseases or conditions related to levels of vascular endothelial growth factor receptor (VEGF-R) |
| US10/306,747 Continuation-In-Part US20030216335A1 (en) | 1995-10-26 | 2002-11-27 | Method and reagent for the modulation of female reproductive diseases and conditions |
Related Child Applications (5)
| Application Number | Title | Priority Date | Filing Date |
|---|---|---|---|
| US66476703A Continuation-In-Part | 2001-05-18 | 2003-09-16 | |
| US66525503A Continuation-In-Part | 2001-05-18 | 2003-09-16 | |
| US10/664,668 Continuation-In-Part US20070203333A1 (en) | 2001-11-30 | 2003-09-18 | RNA interference mediated inhibition of vascular endothelial growth factor and vascular endothelial growth factor receptor gene expression using short interfering nucleic acid (siNA) |
| US10/670,011 Continuation-In-Part US20040209832A1 (en) | 2001-05-18 | 2003-09-23 | RNA interference mediated inhibition of vascular endothelial growth factor and vascular endothelial growth factor receptor gene expression using short interfering nucleic acid (siNA) |
| US10/683,990 Continuation-In-Part US20040198682A1 (en) | 2001-05-18 | 2003-10-10 | RNA interference mediated inhibition of placental growth factor gene expression using short interfering nucleic acid (siNA) |
Publications (2)
| Publication Number | Publication Date |
|---|---|
| WO2003070910A2 true WO2003070910A2 (en) | 2003-08-28 |
| WO2003070910A3 WO2003070910A3 (en) | 2005-02-17 |
Family
ID=56290381
Family Applications (1)
| Application Number | Title | Priority Date | Filing Date |
|---|---|---|---|
| PCT/US2003/005022 Ceased WO2003070910A2 (en) | 2001-05-18 | 2003-02-20 | INHIBITION OF VASCULAR ENDOTHELIAL GROWTH FACTOR (VEGF) AND VEGF RECEPTOR GENE EXPRESSION USING SHORT INTERFERING NUCLEIC ACID (siNA) |
Country Status (1)
| Country | Link |
|---|---|
| WO (1) | WO2003070910A2 (en) |
Cited By (58)
| Publication number | Priority date | Publication date | Assignee | Title |
|---|---|---|---|---|
| EP1390385A4 (en) * | 2001-05-29 | 2004-11-24 | Sirna Therapeutics Inc | NUCLEIC ACID MODULATION OF DISEASES AND DISORDERS OF THE REPRODUCTIVE APPARATUS IN WOMEN |
| WO2005028649A1 (en) | 2002-02-20 | 2005-03-31 | Sirna Therapeutics, Inc. | RNA INTERFERENCE MEDIATED INHIBITION OF VASCULAR ENDOTHELIAL GROWTH FACTOR AND VASCULAR ENDOTHELIAL GROWTH FACTOR RECEPTOR GENE EXPRESSION USING SHORT INTERFERING NUCLEIC ACID (siNA) |
| WO2005063984A1 (en) * | 2003-12-30 | 2005-07-14 | Masabumi Shibuya | Double-stranded dna inhibiting gene expression |
| GB2396616B (en) * | 2002-02-20 | 2005-09-21 | Sirna Therapeutics Inc | RNA interference mediated inhibition of gene expression using double stranded short interfering nucleic acid (SINA) |
| EP1522583A3 (en) * | 2003-10-10 | 2005-10-12 | Sirna Therapeutics, Inc. | RNA interference mediated inhibition of placental growth factor gene expression using short interfering nucleic acid (sina) |
| WO2005103254A1 (en) * | 2004-04-22 | 2005-11-03 | Yissum Research Development Company Of The Hebrew University Of Jerusalem | UNIVERSAL TARGET SEQUENCES FOR siRNA GENE SILENCING |
| WO2005105995A3 (en) * | 2004-04-14 | 2005-12-29 | Sirna Therapeutics Inc | RNA INTERFERENCE MEDIATED TREATMENT OF POLYGLUTAMINE (POLYQ) REPEAT EXPANSION DISEASES USING SHORT INTERFERING NUCLEIC ACID (siNA) |
| US7022828B2 (en) | 2001-04-05 | 2006-04-04 | Sirna Theraputics, Inc. | siRNA treatment of diseases or conditions related to levels of IKK-gamma |
| GB2421730A (en) * | 2004-12-21 | 2006-07-05 | Astrazeneca Ab | Method for evaluating pharmacological target related toxicity |
| US7148342B2 (en) | 2002-07-24 | 2006-12-12 | The Trustees Of The University Of Pennyslvania | Compositions and methods for sirna inhibition of angiogenesis |
| WO2005089224A3 (en) * | 2004-03-12 | 2007-03-01 | Alnylam Pharmaceuticals Inc | iRNA AGENTS TARGETING VEGF |
| JP2007515948A (en) * | 2003-11-03 | 2007-06-21 | アイシス・ファーマシューティカルズ・インコーポレイテッド | Regulation of SGLT2 expression |
| JP2007522794A (en) * | 2003-10-23 | 2007-08-16 | サーナ・セラピューティクス・インコーポレイテッド | Inhibition of CETP gene expression via RNA interference using short interfering nucleic acids (siNA) |
| WO2007067981A3 (en) * | 2005-12-09 | 2007-09-13 | Sirna Therapeutics Inc | RNA INTERFERENCE MEDIATED INHIBITION OF VASCULAR ENDOTHELIAL GROWTH FACTOR AND VASCULAR ENDOTHELIAL GROWTH FACTOR RECEPTOR GENE EXPRESSION USING SHORT INTERFERING NUCLEIC ACID (siNA) |
