WO2001090399A2 - Detection of mutations and polymorphisms in nucleic acids - Google Patents
Detection of mutations and polymorphisms in nucleic acids Download PDFInfo
- Publication number
- WO2001090399A2 WO2001090399A2 PCT/US2001/016089 US0116089W WO0190399A2 WO 2001090399 A2 WO2001090399 A2 WO 2001090399A2 US 0116089 W US0116089 W US 0116089W WO 0190399 A2 WO0190399 A2 WO 0190399A2
- Authority
- WO
- WIPO (PCT)
- Prior art keywords
- probe
- sequence
- polynucleotide
- label
- signal producing
- Prior art date
- Legal status (The legal status is an assumption and is not a legal conclusion. Google has not performed a legal analysis and makes no representation as to the accuracy of the status listed.)
- Ceased
Links
- MKILROQBJOOZKC-UHFFFAOYSA-N CC(C)(C)c(ccc1c2)cc1cc(C#N)c2C#N Chemical compound CC(C)(C)c(ccc1c2)cc1cc(C#N)c2C#N MKILROQBJOOZKC-UHFFFAOYSA-N 0.000 description 1
- YXKBOVZTPZVQQD-UHFFFAOYSA-N CC(C)(C)c(ccc1c2)cc1cc(C(N1)=N)c2C1=N Chemical compound CC(C)(C)c(ccc1c2)cc1cc(C(N1)=N)c2C1=N YXKBOVZTPZVQQD-UHFFFAOYSA-N 0.000 description 1
- BMVXCPBXGZKUPN-UHFFFAOYSA-N CCCCCCN Chemical compound CCCCCCN BMVXCPBXGZKUPN-UHFFFAOYSA-N 0.000 description 1
Classifications
-
- C—CHEMISTRY; METALLURGY
- C12—BIOCHEMISTRY; BEER; SPIRITS; WINE; VINEGAR; MICROBIOLOGY; ENZYMOLOGY; MUTATION OR GENETIC ENGINEERING
- C12Q—MEASURING OR TESTING PROCESSES INVOLVING ENZYMES, NUCLEIC ACIDS OR MICROORGANISMS; COMPOSITIONS OR TEST PAPERS THEREFOR; PROCESSES OF PREPARING SUCH COMPOSITIONS; CONDITION-RESPONSIVE CONTROL IN MICROBIOLOGICAL OR ENZYMOLOGICAL PROCESSES
- C12Q1/00—Measuring or testing processes involving enzymes, nucleic acids or microorganisms; Compositions therefor; Processes of preparing such compositions
- C12Q1/68—Measuring or testing processes involving enzymes, nucleic acids or microorganisms; Compositions therefor; Processes of preparing such compositions involving nucleic acids
- C12Q1/6813—Hybridisation assays
- C12Q1/6816—Hybridisation assays characterised by the detection means
- C12Q1/6825—Nucleic acid detection involving sensors
-
- C—CHEMISTRY; METALLURGY
- C12—BIOCHEMISTRY; BEER; SPIRITS; WINE; VINEGAR; MICROBIOLOGY; ENZYMOLOGY; MUTATION OR GENETIC ENGINEERING
- C12Q—MEASURING OR TESTING PROCESSES INVOLVING ENZYMES, NUCLEIC ACIDS OR MICROORGANISMS; COMPOSITIONS OR TEST PAPERS THEREFOR; PROCESSES OF PREPARING SUCH COMPOSITIONS; CONDITION-RESPONSIVE CONTROL IN MICROBIOLOGICAL OR ENZYMOLOGICAL PROCESSES
- C12Q1/00—Measuring or testing processes involving enzymes, nucleic acids or microorganisms; Compositions therefor; Processes of preparing such compositions
- C12Q1/68—Measuring or testing processes involving enzymes, nucleic acids or microorganisms; Compositions therefor; Processes of preparing such compositions involving nucleic acids
- C12Q1/6813—Hybridisation assays
- C12Q1/6827—Hybridisation assays for detection of mutation or polymorphism
Definitions
- This application relates to the detection of mutations and polymorphisms in nucleic acids.
- the mutations may be single or multiple nucleotide polymorphisms, or insertions or deletions of one or more nucleotides in a polynucleotide sequence.
- the detection involves the use of competitive probes and multiple signals and is accomplished with or without nucleic acid amplification.
- nucleotide position is viewed as polymorphic when it exists in at least two variants and the allele frequency of the most common variant is less than 99% (4).
- Extensive sets of polymorphic sequences are now being identified in the course of genome research, in studies of human genome diversity, and in the process of establishing mutation databases that may ultimately include all common variants of human genes (5).
- Applications of polymorphism analysis now extends from investigations of small numbers of sequence variants known to be associated with a specific disease to investigation of markers across the genome, perhaps with markers corresponding to several variants of each of the roughly 100,000 human genes.
- a reliable technique of analyzing mutations in genes of medical interest for disease diagnosis and the prediction of pharmaceutical efficacy requires the ability to discriminate a difference in a single nucleotide.
- methods of analyzing DNA sequences have been restricted largely to research and specialized clinical laboratories due to their technological complexity and cost. These methods include reverse oligonucleotide hybridization, competitive or allele- specific PCR, and ligase chain reaction. These techniques are useful for detecting the mutations and hereditary diseases when 50% or 100% of the analyzed DNA contains the mutation.
- a more discriminative procedure is needed to detect somatic mutations, such as human malignancies, where very often only a small fraction of DNA contains the mutation.
- each of the techniques established so far has shortcomings.
- Reverse oligonucleotide hybridization involves multiple, labor-intensive steps including DNA template amplification, immobilization of the DNA template to a solid support, hybridization, washing and detection (6, 7), making it difficult to automate.
- the C-PCR (8) and LCR (9-11 ) techniques are based on competitive priming and amplification, however, they are very prone to mismatched priming and exponential amplification of the mismatched hybrids (10, 12, 13), resulting in high background or false positive results. In the case of LCR, the inherent blunt-end ligation activity of ligases is another source of error (13, 14).
- High-throughput detection methods for single nucleotide variations currently in use include homogeneous methods such as template-directed dye-terminator incorporation (TDI) assay (23), the 5'-nuclease allele-specific hybridization TaqMan assay (24), and the recently described allele-specific molecular beacon assay (25).
- the TDI assay combines PCR and specific primer extension with fluorescence resonance energy transfer (FRET) detection and requires almost no optimization, but requires three separate steps that include adding reagents twice after the initial reaction set up (26).
- the TaqMan assay is the simplest of all diagnostic assays in which one can determine the mutational status of a DNA sample in one step during PCR (24).
- the TaqMan assay has the stringent requirement that a perfectly complimentary internal probe hybridizes and is cleaved at the polymorphic site during strand extension phase in PCR, whereas the corresponding probe with a 1-base mismatch does not. This requires some optimization and may be difficult to achieve in AT-rich domains. Allele discrimination by the use of molecular beacons of four different colors has been shown to work when synthetic oligonucleotides are used as targets, but assay conditions for amplified and genomic DNA targets are still being worked out (25). Other methods include the dye labeled oligonucleotide ligation (DOL) which combines PCR and an oligonucleotide ligation reaction in a two-stage thermal cycling sequence with FRET. The FRET detection occurs when a donor and acceptor dye are in close proximity.
- DOL dye labeled oligonucleotide ligation
- One aspect of the present invention is a method for detecting the presence of a polynucleotide analyte.
- the method comprises combining in a reaction medium the polynucleotide analyte and three oligonucleotide probes.
- the first probe comprises a sequence complementary to a first region of the polynucleotide analyte.
- the second probe comprises a sequence complementary to a second region of the polynucleotide analyte.
- the third probe comprises a sequence complementary to the second region except for the difference of at least one nucleotide, or the insertion or deletion of at least one nucleotide.
- the reaction medium is subjected to conditions for forming substantially non-dissociative termolecular complexes of at least one of (i) the polynucleotide analyte, the first probe and the second probe or (ii) the polynucleotide analyte, the first probe and the third probe.
- the presence of at least one of the termolecular complexes is determined.
- the first, second and third probes are labeled with first, second and third labels, respectively.
- the first label comprises a first member of first and second signal producing systems
- the second label comprises a second member of the first signal producing system
- the third label comprises a second member of the second signal producing system.
- the labels are non-covalently bound to the probes, and more preferably, through nucleic acid hybridization.
- the first, second and third oligonucleotide probes include second sequences which do not hybridize to the polynucleotide analyte or each other.
- the first label further comprises a sequence which hybridizes to the second sequence of the first probe
- the second label comprises a sequence which hybridizes to the second sequence of the second probe
- the third label comprises a sequence which hybridizes to the second sequence of the third probe.
- the labels include members of signal producing systems such as a luminescent energy donor and acceptor pair, a singlet oxygen generator and chemiluminescent reactant pair, and an enzyme pair wherein a product of the first enzyme serves as a substrate for the second enzyme.
- the first member of the signal producing systems is a sensitizer when the second members of the signal producing systems are chemiluminescent compounds.
- the first member of the signal producing systems may be a chemiluminescent compound when the second members of the signal producing systems are sensitizers.
- the chemiluminescent compounds are preferably enol ethers, enamines, 9- alkylidene-N-alkylacridans, arylvinylethers, dioxenes, arylimidazoles, 9-alkylidene- xanthanes and lucigenin.
- the sensitizers are preferably photosensitizers, and more preferably photosensitizers such as methylene blue, rose bengal, porphyrins and phthalocyanines or naphtholcyanines.
- a further aspect of the invention provides for a method for detecting the presence of one or both of a first and a second polynucleotide analytes which differ from each other by one or more nucleotides or by the insertion or deletion of at least one nucleotide.
- the method involves combining in a reaction medium a sample suspected of containing one or both polynucleotide analytes, and three oligonucleotide probes.
- the first probe comprises a sequence which hybridizes to a sequence common to both the first and second polynucleotide analytes.
- the second probe comprises a sequence which hybridizes to a second region of first polynucleotide analyte.
- the third probe comprises the same sequence as the second probe except for a difference of at least one nucleotide, or the insertion or deletion of at least one nucleotide.
- the difference, the insertion or the deletion represents the difference, insertion or deletion between the first and second polynucleotide analytes.
- the reaction medium is subjected to conditions forming at least one of (i) a first termolecular complex comprising the first polynucleotide analyte, the first probe and the second probe and, (ii) a second termolecular complex comprising the second polynucleotide analyte, the first probe and the third probe. The presence of at least one of the first and second termolecular complexes is then detected.
- reaction medium includes reagents sufficient for amplifying the polynucleotide analyte and the medium is subjected to conditions for amplifying the polynucleotide analyte.
- One of the preferred embodiments of the present invention includes a method for detecting the presence of a single nucleotide polymorphism in a fragment of genomic DNA: The method includes combining in a reaction medium a fragment of genomic DNA suspected of containing a single nucleotide polymorphism and three oligonucleotide probes.
- the first probe comprises a first label and a sequence which hybridizes to a first region of the polynucleotide analyte.
- the second probe comprises a second label and sequence which hybridizes to a second region of the polynucleotide analyte.
- the third probe comprises a third label and the same sequence as the sequence of the second probe except for a difference of one nucleotide, wherein the difference is complementary to a single nucleotide polymorphism in the second sequence.
- the reaction medium is subjected to conditions for annealing the first probe, the second probe and the third probe to the polynucleotide analyte.
- the interaction of the first label and the second label produces a first signal and the interaction of the first label and the third label produces a second signal. Each of the signals is detected.
- Another embodiment of the present invention provides a method for detecting the presence of two or more polynucleotide analytes wherein the analytes are alleles which differ from each other by one or more nucleotides or the insertion or deletion of one or more nucleotides.
- the method includes combining in a reaction medium the polynucleotide analytes and at least three oligonucleotide probes.
- the first probe comprises a sequence complementary to a first region common to each of the the polynucleotide analytes.
- the second probe comprises a sequence complementary to a second region of one of the polynucleotide analyte.
- One or more third probes comprise a sequence complementary to the second region except for a difference of at least one nucleotide, or the insertion or deletion of at least one nucleotide.
- the difference, insertion or deletion corresponds to the one or more alleles.
- the combination is subjected to conditions for forming substantially non-dissociative termolecular complexes of at least one of (i) the polynucleotide analyte, the first probe and the second probe or (ii) the polynucleotide analyte, the first probe and the one or more third probes.
- the presence of at least one of the termolecular complexes is determined.
- a further aspect of the present invention includes a kit for use in a determination of a target polynucleotide in a sample.
- the kit includes a first oligonucleotide probe comprises a sequence which hybridizes to a first region of the target polynucleotide; a second oligonucleotide probe which hybridizes to a second region of the target polynucleotide; and a third oligonucleotide probe comprising the same sequence as the sequence of the second probe which hybridizes to the second region of the target polynucleotide except for the difference of one or more nucleotides or the insertion or deletion of one or more nucleotides, the difference, insertion or deletion being complimentary to an expected mutation of the target polynucleotide.
- the kit also includes a first label comprising a first member of first and second signal producing systems, a second label comprising a second member of the first signal producing system, and a third label comprising a second member of the second signal producing system.
- the first second and third labels can non-covalently bind to the first second and third oligonucleotide probes, respectively.
- the kit may also include reagents for conducting an amplification of the polynucleotide analyte.
- FIG. 1 is a schematic diagram depicting an embodiment in accordance with the present invention.
- Fig. 2 is a schematic diagram depicting an alternate embodiment in accordance with the present invention.
- Figs. 3, 4 and 5 are graphs showing results of assays in accordance with the present invention for the detection of mismatches and mutations in nucleic acid sequences.
- the present invention can be used to detect the presence of a mutation in a polynucleotide sequence, or to detect differences between polynucleotide sequences, where the mutation or difference can be a single nucleotide polymorphism, a polymorphism of more than one nucleotide, or the insertion or deletion of one or more nucleotides.
- the method uses at least two probes having nucleotide sequences which are capable of hybridizing to a target polynucleotide distinguished from each other by the one or more nucleotides, representing the difference between a wild type sequence (reference) and a sequence containing the difference or mutation (target or mutant sequence).
- the probes can each fully anneal to either a target or reference polynucleotide sequence that may be present in a sample.
- a sample contains a target or reference polynucleotide sequence exactly complementary to a sequence of one of the probes, the probe will hybridize to the target or reference sequence and strongly compete with and inhibit the hybridization of the mismatched probe.
- both probes will bind to the sequences to which they are fully complementary and inhibit the binding of the mismatched probe.
- the hybridization of either or both probes can be distinguished in a homogenous format using a different signal producing system for each probe. The method may be carried out with or without amplification of the target and reference sequences.
- the polynucleotide analytes include nucleic acids, and fragments thereof, from any source in purified or unpurified form including DNA (dsDNA and ssDNA) and RNA, including t-RNA, m-RNA, r-RNA, mitochondrial DNA and RNA, chloroplast DNA and RNA, DNA-RNA hybrids, or mixtures thereof, genes, chromosomes, plasmids, the genomes of biological material such as microorganisms (e.g., bacteria, yeasts, viruses, viroids), molds, fungi, plants, animals, humans, and the like.
- DNA dsDNA and ssDNA
- RNA including t-RNA, m-RNA, r-RNA, mitochondrial DNA and RNA, chloroplast DNA and RNA, DNA-RNA hybrids, or mixtures thereof, genes, chromosomes, plasmids, the genomes of biological material such as microorganisms (e.g., bacteria, yeasts, viruses, viroids
- the polynucleotide analyte can be only a minor fraction of a complex mixture such as a biological sample.
- the analyte can be obtained from various biological materials by procedures well known in the art.
- the polynucleotide analyte can be any nucleotide sequence including a synthetic polynucleotide but is most often a wild type nucleic acid sequence or a mutant nucleic acid sequence.
- a wild type sequence being most often found in the genome of an organism.
- a mutant sequence having differences of one or more nucleotides or insertions or deletions of one or more nucleotides, compared to the wild type sequence. For any particular sequence of any particular organism, more than one wild type or mutant sequence may exist.
- the polynucleotide analyte may be cleaved to obtain a fragment that contains a target polynucleotide sequence, for example, by shearing or by treatment with a restriction endonuclease or other site specific chemical cleavage method.
- the polynucleotide analyte, or a cleaved fragment obtained from the polynucleotide analyte will usually be at least partially denatured or single stranded or treated to render it denatured or single stranded.
- treatments include, for instance, heat or alkali treatment.
- double stranded DNA can be heated at 90-100° C. for a period of about 1 second to about 10 minutes to produce denatured material.
- Mutation - a difference of one or more nucleotides, or the insertion of deletion of one or more nucleotides between two polynucleotide sequences.
- Mutation includes a single nucleotide polymorphism ("SNP") which is the difference of a single nucleotide between two polynucleotide sequences.
- SNP single nucleotide polymorphism
- Amplification of nucleic acids or polynucleotides any method that results in the formation of one or more copies of a nucleic acid or polynucleotide molecule or in the formation of one or more copies of the complement of a nucleic acid or polynucleotide molecule.
- Exponential amplification of nucleic acids or polynucleotides any method that depends on the product catalyzed formation of multiple copies of a nucleic acid or polynucleotide molecule or its complement.
- the amplification products are sometimes referred to as "amplicons.”
- One such method for the enzymatic amplification of specific double stranded sequences of DNA is known as the polymerase chain reaction (PCR), as described above.
- This in vitro amplification procedure is based on repeated cycles of denaturation, oligonucleotide primer annealing, and primer extension by thermophilic template dependent polynucleotide polymerase, resulting in the exponential increase in copies of the desired sequence of the polynucleotide analyte flanked by the primers.
- the two different PCR primers which anneal to opposite strands of the DNA, are positioned so that the polymerase catalyzed extension product of one primer can serve as a template strand for the other, leading to the accumulation of a discrete double stranded fragment whose length is defined by the distance between the 5' ends of the oligonucleotide primers.
- Another method for amplification involves amplification of a single stranded polynucleotide using a single oligonucleotide primer.
- the single stranded polynucleotide that is to be amplified contains two non-contiguous sequences that are complementary to one another and, thus, are capable of hybridizing together to form a stem-loop structure.
- This single stranded polynucleotide already may be part of a polynucleotide analyte or may be created as the result of the presence of a polynucleotide analyte.
- LCR ligase chain reaction
- NASBA nucleic acid sequence based amplification
- the reagents for conducting NASBA include a first DNA primer with a 5' tail comprising a promoter, a second DNA primer, reverse transcriptase, RNAse-H, T7
- RNA polymerase RNA polymerase, NTP's and dNTP's.
- Another method for amplifying a specific group of nucleic acids is the Q- beta-replicase method, which relies on the ability of Q-beta-replicase to amplify its RNA substrate exponentially.
- the reagents for conducting such an amplification include "midi-variant RNA" (amplifiable hybridization probe), NTP's, and Q-beta- replicase.
- 3SR Sequence Replication
- RNAse-H activity is present in the reverse transcriptase.
- Amplification by 3SR is an RNA specific target method whereby RNA is amplified in an isothermal process combining promoter directed RNA polymerase, reverse transcriptase and RNase
- TMA Transcription Mediated Amplification
- Linear amplification of nucleic acids or polynucleotides - any method that depends on the self catalyzed formation of one or more copies of the complement of only one strand of a nucleic acid or polynucleotide molecule, usually a nucleic acid or polynucleotide analyte.
- the primary difference between linear amplification and exponential amplification is that the latter is autocatalyzed, that is, the product serves to catalyze the formation of more product, whereas in the former process the starting sequence catalyzes the formation of product but is not itself replicated.
- linear amplification the amount of product formed increases as a linear function of time as opposed to exponential amplification where the amount of product formed is an exponential function of time.
- Target polynucleotide a sequence of nucleotides to be identified, usually existing within a portion or all of a polynucleotide analyte, the identity of which is known to an extent sufficient to allow preparation of various oligonucleotides, such as probes and primers, and other molecules necessary for conducting an amplification of the target polynucleotide.
- amplification primers hybridize to, and are extended along (chain extended), at least the target sequence within the target polynucleotide and, thus, the target sequence acts as a template.
- the extended primers are chain "extension products or amplicons.”
- the target sequence usually lies between two defined sequences but need not.
- the primers hybridize with the defined sequences or with at least a portion of such target polynucleotide, usually at least a ten-nucleotide segment at the 3'- end thereof and preferably at least 15, frequently 20 to 50 nucleotide segment thereof.
- the target sequence usually contains from about 30 to 5,000 or more nucleotides, preferably 50 to 1 ,000 nucleotides.
- the target polynucleotide is generally a fraction of a larger molecule or it may be substantially the entire molecule (polynucleotide analyte).
- the minimum number of nucleotides in the target polynucleotide sequence is selected to assure that the presence of target polynucleotide in a sample is a specific indicator of the presence of polynucleotide analyte in a sample.
- the sequence length is usually greater than about 1.6 log L nucleotides where L is the number of base pairs in the genome of the biologic source of the sample.
- the maximum number of nucleotides in the target polynucleotide is normally governed by the length of the polynucleotide analyte and its tendency to be broken by shearing, or other processes during isolation and any procedures required to prepare the sample for assay and the efficiency of detection and/or amplification of the sequence.
- Oligonucleotide - a polynucleotide, usually single stranded, usually a synthetic polynucleotide but may be a naturally occurring polynucleotide.
- the oligonucleotide(s) are usually comprised of a sequence of at least 5 nucleotides, preferably, 10 to 100 nucleotides, more preferably, 20 to 50 nucleotides, and usually 10 to 30 nucleotides in length.
- Various techniques can be employed for preparing an oligonucleotide utilized in the present invention.
- Such oligonucleotide can be obtained by biological synthesis or by chemical synthesis. For short sequences (up to about 100 nucleotides) chemical synthesis will frequently be more economical as compared to the biological synthesis. In addition to economy, chemical synthesis provides a convenient way of incorporating low molecular weight compounds and/or modified bases during the synthesis step.
- oligonucleotide can be synthesized by standard methods such as those used in commercial automated nucleic acid synthesizers. Chemical synthesis of DNA on a suitably modified glass or resin can result in DNA covalently attached to the surface. This may offer advantages in washing and sample handling. For longer sequences standard replication methods employed in molecular biology can be used such as the use of M13 for single stranded DNA as described by J. Messing (1983) Methods Enzymol, 101 :20-78.
- oligonucleotide synthesis include phosphotriester and phosphodiester methods (Narang, et al. (1979) Meth. Enzymol 68:90) and synthesis on a support (Beaucage, et al. (1981 ) Tetrahedron Letters 22:1859-1862) as well as phosphoramidate technique, Caruthers, M. H., et al., Methods in Enzymology, 154:287-314 (1988), and others described in "Synthesis and Applications of DNA and RNA," S.A. Narang, editor, Academic Press, New York, 1987, and the references contained therein.
- Oligonucleotide probe - an oligonucleotide employed in the present invention to bind to a portion of a polynucleotide such as an oligonucleotide probe or a target polynucleotide.
- the sequence which binds to the target polynucleotide can be DNA, RNA, peptide nucleic acids (PNA) or any sequence which is capable of specifcally binding.
- PNA peptide nucleic acids
- the design and preparation of the oligonucleotide probes are important in performing the methods of this invention. A more detailed description of oligonucleotide probes in accordance with the present invention is found herein.
- Nucleoside triphosphates nucleosides having a 5'-triphosphate substituent.
- the nucleosides are pentose sugar derivatives of nitrogenous bases of either purine or pyrimidine derivation, covalently bonded to the 1'-carbon of the pentose sugar, which is usually a deoxyribose or a ribose.
- the purine bases include adenine(A), guanine (G), inosine (I), and derivatives and analogs thereof.
- the pyrimidine bases include cytosine (C), thymine (T), uracil (U), and derivatives and analogs thereof.
- Nucleoside triphosphates include deoxyribonucleoside triphosphates such as the four common triphosphates dATP, dCTP, dGTP and dTTP and ribonucleoside triphosphates such as the four common triphosphates rATP, rCTP, rGTP and rUTP.
- nucleoside triphosphates also includes derivatives and analogs thereof, which are exemplified by those derivatives that are recognized in a similar manner to the unde vatized nucleoside triphosphates.
- derivatives or analogs by way of illustration and not limitation, are those which are biotinylated, amine modified, alkylated, and the like and also include phosphorothioate, phosphite, ring atom modified derivatives, and the like.
- Nucleotide - a base-sugar-phosphate combination that is the monomeric unit of nucleic acid polymers, i.e., DNA and RNA.
- Modified nucleotide - is the unit in a nucleic acid polymer that results from the incorporation of a modified nucleoside triphosphate during an amplification reaction and therefore becoming part of the nucleic acid polymer.
- Nucleoside - is a base-sugar combination or a nucleotide lacking a phosphate moiety.
- Nucleotide polymerase - a catalyst usually an enzyme, for forming an extension of a polynucleotide along a DNA or RNA template where the extension is complementary thereto.
- the nucleotide polymerase is a template dependent polynucleotide polymerase and utilizes nucleoside triphosphates as building blocks for extending the 3'-end of a polynucleotide to provide a sequence complementary with the polynucleotide template.
