WO2002064665A1 - Hydrophilic polymer material comprising a polyorganosiloxane crosslinked matrix and method for making same - Google Patents
Hydrophilic polymer material comprising a polyorganosiloxane crosslinked matrix and method for making same Download PDFInfo
- Publication number
- WO2002064665A1 WO2002064665A1 PCT/FR2001/003347 FR0103347W WO02064665A1 WO 2002064665 A1 WO2002064665 A1 WO 2002064665A1 FR 0103347 W FR0103347 W FR 0103347W WO 02064665 A1 WO02064665 A1 WO 02064665A1
- Authority
- WO
- WIPO (PCT)
- Prior art keywords
- zwitterionic
- group
- groups
- oligomer
- carrying
- Prior art date
- Legal status (The legal status is an assumption and is not a legal conclusion. Google has not performed a legal analysis and makes no representation as to the accuracy of the status listed.)
- Ceased
Links
- 0 C*(*(C)=C)N*=C Chemical compound C*(*(C)=C)N*=C 0.000 description 1
- OEGONCPWJJDUJM-UHFFFAOYSA-P CC(CCC(C1CC[NH2+]CCC1)=O)(C#N)N=NC(C)(CCC(N1CC[NH2+]CC1)=O)C#N Chemical compound CC(CCC(C1CC[NH2+]CCC1)=O)(C#N)N=NC(C)(CCC(N1CC[NH2+]CC1)=O)C#N OEGONCPWJJDUJM-UHFFFAOYSA-P 0.000 description 1
Classifications
-
- G—PHYSICS
- G02—OPTICS
- G02B—OPTICAL ELEMENTS, SYSTEMS OR APPARATUS
- G02B1/00—Optical elements characterised by the material of which they are made; Optical coatings for optical elements
- G02B1/04—Optical elements characterised by the material of which they are made; Optical coatings for optical elements made of organic materials, e.g. plastics
- G02B1/041—Lenses
- G02B1/043—Contact lenses
-
- C—CHEMISTRY; METALLURGY
- C08—ORGANIC MACROMOLECULAR COMPOUNDS; THEIR PREPARATION OR CHEMICAL WORKING-UP; COMPOSITIONS BASED THEREON
- C08G—MACROMOLECULAR COMPOUNDS OBTAINED OTHERWISE THAN BY REACTIONS ONLY INVOLVING UNSATURATED CARBON-TO-CARBON BONDS
- C08G77/00—Macromolecular compounds obtained by reactions forming a linkage containing silicon with or without sulfur, nitrogen, oxygen or carbon in the main chain of the macromolecule
- C08G77/04—Polysiloxanes
- C08G77/22—Polysiloxanes containing silicon bound to organic groups containing atoms other than carbon, hydrogen and oxygen
-
- C—CHEMISTRY; METALLURGY
- C08—ORGANIC MACROMOLECULAR COMPOUNDS; THEIR PREPARATION OR CHEMICAL WORKING-UP; COMPOSITIONS BASED THEREON
- C08G—MACROMOLECULAR COMPOUNDS OBTAINED OTHERWISE THAN BY REACTIONS ONLY INVOLVING UNSATURATED CARBON-TO-CARBON BONDS
- C08G77/00—Macromolecular compounds obtained by reactions forming a linkage containing silicon with or without sulfur, nitrogen, oxygen or carbon in the main chain of the macromolecule
- C08G77/04—Polysiloxanes
- C08G77/38—Polysiloxanes modified by chemical after-treatment
- C08G77/382—Polysiloxanes modified by chemical after-treatment containing atoms other than carbon, hydrogen, oxygen or silicon
-
- C—CHEMISTRY; METALLURGY
- C08—ORGANIC MACROMOLECULAR COMPOUNDS; THEIR PREPARATION OR CHEMICAL WORKING-UP; COMPOSITIONS BASED THEREON
- C08L—COMPOSITIONS OF MACROMOLECULAR COMPOUNDS
- C08L83/00—Compositions of macromolecular compounds obtained by reactions forming in the main chain of the macromolecule a linkage containing silicon with or without sulfur, nitrogen, oxygen or carbon only; Compositions of derivatives of such polymers
- C08L83/04—Polysiloxanes
- C08L83/08—Polysiloxanes containing silicon bound to organic groups containing atoms other than carbon, hydrogen and oxygen
Definitions
- Hydrophilic polymeric material comprising a crosslinked matrix of polyorganosiloxanes and process for its manufacture
- the present invention relates generally to a polymer material based on polyorganosiloxanes which has a hydrophilic character, in particular for the manufacture of optical articles such as contact lenses, as well as to a process for the manufacture of such a material. .
- the present invention also relates to optical articles such as contact lenses, manufactured or coated with the polymer material based on polyorganosiloxanes.
- the contact lenses be made of a hydrophilic material having a high wettability in particular by the tear medium of the eye.
- contact lenses when they are in the presence of the lacrimal medium of the wearer's eye, exhibit a tendency to accumulate on their surfaces deposits due to the species present in this lacrimal medium, such as proteins, lipids, etc.
- Such deposits thus formed on the surface of the lens greatly reduce visual acuity and the wearer's comfort.
- an inflammatory and immune reaction of the eye to protein deposits occurs and can cause giant papillary conjunctivitis.
- contact lens materials which, by their nature, are hydrophilic and have high wettability by the lacrimal medium and a low tendency to accumulate deposits, in particular proteinaceous materials.
- hydrophilic polymer material based on crosslinked silicones, in particular crosslinked polyorganosiloxanes.
- the present invention therefore relates to a polymeric material based on crosslinked polyorganosiloxanes, in particular on polydimethylsiloxanes (PDMS) and / or crosslinked polymethylphenylsiloxanes, which has a hydrophilic character, in particular at the surface.
- PDMS polydimethylsiloxanes
- crosslinked polymethylphenylsiloxanes which has a hydrophilic character, in particular at the surface.
- the present invention also relates to a method of manufacturing such a material.
- the present invention also relates to optical articles; in particular contact lenses made from the hydrophilic crosslinked polyorganosiloxane material.
- the hydrophilic polymer material based on polyorganosiloxanes comprises a crosslinked matrix of one or more polyorganosiloxanes characterized in that the one or more polyorganosiloxanes of the crosslinked matrix have substituents linked to silicon atoms which carry one or more zwitterionic groups.
- the polyorganosiloxanes are chosen from polyalkylsiloxanes such as polydimethylsiloxanes, polyalkyl aryl siloxanes such as polymethyl phenyl siloxanes and polydialkyl alkyl aryl siloxanes such as polydimethyl methyl phenyl siloxanes. More preferably, the polyorganosiloxanes of the invention contain trialkylsilyl end groups, in particular trimethylsilyl.
- the substituents bearing one or more preferred zwitterionic groups are the substituents bearing sulfobetaine groups.
- polyorganosiloxanes suitable in the present invention can be defined as polyorganosiloxanes comprising the units of formulas:
- R and R represent an alkyl radical, in particular a CrC 4 alkyl radical and preferably the methyl radical, or an aryl radical, preferably phenyl;
- R represents an alkyl radical, in particular an alkyl radical Cj-
- R 4 represents a substituent carrying at least one zwitterionic group and R represents an alkyl group, in particular a CC 4 alkyl group, preferably a methyl group, or an aryl group, preferably a phenyl group, the remaining valence of the silicon atom of the motif of formula (III) being linked by an organic crosslinking residue to another silicon atom.
- R, R, R and R all represent a methyl group.
- the proportion of units of formula (II) comprising a substituent carrying at least one zwitterionic group must be sufficient to confer on the crosslinked matrix of polyorganosiloxanes the character hydrophilic required. Generally, this proportion represents 5 to 50%, preferably 15 to 30%.
- the proportion of crosslinking units of formula (III) must be sufficient to give the crosslinked polyorganosiloxane matrix an appropriate crosslinking rate to obtain the desired mechanical properties.
- the proportion of crosslinking units of formula (III) will be between 0.1 and 50%, preferably 1 to 10%.
- the substituents carrying at least one zwitterionic group represented by R4 may be any group containing at least one zwitterionic group, such as those described in documents WO 94/14897, EP-A-555.295 and EP-A-563.293.
- the zwitterionic group can be represented by the formula:
- R 6 represents an alkylene, cycloalkylene, aromatic group, optionally containing in its chain one or more heteroatoms;
- RR and R represent, independently of one another, a hydrogen atom, a CH 2 -R 10 group in which R 10 may be a hydrogen atom, an alkyl radical, a CH 2 -R group 11 in which R 11 is a substituent optionally comprising heteroatoms, a group
- R 7 R of hydrogen, or R and R, identical or different, may constitute a ring optionally comprising one or more additional heteroatoms;
- R 9 represents an alkylene or substituted alkylene group, optionally comprising in its chain one or more heteroatoms; and R 7 and R 9 may, jointly, form a ring or a polycyclic structure optionally comprising one or more heteroatoms.
- R 6 can be a spacer arm, preferably comprising one or more heteroatoms and better still an ethylene oxide arm, represented by the formula:
- n is an integer from 1 to 20.
- R 9 represents a group:
- x is an integer from 1 to 20
- q and r are integers from 1 to 20 and R is an alkyl, cycloalkyl or aryl group optionally comprising one or more heteroatoms in their chain.
- x is an integer from 2 to 10 and n and p are integers from 1 to 20.
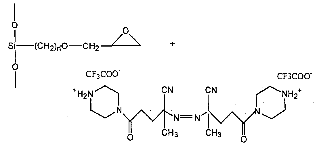
- Crosslinked polyorganosiloxanes comprising substituents linked to silicon atoms and carrying one or more zwitterionic groups can be obtained by 3 main different synthetic routes, from SiH, Si-vinyl precursors.
- a composition of at least one polyorganosiloxane oligomer with SiH functions and at least one polyorganosiloxane oligomer with Si-vinyl functions can be reacted in a single step, in the presence of at least one cyclic sixolanic monomer carrying at least a function onto which a zwitterionic compound or a precursor thereof, or of a vinyl monomer carrying at least one zwitterionic group or a precursor thereof, and, where appropriate, final conversion, can be grafted of these in zwitterions.
- the hydrophilic material based on crosslinked polyorganosiloxanes according to the invention can be prepared by reaction of at least one reactive compound carrying one or more zwitterionic groups or precursors of zwitterionic groups, by hydrosilylation reaction with part of the hydrogenosilyl groups of one or more polyhydrogenoorganosiloxanes, then optionally in the case of reactive compounds carrying precursor groups of zwitterionic groups reaction of transformation of the precursor groups into zwitterionic groups, and crosslinking of the hydrogenosilyl groups remaining of the polyhydrogenoorganosiloxane (s) by hydrosilylation reaction with an agent of crosslinking.
- the materials according to the invention can be prepared by first crosslinking the polyhydrogenoorganosiloxane (s) by hydrosilylation reaction of part of the hydrogenosilyl groups thereof with a crosslinking agent and then grafting by hydrosilylation reaction on the hydrogenosilyl units remaining of the reactive compounds carrying at least one zwitterionic group or a precursor group of zwitterionic group and optionally by transforming the precursor group or groups of zwitterionic groups into zwitterionic groups.
- s polyhydrogenoorganosiloxane
- SiH, Si-vinyl oligomers used in the context of the present invention are commercial products or synthesized specifically to provide them with a suitable structure in the context of the invention.
- SiH type oligomers can be synthesized from cyclic monomers according to the following reaction scheme:
- the polysiloxane oligomers carrying zwitterionic groups or of precursors thereof can be obtained by reacting commercial siloxane oligomers, or prepared according to the process described above; from cyclic monomers, with reactive compounds carrying zwitterionic groups or precursors of zwitterionic groups.
- one or more polyhydrogenoorganosiloxanes are reacted by hydrosilylation reaction comprising units:
- R is a radical carrying one or more zwitterionic groups or precursors of zwitterionic groups to form a polyhydrogenoorganosiloxane comprising units of formulas:
- R, R, R and R are as defined above and in the case where R is a group carrying precursor groups of zwitterionic groups, the precursor groups are transformed into zwitterionic groups.
- the material according to the invention is obtained by crosslinking of the polyhydrogenoorganosiloxane comprising units of formula (VI) by hydrosilylation reaction of the groups:
- R, R and R preferably represent a methyl group.
- the preferred zwitterionic groups are the sulfobetaine groups.
- the reactive compounds carrying one or more zwitterionic groups recommended according to the invention are compounds comprising ethylenic unsaturation and corresponding to formula (V).
- the recommended reactive compounds are the reactive compounds comprising precursor groups of sulfobetaine corresponding to the formula:
- R ' is a divalent organic residue and R "represents H or an alkyl group, preferably the CH 3 group.
- the reactive compounds with precursor groups are grafted to silicon atoms of the polyhydrogenoorganosiloxane by hydrosilylation of units of formula:
- the proportion of hydrogenosilyl units of the polyhydrogenoorganosiloxane which react with the reactive compound carrying one or more zwitterionic groups or precursors of zwitterionic groups is lower than the total proportion of the hydrogenosilyl units present in the polyhydrogenoorganosiloxane in order to allow crosslinking thereof.
- This crosslinking can be carried out in a recommended manner, by hydrosilylation reaction of the remaining hydrogenosilyl units using a siloxane oligomer comprising diorganosiloxane units and organovinylsiloxane units of formulas:
- platinum catalysts for this SiH-olefin reaction are known and such platinum catalysts can be used for the hydrosilylation reaction of the present invention.
- the preferred platinum catalysts are catalysts based on platinum derivatives which are soluble in the reaction mixture.
- the platinum derivative can be chosen from those corresponding to the formula Pt-Cl -olefin or HPtCl 3 -olefin which are described in US Patent 3,159,601.
- the olefin indicated in the two preceding formulas can be any olefin but is preferably an alkene having from 2 to 8 carbon atoms, a cycloalkene having from 5 to 7 carbon atoms or styrene.
- the specific olefins which can be used in the above catalyst formulas are ethylene, propylene, the various isomers of butylene, octylene, cyclopentene, cyclohexene, cycloheptene, etc.
- platinum catalyst which can be used in the present invention is the complex of platinum chloride with cyclopropane described in US Pat. No. 3,159,662.
- the platinum catalyst can also be a complex formed by chloroplatinic acid with up to two moles per gram of platinum of a product chosen from alcohols, ethers, aldehydes and their mixtures, complex which is described inter alia in US Patent 3,220,972.
- Other useful platinum catalysts are also described in US Patents 3,715,334, 3,775,452 and 3,814,730.
- SiH olefin reference may be made to the article by J.L. SPIER,
- an effective amount of platinum catalyst is in the range of 0.1 to 50 ppm relative to the total composition of organopoly siloxane.
- the 1st fraction 0.63 g consisting mainly of the starting reagents (IA) and (IB) and traces of the poly siloxane oligomer with zwitterionic properties ZwSiOL].
- 2nd fraction 0.1 g consisting of oligomer SwSiOLj and remains of the starting reactants (IA) and (IB).
- 3 rd fraction 0.02 g of the oligomer consisting ZwSiOL] and traces of the starting reagent (IA) and (IB).
- the average molar mass of this is 6293 g with 24 SiH per chain, ie 3.8 x 10 " SiH / g.
- Oil A consists of mono and divinyl polydimethylsiloxanes and a platinum catalyst.
- This part contains approximately 37 milliequivalents of vinyl functions per 100 g of polymer.
- Oil B is a hydrogenopolydimethylsiloxane and contains approximately 847 milliequivalents of hydrogenosilane functions per 100 g of polymer.
- a composition is prepared by mixing
- Polyamide molds are filled with this composition and the composition is subjected to the following thermal polymerization cycle:
- Octamethylcyclotetrasiloxane (D 4 ), tetramethylcyclotetrasiloxane D 4 H 4 (or D ') and a tetramethyldisiloxane (M' 2 ) obtained from the company ACBR are used.
- the flask is then closed, immersed in liquid nitrogen and the mixture is degassed by applying vacuum.
