WO2002005819A1 - Compounds and methods - Google Patents
Compounds and methods Download PDFInfo
- Publication number
- WO2002005819A1 WO2002005819A1 PCT/US2001/022529 US0122529W WO0205819A1 WO 2002005819 A1 WO2002005819 A1 WO 2002005819A1 US 0122529 W US0122529 W US 0122529W WO 0205819 A1 WO0205819 A1 WO 0205819A1
- Authority
- WO
- WIPO (PCT)
- Prior art keywords
- phenyl
- methoxyphenyl
- methoxy
- diisopropylamino
- methylethyl
- Prior art date
- Legal status (The legal status is an assumption and is not a legal conclusion. Google has not performed a legal analysis and makes no representation as to the accuracy of the status listed.)
- Ceased
Links
Classifications
-
- C—CHEMISTRY; METALLURGY
- C07—ORGANIC CHEMISTRY
- C07D—HETEROCYCLIC COMPOUNDS
- C07D401/00—Heterocyclic compounds containing two or more hetero rings, having nitrogen atoms as the only ring hetero atoms, at least one ring being a six-membered ring with only one nitrogen atom
- C07D401/02—Heterocyclic compounds containing two or more hetero rings, having nitrogen atoms as the only ring hetero atoms, at least one ring being a six-membered ring with only one nitrogen atom containing two hetero rings
- C07D401/12—Heterocyclic compounds containing two or more hetero rings, having nitrogen atoms as the only ring hetero atoms, at least one ring being a six-membered ring with only one nitrogen atom containing two hetero rings linked by a chain containing hetero atoms as chain links
-
- A—HUMAN NECESSITIES
- A61—MEDICAL OR VETERINARY SCIENCE; HYGIENE
- A61P—SPECIFIC THERAPEUTIC ACTIVITY OF CHEMICAL COMPOUNDS OR MEDICINAL PREPARATIONS
- A61P11/00—Drugs for disorders of the respiratory system
- A61P11/06—Antiasthmatics
-
- A—HUMAN NECESSITIES
- A61—MEDICAL OR VETERINARY SCIENCE; HYGIENE
- A61P—SPECIFIC THERAPEUTIC ACTIVITY OF CHEMICAL COMPOUNDS OR MEDICINAL PREPARATIONS
- A61P19/00—Drugs for skeletal disorders
- A61P19/02—Drugs for skeletal disorders for joint disorders, e.g. arthritis, arthrosis
-
- C—CHEMISTRY; METALLURGY
- C07—ORGANIC CHEMISTRY
- C07D—HETEROCYCLIC COMPOUNDS
- C07D209/00—Heterocyclic compounds containing five-membered rings, condensed with other rings, with one nitrogen atom as the only ring hetero atom
- C07D209/02—Heterocyclic compounds containing five-membered rings, condensed with other rings, with one nitrogen atom as the only ring hetero atom condensed with one carbocyclic ring
- C07D209/04—Indoles; Hydrogenated indoles
- C07D209/08—Indoles; Hydrogenated indoles with only hydrogen atoms or radicals containing only hydrogen and carbon atoms, directly attached to carbon atoms of the hetero ring
-
- C—CHEMISTRY; METALLURGY
- C07—ORGANIC CHEMISTRY
- C07D—HETEROCYCLIC COMPOUNDS
- C07D209/00—Heterocyclic compounds containing five-membered rings, condensed with other rings, with one nitrogen atom as the only ring hetero atom
- C07D209/02—Heterocyclic compounds containing five-membered rings, condensed with other rings, with one nitrogen atom as the only ring hetero atom condensed with one carbocyclic ring
- C07D209/04—Indoles; Hydrogenated indoles
- C07D209/30—Indoles; Hydrogenated indoles with hetero atoms or with carbon atoms having three bonds to hetero atoms with at the most one bond to halogen, directly attached to carbon atoms of the hetero ring
- C07D209/40—Nitrogen atoms, not forming part of a nitro radical, e.g. isatin semicarbazone
-
- C—CHEMISTRY; METALLURGY
- C07—ORGANIC CHEMISTRY
- C07D—HETEROCYCLIC COMPOUNDS
- C07D211/00—Heterocyclic compounds containing hydrogenated pyridine rings, not condensed with other rings
- C07D211/04—Heterocyclic compounds containing hydrogenated pyridine rings, not condensed with other rings with only hydrogen or carbon atoms directly attached to the ring nitrogen atom
- C07D211/06—Heterocyclic compounds containing hydrogenated pyridine rings, not condensed with other rings with only hydrogen or carbon atoms directly attached to the ring nitrogen atom having no double bonds between ring members or between ring members and non-ring members
- C07D211/08—Heterocyclic compounds containing hydrogenated pyridine rings, not condensed with other rings with only hydrogen or carbon atoms directly attached to the ring nitrogen atom having no double bonds between ring members or between ring members and non-ring members with hydrocarbon or substituted hydrocarbon radicals directly attached to ring carbon atoms
- C07D211/18—Heterocyclic compounds containing hydrogenated pyridine rings, not condensed with other rings with only hydrogen or carbon atoms directly attached to the ring nitrogen atom having no double bonds between ring members or between ring members and non-ring members with hydrocarbon or substituted hydrocarbon radicals directly attached to ring carbon atoms with substituted hydrocarbon radicals attached to ring carbon atoms
- C07D211/20—Heterocyclic compounds containing hydrogenated pyridine rings, not condensed with other rings with only hydrogen or carbon atoms directly attached to the ring nitrogen atom having no double bonds between ring members or between ring members and non-ring members with hydrocarbon or substituted hydrocarbon radicals directly attached to ring carbon atoms with substituted hydrocarbon radicals attached to ring carbon atoms with hydrocarbon radicals, substituted by singly bound oxygen or sulphur atoms
- C07D211/22—Heterocyclic compounds containing hydrogenated pyridine rings, not condensed with other rings with only hydrogen or carbon atoms directly attached to the ring nitrogen atom having no double bonds between ring members or between ring members and non-ring members with hydrocarbon or substituted hydrocarbon radicals directly attached to ring carbon atoms with substituted hydrocarbon radicals attached to ring carbon atoms with hydrocarbon radicals, substituted by singly bound oxygen or sulphur atoms by oxygen atoms
-
- C—CHEMISTRY; METALLURGY
- C07—ORGANIC CHEMISTRY
- C07D—HETEROCYCLIC COMPOUNDS
- C07D211/00—Heterocyclic compounds containing hydrogenated pyridine rings, not condensed with other rings
- C07D211/04—Heterocyclic compounds containing hydrogenated pyridine rings, not condensed with other rings with only hydrogen or carbon atoms directly attached to the ring nitrogen atom
- C07D211/06—Heterocyclic compounds containing hydrogenated pyridine rings, not condensed with other rings with only hydrogen or carbon atoms directly attached to the ring nitrogen atom having no double bonds between ring members or between ring members and non-ring members
- C07D211/08—Heterocyclic compounds containing hydrogenated pyridine rings, not condensed with other rings with only hydrogen or carbon atoms directly attached to the ring nitrogen atom having no double bonds between ring members or between ring members and non-ring members with hydrocarbon or substituted hydrocarbon radicals directly attached to ring carbon atoms
- C07D211/18—Heterocyclic compounds containing hydrogenated pyridine rings, not condensed with other rings with only hydrogen or carbon atoms directly attached to the ring nitrogen atom having no double bonds between ring members or between ring members and non-ring members with hydrocarbon or substituted hydrocarbon radicals directly attached to ring carbon atoms with substituted hydrocarbon radicals attached to ring carbon atoms
- C07D211/26—Heterocyclic compounds containing hydrogenated pyridine rings, not condensed with other rings with only hydrogen or carbon atoms directly attached to the ring nitrogen atom having no double bonds between ring members or between ring members and non-ring members with hydrocarbon or substituted hydrocarbon radicals directly attached to ring carbon atoms with substituted hydrocarbon radicals attached to ring carbon atoms with hydrocarbon radicals, substituted by nitrogen atoms
-
- C—CHEMISTRY; METALLURGY
- C07—ORGANIC CHEMISTRY
- C07D—HETEROCYCLIC COMPOUNDS
- C07D211/00—Heterocyclic compounds containing hydrogenated pyridine rings, not condensed with other rings
- C07D211/04—Heterocyclic compounds containing hydrogenated pyridine rings, not condensed with other rings with only hydrogen or carbon atoms directly attached to the ring nitrogen atom
- C07D211/06—Heterocyclic compounds containing hydrogenated pyridine rings, not condensed with other rings with only hydrogen or carbon atoms directly attached to the ring nitrogen atom having no double bonds between ring members or between ring members and non-ring members
- C07D211/08—Heterocyclic compounds containing hydrogenated pyridine rings, not condensed with other rings with only hydrogen or carbon atoms directly attached to the ring nitrogen atom having no double bonds between ring members or between ring members and non-ring members with hydrocarbon or substituted hydrocarbon radicals directly attached to ring carbon atoms
- C07D211/18—Heterocyclic compounds containing hydrogenated pyridine rings, not condensed with other rings with only hydrogen or carbon atoms directly attached to the ring nitrogen atom having no double bonds between ring members or between ring members and non-ring members with hydrocarbon or substituted hydrocarbon radicals directly attached to ring carbon atoms with substituted hydrocarbon radicals attached to ring carbon atoms
- C07D211/30—Heterocyclic compounds containing hydrogenated pyridine rings, not condensed with other rings with only hydrogen or carbon atoms directly attached to the ring nitrogen atom having no double bonds between ring members or between ring members and non-ring members with hydrocarbon or substituted hydrocarbon radicals directly attached to ring carbon atoms with substituted hydrocarbon radicals attached to ring carbon atoms with hydrocarbon radicals, substituted by doubly bound oxygen or sulfur atoms or by two oxygen or sulfur atoms singly bound to the same carbon atom
- C07D211/32—Heterocyclic compounds containing hydrogenated pyridine rings, not condensed with other rings with only hydrogen or carbon atoms directly attached to the ring nitrogen atom having no double bonds between ring members or between ring members and non-ring members with hydrocarbon or substituted hydrocarbon radicals directly attached to ring carbon atoms with substituted hydrocarbon radicals attached to ring carbon atoms with hydrocarbon radicals, substituted by doubly bound oxygen or sulfur atoms or by two oxygen or sulfur atoms singly bound to the same carbon atom by oxygen atoms
-
- C—CHEMISTRY; METALLURGY
- C07—ORGANIC CHEMISTRY
- C07D—HETEROCYCLIC COMPOUNDS
- C07D211/00—Heterocyclic compounds containing hydrogenated pyridine rings, not condensed with other rings
- C07D211/04—Heterocyclic compounds containing hydrogenated pyridine rings, not condensed with other rings with only hydrogen or carbon atoms directly attached to the ring nitrogen atom
- C07D211/06—Heterocyclic compounds containing hydrogenated pyridine rings, not condensed with other rings with only hydrogen or carbon atoms directly attached to the ring nitrogen atom having no double bonds between ring members or between ring members and non-ring members
- C07D211/36—Heterocyclic compounds containing hydrogenated pyridine rings, not condensed with other rings with only hydrogen or carbon atoms directly attached to the ring nitrogen atom having no double bonds between ring members or between ring members and non-ring members with hetero atoms or with carbon atoms having three bonds to hetero atoms with at the most one bond to halogen, e.g. ester or nitrile radicals, directly attached to ring carbon atoms
- C07D211/40—Oxygen atoms
- C07D211/44—Oxygen atoms attached in position 4
- C07D211/52—Oxygen atoms attached in position 4 having an aryl radical as the second substituent in position 4
-
- C—CHEMISTRY; METALLURGY
- C07—ORGANIC CHEMISTRY
- C07D—HETEROCYCLIC COMPOUNDS
- C07D211/00—Heterocyclic compounds containing hydrogenated pyridine rings, not condensed with other rings
- C07D211/04—Heterocyclic compounds containing hydrogenated pyridine rings, not condensed with other rings with only hydrogen or carbon atoms directly attached to the ring nitrogen atom
- C07D211/06—Heterocyclic compounds containing hydrogenated pyridine rings, not condensed with other rings with only hydrogen or carbon atoms directly attached to the ring nitrogen atom having no double bonds between ring members or between ring members and non-ring members
- C07D211/36—Heterocyclic compounds containing hydrogenated pyridine rings, not condensed with other rings with only hydrogen or carbon atoms directly attached to the ring nitrogen atom having no double bonds between ring members or between ring members and non-ring members with hetero atoms or with carbon atoms having three bonds to hetero atoms with at the most one bond to halogen, e.g. ester or nitrile radicals, directly attached to ring carbon atoms
- C07D211/60—Carbon atoms having three bonds to hetero atoms with at the most one bond to halogen, e.g. ester or nitrile radicals
- C07D211/62—Carbon atoms having three bonds to hetero atoms with at the most one bond to halogen, e.g. ester or nitrile radicals attached in position 4
- C07D211/64—Carbon atoms having three bonds to hetero atoms with at the most one bond to halogen, e.g. ester or nitrile radicals attached in position 4 having an aryl radical as the second substituent in position 4
-
- C—CHEMISTRY; METALLURGY
- C07—ORGANIC CHEMISTRY
- C07D—HETEROCYCLIC COMPOUNDS
- C07D211/00—Heterocyclic compounds containing hydrogenated pyridine rings, not condensed with other rings
- C07D211/04—Heterocyclic compounds containing hydrogenated pyridine rings, not condensed with other rings with only hydrogen or carbon atoms directly attached to the ring nitrogen atom
- C07D211/68—Heterocyclic compounds containing hydrogenated pyridine rings, not condensed with other rings with only hydrogen or carbon atoms directly attached to the ring nitrogen atom having one double bond between ring members or between a ring member and a non-ring member
- C07D211/70—Heterocyclic compounds containing hydrogenated pyridine rings, not condensed with other rings with only hydrogen or carbon atoms directly attached to the ring nitrogen atom having one double bond between ring members or between a ring member and a non-ring member with only hydrogen atoms, hydrocarbon or substituted hydrocarbon radicals, directly attached to ring carbon atoms
-
- C—CHEMISTRY; METALLURGY
- C07—ORGANIC CHEMISTRY
- C07D—HETEROCYCLIC COMPOUNDS
- C07D213/00—Heterocyclic compounds containing six-membered rings, not condensed with other rings, with one nitrogen atom as the only ring hetero atom and three or more double bonds between ring members or between ring members and non-ring members
- C07D213/02—Heterocyclic compounds containing six-membered rings, not condensed with other rings, with one nitrogen atom as the only ring hetero atom and three or more double bonds between ring members or between ring members and non-ring members having three double bonds between ring members or between ring members and non-ring members