- the catalysts are enzymes, such as DNA polymerases, for example, prokaryotic DNA polymerase (I, II, or III), T4 DNA polymerase, T7 DNA polymerase, Klenow fragment, reverse transcriptase, Vent DNA polymerase, Pfu DNA polymerase, Taq DNA polymerase, and the like, derived from any source such as cells, bacteria, such as E. coN, plants, animals, virus, thermophilic bacteria, and so forth.
- RNA polymerases include T7 RNA polymerase, AMV polymerase, Q-beta-replicase, and so forth.
- Hybridization and binding - in the context of nucleotide sequences these terms are used interchangeably herein.
- the ability of two nucleotide sequences to hybridize with each other is based on the degree of complementarity of the two nucleotide sequences, which in turn is based on the fraction of matched complementary nucleotide pairs.
- the more nucleotides in a given sequence that are complementary to another sequence the more stringent the conditions can be for hybridization and the more specific will be the binding of the two sequences.
- Increased stringency is achieved by elevating the temperature, increasing the ratio of cosolvents, lowering the salt concentration, and the like.
- Homologous or substantially identical polynucleotides In general, two polynucleotide sequences that are identical or can each hybridize to the same polynucleotide sequence are homologous. The two sequences are homologous or substantially identical where the sequences each have at least 90%, preferably 100%, of the same or analogous base sequence where thymine (T) and uracil (U) are considered the same. Thus, the ribonucleotides A, U, C and G are taken as analogous to the deoxynucleotides dA, dT, dC, and dG, respectively.
- Homologous sequences can comprise DNA, RNA or modified polynucleotides and may be homoduplexes, e.g., RNA:RNA and DNA:DNA or heteroduplexes, e.g., RNA:DNA.
- Complementary - Two sequences are complementary when the sequence of one can bind to the sequence of the other in an anti-parallel sense wherein the
- each sequence binds to the 5'-end of the other sequence and each A, T(U), G, and C of one sequence is then aligned with a T(U), A, C, and G, respectively, of the other sequence.
- Member of a specific binding pair (“sbp member”) - one of two different molecules, having an area on the surface or in a cavity which specifically binds to and is thereby defined as complementary with a particular spatial and polar organization of the other molecule.
- the members of the specific binding pair are referred to as ligand and receptor (antiligand).
- These may be members of an immunological pair such as antigen-antibody, or may be operator-repressor, nuclease-nucleotide, biotin-avidin, hormones-hormone receptors, nucleic acid duplexes, IgG-protein A, DNA-DNA, DNA-RNA, and the like.
- Receptor any compound or composition capable of recognizing a particular spatial and polar organization of a molecule, e.g., epitopic or determinant site.
- Illustrative receptors include naturally occurring receptors, e.g., thyroxine binding globulin, antibodies, enzymes, Fab fragments, lectins, nucleic acids, repressors, protection enzymes, protein A, complement component C1q, DNA binding proteins or ligands and the like.
- the support can be hydrophilic or capable of being rendered hydrophilic and includes inorganic powders such as silica, magnesium sulfate, and alumina; natural polymeric materials, particularly cellulosic materials and materials derived from cellulose, such as fiber containing papers, e.g., filter paper, chromatographic paper, etc.; synthetic or modified naturally occurring polymers, such as nitrocellulose, cellulose acetate, poly (vinyl chloride), polyacrylamide, cross linked dextran, agarose, polyacrylate, polyethylene, polypropylene, poly(4-methylbutene), polystyrene, polymethacrylate, poly(ethylene terephthalate), nylon, poly(vinyl butyrate), etc.; either used by themselves or in conjunction with other materials; glass available as Bioglass, ceramics, metals, and the like.
- inorganic powders such as silica, magnesium sulfate, and alumina
- natural polymeric materials particularly cellulosic materials and materials derived from cellulose
- Natural or synthetic assemblies such as liposomes, phospholipid vesicles, and cells can also be employed. Binding of sbp members to a support or surface may be accomplished by well-known techniques, commonly available in the literature. See, for example, "Immobilized Enzymes,” Ichiro Chibata, Halsted Press, New York (1978) and Cuatrecasas, J. Biol. Chem., 245:3059 (1970).
- the surface can have any one of a number of shapes, such as strip, rod, particle, including bead, and the like.
- Label a member of a signal producing system.
- the label is part of an oligonucleotide probe either being conjugated thereto or otherwise bound thereto or associated therewith and is capable of being detected directly or indirectly.
- Labels include reporter molecules that can be detected directly by virtue of generating a signal, specific binding pair members that may be detected indirectly by subsequent binding to a cognate that contains a reporter molecule, oligonucleotide primers that can provide a template for amplification or ligation or a specific polynucleotide sequence or recognition sequence that can act as a ligand such as for a repressor protein, wherein in the latter two instances the oligonucleotide primer or repressor protein will have, or be capable of having, a reporter molecule.
- any reporter molecule that is detectable can be used.
- the reporter molecule can be isotopic or nonisotopic, usually non-isotopic, and can be a catalyst, such as an enzyme, a polynucleotide coding for a catalyst, promoter, dye, fluorescent molecule, chemiluminescer, coenzyme, enzyme substrate, radioactive group, a small organic molecule, amplifiable polynucleotide sequence, a particle such as latex or carbon particle, metal sol, crystallite, liposome, cell, etc., which may or may not be further labeled with a dye, catalyst or other detectable group, and the like.
- a catalyst such as an enzyme, a polynucleotide coding for a catalyst, promoter, dye, fluorescent molecule, chemiluminescer, coenzyme, enzyme substrate, radioactive group, a small organic molecule, amplifiable polynucleotide sequence, a particle such as latex or carbon particle, metal sol,
- the reporter group can be a fluorescent group such as fluorescein, a chemiluminescent group such as luminol, a terbium chelator such as N-(hydroxyethyl) ethylenediaminetriacetic acid that is capable of detection by delayed fluorescence, and the like.
- the label is a member of a signal producing system and can generate a detectable signal either alone or together with other members of the signal producing system.
- a reporter molecule can be bound directly to a nucleotide sequence or can become bound thereto by being bound to an sbp member complementary to an sbp member that is bound to a nucleotide sequence. Examples of particular labels or reporter molecules and their detection can be found in U.S. Patent Application Serial No. 07/555,323 filed July 19, 1990, the relevant disclosure of which is incorporated herein by reference.
- the signal producing system may have one or more components, at least one component being a label.
- the signal producing system generates a signal that relates to the presence or amount of target polynucleotide in a sample.
- the signal producing system includes all of the reagents required to produce a measurable signal.
- the labels and other reagents of the signal producing system must be stable at the temperatures used in an amplification of a target polynucleotide. Detection of the signal will depend upon the nature of the signal producing system utilized.
- the signal producing system is characterized in that the members of the system are chosen such that the binding of the second and third oligonucleotide probes to their respective duplexes to form termolecular complexes alters the signal generated by the signal producing system of the respective termolecular complexes.
- the second oligonucleotide probe and the third oligonucleotide probe comprise a member of a different signal producing system and the signals are measured from the ternary complexes and a ratio of signals is determined.
- the first oligonucleotide probe may comprise a member of both signal producing systems.
- first oligonucleotide probe in combination with each of the second oligonucleotide probe and the third oligonucleotide probe comprise members of different signal producing systems and the signals measured from the ternary complexes are used to determine a ratio of signals.
- first oligonucleotide probe comprises a first member of a each of two signal producing systems and the second oligonucleotide probe and the third oligonucleotide probe each respectively comprise a second member of each of the signal producing systems.
- the first member is a catalyst such as an enzyme and the second members are catalysts such as enzymes that are different from the first enzyme and from each other and the products of the reaction of the enzyme comprising the first member are the substrates for the other of the enzymes.
- the first member is a catalyst such as an enzyme
- the second members are catalysts such as enzymes that are different from the first enzyme and from each other and the products of the reaction of the enzyme comprising the first member are the substrates for the other of the enzymes.
- a list of enzymes is found in U.S. Patent No. 4,299,916 at column 30 to column 33.
- coupled catalysts usually two or more enzymes, where the product of one enzyme serves as the substrate of the other enzyme.
- One of the enzymes is used as the label in the first oligonucleotide probe.
- Different second enzymes are used in the second and third oligonucleotide probes.
- the solute will be the substrate of any one of the enzymes, but preferably of an enzyme bound to the first oligonucleotide probe.
- the enzymatic reaction may involve modifying the solute to a product that is the substrate of another enzyme or production of compound that does not include a substantial portion of the solute, which serves as an enzyme substrate.
- the first situation may be illustrated by glucose-6- phosphate being catalytically hydrolyzed by alkaline phosphatase to glucose, wherein glucose is a substrate for glucose oxidase.
- the second situation may be illustrated by glucose being oxidized by glucose oxidase to provide hydrogen peroxide which would enzymatically react with the signal generator precursor to produce a signal generator.
- Coupled catalysts can also include an enzyme with a non-enzymatic catalyst.
- the enzyme can produce a reactant that undergoes a reaction catalyzed by the non-enzymatic catalyst or the non-enzymatic catalyst may produce a substrate (includes coenzymes) for the enzyme.
- a substrate includes coenzymes
- Medola blue can catalyze the conversion of NAD and hydroquinones to NADH, which reacts with FMN oxidoreductase and bacterial luciferase in the presence of long chain aldehydes to produce light.
- Examples of particular catalytic systems that may be utilized in the present invention are found in U.S. Patent No. 4,299,916 at column 33, line 34, to column 38, line 32, the disclosure of which is incorporated herein by reference.
- additional members of the signal producing system include enzyme substrates and so forth.
- the product of the enzyme reaction is preferably a luminescent product or a fluorescent or non-fluorescent dye, any of which can be detected spectrophotometrically, or a product that can be detected by other spectrometric or electromethc means.
- the first member of the signal producing system is a quencher and the second members are fluorescent compounds that emit at different wavelengths or with different decay rates.
- Fluorescers of interest generally emit light at a wavelength above 350 nm, usually above 400 nm and preferably above 450 nm. Desirably, the fluorescers have a high quantum efficiency, a large Stokes shift and are chemically stable under the conditions of their conjugation and use.
- the term fluorescer is intended to include substances that emit light upon activation and include fluorescent and phosphorescent substances, scintillators and chemiluminescent substances. In this approach the medium is irradiated with light and the fluorescence is determined.
- Fluorescers of interest fall into a variety of categories having certain primary functionalities.
- These primary functionalities include 1- and 2-aminonaphthalene, p,p-diaminostilbenes, pyrenes, quaternary phenanthridine salts, 9-aminoacridines, imines, anthracenes, oxacarboxyamine, merocyanine, 3-aminoequilenin, perylene, bis-benzoxazole, bis-p-oxazolyl benzene, 1 ,2-benzophenazine, retinal, bis-3- aminopyridinium salts, hellebrigenin, tetracycline, sterophenol, benzimidazolylphenylamine, 2-oxo-3-chromen, indole, xanthene, 7- hydroxycoumarin, 4,5-benzimidazoles, phenoxazine, salicylate, strophanthidin, porphyrins, triarylmethanes, flavin and rare earth chelates oxides and salts.
- Exemplary fluorescers are enumerated in U.S. Patent No. 4,318,707 at columns 7 and 8, the disclosure of which is incorporated herein by reference.
- a diverse number of energy absorbers or quenchers may be employed.
- the quencher must be able to quench the fluorescence of the fluorescer when brought into proximity with the fluorescer by virtue of the binding of the probes.
- Quenchers are chromophores having substantial absorption higher than 310 nm, normally higher than 350 nm, and preferably higher than about 400 nm.
- the quencher is a fluorescent compound or fluorescer but energy acceptors that have weak or no fluorescence are also useful.
- quenchers are the xanthene dyes, which include the fluoresceins derived from 3,6-dihydroxy-o- phenyl-xanthhydrol and rhodamines, derived form 3,6-diamino-9- phenylxanthhydrol.
- Another group of compounds are the naphthylamines such as, e.g., 1-anilino-8-naphthalene sulfonate, 1-dimethylaminonaphthyl-5-sulfonate and the like.
- quenchers that may be employed are those fluorescers of interest mentioned above wherein one fluorescer can absorb the energy of another fluorescer and quench its fluorescence.
- Energy acceptors that are non-fluorescent can include any of a wide variety of azo dyes, cyanine dyes, 4,5-dimethoxyfluorescein, formazans, indophenols and the like.
- quenchers is energy absorbent or quenching particles.
- examples of such particles are carbon particles, such as charcoal, lampblack, graphite, colloidal carbon and the like.
- carbon particles metal sols may also find use, particularly of the noble metals, gold, silver, and platinum.
- Other metal derived particles may include metal sulfides, such as lead, silver or copper sulfides or metal oxides, such as iron or copper oxide.
- Heller U.S. Patent No. 5,565,322 discloses donor and acceptor chromophores at column 9, line 37, to column 14, line 7, the disclosure of which is incorporated herein by reference.
- fluorescers and quenchers may also be found in U.S. Patent Nos. 4,261 ,968, 4,174,384, 4,199,983 and 3,996,345, the relevant disclosures of which are incorporated herein by reference.
- the first member of the signal producing system is a sensitizer and the second members are chemiluminescent compounds that emit at different wavelengths or with different decay rates.
- the first member is a chemiluminescent compound and the second members are sensitizers that can be independently excited by different wavelengths of light.
- chemiluminescent compounds and sensitizers are set forth in U.S. Patent No. 5,709,994, the disclosure of which is incorporated herein by reference.
- photosensitizers and photoactivatable chemiluminescent compounds such as described in U.S. Patent No. 5,340,716 at column 19, line 30, to column 20, line 45, and column 22, line 58, to column 30, line 10, the disclosure of which is incorporated herein by reference.
- the sensitizers are those compounds that generate singlet oxygen usually by excitation with light.
- the sensitizer can be photoactivatable (e.g., dyes and aromatic compounds) or chemi-activated (e.g., enzymes and metal salts).
- Typical photosensitizers include acetone, benzophenone, 9-thioxanthone, eosin, 9,10-dibromoanthracene, methylene blue, metallo-porphyrins, such as hematoporphyrin, phthalocyanines, chlorophylls, rose bengal, buckminsterfullerene, etc., and derivatives thereof.
- Photoactivatable chemiluminescent compounds are substances that undergo a chemical reaction upon direct of sensitized excitation by light of upon reaction with singlet oxygen to form a metastable reaction product that is capable of decomposition with the simultaneous or subsequent emission of light, usually with the wavelength range of 250 to 1200 nm.
- these compounds react with singlet oxygen to form dioxetanes or dioxetanones.
- the latter are usually electron rich olefins.
- olefins are enol ethers, enamines, 9-alkylidene-N-alkylacridans, arylvinylethers, dioxenes, arylimidazoles, 9-alkylidene-xanthanes and lucigenin.
- Other compounds include luminol and other phthalhydrazides and chemiluminescent compounds that are protected form undergoing a reaction such as firefly luciferin, aquaphorin, luminol, etc.
- Other components of the signal producing system may include substrates, enhancers, activators, chemiluminescent compounds, cofactors, inhibitors, scavengers, metal ions, specific binding substances required for binding of signal generating substances, and the like.
- Other components of the signal producing system may be coenzymes, substances that react with enzymic products, other enzymes and catalysts, and the like.
- LOCI - Luminescent Oxygen Channeling Immunoassay The signal producing system (Dade Behring, Inc., Deerfield, Illinois) may be used homogeneously or heterogeneously in all types of assays, including but not limited to, immunoassays. Reagents and methods for LOCI are more fully described herein and in Ulman, E.F. et al., Clin. Chem. (1996) 42:9, pp. 1518-1526.
- Termolecular complex - a complex formed in accordance with the present methods upon the binding of the two oligonucleotide probes with a target polynucleotide or a reference polynucleotide.
- Such complex is termolecular in that it involves three molecules, namely, the two oligonucleotide probes and the single strand of such target polynucleotide or reference polynucleotide.
- the termolecular complex is relatively stable under the isothermal conditions employed.
- body fluids such as, for example, whole blood, blood fractions such as serum and plasma, synovial fluid, cerebro- spinal fluid, amniotic fluid, semen, cervical mucus, sputum, saliva, gingival fluid, urine, and the like.
- the amount of the sample depends on the nature of the sample and the analyte contained therein. For fluid samples such as whole blood, saliva, urine and the like the amount of the sample is usually about 1 to 1000 microliters, more usually, about 10 to 100 microliter.
- the sample can be pretreated and can be prepared in any convenient medium, which does not interfere with the reactions conducted
- buffers will normally be present in the assay medium, as well as stabilizers for the assay medium and the assay components.
- proteins may be included, such as albumins, organic solvents such as formamide, quaternary ammonium salts, polycations such as dextran s ⁇ lfate, surfactants, particularly non-ionic surfactants, binding enhancers, e.g., polyalkylene glycols, or the like.
- One embodiment of the present invention is directed to a method for detecting one or two polynucleotide analytes.
- the polynucleotide analyte(s) may be one or both a reference (wild type) polynucleotide and a target (mutant) polynucleotide.
- the target and reference polynucleotides are single stranded either in a natural state or rendered single stranded as described above.
- a sample suspected of containing the polynucleotide analyte(s) is combined in a medium with at least two oligonucleotide probes.
- the probes include a polynucleotide sequence which fully hybridizes with the sequences of the target or reference polynucleotides, respectively. "Fully hybridizes or fully complimentary" means that the sequences are exactly complementary.
- the medium is subjected to conditions substantially irreversibly hybridizing the probes to the target and reference sequences. If only one of the target and reference polynucleotides is present in the medium, the probes will compete for hybridization to the sequence present.
- the probe that is fully complementary to the sequence present will substantially inhibit the non- complementary probe from hybridizing, even if the non-complementary probe sequence is mismatched by only one nucleotide.
- the probe which is fully complementary polynucleotide, has a label that can be distinguished from a label on the probe that is fully complementary to the reference polynucleotide.
- the hybridization of one the probes to either the target or reference polynucleotide can be detected.
- two signals can be detected.
- a third probe known as a common probe is combined in the reaction medium.
- the common probe substantially irreversibly hybridizes to both the reference polynucleotide and the target polynucleotide.
- the common probe is labeled with a first member of a signal producing systems when the target and reference probes are labeled with second members of a signal producing systems.
- the signal produced by the interaction of the labels on the common probe and the reference probe is different than the signal produced by the interaction of the labels on the common probe and the target probe.
- Reference polynucleotide WT has a sequence CS that is common with sequence CS of the target polynucleotide Mu.
- a common oligonucleotide probe CP has a sequence PCS that is hybridizable with sequence CS of WT and Mu.
- WT and Mu both contain second sequences, WTS and MuS, respectively, which are identical except for the difference of one nucleotide SNP.
- a second oligonucleotide probe WTP contains a sequence WTPS fully complementary to sequence WTS.
- a third oligonucleotide probe MuP contains a sequence MuPS identical to WTP except for a difference of one nucleotide cSNP, which is complementary to SNP. Therefore, MuP is fully complementary to MuS.
- All of the polynucleotides and oligonucleotide probes are combined in an appropriate medium and subjected to conditions for allowing hybridization of the probes to WT and Mu. After an appropriate period for complex formation, signals are determined from the reaction medium. One signal results from the interaction of label L1 on CP and label L2 on WTP. A second signal results from the interaction of label L1 on CP and label L3 on MuP. Labels L1 and L2 are part of a signal producing system as discussed above.
- L1 and L2 can interact to produce a signal that is then measured.
- L1 and L3 can interact to produce a signal that can be measured.
- the signal produced by the interaction of L1 and L2 is different from the signal produced by the interaction of L1 and L3.
- the labels can be part of the probes initially.
- the labels can be included as separate reagents either in the initial reaction mixture or added subsequent to the incubation period.
- an sbp member may be attached to CP and the corresponding sbp member attached to label L1.
- the two sbp members bind to each other and L1 becomes part of the common probe CP.
- the two sbp members may be, for example, hapten-antibody, nucleic acid-nucleic acid, and the like.
- Labels L2 and L3 may be incorporated with WTP and MuP in a similar manner.
- the labels L1 , L2 and L3 include oligonucleotide sequences L1S, L2S and L3S respectively, which are complementary to the sequences on the probes which are not complementary to the target or reference sequences.
- L1 includes a sequence L1S capable of hybridizing sequence cL1S of the common probe CP.
- L2 includes a sequence L2S capable of hybridizing sequence cL2S on the wild type probe WTP.
- L3 includes a sequence L3S capable of hybridizing to sequence cL3S on the Mutant Probe MuP.
- the labels when combined in the reaction medium with the probes and target and reference sequences, will bind to the probes.
- the labels can be manufactured independent of the probes.
- the labels can be used with any probe so long as the probe includes a tail that can bind the probe molecule.
- the tail can be as simple as a poly-A or poly-T tail. This feature allows for simple and cost effective manufacture of probes since the probes added to the reaction medium of the present invention are unlabeled.
- the probes include both a sequence that hybridizes to a label and a sequence which hybridizes to a complementary sequence on the target or reference polynucleotides.
- the probe sequence that hybridizes to a complementary sequence on the target or reference polynucleotide is ussually about 5-80 nucleotides, preferably about 10 to about 50 nucleotides, more preferably about 15 to about 30 nucleotides, in length.
- the probe sequence which is specific for the target sequence MuP should be fully complementary to the target sequence MuS. Consequently, it is preferred that the probe sequence MuP is 100% complementary to the target sequence MuS.
- the probe sequence specific for the reference sequence WTP and the reference sequence WTS are 100% complementary..
- the degree to which the sequences must be complementary depends on the relative lengths and nucleotide composition of the sequence of the oligonucleotide probes.
- An important feature of the invention is that the probe specific for the reference sequence WTP and the probe specific for the target sequence MuP compete for binding to the target or reference sequences present in the sample. To the extent that longer probes may be less than 100% complementary to their respective sequences, in addition to the difference of a SNP or mutation, depends on the ability of the probe sequence which is most complementary to the target sequence to inhibit the binding of the less complementary probe sequence to the target. It is contemplated as part of the invention that probes which are less than 100% complementary to a respective target or reference sequence will bind the target or reference sequence preferentially over a less complementary probe.
- the competition may be established by controlling reactions conditions including time, temperature and speed of lowering the temperature of the reaction medium to allow for hybridization conditions.
- the sequence of the common probe which binds both the reference and target sequence CPS need not be fully complementary. However, the common probe should substantially irreversibly bind to the target and references above the temperature at which the target specific probe and reference specific probe substantially bind to the target and reference, respectively.
- more than two polynucleotide sequences, representing multiple alleles for a gene may be detected. Alleles that occur in more than two variants may be detected by employing additional nucleotide probes for which a signal can be detected.
- the additional probes would be identical to the first and second probes described above except for the difference of one or nucleotides representing the difference As long as the label for each additional probe can be distinguished, the allelle corresponding complementary sequence of each probe can be detected.
- complementary probes specific for each allele sequence can be employed. The probes will compete with each other for binding to the sequence to which they are most complementary. Further, the probes which are most complementary to any particular sequence will substantially inhibit any less complementary probe from binding.
- the length of the various oligonucleotide probes and the relevant sequences contained therein may be greater or less than that indicated above. The length depends on a number of factors such as the possibility of strand invasion, whether the nucleotides are natural or modified, the temperature, the pH, the salt concentration of the medium, and so forth. In general, the length of the above sequences should be sufficient to ensure substantially non-dissociative complexes.
- an aqueous medium is usually employed. In general, an aqueous medium is employed for the entire method in accordance with the present invention.
- polar cosolvents may also be employed, usually oxygenated organic solvents of from 1-6, more usually from 1-4, carbon atoms, including alcohols, ethers and the like. Usually these cosolvents, if used, are present in less than about 70 weight percent, more usually in less than about 30 weight percent.
- the pH for the medium is usually in the range of about 4.5 to 9.5, more usually in the range of about 5.5 to 8.5, and preferably in the range of about 6 to 8.
- Various buffers may be used to achieve the desired pH and maintain the pH during the determination.
- Illustrative buffers include borate, phosphate, carbonate, Tris, barbital and the like.
- the particular buffer employed is not critical to this invention but in individual methods one buffer may be preferred over another.
- the pH and temperature are chosen based on the particular method of amplification employed.
- the present invention can be used for the direct detection of nucleic acid in quantities as little as 10 ⁇ 12 or less without amplification.
- the invention may be carried out with amplification of the target and references sequences. Any amplification method may be employed.
- the reporter molecule is an enzyme
- additional members of the signal producing system would include enzyme substrates and so forth.
- the product of the enzyme reaction is preferably a luminescent product, or a fluorescent or non-fluorescent dye, any of which can be detected spectrophotometrically, or a product that can be detected by other spectromet c or electrometric means.
- the reporter molecule is a fluorescent molecule
- the medium can be irradiated and the fluorescence determined.
- the label is a radioactive group
- the first probe can be separated from the duplex of the first and second probes and one of the fractions can be counted to determine the radioactive count.
- the association of the labels within the termolecular complex may also be determined by using labels that provide a signal only if the labels become part of, or dissociate from, the complex.
