WO2002040446A1 - Glucagon antagonist/inverse agonist - Google Patents
Glucagon antagonist/inverse agonist Download PDFInfo
- Publication number
- WO2002040446A1 WO2002040446A1 PCT/DK2001/000760 DK0100760W WO0240446A1 WO 2002040446 A1 WO2002040446 A1 WO 2002040446A1 DK 0100760 W DK0100760 W DK 0100760W WO 0240446 A1 WO0240446 A1 WO 0240446A1
- Authority
- WO
- WIPO (PCT)
- Prior art keywords
- alkyl
- compound according
- hydrogen
- independently
- ocf
- Prior art date
- Legal status (The legal status is an assumption and is not a legal conclusion. Google has not performed a legal analysis and makes no representation as to the accuracy of the status listed.)
- Ceased
Links
- 0 **N(*)C(*)*C(NCC(C(O)=O)(F)F)=O Chemical compound **N(*)C(*)*C(NCC(C(O)=O)(F)F)=O 0.000 description 2
- SIMLCKAWHZRKCN-UHFFFAOYSA-N COC(C(CNC(OCc1ccccc1)=O)(F)F)=O Chemical compound COC(C(CNC(OCc1ccccc1)=O)(F)F)=O SIMLCKAWHZRKCN-UHFFFAOYSA-N 0.000 description 1
Classifications
-
- C—CHEMISTRY; METALLURGY
- C07—ORGANIC CHEMISTRY
- C07D—HETEROCYCLIC COMPOUNDS
- C07D209/00—Heterocyclic compounds containing five-membered rings, condensed with other rings, with one nitrogen atom as the only ring hetero atom
- C07D209/02—Heterocyclic compounds containing five-membered rings, condensed with other rings, with one nitrogen atom as the only ring hetero atom condensed with one carbocyclic ring
- C07D209/44—Iso-indoles; Hydrogenated iso-indoles
- C07D209/48—Iso-indoles; Hydrogenated iso-indoles with oxygen atoms in positions 1 and 3, e.g. phthalimide
-
- A—HUMAN NECESSITIES
- A61—MEDICAL OR VETERINARY SCIENCE; HYGIENE
- A61P—SPECIFIC THERAPEUTIC ACTIVITY OF CHEMICAL COMPOUNDS OR MEDICINAL PREPARATIONS
- A61P3/00—Drugs for disorders of the metabolism
- A61P3/04—Anorexiants; Antiobesity agents
-
- A—HUMAN NECESSITIES
- A61—MEDICAL OR VETERINARY SCIENCE; HYGIENE
- A61P—SPECIFIC THERAPEUTIC ACTIVITY OF CHEMICAL COMPOUNDS OR MEDICINAL PREPARATIONS
- A61P3/00—Drugs for disorders of the metabolism
- A61P3/08—Drugs for disorders of the metabolism for glucose homeostasis
- A61P3/10—Drugs for disorders of the metabolism for glucose homeostasis for hyperglycaemia, e.g. antidiabetics
-
- A—HUMAN NECESSITIES
- A61—MEDICAL OR VETERINARY SCIENCE; HYGIENE
- A61P—SPECIFIC THERAPEUTIC ACTIVITY OF CHEMICAL COMPOUNDS OR MEDICINAL PREPARATIONS
- A61P43/00—Drugs for specific purposes, not provided for in groups A61P1/00-A61P41/00
-
- C—CHEMISTRY; METALLURGY
- C07—ORGANIC CHEMISTRY
- C07C—ACYCLIC OR CARBOCYCLIC COMPOUNDS
- C07C275/00—Derivatives of urea, i.e. compounds containing any of the groups, the nitrogen atoms not being part of nitro or nitroso groups
- C07C275/28—Derivatives of urea, i.e. compounds containing any of the groups, the nitrogen atoms not being part of nitro or nitroso groups having nitrogen atoms of urea groups bound to carbon atoms of six-membered aromatic rings of a carbon skeleton
-
- C—CHEMISTRY; METALLURGY
- C07—ORGANIC CHEMISTRY
- C07C—ACYCLIC OR CARBOCYCLIC COMPOUNDS
- C07C275/00—Derivatives of urea, i.e. compounds containing any of the groups, the nitrogen atoms not being part of nitro or nitroso groups
- C07C275/28—Derivatives of urea, i.e. compounds containing any of the groups, the nitrogen atoms not being part of nitro or nitroso groups having nitrogen atoms of urea groups bound to carbon atoms of six-membered aromatic rings of a carbon skeleton
- C07C275/30—Derivatives of urea, i.e. compounds containing any of the groups, the nitrogen atoms not being part of nitro or nitroso groups having nitrogen atoms of urea groups bound to carbon atoms of six-membered aromatic rings of a carbon skeleton being further substituted by halogen atoms, or by nitro or nitroso groups
-
- C—CHEMISTRY; METALLURGY
- C07—ORGANIC CHEMISTRY
- C07C—ACYCLIC OR CARBOCYCLIC COMPOUNDS
- C07C275/00—Derivatives of urea, i.e. compounds containing any of the groups, the nitrogen atoms not being part of nitro or nitroso groups
- C07C275/28—Derivatives of urea, i.e. compounds containing any of the groups, the nitrogen atoms not being part of nitro or nitroso groups having nitrogen atoms of urea groups bound to carbon atoms of six-membered aromatic rings of a carbon skeleton
- C07C275/32—Derivatives of urea, i.e. compounds containing any of the groups, the nitrogen atoms not being part of nitro or nitroso groups having nitrogen atoms of urea groups bound to carbon atoms of six-membered aromatic rings of a carbon skeleton being further substituted by singly-bound oxygen atoms
- C07C275/34—Derivatives of urea, i.e. compounds containing any of the groups, the nitrogen atoms not being part of nitro or nitroso groups having nitrogen atoms of urea groups bound to carbon atoms of six-membered aromatic rings of a carbon skeleton being further substituted by singly-bound oxygen atoms having nitrogen atoms of urea groups and singly-bound oxygen atoms bound to carbon atoms of the same non-condensed six-membered aromatic ring
-
- C—CHEMISTRY; METALLURGY
- C07—ORGANIC CHEMISTRY
- C07C—ACYCLIC OR CARBOCYCLIC COMPOUNDS
- C07C275/00—Derivatives of urea, i.e. compounds containing any of the groups, the nitrogen atoms not being part of nitro or nitroso groups
- C07C275/28—Derivatives of urea, i.e. compounds containing any of the groups, the nitrogen atoms not being part of nitro or nitroso groups having nitrogen atoms of urea groups bound to carbon atoms of six-membered aromatic rings of a carbon skeleton
- C07C275/32—Derivatives of urea, i.e. compounds containing any of the groups, the nitrogen atoms not being part of nitro or nitroso groups having nitrogen atoms of urea groups bound to carbon atoms of six-membered aromatic rings of a carbon skeleton being further substituted by singly-bound oxygen atoms
- C07C275/34—Derivatives of urea, i.e. compounds containing any of the groups, the nitrogen atoms not being part of nitro or nitroso groups having nitrogen atoms of urea groups bound to carbon atoms of six-membered aromatic rings of a carbon skeleton being further substituted by singly-bound oxygen atoms having nitrogen atoms of urea groups and singly-bound oxygen atoms bound to carbon atoms of the same non-condensed six-membered aromatic ring
- C07C275/36—Derivatives of urea, i.e. compounds containing any of the groups, the nitrogen atoms not being part of nitro or nitroso groups having nitrogen atoms of urea groups bound to carbon atoms of six-membered aromatic rings of a carbon skeleton being further substituted by singly-bound oxygen atoms having nitrogen atoms of urea groups and singly-bound oxygen atoms bound to carbon atoms of the same non-condensed six-membered aromatic ring with at least one of the oxygen atoms further bound to a carbon atom of a six-membered aromatic ring, e.g. N-aryloxyphenylureas
-
- C—CHEMISTRY; METALLURGY
- C07—ORGANIC CHEMISTRY
- C07C—ACYCLIC OR CARBOCYCLIC COMPOUNDS
- C07C275/00—Derivatives of urea, i.e. compounds containing any of the groups, the nitrogen atoms not being part of nitro or nitroso groups
- C07C275/28—Derivatives of urea, i.e. compounds containing any of the groups, the nitrogen atoms not being part of nitro or nitroso groups having nitrogen atoms of urea groups bound to carbon atoms of six-membered aromatic rings of a carbon skeleton
- C07C275/42—Derivatives of urea, i.e. compounds containing any of the groups, the nitrogen atoms not being part of nitro or nitroso groups having nitrogen atoms of urea groups bound to carbon atoms of six-membered aromatic rings of a carbon skeleton being further substituted by carboxyl groups
-
- C—CHEMISTRY; METALLURGY
- C07—ORGANIC CHEMISTRY
- C07C—ACYCLIC OR CARBOCYCLIC COMPOUNDS
- C07C311/00—Amides of sulfonic acids, i.e. compounds having singly-bound oxygen atoms of sulfo groups replaced by nitrogen atoms, not being part of nitro or nitroso groups
- C07C311/30—Sulfonamides, the carbon skeleton of the acid part being further substituted by singly-bound nitrogen atoms, not being part of nitro or nitroso groups
- C07C311/45—Sulfonamides, the carbon skeleton of the acid part being further substituted by singly-bound nitrogen atoms, not being part of nitro or nitroso groups at least one of the singly-bound nitrogen atoms being part of any of the groups, X being a hetero atom, Y being any atom, e.g. N-acylaminosulfonamides
- C07C311/47—Y being a hetero atom
-
- C—CHEMISTRY; METALLURGY
- C07—ORGANIC CHEMISTRY
- C07C—ACYCLIC OR CARBOCYCLIC COMPOUNDS
- C07C317/00—Sulfones; Sulfoxides
- C07C317/26—Sulfones; Sulfoxides having sulfone or sulfoxide groups and nitrogen atoms, not being part of nitro or nitroso groups, bound to the same carbon skeleton
- C07C317/32—Sulfones; Sulfoxides having sulfone or sulfoxide groups and nitrogen atoms, not being part of nitro or nitroso groups, bound to the same carbon skeleton with sulfone or sulfoxide groups bound to carbon atoms of six-membered aromatic rings of the carbon skeleton
- C07C317/34—Sulfones; Sulfoxides having sulfone or sulfoxide groups and nitrogen atoms, not being part of nitro or nitroso groups, bound to the same carbon skeleton with sulfone or sulfoxide groups bound to carbon atoms of six-membered aromatic rings of the carbon skeleton having sulfone or sulfoxide groups and amino groups bound to carbon atoms of six-membered aromatic rings being part of the same non-condensed ring or of a condensed ring system containing that ring