| JP2008508325A (en) * | 2004-08-02 | 2008-03-21 | アムラッド オペレイションズ ピーティーワイ リミティッド | Cancer treatment method comprising a VEGF-B antagonist |
| WO2008109380A3 (en) * | 2007-03-02 | 2008-10-30 | Mdrna Inc | Nucleic acid compounds for inhibiting vegfr family gene expression and uses thereof |
| EP1608735A4 (en) * | 2003-04-03 | 2008-11-05 | Alnylam Pharmaceuticals | Irna conjugates |
| EP1711510A4 (en) * | 2004-02-05 | 2008-11-26 | Intradigm Corp | THERAPY WITH RNAI AGENTS APPLIED IN THE TREATMENT OF OCULAR DISEASES RESULTING FROM NEOVASCULARIZATION |
| WO2008109368A3 (en) * | 2007-03-02 | 2008-12-11 | Mdrna Inc | Nucleic acid compounds for inhibiting vegfr gene expression and uses thereof |
| WO2009051659A3 (en) * | 2007-10-12 | 2009-08-27 | Intradigm Corporation | Therapeutic sirna molecules for reducing vegfr1 expression in vitro and in vivo |
| EP1767632A3 (en) * | 2001-05-29 | 2009-12-30 | Sirna Therpeutics, Inc. | A method for local administration of synthetic double-stranded oligonucleotides targeting a VEGF receptor |
| WO2010005527A1 (en) | 2008-06-30 | 2010-01-14 | Angioblast Systems, Inc. | Treatment of eye diseases and excessive neovascularization using a combined therapy |
| EP1594883A4 (en) * | 2003-02-21 | 2010-03-03 | Mirus Bio Corp | Covalent modification of rna for in vitro and in vivo delivery |
| US7718629B2 (en) | 2006-03-31 | 2010-05-18 | Alnylam Pharmaceuticals, Inc. | Compositions and methods for inhibiting expression of Eg5 gene |
| EP1819365A4 (en) * | 2004-12-09 | 2010-08-25 | Alnylam Pharmaceuticals Inc | COMPOSITIONS AND METHODS FOR INDUCING AN IMMUNE RESPONSE IN MAMMALS AND METHODS FOR PREVENTING AN IMMUNE RESPONSE DIRECTED AGAINST OLIGONUCLEOTIDE AGENTS, IN PARTICULAR SHORT INTERFERING RNA |
| US7786092B2 (en) | 2005-04-12 | 2010-08-31 | Intradigm Corporation | Composition and method of RNAi therapeutics for treatment of cancer and other neovascularization diseases |
| US7858769B2 (en) | 2004-02-10 | 2010-12-28 | Sirna Therapeutics, Inc. | RNA interference mediated inhibition of gene expression using multifunctional short interfering nucleic acid (multifunctional siNA) |
| US7872118B2 (en) | 2006-09-08 | 2011-01-18 | Opko Ophthalmics, Llc | siRNA and methods of manufacture |
| EP2281885A1 (en) | 2003-08-27 | 2011-02-09 | Ophthotech Corporation | Combination therapy for the treatment of ocular neovascular disorders |
| EP2319925A3 (en) * | 2004-08-16 | 2011-09-21 | Quark Pharmaceuticals, Inc. | Therapeutic uses of inhibitors of RTP801 |
| EP2314691A3 (en) * | 2002-11-14 | 2012-01-18 | Dharmacon, Inc. | Fuctional and hyperfunctional siRNA |
| EP1939291A3 (en) * | 2001-11-09 | 2012-02-22 | Centre National de la Recherche Scientifique (CNRS) | Inhibitor oligonucleotides and their use for specific repression of a gene |
| EP2446890A1 (en) | 2007-04-30 | 2012-05-02 | Allergan, Inc. | High viscosity macromolecular compositions for treating ocular conditions |
| US8202845B2 (en) | 2002-04-18 | 2012-06-19 | Acuity Pharmaceuticals, Inc. | Means and methods for the specific modulation of target genes in the CNS and the eye and methods for their identification |
| WO2012107724A1 (en) * | 2011-02-09 | 2012-08-16 | Ucl Business Plc | Mir-30 for use in the modulation of angiogenesis |
| EP2546337A1 (en) | 2006-07-21 | 2013-01-16 | Silence Therapeutics AG | Means for inhibiting the expression of protein kinase 3 |
| US8470792B2 (en) | 2008-12-04 | 2013-06-25 | Opko Pharmaceuticals, Llc. | Compositions and methods for selective inhibition of VEGF |
| US8546349B2 (en) | 2010-07-28 | 2013-10-01 | Thermo Fisher Scientific Biosciences Inc. | siRNA targeting VEGFA and methods for treatment in vivo |
| US8575329B2 (en) | 2002-11-14 | 2013-11-05 | Thermo Fisher Scientific Biosciences Inc. | siRNA targeting kinase insert domain receptor (KDR) |
| US9181551B2 (en) | 2002-02-20 | 2015-11-10 | Sirna Therapeutics, Inc. | RNA interference mediated inhibition of gene expression using chemically modified short interfering nucleic acid (siNA) |
| US9243246B2 (en) | 2010-08-24 | 2016-01-26 | Sirna Therapeutics, Inc. | Single-stranded RNAi agents containing an internal, non-nucleic acid spacer |