- the binding of the single stranded target polynucleotide, if present, to the second probe causes displacement of the first probe from the second probe and thereby alters a signal generated by the signal producing system. This approach is particularly attractive when it is desired to conduct the present invention in a homogeneous manner.
- Such systems include enzyme channeling immunoassay, fluorescence energy transfer immunoassay, electrochemiluminescence assay, induced luminescence assay, latex agglutination and the like.
- detection of the complex is accom- pushed by employing at least one suspendable particle as a support, which may be bound directly to a nucleic acid strand or may be bound to an sbp member that is complementary to an sbp member attached to a nucleic acid strand, either first or second oligonucleotide probe.
- a suspendable particle as a support, which may be bound directly to a nucleic acid strand or may be bound to an sbp member that is complementary to an sbp member attached to a nucleic acid strand, either first or second oligonucleotide probe.
- Such a particle serves as a means of segregating the bound target polynucleotide sequence from the bulk solution.
- a second label which is attached to the other of the first or second oligonucleotide probes, becomes part of the termolecular complex.
- Typical labels that may be used in this particular embodiment are fluorescent labels, particles containing a sensitizer and a chemiluminescent olefin (see U.S. Patent No. 5,709.994, the disclosure of which is incorporated herein by reference), chemiluminescent and electroluminescent la- bels.
- the particle itself can serve as part of a signal producing system that can function without separation or segregation.
- the second label is also part of the signal producing system and can produce a signal in concert with the particle to provide a homogeneous assay detection method.
- a variety of combinations of labels can be used for this purpose. When all the reagents are added at the beginning of the reaction, the labels are limited to those that are stable to the temperatures used for amplification.
- the particles may be simple latex particles or may be particles comprising a sensitizer, chemiluminescer, fluorescer, dye, and the like.
- Typical particle/reporter molecule pairs include a dye crystallite and a fluorescent label where binding causes fluorescence quenching or a tritiated reporter molecule and a particle containing a scintillator.
- Typical reporter molecule pairs include a fluorescent energy donor and a fluorescent acceptor dye.
- Typical particle pairs include (1 ) two latex particles, the association of which is detected by light scattering or turbidimetry, (2) one particle capable of absorbing light and a second label particle which fluoresces upon accepting energy from the first, and (3) one particle incorporating a sensitizer and a second particle incorporating a chemiluminescer as described for the induced luminescence immunoassay referred to in U.S. Serial No. 07/704,569, filed May 22, 1991 , entitled “Assay Method Utilizing Induced Luminescence", which disclosure is incorporated herein by reference.
- detection of the termolecular complex using the induced luminescence assay as applied in the present invention involves employing a photosensitizer as part of one label and a chemiluminescent compound as part of the other label. If the complex is present the photosensitizer and the chemiluminescent compound come into close proximity. The photosensitizer generates singlet oxygen and activates the chemiluminescent compound when the two labels are in close proximity. The activated chemiluminescent compound subsequently produces light. The amount of light produced is related to the amount of the complex formed. If the amplification uses a DNA polymerase, preferably, the oligonucleotide probes are blocked at the 3'-end to avoid any potential interference with and during amplification.
- Blocking may be accomplished, for example, by employing a group that cannot undergo chain extension, such as, for example, an unnatural group such as a 3'-phosphate, a 3'-terminal dideoxy, an abasic ribophosphate, a polymer or surface, or other means for inhibiting chain extension.
- a polynucleotide that does not hybridize to the amplicon is attached to the 3'-end.
- Such an end group can be introduced at the 3' end during solid phase synthesis or a group can be introduced that can subsequently be modified.
- a ribonucleotide in order to introduce dextran at the 3'-end a ribonucleotide can be introduced at the 3'-end and then oxidized with periodate followed by reductive amination of the resulting dialdehyde with borohydride and aminodextran.
- reagents employed in the present invention can be provided in a kit in package combination.
- the kit comprises in package combination one or more reagents for conducting amplification and detection of a polynucleotide.
- kits in accordance with the present invention is a kit comprising a first oligonucleotide probe having a sequence which hybridizes to a first region of a target polynucleotide in a sample, a second oligonucleotide probe which hybridizes to a second region of the target polynucleotide and a third oligonucleotide probe having the same sequence as the sequence of the second probe which hybridizes to the second region of the target polynucleotide except for the difference of one or more nucleotides or the insertion or deletion of one or more nucleotides.
- the difference, insertion or deletion being complimentary to an expected mutation of the target polynucleotide.
- the kit further comprises a first label having a first member of first and second signal producing systems, a second label comprising a second member of a second signal producing system and a third label comprising a second member of a second signal producing system.
- the first, second and third labels are capable of noncovalently binding to the first, second and third probes, respectively.
- the first member of the signal producing system may be a sensitizer and the other members being chemiluminescers.
- the first member of the signal producing system may be a chemiluminescer and the second member of the signal producing system may be a sensitizer. Signals from the respective labels are differentially detectable.
- the kit can further include any additional members of a signal producing system and also various buffered media, some of which may contain one or more of the reagents.
- the kit above can further include in package combination reagents for conducting an application of the target polynucleotide.
- the kit may contain forward and reverse primers, a polymerase, and dNTP's.
- the relative amounts of the various reagents in the kit can be varied widely to provide for concentrations of reagents necessary to achieve the objectives of the present invention.
- one or more of the reagents in the kit can be provided as a dry powder, usually lyophilized, including excipients which on dissolution will provide for reagent solution having the appropriate concentrations for performing a method or assay in accordance with the present invention.
- Each reagent can be packaged in separate containers or some reagents can be combined in one container where cross reactivity and shelf- life permit.
- the kit may also include a written description of a method in accordance with the present invention as described above.
- UV-visible absorption spectra were done on a HP 8452A diode array spectrophotometer. Fluorescence and chemiluminescence measurements were done on a Spex fluorolog spectrophotometer or a Perkin Elmer 650-40 spectrophotometer. Chemiluminescence measurements were also performed on an in-house chemiluminometer. Toluene was distilled from sodium over argon. Unless mentioned otherwise, all solvents were used without purification, and most reactions were carried out under argon. Silica gel used for flash chromatography was 230-400mesh ASTM, purchased from Scientific Products while preparative plates (1000 ⁇ ) and analytical plates were purchased from Analtech.
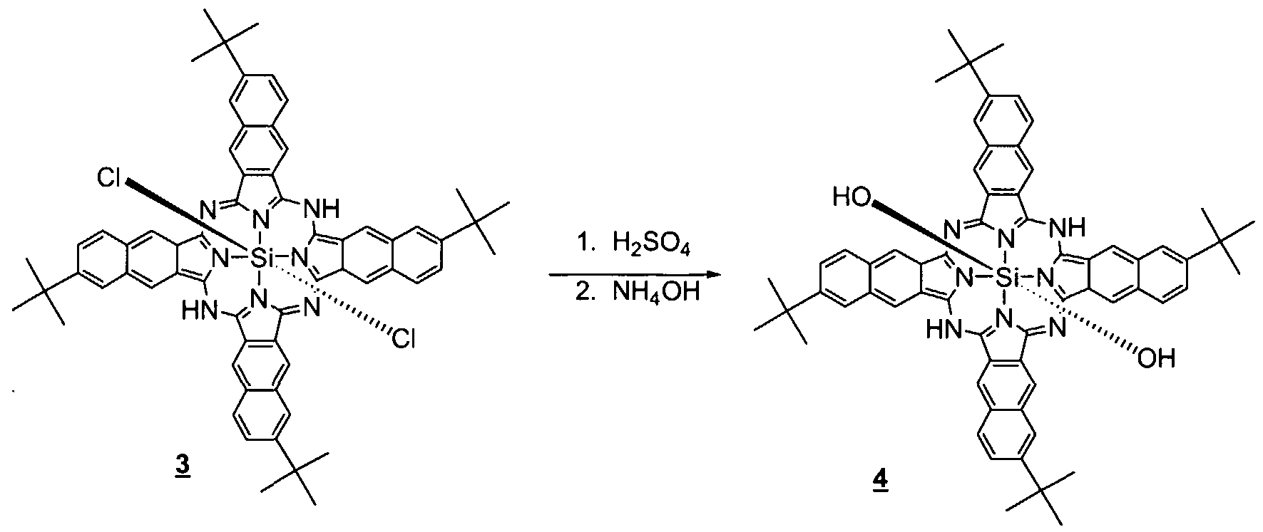
- Silicon phthalocyanine and silicon naphthalocyaninine were prepared as described below and phthalocyanine tetrasulfonates was obtained from Ultra Diagnostics, Inc.
- Carboxylate-modified polystyrene (latex) particles were purchased from Seradyn, Inc. The particles were 203 ⁇ 4.0 nM.
- the carboxyl parking area was 49.5 angstroms squared (0.09 milliequivalents/g). Solids were 10% (100 mg/ml).
- 2-ethoxyethanol was from Aldrich Chemical Co. and was redistilled under vacuum.
- Sodium hydroxide was 0.1 N.
- Isopropanol was from Aldrich Chemical Co..
- oligonucleotides used in the following examples were prepared by synthesis using an automated synthesizer and were purified by gel electrophoresis or HPLC The following abbreviations have the meanings set forth below:
- Tris HCl - Tris(hydroxymethyl)aminomethane-HCI (a 10X solution) from BioWhittaker, Walkersville, Maryland
- the cooled supernatant solution was transferred via cannula to an addition funnel and added dropwise (over 2.5 hr) to a solution of phenylglyoxal (11.7g, 87mmol) in THF (300mL) at -30°C under argon.
- the reaction mixture was gradually warmed to 0°C over 1 hr and stirred for another 30 min.
- the resulting mixture was poured into a mixture of ice water (800mL) and ethyl acetate (250mL).
- the organic phase was separated and the aqueous phase was extracted with ethyl acetate (3x).
- the combined organic phases were washed with H 2 0 (2x), brine and were dried over MgS0 4 .
- 3-picoline (12g, from Aldrich Chemical Company), tri-n-butyl amine (anhydrous, 40mL) and tri-n-hexyl chlorosilane (11.5g) were added to 12g of the above product in a one-liter, three-necked flask, equipped with a magnetic stirrer and a reflux condenser. The mixture was heated under reflux for 1.5 hr. and then cooled to room temperature. The picoline was distilled off under high vacuum (oil pump at about 1 mm Hg) to dryness.
- the 6-t-butyl-2,3-dicyanonaphthalene (I) (9.07 g, 38.7 mmol) was suspended in 50 mL MeOH. While stirring under argon, 8.5 mL of 1.05 N NaOMe/MeOH (freshly prepared from Na°) was added and the light yellow suspension was bubbled with NH 3 gas for 1 h at ambient temperature. Dilution with an additional 75 ml MeOH did not dissolve the fine suspension. Bubbling with NH 3 was continued at 65° for 2 h until the suspension cleared, and then an additional 1 h. Volatiles were removed by rotary evaporation, and the sticky semi-solid was triturated with 200 mL water.
- the 6-t-Butyl-diiminobenzisoindoline (2) (9.01 g, 35.9 mmol). Prepared as described above, was stirred in 100 mL quinoline. Silicon tetrachloride (4.0 mL, 35 mmol) was added in 1 mL increments at such a rate (-30 min) that the mild exotherm was maintained below 30°. The reaction was then gradually heated by oil bath from 60° to 180°, and stirred under argon for 1 h at that temperature. After cooling to ambient temperature, the reaction was pipetted into two 250 cc polypropylene centrifuge bottles, each containing 150 mL 1 :1 H 2 0/MeOH.
- the deep green suspension was gradually heated to 100°C After 30 min, frothing subsided, and heating was continued for two hours. After cooling, the suspension was rinsed with 200 mL water into two 250 cc centrifuge bottles. The solid was washed repeatedly by centrifugation (3x, 6K to 12 K rpm) with 150 mL portions of water/bottle. Because of poor compaction, a final centrifugation was done in two 30 cc tubes with 25 mL portions of water at 16 K rpm. The solid was vacuum dried (16 h, 30 mmHg, 60°C, P 2 0 5 ) and weighed (2.822 g).
- the t-bu -Nc(OH) 2 (4) (1.61 g, 1.6 mmol), prepared as described above, was dissolved in a solution of 15 mL tri-n-hexylsilylchloride / 30 mL dry pyhdine. After bubbling with argon, the solution was heated at 120° for 1 h. Heating the reaction for an additional 2 h did not alter the product distribution as judged by TLC (Si0 2 , 10% CH 2 CI 2 /hexane). The reaction was cooled to ambient temperature, and the reaction mixture was partitioned between 150 mL hexane and 100 mL water. The mixture was stirred for 30 min until the hexane phase cleared to a deep green color.
- the aqueous phase was removed and the organic phase was washed twice with 150 mL portions of water, until the final aqueous phase was colorless (pH about 6).
- the organic phase was filtered (glasswool/funnel), concentrated to about 25 mL, and chromatographed (Si0 2 ; 5% CH 2 CI 2 /hexane). Re-chromatography (Chromatotron: Si0 2 rotor, 0 to 10% CH 2 CI 2 /hexane) was necessary to separate the t-butyl isomers. A portion of the major isomer (94 mg) was isolated and used as is for bead dyeing.
- N-(2,3-epoxypropyl)phthalimide The mixture was heated and stirred in a 90°C water bath for two hours. A small aliquot was precipitated three times from methanol and analyzed by NMR. The appearance of a peak at 7.3-7.6 indicated incorporation of phthalimide. The main reaction mixture was precipitated by addition to 3.5 L of methanol, after which solid was collected. The phthalimide protecting group was removed by dissolving the product above in 500 mL of 0.1 M acetate buffer, adding 50 mL of 35% hydrazine, and adjusting the pH to 3.5.
- the mixture was heated at 80°C for 1 h, the pH was re-adjusted to 3.2, and the mixture was heated for an additional half hour. An aliquot was precipitated three times in methanol. NMR showed that the phthalimide group was no longer present.
- the reaction mixture was neutralized to pH 8 and stored at room temperature.
- the product was purified by tangential flow filtration using a 50,000 molecular weight cut-off filter, washing with water, 0.01 M HCl, 0.01 M NaOH, and finally water.
- the product solution was concentrated by filtration to 700 mL then lyophilized. Determination of reactive amines using trinitrobenzenesulfonate gave about 1 amine per 16 glucose residues.
- the sensitizer beads were prepared by placing 600 mL of carboxylate modified latex (Seradyn) in a three-necked, round-bottom flask equipped with a mechanical stirrer, a glass stopper with a thermometer attached to it in one neck, and a funnel in the opposite neck.
- the flask had been immersed in an oil bath maintained at 94 ⁇ 1°C
- the beads were added to the flask through the funnel in the neck and the bead container was rinsed with 830 mL of ethoxyethanol, 1700 mL of ethylene glycol and 60 mL of 0.1 N NaOH and the rinse was added to the flask through the funnel.
- the funnel was replaced with a 24-40 rubber septum.
- the beads were stirred at 765 rpm at a temperature of 94 ⁇ 1 °C for 40 min.
- Silicon tetra-t-butyl phthalocyanine (10.0 g) was dissolved in 300 mL of benzyl alcohol at 60+/-5°C Eighty-five (85) mL was added to the above round bottom flask through the septum by means of a 100 ml syringe heated to 120+/- 10°C at a rate of 3 mL per min. The remaining phthalocyanine solution was then added similarly. The syringe and flask originally containing the phthalocyanine was rinsed with 40 mL of benzyl alcohol and transferred to a round-bottom flask. After 15 min 900 mL of deionized water and 75 mL of 0.1 N NaOH was added dropwise over 40 min.
- the temperature of the oil bath was allowed to drop slowly to 40+/- 10°C and stirring was then discontinued.
- the beads were then filtered through a 43 micron polyester filter and subjected to a Microgon tangential flow filtration apparatus (Microgon Inc., Madison Hills, CA) using ethano water, 100:0 to 10:90, and then filtered through a 43 micron polyester filter.
- Hydroxypropylaminodextran solution was prepared at 2 mg/mL in 50 mM MES pH 6.
- One hundred fifty mg phthalocyanine sensitizer beads in 7.5 mL water was added dropwise to 7.5 mL of the hydroxypropylaminodextran solution while vortexing.
- One hundred eighty eight ⁇ l of EDAC solution (80 mg/ml) in water was added to the coating mixture while vortexing. The mixture was incubated overnight at room temperature in the dark. The mixture was diluted with 12 mL water and centrifuged. The supernatant was discarded and the bead pellet suspended in 40 mL water by sonication.
- the beads were washed 3 times with water (40 ml per wash) by repeated centrifugation and suspension by sonication. The final pellet was suspended in 5 mL water.
- naphthalocyanine (Nc) dyed sensitizer particles A 10 % suspension of carboxylated latex beads (4.4 ml) was mixed with 4.4 mL ethoxyethanol, 8.8 mL ethylene glycol, and 0.44 mL 0.1 N sodium hydroxide solution. Naphthalocyanine (0.475 mg) was dissolved in 0.4 mL benzyl alcohol.
- the suspension was centrifuged at a slow speed to pellet a trace of debris from the dyeing procedure.
- the beads remaining in the supernatant were decanted and stored at 4 degrees C Hydroxypropylaminodextran solution was prepared at 10 mg/mL in 50 mM
- MES pH 6 Twenty mg of the naphthalocyanine sensitizer beads in 1 mL 10 % ethanol in water was slowly added to 1 mL of the hydroxypropylaminodextran solution while vortexing. Two mg EDAC dissolved in 0.2 mL water was added to the coating mixture while vortexing. Following an overnight incubation at room temperature, the mixture was centrifuged, the supernatant discarded, and the bead pellet suspended in 2 mL water by sonication. The water wash was repeated 2 times by centrifugation and the final bead pellet suspended in 1 mL water.
- the dye solution was poured into the bead suspension and stirred for 20 min at 95°C, then allowed to cool slowly to about 47°C and filtered through a 43 ⁇ m polyester filter to remove any debris generated during the dyeing procedure.
- the beads were washed by tangential flow filtration using a Microgon apparatus with a P698/4 filter. After priming of the system with wash solvent (1 :2 v/v ethoxyethanol and ethylene glycol), the dyed bead mixture was added, concentrated to about 20 mg/mL, then washed with 6 liters of wash solvent and 4.8 L of 10% v/v ethanol in water adjusted to pH 10 with NaOH.
- the TAR beads were concentrated to about 50 mg/mL during the wash, then stored at 4 °C protected from light.
- a plasticizer was incorporated into the beads to enhance the rate of decay of luminescence.
- a mixture was prepared containing 250 ⁇ L of n- heptadecylbenzene, 20 mL of ethanol, and 0.5 g of hydroxypropylaminodextran dissolved in 25 mL of 50 mM MES pH 6. The mixture was heated to 80°C in an oil bath and stirred vigorously to disperse the plasticizer.
- a second mixture containing 40 mL of dyed TAR beads from above (diluted to 25 mg/mL in 10% ethanol) and 30 mL of 50 mM MES pH 6 was also heated to 80°C The two mixtures were combined and left stirring at 80°C overnight.
- the beads were separated, by pipette, from a small amount of excess plasticizer that floated on top of the bead suspension.
- EDAC 200 mg
- 3 mL of water was added, and the mixture was stirred at room temperature for 2 h.
- the mixture was then centrifuged to recover the beads.
- the bead pellet was suspended by sonication and washed with three 40 mL portions of water by alternating centrifugation and suspension by sonication.
- the final bead pellet was then suspended in about 35 mL water.
- hydroxypropylaminodextran coated phthalocyanine sensitizer beads were suspended in 5 mL 50 mM MOPS pH 7.
- a 10 % (w/v) SIAX solution was prepared in DMF and 77 ⁇ l added to the bead suspension while vortexing. The mixture was incubated at room temperature for 90 min in the dark and then a second 77 ⁇ l aliquot of SIAX solution added and the mixture incubated for an additional 60 min. The suspension was centrifuged and the supernatant discarded. The bead pellet was suspended in 6 mL water by sonication and the centrifugation repeated.
- Coupling buffer consists of the following mixture: (900 ⁇ L 0.2 M borate, 2 mM EDTA pH 9 and 333 ⁇ L of 0.4 M borate pH 9.45 and 1000 ⁇ L of 2 M Na 2 S0 4 ) which had been degassed and saturated with argon.
- Tween 20 detergent was added to the coupling buffer mixture after degassing and saturating with argon.
- oligonucleotide solution Seven hundred sixty ⁇ L of oligonucleotide solution was placed in a centrifuge tube and 76 ⁇ L of 2.5 M NaOAc pH 5.3 added. One hundred forty seven ⁇ L of 20 mM TCEP in water was added to the oligonucleotide solution and the mixture incubated 1 h at room temperature in the dark. Four volumes of 200 proof ethanol was added to the mixture to precipitate the reduced oligonucleotide. Precipitation was facilitated by placing the mixture in a -20 degree C freezer for 1 hour. The precipitate was collected by centrifugation and then dissolved in 495 ⁇ L 5 mM Na 2 HP0 4 , 2 mM EDTA pH 6 that had been degassed and saturated with argon.
- the oligonucleotide solution was then added to the bead pellet under coupling buffer and the mixture was sonicated to suspend the beads.
- the suspension was incubated at 37 degrees C for 23 h.
- Residual iodo groups on the iodoaminodextran coat were capped by reaction with mercaptoacetic acid.
- the bead suspension was centrifuged and the supernatant removed.
- the pellet was suspended by sonication in 5 mL of 10 mM mercaptoacetic acid in 0.4 M borate pH 9.45 and the mixture incubated at 37 degrees C for 1 h.
- the beads were recovered by centrifugation and suspended in 5 mL blocking buffer: (0.1 M NaCl, 0.17 M glycine, 10 mg/mL BSA, 0.1 % Tween 20, 1 mM EDTA pH 9.2 sterile filtered and 50 ⁇ L/mL Calf Thymus DNA added).
- the mixture was incubated for 3 h at 37 degrees C Following centrifugation, the beads were washed twice by centrifugation with 5 mL Buffer A per wash. The final pellet was suspended in 6 mL IHBB buffer and incubated at 95 degrees C for 90 min. After cooling, the beads were centrifuged, the supernatant was discarded, and the pellet was suspended in 6 ml of equal volumes of 0.125 M NaOAc pH 5 and 30% hydrogen peroxide solution. Incubate at 37 degrees for 2.5 hours.
- the mixture was centrifuged, the supernatant discarded, and the beads washed 3 times by centrifugation with storage buffer (50 mM KCl, 10 mM tris, 4 mM EDTA, 0.2% acetylated BSA pH 8.2) using 5 mL buffer per wash.
- storage buffer 50 mM KCl, 10 mM tris, 4 mM EDTA, 0.2% acetylated BSA pH 8.2
- the final pellet was suspended by sonication in 6 mL storage buffer and stored at 4 degrees protected from light.
- (ATAG)g oligonucleotide coated naphthalocyanine sensitizer particles Nc-(ATAGW)
- the oligonucleotide coated beads were prepared by a procedure similar to that described above for the preparation of Pc-A 2 beads.
- oligonucleotide coated beads were prepared by a procedure similar to that described above for the preparation of Pc-A 2 beads. However, these particles were not treated with peroxide.
- Standard PCR based protocols were used to convert 70 base single stranded synthetic WT and Mu oligonucleotides into 130 bp double stranded amplicons.
- the following sequences derived from the S. aureus mecR1 gene (Genbank Accession No. X63598) were chemically synthesized by Oligos Etc, Wilsonville, Oregon:
- GO-1 reverse linking primer for primer for WT and Mu oligonucleotides
- GO-2 forward linking primer for WT oligonucleotide
- FC-1 forward primer
- FC-2 reverse primer 5' - TAGAATAAGCTTGCTCCCGTTCAT (SEQ ID NO: 10)
- Primer extension were performed in 100 ⁇ l volumes in 10 mM Tris-HCI (pH 8.4), 50 mM KCl, 0.2 mg/ml BSA, 4 mM MgCI 2 0.2 mM each dATP, dCTP, dTTP, dGTP, and 5 units cPfu (Stratagene).
- the 20 nM single stranded Mu and WT DNA was converted into double stranded amplicons by primer extension with 20 nM GO-1. The reaction was heated to 65°C for 3 minutes at which point the polymerase was introduced to prevent mis-priming.
- the primer annealing and extension was carried out at 50°C (15 minutes), 60°C (10 minutes .), and 73°C (5 minutes).
- the double stranded DNA produced was further increased in size by using specific primer GO-2 for WT and primer GT for Mu using similar reaction conditions except the initial denaturation was carried out at 95 C
- the single base difference between the original WT and Mu oligonucleotides was maintained during all the primer extension and DNA amplification steps.
- PCR was subsequently carried out with outer primers FC-1 and FC-2 using the same reaction conditions mentioned above except that the primers were present at 250 nM.
- the thermal cycling profile was as follows: initial denaturation of double stranded DNA 95°C (3 minutes) followed by 4 cycles of 95°C (20 seconds), 41 °C (1 minute), and 73° (1 minute). The annealing temperature was then increased from 41 °C to 63°C and amplification was continued for 16 more cycles. The temperature was finally held at 75°C for 5 minutes. The product was analyzed on a 4-20% non-denaturating acrylamide gel (Novex Corporation).