- the flask is allowed to return to room temperature.
- the reaction mixture is placed in an argon atmosphere.
- the polymerization is carried out at 60 ° C. with magnetic stirring for 6 hours.
- the TONSIL ® catalyst is removed by filtration through a porous filter of polytetrafluoroethylene (pore diameter of 45 .mu.m).
- Heptane is used to rinse the flask and for filtration to reduce the viscosity.
- the filtered product is recovered and the heptane is removed by evaporation, then the volatile cyclic oligomers are removed by heating at 140 ° C under a pressure of 0.01 mm of mercury for 30 minutes.
- This oligomer designated by SiOL 2, has the following characteristics:
- SiOL 3 and SiOL 4 telechelics with some differences in their characteristics:
- the reaction is carried out at 55 ° C for 6 hours with stirring.
- the mixture is then diluted with toluene and then filtered through a polytetrafluoroethylene (PTFE) filter with a porosity of 45 ⁇ m to remove the remaining catalyst.
- PTFE polytetrafluoroethylene
- the toluene is then evaporated by means of a rotary evaporator connected to a vane pump.
- a colorless liquid is obtained.
- the mixture of solvents ensures perfect homogeneity in the system.
- a viscous and milky liquid is obtained.
- the following example illustrates the synthetic route No. 3 appearing in the summary diagram of FIG. 1.
- the steps 1 and 2 are aimed at synthesizing the cyclic reagent siloxane zwitterionique.
- the mixture is then maintained at 55 ° C (below the boiling point of the amine) for 6 hours with stirring.
- the mixture is diluted in toluene, and filtered through a porous polytetrafluoroethylene type filter, with a pore diameter of 45 ⁇ m, in order to remove the catalyst from the platinum.
- the mixture is heated at reflux for 5 hours.
- the solid part is filtered and rinsed with acetonitrile to remove the excess propane sultone. Then, the solid is dried under vacuum. A white crystallized solid is obtained.
- Synthesis of an SiOL 5 oligomer The synthesis of an SiOL 5 oligomer is carried out by following the same procedure as in Example 2, but using the following quantities of reagents: 31.41 g of D 4 8.21 g of D ' 4 0 , 47 g of M ' 2 0.2 g of TONSIL ® The heating is carried out at 60 ° C. A product is obtained having the following characteristics:
- the two solutions S] and S 2 are then mixed and placed in a desiccator.
- the solvents are then evaporated by evacuation at room temperature.
- a mold is filled, the molding surfaces of which are planar optical surfaces.
- the open mold is placed in a desiccator and degassed by vacuum drawing at room temperature.
- the mold is then closed and the polymerization is carried out by heating in an oven for two hours at 120 ° C.
- the amount of allylglycidyl ether (AGE) to be grafted is chosen so as to maintain in the epoxidized oligomer (SiOL 2 EPO) a sufficient amount of SiH functions to allow crosslinking of the oligomer during the subsequent crosslinking step.
- the mixture obtained is heated with stirring at 80 ° C for 4 hours. Then, the mixture is diluted in toluene and filtered on a porous 45 ⁇ m filter so as to remove all the platinum-based catalyst.
- the toluene is then evaporated.
- the oligomer obtained is dried under vacuum (10 " mm Hg) so as to remove any possible trace of AGE. A colorless liquid is obtained.
- the characteristics of the SiOL 2 EPO oligomer are as follows:
- Epoxidized oligomers with different contents of epoxy functions are prepared by following the same procedure as above but with the reagents in the following amounts:
- the H 2 PtCl 6 catalyst is used in place of the Pt / C catalyst.
- the procedure is unchanged, except that the filtration is not carried out.
- the characteristics of the SiOL 3 EPO epoxy oligomer obtained are:
- VBC vinyl benzyl chloride
- the reaction is carried out at 80 ° C for 3 hours.
- the mixture is diluted in toluene and filtered through a porous 45 ⁇ m PTFE filter to remove the catalyst.
- the toluene is then evaporated.
- the remaining polymer is then dried under vacuum so as to eliminate any possible trace of BCV.
- siloxane olihgomer CH 2 CH 2 pendant
- the mixture is degassed under vacuum and poured into polyamide molds.
- a new degassing is carried out.
- Crosslinking is carried out by heating for 2 hours at 120 ° C.
- the molar ratio [SiH] of mixture 1 has the value 1.2.
- mixtures 1 and 2 are homogenized using a mechanical stirrer, degassed and placed in molds, either in polypropylene or in polyamide.
- n 1 monomeric derivative n> 1 telomeric derivative
- the contents of the ampoule are added at room temperature.
- the mixture is heated and stirred at 70 ° C for 75 hours.
- the final product is lyophilized (CH 006/03).
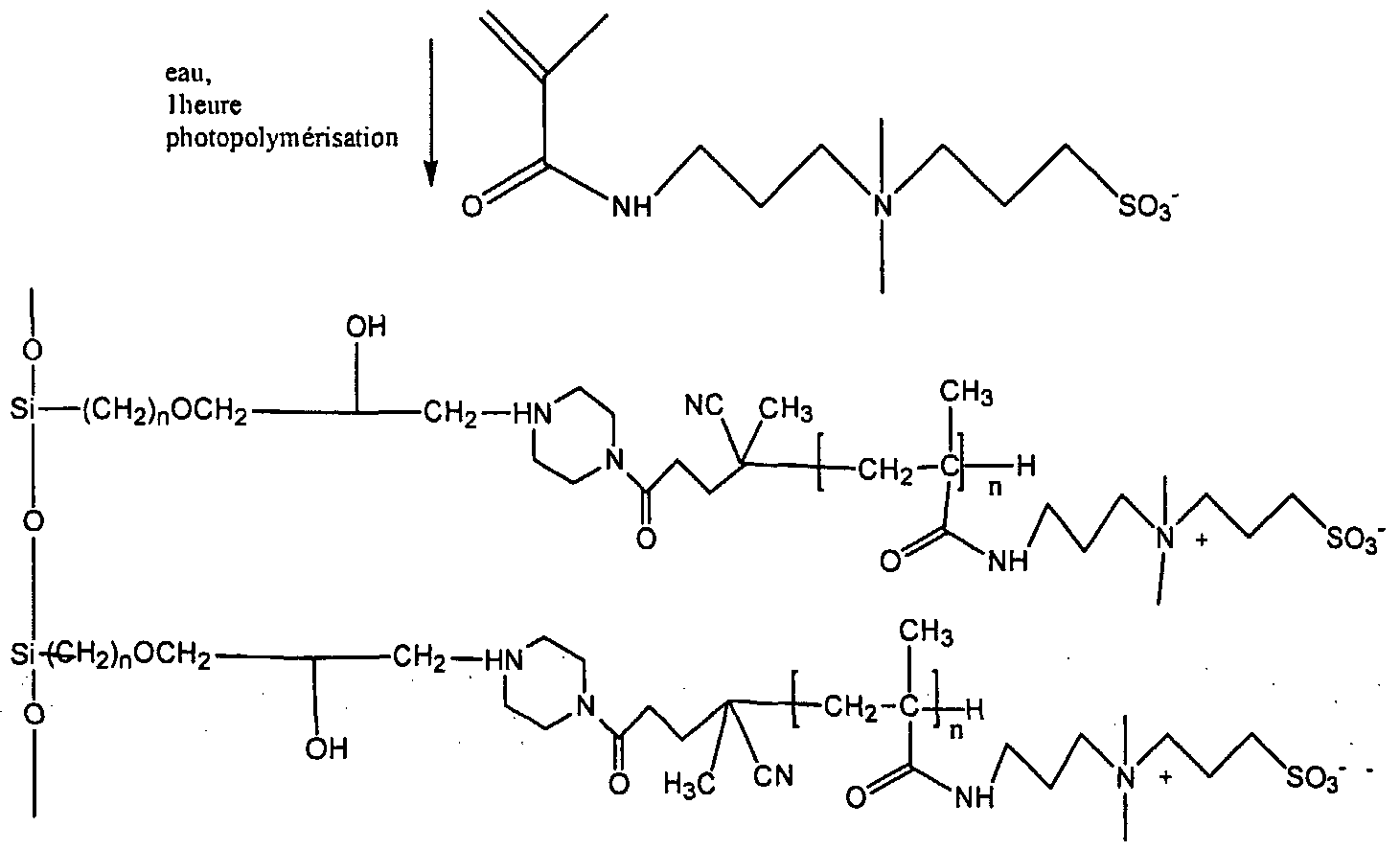
- N, N-dimethyl-N-methacryl-amidopropyl-N-3-sulfopropyl-ammonium-betaine (SPP from the company Roschig) is dissolved in ultrapure water or methanol P.A. (5-7% by weight).
- Variable amounts of cysteamine are then added (0.01 molar equivalent - 0.1 molar equivalent relative to the amount of SPP), in the presence of 5% molar as initiator.
- the mixture obtained is then degassed under a stream of argon for 45 minutes, then heated for 24 to 70 hours at a temperature varying from 65 to 80 ° C.
- the mixture is then lyophilized.
- telomeric sulfobetaines with acidic grouping: The following two telomeric sulfobetaines are prepared
- the polymerization initiator is ACVA (4,4'-azobis- (4-cyanovaleric acid)).
- the conditions are as follows:
- the polymerization initiator is ACVA.
- the preparation conditions are:
- the silicone lens prepared in IB.l is grafted by zwitterionic telomeres according to the protocols in the table below:
- the flask is immersed in an ice bath and cooled.
- the mixture is treated with 20 g of PCI 5 .
- the solution is concentrated by vacuum drawing until a pasty white solid is obtained.
- the phosphate oxychloride is evacuated with ether / pentane portions (1: 3).
- the solid is purified by dissolution in methylene chloride followed by precipitation in pentane.
- the contents of the ampoule are then added dropwise at 0 ° C.
- the mixture is stirred at room temperature for 17 hours.
- the solution is then washed with water and with an IM HCl solution.
- the organic phase recovered is concentrated at room temperature.
- step 3 In a 10 ml flask equipped with a magnetic stirrer and an addition funnel, 0.08 g of the compound obtained in step 3 (1 equivalent, 1.2987 x 10 '4 mole) is dissolved in 2 , 5 ml of CF 3 COOH. The mixture is stirred at room temperature for 3 hours. The solution is then concentrated at room temperature and the remaining mixture is washed with chloroform.
- An epoxidized silicone lens (obtained as described in Example 1 of patent EP 317,377) is placed in a container containing 5 ml of a solution of the photoinitiator (1% by weight) in ultrapure water and 0.0107 g of K 2 C0 3 .
- the lens is stirred with an Edmurd B ⁇ hler shaker (model KL-2, VIBRAX) for 17 hours at 20 ° C, in the absence of light, then removed with tweezers and rinsed 4 times (12 minutes with ultrapure water).
- an Edmurd B ⁇ hler shaker model KL-2, VIBRAX
- the sample kept in water is then analyzed by UV spectrometry.
- the lens is placed in a container containing a magnetic stirrer and 2.5 ml of a solution of 0.5 g of SPP (N, N dimethyl-N- methacrylamidopropyl-N-3-sulfopropyl-ammonium-betaine (from the company RASCHIG) in 3.5 ml of ultrapure water.
- SPP N, N dimethyl-N- methacrylamidopropyl-N-3-sulfopropyl-ammonium-betaine
- the solution is degassed under a stream of argon for 1 hour, then irradiated (with lamps at 235 nm) for 1 hour with stirring.
- the lens is then removed and rinsed 4 times (12 minutes) in ultrapure water.
- the samples are kept in water.
- the wettability characteristics are measured (see previous general table).
- test pieces of polymer material for the measurement of contact angles are strips cut from molded discs (diameter 15 mm, thickness 0.2 mm).
- the dynamic measurement of the contact angles is carried out as follows: The test pieces are soaked in about 10 ml of water.
- test piece is fixed to an electrobalance and the container containing the water is raised and lowered by means of a motor to immerse the test piece.
- the speed of ascent and descent is 0.1 mm / second.
- the force applied is graphically recorded as a function of the immersion depth.
- P is the perimeter of the sample; and ⁇ the force variation during immersion.
- the entry contact angle ⁇ a is measured and when removing the test pieces the exit contact angle ⁇ r. These measurements are made at 21 ° C.
- Excellent hydrophilicity of the material corresponds to an entry angle of 100 to 70 ° C, preferably from 90 to 70 ° C and an exit angle of 20 to 50 degrees.
- Hysteresis corresponds to the difference between the angles of entry and exit of the same test tube. This value must be less than 50 degrees at least.
Landscapes
- Chemical & Material Sciences (AREA)
- Health & Medical Sciences (AREA)
- Chemical Kinetics & Catalysis (AREA)
- Medicinal Chemistry (AREA)
- Polymers & Plastics (AREA)
- Organic Chemistry (AREA)
- Physics & Mathematics (AREA)
- General Chemical & Material Sciences (AREA)
- General Physics & Mathematics (AREA)
- Optics & Photonics (AREA)
- Silicon Polymers (AREA)
Abstract
Description
Matériau polymère hydrophile comprenant une matrice réticulée de polyorganosiloxanes et son procédé de fabrication Hydrophilic polymeric material comprising a crosslinked matrix of polyorganosiloxanes and process for its manufacture
La présente invention concerne de manière générale un matériau polymère à base de polyorganosiloxanes qui présente un caractère hydrophile, en particulier pour la fabrication d'articles d'optique tels que des lentilles de contact, ainsi qu'un procédé de fabrication d'un tel matériau.The present invention relates generally to a polymer material based on polyorganosiloxanes which has a hydrophilic character, in particular for the manufacture of optical articles such as contact lenses, as well as to a process for the manufacture of such a material. .
La présente invention concerne également des articles d'optique tels que des lentilles de contact, fabriqués ou revêtus du matériau polymère à base de polyorganosiloxanes.The present invention also relates to optical articles such as contact lenses, manufactured or coated with the polymer material based on polyorganosiloxanes.
Il est souhaitable pour le confort de l'utilisateur, que les lentilles de contact soient constituées d'un matériau hydrophile présentant une mouillabilité élevée en particulier par le milieu lacrymal de l'œil. En outre, il est connu que les lentilles de contact, lorsqu'elles se trouvent en présence du milieu lacrymal de l'œil du porteur, présentent une tendance à accumuler sur leurs surfaces des dépôts dus aux espèces présentes dans ce milieu lacrymal, tels que des protéines, lipides, etc ..It is desirable for the comfort of the user, that the contact lenses be made of a hydrophilic material having a high wettability in particular by the tear medium of the eye. In addition, it is known that contact lenses, when they are in the presence of the lacrimal medium of the wearer's eye, exhibit a tendency to accumulate on their surfaces deposits due to the species present in this lacrimal medium, such as proteins, lipids, etc.
De tels dépôts formés ainsi à la surface de la lentille diminuent fortement l'acuité visuelle et le confort du porteur. Dans certains cas extrêmes, en l'absence d'entretien de la lentille, une réaction inflammatoire et immune de l'œil aux dépôt proteiques se produit et peu provoquer une conjonctivite papillaire géante.Such deposits thus formed on the surface of the lens greatly reduce visual acuity and the wearer's comfort. In some extreme cases, in the absence of maintenance of the lens, an inflammatory and immune reaction of the eye to protein deposits occurs and can cause giant papillary conjunctivitis.
Par ailleurs, dans le cas des lentilles souples hydrophiles, leur désinfection par ébullition dénature encore les matières proteiques, qui coagulent, ce qui conduit à la formation de dépôts blancs et opaques.Furthermore, in the case of hydrophilic soft lenses, their disinfection by boiling still denatures the protein materials, which coagulate, which leads to the formation of white and opaque deposits.
Il est donc souhaitable de pouvoir disposer de matériaux pour lentilles de contact, qui, par leur nature, soient hydrophiles et présentent une mouillabilité élevée par le milieu lacrymal et une faible tendance à l'accumulation des dépôts, en particulier de matières proteiques.It is therefore desirable to be able to have contact lens materials which, by their nature, are hydrophilic and have high wettability by the lacrimal medium and a low tendency to accumulate deposits, in particular proteinaceous materials.