- C07C317/38—Sulfones; Sulfoxides having sulfone or sulfoxide groups and nitrogen atoms, not being part of nitro or nitroso groups, bound to the same carbon skeleton with sulfone or sulfoxide groups bound to carbon atoms of six-membered aromatic rings of the carbon skeleton having sulfone or sulfoxide groups and amino groups bound to carbon atoms of six-membered aromatic rings being part of the same non-condensed ring or of a condensed ring system containing that ring with the nitrogen atom of at least one amino group being part of any of the groups, X being a hetero atom, Y being any atom, e.g. N-acylaminosulfones
- C07C317/42—Y being a hetero atom
-
- C—CHEMISTRY; METALLURGY
- C07—ORGANIC CHEMISTRY
- C07C—ACYCLIC OR CARBOCYCLIC COMPOUNDS
- C07C323/00—Thiols, sulfides, hydropolysulfides or polysulfides substituted by halogen, oxygen or nitrogen atoms, or by sulfur atoms not being part of thio groups
- C07C323/23—Thiols, sulfides, hydropolysulfides or polysulfides substituted by halogen, oxygen or nitrogen atoms, or by sulfur atoms not being part of thio groups containing thio groups and nitrogen atoms, not being part of nitro or nitroso groups, bound to the same carbon skeleton
- C07C323/39—Thiols, sulfides, hydropolysulfides or polysulfides substituted by halogen, oxygen or nitrogen atoms, or by sulfur atoms not being part of thio groups containing thio groups and nitrogen atoms, not being part of nitro or nitroso groups, bound to the same carbon skeleton at least one of the nitrogen atoms being part of any of the groups, X being a hetero atom, Y being any atom
- C07C323/43—Y being a hetero atom
- C07C323/44—X or Y being nitrogen atoms
-
- C—CHEMISTRY; METALLURGY
- C07—ORGANIC CHEMISTRY
- C07D—HETEROCYCLIC COMPOUNDS
- C07D257/00—Heterocyclic compounds containing rings having four nitrogen atoms as the only ring hetero atoms
- C07D257/02—Heterocyclic compounds containing rings having four nitrogen atoms as the only ring hetero atoms not condensed with other rings
- C07D257/04—Five-membered rings
-
- C—CHEMISTRY; METALLURGY
- C07—ORGANIC CHEMISTRY
- C07D—HETEROCYCLIC COMPOUNDS
- C07D271/00—Heterocyclic compounds containing five-membered rings having two nitrogen atoms and one oxygen atom as the only ring hetero atoms
- C07D271/02—Heterocyclic compounds containing five-membered rings having two nitrogen atoms and one oxygen atom as the only ring hetero atoms not condensed with other rings
- C07D271/06—1,2,4-Oxadiazoles; Hydrogenated 1,2,4-oxadiazoles
-
- C—CHEMISTRY; METALLURGY
- C07—ORGANIC CHEMISTRY
- C07D—HETEROCYCLIC COMPOUNDS
- C07D319/00—Heterocyclic compounds containing six-membered rings having two oxygen atoms as the only ring hetero atoms
- C07D319/04—1,3-Dioxanes; Hydrogenated 1,3-dioxanes
- C07D319/08—1,3-Dioxanes; Hydrogenated 1,3-dioxanes condensed with carbocyclic rings or ring systems
-
- C—CHEMISTRY; METALLURGY
- C07—ORGANIC CHEMISTRY
- C07D—HETEROCYCLIC COMPOUNDS
- C07D319/00—Heterocyclic compounds containing six-membered rings having two oxygen atoms as the only ring hetero atoms
- C07D319/10—1,4-Dioxanes; Hydrogenated 1,4-dioxanes
- C07D319/14—1,4-Dioxanes; Hydrogenated 1,4-dioxanes condensed with carbocyclic rings or ring systems
- C07D319/16—1,4-Dioxanes; Hydrogenated 1,4-dioxanes condensed with carbocyclic rings or ring systems condensed with one six-membered ring
- C07D319/20—1,4-Dioxanes; Hydrogenated 1,4-dioxanes condensed with carbocyclic rings or ring systems condensed with one six-membered ring with substituents attached to the hetero ring
-
- C—CHEMISTRY; METALLURGY
- C07—ORGANIC CHEMISTRY
- C07D—HETEROCYCLIC COMPOUNDS
- C07D333/00—Heterocyclic compounds containing five-membered rings having one sulfur atom as the only ring hetero atom
- C07D333/02—Heterocyclic compounds containing five-membered rings having one sulfur atom as the only ring hetero atom not condensed with other rings
- C07D333/04—Heterocyclic compounds containing five-membered rings having one sulfur atom as the only ring hetero atom not condensed with other rings not substituted on the ring sulphur atom
- C07D333/26—Heterocyclic compounds containing five-membered rings having one sulfur atom as the only ring hetero atom not condensed with other rings not substituted on the ring sulphur atom with hetero atoms or with carbon atoms having three bonds to hetero atoms with at the most one bond to halogen, e.g. ester or nitrile radicals, directly attached to ring carbon atoms
- C07D333/30—Hetero atoms other than halogen
- C07D333/36—Nitrogen atoms
-
- C—CHEMISTRY; METALLURGY
- C07—ORGANIC CHEMISTRY
- C07C—ACYCLIC OR CARBOCYCLIC COMPOUNDS
- C07C2601/00—Systems containing only non-condensed rings
- C07C2601/12—Systems containing only non-condensed rings with a six-membered ring
- C07C2601/14—The ring being saturated
-
- C—CHEMISTRY; METALLURGY
- C07—ORGANIC CHEMISTRY
- C07C—ACYCLIC OR CARBOCYCLIC COMPOUNDS
- C07C2601/00—Systems containing only non-condensed rings
- C07C2601/12—Systems containing only non-condensed rings with a six-membered ring
- C07C2601/16—Systems containing only non-condensed rings with a six-membered ring the ring being unsaturated
Definitions
- the present invention relates to agents that act to antagonize the action of the glucagon pep- tide hormone on the glucagon receptor. More particularly, it relates to glucagon antagonists or inverse agonists.
- Glucagon is a key hormonal agent that, in co-operation with insulin, mediatesT ⁇ omeostatic regulation of the amount of glucose in the blood. Glucagon primarily acts by stimulating certain cells (mostly liver cells) to release glucose when blood glucose levels fall. The action of glucagon is opposite to that of insulin, which stimulates cells to take up and store glucose whenever blood glucose levels rise. Both glucagon and insulin are peptide hormones.
- Glucagon is produced in the alpha islet cells of the pancreas and insulin in the beta islet cells.
- Diabetes mellitus is a common disorder of glucose metabolism.
- the disease is characterized by hyperglycemia and may be classified as Type 1 diabetes, the insulin-dependent form, or Type 2 diabetes, which is non-insulin-dependent in character.
- Subjects with Type 1 diabetes are hyperglycemic and hypoinsulinemic, and the conventional treatment for this form of the disease is to provide insulin.
- absolute or relative elevated glucagon levels have been shown to contribute to the hyperglycemic state.
- glucagon suppression or an action that antagonizes glucagon could be a useful adjunct to conventional treatment of hyperglycemia in diabetic patients.
- the action of glucagon can be suppressed by providing an antagonist or an inverse agonist, ie substances that inhibit or prevent gluca- gon-induced responses.
- the antagonist can be peptidic or non-peptidic in nature.
- Native glucagon is a 29 amino acid peptide having the sequence:
- Glucagon exerts its action by binding to and activating its receptor, which is part of the Glu- cagon-Secretin branch of the 7-transmembrane G-protein coupled receptor family (Jelinek et al., Science 259, 1614, (1993)).
- the receptor functions by activating the adenylyl cyclase second messenger system and the result is an increase in cAMP levels.
- Peptide antagonists of peptide hormones are often quite potent. However, they are generally known not to be orally available because of degradation by physiological enzymes, and be- cause of poor distribution in vivo. Therefore, orally available non-peptide antagonists of peptide hormones are generally preferred.
- non-peptide glucagon antagonists a qui- noxaline derivative, (2-styryl-3-[3-(dimethylamino)propylmethylamino]-6,7-dichloroquinoxaline was found to displace glucagon from the rat liver receptor (Collins, J.L. et al., Bioorganic and Medicinal Chemistry Letters 2(9):915-918 (1992)).
- WO 94/14426 (The Wellcome Foundation Limited) discloses use of skyrin, a natural product comprising a pair of linked 9,10-anthra- cenedione groups, and its synthetic analogues, as glucagon antagonists.
- US 4,359,474 (Sandoz) discloses the glucagon inhibiting properties of 1 -phenyl pyrazole derivatives.
- US 4,374,130 (Sandoz) discloses substituted disilacyclohexanes as glucagon inhibiting agents.
- WO 98/04528 (Bayer Corporation) discloses substituted pyridines and biphenyls as glucagon antagonists.
- US 5,776,954 discloses substituted pyridyl pyrroles as glucagon antagonists and WO 98/21957, WO 98/22108, WO 98/22109 and US 5,880,139 (Merck & Co., Inc.) disclose 2,4-diaryl-5-pyridylimidazoles as glucagon antagonists. Furthermore, WO 97/16442 and US 5,837,719 (Merck & Co., Inc.) disclose 2,5-substi- tuted aryl pyrroles as glucagon antagonists.
- WO 98/24780, WO 98/24782, WO 99/24404 and WO 99/32448 disclose substituted pyrimidinone and pyridone compounds and substituted pyrimidine compounds, respectively, which are stated to possess glucagon antagonistic activity.
- Madsen et al. J. Med. Chem. 1998 (41) 5151-7) discloses a series of 2- (benzimidazol-2-ylthio)-1-(3,4-dihydroxyphenyl)-1-ethanones as competitive human glucagon receptor antagonists.
- WO 99/01423 and WO 00/39088 disclose different series of alkylidene hydrazides as glucagon antagonists/inverse agonists. These known glucagon antagonists differ structurally from the present compounds.
- Halogen designates an atom selected from the group consisting of F, Cl, Br and I.
- C ⁇ -alkyl represents a saturated, branched or straight hydrocarbon group having from 1 to 6 carbon atoms. Representative examples include, but are not limited to, methyl, ethyl, n-propyl, isopropyl, butyl, isobutyl, sec-butyl, tert-butyl, n-pentyl, isopentyl, neopentyl, fert-pentyl, n-hexyl, isohexyl and the like.
- C 2 . 6 -alkenyl represents a branched or straight hydrocarbon group having from 2 to 6 carbon atoms and at least one double bond.