- Detection of 100 pM WT and Mu synthetic amplicons was carried out using a LOCITM assay. Reactions were carried out in 40 ⁇ l reactions containing 10 mM Tris-HCI (pH 8.4), 50 mM KCl, 0.2 mg/ml BSA, 4 mM MgCI2, 0.2 mM each dATP, dCTP, dTTP, dGTP. The dNTPs were added to ensure a consistent reaction medium with the PCR amplification of Example 1.
- the reaction also contained the 1.0 ug of chemiluminescer particle (dopTAR-(A) 20 ) and 1.0 ug of each of the sensitizer particles (Pc-(AGTA) 6 and Nc-(ATAG) 6 ).
- Each of the three probes, namely FC-3 (the common probe) and specific probes ED-3 and ED-4 were added at 12.5 nM each.
- the actual for denaturation and annealing of the probes to the Mu and WT amplicons and LOCITM particles were 95°C for 3 minutes, 50° C for 15 minutes, and 41 ° for 60 minutes.
- the common probe FC-3 binds to both the WT and Mu amplicon and to the dopTAR chemiluminescer particle (dopTAR-(A) 20 ) via the T 20 probe tail on the probe.
- the WT specific probe (ED-3) binds to the WT amplicon and to the Pc sensitizer particle (Pc-(AGTA)e) via the (TACT) 5 tail.
- the Mu specific probe binds specifically to Mu amplicon and to the Nc Sensitizer particle (Nc-(ATAG) ⁇ ) via the (CTAT) 5 tail.
- the chemiluminescent signal generated by the particle pairs formed was read in Relative Light Units (RLU) by an in-house built LOCITM reader.
- RLU Relative Light Units
- the WT signal was obtained first by illuminating the reaction tubes with 675-nm laser (to generate singlet oxygen from Pc) for 1.0 second followed by reading the chemiluminescent signal (RLU) for 1 second. This was followed by a 10-second delay to allow the entire signal from the chemiluminscer to decay completely.
- the Mu signal (RLU) was then obained by illuminating the tubes with a 780-nm laser (to generate singlet oxygen from Nc) for one second.
- the Mu chemiluminscent signal was read six times after each of a one-second illumination followed by a one second read. The counts from each of the six reads are totaled.
- the background (no target) signal is subtracted from the both the WT and Mu signals. After removing the cross talk signal the corrected signals are shown is Table 1.
- Corrected Pc signal (WT) [S-B Pc minus (S-B Nc x 0.0026)] wherein S-B is Signal Background.
- the correction factor 0.0026 reflects 0.26% of Nc crossover signal into the Pc signal channel.
- Amplification of the WT and Mu sequences was performed in 40 ⁇ l reaction containing PCR reagents and 250 nM primers FC-1 and FC-2, 0.4 ug Chemiluminescer particle, 1.6 ug each of the two sensitizer particles (Nc and Pc), 10 nM common probe FC-3 and 30 nM each of the two specific probes ED-3 and ED-4.
- the thermal cycling profile was as follows: Initial denaturation of double stranded DNA 95°C (3minutes) followed by 33 cycles of
- the WT and Mu signals shown are corrected signals determined as for
- CTR cystic fibrosis transmembrane conductance regulator
- the DNA samples were amplified with PCR using the following primers: CF-1 (forward primer)
- GGC TCCATATTCAATCGGTTAG SEQ ID NO: 15
- Amplification of 0.8 ng human DNA samples was performed in a 40 ⁇ l reaction using 250 nM of primers CF-1 and CF-10.
- PCR reagents included 10 mM Tris-HCI (pH 8.4), 50 mM KCl, 0.2 mg/ml BSA, 4 mM MgCI2, 0.2 mM each dATP, dCTP, dTTP, dGTP, & 2 units cPfu (Statagene).
- the thermal cycling profile was as follows: Initial denaturation of double stranded DNA at 95°C (3 minutes) followed by 33 cycles of 95°C (20 seconds), 64°C (1 minute), and 73°(1 min) before a final 75°C (5 minutes) step.
- the amplicons were diluted 1 :40 and 1 :400 in water before being detected with the probes and LOCI particles described herein.
- the probes used for detection were:
- LOCI Detection of amplified and diluted product by LOCI was carried out as follows. LOCI reactions were carried out in 40 ⁇ lreactions containing 10 mM Tris- HCI (pH 8.4), 50 mM KCl, 0.2 mg/ml BSA, 4 mM MgCI2, 0.2 mM each dATP, dCTP, dTTP, dGTP. In addition the reaction also contained the 1.0 ug of the dopTAR chemiluminescer particle (dopTAR-(A) 24 ) and 1.0 ug of each of the sensitizer particles (Pc-(AGTA) ⁇ and Nc-(ATAG) 6 .
- Each of the three probes namely AE-5 (common probe) and specific probes AE-3 and AE-4 were added at 12.5 nM each.
- the conditions for denaturation and annealing of the probes to the target and LOCI particles were 95°C (3 minutes), 50°(15 minutes), and 41 °(60 minutes).
- the common probe AE-5 binds to both the WT and Mu amplicons and to the chemiluminescent particle via the probe tail T 2 .
- the specific probe AE-3 binds to WT amplicon and to Pc sensitizer particle (Pc-(AGTA) 6 via the probe tail (TACT) 5 .
- the Mu probe binds specifically to Mu amplicon (delta F508) and to the Nc Sensitzer particle (Nc-ATAG) ⁇ via the probe tail (CTAT) 5 .
- the chemiluminescent signal generated by the particle pairs was read in the in-house built LOCI reader. Signals were read as in Example 1 and the corrected LOCI signal obtained from the final dilutions of amplified DNA is shown in Table 3.
- the WT and Mu signals for Table 3 are corrected signals determined as for
- Template-directed dye-terminator incorporation (TDI) assay A homogenous DNA diagnostic method based on fluorescence resonance energy transfer. Proc. Natl. Acad. Sci. 94: 10756-10761.
Landscapes
- Chemical & Material Sciences (AREA)
- Organic Chemistry (AREA)
- Life Sciences & Earth Sciences (AREA)
- Zoology (AREA)
- Proteomics, Peptides & Aminoacids (AREA)
- Health & Medical Sciences (AREA)
- Engineering & Computer Science (AREA)
- Wood Science & Technology (AREA)
- Analytical Chemistry (AREA)
- Microbiology (AREA)
- Physics & Mathematics (AREA)
- Molecular Biology (AREA)
- Immunology (AREA)
- Biotechnology (AREA)
- Biophysics (AREA)
- Biochemistry (AREA)
- Bioinformatics & Cheminformatics (AREA)
- General Engineering & Computer Science (AREA)
- General Health & Medical Sciences (AREA)
- Genetics & Genomics (AREA)
- Measuring Or Testing Involving Enzymes Or Micro-Organisms (AREA)
Abstract
A method of detecting a specific polynucleotide sequences, differences between polynucleotide sequences, or mutations in genomic DNA. A sample containing a polynucleotide is are combined with three oligonucleotide probes. The first probe hybridizes to a first region on the polynucleotide. The second and third oligonucleotide probes are capable of hybridizing to a second region on the polynucleotide. The sequences of the second and third probes which hybridize to the polynucleotide are identical except for the presence of a difference of one or more nucleotides, or the insertion or deletions of one or more nucleotides. The difference represents the difference between a wild type or mutant polynucleotide. The first probe irreversibly hybridizes to the polynucleotide. The second and third probes compete for hybridization to the polynucleotide and the probe with the sequence most closely complementary to the polynucleotide inhibits the other probe from binding. The probes have labels non-covalently bound to allow for the detection of the hybridization of either the second probe or the third probe to the nucleic acid sequence. Kits in accordance with the invention are disclosed.
Description
DETECTION OF MUTATIONS AND POLYMORPHISMS IN NUCLEIC ACIDS
This application relates to the detection of mutations and polymorphisms in nucleic acids. The mutations may be single or multiple nucleotide polymorphisms, or insertions or deletions of one or more nucleotides in a polynucleotide sequence. The detection involves the use of competitive probes and multiple signals and is accomplished with or without nucleic acid amplification.
Several publications are referenced in this application by Arabic numerals in parenthesis. Full citation of these references is found at the end of the specification immediately preceding the claims. These references describe the state-of-the art to which this invention pertains.
BACKGROUND OF THE INVENTION
In every 1 ,000 nucleotides along the human chromosomes, on average approximately one nucleotide position is estimated to differ between any two copies of that chromosome (1 , 2, 3). A nucleotide position is viewed as polymorphic when it exists in at least two variants and the allele frequency of the most common variant is less than 99% (4). Extensive sets of polymorphic sequences are now being identified in the course of genome research, in studies of human genome diversity, and in the process of establishing mutation databases that may ultimately include all common variants of human genes (5). Applications of polymorphism analysis now extends from investigations of small numbers of sequence variants known to be associated with a specific disease to investigation of markers across the genome, perhaps with markers corresponding to several variants of each of the roughly 100,000 human genes.
These advances in molecular biology have begun a transformation in pharmaceutical development and in the clinical approach to human diseases. Knowledge of DNA sequences can now be used to predict pharmaceutical efficacy
and side effects, and to predict disorders ranging from human malignancies and metabolic disorders to microbial drug resistance and virulence. As more and more genetic factors of known relevance for diseases are being identified, extensive panels of disease-associated markers are likely to be routinely applied to secure diagnosis of patients.
A reliable technique of analyzing mutations in genes of medical interest for disease diagnosis and the prediction of pharmaceutical efficacy requires the ability to discriminate a difference in a single nucleotide. In the past, methods of analyzing DNA sequences have been restricted largely to research and specialized clinical laboratories due to their technological complexity and cost. These methods include reverse oligonucleotide hybridization, competitive or allele- specific PCR, and ligase chain reaction. These techniques are useful for detecting the mutations and hereditary diseases when 50% or 100% of the analyzed DNA contains the mutation. However, a more discriminative procedure is needed to detect somatic mutations, such as human malignancies, where very often only a small fraction of DNA contains the mutation. In addition, each of the techniques established so far has shortcomings. Reverse oligonucleotide hybridization involves multiple, labor-intensive steps including DNA template amplification, immobilization of the DNA template to a solid support, hybridization, washing and detection (6, 7), making it difficult to automate. The C-PCR (8) and LCR (9-11 ) techniques are based on competitive priming and amplification, however, they are very prone to mismatched priming and exponential amplification of the mismatched hybrids (10, 12, 13), resulting in high background or false positive results. In the case of LCR, the inherent blunt-end ligation activity of ligases is another source of error (13, 14). Several modifications have been proposed to improve these two techniques including optimization of amplification conditions by using more precise annealing temperatures (12, 15), PCR amplification following by ligation detection (9, 16-18), and "gap LCR" (19). Although these modifications improve the techniques, they do not eliminate the problem of high background and the potential for false-positive results. Methods designed to analyze polymorphisms can be used to screen for unknown mutational hot spots. However, laborious DNA
sequencing is ultimately required to specify a mutation after a polymorphism has been detected (20-22).
High-throughput detection methods for single nucleotide variations currently in use include homogeneous methods such as template-directed dye-terminator incorporation (TDI) assay (23), the 5'-nuclease allele-specific hybridization TaqMan assay (24), and the recently described allele-specific molecular beacon assay (25). The TDI assay combines PCR and specific primer extension with fluorescence resonance energy transfer (FRET) detection and requires almost no optimization, but requires three separate steps that include adding reagents twice after the initial reaction set up (26). The TaqMan assay is the simplest of all diagnostic assays in which one can determine the mutational status of a DNA sample in one step during PCR (24). However, the TaqMan assay has the stringent requirement that a perfectly complimentary internal probe hybridizes and is cleaved at the polymorphic site during strand extension phase in PCR, whereas the corresponding probe with a 1-base mismatch does not. This requires some optimization and may be difficult to achieve in AT-rich domains. Allele discrimination by the use of molecular beacons of four different colors has been shown to work when synthetic oligonucleotides are used as targets, but assay conditions for amplified and genomic DNA targets are still being worked out (25). Other methods include the dye labeled oligonucleotide ligation (DOL) which combines PCR and an oligonucleotide ligation reaction in a two-stage thermal cycling sequence with FRET. The FRET detection occurs when a donor and acceptor dye are in close proximity.
Accordingly, what is required is a method of detection single nucleotide polymorphisms and other mutations, which is highly sensitive and robust, involves a minimum number of steps, requires minimum number of reagents, is easily manufactured and is easy to use in the clinical laboratory.
SUMMARY OF THE INVENTION One aspect of the present invention is a method for detecting the presence of a polynucleotide analyte. The method comprises combining in a reaction
medium the polynucleotide analyte and three oligonucleotide probes. The first probe comprises a sequence complementary to a first region of the polynucleotide analyte. The second probe comprises a sequence complementary to a second region of the polynucleotide analyte. The third probe comprises a sequence complementary to the second region except for the difference of at least one nucleotide, or the insertion or deletion of at least one nucleotide. The reaction medium is subjected to conditions for forming substantially non-dissociative termolecular complexes of at least one of (i) the polynucleotide analyte, the first probe and the second probe or (ii) the polynucleotide analyte, the first probe and the third probe.. The presence of at least one of the termolecular complexes is determined.
In other aspect of the invention, the first, second and third probes are labeled with first, second and third labels, respectively. The first label comprises a first member of first and second signal producing systems, the second label comprises a second member of the first signal producing system and the third label comprises a second member of the second signal producing system.
Preferably, the labels are non-covalently bound to the probes, and more preferably, through nucleic acid hybridization. In this embodiment of the invention, the first, second and third oligonucleotide probes include second sequences which do not hybridize to the polynucleotide analyte or each other. The first label further comprises a sequence which hybridizes to the second sequence of the first probe, the second label comprises a sequence which hybridizes to the second sequence of the second probe, and the third label comprises a sequence which hybridizes to the second sequence of the third probe. The labels include members of signal producing systems such as a luminescent energy donor and acceptor pair, a singlet oxygen generator and chemiluminescent reactant pair, and an enzyme pair wherein a product of the first enzyme serves as a substrate for the second enzyme.
In another preferred embodiment of the invention, the first member of the signal producing systems is a sensitizer when the second members of the signal producing systems are chemiluminescent compounds. Also, the first member of
the signal producing systems may be a chemiluminescent compound when the second members of the signal producing systems are sensitizers.
The chemiluminescent compounds are preferably enol ethers, enamines, 9- alkylidene-N-alkylacridans, arylvinylethers, dioxenes, arylimidazoles, 9-alkylidene- xanthanes and lucigenin. The sensitizers are preferably photosensitizers, and more preferably photosensitizers such as methylene blue, rose bengal, porphyrins and phthalocyanines or naphtholcyanines.
A further aspect of the invention provides for a method for detecting the presence of one or both of a first and a second polynucleotide analytes which differ from each other by one or more nucleotides or by the insertion or deletion of at least one nucleotide. The method involves combining in a reaction medium a sample suspected of containing one or both polynucleotide analytes, and three oligonucleotide probes. The first probe comprises a sequence which hybridizes to a sequence common to both the first and second polynucleotide analytes. The second probe comprises a sequence which hybridizes to a second region of first polynucleotide analyte. The third probe comprises the same sequence as the second probe except for a difference of at least one nucleotide, or the insertion or deletion of at least one nucleotide. The difference, the insertion or the deletion represents the difference, insertion or deletion between the first and second polynucleotide analytes. The reaction medium is subjected to conditions forming at least one of (i) a first termolecular complex comprising the first polynucleotide analyte, the first probe and the second probe and, (ii) a second termolecular complex comprising the second polynucleotide analyte, the first probe and the third probe. The presence of at least one of the first and second termolecular complexes is then detected.
A further aspect of the invention provides that the reaction medium includes reagents sufficient for amplifying the polynucleotide analyte and the medium is subjected to conditions for amplifying the polynucleotide analyte.
One of the preferred embodiments of the present invention includes a method for detecting the presence of a single nucleotide polymorphism in a fragment of genomic DNA: The method includes combining in a reaction medium
a fragment of genomic DNA suspected of containing a single nucleotide polymorphism and three oligonucleotide probes. The first probe comprises a first label and a sequence which hybridizes to a first region of the polynucleotide analyte. The second probe comprises a second label and sequence which hybridizes to a second region of the polynucleotide analyte. The third probe comprises a third label and the same sequence as the sequence of the second probe except for a difference of one nucleotide, wherein the difference is complementary to a single nucleotide polymorphism in the second sequence. The reaction medium is subjected to conditions for annealing the first probe, the second probe and the third probe to the polynucleotide analyte. The interaction of the first label and the second label produces a first signal and the interaction of the first label and the third label produces a second signal. Each of the signals is detected.
Another embodiment of the present invention provides a method for detecting the presence of two or more polynucleotide analytes wherein the analytes are alleles which differ from each other by one or more nucleotides or the insertion or deletion of one or more nucleotides. The method includes combining in a reaction medium the polynucleotide analytes and at least three oligonucleotide probes. The first probe comprises a sequence complementary to a first region common to each of the the polynucleotide analytes. The second probe comprises a sequence complementary to a second region of one of the polynucleotide analyte. One or more third probes comprise a sequence complementary to the second region except for a difference of at least one nucleotide, or the insertion or deletion of at least one nucleotide. The difference, insertion or deletion corresponds to the one or more alleles. The combination is subjected to conditions for forming substantially non-dissociative termolecular complexes of at least one of (i) the polynucleotide analyte, the first probe and the second probe or (ii) the polynucleotide analyte, the first probe and the one or more third probes. The presence of at least one of the termolecular complexes is determined. A further aspect of the present invention includes a kit for use in a determination of a target polynucleotide in a sample. The kit includes a first
oligonucleotide probe comprises a sequence which hybridizes to a first region of the target polynucleotide; a second oligonucleotide probe which hybridizes to a second region of the target polynucleotide; and a third oligonucleotide probe comprising the same sequence as the sequence of the second probe which hybridizes to the second region of the target polynucleotide except for the difference of one or more nucleotides or the insertion or deletion of one or more nucleotides, the difference, insertion or deletion being complimentary to an expected mutation of the target polynucleotide. The kit also includes a first label comprising a first member of first and second signal producing systems, a second label comprising a second member of the first signal producing system, and a third label comprising a second member of the second signal producing system. Preferably the first second and third labels can non-covalently bind to the first second and third oligonucleotide probes, respectively. The kit may also include reagents for conducting an amplification of the polynucleotide analyte.
Brief Description of the Drawings Fig. 1 is a schematic diagram depicting an embodiment in accordance with the present invention.
Fig. 2 is a schematic diagram depicting an alternate embodiment in accordance with the present invention.
Figs. 3, 4 and 5 are graphs showing results of assays in accordance with the present invention for the detection of mismatches and mutations in nucleic acid sequences.
Detailed Description of the Invention
The present invention can be used to detect the presence of a mutation in a polynucleotide sequence, or to detect differences between polynucleotide sequences, where the mutation or difference can be a single nucleotide polymorphism, a polymorphism of more than one nucleotide, or the insertion or deletion of one or more nucleotides. The method uses at least two probes having
nucleotide sequences which are capable of hybridizing to a target polynucleotide distinguished from each other by the one or more nucleotides, representing the difference between a wild type sequence (reference) and a sequence containing the difference or mutation (target or mutant sequence). The probes can each fully anneal to either a target or reference polynucleotide sequence that may be present in a sample. When a sample contains a target or reference polynucleotide sequence exactly complementary to a sequence of one of the probes, the probe will hybridize to the target or reference sequence and strongly compete with and inhibit the hybridization of the mismatched probe. If a sample contains polynucleotide sequences that fully hybridize both probes, then both probes will bind to the sequences to which they are fully complementary and inhibit the binding of the mismatched probe. The hybridization of either or both probes can be distinguished in a homogenous format using a different signal producing system for each probe. The method may be carried out with or without amplification of the target and reference sequences.
Before proceeding further with a description of the specific embodiments of the present invention, a number of terms will be defined.
Polynucleotide analyte - a compound or composition to be measured that is a polymeric nucleotide, which in the intact natural state can have about 30 to 5,000,000 or more nucleotides and in an isolated state can have about 20 to 50,000 or more nucleotides, usually about 100 to 20,000 nucleotides, more frequently 500 to 10,000 nucleotides. It is thus obvious that isolation of the analyte from the natural state often results in fragmentation. The polynucleotide analytes include nucleic acids, and fragments thereof, from any source in purified or unpurified form including DNA (dsDNA and ssDNA) and RNA, including t-RNA, m-RNA, r-RNA, mitochondrial DNA and RNA, chloroplast DNA and RNA, DNA-RNA hybrids, or mixtures thereof, genes, chromosomes, plasmids, the genomes of biological material such as microorganisms (e.g., bacteria, yeasts, viruses, viroids), molds, fungi, plants, animals, humans, and the like. Also included are genes, such as hemoglobin gene for sickle-cell anemia, cystic fibrosis gene, oncogenes, cDNA, and the like. The polynucleotide analyte can be only a
minor fraction of a complex mixture such as a biological sample. The analyte can be obtained from various biological materials by procedures well known in the art.
The polynucleotide analyte can be any nucleotide sequence including a synthetic polynucleotide but is most often a wild type nucleic acid sequence or a mutant nucleic acid sequence. A wild type sequence being most often found in the genome of an organism. A mutant sequence having differences of one or more nucleotides or insertions or deletions of one or more nucleotides, compared to the wild type sequence. For any particular sequence of any particular organism, more than one wild type or mutant sequence may exist. The polynucleotide analyte, where appropriate, may be cleaved to obtain a fragment that contains a target polynucleotide sequence, for example, by shearing or by treatment with a restriction endonuclease or other site specific chemical cleavage method.
For purposes of this invention, the polynucleotide analyte, or a cleaved fragment obtained from the polynucleotide analyte, will usually be at least partially denatured or single stranded or treated to render it denatured or single stranded. Such treatments are well-known in the art and include, for instance, heat or alkali treatment. For example, double stranded DNA can be heated at 90-100° C. for a period of about 1 second to about 10 minutes to produce denatured material. Mutation - a difference of one or more nucleotides, or the insertion of deletion of one or more nucleotides between two polynucleotide sequences. Most often used to describe a difference between a wild type polynucleotide sequence and a mutant polynucleotide sequence. Mutation includes a single nucleotide polymorphism ("SNP") which is the difference of a single nucleotide between two polynucleotide sequences.
Amplification of nucleic acids or polynucleotides - any method that results in the formation of one or more copies of a nucleic acid or polynucleotide molecule or in the formation of one or more copies of the complement of a nucleic acid or polynucleotide molecule. Exponential amplification of nucleic acids or polynucleotides - any method that depends on the product catalyzed formation of multiple copies of a nucleic
acid or polynucleotide molecule or its complement. The amplification products are sometimes referred to as "amplicons." One such method for the enzymatic amplification of specific double stranded sequences of DNA is known as the polymerase chain reaction (PCR), as described above. This in vitro amplification procedure is based on repeated cycles of denaturation, oligonucleotide primer annealing, and primer extension by thermophilic template dependent polynucleotide polymerase, resulting in the exponential increase in copies of the desired sequence of the polynucleotide analyte flanked by the primers. The two different PCR primers, which anneal to opposite strands of the DNA, are positioned so that the polymerase catalyzed extension product of one primer can serve as a template strand for the other, leading to the accumulation of a discrete double stranded fragment whose length is defined by the distance between the 5' ends of the oligonucleotide primers.
Another method for amplification is mentioned above and involves amplification of a single stranded polynucleotide using a single oligonucleotide primer. The single stranded polynucleotide that is to be amplified contains two non-contiguous sequences that are complementary to one another and, thus, are capable of hybridizing together to form a stem-loop structure. This single stranded polynucleotide already may be part of a polynucleotide analyte or may be created as the result of the presence of a polynucleotide analyte.
Another method for achieving the result of an amplification of nucleic acids is known as the ligase chain reaction (LCR). This method uses a ligase enzyme to join pairs of preformed nucleic acid probes. The probes hybridize with each complementary strand of the nucleic acid analyte, if present, and ligase is employed to bind each pair of probes together resulting in two templates that can serve in the next cycle to reiterate the particular nucleic acid sequence.
Another method for achieving a nucleic acid amplification is the nucleic acid sequence based amplification (NASBA). This method is a promoter-directed, enzymatic process that induces in vitro continuous, homogeneous and isothermal amplification of a specific nucleic acid to provide RNA copies of the nucleic acid. The reagents for conducting NASBA include a first DNA primer with a 5' tail
comprising a promoter, a second DNA primer, reverse transcriptase, RNAse-H, T7
RNA polymerase, NTP's and dNTP's.
Another method for amplifying a specific group of nucleic acids is the Q- beta-replicase method, which relies on the ability of Q-beta-replicase to amplify its RNA substrate exponentially. The reagents for conducting such an amplification include "midi-variant RNA" (amplifiable hybridization probe), NTP's, and Q-beta- replicase.
