WO2002069947A2 - Antisense oligonucleotides and trichostatin analogue histone deacetylase-4 inhibitors against cancer - Google Patents
Antisense oligonucleotides and trichostatin analogue histone deacetylase-4 inhibitors against cancer Download PDFInfo
- Publication number
- WO2002069947A2 WO2002069947A2 PCT/IB2002/002002 IB0202002W WO02069947A2 WO 2002069947 A2 WO2002069947 A2 WO 2002069947A2 IB 0202002 W IB0202002 W IB 0202002W WO 02069947 A2 WO02069947 A2 WO 02069947A2
- Authority
- WO
- WIPO (PCT)
- Prior art keywords
- hdac
- ceu
- optionauy
- substituted
- contacted
- Prior art date
- Legal status (The legal status is an assumption and is not a legal conclusion. Google has not performed a legal analysis and makes no representation as to the accuracy of the status listed.)
- Ceased
Links
- 0 COC(*)C(*)C=C(*)C=CC(Nc1ccccc1N)=O Chemical compound COC(*)C(*)C=C(*)C=CC(Nc1ccccc1N)=O 0.000 description 3
Classifications
-
- C—CHEMISTRY; METALLURGY
- C12—BIOCHEMISTRY; BEER; SPIRITS; WINE; VINEGAR; MICROBIOLOGY; ENZYMOLOGY; MUTATION OR GENETIC ENGINEERING
- C12N—MICROORGANISMS OR ENZYMES; COMPOSITIONS THEREOF; PROPAGATING, PRESERVING, OR MAINTAINING MICROORGANISMS; MUTATION OR GENETIC ENGINEERING; CULTURE MEDIA
- C12N15/00—Mutation or genetic engineering; DNA or RNA concerning genetic engineering, vectors, e.g. plasmids, or their isolation, preparation or purification; Use of hosts therefor
- C12N15/09—Recombinant DNA-technology
- C12N15/11—DNA or RNA fragments; Modified forms thereof; Non-coding nucleic acids having a biological activity
- C12N15/113—Non-coding nucleic acids modulating the expression of genes, e.g. antisense oligonucleotides; Antisense DNA or RNA; Triplex- forming oligonucleotides; Catalytic nucleic acids, e.g. ribozymes; Nucleic acids used in co-suppression or gene silencing
- C12N15/1137—Non-coding nucleic acids modulating the expression of genes, e.g. antisense oligonucleotides; Antisense DNA or RNA; Triplex- forming oligonucleotides; Catalytic nucleic acids, e.g. ribozymes; Nucleic acids used in co-suppression or gene silencing against enzymes
-
- A—HUMAN NECESSITIES
- A61—MEDICAL OR VETERINARY SCIENCE; HYGIENE
- A61K—PREPARATIONS FOR MEDICAL, DENTAL OR TOILETRY PURPOSES
- A61K31/00—Medicinal preparations containing organic active ingredients
- A61K31/70—Carbohydrates; Sugars; Derivatives thereof
- A61K31/7088—Compounds having three or more nucleosides or nucleotides
-
- A—HUMAN NECESSITIES
- A61—MEDICAL OR VETERINARY SCIENCE; HYGIENE
- A61K—PREPARATIONS FOR MEDICAL, DENTAL OR TOILETRY PURPOSES
- A61K31/00—Medicinal preparations containing organic active ingredients
- A61K31/16—Amides, e.g. hydroxamic acids
- A61K31/165—Amides, e.g. hydroxamic acids having aromatic rings, e.g. colchicine, atenolol, progabide
- A61K31/167—Amides, e.g. hydroxamic acids having aromatic rings, e.g. colchicine, atenolol, progabide having the nitrogen of a carboxamide group directly attached to the aromatic ring, e.g. lidocaine, paracetamol
-
- A—HUMAN NECESSITIES
- A61—MEDICAL OR VETERINARY SCIENCE; HYGIENE
- A61K—PREPARATIONS FOR MEDICAL, DENTAL OR TOILETRY PURPOSES
- A61K31/00—Medicinal preparations containing organic active ingredients
- A61K31/16—Amides, e.g. hydroxamic acids
- A61K31/18—Sulfonamides
-
- A—HUMAN NECESSITIES
- A61—MEDICAL OR VETERINARY SCIENCE; HYGIENE
- A61K—PREPARATIONS FOR MEDICAL, DENTAL OR TOILETRY PURPOSES
- A61K31/00—Medicinal preparations containing organic active ingredients
- A61K31/33—Heterocyclic compounds
- A61K31/395—Heterocyclic compounds having nitrogen as a ring hetero atom, e.g. guanethidine or rifamycins
- A61K31/40—Heterocyclic compounds having nitrogen as a ring hetero atom, e.g. guanethidine or rifamycins having five-membered rings with one nitrogen as the only ring hetero atom, e.g. sulpiride, succinimide, tolmetin, buflomedil
- A61K31/403—Heterocyclic compounds having nitrogen as a ring hetero atom, e.g. guanethidine or rifamycins having five-membered rings with one nitrogen as the only ring hetero atom, e.g. sulpiride, succinimide, tolmetin, buflomedil condensed with carbocyclic rings, e.g. carbazole
- A61K31/4035—Isoindoles, e.g. phthalimide
-
- A—HUMAN NECESSITIES
- A61—MEDICAL OR VETERINARY SCIENCE; HYGIENE
- A61K—PREPARATIONS FOR MEDICAL, DENTAL OR TOILETRY PURPOSES
- A61K31/00—Medicinal preparations containing organic active ingredients
- A61K31/33—Heterocyclic compounds
- A61K31/395—Heterocyclic compounds having nitrogen as a ring hetero atom, e.g. guanethidine or rifamycins
- A61K31/435—Heterocyclic compounds having nitrogen as a ring hetero atom, e.g. guanethidine or rifamycins having six-membered rings with one nitrogen as the only ring hetero atom
- A61K31/44—Non condensed pyridines; Hydrogenated derivatives thereof
- A61K31/4418—Non condensed pyridines; Hydrogenated derivatives thereof having a carbocyclic group directly attached to the heterocyclic ring, e.g. cyproheptadine
-
- A—HUMAN NECESSITIES
- A61—MEDICAL OR VETERINARY SCIENCE; HYGIENE
- A61K—PREPARATIONS FOR MEDICAL, DENTAL OR TOILETRY PURPOSES
- A61K31/00—Medicinal preparations containing organic active ingredients
- A61K31/70—Carbohydrates; Sugars; Derivatives thereof
- A61K31/7088—Compounds having three or more nucleosides or nucleotides
- A61K31/711—Natural deoxyribonucleic acids, i.e. containing only 2'-deoxyriboses attached to adenine, guanine, cytosine or thymine and having 3'-5' phosphodiester links
-
- A—HUMAN NECESSITIES
- A61—MEDICAL OR VETERINARY SCIENCE; HYGIENE
- A61K—PREPARATIONS FOR MEDICAL, DENTAL OR TOILETRY PURPOSES
- A61K45/00—Medicinal preparations containing active ingredients not provided for in groups A61K31/00 - A61K41/00
- A61K45/06—Mixtures of active ingredients without chemical characterisation, e.g. antiphlogistics and cardiaca
-
- A—HUMAN NECESSITIES
- A61—MEDICAL OR VETERINARY SCIENCE; HYGIENE
- A61P—SPECIFIC THERAPEUTIC ACTIVITY OF CHEMICAL COMPOUNDS OR MEDICINAL PREPARATIONS
- A61P35/00—Antineoplastic agents
-
- A—HUMAN NECESSITIES
- A61—MEDICAL OR VETERINARY SCIENCE; HYGIENE
- A61P—SPECIFIC THERAPEUTIC ACTIVITY OF CHEMICAL COMPOUNDS OR MEDICINAL PREPARATIONS
- A61P43/00—Drugs for specific purposes, not provided for in groups A61P1/00-A61P41/00
-
- C—CHEMISTRY; METALLURGY
- C07—ORGANIC CHEMISTRY
- C07K—PEPTIDES
- C07K14/00—Peptides having more than 20 amino acids; Gastrins; Somatostatins; Melanotropins; Derivatives thereof
- C07K14/435—Peptides having more than 20 amino acids; Gastrins; Somatostatins; Melanotropins; Derivatives thereof from animals; from humans
- C07K14/46—Peptides having more than 20 amino acids; Gastrins; Somatostatins; Melanotropins; Derivatives thereof from animals; from humans from vertebrates
- C07K14/47—Peptides having more than 20 amino acids; Gastrins; Somatostatins; Melanotropins; Derivatives thereof from animals; from humans from vertebrates from mammals
- C07K14/4701—Peptides having more than 20 amino acids; Gastrins; Somatostatins; Melanotropins; Derivatives thereof from animals; from humans from vertebrates from mammals not used
- C07K14/4702—Regulators; Modulating activity
-
- C—CHEMISTRY; METALLURGY
- C12—BIOCHEMISTRY; BEER; SPIRITS; WINE; VINEGAR; MICROBIOLOGY; ENZYMOLOGY; MUTATION OR GENETIC ENGINEERING
- C12N—MICROORGANISMS OR ENZYMES; COMPOSITIONS THEREOF; PROPAGATING, PRESERVING, OR MAINTAINING MICROORGANISMS; MUTATION OR GENETIC ENGINEERING; CULTURE MEDIA
- C12N15/00—Mutation or genetic engineering; DNA or RNA concerning genetic engineering, vectors, e.g. plasmids, or their isolation, preparation or purification; Use of hosts therefor
- C12N15/09—Recombinant DNA-technology
- C12N15/11—DNA or RNA fragments; Modified forms thereof; Non-coding nucleic acids having a biological activity
- C12N15/62—DNA sequences coding for fusion proteins
-
- C—CHEMISTRY; METALLURGY
- C12—BIOCHEMISTRY; BEER; SPIRITS; WINE; VINEGAR; MICROBIOLOGY; ENZYMOLOGY; MUTATION OR GENETIC ENGINEERING
- C12N—MICROORGANISMS OR ENZYMES; COMPOSITIONS THEREOF; PROPAGATING, PRESERVING, OR MAINTAINING MICROORGANISMS; MUTATION OR GENETIC ENGINEERING; CULTURE MEDIA
- C12N9/00—Enzymes; Proenzymes; Compositions thereof; Processes for preparing, activating, inhibiting, separating or purifying enzymes
- C12N9/14—Hydrolases (3)
- C12N9/16—Hydrolases (3) acting on ester bonds (3.1)
-
- C—CHEMISTRY; METALLURGY
- C12—BIOCHEMISTRY; BEER; SPIRITS; WINE; VINEGAR; MICROBIOLOGY; ENZYMOLOGY; MUTATION OR GENETIC ENGINEERING
- C12Y—ENZYMES
- C12Y305/00—Hydrolases acting on carbon-nitrogen bonds, other than peptide bonds (3.5)
- C12Y305/01—Hydrolases acting on carbon-nitrogen bonds, other than peptide bonds (3.5) in linear amides (3.5.1)
- C12Y305/01098—Histone deacetylase (3.5.1.98), i.e. sirtuin deacetylase
-
- A—HUMAN NECESSITIES
- A61—MEDICAL OR VETERINARY SCIENCE; HYGIENE
- A61K—PREPARATIONS FOR MEDICAL, DENTAL OR TOILETRY PURPOSES
- A61K38/00—Medicinal preparations containing peptides
-
- C—CHEMISTRY; METALLURGY
- C07—ORGANIC CHEMISTRY
- C07K—PEPTIDES
- C07K2319/00—Fusion polypeptide
- C07K2319/20—Fusion polypeptide containing a tag with affinity for a non-protein ligand
- C07K2319/23—Fusion polypeptide containing a tag with affinity for a non-protein ligand containing a GST-tag
-
- C—CHEMISTRY; METALLURGY
- C12—BIOCHEMISTRY; BEER; SPIRITS; WINE; VINEGAR; MICROBIOLOGY; ENZYMOLOGY; MUTATION OR GENETIC ENGINEERING
- C12N—MICROORGANISMS OR ENZYMES; COMPOSITIONS THEREOF; PROPAGATING, PRESERVING, OR MAINTAINING MICROORGANISMS; MUTATION OR GENETIC ENGINEERING; CULTURE MEDIA
- C12N2310/00—Structure or type of the nucleic acid
- C12N2310/30—Chemical structure
- C12N2310/31—Chemical structure of the backbone
- C12N2310/315—Phosphorothioates
-
- C—CHEMISTRY; METALLURGY
- C12—BIOCHEMISTRY; BEER; SPIRITS; WINE; VINEGAR; MICROBIOLOGY; ENZYMOLOGY; MUTATION OR GENETIC ENGINEERING
- C12N—MICROORGANISMS OR ENZYMES; COMPOSITIONS THEREOF; PROPAGATING, PRESERVING, OR MAINTAINING MICROORGANISMS; MUTATION OR GENETIC ENGINEERING; CULTURE MEDIA
- C12N2310/00—Structure or type of the nucleic acid
- C12N2310/30—Chemical structure
- C12N2310/32—Chemical structure of the sugar
- C12N2310/321—2'-O-R Modification
-
- C—CHEMISTRY; METALLURGY
- C12—BIOCHEMISTRY; BEER; SPIRITS; WINE; VINEGAR; MICROBIOLOGY; ENZYMOLOGY; MUTATION OR GENETIC ENGINEERING
- C12N—MICROORGANISMS OR ENZYMES; COMPOSITIONS THEREOF; PROPAGATING, PRESERVING, OR MAINTAINING MICROORGANISMS; MUTATION OR GENETIC ENGINEERING; CULTURE MEDIA
- C12N2310/00—Structure or type of the nucleic acid
- C12N2310/30—Chemical structure
- C12N2310/34—Spatial arrangement of the modifications
- C12N2310/341—Gapmers, i.e. of the type ===---===
-
- C—CHEMISTRY; METALLURGY
- C12—BIOCHEMISTRY; BEER; SPIRITS; WINE; VINEGAR; MICROBIOLOGY; ENZYMOLOGY; MUTATION OR GENETIC ENGINEERING
- C12N—MICROORGANISMS OR ENZYMES; COMPOSITIONS THEREOF; PROPAGATING, PRESERVING, OR MAINTAINING MICROORGANISMS; MUTATION OR GENETIC ENGINEERING; CULTURE MEDIA
- C12N2310/00—Structure or type of the nucleic acid
- C12N2310/30—Chemical structure
- C12N2310/34—Spatial arrangement of the modifications
- C12N2310/346—Spatial arrangement of the modifications having a combination of backbone and sugar modifications
Definitions
- the present invention relates to the fields of molecular biology and medicine. More specifically, the invention relates to the fields of gene expression and oncology. Summary of the Related Art
- Chromatin is the complex of proteins and DNA in the nucleus of eukaryotes. Chromatin proteins provide structural and functional organization to nuclear DNA.
- the nucleosome is the fundamental unit of structural organization of chromatin. The nucleosome principally consists of (1) the core histones, termed H2A, H2B, H3, and H4, which associate to form a protein core particle, and (2) the approximately 146 base pairs of DNA wrapped around the histone core particle.
- the physical interaction between the core histone particle and DNA principally occurs through the negatively charged phosphate groups of the DNA and the basic amino acid moieties of the histone proteins. (Csordas, Biochem.
- histones are subject to posttranslational acetylation of their epsilon-amino groups of N-terminal lysine residues, a reaction that is catalyzed by histone acetyl transferase (HAT).
- HAT histone acetyl transferase
- Acetylation neutralizes the positive charge of the epsilon-amino groups of N-terminal lysine residues, thereby influencing the interaction of DNA with the histone core particle of the nucleosome.
- histone acetylation and histone deacetylation are thought to impact chromatin structure and gene regulation.
- Taunton et al Science, 272:408-411 (1996), teaches that access of transcription factors to chromatin templates is enhanced by histone hyperacetylation.
- Taunton et al. further teaches that an enrichment in underacetylated histone H4 has been found in transcriptionally silent regions of the genome.
- HDAC histone deacetylase
- TIBS 25 June (2000)
- HDAC histone deacetylase
- Magnaghi-Jaulin et al Prog. Cell Cycle Res. 4:41-47 (2000), discloses HDAC as a transcriptional co-regulator important for cell cycle progression.
- HDAC activity has established the existence of a set of discrete HDAC enzyme isoforms. Grozinger et al, Proc. Natl. Acad. Sci. USA, 96:4868-4873 (1999), teaches that HDACs may be divided into two classes, the first represented by yeast Rpd3-like proteins, and the second represented by yeast Hdal-like proteins. Grozinger et al. also teaches that the human HDAC-1,
- HDAC-2, and HDAC-3 proteins are members of the first class of HDACs, and discloses new proteins, named HDAC-4, HDAC-5, and HDAC-6, which are members of the second class of HDACs.
- HDAC-4, HDAC-5, and HDAC-6 which are members of the second class of HDACs.
- HDAC-7 an additional member of this second class
- HDAC-8 histone deacetylases
- histone deacetylase inhibitors are all small molecules that inhibit histone deacetylase activity at the protein level. Moreover, all of the known histone deacetylase inhibitors are non-specific for a particular histone deacetylase isoform, and more or less inhibit all members of both the histone deacetylase families equally. (Grozinger, CM., et al., Proc. Natl. Acad. Sci. U.S.A. 96:4868-4873 (1999)). For example, see Marks et al, ⁇ . National Cancer Inst. 92:1210-1216 (2000), which reviews histone deacetylase inhibitors and their role in studying differentiation and apoptosis.