| US9260471B2 (en) | 2010-10-29 | 2016-02-16 | Sirna Therapeutics, Inc. | RNA interference mediated inhibition of gene expression using short interfering nucleic acids (siNA) |
| EP3061824A3 (en) * | 2010-04-23 | 2016-11-09 | Arrowhead Research Corporation | Organic compositions to treat beta-enac-related diseases |
| US9657294B2 (en) | 2002-02-20 | 2017-05-23 | Sirna Therapeutics, Inc. | RNA interference mediated inhibition of gene expression using chemically modified short interfering nucleic acid (siNA) |
| US9719092B2 (en) | 2002-11-14 | 2017-08-01 | Thermo Fisher Scientific Inc. | RNAi targeting CNTD2 |
| US9719094B2 (en) | 2002-11-14 | 2017-08-01 | Thermo Fisher Scientific Inc. | RNAi targeting SEC61G |
| US9771586B2 (en) | 2002-11-14 | 2017-09-26 | Thermo Fisher Scientific Inc. | RNAi targeting ZNF205 |
| US9777270B2 (en) | 2002-11-14 | 2017-10-03 | Thermo Fisher Scientific Inc. | Methods and compositions for selecting siRNA of improved functionality |
| US9839649B2 (en) | 2002-11-14 | 2017-12-12 | Thermo Fisher Scientific Inc. | Methods and compositions for selecting siRNA of improved functionality |
| US9879266B2 (en) | 2002-11-14 | 2018-01-30 | Thermo Fisher Scientific Inc. | Methods and compositions for selecting siRNA of improved functionality |
| US9994853B2 (en) | 2001-05-18 | 2018-06-12 | Sirna Therapeutics, Inc. | Chemically modified multifunctional short interfering nucleic acid molecules that mediate RNA interference |
| US10011836B2 (en) | 2002-11-14 | 2018-07-03 | Thermo Fisher Scientific Inc. | Methods and compositions for selecting siRNA of improved functionality |
| US20180362981A1 (en) * | 2015-12-10 | 2018-12-20 | Toray Industries, Inc. | Pharmaceutical composition for treating and/or preventing cancer |
| US10508277B2 (en) | 2004-05-24 | 2019-12-17 | Sirna Therapeutics, Inc. | Chemically modified multifunctional short interfering nucleic acid molecules that mediate RNA interference |
| WO2023156652A1 (en) * | 2022-02-21 | 2023-08-24 | F. Hoffmann-La Roche Ag | Antisense oligonucleotide |
| US11873489B2 (en) | 2017-11-13 | 2024-01-16 | Silence Therapeutics Gmbh | Nucleic acids for inhibiting expression of a target gene comprising phosphorodithioate linkages |
| RU2812806C2 (en) * | 2017-11-13 | 2024-02-02 | Сайленс Терапьютикс Гмбх | Nucleic acids for inhibition of target gene expression containing phosphodithioate bonds |
| EP4048791A4 (en) * | 2019-10-22 | 2024-03-06 | AIM ImmunoTech Inc. | Methods and compositions for treating endometriosis |
Family Cites Families (1)
| Publication number | Priority date | Publication date | Assignee | Title |
|---|---|---|---|---|
| US6346398B1 (en) * | 1995-10-26 | 2002-02-12 | Ribozyme Pharmaceuticals, Inc. | Method and reagent for the treatment of diseases or conditions related to levels of vascular endothelial growth factor receptor |
-
2003
- 2003-02-20 WO PCT/US2003/005022 patent/WO2003070910A2/en not_active Ceased
Cited By (105)
| Publication number | Priority date | Publication date | Assignee | Title |
|---|---|---|---|---|
| US7022828B2 (en) | 2001-04-05 | 2006-04-04 | Sirna Theraputics, Inc. | siRNA treatment of diseases or conditions related to levels of IKK-gamma |
| US9994853B2 (en) | 2001-05-18 | 2018-06-12 | Sirna Therapeutics, Inc. | Chemically modified multifunctional short interfering nucleic acid molecules that mediate RNA interference |
| EP1767632A3 (en) * | 2001-05-29 | 2009-12-30 | Sirna Therpeutics, Inc. | A method for local administration of synthetic double-stranded oligonucleotides targeting a VEGF receptor |
| EP1390385A4 (en) * | 2001-05-29 | 2004-11-24 | Sirna Therapeutics Inc | NUCLEIC ACID MODULATION OF DISEASES AND DISORDERS OF THE REPRODUCTIVE APPARATUS IN WOMEN |
| EP1939291A3 (en) * | 2001-11-09 | 2012-02-22 | Centre National de la Recherche Scientifique (CNRS) | Inhibitor oligonucleotides and their use for specific repression of a gene |
| US8318689B2 (en) | 2001-11-09 | 2012-11-27 | Centre National De La Recherche Scientifique | SiRNA-based cancer treatment |
| US9732344B2 (en) | 2002-02-20 | 2017-08-15 | Sirna Therapeutics, Inc. | RNA interference mediated inhibition of gene expression using chemically modified short interfering nucleic acid (siNA) |
| US9181551B2 (en) | 2002-02-20 | 2015-11-10 | Sirna Therapeutics, Inc. | RNA interference mediated inhibition of gene expression using chemically modified short interfering nucleic acid (siNA) |
