WO2002009720A1 - Inhibitors of dna polymerase sigma - Google Patents
Inhibitors of dna polymerase sigma Download PDFInfo
- Publication number
- WO2002009720A1 WO2002009720A1 PCT/US2001/023908 US0123908W WO0209720A1 WO 2002009720 A1 WO2002009720 A1 WO 2002009720A1 US 0123908 W US0123908 W US 0123908W WO 0209720 A1 WO0209720 A1 WO 0209720A1
- Authority
- WO
- WIPO (PCT)
- Prior art keywords
- inhibitor
- camptothecin
- sigma
- topoisomerase
- polymerase
- Prior art date
- Legal status (The legal status is an assumption and is not a legal conclusion. Google has not performed a legal analysis and makes no representation as to the accuracy of the status listed.)
- Ceased
Links
Classifications
-
- A—HUMAN NECESSITIES
- A61—MEDICAL OR VETERINARY SCIENCE; HYGIENE
- A61K—PREPARATIONS FOR MEDICAL, DENTAL OR TOILETRY PURPOSES
- A61K31/00—Medicinal preparations containing organic active ingredients
- A61K31/33—Heterocyclic compounds
- A61K31/395—Heterocyclic compounds having nitrogen as a ring hetero atom, e.g. guanethidine or rifamycins
- A61K31/435—Heterocyclic compounds having nitrogen as a ring hetero atom, e.g. guanethidine or rifamycins having six-membered rings with one nitrogen as the only ring hetero atom
- A61K31/47—Quinolines; Isoquinolines
- A61K31/4738—Quinolines; Isoquinolines ortho- or peri-condensed with heterocyclic ring systems
- A61K31/4745—Quinolines; Isoquinolines ortho- or peri-condensed with heterocyclic ring systems condensed with ring systems having nitrogen as a ring hetero atom, e.g. phenantrolines
-
- A—HUMAN NECESSITIES
- A61—MEDICAL OR VETERINARY SCIENCE; HYGIENE
- A61K—PREPARATIONS FOR MEDICAL, DENTAL OR TOILETRY PURPOSES
- A61K31/00—Medicinal preparations containing organic active ingredients
- A61K31/56—Compounds containing cyclopenta[a]hydrophenanthrene ring systems; Derivatives thereof, e.g. steroids
Definitions
- the present invention is directed to inhibitors of DNA Topoisomerase Related Function Proteins (such as DNA polymerase sigma), compositions comprising such inhibitors, and the use of such compositions as therapeutics for treating neoplastic diseases.
- DNA Topoisomerase Related Function Proteins such as DNA polymerase sigma
- Camptothecin is an alkaloid, which was isolated by Wall et al (J. Am.
- the molecule consists of a pentacyclic structure having a lactone in the ring E, which is essential for cytotoxicity.
- the drug demonstrated a wide spectrum of antitumor activity, in particular against colon tumors and other solid tumors and leukemias, and the first clinical trials were performed in the early 70's.
- camptothecin and derivatives are not affected by MDR1- mediated drug resistance.
- the topoisomerases can be classified into two groups: type I enzymes mediate the reversible single-strand breakage of DNA, while type II topoisomerases transiently break both strands of the DNA duplex.
- type I enzymes mediate the reversible single-strand breakage of DNA
- type II topoisomerases transiently break both strands of the DNA duplex.
- CPT camptothecin
- camptothecin initially showed great promise as an anti- cancer agent, clinical trials in phase I and II, were not completed because of the high toxicity showed by the compound, including hemorrhagic cystitis, gastrointestinal toxicity, such as nausea, vomit, diarrhoea, and myelosuppression, especially leucopenia and thrombocytopenia.
- derivatives of camptothecin have been prepared (see for example US Patent Nos.
- the present invention is directed to the use of inhibitors of DNA Topoisomerase Related Function Proteins (such as DNA polymerase sigma) as "response modifiers" to reduce the level of camptothecin (and derivatives thereof) required to kill tumor cells and provide enhanced therapeutic benefit.
- DNA Topoisomerase Related Function Proteins such as DNA polymerase sigma
- DNA Topoisomerase Related Function Proteins includes any natural product that interacts with topoisomerase I and is necessary for viability in a cell lacking topoisomerase I activity.
- nucleic acid “DNA,” and similar terms also include nucleic acid analogs, i.e. analogs having other than a phosphodiester backbone.
- peptide nucleic acids which are known in the art and have peptide bonds instead of phosphodiester bonds in the backbone, are considered within the scope of the present invention.
- effective amount means an amount sufficient to produce a selected effect.
- an effective amount of a DNA polymerase inhibitor is an amount sufficient to cause a reduction in the number of polynucleotides synthesized by a DNA polymerase in an in vitro synthesis reaction after a predetermined length of time.
- DNA polymerase sigma inhibitor and like terms refers to natural and synthetic compounds that decrease the ability of human or yeast polymerase sigma to synthesize a polynucleotide relative to a reaction run in the absence of the compound. The decrease in synthesis may either be a reduction in the average length of the polynucleotide synthesized or a reduction in the number of polynucleotides synthesized within a predetermined length of time.
- polynucleotide refers to a chain of at least 15 chemically linked nucleotides.
- the term “treating” includes preventing, alleviating, or curing a malady, disorder, affliction, disease or injury in a patient.
- parenteral means not through the alimentary canal but by some other route such as subcutaneous, intramuscular, intraspinal, or intravenous.
- purified and like terms relate to the isolation of a molecule or compound in a form that is substantially free of contaminants normally associated with the molecule or compound in a native or natural environment.
- the term "pharmaceutically acceptable carrier” encompasses any of the standard pharmaceutical carriers, such as a phosphate buffered saline solution, water and emulsions such as an oil/water or water/oil emulsion, and various types of wetting agents.