- groups include, but are not limited to, vinyl, 1-propenyl, 2-propenyl, iso-propenyl, 1 ,3-butadienyl, 1-but- enyl, 2-butenyl, 3-butenyl, 2-methyl-1-propenyl, 1-pentenyl, 2-pentenyl, 3-pentenyl, 4-penten- yl, 3-methyl-2-butenyl, 1-hexenyl, 2-hexenyl, 3-hexenyl, 2,4-hexadienyl, 5-hexenyl and the like.
- C 2 . 6 -alkynyl represents a branched or straight hydrocarbon group having from 2 to 6 carbon atoms and at least one triple bond.
- groups include, but are not limited to, ethynyl, 1-propynyl, 2-propynyl, 1-butynyl, 2-butynyl, 3-butynyl, 1-pentynyl, 2-pentynyl, 3-pentynyl, 4-pentynyl, 1-hexynyl, 2-hexynyl, 3-hexynyl, 4-hexynyl, 5-hexynyl, 2,4-hexadiynyl and the like.
- C ⁇ -alkoxy refers to the radical -O-C ⁇ -alkyl, wherein C ⁇ -alkyl is as defined above. Representative examples are methoxy, ethoxy, n-propoxy, isopropoxy, butoxy, sec-butoxy, tert-butoxy, pentoxy, isopentoxy, hexoxy, isohexoxy and the like.
- C 3 . 8 -cycloalkyl represents a saturated, carbocyclic group having from 3 to 8 carbon atoms. Representative examples are cyclopropyl, cyclobutyl, cyclopentyl, cyclohexyl, cycloheptyl, cyclooctyl and the like.
- C 4 . 8 -cycloalkenyl represents a non-aromatic, carbocyclic group having from 4 to 8 carbon atoms containing one or two double bonds.
- Representative examples are 1-cyclopentenyl, 2-cyclopentenyl, 3-cyclopentenyl, 1-cyclohexenyl, 2-cyclohexenyl, 3- cyclohexenyl, 2-cycloheptenyl, 3-cycloheptenyl, 2-cyclooctenyl, 1 ,4-cyclooctadienyl and the like.
- heterocyclyl represents a non-aromatic 3 to 10 membered ring containing one or more heteroatoms selected from nitrogen, oxygen and sulfur and optionally containing one or two double bonds.
- Representative examples are pyrrolidinyl, piperidyl, piperaz- inyl, morpholinyl, thiomorpholinyl, aziridinyl, tetrahydrofuranyl and the like.
- aryl as used herein is intended to include carbocyclic, aromatic ring systems such as 6 membered monocyclic and 9 to 14 membered bi- and tricyclic, carbocyclic, aromatic ring systems. Representative examples are phenyl, biphenylyl, naphthyl, anthracenyl, phenan- threnyl, fluorenyl, indenyl, azulenyl and the like.
- Aryl is also intended to include the partially hydrogenated derivatives of the ring systems enumerated above. Non-limiting examples of such partially hydrogenated derivatives are 1 ,2,3,4-tetrahydronaphthyl, 1 ,4-dihydronaphthyl and the like.
- arylene as used herein is intended to include divalent, carbocyclic, aromatic ring systems such as 6 membered monocyclic and 9 to 14 membered bi- and tricyclic, divalent, carbocyclic, aromatic ring systems. Representative examples are phenylene, biphenylylene, naphthylene, anthracenylene, phenanthrenylene, fluorenylene, indenylene, azulenylene and the like.
- Arylene is also intended to include the partially hydrogenated derivatives of the ring systems enumerated above. Non-limiting examples of such partially hydrogenated derivatives are 1 ,2,3,4-tetrahydronaphthylene, 1 ,4-dihydronaphthylene and the like.
- aryloxy denotes a group -O-aryl, wherein aryl is as defined above.
- aroyl denotes a group -C(O)-aryl, wherein aryl is as defined above.
- heteroaryl as used herein is intended to include aromatic, heterocyclic ring systems containing one or more heteroatoms selected from nitrogen, oxygen and sulfur such as 5 to 7 membered monocyclic or 8 to 14 membered bi- and tricyclic aromatic, heterocyclic ring systems containing one or more heteroatoms selected from nitrogen, oxygen and sulfur.
- furyl thienyl, pyrrolyl, oxazolyl, thiazolyl, imidazolyl, isoxazolyl, isothiazolyl, 1 ,2,3-triazolyl, 1 ,2,4-triazolyl, pyranyl, pyridyl, pyridazinyl, pyrimidinyl, pyrazinyl, 1 ,2,3-triazinyl, 1 ,2,4-triazinyl, 1 ,3,5- triazinyl, 1 ,2,3-oxadiazolyl, 1 ,2,4-oxadiazolyl, 1 ,2,5-oxa- diazolyl, 1 ,3,4-oxadiazolyl, 1 ,2,3-thiadiazolyl, 1 ,2,4-thiadiazolyl, 1 ,2,5-thiadiazolyl, 1 ,3,4-thia- diazolyl, tetrazolyl
- Heteroaryl is also intended to include the partially hydrogenated derivatives of the ring systems enumerated above.
- Non-limiting examples of such partially hydrogenated derivatives are 2,3-dihydrobenzofuranyl, pyrrolinyl, pyrazolinyl, indolinyl, oxazolidinyl, oxazolinyl, oxazepinyl and the like.
- Aryl-C ⁇ -alkyl means C ⁇ -alkyl or C 2 _6-alkenyl as defined above, substituted by an aryl or heteroaryl as defined above, for example:
- the present invention is based on the unexpected observation that the compounds of the general formula (I) disclosed below show a high binding affinity for the glucagon receptor and antagonize the action of glucagon. Accordingly, the invention is concerned with compounds of the general formula (I):
- R 2 is hydrogen or C ⁇ -alkyl
- Z is arylene or a divalent radical derived from a 5 or 6 membered heteroaromatic ring con- taining 1 or 2 heteroatoms selected from nitrogen, oxygen and sulfur,
- R 7 and R 8 which may optionally be substituted with one or two groups R 7 and R 8 selected from halogen, -CN, -CF 3 , -OCF 3 , -NO 2 , -OR 9 , -NR 9 R 10 and C,. 6 -alkyl,
- R 9 and R 10 independently are hydrogen or C ⁇ . 6 -alkyl
- r is 0 or 1 ,
- q and s independently are 0, 1 , 2 or 3,
- R 1 ⁇ R 12 , R 13 and R 14 independently are hydrogen or C ⁇ -alkyl
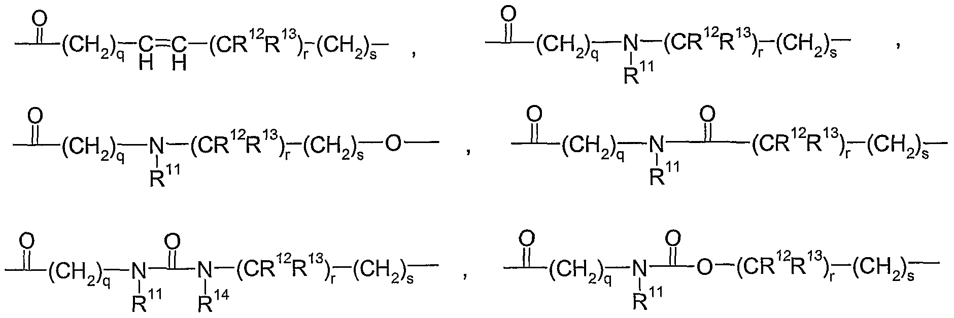
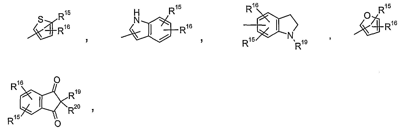
- R 15 , R 16 , R 17 and R 18 independently are
- cyclic moieties optionally may be substituted with one or more substituents selected from halogen, -CN, -CF 3 , -OCF 3 , -NO 2 , -OR 21 , -NR 21 R 22 and C ⁇ e-alkyl,
- R and R independently are hydrogen, C ⁇ -alkyl or aryl
- R 21 and R 22 when attached to the same nitrogen atom together with the said nitrogen atom may form a 3 to 8 membered heterocyclic ring optionally containing one or two further heteroatoms selected from nitrogen, oxygen and sulfur, and optionally containing one or two double bonds,
- a 0, 1 or 2
- c 1 or 2
- R 23 , R 24 , R 25 and R 26 independently are hydrogen, C ⁇ -alky! or fluorine,
- R 19 and R 20 independently are hydrogen, C ⁇ _ 6 -alkyl, C 3 . 8 -cycloalkyl or C 3 . 8 -cyc!o- alkyl-C ⁇ e-alkyl, E is
- R 27 and R 28 independently are
- cyclic moieties optionally may be substituted with one or more substituents selected from halogen, -CN, -CF 3 , -OCF 3 , -NO 2 , -OR 32 , -NR 32 R 33 and C ⁇ -alkyl,
- R 32 and R 33 independently are hydrogen or d-e-alkyl, or
- R 32 and R 33 when attached to the same nitrogen atom together with the said nitrogen atom may form a 3 to 8 membered heterocyclic ring optionally containing one or two further heteroatoms selected from nitrogen, oxygen and sulfur, and optionally containing one or two double bonds,
- R 29 , R 30 and R 31 independently are
- the cyclic moieties optionally may be substituted with one or more sub- stituents selected from halogen, -CN, -CF 3 , -OCF 3 , -NO 2 , -OR 34 , -NR 34 R 35 and d. 6 -alkyl,
- R 34 and R 35 independently are hydrogen, d. 6 -alkyl or aryl
- R 34 and R 35 when attached to the same nitrogen atom together with the said nitrogen atom may form a 3 to 8 membered heterocyclic ring optionally containing one or two further heteroatoms selected from nitrogen, oxygen and sulfur, and optionally containing one or two double bonds,
- R 29 , R 30 and R 31 when attached to the same ring carbon atom or different ring carbon atoms together may form a radical -O-(CH 2 ) t -CR 36 R 37 -(CH 2 ) r O-, -(CH 2 ) t -CR 36 R 37 -(CH 2 ) ⁇ - or -S-(CH 2 ) r CR 36 R 37 -(CH 2 ) r S-,
- t and I independently are 0, 1 , 2, 3, 4 or 5,
- R 36 and R 37 independently are hydrogen or d. 6 -alkyl, as well as any optical or geometric isomer or tautomeric form thereof including mixtures of these or a pharmaceutically acceptable salt thereof.
- R 2 is hydrogen
- R 7 and R 8 are as defined for formula (I).
- R 12 and R 13 independently are hydrogen or d_ 6 -alkyl.