- C07D213/04—Heterocyclic compounds containing six-membered rings, not condensed with other rings, with one nitrogen atom as the only ring hetero atom and three or more double bonds between ring members or between ring members and non-ring members having three double bonds between ring members or between ring members and non-ring members having no bond between the ring nitrogen atom and a non-ring member or having only hydrogen or carbon atoms directly attached to the ring nitrogen atom
- C07D213/60—Heterocyclic compounds containing six-membered rings, not condensed with other rings, with one nitrogen atom as the only ring hetero atom and three or more double bonds between ring members or between ring members and non-ring members having three double bonds between ring members or between ring members and non-ring members having no bond between the ring nitrogen atom and a non-ring member or having only hydrogen or carbon atoms directly attached to the ring nitrogen atom with hetero atoms or with carbon atoms having three bonds to hetero atoms with at the most one bond to halogen, e.g. ester or nitrile radicals, directly attached to ring carbon atoms
- C07D213/72—Nitrogen atoms
- C07D213/74—Amino or imino radicals substituted by hydrocarbon or substituted hydrocarbon radicals
-
- C—CHEMISTRY; METALLURGY
- C07—ORGANIC CHEMISTRY
- C07D—HETEROCYCLIC COMPOUNDS
- C07D215/00—Heterocyclic compounds containing quinoline or hydrogenated quinoline ring systems
- C07D215/02—Heterocyclic compounds containing quinoline or hydrogenated quinoline ring systems having no bond between the ring nitrogen atom and a non-ring member or having only hydrogen atoms or carbon atoms directly attached to the ring nitrogen atom
- C07D215/16—Heterocyclic compounds containing quinoline or hydrogenated quinoline ring systems having no bond between the ring nitrogen atom and a non-ring member or having only hydrogen atoms or carbon atoms directly attached to the ring nitrogen atom with hetero atoms or with carbon atoms having three bonds to hetero atoms with at the most one bond to halogen, e.g. ester or nitrile radicals, directly attached to ring carbon atoms
- C07D215/38—Nitrogen atoms
-
- C—CHEMISTRY; METALLURGY
- C07—ORGANIC CHEMISTRY
- C07D—HETEROCYCLIC COMPOUNDS
- C07D241/00—Heterocyclic compounds containing 1,4-diazine or hydrogenated 1,4-diazine rings
- C07D241/02—Heterocyclic compounds containing 1,4-diazine or hydrogenated 1,4-diazine rings not condensed with other rings
- C07D241/10—Heterocyclic compounds containing 1,4-diazine or hydrogenated 1,4-diazine rings not condensed with other rings having three double bonds between ring members or between ring members and non-ring members
- C07D241/14—Heterocyclic compounds containing 1,4-diazine or hydrogenated 1,4-diazine rings not condensed with other rings having three double bonds between ring members or between ring members and non-ring members with hetero atoms or with carbon atoms having three bonds to hetero atoms with at the most one bond to halogen, e.g. ester or nitrile radicals, directly attached to ring carbon atoms
- C07D241/20—Nitrogen atoms
-
- C—CHEMISTRY; METALLURGY
- C07—ORGANIC CHEMISTRY
- C07D—HETEROCYCLIC COMPOUNDS
- C07D277/00—Heterocyclic compounds containing 1,3-thiazole or hydrogenated 1,3-thiazole rings
- C07D277/60—Heterocyclic compounds containing 1,3-thiazole or hydrogenated 1,3-thiazole rings condensed with carbocyclic rings or ring systems
- C07D277/62—Benzothiazoles
- C07D277/68—Benzothiazoles with hetero atoms or with carbon atoms having three bonds to hetero atoms with at the most one bond to halogen, e.g. ester or nitrile radicals, directly attached in position 2
- C07D277/82—Nitrogen atoms
-
- C—CHEMISTRY; METALLURGY
- C07—ORGANIC CHEMISTRY
- C07D—HETEROCYCLIC COMPOUNDS
- C07D401/00—Heterocyclic compounds containing two or more hetero rings, having nitrogen atoms as the only ring hetero atoms, at least one ring being a six-membered ring with only one nitrogen atom
- C07D401/14—Heterocyclic compounds containing two or more hetero rings, having nitrogen atoms as the only ring hetero atoms, at least one ring being a six-membered ring with only one nitrogen atom containing three or more hetero rings
-
- C—CHEMISTRY; METALLURGY
- C07—ORGANIC CHEMISTRY
- C07D—HETEROCYCLIC COMPOUNDS
- C07D409/00—Heterocyclic compounds containing two or more hetero rings, at least one ring having sulfur atoms as the only ring hetero atoms
- C07D409/02—Heterocyclic compounds containing two or more hetero rings, at least one ring having sulfur atoms as the only ring hetero atoms containing two hetero rings
- C07D409/12—Heterocyclic compounds containing two or more hetero rings, at least one ring having sulfur atoms as the only ring hetero atoms containing two hetero rings linked by a chain containing hetero atoms as chain links
-
- C—CHEMISTRY; METALLURGY
- C07—ORGANIC CHEMISTRY
- C07D—HETEROCYCLIC COMPOUNDS
- C07D417/00—Heterocyclic compounds containing two or more hetero rings, at least one ring having nitrogen and sulfur atoms as the only ring hetero atoms, not provided for by group C07D415/00
- C07D417/14—Heterocyclic compounds containing two or more hetero rings, at least one ring having nitrogen and sulfur atoms as the only ring hetero atoms, not provided for by group C07D415/00 containing three or more hetero rings
-
- C—CHEMISTRY; METALLURGY
- C07—ORGANIC CHEMISTRY
- C07D—HETEROCYCLIC COMPOUNDS
- C07D491/00—Heterocyclic compounds containing in the condensed ring system both one or more rings having oxygen atoms as the only ring hetero atoms and one or more rings having nitrogen atoms as the only ring hetero atoms, not provided for by groups C07D451/00 - C07D459/00, C07D463/00, C07D477/00 or C07D489/00
- C07D491/02—Heterocyclic compounds containing in the condensed ring system both one or more rings having oxygen atoms as the only ring hetero atoms and one or more rings having nitrogen atoms as the only ring hetero atoms, not provided for by groups C07D451/00 - C07D459/00, C07D463/00, C07D477/00 or C07D489/00 in which the condensed system contains two hetero rings
- C07D491/10—Spiro-condensed systems
Definitions
- This invention relates to substituted heterocyclic compounds which are modulators, agonists or antagonists, of the CC chemokine receptor CC-CKR5 now designated as CCR5 (Nature Medicine 1996, 2, 1174-8).
- this invention relates to the treatment and prevention of disease states mediated by CCR5.
- T cells are not only key regulators of the immune response to infectious agents but are believed critical for the initiation and maintenance of the inflammatory reaction in a variety of chronic diseases.
- Increased numbers or enhanced activation state of T cells, especially CD4+ T cells have been demonstrated in the synovium of individuals with rheumatoid arthritis (MJ. Elliott and R. N. Maini, Int. Arch. Allergy Immunol. 104: 112-1125, 1994), in the bronchial mucosa of asthmatics (C.J. Corrigan and A.B. Kay, Immunol. Today 13:501-506, 1992), in the lesions of multiple sclerosis (R. Martin and H. F. McFarland, Grit. Rev. Clin. Lab. Sci.
- T cells as well as other inflammatory cells, will migrate into tissues in response to the production of a variety of chemotactic factors.
- chemokines a superfamily of 8-12 kDa proteins known as the chemokines. These proteins share structural features such as the presence of 3-4 conserved cysteine residues.
- RANTES which stands for Regulated upon Activation Normal T cell Expressed and Secreted, is an 8 kDa protein member of CC branch of the chemokine family. These proteins recruit and activate immune and inflammatory cells through an interaction with G- protein coupled receptors.
- the CC branch is defined by the absence of an intervening amino acid residue between the first two cysteine residues and members of this family predominately elicit the migration of mononuclear cells, eosinophils and basophils (M. Baggiolini, B. Dewald, and B. Moser, Adv. Immunol. 55: 97-179, 1994; and J.J. Oppenheim, C.O.C. Zachariae, N. Mukaida, and K. Matsushima, Annu. Rev. Immunol. 9: 617-648, 1991).
- RANTES potently produces chemotaxis of T cells, basophils, eosinophils, monocytes and mast cells.
- RANTES was originally identified as gene product induced late after antigen activation of T-cells (TJ. Schall, J. Jongstra, BJ. Dyer, J. Jorgensen, et al., J. Immunol. 141:1018-1025, 1988), however, RANTES has been shown to be synthesized and secreted by a diverse group of cells that include epithelial and endothelial cells (C. Stellato, L.A. Beck, G.A. Gorgone, D. Proud, et al., J. Immunol. 155: 410-418, 1995; and A. Marfaing-Koka, O. Devergne, G. Gorgone, A. Portier, et al, J.
- RANTES mRNA is rapidly upregulated in response to IL-1 or TNF « .
- RANTES mRNA is not usually detected in normal tissues (J.M. Pattison, P. J. Nelson, and A.M. Krensky, Clin. Immunofher. 4: 1-8, 1995), increased mRNA or protein has been found in diseases characterized by a mononuclear infiltrate.
- RANTES mRNA was visualized using in situ hybridization in renal allografts undergoing rejection (J.M. Pattison, P.J. Nelson, and A.M.
- CCR5 when expressed in either HEK 293 cells or CHO cells, binds RANTES.
- This receptor is expressed in T-cells and in monocytes and macrophages, immune/inflammatory cells which are important in the maintenance of a chronic inflammatory reaction.
- CCR5 Pharmacological characterization of CCR5 indicates similarities to the RANTES binding site observed on isolated T cells. Therefore, antagonism of RANTES' action on CCR5, as well as antagonism of other natural modulators of CCR5, should inhibit the recruitment and activation of T cells and macrophages into inflammatory lesions and provide a novel therapeutic approach for the treatment of atopic and autoimmune disorders.
- T cells express CCR5, selective receptor modulators of CCR5, particularly antagonists, are likely to provide beneficial effects in diseases including, but not limited to, asthma and atopic disorders (for example, atopic dermatitis and allergies), rheumatoid arthritis, sarcoidosis, or idiopathic pulmonary fibrosis and other fibrotic diseases, atherosclerosis, psoriasis, autoimmune diseases such as multiple sclerosis, treating and/or preventing rejection of transplanted organs, and inflammatory bowel disease, all in mammals, preferably humans.
- atopic disorders for example, atopic dermatitis and allergies
- sarcoidosis for example, atopic dermatitis and allergies
- idiopathic pulmonary fibrosis and other fibrotic diseases for example, atherosclerosis, psoriasis, autoimmune diseases such as multiple sclerosis, treating and/or preventing rejection of transplanted organs, and inflammatory bowel disease, all in mammals, preferably humans.
- CCR5 may play a role in their recruitment and therefore antagonists to CCR5 could provide potential therapeutic activity in the treatment of COPD. Also, since CCR5 is a co- receptor for the entry of HIV into cells, selective receptor modulators may be useful in the treatment of HIV infection.
- the present invention is to compounds of formula (I), or a pharmaceutically acceptable salt, or solvate thereof, and their use as CCR5 modulators for the treatment and/or prophylaxis of certain disease states, including, but not limited to, COPD, asthma and atopic disorders (for example, atopic dermatitis and allergies), rheumatoid arthritis, sarcoidosis, or idiopathic pulmonary fibrosis and other fibrotic diseases, atherosclerosis, psoriasis, autoimmune diseases such as multiple sclerosis, treating and/or preventing rejection of transplanted organs, inflammatory bowel disease, and HIV infection, all in mammals, preferably humans.
- COPD COPD
- asthma and atopic disorders for example, atopic dermatitis and allergies
- rheumatoid arthritis for example, atopic dermatitis and allergies
- sarcoidosis or idiopathic pulmonary fibrosis and other fibrotic diseases
- atherosclerosis p
- the preferred compounds for use as CCR5 modulators are those compounds of Formula (I) as noted herein.
- the present invention is directed to a method of preventing or treating CCR5-mediated diseases in a mammal, preferably a human, by administering to the mammal an effective amount of a CCR5 receptor ligand, or a pharmaceutically acceptable salt or solvate thereof.
- the present invention is directed to methods for making and using the compounds of formula (I), as well as pharmaceutical compositions of formula (I) or a pharmaceutically acceptable salts or solvates thereof.
- the present invention is directed to the use of a CCR5 receptor ligand in the manufacture of a medicament for the prophylaxis or treatment of certain disease states, including, but not limited to, COPD, asthma and atopic disorders (for example, atopic dermatitis and allergies), rheumatoid arthritis, sarcoidosis, or idiopathic pulmonary fibrosis and other fibrotic diseases, atherosclerosis, psoriasis, autoimmune diseases such as multiple sclerosis, treating and/or preventing rejection of transplanted organs, inflammatory bowel disease, and HIV infection, for example in a mammal such as a human.
- COPD COPD
- asthma and atopic disorders for example, atopic dermatitis and allergies
- rheumatoid arthritis for example, atopic dermatitis and allergies
- sarcoidosis for example, atopic dermatitis and allergies
- idiopathic pulmonary fibrosis and other fibrotic diseases
- the present invention is directed to a CCR5 receptor ligand, or a pharmaceutically acceptable salt, or solvate thereof, for use in the prophylaxis or treatment of certain disease states, including, but not limited to, COPD, asthma and atopic disorders (for example, atopic dermatitis and allergies), rheumatoid arthritis, sarcoidosis, or idiopathic pulmonary fibrosis and other fibrotic diseases, atherosclerosis, psoriasis, autoimmune diseases such as multiple sclerosis, treating and/or preventing rejection of transplanted organs, inflammatory bowel disease, and HIV infection, for example in a mammal such as a human.
- COPD COPD
- asthma and atopic disorders for example, atopic dermatitis and allergies
- rheumatoid arthritis for example, atopic dermatitis and allergies
- sarcoidosis or idiopathic pulmonary fibrosis and other fibrotic diseases
- atherosclerosis
- the present invention is also directed to combined therapy to prevent and treat inflammatory and immunoregulatory disorders or diseases, including asthma and allergic diseases, as well as rheumatoid arthritis and atherosclerosis, and those pathologies noted above, and is illustrated by the combination of the compounds of this invention and other compounds which are know for such utilities.
- the present invention is further directed to combinations of the present compounds of formula (I) with one or more agents useful in the prevention or treatment of AIDS.
- the compounds of this invention may be effectively administered, whether at periods of pre-exposure and/or post-exposure, in combination with effective amounts of the AIDS antivirals, immunomodulators, anti-infectives, or vaccines known to the skilled artisan.