Les documents EP-A-555.295 et EP-A-563.293 décrivent entre autres des polymères réticulés obtenus par copolymérisation d'un monomère zwitterionique et d'un monomère diluant neutre. Les lentilles de contact fabriquées à partir de tels copolymères présentent un encrassement réduit. Les silicones, en particulier les silicones réticulés, telles que les polyorganosiloxanes, présentent une combinaison de propriétés optiques et mécaniques qui en font des candidats de choix pour la fabrication d'articles d'optique tels que des lentilles de contact. Malheureusement, ces silicones réticulés ont un caractère hydrophobe très prononcé, ce qui limite très fortement leur utilisation en optique ophtalmique et autres applications requérant un matériau ayant un caractère hydrophile.Documents EP-A-555,295 and EP-A-563,293 describe inter alia crosslinked polymers obtained by copolymerization of a zwitterionic monomer and a neutral diluent monomer. Contact lenses made from such copolymers have reduced fouling. Silicones, in particular crosslinked silicones, such as polyorganosiloxanes, exhibit a combination of optical and mechanical properties which make them prime candidates for the manufacture of optical articles such as contact lenses. Unfortunately, these crosslinked silicones have a very pronounced hydrophobic character, which greatly limits their use in ophthalmic optics and other applications requiring a material having a hydrophilic character.
Pour remédier à ce problème, on a proposé dans le document EP-A-317.377 de la société ESSILOR de traiter des lentilles de contact obtenues par moulage de polydiméthylsiloxanes époxydés dans la masse par trempage des lentilles dans une solution d'acide glucuronique pour leur impartir un caractère hydrophile.To remedy this problem, it has been proposed in document EP-A-317.377 from the company ESSILOR to treat contact lenses obtained by molding polydimethylsiloxanes epoxidized in the mass by soaking the lenses in a solution of glucuronic acid to impart them hydrophilic character.
Outre le fait que la solution préconisée dans ce document EP-A-317.377 nécessite une étape d'imprégnation supplémentaire, le caractère hydrophile du à l'imprégnation est difficile à régler. En particulier, dans l'application ophtalmique, il est souhaitable que le matériau soit essentiellement hydrophile à sa surface, ce qui est difficile à réaliser par la méthode d'imprégnation, telle que décrite dans le brevet EP-A-317.377.Besides the fact that the solution recommended in this document EP-A-317.377 requires an additional impregnation step, the hydrophilic nature of the impregnation is difficult to adjust. In particular, in ophthalmic application, it is desirable for the material to be essentially hydrophilic on its surface, which is difficult to achieve by the impregnation method, as described in patent EP-A-317,377.
Il serait donc souhaitable de disposer d'un autre matériau polymère hydrophile à base de silicones réticulées, en particulier de polyorganosiloxanes réticulés.It would therefore be desirable to have another hydrophilic polymer material based on crosslinked silicones, in particular crosslinked polyorganosiloxanes.
La présente invention a donc pour objet un matériau polymère à base de polyorganosiloxanes réticulés, en particulier de polydiméthylsiloxanes (PDMS) et/ou polyméthylphénylsiloxanes réticulés, qui présente un caractère hydrophile, en particulier en surface.The present invention therefore relates to a polymeric material based on crosslinked polyorganosiloxanes, in particular on polydimethylsiloxanes (PDMS) and / or crosslinked polymethylphenylsiloxanes, which has a hydrophilic character, in particular at the surface.
La présente invention a également pour objet un procédé de fabrication d'un tel matériau. La présente invention a encore pour objet des articles d'optique; en particulier des lentilles de contact fabriquées à partir du matériau à base de polyorganosiloxane réticulé hydrophile.The present invention also relates to a method of manufacturing such a material. The present invention also relates to optical articles; in particular contact lenses made from the hydrophilic crosslinked polyorganosiloxane material.
Selon l'invention, le matériau polymère hydrophile à base de polyorganosiloxanes comprend une matrice réticulée d'un ou plusieurs polyorganosiloxanes caractérisé par le fait que le ou les polyorganosiloxanes de la matrice réticulée comportent des substituants liés à des atomes de silicium qui portent un ou plusieurs groupes zwitterioniques.According to the invention, the hydrophilic polymer material based on polyorganosiloxanes comprises a crosslinked matrix of one or more polyorganosiloxanes characterized in that the one or more polyorganosiloxanes of the crosslinked matrix have substituents linked to silicon atoms which carry one or more zwitterionic groups.
De préférence, les polyorganosiloxanes sont choisis parmi les polyalkylsiloxanes tels que les polydiméthylsiloxanes, les polyalkyl aryl siloxanes tels que les polyméthyl phényl siloxanes et les polydialkyl alkyl aryl siloxanes tels que les polydiméthyl méthyl phényl siloxanes. De préférence encore, les polyorganosiloxanes de l'invention comportent des groupes terminaux trialkylsilyles, en particulier triméthylsilyle. Les substituants portant un ou plusieurs groupes zwitterioniques préférés sont les substituants portant des groupes sulfobétaïnes.Preferably, the polyorganosiloxanes are chosen from polyalkylsiloxanes such as polydimethylsiloxanes, polyalkyl aryl siloxanes such as polymethyl phenyl siloxanes and polydialkyl alkyl aryl siloxanes such as polydimethyl methyl phenyl siloxanes. More preferably, the polyorganosiloxanes of the invention contain trialkylsilyl end groups, in particular trimethylsilyl. The substituents bearing one or more preferred zwitterionic groups are the substituents bearing sulfobetaine groups.
Les polyorganosiloxanes convenant dans la présente invention peuvent être définis comme des polyorganosiloxanes comportant les motifs de formules :The polyorganosiloxanes suitable in the present invention can be defined as polyorganosiloxanes comprising the units of formulas:
Si02/2 (II) et RDSi02/2 (III) Si0 2/2 (II) and R D Si0 2/2 (III)
dans lesquelles R et R représentent un radical alkyle, en particulier un radical CrC4 alkyle et de préférence le radical méthyle, ou un radical aryle, de préférence phényle ;in which R and R represent an alkyl radical, in particular a CrC 4 alkyl radical and preferably the methyl radical, or an aryl radical, preferably phenyl;
R représente un radical alkyle, en particulier un radical alkyle Cj-R represents an alkyl radical, in particular an alkyl radical Cj-
C , de préférence le radical méthyle, ou un radical aryle, de préférence le radical phényle ; R4 représente un substituant portant au moins un groupe zwitterionique et R représente un groupe alkyle, en particulier un groupe alkyle en C C4, de préférence un groupe méthyle, ou un groupe aryle, de préférence un groupe phényle, la valence restante de l'atome du silicium du motif de formule (III) étant reliée par un reste organique de réticulation à un autre atome de silicium.C, preferably the methyl radical, or an aryl radical, preferably the phenyl radical; R 4 represents a substituent carrying at least one zwitterionic group and R represents an alkyl group, in particular a CC 4 alkyl group, preferably a methyl group, or an aryl group, preferably a phenyl group, the remaining valence of the silicon atom of the motif of formula (III) being linked by an organic crosslinking residue to another silicon atom.
De préférence, R , R , R et R représentent tous un groupe méthyle.Preferably, R, R, R and R all represent a methyl group.
La proportion de motifs de formule (II) comportant un substituant portant au moins un groupe zwitterionique doit être suffisante pour conférer à la matrice réticulée de polyorganosiloxanes le caractère hydrophile requis. Généralement, cette proportion représente 5 à 50%, de préférence 15 à 30%.The proportion of units of formula (II) comprising a substituent carrying at least one zwitterionic group must be sufficient to confer on the crosslinked matrix of polyorganosiloxanes the character hydrophilic required. Generally, this proportion represents 5 to 50%, preferably 15 to 30%.
Egalement, la proportion de motifs réticulant de formule (III) doit être suffisante pour conférer à la matrice de polyorganosiloxanes réticulé un taux de réticulation approprié pour obtenir les propriétés mécaniques voulues. En général, la proportion de motifs réticulant de formule (III) sera comprise entre 0,1 et 50%, de préférence 1 à 10%.Also, the proportion of crosslinking units of formula (III) must be sufficient to give the crosslinked polyorganosiloxane matrix an appropriate crosslinking rate to obtain the desired mechanical properties. In general, the proportion of crosslinking units of formula (III) will be between 0.1 and 50%, preferably 1 to 10%.
Les substituants portant au moins un groupe zwitterionique représentés par R4 peuvent être tous groupements contenant au moins un groupe zwitterionique, tels que ceux décrits dans les documents WO 94/14897, EP-A-555.295 et EP-A-563.293.The substituents carrying at least one zwitterionic group represented by R4 may be any group containing at least one zwitterionic group, such as those described in documents WO 94/14897, EP-A-555.295 and EP-A-563.293.
En général, le groupement zwitterionique peut être représenté par la formule :In general, the zwitterionic group can be represented by the formula:
dans laquelle :in which :
R6 représente un groupe alkylène, cycloalkylène, aromatique, contenant éventuellement dans sa chaîne un ou plusieurs hétéroatomes ;R 6 represents an alkylene, cycloalkylene, aromatic group, optionally containing in its chain one or more heteroatoms;
7 R R et R représentent, indépendamment l'un de l'autre, un atome d'hydrogène, un groupe CH2-R10 dans lequel R10 peut être un atome d'hydrogène, un radical alkyle, un groupe CH2-R11 dans lequel R11 est un substituant comportant éventuellement des hétéroatomes, un groupe7 RR and R represent, independently of one another, a hydrogen atom, a CH 2 -R 10 group in which R 10 may be a hydrogen atom, an alkyl radical, a CH 2 -R group 11 in which R 11 is a substituent optionally comprising heteroatoms, a group
• 7 R phényle à la condition que l'un au moins de R ou R soit un atome• 7 R phenyl provided that at least one of R or R is an atom
7 R d'hydrogène, ou R et R , identiques ou différents, peuvent constituer un cycle comportant éventuellement un ou plusieurs hétéroatomes supplémentaires ;7 R of hydrogen, or R and R, identical or different, may constitute a ring optionally comprising one or more additional heteroatoms;
R9 représente un groupe alkylène ou alkylène substitué, comportant éventuellement dans sa chaîne un ou plusieurs hétéroatomes ; et R7 et R9 peuvent, conjointement, former un cycle ou une structure poly cyclique comportant éventuellement un ou plusieurs hétéroatomes. En particulier, R6 peut être un bras espaceur, préférentiellement comportant un ou plusieurs hétéroatomes et mieux un bras oxyde d'éthylène, représenté par la formule :R 9 represents an alkylene or substituted alkylene group, optionally comprising in its chain one or more heteroatoms; and R 7 and R 9 may, jointly, form a ring or a polycyclic structure optionally comprising one or more heteroatoms. In particular, R 6 can be a spacer arm, preferably comprising one or more heteroatoms and better still an ethylene oxide arm, represented by the formula:
où n est un entier de 1 à 20.where n is an integer from 1 to 20.
En outre, si R contient un groupementIn addition, if R contains a group
celui-ci doit être situé à au moins 3 atomes de carbone de l'atome de silicium. this must be located at least 3 carbon atoms from the silicon atom.
De préférence, R9 représente un groupe :Preferably, R 9 represents a group:
CH,CH,
-CH2CH2 N — (-CH2)-CH 2 CH 2 N - (-CH 2 )
R12 R 12
dans lesquelles x est un entier de 1 à 20, q et r sont des entiers de 1 à 20 et R est un groupe alkyle, cycloalkyle, aryle comportant éventuellement un ou plusieurs hétéroatomes dans leur chaîne.in which x is an integer from 1 to 20, q and r are integers from 1 to 20 and R is an alkyl, cycloalkyl or aryl group optionally comprising one or more heteroatoms in their chain.
A titre d'exemple de structure poly cyclique formée conjointement par R7 et R9, on peut citer la structure : As an example of a polycyclic structure formed jointly by R 7 and R 9 , mention may be made of the structure:
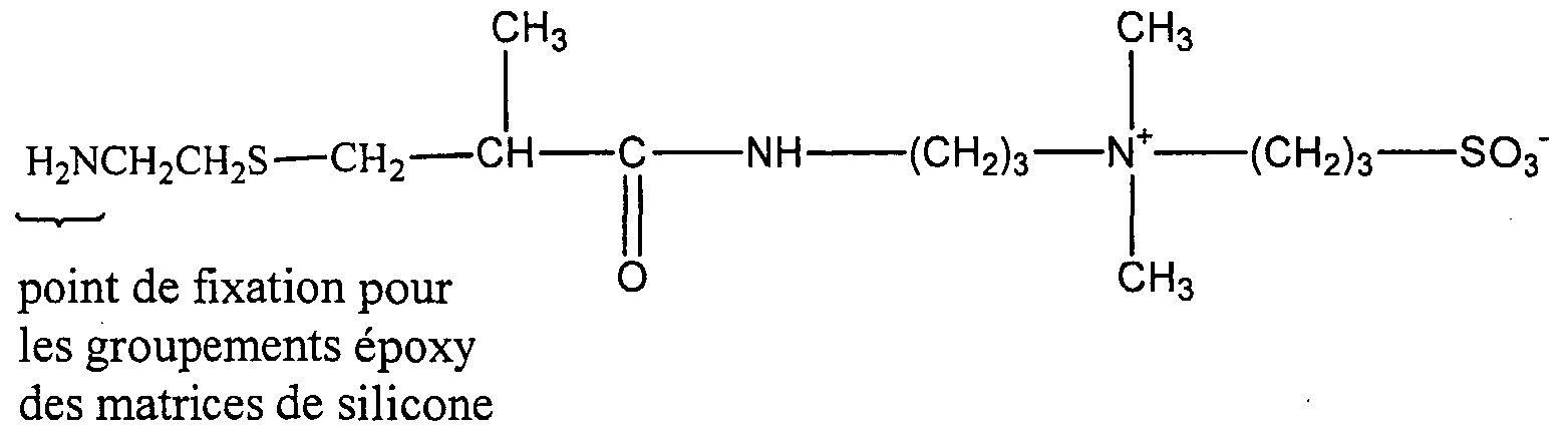
Des exemples de groupements zwitterioniques préférés sontExamples of preferred zwitterionic groups are
H CH2— CH24-CH2- N+ hCHH S03 H CH 2 - CH 2 4-CH 2 - N + hCHH S0 3
-CH CH2 ~S — CHo"" CH? N+ fcH2V-S03 -CH CH 2 ~ S - CHo "" CH? N + fcH 2 V-S0 3
OHOH
CH2 CH CH2CH2 — NH+ CH2CH2CH2C00' CH 2 CH CH 2 CH 2 - NH + CH 2 CH 2 CH 2 C00 '
CH, CH,CH, CH,
-CH2 CH CH2CH2 — NH2— CH2CH2CH2C00" -CH 2 CH CH 2 CH 2 - NH 2 - CH 2 CH 2 CH 2 C00 "
CH,CH,
-CH2 CH CH20 P 0CH2CH2N+(CH3)3 -CH 2 CH CH 2 0 P 0CH 2 CH 2 N + (CH 3 ) 3
CH3 CH 3
dans lesquelles x est un entier de 2 à 10 et n et p sont des entiers de 1 à 20.where x is an integer from 2 to 10 and n and p are integers from 1 to 20.