| US10351852B2 (en) | 2002-02-20 | 2019-07-16 | Sirna Therapeutics, Inc. | RNA interference mediated inhibition of gene expression using chemically modified short interfering nucleic acid (siNA) |
| WO2005028649A1 (en) | 2002-02-20 | 2005-03-31 | Sirna Therapeutics, Inc. | RNA INTERFERENCE MEDIATED INHIBITION OF VASCULAR ENDOTHELIAL GROWTH FACTOR AND VASCULAR ENDOTHELIAL GROWTH FACTOR RECEPTOR GENE EXPRESSION USING SHORT INTERFERING NUCLEIC ACID (siNA) |
| US9957517B2 (en) | 2002-02-20 | 2018-05-01 | Sirna Therapeutics, Inc. | RNA interference mediated inhibition of gene expression using chemically modified short interfering nucleic acid (siNA) |
| US10662428B2 (en) | 2002-02-20 | 2020-05-26 | Sirna Therapeutics, Inc. | RNA interference mediated inhibition of gene expression using chemically modified short interfering nucleic acid (siNA) |
| US9771588B2 (en) | 2002-02-20 | 2017-09-26 | Sirna Therapeutics, Inc. | RNA interference mediated inhibition of gene expression using chemically modified short interfering nucleic acid (siNA) |
| US9738899B2 (en) | 2002-02-20 | 2017-08-22 | Sirna Therapeutics, Inc. | RNA interference mediated inhibition of gene expression using chemically modified short interfering nucleic acid (siNA) |
| US10889815B2 (en) | 2002-02-20 | 2021-01-12 | Sirna Therapeutics, Inc. | RNA interference mediated inhibition of gene expression using chemically modified short interfering nucleic acid (siNA) |
| GB2396616B (en) * | 2002-02-20 | 2005-09-21 | Sirna Therapeutics Inc | RNA interference mediated inhibition of gene expression using double stranded short interfering nucleic acid (SINA) |
| US9657294B2 (en) | 2002-02-20 | 2017-05-23 | Sirna Therapeutics, Inc. | RNA interference mediated inhibition of gene expression using chemically modified short interfering nucleic acid (siNA) |
| US10000754B2 (en) | 2002-02-20 | 2018-06-19 | Sirna Therapeutics, Inc. | RNA interference mediated inhibition of gene expression using chemically modified short interfering nucleic acid (siNA) |
| US8946180B2 (en) | 2002-04-18 | 2015-02-03 | Opko Pharmaceuticals, Llc | Means and methods for the specific modulation of target genes in the CNS and the eye and methods for their identification |
| US8202845B2 (en) | 2002-04-18 | 2012-06-19 | Acuity Pharmaceuticals, Inc. | Means and methods for the specific modulation of target genes in the CNS and the eye and methods for their identification |
| US9150863B2 (en) | 2002-07-24 | 2015-10-06 | The Trustees Of The University Of Pennsylvania | Compositions and methods for siRNA inhibition of angiogenesis |
| US8946403B2 (en) | 2002-07-24 | 2015-02-03 | The Trustees Of The University Of Pennsylvania | Compositions and methods for siRNA inhibition of angiogenesis |
| US8546345B2 (en) | 2002-07-24 | 2013-10-01 | The Trustees Of The University Of Pennsylvania | Compositions and methods for siRNA inhibition of angiogenesis |
| US7345027B2 (en) | 2002-07-24 | 2008-03-18 | The Trustees Of The University Of Pennsylvania | Compositions and methods for siRNA inhibition of angiogenesis |
| US8541384B2 (en) | 2002-07-24 | 2013-09-24 | The Trustees Of The University Of Pennsylvania | Compositions and methods for siRNA inhibition of angiogenesis |
| US7750143B2 (en) | 2002-07-24 | 2010-07-06 | The Trustees Of The University Of Pennsylvania | Compositions and methods for siRNA inhibition of angiogenesis |
| US7674895B2 (en) | 2002-07-24 | 2010-03-09 | The Trustees Of The University Of Pennsylvania | Compositions and methods for siRNA inhibition of angiogenesis |
| US7148342B2 (en) | 2002-07-24 | 2006-12-12 | The Trustees Of The University Of Pennyslvania | Compositions and methods for sirna inhibition of angiogenesis |
| US9879266B2 (en) | 2002-11-14 | 2018-01-30 | Thermo Fisher Scientific Inc. | Methods and compositions for selecting siRNA of improved functionality |
| US9771586B2 (en) | 2002-11-14 | 2017-09-26 | Thermo Fisher Scientific Inc. | RNAi targeting ZNF205 |
| US11198870B2 (en) | 2002-11-14 | 2021-12-14 | Thermo Fisher Scientific Inc. | Methods and compositions for selecting siRNA of improved functionality |
| US9719092B2 (en) | 2002-11-14 | 2017-08-01 | Thermo Fisher Scientific Inc. | RNAi targeting CNTD2 |