- substituted heterocycles of formula (I) are CCR5 receptor modulators. It has also now been discovered that selective inhibition of CCR5 receptor mechanisms by treatment with the receptor modulators of formula (I), or a pharmaceutically acceptable salt thereof, represents a novel therapeutic and preventative approach to the treatment of a variety of disease states, including, but not limited to, asthma and atopic disorders (for example, atopic dermatitis and allergies), rheumatoid arthritis, sarcoidosis, or idiopathic pulmonary fibrosis and other fibrotic diseases, atherosclerosis, psoriasis, autoimmune diseases such as multiple sclerosis, treating and/or preventing rejection of transplanted organs, and inflammatory bowel disease, all in mammals, preferably humans.
- atopic disorders for example, atopic dermatitis and allergies
- sarcoidosis or idiopathic pulmonary fibrosis and other fibrotic diseases
- atherosclerosis psoriasis
- autoimmune diseases such as multiple
- CCR5 may play a role in their recruitment and therefore antagonists to CCR5 could provide potential therapeutic in the treatment of COPD. Also, since CCR5 is a co-receptor for entry into cells, selective receptor modulators may be useful in the treatment of HIV infection.
- CCR5 modulators include those compounds as described in FR 2758328, published 17 July 1998, FR 2761069, published 25 September 1998, WO 94/07496, published 14 April 1994, WO 95/25443, published 28 September 1995, and PCT/USOO/01908, filed January 25, 2000. Each of these references is incorporated herein in their entirety.
- Preferred compounds for use as CCR5 modulators are those compounds of formula (I) as noted herein.
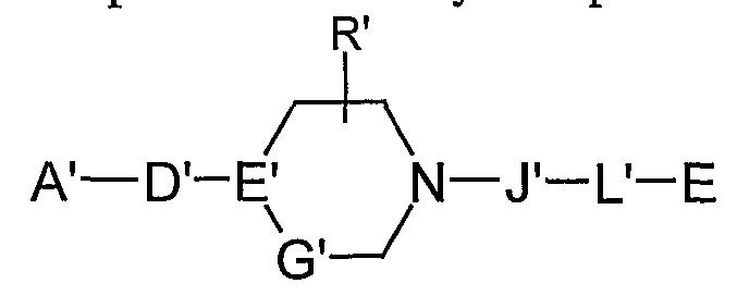
- a preferred group of compounds for use herein are those compounds of the formula (I) or a pharmaceutically acceptable salt or solvate thereof:
- A' is aryl or heteroaryl, each of which is optionally substituted with one or more of R! '; or A' is aryl or heteroaryl fused to a saturated or partly unsaturated 5-7- membered ring to form a higher order ring moiety, which ring moiety optionally contains 1 or 2 heteroatoms selected from oxygen, nitrogen or sulfur, wherein nitrogen may be optionally substituted with hydrogen, Ci.gaikyl or C3_7cycloalkyl; wherein the higher order ring moiety is optionally substituted with one or more of R! ;
- Rl' is hydrogen, Cj.galkyl, C2_6alkenyl, C2-6alkynyl, C3_7cycloalkyl, C3_ 6 cycloalkenyl, CH 2 CF 3 , aryl, aralkyl, (CH 2 ) a 'NR 2 'R 3 ', (CH2) a 'N 2 'COR4', (CH2)a'NR 2 'CO 2 R 5 ', (CH 2 ) a 'NR 2 'SO2R 6 ', (CH 2 ) a €ONR 7 'R 8 ', hydroxyC 1 _ 6 alkyl, C ⁇ _4alkoxyalkyl (optionally substituted by a C j ⁇ alkoxy or hydroxy group), (CH 2 ) a CO 2 C ⁇ .
- R 1 ' is a 5- to 7-membered ring containing 1 to 4 heteroatoms selected from nitrogen, oxygen, or sulfur, optionally substituted with hydrogen, C ⁇ . ⁇ alkyl, C3_7cycloalkyl, C3_6cycloalkenyl, hydroxyCi ⁇ galkyl, (C _ 6a ⁇ kyl)C ⁇ _6alkyl, C0NR 7 'R 8 ', CO2R 17 ', cyano, aryl, trifluoromethyl, nitro, hydroxy, C ⁇ _galkoxy, acyloxy, or halogen; a' is 1, 2, 3 or 4; b' is 0, 1, 2 or 3; c'is 1, 2 or 3;
- R 2 ' and R 3 ' are independently hydrogen or C ⁇ _6alkyl, or R 2 ' and R 3 together with the nitrogen to which they are attached, form a 5- to 6-membered heterocyclic ring which ring may be optionally substituted by an oxo group, or, when there are 6 ring members, the ring may optionally contain one oxygen or one sulfur atom;
- R4' is hydrogen, C ⁇ galkyl or C ⁇ alkoxy alkyl, or, when Rl'is NR 'C0R4', R4' is (CH2) ⁇ _3 and forms a ring with A';
- R 5 ' is C ⁇ _6alkyl;
- R ⁇ ' is C ⁇ _6alkyl or phenyl;
- R 7 ' and R 8 ' are independently hydrogen or C ⁇ _6alkyl, or R 7 ' and R 8 together with the nitrogen to which they are attached form a 5- to 6-membered saturated heterocyclic ring, wherein when there are 6 ring members, the ring may optionally contain one oxygen or one sulfur atom;
- R ⁇ ' is C j ⁇ alkyl, optionally substituted by a C ⁇ _6alkoxy;
- RlO' and R* 1 are independently hydrogen or Chalky!;
- R l2 ' is hydrogen or Ci. ⁇ aikyi;
- R ⁇ - 3 ' is hydrogen or C ⁇ _6alkyl;
- Rl4' and R ⁇ ' are independently hydrogen or Chalky!
- R 1 ⁇ ' is hydrogen or Ci.galkyl
- R* 7 ' is hydrogen or C ⁇ _6alkyl optionally substituted with one or more substituents selected from C j _galkyl, C j ⁇ alkoxy, hydroxy, or NR 2 R 3 ';
- R i8 ' and R ⁇ 9 are independently hydrogen or C ⁇ alkyl;
- R 0' and R 2x ' are independently hydrogen or C j .galkyl, or R 2 ⁇ ' and R 21 ' together with the nitrogen to which they are attached form a 5- to 6-membered saturated heterocyclic ring which, when the ring is 6-membered, may optionally contain in the ring one oxygen or one sulfur atom.
- R 22 ' is hydrogen or C ⁇ .galkyl;
- CR 4 ' CR 24 CO, C ⁇ CCO, (C(R 24 ') 2 ) c "SO 2 , SO 2 [C(R 24 ') 2 ] a » , NR 2 5 , [C(R 2 4 , ) 2 ] a --SO2, NR 2 5'sO 2 [C(R 24 ') 2 ] a -'SO 2 , O[C(R 24 ') 2 ] a "SO 2 , SO 2 NR 2 5'[C(R 4') 2 ] 1 _ 2 , [C(R 24 ') 2 ] b »COO[C(R 24 ') 2 ] 2 , [C(R 2 4') 2 ] b HCONR 2 5'[C(R 2 4') 2 ] 1 .
- D' may further be O, NR 25 ', CONR 25 ', SO 2 NR 25 ', OCONR 25 ', NR25'C00, NR 25 'CONR 25 ', [C(R 2 4') 2 ] a "NR 25 '[C(R 2 4') 2 ] b .., [C(R 2 4')2] a --O[C(R 24 ')2]b", CO[C(R 4')2] a »NR 2 5', NR 5'[C(R 2 4') 2 ] a »O, NR 25' [C( R24' )2]aêt NR 25' j O[C(R 4') 2 ] a »O, CO[C(R 24 ') 2 ] a »O, SO 2 [C(R 24 ') 2 ] a ->NR 2 5
- R 24 ' is hydrogen or C ⁇ galkyl;
- R 2 ⁇ ' is hydrogen or Cj.galkyl;
- R 2 ⁇ ' is hydrogen or Cj ⁇ galkyl
- R 27 ' is hydrogen, OR 28 ', NHR 28 ', CN, NO 2 , R 28 ', SR 29 ', COR 28 ', CHOHR 28 ', CO 2 R 28 ', NHCOR 28 ', NHCO 2 R 29 ', NHSO 2 R 29 ', or OCONHR 28 ';
- R 2 ' is hydrogen, C ⁇ _5alkyl, aryl or aralkyl
- R 29 is C ⁇ _5alkyl, aryl or aralkyl
- R' is one or more of hydrogen or Cj_6alkyl, or R' is oxo;
- J' is CO or SO 2 ;
- L' is NR 3 0', O or C(R 30 ') 2 ;
- R 3 ⁇ is hydrogen or C ⁇ galkyl; E represents a group (a):
- R 1 and R 2 are independently hydrogen or C ⁇ _6alkyl; alternatively B(CR i R 2 ) a is OCR 1 R 2 CR 1 (OH)CR 1 R 2 or OCR 1 R2CR 1 (OCOCH 3 )CR 1 R2;
- R 3 and R 4 are independently hydrogen, C ⁇ _6alkyl, C3_7cycloalkyl, aralkyl, or together with the nitrogen atom to which they are attached form an optionally substituted 5- to 7-membered heterocyclic ring which may contain an additional heteroatom selected from oxygen, nitrogen or sulfur, where optional substituents include C ⁇ _ 6 alkyl, aryl, CONR 1 ⁇ 11 , NR 10 R n , hydroxy, OCOR 12 , NHCOCF3,
- NHCOC 0 -6alkyl wherein the alkyl of NHCOC 0 -6alkyl is optionally substituted by OH;
- R 5 is hydrogen, Chalky!, aryl, CN, CONR 15 R 16 , CO 2 R 17 , trifluoromethyl, NHCO 2 R 18 , hydroxy, Ci.galkoxy, benzyloxy, OCH ⁇ O ⁇ .galkyl, OCF3, S(O) d R 19 , SO 2 NR 20 R 21 or halogen;
- R 9 is hydrogen, Ci.gaikyl, or phenyrC ⁇ _6alkyl
- R 13 , R 14 , R 18 , and R 19 are independently Ci ⁇ alkyl; a is 1, 2, 3, or 4; b is 1 or 2; c and d are independently 0, 1 or 2; e is 2, 3 or 4; f is O, 1, 2 or 3; alternatively, E represents a group (b):
- R 3 ⁇ is hydrogen, C ⁇ galkyl, or C3_7cycloalkyl
- J is oxygen, CR 36 R 37 , or NR 38 , or J is a group
- R 34 , R 35 , R 36 , R 37 , and R 38 are independently hydrogen or Cj.galkyl; g is 1, 2 or 3; h is 1, 2 or 3; i is 2, 3, or 4; j is 0, 1, 2, or 3; k is 0, 1 or 2; alternatively, E represents a group (c):
- R 39 and R 4 ⁇ are independently hydrogen or Cj.galkyl;
- R 41 is a group of formula (d):
- R 4i is a group of formula (e):
- R 42 is hydrogen, Cx.galkyl, aryl, CN, CONR 48 R 49 , CO 2 R 50 , trifluoromethyl, NHCO 2 R 51 , hydroxy, C ⁇ _ 6 alkoxy, benzyloxy, OCF 3 , S(O) s R 52 , SO 2 NR 53 R 54 , or halogen;
- R 47 is hydrogen, C ⁇ galkyl, or C3_7 cycloalkyl
- R ⁇ l and R ⁇ 2 are independently C ⁇ _6alkyl; 1 is 0, 1, 2, or 3; m is 1 or 2; n is O, 1, or 2 o, p, and q are independently integers having the value 1, 2, or 3; r is 0,1, 2, or 3; s is 0, 1, or 2; t is 2 or 3; alternatively, E represents a group (f):
- R ⁇ 7 and R ⁇ 8 are independently hydrogen or C ⁇ _galkyl;
- R ⁇ 9 and R ⁇ 0 are independently hydrogen, C ⁇ .galkyl, C3_7cycloalkyl, aralkyl, or together with the nitrogen atom to which they are attached form an optionally substituted 5- to 7-membered heterocyclic ring which may contain an additional heteroatom selected from oxygen, nitrogen or sulfur, where optional substituents include C ⁇ alkyl, aryl, CONR 61 R 62 , NR 61 R 62 , hydroxy, OCOR 63 , NHCOCF3, NHSO 2 R 64 NHCO 2 R 65 , or NHCOC 0 -6alkyl wherein the alkyl of NHCOC 0 -6alkyl is optionally substituted by OH;
- T is -(CR66 R 67) V . or -0(CR66R67) W . ;
- R ⁇ 4 and R ⁇ 5 ⁇ e independently C ⁇ _6alkyl; u is 1 to 4; v is 2 or 3; w is 1, 2, or 3; x is 0, 1 or 2; alternatively, E represents a group (g):
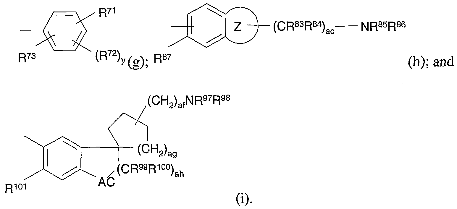
- R 7i is a 5- to 7-membered saturated or partially saturated heterocyclic ring containing a nitrogen atom and optionally a further 1 or 2 heteroatoms selected from nitrogen, oxygen or sulfur or R 7 is an optionally substituted 6,6 or 6,5 bicyclic ring containing a nitrogen atom and optionally a further heteroatom selected from oxygen, nitrogen or sulfur, which ring systems may be optionally substituted with one or more of C ⁇ alkyl and optionally substituted on nitrogen with hydrogen, Cj.galkyl or C3_ 7cycloalkyl;
- R 72 is hydrogen, C ⁇ alkyl, aryl, CN, CONR 74 R 7 5, CO2R 76 , trifluoromethyl, NHCO 2 R 77 , hydroxy, Cj ⁇ alkoxy, benzyloxy, OCH 2 CO 2 C ⁇ _6alkyl, OCF3, S(O) z R 78 , SO 2 NR 79 R 80 , or halogen;
- R 74 , R 75 , R 76 , R 79 , R 80 , R 81 , and R 82 are independently hydrogen or Cj_ g ⁇ kyl;
- R 77 and R 78 are independently C ⁇ alkyl; y is 1 or 2; z is 0, 1, or 2; aa is 2, 3 or 4; ab is O, 1, 2 or 3; alternatively, E represents a group (h):
- R 83 and R 84 are independently hydrogen or C j .galkyl;
- R ⁇ nd R 8 ⁇ are independently hydrogen, C ⁇ galkyl, C3_7cycloalkyl, aralkyl, or together with the nitrogen atom to which they are attached form an optionally substituted 5- to 7-membered heterocyclic ring which may contain an additional heteroatom selected from oxygen, nitrogen or sulfur, where optional substituents include C ⁇ _ 6 alkyl, aryl, CONR 8 R 89 , NR 90 R 91 , hydroxy, OCOR 92 , NHCOCF3, NHSO 2 R 93 , NHCO 2 R 94 , or NHCOC 0 _6alkyl wherein the alkyl of NHCOC 0 _6alkyl is optionally substituted by OH;
- Z is an optionally substituted 5 to 7-membered heterocyclic ring containing 1 to 3 heteroatoms selected from oxygen, nitrogen or sulfur;
- R 88 , R 89 , R 90 , R 91 , R 92 , R 95 , and R 96 are independently hydrogen or Ci _ ⁇ alkyl;
- R 93 and R 94 are independently Ci.galkyl; ac is 0 to 4; ad is 1, 2 or 3; ae is 0, 1 or 2; alternatively, E
- R 97 and R 98 are independently hydrogen, C ⁇ _6alkyl, C3_7cycloalkyl, aralkyl, or together with the nitrogen atom to which they are attached form an optionally substituted 5- to 7-membered heterocyclic ring which may contain an additional heteroatom selected from oxygen, nitrogen or sulfur, where optional substituents include C ⁇ _ 6 alkyl, aryl, CONR 102 R 103 , NR 104 R 105 , hydroxy, OCOR 106 , NHCOCF3, NHSO 2 R 107 , NHCO 2 R 108 , or NHCOC 0 _6alkyl wherein the alkyl of NHCOCo-6alkyl is optionally substituted by OH;
- R 99 and RIOO ⁇ e independently hydrogen or C ⁇ galkyl;
- AC is oxygen, CR 1 1 ⁇ R 112 or NR 113 or AC is a group SfO) ⁇ ;
- R 104 R 105, R 106, R 109, R 110, R lll, R112, and R 113 m independently hydrogen or C ⁇ _gal yl;
- R 107 and R 108 are independently Ci.galkyl; af is O, l, 2, 3, or 4; ag is 1, 2, or 3; ah is 1, 2, 3 or 4; ai is 2, 3 or 4; aj is O, 1, 2, or 3; and ak is 0, 1 or 2.