- X is -C(O)NH-, -C(O)NHCH 2 -, -C(O)NHCH(CH 3 )-, -C(O)NHCH 2 CH 2 -, -C(O)CH 2 -, -CH 2 -, -C(O)- or -NHC(O)-, such as -C(O)NH-.
- R 15 , R 16 , R 17 , R 18 , R 19 and R 20 are as defined for formula (I).
- R 15 , R 16 and R 17 are as defined for formula (I).
- R 15 , R 16 and R 17 independently are hydrogen, halogen, -CN, -NO 2 , -CF 3 , -OCF 3 , -SCF 3 , d-e-alkyl, d-e-alkoxy, -S-d. 6 -alkyl, -C(O)OR 21 , -C(O)R 21 , -CH 2 OR 21 , -C(O)NR 21 R 22 , -S(O) 2 R 21 , -S(O) 2 CF 3 , -S(O) 2 NR 2 R 22 , C 3 .
- R 5 , R 16 and R 17 independently are hydrogen, halogen, -CN, -CF 3 , -OCF 3 or d.. 6 -alkoxy, such as hydrogen, halogen, -CF 3 or -OCF 3 .
- E is
- R 2 ⁇ R , R , R d ⁇ and R d1 are as defined for formula (I).
- R is hydrogen and R 5 28 is
- R 29 , R 30 and R 31 are as defined for formula (I).
- R 29 , R 30 and R 31 are as defined for formula (I).
- R 29 , R 30 and R 31 are independently
- R 34 and R 35 independently are hydrogen, C ⁇ . 6 -alkyl or aryl,
- R 34 and R 35 when attached to the same nitrogen atom together with the said nitrogen atom may form a 3 to 8 membered heterocyclic ring optionally containing one or two further heteroatoms selected from nitrogen, oxygen and sulfur, and optionally containing one or two double bonds.
- R 29 , R 30 and R 31 are independently
- R 34 and R 35 are as defined for formula (I), or
- R 29 , R 30 and R 31 are independently
- R 29 , R 30 and R 31 are independently hydrogen, d_ 6 -alkyl, C 3 - 8 -cycloalkyl or C 4 . 8 -cycloalkenyl, wherein C 3 . 8 -cycloalkyl or C 4 . 8 -cycloalkenyl are optionally substituted with d. 6 -alkyl.
- R 29 and R 31 are both hydrogen and R 30 is d-e-alkyl, C 3 . 8 -cycloalkyl or C 4 . 8 -cycloalkenyl, wherein C 3 . 8 -cycloalkyl or C 4 . 8 -cycloalkenyl are optionally substituted with C ⁇ . 6 -alkyl.
- R 29 and R 31 are both hydrogen and R 30 is d-e-alkyl.
- R 29 and R 31 are both hydrogen and R 30 is C 4 -8-cycloalkenyl which is optionally substituted with d. 6 -alkyl.
- the invention is concerned with compounds of the general formula (I'):
- R 2 is hydrogen or d. 6 -alkyl
- Z is arylene or a divalent radical derived from a 5 or 6 membered heteroaromatic ring containing 1 or 2 heteroatoms selected from nitrogen, oxygen and sulfur,
- R 7 and R 8 which may optionally be substituted with one or two groups R 7 and R 8 selected from halogen, -CN, -CF 3 , -OCF 3 , -NO 2 , -OR 9 , -NR 9 R 10 and d. 6 -alkyl,
- R 9 and R 10 independently are hydrogen or d-e-alkyl
- r is 0 or 1 ,
- q and s independently are 0, 1 , 2 or 3,
- R 11 , R 12 , R 13 and R 14 independently are hydrogen or d-e-alkyl
- R 15 , R 6 , R 17 and R 18 independently are
- the cyclic moieties optionally may be substituted with one or more substituents selected from halogen, -CN, -CF 3 , -OCF 3 , -NO 2 , -OR 21 , -NR 21 R 22 and d_ 6 -alkyl,
- R 21 and R 22 independently are hydrogen, d. 6 -alkyl or aryl
- R 2 and R 22 when attached to the same nitrogen atom together with the said nitrogen atom may form a 3 to 8 membered heterocyclic ring optionally containing one or two further heteroatoms selected from nitrogen, oxygen and sulfur, and optionally containing one or two double bonds,
- a 0, 1 or 2
- c 1 or 2
- R , R , R and R independently are hydrogen, d. 6 -alkyl or fluorine
- R 19 and R 20 independently are hydrogen, d-e-alkyl, C 3 . 8 -cycloalkyl or C 3 . 8 -cyclo- alkyl-d. 6 -alkyl, E is
- R and R independently are
- aryl group optionally may be substituted with one or more substituents selected from halogen, -CN, -CF 3 , -OCF 3 , -NO 2 , -OR 32 , -NR 32 R 33 and d-e-alkyl,
- R 32 and R independently are hydrogen or d. 6 -alkyl, or
- R 32 and R 33 when attached to the same nitrogen atom together with the said nitrogen atom may form a 3 to 8 membered heterocyclic ring optionally containing one or two further heteroatoms selected from nitrogen, oxygen and sulfur, and optionally containing one or two double bonds,
- R 29 , R 30 and R 31 independently are
- the cyclic moieties optionally may be substituted with one or more sub- stituents selected from halogen, -CN, -CF 3 , -OCF 3 , -NO 2 , -OR 34 , -NR 34 R 35 and d-e-alkyl,
- R 34 and R 35 independently are hydrogen, C ⁇ . 6 -alkyl or aryl
- R 34 and R 35 when attached to the same nitrogen atom together with the said nitrogen atom may form a 3 to 8 membered heterocyclic ring optionally containing one or two further heteroatoms selected from nitrogen, oxygen and sulfur, and optionally containing one or two double bonds,
- R 29 , R 30 and R 31 when attached to the same ring carbon atom or different ring carbon atoms together may form a radical -O-(CH 2 ) t -CR 36 R 37 -(CH 2 ) r O-, -(CH 2 ) r CR 36 R 37 -(CH 2 )
- t and I independently are 0, 1 , 2, 3, 4 or 5,
- R 36 and R 37 independently are hydrogen or d. 6 -alkyl, as well as any optical or geometric isomer or tautomeric form thereof including mixtures of these or a pharmaceutically acceptable salt thereof.
- R 2 , Z, E, X and D are as described in the embodiments above.
- the compounds of the present invention may have one or more asymmetric centres and it is intended that any optical isomers, as separated, pure or partially purified optical isomers or racemic mixtures thereof are included within the scope of the invention.
- geometric isomers may be formed. It is intended that any geometric isomers, as separated, pure or partially purified geometric isomers or mixtures thereof are included within the scope of the invention. Likewise, molecules having a bond with restricted rotation may form geometric isomers. These are also intended to be included within the scope of the present invention.
- the present invention also encompasses pharmaceutically acceptable salts of the present compounds.
- Such salts include pharmaceutically acceptable acid addition salts, pharmaceutically acceptable metal salts, ammonium and alkylated ammonium salts.
- Acid addition salts include salts of inorganic acids as well as organic acids. Representative examples of suitable inorganic acids include hydrochloric, hydrobromic, hydroiodic, phosphoric, sulfuric, nitric acids and the like.
- suitable organic acids include formic, acetic, trichloroacetic, trifluoroacetic, propionic, benzoic, cinnamic, citric, fumaric, glycolic, lactic, maleic, malic, malonic, mandelic, oxalic, picric, pyruvic, salicylic, succinic, methane- sulfonic, ethanesulfonic, tartaric, ascorbic, pamoic, bismethylene salicylic, ethanedisulfonic, gluconic, citraconic, aspartic, stearic, palmitic, EDTA, glycolic, p-aminobenzoic, glutamic, benzenesulfonic, p-toluenesulfonic acids and the like.
- compositions include the pharmaceutically acceptable salts listed in J. Pharm. Sci. 1977, 66, 2, which is incorporated herein by reference.
- metal salts include lithium, sodium, potassium, magnesium salts and the like.
- ammonium and alkylated ammonium salts include ammonium, methyl-, dimethyl-, trimethyl-, ethyl-, hydroxyethyl-, diethyl-, butyl-, tetramethylammonium salts and the like.
- Also intended as pharmaceutically acceptable acid addition salts are the hydrates which the present compounds are able to form.
- the pharmaceutically acceptable salts comprise basic amino acid salts such as lysine, arginine and ornithine.
- the acid addition salts may be obtained as the direct products of compound synthesis.
- the free base may be dissolved in a suitable solvent containing the appropriate acid, and the salt isolated by evaporating the solvent or otherwise separating the salt and solvent.
- the compounds of the present invention may form solvates with standard low molecular weight solvents using methods well known to the person skilled in the art. Such solvates are also contemplated as being within the scope of the present invention.
- the invention also encompasses prodrugs of the present compounds, which on administration undergo chemical conversion by metabolic processes before becoming pharmacologically active substances.
- prodrugs will be functional derivatives of the compounds of the general formula (I), which are readily convertible in vivo into the required compound of the formula (I).
- Conventional procedures for the selection and preparation of suit- able prodrug derivatives are described, for example, in "Design of Prodrugs", ed. H. Bund- gaard, Elsevier, 1985.
- the invention also encompasses active metabolites of the present compounds.
- the compounds according to the present invention act to antagonize the action of glucagon and are accordingly useful for the treatment and/or prevention of disorders and diseases in which such an antagonism is beneficial.
- the present compounds may be applicable for the treatment and/or prevention of hyperglycemia, IGT (impaired glucose tolerance), insulin resistance syndromes, syndrome X, Type 1 diabetes, Type 2 diabetes, hyperlipidemia, dyslipidemia, hypertriglyceridemia, hyperlipo- proteinemia, hypercholesterolemia, arteriosclerosis including atherosclerosis, glucagonomas, acute pancreatitis, cardiovascular diseases, hypertension, cardiac hypertrophy, gastrointestinal disorders, obesity, diabetes as a consequence of obesity, diabetic dyslipidemia, etc.
- they may be applicable as diagnostic agents for identifying patients having a defect in the glucagon receptor, as a therapy to increase gastric acid secretions and to reverse intestinal hypomobility due to glucagon administration.
- They may also be useful as tool or reference molecules in labelled form in binding assays to identify new glucagon antagonists.
- the invention relates to a compound according to the invention for use as a medicament.
- the invention also relates to pharmaceutical compositions comprising, as an active ingredient, at least one compound according to the invention together with one or more pharmaceutically acceptable carriers or excipients.
- the pharmaceutical composition is preferably in unit dosage form, comprising from about 0.05 mg to about 1000 mg, preferably from about 0.1 mg to about 500 mg and especially preferred from about 0.5 mg to about 200 mg of the compound according to the invention.