| US9719094B2 (en) | 2002-11-14 | 2017-08-01 | Thermo Fisher Scientific Inc. | RNAi targeting SEC61G |
| US10765695B2 (en) | 2002-11-14 | 2020-09-08 | Thermo Fisher Scientific Inc. | Methods and compositions for selecting siRNA of improved functionality |
| US8575329B2 (en) | 2002-11-14 | 2013-11-05 | Thermo Fisher Scientific Biosciences Inc. | siRNA targeting kinase insert domain receptor (KDR) |
| US10696968B2 (en) | 2002-11-14 | 2020-06-30 | Thermo Fisher Scientific Inc. | Methods and compositions for selecting siRNA of improved functionality |
| US9777270B2 (en) | 2002-11-14 | 2017-10-03 | Thermo Fisher Scientific Inc. | Methods and compositions for selecting siRNA of improved functionality |
| US10233449B2 (en) | 2002-11-14 | 2019-03-19 | Thermo Fisher Scientific Inc. | Methods and compositions for selecting siRNA of improved functionality |
| US10011836B2 (en) | 2002-11-14 | 2018-07-03 | Thermo Fisher Scientific Inc. | Methods and compositions for selecting siRNA of improved functionality |
| EP2314691A3 (en) * | 2002-11-14 | 2012-01-18 | Dharmacon, Inc. | Fuctional and hyperfunctional siRNA |
| US9839649B2 (en) | 2002-11-14 | 2017-12-12 | Thermo Fisher Scientific Inc. | Methods and compositions for selecting siRNA of improved functionality |
| EP1594883A4 (en) * | 2003-02-21 | 2010-03-03 | Mirus Bio Corp | Covalent modification of rna for in vitro and in vivo delivery |
| EP1608735A4 (en) * | 2003-04-03 | 2008-11-05 | Alnylam Pharmaceuticals | Irna conjugates |
| EP2281885A1 (en) | 2003-08-27 | 2011-02-09 | Ophthotech Corporation | Combination therapy for the treatment of ocular neovascular disorders |
| EP3168304A1 (en) | 2003-08-27 | 2017-05-17 | Ophthotech Corporation | Combination therapy for the treatment of ocular neovascular disorders |
| EP1522583A3 (en) * | 2003-10-10 | 2005-10-12 | Sirna Therapeutics, Inc. | RNA interference mediated inhibition of placental growth factor gene expression using short interfering nucleic acid (sina) |
| JP2007522794A (en) * | 2003-10-23 | 2007-08-16 | サーナ・セラピューティクス・インコーポレイテッド | Inhibition of CETP gene expression via RNA interference using short interfering nucleic acids (siNA) |
| JP2007515948A (en) * | 2003-11-03 | 2007-06-21 | アイシス・ファーマシューティカルズ・インコーポレイテッド | Regulation of SGLT2 expression |
| JP2010136725A (en) * | 2003-11-03 | 2010-06-24 | Isis Pharmaceuticals Inc | Modulation of sglt2 expression |
| WO2005063984A1 (en) * | 2003-12-30 | 2005-07-14 | Masabumi Shibuya | Double-stranded dna inhibiting gene expression |
| EP1711510A4 (en) * | 2004-02-05 | 2008-11-26 | Intradigm Corp | THERAPY WITH RNAI AGENTS APPLIED IN THE TREATMENT OF OCULAR DISEASES RESULTING FROM NEOVASCULARIZATION |
| US7858769B2 (en) | 2004-02-10 | 2010-12-28 | Sirna Therapeutics, Inc. | RNA interference mediated inhibition of gene expression using multifunctional short interfering nucleic acid (multifunctional siNA) |
| US8293719B2 (en) | 2004-03-12 | 2012-10-23 | Alnylam Pharmaceuticals, Inc. | iRNA agents targeting VEGF |
| JP4937899B2 (en) * | 2004-03-12 | 2012-05-23 | アルナイラム ファーマシューティカルズ, インコーポレイテッド | IRNA substances targeting VEGF |
| JP2007528736A (en) * | 2004-03-12 | 2007-10-18 | アルナイラム ファーマシューティカルズ インコーポレイテッド | IRNA substances targeting VEGF |
| US7919473B2 (en) | 2004-03-12 | 2011-04-05 | Alnylam Pharmaceuticals, Inc. | IRNA agents targeting VEGF |
| AU2005222902B2 (en) * | 2004-03-12 | 2010-06-10 | Alnylam Pharmaceuticals, Inc. | iRNA agents targeting VEGF |
| US7947659B2 (en) | 2004-03-12 | 2011-05-24 | Alnylam Pharmaceuticals, Inc. | iRNA agents targeting VEGF |
| WO2005089224A3 (en) * | 2004-03-12 | 2007-03-01 | Alnylam Pharmaceuticals Inc | iRNA AGENTS TARGETING VEGF |
| WO2005105995A3 (en) * | 2004-04-14 | 2005-12-29 | Sirna Therapeutics Inc | RNA INTERFERENCE MEDIATED TREATMENT OF POLYGLUTAMINE (POLYQ) REPEAT EXPANSION DISEASES USING SHORT INTERFERING NUCLEIC ACID (siNA) |
| WO2005103254A1 (en) * | 2004-04-22 | 2005-11-03 | Yissum Research Development Company Of The Hebrew University Of Jerusalem | UNIVERSAL TARGET SEQUENCES FOR siRNA GENE SILENCING |
| US10508277B2 (en) | 2004-05-24 | 2019-12-17 | Sirna Therapeutics, Inc. | Chemically modified multifunctional short interfering nucleic acid molecules that mediate RNA interference |
| EP2476427A2 (en) | 2004-08-02 | 2012-07-18 | Zenyth Operations PTY. Ltd. | A method of treating cancer comprising a VEGF-B antagonist |