- the invention provides methods and reagents for modulating the activity of histone deacetylase (HDAC) isoforms .
- HDAC histone deacetylase
- the invention provides methods and reagents for inhibiting HCAC isoforms, particularly HDAC-1 and HDAC-4, by inhibiting expression at the nucleic acid level or enzymatic activity at the protein level.
- the invention provides for the specific inhibition of specific histone deacetylase isoforms involved in tumorigenesis and thus provides a treatment for cancer.
- the invention further provides for the specific inhibition of particular HDAC isoforms involved in cell proliferation, and thus provides a treatment for cell proliferative diseases and disorders.
- the invention provides agents that inhibit the activity of the HDAC-4 isoform.
- the agent that inhibits the HDAC-4 isoform is an oligonucleotide that inhibits expression of a nucleic acid molecule encoding the HDAC-4 isoform.
- the nucleic acid molecule encoding the HDAC-4 isoform may be genomic DNA (e.g., a gene), cDNA, or RNA.
- the oUgonucleotide inhibits transcription of mRNA encoding the HDAC-4 isoform.
- the oUgonucleotide inhibits translation of the HDAC-4 isoform.
- the oUgonucleotide causes the degradation of the nucleic acid molecule.
- the agent of the first aspect of the invention is an antisense oligonucleotide complementary to a region of RNA that encodes a portion of HDAC-4 or to a region of double-stranded DNA that encodes a portion of HDAC-4.
- the antisense oligonucleotide is a chimeric oUgonucleotide.
- the antisense oUgonucleotide is a hybrid oUgonucleotide.
- the antisense oUgonucleotide has a nucleotide sequence of from about 13 to about 35 nucleotides selected from the nucleotide sequence of SEQ ID NO:4.
- the antisense oUgonucleotide has a nucleotide sequence of from about 15 to about 26 nucleotides selected from the nucleotide sequence of SEQ ID NO:4. In another embodiment thereof, the antisense oUgonucleotide has a nucleotide sequence of from about 20 to about 26 nucleotides selected from the nucleotide sequence of SEQ ID NO:4. In another embodiment thereof, the antisense oUgonucleotide has a nucleotide sequence of from about 13 to about 35 nucleotides and which comprises the nucleotide sequence of SEQ ID NO:ll.
- the antisense oUgonucleotide has a nucleotide sequence of from about 15 to about 26 nucleotides and which comprises the nucleotide sequence of SEQ ID NO:ll. In another embodiment thereof, the antisense oUgonucleotide has a nucleotide sequence of from about 20 to about 26 nucleotides and which comprises the nucleotide sequence of SEQ ID NO:ll. In another embodiment thereof, the antisense oUgonucleotide is SEQ ID NO:ll. In another embodiment thereof, the antisense oligonucleotide has one or more phosphorothioate internucleoside linkages.
- the antisense oUgonucleotide further comprises a length of 20-26 nucleotides.
- the antisense oUgonucleotide is modified such that the terminal four nucleotides at the 5' end of the oUgonucleotide and the terminal four nucleotides at the 3' end of the oUgonucleotide each have 2' -O- methyl groups attached to their sugar residues.
- the agent that inhibits the HDAC-4 isoform in a ceU is a smaU molecule inhibitor that inhibits expression of a nucleic acid molecule encoding HDAC-4 isoform or activity of the HDAC-4 protein.
- the invention provides a method for inhibiting
- HDAC-4 activity in a cell comprising contacting the ceU with a specific inhibitor of HDAC-4, whereby HDAC-4 activity is inhibited.
- the invention provides method for inhibiting the HDAC-4 isoform in a cell, comprising contacting the cell with an antisense oligonucleotide complementary to a region of RNA that encodes a portion of HDAC-4 or to a region of double-stranded DNA that encodes a portion of HDAC-4, whereby HDAC-4 activity is inhibited.
- the ceU is contacted with an HDAC-4 antisense oUgonucleotide that is a chimeric oUgonucleotide.
- the cell is contacted with an HDAC-4 antisense oligonucleotide that is a hybrid oUgonucleotide.
- the antisense oligonucleotide has a nucleotide sequence of from about 13 to about 35 nucleotides selected from the nucleotide sequence of SEQ ID NO:4.
- the antisense oUgonucleotide has a nucleotide sequence of from about 15 to about 26 nucleotides selected from the nucleotide sequence of SEQ ID NO:4.
- the antisense oUgonucleotide has a nucleotide sequence of from about 20 to about 26 nucleotides selected from the nucleotide sequence of SEQ ID NO:4.
- the ceU is contacted with an HDAC-4 antisense oligonucleotide that has a nucleotide sequence length of from about 13 to about 35 nucleotides and which comprises the nucleotide sequence of SEQ ID NO:ll.
- the ceU is contacted with an HDAC-4 antisense oUgonucleotide that has a nucleotide sequence length of from about 15 to about 26 nucleotides and which comprises the nucleotide sequence of SEQ ID NO:ll.
- the cell is contacted with an HDAC-4 antisense oUgonucleotide that is SEQ ID NO:ll.
- the inhibition of HDAC-4 activity leads to the inhibition of ceU proliferation in the contacted cell.
- the inhibition of HDAC-4 activity in the contacted cell further leads to growth retardation of the contacted ceU.
- the inhibition of HDAC-4 activity in the contacted ceU further leads to growth arrest of the contacted cell.
- the inhibition of HDAC-4 activity in the contacted ceU further leads to programmed cell death of the contacted ceU. In another embodiment thereof, the inhibition of HDAC-4 activity in the contacted ceU further leads to necrotic cell death of the contacted ceU.
- the ceU is a neoplastic cell which may be in an animal, including a human, and which may be in a neoplastic growth.
- the method further comprises contacting the ceU with an HDAC-4 smaU molecule inhibitor that interacts with and reduces the enzymatic activity of the HDAC-4 histone deacetylase isoform. In some embodiments thereof, the histone deacetylase smaU molecule inhibitor is operably associated with the antisense oligonucleotide.
- the invention provides a method for inhibiting neoplastic ceU proliferation in an animal, comprising administering to an animal having at least one neoplastic ceU present in its body a therapeutically effective amount of a specific inhibitor of HDAC-4, whereby neoplastic ceU proliferation is inhibited in the animal.
- the invention provides a method for inhibiting neoplastic ceU growth in an animal, comprising administering to an animal having at least one neoplastic ceU present in its body a therapeuticaUy effective amount of the antisense oUgonucleotide of the first aspect of the invention with a pharmaceuticaUy acceptable carrier for a therapeuticaUy effective period of time.
- the animal is administered a chimeric HDAC-4 antisense oligonucleotide.
- the animal is administered a hybrid HDAC-4 antisense oUgonucleotide.
- the antisense oligonucleotide has a nucleotide sequence of from about 13 to about 35 nucleotides selected from the nucleotide sequence of SEQ ID NO:4.
- the antisense oUgonucleotide has a nucleotide sequence of from about 15 to about 26 nucleotides selected from the nucleotide sequence of SEQ ID NO:4.
- the antisense oUgonucleotide has a nucleotide sequence of from about 20 to about 26 nucleotides selected from the nucleotide sequence of SEQ ID NO:4.
- the animal is administered an HDAC-4 antisense oUgonucleotide having a nucleotide sequence of from about 13 to about 35 nucleotides and which comprises the nucleotide sequence of SEQ ID NO:ll.
- the animal is adnriiissered an HDAC-4 antisense oUgonucleotide having a nucleotide sequence of from about 15 to about 26 nucleotides and which comprises the nucleotide sequence of SEQ ID NO:ll.
- the animal is administered an HDAC-4 antisense oligonucleotide that is SEQ ID NO:ll. In another embodiment thereof, the animal is a human. In another embodiment thereof, the method further comprises administering to an animal a therapeuticaUy effective amount of an antisense oUgonucleotide complementary to a region of RNA that encodes a portion of HDAC-1 or double-stranded DNA that encodes a portion of HDAC-1. In an embodiment thereof, the animal is administered a chimeric HDAC-1 antisense oligonucleotide. In another embodiment thereof, the animal is administered a hybrid HDAC-1 antisense oUgonucleotide.
- the antisense oligonucleotide has a nucleotide sequence of from about 13 to about 35 nucleotides selected from the nucleotide sequence of SEQ ID NO:2. In stiU yet another embodiment thereof, the antisense oUgonucleotide has a nucleotide sequence of from about 15 to about 26 nucleotides selected from the nucleotide sequence of SEQ ID NO:2. In another embodiment thereof, the antisense oUgonucleotide has a nucleotide sequence of from about 20 to about 26 nucleotides selected from the nucleotide sequence of SEQ ID NO:2.
- the animal is administered an HDAC-1 antisense oUgonucleotide having a nucleotide sequence of from about 13 to about 35 nucleotides and which comprises the nucleotide sequence of SEQ ID NO:5.
- the animal is administered an HDAC- 1 antisense oUgonucleotide having a nucleotide sequence of from about 15 to about 26 nucleotides and which comprises the nucleotide sequence of SEQ ID NO:5.
- the animal is administered an HDAC-1 antisense oUgonucleotide that is SEQ ID NO:5.
- the invention provides a method for inhibiting HDAC-4 activity in a ceU, comprising contacting the ceU with a smaU molecule inhibitor of HDAC-4, wherein HDAC-4 activity is inhibited.
- the ceU is contacted with a small molecule inhibitor having the structure
- the invention provides a method wherein the ceU is contacted with a smaU molecule inhibitor having the structure
- Cy-Y 2 -C(O)NH-Z (2) wherein Cy is cycloalkyl, aryl, heteroaryl, or heterocyclyl, any of which may be optionaUy substituted; Y 2 is C5 - C7 alkylene, wherein said alkylene may be optionaUy substituted and wherein one of the carbon atoms of the alkylene optionaUy may be replaced by a heteroatom moiety selected from the group consisting of O; NR 1 , R 1 being alkyl, acyl or hydrogen; S; S(O); or S(O) 2 ; and Z is anilinyl or pyridyl, or thiadiazolyl, any of which may be optionaUy substituted.
- the invention provides a method wherein the ceU is contacted with a smaU molecule inhibitor having the structure
- Cy is cycloalkyl, aryl, heteroaryl, or heterocyclyl, any of which may be optionaUy substituted;
- B is selected from the group consisting of - CH(OMe), ketone and methylene;
- Y 3 is a C - C 6 alkylene, wherein said alkylene may be optionaUy substituted and wherein one of the carbon atoms of the alkylene optionaUy may be replaced by a heteroatom moiety selected from the group consisting of O; NR 1 , R 1 being alkyl, acyl or hydrogen; S; S(O); or S(O) 2 ; and
- Z is selected from the group consisting of aniUnyl, pyridyl, thiadiazolyl and -O-M, M being H or a pharmaceuticaUy acceptable cation, wherein the anilinyl or pyridyl or thiadiazolyl may be optionaUy substituted.
- the invention provides a method wherein the ceU is contacted with a smaU molecule inhibitor having the structure
- L 1 is -(CH 2 ) m -W-, where m is 0, 1, 2, 3, or 4, and W is selected from the group consisting of -C(O)NH-, -S(O) 2 NH-, -NHC(O)-, -NHS(O) 2 -, and -NH-C(O)-NH-;
- Ar is arylene, wherein said arylene optionally may be additionaUy substituted and optionally may be fused to an aryl or heteroaryl ring, or to a saturated or partiaUy unsaturated cycloalkyl or heterocycUc ring, any of which may be optionaUy substituted;
- Y 1 is a chemical bond or a straight- or branched
- Cy is cycloalkyl, aryl, heteroaryl, or heterocyclyl, any of which may be optionaUy substituted, provided that Cy is not a (spirocycloalkyl)heterocyclyl;
- L 2 is G-C 6 saturated alkylene or C 2 -C6 alkenylene, wherein the alkylene or alkenylene optionally may be substituted, provided that L 2 is not -C(O)-, and wherein one of the carbon atoms of the alkylene optionaUy may be replaced by a heteroatom moiety selected from the group consisting of O; NR', R' being alkyl, acyl, or hydrogen; S; S(O); or S(O) 2 ;
- Ar is arylene, wherein said arylene optionaUy may be additionaUy substituted and optionally may be fused to an aryl or heteroaryl ring, or to a saturated or partiaUy unsaturated cycloalkyl or heterocyclic
- the invention provides a method wherein the ceU is contacted with a smaU molecule inhibitor has the structure
- Cy-L3-Ar-Y 3 -C(O)NH-Z (6) wherein Cy is cycloalkyl, aryl, heteroaryl, or heterocyclyl, any of which may be optionaUy substituted, provided that Cy is not a
- L 3 is selected from the group consisting of (a) -(CH 2 ) m -W-, where m is 0, 1, 2, 3, or 4, and W is selected from the group consisting of -C(O)NH-, -S(O) 2 NH-, -NHC(O)-, -NHS(O) 2 -, and
- the invention provides a method wherein the inhibition of HDAC-4 activity in the contacted ceU further leads to an inhibition of ceU proliferation in the contacted ceU. In another embodiment therein, the invention provides a method wherein inhibition of HDAC-4 activity in the contacted ceU further leads to growth retardation of the contacted ceU. In another embodiment therein, the invention provides a method wherein inhibition of HDAC-4 activity in the contacted ceU further leads to growth arrest of the contacted ceU. In another embodiment therein, the invention provides a method wherein inhibition of HDAC-4 activity in the contacted ceU further leads to programmed ceU death of the contacted ceU. In another embodiment therein, the invention provides a method wherein inhibition of HDAC-4 activity in the contacted ceU further leads to necrotic ceU death of the contacted ceU. In another embodiment thereof, the contacted ceU is a human ceU.
- the invention provides a method for inhibiting neoplastic ceU proliferation in an animal, comprising administering to an animal having at least one neoplastic ceU present in its body a therapeuticaUy effective amount of a smaU molecule inhibitor of HDAC-4, whereby neoplastic ceU proliferation is inhibited.
- the animal is administered a smaU molecule inhibitor having the structure
- Y 1 is a Q - C 6 alkylene, where
- the invention provides a method wherein the animal is administered a smaU molecule inhibitor having the structure
- Cy is cycloalkyl, aryl, heteroaryl, or heterocyclyl, any of which may be optionaUy substituted
- Y 2 is Cs - C 7 alkylene, wherein said alkylene may be optionaUy substituted and wherein one of the carbon atoms of the alkylene optionaUy may be replaced by a heteroatom moiety selected from the group consisting of O; NR 1 , R 1 being alkyl, acyl or hydrogen; S; S(O); or S(O) 2 ; and Z is aniUnyl or pyridyl or thiadiazolyl, any of which may be optionaUy substituted.