- potentiate the cytotoxicity of a topoisomerase I inhibitor and similar language relates to enhancing the cytotoxicitiy and/or enhancing the specificity of the topoisomerase I inhibitor for a particular cell or tissue.
- potentiating the cytotoxicity of the topoisomerase I inhibitor camptothecin includes enhancing camptothecin's efficacy as an anti-tumor agent.
- DNA topoisomerae I is the target of the broad spectrum antitumor agent camptothecin.
- the present invention relates to new and improved compositions that enhance the effectiveness of camptothecin and its derivatives. More particularly the present invention is directed to a composition comprising 20(S)- camptothecin, or a derivative of 20(S)-camptothecin, and an inhibitor of DNA polymerase sigma, and the use of such a composition for treating diseases.
- Fig. 1A and IB demonstrate the hypersensitivity of TRF4-deficient yeast to camptothecin. Spots represent serial 10-fold dilutions of saturated yeast cultures spotted onto Petri plates and incubated at 30°C for 2 days in the presence of lOug/ml of camptothcin (Fig. 1A) or absence of drug (Fig. IB). As seen in Fig. 1A, yeast cells partially deficient in pol sigma (trf4 single mutants, trf4::HIS3 and mcdl-1) were hypersensitive to camptothecin relative to wild-type strains. Fig.
- FIG. 2A and 2B represent Coomassie stained gels of in vitro synthesis reactions that demonstrate the TRF4 gene encodes a novel DNA polymerase.
- FIG. 2A shows the results using Trf4 to extend a 5' end-labeled oligo dT primer (16mer) that was hybridized to a poly dA template in the presence of dTTP and Mg 2+ .
- (Lane 1 is a control, lanes 2-4 represent decreasing concentration of the Trf4 protein, respectively and lanes 5-7 demonstrate that a mutant Trf4 protein missing the N-terminal 240 amino acids of the 584 amino acid protein, Trf4 ⁇ 240, is completely unable to polymerize nucleotides.
- Fig. 1 is a control
- lanes 2-4 represent decreasing concentration of the Trf4 protein, respectively
- lanes 5-7 demonstrate that a mutant Trf4 protein missing the N-terminal 240 amino acids of the 584 amino acid protein, Trf4 ⁇ 240, is completely unable to polymerize nu
- FIG. 3 represents a Coomassie stained gel of in vitro synthesis reactions using pol sigma- 1 (TRF4 gene product) and conducted in the presence of 9 different polymerase ⁇ inhibitors.
- Lanes 1-4 represent control; betulinic acid; (24E)- 3beta-hydroxy-7,24-euphandien-26-oic acid; ursolic acid, respectively.
- the remaining lanes represent other polymerase ⁇ inhibitors that failed to inhibit pol sigma- 1.
- DNA topoisomerae I is the target of the broad spectrum antitumor agent camptothecin.
- TOPI DNA topoisomerae I
- one aspect of the present invention is directed the use of inhibitors of TRF gene products in conjunction with known topoisomerase inhibitors to ' enhance the effectiveness of the topoisomerase inhibitors in limiting cell proliferation and/or growth.
- an inhibitor of a TRF gene product is used to sensitize tumor cells to topoisimerase-targeting antitumor drugs such as camptothecin.
- a composition that comprises a TOPI inhibitor and an inhibitor of a TRF gene product.
- the TOPI inhibitor is camptothecin or a camptothecin analog or derivative, including for example, hycamtin, camptostar, topotecan, 9-amino-camptothecin, 9- amino-10,11 -methylenedioxy-camptothecan, 10,11- methylenedioxy-camptothecan, 7- ethyl-10-hydroxy 20(S)-camptofhecin, and other 7, 9, 10, 11 -substituted compounds.
- TRF4 encodes a novel DNA polymerase that has been designated DNA polymerase sigma (pol sigma). Pol sigma is present in all eukaryotic cells, and the corresponding yeast genes and human genes have been cloned and sequenced (see Walowsky et al., (1999) Journal of Biological Chemistry, 274, 7302-7308, the disclosure of which is incorporated herein). Human Pol sigma- 1 is located on chromosome 5 and a cDNA of 3766 nucleotides has been isolated.
- Human Pol sigma-2 is located on chromosome 16 and a cDNA of 1375 nucleotides has been isolated. The sequences of these two genes are deposited with Genbank under accession numbers AF089896 for human Pol sigma- 1 and AF089897 for human Pol sigma-2. Polymerase ⁇ has limited sequence homo logy to the DNA polymerase ⁇ superfamily, but is believed to have an overall structure that is reasonably similar to polymerase ⁇ (Aravind, and Koonin (1999) Nucleic Acids Res. 27, 1609-1618).
- the cloned yeast polymerase ⁇ genes have been used to purified yeast polymerase ⁇ by expressing the protein as a fusion protein with a peptide tag containing six histidines. The expressed protein is then isolated on a Ni-NTA affinity column. Fractions containing TRF4 protein extended an oligo dT 16 primer in a distributive fashion, a property characteristic of DNA polymerase ⁇ .
- the presence or absence of pol sigma (TRF4 gene product) profoundly affects the cell's sensitivity to the antitumor agent camptothecin.
- yeast cells lacking TRF4 are 10,000 fold more sensitive to the anti- TOP1 agent. It is anticipated that this will also be true in human cells, and thus inhibitors of human pol sigma should sensitize tumor cells to camptothecin-like compounds.
- a method for potentiating the cytotoxic action of topoisomerase I inhibitors.
- the method comprises the step of contacting cells with a topoisomerase I inhibitor and a polymerase sigma inhibitor.
- the method comprises the steps of contacting cells, in vitro or in vivo, with a composition comprising a pol sigma inhibitor followed contacting the cells with a composition comprising a topoisomerase I inhibitor (or vice versa).
- the cells are contacted with a single composition comprising a polymerase sigma inhibitor and a topoisomerase I inhibitor.
