WO2001032621A1 - Novel indole derivatives and drugs containing the same as the active ingredient - Google Patents
Novel indole derivatives and drugs containing the same as the active ingredient Download PDFInfo
- Publication number
- WO2001032621A1 WO2001032621A1 PCT/JP2000/007590 JP0007590W WO0132621A1 WO 2001032621 A1 WO2001032621 A1 WO 2001032621A1 JP 0007590 W JP0007590 W JP 0007590W WO 0132621 A1 WO0132621 A1 WO 0132621A1
- Authority
- WO
- WIPO (PCT)
- Prior art keywords
- group
- compound
- properties
- nmr
- melting point
- Prior art date
- Legal status (The legal status is an assumption and is not a legal conclusion. Google has not performed a legal analysis and makes no representation as to the accuracy of the status listed.)
- Ceased
Links
Classifications
-
- A—HUMAN NECESSITIES
- A61—MEDICAL OR VETERINARY SCIENCE; HYGIENE
- A61K—PREPARATIONS FOR MEDICAL, DENTAL OR TOILETRY PURPOSES
- A61K31/00—Medicinal preparations containing organic active ingredients
- A61K31/33—Heterocyclic compounds
- A61K31/395—Heterocyclic compounds having nitrogen as a ring hetero atom, e.g. guanethidine or rifamycins
- A61K31/41—Heterocyclic compounds having nitrogen as a ring hetero atom, e.g. guanethidine or rifamycins having five-membered rings with two or more ring hetero atoms, at least one of which being nitrogen, e.g. tetrazole
- A61K31/425—Thiazoles
- A61K31/428—Thiazoles condensed with carbocyclic rings
-
- A—HUMAN NECESSITIES
- A61—MEDICAL OR VETERINARY SCIENCE; HYGIENE
- A61K—PREPARATIONS FOR MEDICAL, DENTAL OR TOILETRY PURPOSES
- A61K31/00—Medicinal preparations containing organic active ingredients
- A61K31/33—Heterocyclic compounds
- A61K31/395—Heterocyclic compounds having nitrogen as a ring hetero atom, e.g. guanethidine or rifamycins
- A61K31/40—Heterocyclic compounds having nitrogen as a ring hetero atom, e.g. guanethidine or rifamycins having five-membered rings with one nitrogen as the only ring hetero atom, e.g. sulpiride, succinimide, tolmetin, buflomedil
- A61K31/403—Heterocyclic compounds having nitrogen as a ring hetero atom, e.g. guanethidine or rifamycins having five-membered rings with one nitrogen as the only ring hetero atom, e.g. sulpiride, succinimide, tolmetin, buflomedil condensed with carbocyclic rings, e.g. carbazole
- A61K31/404—Indoles, e.g. pindolol
-
- A—HUMAN NECESSITIES
- A61—MEDICAL OR VETERINARY SCIENCE; HYGIENE
- A61K—PREPARATIONS FOR MEDICAL, DENTAL OR TOILETRY PURPOSES
- A61K31/00—Medicinal preparations containing organic active ingredients
- A61K31/33—Heterocyclic compounds
- A61K31/395—Heterocyclic compounds having nitrogen as a ring hetero atom, e.g. guanethidine or rifamycins
- A61K31/41—Heterocyclic compounds having nitrogen as a ring hetero atom, e.g. guanethidine or rifamycins having five-membered rings with two or more ring hetero atoms, at least one of which being nitrogen, e.g. tetrazole
-
- A—HUMAN NECESSITIES
- A61—MEDICAL OR VETERINARY SCIENCE; HYGIENE
- A61K—PREPARATIONS FOR MEDICAL, DENTAL OR TOILETRY PURPOSES
- A61K31/00—Medicinal preparations containing organic active ingredients
- A61K31/33—Heterocyclic compounds
- A61K31/395—Heterocyclic compounds having nitrogen as a ring hetero atom, e.g. guanethidine or rifamycins
- A61K31/41—Heterocyclic compounds having nitrogen as a ring hetero atom, e.g. guanethidine or rifamycins having five-membered rings with two or more ring hetero atoms, at least one of which being nitrogen, e.g. tetrazole
- A61K31/425—Thiazoles
- A61K31/427—Thiazoles not condensed and containing further heterocyclic rings
-
- A—HUMAN NECESSITIES
- A61—MEDICAL OR VETERINARY SCIENCE; HYGIENE
- A61K—PREPARATIONS FOR MEDICAL, DENTAL OR TOILETRY PURPOSES
- A61K31/00—Medicinal preparations containing organic active ingredients
- A61K31/33—Heterocyclic compounds
- A61K31/395—Heterocyclic compounds having nitrogen as a ring hetero atom, e.g. guanethidine or rifamycins
- A61K31/41—Heterocyclic compounds having nitrogen as a ring hetero atom, e.g. guanethidine or rifamycins having five-membered rings with two or more ring hetero atoms, at least one of which being nitrogen, e.g. tetrazole
- A61K31/433—Thidiazoles
-
- A—HUMAN NECESSITIES
- A61—MEDICAL OR VETERINARY SCIENCE; HYGIENE
- A61K—PREPARATIONS FOR MEDICAL, DENTAL OR TOILETRY PURPOSES
- A61K31/00—Medicinal preparations containing organic active ingredients
- A61K31/33—Heterocyclic compounds
- A61K31/395—Heterocyclic compounds having nitrogen as a ring hetero atom, e.g. guanethidine or rifamycins
- A61K31/435—Heterocyclic compounds having nitrogen as a ring hetero atom, e.g. guanethidine or rifamycins having six-membered rings with one nitrogen as the only ring hetero atom
- A61K31/44—Non condensed pyridines; Hydrogenated derivatives thereof
- A61K31/4427—Non condensed pyridines; Hydrogenated derivatives thereof containing further heterocyclic ring systems
- A61K31/4436—Non condensed pyridines; Hydrogenated derivatives thereof containing further heterocyclic ring systems containing a heterocyclic ring having sulfur as a ring hetero atom
-
- A—HUMAN NECESSITIES
- A61—MEDICAL OR VETERINARY SCIENCE; HYGIENE
- A61K—PREPARATIONS FOR MEDICAL, DENTAL OR TOILETRY PURPOSES
- A61K31/00—Medicinal preparations containing organic active ingredients
- A61K31/33—Heterocyclic compounds
- A61K31/395—Heterocyclic compounds having nitrogen as a ring hetero atom, e.g. guanethidine or rifamycins
- A61K31/495—Heterocyclic compounds having nitrogen as a ring hetero atom, e.g. guanethidine or rifamycins having six-membered rings with two or more nitrogen atoms as the only ring heteroatoms, e.g. piperazine or tetrazines
- A61K31/4965—Non-condensed pyrazines
- A61K31/497—Non-condensed pyrazines containing further heterocyclic rings
-
- A—HUMAN NECESSITIES
- A61—MEDICAL OR VETERINARY SCIENCE; HYGIENE
- A61K—PREPARATIONS FOR MEDICAL, DENTAL OR TOILETRY PURPOSES
- A61K31/00—Medicinal preparations containing organic active ingredients
- A61K31/33—Heterocyclic compounds
- A61K31/395—Heterocyclic compounds having nitrogen as a ring hetero atom, e.g. guanethidine or rifamycins
- A61K31/495—Heterocyclic compounds having nitrogen as a ring hetero atom, e.g. guanethidine or rifamycins having six-membered rings with two or more nitrogen atoms as the only ring heteroatoms, e.g. piperazine or tetrazines
- A61K31/505—Pyrimidines; Hydrogenated pyrimidines, e.g. trimethoprim
- A61K31/517—Pyrimidines; Hydrogenated pyrimidines, e.g. trimethoprim ortho- or peri-condensed with carbocyclic ring systems, e.g. quinazoline, perimidine
-
- A—HUMAN NECESSITIES
- A61—MEDICAL OR VETERINARY SCIENCE; HYGIENE
- A61P—SPECIFIC THERAPEUTIC ACTIVITY OF CHEMICAL COMPOUNDS OR MEDICINAL PREPARATIONS
- A61P27/00—Drugs for disorders of the senses
- A61P27/02—Ophthalmic agents
-
- A—HUMAN NECESSITIES
- A61—MEDICAL OR VETERINARY SCIENCE; HYGIENE
- A61P—SPECIFIC THERAPEUTIC ACTIVITY OF CHEMICAL COMPOUNDS OR MEDICINAL PREPARATIONS
- A61P29/00—Non-central analgesic, antipyretic or antiinflammatory agents, e.g. antirheumatic agents; Non-steroidal antiinflammatory drugs [NSAID]
-
- A—HUMAN NECESSITIES
- A61—MEDICAL OR VETERINARY SCIENCE; HYGIENE
- A61P—SPECIFIC THERAPEUTIC ACTIVITY OF CHEMICAL COMPOUNDS OR MEDICINAL PREPARATIONS
- A61P3/00—Drugs for disorders of the metabolism
- A61P3/04—Anorexiants; Antiobesity agents
-
- A—HUMAN NECESSITIES
- A61—MEDICAL OR VETERINARY SCIENCE; HYGIENE
- A61P—SPECIFIC THERAPEUTIC ACTIVITY OF CHEMICAL COMPOUNDS OR MEDICINAL PREPARATIONS
- A61P35/00—Antineoplastic agents
- A61P35/04—Antineoplastic agents specific for metastasis
-
- A—HUMAN NECESSITIES
- A61—MEDICAL OR VETERINARY SCIENCE; HYGIENE
- A61P—SPECIFIC THERAPEUTIC ACTIVITY OF CHEMICAL COMPOUNDS OR MEDICINAL PREPARATIONS
- A61P37/00—Drugs for immunological or allergic disorders
- A61P37/02—Immunomodulators
- A61P37/06—Immunosuppressants, e.g. drugs for graft rejection
-
- A—HUMAN NECESSITIES
- A61—MEDICAL OR VETERINARY SCIENCE; HYGIENE
- A61P—SPECIFIC THERAPEUTIC ACTIVITY OF CHEMICAL COMPOUNDS OR MEDICINAL PREPARATIONS
- A61P37/00—Drugs for immunological or allergic disorders
- A61P37/08—Antiallergic agents
-
- A—HUMAN NECESSITIES
- A61—MEDICAL OR VETERINARY SCIENCE; HYGIENE
- A61P—SPECIFIC THERAPEUTIC ACTIVITY OF CHEMICAL COMPOUNDS OR MEDICINAL PREPARATIONS
- A61P43/00—Drugs for specific purposes, not provided for in groups A61P1/00-A61P41/00
-
- A—HUMAN NECESSITIES
- A61—MEDICAL OR VETERINARY SCIENCE; HYGIENE
- A61P—SPECIFIC THERAPEUTIC ACTIVITY OF CHEMICAL COMPOUNDS OR MEDICINAL PREPARATIONS
- A61P9/00—Drugs for disorders of the cardiovascular system
-
- C—CHEMISTRY; METALLURGY
- C07—ORGANIC CHEMISTRY
- C07D—HETEROCYCLIC COMPOUNDS
- C07D209/00—Heterocyclic compounds containing five-membered rings, condensed with other rings, with one nitrogen atom as the only ring hetero atom
- C07D209/02—Heterocyclic compounds containing five-membered rings, condensed with other rings, with one nitrogen atom as the only ring hetero atom condensed with one carbocyclic ring
- C07D209/04—Indoles; Hydrogenated indoles
- C07D209/10—Indoles; Hydrogenated indoles with substituted hydrocarbon radicals attached to carbon atoms of the hetero ring
- C07D209/12—Radicals substituted by oxygen atoms
-
- Y—GENERAL TAGGING OF NEW TECHNOLOGICAL DEVELOPMENTS; GENERAL TAGGING OF CROSS-SECTIONAL TECHNOLOGIES SPANNING OVER SEVERAL SECTIONS OF THE IPC; TECHNICAL SUBJECTS COVERED BY FORMER USPC CROSS-REFERENCE ART COLLECTIONS [XRACs] AND DIGESTS
- Y02—TECHNOLOGIES OR APPLICATIONS FOR MITIGATION OR ADAPTATION AGAINST CLIMATE CHANGE
- Y02P—CLIMATE CHANGE MITIGATION TECHNOLOGIES IN THE PRODUCTION OR PROCESSING OF GOODS
- Y02P20/00—Technologies relating to chemical industry
- Y02P20/50—Improvements relating to the production of bulk chemicals
- Y02P20/55—Design of synthesis routes, e.g. reducing the use of auxiliary or protecting groups
Definitions
- the present invention relates to a novel indole derivative having a chimase inhibitory activity or a salt thereof, a medicament containing the same as an active ingredient, and a production intermediate thereof.
- the renin-angiotensin system is one of the mechanisms that regulate the blood pressure of the body.
- Angiotensinogen is generated from angiotensinogen by renin, and is converted to angiotensin II (hereinafter referred to as “ ⁇ ”) by angiotensin converting enzyme (hereinafter referred to as ACE).
- ACE angiotensin converting enzyme
- All promotes gene expression of proto-oncogenes and growth factors, or directly acts on cardiomyocytes, stromal cells, vascular endothelial cells, and vascular smooth muscle cells to promote cell proliferation and hypertrophy. It is known that it promotes migration, extracellular matrix hyperplasia, and conversely, tissue remodeling (remodeling) consisting of cell injury and cell death. It has become clear that it is deeply involved in progress (Hyper tension, Vol. 13, 706-711, 1989).
- chymase has the effects of processing IL-1] 3, degrading IL-4, such as the metabolism of cytokines, the activity of intracellular mechanisms for mast cell degranulation, and chronic inflammatory pathology.
- degrading IL-4 such as the metabolism of cytokines, the activity of intracellular mechanisms for mast cell degranulation, and chronic inflammatory pathology.
- chymase plays a key role in graft-versus-host (GvH) disease, collagen disease, various types of fibrosis, various vasculitis, diabetic vasculopathy, and allergic diseases. It is expected that compounds that restrict gene expression and chymase inhibitors that control enzymatic activity could be new types of anti-inflammatory and anti-allergic agents.
- quinazoline derivatives W096 / 04248, WO97119441, JP-A-9131061 have been described so far.
- Benzoxacyclotridecine derivatives Japanese Patent Application Laid-Open No. 10-87493, Japanese Patent Application Laid-Open No. 10-166666
- phenol ester derivatives Japanese Patent Application Laid-Open No. 10-887567. Publications
- An object of the present invention is to have a selective and potent inhibitory effect on human chymase, and to prevent and treat cardiovascular diseases, inflammation, immune system diseases, allergic diseases, etc., and also to protect mucous membranes and organs.
- An object of the present invention is to provide a novel compound useful as a drug, a drug for preventing cancer metastasis and invasion, and the like.
- Indole derivatives and their salts have excellent chymase inhibitory activity and prevent and treat cardiovascular diseases, inflammation, immune system diseases, allergic diseases, eye diseases, diabetic complications, collagen diseases or obesity
- Indole derivatives represented by the following general formula (2) are found to be useful as drugs, mucosal / organ protective agents, cancer metastasis / invasion preventive agents, or survival rate improving agents after organ transplantation. They have found that they are intermediates, and have completed the present invention.
- R 1 represents an amino protecting group or —C (R 8 (where R 8 represents an aryl group which may have a substituent or a heteroaryl group which may have a substituent)
- R 2 represents a hydrogen atom, an alkyl group or an aryl group which may have a substituent
- R 3 is a cyano group
- _C ⁇ R 9 where R 9 is a hydrogen atom, An alkyl group which may have a substituent, —OR 1 "(where R 1 () represents a hydrogen atom, an alkyl group or an aralkyl group) or _C ⁇ R U (where R 11 is Represents an amino group which may have a substituent or a cyclic amino group which may have a substituent)) or —S ( ⁇ ) n -R 12 (where R 12 is an alkyl group, aralkyl group, have also good Ariru group or a substituent substituted indicates heteroaryl group to good, n represents showed shown) an integer of
- the present invention also provides a medicine containing the indole derivative or a salt thereof as an active ingredient.
- the present invention also provides a chymase inhibitor comprising the indole derivative or a salt thereof as an active ingredient.
- the present invention also provides a pharmaceutical composition
- a pharmaceutical composition comprising the indole derivative or a salt thereof and a pharmaceutically acceptable carrier.
- the present invention also provides use of the indole derivative or a salt thereof as a medicament.
- the present invention provides a method for administering a compound selected from the group consisting of cardiovascular diseases, inflammation, immune system diseases, allergic diseases, eye diseases, diabetic complications, collagen diseases and obesity, which comprises administering the indole derivative or a salt thereof. And methods for treating such diseases.
- R 2 represents a hydrogen atom, an alkyl group or an aryl group which may have a substituent
- R 3 represents a cyano group
- COR 9 where R 9 represents a hydrogen atom and has a substituent.
- R 12 represents an alkyl group, an aralkyl group, a substituted or unsubstituted heteroaryl group or an optionally substituted heteroaryl group
- n is R 4 , R 5 , R 6 and R 7 may be the same or different, and have a hydrogen atom, an alkyl group which may have a substituent, or a substituent.
- R 1 is a hydrogen atom, an amino protecting group or one COR 8 (where R 8 is an aryl group which may have a substituent, Which represents a heteroaryl group).
- amino protecting group refers to an easily removable protecting group for an amino group, and examples thereof include t-tert-butoxycarbonyl, benzyloxycarponyl and the like.
- aryl group optionally having a substituent represented by R 8 a monocyclic ring or a monocyclic group having 6 to 14 carbon atoms which may have 1 to 5 substituents
- substituents include an alkyl group which may have a substituent (for example, Cl -6 alkyl such as methyl, ethyl and propyl, and trifluoromethyl and the like).
- halogeno d_ 6 alkyl e.g. a chlorine atom, fluorine atom, bromine atom, etc.
- nitro group hydroxy group, a carboxy group
- an alkoxy force Ruponiru groups e.g.
- Ararukiru Oxycarbonyl Group e.g., base Nji Ruo alkoxycarbonyl such Hue sulfonyl (: Bok 4 alkyl O carboxymethyl carbonylation Le), Shiano group, an optionally substituted amino group (e.g.
- Amino such as dimethyl Amino C, _ 6
- Aralkylamino such as alkylamino, benzylamino, acetylamino, propionylamino, benzoylamino, etc., methanesulfonylamino, ethanesulfonylamino, etc., alkylsulfonylamino, benzenesulfonylamino, etc., arylsulfonylamino, etc.) (e.g. formyl, Asechiru, propionyl, Benzoiru etc.), R-S (O) n - (R is an optionally substituted alkyl group, an even better Ariru etc.
- n 0, 1 or 2
- an alkoxy group for example, methoxy, ethoxy, Alkoxy, etc.
- sulfonamide group for example, sulfonamide, N-methylsulfonamide, N-ethylsulfonamide, N-propylsulfonamide, N-butylsulfonamide, N_tert-butylsulfonamide, etc.
- -C w alkylsulfonamido N _ phenylalanine sulphonamide, N _ Asechirusu C 2 _ 6 alkanoyloxymethyl
- noisy Le sulfonamides such Ruhon'amido, N _ C 6 _ 12 7 such as N- base emission zone I le sulfonic ⁇ bromide Royle Sulfonamides
- aminocarbonyl groups eg, aminoaminocarbonyl, N-methylaminocarbonyl, N-eth
- Aralkylaminocarbonyl even if it has a substituent, it is a aryl group (eg, phenyl, Phenyl), a substituted or unsubstituted heteroaryl group (for example, furyl, phenyl, pyrrolyl, thiadiazolyl, pyridyl, tetrazolyl) and the like.
- aryl group eg, phenyl, Phenyl
- a substituted or unsubstituted heteroaryl group for example, furyl, phenyl, pyrrolyl, thiadiazolyl, pyridyl, tetrazolyl
- phenyl, 2-methylphenyl, 2-dimethyl Preferred are an aminophenyl group, a 3-dimethylaminophenyl group, a 4-dimethylaminophenyl group, a 3-dimethylamino-2-methylphenyl group, a 4-methoxyphenyl group, and a 4-chlorophenyl group.
- a nitrogen atom, an oxygen atom or a sulfur atom may be 1 to 3
- a 5- to 14-membered monocyclic or bicyclic heteroaryl group such as a pyridyl group, a furyl group, a chenyl group, a pyrrolyl group, a pyrimidinyl group, an imidazolyl group, a triazolyl group, a pyrazolyl group, and an isothiazolyl group.
- substituents include an alkyl group which may have a substituent (eg, an alkyl group such as methyl, ethyl, propyl, etc., and trifluorobenzene).
- halogeno such as methyl C, - 6 alkyl, etc.
- eight androgenic atom e.g. fluorine atom, chlorine atom, bromine atom, etc.
- nitro group hydroxy group, Cal Bokishi group
- an alkoxy force Ruponiru group e.g.
- alkoxycarbonyl e.g., Xia Bruno Groups
- optionally substituted amino groups eg, alkylamino such as amino, dimethylamino, etc.
- alkoxy groups e.g, alkoxy such as methoxy, ethoxy, propoxy, etc.
- aryl groups eg, phenyl, naphthyl, etc.
- R 2 represents a hydrogen atom, an alkyl group which may have a substituent or an aryl group.
- examples of the alkyl in the alkyl group which may have a substituent include a linear or branched alkyl group having 1 to 8 carbon atoms. Among them, a methyl group, an ethyl group, and an n_propyl group are particularly preferable. Preferred are linear or branched alkyl groups having 1 to 5 carbon atoms, such as isopropyl, n-butyl, isobutyl, tert-butyl and n-pentyl. These may have 1 to 10 substituents.
- Examples of such a substituent include a halogen atom (for example, a chlorine atom and a fluorine atom), a nitro group, and a Dorokishi group, Karupokishi group, an alkoxycarbonyl group (e.g. C, _ 6 alkoxy force Ruponiru), Shiano group, an amino group, an alkoxy group (e.g. methoxy, ethoxy, CH propoxy and the like; alkoxy), an alkylsulfonyl group Ya ⁇ Li And a sulfonyl group such as an arylsulfonyl group.
- a halogen atom for example, a chlorine atom and a fluorine atom
- a nitro group e.g., a nitro group
- a Dorokishi group e.g. C, _ 6 alkoxy force Ruponiru
- Shiano group an amino group, an alkoxy group (e.g. methoxy
- halogenoalkyl group examples include a fluoromethyl group, a difluoromethyl group, a trifluoromethyl group, a 2_fluoroethyl group, a 2,2-difluoroethyl group, a 2,2,2-trifluoroethyl group, a penfluorofluoroethyl group, 3 Furuoropuropiru group, eight Rogeno C such as heptane evening Furuoropuropiru group, - 6 alkyl group is preferable.
- aryl group examples include an aromatic hydrocarbon group having 6 to 14 carbon atoms, such as a phenyl group and a naphthyl group.
- R 3 is a cyano group, — COR 9 (where R 9 is a hydrogen atom or an alkyl group which may have a substituent, and R 1D (where R 1Q represents a hydrogen atom, an alkyl group or an aralkyl group), and one COR "(where R 11 represents an amino group which may have a substituent or a cyclic amino group which may have a substituent Represents a group)) or —S (0) N -R 12 (wherein, R 12 may have an alkyl group, an aralkyl group, an optionally substituted aryl group or a substituted group) Represents a heteroaryl group).
- — In COR 9 as the alkyl group which may have a substituent represented by R 9 , the same as the alkyl group represented by R 2 can be mentioned, but a methyl group, an ethyl group, A trifluoromethyl group, a penfluorofluoroethyl group and the like are preferred.
- the Ararukiru group represented by R 1 (1 in OR 1D, include Ararukiru the total number of carbon atoms from 6 to 14 has an alkylene chain having 1 to 6 carbon atoms, Of this Chi phenyl - Preference is given to 6- alkyl, especially benzyl, 2-phenylethyl and the like.
- ⁇ amino group optionally having a substituent represented by R 11 in -COR 11 other Amino groups, alkyl, (: 3-8 cycloalkyl, Ariru is 1 Examples thereof include two substituted amino groups, preferably a methylamino group, an ethylamino group, a dimethylamino group, an ethylamino group, an alkylamino group such as a tert-butylamino group, a cyclopropylamino group, a cyclobutylamino group, and a cyclobenzylamino group.
- cycloalkylamino groups such as a cyclohexylamino group, an arylino group, and an arylamino group such as a naphthylamino group.
- the cyclic amino group which may have a substituent represented by R 11 in one COR is a 4- to 8-membered cyclic amino group such as an azetidinyl group, a pyrrolidinyl group, a piperidino group, a piperazino group and the like.
- the substituent includes an alkyl group (eg, alkyl), a hydroxy group, an amino group, and the like.
- an alkyl group, an aralkyl group, an aryl group which may have a substituent or a heteroaryl group which may have a substituent represented by R 12 are each represented by R 2 , R 1 () and R 8 are the same as those exemplified above, but the alkyl group is a methyl group, an ethyl group, a propyl group, etc., and the aralkyl group is a benzyl group, a phenylethyl group, etc.
- examples of the aryl group which may have a substituent include a phenyl group, a chlorophenyl group, a hydroxyphenyl group, a methylphenyl group, a methoxyphenyl group, a carboxyphenyl group, and an aminocarbonylphenyl group.
- a pyridyl group, a benzothiazolyl group, a phenyltetrazolyl group, or the like is particularly preferable, and n is 2. If is preferred.
- R 12 include a methanesulfonyl group, a phenylsulfonyl group, a benzylsulfonyl group, a pyridylsulfonyl group, a carboxyphenylsulfonyl group, and a carboxypyridinesulfonyl group.
- R 4 , R 5 , R 6 and R 7 may be the same or different, and represent a hydrogen atom, an alkyl group which may have a substituent, or a substituent.
- examples of the alkynyl in the alkynyl group which may have a substituent include ethynyl and the like, and these may be substituted with one substituent.
- an alkyl group having a substituent such as a hydroxy group or an amino group, a carboxy group, an alkoxycarbonyl group, an aryl group (eg, phenyl, naphthyl) and the like.
- —A methylbutyl group is preferred.
- alkoxy in the alkoxy group which may have a substituent examples include a straight-chain or branched-chain alkoxy group having 1 to 8 carbon atoms, among which a straight-chain or branched-chain alkoxy group having 1 to 5 carbon atoms is particularly preferable.
- a linear or branched alkoxy group having 1 to 5 carbon atoms such as a methoxy group, an ethoxy group, an n-propoxy group, an isopropoxy group, an n-butoxy group, an isobutoxy group, a tert-butoxy group, and an n-pentyloxy group. preferable. These may be substituted with 1 to 3 substituents.
- Examples of such a substituent include a halogen atom (eg, a chlorine atom, a fluorine atom, a bromine atom, etc.), a nitro group, a hydroxy group, and a carboxy group.
- a halogen atom eg, a chlorine atom, a fluorine atom, a bromine atom, etc.
- a nitro group e.g., a chlorine atom, a fluorine atom, a bromine atom, etc.
- a halogen atom eg, a chlorine atom, a fluorine atom, a bromine atom, etc.
- a nitro group e.g., a hydroxy group, and a carboxy group.
- the aralkyloxy group includes an alkylene chain having 1 to 6 carbon atoms and a total carbon number of 6 And 14 to 14 aralkyloxy groups.
- a phenyl- 6- alkyloxy group is preferable, and a benzyloxy group and a 2-phenylethyloxy group are particularly preferable.
- halogen atom examples include a fluorine atom, a chlorine atom, a bromine atom, and an iodine atom. Among them, a bromine atom is preferable.
- alkoxycarbonyl group examples include an alkoxycarbonyl group having 1 to 8 carbon atoms, such as a methoxycarbonyl group, an ethoxycarbonyl group, a propoxylpropanol group, a butoxycarbonyl group, a t-tert-butoxycarbonyl group, and the like.
- aralkyloxycarbonyl group examples include an aralkyloxycarbonyl group having an alkylene chain having 1 to 6 carbon atoms and having a total number of 6 to 14 carbon atoms, and among them, a phenylalkyloxycarbonyl group And a benzyloxycarbonyl group, 2-phenylethyloxycarbonyl group and the like are particularly preferable.
- the alkanoyl group includes an alkanoyl group having 1 to 8 carbon atoms, such as an acetyl group, a propionyl group, a butyryl group and a valeryl group.
- amino group which may have a substituent examples include an amino group, an alkyl group such as benzoyl, an alkylsulfonyl group (for example, methanesulfonyl, esulfonyl, propanesulfonyl, etc.), and an arylsulfonyl group.
- an alkyl group such as benzoyl
- an alkylsulfonyl group for example, methanesulfonyl, esulfonyl, propanesulfonyl, etc.
- an arylsulfonyl group for example, benzenesulfonyl, p-toluenesulfonyl, naphthylenesulfonyl, etc.
- an amino-protecting group such as a tert-butoxycarbonyl group or a benzyloxycarbonyl group.
- alkyl perido group examples include alkyl perido groups having 1 to 6 carbon atoms, such as N'-methyl ureido group, ⁇ '-ethyl ureido group, and N'-propyl ureido group.
- aryl perido group which may have a substituent examples include aryl perido groups having 6 to 14 carbon atoms, such as N'-phenyl perido group, N'-naphthyl A peridode group and an N'-alkoxycarbonylphenyl perido group.
- alkyl group which may have a substituent examples include those exemplified for R 2 and R 8 , respectively.
- Examples of the alkyl group which may have a substituent include a methyl group and an ethyl group, and examples of an aryl group which may have a substituent include a phenyl group and a naphthyl group.
- 2,4 (1H, 3H) -quinazolinedione as a sulfamoylphenyl group, an acetylphenyl group or a methansulfonylphenyl group, may be a substituted or unsubstituted heteroaryl group.
- Particularly preferred are an aryl group, a pyridyl group, a pyridinium group, and an N-hydroxypyridyl group.
- C 4 - 12 monocyclic or bicyclic alkanones for example Shikuropen evening non, cyclohexanone and the like cyclohexane, may be substituted on the ring
- the group include a C alkyl group, an amino group and a carboxyl group.
- cycloalkenone be substituted, monocyclic or bicyclic alkenone of C 4 _ 12, for example, the cyclopentenone, cyclohexenone, tetralone, 1 _ indanone, and the like, ring
- group which can be substituted above include a C alkyl group, an amino group, and a carbonyl group.
- the compound (1) is substituted with 0 to 4 substituents, and the compound (2) is substituted with 1 to 4 substituents.
- the compound (1) is substituted with 0 to 4 substituents, and the compound (2) is substituted with 1 to 4 substituents.
- it can be in a form, it is preferably a mono- or di-substituted product, particularly preferably a 5-position-1-substituted product.
- the salt of the compound (1) or (2) of the present invention is not particularly limited as long as it is a pharmaceutically acceptable salt.
- a salt with a mineral acid such as hydrochloric acid or sulfuric acid, (mouth) formic acid, Acetic acid, cunic acid, trichloroacetic acid, trifluoroacetic acid, salts with organic carboxylic acids such as fumaric acid, maleic acid, etc.
- Methanesulfonic acid such as salts with sulfonic acid, (ii) salts with alkali metals such as lithium, sodium, potassium, etc., (mouth) salts with alkaline earth metals such as calcium and magnesium, (c) ammonium Salt, (2 ') trimethylamine, triethylamine, triptylamine, pyridine, N, N-dimethylaniline, N-methylpiperidine, N_methylmorpholine, getylamine, cyclohexylamine, proforcein, dibenzylamine, N Base addition salts such as salts with nitrogen-containing organic bases such as —benzyl— / 3-phenethylamine, 1-phenamine, and N, N′-dibenzylethylenediamine.
- the compound (1) or (2) of the present invention or a salt thereof can exist not only in an unsolvated form but also as a hydrate or a solvate. Accordingly, the compounds of the present invention are meant to include all crystalline forms and hydrates or solvates thereof.
- the compound (1) or (2) of the present invention or a salt thereof may be a geometric isomer such as a cis-form or a trans-form, or an optical isomer such as a d-form or a one-form depending on the type and combination of the substituents. Although various isomers may exist, the present invention includes all such isomers.
- the compound of the present invention can be produced by Production Methods 1 and 2 shown below.
- R 3 is - S ( ⁇ ) [pi - a R 12 a compound (1 - Alpha), (1 one beta), (1 - C) and (1-D ) Can be manufactured by the following steps.
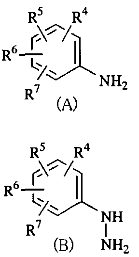
- the aniline derivative (A) or the phenylhydrazine derivative (B) is used as a starting material, and is reacted with a thiocarbonyl compound (D) to be cyclized, or the indole derivative (C) is used as a starting material.
- the compound (1-A) of the present invention can be obtained by sulfidation.
- the compound (1-1A) is subjected to sulfide oxidation at the 3-position and N-acylation at the 1-position to give the compounds (1_B), (1-1C) and (1-D) of the present invention. ) Can be manufactured.
- the cyclization reaction of the aniline derivative (A) is carried out, for example, by reacting the compound (A) with the corresponding compound.
- Carbonyl compound (D) and perchloric acid such as tert-butyl perchlorate, and triethylamine, diisopropylethylamine, 1,8-diazabicyclo
- Aromatic hydrocarbons such as benzene, toluene, xylene, etc. in the presence of organic bases such as pendene (DBU); getyl ether, tetrahydrofuran, dioxane, monoglyme Ethers such as dimethyl chloride, diglyme, etc .; halogenated hydrocarbons such as dimethylene chloride, chloroform, tetrachlorosilane, etc .; non-protons such as acetonitrile, N, N-dimethylformamide, dimethyl sulfoxide, etc.
- a solvent such as a polar solvent, -78: to 50 ° C, preferably 1 to 78 ° C to room temperature, for 10 minutes to 72 hours, preferably for 1 to 12 hours. Can be.
- the cyclization reaction of the phenylhydrazine derivative (B) is carried out, for example, by reacting the compound (B) with the corresponding ⁇ -thiocarbonyl compound (D) in an alcohol solvent such as methanol, ethanol, propanol or tert-butanol at room temperature to 2 ° C.
- the reaction can be carried out by reacting at 0 ° (: preferably at 50 to 120 for 10 minutes to 72 hours, preferably for 1 to 12 hours.
- the reaction can also be carried out in the presence of an excess of a mineral acid, an organic acid such as acetic acid, or a Lewis acid such as aluminum chloride, zinc chloride or boron fluoride in an amount from a catalytic amount to an excess amount.
- Surufi de of the compound (C), for example compound (C) and the corresponding disulfide compound R I2 SSR 12 lithium hydroxide, sodium hydride, calcium hydride such any metal hydrides; sodium hydroxide, Inorganic salts such as potassium, sodium carbonate, carbonated lime, etc .; In the presence of bases such as sodium alkoxide such as sodium methoxide, sodium methoxide, potassium tert-butoxide, etc., benzene, toluene, xylene, etc.
- Aromatic hydrocarbons such as getyl ether, tetrahydrofuran, dioxane, monoglyme, diglyme; aprotic polar solvents such as acetonitrile, N, N-dimethylformamide, dimethylsulfoxide, etc.
- the reaction can be carried out at a temperature of 50 ° C to 200 ° C (preferably at 0 ° C to 100 ° C for 10 minutes to 72 hours, preferably for 1 to 12 hours. it can.
- sulfide oxidation generally known ones can be used.
- benzene, toluene, and the like are used in the presence of organic peroxides such as m-chloroperbenzoic acid and magnesium monoperfluoric acid and hydrogen peroxide.
- Aromatic hydrocarbons such as xylene; in solvents such as halogenated hydrocarbons such as methyl chloride, chloroform, carbon tetrachloride, etc .: — 30 ° C. to 100 ° C .;
- the reaction can be carried out at a temperature of ⁇ 10 ° C. to room temperature for 10 minutes to 72 hours, preferably 1 to 12 hours.
- the N-acylation reaction is a conventional acylation reaction, for example, when the compound (1-A) is activated with an activated acid such as the corresponding acid halide, and then with a compound such as lithium hydride, sodium hydride, calcium hydride, etc.
- a compound such as lithium hydride, sodium hydride, calcium hydride, etc.
- Metal hydrides; inorganic salts such as lithium hydroxide, sodium hydroxide, potassium hydroxide, sodium carbonate, potassium carbonate, cesium carbonate; sodium methoxide, sodium ethoxide, potassium tert-butoxide, etc.
- Bases such as sodium alkoxide or pyridin, 4-dimethylaminopyridine, picoline, N, N-dimethylaniline, N-methylmorpholine, dimethylamine, triethylamine, diisopropylethylamine, 1,8-diazabicyclo [5.4.
- organic bases such as pendene (DBU) Halogenated hydrocarbons such as methylene chloride, chloroform, carbon tetrachloride, and carbon benzene; aromatic hydrocarbons such as benzene and toluene; ethers such as tetrahydrofuran, getyl ether, and dioxane; acetone, and methylethyl Ketones such as ketones, aprotic polar solvents such as acetonitrile, N, N-dimethylformamide, or solvents such as ethyl acetate.
- DBU pendene
- Halogenated hydrocarbons such as methylene chloride, chloroform, carbon tetrachloride, and carbon benzene
- aromatic hydrocarbons such as benzene and toluene
- ethers such as tetrahydrofuran, getyl ether, and dioxane
- acetone, and methylethyl Ketones such
- 0 preferably 0 to 100, for 10 minutes to 72 hours, preferably 1 to 12 hours.
- the compounds (1-1E) and (1-F) wherein R 3 is —COR 9 can be produced by the following steps.
- R 3a represents —COR 9
- R 1 RR 4 , R 5 , R 6, and R 7 represent the same as described above.
- a compound (1-E) having —CO R 9 at the 3-position can be obtained by using the indole derivative (C) as a raw material and subjecting it to acylation or oxalylation. Then, the compound (1-F) can be produced. Further, a compound in which R 3 is a cyano group can be obtained by introducing —C ⁇ R 9 (R 9 is _OR 1 () ) and then converting the compound to a cyano group by a usual method.
- N, N-dimethylformamide and oxalyl chloride or phosphorus oxychloride can be dissolved in a solvent such as N, N-dimethylformamide according to the Vi 1 smier reaction.
- the reaction can be carried out at 100 to 100 for 1 to 24 hours.
- R 9 is — COR n
- an activated dicarponyl compound such as oxalyl chloride
- (C) and an activated dicarponyl compound such as oxalyl chloride
- an aprotic polar solvent or in a solvent such as ethyl acetate for 30 minutes to 100 ° (preferably at 0 ° C. to room temperature for 10 minutes to 1 hour, and then the same as the corresponding amine. Under the conditions of 10 minutes to 72 hours, preferably 1 to 12 hours It can be carried out by reacting.
- R 9 is other than the above, halogenated hydrocarbons such as the conditions shown in Production Method 1 or the corresponding acid anhydride and methylene chloride, carbon form, carbon tetrachloride, and carbon benzene Benzene, toluene and other aromatic hydrocarbons, tetrahydrofuran, acetyl ether, dioxane and other ethers, acetone, methyl ethyl ketone and other ketones and the like at 130 to 100 ° C.
- the reaction can be performed by reacting for 1 to 24 hours.
- N-acylation reaction of compound (1-E) can be carried out by the same method as that used in Production method 1.
- the indole derivative (C) used as a raw material in Production Methods 1 and 2 is a known compound and can be synthesized by a known method (J, 0rg. Chem., 59, 6372-6377 (1994) Chem. Pharm. Bull., 38 (9), 2459-2462 (1990), "Chemistry of Heterocyclic Compounds", Kinya Akiba (Science & Technology Publishing Company), etc.).
- any of R 4 to R 7 is an aryl group which may have a substituent, a heteroaryl group which may have a substituent, or an alkynyl group which may have a substituent.
- R 5 is an aryl group which may have a substituent, a heteroaryl group which may have a substituent, or an alkynyl group which may have a substituent.
- a compound (C ′) in a certain case as an example it can be produced by the following reaction formula 1.
- X represents a halogen atom, a trifluoromethanesulfonyloxy group
- R 5a represents an aryl group which may have a substituent, a heteroaryl group which may have a substituent or Represents an alkynyl group which may have a group
- M represents a hydrogen atom, a copper atom, a lithium atom, a metal halide or a group B (OR 13 ) 2 (where R 13 represents a hydrogen atom or a lower alkyl group; R 2 , R ⁇ R 6 and R 7 are the same as described above. ]
- the compound (C) is cross-coupled with the compound (F) using a transition metal catalyst or the like.
- M of the compound (F) in the above reaction formula is copper, lithium, or a metal halide, benzene, toluene, dimethyl ether, tetrahydrofuran, dioxane, acetonitrile, N, N-dimethylformamide, etc. It is preferable to carry out the reaction in an inert solvent in the presence of a nickel complex, a platinum complex, preferably a palladium complex.
- M is — B (OR 13 ) 2 (where — B (OR 13 ) 2 may form a ring), benzene, toluene, getyl ether, tetrahydrofuran, In a suitable single or mixed solvent such as dioxane, acetonitrile, N, N-dimethylformamide, methanol, ethanol, propanol, dimethoxethane, water, etc., in the presence of a nickel complex, a platinum complex, preferably a palladium complex, triethylamine, Non-nucleophilic tertiary amines such as diisopropylethylamine, potassium carbonate, sodium carbonate, sodium carbonate, cesium carbonate, thallium carbonate, lithium hydroxide, potassium hydroxide, sodium hydroxide, thallium hydroxide, etc.
- a suitable single or mixed solvent such as dioxane, acetonitrile, N, N-dimethylformamide
- the reaction is carried out under basic conditions by adding an inorganic base or an alkoxide of these alkali metals.
- an inorganic base or an alkoxide of these alkali metals Preferably, the Nau.
- an inorganic base that is insoluble in an organic solvent it must be used as an aqueous solution, and is preferably 0 to 150 in the presence of a phase transfer catalyst such as tetra-n-butylammonium bromide or crown ether. Is preferably performed at room temperature to 120 ° C.
- the halogen atom represented by X is a chlorine atom, a bromine atom And iodine atom, preferably bromine atom and iodine atom.
- Examples of the halogenated metal represented by M For example - ZnC l group, One MgC l group, - CuC l group, one BC 1 2 group, - Z n B r group, - MgB r group, A CuBr group, —BBr 2 group, and R 13 include a hydrogen atom and an alkyl group (methyl group, isopropyl group).
- B (OR 13 ) 2 forms a ring, 1,3,2-dioxapolynan and the like can be mentioned.
- Examples of the palladium catalyst used in the above reaction formula include tetrakis (triphenylphosphine) palladium, bis (dibenzylideneacetone) palladium, tris (dibenzylideneacetone) dipalladium, and a divalent palladium phosphine complex.
- This reaction can be carried out by activating the catalyst in the reaction mixture.
- tris (dibenzylideneaceton) dipalladium is added to a reaction mixture to which triphenylphosphine has been added, and the resulting activated triphenylphosphine palladium complex is used.
- Activation of the catalyst is performed by using a divalent palladium salt such as palladium chloride, palladium bromide, or palladium acetate and trialkyl phosphine, trialkyl phosphite, triaryl phosphine, generally dialkyl zinc, alkyl zinc halide, or dialkyl.
- Trifluorophenylphosphine can be reacted in the presence of a reducing agent such as magnesium, an alkylmagnesium halide, a trialkylaluminum, a dialkylaluminum halide, sodium borohydride, hydrazine, arylboronic acid, and preferably dimethylethyl zinc.
- a reducing agent such as magnesium, an alkylmagnesium halide, a trialkylaluminum, a dialkylaluminum halide, sodium borohydride, hydrazine, arylboronic acid, and preferably dimethylethyl zinc.
- the introduction of R 4 to R 7 by the coupling reaction in the production method 1 may be performed before the sulfidation at the 3-position and the N-acylation at the 1-position, as described above. As shown in 2, it may be performed after sulfidation at the 3-position and N-acylation at the 1-position.
- the substituents of the compounds obtained in Production Methods 1 and 2 can be converted by a desired method.
- a desired method for example, an amino group protected with a tert-butoxycarponyl group, a benzyloxycarponyl group, a benzyl group, etc.
- Deprotection is performed by a known method such as decomposition and catalytic reduction, and further, substituent conversion such as alkylation and acylation is possible.
- a hydroxy group protected with a benzyl group or a tert-butyldimethylsilyl group can be deprotected by a known method such as acid hydrolysis and catalytic reduction, and further, can be converted into a substituent such as alkylation or acylation. .
- the cyano group is a metal azide such as sodium azide; a trialkylsilyl azide such as trimethylsilyl azide, triethylsilyl azide; By using an azide reagent such as trialkyltin azide, it can be converted to tetrazole. Further, the alkoxycarbonyl or aralkyloxycarbonyl group can be converted to a carboxy group by a known method such as acid or alkali hydrolysis and catalytic reduction. In addition, N-tert-butylsulfonamide is converted to sulfonamide in trifluoroacetic acid, hydrochloric acid, or sulfuric acid, and further can be converted to a substituent such as acylation.
- the compound of the present invention thus obtained can be isolated and purified according to a conventional method. Depending on the conditions of isolation and purification, the compound of the present invention can be obtained in the form of a salt, free carboxylic acid or free amine, which can be mutually converted as required to produce the desired compound of the present invention.
- the compound (1) of the present invention or a salt thereof has an excellent chymase inhibitory activity as shown in the test examples described later. Therefore, a pharmaceutical containing the compound as an active ingredient is a prophylactic / therapeutic agent for cardiovascular diseases, inflammation, immune system diseases, allergic diseases, eye diseases, diabetic complications, collagen diseases or hypertrophy, etc. It is useful as a mucosal / organ protector, a cancer metastasis / invasion preventive, or a survival improver after organ transplantation.
- the compound of the present invention (1) or a salt thereof is used as a medicine, it is formulated as a composition together with a pharmaceutically acceptable carrier for parenteral administration such as injection, rectal administration, or oral administration in solid or liquid form. can do.
- compositions according to the present invention for injection include pharmaceutically acceptable sterile water, non-aqueous solutions, suspensions or emulsions.
- suitable non-aqueous carriers, diluents, solvents or vehicles include propylene glycol, polyethylene glycol, vegetable oils such as olive oil, and injectable organic acid esters such as ethyl oleate.
- Such compositions may also contain adjuvants such as preserving, wetting, emulsifying, and dispersing agents.
- These compositions are formulated with a sterilizing agent, for example by filtration through a bacterial retention filter or in the form of a sterile solid composition which can be dissolved in sterile water or some other sterile injectable medium immediately before use.
- solid preparations for oral administration include capsules, tablets, pills, powders, and granules.
- the compound of the present invention is generally mixed with at least one inert diluent, for example, sucrose, lactose, starch and the like.
- the formulation may also include additional substances other than inert diluents in normal formulation such as lubricants (eg, magnesium stearate, etc.).
- lubricants eg, magnesium stearate, etc.
- Tablets and pills can additionally be provided with an enteric coating.
- Liquid preparations for oral administration include inert diluents commonly used by those skilled in the art, such as pharmaceutically acceptable emulsions, solutions, suspensions, syrups, elixirs and the like, including water.
- inert diluents commonly used by those skilled in the art, such as pharmaceutically acceptable emulsions, solutions, suspensions, syrups, elixirs and the like, including water.
- the composition contains a wetting agent, milk Auxiliaries such as emollients, suspending agents, sweeteners, seasonings, and flavoring agents can also be added.
- excipients such as cocoa butter and a suppository box in addition to the compound of the present invention.
- the dose of the compound (1) of the present invention or a salt thereof depends on the properties of the compound to be administered, the route of administration, the desired treatment period and other factors, but is generally about 0.1 to about 0.5% per day; OmgZkg, especially about 0.5-50 mg / kg, is preferred. If desired, the daily dose can be administered in 2 to 4 divided doses.
- .5-Aminoindole 4 O Omg was dissolved in tetrahydrofuran 10 ml, acetylimidazole 33 Omg and 4-dimethylaminopyridine 1 Omg were added, and the mixture was stirred at room temperature for 18 hours and further at 60 ° C for 4 hours. The solvent was distilled off under reduced pressure. Dichloromethane 3 Om1 was added to the residue, and the mixture was washed with 3% citric acid. After drying, it was concentrated. Ether was added and filtered. 0.27 g of light brown powder of 5-acetylaminoindole was obtained.
- the reaction was carried out in the same manner as in Example 16 (1) using 5-benzoyl-2-methyl-3-phenylthioindole.
- the reaction solution was washed three times with 5% of a 3% sodium sulfite solution.
- the insolubles at this time were filtered.
- the organic layer was concentrated after drying. Ether was added and the mixture was filtered to obtain a sulfonyl compound.
- the filtered solid was washed with water, ethanol and hexane to obtain a sulfinyl compound.
- the reaction was carried out in the same manner as in Example 16 (1) using 5-bromo-2-methyl-3- (4-hydroxyphenylthio) indole.
- the reaction solution was washed three times with 50 ml of a 3% sodium sulfite solution. The insolubles at this time were filtered. The organic layer was concentrated after drying. Ether was added and the mixture was filtered to obtain a sulfonyl compound. The filtered solid was washed with water, ethanol and hexane to obtain a sulfinyl compound.
- Example 1 The following (Compound 116) — (Compound 118) were obtained in the same manner as in (1).
Landscapes
- Health & Medical Sciences (AREA)
- Chemical & Material Sciences (AREA)
- Veterinary Medicine (AREA)
- Public Health (AREA)
- General Health & Medical Sciences (AREA)
- Animal Behavior & Ethology (AREA)
- Life Sciences & Earth Sciences (AREA)
- Medicinal Chemistry (AREA)
- Pharmacology & Pharmacy (AREA)
- Organic Chemistry (AREA)
- General Chemical & Material Sciences (AREA)
- Nuclear Medicine, Radiotherapy & Molecular Imaging (AREA)
- Chemical Kinetics & Catalysis (AREA)
- Epidemiology (AREA)
- Engineering & Computer Science (AREA)
- Bioinformatics & Cheminformatics (AREA)
- Immunology (AREA)
- Pain & Pain Management (AREA)
- Rheumatology (AREA)
- Heart & Thoracic Surgery (AREA)
- Oncology (AREA)
- Transplantation (AREA)
- Ophthalmology & Optometry (AREA)
- Pulmonology (AREA)
- Cardiology (AREA)
- Child & Adolescent Psychology (AREA)
- Diabetes (AREA)
- Hematology (AREA)
- Obesity (AREA)
- Pharmaceuticals Containing Other Organic And Inorganic Compounds (AREA)
- Indole Compounds (AREA)
Abstract
Description
明 細 書 新規ィンドール誘導体及びこれを有効成分とする医薬 技術分野 Description New indole derivatives and pharmaceuticals containing them as active ingredients
本発明は、 キマ一ゼ阻害作用を有する新規なインドール誘導体又はその塩、 こ れを有効成分とする医薬、 及びその製造中間体に関する。 背景技術 The present invention relates to a novel indole derivative having a chimase inhibitory activity or a salt thereof, a medicament containing the same as an active ingredient, and a production intermediate thereof. Background art
レニン—アンジォテンシン系は、 生体の血圧を調節する機構の一つである。 ァ ンジォテンシノーゲンからレニンによってアンジォテンシン I (以下 A Iとい う) が生成し、 さらにアンジォテンシン変換酵素 (以下 A C Eという) により、 アンジォテンシン I I (以下 「ΑΠ」 という) に変換され、 この Al lは、 末梢血管 の収縮や交感神経を興奮させることにより、 血圧上昇を誘発する有力な昇圧物質 であり、 高血圧症や心不全の原因と考えられている。 The renin-angiotensin system is one of the mechanisms that regulate the blood pressure of the body. Angiotensinogen is generated from angiotensinogen by renin, and is converted to angiotensin II (hereinafter referred to as “ΑΠ”) by angiotensin converting enzyme (hereinafter referred to as ACE). This All is a potent vasopressor that induces blood pressure elevation by contracting peripheral blood vessels and exciting sympathetic nerves, and is considered to be a cause of hypertension and heart failure.
また、 A l lは、 プロトオンコジーンや増殖因子の遺伝子発現を促進することに より、 あるいは直接に心筋細胞、 間質細胞、 血管内皮細胞や血管平滑筋細胞に作 用して、 細胞の増殖、 肥大、 遊走を促進したり、 細胞外マトリックス増生や、 逆 に細胞傷害、 細胞死などから成る組織構築改変 (リモデリング) を促進すること が知られており、 動脈硬化などの循環器系疾患の病態進展に、 深く関わっている ことが明らかになつてきた (Hyper tens i on, Vol . 13, 706-711 , 1989) 。 In addition, All promotes gene expression of proto-oncogenes and growth factors, or directly acts on cardiomyocytes, stromal cells, vascular endothelial cells, and vascular smooth muscle cells to promote cell proliferation and hypertrophy. It is known that it promotes migration, extracellular matrix hyperplasia, and conversely, tissue remodeling (remodeling) consisting of cell injury and cell death. It has become clear that it is deeply involved in progress (Hyper tension, Vol. 13, 706-711, 1989).
Α Πの産生には、 従来 A C Eのみが関与していると考えられてきたが、 奥西ら はィヌゃサルの摘出血管を用い、 A Iを添加した時の収縮が A C E阻害剤では低 抑制率であったのに対し、 セリンプロテアーゼ阻害剤キモス夕チンが高抑制率を 示すこと (J. Hypertens ion , Vol . 2, 277-284, 1984) 、 また、 浦田らはヒト心室で の ΑΠ産生能を酵素活性的にみると、 A C E阻害剤で抑制される割合が小さく、 セリンプロテアーゼ阻害剤により 8 0 %が抑制されることを見出した (Ci r Re s. , Vol . 66, 883-890, 1990) 。 これらのことから、 A C E以外の A I I産生代替経 路の存在が示唆され、 このセリン酵素が、 セリンプロテアーゼに属するキマーゼ と称される酵素であることが判明した (J. Bi o l . Chem. , Vol . 265, 22348-22357) 。 従って、 キマーゼ阻害剤は A C Eに依存しない Al lの産生を抑制し、 心臓 ·循 環器系疾患の有用な予防 ·治療剤として期待されている。 Previously, it was thought that only ACE was involved in the production of Α 、, but Okunishi et al. Used isolated blood vessels from infused monkeys, and showed that the contraction when adding AI was low with an ACE inhibitor. On the other hand, the serine protease inhibitor chymosintin showed a high suppression rate (J. Hypertension, Vol. 2, 277-284, 1984), and Urata et al. In terms of enzyme activity, the rate of inhibition by ACE inhibitors is small, It was found that a serine protease inhibitor suppressed the inhibition by 80% (Cir Res., Vol. 66, 883-890, 1990). These facts suggested the existence of alternative pathways for AII production other than ACE, and this serine enzyme was found to be an enzyme called chymase belonging to serine protease (J. Biol. Chem., Vol. 265, 22348-22357). Therefore, chymase inhibitors suppress ACE-independent production of All and are expected as useful preventive and therapeutic agents for heart and cardiovascular diseases.
また、 キマーゼは、 I L— 1 ]3のプロセシング、 I L— 4の分解な.どのサイト カインの代謝、 肥満細胞脱顆粒のための細胞内機構の活性ィヒなどの作用を有し、 慢性炎症病態、 例えば移植片対宿主 (G v H) 病、 膠原病、 各種の線維症、 多様 な血管炎、 糖尿病性血管症、 アレルギー性疾患などにおいて、 重要な役割を演じ ていると考えられるため、 キマーゼの遺伝子発現を制約する化合物や酵素活性を 制御するキマーゼ阻害剤は、 新しいタイプの抗炎症剤及び抗アレルギー剤と成り 得ることが期待されている。 In addition, chymase has the effects of processing IL-1] 3, degrading IL-4, such as the metabolism of cytokines, the activity of intracellular mechanisms for mast cell degranulation, and chronic inflammatory pathology. For example, chymase plays a key role in graft-versus-host (GvH) disease, collagen disease, various types of fibrosis, various vasculitis, diabetic vasculopathy, and allergic diseases. It is expected that compounds that restrict gene expression and chymase inhibitors that control enzymatic activity could be new types of anti-inflammatory and anti-allergic agents.
斯かるキマーゼ阻害剤に関しては、 これまでにキナゾリン誘導体 (W0 9 6 / 0 4 2 4 8号公報、 WO 9 7 1 1 9 4 1号公報、 特開平 9一 3 1 0 6 1号公 報) 、 ベンゾォキサシクロトリデシン誘導体 (特開平 1 0 _ 8 7 4 9 3号公報、 特開平 1 0— 1 0 1 6 6 6号公報) 、 フエノールエステル誘導体 (特開平 1 0— 8 7 5 6 7号公報) 等が報告されているが、 いずれも臨床上応用されるまでには 至っていない。 発明の開示 Regarding such chymase inhibitors, quinazoline derivatives (W096 / 04248, WO97119441, JP-A-9131061) have been described so far. Benzoxacyclotridecine derivatives (Japanese Patent Application Laid-Open No. 10-87493, Japanese Patent Application Laid-Open No. 10-166666), and phenol ester derivatives (Japanese Patent Application Laid-Open No. 10-887567). Publications), but none of them have been applied clinically. Disclosure of the invention
本発明の目的は、 ヒトキマーゼに対して選択的かつ強力な阻害作用を有し、 循 環器系疾患、 炎症、 免疫系疾患、 アレルギー性疾患等の予防 ·治療薬、 更には粘 膜 ·臓器保護薬、 癌転移 ·浸潤の防止薬等として有用な新規化合物を提供するこ とにある。 An object of the present invention is to have a selective and potent inhibitory effect on human chymase, and to prevent and treat cardiovascular diseases, inflammation, immune system diseases, allergic diseases, etc., and also to protect mucous membranes and organs. An object of the present invention is to provide a novel compound useful as a drug, a drug for preventing cancer metastasis and invasion, and the like.
斯かる実情において、 本発明者らは鋭意研究した結果、 下記一般式 (1 ) で示 されるィンドール誘導体及びその塩が優れたキマーゼ阻害活性を有し、 循環器系 疾患、 炎症、 免疫系疾患、 アレルギー性疾患、 眼疾患、 糖尿病性合併症、 膠原病 又は肥満症等の予防 ·治療薬、 更には粘膜 ·臓器保護薬、 癌転移,浸潤の防止薬 又は臓器移植後の生存率改善薬等として有用であることを見出すとともに、 下記 一般式 (2 ) で示されるインドール誘導体がその製造中間体となることを見出し、 本発明を完成するに至った。 Under such circumstances, the present inventors have conducted intensive studies and as a result, the following general formula (1) has been obtained. Indole derivatives and their salts have excellent chymase inhibitory activity and prevent and treat cardiovascular diseases, inflammation, immune system diseases, allergic diseases, eye diseases, diabetic complications, collagen diseases or obesity Indole derivatives represented by the following general formula (2) are found to be useful as drugs, mucosal / organ protective agents, cancer metastasis / invasion preventive agents, or survival rate improving agents after organ transplantation. They have found that they are intermediates, and have completed the present invention.
即ち、 本発明は、 下記の一般式 (1 ) That is, the present invention provides the following general formula (1)
〔式中、 R 1はァミノ保護基又は— C〇R8 (ここで、 R8は置換基を有していても よいァリール基又は置換基を有していてもよいへテロアリール基を示す) を示し、 R 2は水素原子、 置換基を有していてもよいアルキル基又はァリ 一ル基を示し、 R3はシァノ基、 _ C〇R9 (ここで、 R9は水素原子、 置換基を有 していてもよいアルキル基、 —O R 1" (ここで、 R 1()は水素原子、 アルキル基又 はァラルキル基を示す) 又は _ C〇R U (ここで、 R 11は置換基を有していても よいアミノ基又は置換基を有していてもよい環状アミノ基を示す) ) 又 は— S (〇) n- R 12 (ここで、 R 12はアルキル基、 ァラルキル基、 置換基を有し ていてもよいァリール基又は置換基を有していてもよいへテロアリール基を示し、 nは 0〜2の整数を示す) を示し、 R4、 R5、 R6及び R7は同一又は異なってい てもよく、 水素原子、 置換基を有していてもよいアルキル基、 置換基を有してい てもよいアルキニル基、 ァラルキル基、 置換基を有していてもよいアルコキシ基、 ァラルキルォキシ基、 ハロゲン原子、 トリフルォロメ夕ンスルホニルォキシ基、 ニトロ基、 シァノ基、 ヒドロキシ基、 カルボキシ基、 アルコキシカルポニル基、 ァラルキルォキシカルポニル基、 ホルミル基、 アルカノィル基、 ベンゾィル基、 置換基を有していてもよいアミノ基、 アルキルウレイド基、 置換基を有していて もよぃァリールウレイド基、 置換基を有していてもよいァリール基、 置換基を有 していてもよいへテロアリール基、 置換基を有していてもよいシクロアルカノン 又は置換基を有していてもよいシクロアルケノンを示す。 〕 [Wherein, R 1 represents an amino protecting group or —C (R 8 (where R 8 represents an aryl group which may have a substituent or a heteroaryl group which may have a substituent) R 2 represents a hydrogen atom, an alkyl group or an aryl group which may have a substituent, R 3 is a cyano group, _C〇R 9 (where R 9 is a hydrogen atom, An alkyl group which may have a substituent, —OR 1 "(where R 1 () represents a hydrogen atom, an alkyl group or an aralkyl group) or _C〇R U (where R 11 is Represents an amino group which may have a substituent or a cyclic amino group which may have a substituent)) or —S (〇) n -R 12 (where R 12 is an alkyl group, aralkyl group, have also good Ariru group or a substituent substituted indicates heteroaryl group to good, n represents showed shown) an integer of 0 to 2, R 4, R 5, R 6 and R 7 may be the same or different and each have a hydrogen atom, an alkyl group which may have a substituent, an alkynyl group which may have a substituent, an aralkyl group, or a substituent. Alkoxy, aralkyloxy, halogen, trifluoromethanesulfonyloxy, nitro, cyano, hydroxy, carboxy, alkoxycarbonyl, aralkyloxycarbonyl, formyl, alkanoyl, A benzoyl group, an amino group which may have a substituent, an alkyl ureide group, A arylureido group, an aryl group which may have a substituent, a heteroaryl group which may have a substituent, a cycloalkanone which may have a substituent, or a group having a substituent. Cycloalkenones which may be substituted. ]
で表されるインドール誘導体又はその塩を提供するものである。 Or an indole derivative represented by the formula:
また本発明は、 該ィンドール誘導体又はその塩を有効成分とする医薬を提供す るものである。 The present invention also provides a medicine containing the indole derivative or a salt thereof as an active ingredient.
また本発明は、 該ィンドール誘導体又はその塩を有効成分とするキマーゼ阻害 剤を提供するものである。 The present invention also provides a chymase inhibitor comprising the indole derivative or a salt thereof as an active ingredient.
また本発明は、 該ィンドール誘導体又はその塩及び薬学的に許容される担体を 含有する医薬組成物を提供するものである。 The present invention also provides a pharmaceutical composition comprising the indole derivative or a salt thereof and a pharmaceutically acceptable carrier.
また本発明は、 該インドール誘導体又はその塩の医薬としての使用を提供する ものである。 The present invention also provides use of the indole derivative or a salt thereof as a medicament.
また本発明は、 該ィンドール誘導体又はその塩を投与することを特徴とする循 環器系疾患、 炎症、 免疫系疾患、 アレルギー性疾患、 眼疾患、 糖尿病性合併症、 膠原病及び肥満症から選ばれる疾患の処置方法を提供するものである。 Further, the present invention provides a method for administering a compound selected from the group consisting of cardiovascular diseases, inflammation, immune system diseases, allergic diseases, eye diseases, diabetic complications, collagen diseases and obesity, which comprises administering the indole derivative or a salt thereof. And methods for treating such diseases.
更に本発明は、 次の一般式(2 ) Further, the present invention provides the following general formula (2)
〔式中、 R2は水素原子、 置換基を有していてもよいアルキル基又はァリール基 を示し、 R3はシァノ基、 一 C O R9 (ここで、 R9は水素原子、 置換基を有してい てもよいアルキル基、 —〇R ID (ここで、 R 1()は水素原子、 アルキル基又はァラ ルキル基を示す) 又は—C O R 11 (ここで、 R 11は置換基を有していてもよいァ ミノ基又は置換基を有していてもよい環状アミノ基を示す) ) 又は一 S[In the formula, R 2 represents a hydrogen atom, an alkyl group or an aryl group which may have a substituent, R 3 represents a cyano group, and COR 9 (where R 9 represents a hydrogen atom and has a substituent. alkyl group which may have, -〇_R ID (wherein, R 1 () is a hydrogen atom, an alkyl group or § La alkyl group) or -COR 11 (wherein, R 11 has a substituent Represents an amino group which may be substituted or a cyclic amino group which may have a substituent)) or 1S
(〇) n-R 12 (ここで、 R 12はアルキル基、 ァラルキル基、 置換基を有していて もよぃァリール基又は置換基を有していてもよいへテロアリ一ル基を示し、 nは 0〜 2の整数を示す) を示し、 R4、 R5、 R6及び R7は同一又は異なっていても よく、 水素原子、 置換基を有していてもよいアルキル基、 置換基を有していても よいアルキニル基、 ァラルキル基、 置換基を有していてもよいアルコキシ基、 ァ ラルキルォキシ基、 ハロゲン原子、 トリフルォロメ夕ンスルホニルォキシ基、 二 トロ基、 シァノ基、 ヒドロキシ基、 カルポキシ基、 アルコキシカルボニル基、 ァ ラルキルォキシカルポニル基、 ホルミル基、 アルカノィル基、 ベンゾィル基、 置 換基を有していてもよいアミノ基、 アルキルウレイド基、 置換基を有していても よいァリールウレイド基、 置換基を有していてもよいァリール基、 置換基を有し ていてもよいへテロアリール基、 置換基を有していてもよいシクロアルカノン又 は置換基を有していてもよいシクロアルケノンを示す (但し、 R4、 R5、 R6及び R7は同時に水素原子ではない) 。 〕 (〇) n -R 12 (where R 12 represents an alkyl group, an aralkyl group, a substituted or unsubstituted heteroaryl group or an optionally substituted heteroaryl group, n is R 4 , R 5 , R 6 and R 7 may be the same or different, and have a hydrogen atom, an alkyl group which may have a substituent, or a substituent. Alkynyl group, aralkyl group, optionally substituted alkoxy group, aralkyloxy group, halogen atom, trifluoromethanesulfonyloxy group, nitro group, cyano group, hydroxy group, carboxy group , An alkoxycarbonyl group, an aralkyloxycarbonyl group, a formyl group, an alkanoyl group, a benzoyl group, an amino group which may have a substituent, an alkylureido group, and an aryl which may have a substituent Ureido group, aryl group optionally having substituent (s), heteroaryl group optionally having substituent (s), cycloalkanone optionally having substituent (s) Shows a good cycloalkenone have a substituent (provided that, R 4, R 5, R 6 and R 7 are not simultaneously hydrogen atoms). ]
で表されるィンドール誘導体又はその塩を提供するものである。 発明を実施するための最良の形態 And a salt thereof. BEST MODE FOR CARRYING OUT THE INVENTION
本発明化合物を示す一般式 (1 ) 中、 R 1は水素原子、 ァミノ保護基又は一 C O R8 (ここで、 R8は置換基を有していてもよいァリール基、 置換基を有してい てもよいへテロァリール基を示す) を示す。 In the general formula (1) representing the compound of the present invention, R 1 is a hydrogen atom, an amino protecting group or one COR 8 (where R 8 is an aryl group which may have a substituent, Which represents a heteroaryl group).
ここでァミノ保護基とは、 容易に脱離可能なァミノ基の保護基をいい、 例えば t e r t一ブトキシカルポニル、 ベンジルォキシカルポニル等が挙げられる。 Here, the term "amino protecting group" refers to an easily removable protecting group for an amino group, and examples thereof include t-tert-butoxycarbonyl, benzyloxycarponyl and the like.
_ C O R8において、 R8で示される置換基を有していてもよいァリール基とし ては、 1〜5個の置換基を有していてもよい炭素数 6〜 1 4の単環又は 2環式の 芳香族炭化水素基が挙げられ、 斯かる置換基としては、 置換基を有していてもよ いアルキル基 (例えばメチル、 ェチル、 プロピル等の C l-6アルキル、 トリフルォ ロメチル等のハロゲノ d_6アルキル等) 、 ハロゲン原子 (例えば塩素原子、 フッ 素原子、 臭素原子等) 、 ニトロ基、 ヒドロキシ基、 カルボキシ基、 アルコキシ力 ルポニル基 (例えば C ,_6アルコキシ力ルポニル) 、 ァラルキルォキシカルボニル 基 (例えばべンジルォキシカルボニル等のフエ二ル(:卜4アルキルォキシカルボ二 ル) 、 シァノ基、 置換基を有していてもよいアミノ基 (例えばァミノ、 ジメチル ァミノ等の C ,_6アルキルァミノ、 ベンジルァミノ等のァラルキルァミノ、 ァセチ ルァミノ、 プロピオニルァミノ、 ベンゾィルァミノ等のァシルァミノ、 メタンス ルホニルァミノ、 エタンスルホニルァミノ等のアルキルスルホニルァミノ、 ベン ゼンスルホニルァミノ等のァリールスルホニルァミノ) 、 ァシル基 (例えばホル ミル、 ァセチル、 プロピオニル、 ベンゾィル等) 、 R—S (O) n- (Rは置換 基を有していてもよいアルキル基、 置換基を有していてもよいァリール等を示し、 nは 0、 1または 2を示す) 、 アルコキシ基、 (例えばメトキシ、 エトキシ、 プ 口ポキシ等の アルコキシ) 、 スルホンアミド基 (例えばスルホンアミド、 N —メチルスルホンアミド、 N—ェチルスルホンアミド、 N—プロピルスルホンァ ミド、 N—プチルスルホンアミド、 N _ t e r t —プチルスルホンアミド等の N —C wアルキルスルホンアミド、 N _フエニルスルホンアミド、 N _ァセチルス ルホンアミド等の C2_6アルカノィルスルホンアミド、 N—べンゾィルスルホンァ ミド等の N _ C 6_127ロイルスルホンアミド) 、 アミノカルポニル基 (例えば、 ァミノカルボニル、 N—メチルァミノカルボニル、 N—ェチルァミノカルボニル、 N, N—ジメチルァミノカルポニル等の アルキルアミノカルポニル、 ベンジ ルァミノカルポニル等のァラルキルアミノカルポニル) 、 置換基を有していても よりァリール基 (例えばフエニル、 ナフチル) 、 置換基を有していてもよいへテ ロアリール基 (例えば、 フリル、 チェニル、 ピロリル、 チアジアゾリル、 ピリジ ル、 テトラゾリル) 等が挙げられ、 特に、 フエニル基、 2 _メチルフエニル基、 2—ジメチルァミノフエニル基、 3—ジメチルァミノフエニル基、 4—ジメチル ァミノフエ二ル基、 3—ジメチルァミノ— 2—メチルフエニル基、 4—メトキシ フエニル基、 4 _クロ口フエニル基等が好ましい。 _ In COR 8 , as the aryl group optionally having a substituent represented by R 8 , a monocyclic ring or a monocyclic group having 6 to 14 carbon atoms which may have 1 to 5 substituents Examples of the substituent include an alkyl group which may have a substituent (for example, Cl -6 alkyl such as methyl, ethyl and propyl, and trifluoromethyl and the like). halogeno d_ 6 alkyl), a halogen atom (e.g. a chlorine atom, fluorine atom, bromine atom, etc.), nitro group, hydroxy group, a carboxy group, an alkoxy force Ruponiru groups (e.g. C, _ 6 alkoxy force Ruponiru), Ararukiru Oxycarbonyl Group (e.g., base Nji Ruo alkoxycarbonyl such Hue sulfonyl (: Bok 4 alkyl O carboxymethyl carbonylation Le), Shiano group, an optionally substituted amino group (e.g. Amino, such as dimethyl Amino C, _ 6 Aralkylamino, such as alkylamino, benzylamino, acetylamino, propionylamino, benzoylamino, etc., methanesulfonylamino, ethanesulfonylamino, etc., alkylsulfonylamino, benzenesulfonylamino, etc., arylsulfonylamino, etc.) (e.g. formyl, Asechiru, propionyl, Benzoiru etc.), R-S (O) n - (R is an optionally substituted alkyl group, an even better Ariru etc. have a substituent, n represents 0, 1 or 2), an alkoxy group, (for example, methoxy, ethoxy, Alkoxy, etc.), sulfonamide group (for example, sulfonamide, N-methylsulfonamide, N-ethylsulfonamide, N-propylsulfonamide, N-butylsulfonamide, N_tert-butylsulfonamide, etc.) -C w alkylsulfonamido, N _ phenylalanine sulphonamide, N _ Asechirusu C 2 _ 6 alkanoyloxymethyl Noi Le sulfonamides such Ruhon'amido, N _ C 6 _ 12 7 such as N- base emission zone I le sulfonic § bromide Royle Sulfonamides), aminocarbonyl groups (eg, aminoaminocarbonyl, N-methylaminocarbonyl, N-ethylaminocarbonyl, alkylaminocarbonyl such as N, N-dimethylaminocarbonyl, benzylaminocarbonyl, etc. Aralkylaminocarbonyl), even if it has a substituent, it is a aryl group (eg, phenyl, Phenyl), a substituted or unsubstituted heteroaryl group (for example, furyl, phenyl, pyrrolyl, thiadiazolyl, pyridyl, tetrazolyl) and the like. Particularly, phenyl, 2-methylphenyl, 2-dimethyl Preferred are an aminophenyl group, a 3-dimethylaminophenyl group, a 4-dimethylaminophenyl group, a 3-dimethylamino-2-methylphenyl group, a 4-methoxyphenyl group, and a 4-chlorophenyl group.
— C O R8において、 Rsで示される置換基を有していてもよいへテロアリール 基におけるヘテロァリールとしては、 窒素原子、 酸素原子又は硫黄原子を 1〜 3 個有する 5〜 1 4員の単環又は 2環式のへテロアリール基が挙げられ、 例えばピ リジル基、 フリル基、 チェニル基、 ピロリル基、 ピリミジニル基、 イミダゾリル 基、 トリァゾリル基、 ピラゾリル基、 イソチアゾリル基、 イソォキサゾリル基、 チアゾリル基、 ォキサゾリル基、 チアジアゾリル基、 テトラゾリル基、 ピリダジ ニル基、 ビラジニル基、 ベンゾフリル基、 ベンゾチェ二ル基、 ベンゾチアゾリル 基、 ベンゾピラニル基、 キノリル基、 フ夕ラジニル基、 ナフチリジニル基、 キノ キサリニル基、 キナゾリニル基、 シンノリニル基、 インドリル基、 イソインドリ ル基等が挙げられ、 中でもピリジル基、 フリル基、 チェニル基、 チアゾリル基、 ォキサゾリル基、 チアジァゾリル基等の 5〜 6員のへテロアリール基が好ましい。 これらは 1〜5個の置換基で置換されていてもよく、 斯かる置換基としては、 置 換基を有していてもよいアルキル基 (例えばメチル、 ェチル、 プロピル等の アルキル、 トリフルォロメチル等のハロゲノ C ,-6アルキル等) 、 八ロゲン原子 (例えばフッ素原子、 塩素原子、 臭素原子等) 、 ニトロ基、 ヒドロキシ基、 カル ボキシ基、 アルコキシ力ルポニル基 (例えば アルコキシカルボニル) 、 シァ ノ基、 置換基を有していてもよいアミノ基 (例えばァミノ、 ジメチルァミノ等の アルキルアミノ等) 、 アルコキシ基 (例えばメトキシ、 エトキシ、 プロポキ シ等の アルコキシ) 、 ァリール基 (例えばフエニル、 ナフチル等) 等が挙げ られる。 — In COR 8 , as heteroaryl in the optionally substituted heteroaryl group represented by R s , a nitrogen atom, an oxygen atom or a sulfur atom may be 1 to 3 A 5- to 14-membered monocyclic or bicyclic heteroaryl group, such as a pyridyl group, a furyl group, a chenyl group, a pyrrolyl group, a pyrimidinyl group, an imidazolyl group, a triazolyl group, a pyrazolyl group, and an isothiazolyl group. , Isoxazolyl, thiazolyl, oxazolyl, thiadiazolyl, tetrazolyl, pyridazinyl, virazinyl, benzofuryl, benzochenyl, benzothiazolyl, benzopyranyl, quinolyl, furazinyl, naphthyridinyl And a quinazolinyl group, a cinnolinyl group, an indolyl group, an isoindolinyl group, among which a 5- to 6-membered heteroaryl group such as a pyridyl group, a furyl group, a phenyl group, a thienyl group, a thiazolyl group, an oxazolyl group and a thiaziazolyl group is preferred. New These may be substituted with 1 to 5 substituents. Examples of such a substituent include an alkyl group which may have a substituent (eg, an alkyl group such as methyl, ethyl, propyl, etc., and trifluorobenzene). halogeno such as methyl C, - 6 alkyl, etc.), eight androgenic atom (e.g. fluorine atom, chlorine atom, bromine atom, etc.), nitro group, hydroxy group, Cal Bokishi group, an alkoxy force Ruponiru group (e.g. alkoxycarbonyl), Xia Bruno Groups, optionally substituted amino groups (eg, alkylamino such as amino, dimethylamino, etc.), alkoxy groups (eg, alkoxy such as methoxy, ethoxy, propoxy, etc.), aryl groups (eg, phenyl, naphthyl, etc.) Are mentioned.
一般式 (1 ) 又は (2 ) 中、 R2は水素原子、 置換基を有していてもよいアル キル基又はァリ一ル基を示す。 In the general formula (1) or (2), R 2 represents a hydrogen atom, an alkyl group which may have a substituent or an aryl group.
ここで置換基を有していてもよいアルキル基におけるアルキルとしては、 炭素 数 1〜 8の直鎖又は分岐鎖のアルキル基が挙げられるが、 このうち特にメチル基、 ェチル基、 n _プロピル基、 イソプロピル基、 n—ブチル基、 イソブチル基、 t e r t一ブチル基、 n—ペンチル基等の炭素数 1〜 5の直鎖又は分岐鎖のアル キル基が好ましい。 これらは 1〜1 0個の置換基を有していてもよく、 斯かる置 換基としては、 ハロゲン原子 (例えば塩素原子、 フッ素原子等) 、 ニトロ基、 ヒ ドロキシ基、 カルポキシ基、 アルコキシカルボニル基 (例えば C,_6アルコキシ力 ルポニル) 、 シァノ基、 アミノ基、 アルコキシ基 (例えばメトキシ、 エトキシ、 プロポキシ等の CH;アルコキシ) 、 アルキルスルホ二ル基ゃァリ一ルスルホニル 基などのスルホニル基等が挙げられる。 ハロゲノアルキル基としては、 特にフル ォロメチル基、 ジフルォロメチル基、 トリフルォロメチル基、 2 _フルォロェチ ル基、 2, 2—ジフルォロェチル基、 2, 2, 2—トリフルォロェチル基、 ペン 夕フルォロェチル基、 3—フルォロプロピル基、 ヘプ夕フルォロプロピル基等の 八ロゲノ C,-6アルキル基が好ましい。 Here, examples of the alkyl in the alkyl group which may have a substituent include a linear or branched alkyl group having 1 to 8 carbon atoms. Among them, a methyl group, an ethyl group, and an n_propyl group are particularly preferable. Preferred are linear or branched alkyl groups having 1 to 5 carbon atoms, such as isopropyl, n-butyl, isobutyl, tert-butyl and n-pentyl. These may have 1 to 10 substituents. Examples of such a substituent include a halogen atom (for example, a chlorine atom and a fluorine atom), a nitro group, and a Dorokishi group, Karupokishi group, an alkoxycarbonyl group (e.g. C, _ 6 alkoxy force Ruponiru), Shiano group, an amino group, an alkoxy group (e.g. methoxy, ethoxy, CH propoxy and the like; alkoxy), an alkylsulfonyl group Ya § Li And a sulfonyl group such as an arylsulfonyl group. Examples of the halogenoalkyl group include a fluoromethyl group, a difluoromethyl group, a trifluoromethyl group, a 2_fluoroethyl group, a 2,2-difluoroethyl group, a 2,2,2-trifluoroethyl group, a penfluorofluoroethyl group, 3 Furuoropuropiru group, eight Rogeno C such as heptane evening Furuoropuropiru group, - 6 alkyl group is preferable.
ァリール基としては、 炭素数 6〜14の芳香族炭化水素基が挙げられ、 例えば フエニル基、 ナフチル基等が挙げられる。 Examples of the aryl group include an aromatic hydrocarbon group having 6 to 14 carbon atoms, such as a phenyl group and a naphthyl group.
一般式 (1) 又は (2) 中、 R3はシァノ基、 — COR9 (ここで、 R9は水素原 子又は置換基を有していてもよいアルキル基、 一〇R1D (ここで、 R1Qは水素原 子、 アルキル基又はァラルキル基を示す) 、 一 COR" (ここで、 R11は置換基 を有していてもよいアミノ基又は置換基を有していてもよい環状アミノ基を示 す) ) 又は— S (0) N-R12 (ここで、 R12はアルキル基、 ァラルキル基、 置換 基を有していてもよいァリール基又は置換基を有していてもよいへテロアリール 基を示す) を示す。 In the general formula (1) or (2), R 3 is a cyano group, — COR 9 (where R 9 is a hydrogen atom or an alkyl group which may have a substituent, and R 1D (where R 1Q represents a hydrogen atom, an alkyl group or an aralkyl group), and one COR "(where R 11 represents an amino group which may have a substituent or a cyclic amino group which may have a substituent Represents a group)) or —S (0) N -R 12 (wherein, R 12 may have an alkyl group, an aralkyl group, an optionally substituted aryl group or a substituted group) Represents a heteroaryl group).
ここで、 — COR9において、 R9で示される置換基を有していてもよいアルキ ル基としては R2で示したものと同様ものものが挙げられるが、 メチル基、 ェチ ル基、 トリフルォロメチル基、 ペン夕フルォロェチル基等が好ましい。 Here, — In COR 9 , as the alkyl group which may have a substituent represented by R 9 , the same as the alkyl group represented by R 2 can be mentioned, but a methyl group, an ethyl group, A trifluoromethyl group, a penfluorofluoroethyl group and the like are preferred.
— COR9中、 — OR1(1において で示されるアルキル基としては、 R9で例示 したと同様のものが挙げられるが、 特にメチル基、 ェチル基が好ましい。 — In COR 9 , — OR 1 ( Examples of the alkyl group represented by in R 1 include the same alkyl groups as those exemplified for R 9 , with a methyl group and an ethyl group being particularly preferred.
_C〇R9中、 — OR1Dにおいて R1(1で示されるァラルキル基としては、 炭素数 1〜6のアルキレン鎖を有し総炭素数 6〜 14のァラルキルが挙げられ、 このう ちフエニル—〇卜6アルキルが好ましく、 特にべンジル基、 2—フエニルェチル基 等が好ましい。 _ C〇R9中、 —C O R 11において R 11で示される置換基を有していてもよいァ ミノ基としては、 ァミノ基の他、 アルキル、 (:3-8シクロアルキル、 ァリール が 1〜2個置換したァミノ基が挙げられ、 好ましくはメチルァミノ基、 ェチルァ ミノ基、 ジメチルァミノ基、 ジェチルァミノ基、 t e r t —プチルァミノ基等の アルキルアミノ基、 シクロプロピルアミノ基、 シクロブチルァミノ基、 シクロべ ンチルァミノ基、 シクロへキシルァミノ基等のシクロアルキルアミノ基、 ァニリ ノ基、 ナフチルァミノ基等のァリールアミノ基等が挙げられる。 Among _C_〇_R 9, - The Ararukiru group represented by R 1 (1 in OR 1D, include Ararukiru the total number of carbon atoms from 6 to 14 has an alkylene chain having 1 to 6 carbon atoms, Of this Chi phenyl - Preference is given to 6- alkyl, especially benzyl, 2-phenylethyl and the like. Among _ C_〇_R 9, as good § amino group optionally having a substituent represented by R 11 in -COR 11, other Amino groups, alkyl, (: 3-8 cycloalkyl, Ariru is 1 Examples thereof include two substituted amino groups, preferably a methylamino group, an ethylamino group, a dimethylamino group, an ethylamino group, an alkylamino group such as a tert-butylamino group, a cyclopropylamino group, a cyclobutylamino group, and a cyclobenzylamino group. And cycloalkylamino groups such as a cyclohexylamino group, an arylino group, and an arylamino group such as a naphthylamino group.
— C O R9中、 一 C O R において R 11で示される置換基を有していてもよい環 状ァミノ基としては、 ァゼチジニル基、 ピロリジニル基、 ピペリジノ基、 ピペラ ジノ基等の 4〜8員の環状アミノ基が挙げられ、 置換基としてはアルキル基 (例 えば アルキル) 、 ヒドロキシ基、 アミノ基等が挙げられる。 — In COR 9 , the cyclic amino group which may have a substituent represented by R 11 in one COR is a 4- to 8-membered cyclic amino group such as an azetidinyl group, a pyrrolidinyl group, a piperidino group, a piperazino group and the like. And the substituent includes an alkyl group (eg, alkyl), a hydroxy group, an amino group, and the like.
- S (〇) n— R 12において R 12で示されるアルキル基、 ァラルキル基、 置換基 を有していてもよいァリール基又は置換基を有していてもよいへテロアリール基 としては、 それぞれ R2、 R 1()及び R8で例示したものと同様のものが挙げられる が、 アルキル基としてはメチル基、 ェチル基、 プロピル基等が、 ァラルキル基と してはべンジル基、 フエニルェチル基等が、 置換基を有していてもよいァリール 基としてはフエニル基、 クロ口フエ二ル基、 ヒドロキシフエニル基、 メチルフエ ニル基、 メトキシフエ二ル基、 カルボキシフエニル基、 ァミノカルボニルフエ二 ル基等が、 置換基を有していてもよいへテロアリール基としては、 ピリジル基、 ベンゾチアゾリル基、 フエニルテトラゾリル基等が特に好ましく、 また nは 2で ある場合が好ましい。 -S (〇) n — In R 12 , an alkyl group, an aralkyl group, an aryl group which may have a substituent or a heteroaryl group which may have a substituent represented by R 12 are each represented by R 2 , R 1 () and R 8 are the same as those exemplified above, but the alkyl group is a methyl group, an ethyl group, a propyl group, etc., and the aralkyl group is a benzyl group, a phenylethyl group, etc. However, examples of the aryl group which may have a substituent include a phenyl group, a chlorophenyl group, a hydroxyphenyl group, a methylphenyl group, a methoxyphenyl group, a carboxyphenyl group, and an aminocarbonylphenyl group. As the heteroaryl group in which the group or the like may have a substituent, a pyridyl group, a benzothiazolyl group, a phenyltetrazolyl group, or the like is particularly preferable, and n is 2. If is preferred.
— S (O) n— R12の好ましい例としては、 メタンスルホニル基、 フエニルスル ホニル基、 ベンジルスルホニル基、 ピリジルスルホニル基、 カルボキシフエニル スルホニル基、 カルポキシピリジンスルホニル基等が挙げられる。 —S (O) n —Preferable examples of R 12 include a methanesulfonyl group, a phenylsulfonyl group, a benzylsulfonyl group, a pyridylsulfonyl group, a carboxyphenylsulfonyl group, and a carboxypyridinesulfonyl group.
一般式 (1 ) 又は (2 ) 中、 R4、 R5、 R6及び R7は、 同一又は異なっていて もよく、 水素原子、 置換基を有していてもよいアルキル基、 置換基を有していて もよいアルキニル基、 ァラルキル基、 置換基を有していてもよいアルコキシ基、 ァラルキルォキシ基、 ハロゲン原子、 トリフルォロメ夕ンスルホニルォキシ基、 ニトロ基、 シァノ基、 ヒドロキシ基、 カルボキシ基、 アルコキシカルポニル基、 ァラルキルォキシカルボニル基、 ホルミル基、 アルカノィル基、 ベンゾィル基、 置換基を有していてもよいアミノ基、 アルキルウレイド基、 ァリールウレイド基、 置換基を有していてもよいァリール基、 置換基を有していてもよいへテロァリ一 ル基、 置換基を有していてもよいシクロアルカノン又は置換基を有していてもよ ぃシクロアルケノンを示す (但し、 式 (2 ) 中、 R4、 R5、 R6及び R7は同時に 水素原子ではない) 。 In the general formula (1) or (2), R 4 , R 5 , R 6 and R 7 may be the same or different, and represent a hydrogen atom, an alkyl group which may have a substituent, or a substituent. Have Alkynyl group, aralkyl group, alkoxy group optionally having substituent (s), aralkyloxy group, halogen atom, trifluoromethanesulfonyloxy group, nitro group, cyano group, hydroxy group, carboxy group, alkoxycarbonyl group, An aralkyloxycarbonyl group, a formyl group, an alkanoyl group, a benzoyl group, an amino group which may have a substituent, an alkylureido group, an arylureido group, an aryl group which may have a substituent, A heteroaryl group which may have a substituent, a cycloalkanone which may have a substituent or a cycloalkenone which may have a substituent (in the formula (2) , R 4 , R 5 , R 6 and R 7 are not simultaneously hydrogen atoms).