Another method for amplifying nucleic acids is known as Self-Sustained
Sequence Replication (3SR) and is similar to NASBA except that the RNAse-H activity is present in the reverse transcriptase. Amplification by 3SR is an RNA specific target method whereby RNA is amplified in an isothermal process combining promoter directed RNA polymerase, reverse transcriptase and RNase
H with target RNA.
Another method for amplifying nucleic acids is the Transcription Mediated Amplification (TMA) used by Gen-Probe. The method is similar to NASBA in utilizing two enzymes in a self-sustained sequence replication. See Fahy, et al., patent application WO 91 -US8488 911113.
Linear amplification of nucleic acids or polynucleotides - any method that depends on the self catalyzed formation of one or more copies of the complement of only one strand of a nucleic acid or polynucleotide molecule, usually a nucleic acid or polynucleotide analyte. Thus, the primary difference between linear amplification and exponential amplification is that the latter is autocatalyzed, that is, the product serves to catalyze the formation of more product, whereas in the former process the starting sequence catalyzes the formation of product but is not itself replicated. In linear amplification the amount of product formed increases as a linear function of time as opposed to exponential amplification where the amount of product formed is an exponential function of time.
Target polynucleotide - a sequence of nucleotides to be identified, usually existing within a portion or all of a polynucleotide analyte, the identity of which is known to an extent sufficient to allow preparation of various oligonucleotides, such
as probes and primers, and other molecules necessary for conducting an amplification of the target polynucleotide.
During amplification involving primer extension, amplification primers hybridize to, and are extended along (chain extended), at least the target sequence within the target polynucleotide and, thus, the target sequence acts as a template. The extended primers are chain "extension products or amplicons." The target sequence usually lies between two defined sequences but need not. In general, the primers hybridize with the defined sequences or with at least a portion of such target polynucleotide, usually at least a ten-nucleotide segment at the 3'- end thereof and preferably at least 15, frequently 20 to 50 nucleotide segment thereof.
The target sequence usually contains from about 30 to 5,000 or more nucleotides, preferably 50 to 1 ,000 nucleotides. The target polynucleotide is generally a fraction of a larger molecule or it may be substantially the entire molecule (polynucleotide analyte). The minimum number of nucleotides in the target polynucleotide sequence is selected to assure that the presence of target polynucleotide in a sample is a specific indicator of the presence of polynucleotide analyte in a sample. Very roughly, the sequence length is usually greater than about 1.6 log L nucleotides where L is the number of base pairs in the genome of the biologic source of the sample. The maximum number of nucleotides in the target polynucleotide is normally governed by the length of the polynucleotide analyte and its tendency to be broken by shearing, or other processes during isolation and any procedures required to prepare the sample for assay and the efficiency of detection and/or amplification of the sequence. Oligonucleotide - a polynucleotide, usually single stranded, usually a synthetic polynucleotide but may be a naturally occurring polynucleotide. The oligonucleotide(s) are usually comprised of a sequence of at least 5 nucleotides, preferably, 10 to 100 nucleotides, more preferably, 20 to 50 nucleotides, and usually 10 to 30 nucleotides in length. Various techniques can be employed for preparing an oligonucleotide utilized in the present invention. Such oligonucleotide can be obtained by
biological synthesis or by chemical synthesis. For short sequences (up to about 100 nucleotides) chemical synthesis will frequently be more economical as compared to the biological synthesis. In addition to economy, chemical synthesis provides a convenient way of incorporating low molecular weight compounds and/or modified bases during the synthesis step. Furthermore, chemical synthesis is very flexible in the choice of length and region of the target polynucleotide binding sequence. The oligonucleotide can be synthesized by standard methods such as those used in commercial automated nucleic acid synthesizers. Chemical synthesis of DNA on a suitably modified glass or resin can result in DNA covalently attached to the surface. This may offer advantages in washing and sample handling. For longer sequences standard replication methods employed in molecular biology can be used such as the use of M13 for single stranded DNA as described by J. Messing (1983) Methods Enzymol, 101 :20-78.
Other methods of oligonucleotide synthesis include phosphotriester and phosphodiester methods (Narang, et al. (1979) Meth. Enzymol 68:90) and synthesis on a support (Beaucage, et al. (1981 ) Tetrahedron Letters 22:1859-1862) as well as phosphoramidate technique, Caruthers, M. H., et al., Methods in Enzymology, 154:287-314 (1988), and others described in "Synthesis and Applications of DNA and RNA," S.A. Narang, editor, Academic Press, New York, 1987, and the references contained therein.
Oligonucleotide probe - an oligonucleotide employed in the present invention to bind to a portion of a polynucleotide such as an oligonucleotide probe or a target polynucleotide. The sequence which binds to the target polynucleotide can be DNA, RNA, peptide nucleic acids (PNA) or any sequence which is capable of specifcally binding. The design and preparation of the oligonucleotide probes are important in performing the methods of this invention. A more detailed description of oligonucleotide probes in accordance with the present invention is found herein.
Nucleoside triphosphates -- nucleosides having a 5'-triphosphate substituent. The nucleosides are pentose sugar derivatives of nitrogenous bases of either purine or pyrimidine derivation, covalently bonded to the 1'-carbon of the
pentose sugar, which is usually a deoxyribose or a ribose. The purine bases include adenine(A), guanine (G), inosine (I), and derivatives and analogs thereof. The pyrimidine bases include cytosine (C), thymine (T), uracil (U), and derivatives and analogs thereof. Nucleoside triphosphates include deoxyribonucleoside triphosphates such as the four common triphosphates dATP, dCTP, dGTP and dTTP and ribonucleoside triphosphates such as the four common triphosphates rATP, rCTP, rGTP and rUTP.
The term "nucleoside triphosphates" also includes derivatives and analogs thereof, which are exemplified by those derivatives that are recognized in a similar manner to the unde vatized nucleoside triphosphates. Examples of such derivatives or analogs, by way of illustration and not limitation, are those which are biotinylated, amine modified, alkylated, and the like and also include phosphorothioate, phosphite, ring atom modified derivatives, and the like.
Nucleotide - a base-sugar-phosphate combination that is the monomeric unit of nucleic acid polymers, i.e., DNA and RNA.
Modified nucleotide - is the unit in a nucleic acid polymer that results from the incorporation of a modified nucleoside triphosphate during an amplification reaction and therefore becoming part of the nucleic acid polymer.
Nucleoside - is a base-sugar combination or a nucleotide lacking a phosphate moiety.
Nucleotide polymerase - a catalyst, usually an enzyme, for forming an extension of a polynucleotide along a DNA or RNA template where the extension is complementary thereto. The nucleotide polymerase is a template dependent polynucleotide polymerase and utilizes nucleoside triphosphates as building blocks for extending the 3'-end of a polynucleotide to provide a sequence complementary with the polynucleotide template. Usually, the catalysts are enzymes, such as DNA polymerases, for example, prokaryotic DNA polymerase (I, II, or III), T4 DNA polymerase, T7 DNA polymerase, Klenow fragment, reverse transcriptase, Vent DNA polymerase, Pfu DNA polymerase, Taq DNA polymerase, and the like, derived from any source such as cells, bacteria, such as E. coN, plants, animals,
virus, thermophilic bacteria, and so forth. RNA polymerases include T7 RNA polymerase, AMV polymerase, Q-beta-replicase, and so forth.
Hybridization (hybridizing) and binding - in the context of nucleotide sequences these terms are used interchangeably herein. The ability of two nucleotide sequences to hybridize with each other is based on the degree of complementarity of the two nucleotide sequences, which in turn is based on the fraction of matched complementary nucleotide pairs. The more nucleotides in a given sequence that are complementary to another sequence, the more stringent the conditions can be for hybridization and the more specific will be the binding of the two sequences. Increased stringency is achieved by elevating the temperature, increasing the ratio of cosolvents, lowering the salt concentration, and the like.
Homologous or substantially identical polynucleotides - In general, two polynucleotide sequences that are identical or can each hybridize to the same polynucleotide sequence are homologous. The two sequences are homologous or substantially identical where the sequences each have at least 90%, preferably 100%, of the same or analogous base sequence where thymine (T) and uracil (U) are considered the same. Thus, the ribonucleotides A, U, C and G are taken as analogous to the deoxynucleotides dA, dT, dC, and dG, respectively. Homologous sequences can comprise DNA, RNA or modified polynucleotides and may be homoduplexes, e.g., RNA:RNA and DNA:DNA or heteroduplexes, e.g., RNA:DNA.
Complementary - Two sequences are complementary when the sequence of one can bind to the sequence of the other in an anti-parallel sense wherein the
3'-end of each sequence binds to the 5'-end of the other sequence and each A, T(U), G, and C of one sequence is then aligned with a T(U), A, C, and G, respectively, of the other sequence.
Copy of a sequence -- a sequence that was copied from, and has the same base sequence as, a single stranded polynucleotide sequence as differentiated from a sequence that is copied from and has a complementary base sequence to the sequence of such single stranded polynucleotide.
Member of a specific binding pair ("sbp member") - one of two different molecules, having an area on the surface or in a cavity which specifically binds to and is thereby defined as complementary with a particular spatial and polar organization of the other molecule. The members of the specific binding pair are referred to as ligand and receptor (antiligand). These may be members of an immunological pair such as antigen-antibody, or may be operator-repressor, nuclease-nucleotide, biotin-avidin, hormones-hormone receptors, nucleic acid duplexes, IgG-protein A, DNA-DNA, DNA-RNA, and the like.
Ligand - any compound for which a receptor naturally exists or can be prepared.
Receptor ("antiligand") - any compound or composition capable of recognizing a particular spatial and polar organization of a molecule, e.g., epitopic or determinant site. Illustrative receptors include naturally occurring receptors, e.g., thyroxine binding globulin, antibodies, enzymes, Fab fragments, lectins, nucleic acids, repressors, protection enzymes, protein A, complement component C1q, DNA binding proteins or ligands and the like.
Support or surface -- a porous or non-porous water insoluble material. The support can be hydrophilic or capable of being rendered hydrophilic and includes inorganic powders such as silica, magnesium sulfate, and alumina; natural polymeric materials, particularly cellulosic materials and materials derived from cellulose, such as fiber containing papers, e.g., filter paper, chromatographic paper, etc.; synthetic or modified naturally occurring polymers, such as nitrocellulose, cellulose acetate, poly (vinyl chloride), polyacrylamide, cross linked dextran, agarose, polyacrylate, polyethylene, polypropylene, poly(4-methylbutene), polystyrene, polymethacrylate, poly(ethylene terephthalate), nylon, poly(vinyl butyrate), etc.; either used by themselves or in conjunction with other materials; glass available as Bioglass, ceramics, metals, and the like. Natural or synthetic assemblies such as liposomes, phospholipid vesicles, and cells can also be employed. Binding of sbp members to a support or surface may be accomplished by well-known techniques, commonly available in the literature. See, for example,
"Immobilized Enzymes," Ichiro Chibata, Halsted Press, New York (1978) and Cuatrecasas, J. Biol. Chem., 245:3059 (1970). The surface can have any one of a number of shapes, such as strip, rod, particle, including bead, and the like.
Label -- a member of a signal producing system. Usually the label is part of an oligonucleotide probe either being conjugated thereto or otherwise bound thereto or associated therewith and is capable of being detected directly or indirectly. Labels include reporter molecules that can be detected directly by virtue of generating a signal, specific binding pair members that may be detected indirectly by subsequent binding to a cognate that contains a reporter molecule, oligonucleotide primers that can provide a template for amplification or ligation or a specific polynucleotide sequence or recognition sequence that can act as a ligand such as for a repressor protein, wherein in the latter two instances the oligonucleotide primer or repressor protein will have, or be capable of having, a reporter molecule. In general, any reporter molecule that is detectable can be used. The reporter molecule can be isotopic or nonisotopic, usually non-isotopic, and can be a catalyst, such as an enzyme, a polynucleotide coding for a catalyst, promoter, dye, fluorescent molecule, chemiluminescer, coenzyme, enzyme substrate, radioactive group, a small organic molecule, amplifiable polynucleotide sequence, a particle such as latex or carbon particle, metal sol, crystallite, liposome, cell, etc., which may or may not be further labeled with a dye, catalyst or other detectable group, and the like. The reporter group can be a fluorescent group such as fluorescein, a chemiluminescent group such as luminol, a terbium chelator such as N-(hydroxyethyl) ethylenediaminetriacetic acid that is capable of detection by delayed fluorescence, and the like. The label is a member of a signal producing system and can generate a detectable signal either alone or together with other members of the signal producing system. As mentioned above, a reporter molecule can be bound directly to a nucleotide sequence or can become bound thereto by being bound to an sbp member complementary to an sbp member that is bound to a nucleotide sequence. Examples of particular labels or reporter molecules and their detection
can be found in U.S. Patent Application Serial No. 07/555,323 filed July 19, 1990, the relevant disclosure of which is incorporated herein by reference.
Signal Producing System - the signal producing system may have one or more components, at least one component being a label. The signal producing system generates a signal that relates to the presence or amount of target polynucleotide in a sample. The signal producing system includes all of the reagents required to produce a measurable signal. The labels and other reagents of the signal producing system must be stable at the temperatures used in an amplification of a target polynucleotide. Detection of the signal will depend upon the nature of the signal producing system utilized.
Preferably, the signal producing system is characterized in that the members of the system are chosen such that the binding of the second and third oligonucleotide probes to their respective duplexes to form termolecular complexes alters the signal generated by the signal producing system of the respective termolecular complexes. For example, in one approach the second oligonucleotide probe and the third oligonucleotide probe comprise a member of a different signal producing system and the signals are measured from the ternary complexes and a ratio of signals is determined. The first oligonucleotide probe may comprise a member of both signal producing systems. In another approach the first oligonucleotide probe in combination with each of the second oligonucleotide probe and the third oligonucleotide probe comprise members of different signal producing systems and the signals measured from the ternary complexes are used to determine a ratio of signals. In another approach the first oligonucleotide probe comprises a first member of a each of two signal producing systems and the second oligonucleotide probe and the third oligonucleotide probe each respectively comprise a second member of each of the signal producing systems.
Preferably, when the first member is brought into close proximity with the second members of the signal producing system, a signal is produced. A number of signal producing systems in accordance with the above may be employed. The following discussion is by way of illustration and not limitation. In
one such system the first member is a catalyst such as an enzyme and the second members are catalysts such as enzymes that are different from the first enzyme and from each other and the products of the reaction of the enzyme comprising the first member are the substrates for the other of the enzymes. By employing different second enzymes signals are produced that can be differentiated and used to determine a ratio of signals that is related to concentration of the target polynucleotide.
A list of enzymes is found in U.S. Patent No. 4,299,916 at column 30 to column 33. As mentioned above, of particular interest in the subject invention is the use of coupled catalysts, usually two or more enzymes, where the product of one enzyme serves as the substrate of the other enzyme. One of the enzymes is used as the label in the first oligonucleotide probe. Different second enzymes are used in the second and third oligonucleotide probes. The solute will be the substrate of any one of the enzymes, but preferably of an enzyme bound to the first oligonucleotide probe. The enzymatic reaction may involve modifying the solute to a product that is the substrate of another enzyme or production of compound that does not include a substantial portion of the solute, which serves as an enzyme substrate. The first situation may be illustrated by glucose-6- phosphate being catalytically hydrolyzed by alkaline phosphatase to glucose, wherein glucose is a substrate for glucose oxidase. The second situation may be illustrated by glucose being oxidized by glucose oxidase to provide hydrogen peroxide which would enzymatically react with the signal generator precursor to produce a signal generator. Coupled catalysts can also include an enzyme with a non-enzymatic catalyst. The enzyme can produce a reactant that undergoes a reaction catalyzed by the non-enzymatic catalyst or the non-enzymatic catalyst may produce a substrate (includes coenzymes) for the enzyme. For example, Medola blue can catalyze the conversion of NAD and hydroquinones to NADH, which reacts with FMN oxidoreductase and bacterial luciferase in the presence of long chain aldehydes to produce light. Examples of particular catalytic systems that may be utilized in the present invention are found in U.S. Patent No. 4,299,916 at column 33, line 34, to column 38, line 32, the disclosure of which is
incorporated herein by reference. For enzyme labels, additional members of the signal producing system include enzyme substrates and so forth. The product of the enzyme reaction is preferably a luminescent product or a fluorescent or non-fluorescent dye, any of which can be detected spectrophotometrically, or a product that can be detected by other spectrometric or electromethc means.
In another approach the first member of the signal producing system is a quencher and the second members are fluorescent compounds that emit at different wavelengths or with different decay rates. Fluorescers of interest generally emit light at a wavelength above 350 nm, usually above 400 nm and preferably above 450 nm. Desirably, the fluorescers have a high quantum efficiency, a large Stokes shift and are chemically stable under the conditions of their conjugation and use. The term fluorescer is intended to include substances that emit light upon activation and include fluorescent and phosphorescent substances, scintillators and chemiluminescent substances. In this approach the medium is irradiated with light and the fluorescence is determined. As will be appreciated, when the quencher is brought into close proximity to the fluorescent molecule by the formation of a termolecular complex, the fluorescence of the medium is decreased because of the absorption by the quencher of the light emitted by the fluorescer. Fluorescers of interest fall into a variety of categories having certain primary functionalities. These primary functionalities include 1- and 2-aminonaphthalene, p,p-diaminostilbenes, pyrenes, quaternary phenanthridine salts, 9-aminoacridines, imines, anthracenes, oxacarboxyamine, merocyanine, 3-aminoequilenin, perylene, bis-benzoxazole, bis-p-oxazolyl benzene, 1 ,2-benzophenazine, retinal, bis-3- aminopyridinium salts, hellebrigenin, tetracycline, sterophenol, benzimidazolylphenylamine, 2-oxo-3-chromen, indole, xanthene, 7- hydroxycoumarin, 4,5-benzimidazoles, phenoxazine, salicylate, strophanthidin, porphyrins, triarylmethanes, flavin and rare earth chelates oxides and salts. Exemplary fluorescers are enumerated in U.S. Patent No. 4,318,707 at columns 7 and 8, the disclosure of which is incorporated herein by reference.
A diverse number of energy absorbers or quenchers may be employed. The quencher must be able to quench the fluorescence of the fluorescer when brought into proximity with the fluorescer by virtue of the binding of the probes. Quenchers are chromophores having substantial absorption higher than 310 nm, normally higher than 350 nm, and preferably higher than about 400 nm. Generally, the quencher is a fluorescent compound or fluorescer but energy acceptors that have weak or no fluorescence are also useful. For example, one group of quenchers is the xanthene dyes, which include the fluoresceins derived from 3,6-dihydroxy-o- phenyl-xanthhydrol and rhodamines, derived form 3,6-diamino-9- phenylxanthhydrol. Another group of compounds are the naphthylamines such as, e.g., 1-anilino-8-naphthalene sulfonate, 1-dimethylaminonaphthyl-5-sulfonate and the like. Other examples of quenchers that may be employed are those fluorescers of interest mentioned above wherein one fluorescer can absorb the energy of another fluorescer and quench its fluorescence. Energy acceptors that are non-fluorescent can include any of a wide variety of azo dyes, cyanine dyes, 4,5-dimethoxyfluorescein, formazans, indophenols and the like.
Another example of quenchers is energy absorbent or quenching particles. Examples of such particles are carbon particles, such as charcoal, lampblack, graphite, colloidal carbon and the like. Besides carbon particles metal sols may also find use, particularly of the noble metals, gold, silver, and platinum. Other metal derived particles may include metal sulfides, such as lead, silver or copper sulfides or metal oxides, such as iron or copper oxide.
As mentioned above, Heller (U.S. Patent No. 5,565,322) discloses donor and acceptor chromophores at column 9, line 37, to column 14, line 7, the disclosure of which is incorporated herein by reference. A further discussion of fluorescers and quenchers may also be found in U.S. Patent Nos. 4,261 ,968, 4,174,384, 4,199,983 and 3,996,345, the relevant disclosures of which are incorporated herein by reference. In another approach the first member of the signal producing system is a sensitizer and the second members are chemiluminescent compounds that emit at
different wavelengths or with different decay rates. Alternatively, the first member is a chemiluminescent compound and the second members are sensitizers that can be independently excited by different wavelengths of light. Examples of chemiluminescent compounds and sensitizers are set forth in U.S. Patent No. 5,709,994, the disclosure of which is incorporated herein by reference. Particularly preferred are photosensitizers and photoactivatable chemiluminescent compounds such as described in U.S. Patent No. 5,340,716 at column 19, line 30, to column 20, line 45, and column 22, line 58, to column 30, line 10, the disclosure of which is incorporated herein by reference. The sensitizers are those compounds that generate singlet oxygen usually by excitation with light. The sensitizer can be photoactivatable (e.g., dyes and aromatic compounds) or chemi-activated (e.g., enzymes and metal salts). Typical photosensitizers include acetone, benzophenone, 9-thioxanthone, eosin, 9,10-dibromoanthracene, methylene blue, metallo-porphyrins, such as hematoporphyrin, phthalocyanines, chlorophylls, rose bengal, buckminsterfullerene, etc., and derivatives thereof. Photoactivatable chemiluminescent compounds are substances that undergo a chemical reaction upon direct of sensitized excitation by light of upon reaction with singlet oxygen to form a metastable reaction product that is capable of decomposition with the simultaneous or subsequent emission of light, usually with the wavelength range of 250 to 1200 nm. Preferably, these compounds react with singlet oxygen to form dioxetanes or dioxetanones. The latter are usually electron rich olefins. Exemplary of such olefins are enol ethers, enamines, 9-alkylidene-N-alkylacridans, arylvinylethers, dioxenes, arylimidazoles, 9-alkylidene-xanthanes and lucigenin. Other compounds include luminol and other phthalhydrazides and chemiluminescent compounds that are protected form undergoing a reaction such as firefly luciferin, aquaphorin, luminol, etc.
Other components of the signal producing system may include substrates, enhancers, activators, chemiluminescent compounds, cofactors, inhibitors, scavengers, metal ions, specific binding substances required for binding of signal generating substances, and the like. Other components of the signal producing
system may be coenzymes, substances that react with enzymic products, other enzymes and catalysts, and the like.
LOCI - Luminescent Oxygen Channeling Immunoassay. The signal producing system (Dade Behring, Inc., Deerfield, Illinois) may be used homogeneously or heterogeneously in all types of assays, including but not limited to, immunoassays. Reagents and methods for LOCI are more fully described herein and in Ulman, E.F. et al., Clin. Chem. (1996) 42:9, pp. 1518-1526.
Termolecular complex - a complex formed in accordance with the present methods upon the binding of the two oligonucleotide probes with a target polynucleotide or a reference polynucleotide. Such complex is termolecular in that it involves three molecules, namely, the two oligonucleotide probes and the single strand of such target polynucleotide or reference polynucleotide. In the present invention the termolecular complex is relatively stable under the isothermal conditions employed. Sample - any solution, synthetic or natural, containing a polynucleotide analyte or target polynucleotide including body fluids such as, for example, whole blood, blood fractions such as serum and plasma, synovial fluid, cerebro- spinal fluid, amniotic fluid, semen, cervical mucus, sputum, saliva, gingival fluid, urine, and the like. The amount of the sample depends on the nature of the sample and the analyte contained therein. For fluid samples such as whole blood, saliva, urine and the like the amount of the sample is usually about 1 to 1000 microliters, more usually, about 10 to 100 microliter. The sample can be pretreated and can be prepared in any convenient medium, which does not interfere with the reactions conducted as part of the present methods. Ancillary Materials - Various ancillary materials will frequently be employed in the methods carried out in accordance with the present invention. For example, buffers will normally be present in the assay medium, as well as stabilizers for the assay medium and the assay components. Frequently, in addition to these additives, proteins may be included, such as albumins, organic solvents such as formamide, quaternary ammonium salts, polycations such as dextran sύlfate,
surfactants, particularly non-ionic surfactants, binding enhancers, e.g., polyalkylene glycols, or the like.
One embodiment of the present invention is directed to a method for detecting one or two polynucleotide analytes. The polynucleotide analyte(s) may be one or both a reference (wild type) polynucleotide and a target (mutant) polynucleotide. The target and reference polynucleotides are single stranded either in a natural state or rendered single stranded as described above. A sample suspected of containing the polynucleotide analyte(s) is combined in a medium with at least two oligonucleotide probes. The probes, known as the target probe and the reference probe, include a polynucleotide sequence which fully hybridizes with the sequences of the target or reference polynucleotides, respectively. "Fully hybridizes or fully complimentary" means that the sequences are exactly complementary. The medium is subjected to conditions substantially irreversibly hybridizing the probes to the target and reference sequences. If only one of the target and reference polynucleotides is present in the medium, the probes will compete for hybridization to the sequence present. The probe that is fully complementary to the sequence present will substantially inhibit the non- complementary probe from hybridizing, even if the non-complementary probe sequence is mismatched by only one nucleotide. The probe, which is fully complementary polynucleotide, has a label that can be distinguished from a label on the probe that is fully complementary to the reference polynucleotide. The hybridization of one the probes to either the target or reference polynucleotide can be detected. When both the target and reference nucleotides are present in the medium, two signals can be detected. In another embodiment of the present invention, a third probe, known as a common probe is combined in the reaction medium. The common probe substantially irreversibly hybridizes to both the reference polynucleotide and the target polynucleotide. The common probe is labeled with a first member of a signal producing systems when the target and reference probes are labeled with second members of a signal producing systems. The signal produced by the interaction of the labels on the common probe and the reference probe is different
than the signal produced by the interaction of the labels on the common probe and the target probe.