- the cytotoxic action of topoisomerase I inhibitors is potentiated with a polymerase sigma inhibitor as part of a therapy for treating neoplastic disease.
- the improved camptothecin compositions of the present invention may include any of the know camptothecin derivatives including, but are not limited to, 9- nitro-20(S)-camptothecin, 9-amino-20(S)-camptothecin, 9-methyl-camptothecin, 9- chlorocamptothecin, 9-flouro-camptothecin, 7-ethyl camptothecin, 10- methylcamptothecin, 10-chloro-camptothecin, 10-bromo-camptothecin, 10-fluoro- camptothecin, 9-methoxy-camptothecin, 11-fluoro-camptothecin, 7-ethyl- 10-hydroxy camptothecin, 10,11 -methylenedioxy camptothecin, and 10,11-ethylenedioxy camptothecin, and 7-(4-methylpiperazinomethylene)-10,l 1 -methylenedioxy camptothecin.
- Prodrugs of camptothecin can also be used in this invention and include, but are not limited to, esterified camptothecin derivatives as described in U.S. Pat. No. 5,731,316 (the disclosure of which is incorporated herein), such as camptothecin 20-O-propionate, camptothecin 20-O-butyrate, camptothecin 20-O- valerate, camptothecin 20-O-heptanoate, camptothecin 20-O-nonanoate, camptothecin 20-O-crotonate, camptothecin 20-O-2',3'-epoxy-butyrate, nitrocamptothecin 20-O- acetate, nitrocamptothecin 20-O-propionate, and nitrocamptothecin 20-O-butyrate.
- esterified camptothecin derivatives as described in U.S. Pat. No. 5,731,316 (the disclosure of which is incorporated herein), such as
- camptothecin scaffold is substituted at the 7, 9, 10, 11, and/or 12 positions including 9-nitrocamptothecin, 9-aminocamptofhecin, 10,11- methylendioxy20(S)-camptothecin, topotecan, irinotecan, 7-efhyl-10-hydroxy camptothecin, or another substituted camptothecin that is substituted at least on one of the 7, 9, 10, 11, or 12 positions.
- Native, unsubstituted, camptothecin can be obtained by purification of the natural extract, or it may be obtained from the Stehlin Foundation for Cancer Research (Houston, Tex.). Substituted camptothecins can be obtained using methods known in the literature, or can be obtained from commercial suppliers. For example, 9-nitrocamptothecin may be obtained from SuperGen, Inc. (San Ramon, Calif), and 9-aminocamptothecin may be obtained from plec Pharmaceuticals (San Diego, Calif). Camptothecin and various of its analogs may also be obtained from standard fine chemical supply houses, such as Sigma Chemicals.
- one or more camptothecin or camptothecin derivatives are combined with a polymerase sigma inhibitor to enhance the efficacy of the camptothecin compound as an anti-tumor agent.
- Suitable compounds for use as pol sigma inhibitors include those compounds that have already demonstrated activity as polymerase ⁇ inhibitors.
- a simple screening assay can be conducted to confirm whether or not such compounds have activity against pol sigma. More particularly the following compounds can be used in accordance with the present invention as pol sigma inhibitors:
- the DNA polymerase sigma inhibitor used in the present invention preferably has an IC 50 (inhibitory concentration of drug required to achieve a 50% reduction in polymerase activity) in the micromolar range and more preferably in the nanomolar range or lower.
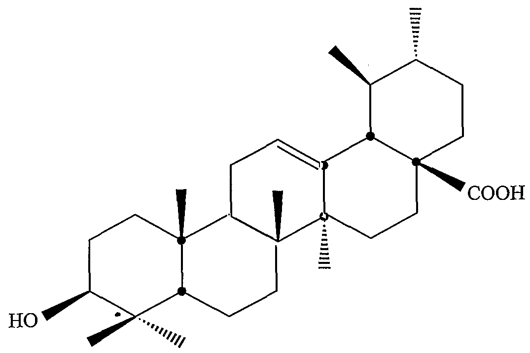
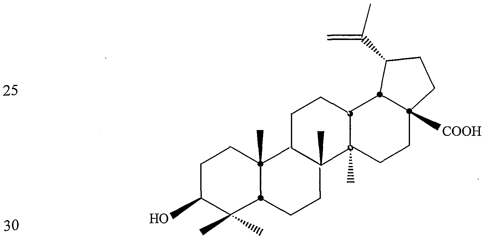
- the pol sigma inhibitor is selected from the group consisting of (24E)-3beta-hydroxy-7,24-euphandien-26-oic acid, ursolic acid, katonic acid and betulinin acid, and more preferably the pol sigma inhibitor is (24E)-3beta-hydroxy-7,24-euphandien-26-oic acid.
- This compound has been shown to be a nanomolar inhibitor of yeast pol sigma in vitro. Furthermore, both (24E)-3beta-hydroxy-7,24-euphandien-26-oic acid and ursolic acid have been demonstrated to have inhibitory activity against human pol sigma.
- the method for isolating an inhibitor of pol sigma comprises the steps of conducting an in vitro DNA synthesis reaction in the presence and absence of a potential inhibitor compound, measuring the amount of DNA synthesized in the two reactions and comparing the amount of DNA synthesized in two separate reactions.
- the method relies on a cell based assay comprising the steps of culturing a yeast strain partially deficient in pol sigma (trf4 single mutants, for example) and separately culturing a yeast strain that expresses both isoforms of pol sigma. Both stains are then contacted with the potential inhibitor, and the cell growth of the two strains is then compared.
- the ability of DNA polymerase sigma to incorporate nucleotides into TCA precipitable material will be measured in the presence and absence of potential inhibitors.
- fluorescently labeled nucleotides will be used and the amount of fluorescence detected in the a TCA or ethanol precipitation will be indicative of the activity of the polymerase (i.e. only DNA chains longer than about 15 nucleotides will precipitate under appropriate conditions whereas free, unincorporated nucleotides will remain in the supernatant).