- af is O, l, 2, 3, or 4
- ag is 1, 2, or 3
- ah is 1, 2, 3 or 4
- ai 2, 3 or 4
- aj is O, 1, 2, or 3
- ak is 0, 1 or 2.
- E may be optionally quatemized with C ⁇ _ ⁇ alkyl or is optionally present as the N-oxide.
- A' is aryl or heteroaryl, each of which is optionally substituted with one or more of R*'.
- A' is suitably aryl or heteroaryl fused to a saturated or partly unsaturated 5-7-membered ring to form a higher order ring moiety, which ring moiety optionally contains 1 or 2 heteroatoms selected from oxygen, nitrogen or sulfur, wherein nitrogen may be optionally substituted with hydrogen, C ⁇ galkyl or C3_ 7cycloalkyl; wherein the higher order ring moiety is optionally substituted with one or more of R 1 '.
- A' is phenyl, 5,6,7,8-tetrahydro-l-naphthalenyl, lH-indol-4-yl, or 2-benzothiazolyl.
- Rl' is hydrogen, Cj_6alkyl, C 2 _6alkenyl, C _galkynyl, C3. 7 cycloalkyl, C 3 _6cycloalkenyl, CH 2 CF 3 , aryl, aralkyl, (CH 2 ) a 'NR 2 'R 3 ', (CH 2 ) a 'NR 2 'COR 4 ', (CH 2 ) a NR 2 CO 2 R5', (CH 2 ) a 'NR 2 SO R6', (CH ) a CONR 7 'R 8 ', hydroxyC ⁇ _6alkyl, C ⁇ alkoxy alkyl (optionally substituted by a C ⁇ _4alkoxy or hydroxy group), (CH 2 ) a CO 2 C ⁇ _ 6 alkyl, (CH 2 ) b C(O)R 9 ', CRlO ⁇ NOR 11 ', CNRiO ⁇ NORll', COR 12
- NR 18 'CONR 18 'R 19 ', NR 2 'CO 2 R 5 ', NR 2 'SO 2 R 6 ', N CNR 1 'NRl 'Rl 9 ', nitro, hydroxy, C ⁇ .galkoxy, OCF3, hydroxyC ⁇ _6a ⁇ koxy, C ⁇ _6alkoxyC ⁇ _6a ⁇ ko y, OC(O)NR 20 'R 21 ', SR 22 ', SOR 23 ', SO R 23 ', SO 2 NR 20 R 21 ' or halogen, or suitably R!
- heterocyclic ring is a 5- to 7-membered heterocyclic ring containing 1 to 4 heteroatoms selected from oxygen, nitrogen, or sulfur
- suitable heterocyclic rings include aromatic groups such as thienyl, furyl, pyrrolyl, triazolyl, diazolyl, imidazolyl, oxazolyl, thiazolyl, oxadiazolyl, isothiazolyl, isoxazolyl, thiadiazolyl, pyridyl, pyrimidyl, pyrazinyl, and dioxanyl.
- Saturated and partially saturated rings are also within the scope of the invention, in particular rings including an oxo or thioxo moiety such as lactams and thiolactams.
- the heterocyclic ring can be linked to the remainder of the molecule via a carbon atom, or, when present, a nitrogen atom.
- these rings may be optionally substituted with one or more of hydrogen, Cj.galkyl, C3_7cycloalkyl, C3., 6cycloalkenyl, CONR 7 R 8 ', CO 2 R 17 ', cyano, aryl, trifluoromethyl, nitro, hydroxy, Cj.galkoxy, acyloxy, or halogen.
- R 1 ' is one or more of C .galkyl, (CH 2 ) a NR 2 COR 4 , CF3, CO2C!.6alkyl, Cj.gaikoxy, halogen, or cyano.
- R 2 and R 3 are independently hydrogen or C ⁇ alkyl, or suitably, R 2 ' and R 3 together with the nitrogen to which they are attached, form a 5- to 6-membered heterocyclic ring.
- the ring may be optionally substituted by an oxo group, or, when R 2 ' and R 3 form a 6-membered ring, the ring may optionally contain one oxygen or one sulfur atom.
- the oxygen or sulfur atom are preferably in the 4-position.
- R 4 ' is hydrogen, or, when Rl' is
- R 5 ' is C ⁇ galkyl.
- R ⁇ ' is Ci.gal yl or phenyl.
- R 7 ' and R 8 are independently hydrogen or C ⁇ .galkyl, or suitably, R 7 and R 8 ' together with the nitrogen to which they are attached form a 5- to 6-membered saturated heterocyclic ring.
- the ring may optionally contain one oxygen or one sulfur atom.
- R 9 ' is Ci ⁇ alkyl, wherein the C ⁇ galkyl is optionally substituted by a
- R 1 ⁇ ' and R* 1 ' are independently hydrogen or C ⁇ galkyl.
- R i2 ' is hydrogen or Cj.galkyl.
- Rl ' is hydrogen or C ⁇ alkyl.
- R* 4 ' and R 1 ⁇ ' are independently hydrogen or Cj.galkyl.
- R ⁇ ' is hydrogen or C ⁇ .galkyl.
- R l7 ' is hydrogen or Ci ⁇ alkyl, wherein the C ⁇ .galkyl is optionally substituted with one or more substituents selected from Cj.galkyl, Cj.galkoxy, hydroxy, or NR 2 'R 3 .
- substituents selected from Cj.galkyl, Cj.galkoxy, hydroxy, or NR 2 'R 3 .
- there is more than one substituent there are two substituents.
- R i8 ' and R are independently hydrogen or C ⁇ alkyl.
- R 2 ⁇ ' and R 21 ' are independently hydrogen or Ci ⁇ alkyl, or suitably,
- R20' an d R 2i ' together with the nitrogen to which they are attached form a 5- to 6- membered saturated heterocyclic ring which, when there are 6 ring members, may optionally contain in the ring one oxygen or one sulfur atom.
- R 2 ' is hydrogen or C ⁇ galkyl.
- R 23 ' is Ci _6alkyl.
- D' is either a bond or represents [C(R 24 ') 2 ] a » [C(R 2 ')2] a "CO, SO 2 ,
- CR2 4 ' CR 4 'CO, C ⁇ CCO, (C(R 24 ') 2 ) c "SO 2 , SO 2 [C(R 24 ') 2 ] a ",
- D' may further be O, NR25', C0NR25', SO 2 NR 2 5', OCONR 2 5' ; NR25 COO, NR25 CO NR 5', [C(R 24 ') 2 ] a "NR 2 5 '[C(R 24 ') 2 ] b » [C(R 24 '
- D' is a bond, CO or SO 2 .
- R2 4 ' is hydrogen or C ⁇ galkyl.
- R25' is hydrogen or C ⁇ alkyl.
- E' and G' together are NC(R 26 ) 2 .
- R 2 ⁇ ' is hydrogen or Cj.galkyl.
- R 2 " is hydrogen.
- R 27 ' is hydrogen, OR 28 ', NHR 28 ', CN, NO 2 , R 28 ', SR 29 ', COR 29 ',
- R 28 is hydrogen, C ⁇ alkyl, aryl or aralkyl.
- R 29 ' is C ⁇ _5alkyl, aryl or aralkyl.
- R' is one or more of hydrogen or C ⁇ _6alkyl, or R' is oxo.
- R' is hydrogen.
- J' is CO or SO2.
- J' is CO.
- L' is NR 30 ', O, or C(R 30 ') 2 .
- L' is NR 30 '.
- R 30 ' is hydrogen or C .galkyl.
- R 30 ' is hydrogen.
- substituent E is selected from the following groups:
- E suitably represents a group (a):
- B is preferably CR 7 R 8 , or oxygen.
- R 1 and R2 are suitably independently hydrogen or Ci ⁇ alkyl.
- R 1 and R2 are each hydrogen.
- B(CRiR 2 ) a is OCR 1 R 2 CR 1 (OH)CR 1 R2 or
- B(CRlR 2 ) a is OCR 1 R 2 CR 1 (OH)CR1R 2 or OCR 1 R 2 CR 1 (OCOCH 3 )CR 1 R 2 , Rl and R 2 are hydrogen.
- R 3 and R 4 are suitably independently hydrogen, C ⁇ galkyl, C3_7cycloalkyl, aralkyl, or together with the nitrogen atom to which they are attached form an optionally substituted 5- to 7-membered heterocyclic ring which may contain an additional heteroatom selected from oxygen, nitrogen or sulfur, where optional substituents include C ⁇ galkyl, aryl, CONR ⁇ R 11 , NR ⁇ R 11 , hydroxy, OCOR 12 , NHCOCF3, NHSO 2 R 13 , NHCO 2 R 14 , or NHCOCo-6alkyl wherein the alkyl of NHCOCo_6alkyl is optionally substituted by OH.
- R 3 and R 4 are independently Ci ⁇ galkyl, C3_7cycloalkyl, or together with the nitrogen atom to which they are attached form an optionally substituted 5- to 7-membered heterocyclic ring which may contain an additional heteroatom selected from oxygen, nitrogen or sulfur.
- B-(CR!R 2 ) a -NR 3 R 4 is ortho to R 5 , meta to L' and para to R 6 , and R5 is para to L'.
- R 5 is suitably hydrogen, Ci ⁇ alkyl, aryl, CN, CONR 15 R 16 , CO2R 17 , trifluoromethyl, NHCO 2 R 18 , hydroxy, Cj ⁇ galkoxy, benzyloxy, OCH 2 CO 2 C ⁇ _6alkyl, OCF3, S(O) d R 19 , SO 2 NR 2 °R 21 , or halogen.
- R 5 is preferably SC ⁇ _ galkyl or halogen.
- R 6 is hydrogen.
- R 7 , R 8 , Rl°, RU, Rl2, R15, R16 ; R 17, R 20, R 21 ; R 22 5 an R 23 ⁇ suitably independently hydrogen or C ⁇ . ⁇ alkyl.
- R 9 is suitably hydrogen, R 13 , R l4 R 18 , and R 19 are suitably independently C ⁇ galkyl.
- a is suitably 1, 2, 3, or 4.
- b is suitably 1 or 2.
- b is 1.
- c and d are suitably independently 0, 1, or 2.
- e is suitably 2, 3, or 4.
- f is suitably 0, 1, 2, or 3.
- E suitably represents a group (b):
- R 24 , R25 5 R 26 5 R 27 ; R 28 ; R 29 ⁇ R 31 ; and R 32 ⁇ Q suitably independently hydrogen or C ⁇ alkyl.
- R 30 is suitably hydrogen, C ⁇ _galkyl, or C3_7cycloalkyl.
- R 30 is C _
- R 33 is hydrogen.
- J is suitably oxygen, CR 3o R 37 , or NR 38 , or J is a group 8(0) ⁇ .
- J is oxygen.
- J is para to L ⁇
- R 34 , R 3 ⁇ , R 3 °, R 37 , R 38 are suitably independently hydrogen or C j _galkyl.
- g is suitably 1, 2, or 3.
- h is suitably 1, 2, or 3.
- h is 1.
- i is suitably 2, 3, or 4.
- j is suitably 0, 1, 2, or 3.
- k is suitably 0, 1 or 2.
- E suitably represents a group (c):
- E suitably represents a group (f):
- R ⁇ 7 and R ⁇ 8 are independently hydrogen or Cj.galkyl; suitably R ⁇ 9 and R6° are independently hydrogen, Ci. ⁇ alkyl, C3_7cycloalkyl, aralkyl, or together with the nitrogen atom to which they are attached form an optionally substituted 5- to 7-membered heterocyclic ring which may contain an additional heteroatom selected from oxygen, nitrogen or sulfur, where optional substituents include C ⁇ galkyl, aryl, CONR 61 R 62 , NR 61 R 62 , hydroxy, OCOR6 3 , NHCOCF3, NHSO R 64 , NHCO 2 R65 or NHCOCo_6alkyl wherein the alkyl of NHCOCo_6alkyl is optionally substituted by OH, and wherein R°l, R62 ; anc ⁇ R 63 ⁇ g independently hydrogen or C j .galkyl, and R ⁇ 4 and R65 are independently Cj.galkyl; suitably, T is -
- R 71 is an optionally substituted 5- to 7-membered saturated or partially saturated heterocyclic ring containing a nitrogen atom and optionally a further one or two heteroatoms selected from nitrogen, oxygen or sulfur
- R x is an optionally substituted 6,6 or 6,5-bicyclic ring system containing a nitrogen atom and optionally a further heteroatom selected from oxygen, nitrogen or sulfur, which ring systems may be optionally substituted with one or more of C ⁇ .galkyl, and substituted on nitrogen with hydrogen, C ⁇ galkyl, or C3_7cycloalkyl.
- R 71 is an optionally substituted 5- or 6-membered saturated or partially saturated heterocyclic ring containing a nitrogen atom and substituted on nitrogen with Cj.galkyl or C3_7cycloalkyl.
- R 7 i is preferably located meta to L', ortho to R 72 and para to R 73 , and R 72 is located para to L'.