- the invention provides a method wherein the animal is administered a smaU molecule inhibitor having the structure
- Cy-B-Y 3 -C(O)-NH-Z (3) wherein Cy is cycloalkyl, aryl, heteroaryl, or heterocyclyl, any of which may be optionaUy substituted; B is selected from the group consisting of - CH(OMe), ketone and methylene; Y 3 is a - C 6 alkylene, wherein said alkylene may be optionaUy substituted and wherein one of the carbon atoms of the alkylene optionaUy may be replaced by a heteroatom moiety selected from the group consisting of O; NR 1 , R 1 being alkyl, acyl or hydrogen; S; S(O); or S(O) 2 ; and Z is selected from the group consisting of aniUnyl, pyridyl, thiadiazolyl and -O-M, M being H or a pharmaceuticaUy acceptable cation, wherein the anilinyl or pyridyl or thiadiazolyl may be optional
- the invention provides a method wherein the animal is administered a smaU molecule inhibitor having the structure Cy-L i -Ar-Y 1 -C(O)-NH-Z (4) wherein Cy is cycloalkyl, aryl, heteroaryl, or heterocyclyl, any of which may be optionaUy substituted;
- L 1 is -(CH 2 ) m -W-, where m is 0, 1, 2, 3, or 4, and W is selected from the group consisting of -C(O)NH-, -S(O) 2 NH-, -NHC(O)-, -NHS(O) 2 -, and -NH-C(O)-NH-;
- Ar is arylene, wherein said arylene optionally may be additionaUy substituted and optionaUy may be fused to an aryl or heteroaryl ring, or to a saturated or partiaUy unsaturated cycloalkyl or heterocycUc ring, any of
- Cy-L*-Ar-Y 2 -C(O)NH-Z (5) wherein Cy is cycloalkyl, aryl, heteroaryl, or heterocyclyl, any of which may be optionaUy substituted, provided that Cy is not a (spirocycloalky ⁇ )heterocyclyl;
- L 2 is G-C 6 saturated alkylene or C 2 -C 6 alkenylene, wherein the alkylene or alkenylene optionally may be substituted, provided that L 2 is not -C(O)-, and wherein one of the carbon atoms of the alkylene optionaUy may be replaced by a heteroatom moiety selected from the group consisting of O; NR', R' being alkyl, acyl, or hydrogen; S; S(O); or S(O) 2 ;
- Ar is arylene, wherein said arylene optionaUy may be additionaUy substituted and optionaUy may be fused to an aryl or heteroaryl
- Cy-L 3 -Ar-Y 3 -C(O)NH-Z (6) wherein Cy is cycloalkyl, aryl, heteroaryl, or heterocyclyl, any of which may be optionaUy substituted, provided that Cy is not a
- L 3 is selected from the group consisting of (a) -(CH 2 )m-W-, where m is 0, 1, 2, 3, or 4, and W is selected from the group consisting of -C(O)NH-, -S(O) 2 NH-, -NHC(O)-, -NHS(O) 2 -, and -NH-C(O)-NH-; and (b) G-C 6 alkylene or C 2 -C 6 alkenylene, wherein the alkylene or alkenylene optionaUy may be substituted, provided that L 3 is not -C(O)-, and wherein one of the carbon atoms of the alkylene optionaUy may be replaced by O; NR', R' being alkyl, acyl, or hydrogen; S; S(O); or S(0) 2 ; Ar is arylene, wherein said arylene optionaUy may be additionaUy substituted and optionaU
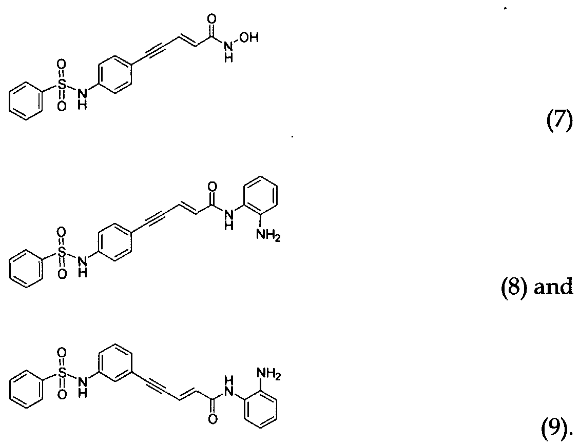
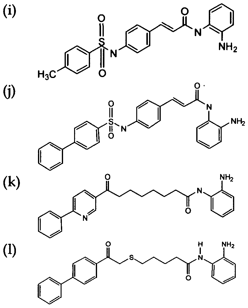
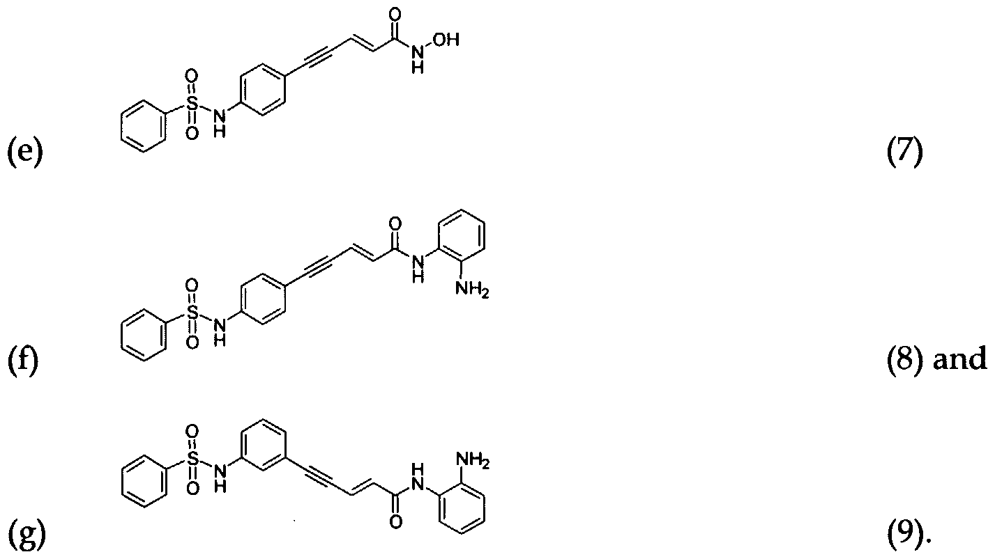
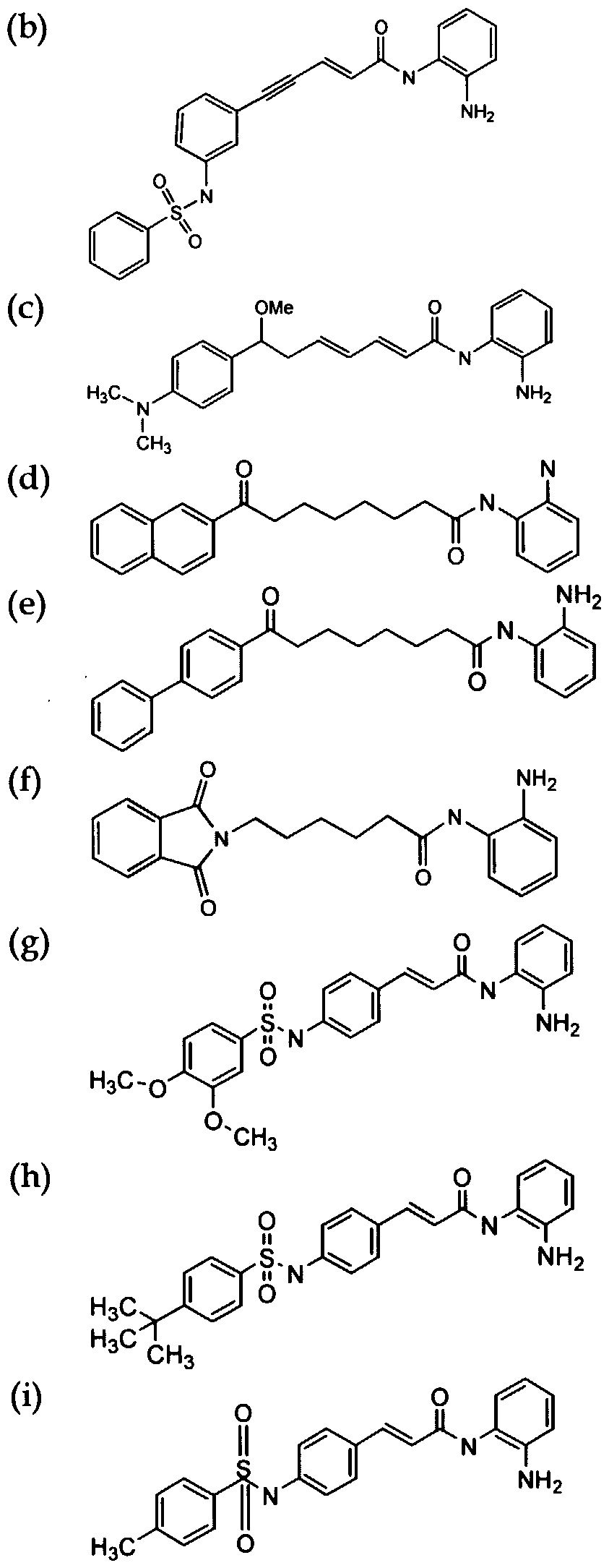
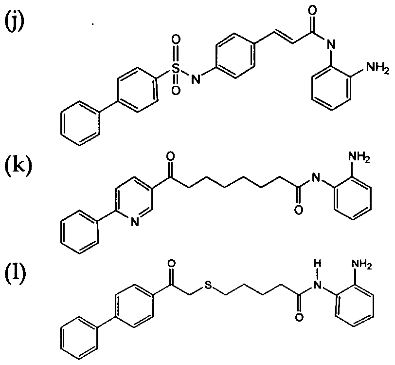
- smaU molecule inhibitor having the structure selected from the group consisting of
- the invention provides a method wherein the animal administered a small molecule inhibitor is a human.
- the invention provides a method for inhibiting the induction of ceU proliferation, comprising contacting a ceU with an antisense oligonucleotide that inhibits the expression of HDAC-4 and/ or contacting a ceU with a smaU molecule inhibitor of HDAC-4.
- the ceU is a neoplastic ceU, and the induction of ceU proliferation is tumorigenesis.
- the invention provides a method for identifying a smaU molecule histone deacetylase inhibitor that inhibits the HDAC-4 isoform, the isoform being required for the induction of ceU proliferation.
- the method comprises contacting the HDAC-4 isoform with a candidate smaU molecule inhibitor and measuring the enzymatic activity of the contacted histone deacetylase isoform, wherein a reduction in the enzymatic activity of the contacted HDAC-4 isoform identifies the candidate smaU molecule inhibitor as a smaU molecule histone deacetylase inhibitor of the HDAC-4 isoform.
- the invention provides a method for identifying a smaU molecule histone deacetylase inhibitor that inhibits HDAC-4 isoform, which is involved in the induction of ceU proliferation.
- the method comprises contacting a ceU with a candidate smaU molecule inhibitor and measuring the enzymatic activity of the contacted histone deacetylase isoform, wherein a reduction in the enzymatic activity of the HDAC-4 isoform identifies the candidate smaU molecule inhibitor as a smaU molecule histone deacetylase inhibitor of HDAC-4.
- the invention provides a smaU molecule histone deacetylase inhibitor identified by the method of the seventh or the eighth aspect of the invention.
- the histone deacetylase smaU molecule inhibitor is substantiaUy pure.
- the invention provides a method for inhibiting ceU proliferation in a ceU comprising, contacting a ceU with at least two reagents selected from the group consisting of an antisense oligonucleotide that inhibits expression of HDAC-4 isoform, a smaU molecule histone deacetylase inhibitor that inhibits expression or activity of HDAC-4 isoform, an antisense oligonucleotide that inhibits expression of the HDAC-1 isoform, a smaU molecule histone deacetylase inhibitor that inhibits the expression or the activity of the HDAC-1 isoform, an antisense oUgonucleotide that inhibits expression of a DNA methyltransferase, and a smaU molecule DNA methyltransferase inhibitor.
- the inhibition of ceU growth of the contacted cell is greater than the inhibition of ceU growth of a ceU contacted with only one of the reagents.
- each of the reagents selected from the group is substantiaUy pure.
- the cell is a neoplastic ceU.
- the reagents selected from the group are operably associated.
- the invention provides a method of inhibiting neoplastic ceU growth, comprising contacting a ceU with at least two reagents selected from the group consisting of an antisense oligonucleotide that inhibits expression of HDAC-4 isoform, a smaU molecule histone deacetylase inhibitor that inhibits the expression or the activity of HDAC-4 isoform, an antisense oUgonucleotide that inhibits expression of the HDAC-1 isoform, a smaU molecule histone deacetylase inhibitor that inhibits expression or activity of the HDAC-1 isoform, an antisense oUgonucleotide that inhibits expression of a DNA methyltransferase, and a smaU molecule DNA methyltransferase inhibitor.
- the inhibition of cell growth of the contacted ceU is greater than the inhibition of ceU growth of a ceU contacted with only one of the reagents.
- each of the reagents selected from the group is substantiaUy pure.
- the cell is a neoplastic ceU.
- the reagents selected from the group are operably associated.
- Fig. 1 ASl and AS2 can inhibit HDAC4 expression at RNA level in a dose-dependent manner.
- Human cancer A549 ceUs were treated with escalating doses of ASl, AS2 or MM2 oligos for 24 hours.
- Total RNAs were harvested for Northern analysis.
- Fig. 2 ASl and AS2 can inhibit HDAC4 expression at protein level.
- Human cancer A549 cells were treated with ASl, AS2 or MM2 oligos for 48 hours.
- Whole ceU lysates were analyzed by Western blotting using antibodies specific against human HDAC4.
- Fig. 3 Growth curve of human cancer cells A549 treated with HDAC4 ASl or AS2. CeUs were plated at 2.5X10 5 /10 cm dish at 0 hour time point. CeUs were treated with 50 nM oUgos at 24 and 48 hours. CeUs were counted at 24, 48 and 72 hours by trypan blue exclusion.
- Fig. 4 Growth curve of human cancer ceUs Dul45 treated with HDAC4 ASl or AS2.
- CeUs were plated at 2.5X10 5 /10 cm dish at day 0.
- CeUs were treated with 50 nM oUgos at day 1, day 2 and day 3.
- CeUs were counted at day 1, day 2, day 3 and day 4 by trypan blue exclusion.
- FIG. 5 Graphic representation demonstrating the apoptotic effect of HDAC isotype-specific antisense oUgos on human A549 cancer ceUs.
- Figure 6 is a graphic representation demonstrating the ceU cycle blocking effect of HDAC-4 antisense oUgos on human A549 cancer cells.
- Figure 7 is a representation of an RNAse protection assay demonstrating the effect of HDAC isotype-specific antisense oUgos on HDAC isotype mRNA expression in human A549 cells.
- Figure 8 is a representation of a Western blot demonstrating that treatment of human A549 cells with HDAC-4 antisense oUgos induces the expression of the p21 protein.
- HDAC histone deacetylase
- the invention provides for the specific inhibition of specific histone deacetylase isoforms involved in tumorigenesis, and thus provides a treatment for cancer.
- the invention further provides for the specific inhibition of specific HDAC isoforms involved in ceU proliferation and thus provides a treatment for ceU proliferative disorders.
- the inventors have made the surprising discovery that the specific inhibition of HDAC-4 dramaticaUy induces apoptosis and growth arrest in cancerous ceUs. This discovery has been exploited to develop the present invention which, in a first aspect, provides agents that inhibit the HDAC-4 isoform.
- the agent that inhibits the HDAC-4 isoform is an oUgonucleotide that inhibits expression of a nucleic acid molecule encoding HDAC-4 isoform.
- the HDAC- 4 nucleic acid molecule may be genomic DNA (e.g., a gene), cDNA, or RNA.
- the oUgonucleotide inhibits transcription of mRNA encoding the HDAC-4 isoform.
- the oUgonucleotide inhibits translation of the HDAC-4 isoform.
- the oUgonucleotide causes the degradation of the nucleic acid molecule.
- Preferred antisense oUgonucleotides have potent and specific antisense activity at nanomolar concentrations.
- the agent that inhibits the HDAC-4 isoform is a smaU molecule inhibitor that inhibits expression of a nucleic acid molecule encoding HDAC-4 isoform or activity of the HDAC-4 protein.
- smaU molecule as used in reference to the inhibition of histone deacetylase is used to identify a compound having a molecular weight preferably less than 1000 Da, more preferably less than 800 Da, and most preferably less than 600 Da, which is capable of interacting with a histone deacetylase and inhibiting the expression of a nucleic acid molecule encoding an HDAC isoform or activity of an HDAC protein.
- Inhibiting histone deacetylase enzymatic activity means reducing the abiUty of a histone deacetylase to remove an acetyl group from a histone. In some preferred embodiments, such reduction of histone deacetylase activity is at least about 50%, more preferably at least about 75%, and stiU more preferably at least about 90%. In other preferred embodiments, histone deacetylase activity is reduced by at least 95% and more preferably by at least 99% .
- the smaU molecule inhibitor of HDAC is an inhibitor of HDAC-1 and/ or HDAC-4. Most prefered are smaU molecule inhibitors of HDAC-4.
- such inhibition is specific, i.e., the histone deacetylase inhibitor reduces the abiUty of a histone deacetylase to remove an acetyl group from a histone at a concentiation that is lower than the concentration of the inhibitor that is required to produce another, unrelated biological effect.
- the concentration of the inhibitor required for histone deacetylase inhibitory activity is at least 2-fold lower, more preferably at least 5-fold lower, even more preferably at least 10-fold lower, and most preferably at least 20-fold lower than the concentration required to produce an unrelated biological effect.
- HDAC-4 inhibit growth of human cancer ceUs, independent of their p53 status. These agents induce apoptosis in cancer ceUs and cause growth arrest. They also can induce transcription of p21 W ⁇ F1 (a tumor suppressor gene), Bax, an extremely important gene involved in apoptosis regulation and GADD45, a stress-induced gene and important regulator of ceU growth. These agents may exhibit both in vitro and in vivo anti-tumor activity. Inhibitory agents that achieve one or more of these results are considered within the scope of this aspect of the invention.
- the antisense oUgonucleotides according to the invention are complementary to a region of RNA or to a region of double-stranded DNA that encodes a portion of one or more histone deacetylase isoforms (taking into account that homology between different isoforms may allow a single antisense oUgonucleotide to be complementary to a portion of more than one isoform).
- the term "oligonucleotide” includes polymers of two or more deoxyribonucleosides, ribonucleosides, or any combination thereof.
- such oUgonucleotides have from about 6 to about 50 nucleoside residues, and most preferably from about 12 to about 30 nucleoside residues.
- the nucleoside residues may be coupled to each other by any of the numerous known internucleoside linkages.
- internucleoside linkages include without limitation phosphorothioate, phosphorodithioate, alkylphosphonate, alkylphosphonothioate, phosphotriester, phosphoramidate, siloxane, carbonate, carboxymethylester, acetamidate, carbamate, thioether, bridged phosphoramidate, bridged methylene phosphonate, bridged phosphorothioate, and sulfone internucleotide Unkages.
- These internucleoside linkages preferably are phosphotriester, phosphorothioate, or phosphoramidate linkages, or combinations thereof.
- the oUgonucleotides may also contain 2'-O-substituted ribonucleotides.
- the term "2'-O-substituted" means substitution of the 2' position of the pentose moiety with an -O-lower alkyl group containing 1-6 saturated or unsaturated carbon atoms, or with an -O-aryl or aUyl group having 2-6 carbon atoms, wherein such alkyl, aryl, or aUyl group may be unsubstituted or may be substituted, e.g., with halo, hydroxy, trifluoromethyl, cyano, nitro, acyl, acyloxy, alkoxy, carboxyl, carbalkoxyl, or amino groups; or such 2' substitution may be with a hydroxy group (to produce a ribonucleoside), an amino or a halo group, but not with a 2'-H group.