ここで、 置換基を有していてもよいアルキニル基におけるアルキニルとしては、 ェチニル等が挙げられるが、 これらは 1個の置換基で置換されていてもよく、 斯 かる置換基としては、 無置換又はヒドロキシ基、 アミノ基等の置換基を有するァ ルキル基、 カルボキシ基、 アルコキシカルボ二ル基、 ァリール基 (例えばフエ二 ル、 ナフチル) 等が挙げられ、 具体的には、 3—ヒドロキシ— 3—メチルプチ二 ル基が好ましい。 Here, examples of the alkynyl in the alkynyl group which may have a substituent include ethynyl and the like, and these may be substituted with one substituent. Or an alkyl group having a substituent such as a hydroxy group or an amino group, a carboxy group, an alkoxycarbonyl group, an aryl group (eg, phenyl, naphthyl) and the like. —A methylbutyl group is preferred.
置換基を有していてもよいアルコキシ基におけるアルコキシとしては、 炭素数 1〜 8の直鎖又は分岐鎖のアルコキシ基が挙げられるが、 このうち炭素数 1〜 5 の直鎖又は分岐鎖の特にメトキシ基、 エトキシ基、 n—プロポキシ基、 イソプロ ポキシ基、 n—ブトキシ基、 イソブトキシ基、 t e r t—ブトキシ基、 n—ペン チルォキシ基等の炭素数 1〜 5の直鎖又は分岐鎖のアルコキシ基が好ましい。 こ れらは 1〜 3個の置換基で置換されていてもよく、 斯かる置換基としては、 ハロ ゲン原子 (例えば塩素原子、 フッ素原子、 臭素原子等) 、 ニトロ基、 ヒドロキシ 基、 カルボキシ基、 アルコキシカルポニル基、 ァラルキルォキシカルポニル基、 シァノ基、 アミノ基等が挙げられ、 具体的には、 トリフルォロメトキシ基、 ベン ジルォキシカルポニルメチルォキシ基等が好ましい。 Examples of the alkoxy in the alkoxy group which may have a substituent include a straight-chain or branched-chain alkoxy group having 1 to 8 carbon atoms, among which a straight-chain or branched-chain alkoxy group having 1 to 5 carbon atoms is particularly preferable. A linear or branched alkoxy group having 1 to 5 carbon atoms such as a methoxy group, an ethoxy group, an n-propoxy group, an isopropoxy group, an n-butoxy group, an isobutoxy group, a tert-butoxy group, and an n-pentyloxy group. preferable. These may be substituted with 1 to 3 substituents. Examples of such a substituent include a halogen atom (eg, a chlorine atom, a fluorine atom, a bromine atom, etc.), a nitro group, a hydroxy group, and a carboxy group. And an alkoxycarbonyl group, an aralkyloxycarbonyl group, a cyano group, an amino group and the like, and specifically, a trifluoromethoxy group, a benzyloxycarponylmethyloxy group and the like are preferable.
ァラルキルォキシ基としては、 炭素数 1〜 6のアルキレン鎖を有し総炭素数 6 〜1 4のァラルキルォキシ基が挙げられ、 このうちフエ二ルー 6アルキルォキ シ基が好ましく、 特にべンジルォキシ基、 2—フエニルェチルォキシ基等が好ま しい。 The aralkyloxy group includes an alkylene chain having 1 to 6 carbon atoms and a total carbon number of 6 And 14 to 14 aralkyloxy groups. Of these, a phenyl- 6- alkyloxy group is preferable, and a benzyloxy group and a 2-phenylethyloxy group are particularly preferable.
ハロゲン原子としては、 フッ素原子、 塩素原子、 臭素原子、 ヨウ素原子が挙げ られ、 このうち、 臭素原子が好ましい。 Examples of the halogen atom include a fluorine atom, a chlorine atom, a bromine atom, and an iodine atom. Among them, a bromine atom is preferable.
アルコキシカルボニル基としては、 炭素数 1〜 8のアルコキシカルポニル基が 挙げられ、 例えばメトキシカルボニル基、 エトキシカルポニル基、 プロポキシ力 ルポ二ル基、 ブトキシカルボニル基、 t e r t一ブトキシカルボニル基等が挙げ られる。 Examples of the alkoxycarbonyl group include an alkoxycarbonyl group having 1 to 8 carbon atoms, such as a methoxycarbonyl group, an ethoxycarbonyl group, a propoxylpropanol group, a butoxycarbonyl group, a t-tert-butoxycarbonyl group, and the like.
ァラルキルォキシカルポニル基としては、 炭素数 1〜 6のアルキレン鎖を有し 総炭素数 6〜1 4のァラルキルォキシカルボニル基が挙げられ、 このうちフエ二 ルー アルキルォキシカルボニル基が好ましく、 特にベンジルォキシカルポ二 ル基、 2—フエニルェチルォキシカルボニル基等が好ましい。 Examples of the aralkyloxycarbonyl group include an aralkyloxycarbonyl group having an alkylene chain having 1 to 6 carbon atoms and having a total number of 6 to 14 carbon atoms, and among them, a phenylalkyloxycarbonyl group And a benzyloxycarbonyl group, 2-phenylethyloxycarbonyl group and the like are particularly preferable.
アルカノィル基としては、 炭素数 1〜8のアルカノィル基が挙げられ、 例えば ァセチル基、 プロピオニル基、 プチリル基、 バレリル基等が挙げられる。 The alkanoyl group includes an alkanoyl group having 1 to 8 carbon atoms, such as an acetyl group, a propionyl group, a butyryl group and a valeryl group.
置換基を有していてもよいアミノ基としては、 ァミノ基の他、 アルカノィル、 ベンゾィルのようなァシル基、 アルキルスルホニル基 (例えばメタンスルホニル、 ェ夕ンスルホニル、 プロパンスルホニル等) 、 ァリールスルホニル基 (例えばべ ンゼンスルホニル、 p _トルエンスルホニル、 ナフ夕レンスルホニル等) のよう なスルホニル基、 t e r t一ブトキシカルボ二ル基、 ベンジルォキシカルポニル 基のようなァミノ保護基等が置換したアミノ基が挙げられる。 Examples of the amino group which may have a substituent include an amino group, an alkyl group such as benzoyl, an alkylsulfonyl group (for example, methanesulfonyl, esulfonyl, propanesulfonyl, etc.), and an arylsulfonyl group. (For example, benzenesulfonyl, p-toluenesulfonyl, naphthylenesulfonyl, etc.), and an amino group substituted with an amino-protecting group, such as a tert-butoxycarbonyl group or a benzyloxycarbonyl group. Can be
アルキルゥレイド基としては、 炭素数 1〜 6のアルキルゥレイド基が挙げられ、 例えば N'—メチルウレイド基、 Ν'—ェチルウレイド基、 N '—プロピルウレィ ド基等が挙げられる。 Examples of the alkyl perido group include alkyl perido groups having 1 to 6 carbon atoms, such as N'-methyl ureido group, Ν'-ethyl ureido group, and N'-propyl ureido group.
置換基を有していてもよいァリールゥレイド基としては、 炭素数 6〜1 4のァ リールゥレイド基が挙げられ、 例えば N'—フエニルゥレイド基、 N'—ナフチル ゥレイド基、 N' —アルコキシカルポニルフエニルゥレイド基等が挙げられる。 置換基を有していてもよいアルキル基、 置換基を有していてもよいァリール基、 置換基を有していてもよいへテロアリール基としては、 それぞれ R2及び R8で例 示したものと同様のものが挙げられが、 置換基を有していてもよいアルキル基と してはメチル基、 ェチル基が、 置換基を有していてもよいァリール基としてはフ ェニル基、 ナフチル基、 スルファモイルフエ二ル基、 ァセチルフエニル基、 メタ ンスルホニルフエニル基が、 置換基を有していてもよいへテロアリール基として は 2 , 4 ( 1 H, 3 H) —キナゾリンジオン—3—ィル基、 ピリジル基、 ピリジ ニゥム基、 N—才キシドピリジル基が特に好ましい。 Examples of the aryl perido group which may have a substituent include aryl perido groups having 6 to 14 carbon atoms, such as N'-phenyl perido group, N'-naphthyl A peridode group and an N'-alkoxycarbonylphenyl perido group. Examples of the alkyl group which may have a substituent, the aryl group which may have a substituent, and the heteroaryl group which may have a substituent include those exemplified for R 2 and R 8 , respectively. Examples of the alkyl group which may have a substituent include a methyl group and an ethyl group, and examples of an aryl group which may have a substituent include a phenyl group and a naphthyl group. 2,4 (1H, 3H) -quinazolinedione, as a sulfamoylphenyl group, an acetylphenyl group or a methansulfonylphenyl group, may be a substituted or unsubstituted heteroaryl group. Particularly preferred are an aryl group, a pyridyl group, a pyridinium group, and an N-hydroxypyridyl group.
置換基を有していてもよいシクロアルカノンとしては、 C4-12の単環性又は二 環性のアルカノン、 例えばシクロペン夕ノン、 シクロへキサノン等が挙げられ、 該環上に置換し得る基としては、 例えば C アルキル基、 アミノ基又はカルボキ シ基等が挙げられる。 As good cycloalkanone be substituted, C 4 - 12 monocyclic or bicyclic alkanones, for example Shikuropen evening non, cyclohexanone and the like cyclohexane, may be substituted on the ring Examples of the group include a C alkyl group, an amino group and a carboxyl group.
置換基を有していてもよいシクロアルケノンとしては、 C4_12の単環性又は二 環性のアルケノン、 例えばシクロペンテノン、 シクロへキセノン、 テトラロン、 1 _インダノン等が挙げられ、 該環上に置換し得る基としては、 例えば C アル キル基、 アミノ基又は力ルポキシ基等が挙げられる。 As good cycloalkenone be substituted, monocyclic or bicyclic alkenone of C 4 _ 12, for example, the cyclopentenone, cyclohexenone, tetralone, 1 _ indanone, and the like, ring Examples of the group which can be substituted above include a C alkyl group, an amino group, and a carbonyl group.
また、 R4、 R5、 R6及び R7のうちのいくつかが、 水素原子か否かによって化 合物 (1 ) については 0〜4置換体、 化合物 (2 ) については 1〜4置換体とな り得るが、 1又 2置換体である場合が好ましく、 特に 5位— 1置換体である場合 が好ましい。 Further, depending on whether some of R 4 , R 5 , R 6 and R 7 are hydrogen atoms, the compound (1) is substituted with 0 to 4 substituents, and the compound (2) is substituted with 1 to 4 substituents. Although it can be in a form, it is preferably a mono- or di-substituted product, particularly preferably a 5-position-1-substituted product.
本発明化合物 (1 ) 又は (2 ) の塩としては、 製薬的に許容される塩であれば 特に制限されないが、 例えば (ィ) 塩酸、 硫酸などの鉱酸との塩、 (口) ギ酸、 酢酸、 クェン酸、 トリクロ口酢酸、 トリフルォロ酢酸、 フマール酸、 マレイン酸 などの有機カルボン酸との塩、 (ハ) メタンスルホン酸、 ベンゼンスルホン酸、 p—トルエンスルホン酸、 メシチレンスルホン酸、 ナフタレンスルホン酸などの スルホン酸との塩等の酸付加塩、 (ィ' ) リチウム、 ナトリウム、 カリウムなど のアルカリ金属との塩、 (口' ) カルシウム、 マグネシウムなどのアルカリ土類 金属との塩、 (ハ' ) アンモニゥム塩、 (二' ) トリメチルァミン、 トリェチル ァミン、 トリプチルァミン、 ピリジン、 N, N—ジメチルァニリン、 N—メチル ピぺリジン、 N _メチルモルホリン、 ジェチルァミン、 シクロへキシルァミン、 プロ力イン、 ジベンジルァミン、 N—ベンジル— /3—フエネチルァミン、 1—ェ フエナミン、 N, N ' —ジベンジルエチレンジァミンなどの含窒素有機塩基との 塩等の塩基付加塩を挙げることができる。 The salt of the compound (1) or (2) of the present invention is not particularly limited as long as it is a pharmaceutically acceptable salt. For example, (a) a salt with a mineral acid such as hydrochloric acid or sulfuric acid, (mouth) formic acid, Acetic acid, cunic acid, trichloroacetic acid, trifluoroacetic acid, salts with organic carboxylic acids such as fumaric acid, maleic acid, etc. (c) Methanesulfonic acid, benzenesulfonic acid, p-toluenesulfonic acid, mesitylenesulfonic acid, naphthalenesulfonic acid Such as Acid addition salts such as salts with sulfonic acid, (ii) salts with alkali metals such as lithium, sodium, potassium, etc., (mouth) salts with alkaline earth metals such as calcium and magnesium, (c) ammonium Salt, (2 ') trimethylamine, triethylamine, triptylamine, pyridine, N, N-dimethylaniline, N-methylpiperidine, N_methylmorpholine, getylamine, cyclohexylamine, proforcein, dibenzylamine, N Base addition salts such as salts with nitrogen-containing organic bases such as —benzyl— / 3-phenethylamine, 1-phenamine, and N, N′-dibenzylethylenediamine.
本発明化合物 (1 ) 若しくは (2 ) 又はそれらの塩は未溶媒和型のみならず、 水和物又は溶媒和物としても存在することができる。 従って、 本発明の化合物は、 その全ての結晶型及び水和又は溶媒和物を含むものである。 The compound (1) or (2) of the present invention or a salt thereof can exist not only in an unsolvated form but also as a hydrate or a solvate. Accordingly, the compounds of the present invention are meant to include all crystalline forms and hydrates or solvates thereof.
本発明化合物 (1 ) 若しくは (2 ) 又はそれらの塩には、 置換基の種類や組み 合わせによって、 シス体、 トランス体等の幾何異性体や d体一、 1体一等の光学 異性体等、 各種異性体が存在し得るが、 本発明はそれら何れの異性体も包含する ものである。 The compound (1) or (2) of the present invention or a salt thereof may be a geometric isomer such as a cis-form or a trans-form, or an optical isomer such as a d-form or a one-form depending on the type and combination of the substituents. Although various isomers may exist, the present invention includes all such isomers.
本発明化合物は、 以下に示す製造法 1及び 2により製造することができる。 The compound of the present invention can be produced by Production Methods 1 and 2 shown below.
[製造法 1 ] [Production method 1]
本発明化合物 (1 ) 又は (2 ) のうち、 R3が— S (〇) π— R 12である化合物 ( 1 - Α) 、 (1一 Β) 、 ( 1 - C) 及び (1— D) は以下の工程により製造す ることができる。 Among the compounds of the present invention (1) or (2), R 3 is - S (〇) [pi - a R 12 a compound (1 - Alpha), (1 one beta), (1 - C) and (1-D ) Can be manufactured by the following steps.
〔式中、 Ri、 R2、 R4、 R5、 R6、 R R12及び nは、 前記と同じものを示 す。 〕 [In the formula, Ri, R 2 , R 4 , R 5 , R 6 , RR 12 and n are the same as those described above. ]
すなわち、 ァニリン誘導体 (A) 又はフエニルヒドラジン誘導体 (B) を原料 とし、 これをチォカルボニル化合物 (D) と反応させて環化させることにより、 又はインドール誘導体 (C) を出発原料とし、 これをスルフイド化することによ り、 本発明の化合物 (1—A) を得ることができる。 That is, the aniline derivative (A) or the phenylhydrazine derivative (B) is used as a starting material, and is reacted with a thiocarbonyl compound (D) to be cyclized, or the indole derivative (C) is used as a starting material. The compound (1-A) of the present invention can be obtained by sulfidation.
当該化合物 (1一 A) を用いて、 必要により 3位のスルフイド酸化及び 1位の N—ァシル化を行うことにより、 本発明の化合物 (1 _B) 、 (1一 C) 及び (1 -D) を製造することができる。 If necessary, the compound (1-1A) is subjected to sulfide oxidation at the 3-position and N-acylation at the 1-position to give the compounds (1_B), (1-1C) and (1-D) of the present invention. ) Can be manufactured.
ァニリン誘導体 (A) の環化反応は、 例えば化合物 (A) を対応するひーチォ カルボニル化合物 (D) と過塩素酸 t e r t 一ブチルエステルなどの過塩素酸類 及びトリェチルァミン、 ジイソプロピルェチルァミン、 1, 8—ジァザビシクロ The cyclization reaction of the aniline derivative (A) is carried out, for example, by reacting the compound (A) with the corresponding compound. Carbonyl compound (D) and perchloric acid such as tert-butyl perchlorate, and triethylamine, diisopropylethylamine, 1,8-diazabicyclo
[ 5 . 4. 0 ] ゥンデセン (D B U) などのような有機塩基類の存在下、 ベンゼ ン、 トルエン、 キシレンなどのような芳香族炭化水素類;ジェチルエーテル、 テ トラヒドロフラン、 ジォキサン、 モノグライム、 ジグライムなどのようなエーテ ル類;塩ィヒメチレン、 クロ口ホルム、 四塩ィ匕炭素などのようなハロゲン化炭化水 素類;ァセトニトリル、 N, N—ジメチルホルムアミド、 ジメチルスルホキシド などのような非プロトン性極性溶媒等の溶媒中、 — 7 8 :〜 5 0 °C、 好ましくは 一 7 8 °C〜室温、 1 0分〜 7 2時間、 好ましくは 1〜1 2時間反応させることに より行なうことができる。 [5.4.0] Aromatic hydrocarbons such as benzene, toluene, xylene, etc. in the presence of organic bases such as pendene (DBU); getyl ether, tetrahydrofuran, dioxane, monoglyme Ethers such as dimethyl chloride, diglyme, etc .; halogenated hydrocarbons such as dimethylene chloride, chloroform, tetrachlorosilane, etc .; non-protons such as acetonitrile, N, N-dimethylformamide, dimethyl sulfoxide, etc. In a solvent such as a polar solvent, -78: to 50 ° C, preferably 1 to 78 ° C to room temperature, for 10 minutes to 72 hours, preferably for 1 to 12 hours. Can be.
フエニルヒドラジン誘導体 (B ) の環化反応は、 例えば化合物 (B) を対応す る α—チォカルポニル化合物 (D) とメタノール、 エタノール、 プロパノール、 t e r t—ブ夕ノール等のアルコール溶媒中、 室温〜 2 0 0 ° (:、 好ましくは 5 0 〜1 2 0でで、 1 0分〜 7 2時間、 好ましくは 1〜1 2時間反応させることによ り行なうことができる。 また、 塩酸、 硫酸のような鉱酸、 酢酸などの有機酸又は 塩化アルミニウム、 塩化亜鉛、 弗化ホウ素等のルイス酸を触媒量から過剰量共存 させ反応させることもできる。 The cyclization reaction of the phenylhydrazine derivative (B) is carried out, for example, by reacting the compound (B) with the corresponding α-thiocarbonyl compound (D) in an alcohol solvent such as methanol, ethanol, propanol or tert-butanol at room temperature to 2 ° C. The reaction can be carried out by reacting at 0 ° (: preferably at 50 to 120 for 10 minutes to 72 hours, preferably for 1 to 12 hours. The reaction can also be carried out in the presence of an excess of a mineral acid, an organic acid such as acetic acid, or a Lewis acid such as aluminum chloride, zinc chloride or boron fluoride in an amount from a catalytic amount to an excess amount.
化合物 (C) のスルフィ ド化は、 例えば化合物 (C) を対応するジスルフィド 化合物 R I2 S S R 12と水酸化リチウム、 水素化ナトリウム、 水素化カルシウムな どのような金属水素化物;水酸化ナトリウム、 水酸化カリウム、 炭酸ナトリウム、 炭酸力リゥムなどのような無機塩類;ナトリゥムメトキシド、 ナトリゥムェトキ シド、 カリウム— t e r t—ブトキシドなどのようなナトリウムアルコキシドな どの塩基の存在下、 ベンゼン、 トルエン、 キシレンなどのような芳香族炭化水素 類;ジェチルエーテル、 テトラヒドロフラン、 ジォキサン、 モノグライム、 ジグ ライムなどのようなエーテル類;ァセトニトリル、 N, N—ジメチルホルムアミ ド、 ジメチルスルホキシドなどのような非プロトン性極性溶媒等の溶媒中、 一 5 0 °C〜 2 0 0 ° (:、 好ましくは 0 °C〜 1 0 0 °Cで、 1 0分〜 7 2時間、 好まし くは 1〜 1 2時間反応させることにより行なうことができる。 Surufi de of the compound (C), for example compound (C) and the corresponding disulfide compound R I2 SSR 12 lithium hydroxide, sodium hydride, calcium hydride such any metal hydrides; sodium hydroxide, Inorganic salts such as potassium, sodium carbonate, carbonated lime, etc .; In the presence of bases such as sodium alkoxide such as sodium methoxide, sodium methoxide, potassium tert-butoxide, etc., benzene, toluene, xylene, etc. Aromatic hydrocarbons; ethers such as getyl ether, tetrahydrofuran, dioxane, monoglyme, diglyme; aprotic polar solvents such as acetonitrile, N, N-dimethylformamide, dimethylsulfoxide, etc. In the solvent, The reaction can be carried out at a temperature of 50 ° C to 200 ° C (preferably at 0 ° C to 100 ° C for 10 minutes to 72 hours, preferably for 1 to 12 hours. it can.
スルフイ ド酸化は、 一般公知のものが利用できるが、 好ましくは m—クロ口過 安息香酸やマグネシウムモノ過フ夕ル酸などの有機過酸化物や過酸化水素などの 存在下、 ベンゼン、 トルエン、 キシレンなどのような芳香族炭化水素類;塩ィ匕メ チレン、 クロ口ホルム、 四塩化炭素などのようなハロゲン化炭化水素類等の溶媒 中、 — 3 0 °C〜1 0 0 °C、 好ましくは— 1 0 °C〜室温で、 1 0分〜 7 2時間、 好 ましくは 1〜 1 2時間反応させることにより行なうことができる。 As the sulfide oxidation, generally known ones can be used. Preferably, benzene, toluene, and the like are used in the presence of organic peroxides such as m-chloroperbenzoic acid and magnesium monoperfluoric acid and hydrogen peroxide. Aromatic hydrocarbons such as xylene; in solvents such as halogenated hydrocarbons such as methyl chloride, chloroform, carbon tetrachloride, etc .: — 30 ° C. to 100 ° C .; Preferably, the reaction can be carried out at a temperature of −10 ° C. to room temperature for 10 minutes to 72 hours, preferably 1 to 12 hours.
N—ァシル化反応は、 通常のァシル化反応、 例えば化合物 (1—A) を対応す る酸ハライドのような活性化された酸と、 水素化リチウム、 水素化ナトリウム、 水素化カルシウムなどのような金属水素化物;水酸化リチウム、 水酸化ナトリゥ ム、 水酸化カリウム、 炭酸ナトリウム、 炭酸カリウム、 炭酸セシウムなどのよう な無機塩類;ナトリウムメトキシド、 ナトリウムエトキシド、 カリウム— t e r t 一ブトキシドなどのようなナトリウムアルコキシドなどの塩基あるいはピリジ ン、 4—ジメチルァミノピリジン、 ピコリン、 N, N _ジメチルァニリン、 N— メチルモルホリン、 ジメチルァミン、 トリェチルァミン、 ジイソプロピルェチル ァミン、 1, 8—ジァザビシクロ [ 5 . 4. 0 ] ゥンデセン (D B U) 等の有機 塩基の存在下又は非存在下、 塩化メチレン、 クロ口ホルム、 四塩化炭素、 クロ口 ベンゼン等のハロゲン化炭化水素類、 ベンゼン、 トルエン等の芳香族炭化水素類、 テトラヒドロフラン、 ジェチルエーテル、 ジォキサン等のエーテル類、 アセトン、 メチルェチルケトン等のケトン類、 ァセトニトリル、 N, N—ジメチルホルムァ ミド等の非プロトン性極性溶媒又は酢酸ェチル等の溶媒中、 一 5 0〜 2 0 The N-acylation reaction is a conventional acylation reaction, for example, when the compound (1-A) is activated with an activated acid such as the corresponding acid halide, and then with a compound such as lithium hydride, sodium hydride, calcium hydride, etc. Metal hydrides; inorganic salts such as lithium hydroxide, sodium hydroxide, potassium hydroxide, sodium carbonate, potassium carbonate, cesium carbonate; sodium methoxide, sodium ethoxide, potassium tert-butoxide, etc. Bases such as sodium alkoxide or pyridin, 4-dimethylaminopyridine, picoline, N, N-dimethylaniline, N-methylmorpholine, dimethylamine, triethylamine, diisopropylethylamine, 1,8-diazabicyclo [5.4. 0] In the presence or absence of organic bases such as pendene (DBU) Halogenated hydrocarbons such as methylene chloride, chloroform, carbon tetrachloride, and carbon benzene; aromatic hydrocarbons such as benzene and toluene; ethers such as tetrahydrofuran, getyl ether, and dioxane; acetone, and methylethyl Ketones such as ketones, aprotic polar solvents such as acetonitrile, N, N-dimethylformamide, or solvents such as ethyl acetate.
0 :、 好ましくは 0〜 1 0 0でで、 1 0分〜 7 2時間、 好ましくは 1〜1 2時 間反応させることにより行なうことができる。 0: preferably 0 to 100, for 10 minutes to 72 hours, preferably 1 to 12 hours.
斯かる酸化反応と N—ァシル化反応の順序は任意であり、 適宜選択して行えば よい。 [製造法 2] The order of the oxidation reaction and the N-acylation reaction is arbitrary, and may be appropriately selected and performed. [Production method 2]
本発明化合物 (1) 又は (2) のうち、 R3がー COR9である化合物 (1一 E) 及び (1— F) は以下の工程により製造することができる。 Among the compounds (1) or (2) of the present invention, the compounds (1-1E) and (1-F) wherein R 3 is —COR 9 can be produced by the following steps.
〔式中、 R3aは— COR9を示し、 R1 R R4、 R5、 R6及び R7は、 前記と同じ ものを示す。 〕 [Wherein, R 3a represents —COR 9 , and R 1 RR 4 , R 5 , R 6, and R 7 represent the same as described above. ]
すなわち、 インドール誘導体 (C) を原料とし、 これをァシル化又はオギザリ ル化することにより 3位に— CO R9を有する化合物 (1— E) を得ることがで き、 これを N—ァシル化すれば化合物 (1—F) を製造することができる。 また、 R3がシァノ基である化合物は、 — C〇R9 (R9は _OR1()である) を導入後、 通 常の方法でシァノ基に変換して得ることができる。 That is, a compound (1-E) having —CO R 9 at the 3-position can be obtained by using the indole derivative (C) as a raw material and subjecting it to acylation or oxalylation. Then, the compound (1-F) can be produced. Further, a compound in which R 3 is a cyano group can be obtained by introducing —C〇R 9 (R 9 is _OR 1 () ) and then converting the compound to a cyano group by a usual method.
例えば、 R9が水素原子である場合は、 V i 1 sme i e r反応に従い、 N, N—ジメチルホルムアミドとォキザリルクロリド又はォキシ塩化リン等を N, N —ジメチルホルムアミド等の溶媒中、 — 30〜1 00 で 1〜24時間反応反応 させることにより行なうことができる。 For example, when R 9 is a hydrogen atom, N, N-dimethylformamide and oxalyl chloride or phosphorus oxychloride can be dissolved in a solvent such as N, N-dimethylformamide according to the Vi 1 smier reaction. The reaction can be carried out at 100 to 100 for 1 to 24 hours.
また、 R9が— CORnである場合、 即ち一 COCOR11基の導入は、 例えば (C) とォキザリルクロリドのような活性ィ匕したジカルポニル化合物とを、 塩化 メチレン、 クロ口ホルム、 四塩化炭素、 クロ口ベンゼン等のハロゲン化炭化水素 類、 ベンゼン、 トルエン等の芳香族炭化水素類、 テトラヒドロフラン、 ジェチル エーテル、 ジォキサン等のエーテル類、 アセトン、 メチルェチルケトン等のケト ン類、 ァセトニトリル等の非プロトン性極性溶媒又は酢酸ェチル等の溶媒中、 一 30〜1 00° (:、 好ましくは 0°C〜室温で、 1 0分〜 1時間反応させた後、 さら に対応するァミンと同様の条件下、 1 0分〜 7 2時間、 好ましくは 1〜 1 2時間 反応させることにより行なうことができる。 In the case where R 9 is — COR n, that is, the introduction of one COCOR 11 group, for example, (C) and an activated dicarponyl compound such as oxalyl chloride can be obtained by converting methylene chloride, chloroform form, Halogenated hydrocarbons such as carbon chloride and benzene, aromatic hydrocarbons such as benzene and toluene, ethers such as tetrahydrofuran, getyl ether and dioxane, ketones such as acetone and methyl ethyl ketone, and acetonitrile In an aprotic polar solvent or in a solvent such as ethyl acetate for 30 minutes to 100 ° (preferably at 0 ° C. to room temperature for 10 minutes to 1 hour, and then the same as the corresponding amine. Under the conditions of 10 minutes to 72 hours, preferably 1 to 12 hours It can be carried out by reacting.
R9がそれ以外のものである場合は、 製造法 1に示した条件又は対応する酸無 水物と塩ィ匕メチレン、 クロ口ホルム、 四塩化炭素、 クロ口ベンゼン等のハロゲン 化炭化水素類、 ベンゼン、 トルエン等の芳香族炭化水素類、 テトラヒドロフラン、 ジェチルエーテル、 ジォキサン等のエーテル類、 アセトン、 メチルェチルケトン 等のケトン類等の溶媒中、 一 3 0〜1 0 0 °Cで、 1〜2 4時間反応させることに より行なうことができる。 When R 9 is other than the above, halogenated hydrocarbons such as the conditions shown in Production Method 1 or the corresponding acid anhydride and methylene chloride, carbon form, carbon tetrachloride, and carbon benzene Benzene, toluene and other aromatic hydrocarbons, tetrahydrofuran, acetyl ether, dioxane and other ethers, acetone, methyl ethyl ketone and other ketones and the like at 130 to 100 ° C. The reaction can be performed by reacting for 1 to 24 hours.
化合物 (1— E ) の N—ァシル化反応は、 製造法 1で用いられたものと同様の 方法により行なうことができる。 The N-acylation reaction of compound (1-E) can be carried out by the same method as that used in Production method 1.
尚、 製造法 1及び 2において原料として用いられるインドール誘導体 (C) は、 全て既知化合物であり、 公知の方法により合成することができる (J, 0rg. Chem., 59, 6372-6377 (1994)、 Chem. Pharm. Bul l . , 38 (9), 2459-2462 (1990)、 「複素環化合 物の化学」 秋葉欣哉 (科学技術出版社) 等) 。 The indole derivative (C) used as a raw material in Production Methods 1 and 2 is a known compound and can be synthesized by a known method (J, 0rg. Chem., 59, 6372-6377 (1994) Chem. Pharm. Bull., 38 (9), 2459-2462 (1990), "Chemistry of Heterocyclic Compounds", Kinya Akiba (Science & Technology Publishing Company), etc.).
特に、 R4〜R7の何れかが、 置換基を有していてもよいァリール基、 置換基を 有していてもよいへテロアリール基又は置換基を有していてもよいアルキニル基 である化合物を得る場合には、 クロスカツプリング反応を用いることにより効率 よく製造することができる。 In particular, any of R 4 to R 7 is an aryl group which may have a substituent, a heteroaryl group which may have a substituent, or an alkynyl group which may have a substituent. When a compound is obtained, it can be efficiently produced by using a cross-coupling reaction.
例えば、 化合物 (C ) のうち R 5が置換基を有していてもよいァリール基、 置 換基を有していてもよいへテロアリール基又は置換基を有していてもよいアルキ ニル基である場合の化合物 (C ' ) を例に挙げれば、 以下の反応式 1により製造 することができる。 For example, in compound (C), R 5 is an aryl group which may have a substituent, a heteroaryl group which may have a substituent, or an alkynyl group which may have a substituent. Taking a compound (C ′) in a certain case as an example, it can be produced by the following reaction formula 1.
反応式 1 Reaction formula 1
(C) (C ) 〔式中、 Xはハロゲン原子、 トリフルォロメタンスルホ二ルォキシ基を示し、 R5aは、 置換基を有していてもよいァリール基、 置換基を有していてもよいへテ ロアリール基又は置換基を有していてもよいアルキニル基を示し、 Mは水素原子、 銅原子、 リチウム原子、 ハロゲン化金属又は基一 B (O R 13) 2 (ここで、 R 13は 水素原子又は低級アルキル基を示す) を示し、 R2、 R\ R6及び R7は前記と同 じものを示す。 〕 (C) (C) Wherein X represents a halogen atom, a trifluoromethanesulfonyloxy group, R 5a represents an aryl group which may have a substituent, a heteroaryl group which may have a substituent or Represents an alkynyl group which may have a group, M represents a hydrogen atom, a copper atom, a lithium atom, a metal halide or a group B (OR 13 ) 2 (where R 13 represents a hydrogen atom or a lower alkyl group; R 2 , R \ R 6 and R 7 are the same as described above. ]
すなわち、 化合物 (C) を遷移金属触媒等を用いて化合物 (F ) とクロスカツ プリングさせることにより行われる。 That is, the compound (C) is cross-coupled with the compound (F) using a transition metal catalyst or the like.
具体的には上記反応式の化合物 (F) の Mが銅、 リチウム、 ハロゲン化金属の 場合には、 ベンゼン、 トルエン、 ジェチルエーテル、 テトラヒドロフラン、 ジォ キサン、 ァセトニトリル、 N, N—ジメチルホルムアミド等の不活性溶媒中、 二 ッケル錯体、 白金錯体、 好ましくはパラジウム錯体の存在下に行なうのが好まし い。 また、 Mが— B (O R 13) 2 (ここで、 — B (O R 13) 2は環を形成してもよ い) である場合には、 ベンゼン、 トルエン、 ジェチルエーテル、 テトラヒドロフ ラン、 ジォキサン、 ァセトニトリル、 N, N—ジメチルホルムアミド、 メタノー ル、 エタノール、 プロパノール、 ジメトキエタン、 水等の適切な単一あるいは混 合溶媒中、 ニッケル錯体、 白金錯体、 好ましくはパラジウム錯体の存在下、 トリ ェチルァミン、 ジイソプロピルェチルァミン等の非求核性三級アミン類、 炭酸力 リウム、 炭酸ナトリウム、 炭酸ナトリウム、 炭酸セシウム、 炭酸タリウム、 水酸 化リチウム、 水酸化カリウム、 水酸化ナトリウム、 水酸化タリウム等の無機塩基、 あるいは、 これらアルカリ金属類のアルコキシド等の添加による塩基性条件下に 反応を行なうのが好ましい。 有機溶媒に不溶の無機塩基を用いる場合には、 水溶 液として用いる必要があり、 テトラ _ n—プチルアンモニゥムブロミド、 クラウ ンエーテル等の相間移動触媒の存在下、 0〜1 5 0で、 好ましくは室温〜 1 2 0 °Cで行なうのが好ましい。 Specifically, when M of the compound (F) in the above reaction formula is copper, lithium, or a metal halide, benzene, toluene, dimethyl ether, tetrahydrofuran, dioxane, acetonitrile, N, N-dimethylformamide, etc. It is preferable to carry out the reaction in an inert solvent in the presence of a nickel complex, a platinum complex, preferably a palladium complex. When M is — B (OR 13 ) 2 (where — B (OR 13 ) 2 may form a ring), benzene, toluene, getyl ether, tetrahydrofuran, In a suitable single or mixed solvent such as dioxane, acetonitrile, N, N-dimethylformamide, methanol, ethanol, propanol, dimethoxethane, water, etc., in the presence of a nickel complex, a platinum complex, preferably a palladium complex, triethylamine, Non-nucleophilic tertiary amines such as diisopropylethylamine, potassium carbonate, sodium carbonate, sodium carbonate, cesium carbonate, thallium carbonate, lithium hydroxide, potassium hydroxide, sodium hydroxide, thallium hydroxide, etc. The reaction is carried out under basic conditions by adding an inorganic base or an alkoxide of these alkali metals. Preferably, the Nau. When an inorganic base that is insoluble in an organic solvent is used, it must be used as an aqueous solution, and is preferably 0 to 150 in the presence of a phase transfer catalyst such as tetra-n-butylammonium bromide or crown ether. Is preferably performed at room temperature to 120 ° C.
上記反応式において、 Xで示されるハロゲン原子としては、 塩素原子、 臭素原 子、 ヨウ素原子が挙げられ、 好ましくは臭素原子、 ヨウ素原子である。 In the above reaction formula, the halogen atom represented by X is a chlorine atom, a bromine atom And iodine atom, preferably bromine atom and iodine atom.
上記反応式において、 Mで示されるハロゲン化金属としては、 例え ば— ZnC l基、 一 MgC l基、 — CuC l基、 一 B C 12基、 — Z n B r基、 — MgB r基、 一 CuB r基、 — BB r2基が挙げられ、 R13としては水素原子、 アルキル基 (メチル基、 イソプロピル基) が挙げられる。 また、 一 B (OR13) 2 が環を形成する場合には、 1, 3, 2—ジォキサポリナン等が挙げられる。 上記反応式において用いられるパラジウム触媒としては、 テトラキス (トリフ ェニルホスフィン) パラジウム、 ビス (ジベンジリデンアセトン) パラジウム、 トリス (ジベンジリデンアセトン) ジパラジウム、 或いは二価のパラジウムホス フィン錯体が挙げられる。 In the above reaction formula, Examples of the halogenated metal represented by M, For example - ZnC l group, One MgC l group, - CuC l group, one BC 1 2 group, - Z n B r group, - MgB r group, A CuBr group, —BBr 2 group, and R 13 include a hydrogen atom and an alkyl group (methyl group, isopropyl group). When one B (OR 13 ) 2 forms a ring, 1,3,2-dioxapolynan and the like can be mentioned. Examples of the palladium catalyst used in the above reaction formula include tetrakis (triphenylphosphine) palladium, bis (dibenzylideneacetone) palladium, tris (dibenzylideneacetone) dipalladium, and a divalent palladium phosphine complex.
本反応は反応混合物中で触媒を活性化して行なうこともできる。 例えば、 トリ フエニルホスフィンを加えた反応混合物中に、 トリス (ジベンジリデンァセト ン) ジパラジウムを添加し、 生成する活性ィ匕されたトリフエニルホスフィンパラ ジゥム錯体を用いる。 触媒の活性化は、 パラジウムクロリド、 パラジウムブロミ ド、 パラジウムアセテート等の二価のパラジウム塩とトリアルキルホスフィン、 トリアルキルホスファイト、 トリァリールホスフィン、 一般的にはジアルキル亜 鉛、 アルキル亜鉛ハラィド、 ジアルキルマグネシウム、 アルキルマグネシウムハ ライド、 トリアルキルアルミニウム、 ジアルキルアルミニウムハライド、 水素化 ホウ素ナトリウム、 ヒドラジン、 ァリールボロン酸、 好ましくはジェチル亜鉛等 の還元剤の存在下、 トリフエニルホスフィンを反応させて行なうこともできる。 尚、 製造法 1における当該カップリング反応による R4〜R7の導入は、 上記の ように 3位のスルフィド化及び 1位の N—ァシル化の前に行ってもよいが、 下記 の反応式 2で示されるように、 3位のスルフィ ド化及び 1位の N_ァシル化の後 に行ってもよい。 This reaction can be carried out by activating the catalyst in the reaction mixture. For example, tris (dibenzylideneaceton) dipalladium is added to a reaction mixture to which triphenylphosphine has been added, and the resulting activated triphenylphosphine palladium complex is used. Activation of the catalyst is performed by using a divalent palladium salt such as palladium chloride, palladium bromide, or palladium acetate and trialkyl phosphine, trialkyl phosphite, triaryl phosphine, generally dialkyl zinc, alkyl zinc halide, or dialkyl. Trifluorophenylphosphine can be reacted in the presence of a reducing agent such as magnesium, an alkylmagnesium halide, a trialkylaluminum, a dialkylaluminum halide, sodium borohydride, hydrazine, arylboronic acid, and preferably dimethylethyl zinc. The introduction of R 4 to R 7 by the coupling reaction in the production method 1 may be performed before the sulfidation at the 3-position and the N-acylation at the 1-position, as described above. As shown in 2, it may be performed after sulfidation at the 3-position and N-acylation at the 1-position.
反応式 2 Reaction formula 2
(G) (H) (ΐ -Β' ) (G) (H) (ΐ -Β ')
〔式中、 X、 R 5a、 M、 R '、 R 2、 R4、 R6、 R 7及び は前記と同じものを示 す。 〕 [Wherein, X, R 5a , M, R ′, R 2 , R 4 , R 6 , R 7 and the same are as defined above. ]
また、 製造法 1及び 2で得られる化合物の置換基は、 所望の方法により変換さ れ、 例えば、 t e r t—ブトキシカルポニル基、 ベンジルォキシカルポニル基、 ベンジル基等で保護されたァミノ基は、 加水分解、 接触還元等公知の方法により 脱保護され、 さらにアルキル化、 ァシル化等の置換基変換が可能である。 The substituents of the compounds obtained in Production Methods 1 and 2 can be converted by a desired method. For example, an amino group protected with a tert-butoxycarponyl group, a benzyloxycarponyl group, a benzyl group, etc. Deprotection is performed by a known method such as decomposition and catalytic reduction, and further, substituent conversion such as alkylation and acylation is possible.
ベンジル基あるいは t e r t—プチルジメチルシリル基で保護されたヒドロキ シ基は、 酸加水分解、 接触還元等公知の方法により脱保護され、 さらに、 アルキ ル化、 ァシル化等の置換基変換が可能である。 A hydroxy group protected with a benzyl group or a tert-butyldimethylsilyl group can be deprotected by a known method such as acid hydrolysis and catalytic reduction, and further, can be converted into a substituent such as alkylation or acylation. .
シァノ基は、 アジ化ナトリウム等の金属アジド、 トリメチルシリルアジド、 ト リェチルシリルアジド、 トリプロビルシリルアジド等のトリアルキルシリルアジ ド又はトリメチルスズァジド、 トリェチルスズァジド、 トリプロピルスズアジド 等のトリアルキルスズアジドのようなアジド試薬を用いることにより、 テトラゾ ールへ変換することができる。 また、 アルコキシカルボニル、 ァラルキルォキシ カルボ二ル基は酸又はアルカリ加水分解、 接触還元等の公知の方法によりカルボ キシ基に変換することができる。 また、 N— t e r t —プチルスルホンアミドは、 トリフルォロ酢酸あるいは塩酸、 硫酸中スルホンアミドに変換され、 さらにァシ ル化等の置換基変換が可能である。 The cyano group is a metal azide such as sodium azide; a trialkylsilyl azide such as trimethylsilyl azide, triethylsilyl azide; By using an azide reagent such as trialkyltin azide, it can be converted to tetrazole. Further, the alkoxycarbonyl or aralkyloxycarbonyl group can be converted to a carboxy group by a known method such as acid or alkali hydrolysis and catalytic reduction. In addition, N-tert-butylsulfonamide is converted to sulfonamide in trifluoroacetic acid, hydrochloric acid, or sulfuric acid, and further can be converted to a substituent such as acylation.
かくして得られた本発明の化合物は、 常法に従って単離、 精製することができ る。 単離、 精製条件によって、 塩の形、 遊離カルボン酸や遊離のァミンの形で得 られるが、 これらは所望により相互に変換され、 目的とする形の本発明の化合物 が製造される。 本発明化合物 (1 ) 又はその塩は、 後記試験例に示すように優れたキマーゼ阻 害作用を有する。 従って、 当該化合物を有効成分とする医薬は、 循環器系疾患、 炎症、 免疫系疾患、 アレルギー性疾患、 眼疾患、 糖尿病性合併症、 膠原病又は肥 満症等の予防 ·治療薬、 更には粘膜 ·臓器保護薬、 癌転移 ·浸潤の防止薬又は臓 器移植後の生存率改善薬等として有用である。 The compound of the present invention thus obtained can be isolated and purified according to a conventional method. Depending on the conditions of isolation and purification, the compound of the present invention can be obtained in the form of a salt, free carboxylic acid or free amine, which can be mutually converted as required to produce the desired compound of the present invention. The compound (1) of the present invention or a salt thereof has an excellent chymase inhibitory activity as shown in the test examples described later. Therefore, a pharmaceutical containing the compound as an active ingredient is a prophylactic / therapeutic agent for cardiovascular diseases, inflammation, immune system diseases, allergic diseases, eye diseases, diabetic complications, collagen diseases or hypertrophy, etc. It is useful as a mucosal / organ protector, a cancer metastasis / invasion preventive, or a survival improver after organ transplantation.
本発明化合物 (1 ) 又はその塩を医薬として使用する場合、 注射、 経直腸等の 非経口投与、 固形若しくは液体形態での経口投与等のための製薬上許容し得る担 体と共に組成物として処方することができる。 When the compound of the present invention (1) or a salt thereof is used as a medicine, it is formulated as a composition together with a pharmaceutically acceptable carrier for parenteral administration such as injection, rectal administration, or oral administration in solid or liquid form. can do.
注射剤のための本発明による組成物の形態としては、 製薬上許容し得る無菌水、 非水溶液、 懸濁液又は乳濁液が挙げられる。 適当な非水担体、 希釈剤、 溶媒又は ビヒクルの例としては、 プロピレングリコール、 ポリエチレングリコール、 オリ ーブ油等の植物油、 ォレイン酸ェチル等の注射可能な有機酸エステルが挙げられ る。 このような組成物は、 防腐剤、 湿潤剤、 乳化剤、 分散剤等の補助剤をも含有 することができる。 これらの組成物は、 例えば細菌保持フィル夕一による濾過に より、 又は使用直前に滅菌水あるいは若干の他の滅菌注射可能な媒質に溶解し得 る無菌固形組成物の形態で滅菌剤を混入することにより滅菌することができる。 経口投与のための固形製剤としては、 カプセル剤、 錠剤、 丸剤、 散剤、 顆粒剤 等が挙げられる。 この固形製剤の調製に際しては、 一般に本発明化合物を少なく とも 1種の不活性希釈剤、 例えばスクロース、 乳糖、 でんぷん等と混和する。 こ の製剤は、 また通常の製剤化において不活性希釈剤以外の追加の物質例えば滑沢 剤 (例えばステアリン酸マグネシウム等) を包含させることができる。 カプセル 剤、 錠剤及び丸剤の場合には、 緩衝剤をも包含し得る。 錠剤及び丸剤には更に腸 溶性被膜を施すこともできる。 Forms of the compositions according to the present invention for injection include pharmaceutically acceptable sterile water, non-aqueous solutions, suspensions or emulsions. Examples of suitable non-aqueous carriers, diluents, solvents or vehicles include propylene glycol, polyethylene glycol, vegetable oils such as olive oil, and injectable organic acid esters such as ethyl oleate. Such compositions may also contain adjuvants such as preserving, wetting, emulsifying, and dispersing agents. These compositions are formulated with a sterilizing agent, for example by filtration through a bacterial retention filter or in the form of a sterile solid composition which can be dissolved in sterile water or some other sterile injectable medium immediately before use. Can be sterilized. Examples of solid preparations for oral administration include capsules, tablets, pills, powders, and granules. In preparing this solid preparation, the compound of the present invention is generally mixed with at least one inert diluent, for example, sucrose, lactose, starch and the like. The formulation may also include additional substances other than inert diluents in normal formulation such as lubricants (eg, magnesium stearate, etc.). In the case of capsules, tablets and pills, a buffer may also be included. Tablets and pills can additionally be provided with an enteric coating.
経口投与のための液体製剤としては、 当業者間で普通に使用される不活性希釈 剤、 例えば水を含む製薬上許容し得る乳剤、 溶液、 懸濁剤、 シロップ剤、 エリキ シール剤等が挙げられる。 力 ^かる不活性希釈剤に加えて、 組成物には湿潤剤、 乳 化、 懸濁剤、 甘味剤、 調味剤、 香味剤等の補助剤をも配合することができる。 経直腸投与のための製剤の場合、 本発明化合物に加えてカカオ脂、 坐剤ヮック ス等の賦形剤を含有するのが好ましい。 Liquid preparations for oral administration include inert diluents commonly used by those skilled in the art, such as pharmaceutically acceptable emulsions, solutions, suspensions, syrups, elixirs and the like, including water. Can be In addition to strong inert diluents, the composition contains a wetting agent, milk Auxiliaries such as emollients, suspending agents, sweeteners, seasonings, and flavoring agents can also be added. In the case of a preparation for rectal administration, it is preferable to contain excipients such as cocoa butter and a suppository box in addition to the compound of the present invention.
本発明化合物 (1) 又はその塩の投与量は、 投与される化合物の性状、 投与経 路、 所望の処置期間及びその他の要因によって左右されるが、 一般に一日当り約 0. 1〜; L 0 OmgZkg、 特に約 0. 5〜 50 mg/k gが好ましい。 また、 所望によりこの一日量を 2〜4回に分割して投与することもできる。 実施例 The dose of the compound (1) of the present invention or a salt thereof depends on the properties of the compound to be administered, the route of administration, the desired treatment period and other factors, but is generally about 0.1 to about 0.5% per day; OmgZkg, especially about 0.5-50 mg / kg, is preferred. If desired, the daily dose can be administered in 2 to 4 divided doses. Example
次に実施例を挙げて本発明を詳細に説明する。 Next, the present invention will be described in detail with reference to examples.
参考例 1 (1) Reference example 1 (1)
1—フエ二ルチオ一 2—プロパノン (化合物 1) 1-phenylthio-2-propanone (Compound 1)
チォフエノール 27. 5 gとクロ口アセトン 23. l gをジクロ口メタ ン 300m lに溶解した。 氷冷下にジイソプロピルェチルァミン 32. 3 gの ジクロロメ夕ン溶液 50 m 1を 40分で滴下した。 その後同温で 16時間撹拌し た。 溶媒を減圧下に留去した。 残渣をカラムクロマト (シリカゲル;クロ口ホル ム) に付して上記化合物を 41. 5 g得た。 27.5 g of thiophenol and 23.lg of acetone were dissolved in 300 ml of dichloromethane. Under ice-cooling, 50 ml of a solution of 32.3 g of diisopropylethylamine in dichloromethane was added dropwise over 40 minutes. Thereafter, the mixture was stirred at the same temperature for 16 hours. The solvent was distilled off under reduced pressure. The residue was subjected to column chromatography (silica gel; chromatographic form) to obtain 41.5 g of the above compound.
性状:黄色油状物 Properties: yellow oil
'H-NMR(CDC13) δ : 2.28 (3Η, s) , 3.67 (2H, s) , 7.20-7.23 (1Η, m) , 'H-NMR (CDC1 3) δ: 2.28 (3Η, s), 3.67 (2H, s), 7.20-7.23 (1Η, m),
7.26-7.35 (4H, m) 7.26-7.35 (4H, m)
参考例 1 (2) _ (10) Reference example 1 (2) _ (10)
参考例 1 (1) と同様にして、 以下の (化合物 2) - (化合物 10) を得た。 参考例 1 (2) The following (Compound 2)-(Compound 10) were obtained in the same manner as in Reference Example 1 (1). Reference example 1 (2)
1一 (4—ヒドロキシフエ二ルチオ) — 2 _プロパノン (化合物 2) 1- (4-hydroxyphenylthio) — 2-propanone (compound 2)
性状:黄色粉末 Properties: yellow powder
融点: 77. 5 - 78. 0°C ' (ZH8=f 'Ρ ' Ζ) 01 ' (s 'ΕΖ) 19 '9 ' (S ΉΟ ΙΓ Γ (s ¾) 92 : (sI3aD)¾WN-H, Melting point: 77.5-78.0 ° C '(ZH8 = f' Ρ 'Ζ) 01'(s' ΕΖ) 19 '9' (S ΉΟ ΙΓ Γ (s ¾) 92: ( s I3aD) ¾WN-H,
( L /unoL-z - ( ニェ乙 — ) - τ (L / un o Lz-(Nye Ot —)-τ
(Ζ) TP (Ζ) TP
(ui ¾) Ά ' (s ΉΖ) 89 "8 ' (s ¾) Π 'g ' (s Ήε) 2 : 9 (sI3a3)HWN-H,(ui ¾) Ά '(s ΉΖ) 89 "8' (s ¾) Π 'g' (s Ήε) 2: 9 ( s I3a3) HWN-H,
^ : m\- ^: M \-
( 9 (#^^» く, /口 一 ^ く ΐ (9 (# ^^ »Ku, / 口 一 ^ く ΐ
(ZH8=f Ί 'HI) 61 ¾) 16 '9-98 "9 ' (ui ΉΙ) *9-εΖ '9 ' (s lHC) 8A ' (s Ή2) 99 ' (s Ήε) : Q (eI3a3)HWN-H, 呦^^ -(ZH8 = f Ί 'HI) 61 ¾) 16' 9-98 "9 '(ui ΉΙ) * 9-εΖ' 9 '(s l HC) 8A' (s Ή2) 99 '(s Ήε): Q ( e I3a3) HWN-H, 呦 ^^-
( s 0v a0^-2- ( ^ : 乙 ^— ε) - τ (s 0 va 0 ^ -2- (^: your ^-ε)-τ
(S) TP # (ZHS=i 'P ΉΙ) SC ·8 ' (,=ί Ήΐ) Z 'L ' (,=ί 'Ρ 'Ηΐ) \1 Ί '(ZHS=f Ί 'Hl)Z6-9'(s<HZ)Z6'2<(s'H8)18 : 9 (ε13αθ) Ν-Η, m ^ -(S) TP # (ZHS = i 'P ΉΙ) SC8' (, = ί Ήΐ) Z 'L' (, = ί 'ί' Ρ) \ 1 Ί '(ZHS = f Ί' Hl) Z6- 9 '(s < HZ) Z6'2 < (s'H8) 18: 9 ( ε 13αθ) Ν-Η, m ^-
( 呦 a^-Z - (^Λ( (ι7\~Ζ) - T (呦 a ^ -Z-(^ Λ ((ι7 \ ~ Ζ)-T
( ) ΤΡ^ (ZH8=f 'HI) Π 'I ' (,=ί 'Ρ ΉΙ) 68 Ί ' (,=f 'Ρ 'Ηΐ) η 'L '(ΖΗ8=ί Ί WZZ'L'^WZO'f'^' U-Z: Q (9P-0SKa) ¾ -Η, a 6 s τ - s -831 : () ΤΡ ^ (ZH8 = f 'HI) Π' I '(、 = ί' Ρ ΉΙ) 68 Ί '(、 = f' Ρ 'Ηΐ) η' L '(ΖΗ8 = ί Ί WZZ'L' ^ WZO 'f' ^ 'UZ: Q ( 9 P-0SKa) ¾ -Η, a 6 s τ-s -831:
^ w - i- ^ w-i-
( ε 邈暴、绿' ζ) - ζ (ε 邈 violence, 绿 ' ζ)-ζ
(ε) ΪΡ^# (ΖΗ6= Ρ'Η εζ· (ε) ΪΡ ^ # (ΖΗ6 = Ρ'Η εζ
' (ZH6=f 'Ρ Ή2) Α9 '9 ' (s 'ΗΖ) ·ζ ' (s ¾) QZ'Z - 9 (sIDa3) N-H, S.0/00df/X3d U9 / 10 OAV 7.26(2H, d, J=8Hz) '(ZH6 = f' Ρ Ή2) Α9 '9' (s 'ΗΖ) ζ' (s ¾) QZ'Z-9 ( s IDa3) NH, S.0 / 00df / X3d U9 / 10 OAV 7.26 (2H, d, J = 8Hz)
参考例 1 (8) Reference example 1 (8)
1 _フエ二ルチオ一 3, 3—ジメチルブタン— 2—オン (化合物 8) 1 _Fenrylthio-1,3-dimethylbutan-2-one (Compound 8)
性状:無色油状物 Properties: colorless oil
'H-NMR(CDC13) δ : 1.18(9H, s), 3.94(2H, s), 7.21 (1H, t, J=7Hz), 'H-NMR (CDC1 3) δ: 1.18 (9H, s), 3.94 (2H, s), 7.21 (1H, t, J = 7Hz),
7.27(2H, t, J=7Hz),7.38(2H,d, J=7Hz) 7.27 (2H, t, J = 7Hz), 7.38 (2H, d, J = 7Hz)
参考例 1 (9) Reference example 1 (9)
1一 (4一クロ口フエ二ルチオ) — 2—プロパノン (化合物 9) 1- (4-chlorophenol) — 2-propanone (compound 9)
性状:黄色油状物 Properties: yellow oil
'Η-腿 (CDC13) δ : 2.26 (3H,s), 3.64 (2H,s), 7.26 (4H,s) 'Η-thigh (CDC1 3 ) δ: 2.26 (3H, s), 3.64 (2H, s), 7.26 (4H, s)
参考例 1 (1 0) Reference example 1 (1 0)
1 - (4—クロ口フエ二ルチオ) 一 2—ブ夕ノン (化合物 1 0) 1- (4-chlorophenylthio) 1-2-butane nonone (compound 10)
性状:無色油状物 Properties: colorless oil
'H-NMR(CDC13) (5 : 1.06 (3H, t, J=8Hz) ,2.61 (2H, q, J=8Hz) , 3.66 (2H, s) , 7.22-7.29 (4H, m) 'H-NMR (CDC1 3) (5: 1.06 (3H, t, J = 8Hz), 2.61 (2H, q, J = 8Hz), 3.66 (2H, s), 7.22-7.29 (4H, m)
参考例 2 Reference example 2
4 _アミノフエニル酢酸 ベンジルエステル (化合物 1 1 ) 4-Aminophenylacetic acid benzyl ester (Compound 11)
4—ニトロフエニル酢酸 5. 4 g、 炭酸カリウム 4. 2 gをジメチルホル ムアミド 80m 1に溶解した。 室温で 2 0分撹拌した後、 ベンジルブロミド 3. 4m 1を加えた。 さらに室温で 1 7時間撹拌した。 エーテル 2 O Om lを加えて 水 20 0m l、 3%炭酸水素ナトリウム 20 Om l、 0. 3%塩酸 1 00mし 飽和食塩水 1 O Om lで洗浄した。 有機層は乾燥後に濃縮した。 残渣にエー テル 1 Om 1を加えて濾過して 4—ニトロフエニル酢酸 ベンジルエステルを 得た。 5.4 g of 4-nitrophenylacetic acid and 4.2 g of potassium carbonate were dissolved in 80 ml of dimethylformamide. After stirring at room temperature for 20 minutes, 3.4 ml of benzyl bromide was added. The mixture was further stirred at room temperature for 17 hours. Ether 2 O Oml was added, water 200 ml, 3% sodium hydrogencarbonate 20 Oml, 0.3% hydrochloric acid 100 m, and then washed with saturated saline 1 O Oml. The organic layer was concentrated after drying. Ether 1 Om1 was added to the residue, and the mixture was filtered to obtain benzyl 4-nitrophenylacetate.
性状:淡黄色粉末 Properties: pale yellow powder
'H-NMR(CDC13) δ : 3.78 (2Η, s) , 5.16 (2H, s) , 7.27-7.40 (5Η, m) , 7.45 (2H, d, J=9Hz), 8.19 (2H, d, J=9Hz) 'H-NMR (CDC1 3) δ: 3.78 (2Η, s), 5.16 (2H, s), 7.27-7.40 (5Η, m), 7.45 (2H, d, J = 9Hz), 8.19 (2H, d, J = 9Hz)
鉄粉 5. 5 gをエタノール 20 m 1と水 20 m 1に加えて 36 %塩酸 2 m 1を 加えて 80°Cで 20分撹拌した。 ここに 4—ニトロフエニル酢酸 ベンジルエス テル 2. 7 gのエタノール溶液 20m lとテトラヒドロフラン 20m lを加えて 30分撹拌した。 反応が途中であつたのでさらに 36%塩酸 0. 5m lを加えて 30分撹拌した。 セライトで濾過した。 セライトはクロ口ホルム 100mlで洗 浄した。 ろ液を合して有機層を分取した。 有機層は乾燥後に濃縮した。 上 記化合物を 2. 7 g得た。 5.5 g of iron powder was added to 20 ml of ethanol and 20 ml of water, 2 ml of 36% hydrochloric acid was added, and the mixture was stirred at 80 ° C for 20 minutes. To this were added 20 ml of a solution of 2.7 g of benzyl ester of 4-nitrophenylacetic acid in ethanol and 20 ml of tetrahydrofuran, followed by stirring for 30 minutes. Since the reaction was in progress, 0.5 ml of 36% hydrochloric acid was further added, and the mixture was stirred for 30 minutes. Filtered through Celite. Celite was washed with 100 ml of black mouth form. The filtrate was combined and the organic layer was separated. The organic layer was concentrated after drying. 2.7 g of the above compound was obtained.
性状:黄色油状物 Properties: yellow oil
'H-NMR(CDC13) δ : 3.56 (2Η, s) , 3.63 (2Η, brs), 5.12(2H, s), 6.65 (2H, d, J=8Hz) , 6.97 (2H, d, J=8Hz) , 7.28-7.37 (5H, m) 'H-NMR (CDC1 3) δ: 3.56 (2Η, s), 3.63 (2Η, brs), 5.12 (2H, s), 6.65 (2H, d, J = 8Hz), 6.97 (2H, d, J = 8Hz), 7.28-7.37 (5H, m)
参考例 3 (1) Reference example 3 (1)
4- (フエニルスルホニルメチル) ァニリン (化合物 12) 4- (phenylsulfonylmethyl) aniline (compound 12)
チオフエノ一ル 5m 1と p—ニトロべンジルブロミド 10. 6 gをジクロロメ タン 50m lに溶解した。 水冷下ジイソプロピルェチルァミン 6. 45 gを滴下 した。 さらに室温で 42時間撹拌した。 1. 5%塩酸 300mlで洗浄した。 乾 燥後に濃縮した。 残渣はカラムクロマト (シリカゲル; クロ口ホルム) に付した。 石油エーテルを加えて濾過した。 淡黄色粉末の 4— (フエ二ルチオメチル) ニト 口ベンゼンを 1 1. 77 g得た。 5 ml of thiophenol and 10.6 g of p-nitrobenzyl bromide were dissolved in 50 ml of dichloromethane. Under water cooling, 6.45 g of diisopropylethylamine was added dropwise. The mixture was further stirred at room temperature for 42 hours. 1. Washed with 300 ml of 5% hydrochloric acid. After drying, it was concentrated. The residue was subjected to column chromatography (silica gel; black form). Petroleum ether was added and filtered. As a result, 11.77 g of 4- (phenylthiomethyl) nitrobenzene as pale yellow powder was obtained.
'H-NMR(CDC13) δ : 4.14 (2Η, s) , 7.20-7.32 (5Η, m) , 7.38 (2H, d, J=8.5Hz) , 'H-NMR (CDC1 3) δ: 4.14 (2Η, s), 7.20-7.32 (5Η, m), 7.38 (2H, d, J = 8.5Hz),
8.12(2H, d, J=8.5Hz) 8.12 (2H, d, J = 8.5Hz)
4— (フエ二ルチオメチル) ニトロベンゼン 4. 9 gをジクロロメタン 150 m 1に溶解した。 氷冷下に m—クロ口過安息香酸 8. 6 gを加えて、 同温で 30 分さらに室温で 3 0分撹拌した。 3 %亜硫酸ナトリウム 2 00m 1 X 3回、 1. 5 %塩酸 1 00m lで洗浄した。 有機層は乾燥後に濃縮した。 石油エーテ ルを加えて濾過した。 淡黄色粉末の 4— (フエニルスルホニルメチル) ニトロべ ンゼンを 5. 5 g得た。 4.9 g of 4- (phenylthiomethyl) nitrobenzene was dissolved in 150 ml of dichloromethane. Under ice-cooling, 8.6 g of m-chloroperbenzoic acid was added, and the mixture was stirred at the same temperature for 30 minutes and at room temperature for 30 minutes. It was washed with 3% sodium sulfite (200 ml × 1 × 3 times) and 1.5% hydrochloric acid (100 ml). The organic layer was concentrated after drying. Petroleum ether was added and filtered. 4- (phenylsulfonylmethyl) nitrobe 5.5 g of senzen was obtained.
'H -刚 R(CDC13) δ : 4.41 (2Η, s) , 7.30 (2Η, d, J=8.5Hz) , 7.45-7.55 (2H, m) , 7.62-7.70 (3H, m), 8.14 (2H, d, J=8.5Hz) 'H - Takeshi R (CDC1 3) δ: 4.41 (2Η, s), 7.30 (2Η, d, J = 8.5Hz), 7.45-7.55 (2H, m), 7.62-7.70 (3H, m), 8.14 ( 2H, d, J = 8.5Hz)
鉄粉 1 5 gをエタノール 30 m 1と水 20 m 1に加えて 1 8 %塩酸 6 m 1を加 えて 80でで 1 0分撹拌した。 ここに 4— (フエニルスルホニルメチル) ニトロ ベンゼン 5. 5 gZ温テトラヒドロフラン 23 Om 1を加えてさらにエタノール 3 Om 1を加えて 2時間撹拌した。 セライトで濾過した。 セライトは温テトラヒ ドロフラン 5 Om 1で洗浄した。 濾液は減圧下に留去した。 水 1 0 Om lを 加えて固体を濾過した。 クロ口ホルム 3 0 Om lと飽和炭酸水素ナトリウム 3 00m lで分層した。 有機層を乾燥後に濃縮した。 残渣に石油エーテルを加えて 濾過して上記化合物を 4. 0 7 g得た。 15 g of iron powder was added to 30 ml of ethanol and 20 ml of water, 6 ml of 18% hydrochloric acid was added, and the mixture was stirred at 80 for 10 minutes. To this, 5.5 g of 4- (phenylsulfonylmethyl) nitrobenzene, 23 Om 1 of warm tetrahydrofuran was added, and 3 Om 1 of ethanol was further added, followed by stirring for 2 hours. Filtered through Celite. Celite was washed with 5 Om 1 of warm tetrahydrofuran. The filtrate was distilled off under reduced pressure. 10 OmI of water was added and the solid was filtered. The layers were separated with 30 mL of porcelain form and 300 mL of saturated sodium bicarbonate. The organic layer was concentrated after drying. Petroleum ether was added to the residue, and the mixture was filtered to obtain 4.07 g of the above compound.
性状:無色固体 Properties: colorless solid
融点: 1 7 7— 1 7 8 Melting point: 1 7 7— 1 7 8
'H-NMR(CDC13) δ : 3.72 (2Η, brs) , 4.20 (2Η, s) , 6.55 (2Η, d, J=8.5Hz) , 'H-NMR (CDC1 3) δ: 3.72 (2Η, brs), 4.20 (2Η, s), 6.55 (2Η, d, J = 8.5Hz),
6.85 (2H, d, J=8.5Hz) , 7.42-7.50 (2H, m), 7.57-7.70 (3H, m) 6.85 (2H, d, J = 8.5Hz), 7.42-7.50 (2H, m), 7.57-7.70 (3H, m)
参考例 3 (2) Reference example 3 (2)
参考例 3 (1) と同様にして、 以下の (化合物 1 3) を得た。 The following (Compound 13) was obtained in the same manner as in Reference Example 3 (1).
4— (ベンジルスルホニルメチル) ァニリン (化合物 1 3) 4- (Benzylsulfonylmethyl) aniline (Compound 13)
融点: 148— 1 48. 5 °C Melting point: 148—1 48.5 ° C
'H-NMR(CDC13) δ : 3.79 (2Η, brs) , 4.03 (2Η, s) , 4.10 (2Η, s) , 6.69 (2Η, d, J=8Hz) , 7.16(2H,d, J=8Hz), 7.39(5H,brs) 'H-NMR (CDC1 3) δ: 3.79 (2Η, brs), 4.03 (2Η, s), 4.10 (2Η, s), 6.69 (2Η, d, J = 8Hz), 7.16 (2H, d, J = 8Hz), 7.39 (5H, brs)
参考例 4 Reference example 4
2 - (4ーァミノべンジルスルホニル) 安息香酸 メチルエステル (化合 物 14) 2- (4-aminobenzylsulfonyl) benzoic acid methyl ester (Compound 14)
チォサリチル酸 3. 5 5 gと!)—ニトロべンジルブロミド 5 gをテトラヒドロ フラン 1 0 Om 1に溶解してジイソプロピルェチルァミン 3. 8 7 gを滴下した。 さらに室温で 4日間撹拌した。 溶媒を濃縮した。 0. 3%塩酸 200m lを加え て生じた固体を濾過した。 水 (5 Om 1 X 2回) 、 エタノール (2 Om 1 X 4 回) 、 へキサン (20m I X 2回) で洗浄した。 無色粉末の 2— (4—ニトロ ベンジルチオ) 安息香酸を 5. 1 1 g得た。 このうち 2. 9 gをジクロロメタン 60m l、 ジメチルホルムアミド 0. 3m lに懸濁した。 ここにォキザリルクロ リド 3m lを滴下した。 さらに室温で 20時間撹拌した。 溶媒を減圧下に留去し た。 残渣にメタノール 60mし テトラヒドロフラン 1 Om 1を加えて 60 で 2時間撹拌した。 溶媒を減圧下に留去した。 36 %塩酸 5 Om 1を加えて飽和炭 酸水素ナトリウム 50 mし 3 %塩酸 1 Om lで洗浄した。 溶媒は乾燥後に、 減 圧下留去した。 残渣にエーテルを加えて濾過した。 無色粉末の 2— (4一二トロ ベンジルチオ) 安息香酸 メチルエステル 2. 8 g得た。 3.55 g of thiosalicylic acid! 5) -Nitrobenzyl bromide (5 g) was dissolved in tetrahydrofuran (10 Om1), and diisopropylethylamine (3.87 g) was added dropwise. The mixture was further stirred at room temperature for 4 days. The solvent was concentrated. A solid formed by adding 200 ml of 0.3% hydrochloric acid was filtered. It was washed with water (5 Om 1 × 2 times), ethanol (2 Om 1 × 4 times), and hexane (20 m IX 2 times). 5.11 g of 2- (4-nitrobenzylthio) benzoic acid as a colorless powder was obtained. 2.9 g of the suspension was suspended in 60 ml of dichloromethane and 0.3 ml of dimethylformamide. 3 ml of oxalyl chloride was added dropwise thereto. The mixture was further stirred at room temperature for 20 hours. The solvent was distilled off under reduced pressure. To the residue was added methanol 60m, tetrahydrofuran 1 Om 1 was added, and the mixture was stirred at 60 for 2 hours. The solvent was distilled off under reduced pressure. 36% hydrochloric acid (5 Om1) was added thereto, and the mixture was washed with saturated sodium hydrogencarbonate (50 m) and 3% hydrochloric acid (1 Oml). After drying, the solvent was distilled off under reduced pressure. Ether was added to the residue and filtered. 2.8 g of colorless powder of 2- (4-nitrobenzylthio) benzoic acid methyl ester was obtained.
'Η-墜 (CDC13) δ : 3.95 (3Η, s) , 4.23 (2Η, s) , 7.18-7.28 (2H, m) , 'Η-fall (CDC1 3 ) δ: 3.95 (3Η, s), 4.23 (2Η, s), 7.18-7.28 (2H, m),
7.41 (1H, dd, J=2Hz, J=9Hz), 7.57 (2H, d, J=9Hz), 7.97 (1H, dd, J=2Hz, J=8Hz) , 8.17(2H,dd, J=2Hz, J=8Hz) 7.41 (1H, dd, J = 2Hz, J = 9Hz), 7.57 (2H, d, J = 9Hz), 7.97 (1H, dd, J = 2Hz, J = 8Hz), 8.17 (2H, dd, J = 2Hz) , J = 8Hz)
これをジクロロメタン 6 Om 1に溶解した。 水冷下に MCPBA4. 4 gをカロ えて、 同温で 30分さらに室温で 2時間撹拌した。 3%亜硫酸ナトリウム 100 m l X 3回、 0. 3%塩酸 10 Om lで洗浄した。 有機層は乾燥後に濃縮した。 へキサンを加えて濾過した。 黄色粉末を 2. 9 g得た。 This was dissolved in dichloromethane 6 Om1. Under water cooling, 4.4 g of MCPBA was added, and the mixture was stirred at the same temperature for 30 minutes and further at room temperature for 2 hours. It was washed with 3% sodium sulfite 100 ml × 3 times with 0.3% hydrochloric acid 10 Oml. The organic layer was concentrated after drying. Hexane was added and filtered. 2.9 g of a yellow powder was obtained.
'H-NMR(CDC13) δ : 4.04 (3Η, s) , 4.91 (2H, s) , 7.43-7.52 (3Η, m) , 'H-NMR (CDC1 3) δ: 4.04 (3Η, s), 4.91 (2H, s), 7.43-7.52 (3Η, m),
7.65 (1Η, dd, J=2Hz, J=8Hz), 7.67 (1H, t, J=7Hz), 7.73 (1H, dd, J=2Hz, J=7Hz), 7.65 (1Η, dd, J = 2Hz, J = 8Hz), 7.67 (1H, t, J = 7Hz), 7.73 (1H, dd, J = 2Hz, J = 7Hz),
8.1 (2H,d, J=8Hz) 8.1 (2H, d, J = 8Hz)
鉄粉 7. 5 gをエタノール 2 Om lと水 1 Om lに加えて 36%塩酸 2m 1を 加えて 80 で 20分撹拌した。 ここにさきの黄色粉末 2. 8 gZテトラヒドロ フラン 25m 1を加えて 3時間撹拌した。 セライトで濾過した。 セライトはテト ラヒドロフラン 5 Om 1で洗滌した。 濾液は減圧下に留去した。 クロ口ホルム 1 0 Om lを加え飽和炭酸水素ナトリウム 100 m 1で分層した。 不溶物を濾過で 除いた。 有機層を乾燥後に濃縮した。 黄色固体の上記化合物を 2. l g得た。 性状:黄色固体 7.5 g of iron powder was added to 2 Oml of ethanol and 1 Oml of water, 2 ml of 36% hydrochloric acid was added, and the mixture was stirred at 80 for 20 minutes. 2.8 gZ of tetrahydrofuran (25 ml) was added thereto, and the mixture was stirred for 3 hours. Filtered through Celite. Celite was washed with 5 Om 1 of tetrahydrofuran. The filtrate was distilled off under reduced pressure. To the solution was added 10 mL of chloroform, and the mixture was separated with 100 ml of saturated sodium bicarbonate. Filter insoluble matter Removed. The organic layer was concentrated after drying. 2. lg of the above compound was obtained as a yellow solid. Properties: yellow solid
融点: 1 3 5— 1 3 6. 5 Melting point: 1 3 5—1 36.5
'H-NMR(CDC13) δ : 3.69 (2H, s), 4.02 (3H, s) , 4.62 (2H, s) , 6.53 (2H, d, J=8Hz) , 6.99 (2H, d, J=8Hz) , 7.42 (1H, dd, J=2Hz, J=8Hz), 7.54-7.64 (2H, m) , 'H-NMR (CDC1 3) δ: 3.69 (2H, s), 4.02 (3H, s), 4.62 (2H, s), 6.53 (2H, d, J = 8Hz), 6.99 (2H, d, J = 8Hz), 7.42 (1H, dd, J = 2Hz, J = 8Hz), 7.54-7.64 (2H, m),
7.66(1H, d, J=8Hz) 7.66 (1H, d, J = 8Hz)
実施例 1 (1) Example 1 (1)
5—ブロモ— 3— (4ーヒドロキシフエ二ルチオ) — 2—メチルインドール (化 合物 1 5) 5-Bromo-3- (4-hydroxyphenylthio) -2-methylindole (Compound 15)
4—ブロモフエニルヒドラジン塩酸塩 6. 78と1ー (4—ヒドロキシフエ二 ルチオ) — 2—プロパノン 5. 46 gを t e r t—ブチルアルコール 1 5 Om 1 中加熱還流下に 2 1時間撹拌した。 冷後ジクロロメタン 2 O Om lを加えて 水 2 0 Omし 3 %クェン酸 2 0 Omし 飽和食塩水 1 0 Om lで洗浄した。 有機層は乾燥後に留去した。 残渣をカラムクロマト (シリカゲル;ジクロロメ夕 ン) に付した。 上記化合物を 4. 2 9 g得た。 4-Bromophenylhydrazine hydrochloride 6.78 and 1.46 g of 1- (4-hydroxyphenylthio) -2-propanone were stirred for 21 hours under heating and reflux in tert-butyl alcohol 15 Om 1. After cooling, dichloromethane 2 O Oml was added, water 20 Om was added, 3% citric acid 20 Om was added, and the mixture was washed with saturated saline 10 Oml. The organic layer was distilled off after drying. The residue was subjected to column chromatography (silica gel; dichloromethane). 4.29 g of the above compound was obtained.
性状:淡黄色粉末 Properties: pale yellow powder
融点: 1 6 1 _ 1 6 2. 5V, Melting point: 1 6 1 _ 1 62.5 V,
'H-NMR(DMSO-de) δ : 2.47 (3Η, s) , 6.66 (2Η, dd, J=2Hz, J=9Hz) , 'H-NMR (DMSO-de) δ: 2.47 (3Η, s), 6.66 (2Η, dd, J = 2Hz, J = 9Hz),
6.93 (2H, dd, J=2Hz, J=9Hz) , 7.20 (1H, dd, J=2Hz, J=9Hz) , 7.33 (1H, d, J=9Hz), 6.93 (2H, dd, J = 2Hz, J = 9Hz), 7.20 (1H, dd, J = 2Hz, J = 9Hz), 7.33 (1H, d, J = 9Hz),
7.45(lH,d, J=2Hz),9.36(lH, s), 11.74(1H, s) 7.45 (lH, d, J = 2Hz), 9.36 (lH, s), 11.74 (1H, s)
実施例 1 (2) — (3) Example 1 (2) — (3)
実施例 1 (1) と同様にして、 以下の (化合物 1 6) — (化合物 1 7) を得た。 実施例 1 (2) The following (Compound 16) — (Compound 17) were obtained in the same manner as in Example 1 (1). Example 1 (2)
5—ブロモ _ 2—メチル _ 3 _ (2—ピリジルチオ) インドール (化合物 1 6) 性状:淡褐色粉末 5-Bromo_2-methyl_3_ (2-pyridylthio) indole (Compound 16) Properties: light brown powder
融点: 243. 5 - 244°C Ή-NMR (DMSO- d6) <5 : 2.44 (3H, s) , 6.58 (IH, d, J=8Hz), 7.07 (IH, dd, J=5Hz, J=7H z) , 7.24 (IH, dd, J=2Hz, J=8Hz), 7.40 (2H, d, J=8Hz) ,7.52 (1H, d t , J=2Hz, J=8Hz) ,Melting point: 243.5-244 ° C Ή-NMR (DMSO-d 6 ) <5: 2.44 (3H, s), 6.58 (IH, d, J = 8 Hz), 7.07 (IH, dd, J = 5 Hz, J = 7 Hz), 7.24 (IH, dd, J = 2Hz, J = 8Hz), 7.40 (2H, d, J = 8Hz), 7.52 (1H, dt, J = 2Hz, J = 8Hz),
8.38(1H, d, J-2Hz),11.95(lH, s) 8.38 (1H, d, J-2Hz), 11.95 (lH, s)
実施例 1 (3) Example 1 (3)
2 - (5—ブロモ _ 2—メチルインドールー 3—ィルチオ) 安息香酸 (化合 物 17) 2- (5-Bromo_2-methylindole-3-ylthio) benzoic acid (Compound 17)
性状:褐色粉末 Properties: brown powder
融点: 237— 239 °C Melting point: 237- 239 ° C
'H-NMR(DMS0-d6) δ : 2.43 (3Η, s) , 6.55 (IH, dd, J=2Hz, J=8Hz) , 'H-NMR (DMS0-d 6 ) δ: 2.43 (3Η, s), 6.55 (IH, dd, J = 2Hz, J = 8Hz),
7.11-7.14(1H, m) , 7.20-7.27 (2H, m),7.31 (IH, d, J=2Hz), 7.35 (IH, d, J=8Hz) , 7.94(1H, d, J=2Hz),11.91(lH, s) 7.11-7.14 (1H, m), 7.20-7.27 (2H, m), 7.31 (IH, d, J = 2Hz), 7.35 (IH, d, J = 8Hz), 7.94 (1H, d, J = 2Hz) , 11.91 (lH, s)
実施例 2 Example 2
2 - (5—ブロモ—2—メチルインドール— 3—ィルチオ) 安息香酸ベンジルェ ステル (化合物 18) 2- (5-bromo-2-methylindole-3-ylthio) benzylester benzoate (Compound 18)
2- (5—ブロモ—2—メチルインドールー 3—ィルチオ) 安息香酸 5. 4 g と炭酸カリウム 2. 4gをN, N—ジメチルホルムアミド 3 Om 1に溶解した。 ベンジルブロミド 2. 6 gを加えて 18時間撹拌した。 酢酸ェチル 10 Omlを 加えて水 20 Om 1で 2回洗浄した。 有機層は乾燥後に留去した。 残渣をカラム クロマト (シリカゲル;ジクロロメタン) に付した。 へキサンを加えて濾過して 上記化合物を 4. 9 g得た。 5.4 g of 2- (5-bromo-2-methylindole-3-ylthio) benzoic acid and 2.4 g of potassium carbonate were dissolved in N, N-dimethylformamide 3 Om1. 2.6 g of benzyl bromide was added and stirred for 18 hours. 10 Oml of ethyl acetate was added, and the mixture was washed twice with 20 Om1 of water. The organic layer was distilled off after drying. The residue was subjected to column chromatography (silica gel; dichloromethane). Hexane was added and the mixture was filtered to obtain 4.9 g of the above compound.
性状:無色粉末 Properties: colorless powder
融点: 17 1. 5- 1 73. 5で Melting point: 171.5-17.33.5
'H-NMR(DMS0-d6) δ 2.44 (3Η, s) , 5.42 (2Η, s) , 6.59 (IH, d, J=8Hz) , 'H-NMR (DMS0-d 6 ) δ 2.44 (3Η, s), 5.42 (2Η, s), 6.59 (IH, d, J = 8Hz),
7.18 (IH, t, J=7Hz) , 7.25 (1H, dd, J=2Hz, J=8Hz) , 7.29-7.32 (2H, m) , 7.18 (IH, t, J = 7Hz), 7.25 (1H, dd, J = 2Hz, J = 8Hz), 7.29-7.32 (2H, m),
7.38-7.46 (5H, m), 7.55 (2H, d, J=8Hz), 7.99 (IH, dd, J=2Hz, J=8Hz) ,11.95 (IH, s) 実施例 3 (1) 5—ブロモ _ 2—メチル _ 3— (4—クロ口フエ二ルチオ) インドール (化合物 19) 7.38-7.46 (5H, m), 7.55 (2H, d, J = 8Hz), 7.99 (IH, dd, J = 2Hz, J = 8Hz), 11.95 (IH, s) Example 3 (1) 5-Bromo_2-methyl_3- (4-chlorophenylthio) indole (Compound 19)
4—ブロモア二リン 3. 4 gをジクロロメタン 80m 1に溶解した。 一 50°C で過塩素酸 t e r t—ブチルエステル 2. 1 gのジクロロメタン溶液 1 Omlを 20分で滴下した。 同温で 20分撹拌した。 ここに 1一 (4一クロ口フエニルチ ォ) —2—プロパノン 4. 0 gのジクロロメタン溶液 1 Om 1を 10分で加えて 1時間撹拌した。 トリェチルァミン 2. 1 gのジクロロメタン溶液 5m 1を加え て室温で 2時間撹拌した。 5 Om lの水を加えて有機層を分取し、 乾燥後濃縮し た。 残渣をカラムクロマト (シリカゲル;クロ口ホルム) に付した。 へキサンを 加えて濾過しての上記化合物を 0. 91 g得た。 3.4 g of 4-bromoaniline was dissolved in 80 ml of dichloromethane. At 50 ° C, 1 Oml of a dichloromethane solution of 2.1 g of perchloric acid t-tert-butyl ester was added dropwise over 20 minutes. The mixture was stirred at the same temperature for 20 minutes. To this was added 1 Om 1 of a solution of 4.0 g of 4- (propane phenylthio) -2-propanone in 10 minutes and stirred for 1 hour. 5 ml of a dichloromethane solution of 2.1 g of triethylamine was added, and the mixture was stirred at room temperature for 2 hours. The organic layer was separated by adding 5 Oml of water, dried and concentrated. The residue was subjected to column chromatography (silica gel; chromate form). Hexane was added and the mixture was filtered to obtain 0.91 g of the above compound.