- fluorescently labeled nucleotides will be used and the amount of fluorescence detected in the a TCA or ethanol precipitation will be indicative of the activity of the polymerase (i.e. only DNA chains longer than about 15 nucleotides will precipitate under appropriate conditions whereas free, unincorporated nucleotides will remain in the supernatant).
- the system used to identify pol sigma inhibitors uses a cell based assay. Yeast cells that are partially deficient in pol sigma (trf4 single mutants) are completely dependent on the second pol sigma gene, TRF5, for viability (Castano et al, 1996B; Castano et al, 1996A). Thus, compounds that inhibit pol sigma function when the cells express only one isoform will be preferentially killed over strains that express two isoforms.
- one method for identifying pol sigma inhibitors comprises the steps of culturing parallel cultures of yeast expressing either: 1) a single human pol sigma- 1 (and deficient in the native yeast pol sigma); or 2) human pol sigma- 1 and a second pol sigma gene.
- yeast cells will then be contacted with potential polymerase inhibitors and the cultures will be assayed in a 96-well format for optical density following a predetermined growth period.
- Compounds that preferentially inhibit the growth of yeast expressing only the one human pol sigma gene, and that fail to inhibit strains bearing two copies of pol sigma will be taken as positives.
- a composition comprising a topoisomerase I inhibitor selected from the group consisting of camptothecin, hycamtin, camptostar, topotecan, 9-amino-camptothecin, 9-amino-10,l l- methylenedioxy-camptothecan and 10,11- methylenedioxy-camptothecan, 7-ethyl- 10- hydroxy 20(S)-camptothecin, and an inhibitor of DNA polymerase sigma selected from the group consisting of (24E)-3beta-hydroxy-7,24-euphandien-26-oic acid and ursolic acid, and a pharmaceutically acceptable carrier.
- a topoisomerase I inhibitor selected from the group consisting of camptothecin, hycamtin, camptostar, topotecan, 9-amino-camptothecin, 9-amino-10,l l- methylenedioxy-camptothecan and 10,11- methylenedioxy-camp
- compositions comprising a pol sigma inhibitor can be used in accordance with one embodiment in a method for treating a patient having a disease associated with undesired cell growth or proliferation.
- the method comprises the steps of delivering to the patient a therapeutically effective amount of a polymerase sigma inhibitor in combination with a therapeutically effective amount of a topoisomerase I inhibitor, such that the efficacy of the therapy is enhanced through the combined effects of the topoisomerase I inhibitor and the polymerase sigma inhibitor.
- the topoisomerase inhibitor is selected from the group consisting of camptothecin or a camptothecin derivative and the polymerase sigma inhibitor is selected from the group consisting of (24E)-3beta-hydroxy-7,24-euphandien-26-oic acid, ursolic acid, betulinic acid and other known polymerase ⁇ inhibitors that effectively inhibit pol sigma.
- This method can be used to treat a variety of diseases, including neoplastic diseases such as acute myelogenous leukemia, cholangiocarcinoma, chronic myelogenous leukemia, lymphoma, melanoma, multiple myeloma, osteosarcoma, gastric sarcoma, glioma, bladder, breast, cervical, colorectal, lung, ovarian, pancreatic, prostrate, stomach cancer and various other types of cancers such as primary tumors and tumor metastasis.
- neoplastic diseases such as acute myelogenous leukemia, cholangiocarcinoma, chronic myelogenous leukemia, lymphoma, melanoma, multiple myeloma, osteosarcoma, gastric sarcoma, glioma, bladder, breast, cervical, colorectal, lung, ovarian, pancreatic, prostrate, stomach cancer and various other types of cancers such as primary tumors and tumor met
- compositions of the present invention can be used to treat other diseases characterized by rapid, uncontrolled or excessive/inappropriate cell growth.
- diseases that include restenosis, benign tumors, abnormal stimulation of endothelial cells (atherosclerosis), insults to body tissue due to surgery, abnormal wound healing, abnormal angiogenesis, diseases that produce fibrosis of tissue, repetitive motion disorders, disorders of tissues that are not highly vascularized, and proliferative responses associated with organ transplants.
- Specific types of restenotic lesions that can be treated using the present invention include coronary, carotid, and cerebral lesions (see US Patent No 6,191,119, the disclosure of which is incorporated herein).
- Specific types of benign tumors that can be treated using the present invention include hemangiomas, acoustic neuromas, neurofibroma, trachomas and pyogenic granulomas.
- Treatment of cell proliferation due to insults to body tissue during surgery may be possible for a variety of surgical procedures, including joint surgery, bowel surgery, and cheloid scarring.
- Diseases that produce fibrotic tissue include emphysema.
- Repetitive motion disorders that may be treated using the present invention include carpal tunnel syndrome.
- An example of cell proliferative disorders that may be treated using the invention is a bone tumor.
- Abnormal angiogenesis that may be may be treated using this invention includes abnormal angiogenesis that accompanies rheumatoid arthritis, psoriasis, diabetic retinopaphy, and other ocular angiogenic diseases such as retinopathy of prematurity (retrolental fibroplastic), macular degeneration, corneal graft rejection, neuroscular glaucoma and Oster Webber syndrome.
- abnormal angiogenesis that accompanies rheumatoid arthritis, psoriasis, diabetic retinopaphy, and other ocular angiogenic diseases such as retinopathy of prematurity (retrolental fibroplastic), macular degeneration, corneal graft rejection, neuroscular glaucoma and Oster Webber syndrome.
- the method of treating diseases characterized by rapid, uncontrolled or excessive/inappropriate cell growth comprises the step of contacting cells with a composition comprising a polymerase sigma inhibitor. More particularly the target cells are contacted with a polymerase sigma inhibitor and a topoisomerase 1 inhibitor.