- alkyl refers to straight and branched chain aUphatic groups having from 1 to 12 carbon atoms, preferably 1-8 carbon atoms, and more preferably 1-6 carbon atoms, which may be optionaUy substituted with one, two or three substituents. Unless otherwise apparent from context, the term “alkyl” is meant to include saturated, unsaturated, and partiaUy unsaturated aUphatic groups. When unsaturated groups are particularly intended, the terms “alkenyl” or “alkynyl” wiU be used. When only saturated groups are intended, the term “saturated alkyl” wiU be used.
- Preferred saturated alkyl groups include, without limitation, methyl, ethyl, propyl, isopropyl, butyl, isobutyl, sec-butyl, tert-butyl, pentyl, and hexyl.
- the term oUgonucleotide also encompasses such polymers having chemically modified bases or sugars and/ or having additional substituents including, without Umitation, UpophiUc groups, intercalating agents, diamines, and adamantane.
- the term oUgonucleotide also encompasses such polymers as PNA and LNA.
- the term "complementary" means having the abiUty to hybridize to a genomic region, a gene, or an RNA transcript thereof, under physiological conditions.
- Such hybridization is ordinarily the result of base-specific hydrogen bonding between complementary strands, preferably to form Watson-Crick or Hoogsteen base pairs, although other modes of hydrogen bonding, as weU as base stacking can lead to hybridization.
- hybridization can be inferred from the observation of specific gene expression inhibition, which may be at the level of transcription or translation (or both).
- Particularly preferred antisense oUgonucleotides utilized in this aspect of the invention include chimeric oUgonucleotides and hybrid oUgonucleotides.
- a "chimeric oUgonucleotide” refers to an oligonucleotide having more than one type of internucleoside linkage.
- One preferred embodiment of such a chimeric oUgonucleotide is a chimeric oUgonucleotide comprising internucleoside Unkages, phosphorothioate, phosphorodithioate, internucleoside Unkages and phosphodiester, preferably comprising from about 2 to about 12 nucleotides.
- Some useful oligonucleotides of the invention have an alkylphosphonate-linked region and an alkylphosphonothioate region (see e.g., Pederson et al.
- such chimeric oligonucleotides contain at least three consecutive internucleoside Unkages that are phosphodiester and phosphorothioate Unkages, or combinations thereof.
- hybrid oUgonucleotide refers to an oUgonucleotide having more than one type of nucleoside.
- One preferred embodiment of such a hybrid oUgonucleotide comprises a ribonucleotide or 2'-O-substituted ribonucleotide region, preferably comprising from about 2 to about 122'-O-substituted nucleotides, and a deoxyribonucleotide region.
- such a hybrid oUgonucleotide contains at least three consecutive deoxyribonucleosides and contains ribonucleosides, 2'-O-substituted ribonucleosides, or combinations thereof (see e.g., Metelev and Agrawal, U.S. Patents Nos. 5,652,355 and 5,652,356).
- an antisense oligonucleotide utilized in the invention can be varied, so long as the oligonucleotide retains its abiUty to modulate expression of the target sequence, e.g., the HDAC-4 or the HDAC-1 isoform.
- This is readUy determined by testing whether the particular antisense oligonucleotide is active by quantitating the amount of mRNA encoding the HDAC-4 or the HDAC-1 isoform, quantitating the amount of the HDAC-4 or the HDAC-1 isoform protein, quantitating the the HDAC-4 or the HDAC-1 isoform enzymatic activity, or quantitating the abiUty of the the HDAC-4 or the
- HDAC-1 isoform, for example, to inhibit ceU growth in a an in vitro or in vivo ceU growth assay, aU of which are described in detaU in this specification.
- the term "inhibit expression" and similar terms used herein are intended to encompass any one or more of these parameters.
- Antisense oUgonucleotides according to the invention may conveniently be synthesized on a suitable solid support using weU-known chemical approaches, including H-phosphonate chemistry, phosphoramidite chemistry, or a combination of H-phosphonate chemistry and phosphoramidite chemistry (i.e., H-phosphonate chemistry for some cycles and phosphoramidite chemistry for other cycles).
- Suitable solid supports include any of the standard soUd supports used for solid phase oligonucleotide synthesis, such as controUed-pore glass (CPG) (see, e.g., Pon, R. T., Meth. Molec. Biol. 20:465-496, 1993).
- CPG controUed-pore glass
- Antisense oUgonucleotides according to the invention are useful for a variety of purposes. For example, they can be used as "probes" of the physiological function of specific histone deacetylase isoforms by being used to inhibit the activity of specific histone deacetylase isoforms in an experimental ceU culture or animal system and to evaluate the effect of inhibiting such specific histone deacetylase isoform activity. This is accomplished by administering to a ceU or an animal an antisense oligonucleotide that inhibits one or more histone deacetylase isoform expression according to the invention and observing any phenotypic effects.
- the antisense oUgonucleotides used according to the invention are preferable to traditional "gene knockout" approaches because they are easier to use, and because they can be used to inhibit specific histone deacetylase isoform activity at selected stages of development or differentiation.
- Preferred antisense oUgonucleotides of the invention inhibit either the transcription of a nucleic acid molecule encoding the the HDAC-4 or the HDAC-1 isoform, and/ or the translation of a nucleic acid molecule encoding the the HDAC-4 or the HDAC-1, and/ or lead to the degradation of such nucleic acid molecules.
- HDAC-4- or HDAC-1-encoding nucleic acid molecules may be RNA or double stranded DNA regions and include, without limitation, intronic sequences, untranslated 5' and 3' regions, intron- exon boundaries, as weU as coding sequences from the HDAC-4 or the HDAC-1 isoform genes.
- intronic sequences for human sequences, see e.g., Yang et al, Proc. Natl. Acad. Sci. USA 93(23):2845-12850, 1996; Furukawa et al, Cytogenet. Cell Genet. 73(1-2):130-133, 1996; Yang et al, J. Biol. Chem.
- Antisense oUgonucleotides for human HDAC isotype polynucleotides may be designed from known HDAC isotype sequence data.
- the foUowing amino acid sequences are available from GenBank for HDAC-1, HDAC-2, HDAC-3, HDAC-4, HDAC-5, HDAC-6, HDAC-7, and HDAC-8: AAC50475, AAC50814, AAC98927, BAA22957, AB011172, AAD29048, AAF63491, and AAF73076, respectively, and the following nucleotide sequences are available from GenBank for HDAC-1, HDAC-2, HDAC-3, HDAC-4, HDAC-5, HDAC-6, HDAC-7, and HDAC-8: U50079, U31814, AF039703, AB006626, AF039691, AJ011972, AF239243, and AF230097, respectively.
- antisense oligonucleotides of the invention are complementary to a region of RNA or to a region of double-stranded DNA encoding the HDAC-4 or the HDAC-1 isoform, (see e.g., GenBank Accession No. U50079 for human HDAC-1 (Fig. IB), and GenBank Accession No. AB006626 for human HDAC-4 (Fig. 2B)).
- the antisense oligonucleotides of the invention may also be complementary to a region of RNA or to a region of double-stranded DNA that encode the HDAC-4 or the HDAC-1 isoform from non-human animals.
- Antisense oligonucleotides according to these embodiments are useful as tools in animal models for studying the role of specific histone deacetylase isoforms.
- preferred oUgonucleotides have nucleotide sequences of from about 13 to about 35 nucleotides which include the nucleotide sequences shown in Table I below.
- oUgonucleotides have nucleotide sequences of from about 15 to about 26 nucleotides of the nucleotide sequences shown below in Table I.
- the oUgonucleotides shown below have phosphorothioate backbones, are 20-26 nucleotides in length, and are modified such that the terminal four nucleotides at the 5' end of the oUgonucleotide and the terminal four nucleotides at the 3' end of the oUgonucleotide each have 2' -O- methyl groups attached to their sugar residues.
- the antisense oligonucleotides according to the invention may optionaUy be formulated with any of the weU known pharmaceuticaUy acceptable carriers or diluents (see preparation of pharmaceuticaUy acceptable formulations in, e.g.. Remington's Pharmaceutical Sciences, 18th Edition, ed. A. Gennaro, Mack PubUshing Co., Easton, PA, 1990), with the proviso that such carriers or diluents not affect their abiUty to modulate HDAC activity.
- the agent that inhibits the HDAC-4 and/ or HDAC-1 isoform is a smaU molecule.
- the smaU molecule inhibits the enzymatic activity of the HDAC-4 or HDAC-1 isoform.
- Certain preferred smaU molecule inhibitors of the HDAC-4 and/ or HDAC-1 isoform include compounds having the formula (1):
- Cy is cycloalkyl, aryl, heteroaryl, or heterocyclyl, any of which may optionaUy be substituted;
- Y 1 is a Q - C 6 alkylene which optionaUy may be substituted and wherein one of the carbon atoms of the alkylene optionaUy may be replaced by a heteroatom moiety such as O, NR 1 (R 1 being alkyl, acyl or hydrogen) S, S(O), or S(O) 2 ; and
- Z is selected from the group consisting of aniUnyl, pyridyl, thiadiazolyl and -O-M, M being H or a pharmaceuticaUy acceptable cation, wherein the amlinyl or pyridyl or thiadiazolyl may be optionaUy substituted.
- alkylene is an alkyl group, as defined hereinabove, that is positioned between and serves to connect two other chemical groups.
- Preferred alkylene groups include, without limitation, methylene, ethylene, propylene, and butylene.
- cycloalkyl as employed herein includes saturated and partiaUy unsaturated cycUc hydrocarbon groups having 3 to 12 carbons, preferably 3 to 8 carbons, and more preferably 3 to 6 carbons, wherein the cycloalkyl group additionaUy may be optionaUy substituted.
- Preferred cycloalkyl groups include, without Umitation, cyclopropyl, cyclobutyl, cyclopentyl, cyclopentenyl, cyclohexyl, cyclohexenyl, cycloheptyl, and cyclooctyl.
- aryl is a C 6 -C ⁇ 4 aromatic moiety comprising one to three aromatic rings, which may be optionaUy substituted.
- the aryl group is a C 6 -Go aryl group.
- Preferred aryl groups include, without limitation, phenyl, naphthyl, anthracenyl, and fluorenyl.
- An “aralkyl” or “arylalkyl” group comprises an aryl group covalently linked to an alkyl group, either of which may independently be optionaUy substituted or unsubstituted.
- the aralkyl group is (Ci-C 6 )aU (C6-Cio)aiyl, including, without limitation, benzyl, phenethyl, and naphthylmethyl.
- An "alkaryl” or “alkylaryl” group is an aryl group having one or more alkyl substituents. Examples of alkaryl groups include, without limitation, tolyl, xylyl, mesityl, ethylphenyl, tert-butylphenyl, and methylnaphthyl.
- An "arylene” group is an aryl group, as defined hereinabove, that is positioned between and serves to connect two other chemical groups.
- arylene groups include, without limitation, phenylene and naphthylene.
- arylene is also meant to include heteroaryl bridging groups, including, but not limited to, benzothienyl, benzofuryl, quinolyl, isoquinolyl, and indolyl.
- a “heterocyclyl” or “heterocycUc” group is a ring structure having from about 3 to about 8 atoms, wherein one or more atoms are selected from the group consisting of N, O, and S.
- the heterocycUc group may be optionally substituted on carbon at one or more positions.
- the heterocycUc group may also independently be substituted on nitrogen with alkyl, aryl, aralkyl, alkylcarbonyl, alkylsuUonyl, arylcarbonyl, arylsutfonyl, alkoxycarbonyl, aralkoxycarbonyl, or on sulfur with oxo or lower alkyl.
- Preferred heterocycUc groups include, without limitation, epoxy, aziridinyl, tetrahydrofuranyl, pyrroUdinyl, piperidinyl, piperazinyl, thiazolidinyl, oxazoUdinyl, oxazoUdinonyl, and morphoUno.
- the heterocycUc group is fused to an aryl or heteroaryl group. Examples of such fused heterocyles include, without limitation, tetrahydroquinoUne and dihydrobenzofuran.
- heteroaryl refers to groups having 5 to 14 ring atoms, preferably 5, 6, 9, or 10 ring atoms; having 6, 10, or 14 ⁇ electrons shared in a cyclic array; and having, in addition to carbon atoms, between one and about three heteroatoms selected from the group consisting of N, O, and S.
- Preferred heteroaryl groups include, without limitation, thienyl, benzothienyl, furyl, benzofuryl, dibenzofuryl, pyrrolyl, imidazolyl, pyrazolyl, pyridyl, pyrazinyl, pyrimidinyl, indolyl, quinolyl, isoquinolyl, quinoxalinyl, tetrazolyl, oxazolyl, thiazolyl, and isoxazolyl.
- a "substituted" alkyl, cycloalkyl, aryl, heteroaryl, or heterocycUc group is one having between one and about four, preferably between one and about three, more preferably one or two, non-hydrogen substituents.
- Suitable substituents include, without Umitation, halo, hydroxy, nitro, haloalkyl, alkyl, alkaryl, aryl, aralkyl, alkoxy, aryloxy, amino, acylamino, alkylcarbamoyl, arylcarbamoyl, aminoalkyl, alkoxycarbonyl, carboxy, hydroxyalkyl, alkanesulfonyl, arenesuUonyl, alkanesulfonamido, arenesuUonamido, aralkylsulfonamido, alkylcarbonyl, acyloxy, cyano, and ureido groups.
- halogen or "halo" as employed herein refers to chlorine, bromine, fluorine, or iodine.
- acyl refers to an alkylcarbonyl or arylcarbonyl substituent.
- acylamino refers to an amide group attached at the nitrogen atom.
- carbamoyl refers to an amide group attached at the carbonyl carbon atom.
- the nitrogen atom of an acylamino or carbamoyl substituent may be additionaUy substituted.
- sulfonamido refers to a suUonamide substituent attached by either the sulfur or the nitrogen atom.
- ''amino is meant to include NH2, alkylamino, arylamino, and cycUc amino groups.
- ureido refers to a substituted or unsubstituted urea moiety.
- the smaU molecule inhibitors of the HDAC-4 and/ or HDAC-1 isoform are represented by formula (2):
- Cy is cycloalkyl, aryl, heteroaryl, or heterocyclyl, any of which may optionaUy be substituted;
- Y 2 is C5 - C7 alkylene which may be optionaUy substituted and wherein one of the carbon atoms of the alkylene optionaUy may be replaced by a heteroatom moiety such as O, NR 1 (R 1 being alkyl, acyl or hydrogen), S, S(O), or S(O) 2 ; and
- HDAC-4 and/ or HDAC-1 isoform include compounds having the formula (3):
- Cy is cycloalkyl, aryl, heteroaryl, or heterocyclyl, any of which may optionaUy be substituted;
- B is -CH(OMe), ketone, or methylene;
- Y 3 is a G - C ⁇ alkylene which may be optionaUy substituted, and wherein one of the carbon atoms of the alkylene optionaUy may be replaced by a heteroatom moiety such as O, NR 1 (R 1 being alkyl, acyl or hydrogen), S, S(O), or S(O) 2 ;
- Z is anilinyl, pyridyl, thiadiazolyl or -O-M (M being H or a pharmaceutically acceptable cation), wherein the anilinyl or pyridyl or thiadiazolyl optionaUy may be substituted.
- the inhibitors of the HDAC-4 and/ or HDAC-1 isoform are represented by formula (4): Cy-L i -Ar-Y 1 -C(O)-NH-Z (4) wherein:
- Cy is cycloalkyl, aryl, heteroaryl, or heterocyclyl, any of which optionaUy may be substituted;
- V is -(CH 2 )m-W-, where m is 0, 1, 2, 3, or 4, and W is -C(0)NH-, - S(O) 2 NH-, -NHC(O)-, -NHS(O) 2 -, or -NH-C(O)-NH-;
- Ar is arylene which may be additionaUy substituted and optionaUy may be fused to an aryl or heteroaryl ring, or to a saturated or partiaUy unsaturated cycloalkyl or heterocycUc ring, any of which optionaUy may be substituted;
- Y 1 is a chemical bond or a straight- or branched-chain saturated alkylene, which optionaUy may be substituted;
- Z is anilinyl, pyridyl, thiadiazolyl, or -O-M (M being H or a pharmaceutically acceptable cation); provided that when L i is -C(O)NH-, Y 1 is -(CH 2 ) n - (n being 1, 2, or 3), and Z is -O-M, then Cy is not aminophenyl, dimethylaminophenyl, or hydroxyphenyl; and further provided that when L 1 is -C(O)NH- and Z is pyridyl, then Cy is not substituted indoUnyl.
- the inhibitors of the HDAC-4 and/ or HDAC-1 isoform are represented by formula (5): Cy-L 2 -Ar-Y 2 -C(O)NH-Z (5) wherein:
- Cy is cycloalkyl, aryl, heteroaryl, or heterocyclyl, any of which optionaUy may be substituted, provided that Cy is not a
- L 2 is C ⁇ -C 6 saturated alkylene or C 2 -C 6 alkenylene, wherein the alkylene or alkenylene optionaUy may be substituted, provided that L 2 is not -C(O)-, and wherein one of the carbon atoms of the alkylene optionaUy may be replaced by a heteroatom moiety such as O, NR' (R' being alkyl, acyl, or hydrogen), S, S(O), or S(O) 2 ;
- Ar is arylene which optionaUy may be additionaUy substituted and optionaUy may be fused to an aryl or heteroaryl ring, or to a saturated or partiaUy unsaturated cycloalkyl or heterocycUc ring, any of which optionally may be substituted; and
- Y 2 is a chemical bond or a straight- or branched-chain saturated alkylene which may be optionaUy substituted, provided that the alkylene is not substituted with a substituent of the formula -C(O)R ,wherein R comprises an ⁇ -amino acyl moiety;
- Z is anilinyl, pyridyl, thiadiazolyl, or -O-M (M being H or a pharmaceutically acceptable cation); provided that when the carbon atom to which Cy is attached is oxo- substituted, then Cy and Z are not both pyridyl.