| JP2008508325A (en) * | 2004-08-02 | 2008-03-21 | アムラッド オペレイションズ ピーティーワイ リミティッド | Cancer treatment method comprising a VEGF-B antagonist |
| US8822644B2 (en) | 2004-08-02 | 2014-09-02 | Zenyth Operations Pty Ltd | Method of treating cancer comprising a VEGF-B antagonist |
| US8168607B2 (en) | 2004-08-06 | 2012-05-01 | Quark Pharmaceuticals Inc. | Methods of treating eye diseases in diabetic patients |
| EP2319925A3 (en) * | 2004-08-16 | 2011-09-21 | Quark Pharmaceuticals, Inc. | Therapeutic uses of inhibitors of RTP801 |
| US8309532B2 (en) | 2004-08-16 | 2012-11-13 | Quark Pharmaceuticals, Inc. | Therapeutic uses of inhibitors of RTP801 |
| US8003619B2 (en) | 2004-12-09 | 2011-08-23 | Alnylam Pharmaceuticals, Inc. | Method of stimulating an immune response and inhibiting expression of a gene using an oligonucleotide |
| EP1819365A4 (en) * | 2004-12-09 | 2010-08-25 | Alnylam Pharmaceuticals Inc | COMPOSITIONS AND METHODS FOR INDUCING AN IMMUNE RESPONSE IN MAMMALS AND METHODS FOR PREVENTING AN IMMUNE RESPONSE DIRECTED AGAINST OLIGONUCLEOTIDE AGENTS, IN PARTICULAR SHORT INTERFERING RNA |
| GB2421730A (en) * | 2004-12-21 | 2006-07-05 | Astrazeneca Ab | Method for evaluating pharmacological target related toxicity |
| US7786092B2 (en) | 2005-04-12 | 2010-08-31 | Intradigm Corporation | Composition and method of RNAi therapeutics for treatment of cancer and other neovascularization diseases |
| WO2007067981A3 (en) * | 2005-12-09 | 2007-09-13 | Sirna Therapeutics Inc | RNA INTERFERENCE MEDIATED INHIBITION OF VASCULAR ENDOTHELIAL GROWTH FACTOR AND VASCULAR ENDOTHELIAL GROWTH FACTOR RECEPTOR GENE EXPRESSION USING SHORT INTERFERING NUCLEIC ACID (siNA) |
| US7718629B2 (en) | 2006-03-31 | 2010-05-18 | Alnylam Pharmaceuticals, Inc. | Compositions and methods for inhibiting expression of Eg5 gene |
| EP2546337A1 (en) | 2006-07-21 | 2013-01-16 | Silence Therapeutics AG | Means for inhibiting the expression of protein kinase 3 |
| US7872118B2 (en) | 2006-09-08 | 2011-01-18 | Opko Ophthalmics, Llc | siRNA and methods of manufacture |
| WO2008109380A3 (en) * | 2007-03-02 | 2008-10-30 | Mdrna Inc | Nucleic acid compounds for inhibiting vegfr family gene expression and uses thereof |
| WO2008109368A3 (en) * | 2007-03-02 | 2008-12-11 | Mdrna Inc | Nucleic acid compounds for inhibiting vegfr gene expression and uses thereof |
| EP2446890A1 (en) | 2007-04-30 | 2012-05-02 | Allergan, Inc. | High viscosity macromolecular compositions for treating ocular conditions |
| US11078262B2 (en) | 2007-04-30 | 2021-08-03 | Allergan, Inc. | High viscosity macromolecular compositions for treating ocular conditions |
| WO2009051659A3 (en) * | 2007-10-12 | 2009-08-27 | Intradigm Corporation | Therapeutic sirna molecules for reducing vegfr1 expression in vitro and in vivo |
| WO2010005527A1 (en) | 2008-06-30 | 2010-01-14 | Angioblast Systems, Inc. | Treatment of eye diseases and excessive neovascularization using a combined therapy |
| US8470792B2 (en) | 2008-12-04 | 2013-06-25 | Opko Pharmaceuticals, Llc. | Compositions and methods for selective inhibition of VEGF |
| EP3061824A3 (en) * | 2010-04-23 | 2016-11-09 | Arrowhead Research Corporation | Organic compositions to treat beta-enac-related diseases |
| US10081811B2 (en) | 2010-04-23 | 2018-09-25 | Arrowhead Pharmaceuticals, Inc. | Organic compositions to treat Beta-ENaC-related diseases |
| US9752152B2 (en) | 2010-04-23 | 2017-09-05 | Arrowhead Pharmaceuticals, Inc. | Organic compositions to treat beta-ENaC-related diseases |
| US10550391B2 (en) | 2010-04-23 | 2020-02-04 | Arrowhead Pharmaceuticals, Inc. | Organic compositions to treat beta-ENaC-related diseases |
| US8546349B2 (en) | 2010-07-28 | 2013-10-01 | Thermo Fisher Scientific Biosciences Inc. | siRNA targeting VEGFA and methods for treatment in vivo |
| US9150862B2 (en) | 2010-07-28 | 2015-10-06 | Thermo Fisher Scientific Inc. | siRNA targeting VEGFA and methods for treatment in vivo |
| US9845466B2 (en) | 2010-08-24 | 2017-12-19 | Sirna Therapeutics, Inc. | Single-stranded RNAi agents containing an internal, non-nucleic acid spacer |
| US10584335B2 (en) | 2010-08-24 | 2020-03-10 | Sirna Therapeutics, Inc. | Single-stranded RNAi agents containing an internal, non-nucleic acid spacer |