- the method comprises delivering to a patient a therapeutically effective amount of camptothecin or camptothecin derivative in combination with an effective amount of an inhibitor of pol sigma.
- the method comprises the steps of administering a topoisomerase inhibitor selected from the group consisting of camptothecin, topotecan, camptothecin-11, 9-amino- camptothecin, 9-amino-10,l l -methylenedioxy-camptothecan and 10,11- methylenedioxy-camptothecan, 7-ethyl- 10-hydroxy 20(S)-camptothecin and administering a polymerase sigma inhibitor selected from the group consisting of (24E)-3beta-hydroxy-7,24-euphandien-26-oic acid, ursolic acid.
- a topoisomerase inhibitor selected from the group consisting of camptothecin, topotecan, camptothecin-11, 9-amino- camptothecin, 9-amino-10,l l -methylenedioxy-camptothecan and 10,11- methylenedioxy-camptothecan, 7-ethyl- 10-hydroxy 20(S
- the disease to be treated using the present compositions is cancer. More particularly the compositions of the present invention are used to treat acute myelogenous leukemia, cholangiocarcinoma, chronic myelogenous leukemia, lymphoma, melanoma, multiple myeloma, osteosarcoma, gastric sarcoma, glioma, bladder, breast, cervical, colorectal, lung, ovarian, pancreatic, prostrate, or stomach cancer. Alternatively, the method can also be used to treat non- cancerous diseases that are characterized by excessive/inappropriate cell growth, including the endothelial cell growth associated with restenosis.
- compositions of the present invention can be administered by a variety of routes, and may be administered or coadministered in any conventional dosage form.
- Coadministration in the context of this invention is defined to mean the administration of more than one therapeutic (i.e. administration of topoisomerase inhibitor and polymerase sigma inhibitor) in the course of a coordinated treatment to achieve an improved clinical outcome.
- Such coadministration may also be coextensive, that is, occurring during overlapping periods of time or being administered simultaneously.
- the topoisomerase inhibitor and polymerase sigma inhibitor of the present invention may be administered or coadministered orally, parenterally, intraperitoneally, intravenously, intraarterially, transdermally, sublingually, intramuscularly, rectally, transbuccally, intranasally, liposomally, via inhalation, vaginally, intraoccularly, via local delivery (for example by catheter or stent), subcutaneously, intraadiposally, intraarticularly, or intrathecally.
- Intravenous administration is one preferred method of administering the composition of the present invention.
- the compounds and/or compositions according to the invention may also be administered or coadministered in slow release dosage forms.
- Local delivery of effective amounts of the present composition can be delivered by a variety of techniques and structures that administer the compositions of the present invention at or near a desired site.
- Examples of local delivery techniques and structures are not intended to be limiting but rather as illustrative of the techniques and structures available. Examples include local delivery catheters, site specific carriers, implants (including slow release formulations), direct injection, or direct applications.
- a kit for treating cancer and other diseases associated with inappropriate cell proliferation and growth.
- the kit comprises a topoisomerase inhibitor and a polymerase sigma inhibitor.
- the topoisomerase inhibitor is camptothecin or a camptothecin derivative, and more particularly the camptothecin derivative is selected from the group consisting of camptothecin, topotecan, 9-amino-camptothecin, 9-amino- 10,11- methylenedioxy-camptothecan and 10,11- methylenedioxy-camptothecan, 7-ethyl- 10- hydroxy 20(S)-camptothecin.
- the polymerase sigma inhibitor in one embodiment is selected from the group consisting of (24E)-3beta-hydroxy-7,24-euphandien-26-oic acid, ursolic acid, katonic acid, betulinic acid and other known polymerase ⁇ inhibitors that effectively inhibit pol sigma.
- the polymerase sigma inhibitor is (24E)-3beta-hydroxy-7,24-euphandien-26-oic acid or ursolic acid.
- the inhibitors of the present invention can be packaged in a variety of containers, e.g., vials, tubes, microtiter well plates, bottles, and the like. Other reagents can be included in separate containers and provided with the kit; e.g., positive control samples, negative control samples, buffers, solvents, cell culture media, etc.
- Trf4 fused to a six histidine tag was purified from Escherichia coli to apparent homogeneity and recombinant protein was assayed for DNA polymerase activity.
- Trf4 is able to extend the primer in a distributive manner (extension of a single nucleotide followed by dissociation from primer/template), which is characteristic of ⁇ -DNA polymerases.
- Trf4 ⁇ 240 a mutant Trf4 protein missing the N-terminal 240 amino acids of the 584 amino acid protein, Trf4 ⁇ 240, is completely unable to polymerize nucleotides (lanes 5-7 of Fig. 2A).
- Figure 2B shows that incubation of the neutralizing antibody with DNA pol I inhibits its ability to extend the oligo dT primer, whereas a different monoclonal antibody to DNA pol I that does not neutralize the activity has no effect on DNA pol I activity (Ruscitti et al., 1992, J Biol Chem 267, 16806-11).
- Trf4 activity is unaffected by either monoclonal antibody (lanes 4-6 of Fig. 2B).
- the size range of the Trf4 products is consistently observed to be greater than for DNA pol l.
- ⁇ polmerase inhibitors were tested to determine if they would inhibit pol sigma in vitro.
- the assay system employed for testing whether the known ⁇ polmerase inhibitors would inhibit polymerase ⁇ utilized a 5'- 32 P end labeled dT 16 primer that had been annealed to a poly dA template (average length 282 nucleotides). The template primer was incubated in the presence of dTTP, Mg 2+ and 10 ⁇ M test compound for 5 min.
- Lane 1 of Fig. 3 is a control with only the DMSO solvent added to the poly dA/ oligo dT assay, the remaining lanes represent reactions run in the presence of one of the ⁇ polmerase inhibitors.