- the inhibitors of the HDAC-4 and/ or HDAC-1 isoform are represented by formula (6):
- Cy-L3-Ar-Y 3 -C(O)NH-Z (6) wherein: Cy is cycloalkyl, aryl, heteroaryl, or heterocyclyl, any of which optionaUy may be substituted, provided that Cy is not a (spirocycloalkyl)heterocyclyl; L is:
- Ar is arylene which optionaUy may be additionaUy substituted and optionaUy may be fused to an aryl or heteroaryl ring, or to a saturated or partiaUy unsaturated cycloalkyl or heterocycUc ring, any of which optionally may be substituted; and Y 3 is C 2 alkenylene or C 2 alkynylene, wherein one or both carbon atoms of the alkenylene optionaUy may be substituted with alkyl, aryl, alkaryl, or aralkyl; and
- Z is anilinyl, pyridyl, thiadiazolyl, or -O-M (M being H or a pharmaceutically acceptable cation); provided that when Cy is unsubstituted phenyl, Ar is not phenyl wherein L 3 and Y 3 are oriented ortho or meta to each other.
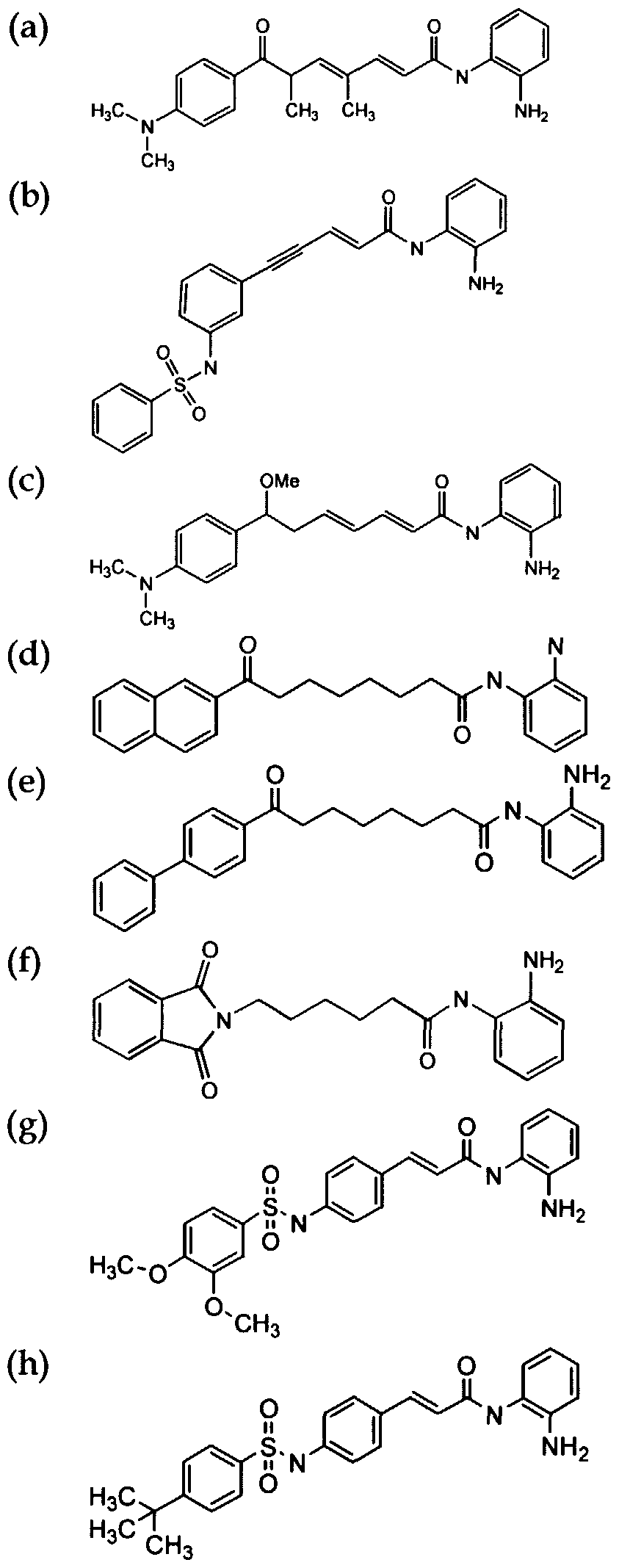
- the smaU molecule inhibitors of the HDAC-4 and/ or HDAC-1 isoform have the structure selected from the group consisting of
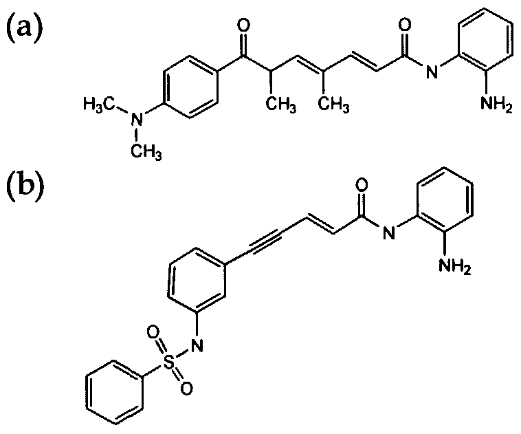
- Non-limiting examples of smaU molecule inhibitors for use in the methods of the invention are presented in Table 2.
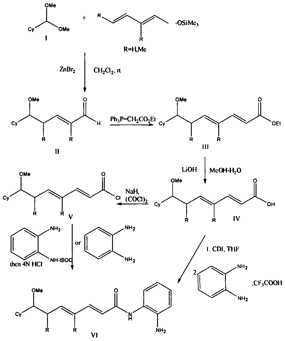
- SmaU molecule inhibitors of the invention of the formulae Cy- CH(OMe)-Y 1 -C(O)-NH-Z, Cy-Y 2 -C(O)NH-Z and Cy-B-Y 3 -C(O)-NH-Z, which may be conveniently prepared according to the foUowing schemes 1-3 or using other art-recognized methods.
- a dialkyl acetal I is treated with l-trimethylsilyloxy-l,3-butadiene or with l-trirnethylsUyloxy-2,4-dirnethyl-l,3-butadiene in the presence of zinc bromide to yield the aldehyde II.
- Wittig reaction of II with a carboalkoxy phosphorous yield such as ethyl (tiiphenylphosphoranyUdene)acetate yields the diene ester III.
- Hydrolysis of the ester function in III can be effected by treatment with a hydroxide base, such as Uthium hydroxide, to yield the corresponding acid IV.
- the acid IV is converted to the corresponding acid chloride V according to standard methods, e.g., by treatment with sodium hydride and oxalyl chloride.
- V may be treated with a mono-protected 1,2-phenylenediamine, such as 2-(t- BOC-arnmo)aniUne, foUowed by deprotection, to yield VI.
- the acid IV may be activated by tieatment with carbonyldiimidazole (CDI), foUowed by tieatment with 1,2- phenylenediamine and trifluoroacetic acid, to yield the anilinyl amide VI.
- CDI carbonyldiimidazole
- NI methoxy-substituted compounds
- DDQ 2,3-dichloro-5,6-dicyano-l,4-benzoquinone
- conversion of the acid XVto the hydroxamic acid XI is accompUshed by coupling XV with a protected hydroxylamine, such as tetiahydropyranymydroxylamine (NH 2 OTHP), to yield the protected hydroxamate XVI, foUowed by acidic hydrolysis of XVI to provide the hydroxamic acid XI.
- a protected hydroxylamine such as tetiahydropyranymydroxylamine (NH 2 OTHP)
- the coupling reaction is preferably accompUshed with the coupling reagent dicyclohexylcarbodiimide (DCC) in a solvent such as methylene chloride (Method A), or with the coupling reagent l-(3- di ⁇ ne ylammopropyl)-3-ethylcarbodiirnide in presence of N-hydroxy benzotriazole in an aprotic solvent such as dimethyUormamide (Method D).
- DCC dicyclohexylcarbodiimide
- Method A methylene chloride
- the coupling reagent l-(3- di ⁇ ne ylammopropyl)-3-ethylcarbodiirnide in presence of N-hydroxy benzotriazole in an aprotic solvent such as dimethyUormamide (Method D).
- Other coupling reagents are known in the art and may also be used in this reaction.
- acid XV is converted to the corresponding acid chloride, preferably by tieatment with oxaUc chloride, followed by the addition of a protected hydroxylamine such as O- tiimethylsuy ydroxylamine in a solvent such as methylene chloride, which then provides the hydroxamic acid XI upon workup (Method C).
- a protected hydroxylamine such as O- tiimethylsuy ydroxylamine
- a solvent such as methylene chloride
- the ester XIV is treated with hydroxylamine in a solvent such as methanol in the presence of a base such as sodium methoxide to furnish the hydroxamic acid XI directly (Method B).
- Compound XVIII is coupled with a terminal acetylene or olefinic compound in the presence of a paUadium catalyst such as tetrakis(triphenylphosphine)paUadium(0) in a solvent such as pyrroUdine to yield XIX.
- a paUadium catalyst such as tetrakis(triphenylphosphine)paUadium(0)
- a solvent such as pyrroUdine
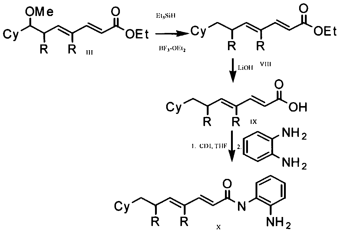
- Basic hydrolysis of XXI such as by treatment with Uthium hydroxide in a mixture of THF and water, provides the acid XXII.
- Hydrogenation of XXII may preferably be performed over a paUadium catalyst such as Pd/C in a protic solvent such as methanol to yield the saturated acid XXIII.
- Coupling of the acid XXIII with an O-protected hydroxylamine such as O-tetiahydropyranymydroxylamine is effected by treatment with a coupling reagent such as l-(3-dimemylaminopropyl)-3- ethylcarbodiimide in the presence of N-hydroxybenzotriazole (HOBT), or N,N-dicyclohexylcarbodiimide (DCC), in a solvent such as DMF, foUowed by deprotection to furnish the compound of general formula XXIV.
- a coupling reagent such as l-(3-dimemylaminopropyl)-3- ethylcarbodiimide in the presence of N-hydroxybenzotriazole (HOBT), or N,N-dicyclohexylcarbodiimide (DCC), in a solvent such as DMF, foUowed by deprotection to furnish the compound of general formula XXIV
- an O-protected hydroxylamine such as 0-tetiahydropyranylhydroxylamine
- the coupling reaction is preferably performed by treating the acid and hydroxylamine with dicyclohexylcarbodiimide in a solvent such as methylene chloride or with l-(3-dimethylaminopropyl)-3-ethylcarbodumide in the presence of N-hydoxybenzotriazole in a solvent such as dimethyUormamide.
- a palladium catalyst such as 10% Pd/C
- a solvent such as methanol-tetrahydrofuran
- a terminal olefin (XXXII) is coupled with an aryl haUde (XXXIII) in the presence of a catalytic amount of a paUadium source, such as paUadium acetate or tris(dibenzyUdeneacetone)dipaUadium(0), a phosphine, such as tiiphenylphosphine, and a base, such as triethylamine, in a solvent such as acetonitiUe to afford the coupled product XXXIV.
- a paUadium source such as paUadium acetate or tris(dibenzyUdeneacetone)dipaUadium(0)
- a phosphine such as tiiphenylphosphine
- a base such as triethylamine
- a phosphonium salt of formula XXXVH is tieated with an aryl aldehyde of formula XXXVIII in the presence of base, such as lithium hexamethyldisUazide, in a solvent, such as tetrahydrofuran, to produce the compound XXXIV.
- base such as lithium hexamethyldisUazide
- solvent such as tetrahydrofuran
- XXXIX An acid of formula Cy-L-Ar-Y-C(O)-OH (XXXIX), prepared by one of the methods shown in Schemes 4-8, is converted to the corresponding acid chloride XL according to standard methods, e.g., by treatment with sodium hydride and oxalyl chloride. Treatment of XL with 2-aminopyridine and a tertiary base such as N-methylmorpholine, preferably in dichloromethane at reduced temperature, then yields the pyridyl amide XLI. In a sirrular fashion, the acid chloride XL may be treated with 1,2-phenylenediamine to afford the ar ⁇ linyl amide XLII. Alternatively, the acid chloride XL may be treated with a mono-protected 1,2-phenylenediamine, such as 2-(t-BOC-ammo)aniline, followed by deprotection, to yield XLII.
- the acid XXXIX may be activated by treatment with carbonyldiimidazole (CDI), foUowed by treatment with 1,2- phenylenediamine and tiifluoroacetic acid to afford the anilinyl amide XLII.
- CDI carbonyldiimidazole
- Ester hydrolysis then affords the acid LII, which is converted to the hydroxamic acid LIII according to any of the procedures described above.
- the sulfide LI also may be converted directly to the corresponding hydroxamic acid LIV, which then may be selectively oxidized to the suUoxide LV, for example, by treatment with hydrogen peroxide and teUurium dioxide.
- the reagents according to the invention are useful as analytical tools and as therapeutic tools, including gene therapy tools.
- the invention also provides methods and compositions which may be manipulated and fine- tuned to fit the condition(s) to be tieated while producing fewer side effects.
- the invention also provides method for inhibiting HDAC-4 activity in a ceU, comprising contacting the ceU with a specific inhibitor of HDAC-4, whereby HDAC-4 activity is inhibited.
- a specific inhibitor means any molecule or compound that decreases the amount of HDAC RNA, HDAC protein, and/ or HDAC protein activity in a cell. Particularly preferred specific inhibitors decrease the amount of RNA, protein, and/ or protein activity in a ceU for HDAC-1 and/ or HDAC-4.
- the invention provides a method for inhibiting the HDAC-4 isoform in a ceU comprising contacting the cell with an antisense oUgonucleotide of the first aspect of the invention.
- ceU proliferation is inhibited in the contacted cell.
- the ceU is a neoplastic ceU which may be in an animal, including a human, and which may be in a neoplastic growth.
- the method of the second aspect of the invention further comprises contacting the ceU with HDAC-4 smaU molecule inhibitor that interacts with and reduces the enzymatic activity of the HDAC-4 isoform.
- the histone deacetylase smaU molecule inhibitor is operably associated with the antisense oUgonucleotide.
- the antisense oUgonucleotides according to the invention are useful in therapeutic approaches to human diseases, including benign and malignant neoplasms, by inhibiting ceU proliferation in ceUs contacted with the antisense oligonucleotides.
- the phrase "inhibiting cell proliferation" is used to denote an abiUty of HDAC-4 antisense oUgonucleotide or a smaU molecule HDAC-4 inhibitor (or combination thereof) to retard the growth of ceUs contacted with the oUgonucleotide or small molecule inhibitor, as compared to ceUs not contacted.
- ceU proliferation can be made by counting ceUs that have been contacted with the oUgonucleotide or smaU molecule of the invention and compare that number with the number of non-contacted ceUs using a Coulter CeU Counter (Coulter, Miami, FL) or a hemacytometer.
- a soUd growth e.g., a soUd tumor or organ
- such an assessment of ceU proliferation can be made by measuring the growth of the tissue or organ with caUpers, and comparing the size of the growth of contacted ceUs with non-contacted ceUs.
- the term includes a retardation of ceU proliferation that is at least 50% of non-contacted ceUs.
- the term includes a retardation of cell proliferation that is 100% of non-contacted cells (i.e., the contacted ceUs do not increase in number or size). Most preferably, the term includes a reduction in the number or size of contacted cells, as compared to non-contacted ceUs.
- HDAC-4 antisense oUgonucleotide or HDAC-4 smaU molecule inhibitor that inhibits ceU proliferation in a contacted ceU may induce the contacted ceU to undergo growth retardation, growth arrest, programmed ceU death (i.e., to apoptose), or necrotic ceU death.
- the cell proliferation inhibiting abiUty of the antisense oligonucleotides according to the invention aUows the synchronization of a population of a- synchronously growing ceUs.
- the antisense oUgonucleotides of the invention may be used to arrest a population of non-neoplastic ceUs grown in vitro in the Gl or G2 phase of the ceU cycle.
- Such synchronization allows, for example, the identification of gene and/ or gene products expressed during the Gl or G2 phase of the ceU cycle.
- Such a synchronization of cultured ceUs may also be useful for testing the efficacy of a new transfection protocol, where transfection efficiency varies and is dependent upon the particular ceU cycle phase of the ceU to be transfected.
- Use of the antisense oUgonucleotides of the invention aUows the synchronization of a population of ceUs, thereby aiding detection of enhanced transfection efficiency.
- anti-neoplastic utiUty of the antisense oUgonucleotides according to the invention is described in detail elsewhere in this specification.