- R 72 is hydrogen, C ⁇ _ 6 alkyl, aryl, CN, CONR 74 R 75 , CO 2 R 76 , trifluoromethyl, NHCO 2 R 77 , hydroxy, C ⁇ galkoxy, benzyloxy, OCH 2 CO 2 C ⁇ _galkyl, OCF 3 , S(O) z R 78 , SO 2 NR 79 R 80 , or halogen wherein R 74 , R 75 , R 76 , R 79 and R 80 are independently hydrogen or C ⁇ alkyl, R 77 and R 78 are C ⁇ galkyl, and z is 0, 1, or 2.
- R 72 is preferably C ⁇ alkoxy, SC ⁇ galkyl or halogen.
- R 73 is hydrogen.
- y is an integer from 1-2. Preferably, y is 1.
- E suitably represents a group (h):
- R ⁇ 01 is hydrogen or C ⁇ .galkyl or R i i and R 30 ' together form a group -AD- wherein AD is (CR i09 R i l0 )ai wherein ai is 2, 3 or 4 or AD is (CR 109 R! 10 ) a j-AE wherein aj is 0, 1, 2 or 3 and AE is oxygen, sulfur or
- R 109 CR! 10
- R 109 and R 110 are independently hydrogen or C galkyl; suitably, R 97 and R 98 are independently hydrogen, C3_7cycloalkyl, aralkyl, or together with the nitrogen atom to which they are attached form an optionally substituted 5- to 7-membered heterocyclic ring which may contain an additional heteroatom selected from oxygen, nitrogen or sulfur, where optional substituents include C j .galkyl, aryl, CONR1°2R1° 3 , NR i04 R 10 5, hydroxy, OCOR 106 , NHCOCF3, NHSO 2 R 107 , NHCO 2 R 108 , or NHCOC 0 -6alkyl wherein the alkyl of NHCOC 0 _6alkyl is optionally substituted by OH, and wherein R 102 , Rl° 3 , R1° 4 R 105 and Rl°6 are independently hydrogen or C ⁇ galkyl, and R 107 and R 108 are independently
- AC is oxygen, CRI HR 1 * 2 G r NR 113 wherein R 111 , R 112 and 113 are independently hydrogen or Cj.galkyl or AC is a group S(O)ak wherein ak is 0, 1 or 2; suitably, ag is an integer from 1-3, ah is an integer from 1-4, and af is 0-4.
- A' is phenyl, 5,6,7,8-tetrahydro-l-naphthalenyl, lH-indol-4-yl, or 2- benzothiazolyl
- R 1 ' is one or more of C ⁇ galkyl, (CH 2 ) a NR 2 COR 4 CF 3 , CO 2 C ⁇ _ ⁇ alkyl, C ⁇ galkoxy, halogen, or cyano
- D' is a bond
- E' and G' together are NC(R 2 6) 2
- R' is hydrogen
- J' is CO
- L' is NR 30
- E is group (a), (b), (c), (f), (g), (h), or (i).
- A' is phenyl, 5,6,7,8-tetrahydro-l-napthalenyl, lH-indol-4-yl, or 6-chloro-2-benzothiazolyl; and when A' is phenyl, R 1 ' is one or more of Cj.galkyl, CF3, CO 2 CH 2 CH3, C ⁇ _6alkoxy, halogen, or cyano substituted at the 2,3-, 2,4-, 2,5-, 2- , 3-, 4-, 3,4-, and 3,5- positions, D' is a bond, E' and G' together are NCH 2 , R' is hydrogen, J' is CO, L' is NH, and E is a group (a), (b), or (g). Preferably, E is selected from group (a), (b) and (g).
- E is group (a)
- L' is attached to group (a) meta to B- (CR 1 R 2 ) a -NR 3 R 4 and para to (R 5 ) b , wherein B is oxygen or CR 7 R 8 , R!
- R 2 are hydrogen, R ⁇ is methoxy, methylthio or iodo, R 3 and R 4 are independently C3_6alkyl, or R 3 and R 4 taken together with the nitrogen to which they are attached form a 5- or 6- membered heterocyclic ring optionally substituted with one or more of Cj.galkyl and acetamido or hydroxyl, R" is hydrogen, a is 2 or 3 when B is oxygen and a is 2 when B is CR 7 R 8 , and b is l.
- L' is attached to group (a) meta to B- (CR!R 2 ) a -NR 3 R 4 and para to (R 5 ) b , wherein B is oxygen or CH2, R 1 and R 2 are hydrogen, R ⁇ is methoxy, R 3 and R 4 are independently isopropyl or tert-butyl, or R 3 and R 4 taken together with the nitrogen to which they are attached are 1 -(2,2,6,6- tetramethylpiperidinyl), l-(4-acetamido-2,2,6,6-tetramethyl piperidinyl), l-(4-hydroxy- 2,2,6,6-tetramethyl piperidinyl) or l-(4-hydroxy-2,2,4,6,6-pentamethyl piperidinyl), R ⁇ is hydrogen, a is 2 when B is oxygen, and b is 1.
- E is group (b)
- L' is attached to group (b) para to J
- J is oxygen
- R 33 is hydrogen
- R 24 R 25 , R 26 , R 27 , R 28 , R 29 , R 31 and R 32 are hydrogen
- R 30 is C3_6alkyl
- g is 2 and h is 1.
- E is group (b)
- L' is attached to group (b) para to J
- J is oxygen
- R 33 is hydrogen
- R 24 , R 25 , R 26 , R 27 , R 28 , R 29 , R 31 and R 32 are hydrogen
- R 30 is isopropyl
- g is 2
- h is 1.
- R x is an optionally substituted 5- or 6-membered saturated or partially saturated heterocyclic ring containing a nitrogen atom substituted on nitrogen with C3_galkyl or C3_7cycloalkyl, R 72 is methoxy, methylthio or iodo, y is 1, and R 73 is hydrogen.
- L' is attached to group (g) meta to R 7 * and para to R 72 wherein R 7i is piperidin-4-yl substituted on nitrogen with isopropyl, R 72 is methoxy, y is 1, and R 73 is hydrogen.
- a particularly effective subgenus of compounds of formula (I) is wherein, A' is phenyl, 5,6,7,8-tetrahydro-l-naphthalenyl, or lH-indol-4-yl; and when A' is phenyl, R 1 ' is methyl, chloro or trifluoromethyl substituted at the 2 and/or 3-positions, or R 1 ' is 2,4- dimethyl, 2-methoxy-5-chloro, 2-methyl, 3-ethoxycarbonyl, or 3,5-dichloro, D' is a bond, E' and G' together are NCH2, R' is hydrogen, J' is CO, L' is NH, and E is group
- acyloxy is used herein at all occurrences to mean a moiety
- alkenyl is used herein at all occurrences to mean a straight or branched chain radical of 2 to 6 carbon atoms, unless the length is limited thereto, wherein there is at least one double bond between two of the carbon atoms in the chain, including, but not limited to, ethenyl, 1-propenyl, 2-propenyl, 2-methyl-l-propenyl, 1- butenyl, 2-butenyl, and the like.
- alkoxy is used herein at all occurrences to mean a straight or branched chain radical of 1 to 6 carbon atoms, unless the chain length is limited thereto, bonded to an oxygen atom, including, but not limited to, methoxy, ethoxy, n- propoxy, isopropoxy, and the like.
- C ⁇ _5alkoxyC ⁇ _6alkoxy is used herein at all occurrences to mean an alkoxy group as defined above, substituted with an alkoxy group as defined above.
- C]i _6a ⁇ kyl is used herein at all occurrences to mean a straight or branched chain radical of 1 to 6 carbon atoms, unless the chain length is limited thereto, including, but not limited to, methyl, ethyl, n-propyl, isopropyl, n-butyl, sec-butyl, isobutyl, tert-butyl, and the like.
- alkynyl is used herein at all occurrences to mean a straight or branched chain radical of 2 to 8 carbon atoms, unless the chain length is U ited thereto, wherein there is at least one triple bond between two of the carbon atoms in the chain, including, but not limited to, acetylene, 1- propylene, 2-propylene, and the like.
- aralkyl is used herein at all occurrences to mean an aryl moiety as defined above, which is connected to an alkyl moiety as defined below including, but not limited to, benzyl or phenethyl, and the like.
- aryl is used herein at all occurrences to mean a 6-14-membered substituted or unsubstituted aromatic ring(s) or ring systems which may include bi- or tri-cyclic systems, including, but not limited to, phenyl, naphthalenyl, biphenyl, phenanthryl, anthracenyl, and the like.
- 6,6 or 6,5 bicyclic ring is used herein at all occurrences to mean a 6,6 or 6,5-bicyclic ring system containing a nitrogen atom and optionally a further heteroatom selected from nitrogen, oxygen, or sulfur, which ring system may be optionally substituted with C]i _5alkyl.
- ring systems include, but are not limited to, tropane, isoquinuclidine and granatane rings.
- cycloalkenyl is used herein at all occurrences to mean cyclic radicals, preferably of 5 to 8 carbons, which have at least one double bond between two of the carbon atoms in the ring, including but not limited to, cyclopentenyl, cyclohexenyl, and the like.
- cycloalkyl and “cyclic alkyl” are used herein at all occurrences to mean cyclic radicals, preferably comprising 3 to 7 carbon atoms which may be mono- or bicyclo- fused ring systems which may additionally include unsaturation, including, but not limited to, cyclopropyl, cyclopentyl, cyclohexyl, 1,2,3,4- tetrahydronaphthalenyl, and the like.
- halo or halogen are used interchangeably herein at all occurrences to mean radicals derived from the elements chlorine, fluorine, iodine and bromine.
- heteroaryl is used herein at all occurrences to mean a 5-14- membered substituted or unsubstituted aromatic ring(s) or ring systems which may include bi- or tri-cyclic systems, which ring or ring systems contain 1 to 4 heteroatoms selected from nitrogen, oxygen, and sulfur, including, but not limited to, indolyl, benzofuranyl, thianaphthenyl, quinolyl, isoquinolyl, pyrrolyl, furanyl, thienyl, pyridyl, and the like.
- hydroxyCi.galkoxy is used herein at all occurrences to mean an hydroxyl group bonded to an alkoxy group as defined above including, but not limited to, -O-CH 2 -CH(OH)CH 3 and the like.
- hydroxyalkyl are used herein interchangeably to mean an hydroxyl group bonded to a C ⁇ _6alkyl group as defined above, including, but not limited to, methanol, ethanol, n-propanol, isopropanol, n- butanol, sec-butanol, isobutanol, tert-butanol, and the like.
- heterocyclic ring is used herein at all occurrences to mean a saturated or partially saturated 5-10-membered ring system (unless the cyclic ring system is otherwise limited) in which the ring system contains one to 3 heteroatoms selected from oxygen, sulfur, or nitrogen, which ring system may be optionally substituted with Cj.galkyl.
- examples of such rings include, but are not limited to, piperidine, tetrahydropyridine, piperazine, pyrrolidine, morpholine, imidazolidine, pyrazolidine, hexahydroazepine, and the like.
- heterocyclic ring When the heterocyclic ring is fused to a phenyl group, as when E is the group (h), the term "heterocyclic ring", together with the phenyl ring to which it is fused, forms a ring which includes, but is not limited to, dihydro- 1,4-benzoxazine and 1,2,3,4-tetrahydroquinoline, which may be optionally substituted by C ⁇ gal yl or oxo.
- heteroatom is used herein at all occurrences to mean an oxygen atom, a sulfur atom or a nitrogen atom. It will be recognized that when the heteroatom is nitrogen, it may form an NR a or NR a R b moiety, wherein R a and R b are, independently, hydrogen or C 1 to Cg alkyl, or together with the nitrogen to which they are bound, form a saturated or unsaturated 5-, 6- or 7-membered ring, including, but not limited to, pyrrolidine, piperidine, piperazine, morpholine, pyridine, and the like.
- the saturated or unsaturated 5-, 6- or 7-membered ring may optionally have one or more additional heteroatoms in the ring.
- optionally substituted is used herein at all occurrences to mean an optionally substituted 5- to 7-membered heterocyclic ring wherein the optional substituents are one or more of C ⁇ galkyl.
- CCR5 mediated disease state is used herein at all occurrences to mean any disease state which is mediated (or modulated) by CCR5.
- pharmaceutically acceptable salts of formula (I) include, but are not limited to, salts with inorganic acids such as hydrochloride, sulfate, phosphate, diphosphate, hydrobromide, and nitrate, or salts with an organic acid such as malate, maleate, fumarate, tartrate, succinate, citrate, acetate, lactate, methanesulfonate, p- toluenesulfonate, palmitate, salicylate, and stearate.
- inorganic acids such as hydrochloride, sulfate, phosphate, diphosphate, hydrobromide, and nitrate
- an organic acid such as malate, maleate, fumarate, tartrate, succinate, citrate, acetate, lactate, methanesulfonate, p- toluenesulfonate, palmitate, salicylate, and stearate.
- the compounds of the invention can exist in unsolvated as well as solvated forms, including hydrated forms.
- solvated forms with pharmaceutically acceptable solvents such as water, ethanol, and the like, are equivalent to the unsolvated forms for purposes of this invention.
- the compounds of the present invention may contain one or more asymmetric carbon atoms and may exist in racemic and optically active forms.
- the stereocenters may be of any combination of R and S configuration, for example, (R,R), (R,S), (S,S) or (S,R). All of these compounds are within the scope of the present invention.
- the preferred compounds of the invention are the following compounds:
- the pharmaceutically effective compounds of this invention are administered in conventional dosage forms prepared by combining a compound of formula (I) ("active ingredient”) in an amount sufficient to treat COPD, asthma and atopic disorders (for example, atopic dermatitis and allergies), rheumatoid arthritis, sarcoidosis, or idiopathic pulmonary fibrosis and other fibrotic diseases, atherosclerosis, psoriasis, autoimmune diseases such as multiple sclerosis, treating and/or preventing rejection of transplanted organs, inflammatory bowel disease, and HIV infection, ("CCR5-mediated disease states”) with standard pharmaceutical carriers or diluents according to conventional procedures well known in the art. These procedures may involve mixing, granulating and compressing or dissolving the ingredients as appropriate to the desired preparation.
- the pharmaceutical carrier employed may be, for example, either a solid or liquid.
- solid carriers are lactose, terra alba, sucrose, talc, gelatin, agar, pectin, acacia, magnesium stearate, stearic acid and the like.
- liquid carriers are syrup, peanut oil, olive oil, water and the like.
- the carrier or diluent may include time delay material well known to the art, such as glyceryl monostearate or glyceryl distearate alone or with a wax.
- the preparation can be tableted, placed in a hard gelatin capsule in powder or pellet form or in the form of a troche or lozenge.
- the amount of solid carrier will vary widely but preferably will be from about 25 mg to about 1000 mg.
- the preparation will be in the form of a syrup, emulsion, soft gelatin capsule, sterile injectable liquid such as an ampule or nonaqueous liquid suspension.