性状:淡褐色粉末 Properties: light brown powder
融点: 138— 139 O Melting point: 138- 139 O
'H-NMR(CDC13) δ : 2.49 (3Η, s) , 6.92 (2Η, d, J=9Hz) , 7.12 (2H, d, J=9Hz) , 'H-NMR (CDC1 3) δ: 2.49 (3Η, s), 6.92 (2Η, d, J = 9Hz), 7.12 (2H, d, J = 9Hz),
7.18-7.32 (2H, m) , 7.63 (1H, s), 8.28 (1H, brs) 7.18-7.32 (2H, m), 7.63 (1H, s), 8.28 (1H, brs)
実施例 3 ( 2 ) - ( 23 ) Example 3 (2)-(23)
実施例 3 (1) と同様にして、 以下の (化合物 20) — (化合物 41) を得た。 実施例 3 (2) The following (Compound 20)-(Compound 41) were obtained in the same manner as in Example 3 (1). Example 3 (2)
5—ブロモ—2 _メチル—3— (4—メチルフエ二ルチオ) インドール (化合物 5-bromo-2-methyl-3- (4-methylphenylthio) indole (compound
20) 20)
性状:淡褐色粉末 Properties: light brown powder
融点: 143 _ 145 °C Melting point: 143-145 ° C
'H-NMR(CDC13) δ : 2.24 (3Η, s) , 2.49 (3Η, s) , 6.92 (2Η, d, J=8Hz) , 'H-NMR (CDC1 3) δ: 2.24 (3Η, s), 2.49 (3Η, s), 6.92 (2Η, d, J = 8Hz),
6.96 (2H, d, J=8Hz), 7.18 (1H, d, J=8Hz) , 7.24 (1H, d, J=8Hz) , 7.66 (1H, s), 6.96 (2H, d, J = 8Hz), 7.18 (1H, d, J = 8Hz), 7.24 (1H, d, J = 8Hz), 7.66 (1H, s),
8.21 (1H, brs) 8.21 (1H, brs)
実施例 3 (3) Example 3 (3)
3 - (ベンジルチオ) _ 5—プロモー 2—メチルインドール (化合物 2 1) 性状:淡褐色粉末 3- (benzylthio) _5-promo 2-methylindole (Compound 21) Properties: light brown powder
融点: 1 2 1— 1 2 2. 5。C Melting point: 1 2 1—1 22.5. C
'H-NMR(CDC13) δ : 1.96 (3Η, s) , 3.72 (2H, s) , 6.92 (2H, d, J=9Hz) , 'H-NMR (CDC1 3) δ: 1.96 (3Η, s), 3.72 (2H, s), 6.92 (2H, d, J = 9Hz),
7.11-7.28(5H, m) , 7.71 (IH, s) , 7.97 (IH, brs) 7.11-7.28 (5H, m), 7.71 (IH, s), 7.97 (IH, brs)
実施例 3 (4) Example 3 (4)
5 _ブロモ— 2—メチル— 3 _ (3—メトキシフエ二ルチオ) インドール (化合 物 2 2) 5 _Bromo-2-methyl-3 _ (3-methoxyphenylthio) indole (Compound 22)
性状:淡褐色粉末 Properties: light brown powder
融点: 1 2 7— 1 2 9 °C Melting point: 1 2 7— 1 2 9 ° C
'H-NMR(CDC13) δ : 2.50 (3Η, s) , 3.68 (3H, s) , 6.53-6.64 (3H, m) , 'H-NMR (CDC1 3) δ: 2.50 (3Η, s), 3.68 (3H, s), 6.53-6.64 (3H, m),
7.09 (1H, t, J=9Hz) ,7.21 (IH, d, J=9Hz) , 7.27 (1H, d, J=9Hz) , 7.68 (IH, s), 8.29(lH,brs) 7.09 (1H, t, J = 9Hz), 7.21 (IH, d, J = 9Hz), 7.27 (1H, d, J = 9Hz), 7.68 (IH, s), 8.29 (lH, brs)
実施例 3 (5) Example 3 (5)
(2—メチルー 3 _フエ二ルチオィンドール— 5—ィル) 酢酸ェチルエステル (化合物 2 3 ) (2-Methyl-3-phenylthioindole-5-yl) Ethyl acetate (Compound 23)
性状:無色粉末 Properties: colorless powder
融点: 9 0— 9 0. 5 Melting point: 9 0—9 0.5
Ή-腿(CDC13) δ : 1.19 (3Η, t , J=8Hz) ,2.50 (3Η, s) , 3.66 (2H, s) , Ή- thigh (CDC1 3) δ: 1.19 ( 3Η, t, J = 8Hz), 2.50 (3Η, s), 3.66 (2H, s),
4.11 (2H, q, J=8Hz), 7.02-7.05 (3H, m), 7.12-7.17 (3H, m), 7.28 (IH, d, J=8Hz), 7.43(lH,s),8.27(lH,brs) 4.11 (2H, q, J = 8Hz), 7.02-7.05 (3H, m), 7.12-7.17 (3H, m), 7.28 (IH, d, J = 8Hz), 7.43 (lH, s), 8.27 (lH , brs)
実施例 3 (6) Example 3 (6)
5—プロモー 2 _ t e r t—ブチル— 3 - (フエ二ルチオ) ィンドール (化合物 24) 5-Promote 2 _t e rt—butyl— 3- (phenylthio) indole (Compound 24)
性状:褐色粉末 Properties: brown powder
融点: 1 40 _ 1 42 °C Melting point: 1 40 -1 42 ° C
'H-NMR(CDC13) δ : 1.51 (9Η, s) , 6.96 (2Η, dd, J=2Hz, J=8Hz) , 7.03 (IH, t, J=8Hz) , 7.15 (2H, t, J=8Hz), 7.23-7.28 (2H, m), 7.62 (IH, s) , 8.35 (IH, brs) 実施例 3 (7) 'H-NMR (CDC1 3) δ: 1.51 (9Η, s), 6.96 (2Η, dd, J = 2Hz, J = 8Hz), 7.03 (IH, t, J = 8Hz), 7.15 (2H, t, J = 8Hz), 7.23-7.28 (2H, m), 7.62 (IH, s), 8.35 (IH, brs) Example 3 (7)
3 - (4一クロ口フエ二ルチオ) —2, 5—ジメチルインドール (化合物 25) 性状:褐色粉末 3- (4-chlorophenyl) -2,5-dimethylindole (Compound 25) Properties: brown powder
融点: 141— 142 °C Melting point: 141- 142 ° C
'H-NMR(CDC13) δ : 2.40 (3Η, s) , 2.48 (3Η, s) , 6.94 (2Η, dd, J=2Hz, J=9Hz) , 7.02 (IH, d, J=9Hz) , 7.10 (2H, dd, J=2Hz, J=9Hz) , 7.26 (IH, d, J=9Hz) , 'H-NMR (CDC1 3) δ: 2.40 (3Η, s), 2.48 (3Η, s), 6.94 (2Η, dd, J = 2Hz, J = 9Hz), 7.02 (IH, d, J = 9Hz), 7.10 (2H, dd, J = 2Hz, J = 9Hz), 7.26 (IH, d, J = 9Hz),
7.29(lH,s),8.17(lH,brs) 7.29 (lH, s), 8.17 (lH, brs)
実施例 3 (8) Example 3 (8)
5—ァセチルー 2—メチル _ 3—フエ二ルチオインドール (化合物 26) 性状:黄色粉末 5-Acetyl-2-methyl-3-phenylthioindole (Compound 26) Properties: yellow powder
融点: 1 16— 1 18 Melting point: 1 16— 1 18
'H-NMR(CDC13) 6 : 2.54 (3H, s) , 2.61 (3H, s) , 7.01-7.21 (5H, m) , 'H-NMR (CDC1 3) 6: 2.54 (3H, s), 2.61 (3H, s), 7.01-7.21 (5H, m),
7.38 (IH, d, J=9Hz), 7.89 (IH, dd, J=2Hz, J=8Hz) ,8.17 (IH, s), 8.79 (IH, brs) 実施例 3 (9) 7.38 (IH, d, J = 9 Hz), 7.89 (IH, dd, J = 2 Hz, J = 8 Hz), 8.17 (IH, s), 8.79 (IH, brs) Example 3 (9)
2ーメチルー 3 _フエ二ルチオインドール— 5—カルボン酸ェチルエステル (ィ匕 合物 27) 2-Methyl-3-phenylthioindole-5-carboxylate (27)
性状:褐色粉末 Properties: brown powder
融点: 180— 180. 5T: Melting point: 180—180.5T:
'H-NMR(CDC13) δ : 1.38(3H, t, J=7Hz) , 2.53 (3Η, s) , 4.36 (2Η, q, J=7Hz) , 7.01-7.05 (3H, m), 7.15 (2H, t, J=8Hz) , 7.35 (IH, d, J=9Hz), 'H-NMR (CDC1 3) δ: 1.38 (3H, t, J = 7Hz), 2.53 (3Η, s), 4.36 (2Η, q, J = 7Hz), 7.01-7.05 (3H, m), 7.15 ( 2H, t, J = 8Hz), 7.35 (IH, d, J = 9Hz),
7.92 (1H, dd, J=2Hz, J=9Hz) , 8.30 (IH, s), 8.49 (IH, brs) 7.92 (1H, dd, J = 2Hz, J = 9Hz), 8.30 (IH, s), 8.49 (IH, brs)
実施例 3 (10) Example 3 (10)
5一プロモー 2—メチルー 3 _フエ二ルチオインドール (化合物 28) 5-Promote 2-Methyl-3_phenylthioindole (Compound 28)
性状:褐色粉末 Properties: brown powder
融点: 162— 164°C 'Η-醒 R(CDC13) δ : 2.53 (3Η, s) , 7.02 (2Η, d, J=8Hz) , 7.08 (IH, dt, J = lHz, J=8Hz) , 7.11-7.32 (4H, m), 7.69 (IH, s), 8.28(lH,brs) Melting point: 162-164 ° C 'Η-wake R (CDC1 3 ) δ: 2.53 (3Η, s), 7.02 (2Η, d, J = 8Hz), 7.08 (IH, dt, J = lHz, J = 8Hz), 7.11-7.32 (4H, m), 7.69 (IH, s), 8.28 (lH, brs)
実施例 3 (1 1) Example 3 (1 1)
5—シァノ— 2—メチル— 3—フエ二ルチオインドール (化合物 29) 5-cyano-2-methyl-3-phenylthioindole (Compound 29)
性状:淡赤色粉末 Properties: pale red powder
融点: 156 _ 157 °C Melting point: 156-157 ° C
'H-NMR(CDC13) δ : 2.56 (3Η, s), 7.01 (2H, dd, J=2Hz, J=8Hz), 'H-NMR (CDC1 3) δ: 2.56 (3Η, s), 7.01 (2H, dd, J = 2Hz, J = 8Hz),
7.08(lH,dt, J=2Hz, J=8Hz),7.17(2H,dt, J=2Hz, J=8Hz), 7.08 (lH, dt, J = 2Hz, J = 8Hz), 7.17 (2H, dt, J = 2Hz, J = 8Hz),
7.42 (2H, dq, J=2Hz, J=8Hz), 7.87 (IH, s) , 8.62 (IH, brs) 7.42 (2H, dq, J = 2Hz, J = 8Hz), 7.87 (IH, s), 8.62 (IH, brs)
実施例 3 (12) Example 3 (12)
5 _ブロモ—3— .(4—クロ口フエ二ルチオ) —2—ェチルインドール (化合物 30) 5 _Bromo-3-.. (4-chlorophenylthio) -2-ethylindole (Compound 30)
性状:褐色油状物 Properties: brown oil
'H-NMR(CDC13) 6 : 1.27(3H, t, J=8Hz) , 2.91 (2H, q, J=8Hz) , 'H-NMR (CDC1 3) 6: 1.27 (3H, t, J = 8Hz), 2.91 (2H, q, J = 8Hz),
6.92 (2H, dd, J=2Hz, J=7Hz) ,7.12 (2H, dd, J=2Hz, J=7Hz), 7.22-7.32 (2H, m) , 7.64(1H, d, J=2Hz),8.33(lH,brs) 6.92 (2H, dd, J = 2Hz, J = 7Hz), 7.12 (2H, dd, J = 2Hz, J = 7Hz), 7.22-7.32 (2H, m), 7.64 (1H, d, J = 2Hz), 8.33 (lH, brs)
実施例 3 (13) Example 3 (13)
2, 5—ジメチルー 3—フエ二ルチオインドール (化合物 31) 2,5-dimethyl-3-phenylthioindole (Compound 31)
性状:褐色粉末 Properties: brown powder
融点: 157— 159 Melting point: 157—159
'H-NMR(CDC13) δ : 2.39 (3Η, s) , 2.50 (3H, s) , 6.96-7.05 (3Η, m) , 'H-NMR (CDC1 3) δ: 2.39 (3Η, s), 2.50 (3H, s), 6.96-7.05 (3Η, m),
7.11-7.19(2Η, m), 7.20-7.27 (2Η, m), 7.33 (IH, s) , 8.15 (1H, brs) 7.11-7.19 (2Η, m), 7.20-7.27 (2Η, m), 7.33 (IH, s), 8.15 (1H, brs)
実施例 3 (14) Example 3 (14)
ーメチルー 3—フエ二ルチオ— 5—トリフルォロメチルインドール (化合 物 32) -Methyl-3-phenylthio-5-trifluoromethylindole (Compound 32)
性状:無色粉末 融点: 105. 5 - 106 °C Properties: colorless powder Melting point: 105.5-106 ° C
'H-NMR(CDC13) δ 2.55 (3H, s) , 7.01-7.10(3H,m),7.17(2H, t, J=8Hz), 'H-NMR (CDC1 3) δ 2.55 (3H, s), 7.01-7.10 (3H, m), 7.17 (2H, t, J = 8Hz),
7.43 (2H, d, J=8Hz) , 7.85 (1H, s) , 8.41 (IH, brs) 7.43 (2H, d, J = 8Hz), 7.85 (1H, s), 8.41 (IH, brs)
実施例 3 (15) Example 3 (15)
5—べンゾィルー 2—メチルー 3—フエ二ルチオインドール (化合物 33) 性状:淡褐色粉末 5-Benzoyl 2-methyl-3-phenylthioindole (Compound 33) Properties: Light brown powder
融点: 217. 5 - 218 °C Melting point: 217.5-218 ° C
¾-NMR(DMS0-d6) δ : 2.51 ( 3 H, s) , 6.98 (2Η, dd, J=2Hz, J=8Hz) , ¾-NMR (DMS0-d 6 ) δ: 2.51 (3 H, s), 6.98 (2Η, dd, J = 2 Hz, J = 8 Hz),
7.10(1H, t, J=8Hz), 7.22 (2H, t, J=8Hz), 7.48 (2H, t, J=8Hz) , 7.10 (1H, t, J = 8Hz), 7.22 (2H, t, J = 8Hz), 7.48 (2H, t, J = 8Hz),
7.55 (1H, d, J=8Hz) ,7.61 (4H, dd, J=2Hz, J=8Hz), 7.72 (IH, d, J=2Hz) 7.55 (1H, d, J = 8Hz), 7.61 (4H, dd, J = 2Hz, J = 8Hz), 7.72 (IH, d, J = 2Hz)
実施例 3 (16) Example 3 (16)
(2—メチル— 3 _フエ二ルチオインドール— 5—ィル) 酢酸べンジルエステル (化合物 34) (2-Methyl-3-phenylthioindole-5-yl) Benzyl acetate (Compound 34)
性状:黄色油状物 Properties: yellow oil
'H-NMR(CDC13) δ : 2.49 (3Η, s) , 3.73 (2Η, s),5.10 (2H, s) , 7.00-7.05 (3H, m) , 7.05-7.10 (3H, m), 7.25-7.35 (6H, m) , 7.45 (IH, s) , 8.29 (IH, brs) 'H-NMR (CDC1 3) δ: 2.49 (3Η, s), 3.73 (2Η, s), 5.10 (2H, s), 7.00-7.05 (3H, m), 7.05-7.10 (3H, m), 7.25 -7.35 (6H, m), 7.45 (IH, s), 8.29 (IH, brs)
実施例 3 (17) Example 3 (17)
2ーメチルー 5—フエニルスルホニルメチルー 3 _フエ二ルチオインドール (化 合物 35) 2-Methyl-5-phenylsulfonylmethyl-3-phenylthioindole (Compound 35)
性状:褐色油状物 Properties: brown oil
'H-NMR(CDC13) δ : 2.50 (3Η, s) , 4.37 (2Η, s) , 6.90-7.18 (7H, m) , 7.37-7.70 (6H, m), 8.35(lH,brs) 'H-NMR (CDC1 3) δ: 2.50 (3Η, s), 4.37 (2Η, s), 6.90-7.18 (7H, m), 7.37-7.70 (6H, m), 8.35 (lH, brs)
実施例 3 (18) Example 3 (18)
5—シァノメチル—2—メチルー 3—フエ二ルチオインドール (化合物 36) 性状:褐色油状物 5-cyanomethyl-2-methyl-3-phenylthioindole (Compound 36) Properties: brown oil
'H-NMR(CDC13) 6 : 2.52 (3H, s), 3.78(2H, s),6.98-7.08 (3H, m),7.12-7.19(3H, m) , 7.33 (IH, d, J=9Hz) , 7.44 (IH, s) , 8.39 (1H, brs) 'H-NMR (CDC1 3) 6: 2.52 (3H, s), 3.78 (2H, s), 6.98-7.08 (3H, m), 7.12-7.19 (3H, m), 7.33 (IH, d, J = 9Hz), 7.44 (IH, s), 8.39 (1H, brs)
実施例 3 (19) Example 3 (19)
2—メチル— 3—フエ二ルチオィンドール— 5—力ルボン酸べンジルエステル (化合物 37 ) 2-Methyl-3-phenylthioindole-5-Benzyl rubonic acid ester (Compound 37)
性状:淡赤色粉末 Properties: pale red powder
融点: 202. 5 - 203 °C Melting point: 202.5-203 ° C
Ή-NMR (CDC13) δ 2.54 (3Η, s) , 5.35 (2Η, s) , 6.97-7.08 (3H, m) , 7.12-7.18(2H, m) , 7.30-7.45 (6H, m) , 7.94 (1H, dd, J=2Hz, J=9Hz), 8.34 (1H, s), 8· 41 (IH, brs) 実施例 3 (20) Ή-NMR (CDC1 3) δ 2.54 (3Η, s), 5.35 (2Η, s), 6.97-7.08 (3H, m), 7.12-7.18 (2H, m), 7.30-7.45 (6H, m), 7.94 (1H, dd, J = 2Hz, J = 9Hz), 8.34 (1H, s), 8 · 41 (IH, brs) Example 3 (20)
5—ベンジルスルホニルメチルー 2—メチルー 3 _フエ二ルチオィンドール (化 合物 38) 5-benzylsulfonylmethyl-2-methyl-3-phenylthioindole (compound 38)
性状:黄色固体 Properties: yellow solid
融点: 78— 80 Melting point: 78-80
'H-NMR(CDC13) δ : 2.55(3H, s),3.99(2H, s),4.16 (2H, s) , 7.01-7.04 (3H, m), 7.14-7.17(2H,m),7.23-7.40 (8H, m), 8.40 (1H, brs) 'H-NMR (CDC1 3) δ: 2.55 (3H, s), 3.99 (2H, s), 4.16 (2H, s), 7.01-7.04 (3H, m), 7.14-7.17 (2H, m), 7.23 -7.40 (8H, m), 8.40 (1H, brs)
実施例 3 (21) Example 3 (21)
2 - (2—メチルー 3—フエ二ルチオィンドール— 5—ィルメチルスルホニル) 安息香酸メチルエステル (化合物 39) 2- (2-methyl-3-phenylthioindole-5-ylmethylsulfonyl) benzoic acid methyl ester (Compound 39)
性状:黄色固体 Properties: yellow solid
融点: 189— 189. 5 °C Melting point: 189— 189.5 ° C
'H-NMR(CDC13) δ : 2.47 (3Η, s) , 3.99 (3Η, s) , 4.79 (2Η, s) , 6.92 (2Η, d, J=8Hz) , 7.06 (IH, dd, J=2Hz, J=8Hz) , 7.12-7.19(4H, m), 7.22-7.29 (2H, m) , 'H-NMR (CDC1 3) δ: 2.47 (3Η, s), 3.99 (3Η, s), 4.79 (2Η, s), 6.92 (2Η, d, J = 8Hz), 7.06 (IH, dd, J = 2Hz, J = 8Hz), 7.12-7.19 (4H, m), 7.22-7.29 (2H, m),
7.43 (2H, d, J=8Hz), 7.58(1H, dd, J=2Hz, J=8Hz), 8.31 (1H, brs) 7.43 (2H, d, J = 8Hz), 7.58 (1H, dd, J = 2Hz, J = 8Hz), 8.31 (1H, brs)
実施例 3 (22) Example 3 (22)
2—メチル— 5—二トロー 3 _フエ二ルチオインドール (化合物 40) 2-Methyl-5-Nitro-3-phenylthioindole (Compound 40)
性状:黄色粉末 融点: 2 1 7— 2 19 °C Properties: yellow powder Melting point: 2 1 7—2 19 ° C
'H-NMR(CDC13) δ 2.57 (3H, s) , 7.02 (2H, d, J=7Hz) , 7.08 (IH, d, J=7Hz) , 7.15-7.19 (2H, m) , 7.38 (IH, d, J=8Hz) , 8.10(1H, d, J=8Hz) , 8.48 (IH, s) , 8.57(lH,brs) 'H-NMR (CDC1 3) δ 2.57 (3H, s), 7.02 (2H, d, J = 7Hz), 7.08 (IH, d, J = 7Hz), 7.15-7.19 (2H, m), 7.38 (IH , d, J = 8Hz), 8.10 (1H, d, J = 8Hz), 8.48 (IH, s), 8.57 (lH, brs)
実施例 3 (23) Example 3 (23)
5—プロモー 2—メチルー 3—メチルチオインドール (化合物 41) 5-Promo 2-Methyl-3-methylthioindole (Compound 41)
性状:褐色固体 Properties: brown solid
融点: 80— 80. 5 °C Melting point: 80—80.5 ° C
'Η - NMR(CDC13) δ : 2.24(3H, s),2.52(3H, s),7.14(1H, d, J=8Hz) , 'Η - NMR (CDC1 3) δ: 2.24 (3H, s), 2.52 (3H, s), 7.14 (1H, d, J = 8Hz),
7.24 (IH, dd, J=2Hz, J=8Hz), 7.81 (1H, d, J=2Hz) , 8.05 (IH, brs) 7.24 (IH, dd, J = 2Hz, J = 8Hz), 7.81 (1H, d, J = 2Hz), 8.05 (IH, brs)
実施例 4 Example 4
5—アミノー 2—メチルー 3 _フエ二ルチオインドール (化合物 42) 5-amino-2-methyl-3-phenylthioindole (compound 42)
鉄粉 8 gをエタノール 25mlと水 25m lに加えた。 36%塩酸 3m 1を加 えて 80 で 20分撹拌した。 ここに 2—メチルー 5—ニトロ— 3—フエニルチ ォインドール 3. 3 gのエタノール 25mlとテトラヒドロフラン 25m l溶液 を加えて同温で 30分撹拌した。 セライトで鉄粉を濾過して除きエタノール、 テ トラヒドロフランで洗浄した。 濾液を減圧下に留去した。 残渣をジクロロメタン 200mlで抽出し飽和重曹水 200m lで洗浄した。 このとき生じた不溶物は セライトで濾過して除いた。 有機層は乾燥後に濃縮した。 へキサンを加えて濾過 しての上記化合物を 2. 5 g得た。 8 g of iron powder was added to 25 ml of ethanol and 25 ml of water. 3 ml of 36% hydrochloric acid was added, and the mixture was stirred at 80 for 20 minutes. To this was added a solution of 3.3 g of 2-methyl-5-nitro-3-phenylthioindole in 25 ml of ethanol and 25 ml of tetrahydrofuran, and the mixture was stirred at the same temperature for 30 minutes. The iron powder was removed by filtration with celite and washed with ethanol and tetrahydrofuran. The filtrate was distilled off under reduced pressure. The residue was extracted with dichloromethane (200 ml) and washed with saturated aqueous sodium hydrogen carbonate (200 ml). The insolubles generated at this time were removed by filtration through Celite. The organic layer was concentrated after drying. Hexane was added and the mixture was filtered to obtain 2.5 g of the above compound.
性状:淡褐色粉末 Properties: light brown powder
融点: 1 86— 187. 5 : Melting point: 1 86— 187.5:
'H-NMR(DMS0-d6) 6 2.36 (3H, s), 4.54 (2H, brs), 6.46 (IH, dd, J=2Hz, J=9Hz) , 6.51 (IH, s), 6.94 (2H, d, J=7Hz) , 7.02-7.07 (2H, m), 7.16-7.19(2H, m) , 'H-NMR (DMS0-d 6 ) 6 2.36 (3H, s), 4.54 (2H, brs), 6.46 (IH, dd, J = 2 Hz, J = 9 Hz), 6.51 (IH, s), 6.94 (2H , d, J = 7Hz), 7.02-7.07 (2H, m), 7.16-7.19 (2H, m),
11.14(1H, s) 11.14 (1H, s)
実施例 5 2—メチル— 5—二トロインドール (化合物 43) Example 5 2-methyl-5-nitroindole (compound 43)
2—メチル— 5—二トロー 3 _フエ二ルチオインドール 284mgとチォサリ チル酸 308mgをトリフルォロ酢酸 7m 1に加えて 80 で 20分撹拌した。 減圧下に留去した。 酢酸ェチル 30mlを加えて 4%水酸化ナトリウム 60m 1 X 3回で洗浄した。 有機層は乾燥後に濃縮した。 残渣をカラムクロマト (シリ 力ゲル;クロ口ホルム) に付した。 へキサンとエーテルを加えて濾過して上記化 合物を 9 Omg得た。 284 mg of 2-methyl-5-twotro-3-phenylthioindole and 308 mg of thiosalicylic acid were added to 7 ml of trifluoroacetic acid, followed by stirring at 80 for 20 minutes. Distilled off under reduced pressure. 30 ml of ethyl acetate was added, and the mixture was washed with 4% sodium hydroxide 60 ml × 3 times. The organic layer was concentrated after drying. The residue was subjected to column chromatography (silica gel; black form). Hexane and ether were added and the mixture was filtered to obtain 9 Omg of the above compound.
性状:黄色粉末 Properties: yellow powder
融点: 173— 173. 5 Melting point: 173— 173.5
'H-NMR(DMSO-d6) δ : 2.43 (3Η, s), 6.42 (1H, s), 7.43 (1H, d, J=9Hz) , 'H-NMR (DMSO-d 6 ) δ: 2.43 (3Η, s), 6.42 (1H, s), 7.43 (1H, d, J = 9 Hz),
7.91 (1H, dd, J=2Hz, J=9Hz), 8.41 (1H, d, J=2Hz) , 11.69 (1H, s) 7.91 (1H, dd, J = 2Hz, J = 9Hz), 8.41 (1H, d, J = 2Hz), 11.69 (1H, s)
実施例 6 Example 6
5—ァミノ _ 2 _メチルインドール (化合物 44) 5-Amino_2-methylindole (Compound 44)
鉄粉 3 gをエタノール 1 Omlと水 1 Omlに加えた。 36%塩酸 lm 1を加 えて 8 Otで 20分撹拌した。 ここに 2—メチル _ 5—ニトロインドール 0. 8 gのテトラヒドロフラン 6mlとエタノール 3ml溶液を加えてさらに 1時間撹 拌した。 セライトで濾過した。 テトラヒドロフラン、 エタノール、 ジクロロメタ ン各 3 Om 1 X 2回で洗浄した。 有機層は減圧下に濃縮した。 飽和炭酸水素ナ トリウム 5 Omlを加えてジクロロメタン 5 Omlで抽出した。 乾燥後に留去し た。 残渣はカラムクロマト (シリカゲル; ジクロロメタン) に付して上記 化合物を 67 Omg得た。 3 g of iron powder was added to 1 Oml of ethanol and 1 Oml of water. 36% hydrochloric acid (lm1) was added, and the mixture was stirred at 8 Ot for 20 minutes. To this was added a solution of 0.8 g of 2-methyl-5-nitroindole in 6 ml of tetrahydrofuran and 3 ml of ethanol, and the mixture was further stirred for 1 hour. Filtered through Celite. Washing was performed with 3 Om 1 × 2 times each of tetrahydrofuran, ethanol, and dichloromethane. The organic layer was concentrated under reduced pressure. 5 Oml of saturated sodium hydrogen carbonate was added, and the mixture was extracted with 5 Oml of dichloromethane. After drying, it was distilled off. The residue was subjected to column chromatography (silica gel; dichloromethane) to obtain 67 Omg of the above compound.
性状:淡褐色粉末 Properties: light brown powder
融点: 134— 135. 5 °C Melting point: 134- 135.5 ° C
'H-NMR(DMSO-d6) δ : 2.29 (3Η, s) , 4.32 (2Η, brs) ,5.81 (1Η, s) , 'H-NMR (DMSO-d 6 ) δ: 2.29 (3Η, s), 4.32 (2Η, brs), 5.81 (1Η, s),
6.36 (1H, dd, J=2Hz, J=8Hz) , 6.55 (1H, d, J=2Hz) , 6.93 (1H, d, J=8Hz) , 10.34 (1H, s) 実施例 7 5— t e r t—ブトキシカルボニルアミノー 2—メチルー 3 - (2—ピリジルチ ォ) インドール (化合物 45) 6.36 (1H, dd, J = 2Hz, J = 8Hz), 6.55 (1H, d, J = 2Hz), 6.93 (1H, d, J = 8Hz), 10.34 (1H, s) 5-tert-Butoxycarbonylamino-2-methyl-3- (2-pyridylthio) indole (Compound 45)
5—ァミノ一2—メチルインド一ル 6 O Omgをテトラヒドロフラン 2 Oml に溶解した。 ジ— t e r t—ブチルジカーボネート 88 Omgを加えて室温で 1. 5時間撹拌した。 溶媒を留去して残渣をカラムクロマト (シリカゲル;ジクロロ メタン) に付した。 へキサンを加えて濾過した。 無色粉末の 5_ t e r t—ブト キシカルポニルアミノー 2—メチルインドールを 86 Omg得た。 5-Amino-2-methylindole 6 O Omg was dissolved in tetrahydrofuran 2 Oml. Di-tert-butyl dicarbonate (88 Omg) was added, and the mixture was stirred at room temperature for 1.5 hours. The solvent was distilled off, and the residue was subjected to column chromatography (silica gel; dichloromethane). Hexane was added and filtered. 86 Omg of a colorless powder of 5_tert-butoxycarbonylamino-2-methylindole was obtained.
水素化ナトリウム 0. 34 gを、 N, N—ジメチルホルムアミド 3m 1に懸濁 して、 氷冷下に 5 _ t e r t一ブトキシカルボニルァミノ— 2—メチルインド一 ル 0. 8 gを加えて 30分撹拌した。 ここに、 2, 2, 一ジピリジルジスルフィ ド 0. 88 gを加えて室温で 1 8時間撹拌した。 酢酸ェチル 60m lを加えて 3%炭酸ナトリウム 20 Om l X 4回で洗浄した。 乾燥後に留去した。 へキサ ンを加えて濾過しての上記化合物を 6 1 Omg得た。 0.34 g of sodium hydride is suspended in 3 ml of N, N-dimethylformamide, and 0.8 g of 5-tert-butoxycarbonylamino-2-methylindole is added thereto under ice-cooling. For a minute. To this, 0.88 g of 2,2,1-dipyridyl disulfide was added, and the mixture was stirred at room temperature for 18 hours. Ethyl acetate (60 ml) was added, and the mixture was washed 4 times with 3% sodium carbonate (20 ml). After drying, it was distilled off. Hexane was added and the mixture was filtered to obtain 61 Omg of the above compound.
性状:淡黄色粉末 Properties: pale yellow powder
融点: 197— 198 Melting point: 197-198
'H-NMR(DMSO-d6) δ : 1.42 (9Η, s) , 2.40 (3Η, s) , 6.51 (IH, d, J=8Hz) , 'H-NMR (DMSO-d 6 ) δ: 1.42 (9Η, s), 2.40 (3Η, s), 6.51 (IH, d, J = 8Hz),
7.04 (1H, dd, J=2Hz, J=8Hz) , 7.11-7.15 (IH, m) , 7.16 (1H, d, J=8Hz) , 7.04 (1H, dd, J = 2Hz, J = 8Hz), 7.11-7.15 (IH, m), 7.16 (1H, d, J = 8Hz),
7.48 (1H, dd, J-2Hz, J=8Hz) , 7.56 (1H, brs), 8.37 (IH, d, J=4Hz), 9.08 (IH, brs) , 11.56(1H, s) 7.48 (1H, dd, J-2Hz, J = 8Hz), 7.56 (1H, brs), 8.37 (IH, d, J = 4Hz), 9.08 (IH, brs), 11.56 (1H, s)
実施例 8 Example 8
2 - (Ν' - (2—メチル— 3—フエ二ルチオインドール— 5 Γル) ゥレイ ド) 安息香酸メチルエステル (化合物 46) 2-(Ν '-(2-Methyl-3-phenylthioindole-5 ml) perido) Methyl benzoate (Compound 46)
5—アミノー 2—メチル _ 3—フエ二ルチオインドール 50 Omgと 2—イソ シアナト安息香酸メチル 36 Omg, 4—ジメチルァミノピリジン 2 Omgをカロ えて 50°Cで 4時間撹拌した。 溶媒は減圧下に留去した。 残渣をカラムクロマト (シリカゲル;ジクロロメタン) に付して上記化合物を 78 Omg得た。 性状:無色粉末 A mixture of 50 Omg of 5-amino-2-methyl-3-phenylthioindole, 36 Omg of methyl 2-isocyanatobenzoate, and 2 Omg of 4-dimethylaminopyridine was stirred at 50 ° C for 4 hours. The solvent was distilled off under reduced pressure. The residue was subjected to column chromatography (silica gel; dichloromethane) to obtain 78 Omg of the above compound. Properties: colorless powder
融点: 94 _ 95. 5°C Melting point: 94-95.5 ° C
'H-NMR(CDC13) δ : 2.49 (3Η, s) , 3.76 (3Η, s) , 6.50 (1Η, s) , 6.95-7.07 (4H, m) , 7.11 (2H, d, J=7Hz), 7.30 (2H, s) , 7.42-7.53 (2H, m),7.95 (1H, d, J=7Hz) , 'H-NMR (CDC1 3) δ: 2.49 (3Η, s), 3.76 (3Η, s), 6.50 (1Η, s), 6.95-7.07 (4H, m), 7.11 (2H, d, J = 7Hz) , 7.30 (2H, s), 7.42-7.53 (2H, m), 7.95 (1H, d, J = 7Hz),
8.39 (1H, s) , 8.5 (1H, d, J=8Hz) , 10.36 (1H, s) 8.39 (1H, s), 8.5 (1H, d, J = 8Hz), 10.36 (1H, s)
実施例 9 Example 9
3 - (2—メチルー 3 _フエ二ルチオインドール— 5—ィル) —2, 4 (1H, 3H) ーキナゾリンジオン (化合物 47) 3-(2-Methyl-3-phenylthioindole-5-yl) —2,4 (1H, 3H) -quinazolinedione (compound 47)
2 - (Ν' ― (2—メチル _ 3—フエ二ルチオインドール— 5—ィル) ゥレイ ド) 安息香酸メチルエステル 1 gをトルエン 15m 1、 ジメチルスルホキシド 5 m lに溶解した。 1, 8 _ジァザビシクロ [5. 4. 0] ゥンデセン (DBU) 0. 5mlを加えて 1 10°Cで 3時間撹拌した。 溶媒を減圧下に留去した。 残渣 に 3%クェン酸 30 Om 1を加え、 酢酸ェチル 20 Om 1で抽出した。 有機層は 乾燥後に、 減圧下留去した。 残渣にへキサンを加えて濾過して上記化合物 を 0. 9 1 g得た。 2- (Ν '-(2-Methyl_3-phenylthioindole-5-yl) perylene) 1 g of benzoic acid methyl ester was dissolved in 15 ml of toluene and 5 ml of dimethyl sulfoxide. 0.5 ml of 1,8_diazabicyclo [5.4.0] indene (DBU) was added, and the mixture was stirred at 110 ° C for 3 hours. The solvent was distilled off under reduced pressure. To the residue was added 30% of 3% citrate and extracted with 20% of ethyl acetate. After drying, the organic layer was distilled off under reduced pressure. Hexane was added to the residue, followed by filtration to obtain 0.91 g of the above compound.
性状:淡褐色粉末 Properties: light brown powder
融点: 254— 256T: Melting point: 254—256T:
'H-NMR(DMSO-d6) δ : 2.54 (3Η, s) , 6.98 (2Η, d, J=9Hz) ,7.01 (1H, d, J=2Hz) , 7.06 (1H, t, J=8Hz), 7.18-7.21 (4H, m), 7.25 (1H, s), 7.46 (1H, d, J=9Hz), 'H-NMR (DMSO-d 6 ) δ: 2.54 (3Η, s), 6.98 (2Η, d, J = 9 Hz), 7.01 (1H, d, J = 2 Hz), 7.06 (1H, t, J = 8 Hz) ), 7.18-7.21 (4H, m), 7.25 (1H, s), 7.46 (1H, d, J = 9Hz),
7.67 (1H, t, J=8Hz), 7.90 (1H, d, J=7Hz) , 11.43(1H, s), 11.83 (1H, s) 7.67 (1H, t, J = 8Hz), 7.90 (1H, d, J = 7Hz), 11.43 (1H, s), 11.83 (1H, s)
実施例 10 (1) Example 10 (1)
5—ァセチルァミノ— 3—フエ二ルチオインドール (化合物 48) 5-Acetylamino-3-phenylthioindole (Compound 48)
.5—ァミノインドール 4 O Omgをテトラヒドロフラン 10mlに溶解してァ セチルイミダゾール 33 Omg、 4ージメチルァミノピリジン 1 Omgを加えて 室温で 18時間さらに 60°Cで 4時間撹拌した。 溶媒を減圧下に留去した。 残渣 にジクロロメタン 3 Om 1を加え 3%クェン酸で洗浄した。 乾燥後に濃縮した。 エーテルを加えて濾過した。 淡褐色粉末の 5—ァセチルァミノインドール を 0. 27 g得た。 .5-Aminoindole 4 O Omg was dissolved in tetrahydrofuran 10 ml, acetylimidazole 33 Omg and 4-dimethylaminopyridine 1 Omg were added, and the mixture was stirred at room temperature for 18 hours and further at 60 ° C for 4 hours. The solvent was distilled off under reduced pressure. Dichloromethane 3 Om1 was added to the residue, and the mixture was washed with 3% citric acid. After drying, it was concentrated. Ether was added and filtered. 0.27 g of light brown powder of 5-acetylaminoindole was obtained.
'H-NMR(DMSO-d6) δ : 2.02 (3Η, s) , 6.35 (IH, s) , 7.17 (1H, dd, J=2Hz, J=9Hz) , 7.29 (2H, dd, J=2Hz, J=6Hz), 7.84 (1H, s) , 9.70 (IH, s), 10.96 (1H, brs) 'H-NMR (DMSO-d 6 ) δ: 2.02 (3Η, s), 6.35 (IH, s), 7.17 (1H, dd, J = 2Hz, J = 9Hz), 7.29 (2H, dd, J = 2Hz) , J = 6Hz), 7.84 (1H, s), 9.70 (IH, s), 10.96 (1H, brs)
水素化ナトリウム 24 Omgを、 N, N—ジメチルホルムアミド 1 Om 1に懸 濁して、 氷冷下に 5—ァセチルァミノインド一ル 348 mgを加えて 30分撹拌 した。 ここにジフエ二ルジスルフイド 0. 5 gを加えて室温で 4時間撹拌した。 冷却下に水を 50m l加えた。 酢酸ェチル 3 Om lで抽出した。 有機層はさらに 3%炭酸ナトリウムで 1 0 Om l X 3回洗浄した。 乾燥後に濃縮した。 残渣を カラムクロマト (シリカゲル;クロ口ホルム 酢酸ェチル = 10Z1) に付して 上記化合物を 53 Omg得た。 24 Omg of sodium hydride was suspended in 1 Nm of N, N-dimethylformamide, and 348 mg of 5-acetylaminoindole was added thereto under ice cooling, followed by stirring for 30 minutes. To this was added 0.5 g of diphenyldisulfide, and the mixture was stirred at room temperature for 4 hours. 50 ml of water were added under cooling. Extracted with ethyl acetate 3 Oml. The organic layer was further washed with 3% sodium carbonate at 10 Oml × 3 times. After drying, it was concentrated. The residue was subjected to column chromatography (silica gel; chloroform-form ethyl acetate = 10Z1) to obtain 53 Omg of the above compound.
性状:紫色粉末 Properties: purple powder
融点: 8 1— 82 Melting point: 8 1— 82
'H-NMR(CDC13) 6 : 2.14(3H, s) , 7.04-7.14(3H,m), 7.16-7.18(3H,m), 'H-NMR (CDC1 3) 6: 2.14 (3H, s), 7.04-7.14 (3H, m), 7.16-7.18 (3H, m),
7.39 (IH, d, J=9Hz) , 7.43 (1H, s) , 7.48 (IH, d, J=2Hz) ,7.62 (IH, dd, J=2Hz, J=9Hz) , 7.39 (IH, d, J = 9Hz), 7.43 (1H, s), 7.48 (IH, d, J = 2Hz), 7.62 (IH, dd, J = 2Hz, J = 9Hz),
8.46(lH,brs) 8.46 (lH, brs)
実施例 10 ( 2 ) — ( 6 ) Example 10 (2) — (6)
実施例 10 (1) と同様にして、 以下の (化合物 49) - (化合物 53) を得 た。 The following (Compound 49)-(Compound 53) were obtained in the same manner as in Example 10 (1).
実施例 10 (2) Example 10 (2)
5—ベンゾィルアミノー 3—フエ二ルチオインド一ル (化合物 49) 5-benzoylamino-3-phenylthioindole (Compound 49)
性状:褐色粉末 Properties: brown powder
融点: 208— 209 °C Melting point: 208—209 ° C
'H-NMR(DMSO-d6) δ : 7.01(2H,d, J=8Hz) , 7.05 (IH, t, J=8Hz), 7.20(2H, t, J=8Hz), 7.43-7.62 (5H, m), 7.75 (1H, d, J=3Hz) , 7.79-8.00 (3H, m), 10.15 (IH, s), 11 · 68 (1H, s) 実施例 10 (3) 3—フエ二ルチオ一 5— (4一トルエンスルホニルァミノ) インドール (化合物 50) 'H-NMR (DMSO-d 6 ) δ: 7.01 (2H, d, J = 8 Hz), 7.05 (IH, t, J = 8 Hz), 7.20 (2H, t, J = 8 Hz), 7.43-7.62 (5H , m), 7.75 (1H, d, J = 3Hz), 7.79-8.00 (3H, m), 10.15 (IH, s), 11 · 68 (1H, s) Example 10 (3) 3-phenylthio-5- (4-toluenesulfonylamino) indole (compound 50)
性状:淡褐色粉末 Properties: light brown powder
融点: 205 _ 206. 5 °C Melting point: 205 _ 206.5 ° C
'H-NMR(DMS0-d6) 6 : 2.28 (3H, s) , 6.94 (2H, d, J=7Hz) , 6.96 (IH, d, J=2Hz) , 7.11 (2H, dd, J=2Hz, J=9Hz), 7.15-7. 2 (4H, m) , 7.36 (1H, d, J=8Hz) , 'H-NMR (DMS0-d 6) 6: 2.28 (3H, s), 6.94 (2H, d, J = 7Hz), 6.96 (IH, d, J = 2Hz), 7.11 (2H, dd, J = 2Hz , J = 9Hz), 7.15-7.2 (4H, m), 7.36 (1H, d, J = 8Hz),
7.46 (2H, d, 8Hz) , 7.72 (IH, d, J=2Hz), 9· 81 (IH, s) , 11 · 65 (1H, s) 7.46 (2H, d, 8Hz), 7.72 (IH, d, J = 2Hz), 9 · 81 (IH, s), 11 · 65 (1H, s)
実施例 10 (4) Example 10 (4)
N— (3—フエ二ルチオインドール— 5—ィル) — N, —フエニルゥレア (化合 物 51) N— (3-phenylthioindole-5-yl) — N, —phenylpereyl (Compound 51)
性状:褐色粉末 Properties: brown powder
融点: 208 _ 210 Melting point: 208 _ 210
'H-NMR(DMSO-d6) δ : 6.92 (IH, t, J=8Hz) ,7.01 (2H, d, J=8Hz) , 'H-NMR (DMSO-d 6 ) δ: 6.92 (IH, t, J = 8 Hz), 7.01 (2H, d, J = 8 Hz),
7.05 (IH, t, J=8Hz), 7.15-7.30 (5H, m), 7.35-7.45 (3H, m) , 7.61 (IH, s) , 7.05 (IH, t, J = 8Hz), 7.15-7.30 (5H, m), 7.35-7.45 (3H, m), 7.61 (IH, s),
7.71 (IH, d, J=3Hz), 8.47 (1H, s), 8.53(1H, s), 11.58 (1H, s) 7.71 (IH, d, J = 3Hz), 8.47 (1H, s), 8.53 (1H, s), 11.58 (1H, s)
実施例 10 (5) Example 10 (5)
5 - t e r t—ブトキシカルポニルァミノ— 3—フエ二ルチオインドール (化合 物 52) 5-tert-butoxycarbonylamino-3-phenylthioindole (Compound 52)
性状:黄色固体 Properties: yellow solid
融点: 78. 5— 80で Melting point: 78.5-80
'H-NMR(DMS0-d6) δ : 1.43 (9Η, s) , 6.98 (2Η, d, J=8Hz) , 6.99-7.07 (IH, m) , 7.18-7.21 (3H, m) , 7.36 (IH, d, J=9Hz) , 7.66—7.72 (2H, m) ,9.14(1H, brs) , 11.57(lH.s) 'H-NMR (DMS0-d 6 ) δ: 1.43 (9Η, s), 6.98 (2Η, d, J = 8 Hz), 6.99-7.07 (IH, m), 7.18-7.21 (3H, m), 7.36 ( (IH, d, J = 9Hz), 7.66-7.72 (2H, m), 9.14 (1H, brs), 11.57 (lH.s)
実施例 10 (6) Example 10 (6)
3— (3—フエ二ルチオインド一ルー 5—ィル) 一 2, 4 (1 H, 3H) —キナ 3— (3—Fenrthio Indone 1—5—yl) 1 2, 4 (1 H, 3H) —Quina
(化合物 53 ) 性状:淡赤色粉末 (Compound 53) Properties: pale red powder
融点: 258 _ 258. 5°C Melting point: 258 _ 258.5 ° C
'H-NMR(DMSO-d6) δ : 7.05-7.11 (3Η, m) , 7.19-7.26 (4Η, m) , 7.36 (IH, s) , 7.45 (1H, t, J=8Hz), 7.58 (IH, d, J=9Hz) , 7.66-7.71 (IH, m), 7.88-7.97 (2H, m), 11.47(lH,brs), 11.89(lH.s) 'H-NMR (DMSO-d 6 ) δ: 7.05-7.11 (3Η, m), 7.19-7.26 (4Η, m), 7.36 (IH, s), 7.45 (1H, t, J = 8Hz), 7.58 ( (IH, d, J = 9Hz), 7.66-7.71 (IH, m), 7.88-7.97 (2H, m), 11.47 (lH, brs), 11.89 (lH.s)
実施例 1 1 (1) Example 1 1 (1)
5—ブロモ— 3—フエ二ルチオインドール (化合物 54) 5-Bromo-3-phenylthioindole (Compound 54)
水素化ナトリウム 1. 53 gをジメチルホルムアミド 7 Om 1に懸濁し、 氷冷 下 5—ブロモインドール 5 g、 続いてジフエ二ルジスルフイド 6. 12 gを加え 室温で 1日攪拌した。 反応液に水を加えジェチルエーテルで抽出し無水硫酸マグ ネシゥムで乾燥後濃縮した。 残渣をへキサンで粉末化し上記化合物を 6. 06 g 得た。 1.53 g of sodium hydride was suspended in 7 Om1 of dimethylformamide, and 5 g of 5-bromoindole was added thereto under ice-cooling, followed by 6.12 g of diphenyldisulfide. The mixture was stirred at room temperature for 1 day. Water was added to the reaction solution, extracted with getyl ether, dried over anhydrous magnesium sulfate and concentrated. The residue was triturated with hexane to obtain 6.06 g of the above compound.
性状:無色粉末 Properties: colorless powder
融点: 128— 130 Melting point: 128-130
'H-NMR(CDC13) δ : 7.03-7.12 (3Η, m) , 7.12-7.21 (2H, m) , 7.29-7.38 (2Η, m) , 'H-NMR (CDC1 3) δ: 7.03-7.12 (3Η, m), 7.12-7.21 (2H, m), 7.29-7.38 (2Η, m),
7.50 (IH, d, J=3Hz), 7.75 (1H, s), 8.44 (IH, brs) 7.50 (IH, d, J = 3Hz), 7.75 (1H, s), 8.44 (IH, brs)
実施例 1 1 (2) _ (10) Example 1 1 (2) _ (10)
実施例 1 1 (1) と同様にして、 以下の (化合物 55) — (化合物 63) を得 た。 The following (Compound 55) — (Compound 63) was obtained in the same manner as in Example 11 (1).
実施例 1 1 (2) Example 1 1 (2)
5_ブロモ_3— (2—ピリジルチオ) インドール (化合物 55) 5_Bromo_3- (2-pyridylthio) indole (Compound 55)
性状:無色粉末 Properties: colorless powder
融点: 253— 255 °C Melting point: 253-255 ° C
'H-NMR(DMS0-d6) 6 6.05 (IH, d, J=8Hz) , 7.04-7.09 (IH, m), 'H-NMR (DMS0-d 6 ) 6 6.05 (IH, d, J = 8Hz), 7.04-7.09 (IH, m),
7.33 (IH, dd, J=8Hz, J=2Hz) , 7.50-7.58 (3H, m), 7.87 (IH, s), 8.37 (IH, d, J=4Hz) 実施例 1 1 (3) 5—プロモー 3 _ (4—クロ口フエ二ルチオ) インドール (化合物 56) 性状:無色粉末 7.33 (IH, dd, J = 8Hz, J = 2Hz), 7.50-7.58 (3H, m), 7.87 (IH, s), 8.37 (IH, d, J = 4Hz) Example 1 1 (3) 5-Promote 3 _ (4-chlorophenol) Indole (Compound 56) Properties: colorless powder
融点: 146— 148 Melting point: 146-148
'H-NMR(CDC13) δ : 6.99 (2Η, d, J=9Hz), 7.14(2H, d, J=9Hz) , 7.32 (IH, d, J=9Hz) , 'H-NMR (CDC1 3) δ: 6.99 (2Η, d, J = 9Hz), 7.14 (2H, d, J = 9Hz), 7.32 (IH, d, J = 9Hz),
7.36 (1H, dd, J=9Hz, J=2Hz), 7.50 (1H, d, J=2Hz) ,7.71 (IH, s), 8.46 (IH, brs) 実施例 1 1 (4) 7.36 (1H, dd, J = 9Hz, J = 2Hz), 7.50 (1H, d, J = 2Hz), 7.71 (IH, s), 8.46 (IH, brs) Example 1 1 (4)
5—ブロモ—3— (4—メチルフエ二ルチオ) インドール (化合物 57) 性状:褐色粉末 5-Bromo-3- (4-methylphenylthio) indole (Compound 57) Properties: Brown powder
融点: 126 _ 128 °C Melting point: 126 _ 128 ° C
'H-NMR(CDC13) δ : 2.26 (3Η, s) , 7.88 (IH, s) , 8.09 (IH, dd, J=7Hz, J=2Hz) , 'H-NMR (CDC1 3) δ: 2.26 (3Η, s), 7.88 (IH, s), 8.09 (IH, dd, J = 7Hz, J = 2Hz),
8.22 (IH, d, J=9Hz) ,8.51 (IH, d, J=2Hz), 8.81 (IH, d, J=2Hz) , 10.06 (IH, s) 実施例 1 1 (5) 8.22 (IH, d, J = 9 Hz), 8.51 (IH, d, J = 2 Hz), 8.81 (IH, d, J = 2 Hz), 10.06 (IH, s) Example 1 1 (5)
5—ブロモ _ 3— (4—二トロフエ二ルチオ) インドール (化合物 58) 性状:黄色粉末 5-Bromo_3- (4-ditrophenylthio) indole (Compound 58) Properties: yellow powder
融点: 184_ 18 Melting point: 184_ 18
•H-NMR(DMS0-d6) δ : 7.29 (1H, d, J=9Hz), 7.41 (IH, d, J=9Hz), 7.59 (IH, s) , 7.91 (2H, d, J=9Hz) , 7.96 (IH, s), 8.24 (2H, d, J=9Hz) ,11.91 (IH, brs) • H-NMR (DMS0-d 6) δ: 7.29 (1H, d, J = 9Hz), 7.41 (IH, d, J = 9Hz), 7.59 (IH, s), 7.91 (2H, d, J = 9Hz ), 7.96 (IH, s), 8.24 (2H, d, J = 9Hz), 11.91 (IH, brs)
実施例 1 1 (6) Example 1 1 (6)
2 - (5_ブロモインドール— 3—ィルチオ) ベンゾチアゾール (化合物 59) 性状:黄色粉末 2- (5_bromoindole-3-ylthio) benzothiazole (Compound 59) Properties: yellow powder
融点: 222 _ 224 Melting point: 222_224
'H-NMR(DMS0-d6) δ 7.28 (IH, t, J=8Hz) , 7.38 (IH, dd, J=9Hz, J=2Hz) , 'H-NMR (DMS0-d 6 ) δ 7.28 (IH, t, J = 8 Hz), 7.38 (IH, dd, J = 9 Hz, J = 2 Hz),
7.42 (IH, t, J=8Hz), 7.55 (IH, d, J=9Hz), 7.68 (IH, d, J=2Hz), 7.83 (2H, d, J=8Hz), 8.12(lH,d, J=3Hz),12.24(lH,brs) 7.42 (IH, t, J = 8 Hz), 7.55 (IH, d, J = 9 Hz), 7.68 (IH, d, J = 2 Hz), 7.83 (2H, d, J = 8 Hz), 8.12 (lH, d, J = 3Hz), 12.24 (lH, brs)
実施例 1 1 (7) Example 1 1 (7)
5 - (5—ブロモインドール一 3—ィルチオ) 一 1一フエニルテトラゾ一ル (化 合物 60) 5-(5-bromoindole-3-ylthio) 1-phenylphenyltetrazole Compound 60)
性状:無色粉末 Properties: colorless powder
融点: 208— 2 1 0 °C Melting point: 208—210 ° C
'H-NMR(CDC13) δ : 7.33 (IH, dd, J=9Hz, J=2Hz) , 7.47 (IH, d, J-9Hz) , 'H-NMR (CDC1 3) δ: 7.33 (IH, dd, J = 9Hz, J = 2Hz), 7.47 (IH, d, J-9Hz),
7.62 (IH, d, J=2Hz), 7.63-7.71 (3H, m), 7.71-7.80 (2H, m), 7.85 (1H, s), 7.62 (IH, d, J = 2Hz), 7.63-7.71 (3H, m), 7.71-7.80 (2H, m), 7.85 (1H, s),
12.00(lH,brs) 12.00 (lH, brs)
実施例 1 1 (8) Example 1 1 (8)
5—べンジルォキシ— 3 _ (4 _メチルフエ二ルチオ) インドール (化合 物 6 1) 5-Benzyloxy-3 _ (4 _ methylphenylthio) indole (Compound 61)
性状:褐色粉末 Properties: brown powder
融点: 1 16— 1 18で Melting point: 1 16— 1 18
'H-NMR(CDC13) δ : 2.26 (3Η, s) , 5.03 (2Η, s) , 6.93-7.02 (5Η, m) , 'H-NMR (CDC1 3) δ: 2.26 (3Η, s), 5.03 (2Η, s), 6.93-7.02 (5Η, m),
7.15 (IH, d, J=2Hz), 7.28-7.39 (4H, m), 7.39-7.44 (3H, m),8.31 (IH, brs) 実施例 1 1 (9) 7.15 (IH, d, J = 2Hz), 7.28-7.39 (4H, m), 7.39-7.44 (3H, m), 8.31 (IH, brs) Example 11 (9)
5—ベンジルォキシ— 3—フエ二ルチオインドール (化合物 62) 5-benzyloxy-3-phenylthioindole (Compound 62)
性状:淡褐色粉末 Properties: light brown powder
融点: 1 35— 1 37 °C Melting point: 1 35— 1 37 ° C
'H-NMR(CDC13) δ : 5.03 (2Η, s) , 7.00 (IH, dd, J=9Hz, J=2Hz) , 7.02-7.11 (3H, m) , 7.11-7.19 (3H, m),7.30(lH,d> J=7Hz), 7.33-7.37 (3H, m), 7.37-7.45 (2H, m) , 7.46(lH,d, J=2Hz),8.35(lH,brs) 'H-NMR (CDC1 3) δ: 5.03 (2Η, s), 7.00 (IH, dd, J = 9Hz, J = 2Hz), 7.02-7.11 (3H, m), 7.11-7.19 (3H, m), 7.30 (lH, d > J = 7Hz), 7.33-7.37 (3H, m), 7.37-7.45 (2H, m), 7.46 (lH, d, J = 2Hz), 8.35 (lH, brs)
実施例 1 1 (10) Example 11 (10)
3 - (4 _メチルフエ二ルチオ) 一 5— (フエ二ルェチニル) インドール (化合 物 63) 3- (4-methylphenylthio) -1-5- (phenylenyl) indole (compound 63)
5—ブロモインドール 1 g、 炭酸カリウム 1. 8 g、 ヨウ化銅 ( 1 ) 4 8 mg : トリフエニルホスフィン 0. 1 3 g : ピストリフエニルホスフィンパ ラジウムクロリド (PdC 12 (PPhJ 2) 0. 18 gをジメトキシェタン 5m 1、 水 5m 1に懸濁し室温で 30分間攪拌した。 これに、 ェチニルベンゼン 1. 37mlを加え室温で 5時間、 80 で 20時間攪拌した。 反応液に水を加え酢 酸ェチルで抽出し、 無水硫酸マグネシウムで乾燥後濃縮した。 残渣をカラムクロ マト (シリカゲル;石油エーテル Z酢酸ェチル =4 1) に付し、 5— (フエ二 ルェチニル) インドール得た。 これとビス (4—メチルフエニル) ジスルフイド を用いて実施例 1 1 (1) と同様にして上記化合物を得た。 5-bromoindole 1 g, potassium carbonate 1. 8 g, copper iodide (1) 4 8 mg: triphenyl phosphine 0. 1 3 g: piste Rif enyl phosphine palladium chloride (PdC 1 2 (PPhJ 2) 0. 18 g of dimethoxyethane 5 m 1. Suspended in 5 ml of water and stirred at room temperature for 30 minutes. To this, 1.37 ml of ethynylbenzene was added, and the mixture was stirred at room temperature for 5 hours and at 80 for 20 hours. Water was added to the reaction solution, extracted with ethyl acetate, dried over anhydrous magnesium sulfate and concentrated. The residue was subjected to column chromatography (silica gel; petroleum ether Z ethyl acetate = 41) to obtain 5- (phenylethynyl) indole. The above compound was obtained in the same manner as in Example 11 (1) using this compound and bis (4-methylphenyl) disulfide.
性状:褐色粉末 Properties: brown powder
融点: 165 _ 168 °C Melting point: 165_168 ° C
Ή-醒 (CDC13) 6 : 2.26 (3H, s) , 6.99 (2Η, d, J=9Hz) , 7.03 (2H, d, J=9Hz) , Ή-wake (CDC1 3 ) 6: 2.26 (3H, s), 6.99 (2Η, d, J = 9Hz), 7.03 (2H, d, J = 9Hz),
7.28-7.35 (3H, m), 7.35-7.45 (2H, m) , 7.45-7.56 (3H, m) , 7.85 (1H, s) , 7.28-7.35 (3H, m), 7.35-7.45 (2H, m), 7.45-7.56 (3H, m), 7.85 (1H, s),
8.47(lH,brs) 8.47 (lH, brs)
実施例 1 2 (1) Example 1 2 (1)
5—プロモー 3—インドールカルバルデヒド (化合物 64) 5-Promote 3-Indolecarbaldehyde (Compound 64)
ジメチルホルムアミド 20mlに 0 でォキシ塩化リン 5. 2mlを滴下した。 これに 5 _ブロモインドール 10 gのジメチルホルムアミド溶液 3 Omlを滴下 し、 室温で 3時間攪拌した。 反応液を水に加え、 16%水酸化ナトリウム 100 m 1を加えた後、 析出物をろ取し上記化合物を 10. 26 g得た。 5.2 ml of phosphorus oxychloride was added dropwise to 20 ml of dimethylformamide at 0. A solution of 10 g of 5-bromoindole in 3 Oml of dimethylformamide was added dropwise thereto, and the mixture was stirred at room temperature for 3 hours. The reaction mixture was added to water, 100 ml of 16% sodium hydroxide was added, and the precipitate was collected by filtration to obtain 10.26 g of the above compound.
性状:淡褐色粉末 Properties: light brown powder
融点: 207— 2 10 : Melting point: 207—2 10:
•H-NMR(DMS0-d6) δ : 7.40 (1Η, d, J=8Hz) , 7.50 (1H, d, J=8Hz) , 8.23 (1H, s) ,H-NMR (DMS0-d 6 ) δ: 7.40 (1Η, d, J = 8 Hz), 7.50 (1H, d, J = 8 Hz), 8.23 (1H, s),
8.36(1H, s),9.93(lH,s) 8.36 (1H, s), 9.93 (lH, s)
実施例 12 (2) - (5) Example 12 (2)-(5)
実施例 12 (1) と同様にして、 以下の (化合物 65) — (化合物 68) を得 た。 The following (Compound 65) — (Compound 68) was obtained in the same manner as in Example 12 (1).
実施例 12 (2) Example 12 (2)
4一ブロモ _ 3 _インド一ルカルバルデヒド (化合物 65) 性状:淡黄色粉末 4-Bromo _ 3 _Indyl carbaldehyde (Compound 65) Properties: pale yellow powder
融点: 184— 186で Melting point: 184-186
'H-NMR(CDC13) δ : 7.16(1H, t, J=8Hz) , 7.45 (IH, d, J=8Hz),7.51 (IH, d, J=8Hz) , 8.11 (1H, d, J=4Hz) , 9.00 (IH, brs) , 10.94 (IH, s) 'H-NMR (CDC1 3) δ: 7.16 (1H, t, J = 8Hz), 7.45 (IH, d, J = 8Hz), 7.51 (IH, d, J = 8Hz), 8.11 (1H, d, J = 4Hz), 9.00 (IH, brs), 10.94 (IH, s)
実施例 12 (3) Example 12 (3)
6—プロモー 3—インドールカルバルデヒド (化合物 66) 6-Promote 3-Indolecarbaldehyde (Compound 66)
性状:褐色粉末 Properties: brown powder
融点: 2 10— 2 12t Melting point: 2 10— 2 12t
'H-NMR(DMS0-d6) δ : 7.37 (IH, dd, J=8Hz, 2Hz) , 7.72 (IH, d, J=2Hz) , 'H-NMR (DMS0-d 6 ) δ: 7.37 (IH, dd, J = 8 Hz, 2 Hz), 7.72 (IH, d, J = 2 Hz),
8.03 (IH, d, J=8Hz), 8.33 (IH, s) , 9.94(1H, s), 12.22 (1H, brs) 8.03 (IH, d, J = 8Hz), 8.33 (IH, s), 9.94 (1H, s), 12.22 (1H, brs)
実施例 1 2 (4) Example 1 2 (4)
5—ニトロ— 3—インドールカルバルデヒド (化合物 67) 5-nitro-3-indolecarbaldehyde (compound 67)
性状:褐色粉末 Properties: brown powder
融点: > 285 °C Melting point:> 285 ° C
Ή-NMR (DMS0-d6) δ : 7.73 (IH, d, J=9Hz) ,8.17 (IH, d, J=9Hz), 8.59 (IH, s), 8.95(lH,s), 10.03(lH,s) Ή-NMR (DMS0-d 6 ) δ: 7.73 (IH, d, J = 9 Hz), 8.17 (IH, d, J = 9 Hz), 8.59 (IH, s), 8.95 (lH, s), 10.03 (lH , s)
実施例 12 (5) Example 12 (5)
2—フエニル— 3—インドールカルバルデヒド (化合物 68) 2-phenyl-3-indolecarbaldehyde (compound 68)
性状:黄緑色粉末 Properties: yellow-green powder
融点: 262 _ 263 °C Melting point: 262_263 ° C
'H-NMR(DMS0-d6) δ : 7.20-7.34 (2Η, m) , 7.48-7.55 (IH, m) , 7.55-7.69 (3H, m) , 7.71-7.81 (2H, m),8.16-8.27(1H, m),9.97(1H, s) 'H-NMR (DMS0-d 6 ) δ: 7.20-7.34 (2Η, m), 7.48-7.55 (IH, m), 7.55-7.69 (3H, m), 7.71-7.81 (2H, m), 8.16- 8.27 (1H, m), 9.97 (1H, s)
実施例 13 (1) Example 13 (1)
5—ブロモー 3—ペン夕フルォロプロピオニルインドール (化合物 69) ペンタフルォロプロピオン酸無水物 1. 5m lをテトラヒドロフラン 5m lに 溶解し、 0°Cで 5—ブロモインドール 1 gのテトラヒドロフラン溶液 1 Om 1を 滴下し、 0°Cで 1時間、 室温で 1日攪拌した。 反応液を濃縮し、 ジェチルェ一テ ルを加え飽和炭酸水素ナトリゥム水溶液で洗净し、 無水硫酸マグネシウムで乾燥 後濃縮した。 残渣をへキサンで洗浄し上記化合物を 1. 46 g得た。 5-Bromo-3-pentafluoropropionylindole (Compound 69) 1.5 ml of pentafluoropropionic anhydride is dissolved in 5 ml of tetrahydrofuran, and a solution of 1 g of 5-bromoindole 1 g in tetrahydrofuran at 0 ° C 1 Om 1 The mixture was added dropwise and stirred at 0 ° C. for 1 hour and at room temperature for 1 day. The reaction solution was concentrated, getyl ether was added, washed with a saturated aqueous solution of sodium hydrogen carbonate, dried over anhydrous magnesium sulfate and concentrated. The residue was washed with hexane to obtain 1.46 g of the above compound.
性状:無色粉末 Properties: colorless powder
融点: 226— 229 °C Melting point: 226—229 ° C
'H-NMR(CDC13) δ : 7.36 (1Η, d, J=8Hz) , 7.49 (1H, dd, J=8Hz, J=2Hz) , 'H-NMR (CDC1 3) δ: 7.36 (1Η, d, J = 8Hz), 7.49 (1H, dd, J = 8Hz, J = 2Hz),
8.12(1H, d, J=4Hz),8.61 (1H, d, J-2Hz), 8.98(1H, brs) 8.12 (1H, d, J = 4Hz), 8.61 (1H, d, J-2Hz), 8.98 (1H, brs)
実施例 1 3 (2) Example 13 (2)
実施例 13 (1) と同様にして、 以下の (化合物 70) を得た。 The following (Compound 70) was obtained in the same manner as in Example 13 (1).
5—プロモー 3 _トリフルォロアセチルインドール (化合物 70) 5-Promote 3 _ trifluoroacetylindole (Compound 70)
性状:褐色粉末 Properties: brown powder
融点: 258— 260 °C Melting point: 258—260 ° C
'H-NMR(CDC13) δ : 7.36(lH,d, J=9Hz) , 7.49 (1H, dd, J=9Hz, J=2Hz) , 8.06 (1H, s), 8.59(lH,s),8.85(lH,brs) 'H-NMR (CDC1 3) δ: 7.36 (lH, d, J = 9Hz), 7.49 (1H, dd, J = 9Hz, J = 2Hz), 8.06 (1H, s), 8.59 (lH, s), 8.85 (lH, brs)
実施例 14 Example 14
1 - (5 _ブロモ _ 3—インドリル) —2— (4—メチル— 1—ピペラジニル) エタンジオン (化合物 7 1) 1- (5_Bromo_3-Indolyl) —2— (4-Methyl-1-piperazinyl) ethanedione (Compound 71)
ォキサリルクロリド 0. 7m 1をテトラヒドロフラン 5m 1に加え、 氷冷下 5 一ブロモインドール 1 gのテトラヒドロフラン 10ml溶液を滴下した。 室温で 1時間攪拌した後 1—メチルピペラジン 1. 7mlを加えさらに室温で 1時間攪 拌した。 反応液を濃縮し、 飽和炭酸水素ナトリウム水溶液を加えクロ口ホルムで 抽出した。 有機層を無水硫酸マグネシウムで乾燥後濃縮した。 残渣をカラムクロ マト (シリカゲル;クロ口ホルム メタノール = 10ノ 1) に付し上記化合物を 1. 12 g得た。 0.7 ml of oxalyl chloride was added to 5 ml of tetrahydrofuran, and a solution of 1 g of 5-bromoindole in 10 ml of tetrahydrofuran was added dropwise under ice cooling. After stirring at room temperature for 1 hour, 1.7 ml of 1-methylpiperazine was added, and the mixture was further stirred at room temperature for 1 hour. The reaction solution was concentrated, a saturated aqueous solution of sodium hydrogen carbonate was added, and the mixture was extracted with chloroform. The organic layer was dried over anhydrous magnesium sulfate and concentrated. The residue was subjected to column chromatography (silica gel; chloroform-form methanol = 10-1) to obtain 1.12 g of the above compound.
性状:黄色粉末 Properties: yellow powder
融点: 195— 197 °C 'H-NMR(CDC13) δ : 2.33 (3H, s) , 2.36-2.42 (2H, m) , 2.42-2.59 (2H, m) , Melting point: 195-197 ° C 'H-NMR (CDC1 3 ) δ: 2.33 (3H, s), 2.36-2.42 (2H, m), 2.42-2.59 (2H, m),
3.40-3.60 (2H, m), 3.60-3.83 (2H, m),7.18 (1H, d, J-9Hz) , 7.35(1H, d, J=9Hz), 7.7K1H, s),8.46(lH, s), 10.12(lH,brs) 3.40-3.60 (2H, m), 3.60-3.83 (2H, m), 7.18 (1H, d, J-9Hz), 7.35 (1H, d, J = 9Hz), 7.7K1H, s), 8.46 (lH, s), 10.12 (lH, brs)
実施例 1 5 Example 15
5— (3—ヒドロキシー 3—メチルー 1—ブチニル) 一 3 Γンドールカルバル デヒド (化合物 72) 5- (3-Hydroxy-3-methyl-1-butynyl) -13-Pendolecarbaldehyde (Compound 72)
5 _ブロモ—3—インドールカルバルデヒド 0. 5 g、 炭酸カリウム 0. 78 g、 ヨウ化銅 (I) 19mg、 トリフエニルホスフィン 48mg、 10%パラジ ゥム炭素 48mgをジメトキシェタン 4m 1、 水 4m 1に懸濁し室温で 30分間 攪拌した。 これに、 2—メチル— 3—ブチン— 2—オール 0. 46 gを加 え 80 で 1日攪拌した。 反応液をろ過し、 ろ液を濃縮した。 残渣をカラムク 口マト (シリカゲル; クロ口ホルム メタノール = 20ノ 1 ) に付し上記化 合物を 143mg得た。 0.5 g of 5-bromo-3-indole carbaldehyde, 0.78 g of potassium carbonate, 19 mg of copper (I) iodide, 48 mg of triphenylphosphine, 48 mg of 10% palladium carbon, 4 m of dimethoxyethane, 4 m of water The mixture was suspended in 1 and stirred at room temperature for 30 minutes. To this, 0.46 g of 2-methyl-3-butyn-2-ol was added, and the mixture was stirred at 80 for 1 day. The reaction solution was filtered, and the filtrate was concentrated. The residue was subjected to column chromatography (silica gel; chloroform-form methanol = 20-1) to obtain 143 mg of the above compound.
性状:無色粉末 Properties: colorless powder
融点: 176— 1 781: Melting point: 176—1 781:
'H-NMR(DMS0-d6) δ : 1. 8 (6Η, s) , 5.41 (IH, brs) ,7.25 (IH, d, J=9Hz) , 'H-NMR (DMS0-d 6 ) δ: 1.8 (6Η, s), 5.41 (IH, brs), 7.25 (IH, d, J = 9 Hz),
7.49 (IH, d, J=9Hz) ,8.12 (1H, s), 8.33 (IH, s), 9.94 (IH, s) 7.49 (IH, d, J = 9Hz), 8.12 (1H, s), 8.33 (IH, s), 9.94 (IH, s)
実施例 16 (1) Example 16 (1)
5—ブロモ— 3— (4_クロ口フエニルスルホニル) — 2—メチルインドール (化合物 73 ) 5-bromo-3- (4-chlorophenylsulfonyl) —2-methylindole (Compound 73)
5—ブロモ—3— (4 _クロ口フエ二ルチオ) —2—メチルインドール 353 mgをジクロロメタン 5m 1に溶解した。 m—クロ口過安息香酸 435mgをカロ えて室温で 2日間撹拌した。 反応液を 1 %亜硫酸ナトリゥム溶液 50mlで洗浄 した。 有機層は乾燥後に濃縮した。 残渣をカラムクロマト (シリカゲル;クロ口 ホルム 酢酸ェチル =50Z1) に付した。 へキサンを加えて濾過して、 上記化 合物を 12 Omg得た。 性状:淡褐色粉末 353 mg of 5-bromo-3- (4-chlorophenylthio) -2-methylindole was dissolved in 5 ml of dichloromethane. 435 mg of m-chloroperbenzoic acid was added to the mixture, and the mixture was stirred at room temperature for 2 days. The reaction solution was washed with 50 ml of a 1% sodium sulfite solution. The organic layer was concentrated after drying. The residue was subjected to column chromatography (silica gel; ethyl acetate ethyl form = 50Z1). Hexane was added and the mixture was filtered to obtain 12 Omg of the above compound. Properties: light brown powder
融点: 258— 258. 5 °C Melting point: 258—258.5 ° C
'H-NMR(DMSO-d6) δ : 2.66 (3Η, s) , 7.34 (IH, dd, J=2Hz, J=9Hz) , 7.39 (IH, d, J=9H z) , 7.65 (2H, d, J=9Hz), 7.93 (2H, d, J=9Hz) , 7.94 (1H, d, J=2Hz) , 12.45 (IH, brs) 実施例 16 (2) - (39) 'H-NMR (DMSO-d 6 ) δ: 2.66 (3Η, s), 7.34 (IH, dd, J = 2Hz, J = 9Hz), 7.39 (IH, d, J = 9Hz), 7.65 (2H, d, J = 9Hz), 7.93 (2H, d, J = 9Hz), 7.94 (1H, d, J = 2Hz), 12.45 (IH, brs) Example 16 (2)-(39)
実施例 16 (1) と同様にして、 以下の (化合物 74) — (化合物 113) を 得た。 The following (Compound 74) — (Compound 113) was obtained in the same manner as in Example 16 (1).