- the invention relates to the use of a compound according to the invention for the preparation of a pharmaceutical composition for the treatment and/or prevention of a disorder or disease, wherein a glucagon antagonistic action is beneficial.
- the invention also relates to a method for the treatment and/or prevention of disorders or diseases, wherein a glucagon antagonistic action is beneficial the method comprising admin- istering to a subject in need thereof an effective amount of a compound according to the invention.
- the present compounds are used for the preparation of a medicament for the treatment and/or prevention of any glucagon-mediated conditions and diseases. In a preferred embodiment of the invention the present compounds are used for the preparation of a medicament for the treatment and/or prevention of hyperglycemia.
- the present compounds are used for the preparation of a medicament for lowering blood glucose in a mammal.
- the present compounds are effective in lowering the blood glucose, both in the fasting and the postprandial stage.
- the present compounds are used for the preparation of a pharmaceutical composition for the treatment and/or prevention of IGT.
- the present compounds are used for the preparation of a pharmaceutical composition for the treatment and/or prevention of Type 2 diabetes.
- the present compounds are used for the preparation of a pharmaceutical composition for the delaying or prevention of the progression from IGT to Type 2 diabetes.
- the present compounds are used for the preparation of a pharmaceutical composition for the delaying or prevention of the progression from non-insulin requiring Type 2 diabetes to insulin requiring Type 2 diabetes.
- the present compounds are used for the preparation of a pharmaceutical composition for the treatment and/or prevention of Type 1 diabetes.
- Such treatment and/or prevention is normally accompanied by insulin therapy.
- the present compounds are used for the preparation of a pharmaceutical composition for the treatment and/or prevention of obesity.
- the present compounds are used for the preparation of a pharmaceutical composition for the treatment and/or prevention of disorders of the lipid metabolism. In still a further preferred embodiment of the invention the present compounds are used for the preparation of a pharmaceutical composition for the treatment and/or prevention of an appetite regulation or energy expenditure disorder.
- treatment of a patient with the present compounds is combined with diet and/or exercise.
- the present compounds are administered in combination with one or more further active substances in any suitable ratios.
- Such further active sub- stances may eg be selected from antiobesity agents, antidiabetics, antihypertensive agents, agents for the treatment of complications resulting from or associated with diabetes and agents for the treatment of complications and disorders resulting from or associated with obesity.
- the present compounds may be administered in combination with one or more antiobesity agents or appetite regulating agents.
- Such agents may be selected from the group consisting of CART (cocaine amphetamine regulated transcript) agonists, NPY (neuropeptide Y) antagonists, C4 (melanocortin 4) agonists, MC3 (melanocortin 3) agonists, orexin antagonists, TNF (tumor necrosis factor) agonists, CRF (corticotropin releasing factor) agonists, CRF BP (corticotropin releasing factor binding protein) antagonists, urocortin agonists, ⁇ 3 adrenergic agonists such as CL-316243, AJ-9677, GW-0604, LY362884, LY377267 or AZ-40140, MSH (melanocyte- stimulating hormone) agonists, CH (melanocyte-concentrating hormone) antagonists, CCK (cholecystokinin) agonists, serotonin re-uptake inhibitors such as fluoxetine, seroxat or cita- lop
- the antiobesity agent is dexamphetamine or amphetamine.
- the antiobesity agent is fenfluramine or dexfenfluramine.
- the antiobesity agent is sibutramine.
- the antiobesity agent is orlistat.
- the antiobesity agent is mazindol or phentermine.
- the antiobesity agent is phendimetrazine, diethylpropion, fluoxe- tine, bupropion, topiramate or ecopipam.
- Suitable antidiabetic agents include insulin, insulin analogues and derivatives such as those disclosed in EP 792 290 (Novo Nordisk A/S), eg N ⁇ B29 -tetradecanoyl des (B30) human insulin, EP 214 826 and EP 705 275 (Novo Nordisk A/S), eg Asp 628 human insulin, US 5,504,188 (Eli Lilly), eg Lys B28 Pro B29 human insulin, EP 368 187 (Aventis), eg Lantus®, which are all incorporated herein by reference, GLP-1 and GLP-1 derivatives such as those disclosed in WO 98/08871 (Novo Nordisk A/S), which is incorporated herein by reference, as well as orally active hypoglycemic agents.
- the orally active hypoglycemic agents preferably comprise imidazolines, sulfonylureas, bi- guanides, meglitinides, oxadiazolidinediones, thiazolidinediones, insulin sensitizers, ⁇ -glu- cosidase inhibitors, agents acting on the ATP-dependent potassium channel of the ⁇ -cells eg potassium channel openers such as those disclosed in WO 97/26265, WO 99/03861 and WO 00/37474 (Novo Nordisk A S) which are incorporated herein by reference, or mitiglinide, or a potassium channel blocker, such as BTS-67582, nateglinide, glucagon antagonists such as those disclosed in WO 99/01423 and WO 00/39088 (Novo Nordisk A/S and Agouron
- GLP-1 agonists such as those disclosed in WO 00/42026 (Novo Nordisk A/S and Agouron Pharmaceuticals, Inc.), which are incorporated herein by reference, insulin secretagogues, such as glimepride, DPP- IV (dipeptidyl peptidase-IV) inhibitors, PTPase (protein tyrosine phosphatase) inhibitors, inhi- bitors of hepatic enzymes involved in stimulation of gluconeogenesis and/or glycogenolysis, glucose uptake modulators, GSK-3 (glycogen synthase kinase-3) inhibitors, compounds modifying the lipid metabolism such as antilipidemic agents, compounds lowering food intake, PPAR (peroxisome proliferator-activated receptor) and RXR (retinoid X receptor) agonists, such as ALRT-268, LG-1268 or LG-1069.
- glimepride such as glimepride, DPP- IV (dipeptidyl
- the present compounds are administered in combination with insulin, N ⁇ B29 -tetradecanoyl des (B30) human insulin, Asp 828 human insulin, Lys B28 Pro B29 human insulin or Lantus, or a mix-preparation comprising one or more of these.
- the present compounds are administered in combination with a sulfonylurea eg tolbutamide, chlorpropamide, tolazamide, glibenclamide, gli- pizide, glimepiride, glicazide or glyburide.
- a sulfonylurea eg tolbutamide, chlorpropamide, tolazamide, glibenclamide, gli- pizide, glimepiride, glicazide or glyburide.
- the present compounds are administered in com- bination with a biguanide eg metformin.
- the present compounds are administered in combination with a meglitinide eg repaglinide or nateglinide.
- the present compounds are administered in combination with a thiazolidinedione insulin sensitizer eg troglitazone, ciglitazone, pioglitazo- ne, rosiglitazone, isaglitazone, darglitazone, englitazone, CS-011/CI-1037 or T 174 or the compounds disclosed in WO 97/41097, WO 97/41119, WO 97/41120, WO 00/41121 and WO 98/45292 (Dr. Reddy's Research Foundation), which are incorporated herein by referen- ce.
- a thiazolidinedione insulin sensitizer eg troglitazone, ciglitazone, pioglitazo- ne, rosiglitazone, isaglitazone, darglitazone, englitazone, CS-011/CI-1037 or T 174 or the compounds disclosed in WO 97/41097, WO 97/41119
- the present compounds may be administered in combination with an insulin sensitizer eg such as Gl 262570, YM-440, MCC-555, JTT-501 , AR-H039242, KRP-297, GW-409544, CRE-16336, AR-H049020, LY510929, MBX-102, CLX-0940, GW-501516 or the compounds disclosed in WO 99/19313, WO 00/50414, WO 00/63191 , WO 00/63192, WO 00/63193 (Dr.
- an insulin sensitizer eg such as Gl 262570, YM-440, MCC-555, JTT-501 , AR-H039242, KRP-297, GW-409544, CRE-16336, AR-H049020, LY510929, MBX-102, CLX-0940, GW-501516 or the compounds disclosed in WO 99/19313, WO 00/50414, WO 00/631
- the present compounds are administered in combination with an -glucosidase inhibitor eg voglibose, emiglitate, miglitol or acarbose.
- an -glucosidase inhibitor eg voglibose, emiglitate, miglitol or acarbose.
- the present compounds are administered in combination with an agent acting on the ATP-dependent potassium channel of the ⁇ -cells eg tolbu- tamide, glibenclamide, glipizide, glicazide, BTS-67582 or repaglinide.
- an agent acting on the ATP-dependent potassium channel of the ⁇ -cells eg tolbu- tamide, glibenclamide, glipizide, glicazide, BTS-67582 or repaglinide.
- the present compounds may be administered in combination with nateglinide.
- the present compounds are administered in combination with an antilipidemic agent eg cholestyramine, colestipol, clofibrate, gemfibrozil, lovastatin, pravastatin, simvastatin, probucol or dextrothyroxine.
- an antilipidemic agent eg cholestyramine, colestipol, clofibrate, gemfibrozil, lovastatin, pravastatin, simvastatin, probucol or dextrothyroxine.
- the present compounds are administered in combination with more than one of the above-mentioned compounds eg in combination with metformin and a sulfonylurea such as glyburide; a sulfonylurea and acarbose; nateglinide and metformin; acarbose and metformin; a sulfonylurea, metformin and troglitazone; insulin and a sulfonylurea; insulin and metformin; insulin, metformin and a sulfonylurea; insulin and troglitazone; insulin and lovastatin; etc.
- a sulfonylurea such as glyburide
- a sulfonylurea and acarbose such as glyburide
- a sulfonylurea and acarbose such as glyburide
- the present compounds may be administered in combination with one or more antihypertensive agents.
- antihypertensive agents are ⁇ -blockers such as alpre- nolol, atenolol, timolol, pindolol, propranolol and metoprolol, ACE (angiotensin converting enzyme) inhibitors such as benazepril, captopril, enalapril, fosinopril, lisinopril, quinapril and ramipril, calcium channel blockers such as nifedipine, felodipine, nicardipine, isradipine, ni- modipine, diltiazem and verapamil, and ⁇ -blockers such as doxazosin, urapidil, prazosin and terazosin. Further reference can be made to Remington: The Science and Practice of Pharmacy, 19 th Edition, Gennaro, Ed.,
- the compounds of the invention may be administered alone or in combination with pharmaceutically acceptable carriers or excipients, in either single or multiple doses.
- the pharma- ceu-tical compositions according to the invention may be formulated with pharmaceutically acceptable carriers or diluents as well as any other known adjuvants and excipients in accordance with conventional techniques such as those disclosed in Remington: The Science and Practice of Pharmacy, 19th Edition, Gennaro, Ed., Mack Publishing Co., Easton, PA, 1995.