Parmi ces groupements zwitterioniques, on recommande les groupements zwitterioniques sulfobétaïnes d'ammonium quaternaire. Les polyorganosiloxanes réticulés comportant des substituants liés à des atomes de silicium et portant un ou plusieurs groupes zwitterioniques pouvent être obtenus par 3 grandes voies de synthèse différentes, à partir de précurseurs SiH, Si-vinyles. Ces 3 voies sont détaillées ci-après : 1) Reticuler une composition d'au moins un oligomère polyorganosiloxane à fonctions SiH et au moins un oligomère de polyorganosiloxane à fonctions Si-vinyle avec l'un ou l'autre au moins des deux oligomères portant des sites tels que des fonctions époxy ou chlorométhylstyrène (VBC) sur lesquels sont susceptibles d'être greffés des composés zwitterioniques ou des précurseurs de ceux-ciAmong these zwitterionic groups, the zwitterionic sulfobetaine groups of quaternary ammonium are recommended. Crosslinked polyorganosiloxanes comprising substituents linked to silicon atoms and carrying one or more zwitterionic groups can be obtained by 3 main different synthetic routes, from SiH, Si-vinyl precursors. These 3 routes are detailed below: 1) Crosslink a composition of at least one polyorganosiloxane oligomer with SiH functions and at least one polyorganosiloxane oligomer with Si-vinyl functions with at least one of the two oligomers carrying sites such as epoxy or chloromethylstyrene (VBC) functions on which zwitterionic compounds or their precursors are capable of being grafted
(dans le schéma général, est représenté uniquement le cas où l' oligomère SiH porte le site à greffer), puis effectuer les réactions adéquates conduisant au produit final.(in the general diagram, only the case where the SiH oligomer carries the site to be grafted is shown), then carry out the appropriate reactions leading to the final product.
En variante, on peut faire réagir en une seule étape une composition d'au moins un oligomère polyorganosiloxane à fonctions SiH et au moins un oligomère polyorganosiloxane à fonctions Si-vinyle, en présence d'au moins un monomère sixolanique cyclique porteur d'au moins une fonction sur laquelle est susceptible d'être greffé un composé zwitterionique ou un précurseur de celui-ci, ou d'un monomère vinylique porteur d'au moins un groupement zwitterionique ou un précurseur de celui-ci et, le cas échéant, conversion finale de ceux-ci en zwitterions.Alternatively, a composition of at least one polyorganosiloxane oligomer with SiH functions and at least one polyorganosiloxane oligomer with Si-vinyl functions can be reacted in a single step, in the presence of at least one cyclic sixolanic monomer carrying at least a function onto which a zwitterionic compound or a precursor thereof, or of a vinyl monomer carrying at least one zwitterionic group or a precursor thereof, and, where appropriate, final conversion, can be grafted of these in zwitterions.
2) Préparer un oligomère SiH ou Si-vinyle portant une fonction zwitterionique ou précurseur de celle-ci, reticuler, puis le cas échéant, transformer le précurseur en zwitterion ;2) Prepare an SiH or Si-vinyl oligomer carrying a zwitterionic function or a precursor thereof, crosslink, then if necessary, transform the precursor into a zwitterion;
3) Faire réagir au moins un monomère siloxanique à fonctions SiH et au moins un monomère siloxanique à fonctions Si-vinyle, en présence d'un monomère siloxanique cyclique porteur d'au moins un groupement zwitterionique ou précurseur de celui-ci, et le cas échéant, conversion finale de ceux-ci en zwitterions. Ces schémas de synthèse sont illustrés à la figure 1.3) Reacting at least one siloxane monomer with SiH functions and at least one siloxane monomer with Si-vinyl functions, in the presence of a cyclic siloxane monomer carrying at least one zwitterionic group or precursor thereof, and the case if necessary, final conversion of these into zwitterions. These summary diagrams are illustrated in Figure 1.
Plus précisément, le matériau hydrophile à base de polyorganosiloxanes réticulés selon l'invention peut être préparé par réaction d'au moins un composé réactif portant un ou plusieurs groupes zwitterioniques ou précurseurs de groupes zwitterioniques, par réaction d'hydrosilylation avec une partie des groupes hydrogénosilyles d'un ou plusieurs polyhydrogénoorganosiloxanes, puis éventuellement dans le cas des composés réactifs portant des groupes précurseurs de groupes zwitterioniques réaction de transformation des groupes précurseurs en groupes zwitterioniques, et réticulation des groupes hydrogénosilyles restant du ou des polyhydrogénoorganosiloxanes par réaction d'hydrosilylation avec un agent de réticulation.More specifically, the hydrophilic material based on crosslinked polyorganosiloxanes according to the invention can be prepared by reaction of at least one reactive compound carrying one or more zwitterionic groups or precursors of zwitterionic groups, by hydrosilylation reaction with part of the hydrogenosilyl groups of one or more polyhydrogenoorganosiloxanes, then optionally in the case of reactive compounds carrying precursor groups of zwitterionic groups reaction of transformation of the precursor groups into zwitterionic groups, and crosslinking of the hydrogenosilyl groups remaining of the polyhydrogenoorganosiloxane (s) by hydrosilylation reaction with an agent of crosslinking.
En variante, on peut préparer les matériaux selon l'invention en commençant par reticuler le ou les polyhydrogénoorganosiloxanes par réaction d'hydrosilylation d'une partie des groupes hydrogénosilyles de celui-ci avec un agent de réticulation puis en greffant par réaction d'hydrosilylation sur les motifs hydrogénosilyles restants des composés réactifs portant au moins un groupe zwitterionique ou un groupe précurseur de groupe zwitterionique et éventuellement en transformant le ou les groupes précurseurs de groupes zwitterioniques en groupes zwitterioniques.As a variant, the materials according to the invention can be prepared by first crosslinking the polyhydrogenoorganosiloxane (s) by hydrosilylation reaction of part of the hydrogenosilyl groups thereof with a crosslinking agent and then grafting by hydrosilylation reaction on the hydrogenosilyl units remaining of the reactive compounds carrying at least one zwitterionic group or a precursor group of zwitterionic group and optionally by transforming the precursor group or groups of zwitterionic groups into zwitterionic groups.
Les symboles utilisés pour les siloxanes cycliques et oligomères de silicone sont indiqués à la figure 2.The symbols used for cyclic siloxanes and silicone oligomers are shown in Figure 2.
Les oligomères SiH, Si-vinyles utilisés dans le cadre de la présente invention sont des produits commerciaux ou synthétisés spécifiquement pour leur fournir une structure adaptée dans le cadre de l'invention.The SiH, Si-vinyl oligomers used in the context of the present invention are commercial products or synthesized specifically to provide them with a suitable structure in the context of the invention.
En particulier, les oligomères de type SiH peuvent être synthétisés à partir de monomères cycliques selon le schéma réactionnel suivant : In particular, the SiH type oligomers can be synthesized from cyclic monomers according to the following reaction scheme:
O ligom ère polysiloxane àO ligomere polysiloxane to
M , groupements S iHM, groups S iH
O l igomère polysiloxane àO l igomer polysiloxane to
M , groupem ents S iH téléchéliques M, S iH telechelic groupings
Selon les schémas ci-dessus, on fait réagir un monomère (octaméthyltétracyclosiloxane) According to the above schemes, a monomer (octamethyltetracyclosiloxane) is reacted
avec un monomère (tétraméthylcyclotétrasiloxane)with a monomer (tetramethylcyclotetrasiloxane)
et soit un hexaméthyldisiloxaneand either a hexamethyldisiloxane
ou un tétraméthyldisiloxane or a tetramethyldisiloxane
H Si- -Si-H Si- -Si-
Dans ce dernier cas, il est possible de préparer des oligomères polysiloxanes téléchéliques, c'est-à-dire portant une fonction SiH aux deux extrémités de chaîne.In the latter case, it is possible to prepare telechelic polysiloxane oligomers, that is to say carrying an SiH function at the two chain ends.
Les oligomères polysiloxanes porteurs de groupements zwitterioniques ou de précurseurs de ceux-ci peuvent être obtenus en faisant réagir des oligomères siloxanes commerciaux, ou préparés selon le procédé décrit ci-dessus à; partir de monomères cycliques, avec des composés réactifs porteurs de groupes zwitterioniques ou précurseurs de groupes zwitterioniques.The polysiloxane oligomers carrying zwitterionic groups or of precursors thereof can be obtained by reacting commercial siloxane oligomers, or prepared according to the process described above; from cyclic monomers, with reactive compounds carrying zwitterionic groups or precursors of zwitterionic groups.
Préférentiellement, on fait réagir, par réaction d'hydrosilylation un ou plusieurs polyhydrogénoorganosiloxanes comportant des motifs :Preferably, one or more polyhydrogenoorganosiloxanes are reacted by hydrosilylation reaction comprising units:
R1R2SiO2/2 (I) et/ou R3 SiO2/2 (IV)R 1 R 2 SiO 2/2 (I) and / or R 3 SiO 2/2 (IV)
dans lesquels R , R et R sont définis comme précédemment avec un composé réactif de formule :in which R, R and R are defined as above with a reactive compound of formula:
CH2=CH-R (V)CH 2 = CH-R (V)
dans laquelle R est un radical portant un ou plusieurs groupes zwitterioniques ou précurseurs de groupes zwitterioniques pour former un polyhydrogénoorganosiloxane comportant des motifs de formules :in which R is a radical carrying one or more zwitterionic groups or precursors of zwitterionic groups to form a polyhydrogenoorganosiloxane comprising units of formulas:
R'R^ÎOJΛ (1) et/ou R Si02/2 (II) et R3Si02/2 (VI)R'R ^ ÎO J Λ (1) and / or R Si0 2/2 (II) and R 3 Si0 2/2 (VI)
CH,CH,
CH,CH,
où R , R , R et R sont tels que définis précédemment et dans le cas où R est un groupe portant des groupes précurseurs de groupes zwitterioniques, on transforme les groupes précurseurs en groupes zwitterioniques.where R, R, R and R are as defined above and in the case where R is a group carrying precursor groups of zwitterionic groups, the precursor groups are transformed into zwitterionic groups.
Le matériau selon l'invention est obtenu par la réticulation du polyhydrogénoorganosiloxane comportant des motifs de formule (VI) par réaction d'hydrosilylation des groupes : The material according to the invention is obtained by crosslinking of the polyhydrogenoorganosiloxane comprising units of formula (VI) by hydrosilylation reaction of the groups:
restants au moyen d'un agent de réticulation, pour former un polyorganosiloxane réticulé selon l'invention comprenant des motifs deremaining by means of a crosslinking agent, to form a crosslinked polyorganosiloxane according to the invention comprising
1 7 formules (I), (II) et (III). Comme indiqué précédemment, R , R et R représentent de préférence un groupe méthyle.1 7 formulas (I), (II) and (III). As indicated above, R, R and R preferably represent a methyl group.
Comme indiqué également précédemment, les groupes zwitterioniques préférés sont les groupes sulfobétaïnes.As also indicated above, the preferred zwitterionic groups are the sulfobetaine groups.
Les composés réactifs portant un ou plusieurs groupes zwitterioniques recommandés selon l'invention, sont des composés comportant une insaturation éthylénique et répondant à la formule (V).The reactive compounds carrying one or more zwitterionic groups recommended according to the invention are compounds comprising ethylenic unsaturation and corresponding to formula (V).
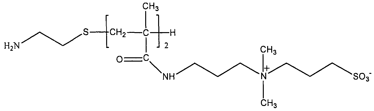
Parmi ces composés à insaturation éthylénique, on peut citer la N- (3-sulfopropyl)-méthacryloyloxyéthyl-N,N-diméthylammonium-bétaïne, la N-(3-sulfopropyl)-N-vinylnonyl-N,N-diméthylammonium-bétaïne, la N-(3 -sulfopropyl)-N-méthacrylamido-propyl-N,N-diméthylammonium- bétaïne, la l-(3-sulfopropyl)-2-vinyl-pyridinium-bétaïne, la N- méthacryloyloxy éthyl-N,N-diméthyl-N,2-éthylcarboxy-bétaïne, la N-(3- carboxylpropyl)-N-méthyl-aminoéthylméthacrylate, la N-(3- carboxypropyl)-N-méthylamino-méthacryloyloxyéthyl-N,N- diméthylammonium-bétaïne, le N-(3-carboxypropyl)aminoéthyl- méthacrylate, et le 2-(méthacryloyloxy)éthyl-2-Among these ethylenically unsaturated compounds, there may be mentioned N- (3-sulfopropyl) -methacryloyloxyethyl-N, N-dimethylammonium-betaine, N- (3-sulfopropyl) -N-vinylnonyl-N, N-dimethylammonium-betaine, N- (3-sulfopropyl) -N-methacrylamido-propyl-N, N-dimethylammonium-betaine, l- (3-sulfopropyl) -2-vinyl-pyridinium-betaine, N-methacryloyloxy ethyl-N, N- dimethyl-N, 2-ethylcarboxy-betaine, N- (3-carboxylpropyl) -N-methyl-aminoethylmethacrylate, N- (3-carboxypropyl) -N-methylamino-methacryloyloxyethyl-N, N- dimethylammonium-betaine, N - (3-carboxypropyl) aminoethylmethacrylate, and 2- (methacryloyloxy) ethyl-2-
(triméthylammonium)éthylphosphate.(Trimethylammonium) ethyl phosphate.
Parmi les composés réactifs à groupes précurseurs de groupes zwitterioniques, les composés réactifs recommandés sont les composés réactifs comportant des groupes précurseurs de sulfobétaïne répondant à la formule :Among the reactive compounds with precursor groups of zwitterionic groups, the recommended reactive compounds are the reactive compounds comprising precursor groups of sulfobetaine corresponding to the formula:
dans laquelle R' est un reste organique divalent et R" représente H ou un groupe alkyle, de préférence le groupe CH3. Les composés réactifs à groupes précurseurs sont greffés à des atomes de silicium du polyhydrogénoorganosiloxane par hydrosilylation de motifs de formule :in which R 'is a divalent organic residue and R "represents H or an alkyl group, preferably the CH 3 group. The reactive compounds with precursor groups are grafted to silicon atoms of the polyhydrogenoorganosiloxane by hydrosilylation of units of formula:
puis on fait réagir la fonction aminé des motifs de formule (VIII) avec la γ-propanesultonethen the amino function of the units of formula (VIII) is reacted with γ-propanesultone
pour obtenir la fonction sulfobétaïne et ainsi des motifs de formule :to obtain the sulfobetaine function and thus motifs of formula:
R" R3 R "R 3
S03-(CH2)3 N + R'CH2CH2— Si02/2 (IX)S0 3 - (CH 2 ) 3 N + R'CH 2 CH 2 - Si0 2/2 (IX)
R"R "
Comme indiqué précédemment, la proportion de motifs hydrogénosilyles du polyhydrogénoorganosiloxane qui réagissent avec le composé réactif portant un ou plusieurs groupes zwitterioniques ou précurseurs de groupes zwitterioniques est inférieur à la proportion totale des motifs hydrogénosilyles présents dans le polyhydrogénoorganosiloxane afin de permettre la réticulation de celui- ci. Cette réticulation peut se faire de manière recommandée, par réaction d'hydrosilylation des motifs hydrogénosilyles restants au moyen d'un oligomère de siloxane comportant des motifs diorganosiloxanes et des motifs organovinylsiloxanes de formules :As indicated above, the proportion of hydrogenosilyl units of the polyhydrogenoorganosiloxane which react with the reactive compound carrying one or more zwitterionic groups or precursors of zwitterionic groups is lower than the total proportion of the hydrogenosilyl units present in the polyhydrogenoorganosiloxane in order to allow crosslinking thereof. . This crosslinking can be carried out in a recommended manner, by hydrosilylation reaction of the remaining hydrogenosilyl units using a siloxane oligomer comprising diorganosiloxane units and organovinylsiloxane units of formulas:
1 7 ^ dans lesquelles R , R , R sont tels que définis précédemment. En variante, étant donné que seule la surface du matériau, par exemple dans le cas d'une application aux lentilles de contact, doit présenter un caractère hydrophile et biocompatible, on peut inverser les étapes du procédé, c'est-à-dire commencer par la réticulation puis effectuer le greffage du substituant portant des groupes zwitterioniques ou précurseurs de groupes zwitterioniques sur le matériau déjà réticulé. Dans ce cas, on peut également s'attendre à une activité plus importante lorsque l'on emploie des composés réactifs à groupes précurseurs, en particulier un groupe précurseur aminé situé à la surface plutôt qu'à l'intérieur de la matrice1 7 ^ in which R, R, R are as defined above. Alternatively, since only the surface of the material, for example in the case of an application to contact lenses, must have a hydrophilic and biocompatible nature, the steps of the process can be reversed, that is to say start by crosslinking and then grafting the substituent carrying zwitterionic groups or precursors of zwitterionic groups on the material already crosslinked. In this case, more activity can also be expected when reactive compounds with precursor groups are used, in particular an amino precursor group located on the surface rather than inside the matrix.