- the active ingredient may also be administered topically to a mammal in need of treatment or prophylaxis of CCR5 mediated disease states.
- the amount of active ingredient required for therapeutic effect on topical administration will, of course, vary with the compound chosen, the nature and severity of the disease state being treated and the mammal undergoing treatment, and is ultimately at the discretion of the physician.
- a suitable dose of an active ingredient is 1.5 mg to 500 mg for topical administration, the most preferred dosage being 1 mg to 100 mg, for example 5 to 25 mg administered two or three times daily.
- topical administration non-systemic administration and includes the application of the active ingredient externally to the epidermis, to the buccal cavity and instillation of such a compound into the ear, eye and nose, and where the compound does not significantly enter the blood stream.
- systemic administration is meant oral, intravenous, intraperitoneal and intramuscular administration.
- an active ingredient may be administered alone as the raw chemical, it is preferable to present it as a pharmaceutical formulation.
- the active ingredient may comprise, for topical administration, from 0.001% to 10% w/w, e.g. from 1% to 2% by weight of the formulation although it may comprise as much as 10% w/w but preferably not in excess of 5% w/w and more preferably from 0.1% to 1% w/w of the formulation.
- topical formulations of the present invention comprise an active ingredient together with one or more acceptable carrier(s) therefor and optionally any other therapeutic ingredient(s).
- the carrier(s) must be 'acceptable' in the sense of being compatible with the other ingredients of the formulation and not deleterious to the recipient thereof.
- Formulations suitable for topical administration include liquid or semi-liquid preparations suitable for penetration through the skin to the site of inflammation such as liniments, lotions, creams, ointments or pastes, and drops suitable for administration to the eye, ear or nose.
- Drops according to the present invention may comprise sterile aqueous or oily solutions or suspensions and may be prepared by dissolving the active ingredient in a suitable aqueous or alcoholic solution of a bactericidal and/or fungicidal agent and/or any other suitable preservative, and preferably including a surface active agent.
- the resulting solution may then be clarified by filtration, transferred to a suitable container which is then sealed and sterilized by autoclaving or maintaining at 98-100°C for half an hour.
- the solution may be sterilized by filtration and transferred to the container by an aseptic technique.
- bactericidal and fungicidal agents suitable for inclusion in the drops are phenylmercuric nitrate or acetate (0.002%), benzalkonium chloride (0.01%) and chlorhexidine acetate (0.01%).
- Suitable solvents for the preparation of an oily solution include glycerol, diluted alcohol and propylene glycol.
- Lotions according to the present invention include those suitable for application to the skin or eye.
- An eye lotion may comprise a sterile aqueous solution optionally containing a bactericide and may be prepared by methods similar to those for the preparation of drops.
- Lotions or liniments for application to the skin may also include an agent to hasten drying and to cool the skin, such as an alcohol or acetone, and/or a moisturizer such as glycerol or an oil such as castor oil or arachis oil.
- Creams, ointments or pastes according to the present invention are semi-solid formulations of the active ingredient for external application. They may be made by mixing the active ingredient in finely-divided or powdered form, alone or in solution or suspension in an aqueous or non-aqueous fluid, with the aid of suitable machinery, with a greasy or non-greasy basis.
- the basis may comprise hydrocarbons such as hard, soft or liquid paraffin, glycerol, beeswax, a metallic soap; a mucilage; an oil of natural origin such as almond, corn, arachis, castor or olive oil; wool fat or its derivatives, or a fatty acid such as stearic or oleic acid together with an alcohol such as propylene glycol.
- the formulation may incorporate any suitable surface active agent such as an anionic, cationic or non-ionic surfactant such as esters or polyoxyethylene derivatives thereof.
- suitable surface active agent such as an anionic, cationic or non-ionic surfactant such as esters or polyoxyethylene derivatives thereof.
- Suspending agents such as natural gums, cellulose derivatives or inorganic materials such as silicaceous silicas, and other ingredients such as lanolin, may also be included.
- the active ingredient may also be administered by inhalation.
- inhalation is meant intranasal and oral inhalation administration.
- Appropriate dosage forms for such administration such as an aerosol formulation or a metered dose inhaler, may be prepared by conventional techniques.
- the daily dosage amount of the active ingredient administered by. inhalation is from about 0.1 mg to about 100 mg per day, preferably about 1 mg to about 10 mg per day.
- this invention relates to a method of treating COPD, asthma and atopic disorders (for example, atopic dermatitis and allergies), rheumatoid arthritis, sarcoidosis, or idiopathic pulmonary fibrosis and other fibrotic diseases, atherosclerosis, psoriasis, autoimmune diseases such as multiple sclerosis, treating and/or preventing rejection of transplanted organs, inflammatory bowel disease, and HIV infection, all in mammals, preferably humans, which comprises administering to such mammal an effective amount of a CCR5 receptor modulator, in particular, a compound as depicted in formula (I).
- atopic disorders for example, atopic dermatitis and allergies
- sarcoidosis for example, atopic dermatitis and allergies
- idiopathic pulmonary fibrosis and other fibrotic diseases for example, atherosclerosis, psoriasis, autoimmune diseases such as multiple sclerosis
- autoimmune diseases such as multiple sclerosis
- formula (I) compound can be administered to such mammal in a conventional dosage form prepared by combining the formula (I) compound with a conventional pharmaceutically acceptable carrier or diluent according to known techniques. It will be recognized by one of skill in the art that the form and character of the pharmaceutically acceptable carrier or diluent is dictated by the amount of active ingredient with which it is to be combined, the route of administration and other well- known variables.
- the formula (I) compound is administered to a mammal in need of treatment for COPD, asthma and atopic disorders (for example, atopic dermatitis and allergies), rheumatoid arthritis, sarcoidosis, or idiopathic pulmonary fibrosis and other fibrotic diseases, atherosclerosis, psoriasis, autoimmune diseases such as multiple sclerosis, treating and/or preventing rejection of transplanted organs, inflammatory bowel disease, and HIV infection, in an amount sufficient to decrease symptoms associated with these disease states.
- the route of administration may be oral or parenteral.
- the invention relates to a method for modulating factors which exacerbate the symptoms of the CCR5-mediated diseases described herein.
- parenteral as used herein includes intravenous, intramuscular, subcutaneous, intra-rectal, intravaginal or intraperitoneal administration.
- the subcutaneous and intramuscular forms of parenteral administration are generally preferred.
- the daily parenteral dosage regimen will preferably be from about 30 mg to about 300 mg per day of active ingredient.
- the daily oral dosage regimen will preferably be from about 100 mg to about 2000 mg per day of active ingredient. It will be recognized by one of skill in the art that the optimal quantity and spacing of individual dosages of a formula (I) compound will be determined by the nature and extent of the condition being treated, the form, route and site of administration, and the particular mammal being treated, and that such optimums can be determined by conventional techniques.
- the compounds of formula (I) can be prepared by art-recognized procedures from known or commercially available starting materials. If the starting materials are unavailable from a commercial source, their synthesis is described herein, or they can be prepared by procedures known in the art.
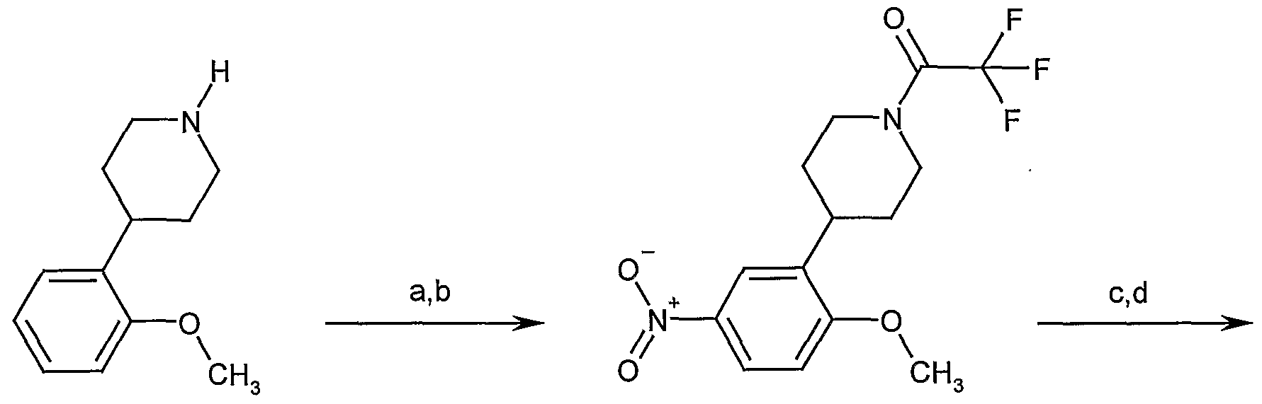
- compounds of formula (I) where L' is NR 30 are prepared by treating a suitably substituted aniline 1-1 with suitable reagent, for example triphosgene, and a suitable base, for example triethylamine, in a suitable solvent, for example dichloromethane, followed by treatment with a suitably substituted amine 1-2, e.g., l-(5,6,7,8-tetrahydro-l-naphthalenyl)piperazine, ethyl 3-(l-piperazinyl)benzoate, 4- (phenyl)piperidine, l-(phenyl)piperazine, 4-phenyl-2,3,4,6-tetrahydropyrdine, hexahydro- l-phenyl-lH-l,4-diazepine, etc., to afford the title compound 1-3.
- suitable reagent for example triphosgene
- a suitable base for example triethylamine
- a suitable solvent for example dichlor
- Suitably substituted anilines used to prepare compounds of formula (I) where E is a group of formula (b) are prepared according to the methods of international application publication number WO 95/11934, published 25 April 1995, and WO 95/19477, published 27 June 1995.
- Four other applications relate to the spiro compounds WO 97/17350 published 15 May 1997; WO 97/34900 published 25 September 1997; WO 97/34901 published 25 September 1997; WO 97/35862 published 2 October 1997.
- Suitably substituted anilines used to prepare compounds of formula (I) where E is a group of formula (c) are prepared according to the methods of international application publication number WO 95/30675, published 16 November 1995.
- Suitably substituted anilines used to prepare compounds of formula (I) where E is a group of formula (f) are prepared according to the methods of international application publication number WO 95/17401, published 29 June 1995.
- Suitably substituted anilines used to prepare compounds of formula (I) where E is a group of formula (h) are prepared according to the methods of international application publication number WO 95/32967, published 7 December 1995 and WO 97/07120, published 27 February 1997, WO 97/07120, published 27 February 1997.
- Suitably substituted anilines used to prepare compounds of formula (I) where E is a group of formula (i) are prepared according to the methods of international application publication number WO 97/19070 published 29 May 1997.
- Nitration of the resulting N-acylated phenylpiperidine with a suitable nitrating agent for example 70% nitric acid in acetic anhydride, at a suitable temperature, for example 0°C, for a suitable time, for example 30 minutes, yields 2-2.
- a suitable reagent for example potassium carbonate
- a suitable solvent for example aqueous methanol
- R is H with a suitable alkylating agent RX where R is C ⁇ galkyl or C3_7cycloalkyl, for example isopropyl, and X is a suitable leaving group, for example iodo, bromo, methanesulfonyloxy, trifluoromefhysulfonyloxy, etc., and with a suitable base, for example potassium carbonate, in a suitable solvent, for example dimethylformamide and acetonitrile, at a suitable temperature, for example 70°C, for a suitable time, for example 20 hours gives 2-3 where R is C ⁇ _galkyl or C3_7cycloalkyl.
- RX is a suitable alkylating agent
- RX is C ⁇ galkyl or C3_7cycloalkyl, for example isopropyl
- X is a suitable leaving group, for example iodo, bromo, methanesulfonyloxy, trifluoromefhysulf
- 2-3 where R is H may be reductively alkylated on the piperidine nitrogen by treatment with a C _galdehyde, C3. gketone, or a C3_7cyclic ketone, for example, cyclopentanone, and a suitable reducing agent, for example sodium cyanoborohydride, in a suitable solvent, for example, acetic acid and methanol, for a suitable time, for example 16 hours, to afford 2-3 where R is Cx.galkyl or C3_7cycloalkyl.
- a suitable solvent for example, acetic acid and methanol
- Particularly useful intermediates for preparing compounds of formula (I) are: 4-methoxy-3 - [ 1 -( 1 -methylethyl)-4-piperidinyl]benzenamine; 4-methoxy-3 - [ 1 -cyclopentyl-4-piperidinyl]benzenamine; and 4-methoxy-3-[l-(3-pentyl)-4-piperidinyl]benzenamine.
- the invention will now be described by reference to the following examples which are merely illustrative and are not to be construed as a limitation of the scope of the present invention. In the Examples, mass spectra were performed upon a VG Zab mass spectrometer using fast atom bombardment, unless otherwise indicated.
- the mixture was maintained at 0°C for an additional 30 rnin, combined with an identical concurrently run reaction, and poured into water (600 mL).
- the pH of the resultant mixture was adjusted to >9 by the addition of aqueous sodium carbonate followed by 10% sodium hydroxide.
- the resulting mixture was extracted with dichloromethane (2 x 400 mL) and the combined organic layers were washed with brine, dried (MgSO4), and concentrated in vacuo to give 12 g (>100%) of a 2.2: 1 mixture of the title compound and its 3-nitro isomer.
- the crude product was recrystallized from methanol (30 mL) to give 5.9 g (54%) of the title compound as off-white crystals.
- Triphosgene (74 mg, 0.25 mmol) was added to a solution of 3-(2- diisopropylamino)ethoxy-4-methoxyaniline (WO 95/15954)(200 mg, 0.75 mmol) and dichloromethane (3 mL) and maintained at RT for 30 rnin.
- Triethylamine (0.30 g, 0.42 mL, 3.0 mmol) was added and the resulting mixture was stirred for 1 h, treated with l-(2,3-dimethylphenyl)piperazine (0.11 g, 0.60 mmol), and the mixture stirred at RT for 16 h. The mixture was washed with water, dried (MgSO4) and concentrated in vacuo.