- compositions may be specifically formulated for administration by any suitable route such as the oral, rectal, nasal, pulmonary, topical (including buccal and sublin- gual), transdermal, intracisternal, intraperitoneal, vaginal and parenteral (including subcutaneous, intramuscular, intrathecal, intravenous and intradermal) route, the oral route being preferred. It will be appreciated that the preferred route will depend on the general condition and age of the subject to be treated, the nature of the condition to be treated and the active ingredient chosen.
- compositions for oral administration include solid dosage forms such as capsules, tablets, dragees, pills, lozenges, powders and granules. Where appropriate, they can be prepared with coatings such as enteric coatings or they can be formulated so as to pro- vide controlled release of the active ingredient such as sustained or prolonged release according to methods well known in the art.
- Liquid dosage forms for oral administration include solutions, emulsions, suspensions, syrups and elixirs.
- compositions for parenteral administration include sterile aqueous and non- aqueous injectable solutions, dispersions, suspensions or emulsions as well as sterile powders to be reconstituted in sterile injectable solutions or dispersions prior to use. Depot injectable formulations are also contemplated as being within the scope of the present inven- tion.
- a typical oral dosage is in the range of from about 0.001 to about 100 mg/kg body weight per day, preferably from about 0.01 to about 50 mg/kg body weight per day, and more preferred from about 0.05 to about 10 mg/kg body weight per day administered in one or more dosages such as 1 to 3 dosages.
- the exact dosage will depend upon the frequency and mode of administration, the sex, age, weight and general condition of the subject treated, the nature and severity of the condition treated and any concomitant diseases to be treated and other factors evident to those skilled in the art.
- a typical unit dosage form for oral administration one or more times per day such as 1 to 3 times per day may contain from 0.05 to about 1000 mg, preferably from about 0.1 to about 500 mg, and more preferred from about 0.5 mg to about 200 mg.
- parenteral routes such as intravenous, intrathecal, intramuscular and similar administration
- typically doses are in the order of about half the dose employed for oral administration.
- the compounds of this invention are generally utilized as the free substance or as a pharmaceutically acceptable salt thereof.
- One example is an acid addition salt of a compound having the utility of a free base.
- a compound of the formula (I) contains a free base such salts are prepared in a conventional manner by treating a solution or suspension of a free base of the formula (I) with a chemical equivalent of a pharmaceutically acceptable acid.
- Physiologically acceptable salts of a compound with a hydroxy group include the anion of said compound in combination with a suitable cation such as sodium or ammonium ion.
- solutions of the novel compounds of the formula (I) in sterile aqueous solution, aqueous propylene glycol or sesame or peanut oil may be employed.
- aqueous solutions should be suitably buffered if necessary and the liquid diluent first rendered isotonic with sufficient saline or glucose.
- the aqueous solutions are particularly suitable for in- travenous, intramuscular, subcutaneous and intraperitoneal administration.
- the sterile aqueous media employed are all readily available by standard techniques known to those skilled in the art.
- Suitable pharmaceutical carriers include inert solid diluents or fillers, sterile aqueous solution and various organic solvents.
- solid carriers are lactose, terra alba, sucrose, cyclodextrin, talc, gelatine, agar, pectin, acacia, magnesium stearate, stearic acid and lower alkyl ethers of cellulose.
- liquid carriers are syrup, peanut oil, olive oil, phospho- lipids, fatty acids, fatty acid amines, polyoxyethylene and water.
- the carrier or diluent may include any sustained release material known in the art, such as glyceryl mono- stearate or glyceryl distearate, alone or mixed with a wax.
- sustained release material such as glyceryl mono- stearate or glyceryl distearate, alone or mixed with a wax.
- Formulations of the present invention suitable for oral administration may be presented as discrete units such as capsules or tablets, each containing a predetermined amount of the active ingredient, and which may include a suitable excipient.
- the orally available formulations may be in the form of a powder or granules, a solution or suspension in an aqueous or non-aqueous liquid, or an oil-in-water or water-in-oil liquid emulsion.
- the preparation may be tabletted, placed in a hard gelatine capsule in powder or pellet form or it can be in the form of a troche or lozenge.
- the amount of solid carrier will vary widely but will usually be from about 25 mg to about 1 g.
- the preparation may be in the form of a syrup, emulsion, soft gelatine capsule or sterile injectable liquid such as an aqueous or non-aqueous liquid suspension or solution.
- a typical tablet that may be prepared by conventional tabletting techniques may contain:
- Active compound (as free compound or salt thereof) 5.0 mg
- the pharmaceutical composition of the invention may comprise the compound of the formula (I) in combination with further pharmacologically active substances such as those described in the foregoing.
- the compounds according to the invention may be prepared according to the general procedures outlined below. All starting materials are known or may easily be prepared from known starting materials.
- EGTA ethylene glycol bis( ⁇ -aminoethyl ether) ⁇ /, ⁇ /,/V' ⁇ -tetracetic acid
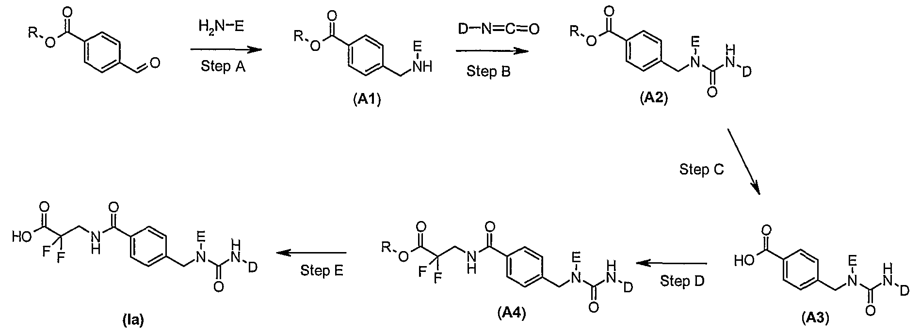
- D and E are as defined for formula (I) and R is d-e-alkyl.
- 4-Cyclohexylphenylamine is commercially available (e.g. from Lancaster or Avocado).
- 2,2-Difluorosuccinic acid 1 -methyl ester (6.7 g, 39.9 mmol) and thionyl chloride were heated at reflux for 1 hour.
- the mixture was co-evaporated with dry toluene (3 x) to leave an oil.
- the residue was dissolve in dry toluene (100 ml) and heated to 70 °C before adding trimethylsilyl azide (6.3 ml, 47.5 mmmol) over 30 min.
- the mixture was stirred for 16 hours at 80 °C and evaporated to an oil.
- the residue was dissolved in dry toluene, charged with dry benzyl alcohol (5.0 ml, 50.2 mmol) and stirring was continued for 16 hours at 80 °C.
- D and E are as defined for formula (I) and R is d-e-alkyl.
- the aldehyde (0.011 mmol) in DCM is dispensed into the wells of a deepwell plate containing the desired amines (E-NH 2 ) in DCM.
- To this solution is added sodium triacetoxyborohydride (1.5 eq) followed by a catalytic amount of acetic acid. The reaction is left to proceed for 15 hours.
- step B The residue obtained in step B is dissolved in DMF and aqueous 2 M lithium hydroxide (10 eq.) is added into each reaction well. The samples are shaken overnight and filtered. Aqueous 1 N hydrochloric acid is then added to give the desired carboxylic acids.
- R is d. 6 -alkyl and Resin denotes a polysty- rene resin with a linker such as the Wang linker:
- PS denotes polystyrene
- Step A The reaction is known (Wang S. J., J. Am. Chem. Soc. 95, 1328, 1973) and is generally performed by stirring polystyrene resin loaded with a linker such as the Wang linker with a 4-10 molar excess of Fmoc-protected amino acid activated with a 2-5 molar excess of diisopropyl- carbodiimide or dicyclohexylcarbodiimide in the presence of a catalyst such as ⁇ /, ⁇ /-4-dimethyl- aminopyridine.
- a linker such as the Wang linker with a 4-10 molar excess of Fmoc-protected amino acid activated with a 2-5 molar excess of diisopropyl- carbodiimide or dicyclohexylcarbodiimide
- a catalyst such as ⁇ /, ⁇ /-4-dimethyl- aminopyridine.
- the esterification is carried out in a solvent such as THF, dioxane, toluene, DCM, DMF, ⁇ /-methylpyrrolidinone or a mixture of two or more of these.
- the reactions are per- formed between 0 °C to 80 °C, preferably between 20 °C to 40 °C.
- excess of reagents is removed by filtration.
- the resin is successively washed with the solvent used in the reaction, followed by washings with methanol.
- the resin bound product can be further dried and analyzed.
- the Fmoc protecting group is removed using a solution of 20% piperidine in DMF which is added to the resin and vortexed for 0.5 hours. After draining the resin is washed with DMF containing HOBt (50 mg/ml) and DMF.
- the acylation The combinatorial index, " Ed. Bunin, B. A. 1998, Academic Press, p.
- 78 is performed by adding an excess of acid in a solvent such as DMF, A/-methylpyrrolidinone, THF, DCM, 1 ,2-dichloroethane, acetonitrile, DMSO or a mixture of two or more of these, optionally in the presence of a base such as ⁇ /-methylmorpho- line, triethylamine, diisopropylethylamine, dicyclohexylmethylamine or another tertiary amine, followed by a coupling reagent such as dicyclohexylcarbodiimide, diisopropylcarbodiimide, 1 ,1'-carbonyldiimidazole, 2-(1H-9-azabenzotriazole-1-yl)-1 ,1 ,3,3-tetramethyluronium hexa- fluorophosphate or bromo-tris-pyrrolidinophosphonium hexafluorophosphate in a solvent such as DMF
- the reaction is generally known (The combinatorial index, Ed. Bunin, B. A. 1998, Academic Press, p. 133) and is generally performed by stirring resin bound aldehyde or ketone with an excess of amine at low pH (by addition of an acid, such as acetic acid or formic acid) in a solvent such as THF, DMF, ⁇ /-methylpyrrolidinone, methanol, ethanol, DMSO, DCM, 1 ,2- dichloroethane, trimethyl orthoformate, triethyl orthoformate, or a mixture of two or more of these.
- a solvent such as THF, DMF, ⁇ /-methylpyrrolidinone, methanol, ethanol, DMSO, DCM, 1 ,2- dichloroethane, trimethyl orthoformate, triethyl orthoformate, or a mixture of two or more of these.
- sodium cyanoborohydride may be used as sodium cyanoborohydride may be used.