Referring now to Fig. 1 , an embodiment of the invention is presented by way of illustration and not limitation. Reference polynucleotide WT has a sequence CS that is common with sequence CS of the target polynucleotide Mu. A common oligonucleotide probe CP has a sequence PCS that is hybridizable with sequence CS of WT and Mu. WT and Mu both contain second sequences, WTS and MuS, respectively, which are identical except for the difference of one nucleotide SNP. A second oligonucleotide probe WTP contains a sequence WTPS fully complementary to sequence WTS. A third oligonucleotide probe MuP contains a sequence MuPS identical to WTP except for a difference of one nucleotide cSNP, which is complementary to SNP. Therefore, MuP is fully complementary to MuS.
All of the polynucleotides and oligonucleotide probes are combined in an appropriate medium and subjected to conditions for allowing hybridization of the probes to WT and Mu. After an appropriate period for complex formation, signals are determined from the reaction medium. One signal results from the interaction of label L1 on CP and label L2 on WTP. A second signal results from the interaction of label L1 on CP and label L3 on MuP. Labels L1 and L2 are part of a signal producing system as discussed above.
When the termolecular complex comprising WT, CP and WTP is formed, L1 and L2 can interact to produce a signal that is then measured. Similarly, when the termolecular complex Mu, CP and MuP is formed, L1 and L3 can interact to produce a signal that can be measured. The signal produced by the interaction of L1 and L2 is different from the signal produced by the interaction of L1 and L3.
The labels can be part of the probes initially. On the other hand, the labels can be included as separate reagents either in the initial reaction mixture or added subsequent to the incubation period. In this regard an sbp member may be attached to CP and the corresponding sbp member attached to label L1. The two sbp members bind to each other and L1 becomes part of the common probe CP. The two sbp members may be, for example, hapten-antibody, nucleic acid-nucleic
acid, and the like. Labels L2 and L3 may be incorporated with WTP and MuP in a similar manner.
In a preferred embodiment of the invention shown in Fig. 2, the labels L1 , L2 and L3 include oligonucleotide sequences L1S, L2S and L3S respectively, which are complementary to the sequences on the probes which are not complementary to the target or reference sequences. Accordingly, L1 includes a sequence L1S capable of hybridizing sequence cL1S of the common probe CP. L2 includes a sequence L2S capable of hybridizing sequence cL2S on the wild type probe WTP. L3 includes a sequence L3S capable of hybridizing to sequence cL3S on the Mutant Probe MuP. The labels, when combined in the reaction medium with the probes and target and reference sequences, will bind to the probes. An important aspect of the invention is that the labels can be manufactured independent of the probes. The labels can be used with any probe so long as the probe includes a tail that can bind the probe molecule. As shown in the examples below, the tail can be as simple as a poly-A or poly-T tail. This feature allows for simple and cost effective manufacture of probes since the probes added to the reaction medium of the present invention are unlabeled.
The probes include both a sequence that hybridizes to a label and a sequence which hybridizes to a complementary sequence on the target or reference polynucleotides. The probe sequence that hybridizes to a complementary sequence on the target or reference polynucleotide is ussually about 5-80 nucleotides, preferably about 10 to about 50 nucleotides, more preferably about 15 to about 30 nucleotides, in length. The probe sequence which is specific for the target sequence MuP should be fully complementary to the target sequence MuS. Consequently, it is preferred that the probe sequence MuP is 100% complementary to the target sequence MuS. Likewise, it is preferred that the probe sequence specific for the reference sequence WTP and the reference sequence WTS are 100% complementary..
However, the degree to which the sequences must be complementary depends on the relative lengths and nucleotide composition of the sequence of the oligonucleotide probes. An important feature of the invention is that the probe
specific for the reference sequence WTP and the probe specific for the target sequence MuP compete for binding to the target or reference sequences present in the sample. To the extent that longer probes may be less than 100% complementary to their respective sequences, in addition to the difference of a SNP or mutation, depends on the ability of the probe sequence which is most complementary to the target sequence to inhibit the binding of the less complementary probe sequence to the target. It is contemplated as part of the invention that probes which are less than 100% complementary to a respective target or reference sequence will bind the target or reference sequence preferentially over a less complementary probe. The competition may be established by controlling reactions conditions including time, temperature and speed of lowering the temperature of the reaction medium to allow for hybridization conditions.
The sequence of the common probe which binds both the reference and target sequence CPS need not be fully complementary. However, the common probe should substantially irreversibly bind to the target and references above the temperature at which the target specific probe and reference specific probe substantially bind to the target and reference, respectively.
It is a further aspect of the present invention that more than two polynucleotide sequences, representing multiple alleles for a gene, may be detected. Alleles that occur in more than two variants may be detected by employing additional nucleotide probes for which a signal can be detected. The additional probes would be identical to the first and second probes described above except for the difference of one or nucleotides representing the difference As long as the label for each additional probe can be distinguished, the allelle corresponding complementary sequence of each probe can be detected. In other words, for each polynucleotide sequence representing an allele of any particular gene, complementary probes specific for each allele sequence, can be employed. The probes will compete with each other for binding to the sequence to which they are most complementary. Further, the probes which are most complementary to
any particular sequence will substantially inhibit any less complementary probe from binding.
It should be noted that the length of the various oligonucleotide probes and the relevant sequences contained therein may be greater or less than that indicated above. The length depends on a number of factors such as the possibility of strand invasion, whether the nucleotides are natural or modified, the temperature, the pH, the salt concentration of the medium, and so forth. In general, the length of the above sequences should be sufficient to ensure substantially non-dissociative complexes. In carrying out the present method, an aqueous medium is usually employed. In general, an aqueous medium is employed for the entire method in accordance with the present invention. Other polar cosolvents may also be employed, usually oxygenated organic solvents of from 1-6, more usually from 1-4, carbon atoms, including alcohols, ethers and the like. Usually these cosolvents, if used, are present in less than about 70 weight percent, more usually in less than about 30 weight percent.
The pH for the medium is usually in the range of about 4.5 to 9.5, more usually in the range of about 5.5 to 8.5, and preferably in the range of about 6 to 8. Various buffers may be used to achieve the desired pH and maintain the pH during the determination. Illustrative buffers include borate, phosphate, carbonate, Tris, barbital and the like. The particular buffer employed is not critical to this invention but in individual methods one buffer may be preferred over another. In general for amplification, the pH and temperature are chosen based on the particular method of amplification employed. The present invention can be used for the direct detection of nucleic acid in quantities as little as 10~12 or less without amplification. In addition, the invention may be carried out with amplification of the target and references sequences. Any amplification method may be employed.
Detection of the signal, and the conditions therefor, depend upon the nature of the signal producing system utilized. Such conditions are well known in the art. If the reporter molecule is an enzyme, additional members of the signal producing
system would include enzyme substrates and so forth. The product of the enzyme reaction is preferably a luminescent product, or a fluorescent or non-fluorescent dye, any of which can be detected spectrophotometrically, or a product that can be detected by other spectromet c or electrometric means. If the reporter molecule is a fluorescent molecule, the medium can be irradiated and the fluorescence determined. Where the label is a radioactive group, the first probe can be separated from the duplex of the first and second probes and one of the fractions can be counted to determine the radioactive count.
The association of the labels within the termolecular complex may also be determined by using labels that provide a signal only if the labels become part of, or dissociate from, the complex. The binding of the single stranded target polynucleotide, if present, to the second probe causes displacement of the first probe from the second probe and thereby alters a signal generated by the signal producing system. This approach is particularly attractive when it is desired to conduct the present invention in a homogeneous manner. Such systems include enzyme channeling immunoassay, fluorescence energy transfer immunoassay, electrochemiluminescence assay, induced luminescence assay, latex agglutination and the like.
In one aspect of the present invention detection of the complex is accom- pushed by employing at least one suspendable particle as a support, which may be bound directly to a nucleic acid strand or may be bound to an sbp member that is complementary to an sbp member attached to a nucleic acid strand, either first or second oligonucleotide probe. Such a particle serves as a means of segregating the bound target polynucleotide sequence from the bulk solution. A second label, which is attached to the other of the first or second oligonucleotide probes, becomes part of the termolecular complex. Typical labels that may be used in this particular embodiment are fluorescent labels, particles containing a sensitizer and a chemiluminescent olefin (see U.S. Patent No. 5,709.994, the disclosure of which is incorporated herein by reference), chemiluminescent and electroluminescent la- bels.
Preferably, the particle itself can serve as part of a signal producing system that can function without separation or segregation. The second label is also part of the signal producing system and can produce a signal in concert with the particle to provide a homogeneous assay detection method. A variety of combinations of labels can be used for this purpose. When all the reagents are added at the beginning of the reaction, the labels are limited to those that are stable to the temperatures used for amplification.
The particles, for example, may be simple latex particles or may be particles comprising a sensitizer, chemiluminescer, fluorescer, dye, and the like. Typical particle/reporter molecule pairs include a dye crystallite and a fluorescent label where binding causes fluorescence quenching or a tritiated reporter molecule and a particle containing a scintillator. Typical reporter molecule pairs include a fluorescent energy donor and a fluorescent acceptor dye. Typical particle pairs include (1 ) two latex particles, the association of which is detected by light scattering or turbidimetry, (2) one particle capable of absorbing light and a second label particle which fluoresces upon accepting energy from the first, and (3) one particle incorporating a sensitizer and a second particle incorporating a chemiluminescer as described for the induced luminescence immunoassay referred to in U.S. Serial No. 07/704,569, filed May 22, 1991 , entitled "Assay Method Utilizing Induced Luminescence", which disclosure is incorporated herein by reference.
Briefly, detection of the termolecular complex using the induced luminescence assay as applied in the present invention involves employing a photosensitizer as part of one label and a chemiluminescent compound as part of the other label. If the complex is present the photosensitizer and the chemiluminescent compound come into close proximity. The photosensitizer generates singlet oxygen and activates the chemiluminescent compound when the two labels are in close proximity. The activated chemiluminescent compound subsequently produces light. The amount of light produced is related to the amount of the complex formed.
If the amplification uses a DNA polymerase, preferably, the oligonucleotide probes are blocked at the 3'-end to avoid any potential interference with and during amplification. Blocking may be accomplished, for example, by employing a group that cannot undergo chain extension, such as, for example, an unnatural group such as a 3'-phosphate, a 3'-terminal dideoxy, an abasic ribophosphate, a polymer or surface, or other means for inhibiting chain extension. Alternatively, a polynucleotide that does not hybridize to the amplicon is attached to the 3'-end. Such an end group can be introduced at the 3' end during solid phase synthesis or a group can be introduced that can subsequently be modified. For example, in order to introduce dextran at the 3'-end a ribonucleotide can be introduced at the 3'-end and then oxidized with periodate followed by reductive amination of the resulting dialdehyde with borohydride and aminodextran. The details for carrying out the above modifications are well known in the art and will not be repeated here. As a matter of convenience, predetermined amounts of reagents employed in the present invention can be provided in a kit in package combination. The kit comprises in package combination one or more reagents for conducting amplification and detection of a polynucleotide. An example of a kit in accordance with the present invention is a kit comprising a first oligonucleotide probe having a sequence which hybridizes to a first region of a target polynucleotide in a sample, a second oligonucleotide probe which hybridizes to a second region of the target polynucleotide and a third oligonucleotide probe having the same sequence as the sequence of the second probe which hybridizes to the second region of the target polynucleotide except for the difference of one or more nucleotides or the insertion or deletion of one or more nucleotides. The difference, insertion or deletion being complimentary to an expected mutation of the target polynucleotide. The kit further comprises a first label having a first member of first and second signal producing systems, a second label comprising a second member of a second signal producing system and a third label comprising a second member of a second signal producing system. The first, second and third labels are capable of noncovalently binding to the first, second and third probes, respectively. The first
member of the signal producing system may be a sensitizer and the other members being chemiluminescers. Alternatively, the first member of the signal producing system may be a chemiluminescer and the second member of the signal producing system may be a sensitizer. Signals from the respective labels are differentially detectable.
The kit can further include any additional members of a signal producing system and also various buffered media, some of which may contain one or more of the reagents. The kit above can further include in package combination reagents for conducting an application of the target polynucleotide. For example, in the case of PCR, the kit may contain forward and reverse primers, a polymerase, and dNTP's.
The relative amounts of the various reagents in the kit can be varied widely to provide for concentrations of reagents necessary to achieve the objectives of the present invention. Under appropriate circumstances, one or more of the reagents in the kit can be provided as a dry powder, usually lyophilized, including excipients which on dissolution will provide for reagent solution having the appropriate concentrations for performing a method or assay in accordance with the present invention. Each reagent can be packaged in separate containers or some reagents can be combined in one container where cross reactivity and shelf- life permit. The kit may also include a written description of a method in accordance with the present invention as described above.
EXAMPLES The invention is demonstrated further by the following illustrative examples. Parts and percentages recited herein are by weight unless otherwise specified. Temperatures are in degrees centigrade (°C).
Melting points were determined on a Hoover capillary apparatus and are uncorrected. ΗNMR spectra were recorded on a Brucker WP-250 MHz or Brucker
WP-300 MHz NMR spectrometer. Chemical shifts were reported in parts per million (δ 0.0). NMR multiplicities are recorded by use of the following abbreviations: s, singlet; d, doublet; t, triplet; m, multiplet; Hz, hertz. Infrared
spectra were recorded on a Perkin-Elmer 2971 R spectrometer. Desorption chemical ionization (Cl.) and electron ionization (E.I.) were done on a Varian-MAT 311 A, double focusing high-resolution mass spectrometer. A Finnigan TSQ-70 or MAT-8230 was used for fast atom bombardment mass spectra (FAB/LSIMS). UV-visible absorption spectra were done on a HP 8452A diode array spectrophotometer. Fluorescence and chemiluminescence measurements were done on a Spex fluorolog spectrophotometer or a Perkin Elmer 650-40 spectrophotometer. Chemiluminescence measurements were also performed on an in-house chemiluminometer. Toluene was distilled from sodium over argon. Unless mentioned otherwise, all solvents were used without purification, and most reactions were carried out under argon. Silica gel used for flash chromatography was 230-400mesh ASTM, purchased from Scientific Products while preparative plates (1000μ) and analytical plates were purchased from Analtech. Hydroxypropylaminodextran, C-28 thioxene and thioxene attached to 9,10- bis(phenylethynyl) anthracene (BPEA) were prepared as described below. 2-Chloro 9,10- bis(phenylethynyl) anthracene (1-CI-BPEA) and rubrene (5,6,11 ,12- tetraphenyl naphthacene) were purchased from Aldrich Chemical Co. Rubrene was recrystallized from methylene chloride and stored at 4°C in a brown bottle prior to use. Silicon phthalocyanine and silicon naphthalocyaninine were prepared as described below and phthalocyanine tetrasulfonates was obtained from Ultra Diagnostics, Inc. Carboxylate-modified polystyrene (latex) particles were purchased from Seradyn, Inc. The particles were 203 ± 4.0 nM. The carboxyl parking area was 49.5 angstroms squared (0.09 milliequivalents/g). Solids were 10% (100 mg/ml).
2-ethoxyethanol was from Aldrich Chemical Co. and was redistilled under vacuum. Sodium hydroxide was 0.1 N. Isopropanol was from Aldrich Chemical Co..
Unless otherwise indicated, oligonucleotides used in the following examples were prepared by synthesis using an automated synthesizer and were purified by gel electrophoresis or HPLC
The following abbreviations have the meanings set forth below:
Tris HCl - Tris(hydroxymethyl)aminomethane-HCI (a 10X solution) from BioWhittaker, Walkersville, Maryland
DTT - dithiothreitol from Sigma Chemical Company, St. Louis, Missouri HPLC - high performance liquid chromatography
DPP - 4,7-diphenylphenanthroline from Aldrich Chemical Company, Milwaukee, Wisconsin
BSA - bovine serum albumin from Sigma Chemical Company, St. Louis, Missouri ELISA - enzyme linked immunosorbent assay as described in "Enzyme-
Immunoassay," Edward T. Maggio, CRC Press, Inc., Boca Raton, Florida (1980) bp - base pairs ddc - dideoxycytidine g - grams mmol - millimoles
DMF - dimethyl formamide
THF - tetrahydrofuran
LSIMS - fast ion bombardment mass spectroscopy
NMR - nuclear magnetic resonance spectroscopy TMSCI - trimethylsilylchloride
EDAC - 1-ethyl-3-(3-dimethylaminopropyl)-carbodiimide hydrochloride
MES - 2-(N-morpholino)ethane sulfonic acid
SPDP - N-succinimidyl 3-(2-pyridylthio)-propionate
Sulfo-SMCC - N-sulfosuccinimidyl-4-(N-maleimidomethyl)cyclohexane-1 - carboxylate
TCEP - tris-(2carboxyethyl) phosphine dopTAR - thixone, rubene, and anthracene chemiluminescent composition and chemiluminescent particle
Pc - phthalocyanine sensitizer and sensitizer particle Nc - napthalocyanine sensitizer and sensitizer particle
PREPARATION OF REAGENTS
Synthesis of C-28 thioxene To a solution of 4-bromoaniline (30g, 174mmol) in dry DMF (200mL) was added 1 -bromotetradecane (89.3mL, 366mmol) and N,N-diisopropylethylamine (62.2mL, 357mmol). The reaction solution was heated at 90°C for 16 hr under argon before being cooled to room temperature. To this reaction solution was again added 1 -bromotetradecane (45mL, 184mmol) and N,N- diisopropylethylamine (31 mL, 178mmol) and the reaction mixture was heated at 90°C for another 15 hr. After cooling, the reaction solution was concentrated in vacuo and the residue was diluted with CH2CI2 (400mL). The CH2CI2 solution was washed with 1 N aqueous NaOH (2x), H20, and brine, was dried over Na2S04 and was concentrated jn vacuo to yield a dark brown oil (about 110g). Preparative column chromatography on silica gel by a Waters 500 Prep LC system eluting with hexane afforded a yellow oil that contained mainly the product (4-bromo-N,N-di- (Cι H29)-aniline) along with a minor component 1 -bromotetradecane. The latter compound was removed from the mixture by vacuum distillation (bp 105-110°C, 0.6mm) to leave 50.2g (51 %) of the product as a brown oil. To a mixture of magnesium turnings (9.60g, 395mmol) in dry THF (30mL) under argon was added dropwise a solution of the above substituted aniline product (44.7g, 79mmol) in THF (250mL). A few crystals of iodine were added to initiate the formation of the Grignard reagent. When the reaction mixture became warm and began to reflux, the addition rate was regulated to maintain a gentle reflux. After addition was complete, the mixture was heated at reflux for an additional hour. The cooled supernatant solution was transferred via cannula to an addition funnel and added dropwise (over 2.5 hr) to a solution of phenylglyoxal (11.7g, 87mmol) in THF (300mL) at -30°C under argon. The reaction mixture was gradually warmed to 0°C over 1 hr and stirred for another 30 min. The resulting mixture was poured into a mixture of ice water (800mL) and ethyl acetate (250mL). The organic phase was separated and the aqueous phase was extracted with ethyl acetate (3x). The
combined organic phases were washed with H20 (2x), brine and were dried over MgS04. Evaporation of the solvent gave 48.8g of the crude product as a dark green oily liquid. Flash column chromatography of this liquid (gradient elution with hexane, 1.5:98.5, 3:97, 5:95 ethyl acetate:hexane) afforded 24.7g (50%) of the benzoin product (LSIMS (C42H69N02): [M-H]+ 618.6, 1H NMR (250 MHz, CDCI3) was consistent with the expected benzoin product. To a solution of the benzoin product from above (24.7g, 40mmol) in dry toluene (500mL) was added sequentially 2-mercaptoethanol (25g, 320mmol) and TMSCI (100mL, 788mmol). The reaction solution was heated at reflux for 23 hr under argon before being cooled to room temperature. To this was added additional TMSCI (50mL, 394mmol); and the reaction solution was heated at reflux for another 3 hr. The resulting solution was cooled, was made basic with cold 2.5N aqueous NaOH and was extracted with CH2CI2 (3x). The combined organic layers were washed with saturated aqueous NaHC03 (2x) and brine, was dried over Na2S04 and was concentrated in vacuo to give a brown oily liquid. Preparative column chromatography on silica gel by using a Waters 500 Prep LC system (gradient elution with hexane, 1 :99, 2:98 ethyl acetate: hexane) provided 15.5g (60%) of the C-28 thioxene as a yellow oil (LSIMS (C44H71NOS): [M-H]+ 661.6, 1H NMR (250 MHz, CDCI3) was consistent with the expected C-28 thioxene product 2-(4-(N,N-di- (Cι H29)-anilino)-3-phenyl thioxene.
Synthesis of Silicon tetra-t-butyl phthalocyanine sensitizer (Pc)
Sodium metal, freshly cut (5.0g, 208mmol), was added to 300mL of anhydrous methanol in a two-liter, 3-necked flask equipped with a magnetic stirrer, reflux condenser, a drying tube and a gas bubbler. After the sodium was completely reacted, 4-t-butyl-1 ,2-dicyanobenzene (38.64g, 210mmol, from TCI Chemicals, Portland OR) was added using a funnel. The mixture became clear and the temperature increased to about 50°C At this point a continuous stream of anhydrous ammonia gas was introduced through the glass bubbler into the reaction mixture for 1 hr. The reaction mixture was then heated under reflux for 4 hr. while the stream of ammonia gas continued during the course of the reaction,
as solid started to precipitate. The resulting suspension was evaporated to dryness (house vacuum) and the residue was suspended in water (400mL) and filtered. The solid was dried (60°C, house vacuum, P205). The yield of the product (1 ,3-diiminoisoindoline, 42.2g) was almost quantitative. This material was used for the next step without further purification. To a one-liter, three-necked flask equipped with a condenser and a drying tube was added the above product (18g, 89mmol) and quinoline (200mL, Aldrich Chemical Company, St. Louis MO). Silicon tetrachloride (11 mL, 95mmol, Aldrich Chemical Company) was added with a syringe to the stirred solution over a period of 10 minutes. After the addition was completed, the reaction mixture was heated to 180-185°C in an oil bath for 1 hr. The reaction was allowed to cool to room temperature and concentrated HCl was carefully added to acidify the reaction mixture (pH 5-6). The dark brown reaction mixture was cooled and filtered. The solid was washed with 100mL of water and dried (house vacuum, 60°C, P205). The solid material was placed in a 1 -liter, round bottom flask and concentrated sulfuhc acid (500mL) was added with stirring. The mixture was stirred for 4 hr. at 60°C and was then carefully diluted with crushed ice (2000g). The resulting mixture was filtered and the solid was washed with 100mL of water and dried. The dark blue solid was transferred to a 1 -liter, round bottom flask, concentrated ammonia (500mL) was added, and the mixture was heated and stirred under reflux for 2 hr., was cooled to room temperature and was filtered. The solid was washed with 50mL of water and dried under vacuum (house vacuum, 60°C, P205) to give 12g of product silicon tetra-t-butyl phthalocyanine as a dark blue solid. 3-picoline (12g, from Aldrich Chemical Company), tri-n-butyl amine (anhydrous, 40mL) and tri-n-hexyl chlorosilane (11.5g) were added to 12g of the above product in a one-liter, three-necked flask, equipped with a magnetic stirrer and a reflux condenser. The mixture was heated under reflux for 1.5 hr. and then cooled to room temperature. The picoline was distilled off under high vacuum (oil pump at about 1 mm Hg) to dryness. The residue was dissolved in CH2CI2 and purified using a silica gel column (hexane) to give 10g of pure product di-(tri-n-hexylsilyI)-silicon tetra-t-butyl phthalocyanine as a dark blue solid. (LSIMS: [M-H]+ 1364.2, absorption spectra: methanol: 674nm (ε
180,000): toluene 678nm, 1H NMR (250 MHz, CDCI3): δ: -2.4(m,12H), -1.3(m, 12H), 0.2-0.9 (m, 54H), 1.8(s, 36H), 8.3(d, 4H) and 9.6 (m, 8H) was consistent with the above expected product.
Synthesis of naphthalocvanine sensitizer (Nc)
1. Preparation of 6-t-Butyl-diiminobenz(f)isoindoline (2)
The 6-t-butyl-2,3-dicyanonaphthalene (I) (9.07 g, 38.7 mmol) was suspended in 50 mL MeOH. While stirring under argon, 8.5 mL of 1.05 N NaOMe/MeOH (freshly prepared from Na°) was added and the light yellow suspension was bubbled with NH3 gas for 1 h at ambient temperature. Dilution with an additional 75 ml MeOH did not dissolve the fine suspension. Bubbling with NH3 was continued at 65° for 2 h until the suspension cleared, and then an additional 1 h. Volatiles were removed by rotary evaporation, and the sticky semi-solid was triturated with 200 mL water. After drying under vacuum (< I mmHg) overnight at ambient temperature, the 9.2 g solid was ground by mortar and pestle to a fine green-brown powder. NMR (250 MHz, CDCI3) showed the absence of the dicyanonaphthalene (Fig. 6) and was consistent with the desired product. TLC (2:1 MeOH/CH2CI2) was comparable to a sample of nor-butyl diiminobenzisoindoline.