- the inhibitor in lane 3 (24E)-3 ⁇ -hydroxy-7,24- euphandien-26-oic acid, was the most potent of the species tested, with betulinic acid (lane 2) and ursolic acid (lane 4) also showing activity.
- compound (24 ⁇ )-3beta-hydroxy-7,24-euphandien-26-oic acid is estimated to be a nanomolar level inhibitor of yeast pol sigma polymerase activity.
- Example 2 Test for human pol sigma inhibitors to potentiate cytotoxicity of camptothecin
- an inhibitor of polymerase ⁇ could potentiate the cytotoxicity of topoisomerase I inhibitors such as camptothecin
- cells were contacted in vitro with camptothecin alone or in combination with ursolic acid.
- Ursolic acid was utilized because it inhibits yeast polymerase ⁇ and it is commercially available.
- a mouse (P388D j ) cell line was grown as a suspension culture and treated singly with camptothecin or ursolic acid to determine the greatest concentration of each at which only minimal killing of P388U ! cells was observed after a 6 hr incubation. Viable cells were scored by the use of a hemacytometer plate after straining with Trypan Blue. As shown in Table 1, minimal toxicity was observed in the presence of 1 ⁇ M camptothecin alone or 0.5 ⁇ M ursolic acid alone. However, when the compounds were tested together at the same concentrations, the number of viable cells observed was diminished.
- the polymerase sigma inhibitor compound, (24E)-3beta-hydroxy-7,24- euphandien-26-oic acid can be used as a tool to help identify other inhibitors of yeast pol sigma in vitro.
- the IC 50 (inhibitory concentration of drug required to achieve a 50% reduction in polymerase activity) of this molecule for yeast pol sigma is in the 500 nanomolar range. At 10 uM concentration no activity whatsoever is observed. Evidence suggests that this compound also work to inhibit human pol sigma- 1.
- yeast cells expressing human pol sigma should not be responsive to human pol sigma inhibitors when the cells are carrying a mutant allele of the human enzyme that is not responsive to drug. It should be possible to identify such an allele as 33 surface- targeted mutations in pol sigma have been isolated and analyzed.
- High throughput screening for pol sigma inhibitors will also be initiated early in this project for the following reasons: i) the replication fork is a proven target for antitumor agents; ii) because fork components need not be altered in expression in tumors to work in this capacity; iii) because small molecule inhibitors of DNA polymerases have been identified previously; and iv) a nanomolar level inhibitor of yeast pol sigma was already found, suggesting that highly specific inhibitors of this class of enzyme can be identified.
- Assays for inhibition of DNA polymerase sigma A $200,000 robotic, 96-well plate-compatible device for high throughput drug screening is housed in a dedicated lab room at the University of Virginia medical center and will be used for high throughput screening for inhibitors. It has the ability to read fluorescence and UV in several Z-planes (up and down) and to perform ethanol or TCA precipitations as well as centrifugation in the 96-well format. Assays of two general types that are amenable to screening will be utilized. These are assays for inhibition of DNA polymerase sigma in vitro and assays for pol sigma-specif ⁇ c killing of yeast cell cultures.
- the precipitated reactions will be centrifuged to facilitate pelleting of DNA chains and then the Z-plane ability of the fluorescence reader will allow for the determination of the extent of the reaction in a highly quantitative manner. It is of course paramount to identify conditions in which the reaction is proportional to time and amount of enzyme so that inhibition assays are robust. Once the parameters have been optimized, screening will begin using the previously mentioned robotic delivery system that should allow for several thousand assays to be performed per week. A positive hit rate of roughly 1 in 1,000 (0.1%) is anticipated for compounds judged to be "positive" initially. The highly quantitative nature of these assays should make this possible.
- the assay system that has been employed to date employs a dT 16 primer annealed to a poly dA template (average length 282 nucleotides). Primer elongation as a consequence of the addition of T residues (in a distributive fashion) has been monitored by polyacrylamide gel electrophoresis.
- a variant of the DNA polymerase ⁇ this system will be used as follows: To a 50 ⁇ L of 62.5 rnM 2-amino-2 -methyl- 1, 3 -propanediol buffer, pH 8.6, containing 10 mM MgCl 2 , 1 mM DTT, 100 ⁇ g/mL BSA, 6.25 ⁇ M dNTPs including 0.04 Ci/mmol [ 3 H]dTTP, and 0.25 mg/mL activated calf thymus DNA was added 6 ⁇ L of a solution containing each test compound and 4 ⁇ L of recombinant rat liver DNA polymerase ⁇ preparation (6.9 units, 4.8 x 10 4 units/mg).
- the radiolabeled DNA product was collected on DEAE-cellulose paper (DE-81), dried, and rinsed successively with 0.4 M K 2 HPO 4 , pH 9.4, and 95% ethanol for radioactivity determination.
- calf thymus DNA is prepared by treatment of commercially available DNA preparation with a DNase preparation. It is believe that this assay system constitutes a better model for events in an intact cell than the use of a dT n /polydA primer template system, and that it will be a simple matter to develop this system for medium throughput assays as was already done by applicants for polymerase ⁇ . Both the human and yeast DNA polymerase ⁇ has been cloned and human polymerase ⁇ will be expressed in an E. coli strain harboring human Trf4- lp/Pol ⁇ -1 under the control of a T7 promotor. This strain also has T7 RNA polymerase under the control of a lac promotor (i.e.
- the elaborated human polymerase ⁇ is a fusion protein containing a hexahistidine motif to facilitate purification by Ni-NTA chromatography. Screening will be done using the human enzyme, however, in order to facilitate correlation of the results with those obtained to date, the yeast enzyme will also be isolated. This can be prepared from an existing E. coli strain harboring yeast Trf4p/Pol ⁇ -l, a strain that has already been used to prepare >100 ⁇ g of yeast DNA polymerase ⁇ .