- the reaction is performed
- the reaction is generally known (Organic synthesis on solid phase. D ⁇ rwald, F.Z. 2000, Wiley VCH, p. 331 ) and is generally performed by stirring resin bound amine with an excess of isocyanate in a solvent such as THF, DMF, /V-methylpyrrolidinone, DCM, 1 ,2-dichloroethane, ethane, toluene or a mixture of two or more of these.
- the reaction is performed between 20 °C and 80 °C, preferably at 25 °C.
- the reaction is known (The combinatorial index, Ed. Bunin B. A., 1998, Academic press, p. 21) and is generally performed by stirring resin bound intermediate obtained in step D with a 50- 95% solution of TFA.
- the final cleavage is carried out in a solvent such as THF, DCM, 1 ,2- dichloroethane, 1 ,3-dichloropropane, toluene or a mixture of two or more of these.
- the reaction is performed between 0 °C and 80 °C, preferably between 20 °C and 40 °C.
- the product is removed by filtration.
- the resin is successively washed with DCM.
- the product and washings are collected.
- the solvent is removed and the product is dried in vacuo.
- the resin can be a 2-chlorotrityI resin.
- step A is a nucleophilic reaction of Fmoc-protected beta alanine with 2-chlorotritylchloride resin in the presence of a base, such as triethylamine or ⁇ /, ⁇ /-diisopropyl- ⁇ /-ethylamine. All other steps are identical to those described above with the exception of step E, cleavage from the resin. This can be done with only 5% TFA in DCM.
- preparation of the compounds of the invention according to the general procedure (C) may be prepared as follows:
- Step A Resin bound Fmoc ⁇ -alanine (CD
- Fmoc ⁇ , ⁇ -difluoro- ⁇ -alanine is dissolved in 500 ⁇ l of a mixture of DMF and diisopropylethylamine (430:70) and added to 50 mg polystyrene resin functionalised with a Wang linker. 200 ⁇ mol PyBrOP dissolved in DMF (500 ⁇ l) is added. After shaking the suspension for 4 hours at 25 °C, the resin is isolated by filtration and washed with 3 x 1 ml DMF.
- Step B Resin bound 3-(4-formylbenzoylamino)propionic acid (C2)
- Fmoc ⁇ , ⁇ -difluoro- ⁇ -alanine (C1) is added 1000 ⁇ l of a 20% solution of piperidine in DMF. Upon shaking for 30 min, the resin is drained and washed with 1 ml DMF containing HOBt (50 mg/ml) and DMF (2 x 1 ml). Then 200 ⁇ mol 4-formylbenzoic acid (30 mg) and diisopropylethylamine (70 ⁇ l) are dissolved in DMF (430 ⁇ l) and added to the resin followed by 200 ⁇ mol PyBrOP dissolved in DMF (500 ⁇ l). The mixture is shaken for 4 hours at 25 °C followed by filtration and washing of the resin with DMF (3 x 1 ml) and tri- methylorthoformate (1 x 1 ml).
- Step C (C3) The above resin bound 3-(4-formylbenzoylamino)propionic acid (C2) (50 mg) is treated with a solution of E-NH 2 (500 ⁇ mol) in a mixture of DMF (500 ⁇ l) and trimethylorthoformate (500 ⁇ l). Glacial acetic acid (100 ⁇ l) is added and the mixture is shaked for 1 hour at 25 °C.
- Binding of compounds to the glucagon receptor may be determined in a competition binding assay using the cloned human glucagon receptor.
- Antagonism may be determined as the ability of the compounds to inhibit the amount of cAMP formed in the presence of 5 nM glucagon.
- Receptor binding is assayed using cloned human receptor (Lok et al., Gene 140, 203-209 (1994)).
- the receptor inserted in the pLJ6' expression vector using EcoRI/SSt1 restriction sites (Lok et al.) is expressed in a baby hamster kidney cell line (A3 BHK 570-25).
- Clones are se- lected in the presence of 0.5 mg/ml G-418 and are shown to be stable for more than 40 passages.
- the K d is shown to be 0.1 nM.
- Plasma membranes are prepared by growing cells to confluence, detaching them from the surface and resuspending the cells in cold buffer (10 mM tris/HCI, pH 7.4 containing 30 mM NaCI, 1 mM dithiothreitol, 5 mg/l leupeptin (Sigma), 5 mg/l pepstatin (Sigma), 100 mg/l bacitracin (Sigma) and 15 mg/l recombinant aprotinin (Novo Nordisk A/S)), homogenization by two 10-s bursts using a Polytron PT 10-35 homogenizer (Kinematica), and centrifugation upon a layer of 41 w/v % sucrose at 95.000 x g for 75 min. The white band located between the two layers is diluted in buffer and centrifuged at 40.000 x g for 45 min. The precipitate containing the plasma membranes is suspended in buffer and stored at -80 °C until use.
- cold buffer 10 mM tris/HC
- Glucagon is iodinated according to the chloramine T method (Hunter and Greenwood, Nature 194, 495 (1962)) and purified using anion exchange chromatography (J ⁇ rgensen et al., Hormone and Metab. Res. 4, 223-224 (1972). The specific activity is 460 ⁇ Ci/ ⁇ g on the day of iodi- nation. Tracer is stored at -18 °C in aliquots and are used immediately after thawing.
- Binding assays are carried out in triplicate in filter microtiter plates (MADV N65, Millipore).
- the buffer used in this assay is 50 mM HEPES, 5 mM EGTA, 5 mM MgCI 2 , 0.005% tween 20, pH 7.4.
- Glucagon is dissolved in 0.05 M HCl, added an equal amount (w/w) of human serum albim and freeze-dried. On the day of use, it is dissolved in water and diluted in buffer to the desired concentrations.
- Test compounds are dissolved and diluted in DMSO. 140 ⁇ l buffer, 25 ⁇ l glucagon or buffer, and 10 ⁇ l DMSO or test compound are added to each well. Tracer (50.000 cpm) is diluted in buffer and 25 ⁇ l are added to each well. 1-4 ⁇ g freshly thawed plasma membrane protein diluted in buffer is then added in aliquots of 25 ⁇ l to each well. Plates are incubated at 30 °C for 2 hours. Non-specific binding is determined with 10 "6 M of glucagon. Bound tracer and unbound tracer are then separated by vacuum filtration (Millipore vacuum manifold). The plates are washed with 2 x 100 ⁇ l buffer/ well. The plates are air dried for a couple of hours, whereupon the filters are separated from the plates using a Millipore Puncher. The filters are counted in a gamma counter.
- the functional assay is carried out in 96 well microtiter plates (tissue culture plates, Nunc).
- the resulting buffer concentrations in the assay are 50 mM tris/HCI, 1 mM EGTA, 1.5 mM magnesium sulphate, 1.7 mM ATP, 20 ⁇ M GTP, 2 mM IBMX, 0.02% tween-20 and 0.1% human serum albim. pH is 7.4.
- Glucagon and proposed antagonist are added in aliquots of 35 ⁇ l diluted in 50 mM tris/HCI, 1 M EGTA, 1.85 mM magnesium sulphate, 0.0222% tween-20 and 0.111 % human serum albim, pH 7.4.
- 50 ⁇ l containing 5 ⁇ g of plasma membrane protein is added in a tris/HCI, EGTA, magnesium sulphate, human serum albumin buffer (the actual concentrations are dependent upon the concentration of protein in the stored plasma membranes).
- the total assay volume is 140 ⁇ l.
- the plates are incubated for 2 hours at 37 °C with continuous shaking. Reaction is terminated by addition of 25 ⁇ l 0.5 N HCl.
- cAMP is measured by the use of a scintillation proximity kit (Amersham).
- BHK (baby hamster kidney cell line) cells are transfected with the human glucagon receptor and a membrane preparation of the cells is prepared.
- homogenised 2 x 10 sec Polytron
- the protein concentration is normally around 1.75 mg/ml.
- the membrane preparation is stored at -80 °C.
- the glucagon binding assay is carried out in opti plates (Polystyrene Microplates, Packard).
- 5 ⁇ l glucagon or test compound in DMSO
- the compounds according to the examples showed IC 50 values below 1000 nM when tested in the glucagon binding assay (II).
- BHK (baby hamster kidney cell line) cells are transfected with the human GIP receptor and a membrane preparation of the cells is prepared.
- Wheat Germ Agglutinin derivatized SPA beads containing a scintillant (WGA beads) (Amersham) bound the membranes.
- 125 I-GIP bound to human GIP receptor in the membranes and excited the scintillant in the WGA beads to light emission.
- GIP or samples binding to the receptor competed with 125 I-GIP. All steps in the membrane preparation are kept on ice or performed at 4 °C. BHK cells are harvested and centrifuged.
- homogenised 2 x 10 sec
- homogenised 2 x 10 sec Polytron
- the protein concentration is normally around 1.75 mg/ml.
- the membrane preparation is stored at -80 °C.
- the GIP binding assay is carried out in opti plates (Polystyrene Microplates, Packard).
- 5 ⁇ l GIP or test compound in DMSO
- 50 ⁇ l tracer 125 l-porcine GIP, 50.000 cpm
- 50 ⁇ l membranes (20 ⁇ g) containing the human GIP receptor are then added to the wells.
- 50 ⁇ l WGA beads containing 1 mg beads are transferred to the well.
- the plates are incubated for 3.5 hours on a shaker and then settled for 8-48 hours.
- the opti plates are counted in a Topcounter. Nonspecific binding is determined with 500 nM of GIP.
- the compounds according to the examples show a higher affinity for the glucagon receptor compared to the GIP receptor.