2. Preparation of Dichlorosilicon tetra-t-butyl-naphthalocyanine (t-bu4-NcCI2) (3)
The 6-t-Butyl-diiminobenzisoindoline (2) (9.01 g, 35.9 mmol). Prepared as described above, was stirred in 100 mL quinoline. Silicon tetrachloride (4.0 mL, 35 mmol) was added in 1 mL increments at such a rate (-30 min) that the mild exotherm was maintained below 30°. The reaction was then gradually heated by oil bath from 60° to 180°, and stirred under argon for 1 h at that temperature. After cooling to ambient temperature, the reaction was pipetted into two 250 cc polypropylene centrifuge bottles, each containing 150 mL 1 :1 H20/MeOH. The residue was rinsed with 50 mL of the 1 :1 H20/MeOH into the two bottles. The bottles were inverted several times to mix the contents, and centrifuged for 10 min at 6K rpm, decanted, and the solid was resuspended in 200 mL 1 :1 H20/MeOH. The process was repeated 3x, and the final solid was vacuum dried at 60°C/ P2Os affording 8.9 g of the crude product (3), which was ground to a green powder by mortar and pestle and used directly in the next step. TLC (2:1 MeOH/CH2CI2) showed the absence of starting material.
3. Preparation of Dihydroxysilicon tetra-t-butyl-naphthalocyanine (t-bu4-Nc(OH)2) (4)
A portion (5.8 g, 5.7 mmol) of the t-bu4-NcCI2 (3), prepared as described above, was dissolved in 150 mL cone. H2S04. The clear deep purple solution was stirred for 4 h at 60°, cooled and poured into 800 cc ice. The brown suspension was compacted by centrifuge (6K rpm, 6 min), and the solid was washed twice with 200 mL portions of water in each of four 250 cc centrifuge bottles. The final solid was vacuum dried at 60°C/ P205) affording 6.1 g of black (v. deep reddish brown) solid. This solid was rinsed from the bottles with 250 mL concentrated NH4OH into a flask. The deep green suspension was gradually heated to 100°C After 30 min, frothing subsided, and heating was continued for two hours. After cooling, the suspension was rinsed with 200 mL water into two 250 cc centrifuge bottles. The solid was washed repeatedly by centrifugation (3x, 6K to 12 K rpm) with 150 mL portions of water/bottle. Because of poor compaction, a final centrifugation was done in two 30 cc tubes with 25 mL portions of water at 16 K rpm. The solid was vacuum dried (16 h, 30 mmHg, 60°C, P205) and weighed (2.822 g). Further drying (3 d, < 1 mmHg, 100°) showed that the partially dried solid still contained 5% water (resulting in reduced yields in some reactions). The identity of the product was confirmed by MS (M+ 998).
4. Preparation of Bis(t -n-hexylsilyl)silicon tetra-t-butyl- naphthalocyanine (t-bu4-Nc[hex3Si]2) (5)
The t-bu -Nc(OH)2 (4) (1.61 g, 1.6 mmol), prepared as described above, was dissolved in a solution of 15 mL tri-n-hexylsilylchloride / 30 mL dry pyhdine. After bubbling with argon, the solution was heated at 120° for 1 h. Heating the reaction for an additional 2 h did not alter the product distribution as judged by TLC (Si02, 10% CH2CI2/hexane). The reaction was cooled to ambient temperature, and the reaction mixture was partitioned between 150 mL hexane and 100 mL water. The mixture was stirred for 30 min until the hexane phase cleared to a deep green color. The aqueous phase was removed and the organic phase was washed twice with 150 mL portions of water, until the final aqueous phase was colorless (pH about 6). The organic phase was filtered (glasswool/funnel), concentrated to about 25 mL, and chromatographed (Si02; 5% CH2CI2/hexane). Re-chromatography (Chromatotron: Si02 rotor, 0 to 10% CH2CI2/hexane) was necessary to separate the t-butyl isomers. A portion of the major isomer (94 mg) was isolated and used as is for bead dyeing.
Synthesis of Hvdroxypropylaminodextran Hydroxypropylaminodextran was prepared by dissolving 100 g of Dextran T-
500 (Pharmacia, Uppsala, Sweden) in 500 mL of water in a 3-neck round-bottom flask with a mechanical stirrer and dropping funnel. To the solution was added 45 g sodium hydroxide, 50 mg EDTA, 50 mg NaBH 50 mg hydroquinone, and 200 g
N-(2,3-epoxypropyl)phthalimide. The mixture was heated and stirred in a 90°C
water bath for two hours. A small aliquot was precipitated three times from methanol and analyzed by NMR. The appearance of a peak at 7.3-7.6 indicated incorporation of phthalimide. The main reaction mixture was precipitated by addition to 3.5 L of methanol, after which solid was collected. The phthalimide protecting group was removed by dissolving the product above in 500 mL of 0.1 M acetate buffer, adding 50 mL of 35% hydrazine, and adjusting the pH to 3.5. The mixture was heated at 80°C for 1 h, the pH was re-adjusted to 3.2, and the mixture was heated for an additional half hour. An aliquot was precipitated three times in methanol. NMR showed that the phthalimide group was no longer present. The reaction mixture was neutralized to pH 8 and stored at room temperature.
The product was purified by tangential flow filtration using a 50,000 molecular weight cut-off filter, washing with water, 0.01 M HCl, 0.01 M NaOH, and finally water. The product solution was concentrated by filtration to 700 mL then lyophilized. Determination of reactive amines using trinitrobenzenesulfonate gave about 1 amine per 16 glucose residues.
Preparation of phthalocyanine (Pc) dved sensitizer particles
The sensitizer beads were prepared by placing 600 mL of carboxylate modified latex (Seradyn) in a three-necked, round-bottom flask equipped with a mechanical stirrer, a glass stopper with a thermometer attached to it in one neck, and a funnel in the opposite neck. The flask had been immersed in an oil bath maintained at 94±1°C The beads were added to the flask through the funnel in the neck and the bead container was rinsed with 830 mL of ethoxyethanol, 1700 mL of ethylene glycol and 60 mL of 0.1 N NaOH and the rinse was added to the flask through the funnel. The funnel was replaced with a 24-40 rubber septum. The beads were stirred at 765 rpm at a temperature of 94±1 °C for 40 min.
Silicon tetra-t-butyl phthalocyanine (10.0 g) was dissolved in 300 mL of benzyl alcohol at 60+/-5°C Eighty-five (85) mL was added to the above round bottom flask through the septum by means of a 100 ml syringe heated to 120+/- 10°C at a rate of 3 mL per min. The remaining phthalocyanine solution was then added similarly. The syringe and flask originally containing the phthalocyanine was
rinsed with 40 mL of benzyl alcohol and transferred to a round-bottom flask. After 15 min 900 mL of deionized water and 75 mL of 0.1 N NaOH was added dropwise over 40 min. The temperature of the oil bath was allowed to drop slowly to 40+/- 10°C and stirring was then discontinued. The beads were then filtered through a 43 micron polyester filter and subjected to a Microgon tangential flow filtration apparatus (Microgon Inc., Laguna Hills, CA) using ethano water, 100:0 to 10:90, and then filtered through a 43 micron polyester filter.
Hydroxypropylaminodextran solution was prepared at 2 mg/mL in 50 mM MES pH 6. One hundred fifty mg phthalocyanine sensitizer beads in 7.5 mL water was added dropwise to 7.5 mL of the hydroxypropylaminodextran solution while vortexing. One hundred eighty eight μl of EDAC solution (80 mg/ml) in water was added to the coating mixture while vortexing. The mixture was incubated overnight at room temperature in the dark. The mixture was diluted with 12 mL water and centrifuged. The supernatant was discarded and the bead pellet suspended in 40 mL water by sonication. The beads were washed 3 times with water (40 ml per wash) by repeated centrifugation and suspension by sonication. The final pellet was suspended in 5 mL water.
Preparation of naphthalocyanine (Nc) dyed sensitizer particles A 10 % suspension of carboxylated latex beads (4.4 ml) was mixed with 4.4 mL ethoxyethanol, 8.8 mL ethylene glycol, and 0.44 mL 0.1 N sodium hydroxide solution. Naphthalocyanine (0.475 mg) was dissolved in 0.4 mL benzyl alcohol.
One ml of the diluted bead suspension (25 mg beads) was transferred to a 13 x
100 mm glass tube and placed in a heat block maintained at 95 degrees. Two hundred μl of the dye solution was transferred to a separate tube and placed in the heat block. After allowing a few minutes for the temperature to equilibrate, the contents of the tubes were rapidly mixed and heating was continued for an additional 20 minutes. The dyed bead suspension was removed from the heat block and allowed to cool to room temperature at which time it was diluted with 3 ml ethanol and thoroughly mixed. The suspension was then centrifuged to form a pellet of beads. The supernatant was discarded and the pellet was suspended in
50% ethanol in water by sonication. Centrifugation was repeated and the pellet suspended in 10 % ethanol in water. The suspension was centrifuged at a slow speed to pellet a trace of debris from the dyeing procedure. The beads remaining in the supernatant were decanted and stored at 4 degrees C Hydroxypropylaminodextran solution was prepared at 10 mg/mL in 50 mM
MES pH 6. Twenty mg of the naphthalocyanine sensitizer beads in 1 mL 10 % ethanol in water was slowly added to 1 mL of the hydroxypropylaminodextran solution while vortexing. Two mg EDAC dissolved in 0.2 mL water was added to the coating mixture while vortexing. Following an overnight incubation at room temperature, the mixture was centrifuged, the supernatant discarded, and the bead pellet suspended in 2 mL water by sonication. The water wash was repeated 2 times by centrifugation and the final bead pellet suspended in 1 mL water.
Preparation of hydroxypropylaminodextran coated dopTAR chemiluminescer particles
A 10% suspension of carboxylated latex beads (120 mL) was heated to 93°C in a three-neck round bottom flask, then mixed with 166 mL ethoxyethanol, 336 mL ethylene glycol, and 12 mL of 0.1 M NaOH. A mechanical stirrer and thermometer were added, and the mixture was brought to 95°C with stirring, then stirred for an additional 40 minutes. In a separate flask, 2.45 g of C-28 thioxene, 191.8 mg of 2-chloro-9,10-bis(phenylethynyl)anthracene, and 323.9 mg of rubrene were dissolved in 264 mL of ethoxyethanol and heated to 95°C with stirring until dissolved. The dye solution was poured into the bead suspension and stirred for 20 min at 95°C, then allowed to cool slowly to about 47°C and filtered through a 43 μm polyester filter to remove any debris generated during the dyeing procedure. The beads were washed by tangential flow filtration using a Microgon apparatus with a P698/4 filter. After priming of the system with wash solvent (1 :2 v/v ethoxyethanol and ethylene glycol), the dyed bead mixture was added, concentrated to about 20 mg/mL, then washed with 6 liters of wash solvent and 4.8 L of 10% v/v ethanol in water adjusted to pH 10 with NaOH. The TAR beads were
concentrated to about 50 mg/mL during the wash, then stored at 4 °C protected from light.
A plasticizer was incorporated into the beads to enhance the rate of decay of luminescence. A mixture was prepared containing 250 μL of n- heptadecylbenzene, 20 mL of ethanol, and 0.5 g of hydroxypropylaminodextran dissolved in 25 mL of 50 mM MES pH 6. The mixture was heated to 80°C in an oil bath and stirred vigorously to disperse the plasticizer. A second mixture containing 40 mL of dyed TAR beads from above (diluted to 25 mg/mL in 10% ethanol) and 30 mL of 50 mM MES pH 6 was also heated to 80°C The two mixtures were combined and left stirring at 80°C overnight.
After cooling, the beads were separated, by pipette, from a small amount of excess plasticizer that floated on top of the bead suspension. EDAC (200 mg) in 3 mL of water was added, and the mixture was stirred at room temperature for 2 h. The mixture was then centrifuged to recover the beads. The bead pellet was suspended by sonication and washed with three 40 mL portions of water by alternating centrifugation and suspension by sonication. The final bead pellet was then suspended in about 35 mL water.
Preparation of (AGTA)R oligonucleotide coated phthalocyanine sensitizer particles (Pc-AGTA)g)
Sixty five mg of hydroxypropylaminodextran coated phthalocyanine sensitizer beads were suspended in 5 mL 50 mM MOPS pH 7. A 10 % (w/v) SIAX solution was prepared in DMF and 77 μl added to the bead suspension while vortexing. The mixture was incubated at room temperature for 90 min in the dark and then a second 77 μl aliquot of SIAX solution added and the mixture incubated for an additional 60 min. The suspension was centrifuged and the supernatant discarded. The bead pellet was suspended in 6 mL water by sonication and the centrifugation repeated. The pellet was suspended in 6.5 mL water and stored at 4 degrees C In preparation for oligonucleotide coupling, the beads were centrifuged, the supernatant was discarded, and 1.34 mL coupling buffer added to the pellet.
Coupling buffer consists of the following mixture: (900 μL 0.2 M borate, 2 mM EDTA pH 9 and 333 μL of 0.4 M borate pH 9.45 and 1000 μL of 2 M Na2S04) which had been degassed and saturated with argon. Nine μL of 10% Tween 20 detergent was added to the coupling buffer mixture after degassing and saturating with argon.
5'(AGTA)6 (SEQ ID NO: 1 ) oligonucleotide modified at the 3' end with -P02OCH2CH2CH2SSCH2CH2CH2OH was dissolved in water and the concentration determined by optical density at 260 nm. Using the extinction coefficient supplied by the vendor the concentration was found to be 915.8 nmoles/mL. Approximately twelve nmoles of oligonucleotide per mg of beads was used for the coupling procedure.
Seven hundred sixty μL of oligonucleotide solution was placed in a centrifuge tube and 76 μL of 2.5 M NaOAc pH 5.3 added. One hundred forty seven μL of 20 mM TCEP in water was added to the oligonucleotide solution and the mixture incubated 1 h at room temperature in the dark. Four volumes of 200 proof ethanol was added to the mixture to precipitate the reduced oligonucleotide. Precipitation was facilitated by placing the mixture in a -20 degree C freezer for 1 hour. The precipitate was collected by centrifugation and then dissolved in 495 μL 5 mM Na2HP04, 2 mM EDTA pH 6 that had been degassed and saturated with argon.
The oligonucleotide solution was then added to the bead pellet under coupling buffer and the mixture was sonicated to suspend the beads. The suspension was incubated at 37 degrees C for 23 h.
Residual iodo groups on the iodoaminodextran coat were capped by reaction with mercaptoacetic acid. The bead suspension was centrifuged and the supernatant removed. The pellet was suspended by sonication in 5 mL of 10 mM mercaptoacetic acid in 0.4 M borate pH 9.45 and the mixture incubated at 37 degrees C for 1 h. The beads were recovered by centrifugation and suspended in 5 mL blocking buffer: (0.1 M NaCl, 0.17 M glycine, 10 mg/mL BSA, 0.1 % Tween 20, 1 mM EDTA pH 9.2 sterile filtered and 50 μL/mL Calf Thymus DNA added).
The mixture was incubated for 3 h at 37 degrees C Following centrifugation, the beads were washed twice by centrifugation with 5 mL Buffer A per wash. The final pellet was suspended in 6 mL IHBB buffer and incubated at 95 degrees C for 90 min. After cooling, the beads were centrifuged, the supernatant was discarded, and the pellet was suspended in 6 ml of equal volumes of 0.125 M NaOAc pH 5 and 30% hydrogen peroxide solution. Incubate at 37 degrees for 2.5 hours. The mixture was centrifuged, the supernatant discarded, and the beads washed 3 times by centrifugation with storage buffer (50 mM KCl, 10 mM tris, 4 mM EDTA, 0.2% acetylated BSA pH 8.2) using 5 mL buffer per wash. The final pellet was suspended by sonication in 6 mL storage buffer and stored at 4 degrees protected from light.
Preparation of (ATAG)g oligonucleotide coated naphthalocyanine sensitizer particles (Nc-(ATAGW) The oligonucleotide coated beads were prepared by a procedure similar to that described above for the preparation of Pc-A2 beads. 5'-(ATAG)6-3' (SEQ ID NO:2) oligonucleotide modified at the 3' end with P02OCH2CH2CH2SSCH2CH2CH2OH was employed.
Preparation of ATJ. oligonucleotide coated dopTAR chemiluminescer particles (dopTAR-A^)
The oligonucleotide coated beads were prepared by a procedure similar to that described above for the preparation of Pc-A2 beads. However, these particles were not treated with peroxide. 5'-A24 (SEQ ID NO:3) oligonucleotide modified at the 3' end with -P02OCH2CH2CH2SSCH2CH2CH2OH was employed.
Example 1
Preparation of double stranded amplicons from single stranded WT and Mu oligonucleotides.
Standard PCR based protocols were used to convert 70 base single stranded synthetic WT and Mu oligonucleotides into 130 bp double stranded
amplicons. The following sequences derived from the S. aureus mecR1 gene (Genbank Accession No. X63598) were chemically synthesized by Oligos Etc, Wilsonville, Oregon:
Wild Type Sequence (WT)
5' - TCATTATAAAGCACAAAACTTCCATCAAATCCTTTGAAATACGGAGCTAG TTGTTTAATTTTTTATATG (SEQ ID NO:4 )
Mutant Sequence (Mu) 5' - TCATTATAAAGCACTAAACTTCCATCAAATCCTTTGAAATACGGAGCTAG TTGATTTAATTTTTTATATG (SEQ ID NO:5)
The single A to T mutation is bolded in the above sequences. The following PCR primers and procedure was used to:
GO-1 (reverse linking primer for primer for WT and Mu oligonucleotides) 5' - ATGTTCAACAAGACAAATATGAAACAAATGTATCATATAAAAAATT AAATCAAC (SEQ ID NO:6) GO-2 (forward linking primer for WT oligonucleotide)
5" - CTTGCTCCCGTTCATTATAAAGCACAAAAC (SEQ ID NO:7)
GT (forward linking primer for Mu oligonucleotide)
5' - CTTGCTCCCGTTCATTATAAAGCACTAAAC (SEQ ID NO:8)
FC-1 (forward primer)
5' - TCTGCACATGTTCAACAAGACAAAT (SEQ ID NO:9)
FC-2 (reverse primer) 5' - TAGAATAAGCTTGCTCCCGTTCAT (SEQ ID NO: 10)
Primer extension were performed in 100 μl volumes in 10 mM Tris-HCI (pH 8.4), 50 mM KCl, 0.2 mg/ml BSA, 4 mM MgCI2 0.2 mM each dATP, dCTP, dTTP, dGTP, and 5 units cPfu (Stratagene). In the first reaction, the 20 nM single stranded Mu and WT DNA was converted into double stranded amplicons by primer extension with 20 nM GO-1. The reaction was heated to 65°C for 3 minutes at which point the polymerase was introduced to prevent mis-priming. The primer annealing and extension was carried out at 50°C (15 minutes), 60°C (10 minutes .), and 73°C (5 minutes). The double stranded DNA produced was further increased in size by using specific primer GO-2 for WT and primer GT for Mu using similar
reaction conditions except the initial denaturation was carried out at 95 C The single base difference between the original WT and Mu oligonucleotides was maintained during all the primer extension and DNA amplification steps. PCR was subsequently carried out with outer primers FC-1 and FC-2 using the same reaction conditions mentioned above except that the primers were present at 250 nM. The thermal cycling profile was as follows: initial denaturation of double stranded DNA 95°C (3 minutes) followed by 4 cycles of 95°C (20 seconds), 41 °C (1 minute), and 73° (1 minute). The annealing temperature was then increased from 41 °C to 63°C and amplification was continued for 16 more cycles. The temperature was finally held at 75°C for 5 minutes. The product was analyzed on a 4-20% non-denaturating acrylamide gel (Novex Corporation).
Example 2 Direct single base mismatch detection using LOCI
Discrimination between the Mu and WT amplicons, having a one base difference, as prepared in Example 1 , were carried out in the following manner.
The following probes were used for detection:
FC-3 (Common Probe)
3' - (T)20ATCAACTAGCTCCGTATTTCAAAG (SEQ ID NO:11 )
ED-3 (Wild Type Specific Probe)
3'- AAGTTTIGTGCTTTAA(TACT)5 (SEQ ID NO:12)
ED-4 (Mutant Specific Probe) 3' - AAGTTTAGTGCTTTAA(CTAT)5 (SEQ ID NO:13)
Detection of 100 pM WT and Mu synthetic amplicons was carried out using a LOCI™ assay. Reactions were carried out in 40 μl reactions containing 10 mM Tris-HCI (pH 8.4), 50 mM KCl, 0.2 mg/ml BSA, 4 mM MgCI2, 0.2 mM each dATP, dCTP, dTTP, dGTP. The dNTPs were added to ensure a consistent reaction medium with the PCR amplification of Example 1. In addition the reaction also contained the 1.0 ug of chemiluminescer particle (dopTAR-(A)20) and 1.0 ug of
each of the sensitizer particles (Pc-(AGTA)6 and Nc-(ATAG)6). Each of the three probes, namely FC-3 (the common probe) and specific probes ED-3 and ED-4 were added at 12.5 nM each. The actual for denaturation and annealing of the probes to the Mu and WT amplicons and LOCI™ particles were 95°C for 3 minutes, 50° C for 15 minutes, and 41 ° for 60 minutes.
The common probe FC-3 binds to both the WT and Mu amplicon and to the dopTAR chemiluminescer particle (dopTAR-(A)20) via the T20 probe tail on the probe. The WT specific probe (ED-3) binds to the WT amplicon and to the Pc sensitizer particle (Pc-(AGTA)e) via the (TACT)5 tail. The Mu specific probe binds specifically to Mu amplicon and to the Nc Sensitizer particle (Nc-(ATAG)β) via the (CTAT)5 tail. The chemiluminescent signal generated by the particle pairs formed was read in Relative Light Units (RLU) by an in-house built LOCI™ reader. The WT signal was obtained first by illuminating the reaction tubes with 675-nm laser (to generate singlet oxygen from Pc) for 1.0 second followed by reading the chemiluminescent signal (RLU) for 1 second. This was followed by a 10-second delay to allow the entire signal from the chemiluminscer to decay completely. The Mu signal (RLU) was then obained by illuminating the tubes with a 780-nm laser (to generate singlet oxygen from Nc) for one second. The Mu chemiluminscent signal was read six times after each of a one-second illumination followed by a one second read. The counts from each of the six reads are totaled. The background (no target) signal is subtracted from the both the WT and Mu signals. After removing the cross talk signal the corrected signals are shown is Table 1.
Table 1
WT Mu amplicon target Amplicon tarqet
WT signal* I Mu signal** WT signal* I vlu signal** (RLU) (RLU) (RLU) (RLU)
Probe(s) WT 531309 2642 199002 -2145
Mu 31 200025 57 543802
WT/Mu 553006 2655 6037 511418
* Corrected Pc signal (WT) = [S-BPc minus (S-BNc x 0.0026)] wherein S-B is Signal Background. The correction factor 0.0026 reflects 0.26% of Nc crossover signal into the Pc signal channel.
** Corrected Nc signal (Mu) = [S-BNc minus (S-BPc) x 0.0030) wherein S-B is Signal- Background. The correction factor 0.0030 reflects 0.30% cross-over of Pc crossover signal into the Nc signal channel.
The corrected signal/background counts were plotted against the amplicons added to the reaction. As shown in Fig. 3., the presence of both the specific probes leads to improved the discrimination of the single base T to A mismatch found between the Mu and WT amplicons.
Example 3
Homogenous amplification and mutation detection using LOCI
Amplification of the WT and Mu sequences (SEQ ID Nos. 4 and 5) was performed in 40 μl reaction containing PCR reagents and 250 nM primers FC-1 and FC-2, 0.4 ug Chemiluminescer particle, 1.6 ug each of the two sensitizer particles (Nc and Pc), 10 nM common probe FC-3 and 30 nM each of the two specific probes ED-3 and ED-4. The thermal cycling profile was as follows: Initial denaturation of double stranded DNA 95°C (3minutes) followed by 33 cycles of
95°C (20 seconds), 41 °C (1 minute), and 73°C (1 minute) before a final 75°C (5 minute) step. This was immediately followed by thermal denaturatation of the PCR
product at 95°C, followed by annealing the probes to the denatured amplicons and chemiluminescer and sensitzer particles at 41 °C (60 min).
A serial dilution of known amounts (estimated) of the WT & Mu amplicons was created. Detection was performed as described above and the results are shown below in Table 2. The sum of the two amplicons added to the reactions are plotted against the corrected signal-background counts in Fig. 4.