実施例 16 (2) Example 16 (2)
5 _ブロモ— 2 _メチル _ 3— (4—メチルフエニルスルホニル) インドール (化合物 74) 5 _bromo- 2 _methyl _ 3— (4-methylphenylsulfonyl) indole (Compound 74)
性状:淡褐色粉末 Properties: light brown powder
融点: 276. 5 _ 277 Melting point: 276.5_277
'H-NMR(DMSO-d6) δ : 2.34(3H, s) , 2.66 (3Η, s) , 'H-NMR (DMSO-d 6 ) δ: 2.34 (3H, s), 2.66 (3Η, s),
7.32 (IH, dd, J=2Hz, J=9Hz), 7.37 (IH, d, J=9Hz), 7.38 (2H, d, J=8Hz), 7.32 (IH, dd, J = 2Hz, J = 9Hz), 7.37 (IH, d, J = 9Hz), 7.38 (2H, d, J = 8Hz),
7.80 (2H, d, J=8Hz) , 7.92 (IH, s), 12.34 (IH, brs) 7.80 (2H, d, J = 8Hz), 7.92 (IH, s), 12.34 (IH, brs)
実施例 16 (3) Example 16 (3)
5—ブロモ _ 3— (3—メトキシフエニルスルホニル) — 2 _メチルインドール (化合物 75) 5-Bromo_3- (3-methoxyphenylsulfonyl) —2-methylindole (Compound 75)
性状:褐色粉末 Properties: brown powder
融点: 187— 188 Melting point: 187—188
'H-NMR(DMS0-d6) δ 2.66 (3Η, s) , 3.81 (3Η, s) , 7.18 (IH, d, J=8Hz) , 'H-NMR (DMS0-d 6 ) δ 2.66 (3Η, s), 3.81 (3Η, s), 7.18 (IH, d, J = 8Hz),
7.29-7.40 (3H, m),7.42-7.52 (2H, m) , 7.94 (1H, d, J=2Hz) , 12.39 (IH, brs) 実施例 16 (4) 7.29-7.40 (3H, m), 7.42-7.52 (2H, m), 7.94 (1H, d, J = 2Hz), 12.39 (IH, brs) Example 16 (4)
3 - (ベンジルスルホニル) — 5—プロモー 2—メチルインドール (化合 物 76) 3- (benzylsulfonyl) — 5-promo 2-methylindole (Compound 76)
性状:無色粉末 融点: 187. 5 - 188 °C Properties: colorless powder Melting point: 187.5-188 ° C
'H-NMR(DMS0-d6) δ : 2.09 (3H, s) , 4.49 (2H, s) , 7.02 (2H, d, J=8Hz) , 'H-NMR (DMS0-d 6 ) δ: 2.09 (3H, s), 4.49 (2H, s), 7.02 (2H, d, J = 8Hz),
7.23 (2H, t, J=7Hz), 7.28 (2H, dd, J=2Hz, J=9Hz), 7.36 (IH, d, J=9Hz), 7.23 (2H, t, J = 7Hz), 7.28 (2H, dd, J = 2Hz, J = 9Hz), 7.36 (IH, d, J = 9Hz),
7.65(1H, d, J=2Hz), 12.18(lH,brs) 7.65 (1H, d, J = 2Hz), 12.18 (lH, brs)
実施例 16 (5) Example 16 (5)
2 - t e r tーブチルー 5—ブロモ— 3 - (フエニルスルホニル) ィンドール (化合物 77 ) 2-tert-butyl-5-bromo-3- (phenylsulfonyl) indole (compound 77)
性状:褐色粉末 Properties: brown powder
融点: 64— 64. 5 °C Melting point: 64-64.5 ° C
'H-NMR(CDC13) δ : 1.61 (9Η, s) , 7.25 (IH, d, J=8Hz) , 7.33 (IH, dd, J=2Hz, J=8Hz) , 7.42-7.56 (3H, m) , 7.89 (2H, dd, J=2Hz, J=8Hz) , 8.31 (1H, d, J=2Hz) , 10.87 (IH, brs) 実施例 16 (6) 'H-NMR (CDC1 3) δ: 1.61 (9Η, s), 7.25 (IH, d, J = 8Hz), 7.33 (IH, dd, J = 2Hz, J = 8Hz), 7.42-7.56 (3H, m ), 7.89 (2H, dd, J = 2Hz, J = 8Hz), 8.31 (1H, d, J = 2Hz), 10.87 (IH, brs) Example 16 (6)
3 - (4—クロ口フエニルスルホニル) 一 2, 5—ジメチルインドール (化合物 78) 3- (4-chlorophenylsulfonyl) -1,2,5-dimethylindole (Compound 78)
性状:褐色粉末 Properties: brown powder
融点: 101— 103 °C Melting point: 101-103 ° C
'H-NMR(CDC13) δ : 2.47 (3Η, s) , 2.73 (3Η, s) , 7.06 (IH, dd, J=2Hz, J=8Hz) , 7.20(lH,d, J=8Hz)> 7.42(2H, dd 、 J=2Hz, J=8Hz) , 7.80 (IH, s) , 'H-NMR (CDC1 3) δ: 2.47 (3Η, s), 2.73 (3Η, s), 7.06 (IH, dd, J = 2Hz, J = 8Hz), 7.20 (lH, d, J = 8Hz)> 7.42 (2H, dd, J = 2Hz, J = 8Hz), 7.80 (IH, s),
7.92 (2H, dd, J=2Hz, J=8Hz), 8.44 (IH, brs) 7.92 (2H, dd, J = 2Hz, J = 8Hz), 8.44 (IH, brs)
実施例 16 (7) Example 16 (7)
(2 _メチル—3— (フエニルスルホニル) インドール— 5—ィル) 酢酸ェチル エステル (化合物 79) (2-methyl-3- (phenylsulfonyl) indole-5-yl) ethyl acetate (Compound 79)
性状:淡褐色粉末 Properties: light brown powder
融点: 11 1 _ 1 12°C Melting point: 11 1 _ 1 12 ° C
'H-NMR(DMS0-d6) <5 : 1.24(3H, t, J=7Hz) , 2.59 (3H, s) , 3.68 (2H, s) , 'H-NMR (DMS0-d 6 ) <5: 1.24 (3H, t, J = 7 Hz), 2.59 (3H, s), 3.68 (2H, s),
4.12 (2H, q, J=7Hz) , 7.03 (2H, t, J=8Hz), 7.35-7.47 (3H, m) , 7.87 (IH, s) , 7.91 (2H,d, J=8Hz),8.89(lH,brs) 4.12 (2H, q, J = 7Hz), 7.03 (2H, t, J = 8Hz), 7.35-7.47 (3H, m), 7.87 (IH, s), 7.91 (2H, d, J = 8Hz), 8.89 (lH, brs)
実施例 16 (8) Example 16 (8)
2—メチルー 3—フエニルスルホニルインドール一 5—カルボン酸ェチルエステ ル (化合物 80 ) 2-Methyl-3-phenylsulfonylindole-1-ethyl carboxylate (Compound 80)
性状:黄色粉末 Properties: yellow powder
融点: 197. 5 - 198 °C Melting point: 197.5-198 ° C
'H-NMR(DMSO-d6) δ : 1.35 (3Η, t, J=7Hz) , 2.69 (3H, s) , 4.34 (2H, q, J=7Hz) , 7.49 (1H, d, J=9Hz), 7.55-7.65 (3H, m),7.81 (IH, dd, J=2Hz, J=9Hz), 'H-NMR (DMSO-d 6 ) δ: 1.35 (3Η, t, J = 7 Hz), 2.69 (3H, s), 4.34 (2H, q, J = 7 Hz), 7.49 (1H, d, J = 9 Hz) ), 7.55-7.65 (3H, m), 7.81 (IH, dd, J = 2Hz, J = 9Hz),
7.89 (2H, dd, J=2Hz. J=9Hz) ,8.51 (1H, s) 7.89 (2H, dd, J = 2Hz. J = 9Hz), 8.51 (1H, s)
実施例 16 (9) Example 16 (9)
5 _ブロモ—2—メチルー 3—フエニルスルホニルインドール (化合物 81) 性状:淡褐色粉末 5 _Bromo-2-methyl-3-phenylsulfonylindole (Compound 81) Properties: Light brown powder
融点: 205— 205. 5 Melting point: 205— 205.5
'H-NMR(DMSO-de) δ : 2.67 (3Η, s) , 7.33 (IH, dd, J=2Hz, J=9Hz) , 'H-NMR (DMSO-de) δ: 2.67 (3Η, s), 7.33 (IH, dd, J = 2Hz, J = 9Hz),
7.38 (1H, d, J=8Hz), 7.59 (IH, d, J=8Hz), 7.63 (2H, dd, J=2Hz, J=8Hz), 7.38 (1H, d, J = 8Hz), 7.59 (IH, d, J = 8Hz), 7.63 (2H, dd, J = 2Hz, J = 8Hz),
7.91-7.95 (3H, m) , 12.39 (IH, brs) 7.91-7.95 (3H, m), 12.39 (IH, brs)
実施例 16 (10) Example 16 (10)
5—ブロモ _3 _ (4—クロ口フエニルスルホニル) —2—ェチルインドール (化合物 82 ) 5-Bromo _3 _ (4-chlorophenylsulfonyl) —2-ethylindole (Compound 82)
性状:淡黄色粉末 Properties: pale yellow powder
融点: 204 _ 204. 5 : Melting point: 204 _ 204.5:
'H-NMR(CDCl3 + DMSO-d6) δ : 1.3K3H, t, J=8Hz),3.13(2H,q, J=8Hz), 'H-NMR (CDCl 3 + DMSO-d 6 ) δ: 1.3K3H, t, J = 8Hz), 3.13 (2H, q, J = 8Hz),
7.24(1H, t, J=8Hz),7.28(lH, t, J=8Hz) , 7.42 (2H, dd, J=2Hz, J=9Hz) , 7.24 (1H, t, J = 8Hz), 7.28 (lH, t, J = 8Hz), 7.42 (2H, dd, J = 2Hz, J = 9Hz),
7.87 (2H, dd, J=2Hz, J=9Hz),8.14(1H, d, J=2Hz), 11.33(1H, brs) 7.87 (2H, dd, J = 2Hz, J = 9Hz), 8.14 (1H, d, J = 2Hz), 11.33 (1H, brs)
実施例 16 (1 1) Example 16 (1 1)
5—シァノー 2—メチル— 3—フエニルスルホニルインドール (化合物 83) 性状:淡赤色粉末 5-cyano 2-methyl-3-phenylsulfonylindole (Compound 83) Properties: pale red powder
融点: 1 19一 120 °C Melting point: 1 19-1 120 ° C
'H-NMR(DMSO-d6) δ : 2.70 (3Η, s) , 7.52-7.65 (5Η, m) , 7.99 (2Η, dd, J=2Hz, J=8Hz) , 8.23(lH,s) 'H-NMR (DMSO-d 6 ) δ: 2.70 (3Η, s), 7.52-7.65 (5Η, m), 7.99 (2Η, dd, J = 2Hz, J = 8Hz), 8.23 (lH, s)
実施例 16 (12) Example 16 (12)
5—ブロモ _ 2, 7—ジメチル— 3—フエニルスルホニルインド一ル (化合 物 84) 5-Bromo_2,7-dimethyl-3-phenylsulfonylindole (compound 84)
性状:褐色油状物 Properties: brown oil
'H-NMR(CDC13) δ : 2.41 (3Η, s) , 2.74 (3Η, s) , 7.13 (IH, d, J=2Hz) , 'H-NMR (CDC1 3) δ: 2.41 (3Η, s), 2.74 (3Η, s), 7.13 (IH, d, J = 2Hz),
7.42-7.53 (3H, m) , 7.95 (2H, dd, J=2Hz, J=7Hz), 8.03 (IH, s) , 8.47 (IH, s) 実施例 16 (13) 7.42-7.53 (3H, m), 7.95 (2H, dd, J = 2Hz, J = 7Hz), 8.03 (IH, s), 8.47 (IH, s) Example 16 (13)
(5—ブロモ _3_ (4—クロ口フエニルスルホニル) インドール—2 _ィル) 酢酸ェチルエステル (化合物 85) (5-bromo_3_ (4-chlorophenylsulfonyl) indole-2-yl) acetic acid ethyl ester (compound 85)
性状:淡黄色油状物 Properties: pale yellow oil
'H-NMR(CDC13) δ : 1.23 (3Η, t, J=8Hz) ,2.59 (3H, s) , 4.11 (2H, q, J=8Hz) , 'H-NMR (CDC1 3) δ: 1.23 (3Η, t, J = 8Hz), 2.59 (3H, s), 4.11 (2H, q, J = 8Hz),
6.98-7.07 (2H, m), 7.35-7.48 (3H, m) , 7.87 (IH, s), 7.92 (2H, d, J=8Hz) , 6.98-7.07 (2H, m), 7.35-7.48 (3H, m), 7.87 (IH, s), 7.92 (2H, d, J = 8Hz),
8.89(lH,brs) 8.89 (lH, brs)
実施 16 (14) Implementation 16 (14)
2_メチル—5_トリフルォロメチル _ 3—フエニルスルホニルインドール (化 合物 86 ) 2_Methyl-5_trifluoromethyl_3-Phenylsulfonylindole (Compound 86)
性状:無色粉末 Properties: colorless powder
融点: 241— 242 °C Melting point: 241-242 ° C
'H-NMR(DMS0-d6) δ : 2.71 (3Η, s) , 7.51 (IH, d, J=9Hz) , 7.55-7.68 (4H, m) ,'H-NMR (DMS0-d 6 ) δ: 2.71 (3Η, s), 7.51 (IH, d, J = 9Hz), 7.55-7.68 (4H, m),
7.92 (2H, dd, J=2Hz, J=7Hz), 8.14 (1H, s) 7.92 (2H, dd, J = 2Hz, J = 7Hz), 8.14 (1H, s)
実施例 16 (15) Example 16 (15)
5一ァセチルー 2—メチル— 3—フエニルスルホニルインドール (化合物 87) 性状:黄色粉末 5-Acetyl-2-methyl-3-phenylsulfonylindole (Compound 87) Properties: yellow powder
融点: 231. 5 - 233. 5°C Melting point: 231.5-233.5 ° C
'H-NMR(CDC13) δ : 2.67 (3Η, s) , 2.71 (3H, s) , 7.29 (IH, dd, J=2Hz, J=8Hz) , 7.36-7.52 (4H, m), 7.83 (IH, d, J=8Hz), 7.95 (2H, d, J=7Hz), 8.62 (1H, s) 実施例 16 (16) 'H-NMR (CDC1 3) δ: 2.67 (3Η, s), 2.71 (3H, s), 7.29 (IH, dd, J = 2Hz, J = 8Hz), 7.36-7.52 (4H, m), 7.83 ( IH, d, J = 8Hz), 7.95 (2H, d, J = 7Hz), 8.62 (1H, s) Example 16 (16)
(2—メチル— 3 _フエニルスルホニルインドール— 5—ィル) 酢酸ベンジルェ ステル (化合物 88) (2-Methyl-3-phenylsulfonylindole-5-yl) Benzyl acetate (Compound 88)
性状:黄色油状物 Properties: yellow oil
'H-NMR(CDC13) δ 2.67 (3Η, s) , 3.79 (2Η, s), 5.15(2H, s) , 7.05-7.15 (2H, m), 7.32-7.50 (8H, m) , 7.94 (2H, s) , 7.96 (IH, s) , 8.59 (IH, brs) 'H-NMR (CDC1 3) δ 2.67 (3Η, s), 3.79 (2Η, s), 5.15 (2H, s), 7.05-7.15 (2H, m), 7.32-7.50 (8H, m), 7.94 ( 2H, s), 7.96 (IH, s), 8.59 (IH, brs)
実施例 16 (17) Example 16 (17)
2 _メチルー 3—フエニルスルホニルー 5— (フエニルスルホニルメチル) イン ドール (化合物 89) 2-Methyl-3-phenylsulfonyl-5- (phenylsulfonylmethyl) indole (Compound 89)
性状:無色粉末 Properties: colorless powder
融点: 260— 261 °C Melting point: 260—261 ° C
Ή-NMR (DMS0-d6) δ 2.62 (3Η, s), 4.78 (2H, s), 7.00 (IH, d, J=8.5Hz), Ή-NMR (DMS0-d 6 ) δ 2.62 (3Η, s), 4.78 (2H, s), 7.00 (IH, d, J = 8.5 Hz),
7.28 (IH, d, J=8.5Hz) , 7.50-7.80 (9H, m), 7.82 (2H, d, J=8. OHz) , 12.20 (1H, brs) 実施例 16 (18) 7.28 (IH, d, J = 8.5Hz), 7.50-7.80 (9H, m), 7.82 (2H, d, J = 8. OHz), 12.20 (1H, brs) Example 16 (18)
5—シァノメチルー 2—メチルー 3—フエニルスルホニルインドール (化合 物 90) 5-cyanomethyl-2-methyl-3-phenylsulfonylindole (Compound 90)
性状:淡黄色固体 Properties: pale yellow solid
融点: 204— 204. 5°C Melting point: 204— 204.5 ° C
Ή-NMR (DMS0-d6) δ 2.67 (3Η, s),4.12 (2H, s),7.15 (1H, dd, J=2Hz, J=8.5Hz) , 7.46 (IH, d, J=8.5Hz), 7.52-7.65 (3H, m), 7.86 (1H, s), Ή-NMR (DMS0-d 6 ) δ 2.67 (3Η, s), 4.12 (2H, s), 7.15 (1H, dd, J = 2 Hz, J = 8.5 Hz), 7.46 (IH, d, J = 8.5 Hz) ), 7.52-7.65 (3H, m), 7.86 (1H, s),
7.92 (2H, dd, J=2Hz, J=8.5Hz) ,12.20 (IH, brs) 7.92 (2H, dd, J = 2Hz, J = 8.5Hz), 12.20 (IH, brs)
実施例 16 (19) 2—メチルー 3—フエニルスルホニルインドール— 5—力ルボン酸べンジルエス テル (化合物 91 ) Example 16 (19) 2-Methyl-3-phenylsulfonylindole-5-benzylbenzene ester (Compound 91)
性状:淡赤色粉末 Properties: pale red powder
融点: 195. 5 - 196 °C Melting point: 195.5-196 ° C
'H-NMR(DMSO-d6) δ 2.70 (3Η, s), 5.39 (2H, s), 7.36-7.39 (1H, m), 'H-NMR (DMSO-d 6 ) δ 2.70 (3Η, s), 5.39 (2H, s), 7.36-7.39 (1H, m),
7.44 (2H, t , J=8Hz), 7.49-7.55 (3H, m), 7.57-7.63 (3H, m), 7.44 (2H, t, J = 8Hz), 7.49-7.55 (3H, m), 7.57-7.63 (3H, m),
7.84(1H, dd, J = lHz, J=8Hz) , 7.90 (2H, d, J=8Hz), 8.54(1H, s) 7.84 (1H, dd, J = 1 Hz, J = 8 Hz), 7.90 (2H, d, J = 8 Hz), 8.54 (1H, s)
実施例 16 (20) Example 16 (20)
5一べンジルスルホニルメチルー 2—メチルー 3 _フエニルスルホニルインド一 ル (化合物 92 ) 5 Benzylsulfonylmethyl-2-methyl-3-phenylsulfonylindole (Compound 92)
性状:淡黄色粉末 Properties: pale yellow powder
融点: 202— 203 Melting point: 202- 203
'H-NMR(CDC13) δ : 2.69 (3Η, s) , 4.06 (2Η, s) , 4.21 (2H, s) , 7.21-7.31 (IH, m) , 7.34-7.46 (9H, m), 7.93 (2H, dd, J=2Hz, J=8Hz) , 7.98 (1H, s), 10.63 (IH, brs) 実施例 16 (21) 'H-NMR (CDC1 3) δ: 2.69 (3Η, s), 4.06 (2Η, s), 4.21 (2H, s), 7.21-7.31 (IH, m), 7.34-7.46 (9H, m), 7.93 (2H, dd, J = 2Hz, J = 8Hz), 7.98 (1H, s), 10.63 (IH, brs) Example 16 (21)
2 - (2—メチルー 3 _フエニルスルホニルインドールー 5—ィルメチルスルホ ニル) 安息香酸メチルエステル (化合物 93) 2- (2-Methyl-3-phenylsulfonylindole-5-methylmethylsulfonyl) benzoic acid methyl ester (Compound 93)
性状:黄色粉末 Properties: yellow powder
融点: 108 _ 109 °C Melting point: 108 _ 109 ° C
'H-NMR(CDC13) δ : 2.64 (3Η, s) , 4.06 (3Η, s) , 4.85 (2Η, s) , 7.09 (IH, d, J=8Hz) , 7. lKlH.d, J=8Hz) , 7.36 (1H, d, J=8Hz) , 7.41-7.48 (3H, m),7.56 (IH, d, J=8Hz), 7.60 (IH, d, J=8Hz) , 7.69 (IH, d, J=8Hz), 7.90 (3H, d, J=8Hz) , 8.77 (IH, brs) 実施例 16 (22) 'H-NMR (CDC1 3) δ: 2.64 (3Η, s), 4.06 (3Η, s), 4.85 (2Η, s), 7.09 (IH, d, J = 8Hz), 7. lKlH.d, J = 8Hz), 7.36 (1H, d, J = 8Hz), 7.41-7.48 (3H, m), 7.56 (IH, d, J = 8Hz), 7.60 (IH, d, J = 8Hz), 7.69 (IH, d , J = 8Hz), 7.90 (3H, d, J = 8Hz), 8.77 (IH, brs) Example 16 (22)
5 - t e r t—ブトキシカルポニルアミノー 2—メチルー 3— (2—ピリジルス ルホニル) インドール (化合物 94) 5-tert-butoxycarbonylamino-2-methyl-3- (2-pyridylsulfonyl) indole (Compound 94)
性状:淡黄色粉末 融点: 155— 157 °C Properties: pale yellow powder Melting point: 155—157 ° C
'Η—刚 R (DMS0-d6) (5 : 1.47 (9H, s), 2.66 (3H, s),7.24 (2H, d, J=9Hz), 'Η— 刚 R (DMS0-d 6 ) (5: 1.47 (9H, s), 2.66 (3H, s), 7.24 (2H, d, J = 9Hz),
7.59 (IH, dd, J=4Hz, J=8Hz), 7.96 (1H, s) , 8.08-8.11 (2H, m), 8.62 (1H, d, J=4Hz), 9.17(lH,brs), 12.06(lH,brs) 7.59 (IH, dd, J = 4Hz, J = 8Hz), 7.96 (1H, s), 8.08-8.11 (2H, m), 8.62 (1H, d, J = 4Hz), 9.17 (lH, brs), 12.06 (lH, brs)
実施例 16 (23) Example 16 (23)
3— (2—メチルー 3 _フエニルスルホニルインドールー 5 Γル) _2, 4 (IH, 3H) ーキナゾリンジオン (化合物 95) 3- (2-Methyl-3_phenylsulfonylindole-5%) _ 2,4 (IH, 3H) -quinazolinedione (Compound 95)
性状:淡褐色粉末 Properties: light brown powder
融点: 296— 299 Melting point: 296—299
'H-NMR(DMS0-d6) δ : 2.73 (3Η, s) , 7.11 (IH, d, J=8Hz) , 7.23-7.27 (2H, m) , 7.47 (IH, d, J=8Hz) , 7.55 (2H, d, J=8Hz), 7.60-7.63 (1H, m) , 7.72 (IH, t, J=8Hz) , 7.76 (1H, s) , 7.86-7.97 (3H, m), 11.5 (1H, s), 12.33 (IH, s) 'H-NMR (DMS0-d 6 ) δ: 2.73 (3Η, s), 7.11 (IH, d, J = 8Hz), 7.23-7.27 (2H, m), 7.47 (IH, d, J = 8Hz), 7.55 (2H, d, J = 8Hz), 7.60-7.63 (1H, m), 7.72 (IH, t, J = 8Hz), 7.76 (1H, s), 7.86-7.97 (3H, m), 11.5 (1H , S), 12.33 (IH, s)
実施例 16 (24) Example 16 (24)
5—ァセチルアミノー 3—フエニルスルホニルインドール (化合物 96) 性状:淡褐色粉末 5-Acetylamino-3-phenylsulfonylindole (Compound 96) Properties: Light brown powder
融点: 1 19— 120 Melting point: 1 19- 120
'H-NMR(DMS0-d6) δ : 2.04(3H, s), 7.40(1H, d, J=9Hz), 'H-NMR (DMS0-d 6 ) δ: 2.04 (3H, s), 7.40 (1H, d, J = 9 Hz),
7.48 (IH, dd, J=2Hz, J=9Hz), 7.55-7.60 (3H, m) , 7.93 (2H, dd, J=2Hz, J=8Hz) , 8.08(lH,d, J=2Hz) ,8.12 (IH, s) , 9.94 (IH, s) , 11.80 (IH, brs) 7.48 (IH, dd, J = 2Hz, J = 9Hz), 7.55-7.60 (3H, m), 7.93 (2H, dd, J = 2Hz, J = 8Hz), 8.08 (lH, d, J = 2Hz), 8.12 (IH, s), 9.94 (IH, s), 11.80 (IH, brs)
実施例 16 (25) Example 16 (25)
5—ベンゾィルァミノ— 3—フエニルスルホニルインドール (化合物 97) 性状:褐色粉末 5-benzoylamino-3-phenylsulfonylindole (compound 97) Properties: brown powder
融点: 89 _ 911 Melting point: 89_911
'H-NMR(DMS0-d6) δ : 7.46 (IH, d, J=9Hz) , 7.52-7.59 (6H, m) , 7.70 (IH, d, J=9Hz) , 7.96-8.00 (4H, m),8.15(1H, s), 8.28(1H, s), 10.29(1H, s), 12.25(1H, s) 実施例 16 (26) N- (3—フエニルスルホニルインドールー 5—ィル) — N' —フエニルゥレア (化合物 9 8) 'H-NMR (DMS0-d 6 ) δ: 7.46 (IH, d, J = 9 Hz), 7.52-7.59 (6H, m), 7.70 (IH, d, J = 9 Hz), 7.96-8.00 (4H, m ), 8.15 (1H, s), 8.28 (1H, s), 10.29 (1H, s), 12.25 (1H, s) Example 16 (26) N- (3-Phenylsulfonylindole-5-yl) — N '—Phenylperia (Compound 98)
性状:褐色粉末 Properties: brown powder
融点: 242— 243 °C Melting point: 242—243 ° C
'H-NMR(DMSO-d6) δ : 6.96 (1H, t, J=8Hz), 7.26-7.31 (3H, m), 7.40 (IH, d, J=9Hz),'H-NMR (DMSO-d 6 ) δ: 6.96 (1H, t, J = 8 Hz), 7.26-7.31 (3H, m), 7.40 (IH, d, J = 9 Hz),
7.46 (2H, d, J=8Hz), 7.56-7.60 (3H, m) , 7.94 (3H, d, J=6Hz) ,8.11 (IH, d, J=3Hz),7.46 (2H, d, J = 8Hz), 7.56-7.60 (3H, m), 7.94 (3H, d, J = 6Hz), 8.11 (IH, d, J = 3Hz),
8.56(1H, s),8.70(lH,s), 12.17(lH,s) 8.56 (1H, s), 8.70 (lH, s), 12.17 (lH, s)
実施例 1 6 (2 7) Example 16 (2 7)
3—フエニルスルホニル— 5— (4—トルエンスルホニルァミノ) インドール (化合物 9 9 ) 3-Phenylsulfonyl-5- (4-toluenesulfonylamino) indole (Compound 99)
性状:青色粉末 Properties: blue powder
融点: 2 1 0— 2 1 2 °C Melting point: 210-212 ° C
'H-NMR(DMSO-d6) δ : 2.30 (3Η, s) , 6.99 (IH. dd. J=2Hz, J-9Hz) , 'H-NMR (DMSO-d 6 ) δ: 2.30 (3Η, s), 6.99 (IH.dd.J = 2Hz, J-9Hz),
7.27 (2H, d, J=9Hz), 7.34 (IH, d, J=9Hz) , 7.52-7.63 (5H, m), 7.64 (IH, t, J=8Hz), 7.86 (2H, d, J=8Hz) , 8.12 (1H, s), 10.06 (IH, brs) , 12.21 (1H, brs) 7.27 (2H, d, J = 9Hz), 7.34 (IH, d, J = 9Hz), 7.52-7.63 (5H, m), 7.64 (IH, t, J = 8Hz), 7.86 (2H, d, J = 8Hz), 8.12 (1H, s), 10.06 (IH, brs), 12.21 (1H, brs)
実施例 1 6 (28) Example 16 (28)
5 - t e r t—ブトキシカルボニルァミノ _ 3 _フエニルスルホニルインドール (化合物 1 00) 5-tert-butoxycarbonylamino _ 3 _phenylsulfonylindole (compound 100)
性状:緑色粉末 Properties: green powder
融点: 2 2 2. 5 - 2 2 3t: Melting point: 2 2 2.5-2 2 3t:
Ή-NMR (DMS0-d6) δ : 1.49 (9Η, s) , 7.35 (2H, d, J=9Hz) , 7.54-7.59 (3H, m), Ή-NMR (DMS0-d 6 ) δ: 1.49 (9Η, s), 7.35 (2H, d, J = 9Hz), 7.54-7.59 (3H, m),
7.89-7.96 (3H, m) , 8.08 (IH, d, J=4Hz) , 9.28 (IH, brs), 12.13(1H, brs) 7.89-7.96 (3H, m), 8.08 (IH, d, J = 4Hz), 9.28 (IH, brs), 12.13 (1H, brs)
実施例 1 6 (2 9) Example 16 (29)
5—プロモ— 3—メタンスルホ二ルー 2—メチルインドール (化合物 1 0 1) 性状:褐色粉末 5-Promo 3-Methanesulfonyl 2-methylindole (Compound 101) Properties: Brown powder
融点: 2 1 1 _ 2 1 3 °C Ή-NMR (DMS0-d6) δ 2.61 (3H, s) , 3.13 (3H, s) , 7.32 (IH, dd, J=2Hz, J=8Hz) , 7.39(lH,d, J=8Hz),7.89(lH,d, J=2Hz), 12.29(lH,brs) Melting point: 2 1 1 _ 2 13 ° C Ή-NMR (DMS0-d 6 ) δ 2.61 (3H, s), 3.13 (3H, s), 7.32 (IH, dd, J = 2 Hz, J = 8 Hz), 7.39 (lH, d, J = 8 Hz), 7.89 (lH, d, J = 2Hz), 12.29 (lH, brs)
実施例 16 (30) Example 16 (30)
3— (3—フエニルスルホニルインドール— 5—ィル) —2, 4 (IH, 3H) ーキナゾリンジオン (化合物 1 02) 3- (3-Phenylsulfonylindole-5-yl) —2,4 (IH, 3H) -quinazolinedione (Compound 102)
性状:青色粉末 Properties: blue powder
融点: 2 17— 218°C Melting point: 2 17—218 ° C
Ή-NMR (DMS0-d6) δ : 7.17 (1H, d, J=9Hz) , 7.23 (2H, t , J=9Hz) , 7.53-7.60 (4H, m),Ή-NMR (DMS0-d 6 ) δ: 7.17 (1H, d, J = 9 Hz), 7.23 (2H, t, J = 9 Hz), 7.53-7.60 (4H, m),
7.70(1H, t, J=8Hz) , 7.94 (IH, s) , 7.95 (IH, d, J=8Hz) , 7.99 (2H, d, J=8Hz) ,7.70 (1H, t, J = 8Hz), 7.94 (IH, s), 7.95 (IH, d, J = 8Hz), 7.99 (2H, d, J = 8Hz),
8.29(1H, s), 11.54(lH,brs), 12.44(lH,brs) 8.29 (1H, s), 11.54 (lH, brs), 12.44 (lH, brs)
実施例 16 (31) Example 16 (31)
2, 5—ジメチルー 3—フエニルスルホニルインド一ル (化合物 103) 性状:淡褐色粉末 2,5-Dimethyl-3-phenylsulfonylindole (Compound 103) Properties: Light brown powder
融点: 164 _ 166 °C Melting point: 164_166 ° C
'H-NMR(CDC13) δ : 2.49 (3H, s), 2.76 (3H, s) , 7.07 (IH, d, J=8Hz) , 'H-NMR (CDC1 3) δ: 2.49 (3H, s), 2.76 (3H, s), 7.07 (IH, d, J = 8Hz),
7.21 (IH, d, J=8Hz) , 7.30-7.54 (3H, m) , 7.87 (IH, s), 8.01 (2H, dd, J=2Hz, J=8Hz) , 8.42(lH,brs) 7.21 (IH, d, J = 8Hz), 7.30-7.54 (3H, m), 7.87 (IH, s), 8.01 (2H, dd, J = 2Hz, J = 8Hz), 8.42 (lH, brs)
実施例 1 6 (32) Example 16 (32)
5—ブロモ— 3—フエニルスルホニルインドール (化合物 104) 5-bromo-3-phenylsulfonylindole (compound 104)
性状:無色粉末 Properties: colorless powder
融点: 1 79 - 182 t Melting point: 1 79-182 t
'H-NMR(CDC13) δ 7.24-7.42 (2Η, m) , 7.42-7.60 (3Η, m) , 7.84-7.91 (IH, m) , 7.96-8.10(3H,m),9.15(1H, brs) 'H-NMR (CDC1 3) δ 7.24-7.42 (2Η, m), 7.42-7.60 (3Η, m), 7.84-7.91 (IH, m), 7.96-8.10 (3H, m), 9.15 (1H, brs )
実施例 1 6 (33) Example 16 (33)
5—ブロモー 3—フエニルスルフィニルインドール (化合物 105) 5-bromo-3-phenylsulfinylindole (Compound 105)
性状:無色粉末 融点: 1 17— 1 19 °C Properties: colorless powder Melting point: 117-119C
'H-NMR(CDC13) δ : 7.13 (1H, d, J=9Hz), 7.23 (1H, dd, J=9Hz, 2Hz) , 'H-NMR (CDC1 3) δ: 7.13 (1H, d, J = 9Hz), 7.23 (1H, dd, J = 9Hz, 2Hz),
7.46-7.60 (5H, m) , 7.68 (2H, dd, J=8Hz, J=2Hz), 9.87 (IH, brs) 7.46-7.60 (5H, m), 7.68 (2H, dd, J = 8Hz, J = 2Hz), 9.87 (IH, brs)
実施例 16 (34) Example 16 (34)
3— (4—メチルフエニルスルホニル) — 5_ (フエ二ルェチニル) インドール (化合物 106) 3— (4-Methylphenylsulfonyl) — 5_ (phenylenetin) indole (Compound 106)
性状:褐色粉末 Properties: brown powder
融点: 182 _ 185 °C Melting point: 182-185 ° C
'H-NMR(CDC13) δ : 2.37 (3Η, s) , 7.25-7.30 (2Η, m) , 7.30-7.40 (4Η, m) , 'H-NMR (CDC1 3) δ: 2.37 (3Η, s), 7.25-7.30 (2Η, m), 7.30-7.40 (4Η, m),
7.43 (1Η, d, J=5Hz),7.56 (2Η, dd, J=7Hz, J=2Hz), 7.88 (IH, d, J=3Hz), 7.43 (1Η, d, J = 5Hz), 7.56 (2Η, dd, J = 7Hz, J = 2Hz), 7.88 (IH, d, J = 3Hz),
7.92 (2H, d, J=8Hz), 8.12 (IH, s), 9.04 (IH, brs) 7.92 (2H, d, J = 8Hz), 8.12 (IH, s), 9.04 (IH, brs)
実施例 16 (35) Example 16 (35)
5—ベンジルォキシ— 3— (4—メチルフエニルスルホニル) インドール (化合 物 107) 5-benzyloxy-3- (4-methylphenylsulfonyl) indole (Compound 107)
性状:緑色粉末 Properties: green powder
融点: 132— 135 Melting point: 132-135
'H-NMR(CDC13) δ : 2.35 (3Η, s) , 5.11 (2Η, s) , 6.97 (IH, dd, J=8Hz, J=2Hz) , 7.20 (2H, d, J=3Hz) ,7.27 (1H, d, J=9Hz), 7.33-7.38 (IH, m), 7.38-7.44 (3H, m), 7.46 (2H, d, J=8Hz) , 7.78 (IH, d, J=3Hz) ,7.81 (2H, d, J=8Hz) , 8.85 (IH, brs) 実施例 16 (36) 'H-NMR (CDC1 3) δ: 2.35 (3Η, s), 5.11 (2Η, s), 6.97 (IH, dd, J = 8Hz, J = 2Hz), 7.20 (2H, d, J = 3Hz), 7.27 (1H, d, J = 9Hz), 7.33-7.38 (IH, m), 7.38-7.44 (3H, m), 7.46 (2H, d, J = 8Hz), 7.78 (IH, d, J = 3Hz) , 7.81 (2H, d, J = 8Hz), 8.85 (IH, brs) Example 16 (36)
5—べンジルォキシ—3 _フエニルスルホニルインド一ル (化合物 108) 性状:緑色粉末 5-benzyloxy-3-phenylsulfonylindole (compound 108) Properties: green powder
融点: 141一 143 X: Melting point: 141-143 X:
'H-NMR(CDC13) δ : 5.12 (2Η, s) , 6.98-7.02 (IH, m) , 7.22-7.32 (2Η, m) , 'H-NMR (CDC1 3) δ: 5.12 (2Η, s), 6.98-7.02 (IH, m), 7.22-7.32 (2Η, m),
7.32-7.51 (8H, m) , 7.80 (IH, d, J=3Hz), 7.90-7.96 (2H, m), 8.89 (1H, brs) 実施例 16 (37) 2— ( 5 _ブロモ _ 2—メチルインド一ルー 3—ィルスルホニル) 安息香酸ベン ジル (化合物 109) 7.32-7.51 (8H, m), 7.80 (IH, d, J = 3Hz), 7.90-7.96 (2H, m), 8.89 (1H, brs) Example 16 (37) 2- (5-bromo_2-methylindole-3-ylsulfonyl) benzyl benzoate (Compound 109)
性状:淡褐色粉末 Properties: light brown powder
融点: 168— 170 °C Melting point: 168-170 ° C
'H-NMR(CDC13) δ 2.62 (3Η, s) , 5.36 (2Η, s) , 6.99 (1Η, d, J=9Hz) , 'H-NMR (CDC1 3) δ 2.62 (3Η, s), 5.36 (2Η, s), 6.99 (1Η, d, J = 9Hz),
7.20-7.25 (1H, m), 7.30-7.39 (3H, m) , 7.43 (2H, d, J=7Hz) , 7.50-7.60 (3H, m) , 8.00-8.07 (2H, m),8.57(lH,brs) 7.20-7.25 (1H, m), 7.30-7.39 (3H, m), 7.43 (2H, d, J = 7Hz), 7.50-7.60 (3H, m), 8.00-8.07 (2H, m), 8.57 (lH , brs)
実施例 16 (38) Example 16 (38)
5—ベンゾィル _ 2—メチルー 3—フエニルスルホニルインドール (化合 物 1 10) と 5—ベンゾィルー 2—メチル— 3—フエニルスルフィニルインド ール (化合物 1 1 1) 5-benzoyl_2-methyl-3-phenylsulfonylindole (compound 110) and 5-benzoyl-2-methyl-3-phenylsulfinylindole (compound 111)
5—ベンゾィル— 2—メチルー 3 _フエ二ルチオィンドールを用いて実施 例 16 (1) と同様の方法で反応させた。 反応液を 3%亜硫酸ナトリウム溶液 5 Omlで 3回洗浄した。 このときの不溶物は濾過した。 有機層は乾燥後に濃縮し た。 エーテルを加えて濾過してスルホニル化合物を得た。 濾過した固体は水、 ェ 夕ノール、 へキサンで洗浄してスルフィニル化合物を得た。 The reaction was carried out in the same manner as in Example 16 (1) using 5-benzoyl-2-methyl-3-phenylthioindole. The reaction solution was washed three times with 5% of a 3% sodium sulfite solution. The insolubles at this time were filtered. The organic layer was concentrated after drying. Ether was added and the mixture was filtered to obtain a sulfonyl compound. The filtered solid was washed with water, ethanol and hexane to obtain a sulfinyl compound.
化合物 1 10 Compound 1 10
性状:淡黄色粉末 Properties: pale yellow powder
融点: 211. 5 - 212 °C Melting point: 211.5-212 ° C
'H-NMR(DMS0-d6) δ : 2.73 (3Η, s) , 7.55 (1Η, d, J=9Hz) , 7.58-7.75 (9H, m) , 7.87 (2H, d, J=8Hz), 8.23 (1H, s), 12.60 (1H, brs) 'H-NMR (DMS0-d 6 ) δ: 2.73 (3Η, s), 7.55 (1Η, d, J = 9 Hz), 7.58-7.75 (9H, m), 7.87 (2H, d, J = 8 Hz), 8.23 (1H, s), 12.60 (1H, brs)
化合物 1 1 1 Compound 1 1 1
性状:無色粉末 Properties: colorless powder
融点: 157. 5— 158 °C Melting point: 157.5—158 ° C
'H-NMR(DMS0-d6) δ : 2.73 (3Η, s) , 7.42 (2Η, d, J=9Hz) , 7.46-7.65 (10H, m) , 7.66(lH,d, J=8Hz), 12.30(lH,brs) 実施例 16 (39) 'H-NMR (DMS0-d 6 ) δ: 2.73 (3Η, s), 7.42 (2Η, d, J = 9 Hz), 7.46-7.65 (10H, m), 7.66 (lH, d, J = 8 Hz), 12.30 (lH, brs) Example 16 (39)
5—プロモー 3— (4—ヒドロキシフエニルスルホニル) 一 2 _メチルインド一 ル (化合物 1 1 2) と 5—ブロモ— 3— (4—ヒドロキシフエニルスルフィ二 ル) _ 2—メチルインドール (化合物 1 1 3) 5-Promote 3- (4-hydroxyphenylsulfonyl) -12-methylindole (compound 112) and 5-bromo-3- (4-hydroxyphenylsulfinyl) _2-methylindole (compound 1 1 3)
5—ブロモ— 2 _メチル _ 3— (4—ヒドロキシフエ二ルチオ) インド一ルを 用いて実施例 16 (1) と同様の方法で反応させた。 反応液を 3%亜硫酸ナトリ ゥム溶液 50mlで 3回洗浄した。 このときの不溶物は濾過した。 有機層は乾燥 後に濃縮した。 エーテルを加えて濾過してスルホニル化合物を得た。 濾過した固 体は水、 エタノール、 へキサンで洗浄してスルフィニル化合物を得た。 The reaction was carried out in the same manner as in Example 16 (1) using 5-bromo-2-methyl-3- (4-hydroxyphenylthio) indole. The reaction solution was washed three times with 50 ml of a 3% sodium sulfite solution. The insolubles at this time were filtered. The organic layer was concentrated after drying. Ether was added and the mixture was filtered to obtain a sulfonyl compound. The filtered solid was washed with water, ethanol and hexane to obtain a sulfinyl compound.
化合物 1 12 Compound 1 12
性状:褐色粉末 Properties: brown powder
融点: 238. 5— 239. 5 : Melting point: 238. 5— 239. 5:
'Η - NMR(DMS0- d6) 6 : 2.64 (3H, s) , 6.89 (2Η, d, J=8Hz) ,7.31 (IH, d, J=8Hz) , 7.36 (IH, d, J=8Hz), 7.74 (2H, d, J=8Hz) , 7.93 (IH, s), 10.44 (1H, s) , 'Η - NMR (DMS0- d 6 ) 6: 2.64 (3H, s), 6.89 (2Η, d, J = 8Hz), 7.31 (IH, d, J = 8Hz), 7.36 (IH, d, J = 8Hz ), 7.74 (2H, d, J = 8Hz), 7.93 (IH, s), 10.44 (1H, s),
12.27(1H, s) 12.27 (1H, s)
化合物 1 13 Compound 1 13
性状:褐色粉末 Properties: brown powder
融点: 1 17. 5— 1 18. 5 °C Melting point: 1 17.5-1-18.5 ° C
Ή一 NMR(DMS0-d6) δ : 2.63 (3Η, s) , 6.90 (2Η, dd, J=2Hz, J=9Hz) , Ή-1 NMR (DMS0-d 6 ) δ: 2.63 (3Η, s), 6.90 (2Η, dd, J = 2Hz, J = 9Hz),
7.20 (IH, dd, J=2Hz, J=9Hz) , 7.27 (IH, d, J=2Hz), 7.33 (IH, d, J=9Hz) , 7.20 (IH, dd, J = 2Hz, J = 9Hz), 7.27 (IH, d, J = 2Hz), 7.33 (IH, d, J = 9Hz),
7.41 (2H, d, J=9Hz), 9.96 (IH, s), 11.99 (IH, s) 7.41 (2H, d, J = 9Hz), 9.96 (IH, s), 11.99 (IH, s)
実施例 17 (1) Example 17 (1)
2—メチルー 6 _ニトロ— 3—フエニルスルホニルインドール (化合物 1 14) と 2—メチルー 4一二トロ— 3—フエニルスルホニルインドール (化合 物 1 1 5) 2-Methyl-6-nitro-3-phenylsulfonylindole (Compound 114) and 2-Methyl-4,2-nitro-3-phenylsulfonylindole (Compound 115)
3—二トロア二リンと 1—フエ二ルチオ— 2 _プロパノンを用いて実施例 3 ( 1 ) 同様の方法で黄色粉末の 2—メチル— 4—ニトロ一 3—フエ二ルチオィン ドールと 2—メチル—6—二トロー 3—フエ二ルチオインドールの 1 : 1混合物 を得た。 この混合物を用いて実施例 16 (1) と同様の方法で上記化合物混合物 を得た。 残渣をカラムクロマト (シリカゲル;クロ口ホルム Z酢酸ェチル = 10 /\) に付した。 先に溶出するのが 6_ニトロ体であとから 4—ニトロ体が溶出 した。 それぞれへキサンを加えて濾過した。 Example 3 using 3-nitroaniline and 1-phenylthio-2-propanone (1) A 1: 1 mixture of 2-methyl-4-nitro-13-phenylthioindole and 2-methyl-6-nitro-3-phenylthioindole as yellow powder was obtained in the same manner. Using this mixture, the above compound mixture was obtained in the same manner as in Example 16 (1). The residue was subjected to column chromatography (silica gel; chromate form Z ethyl acetate = 10 / \). Since the 6-nitro form eluted first, the 4-nitro form eluted. Hexane was added and filtered.
化合物 1 1 5 Compound 1 1 5
性状:黄色粉末 Properties: yellow powder
融点: 207. 5 _ 209 Melting point: 207.5 _ 209
'H-NMR(CDCl3 + DMSO-d6) δ : 2.75 (3Η, s) , 7.44-7.55 (3Η, s), 'H-NMR (CDCl 3 + DMSO-d 6 ) δ: 2.75 (3Η, s), 7.44-7.55 (3Η, s),
7.94 (2H, dd, J=2Hz, J=7Hz), 8.08 (IH, dt, J=2Hz, J=8Hz) , 7.94 (2H, dd, J = 2Hz, J = 7Hz), 8.08 (IH, dt, J = 2Hz, J = 8Hz),
8.10(lH,dd, J=2Hz, J=8Hz) , 8.26 (IH, d, J=2Hz) , 12.02 (IH, brs) 8.10 (lH, dd, J = 2Hz, J = 8Hz), 8.26 (IH, d, J = 2Hz), 12.02 (IH, brs)
化合物 1 16 Compound 1 16
性状:黄色粉末 Properties: yellow powder
融点: 239— 240 Melting point: 239-240
'H-NMR(CDCl3 + DMSO-d6) <5 : 2.87 (3H, s) , 7.22 (IH, t, 8Hz) , 7.48-7.57 (4H, m), 7.59 (IH, dd, J = lHz, J=9Hz) , 7.95 (IH, dd, J = lHz, J=9Hz) , 12.08(1H, brs) 実施例 1 7 (2) 一 (3) 'H-NMR (CDCl 3 + DMSO-d 6 ) <5: 2.87 (3H, s), 7.22 (IH, t, 8Hz), 7.48-7.57 (4H, m), 7.59 (IH, dd, J = lHz , J = 9Hz), 7.95 (IH, dd, J = 1Hz, J = 9Hz), 12.08 (1H, brs) Example 17 (2) 1 (3)
実施例 1 Ί (1) と同様にして、 以下の (化合物 1 16) — (化合物 1 18) を得た。 Example 1 The following (Compound 116) — (Compound 118) were obtained in the same manner as in (1).
施例 17 (2) Example 17 (2)
2—メチルー 3—フエニルスルホニルインド一ルー 6—カルボン酸 ェチルエス テル (化合物 1 16) 2-Methyl-3-phenylsulfonylindole 6-carboxylate (Compound 116)
性状:黄色粉末 Properties: yellow powder
融点: 20 1— 202 °C Melting point: 20 1-202 ° C
'H-NMR(CDC13) δ 1.40(3H, t, J=7Hz) , 2.78 (3Η, s) , 4.39 (2Η, q, J=7Hz) , 7.42-7.53 (3H, m)7.92(lH, dd, J=2Hz, J=8Hz),7.97 (2H, dd, J=2Hz, J=8Hz), 'H-NMR (CDC1 3) δ 1.40 (3H, t, J = 7Hz), 2.78 (3Η, s), 4.39 (2Η, q, J = 7Hz), 7.42-7.53 (3H, m) 7.92 (lH, dd, J = 2Hz, J = 8Hz), 7.97 (2H, dd, J = 2Hz, J = 8Hz),
8.06 (IH, d, J=2Hz), 8.08 (IH, d, J=8Hz) , 8.97 (IH, brs) 8.06 (IH, d, J = 2Hz), 8.08 (IH, d, J = 8Hz), 8.97 (IH, brs)
2—メチルー 3—フエニルスルホニルインドール一 4—カルボン酸 ェチルエス テル (化合物 1 1 7) 2-Methyl-3-phenylsulfonylindole-1-ethyl carboxylate (Compound 1 17)
性状:黄色粉末 Properties: yellow powder
融点: 1 34. 5 - 1 36. 5 °C Melting point: 134.5-136.5 ° C
'H-NMR(CDC13) δ 1.26(3H, t, J=7Hz), 2.56 (3H, s),4.29(2H,q, J-7Hz), 7.17 (IH, t, J=8Hz) , 7.31 (IH, dd, J=lHz, J=8Hz), 7.35 (IH, dd, J=lHz, J=8Hz), 7.41-7.51 (3H, m) , 7.92 (IH, d, J=2Hz) , 7.93 (IH, d, J=8Hz) , 9.45 (IH, brs) 実施例 1 7 (3) 'H-NMR (CDC1 3) δ 1.26 (3H, t, J = 7Hz), 2.56 (3H, s), 4.29 (2H, q, J-7Hz), 7.17 (IH, t, J = 8Hz), 7.31 (IH, dd, J = lHz, J = 8Hz), 7.35 (IH, dd, J = lHz, J = 8Hz), 7.41-7.51 (3H, m), 7.92 (IH, d, J = 2Hz), 7.93 (IH, d, J = 8Hz), 9.45 (IH, brs) Example 1 7 (3)
(2—メチル— 3—フエニルスルホニルインド一ル _ 4 _ィル) 酢酸メチルエス テル (化合物 1 1 8) (2-Methyl-3-phenylsulfonylindole_4_yl) Methyl ester (Compound 1 18)
性状:褐色油状物 Properties: brown oil
'H-NMR(CDC13) δ : 2.69 (3Η, s) , 3.67 (5Η, brs) , 7.12(1H, d, J=8Hz), 'H-NMR (CDC1 3) δ: 2.69 (3Η, s), 3.67 (5Η, brs), 7.12 (1H, d, J = 8Hz),
7.15 (1H, s) , 7.40-7.51 (3H, m), 7.96 (3H, d, J=6Hz) , 8.78 (IH, brs) 7.15 (1H, s), 7.40-7.51 (3H, m), 7.96 (3H, d, J = 6Hz), 8.78 (IH, brs)
実施例 18 (1) Example 18 (1)
5—ブロモー 1— (4一クロ口べンゾィル) 一3— (4—クロ口フエニルスルホ ニル) 一 2—メチルインドール (化合物 1 1 9) 5-Bromo 1- (4-chlorobenzoyl) 1-3- (4-chlorophenylsulfonyl) 1-2-methylindole (Compound 1 19)
5—ブロモー 3— (4—クロ口フエニルスルホニル) —2—メチルインド一ル l O Omgを氷冷下に、 水素化ナトリウム (60%) 16mgのテトラヒドロフ ラン溶液 5m 1に少しずつ加えた。 20分撹拌した後、 4—クロ口べンゾイルク ロリド 75 mgと 4ージメチルァミノピリジン 5 mgを加えて同温で 90分撹拌 した。 溶媒を減圧下に留去した。 残渣にクロ口ホルム 3 Omlを加えて、 1%炭 酸水素ナトリウム水、 1 %クェン酸水で洗浄した。 有機層は乾燥後に濃縮した。 残渣はカラムクロマト (シリカゲル;クロ口ホルム) に付した。 残渣にへキサン を加えて濾過して、 上記化合物を 106mg得た。 性状:無色粉末 5-Bromo-3- (4-chlorophenylsulfonyl) -2-methylindole l O Omg was added little by little to 5 ml of tetrahydrofuran solution of 16 mg of sodium hydride (60%) under ice-cooling. . After stirring for 20 minutes, 75 mg of 4-chlorobenzoyl chloride and 5 mg of 4-dimethylaminopyridine were added, and the mixture was stirred at the same temperature for 90 minutes. The solvent was distilled off under reduced pressure. To the residue was added 3 Oml of chloroform in form, and the mixture was washed with 1% aqueous sodium hydrogen carbonate and 1% aqueous citric acid. The organic layer was concentrated after drying. The residue was subjected to column chromatography (silica gel; chromate form). Hexane was added to the residue, followed by filtration to obtain 106 mg of the above compound. Properties: colorless powder
融点: 1 6 2— 1 6 3. 5°C Melting point: 1 6 2— 1 63.5 ° C
Ή-NMR (CDCI3) δ 2.72 (3Η, s) , 6.80 (IH, d, J=9Hz) ,7.25 (1H, dd, J=2Hz, J=9Hz) , Ή-NMR (CDCI3) δ 2.72 (3Η, s), 6.80 (IH, d, J = 9Hz), 7.25 (1H, dd, J = 2Hz, J = 9Hz),
7.49 (4H, dd, I=3Hz, J=9Hz) ,7.65 (2H, d, J=9Hz), 7.93 (2H, d, J=9Hz), 7.49 (4H, dd, I = 3Hz, J = 9Hz), 7.65 (2H, d, J = 9Hz), 7.93 (2H, d, J = 9Hz),
8.31(lH,d, J=2Hz) 8.31 (lH, d, J = 2Hz)
実施例 1 8 (2) - (5 3) Example 18 (2)-(5 3)
実施例 1 8 (1) と同様にして、 以下の (化合物 1 20) - (化合物 1 7 1) を得た。 The following (Compound 120)-(Compound 1771) were obtained in the same manner as in Example 18 (1).
実施例 1 8 (2) Example 18 (2)
5—ブロモ _ 1 _ (4一クロ口べンゾィル) _ 2—メチル— 3— (4—メチルフ ェニルスルホニル) インドール (化合物 1 20) 5-Bromo _ 1 _ (4-methylbenzoyl) _ 2-methyl-3- (4-methylphenylsulfonyl) indole (Compound 120)
性状:無色粉末 Properties: colorless powder
融点: 1 8 0. 5 - 1 8 1. 5 °C Melting point: 10.5-181.5 ° C
'Η-腿(CDC13) δ : 2.41 (3H,s), 2.72 (3H,s), 6.80 (lH.d,J=9Hz), '.Eta. thigh (CDC1 3) δ: 2.41 ( 3H, s), 2.72 (3H, s), 6.80 (lH.d, J = 9Hz),
7.24 (IH, dd, J=2Hz, J=9Hz), 7.32 (2H, d, J=9Hz) , 7.50 (2H, d, J=9Hz), 7.24 (IH, dd, J = 2Hz, J = 9Hz), 7.32 (2H, d, J = 9Hz), 7.50 (2H, d, J = 9Hz),
7.64 (2H, d, J=9Hz), 7.88 (2H, d, J=9Hz) , 8.33 (1H, d, J=2Hz) 7.64 (2H, d, J = 9Hz), 7.88 (2H, d, J = 9Hz), 8.33 (1H, d, J = 2Hz)
実施例 1 8 (3) Example 18 (3)
3 - (ベンジルスルホニル) _ 5 _ブロモー 1— (4—クロ口べンゾィル) 一 2 一メチルインドール (化合物 1 2 1) 3-(benzylsulfonyl) _ 5 _ bromo-1-(4-chlorobenzoyl) 1-2-methylindole (Compound 1 2 1)
性状:無色粉末 Properties: colorless powder
融点: 14 1一 1 4 1. 5°C Melting point: 14 1 1 1 4 1.5 ° C
醒(CDC13) δ : 2.02 (3Η, s) , 4.39 (2H, s) , 6.89 (IH, d, J=9Hz) , Awake (CDC1 3 ) δ: 2.02 (3Η, s), 4.39 (2H, s), 6.89 (IH, d, J = 9Hz),
7.06 (2H, d, J=7Hz) , 7.21-7.35 (4H, m), 7.49 (2H, d, J=9Hz) , 7.56 (2H, d, J=9Hz), 7.06 (2H, d, J = 7Hz), 7.21-7.35 (4H, m), 7.49 (2H, d, J = 9Hz), 7.56 (2H, d, J = 9Hz),
8.08(lH,s) 8.08 (lH, s)
実施例 1 8 (4) Example 18 (4)
5—ブロモー 1— (4一クロ口べンゾィル) 一 3_ (3—メトキシフエニルスル ホニル) 一 2—メチルインドール (化合物 122) 5—Bromo 1— (4 benzoyl) 1 3_ (3—Methoxyphenylsul) Fonyl) 1-Methylindole (Compound 122)
性状:無色粉末 Properties: colorless powder
融点: 215. 5 - 216 °C Melting point: 215.5-216 ° C
'H-NMR(CDC13) δ : 2.73 (3Η, s) , 3.85 (3H, s) , 6.80 (1H, d, J=9Hz) , 'H-NMR (CDC1 3) δ: 2.73 (3Η, s), 3.85 (3H, s), 6.80 (1H, d, J = 9Hz),
7.09 (1H, dd, J=2Hz, J=8Hz) ,7.24(1H, dd, J=2Hz, J=8Hz), 7.09 (1H, dd, J = 2Hz, J = 8Hz), 7.24 (1H, dd, J = 2Hz, J = 8Hz),
7.42 (1H, dd, J=2Hz, J=8Hz), 7.47-7.58 (4H, m), 7.65 (2H, d, J=8Hz), 7.42 (1H, dd, J = 2Hz, J = 8Hz), 7.47-7.58 (4H, m), 7.65 (2H, d, J = 8Hz),
8.34(lH,d, J=2Hz) 8.34 (lH, d, J = 2Hz)
実施例 18 (5) Example 18 (5)
{ 1 - (4_クロ口べンゾィル) —2—メチルー 3—フエニルスルホニルインド —ルー 5—ィル } 酢酸ェチルエステル (化合物 123) {1-(4_ benzoyl) —2-methyl-3-phenylsulfonylindo —lu-5-yl} Ethyl acetate (Compound 123)
性状:無色アモルファス Properties: colorless amorphous
融点: 54— 54. 5X Melting point: 54—54.5X
'H-NMR(CDC13) δ : 1.26(3H, t, J=7Hz) , 2.74 (3Η, s) , 3.72 (2Η, s) , 'H-NMR (CDC1 3) δ: 1.26 (3H, t, J = 7Hz), 2.74 (3Η, s), 3.72 (2Η, s),
4.16(2H, q, J=7Hz), 6.86 (1H, d, J=9Hz) , 7.09 (1H, d, J=2Hz, J=9Hz) , 4.16 (2H, q, J = 7Hz), 6.86 (1H, d, J = 9Hz), 7.09 (1H, d, J = 2Hz, J = 9Hz),
7.46-7.58 (5H, m) , 7.66 (2H, d, J=9Hz) ,8.01 (2H, dd, J=2Hz, J=9Hz) , 8.09 (1H, s) 実施例 18 (6) 7.46-7.58 (5H, m), 7.66 (2H, d, J = 9Hz), 8.01 (2H, dd, J = 2Hz, J = 9Hz), 8.09 (1H, s) Example 18 (6)
5—ブロモ _ 1— (4—ジメチルァミノべンゾィル) —3—メタンスルホ二ルー 2—メチルインド一ル (化合物 124) 5-Bromo _ 1- (4-Dimethylaminobenzoyl) -3-Methanesulfonyl 2-methylindole (Compound 124)
性状:黄色油状物 Properties: yellow oil
'H-NMR(CDC13) δ : 2.72 (3H, s),3.12 (6H, s),3.15 (3H, s) , 6.64 (2H, d, J=8Hz) , 6.99 (1H, d, J=8Hz) , 7.23-7.29 (1H, m) , 7.59 (2H, d, J=8Hz), 8.18 (1H, s) 実施例 18 (7) 'H-NMR (CDC1 3) δ: 2.72 (3H, s), 3.12 (6H, s), 3.15 (3H, s), 6.64 (2H, d, J = 8Hz), 6.99 (1H, d, J = 8Hz), 7.23-7.29 (1H, m), 7.59 (2H, d, J = 8Hz), 8.18 (1H, s) Example 18 (7)
1 - (4一クロ口べンゾィル) —3— (4—クロ口フエニルスルホニル) —2, 5—ジメチルインドール (化合物 125) 1- (4-cyclobenzoyl) —3- (4-chlorophenylsulfonyl) —2,5-dimethylindole (Compound 125)
性状:無色粉末 Properties: colorless powder
融点: 167— 168 °C 'Η-匪 R(CDC13) δ : 2.44 (3Η, s) , 2.74 (3Η, s) , 6.76 (IH, d, J=8Hz) , Melting point: 167—168 ° C 'Η-Maraudal R (CDC1 3 ) δ: 2.44 (3Η, s), 2.74 (3Η, s), 6.76 (IH, d, J = 8Hz),
6.95 (1H, d, J=8Hz), 7.26-7.49 (4H, m), 7.66 (2H, dd, J=2Hz, J=8Hz) ,7.91 (IH, s), 7.94(2H, dd, J=2Hz, J=8Hz) 6.95 (1H, d, J = 8Hz), 7.26-7.49 (4H, m), 7.66 (2H, dd, J = 2Hz, J = 8Hz), 7.91 (IH, s), 7.94 (2H, dd, J = (2Hz, J = 8Hz)
実施例 18 (8) Example 18 (8)
1 - (4—クロ口べンゾィル) —2—メチルー 6—二トロ— 3—フエニルスルホ ニルインドール (化合物 126) 1- (4-methylbenzoyl) -2-methyl-6-2-nitro-3-phenylsulfonylindole (Compound 126)
性状:無色粉末 Properties: colorless powder
融点: 159. 5 - 160. 5で Melting point: 159.5-160.5
'H-NMR(CDC13) δ : 2.75 (3Η, s) , 7.55 (4Η, d, J=8Hz) , 7.61 (IH, t , J=8Hz) , 'H-NMR (CDC1 3) δ: 2.75 (3Η, s), 7.55 (4Η, d, J = 8Hz), 7.61 (IH, t, J = 8Hz),
7.68 (2H, d, J=9Hz) , 7.99 (3H, t, J=8Hz) ,8.21 (IH, d, J=9Hz), 8.33 (IH, d, J=9Hz) 実施例 18 (9) 7.68 (2H, d, J = 9Hz), 7.99 (3H, t, J = 8Hz), 8.21 (IH, d, J = 9Hz), 8.33 (IH, d, J = 9Hz) Example 18 (9)
1一 (4_クロ口べンゾィル) 一 2—メチル _4_ニトロ— 3 _フエニルスルホ ニルインドール (化合物 127) 1-1- (4-methylbenzoyl) -1-2-Methyl_4_Nitro-3_Phenylsulfonylindole (Compound 127)
性状:淡黄色粉末 Properties: pale yellow powder
融点: 210 _ 21 1 °C Melting point: 210 _ 21 1 ° C
'H-NMR(CDC13) δ : 2.80 (3Η, s) , 7.21 (2Η, d, J=8Hz) , 7.42-7.61 (6H, m) , 7.68 (2H, d, J=9Hz) , 7.95 (2H, d, J=9Hz) 'H-NMR (CDC1 3) δ: 2.80 (3Η, s), 7.21 (2Η, d, J = 8Hz), 7.42-7.61 (6H, m), 7.68 (2H, d, J = 9Hz), 7.95 ( (2H, d, J = 9Hz)
実施例 18 (10) Example 18 (10)
1 - (4—クロ口べンゾィル) 一 2 _メチル _ 3—フエニルスルホニルインド一 ルー 6—力ルボン酸ェチルエステル (化合物 128) 1- (4-Benzoyl) 1 2 _methyl _ 3 -Phenylsulfonylindole 1 -6-Ethyl ruvonate (Compound 128)
性状:無色粉末 Properties: colorless powder
融点: 142. 5— 143 °C Melting point: 142.5—143 ° C
'H-NMR(CDC13) 6 : 1.3K3H, t, J=7Hz) , 2.76 (3H, s) , 4.29 (2H, q, J=7Hz) , 7.49-7.61 (5H, m), 7.66 (1H, s) , 7.68 (2H, dd, J=2Hz, J=9Hz), 'H-NMR (CDC1 3) 6: 1.3K3H, t, J = 7Hz), 2.76 (3H, s), 4.29 (2H, q, J = 7Hz), 7.49-7.61 (5H, m), 7.66 (1H , S), 7.68 (2H, dd, J = 2Hz, J = 9Hz),
7.99 (1H, dd, J=2Hz, J=9Hz) ,8.01 (2H, d, J=8Hz), 8.22 (IH, d, J=9Hz) 7.99 (1H, dd, J = 2Hz, J = 9Hz), 8.01 (2H, d, J = 8Hz), 8.22 (IH, d, J = 9Hz)
実施例 18 (1 1) 1 - (4一クロ口べンゾィル) _ 2—メチル— 3—フエニルスルホニルインドー ルー 4 _カルボン酸ェチルエステル (化合物 129) Example 18 (1 1) 1- (4-methylbenzene) _ 2-Methyl-3-phenylsulfonylindole 4 _Ethyl carboxylate (Compound 129)
性状:淡黄色粉末 Properties: pale yellow powder
融点: 16 1. 5 - 162. 5 °C Melting point: 161.5-162.5 ° C
'H-NMR(CDC13) δ : 1.32(3H, t, J=7Hz) , 2.64(3H, s) , 4.38(2H, q, J=7Hz) , 7.09 (IH, d, J=8Hz), 7.19 (IH, t, J-8Hz) , 7.40 (1H, d, J=7Hz), 7.48-7.61 (5H, m), 7.67 (2H, d, J=8Hz) , 8.05 (2H, d, J=8Hz) 'H-NMR (CDC1 3) δ: 1.32 (3H, t, J = 7Hz), 2.64 (3H, s), 4.38 (2H, q, J = 7Hz), 7.09 (IH, d, J = 8Hz), 7.19 (IH, t, J-8Hz), 7.40 (1H, d, J = 7Hz), 7.48-7.61 (5H, m), 7.67 (2H, d, J = 8Hz), 8.05 (2H, d, J = 8Hz)
実施例 18 (12) Example 18 (12)
1 - (4—クロ口べンゾィル) — 2—メチルー 3—フエニルスルホニルインド一 ルー 5—力ルボン酸ェチルエステル (化合物 130) 1- (4-Benzoyl) — 2-Methyl-3-phenylsulfonylindole 5-5-Ethyl rubonate (Compound 130)
性状:無色粉末 Properties: colorless powder
融点: 192. 5 - 1 94t: Melting point: 192.5-1 94t:
'H-NMR(CDC13) δ : 1.42 (3Η, t, J=7Hz) , 2.77 (3H, s) , 4.41 (2H, q, J=7Hz) , 'H-NMR (CDC1 3) δ: 1.42 (3Η, t, J = 7Hz), 2.77 (3H, s), 4.41 (2H, q, J = 7Hz),
6.95 (IH, d, J=9Hz) , 7.45-7.62 (5H, m), 7.67 (2H, d, J=8Hz) , 7.85 (IH, d, J=8Hz), 8.04(2H,d, J=8Hz),8.85(1H, s) 6.95 (IH, d, J = 9 Hz), 7.45-7.62 (5H, m), 7.67 (2H, d, J = 8 Hz), 7.85 (IH, d, J = 8 Hz), 8.04 (2H, d, J = 8Hz), 8.85 (1H, s)
実施例 18 (13) Example 18 (13)
5_ブロモ _3— (4 _クロ口フエニルスルホニル) 一 1一 (4一クロ口べンゾ ィル) 一 2—ェチルインドール (化合物 13 1) 5_Bromo_3 -— (4-chlorophenylsulfonyl) -1-1 (4-benzobenzene) -1-2-ethylindole (Compound 131)
性状:無色粉末 Properties: colorless powder
融点: 126— 126. 5 Melting point: 126— 126.5
'Η -副 R(CDC13) δ : 1.17 (3Η, t , J=8Hz) ,3.26 (2H, q, J=8Hz) , 6.62 (IH, d, J=9Hz) ,'Η-Sub R (CDC13) δ: 1.17 ( 3 (, t, J = 8Hz), 3.26 (2H, q, J = 8Hz), 6.62 (IH, d, J = 9Hz),
7.21 (IH, dd, J=2Hz, J=9Hz) , 7.49-7.53 (4H, m) , 7.64 (2H, dd, J=2Hz, J=9Hz) , 7.94 (2H, dd, J=2Hz, J=9Hz) ,8.31 (IH, d, J=2Hz) 7.21 (IH, dd, J = 2Hz, J = 9Hz), 7.49-7.53 (4H, m), 7.64 (2H, dd, J = 2Hz, J = 9Hz), 7.94 (2H, dd, J = 2Hz, J = 9Hz), 8.31 (IH, d, J = 2Hz)
実施例 18 (14) Example 18 (14)
1一 (4一クロ口べンゾィル) 一 5 _シァノ _ 2—メチル _ 3—フエニルスルホ ニルインドール (化合物 1 32) 性状:黄色粉末 1-1- (4-methylbenzoyl) -1-5-cyano_2-methyl-3-3-phenylsulfonylindole (Compound 132) Properties: yellow powder
融点: 199. 5— 200. 5 : Melting point: 199.5-200.5:
'H-NMR(CDC13) δ : 2.75 (3Η, s) , 7.05 (IH, d, J=9Hz) , 7.41 (IH, d, J=8Hz) , 7.50-7.68 (7H, m) , 7.99 (2H, d, J=8Hz) , 8.55(1H, s) 'H-NMR (CDC1 3) δ: 2.75 (3Η, s), 7.05 (IH, d, J = 9Hz), 7.41 (IH, d, J = 8Hz), 7.50-7.68 (7H, m), 7.99 ( 2H, d, J = 8Hz), 8.55 (1H, s)
実施例 18 (15) Example 18 (15)
5_ブロモ_1— (4—ジメチルァミノべンゾィル) _ 2 _メチル—3—フエ二 ルスルホニルインドール (化合物 133) 5_bromo_1- (4-dimethylaminobenzoyl) _ 2 _methyl-3-phenylsulfonylindole (Compound 133)
性状:黄色アモルファス Properties: yellow amorphous
融点: 68— 69 Melting point: 68- 69
'H-NMR(CDC13) δ : 2.71 (3Η, s) , 3.14 (6Η, s) , 6.64 (2Η, d, J=9Hz) , 'H-NMR (CDC1 3) δ: 2.71 (3Η, s), 3.14 (6Η, s), 6.64 (2Η, d, J = 9Hz),
6.94 (1H, d, J=9Hz) , 7.23 (1H, dd, J=2Hz, J=8Hz), 7.49-7.58 (4H, m) , 6.94 (1H, d, J = 9Hz), 7.23 (1H, dd, J = 2Hz, J = 8Hz), 7.49-7.58 (4H, m),
7.91 (IH, d, J=9Hz) , 8.00 (2H, d, J=8Hz) , 8.32 (IH, d, J=2Hz) 7.91 (IH, d, J = 9Hz), 8.00 (2H, d, J = 8Hz), 8.32 (IH, d, J = 2Hz)
実施例 18 (16) Example 18 (16)
(1 - (4—クロ口べンゾィル) _ 2—メチル _ 3—フエニルスルホニルインド 一ルー 4—ィル) 酢酸メチルエステル (化合物 134) (1-(4-Benzoyl) _ 2 -Methyl _ 3 -Phenylsulfonylindia 1 -4-yl) Methyl acetate (Compound 134)
性状:無色油状物 Properties: colorless oil
'H-NMR(CDC13) δ : 2.71 (3Η, s) , 3.57 (2Η, s) , 3.62 (3Η, s) , 6.91 (IH, s) , 'H-NMR (CDC1 3) δ: 2.71 (3Η, s), 3.57 (2Η, s), 3.62 (3Η, s), 6.91 (IH, s),
7.22 (IH, d, J=8Hz) , 7.48-7.59 (5H, m), 7.67 (2H, d, J=8Hz) , 8.00 (2H, d, J=8Hz) , 8. ll(lH,d, J=8Hz) 7.22 (IH, d, J = 8Hz), 7.48-7.59 (5H, m), 7.67 (2H, d, J = 8Hz), 8.00 (2H, d, J = 8Hz), 8.ll (lH, d, (J = 8Hz)
実施例 18 (17) Example 18 (17)
5—ブロモ— 2—メチルー 1— (2—メチルベンゾィル) _ 3 _フエニルスルホ ニルインドール (化合物 135) 5-Bromo-2-methyl-1- (2-methylbenzoyl) _ 3 _phenylsulfonylindole (Compound 135)
性状:無色粉末 Properties: colorless powder
融点: 149一 149. 5で Melting point: 149-1 149.5 in
'H-NMR(CDC13) δ : 2.34 (3Η, s) , 2.65 (3Η, s) , 6.83 (IH, d, J=9Hz) , 'H-NMR (CDC1 3) δ: 2.34 (3Η, s), 2.65 (3Η, s), 6.83 (IH, d, J = 9Hz),
7.23 (IH, d, J=9Hz) ,7.27 (2H, d) , 7.36 (1H, d, J=8Hz), 7.48-7.62 (4H, m), 7.98(2H, d, J=8Hz),8.34(1H, s) 7.23 (IH, d, J = 9Hz), 7.27 (2H, d), 7.36 (1H, d, J = 8Hz), 7.48-7.62 (4H, m), 7.98 (2H, d, J = 8Hz), 8.34 (1H, s)
実施例 18 (18) Example 18 (18)
2—メチル— 1一 (2—メチルベンゾィル) _ 3 _フエニルスルホニル— 5—ト リフルォロメチルインドール (化合物 136) 2-Methyl-11- (2-methylbenzoyl) _ 3 _phenylsulfonyl-5-trifluoromethylindole (Compound 136)
性状:無色粉末 Properties: colorless powder
融点: 1 10— 1 10. 5 °C Melting point: 1 10—1 10.5 ° C
'H-NMR(CDC13) 6 : 2.38 (3H, s) , 2.69 (3Η, s) , 7.05 (IH, d, J=9Hz) , 'H-NMR (CDC1 3) 6: 2.38 (3H, s), 2.69 (3Η, s), 7.05 (IH, d, J = 9Hz),
7.27 (2H, dd, J=4Hz, J=7Hz) , 7.38 (2H, dd, J=4Hz, J=7Hz), 7.50-7.61 (4H, m) , 7.99(2H, d, J=8Hz),8.48(lH, s) 7.27 (2H, dd, J = 4Hz, J = 7Hz), 7.38 (2H, dd, J = 4Hz, J = 7Hz), 7.50-7.61 (4H, m), 7.99 (2H, d, J = 8Hz), 8.48 (lH, s)
実施例 18 (19) Example 18 (19)
1 - (4—クロ口べンゾィル) _ 2 _メチル _ 3 _フエニルスルホニル— 5—ト リフルォロメチルインドール (化合物 137) 1- (4-benzobenzene) _ 2 _methyl _ 3 _phenylsulfonyl-5-trifluoromethylindole (Compound 137)
性状:無色粉末 Properties: colorless powder
融点: 169— 170で Melting point: 169-170
'H-NMR(CDC13) 6 : 2.76 (3H, s) , 7.04 (IH, d, J=9Hz) , 7.40 (IH, d, J=9Hz) , 7.49-7.64 (5H, m),7.66 (2H, d, J=8Hz) ,8.01 (2H, d, J=8Hz) , 8.49 (1H, s) 実施例 18 (20) 'H-NMR (CDC1 3) 6: 2.76 (3H, s), 7.04 (IH, d, J = 9Hz), 7.40 (IH, d, J = 9Hz), 7.49-7.64 (5H, m), 7.66 ( 2H, d, J = 8Hz), 8.01 (2H, d, J = 8Hz), 8.49 (1H, s) Example 18 (20)
5 _ベンゾィルー 2—メチルー 1 _ (2—メチルベンゾィル) —3—フエニルス ルホニルインドール (化合物 138) 5 _Benziru-2-methyl-1 _ (2-methylbenzoyl) -3-phenylsulfonylindole (Compound 138)
性状:黄色粉末 Properties: yellow powder
融点: 142— 144 : Melting point: 142-144:
'H-NMR(CDC13) δ : 2.41 (3Η, s) , 2.76 (3H, s) , 7.03 (IH, d, J=9Hz) , 'H-NMR (CDC1 3) δ: 2.41 (3Η, s), 2.76 (3H, s), 7.03 (IH, d, J = 9Hz),
7.29 (2H, d, J=7Hz), 7.39 (1H, d, J=7Hz) , 7.48-7.67 (8H, m) , 7.29 (2H, d, J = 7Hz), 7.39 (1H, d, J = 7Hz), 7.48-7.67 (8H, m),
7.78 (2H, dd, J=2Hz, J=8Hz) , 7.95 (2H, dd, J=2Hz, J=8Hz) , 8.52(1H, d, J=2Hz) 実施例 18 (21) 7.78 (2H, dd, J = 2Hz, J = 8Hz), 7.95 (2H, dd, J = 2Hz, J = 8Hz), 8.52 (1H, d, J = 2Hz) Example 18 (21)
5 _ベンゾィル— 1— (4—クロ口べンゾィル) — 2—メチル— 3—フエニルス ルホニルインドール (化合物 139) 5 _ Benzyl — 1— (4-chlorobenzoyl) — 2-methyl — 3-phenyl Ruphonylindole (Compound 139)
性状:黄色アモルファス Properties: yellow amorphous
融点: 74— 75 Melting point: 74- 75
'H-NMR(CDC13) δ : 2.81 (3Η, s) , 7.03 (IH, d, J=9Hz) , 7.42-7.72 (1 IH, m) , 7.79 (2H, dd, J=2Hz, J=7Hz) ,7.97 (2H, dd, J=2Hz, J=7Hz), 8.53 (1H, d, J-2Hz) 実施例 18 (22) 'H-NMR (CDC1 3) δ: 2.81 (3Η, s), 7.03 (IH, d, J = 9Hz), 7.42-7.72 (1 IH, m), 7.79 (2H, dd, J = 2Hz, J = 7 Hz), 7.97 (2H, dd, J = 2Hz, J = 7Hz), 8.53 (1H, d, J-2Hz) Example 18 (22)
5—ァセチルー 2—メチル— 1一 (2—メチルベンゾィル) _ 3 _フエニルスル ホニルインドール (化合物 140) 5-Acetyl-2-methyl-11- (2-methylbenzoyl) _ 3 _phenylsulfonylindole (Compound 140)
性状:淡赤色粉末 Properties: pale red powder
融点: 1 78— 1 79. 5 °C Melting point: 1 78— 1 79.5 ° C
'H-NMR(CDC13) 6 : 2.38 (3H, s) , 2.68 (3Η, s) , 2.71 (3H, s) , 6.98 (IH, d, J=9Hz) , 7.28 (2H, d, J=9Hz), 7.38 (IH, d, J=8Hz) , 7.48-7.62 (4H, m) , 'H-NMR (CDC1 3) 6: 2.38 (3H, s), 2.68 (3Η, s), 2.71 (3H, s), 6.98 (IH, d, J = 9Hz), 7.28 (2H, d, J = 9Hz), 7.38 (IH, d, J = 8Hz), 7.48-7.62 (4H, m),
7.77 (IH, dd, J=2Hz, J=9Hz) ,8.01 (2H, d, J=8Hz), 8.76 (IH, s) 7.77 (IH, dd, J = 2Hz, J = 9Hz), 8.01 (2H, d, J = 8Hz), 8.76 (IH, s)
実施例 18 (23) Example 18 (23)
5—ァセチル— 1 _ (4—クロ口べンゾィル) — 2—メチル— 3—フエニルスル ホニルインドール (化合物 141) 5-Acetyl—1 _ (4-chlorobenzoyl) —2-Methyl-3-phenylsulfonylindole (Compound 141)
性状:淡赤色粉末 Properties: pale red powder
融点: 18 1. 5- 183. 5°C Melting point: 18 1.5-183.5 ° C
'H-NMR(CDC13) 6 : 2.69 (3H, s) , 2.76 (3H, s) , 6.97 (IH, d, J=9Hz) , 'H-NMR (CDC1 3) 6: 2.69 (3H, s), 2.76 (3H, s), 6.97 (IH, d, J = 9Hz),
7.47-7.63 (5H, m), 7.67 (2H, d, J=9Hz) , 7.80 (IH, d, J=8Hz), 8.03 (2H, d, J=8Hz) , 7.47-7.63 (5H, m), 7.67 (2H, d, J = 9Hz), 7.80 (IH, d, J = 8Hz), 8.03 (2H, d, J = 8Hz),
8.77(1H, s) 8.77 (1H, s)
実施例 18 (24) Example 18 (24)
2, 5—ジメチル— 1— (4—ジメチルァミノべンゾィル) _ 3 _フエニルスル ホニルインドール (化合物 142) 2,5-dimethyl-1- (4-dimethylaminobenzoyl) _ 3 _phenylsulfonylindole (Compound 142)
性状:黄色固体 Properties: yellow solid
融点: 89— 92 °C 'H-NMR(CDC13) δ : 2.45 (3H, s) , 2.71 (3H, s) , 3.09 (6H, s) , 6.62 (2H, d, J=9Hz) ,Melting point: 89-92 ° C 'H-NMR (CDC1 3) δ: 2.45 (3H, s), 2.71 (3H, s), 3.09 (6H, s), 6.62 (2H, d, J = 9Hz),
6.94 (2H, s) , 7.43-7.60 (5H, m), 7.93 (1H, s) , 8.09 (2H, d, J=9Hz) 6.94 (2H, s), 7.43-7.60 (5H, m), 7.93 (1H, s), 8.09 (2H, d, J = 9Hz)
実施例 18 (25) Example 18 (25)
(1— (4—ジメチルァミノべンゾィル) — 2 _メチル _ 3—フエニルスルホニ ルインドール— 5—ィル) 酢酸ェチルエステル (化合物 143) (1- (4-Dimethylaminobenzoyl) — 2 _methyl -3- 3-phenylsulfonylindole-5-yl) Ethyl acetate (Compound 143)
性状:黄色油状物 Properties: yellow oil
'H-NMR(CDC13) δ : 1.25 (3Η, t , J=7Hz) ,2.71 (3Η, s) , 3.11 (6H, s) , 'H-NMR (CDC1 3) δ: 1.25 (3Η, t, J = 7Hz), 2.71 (3Η, s), 3.11 (6H, s),
4.14 (2H, q, J=7Hz) , 6.67 (2H, d, J=9Hz), 7.09 (1H, d, J=9Hz), 7.45-7.55 (3H, m) , 4.14 (2H, q, J = 7Hz), 6.67 (2H, d, J = 9Hz), 7.09 (1H, d, J = 9Hz), 7.45-7.55 (3H, m),
7.58 (2H, d, J=8Hz) , 7.96-8.04 (3H, m) , 8.06 (1H, s) 7.58 (2H, d, J = 8Hz), 7.96-8.04 (3H, m), 8.06 (1H, s)
実施例 18 (26) Example 18 (26)
5—ベンゾィル _ 1— (4—ジメチルァミノべンゾィル) _ 2—メチルー 3—フ ェニルスルホニルインドール (化合物 144) 5-benzoyl _ 1- (4-dimethylaminobenzoyl) _ 2-methyl-3-phenylsulfonylindole (Compound 144)
性状:黄色油状物 Properties: yellow oil
Ή-腿(CDC13) δ : 2.79 (3H,s),3.12 (6H,s), 6.65 (2H,d,J=9Hz), Ή- thigh (CDC1 3) δ: 2.79 ( 3H, s), 3.12 (6H, s), 6.65 (2H, d, J = 9Hz),
7.16 (1H, d, J=8Hz) , 7.46-7.65 (7H, m) , 7.70 (IH, dd, J=2Hz, J=9Hz) , 7.16 (1H, d, J = 8Hz), 7.46-7.65 (7H, m), 7.70 (IH, dd, J = 2Hz, J = 9Hz),
7.79 (2H, dd, J=2Hz, J=8Hz) , 7.89 (IH, d, J=9Hz), 7.97 (2H, d, J=8Hz) , 7.79 (2H, dd, J = 2Hz, J = 8Hz), 7.89 (IH, d, J = 9Hz), 7.97 (2H, d, J = 8Hz),
8.50(lH,d, J=2Hz) 8.50 (lH, d, J = 2Hz)
実施例 18 (27) Example 18 (27)
(1— (4—クロ口べンゾィル) — 2—メチルー 3—フエニルスルホニルインド 一ルー 5—ィル) 酢酸べンジルエステル (化合物 145) (1- (4-chlorobenzoyl) — 2-methyl-3-phenylsulfonylindole 1-5-yl) Benzyl acetate (Compound 145)
性状:淡黄色固体 Properties: pale yellow solid
融点: 133— 135 °C Melting point: 133-135 ° C
'H-NMR(CDC13) 6 : 2.75(3H, s), 3.78(2H, s), 5.14(2H, s), 6.84(1H, d, J=8.5Hz), 7.08 (IH, d, J=6.5Hz), 7.3-7.4 (5H, m) , 7.45-7.52 (4H, m), 7.52-7.6 (IH, m), 'H-NMR (CDC1 3) 6: 2.75 (3H, s), 3.78 (2H, s), 5.14 (2H, s), 6.84 (1H, d, J = 8.5Hz), 7.08 (IH, d, J = 6.5Hz), 7.3-7.4 (5H, m), 7.45-7.52 (4H, m), 7.52-7.6 (IH, m),
7.66 (2H, d, J=9Hz) , 8.0 (2H, d, J=7.5Hz), 8.11 (1H, s) 7.66 (2H, d, J = 9Hz), 8.0 (2H, d, J = 7.5Hz), 8.11 (1H, s)
実施例 18 (28) 1 - (4一クロ口べンゾィル) _ 2—メチル— 3—フエニルスルホニルー 5—フ ェニルスルホニルメチルインドール (化合物 1 46) Example 18 (28) 1- (4-methylbenzene) _ 2-methyl-3-phenylsulfonyl-5-phenylsulfonylmethylindole (Compound 146)
性状:淡赤色粉末 Properties: pale red powder
融点: 2 2 6. 5 - 2 2 8 °C Melting point: 2 26.5-2 28 ° C
'H-NMR(CDC13) δ : 2.71 (3Η, s) , 4.42 (2H, s) , 6.86 (IH, d, J=9Hz) , 'H-NMR (CDC1 3) δ: 2.71 (3Η, s), 4.42 (2H, s), 6.86 (IH, d, J = 9Hz),
7.01 (IH, d, J=9Hz) , 7.44-7.70 (12H, m) , 7.95 (2H, d, J=8Hz) , 7.99 (1H, s) 実施例 1 8 (2 9) 7.01 (IH, d, J = 9Hz), 7.44-7.70 (12H, m), 7.95 (2H, d, J = 8Hz), 7.99 (1H, s) Example 18 (2 9)
1一 (4一クロ口べンゾィル) — 5 _シァノメチル— 2—メチル _ 3—フエニル スルホ二ルインドール (化合物 147) 1- (4-methylbenzoyl) — 5 _cyanomethyl-2-methyl -3-phenylsulfonylindole (Compound 147)
性状:微赤色粉末 Properties: slightly red powder
融点: 1 2 3. 4 - 1 24t: Melting point: 1 2 3.4-1 24t:
'H-NMR(CDC13) δ : 2.75 (3Η, s) , 3.85 (2H. s) , 6.93 (IH, d, J=9Hz) , 'H-NMR (CDC1 3) δ: 2.75 (3Η, s), 3.85 (. 2H s), 6.93 (IH, d, J = 9Hz),
7.14(1H, d, J=9Hz), 7.49-7.62 (5H, m), 7.66 (2H, dd, J=2Hz, J=7Hz) , 7.14 (1H, d, J = 9Hz), 7.49-7.62 (5H, m), 7.66 (2H, dd, J = 2Hz, J = 7Hz),
8.00 (2H, dd, J=2Hz, J=7Hz) , 8. lKlH, s) 8.00 (2H, dd, J = 2Hz, J = 7Hz), 8.lKlH, s)
実施例 1 8 (3 0) Example 18 (30)
1 - (4—クロ口べンゾィル) — 2—メチルー 3—フエニルスルホニルインドー ルー 5—カルボン酸べンジルエステル (化合物 1 48) 1- (4-benzobenzene) — 2-methyl-3-phenylsulfonyl indole 5-benzyl carboxylate (Compound 1 48)
性状:無色粉末 Properties: colorless powder
融点: 144— 144. 5 °C Melting point: 144—144.5 ° C
'H-腿(CDC13) δ : 2.78 (3Η, s) , 5.41 (2Η, s) , 6.94 (IH, d, J=9Hz) , 'H- thigh (CDC1 3) δ: 2.78 ( 3Η, s), 5.41 (2Η, s), 6.94 (IH, d, J = 9Hz),
7.35-7.62 (10H, m) , 7.66 (2H, d, J=9Hz), 7.87 (1H, dd, J=2Hz, J=9Hz) , 7.35-7.62 (10H, m), 7.66 (2H, d, J = 9Hz), 7.87 (1H, dd, J = 2Hz, J = 9Hz),
8.02(2H, d, J=8Hz),8.88(lH, s) 8.02 (2H, d, J = 8Hz), 8.88 (lH, s)
実施例 1 8 (3 1) Example 18 (3 1)
2— (1— (4—クロ口べンゾィル) _ 2—メチルー 3—フエニルスルホニルイ ンド一ルー 5—ィルメチルスルホニル) 安息香酸メチルエステル (化合 物 1 49) 性状:黄色油状物 2- (1- (4-chlorobenzoyl) _ 2-methyl-3-phenylsulfonylindyl 5-ylmethylsulfonyl) Methyl benzoate (Compound 1 49) Properties: yellow oil
'H-NMR(CDC13) 6 2.61 (3H, s), 4.06 (3H, s), 4.86 (2H, s) , 6.82 (IH, d, J=9Hz) , 7.08 (1H, d, J=8Hz), 7.40 (IH, t, J=8Hz) , 7.49 (2H, d, J=9Hz) , 7.52 (2H, d, J=9Hz) , 7.57 (2H, d, J=9Hz), 7.62 (IH, t, J=9Hz) , 7.65 (2H, d, J=9Hz) , 7.70 (IH, d, J=8Hz) , 7.99(2H,d, J=8Hz),8.13(lH, s) 'H-NMR (CDC1 3) 6 2.61 (3H, s), 4.06 (3H, s), 4.86 (2H, s), 6.82 (IH, d, J = 9Hz), 7.08 (1H, d, J = 8Hz ), 7.40 (IH, t, J = 8Hz), 7.49 (2H, d, J = 9Hz), 7.52 (2H, d, J = 9Hz), 7.57 (2H, d, J = 9Hz), 7.62 (IH, t, J = 9Hz), 7.65 (2H, d, J = 9Hz), 7.70 (IH, d, J = 8Hz), 7.99 (2H, d, J = 8Hz), 8.13 (lH, s)
実施例 18 (32) Example 18 (32)
5 - (ベンジルスルホニル) メチル— 1 _ (4 _クロ口べンゾィル) _2—メチ ルー 3—フエニルスルホニルインドール (化合物 150) 5-(benzylsulfonyl) methyl-1 _ (4 _ benzoyl) _2-methyl 3- phenylsulfonylindole (Compound 150)
性状:黄色粉末 Properties: yellow powder
融点: 208. 7— 21 1で Melting point: 208. 7—21 1
Ή-NMR (CDC 13) δ : 2.75 (3Η, s),4.15 (2H, s), 4.20 (2H, s) , 6.96 (1H, d, J=9Hz), 7.22 (IH, d, J=7Hz) , 7.39-7.57 (10H, m) , 7.69 (2H, d, J=9Hz) , 8.02 (2H, d, J=8Hz), 8.19(1H, s) Ή-NMR (CDC 1 3) δ: 2.75 (3Η, s), 4.15 (2H, s), 4.20 (2H, s), 6.96 (1H, d, J = 9Hz), 7.22 (IH, d, J = 7Hz), 7.39-7.57 (10H, m), 7.69 (2H, d, J = 9Hz), 8.02 (2H, d, J = 8Hz), 8.19 (1H, s)
実施例 18 (33) Example 18 (33)
5—ベンジルスルホニルメチルー 1一 (4—ジメチルァミノべンゾィル) _2— メチル _ 3—フエニルスルホニルインドール (化合物 151) 5-Benzylsulfonylmethyl-11- (4-dimethylaminobenzoyl) _2-methyl_3-phenylsulfonylindole (Compound 151)
性状:黄色固体 Properties: yellow solid
融点: 94— 96. 5V Melting point: 94—96.5V
'H-NMR(CDC13) δ 2.74(3H, s) , 3.12(6H,s),4.12 (2H, s) , 4.22 (2H, s) ,'H-NMR (CDC1 3 ) δ 2.74 (3H, s), 3.12 (6H, s), 4.12 (2H, s), 4.22 (2H, s),
6.65 (2H, d, J=9Hz), 7.12 (1H, d, J=9Hz), 7.24 (IH, d, J=9Hz), 7.38-7.52 (8H, m) ,6.65 (2H, d, J = 9Hz), 7.12 (1H, d, J = 9Hz), 7.24 (IH, d, J = 9Hz), 7.38-7.52 (8H, m),
7.59 (2H, d, J=9Hz) , 8.01 (2H, dd, J=2Hz, J=9Hz), 8.15 (IH, s) 7.59 (2H, d, J = 9Hz), 8.01 (2H, dd, J = 2Hz, J = 9Hz), 8.15 (IH, s)
実施例 18 (34) Example 18 (34)
5—ベンジルスルホニルメチル— 1 _ (3—ジメチルァミノべンゾィル) —2— メチル— 3 _フエニルスルホニルインドール (化合物 152) 5-Benzylsulfonylmethyl-1_ (3-dimethylaminobenzoyl) -2-methyl-3-phenylsulfonylindole (Compound 152)
性状:黄色固体 Properties: yellow solid
融点: 169— 169. 5 °C 'H-NMR(CDC13) δ : 2.73 (3H, s) , 2.99 (6H, s) , 4.12 (2H, s) , 4.21 (2H, s) , Melting point: 169—169.5 ° C 'H-NMR (CDC1 3) δ: 2.73 (3H, s), 2.99 (6H, s), 4.12 (2H, s), 4.21 (2H, s),
6.87 (1H, d, J=8Hz) 7.01 (IH, d, J=9Hz), 7.07 (IH, s), 7.11 (IH, d, J=8Hz) , 6.87 (1H, d, J = 8Hz) 7.01 (IH, d, J = 9Hz), 7.07 (IH, s), 7.11 (IH, d, J = 8Hz),
7.22 (IH, dd, J=2Hz, J=7Hz), 7.29 (IH, t, J=8Hz) , 7.44 (5H, brs), 7.49 (2H, t, J=8Hz) , 7.54 (IH, d, J=7Hz) ,8.01 (2H, d, J=7Hz), 8.17 (IH, s) 7.22 (IH, dd, J = 2Hz, J = 7Hz), 7.29 (IH, t, J = 8Hz), 7.44 (5H, brs), 7.49 (2H, t, J = 8Hz), 7.54 (IH, d, J = 7Hz), 8.01 (2H, d, J = 7Hz), 8.17 (IH, s)
実施例 18 (35) Example 18 (35)
2 - (1 - (4ージメチルァミノべンゾィル) 一 2—メチルー 3 _フエニルスル ホニルインド一ルー 5—ィルメチルスルホニル) 安息香酸メチルエステル (化合 物 153) 2- (1- (4-Dimethylaminobenzoyl) -1-2-methyl-3-phenylsulfonylindole 5-methylmethylsulfonyl) Methyl benzoate (Compound 153)
性状:淡黄色固体 Properties: pale yellow solid
融点: 104— 104. 5 Melting point: 104—104.5
'H-NMR(CDC13) δ : 2.71 (3Η, s) , 3.11 (6Η, s) , 4.06 (3Η, s) , 4.86 (2Η, s) , 'H-NMR (CDC1 3) δ: 2.71 (3Η, s), 3.11 (6Η, s), 4.06 (3Η, s), 4.86 (2Η, s),
6.62 (2Η, d, J=9Hz), 6.96 (1H, d, J=9Hz) , 7.06 (1H, dd, J = lHz, J=9Hz), 6.62 (2Η, d, J = 9Hz), 6.96 (1H, d, J = 9Hz), 7.06 (1H, dd, J = lHz, J = 9Hz),
7.34 (IH, t , J=8Hz) , 7.47-7.59 (7H, m) , 7.68 (IH, d, J=8Hz) , 7.34 (IH, t, J = 8Hz), 7.47-7.59 (7H, m), 7.68 (IH, d, J = 8Hz),
7.95 (2H, dd, J=lHz, J=9Hz), 8.04(1H, s) 7.95 (2H, dd, J = lHz, J = 9Hz), 8.04 (1H, s)
実施例 18 (36) Example 18 (36)
1 - (3—ジメチルァミノべンゾィル) — 2 _メチル— 3—フエニルスルホニル 一 5—フエニルスルホニルメチルインドール (化合物 154) 1- (3-Dimethylaminobenzoyl) — 2 _methyl-3-phenylsulfonyl-1-5-phenylsulfonylmethylindole (Compound 154)
性状:黄色油状物 Properties: yellow oil
'H-NMR(CDC13) δ 2.69(3H, s), 2.98(6H, s), 4.42(2H, s), 'H-NMR (CDC1 3) δ 2.69 (3H, s), 2.98 (6H, s), 4.42 (2H, s),
6.85 (1Η, d, J=8Hz) , 6.99 (2H, d, J=7Hz) , 7.03 (IH, s) , 7. 3-7.31 (IH, m) , 6.85 (1Η, d, J = 8Hz), 6.99 (2H, d, J = 7Hz), 7.03 (IH, s), 7.3-7.31 (IH, m),
7.42-7.52 (1H, m) , 7.59-7.64 (5H, m) , 7.93 (2H, d, J=8Hz) 7.42-7.52 (1H, m), 7.59-7.64 (5H, m), 7.93 (2H, d, J = 8Hz)
実施例 18 (37) Example 18 (37)
2- (1 - (3—ジメチルァミノべンゾィル) 一 2—メチルー 3—フエニルスル ホニルインドール一 5—ィルメチルスルホニル) 安息香酸メチルエステル (化合 物 155) 2- (1- (3-Dimethylaminobenzoyl) -1-2-methyl-3-phenylsulfonylindole-1-5-methylsulfonyl) Methyl benzoate (Compound 155)
性状:黄色固体 融点: 95— 96 °C Properties: yellow solid Melting point: 95- 96 ° C
'Η - NMR(CDC13) δ : 2.70 (3Η, s) , 2.97 (6Η, s) , 4.06 (3Η, s) , 4.86 (2Η, s) , 'Η - NMR (CDC1 3) δ: 2.70 (3Η, s), 2.97 (6Η, s), 4.06 (3Η, s), 4.86 (2Η, s),
6.82 (IH, d, J=8Hz) , 6.94 (IH, d, J=9Hz), 6.99 (IH, d, J=9Hz) , 7.02 (IH, s), 6.82 (IH, d, J = 8Hz), 6.94 (IH, d, J = 9Hz), 6.99 (IH, d, J = 9Hz), 7.02 (IH, s),
7.07 (IH, d, J = 10Hz), 7.27-7.29 (1H, m), 7.36 (1H, t, J=8Hz), 7.07 (IH, d, J = 10Hz), 7.27-7.29 (1H, m), 7.36 (1H, t, J = 8Hz),
7.49-7.52 (3H, m) , 7.55-7.61 (2H, m), 7.69 (IH, d, J=8Hz) , 7.98 (2H, d, J=8Hz), 8.09(1H, s) 7.49-7.52 (3H, m), 7.55-7.61 (2H, m), 7.69 (IH, d, J = 8Hz), 7.98 (2H, d, J = 8Hz), 8.09 (1H, s)
実施例 18 (38) Example 18 (38)
1 - (4—ジメチルァミノべンゾィル) _ 2 _メチル— 3—フエニルスルホニル - 5—フエニルスルホニルメチルインドール (化合物 1 56) 1- (4-Dimethylaminobenzoyl) _ 2 _Methyl-3-phenylsulfonyl-5-phenylsulfonylmethylindole (Compound 1 56)
性状:黄色油状物 Properties: yellow oil
'H-NMR(CDC13) δ 2.68 (3Η, s) , 3.11 (6H, s) , 4.42 (2Η, s) , 6.62 (2Η, d, J=9Hz) , 'H-NMR (CDC1 3) δ 2.68 (3Η, s), 3.11 (6H, s), 4.42 (2Η, s), 6.62 (2Η, d, J = 9Hz),
6.99 (IH, d, J=9Hz) , 7.42 (2H, t, J=8Hz) , 7.48 (2H, t, J=8Hz), 7.54-7.59 (4H, m),6.99 (IH, d, J = 9Hz), 7.42 (2H, t, J = 8Hz), 7.48 (2H, t, J = 8Hz), 7.54-7.59 (4H, m),
7.62 (2H, d, J=7Hz), 7.88 (2H, d, J=9Hz) ,7.91 (2H, d, J=8Hz) 7.62 (2H, d, J = 7Hz), 7.88 (2H, d, J = 9Hz), 7.91 (2H, d, J = 8Hz)
実施例 18 (39) Example 18 (39)
2_メチル— 1_ (3—ジメチルァミノ— 2—メチルベンゾィル) _ 3—フエ二 ルスルホニルー 5 _フエニルスルホニルメチルインドール (化合物 1 57) 性状:淡黄色粉末 2_methyl-1_ (3-dimethylamino-2-methylbenzoyl) _3-phenylsulfonyl-5 _phenylsulfonylmethylindole (Compound 157) Properties: pale yellow powder
融点: 99 _ 101 Melting point: 99_101
'H-NMR(DMS0-d6) δ : 2.04 (3Η, s) , 2.53 (3H, s) , 2.62 (6Η, s) , 4.82 (2Η, s) ,'H-NMR (DMS0-d 6 ) δ: 2.04 (3Η, s), 2.53 (3H, s), 2.62 (6Η, s), 4.82 (2Η, s),
6.95 (IH, d, J=9Hz) , 7.02 (IH, dd, J=2Hz, J=9Hz), 7.08 (IH, d, J=7Hz) , 6.95 (IH, d, J = 9Hz), 7.02 (IH, dd, J = 2Hz, J = 9Hz), 7.08 (IH, d, J = 7Hz),
7.30 (IH, t, J=8Hz) , 7.36 (IH, d, J=7Hz) , 7.55 (2H, t, J=8Hz), 7.60 (2H, t, J=8Hz), 7.68-7.74 (4H, m) , 7.90 (2H, dd, J=2Hz, J=8Hz) ,7.91 (IH, s) 7.30 (IH, t, J = 8Hz), 7.36 (IH, d, J = 7Hz), 7.55 (2H, t, J = 8Hz), 7.60 (2H, t, J = 8Hz), 7.68-7.74 (4H, m), 7.90 (2H, dd, J = 2Hz, J = 8Hz), 7.91 (IH, s)
実施例 18 (40) Example 18 (40)
5—ベンジルスルホニルメチルー 2—メチルー 1― (3—ジメチルァミノ— 2— メチルベンゾィル) 一 3—フエニルスルホニルインドール (化合物 1 58) 性状:淡黄色粉末 融点: 98— 99°C 5-Benzylsulfonylmethyl-2-methyl-1- (3-dimethylamino-2-methylbenzoyl) -1-3-phenylsulfonylindole (Compound 158) Properties: pale yellow powder Melting point: 98-99 ° C
Ή-NMR (DMS0-d6) δ : 2.11 (3H, s)ュ 58 (3H, s)ュ 64 (6H, s) , 4.44 (2H, s), Ή-NMR (DMS0-d 6 ) δ: 2.11 (3H, s) 58 58 (3H, s) 64 64 (6H, s), 4.44 (2H, s),
4.61 (2H, s), 7.06 (1H, d, J=9Hz) , 7.10 (1H, d, J=7Hz), 7.20 (1H, d, J=9Hz), 4.61 (2H, s), 7.06 (1H, d, J = 9Hz), 7.10 (1H, d, J = 7Hz), 7.20 (1H, d, J = 9Hz),
7.30 (IH, t, J=8Hz) , 7.36-7.40 (6H, in) , 7.56 (2H, t, J=8Hz) , 7.64 (IH, d, J=7Hz), 8.01(2H,d, J=8Hz),8.13(lH,s) 7.30 (IH, t, J = 8Hz), 7.36-7.40 (6H, in), 7.56 (2H, t, J = 8Hz), 7.64 (IH, d, J = 7Hz), 8.01 (2H, d, J = 8Hz), 8.13 (lH, s)
実施例 18 (41) Example 18 (41)
5 - t e r t一ブトキシカルポニルァミノ― 1― (4—ジメチルァミノべ ンゾィル) — 2—メチル _ 3_ (2—ピリジルスルホニル) インドール (化 合物 159) 5-tert e-butoxycarponylamino-1- (4-dimethylaminobenzoyl) — 2-methyl_3_ (2-pyridylsulfonyl) indole (Compound 159)
性状:無色粉末 Properties: colorless powder
融点: 88— 91で Melting point: 88-91
Ή-NMR (DMS0-d6) δ 1.47 (9H, s),2.64 (3H, s), 3.07 (6H, s) , 6.78 (2H, d, J=9Hz) ,Ή-NMR (DMS0-d 6 ) δ 1.47 (9H, s), 2.64 (3H, s), 3.07 (6H, s), 6.78 (2H, d, J = 9 Hz),
6.93 (1H, d, J=8Hz) , 7.22(1H, brs) , 7.48 (2H, d, J=9Hz) , 7.67 (IH, t, J=8Hz) , 8.10 (IH, s), 8.13-8.21 (2H, m), 8.69 (1H, d, J=5Hz) , 9.33 (1H, s) 6.93 (1H, d, J = 8Hz), 7.22 (1H, brs), 7.48 (2H, d, J = 9Hz), 7.67 (IH, t, J = 8Hz), 8.10 (IH, s), 8.13-8.21 (2H, m), 8.69 (1H, d, J = 5Hz), 9.33 (1H, s)
実施例 18 (42) Example 18 (42)
3- (2—メチルー 1一 (3—ジメチルァミノ— 2—メチルベンゾィル) —3— フエニルスルホニルインド一ルー 5 _ィル) _2, 4 (1 H, 3H) —キナゾリ ンジオン (化合物 160) 3- (2-Methyl-11- (3-dimethylamino-2-methylbenzoyl) —3-phenylphenylsulfonylindole-5_yl) _2,4 (1H, 3H) -quinazolindione (Compound 160)
性状:淡黄色粉末 Properties: pale yellow powder
融点: 159— 161 °C Melting point: 159—161 ° C
Ή-NMR (DMS0-d6) δ : 2.20 (3Η, s) , 2.64 (3H, s), 2.67 (6H, s) , 7.11 (IH, d, J=9Hz) , 7.17 (2H, dd, J=2Hz, J=8Hz) , 7.24 (2H, d, J=8Hz) , 7.33 (IH, dd, J=2Hz, J=8Hz),Ή-NMR (DMS0-d 6 ) δ: 2.20 (3Η, s), 2.64 (3H, s), 2.67 (6H, s), 7.11 (IH, d, J = 9 Hz), 7.17 (2H, dd, J = 2Hz, J = 8Hz), 7.24 (2H, d, J = 8Hz), 7.33 (IH, dd, J = 2Hz, J = 8Hz),
7.39 (IH, d, J=8Hz) , 7.59-7.64 (2H, m),7.68—7.73 (2H, m),7.95 (IH, d, J=8Hz), 7.97-8.10 (3H, m) , 11.56 (IH, s) 7.39 (IH, d, J = 8Hz), 7.59-7.64 (2H, m), 7.68-7.73 (2H, m), 7.95 (IH, d, J = 8Hz), 7.97-8.10 (3H, m), 11.56 (IH, s)
実施例 18 (43) Example 18 (43)
3— (2—メチル— 1一 (4—ジメチルァミノべンゾィル) —3—フエニルスル ホニルインド一ルー 5 _ィル) — 2, 4 (1H, 3H) ーキナゾリンジオン (化 合物 1 6 1 ) 3- (2-methyl-11- (4-dimethylaminobenzoyl) -3-phenylsulfur Honylindoneru 5 _yl) — 2,4 (1H, 3H) -quinazolinedione (compound 16 1)
性状:淡黄色粉末 Properties: pale yellow powder
融点: 2 0 2— 2 04 °C Melting point: 202-204 ° C
'H-NMR(DMSO-d6) δ : 2.73 (3Η, s) , 3.09 (6H, s) , 6.82 (2H, d, J=9Hz) , 'H-NMR (DMSO-d 6 ) δ: 2.73 (3Η, s), 3.09 (6H, s), 6.82 (2H, d, J = 9Hz),
7.10 (1H, d, J=8Hz),7.15 (1H, d, J=8Hz) ,7.26 (2H, d, J=8Hz) , 7.56-7.64 (4H, m) , 7.65-7.74 (2H, in) , 7.96 (2H, d, J=2Hz) , 8.03 (2H, d, J=8Hz) , 11.56 (1H, s) 実施例 1 8 (44) 7.10 (1H, d, J = 8Hz), 7.15 (1H, d, J = 8Hz), 7.26 (2H, d, J = 8Hz), 7.56-7.64 (4H, m), 7.65-7.74 (2H, in) , 7.96 (2H, d, J = 2Hz), 8.03 (2H, d, J = 8Hz), 11.56 (1H, s) Example 18 (44)
2- (5—ブロモー 1— (3—ジメチルァミノ— 2 _メチルベンゾィル) _ 2— メチルインドール— 3—ィルスルホニル) 安息香酸ベンジル (化合物 1 6 2) 性状:褐色油状物 2- (5-bromo-1- (3-dimethylamino-2-methylbenzoyl) _2-methylindole-3-ylsulfonyl) Benzyl benzoate (Compound 162) Properties: Brown oil
'H-NMR(CDC13) δ : 2.24 (3Η, s) , 2.54 (3Η, s) , 2.71 (6H, s) , 5.30 (2H, s) , 'H-NMR (CDC1 3) δ: 2.24 (3Η, s), 2.54 (3Η, s), 2.71 (6H, s), 5.30 (2H, s),
6.91-6.99 (2H, m) , 7.18—7.24 (2H, m) , 7.30-7.42 (5H, m), 7.56-7.62 (3H, m), 8.05-8.10(1H, m),8.16 (1H, d, J=2Hz) 6.91-6.99 (2H, m), 7.18-7.24 (2H, m), 7.30-7.42 (5H, m), 7.56-7.62 (3H, m), 8.05-8.10 (1H, m), 8.16 (1H, d , J = 2Hz)
実施例 1 8 (45) Example 18 (45)
5—ブロモ _ 1一 (4ーメトキシベンゾィル) — 3—フエ二ルチオインドール (化合物 1 6 3) 5-Bromo_1- (4-methoxybenzoyl) — 3-phenylthioindole (Compound 163)
性状:無色粉末 Properties: colorless powder
融点: 1 1 0— 1 1 3 °C Melting point: 110-113 ° C
'Η-醒(CDC13) δ : 3.91 (3Η, s) , 7.04 (2H, d, J=9Hz) , 7.11-7.19 (3H, m) , 7.19-7.25 (2H, m) , 7.50 (1H, dd, J=9Hz, J=2Hz), 7.65-7.69 (2H, m), '.Eta. Awakening: (CDC1 3) δ: 3.91 ( 3Η, s), 7.04 (2H, d, J = 9Hz), 7.11-7.19 (3H, m), 7.19-7.25 (2H, m), 7.50 (1H, dd, J = 9Hz, J = 2Hz), 7.65-7.69 (2H, m),
7.76 (2H, d, J=9Hz), 8.24 (1H, d, J=9Hz) 7.76 (2H, d, J = 9Hz), 8.24 (1H, d, J = 9Hz)
実施例 1 8 (46) Example 18 (46)
5—ブロモ _ 1一 (4—メトキシベンゾィル) — 3— (2—ピリジルチオ) イン ドール (化合物 1 64) 5-Bromo_1- (4-methoxybenzoyl) — 3- (2-pyridylthio) indole (Compound 164)
性状:無色粉末 融点: 1 47 _ 1 49 °C Properties: colorless powder Melting point: 1 47 _ 1 49 ° C
'Η-醒(CDC13) δ : 3.91 (3H, s) , 6.88 (IH, d, J=8Hz) , 6.99-7.09 (3H, m) , '.Eta. Awakening: (CDC1 3) δ: 3.91 ( 3H, s), 6.88 (IH, d, J = 8Hz), 6.99-7.09 (3H, m),
7.44(1H, dt, J=8Hz, J=2Hz), 7.53 (IH, dd, J=9Hz, J=2Hz), 7.69 (IH, d, J=2Hz) , 7.71-7.81 (3H, m), 8.27 (1H, d, J=9Hz) , 8.40 (IH, d, J=5Hz) 7.44 (1H, dt, J = 8Hz, J = 2Hz), 7.53 (IH, dd, J = 9Hz, J = 2Hz), 7.69 (IH, d, J = 2Hz), 7.71-7.81 (3H, m), 8.27 (1H, d, J = 9Hz), 8.40 (IH, d, J = 5Hz)
実施例 1 8 (47) Example 18 (47)
5—ブロモ _ 3 _ (4_クロ口フエ二ルチオ) 一 1一 (4—メ.トキシベンゾィ ル) インドール (化合物 1 6 5) 5-Bromo _ 3 _ (4_chlorophenylthio) 1-11 (4-methoxybenzoyl) indole (compound 1 65)
性状:無色粉末 Properties: colorless powder
融点: 1 3 3 _ 1 3 5で Melting point: 1 3 3 _ 1 3 5
'H-N R(CDC13) δ 7.04 (2Η, d, J=9Hz), 7.07 (2H, d, J=9Hz) , 7.19(2H, d, J=9Hz),'HNR (CDC1 3 ) δ 7.04 (2Η, d, J = 9 Hz), 7.07 (2H, d, J = 9 Hz), 7.19 (2H, d, J = 9 Hz),
7.51 (IH, dd, J=9Hz, J=2Hz), 7.63 (IH, d, J=2Hz), 7.68 (IH, s) , 7.76 (2H, d, J=9Hz) ,7.51 (IH, dd, J = 9Hz, J = 2Hz), 7.63 (IH, d, J = 2Hz), 7.68 (IH, s), 7.76 (2H, d, J = 9Hz),
8.23(lH,d, J=9Hz) 8.23 (lH, d, J = 9Hz)
実施例 1 8 (48) Example 18 (48)
5—ブロモ— 1— (4—メトキシベンゾィル) — 3— (4 _メチルフエニルチ ォ) インドール (化合物 1 6 6) 5-Bromo-1- (4-methoxybenzoyl) — 3 -— (4-methylphenylthio) indole (Compound 166)
性状:無色粉末 Properties: colorless powder
融点: 1 34 _ 1 36 Melting point: 1 34 _ 1 36
'H-NMR(CDC13) δ : 2.28 (3Η, s) , 3.91 (3Η, s) , 6.99-7.05 (4Η, m) , 'H-NMR (CDC1 3 ) δ: 2.28 (3Η, s), 3.91 ( 3 ), s), 6.99-7.05 (4 m, m),
7.09 (2Η, d, J=8Hz) , 7.49 (IH, dd, J=9Hz, J=2Hz) , 7.64 (IH, s), 7.66 (1H, d, J=2Hz) , 7.75 (1H, d, J=8Hz) , 8.22(1H, d, J=9Hz) 7.09 (2Η, d, J = 8Hz), 7.49 (IH, dd, J = 9Hz, J = 2Hz), 7.64 (IH, s), 7.66 (1H, d, J = 2Hz), 7.75 (1H, d, J = 8Hz), 8.22 (1H, d, J = 9Hz)
実施例 1 8 (49) Example 18 (49)
5—ブロモ _ 1 _ (4ーメトキシベンゾィル) — 3— (4—ニトロフエニルチ ォ) インドール (化合物 1 6 7) 5-Bromo_1_ (4-methoxybenzoyl) — 3- (4-nitrophenylthio) indole (Compound 1667)
性状:淡黄色粉末 Properties: pale yellow powder
融点: 1 5 7— 1 5 9 °C Melting point: 1 5 7—1 5 9 ° C
Ή-NMR (CDC13) δ : 3.93 (3Η, s) , 6.99 (2Η, d, J=9Hz), 7.50 (1H, dd, J=9Hz, J=2Hz), 7.54 (IH, s), 7.60 (2H, d, J=9Hz) ,7.71 (2H, d, J=9Hz) , 7.74 (IH, d, J=2Hz) , 8.14(lH,d, J=9Hz),8.20(2H,d, J=9Hz) Ή-NMR (CDC1 3) δ : 3.93 (3Η, s), 6.99 (2Η, d, J = 9Hz), 7.50 (1H, dd, J = 9Hz, J = 2Hz), 7.54 (IH, s), 7.60 (2H, d, J = 9Hz), 7.71 (2H, d, J = 9Hz), 7.74 (IH, d, J = 2Hz), 8.14 (lH, d, J = 9Hz) , 8.20 (2H, d, J = 9Hz)
実施例 18 (50) Example 18 (50)
5_ブロモ— 1— (4—ジメチルァミノべンゾィル) _ 3—フエ二ルチオインド ール (化合物 168) 5_Bromo-1- (4-dimethylaminobenzoyl) _3-phenylthioindole (Compound 168)
性状:無色粉末 Properties: colorless powder
融点: 138— 140 °C Melting point: 138- 140 ° C
'H-NMR(CDC13) δ 3.10 (6Η, s) , 6.73 (2Η, d, J=9Hz) , 7.10-7.18(3H,m), 'H-NMR (CDC1 3) δ 3.10 (6Η, s), 6.73 (2Η, d, J = 9Hz), 7.10-7.18 (3H, m),
7.20-7.24 (2H, m) , 7.45-7.50 (1H, m) , 7.67 (1H, d, J=2Hz) , 7.72 (2H, d, J=9Hz), 7.77(lH,s),8.17(lH,d, J-9Hz) 7.20-7.24 (2H, m), 7.45-7.50 (1H, m), 7.67 (1H, d, J = 2Hz), 7.72 (2H, d, J = 9Hz), 7.77 (lH, s), 8.17 (lH , d, J-9Hz)
実施例 18 (51) Example 18 (51)
5—ブロモ— 1 _ (3—ジメチルァミノべンゾィル) _3_ (2—ピリジルチ ォ) インドール (化合物 169) 5-Bromo-1 _ (3-dimethylaminobenzoyl) _3_ (2-pyridylthio) indole (Compound 169)
性状:黄色粉末 Properties: yellow powder
融点: 185 - 188 °C Melting point: 185-188 ° C
'H-NMR(CDC13) δ : 3.01 (6Η, s) , 6.87 (IH, d, J=8Hz) , 6.94 (IH, d, J=8Hz) , 'H-NMR (CDC1 3) δ: 3.01 (6Η, s), 6.87 (IH, d, J = 8Hz), 6.94 (IH, d, J = 8Hz),
6.98-7.03 (2H, m), 7.04 (1H, s), 7.36 (IH, t, J=8Hz) , 7.44 (IH, t, J=8Hz) , 6.98-7.03 (2H, m), 7.04 (1H, s), 7.36 (IH, t, J = 8Hz), 7.44 (IH, t, J = 8Hz),
7.54 (IH, dd, J=9Hz, J=2Hz), 7.68 (IH, d, J=2Hz) , 7.76 (1H, s) , 8.34 (IH, d, J=9Hz) , 7.54 (IH, dd, J = 9Hz, J = 2Hz), 7.68 (IH, d, J = 2Hz), 7.76 (1H, s), 8.34 (IH, d, J = 9Hz),
8.38-8.41 (1H, m) 8.38-8.41 (1H, m)
実施例 18 (52) Example 18 (52)
5—ブロモ _ 1一 (3—ジメチルァミノべンゾィル) —3—フエ二ルチオインド ール (化合物 170) 5-bromo-11- (3-dimethylaminobenzoyl) -3-phenylthioindole (compound 170)
性状:黄色粉末 Properties: yellow powder
融点: 151 - 163 °C Melting point: 151-163 ° C
'H-NMR(CDC13) δ : 3.01 (6Η, s) , 6.94 (IH, d, J=8Hz) , 6.99 (IH, d, J=8Hz) , 7.03 (IH, s), 7.11-7.19 (3H, m),7.19-7.29 (2H, m) , 7.36 (IH, t, J=8Hz), 7.51 (IH, dd, J=9Hz, J=2Hz) , 7.66 (IH, d, J=2Hz) , 7.69 (IH, s) , 8.31 (IH, d, J=9Hz) 実施例 1 8 (5 3) 'H-NMR (CDC1 3) δ: 3.01 (6Η, s), 6.94 (IH, d, J = 8Hz), 6.99 (IH, d, J = 8Hz), 7.03 (IH, s), 7.11-7.19 ( 3H, m), 7.19-7.29 (2H, m), 7.36 (IH, t, J = 8Hz), 7.51 (IH, dd, J = 9Hz, J = 2Hz), 7.66 (IH, d, J = 2Hz), 7.69 (IH, s), 8.31 (IH, d, J = 9Hz) )
5—ブロモ— 1 _ (4—クロ口べンゾィル) — 2—メチル— 3 _フエ二ルチオィ ンドール (化合物 1 7 1) 5-Bromo-1_ (4-chlorobenzoyl) — 2-Methyl-3_phenylthioindole (Compound 17 1)
性状:褐色粉末 Properties: brown powder
融点: 1 2 0— 1 2 2°C Melting point: 1 2 0— 1 2 2 ° C
'H-NMR(CDC13) 6 : 2.52 (3H, s) , 6.95 (2Η, d, J=9Hz) , 7.08-7.16 (3H, m) , 'H-NMR (CDC1 3) 6: 2.52 (3H, s), 6.95 (2Η, d, J = 9Hz), 7.08-7.16 (3H, m),
7.20-7.25 (3H, m),7.51 (3H, d, J=9Hz), 7.66 (IH, d, J=2Hz), 7.69 (2H, d, J=8Hz), 8.08(1H, d, J=9Hz) 7.20-7.25 (3H, m), 7.51 (3H, d, J = 9Hz), 7.66 (IH, d, J = 2Hz), 7.69 (2H, d, J = 8Hz), 8.08 (1H, d, J = 9Hz)
実施例 1 9 (1) Example 1 9 (1)
(1 - (4一クロ口べンゾィル) — 2—メチル— 3—フエニルスルホニルインド —ルー 5—ィル) 酢酸 (化合物 1 7 2) (1-(4-methylbenzoyl) — 2-methyl-3-phenylsulfonylindo —lu-5-yl) Acetic acid (Compound 172)
(1— (4—クロ口べンゾィル) _ 2 _メチル— 3—フエニルスルホニルイン ド一ルー 5—ィル) 酢酸べンジルエステル 25 Omgをジクロ口ェ夕ン 1 Om 1 とテトラヒドロフラン 1 0m lに溶解した。 水酸化パラジウムオンカーボン 50 mgの存在下に水素添加 (室温、 1 9時間) を行った。 触媒を濾過した。 濾液を 濃縮した。 残渣をカラムクロマト (シリカゲル; クロ口ホルム メタノール = 1 0/1) に付して上記化合物を 9 Omg得た。 (1- (4-chlorobenzene) _2-Methyl-3-phenylsulfonyl alcohol 5-yl) Benzyl acetate 25 Omg is converted to dichlorone 1 Om1 and tetrahydrofuran 10 ml. Dissolved. Hydrogenation (room temperature, 19 hours) was performed in the presence of 50 mg of palladium hydroxide on carbon. The catalyst was filtered. The filtrate was concentrated. The residue was subjected to column chromatography (silica gel; chloroform-form methanol = 10/1) to obtain 9 Omg of the above compound.