| US9243246B2 (en) | 2010-08-24 | 2016-01-26 | Sirna Therapeutics, Inc. | Single-stranded RNAi agents containing an internal, non-nucleic acid spacer |
| US11932854B2 (en) | 2010-10-29 | 2024-03-19 | Sirna Therapeutics, Inc. | RNA interference mediated inhibition of gene expression using short interfering nucleic acids (siNA) |
| US12516321B2 (en) | 2010-10-29 | 2026-01-06 | Sirna Therapeutics, Inc. | RNA interference mediated inhibition of gene expression using short interfering nucleic acids (siNA) |
| US9970005B2 (en) | 2010-10-29 | 2018-05-15 | Sirna Therapeutics, Inc. | RNA interference mediated inhibition of gene expression using short interfering nucleic acids (siNA) |
| US9260471B2 (en) | 2010-10-29 | 2016-02-16 | Sirna Therapeutics, Inc. | RNA interference mediated inhibition of gene expression using short interfering nucleic acids (siNA) |
| US11193126B2 (en) | 2010-10-29 | 2021-12-07 | Sirna Therapeutics, Inc. | RNA interference mediated inhibition of gene expression using short interfering nucleic acids (siNA) |
| WO2012107724A1 (en) * | 2011-02-09 | 2012-08-16 | Ucl Business Plc | Mir-30 for use in the modulation of angiogenesis |
| US20180362981A1 (en) * | 2015-12-10 | 2018-12-20 | Toray Industries, Inc. | Pharmaceutical composition for treating and/or preventing cancer |
| US10689649B2 (en) * | 2015-12-10 | 2020-06-23 | Toray Industries, Inc. | Pharmaceutical composition for treating and/or preventing cancer |
| US11873489B2 (en) | 2017-11-13 | 2024-01-16 | Silence Therapeutics Gmbh | Nucleic acids for inhibiting expression of a target gene comprising phosphorodithioate linkages |
| RU2812806C2 (en) * | 2017-11-13 | 2024-02-02 | Сайленс Терапьютикс Гмбх | Nucleic acids for inhibition of target gene expression containing phosphodithioate bonds |
| EP4048791A4 (en) * | 2019-10-22 | 2024-03-06 | AIM ImmunoTech Inc. | Methods and compositions for treating endometriosis |
| US12102649B2 (en) | 2019-10-22 | 2024-10-01 | Aim Immunotech Inc. | Methods and compositions for treating endometriosis |
| WO2023156652A1 (en) * | 2022-02-21 | 2023-08-24 | F. Hoffmann-La Roche Ag | Antisense oligonucleotide |
Also Published As
| Publication number | Publication date |
|---|---|
| WO2003070910A3 (en) | 2005-02-17 |
Similar Documents
| Publication | Publication Date | Title |
|---|---|---|
| AU2003216323B2 (en) | Inhibition of vascular endothelial growth factor (vegf) and vegf receptor gene expression using short interfereing nucleic acid (sina) | |
| EP2287305B1 (en) | RNA interference mediated inhibition of gene expression using short interfering nucleic acid (siNA) | |
| US20040209832A1 (en) | RNA interference mediated inhibition of vascular endothelial growth factor and vascular endothelial growth factor receptor gene expression using short interfering nucleic acid (siNA) | |
| WO2003070910A2 (en) | INHIBITION OF VASCULAR ENDOTHELIAL GROWTH FACTOR (VEGF) AND VEGF RECEPTOR GENE EXPRESSION USING SHORT INTERFERING NUCLEIC ACID (siNA) | |
| US20050106726A1 (en) | RNA interference mediated inhibition of platelet-derived endothelial cell growth factor (ECGF1) gene expression using short interfering nucleic acid (siNA) | |
| US20050148530A1 (en) | RNA interference mediated inhibition of vascular endothelial growth factor and vascular endothelial growth factor receptor gene expression using short interfering nucleic acid (siNA) | |
| US20040138163A1 (en) | RNA interference mediated inhibition of vascular edothelial growth factor and vascular edothelial growth factor receptor gene expression using short interfering nucleic acid (siNA) | |
| WO2003070884A2 (en) | RNA INTERFERENCE MEDIATED INHIBITION OF MDR P-GLYCOPROTEIN GENE EXPRESSION USING SHORT INTERFERING NUCLEIC ACID (siNA) | |
| AU2003213090A1 (en) | RNA interference mediated treatment of alzheimer's disease using short interfering nucleic acid ( siNA) | |
| WO2003070912A2 (en) | RNA INTERFERENCE MEDIATED INHIBITION OF EPIDERMAL GROWTH FACTOR RECEPTOR GENE EXPRESSION USING SHORT INTERFERING NUCLEIC ACID (siNA) | |
| US20070203333A1 (en) | RNA interference mediated inhibition of vascular endothelial growth factor and vascular endothelial growth factor receptor gene expression using short interfering nucleic acid (siNA) | |
| US20050054596A1 (en) | RNA interference mediated inhibition of vascular endothelial growth factor and vascular endothelial growth factor receptor gene expression using short interfering nucleic acid (siNA) | |