- the ceU contacted with HDAC-4 antisense oUgonucleotide is also contacted with HDAC-4 smaU molecule inhibitor.
- HDAC-4 smaU molecule inhibitor denotes an active moiety capable of interacting with one or more specific histone deacetylase isoforms at the protein level and reducing the activity of that histone deacetylase isoform.
- Histone deacteylase smaU molecule inhibitors that inhibit the HDAC-1 and/ or the HDAC-4 isoform.
- An HDAC-1 smaU molecule inhibitor is a molecule that reduces the activity of the HDAC-1 isoform.
- An HDAC-4 smaU molecule inhibitor is a molecule that reduces the activity of the HDAC-4 isoform.
- the reduction of activity is at least 5-fold, more preferably at least 10-fold, most preferably at least 50-fold.
- the activity of the histone deacetylase isoform is reduced 100- fold.
- a preferred histone deacetylase smaU molecule inhibitor is one that interacts with and reduces the enzymatic activity of HDAC-4 and/ or the HDAC-1 isoform that is involved in tumorigenesis.
- the histone deacetylase smaU molecule inhibitor is operably associated with the antisense oligonucleotide.
- the antisense oligonucleotides according to the invention may optionaUy be formulated weU known pharmaceuticaUy acceptable carriers or dUuents.
- This formulation may further contain one or more one or more additional histone deacetylase antisense oUgonucleotide(s), and/ or one or more histone deacetylase small molecule inhibitor(s), or it may contain any other pharmacologicaUy active agent.
- operably associated with includes any association between the antisense oligonucleotide and the histone deacetylase smaU molecule inhibitor which aUows an antisense oligonucleotide to inhibit one or more specific histone deacetylase isoform- encoding nucleic acid expression and aUows the histone deacetylase smaU molecule inhibitor to inhibit specific histone deacetylase isoform enzymatic activity.
- One or more antisense oUgonucleotide of the invention may be operably associated with one or more histone deacetylase small molecule inhibitor.
- an antisense oligonucleotide of the invention that targets one particular histone deacetylase isoform is operably associated with an smaU molecule inhibitor which targets the same histone deacetylase isoform (e.g., HDAC-4).
- a preferred operable association is a hydrolyzable.
- the hydrolyzable association is a covalent linkage between the antisense oUgonucleotide and the histone deacetylase smaU molecule inhibitor.
- Such a covalent linkage is hydrolyzable, for example, by esterases and/ or amidases. Examples of such hydrolyzable associations are well known in the art. Phosphate esters are particularly preferred.
- the covalent linkage may be directly between the antisense oUgonucleotide and the histone deacetylase smaU molecule inhibitor so as to integrate the histone deacetylase smaU molecule inhibitor into the backbone of the oUgonucleotide.
- the covalent linkage may be through an extended structure and may be formed by covalently linking the antisense oUgonucleotide to the histone deacetylase smaU molecule inhibitor through coupling of both the antisense oligonucleotide and the histone deacetylase smaU molecule inhibitor to a carrier molecule such as a carbohydrate, a peptide, a Upid or a glycoUpid.
- a carrier molecule such as a carbohydrate, a peptide, a Upid or a glycoUpid.
- Another useful operable associations include lipophiUc association, such as the formation of a Uposome containing an antisense oUgonucleotide and the histone deacetylase smaU molecule inhibitor covalently linked to a UpophiUc molecule.
- UpophiUc molecules include, without limitation, phosphotidylcholine, cholesterol, phosphatidylethanolamine, and synthetic neoglycoUpids, such as syalyUacNAc-HDPE.
- the operable association may not be a physical association, but simply a simultaneous co-existence in the body, for example, when the antisense oUgonucleotide is associated with one Uposome and the smaU molecule inhibitor is associated with another Uposome.
- the invention provides a method for inhibiting neoplastic ceU proliferation in an animal, comprising adrninistering to an animal having at least one neoplastic ceU present in its body a therapeuticaUy effective amount of a specific inhibitor of HDAC-4, whereby neoplastic ceU proliferation is inhibited in the animal.
- the invention provides a method for inhibiting neoplastic cell growth in an animal.
- a therapeuticaUy effective amount of the antisense oUgonucleotide of the invention is administered to an animal having at least one neoplastic ceU present in its body, the oUgonucleotide being administered with a pharmaceuticaUy acceptable carrier for a therapeutically effective period of time.
- the animal is a mammal, particularly a domesticated mammal. Most preferably, the animal is a human.
- neoplastic ceU is used to denote a ceU that shows aberrant ceU growth.
- a neoplastic cell may be a hyperplastic ceU, a ceU that shows a lack of contact inhibition of growth in vitro, a benign tumor cell that is incapable of metastasis in vivo, or a cancer ceU that is capable of metastases in vivo and that may recur after attempted removal.
- tumorgenesis is used to denote the induction of uncharacteristic or untimely cell proliferation that leads to the development of a neoplastic growth.
- the term "therapeuticaUy effective amount” means the total amount of each active component of the pharmaceutical composition or method that is sufficient to show a meaningful patient benefit, i.e., inhibiting HDAC activity, particularly HDAC-1 and/ or HDAC-4 activity or to inhibit neoplastic growth or for the treatment of proliferative diseases and disorders.
- a meaningful patient benefit i.e., inhibiting HDAC activity, particularly HDAC-1 and/ or HDAC-4 activity or to inhibit neoplastic growth or for the treatment of proliferative diseases and disorders.
- Administration of the synthetic oligonucleotide of the invention used in the pharmaceutical composition or to practice the method of the present invention can be carried out in a variety of conventional ways, such as intraocular, oral ingestion, inhalation, or cutaneous, subcutaneous, intramuscular, or intravenous injection.
- the synthetic oUgonucleotide wiU be in the form of a tablet, capsule, powder, solution or eUxir.
- the pharmaceutical composition of the invention may additionaUy contain a soUd carrier such as a gelatin or an adjuvant.
- the tablet, capsule, and powder contain from about 5 to 95% synthetic oligonucleotide and preferably from about 25 to 90% synthetic oligonucleotide.
- a Uquid carrier such as water, petroleum, oils of animal or plant origin such as peanut oU, mineral oU, soybean oU, sesame oU, or synthetic oils
- the Uquid form of the pharmaceutical composition may further contain physiological saline solution, dextrose or other saccharide solution, or glycols such as ethylene glycol, propylene glycol or polyethylene glycol.
- the pharmaceutical composition contains from about 0.5 to 90% by weight of the synthetic oUgonucleotide and preferably from about 1 to 50% synthetic oUgonucleotide.
- the synthetic oUgonucleotide wiU be in the form of a pyrogen-free, parenteraUy acceptable aqueous solution.
- parenteraUy acceptable solutions having due regard to pH, isotonicity, stabiUty, and the like, is within the skiU in the art.
- a preferred pharmaceutical composition for intravenous, subcutaneous, intramuscular, intraperitoneal, or intraocular injection should contain, in addition to the synthetic oUgonucleotide, an isotonic vehicle such as Sodium Chloride Injection, Ringer's Injection, Dextrose Injection, Dextrose and Sodium Chloride Injection, Lactated Ringer's Injection, or other vehicle as known in the art.
- an isotonic vehicle such as Sodium Chloride Injection, Ringer's Injection, Dextrose Injection, Dextrose and Sodium Chloride Injection, Lactated Ringer's Injection, or other vehicle as known in the art.
- the pharmaceutical composition of the present invention may also contain stabilizers, preservatives, buffers, antioxidants, or other additives known to those of skill in the art.
- the amount of synthetic oUgonucleotide in the pharmaceutical composition of the present invention wiU depend upon the nature and severity of the condition being treated, and on the nature of prior treatments which the patent has undergone. Ultimately, the attending physician wiU decide the amount of synthetic oUgonucleotide with which to treat each individual patient. InitiaUy, the attending physician wiU administer low doses of the synthetic oligonucleotide and observe the patient's response. Larger doses of synthetic oUgonucleotide may be administered until the optimal therapeutic effect is obtained for the patient, and at that point the dosage is not increased further. It is contemplated that the various pharmaceutical compositions used to practice the method of the present invention should contain about 10 ⁇ g to about 20 mg of synthetic oligonucleotide per kg body or organ weight.
- the duration of intravenous therapy using the pharmaceutical composition of the present invention wUl vary, depending on the severity of the disease being tieated and the condition and potential idiosyncratic response of each individual patient. Ultimately the attending physician wiU decide on the appropriate duration of intravenous therapy using the pharmaceutical composition of the present invention.
- the therapeutic composition of the invention is administered systemicaUy at a sufficient dosage to attain a blood level of antisense oUgonucleotide from about 0.01 ⁇ M to about 20 ⁇ M. In a particularly preferred embodiment, the therapeutic composition is administered at a sufficient dosage to attain a blood level of antisense oligonucleotide from about 0.05 ⁇ M to about 15 ⁇ M. In a more preferred embodiment, the blood level of antisense oUgonucleotide is from about 0.1 ⁇ M to about 10 ⁇ M.
- a total dosage of antisense oligonucleotide wiU range from about 0.1 mg to about 200 mg oligonucleotide per kg body weight per day.
- a total dosage of antisense oligonucleotide wUl range from about 1 mg to about 20 mg oligonucleotide per kg body weight per day.
- a total dosage of antisense oligonucleotide wiU range from about 1 mg to about 10 mg oUgonucleotide per kg body weight per day.
- the therapeutically effective amount of HDAC-4 antisense oUgonucleotide is about 5 mg oUgonucleotide per kg body weight per day.
- the method may further comprise administering to the animal a therapeuticaUy effective amount of an HDAC-4 small molecule inhibitor with a pharmaceuticaUy acceptable carrier for a therapeutically effective period of time.
- the histone deacetylase smaU molecule inhibitor is operably associated with the antisense oligonucleotide, as described supra.
- the histone deacetylase smaU molecule inhibitor-containing therapeutic composition of the invention is administered systemicaUy at a sufficient dosage to attain a blood level histone deacetylase small molecule inhibitor from about 0.01 ⁇ M to about 10 ⁇ M.
- the therapeutic composition is administered at a sufficient dosage to attain a blood level of histone deacetylase smaU molecule inhibitor from about 0.05 ⁇ M to about 10 ⁇ M.
- the blood level of histone deacetylase smaU molecule inhibitor is from about 0.1 ⁇ M to about 5 ⁇ M. For localized administiation, much lower concentrations than this may be effective.
- a total dosage of histone deacetylase smaU molecule inhibitor wiU range from about 0.01 mg to about 100 mg protein effector per kg body weight per day. In a more preferred embodiment, a total dosage of histone deacetylase smaU molecule inhibitor wiU range from about 0.1 mg to about 50 mg protein effector per kg body weight per day. In a most preferred embodiment, a total dosage of histone deacetylase smaU molecule inhibitor wiU range from about 0.1 mg to about 25 mg protein effector per kg body weight per day.
- the therapeuticaUy effective synergistic amount of histone deacetylase smaU molecule inhibitor (when administered with an antisense oligonucleotide) is about 5 mg per kg body weight per day.
- the therapeuticaUy effective concentiations of either or both of the nucleic acid level inhibitor (i.e., antisense oUgonucleotide) and the protein level inhibitor (z ' .e.,histone deacetylase smaU molecule inhibitor) required to obtain a given inhibitory effect are reduced as compared to those necessary when either is used individuaUy.
- the therapeuticaUy effective synergistic amount of either the antisense oligonucleotide or the histone deacetylase inhibitor may be lowered or increased by fine tuning and altering the amount of the other component.
- the invention therefore provides a method to tauor the administration/ treatment to the particular exigencies specific to a given animal species or particular patient.
- TherapeuticaUy effective ranges may be easUy determined for example empiricaUy by starting at relatively low amounts and by step-wise increments with concurrent evaluation of inhibition.
- the invention provides a method for inhibiting HDAC-4 isoform in a ceU comprising contacting the ceU with a smaU molecule inhibitor of the first aspect of the invention.
- ceU proliferation is inhibited in the contacted ceU.
- the ceU is a neoplastic ceU which may be in an animal, including a human, and which may be in a neoplastic growth.
- the invention provides a method for inhibiting neoplastic ceU growth in an animal comprising administering to an animal having at least one neoplastic ceU present in its body a therapeuticaUy effective amount of a small molecule inhibitor of the first aspect of the invention with a pharmaceuticaUy acceptable carrier for a therapeuticaUy effective period of time.
- the histone deacetylase smaU molecule inhibitor-containing therapeutic composition of the invention is administered systemicaUy at a sufficient dosage to attain a blood level histone deacetylase small molecule inhibitor from about 0.01 ⁇ M to about 10 ⁇ M.
- the therapeutic composition is administered at a sufficient dosage to attain a blood level of histone deacetylase smaU molecule inhibitor from about 0.05 ⁇ M to about lO ⁇ M.
- the blood level of histone deacetylase smaU molecule inhibitor is from about O.l ⁇ M to about 5 ⁇ M. For localized administration, much lower concentrations than this may be effective.
- a total dosage of histone deacetylase smaU molecule inhibitor ranges from about 0.01 mg to about 100 mg protein effector per kg body weight per day. In a more preferred embodiment, a total dosage of histone deacetylase smaU molecule inhibitor ranges from about 0.1 mg to about 50 mg protein effector per kg body weight per day. In a most preferred embodiment, a total dosage of histone deacetylase smaU molecule inhibitor wiU range from about 0.1 mg to about 25 mg protein effector per kg body weight per day.
- the invention provides a method of inhibiting the induction of ceU proliferation, comprising contacting a ceU with an antisense oligonucleotide that inhibits the expression of HDAC-4 or contacting a ceU with a small molecule inhibitor of HDAC-4.
- the cell is a neoplastic ceU, and the induction of ceU proliferation is tumorigenesis.
- the invention further provides for histone deacetylase smaU molecule inhibitors that may be generated which specificaUy inhibit the histone deacetylase isoform(s) required for inducing ceU proliferation, e.g., HDAC-1 and HDAC-4, while not inhibiting other histone deacetylase isoforms not required for inducing ceU proliferation.
- the invention provides a method for identifying a small molecule histone deacetylase inhibitor that inhibits the HDAC-4 isoform and or the HDAC-1 isoform, which is required for the induction of ceU proliferation.
- the method comprises contacting the HDAC-4 and/ or the HDAC-1 isoform with a candidate small molecule inhibitor and measuring the enzymatic activity of the contacted histone deacetylase isoform, wherein a reduction in the enzymatic activity of the contacted histone deacetylase isoform identifies the candidate smaU molecule inhibitor as a smaU molecule histone deacetylase inhibitor that inhibits the histone deacetylase isoform, i.e., HDAC-4 and/ or HDAC-1.
- HDAC-4 or HDAC-1 may be achieved using known methodologies.
- Yoshida et al. J. Biol. Chem. 265:17174-17179, 1990
- Taunton et al. Science 272:408-411, 1996) similarly describes methods to measure histone deacetylase enzymatic activity using endogenous and recombinant HDAC.
- Yoshida et al. J. Biol Chem. 265:17174-17179, 1990
- Taunton et al. Science 272:408-411, 1996) are hereby incorporated by reference.
- the histone deacetylase smaU molecule inhibitor that inhibits the HDAC-4 and or the HDAC-1 isoform required for induction of ceU proliferation is an HDAC-4 smaU molecule inhibitor that interacts with and reduces the enzymatic activity of the HDAC-4 and/ or the HDAC-1 isoform.
- the invention provides a method for identifying a smaU molecule histone deacetylase inhibitor that inhibits the HDAC-4 isoform involved in the induction of ceU proliferation.
- the method comprises contacting a cell with a candidate smaU molecule inhibitor and measuring the enzymatic activity of the contacted histone deacetylase isoform, wherein a reduction in the enzymatic activity of the HDAC-4 isoform identifies the candidate smaU molecule inhibitor as a smaU molecule histone deacetylase inhibitor that inhibits HDAC-4.
- the invention provides a small molecule histone deacetylase inhibitor identified by the method of the seventh or the eighth aspects of the invention.
- the histone deacetylase smaU molecule inhibitor is substantiaUy pure.
- the invention provides a method for inhibiting ceU proliferation in a ceU comprising contacting a ceU with at least two reagents selected from the group consisting of an antisense oligonucleotide that inhibits expression of HDAC-4 isoform, a smaU molecule histone deacetylase inhibitor that inhibits expression or activity of HDAC-4 isoform, an antisense oligonucleotide that inhibits expression of the HDAC-1 isoform, a smaU molecule histone deacetylase inhibitor that inhibits the expression or the activity of the HDAC-1 isoform, an antisense oUgonucleotide that inhibits expression of a DNA methyltransferase, and a smaU molecule DNA methyltransferase inhibitor.
- the inhibition of ceU growth of the contacted ceU is greater than the inhibition of ceU growth of a cell contacted with only one of the reagents.
- each of the reagents selected from the group is substantially pure.
- the ceU is a neoplastic ceU.
- the reagents selected from the group are operably associated.
- the invention provides a method of inhibiting neoplastic ceU growth comprising contacting a ceU with at least two reagents selected from the group consisting of an antisense oUgonucleotide that inhibits expression of HDAC-4 isoform, a smaU molecule histone deacetylase inhibitor that inhibits the expression or the activity of HDAC-4 isoform, an antisense oUgonucleotide that inhibits expression of the HDAC-1 isoform, a smaU molecule histone deacetylase inhibitor that inhibits expression or activity of the HDAC-1 isoform, an antisense oUgonucleotide that inhibits expression of a DNA methyltransferase, and a small molecule DNA methyltiansferase inhibitor.