Les réactions d'hydrosilylation, c'est-à-dire les réactions d'addition SiH-oléfme sont bien connues.Hydrosilylation reactions, that is to say the SiH-olefin addition reactions are well known.
De nombreux types de catalyseurs au platine pour cette réaction SiH-oléfïne sont connus et de tels catalyseurs au platine peuvent être utilisés pour la réaction d'hydrosilylation de la présente invention. Lorsque la transparence optique est nécessaire, les catalyseurs au platine préférés sont les catalyseurs à base de dérivés du platine qui sont solubles dans le mélange réactionnel. Le dérivé du platine peut être choisi parmi ceux répondant à la formule Pt-Cl -oléfιne ou HPtCl3-oléfine qui sont décrits dans le brevet US 3.159.601. L'oléfine indiquée dans les deux formules précédentes peut être toute oléfine mais est de préférence un alcène ayant de 2 à 8 atomes de carbone, un cycloalcène ayant de 5 à 7 atomes de carbone ou le styrène. Les oléfmes particulières utilisables dans les formules de catalyseurs précédentes sont l'éthylène, le propylène, les divers isomères du butylène, l'octylène, le cyclopentène, le cyclohexène, le cycloheptène, etc ..Many types of platinum catalysts for this SiH-olefin reaction are known and such platinum catalysts can be used for the hydrosilylation reaction of the present invention. When optical transparency is necessary, the preferred platinum catalysts are catalysts based on platinum derivatives which are soluble in the reaction mixture. The platinum derivative can be chosen from those corresponding to the formula Pt-Cl -olefin or HPtCl 3 -olefin which are described in US Patent 3,159,601. The olefin indicated in the two preceding formulas can be any olefin but is preferably an alkene having from 2 to 8 carbon atoms, a cycloalkene having from 5 to 7 carbon atoms or styrene. The specific olefins which can be used in the above catalyst formulas are ethylene, propylene, the various isomers of butylene, octylene, cyclopentene, cyclohexene, cycloheptene, etc.
Un autre type de catalyseur au platine utilisable dans la présente invention est le complexe du chlorure de platine avec le cyclopropane décrit dans le brevet US 3.159.662.Another type of platinum catalyst which can be used in the present invention is the complex of platinum chloride with cyclopropane described in US Pat. No. 3,159,662.
Le catalyseur au platine peut également être un complexe formé par l'acide chloroplatinique avec jusqu'à deux moles par gramme de platine d'un produit choisi parmi les alcools, les éthers, les aldéhydes et leurs mélanges, complexe qui est décrit entre autres dans le brevet US 3.220.972. D'autres catalyseurs au platine utiles sont également décrits dans les brevets US 3.715.334, 3.775.452 et 3.814.730.The platinum catalyst can also be a complex formed by chloroplatinic acid with up to two moles per gram of platinum of a product chosen from alcohols, ethers, aldehydes and their mixtures, complex which is described inter alia in US Patent 3,220,972. Other useful platinum catalysts are also described in US Patents 3,715,334, 3,775,452 and 3,814,730.
En ce qui concerne cette réaction d'hydrosilylation par additionRegarding this addition hydrosilylation reaction
SiH oléfine, on pourra se référer à l'article de J.L. SPIER,SiH olefin, reference may be made to the article by J.L. SPIER,
« Homogeneous catalyse of hydrosylation by transition metals », 5 (Advances in Organometallic Chemistries, Vol. 17, pages 407 à 447 publié par The Académie Press (New- York, 1979)."Homogeneous catalyze of hydrosylation by transition metals", 5 (Advances in Organometallic Chemistries, Vol. 17, pages 407 to 447 published by The Académie Press (New York, 1979).
Les spécialistes pourront facilement déterminer une quantité efficace de catalyseur au platine. Généralement, une quantité efficace est comprise dans l'intervalle allant de 0,1 à 50 ppm par rapport à la o composition totale d ' organopoly siloxane .Specialists can easily determine an effective amount of platinum catalyst. Generally, an effective amount is in the range of 0.1 to 50 ppm relative to the total composition of organopoly siloxane.
Dans les exemples suivants illustrant la présente invention, sauf indication contraire, toutes les parties et pourcentages sont exprimés en poids.In the following examples illustrating the present invention, unless otherwise indicated, all parts and percentages are expressed by weight.
5 EXEMPLE 15 EXAMPLE 1
1) Synthèse d'un oligomère polysiloxane à propriétés zwitterioniques 1) Synthesis of a polysiloxane oligomer with zwitterionic properties
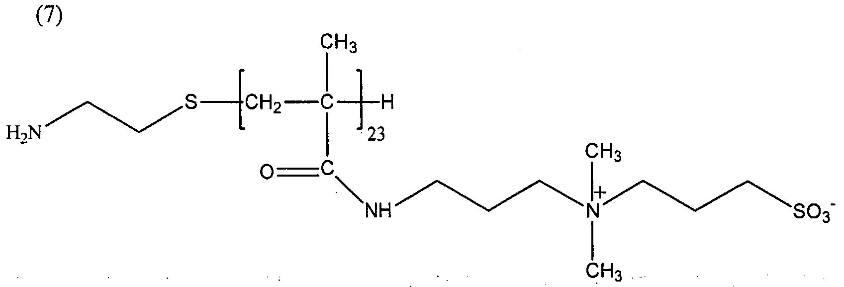
Dans un ballon sec de 50 ml muni d'un condenseur à reflux, d'un thermomètre et d'un agitateur, on introduit 101 mg d'un oligomère polyhydrogénométhylsiloxane de formule :In a dry 50 ml flask fitted with a reflux condenser, a thermometer and a stirrer, 101 mg of a polyhydrogenomethylsiloxane oligomer of formula:
550 mg d'un monomère zwitterionique de formule :550 mg of a zwitterionic monomer of formula:
ainsi que 25 ml d'alcool isopropylique sec et distillé préalablement. On introduit 170 ml d'une solution de catalyseur de polymérisation au platine (H2PtCl66H20, 3 mg dissout dans 10 ml d'isopropanol anhydre). Le mélange est agité à 65°C pendant 4 jours. On lui fait ensuite subir une évaporation. Puis on effectue une purification par dialyse dans le méthanol.as well as 25 ml of dry and previously distilled isopropyl alcohol. 170 ml of a platinum polymerization catalyst solution (H 2 PtCl 6 6H 2 0.3 mg dissolved in 10 ml of anhydrous isopropanol) are introduced. The mixture is stirred at 65 ° C for 4 days. It is then subjected to evaporation. Then a purification is carried out by dialysis in methanol.
On récupère 4 fractions : lere fraction : 0,63 g constitué en majeure partie des réactifs de départ (IA) et (IB) et de traces de l'oligomère poly siloxanique à propriétés zwitterioniques ZwSiOL].4 fractions are recovered: the 1st fraction: 0.63 g consisting mainly of the starting reagents (IA) and (IB) and traces of the poly siloxane oligomer with zwitterionic properties ZwSiOL].
2eme fraction : 0,1 g constitué de l'oligomère SwSiOLj et des restes des réactifs de départ (IA) et (IB). 3ème fraction : 0,02 g constitué de l'oligomère ZwSiOL] et des traces du réactif de départ (IA) et (IB). 2nd fraction: 0.1 g consisting of oligomer SwSiOLj and remains of the starting reactants (IA) and (IB). 3 rd fraction: 0.02 g of the oligomer consisting ZwSiOL] and traces of the starting reagent (IA) and (IB).
4ème fraction : 0,04 d'oligomères ZwSiOL] pur. Cet oligomère est soluble dans le méthanol, insoluble dans le chloroforme.4 th fraction: 0.04 oligomers ZwSiOL] pure. This oligomer is soluble in methanol, insoluble in chloroform.
Le spectre RMN de cette 4ème fraction correspond bien au produit attendu ZwSiOL].The NMR spectrum of this 4 th fraction corresponds to the expected product ZwSiOL].
La masse molaire moyenne de celui-ci est de 6293 g avec 24 SiH par chaîne, soit 3,8 x 10" SiH/g.The average molar mass of this is 6293 g with 24 SiH per chain, ie 3.8 x 10 " SiH / g.
2) Obtention d'articles moulés L'oligomère polysiloxane à propriétés zwitterioniques ZwSiOLi synthétisé précédemment est introduit dans un mélange de prépolymères siloxaniques développés par Rhône-Poulenc sous la référence RTV 70- 141A et B (Silbione ®).2) Preparation of molded articles The polysiloxane oligomer with zwitterionic properties ZwSiOLi synthesized previously is introduced into a mixture of siloxane prepolymers developed by Rhone-Poulenc under the reference RTV 70- 141A and B (Silbione ®).
L'huile A est constituée de polydiméthylsiloxanes mono et divinyliques et d'un catalyseur platinique.Oil A consists of mono and divinyl polydimethylsiloxanes and a platinum catalyst.
Cette partie contient environ 37 milliéquivalents de fonctions vinyliques pour 100 g de polymère.This part contains approximately 37 milliequivalents of vinyl functions per 100 g of polymer.
L'huile B est un hydrogénopolydiméthylsiloxane et contient environ 847 milliéquivalents de fonctions hydrogénosilanes pour 100 g de polymère.Oil B is a hydrogenopolydimethylsiloxane and contains approximately 847 milliequivalents of hydrogenosilane functions per 100 g of polymer.
On prépare une composition en mélangeantA composition is prepared by mixing
2 g d'huile RTV 70-141 A2 g RTV 70-141 A oil
0,169 g d'huile RTV 70-141 B0.169 g RTV 70-141 B oil
0, 04 g de l'oligomère ZwSiOL, [SiH]0.04 g of the ZwSiOL oligomer, [SiH]
Dans ce mélange, le ratio molaire = 1,2.In this mixture, the molar ratio = 1.2.
[Si - vinyle][If - vinyl]
On remplit de cette composition des moules en polyamide et on soumet la composition au cycle de polymérisation thermique suivant :Polyamide molds are filled with this composition and the composition is subjected to the following thermal polymerization cycle:
8 heures à 64°C, puis montée en température à 83 °C en 10 minutes, suivi de 15 heures à 83°C.8 hours at 64 ° C, then temperature rise to 83 ° C in 10 minutes, followed by 15 hours at 83 ° C.
Après démoulage, on obtient des lentilles hydrophiles.After demolding, hydrophilic lenses are obtained.
EXEMPLE 2 Préparation d'un oligomère SiOL2 téléchélique (portant une fonction SiH aux deux extrémités de chaîne).EXAMPLE 2 Preparation of a telechelic SiOL 2 oligomer (carrying an SiH function at the two chain ends).
D'4 (OU D4H4)D ' 4 (OR D 4 H 4 )
SlOL2 SlOL 2
(M'2)(M ' 2 )
On utilise de l'octaméthylcyclotétrasiloxane (D4), du tétraméthylcyclotétrasiloxane D4H4 (ou D' ) et un tétraméthyldisiloxane (M'2) obtenu auprès de la société ACBR.Octamethylcyclotetrasiloxane (D 4 ), tetramethylcyclotetrasiloxane D 4 H 4 (or D ') and a tetramethyldisiloxane (M' 2 ) obtained from the company ACBR are used.
Chacun de ces réactifs est séché puis distillé. Dans un ballon bicol muni d'une ouverture pour l'introduction de gaz et relié à un robinet de mise en connexion avec une pompe à vide, on introduit 0,79 g de tétraméthyldisiloxane (M'2) puis 23,97 g d'octaméthylcyclotétrasiloxane D4 et 15,30 g de tétraméthylcyclotétrasiloxane D'4. 0,20 g de catalyseur TONSIL® (HC1 absorbé sur de l'argile) de la société SUD CHEMIE AG est ajouté.Each of these reagents is dried and then distilled. 0.79 g of tetramethyldisiloxane (M ' 2 ) is then introduced into a two-necked flask provided with an opening for the introduction of gas and connected to a tap for connection with a vacuum pump, then 23.97 g of octamethylcyclotetrasiloxane D 4 and 15.30 g of tetramethylcyclotetrasiloxane D ' 4 . 0.20 g of catalyst TONSIL ® (HC1 absorbed onto the clay) of the company Sud Chemie AG is added.
Le ballon est ensuite fermé, immergé dans de l'azote liquide et l'on procède au dégazage du mélange par application de vide. On laisse le ballon revenir à la température ambiante. Ensuite, on place le mélange réactionnel dans une atmosphère d'argon.The flask is then closed, immersed in liquid nitrogen and the mixture is degassed by applying vacuum. The flask is allowed to return to room temperature. Next, the reaction mixture is placed in an argon atmosphere.
La polymérisation est conduite à 60°C sous agitation magnétique pendant 6 heures.The polymerization is carried out at 60 ° C. with magnetic stirring for 6 hours.
A la fin de la réaction, le catalyseur TONSIL® est retiré par filtration sur un filtre poreux en polytétrafluoroéthylène (diamètre des pores 45 μm).At the end of the reaction, the TONSIL ® catalyst is removed by filtration through a porous filter of polytetrafluoroethylene (pore diameter of 45 .mu.m).
De l'heptane est utilisé pour rincer le ballon et pour la filtration afin de diminuer la viscosité.Heptane is used to rinse the flask and for filtration to reduce the viscosity.
Le produit filtré est récupéré et l'heptane est chassé par évaporation, puis les oligomères cycliques volatils sont évacués par chauffage à 140°C sous une pression de 0.01 mm de mercure pendant 30 minutes.The filtered product is recovered and the heptane is removed by evaporation, then the volatile cyclic oligomers are removed by heating at 140 ° C under a pressure of 0.01 mm of mercury for 30 minutes.
Le produit obtenu qui est un oligomère polyhydrogénométhylsiloxane téléchélique ayant des motifs :The product obtained which is a telechelic polyhydrogenomethylsiloxane oligomer having units:
et des motifs SiH en bout de chaîne.and SiH motifs at the end of the chain.
Cet oligomère, désigné par SiOL2 présente les caractéristiques suivantes :This oligomer, designated by SiOL 2, has the following characteristics:
Le protocole opératoire ci-dessus est répété deux fois et l'on obtient en final des oligomères polyhydrogénométhylsiloxane téléchéliques SiOL3 et SiOL4 présentant quelques différences dans leurs caractéristiques :The above operating procedure is repeated twice and ultimately polyhydrogenomethylsiloxane oligomers are obtained. SiOL 3 and SiOL 4 telechelics with some differences in their characteristics:
EXEMPLE 3EXAMPLE 3
Synthèse d'un oligomère porteur de fonctions aminés greffées.Synthesis of an oligomer carrying grafted amino functions.
FSiOL,FSiOL,
Dans un ballon de 100 ml, 0,167 g de diméthylallylamine sont mélangés avec 2 ml de toluène et dégazés avec de l'argon pendant 15 minutes. Ensuite, 3,8 mg de Pt/C (Platine sur carbone de la société ALDRICH) sont ajoutés et mélangés à la solution pendant 15 minutes sous argon, puis 3 g de l'oligomère SiOL2 synthétisés précédemment sont ajoutés.In a 100 ml flask, 0.167 g of dimethylallylamine is mixed with 2 ml of toluene and degassed with argon for 15 minutes. Then, 3.8 mg of Pt / C (Platinum on carbon from the company ALDRICH) are added and mixed with the solution for 15 minutes under argon, then 3 g of the oligomer SiOL 2 synthesized previously are added.