- Examples 3-22 Following the procedure of Example 2, except substituting 1-phenylpiperazine, l-(2-methylphenyl)piperazine, l-[2-(acetamidomethyl)phenyl]-piperazine(GB 2309458), l-[3-(trifluoromethyl)phenyl]piperazine, l-(2-methoxyphenyl)piperazine, 1- (2-chlorophenyl)piperazine, l-(3-chlorophenyl)piperazine, l-(4- chlorophenyl)piperazine, l-(2,6-dimethylphenyl)piperazine, l-(2,3- dichlorophenyl)piperazine, and l-(3,4-dichlorophenyl)piperazine for l-(2,3- dimethylphenyl)piperazine, gave the following compounds:
- Examples 25-46 Following the procedure of Example 2, except substituting l-(3- methyipheny piperazine, l-(4-methylphenyl)piperazine, l-(2,5- dimethylphenyl)piperazine, 1 -(3 ,4-dimethylphenyl)piperazine, 1 -(3 ,5- dichlorophenyl)piperazine, l-(3-methoxyphenyl)piperazine, l-(3,5- dimethoxyphenyl)piperazine, l-[3-(ethoxycarbonyl)phenyl]piperazine, l-(2- cyanophenyl)piperazine, l-(4-cyanophenyl)piperazine, l-(2-pyridinyl)piperazine, l-(4- pyridinyl)piperazine, l-[4-chloro-3-(trifluoromethyl)phenyl]piperazine, l-[2-
- Triphosgene (12.2 mg, 0.041 mmol) was added to a solution of the compound of Preparation 1(e) (31 mg, 0.125 mmol) in dichloromethane (1 mL). The mixture was , Pj stirred for 30 rnin and then triethylamine ( 0.07 mL, 0.5 mmol) was added. The mixture was stirred an additional 1 h, treated with l-(2,3-dimethylphenyl)piperazine (31.0 mg, 0.125 mmol), and the mixture stirred at RT overnight.
- Example 48 Preparation of 4-(2.3-Dichlorophenyl)-N-r4-methoxy-3-ri-(l-methylethy -4- piperidinyllphenyl1-l-pi ⁇ erazinecarboxamide Following the procedure of Example 47, except substituting l-(2,3- dichlorophenyl)piperazine for l-(2,3-dimethylphenyl)piperazine, gave the title compound. MS(ES) m/e 505.4 [M+H]+.
- Example 49 Preparation of N-[3-(2-Diisopropylamino)ethoxy-4-methoxyphenyn-4-(3- carboxyphenyDpiperazine- 1 -carboxamide To a flask containing the compound of Example 32 (5.5 mg, 0.01 mmol) was added 0.5 ml ethanol and 0.3 N sodium hydroxide (0.1 ml, 0.03 mmol.). The mixture was stirred at RT overnight.
- Example 97 Preparation of 4-r3-(Ethoxycarbonyl)phenyll-N-r3-r3-rbis(l- methylethyl amino1propoxy1-4-methoxyphenyl1-l-piperazinecarboxamide Following the procedure of Example 2, except substituting 3-(3- diisopropylamino)propoxy-4-methoxy aniline (WO 99/01127) for 3-(2- diisopropylamino)ethoxy-4-methoxyaniline and substituting the compound of Preparation 3 for l-(2,3-dimethylphenyl)piperazine, gave the title compound. MS(ES) m/e 541.4 [M+H]+.
- Example 98-99 Preparation of 4-(2.3-Dimethylphenyl -N-[4-methoxy-3-[l-cvclopentyl-4- piperidinyl]phenyl]-l-piperazinecarboxamide and 4-(2.3-Dimethylphenyl)-N-ri-(3- pentyl)-4-methoxy-3-[l-cvclopentyl-4-piperidinyl1phenyl1-l-piperazinecarboxamide
- Example 47 except substituting the compounds of Preparation 4(b) and Preparation 5 for the compound of Preparation 1(e), gives the title compounds.
- CHO cell membranes (0.25 xlO 6 cell equivalents) derived from CHO cells stably transfected with CCR5 were incubated with 0.3 125 I-RANTES in a 96 well plate for 45 min. at room temperature (final reaction volume 200 uL). The reaction was terminated by filtration and the filters (GF/C) were washed twelve times with a solution of phosphate buffered saline containing 0.1 % bovine serum albumin and 0.05 % NaN3. The radioactivity bound to filters was measured by liquid scintillation spectrometry. Non-specific binding was determined in the presence of unlabelled RANTES (10 or 30 nM) and averages 30-50% of total binding.
- the cellular functional assay used to assess antagonist activity of compounds was RANTES-induced Ca 2+ mobilization in RBL 2H3 cells stably expressing the hCCR5 receptor (RBL 2H3 hCCR5).
- Agonist activity is determined by Ca 2+ mobilization in the same cells which is inhibitable by a selective CCR5 antagonist.
- Cells were grown to 80-100% confluency in T-150 flasks and washed with phosphate-buffered saline. Cells were lifted from the flasks by treating with 3 mL of 1 mM EDTA for 3 min.
- the percent of maximal RANTES -induced Ca + was determined for each concentration of antagonist and the IC5Q ; defined as the concentration of test compound that inhibits 50% of the maximal 33 nM RANTES response, obtained from the concentration-response curves (5-7 concentrations of antagonists).
- the compounds of this invention show CCR5 receptor modulator activity having IC50 values in the range of 0.0001 to 100 ⁇ M.
- the full structure/activity relationship has not yet been established for the compounds of this invention.
- one of ordinary skill in the art can utilize the present assays in order to determine which compounds of formula (I) are modulators of the CCR5 receptor and which bind thereto with an IC50 value in the range of 0.0001 to 100 ⁇ M.
Landscapes
- Chemical & Material Sciences (AREA)
- Organic Chemistry (AREA)
- Health & Medical Sciences (AREA)
- Animal Behavior & Ethology (AREA)
- General Health & Medical Sciences (AREA)
- Pulmonology (AREA)
- Engineering & Computer Science (AREA)
- Bioinformatics & Cheminformatics (AREA)
- Veterinary Medicine (AREA)
- Chemical Kinetics & Catalysis (AREA)
- General Chemical & Material Sciences (AREA)
- Medicinal Chemistry (AREA)
- Nuclear Medicine, Radiotherapy & Molecular Imaging (AREA)
- Pharmacology & Pharmacy (AREA)
- Life Sciences & Earth Sciences (AREA)
- Public Health (AREA)
- Orthopedic Medicine & Surgery (AREA)
- Immunology (AREA)
- Physical Education & Sports Medicine (AREA)
- Rheumatology (AREA)
- Pharmaceuticals Containing Other Organic And Inorganic Compounds (AREA)
Abstract
Description
Claims
Priority Applications (3)
| Application Number | Priority Date | Filing Date | Title |
|---|---|---|---|
| EP01958995A EP1313477A4 (en) | 2000-07-15 | 2001-07-13 | Compounds and methods |
| US10/343,880 US20040038982A1 (en) | 2001-07-13 | 2001-07-13 | Compounds and methods |
| AU2001280599A AU2001280599A1 (en) | 2000-07-15 | 2001-07-13 | Compounds and methods |
Applications Claiming Priority (2)
| Application Number | Priority Date | Filing Date | Title |
|---|---|---|---|
| US21850500P | 2000-07-15 | 2000-07-15 | |
| US60/218,509 | 2000-07-15 |
Publications (1)
| Publication Number | Publication Date |
|---|---|
| WO2002005819A1 true WO2002005819A1 (en) | 2002-01-24 |
Family
ID=22815411
Family Applications (1)
| Application Number | Title | Priority Date | Filing Date |
|---|---|---|---|
| PCT/US2001/022529 Ceased WO2002005819A1 (en) | 2000-07-15 | 2001-07-13 | Compounds and methods |
Country Status (3)
| Country | Link |
|---|---|
| EP (1) | EP1313477A4 (en) |
| AU (1) | AU2001280599A1 (en) |
| WO (1) | WO2002005819A1 (en) |
Cited By (30)
| Publication number | Priority date | Publication date | Assignee | Title |
|---|---|---|---|---|
| US6723730B2 (en) | 2000-07-20 | 2004-04-20 | Neurogen Corporation | Capsaicin receptor ligands |
| EP1419773A3 (en) * | 1999-12-22 | 2004-05-26 | A. Carlsson Research AB | 4-Phenylpiperidine derivatives as modulators of dopamine neurotransmission |
| WO2004055011A1 (en) * | 2002-12-13 | 2004-07-01 | Smithkline Beecham Corporation | Heterocyclic compounds as ccr5 antagonists |
| WO2004010942A3 (en) * | 2002-07-31 | 2004-07-08 | Smithkline Beecham Corp | Substituted heterocyclic compounds as modulators of the ccr5 receptor |
| WO2004092136A1 (en) * | 2003-04-18 | 2004-10-28 | Ono Pharmaceutical Co., Ltd. | Nitrogenous heterocyclic compound and use thereof |
| JPWO2004002531A1 (en) * | 2002-06-26 | 2005-10-27 | 小野薬品工業株式会社 | Treatment for diseases caused by contraction or dilation of blood vessels |
| WO2005121087A1 (en) * | 2004-06-08 | 2005-12-22 | A. Carlsson Research Ab | New disubstituted phenylpiperidines/piperazines as modulators of dopamine neurotransmission |
| US7071335B2 (en) | 2002-02-01 | 2006-07-04 | Euro-Celtique S.A. | 2-pyridinyl-1-piperazine therapeutic agents useful for treating pain |
| US7157462B2 (en) | 2002-09-24 | 2007-01-02 | Euro-Celtique S.A. | Therapeutic agents useful for treating pain |
| WO2007020888A1 (en) | 2005-08-12 | 2007-02-22 | Takeda Pharmaceutical Company Limited | Brain/neuronal cell-protecting agent, and therapeutic agent for sleep disorder |
| US7262194B2 (en) | 2002-07-26 | 2007-08-28 | Euro-Celtique S.A. | Therapeutic agents useful for treating pain |
| US7279493B2 (en) | 2002-06-28 | 2007-10-09 | Euro-Celtique S.A. | Therapeutic agents useful for treating pain |
| EP1498125A4 (en) * | 2002-04-24 | 2008-08-20 | Takeda Pharmaceutical | USE OF ANTI-CCR ANTAGONISM COMPOUNDS |
| US7417043B2 (en) | 1999-12-22 | 2008-08-26 | Neurosearch Sweden Ab | Modulators of dopamine neurotransmission |
| RU2366654C2 (en) * | 2004-06-08 | 2009-09-10 | ЭнЭсЭйБи, ФИЛИАЛ АФ НЕУРОСЕРЧ СВИДЕН АБ, СВЕРИЙЕ | New disubstituted phenyl piperidines/piperazines as modulators of dopamine neurotransmission |
| US7763639B2 (en) | 2004-06-08 | 2010-07-27 | Nsab, Filial Af Neurosearch Sweden Ab, Sverige | Disubstituted phenylpiperidines/piperazines as modulators of dopamine neurotransmission |
| US7776861B2 (en) | 2003-07-24 | 2010-08-17 | Purdue Pharma L.P. | Therapeutic agents useful for treating pain |
| US7851629B2 (en) | 2004-06-08 | 2010-12-14 | Nsab, Filial Af Neurosearch Sweden Ab, Sverige | Disubstituted phenylpiperidines as modulators of dopamine and serotonin neurotransmission |
| US7923459B2 (en) | 2004-10-13 | 2011-04-12 | Nsab, Filial Af Neurosearch Sweden Ab, Sverige | Process for the synthesis of 4-(3-methanesulfonylphenyl)-1-N-propyl-piperidine |
| US8501777B2 (en) | 2005-10-13 | 2013-08-06 | Nsab, Filial Af Neurosearch Sweden Ab, Sverige | 3,5-disubstituted phenyl-piperidines as modulators of dopamine neurotransmission |
| US8980924B2 (en) | 2010-11-24 | 2015-03-17 | The Trustees Of Columbia University In The City Of New York | Non-retinoid RBP4 antagonist for treatment of age-related macular degeneration and stargardt disease |
| US9012476B2 (en) | 2011-12-08 | 2015-04-21 | IVAX International GmbH | Hydrobromide salt of pridopidine |
| US9333202B2 (en) | 2012-05-01 | 2016-05-10 | The Trustees Of Columbia University In The City Of New York | Non-retinoid antagonists for treatment of age-related macular degeneration and stargardt disease |
| USRE46117E1 (en) | 1999-12-22 | 2016-08-23 | Teva Pharmaceuticals International Gmbh | Modulators of dopamine neurotransmission |
| US9434727B2 (en) | 2014-04-30 | 2016-09-06 | The Trustees Of Columbia University In The City Of New York | Substituted 4-phenylpiperidines, their preparation and use |
| US9637450B2 (en) | 2013-03-14 | 2017-05-02 | The Trustees Of Columbia University In The City Of New York | Octahydrocyclopentapyrroles, their preparation and use |
| US9938291B2 (en) | 2013-03-14 | 2018-04-10 | The Trustess Of Columbia University In The City Of New York | N-alkyl-2-phenoxyethanamines, their preparation and use |
| US9944644B2 (en) | 2013-03-14 | 2018-04-17 | The Trustees Of Columbia University In The City Of New York | Octahydropyrrolopyrroles their preparation and use |
| US10273243B2 (en) | 2013-03-14 | 2019-04-30 | The Trustees Of Columbia University In The City Of New York | 4-phenylpiperidines, their preparation and use |
| US11207308B2 (en) | 2012-04-04 | 2021-12-28 | Prilenia Neurotherapeutics Ltd. | Pharmaceutical compositions for combination therapy |
Citations (2)
| Publication number | Priority date | Publication date | Assignee | Title |
|---|---|---|---|---|
| US5789412A (en) * | 1994-07-20 | 1998-08-04 | Pierre Fabre Medicament | Piperazides derived from arylpiperazine, processes for their preparation, their use as medicaments and pharmaceutical compositions comprising them |
| WO1999017773A1 (en) * | 1997-10-07 | 1999-04-15 | Smithkline Beecham Corporation | Compounds and methods |
Family Cites Families (1)
| Publication number | Priority date | Publication date | Assignee | Title |
|---|---|---|---|---|
| JP2002535256A (en) * | 1999-01-25 | 2002-10-22 | スミスクライン・ビーチャム・コーポレイション | Compounds and methods |
-
2001
- 2001-07-13 EP EP01958995A patent/EP1313477A4/en not_active Withdrawn
- 2001-07-13 WO PCT/US2001/022529 patent/WO2002005819A1/en not_active Ceased
- 2001-07-13 AU AU2001280599A patent/AU2001280599A1/en not_active Abandoned
Patent Citations (2)
| Publication number | Priority date | Publication date | Assignee | Title |
|---|---|---|---|---|
| US5789412A (en) * | 1994-07-20 | 1998-08-04 | Pierre Fabre Medicament | Piperazides derived from arylpiperazine, processes for their preparation, their use as medicaments and pharmaceutical compositions comprising them |
| WO1999017773A1 (en) * | 1997-10-07 | 1999-04-15 | Smithkline Beecham Corporation | Compounds and methods |
Non-Patent Citations (1)
| Title |
|---|
| See also references of EP1313477A4 * |
Cited By (60)
| Publication number | Priority date | Publication date | Assignee | Title |