- Alternative assays include UV absorbance at 260 nanometers (DNA) in the focused, precipitate in the Z-plane or radioactive nucleotide incorporation (more laborious). Some background from nucleotides may be apparent if focusing is not optimized in the UV assay.
- each polymerase ⁇ inhibitor will be used to generate a dose-response curve against P388U ! .
- Each inhibitor will then be tested at its highest minimally toxic concentration with the highest minimally toxic concentration of camptothecin. Potentiation of the cytotoxic response will be measured via reduction in numbers of viable cells. At least two cell lines will be used to evaluate each compound. Yeast cell culture assays for pol sigma inhibitors
- yeast cells that are partially deficient in pol sigma are completely dependent on the second pol sigma gene, TRF5, for viability (Castano et al., 1996B; Castano et al, 1996A).
- TRF5 the second pol sigma gene
- the parallel cultures will then be assayed in the 96-well format for optical density following a predetermined growth period.
- Compounds that preferentially inhibit the growth of yeast expressing one human pol sigma and that fail to inhibit strains bearing two copies of pol sigma will be taken as positives. Proof of principle is provided by the fact that the topoisomerase poisons would be isolated as positives by this method using cultures expressing one or two yeast isoforms of pol sigma (Walowsky et al., 1999).
- yeast cells can be grown in up to 5% DMSO with no adverse effects on growth.
Landscapes
- Health & Medical Sciences (AREA)
- Chemical & Material Sciences (AREA)
- Medicinal Chemistry (AREA)
- Pharmacology & Pharmacy (AREA)
- Epidemiology (AREA)
- Life Sciences & Earth Sciences (AREA)
- Animal Behavior & Ethology (AREA)
- General Health & Medical Sciences (AREA)
- Public Health (AREA)
- Veterinary Medicine (AREA)
- Pharmaceuticals Containing Other Organic And Inorganic Compounds (AREA)
Abstract
Description
Claims
Priority Applications (2)
| Application Number | Priority Date | Filing Date | Title |
|---|---|---|---|
| US10/343,563 US20040029906A1 (en) | 2001-07-31 | 2001-07-31 | Inhibitors of dna polymerase sigma |
| AU2001283038A AU2001283038A1 (en) | 2000-07-31 | 2001-07-31 | Inhibitors of dna polymerase sigma |
Applications Claiming Priority (2)
| Application Number | Priority Date | Filing Date | Title |
|---|---|---|---|
| US22226300P | 2000-07-31 | 2000-07-31 | |
| US60/222,263 | 2000-07-31 |
Publications (1)
| Publication Number | Publication Date |
|---|---|
| WO2002009720A1 true WO2002009720A1 (en) | 2002-02-07 |
Family
ID=22831538
Family Applications (1)
| Application Number | Title | Priority Date | Filing Date |
|---|---|---|---|
| PCT/US2001/023908 Ceased WO2002009720A1 (en) | 2000-07-31 | 2001-07-31 | Inhibitors of dna polymerase sigma |
Country Status (2)
| Country | Link |
|---|---|
| AU (1) | AU2001283038A1 (en) |
| WO (1) | WO2002009720A1 (en) |
Cited By (3)
| Publication number | Priority date | Publication date | Assignee | Title |
|---|---|---|---|---|
| WO2010065159A1 (en) * | 2008-12-02 | 2010-06-10 | Oregon Health & Science University | Inhibition of dna polymerases to augment chemotherapeutic and antimicrobial agents |
| JP2012529488A (en) * | 2009-06-12 | 2012-11-22 | ジェネレックス ファーマシューティカルズ インコーポレイテッド | Compositions and methods for increasing survival and healthy life expectancy |
| US9808011B2 (en) | 2014-12-15 | 2017-11-07 | Biovectra Inc. | Pentacyclic triterpene compounds and uses thereof |
Citations (4)
| Publication number | Priority date | Publication date | Assignee | Title |
|---|---|---|---|---|
| US3903089A (en) * | 1973-03-15 | 1975-09-02 | Biorex Laboratories Ltd | Ursolic acid derivatives |
| US4530934A (en) * | 1982-07-26 | 1985-07-23 | I.S.F. Spa | Pharmaceutically active ursolic acid derivative |
| US5985924A (en) * | 1995-11-16 | 1999-11-16 | Jcr Pharmaceuticals Co., Ltd. | Metastasis suppressory agents |
| US6071898A (en) * | 1996-11-27 | 2000-06-06 | Dong Kook Pharmaceutical Co., Ltd. | Asiatic acid derivatives having modified A-ring |
-
2001
- 2001-07-31 WO PCT/US2001/023908 patent/WO2002009720A1/en not_active Ceased
- 2001-07-31 AU AU2001283038A patent/AU2001283038A1/en not_active Abandoned
Patent Citations (4)
| Publication number | Priority date | Publication date | Assignee | Title |
|---|---|---|---|---|
| US3903089A (en) * | 1973-03-15 | 1975-09-02 | Biorex Laboratories Ltd | Ursolic acid derivatives |
| US4530934A (en) * | 1982-07-26 | 1985-07-23 | I.S.F. Spa | Pharmaceutically active ursolic acid derivative |
| US5985924A (en) * | 1995-11-16 | 1999-11-16 | Jcr Pharmaceuticals Co., Ltd. | Metastasis suppressory agents |
| US6071898A (en) * | 1996-11-27 | 2000-06-06 | Dong Kook Pharmaceutical Co., Ltd. | Asiatic acid derivatives having modified A-ring |
Cited By (9)
| Publication number | Priority date | Publication date | Assignee | Title |
|---|---|---|---|---|
| WO2010065159A1 (en) * | 2008-12-02 | 2010-06-10 | Oregon Health & Science University | Inhibition of dna polymerases to augment chemotherapeutic and antimicrobial agents |
| US8715927B2 (en) | 2008-12-02 | 2014-05-06 | Oregon Health & Science University | Inhibition of DNA polymerases to augment chemotherapeutic and antimicrobial agents |