La réaction est conduite à 55°C pendant 6 heures sous agitation. Le mélange est ensuite dilué avec du toluène puis filtré sur un filtre polytétrafluoroéthylène (PTFE) de porosité 45 μm pour enlever le catalyseur restant. Le toluène est ensuite évaporé au moyen d'un évaporateur rotatif relié à une pompe à palettes.The reaction is carried out at 55 ° C for 6 hours with stirring. The mixture is then diluted with toluene and then filtered through a polytetrafluoroethylene (PTFE) filter with a porosity of 45 μm to remove the remaining catalyst. The toluene is then evaporated by means of a rotary evaporator connected to a vane pump.
On obtient un liquide incolore.A colorless liquid is obtained.
Les caractéristiques de ce liquide FSiOL2.The characteristics of this FSiOL 2 liquid.
Le spectre RMN est conforme à la formule attendue.The NMR spectrum conforms to the expected formula.
Transformation en zwitterionTransformation into zwitterion
FSiOL, ZwSiOL? FSiOL, ZwSiOL ?
Dans un ballon de 150 ml, on verse 1 g de FSiOL2 synthétisé précédemment, mélangé à 10 ml de toluène et 10 ml d'acétonitrile. /0646651 g of FSiOL 2 previously synthesized, mixed with 10 ml of toluene and 10 ml of acetonitrile, is poured into a 150 ml flask. / 064665
2323
Le mélange de solvants assure une parfaite homogénéité au système.The mixture of solvents ensures perfect homogeneity in the system.
Après dégazage à l'argon, 0,1 ml de propanesultone sont ajoutés (soit un excès de 70% par rapport à la stoechimétrie).After degassing with argon, 0.1 ml of propanesultone are added (ie a 70% excess compared to the stoechimetry).
Après 15 heures de réaction, les solvants sont éliminés par évaporation.After 15 hours of reaction, the solvents are removed by evaporation.
Un liquide visqueux et laiteux est obtenu.A viscous and milky liquid is obtained.
Il présente les caractéristiques suivantes :It has the following characteristics:
Fabrication d'articles moulés :Manufacture of molded articles:
ZwSiOL2 polymère réticulé hydrophile.ZwSiOL 2 hydrophilic crosslinked polymer.
On mélange 0,05253 g d'oligomère zwitterionique ZwSiOL2 obtenu précédemment (correspondant à 2,68 x 10"4 mole de fonction SiH) et 1,029 g de résine RTVA (correpondant à 2,88 x 10"4 mole de fonctions Si-vinyle) dans un mélange de toluène et de méthanol qui favorisent l'homogénisation du mélange.0.05253 g of zwterionic oligomer ZwSiOL 2 obtained above (corresponding to 2.68 × 10 −4 mole of SiH function) and 1.029 g of RTVA resin (corresponding to 2.88 × 10 −4 mole of Si— functions are mixed vinyl) in a mixture of toluene and methanol which promote homogenization of the mixture.
[SiH][SiH]
Le ratio molaire = 0,93.The molar ratio = 0.93.
[Si - vinyle][If - vinyl]
Le mélange est versé dans un moule en polyamide et les solvants sont évaporés avant réticulation. La réticulation est effectuée par chauffage à 120°C pendant 2 heures. EXEMPLE 4The mixture is poured into a polyamide mold and the solvents are evaporated before crosslinking. Crosslinking is carried out by heating at 120 ° C for 2 hours. EXAMPLE 4
L'exemple suivant illustre le voie de synthèse n°3 figurant dans le schéma récapitulatif de la figure 1. Les étapes 1 et 2 ont pour objectif de synthétiser le réactif cyclique siloxanique zwitterionique.The following example illustrates the synthetic route No. 3 appearing in the summary diagram of FIG. 1. The steps 1 and 2 are aimed at synthesizing the cyclic reagent siloxane zwitterionique.
D4H3(C3N)D 4 H 3 (C 3 N)
Dans un ballon tricol, 9,30 g (109,2 mmoles) de N,N-diméthyl allylamine (de la société MERCK) sont dégazés sous argon pendant 15 minutes. Puis 213 mg (10"3 équivalents d'amine) de Pt/C sont ajoutés à l'aminé.In a three-necked flask, 9.30 g (109.2 mmol) of N, N-dimethyl allylamine (from the company MERCK) are degassed under argon for 15 minutes. Then 213 mg (10 "3 equivalents of amine) of Pt / C are added to the amine.
Ensuite, 21,89 g (91,02 mmoles) de 1,3,5,7-tétraméthyl- cyclotétrasiloxane (D4H4) sont ajoutés lentement.Then, 21.89 g (91.02 mmol) of 1,3,5,7-tetramethyl-cyclotetrasiloxane (D 4 H 4 ) are added slowly.
Le mélange est ensuite maintenu à 55°C (sous le point d'ébullition de l'aminé) pendant 6 heures sous agitation.The mixture is then maintained at 55 ° C (below the boiling point of the amine) for 6 hours with stirring.
Puis le mélange est dilué dans le toluène, et filtré sur un filtre poreux de type polytétrafluoréthylène, de diamètre de pore de 45 μm, afin de retirer le catalyseur du platine.Then the mixture is diluted in toluene, and filtered through a porous polytetrafluoroethylene type filter, with a pore diameter of 45 μm, in order to remove the catalyst from the platinum.
On évapore le toluène du produit liquide obtenu. Ensuite, le produit liquide est immédiatement distillé sous une pression de 0,1 mm de Hg (point d'ébullition = 62°C). Le produit est très sensible à l'humidité et à l'oxygène. Il est donc impératif d'éviter le contact avec l'air.The toluene is evaporated from the liquid product obtained. Then, the liquid product is immediately distilled under a pressure of 0.1 mm Hg (boiling point = 62 ° C). The product is very sensitive to humidity and oxygen. It is therefore imperative to avoid contact with air.
Le spectre RMN est conforme au produit attendu (D H3(C3N)). Etape 2The NMR spectrum is in accordance with the expected product (DH 3 (C 3 N)). 2nd step
D4H3(C3NZw)D 4 H 3 (C 3 NZw)
Dans un ballon de 150 ml, 5 g de D4H3(C3N) obtenu lors de l'étape précédente sont dilués dans 50 ml d'acétonitrile et dégazés avec de l'argon. Ensuite, 1,35 ml de propane sultone sont ajoutés.In a 150 ml flask, 5 g of D 4 H 3 (C 3 N) obtained during the previous step are diluted in 50 ml of acetonitrile and degassed with argon. Then 1.35 ml of propane sultone are added.
Le mélange est chauffé à reflux pendant 5 heures.The mixture is heated at reflux for 5 hours.
La partie solide est filtrée et rincée avec l'acétonitrile pour éliminer l'excès de propane sultone. Ensuite, le solide est séché sous vide. On obtient un solide cristallisé blanc.The solid part is filtered and rinsed with acetonitrile to remove the excess propane sultone. Then, the solid is dried under vacuum. A white crystallized solid is obtained.
Synthèse d'un oligomère SiOL5 On procède à la synthèse d'un oligomère SiOL5 en procédant suivant le même mode opératoire que dans l'exemple 2, mais en utilisant les quantités de réactifs suivants : 31,41 g de D4 8,21 g de D'4 0,47 g de M'2 0,2 g de TONSIL® Le chauffage est conduit à 60°C. On obtient un produit présentant les caractéristiques suivantes :Synthesis of an SiOL 5 oligomer The synthesis of an SiOL 5 oligomer is carried out by following the same procedure as in Example 2, but using the following quantities of reagents: 31.41 g of D 4 8.21 g of D ' 4 0 , 47 g of M ' 2 0.2 g of TONSIL ® The heating is carried out at 60 ° C. A product is obtained having the following characteristics:
Fabrication d'articles moulés La réaction est la suivanteManufacture of molded articles The reaction is as follows
D4H3(C3NZw) + oligomère SiOL5 D 4 H 3 (C 3 NZw) + oligomer SiOL 5
+ oligomere à groupe Si-CH=CH2 + Si-CH group oligomer = CH 2
polymère réticulécrosslinked polymer
0,05222 g de D4H (C3NZw) sont mélangés avec du méthanol en quantité suffisante pour obtenir sa dissolution et obtenir une première solution Si. En parallèle, on mélange 0,3086 g d'oligomere SiOL5.et 4,235 g de RTVA et une petite quantité de toluène pour obtenir une deuxième solution S .0.05222 g of D 4 H (C 3 NZw) are mixed with methanol in sufficient quantity to obtain its dissolution and to obtain a first Si solution. In parallel, 0.3086 g of SiOL 5 oligomer and 4.235 g of RTVA and a small amount of toluene are mixed to obtain a second solution S.
Les deux solutions S] et S2 sont ensuite mélangées et placées dans un dessicateur.The two solutions S] and S 2 are then mixed and placed in a desiccator.
Les solvants sont alors évaporés par tirage au vide à température ambiante.The solvents are then evaporated by evacuation at room temperature.
Ensuite, on remplit un moule dont les surfaces de moulage sont des surfaces optiques planes. On place le moule ouvert dans un dessicateur et on dégaze par tirage au vide à température ambiante.Next, a mold is filled, the molding surfaces of which are planar optical surfaces. The open mold is placed in a desiccator and degassed by vacuum drawing at room temperature.
Le moule est ensuite fermé et on procède à la polymérisation par chauffage en étuve pendant deux heures à 120°C.The mold is then closed and the polymerization is carried out by heating in an oven for two hours at 120 ° C.
On laisse refroidir. Après démoulage, on obtient un échantillon plan de 0,2 mm d'épaisseur et de 15 mm de diamètre.Let cool. After demolding, a flat sample 0.2 mm thick and 15 mm in diameter is obtained.
On en mesure les propriétés.We measure its properties.
Mouillabilitéwettability
Angle d'entrée : 108 Angle de sortie : 41Entrance angle: 108 Exit angle: 41
Hystérèse : 67Hysteresis: 67
Indice de réfraction n=l,409Refractive index n = 1.409
Perméabilité 80 ml (02) cm/cm .s.mm HgPermeability 80 ml (0 2 ) cm / cm .s.mm Hg
Propriétés mécaniques Contrainte à la rupture 0,75 MPa ± 0,09Mechanical properties Stress at break 0.75 MPa ± 0.09
Allongement 112% ± 11%.Elongation 112% ± 11%.
EXEMPLES 5 à 20EXAMPLES 5 to 20
Les exemples suivants illustrent la voie de synthèse n° 1 I - Préparation des matrices silicones fonctionnalisées IA - Préparation des précurseursThe following examples illustrate the synthetic route No. 1 I - Preparation of functionalized silicone matrices IA - Preparation of precursors
IA. l — Fonctionnalisation d'un oligomère siloxanique SiOL,2par greffage d'allylglycidyl etherIA. l - Functionalization of a siloxane oligomer SiOL, 2 by grafting of allylglycidyl ether
(AGE)(AGE)
SiOL2EPOSiOL 2 EPO
La quantité d'allylglycidyl éther (AGE) à greffer est choisie de façon à maintenir dans l'oligomère époxydé (SiOL2 EPO) une quantité suffisante de fonctions SiH pour permettre la réticulation de l'oligomère lors de l'étape ultérieure de réticulation.The amount of allylglycidyl ether (AGE) to be grafted is chosen so as to maintain in the epoxidized oligomer (SiOL 2 EPO) a sufficient amount of SiH functions to allow crosslinking of the oligomer during the subsequent crosslinking step.
Dans un ballon de 100 ml, 1,83 g d'AGE sont mélangés avec 50 ml de toluène et dégazés sous argon pendant 15 minutes.In a 100 ml flask, 1.83 g of AGE are mixed with 50 ml of toluene and degassed under argon for 15 minutes.
Ensuite, 35 mg de catalyseur Pt/C sont ajoutés et mélangés à la solution sous argon pendant 15 minutes. 5,06 g de l'oligomère SiOL2 sont ajoutés.Then, 35 mg of Pt / C catalyst are added and mixed with the solution under argon for 15 minutes. 5.06 g of the SiOL 2 oligomer are added.
On chauffe le mélange obtenu sous agitation à 80°C pendant 4 heures. Ensuite, le mélange est dilué dans du toluène et filtré sur un filtre poreux 45 μm de façon à évacuer tout le catalyseur à base de platine.The mixture obtained is heated with stirring at 80 ° C for 4 hours. Then, the mixture is diluted in toluene and filtered on a porous 45 μm filter so as to remove all the platinum-based catalyst.
Le toluène est ensuite évaporé. L'oligomère obtenu est séché sous vide (10" mm de Hg) de façon à évacuer toute trace éventuelle d'AGE. Un liquide incolore est obtenu.The toluene is then evaporated. The oligomer obtained is dried under vacuum (10 " mm Hg) so as to remove any possible trace of AGE. A colorless liquid is obtained.
Les caractéristiques de l'oligomère SiOL2EPO sont les suivantes :The characteristics of the SiOL 2 EPO oligomer are as follows:
Des oligomères époxydés à différentes teneurs en fonctions époxy sont préparés en suivant le même mode opératoire que ci-dessus mais avec les réactifs en quantités suivantes :Epoxidized oligomers with different contents of epoxy functions are prepared by following the same procedure as above but with the reagents in the following amounts:
Synthèse de SiOL3EPOSynthesis of SiOL 3 EPO
Le catalyseur H2PtCl6 est utilisé à la place du catalyseur Pt/C. Le mode opératoire est inchangé, excepté que l'on ne procède pas à la filtration.The H 2 PtCl 6 catalyst is used in place of the Pt / C catalyst. The procedure is unchanged, except that the filtration is not carried out.
Les caractéristiques de l'oligomère époxy SiOL3 EPO obtenu sont : The characteristics of the SiOL 3 EPO epoxy oligomer obtained are:
Synthèse de Si014 EPOSynthesis of Si01 4 EPO
Les caractéristiques de l'oligomère époxydé sont les suivantesThe characteristics of the epoxidized oligomer are as follows
IA.2 — Fonctionalisation d'un oligomère siloxanique SiOLs par greffage de chlorure de vinylbenzyle. IA.2 - Functionalization of a siloxane oligomer SiOLs by grafting vinylbenzyl chloride.
FSiOLVFSiOLV
Dans un ballon de 100 ml, 1,98 g (12,9 mmoles) de chlorure de vinyl benzyle (VBC) sont mélangés avec 2 ml de toluène et dégazé sous argon pendant 15 minutes.In a 100 ml flask, 1.98 g (12.9 mmol) of vinyl benzyl chloride (VBC) are mixed with 2 ml of toluene and degassed under argon for 15 minutes.
Ensuite, 5 mg de Pt/C (10"4 eq) sont ajoutés et mélangés avec la solution sous argon pendant 15 minutes.Then, 5 mg of Pt / C (10 "4 eq) are added and mixed with the solution under argon for 15 minutes.
Alors 5 g de SiOL3 sont ajoutés.Then 5 g of SiOL 3 are added.
La réaction est menée à 80°C pendant 3 heures.The reaction is carried out at 80 ° C for 3 hours.
Ensuite le mélange est dilué dans le toluène et filtré sur un filtre 45 μm poreux PTFE pour évacuer le catalyseur.Then the mixture is diluted in toluene and filtered through a porous 45 μm PTFE filter to remove the catalyst.
Le toluène est ensuite évaporé. Le polymère restant est ensuite séché sous vide de façon à éliminer toute trace éventuelle de VBC.The toluene is then evaporated. The remaining polymer is then dried under vacuum so as to eliminate any possible trace of BCV.
On obtient un liquide blanchâtre.A whitish liquid is obtained.