|---|---|---|---|---|
| USRE46117E1 (en) | 1999-12-22 | 2016-08-23 | Teva Pharmaceuticals International Gmbh | Modulators of dopamine neurotransmission |
| EP1419773A3 (en) * | 1999-12-22 | 2004-05-26 | A. Carlsson Research AB | 4-Phenylpiperidine derivatives as modulators of dopamine neurotransmission |
| USRE41315E1 (en) | 1999-12-22 | 2010-05-04 | Nsab, Filial Af Neurosearch Sweden Ab | Modulators of dopamine neurotransmission |
| HRP20020539B1 (en) * | 1999-12-22 | 2009-06-30 | Neurosearch Sweden Ab | NEW DOPAMINE TRANSMISSION MODULATORS |
| US7417043B2 (en) | 1999-12-22 | 2008-08-26 | Neurosearch Sweden Ab | Modulators of dopamine neurotransmission |
| US6723730B2 (en) | 2000-07-20 | 2004-04-20 | Neurogen Corporation | Capsaicin receptor ligands |
| US7071335B2 (en) | 2002-02-01 | 2006-07-04 | Euro-Celtique S.A. | 2-pyridinyl-1-piperazine therapeutic agents useful for treating pain |
| US7256193B2 (en) | 2002-02-01 | 2007-08-14 | Euro-Celtique S.A. | Therapeutic agents useful for treating pain |
| EP1498125A4 (en) * | 2002-04-24 | 2008-08-20 | Takeda Pharmaceutical | USE OF ANTI-CCR ANTAGONISM COMPOUNDS |
| EP2508204A3 (en) * | 2002-06-26 | 2012-12-12 | Ono Pharmaceutical Co., Ltd. | Remedies for diseases caused by vascular contraction or dilation |
| EP1522314B1 (en) * | 2002-06-26 | 2014-03-05 | Ono Pharmaceutical Co., Ltd. | Remedies for diseases caused by vascular contraction or dilation |
| US8765783B2 (en) | 2002-06-26 | 2014-07-01 | Ono Pharmaceuticals Co., Ltd. | Pharmaceutical composition for treatment of disease due to vascular constriction or vasodilation |
| JPWO2004002531A1 (en) * | 2002-06-26 | 2005-10-27 | 小野薬品工業株式会社 | Treatment for diseases caused by contraction or dilation of blood vessels |
| US7279493B2 (en) | 2002-06-28 | 2007-10-09 | Euro-Celtique S.A. | Therapeutic agents useful for treating pain |
| US7799786B2 (en) | 2002-06-28 | 2010-09-21 | Purdue Pharma L.P. | Therapeutic agents useful for treating pain |
| US7262194B2 (en) | 2002-07-26 | 2007-08-28 | Euro-Celtique S.A. | Therapeutic agents useful for treating pain |
| US7696207B2 (en) | 2002-07-26 | 2010-04-13 | Purdue Pharma L.P. | Therapeutic agents useful for treating pain |
| WO2004010942A3 (en) * | 2002-07-31 | 2004-07-08 | Smithkline Beecham Corp | Substituted heterocyclic compounds as modulators of the ccr5 receptor |
| US7737148B2 (en) | 2002-09-24 | 2010-06-15 | Purdue Pharma, L.P. | Therapeutic agents useful for treating pain |
| US7157462B2 (en) | 2002-09-24 | 2007-01-02 | Euro-Celtique S.A. | Therapeutic agents useful for treating pain |
| US7855210B2 (en) | 2002-09-24 | 2010-12-21 | Purdue Pharma, L.P. | Therapeutic agents useful for treating pain |
| US7452992B2 (en) | 2002-12-13 | 2008-11-18 | Smithkline Beecham Corporation | Heterocyclic compounds as CCR5 antagonists |
| WO2004055011A1 (en) * | 2002-12-13 | 2004-07-01 | Smithkline Beecham Corporation | Heterocyclic compounds as ccr5 antagonists |
| WO2004092136A1 (en) * | 2003-04-18 | 2004-10-28 | Ono Pharmaceutical Co., Ltd. | Nitrogenous heterocyclic compound and use thereof |
| US8178560B2 (en) | 2003-07-24 | 2012-05-15 | Purdue Pharma L.P. | Therapeutic agents useful for treating pain |
| US9301953B2 (en) | 2003-07-24 | 2016-04-05 | Purdue Pharma L.P. | Therapeutic agents useful for treating pain |
| US7776861B2 (en) | 2003-07-24 | 2010-08-17 | Purdue Pharma L.P. | Therapeutic agents useful for treating pain |
| US8637548B2 (en) | 2003-07-24 | 2014-01-28 | Purdue Pharma L.P. | Therapeutic agents useful for treating pain |
| US8314126B2 (en) | 2004-06-08 | 2012-11-20 | Nsab, Filial Af Neurosearch Sweden Ab, Sverige | Disubstituted phenylpiperdines/piperazines as modulators of dopamine neurotransmission |
| WO2005121087A1 (en) * | 2004-06-08 | 2005-12-22 | A. Carlsson Research Ab | New disubstituted phenylpiperidines/piperazines as modulators of dopamine neurotransmission |
| US7851629B2 (en) | 2004-06-08 | 2010-12-14 | Nsab, Filial Af Neurosearch Sweden Ab, Sverige | Disubstituted phenylpiperidines as modulators of dopamine and serotonin neurotransmission |
| US7763639B2 (en) | 2004-06-08 | 2010-07-27 | Nsab, Filial Af Neurosearch Sweden Ab, Sverige | Disubstituted phenylpiperidines/piperazines as modulators of dopamine neurotransmission |
| RU2366654C2 (en) * | 2004-06-08 | 2009-09-10 | ЭнЭсЭйБи, ФИЛИАЛ АФ НЕУРОСЕРЧ СВИДЕН АБ, СВЕРИЙЕ | New disubstituted phenyl piperidines/piperazines as modulators of dopamine neurotransmission |
| US7923459B2 (en) | 2004-10-13 | 2011-04-12 | Nsab, Filial Af Neurosearch Sweden Ab, Sverige | Process for the synthesis of 4-(3-methanesulfonylphenyl)-1-N-propyl-piperidine |
| US7812025B2 (en) | 2005-08-12 | 2010-10-12 | Takeda Pharmaceutical Company Limited | Brain/neuronal cell-protecting agent and therapeutic agent for sleep disorder |
| WO2007020888A1 (en) | 2005-08-12 | 2007-02-22 | Takeda Pharmaceutical Company Limited | Brain/neuronal cell-protecting agent, and therapeutic agent for sleep disorder |
| US8501777B2 (en) | 2005-10-13 | 2013-08-06 | Nsab, Filial Af Neurosearch Sweden Ab, Sverige | 3,5-disubstituted phenyl-piperidines as modulators of dopamine neurotransmission |
| US8980924B2 (en) | 2010-11-24 | 2015-03-17 | The Trustees Of Columbia University In The City Of New York | Non-retinoid RBP4 antagonist for treatment of age-related macular degeneration and stargardt disease |
| US9814706B2 (en) | 2011-12-08 | 2017-11-14 | Teva Pharmaceuticals International Gmbh | Hydrobromide salt of pridopidine |
| US9012476B2 (en) | 2011-12-08 | 2015-04-21 | IVAX International GmbH | Hydrobromide salt of pridopidine |
| US11207308B2 (en) | 2012-04-04 | 2021-12-28 | Prilenia Neurotherapeutics Ltd. | Pharmaceutical compositions for combination therapy |
| US9333202B2 (en) | 2012-05-01 | 2016-05-10 | The Trustees Of Columbia University In The City Of New York | Non-retinoid antagonists for treatment of age-related macular degeneration and stargardt disease |
| US11028098B2 (en) | 2013-03-14 | 2021-06-08 | The Trustees Of Columbia University In The City Of New York | 4-phenylpiperidines, their preparation and use |
| US9637450B2 (en) | 2013-03-14 | 2017-05-02 | The Trustees Of Columbia University In The City Of New York | Octahydrocyclopentapyrroles, their preparation and use |
| US9926271B2 (en) | 2013-03-14 | 2018-03-27 | The Trustees Of Columbia University In The City Of New York | Octahydrocyclopentapyrroles, their preparation and use |
| US9938291B2 (en) | 2013-03-14 | 2018-04-10 | The Trustess Of Columbia University In The City Of New York | N-alkyl-2-phenoxyethanamines, their preparation and use |
| US9944644B2 (en) | 2013-03-14 | 2018-04-17 | The Trustees Of Columbia University In The City Of New York | Octahydropyrrolopyrroles their preparation and use |
| US12473302B2 (en) | 2013-03-14 | 2025-11-18 | The Trustees Of Columbia University In The City Of New York | 4-phenylpiperidines, their preparation and use |
| US10273243B2 (en) | 2013-03-14 | 2019-04-30 | The Trustees Of Columbia University In The City Of New York | 4-phenylpiperidines, their preparation and use |
| US11919913B2 (en) | 2013-03-14 | 2024-03-05 | The Trustees Of Columbia University In The City Of New York | 4-phenylpiperidines, their preparation and use |
| US10421720B2 (en) | 2013-03-14 | 2019-09-24 | The Trustees Of Columbia University In The City Of New York | Octahydrocyclopentapyrroles, their preparation and use |
| US10570148B2 (en) | 2013-03-14 | 2020-02-25 | The Trustees Of Columbia University In The City Of New York | N-alkyl-2-phenoxyethanamines, their preparation and use |
| US10787453B2 (en) | 2013-03-14 | 2020-09-29 | The Trustees Of Columbia University In The City Of New York | Octahydropyrrolopyrroles their preparation and use |
| US10072016B2 (en) | 2014-04-30 | 2018-09-11 | The Trustees Of Columbia University In The City Of New York | Substituted 4-phenylpiperidines, their preparation and use |
| US10913746B2 (en) | 2014-04-30 | 2021-02-09 | The Trustees Of Columbia University In The City Of New York | Substituted 4-phenylpiperidines, their preparation and use |
| US9434727B2 (en) | 2014-04-30 | 2016-09-06 | The Trustees Of Columbia University In The City Of New York | Substituted 4-phenylpiperidines, their preparation and use |
| US11649240B2 (en) | 2014-04-30 | 2023-05-16 | The Trustees Of Columbia University In The City Of New York | Substituted 4-phenylpiperidines, their preparation and use |
| US10407433B2 (en) | 2014-04-30 | 2019-09-10 | The Trustees Of Columbia University In The City Of New York | Substituted 4-phenylpiperidines, their preparation and use |
| US12404277B2 (en) | 2014-04-30 | 2025-09-02 | The Trustees Of Columbia University In The City Of New York | Substituted 4-phenylpiperidines, their preparation and use |
| US9777010B2 (en) | 2014-04-30 | 2017-10-03 | The Trustees Of Columbia University In The City Of New York | Substituted 4-phenylpiperidines, their preparation and use |
Also Published As
| Publication number | Publication date |
|---|---|
| EP1313477A4 (en) | 2004-03-03 |
| EP1313477A1 (en) | 2003-05-28 |
| AU2001280599A1 (en) | 2002-01-30 |
Similar Documents
| Publication | Publication Date | Title |
|---|---|---|
| WO2002005819A1 (en) | Compounds and methods | |
| WO2004011427A2 (en) | Substituted benzanilides as modulators of the ccr5 receptor | |
| WO2000006146A1 (en) | Substituted anilide compounds and methods | |
| WO2004010943A2 (en) | Substituted benzanilides as modulators of the ccr5 receptor | |
| EP1146790A1 (en) | Compounds and methods | |
| EP1100495A1 (en) | Propenamides as ccr5 modulators | |
| US8119627B2 (en) | Heterocyclic compounds as inhibitors of 17beta-HSD3 | |
| US6399656B1 (en) | Compounds and methods | |
| EP1045693B1 (en) | Aminophenoxyacetic acid derivatives as neuroprotectants | |
| WO2004010942A2 (en) | Substituted heterocyclic compounds as modulators of the ccr5 receptor | |
| HUP0301187A2 (en) | Novel benzyl-piperidine-derivatives, process for their preparation and pharmaceutical compositions containing them | |
| JPH07509219A (en) | 4-[4'-piperidinyl or 3'-pyrrolidinyl]-substituted imidazoles as H↓3 receptor antagonists and methods of therapeutic use thereof | |
| JP2013028538A (en) | Novel amide derivative | |
| AU2002243136B2 (en) | Benzimidazol derivatives modulate chemokine receptors | |
| JPH11514671A (en) | 1,4-Di-substituted piperidines as muscarinic antagonists | |
| WO2001064213A1 (en) | Compounds and methods | |
| JPWO2004052859A1 (en) | Erythropoietin production promoter | |
| WO2000040239A1 (en) | Compounds and methods | |
| TW201006799A (en) | Novel compounds active as muscarinic receptor antagonists | |
| AU2010331949A1 (en) | Compounds for the treatment of neurologic disorders | |
| JP4276070B2 (en) | Cyclic amine compound | |
| AU2006214118B2 (en) | Kappa opioid receptor ligands | |
| CA2515516A1 (en) | Carboxylic acid compounds | |
| US20040038982A1 (en) | Compounds and methods | |
| JP4451060B2 (en) | Substituted heterocyclic compounds for treating multidrug resistance |
Legal Events
| Date | Code | Title | Description |
|---|---|---|---|
| AK | Designated states |
Kind code of ref document: A1 Designated state(s): AE AG AL AM AT AU AZ BA BB BG BR BY BZ CA CH CN CO CR CU CZ DE DK DM DZ EC EE ES FI GB GD GE GH GM HR HU ID IL IN IS JP KE KG KP KR KZ LC LK LR LS LT LU LV MA MD MG MK MN MW MX MZ NO NZ PL PT RO RU SD SE SG SI SK SL TJ TM TR TT TZ UA UG US UZ VN YU ZA ZW |
|
| AL | Designated countries for regional patents |
Kind code of ref document: A1 Designated state(s): GH GM KE LS MW MZ SD SL SZ TZ UG ZW AM AZ BY KG KZ MD RU TJ TM AT BE CH CY DE DK ES FI FR GB GR IE IT LU MC NL PT SE TR BF BJ CF CG CI CM GA GN GW ML MR NE SN TD TG |
|
| 121 | Ep: the epo has been informed by wipo that ep was designated in this application | ||
| DFPE | Request for preliminary examination filed prior to expiration of 19th month from priority date (pct application filed before 20040101) | ||
| REG | Reference to national code |
Ref country code: DE Ref legal event code: 8642 |
|
| WWE | Wipo information: entry into national phase |
Ref document number: 10343880 Country of ref document: US |
|
| WWE | Wipo information: entry into national phase |
Ref document number: 2001958995 Country of ref document: EP |
|
| WWP | Wipo information: published in national office |
Ref document number: 2001958995 Country of ref document: EP |
|
| ENP | Entry into the national phase |
Country of ref document: RU Kind code of ref document: A Format of ref document f/p: F |
|
| NENP | Non-entry into the national phase |
Ref country code: JP |
|
| WWW | Wipo information: withdrawn in national office |
Ref document number: 2001958995 Country of ref document: EP |