| EP1472265A2 (en) | Rna interference mediated inhibition of polycomb group protein ezh2 gene expression using short interfering nucleic acid (sina) | |
| WO2003070972A9 (en) | RNA INTERFERENCE MEDIATED INHIBITION OF CHROMOSOME TRANSLOCATION GENE EXPRESSION USING SHORT INTERFERING NUCLEIC ACID (siNA) | |
| EP1522583A2 (en) | RNA interference mediated inhibition of placental growth factor gene expression using short interfering nucleic acid (sina) | |
| US20050075304A1 (en) | RNA interference mediated inhibition of vascular endothelial growth factor and vascular endothelial growth factor receptor gene expression using short interfering nucleic acid (siNA) | |
| WO2003070896A2 (en) | RNA INTERFERENCE MEDIATED INHIBITION OF PROLIFERATING CELL NUCLEAR ANTIGEN (PCNA) GENE EXPRESSION USING SHORT INTERFERING NUCLEIC ACID (siNA) | |
| EP1465910A2 (en) | Rna interference mediated inhibition of checkpoint kinase-1 (chk-1) gene expression using short interfering nucleic acid | |
| WO2003070983A1 (en) | RNA INTERFERENCE MEDIATED INHIBITION OF PROTEIN KINASE C ALPHA (PKC-ALPHA) GENE EXPRESSION USING SHORT INTERFERING NUCLEIC ACID (siNA) | |
| EP1499631A2 (en) | Rna interference mediated inhibition of tgf-beta and tgf-beta receptor gene expression using short interfering nucleic acid (sina) | |
| EP1710307A2 (en) | RNA interference mediated inhibition of gene expression using short interfering nucleic acid (siNA) | |
| WO2003070743A1 (en) | RNA INTERFERENCE MEDIATED INHIBITION OF G72 AND D-AMINO ACID OXIDASE (DAAO) GENE EXPRESSION USING SHORT INTERFERING NUCLEIC ACID (siNA) | |
| WO2004111237A1 (en) | RNA INTERFERENCE MEDIATED INHIBITION OF PLATELET-DERIVED ENDOTHELIAL CELL GROWTH FACTOR (ECGF1) GENE EXPRESSION USING SHORT INTERFERING NUCLEIC ACID (siNA) | |
| AU2006203062B2 (en) | RNA interference mediated inhibition of vascular endothelial growth factor and vascular endothelial growth factor receptor gene expression using short interfering nucleic acid (siNA) | |
| EP1501853A2 (en) | RNA INTERFERENCE MEDIATED INHIBITION OF EPIDERMAL GROWTH FACTOR RECEPTOR GENE EXPRESSION USING SHORT INTERFERING NUCLEIC ACID (siNA) |
Legal Events
| Date | Code | Title | Description |
|---|---|---|---|
| AK | Designated states |
Kind code of ref document: A2 Designated state(s): AE AG AL AM AT AU AZ BA BB BG BR BY BZ CA CH CN CO CR CU CZ DE DK DM DZ EC EE ES FI GB GD GE GH GM HR HU ID IL IN IS JP KE KG KP KR KZ LC LK LR LS LT LU LV MA MD MG MK MN MW MX MZ NO NZ OM PH PL PT RO RU SC SD SE SG SK SL TJ TM TN TR TT TZ UA UG US UZ VC VN YU ZA ZM ZW |
|
| AL | Designated countries for regional patents |
Kind code of ref document: A2 Designated state(s): GH GM KE LS MW MZ SD SL SZ TZ UG ZM ZW AM AZ BY KG KZ MD RU TJ TM AT BE BG CH CY CZ DE DK EE ES FI FR GB GR HU IE IT LU MC NL PT SE SI SK TR BF BJ CF CG CI CM GA GN GQ GW ML MR NE SN TD TG |
|
| ENP | Entry into the national phase |
Ref document number: 0404898 Country of ref document: GB Kind code of ref document: A Free format text: PCT FILING DATE = 20030220 |
|
| WWE | Wipo information: entry into national phase |
Ref document number: 10664668 Country of ref document: US |
|
| WWE | Wipo information: entry into national phase |
Ref document number: 10670011 Country of ref document: US |
|
| WWE | Wipo information: entry into national phase |
Ref document number: 10683990 Country of ref document: US |
|
| 121 | Ep: the epo has been informed by wipo that ep was designated in this application | ||
| WWE | Wipo information: entry into national phase |
Ref document number: 2003742833 Country of ref document: EP |
|
| WWE | Wipo information: entry into national phase |
Ref document number: 2003216323 Country of ref document: AU |
|
| WWE | Wipo information: entry into national phase |
Ref document number: 2456444 Country of ref document: CA |
|
| WWE | Wipo information: entry into national phase |
Ref document number: 2003569803 Country of ref document: JP |
|
| WWP | Wipo information: published in national office |
Ref document number: 2003742833 Country of ref document: EP |
|
| WWP | Wipo information: published in national office |
Ref document number: 10664668 Country of ref document: US |















