性状:無色粉末 Properties: colorless powder
融点: 1 0 5— 1 0 6で Melting point: 105-106
'H-NMR(CDC13) δ : 2.74 (3Η, s) , 3.77 (2Η, s) , 6.82-6.89 (IH, m) , 7.02-7.09 (IH, m) , 7.45-7.60 (5H, m), 7.66 (2H, d, J=9Hz), 8.0 (2H, d, J=7.5Hz) , 8.10 (1H, s) 実施例 1 9 (2) 'H-NMR (CDC1 3) δ: 2.74 (3Η, s), 3.77 (2Η, s), 6.82-6.89 (IH, m), 7.02-7.09 (IH, m), 7.45-7.60 (5H, m) , 7.66 (2H, d, J = 9Hz), 8.0 (2H, d, J = 7.5Hz), 8.10 (1H, s) Example 19 (2)
実施例 1 9 (1) と同様にして、 以下の (化合物 1 7 3) を得た。 The following (Compound 1773) was obtained in the same manner as in Example 19 (1).
1 - (4—クロ口べンゾィル) — 2—メチルー 3—フエニルスルホニルインドー ルー 5—力ルボン酸 (化合物 1 7 3) 性状:無色粉末 1-(4-chlorobenzoyl) — 2-methyl-3-phenylsulfonyl indole 5- 5-carboxylic acid (compound 1 73) Properties: colorless powder
融点: 204— 207 °C Melting point: 204—207 ° C
'H-NMR(DMSO-d6) δ : 2.69 (3Η, s) , 7.02-7.12 (1H, m) , 7.60-7.71 (5H, m) , 7.79-7.82 (3H, m) , 8.00 (2H, d, J=8Hz) , 8.62 (1H, s) 'H-NMR (DMSO-d 6 ) δ: 2.69 (3Η, s), 7.02-7.12 (1H, m), 7.60-7.71 (5H, m), 7.79-7.82 (3H, m), 8.00 (2H, d, J = 8Hz), 8.62 (1H, s)
実施例 20 Example 20
5- (1- (4 _クロ口べンゾィル) — 2—メチルー 3—フエニルスルホニルイ ンドール— 5—ィル) メチルテトラゾール (化合物 1 74) 5- (1- (4-methylbenzene) —2-methyl-3-phenylsulfonylindole-5-methyl) methyltetrazole (Compound 174)
1一 (4—クロ口べンゾィル) 一 5 _シァノメチル一 2—メチルー 3—フエ二 ルスルホニルインドール 224mgとトリメチルスズアジド 206mgをトルェ ン 1 Om lに加えて 18時間還流した。 溶媒を濃縮しトルエン 5m 1を加えて濾 過した。 トルエン 5mlに加えて、 14. 6%塩酸 Zジォキサン 3m 1を加えて 室温で 21時間撹拌した。 生じた固体を濾過してエーテルで洗浄して上記化合物 を 1 5 Omg得た。 224 mg of 11- (4-chlorobenzoyl) -15-cyanomethyl-12-methyl-3-phenylsulfonylindole and 206 mg of trimethyltin azide were added to 1 ml of toluene and refluxed for 18 hours. The solvent was concentrated, 5 ml of toluene was added, and the mixture was filtered. 3 ml of 14.6% Z-dioxane hydrochloride was added to 5 ml of toluene, and the mixture was stirred at room temperature for 21 hours. The resulting solid was filtered and washed with ether to give 15 Omg of the above compound.
性状:無色粉末 Properties: colorless powder
Ή-NMR (DMS0- d6) δ : 2.65 (3Η, s) , 4.37 (2Η, s) , 7.07 (1H, d, J=9Hz), Ή-NMR (DMS0-d 6 ) δ: 2.65 (3Η, s), 4.37 (2Η, s), 7.07 (1H, d, J = 9 Hz),
7.32 (2H, dd, J = lHz, J=9Hz) , 7.48 (2H, d, J=9Hz) , 7.53 (2H, t, J=8Hz), 7.32 (2H, dd, J = lHz, J = 9Hz), 7.48 (2H, d, J = 9Hz), 7.53 (2H, t, J = 8Hz),
7.59 (2H, t , J=9Hz) , 7.76 (1H, s), 7.89 (2H, dd, J=lHz, J=9Hz) , 12.22 (1H, brs) 実施例 21 (1) 7.59 (2H, t, J = 9Hz), 7.76 (1H, s), 7.89 (2H, dd, J = lHz, J = 9Hz), 12.22 (1H, brs) Example 21 (1)
5—ベンゾィルアミノー 1一 (4—ジメチルァミノべンゾィル) —3—フエニル スルホニルインドール (化合物 175) 5-Benzylamino-11- (4-dimethylaminobenzoyl) -3-phenylsulfonylindole (Compound 175)
5—ベンゾィルァミノ— 3—フエニルスルホニルインドール 12 Omgのテト ラヒドロフラン溶液 5m 1にジイソプロピルェチルァミン 0. 5mlと 4—ジメ チルァミノべンゾイルクロリド 20 Omgと 4ージメチルァミノピリジン 2 mg を加えて室温で 18時間撹拌した。 溶媒を減圧下に留去した。 残渣にクロ口ホル ム 3 Om lを加えて、 飽和炭酸水素ナトリウム水 6 Om 1 X 2で洗浄した。 乾 燥後に濃縮した。 残渣をカラムクロマト (シリカゲル; クロ口ホルム Z酢酸ェチ ル =20Z1) に付した。 エーテルを加えて濾過して上記化合物を 8 Omg得た。 性状:淡褐色粉末 5-benzoylamino-3-phenylsulfonylindole 12 Omg solution in tetrahydrofuran 5 ml 1 ml of diisopropylethylamine 0.5 ml, 4-dimethylaminoaminobenzoyl chloride 20 Omg and 4-dimethylaminopyridine 2 mg Stirred at room temperature for 18 hours. The solvent was distilled off under reduced pressure. To the residue was added 3 Oml of chloroform, and the mixture was washed with 6 Om1X2 of saturated aqueous sodium hydrogen carbonate. After drying, it was concentrated. The residue was subjected to column chromatography (silica gel; = 20Z1). Ether was added and filtered to obtain 8 Omg of the above compound. Properties: light brown powder
融点: 217— 218°C Melting point: 217-218 ° C
Ή-NMR (DMS0-d6) δ 3.09 (6Η, s), 6.88 (2H, d, J=9Hz) , 7.56-7.64 (5H, m), Ή-NMR (DMS0-d 6 ) δ 3.09 (6Η, s), 6.88 (2H, d, J = 9 Hz), 7.56-7.64 (5H, m),
7.67 (IH, d, J=7Hz) ,7.71 (2H, d, J=8Hz), 7.88 (IH, d, J=7Hz), 8.00-8.05 (3H, m) , 7.67 (IH, d, J = 7Hz), 7.71 (2H, d, J = 8Hz), 7.88 (IH, d, J = 7Hz), 8.00-8.05 (3H, m),
8.08 (2H, d, J=8Hz) ,8.21 (IH, s) , 8.41 (1H, s), 10.46 (1H, s) 8.08 (2H, d, J = 8Hz), 8.21 (IH, s), 8.41 (1H, s), 10.46 (1H, s)
実施例 21 ( 2 ) _ ( 61 ) Example 21 (2) _ (61)
実施例 21 (1) と同様にして、 以下の (化合物 176) — (化合物 235) を得た。 The following (Compound 176) — (Compound 235) were obtained in the same manner as in Example 21 (1).
実施例 21 (2) Example 21 (2)
5—ァセチルァミノ _ 1 _ (4—クロ口べンゾィル) —3—フエニルスルホニル インドール (化合物 176) 5-Acetylamino _ 1 _ (4-Benzoyl) —3-Phenylsulfonyl indole (Compound 176)
性状:無色粉末 Properties: colorless powder
融点: 199. 5— 202で Melting point: 199.5—202
'H-NMR(DMS0-d6) <5 : 2.09 (3H, s) , 7.61-7.71 (4H, m) , 7.74 (2Η, d, J=8Hz) ,'H-NMR (DMS0-d 6 ) <5: 2.09 (3H, s), 7.61-7.71 (4H, m), 7.74 (2Η, d, J = 8Hz),
7.89 (2H, d, J=8Hz) , 8.03 (IH, d, J=8Hz), 8.05 (2H, d, J=9Hz) ,8.17 (IH, d, J=9Hz),7.89 (2H, d, J = 8Hz), 8.03 (IH, d, J = 8Hz), 8.05 (2H, d, J = 9Hz), 8.17 (IH, d, J = 9Hz),
8.23(1H, s), 10.17(1H, s) 8.23 (1H, s), 10.17 (1H, s)
実施例 21 (3) Example 21 (3)
N— (1— (4—ジメチルァミノべンゾィル) — 3—フエニルスルホニルインド ール— 5—ィル) — N' —フエニルゥレア (化合物 177) N— (1— (4-Dimethylaminobenzoyl) — 3-phenylsulfonylindole—5-yl) — N ′ —phenylperylene (compound 177)
性状:淡褐色粉末 Properties: light brown powder
融点: 232. 5— 233. 5 °C Melting point: 232.5-233.5 ° C
'H-NMR(DMS0-d6) δ : 3.09 (6Η, s) , 6.88 (2Η, d, J=9Hz) , 6.99 (IH, t, J=8Hz), 7.30 (2H, t, J=8Hz), 7.42 (IH. dd, J=2Hz, J=9Hz), 7.49 (2H, d, J=8Hz) , 'H-NMR (DMS0-d 6 ) δ: 3.09 (6Η, s), 6.88 (2Η, d, J = 9Hz), 6.99 (IH, t, J = 8Hz), 7.30 (2H, t, J = 8Hz) ), 7.42 (IH.dd, J = 2Hz, J = 9Hz), 7.49 (2H, d, J = 8Hz),
7.62 (2H, t, J=7Hz), 7.67 (IH, d, J=7Hz), 7.70 (2H, d, J=9Hz) , 7.98 (IH, d, J=9Hz), 7.62 (2H, t, J = 7Hz), 7.67 (IH, d, J = 7Hz), 7.70 (2H, d, J = 9Hz), 7.98 (IH, d, J = 9Hz),
8.04 (2H, dd, J=2Hz, J=7Hz) , 8.10 (IH, d, J=2Hz) ,8.17 (IH, s) , 8.65 (1H, s) , 8.92(lH,s) 8.04 (2H, dd, J = 2Hz, J = 7Hz), 8.10 (IH, d, J = 2Hz), 8.17 (IH, s), 8.65 (1H, s), 8.92 (lH, s)
実施例 2 1 (4) Example 2 1 (4)
1 - (3—ジメチルアミノー 2—メチルベンゾィル) —5— (4—トルエンスル ホニルァミノ) 一 3—フエニルスルホニルインドール (化合物 1 78) 1- (3-Dimethylamino-2-methylbenzoyl) -5- (4-toluenesulfonylamino) -1-3-phenylsulfonylindole (compound 178)
性状:無色粉末 Properties: colorless powder
融点: 69. 5 - 70. 5 Melting point: 69.5-70.5
Ή-NMR (DMS0-d6) δ 2.17 (3Η, s),2.30 (3H, s) , 2.69 (6Η, s), 7.19-7.26 (2Η, s) , 7.28 (2Η, d, J=8Hz) , 7.33-7.38 (2H, m), 7.54-7.64 (5H, m),7.71 (1H, s), Ή-NMR (DMS0-d 6 ) δ 2.17 (3Η, s), 2.30 (3H, s), 2.69 (6Η, s), 7.19-7.26 (2Η, s), 7.28 (2Η, d, J = 8Hz) , 7.33-7.38 (2H, m), 7.54-7.64 (5H, m), 7.71 (1H, s),
7.72-7.77 (IH, m) , 7.93 (2H, d, J=8Hz) , 8.08 (IH, d, J=9Hz) , 10.46 (IH, s) 実施例 2 1 (5) 7.72-7.77 (IH, m), 7.93 (2H, d, J = 8Hz), 8.08 (IH, d, J = 9Hz), 10.46 (IH, s) Example 2 1 (5)
3— (1— (4—ジメチルァミノべンゾィル) —3—フエニルスルホニルインド —ルー 5 _ィル) 一 2, 4 (1 H, 3H) ーキナゾリンジオン (化合物 179) 性状:無色粉末 3- (1— (4-Dimethylaminobenzoyl) —3-Phenylsulfonylindo—Lu5_yl) 1,2,4 (1H, 3H) -quinazolinedione (Compound 179) Properties: colorless powder
融点: 180— 182 °C Melting point: 180—182 ° C
'Η - NMR(DMS0-d6) δ : 3.10 (6Η, s) , 6.89 (2Η, d, J=9Hz) , 7.25 (2H, d, J=9Hz) , 7.38 (IH, d, J=9Hz) , 7.58 (2H, t, J=8Hz) , 7.65-7.75 (4H, m) , 7.88 (IH, s) , 'Η-NMR (DMS0-d 6 ) δ: 3.10 (6Η, s), 6.89 (2Η, d, J = 9Hz), 7.25 (2H, d, J = 9Hz), 7.38 (IH, d, J = 9Hz) ), 7.58 (2H, t, J = 8Hz), 7.65-7.75 (4H, m), 7.88 (IH, s),
7.96 (IH, d, J=8Hz), 8.07-8.11 (3H, m) , 8.3 (IH, s), 11.57 (1H, s) 7.96 (IH, d, J = 8Hz), 8.07-8.11 (3H, m), 8.3 (IH, s), 11.57 (1H, s)
実施例 2 1 (6) Example 2 1 (6)
5 - t e r t—ブトキシカルボニルァミノ _ 1― (4—ジメチルァミノべンゾィ ル) 一 3—フエニルスルホニルインドール (化合物 180) 5-tert-butoxycarbonylamino_1- (4-dimethylaminobenzoyl) -1-3-phenylsulfonylindole (Compound 180)
性状:無色粉末 Properties: colorless powder
融点: 166— 168 °C Melting point: 166—168 ° C
Ή-NMR (DMS0-d6) δ 1.50 (9H, s), 3.08 (6H, s), 6.87 (2H, d, J=9Hz) , Ή-NMR (DMS0-d 6 ) δ 1.50 (9H, s), 3.08 (6H, s), 6.87 (2H, d, J = 9Hz),
7.53(lH,d, J=9Hz), 7.59-7.62 (2H, m), 7.66-7.69 (3H, m), 7.94 (IH, d, J=9Hz), 7.53 (lH, d, J = 9Hz), 7.59-7.62 (2H, m), 7.66-7.69 (3H, m), 7.94 (IH, d, J = 9Hz),
8.02 (3H, d, J=8Hz) , 8.14 (IH, s), 9.52 (IH, brs) 8.02 (3H, d, J = 8Hz), 8.14 (IH, s), 9.52 (IH, brs)
実施例 2 1 (7) 5—ブロモ— 3 _ホルミル— 1— (4ーメトキシベンゾィル) インドール (化合 物 181) Example 2 1 (7) 5-Bromo-3-formyl-1- (4-methoxybenzoyl) indole (Compound 181)
性状:黄色粉末 Properties: yellow powder
融点: 169— 1 7 1 °C Melting point: 169—17 1 ° C
'H-NMR(CDC13) δ : 3.94 (3Η, s) , 7.08 (2Η, d, J=9Hz) ,7.56 (IH, d, J=9Hz) , 7.79 (2H, d, J=9Hz), 8.01 (IH, s) , 8.12 (IH, d, J=9Hz) ,8.51 (IH, s), 10.05 (IH, s) 実施例 2 1 (8) 'H-NMR (CDC1 3) δ: 3.94 (3Η, s), 7.08 (2Η, d, J = 9Hz), 7.56 (IH, d, J = 9Hz), 7.79 (2H, d, J = 9Hz), 8.01 (IH, s), 8.12 (IH, d, J = 9Hz), 8.51 (IH, s), 10.05 (IH, s) Example 2 1 (8)
5—ブロモ— 1 _ (4—クロ口べンゾィル) _ 3 _ホルミルインドール (化合物 182) 5-Bromo-1 _ (4-chlorobenzoyl) _ 3 _Formylindole (Compound 182)
性状:無色粉末 Properties: colorless powder
融点: 16 1— 164°C Melting point: 16 1- 164 ° C
'Η-隱(CDC") δ 7.53-7.62 (3Η, m) , 7.74 (2Η, d, J=9Hz) , 7.92 (IH, s) , 8.18 (IH, d, J=9Hz) , 8.50 (1H, d, J=9Hz) , 10.04 (IH, s) 'Η-Oki (CDC ") δ 7.53-7.62 (3Η, m), 7.74 (2Η, d, J = 9Hz), 7.92 (IH, s), 8.18 (IH, d, J = 9Hz), 8.50 (1H , D, J = 9Hz), 10.04 (IH, s)
実施例 2 1 (9) Example 2 1 (9)
1一べンゾィル— 3—ホルミル— 5—メトキシインド一ル (化合物 183) 性状:無色粉末 1 Benzoyl-3-formyl-5-methoxyindole (Compound 183) Properties: colorless powder
融点: 127— 128 °C Melting point: 127-128 ° C
'H-NMR(CDC13) δ 3.92 (IH, s) , 7.08 (IH, d, J=9Hz) , 7.50-7.63 (2H, m) , 7.63-7.71 (IH, m) , 7.71-7.88 (3H, m), 7.90 (IH, s), 8.22 (IH, d, J=9Hz), 'H-NMR (CDC1 3) δ 3.92 (IH, s), 7.08 (IH, d, J = 9Hz), 7.50-7.63 (2H, m), 7.63-7.71 (IH, m), 7.71-7.88 (3H , m), 7.90 (IH, s), 8.22 (IH, d, J = 9Hz),
10.03(1H, s) 10.03 (1H, s)
実施例 2 1 (10) Example 2 1 (10)
3_ホルミル_ 1 _ (4一二トロべンゾィル) インドール (化合物 184) 性状:褐色粉末 3_formyl_ 1 _ (412-trobenzyl) indole (compound 184) Properties: brown powder
融点: 209— 2 1 1 °C Melting point: 209—2 1 1 ° C
'H-NMR(CDC13) δ 7.43-7.57 (2Η, m) , 7.82 (IH, s) , 7.97 (2H, d, J=9Hz) , 8.29-8.38 (2H, m), 8.47 (2H, d, J=9Hz) , 10.08 (1H, s) 実施例 2 1 (1 1) 'H-NMR (CDC1 3) δ 7.43-7.57 (2Η, m), 7.82 (IH, s), 7.97 (2H, d, J = 9Hz), 8.29-8.38 (2H, m), 8.47 (2H, d , J = 9Hz), 10.08 (1H, s) Example 2 1 (1 1)
3—ホルミル— 1一 (2—ト インドール (化合物 185) 3-formyl-1-1 (2-toindole (compound 185)
性状:無色粉末 Properties: colorless powder
融点: 128— 1 30 °C Melting point: 128-1 30 ° C
'H-NMR(CDC13) δ : 7.41-7.55 (3Η, m) , 7.55-7.67 (IH, m) , 7.73-7.85 (2H, m) , 7.85-7.95 (IH, m), 8.28-8.42 (2H, m), 10.03 (IH, s) 'H-NMR (CDC1 3) δ: 7.41-7.55 (3Η, m), 7.55-7.67 (IH, m), 7.73-7.85 (2H, m), 7.85-7.95 (IH, m), 8.28-8.42 ( 2H, m), 10.03 (IH, s)
実施例 2 1 (12) Example 2 1 (12)
1 - (4—クロ口べンゾィル) _ 3 _ホルミルインドール (化合物 186) 性状:無色粉末 1- (4-Benzoyl) _ 3 _Formylindole (Compound 186) Properties: colorless powder
融点: 1 32— 1 34で Melting point: 1 32— 1 34
'H-NMR(CDC13) δ : 7.41-7.55 (2Η, m) , 7.61 (2H, d, J=l 1Hz) , 7.77 (2H, d, J =l 1Hz) , 'H-NMR (CDC1 3) δ: 7.41-7.55 (2Η, m), 7.61 (2H, d, J = l 1Hz), 7.77 (2H, d, J = l 1Hz),
7.91 (IH, s), 8.23-8.41 (2H, m), 10.10 (1H, s) 7.91 (IH, s), 8.23-8.41 (2H, m), 10.10 (1H, s)
実施例 2 1 (13) Example 2 1 (13)
1 - ( 2, 6—ジクロ口べンゾィル) — 3—ホルミルインドール (化合 物 187) 1- (2,6-dicyclobenzoyl) — 3-formylindole (compound 187)
融点: 1 59— 16 1 : Melting point: 1 59— 16 1:
'H-NMR(CDC13) δ : 7.40-7.60 (6Η, m) , 8.32 (IH, d, J=7Hz) , 8.65 (IH, d, J=7Hz), 10.03(1H, s) 'H-NMR (CDC1 3) δ: 7.40-7.60 (6Η, m), 8.32 (IH, d, J = 7Hz), 8.65 (IH, d, J = 7Hz), 10.03 (1H, s)
実施例 2 1 (14) Example 2 1 (14)
5—ブロモ _ 3—ホルミル— 1— (4一二トロべンゾィル) インドール (化合物 188) 5-Bromo _ 3-formyl- 1- (412-trobenzyl) indole (Compound 188)
性状:淡黄色粉末 Properties: pale yellow powder
融点: 236— 238 °C (dec.) Melting point: 236— 238 ° C (dec.)
'Η -丽 R(CDC13) δ 7.63 (IH, d, J=8Hz) , 7.82 (IH, s) , 7.98 (2H, d, J=7Hz) ,'Eta -丽R (CDC1 3) δ 7.63 ( IH, d, J = 8Hz), 7.82 (IH, s), 7.98 (2H, d, J = 7Hz),
8.25 (IH, d, J=8Hz) , 8.48 (2H, d, J=7Hz) ,8.51 (1H, s), 10.04 (IH, s) 実施例 2 1 (1 5) 8.25 (IH, d, J = 8Hz), 8.48 (2H, d, J = 7Hz), 8.51 (1H, s), 10.04 (IH, s) Example 2 1 (1 5)
5—ブロモ _ 3—ホルミル— 1 _ (4—メチル— 1, 2, 3—チアジアゾールー 5—力ルポニル) インドール (化合物 189) 5-Bromo_3-formyl-1_ (4-methyl-1,2,3-thiadiazole-5-capillonyl) indole (Compound 189)
性状:淡黄色粉末 Properties: pale yellow powder
融点: 189 _ 190 °C Melting point: 189-190 ° C
'H-NMR(CDC13) δ : 2.88 (3Η, s) , 7.63 (IH, d, J=8Hz) , 7.73 (IH, s) , 'H-NMR (CDC1 3) δ: 2.88 (3Η, s), 7.63 (IH, d, J = 8Hz), 7.73 (IH, s),
8.29 (IH, d, J=8Hz) ,8.51 (IH, s), 10.05 (1H, s) 8.29 (IH, d, J = 8Hz), 8.51 (IH, s), 10.05 (1H, s)
実施例 2 1 (1 6) Example 2 1 (1 6)
5—ブロモー 3—ホルミル一 1一 (4_トリフルォロメチルベンゾィル) インド ール (化合物 190) 5-Bromo-3-formyl-1- (4_trifluoromethylbenzoyl) indole (Compound 190)
性状:淡黄色粉末 Properties: pale yellow powder
融点: 165_ 166 Melting point: 165_ 166
'H-NMR(CDC13) δ : 7.61 (IH, dd, J=9Hz, J=2Hz) , 7.86 (IH, s) , 7.90 (4H, s) , 8.25 (IH, d, J=9Hz) ,8.51 (1H, d, J=2Hz) , 10.04 (IH, s) 'H-NMR (CDC1 3) δ: 7.61 (IH, dd, J = 9Hz, J = 2Hz), 7.86 (IH, s), 7.90 (4H, s), 8.25 (IH, d, J = 9Hz), 8.51 (1H, d, J = 2Hz), 10.04 (IH, s)
実施例 2 1 (17) Example 2 1 (17)
5—ブロモ _ 3—ホルミル— 1一 ( 1—ナフトイル) インドール (化合 物 19 1) 5-Bromo_3-formyl-11- (1-naphthoyl) indole (compound 19 1)
性状:淡黄色粉末 Properties: pale yellow powder
融点: 149 _ 1 5 1 Melting point: 149 _ 1 5 1
Ή-NMR (CDC13) 6 : 7.52-7.70 (5H, m),7.70-7.80 (IH, m) , 7.89 (IH, d, J=8Hz) , 8.01 (IH, d, J=8Hz), 8.14(1H, d, J=8Hz) , 8.37 (1H, d, J=8Hz) ,8.51 (IH, s) , 9.89(1H, s) Ή-NMR (CDC1 3) 6 : 7.52-7.70 (5H, m), 7.70-7.80 (IH, m), 7.89 (IH, d, J = 8Hz), 8.01 (IH, d, J = 8Hz), 8.14 (1H, d, J = 8Hz), 8.37 (1H, d, J = 8Hz), 8.51 (IH, s), 9.89 (1H, s)
実施例 2 1 (18) Example 2 1 (18)
5—プロモー 3—ホルミル— 1 _ (2—フロイル) インドール (化合物 192) 性状:無色粉末 5-Promo 3-Formyl-1_ (2-furoyl) indole (Compound 192) Properties: colorless powder
融点: 1 35— 1 37°C 'H-NMR(CDC13) 6 : 6.75(1H, s), 7.50-7.62 (2H, m) , 7.80(1H, s) , 8.33(1H, d, J=9Hz), 8.51 (1H, s), 8.75(1H, s), 10.15(1H, s) Melting point: 1 35— 1 37 ° C 'H-NMR (CDC1 3) 6: 6.75 (1H, s), 7.50-7.62 (2H, m), 7.80 (1H, s), 8.33 (1H, d, J = 9Hz), 8.51 (1H, s) , 8.75 (1H, s), 10.15 (1H, s)
実施例 2 1 (1 9) Example 2 1 (1 9)
5_ブロモ_ 1— (4—ビフエ二ルカルポニル) —3—ホルミルインドール (化 合物 1 93 ) 5_bromo_1- (4-biphenylcarbonyl) -3-formylindole (compound 193)
性状:無色粉末 Properties: colorless powder
融点: 1 79— 18 1 °C Melting point: 1 79— 18 1 ° C
'H-NMR(CDC13) δ : 7.40-7.61 (4Η, m) , 7.61-7.72 (2Η, m) , 7.72-7.90 (4Η, m) , 8.04 (1Η, s), 8.23 (1Η, d, J=9Hz) , 8.52 (IH, s), 10.06 (1Η, s) 'H-NMR (CDC1 3) δ: 7.40-7.61 (4Η, m), 7.61-7.72 (2Η, m), 7.72-7.90 (4Η, m), 8.04 (1Η, s), 8.23 (1Η, d, J = 9Hz), 8.52 (IH, s), 10.06 (1Η, s)
実施例 2 1 (20) Example 2 1 (20)
5 _ブロモ— 3—ホルミル _ 1— (4— (1—ピロリル) ベンゾィル) インド一 ル (化合物 194) 5-Bromo-3-formyl_1- (4- (1-pyrrolyl) benzoyl) indole (Compound 194)
融点: 20 1— 203 X Melting point: 20 1— 203 X
'H-NMR(CDC13) δ : 6.45 (2Η, s) , 7.22 (2Η, s) , 7.56-7.77 (3Η, m) , 'H-NMR (CDC1 3) δ: 6.45 (2Η, s), 7.22 (2Η, s), 7.56-7.77 (3Η, m),
7.89 (2Η, d, J=8Hz), 8.02 (IH, s),8.18 (IH, d, J=9Hz) ,8.52 (1H, s), 10.07 (IH, s) 実施例 2 1 (2 1) 7.89 (2Η, d, J = 8Hz), 8.02 (IH, s), 8.18 (IH, d, J = 9Hz), 8.52 (1H, s), 10.07 (IH, s) Example 2 1 (2 1)
5—ブロモ— 3—ホルミル— 1— (3, 4, 5—トリメトキシベンゾィル) イン ドール (化合物 195) 5-bromo-3-formyl-1- (3,4,5-trimethoxybenzoyl) indole (Compound 195)
性状:淡黄色粉末 Properties: pale yellow powder
融点: 189— 192°C Melting point: 189-192 ° C
'H-NMR(CDC13) δ : 3.91 (6H, s), 3.98 (3H, s), 6.99 (2H, s), 7.59 (1H, d, J=9Hz), 'H-NMR (CDC1 3) δ: 3.91 (6H, s), 3.98 (3H, s), 6.99 (2H, s), 7.59 (1H, d, J = 9Hz),
8.03 (1H, s), 8.14(1H, d, J=9Hz) ,8.51 (IH, s) , 10.06 (IH, s) 8.03 (1H, s), 8.14 (1H, d, J = 9Hz), 8.51 (IH, s), 10.06 (IH, s)
実施例 2 1 (22) Example 2 1 (22)
5—ブロモ _ 3—ホルミル一 1— (4一ホルミルべンゾィル) インド一ル (化合 物 1 96) 5-Bromo_3-formyl-1- (4-formylbenzyl) India (Compound 196)
性状:褐色粉末 融点: 2 1 0— 2 1 2 °C Properties: brown powder Melting point: 210-212 ° C
'H-NMR(CDC13) δ : 7.62 (IH, d, J=9Hz) , 7.86 (IH, s) , 7.95 (2H, d, J=8Hz) , 'H-NMR (CDC1 3) δ: 7.62 (IH, d, J = 9Hz), 7.86 (IH, s), 7.95 (2H, d, J = 8Hz),
8.13 (2H, d, J=8Hz) , 8.24 (IH, d, J=9Hz) , 8.52 (IH, s) , 10.04 (IH, s) , 10.19(1H, s) 実施例 2 1 (2 3) 8.13 (2H, d, J = 8Hz), 8.24 (IH, d, J = 9Hz), 8.52 (IH, s), 10.04 (IH, s), 10.19 (1H, s) Example 2 1 (2 3)
4- (5—ブロモ— 3 _ホルミルインドール— 1—ィル) カルボニル安息香酸メ チル (化合物 1 9 7) 4- (5-Bromo-3-formylindole-1-yl) methyl carbonylbenzoate (Compound 197)
性状:黄色粉末 Properties: yellow powder
融点: 1 9 5— 1 9 7 °C Melting point: 1 95—1 9 7 ° C
'H-NMR(CDC13) δ : 4.01 (3Η, s) , 7.60 (IH, d, J=9Hz) , 7.80-7.91 (3H, m) , 'H-NMR (CDC1 3) δ: 4.01 (3Η, s), 7.60 (IH, d, J = 9Hz), 7.80-7.91 (3H, m),
8.19-8.33 (3H, m) , 8.51 (1H, s), 10.03 (1H, s) 8.19-8.33 (3H, m), 8.51 (1H, s), 10.03 (1H, s)
実施例 2 1 (24) Example 2 1 (24)
4- (5—プロモー 3 _ホルミルインドール— 1一ィル) カルボニル安息香酸 (化合物 1 9 8) 4- (5-Promo 3-formylindole-11-yl) carbonylbenzoic acid (Compound 198)
性状:無色粉末 Properties: colorless powder
融点: > 2 90 Melting point:> 2 90
'H-NMR(DMSO-d6) δ : 7.70 (IH, d, J=9Hz) , 7.98 (2Η, d, J=8Hz) ,8.16 (2H, d, J=8Hz) , 8.28 (IH, d, J=9Hz), 8.32 (1H, s) , 8.54 (IH, s), 10.02 (IH, s) 'H-NMR (DMSO-d 6 ) δ: 7.70 (IH, d, J = 9 Hz), 7.98 (2Η, d, J = 8 Hz), 8.16 (2H, d, J = 8 Hz), 8.28 (IH, d , J = 9Hz), 8.32 (1H, s), 8.54 (IH, s), 10.02 (IH, s)
実施例 2 1 (2 5) Example 2 1 (2 5)
3—ホルミル— 1 _ (4ーメトキシベンゾィル) — 5—ニトロインドール (化合 物 1 9 9) 3-formyl-1_ (4-methoxybenzoyl) -5-nitroindole (Compound 199)
性状:黄色粉末 Properties: yellow powder
融点: 247— 2 5 0 °C Melting point: 247—250 ° C
'H-NMR(DMS0-d6) δ : 3.91 (3Η, s) , 7.21 (2Η, d, J=8Hz) , 7.91 (2H, d, J=9Hz) , 8.37 (2H, s), 8.80 (IH, s), 8.98(1H, s), 10.11(1H, s) 'H-NMR (DMS0-d 6 ) δ: 3.91 (3Η, s), 7.21 (2Η, d, J = 8 Hz), 7.91 (2H, d, J = 9 Hz), 8.37 (2H, s), 8.80 ( IH, s), 8.98 (1H, s), 10.11 (1H, s)
実施例 2 1 (2 6) Example 2 1 (2 6)
4—ブロモー 3 _ホルミル一 1— (4—メトキシベンゾィル) インドール (化合 物 2 0 0) 4-Bromo-3-formyl-1- (4-methoxybenzoyl) indole (Compound (2 0 0)
性状:褐色粉末 Properties: brown powder
融点: 1 7 2— 1 74 : Melting point: 1 7 2— 1 74:
'H-NMR(CDC13) δ 3.93 (3Η, s) , 7.05 (2Η, d, J=9Hz) , 7.30 (IH, t, J=8Hz) , 7.62 (IH, d, J-8Hz) , 7.76 (2H, d, J=9Hz), 8.18 (1H, s) , 8.34 (IH, d, J=8Hz) , 11.00(1H, s) 'H-NMR (CDC1 3) δ 3.93 (3Η, s), 7.05 (2Η, d, J = 9Hz), 7.30 (IH, t, J = 8Hz), 7.62 (IH, d, J-8Hz), 7.76 (2H, d, J = 9Hz), 8.18 (1H, s), 8.34 (IH, d, J = 8Hz), 11.00 (1H, s)
実施例 2 1 (2 7) Example 2 1 (2 7)
5—ブロモ— 1— (4—ブロモベンゾィル) _ 3 _ホルミルインドール (化合物 20 1) 5-bromo-1- (4-bromobenzoyl) _ 3 _formylindole (Compound 201)
性状:無色粉末 Properties: colorless powder
融点: 1 8 7— 1 9 0°C Melting point: 1 87-190 ° C
'H-NMR(CDC13) δ 7.58 (IH, dd, J=9Hz, J=2Hz) , 7.63 (2H, d, J=9Hz) , 'H-NMR (CDC1 3) δ 7.58 (IH, dd, J = 9Hz, J = 2Hz), 7.63 (2H, d, J = 9Hz),
7.73 (2H, d, J=9Hz) , 7.90 (1H, s),8.17 (1H, d, J=9Hz), 8.49 (IH, d, J=2Hz), 7.73 (2H, d, J = 9Hz), 7.90 (1H, s), 8.17 (1H, d, J = 9Hz), 8.49 (IH, d, J = 2Hz),
10.03C1H, s) 10.03C1H, s)
実施例 2 1 (2 8) Example 2 1 (2 8)
5—ブロモ— 3—ホルミル— 1— (4—メチルベンゾィル) インドール (化合物 2 0 2) 5-bromo-3-formyl-1- (4-methylbenzoyl) indole (compound 202)
性状:無色粉末 Properties: colorless powder
融点: 1 5 2— 1 5 3°C Melting point: 15 2—15 3 ° C
'H-NMR(CDC13) δ : 2.50 (3Η, s) , 7.40 (2Η, d, J=8Hz) , 7.57 (IH, dd, J=9Hz, J=2Hz) , 7.69 (2H, d, J=8Hz), 7.98 (IH, s),8.17 (IH, d, J=9Hz) , 8.49 (1H, d, J=2Hz), 'H-NMR (CDC1 3) δ: 2.50 (3Η, s), 7.40 (2Η, d, J = 8Hz), 7.57 (IH, dd, J = 9Hz, J = 2Hz), 7.69 (2H, d, J = 8Hz), 7.98 (IH, s), 8.17 (IH, d, J = 9Hz), 8.49 (1H, d, J = 2Hz),
10.03(1H, s) 10.03 (1H, s)
実施例 2 1 (2 9) Example 2 1 (2 9)
5—ブロモ _ 1 _ (4—フルォロベンゾィル) — 3—ホルミルインドール (化合 物 2 0 3) 5-Bromo _ 1 _ (4-fluorobenzoyl) — 3-formylindole (Compound 203)
性状:無色粉末 融点: 175— 176 °C Properties: colorless powder Melting point: 175—176 ° C
'H-NMR(CDC13) δ : 7.21-7.32 (2H, m) , 7.58 (IH, dd, J=9Hz, J=2Hz) , 'H-NMR (CDC1 3) δ: 7.21-7.32 (2H, m), 7.58 (IH, dd, J = 9Hz, J = 2Hz),
7.79-7.88 (2H, m) , 7.94 (1H, s) , 8.16 (IH, d, J=9Hz) , 8.50 (IH, d, J=2Hz), 7.79-7.88 (2H, m), 7.94 (1H, s), 8.16 (IH, d, J = 9Hz), 8.50 (IH, d, J = 2Hz),
10.04(1H, s) 10.04 (1H, s)
実施例 21 (30) Example 21 (30)
5—ブロモ— 1— (6 _クロ口ニコチノィル) —3—ホルミルインドール (化合 物 204) 5-bromo-1- (6-nitronicotinol) -3-formylindole (Compound 204)
性状:淡黄色粉末 Properties: pale yellow powder
融点: 180— 182°C Melting point: 180-182 ° C
'Η -醒(CDC13) δ : 7.55-7.64 (2Η, m) , 7.88 (IH, s) , 8.09 (IH, dd, J=7Hz, J=2Hz) ,'Eta - Awakening: (CDC1 3) δ: 7.55-7.64 ( 2Η, m), 7.88 (IH, s), 8.09 (IH, dd, J = 7Hz, J = 2Hz),
8.22(1H, d, J=9Hz) ,8.51 (IH, d, J=2Hz) ,8.81 (IH, d, J=2Hz) , 10.06 (IH, s) 実施例 21 (31) 8.22 (1H, d, J = 9Hz), 8.51 (IH, d, J = 2Hz), 8.81 (IH, d, J = 2Hz), 10.06 (IH, s) Example 21 (31)
6—ブロモ— 3—ホルミル _ 1 _ (4ーメトキシベンゾィル) インドール (化合 物 205) 6-Bromo-3-formyl_1- (4-methoxybenzoyl) indole (Compound 205)
性状:無色粉末 Properties: colorless powder
融点: 103 _ 105 Melting point: 103 _ 105
'H-NMR(CDC13) δ : 3.94 (3H, s), 7.07 (2H, d, J=9Hz) , 7.56 (IH, dd, J=8Hz, J=2Hz), 7.78 (2H, d, J=9Hz) , 7.98 (IH, s),8.19 (1H, d, J=8Hz), 8.48 (1H, d, J=2Hz) , 10.05(1H, s) 'H-NMR (CDC1 3) δ: 3.94 (3H, s), 7.07 (2H, d, J = 9Hz), 7.56 (IH, dd, J = 8Hz, J = 2Hz), 7.78 (2H, d, J = 9Hz), 7.98 (IH, s), 8.19 (1H, d, J = 8Hz), 8.48 (1H, d, J = 2Hz), 10.05 (1H, s)
実施例 21 (32) Example 21 (32)
3—ァセチル— 1— (4 _クロ口べンゾィル) インド一ル (化合物 206) 性状:無色粉末 3-Acetyl— 1— (4_benzophenazole) Indole (Compound 206) Properties: colorless powder
融点: 197— 199 °C Melting point: 197—199 ° C
'H-NMR(CDC13) δ : 2.52 (3Η, s) , 7.40-7.50 (2H, m) , 7.59 (2H, d, J=8Hz) , 'H-NMR (CDC1 3) δ: 2.52 (3Η, s), 7.40-7.50 (2H, m), 7.59 (2H, d, J = 8Hz),
7.74 (2H, d, J=8Hz) , 7.90 (IH, s) , 8.15-8.24 (IH, m) , 8.33-8.44 (IH, m) 7.74 (2H, d, J = 8Hz), 7.90 (IH, s), 8.15-8.24 (IH, m), 8.33-8.44 (IH, m)
実施例 21 (33) 3—ァセチルー 1一 (4ーメトキシベンゾィル) インドール (化合物 2 0 7) 性状:無色粉末 Example 21 (33) 3-Acetyl-1-1 (4-methoxybenzoyl) indole (Compound 207) Properties: colorless powder
融点: 1 6 5— 1 6 7 °C Melting point: 1 65-1 67 ° C
'H-NMR(CDC13) δ : 2.53 (3Η, s) , 3.94 (3H, s) , 7.07 (2H, d, J=8Hz) , 'H-NMR (CDC1 3) δ: 2.53 (3Η, s), 3.94 (3H, s), 7.07 (2H, d, J = 8Hz),
7.39-7.50 (2H, m) , 7.79 (2H, d, J=8Hz), 8.01 (IH, s), 8.11-8.22 (IH, m), 7.39-7.50 (2H, m), 7.79 (2H, d, J = 8Hz), 8.01 (IH, s), 8.11-8.22 (IH, m),
8.35-8.45 (IH, m) 8.35-8.45 (IH, m)
実施例 2 1 (34) Example 2 1 (34)
3 _ァセチルー 1 _ (2—フロイル) インドール (化合物 20 8) 3 _acetyl- 1 _ (2-furoyl) indole (compound 208)
融点: 1 3 1— 1 3 3 Melting point: 1 3 1— 1 3 3
'H-NMR(CDC13) δ : 2.63 (3Η, s) , 6.73 (IH, s) , 7.39-7.48 (2H, m) , 'H-NMR (CDC1 3) δ: 2.63 (3Η, s), 6.73 (IH, s), 7.39-7.48 (2H, m),
7.55 (IH, d, J=4Hz) , 7.79 (1H, s), 8.33-8.46 (2H, m) , 8.67 (1H, s) 7.55 (IH, d, J = 4Hz), 7.79 (1H, s), 8.33-8.46 (2H, m), 8.67 (1H, s)
実施例 2 1 (3 5) Example 2 1 (3 5)
1一 (4—メトキシベンゾィル) — 3 _インドールカルボン酸メチル (化合 物 2 0 9) 1- (4-methoxybenzoyl) -methyl 3-indolecarboxylate (Compound 209)
性状:無色粉末 Properties: colorless powder
融点: 146 _ 148 Melting point: 146-148
Έ- NMR(CDC13) δ 3.93 (3Η, s) , 7.05 (2H, d, J=9Hz) , 7.38-7.47 (2H, m) , 7.77 (2H, d, J=9Hz), 8.06 (1H, s),8.18-8.25 (IH, m), 8.25-8.36 (1H, m) 実施例 2 1 (3 6) Έ- NMR (CDC1 3) δ 3.93 (3Η, s), 7.05 (2H, d, J = 9Hz), 7.38-7.47 (2H, m), 7.77 (2H, d, J = 9Hz), 8.06 (1H, s), 8.18-8.25 (IH, m), 8.25-8.36 (1H, m) Example 2 1 (3 6)
3 _シァノ— 1ー (4—メトキシベンゾィル) インドール (化合物 2 1 0) 性状:無色粉末 3 _cyano-1- (4-methoxybenzoyl) indole (compound 210) Properties: colorless powder
融点: 1 7 9— 1 8 1 °C Melting point: 1 7 9— 18 1 ° C
'H-NMR(CDC13) δ : 3.94 (3Η, s) , 7.06 (2Η, d, J=9Hz) , 7.41-7.54 (2H, m) , 7.70-7.82 (3H, m) , 7.92 (1H, s) , 8.25-8.33 (1H, m) 'H-NMR (CDC1 3) δ: 3.94 (3Η, s), 7.06 (2Η, d, J = 9Hz), 7.41-7.54 (2H, m), 7.70-7.82 (3H, m), 7.92 (1H, s), 8.25-8.33 (1H, m)
実施例 2 1 (3 7) Example 2 1 (3 7)
5—ブロモ— 1一 (4—メトキシベンゾィル) 一 3—ペン夕フルォロプロピオ二 ルインドール (化合物 21 1) 5-bromo-11- (4-methoxybenzoyl) -1-3-pentafluoropropione Ruindole (Compound 21 1)
性状:無色粉末 Properties: colorless powder
融点: 1 13 _ 1 15 : Melting point: 1 13 _ 1 15:
'H-NMR(CDC13) δ : 3.95 (3Η, s) , 7.08 (2Η, d, J=9Hz) , 7.59 (IH, dd, J=9Hz, J=2Hz), 7.78 (2H, d, J=9Hz), 8.07 (IH, d, J=9Hz), 8.26 (IH, s), 8.60 (1H, d, J=2Hz) 実施例 21 (38) 'H-NMR (CDC1 3) δ: 3.95 (3Η, s), 7.08 (2Η, d, J = 9Hz), 7.59 (IH, dd, J = 9Hz, J = 2Hz), 7.78 (2H, d, J = 9Hz), 8.07 (IH, d, J = 9Hz), 8.26 (IH, s), 8.60 (1H, d, J = 2Hz) Example 21 (38)
5—ブロモ— 1— (4—メトキシべンゾィル) _ 3—トリフルォロアセチルイン ドール (化合物 212) 5-bromo-1- (4-methoxybenzoyl) _3-trifluoroacetylindole (Compound 212)
性状:無色粉末 Properties: colorless powder
融点: 1 10— 1 12 °C Melting point: 1 10— 1 12 ° C
Ή-NMR (CDC13) δ : 3.95 (3Η, s), 7.08 (2H, d, J=9Hz), 7.59 (1H, dd, J=9Hz, J=2Hz), 7.79 (2H, d, J=9Hz), 8.06 (IH, d, J=9Hz) ,8.21 (1H, d, J=2Hz), 8.57 (IH, d, J=2Hz) 実施例 21 (39) Ή-NMR (CDC1 3) δ : 3.95 (3Η, s), 7.08 (2H, d, J = 9Hz), 7.59 (1H, dd, J = 9Hz, J = 2Hz), 7.79 (2H, d, J = 9 Hz), 8.06 (IH, d, J = 9 Hz), 8.21 (1H, d, J = 2 Hz), 8.57 (IH, d, J = 2 Hz) Example 21 (39)
1 - (5—ブロモー 1一 (4—メトキシベンゾィル) —3—インドリル) —2— (4—メチル— 1—ピペラジニル) エタンジオン (化合物 213) 1- (5-bromo-11- (4-methoxybenzoyl) -3-indolyl) -2- (4-methyl-1-piperazinyl) ethanedione (Compound 213)
性状:淡褐色粉末 Properties: light brown powder
融点: 163 _ 165 Melting point: 163_165
lH-NMR(CDCl3) δ : 2.33 (3Η, s) , 2.37-2.50 (4Η, m) , 3.42-3.59 (2Η, m) , lH-NMR (CDCl 3 ) δ: 2.33 (3Η, s), 2.37-2.50 (4Η, m), 3.42-3.59 (2Η, m),
3.68-3.78 (2Η, m) , 3.93 (3Η, s) , 7.06 (2Η, d, J=9Hz) ,7.55 (IH, d, J=9Hz), 3.68-3.78 (2Η, m), 3.93 (3Η, s), 7.06 (2Η, d, J = 9Hz), 7.55 (IH, d, J = 9Hz),
7.78 (2H, d, J=9Hz) , 8.08 (1H, d, J=9Hz) ,8.19 (1H, s), 8.57 (IH, s) 7.78 (2H, d, J = 9Hz), 8.08 (1H, d, J = 9Hz), 8.19 (1H, s), 8.57 (IH, s)
実施例 21 (40) Example 21 (40)
5 - (3—ヒドロキシ— 3—メチル— 1—ブチニル) — 1— (4—メトキシベン ゾィル) 一 3—インドールカルボアルデヒド (化合物 214) 5-(3-Hydroxy-3-methyl-1-butynyl) — 1- (4-methoxybenzyl) -1-3-indolecarbaldehyde (Compound 214)
性状:無色粉末 Properties: colorless powder
融点: 150— 153 Melting point: 150-153
'H-NMR(CDCL) δ : 1.65 (6Η, s) , 2.09 (IH, s) , 3.94 (3H, s) , 7.07 (2H, d, J=9Hz) , 86 'H-NMR (CDCL) δ: 1.65 (6Η, s), 2.09 (IH, s), 3.94 (3H, s), 7.07 (2H, d, J = 9Hz), 86
( ) I zmm() I zmm
(ΖΗ6=1 'ΡΉΟ^Γδ(ΖΗ6 = 1 'ΡΉΟ ^ Γδ
' (ζ ί 'Ρ 'ΗΙ) 0 ·8 ' (ΖΗ6=ί 'Ρ W 66 'L ' (s Ήΐ) II 'L ' (ω Ήϊ) Ζ9 - 8S ·ί ' (ω 'm) 8S 'A-6 -L ' (in Ή8) It Ά-ί^ε ' (s ¾) S9 : 9 (εΙ3α3) Ν-Η, ao 02 - Z 6 T : WW '(ζ ί' Ρ 'ΗΙ) 0 · 8' (ΖΗ6 = ί 'Ρ W 66' L '(s Ήΐ) II' L '(ω Ήϊ) Ζ9-8Sί' (ω 'm) 8S' A -6 -L '(in Ή8) It Ά-ί ^ ε' (s ¾) S9: 9 ( ε Ι3α3) Ν-Η, ao 02-Z 6 T: WW
^mw - ^羽' ^ mw-^ feather '
( T Z ( (T Z (
(ε ) τ z m(ε) τ z m
(ΖΗ6=ί 'Ρ'ΗΙ)Π ·8'(ΖΗ2=ί 'P'HD^O'8 ' (ΖΗ6=ί 'Ρ ) 6 ' (ΖΗ6=Γ 'Ρ 'ΗΖ) 9Z 'L ' (z f 'ZH6=f 'PP 'HI) 'l ' (ZH6=i 'P ΉΖ) 09 Ί ' (ZH6=f ' ΉΖ) AO ' (s 'Hg) S6 'C : (εΙ3αθ) Ν-Η, as os-s o s : (ΖΗ6 = ί 'Ρ'ΗΙ) Π 8' (ΖΗ2 = ί 'P'HD ^ O'8' (ΖΗ6 = ί 'Ρ) 6' (ΖΗ6 = Γ 'Ρ' ΗΖ) 9Z 'L' (zf 'ZH6 = f' PP 'HI)' l '(ZH6 = i' P ΉΖ) 09 Ί '(ZH6 = f' ΉΖ) AO '(s' Hg) S6' C: ( ε Ι3αθ) Ν-Η, as os-s os:
く^ Ψ4 ^— ) - I - ( 二伞 ί=ェ乙 diii^— ) - £ g ) I z^^ ^ 4 ^ —)-I-(伞 ί = 乙 di diii ^ —)-£ g) I z
(ui Ή3)8ΐ ·8-66Ά'(ΖΗ6=1 'Ρ'ΗΖ)9Α·丄 ' (ui Ή^) 89 ·ί- 'ί ' (ΖΗ6=ί 'Ρ 'ΥίΙ) ίθ 'ί ' (s 'HS) S6 '8 : 9 (SI3Q3) N-H, ai 02 - 86 I : J?'ifl (ui Ή3) 8ΐ8-66Ά '(ΖΗ6 = 1'Ρ'ΗΖ) 9ΑΑ 丄 '(ui Ή ^) 89ίί-'ί' (ΖΗ6 = ί 'Ρ' ΥίΙ) ίθ 'ί' (s 'HS) S6' 8: 9 ( S I3Q3) NH, ai 02-86 I: J? 'Ifl
(S T z Λ (-(S T z Λ (-
、 0 ニ^ ^:^ニェ —8— (Λ( A ^^ ^- ) 一 ¾ロ — S , 0 d ^ ^: ^ d —8— (Λ (A ^^ ^-) 1 d — S
(i ) τ z w (i) τ z w
(s 'Hl)90"0l '(s 'HI) I 8(s' Hl) 90 "0l '(s' HI) I 8
' (ZH6=1 'P 'HI) SI ·8 ' (s 'HI) Z0 ·8 ' ( =ί 'Ρ 'ΗΖ) 6Α ·ί ' ( ί =ί 'ΡΡ 'ΗΙ) 6 ·ί '(ZH6 = 1' P 'HI) SI8' (s' HI) Z08 '(= ί' Ρ 'ΗΖ) 6Α · ί' (ί = ί 'ΡΡ' ΗΙ) 6
06S.0/00df/X3d / ΐθ OAV 5—ブロモ— 1一 (4—ジメチルァミノべンゾィル) — 3—フエニルスルホニル インドール (化合物 2 1 8) 06S.0 / 00df / X3d / ΐθ OAV 5-Bromo-11- (4-dimethylaminobenzoyl) — 3-phenylsulfonyl indole (Compound 2 18)
性状:淡黄色粉末 Properties: pale yellow powder
融点: 2 1 5— 2 1 7 °C Melting point: 2 15-2 17 ° C
'H-NMR(CDC13) δ 3.14 (6Η, s) , 6.74 (2Η, d, J=9Hz) , 7.46-7.55 (3H, m) , 7.55-7.60 (IH, m), 7.70 (2H, d, J=9Hz), 7.98-8.08 (4H, m),8.15 (1H, s) 実施例 2 1 (45) 'H-NMR (CDC1 3) δ 3.14 (6Η, s), 6.74 (2Η, d, J = 9Hz), 7.46-7.55 (3H, m), 7.55-7.60 (IH, m), 7.70 (2H, d , J = 9Hz), 7.98-8.08 (4H, m), 8.15 (1H, s) Example 2 1 (45)
5—ブロモー 1一 (2—ジメチルァミノべンゾィル) — 3—フエニルスルホニル インドール (化合物 2 1 9) 5-bromo-11- (2-dimethylaminobenzoyl) — 3-phenylsulfonyl indole (Compound 2 19)
性状:褐色アモルファス Properties: brown amorphous
'H-NMR(CDC13) δ : 2.66 (6Η, s) , 7.01-7.09 (2Η, m) , 7.45-7.60 (6H, m) , 'H-NMR (CDC1 3) δ: 2.66 (6Η, s), 7.01-7.09 (2Η, m), 7.45-7.60 (6H, m),
7.75 (IH, s) , 7.97-8.00 (2H, m) , 8.04 (IH, d, J=2Hz) , 8.30 (IH, d, J=9Hz) 実施例 2 1 (46) 7.75 (IH, s), 7.97-8.00 (2H, m), 8.04 (IH, d, J = 2Hz), 8.30 (IH, d, J = 9Hz) Example 2 1 (46)
5—ブロモー 1 _ (3—ジメチルァミノべンゾィル) —3—フエニルスルホニル インドール (化合物 220) 5-Bromo-1 _ (3-dimethylaminobenzoyl) —3-phenylsulfonyl indole (Compound 220)
性状:黄色粉末 Properties: yellow powder
融点: 2 2 1— 2 2 3で Melting point: 2 2 1—2 2 3
'H-N R(CDC13) δ : 3.03 (6Η, s) , 6.93-7.00 (3H, m) , 7.38-7.41 (IH, m) , 'HN R (CDC1 3) δ : 3.03 (6Η, s), 6.93-7.00 (3H, m), 7.38-7.41 (IH, m),
7.49-7.58 (3H, m) , 7.58-7.60 (1H, m) , 7.96—8.01 (2H, m), 8.07 (IH, d, J=2Hz) , 8.1K1H, s),8.22(1H, d, J=9Hz) 7.49-7.58 (3H, m), 7.58-7.60 (1H, m), 7.96-8.01 (2H, m), 8.07 (IH, d, J = 2Hz), 8.1K1H, s), 8.22 (1H, d, (J = 9Hz)
実施例 2 1 (47) Example 2 1 (47)
5—ブロモー 1— (3—ジメチルァミノ— 2 _メチルベンゾィル) 一 3—フエ二 ルスルホニルインドール (化合物 2 2 1) 5-bromo-1- (3-dimethylamino-2-methylbenzoyl) -1-phenylsulfonylindole (compound 22 1)
性状:褐色粉末 Properties: brown powder
融点: 1 54— 1 5 7で Melting point: 1 54—1 5 7
'H-NMR(CDC13) δ 2.24 (3Η, s) , 2.77 (6Η, s) , 7.03 (IH, d, J=6Hz) , 7.22-7.32 (2H, m), 7.48-7.61 (4H, m) , 7.96—8.05 (3H, m) , 8.25 (IH, d, J=9Hz) 実施例 21 (48) 'H-NMR (CDC1 3) δ 2.24 (3Η, s), 2.77 (6Η, s), 7.03 (IH, d, J = 6Hz), 7.22-7.32 (2H, m), 7.48-7.61 (4H, m), 7.96-8.05 (3H, m), 8.25 (IH, d, J = 9Hz) Example 21 (48)
3— (ベンゾチアゾール _ 2—ィルスルホニル) 一 5—ブロモー 1— (4ージメ チルァミノべンゾィル) インドール (化合物 222) 3- (benzothiazole_2-ylsulfonyl) -1-5-bromo-1- (4-dimethylaminobenzoyl) indole (compound 222)
性状:黄色粉末 Properties: yellow powder
融点: 263 _ 266 °C Melting point: 263-266 ° C
'H-NMR(CDC13) δ 3.14 (6Η, s) , 6.75 (2Η, d, J=9Hz) , 7.50-7.60 (3H, m) , 'H-NMR (CDC1 3) δ 3.14 (6Η, s), 6.75 (2Η, d, J = 9Hz), 7.50-7.60 (3H, m),
7.71 (2H, d, J=9Hz) , 7.97 (IH, d, J=9Hz), 8.05 (IH, d, J=9Hz) ,8.16 (IH, d, J=9Hz) , 7.71 (2H, d, J = 9Hz), 7.97 (IH, d, J = 9Hz), 8.05 (IH, d, J = 9Hz), 8.16 (IH, d, J = 9Hz),
8.30(1H, d, J=2Hz),8.34(lH, s) 8.30 (1H, d, J = 2Hz), 8.34 (lH, s)
実施例 21 (49) Example 21 (49)
5_ブロモ— 1— (4—ジメチルァミノべンゾィ レ) —3— (1—フエ二ルテト ラゾールー 5—ィルスルホニル) インドール (化合物 223) 5_Bromo— 1— (4-Dimethylaminobenzoyl) —3— (1—Feniltetorazol-5-ylsulfonyl) indole (Compound 223)
性状:褐色粉末 Properties: brown powder
融点: 225— 228 Melting point: 225—228
'H-NMR(CDC13) δ 3.14 (6Η, s) , 6.73 (2Η, d, J=9Hz) , 7.54 (IH, d, J-9Hz) , 7.58-7.60 (4H, m), 7.60-7.66 (IH, m) , 7.68 (2H, d, J=9Hz) , 7.85 (IH, s), 'H-NMR (CDC1 3) δ 3.14 (6Η, s), 6.73 (2Η, d, J = 9Hz), 7.54 (IH, d, J-9Hz), 7.58-7.60 (4H, m), 7.60-7.66 (IH, m), 7.68 (2H, d, J = 9Hz), 7.85 (IH, s),
8.02(1H, d, J=9Hz),8.08(lH, s) 8.02 (1H, d, J = 9Hz), 8.08 (lH, s)
実施例 21 (50) Example 21 (50)
5—ブロモ— 1— (4—メトキシベンゾィル) _ 3—フエニルスルフィニルイン ドール (化合物 224) 5-Bromo-1- (4-methoxybenzoyl) _3-phenylsulfinylindole (Compound 224)
性状:無色粉末 Properties: colorless powder
融点: 1 10— 1 12 °C Melting point: 1 10— 1 12 ° C
'H-NMR(CDC13) 6 : 3.93 (3H, s) , 7.06 (2Η, d, J=9Hz) , 7.45-7.55 (4H, m) , 'H-NMR (CDC1 3) 6: 3.93 (3H, s), 7.06 (2Η, d, J = 9Hz), 7.45-7.55 (4H, m),
7.58 (IH, d, J=2Hz), 7.72 (IH, d, J=7Hz), 7.76 (2H, d, J=9Hz), 7.87 (1H, s), 7.58 (IH, d, J = 2 Hz), 7.72 (IH, d, J = 7 Hz), 7.76 (2H, d, J = 9 Hz), 7.87 (1H, s),
8.14(lH,d, J=9Hz) 8.14 (lH, d, J = 9Hz)
実施例 21 (51) 1 - (4—メトキシベンゾィル) 一 3— (4—メチルフエニルスルホニル) _ 5 一 (フエ二ルェチニル) インドール (化合物 225) Example 21 (51) 1- (4-methoxybenzoyl) -1-3- (4-methylphenylsulfonyl) _5-1 (phenylethynyl) indole (compound 225)
性状:褐色粉末 Properties: brown powder
融点: 99— 102 °C Melting point: 99-102 ° C
'H-NMR(CDC13) 6 : 2.40 (3H, s) , 3.95 (3Η, s) , 7.07 (2H, d, J=9Hz) , 'H-NMR (CDC1 3) 6: 2.40 (3H, s), 3.95 (3Η, s), 7.07 (2H, d, J = 9Hz),
7.32 (2H, d, J=9Hz) , 7.36-7.42 (3H, m), 7.57-7.61 (3H, m) , 7.77 (2H, d, J=9Hz) , 7.92 (2H, d, J=9Hz) , 8.08-8.11 (2H, m), 8.22 (1H, d, J=9Hz) 7.32 (2H, d, J = 9Hz), 7.36-7.42 (3H, m), 7.57-7.61 (3H, m), 7.77 (2H, d, J = 9Hz), 7.92 (2H, d, J = 9Hz) , 8.08-8.11 (2H, m), 8.22 (1H, d, J = 9Hz)
実施例 2 1 (52) Example 2 1 (52)
5 _ベンジルォキシ— 1一 (4—メトキシベンゾィル) —3— (4—メチルフエ ニルスルホニル) インドール (化合物 226) 5 _benzyloxy-11- (4-methoxybenzoyl) -3- (4-methylphenylsulfonyl) indole (Compound 226)
性状:無色粉末 Properties: colorless powder
融点: 143— 145で Melting point: 143-145
'H-NMR(CDC13) δ : 2.38(3H, s) , 3.94(3H, s) , 5.16(2H,s), 'H-NMR (CDC1 3) δ: 2.38 (3H, s), 3.94 (3H, s), 5.16 (2H, s),
7.05 (2Η, d, J=9Hz) , 7.10 (IH, dd, J=9Hz, J=3Hz) , 7.23 (2H, d, J=8Hz), 7.05 (2Η, d, J = 9Hz), 7.10 (IH, dd, J = 9Hz, J = 3Hz), 7.23 (2H, d, J = 8Hz),
7.33-7.44 (4H, m) , 7.48 (2H, d, J=8Hz) , 7.74 (2H, d, J=9Hz), 7.80 (2H, d, J=9Hz) , 7.99(lH,s),8.16(lH,d, J=9Hz) 7.33-7.44 (4H, m), 7.48 (2H, d, J = 8Hz), 7.74 (2H, d, J = 9Hz), 7.80 (2H, d, J = 9Hz), 7.99 (lH, s), 8.16 (lH, d, J = 9Hz)
実施例 2 1 (53) Example 2 1 (53)
5—ベンジルォキシ— 1 _ (4—ジメチルァミノべンゾィル) —3— (4—メチ ルフエニルスルホニル) インドール (化合物 227) 5-benzyloxy 1 _ (4-dimethylaminobenzoyl) -3- (4-methylphenylsulfonyl) indole (compound 227)
性状:無色粉末 Properties: colorless powder
融点: 164 _ 166 Melting point: 164 _ 166
'H-NMR(CDC13) δ : 3.12 (6Η, s) , 5.17 (2Η, s) , 6.74 (2Η, d, J=9Hz) , 'H-NMR (CDC1 3) δ: 3.12 (6Η, s), 5.17 (2Η, s), 6.74 (2Η, d, J = 9Hz),
7.09 (IH, dd, J=9Hz, J=2Hz), 7.33-7.54 (9H, m) , 7.70 (2H, d, J=9Hz) , 7.09 (IH, dd, J = 9Hz, J = 2Hz), 7.33-7.54 (9H, m), 7.70 (2H, d, J = 9Hz),
7.89-7.92 (2H, m), 8.06-8.10(2H,m) 7.89-7.92 (2H, m), 8.06-8.10 (2H, m)
実施例 2 1 (54) Example 2 1 (54)
5—プロモ— 3—ホルミル— 1一^ Γンド一ルカルボン酸 t e r t—ブチル (化合 物 228) 5-Promo-3-formyl-1-tert-butylcarboxylate tert-butyl (compound (Object 228)
性状:無色粉末 Properties: colorless powder
融点: 167— 169 °C Melting point: 167—169 ° C
'H-NMR(CDC13) δ : 1.71 (9Η, s), 7.51 (IH, dd, J=9Hz, J=2Hz), 8.03(1H, d, J=9Hz), 8.21 (IH, s), 8.46 (IH, d, J=2Hz) , 10.07 (1H, s) 'H-NMR (CDC1 3) δ: 1.71 (9Η, s), 7.51 (IH, dd, J = 9Hz, J = 2Hz), 8.03 (1H, d, J = 9Hz), 8.21 (IH, s), 8.46 (IH, d, J = 2Hz), 10.07 (1H, s)
実施例 2 1 (55) Example 2 1 (55)
4ーブロモ— 3—ホルミル— 1—ィンドールカルボン酸 t e r t—ブチル (化合 物 229) 4-bromo-3-formyl-1-indolecarboxylate tert-butyl (Compound 229)
性状:無色粉末 Properties: colorless powder
融点: 120— 122 Melting point: 120-122
'H-NMR(CDC13) δ : 1.68 (9Η, s) , 7.21-7.28 (IH, m) , 7.56 (IH, d, J=8Hz) , 'H-NMR (CDC1 3) δ: 1.68 (9Η, s), 7.21-7.28 (IH, m), 7.56 (IH, d, J = 8Hz),
8.28 (IH, d, J=8Hz), 8.39 (IH, s), 10.98 (1H, s) 8.28 (IH, d, J = 8Hz), 8.39 (IH, s), 10.98 (1H, s)
実施例 2 1 (56) Example 2 1 (56)
6 _ブロモ— 3—ホルミル— 1 _インドールカルボン酸 t e r t—ブチル (化合 物 230) 6_Bromo-3-formyl-1_indolecarboxylic acid tert-butyl (Compound 230)
性状:褐色粉末 Properties: brown powder
融点: 2 1 1— 2 1 3 Melting point: 2 1 1— 2 1 3
'H-NMR(CDC13) δ : 1.71 (9Η, s) , 7.49 (IH, dd, J=9Hz, J=2Hz) , 8.15 (IH, d, J=9Hz) , 8.19(lH,s),8.37(lH, s), 10.08(1H, s) 'H-NMR (CDC1 3) δ: 1.71 (9Η, s), 7.49 (IH, dd, J = 9Hz, J = 2Hz), 8.15 (IH, d, J = 9Hz), 8.19 (lH, s), 8.37 (lH, s), 10.08 (1H, s)
実施例 2 1 (57) Example 2 1 (57)
5—ブロモー 3 _フエ二ルチオ— 1—インドールカルポン酸 t e r t—ブチル (化合物 23 1) 5-tert-butyl 5-bromo-3-phenyl-1-indolecarbonate (Compound 231)
性状:無色粉末 Properties: colorless powder
融点: 139 _ 1411 Melting point: 139-1411
'H-NMR(CDC13) δ : 1.68 (9Η, s) , 7.10-7.19 (3H, m) , 7.19-7.24 (2H, m) , 'H-NMR (CDC1 3) δ: 1.68 (9Η, s), 7.10-7.19 (3H, m), 7.19-7.24 (2H, m),
7.45 (IH, dd, J=9Hz, J=2Hz) , 7.63 (IH, d, J=2Hz) , 7.86 (IH, s) , 8.02-8.09 (IH, m) 実施例 2 1 (58) 7.45 (IH, dd, J = 9Hz, J = 2Hz), 7.63 (IH, d, J = 2Hz), 7.86 (IH, s), 8.02-8.09 (IH, m) Example 2 1 (58)
5—ブロモ _ 2—メチル— 3—フエ二ルチオ— 1—インド一ルカルボン 酸 t e r t _ブチル (化合物 232) 5-bromo-2-methyl-3-phenylthio-1-indolecarboxylate tert-butyl (Compound 232)
性状:無色粉末 Properties: colorless powder
融点: 1 33— 137 °C Melting point: 1 33— 137 ° C
'H-NMR(CDC13) δ : 1.70 (9Η, s) , 2.74 (3Η, s) , 7.04 (2Η, d, J=7Hz) , 'H-NMR (CDC1 3) δ: 1.70 (9Η, s), 2.74 (3Η, s), 7.04 (2Η, d, J = 7Hz),
7.09 (IH, t, J=7Hz) , 7.19 (2H, t, J=7Hz), 7.37 (IH, dd, J=9Hz, J=2Hz) , 7.09 (IH, t, J = 7Hz), 7.19 (2H, t, J = 7Hz), 7.37 (IH, dd, J = 9Hz, J = 2Hz),
7.63 (1H, d, J-2Hz) , 8.02 (1H, d, J=9Hz) 7.63 (1H, d, J-2Hz), 8.02 (1H, d, J = 9Hz)
実施例 2 1 (59) Example 2 1 (59)
5—ブロモ _ 3— (2 _ピリジルチオ) — 1一インドールカルボン酸 t e r t— ブチル (化合物 233) 5-Bromo_3- (2-pyridylthio) -tert-butyl indolecarboxylate (Compound 233)
性状:無色粉末 Properties: colorless powder
融点: 127— 128 Melting point: 127-128
'H-NMR(CDC13) δ : 1.68 (9Η, s) , 6.87 (IH, d, J=8Hz) , 6.98-7.03 (IH, m) , 'H-NMR (CDC1 3) δ: 1.68 (9Η, s), 6.87 (IH, d, J = 8Hz), 6.98-7.03 (IH, m),
7.40-7.50 (2H, m),7.65 (1H, s) , 7.93 (IH, s), 8.08-8.12(1H, m),8.42 (1H, s) 実施例 2 1 (60) 7.40-7.50 (2H, m), 7.65 (1H, s), 7.93 (IH, s), 8.08-8.12 (1H, m), 8.42 (1H, s) Example 2 1 (60)
5—ブロモ _ 2—メチル _ 3— (2—ピリジルチオ) — 1—インドールカルボン 酸 t e r t—ブチル (化合物 234) 5-bromo-2-methyl-3- (2-pyridylthio) -tert-butyl 1-indolecarboxylate (Compound 234)
性状:淡褐色粉末 Properties: light brown powder
'H-NMR(CDC13) δ : 1.71 (9Η, s) , 2.74 (3Η, s) , 6.69 (IH, d, J=9Hz) , 'H-NMR (CDC1 3) δ: 1.71 (9Η, s), 2.74 (3Η, s), 6.69 (IH, d, J = 9Hz),
6.98 (IH, dd, J=6Hz, J=5Hz), 7.36-7.41 (2H, m) , 7.63 (IH, d, J=2Hz) , 6.98 (IH, dd, J = 6Hz, J = 5Hz), 7.36-7.41 (2H, m), 7.63 (IH, d, J = 2Hz),
8.04 (IH, d, J=9Hz), 8.41 (IH, d, J=5Hz) 8.04 (IH, d, J = 9Hz), 8.41 (IH, d, J = 5Hz)
実施例 2 1 (6 1) Example 2 1 (6 1)
2— (5—ブロモ— 1一 t e r t—ブトキシカルボニル— 2 _メチルインドール 一 3—ィルチオ) 安息香酸ベンジル (化合物 235) 2- (5-bromo-11-tert-butoxycarbonyl-2-methylindole-13-ylthio) benzyl benzoate (Compound 235)
性状:黄色油状物 'H-NMR(CDC13) δ 1.71 (9H, s) , 2.71 (3H, s) , 5.45 (2H, s) , Properties: yellow oil 'H-NMR (CDC1 3 ) δ 1.71 (9H, s), 2.71 (3H, s), 5.45 (2H, s),
6.68 (IH, d, J=8Hz), 7.09-7.12(1H, m),7.16-7.20 (1H, m) , 7.30-7.43 (4H, m), 6.68 (IH, d, J = 8Hz), 7.09-7.12 (1H, m), 7.16-7.20 (1H, m), 7.30-7.43 (4H, m),
7.50-7.52 (2H, m) , 7.57 (IH, d, J=2Hz), 8.04 (IH, d, J=9Hz) , 8.10(1H, d, J=8Hz) 実施例 22 (1) 7.50-7.52 (2H, m), 7.57 (IH, d, J = 2Hz), 8.04 (IH, d, J = 9Hz), 8.10 (1H, d, J = 8Hz) Example 22 (1)
5— (3—クロ口フエニル) — 3_ホルミル— 1— (4—メトキシベンゾィル) インドール (化合物 236) 5— (3-chlorophenyl) —3_formyl—1— (4-methoxybenzoyl) indole (Compound 236)
5—プロモー 3 _ホルミル— 1— (4—メトキシベンゾィル) インドー ル 5—Promote 3 _Formyl— 1— (4-Methoxybenzoyl) indole
0. l g、 (3 _クロ口フエニル) ジヒドロキシポラン 6 6mg、 炭酸ナ トリウム 45mg、 ビストリフエニルホスフィンパラジウムクロリド (PdC 12 (PPh3) 2) 20mg、 トリフエニルホスフィン 14mgをトルエン 4m 1、 水 1 m 1に加え 3時間還流した。 反応液を水洗し無水硫酸マグネシウムで乾燥後 濃縮した。 残渣をカラムクロマト (シリカゲル;クロ口ホルム) に付し上記化合 物を 46mg得た。 0. lg, (3 _ Black port phenyl) dihydroxy Polan 6 6 mg, carbonate sodium 45 mg, bis triphenyl phosphine palladium chloride (PdC 1 2 (PPh 3) 2) 20mg, toluene 4m 1 the triphenyl phosphine 14 mg, water 1 m 1 and refluxed for 3 hours. The reaction solution was washed with water, dried over anhydrous magnesium sulfate and concentrated. The residue was subjected to column chromatography (silica gel; black form) to obtain 46 mg of the above compound.