Landscapes
- Organic Chemistry (AREA)
- Chemical & Material Sciences (AREA)
- Health & Medical Sciences (AREA)
- Diabetes (AREA)
- Public Health (AREA)
- Bioinformatics & Cheminformatics (AREA)
- Engineering & Computer Science (AREA)
- Veterinary Medicine (AREA)
- General Health & Medical Sciences (AREA)
- Chemical Kinetics & Catalysis (AREA)
- General Chemical & Material Sciences (AREA)
- Medicinal Chemistry (AREA)
- Nuclear Medicine, Radiotherapy & Molecular Imaging (AREA)
- Pharmacology & Pharmacy (AREA)
- Life Sciences & Earth Sciences (AREA)
- Animal Behavior & Ethology (AREA)
- Hematology (AREA)
- Obesity (AREA)
- Child & Adolescent Psychology (AREA)
- Emergency Medicine (AREA)
- Endocrinology (AREA)
- Pharmaceuticals Containing Other Organic And Inorganic Compounds (AREA)
- Heterocyclic Compounds Containing Sulfur Atoms (AREA)
- Heterocyclic Carbon Compounds Containing A Hetero Ring Having Nitrogen And Oxygen As The Only Ring Hetero Atoms (AREA)
- Medicines That Contain Protein Lipid Enzymes And Other Medicines (AREA)
- Indole Compounds (AREA)
- Acyclic And Carbocyclic Compounds In Medicinal Compositions (AREA)
- Organic Low-Molecular-Weight Compounds And Preparation Thereof (AREA)
- Heterocyclic Compounds That Contain Two Or More Ring Oxygen Atoms (AREA)
Abstract
Description
Claims
Priority Applications (3)
| Application Number | Priority Date | Filing Date | Title |
|---|---|---|---|
| JP2002542774A JP2004513936A (en) | 2000-11-17 | 2001-11-15 | Glucagon antagonist / inverse agonist |
| AU2002223502A AU2002223502A1 (en) | 2000-11-17 | 2001-11-15 | Glucagon antagonist/inverse agonist |
| EP01996529A EP1345891A1 (en) | 2000-11-17 | 2001-11-15 | Glucagon antagonist/inverse agonist |
Applications Claiming Priority (2)
| Application Number | Priority Date | Filing Date | Title |
|---|---|---|---|
| DKPA200001733 | 2000-11-17 | ||
| DKPA200001733 | 2000-11-17 |
Publications (1)
| Publication Number | Publication Date |
|---|---|
| WO2002040446A1 true WO2002040446A1 (en) | 2002-05-23 |
Family
ID=8159851
Family Applications (1)
| Application Number | Title | Priority Date | Filing Date |
|---|---|---|---|
| PCT/DK2001/000760 Ceased WO2002040446A1 (en) | 2000-11-17 | 2001-11-15 | Glucagon antagonist/inverse agonist |
Country Status (4)
| Country | Link |
|---|---|
| EP (1) | EP1345891A1 (en) |
| JP (1) | JP2004513936A (en) |
| AU (1) | AU2002223502A1 (en) |
| WO (1) | WO2002040446A1 (en) |
Cited By (8)
| Publication number | Priority date | Publication date | Assignee | Title |
|---|---|---|---|---|
| US6762318B2 (en) | 2001-12-03 | 2004-07-13 | Novo Nordisk A/S | Glucagon antagonists |
| WO2004063147A1 (en) * | 2003-01-10 | 2004-07-29 | Novo Nordisk A/S | Salts and solvates of glucagon antagonists |
| US6881746B2 (en) | 2001-12-03 | 2005-04-19 | Novo Nordick A/S | Glucagon antagonists/inverse agonists |
| WO2005058845A3 (en) * | 2003-12-19 | 2005-10-20 | Novo Nordisk As | Novel glucagon antagonists/inverse agonists |
| US8507533B2 (en) | 2011-02-08 | 2013-08-13 | Pfizer Inc. | Glucagon receptor modulators |
| US8809342B2 (en) | 2010-12-23 | 2014-08-19 | Pfizer Inc. | Glucagon receptor modulators |
| US8927577B2 (en) | 2011-07-22 | 2015-01-06 | Pfizer Inc. | Quinolinyl glucagon receptor modulators |
| US9649294B2 (en) | 2013-11-04 | 2017-05-16 | Merck Sharp & Dohme Corp. | Glucagon receptor antagonist compounds, compositions containing such compounds and methods of use |
Citations (3)
| Publication number | Priority date | Publication date | Assignee | Title |
|---|---|---|---|---|
| WO1999001423A1 (en) * | 1997-07-01 | 1999-01-14 | Novo Nordisk A/S | Glucagon antagonists/inverse agonists |
| WO2000039088A1 (en) * | 1998-12-23 | 2000-07-06 | Novo Nordisk A/S | Glucagon antagonists/inverse agonists |
| WO2000069810A1 (en) * | 1999-05-17 | 2000-11-23 | Novo Nordisk A/S | Glucagon antagonists/inverse agonists |
-
2001
- 2001-11-15 AU AU2002223502A patent/AU2002223502A1/en not_active Abandoned
- 2001-11-15 WO PCT/DK2001/000760 patent/WO2002040446A1/en not_active Ceased
- 2001-11-15 JP JP2002542774A patent/JP2004513936A/en active Pending
- 2001-11-15 EP EP01996529A patent/EP1345891A1/en not_active Withdrawn
Patent Citations (3)
| Publication number | Priority date | Publication date | Assignee | Title |
|---|---|---|---|---|
| WO1999001423A1 (en) * | 1997-07-01 | 1999-01-14 | Novo Nordisk A/S | Glucagon antagonists/inverse agonists |
| WO2000039088A1 (en) * | 1998-12-23 | 2000-07-06 | Novo Nordisk A/S | Glucagon antagonists/inverse agonists |
| WO2000069810A1 (en) * | 1999-05-17 | 2000-11-23 | Novo Nordisk A/S | Glucagon antagonists/inverse agonists |
Cited By (14)
| Publication number | Priority date | Publication date | Assignee | Title |
|---|---|---|---|---|
| US6762318B2 (en) | 2001-12-03 | 2004-07-13 | Novo Nordisk A/S | Glucagon antagonists |
| US6881746B2 (en) | 2001-12-03 | 2005-04-19 | Novo Nordick A/S | Glucagon antagonists/inverse agonists |
| WO2004063147A1 (en) * | 2003-01-10 | 2004-07-29 | Novo Nordisk A/S | Salts and solvates of glucagon antagonists |
| WO2005058845A3 (en) * | 2003-12-19 | 2005-10-20 | Novo Nordisk As | Novel glucagon antagonists/inverse agonists |
| US9056834B2 (en) | 2010-12-23 | 2015-06-16 | Pfizer Inc. | Glucagon receptor modulators |
| US8809342B2 (en) | 2010-12-23 | 2014-08-19 | Pfizer Inc. | Glucagon receptor modulators |
| US8933104B2 (en) | 2010-12-23 | 2015-01-13 | Pfizer Inc. | Glucagon receptor modulators |
| US8859591B2 (en) | 2011-02-08 | 2014-10-14 | Pfizer Inc. | Glucagon receptor modulators |
| US8507533B2 (en) | 2011-02-08 | 2013-08-13 | Pfizer Inc. | Glucagon receptor modulators |
| US9073871B2 (en) | 2011-02-08 | 2015-07-07 | Pfizer Inc. | Glucagon receptor modulators |
| US9452999B2 (en) | 2011-02-08 | 2016-09-27 | Pfizer Inc. | Glucagon receptor modulators |
| US8927577B2 (en) | 2011-07-22 | 2015-01-06 | Pfizer Inc. | Quinolinyl glucagon receptor modulators |
| US9139538B2 (en) | 2011-07-22 | 2015-09-22 | Pfizer Inc. | Quinolinyl glucagon receptor modulators |
| US9649294B2 (en) | 2013-11-04 | 2017-05-16 | Merck Sharp & Dohme Corp. | Glucagon receptor antagonist compounds, compositions containing such compounds and methods of use |
Also Published As
| Publication number | Publication date |
|---|---|
| JP2004513936A (en) | 2004-05-13 |
| AU2002223502A1 (en) | 2002-05-27 |
| EP1345891A1 (en) | 2003-09-24 |
Similar Documents
| Publication | Publication Date | Title |
|---|---|---|
| US6562807B2 (en) | Glucagon antagonists/inverse agonists | |
| US20030203946A1 (en) | Glucagon antagonists/inverse agonists | |
| US6649641B2 (en) | Glucagon antagonists/inverse agonists | |
| US6881746B2 (en) | Glucagon antagonists/inverse agonists | |
| WO2003053938A1 (en) | Benzimidazols and indols as glucagon receptor antagonists/inverse agonisten | |
| WO2002040444A1 (en) | Glucagon antagonists/inverse agonists | |
| EP1463715A1 (en) | Novel glucagon antagonists | |
| JP2004501897A (en) | Glucagon antagonist / adverse drug | |
| EP1519723A1 (en) | Novel glucagon antagonists/inverse agonists | |
| US6762318B2 (en) | Glucagon antagonists | |
| JP2008521864A (en) | Heteroaromatic glucokinase activator | |
| WO2004056763A2 (en) | Novel glucagon antagonists | |
| WO2005058845A2 (en) | Novel glucagon antagonists/inverse agonists | |
| WO2003051357A1 (en) | Glucagon receptor antagonists/inverse agonists | |
| WO2002040446A1 (en) | Glucagon antagonist/inverse agonist | |
| US20040152750A1 (en) | Novel glucagon antagonists | |
| US20070015757A1 (en) | Novel Glucagon Antagonists/Inverse Agonists | |
| US6706744B2 (en) | Glucagon antagonists/inverse agonists | |
| US6821960B2 (en) | Glucagon antagonists/inverse agonists | |
| US20030212119A1 (en) | Novel glucagon receptor antagonists/inverse agonists | |
| US20030229128A1 (en) | Glucagon receptor antagonists/inverse agonists |
Legal Events
| Date | Code | Title | Description |
|---|---|---|---|
| AK | Designated states |
Kind code of ref document: A1 Designated state(s): AE AG AL AM AT AU AZ BA BB BG BR BY BZ CA CH CN CO CR CU CZ DE DK DM DZ EC EE ES FI GB GD GE GH GM HR HU ID IL IN IS JP KE KG KP KR KZ LC LK LR LS LT LU LV MA MD MG MK MN MW MX MZ NO NZ PH PL PT RO RU SD SE SG SI SK SL TJ TM TR TT TZ UA UG UZ VN YU ZA ZW |
|
| AL | Designated countries for regional patents |
Kind code of ref document: A1 Designated state(s): GH GM KE LS MW MZ SD SL SZ TZ UG ZM ZW AM AZ BY KG KZ MD RU TJ TM AT BE CH CY DE DK ES FI FR GB GR IE IT LU MC NL PT SE TR BF BJ CF CG CI CM GA GN GQ GW ML MR NE SN TD TG |
|
| DFPE | Request for preliminary examination filed prior to expiration of 19th month from priority date (pct application filed before 20040101) | ||
| 121 | Ep: the epo has been informed by wipo that ep was designated in this application | ||
| WWE | Wipo information: entry into national phase |
Ref document number: 2001996529 Country of ref document: EP |
|
| WWE | Wipo information: entry into national phase |
Ref document number: 2002542774 Country of ref document: JP |
|
| WWP | Wipo information: published in national office |
Ref document number: 2001996529 Country of ref document: EP |
|
| REG | Reference to national code |
Ref country code: DE Ref legal event code: 8642 |
|
| WWW | Wipo information: withdrawn in national office |
Ref document number: 2001996529 Country of ref document: EP |































