L'oligomère obtenu présente les caractéristiques suivantes : The oligomer obtained has the following characteristics:
IB - Préparation de lentilles silicones fonctionnaliséesIB - Preparation of functionalized silicone lenses
IB.l - Préparation de lentilles silicones contenant des groupements époxy :IB.l - Preparation of silicone lenses containing epoxy groups:
olihgomère siloxane à CH2=CH2 pendantssiloxane olihgomer CH 2 = CH 2 pendant
(RTV141A) silicone réticulée à groupements époxy pendants(RTV141A) crosslinked silicone with pendant epoxy groups
On mélange l'oligomère époxydé SiOL4 EPO dont la synthèse a été décrite précédemment et la résine RTV 141 A de Rhône Poulenc dans desThe epoxidized oligomer SiOL 4 EPO, the synthesis of which was described above, and the RTV 141 A resin from Rhône Poulenc are mixed in
[SiH] proportions telles que le ratio molaire = 1,2.[SiH] proportions such that the molar ratio = 1.2.
[Si - vinyle] Les deux constituants sont mélangés sous agitation mécanique pendant 5 minutes.[If - vinyl] The two components are mixed with mechanical stirring for 5 minutes.
Ensuite, le mélange est dégazé sous vide et versé dans les moules en polyamide. Un nouveau dégazage est effectué. La réticulation est effectuée par chauffage 2 heures à 120°C.Then, the mixture is degassed under vacuum and poured into polyamide molds. A new degassing is carried out. Crosslinking is carried out by heating for 2 hours at 120 ° C.
IB.2 - Préparation de lentilles silicones contenant des groupementsIB.2 - Preparation of silicone lenses containing groups
FSiOLVFSiOLV
oligomère siloxane à groupements vinyl es pendants (RTV141A)siloxane oligomer with pendant vinyl groups (RTV141A)
Silicone à groupements chlorobenzylesSilicone with chlorobenzyl groups
Deux mélanges polymérisables sont préparés :Two polymerizable mixtures are prepared:
- Mélange 1 :- Mix 1:
1 g de résine RTVA et 0,1066 g d'oligomere FSiOLV synthétisé précédemment sont mélangés.1 g of RTVA resin and 0.1066 g of FSiOLV oligomer previously synthesized are mixed.
Le rapport molaire [SiH] du mélange 1 a pour valeur 1,2.The molar ratio [SiH] of mixture 1 has the value 1.2.
[Si - vinyle] - Mélange 2 : l g de résine RTVA et 0,1066 g d'oligomere FSiOLV sont mélangés. Le rapport molaire — — du mélange 2 a pour valeur 2,4.[If - vinyl] - Mixture 2: lg of RTVA resin and 0.1066 g of FSiOLV oligomer are mixed. The molar ratio - - of mixture 2 has the value 2.4.
[Si - vinyle][If - vinyl]
Chacun des mélanges 1 et 2 est homogénéisé à l'aide d'un agitateur mécanique, dégazé et placé dans des moules, soit en polypropylène, soit en polyamide.Each of mixtures 1 and 2 is homogenized using a mechanical stirrer, degassed and placed in molds, either in polypropylene or in polyamide.
Les mélanges sont de nouveau dégazés. La réticulation est menée par chauffage pendant 2 heures àThe mixtures are degassed again. Crosslinking is carried out by heating for 2 hours at
120°C.120 ° C.
VOIE 1 : GREFFAGETRACK 1: GRAFTING
Deux voies ont été mises en œuvre :Two ways have been implemented:
A) Greffage d'un oligomère zwitterionique, en particulier d'un oligomère de sulfobétaïne (ou télomère de sulfobétaïne), à la surface d'un matériau siloxane, comportant des fonctions réactives, en particulier époxy ou chloromé.thylstyrène. B) Greffage d'un amorceur de photopolymérisation par substitution nucléophile sur un matériau siloxane, puis mise en contact d'un ou plusieurs monomères zwitterioniques, tels que des monomères sulfobétaïnes porteur de fonctions réactives, avec la surface du matériau siloxane comportant l' amorceur greffé, puis polymérisation.A) Grafting of a zwitterionic oligomer, in particular of a sulfobetaine oligomer (or sulfobetaine telomer), on the surface of a siloxane material, comprising reactive functions, in particular epoxy or chloromé.thylstyène. B) Grafting of a photopolymerization initiator by nucleophilic substitution onto a siloxane material, then contacting one or more zwitterionic monomers, such as sulfobetaine monomers carrying reactive functions, with the surface of the siloxane material comprising the grafted initiator , then polymerization.
VOIE ATRACK A
Greffage des dérivés monomériques ou télomériques. Schéma général de synthèse, pour les lentilles fonctionnalisées époxy. Grafting of monomeric or telomeric derivatives. General scheme of synthesis, for functionalized epoxy lenses.
n = 1 dérivé monomérique n > 1 dérivé télomèriquen = 1 monomeric derivative n> 1 telomeric derivative
Polymère grefféGrafted polymer
Préparation d'un dérivé monomérique de la sulfobétaïne SPP Preparation of a monomeric derivative of sulfobetaine SPP
hile hilum
Préparation des télomères Preparation of telomeres
télomère telomere
télomère telomere
(SVP) Préparation d'un dérivé monomérique sulfobétaïne de la SPP(SVP) Preparation of a monomeric sulfobetaine derivative of SPP
Dans un ballon tricol muni d'une ampoule à brome et d'un agitateur magnétique, on ajoute un équivalent de cystéamine (1,3344g) dissoute dans 10 ml d'eau ultrapure.In a three-necked flask fitted with a dropping funnel and a magnetic stirrer, an equivalent of cysteamine (1.3344 g) dissolved in 10 ml of ultrapure water is added.
Dans l'ampoule, on introduit 5 g de SPP de la société RASCHIG et 40 ml d'eau ultrapure.5 g of SPP from RASCHIG and 40 ml of ultrapure water are introduced into the ampoule.
On ajoute le contenu de l'ampoule à température ambiante.The contents of the ampoule are added at room temperature.
Le mélange est chauffé et agité à 70°C pendant 75 heures.The mixture is heated and stirred at 70 ° C for 75 hours.
Le produit final est lyophilisé (CH 006/03).The final product is lyophilized (CH 006/03).
Synthèse de télomères zwitterioniquesSynthesis of zwitterionic telomeres
cystéamine cysteamine
SPPSPP
initiateurinitiator
Procédure générale General procedure
La N,N-diméthyl-N-méthacryl-amidopropyl-N-3-sulfopropyl- ammonium-bétaïne (SPP de la société Roschig) est dissoute dans de l'eau ultrapure ou du méthanol P.A. (5-7% en poids).The N, N-dimethyl-N-methacryl-amidopropyl-N-3-sulfopropyl-ammonium-betaine (SPP from the company Roschig) is dissolved in ultrapure water or methanol P.A. (5-7% by weight).
On ajoute ensuite des quantités variables de cystéamine (0,01 équivalent molaire - 0,1 équivalent molaire par rapport à la quantité de SPP), en présence de 5% molaire en amorceur.Variable amounts of cysteamine are then added (0.01 molar equivalent - 0.1 molar equivalent relative to the amount of SPP), in the presence of 5% molar as initiator.
Le mélange obtenu est ensuite dégazé sous flux d'argon pendant 45 minutes, puis chauffé pendant 24 à 70 heures à une température variant de 65 à 80°C. Le mélange est ensuite lyophilisé.The mixture obtained is then degassed under a stream of argon for 45 minutes, then heated for 24 to 70 hours at a temperature varying from 65 to 80 ° C. The mixture is then lyophilized.
Préparation de sulfobétaïnes télomèrique à groupememnt acide : On prépare les deux sulfobétaïnes télomériques suivantes Preparation of telomeric sulfobetaines with acidic grouping: The following two telomeric sulfobetaines are prepared
L'amorceur de polymérisation est l'ACVA (acide 4,4'-azobis-(4- cyanovalérique)). Les conditions sont les suivantes :The polymerization initiator is ACVA (4,4'-azobis- (4-cyanovaleric acid)). The conditions are as follows:
Préparation d'une troisième sulfobétaïne télomèrique à groupement acide.Preparation of a third telomeric sulfobetaine with an acid group.
l'amorceur de polymérisation est l'ACVA. Les conditions de préparation sont :the polymerization initiator is ACVA. The preparation conditions are:
La lentille silicone préparée en IB.l est greffée par des télomères zwitterioniques selon les protocoles du tableau ci-dessous : The silicone lens prepared in IB.l is grafted by zwitterionic telomeres according to the protocols in the table below:
UP : ultrapure (a) : entrée ) (r) : sortie ) Angles de contact (h) : hystérèse )UP: ultrapure (a): entry) (r): exit) Contact angles (h): hysteresis)
(5)(5)
CF3COO" CF3C00" CF 3 COO " CF 3 C00 "
photoamorceur photoinitiator
télomère telomere
(10) (10)
(14) (14)
VOIE BTRACK B
eau K2C03 water K 2 C0 3
amorceur initiator
- Synthèse du photoinitiateur - Synthesis of the photoinitiator
1) Synthèse de :1) Summary of:
Cl CN CN ClCl CN CN Cl
-CH CH2 :N- _CH2CH2 C-CH CH 2 : N- _ CH 2 CH 2 C
CH, CH,CH, CH,
Dans un ballon tricol de 250 ml, séché et équipé d'un agitateur magnétique, on ajoute 100 ml de benzène puis 10 g d'acide 4,4'-azobis-4- cyanopentanoïque (C12Hι604, 3,568 x 10" mole).In a three-necked 250 ml flask, dried and equipped with a magnetic stirrer, 100 ml of benzene are added, then 10 g of 4,4'-azobis-4-cyanopentanoic acid (C 12 Hι 6 0 4 , 3.568 x 10 " mole).
Le ballon est plongé dans un bain de glace et refroidi. Le mélange est traité avec 20 g de PCI5.The flask is immersed in an ice bath and cooled. The mixture is treated with 20 g of PCI 5 .
L'agitation est maintenue pendant 45 minutes, tout en refroidissant par le bain de glace, puis l'on poursuit la réaction à température ambiante pendant lh30 minutes.Stirring is continued for 45 minutes, while cooling in the ice bath, then the reaction is continued at room temperature for 1 hour 30 minutes.
La solution est concentrée par tirage sous vide jusqu'à l'obtention d'un solide blanc pâteux.The solution is concentrated by vacuum drawing until a pasty white solid is obtained.
L'oxychlorure de phosphate est évacué avec des portions ether/pentane (1 : 3). Le solide est purifié par dissolution dans le chlorure de méthylène suivi d'une précipitation dans le pentane.The phosphate oxychloride is evacuated with ether / pentane portions (1: 3). The solid is purified by dissolution in methylene chloride followed by precipitation in pentane.
Après séchage sous vide, 10,15 g de solide blanc sont obtenus. Le rendement est de 90%.After drying under vacuum, 10.15 g of white solid are obtained. The yield is 90%.
2) Synthèse de2) Synthesis of
Dans un ballon de 50 ml, équipé d'un agitateur magnétique et d'une ampoule à addition, on introduit 0,5 g de pipérazine (1 équivalent, 5,8 10"3 mole) et 0,2554 g de NaOH (1,1 équivalent, 6,38 x 10"3 moles) dans un mélange de 10 ml de tert-butanol et 15 ml d'eau.0.5 g of piperazine (1 equivalent, 5.8 10 "3 mole) and 0.2554 g of NaOH (1 , 1 equivalent, 6.38 x 10 "3 moles) in a mixture of 10 ml of tert-butanol and 15 ml of water.
Dans l'ampoule, 1,265 g de Boc20 (1 équivalent, 5,8 x 10-3 mole) sont versés. Le contenu de l'ampoule est alors introduit goutte à goutte dans le mélange réactionnel.In the vial, 1.265 g of Boc 2 0 (1 equivalent, 5.8 x 10-3 mole) are poured. The contents of the ampoule are then introduced dropwise into the reaction mixture.
Le mélange est agité à température ambiante pendant 17 heures. Le précipité blanc obtenu (pipérazine protégée diBoc) est séparé par filtration et le filtrat est évaporé. Après évaporation, on ajoute du dichlorométhane et un précipité blanc apparaît.The mixture is stirred at room temperature for 17 hours. The white precipitate obtained (protected piperazine diBoc) is separated by filtration and the filtrate is evaporated. After evaporation, dichloromethane is added and a white precipitate appears.
Après filtration et concentration du filtrat, le produit obtenu est collecté. De petites quantités d'impuretés sont enlevées par chromatographie sur colonne avec un mélange CH^C^/acétone (5/5). 0,32 g de solide blanc sont obtenus.After filtration and concentration of the filtrate, the product obtained is collected. Small amounts of impurities are removed by column chromatography with a CH ^ C ^ / acetone mixture (5/5). 0.32 g of white solid are obtained.
Rendement : 30%Yield: 30%
3) Synthèse de 3) Synthesis of
Dans un ballon sec de 10 ml, équipé d'un agitateur magnétique et d'une ampoule à addition, 0,1 g deIn a 10 ml dry flask, equipped with a magnetic stirrer and an addition funnel, 0.1 g of
(2 équivalents 5,37 x 10 mole) (2 equivalents 5.37 x 10 mole)
et 43,4 μl pyridine (2 équivalents, 0,0424 g) sont dissous dans 2 ml de dichlorométhane sec.and 43.4 μl pyridine (2 equivalents, 0.0424 g) are dissolved in 2 ml of dry dichloromethane.
Dans l'ampoule, on verse 0,0583 g deInto the ampoule, pour 0.0583 g of
(1 équivalent 2,69 x 10"4 mole) avec 1 ml de dichlorométhane sec.(1 equivalent 2.69 x 10 "4 mole) with 1 ml of dry dichloromethane.
Le contenu de l'ampoule est alors additionné goutte à goutte à 0°C. Le mélange est agité à température ambiante durant 17 heures. La solution est alors lavée avec de l'eau et avec une solution IM HCl. La phase organique récupérée est concentrée à température ambiante.The contents of the ampoule are then added dropwise at 0 ° C. The mixture is stirred at room temperature for 17 hours. The solution is then washed with water and with an IM HCl solution. The organic phase recovered is concentrated at room temperature.
0,11 g de solide blanc est obtenu après purification par chromotographie sur colonne avec un mélange CL^C^/acétone. Le rendement est de 65%.0.11 g of white solid is obtained after purification by column chromotography with a CL ^ C ^ / acetone mixture. The yield is 65%.
4) Synthèse de : 4) Summary of:
Dans un ballon de 10 ml équipé d'un agitateur magnétique et d'une ampoule à addition, 0,08 g du composé obtenu lors de l'étape 3 (1 équivalent, 1,2987 x 10'4 mole) est dissous dans 2,5 ml de CF3COOH. Le mélange est agité à température ambiante pendant 3 heures. La solution est ensuite concentrée à température ambiante et le mélange restant est lavé avec du chloroforme.In a 10 ml flask equipped with a magnetic stirrer and an addition funnel, 0.08 g of the compound obtained in step 3 (1 equivalent, 1.2987 x 10 '4 mole) is dissolved in 2 , 5 ml of CF 3 COOH. The mixture is stirred at room temperature for 3 hours. The solution is then concentrated at room temperature and the remaining mixture is washed with chloroform.
- Greffage et photopolymérisation- Grafting and light-curing
Une lentille en silicone époxydé (obtenue telle que décrite dans l'exemple 1 du brevet EP 317.377) est mise dans un récipient contenant 5 ml d'une solution du photoamorceur (1% en poids) dans de l'eau ultrapure et 0,0107 g de K2C03.An epoxidized silicone lens (obtained as described in Example 1 of patent EP 317,377) is placed in a container containing 5 ml of a solution of the photoinitiator (1% by weight) in ultrapure water and 0.0107 g of K 2 C0 3 .
La lentille est remuée avec un agitateur Edmurd Bϋhler (modèle KL-2, VIBRAX) pendant 17 heures à 20°C, en absence de lumière, puis retirée avec des pinces et rincée 4 fois (12 minutes avec de l'eau ultrapure).The lens is stirred with an Edmurd Bϋhler shaker (model KL-2, VIBRAX) for 17 hours at 20 ° C, in the absence of light, then removed with tweezers and rinsed 4 times (12 minutes with ultrapure water).