性状:無色粉末 Properties: colorless powder
融点: 1 76 _ 1 78 °C Melting point: 1 76 _ 1 78 ° C
•H-NMRCCDClj) δ : 3.95 (3Η, s) , 7.09 (2Η, d, J=9Hz) , 7.30-7.43 (2H, m) , • H-NMRCCDClj) δ: 3.95 (3Η, s), 7.09 (2Η, d, J = 9Hz), 7.30-7.43 (2H, m),
7.55-7.61 (1H, m), 7.61-7.71 (2H, m), 7.82 (2H, d, J=9Hz) , 8.06 (IH, s), 7.55-7.61 (1H, m), 7.61-7.71 (2H, m), 7.82 (2H, d, J = 9Hz), 8.06 (IH, s),
8.29 (1H, d, J=9Hz) , 8.54 (IH, s), 10.11 (1H, s) 8.29 (1H, d, J = 9Hz), 8.54 (IH, s), 10.11 (1H, s)
実施例 22 (2) 一 (2 1) Example 22 (2) One (2 1)
実施例 22 (1) と同様にして、 以下の (化合物 237) — (化合物 256) を得た。 The following (Compound 237) — (Compound 256) was obtained in the same manner as in Example 22 (1).
実施例 22 (2) Example 22 (2)
1一 (4—クロ口べンゾィル) — 3—ホルミル— 5—フエニルインドール (化合 物 237) 1- (4-chlorobenzene) — 3-formyl-5-phenylindole (Compound 237)
性状:無色粉末 001 Properties: colorless powder 001
' (ui 'HZ) ·ί ' (ΖΗ8=ί '} Ήϊ) OS 'ί ' (,=ί 'Ρ Ήΐ) I ' ' (ΖΗ8=ί 'Ρ Ήϊ) SS 'L ' (ΖΗ6=1 'Ρ Ή2) 'L ' (s ¾) U '2 ' (s Ήΐ) 29 ' (s 'Η6) 1 - 1: 9 (2Ι3α3) Ν-Η, a s τ s - ^ 12 : '(ui' HZ) · ί '(ΖΗ8 = ί'} Ήϊ) OS 'ί' (, = ί 'Ρ Ήΐ) I''(ΖΗ8 = ί' Ρ Ήϊ) SS 'L' (ΖΗ6 = 1 'Ρ Ή2) 'L' (s ¾) U '2' (s 29) 29 '(s' Η6) 1-1: 9 ( 2 Ι3α3) Ν-Η, as τ s-^ 12:
(0 - τ - ΊΓ^^ΙΓΨ- £ - ( =ェ乙 {Λ( ^^^Λ( Λ(^ ~; -i 3 - Ν) - Ζ) - (0 -τ-ΊΓ ^^ ΙΓΨ- £-(= ェ Ot {Λ (^^^ Λ (Λ (^ ~; -i 3-Ν)-Ζ)-
(s Ή1) 60 ·0Ι ' (s ΉΙ) 8ε ·8 ' (ΖΗ6=Γ 'Ρ 'ΗΙ) U ·8 ' ( =i 'Ρ Ήΐ) QZ ·8 ' (s ΉΙ) 60 ·8 ' (ΖΗ6=1 'Ρ 'ΗΖ) S8 'ί ' Ή8) 89 'i-l Ί ' (ω Ήΐ) \ -08 ·ί ' (ΖΗ6=ί 'Ρ ¾) 01 ' (S ΉΟ S6 -S ' (s Ήϊ) 09 : Q (SI3( ) Ν-Η, as 0 S - 002 : WW (s Ή1) 60 · 0Ι '(s ΉΙ) 8ε · 8' (ΖΗ6 = Γ 'Ρ' ΗΙ) U · 8 '(= i' Ρ Ήΐ) QZ · 8 '(s ΉΙ) 60 · 8' (ΖΗ6 = 1 'Ρ' ΗΖ) S8 'ί' Ή8) 89 'il Ί' (ω Ήΐ) \ -08 · ί '(ΖΗ6 = ί' Ρ ¾) 01 '(S ΉΟ S6 -S' (s Ήϊ) 09 : Q ( S I3 () Ν-Η, as 0 S-002: WW
(6£z ε - ( "、く^ ^ H ) - Τ - ( 二ェ乙 Λ( ^^^Λ( Λ(-^ - 3 - Ν) - Ζ) - 9 (6 £ z ε-("、 く ^ ^ H)-Τ-(二乙 Λ (^^^ Λ (Λ (-^-3-Ν)-Ζ)-9
( ) ζ z () Ζ z
(s 'Hi ·01 '(s'HI)60'0I '(s'HI)S9'8'(ZH6=i 'P 'HI)ZS '8 ' (s 'HI) 80 ·8 ' (ΖΗ6=ί ' 'HZ) 66 'ί ' (ΖΗ6=ί ' ΈΖ) 88 ·ί ' (ΖΗ6=ί ' 'ΗΖ) U ·ί ' (ΖΗ6=ί 'Ρ ΉΙ) 'I ' (ΖΗ6=ί 'Ρ ¾) 60 Ί ' (S Ή2) % : 9 (εΙ3α3) Ν-Η, (s' Hi-01 '(s'HI) 60'0I'(s'HI)S9'8'(ZH6 = i' P 'HI) ZS' 8 '(s' HI) 80 ί '' HZ) 66 'ί' (ΖΗ6 = ί 'ΈΖ) 88 ) 60 Ί '(S Ή2)%: 9 ( ε Ι3α3) Ν-Η,
(8 ε ζ ^ir-HO- Mr .Α ^Φ4 ^- ) - I - ( ニェ乙 ミ — ) - -^(^Λ (^- £ (8 ε ζ ^ ir-HO- Mr .Α ^ Φ4 ^-)-I-(Nie Otmi —)--^ (^ Λ (^-£
(ε) z zm (ε) z zm
(s Ήΐ) U ·0Ι ' (s 'HI) iS ·8 ' (ZH6=f 'Ρ 'HI) K ·8 ' (s 'ΗΙ) 96 'ί ' (ω 'Η3) 08 'i— 99 'ί ' ("ΐ ΉΖ) 99 -L-Ζζ Τ (ui ΉΖ) 'Ζ-Η ' (ω Ήΐ) ί'ί' 'ί~ίΖ Ί '· 9 (εΙ3α3)Μ-Η, a Τ 6 ΐ - 68 Τ : W (s Ήΐ) U · 0Ι '(s' HI) iS · 8 '(ZH6 = f' Ρ 'HI) K · 8' (s 'ΗΙ) 96' ί '(ω' Η3) 08 'i— 99' ί '("ΐ ΉΖ) 99 -L-Ζζ ui (ui ΉΖ)' Ζ-Η '(ω Ήΐ) ί'ί''ί ~ ίΖ Ί' 9 ( ε Ι3α3) Μ-Η, a Τ 6 ΐ -68 Τ: W
06S.0/00df/X3d ΪΖ9 / ΐθ OAV 7.78 (2H, d, J=9Hz) , 8.07 (IH, s), 8.22 (IH, d, J=8Hz), 8.47 (1H, d, J=8Hz) , 9.06(lH,s) 06S.0 / 00df / X3d ΪΖ9 / ΐθ OAV 7.78 (2H, d, J = 9Hz), 8.07 (IH, s), 8.22 (IH, d, J = 8Hz), 8.47 (1H, d, J = 8Hz), 9.06 (lH, s)
実施例 22 (6) Example 22 (6)
6- (2- (N— t e r t—ブチルスルファモイル) フエニル) — 1— (4—メ トキシベンゾィル) 一 3 _ホルミルインドール (化合物 241) 6- (2- (N-tert-butylsulfamoyl) phenyl)-1- (4-methoxybenzoyl) 13-formylindole (Compound 241)
性状:無色粉末 Properties: colorless powder
融点: 163— 165°C Melting point: 163-165 ° C
'H-NMR(CDC13) δ : 1.08 (9Η, s) , 3.68 (IH, s) , 3.94 (3H, s) , 7.08 (2H, d, J=9Hz) , 7.32-7.38 (IH, m), 7.46—7.59 (3H, m), 7.81 (2H, d, J=9Hz), 8.08 (IH, s) , 'H-NMR (CDC1 3) δ: 1.08 (9Η, s), 3.68 (IH, s), 3.94 (3H, s), 7.08 (2H, d, J = 9Hz), 7.32-7.38 (IH, m) , 7.46-7.59 (3H, m), 7.81 (2H, d, J = 9Hz), 8.08 (IH, s),
8.19 (1H, d, J=9Hz), 8.38 (IH, d, J=9Hz) , 8.43 (IH, s), 10.12 (1H, s) 8.19 (1H, d, J = 9Hz), 8.38 (IH, d, J = 9Hz), 8.43 (IH, s), 10.12 (1H, s)
実施例 22 (7) Example 22 (7)
5- (2- (N— t e r t—ブチルスルファモイル) フエニル) — 1— (4—メ トキシベンゾィル) — 3—フエニルスルホニルインドール (化合物 242) 性状:無色粉末 5- (2- (N-tert-butylsulfamoyl) phenyl) — 1- (4-methoxybenzoyl) — 3-phenylsulfonylindole (Compound 242) Properties: colorless powder
融点: 208— 2 1 0°C Melting point: 208—210 ° C
'H-NMR(CDC13) δ : 0.94 (9Η, s) , 3.44 (IH, s) , 3.96 (3H, s) , 7.09 (2H, d, J=9Hz) , 7.32-7.34 (IH, m), 7.49-7.61 (6H, m) , 7.79 (2H, d, J=9Hz) , 8.05-8.08 (3H, m) , 8.13(1H, s) , 8.20-8.21 (IH, s), 8.31 (IH, d, J=8Hz) 'H-NMR (CDC1 3) δ: 0.94 (9Η, s), 3.44 (IH, s), 3.96 (3H, s), 7.09 (2H, d, J = 9Hz), 7.32-7.34 (IH, m) , 7.49-7.61 (6H, m), 7.79 (2H, d, J = 9Hz), 8.05-8.08 (3H, m), 8.13 (1H, s), 8.20-8.21 (IH, s), 8.31 (IH, d, J = 8Hz)
実施例 22 (8) Example 22 (8)
5- (2- (N— t e r t—ブチルスルファモイル) フエニル) — 1— (4—メ トキシベンゾィル) _ 3— (2—ピリジルスルホニル) インドール (化合 物 243) 5- (2- (N-tert-butylsulfamoyl) phenyl) — 1— (4-methoxybenzoyl) _3- (2-pyridylsulfonyl) indole (Compound 243)
性状:無色粉末 Properties: colorless powder
融点: 198— 20 1 °C Melting point: 198—20 1 ° C
'H-NMR(CDC13) δ : 1.02 (9Η, s) , 3.95 (3H, s) , 7.08 (2H, d, J=9Hz) , 'H-NMR (CDC1 3) δ: 1.02 (9Η, s), 3.95 (3H, s), 7.08 (2H, d, J = 9Hz),
7.35 (IH, d, J=8Hz) , 7.46-7.54 (2H, m) , 7.54-7.61 (2H, m), 7.80 (2H, d, J=9Hz), 7.91-7.98 (IH, m) , 8.20 (IH, d, J-8Hz), 8.24 (2H, s), 8· 26 (1H, d, J=8Hz) , 8.33(lH,d, J=8Hz),8.68(lH,s) 7.35 (IH, d, J = 8Hz), 7.46-7.54 (2H, m), 7.54-7.61 (2H, m), 7.80 (2H, d, J = 9Hz), 7.91-7.98 (IH, m), 8.20 (IH, d, J-8Hz), 8.24 (2H, s), 8.26 (1H, d, J = 8Hz), 8.33 (lH, d, J = 8Hz) , 8.68 (lH, s)
実施例 22 (9) Example 22 (9)
5 - (2 - (N— t e r t—ブチルスルファモイル) フエニル) _ 1 _ (4ーメ トキシベンゾィル) 一 3_ (4—メチルフエニルスルホニル) インドール (化合 物 244) 5-(2-(N-tert-butylsulfamoyl) phenyl) _ 1 _ (4-methoxybenzoyl) 13_ (4-methylphenylsulfonyl) indole (Compound 244)
性状:無色粉末 Properties: colorless powder
融点: 1 96— 199 °C Melting point: 1 96—199 ° C
'H-NMR(CDC13) δ : 0.95 (9Η, s) , 2.38 (3Η, s) , 3.47 (IH, s) , 3.95 (3H, s) , 7.08 (2H, d, J=9Hz) ,7.29 (2H, d, J=9Hz), 7.33 (IH, d, J=7Hz) , 7.50-7.56 (IH, m), 7.56-7.62 (2H, m) , 7.79 (2H, d, J=9Hz) , 7.93 (2H, d, J=8Hz), 8.07 (IH, s), 'H-NMR (CDC1 3) δ: 0.95 (9Η, s), 2.38 (3Η, s), 3.47 (IH, s), 3.95 (3H, s), 7.08 (2H, d, J = 9Hz), 7.29 (2H, d, J = 9Hz), 7.33 (IH, d, J = 7Hz), 7.50-7.56 (IH, m), 7.56-7.62 (2H, m), 7.79 (2H, d, J = 9Hz), 7.93 (2H, d, J = 8Hz), 8.07 (IH, s),
8.10 (IH, s), 8.20 (IH, d, J=8Hz), 8.30 (1H, d, J=9Hz) 8.10 (IH, s), 8.20 (IH, d, J = 8Hz), 8.30 (1H, d, J = 9Hz)
実施例 22 (10) Example 22 (10)
5- (2- (N_ t e r t—ブチルスルファモイル) フエニル) —3— (4—ク ロロフエニルスルホニル) _ 1— (4—メトキシベンゾィル) インドール (化合 物 245) 5- (2- (N-tert-butylsulfamoyl) phenyl) —3- (4-chlorophenylsulfonyl) _1- (4-methoxybenzoyl) indole (Compound 245)
性状:褐色アモルファス Properties: brown amorphous
'H-NMR(CDC13) δ : 0.98 (9Η, s) , 3.44(1H, s) , 3.96 (3Η, s) , 7.09 (2Η, d, J=9Hz) , 'H-NMR (CDC1 3) δ: 0.98 (9Η, s), 3.44 (1H, s), 3.96 (3Η, s), 7.09 (2Η, d, J = 9Hz),
7.33 (IH, d, J=6Hz) ,7.48 (2H, d, J=9Hz) , 7.50-7.62 (3H, m) , 7.78 (2H, d, J=9Hz),7.33 (IH, d, J = 6Hz), 7.48 (2H, d, J = 9Hz), 7.50-7.62 (3H, m), 7.78 (2H, d, J = 9Hz),
8.01 (2H, d, J=9Hz) , 8.09-8.12(2H, m),8.21 (1H, d, J=8Hz), 8.32 (IH, d, J=9Hz) 実施例 22 (1 1) 8.01 (2H, d, J = 9Hz), 8.09-8.12 (2H, m), 8.21 (1H, d, J = 8Hz), 8.32 (IH, d, J = 9Hz) Example 22 (1 1)
5- (2- (N— t e r t—ブチルスルファモイル) フエニル) 一 1 _ (4—ジ メチルァミノべンゾィル) 一 2—メチル— 3—フエニルスルホニルインドール (化合物 246) 5- (2- (N-tert-butylsulfamoyl) phenyl) 1-1_ (4-dimethylaminobenzoyl) -1-2-methyl-3-phenylsulfonylindole (Compound 246)
性状:無色粉末 Properties: colorless powder
融点: 224— 227 °C 'H-NMR(CDC13) δ : 0.93 (9H, s) , 2.77 (3H, s) , 3.13 (6H, s) , 3.40 (IH, s) ,Melting point: 224—227 ° C 'H-NMR (CDC1 3) δ: 0.93 (9H, s), 2.77 (3H, s), 3.13 (6H, s), 3.40 (IH, s),
6.65 (2H, d, J=9Hz) ,7.15(1H, d, J=9Hz), 7.35-7.39 (2H, m), 7.46—7.52 (3H, m),6.65 (2H, d, J = 9Hz), 7.15 (1H, d, J = 9Hz), 7.35-7.39 (2H, m), 7.46-7.52 (3H, m),
7.52-7.64 (4H, m), 8.04 (2H, d, J=7Hz) , 8.18 (IH, d, J=7Hz) , 8.23 (1H, s) 実施例 22 (12) 7.52-7.64 (4H, m), 8.04 (2H, d, J = 7Hz), 8.18 (IH, d, J = 7Hz), 8.23 (1H, s) Example 22 (12)
5- (2- (N— t e r t—ブチルスルファモイル) フエニル) — 1— (3—ジ メチルァミノべンゾィル) 一 2—メチル— 3—フエニルスルホニルインドール 5- (2- (N-tert-butylsulfamoyl) phenyl) — 1— (3-Dimethylaminobenzoyl) 1-Methyl-3-phenylsulfonylindole
(化合物 247) (Compound 247)
性状:黄色粉末 Properties: yellow powder
融点: 200— 202 °C Melting point: 200—202 ° C
'H-NMR(CDC13) δ 0.95 (9Η, s) , 2.77 (3Η, s) , 3.01 (6Η, s) , 3.46 (IH, s) ,'H-NMR (CDC1 3 ) δ 0.95 (9Η, s), 2.77 (3Η, s), 3.01 (6), s), 3.46 (IH, s),
6.88 (IH, d, J=8Hz) ,7.01 (IH, d, J=9Hz), 7.08-7.15 (2H, m), 7.28-7.32 (1H, m) ,6.88 (IH, d, J = 8Hz), 7.01 (IH, d, J = 9Hz), 7.08-7.15 (2H, m), 7.28-7.32 (1H, m),
7.32-7.39 (2H, m), 7.48-7.54 (2H, m), 7.54-7.61 (2H, m) , 8.05 (2H, d, J=8Hz) , 8.18(1H, d, J=7Hz),8.25(1H, s) 7.32-7.39 (2H, m), 7.48-7.54 (2H, m), 7.54-7.61 (2H, m), 8.05 (2H, d, J = 8Hz), 8.18 (1H, d, J = 7Hz), 8.25 (1H, s)
実施例 22 (13) Example 22 (13)
5— (2— (N— t e r t—ブチルスルファモイル) フエニル) _ 1_ (3—ジ メチルァミノべンゾィル) 一 3_ (2—ピリジルスルホニル) インドール (化合 物 248) 5- (2- (N-tert-butylsulfamoyl) phenyl) _ 1_ (3-dimethylaminobenzoyl) 1 3_ (2-pyridylsulfonyl) indole (Compound 248)
性状:黄色油状物 Properties: yellow oil
'H-NMR(CDC13) <5 : 1.03 (9H, s) , 3.04 (6H, s) , 4.01 (IH, s) , 6.97-7.03 (3H, m) , 'H-NMR (CDC1 3) <5: 1.03 (9H, s), 3.04 (6H, s), 4.01 (IH, s), 6.97-7.03 (3H, m),
7.35 (IH, d, J=8Hz), 7.40 (IH, t, J=8Hz), 7.45-7.61 (4H, m) , 7.91-7.98 (IH, m) ,7.35 (IH, d, J = 8Hz), 7.40 (IH, t, J = 8Hz), 7.45-7.61 (4H, m), 7.91-7.98 (IH, m),
8.20 (IH, d, J=8Hz) , 8.23-8.28 (3H, m) , 8.43 (1H, d, J=9Hz), 8.68 (1H, s) 実施例 22 (14) 8.20 (IH, d, J = 8Hz), 8.23-8.28 (3H, m), 8.43 (1H, d, J = 9Hz), 8.68 (1H, s) Example 22 (14)
5 - (4—ホルミルフエニル) 一 1— (4ーメトキシベンゾィル) 一 3—フエ二 ルスルホニルインドール (化合物 249) 5- (4-Formylphenyl) 1-1- (4-methoxybenzoyl) -13-phenylsulfonylindole (Compound 249)
性状:無色粉末 Properties: colorless powder
融点: 240— 242 °C 'H-NMR(CDC13) δ : 3.65 (3H, s) , 7.09 (2H, d, J=9Hz) , 7.50-7.54 (2H, m) , Melting point: 240—242 ° C 'H-NMR (CDC1 3) δ: 3.65 (3H, s), 7.09 (2H, d, J = 9Hz), 7.50-7.54 (2H, m),
7.56-7.59 (1H, m), 7.71 (IH, dd, J=9Hz, J=2Hz) , 7.77-7.82 (4H, m) , 7.56-7.59 (1H, m), 7.71 (IH, dd, J = 9Hz, J = 2Hz), 7.77-7.82 (4H, m),
8.00 (2H, d, J=9Hz), 8.02-8.06 (2H, m), 8.14(1H, s), 8.16 (IH, d, J=2Hz) , 8.00 (2H, d, J = 9Hz), 8.02-8.06 (2H, m), 8.14 (1H, s), 8.16 (IH, d, J = 2Hz),
8.36(lH,d,J=9Hz),10.10(1H, s) 8.36 (lH, d, J = 9Hz), 10.10 (1H, s)
実施例 22 (15) Example 22 (15)
5 - (2 - ( 1 _ t e r t—ブチル— 1 H—テトラゾール— 5—ィル) フエ二 ル) _ 1 _ (4—ジメチルァミノべンゾィル) —3—フエニルスルホニルインド ール (化合物 250) 5- (2- (1-tert-butyl- 1H-tetrazole-5-yl) phenyl) _1_ (4-dimethylaminobenzoyl) -3-3-phenylsulfonylindole (Compound 250)
性状:無色粉末 Properties: colorless powder
融点: 182— 185 °C Melting point: 182-185 ° C
'H-NMR(CDC13) δ : 1.48 (9Η, s) , 3.13 (6H, s) , 6.75 (2H, d, J=9Hz) , 'H-NMR (CDC1 3) δ: 1.48 (9Η, s), 3.13 (6H, s), 6.75 (2H, d, J = 9Hz),
7.43-7.58 (7H, m) , 7.68-7.75 (3H, m),7.92-7.98 (3H, m) , 7.70 (IH, d, J-9Hz) , 8.14(1H, s) 7.43-7.58 (7H, m), 7.68-7.75 (3H, m), 7.92-7.98 (3H, m), 7.70 (IH, d, J-9Hz), 8.14 (1H, s)
実施例 22 (16) Example 22 (16)
5- (2- (N— t e r t—ブチルスルファモイル) フエニル) _3_フエニル チォー 1—インドールカルボン酸 t e r t—プチル (化合物 251) 5- (2- (N-tert-butylsulfamoyl) phenyl) _3_phenylthio 1-indolecarboxylic acid tert-butyl (Compound 251)
性状:無色アモルファス Properties: colorless amorphous
'H-NMR(CDC13) δ : 0.89 (9Η, s), 1.71 (9H, s), 3.45 (1H, s), 7.09-7.13(1H, m) , 7.15-7.20 (3H, m) , 7.22-7.28 (1H, m), 7.41-7.55 (3H, m), 7.55-7.60 (2H, m), 7.95 (1H, s) , 8.14 (IH, d, J=9Hz) , 8.20-8.27 (IH, m) 'H-NMR (CDC1 3) δ: 0.89 (9Η, s), 1.71 (9H, s), 3.45 (1H, s), 7.09-7.13 (1H, m), 7.15-7.20 (3H, m), 7.22 -7.28 (1H, m), 7.41-7.55 (3H, m), 7.55-7.60 (2H, m), 7.95 (1H, s), 8.14 (IH, d, J = 9Hz), 8.20-8.27 (IH, m)
実施例 22 (17) Example 22 (17)
5— (2— (N— t e r t—ブチルスルファモイル) フエニル) —2—メチル— 3一フエ二ルチオ— 1—インドールカルボン酸 t e r t—プチル (化合 物 252) 5- (2- (N-tert-butylsulfamoyl) phenyl) -2-methyl-3-1-phenylthio-1-indolecarboxylic acid tert-butyl (Compound 252)
性状:無色粉末 Properties: colorless powder
融点: 182— 184°C 'H-NMR(CDC13) 6 : 0.87 (9H, s) , 1.74 (9H, s) , 2.80 (3H, s) , 3.48 (IH, s) , 7.03-7.09 (3H, m), 7.16 (2H, t, J=8Hz) , 7. 5-7.29 (IH, m) , 7.45 (IH, t, J=8Hz), 7.48-7.58 (4H, m), 8.14 (IH, d, J=8Hz) ,8.18 (1H, d, J=8Hz) Melting point: 182-184 ° C 'H-NMR (CDC1 3) 6: 0.87 (9H, s), 1.74 (9H, s), 2.80 (3H, s), 3.48 (IH, s), 7.03-7.09 (3H, m), 7.16 (2H , T, J = 8Hz), 7.5-5.29 (IH, m), 7.45 (IH, t, J = 8Hz), 7.48-7.58 (4H, m), 8.14 (IH, d, J = 8Hz), 8.18 (1H, d, J = 8Hz)
実施例 22 (18) Example 22 (18)
5- (2- (N_ t e r t—ブチルスルファモイル) フエニル) _3_ (2—ピ リジルチオ) — 1 _インドールカルボン酸 t e r t _ブチル (化合物 253) 性状:無色粉末 5- (2- (N_tert-butylsulfamoyl) phenyl) _3_ (2-pyridylthio) — 1_indolecarboxylate tert-butyl (Compound 253) Properties: colorless powder
融点: 1 75— 177 Melting point: 1 75— 177
'H-NMR(CDC13) δ 0.93 (9Η, s), 1.71 (9H, s), 3.53 (IH, s) , 6.93-7.00 (2H, m) , 'H-NMR (CDC1 3) δ 0.93 (9Η, s), 1.71 (9H, s), 3.53 (IH, s), 6.93-7.00 (2H, m),
7.22-7.30 (IH, m), 7.41-7.48 (2H, m), 7.52 (IH, t, J=8Hz) , 7.59-7.62 (2H, m) ,7.22-7.30 (IH, m), 7.41-7.48 (2H, m), 7.52 (IH, t, J = 8Hz), 7.59-7.62 (2H, m),
8.02 (IH, s) , 8.14 (1H, d, J=8Hz), 8.24-8.29 (IH, m) , 8.36—8.38 (IH, m) 実施例 22 (19) 8.02 (IH, s), 8.14 (1H, d, J = 8Hz), 8.24-8.29 (IH, m), 8.36—8.38 (IH, m) Example 22 (19)
5- (2- (N— t e r t—ブチルスルファモイル) フエニル) —2—メチル— 3- (2—ピリジルチオ) — 1—インド一ルカルボン酸 t e r t—ブチル (化合 物 254) 5- (2- (N-tert-butylsulfamoyl) phenyl) -2-methyl-3- (2-pyridylthio) -tert-butyl 1-indolecarboxylate (Compound 254)
性状:無色粉末 Properties: colorless powder
融点: 193— 194V Melting point: 193-194V
'H-NMR(CDC13) 6 : 0.91 (9H, s) , 1.74 (9H, s) , 2.79 (3Η, s) , 3.54 (IH, s) ,'H-NMR (CDC1 3 ) 6: 0.91 (9H, s), 1.74 (9H, s), 2.79 (3, s), 3.54 (IH, s),
6.78 (1H, d, J=9Hz), 6.94-6.99 (IH, m), 7.24-7.29 (IH, m) , 7.38-7.57 (4H, m) ,6.78 (1H, d, J = 9Hz), 6.94-6.99 (IH, m), 7.24-7.29 (IH, m), 7.38-7.57 (4H, m),
7.58 (IH, s) , 8.14 (1H, d, J=8Hz) ,8.21 (IH, d, J=9Hz) , 8.38 (1H, d, J=4Hz) 実施例 22 (20) 7.58 (IH, s), 8.14 (1H, d, J = 8Hz), 8.21 (IH, d, J = 9Hz), 8.38 (1H, d, J = 4Hz) Example 22 (20)
5- (3—ピリジル) _3— (2—ピリジルチオ) 一 1 _インドールカルボン酸 t e r t—プチル (化合物 255) 5- (3-pyridyl) _3- (2-pyridylthio) 1-1_indolecarboxylic acid tert-butyl (Compound 255)
性状:淡黄色アモルファス Property: pale yellow amorphous
'H-NMR(CDC13) δ : 1.71 (9Η, s) , 6.91 (IH, d, J=9Hz) , 6.98-7.01 (IH, m) , 7.32 (IH, dd, J=6Hz, J=5Hz), 7.41 (IH, t, J=7Hz), 7.59-7.63 (IH, m), 7.69 (1H, d, J-2Hz), 7.83-7.89 (1H, m), 8.00 (1H, s), 8.32 (1H, d, J=8Hz) , 'H-NMR (CDC1 3) δ: 1.71 (9Η, s), 6.91 (IH, d, J = 9Hz), 6.98-7.01 (IH, m), 7.32 (IH, dd, J = 6Hz, J = 5Hz ), 7.41 (IH, t, J = 7Hz), 7.59-7.63 (IH, m), 7.69 (1H, d, J-2Hz), 7.83-7.89 (1H, m), 8.00 (1H, s), 8.32 (1H, d, J = 8Hz),
8.41 (1H, d, J=4Hz) , 8.55 (1H, d, J=3Hz), 8.82 (1H, d, J=3Hz) 8.41 (1H, d, J = 4Hz), 8.55 (1H, d, J = 3Hz), 8.82 (1H, d, J = 3Hz)
実施例 22 (2 1) Example 22 (2 1)
2 - (1一 t—ブトキシカルボニル— 5— (2— (N— t e r t—プチルスルフ ァモイル) フエニル) — 2 _メチルインドール— 3—ィルチオ) 安息香酸ベンジ ル (化合物 256) 2- (1-t-butoxycarbonyl-5- (2- (N-tert-butylsulfamoyl) phenyl)-2-methylindole-3-ylthio) benzyl benzoate (Compound 256)
性状:無色粉末 Properties: colorless powder
融点: 88— 9 1 °C Melting point: 88—91 ° C
'H-NMR(CDC13) δ : 0.87(9H, s), 1.74(9H, s), 2.75(3H, s), 3.52(1H, s), 5.42 (2H, s) , 6.76 (1H, d, J=8Hz) , 7.08 (1H, t, J=7Hz), 7.15-7.21 (1H, m), 7.21-7.29 (1H, m), 7.32-7.46 (3H, m) , 7.46-7.51 (4H, m), 7.58 (1H, d, J=9Hz) , 7.90 (1H, d, J=8Hz), 8.07 (1H, d, J=8Hz) , 8.13 (1H, d, J=8Hz) ,8.21 (1H, d, J=9Hz) 実施例 23 (1) 'H-NMR (CDC1 3) δ: 0.87 (9H, s), 1.74 (9H, s), 2.75 (3H, s), 3.52 (1H, s), 5.42 (2H, s), 6.76 (1H, d , J = 8Hz), 7.08 (1H, t, J = 7Hz), 7.15-7.21 (1H, m), 7.21-7.29 (1H, m), 7.32-7.46 (3H, m), 7.46-7.51 (4H, m), 7.58 (1H, d, J = 9Hz), 7.90 (1H, d, J = 8Hz), 8.07 (1H, d, J = 8Hz), 8.13 (1H, d, J = 8Hz), 8.21 (1H , d, J = 9 Hz) Example 23 (1)
5- (2- (N_ t e r t—ブチルスルファモイル) フエニル) —3—フエニル スルホニルインドール (化合物 257) 5- (2- (N_tert-butylsulfamoyl) phenyl) —3-phenylsulfonylindole (Compound 257)
5- (2- (N— t e r t—ブチルスルファモイル) フエニル) —3—フエ二 ルチオ— 1—インドールカルボン酸 t e r t—プチル 0. 59 gを塩ィ匕メチレン 5mlに溶解し、 MCPBA0. 47 gを加え室温で 4時間攪拌した。 反応液を チォ硫酸ナトリゥム水溶液、 炭酸水素ナトリゥム水溶液で洗浄し無水硫酸マグネ シゥムで乾燥後濃縮した。 Dissolve 0.59 g of tert-butyl 5- (2- (N-tert-butylsulfamoyl) phenyl) -3-phenylthio-1-indolecarboxylate in 5 ml of methylene chloride and 0.47 g of MCPBA Was added and stirred at room temperature for 4 hours. The reaction solution was washed with an aqueous solution of sodium thiosulfate and an aqueous solution of sodium hydrogen carbonate, dried over anhydrous magnesium sulfate, and concentrated.
残渣をテトラヒドロフラン 5m 1に溶解し 4%水酸化ナトリウム 2m 1を加え 80°Cで 5時間攪拌した。 反応液を濃縮し 0. 5%塩酸で中和し酢酸ェチルで抽 出し、 無水硫酸マグネシウムで乾燥後濃縮した。 残渣をへキサンで洗浄し、 淡褐 色粉末の上記化合物を 0. 38 g得た。 The residue was dissolved in 5 ml of tetrahydrofuran, 2 ml of 4% sodium hydroxide was added, and the mixture was stirred at 80 ° C for 5 hours. The reaction solution was concentrated, neutralized with 0.5% hydrochloric acid, extracted with ethyl acetate, dried over anhydrous magnesium sulfate and concentrated. The residue was washed with hexane to obtain 0.38 g of the above compound as a light brown powder.
性状:淡褐色粉末 Properties: light brown powder
融点: 2 1 5— 2 1 8 °C 'H-NMR(CDC13) δ : 0.88 (9H, s) , 3.44 (IH, s) , 7.35 (IH, d, J=8Hz) , Melting point: 2 15-2 18 ° C 'H-NMR (CDC1 3) δ: 0.88 (9H, s), 3.44 (IH, s), 7.35 (IH, d, J = 8Hz),
7.41 (1H, d, J=9Hz), 7.44-7.54 (5H, m) , 7.57-7.60 (IH, m) , 7.95 (IH, d, J=3Hz) , 7.41 (1H, d, J = 9Hz), 7.44-7.54 (5H, m), 7.57-7.60 (IH, m), 7.95 (IH, d, J = 3Hz),
8.00 (IH, s) , 8.02-8.06 (2H, m),8.19 (IH, d, J=8Hz), 9.07 (IH, brs) 8.00 (IH, s), 8.02-8.06 (2H, m), 8.19 (IH, d, J = 8Hz), 9.07 (IH, brs)
実施例 23 ( 2 ) — ( 6 ) Example 23 (2) — (6)
実施例 23 (1) と同様にして、 以下の (化合物 258) — (化合物 262) を得た。 The following (Compound 258) — (Compound 262) was obtained in the same manner as in Example 23 (1).
実施例 23 (2) Example 23 (2)
5- (2- (N_ t e r t—ブチルスルファモイル) フエニル) 一 2—メチル— 3—フエニルスルホニルインドール (化合物 258) 5- (2- (N_tert-butylsulfamoyl) phenyl) -1-2-Methyl-3-phenylsulfonylindole (Compound 258)
性状:褐色粉末 Properties: brown powder
融点: 231— 233 °C Melting point: 231— 233 ° C
Ή-NMR (CDC13) δ : 0.93 (9Η, s) , 2.78 (3H, s), 3.52 (IH, s) , 7.22-7.28 (IH, m), 7.37(1H, d, J=7Hz), 7.40-7.53 (5H, m), 7.57-7.60 (IH, m) , 7.99 (2H, d, J=8Hz) , 8.10(lH,s),8.19(lH,d, J=8Hz), 8.87 (IH, brs) Ή-NMR (CDC1 3) δ : 0.93 (9Η, s), 2.78 (3H, s), 3.52 (IH, s), 7.22-7.28 (IH, m), 7.37 (1H, d, J = 7Hz), 7.40-7.53 (5H, m), 7.57-7.60 (IH, m), 7.99 (2H, d, J = 8Hz), 8.10 (lH, s), 8.19 (lH, d, J = 8Hz), 8.87 (IH , brs)
実施例 23 (3) Example 23 (3)
5— (2— (N— t e r t—ブチルスルファモイル) フエニル) —3— (2—ピ リジルスルホニル) インドール (化合物 259) 5- (2- (N-tert-butylsulfamoyl) phenyl) -3- (2-pyridylsulfonyl) indole (Compound 259)
性状:無色粉末 Properties: colorless powder
融点: 265 _ 266 Melting point: 265 _ 266
'H-NMR(CDC13) δ : 1.20 (9Η, s) , 4.32 (IH, s) , 7.12(1H, d, J=3Hz), 'H-NMR (CDC1 3) δ: 1.20 (9Η, s), 4.32 (IH, s), 7.12 (1H, d, J = 3Hz),
7.28-7.30 (IH, m) , 7.34 (IH, d, J=7Hz) , 7.42-7.45 (IH, m), 7.45-7.53 (IH, m) , 7.28-7.30 (IH, m), 7.34 (IH, d, J = 7Hz), 7.42-7.45 (IH, m), 7.45-7.53 (IH, m),
7.53-7.60 (IH, m), 7.82 (IH, d, J=8Hz), 7.93 (IH, dd, J=9Hz, 2Hz) , 7.53-7.60 (IH, m), 7.82 (IH, d, J = 8Hz), 7.93 (IH, dd, J = 9Hz, 2Hz),
8.20 (IH, d, J=3Hz) , 8.23 (IH, s), 8.25-8.29 (IH, m), 8.68 (IH, d, J=5Hz), 8.20 (IH, d, J = 3Hz), 8.23 (IH, s), 8.25-8.29 (IH, m), 8.68 (IH, d, J = 5Hz),
9.39(lH,brs) 9.39 (lH, brs)
実施例 23 (4) Example 23 (4)
5- (2- (N— t e r t—ブチルスルファモイル) フエニル) _2—メチル— 3 - (2 _ピリジルスルホニル) インドール (化合物 260) 性状:淡褐色粉末 5- (2- (N—tert-butylsulfamoyl) phenyl) _2—methyl— 3- (2-pyridylsulfonyl) indole (Compound 260) Properties: light brown powder
融点: 245— 247 °C Melting point: 245—247 ° C
'H-NMR(CDC13) δ : 1.05 (9Η, s) , 2.71 (3Η, s) , 4.65 (IH, s) , 6.73 (IH, d, J=9Hz) , 7.11 (1H, d, J=7Hz), 7.34 (IH, d, J=7Hz), 7.41-7.46 (IH, m) , 7.49 (IH, t, J=7Hz), 7.57 (IH, t, J=8Hz) , 7.91 (1H, dd, J=6Hz, 5Hz) , 8.21 (IH, d, J=8Hz), 8.25 (1H, s) , 8.68(lH,d, J=5Hz),8.94(1H, s) 'H-NMR (CDC1 3) δ: 1.05 (9Η, s), 2.71 (3Η, s), 4.65 (IH, s), 6.73 (IH, d, J = 9Hz), 7.11 (1H, d, J = 7 Hz), 7.34 (IH, d, J = 7 Hz), 7.41-7.46 (IH, m), 7.49 (IH, t, J = 7 Hz), 7.57 (IH, t, J = 8 Hz), 7.91 (1H, dd) , J = 6Hz, 5Hz), 8.21 (IH, d, J = 8Hz), 8.25 (1H, s), 8.68 (lH, d, J = 5Hz), 8.94 (1H, s)
実施例 23 (5) Example 23 (5)
2 - (5- (2— (N_ t e r t—ブチルスルファモイル) フエニル) —2—メ チルインドール— 3—ィルスルホニル) 安息香酸ベンジル (化合物 261) 性状:褐色粉末 2- (5- (2-((N_tert-butylsulfamoyl) phenyl) -2-methylindole-3-ylsulfonyl) Benzyl benzoate (Compound 261) Properties: Brown powder
融点: 1 18— 1201 Melting point: 1 18- 1201
'H-NMR(CDC13) δ : 0.92 (9Η, s) , 2.67 (3Η, s) , 3.67 (IH, s) , 5.28 (2H, s) , 'H-NMR (CDC1 3) δ: 0.92 (9Η, s), 2.67 (3Η, s), 3.67 (IH, s), 5.28 (2H, s),
7.22-7.30 (IH, m), 7.30-7.38 (4H, m), 7.38-7.44 (3H, m) , 7.44-7.58 (5H, m) ,7.22-7.30 (IH, m), 7.30-7.38 (4H, m), 7.38-7.44 (3H, m), 7.44-7.58 (5H, m),
8.00 (IH, s) , 8.08-8.11 (IH, m),8.17 (1H, d, J=8Hz) , 8.70 (IH, brs) 8.00 (IH, s), 8.08-8.11 (IH, m), 8.17 (1H, d, J = 8Hz), 8.70 (IH, brs)
実施例 23 (6) Example 23 (6)
5 - (3—ピリジル) _ 3 _ (2—ピリジルスルホニル) インドール (化合 物 262) 5-(3-pyridyl) _ 3 _ (2-pyridylsulfonyl) indole (Compound 262)
性状:無色粉末 Properties: colorless powder
融点: 270°C(dec.) Melting point: 270 ° C (dec.)
'H-NMR(DMS0-d6) δ : 7.51-7.55 (IH, m) , 7.58-7.66 (4H, m), 8.06-8.12(2H, m), 8.23 (IH, d, J=7Hz), 8.27 (IH, d, J=8Hz), 8.29 (1H, s), 8.47 (IH, s), 'H-NMR (DMS0-d 6 ) δ: 7.51-7.55 (IH, m), 7.58-7.66 (4H, m), 8.06-8.12 (2H, m), 8.23 (IH, d, J = 7 Hz), 8.27 (IH, d, J = 8Hz), 8.29 (1H, s), 8.47 (IH, s),
8.66(1H, d, J=4Hz) 8.66 (1H, d, J = 4Hz)
実施例 24 (1) Example 24 (1)
1一 (3—ジメチルァミノべンゾィル) — 3—フエニルスルホニルー 5— (2— スルファモイルフエ二ル) インドール (化合物 263) の合成 5- (2- (N— t e r t—ブチルスルファモイル) フエニル) _ 3_フエ二 ルスルホニルインドール (94mg) をテトラヒドロフラン 4m 1に溶解し、 ジ イソプロピルェチルァミン 0. lmし 3—ジメチルァミノべンゾイルクロリド 70018を加ぇ30^で70時間攪拌した。 反応液に 4 %水酸化ナトリウム水溶 液を加え酢酸ェチルで抽出し、 無水硫酸マグネシウムで乾燥後濃縮した。 残渣を カラムクロマト (シリカゲル;へキサン Z酢酸ェチル =4 1) に付した。 得られた化合物をトリフルォロ酢酸 2mlに溶解し室温で 1日攪拌した。 反応 液を濃縮し、 飽和炭酸ナトリウム水溶液で中和後酢酸ェチルで抽出した。 無水硫 酸マグネシゥムで乾燥後濃縮することにより上記化合物を 24 m g得た。 Synthesis of 1- (3-dimethylaminobenzoyl) -3-phenylsulfonyl-5- (2-sulfamoylphenyl) indole (Compound 263) 5- (2- (N-tert-butylsulfamoyl) phenyl) _3_phenylsulfonylindole (94 mg) was dissolved in 4 ml of tetrahydrofuran, and the mixture was dissolved in 0.1 ml of diisopropylethylamine and 3 dimethylaminoamine. Nzoyl chloride 70018 was stirred at 30 ^ for 70 hours. A 4% aqueous sodium hydroxide solution was added to the reaction solution, extracted with ethyl acetate, dried over anhydrous magnesium sulfate and concentrated. The residue was subjected to column chromatography (silica gel; hexane Z ethyl acetate = 41). The obtained compound was dissolved in 2 ml of trifluoroacetic acid and stirred at room temperature for 1 day. The reaction solution was concentrated, neutralized with a saturated aqueous solution of sodium carbonate, and extracted with ethyl acetate. After drying over magnesium sulfate anhydride and concentrating, 24 mg of the above compound was obtained.
性状:黄色粉末 Properties: yellow powder
融点: 124— 126 °C Melting point: 124- 126 ° C
'Η - NMR(CDC13) δ 3.05 (6Η, s) , 4.20 (2Η, s) , 6.99-7.04 (3Η, m) , 'Η-NMR (CDC1 3 ) δ 3.05 (6Η, s), 4.20 (2Η, s), 6.99-7.04 (3Η, m),
7.38 (1Η, d, J=7Hz), 7.40-7.45 (IH, m) , 7.48-7.60 (5H, m) , 7.63-7.67 (IH, m), 7.38 (1Η, d, J = 7Hz), 7.40-7.45 (IH, m), 7.48-7.60 (5H, m), 7.63-7.67 (IH, m),
8.01-8.04 (2H, m) , 8.09 (IH, s), 8.16 (1H, s), 8.21 (IH, d, J=7Hz), 8.01-8.04 (2H, m), 8.09 (IH, s), 8.16 (1H, s), 8.21 (IH, d, J = 7Hz),
8.44(lH,d, J=9Hz) 8.44 (lH, d, J = 9Hz)
実施例 24 (2) 一 (9) Example 24 (2) One (9)
実施例 24 (1) と同様にして、 以下の (化合物 264) - (化合物 271) を得た。 The following (Compound 264)-(Compound 271) were obtained in the same manner as in Example 24 (1).
実施例 24 (2) Example 24 (2)
1 - (3—ジメチルアミノー 2—メチルベンゾィル) 一 3 _フエニルスルホニル 一 5_ (2—スルファモイルフエ二ル) インドール (化合物 264) 1- (3-Dimethylamino-2-methylbenzoyl) -1_3-phenylsulfonyl-1_5_ (2-Sulfamoylphenyl) indole (Compound 264)
性状:無色粉末 Properties: colorless powder
融点: 200— 203 Melting point: 200—203
'H-NMR(CDC13) δ : 2.31 (3H, s) , 2.80 (6H, s) , 4.20 (2Η, s) , 7.07 (IH, d, J=6Hz) , 'H-NMR (CDC1 3) δ: 2.31 (3H, s), 2.80 (6H, s), 4.20 (2Η, s), 7.07 (IH, d, J = 6Hz),
7.28-7.37 (3H, m) , 7.49-7.59 (5H, m) , 7.62-7.66 (IH, m) , 7.83 (IH, s), 7.28-7.37 (3H, m), 7.49-7.59 (5H, m), 7.62-7.66 (IH, m), 7.83 (IH, s),
8.01 (2H, d, J=7Hz), 8.06 (IH, s), 8.21 (IH, d, J=7Hz), 8.49 (IH, d, J=8Hz) 実施例 24 (3) 8.01 (2H, d, J = 7Hz), 8.06 (IH, s), 8.21 (IH, d, J = 7Hz), 8.49 (IH, d, J = 8Hz) Example 24 (3)
1 - (3—クロロー 2—メチルベンゾィル) — 3 _フエニルスルホニルー 5— (2—スルファモイルフエニル) インドール (化合物 265) 1- (3-Chloro-2-methylbenzoyl) — 3 _phenylsulfonyl-5- (2-sulfamoylphenyl) indole (Compound 265)
性状:淡黄色粉末 Properties: pale yellow powder
融点: 231— 234°C Melting point: 231-234 ° C
'H-NMR(CDC13) δ : 2.40 (3Η, s) , 4.23 (2Η, s) , 7.30-7.39 (3Η, m) , 'H-NMR (CDC1 3) δ: 2.40 (3Η, s), 4.23 (2Η, s), 7.30-7.39 (3Η, m),
7.50-7.60 (5Η, m) , 7.65 (2Η, t, J=8Hz), 7.75 (1H, s), 8.02 (2H, d, J=7Hz) , 7.50-7.60 (5Η, m), 7.65 (2Η, t, J = 8Hz), 7.75 (1H, s), 8.02 (2H, d, J = 7Hz),
8.07 (1H, s), 8.20 (IH, d, J=9Hz) , 8.50 (1H, d, J=9Hz) 8.07 (1H, s), 8.20 (IH, d, J = 9Hz), 8.50 (1H, d, J = 9Hz)
実施例 24 (4) Example 24 (4)
1一 ( 3—メトキシ—2 _メチルベンゾィル) — 3—フエニルスルホニル— 5— (2 _スルファモイルフエ二ル) インドール (化合物 266) 1- (3-Methoxy-2-methylbenzoyl) -3-phenylsulfonyl-5- (2-Sulfamoylphenyl) indole (Compound 266)
性状:淡褐色粉末 Properties: light brown powder
融点: 223— 2261 Melting point: 223-2261
'H-NMR(CDC13) δ : 2.21 (3Η, s) , 3.95 (3Η, s) , 4.20 (2Η, s) , 7.00 (IH, d, J=8Hz) , 7.09 (1H, d, J=8Hz), 7.32-7.39 (2H, m) , 7.48-7.60 (5H, m), 7.64 (IH, t, J=7Hz) , 7.80 (IH, s), 8.01 (IH, d, J=7Hz) , 8.05 (IH, s) , 8.20 (IH, d, J=7Hz), 'H-NMR (CDC1 3) δ: 2.21 (3Η, s), 3.95 (3Η, s), 4.20 (2Η, s), 7.00 (IH, d, J = 8Hz), 7.09 (1H, d, J = 8Hz), 7.32-7.39 (2H, m), 7.48-7.60 (5H, m), 7.64 (IH, t, J = 7Hz), 7.80 (IH, s), 8.01 (IH, d, J = 7Hz), 8.05 (IH, s), 8.20 (IH, d, J = 7Hz),
8.51(lH,d, J=9Hz) 8.51 (lH, d, J = 9Hz)
実施例 24 (5) Example 24 (5)
1 - (3—ジメチルァミノ— 2—メチルベンゾィル) —3— (2—ピリジルスル ホニル) —5— (2—スルファモイルフエ二ル) インドール (化合物 267) 性状:淡褐色粉末 1- (3-Dimethylamino-2-methylbenzoyl) -3- (2-pyridylsulfonyl) -5- (2-sulfamoylphenyl) indole (Compound 267) Properties: Light brown powder
融点: 219 _ 222 °C Melting point: 219 _ 222 ° C
'H-NMR(CDC13) δ : 2.30 (3Η, s) , 2.77 (6Η, s) , 4.91 (2Η, s) , 7.05 (IH, d, J=6Hz) , 7.22-7.32 (2H, m), 7.40 (1H, d, J=8Hz), 7.47-7.58 (3H, m) , 7.63 (1H, d, J=6Hz) , 'H-NMR (CDC1 3) δ: 2.30 (3Η, s), 2.77 (6Η, s), 4.91 (2Η, s), 7.05 (IH, d, J = 6Hz), 7.22-7.32 (2H, m) , 7.40 (1H, d, J = 8Hz), 7.47-7.58 (3H, m), 7.63 (1H, d, J = 6Hz),
7.86 (IH, s), 7.91-7.97 (IH, m) , 8.18-8.21 (2H, m), 8.32 (IH, s), 8.50 (IH, d, J=9Hz),7.86 (IH, s), 7.91-7.97 (IH, m), 8.18-8.21 (2H, m), 8.32 (IH, s), 8.50 (IH, d, J = 9Hz),
8.66(1H, d, J=5Hz) 実施例 24 (6) 8.66 (1H, d, J = 5Hz) Example 24 (6)
1一 (3—メトキシ— 2—メチルベンゾィル) — 3— (2—ピリジルスルホニ ル) 一 5— (2—スルファモイルフエニル) インドール (化合物 268) 性状:淡褐色粉末 1- (3-methoxy-2-methylbenzoyl)-3- (2-pyridylsulfonyl) -1-5- (2-sulfamoylphenyl) indole (Compound 268) Properties: light brown powder
融点: 235— 237 °C Melting point: 235— 237 ° C
'H-NMR(CDC13) δ : 2.19 (3Η, s) , 3.93 (3Η, s) , 4.92 (2Η, s) , 6.98 (IH, d, J=8Hz) , 7.07 (1H, d, J=8Hz) , 7.34 (1H, t, J=8Hz) , 7.40 (1H, d, J=6Hz) , 7.49 (1H, t, J=6Hz), 'H-NMR (CDC1 3) δ: 2.19 (3Η, s), 3.93 (3Η, s), 4.92 (2Η, s), 6.98 (IH, d, J = 8Hz), 7.07 (1H, d, J = 8Hz), 7.34 (1H, t, J = 8Hz), 7.40 (1H, d, J = 6Hz), 7.49 (1H, t, J = 6Hz),
7.51-7.58 (2H, m) , 7.64 (IH, t, J=7Hz), 7.82 (IH, s), 7.94 (IH, t, J=8Hz), 7.51-7.58 (2H, m), 7.64 (IH, t, J = 7Hz), 7.82 (IH, s), 7.94 (IH, t, J = 8Hz),
8.20 (2H, t, J=7Hz) , 8.33 (1H, s), 8.52 (IH, d, J=9Hz) , 8.67 (IH, d, J=5Hz) 実施例 24 (7) 8.20 (2H, t, J = 7Hz), 8.33 (1H, s), 8.52 (IH, d, J = 9Hz), 8.67 (IH, d, J = 5Hz) Example 24 (7)
1一 (2, 4—ジメトキシベンゾィル) —3— (2—ピリジルスルホニル) _5 - (2—スルファモイルフエ二ル) インドール (化合物 269) 1- (2,4-dimethoxybenzoyl) —3 -— (2-pyridylsulfonyl) _5-(2-sulfamoylphenyl) indole (Compound 269)
性状:淡褐色粉末 Properties: light brown powder
融点: 135— 138 Melting point: 135-138
'H-NMR(CDC13) δ : 3.75 (3Η, s) , 3.92 (3Η, s) , 4.84 (2H, s) , 6.56 (IH, s) , 'H-NMR (CDC1 3) δ: 3.75 (3Η, s), 3.92 (3Η, s), 4.84 (2H, s), 6.56 (IH, s),
6.64 (IH, d, J=9Hz) , 7.38-7.41 (IH, m), 7.41-7.58 (4H, m), 7.63 (IH, t, J=8Hz),6.64 (IH, d, J = 9Hz), 7.38-7.41 (IH, m), 7.41-7.58 (4H, m), 7.63 (IH, t, J = 8Hz),
7.90-7.98 (2H, m) , 8.20 (2H, t, J=8Hz), 8.23 (IH, s), 8.47 (IH, d, J=9Hz), 7.90-7.98 (2H, m), 8.20 (2H, t, J = 8Hz), 8.23 (IH, s), 8.47 (IH, d, J = 9Hz),
8.65(1H, s) 8.65 (1H, s)
実施例 24 (8) Example 24 (8)
1一 (2, 6—ジメトキシニコチノィル) —3— (2—ピリジルスルホニル) ― 5 - (2—スルファモイルフエ二ル) インドール (化合物 270) 1- (2,6-dimethoxynicotinol) —3- (2-pyridylsulfonyl) — 5- (2-sulfamoylphenyl) indole (compound 270)
性状:淡褐色粉末 Properties: light brown powder
融点: 233— 236 Melting point: 233—236
'H-NMR(CDC13) δ : 3.91 (3Η, s) , 4.05 (3Η, s) , 4.84 (2H, s) , 6.51 (IH, d, J=9Hz) , 7.40 (IH, d, J=7Hz), 7.47-7.58 (3H, m), 7.60—7.65 (IH, m), 7.84 (IH, d, J=8Hz) , 7.90-7.95 (IH, m) , 7.98 (1H, s), 8.18-8· 22 (2H, m) , 8.28 (IH, d, J=lHz), 8.46(lH,d, J=9Hz),8.66(1H, d, J=4Hz) 'H-NMR (CDC1 3) δ: 3.91 (3Η, s), 4.05 (3Η, s), 4.84 (2H, s), 6.51 (IH, d, J = 9Hz), 7.40 (IH, d, J = 7Hz), 7.47-7.58 (3H, m), 7.60-7.65 (IH, m), 7.84 (IH, d, J = 8Hz), 7.90-7.95 (IH, m), 7.98 (1H, s), 8.18- 8 · 22 (2H, m), 8.28 (IH, d, J = lHz), 8.46 (lH, d, J = 9Hz), 8.66 (1H, d, J = 4Hz)
実施例 24 (9) Example 24 (9)
1 - (3—ジメチルアミノー 2 _メチルベンゾィル) 一 5— (3—ピリジル) ― 3 - (2—ピリジルスルホニル) インドール (化合物 27 1) 1- (3-Dimethylamino-2-methylbenzoyl) -1-5- (3-pyridyl)-3- (2-pyridylsulfonyl) indole (Compound 27 1)
性状:淡黄色粉末 Properties: pale yellow powder
融点: 225— 228 °C Melting point: 225—228 ° C
'H-NMR(CDC13) δ : 2.28 (3Η, s) , 2.78 (6H, s) , 7.08 (IH, d, J=7Hz) , 'H-NMR (CDC1 3) δ: 2.28 (3Η, s), 2.78 (6H, s), 7.08 (IH, d, J = 7Hz),
7.28-7.36 (2H, m), 7.38 (IH, t, J=7Hz) , 7.46-7.51 (IH, m), 7.55 (IH, d, J=8Hz) , 7.28-7.36 (2H, m), 7.38 (IH, t, J = 7Hz), 7.46-7.51 (IH, m), 7.55 (IH, d, J = 8Hz),
7.62 (1H, d, J=9Hz) , 7.94-8.00 (2H, m), 8.20-8.28 (3H, m), 8.52 (1H, s), 7.62 (1H, d, J = 9Hz), 7.94-8.00 (2H, m), 8.20-8.28 (3H, m), 8.52 (1H, s),
8.54(1H, d, J=9Hz), 8.66 (IH, d, J=5Hz) 8.54 (1H, d, J = 9Hz), 8.66 (IH, d, J = 5Hz)
実施例 25 (1) Example 25 (1)
1 - (3—ジメチルァミノ— 2—メチルベンゾィル) 一 2—メチル _ 3—フエ二 ルスルホニルー 5— ( 2—スルファモイルフエニル) インドール (化合 物 272) 1- (3-Dimethylamino-2-methylbenzoyl) 1-2-methyl-3-phenylsulfonyl-5- (2-sulfamoylphenyl) indole (Compound 272)
5— (2_ (N— t e r t—ブチルスルファモイル) フエニル) —2—メチル —3—フエニルスルホニルインドール 9 Omgをテトラヒドロフラン 4mlに溶 解し、 氷冷下に水素化ナトリウム (60%) 2 Omg, 3—ジメチルアミノー 2 一メチルベンゾィルクロリド 89 m gを加え室温で 5時間、 60 °Cで 1時間攪拌 した。 反応液に 4 %水酸化ナトリゥム水溶液を加え酢酸ェチルで抽出し、 無水硫 酸マグネシウムで乾燥後濃縮した。 残渣をカラムクロマト (シリカゲル;へキサ ンノ酢酸ェチル =4 1) に付した。 5- (2_ (N-tert-butylsulfamoyl) phenyl) -2-methyl-3-phenylsulfonylindole 9 Omg is dissolved in 4 ml of tetrahydrofuran, and sodium hydride (60%) 2 Omg under ice cooling. 89 mg of, 3-dimethylamino-2 monomethylbenzoyl chloride was added, and the mixture was stirred at room temperature for 5 hours and at 60 ° C for 1 hour. A 4% aqueous sodium hydroxide solution was added to the reaction solution, extracted with ethyl acetate, dried over anhydrous magnesium sulfate, and concentrated. The residue was subjected to column chromatography (silica gel; ethyl hexanoacetate = 41).
残渣をトリフルォロ酢酸 2mlに溶解し室温で 3日攪拌した。 反応液を濃縮し、 飽和炭酸ナトリゥム水溶液で中和後酢酸ェチルで抽出した。 無水硫酸マグネシゥ ムで乾燥後濃縮することにより上記化合物を 44 m g得た。 The residue was dissolved in 2 ml of trifluoroacetic acid and stirred at room temperature for 3 days. The reaction solution was concentrated, neutralized with a saturated aqueous solution of sodium carbonate, and extracted with ethyl acetate. After drying with anhydrous magnesium sulfate and concentration, 44 mg of the above compound was obtained.
性状:黄色粉末 Properties: yellow powder
融点: 1 1 8 _ 12 1 °C 'H-NMR(CDC13) 6 : 2.29 (3H, s) , 2.70 (3H, s) , 2.73 (6H, s) , 4.26 (2H, s) , 7.00-7.03 (IH, m),7.12 (IH, d, J=9Hz) , 7.21-7.31 (3H, m) , 7.34-7.39 (IH, m) , 7.49-7.65 (5H, m),8.01 (2H, d, J=8Hz) , 8.18 (1H, d, J=8Hz) , 8.26 (IH, s) 実施例 25 ( 2 ) - ( 6 ) Melting point: 1 18 _ 12 1 ° C 'H-NMR (CDC1 3) 6: 2.29 (3H, s), 2.70 (3H, s), 2.73 (6H, s), 4.26 (2H, s), 7.00-7.03 (IH, m), 7.12 (IH , d, J = 9Hz), 7.21-7.31 (3H, m), 7.34-7.39 (IH, m), 7.49-7.65 (5H, m), 8.01 (2H, d, J = 8Hz), 8.18 (1H, d, J = 8Hz), 8.26 (IH, s) Example 25 (2)-(6)
実施例 25 (1) と同様にして、 以下の (化合物 273) — (化合物 277) を得た。 The following (Compound 273) — (Compound 277) were obtained in the same manner as in Example 25 (1).
実施例 25 (2) Example 25 (2)
1一 (2, 4—ジメトキシベンゾィル) — 2—メチル _ 3 _フエニルスルホニル - 5 - (2—スルファモイルフエニル) インドール (化合物 273) 1- (2,4-dimethoxybenzoyl) — 2-methyl_ 3 _phenylsulfonyl-5- (2-sulfamoylphenyl) indole (Compound 273)
性状:無色粉末 Properties: colorless powder
融点: 123— 126°C Melting point: 123-126 ° C
'H-NMR(CDC13) 6 : 2.74 (3H, s) , 3.42 (3Η, s) , 3.90 (3H, s) , 4.26 (2H, s) , 'H-NMR (CDC1 3) 6: 2.74 (3H, s), 3.42 (3Η, s), 3.90 (3H, s), 4.26 (2H, s),
6.40 (IH, d, J=2Hz) , 6.62 (IH, dd, J=8Hz, J=2Hz), 7.19 (1H, d, J=9Hz), 6.40 (IH, d, J = 2 Hz), 6.62 (IH, dd, J = 8 Hz, J = 2 Hz), 7.19 (1H, d, J = 9 Hz),
7.21-7.28 (IH, m) , 7.39 (1H, d, J=6Hz), 7.44-7.59 (4H, m), 7.59-7.67 (2H, m), 7.21-7.28 (IH, m), 7.39 (1H, d, J = 6Hz), 7.44-7.59 (4H, m), 7.59-7.67 (2H, m),
7.97-8.02 (2H, m),8.17 (IH, d, J=8Hz) , 8.23 (IH, s) 7.97-8.02 (2H, m), 8.17 (IH, d, J = 8Hz), 8.23 (IH, s)
実施例 25 (3) Example 25 (3)
1一 (3—メトキシ— 2—メチルベンゾィル) — 2—メチルー 3—フエニルスル ホニル—5— (2—スルファモイルフエニル) インドール (化合物 274) 性状:淡褐色粉末 1- (3-Methoxy-2-methylbenzoyl) — 2-methyl-3-phenylsulfonyl-5- (2-sulfamoylphenyl) indole (Compound 274) Properties: Light brown powder
融点: 128— 131 °C Melting point: 128- 131 ° C
'H-NMR(CDC13) δ 2.24 (3Η, s) , 2.69 (3Η, s) , 3.91 (3Η, s) , 4.26 (2Η, s) ,'H-NMR (CDC1 3 ) δ 2.24 (3Η, s), 2.69 (3Η, s), 3.91 (3Η, s), 4.26 (2Η, s),
6.92 (IH, d, J=8Hz) , 7.09 (1H, d, J=8Hz), 7.18 (1H, d, J=8Hz), 7.21-7.30 (1H, m),6.92 (IH, d, J = 8Hz), 7.09 (1H, d, J = 8Hz), 7.18 (1H, d, J = 8Hz), 7.21-7.30 (1H, m),
7.36 (IH, d, J=8Hz), 7.48-7.62 (6H, m),8.01 (2H, d, J=8Hz) ,8.19 (1H, d, J=7Hz), 8.27(lH,s) 7.36 (IH, d, J = 8Hz), 7.48-7.62 (6H, m), 8.01 (2H, d, J = 8Hz), 8.19 (1H, d, J = 7Hz), 8.27 (lH, s)
実施例 25 (4) Example 25 (4)
1一 (3—ジメチルアミノー 2—メチルベンゾィル) _2—メチル_3_ (2 - ピリジルスルホニル) —5— (2—スルファモイルフエ二ル) インドール (化合 物 275) 1- (3-dimethylamino-2-methylbenzoyl) _2-methyl_3_ (2- Pyridylsulfonyl) -5- (2-sulfamoylphenyl) indole (Compound 275)
性状:淡黄色粉末 Properties: pale yellow powder
融点: 122— 125 Melting point: 122-125
'H-NMR(CDC13) δ : 2.28 (3Η, s) , 2.71 (3Η, s) , 2.73 (6Η, s) , 5.08 (2Η, s) , 'H-NMR (CDC1 3) δ: 2.28 (3Η, s), 2.71 (3Η, s), 2.73 (6Η, s), 5.08 (2Η, s),
7.03 (1Η, d, J=8Hz) , 7.08 (1Η, d, J=9Hz) , 7.18—7.21 (IH, m) , 7.21-7.30 (2H, m) ,7.03 (1Η, d, J = 8Hz), 7.08 (1Η, d, J = 9Hz), 7.18—7.21 (IH, m), 7.21-7.30 (2H, m),
7.36 (1H, d, J-7Hz) , 7.46—7.53 (2H, m), 7.57-7.61 (1H, m), 8.17-8.22 (2H, m),7.36 (1H, d, J-7Hz), 7.46-7.53 (2H, m), 7.57-7.61 (1H, m), 8.17-8.22 (2H, m),
8.42 (1H, d, J=2Hz), 8.65 (1H, d, J=5Hz) 8.42 (1H, d, J = 2Hz), 8.65 (1H, d, J = 5Hz)
実施例 25 (5) Example 25 (5)
1- (2, 6—ジメトキシニコチノィル) 一 2—メチル _3_ (2—ピリジルス ルホニル) — 5_ (2—スルファモイルフエニル) インドール (化合物 276) 性状:褐色粉末 1- (2,6-dimethoxynicotinol) -1-2-methyl_3_ (2-pyridylsulfonyl) — 5_ (2-sulfamoylphenyl) indole (Compound 276) Properties: brown powder
融点: 123— 125で Melting point: 123-125
'H-NMR(CDC13) δ : 2.75 (3Η, s) , 3.62 (3H, s) , 4.00 (3Η, s) , 5.08 (2Η, s) , 'H-NMR (CDC1 3) δ: 2.75 (3Η, s), 3.62 (3H, s), 4.00 (3Η, s), 5.08 (2Η, s),
6.47 (IH, d, J=8Hz), 7.22 (1H, s), 7.39 (IH, d, J=8Hz), 7.46-7.54 (2H, m) ,6.47 (IH, d, J = 8Hz), 7.22 (1H, s), 7.39 (IH, d, J = 8Hz), 7.46-7.54 (2H, m),
7.60 (1H, t, J=8Hz) , 7.90-7.98 (2H, m),8.18 (IH, d, J=8Hz) ,8.22 (IH, d, J=8Hz) , 8.40(1H, s),8.64(1H, s) 7.60 (1H, t, J = 8Hz), 7.90-7.98 (2H, m), 8.18 (IH, d, J = 8Hz), 8.22 (IH, d, J = 8Hz), 8.40 (1H, s), 8.64 (1H, s)
実施例 25 (6) Example 25 (6)
2- (1- (3—ジメチルァミノ一 2 _メチルベンゾィル) 一 5_ (2—スルフ ァモイルフエニル) 一 2 _メチルインドールー 3—ィルスルホニル) 安息香酸べ ンジル (化合物 277) 2- (1- (3-Dimethylamino-1-methylbenzoyl) -1-5_ (2-sulfamoylphenyl) -1-methylindole-3-ylsulfonyl) Benzyl benzoate (Compound 277)
性状:黄色粉末 Properties: yellow powder
融点: 130_ 132t: Melting point: 130_ 132t:
'H-NMR(CDC13) δ : 2.32 (3Η, s) , 2.49 (3Η, s) , 2.88 (6Η, s) , 4.60 (2Η, brs) , 5.06 (2Η, s) , 7.05 (1Η, d, J=9Hz) , 7.09 (IH, d, J=8Hz) , 7.21-7.34 (8H, m), 'H-NMR (CDC1 3) δ: 2.32 (3Η, s), 2.49 (3Η, s), 2.88 (6Η, s), 4.60 (2Η, brs), 5.06 (2Η, s), 7.05 (1Η, d , J = 9Hz), 7.09 (IH, d, J = 8Hz), 7.21-7.34 (8H, m),
7.39 (1H, d, J=8Hz) , 7.48-7.54 (IH, m) , 7.54-7.67 (4H, m) ,8.14(lH,s), 8.16(lH,d, J=9Hz),8.22(1H, d, J=7Hz) 7.39 (1H, d, J = 8Hz), 7.48-7.54 (IH, m), 7.54-7.67 (4H, m), 8.14 (lH, s), 8.16 (lH, d, J = 9Hz), 8.22 (1H, d, J = 7Hz)
実施例 2 6 (1) Example 2 6 (1)
5— (2—スルファモイルフエ二ル) 一 1— (4ーメトキシベンゾィル) 一 3— ホルミルインドール (化合物 2 7 8) 5- (2-sulfamoylphenyl) 1-1- (4-methoxybenzoyl) 1-3-formylindole (compound 278)
5— (2— (N— t e r t—ブチルスルファモイル) フエニル) 一 1— (4— メトキシベンゾィル) 一 3—ホルミルインドール 0. 5 7 gをトリフルォロ酢酸 1 2m lに溶解し室温で 1 7時間攪拌した。 反応液を濃縮し、 飽和炭酸水素ナト リウム水溶液を加えクロ口ホルムで抽出した。 無水硫酸マグネシウムで乾燥後濃 縮した。 残渣をカラムクロマト (シリカゲル;クロ口ホルム) に付し上記化合物 を 4 Omg得た。 5- (2- (N-tert-butylsulfamoyl) phenyl) 1-1- (4-methoxybenzoyl) 13-formylindole 0.57 g was dissolved in 12 ml of trifluoroacetic acid, Stir for 7 hours. The reaction solution was concentrated, a saturated aqueous solution of sodium hydrogen carbonate was added, and the mixture was extracted with chloroform. After drying over anhydrous magnesium sulfate, it was concentrated. The residue was subjected to column chromatography (silica gel; black form) to give 4 Omg of the above compound.
性状:無色粉末 Properties: colorless powder
融点: 20 7— 2 1 0 Melting point: 20 7—2 1 0
'H-NMR(CDC13) δ 3.95 (3Η, s) , 4.03 (2Η, s) , 7.10 (2H, d, J=9Hz) , 'H-NMR (CDC1 3 ) δ 3.95 (3Η, s), 4.03 (2Η, s), 7.10 (2H, d, J = 9Hz),
7.43 (1H, d, J=7Hz), 7.52-7.69 (3H, m) , 7.83 (2H, d, J=9Hz) ,8. ll(lH,s), 7.43 (1H, d, J = 7Hz), 7.52-7.69 (3H, m), 7.83 (2H, d, J = 9Hz), 8.ll (lH, s),
8.20 (1H, d, J=7Hz) , 8.32 (1H, d, J=9Hz), 8.38 (1H, s), 10.08 (1H, s) 8.20 (1H, d, J = 7Hz), 8.32 (1H, d, J = 9Hz), 8.38 (1H, s), 10.08 (1H, s)
実施例 2 6 ( 2 ) — ( 6 ) Example 26 (2) — (6)
実施例 26 (1) と同様にして、 以下の (化合物 2 7 9) - (化合物 283) を得た。 The following (Compound 2779)-(Compound 283) was obtained in the same manner as in Example 26 (1).
実施例 26 (2) Example 26 (2)
5 - (2—スルファモイルフエニル) 一 1— (4—メトキシベンゾィル) _ 3— (2 _ピリジルスルホニル) インドール (化合物 2 7 9) 5- (2-Sulfamoylphenyl) -1- (4-methoxybenzoyl) _3- (2-pyridylsulfonyl) indole (Compound 2 79)
性状:無色粉末 Properties: colorless powder
融点: 2 24— 2 2 7 : Melting point: 2 24— 2 2 7:
'H-NMR(CDC13) δ : 3.94 (3Η, s) , 4.89 (2Η, s) , 7.07 (2Η, d, J=9Hz) , 'H-NMR (CDC1 3) δ: 3.94 (3Η, s), 4.89 (2Η, s), 7.07 (2Η, d, J = 9Hz),
7.41 (1H, d, J=7Hz), 7.48-7.57 (3H, m), 7.61-7.66 (1H, m), 7.78 (2H, d, J=9Hz), 7.41 (1H, d, J = 7Hz), 7.48-7.57 (3H, m), 7.61-7.66 (1H, m), 7.78 (2H, d, J = 9Hz),
7.95 (1H, t, J=7Hz), 8.16(1H, s) , 8.18-8.24 (2H, m), 8.32 (1H, s) , 8.35(lH,d, J=9Hz),8.62-8.68 (lH, m) 7.95 (1H, t, J = 7Hz), 8.16 (1H, s), 8.18-8.24 (2H, m), 8.32 (1H, s), 8.35 (lH, d, J = 9Hz), 8.62-8.68 (lH, m)
実施例 26 (3) Example 26 (3)
5 - (2—スルファモイルフエニル) — 1— (4—メトキシベンゾィル) _3— (4一メチルフエニルスルホニル) インドール (化合物 280) 5-(2-Sulfamoylphenyl)-1-(4-methoxybenzoyl) _3-(4-Methylphenylsulfonyl) indole (Compound 280)
性状:無色粉末 Properties: colorless powder
融点: 205— 207 °C Melting point: 205—207 ° C
Ή -腿(CDC13) δ : 2.39 (3Η, s) , 3.96 (3Η, s) , 4.23 (2H, s) , 7.09 (2H, d, J=9Hz) , 7.29 (2H, d, J=9Hz) , 7.37 (IH, d, J=7Hz) , 7.50-7.58 (2H, m), 7.61-7.65 (1H, m) ,E - thigh (CDC1 3) δ: 2.39 ( 3Η, s), 3.96 (3Η, s), 4.23 (2H, s), 7.09 (2H, d, J = 9Hz), 7.29 (2H, d, J = 9Hz ), 7.37 (IH, d, J = 7Hz), 7.50-7.58 (2H, m), 7.61-7.65 (1H, m),
7.79 (2H, d, J=9Hz) ,7.91 (1H, d, J=9Hz), 8.09 (1H, s), 8.10 (IH, s), 7.79 (2H, d, J = 9Hz), 7.91 (1H, d, J = 9Hz), 8.09 (1H, s), 8.10 (IH, s),
8.21 (IH, d, J=7Hz) , 8.34 (IH, d, J=9Hz) 8.21 (IH, d, J = 7Hz), 8.34 (IH, d, J = 9Hz)
実施例 26 (4) Example 26 (4)
5— (2—スルファモイルフエ二ル) — 1— (4ージメチルァミノべンゾィル) 一 2 _メチル _ 3—フエニルスルホニルインドール (化合物 281) 5— (2-Sulfamoylphenyl) — 1— (4-Dimethylaminobenzoyl) 1 2 _methyl -3- 3-phenylsulfonylindole (Compound 281)
性状:黄色粉末 Properties: yellow powder
融点: 138— 140 Melting point: 138-140
'H-NMR(CDC13) 6 2.75 (3H, s) , 3.13 (6H, s) , 4.28 (2Η, s), 6.67 (2H, d, J=9Hz), 7.18-7.25 (2H, m) , 7.25-7.30 (1H, m) , 7.39 (IH, d, J=9Hz), 7.46-7.58 (3H, m) , 7.58-7.68 (3H, m), 8.03 (2H, d, J=9Hz), 8.20 (1H, d, J=9Hz), 8.24 (IH, s) 実施例 26 (5) 'H-NMR (CDC1 3) 6 2.75 (3H, s), 3.13 (6H, s), 4.28 (2Η, s), 6.67 (2H, d, J = 9Hz), 7.18-7.25 (2H, m), 7.25-7.30 (1H, m), 7.39 (IH, d, J = 9Hz), 7.46-7.58 (3H, m), 7.58-7.68 (3H, m), 8.03 (2H, d, J = 9Hz), 8.20 (1H, d, J = 9Hz), 8.24 (IH, s) Example 26 (5)
5 - (2—スルファモイルフエニル) 一 1_ (3—ジメチルァミノべンゾィル) _ 2—メチル _ 3—フエニルスルホニルインドール (化合物 282) 5- (2-Sulfamoylphenyl) -1- (3-dimethylaminobenzyl) _2-Methyl_3-phenylsulfonylindole (Compound 282)
性状:黄色粉末 Properties: yellow powder
融点: 122— 125 Melting point: 122-125
'H-NMR(CDC13) δ : 2.75 (3Η, s) , 3.00 (6Η, s) , 4.27 (2H, s) , 6.93 (IH, d, J=8Hz) , 'H-NMR (CDC1 3) δ: 2.75 (3Η, s), 3.00 (6Η, s), 4.27 (2H, s), 6.93 (IH, d, J = 8Hz),
7.01 (IH, d, J=8Hz) , 7.09 (IH, s),7.18 (1H, d, J=9Hz), 7.21-7.30 (1H, m), 7.01 (IH, d, J = 8Hz), 7.09 (IH, s), 7.18 (1H, d, J = 9Hz), 7.21-7.30 (1H, m),
7.32 (1H, t, J=8Hz), 7.38 (1H, d, J=7Hz), 7.49-7.65 (5H, m) , 8.03 (2H, d, J=8Hz) , 8.18(lH,d, J=8Hz),8.25(lH, s) 7.32 (1H, t, J = 8Hz), 7.38 (1H, d, J = 7Hz), 7.49-7.65 (5H, m), 8.03 (2H, d, J = 8Hz), 8.18 (lH, d, J = 8Hz), 8.25 (lH, s)
実施例 26 (6) Example 26 (6)
5 - (2—スルファモイルフエニル) 一 1 _ (3—ジメチルァミノべンゾィル) —3— (2—ピリジルスルホニル) インドール (化合物 283) 5- (2-Sulfamoylphenyl) 1-1_ (3-dimethylaminobenzyl) —3- (2-pyridylsulfonyl) indole (Compound 283)
性状:黄色粉末 Properties: yellow powder
融点: 1 33— 1 35 °C Melting point: 133-1 35 ° C
'H-NMR(CDC13) δ : 3.03 (6Η, s) , 4.91 (2Η, s) , 6.96-7.01 (3Η, m) , 'H-NMR (CDC1 3) δ: 3.03 (6Η, s), 4.91 (2Η, s), 6.96-7.01 (3Η, m),
7.38-7.42 (2Η, m), 7.45-7.59 (3H, m) , 7.64 (IH, t, J=8Hz), 7.94 (1H, t, J=6Hz), 8.15—8.24 (3H, m), 8.33 (IH, s), 8.45 (1H, d, J=9Hz), 8.66 (IH, d, J=4Hz) 実施例 27 7.38-7.42 (2Η, m), 7.45-7.59 (3H, m), 7.64 (IH, t, J = 8Hz), 7.94 (1H, t, J = 6Hz), 8.15—8.24 (3H, m), 8.33 (IH, s), 8.45 (1H, d, J = 9Hz), 8.66 (IH, d, J = 4Hz)
2 - (1 - (3—ジメチルアミノー 2—メチルベンゾィル) — 5— (2—スルフ ァモイルフエニル) 一 2—メチルインドール— 3—ィルスルホニル) 安息香酸 (化合物 284) 2- (1- (3-dimethylamino-2-methylbenzoyl) — 5- (2-sulfamoylphenyl) -1-methylindole-3-ylsulfonyl) benzoic acid (Compound 284)
2— (1— (3—ジメチルァミノ _ 2—メチルベンゾィル) 一5— (2—スル ファモイルフエ二ル) —2—メチルインドール— 3—ィルスルホニル) 安息香酸 ベンジル 0. 29 gをメタノール 8m 1に溶解し水酸化パラジウムオンカーボン 0. 12 gを加え水素雰囲気下、 室温で 3日間攪拌した。 触媒をろ過し、 ろ液を 濃縮することにより上記化合物を 0. 24 g得た。 2- (1— (3-Dimethylamino_2-methylbenzoyl) -1- (2-sulfamoylphenyl) —2-methylindole-3-ylsulfonyl) Dissolve 0.29 g of benzyl benzoate in 8 ml of methanol and water 0.12 g of palladium oxide on carbon was added, and the mixture was stirred under a hydrogen atmosphere at room temperature for 3 days. The catalyst was filtered, and the filtrate was concentrated to obtain 0.24 g of the above compound.