| JP2012529488A (en) * | 2009-06-12 | 2012-11-22 | ジェネレックス ファーマシューティカルズ インコーポレイテッド | Compositions and methods for increasing survival and healthy life expectancy |
| EP2440223A4 (en) * | 2009-06-12 | 2012-12-12 | Generex Pharm Inc | Compositions and methods for increasing lifespan and health span |
| US9050277B2 (en) | 2009-06-12 | 2015-06-09 | Generex Pharmaceuticals, Inc. | Combined Geum japonicum and Centella asiatica extracts for the therapeutic treatment of heart failure |
| US9283255B2 (en) | 2009-06-12 | 2016-03-15 | Generex Pharmaceuticals, Inc. | Compositions and methods for the prevention and treatment of red blood cell coagulation |
| US9629884B2 (en) | 2009-06-12 | 2017-04-25 | Generex Pharmaceuticals, Inc. | Compositions and methods for increasing lifespan and health span |
| US9950019B2 (en) | 2009-06-12 | 2018-04-24 | Generex Pharmaceuticals, Inc. | Compositions and methods for the prevention and treatment of brain diseases and conditions |
| US9808011B2 (en) | 2014-12-15 | 2017-11-07 | Biovectra Inc. | Pentacyclic triterpene compounds and uses thereof |
Also Published As
| Publication number | Publication date |
|---|---|
| AU2001283038A1 (en) | 2002-02-13 |
Similar Documents
| Publication | Publication Date | Title |
|---|---|---|
| Pommier | Topoisomerase I inhibitors: camptothecins and beyond | |
| EP1077715B1 (en) | Use of rosmarinic acid and derivatives thereof as an immunosuppressant or an inhibitor of sh2-mediated process | |
| CN1309421C (en) | Antineoplastic combinations | |
| Meresse et al. | Etoposide: discovery and medicinal chemistry | |
| Larsen et al. | Cellular resistance to topoisomerase-targeted drugs: from drug uptake to cell death | |
| Bornhövd et al. | Macrolactam immunomodulators for topical treatment of inflammatory skin diseases | |
| Perrin et al. | F 11782, a novel epipodophylloid non-intercalating dual catalytic inhibitor of topoisomerases I and II with an original mechanism of action | |
| Guano et al. | Topoisomerase poisoning activity of novel disaccharide anthracyclines | |
| Mi et al. | Pervilleine A, a novel tropane alkaloid that reverses the multidrug-resistance phenotype | |
| US20020016293A1 (en) | Flavopiridol drug combinations and methods with reduced side effects | |
| Bailly | DNA relaxation and cleavage assays to study topoisomerase I inhibitors | |
| EP1438050A2 (en) | Irinotecan for treatment of cancer | |
| Skladanowski et al. | Inhibition of DNA topoisomerase II by imidazoacridinones, new antineoplastic agents with strong activity against solid tumors. | |
| KR20050044570A (en) | Method for identification of tumor targeting enzymes | |
| Coley et al. | Retention of activity by selected anthracyclines in a multidrug resistant human large cell lung carcinoma line without P-glycoprotein hyperexpression | |
| Liu et al. | Application of natural products derivatization method in the design of targeted anticancer agents from 2000 to 2018 | |
| Kellner et al. | Human DNA-topoisomerases–diagnostic and therapeutic implications for cancer | |
| Lee et al. | Comparison of the efficacy of 7-hydroxystaurosporine (UCN-01) and other staurosporine analogs to abrogate cisplatin-induced cell cycle arrest in human breast cancer cell lines | |
| JP2009504192A (en) | Human ribosomal DNA (rDNA) and ribosomal RNA (rRNA) nucleic acids and uses thereof | |
| WO2002009720A1 (en) | Inhibitors of dna polymerase sigma | |
| Capranico et al. | Antitumor inhibitors of DNA topoisomerases | |
| US20040029906A1 (en) | Inhibitors of dna polymerase sigma | |
| Sullivan et al. | Resistance to inhibitors of DNA topoisomerases | |
| Matsumoto et al. | Quantitative analysis of DNA topoisomerase I activity in human and rat glioma: characterization and mechanism of resistance to antitopoisomerase chemical, Camptothecin‐11 | |
| Ralph et al. | DNA topoisomerases |
Legal Events
| Date | Code | Title | Description |
|---|---|---|---|
| AK | Designated states |
Kind code of ref document: A1 Designated state(s): AE AG AL AM AT AU AZ BA BB BG BR BY BZ CA CH CN CR CU CZ DE DK DM DZ EE ES FI GB GD GE GH GM HR HU ID IL IN IS JP KE KG KP KR KZ LC LK LR LS LT LU LV MA MD MG MK MN MW MX MZ NO NZ PL PT RO RU SD SE SG SI SK SL TJ TM TR TT TZ UA UG US UZ VN YU ZA ZW |
|
| AL | Designated countries for regional patents |
Kind code of ref document: A1 Designated state(s): GH GM KE LS MW MZ SD SL SZ TZ UG ZW AM AZ BY KG KZ MD RU TJ TM AT BE CH CY DE DK ES FI FR GB GR IE IT LU MC NL PT SE TR BF BJ CF CG CI CM GA GN GQ GW ML MR NE SN TD TG |
|
| 121 | Ep: the epo has been informed by wipo that ep was designated in this application | ||
| ENP | Entry into the national phase |
Ref document number: 10747902 Country of ref document: BG Kind code of ref document: A Format of ref document f/p: F |
|
| REG | Reference to national code |
Ref country code: DE Ref legal event code: 8642 |
|
| WWE | Wipo information: entry into national phase |
Ref document number: 10343563 Country of ref document: US |
|
| 122 | Ep: pct application non-entry in european phase | ||
| NENP | Non-entry into the national phase |
Ref country code: JP |