L'échantillon conservé dans l'eau est alors analysé par spectrométrie UV.The sample kept in water is then analyzed by UV spectrometry.
Structure : Structure:
Photopolymérisation :Light curing:
La lentille est mise dans un récipient contenant un agitateur magnétique et 2,5 ml d'une solution de 0,5 g de SPP (N,N diméthyl-N- méthacrylamidopropyl-N-3-sulfopropyl-ammonium-bétaïne (de la société RASCHIG) dans 3,5 ml d'eau ultrapure. La solution est dégazée sous flux d'argon pendant 1 heure, puis irradiée (avec des lampes à 235 nm) pendant 1 heure sous agitation. La lentille est alors retirée et rincée 4 fois (12 minutes) dans de l'eau ultrapure.The lens is placed in a container containing a magnetic stirrer and 2.5 ml of a solution of 0.5 g of SPP (N, N dimethyl-N- methacrylamidopropyl-N-3-sulfopropyl-ammonium-betaine (from the company RASCHIG) in 3.5 ml of ultrapure water. The solution is degassed under a stream of argon for 1 hour, then irradiated (with lamps at 235 nm) for 1 hour with stirring. The lens is then removed and rinsed 4 times (12 minutes) in ultrapure water.
Les échantillons sont conservés dans l'eau.The samples are kept in water.
Ils sont analysés par spectrométrie UV.They are analyzed by UV spectrometry.
On mesure les caractéristiques de mouillabilité (cf tableau général précédent). The wettability characteristics are measured (see previous general table).
L'échantillon obtenu est transparent. Mesure des angles de contact Cette méthode de mesure est schématisée à la figure 3.The sample obtained is transparent. Measurement of contact angles This measurement method is shown diagrammatically in Figure 3.
Les éprouvettes de matériau polymère pour la mesure des angles de contact sont des bandes découpées dans des disques moulés (diamètre 15 mm, épaisseur 0,2 mm). La mesure dynamique des angles de contact s'effectue de la manière suivante : Les éprouvettes sont trempées dans environ 10 ml d'eau.The test pieces of polymer material for the measurement of contact angles are strips cut from molded discs (diameter 15 mm, thickness 0.2 mm). The dynamic measurement of the contact angles is carried out as follows: The test pieces are soaked in about 10 ml of water.
L'éprouvette est fixée à une électrobalance et le récipient contenant l'eau est monté puis redescendu au moyen d'un moteur pour immerger l'éprouvette. La vitesse de montée et de descente est 0,1 mm/seconde. Pendant la montée et la descente, on enregistre graphiquement la force appliquée en fonction de la profondeur d'immersion. Les angles de contact d'entrée (h)a (montée) et sortie (h)r (descente) sont calculés à l'aide de la relation COS(H) =The test piece is fixed to an electrobalance and the container containing the water is raised and lowered by means of a motor to immerse the test piece. The speed of ascent and descent is 0.1 mm / second. During the ascent and descent, the force applied is graphically recorded as a function of the immersion depth. The contact angles of entry (h) a (rise) and exit (h) r (fall) are calculated using the relation COS (H) =
(γL)(P) où γL est la tension superficielle de l'eau ;(γL) (P) where γL is the surface tension of the water;
P est le périmètre de l'échantillon ; et Δω la variation de force pendant l'immersion.P is the perimeter of the sample; and Δω the force variation during immersion.
Lors de l'entrée des éprouvettes, on mesure l'angle de contact d'entrée θa et lors du retrait des éprouvettes l'angle de contact de sortie θr. Ces mesures sont faites à 21 °C.When entering the test pieces, the entry contact angle θa is measured and when removing the test pieces the exit contact angle θr. These measurements are made at 21 ° C.
Une excellente hydrophilie du matériau correspond à un angle d'entrée de 100 à 70°C, de préférence de 90 à 70°C et un angle de sortie de 20 à 50 degrés. L'hystérèse correspond à la différence entre les angles d'entrée et de sortie d'une même éprouvette. Cette valeur doit être de moins de 50 degrés au moins. Excellent hydrophilicity of the material corresponds to an entry angle of 100 to 70 ° C, preferably from 90 to 70 ° C and an exit angle of 20 to 50 degrees. Hysteresis corresponds to the difference between the angles of entry and exit of the same test tube. This value must be less than 50 degrees at least.
Claims
Applications Claiming Priority (2)
| Application Number | Priority Date | Filing Date | Title |
|---|---|---|---|
| FR0101824A FR2820746A1 (en) | 2001-02-09 | 2001-02-09 | HYDROPHILIC POLYMER MATERIAL COMPRISING A RETICULATED MATRIX OF POLYORGANOSILOXANES AND METHOD FOR PRODUCING THE SAME |
| FR01/01824 | 2001-02-09 |
Publications (1)
| Publication Number | Publication Date |
|---|---|
| WO2002064665A1 true WO2002064665A1 (en) | 2002-08-22 |
Family
ID=8859864
Family Applications (1)
| Application Number | Title | Priority Date | Filing Date |
|---|---|---|---|
| PCT/FR2001/003347 Ceased WO2002064665A1 (en) | 2001-02-09 | 2001-10-26 | Hydrophilic polymer material comprising a polyorganosiloxane crosslinked matrix and method for making same |
Country Status (2)
| Country | Link |
|---|---|
| FR (1) | FR2820746A1 (en) |
| WO (1) | WO2002064665A1 (en) |
Cited By (6)
| Publication number | Priority date | Publication date | Assignee | Title |
|---|---|---|---|---|
| KR20140116902A (en) * | 2012-01-04 | 2014-10-06 | 모멘티브 퍼포먼스 머티리얼즈 인크. | Curable compositions of ionic silicones |
| JP2015512956A (en) * | 2012-01-04 | 2015-04-30 | モメンティブ パフォーマンス マテリアルズ インコーポレイテッド | Silicone ionomer polymer composite |
| KR20160008101A (en) * | 2014-06-30 | 2016-01-21 | 폴 코포레이션 | Hydrophilic block copolymers and membranes prepared therefrom (ii) |
| WO2019240262A1 (en) * | 2018-06-15 | 2019-12-19 | 関西ペイント株式会社 | Silicone-containing block copolymer |
| CN110776528A (en) * | 2019-06-25 | 2020-02-11 | 深圳市旭生三益科技有限公司 | Ammonium sulfonate zwitterionic silane coupling agent, siloxane ring body and preparation method thereof |
| CN114829537A (en) * | 2019-12-24 | 2022-07-29 | 东京应化工业株式会社 | Surface treatment liquid and hydrophilization treatment method |
Families Citing this family (1)
| Publication number | Priority date | Publication date | Assignee | Title |
|---|---|---|---|---|
| KR20240023596A (en) * | 2021-06-24 | 2024-02-22 | 니치유 가부시키가이샤 | Contact lenses and method of manufacturing the lenses |
Citations (5)
| Publication number | Priority date | Publication date | Assignee | Title |
|---|---|---|---|---|
| US4523002A (en) * | 1984-01-04 | 1985-06-11 | General Electric Company | Ionically cross-linked siloxane polymers |
| EP0276114A2 (en) * | 1987-01-20 | 1988-07-27 | Dow Corning Corporation | Zwitteronic polysiloxane compositions |
| EP0317377A1 (en) * | 1987-10-23 | 1989-05-24 | ESSILOR INTERNATIONAL (Compagnie Générale d'Optique) | Wettable silicone elastomers for making contact lenses |
| FR2772033A1 (en) * | 1997-12-05 | 1999-06-04 | Essilor Int | PROCESS FOR PRODUCING A TRANSPARENT POLYMERIC MATERIAL RESISTANT TO THE DEPOSITION OF PROTEINS, MATERIAL OBTAINED BY THIS PROCESS, CONTACT LENSES AND INTRAOCULAR IMPLANTS MADE OF THIS MATERIAL |
| EP0989138A2 (en) * | 1998-09-21 | 2000-03-29 | Menicon Co., Ltd. | Ocular lens material and process for producing the same |
-
2001
- 2001-02-09 FR FR0101824A patent/FR2820746A1/en active Pending
- 2001-10-26 WO PCT/FR2001/003347 patent/WO2002064665A1/en not_active Ceased
Patent Citations (5)
| Publication number | Priority date | Publication date | Assignee | Title |
|---|---|---|---|---|
| US4523002A (en) * | 1984-01-04 | 1985-06-11 | General Electric Company | Ionically cross-linked siloxane polymers |
| EP0276114A2 (en) * | 1987-01-20 | 1988-07-27 | Dow Corning Corporation | Zwitteronic polysiloxane compositions |
| EP0317377A1 (en) * | 1987-10-23 | 1989-05-24 | ESSILOR INTERNATIONAL (Compagnie Générale d'Optique) | Wettable silicone elastomers for making contact lenses |
| FR2772033A1 (en) * | 1997-12-05 | 1999-06-04 | Essilor Int | PROCESS FOR PRODUCING A TRANSPARENT POLYMERIC MATERIAL RESISTANT TO THE DEPOSITION OF PROTEINS, MATERIAL OBTAINED BY THIS PROCESS, CONTACT LENSES AND INTRAOCULAR IMPLANTS MADE OF THIS MATERIAL |
| EP0989138A2 (en) * | 1998-09-21 | 2000-03-29 | Menicon Co., Ltd. | Ocular lens material and process for producing the same |
Cited By (10)
| Publication number | Priority date | Publication date | Assignee | Title |
|---|---|---|---|---|
| KR20140116902A (en) * | 2012-01-04 | 2014-10-06 | 모멘티브 퍼포먼스 머티리얼즈 인크. | Curable compositions of ionic silicones |
| JP2015511969A (en) * | 2012-01-04 | 2015-04-23 | モメンティブ パフォーマンス マテリアルズ インコーポレイテッド | Curable composition of ionic silicone |
| JP2015512956A (en) * | 2012-01-04 | 2015-04-30 | モメンティブ パフォーマンス マテリアルズ インコーポレイテッド | Silicone ionomer polymer composite |
| KR102073565B1 (en) * | 2012-01-04 | 2020-02-05 | 모멘티브 퍼포먼스 머티리얼즈 인크. | Curable compositions of ionic silicones |
| KR20160008101A (en) * | 2014-06-30 | 2016-01-21 | 폴 코포레이션 | Hydrophilic block copolymers and membranes prepared therefrom (ii) |
| KR101726796B1 (en) | 2014-06-30 | 2017-04-13 | 폴 코포레이션 | Hydrophilic block copolymers and membranes prepared therefrom (ii) |
| WO2019240262A1 (en) * | 2018-06-15 | 2019-12-19 | 関西ペイント株式会社 | Silicone-containing block copolymer |
| CN110776528A (en) * | 2019-06-25 | 2020-02-11 | 深圳市旭生三益科技有限公司 | Ammonium sulfonate zwitterionic silane coupling agent, siloxane ring body and preparation method thereof |
| CN114829537A (en) * | 2019-12-24 | 2022-07-29 | 东京应化工业株式会社 | Surface treatment liquid and hydrophilization treatment method |
| CN114829537B (en) * | 2019-12-24 | 2024-05-28 | 东京应化工业株式会社 | Surface treatment liquid and hydrophilic treatment method |
Also Published As
| Publication number | Publication date |
|---|---|
| FR2820746A1 (en) | 2002-08-16 |
Similar Documents
| Publication | Publication Date | Title |
|---|---|---|
| KR101617831B1 (en) | Hydrophilic silicone monomers, process for their preparation and thin films containing the same | |
| US6197842B1 (en) | Material based on crosslinked silicone polymer comprising an attached photoinitiator, process for the preparation thereof, hydrophilic polymeric product obtained from this material and process for the preparation thereof, and novel photoinitiators | |
| FR2500001A1 (en) | PROCESS FOR PRODUCTION OF POLYORGANOSILOXANES AND APPLICATION OF POLYORGANOSILOXANES SO OBTAINED FOR COPOLYMERIZATION WITH OLEFINIC OR ACRYLIC MONOMER | |
| FR2641785A1 (en) | Composition of transparent polymers for oxygen-permeable hard (rigid) contact lenses | |
| FR2737214A1 (en) | POLYFUNCTIONAL PERHALOGENIC POLYORGANOSILOXANES AND METHODS OF OBTAINING THEM | |
| WO2002064665A1 (en) | Hydrophilic polymer material comprising a polyorganosiloxane crosslinked matrix and method for making same | |
| US5391592A (en) | Contact lenses comprising lipophilised cyclodextrins | |
| FR2726564A1 (en) | PULULAN CONTAINING SILOXANE AND A PROCESS FOR THE PREPARATION THEREOF | |
| KR102071013B1 (en) | High refractive index material | |
| EP2955208B1 (en) | Silicone compound and a use thereof | |
| CA2182110C (en) | Perhalogenated polyorganosiloxanes and preparation thereof | |
| US4746334A (en) | Poly(disubstituted acetylene)/polyorganosiloxane graftcopolymer and membrane for gas separation | |
| EP4397694A1 (en) | Polydimethylsiloxane-containing monomer having phosphorylcholine group and hydroxyl group | |
| JP2006265514A (en) | Copolymer and process for producing the same | |
| Chechelska-Noworyta et al. | Application of spectroscopic methods in the studies of polysiloxanes, cubic oligomeric silsesquioxanes, and spherosilicates modified by organic functional groups via hydrosilylation | |
| CN106700076B (en) | Cross-shaped siloxane polymer containing polymerizable functional group and hydrophilic group and preparation process thereof | |
| KR20220112277A (en) | Silirane functionalized compounds, especially organosilicon compounds for the preparation of siloxanes | |
| US4755561A (en) | Poly(disubstituted acetylene)/polyorganosiloxane graft copolymer and membrane for gas separation | |
| WO2003080710A1 (en) | Method for preparing functionalised polyorganosiloxane resins by redistribution in the presence of triflic acid and/or at least of one of its derivatives and non-basic inert filler | |
| WO2003080711A1 (en) | Method for preparing functionalised polyorganosiloxane resins by redistribution in the presence of at least one triflic acid derivative | |
| WO2026004815A1 (en) | Pyrrolidone ring-containing organopolysiloxane and method for producing same | |
| JPH0637559B2 (en) | Method for producing graft copolymer | |
| HK1160414B (en) | Hydrophilic silicone monomers, process for their preparation and thin films containing the same |
Legal Events
| Date | Code | Title | Description |
|---|---|---|---|
| AK | Designated states |
Kind code of ref document: A1 Designated state(s): AE AG AL AM AT AU AZ BA BB BG BR BY BZ CA CH CN CO CR CU CZ DE DK DM DZ EC EE ES FI GB GD GE GH GM HR HU ID IL IN IS JP KE KG KP KR KZ LC LK LR LS LT LU LV MA MD MG MK MN MW MX MZ NO NZ PH PL PT RO RU SD SE SG SI SK SL TJ TM TR TT TZ UA UG US UZ VN YU ZA ZW |
|
| AL | Designated countries for regional patents |
Kind code of ref document: A1 Designated state(s): GH GM KE LS MW MZ SD SL SZ TZ UG ZW AM AZ BY KG KZ MD RU TJ TM AT BE CH CY DE DK ES FI FR GB GR IE IT LU MC NL PT SE TR BF BJ CF CG CI CM GA GN GQ GW ML MR NE SN TD TG |
|
| 121 | Ep: the epo has been informed by wipo that ep was designated in this application | ||
| DFPE | Request for preliminary examination filed prior to expiration of 19th month from priority date (pct application filed before 20040101) | ||
| REG | Reference to national code |
Ref country code: DE Ref legal event code: 8642 |
|
| 122 | Ep: pct application non-entry in european phase | ||
| NENP | Non-entry into the national phase |
Ref country code: JP |




































































