Table 2
WT signal Mu signal
Target Amplicons (RLU) (RLU)
WT 5.0E+00 12173 70
Mu 100 3321
WT/Mu 1512 13278
WT 5.0E+01 99138 -59
Mu 0 135282
WT/Mu 88308 57896
WT 5.0E+02 234837 93
Mu 29284 252996
WT/Mu 148354 146441
WT 5.0E+03 237098 -3
Mu 46026 246323
WT/Mu 159528 147711
WT 5.0E+05 229397 72
Mu 42574 252947
WT/Mu 148920 145789
WT 5.0E+06 237206 -24
Mu 37969 249885
WT/Mu 149650 149211
The WT and Mu signals shown are corrected signals determined as for
Table 1. The correction factors were 0.0026 the Pc signal (WT) and 0.0034 for the Nc signal (Mu).
Example 4
Three Base Deletion Detection using LOCI
The following procedure was used to detect a three base deletion in exon
10 of the cystic fibrosis transmembrane conductance regulator (CFTR) gene (delta F508 deletion, Genbank Accession No. M55115, Version M55115.1 Gl:306520, Source: Human DNA). Purified human DNA samples of wild type homozygous, heterozygous and homozygous mutant for the delta F508 mutation were obtained from Coreill Cell Repository (Camden, New Jersey).
The DNA samples were amplified with PCR using the following primers: CF-1 (forward primer)
TCAGTTTTCCTGGATTATGCC (SEQ ID NO: 14)
CF-10 (reverse primer)
GGC TCCATATTCAATCGGTTAG (SEQ ID NO: 15)
Amplification of 0.8 ng human DNA samples was performed in a 40 μl reaction using 250 nM of primers CF-1 and CF-10. PCR reagents included 10 mM Tris-HCI (pH 8.4), 50 mM KCl, 0.2 mg/ml BSA, 4 mM MgCI2, 0.2 mM each dATP, dCTP, dTTP, dGTP, & 2 units cPfu (Statagene). The thermal cycling profile was as follows: Initial denaturation of double stranded DNA at 95°C (3 minutes) followed by 33 cycles of 95°C (20 seconds), 64°C (1 minute), and 73°(1 min) before a final 75°C (5 minutes) step. The amplicons were diluted 1 :40 and 1 :400 in water before being detected with the probes and LOCI particles described herein. The probes used for detection were:
AE-5 (common probe)
5' - (T)20 TGGATTATGCCTGGCACCATTAA (SEQ ID NO: 16)
AE-3 (WT specific probe) 5' - ATATCATCTTTGGTGTTTA(TACT)5 (SEQ ID NO: 17)
AE-4 (Mu specific probe)
5' - AAATATCATTGGTGTTTCA(CTAT)5 (SEQ ID NO 18)
Detection of amplified and diluted product by LOCI was carried out as follows. LOCI reactions were carried out in 40 μlreactions containing 10 mM Tris- HCI (pH 8.4), 50 mM KCl, 0.2 mg/ml BSA, 4 mM MgCI2, 0.2 mM each dATP, dCTP, dTTP, dGTP. In addition the reaction also contained the 1.0 ug of the dopTAR chemiluminescer particle (dopTAR-(A)24) and 1.0 ug of each of the sensitizer particles (Pc-(AGTA)β and Nc-(ATAG)6. Each of the three probes, namely AE-5 (common probe) and specific probes AE-3 and AE-4 were added at 12.5 nM each. The conditions for denaturation and annealing of the probes to the target and LOCI particles were 95°C (3 minutes), 50°(15 minutes), and 41 °(60 minutes).
The common probe AE-5 binds to both the WT and Mu amplicons and to the chemiluminescent particle via the probe tail T2 . The specific probe AE-3 binds to WT amplicon and to Pc sensitizer particle (Pc-(AGTA)6 via the probe tail (TACT)5. The Mu probe binds specifically to Mu amplicon (delta F508) and to the Nc Sensitzer particle (Nc-ATAG)β via the probe tail (CTAT)5. The chemiluminescent signal generated by the particle pairs was read in the in-house built LOCI reader. Signals were read as in Example 1 and the corrected LOCI signal obtained from the final dilutions of amplified DNA is shown in Table 3.
Table 3
WT signal Mu signal
Target dilution (RLU) (RLU}
WT 1 :400 43641 -22
WT/Mu 1 :400 13979 13915
Mu 1 :400 51 37572
WT 1 :40 186030 126
WT/Mu 1 :40 87900 60888
Mu 1 :40 163 113745
The WT and Mu signals for Table 3 are corrected signals determined as for
Table 1. The results are plotted in Fig. 5.
The above discussion includes certain theories as to mechanisms involved in the present invention. These theories should not be construed to limit the present invention in any way, since it has been demonstrated that the present invention achieves the results described.
The above description and examples fully disclose the invention including preferred embodiments thereof. Modifications of the methods described that are obvious to those of ordinary skill in the art such as molecular biology and related sciences are intended to be within the scope of the following claims.
REFERENCES
(1 ) Cooper, J.B. and A.D. Levinson. 1988. A point mutation in the last intron responsible for increased expression and transforming activity of the c-Ha-ras oncogene. Nature 334: 199-124
(2) Hofker, M.H., Mi. I. Skraastad, A.A. Bergen, M.C. Wapenaar, E. Bakker, A. Millington-Ward, G.J. van Ommen, and P.L. Pearson. 1986. The X chromosome shows less genetic variation at restriction sites than the autosomes. Am. J. Hum. Genet. 39: 438-451.
(3) Kwok, P.-Y., Q. Deng, H. Zakeri, S.L. Taylor, and D. A. Nickerson. 1996. Increasing the information content of STS-based genome maps: Identifying polymorphisms in mapped STSs. Genomics 31 : 123-126.
(4) Li, W.-H. and D. Grauer. 1991. Fundamentals of molecular evolution. Sinauer Associates, Sunderland, MA.
(5) Cotton, R.G., V. McKusick, and C.R. Scriver. 1998. The HUGO mutation database initiative. Science 279: 10-11.
(6) Conner, B.J., A.A. Reyes, C. Morin, K. itakura, R.L. Teplitz and R.B. Wallace. 1983. Proc. Natl. Acad. Sci. USA 80: 278-282.
(7) Saiki, R.K., P.S. Walsh, CH. Levenson and H.A. Erlich. 1989. Proc. Natl. Acad. Sci. USA 86: 6230-6234.
(8) Chehab, F.F. and Y.W. Kan. 1989. Proc. Natl. Acad. Sci. USA 86: 9178- 9182.
(9) Landegren, U., R. Kaiser, J. Sanders and L. Hood. 1988. Science 241 : 1077-1080.
(10) Barany, F. 1991. Proc. Natl. Acad. Sci. USA 88: 189-193.
(11 ) Winn-Deen, E.S., CA. Batt and M. Wiedmann. 1993. Mol. Cell Probes 7: 179-186
(12) Athanassiadou, A., A. Papachatzopoulou and R.A. Gibbs. 1995. Human Mutat. 6: 30-35.
(13) Kalin, I., S. Shephard and U. Candrian. 1992. Mutat. Res. 283: 119-123.
(14) Barringer, K.J., L. Orgel, G. Wahl and T.R. Gingeras. 1990. Gene 89: 117-122.
(15) Ugozzoli, L. and R.B. Wallace. 1991. Method Companion Methods Enzymol 2: 42-48.
(16) Wu, D.Y. and R.B. Wallace. 1989. Gene 76: 245-254.
(17) Nickerson, D.A., R. Kaiser, S. Lappin, J. Stewart, L. Hood and U. Landegren. 1990. Proc. Natl. Acad. Sci. USA 87: 8923-8927.
(18) Day, D.J., P.W. Speiser, P.C White and F. Barany. 1995. Genomics 29: 152-169.
(19) Abravaya, K., J.J. Carrino, S. Muldoon and H.H. Lee. 1995. Nucleic Acids Res. 23: 675-682.
(20) Rowley, G., S. Saad, F. Giannelli and P.M. Green. 1996. Genomics 30: 574-582.
(21 ) Orita, M., H. Iwahana, H. Kanazawa, K. Hayashi and T. Sekiya. 1989. Proc. Natl. Acad. Sci. USA 86: 2766-2770.
(22) Torouanne, B., P. Blaguer, A.M. Boussious and J.C. Nicolas. 1992. Anal. Biochem. 205: 193-199.
(23) Chen, X. and P.-Y. Kwok. 1997. Template-directed dye-terminator incorporation (TDI) assay: A homogenous DNA diagnostic method based on fluorescence resonance energy transfer. Proc. Natl. Acad. Sci. 94: 10756-10761.
(24) Livak, K., J. Marmaro, and J.A. Todd. 1995. Towards fully automated genome-wide polymorphism screening. Nature Genet. 9: 341-342.
(25) Tyagi, S., D.P. Bratu, and F.R. Kramer. 1998. Multicolor molecular beacons for allele discrimination. Nature Biotechnol. 16: 49-53.
(26) Chen, X., B. Zehnbauer, A. Gnirke, and P.-Y. Kwok. 1997. Fluorescence energy transfer detection as a homogenous DNA diagnostic method. Proc. Natl. Acad. Sci. 94: 10756-10761.
Claims
1. A method for detecting the presence of a polynucleotide analyte comprising: (a) combining in a reaction medium the polynucleotide analyte and three oligonucleotide probes, said first probe comprising a sequence complementary to a first region of the polynucleotide analyte, said second probe comprising a sequence complementary to a second region of the polynucleotide analyte, and said third probe comprising a sequence complementary to said second region except for the difference of at least one nucleotide, or the insertion or deletion of at least one nucleotide;
(b) subjecting said reaction medium to conditions for forming substantially non-dissociative termolecular complexes of at least one of (i) said polynucleotide analyte, said first probe and said second probe or (ii) said polynucleotide analyte, said first probe and said third probe,
(c) determining the presence of at least one of said termolecular complexes.
2. The method of claim 1 further comprising a first label bound to said first probe, a second label bound to said second probe and a third label bound to said third probe.
3. The method of claim 2 wherein said first label comprises a first member of first and second signal producing systems, said second label comprises a second member of said first signal producing system and said third label comprises a second member of said second signal producing system.
4. The method of claim 2 wherein said labels are non-covalently bound to said probes.
5. The method of claim 4 wherein said first, second and third oligonucleotide probes further comprise second sequences which do not hybridize to said polynucleotide analyte or each other, said first label further comprises a sequence which hybridizes to said second sequence of said first probe, said second label comprises a sequence which hybridizes to said second sequence of said second probe, and said third label comprises a sequence which hybridizes to said second sequence of said third probe.
6. The method of claim 2 wherein said first and second members of said signal producing systems are selected from the group consisting of a luminescent energy donor and acceptor pair, a fluorescence energy donor and acceptor pair, a singlet oxygen generator and chemiluminescent reactant pair, and an enzyme pair wherein a product of the first enzyme serves as a substrate for the second enzyme.
7. The method of Claim 6 wherein said first member of said signal producing systems is a sensitizer when said second members of said signal producing systems are chemiluminescent compounds, or wherein said first member of said signal producing systems is a chemiluminescent compound when said second members of said signal producing systems are sensitizers.
8. The method of Claim 7 wherein said chemiluminescent compounds are each independently selected from the group consisting of enol ethers, enamines, 9-alkylidene-N-alkylacridans, arylvinylethers, dioxenes, arylimidazoles, 9- alkylidene-xanthanes and lucigenin.
9. The method of Claim 7 wherein said sensitizers are photosensitizers.
10. The method of Claim 9 wherein said photosensitizer is selected from the group consisting of methylene blue, rose bengal, porphyrins and phthalocyanines or naphtholcyanines.
11. A method for detecting the presence of one or both of a first and a second polynucleotide analytes which differ from each other by one or more nucleotides or by the insertion or deletion of at least one nucleotide; the method comprising;
(a) combining in a reaction medium a sample suspected of containing one or both polynucleotide analytes, and three oligonucleotide probes, said first probe comprising a sequence which hybridizes to a sequence common to both the first and second polynucleotide analytes, said second probe comprising a sequence which hybridizes to a second region of first polynucleotide analyte, and said third probe comprising the same sequence as the second probe except for a difference of at least one nucleotide, or the insertion or deletion of at least one nucleotide, wherein said difference, said insertion or said deletion represents the difference, insertion or deletion between the first and second polynucleotide analytes;
(b) subjecting said reaction medium to conditions forming at least one of
(i) a first termolecular complex comprising said first polynucleotide analyte, said first probe and said second probe and,
(ii) a second termolecular complex comprising said second polynucleotide analyte, said first probe and said third probe,
(c) detecting the presence of at least one of said first and second termolecular complexes.
12. The method of claim 11 further comprising a first label bound to said first probe, a second label bound to said second probe and a third label bound to said third probe.
13. The method of claim 12 wherein said first label comprises a first member of first and second signal producing systems, said second label comprises a second member of said first signal producing system and said third label comprises a second member of said second signal producing system.
14. The method of claim 11 wherein said labels are non-covalently bound to said probes.
15. The method of claim 14 wherein said first, second and third oligonucleotide probes further comprise second sequences which do not hybridize to said first or second polynucleotide analytes or to each other, said first label further comprises a sequence which hybridizes to said second sequence of said first probe, said second label comprises a sequence which hybridizes to said second sequence of said second probe, and said third label comprises a sequence which hybridizes to said second sequence of said third probe.
16. The method of claim 13 wherein said first and second members of said signal producing systems are selected from the group consisting of a luminescent energy donor and acceptor pair, a fluorescence energy donor and acceptor pair, a singlet oxygen generator and chemiluminescent reactant pair, and an enzyme pair wherein a product of the first enzyme serves as a substrate for the second enzyme.
17. The method of Claim 16 wherein said first member of said signal producing systems is a sensitizer and said second members of said signal producing systems are chemiluminescent compounds.
18. The method of Claim 16 wherein said first member of said signal producing systems is a chemiluminescent compound and said second members of said signal producing systems are sensitizers.
19. The method of claim 1 wherein said reaction medium further comprises reagents sufficient for amplifying said polynucleotide analyte and, prior to stop (b), said medium is subjected to conditions for amplifying said polynucleotide analyte.
20. The method of claim 11 wherein said reaction medium further comprises reagents sufficient for amplifying said polynucleotide analyte and, prior to stop (b), said medium is subjected to conditions for amplifying said polynucleotide analyte.
21. A method for detecting the presence of a single nucleotide polymorphism in a fragment of genomic DNA:
(a) combining in a reaction medium a fragment of genomic DNA suspected of containing a single nucleotide polymorphism and three oligonucleotide probes, said first probe comprising a first label and a sequence which hybridizes to a first region of the polynucleotide analyte, said second probe comprising a second label and sequence which hybridizes to a second region of said polynucleotide analyte, and said third probe comprising a third label and the same sequence as the sequence of the second probe except for a difference of one nucleotide, wherein said difference is complementary to a single nucleotide polymorphism in said second sequence;
(b) subjecting said combination to conditions for annealing said first probe, said second probe and said third probe to said polynucleotide analyte, wherein the interaction of said first label and said second label produces a first signal and the interaction of the first label and said third label produces a second signal,
(c) detecting the presence of at least one of the first and second signals.
22. A method for detecting the presence of two or more polynucleotide analytes wherein the analytes are alleles which differ from each other by one or more nucleotides or the insertion or deletion of one or more nucleotides, the method comprising:
(a) combining in a reaction medium the polynucleotide analytes and at least three oligonucleotide probes, said first probe comprising a sequence complementary to a first region common to each of the the polynucleotide analytes, a second probe comprising a sequence complementary to a second region of one of the polynucleotide analyte, and one or more third probes comprising a sequence complementary to said second region except for a difference of at least one nucleotide, or the insertion or deletion of at least one nucleotide, wherein said difference, insertion or deletion corresponds to the one or more alleles; (b) subjecting said reaction medium to conditions for forming substantially non-dissociative termolecular complexes of at least one of (i) said polynucleotide analyte, said first probe and said second probe or (ii) said polynucleotide analyte, said first probe and said one or more third probes, (c) determining the presence of at least one of said termolecular complexes.
23. A kit for use in a determination of a target polynucleotide in a sample, said kit comprising: (a) a first oligonucleotide probe comprising a sequence which hybridizes to a first region of the target polynucleotide;
(b) a second oligonucleotide probe which hybridizes to a second region of the target polynucleotide;
(c) a third oligonucleotide probe comprising the same sequence as the sequence of the second probe which hybridizes to the second region of the target polynucleotide except for the difference of one or more nucleotides or the insertion or deletion of one or more nucleotides, said difference, insertion or deletion being complimentary to an expected mutation of the target polynucleotide;
(d) a first label comprising a first member of first and second signal producing systems, wherein said label non-covalently binds to said first probe oligonucleotide probe;
(e) a second label comprising a second member of said first signal producing system, wherein said second label non-covalently binds to said second oligonucleotide probe; (f) a third label comprising a second member of said second signal producing system, wherein said third label non-covalently binds to said third oligonucleotide probe.
24. The kit of claim 23 further comprising reagents for conducting an amplification of the polynucleotide analyte.
Applications Claiming Priority (2)
| Application Number | Priority Date | Filing Date | Title |
|---|---|---|---|
| US57459600A | 2000-05-19 | 2000-05-19 | |
| US09/574,596 | 2000-05-19 |
Publications (1)
| Publication Number | Publication Date |
|---|---|
| WO2001090399A2 true WO2001090399A2 (en) | 2001-11-29 |
Family
ID=24296793
Family Applications (1)
| Application Number | Title | Priority Date | Filing Date |
|---|---|---|---|
| PCT/US2001/016089 Ceased WO2001090399A2 (en) | 2000-05-19 | 2001-05-17 | Detection of mutations and polymorphisms in nucleic acids |
Country Status (1)
| Country | Link |
|---|---|
| WO (1) | WO2001090399A2 (en) |
Cited By (10)
| Publication number | Priority date | Publication date | Assignee | Title |
|---|---|---|---|---|
| WO2002096913A1 (en) * | 2001-05-25 | 2002-12-05 | Gentian As | Substituted di(hydroxy/alkoxy)silicon phthalocyanines and their uses |
| JP2005537804A (en) * | 2002-09-06 | 2005-12-15 | ザ トラスティーズ オブ ボストン ユニバーシティ | Gene expression quantification method |
| US7105308B2 (en) | 2002-07-25 | 2006-09-12 | Monogram Biosciences, Inc. | Detecting receptor oligomerization |
| WO2006097506A3 (en) * | 2005-03-16 | 2007-05-10 | Thomas Koehler | Method and test kit for detecting target nucleic acids |
| US7402398B2 (en) | 2003-07-17 | 2008-07-22 | Monogram Biosciences, Inc. | Measuring receptor homodimerization |
| US7655399B2 (en) | 2003-10-08 | 2010-02-02 | Trustees Of Boston University | Methods for prenatal diagnosis of chromosomal abnormalities |
| US7700325B2 (en) | 2003-01-17 | 2010-04-20 | Trustees Of Boston University | Haplotype analysis |
| US7709262B2 (en) | 2004-02-18 | 2010-05-04 | Trustees Of Boston University | Method for detecting and quantifying rare mutations/polymorphisms |
| EP2341349A1 (en) * | 2000-05-04 | 2011-07-06 | Siemens Healthcare Diagnostics Products GmbH | Methods for detection of multiple analytes |
| CN107022612A (en) * | 2017-04-17 | 2017-08-08 | 长沙医学院 | A kind of detection method of staphylococcus aureus |
-
2001
- 2001-05-17 WO PCT/US2001/016089 patent/WO2001090399A2/en not_active Ceased
Cited By (20)
| Publication number | Priority date | Publication date | Assignee | Title |
|---|---|---|---|---|
| EP1305632B1 (en) * | 2000-05-04 | 2011-07-27 | Siemens Healthcare Diagnostics Products GmbH | Methods for detection of multiple analytes |
| EP2341349A1 (en) * | 2000-05-04 | 2011-07-06 | Siemens Healthcare Diagnostics Products GmbH | Methods for detection of multiple analytes |
| WO2002096913A1 (en) * | 2001-05-25 | 2002-12-05 | Gentian As | Substituted di(hydroxy/alkoxy)silicon phthalocyanines and their uses |
| US7105308B2 (en) | 2002-07-25 | 2006-09-12 | Monogram Biosciences, Inc. | Detecting receptor oligomerization |
| US7135300B2 (en) | 2002-07-25 | 2006-11-14 | Monogram Biosciences, Inc. | Profiling frequencies of receptor heterodimers |
| US8304194B2 (en) | 2002-09-06 | 2012-11-06 | The Trustees Of Boston University | Quantification of gene expression |
| US8034567B2 (en) | 2002-09-06 | 2011-10-11 | Trustees Of Boston University | Quantification of gene expression |
| EP1546385A4 (en) * | 2002-09-06 | 2006-12-20 | Univ Boston | QUANTIFICATION OF GENE EXPRESSION |
| JP2005537804A (en) * | 2002-09-06 | 2005-12-15 | ザ トラスティーズ オブ ボストン ユニバーシティ | Gene expression quantification method |
| US8318460B2 (en) | 2003-01-17 | 2012-11-27 | Trustees Of Boston University | Haplotype analysis |
| US7700325B2 (en) | 2003-01-17 | 2010-04-20 | Trustees Of Boston University | Haplotype analysis |
| US8501443B2 (en) | 2003-01-17 | 2013-08-06 | Trustees Of Boston University | Haplotype analysis |
| US7402398B2 (en) | 2003-07-17 | 2008-07-22 | Monogram Biosciences, Inc. | Measuring receptor homodimerization |
| US7785798B2 (en) | 2003-10-08 | 2010-08-31 | Trustees Of Boston University | Methods for prenatal diagnosis of chromosomal abnormalities |
| US7655399B2 (en) | 2003-10-08 | 2010-02-02 | Trustees Of Boston University | Methods for prenatal diagnosis of chromosomal abnormalities |
| US8153377B2 (en) | 2004-02-18 | 2012-04-10 | Trustees Of Boston University | Method for detecting and quantifying rare mutations/polymorphisms |
| US7709262B2 (en) | 2004-02-18 | 2010-05-04 | Trustees Of Boston University | Method for detecting and quantifying rare mutations/polymorphisms |
| US9376714B2 (en) | 2004-02-18 | 2016-06-28 | Trustees Of Boston University | Method for detecting and quantifying rare mutations/polymorphisms |
| WO2006097506A3 (en) * | 2005-03-16 | 2007-05-10 | Thomas Koehler | Method and test kit for detecting target nucleic acids |
| CN107022612A (en) * | 2017-04-17 | 2017-08-08 | 长沙医学院 | A kind of detection method of staphylococcus aureus |
Similar Documents
| Publication | Publication Date | Title |
|---|---|---|
| EP1055005B1 (en) | Quantitative determination of nucleic acid amplification products | |
| EP0920532B1 (en) | Detection of differences in nucleic acids | |
| EP0904412B1 (en) | Method for polynucleotide amplification | |
| EP1210457B1 (en) | Detection of differences in nucleic acids by inhibition of spontaneous dna branch migration | |
| EP0930370B1 (en) | Labeled primer for use in detection of target nucleic acids | |
| US6200757B1 (en) | Method for controlling the extension of an oligonucleotide | |
| KR100226297B1 (en) | Method for detecting hydrophobic amplification products by extraction into organic phase | |
| US6635418B2 (en) | Assay methods for nucleic acid in a sample | |
| EP0876510A1 (en) | Homogeneous amplification and detection of nucleic acids | |
| Nurmi et al. | A new label technology for the detection of specific polymerase chain reaction products in a closed tube | |
| EP0469755A1 (en) | Method producing a polynucleotide for use in single primer amplification | |
| WO2001090399A2 (en) | Detection of mutations and polymorphisms in nucleic acids | |
| CA2145719C (en) | Detection of nucleic acid amplification | |
| US20030152924A1 (en) | Strand displacement detection of target nucleic acid | |
| WO1999042616A1 (en) | Methods for determining concentrations of nucleic acids | |
| WO2000043543A1 (en) | Detection of differences between polynucleotides | |
| Nelson | Rapid detection of genetic mutations using the chemiluminescent hybridization protection assay (HPA): overview and comparison with other methods | |
| WO1999042615A1 (en) | Methods for determining amounts of nucleic acids | |
| JPS62143700A (en) | Nucleic acid assays using paired segment suppression or competition | |
| AU705637B2 (en) | Detection of nucleic acid amplification | |
| WO2000043546A2 (en) | Detection of drug resistant organisms | |
| Gunn et al. | Biomarkers of early effect in the study of cancer risk | |
| Waterfall | Strategies for the detection of single nucleotide polymorphisms using the polymerase chain reaction |
Legal Events
| Date | Code | Title | Description |
|---|---|---|---|
| AK | Designated states |
Kind code of ref document: A2 Designated state(s): JP |
|
| AL | Designated countries for regional patents |
Kind code of ref document: A2 Designated state(s): AT BE CH CY DE DK ES FI FR GB GR IE IT LU MC NL PT SE TR |
|
| WA | Withdrawal of international application | ||
| 121 | Ep: the epo has been informed by wipo that ep was designated in this application |