- the inhibition of ceU growth of the contacted ceU is greater than the inhibition of ceU growth of a cell contacted with only one of the reagents.
- each of the reagents selected from the group is substantially pure.
- the cell is a neoplastic ceU.
- the reagents selected from the group are operably associated.
- DNA methyltiansferase smaU molecule inhibitors include, without Umitation, 5- aza-2'-deoxycytidine (5-aza-dC), 5-fluoro-2'-deoxycytidine, 5-aza-cytidine (5- aza-C), or 5,6-dihydro-5-aza-cytidine.
- Antisense (AS) and mismatch (MM) oUgodeoxynucleotides were designed to be directed against the 5'- or 3 '-untranslated region (UTR) of the targeted gene.
- OUgos were synthesized with the phosphorothioate backbone and the 4X4 nucleotides 2'-O-methyl modification on an automated synthesizer and purified by preparative reverse-phase HPLC.
- AU oUgos used were 20 base pairs in length.
- ODN antisense oUgodeoxynucleotide
- eleven phosphorothioate ODNs containing sequences complementary to the 5' or 3' UTR of the human HDAC-1 gene were initiaUy screened in T24 ceUs at 100 nM. CeUs were harvested after 24 hours of treatment, and HDAC-1 RNA expression was analyzed by Northern blot analysis. This screen identified HDAC-1 AS as an ODN with antisense activity to human HDAC-1. HDAC-1 MM oUgo was created as a control; compared to the antisense oligo, it has a 6-base mismatch.
- HDAC-2 AS was identified as an ODN with antisense activity to human HDAC-2.
- HDAC-2 MM was created as a control; compared to the antisense oUgo, it contains a 7-base mismatch.
- Twenty-one phosphorothioate ODNs containing sequences complementary to the 5' or 3' UTR of the human HDAC-3 gene were screened as above.
- HDAC-3 AS was identified as an ODN with antisense activity to human HDAC-3.
- HDAC-3 MM oUgo was created as a control; compared to the antisense oUgo, it contains a a 6- base mismatch.
- HDAC-4 AS was identified as an ODN with antisense activity to human HDAC-4.
- HDAC-4 MM oligo was created as a control; compared to the antisense oUgo, it contains a 6-base mismatch.
- HDAC-6 AS was identified as an ODN with antisense activity to human HDAC-6.
- HDAC-6 MM oligo was created as a control; compared to the antisense oUgo, it contains a 7-base mismatch.
- Example 2 HDAC AS ODNs Speci ically Inhibit Expression at the mRNA Level Human A549 cells were treated with 50 nM of antisense (AS) oUgo directed against human HDAC-3 or its corresponding mismatch (MM) oUgo for 48 hours, and A549 ceUs were treated with 50 nM or 100 nM of AS oUgo directed against human HDAC-4 or its MM oUgo (100 nM) for 24 hours.
- AS antisense
- MM mismatch
- human A549 and/ or T24 human bladder carcinoma ceUs were seeded in 10 cm tissue culture dishes one day prior to oUgonucleotide treatment.
- the ceU lines were obtained from the American Type Culture CoUection (ATCC) (Manassas, NA) and were grown under the recommended culture conditions.
- ATCC American Type Culture CoUection
- ceUs were washed with PBS (phosphate buffered saline).
- Upofectin transfection reagent (GIBCO BRL Mississauga, Ontario, CA), at a concentration of 6.25 ⁇ g/ml, was added to serum free OPTIMEM medium (GIBCO BRL, RockviUe, MD), which was then added to the cells.
- the oUgonucleotides to be screened were then added directly to the ceUs (i.e., one oUgonucleotide per plate of ceUs). Mismatched oUgonucleotides were used as controls. The same concentration of oUgonucleotide (e.g., 50 nM) was used per plate of cells for each oUgonucleotide tested.
- RNA samples were harvested, and total RNAs were analyzed by Northern blot analysis. Briefly, total RNA was extiacted using RNeasy miniprep columns (QIAGEN). Ten to twenty ⁇ g of total RNA was run on a formaldehyde- containing 1% agarose gel with 0.5 M sodium phosphate (pH 7.0) as the buffer system. RNAs were then transferred to nitioceUulose membranes and hybridized with the indicated radiolabeled DNA probes. Autoradiography was performed using conventional procedures.
- HDAC- 3 mRNA and HDAC-4 mRNA in human A549 cells were inhibited by tieatment with the respective antisense oUgonucleotides.
- HDAC OSDNs In order to determine whether treatment with HDAC OSDNs would inhibit HDAC protein expression, human A549 cancer ceUs were tieated with 50 nM of paired antisense or its mismatch oUgos directed against human HDAC-1, HDAC-2, HDAC-3, HDAC-4 or HDAC-6 for 48 hours. OSDN treatment conditions were as previously described.
- CeUs were lysed in buffer containing 1% Triton X- 100, 0.5 % sodium deoxycholate, 5 mM EDTA, 25 mM Tris-HCl, pH 7.5, plus protease inhibitors.
- Total protein was quantified by the protein assay reagent from Bio-Rad (Hercules, CA). 100 ug of total protein was analyzed by SDS-PAGE. Next, total protein was transferred onto a PVDF membrane and probed with various HDAC-specific primary antibodies.
- Rabbit anti-HDAC-1 (H-51), anti- HDAC-2 (H-54) antibodies (Santa Cruz Biotechnologies, Santa Cruz, CA) were used at 1:500 dUution.
- Rabbit anti-HDAC-3 antibody Sigma, St.
- Anti-HDAC-4 antibody was prepared as previously described (Wang, S.H. et al, (1999) Mol. Cell. Biol. 19:7816-27), and was used at a dUution of 1:1000.
- Anti-HDAC-6 antibody was raised by immunizing rabbits with a GST fusion protein containing a fragment of HDAC-6 protein (amino acid #990 to #1216, GenBank Accession
- HDAC-6 antiserum was used at 1:500 dilution in Western blots to detect HDAC-6 in total cell ly sates.
- Horse Radish Peroxidase conjugated secondary antibody was used at a dilution of 1:5000 to detect primary antibody binding. The secondary antibody binding was visualized by use of the Enhanced chemUuminescence (ECL) detection kit (Amersham-Pharmacia Biotech., Inc., Piscataway, NJ).
- ECL Enhanced chemUuminescence
- HDAC OSDNs were treated with HDAC OSD ⁇ s as previously described.
- ceUs were analyzed using the CeU Death Detection ELISA plus kit (Roche Diagnostic GmBH, Mannheim, Germany) according to the manufacturer's directions.
- TypicaUy 10,000 ceUs were plated in 96-weU tissue culture dishes for 2 hours before harvest and lysis. Each sample was analyzed in dupUcate.
- ELISA reading was done using a MR700 plate reader (DYNEX Technology, Ashford, Middlesex, England) at 410 nm. The reference was set at 490 nm.
- human cancer or normal cells were treated with 50 nM of paired AS or MM oUgos directed against human HDAC-1, HDAC-2, HDAC-3, HDAC-4 or HDAC-6 for 72 hours.
- Cells were harvested and ceU numbers counted by trypan blue exclusion using a hemocytometer. Percentage of inhibition was calculated as (100 - AS ceU numbers/ control ceU numbers) %.
- results of the study are shown in Figure 5 and Figure 6, and in Table 4 and Table 5.
- HDAC-4 AS Treatment of human cancer cells by HDAC-4 AS, and to a lesser extent, HDAC 1 AS, induces growth arrest and apoptosis of various human cancer ceUs ( Figure 5 and Figure 6, Table 4 and Table 5). The corresponding mismatches have no effect.
- the effects of HDAC-4 AS or HDAC-1 AS on growth inhibition and apoptosis are significantly reduced in human normal ceUs.
- treatment with human HDAC-3 and HDAC-6 OSDNs has no effect on cancer cell growth or apoptosis, and tieatment with human HDAC-2 OSDN has a minimal effect on cancer ceU growth inhibition. Since T24 cells are p53 nuU and A549 ceUs are p53 wUd type, this induction of apoptosis is independent of p53 activity.
- Human A549 cells were treated with 50 nM oligos for two days before total RNAs were harvested for cDNA array analysis;
- RNAs were extracted and RNase protection assays were performed to analyzed the mRNA expression level of p21 and GADD45.
- A549 ceUs were treated by Upofectin with or without TSA (250 ng/ml) treatment for 16 hours.
- RNase protection assays were done according to the following procedure.
- Total RNA from ceUs was prepared using "RNeasy miniprep kit" from QIAGEN foUowing the manufacturer's manual.
- HDAC-2 1.1 1.2 1.0 1.0 1.0 0.9
- HDAC-3 0.7 0.9 1.0 0.9 1.0 1.0
- HDAC smaU molecule inhibitors were screened in histone deacetylase enzyme assays using various human histone deacetylase isotypic enzymes (i.e., HDAC-1, HDAC-3, HDAC-4 and HDAC-6).
- HDAC-1, HDAC-3, HDAC-4 and HDAC-6 human histone deacetylase isotypic enzymes
- Cloned recombinant human HDAC-1, HDAC-3 and HDAC-6 enzymes which were, tagged with the Flag epitope (Grozinger, CM., et al, Proc. Natl. Acad. Sci. U.S.A. 96:4868-4873 (1999)) in their C-termini, were produced by a baculovirus expression system in insect ceUs.
- Flag-tagged human HDAC-4 enzyme was produced in human embronic kidney 293 cells after tiansformation by the calcium phosphate precipitation method. Briefly, 293 ceUs were cultured in Dulbecco's Modified Eagle Medium (DMEM) containing 10% fetal bovine serum and antibiotics. Plasmid DNA encoding Flag-tagged human HDAC-4 was precipitated by ethanol and resuspend in sterUe water. DNA-calcium precipitates, formed by mixing DNA, calcium choloride and 2XHEPES-buffered saline solution, were left on 293 ceUs for 12-16 hours. CeUs were return to serum-contained DMEM medium and harvested at 48 hour post transfection for purification of Flag- tagged HDAC-4 enzyme.
- DMEM Dulbecco's Modified Eagle Medium
- Plasmid DNA encoding Flag-tagged human HDAC-4 was precipitated by ethanol and resuspend in sterUe water. DNA-calcium precipitates, formed by mixing DNA, calcium cho
- HDAC-1 and HDAC-6 were purified on a Q-Sepharose column, followed by an anti-Flag epitope affinity column.
- 20,000 cpm of an [ 3 H]-metaboUcaUy-labeled acetylated histone was used as a substrate.
- Histones were incubated with cloned recombinant human HDAC enzymes at 37°C.
- the incubation time was 10 minutes
- HDAC-3, HDAC-4 and HDAC-6 assays the incubation time was 2 hours.
- T24 human bladder cancer ceUs (ATCC, Manassas, NA) growing in culture were incubated with test compounds for 16 hours. Histones were extracted from the ceUs by standard procedures (see e.g. Yoshida et al., supra) after the culture period. Twenty ⁇ g total core histone protein was loaded onto SDS/ PAGE and transferred to nitroceUulose membranes, which were then reacted with polyclonal antibody specific for acetylated histone H-4 (Upstate Biotech Inc., Lake Placid, WY). Horse Radish Peroxidase conjugated secondary antibody was used at a dilution of 1:5000 to detect primary antibody binding.
- HCT116 cells Four thousand five hundred (4,500) human colon cancer HCT116 cells (ATCC, Manassas, NA were used in an MTT (3-[4,5-dimethylthiazol-2-yl]-2,5 diphenyl tetrazoUum bromide) assay to quantitatively determine ceU proliferation and cytotoxicity.
- MTT 3-[4,5-dimethylthiazol-2-yl]-2,5 diphenyl tetrazoUum bromide
- TypicaUy HCT116 cells were plated into each weU of the 96-weU tissue culture plate and left overnight to attach to the plate. Compounds at various concentrations (1 uM, 5 uM and 25 uM, in DMSO) were added in triplicate into the culture media (final DMSO concentiation 1%) and incubated for 48 hours.
- MTT solution (obtained from Sigma as powder) was added and incubated with the ceUs for 4 hours at 37°C in incubator with 5% CO 2 . During the incubation, viable ceUs convert MTT to a water-insoluble formazan dye.
- SolubiUzing buffer (50% N,N- dimethytformamide, 20% SDS, pH 4.7) was added to ceUs and incubate for overnight at 37C in incubator with 5% CO2. Solubilized dye was quantitated by colorimetric reading at 570 nM using a reference of 630 nM.
- mice Female BALB/c nude mice were obtained from Charles River Laboratories (Charles River, NY) and used at age 8-10 weeks.
- Human prostate tumor ceUs (DU145, 2 x 10 6 ) or human colon cancer cells (HCT116; 2xl0 6 ) or smaU lung core A549 2X10 6 were injected subcutaneously in the animal's flank and aUowed to form soUd tumors.
- Tumor fragments were serially passaged a minimum of three times, then approximately 30 mg tumor fragments were implanted subcutaneously through a small surgical incision under general anaesthesia.
- SmaU molecule inhibitor administiation by intraperotineal or oral administration was initiated when the tumors reached a volume of 100 mm 3 .
- smaU molecule inhibitors of HDAC 40—50 mg/kg body weight/ day
- DMSO DMSO
- daUy intraperitoneaUy DMSO
- smaU molecule inhibitors of HDAC 40-50mg/kg body weight/ days
- Tumor volumes were monitored twice weekly up to 20 days.
- Each experimental group contained at least 6-8 animals. Percentage inhibition was calculated using volume of tumor from vehicle-treated mice as controls.