性状:黄色粉末 Properties: yellow powder
融点: 1 64— 168 : Melting point: 1 64— 168:
'H-NMR(CDC13) δ : 2.18 (3H, s) , 2.53 (3H, s) , 2.66 (6H, s), 7.08 (IH, d, J=9Hz) , 7.13-7.19(2H, m),7.26(2H, t, J=6Hz) , 7.34 (IH, t, J=8Hz) , 7.39 (IH, d, J=8Hz), 7.57-7.68 (3H, m), 7.74 (IH, t, J=7Hz) , 7.90 (IH, s), 8.05 (IH, d, J=8Hz) , 8.14(lH,d, J=8Hz) 'H-NMR (CDC1 3) δ: 2.18 (3H, s), 2.53 (3H, s), 2.66 (6H, s), 7.08 (IH, d, J = 9Hz), 7.13-7.19 (2H, m) , 7.26 (2H, t, J = 6 Hz), 7.34 (IH, t, J = 8 Hz), 7.39 (IH, d, J = 8 Hz), 7.57-7.68 (3H, m), 7.74 (IH, t, J = 7Hz), 7.90 (IH, s), 8.05 (IH, d, J = 8Hz), 8.14 (lH, d, J = 8Hz)
実施例 28 Example 28
5- (2- (N—ァセチルスルファモイル) フエニル) 一 1一 (4—ジメチルァ ミノべンゾィル) 一 2—メチルー 3—フエニルスルホニルインドール (化合物 2 85) 5- (2- (N-acetylsulfamoyl) phenyl) 1 1 1 (4—dimethyla Minobenzyl) 1-Methyl-3-phenylsulfonylindole (Compound 285)
1— (4ージメチルァミノべンゾィル) 一 2—メチル— 3—フエニルスルホニ ル—5— (2—スルファモイルフエニル) インドール 4 Omgをテトラヒドロフ ラン 2m lに溶解し、 水素化ナトリウム (60%) 4mg、 ァセチルクロリド 6 1を加え室温で 6時間攪拌した。 反応液に水を加えクロ口ホルムで抽出し、 無 水硫酸マグネシウムで乾燥後濃縮した。 残渣をカラムクロマト (シリカゲル;ク ロロホルム) に付し上記化合物を 1 lmg得た。 1- (4-Dimethylaminobenzoyl) 1-2-methyl-3-phenylsulfonyl-5- (2-sulfamoylphenyl) indole 4 Omg was dissolved in 2 ml of tetrahydrofuran, 4 mg of sodium hydride (60%), Acetyl chloride 61 was added and the mixture was stirred at room temperature for 6 hours. Water was added to the reaction solution, and the mixture was extracted with chloroform. The extract was dried over anhydrous magnesium sulfate and concentrated. The residue was subjected to column chromatography (silica gel; chloroform) to obtain 1 mg of the above compound.
性状:淡黄色粉末 Properties: pale yellow powder
融点: 144— 146で Melting point: 144-146
'H-NMR(CDC13) δ : 1.98 (3Η, s) , 2.75 (3H, s) , 3.13 (6Η, s) , 6.66 (2Η, d, J=9Hz) , 7.12-7.20 (2H, m) , 7.39 (1H, d, J=7Hz), 7.47-7.54 (2H, m), 7.54-7.61 (2H, m), 7.61-7.70 (3H, m) , 8.00 (2H, d, J=8Hz) ,8.19 (1H, s), 8.40 (1H, d, J=8Hz) 実施例 29 'H-NMR (CDC1 3) δ: 1.98 (3Η, s), 2.75 (3H, s), 3.13 (6Η, s), 6.66 (2Η, d, J = 9Hz), 7.12-7.20 (2H, m) , 7.39 (1H, d, J = 7Hz), 7.47-7.54 (2H, m), 7.54-7.61 (2H, m), 7.61-7.70 (3H, m), 8.00 (2H, d, J = 8Hz), 8.19 (1H, s), 8.40 (1H, d, J = 8Hz)
3 _ジメチルァミノ _ 2 _メチル安息香酸 (化合物 286) 3 _dimethylamino_2 _methylbenzoic acid (Compound 286)
3—ァミノ— 2—メチル安息香酸 5 g、 炭酸カリウム 13. 7 を ^, N—ジ メチルホルムアミド 5 Om 1に加え、 室温でジメチル硫酸 3 Omlを滴下した。 反応液を 80 で 18時間加熱した。 反応液に水を加えジェチルエーテルで抽出 し、 無水硫酸マグネシウムで乾燥後濃縮した。 残渣をテトラヒドロフラン 160 m 1に溶解し、 4 %水酸化ナトリウム 70 m 1を加え 2日間還流した。 反応液を 濃縮しクェン酸で中和した。 酢酸ェチルで抽出し無水硫酸マグネシウムで乾燥後 濃縮し標記化合物を 3. 46 g得た。 5 g of 3-amino-2-methylbenzoic acid and 13.7 potassium carbonate were added to 5 Om1 of ^, N-dimethylformamide, and 3 Oml of dimethyl sulfate was added dropwise at room temperature. The reaction was heated at 80 for 18 hours. Water was added to the reaction solution, extracted with getyl ether, dried over anhydrous magnesium sulfate and concentrated. The residue was dissolved in tetrahydrofuran (160 ml), 4% sodium hydroxide (70 ml) was added, and the mixture was refluxed for 2 days. The reaction solution was concentrated and neutralized with citric acid. The mixture was extracted with ethyl acetate, dried over anhydrous magnesium sulfate and concentrated to obtain 3.46 g of the title compound.
性状:無色粉末 Properties: colorless powder
融点: 125— 127 °C Melting point: 125-127 ° C
'H-NMR(DMSO-d6) δ 2.41 (3Η, s) , 2.62 (6Η, s) , 7.18-7.25 (2Η, m) , 'H-NMR (DMSO-d 6 ) δ 2.41 (3Η, s), 2.62 (6Η, s), 7.18-7.25 (2Η, m),
7.35-7.40 (1Η, m) 実施例 30 (1) 7.35-7.40 (1Η, m) Example 30 (1)
5—ヒドロキシ— 1— (4—メトキシベンゾィル) 一 3— (4—メチルフエニル スルホ二ル) インドール (化合物 287) 5-Hydroxy-1- (4-methoxybenzoyl) -1-3- (4-methylphenylsulfonyl) indole (Compound 287)
5—べンジルォキシ一 1— (4ーメトキシベンゾィル) 一3— (4—メチルフ ェニルスルホニル) インドール 0. 6 gをテトラヒドロフラン 2m l、 メタノー ル 4mlに溶解し水酸化パラジウムオン力一ボン 0. 1 5 gを加え水素雰囲気下 室温で 1日攪拌した。 触媒をろ過し、 ろ液を濃縮した。 残渣をカラムクロマト (シリカゲル;クロ口ホルム) に付し上記化合物を 0. 1 7 g得た。 Dissolve 0.6 g of 5-benzyloxy 1- (4-methoxybenzoyl) -13- (4-methylphenylsulfonyl) indole in 2 ml of tetrahydrofuran and 4 ml of methanol. 15 g was added, and the mixture was stirred at room temperature under a hydrogen atmosphere for 1 day. The catalyst was filtered, and the filtrate was concentrated. The residue was subjected to column chromatography (silica gel; black form) to obtain 0.17 g of the above compound.
性状:無色粉末 Properties: colorless powder
融点: 1 74 _ 176 °C Melting point: 1 74 _ 176 ° C
'H-NMR(CDC13) δ : 2.38 (3Η, s), 3.93 (3H, s) , 5.48 (1Η, s) , 6.94 (IH, d, J=9Hz), 7.05 (2H, d, J=9Hz) , 7.28 (2H, d, J=8Hz), 7.32 (IH, d, J=3Hz) , 7.74 (2H, d, J=9Hz), 7.88 (2H, d, J=8Hz) , 8.01 (IH, s) , 8.13 (IH, d, J=8Hz) 'H-NMR (CDC1 3) δ: 2.38 (3Η, s), 3.93 (3H, s), 5.48 (1Η, s), 6.94 (IH, d, J = 9Hz), 7.05 (2H, d, J = 9Hz), 7.28 (2H, d, J = 8Hz), 7.32 (IH, d, J = 3Hz), 7.74 (2H, d, J = 9Hz), 7.88 (2H, d, J = 8Hz), 8.01 (IH , s), 8.13 (IH, d, J = 8Hz)
実施例 30 (2) Example 30 (2)
実施例 30 (1) と同様にして、 以下の (化合物 288) を得た。 The following (Compound 288) was obtained in the same manner as in Example 30 (1).
1 - (4—ジメチルァミノべンゾィル) —5—ヒドロキシ— 3—フエニルスルホ ニルインドール (化合物 288) 1- (4-Dimethylaminobenzoyl) -5-hydroxy-3-phenylsulfonylindole (Compound 288)
性状:淡黄色粉末 Properties: pale yellow powder
融点: 197— 200で Melting point: 197-200
'H-NMR(CDC13) δ : 3.13 (6Η, s) , 5.01 (IH, s) , 6.74 (2H, d, J=9Hz) , 'H-NMR (CDC1 3) δ: 3.13 (6Η, s), 5.01 (IH, s), 6.74 (2H, d, J = 9Hz),
6.93 (IH, dd, J=9Hz, J=2Hz), 7.32 (IH, d, J=2Hz) , 7.47-7.51 (2H, m) , 6.93 (IH, dd, J = 9Hz, J = 2Hz), 7.32 (IH, d, J = 2Hz), 7.47-7.51 (2H, m),
7.51-7.58 (1H, m), 7.70 (2H, d, J=9Hz) ,8.01 (2H, d, J=8Hz), 8.07 (IH, d, J=9Hz) , 8.12(lH,s) 7.51-7.58 (1H, m), 7.70 (2H, d, J = 9Hz), 8.01 (2H, d, J = 8Hz), 8.07 (IH, d, J = 9Hz), 8.12 (lH, s)
実施例 31 (1) Example 31 (1)
(1— (4ーメトキシベンゾィル) —3— (4—メチルフエニルスルホニル) ィ ンドール一 5—ィル) ォキシ酢酸ェチル (化合物 289) 5—ヒドロキシ— 1一 (4—メトキシベンゾィル) —3— (4—メチルフエ二 ルスルホニル) インド一ル 5 Omgをテトラヒドロフラン 2m 1に溶解し、 水素 化ナトリウム (60%) 6mg、 ブロモ酢酸ェチル 20 1を加え室温で 1時間 攪拌した。 反応液に水を加え酢酸ェチルで抽出し、 無水硫酸マグネシウムで乾燥 後濃縮した。 残渣をへキサンで粉末化し上記化合物を 52mg得た。 (1- (4-Methoxybenzoyl) -3- (4-methylphenylsulfonyl) indole-5-yl) ethyl oxyacetate (Compound 289) 5-Hydroxy-11- (4-methoxybenzoyl) -3- (4-methylphenylsulfonyl) Indole 5Omg was dissolved in tetrahydrofuran 2m1, sodium hydride (60%) 6mg, ethyl bromoacetate 201 was added and the mixture was stirred at room temperature for 1 hour. Water was added to the reaction solution, extracted with ethyl acetate, dried over anhydrous magnesium sulfate, and concentrated. The residue was triturated with hexane to obtain 52 mg of the above compound.
性状:褐色粉末 Properties: brown powder
融点: 20 1— 204°C Melting point: 20 1—204 ° C
'H-NMR(CDC13) 6 : 1.27 (3H, t, J=7Hz) , 2.37 (3H, s) , 3.92 (3H, s) , 'H-NMR (CDC1 3) 6: 1.27 (3H, t, J = 7Hz), 2.37 (3H, s), 3.92 (3H, s),
4.24 (2H, q, J=7Hz), 4.87 (2H, s), 7.01 (2H, d, J=9Hz) ,7.18(1H, dd, J=9Hz, J=2Hz) , 4.24 (2H, q, J = 7Hz), 4.87 (2H, s), 7.01 (2H, d, J = 9Hz), 7.18 (1H, dd, J = 9Hz, J = 2Hz),
7.21-7.30 (3H, m), 7.75 (1H, d, J=2Hz), 7.84 (1H, s), 7.89 (2H, d, J=8Hz) , 7.21-7.30 (3H, m), 7.75 (1H, d, J = 2Hz), 7.84 (1H, s), 7.89 (2H, d, J = 8Hz),
8.18(2H,d, J=9Hz) 8.18 (2H, d, J = 9Hz)
実施例 3 1 (2) 一 (3) Example 3 1 (2) One (3)
実施例 31 (1) と同様にして、 以下の (化合物 290) - (化合物 291) を得た。 The following (Compound 290)-(Compound 291) were obtained in the same manner as in Example 31 (1).
実施例 3 1 (2) Example 3 1 (2)
( 1 - (4—メトキシベンゾィル) _3— (4—メチルフエニル) スルホ二ルイ ンドール— 5—ィル) ォキシ酢酸 t e r t—ブチル (化合物 290) (1-(4-methoxybenzoyl) _3- (4-methylphenyl) sulfonylindole-5-yl) tert-butyl oxyacetate (Compound 290)
性状:無色粉末 Properties: colorless powder
融点: 184— 186 °C Melting point: 184-186 ° C
'H-NMR(CDC13) δ : 1.44 (9Η, s) , 2.36 (3Η, s) , 3.92 (3Η, s) , 4.76 (2Η, s) , 'H-NMR (CDC1 3) δ: 1.44 (9Η, s), 2.36 (3Η, s), 3.92 (3Η, s), 4.76 (2Η, s),
7.01 (2Η, d, J=9Hz) , 7.18-7.20 (1H, m), 7.25-7.29 (3H, m) , 7.75 (1H, s), 7.01 (2Η, d, J = 9Hz), 7.18-7.20 (1H, m), 7.25-7.29 (3H, m), 7.75 (1H, s),
7.83 (1H, s), 7.89 (2H, d, J=9Hz),8.18 (2H, d, J=9Hz) 7.83 (1H, s), 7.89 (2H, d, J = 9Hz), 8.18 (2H, d, J = 9Hz)
実施例 3 1 (3) Example 3 1 (3)
(1— (4—ジメチルァミノべンゾィル) 一 3—フエニルスルホニルインドール 一 5—ィル) ォキシ酢酸 t e r t一ブチル (化合物 29 1) (1- (4-dimethylaminobenzoyl) -1-3-phenylsulfonylindole-1-5-yl) t-tert-butyl oxyacetate (Compound 291)
性状:無色粉末 融点: 107— 109 °C Properties: colorless powder Melting point: 107-109 ° C
'H-NMR(CDC13) δ : 1.43 (9H, s) , 3.10 (6H, s) , 4.76 (2H, s) , 6.72 (2H, d, J=9Hz) , 7.17-7.21 (2H, m), 7.42-7.51 (3H, m), 7.76 (1H, d, J=2Hz) , 7.84 (IH, s) , 'H-NMR (CDC1 3) δ: 1.43 (9H, s), 3.10 (6H, s), 4.76 (2H, s), 6.72 (2H, d, J = 9Hz), 7.17-7.21 (2H, m) , 7.42-7.51 (3H, m), 7.76 (1H, d, J = 2Hz), 7.84 (IH, s),
7.99-8.02 (2H, m) , 8.08(2H, d, J=9Hz) 7.99-8.02 (2H, m), 8.08 (2H, d, J = 9Hz)
実施例 32 (1) Example 32 (1)
(1 - (4—メトキシベンゾィル) —3— (4—メチルフエニルスルホニル) ィ ンドール一 5—ィル) ォキシ酢酸 (化合物 292) (1- (4-Methoxybenzoyl) -3- (4-methylphenylsulfonyl) indole-1-yl) oxyacetic acid (Compound 292)
(1— (4ーメトキシベンゾィル) —3— (4 _メチルフエニルスルホニル) インドール—5—ィル) ォキシ酢酸 t e r t—ブチル 4 Omgにトリフルォロ酢 酸 2mlを加え室温で 1日攪拌した。 反応液を濃縮し上記化合物を 3 Omg得た。 性状:無色粉末 (1- (4-Methoxybenzoyl) -3- (4-methylphenylsulfonyl) indole-5-yl) oxytertacetic acid tert-butyl 4 Omg was added with 2 ml of trifluoroacetic acid and stirred at room temperature for 1 day. The reaction solution was concentrated to obtain 3 Omg of the above compound. Properties: colorless powder
融点: 228— 231 °C. Melting point: 228—231 ° C.
■H-NMR(DMS0-d6) δ 2.34 (3Η, s), 3.89 (3H, s),5.18 (2H, s), 7.1 (2H, d, J=9Hz), 7.18 (1H, d, J=9Hz), 7.38 (2H, d, J=9Hz) , 7.58-7.64 (2H, m) , 7.86 (2H, d, J=9Hz) , 8.12(2H,d, J=9Hz),8.29(lH, s) ■ H-NMR (DMS0-d 6 ) δ 2.34 (3Η, s), 3.89 (3H, s), 5.18 (2H, s), 7.1 (2H, d, J = 9 Hz), 7.18 (1H, d, J = 9Hz), 7.38 (2H, d, J = 9Hz), 7.58-7.64 (2H, m), 7.86 (2H, d, J = 9Hz), 8.12 (2H, d, J = 9Hz), 8.29 (lH, s)
実施例 32 (2) Example 32 (2)
実施例 32 (1) と同様にして、 以下の (化合物 293) を得た。 The following (Compound 293) was obtained in the same manner as in Example 32 (1).
(1— (4ージメチルァミノべンゾィル) _ 3—フエニルスルホニルインドール 一 5—ィル) ォキシ酢酸 (化合物 293) (1- (4-Dimethylaminobenzoyl) _3-phenylsulfonylindole-1-5-yl) oxyacetic acid (Compound 293)
性状:無色粉末 Properties: colorless powder
融点: 265°C(dec.) Melting point: 265 ° C (dec.)
Ή-NMR (DMS0-d6) δ : 3.06 (6H, s), 4.59 (2H, s), 6.80 (2H, d, J=9Hz), Ή-NMR (DMS0-d 6 ) δ: 3.06 (6H, s), 4.59 (2H, s), 6.80 (2H, d, J = 9 Hz),
7.07 (1H, d, J=9Hz) , 7.43 (IH, d, J=9Hz) , 7.50-7.61 (4H, m), 7.91-7.98 (4H, m) , 7.07 (1H, d, J = 9Hz), 7.43 (IH, d, J = 9Hz), 7.50-7.61 (4H, m), 7.91-7.98 (4H, m),
8.20(1H, s) 8.20 (1H, s)
参考例 5 (1) Reference example 5 (1)
2 - (2—ォキソプロピルチオ) ニコチン酸べンジルエステル (化合物 294) 2—メルカプトニコチン酸 6. 2gを DMF 30m 1に加えて炭酸カリウム 5. 6 gを加えて室温で 20分撹拌した。 クロ口アセトン 3. 68 gを加えてさらに 2時間撹拌した。 ベンジルブロミド 6. 84gを加えて室温で 3時間撹拌した。 酢酸ェチル 25 Om lを加えて水 1 1 X 2回洗浄した。 有機層は乾燥後に、 減 圧下留去した。 残渣をカラムクロマト (シリカゲル;ジクロロメタン) に付した。 上記化合物を 6. 3g得た。 2- (2-oxopropylthio) benzyl nicotinate (Compound 294) 6.2 g of 2-mercaptonicotinic acid was added to 30 ml of DMF, 5.6 g of potassium carbonate was added, and the mixture was stirred at room temperature for 20 minutes. To the mixture was added 3.68 g of acetone, and the mixture was further stirred for 2 hours. 6.84 g of benzyl bromide was added, and the mixture was stirred at room temperature for 3 hours. Ethyl acetate (25 Oml) was added, and the mixture was washed with water 11.times.2 times. After drying, the organic layer was distilled off under reduced pressure. The residue was subjected to column chromatography (silica gel; dichloromethane). 6.3 g of the above compound was obtained.
性状:黄色固体 Properties: yellow solid
融点: 64— 64. 51: Melting point: 64— 64. 51:
Ή-NMR (CDC13) (5 : 2.32(3H, s), 3.89(2H, s), 5.37(2H, s), Ή-NMR (CDC1 3) ( 5: 2.32 (3H, s), 3.89 (2H, s), 5.37 (2H, s),
7.06 (1H, dd, J=8Hz, J=5Hz) , 7.33-7.46 (5H, m), 8.26 (1H, dd, J=8Hz, J=2Hz) , 8.47(lH,dd, J=5Hz, J=2Hz) 7.06 (1H, dd, J = 8Hz, J = 5Hz), 7.33-7.46 (5H, m), 8.26 (1H, dd, J = 8Hz, J = 2Hz), 8.47 (lH, dd, J = 5Hz, J = 2Hz)
参考例 5 (2) 一 (3) Reference Example 5 (2) One (3)
参考例 5 (1) と同様にして、 以下の (化合物 295) 〜 (化合物 296) を合 成した。 The following (Compound 295) to (Compound 296) were synthesized in the same manner as in Reference Example 5 (1).
参考例 5 (2) Reference example 5 (2)
6- (2—ォキソプロピルチオ) ニコチン酸べンジルエステル (化合物 295) 性状:黄色油状物 6- (2-oxopropylthio) benzyl ester of nicotinic acid (Compound 295) Properties: yellow oil
Ή-NMR (CDC13) δ : 2.34(3H,s), 4.03(2H, s), 5.36(2H, s), Ή-NMR (CDC1 3) δ : 2.34 (3H, s), 4.03 (2H, s), 5.36 (2H, s),
7.29 (1H, dd, J=8Hz, J=lHz) , 7.34-7.45 (5H, m), 8.09 (1H, dd, J=8Hz, J=2Hz) 9.01(lH,dd, J=2Hz, J=lHz) 7.29 (1H, dd, J = 8Hz, J = lHz), 7.34-7.45 (5H, m), 8.09 (1H, dd, J = 8Hz, J = 2Hz) 9.01 (lH, dd, J = 2Hz, J = lHz)
参考例 5 (3) Reference example 5 (3)
4一 (2—ォキソプロピルチオ) 安息香酸ベンジルエステル (化合物 296) 性状:黄色油状物 4- (2-oxopropylthio) benzoic acid benzyl ester (Compound 296) Properties: yellow oil
Ή-NMR (CDC13) δ : 2.29 (3Η, s) , 3.75 (2Η, s) , 5.34 (2Η, s), 7.30 (2H, d, J=8Hz) , 7.34-7.44 (5H, m), 7.97 (2H, d, J=8Hz) Ή-NMR (CDC1 3) δ : 2.29 (3Η, s), 3.75 (2Η, s), 5.34 (2Η, s), 7.30 (2H, d, J = 8Hz), 7.34-7.44 (5H, m), 7.97 (2H, d, J = 8Hz)
参考例 6 4- (2—ォキソプロピルチオ) フエニルォキシ酢酸 t e r t—ブチルエステ ル (化合物 297) Reference example 6 4- (2-oxopropylthio) phenyloxyacetic acid tert-butyl ester (Compound 297)
P-ヒドロキシチオフエノール 8. 6 gとクロ口アセトン 6. 4gをジクロ口 メタン 120mlに溶解した。氷冷下にジイソプロピルェチルァミン 8. 8g/ジ クロロメタン 10m lを 15分で滴下した。同温で 50時間撹拌した。 3%クェン 酸 100m 1で洗浄した。溶媒を乾燥後に減圧下留去した。残渣にへキサンを加え て濾過した。黄色固体を 1 1. 3 g得た。この固体 5. 468とブロモ酢酸 6 t—ブチルエステル 5. 858を 1, N—ジメチルホルムアミド 2 Om 1に溶解 して、 炭酸カリウム 6. 9 gを加えた。 室温で 3時間撹拌した。 酢酸ェチル 10 Om 1を加えて 3 %炭酸ナトリウム水 300m l X 2回洗浄した。 有機層は乾 燥後に、 減圧下留去した。 残渣をカラムクロマト (シリカゲル; ジクロロメ タン) に付した。上記化合物を 7. 79 g得た。 8.6 g of P-hydroxythiophenol and 6.4 g of acetone were dissolved in 120 ml of dichloromethane. Under ice cooling, 8.8 g of diisopropylethylamine / 10 ml of dichloromethane was added dropwise over 15 minutes. The mixture was stirred at the same temperature for 50 hours. It was washed with 100 ml of 3% citric acid. After drying, the solvent was distilled off under reduced pressure. Hexane was added to the residue, followed by filtration. 11.3 g of a yellow solid was obtained. This solid 5.468 and bromoacetic acid 6 t-butyl ester 5.858 were dissolved in 1, N-dimethylformamide 2 Om1, and 6.9 g of potassium carbonate was added. The mixture was stirred at room temperature for 3 hours. Ethyl acetate (10 Om1) was added, and the mixture was washed twice with 3% aqueous sodium carbonate (300 ml ×). After drying, the organic layer was distilled off under reduced pressure. The residue was subjected to column chromatography (silica gel; dichloromethane). 7.79 g of the above compound was obtained.
性状:黄色油状物 Properties: yellow oil
Ή-NMR (CDC13) δ : 1.49 (9Η, s) , 2.25 (3Η, s) , 3.56 (2H, s) , 4.48 (2H, s) , Ή-NMR (CDC1 3) δ : 1.49 (9Η, s), 2.25 (3Η, s), 3.56 (2H, s), 4.48 (2H, s),
6.83 (2H, dd, J=7Hz, J=2Hz), 7.33 (2H, dd, J=7Hz, J=2Hz) 6.83 (2H, dd, J = 7Hz, J = 2Hz), 7.33 (2H, dd, J = 7Hz, J = 2Hz)
参考例 7 Reference Example 7
2 - (2—ォキソプロピルチオ) 安息香酸ベンジルエステル (化合物 298) 参考例 1 (3) で合成した 2— (2—ォキソプロピルチオ) 安息香酸 1. 45 gを N, N—ジメチルホルムアミ ド 5m 1 に溶解して、 炭酸カリウム 0. 7 5 gとベンジルブ口ミ ド 0. 85 gを加えた。 室温で 6時間攪拌した後酢酸 ェチル 5 Om lを加えて飽和重曹水 5 Om l X 2回洗浄した。 有機層は乾燥後 に、 減圧下留去した。 残渣をカラムクロマト (シリカゲル;ジクロロメタン) に 付した。上記化合物を 1. 12 g得た。 . 2- (2-oxopropylthio) benzoic acid benzyl ester (Compound 298) 1.45 g of 2- (2-oxopropylthio) benzoic acid synthesized in Reference Example 1 (3) was converted to N, N-dimethylform. The solution was dissolved in 5 ml of the amide, and 0.75 g of potassium carbonate and 0.85 g of benzylbutane were added. After stirring at room temperature for 6 hours, 5 Oml of ethyl acetate was added and the mixture was washed twice with 5 Oml of saturated aqueous sodium hydrogen carbonate. After drying, the organic layer was distilled off under reduced pressure. The residue was subjected to column chromatography (silica gel; dichloromethane). 1.12 g of the above compound was obtained. .
性状:黄色油状物 Properties: yellow oil
Ή-NMR (CDC13) δ 2.30(3H, s), 3.70(2H,s), 5.37 (2H, s) , 7.18(1H, t, J=8Hz), Ή-NMR (CDC1 3) δ 2.30 (3H, s), 3.70 (2H, s), 5.37 (2H, s), 7.18 (1H, t, J = 8Hz),
7.29 (1H, d, J=8Hz) , 7.35 (1H, d, J=8Hz) , 7.37-7.47 (5H, m) , 8.03 (1H, d, J=8Hz) 参考例 8 7.29 (1H, d, J = 8Hz), 7.35 (1H, d, J = 8Hz), 7.37-7.47 (5H, m), 8.03 (1H, d, J = 8Hz) Reference Example 8
N- t e r t—ブチル— 2— (4'一 t e r t—ブトキシカルポニルヒドラジノ フエニル) ベンゼンスルホンアミド (化合物 299) N-tert-butyl-2- (4'-tert-butoxycarbonylhydrazinophenyl) benzenesulfonamide (Compound 299)
N_ t e r t _ブトキシカルボニル一P—ブロモフエニルヒドラジン 5. 8 g、 N— t e r t—プチルスルファモイルフエ二ルポロン酸 5. 1 g、 炭酸ナ トリウム 4. 2 g、 PdC 12 (PPh3) 2 0. 5 g、 トリフエニルホスフィ ン 1. 5 gをトルエン 100mlと水 30m 1に加えて窒素雰囲気下に 18 時間加熱撹拌した。 酢酸ェチル 200mlを加えて水 300mlで洗浄した。 不 溶物はジクロロメ夕ンンに溶解した。 有機層は合して乾燥後に、 減圧下留去し た。 残渣はカラムクロマト (シリカゲル; ジクロロメタン/酢酸ェチル = 2 0/1) に付した。上記化合物を 3. 28 g得た。 N_ tert _ butoxycarbonyl one P- bromo-phenylalanine hydrazine 5. 8 g, N- tert- Petit Rusuru sulfamoyl phenylene Ruporon acid 5. 1 g, carbonate sodium 4. 2 g, PdC 1 2 ( PPh 3) 2 0.5 g and trifenylphosphine (1.5 g) were added to toluene (100 ml) and water (30 ml), and the mixture was heated with stirring under a nitrogen atmosphere for 18 hours. 200 ml of ethyl acetate was added, and the mixture was washed with 300 ml of water. Insolubles dissolved in dichloromethan. The combined organic layers were dried and evaporated under reduced pressure. The residue was subjected to column chromatography (silica gel; dichloromethane / ethyl acetate = 20/1). 3.28 g of the above compound was obtained.
性状:無色粉末 Properties: colorless powder
融点: 217— 218 Melting point: 217—218
Ή-NMR (CDC13) δ : 0.97 (9Η, s) , 1. 7 (9H, s) , 3.62 (1Η, brs) ,5.81 (1H, brs) , 6.90 (1H, brs), 6.92 (1H, d, J=8Hz) , 7.29 (1H, d, J=6Hz), 7.38-7.53 (4H, m) , 8.14(lH,d, J=8Hz) Ή-NMR (CDC1 3) δ : 0.97 (9Η, s), 1. 7 (9H, s), 3.62 (1Η, brs), 5.81 (1H, brs), 6.90 (1H, brs), 6.92 (1H, d, J = 8Hz), 7.29 (1H, d, J = 6Hz), 7.38-7.53 (4H, m), 8.14 (lH, d, J = 8Hz)
参考例 9 Reference Example 9
N_ t e r t _ブチル— 2— (4'—ヒドラジノフエニル) ベンゼンスルホンァ ミド 塩酸塩 (化合物 300) N_t ert _butyl— 2- (4'-hydrazinophenyl) benzenesulfonamide hydrochloride (Compound 300)
N- t e r t—ブチルー 2— (4' - t e r t—ブトキシカルポニルヒドラジ ノフエ二ル) ベンゼンスルホンアミド 3 gをジクロロメタン 15 Omlに溶解し た。 14. 6%塩酸 ジォキサン 3 Om 1を加えて室温で 1時間さらに 50 で 1時間撹拌した。 溶媒を減圧下に留去した。 残渣にエーテル ジクロロメタン N-tert-butyl-2- (4'-tert-butoxycarbonylhydrazinophenyl) Benzenesulfonamide (3 g) was dissolved in dichloromethane (15 Oml). 14.6% Dioxane hydrochloride 3 Om 1 was added, and the mixture was stirred at room temperature for 1 hour and further at 50 at 1 hour. The solvent was distilled off under reduced pressure. Ether dichloromethane in the residue
(5/1) を加えて濾過した。 上記化合物を 2. 17 g得た。 (5/1) and filtered. 2.17 g of the above compound was obtained.
性状:無色粉末 Properties: colorless powder
融点: 1 13— 1 15 °C Ή-NMR (CDClj) δ : 1.03 (9H, s) , 6.96 (2H, d, J=8Hz) , 7.27 (IH, dd, J=8Hz, J=2Hz) , 7.33 (2H, d, J=8Hz), 7.55 (1H, dd, J=8Hz, J=2Hz), 7.59 (1H, dd, J=8Hz, J=2Hz), Melting point: 1 13-1 15 ° C Ή-NMR (CDClj) δ: 1.03 (9H, s), 6.96 (2H, d, J = 8Hz), 7.27 (IH, dd, J = 8Hz, J = 2Hz), 7.33 (2H, d, J = 8Hz) ), 7.55 (1H, dd, J = 8Hz, J = 2Hz), 7.59 (1H, dd, J = 8Hz, J = 2Hz),
8.03(lH,dd, J=8Hz, J=2Hz) , 8.34(1H, brs) , 10.17(2H,brs) 8.03 (lH, dd, J = 8Hz, J = 2Hz), 8.34 (1H, brs), 10.17 (2H, brs)
実施例 33 (1) Example 33 (1)
2— (5—ブロモー 2—メチルインドールー 3—ィルチオ) ニコチン酸べンジル エステル (化合物 301) 2- (5-bromo-2-methylindole-3-ylthio) benzyl ester of nicotinic acid (Compound 301)
2 - (2—ォキソプロピル) ニコチン酸べンジルエステル 3 gと!)-ブロモフ ェニルヒドラジン 塩酸塩 2. 24 gを t e r t—ブチルアルコール 6 Om 1 中加熱還流下に 3時間撹拌した。 溶媒を減圧下に留去した。 ジクロロメ夕 ン 12 Om 1を加えて、 水 30 Om 1で洗浄した。 有機層は乾燥後に留去した。 残渣をカラムクロマト (シリカゲル; ジクロロメタン) に付した。 上記化合物 を 3. 9g得た。 2-(2-oxopropyl) benzyl nicotinate 3 g! 2.24 g))-Bromophenylhydrazine hydrochloride was stirred for 3 hours under heating and reflux in tert-butyl alcohol 6 Om 1. The solvent was distilled off under reduced pressure. Dichloromethane 12 Om1 was added, and the mixture was washed with water 30 Om1. The organic layer was distilled off after drying. The residue was subjected to column chromatography (silica gel; dichloromethane). 3.9 g of the above compound was obtained.
性状:淡黄色固体 Properties: pale yellow solid
融点: 143— 145で Melting point: 143-145
Ή-NMR (CDC13) δ : 2.40 (3Η, s) , 5.46 (2Η, s) , 6.99 (IH, dd, J=7Hz, J=2Hz) , 7.07 (IH, d, J=8Hz), 7.19 (IH, dd, J=8Hz, J=2Hz), 7.36-7.45 (4H, m) , Ή-NMR (CDC1 3) δ : 2.40 (3Η, s), 5.46 (2Η, s), 6.99 (IH, dd, J = 7Hz, J = 2Hz), 7.07 (IH, d, J = 8Hz), 7.19 (IH, dd, J = 8Hz, J = 2Hz), 7.36-7.45 (4H, m),
7.54 (2H, dd, J=7Hz, J=2Hz), 8.26 (2H, dd, J=8Hz, J=2Hz) , 8.46 (1H, brs) 7.54 (2H, dd, J = 7Hz, J = 2Hz), 8.26 (2H, dd, J = 8Hz, J = 2Hz), 8.46 (1H, brs)
実施例 33 (2) 一 (6) Example 33 (2) One (6)
実施例 33 (1) と同様にして、 以下の (化合物 302) - (化合物 306) を 合成した。 The following (Compound 302)-(Compound 306) were synthesized in the same manner as in Example 33 (1).
実施例 33 (2) Example 33 (2)
6— (5—ブロモー 2—メチルインドール— 3—ィルチオ) ニコチン酸べンジル エステル (化合物 302) 6- (5-Bromo-2-methylindole-3-ylthio) benzyl ester of nicotinic acid (Compound 302)
性状:黄色油状物 Properties: yellow oil
Ή-NMR (CDC13) δ : 2.50 (3H, s) , 5.34 (2H, s), 6.68 (IH, dd, J=8Hz, J = lHz), Ή-NMR (CDC1 3) δ : 2.50 (3H, s), 5.34 (2H, s), 6.68 (IH, dd, J = 8Hz, J = lHz),
7.22-7.46 (7H, m), 7.62 (IH, s), 7.95 (IH, dd, J=8Hz, J = lHz) ,8.51 (1H, s), 9.04(lH,brs) 7.22-7.46 (7H, m), 7.62 (IH, s), 7.95 (IH, dd, J = 8Hz, J = lHz), 8.51 (1H, s), 9.04 (lH, brs)
実施例 33 (3) Example 33 (3)
2- (5- (2— N_ t e r t—プチルスルファモイルフエ二ル) —2—メチル インドールー 3—ィルチオ) ニコチン酸べンジルエステル (化合物 303) 性状:黄色粉末 2- (5- (2-N_tert-butylsulfamoylphenyl) —2-methylindole-3-ylthio) benzyl nicotinic acid ester (Compound 303) Properties: yellow powder
融点: 259— 260 Melting point: 259-260
Ή-NMR (CDClj) (5 : 0.84(9H,s), 2.49(3H, s), 3.61 (IH, s) , 5.42 (2H, s) , 6.97 (IH, dd, J=8Hz, J=5Hz), 7.31-7.42 (7H, m), 7.47-7.51 (4H, m) , Ή-NMR (CDClj) (5: 0.84 (9H, s), 2.49 (3H, s), 3.61 (IH, s), 5.42 (2H, s), 6.97 (IH, dd, J = 8Hz, J = 5Hz) ), 7.31-7.42 (7H, m), 7.47-7.51 (4H, m),
8.11 (IH, dd, J=7Hz, J=2Hz) ,8.22 (1H, dd, J=8Hz, J=2Hz) , 8.11 (IH, dd, J = 7Hz, J = 2Hz), 8.22 (1H, dd, J = 8Hz, J = 2Hz),
8.28(1H, dd, J=5Hz, J=2Hz), 8.45 (IH, brs) 8.28 (1H, dd, J = 5Hz, J = 2Hz), 8.45 (IH, brs)
実施例 33 (4) Example 33 (4)
6- (5- (2— N— t e r t—ブチルスルファモイルフエニル) _ 2—メチル インドール— 3—ィルチオ) ニコチン酸べンジルエステル (化合物 304) 性状:黄色固体 6- (5- (2-N-tert-butylsulfamoylphenyl) _2-methylindole-3-ylthio) Benzyl nicotinate (Compound 304) Properties: Yellow solid
融点: 90— 92°C Melting point: 90-92 ° C
Ή-NMR (CDC13) δ : 0.90(9H,s), 2.55(3H,s), 3.54(1H, s) , 5.31 (2H, s) , Ή-NMR (CDC1 3) δ : 0.90 (9H, s), 2.55 (3H, s), 3.54 (1H, s), 5.31 (2H, s),
6.78 (IH, dd, J=7Hz, J=2Hz) , 7.27-7.54 (1 IH, m) , 7.95 (IH, dd, J=8Hz, J=2Hz), 8.14(1H, dd, J=8Hz, J=2Hz), 8.57(1H, s) , 9.01 (IH, d, J=2Hz) 6.78 (IH, dd, J = 7Hz, J = 2Hz), 7.27-7.54 (1 IH, m), 7.95 (IH, dd, J = 8Hz, J = 2Hz), 8.14 (1H, dd, J = 8Hz, J = 2Hz), 8.57 (1H, s), 9.01 (IH, d, J = 2Hz)
実施例 33 (5) Example 33 (5)
4- (5- (2— N— t e r t—ブチルスルファモイルフエ二ル) 一 2—メチル インドールー 3 _ィルチオ) フエニルォキシ酢酸 t e r t一ブチルエステル (化合物 305) 4- (5- (2-N-tert-butylsulfamoylphenyl) -1-methylindole-3-ylthio) phenyloxyacetic acid tert-butyl monoester (Compound 305)
性状:黄色油状物 Properties: yellow oil
Ή-NMR (CDC13) δ 0.85 (9Η, s) , 1.46 (9Η, s) , 2.54(3H, s) , 3.51 (IH, s) , 4.42 (2H, s),6.68 (2H, dd, J=7Hz, J=3Hz), 7.00 (2H, dd, J=7Hz, J=3Hz), Ή-NMR (CDC1 3) δ 0.85 (9Η, s), 1.46 (9Η, s), 2.54 (3H, s), 3.51 (IH, s), 4.42 (2H, s), 6.68 (2H, dd, J = 7Hz, J = 3Hz), 7.00 (2H, dd, J = 7Hz, J = 3Hz),
7.31-7.36 (2H, m) , 7.40-7.46 (2H, m), 7.51 (IH, t, J=7Hz), //: OSLOooaTI£AV - 7.31-7.36 (2H, m), 7.40-7.46 (2H, m), 7.51 (IH, t, J = 7Hz), //: OSLOooaTI £ AV-
t i t i
(∞〇 ε ) () H 969IHs ss. - (∞〇 ε) () H 969IHs ss.-
()8f Ηί ¾lu= : 7.56 (1H, dd, J=7Hz, J=2Hz) ,8.16 (IH, s) , 8.18 (1H, dd, J=8Hz, J=2Hz) , () 8f Ηί ¾lu =: 7.56 (1H, dd, J = 7Hz, J = 2Hz), 8.16 (IH, s), 8.18 (1H, dd, J = 8Hz, J = 2Hz),
8.25 (IH, dd, J=8Hz, J = lHz), 8.48 (1H, dd, J=8Hz, J=2Hz), 8.25 (IH, dd, J = 8Hz, J = lHz), 8.48 (1H, dd, J = 8Hz, J = 2Hz),
9.19(lH,dd, J=7Hz, J = lHz),9.18(lH,s) 9.19 (lH, dd, J = 7Hz, J = lHz), 9.18 (lH, s)
実施例 34 (3) Example 34 (3)
4一 (5— (2 _N— t e r t—プチルスルファモイルフエニル) —2—メチル インドール— 3—ィルスルホニル) フエニルォキシ酢酸 t e r t—プチルエス テル (化合物 309) 4- (5— (2_N—tert—butylsulfamoylphenyl) —2-methylindole—3-ylsulfonyl) phenyloxyacetic acid tert—butylester (Compound 309)
性状:黄色油状物 Properties: yellow oil
Ή-NMR (CDC13) δ 0.94 (9Η, s) , 1.47 (9H, s) , 2.74 (3Η, s) , 3.50 (IH, s) , Ή-NMR (CDC1 3 ) δ 0.94 (9Η, s), 1.47 (9H, s), 2.74 (3Η, s), 3.50 (IH, s),
4.52 (2H, s) , 6.89 (2H, dd, J=8Hz, J=2Hz) , 7.25(1H, dd, J=8Hz, J=5Hz), 4.52 (2H, s), 6.89 (2H, dd, J = 8Hz, J = 2Hz), 7.25 (1H, dd, J = 8Hz, J = 5Hz),
7.38 (2H, dd, J=8Hz, J=2Hz), 7.44 (IH, dd, J=8Hz, J=2Hz) , 7.38 (2H, dd, J = 8Hz, J = 2Hz), 7.44 (IH, dd, J = 8Hz, J = 2Hz),
7.58 (IH, dd, J=8Hz, J=2Hz), 7.93 (2H, dt, J=7Hz, J=2Hz) , 8.09 (IH, s) , 7.58 (IH, dd, J = 8Hz, J = 2Hz), 7.93 (2H, dt, J = 7Hz, J = 2Hz), 8.09 (IH, s),
8.18 (1H, dd, J=8Hz, J=2Hz) ,8.91 (IH, brs) 8.18 (1H, dd, J = 8Hz, J = 2Hz), 8.91 (IH, brs)
実施例 34 (4) Example 34 (4)
4- (5- (2— N— t e r t—ブチルスルファモイルフエニル) 一 2 _メチル インドールー 3—ィルスルホニル) 安息香酸ベンジル (化合物 310) 4- (5- (2-N-tert-butylsulfamoylphenyl) -1-2-methylindole-3-ylsulfonyl) benzyl benzoate (Compound 310)
性状:赤褐色アモルファス Properties: reddish brown amorphous
Ή-NMR (CDC13) δ : 0.94 (9Η, s) , 2.76 (3H, s) , 3.53 (IH, s) , 7.23-7.28 (IH, m) , 7.31-7.41 (7H, m) , 7.47-7.52 (IH, m) , 7.58 (1H, t, J=6Hz), 8.05 (2H, d, J=8Hz), 8.10 (1H, s), 8.14 (2H, d, J=8Hz) , 8.19 (1H, d, J=8Hz) , 8.79 (1H, brs) Ή-NMR (CDC1 3) δ : 0.94 (9Η, s), 2.76 (3H, s), 3.53 (IH, s), 7.23-7.28 (IH, m), 7.31-7.41 (7H, m), 7.47- 7.52 (IH, m), 7.58 (1H, t, J = 6Hz), 8.05 (2H, d, J = 8Hz), 8.10 (1H, s), 8.14 (2H, d, J = 8Hz), 8.19 (1H , D, J = 8Hz), 8.79 (1H, brs)
実施例 35 ( 1 ) — ( 2 ) Example 35 (1) — (2)
実施例 22 (1) と同様にして (化合物 311) 〜 (化合物 312) を合成した。 実施例 35 (1) (Compound 311) to (Compound 312) were synthesized in the same manner as in Example 22 (1). Example 35 (1)
2- (5- (2—ァセチルフエニル) — 1— (3—ジメチルァミノ— 2—メチル ベンゾィル) 一 2—メチルインドールー 3—ィルスルホニル) 安息香酸ベンジル (化合物 31 1) 性状:褐色アモルファス 2- (5- (2-Acetylphenyl) — 1— (3-dimethylamino-2-methylbenzoyl) -1-methylindole-3-ylsulfonyl) benzyl benzoate (Compound 31 1) Properties: brown amorphous
Ή-NMR (CDC13) δ : 1.87 (3Η, s) , 2.28 (3H, s) , 2.62 (3H, s) , 2.72 (6H, s) , Ή-NMR (CDC1 3 ) δ: 1.87 (3, s), 2.28 (3H, s), 2.62 (3H, s), 2.72 (6H, s),
5.28 (2H, s) , 7.03 (1H, d, J=7Hz) , 7.08 (IH, d, J=2Hz) , 7.20-7.40 (9H, m), 5.28 (2H, s), 7.03 (1H, d, J = 7Hz), 7.08 (IH, d, J = 2Hz), 7.20-7.40 (9H, m),
7.45-7.68 (5H, m), 7.97 (IH, s), 8.14 (IH, d, J=8Hz) 7.45-7.68 (5H, m), 7.97 (IH, s), 8.14 (IH, d, J = 8Hz)
実施例 35 (2) Example 35 (2)
2— (1— (3—ジメチルァミノ— 2 _メチルベンゾィル) —2—メチル—5— (2—メチルチオフエニル) インドール _ 3—ィルスルホニル) 安息香酸ベンジ ル (化合物 3 12) 2- (1- (3-Dimethylamino-2-methylbenzyl) —2-methyl-5- (2-methylthiophenyl) indole — 3-ylsulfonyl) Benzyl benzoate (Compound 3 12)
性状:黄色アモルファス Properties: yellow amorphous
Ή-NMR (CDC13) δ : 2.29 (3Η, s) , 2.30 (3Η, s) , 2.58 (3Η, s) , 2.72 (6Η, s) , Ή-NMR (CDC1 3 ) δ: 2.29 (3Η, s), 2.30 (3Η, s), 2.58 (3Η, s), 2.72 (6Η, s),
5.28(2Η, s),7.04(lH,d, J=8Hz),7.13(1Η, d, J=9Hz), 7.15-7.29 (6H, m), 5.28 (2Η, s), 7.04 (lH, d, J = 8Hz), 7.13 (1Η, d, J = 9Hz), 7.15-7.29 (6H, m),
7.29-7.35 (4H, m), 7.38 (IH, d, J=8Hz), 7.51-7.60 (3H, m) , 8.06 (IH, s) , 7.29-7.35 (4H, m), 7.38 (IH, d, J = 8Hz), 7.51-7.60 (3H, m), 8.06 (IH, s),
8.15(lH,d, J=8Hz) 8.15 (lH, d, J = 8Hz)
実施例 36 ( 1 ) — ( 7 ) Example 36 (1) — (7)
実施例 25 (1) と同様にして (化合物 313) 〜 (化合物 319) を合成した。 実施例 36 (1) (Compound 313) to (Compound 319) were synthesized in the same manner as in Example 25 (1). Example 36 (1)
4- (1 - (3—ジメチルァミノ— 2 _メチルベンゾィル) — 2—メチル _5_ (2—スルファモイルフエ二ル) インドール— 3—ィルスルホニル) フエニルォ キシ酢酸 (化合物 3 13) 4- (1-(3-dimethylamino-2-methylbenzoyl) — 2-methyl_5_ (2-sulfamoylphenyl) indole — 3-ylsulfonyl) phenyloxyacetic acid (compound 313)
性状:淡褐色粉末 Properties: light brown powder
融点: 1 50— 1 53 Melting point: 1 50— 1 53
'Η-刚 R(DMS0-d6) δ : 2.18 (3Η, s) , 2.57 (3H, s) , 2.70 (6Η, s) , 4.79 (2Η, s) , 'Η- 刚 R (DMS0-d 6 ) δ: 2.18 (3Η, s), 2.57 (3H, s), 2.70 (6Η, s), 4.79 (2Η, s),
7.02-7.08 (2Η, m), 7.15-7.26 (3H, m), 7.31-7.37 (2H, m) , 7.42 (IH, d, J=8Hz), 7.02-7.08 (2Η, m), 7.15-7.26 (3H, m), 7.31-7.37 (2H, m), 7.42 (IH, d, J = 8Hz),
7.58-7.67 (2H, m) , 7.96 (2H, d, J=8Hz) , 8.07 (1H, d, J=8Hz) , 8.09 (1H, s) 7.58-7.67 (2H, m), 7.96 (2H, d, J = 8Hz), 8.07 (1H, d, J = 8Hz), 8.09 (1H, s)
実施例 36 (2) Example 36 (2)
2- (1 - (3—ジメチルァミノ— 2—メチルベンゾィル) —2—メチルー 5— (2—スルファモイルフエ二ル) インド一ルー 3—^ rルスルホニル) ニコチン酸 ベンジル (化合物 314) 2- (1-(3-dimethylamino-2-methylbenzoyl) —2-methyl-5 (2-Sulfamoylphenyl) India 1- 3-^ r Rusulfonyl) Benzyl nicotinate (Compound 314)
性状:黄色粉末 Properties: yellow powder
融点: 117— 120 °C Melting point: 117-120 ° C
Ή-NMR (CDC13) δ : 2.33 (3H, s), 2.68 (3H, s) , 2.84 (6H, s) , 4.70 (IH, brs) , 5.39 (2H, s), 7.11 (IH, d, J=8Hz) ,7.16 (IH, d, J=7Hz) , 7.21-7.25 (2H, m) , Ή-NMR (CDC1 3) δ : 2.33 (3H, s), 2.68 (3H, s), 2.84 (6H, s), 4.70 (IH, brs), 5.39 (2H, s), 7.11 (IH, d, J = 8Hz), 7.16 (IH, d, J = 7Hz), 7.21-7.25 (2H, m),
7.30-7.40 (5H, m), 7.43-7.46 (2H, m) , 7.46-7.51 (2H, m) , 7.55-7.60 (IH, m), 7.90(lH,dd, J=8Hz, J=2Hz),8.16(lH,d, J=8Hz),8.19(1H, s), 7.30-7.40 (5H, m), 7.43-7.46 (2H, m), 7.46-7.51 (2H, m), 7.55-7.60 (IH, m), 7.90 (lH, dd, J = 8Hz, J = 2Hz) , 8.16 (lH, d, J = 8Hz), 8.19 (1H, s),
8.63(lH,dd, J=4Hz, J=2Hz) 8.63 (lH, dd, J = 4Hz, J = 2Hz)
実施例 36 (3) Example 36 (3)
6- (1- (3—ジメチルァミノ— 2—メチルベンゾィル) 一 2—メチル—5— (2—スルファモイルフエ二ル) インドール— 3—^ Γルスルホニル) ニコチン酸 ベンジル (化合物 315) 6- (1- (3-Dimethylamino-2-methylbenzoyl) -1-2-methyl-5- (2-sulfamoylphenyl) indole-3-3- ^ persulfonyl) benzyl nicotinate (Compound 315)
性状:淡黄色粉末 Properties: pale yellow powder
融点: 106— 109 °C Melting point: 106-109 ° C
Ή-NMR (CDCI3) δ : 2.37 (3Η, s) , 2.72 (3Η, s) , 2.91 (6Η, s) , 4.87 (2Η, brs) , Ή-NMR (CDCI3) δ: 2.37 (3Η, s), 2.72 (3Η, s), 2.91 (6Η, s), 4.87 (2Η, brs),
5.40 (2Η, s) , 7.06 (IH, d, J=8Hz) ,7.17(1H, d, J=7Hz), 5.40 (2Η, s), 7.06 (IH, d, J = 8Hz), 7.17 (1H, d, J = 7Hz),
7.22 (IH, dd, J=8Hz, J=2Hz) , 7.30-7.42 (8H, m) , 7.52 (IH, dt, J=8Hz, J=2Hz) , 7.22 (IH, dd, J = 8Hz, J = 2Hz), 7.30-7.42 (8H, m), 7.52 (IH, dt, J = 8Hz, J = 2Hz),
7.59 (lH,dt, J=8Hz, J=2Hz) , 8.18(1H, d, J=7Hz) , 8.28 (IH, d, J=8Hz) , 7.59 (lH, dt, J = 8Hz, J = 2Hz), 8.18 (1H, d, J = 7Hz), 8.28 (IH, d, J = 8Hz),
8.35 (1H, d, J=2Hz) , 8.55 (IH, dd, J=8Hz, J=3Hz) ,9.21 (1H, d, J=3Hz) 8.35 (1H, d, J = 2Hz), 8.55 (IH, dd, J = 8Hz, J = 3Hz), 9.21 (1H, d, J = 3Hz)
実施例 36 (4) Example 36 (4)
4_ (1一 (3—ジメチルァミノ— 2—メチルベンゾィル) _ 2—メチル—5— (2—スルファモイルフエ二ル) インドール— 3—ィルスルホニル) 安息香酸べ ンジル (化合物 316) 4_ (11- (3-dimethylamino-2-methylbenzoyl) _ 2-methyl-5- (2-sulfamoylphenyl) indole-3-ylsulfonyl) Benzyl benzoate (Compound 316)
性状:黄色粉末 Properties: yellow powder
融点: 1 17— 120 °C Ή-NMR (CDCI3) δ : 2.29 (3H, s) , 2.69 (3H, s) , 2.74 (6H, s) , 4.29 (2H, s) ,Melting point: 1 17- 120 ° C Ή-NMR (CDCI3) δ: 2.29 (3H, s), 2.69 (3H, s), 2.74 (6H, s), 4.29 (2H, s),
5.37 (2H, s), 7.01 (IH, d, J=7Hz), 7.09 (1H, d, J=9Hz), 7.20-7.27 (1H, m) , 5.37 (2H, s), 7.01 (IH, d, J = 7Hz), 7.09 (1H, d, J = 9Hz), 7.20-7.27 (1H, m),
7.31 (1H, d, J=7Hz) , 7.32-7.42 (7H, m), 7.50-7.56 (IH, m), 7.58-7.62 (IH, m) , 7.31 (1H, d, J = 7Hz), 7.32-7.42 (7H, m), 7.50-7.56 (IH, m), 7.58-7.62 (IH, m),
8.08(2H,d, J=9Hz),8.14-8.26 (3H, m) , 8.27 (IH, d, J = lHz) 8.08 (2H, d, J = 9Hz), 8.14-8.26 (3H, m), 8.27 (IH, d, J = lHz)
実施例 36 (5) Example 36 (5)
1 - (5—ジメチルァミノ— 2—メチルベンゾィル) —2—メチル—3— (2 - ピリジルスルホニル) 一 5— (2—スルファモイルフエ二ル) インドール (化合 物 317) 1- (5-Dimethylamino-2-methylbenzoyl) -2-methyl-3- (2-pyridylsulfonyl) -1-5- (2-sulfamoylphenyl) indole (Compound 317)
性状:黄色粉末 Properties: yellow powder
融点: 122— 125°C Melting point: 122-125 ° C
'Η-刚 R (CDC13) δ : 2.28 (3Η, s) , 2.76 (3Η, s), 2.96 (6H, s) , 5.09 (2H, brs),'Η- 刚 R (CDC13) δ: 2.28 ( 3 (, s), 2.76 (3Η, s), 2.96 (6H, s), 5.09 (2H, brs),
6.96 (1H, s), 7.01 (1H, d, J=9Hz) ,7.21 (2H, d, J=8Hz) , 7.32 (1H, d, J=8Hz) ,6.96 (1H, s), 7.01 (1H, d, J = 9Hz), 7.21 (2H, d, J = 8Hz), 7.32 (1H, d, J = 8Hz),
7.37 (IH, d, J=8Hz), 7.46-7.52 (2H, m), 7.54-7.60 (IH, m), 7.91-7.99 (IH, m) , 8.18(1H, d, J=8Hz), 8.22 (IH, d, J=8Hz), 8.40 (1H, s) , 8.64 (IH, d, J=2Hz) 実施例 36 (6) 7.37 (IH, d, J = 8Hz), 7.46-7.52 (2H, m), 7.54-7.60 (IH, m), 7.91-7.99 (IH, m), 8.18 (1H, d, J = 8Hz), 8.22 (IH, d, J = 8Hz), 8.40 (1H, s), 8.64 (IH, d, J = 2Hz) Example 36 (6)
1 - (3—ジベンジルァミノ— 2—メチルベンゾィル) —2—メチル—3— (2 —ピリジルスルホニル) —5— (2—スルファモイルフエ二ル) インドール (化 合物 318 ) 1- (3-Dibenzylamino-2-methylbenzoyl) -2-methyl-3- (2-pyridylsulfonyl) -5- (2-sulfamoylphenyl) indole (Compound 318)
性状:黄色アモルファス Properties: yellow amorphous
Ή-NMR (CDC13) δ : 2.41 (3Η, s) , 2.63 (3Η, s),4.11 (4H, s), 5.09 (2H, s), Ή-NMR (CDC1 3) δ : 2.41 (3Η, s), 2.63 (3Η, s), 4.11 (4H, s), 5.09 (2H, s),
6.96(lH,d, J=9Hz),7.04(lH,d, J=7Hz),7.10-7.17 ((2H, m), 7.17—7.30(11H, m), 7.33 (IH, d, J=7Hz), 7.43-7.52 (2H, m) , 7.58 (IH, dd, J=7Hz, J=lHz), 7.90-7.97 (IH, m) , 8.14-8.21 (2H, m) , 8.40 (IH, d, J=lHz) , 8.63 (1H, d, J=5Hz) 6.96 (lH, d, J = 9Hz), 7.04 (lH, d, J = 7Hz), 7.10-7.17 ((2H, m), 7.17-7.30 (11H, m), 7.33 (IH, d, J = 7Hz ), 7.43-7.52 (2H, m), 7.58 (IH, dd, J = 7Hz, J = lHz), 7.90-7.97 (IH, m), 8.14-8.21 (2H, m), 8.40 (IH, d, J = lHz), 8.63 (1H, d, J = 5Hz)
実施例 36 (7) Example 36 (7)
1 - (5—ジメチルァミノ— 2—メトキシベンゾィル) 一 2—メチル—3— (2 一ピリジルスルホニル) 一 5— (2—スルファモイルフエニル) インドール (化 合物 3 1 9 ) 1- (5-dimethylamino-2-methoxybenzoyl) -1-methyl-3- (2-pyridylsulfonyl) -1-5- (2-sulfamoylphenyl) indole Compound 3 1 9)
性状:黄色粉末 Properties: yellow powder
融点: 1 84— 1 8 7°C Melting point: 1 84— 1 8 7 ° C
Ή-NMR (CDC13) δ : 2.76 (3Η, s) , 2.94 (6Η, s) , 3.30 (3Η, s), 5.11 (2Η, s), Ή-NMR (CDC1 3) δ : 2.76 (3Η, s), 2.94 (6Η, s), 3.30 (3Η, s), 5.11 (2Η, s),
6.83 (1H, d, J=9Hz) , 6.94-7.00 (2H, m),7.16 (2H, dd, J=9Hz, 8Hz) , 6.83 (1H, d, J = 9Hz), 6.94-7.00 (2H, m), 7.16 (2H, dd, J = 9Hz, 8Hz),
7.38 (1H, d, J=8Hz) , 7.44-7.52 (2H, m) , 7.55-7.60 (1H, m), 7.95 (1H, t, J=8Hz), 8.18 (1H, d, J=8Hz) , 8.22 (1H, d, J=8Hz), 8.40 (1H, s), 8.64 (1H, d, J=5Hz) 実施例 37 ( 1 ) — ( 5 ) 7.38 (1H, d, J = 8Hz), 7.44-7.52 (2H, m), 7.55-7.60 (1H, m), 7.95 (1H, t, J = 8Hz), 8.18 (1H, d, J = 8Hz) , 8.22 (1H, d, J = 8Hz), 8.40 (1H, s), 8.64 (1H, d, J = 5Hz) Example 37 (1) — (5)
実施例 27と同様にして、 以下の (化合物 320) 〜 (化合物 324) を合成し た。 In the same manner as in Example 27, the following (Compound 320) to (Compound 324) were synthesized.
実施例 3 7 (1) Example 3 7 (1)
2 - (1 - (3—ジメチルァミノ— 2—メチルベンゾィル) — 2—メチル _ 5 _ (2—スルファモイルフエ二ル) インドールー 3—ィルスルホニル) ニコチン酸 (化合物 320) 2-(1-(3-Dimethylamino-2-methylbenzoyl) — 2-methyl _ 5 _ (2-sulfamoylphenyl) indole-3-ylsulfonyl) nicotinic acid (Compound 320)
性状:淡黄色粉末 Properties: pale yellow powder
融点: 240 ( d e c . ) Melting point: 240 (dec.)
'H-NMR(DMS0-d6) 6 : 2.17(3H, s) , 2.57 (3H, s) , 2.66 (6H, s) , 'H-NMR (DMS0-d 6 ) 6: 2.17 (3H, s), 2.57 (3H, s), 2.66 (6H, s),
7.06 (1H, d, J=4Hz) ,7.15 (1H, s),7.17 (1H, d, J=8Hz) , 7.28 (2H, d, J=7Hz), 7.06 (1H, d, J = 4Hz), 7.15 (1H, s), 7.17 (1H, d, J = 8Hz), 7.28 (2H, d, J = 7Hz),
7.31-7.40 (2H, m), 7.53-7.62 (2H, m) , 7.74 (1H, dd, J=6Hz, 5Hz) , 7.97 (1H, s), 7.31-7.40 (2H, m), 7.53-7.62 (2H, m), 7.74 (1H, dd, J = 6Hz, 5Hz), 7.97 (1H, s),
8.03 (1H, d, J=8Hz) ,8.15 (1H, d, J=8Hz), 8.69 (1H, dd, J=4Hz, 2Hz) 8.03 (1H, d, J = 8Hz), 8.15 (1H, d, J = 8Hz), 8.69 (1H, dd, J = 4Hz, 2Hz)
実施例 3 7 (2) Example 3 7 (2)
6 - (1 - (3—ジメチルァミノ— 2—メチルベンゾィル) _ 2 _メチル— 5— (2—スルファモイルフエ二ル) インドール— 3—ィルスルホニル) ニコチン酸 (化合物 3 2 1) 6- (1-(3-dimethylamino-2-methylbenzoyl) _ 2 _methyl-5- (2-sulfamoylphenyl) indole-3-ylsulfonyl) nicotinic acid (compound 3 2 1)
性状:淡黄色粉末 Properties: pale yellow powder
融点: 1 6 8— 1 7 2 °C Ή-NMR (D S0-d6) δ : 2.19 (3H, s), 2.62 (3H, s), 2.68 (6H, s), Melting point: 1 6 8—17 2 ° C Ή-NMR (D S0-d 6 ) δ: 2.19 (3H, s), 2.62 (3H, s), 2.68 (6H, s),
7.09 (IH, d, J=9Hz), 7.14-7.20 (3H, m), 7.24 (IH, d, J=9Hz) , 7.30-7.38 (2H, m), 7.09 (IH, d, J = 9Hz), 7.14-7.20 (3H, m), 7.24 (IH, d, J = 9Hz), 7.30-7.38 (2H, m),
7.41 ((IH, d, J=8Hz), 7.58-7.66 (2H, m) , 8.02 (1H, s), 8.05 (IH, d, J-9Hz) ,7.41 ((IH, d, J = 8Hz), 7.58-7.66 (2H, m), 8.02 (1H, s), 8.05 (IH, d, J-9Hz),
8.34(1H, d, J=8Hz) ,8.51 (1H, dd, J=8Hz, J-2Hz), 9.10 (1H, s) 8.34 (1H, d, J = 8Hz), 8.51 (1H, dd, J = 8Hz, J-2Hz), 9.10 (1H, s)
実施例 37 (3) Example 37 (3)
4- (1 - (3—ジメチルアミノー 2 _メチルベンゾィル) — 2—メチル _ 5— (2 _スルファモイルフエ二ル) インドール— 3—ィルスルホニル) 安息香酸 (化合物 322) 4- (1-(3-Dimethylamino-2-methylbenzoyl) — 2-methyl_5— (2 _sulfamoylphenyl) indole—3-ylsulfonyl) benzoic acid (Compound 322)
性状:淡黄色粉末 Properties: pale yellow powder
融点: 162— 165°C Melting point: 162-165 ° C
Ή-NMR (CDC13) δ : 2.29 (3Η, s), 2.70 (3H, s) , 2.73 (6H, s) , 4.43 (2Η, brs) , 7.00 (1Η, d, J=8Hz) ,7.11 (IH, d, J=9Hz) , 7.20-7.28 (2H, m), 7.29 (IH, d, J=8Hz), 7.36 (IH, d, J=7Hz), 7.53 (IH, t, J=8Hz) , 7.62(1H, t, J=8Hz) ,8.12 (2H, d, J=8Hz) , 8.15-8.21 (3H, m) , 8.29 (IH, s) Ή-NMR (CDC1 3) δ : 2.29 (3Η, s), 2.70 (3H, s), 2.73 (6H, s), 4.43 (2Η, brs), 7.00 (1Η, d, J = 8Hz), 7.11 ( IH, d, J = 9Hz), 7.20-7.28 (2H, m), 7.29 (IH, d, J = 8Hz), 7.36 (IH, d, J = 7Hz), 7.53 (IH, t, J = 8Hz) , 7.62 (1H, t, J = 8Hz), 8.12 (2H, d, J = 8Hz), 8.15-8.21 (3H, m), 8.29 (IH, s)
実施例 37 (4) Example 37 (4)
2 - (5 - (2—ァセチルフエニル) — 1— (3—ジメチルァミノ— 2—メチル ベンゾィル) 一 2—メチルインドールー 3—ィルスルホニル) 安息香酸 (化合物 2- (5- (2-Acetylphenyl) — 1— (3-Dimethylamino-2-methylbenzoyl) -1-Methylindole-3-ylsulfonyl) benzoic acid (compound
323) 323)
性状:淡黄色粉末 Properties: pale yellow powder
融点: 129 - 132 °C Melting point: 129-132 ° C
'H-NMR(DMS0-d6) δ : 2.03 (3Η, s) , 2.15 (3Η, s) , 2.56 (3Η, s) , 2.65 (6Η, s) , 7.08—7.17(3Η, m) , 7.31-7.40 (3Η, m) , 7.48-7.50 (IH, m) , 7.55-7.61 (2Η, m) , 7.61-7.67 (IH, m) , 7.67-7.78 (3Η, m), 8.08 (IH, d, J=8Hz) 'H-NMR (DMS0-d 6 ) δ: 2.03 (3Η, s), 2.15 (3Η, s), 2.56 (3Η, s), 2.65 (6Η, s), 7.08-7.17 (3Η, m), 7.31 -7.40 (3Η, m), 7.48-7.50 (IH, m), 7.55-7.61 (2Η, m), 7.61-7.67 (IH, m), 7.67-7.78 (3Η, m), 8.08 (IH, d, (J = 8Hz)
実施例 37 (5) Example 37 (5)
2- (1- (3—ジメチルァミノ— 2—メチルベンゾィル) _ 2—メチル—5— (2—メチルスルホニルフエニル) インドールー 3—ィルスルホニル) 安息香酸 (化合物 324) 2- (1- (3-dimethylamino-2-methylbenzoyl) _ 2-methyl-5- (2-methylsulfonylphenyl) indole-3-ylsulfonyl) benzoic acid (Compound 324)
性状:黄色粉末 Properties: yellow powder
融点: 154— 158 °C Melting point: 154-158 ° C
'H-N R(DMSO-d6) 6 : 2.15 (3H, m) , 2.55 (3H, s) , 2.64 (3Η, s) , 2.71 (3Η, s) , 7.12 (IH, d, J=9Hz) , 7.17(1H, d, J=7Hz) , 7.22 (IH, d, J = 10Hz), 'HN R (DMSO-d 6 ) 6: 2.15 (3H, m), 2.55 (3H, s), 2.64 (3Η, s), 2.71 (3Η, s), 7.12 (IH, d, J = 9Hz), 7.17 (1H, d, J = 7 Hz), 7.22 (IH, d, J = 10 Hz),
7.30-7.40 (3H, m), 7.60-7.78 (5H, m), 7.87 (IH, s), 8.10 (2H, t, J=8Hz) 実施例 38 (1) 7.30-7.40 (3H, m), 7.60-7.78 (5H, m), 7.87 (IH, s), 8.10 (2H, t, J = 8Hz) Example 38 (1)
1 - (3 _ベンジルァミノ一 2—メチルベンゾィル) —2—メチル—3— (2 - ピリジルスルホニル) _5— (2—スルファモイルフエ二ル) インドール (化合 物 325) 1- (3_Benzylamino-1-methylbenzoyl) -2-methyl-3- (2-pyridylsulfonyl) _5— (2-sulfamoylphenyl) indole (Compound 325)
1一 (3—ジベンジルァミノ— 2—メチルベンゾィル) 一 2—メチルー 3 _ (2 _ピリジルスルホニル) 一 5— (2—スルファモイルフエニル) インドール 9 Omgをメタノール 6m 1、 酢酸ェチル 4m 1に溶解し水酸化パラジウムオン カーボン 9 Omgを加え水素雰囲気下室温で 15時間、 50 で 1日攪拌した。 触媒 をろ別後濃縮し、 残渣をシリカゲルカラムクロマトグラフィー (へキサン:酢酸 ェチル =3 : 1) に付し上記化合物を 15mg得た。 1- (3-Dibenzylamino-2-methylbenzoyl) 1-2-Methyl-3_ (2_pyridylsulfonyl) -1 5- (2-Sulfamoylphenyl) Indole 9 Omg is dissolved in methanol 6m1 and ethyl acetate 4m1 and water 9 Omg of palladium oxide on carbon was added, and the mixture was stirred under a hydrogen atmosphere at room temperature for 15 hours and at 50 at 1 day. The catalyst was filtered off and concentrated, and the residue was subjected to silica gel column chromatography (hexane: ethyl acetate = 3: 1) to obtain 15 mg of the above compound.
性状:無色粉末 Properties: colorless powder
融点: 148 _ 152 Melting point: 148 _ 152
Ή-NMR (CDC13) δ : 2.18 (3Η, s), 2.72(3H,s),4.17(lH,brs), Ή-NMR (CDC1 3) δ : 2.18 (3Η, s), 2.72 (3H, s), 4.17 (lH, brs),
4.40 (2H, d, J=5Hz),5.10 (2H, s) , 6.70 (IH, d, J=8Hz), 6.84 (1H, d, J=8Hz) 4.40 (2H, d, J = 5Hz), 5.10 (2H, s), 6.70 (IH, d, J = 8Hz), 6.84 (1H, d, J = 8Hz)
7.12-7.18(2H, m), 7.22 (IH, dd, J=9Hz, J=2Hz) , 7.30-7.35 (1H, m) , 7.12-7.18 (2H, m), 7.22 (IH, dd, J = 9Hz, J = 2Hz), 7.30-7.35 (1H, m),
7.35-7.40 (5H, m) , 7.45-7.54 (2H, m), 7.54-7.60 (IH, m), 7.91-7.96 (IH, m), 7.35-7.40 (5H, m), 7.45-7.54 (2H, m), 7.54-7.60 (IH, m), 7.91-7.96 (IH, m),
8.20 (2H, dd, J=9Hz, J=8Hz) , 8.42 (IH, s), 8.66 (IH, d, J=5Hz) 8.20 (2H, dd, J = 9Hz, J = 8Hz), 8.42 (IH, s), 8.66 (IH, d, J = 5Hz)
実施例 38 (2) Example 38 (2)
実施例 38 (1) と同様にして、 以下の (化合物 326) を合成した。 The following (Compound 326) was synthesized in the same manner as in Example 38 (1).
1一 (3—アミノー 2 _メチルベンゾィル) 一 2—メチル一3— (2—ピリジル スルホニル) — 5— ( 2—スルファモイルフエ二ル) インドール (化合 物 326) 1- (3-amino-2-methylbenzoyl) 1- 2-methyl-3- (2-pyridyl Sulfonyl) — 5— (2-Sulfamoylphenyl) Indole (Compound 326)
性状:淡褐色粉末 Properties: light brown powder
融点: 1 39— 143 °C Melting point: 1 39—143 ° C
Ή-NMR (CDC13) δ 2.17 (3Η, s) , 2.72 (3Η, s) , 5.12 (2H, s) , 6.76 (IH, d, J=8Hz) ,Ή-NMR (CDC1 3 ) δ 2.17 (3Η, s), 2.72 (3Η, s), 5.12 (2H, s), 6.76 (IH, d, J = 8Hz),
6.92 (IH, d, J=8Hz), 7.10 (IH, t, J=8Hz) , 7.16(1H, d, J=9Hz), 6.92 (IH, d, J = 8Hz), 7.10 (IH, t, J = 8Hz), 7.16 (1H, d, J = 9Hz),
7.21 (IH, dd, J=8Hz, J=2Hz), 7.37 (IH, dd, J=8Hz, 1Hz), 7.45-7.51 (2H, m), 7.21 (IH, dd, J = 8Hz, J = 2Hz), 7.37 (IH, dd, J = 8Hz, 1Hz), 7.45-7.51 (2H, m),
7.56-7.60 (1H, m) , 7.95 (IH, dt, J=8Hz, J=2Hz), 8.14-8.21 (2H, m), 8.42 (IH, s) , 7.56-7.60 (1H, m), 7.95 (IH, dt, J = 8Hz, J = 2Hz), 8.14-8.21 (2H, m), 8.42 (IH, s),
8.65(lH,d, J=4Hz) 8.65 (lH, d, J = 4Hz)
実施例 39 Example 39
2- (1 - (3—ジメチルアミノー 2 _メチルベンゾィル) 一 2—メチル—5— (2—メチルスルホニルフエニル) インドール— 3—ィルスルホニル) 安息香酸 ベンジル (化合物 327) 2- (1-(3-Dimethylamino-2-methylbenzoyl) -1-2-methyl-5- (2-methylsulfonylphenyl) indole-3-ylsulfonyl) benzyl benzoate (Compound 327)
2- (1- (3—ジメチルァミノ— 2 _メチルベンゾィル) —2—メチル—5— (2—メチルチオフエニル) インドールー 3—ィルスルホニル) 安息香酸ベンジ ル 0. 25 gを塩ィヒメチレン 4m 1に溶解し、 mCPBAO. 36 gを加え室温で 2 時間攪拌した。 反応液をチォ硫酸ナトリウム水溶液、 炭酸水素ナトリウム水溶液 で洗浄した。 無水硫酸マグネシウムで乾燥後濃縮した。 残渣をシリカゲルカラム クロマトグラフィー (へキサン:酢酸ェチル =3 : 1) に付し上記化合物を 84 mg得た。 0.25 g of 2- (1- (3-dimethylamino-2-methylbenzoyl) -2-methyl-5- (2-methylthiophenyl) indole-3-ylsulfonyl) benzyl benzoate was dissolved in 4 ml of salt dimethylene, 36 g of mCPBAO was added and the mixture was stirred at room temperature for 2 hours. The reaction solution was washed with an aqueous sodium thiosulfate solution and an aqueous sodium hydrogen carbonate solution. After drying over anhydrous magnesium sulfate, the mixture was concentrated. The residue was subjected to silica gel column chromatography (hexane: ethyl acetate = 3: 1) to obtain 84 mg of the above compound.
性状:黄色粉末 Properties: yellow powder
融点: 106— 1 10 Melting point: 106—1 10
'H-NMR (CDC13) 6 2.29 (3H, s), 2.58 (3H, s) , 2.60 (3H, s) , 2.72 (6Η, s), 'H-NMR (CDC1 3) 6 2.29 (3H, s), 2.58 (3H, s), 2.60 (3H, s), 2.72 (6Η, s),
5.23 (2H, s), 7.03 (IH, d, J=8Hz) ,7.11 (1H, d, J=9Hz) , 7.20-7.38 (9H, m), 5.23 (2H, s), 7.03 (IH, d, J = 8Hz), 7.11 (1H, d, J = 9Hz), 7.20-7.38 (9H, m),
7.52-7.65 (5H, m), 8.04 (IH, s),8.12 (IH, d, J=5Hz) ,8.21 (IH, d, J=7Hz) 実施例 40 (1) — (3) 実施例 29 (1) と同様にして、 以下の (化合物 328) — (化合物 330) を 合成した。 7.52-7.65 (5H, m), 8.04 (IH, s), 8.12 (IH, d, J = 5Hz), 8.21 (IH, d, J = 7Hz) Example 40 (1) — (3) The following (Compound 328) — (Compound 330) was synthesized in the same manner as in Example 29 (1).
実施例 40 (1) Example 40 (1)
5—ジメチルアミノー 2—メトキシ安息香酸 (化合物 328) 5-Dimethylamino-2-methoxybenzoic acid (Compound 328)
性状:黄色粉末 Properties: yellow powder
融点: 84 _ 86 °C Melting point: 84-86 ° C
Ή-NMR (CDC13) δ : 2.94 (6Η, s) , 4.01 (3H, s) , 6.91-6.98 (2Η, m) , Ή-NMR (CDC1 3) δ : 2.94 (6Η, s), 4.01 (3H, s), 6.91-6.98 (2Η, m),
7.54(lH,d, J=4Hz) 7.54 (lH, d, J = 4Hz)
実施例 40 (2) Example 40 (2)
5 _ジメチルァミノ— 2—メチル安息香酸 (化合物 329) 5 _Dimethylamino-2-methylbenzoic acid (Compound 329)
性状:黄色粉末 Properties: yellow powder
融点: 1 29— 1321: Melting point: 1 29— 1321:
'H-NMR(DMSO-d6) δ : 2.38 (3Η, s) , 2.87 (6Η, s) , 6.84 (IH, dd, J=8Hz, J=3Hz) , 7.09 (IH, d, J=8Hz) , 7.14 (1H, d, J=3Hz) 'H-NMR (DMSO-d 6 ) δ: 2.38 (3Η, s), 2.87 (6Η, s), 6.84 (IH, dd, J = 8Hz, J = 3Hz), 7.09 (IH, d, J = 8Hz) ), 7.14 (1H, d, J = 3Hz)
実施例 40 (3) Example 40 (3)
3—ジベンジルァミノ— 2—メチル安息香酸 (化合物 330) 3-Dibenzylamino-2-methylbenzoic acid (Compound 330)
性状:無色粉末 Properties: colorless powder
融点: 1 57— 160 °C Melting point: 1 57- 160 ° C
'H-NMR(DMS0-d6) δ : 2.58 (3Η, s) , 4.06 (4Η, s),7.09(lH, t, J=8Hz), 'H-NMR (DMS0-d 6 ) δ: 2.58 (3Η, s), 4.06 (4Η, s), 7.09 (lH, t, J = 8Hz),
7.17-7.22 (3H, m), 7.22-7.30 (8H, m), 7.37 (IH, d, J=8Hz) 7.17-7.22 (3H, m), 7.22-7.30 (8H, m), 7.37 (IH, d, J = 8Hz)
実施例 41 (1) - (2) Example 41 (1)-(2)
実施例 16 (1) と同様にして、 以下の (化合物 331) 〜 (化合物 332) を 得た。 The following (Compound 331) to (Compound 332) were obtained in the same manner as in Example 16 (1).
実施例 41 (1) Example 41 (1)
2 - (5—ブロモ—2—メチルインドール— 3—ィルスルホニル) 安息香酸メチ ルエステル (化合物 33 1) 性状:無色粉末 2- (5-Bromo-2-methylindole-3-ylsulfonyl) methyl benzoate (Compound 331) Properties: colorless powder
融点: 1 85— 186. 5°C Melting point: 1 85— 186.5 ° C
Ή-NMR (DMS0-d6) <5 : 2.67(3H,s), 3.81(3H,s), 7.32(lH,dd, J=8Hz, J-2Hz), 7.39 (IH, d, J=8Hz) ,7.58 (IH, dd, J=8Hz, J=2Hz) , 7.65-7.72 (2H, m) , Ή-NMR (DMS0-d 6 ) <5: 2.67 (3H, s), 3.81 (3H, s), 7.32 (lH, dd, J = 8Hz, J-2Hz), 7.39 (IH, d, J = 8Hz) ), 7.58 (IH, dd, J = 8Hz, J = 2Hz), 7.65-7.72 (2H, m),
7.85 (1H, d, J=2Hz), 7.90 (IH, dd, J=8Hz, J=2Hz) , 12.44 (IH, brs) 7.85 (1H, d, J = 2Hz), 7.90 (IH, dd, J = 8Hz, J = 2Hz), 12.44 (IH, brs)
実施例 41 (2) Example 41 (2)
2 - ( 5—ブロモー 2—メチルインドール— 3—ィルスルホニル) 安息香 酸 t e r t—ブチル (化合物 332) 2-tert-butyl 2- (5-bromo-2-methylindole-3-ylsulfonyl) benzoate (Compound 332)
性状:無色粉末 Properties: colorless powder
融点: 278 (d e c. ) Melting point: 278 (d e c.)
Ή-NMR (DMSO— d6) δ :1.57 (9H, s), 2.63 (3H, s), 7.28-7.32 (1H, m) , Ή-NMR (DMSO- d 6 ) δ: 1.57 (9H, s), 2.63 (3H, s), 7.28-7.32 (1H, m),
7.37 (IH, d, J=8Hz) , 7.53 (1H, d, J=7Hz) , 7.61-7.69 (2H, m) , 7.82-7.86 (2H, m) 実施例 42 (1) — (3) 7.37 (IH, d, J = 8Hz), 7.53 (1H, d, J = 7Hz), 7.61-7.69 (2H, m), 7.82-7.86 (2H, m) Example 42 (1) — (3)
実施例 18 (1) と同様にして、 以下の (化合物 333) — (化合物 335) を 得た。 The following (Compound 333) — (Compound 335) were obtained in the same manner as in Example 18 (1).
実施例 42 (1) Example 42 (1)
2 - (5—ブロモ— 1一 (3—ジベンジルァミノ— 2—メチルベンゾィル) —2 一メチルインドール— 3—ィルスルホニル) 安息香酸ベンジル (化合物 333) 性状:褐色アモルファス 2- (5-bromo-11- (3-dibenzylamino-2-methylbenzoyl) -2-methylindole-3-ylsulfonyl) benzyl benzoate (Compound 333) Properties: brown amorphous
Ή-NMR (CDC13) δ :2.35 (3Η, s), 2.48 (3H, s), 4.08 (4H, s),5.27 (2H, s), Ή-NMR (CDC1 3) δ : 2.35 (3Η, s), 2.48 (3H, s), 4.08 (4H, s), 5.27 (2H, s),
6.77 (IH, d, J=9Hz) ,6.98 (IH, d, J=7Hz), 7.10-7.16 (2H, m), 7.16-7.30 (1 IH, m) , 6.77 (IH, d, J = 9Hz), 6.98 (IH, d, J = 7Hz), 7.10-7.16 (2H, m), 7.16-7.30 (1 IH, m),
7.30-7.40 (5H, m) , 7.52-7.60 (3H, m) , 8.02-8· 10 (IH, m) , 8.14 (1H, d, J=3Hz) 実施例 42 (2) 7.30-7.40 (5H, m), 7.52-7.60 (3H, m), 8.02-8 · 10 (IH, m), 8.14 (1H, d, J = 3Hz) Example 42 (2)
2 - (5—プロモー 1一 (3—ジメチルァミノ— 2—メチルベンゾィル) 一 2— メチルインドール一 3—ィルスルホニル) 安息香酸 t e r t—ブチル (化合 物 334) 性状:黄色アモルファス 2- (5-Promo- 11- (3-dimethylamino-2-methylbenzoyl) -12-Methylindole-13-ylsulfonyl) tert-butyl benzoate (Compound 334) Properties: yellow amorphous
'Η-匪 R(CDC13) δ :1.60 (9H, s), 2.24 (3H, s) , 2.58 (3H, s), 2.71 (6H, s), '.Eta. negation R (CDC1 3) δ: 1.60 (9H, s), 2.24 (3H, s), 2.58 (3H, s), 2.71 (6H, s),
6.92-7.00 (2H, m) , 7.20-7.28 (3H, m) , 7.52-7.60 (3H, m) , 8.02(1H, d, J=8Hz), 8.14(lH,d, J=2Hz) 6.92-7.00 (2H, m), 7.20-7.28 (3H, m), 7.52-7.60 (3H, m), 8.02 (1H, d, J = 8Hz), 8.14 (lH, d, J = 2Hz)
実施例 42 (3) Example 42 (3)
2 - (5—ブロモー 1— (3—ジメチルアミノー 2—メチルベンゾィル) —2— メチルインドールー 3—ィルスルホニル) 安息香酸メチルエステル (化合 物 335) 2- (5-bromo-1- (3-dimethylamino-2-methylbenzoyl) -2-methylindole-3-ylsulfonyl) methyl benzoate (Compound 335)
性状:黄色アモルファス Properties: yellow amorphous
Ή-NMR (CDC13) δ : 2.24 (3Η, s) , 2.55 (3H, s) , 2.70 (6Η, s) , 3.85 (3Η, s) , Ή-NMR (CDC1 3) δ : 2.24 (3Η, s), 2.55 (3H, s), 2.70 (6Η, s), 3.85 (3Η, s),
6.94 (1Η, d, J=9Hz) , 6.98 (1Η, dd, J=7Hz, J=2Hz, ),7.21-7.28 (3H, m), 6.94 (1Η, d, J = 9Hz), 6.98 (1Η, dd, J = 7Hz, J = 2Hz,), 7.21-7.28 (3H, m),
7.57-7.6 (3H, m) , 8.07 (IH, dd, J=7Hz, J=3Hz) ,8.17(1H, d, J=7Hz) 7.57-7.6 (3H, m), 8.07 (IH, dd, J = 7Hz, J = 3Hz), 8.17 (1H, d, J = 7Hz)
実施例 43 (1) - (5) Example 43 (1)-(5)
実施例 22 (1) と同様にして、 以下の (化合物 336) — (化合物 340) を 得た。 The following (Compound 336) — (Compound 340) were obtained in the same manner as in Example 22 (1).