Landscapes
- Health & Medical Sciences (AREA)
- Life Sciences & Earth Sciences (AREA)
- Chemical & Material Sciences (AREA)
- General Health & Medical Sciences (AREA)
- Genetics & Genomics (AREA)
- Engineering & Computer Science (AREA)
- Organic Chemistry (AREA)
- Medicinal Chemistry (AREA)
- Public Health (AREA)
- Pharmacology & Pharmacy (AREA)
- Veterinary Medicine (AREA)
- Animal Behavior & Ethology (AREA)
- Molecular Biology (AREA)
- Zoology (AREA)
- Bioinformatics & Cheminformatics (AREA)
- Epidemiology (AREA)
- Wood Science & Technology (AREA)
- Biomedical Technology (AREA)
- Biochemistry (AREA)
- General Engineering & Computer Science (AREA)
- Biotechnology (AREA)
- Biophysics (AREA)
- Microbiology (AREA)
- Physics & Mathematics (AREA)
- Nuclear Medicine, Radiotherapy & Molecular Imaging (AREA)
- General Chemical & Material Sciences (AREA)
- Plant Pathology (AREA)
- Chemical Kinetics & Catalysis (AREA)
- Virology (AREA)
- Gastroenterology & Hepatology (AREA)
- Proteomics, Peptides & Aminoacids (AREA)
- Toxicology (AREA)
- Pain & Pain Management (AREA)
- Pharmaceuticals Containing Other Organic And Inorganic Compounds (AREA)
- Medicines That Contain Protein Lipid Enzymes And Other Medicines (AREA)
- Measuring Or Testing Involving Enzymes Or Micro-Organisms (AREA)
- Pyridine Compounds (AREA)
- Indole Compounds (AREA)
- Acyclic And Carbocyclic Compounds In Medicinal Compositions (AREA)
Abstract
Description
Claims
Priority Applications (5)
| Application Number | Priority Date | Filing Date | Title |
|---|---|---|---|
| JP2002569124A JP2004520421A (en) | 2001-01-12 | 2002-01-14 | Method for specifically inhibiting histone deacetylase-4 |
| DE10295684T DE10295684T9 (en) | 2001-01-12 | 2002-01-14 | Method of specifically inhibiting histone deacetylase-4 |
| KR10-2003-7009362A KR20040018328A (en) | 2001-01-12 | 2002-01-14 | Methods for specifically inhibiting histone deacetylase-4 |
| GB0316313A GB2389365A (en) | 2001-01-12 | 2002-01-14 | Methods for specifically inhibiting histone deacetylase-4 |
| CA002434601A CA2434601A1 (en) | 2001-01-12 | 2002-01-14 | Methods for specifically inhibiting histone deacetylase-4 |
Applications Claiming Priority (4)
| Application Number | Priority Date | Filing Date | Title |
|---|---|---|---|
| US26152201P | 2001-01-12 | 2001-01-12 | |
| US26167401P | 2001-01-12 | 2001-01-12 | |
| US60/261,674 | 2001-01-12 | ||
| US60/261,522 | 2001-01-12 |
Publications (2)
| Publication Number | Publication Date |
|---|---|
| WO2002069947A2 true WO2002069947A2 (en) | 2002-09-12 |
| WO2002069947A3 WO2002069947A3 (en) | 2003-10-09 |
Family
ID=26948670
Family Applications (1)
| Application Number | Title | Priority Date | Filing Date |
|---|---|---|---|
| PCT/IB2002/002002 Ceased WO2002069947A2 (en) | 2001-01-12 | 2002-01-14 | Antisense oligonucleotides and trichostatin analogue histone deacetylase-4 inhibitors against cancer |
Country Status (6)
| Country | Link |
|---|---|
| JP (1) | JP2004520421A (en) |
| KR (1) | KR20040018328A (en) |
| CA (1) | CA2434601A1 (en) |
| DE (1) | DE10295684T9 (en) |
| GB (1) | GB2389365A (en) |
| WO (1) | WO2002069947A2 (en) |
Cited By (27)
| Publication number | Priority date | Publication date | Assignee | Title |
|---|---|---|---|---|
| WO2003024448A2 (en) | 2001-09-14 | 2003-03-27 | Methylgene, Inc. | Inhibitors of histone deacetylase |
| WO2004110418A3 (en) * | 2003-06-10 | 2005-03-17 | Kalypsys Inc | Carbonyl compounds as inhibitors of histone deacetylase for the treatment of disease |
| US6897220B2 (en) | 2001-09-14 | 2005-05-24 | Methylgene, Inc. | Inhibitors of histone deacetylase |
| EP1574213A1 (en) * | 2004-03-11 | 2005-09-14 | Yih-Lin Chung | Use of histone deacetylase inhibitors for increasing therapeutic gain in radiotherapy and chemotherapy |
| WO2006063294A3 (en) * | 2004-12-09 | 2006-09-21 | Kalypsys Inc | Novel inhibitors of histone deacetylase for the treatment of disease |
| WO2006117548A1 (en) | 2005-05-05 | 2006-11-09 | Chroma Therapeutics Ltd | Hydroxamic acid dervicatives as inhibitors of hdac enzymatic activity |
| US7154002B1 (en) | 2002-10-08 | 2006-12-26 | Takeda San Diego, Inc. | Histone deacetylase inhibitors |
| US7169801B2 (en) | 2003-03-17 | 2007-01-30 | Takeda San Diego, Inc. | Histone deacetylase inhibitors |
| US7271195B2 (en) | 2003-06-10 | 2007-09-18 | Kalypsys, Inc. | Carbonyl compounds as inhibitors of histone deacetylase for the treatment of disease |
| US7642253B2 (en) | 2005-05-11 | 2010-01-05 | Takeda San Diego, Inc. | Histone deacetylase inhibitors |
| US7642275B2 (en) | 2004-12-16 | 2010-01-05 | Takeda San Diego, Inc. | Histone deacetylase inhibitors |
| US7683185B2 (en) | 2002-11-18 | 2010-03-23 | Queen Mary & Westfield College | Histone deacetylase inhibitors |
| US7732475B2 (en) | 2005-07-14 | 2010-06-08 | Takeda San Diego, Inc. | Histone deacetylase inhibitors |
| WO2010097586A1 (en) | 2009-02-27 | 2010-09-02 | Chroma Therapeutics Ltd. | Enzyme inhibitors |
| US7868205B2 (en) | 2003-09-24 | 2011-01-11 | Methylgene Inc. | Inhibitors of histone deacetylase |
| US7868204B2 (en) | 2001-09-14 | 2011-01-11 | Methylgene Inc. | Inhibitors of histone deacetylase |
| EP2295410A1 (en) | 2006-10-06 | 2011-03-16 | Chroma Therapeutics Limited | HDAC inhibitor |
| US7977374B2 (en) | 2005-09-07 | 2011-07-12 | Istituto Di Ricerche Di Biologia Molecolare P. Angeletti Spa | Thiophene and thiazole substituted trifluoroethanone derivatives as histone deacetylase (HDAC) inhibitors |
| US8030344B2 (en) | 2007-03-13 | 2011-10-04 | Methylgene Inc. | Inhibitors of histone deacetylase |
| US8088805B2 (en) | 2004-03-26 | 2012-01-03 | Methylgene Inc. | Inhibitors of histone deacetylase |
| US8110577B2 (en) | 2006-10-19 | 2012-02-07 | Queen Mary & Westfield College | Histone deacetylase inhibitors |
| US8598168B2 (en) | 2006-04-07 | 2013-12-03 | Methylgene Inc. | Inhibitors of histone deacetylase |
| CN103998446A (en) * | 2011-11-28 | 2014-08-20 | 诺华股份有限公司 | Novel trifluoromethyl-oxadiazole derivatives and their use in the treatment of disease |
| US8962825B2 (en) | 2006-10-30 | 2015-02-24 | Glaxosmithkline Intellectual Property Development Limited | Hydroxamates as inhibitors of histone deacetylase |
| US9133104B2 (en) | 2005-05-05 | 2015-09-15 | Chroma Therapeutics Ltd. | Enzyme inhibitors |
| CN103998446B (en) * | 2011-11-28 | 2016-11-30 | 诺华股份有限公司 | New trifluoromethyl oxadiazole derivative and their application in treatment disease |
| US9636298B2 (en) | 2014-01-17 | 2017-05-02 | Methylgene Inc. | Prodrugs of compounds that enhance antifungal activity and compositions of said prodrugs |
Families Citing this family (1)
| Publication number | Priority date | Publication date | Assignee | Title |
|---|---|---|---|---|
| US7250514B1 (en) | 2002-10-21 | 2007-07-31 | Takeda San Diego, Inc. | Histone deacetylase inhibitors |
Family Cites Families (3)
| Publication number | Priority date | Publication date | Assignee | Title |
|---|---|---|---|---|
| US6777217B1 (en) * | 1996-03-26 | 2004-08-17 | President And Fellows Of Harvard College | Histone deacetylases, and uses related thereto |
| WO2000023112A1 (en) * | 1998-10-19 | 2000-04-27 | Methylgene, Inc. | Modulation of gene expression by combination therapy |
| JP2003500052A (en) * | 1999-05-03 | 2003-01-07 | メチルジーン インコーポレイテッド | Inhibition of histone deacetylase |
-
2002
- 2002-01-14 JP JP2002569124A patent/JP2004520421A/en active Pending
- 2002-01-14 DE DE10295684T patent/DE10295684T9/en not_active Expired - Fee Related
- 2002-01-14 CA CA002434601A patent/CA2434601A1/en not_active Abandoned
- 2002-01-14 WO PCT/IB2002/002002 patent/WO2002069947A2/en not_active Ceased
- 2002-01-14 KR KR10-2003-7009362A patent/KR20040018328A/en not_active Withdrawn
- 2002-01-14 GB GB0316313A patent/GB2389365A/en not_active Withdrawn
Cited By (38)
| Publication number | Priority date | Publication date | Assignee | Title |
|---|---|---|---|---|
| WO2003024448A3 (en) * | 2001-09-14 | 2003-11-13 | Methylgene Inc | Inhibitors of histone deacetylase |
| US6897220B2 (en) | 2001-09-14 | 2005-05-24 | Methylgene, Inc. | Inhibitors of histone deacetylase |
| US7838520B2 (en) | 2001-09-14 | 2010-11-23 | Methylgene, Inc. | Inhibitors of histone deacetylase |
| US7868204B2 (en) | 2001-09-14 | 2011-01-11 | Methylgene Inc. | Inhibitors of histone deacetylase |
| US7595343B2 (en) | 2001-09-14 | 2009-09-29 | Methylgene, Inc. | Inhibitors of histone deacetylase |
| WO2003024448A2 (en) | 2001-09-14 | 2003-03-27 | Methylgene, Inc. | Inhibitors of histone deacetylase |
| US7399884B2 (en) | 2002-10-08 | 2008-07-15 | Takeda San Diego, Inc. | Histone deacetylase inhibitors |
| US7154002B1 (en) | 2002-10-08 | 2006-12-26 | Takeda San Diego, Inc. | Histone deacetylase inhibitors |
| US7683185B2 (en) | 2002-11-18 | 2010-03-23 | Queen Mary & Westfield College | Histone deacetylase inhibitors |
| US7169801B2 (en) | 2003-03-17 | 2007-01-30 | Takeda San Diego, Inc. | Histone deacetylase inhibitors |
| US7375228B2 (en) | 2003-03-17 | 2008-05-20 | Takeda San Diego, Inc. | Histone deacetylase inhibitors |
| US7381825B2 (en) | 2003-03-17 | 2008-06-03 | Takeda San Diego, Inc. | Histone deacetylase inhibitors |
| US7271195B2 (en) | 2003-06-10 | 2007-09-18 | Kalypsys, Inc. | Carbonyl compounds as inhibitors of histone deacetylase for the treatment of disease |
| WO2004110418A3 (en) * | 2003-06-10 | 2005-03-17 | Kalypsys Inc | Carbonyl compounds as inhibitors of histone deacetylase for the treatment of disease |
| US7868205B2 (en) | 2003-09-24 | 2011-01-11 | Methylgene Inc. | Inhibitors of histone deacetylase |
| EP1574213A1 (en) * | 2004-03-11 | 2005-09-14 | Yih-Lin Chung | Use of histone deacetylase inhibitors for increasing therapeutic gain in radiotherapy and chemotherapy |
| US8088805B2 (en) | 2004-03-26 | 2012-01-03 | Methylgene Inc. | Inhibitors of histone deacetylase |
| WO2006063294A3 (en) * | 2004-12-09 | 2006-09-21 | Kalypsys Inc | Novel inhibitors of histone deacetylase for the treatment of disease |
| US7642275B2 (en) | 2004-12-16 | 2010-01-05 | Takeda San Diego, Inc. | Histone deacetylase inhibitors |
| US9133104B2 (en) | 2005-05-05 | 2015-09-15 | Chroma Therapeutics Ltd. | Enzyme inhibitors |
| WO2006117548A1 (en) | 2005-05-05 | 2006-11-09 | Chroma Therapeutics Ltd | Hydroxamic acid dervicatives as inhibitors of hdac enzymatic activity |
| US7642253B2 (en) | 2005-05-11 | 2010-01-05 | Takeda San Diego, Inc. | Histone deacetylase inhibitors |
| US7741494B2 (en) | 2005-07-14 | 2010-06-22 | Takeda San Diego, Inc. | Histone deacetylase inhibitors |
| US7732475B2 (en) | 2005-07-14 | 2010-06-08 | Takeda San Diego, Inc. | Histone deacetylase inhibitors |
| US7977374B2 (en) | 2005-09-07 | 2011-07-12 | Istituto Di Ricerche Di Biologia Molecolare P. Angeletti Spa | Thiophene and thiazole substituted trifluoroethanone derivatives as histone deacetylase (HDAC) inhibitors |
| US8598168B2 (en) | 2006-04-07 | 2013-12-03 | Methylgene Inc. | Inhibitors of histone deacetylase |
| EP2295410A1 (en) | 2006-10-06 | 2011-03-16 | Chroma Therapeutics Limited | HDAC inhibitor |
| US9725407B2 (en) | 2006-10-06 | 2017-08-08 | Glaxosmithkline Intellectual Property Development Limited | HDAC inhibitors |
| US9273003B2 (en) | 2006-10-06 | 2016-03-01 | Glaxosmithkline Intellectual Property Development Limited | Methods of treating lymphoma and rheumatoid arthritis with cyclopentyl (2S)-cyclohexyl[({6-[3-(hydroxyamino)-3-oxopropyl]pyridin-3-yl}methyl)amino]acetate |
| US8637547B2 (en) | 2006-10-06 | 2014-01-28 | Chroma Therapeutics Ltd. | Compounds which inhibit members of the histone deacetylase family of enzymes and their use in the treatment of cell proliferative diseases |
| US8110577B2 (en) | 2006-10-19 | 2012-02-07 | Queen Mary & Westfield College | Histone deacetylase inhibitors |
| US8962825B2 (en) | 2006-10-30 | 2015-02-24 | Glaxosmithkline Intellectual Property Development Limited | Hydroxamates as inhibitors of histone deacetylase |
| US8354445B2 (en) | 2007-03-13 | 2013-01-15 | Methylgene Inc. | Inhibitors of histone deacetylase |
| US8030344B2 (en) | 2007-03-13 | 2011-10-04 | Methylgene Inc. | Inhibitors of histone deacetylase |
| WO2010097586A1 (en) | 2009-02-27 | 2010-09-02 | Chroma Therapeutics Ltd. | Enzyme inhibitors |
| CN103998446A (en) * | 2011-11-28 | 2014-08-20 | 诺华股份有限公司 | Novel trifluoromethyl-oxadiazole derivatives and their use in the treatment of disease |
| CN103998446B (en) * | 2011-11-28 | 2016-11-30 | 诺华股份有限公司 | New trifluoromethyl oxadiazole derivative and their application in treatment disease |
| US9636298B2 (en) | 2014-01-17 | 2017-05-02 | Methylgene Inc. | Prodrugs of compounds that enhance antifungal activity and compositions of said prodrugs |
Also Published As
| Publication number | Publication date |
|---|---|
| GB0316313D0 (en) | 2003-08-13 |
| CA2434601A1 (en) | 2002-09-12 |
| WO2002069947A3 (en) | 2003-10-09 |
| DE10295684T1 (en) | 2003-11-20 |
| GB2389365A (en) | 2003-12-10 |
| DE10295684T9 (en) | 2004-10-14 |
| KR20040018328A (en) | 2004-03-03 |
| JP2004520421A (en) | 2004-07-08 |
Similar Documents
| Publication | Publication Date | Title |
|---|---|---|
| WO2002069947A2 (en) | Antisense oligonucleotides and trichostatin analogue histone deacetylase-4 inhibitors against cancer | |
| US20020061860A1 (en) | Antisense oligonucleotide inhibition of specific histone deacetylase isoforms | |
| US20040072770A1 (en) | Methods for specifically inhibiting histone deacetylase-7 and 8 | |
| US20030152557A1 (en) | Methods for inhibiting histone deacetylase-4 | |
| KR20020007398A (en) | Inhibition of histone deacetylase | |
| US20030148970A1 (en) | Methods for specifically inhibiting histone deacetylase-4 | |
| AU2013315225B2 (en) | Multimeric oligonucleotide compounds | |
| CA2882443C (en) | Rnai probes targeting cancer-related proteins | |
| AU2018202634A1 (en) | Multimeric oligonucleotide compounds | |
| Ocker | Deacetylase inhibitors-focus on non-histone targets and effects | |
| US20070105808A1 (en) | Inhibition of histone deacetylase | |
| US11110107B2 (en) | Methods for treatment of cancer by targeting SIRT5 | |
| US20020137162A1 (en) | Antisense oligonucleotide inhibition of specific histone deacetylase isoforms | |
| US8895523B2 (en) | Use of antisense oligonucleotides against CPLA2 in the treatment of cancer | |
| AU2002304328A1 (en) | Methods for specifically inhibiting histone deacetylase-4 | |
| US20040266718A1 (en) | Inhibition of specific histone deacetylase isoforms | |
| WO2023097251A1 (en) | Oligonucleotide-containing transcription factor targeting chimeras | |
| US20030083292A1 (en) | Inhibitors of DNA methyltransferase isoforms | |
| PT1414961E (en) | Novel oligoribonucleotide derivatives for the targeted inhibition of gene expression | |
| WO2004080287A2 (en) | Method of killing cancer cells | |
| KR102489708B1 (en) | Composition for controlling expression of GDF11 gene comprising PCBP2 and microRNA | |
| AU2007216630B2 (en) | RNAi probes targeting cancer-related proteins | |
| WO2012020839A1 (en) | Pharmaceutical composition for cancer therapy |
Legal Events
| Date | Code | Title | Description |
|---|---|---|---|
| AK | Designated states |
Kind code of ref document: A2 Designated state(s): AE AG AL AM AT AU AZ BA BB BG BR BY BZ CA CH CN CO CR CU CZ DE DK DM DZ EC EE ES FI GB GD GE GH GM HR HU ID IL IN IS JP KE KG KP KR KZ LC LK LR LS LT LU LV MA MD MG MK MN MW MX MZ NO NZ OM PH PL PT RO RU SD SE SG SI SK SL TJ TM TN TR TT TZ UA UG UZ VN YU ZA ZM ZW |
|
| ENP | Entry into the national phase |
Ref document number: 0316313 Country of ref document: GB Kind code of ref document: A Free format text: PCT FILING DATE = 20020114 |
|
| DFPE | Request for preliminary examination filed prior to expiration of 19th month from priority date (pct application filed before 20040101) | ||
| WWE | Wipo information: entry into national phase |
Ref document number: 2002304328 Country of ref document: AU |
|
| WWE | Wipo information: entry into national phase |
Ref document number: 2434601 Country of ref document: CA |
|
| WWE | Wipo information: entry into national phase |
Ref document number: 1020037009362 Country of ref document: KR |
|
| WWE | Wipo information: entry into national phase |
Ref document number: 200350045 Country of ref document: ES Ref document number: P200350045 Country of ref document: ES Ref document number: 2002569124 Country of ref document: JP |
|
| WWE | Wipo information: entry into national phase |
Ref document number: PV2003-2177 Country of ref document: CZ |
|
| RET | De translation (de og part 6b) |
Ref document number: 10295684 Country of ref document: DE Date of ref document: 20031120 Kind code of ref document: P |
|
| WWE | Wipo information: entry into national phase |
Ref document number: 10295684 Country of ref document: DE |
|
| WWP | Wipo information: published in national office |
Ref document number: 1020037009362 Country of ref document: KR |
|
| WWR | Wipo information: refused in national office |
Ref document number: PV2003-2177 Country of ref document: CZ |
|
| WWR | Wipo information: refused in national office |
Ref document number: 200350045 Country of ref document: ES Kind code of ref document: A |












