実施例 43 (1) Example 43 (1)
2- (5- (2— N_ t e r t—ブチルスルファモイルフエ二ル) — 1— (3—ジ ベンジルアミノー 2—メチルペンゾィル) ― 2—メチルインドール— 3—ィルス ルホニル) 安息香酸ベンジル (化合物 336) 2- (5- (2-N-tert-butylsulfamoylphenyl) — 1- (3-dibenzylamino-2-methylpentyl) -2-methylindole-3-ylsulfonyl) Benzyl benzoate (Compound 336 )
性状:黄色アモルファス Properties: yellow amorphous
Ή-NMR (CDC 13) δ :0.92 (9Η, s), 2.40 (3H, s) , 2.48 (3Η, s), 3.77 (IH, s) , Ή-NMR (CDC 1 3) δ: 0.92 (9Η, s), 2.40 (3H, s), 2.48 (3Η, s), 3.77 (IH, s),
4.11 (4H, s), 5.19 (2H, s) , 6.96-7.06 (2H, m) , 7.06-7.12 (2H, m), 4.11 (4H, s), 5.19 (2H, s), 6.96-7.06 (2H, m), 7.06-7.12 (2H, m),
7.16-7.30 (10H, m) , 7.30-7.38 (6H, m) , 7.46-7.60 (6H, m) , 8.10 (1H, s), 7.16-7.30 (10H, m), 7.30-7.38 (6H, m), 7.46-7.60 (6H, m), 8.10 (1H, s),
8.12-8.21 (2H, m) 8.12-8.21 (2H, m)
実施例 43 (2) Example 43 (2)
2- (5- (3—ァセチルフエニル) — 1— (3—ジメチルァミノ— 2—メチル ベンゾィル) —2—メチルインドール—3—ィルスルホニル) 安息香酸ベンジル (化合物 337) 2- (5- (3-Acetylphenyl) — 1— (3-Dimethylamino-2-methyl Benzyl) -2-methylindole-3-ylsulfonyl) benzyl benzoate (Compound 337)
性状:黄色アモルファス Properties: yellow amorphous
Ή-NMR (CDC13) δ :2.20 (3Η, s),2.64 (3H, s),2.65 (3H, s) , 2.73 (6H, s), 5.29 (2H, s) , 7.03 (IH, d, J=7Hz) ,7.13 (1H, d, J=9Hz), 7.20-7.34 (5H, m), 7.34-7.40 (3H, m), 7.51 (IH, d, J=8Hz) , 7.56-7.62 (3H, m) , 7.78 (IH, d, J=9Hz) ,7.91 (IH, d, J=8Hz) 実施例 43 (3) Ή-NMR (CDC1 3) δ : 2.20 (3Η, s), 2.64 (3H, s), 2.65 (3H, s), 2.73 (6H, s), 5.29 (2H, s), 7.03 (IH, d, J = 7Hz), 7.13 (1H, d, J = 9Hz), 7.20-7.34 (5H, m), 7.34-7.40 (3H, m), 7.51 (IH, d, J = 8Hz), 7.56-7.62 (3H , M), 7.78 (IH, d, J = 9Hz), 7.91 (IH, d, J = 8Hz) Example 43 (3)
2- (5- (2 _N_ t e r t—ブチルスルファモイルフエ二ル) _ 1 _ (3— ジメチルアミノー 2—メチルベンゾィル) 一 2—メチルインドール— 3—ィルス ルホニル) 安息香酸ベンジル (化合物 338) 2- (5- (2_N_tert-butylsulfamoylphenyl) _ 1 _ (3-dimethylamino-2-methylbenzoyl) 1-2-methylindole-3-ylsulfonyl) Benzyl benzoate (Compound 338)
性状:無色粉末 Properties: colorless powder
融点: 152— 154 Melting point: 152-154
Ή-NMR (CDC13) δ :0.94 (9Η, s),2.27 (3H, s), 2.55 (3H, s), 2.72 (6H, s), 3.76 (IH, s), 5.23 (2H, s) , 6.99 (IH, d, J=8Hz) ,7.13 (IH, d, J=9Hz),7.22 (IH, t, J=8Hz), Ή-NMR (CDC1 3) δ : 0.94 (9Η, s), 2.27 (3H, s), 2.55 (3H, s), 2.72 (6H, s), 3.76 (IH, s), 5.23 (2H, s) , 6.99 (IH, d, J = 8 Hz), 7.13 (IH, d, J = 9 Hz), 7.22 (IH, t, J = 8 Hz),
7.27-7.39 (8H, m), 7.48 (IH, t , J=8Hz) , 7.50-7.61 (4H, m),8.12 (IH, s) , 7.27-7.39 (8H, m), 7.48 (IH, t, J = 8Hz), 7.50-7.61 (4H, m), 8.12 (IH, s),
8.13-8. 0(2H,m) 8.13-8. 0 (2H, m)
実施例 43 (4) Example 43 (4)
2- (5- (3—ァセチルフエニル) — 1— (3—ジメチルァミノ— 2—メチル ベンゾィル) _ 2—メチルインドール— 3—ィルスルホニル) 安息香酸 t e r t 一ブチル (化合物 339) 2- (5- (3-Acetylphenyl) — 1— (3-Dimethylamino-2-methylbenzoyl) _ 2-Methylindole-3-ylsulfonyl) tert-butyl benzoate (Compound 339)
性状:黄色アモルファス Properties: yellow amorphous
'H-NMR(CDC13) δ :1.58 (9H, s), 2.29 (3H, s) , 2.66 (3H, s) , 2.67 (3H, s), 2.73 (6H, s) , 7.05 (IH, d, J=8Hz) ,7.15 (IH, d, J=9Hz), 7.20-7.30 (IH, m) , 7.39 (IH, d, J=8Hz) , 7.52 (1H, t, J=8Hz), 7.53-7.60 (4H, m), 7.79 (IH, d, J=8Hz) , 7.92 (IH, d, J=8Hz), 8.04-8.09 (lH,m),8.12(lH,s),8.18(1H, s) 'H-NMR (CDC1 3) δ: 1.58 (9H, s), 2.29 (3H, s), 2.66 (3H, s), 2.67 (3H, s), 2.73 (6H, s), 7.05 (IH, d , J = 8Hz), 7.15 (IH, d, J = 9Hz), 7.20-7.30 (IH, m), 7.39 (IH, d, J = 8Hz), 7.52 (1H, t, J = 8Hz), 7.53- 7.60 (4H, m), 7.79 (IH, d, J = 8Hz), 7.92 (IH, d, J = 8Hz), 8.04-8.09 (lH, m), 8.12 (lH, s), 8.18 (1H, s )
実施例 43 (5) 2 - (5 - (2—ァセチルフエニル) 一 1 _ (3—ジメチルァミノ— 2—メチル ベンゾィル) _ 2—メチルインドールー 3 _ィルスルホニル) 安息香酸メチルェ ステル (化合物 340) Example 43 (5) 2- (5- (2-acetylphenyl) 1-1_ (3-dimethylamino-2-methylbenzoyl) _2-methylindole-3-ylsulfonyl) methyl benzoate (Compound 340)
性状:淡緑色アモルファス Properties: light green amorphous
Ή-NMR (CDC13) δ : 1.90 (3Η, s) , 2.29 (3Η, s) , 2.63 (3Η, s) , 2.69 (6Η, s) , 3.84 (3Η, s) , 7.05 (IH, dd, J=8Hz, J = lHz) , 7.08 (IH, d, J = lHz, ), 7.23-7.29 (2H, m) , 7.37-7.43 (2H, m), 7.48-7.68 (6H, m), 7.97 (1H, s), 8.12 (1H, dd, J=8Hz, J=2Hz) 実施例 44 (1) - ( 1 4) Ή-NMR (CDC1 3) δ : 1.90 (3Η, s), 2.29 (3Η, s), 2.63 (3Η, s), 2.69 (6Η, s), 3.84 (3Η, s), 7.05 (IH, dd, J = 8Hz, J = lHz), 7.08 (IH, d, J = lHz,), 7.23-7.29 (2H, m), 7.37-7.43 (2H, m), 7.48-7.68 (6H, m), 7.97 ( 1H, s), 8.12 (1H, dd, J = 8Hz, J = 2Hz) Example 44 (1)-(1 4)
実施例 2 5 (1) と同様にして、 以下の (化合物 34 1) — (化合物 3 54) を 得た。 The following (Compound 341) — (Compound 354) was obtained in the same manner as in Example 25 (1).
実施例 44 (1) Example 44 (1)
2 - (1— (2, 6—ジメチルベンゾィル) — 2—メチル— 5— (2—スルファ モイルフエニル) インドール— 3 _ィルスルホニル) 安息香酸ベンジル (化合物 34 1) 2- (1- (2,6-dimethylbenzoyl) —2-methyl-5- (2-sulfamoylphenyl) indole—3_ylsulfonyl) benzyl benzoate (compound 34 1)
性状:無色油状物 Properties: colorless oil
Ή-NMR (CDC13) δ :2.12 (6H, s),2.45 (3H, s),4.61 (2H, s), 5.05 (2H, s), Ή-NMR (CDC1 3) δ : 2.12 (6H, s), 2.45 (3H, s), 4.61 (2H, s), 5.05 (2H, s),
7.09-7.14 (2H, m) , 7.28—7.36 (8H, m) , 7.49-7.67 (6H, m) , 8.11-8.24 (3H, m) 実施例 44 (2) 7.09-7.14 (2H, m), 7.28-7.36 (8H, m), 7.49-7.67 (6H, m), 8.11-8.24 (3H, m) Example 44 (2)
2 - (1— (2, 4—ジメトキシベンゾィル) — 2 _メチル _ 5_ (2—スルフ ァモイルフエニル) インドール— 3 _ィルスルホニル) 安息香酸ベンジル (化合 物 342) 2- (1- (2,4-Dimethoxybenzoyl) —2_methyl_5_ (2-sulfamoylphenyl) indole—3_ylsulfonyl) benzyl benzoate (Compound 342)
性状:無色油状物 Properties: colorless oil
'H-NMR(CDC13) δ: 2.60 (3Η, s) , 3.45 (3Η, s) , 4.50 (2Η, s),5.10(2H,s), 'H-NMR (CDC1 3) δ: 2.60 (3Η, s), 3.45 (3Η, s), 4.50 (2Η, s), 5.10 (2H, s),
6.89 (3H, s) , 6.40 (IH, d, J=2Hz), 6.56-6.60 (IH, m),7.12 (1H, d, J=9Hz), 6.89 (3H, s), 6.40 (IH, d, J = 2Hz), 6.56-6.60 (IH, m), 7.12 (1H, d, J = 9Hz),
7.20-7.36 (7H, m), 7.45-7.62 (6H, m) , 8.08 (1H, s),8.15 (2H, d, J=7Hz) 7.20-7.36 (7H, m), 7.45-7.62 (6H, m), 8.08 (1H, s), 8.15 (2H, d, J = 7Hz)
実施例 44 (3) 2 - (1 - (2—ベンジルベンゾィル) 一 2—メチル _ 5— (2—スルファモイ ルフエニル) インドール— 3—ィルスルホニル) 安息香酸ベンジル (化合 物 343) Example 44 (3) 2- (1- (2-benzylbenzoyl) -1-2-methyl-5- (2-sulfamoylphenyl) indole-3-ylsulfonyl) benzyl benzoate (compound 343)
性状:無色粉末 Properties: colorless powder
融点: 107— 109T: Melting point: 107-109T:
'H-NMR(CDC13) δ :2.15(3H,s),4.10 (2H, s) , 4.58 (2H, s) , 5.03 (2H, s) , 'H-NMR (CDC1 3) δ: 2.15 (3H, s), 4.10 (2H, s), 4.58 (2H, s), 5.03 (2H, s),
6.94 (1H, d, J=9Hz) , 7.02 (2H, d, J=7Hz), 7.06-7.18 (3H, m), 7.21 (IH, d, J=9Hz) , 6.94 (1H, d, J = 9Hz), 7.02 (2H, d, J = 7Hz), 7.06-7.18 (3H, m), 7.21 (IH, d, J = 9Hz),
7.26-7.35 (7H, m) , 7.39 (IH, d, J=8Hz) , 7.48-7.66 (7H, m) , 8.11 (1H, s) , 7.26-7.35 (7H, m), 7.39 (IH, d, J = 8Hz), 7.48-7.66 (7H, m), 8.11 (1H, s),
8.13— 8.20(2H,m) 8.13—8.20 (2H, m)
実施例 44 (4) Example 44 (4)
2 - (1 - (6—ジメチルァミノニコチノィル) 一 2—メチル _ 5_(2—スル ファモイルフエ二ル)インドール— 3—ィルスルホニル) 安息香酸ベンジルエス テル (化合物 344) 2- (1-(6-Dimethylaminonicotinol) -1-2-methyl _5_ (2-sulfamoylphenyl) indole-3-ylsulfonyl) benzylester benzoate (Compound 344)
性状:淡黄色油状物 Properties: pale yellow oil
Ή-NMR (CDC13) δ : 2.69 (3Η, s) , 3.21 (6H, s) , 4.57 (2Η, brs) , 5.08 (2Η, s) , Ή-NMR (CDC1 3) δ : 2.69 (3Η, s), 3.21 (6H, s), 4.57 (2Η, brs), 5.08 (2Η, s),
6.48 (IH, d, J=8Hz) ,7.17(1H, d, J=8Hz), 7.26-7.41 (9H, m),7.47-7.65 (3H, m) ,6.48 (IH, d, J = 8Hz), 7.17 (1H, d, J = 8Hz), 7.26-7.41 (9H, m), 7.47-7.65 (3H, m),
7.76 (IH, dd, J=8Hz, J=3Hz), 8.10 (IH, d, J=2Hz), 8.15 (1H, d, J=8Hz) , 7.76 (IH, dd, J = 8Hz, J = 3Hz), 8.10 (IH, d, J = 2Hz), 8.15 (1H, d, J = 8Hz),
8.19(1H, d, J=8Hz) , 8.51 (IH, d, J=2Hz) 8.19 (1H, d, J = 8Hz), 8.51 (IH, d, J = 2Hz)
実施例 44 (5) Example 44 (5)
2— (1— (2—フロイル) 一 2 _メチル— 5— (2—スルファモイルフエ ニル) インドールー 3—ィルスルホニル) 安息香酸ベンジルエステル (化 合物 345) 2- (1- (2-furoyl) -1-2-methyl-5- (2-sulfamoylphenyl) indole-3-ylsulfonyl) Benzoic acid benzyl ester (Compound 345)
性状:無色油状物 Properties: colorless oil
Ή-NMR (CDC13) δ : 2.58 (3Η, s) , 4.59 (2Η, s) , 5.07 (2Η, s) , 6.66 (IH, d, J=2Hz) , 7.19 (1H, d, J=8Hz) , 7.26-7.38 (8H, m), 7.49-7.68 (6H, m),8.11 (1H, d, J=2Hz) , 8.17(lH,dd, J=8Hz, J=2Hz) , 8.21 (IH, dd, J=8Hz, J=2Hz) Ή-NMR (CDC1 3) δ : 2.58 (3Η, s), 4.59 (2Η, s), 5.07 (2Η, s), 6.66 (IH, d, J = 2Hz), 7.19 (1H, d, J = 8Hz ), 7.26-7.38 (8H, m), 7.49-7.68 (6H, m), 8.11 (1H, d, J = 2Hz), 8.17 (lH, dd, J = 8Hz, J = 2Hz), 8.21 (IH, (dd, J = 8Hz, J = 2Hz)
' (in 'ΗΖ) OZ ·8 ' ( =i 'ZH8=f 'ΡΡ Ή2) 1 'ί ' ( 'Η9) Z9 ·Η 'L ' ( Ή9) H ·ί ' (ZH2=f 'ZH9=f 'PP 'HI) 81 'i ' ( ί 'ZH8=f 'PP 'HI) U 'L ' ( =i 'P 'HI) 90 'l '(in' ΗΖ) OZ8 '(= i' ZH8 = f 'ΡΡ Ή2) 1' ί '(' Η9) Z9Η Η 'L' (Ή9) Hί ί '(ZH2 = f' ZH9 = f 'PP' HI) 81 'i' (ί 'ZH8 = f' PP 'HI) U' L '(= i' P 'HI) 90' l
' (s ΉΖ) 90 -S ' (s-iq S9 ' ' (s ¾) S 'l - 9 (ε13α3) HWN-H,'(s ΉΖ) 90 -S' (s-iq S9 '' (s ¾) S 'l-9 ( ε 13α3) HWN-H,
: ^ ': ^ '
( 8 ε呦^ » ^:ェ Kく^鏹暴、 S'^ (1Γ"^Γ^Ο- ε -Λ(- ( ί~^^ ( ^^^ ( - Ζ) - - (^- Ζ - ( /、く^口 乙ー ) - I ) - Z (8 ε 呦 ^ »^: e Kku ^ 鏹 violent, S '^ (1Γ" ^ Γ ^ Ο- ε -Λ (-(ί ~ ^^ (^^^ (-Ζ)--(^-Ζ -(/ 、 く ^ 口 乙 ー)-I)-Z
(8) (8)
( =i 'ΖΗ8=ί 'PP'Hi '8'(ZH2=f 'ZH8=f 'ΡΡΉΟΖΐ ·8 '( 'P 'HI) Π ·8 ' (in Ή8) 99 -9 'ί ' ("I 'Η8) 98 Ί-ίΖ ' ( =i 'ZH9=f 'PP 'HI) OZ Ί ' (s Ήΐ) A6 ·9 <(s¾)60, <(s'HZ)AS- '(s 'H£)5l ^ ' (s 'Hg) 09 : 9 (εΐ303) -H,(= i 'ΖΗ8 = ί'PP'Hi'8' (ZH2 = f 'ZH8 = f' ΡΡΉΟΖΐ · 8 '(' P 'HI) Π · 8' (in Ή8) 99 -9 'ί'("I'Η8) 98 Ί-ίΖ' (= i 'ZH9 = f' PP 'HI) OZ Ί' (s Ήΐ) A6 9 <(s¾) 60 , < (s'HZ) AS- '(s' H £ ) 5l ^ '(s' Hg ) 09: 9 (ε ΐ303) -H,
¾ ¾ : ^ ' (L £ エ z) -s- Hr^ ^r^- z -Λ(- - τ ) - τ -Λ(^- ζ) - ζ ¾ ¾: ^ '(L £ d z) -s- Hr ^ ^ r ^-z -Λ (--τ)-τ -Λ (^-ζ)-ζ
(i) Ρ敏牽 (i) Ρ
' ( =i 'ΖΗ8=ί 'ΡΡ ' I ·8 ' (s ΉΙ) LO ·8 ' (ω Ή3) 29 -8^ Ί ' ( 'Η8) 'L '(s 'ζ ί 'PP'HOSI ·9 ' (s ΉΖ) Ζ0 '9 ' (s ¾) ' (s lHS) AO ' (s Ήδ) 09 'Ζ: Q (ε1303) ΗΚΝ-Η, 呦 ^^W : ¥tc¾'(= i' ΖΗ8 = ί 'ΡΡ' I · 8 '(s ΉΙ) LO · 8' (ω Ή3) 29 -8 ^ Ί '(' Η8) 'L' (s 'ζ ί'PP'HOSI · 9 '(s ΉΖ) Ζ0' 9 '(s ¾)' (s l HS) AO '(s Ήδ) 09' Ζ: Q ( ε 1303) ΗΚΝ-Η, 呦 ^^ W: ¥ tc¾
(9 ε ェ ε ( 二ェ乙 (9 ε ε (
- Z) -9 - ( ニ^ ― s _ —口。 「^^一 Ό - τ -Λ(^- Ζ) - ζ -Z) -9-(d ^-s _ — mouth. "^^ one Ό-τ -Λ (^-Ζ)-ζ
06S.0/00df/X3d U9 / 10 OAV 実施例 44 (9) 06S.0 / 00df / X3d U9 / 10 OAV Example 44 (9)
2— (2—メチル— 5 _ (2—スルファモイルフエ二ル) — 1一(2—テノィ ル)インドールー 3—ィルスルホニル) 安息香酸ベンジルエステル (化合 物 349) 2- (2-Methyl-5- (2-sulfamoylphenyl) -111- (2-tenol) indole-3-ylsulfonyl) benzyl benzoate (Compound 349)
性状:淡黄色油状物 Properties: pale yellow oil
Ή-NMR (CDC13) δ 2.60 (3Η, s) , 4.63 (2Η, s) , 5.08(2H, s) , Ή-NMR (CDC1 3 ) δ 2.60 (3Η, s), 4.63 (2Η, s), 5.08 (2H, s),
7.13(lH,dd, J=5Hz, J=4Hz) , 7.26-7.34 (8H, m) , 7.49-7.65 (6H, m) , 7.13 (lH, dd, J = 5Hz, J = 4Hz), 7.26-7.34 (8H, m), 7.49-7.65 (6H, m),
7.87 (IH, d, J=5Hz) ,8.11 (IH, d, J=2Hz) ,8.15 (1H, dd, J=8Hz, J=2Hz), 7.87 (IH, d, J = 5Hz), 8.11 (IH, d, J = 2Hz), 8.15 (1H, dd, J = 8Hz, J = 2Hz),
8.22(lH,dd, J=8Hz, J=2Hz) 8.22 (lH, dd, J = 8Hz, J = 2Hz)
実施例 44 (10) Example 44 (10)
2 - (2—メチル— 1_ (2—メチルー 3—フロイル) 一 5_ (2—スルファモ ィルフエニル) インド一ルー 3 _ィルスルホニル) 安息香酸ベンジルエステル ( 化合物 350) 2- (2-Methyl-1_ (2-Methyl-3-furoyl) -1-5_ (2-Sulfamoylphenyl) Indian 1-Ruth 3-ylsulfonyl) Benzoic acid benzyl ester (Compound 350)
性状:淡黄色油状物 Properties: pale yellow oil
Ή-NMR (CDC13) δ : 2.50 (3Η, s) , 2.62 (3Η, s) , 4.61 (2H, brs) , 5.08 (2H, s) , Ή-NMR (CDC1 3) δ : 2.50 (3Η, s), 2.62 (3Η, s), 4.61 (2H, brs), 5.08 (2H, s),
6.33 (IH, d, J=2Hz) , 7.23-7.37 (9H, m) , 7.45-7.70 (5H, m) , 8.08 (IH, d, J=2Hz), 8.13 (IH, dd, J=7Hz, J=2Hz) ,8.21 (IH, dd, J=7Hz, J=2Hz) 6.33 (IH, d, J = 2Hz), 7.23-7.37 (9H, m), 7.45-7.70 (5H, m), 8.08 (IH, d, J = 2Hz), 8.13 (IH, dd, J = 7Hz, J = 2Hz), 8.21 (IH, dd, J = 7Hz, J = 2Hz)
実施例 44 (11) Example 44 (11)
2 - (2—メチル _ 1— (2—メチルベンゾィル) — 5— (2—スルファモイ ルフエニル) インド一ルー 3—ィルスルホニル) 安息香酸ベンジルエステ ル (化合物 351) 2- (2-Methyl_1- (2-Methylbenzoyl) — 5 -— (2-Sulfamoylphenyl) India-One 3-ylsulfonyl) Benzylester Benzoate (Compound 351)
性状:淡黄色油状物 Properties: pale yellow oil
Ή-NMR (CDC13) δ :2.40 (3Η, s) , 2.50 (3Η, s), 4.59 (2H, s) , 5.05 (2Η, s), Ή-NMR (CDC1 3) δ : 2.40 (3Η, s), 2.50 (3Η, s), 4.59 (2H, s), 5.05 (2Η, s),
7.02 (IH, d, J=9.0Hz), 7.18-7.33 (8H, m), 7.45-7.64 (7H, m) , 8.16 (2H, m) , 7.02 (IH, d, J = 9.0Hz), 7.18-7.33 (8H, m), 7.45-7.64 (7H, m), 8.16 (2H, m),
8.23(lH,d, J=8Hz) 8.23 (lH, d, J = 8Hz)
実施例 44 (12) 2 - (1一 (3—クロ口— 2 _メチルベンゾィル) —2—メチルー 5— (2—ス ルファモイルフエ二ル) インドール— 3—ィルスルホニル) 安息香酸ベンジルェ ステル (化合物 352) Example 44 (12) 2- (1- (3-chloro-2-benzoyl) —2-methyl-5- (2-sulfamoylphenyl) indole-3-sillsulfonyl) benzylester benzoate (Compound 352)
性状:無色固体 Properties: colorless solid
融点: 92— 94°C Melting point: 92-94 ° C
Ή-NMR (CDC13) 5 :2.41 (3H, s) , 2.48 (3H, s) , 4.82 (2Η, s) , 5.22 (2Η, s) , Ή-NMR (CDC1 3 ) 5: 2.41 (3H, s), 2.48 (3H, s), 4.82 (2Η, s), 5.22 (2Η, s),
7.18-7.38 (10Η, m), 7.48-7.85 (6H, m),8.16 (1H, d, J=8Hz) , 8.23 (IH, d, J=4Hz) , 8.24(lH,d, J=3Hz) ' 7.18-7.38 (10Η, m), 7.48-7.85 (6H, m), 8.16 (1H, d, J = 8Hz), 8.23 (IH, d, J = 4Hz), 8.24 (lH, d, J = 3Hz) '
実施例 44 (13) Example 44 (13)
2 - (1 - (4—メトキシベンゾィル) — 2—メチル _5_ (2—スルファモイ ルフエ二ル) インドール— 3—ィルスルホニル) 安息香酸ベンジルエステル (ィ匕 合物 353 ) 2-(1-(4-Methoxybenzoyl) — 2-methyl _5_ (2-sulfamoylphenyl) Indole — 3-ylsulfonyl) Benzoic acid benzyl ester (353)
性状:淡黄色油状物 Properties: pale yellow oil
Ή-NMR (CDC13) δ :2.62 (3Η, s),3.92 (3H, s), 4.62 (2H, s),5.2 (2H, s) , Ή-NMR (CDC1 3 ) δ: 2.62 (3Η, s), 3.92 (3H, s), 4.62 (2H, s), 5.2 (2H, s),
6.95 (2H, d, J=8Hz) ,7.11 (IH, d, J=2Hz), 7.30-7.75 (14H, m),8.13 (1H, d, J=2Hz), 8.16(lH,d, J=9Hz),8.21(lH,d, J=5Hz) 6.95 (2H, d, J = 8Hz), 7.11 (IH, d, J = 2Hz), 7.30-7.75 (14H, m), 8.13 (1H, d, J = 2Hz), 8.16 (lH, d, J = 9Hz), 8.21 (lH, d, J = 5Hz)
実施例 44 (14) Example 44 (14)
2— 〔1— (2, 3—ジメチルベンゾィル) —2—メチル—5— (2—スルファ モイルフエ二ル) インドール— 3—ィルスルホニル〕 安息香酸ベンジルエステル (化合物 354) 2- [1- (2,3-Dimethylbenzoyl) -2-methyl-5- (2-sulfamoylphenyl) indole-3-ylsulfonyl] benzyl benzoate (Compound 354)
性状:無色油状物 Properties: colorless oil
Ή-NMR (CDC13) δ : 2.28 (3Η, s) , 2.37 (3H, s) , 2.49 (3Η, s), 4.58 (2Η, brs), 5.04 (2H, s) , 7.06-7.16(3H, m) , 7.24-7.34 (7H, m) , 7.38 (IH, d, J=8Hz) , Ή-NMR (CDC1 3) δ : 2.28 (3Η, s), 2.37 (3H, s), 2.49 (3Η, s), 4.58 (2Η, brs), 5.04 (2H, s), 7.06-7.16 (3H, m), 7.24-7.34 (7H, m), 7.38 (IH, d, J = 8Hz),
7.52 (IH, dd, J=8Hz, J=2Hz), 7.56-7.65 (4H, m), 8.13(1H, d, J=2Hz) , 7.52 (IH, dd, J = 8Hz, J = 2Hz), 7.56-7.65 (4H, m), 8.13 (1H, d, J = 2Hz),
8.15(1H, dd, J=7Hz, J=2Hz), 8.22 (IH, dd, J=7Hz, J=2Hz) 8.15 (1H, dd, J = 7Hz, J = 2Hz), 8.22 (IH, dd, J = 7Hz, J = 2Hz)
実施例 45 ( 1 ) - (2) ( s ε呦 邈暴、 {Λ(^Λ( Λ( - £ -Λ(-ύ y ( ニェ Example 45 (1)-(2) (s ε 呦 邈 violent, {Λ (^ Λ (Λ (-£ -Λ (-ύ y (Nye
Y-Z) - S - (^-Ζ - {Λ( ^ ^ (^^ - ζ - ^ - I) - z YZ)-S-(^ -Ζ-(Λ (^ ^ (^^-ζ-^-I)-z
¾ ( τ ζ ε 一 ( s o)止 w ' ^ m^ (D L Z \¾ (τ ζ ε one (s o) stop w '^ m ^ (D L Z \
(ZH8=f 'P'Hl)8f 8'(s'Hl)90'8 ' (in Ή8) Z6 -A-98 Ί ' (ω 'HI) 08 ·ί ' ( Ήε) U ·Η9 'ί ' (m 'Η9) -0 'L ' (s 'Η9) LQ ·ε ' (s ΉΟ 39 T (s Ήε) 'I ' (s Ήε) 52 : P (£I3a3)¾WN-H, (ZH8 = f 'P'Hl) 8f 8'(s'Hl)90'8'(in Ή8) Z6 -A-98 Ί' (ω 'HI) 08ί ί' (Ήε) U (m 'Η9) -0' L '(s' Η9) LQ · ε' (s ΉΟ 39 T (s Ήε) 'I' (s Ήε) 52: P ( £ I3a3) ¾WN-H,
(9 s ε (9 s ε
- ) - Τ - ( (~^^Λ(Ά -£) -S) -Z -)-Τ-((~ ^^ Λ (Ά-£) -S) -Z
(ZH9=f 'P ΉΙ) 1Γ8' (ZH9=f 'P 'HI) 91 ·8 ' (s 'HI) 11 ·8 ' (in Ή9) Z9 ·Ζ-9^ ·ί ' (in Ή9Ι) 'L ' (ZH8=f Ί ΉΖ) WL' (ZH6=f ' ΉΖ) 96 '9 ' (s Ή2) SO 'S ' (s 'H 8S ' (s 'm 80 ' ' (s Ή2) '(s 'HS) 8S : έ> ('ΙΟΟΟ) ¾WN-H, (ZH9 = f 'P ΉΙ) 1Γ8' (ZH9 = f 'P' HI) 91 · 8 '(s' HI) 11 · 8 '(in Ή9) Z9ΖΖ-9 ^ ίί (in Ή9Ι)' L '(ZH8 = f ΉΖ ΉΖ) WL' (ZH6 = f 'ΉΖ) 96' 9 '(s Ή2) SO' S '(s' H 8S' (s' m 80 '' (s Ή2) '(s 'HS) 8S: έ> (' ΙΟΟΟ) ¾WN-H,
^: : 邈暴 '^ {Λ(~^ ( Λ( - £ -Λ(-Λ < 二ェ乙 ϊ 乙 — - ^:: Violent '^ {Λ (~ ^ (Λ (-£ -Λ (-Λ <
S -Λ(^-Ζ - {Λ( /, ^^-i^ - Ζ - ^ (^ ^ -ί) - I) - ζ S -Λ (^-Ζ-{Λ (/, ^^-i ^-Ζ-^ (^ ^ -ί)-I)-ζ
(O S ^ m (O S ^ m
¾ (9 s εί#^» 一 (s s ει¾^» 丄 ' ^ m^ (τ) 9 z ¾ (9 s εί # ^ »one (s s ει¾ ^» 丄 '^ m ^ (τ) 9 z
06S.0/00df/X3d U9 / 10 OAV 性状:無色粉末 06S.0 / 00df / X3d U9 / 10 OAV Properties: colorless powder
融点: 174— 177で Melting point: 174—177
Ή-NMR (DMS0-d6) δ: 2.10 (3Η, s),2.56 (3H, s) , 6.99-7.04 (IH, m) , Ή-NMR (DMS0-d 6 ) δ: 2.10 (3Η, s), 2.56 (3H, s), 6.99-7.04 (IH, m),
7.04-7.12 (2H, m), 7.18 (2H, s),7.25 (2H, d, J=7Hz) , 7.54-7.68 (3H, m) , 7.04-7.12 (2H, m), 7.18 (2H, s), 7.25 (2H, d, J = 7Hz), 7.54-7.68 (3H, m),
7.68-7.76 (IH, m) , 7.88 (IH, s), 8.05 (IH, d, J=8Hz), 8.13 (1H, d, J=8Hz) 7.68-7.76 (IH, m), 7.88 (IH, s), 8.05 (IH, d, J = 8Hz), 8.13 (1H, d, J = 8Hz)
実施例 46 (2) Example 46 (2)
2— (1— (2, 6—ジメチルペンゾィル) 一 2—メチル—5— (2—スルファ モイルフエ二ル) インドールー 3—ィルスルホニル) 安息香酸 (化合物 358) 性状:無色粉末 2- (1- (2,6-dimethylpentyl) -1-2-methyl-5- (2-sulfamoylphenyl) indole-3-ylsulfonyl) benzoic acid (compound 358) Properties: colorless powder
融点: 156— 159°C Melting point: 156-159 ° C
Ή-NMR (CDC13) δ :2.15 (6H, s),2.29 (3H, s), 5.41 (2H, s) , 7.06-7.13 (4H, m) , Ή-NMR (CDC1 3) δ : 2.15 (6H, s), 2.29 (3H, s), 5.41 (2H, s), 7.06-7.13 (4H, m),
7.30-7.35 (2H, m) , 7.53 (IH, t, J=8Hz) , 7.56-7.70 (4H, m),8.16 (IH, d, J=8Hz) ,7.30-7.35 (2H, m), 7.53 (IH, t, J = 8Hz), 7.56-7.70 (4H, m), 8.16 (IH, d, J = 8Hz),
8.36(lH,d, J=7Hz),8.41(lH, s) 8.36 (lH, d, J = 7Hz), 8.41 (lH, s)
実施例 46 (3) Example 46 (3)
2 - (5 - (2— N— t e r t—ブチルスルファモイルフエニル) — 1— (3— ジメチルァミノ— 2—メチルペンゾィル) ― 2—メチルインドール— 3—ィルス ルホニル) 安息香酸 (化合物 359) 2- (5-(2-N-tert-butylsulfamoylphenyl) — 1- (3-dimethylamino-2-methylpentyl) -2-methylindole-3-ylsulfonyl) benzoic acid (Compound 359)
性状:無色粉末 Properties: colorless powder
融点: 140— 143 °C Melting point: 140—143 ° C
Ή-NMR (CDCI3) δ :1.01 (9Η, s) , 2.20 (3Η, s), 2.35 (3Η, s), 2.67 (6H, s),5.70 (IH, s) , 7.00 (1H, d, J=8Hz) , 7.06 (IH, d, J=8Hz) , 7.15-7.30 (4H, m) , 7.50 (IH, t, J=7Hz) , 7.52-7.60 (2H, m) , 7.60-7.65 (2H, m),8.21 (IH, d, J=7Hz) ,8.31 (IH, d, J=9Hz) , 8.51(lH,s), Ή-NMR (CDCI3) δ: 1.01 (9Η, s), 2.20 (3Η, s), 2.35 (3Η, s), 2.67 (6H, s), 5.70 (IH, s), 7.00 (1H, d, J) = 8Hz), 7.06 (IH, d, J = 8Hz), 7.15-7.30 (4H, m), 7.50 (IH, t, J = 7Hz), 7.52-7.60 (2H, m), 7.60-7.65 (2H, m), 8.21 (IH, d, J = 7 Hz), 8.31 (IH, d, J = 9 Hz), 8.51 (lH, s),
実施例 46 (4) Example 46 (4)
2 - (1 - (3—ジメチルアミノー 2 _メチルベンゾィル) 一 5— (3- (1一 ヒドロキシェチル) フエニル) 一 2—メチルインドール— 3 _ィルスルホニル) 安息香酸 (化合物 360) 2- (1- (3-dimethylamino-2-methylbenzoyl) -1-5- (3- (1-hydroxyethyl) phenyl) -2-methylindole-3-ylsulfonyl) Benzoic acid (Compound 360)
性状:黄色粉末 Properties: yellow powder
融点: 135— 138V Melting point: 135-138V
'H-NMR(DMSO-d6) δ :1.37 (3Η, d, J=7Hz), 2.17(3H, s), 2.57 (3H, s) , 2.65 (6H, s), 4.80 (IH, q, J=7Hz) , 7.05-7.14 (2H, m), 7.30-7.35 (IH, m), 7.35-7.41 (2H, m) , 7.41-7.50 (2H, m),7.53(1H, s), 7.67(1H, s), 7.70-7.78 (2H, m), 8.01 (IH, s), 8.18-8.21 (IH, m) 'H-NMR (DMSO-d 6 ) δ: 1.37 (3Η, d, J = 7 Hz), 2.17 (3H, s), 2.57 (3H, s), 2.65 (6H, s), 4.80 (IH, q, J = 7Hz), 7.05-7.14 (2H, m), 7.30-7.35 (IH, m), 7.35-7.41 (2H, m), 7.41-7.50 (2H, m), 7.53 (1H, s), 7.67 ( 1H, s), 7.70-7.78 (2H, m), 8.01 (IH, s), 8.18-8.21 (IH, m)
実施例 46 (5) Example 46 (5)
2— ( 1 - (2, 4—ジメトキシベンゾィル) _ 2—メチル _ 5— (2—ス ルファモイルフエ二ル) インドールー 3—ィルスルホニル) 安息香酸 (化 合物 361) 2- (1- (2,4-dimethoxybenzoyl) _2-methyl-5- (2-sulfamoylphenyl) indole-3-ylsulfonyl) benzoic acid (Compound 361)
性状:無色粉末 Properties: colorless powder
融点: 164 _ 167 Melting point: 164 _ 167
'H-NMR(CDC13) δ :2.41 (3Η, s), 3.46 (3H, s), 3.88 (3H, s),5.25 (3H, s), 6.39 (IH, s) , 'H-NMR (CDC1 3) δ: 2.41 (3Η, s), 3.46 (3H, s), 3.88 (3H, s), 5.25 (3H, s), 6.39 (IH, s),
6.60 (IH, d, J=9Hz) , 7.10 (IH, d, J=9Hz) , 7.23 (IH, d, J=8Hz) , 7.35 (IH, d, J=8Hz) ,6.60 (IH, d, J = 9Hz), 7.10 (IH, d, J = 9Hz), 7.23 (IH, d, J = 8Hz), 7.35 (IH, d, J = 8Hz),
7.46-7.5 (1H, m) , 7.54-7.70 (5H, m) ,8.14(1H, d, J=9Hz) , 8.35 (2H, s) 7.46-7.5 (1H, m), 7.54-7.70 (5H, m), 8.14 (1H, d, J = 9Hz), 8.35 (2H, s)
実施例 46 (6) Example 46 (6)
2 - (1 - (2—べンジルベンゾィル) —2—メチルー 5— (2—スルファモイ ルフエ二ル) インドール— 3—ィルスルホニル) 安息香酸 (化合物 362) 性状:無色粉末 2- (1-(2-Benzylbenzoyl) -2-methyl-5- (2-sulfamoyl phenyl) Indole-3-ylsulfonyl) Benzoic acid (Compound 362) Properties: colorless powder
融点: 145 _ 148 °C Melting point: 145-148 ° C
Ή-NMR (DMS0-d6) 6 :2.27 (3H, s), 4.08 (2H, s), 6.90 (1H, d, J=9Hz) , Ή-NMR (DMS0-d 6 ) 6: 2.27 (3H, s), 4.08 (2H, s), 6.90 (1H, d, J = 9 Hz),
7.03 (2H, d, J=8Hz), 7.08-7.12(1H, m), 7.12-7.20 (4H, m),7.28 (IH, d, J=6Hz) , 7.42 (1H, t, J=8Hz) , 7.48-7.53 (2H, m) , 7.58-7.69 (4H, m), 7.75 (IH, t, J=7Hz) , 7.92 (1H, s) , 8.05 (IH, d, J=7Hz), 8.11 (1H, d, J=7Hz) 7.03 (2H, d, J = 8Hz), 7.08-7.12 (1H, m), 7.12-7.20 (4H, m), 7.28 (IH, d, J = 6Hz), 7.42 (1H, t, J = 8Hz) , 7.48-7.53 (2H, m), 7.58-7.69 (4H, m), 7.75 (IH, t, J = 7Hz), 7.92 (1H, s), 8.05 (IH, d, J = 7Hz), 8.11 ( (1H, d, J = 7Hz)
実施例 46 (7) 2 - (1— (6—ジメチルァミノニコチノィル) — 2—メチル _ 5— (2—スル ファモイルフエ二ル)インドールー 3 _ィルスルホニル) 安息香酸 (化合 物 363) Example 46 (7) 2- (1- (6-Dimethylaminonicotinol) — 2-Methyl_5- (2-Sulfamoylphenyl) indole-3-ylsulfonyl) benzoic acid (Compound 363)
性状:淡赤色アモルファス Properties: light red amorphous
Ή-NMR (DMS0-d6) δ 2.68 (3H, s) , 3.07 (3Η, s),3.10 (3Η, s), 7.06 (2Η, s), 7.23 (IH, dd, J=7Hz, J=2Hz) ,7.31 (1H, d, J=7Hz), 7.39 (IH, d, J=8Hz) , Ή-NMR (DMS0-d 6 ) δ 2.68 (3H, s), 3.07 (3Η, s), 3.10 (3Η, s), 7.06 (2Η, s), 7.23 (IH, dd, J = 7 Hz, J = 2Hz), 7.31 (1H, d, J = 7Hz), 7.39 (IH, d, J = 8Hz),
7.50-7.65 (5H, m),7.81 (IH, s) , 8.05 (2H, dd, J=8Hz, J=6Hz) , 9.33 (IH, brs) 実施例 46 (8) 7.50-7.65 (5H, m), 7.81 (IH, s), 8.05 (2H, dd, J = 8Hz, J = 6Hz), 9.33 (IH, brs) Example 46 (8)
2 - (1— (2—フロイル) —2—メチル— 5— (2—スルファモイルフエ二ル ) インドール— 3—ィルスルホニル) 安息香酸 (化合物 364) 2- (1— (2-furoyl) —2-methyl—5— (2-sulfamoylphenyl) indole—3-ylsulfonyl) benzoic acid (compound 364)
性状:淡黄色粉末 Properties: pale yellow powder
融点: 1 73— 175 Melting point: 1 73— 175
Ή-NMR (DMS0-d6) δ 2.66 (3Η, s) , 6.93 (IH, s), 7.21-7.31 (4H, m) , Ή-NMR (DMS0-d 6 ) δ 2.66 (3Η, s), 6.93 (IH, s), 7.21-7.31 (4H, m),
7.60-7.74 (5H, m), 7.90 (IH, s) , 8.06 (IH, d, J=7Hz) ,8.17 (IH, d, J=7Hz) , 8.26(1H, s) 7.60-7.74 (5H, m), 7.90 (IH, s), 8.06 (IH, d, J = 7Hz), 8.17 (IH, d, J = 7Hz), 8.26 (1H, s)
実施例 46 (9) Example 46 (9)
2— (2_メチル_ 1ー (1一メチルピロ一ル— 2—力ルポニル) 一 5— (2 - スルファモイルフエ二ル) インドールー 3—ィルスルホニル) 安息香酸 (化合物 2- (2_Methyl_1- (1-Methylpyrroyl-2- 2-caprolponyl) -1-5- (2-Sulfamoylphenyl) Indole-3-ylsulfonyl) Benzoic acid (Compound
365) 365)
性状:無色粉末 Properties: colorless powder
融点: 1 70 _ 1 72 Melting point: 1 70 _ 1 72
Ή-NMR (DMS0-d6) δ 2.42 (3Η, s) , 4.06 (3Η, s) , 5.25 (2Η, brs) , 6.17(1H, s),Ή-NMR (DMS0-d 6 ) δ 2.42 (3Η, s), 4.06 (3Η, s), 5.25 (2Η, brs), 6.17 (1H, s),
6.60 (IH, s) , 7.07 (IH, s) , 7.14(1H, d, J=8Hz), 7.32 (IH, d, J=9Hz) , 6.60 (IH, s), 7.07 (IH, s), 7.14 (1H, d, J = 8Hz), 7.32 (IH, d, J = 9Hz),
7.36 (IH, d, J=8Hz) , 7.51-7.65 (5H, m) , 8.15 (IH, d, J=8Hz) , 8.33 (IH, s), 7.36 (IH, d, J = 8Hz), 7.51-7.65 (5H, m), 8.15 (IH, d, J = 8Hz), 8.33 (IH, s),
8.35(lH,d, J=8Hz) 8.35 (lH, d, J = 8Hz)
実施例 46 (10) 2 - (2—メチル— 1— (1—メチルインドール— 2—カルボニル) —5— (2 ースルファモイルフエニル) インドール— 3—ィルスルホニル) 安息香酸 (化合Example 46 (10) 2- (2-Methyl-1- (1-methylindole-2-carbonyl) -5- (2-sulfamoylphenyl) indole-3-ylsulfonyl) benzoic acid
366) 366)
性状:無色粉末 Properties: colorless powder
融点: 178— 18 o Melting point: 178-18 o
Ή-NMR (CDClj) δ : 2.45 (3Η, s) , 4.14 (3Η, s) , 5.28 (2H, brs) , 6.97 (IH, s) , 7.12 (IH, dd, J=8Hz, J=2Hz), 7.20 (IH, dd, J=8Hz, J=6Hz), 7.33 (IH, d, J=8Hz) , Ή-NMR (CDClj) δ: 2.45 (3Η, s), 4.14 (3Η, s), 5.28 (2H, brs), 6.97 (IH, s), 7.12 (IH, dd, J = 8Hz, J = 2Hz) , 7.20 (IH, dd, J = 8Hz, J = 6Hz), 7.33 (IH, d, J = 8Hz),
7.37 (1H, d, J=8Hz) , 7.45-7.53 (3H, m), 7.58-7.69 (5H, m), 8.15 (1H, d, J=8Hz),7.37 (1H, d, J = 8Hz), 7.45-7.53 (3H, m), 7.58-7.69 (5H, m), 8.15 (1H, d, J = 8Hz),
8.37 (IH, dd, J=8Hz, J=2Hz) , 8.39 (IH, s) 8.37 (IH, dd, J = 8Hz, J = 2Hz), 8.39 (IH, s)
実施例 46 (1 1) Example 46 (1 1)
2— (1一 (4—フルォロベンゾィル) —2—メチル—5— (2—スルファモイ ルフエニル) インドール— 3—ィルスルホニル) 安息香酸 (化合物 367) 性状:無色粉末 2- (11- (4-fluorobenzoyl) -2-methyl-5- (2-sulfamoyl phenyl) indole-3-ylsulfonyl) benzoic acid (Compound 367) Properties: colorless powder
融点: 169 _ 171 °C Melting point: 169-171 ° C
Ή-NMR (CDCI3) δ : 2.54 (3Η, s) , 4.68 (2Η, brs) , 5.07 (2H, s) , Ή-NMR (CDCI3) δ: 2.54 (3Η, s), 4.68 (2Η, brs), 5.07 (2H, s),
7.05 (1H, dd, J=7Hz, J=2Hz) ,7.17 (1H, dd, J=8Hz, J=2Hz), 7.05 (1H, dd, J = 7Hz, J = 2Hz), 7.17 (1H, dd, J = 8Hz, J = 2Hz),
7.19 (IH, dd, J=8Hz, J=2Hz) , 7.25-7.34 (7H, m), 7.49-7.67 (5H, m) , 7.19 (IH, dd, J = 8Hz, J = 2Hz), 7.25-7.34 (7H, m), 7.49-7.67 (5H, m),
7.77 (IH, dd, J=8Hz, J=2Hz) , 7.79 (1H, dd, J=8Hz, J=2Hz),8.12 (1H, d, J=lHz) , 8.15 (IH, dd, J=8Hz, J = lHz), 8.24 (IH, dd, J=8Hz, J=2Hz) 7.77 (IH, dd, J = 8Hz, J = 2Hz), 7.79 (1H, dd, J = 8Hz, J = 2Hz), 8.12 (1H, d, J = lHz), 8.15 (IH, dd, J = 8Hz) , J = lHz), 8.24 (IH, dd, J = 8Hz, J = 2Hz)
実施例 46 (12) Example 46 (12)
2— (2—メチルー 1— (2—メチルベンゾィル) 一 5— (2—スルファモイル フエニル) インドール— 3—ィルスルホニル) 安息香酸 (化合物 368) 性状:無色粉末 2- (2-methyl-1- (2-methylbenzoyl) -1-5- (2-sulfamoylphenyl) indole-3-ylsulfonyl) benzoic acid (compound 368) Properties: colorless powder
融点: 163— 166 Melting point: 163-166
Ή-NMR (CDC13) δ :2.40 (3Η, s),2.50 (3H, s),4.56 (2H, s) , 7.02 (IH, d, J=9. OHz) , 7.18-7.33 (4H, m) , 7.45-7.64 (3H, m) , 8.15 (1H, dd, J=7Hz, · J=2Hz), 8.16(1H, dd, J=7Hz, J=2Hz),8.23(1H, d, J=8Hz) Ή-NMR (CDC1 3) δ : 2.40 (3Η, s), 2.50 (3H, s), 4.56 (2H, s), 7.02 (. IH, d, J = 9 OHz), 7.18-7.33 (4H, m ), 7.45-7.64 (3H, m), 8.15 (1H, dd, J = 7Hz, J = 2Hz), 8.16 (1H, dd, J = 7Hz, J = 2Hz), 8.23 (1H, d, J = 8Hz)
実施例 46 (1 3) Example 46 (1 3)
2 - (2—メチルー 1— (2—メチルー 3—フロイル) _ 5 _ (2—スルファモ ィルフエニル) インドール— 3—ィルスルホニル) 安息香酸 (化合物 3 6 9) 性状:無色粉末 2- (2-methyl-1- (2-methyl-3-furoyl) _ 5 _ (2-sulfamoylphenyl) indole-3-ylsulfonyl) benzoic acid (compound 369) Properties: colorless powder
融点: 1 3 9— 1 4 1 °C Melting point: 1 3 9—1 4 1 ° C
Ή-NMR (CDC13) (5 :2.45 (3H, s) , 2.52 (3H, s), 4.56 (2H, s), 7.02 (1H, d, J=9. OHz) , 7.18-7.33 (5H, m) , 7.45-7.64 (4H, m),8.15(lH,dd, J=7Hz, J=2Hz), Ή-NMR (CDC1 3) ( 5:. 2.45 (3H, s), 2.52 (3H, s), 4.56 (2H, s), 7.02 (1H, d, J = 9 OHz), 7.18-7.33 (5H, m), 7.45-7.64 (4H, m), 8.15 (lH, dd, J = 7Hz, J = 2Hz),
8.16 (IH, dd, J=7Hz, J=2Hz) , 8.23 (IH, d, J=8Hz) 8.16 (IH, dd, J = 7Hz, J = 2Hz), 8.23 (IH, d, J = 8Hz)
実施例 46 (1 4) Example 46 (1 4)
2— (1 - (3—クロ口 _ 2—メチルベンゾィル) — 2—メチル— 5— (2—ス ルファモイルフエニル) インドール— 3 _ィルスルホニル) 安息香酸 (化合 物 3 70) 2- (1-(3-Methyl benzo-2-yl) — 2-Methyl-5- (2-Sulfamoylphenyl) Indole-3 _ylsulfonyl) Benzoic acid (Compound 370)
性状:無色粉末 Properties: colorless powder
融点: 2 2 0— 2 2 3で Melting point: 2 2 0—2 2 3
Ή-NMR (CDC13) δ :2.41 (3Η, s) , 2.45 (3Η, s) , 4.82 (2Η, s) , 7.14-7.34 (6Η, m) , 7.50-7.81 (5Η, m), 8.16 (IH, d, J=8Hz) , 8.23 (IH, d, J=4Hz) , 8.24 (1H, d, J=3Hz) 実施例 46 (1 5) Ή-NMR (CDC1 3) δ : 2.41 (3Η, s), 2.45 (3Η, s), 4.82 (2Η, s), 7.14-7.34 (6Η, m), 7.50-7.81 (5Η, m), 8.16 ( IH, d, J = 8Hz), 8.23 (IH, d, J = 4Hz), 8.24 (1H, d, J = 3Hz) Example 46 (15)
2— 〔1— (2, 3—ジメチルペンゾィル) 一 2 _メチル— 5— (2—スルファ モイルフエ二ル) インド一ルー 3—ィルスルホニル〕 安息香酸 (化合物 37 1) 性状:無色固体 2- (1— (2,3-dimethylpentyl) 1-2-methyl-5- (2-sulfamoylphenyl) Indian 1-3-ylsulfonyl] benzoic acid (Compound 37 1) Properties: colorless solid
Ή-NMR (CDC13) δ : 2.26 (3Η, s) , 2.35 (6Η, brs) , 5.26 (2H, brs) , 7.08 (2H, s) , 7.16(2H, q, J=8Hz), 7.34 (IH, d, J=8Hz) , 7.38 (IH, d, J=7Hz) , 7.52 (1H, t, J=8Hz) , 7.57-7.67 (4H, m),8.15 (IH, d, J=7Hz) , 8.34(1H, dd, J=7Hz, J=4Hz), 8.39 (IH, s) 融点: 147— 1 49 °C Ή-NMR (CDC1 3) δ : 2.26 (3Η, s), 2.35 (6Η, brs), 5.26 (2H, brs), 7.08 (2H, s), 7.16 (2H, q, J = 8Hz), 7.34 ( IH, d, J = 8Hz), 7.38 (IH, d, J = 7Hz), 7.52 (1H, t, J = 8Hz), 7.57-7.67 (4H, m), 8.15 (IH, d, J = 7Hz) , 8.34 (1H, dd, J = 7 Hz, J = 4 Hz), 8.39 (IH, s) Melting point: 147-1 49 ° C
実施例 47 (1) - (3) 実施例 33 (1) と同様にして、 以下の (化合物 372) 〜 (化合物 374) を 合成した。 Example 47 (1)-(3) The following (Compound 372) to (Compound 374) were synthesized in the same manner as in Example 33 (1).
実施例 47 (1) Example 47 (1)
2 - (5—ブロモ—2—メチルインドール— 3—ィルチオ) 安息香酸メチルエス テル (化合物 372) 2- (5-bromo-2-methylindole-3-ylthio) methyl ester benzoate (Compound 372)
性状:淡黄色粉末 Properties: pale yellow powder
融点: 180 _ 181で Melting point: 180_181
Ή-NMR (CDC13) δ : 2.48 (3Η, s) , 4.00 (3Η, s) , 6.67 (IH, d, J=8Hz) , Ή-NMR (CDC1 3) δ : 2.48 (3Η, s), 4.00 (3Η, s), 6.67 (IH, d, J = 8Hz),
7.09(lH,dt, J=8Hz, J = lHz), 7.14(lH,dt, J=6Hz, J=2Hz),7.22-7.28 (2H, m), 7.61 (IH, d, J = lHz) , 8.03 (IH, dd, J=8Hz, J=2Hz) , 8.41 (IH, brs) 7.09 (lH, dt, J = 8Hz, J = lHz), 7.14 (lH, dt, J = 6Hz, J = 2Hz), 7.22-7.28 (2H, m), 7.61 (IH, d, J = lHz), 8.03 (IH, dd, J = 8Hz, J = 2Hz), 8.41 (IH, brs)
実施例 47 (2) Example 47 (2)
2 - ( 5 _ブロモ—2—メチルインドールー 3—ィルチオ) 安息香酸 t e r t 一ブチルエステル (化合物 373) 2- (5-bromo-2-methylindole-3-ylthio) benzoic acid t ert monobutyl ester (Compound 373)
性状:黄色粉末 Properties: yellow powder
融点: 79 _ 81 X: Melting point: 79 _ 81 X:
Ή-NMR (CDC13) δ 1.68 (9Η, s) , 2.49 (3Η, s) , 6.64(lH,d, J=8Hz), Ή-NMR (CDC1 3) δ 1.68 (9Η, s), 2.49 (3Η, s), 6.64 (lH, d, J = 8Hz),
7.04-7.13 (2H, m) , 7.22-7.29 (2H, m), 7.62 (IH, s),7.97 (IH, d, J=7Hz) , 7.04-7.13 (2H, m), 7.22-7.29 (2H, m), 7.62 (IH, s), 7.97 (IH, d, J = 7Hz),
8.33(1H, s) 8.33 (1H, s)
実施例 47 (3) Example 47 (3)
2- (5- (2— t e r t—ブチルスルファモイルフエ二ル) —2—メチルイン ドール _ 3—ィルチオ) 安息香酸ベンジルエステル (化合物 374) 2- (5- (2-tert-butylsulfamoylphenyl) -2-methylindole-3-ylthio) benzyl benzoate (Compound 374)
性状:淡黄色固体 Properties: pale yellow solid
融点: 222 _ 223. 5°C Melting point: 222 _ 223.5 ° C
Ή-NMR (CDC13) δ : 0.84 (9Η, s) , 2.51 (3H, s) , 3.56 (IH, s) , 5.42 (2H, s) , Ή-NMR (CDC1 3) δ : 0.84 (9Η, s), 2.51 (3H, s), 3.56 (IH, s), 5.42 (2H, s),
6.74 (IH, d, J=8Hz) , 7.05 (IH, t, J=7Hz), 7.13 (1H, t, J=7Hz) , 7.30 (IH, d, J=7Hz) ,6.74 (IH, d, J = 8Hz), 7.05 (IH, t, J = 7Hz), 7.13 (1H, t, J = 7Hz), 7.30 (IH, d, J = 7Hz),
7.35 (IH, d, J=7Hz), 7.37-7.43 (4H, m), 7.47-7.51 (5H, m), 8.05 (IH, d, J=8Hz), 8.13(1H, d, J=8Hz),8.67(1H, s) 7.35 (IH, d, J = 7Hz), 7.37-7.43 (4H, m), 7.47-7.51 (5H, m), 8.05 (IH, d, J = 8Hz), 8.13 (1H, d, J = 8Hz), 8.67 (1H, s)
実施例 48 Example 48
2 - (1 - (3—ジメチルァミノ— 2—メチルベンゾィル) _2—メチル— 5_ (2—スルファモイルフエ二ル) インドール— 3—ィルスルホニル) ベンズアミ ド (化合物 375) 2-(1-(3-dimethylamino-2-methylbenzoyl) _2-methyl-5_ (2-sulfamoylphenyl) indole-3-ylsulfonyl) benzamide (compound 375)
2 - (1 - (3—ジメチルァミノ— 2—メチルベンゾィル) 一 2—メチルー 5 一 (2—スルファモイルフエ二ル) インドール— 3—ィルスルホニル) 安息香酸 0. 08 g、 WSC I 24mg、 HOB t 18mg、 塩化アンモニゥム 70mg、 ト リエチルァミン 0. 22mlをテトラヒドロフラン 2m 1に加え室温で 22時間 攪拌した。 反応液に水を加え酢酸ェチルで抽出した。 有機層を無水硫酸マグネシ ゥムで乾燥後濃縮した。 残渣をシリカゲルカラムクロマトグラフィー (塩化メチ レン Zメタノール =20 1) に付し、 上記化合物を 22 mg得た。 2- (1- (3-dimethylamino-2-methylbenzoyl) -1-2-methyl-5- (2-sulfamoylphenyl) indole-3-ylsulfonyl) benzoic acid 0.08 g, WSC I 24 mg, HOB t 18 mg Then, 70 mg of ammonium chloride and 0.22 ml of triethylamine were added to 2 ml of tetrahydrofuran, and the mixture was stirred at room temperature for 22 hours. Water was added to the reaction solution, which was extracted with ethyl acetate. The organic layer was dried over anhydrous magnesium sulfate and concentrated. The residue was subjected to silica gel column chromatography (methylene chloride Z methanol = 201) to give 22 mg of the above compound.
性状:黄色粉末 Properties: yellow powder
融点: 135— 137 Melting point: 135-137
'H-NMR(CDC13) 6 :2.27 (3H, s),2.42 (3H, s) , 2.70 (6Η, s),5.24 (2Η, s),6.00 (1H, s) , 6.77 (1H, s), 7.00-7.12 (3H, m) , 7.20-7.32 (2H, m) , 7.48-7.55 (6H, m), 'H-NMR (CDC1 3) 6: 2.27 (3H, s), 2.42 (3H, s), 2.70 (6Η, s), 5.24 (2Η, s), 6.00 (1H, s), 6.77 (1H, s ), 7.00-7.12 (3H, m), 7.20-7.32 (2H, m), 7.48-7.55 (6H, m),
8.16(lH,d, J=8Hz),8.23-8.40(2H, m) 試験例 1 :遺伝子組み換えヒトキマーゼに対する阻害作用の測定 8.16 (lH, d, J = 8Hz), 8.23-8.40 (2H, m) Test example 1: Measurement of inhibitory effect on recombinant human chymase
5 Mの塩化カリウムと 0. 01 %トライトン X— 100を含有する 2 OmMトリ ス塩酸緩衝液 (PH8. 0) に、 濃度系列の試験化合物と、 大腸菌にて発現させた 遺伝子組み換えヒトキマーゼを加え、 37 °Cで 30分間インキュベートした。 こ の後、 終濃度 0. 5 の合成基質スクシ二ルーァラニル—ァラニル—プロリル一 フエ二ルァラニン— p—ニトロァニリドを加え更に 37t:で 60分間インキュべ ートした。 反応後、 基質が分解して生じる p—二トロア二リンの生成量を 405 nmにおける吸光度の増加分で測定した。 以下の式により各々の濃度系列での試 験化合物の阻害率を算出し、 濃度阻害曲線から 50%阻害を示す濃度 (IC5。) を 求めた。 結果を表 1に示す。 To a 2 OmM Tris-HCl buffer (PH 8.0) containing 5 M potassium chloride and 0.01% Triton X-100, add a concentration series of test compounds and recombinant human chymase expressed in E. coli. Incubated at 37 ° C for 30 minutes. Thereafter, a synthetic substrate of succinilualanyl-aralanyl-prolyl-phenylalanine-p-nitroanilide having a final concentration of 0.5 was added, and the mixture was further incubated at 37 t: for 60 minutes. After the reaction, the amount of p-nitroaline produced by decomposition of the substrate was measured by the increase in absorbance at 405 nm. The test for each concentration series is as follows: Calculating the percent inhibition of test compounds was determined the concentration (IC 5.) Showing 50% inhibition from the concentration inhibition curves. Table 1 shows the results.
M^ ( 0/ 一 η 試験化合物添加時の吸光度 ヽ η Λ M ^ (0 / -1 η Absorbance when test compound is added ヽη Λ
( ) — ( 1—試験化合物非添力崎の吸光度) Xl ° ° 試験例 2 :ゥシ α—キモトリブシンに対する阻害作用の測定 () — ( 1 — Absorbance of test compound without added compound) Xl ° ° Test example 2: Measurement of inhibitory effect on α-chymotrypsin
Shuj aath Mらの方法 (Shujaath M, et al. , Biochem Biophys Res Co画 n 166 (2), 595-600, 1990) の方法に従って行った。 まず、 0. 5 M塩ィ匕ナトリウムを 含有する 0. 1M HE PES緩衝液 (pH7. 5) に、 濃度系列の試験化合物と、 ひ—キモトリブシンを加え 37 °Cで 30分間インキュベートした。 この後、 終濃 度 0. 5 mMの合成基質スクシニルーァラニル—ァラニループ口リル—フエニルァ ラニン一 P—二トロアニリドを加え更に 37 で 60分間インキュベートした。 反応後、 基質が分解して生じる p—ニトロァニリンの生成量を 405 nmにおけ る吸光度の増加分で測定した。 そして、 試験例 1と同様にして、 IC5。値を求めた。 結果を表 1に併せて示す。 The procedure was performed according to the method of Shujaath M et al. (Shujaath M, et al., Biochem Biophys Res Co fraction n 166 (2), 595-600, 1990). First, to a 0.1 M HE PES buffer (pH 7.5) containing 0.5 M sodium chloride, a test compound in a concentration series, and chymotrypsin were added, and the mixture was incubated at 37 ° C for 30 minutes. Thereafter, a synthetic substrate succinyl-alanyl-araniloop at an end concentration of 0.5 mM was added, and the mixture was further incubated at 37 for 60 minutes. After the reaction, the amount of p-nitroaniline produced by the decomposition of the substrate was measured by the increase in absorbance at 405 nm. Then, as in Test Example 1, IC 5 . The value was determined. The results are shown in Table 1.
表 1 table 1
産業上の利用可能性 Industrial applicability
本発明化合物 (1 ) 又はその塩は、 優れたキマーゼ阻害作用を有することから、 循環器系疾患 (高血圧、 動脈硬化、 鬱血性心不全、 心筋梗塞、 心臓及び左心室肥 大、 心筋梗塞を含む冠状動脈性疾患、 血管肥厚、 血管新生又はァテロームを合併 する血管傷害及び血管形成術後の再狭窄等) 、 炎症 (肝炎等) 、 免疫系疾患 (リ ゥマチ等) 、 アレルギー性疾患 (喘息、 乾癬、 アトピー、 強皮症等) 、 眼疾患 (緑内障、 白内障等) 、 糖尿病性合併症 (糖尿病性網膜症、 糖尿病性腎症等) 、 膠原病又は肥満症等の予防 ·治療薬、 更には粘膜 ·臓器保護薬 (消化管粘膜保護 薬、 各種組織 ·臓器保護薬等) 、 癌転移 ·浸潤の防止薬又は臓器移植後の生存率 改善薬等として有用である。 また、 本発明化合物 (2 ) 又はその塩は化合物 ( 1 ) の合成中間体として有用である。 Since the compound (1) of the present invention or a salt thereof has an excellent chymase inhibitory activity, it can be used in cardiovascular diseases (such as hypertension, arteriosclerosis, congestive heart failure, myocardial infarction, cardiac and left ventricular hypertrophy, and myocardial infarction). Arterial disease, vascular hypertrophy, vascular injury accompanying angiogenesis or atheroma and restenosis after angioplasty, etc., inflammation (hepatitis, etc.), immune system disease (rheumatic, etc.), allergic disease (asthma, psoriasis, Atopy, scleroderma, etc.), eye diseases (glaucoma, cataract, etc.), diabetic complications (diabetic retinopathy, diabetic nephropathy, etc.), Prevention and treatment of collagen disease or obesity, etc., and also mucous membranes, organ protection drugs (gastrointestinal mucosa protection drugs, various tissues, organ protection drugs, etc.), cancer metastasis, prevention of invasion or improvement of survival rate after organ transplantation It is useful as a medicine. Further, the compound (2) of the present invention or a salt thereof is useful as an intermediate for synthesizing the compound (1).
Claims
Priority Applications (1)
| Application Number | Priority Date | Filing Date | Title |
|---|---|---|---|
| AU79622/00A AU7962200A (en) | 1999-10-29 | 2000-10-27 | Novel indole derivatives and drugs containing the same as the active ingredient |
Applications Claiming Priority (4)
| Application Number | Priority Date | Filing Date | Title |
|---|---|---|---|
| JP31006699 | 1999-10-29 | ||
| JP11/310066 | 1999-10-29 | ||
| JP2000129760 | 2000-04-28 | ||
| JP2000-129760 | 2000-04-28 |
Publications (1)
| Publication Number | Publication Date |
|---|---|
| WO2001032621A1 true WO2001032621A1 (en) | 2001-05-10 |
Family
ID=26566177
Family Applications (1)
| Application Number | Title | Priority Date | Filing Date |
|---|---|---|---|
| PCT/JP2000/007590 Ceased WO2001032621A1 (en) | 1999-10-29 | 2000-10-27 | Novel indole derivatives and drugs containing the same as the active ingredient |
Country Status (2)
| Country | Link |
|---|---|
| AU (1) | AU7962200A (en) |
| WO (1) | WO2001032621A1 (en) |
Cited By (34)
| Publication number | Priority date | Publication date | Assignee | Title |
|---|---|---|---|---|
| WO2003086398A1 (en) * | 2002-04-05 | 2003-10-23 | Abbott Laboratories | Aminocarbonyl substituted pyridines, pyridazines, pyrimidines, pyrazines and triazines having antiangiogenic activity |
| WO2003101961A1 (en) * | 2002-05-30 | 2003-12-11 | Astrazeneca Ab | Novel substituted indoles |
| WO2003084916A3 (en) * | 2002-04-05 | 2003-12-24 | Warner Lambert Co | Compounds that modulate ppar activity and methods for their preparation |
| WO2004089896A1 (en) * | 2003-04-11 | 2004-10-21 | Novo Nordisk A/S | 11β-HYDROXYSTEROID DEHYDROGENASE TYPE 1 ACTIVE COMPOUNDS |
| WO2004106302A1 (en) * | 2003-05-27 | 2004-12-09 | Astrazeneca Ab | Novel substituted 3-sulfur indoles |
| WO2005018672A1 (en) * | 2003-08-22 | 2005-03-03 | Teijin Pharma Limited | Drug containing chymase inhibitor as the active ingredient |
| JP2009519291A (en) * | 2005-12-15 | 2009-05-14 | エフ.ホフマン−ラ ロシュ アーゲー | Novel condensed pyrrole derivatives |
| US7592466B2 (en) | 2003-10-09 | 2009-09-22 | Abbott Laboratories | Ureas having antiangiogenic activity |
| US7632955B2 (en) | 2001-12-13 | 2009-12-15 | National Health Research Institutes | Indole compounds |
| US7645752B2 (en) | 2006-01-13 | 2010-01-12 | Wyeth Llc | Sulfonyl substituted 1H-indoles as ligands for the 5-hydroxytryptamine receptors |
| US7700583B2 (en) | 2003-04-11 | 2010-04-20 | High Point Pharmaceuticals, Llc | 11β-hydroxysteroid dehydrogenase type 1 active compounds |
| US7705023B2 (en) | 2004-06-18 | 2010-04-27 | Biolipox Ab | Indoles useful in the treatment of inflammation |
| US7709521B2 (en) | 2003-08-18 | 2010-05-04 | Astrazeneca Ab | Substituted indole derivatives for pharmaceutical compositions for treating respiratory diseases |
| US7723373B2 (en) | 2002-07-17 | 2010-05-25 | Astrazeneca Ab | Indole-3-sulphur derivatives |
| US7741360B2 (en) | 2006-05-26 | 2010-06-22 | Astrazeneca Ab | Bi-aryl or aryl-heteroaryl substituted indoles |
| US7754735B2 (en) | 2002-05-30 | 2010-07-13 | Astrazeneca Ab | Substituted indoles |
| US7781598B2 (en) | 2005-01-13 | 2010-08-24 | Astrazeneca Ab | Process for the preparation of substituted indoles |
| US7834037B2 (en) | 2005-11-04 | 2010-11-16 | Amira Pharmaceuticals, Inc. | 5-lipoxygenase-activating protein (FLAP) inhibitors |
| JP2010536768A (en) * | 2007-08-16 | 2010-12-02 | ベーリンガー インゲルハイム インターナショナル ゲゼルシャフト ミット ベシュレンクテル ハフツング | Quinazolinedione chymase inhibitor |
| US7977359B2 (en) | 2005-11-04 | 2011-07-12 | Amira Pharmaceuticals, Inc. | 5-lipdxygenase-activating protein (FLAP) inhibitors |
| US8097623B2 (en) | 2005-01-19 | 2012-01-17 | Biolipox Ab | Indoles useful in the treatment of inflammation |
| US8227622B2 (en) | 2009-07-06 | 2012-07-24 | Astrazeneca Ab | Pharmaceutical process and intermediates 714 |
| US8399666B2 (en) | 2005-11-04 | 2013-03-19 | Panmira Pharmaceuticals, Llc | 5-lipoxygenase-activating protein (FLAP) inhibitors |
| WO2013115457A1 (en) * | 2012-01-31 | 2013-08-08 | 인제대학교 산학협력단 | Composition for inhibiting metastasis, containing necrox |
| US8546431B2 (en) | 2008-10-01 | 2013-10-01 | Panmira Pharmaceuticals, Llc | 5-lipoxygenase-activating protein (FLAP) inhibitors |
| KR101400346B1 (en) | 2012-01-31 | 2014-05-30 | 인제대학교 산학협력단 | Composition for suppression of cancer metastasis containing NecroX |
| US8772495B2 (en) | 2008-05-23 | 2014-07-08 | Panmira Pharmaceuticals, Llc | 5-lipoxygenase-activating protein inhibitor |
| US8884020B2 (en) | 2006-08-07 | 2014-11-11 | Ironwood Pharmaceuticals, Inc. | Indole compounds |
| US8889730B2 (en) | 2012-04-10 | 2014-11-18 | Pfizer Inc. | Indole and indazole compounds that activate AMPK |
| JP2015531398A (en) * | 2012-10-05 | 2015-11-02 | メルク・シャープ・アンド・ドーム・コーポレーションMerck Sharp & Dohme Corp. | Indoline compounds as aldosterone synthase inhibitor related applications |
| US9394285B2 (en) | 2013-03-15 | 2016-07-19 | Pfizer Inc. | Indole and indazole compounds that activate AMPK |
| US9657012B2 (en) | 2010-12-22 | 2017-05-23 | Ironwood Pharmaceuticals, Inc. | FAAH inhibitors |
| CN107915726A (en) * | 2017-12-06 | 2018-04-17 | 西华大学 | Novel 3,5‑disubstituted 1H‑indole derivatives and their synthesis and application |
| WO2018165501A1 (en) * | 2017-03-10 | 2018-09-13 | Lycera Corporation | INDOLINYL SULFONAMIDE AND RELATED COMPOUNDS FOR USE AS AGONISTS OF RORγ AND THE TREATMENT OF DISEASE |
Citations (11)
| Publication number | Priority date | Publication date | Assignee | Title |
|---|---|---|---|---|
| GB869775A (en) * | 1958-09-24 | 1961-06-07 | Upjohn Co | 3-indolyl ketones |
| WO1990009380A1 (en) * | 1989-02-10 | 1990-08-23 | Otsuka Pharmaceutical Co., Ltd. | Indole derivatives, preparation thereof, and drug for preventing and treating nephritis containing same |
| WO1992004321A1 (en) * | 1990-09-10 | 1992-03-19 | Rhone-Poulenc Rorer International (Holdings) Inc. | Substituted bicyclic aryl compounds exhibiting selective leukotriene b4 antagonist activity |
| WO1993005020A1 (en) * | 1991-09-06 | 1993-03-18 | Merck & Co., Inc. | Indoles as inhibitors of hiv reverse transcriptase |
| WO1994014771A1 (en) * | 1992-12-21 | 1994-07-07 | Smithkline Beecham Plc | Tryptamine analogues as 5-ht1-like agonists |
| WO1994019321A1 (en) * | 1993-02-24 | 1994-09-01 | Merck & Co., Inc. | Inhibitors of hiv reverse transcriptase |
| WO1995016687A1 (en) * | 1993-12-16 | 1995-06-22 | Abbott Laboratories | Platelet activating factor antagonists: imidazopyridine indoles |
| WO1996036611A1 (en) * | 1995-05-19 | 1996-11-21 | Chiroscience Limited | 3,4-disubstituted-phenylsulphonamides and their therapeutic use |
| WO1997027190A1 (en) * | 1996-01-22 | 1997-07-31 | Fujisawa Pharmaceutical Co., Ltd. | Thiazolylbenzofuran derivatives and pharmaceutical compositions containing them |
| JPH1067682A (en) * | 1996-07-23 | 1998-03-10 | Fujisawa Pharmaceut Co Ltd | New use |
| JPH1087567A (en) * | 1996-06-05 | 1998-04-07 | Takeda Chem Ind Ltd | Phenol ester derivative, its production and use |
-
2000
- 2000-10-27 AU AU79622/00A patent/AU7962200A/en not_active Abandoned
- 2000-10-27 WO PCT/JP2000/007590 patent/WO2001032621A1/en not_active Ceased
Patent Citations (11)
| Publication number | Priority date | Publication date | Assignee | Title |
|---|---|---|---|---|
| GB869775A (en) * | 1958-09-24 | 1961-06-07 | Upjohn Co | 3-indolyl ketones |
| WO1990009380A1 (en) * | 1989-02-10 | 1990-08-23 | Otsuka Pharmaceutical Co., Ltd. | Indole derivatives, preparation thereof, and drug for preventing and treating nephritis containing same |
| WO1992004321A1 (en) * | 1990-09-10 | 1992-03-19 | Rhone-Poulenc Rorer International (Holdings) Inc. | Substituted bicyclic aryl compounds exhibiting selective leukotriene b4 antagonist activity |
| WO1993005020A1 (en) * | 1991-09-06 | 1993-03-18 | Merck & Co., Inc. | Indoles as inhibitors of hiv reverse transcriptase |
| WO1994014771A1 (en) * | 1992-12-21 | 1994-07-07 | Smithkline Beecham Plc | Tryptamine analogues as 5-ht1-like agonists |
| WO1994019321A1 (en) * | 1993-02-24 | 1994-09-01 | Merck & Co., Inc. | Inhibitors of hiv reverse transcriptase |
| WO1995016687A1 (en) * | 1993-12-16 | 1995-06-22 | Abbott Laboratories | Platelet activating factor antagonists: imidazopyridine indoles |
| WO1996036611A1 (en) * | 1995-05-19 | 1996-11-21 | Chiroscience Limited | 3,4-disubstituted-phenylsulphonamides and their therapeutic use |
| WO1997027190A1 (en) * | 1996-01-22 | 1997-07-31 | Fujisawa Pharmaceutical Co., Ltd. | Thiazolylbenzofuran derivatives and pharmaceutical compositions containing them |
| JPH1087567A (en) * | 1996-06-05 | 1998-04-07 | Takeda Chem Ind Ltd | Phenol ester derivative, its production and use |
| JPH1067682A (en) * | 1996-07-23 | 1998-03-10 | Fujisawa Pharmaceut Co Ltd | New use |
Non-Patent Citations (5)
| Title |
|---|
| CHEMICAL ABSTRACTS, vol. 106, Columbus, Ohio, US; abstract no. 119608, XP002934732 * |
| CHEMICAL ABSTRACTS, vol. 91, Columbus, Ohio, US; abstract no. 157545, XP002934733 * |
| GUNGOR T. ET AL.: "N-substituted adenosine receptor agonists. Synthesis and pharmacological activity as potent anti-nociceptive agents", J. MED. CHEM., vol. 37, no. 25, 1994, pages 4307 - 4316, XP002934731 * |
| HETEROCYCLES, vol. 12, no. 6, 1979, pages 811 - 814 * |
| SYNTHESIS, vol. 8, 1986, pages 651 - 653 * |
Cited By (49)
| Publication number | Priority date | Publication date | Assignee | Title |
|---|---|---|---|---|
| US7632955B2 (en) | 2001-12-13 | 2009-12-15 | National Health Research Institutes | Indole compounds |
| WO2003084916A3 (en) * | 2002-04-05 | 2003-12-24 | Warner Lambert Co | Compounds that modulate ppar activity and methods for their preparation |
| WO2003086398A1 (en) * | 2002-04-05 | 2003-10-23 | Abbott Laboratories | Aminocarbonyl substituted pyridines, pyridazines, pyrimidines, pyrazines and triazines having antiangiogenic activity |
| AP1772A (en) * | 2002-04-05 | 2007-08-27 | Warner Lambert Co | Compounds that modulate PPAR activity and methods for their preparation. |
| EA009518B1 (en) * | 2002-04-05 | 2008-02-28 | Уорнер-Ламберт Компани Ллс | Compounds that modulate ppar activity and methods for their production |
| WO2003101961A1 (en) * | 2002-05-30 | 2003-12-11 | Astrazeneca Ab | Novel substituted indoles |
| US7754735B2 (en) | 2002-05-30 | 2010-07-13 | Astrazeneca Ab | Substituted indoles |
| US8093278B2 (en) | 2002-05-30 | 2012-01-10 | Astrazeneca Ab | Substituted indoles |
| US7166607B2 (en) | 2002-05-30 | 2007-01-23 | Astrazeneca Ab | Substituted indoles |
| US7723373B2 (en) | 2002-07-17 | 2010-05-25 | Astrazeneca Ab | Indole-3-sulphur derivatives |
| WO2004089896A1 (en) * | 2003-04-11 | 2004-10-21 | Novo Nordisk A/S | 11β-HYDROXYSTEROID DEHYDROGENASE TYPE 1 ACTIVE COMPOUNDS |
| JP2006522748A (en) * | 2003-04-11 | 2006-10-05 | ノボ ノルディスク アクティーゼルスカブ | 11β-hydroxysteroid dehydrogenase type 1 active compound |
| US7700583B2 (en) | 2003-04-11 | 2010-04-20 | High Point Pharmaceuticals, Llc | 11β-hydroxysteroid dehydrogenase type 1 active compounds |
| CN1795174B (en) * | 2003-05-27 | 2011-09-28 | 阿斯利康(瑞典)有限公司 | Substituted 3-thioindoles |
| JP2010155862A (en) * | 2003-05-27 | 2010-07-15 | Astrazeneca Ab | New 3-position sulfur substituted indole |
| US7687535B2 (en) | 2003-05-27 | 2010-03-30 | Astrazeneca Ab | Substituted 3-sulfur indoles |
| AU2004242624B2 (en) * | 2003-05-27 | 2008-03-13 | Astrazeneca Ab | Novel substituted 3-sulfur indoles |
| WO2004106302A1 (en) * | 2003-05-27 | 2004-12-09 | Astrazeneca Ab | Novel substituted 3-sulfur indoles |
| US7709521B2 (en) | 2003-08-18 | 2010-05-04 | Astrazeneca Ab | Substituted indole derivatives for pharmaceutical compositions for treating respiratory diseases |
| EP1666067A4 (en) * | 2003-08-22 | 2009-07-22 | Teijin Pharma Ltd | Drug containing chymase inhibitor as the active ingredient |
| WO2005018672A1 (en) * | 2003-08-22 | 2005-03-03 | Teijin Pharma Limited | Drug containing chymase inhibitor as the active ingredient |
| US7592466B2 (en) | 2003-10-09 | 2009-09-22 | Abbott Laboratories | Ureas having antiangiogenic activity |
| US7705023B2 (en) | 2004-06-18 | 2010-04-27 | Biolipox Ab | Indoles useful in the treatment of inflammation |
| US7781598B2 (en) | 2005-01-13 | 2010-08-24 | Astrazeneca Ab | Process for the preparation of substituted indoles |
| US8097623B2 (en) | 2005-01-19 | 2012-01-17 | Biolipox Ab | Indoles useful in the treatment of inflammation |
| US7977359B2 (en) | 2005-11-04 | 2011-07-12 | Amira Pharmaceuticals, Inc. | 5-lipdxygenase-activating protein (FLAP) inhibitors |
| US8710081B2 (en) | 2005-11-04 | 2014-04-29 | Panmira Pharmaceuticals, Llc | 5-lipoxygenase-activating protein (FLAP) inhibitors |
| US8841295B2 (en) | 2005-11-04 | 2014-09-23 | Panmira Pharmaceuticals, Llc | 5-lipoxygenase-activating protein (FLAP) inhibitors |
| US8399666B2 (en) | 2005-11-04 | 2013-03-19 | Panmira Pharmaceuticals, Llc | 5-lipoxygenase-activating protein (FLAP) inhibitors |
| US7834037B2 (en) | 2005-11-04 | 2010-11-16 | Amira Pharmaceuticals, Inc. | 5-lipoxygenase-activating protein (FLAP) inhibitors |
| JP2009519291A (en) * | 2005-12-15 | 2009-05-14 | エフ.ホフマン−ラ ロシュ アーゲー | Novel condensed pyrrole derivatives |
| US7645752B2 (en) | 2006-01-13 | 2010-01-12 | Wyeth Llc | Sulfonyl substituted 1H-indoles as ligands for the 5-hydroxytryptamine receptors |
| US7741360B2 (en) | 2006-05-26 | 2010-06-22 | Astrazeneca Ab | Bi-aryl or aryl-heteroaryl substituted indoles |
| US8884020B2 (en) | 2006-08-07 | 2014-11-11 | Ironwood Pharmaceuticals, Inc. | Indole compounds |
| JP2010536768A (en) * | 2007-08-16 | 2010-12-02 | ベーリンガー インゲルハイム インターナショナル ゲゼルシャフト ミット ベシュレンクテル ハフツング | Quinazolinedione chymase inhibitor |
| US8772495B2 (en) | 2008-05-23 | 2014-07-08 | Panmira Pharmaceuticals, Llc | 5-lipoxygenase-activating protein inhibitor |
| US8546431B2 (en) | 2008-10-01 | 2013-10-01 | Panmira Pharmaceuticals, Llc | 5-lipoxygenase-activating protein (FLAP) inhibitors |
| US8227622B2 (en) | 2009-07-06 | 2012-07-24 | Astrazeneca Ab | Pharmaceutical process and intermediates 714 |
| US9657012B2 (en) | 2010-12-22 | 2017-05-23 | Ironwood Pharmaceuticals, Inc. | FAAH inhibitors |
| KR101400346B1 (en) | 2012-01-31 | 2014-05-30 | 인제대학교 산학협력단 | Composition for suppression of cancer metastasis containing NecroX |
| WO2013115457A1 (en) * | 2012-01-31 | 2013-08-08 | 인제대학교 산학협력단 | Composition for inhibiting metastasis, containing necrox |
| US8889730B2 (en) | 2012-04-10 | 2014-11-18 | Pfizer Inc. | Indole and indazole compounds that activate AMPK |
| JP2015531398A (en) * | 2012-10-05 | 2015-11-02 | メルク・シャープ・アンド・ドーム・コーポレーションMerck Sharp & Dohme Corp. | Indoline compounds as aldosterone synthase inhibitor related applications |
| US9745282B2 (en) | 2012-10-05 | 2017-08-29 | Merck Sharp & Dohme Corp | Indoline compounds as aldosterone synthase inhibitors |
| EP2903615B1 (en) * | 2012-10-05 | 2021-04-07 | Merck Sharp & Dohme Corp. | 5-pyridin-3-yl-2,3-dihydro-1h-indole derivatives as aldosterone synthase (cyp11b2) inhibitors for the treatment of hypertension |
| US9394285B2 (en) | 2013-03-15 | 2016-07-19 | Pfizer Inc. | Indole and indazole compounds that activate AMPK |
| WO2018165501A1 (en) * | 2017-03-10 | 2018-09-13 | Lycera Corporation | INDOLINYL SULFONAMIDE AND RELATED COMPOUNDS FOR USE AS AGONISTS OF RORγ AND THE TREATMENT OF DISEASE |
| CN107915726A (en) * | 2017-12-06 | 2018-04-17 | 西华大学 | Novel 3,5‑disubstituted 1H‑indole derivatives and their synthesis and application |
| CN107915726B (en) * | 2017-12-06 | 2020-06-05 | 西华大学 | Novel 3, 5-disubstituted 1H-indole derivative and synthesis and application thereof |
Also Published As
| Publication number | Publication date |
|---|---|
| AU7962200A (en) | 2001-05-14 |
Similar Documents
| Publication | Publication Date | Title |
|---|---|---|
| WO2001032621A1 (en) | Novel indole derivatives and drugs containing the same as the active ingredient | |
| EP0673937B1 (en) | Bicyclic heterocyclic sulfonamide and sulfonic ester derivatives | |
| JP4039856B2 (en) | Integrin expression inhibitor | |
| JP3545461B2 (en) | Bicyclic heterocycle-containing sulfonamide derivatives | |
| JP3794469B2 (en) | Indole derivatives having antiviral activity | |
| JP4357004B2 (en) | Pyrazole derivative and COX inhibitor containing the same | |
| CN101970405A (en) | Indoles and their therapeutic use | |
| CN105992759B (en) | 1, 2-naphthoquinone derivative and preparation method thereof | |
| JPH05202040A (en) | Thiazolylbenzofuran derivative | |
| EP0784612A1 (en) | Urea derivatives and their use as acat-inhibitors | |
| CZ300570B6 (en) | Inhibitors of biosynthesis prostaglandin endoperoxide H synthase | |
| JPWO2001056607A1 (en) | Integrin expression inhibitors | |
| WO2005094805A1 (en) | Imine derivative and amide derivative | |
| JP2008266295A (en) | New thiadiazole derivative having kinase inhibitory activity | |
| JPWO1998046594A1 (en) | Pyrazole derivatives and COX inhibitors containing the same | |
| AU2021329159B2 (en) | Imidazolquinoline or benzoindazolone compound and intermediate for preparing same | |
| JPH11508267A (en) | Pyrazole compounds and pharmaceutical compositions | |
| AU2007333990A1 (en) | Benzimidazole TRPV1 inhibitors | |
| WO2019196714A1 (en) | N-substituted acrylamide derivative as dhodh inhibitor, and preparation and use thereof | |
| CA3057736A1 (en) | Liver x receptors (lxr) modulators | |
| JP5443975B2 (en) | Novel sulfonamide derivative or salt thereof | |
| JP4007743B2 (en) | Angiogenesis inhibitor | |
| JP4242286B2 (en) | Diaryl 1,2,4-triazole derivatives having excellent selectivity as inhibitors of cyclooxygenase-2 | |
| JP2009511560A (en) | Naphthalene-disulfonamides useful for the treatment of inflammation | |
| CN110229091B (en) | 1,5-disubstituted indole derivatives with leukotriene A4 hydrolase inhibitory effect and application |
Legal Events
| Date | Code | Title | Description |
|---|---|---|---|
| AK | Designated states |
Kind code of ref document: A1 Designated state(s): AE AG AL AM AT AU AZ BA BB BG BR BY BZ CA CH CN CR CU CZ DE DK DM DZ EE ES FI GB GD GE GH GM HR HU ID IL IN IS JP KE KG KP KR KZ LC LK LR LS LT LU LV MA MD MG MK MN MW MX MZ NO NZ PL PT RO RU SD SE SG SI SK SL TJ TM TR TT TZ UA UG US UZ VN YU ZA ZW |
|
| AL | Designated countries for regional patents |
Kind code of ref document: A1 Designated state(s): GH GM KE LS MW MZ SD SL SZ TZ UG ZW AM AZ BY KG KZ MD RU TJ TM AT BE CH CY DE DK ES FI FR GB GR IE IT LU MC NL PT SE BF BJ CF CG CI CM GA GN GW ML MR NE SN TD TG |
|
| 121 | Ep: the epo has been informed by wipo that ep was designated in this application | ||
| REG | Reference to national code |
Ref country code: DE Ref legal event code: 8642 |
|
| 122 | Ep: pct application non-entry in european phase | ||
| NENP | Non-entry into the national phase |
Ref country code: JP |








